EX-10.2 3 a01sixthamendedandrestat.htm EX-10.2 a01sixthamendedandrestat
Execution Version CUSIP Numbers: Deal: 201725AJ7 Revolver: 201725AK4 DDTL: 201725AL2 SIXTH AMENDED AND RESTATED CREDIT AGREEMENT Dated as of October 26, 2022 among COMMERCIAL METALS COMPANY and CMC INTERNATIONAL FINANCE, a société à responsabilité limitée, as Borrowers, BANK OF AMERICA, N.A., as Administrative Agent, Swing Line Lender and a L/C Issuer, WELLS FARGO BANK, NATIONAL ASSOCIATION, CITIBANK, N.A., and PNC BANK, NATIONAL ASSOCIATION, as Co-Syndication Agents and The Other Lenders Party Hereto BOFA SECURITIES, INC., WELLS FARGO BANK, NATIONAL ASSOCIATION, PNC CAPITAL MARKETS LLC, and CITIBANK, N.A., as Joint Lead Arrangers and Joint Book Runners Exhibit 10.2


 
TABLE OF CONTENTS Section Page i ARTICLE I. DEFINITIONS AND ACCOUNTING TERMS ..................................................................... 1  1.01  Defined Terms .................................................................................................................... 1  1.02  Other Interpretive Provisions ............................................................................................ 45  1.03  Accounting Terms ............................................................................................................. 47  1.04  Rounding ........................................................................................................................... 48  1.05  Times of Day. ................................................................................................................... 48  1.06  Letter of Credit Amounts. ................................................................................................. 48  1.07  UCC Terms. ...................................................................................................................... 48  1.08  Exchange Rates; Currency Equivalents. ........................................................................... 48  1.09  Additional Alternative Currencies. ................................................................................... 49  1.10  Change of Currency. ......................................................................................................... 50  1.11  Limited Condition Acquisitions ........................................................................................ 50  1.12  Classifications of Loans. ................................................................................................... 51  ARTICLE II. THE COMMITMENTS AND CREDIT EXTENSIONS ..................................................... 51  2.01  Loans ................................................................................................................................. 51  2.02  Borrowings, Conversions and Continuations of Loans .................................................... 51  2.03  Letters of Credit ................................................................................................................ 54  2.04  Swing Line Loans ............................................................................................................. 64  2.05  Prepayments ...................................................................................................................... 67  2.06  Termination or Reduction of Commitments ..................................................................... 69  2.07  Repayment of Loans ......................................................................................................... 70  2.08  Interest and Default Rate .................................................................................................. 71  2.09  Fees ................................................................................................................................... 72  2.10  Computation of Interest and Fees ..................................................................................... 73  2.11  Evidence of Debt .............................................................................................................. 73  2.12  Payments Generally; Administrative Agent’s Clawback .................................................. 73  2.13  Sharing of Payments by Lenders ...................................................................................... 76  2.14  Increase in Commitments ................................................................................................. 77  2.15  Cash Collateral .................................................................................................................. 79  2.16  Defaulting Lenders ........................................................................................................... 80  2.17  Designation of Material Subsidiaries ................................................................................ 82  2.18  Designated Lender ............................................................................................................ 82  2.19  Successor Foreign Borrower ............................................................................................. 83  ARTICLE III. TAXES, YIELD PROTECTION AND ILLEGALITY ...................................................... 84  3.01  Taxes ................................................................................................................................. 84  3.02  Illegality and Designated Lenders. ................................................................................... 88  3.03  Inability to Determine Rates ............................................................................................. 89  3.04  Increased Costs ................................................................................................................. 93  3.05  Compensation for Losses .................................................................................................. 94  3.06  Mitigation Obligations; Replacement of Lenders ............................................................. 95  3.07  Survival ............................................................................................................................. 95  ARTICLE IV. CONDITIONS PRECEDENT TO CREDIT EXTENSIONS ............................................. 95  4.01  Conditions of Initial Credit Extension .............................................................................. 95  4.02  Conditions to all Credit Extensions .................................................................................. 97  ARTICLE V. REPRESENTATIONS AND WARRANTIES .................................................................... 98 


 
TABLE OF CONTENTS Section Page ii 5.01  Existence, Qualification and Power .................................................................................. 98  5.02  Authorization; No Contravention ..................................................................................... 98  5.03  Governmental Authorization; Other Consents .................................................................. 99  5.04  Binding Effect ................................................................................................................... 99  5.05  Financial Statements; No Material Adverse Effect; Casualty Events ............................... 99  5.06  Litigation ........................................................................................................................... 99  5.07  No Default......................................................................................................................... 99  5.08  Ownership of Property; Liens ......................................................................................... 100  5.09  Environmental Compliance ............................................................................................ 100  5.10  Insurance ......................................................................................................................... 100  5.11  Taxes ............................................................................................................................... 100  5.12  ERISA Compliance ......................................................................................................... 100  5.13  Subsidiaries; Equity Interests .......................................................................................... 101  5.14  Margin Regulations; Investment Company Act.............................................................. 101  5.15  Disclosure ....................................................................................................................... 102  5.16  Compliance with Laws ................................................................................................... 102  5.17  Intellectual Property; Licenses, Etc ................................................................................ 102  5.18  Solvency.......................................................................................................................... 102  5.19  Representations as to Foreign Obligors .......................................................................... 102  5.20  Sanctions Concerns and Anti-Corruption ....................................................................... 104  5.21  Collateral Representations. ............................................................................................. 104  5.22  Affected Financial Institution.. ....................................................................................... 105  5.23  Covered Entities. ............................................................................................................. 105  5.24  Beneficial Ownership Certification.. .............................................................................. 105  ARTICLE VI. AFFIRMATIVE COVENANTS ...................................................................................... 105  6.01  Financial Statements ....................................................................................................... 105  6.02  Certificates; Other Information ....................................................................................... 106  6.03  Notices ............................................................................................................................ 108  6.04  Payment of Obligations .................................................................................................. 108  6.05  Preservation of Existence, Etc ........................................................................................ 108  6.06  Maintenance of Properties .............................................................................................. 108  6.07  Maintenance of Insurance ............................................................................................... 109  6.08  Compliance with Laws ................................................................................................... 109  6.09  Books and Records ......................................................................................................... 109  6.10  Inspection Rights ............................................................................................................ 109  6.11  Use of Proceeds .............................................................................................................. 109  6.12  Compliance with Environmental Laws ........................................................................... 109  6.13  Approvals and Authorizations ........................................................................................ 110  6.14  Notices Regarding Subsidiaries; Covenant to Guarantee and Give Security; Scope of Collateral .......................................................................................................... 110  6.15  Further Assurances ......................................................................................................... 111  6.16  Corporate Ratings ........................................................................................................... 111  6.17  Post-Closing Matters ....................................................................................................... 111  6.18  Pari Passu Ranking ......................................................................................................... 111  6.19  Anti-Money Laundering Laws; Anti-Corruption Laws .................................................. 111  ARTICLE VII. NEGATIVE COVENANTS ............................................................................................ 112  7.01  Liens ............................................................................................................................... 112  7.02  Investments ..................................................................................................................... 113 


 
TABLE OF CONTENTS Section Page iii 7.03  Indebtedness .................................................................................................................... 114  7.04  Fundamental Changes ..................................................................................................... 116  7.05  Dispositions .................................................................................................................... 116  7.06  Change in Nature of Business ......................................................................................... 117  7.07  Transactions with Affiliates ............................................................................................ 117  7.08  Burdensome Agreements ................................................................................................ 117  7.09  Use of Proceeds .............................................................................................................. 117  7.10  Interest Coverage Ratio .................................................................................................. 117  7.11  Debt to Capitalization Ratio ........................................................................................... 117  7.12  Accounting Changes ....................................................................................................... 117  7.13  Speculative Hedges ......................................................................................................... 117  7.14  Restricted Payments ........................................................................................................ 118  7.15  Organizational Documents.............................................................................................. 118  7.16  Anti-Money Laundering Laws; Anti-Corruption Laws .................................................. 118  ARTICLE VIII. EVENTS OF DEFAULT AND REMEDIES ................................................................. 119  8.01  Events of Default ............................................................................................................ 119  8.02  Remedies Upon Event of Default ................................................................................... 121  8.03  Application of Funds ...................................................................................................... 121  ARTICLE IX. ADMINISTRATIVE AGENT .......................................................................................... 123  9.01  Appointment and Authority ............................................................................................ 123  9.02  Rights as a Lender ........................................................................................................... 123  9.03  Exculpatory Provisions ................................................................................................... 123  9.04  Reliance by Administrative Agent .................................................................................. 124  9.05  Delegation of Duties ....................................................................................................... 125  9.06  Resignation of Administrative Agent ............................................................................. 125  9.07  Non-Reliance on Administrative Agent and Other Lenders ........................................... 126  9.08  No Other Duties, Etc ....................................................................................................... 127  9.09  Administrative Agent May File Proofs of Claim; Credit Bidding .................................. 127  9.10  Collateral and Guaranty Matters ..................................................................................... 129  9.11  Secured Cash Management Agreements, Secured Hedge Agreements and Trade Documents.. .................................................................................................................... 129  9.12  Recovery of Erroneous Payments.. ................................................................................. 130  ARTICLE X. COLLECTION ALLOCATION MECHANISM ............................................................... 130  10.01  Implementation of CAM ................................................................................................. 130  10.02  Letters of Credit .............................................................................................................. 131  10.03  No Additional Obligations of Loan Parties .................................................................... 131  ARTICLE XI. MISCELLANEOUS ......................................................................................................... 131  11.01  Amendments, Etc ............................................................................................................ 131  11.02  Notices; Effectiveness; Electronic Communication ....................................................... 134  11.03  No Waiver; Cumulative Remedies; Enforcement ........................................................... 136  11.04  Expenses; Indemnity; Damage Waiver ........................................................................... 136  11.05  Payments Set Aside ........................................................................................................ 139  11.06  Successors and Assigns .................................................................................................. 139  11.07  Treatment of Certain Information; Confidentiality ......................................................... 144  11.08  Right of Setoff ................................................................................................................ 146 


 
TABLE OF CONTENTS Section Page iv 11.09  Interest Rate Limitation .................................................................................................. 146  11.10  Integration; Effectiveness ............................................................................................... 146  11.11  Survival of Representations and Warranties ................................................................... 146  11.12  Severability ..................................................................................................................... 147  11.13  Replacement of Lenders ................................................................................................. 147  11.14  Governing Law; Jurisdiction; Etc ................................................................................... 148  11.15  Waiver of Jury Trial ........................................................................................................ 149  11.16  No Advisory or Fiduciary Responsibility ....................................................................... 149  11.17  Electronic Execution; Electronic Records; Counterparts.. .............................................. 150  11.18  USA PATRIOT Act ........................................................................................................ 151  11.19  Judgment Currency ......................................................................................................... 151  11.20  Exceptions to Covenants ................................................................................................. 151  11.21  Release and Reinstatement of Collateral ........................................................................ 152  11.22  Limitation on Obligations of Foreign Obligors .............................................................. 152  11.23  Release of Guaranties and Collateral .............................................................................. 152  11.24  ENTIRE AGREEMENT ................................................................................................. 153  11.25  Keepwell ......................................................................................................................... 153  11.26  Acknowledgment and Consent to Bail-In of Affected Financial Institutions ................. 153  11.27  [Reserved] ....................................................................................................................... 154  11.28  Acknowledgment Regarding Any Supported QFCs ....................................................... 154  11.29  Amendment and Restatement; No Novation .................................................................. 154 


 
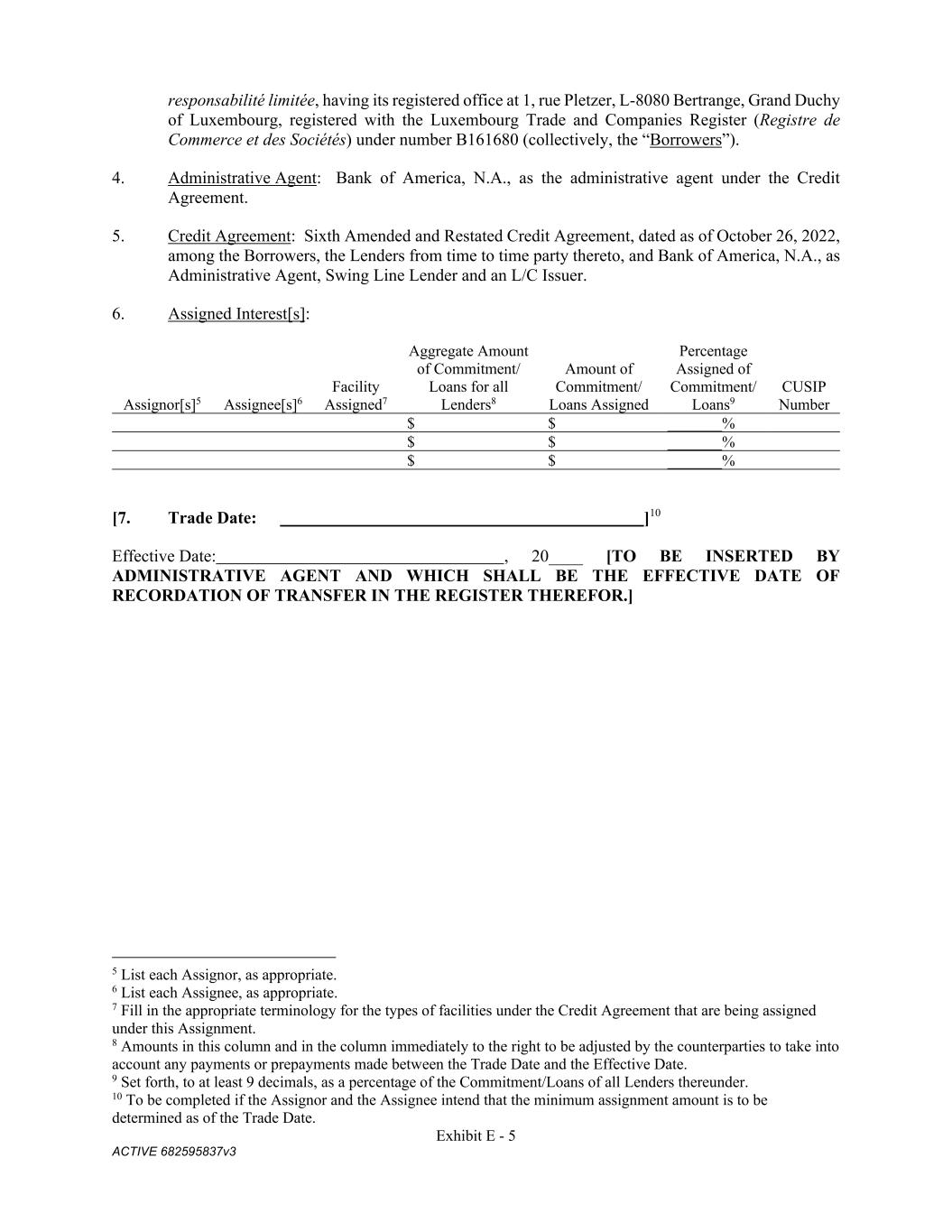
v SCHEDULES 1.01(b) Existing Letters of Credit 2.01(a) Commitments and Applicable Percentages 2.01(b) Letter of Credit Commitments 5.12(d) Pension Plans 5.13 Subsidiaries; Other Equity Investments 6.17 Post-Closing Matters 7.01 Existing Liens 7.02 Existing Investments 7.03 Existing Indebtedness 11.02 Administrative Agent’s Office; Certain Addresses for Notices EXHIBITS Form of A Loan Notice B Swing Line Loan Notice C-1 Company Revolving Note C-2 Foreign Borrower Revolving Note C-3 Company Term Loan Note D Compliance Certificate E Assignment and Assumption F-1 Domestic Guaranty F-2 Foreign Guaranty G Security Agreement H-1 Form of U.S. Tax Compliance Certificate H-2 Form of U.S. Tax Compliance Certificate H-3 Form of U.S. Tax Compliance Certificate H-4 Form of U.S. Tax Compliance Certificate I Form of Secured Party Designation Notice J Form of Notice of Loan Prepayment K L M Form of Letter of Credit Report Form of Solvency Certificate Form of Authorization to Share Insurance Information


 
SIXTH AMENDED AND RESTATED CREDIT AGREEMENT This SIXTH AMENDED AND RESTATED CREDIT AGREEMENT (“Agreement”) is entered into as of October 26, 2022 among COMMERCIAL METALS COMPANY, a Delaware corporation (the “Company”), CMC INTERNATIONAL FINANCE, a société à responsabilité limitée having its registered office at 1, rue Pletzer, L-8080 Bertrange, Grand Duchy of Luxembourg, registered with the Luxembourg Trade and Companies Register under number B-161680, a company organized and existing under the laws of Luxembourg as a société à responsabilité limitée as the Foreign Borrower (defined herein), (the Company together with the Foreign Borrower, collectively the “Borrowers”), the Lenders (defined herein), and BANK OF AMERICA, N.A., as Administrative Agent, Swing Line Lender and an L/C Issuer. The Borrowers, certain of the Lenders and the Administrative Agent are parties to that certain Fifth Amended and Restated Credit Agreement, dated as of March 31, 2021 (as heretofore amended and as in effect on the date of this Agreement, the “Existing Credit Agreement”). The parties hereto desire to amend and restate the Existing Credit Agreement as hereafter set forth. In consideration of the mutual covenants and agreements herein contained, the parties hereto covenant and agree that the Existing Credit Agreement is hereby amended and restated in its entirety as follows: ARTICLE I. DEFINITIONS AND ACCOUNTING TERMS 1.01 Defined Terms. As used in this Agreement, the following terms shall have the meanings set forth below: “2013 Indenture” means that certain Indenture, dated as of May 6, 2013, by and between the Company as Issuer, and U.S. Bank National Association, as trustee, as supplemented from time to time and pursuant to which the Company has issued its senior notes. “Act” has the meaning specified in Section 11.18. “Additional Secured Obligations” means (a) all obligations arising under Secured Cash Management Agreements, Secured Hedge Agreements and Secured Trade Documents and (b) all costs and expenses incurred in connection with enforcement and collection of the foregoing, including the fees, charges and disbursements of counsel (to the extent required to be paid by the Loan Parties under Section 11.04(a) of this Agreement), in each case whether direct or indirect (including those acquired by assumption), absolute or contingent, due or to become due, now existing or hereafter arising and including interest, expenses and fees that accrue after the commencement by or against any Loan Party or any Affiliate thereof of any proceeding under any Debtor Relief Laws naming such Person as the debtor in such proceeding, regardless of whether such interest, expenses and fees are allowed claims in such proceeding; provided that Additional Secured Obligations of a Loan Party shall exclude any Excluded Swap Obligations with respect to such Loan Party. “Administrative Agent” means Bank of America (or any of its designated branch offices or affiliates) in its capacity as administrative agent under any of the Loan Documents, or any successor administrative agent. “Administrative Agent’s Office” means, with respect to any currency, the Administrative Agent’s address and, as appropriate, account as set forth on Schedule 11.02 with respect to such currency, or such


 
2 other address or account with respect to such currency as the Administrative Agent may from time to time notify the Company and the Lenders. “Administrative Questionnaire” means an Administrative Questionnaire in substantially the form provided by the Administrative Agent or any other form approved by the Administrative Agent. “Affected Financial Institution” means (a) any EEA Financial Institution or (b) any UK Financial Institution. “Affiliate” means, with respect to a specified Person, another Person that directly, or indirectly through one or more intermediaries, Controls or is Controlled by or is under common Control with the Person specified. “Aggregate Commitments” means the Commitments of all Lenders. “Agreed Currency” means Dollars or any Alternative Currency, as applicable. “Agreement” means this Credit Agreement, including all schedules, exhibits and annexes hereto. “Agreement Currency” has the meaning specified in Section 11.19. “Alternative Currency” means in respect of (a) a Borrowing by the Company or Letters of Credit, each of Australian Dollars, Canadian Dollars, Yen, Euro, Sterling and each other currency (other than Dollars) that is approved in accordance with Section 1.09; provided that for each Alternative Currency, such requested currency is an Eligible Currency and (b) a Borrowing by the Foreign Borrower, each of Australian Dollars, Canadian Dollars, Yen, Euro and Sterling and each other currency (other than Dollars) that is approved in accordance with Section 1.09; provided that for each Alternative Currency, such requested currency is an Eligible Currency. “Alternative Currency Daily Rate” means, for any day, with respect to any Credit Extension: (a) denominated in Sterling, the rate per annum equal to SONIA determined pursuant to the definition thereof plus the SONIA Adjustment; and (b) denominated in any other Alternative Currency (to the extent such Loans denominated in such currency will bear interest at a daily rate), the daily rate per annum as designated with respect to such Alternative Currency at the time such Alternative Currency is approved by the Administrative Agent and the relevant Lenders pursuant to Section 1.09(a) plus the adjustment (if any) determined by the Administrative Agent and the relevant Lenders pursuant to Section 1.09(a); provided, that, if any Alternative Currency Daily Rate shall be less than zero, such rate shall be deemed zero for purposes of this Agreement. Any change in an Alternative Currency Daily Rate shall be effective from and including the date of such change without further notice. “Alternative Currency Daily Rate Loan” means a Loan that bears interest at a rate based on the definition of “Alternative Currency Daily Rate.” All Alternative Currency Daily Rate Loans must be denominated in an Alternative Currency. “Alternative Currency Equivalent” means, at any time, with respect to any amount denominated in Dollars, the equivalent amount thereof in the applicable Alternative Currency as determined by the Administrative Agent, the Swing Line Lender or the applicable L/C Issuers, as the case may be, by reference


 
3 to Bloomberg (or such other publicly available service for displaying exchange rates), to be the exchange rate for the purchase of such Alternative Currency with Dollars at approximately 11:00 a.m. on the date two (2) Business Days prior to the date as of which the foreign exchange computation is made; provided, however, that if no such rate is available, the “Alternative Currency Equivalent” shall be determined by the Administrative Agent, the Swing Line Lender or the applicable L/C Issuers, as the case may be, using any reasonable method of determination they deem appropriate in their sole discretion (and such determination shall be conclusive absent manifest error). “Alternative Currency Loan” means an Alternative Currency Daily Rate Loan or an Alternative Currency Term Rate Loan, as applicable. “Alternative Currency Term Rate” means, for any Interest Period, with respect to any Credit Extension: (a) denominated in Euros, the rate per annum equal to the Euro Interbank Offered Rate (“EURIBOR”), as published on the applicable Reuters screen page (or such other commercially available source providing such quotations as may be designated by the Administrative Agent from time to time) on the day that is two TARGET Days preceding the first day of such Interest Period with a term equivalent to such Interest Period; (b) denominated in Canadian dollars, the rate per annum equal to the Canadian Dollar Offered Rate (“CDOR”), as published on the applicable Reuters screen page (or such other commercially available source providing such quotations as may be designated by the Administrative Agent from time to time) (in such case, the “CDOR Rate”) on the Rate Determination Date with a term equivalent to such Interest Period; (c) denominated in Japanese Yen, the rate per annum equal to the Tokyo Interbank Offer Rate (“TIBOR”), as published on the applicable Reuters screen page (or such other commercially available source providing such quotations as may be designated by the Administrative Agent from time to time) on the Rate Determination Date with a term equivalent to such Interest Period; (d) denominated in Australian dollars, the rate per annum equal to the Bank Bill Swap Reference Bid Rate (“BBSY”), as published on the applicable Reuters screen page (or such other commercially available source providing such quotations as may be designated by the Administrative Agent from time to time) on the Rate Determination Date with a term equivalent to such Interest Period; (e) denominated in any other Alternative Currency (to the extent such Loans denominated in such currency will bear interest at a term rate), the term rate per annum as designated with respect to such Alternative Currency at the time such Alternative Currency is approved by the Administrative Agent and the relevant Lenders pursuant to Section 1.09(a) plus the adjustment (if any) determined by the Administrative Agent and the relevant Lenders pursuant to Section 1.09(a); provided, that, if any Alternative Currency Term Rate shall be less than zero, such rate shall be deemed zero for purposes of this Agreement. “Alternative Currency Term Rate Loan” means a Loan that bears interest at a rate based on the definition of “Alternative Currency Term Rate.” All Alternative Currency Term Rate Loans must be denominated in an Alternative Currency. “Anti-Money Laundering Laws” means any and all laws, statutes, regulations or obligatory government orders, decrees, ordinances or rules applicable to any Borrower, its respective Subsidiaries or Affiliates in jurisdictions in which the Company or any Material Subsidiary is domiciled or conducts


 
4 business, related to terrorism financing or money laundering, including any applicable provision of the Act and The Currency and Foreign Transactions Reporting Act (also known as the “Bank Secrecy Act,” 31 U.S.C. §§ 5311-5330 and 12 U.S.C. §§ 1818(s), 1820(b) and 1951-1959). “Applicable Authority” means (a) with respect to SOFR, the SOFR Administrator or any Governmental Authority having jurisdiction over the Administrative Agent or the SOFR Administrator with respect to its publication of SOFR, in each case acting in such capacity, (b) with respect to Term SOFR, CME or any successor administrator of the Term SOFR Screen Rate or any Governmental Authority having jurisdiction over the Administrative Agent or such administrator with respect to its publication of Term SOFR, in each case acting in such capacity and (c) with respect to any Alternative Currency, the applicable administrator for the Relevant Rate for such Alternative Currency or any Governmental Authority having jurisdiction over the Administrative Agent or such administrator with respect to its publication of the applicable Relevant Rate, in each case acting in such capacity. “Applicable Foreign Obligor Documents” has the meaning specified in Section 5.20. “Applicable Law” means (a) in respect of any Person, all provisions of Laws applicable to such Person, and all orders and decrees of all courts and determinations of arbitrators applicable to such Person and (b) in respect of contracts made or performed in the State of Texas, “Applicable Law” shall also mean the Laws of the United States of America, including, without limiting the foregoing, 12 USC Sections 85 and 86, as amended to the date hereof and as the same may be amended at any time and from time to time hereafter, and any other statute of the United States of America now or at any time hereafter prescribing the maximum rates of interest on loans and extensions of credit, and the Laws of the State of Texas, including, without limitation, Chapter 303 of the Texas Finance Code, as amended, and any other statute of the State of Texas now or at any time hereafter prescribing maximum rates of interest on loans and extensions of credit; provided that the parties hereto agree pursuant to Texas Finance Code Section 346.004 that the provisions of Chapter 346 of the Texas Finance Code, shall not apply to Loans, the Letters of Credit, this Agreement, the Notes or any other Loan Document. “Applicable Percentage” means (a) in respect of the Term Facility, with respect to any Term Lender at any time, the percentage (carried out to the ninth decimal place) of the Term Facility represented by (i) at any time during the Availability Period in respect of such Facility, such Term Lender’s Term Commitment at such time and (ii) thereafter, the outstanding principal amount of such Term Lender’s Term Loans at such time, and (b) with respect to any Revolving Lender, at any time, the percentage (carried out to the ninth decimal place) of the Revolving Facility represented by such Revolving Lender’s Revolving Commitment at such time, subject to adjustment as provided in Section 2.16. If the Commitment of all Lenders to make Loans and the obligation of each L/C Issuer to make L/C Credit Extensions have been terminated pursuant to Section 8.02 or if the Commitments have expired, then the Applicable Percentage of each Revolving Lender in respect of the applicable Facility shall be determined based on the Applicable Percentage of such Lender in respect of such Facility most recently in effect, giving effect to any subsequent assignments and to any Lender’s status as a Defaulting Lender at the time of determination. The Applicable Percentage of each Lender in respect of each Facility is set forth opposite the name of such Lender on Schedule 2.01(a) herein or in the Assignment and Assumption pursuant to which such Lender becomes a party hereto, or in any documentation executed by such Lender pursuant to Section 2.14, as applicable. “Applicable Rate” means, from time to time, the following percentages per annum, based upon the Debt Rating as set forth below, it being understood that the Applicable Rate for (a) Loans that are Base Rate Loans shall be the percentage set forth under the column “Base Rate”, (b) Domestic Swing Line Loans and Foreign Swing Line Loans shall be the percentage set forth under the column “Alternative Currency/Term SOFR/Non-Performance Letters of Credit/SOFR Daily Floating Rate”, (c) Loans that are Term SOFR Loans or Alternative Currency Loans shall be the percentage set forth under the column


 
5 “Alternative Currency/Term SOFR/Non-Performance Letters of Credit/SOFR Daily Floating Rate”, (d) the Letter of Credit Fee for Non-Performance Letters of Credit shall be the percentage set forth under the column “Alternative Currency/Term SOFR/Non-Performance Letters of Credit/SOFR Daily Floating Rate”, (e) the Letter of Credit Fee for Performance Letters of Credit shall be the percentage set forth under the column “Performance Letters of Credit”, and (f) the Revolving Commitment Fee and the Delayed Draw Commitment Fee shall be the percentage set forth under the column “Revolving Commitment Fee and Delayed Draw Commitment Fee”: Applicable Rate Pricing Level Debt Ratings S&P/Moody’s/Fitch Revolving Commitment Fee and Delayed Draw Commitment Fee Alternative Currency/ Term SOFR/ Non- Performance Letters of Credit/ SOFR Daily Floating Rate/ Base Rate Performance Letters of Credit 1 ≥ BBB / Baa2 / BBB 0.200% 1.000% 0.000% 0.650% 2 BBB- / Baa3/ BBB- 0.250% 1.250% 0.250% 0.825% 3 BB+ / Ba1/ BB+ 0.300% 1.500% 0.500% 1.000% 4 BB / Ba2/BB 0.350% 1.750% 0.750% 1.200% 5 < BB /Ba2/BB 0.400% 2.000% 1.000% 1.400% “Debt Rating” means, as of any date of determination, the rating as determined by S&P, Moody’s and/or Fitch, respectively, of the Company’s non-credit-enhanced, senior unsecured long-term debt (each, a “S&P Debt Rating”, a “Moody’s Debt Rating” or a “Fitch Debt Rating,” as applicable, and collectively, the “Debt Ratings”); provided that (a) if S&P, Moody’s and Fitch each have in effect a rating, but such ratings are not all at the same level, and (i) two of the ratings are at the same level, the Pricing Level shall be determined by reference to the two ratings at the same level or (ii) each of the three ratings fall within different levels, the Pricing Level shall be determined by reference to the middle level, (b) if only two of S&P, Moody’s and Fitch shall have in effect a Debt Rating and (i) such Debt Ratings are at the same level, the Pricing Level shall be determined by reference to such level, (ii) such Debt Ratings are at different levels and separated by one level, the Pricing Level for the higher of such Debt Ratings shall apply (with the Debt Rating for Pricing Level 1 being the highest and the Debt Rating for Pricing Level 5 being the lowest) or (iii) such Debt Ratings are at different levels and separated by more than one level, the Pricing Level that is one level lower than the Pricing Level of the higher Debt Rating shall apply, (c) if only one of S&P, Moody’s and Fitch shall have in effect a Debt Rating, the Pricing Level that is one level lower than that of such Debt Rating shall apply; and (d) if the Company does not have any Debt Rating, Pricing Level 5 shall apply. Initially, the Applicable Rate shall be determined based upon the current publicly announced Debt Rating that is specified in the certificate delivered pursuant to Section 4.01(a)(vii). Thereafter, each change in the Applicable Rate resulting from a publicly announced change in the Debt Rating shall be effective, in the case of an upgrade, on the date of such public announcement and ending on the date immediately preceding the effective date of the next such change and, in the case of a downgrade, during the period


 
6 commencing on the date of the public announcement thereof and ending on the date immediately preceding the effective date of the next such change. “Applicable Revolving Percentage” means, with respect to any Revolving Lender at any time, such Revolving Lender’s Applicable Percentage in respect of the Revolving Facility at such time. “Applicable Time” means, with respect to any Borrowings and payments in any Alternative Currency, the local time in the place of settlement for such Alternative Currency as may be determined by the Administrative Agent, the Swing Line Lender or the applicable L/C Issuer, as the case may be, to be necessary for timely settlement on the relevant date in accordance with normal banking procedures in the place of payment. “Appropriate Lender” means, at any time, (a) with respect to a Facility, a Lender that has a Commitment with respect to such Facility or holds a Loan under such Facility at such time, (b) with respect to the Swing Line Sublimit, (i) the Swing Line Lender and (ii) if any Swing Line Loans are outstanding pursuant to Section 2.04(a), the Revolving Lenders, and (c) with respect to the Letter of Credit Sublimit, (i) each L/C Issuer and (ii) if any Letters of Credit have been issued pursuant to Section 2.03(a), the Revolving Lenders. “Approved Fund” means any Fund that is administered or managed by (a) a Lender, (b) an Affiliate of a Lender or (c) an entity or an Affiliate of an entity that administers or manages a Lender. “Arrangers” means BofA Securities, Inc., Wells Fargo Bank, National Association, PNC Capital Markets LLC and Citibank, N.A., each in their capacity as a joint lead arranger and joint book manager. “Assignment and Assumption” means an assignment and assumption entered into by a Lender and an Eligible Assignee (with the consent of any party whose consent is required by Section 11.06(b)), and accepted by the Administrative Agent, in substantially the form of Exhibit E or any other form (including an electronic documentation form generated by use of an electronic platform) approved by the Administrative Agent. “Attorney Costs” means and includes all reasonable and documented fees, expenses and disbursements of external legal counsel. “Attributable Indebtedness” means, on any date, (a) in respect of any Capital Lease of any Person, the capitalized amount thereof that would appear on a balance sheet of such Person prepared as of such date in accordance with GAAP, and (b) in respect of any Synthetic Lease Obligation, the capitalized amount of the remaining lease or similar payments under the relevant lease or other applicable agreement or instrument that would appear on a balance sheet of such Person prepared as of such date in accordance with GAAP if such lease or other agreement or instrument were accounted for as a Capital Lease. “Audited Financial Statements” means the audited consolidated balance sheet of the Company and its Subsidiaries for the fiscal year ended August 31, 2022, and the related consolidated statements of income or operations, shareholders’ equity and cash flows for such fiscal year of the Company and its Subsidiaries, including the notes thereto. “Australian Dollars” means the lawful currency of Australia. “Authorization to Share Insurance Information” means the authorization substantially in the form of Exhibit M (or such other form as required by each of the Loan Party’s insurance companies).


 
7 “Auto-Extension Letter of Credit” has the meaning specified in Section 2.03(b)(iii). “Availability Period” means (a) in respect of the Revolving Facility, the period from and including the Closing Date to the earliest of (a) the Maturity Date, (b) the date of termination of the Revolving Commitments pursuant to Section 2.06, and (c) the date of termination of the Revolving Commitment of each Revolving Lender and of the obligation of the L/C Issuers to make L/C Credit Extensions pursuant to Section 8.02 and (b) in respect of the Term Facility, the period from and including the Closing Date to the earliest of (i) the date that falls twelve (12) months after the Closing Date, (ii) the Maturity Date for the Term Facility and (iii) the date of termination of the Term Commitments of the respective Term Lenders to make Term Loans pursuant to Section 8.02. “Available Basket Amount” means, as at any date of determination, the sum of (a) $150,000,000 plus (b) 50% of Consolidated Net Income for the period commencing on September 1, 2019 and ending on the last day of the most recently ended fiscal quarter plus (c) 100% of the aggregate Net Proceeds received by the Company after the Closing Date from the issue or sale of Equity Interests of the Company or any of its Subsidiaries. “Bail-In Action” means the exercise of any Write-Down and Conversion Powers by the applicable Resolution Authority in respect of any liability of an Affected Financial Institution. “Bail-In Legislation” means, (a) with respect to any EEA Member Country implementing Article 55 of Directive 2014/59/EU of the European Parliament and of the Council of the European Union, the implementing law, rule, regulation or requirement for such EEA Member Country from time to time which is described in the EU Bail-In Legislation Schedule, and (b) with respect to the United Kingdom, Part I of the United Kingdom Banking Act 2009 (as amended from time to time) and any other law, regulation or rule applicable in the United Kingdom relating to the resolution of unsound or failing banks, investment firms or other financial institutions or their affiliates (other than through liquidation, administration or other insolvency proceedings). “Bank of America” means Bank of America, N.A. and its successors. “Base Rate” means for any day a fluctuating rate of interest per annum equal to the highest of (a) the Federal Funds Rate plus 0.50%, (b) the rate of interest in effect for such day as publicly announced from time to time by Bank of America as its “prime rate,” and (c) Term SOFR (as defined in clause (b) of the definition thereof) plus 1.00%, subject to the interest rate floors set forth therein; provided that if the Base Rate shall be less than zero, such rate shall be deemed zero for purposes of this Agreement. The “prime rate” is a rate set by Bank of America based upon various factors including Bank of America’s costs and desired return, general economic conditions and other factors, and is used as a reference point for pricing some loans, which may be priced at, above, or below such announced rate. Any change in such prime rate announced by Bank of America shall take effect at the opening of business on the day specified in the public announcement of such change. If the Base Rate is being used as an alternate rate of interest pursuant to Section 3.03 hereof, then the Base Rate shall be the greater of clauses (a) and (b) above and shall be determined without reference to clause (c) above. “Base Rate Loan” means a Revolving Loan or a Term Loan that bears interest based on the Base Rate. All Base Rate Loans shall be denominated in Dollars and shall be made to the Company and not to the Foreign Borrower. “Beneficial Ownership Certification” means a certification regarding beneficial ownership required by the Beneficial Ownership Regulation.


 
8 “Beneficial Ownership Regulation” means 31 C.F.R. § 1010.230. “Benefit Plan” means any of (a) an “employee benefit plan” (as defined in ERISA) that is subject to Title I of ERISA, (b) a “plan” as defined in and subject to Section 4975 of the Code or (c) any Person whose assets include (for purposes of ERISA Section 3(42) or otherwise for purposes of Title I of ERISA or Section 4975 of the Code) the assets of any such “employee benefit plan” or “plan”. “BHC Act Affiliate” of a party means an “affiliate” (as such term is defined under, and interpreted in accordance with, 12 U.S.C. 1841(k)) of such party. “Borrower” means either the Company or the Foreign Borrower and “Borrowers” means collectively the Company and the Foreign Borrower. “Borrower Materials” has the meaning specified in Section 6.02. “Borrowing” means a Revolving Borrowing, a Swing Line Borrowing or a Term Borrowing, as the context may require. “Business Day” means any day other than a Saturday, Sunday or other day on which commercial banks are authorized to close under the Laws of, or are in fact closed in, the state where the Administrative Agent’s Office is located; provided that: (a) if such day relates to any interest rate settings as to an Alternative Currency Loan denominated in Euro, any fundings, disbursements, settlements and payments in Euro in respect of any such Alternative Currency Loan, or any other dealings in Euro to be carried out pursuant to this Agreement in respect of any such Alternative Currency Loan, means a Business Day that is also a TARGET Day; (b) if such day relates to any interest rate settings as to an Alternative Currency Loan denominated in (i) Sterling, means a day other than a day banks are closed for general business in London because such day is a Saturday, Sunday or a legal holiday under the laws of the United Kingdom; and (ii) Japanese Yen, means a day other than when banks are closed for general business in Japan; (c) if such day relates to any interest rate settings as to an Alternative Currency Loan denominated in a currency other than, Euro, Sterling, or Japanese Yen, means any such day on which dealings in deposits in the relevant currency are conducted by and between banks in the applicable offshore interbank market for such currency; and (d) if such day relates to any fundings, disbursements, settlements and payments in a currency other than Euro in respect of an Alternative Currency Loan denominated in a currency other than Euro, or any other dealings in any currency other than Euro to be carried out pursuant to this Agreement in respect of any such Alternative Currency Loan (other than any interest rate settings), means any such day on which banks are open for foreign exchange business in the principal financial center of the country of such currency. “CAM” means the “collection allocation mechanism” given effect by the CAM Exchange. “CAM Exchange” means the exchange of each Lender’s interests provided for in Section 10.01.


 
9 “CAM Exchange Date” means the date on which (a) there shall occur any Event of Default described in Section 8.01(f) or (g) with respect to any Loan Party or (b) an acceleration of the maturity of the Loans pursuant to Section 8.02 shall occur. “CAM Exchange Party” means, as of the CAM Exchange Date, any Person that is a Lender. “CAM Percentage” means, as to each Lender a fraction, expressed as a decimal to 10 decimal places, of which (a) the numerator shall be the aggregate Designated Obligations owed to such Lender (whether or not at the time due and payable), and (b) the denominator shall be the aggregate Designated Obligations owed to all the Lenders (whether or not at the time due and payable). For purposes of computing any CAM Percentage, all Designated Obligations which shall be denominated in an Alternative Currency shall, for purposes of this calculation, be deemed converted into Dollars at the Spot Rate in effect on the CAM Exchange Date. “Canadian Dollars” and “CAD” means the lawful currency of Canada. “Capital Lease” means, as of any date, any lease of property, real or personal, the obligations of the lessee in respect of which have been or are required in accordance with GAAP to be capitalized on the balance sheet of the lessee. “Capitalized Rentals” means, for any Person and as of any date of any determination, the amount at which the aggregate Rentals due and to become due under all Capital Leases under which such Person is a lessee would be reflected as a liability on a consolidated balance sheet of such Person. “Cash and Cash Equivalents” means (a) cash, (b) marketable obligations issued or unconditionally guaranteed by the U.S. Government or issued by any of its agencies and backed by the full faith and credit of the U.S., in each case maturing within one year from the date of acquisition (and investments in mutual funds investing primarily in those obligations); (c) short-term investment grade domestic and eurodollar certificates of deposit or time deposits that are fully insured by the Federal Deposit Insurance Corporation or are issued by commercial banks having combined capital, surplus, and undivided profits of not less than $100,000,000 (as shown on its most recently published statement of condition); (d) commercial paper and similar obligations rated “P-1” or “P-2” by Moody’s; or “A-1” or “A-2” by S&P; (e) readily marketable tax-free municipal bonds of a domestic issuer rated “Aaa” by Moody’s, or “AAA” by S&P, and maturing within one year from the date of issuance (and investments in mutual funds investing primarily in those bonds); (f) money market mutual funds or similar obligations rated Aaa by Moody’s or AAA by S&P; and (g) demand deposit accounts maintained in the ordinary course of business; provided that if any of the ratings issued by Moody’s and S&P with respect to the items set forth in clauses (e) and (f) are not equivalent and so long as the ratings do not differ by more than two levels, then the applicable rating for purposes of this definition shall be the higher of the two. “Cash Collateralize” means to pledge and deposit with or deliver to the Administrative Agent or directly to an L/C Issuer, for the benefit of one or more of the L/C Issuers or the Swing Line Lender (as applicable) or the Lenders as collateral for L/C Obligations, the Obligations in respect of Swing Line Loans or obligations of the Revolving Lenders to fund participations in respect of either thereof (as the context may require), (a) cash or deposit account balances, (b) backstop letters of credit entered into on terms, from issuers and in amounts satisfactory to the Administrative Agent and the applicable L/C Issuer, and/or (c) if the Administrative Agent and the applicable L/C Issuer or Swing Line Lender shall agree in their sole discretion, other credit support, in each case, in Dollars and pursuant to documentation in form and substance satisfactory to the Administrative Agent and the applicable L/C Issuer or Swing Line Lender (as applicable). “Cash Collateral” shall have a meaning correlative to the foregoing and shall include the proceeds of such cash collateral and other credit support.


 
10 “Cash Management Agreement” means any agreement that is not prohibited by the terms hereof to provide treasury or cash management services, including deposit accounts, overnight draft, credit cards, debit cards, p-cards (including purchasing cards and commercial cards), funds transfer, automated clearinghouse, zero balance accounts, returned check concentration, controlled disbursement, lockbox, account reconciliation and reporting and trade finance services and other cash management services. “Cash Management Bank” means any Person in its capacity as a party to a Cash Management Agreement that (a) at the time it enters into a Cash Management Agreement with a Loan Party or any Subsidiary of a Loan Party, is a Lender or an Affiliate of a Lender, or (b) at the time it (or its Affiliate) becomes a Lender, is a party to a Cash Management Agreement with a Loan Party or any Subsidiary of a Loan Party, in each case in its capacity as a party to such Cash Management Agreement (even if such Person ceases to be a Lender or such Person’s Affiliate ceases to be a Lender); provided, however, that for any of the foregoing to be included as a “Secured Cash Management Agreement” on any date of determination by the Administrative Agent, the applicable Cash Management Bank (other than the Administrative Agent or an Affiliate of the Administrative Agent) must have delivered a Secured Party Designation Notice to the Administrative Agent prior to such date of determination; and, provided, further however, that if any Cash Management Bank ceases to be a Lender, then only such obligations, if any, that are owed to such Person and are secured by the Collateral at the time such Person ceases to be a Lender shall be deemed to be secured by the Collateral following such time. “Change in Law” means the occurrence, after the Closing Date, of any of the following: (a) the adoption or taking effect of any law, rule, regulation or treaty, (b) any change in any law, rule, regulation or treaty or in the administration, interpretation, implementation or application thereof by any Governmental Authority or (c) the making or issuance of any request, rule, guideline or directive (whether or not having the force of law) by any Governmental Authority; provided that notwithstanding anything herein to the contrary, (x) the Dodd-Frank Wall Street Reform and Consumer Protection Act and all requests, rules, guidelines or directives thereunder or issued in connection therewith or in the implementation thereof and (y) all requests, rules, guidelines or directives promulgated by the Bank for International Settlements, the Basel Committee on Banking Supervision (or any successor or similar authority) or the United States or foreign regulatory authorities, in each case pursuant to Basel III, shall in each case be deemed to be a “Change in Law”, regardless of the date enacted, adopted, implemented or issued. “Change of Control” means, with respect to any Person, an event or series of events by which: (a) any “person” or “group” (as such terms are used in Sections 13(d) and 14(d) of the Securities Exchange Act of 1934, but excluding any employee benefit plan of such person or its subsidiaries, and any person or entity acting in its capacity as trustee, agent or other fiduciary or administrator of any such plan) becomes the “beneficial owner” (as defined in Rules 13d-3 and 13d-5 under the Securities Exchange Act of 1934, except that a person or group shall be deemed to have “beneficial ownership” of all securities that such person or group has the right to acquire (such right, an “option right”), whether such right is exercisable immediately or only after the passage of time), directly or indirectly, of 35% or more of the Voting Shares of such Person; or (b) during any period of 12 consecutive calendar months, a majority of the members of the board of directors or other equivalent governing body of such Person cease to be composed of individuals (i) who were members of that board or equivalent governing body on the first day of such period, (ii) whose election or nomination to that board or equivalent governing body was nominated, appointed or approved by individuals referred to in clause (i) above constituting at the time of such election or nomination at least a majority of that board or equivalent governing body or (iii) whose election or nomination to that board or other equivalent governing body was


 
11 nominated, appointed or approved by individuals referred to in clauses (i) and (ii) above constituting at the time of such election or nomination at least a majority of that board or equivalent governing body. “Class”, when used in reference to any Loan or Borrowing, refers to whether such Loan, or the Loans comprising such Borrowing, are Revolving Loans or Term Loans and, when used in reference to any Commitment, refers to whether such Commitment is a Revolving Commitment or Term Commitment. “Closing Date” means the first date all the conditions precedent in Section 4.01 are satisfied or waived in accordance with Section 11.01. “CMC Steel Oklahoma” means CMC Steel Oklahoma, LLC, a Delaware limited liability company, and wholly-owned Subsidiary of the Company. “CME” means CME Group Benchmark Administration Limited. “Code” means the Internal Revenue Code of 1986. “Collateral” means all of the “Collateral” referred to in the Security Instruments and all of the other property that is under the terms of the Security Instruments to be subject to Liens in favor of the Administrative Agent for the benefit of the Secured Parties. “Collateral Event” means the occurrence of any of the following: (1) if the Company has a Debt Rating from each of S&P, Moody’s and Fitch and only one or none of such Debt Ratings is an Investment Grade Rating, or (2) if the Company has a Debt Rating from only two of S&P, Moody’s and Fitch: (a) both of such Debt Ratings are lower than an Investment Grade Rating, or (b) either (i) the S&P Debt Rating or the Fitch Debt Rating are BB or lower or (ii) the Moody’s Debt Rating is Ba2 or lower, or (3) if the Company has a Debt Rating from only one of S&P, Moody’s or Fitch: if (a) the available Debt Rating is S&P, the S&P Debt Rating is BBB- or lower, (b) the available Debt Rating is Moody’s, the Moody’s Debt Rating is Baa3 or lower or (c) the available Debt Rating is Fitch, the Fitch Debt Rating is BBB- or lower, or (4) the Company has no S&P Debt Rating, Moody’s Debt Rating or Fitch Debt Rating. “Collateral Reinstatement Event” means the occurrence of a Collateral Event after the occurrence of a Collateral Release Event. “Collateral Release Event” means satisfaction of the following conditions: (a) (1) if the Company has a Debt Rating from each of S&P, Moody’s and Fitch, two or more of the Rating Agencies maintain an Investment Grade Rating, or (2) if the Company has a Debt Rating from only two of S&P, Moody’s and Fitch: either (i) both Debt Ratings are Investment Grade Ratings, or (ii) one such Debt Rating is an Investment Grade Rating and the other Debt Rating as assigned by S&P, Moody’s, or Fitch is not below BB+, Ba1, or BB+ respectively, or


 
12 (3) if the Company has a Debt Rating from only one of S&P, Moody’s or Fitch: if (i) the available Debt Rating is S&P, the S&P Debt Rating is BBB or higher, (ii) the available Debt Rating is Moody’s, the Moody’s Debt Rating is Baa2 or higher or (iii) the available Debt Rating is Fitch, the Fitch Debt Rating is BBB or higher, (b) no Default exists, and (c) the Administrative Agent’s receipt of a certificate from the Company’s chief financial officer or treasurer certifying to the foregoing. “Collateral Release Period” means each period commencing with the occurrence of a Collateral Release Event and continuing until the occurrence of the next Collateral Reinstatement Event, if any, immediately following such Collateral Release Event. “Commitment” means a Term Commitment or a Revolving Commitment, as the context may require. “Commodity Exchange Act” means the Commodity Exchange Act (7 U.S.C. § 1 et seq.), as amended from time to time, and any successor statute. “Communication” means this Agreement, any Loan Document and any document, amendment, approval, consent, information, notice, certificate, request, statement, disclosure or authorization related to any Loan Document. “Company” has the meaning specified in the introductory paragraph hereto. “Compliance Certificate” means a certificate substantially in the form of Exhibit D. “Conforming Changes” means, with respect to the use, administration of or any conventions associated with SOFR, Daily Simple SOFR, SOFR Daily Floating Rate, Term SOFR, ESTR, any Alternative Currency Daily Rate, any Alternative Currency Term Rate, any Relevant Rate or any proposed Successor Rate for an Agreed Currency, as applicable, any conforming changes to the definitions of “Base Rate”, “Daily Simple SOFR”, “SOFR”, “SOFR Daily Floating Rate”, “Term SOFR”, “Term SOFR Screen Rate”, “SONIA”, “EURIBOR”, “CDOR”, “TIBOR”, “BBSY”, “ESTR” and “Interest Period”, timing and frequency of determining rates and making payments of interest and other technical, administrative or operational matters (including, for the avoidance of doubt, the definitions of “Business Day” and “U.S. Government Securities Business Day”, timing of borrowing requests or prepayment, conversion or continuation notices and length of lookback periods) as may be appropriate, in the discretion of the Administrative Agent, to reflect the adoption and implementation of such applicable rate(s) and to permit the administration thereof by the Administrative Agent in a manner substantially consistent with market practice for such Agreed Currency (or, if the Administrative Agent determines that adoption of any portion of such market practice is not administratively feasible or that no market practice for the administration of such rate for such Agreed Currency exists, in such other manner of administration as the Administrative Agent determines is reasonably necessary in connection with the administration of this Agreement and any other Loan Document). “Connection Income Taxes” means Other Connection Taxes that are imposed on or measured by net income (however denominated) or that are franchise Taxes or branch profits Taxes. “Consolidated Assets” means the net book value of all assets of the Company and its consolidated Subsidiaries, all as determined on a consolidated basis in accordance with GAAP.


 
13 “Consolidated EBITDA” means, for any period, the sum of the following determined on a consolidated basis, without duplication, for the Company and its Subsidiaries in accordance with GAAP, (a) Consolidated Net Income plus (b) the following to the extent deducted in determining Consolidated Net Income: (i) interest expense, (ii) taxes including (A) tax expense and (B) the provision for federal, state, local and foreign income taxes payable, (iii) depreciation and amortization expense and (iv) non-cash charges and losses (excluding any such non-cash charges or losses to the extent (A) there were cash charges with respect to such charges and losses in past accounting periods or (B) there is a reasonable expectation that there will be cash charges with respect to such charges and losses in future accounting periods) less (c) without duplication and to the extent of the amounts in this clause (c) increased Consolidated Net Income for such period, non-cash gains (excluding any such non-cash gains to the extent (i) there were cash gains with respect to such gains in past accounting periods or (ii) there is a reasonable expectation that there will be cash gains with respect to such gains in future accounting periods). “Consolidated Funded Debt” means all Funded Debt of the Company and its consolidated Subsidiaries, determined on a consolidated basis and eliminating intercompany items. “Consolidated Interest Expense” means interest expense of the Company and its consolidated Subsidiaries, computed on a consolidated basis and in accordance with GAAP. “Consolidated Net Income” means, for any period, for the Company and its consolidated Subsidiaries computed on a consolidated basis in accordance with GAAP, the net income of the Company and its Subsidiaries; provided that Consolidated Net Income shall exclude unusual and infrequent gains and unusual and infrequent losses for such period. “Consolidated Net Sales” means, for any period, for the Company and its consolidated Subsidiaries computed on a consolidated basis in accordance with GAAP and in substantially the same manner as used in the preparation of the Audited Financial Statements, net sales of the Company and its Subsidiaries as stated in the income statement of the Company and its consolidated Subsidiaries. “Consolidated Net Worth” means the total shareholders’ equity of the Company and its consolidated Subsidiaries, calculated in accordance with GAAP and reflected on the most recent balance sheet of the Company. “Contractual Obligation” means, as to any Person, any provision of any security issued by such Person or of any agreement, instrument or other written undertaking to which such Person is a party or by which it or any of its property is bound. “Control” means the possession, directly or indirectly, of the power to direct or cause the direction of the management or policies of a Person, whether through the ability to exercise voting power, by contract or otherwise. “Controlling” and “Controlled” have meanings correlative thereto. “Covered Entity” means any of the following: (a) a “covered entity” as that term is defined in, and interpreted in accordance with, 12 C.F.R. § 252.82(b); (b) a “covered bank” as that term is defined in, and interpreted in accordance with, 12 C.F.R. § 47.3(b); or (c) a “covered FSI” as that term is defined in, and interpreted in accordance with, 12 C.F.R. § 382.2(b). “Covered Party” has the meaning specified in Section 11.28. “Credit Extension” means each of the following: (a) a Borrowing and (b) an L/C Credit Extension.


 
14 “Daily Simple SOFR” with respect to any applicable determination date means the SOFR published five U.S. Government Securities Business Days prior to such date on the Federal Reserve Bank of New York’s website (or any successor source). “Debt Rating” has the meaning specified in the definition of “Applicable Rate”. “Debt to Capitalization Ratio” means, as of any date of determination, for the Company and its Subsidiaries on a consolidated basis, the ratio of (a) Consolidated Funded Debt as of such date to (b) Total Capitalization as of such date. “Debtor Relief Laws” means the Bankruptcy Code of the United States, and all other liquidation, conservatorship, bankruptcy, assignment for the benefit of creditors, moratorium, rearrangement, receivership, insolvency, reorganization, or similar debtor relief Laws of the United States or other applicable jurisdictions from time to time in effect and affecting the rights of creditors generally. “Default” means any event or condition that constitutes an Event of Default or that, with the giving of any notice, the passage of time, or both, would be an Event of Default. “Default Rate” means (a) with respect to any Obligation for which a rate is specified, a rate per annum equal to the lesser of (i) the Highest Lawful Rate and (ii) two percent (2%) per annum in excess of the rate otherwise applicable thereto (including the Applicable Rate) and (b) with respect to any Obligation for which a rate is not specified or available, a rate per annum equal to the lesser of (i) the Highest Lawful Rate and (ii) the Base Rate plus the Applicable Rate for Revolving Loans that are Base Rate Loans plus two percent (2%) per annum, in each case, to the fullest extent permitted by Applicable Law. “Default Right” has the meaning assigned to that term in, and shall be interpreted in accordance with, 12 C.F.R. §§ 252.81, 47.2 or 382.1, as applicable. “Defaulting Lender” means, subject to Section 2.16(b), any Lender that, (a) has failed to (i) fund all or any portion of its Loans within two (2) Business Days of the date such Loans were required to be funded hereunder unless such Lender notifies the Administrative Agent and the Company in writing that such failure is the result of such Lender’s determination that one or more conditions precedent to funding (each of which conditions precedent, together with any applicable default, shall be specifically identified in such writing) has not been satisfied, or (ii) pay to the Administrative Agent, the L/C Issuer, the Swing Line Lender or any other Lender any other amount required to be paid by it hereunder (including in respect of its participation in Letters of Credit or Swing Line Loans) within two Business Days of the date when due, (b) has notified the Company, the Administrative Agent, the L/C Issuer or the Swing Line Lender in writing that it does not intend to comply with its funding obligations hereunder, or has made a public statement to that effect (unless such writing or public statement relates to such Lender’s obligation to fund a Loan hereunder and states that such position is based on such Lender’s determination that a condition precedent to funding (which condition precedent, together with any applicable default, shall be specifically identified in such writing or public statement) cannot be satisfied), (c) has failed, within three Business Days after written request by the Administrative Agent or the Company, to confirm in writing to the Administrative Agent and the Company that it will comply with its prospective funding obligations hereunder (provided that such Lender shall cease to be a Defaulting Lender pursuant to this clause (c) upon receipt of such written confirmation by the Administrative Agent and the Company), or (d) has, or has a direct or indirect parent company that has, (i) become the subject of a proceeding under any Debtor Relief Law, (ii) had appointed for it a receiver, custodian, conservator, trustee, administrator, assignee for the benefit of creditors or similar Person charged with reorganization or liquidation of its business or assets, including the Federal Deposit Insurance Corporation or any other state or federal regulatory authority acting in such a capacity, or (iii) become the subject of a Bail-In Action; provided that a Lender shall not be a


 
15 Defaulting Lender solely by virtue of the ownership or acquisition of any Equity Interest in that Lender or any direct or indirect parent company thereof by a Governmental Authority, so long as such ownership interest does not result in or provide such Lender with immunity from the jurisdiction of courts within the United States or from the enforcement of judgments or writs of attachment on its assets or permit such Lender (or such Governmental Authority) to reject, repudiate, disavow or disaffirm any contracts or agreements made with such Lender. Any determination by the Administrative Agent that a Lender is a Defaulting Lender under any one or more of clauses (a) through (d) above, and of the effective date of such status, shall be conclusive and binding absent manifest error, and such Lender shall be deemed to be a Defaulting Lender (subject to Section 2.16(b)) as of the date established therefor by the Administrative Agent in a written notice of such determination, which shall be delivered by the Administrative Agent to the Company, the L/C Issuer, the Swing Line Lender and each other Lender promptly following such determination. “Delayed Draw Commitment Fee” has the meaning specified in Section 2.09(a). “Delayed Draw Term Loan Funding Date” means any date on which Term Loans are made by a Term Lender pursuant to Section 2.01(a). “Designated Jurisdiction” means any country or territory to the extent that such country or territory itself is the subject of any Sanction. “Designated Lender” has the meaning specified in Section 2.18. “Designated Obligations” means all Obligations of the Loan Parties in respect of (a) accrued and unpaid (i) principal of and interest on the Loans, (ii) Letter of Credit Fees and (iii) commitment fees, and (b) all Unreimbursed Amounts (including the amounts of any funded L/C Advances) and interest thereon, in each case whether or not the same shall at the time of any determination be due and payable under the terms of the Loan Documents. “Disposition” or “Dispose” means the sale, transfer, license, lease or other disposition (including any Sale and Leaseback Transaction) of any property by any Person, including any sale, assignment, transfer or other disposal, with or without recourse, of any notes or accounts receivable or any rights and claims associated therewith, including any securitization, transfer or encumbrance of any accounts receivable. “Disqualifying Event” has the meaning specified in the definition of “Eligible Currency”. “Dollar” and “$” mean lawful money of the United States. “Dollar Equivalent” means, for any amount, at the time of determination thereof, (a) if such amount is expressed in Dollars, such amount, (b) if such amount is expressed in an Alternative Currency, the equivalent of such amount in Dollars determined by using the rate of exchange for the purchase of Dollars with the Alternative Currency last provided (either by publication or otherwise provided to the Administrative Agent, the Swing Line Lender or the applicable L/C Issuer, as applicable) by the applicable Bloomberg source (or such other publicly available source for displaying exchange rates) on the date that is two (2) Business Days immediately preceding the date of determination (or if such service ceases to be available or ceases to provide such rate of exchange, the equivalent of such amount in dollars as determined by the Administrative Agent, Swing Line Lender or the applicable L/C Issuer, as applicable using any method of determination it deems appropriate in its reasonable discretion) and (c) if such amount is denominated in any other currency, the equivalent of such amount in Dollars as determined by the Administrative Agent, Swing Line Lender or the applicable L/C Issuer, as applicable, using any reasonable


 
16 method of determination it deems appropriate in its reasonable discretion. Any determination by the Administrative Agent, the Swing Line Lender or the applicable L/C Issuer pursuant to clauses (b) or (c) above shall be conclusive absent manifest error. “Domestic Guarantors” means collectively, the Company and each Domestic Subsidiary that is identified as a “Domestic Guarantor” on Schedule 5.13 or that becomes a party to the Domestic Guaranty, whether pursuant to Section 6.14 or otherwise. “Domestic Guaranty” means that certain guaranty agreement made by the Domestic Guarantors in favor of the Administrative Agent and the Secured Parties pursuant to which the Domestic Guarantors Guarantee the Secured Obligations, substantially in the form of Exhibit F-1. “Domestic Subsidiary” means any Subsidiary that is organized under the laws of any political subdivision of the United States and is not otherwise a Foreign Subsidiary. “Domestic Swing Line Loan” has the meaning specified in Section 2.04(a). “Domestic Swing Line Sublimit” means the lesser of (a) $25,000,000 and (b) the Revolving Facility. The Domestic Swing Line Sublimit is part of, and not in addition to, the Revolving Facility. “EEA Financial Institution” means (a) any credit institution or investment firm established in any EEA Member Country which is subject to the supervision of an EEA Resolution Authority, (b) any entity established in an EEA Member Country which is a parent of an institution described in clause (a) of this definition, or (c) any financial institution established in an EEA Member Country which is a subsidiary of an institution described in clauses (a) or (b) of this definition and is subject to consolidated supervision with its parent. “EEA Member Country” means any of the member states of the European Union, Iceland, Liechtenstein, and Norway. “EEA Resolution Authority” means any public administrative authority or any person entrusted with public administrative authority of any EEA Member Country (including any delegee) having responsibility for the resolution of any EEA Financial Institution. “Electronic Copy” shall have the meaning specified in Section 11.17. “Electronic Record” and “Electronic Signature” shall have the meanings assigned to them, respectively, by 15 USC §7006, as it may be amended from time to time. “Eligible Assignee” means any Person that meets the requirements to be an assignee under Section 11.06(b)(iii), (v) and (vi) (subject to such consents, if any, as may be required under Section 11.06(b)(iii)). “Eligible Currency” means any lawful currency other than Dollars that is readily available, freely transferable and convertible into Dollars in the international interbank market available to the Lenders or an L/C Issuer, as applicable, in such market and as to which a Dollar Equivalent may be readily calculated. If, after the designation by the Lenders or an L/C Issuer, as applicable, of any currency as an Alternative Currency (or if, with respect to any currency that constitutes an Alternative Currency on the Closing Date, after the Closing Date), any change in currency controls or exchange regulations or any change in the national or international financial, political or economic conditions are imposed in the country in which such currency is issued, has the result that, in the reasonable opinion of the Required Lenders (in the case


 
17 of any Loans to be denominated in an Alternative Currency) or an L/C Issuer (in the case of any Letter of Credit issued by such L/C Issuer to be denominated in an Alternative Currency), (a) such currency is no longer readily available, freely transferable and convertible into Dollars, (b) a Dollar Equivalent is no longer readily calculable with respect to such currency, (c) providing such currency is impracticable for the Lenders or the L/C Issuer, as applicable, or (d) such currency is no longer a currency in which the Required Lenders are willing to make such Credit Extensions (each of clauses (a), (b), (c), and (d) a “Disqualifying Event”), then the Administrative Agent shall promptly notify the Lenders and the Company, and such country’s currency shall no longer be an Alternative Currency until such time as the Disqualifying Event(s) no longer exist(s). Within five (5) Business Days after receipt of such notice from the Administrative Agent, the applicable Borrower shall repay all Loans in such currency to which the Disqualifying Event applies or convert such Loans into the Dollar Equivalent of Loans in Dollars, subject to the other terms contained herein. “Environment” means ambient air, indoor air, surface water, groundwater, drinking water, soil, surface and subsurface strata. “Environmental Laws” means any and all federal, state, local, and foreign statutes, laws, regulations, legally binding standards, ordinances, rules, judgments, legally binding interpretations, orders, decrees, permits, agreements or governmental restrictions relating to pollution or the protection of the Environment or human health (to the extent directly related to exposure to Hazardous Materials), including those relating to the generation, handling, transport, storage, treatment, Release or threat of Release of Hazardous Materials, air emissions and discharges to waste or public systems. “Environmental Liability” means any liability, contingent or otherwise (including any liability for damages, costs of environmental remediation, fines, penalties or indemnities) of the Company, any other Loan Party or any of their respective Subsidiaries, whether based in contract, tort, implied or express warranty, strict liability, criminal or civil statute, directly or indirectly resulting from or based upon (a) a violation of any Environmental Law, (b) the generation, use, handling, transportation, storage, treatment or disposal of any Hazardous Materials, (c) exposure to any Hazardous Materials, (d) Release or threatened Release of any Hazardous Materials or (e) any contract, agreement or other consensual arrangement pursuant to which liability is assumed or imposed with respect to any of the foregoing. “Environmental Permit” means any permit, certification, registration, approval, identification number, license or other authorization required under any Environmental Law. “Equity Interests” means, with respect to any Person, all of the shares of capital stock of (or other ownership or profit interests in) such Person, all of the warrants, options or other rights for the purchase or acquisition from such Person of shares of capital stock of (or other ownership or profit interests in) such Person, all of the securities convertible into or exchangeable for shares of capital stock of (or other ownership or profit interests in) such Person or warrants, rights or options for the purchase or acquisition from such Person of such shares (or such other interests), and all of the other ownership or profit interests in such Person (including partnership, member or trust interests therein), whether voting or nonvoting, and whether or not such shares, warrants, options, rights or other interests are outstanding on any date of determination. “ERISA” means the Employee Retirement Income Security Act of 1974, as amended, and the rules and regulations promulgated thereunder. “ERISA Affiliate” means any trade or business (whether or not incorporated) under common control with the Company within the meaning of Sections 414(b) or (c) of the Code (and Sections 414(m) and (o) of the Code for purposes of provisions relating to Section 412 of the Code).


 
18 “ERISA Event” means (a) a Reportable Event with respect to a Pension Plan; (b) the withdrawal of the Company or any ERISA Affiliate from a Pension Plan subject to Section 4063 of ERISA during a plan year in which such entity was a “substantial employer” as defined in Section 4001(a)(2) of ERISA or a cessation of operations that is treated as such a withdrawal under Section 4062(e) of ERISA; (c) a complete or partial withdrawal by the Company or any ERISA Affiliate from a Multiemployer Plan or notification that a Multiemployer Plan is insolvent or has been terminated; (d) the filing of a notice of intent to terminate, the treatment of a Pension Plan amendment as a termination under Section 4041 or 4041A of ERISA; (e) the institution by the PBGC of proceedings to terminate a Pension Plan; (f) any event or condition which constitutes grounds under Section 4042 of ERISA for the termination of, or the appointment of a trustee to administer, any Pension Plan, Multiple Employer Plan or Multiemployer Plan; (g) the determination that any Pension Plan, Multiple Employer Plan or Multiemployer Plan is considered an at-risk plan or a plan in endangered or critical status within the meaning of Sections 430, 431 and 432 of the Code or Sections 303, 304 and 305 of ERISA; (h) the imposition of any liability under Title IV of ERISA, other than for PBGC premiums due but not delinquent under Section 4007 of ERISA, upon the Company or any ERISA Affiliate or (i) a failure by the Company or any ERISA Affiliate to meet all applicable requirements under the Pension Funding Rules in respect of a Pension Plan, or the failure by the Company or any ERISA Affiliate to make any required contribution to a Multiemployer Plan. “ESTR” means, with respect to any applicable determination date, the Euro Short Term Rate published on the first (1st) Business Day preceding such date on the applicable Reuters screen page (or such other commercially available source providing such quotations as may be designated by the Administrative Agent from time to time); provided, that, if such determination date is not a Business Day, ESTR means such rate that applied on the first (1st) Business Day immediately prior thereto. “ESTR Adjustment” means 0.085%. “EU Bail-In Legislation Schedule” means the EU Bail-In Legislation Schedule published by the Loan Market Association (or any successor person), as in effect from time to time. “Euro” and “€” mean the single currency of the Participating Member States. “Event of Default” has the meaning specified in Section 8.01. “Excluded Foreign Subsidiaries” means, collectively, CMC GH Sisak d.o.o., CMC Commercial Metals de Mexico S. de. R.L. de C.V., Steel Products de Mexico S. de C.V., CMC Commercial Metals (Cyprus) Ltd. and CMC GH, Ltd. “Excluded Swap Obligation” means, with respect to any Guarantor, any Swap Obligation if, and to the extent that, all or a portion of the Guaranty of such Guarantor of, or the grant by such Guarantor of a Lien to secure, such Swap Obligation (or any Guaranty thereof) is or becomes illegal under the Commodity Exchange Act or any rule, regulation or order of the Commodity Futures Trading Commission (or the application or official interpretation of any thereof) by virtue of such Guarantor’s failure for any reason to constitute an “eligible contract participant” as defined in the Commodity Exchange Act (determined after giving effect to Section 11.25 and any other “keepwell, support or other agreement” for the benefit of such Guarantor and any and all guarantees of such Guarantor’s Swap Obligations by other Loan Parties) at the time the Guaranty of such Guarantor, or a grant by such Guarantor of a Lien, becomes effective with respect to such Swap Obligation. If a Swap Obligation arises under a Master Agreement governing more than one Swap Contract, such exclusion shall apply only to the portion of such Swap Obligation that is attributable to Swap Contracts for which such Guaranty or Lien is or becomes excluded in accordance with the first sentence of this definition.


 
19 “Excluded Taxes” means any of the following Taxes imposed on or with respect to any Recipient or required to be withheld or deducted from a payment to a Recipient, (a) Taxes imposed on or measured by net income (however denominated), franchise Taxes, and branch profits Taxes, in each case, (i) imposed as a result of such Recipient being organized under the laws of, or having its principal office or, in the case of any Lender, its Lending Office located in, the jurisdiction imposing such Tax (or any political subdivision thereof) or (ii) that are Other Connection Taxes, (b) in the case of a Lender, U.S. federal withholding Taxes imposed on amounts payable to or for the account of such Lender with respect to an applicable interest in a Loan or Commitment pursuant to a law in effect on the date on which (i) such Lender acquires such interest in the Loan or Commitment (other than pursuant to an assignment request by the Company under Section 11.13), or (ii) such Lender changes its Lending Office, except in each case to the extent that, pursuant to Sections 3.01(b) or (d), amounts with respect to such Taxes were payable either to such Lender’s assignor immediately before such Lender became a party hereto or to such Lender immediately before it changed its Lending Office, (c) Taxes attributable to such Recipient’s failure to comply with Section 3.01(f) and (d) any U.S. federal withholding Taxes imposed pursuant to FATCA. “Existing Letters of Credit” means the Letters of Credit set forth on Schedule 1.01(b). “Facility” means the Term Facility or the Revolving Facility, as the context may require. “Facility Termination Date” means the date as of which all of the following shall have occurred: (a) the Aggregate Commitments have terminated, (b) all Obligations have been paid in full (other than contingent indemnification obligations), and (c) all Letters of Credit have terminated or expired (other than Letters of Credit as to which other arrangements with respect thereto satisfactory to the Administrative Agent and the applicable L/C Issuers shall have been made). “FASB ASC” means the Accounting Standards Codification of the Financial Accounting Standards Board. “FATCA” means Sections 1471 through 1474 of the Code, as of the date of this Agreement (or any amended or successor version that is substantively comparable and not materially more onerous to comply with), any current or future regulations or official interpretations thereof and any agreements entered into pursuant to Section 1471(b)(1) of the Code, as of the date of this Agreement (or any amended or successor version described above) and any intergovernmental agreement (and related fiscal or regulatory legislation, or related official rules or practices) implementing the foregoing. “Federal Funds Rate” means, for any day, the rate per annum calculated by the Federal Reserve Bank of New York based on such day’s federal funds transactions by depository institutions (as determined in such manner as the Federal Reserve Bank of New York shall set forth on its public website from time to time) and published on the next succeeding Business Day by the Federal Reserve Bank of New York as the federal funds effective rate; provided that if the Federal Funds Rate as so determined would be less than zero, such rate shall be deemed to be zero for the purposes of this Agreement. “Fee Letter” means, collectively, that certain fee letter agreement dated as of October 26, 2022, among the Company, Bank of America and Bank of America Securities, Inc. “Fitch” means Fitch Group, Inc. and any successor thereto. “Foreign Borrower” means (a) CMC International Finance, a company organized and existing under the laws of Luxembourg as a société à responsabilité limitée, having its registered office at 1, rue Pletzer, L-8080 Bertrange, Grand Duchy of Luxembourg, registered with the Luxembourg Register of


 
20 Commerce and Companies under number B-161680, or (b) so long as the conditions set forth in Section 2.19 are satisfied as of the Foreign Borrower Replacement Date, the Successor Foreign Borrower. “Foreign Borrower Replacement Date” means that date that (a) CMC International Finance irrevocably and unconditionally assigns all of its rights and obligations under this Agreement and the other Loan Documents to the Successor Foreign Borrower and (b) the Successor Foreign Borrower irrevocably and unconditionally assumes all of CMC International Finance’s obligations under this Agreement and the other Loan Documents. “Foreign Borrower Sublimit” means, the lesser of (a) $50,000,000 and (b) the Revolving Facility. The Foreign Borrower Sublimit is a part of, and not in addition to, the Revolving Facility. “Foreign Guarantor” means CMC Poland Sp. z o.o., a Polish limited liability company, and any successor Person as a result of a change of legal name or conversion of form of legal entity, provided such change or conversion does not under the Laws of Poland result in a change or modification in any manner of the obligations thereof under the Loan Documents. “Foreign Guaranty” means that certain guaranty agreement made by the Foreign Guarantor in favor of the Administrative Agent and the Secured Parties pursuant to which the Foreign Guarantor Guarantees the Foreign Obligations, substantially in the form of Exhibit F-2. “Foreign Lender” means, with respect to any Borrower, (a) if such Borrower is a U.S. Person, a Lender that is not a U.S. Person, and (b) if such Borrower is not a U.S. Person, a Lender that is a resident or organized under the laws of a jurisdiction other than in which such Borrower is resident for tax purposes. For purposes of this definition, the United States, each State thereof and the District of Columbia shall be deemed to constitute a single jurisdiction. “Foreign Obligations” means (a) all advances to, and debts, liabilities, obligations, covenants and duties of, any Foreign Obligor arising under any Loan Document or otherwise with respect to any Loan made to the Foreign Borrower or Letter of Credit issued for the account of the Foreign Borrower, and (b) all costs and expenses incurred in connection with the enforcement and collection of the foregoing, including the fees, charges and disbursements of counsel (to the extent required to be paid by the Loan Parties under Section 11.04(a) of this Agreement), in each case, whether direct or indirect (including those acquired by assumption), absolute or contingent, due or to become due, now existing or hereafter arising and including interest, expenses and fees that accrue after the commencement by or against any Foreign Obligor of any proceeding under any Debtor Relief Laws naming such Person as the debtor in such proceeding, regardless of whether such interest, expenses and fees are allowed claims in such proceeding. “Foreign Obligor” means a Loan Party that is a Foreign Subsidiary. “Foreign Subsidiary” means any Subsidiary that (a) is organized under the laws of a jurisdiction other than the United States, or a state or political subdivision thereof including the District of Columbia, (b) is a Subsidiary of a Subsidiary described in clause (a) or (c) is organized under the laws of the United States or a state or political subdivision thereof including the District of Columbia that is a disregarded entity for purposes of the Code and all of or substantially all of the assets of which consist of Equity Interest of one or more Subsidiaries described in clause (a) above. “Foreign Swing Line Loan” has the meaning specified in Section 2.04(a). “Foreign Swing Line Sublimit” means the lesser of (a) $10,000,000 and (b) the Revolving Facility. The Foreign Swing Line Sublimit is part, and not in addition to, the Revolving Facility.


 
21 “FRB” means the Board of Governors of the Federal Reserve System of the United States. “Fronting Exposure” means, at any time there is a Defaulting Lender, (a) with respect to each L/C Issuer, such Defaulting Lender’s Applicable Percentage of the Outstanding Amount of all outstanding L/C Obligations with respect to Letters of Credit issued by such L/C Issuer, other than L/C Obligations as to which such Defaulting Lender’s participation obligation has been reallocated to other Revolving Lenders or Cash Collateralized in accordance with the terms hereof, and (b) with respect to the Swing Line Lender, such Defaulting Lender’s Applicable Percentage of Swing Line Loans other than Swing Line Loans as to which such Defaulting Lender’s participation obligation has been reallocated to other Revolving Lenders or Cash Collateralized in accordance with the terms hereof. “Fund” means any Person (other than a natural Person or holding company, investment vehicle or trust for, or owned and operated for the primary benefit of, a natural Person) that is (or will be) engaged in making, purchasing, holding or otherwise investing in commercial loans and similar extensions of credit in the ordinary course of its activities. “Funded Debt” of any Person means, as of any date of determination and without duplication, the sum of: (a) the outstanding principal amount of all Indebtedness of such Person, whether current or long- term, for borrowed money or which has been incurred in connection with the acquisition of plant, property and equipment and all obligations evidenced by bonds, debentures, notes, loan agreements (including this Agreement) or other similar instruments (other than any Receivables Facility Attributed Indebtedness of such Person); (b) all Capitalized Rentals of such Person, (c) without duplication, all Guarantees by such Person of Funded Debt of others. For the avoidance of doubt, Receivables Facility Attributed Indebtedness of any Person shall not be included as Funded Debt of such Person. “GAAP” means generally accepted accounting principles in the United States set forth from time to time in the opinions and pronouncements of the Accounting Principles Board and the American Institute of Certified Public Accountants and statements and pronouncements of the Financial Accounting Standards Board (or agencies with similar functions of comparable stature and authority within the accounting profession) including, without limitation, the FASB Accounting Standards Codification, that are applicable to the circumstances as of the date of determination, consistently applied and subject to Section 1.03. “Governmental Authority” means the government of the United States or any other nation, or of any political subdivision thereof, whether state or local, and any agency, authority, instrumentality, regulatory body, court, central bank or other entity exercising executive, legislative, judicial, taxing, regulatory or administrative powers or functions of or pertaining to government (including any supra- national bodies such as the European Union or the European Central Bank) and any group or body charged with setting financial accounting or regulatory capital rules or standards (including, without limitation, the Financial Accounting Standards Board, the Bank for International Settlements or the Basel Committee on Banking Supervision or any successor or similar authority to any of the foregoing). “Guarantee” means, as to any Person, (a) any obligation, contingent or otherwise, of such Person guaranteeing or having the economic effect of guaranteeing any Indebtedness of the kind described in clauses (a) through (h) of the definition thereof or other obligation payable or performable by another Person (the “primary obligor”) in any manner, whether directly or indirectly, and including any obligation of such Person, direct or indirect, (i) to purchase or pay (or advance or supply funds for the purchase or payment of) such Indebtedness or other obligation, (ii) to purchase or lease property, securities or services for the purpose of assuring the obligee in respect of such Indebtedness or other obligation of the payment or performance of such Indebtedness or other obligation, (iii) to maintain working capital, equity capital or any other financial statement condition or liquidity or level of income or cash flow of the primary obligor so as to enable the primary obligor to pay such Indebtedness or other obligation, or (iv) entered into for the


 
22 purpose of assuring in any other manner the obligee in respect of such Indebtedness or other obligation of the payment or performance thereof or to protect such obligee against loss in respect thereof (in whole or in part), or (b) any Lien on any assets of such Person securing any Indebtedness of the kind described in clauses (a) through (h) of the definition thereof or other obligation of any other Person, whether or not such Indebtedness or other obligation is assumed or expressly undertaken by such Person (or any right, contingent or otherwise, of any holder of such Indebtedness to obtain any such Lien). The amount of any Guarantee shall be deemed to be an amount equal to the stated or determinable amount of the related primary obligation, or portion thereof, in respect of which such Guarantee is made or, if not stated or determinable, the maximum reasonably anticipated liability in respect thereof as determined by the guaranteeing Person in good faith. The term “Guarantee” as a verb has a corresponding meaning. “Guaranties” means, collectively, the Domestic Guaranty and the Foreign Guaranty. “Guarantors” means, collectively, the Domestic Guarantors and the Foreign Guarantor. “Hazardous Materials” means all explosive or radioactive substances or wastes and all hazardous or toxic substances, wastes or other pollutants, including petroleum or petroleum distillates, natural gas, natural gas liquids, asbestos or asbestos-containing materials, polychlorinated biphenyls, radon gas, infectious or medical wastes and all other substances, wastes, chemicals, pollutants, contaminants or compounds of any nature in any form regulated pursuant to any Environmental Law. “Hedge Bank” means any Person in its capacity as a party to a Swap Contract that, (a) at the time it enters into a Swap Contract, is a Lender or an Affiliate of a Lender, or (b) at the time it (or its Affiliate) becomes a Lender, is a party to a Swap Contract, in each case, in its capacity as a party to such Swap Contract (even if such Person ceases to be a Lender or such Person’s Affiliate ceased to be a Lender); provided, in the case of a Secured Hedge Agreement with a Person that is no longer a Lender (or Affiliate of a Lender), (x) such Person shall be considered a Hedge Bank only through the stated termination date (without extension or renewal) of such Secured Hedge Agreement, and (y) only such Secured Hedge Agreements existing at the time such Person ceases to be a Lender shall be deemed to be secured by the Collateral hereunder following such time; and provided further that for any of the foregoing to be included as a “Secured Hedge Agreement” on any date of determination by the Administrative Agent, the applicable Hedge Bank (other than the Administrative Agent or an Affiliate of the Administrative Agent) must have delivered a Secured Party Designation Notice to the Administrative Agent prior to such date of determination (it being understood and agreed that, if Secured Hedge Agreements are governed by a Master Agreement, such Secured Party Designation Notice shall only be required to be delivered at the time of entry into such Master Agreement and not in connection with each confirmation thereunder). “Highest Lawful Rate” means at the particular time in question the maximum rate of interest which, under Applicable Law, any Lender is then permitted to charge on the Obligations. If the maximum rate of interest which, under Applicable Law, any Lender is permitted to charge on the Obligations shall change after the date hereof, the Highest Lawful Rate shall be automatically increased or decreased, as the case may be, from time to time as of the effective time of each change in the Highest Lawful Rate without notice to the Company. For purposes of determining the Highest Lawful Rate under Applicable Law, on each day, if any, that Chapter 303 of the Texas Finance Code, as amended, establishes the Highest Lawful Rate, such rate shall be the weekly ceiling computed in accordance with Section 303.003 of the Texas Finance Code, as amended, for that day. “IFRS” means international accounting standards within the meaning of IAS Regulation 1606/2002 to the extent applicable to the relevant financial statements delivered under or referred to herein. “Increase Effective Date” has the meaning specified in Section 2.14(d).


 
23 “Increase Joinder” has the meaning specified in Section 2.14(e). “Incremental Commitments” means Incremental Revolving Commitments and/or the Incremental Term Commitments. “Incremental Revolving Commitment” has the meaning assigned to such term in Section 2.14(a). “Incremental Term Commitments” has the meaning assigned to such term in Section 2.14(a). “Incremental Term Loan Maturity Date” has the meaning assigned to such term in Section 2.14(b). “Incremental Term Loans” means any loans made pursuant to any Incremental Term Commitments. “Indebtedness” means, as to any Person at a particular time, without duplication, all of the following, whether or not included as indebtedness or liabilities in accordance with GAAP: (a) all obligations of such Person for borrowed money and all obligations of such Person evidenced by bonds, debentures, notes, loan agreements or other similar instruments; (b) all direct or contingent obligations of such Person arising under letters of credit (including standby and commercial), bankers’ acceptances, bank guaranties, surety bonds and similar instruments; (c) net payment obligations of such Person under any Swap Contract; (d) all obligations of such Person to pay the deferred purchase price of property or services (other than trade accounts payable in the ordinary course of business); (e) indebtedness (excluding prepaid interest thereon) secured by a Lien on property owned or being purchased by such Person (including indebtedness arising under conditional sales or other title retention agreements), whether or not such indebtedness shall have been assumed by such Person or is limited in recourse; (f) all Attributable Indebtedness in respect of Capital Leases and Synthetic Lease Obligations of such Person; (g) all obligations to purchase, redeem, retire, defease or otherwise make any payments in respect of any Redeemable Stock of such Person; (h) Receivables Facility Attributed Indebtedness; and (i) all Guarantees of such Person in respect of any of the foregoing. For all purposes hereof, the Indebtedness of any Person shall include the Indebtedness of any partnership or joint venture (other than a joint venture that is itself a corporation or limited liability company or similar limited liability entity) in which such Person is a general partner or a joint venturer and for whose Indebtedness such Person is directly or indirectly liable, unless such Indebtedness is expressly made non- recourse to such Person. The amount of any net payment obligation under any Swap Contract on any date shall be deemed to be the Swap Termination Value thereof as of such date. The amount of any Capital Lease or Synthetic Lease Obligation as of any date shall be deemed to be the amount of Attributable Indebtedness in respect thereof as of such date. Notwithstanding anything above to the contrary, any


 
24 contingent obligations or any obligations which are not reflected as a debt or payable on any consolidated balance sheet of the Company prepared in accordance with GAAP arising under or in respect of any New Market Tax Credit Transactions in the maximum aggregate principal amount for all such New Market Tax Credit Transactions of Five Hundred Million ($500,000,000) US Dollars shall not be deemed Indebtedness for purposes of the Loan Documents. “Indemnified Taxes” means (a) Taxes, other than Excluded Taxes, imposed on or with respect to any payment made by or on account of any obligation of any Loan Party under any Loan Document and (b) to the extent not otherwise described in clause (a), Other Taxes. “Indemnitee” has the meaning specified in Section 11.04(b). “Information” has the meaning specified in Section 11.07(a). “Intangible Assets” means as of the date of any determination thereof the total amount of all goodwill, patents, trade names, trademarks, copyrights, franchises, experimental expense, organizational expense, unamortized debt discount and expense, deferred assets (other than prepaid insurance, prepaid taxes, and supplies, spare parts, and other tangible assets which are treated as deferred assets on the books of the Company), the excess of cost of shares acquired over book value of related assets, and such other assets of the Company and its consolidated Subsidiaries as are properly classified as “Intangible Assets” in accordance with GAAP. “Interest Coverage Ratio” means, as of the end of each fiscal quarter, the ratio of (a) Consolidated EBITDA to (b) Consolidated Interest Expense, in each case for the then most recently concluded period of four consecutive fiscal quarters. “Interest Payment Date” means, (a) as to any Term SOFR Loan or Alternative Currency Term Rate Loan, the last day of each Interest Period applicable to such Loan and the Maturity Date; provided that if any Interest Period for a Term SOFR Loan or Alternative Currency Term Rate Loan exceeds three months, the respective dates that fall every three months after the beginning of such Interest Period shall also be Interest Payment Dates and (b) as to any Base Rate Loan, Alternative Currency Daily Rate Loan, or a Swing Line Loan, the last Business Day of each March, June, September and December, and the Maturity Date. “Interest Period” means as to each Term SOFR Loan and each Alternative Currency Term Rate Loan, the period commencing on the date such Loan is disbursed or converted to or continued as a Term SOFR Loan or an Alternative Currency Term Rate Loan, as applicable, and ending on the date one (1), three (3) or six (6) months thereafter (in each case, subject to availability for the interest rate applicable to the relevant currency), as selected by the Company in its Loan Notice given with respect thereto; provided that: (a) if any Interest Period would otherwise end on a day that is not a Business Day, such Interest Period shall be extended to the next succeeding Business Day unless, in the case of a Term SOFR Loan or an Alternative Currency Term Rate Loan, the result of such extension would be to carry such Interest Period into another calendar month in which event such Interest Period shall end on the immediately preceding Business Day; (b) any Interest Period pertaining to a Term SOFR Loan or an Alternative Currency Term Rate Loan that begins on the last Business Day of a calendar month (or on a day for which there is no numerically corresponding day in the calendar month at the end of such Interest Period) shall end on the last Business Day of the calendar month at the end of such Interest Period; and


 
25 (c) no Interest Period shall extend beyond the Maturity Date of the Facility under which such Loan was made. “Investment” means, as to any Person, any direct or indirect acquisition or investment by such Person in another Person, whether by means of (a) the purchase or other acquisition of capital stock or other securities of another Person, (b) a loan, advance or capital contribution to, Guarantee or assumption of debt of, or purchase or other acquisition of any other debt or equity participation or interest in, another Person, including any partnership or joint venture interest in such other Person and any arrangement pursuant to which the investor guaranties Indebtedness of such other Person, or (c) the purchase or other acquisition (in one transaction or a series of transactions) of assets of another Person that constitute all or substantially all of the assets of such Person or of a division, line of business or other business unit of such Person. For purposes of covenant compliance, the amount of any Investment shall be the amount actually invested, without adjustment for subsequent increases or decreases in the value of such Investment. “Investment Grade Rating” means a Debt Rating of the Company equal to or more favorable than (i) Baa3 from Moody’s, (ii) BBB- from S&P, or (iii) BBB- from Fitch. “IP Rights” has the meaning specified in Section 5.19. “IRS” means the United States Internal Revenue Service. “ISP” means the International Standby Practices, International Chamber of Commerce Publication No. 590 (or such later version thereof as may be in effect at the applicable time). “Issuer Documents” means with respect to any Letter of Credit, the Letter of Credit Application, and any other document, agreement and instrument entered into by any L/C Issuer and the Company (or any Subsidiary) or in favor of such L/C Issuer and relating to such Letter of Credit. “Judgment Currency” has the meaning specified in Section 11.19. “Laws” means, collectively, all international, foreign, Federal, state and local statutes, treaties, rules, guidelines, regulations, ordinances, codes and administrative or judicial precedents or authorities, including the interpretation or administration thereof by any Governmental Authority charged with the enforcement, interpretation or administration thereof, and all applicable administrative orders, directed duties, requests, licenses, authorizations and permits of, and agreements with, any Governmental Authority, in each case whether or not having the force of law. “L/C Advance” means, with respect to each Lender, such Lender’s funding of its participation in any L/C Borrowing in accordance with its Applicable Revolving Percentage. All L/C Advances shall be denominated in Dollars. “L/C Borrowing” means an extension of credit resulting from a drawing under any Letter of Credit which has not been reimbursed on the date when made or refinanced as a Revolving Borrowing. All L/C Borrowings shall be denominated in Dollars. “L/C Commitment” means, with respect to each L/C Issuer, the commitment of such L/C Issuer to issue Letters of Credit hereunder. The initial amount of each L/C Issuer’s Letter of Credit Commitment is set forth on Schedule 2.01(b), or if an L/C Issuer has entered into an Assignment and Assumption or has otherwise assumed a Letter of Credit Commitment after the Closing Date, the amount set forth for such L/C Issuer as its Letter of Credit Commitment in the Register maintained by the Administrative Agent. The


 
26 Letter of Credit Commitment of an L/C Issuer may be modified from time to time by agreement between such L/C Issuer and the Company, and notified to the Administrative Agent. “L/C Credit Extension” means, with respect to any Letter of Credit, the issuance thereof or extension of the expiry date thereof, or the increase of the amount thereof. “L/C Disbursement” means a payment made by an L/C Issuer pursuant to a Letter of Credit. “L/C Issuer” means Bank of America (through itself or through one of its designated Affiliates or branch offices), Citibank, N.A. and up to two (2) additional Lenders approved in writing by the Company and Administrative Agent (such approval not to be unreasonably withheld or delayed) and consented to by any such Lender, or any successor issuer of Letters of Credit hereunder, provided that no Lender may be required to be an L/C Issuer without such Lender’s consent in such Lender’s sole discretion, in their respective capacities as issuers of Letters of Credit hereunder, or any successor issuer of Letters of Credit hereunder. An L/C Issuer may, in its discretion, arrange for one or more Letters of Credit to be issued by Affiliates of an L/C Issuer, in which case the term “L/C Issuer” shall include any such Affiliate with respect to Letters of Credit issued by such Affiliate. References to the L/C Issuer herein shall, as the context may indicate (including with respect to any particular Letter of Credit, L/C Credit Extension, L/C Borrowing or L/C Obligations), mean the applicable L/C Issuer, each L/C Issuer, any L/C Issuer, or all L/C Issuers. “L/C Obligations” means, as at any date of determination, the aggregate amount available to be drawn under all outstanding Letters of Credit plus the aggregate of all Unreimbursed Amounts, including all L/C Borrowings. For purposes of computing the amount available to be drawn under any Letter of Credit, the amount of such Letter of Credit shall be determined in accordance with Section 1.06. For all purposes of this Agreement, if on any date of determination a Letter of Credit has expired by its terms but any amount may still be drawn thereunder by reason of the operation of Rule 3.14 of the ISP, such Letter of Credit shall be deemed to be “outstanding” in the amount so remaining available to be drawn. The L/C Obligations of (a) any Lender at any time shall be its Applicable Revolving Percentage of the total L/C Obligations at such time, and (b) any particular L/C Issuer at any time shall mean the L/C Obligations allocable to Letters of Credit issued by such L/C Issuer. “LCA Election” means the Company’s election to treat an acquisition or other specified investment as a Limited Condition Acquisition. “LCA Test Date” has the meaning specified in Section 1.11. “Lender” means each of the Persons identified as a “Lender” on the signature pages hereto, each other Person that becomes a “Lender” in accordance with this Agreement, and their successors and assigns and, unless the context requires otherwise, includes the Swing Line Lender. The term “Lender” shall include any Designated Lender who has funded any Credit Extension. “Lender Parties” and “Lender Recipient Parties” mean, collectively, the Lenders, the Swing Line Lender and the L/C Issuers. “Lending Office” means, as to the Administrative Agent, any L/C Issuer or any Lender, the office or offices of such Person described as such in such Person’s Administrative Questionnaire, or such other office or offices as such Person may from time to time notify the Company and the Administrative Agent, which office may include any Affiliate of such Person or any domestic or foreign branch of such Person or such Affiliate.


 
27 “Letter of Credit” means any standby letter of credit (including any Performance Letter of Credit) issued hereunder and shall include the Existing Letters of Credit. Letters of Credit may be issued in Dollars or in an Alternative Currency. “Letter of Credit Application” means an application and agreement for the issuance or amendment of a Letter of Credit in the form from time to time generally in use by any L/C Issuer. “Letter of Credit Expiration Date” means the day that is seven days prior to the Maturity Date then in effect (or, if such day is not a Business Day, the immediately preceding Business Day). “Letter of Credit Fee” has the meaning specified in Section 2.03(l). “Letter of Credit Report” means a certificate substantially in the form of Exhibit K or any other form approved by the Administrative Agent. “Letter of Credit Sublimit” means, as of any date of determination, an amount equal to the lesser of (a) $50,000,000 and (b) the Revolving Facility; provided that each L/C Issuer’s Letter of Credit Sublimit shall not exceed its L/C Commitment. The Letter of Credit Sublimit is part of, and not in addition to, the Revolving Facility. “Lien” means any mortgage, pledge, hypothecation, assignment, deposit arrangement, encumbrance, lien (statutory or otherwise), charge, or preference, priority or other security interest or preferential arrangement in the nature of a security interest of any kind or nature whatsoever (including any conditional sale or other title retention agreement, any easement, right of way or other encumbrance on title to real property, and any financing lease having substantially the same economic effect as any of the foregoing). “Limited Condition Acquisition” means (i) any Permitted Acquisition or other Investment permitted hereunder by the Company or one or more of its Material Subsidiaries, including by way of merger, consolidation or amalgamation, for which the Company has obtained or intends to obtain third party financing, or (ii) any redemption, repurchase, defeasance, satisfaction and discharge or repayment of Indebtedness requiring irrevocable notice in advance of such redemption, repurchase, defeasance, satisfaction and discharge or repayment. “Loan” means an extension of credit by a Lender to a Borrower under Article II in the form of a Term Loan, Revolving Loan or a Swing Line Loan. “Loan Documents” means, collectively, (a) this Agreement, (b) each Note, (c) the Guaranties, (d) each Security Instrument, (e) each Loan Notice, (f) each Issuer Document, (g) the Fee Letter, (h) any agreement creating or perfecting rights in Cash Collateral pursuant to the provisions of Section 2.15 of this Agreement, and (i) all other certificates, agreements, documents and instruments executed and delivered, in each case, by or on behalf of any Loan Party to the Administrative Agent, any L/C Issuer or any Lender in connection herewith (but specifically excluding any Secured Hedge Agreement, Secured Cash Management Agreement or Secured Trade Document) and any amendments, modifications or supplements thereto or to any other Loan Document or waivers hereof or to any other Loan Document; provided, however, that for purposes of Section 11.01, “Loan Documents” shall mean this Agreement, the Guaranties and the Security Instruments. “Loan Notice” means a notice of (a) a Borrowing, (b) a conversion of Loans from one Type to another, or (c) a continuation of Term SOFR Loans or Alternative Currency Term Rate Loans, as applicable, pursuant to Section 2.02(a), which shall be substantially in the form of Exhibit A or such other


 
28 form as may be approved by the Administrative Agent (including any form on an electronic platform or electronic transmission system as shall be approved by the Administrative Agent), appropriately completed and signed by a Responsible Officer of the applicable Borrower. “Loan Parties” means, collectively, each Borrower and each Guarantor. “Mandatory Cost” means any amount incurred periodically by any Lender during the term of the Facility which constitutes fees, costs or charges imposed on lenders generally in the jurisdiction in which such Lender is domiciled, subject to regulation, or has its Lending Office by any Governmental Authority. “Master Agreement” has the meaning specified in the definition of “Swap Contract”. “Material Adverse Effect” means (a) a material adverse change in, or a material adverse effect upon, the operations, business, properties, liabilities (actual or contingent) or financial condition of the Company or the Company and its Subsidiaries taken as a whole or as to any Material Subsidiary (excluding any Excluded Foreign Subsidiary); (b) a material impairment of the ability of any Loan Party to perform under any Loan Document; or (c) a material adverse effect upon the legality, validity, binding effect or enforceability against any Loan Party of any Loan Document. “Material Domestic Subsidiary” means any Domestic Subsidiary that is a Material Subsidiary. “Material Subsidiary” means: (a) with respect to Domestic Subsidiaries, those Subsidiaries of the Company identified to the Administrative Agent in writing that on an individual basis (calculated on a stand- alone basis, without giving effect to Consolidated Net Sales or consolidated total assets (determined in accordance with GAAP), in each case, attributable to the Subsidiaries of such identified Subsidiary) represent (x) more than three percent (3%) of the Consolidated Net Sales of the Company and its Domestic Subsidiaries for the four consecutive fiscal quarters most recently ended for which financial statements have been delivered to the Administrative Agent pursuant to Section 6.01 or (y) more than three percent (3%) the consolidated total assets of the Company and its Domestic Subsidiaries (determined in accordance with GAAP), as of the end of the fiscal quarter or fiscal year, as applicable, most recently ended for which financial statements have been delivered to the Administrative Agent pursuant to Section 6.01; provided that (i) any Domestic Subsidiary that has a Subsidiary that is a Material Subsidiary shall itself constitute a Material Subsidiary, and (ii) in the event that the Domestic Subsidiaries that are Material Subsidiaries (after giving effect to clause (i) of this proviso and any other designation pursuant to this clause (ii) of this proviso, but excluding any Receivables Financing Subsidiary which is a Domestic Subsidiary), when combined with the Company (on a standalone basis), at any time represent less than ninety percent (90%) of (x) the Consolidated Net Sales of the Company and its Domestic Subsidiaries (calculated solely for the Company and its Domestic Subsidiaries, but excluding any Receivables Financing Subsidiary which is a Domestic Subsidiary) for the four consecutive fiscal quarters most recently ended for which financial statements have been delivered to the Administrative Agent pursuant to Section 6.01 or (y) the consolidated total assets (determined in accordance with GAAP) of the Company and its Domestic Subsidiaries (excluding any Receivables Financing Subsidiary which is a Domestic Subsidiary for this calculation) as of the end of the fiscal quarter or fiscal year, as applicable, most recently ended for which financial statements have been delivered to the Administrative Agent pursuant to Section 6.01, the Company shall designate additional Domestic Subsidiaries as Material Subsidiaries in accordance with Section 2.17 so that the thresholds in this proviso shall have been satisfied; provided further that CMC Receivables, Inc. shall not be a


 
29 Material Subsidiary so long it does not meet the requirements set forth in clause (a) above from and after the 360th day following the Closing Date; and (b) with respect to Foreign Subsidiaries, the Foreign Borrower, and any other Foreign Subsidiary identified to the Administrative Agent in writing that on an individual basis (calculated on a stand-alone basis, without giving effect to Consolidated Net Sales or consolidated total assets (determined in accordance with GAAP), in each case, attributable to the Subsidiaries of such identified Subsidiary) represent (x) more than three percent (3%) of the Consolidated Net Sales of the Company and its Foreign Subsidiaries for the four consecutive fiscal quarters most recently ended for which financial statements have been delivered to the Administrative Agent pursuant to Section 6.01 or (y) more than three percent (3%) of the consolidated total assets of the Company and its Foreign Subsidiaries (determined in accordance with GAAP) as of the end of the fiscal quarter or fiscal year, as applicable, most recently ended for which financial statements have been delivered to the Administrative Agent pursuant to Section 6.01; provided that any Foreign Subsidiary that has a Subsidiary that is a Material Subsidiary shall itself constitute a Material Subsidiary. “Maturity Date” means (a) with respect to the Revolving Facility, the earliest of (i) October 26, 2027, (ii) the date of termination of the Revolving Facility pursuant to Section 2.06, and (iii) the date of termination of the commitment of each Revolving Lender to make Revolving Loans and of the obligation of any L/C Issuer to make L/C Credit Extensions pursuant to Section 8.02 and (b) with respect to the Term Facility, October 26, 2027; provided, however, that, in each case, if such date is not a Business Day, the Maturity Date shall be the next preceding Business Day. “Minimum Collateral Amount” means, at any time, (i) with respect to Cash Collateral consisting of cash or deposit account balances provided to reduce or eliminate Fronting Exposure during the existence of a Defaulting Lender, an amount equal to 100% of the Fronting Exposure of any L/C Issuer with respect to Letters of Credit issued and outstanding at such time, (ii) with respect to Cash Collateral consisting of cash or deposit account balances provided in accordance with the provisions of Section 2.15(a)(i), (a)(ii) or (a)(iii), an amount equal to 100% of the Outstanding Amount of all L/C Obligations, and (iii) otherwise, an amount determined by the Administrative Agent and the applicable L/C Issuer in their sole discretion (but in no event to exceed 100% of the outstanding amount of the L/C Obligations being Cash Collateralized). “Moody’s” means Moody’s Investors Service, Inc. and any successor thereto. “Multiemployer Plan” means any employee benefit plan of the type described in Section 4001(a)(3) of ERISA, to which the Company or any ERISA Affiliate makes or is obligated to make contributions, or during the preceding five (5) plan years, has made or been obligated to make contributions. “Multiple Employer Plan” means a Plan which has two or more contributing sponsors (including the Company or any ERISA Affiliate) at least two of whom are not under common control, as such a plan is described in Section 4064 of ERISA. “Net Proceeds” means the aggregate cash proceeds received by any Person in respect of a sale or other disposition of property by such Person (including, without limitation, any cash received upon the sale or other disposition of any non-cash consideration received in any such disposition), net of direct costs relating to such disposition, including, without limitation, legal accounting and investment banking fees, and sales commissions as a result thereof, taxes paid or payable as a result thereof, in each case, after taking into account any available tax credits or deductions or tax sharing arrangements with respect to such disposition, and amounts required to be applied to the repayment of Indebtedness or other liabilities, secured by a Lien on the property or properties that were the subject of such disposition, or required to be paid as a


 
30 result of such disposition, and any reserve for adjustment in respect of the sale price of such property or properties established in accordance with GAAP. “New Lenders” has the meaning specified in Section 2.14(d). “New Markets Tax Credit Transactions” means collectively, (a) the New Markets Tax Credit Program (the “NMTCP”) enacted under the Community Renewal Tax Relief Act of 2000 and incorporated as Section 45D of the Code, as amended, and more specifically (subject to clause (y) in the last sentence of the definition hereof), the NMTCP utilized by the Loan Parties and CMC Steel Oklahoma in the development of its steel micro-mill facility in Durant, Oklahoma (the “Oklahoma Manufacturing Facility”) and (b) the “New Markets Tax Credit Agreements” which means, collectively, (i) the Loan Agreements under the NMTCP between CMC Steel Oklahoma and the NMTCP lenders party thereto providing funding for the development of the Oklahoma Manufacturing Facility, including, without limitation, the loans from (a) REI Subsidiary CDE 6, LLC, an Oklahoma limited liability company, in the principal amount of $14,550,000, (b) USBCDE Sub-CDE 143, LLC, a Missouri limited liability company, in the principal amount of $4,500,000, (c) MRC XVI, LLC, an Iowa limited liability company, in the principal amount of $11,000,000 and (d) NNMF Sub-CDE XXX LLC, a California limited liability company, in the principal amount of $20,685,000; and (ii) any and all ancillary agreements associated with, or referenced in, the New Markets Tax Credit Transactions. New Markets Tax Credit Transactions shall also mean and include (x) additional tranches under the NMTCP related to the Oklahoma Manufacturing Facility, which terms are substantially the same as the New Markets Tax Credit Agreements and ancillary agreements associated therewith entered into as of December 24, 2015 and (y) irrespective of facility or location, additional tranches under the NMTCP and ancillary agreements associated therewith, which terms are substantially similar in nature to New Markets Tax Credit Agreements. “NMTCP” has the meaning set forth in the definition of “New Markets Tax Credit Transactions”. “Non-Consenting Lender” means any Lender that does not approve any consent, waiver or amendment that (a) requires the approval of all Lenders or all affected Lenders in accordance with the terms of Section 11.01 and (b) has been approved by the Required Lenders. “Non-Defaulting Lender” means, at any time, each Lender that is not a Defaulting Lender at such time. “Non-Extension Notice Date” has the meaning specified in Section 2.03(b)(ii). “Non-Performance Letter of Credit” means any standby Letter of Credit which is not a Performance Letter of Credit. “Non-SOFR Successor Rate” has the meaning specified in Section 3.03(c). “Note” means a Term Note or a Revolving Note, as the context may require. “Notice of Loan Prepayment” means a notice of prepayment with respect to a Loan, which shall be substantially in the form of Exhibit J or such other form as may be approved by the Administrative Agent (including any form on an electronic platform or electronic transmission system as shall be approved by the Administrative Agent), appropriately completed and signed by a Responsible Officer. “Obligations” means (a) all advances to, and debts, liabilities, obligations, covenants and duties of, any Loan Party or any Affiliate of a Loan Party arising under any Loan Document or otherwise with respect to any Loan or Letter of Credit, and (b) all costs and expenses incurred in connection with the enforcement


 
31 and collection of the foregoing, including the fees, charges and disbursement of counsel (to the extent required to be paid by the Loan Parties under Section 11.04(a) of this Agreement), in each case whether direct or indirect (including those acquired by assumption), absolute or contingent, due or to become due, now existing or hereafter arising and including interest, expenses and fees that accrue after the commencement by or against any Loan Party or any Affiliate thereof of any proceeding under any Debtor Relief Laws naming such Person as the debtor in such proceeding, regardless of whether such interest, expenses and fees are allowed claims in such proceeding; provided that, without limiting the foregoing, the Obligations of a Loan Party shall exclude any Excluded Swap Obligations with respect to such Loan Party. “OFAC” means the Office of Foreign Assets Control of the United States Department of the Treasury. “Oklahoma Manufacturing Facility” has the meaning set forth in the definition of “New Markets Tax Credit Transactions”. “Organization Documents” means, (a) with respect to any corporation, the certificate or articles of incorporation and the bylaws (or equivalent or comparable constitutive documents with respect to any non-U.S. jurisdiction); (b) with respect to any limited liability company, the certificate or articles of formation or organization and operating agreement or limited liability company agreement (or equivalent or comparable constitutive documents with respect to any non-U.S. jurisdiction); and (c) with respect to any partnership, joint venture, trust or other form of business entity, the partnership, joint venture or other applicable agreement of formation or organization (or equivalent or comparable constitutive documents with respect to any non-U.S. jurisdiction) and (d) with respect to all entities, any agreement, instrument, filing or notice with respect thereto filed in connection with its formation or organization with the applicable Governmental Authority in the jurisdiction of its formation or organization (or equivalent or comparable constitutive documents with respect to any non-U.S. jurisdiction) and, if applicable, any certificate or articles of formation or organization of such entity. “Other Connection Taxes” means, with respect to any Recipient, Taxes imposed as a result of a present or former connection between such Recipient and the jurisdiction imposing such Tax (other than connections arising from such Recipient having executed, delivered, become a party to, performed its obligations under, received payments under, received or perfected a security interest under, engaged in any other transaction pursuant to or enforced any Loan Document, or sold or assigned an interest in any Loan, Letter of Credit or Loan Document). “Other Taxes” means all present or future stamp, court or documentary, intangible, recording, filing or similar Taxes that arise from any payment made under, from the execution, delivery, performance, enforcement or registration of, from the receipt or perfection of a security interest under, or otherwise with respect to, any Loan Document, except any such Taxes that are Other Connection Taxes imposed with respect to an assignment (other than an assignment made pursuant to Section 3.06). “Outstanding Amount” means (a) with respect to Term Loans, Revolving Loans and Swing Line Loans on any date, the Dollar Equivalent amount of the aggregate outstanding principal amount thereof after giving effect to any Borrowings and prepayments or repayments of such Term Loans, Revolving Loans or Swing Line Loans, as the case may be, occurring on such date; and (b) with respect to any L/C Obligations on any date, the Dollar Equivalent amount of the aggregate outstanding amount of such L/C Obligations on such date after giving effect to any L/C Credit Extension occurring on such date and any other changes in the aggregate amount of the L/C Obligations as of such date, including as a result of any reimbursements by the Company of Unreimbursed Amounts.


 
32 “Overnight Rate” means, for any day, (a) with respect to any amount denominated in Dollars, the greater of (i) the Federal Funds Rate and (ii) an overnight rate determined by the Administrative Agent, the applicable L/C Issuer, or the Swing Line Lender, as the case may be, in accordance with usual and customary banking industry rules on interbank compensation, (b) with respect to any amount denominated in an Alternative Currency (other than Sterling or Euros), an overnight rate determined by the Administrative Agent, the applicable L/C Issuer, or the Swing Line Lender, as the case may be, in accordance with banking industry rules on interbank compensation, (c) with respect to any amount denominated in Sterling, the greater of (i) SONIA plus the SONIA Adjustment and (ii) an overnight rate determined by the Administrative Agent, the applicable L/C Issuer or the Swingline Lender, as the case may be, in accordance with banking industry rules on interbank compensation, and (c) with any amount denominated in Euro, the greater of (i) ESTR plus the ESTR Adjustment and (ii) an overnight rate determined by the Administrative Agent, the applicable L/C Issuer or the Swingline Lender, as the case may be, in accordance with banking industry rules on interbank compensation. “Participant” has the meaning specified in Section 11.06(d). “Participant Register” has the meaning specified in Section 11.06(d). “Participating Member State” means any member state of the European Union that adopts or has adopted the Euro as its lawful currency in accordance with legislation of the European Union relating to Economic and Monetary Union. “PBGC” means the Pension Benefit Guaranty Corporation. “Pension Funding Rules” means the rules of the Code and ERISA regarding minimum funding standards with respect to Pension Plans and set forth in Sections 412, 430, 431, 432 and 436 of the Code and Sections 302, 303, 304 and 305 of ERISA. “Pension Plan” means any employee pension benefit plan (other than a Multiple Employer Plan or a Multiemployer Plan) that is maintained or is contributed to by the Company and any ERISA Affiliate or with respect to which the Company or any ERISA Affiliate has any liability and is either covered by Title IV of ERISA or is subject to the minimum funding standards under Section 412 of the Code. “Performance Letter of Credit” means any standby Letter of Credit issued to support contractual obligations for supply, service or construction contracts, including bid, performance, advance payment, warranty, retention, availability and defects liability obligations. “Permitted Acquisition” means any non-hostile acquisition by the Company or any of its Subsidiaries in the form of an acquisition of any Person or all or substantially all of the business or a line of business of any Person (whether by the acquisition of all of the Equity Interests of such Person, all or substantially all assets of such Person or any combination thereof) if such acquisition meets all of the following requirements: (a) the Person or business to be acquired, upon its acquisition, shall be (or be a part of) a Subsidiary in a line of business permitted under Section 7.06 and if such Person is a Domestic Subsidiary that is a Material Subsidiary, such Person shall comply with Section 6.14(b) within the timeframe provided therein; (b) if such transaction is a merger or consolidation such transaction shall comply with Section 7.04;


 
33 (c) if the aggregate consideration for such acquisition exceeds $50,000,000, evidence reasonably satisfactory to the Administrative Agent of compliance on a pro forma basis (both immediately prior to consummation of such acquisition and immediately after giving effect thereto and any Indebtedness incurred, assumed and/or repaid in connection therewith) with Sections 7.10 and 7.11; and (d) no Default shall have occurred and be continuing both immediately before and immediately after giving effect to such acquisition and any Indebtedness incurred or assumed in connection therewith. “Permitted Liens” has the meaning specified in Section 7.01. “Permitted Receivables Financing” means any transaction or series of transactions that may be entered into by the Company or any Subsidiary pursuant to which it sells, conveys or contributes to capital or otherwise transfers (which sale, conveyance, contribution to capital or transfer may include or be supported by the grant of a security interest in) Receivables or interests therein and all collateral securing such Receivables, all contracts and contract rights, purchase orders, security interests, financing statements or other documentation in respect of such Receivables, any guarantees, indemnities, warranties or other obligations in respect of such Receivables, any other assets that are customarily transferred or in respect of which security interests are customarily granted in connection with asset securitization transactions involving receivables similar to such Receivables and any collections or proceeds of any of the foregoing and any deposit account or securities account into which collections in respect of the foregoing may be deposited (collectively, the “Related Assets”), all of which such sales, conveyances, contributions to capital or transfers shall be made by the transferor for fair value as reasonably determined by the Company (calculated in a manner typical for such transactions including a fair market discount from the face value of such Receivables) (a) to a trust, partnership, corporation or other Person (other than the Company or any Subsidiary (other than any Receivables Financing Subsidiary)), which transfer is funded in whole or in part, directly or indirectly, by the incurrence or issuance by the transferee or any successor transferee of Indebtedness, fractional undivided interests or other securities that are to receive payments from, or that represent interests in, the cash flow derived from such Receivables and Related Assets or interests in such Receivables and Related Assets, or (b) directly to one or more investors or other purchasers (other than any Borrower or any Subsidiary), it being understood that a Permitted Receivables Financing may involve (i) one or more sequential transfers or pledges of the same Receivables and Related Assets, or interests therein (such as a sale, conveyance or other transfer to any Receivables Financing Subsidiary followed by a pledge of the transferred Receivables and Related Assets to secure Indebtedness incurred by the Receivables Financing Subsidiary), and all such transfers, pledges and Indebtedness incurrences shall be part of and constitute a single Permitted Receivables Financing, and (ii) periodic transfers or pledges of Receivables and/or revolving transactions in which new Receivables and Related Assets, or interests therein, are transferred or pledged upon collection of previously transferred or pledged Receivables and Related Assets, or interests therein, provided that any such transactions shall provide for recourse to any Subsidiary (other than any Receivables Financing Subsidiary) or any Borrower (as applicable) only in respect of the cash flows in respect of such Receivables and Related Assets and to the extent of breaches of representations and warranties relating to the Receivables, dilution of the Receivables, customary indemnities and other customary securitization undertakings in the jurisdiction relevant to such transactions. The “amount” or “principal amount” of any Permitted Receivables Financing shall be deemed at any time to be (1) the aggregate principal or stated amount of the Indebtedness, fractional undivided interests (which stated amount may be described as a “net investment” or similar term reflecting the amount invested in such undivided interest) or other securities incurred or issued pursuant to such Permitted Receivables Financing, in each case outstanding at such time, or (2) in the case of any Permitted Receivables Financing in respect of which no such Indebtedness, fractional undivided interests or securities


 
34 are incurred or issued, the cash purchase price paid by the buyer (other than any Receivables Financing Subsidiary) in connection with its purchase of Receivables less the amount of collections received by the Company or any Subsidiary in respect of such Receivables and paid to such buyer, excluding any amounts applied to purchase fees or discount or in the nature of interest. “Person” means any natural person, corporation, limited liability company, trust, joint venture, association, company, partnership, Governmental Authority or other entity. “Plan” means any employee benefit plan within the meaning of Section 3(3) of ERISA (including a Pension Plan, but excluding a Multiple Employer Plan or Multiemployer Plan), maintained for employees of the Company or any ERISA Affiliate or any such Plan to which the Company or any ERISA Affiliate is required to contribute on behalf of any of its employees. “Platform” has the meaning specified in Section 6.02. “Public Lender” has the meaning specified in Section 6.02. “QFC” has the meaning assigned to the term “qualified financial contract” in, and shall be interpreted in accordance with, 12 U.S.C. 5390(c)(8)(D). “QFC Credit Support” has the meaning specified in Section 11.28. “Qualified ECP Guarantor” means, at any time, each Loan Party with total assets exceeding $10,000,000 or that qualifies at such time as an “eligible contract participant” under the Commodity Exchange Act and can cause another Person to qualify as an “eligible contract participant” at such time under Section 1a(18)(A)(v)(II) of the Commodity Exchange Act. “Qualified Equity Interests” means any Equity Interests other than Redeemable Stock. “Rate Determination Date” means two (2) Business Days prior to the commencement of such Interest Period (or such other day as is generally treated as the rate fixing day by market practice in such interbank market, as determined by the Administrative Agent; provided that to the extent such market practice is not administratively feasible for the Administrative Agent, then “Rate Determination Date” means such other day as otherwise reasonably determined by the Administrative Agent). “Rating Agency” means each of S&P, Moody’s and Fitch. “Receivables” means accounts receivable (including all rights to payment created by or arising from the sale of goods, lease of goods or the rendition of services, no matter how evidenced (including in the form of a chattel paper)). “Receivables Facility Attributed Indebtedness” means the amount of obligations outstanding under a receivables purchase facility on any date of determination that would be characterized as principal if such facility were structured as a secured lending transaction rather than as a purchase transaction. “Receivables Financing Subsidiary” means CMC Receivables, Inc. and any other Subsidiary of the Company which is the transferee of Receivables in connection with, and the borrower under, a Permitted Receivables Financing. “Recipient” means the Administrative Agent, any Lender, any L/C Issuer or any other recipient of any payment to be made by or on account of any obligation of any Loan Party hereunder.


 
35 “Redeemable Stock” means any Equity Interests of the Company or any of its Subsidiaries which prior to December 26, 2027 by its terms (or by the terms of any security or other Equity Interests into which it is convertible or for which it is exchangeable at the option of the holder thereof), or upon the happening of any event or condition (a) matures or is mandatorily redeemable (other than solely for Qualified Equity Interests), pursuant to a sinking fund obligation or otherwise (except as a result of a change of control or asset sale so long as any rights of the holders thereof upon the occurrence of a change of control or asset sale event shall be subject to the prior repayment in full of the Loans and all other Obligations that are accrued and payable and the termination of the Commitments and the termination of all outstanding Letters of Credit), (b) is redeemable (other than solely for Qualified Equity Interests) or is required to be repurchased by such Person or any of its Affiliates at the option of the holder thereof, in whole or in part, (c) provides for the scheduled payments of dividends in cash, or (d) is or becomes convertible into or exchangeable for Indebtedness or any other Equity Interests that would constitute Redeemable Stock; provided that if such Equity Interests are issued pursuant to a plan for the benefit of employees of the Company or any of its Subsidiaries or by any such plan to such employees, such Equity Interests shall not constitute Redeemable Stock solely because such Equity Interests may be required to be repurchased by the Company or its Subsidiaries in order to satisfy applicable statutory or regulatory obligations or as a result of such employee’s termination, death or disability. “Refinancing Indebtedness” means with respect to any particular outstanding Indebtedness (the “Refinanced Indebtedness”) any Indebtedness the proceeds of which are used to refinance, refund, renew or extend such Refinanced Indebtedness; provided that (i) the amount of such refinancing, refunding, renewing or extending Indebtedness does not exceed the outstanding amount of the Refinanced Indebtedness except by an amount equal to a reasonable premium or other reasonable amount paid, and reasonable fees and expenses incurred, in connection with such refinancing and by an amount equal to any existing commitments unutilized thereunder, (ii) the final maturity date and weighted average life thereof shall not be prior to or shorter than that of the Refinanced Indebtedness, (iii) the terms relating to principal amount, amortization, maturity, collateral (if any) and subordination (if any), and other material terms taken as a whole, of any such refinancing, refunding, renewing or extending Indebtedness, and of any agreement entered into and of any instrument issued in connection therewith, are no less favorable in any material respect to the Loan Parties or the Lenders than the terms of any agreement or instrument governing the Refinanced Indebtedness and the interest rate applicable to any such refinancing, refunding, renewing or extending Indebtedness does not exceed the interest rates then prevailing in the applicable market for similar Indebtedness for Persons of similar credit quality and (iv) such refinancing, refunding, renewing or extending Indebtedness shall not constitute an obligation of any Subsidiary that shall not have been an obligor in respect of such Refinanced Indebtedness, and shall not constitute an obligation of the Company if the Company shall not have been an obligor in respect of such Refinanced Indebtedness and, in each case, shall constitute an obligation of such Subsidiary or of the Company only to the extent of their obligations in respect of such Refinanced Indebtedness. “Register” has the meaning specified in Section 11.06(c). “Regulation U” means Regulation U of the FRB, as in effect from time to time and all official rulings and interpretations thereunder or thereof. “Related Assets” has the meaning specified in the definition of “Permitted Receivables Financing”. “Related Parties” means, with respect to any Person, such Person’s Affiliates and the partners, directors, officers, employees, agents, trustees, administrators, managers, advisors, consultants, service providers and representatives of such Person and of such Person’s Affiliates.


 
36 “Release” means any release, spill, emission, discharge, deposit, disposal, leaking, pumping, pouring, dumping, emptying, injection or leaching into the Environment, or into, from or through any building, structure or facility. “Relevant Rate” means with respect to any Credit Extension denominated in (a) Dollars, Daily Simple SOFR, SOFR Daily Floating Rate and Term SOFR, (b) Sterling, SONIA, (c) Euros, EURIBOR or ESTR, (d) Canadian Dollars, the CDOR Rate, (e) Japanese Yen, TIBOR, and (f) Australian Dollars, BBSY, as applicable. “Removal Effective Date” has the meaning specified in Section 9.06(b). “Rentals” means and includes as of the date of any determination thereof all fixed payments (including as such all payments which the lessee is obligated to make to the lessor on termination of the lease or surrender of the property) payable by the Company or a Material Subsidiary, as lessee or sublessee under a lease of real or personal property, but shall be exclusive of any amounts required to be paid by the Company or a Material Subsidiary (whether or not designated as rents or additional rents) on account of maintenance, repairs, insurance, taxes and similar charges. Fixed rents under any so-called “percentage leases” shall be computed solely on the basis of the minimum rents, if any, required to be paid by the lessee regardless of sales volume or gross revenues. “Reportable Event” means any of the events set forth in Section 4043(c) of ERISA, other than events for which the thirty (30) day notice period has been waived. “Request for Credit Extension” means (a) with respect to a Borrowing, conversion or continuation of Term Loans or Revolving Loans, a Loan Notice, (b) with respect to an L/C Credit Extension, a Letter of Credit Application, and (c) with respect to a Swing Line Loan, a Swing Line Loan Notice. “Required Class Lenders” means, at any time with respect to any Class of Loans or Commitments, Lenders having Total Credit Exposures with respect to such Class representing more than 50% of the Total Credit Exposures of all Lenders of such Class. The Total Credit Exposure of any Defaulting Lender with respect to such Class shall be disregarded in determining Required Class Lenders at any time. “Required Lenders” means, at any time, Lenders having Total Credit Exposures representing more than 50% of the Total Credit Exposures of all Lenders. The Total Credit Exposure of any Defaulting Lender shall be disregarded in determining Required Lenders at any time; provided that, the amount of any participation in any Swing Line Loan and Unreimbursed Amounts that such Defaulting Lender has failed to fund that have not been reallocated to and funded by another Lender shall be deemed to be held by the Lender that is the Swing Line Lender or an L/C Issuer, as the case may be, making such determination. “Required Revolving Lenders” means, at any time, Revolving Lenders having Revolving Exposures representing more than 50% of the Total Revolving Exposure of all Revolving Lenders. The Revolving Exposure of any Defaulting Lender shall be disregarded in determining Required Revolving Lenders at any time; provided that, the amount of any participation in Swing Line Loans and Unreimbursed Amounts that such Defaulting Lender has failed to fund that have not been reallocated to and funded by another Revolving Lender shall be deemed to be held by the Revolving Lender or an L/C Issuer, as the case may be, making such determination. “Required Term Lenders” means, at any time, Term Lenders having Total Term Credit Exposures representing more than 50% of the Total Term Credit Exposures of all Term Lenders. The Total Term Credit Exposure of any Defaulting Lender shall be disregarded in determining Required Term Lenders at any time.


 
37 “Rescindable Amount” has the meaning as defined in Section 2.12(b)(ii). “Resignation Effective Date” has the meaning specified in Section 9.06(a). “Resolution Authority” means an EEA Resolution Authority or, with respect to any UK Financial Institution, a UK Resolution Authority “Responsible Officer” means the chief executive officer, chief operating officer, president, chief financial officer, chief legal officer, manager, treasurer, assistant treasurer or controller of a Loan Party, solely for purposes of the delivery of incumbency certificates pursuant to Section 4.01, the secretary or any assistant secretary of a Loan Party and, solely for purposes of notices given pursuant to Article II, any other officer of the applicable Loan Party so designated by any of the foregoing officers in a notice to the Administrative Agent or any other officer or employee of the applicable Loan Party designated in or pursuant to an agreement between the applicable Loan Party and the Administrative Agent. Any document delivered hereunder that is signed by a Responsible Officer of a Loan Party shall be conclusively presumed to have been authorized by all necessary corporate, partnership and/or other action on the part of such Loan Party and such Responsible Officer shall be conclusively presumed to have acted on behalf of such Loan Party. To the extent requested by the Administrative Agent, each Responsible Officer will provide an incumbency certificate and to the extent requested by the Administrative Agent, appropriate authorization documentation, in form and substance satisfactory to the Administrative Agent. “Restricted Payment” means (a) any dividend or other distribution, direct or indirect, on account of any shares (or equivalent) of any class of Equity Interests of the Company or any of its Subsidiaries, now or hereafter outstanding, (b) any redemption, retirement, sinking fund or similar payment, purchase or other acquisition for value, direct or indirect, of any shares (or equivalent) of any class of Equity Interests of the Company or any of its Subsidiaries, now or hereafter outstanding, and (c) any payment made to retire, or to obtain the surrender of, any outstanding warrants, options or other rights to acquire shares of any class of Equity Interests of any Loan Party or any of its Subsidiaries, now or hereafter outstanding. “Revaluation Date” means (a) with respect to any Loan, each of the following: (i) each date of a Borrowing of an Alternative Currency Term Rate Loan or a Foreign Swing Line Loan, (ii) with respect to an Alternative Currency Daily Rate Loan, each Interest Payment Date, (iii) each date of a continuation of an Alternative Currency Term Rate Loan pursuant to Section 2.02, and (iv) such additional dates as the Administrative Agent shall determine or the Swing Line Lender or Required Lenders shall require; and (b) with respect to any Letter of Credit, each of the following: (i) each date of issuance, amendment and/or extension of a Letter of Credit denominated in an Alternative Currency, (ii) each date of any payment by the applicable L/C Issuer under any Letter of Credit denominated in an Alternative Currency, (iii) in the case of all Existing Letters of Credit denominated in Alternative Currencies, the Closing Date, and (iv) such additional dates as the Administrative Agent or the applicable L/C Issuer shall determine or the Required Lenders shall require. “Revolving Borrowing” means a borrowing consisting of simultaneous Revolving Loans of the same Type and, in the case of Term SOFR Loans or Alternative Currency Term Rate Loans, as applicable, having the same Interest Period made by each of the Revolving Lenders pursuant to Section 2.01(a). “Revolving Commitment” means, as to each Revolving Lender, its obligation to (a) make Revolving Loans to the Borrowers pursuant to Section 2.01(a), (b) purchase participations in L/C Obligations, and (c) purchase participations in Swing Line Loans, in an aggregate principal amount at any one time outstanding not to exceed the Dollar amount set forth opposite such Lender’s name on Schedule 2.01 under the caption “Revolving Commitment”, or opposite such caption in the Assignment and Assumption pursuant to which such Lender becomes a party hereto, as applicable, as such amount may


 
38 be adjusted from time to time in accordance with this Agreement. The Revolving Commitment of all of the Revolving Lenders on the Closing Date is $600,000,000. “Revolving Commitment Fee” has the meaning specified in Section 2.09(a). “Revolving Exposure” means, as to any Lender at any time, the aggregate principal amount at such time of its outstanding Revolving Loans and such Lender’s participation in L/C Obligations and Swing Line Loans at such time. “Revolving Facility” means, at any time, the aggregate amount of the Revolving Lenders’ Revolving Commitments at such time. “Revolving Lender” means, at any time, (a) so long as any Revolving Commitment is in effect, any Lender that has a Revolving Commitment at such time or (b) if the Revolving Commitments have terminated or expired, any Lender that has a Revolving Loan or a participation in L/C Obligations or Swing Line Loans at such time. “Revolving Loan” has the meaning specified in Section 2.01(b). “Revolving Note” means (i) a promissory note made by the Company in favor of a Revolving Lender evidencing Revolving Loans or Swing Line Loans, as the case may be, made by such Revolving Lender, substantially in the form of Exhibit C-1 and (ii) a promissory note made by the Foreign Borrower in favor of a Revolving Lender evidencing Revolving Loans or Swing Line Loans, as the case may be, made by such Revolving Lender, substantially in the form of Exhibit C-2. “S&P” means Standard & Poor’s Financial Services LLC, a subsidiary of S&P Global Inc., and any successor thereto. “Sale and Leaseback Transaction” means, with respect to any Loan Party or any Subsidiary, any arrangement, directly or indirectly, with any Person whereby such Loan Party or such Subsidiary shall sell or transfer any fixed or capital asset used or useful in its business, whether now owned or hereafter acquired, and substantially contemporaneously rent or lease from the transferee such fixed or capital asset or other fixed or capital asset that it intends to use for substantially the same purpose or purposes as the property being sold or transferred. “Same Day Funds” means (a) with respect to disbursements and payments in Dollars, immediately available funds, and (b) with respect to disbursements and payments in an Alternative Currency, same day or other funds as may be determined by the Administrative Agent or the applicable L/C Issuer, as the case may be, to be customary in the place of disbursement or payment for the settlement of international banking transactions in the relevant Alternative Currency. “Sanction(s)” means any international economic sanction administered or enforced by the United States Government (including, without limitation, OFAC), the United Nations Security Council, the European Union, Her Majesty’s Treasury (“HMT”) or other relevant Governmental Authority. “Scheduled Unavailability Date” has the meaning specified in Section 3.03(c)(ii). “SEC” means the Securities and Exchange Commission, or any Governmental Authority succeeding to any of its principal functions.


 
39 “Secured Cash Management Agreement” means any Cash Management Agreement that is entered into at any time by and between any Loan Party (or any Affiliate of a Loan Party) and any Cash Management Bank. “Secured Hedge Agreement” means any interest rate, currency, foreign exchange, or commodity Swap Contract that is entered into at any time by and between any Loan Party (or any Affiliate of a Loan Party) and any Hedge Bank. “Secured Obligations” means all Obligations and all Additional Secured Obligations. “Secured Parties” means, collectively, the Administrative Agent, the Lenders, the Designated Lenders, the Hedge Banks, the Cash Management Banks, Trade Banks, each L/C Issuer, the Indemnitees, each co-agent or sub-agent appointed by the Administrative Agent from time to time pursuant to Section 9.05, and the other Person the Secured Obligations owing to which are or are purported to be secured by the Collateral under the terms of the Security Instruments. “Secured Party Designation Notice” means a notice from any Lender or an Affiliate of a Lender substantially in the form of Exhibit I. “Secured Trade Documents” means any Trade Document entered into at any time by and between any Loan Party (or any Affiliate of a Loan Party) and any Trade Bank. “Security Agreement” means that certain Second Amended and Restated Security Agreement dated as of the date hereof by the Company and the Domestic Guarantors in favor of the Administrative Agent for the benefit of the Secured Parties, substantially in the form of Exhibit G. “Security Instruments” means, collectively, the Security Agreement and all other agreements (including joinder agreements, control agreements (if any), supplements, collateral assignments and similar agreements), instruments and other documents, whether now existing or hereafter in effect, pursuant to which the Company, any Subsidiary or other Person shall grant or convey to the Administrative Agent (for the benefit of the Secured Parties) a Lien in, or any other Person shall acknowledge any such Lien in, property as security for all or any portion of the Secured Obligations or any other obligation under any Loan Document. “SOFR” means the Secured Overnight Financing Rate administered by the SOFR Administrator and published on the Federal Reserve Bank of New York’s website (or any successor source). “SOFR Adjustment” means (a) with respect to Daily Simple SOFR, 0.10% (10 basis points); (b) with respect to Term SOFR, 0.10% (10 basis points) for any Interest Period; and (c) with respect to the SOFR Daily Floating Rate, 0.10% (10 basis points). “SOFR Administrator” means the Federal Reserve Bank of New York, as the administrator of SOFR, or any successor administrator of SOFR designated by the Federal Reserve Bank of New York or other Person acting as the SOFR Administrator at such time that is satisfactory to the Administrative Agent. “SOFR Daily Floating Rate” means, for any day, a fluctuating rate of interest, which can change on each Business Day, equal to the Term SOFR Screen Rate, two (2) U.S. Government Securities Business Days prior to such day, with a term equivalent to one (1) month beginning on that date; provided, that if the rate is not published prior to 11:00 a.m. on such determination date then the SOFR Daily Floating Rate means the Term SOFR Screen Rate on the first (1st) U.S. Government Securities Business Day immediately


 
40 prior thereto, in each case, plus the SOFR Adjustment; provided further that if the SOFR Daily Floating Rate shall be less than zero, such rate shall be deemed zero for purposes of this Agreement. “SOFR Daily Floating Rate Loan” means a Domestic Swing Line Loan that bears interest at a rate based on the definition of SOFR Daily Floating Rate. “SOFR Scheduled Unavailability Date” has the meaning specified in Section 3.03(b)(ii). “SOFR Successor Rate” has the meaning specified in Section 3.03(b). “Solvency Certificate” means a solvency certificate in substantially in the form of Exhibit L. “Solvent” and “Solvency” mean, with respect to any Person on any date of determination, that on such date (a) the fair value of the assets of such Person is greater than the total amount of liabilities, including contingent liabilities, of such Person, (b) the present fair saleable value of the assets of such Person is not less than the amount that will be required to pay the probable liability of such Person on its debts as they become absolute and matured, (c) such Person does not intend to, and does not reasonably believe that it will, incur debts or liabilities beyond such Person’s ability to pay such debts and liabilities as they mature, (d) such Person is not engaged in business or a transaction, and is not about to engage in business or a transaction, for which such Person’s property would constitute an unreasonably small capital, and (e) such Person is able to pay its debts and liabilities, contingent obligations and other commitments as they mature in the ordinary course of business. The amount of contingent liabilities at any time shall be computed as the amount that, in the light of all the facts and circumstances existing at such time, represents the amount that can reasonably be expected to become an actual or matured liability discounted to present value at rates believed to be reasonable by such Person acting in good faith. “SONIA” means, with respect to any applicable determination date, the Sterling Overnight Index Average Reference Rate published on the fifth Business Day preceding such date on the applicable Reuters screen page (or such other commercially available source providing such quotations as may be designated by the Administrative Agent from time to time); provided however that if such determination date is not a Business Day, SONIA means such rate that applied on the first Business Day immediately prior thereto. “SONIA Adjustment” means, with respect to SONIA, 0.0326% per annum. “Special Notice Currency” means at any time an Alternative Currency, other than the currency of a country that is a member of the Organization for Economic Cooperation and Development at such time located in North America or Europe. “Specified Loan Party” means any Loan Party that is not then an “eligible contract participant” under the Commodity Exchange Act (determined prior to giving effect to Section 11.25). “Spot Rate” for a currency means the rate determined by the Administrative Agent, the Swing Line Lender with notice thereof to the Administrative Agent or the applicable L/C Issuer with notice thereof to the Administrative Agent to be the rate quoted by the Person acting in such capacity as the spot rate for the purchase by such Person of such currency with another currency through its principal foreign exchange trading office at approximately 11:00 a.m. on the date two Business Days prior to the date as of which the foreign exchange computation is made; provided that the Administrative Agent, the Swing Line Lender or the applicable L/C Issuer may obtain such spot rate from another financial institution designated by the Administrative Agent, the Swing Line Lender or such L/C Issuer if the Person acting in such capacity does not have as of the date of determination a spot buying rate for any such currency; and provided further that the Swing Line Lender or the applicable L/C Issuer may use such spot rate quoted on the date as of which


 
41 the foreign exchange computation is made in case of any Swing Line Loan or Letter of Credit denominated in an Alternative Currency. “Sterling” and “£” mean the lawful currency of the United Kingdom. “Subsidiary” of a Person means a corporation, partnership, joint venture, limited liability company or other business entity of which a majority of the Equity Interests having ordinary voting power for the election of directors or other governing body (other than Equity Interests having such power only by reason of the happening of a contingency) are at the time beneficially owned, or the management of which is otherwise controlled, directly, or indirectly through one or more intermediaries, or both, by such Person. Unless otherwise specified, all references herein to a “Subsidiary” or to “Subsidiaries” shall refer to a Subsidiary or Subsidiaries of the Company. “Successor Foreign Borrower” means a Luxembourg entity that irrevocably and unconditionally assumes all of CMC International Finance obligations under this Agreement and the other Loan Documents in accordance with Section 2.19. “Successor Rate” has the meaning specified in Section 3.03(c). “Supported QFC” has the meaning specified in Section 11.28. “Swap Contract” means (a) any and all rate swap transactions, basis swaps, credit derivative transactions, forward rate transactions, commodity swaps, commodity options, forward commodity contracts, equity or equity index swaps or options, bond or bond price or bond index swaps or options or forward bond or forward bond price or forward bond index transactions, interest rate options, forward foreign exchange transactions, cap transactions, floor transactions, collar transactions, currency swap transactions, cross-currency rate swap transactions, currency options, spot contracts, or any other similar transactions or any combination of any of the foregoing (including any options to enter into any of the foregoing), whether or not any such transaction is governed by or subject to any master agreement, and (b) any and all transactions of any kind, and the related confirmations, which are subject to the terms and conditions of, or governed by, any form of master agreement published by the International Swaps and Derivatives Association, Inc., any International Foreign Exchange Master Agreement, or any other master agreement (any such master agreement, together with any related schedules, a “Master Agreement”), including any such obligations or liabilities under any Master Agreement. “Swap Obligation” means, with respect to any Guarantor, any obligation to pay or perform under any agreement, contract or transaction that constitutes a “swap” within the meaning of Section 1a(47) of the Commodity Exchange Act. “Swap Termination Value” means, in respect of any one or more Swap Contracts, after taking into account the effect of any legally enforceable netting agreement relating to such Swap Contracts, (a) for any date on or after the date such Swap Contracts have been closed out and termination value(s) determined in accordance therewith, such termination value(s), and (b) for any date prior to the date referenced in clause (a), the amount(s) determined as the mark-to-market value(s) for such Swap Contracts, as determined based upon one or more mid-market or other readily available quotations provided by any recognized dealer in such Swap Contracts (which may include a Lender or any Affiliate of a Lender). “Swing Line Borrowing” means a borrowing of a Swing Line Loan pursuant to Section 2.04. “Swing Line Commitment” means, as to any Lender (a) the amount set forth opposite such Lender’s name on Schedule 2.01 hereof or (b) if such Lender has entered into an Assignment and Assumption or has


 
42 otherwise assumed a Swing Line Commitment after the Closing Date, the amount set forth for such Lender as its Swing Line Commitment in the Register maintained by the Administrative Agent pursuant to Section 11.06(c). “Swing Line Lender” means Bank of America, through itself or through one of its designated Affiliates or branch offices in its capacity as provider of Swing Line Loans, or any successor swing line lender hereunder. “Swing Line Loan” has the meaning specified in Section 2.04(a). “Swing Line Loan Notice” means a notice of a Swing Line Borrowing pursuant to Section 2.04(b), which shall be substantially in the form of Exhibit B or such other form as approved by the Administrative Agent (including any form on an electronic platform or electronic transmission system as shall be approved by the Administrative Agent), appropriately completed and signed by a Responsible Officer of the applicable Borrower. “Swing Line Sublimit” means the total of the Domestic Swing Line Sublimit and the Foreign Swing Line Sublimit. The Swing Line Sublimit is part of and not in addition to the Revolving Facility. “Synthetic Lease Obligation” means the monetary obligation of a Person under (a) a so-called synthetic, off-balance sheet or tax retention lease, or (b) an agreement for the use or possession of property (including Sale and Leaseback Transactions), in each case creating obligations that do not appear on the balance sheet of such Person but which, upon the application of any Debtor Relief Laws to such Person, would be characterized as the indebtedness of such Person (without regard to accounting treatment). “TARGET2” means the Trans-European Automated Real-time Gross Settlement Express Transfer payment system which utilizes a single shared platform and which was launched on November 19, 2007. “TARGET Day” means any day on which TARGET2 (or, if such payment system ceases to be operative, such other payment system, if any, determined by the Administrative Agent to be a suitable replacement) is open for the settlement of payments in Euro. “Taxes” means all present or future taxes, levies, imposts, duties, deductions, withholdings (including backup withholding), assessments, fees or other charges imposed by any Governmental Authority, including any interest, additions to tax or penalties applicable thereto. “Term Borrowing” means a borrowing consisting of simultaneous Term Loans of the same Type, and, in the case of Term SOFR Loans, having the same Interest Period, made by each of the Term Lenders pursuant to Section 2.01(a). “Term Commitment” means, as to each Term Lender, its obligation to make Term Loans to the Company pursuant to Section 2.01(a) in an aggregate principal amount at any one time outstanding not to exceed the amount set forth opposite such Term Lender’s name on Schedule 2.01(a) under the caption “Term Commitment” or opposite such caption in the Assignment and Assumption pursuant to which such Term Lender becomes a party hereto, as applicable, as such amount may be adjusted from time to time in accordance with this Agreement. The Term Commitment of all of the Term Lenders on the Closing Date shall be $200,000,000. “Term Facility” means, at any time, (a) at any time on or prior to the Closing Date, any Lender that has a Term Commitment at such time, (b) at any time during the Availability Period in respect of such Facility, the sum of (i) the aggregate amount of the Term Commitments at such time and (ii) the aggregate


 
43 principal amount of the Term Loans of all Term Lenders outstanding at such time and (c) at any time after the Availability Period in respect of the Term Facility, the aggregate principal amount of the Term Loans of all Term Lenders outstanding at such time. “Term Lender” means (a) at any time on or prior to the Closing Date, any Lender that has a Term Commitment at such time and (b) at any time after the Closing Date, any Lender that holds Term Loans at such time. “Term Loan” means an advance made by any Term Lender under the Term Facility. “Term Note” means a promissory note made by the Company in favor of a Term Lender evidencing Term Loans made by such Term Lender, substantially in the form of Exhibit C-3. “Term SOFR” means: (a) for any Interest Period with respect to a Term SOFR Loan, the rate per annum equal to the Term SOFR Screen Rate two U.S. Government Securities Business Days prior to the commencement of such Interest Period with a term equivalent to such Interest Period; provided that if the rate is not published prior to 11:00 a.m. on such determination date then Term SOFR means the Term SOFR Screen Rate on the first U.S. Government Securities Business Day immediately prior thereto, in each case, plus the SOFR Adjustment for such Interest Period; and (b) for any interest calculation with respect to a Base Rate Loan on any date, the rate per annum equal to the Term SOFR Screen Rate with a term of one month commencing that day; provided that if the Term SOFR determined in accordance with either of the foregoing provisions (a) or (b) of this definition would otherwise be less than zero, the Term SOFR shall be deemed zero for purposes of this Agreement. “Term SOFR Loan” means a Loan that bears interest at a rate based on clause (a) of the definition of Term SOFR. “Term SOFR Replacement Date” has the meaning specified in Section 3.03(b). “Term SOFR Screen Rate” means the forward-looking SOFR term rate administered by CME (or any successor administrator satisfactory to the Administrative Agent) and published on the applicable Reuters screen page (or such other commercially available source providing such quotations as may be designated by the Administrative Agent from time to time). “Total Capitalization” means, as of any date of determination, for the Company and its Subsidiaries on a consolidated basis, the sum of (a) Consolidated Net Worth as of such date and (b) Consolidated Funded Debt as of such date. “Total Credit Exposure” means, as to any Lender at any time, the unused Commitments, Revolving Exposure and Outstanding Amount of all Term Loans of such Lender at such time. “Total Revolving Exposure” means, as to any Revolving Lender at any time, the unused Commitments and Revolving Exposure of such Revolving Lender at such time. “Total Revolving Outstandings” means, as of any date of determination, the aggregate Outstanding Amount of all Revolving Loans, Swing Line Loans and L/C Obligations as of such date.


 
44 “Total Term Credit Exposure” means, as to any Term Lender at any time, the Outstanding Amount of all Term Loans of such Term Lender at such time. “Trade Bank” means any Lender or any Affiliate of a Lender who prior to or on or after the Closing Date issued Trade Documents; even if such Person ceases to be a Lender or such Person’s Affiliate ceased to be a Lender; provided in the case of a Trade Document issued by a Person who is no longer a Lender (or Affiliate of a Lender), (x) such Person shall be considered a Trade Bank only through the stated termination or expiration date (without extension or renewal) of such Trade Document, and (y) only such obligations, if any, under such Trade Document as are owed to such Person at the time such Person ceases to be a Lender shall be deemed to be secured by the Collateral hereunder following such time, and provided further that for any of the foregoing to be included as a “Secured Trade Document” on any date of determination by the Administrative Agent, the applicable Trade Bank (other than the Administrative Agent or an Affiliate of the Administrative Agent) must have delivered a Secured Party Designation Notice to the Administrative Agent prior to such date of determination. “Trade Date” has the meaning specified in Section 11.06(b)(i)(B). “Trade Documents” means any commercial letters of credit, trade letters of credit, documentary letters of credit (excluding Letters of Credit issued hereunder), bankers’ acceptances, bank guarantees, standby letters of credit, supply chain finance and other trade related products (and any applications, agreements and documents related thereto) issued by any Trade Bank for the account or benefit of the Company or any direct or indirect wholly-owned Subsidiary of the Company for use in the Company’s or such wholly-owned Subsidiary’s trading business. “Type” means, with respect to a Loan, its character as a Base Rate Loan, a Term SOFR Loan, an Alternative Currency Daily Rate Loan or an Alternative Currency Term Rate Loan. “UCC” means the Uniform Commercial Code as in effect in the State of Texas; provided that, if perfection or the effect of perfection or non-perfection or the priority of any security interest in any Collateral is governed by the Uniform Commercial Code as in effect in a jurisdiction other than the State of Texas, “UCC” means the Uniform Commercial Code as in effect from time to time in such other jurisdiction for purposes of the provisions hereof relating to such perfection, effect of perfection or non- perfection or priority. “UCP” means the Uniform Customs and Practice for Documentary Credits, International Chamber of Commerce Publication No. 600 (or such later version thereof as may be in effect at the applicable time). “UK Financial Institution” means any BRRD Undertaking (as such term is defined under the PRA Rulebook (as amended form time to time) promulgated by the United Kingdom Prudential Regulation Authority) or any person subject to IFPRU 11.6 of the FCA Handbook (as amended from time to time) promulgated by the United Kingdom Financial Conduct Authority, which includes certain credit institutions and investment firms, and certain affiliates of such credit institutions or investment firms. “UK Resolution Authority” means the Bank of England or any other public administrative authority having responsibility for the resolution of any UK Financial Institution. “United Kingdom” means the United Kingdom of Great Britain and Northern Ireland. “United States” and “U.S.” mean the United States of America. “Unreimbursed Amount” has the meaning specified in Section 2.03(f).


 
45 “U.S. Government Securities Business Day” means any Business Day, except any Business Day on which any of the Securities Industry and Financial Markets Association, the New York Stock Exchange or the Federal Reserve Bank of New York is not open for business because such day is a legal holiday under the federal laws of the United States or the laws of the State of New York, as applicable. “U.S. Person” means any Person that is a “United States Person” as defined in Section 7701(a)(30) of the Code. “U.S. Special Resolution Regimes” has the meaning specified in Section 11.28. “U.S. Tax Compliance Certificate” has the meaning specified in Section 3.01(f)(ii)(B)(III). “Voting Shares” of any Person means any class or classes of Equity Interests having ordinary voting power for the election of directors or other governing body of such Person, other than Equity Interests having such power only by reason of the happening of a contingency. “Withholding Agent” means the Borrowers and the Administrative Agent. “Write-Down and Conversion Powers” means, (a) with respect to any EEA Resolution Authority, the write-down and conversion powers of such EEA Resolution Authority from time to time under the Bail- In Legislation for the applicable EEA Member Country, which write-down and conversion powers are described in the EU Bail-In Legislation Schedule and (b) with respect to the United Kingdom, any powers of the applicable Resolution Authority under the Bail-In Legislation to cancel, reduce, modify or change the form of a liability of any UK Financial Institution or any contract or instrument under which that liability arises, to convert all or part of that liability into shares, securities or obligations of that person or any other person, to provide that any such contract or instrument is to have effect as if a right had been exercised under it or to suspend any obligation in respect of that liability or any of the powers under that Bail-In Legislation that are related to or ancillary to any of those powers. “Yen” means the lawful currency of Japan. 1.02 Other Interpretive Provisions. With reference to this Agreement and each other Loan Document, unless otherwise specified herein or in such other Loan Document: (a) The definitions of terms herein shall apply equally to the singular and plural forms of the terms defined. Whenever the context may require, any pronoun shall include the corresponding masculine, feminine and neuter forms. The words “include,” “includes” and “including” shall be deemed to be followed by the phrase “without limitation.” The word “will” shall be construed to have the same meaning and effect as the word “shall.” Unless the context requires otherwise, (i) any definition of or reference to any agreement, instrument or other document (including the Loan Documents and any Organization Document) shall be construed as referring to such agreement, instrument or other document as from time to time amended, amended and restated, modified, extended, restated, replaced or supplemented from time to time (subject to any restrictions on such amendments, supplements or modifications set forth herein or in any other Loan Document), (ii) any reference herein to any Person shall be construed to include such Person’s successors and assigns, (iii) the words “hereto,” “herein,” “hereof” and “hereunder,” and words of similar import when used in any Loan Document, shall be construed to refer to such Loan Document in its entirety and not to any particular provision thereof, (iv) all references in a Loan Document to Articles, Sections, Preliminary Statements, Exhibits and Schedules shall be construed to refer to Articles and Sections of, and Preliminary Statements, Exhibits and Schedules to, the Loan Document in which such references appear, (v) any reference to any law shall include all statutory and regulatory rules, regulations, orders and provisions consolidating, amending, replacing or interpreting such law and any reference to any


 
46 law, rule or regulation shall, unless otherwise specified, refer to such law, rule or regulation as amended, modified, extended, restated, replaced or supplemented from time to time, and (vi) the words “asset” and “property” shall be construed to have the same meaning and effect and to refer to any and all tangible and intangible assets and properties, including cash, securities, accounts and contract rights. Any and all references to “Borrower” regardless of whether preceded by the term a, any, each of, all, and/or, or any other similar term shall be deemed to refer, as the context requires, to each and every (and/or any one or all) parties constituting a Borrower, individually and/or in the aggregate. (b) In the computation of periods of time from a specified date to a later specified date, the word “from” means “from and including;” the words “to” and “until” each mean “to but excluding;” and the word “through” means “to and including.” (c) Section and Article headings herein and in the other Loan Documents are included for convenience of reference only and shall not affect the interpretation of this Agreement or any other Loan Document. (d) Any reference herein to a merger, transfer, consolidation, amalgamation, assignment, sale, disposition or transfer, or similar term, shall be deemed to apply to a division of or by a limited liability company, or an allocation of assets to a series of a limited liability company (or the unwinding of such a division or allocation), as if it were a merger, transfer, consolidation, amalgamation, assignment, sale, disposition or transfer, or similar term, as applicable, to, of or with a separate Person. Any division of a limited liability company shall constitute a separate Person hereunder (and each division of any limited liability company that is a Subsidiary, joint venture or any other like term shall also constitute such a Person or entity). (e) In this Agreement and any other Loan Documents, where it relates to an entity established or incorporated in Luxembourg, a reference to: (i) a moratorium, winding up, administration or dissolution includes, without limitation, any procedure or proceeding in relation to an entity becoming bankrupt (faillite), insolvency, voluntary or judicial liquidation, composition with creditors (concordat préventif de la faillite), moratorium or reprieve from payment (sursis de paiement), controlled management (gestion contrôlée), general settlement with creditors, reorganisation or any other similar proceedings affecting the rights of creditors generally under Luxembourg law, and shall be construed so as to include any equivalent or analogous liquidation or reorganisation proceedings; (ii) security or a security interest includes, without limitation, any hypothèque, nantissement, gage, privilège, accord de transfert de propriété à titre de garantie, gage sur fonds de commerce, droit de retention or sûreté réelle whatsoever whether granted or arising by operation of law; (iii) a custodian, receiver, assignee, trustee, liquidator, sequestrator or other similar official includes, without limitation, a juge délégué, commissaire, juge-commissaire, liquidateur or curateur or any other person performing the same function of each of the foregoing; (iv) a Person being unable to pay its debts includes, without limitation, that Person being in a state of cessation of payments (cessation de paiements); (v) an attachment includes a saisie;


 
47 (vi) Organization Documents includes its up-to-date (consolidated) articles of association (statuts); and (vii) a director, officer or manager includes a gérant or an administrateur. 1.03 Accounting Terms. (a) Generally. All accounting terms not specifically or completely defined herein shall be construed in conformity with, and all financial data (including financial ratios and other financial calculations) required to be submitted pursuant to this Agreement shall be prepared in conformity with, GAAP applied on a consistent basis, as in effect from time to time, applied in a manner consistent with that used in preparing the Audited Financial Statements, except (i) for changes in the method of inventory accounting prepared in conformity with GAAP and (ii) as otherwise specifically prescribed herein. Notwithstanding the foregoing, for purposes of determining compliance with any covenant (including the computation of any financial covenant) contained herein, (i) Indebtedness of the Company and its consolidated Subsidiaries shall be deemed to be carried at 100% of the outstanding principal amount thereof, and the effects of FASB ASC 825 on financial liabilities shall be disregarded, and (ii) all terms of an accounting or financial nature used herein shall be construed, and all computations of amounts and ratios referred to herein shall be made, without giving effect to any election under FASB ASC Topic 825 “Financial Instruments” (or any other financial accounting standard having a similar result or effect) to value any Indebtedness of the Company or any Subsidiary at “fair value”, as defined therein. For purposes of determining the amount of any outstanding Indebtedness, no effect shall be given to (x) any election by the Company to measure an item of Indebtedness using fair value (as permitted by Financial Accounting Standards Board Accounting Standards Codification 825–10–25 (formerly known as FASB 159) or any similar accounting standard) or (y) any change in accounting for leases pursuant to GAAP resulting from the implementation of Financial Accounting Standards Board ASU No. 2016–02, Leases (Topic 842), to the extent such adoption would require recognition of a lease liability where such lease (or similar arrangement) would not have required a lease liability under GAAP as in effect on December 31, 2015. (b) Changes in GAAP. If at any time any change in GAAP (including the adoption of IFRS) would affect the computation of any financial ratio or requirement set forth in any Loan Document, and either the Company or the Required Lenders shall so request, the Administrative Agent, the Lenders and the Company shall negotiate in good faith to amend such ratio or requirement to preserve the original intent thereof in light of such change in GAAP (subject to the approval of the Required Lenders); provided that, until so amended, (i) such ratio or requirement shall continue to be computed in accordance with GAAP prior to such change therein and (ii) the Company shall provide to the Administrative Agent and the Lenders financial statements and other documents required under this Agreement or as reasonably requested hereunder setting forth a reconciliation between calculations of such ratio or requirement made before and after giving effect to such change in GAAP. Without limiting the foregoing, leases shall continue to be classified and accounted for on a basis consistent with that reflected in the Audited Financial Statements dated August 31, 2019 for all purposes of this Agreement notwithstanding any change in GAAP related thereto. (c) Consolidation of Variable Interest Entities. All references herein to consolidated financial statements of the Company and its Subsidiaries or to the determination of any amount for the Company and its Subsidiaries on a consolidated basis or any similar reference shall, in each case, be deemed to include each variable interest entity that the Company is required to consolidate pursuant to FASB ASC 810 as if such variable interest entity were a Subsidiary as defined herein.


 
48 1.04 Rounding. Any financial ratios required to be maintained by the Company or any Subsidiary pursuant to this Agreement shall be calculated by dividing the appropriate component by the other component, carrying the result to one place more than the number of places by which such ratio is expressed herein and rounding the result up or down to the nearest number (with a rounding-up if there is no nearest number). 1.05 Times of Day. Unless otherwise specified, all references herein to times of day shall be references to Central time (daylight or standard, as applicable). 1.06 Letter of Credit Amounts. Unless otherwise specified herein, the amount of a Letter of Credit at any time shall be deemed to be the Dollar Equivalent of the stated amount of such Letter of Credit in effect at such time; provided, however, that with respect to any Letter of Credit that, by its terms or the terms of any Issuer Document related thereto, provides for one or more automatic increases in the stated amount thereof, the amount of such Letter of Credit shall be deemed to be the Dollar Equivalent of the maximum stated amount of such Letter of Credit after giving effect to all such increases, whether or not such maximum stated amount is in effect at such time. 1.07 UCC Terms. Terms defined in the UCC in effect on the Closing Date and not otherwise defined herein shall, unless the context otherwise indicates, have the meanings provided by those definitions. Subject to the foregoing, the term “UCC” refers, as of any date of determination, to the UCC then in effect. 1.08 Exchange Rates; Currency Equivalents. (a) The Administrative Agent, the Swing Line Lender or the applicable L/C Issuer, as applicable, shall determine the Dollar Equivalent amounts of Credit Extensions and Outstanding Amounts denominated in Alternative Currencies. Such Dollar Equivalent shall become effective as of such Revaluation Date and shall be the Dollar Equivalent of such amounts until the next Revaluation Date to occur. Except for purposes of financial statements delivered by Loan Parties hereunder or calculating financial covenants hereunder or except as otherwise provided herein, the applicable amount of any currency (other than Dollars) for purposes of the Loan Documents shall be such Dollar Equivalent amount as so determined by the Administrative Agent, the Swing Line Lender or the applicable L/C Issuer, as applicable. (b) Wherever in this Agreement in connection with a Borrowing, conversion, continuation or prepayment of an Alternative Currency Loan or the issuance, amendment or extension of a Letter of Credit, an amount, such as a required minimum or multiple amount, is expressed in Dollars, but such Borrowing, Alternative Currency Loan, Foreign Swing Line Loan or Letter of Credit is denominated in an Alternative Currency, such amount shall be the relevant Alternative Currency Equivalent of such Dollar amount (rounded to the nearest unit of such Alternative Currency, with 0.5 of a unit being rounded upward), as determined by the Administrative Agent, the Swing Line Lender or the applicable L/C Issuer, as the case may be. (c) The Administrative Agent does not warrant, nor accept responsibility, nor shall the Administrative Agent have any liability with respect to the administration, submission or any other matter related to any reference rate referred to herein, the selection of rates, any related spread or adjustment or with respect to any rate that is an alternative or replacement for or successor to any of such rates (including, without limitation, any Successor Rate) (or any component of any of the foregoing) or the effect of any of


 
49 the foregoing, or of any Conforming Changes. The Administrative Agent and its affiliates or other related entities may engage in transactions or other activities that affect any reference rate referred to herein, or any alternative, successor or replacement rate (including, without limitation, any Successor Rate) (or any component of any of the foregoing) or any related spread or other adjustments thereto, in each case, in a manner adverse to the Borrowers. The Administrative Agent may select information sources or services in its reasonable discretion to ascertain any reference rate referred to herein or any alternative, successor or replacement rate (including, without limitation, any Successor Rate) (or any component of any of the foregoing), in each case pursuant to the terms of this Agreement, and shall have no liability to the Borrowers, any Lender or any other person or entity for damages of any kind, including direct or indirect, special, punitive, incidental or consequential damages, costs, losses or expenses (whether in tort, contract or otherwise and whether at law or in equity), for any error or other action or omission related to or affecting the selection, determination, or calculation of any rate (or component thereof) provided by any such information source or service. 1.09 Additional Alternative Currencies. (a) The Company may from time to time request that Alternative Currency Loans and/or Foreign Swing Line Loans be made and/or Letters of Credit be issued in a currency other than those specifically listed in the definition of “Alternative Currency” or, in the case of Foreign Swing Line Loans, listed in Section 2.04(a); provided that such requested currency is an Eligible Currency. In the case of any such request with respect to the making of Alternative Currency Loans, such request shall be subject to the approval of the Administrative Agent and each Lender with a Commitment under which such currency is requested to be made available; and in the case of any such request with respect to the issuance of Letters of Credit, such request shall be subject to the written approval of the Administrative Agent and the applicable L/C Issuer that will be issuing Letters of Credit in such currency. (b) Any such request shall be made to the Administrative Agent by the Company (i) in the case of any such request pertaining to Alternative Currency Loans, to the Administrative Agent, (ii) in the case of any such request pertaining to Foreign Swing Line Loans, to the Administrative Agent and the Swing Line Lender and (iii) in the case of any such request pertaining to Letters of Credit, to the Administrative Agent and each L/C Issuer, in each case not later than 11:00 a.m., twenty (20) Business Days prior to the date of the desired Credit Extension (or such other time or earlier date as may be agreed by the Administrative Agent and, in the case of any such request pertaining to Letters of Credit, the applicable L/C Issuer or in the case of any such request pertaining to Foreign Swing Line Loans, the Swing Line Lender, in each case, in its or their sole discretion). In the case of any such request pertaining to Alternative Currency Loans or Foreign Swing Line Loans, the Administrative Agent shall promptly notify each Appropriate Lender thereof; and in the case of any such request pertaining to Letters of Credit, the Administrative Agent shall promptly notify the L/C Issuers thereof. Each Appropriate Lender (in the case of any such request pertaining to Alternative Currency Loans), the Swing Line Lender and each Appropriate Lender (in the case of any such request pertaining to Foreign Swing Line Loans) or the L/C Issuers (in the case of a request pertaining to Letters of Credit) shall notify the Administrative Agent, not later than 11:00 a.m., ten (10) Business Days after receipt of such request whether it consents, in its sole discretion, to the making of Alternative Currency Loans or Foreign Swing Line Loans or the issuance of Letters of Credit, as the case may be, in such requested currency. With respect to Letters of Credit, only those L/C Issuers that specifically approve any such requested currency shall be obligated to provide Letters of Credit in such currency. (c) Any failure by a Lender, the Swing Line Lender or any L/C Issuer, as the case may be, to respond to such request within the time period specified in the preceding sentence shall be deemed to be a refusal by such Lender, the Swing Line Lender or such L/C Issuer, as the case may be, to permit Alternative Currency Loans or Foreign Swing Line Loans to be made or Letters of Credit to be issued in such requested


 
50 currency. If the Administrative Agent and all the Appropriate Lenders consent to making Alternative Currency Loans in such requested currency and the Administrative Agent and such Lenders reasonably determine that an appropriate interest rate is available to be used for such requested currency, the Administrative Agent shall so notify the Company and (i) the Administrative Agent and such Lenders may (with the Company’s prior written consent) amend the definition of Alternative Currency Daily Rate or Alternative Currency Term Rate to the extent necessary to add the applicable rate for such currency and (ii) to the extent the definition of Alternative Currency Daily Rate or Alternative Currency Term Rate, as applicable, has been amended to reflect the appropriate rate for such currency, such currency shall thereupon be deemed for all purposes to be an Alternative Currency for purposes of any Borrowings of Alternative Currency Loans. If the Administrative Agent and any L/C Issuer consent to the issuance of Letters of Credit in such requested currency, the Administrative Agent shall so notify the Company and (iii) the Administrative Agent and the L/C Issuers may (with the Company’s prior written consent) amend the definition of Alternative Currency Daily Rate or Alternative Currency Term Rate, as applicable, to the extent necessary to add the applicable rate for such currency and any applicable adjustment for such rate and (iv) to the extent the definition of Alternative Currency Daily Rate or Alternative Currency Term Rate, as applicable, has been amended to reflect the appropriate rate for such currency, such currency shall thereupon be deemed for all purposes to be an Alternative Currency, for purposes of any Letter of Credit issuances. If the Administrative Agent shall fail to obtain consent to any request for an additional currency under this Section 1.09, the Administrative Agent shall promptly so notify the Company. Any specified currency of an Existing Letter of Credit that is neither Dollars nor one of the Alternative Currencies specifically listed in the definition of “Alternative Currency” shall be deemed an Alternative Currency with respect to such Existing Letter of Credit only. 1.10 Change of Currency. (a) Each obligation of the Borrowers to make a payment denominated in the national currency unit of any member state of the European Union that adopts the Euro as its lawful currency after the date hereof shall be redenominated into Euro at the time of such adoption. If, in relation to the currency of any such member state, the basis of accrual of interest expressed in this Agreement in respect of that currency shall be inconsistent with any convention or practice in the interbank market for the basis of accrual of interest in respect of the Euro, such expressed basis shall be replaced by such convention or practice with effect from the date on which such member state adopts the Euro as its lawful currency; provided that, if any Borrowing in the currency of such member state is outstanding immediately prior to such date, such replacement shall take effect, with respect to such Borrowing, at the end of the then current Interest Period. (b) Each provision of this Agreement shall be subject to such reasonable changes of construction as the Administrative Agent may from time to time specify to be appropriate to reflect the adoption of the Euro by any member state of the European Union and any relevant market conventions or practices relating to the Euro. (c) Each provision of this Agreement also shall be subject to such reasonable changes of construction as the Administrative Agent may from time to time specify to be appropriate to reflect a change in currency of any other country and any relevant market conventions or practices relating to the change in currency. 1.11 Limited Condition Acquisitions. Notwithstanding anything to the contrary in this Agreement and solely for the purpose of (A) measuring the financial ratios or any relevant covenant with respect to the incurrence of any Indebtedness (including any Incremental Revolving Commitments or Incremental Term Commitments) or Liens or the making of any Investments or Dispositions or (B) determining compliance with representations and warranties or the occurrence of any Default or Event of Default, in each case, in connection with Borrower’s election to treat an acquisition or other specified


 
51 investment as a Limited Condition Acquisition, the date of determination of whether any such action (i.e., the incurrence of any Indebtedness or Liens or the making of any Investments or Dispositions) is permitted hereunder shall be deemed to be the date on which the definitive agreements for such Limited Condition Acquisition are entered into (the “LCA Test Date”), and if, after giving pro forma effect to the Limited Condition Acquisition and the other transactions to be entered into in connection therewith as if they had occurred at the beginning of the most recent test period ending prior to the LCA Test Date, the Company could have taken such action on the relevant LCA Test Date in compliance with such financial ratio, covenant, representation or warranty, then such financial ratio, covenant, representation or warranty shall be deemed to have been complied with. 1.12 Classifications of Loans. For purposes of this Agreement, Loans and Commitments may be classified and referred to by Class (e.g., a “Revolving Loan” or “Term Loan”) or by Type (e.g., a “Base Rate Loan”, “SOFR Daily Floating Rate Loan”, “Term SOFR Loan”, “Alternative Currency Daily Rate Loan” or “Alternative Currency Term Rate Loan”). ARTICLE II. THE COMMITMENTS AND CREDIT EXTENSIONS 2.01 Loans. (a) Term Loans. Subject to the terms and conditions set forth herein, each Term Lender severally agrees to make loans to the Company, in Dollars, from time to time, on any Business Day during the Availability Period for the Term Facility, in an aggregate amount not to exceed such Term Lender’s Applicable Percentage of the Term Facility. Each Term Borrowing shall consist of Term Loans made simultaneously by the Term Lenders in accordance with their respective Applicable Percentage of the Term Facility. Term Borrowings repaid or prepaid may not be reborrowed. Term Loans may be Base Rate Loans or Term SOFR Loans, as further provided herein. (b) Revolving Loans. Subject to the terms and conditions set forth herein, each Revolving Lender severally agrees to make revolving loans (each such loan, a “Revolving Loan”) to the Company or, as applicable, to the Foreign Borrower, in Dollars or in one or more Alternative Currencies from time to time, on any Business Day during the Availability Period for the Revolving Facility, in an aggregate amount not to exceed at any time outstanding the amount of such Revolving Lender’s Revolving Commitment; provided that after giving effect to any Revolving Borrowing, (i) the Total Revolving Outstandings shall not exceed the Revolving Facility, (ii) the Revolving Exposure of any Lender shall not exceed such Revolving Lender’s Revolving Commitment, and (iii) the aggregate Outstanding Amount of all Revolving Loans made to the Foreign Borrower plus the Outstanding Amount of all Foreign Swing Line Loans made to the Foreign Borrower plus the Outstanding Amount of all L/C Obligations of the Foreign Borrower shall not exceed the Foreign Borrower Sublimit. Within the limits of each Revolving Lender’s Revolving Commitment, and subject to the other terms and conditions hereof, the Borrowers may borrow under this Section 2.01(a), prepay under Section 2.05, and reborrow under this Section 2.01(a). Revolving Loans may be Base Rate Loans or Term SOFR Loans, as further provided herein; provided that Alternative Currency Loans will be Alternative Currency Daily Rate Loans or Alternative Currency Term Rate Loans. 2.02 Borrowings, Conversions and Continuations of Loans. (a) Notice of Borrowing. Each Borrowing, each conversion of Loans from one Type to the other, and each continuation of Term SOFR Loans and Alternative Currency Term Rate Loans shall be made upon irrevocable notice by the Company, or, as applicable, by the Foreign Borrower, to the Administrative Agent, which may be given by (A) telephone or (B) a Loan Notice; provided that any telephonic notice must be confirmed immediately by delivery to the Administrative Agent of a Loan Notice.


 
52 Each such Loan Notice must be received by the Administrative Agent not later than 11:00 a.m. (i) three (3) Business Days prior to the requested date of any Borrowing of, conversion to or continuation of Term SOFR Loans or of any conversion of Term SOFR Loans made to the applicable Borrower and denominated in Dollars to Base Rate Loans, (ii) four (4) Business Days (or five (5) Business Days in the case of a Special Notice Currency) prior to the requested date of any Borrowing or continuation of Alternative Currency Loans, and (iii) on the requested date of any Borrowing by the Company of Base Rate Loans. Each Borrowing of, conversion to or continuation of Term SOFR Loans, and each Borrowing of, conversion or continuation of an Alternative Currency Loan shall be in a principal amount of the Dollar Equivalent of $5,000,000 or a whole multiple of the Dollar Equivalent of $1,000,000 in excess thereof (or, in connection with any conversion or continuation of a Term Loan, if less, the entire principal thereof then outstanding). Except as provided in Sections 2.03(c) and 2.04(c), each Borrowing of or conversion to Base Rate Loans shall be in a principal amount of the Dollar Equivalent of $500,000 or a whole multiple of the Dollar Equivalent of $100,000 in excess thereof (or, in connection with any conversion or continuation of a Term Loan, if less, the entire principal thereof then outstanding). Each Loan Notice and each telephonic notice shall specify (I) whether the Company or, as applicable, the Foreign Borrower, is requesting a Borrowing, (II) whether the Company is requested a conversion of Loans from one Type to the other, (III) whether the Company or, as applicable, the Foreign Borrower, is requesting a continuation of Loans, (IV) the requested date of the Borrowing, conversion or continuation, as the case may be (which shall be a Business Day), (V) the principal amount of Loans to be borrowed, converted or continued, (VI) the Type of Loans to be borrowed or to which existing Loans are to be converted, (VII) if applicable, the duration of the Interest Period with respect thereto, (VIII) the currency of the Loans to be borrowed, and (IX) the name of the applicable Borrower. If the Company or, as applicable, the Foreign Borrower, fails to specify a currency in a Loan Notice requesting a Borrowing, then the Loans so requested shall be made in Dollars. If the Company fails to specify a Type of Loan in a Loan Notice or if the Company fails to give a timely notice requesting a conversion or continuation, then the applicable Loans shall be made as, or converted to, Base Rate Loans; provided, however, that in the case of a failure to timely request a continuation of Alternative Currency Term Rate Loans, such Loans shall be continued as Alternative Currency Term Rate Loans in their original currency with an Interest Period of one (1) month. Any such automatic conversion to Base Rate Loans shall be effective as of the last day of the Interest Period then in effect with respect to the applicable Term SOFR Loans. If the Foreign Borrower fails to give a timely notice requesting a continuation, then the Alternative Currency Term Rate Loans shall be continued as Alternative Currency Term Rate Loans in their original currency with an Interest Period of one (1) month. If the Company or, as applicable, the Foreign Borrower requests a Borrowing of, conversion to, or continuation of Term SOFR Loans or Alternative Currency Term Rate Loans in any such Loan Notice, but fails to specify an Interest Period, it will be deemed to have specified an Interest Period of one (1) month. Except as provided pursuant to Section 2.12(a), no Loan may be converted into or continued as a Loan denominated in a different currency, but instead must be repaid in the original currency of such Loan and reborrowed in the other currency. (b) Advances. Following receipt of a Loan Notice for a Facility, the Administrative Agent shall promptly notify each Appropriate Lender of the amount (and currency) of its Applicable Percentage under such Facility of the applicable Loans, and if no timely notice of a conversion or continuation is provided by the Company or, as applicable, the Foreign Borrower, the Administrative Agent shall notify each Appropriate Lender of the details of any automatic conversion to Base Rate Loans or continuation of Loans denominated in a currency other than Dollars, in each case as described in Section 2.02(a). In the case of a Borrowing, each Appropriate Lender shall make the amount of its Loan available to the Administrative Agent in Same Day Funds in the applicable currency of such Borrowing at the Administrative Agent’s Office for the applicable currency not later than 1:00 p.m., in the case of any Loan denominated in Dollars, and not later than the Applicable Time specified by the Administrative Agent in the case of any Loan in an Alternative Currency, in each case on the Business Day specified in the applicable Loan Notice. Upon satisfaction (or waiver in accordance with Section 11.01) of the applicable conditions


 
53 set forth in Section 4.02 (and, if such Borrowing is the initial Credit Extension, Section 4.01), the Administrative Agent shall make all funds so received available to the applicable Borrower, as promptly as reasonably practicable, in like funds as received by the Administrative Agent either by (i) crediting the account of such Borrower on the books of Bank of America with the amount of such funds or (ii) wire transfer of such funds, in each case in accordance with instructions provided to (and reasonably acceptable to) the Administrative Agent by the applicable Borrower; provided that if, on the date the Loan Notice with respect to a Revolving Borrowing denominated in Dollars is given by the Company, there are L/C Borrowings outstanding, then the proceeds of such Revolving Borrowing, first, shall be applied to the payment in full of any such L/C Borrowings, and, second, shall be made available to the applicable Borrower as provided above. (c) Term SOFR Loans and Alternative Currency Term Rate Loans. Except as otherwise provided herein, a Term SOFR Loan may be continued or converted only on the last day of an Interest Period for such Term SOFR Loan and an Alternative Currency Term Rate Loan may be continued or converted only on the last day of an Interest Period for such Alternative Currency Term Rate Loan. During the existence of an Event of Default, (i) no Loans may be requested as, converted to or continued as Term SOFR Loans without the consent of the Required Lenders and (ii) no Loans may be requested as, converted to or continued as Alternative Currency Term Rate Loans without the consent of the Required Lenders, and the Required Lenders may demand that any or all of the affected outstanding Alternative Currency Loans be prepaid, or be converted into a Borrowing of Base Rate Loans in the Dollar Equivalent of the amount of such outstanding Alternative Currency Loan immediately, in the case of an Alternative Currency Daily Rate Loan, or at the end of the applicable Interest Period, in the case of an Alternative Currency Term Rate Loan. (d) Interest Rates. Each determination of an interest rate by the Administrative Agent pursuant to any provision of this Agreement shall be conclusive and binding on the Borrowers and the Lenders in the absence of manifest error. The Administrative Agent shall promptly notify the Company or, as applicable, the Foreign Borrower (with a copy of such notice to the Company) and the Lenders of the interest rate applicable to any Interest Period for Term SOFR Loans and Alternative Currency Term Rate Loans upon determination of such interest rate. At any time that Base Rate Loans are outstanding, the Administrative Agent shall notify the Company and the Lenders of any change in Bank of America’s prime rate used in determining the Base Rate promptly following the public announcement of such change. (e) Interest Period. After giving effect to all Borrowings, all conversions of Loans from one Type to the other, and all continuations of Loans as the same Type, there shall not be more than ten (10) Interest Periods in aggregate in effect with respect to the Loans. (f) Cashless Settlement Mechanism. Notwithstanding anything to the contrary in this Agreement, any Lender may exchange, continue or rollover all or a portion of its Loans in connection with any refinancing, extension, loan modification or similar transaction permitted by the terms of this Agreement, pursuant to a cashless settlement mechanism approved by the Company, the Administrative Agent and such Lender. (g) Conforming Changes. With respect to SOFR, Term SOFR, any Alternative Currency Daily Rate, any Alternative Currency Term Rate, any Relevant Rate or any Successor Rate, the Administrative Agent will have the right to make Conforming Changes from time to time and, notwithstanding anything to the contrary herein or in any other Loan Document, any amendments implementing such Conforming Changes will become effective without any further action or consent of any other party to this Agreement or any other Loan Document; provided that, with respect to any such amendment effected, the Administrative Agent shall post each such amendment implementing such Conforming Changes to the Company and the Lenders reasonably promptly after such amendment becomes effective.


 
54 2.03 Letters of Credit. (a) The Letter of Credit Commitment. Subject to the terms and conditions set forth herein, in addition to the Loans provided for in Section 2.01, the Company or, as applicable, the Foreign Borrower may request that any L/C Issuer, in reliance on the agreements of the Revolving Lenders set forth in this Section 2.03, issue, at any time and from time to time during the Availability Period, Letters of Credit denominated in Dollars or one or more Alternative Currencies applicable to such L/C Issuer for its own account or the account of any of its Subsidiaries in such form as is acceptable to the Administrative Agent and such L/C Issuer in its reasonable determination. Letters of Credit issued hereunder (the amount of which shall be calculated in accordance with Section 1.06) shall constitute a dollar-for-dollar utilization of the Revolving Commitments. Within the foregoing limits, and subject to the terms and conditions hereof, the ability of the Company and the Foreign Borrower to obtain Letters of Credit shall be fully revolving, and accordingly the Company or, as applicable, the Foreign Borrower, may, during the foregoing period, obtain Letters of Credit to replace Letters of Credit that have expired or that have been drawn upon and reimbursed. (b) Notice of Issuance, Amendment, Extension, Reinstatement or Renewal. (i) To request the issuance of a Letter of Credit (or the amendment of the terms and conditions, extension of the terms and conditions, extension of the expiration date, or reinstatement of amounts paid, or renewal of an outstanding Letter of Credit), the Company or, as applicable, the Foreign Borrower, shall deliver (or transmit by electronic communication, if arrangements for doing so have been approved by the applicable L/C Issuer) to an L/C Issuer selected by it and to the Administrative Agent not later than 11:00 a.m. at least two (2) Business Days (or such later date and time as the Administrative Agent and such L/C Issuer may agree in a particular instance in their sole discretion) prior to the proposed issuance date or date of amendment, as the case may be a notice requesting the issuance of a Letter of Credit, or identifying the Letter of Credit to be amended, extended, reinstated or renewed, and specifying the date of issuance, amendment, extension, reinstatement or renewal (which shall be a Business Day), the date on which such Letter of Credit is to expire (which shall comply with clause (d) of this Section 2.03), the amount of such Letter of Credit, the name and address of the beneficiary thereof, the purpose and nature of the requested Letter of Credit and such other information as shall be necessary to prepare, amend, extend, reinstate or renew such Letter of Credit. If requested by the applicable L/C Issuer, the Company or, as applicable, the Foreign Borrower also shall submit a Letter of Credit Application and reimbursement agreement on such L/C Issuer’s standard form in connection with any request for a Letter of Credit. In the event of any inconsistency between the terms and conditions of this Agreement and the terms and conditions of any form of Letter of Credit Application and reimbursement agreement or other agreement submitted by the Company or, as applicable, the Foreign Borrower, to, or entered into by the Company or, as applicable, the Foreign Borrower, with, an L/C Issuer relating to any Letter of Credit, the terms and conditions of this Agreement shall control. Subject to Section 2.16(c), unless the applicable L/C Issuer has received written notice from any Lender, the Administrative Agent or any Loan Party, at least one Business Day prior to the requested date of issuance or amendment of the applicable Letter of Credit, that one or more applicable conditions contained in Article IV shall not then be satisfied, then, subject to the terms and conditions hereof (including the limitations set forth in Section 2.03(c)), such L/C Issuer shall, on the requested date, issue a Letter of Credit for the account of the Company (or the applicable Subsidiary) or enter into the applicable amendment, as the case may be, in each case in accordance with this Agreement. (ii) If the Company or, as applicable, the Foreign Borrower, so requests in any applicable Letter of Credit Application (or the amendment of an outstanding Letter of Credit), the applicable L/C Issuer may, in its sole discretion, agree to issue a Letter of Credit that has automatic


 
55 extension provisions (each, an “Auto-Extension Letter of Credit”); provided that any such Auto- Extension Letter of Credit shall permit such L/C Issuer to prevent any such extension at least once in each twelve-month period (commencing with the date of issuance of such Letter of Credit) by giving prior notice to the beneficiary thereof not later than a day (the “Non-Extension Notice Date”) in each such twelve-month period to be agreed upon by the Company or, as applicable, the Foreign Borrower, and the applicable L/C Issuer at the time such Letter of Credit is issued. Unless otherwise directed by the applicable L/C Issuer, the Company or, as applicable, the Foreign Borrower, shall not be required to make a specific request to such L/C Issuer for any such extension. Once an Auto-Extension Letter of Credit has been issued, the Revolving Lenders shall be deemed to have authorized (but may not require) the applicable L/C Issuer to permit the extension of such Letter of Credit at any time to an expiration date not later than the date permitted pursuant to Section 2.03(d); provided, that such L/C Issuer shall not (A) permit any such extension if (1) such L/C Issuer has determined that it would not be permitted, or would have no obligation, at such time to issue such Letter of Credit in its extended form under the terms hereof (except that the expiration date may be extended to a date that is no more than one (1) year from the then-current expiration date) or (2) it has received notice (which may be in writing or by telephone (if promptly confirmed in writing)) on or before the day that is seven (7) Business Days before the Non-Extension Notice Date from the Administrative Agent that the Required Revolving Lenders have elected not to permit such extension or (B) be obligated to permit such extension if it has received notice (which may be in writing or by telephone (if promptly confirmed in writing)) on or before the day that is seven (7) Business Days before the Non-Extension Notice Date from the Administrative Agent, any Revolving Lender, the Company or the Foreign Borrower, that one or more of the applicable conditions set forth in Section 4.02 is not then satisfied, and in each such case directing such L/C Issuer not to permit such extension. (c) Limitations on Amounts, Issuance and Amendment. A Letter of Credit shall be issued, amended, extended, reinstated or renewed only if (and upon issuance, amendment, extension, reinstatement or renewal of each Letter of Credit the Company or, as applicable, the Foreign Borrower, shall be deemed to represent and warrant that), after giving effect to such issuance, amendment, extension, reinstatement or renewal (w) the aggregate amount of the outstanding Letters of Credit issued by any L/C Issuer shall not exceed its L/C Commitment, (x) the aggregate L/C Obligations shall not exceed the Letter of Credit Sublimit, (y) the Revolving Exposure of any Lender shall not exceed its Revolving Commitment and (z) the Total Revolving Exposure shall not exceed the total Revolving Commitments. (i) No L/C Issuer shall be under any obligation to issue any Letter of Credit if: (A) any order, judgment or decree of any Governmental Authority or arbitrator shall by its terms purport to enjoin or restrain such L/C Issuer from issuing the Letter of Credit, or any Law applicable to such L/C Issuer or any request or directive (whether or not having the force of law) from any Governmental Authority with jurisdiction over such L/C Issuer shall prohibit, or request that such L/C Issuer refrain from, the issuance of letters of credit generally or the Letter of Credit in particular or shall impose upon such L/C Issuer with respect to the Letter of Credit any restriction, reserve or capital requirement (for which such L/C Issuer is not otherwise compensated hereunder) not in effect on the Closing Date, or shall impose upon such L/C Issuer any unreimbursed loss, cost or expense which was not applicable on the Closing Date and which such L/C Issuer in good faith deems material to it; (B) the issuance of such Letter of Credit would violate one or more policies of such L/C Issuer applicable to letters of credit generally;


 
56 (C) except as otherwise agreed by the Administrative Agent and such L/C Issuer, the Letter of Credit is in an initial stated amount less than $10,000; (D) except as otherwise agreed by the Administrative Agent and such L/C Issuer, the Letter of Credit is to be denominated in a currency other than Dollars or an Alternative Currency; (E) such L/C Issuer does not, as of the issuance date of the requested Letter of Credit, issue Letters of Credit in the requested currency; or (F) any Revolving Lender is at that time a Defaulting Lender, unless such L/C Issuer has entered into arrangements, including the delivery of Cash Collateral, satisfactory to such L/C Issuer (in its sole discretion) with the Company or such Lender to eliminate such L/C Issuer’s actual or potential Fronting Exposure (after giving effect to Section 2.16(a)(iv)) with respect to the Defaulting Lender arising from either the Letter of Credit then proposed to be issued or that Letter of Credit and all other L/C Obligations as to which such L/C Issuer has actual or potential Fronting Exposure, as it may elect in its sole discretion. (ii) No L/C Issuer shall amend any Letter of Credit if such L/C Issuer would not be permitted at such time to issue the Letter of Credit in its amended form under the terms hereof. (iii) No L/C Issuer shall be under any obligation to amend any Letter of Credit if (A) such L/C Issuer would have no obligation at such time to issue the Letter of Credit in its amended form under the terms hereof, or (B) the beneficiary of the Letter of Credit does not accept the proposed amendment to the Letter of Credit. (d) Expiration Date. Each Letter of Credit shall have a stated expiration date no later than the earlier of (x) the date twelve (12) months after the date of the issuance of such Letter of Credit (or, in the case of any extension of the expiration date thereof, whether automatic or by amendment, twelve months after the then current expiration date of such Letter of Credit) and (y) the date that is five (5) Business Days prior to the Maturity Date. (e) Participations. (i) By the issuance of a Letter of Credit (or an amendment to a Letter of Credit increasing the amount or extending the expiration date thereof), and without any further action on the part of the applicable L/C Issuer or the Lenders, such L/C Issuer hereby grants to each Revolving Lender, and each Revolving Lender hereby acquires from such L/C Issuer, a participation in such Letter of Credit equal to such Lender’s Applicable Percentage of the aggregate amount available to be drawn under such Letter of Credit. Each Revolving Lender acknowledges and agrees that its obligation to acquire participations pursuant to this clause (e) in respect of Letters of Credit is absolute, unconditional and irrevocable and shall not be affected by any circumstance whatsoever, including any amendment, extension, reinstatement or renewal of any Letter of Credit or the occurrence and continuance of a Default or reduction or termination of the Revolving Commitments. (ii) In consideration and in furtherance of the foregoing, each Revolving Lender hereby absolutely, unconditionally and irrevocably agrees to pay to the Administrative Agent, for account of the applicable L/C Issuer, such Lender’s Applicable Percentage of each L/C Disbursement made by an L/C Issuer not later than 1:00 p.m. on the Business Day specified in the


 
57 notice provided by the Administrative Agent to the Revolving Lenders pursuant to Section 2.03(f) until such L/C Disbursement is reimbursed by the Company or at any time after any reimbursement payment is required to be refunded to the Company for any reason, including after the Maturity Date. Such payment shall be made without any offset, abatement, withholding or reduction whatsoever. Each such payment shall be made in the same manner as provided in Section 2.02 with respect to Loans made by such Lender (and Section 2.02 shall apply, mutatis mutandis, to the payment obligations of the Revolving Lenders pursuant to this Section 2.03), and the Administrative Agent shall promptly pay to the applicable L/C Issuer the amounts so received by it from the Lenders. Promptly following receipt by the Administrative Agent of any payment from the Company or, as applicable, the Foreign Borrower pursuant to Section 2.03(f), the Administrative Agent shall distribute such payment to the applicable L/C Issuer or, to the extent that the Revolving Lenders have made payments pursuant to this clause (e) to reimburse such L/C Issuer, then to such Lenders and such L/C Issuer as their interests may appear. Any payment made by a Lender pursuant to this clause (e) to reimburse an L/C Issuer for any L/C Disbursement shall not constitute a Loan and shall not relieve the Company or, as applicable, the Foreign Borrower of its obligation to reimburse such L/C Disbursement. (iii) Each Revolving Lender further acknowledges and agrees that its participation in each Letter of Credit will be automatically adjusted to reflect such Lender’s Applicable Percentage of the aggregate amount available to be drawn under such Letter of Credit at each time such Lender’s Commitment is amended pursuant to the operation of Sections 2.14, as a result of an assignment in accordance with Section 11.06 or otherwise pursuant to this Agreement. (iv) If any Revolving Lender fails to make available to the Administrative Agent for the account of the applicable L/C Issuer any amount required to be paid by such Lender pursuant to the foregoing provisions of this Section 2.03(e), then, without limiting the other provisions of this Agreement, the applicable L/C Issuer shall be entitled to recover from such Lender (acting through the Administrative Agent), on demand, such amount with interest thereon for the period from the date such payment is required to the date on which such payment is immediately available to such L/C Issuer at a rate per annum equal to the greater of the applicable Overnight Rate and a rate determined by the applicable L/C Issuer in accordance with banking industry rules on interbank compensation, plus any administrative, processing or similar fees customarily charged by such L/C Issuer in connection with the foregoing. If such Lender pays such amount (with interest and fees as aforesaid), the amount so paid shall constitute such Lender’s Revolving Loan included in the relevant Revolving Borrowing or L/C Advance in respect of the relevant L/C Borrowing, as the case may be. A certificate of any L/C Issuer submitted to any Revolving Lender (through the Administrative Agent) with respect to any amounts owing under this clause (e)(vi) shall be conclusive absent manifest error. (f) Reimbursement. If an L/C Issuer shall make any L/C Disbursement in respect of a Letter of Credit, the Company or, as applicable, the Foreign Borrower, shall reimburse such L/C Issuer in respect of such L/C Disbursement. In the case of a Letter of Credit denominated in an Alternative Currency, the Company shall reimburse the applicable L/C Issuer in such Alternative Currency, unless (A) the applicable L/C Issuer (at its option) shall have specified in such notice that it will require reimbursement in Dollars, or (B) in the absence of any such requirement for reimbursement in Dollars, the Company or, as applicable, the Foreign Borrower, shall have notified the applicable L/C Issuer promptly following receipt of the notice of drawing that the Company or, as applicable, the Foreign Borrower, will reimburse the applicable L/C Issuer in Dollars. In the case of any such reimbursement in Dollars of a drawing under a Letter of Credit denominated in an Alternative Currency, the applicable L/C Issuer shall notify the Company of the Dollar Equivalent of the amount of the drawing promptly following the determination thereof. For Letters of Credit to be reimbursed in Dollars, the Company or, as applicable, the Foreign Borrower, shall reimburse


 
58 the applicable L/C Issuer by paying to the Administrative Agent an amount equal to such L/C Disbursement not later than 11:00 a.m. on the Business Day that the Company or, as applicable, the Foreign Borrower, receives notice of such L/C Disbursement, provided that, with respect to Letters of Credit to be reimbursed in Dollars by the Company, if such L/C Disbursement is not less than $1,000,000, the Company may, subject to the conditions to borrowing set forth herein, request in accordance with Section 2.02 or Section 2.04 that such payment be financed with a Borrowing of Base Rate Loans or a Domestic Swing Line Loan in an equivalent amount and, to the extent so financed, the Company’s obligation to make such payment shall be discharged and replaced by the resulting Borrowing of Base Rate Loans or Domestic Swing Line Loan. For Letters of Credit to be reimbursed in an Alternative Currency, the Company or, as applicable, the Foreign Borrower, shall reimburse the applicable L/C Issuer by paying to the Administrative Agent such L/C Disbursement not later than the Applicable Time in an amount equal to the amount of such drawing and in the applicable currency. In the event that (A) a drawing denominated in an Alternative Currency is to be reimbursed in Dollars pursuant hereto and (B) the Dollar amount paid by the Company or, as applicable, the Foreign Borrower, whether on or after the due date, shall not be adequate on the date of that payment to purchase in accordance with normal banking procedures a sum denominated in the Alternative Currency equal to the drawing, the Company and the Foreign Borrower, as applicable, agrees, as a separate and independent obligation, to indemnify the applicable L/C Issuer for the loss resulting from its inability on that date to purchase the Alternative Currency in the full amount of the drawing. If the Company or, as applicable, the Foreign Borrower, fails to make such payment when due, the Administrative Agent shall notify each Lender of the applicable L/C Disbursement, the payment then due from the Company or, as applicable, the Foreign Borrower in respect thereof (expressed in Dollars in the amount of the Dollar Equivalent thereof in the case of a Letter of Credit denominated in an Alternative Currency) (the “Unreimbursed Amount”) and such Lender’s Applicable Percentage thereof. Promptly upon receipt of such notice, each Revolving Lender shall pay to the Administrative Agent its Applicable Percentage of the Unreimbursed Amount pursuant to Section 2.03(e)(ii), subject to the amount of the unutilized portion of the aggregate Revolving Commitments. Any notice given by any L/C Issuer or the Administrative Agent pursuant to this Section 2.03(f) may be given by telephone if immediately confirmed in writing; provided that the lack of such an immediate confirmation shall not affect the conclusiveness or binding effect of such notice. (g) Obligations Absolute. The Company’s or, as applicable, the Foreign Borrower’s obligation to reimburse L/C Disbursements as provided in clause (f) of this Section 2.03 shall be absolute, unconditional and irrevocable, and shall be performed strictly in accordance with the terms of this Agreement under any and all circumstances whatsoever and irrespective of: (i) any lack of validity or enforceability of this Agreement, any other Loan Document or any Letter of Credit, or any term or provision herein or therein; (ii) the existence of any claim, counterclaim, setoff, defense or other right that the Company or the Foreign Borrower, as applicable, or any Subsidiary may have at any time against any beneficiary or any transferee of such Letter of Credit (or any Person for whom any such beneficiary or any such transferee may be acting), any L/C Issuer or any other Person, whether in connection with this Agreement, the transactions contemplated hereby or by such Letter of Credit or any agreement or instrument relating thereto, or any unrelated transaction; (iii) any draft, demand, endorsement, certificate or other document presented under or in connection with such Letter of Credit proving to be forged, fraudulent, invalid or insufficient in any respect or any statement in such draft or other document being untrue or inaccurate in any respect; or any loss or delay in the transmission or otherwise of any document required in order to make a drawing under such Letter of Credit;


 
59 (iv) waiver by any L/C Issuer of any requirement that exists for such L/C Issuer’s protection and not the protection of the Company, the Foreign Borrower, or any Subsidiary or any waiver by such L/C Issuer which does not in fact materially prejudice the Company, the Foreign Borrower or any Subsidiary; (v) honor of a demand for payment presented electronically even if such Letter of Credit requires that demand be in the form of a draft; (vi) any payment made by any L/C Issuer in respect of an otherwise complying item presented after the date specified as the expiration date of, or the date by which documents must be received under such Letter of Credit if presentation after such date is authorized by the UCC, the ISP or the UCP, as applicable; (vii) any payment by the applicable L/C Issuer under a Letter of Credit against presentation of a draft or other document that does not comply strictly with the terms of such Letter of Credit; or any payment made by any L/C Issuer under such Letter of Credit to any Person purporting to be a trustee in bankruptcy, debtor-in-possession, assignee for the benefit of creditors, liquidator, receiver or other representative of or successor to any beneficiary or any transferee of such Letter of Credit, including any arising in connection with any proceeding under any Debtor Relief Law; (viii) any other event or circumstance whatsoever, whether or not similar to any of the foregoing, that might, but for the provisions of this Section 2.03, constitute a legal or equitable discharge of, or provide a right of setoff against, the Company’s obligations hereunder; or (ix) any adverse change in the relevant exchange rates or in the availability of the relevant Alternative Currency to the Company or, as applicable, the Foreign Borrower or any Subsidiary or in the relevant currency markets generally. (h) Examination. The Company or, as applicable, the Foreign Borrower, shall promptly examine a copy of each Letter of Credit and each amendment thereto that is delivered to it and, in the event of any claim of noncompliance with the Company’s or, as applicable, the Foreign Borrower’s instructions or other irregularity, the Company or, as applicable, the Foreign Borrower will promptly notify the applicable L/C Issuer as promptly as practicable but in no event later than two (2) Business Days following the receipt by a Responsible Officer of a copy of such Letter of Credit or amendment provided by the Administrative Agent or the applicable L/C Issuer. The Company or, as applicable, the Foreign Borrower, shall be conclusively deemed to have waived any such claim against the applicable L/C Issuer and its correspondents unless such notice is given as aforesaid. (i) Liability. None of the Administrative Agent, the Lenders, any L/C Issuer, or any of their Related Parties shall have any liability or responsibility by reason of or in connection with the issuance or transfer of any Letter of Credit by the applicable L/C Issuer or any payment or failure to make any payment thereunder (irrespective of any of the circumstances referred to in Section 2.03(g)), or any error, omission, interruption, loss or delay in transmission or delivery of any draft, notice or other communication under or relating to any Letter of Credit (including any document required to make a drawing thereunder), any error in interpretation of technical terms, any error in translation or any consequence arising from causes beyond the control of the applicable L/C Issuer; provided that the foregoing shall not be construed to excuse an L/C Issuer from liability to the Company or, as applicable, the Foreign Borrower to the extent of any direct damages (as opposed to consequential damages, claims in respect of which are hereby waived by the Company or, as applicable, the Foreign Borrower to the extent permitted by Applicable Law) suffered by the Company or, as applicable, the Foreign Borrower that are caused by such L/C Issuer’s failure to exercise


 
60 care when determining whether drafts and other documents presented under a Letter of Credit comply with the terms thereof. The parties hereto expressly agree that, in the absence of gross negligence or willful misconduct on the part of an L/C Issuer (as finally determined by a court of competent jurisdiction), an L/C Issuer shall be deemed to have exercised care in each such determination, and that: (i) an L/C Issuer may replace a purportedly lost, stolen, or destroyed original Letter of Credit or missing amendment thereto with a certified true copy marked as such or waive a requirement for its presentation; (ii) an L/C Issuer may accept documents that appear on their face to be in substantial compliance with the terms of a Letter of Credit without responsibility for further investigation, regardless of any notice or information to the contrary, and may make payment upon presentation of documents that appear on their face to be in substantial compliance with the terms of such Letter of Credit and without regard to any non-documentary condition in such Letter of Credit; (iii) an L/C Issuer shall have the right, in its sole discretion, to decline to accept such documents and to make such payment if such documents are not in strict compliance with the terms of such Letter of Credit; and (iv) this sentence shall establish the standard of care to be exercised by an L/C Issuer when determining whether drafts and other documents presented under a Letter of Credit comply with the terms thereof (and the parties hereto hereby waive, to the extent permitted by Applicable Law, any standard of care inconsistent with the foregoing). Without limiting the foregoing, none of the Administrative Agent, the Lenders, any L/C Issuer, or any of their Related Parties shall have any liability or responsibility by reason of (A) any presentation that includes forged or fraudulent documents or that is otherwise affected by the fraudulent, bad faith, or illegal conduct of the beneficiary or other Person, (B) an L/C Issuer declining to take-up documents and make payment, (i) against documents that are fraudulent, forged, or for other reasons by which that it is entitled not to honor, (ii) following a Borrower’s waiver of discrepancies with respect to such documents or request for honor of such documents or (C) an L/C Issuer retaining proceeds of a Letter of Credit based on an apparently applicable attachment order, blocking regulation, or third-party claim notified to such L/C Issuer. (j) Applicability of ISP. Unless otherwise expressly agreed by the applicable L/C Issuer and the Company or, as applicable, the Foreign Borrower when a Letter of Credit is issued by it (including any such agreement applicable to an Existing Letter of Credit), the rules of the ISP shall apply to each Letter of Credit. Notwithstanding the foregoing, no L/C Issuer shall be responsible to the Company or, as applicable, the Foreign Borrower for, and no L/C Issuer’s rights and remedies against the Company or, as applicable, the Foreign Borrower shall be impaired by, any action or inaction of any L/C Issuer required or permitted under any law, order, or practice that is required or permitted to be applied to any Letter of Credit or this Agreement, including the Law or any order of a jurisdiction where any L/C Issuer or the beneficiary is located, the practice stated in the ISP, or in the decisions, opinions, practice statements, or official commentary of the ICC Banking Commission, the Bankers Association for Finance and Trade – International Financial Services Association (BAFT-IFSA), or the Institute of International Banking Law & Practice, whether or not any Letter of Credit chooses such law or practice. (k) Benefits. Each L/C Issuer shall act on behalf of the Lenders with respect to any Letters of Credit issued by it and the documents associated therewith, and each L/C Issuer shall have all of the benefits and immunities (i) provided to the Administrative Agent in Article IX with respect to any acts taken or omissions suffered by such L/C Issuer in connection with Letters of Credit issued by it or proposed to be


 
61 issued by it and Issuer Documents pertaining to such Letters of Credit as fully as if the term “Administrative Agent” as used in Article IX included such L/C Issuer with respect to such acts or omissions, and (ii) as additionally provided herein with respect to such L/C Issuer. (l) Letter of Credit Fees. The Company or, as applicable, the Foreign Borrower shall pay to the Administrative Agent for the account of each Revolving Lender in accordance with its Applicable Revolving Percentage in Dollars a Letter of Credit fee (the “Letter of Credit Fee”) for each Letter of Credit equal to: (i) for Non-Performance Letters of Credit, the Applicable Rate for Non-Performance Letters of Credit times the Dollar Equivalent of the daily amount available to be drawn under such Letter of Credit and (ii) for Performance Letters of Credit, the Applicable Rate for Performance Letters of Credit times the Dollar Equivalent of the daily amount available to be drawn under such Letter of Credit. For purposes of computing the daily amount available to be drawn under any Letter of Credit, the amount of such Letter of Credit shall be determined in accordance with Section 1.06. Letter of Credit Fees shall be (i) due and payable on the first Business Day following the end of each March, June, September and December, commencing with the first such date to occur after the issuance of such Letter of Credit (or in the case of Existing Letters of Credit, after the end of December 31, 2022), on the Letter of Credit Expiration Date and thereafter on demand and (ii) accrued through and including the last day of each calendar quarter in arrears. If there is any change in the Applicable Rate during any quarter, the daily amount available to be drawn under each Letter of Credit shall be computed and multiplied by the Applicable Rate separately for each period during such quarter that such Applicable Rate was in effect. (m) Fronting Fee and Documentary and Processing Charges Payable to L/C Issuers. The Company or, as applicable, the Foreign Borrower shall pay directly to the applicable L/C Issuer for its own account, in Dollars, a fronting fee with respect to each Letter of Credit, at the greater of (A) $250.00 and (B) 1/8 of 1% per annum times the Dollar Equivalent of the daily amount available to be drawn under such Letter of Credit on a quarterly basis in arrears. Such fronting fee shall be due and payable no later than the tenth Business Day after the end of each March, June, September and December in the most recently-ended quarterly period (or portion thereof, in the case of the first payment), commencing with the first such date to occur after the issuance of such Letter of Credit (or in the case of Existing Letters of Credit, after the end of December 31, 2022), on the Maturity Date and thereafter on demand. For purposes of computing the daily amount available to be drawn under any Letter of Credit, the amount of such Letter of Credit shall be determined in accordance with Section 1.06. In addition, the Company or, as applicable, the Foreign Borrower, shall pay directly to the applicable L/C Issuer for its own account, in Dollars the customary issuance, presentation, amendment and other processing fees, and other standard costs and charges, of such L/C Issuer relating to letters of credit as from time to time in effect. Such customary fees and standard costs and charges are due and payable on demand and are nonrefundable. (n) Disbursement Procedures. Subject to the terms and conditions set forth in this Agreement, each L/C Issuer agrees, in reliance upon the agreements of the Revolving Lenders set forth in this Section 2.03 and Section 2.16, to honor drawings under the Letters of Credit. The L/C Issuer for any Letter of Credit shall, within the time period set forth in the specific terms of the Letter of Credit (or a shorter time period, if required by Applicable Law) following its receipt thereof, examine all documents purporting to represent a demand for payment under such Letter of Credit. Such L/C Issuer shall promptly after such examination notify the Administrative Agent and the Company or, as applicable, the Foreign Borrower in writing of such demand for payment if such L/C Issuer has made or will make an L/C Disbursement thereunder; provided that any failure to give or delay in giving such notice shall not relieve the Company or, as applicable, the Foreign Borrower of its obligation to reimburse such L/C Issuer and the Lenders with respect to any such L/C Disbursement. (o) Interim Interest. If the L/C Issuer for any Letter of Credit shall make any L/C Disbursement, then, unless the Company or, as applicable, the Foreign Borrower shall reimburse such L/C


 
62 Disbursement in full on the date such L/C Disbursement is made, the unpaid amount thereof shall bear interest, for each day from and including the date such L/C Disbursement is made to but excluding the date that the Company or, as applicable, the Foreign Borrower reimburses such L/C Disbursement, at the rate per annum then applicable to Base Rate Loans; provided that if the Company or, as applicable, the Foreign Borrower fails to reimburse such L/C Disbursement when due pursuant to clause (f) of this Section 2.03, then Section 2.08(b) shall apply. Interest accrued pursuant to this clause (o) shall be for account of such L/C Issuer, except that interest accrued on and after the date of payment by any Lender pursuant to clause (f) of this Section 2.03 to reimburse such L/C Issuer shall be for account of such Lender to the extent of such payment. (p) Resignation and Replacement of any L/C Issuer. (i) Any L/C Issuer may at any time give thirty (30) days prior written notice of its resignation to the Administrative Agent and the Company. The Administrative Agent shall notify the Lenders of any such resignation of an L/C Issuer. At the time any such resignation shall become effective, the Company or, as applicable, the Foreign Borrower shall pay all unpaid fees accrued for the account of the resigning L/C Issuer pursuant to Section 2.03(m). From and after the effective date of any such resignation, the resigning L/C Issuer shall retain all the rights, powers, privileges and duties of an L/C Issuer hereunder with respect to all Letters of Credit outstanding as of the effective date of its resignation as an L/C Issuer and all L/C Obligations with respect thereto, including the right to require the Lenders to make Base Rate Loans or fund risk participations in Unreimbursed Amounts pursuant to Section 2.03(c), but shall not be required to issue additional Letters of Credit. Upon the appointment by the Company of a successor L/C Issuer hereunder (which successor shall in all cases be a Lender other than a Defaulting Lender), (a) such successor shall succeed to and become vested with all of the rights, powers, privileges and duties of the retiring L/C Issuer, (b) the retiring L/C Issuer shall be discharged from all of its duties and obligations hereunder or under the other Loan Documents, and (c) the successor L/C Issuer shall issue letters of credit in substitution for the Letters of Credit, if any, outstanding at the time of such succession or make other arrangements satisfactory to the resigning L/C Issuer to effectively assume the obligations of the resigning L/C Issuer with respect to such Letters of Credit. (ii) Any L/C Issuer may be replaced at any time by written agreement between the Company, the Administrative Agent, the replaced L/C Issuer and the successor L/C Issuer. The Administrative Agent shall notify the Lenders of any such replacement of an L/C Issuer. At the time any such replacement shall become effective, the Company or, as applicable, the Foreign Borrower shall pay all unpaid fees accrued for the account of the replaced L/C Issuer pursuant to Section 2.03(m). From and after the effective date of any such replacement, (i) the successor L/C Issuer shall have all the rights and obligations of an L/C Issuer under this Agreement with respect to Letters of Credit to be issued by it thereafter and (ii) references herein to the term “L/C Issuer” shall be deemed to include such successor or any previous L/C Issuer, or such successor and all previous L/C Issuer, as the context shall require. After the replacement of an L/C Issuer hereunder, the replaced L/C Issuer shall remain a party hereto and shall continue to have all the rights and obligations of an L/C Issuer under this Agreement with respect to Letters of Credit issued by it prior to such replacement, but shall not be required to issue additional Letters of Credit. (q) Cash Collateralization. (i) If any Event of Default shall occur and be continuing, on the Business Day that the Borrowers receive notice from the Administrative Agent or the Required Revolving Lenders (or, if the maturity of the Loans has been accelerated, Revolving Lenders with L/C Obligations representing at least 66-2/3% of the total L/C Obligations) demanding the deposit of Cash


 
63 Collateral pursuant to this clause (q), the Company or, as applicable, the Foreign Borrower shall immediately deposit into an account established and maintained on the books and records of the Administrative Agent (the “Collateral Account”) an amount in cash equal to 100% of the total L/C Obligations as of such date plus any accrued and unpaid interest thereon, provided that the obligation to deposit such Cash Collateral shall become effective immediately, and such deposit shall become immediately due and payable, without demand or other notice of any kind, upon the occurrence of any Event of Default with respect to the Company or, as applicable, the Foreign Borrower described in clause (f) of Section 8.01. Such deposit shall be held by the Administrative Agent as collateral for the payment and performance of the obligations of the Company or, as applicable, the Foreign Borrower under this Agreement. In addition, and without limiting the foregoing or clause (d) of this Section 2.03, if any L/C Obligations remain outstanding after the expiration date specified in said clause (d), the Company or, as applicable, the Foreign Borrower shall immediately deposit into the Collateral Account an amount in cash equal to 100% of such L/C Obligations as of such date plus any accrued and unpaid interest thereon. (ii) The Administrative Agent shall have exclusive dominion and control, including the exclusive right of withdrawal, over the Collateral Account. Other than any interest earned on the investment of such deposits, which investments shall be made at the option and sole discretion of the Administrative Agent (but in a manner reasonably consistent with bank practice for such situations) and at the Company or, as applicable, the Foreign Borrower’s risk and expense, such deposits shall not bear interest. Interest or profits, if any, on such investments shall accumulate in the Collateral Account. Moneys in the Collateral Account shall be applied by the Administrative Agent to reimburse each L/C Issuer for L/C Disbursements for which it has not been reimbursed, together with related fees, costs, and customary processing charges, and, to the extent not so applied, shall be held for the satisfaction of the reimbursement obligations of the Company or, as applicable, the Foreign Borrower for the L/C Obligations at such time or, if the maturity of the Loans has been accelerated (but subject to the consent of Lenders with L/C Obligations representing 66-2/3% of the total L/C Obligations), be applied to satisfy other obligations of the Company or, as applicable, the Foreign Borrower under this Agreement. If the Company or, as applicable, the Foreign Borrower is required to provide an amount of Cash Collateral hereunder as a result of the occurrence of an Event of Default, such amount (to the extent not applied as aforesaid) shall be returned to the Company or, as applicable, the Foreign Borrower within three (3) Business Days after all Events of Default have been cured or waived. (r) L/C Issuer Reports to the Administrative Agent. Unless otherwise agreed by the Administrative Agent, each L/C Issuer shall, in addition to its notification obligations set forth elsewhere in this Section 2.03, provide the Administrative Agent a Letter of Credit Report, as set forth below: (i) reasonably prior to the time that such L/C Issuer issues, amends, renews, increases or extends a Letter of Credit, the date of such issuance, amendment, renewal, increase or extension and the stated amount of the applicable Letters of Credit after giving effect to such issuance, amendment, renewal or extension (and whether the amounts thereof shall have changed); (ii) on each Business Day on which such L/C Issuer makes a payment pursuant to a Letter of Credit, the date and amount of such payment; (iii) on any Business Day on which the Company or, as applicable, the Foreign Borrower fails to reimburse a payment made pursuant to a Letter of Credit required to be reimbursed to such L/C Issuer on such day, the date of such failure and the amount of such payment;


 
64 (iv) on any other Business Day, such other information as the Administrative Agent shall reasonably request as to the Letters of Credit issued by such L/C Issuer; and (v) for so long as any Letter of Credit issued by an L/C Issuer is outstanding, such L/C Issuer shall deliver to the Administrative Agent (A) on the last Business Day of each calendar month, (B) at all other times a Letter of Credit Report is required to be delivered pursuant to this Agreement, and (C) on each date that (1) an L/C Credit Extension occurs or (2) there is any expiration, cancellation and/or disbursement, in each case, with respect to any such Letter of Credit, a Letter of Credit Report appropriately completed with the information for every outstanding Letter of Credit issued by such L/C Issuer. (s) Letters of Credit Issued for Subsidiaries. Notwithstanding that a Letter of Credit issued or outstanding hereunder is in support of any obligations of, or is for the account of, a Subsidiary, the Company or, as applicable, the Foreign Borrower shall be obligated to reimburse, indemnify and compensate the applicable L/C Issuer hereunder for any and all drawings under such Letter of Credit as if such Letter of Credit had been issued solely for the account of the Company or, as applicable, the Foreign Borrower. Each of the Company and the Foreign Borrower irrevocably waives any and all defenses that might otherwise be available to it as a guarantor or surety of any or all of the obligations of such Subsidiary in respect of such Letter of Credit. Each of the Company and the Foreign Borrower hereby acknowledges that the issuance of Letters of Credit for the account of Subsidiaries inures to the benefit of the Company or, as applicable, the Foreign Borrower, and that the Company’s or, as applicable, the Foreign Borrower’s business derives substantial benefits from the businesses of such Subsidiaries. (t) Conflict with Issuer Documents. In the event of any conflict between the terms hereof and the terms of any Issuer Document, the terms hereof shall control. 2.04 Swing Line Loans. (a) The Swing Line. Subject to the terms and conditions set forth herein, the Swing Line Lender agrees, in reliance upon the agreements of the other Revolving Lenders set forth in this Section 2.04, may in its sole discretion to make loans (i) to the Company, in Dollars (each such loan to the Company, a “Domestic Swing Line Loan”) and (ii) to the Foreign Borrower, in Dollars, Euros, Sterling or another Alternative Currency approved for such purpose by the Swing Line Lender pursuant to Section 1.09 (each such Loan to the Foreign Borrower, a “Foreign Swing Line Loan” and collectively with the Domestic Swing Line Loans, the “Swing Line Loans”) from time to time on any Business Day during the Availability Period; provided that (x) after giving effect to any Swing Line Loan, (i) the Total Revolving Outstandings shall not exceed the Revolving Facility at such time, (ii) the Revolving Exposure of any Revolving Lender at such time shall not exceed such Lender’s Revolving Commitment, (iii) the Outstanding Amount of the Swing Line Loans shall not exceed the Swing Line Sublimit, notwithstanding the fact that such Swing Line Loans, when aggregated with the Applicable Revolving Percentage of the Outstanding Amount of Revolving Loans and L/C Obligations of the Lender acting as Swing Line Lender, may exceed the amount of such Lender’s Revolving Commitment, (iv) the Outstanding Amount of Domestic Swing Line Loans shall not exceed the Domestic Swing Line Sublimit, (v) the Outstanding Amount of Foreign Swing Line Loans shall not exceed the Foreign Swing Line Sublimit, and (vi) in the case of a Foreign Swing Line Loan, the Outstanding Amount of all Revolving Loans made to the Foreign Borrower shall not exceed the Foreign Borrower Sublimit, (y) neither the Company nor the Foreign Borrower shall use the proceeds of any Swing Line Loan to refinance any outstanding Swing Line Loan and (z) the Swing Line Lender shall not be under any obligation to make any Swing Line Loan if it shall determine in good faith that it has, or will by such Credit Extension have, Fronting Exposure. Within the foregoing limits, and subject to the other terms and conditions hereof, the Company or the Foreign Borrower, as applicable, may borrow under this Section 2.04, prepay under Section 2.05, and reborrow under this Section 2.04. Each Swing Line Loan


 
65 shall bear interest as set forth in Section 2.08. Immediately upon the making of a Swing Line Loan, each Revolving Lender shall be deemed to, and hereby irrevocably and unconditionally agrees to, purchase from the Swing Line Lender a risk participation in such Swing Line Loan in an amount equal to the product of such Lender’s Applicable Revolving Percentage times the amount of such Swing Line Loan. (b) Borrowing Procedures. (i) Domestic Swing Line Loans. Each Swing Line Borrowing of a Domestic Swing Line Loan shall be made upon the Company’s notice to the Swing Line Lender and the Administrative Agent (at the Administrative Agent’s Office with respect to Dollars), which may be given by (A) telephone or (B) by a Swing Line Loan Notice; provided that any telephonic notice must be confirmed promptly by delivery to the Swing Line Lender and the Administrative Agent of a Swing Line Loan Notice. Each such notice must be received by the Swing Line Lender and the Administrative Agent not later than 12:00 noon on the requested borrowing date, and shall specify (A) the amount to be borrowed, which shall be a minimum of $1,000,000 or a whole multiple of $100,000 in excess thereof and (B) the requested borrowing date, which shall be a Business Day. Promptly after receipt by the Swing Line Lender of any Swing Line Loan Notice, the Swing Line Lender will confirm with the Administrative Agent (by telephone or in writing) that the Administrative Agent has also received such Swing Line Loan Notice and, if not, the Swing Line Lender will notify the Administrative Agent (by telephone or in writing) of the contents thereof. Unless the Swing Line Lender has received notice (by telephone or in writing) from the Administrative Agent (including at the request of any Lender) prior to 1:00 p.m. on the date of the proposed Swing Line Borrowing of Domestic Swing Line Loans (x) directing the Swing Line Lender not to make such Domestic Swing Line Loan as a result of the limitations set forth in the first proviso to the first sentence of Section 2.04(a), or (y) that one or more of the applicable conditions specified in Article IV is not then satisfied, then, subject to the terms and conditions hereof, the Swing Line Lender may, not later than 2:00 p.m. on the borrowing date specified in such Swing Line Loan Notice, make the amount of its Domestic Swing Line Loan available to the Company at its office by crediting the account of the Company on the books of the Swing Line Lender in Same Day Funds. (ii) Foreign Swing Line Loans. Each Swing Line Borrowing of a Foreign Swing Line Loan shall be made upon the Foreign Borrower’s delivery of a written Swing Line Loan Notice, appropriately completed and signed by two Responsible Officers of the Foreign Borrower (delivered at the Administrative Agent’s Office with respect to the requested currency of such Foreign Swing Line Loan). Each such notice must be received by the Swing Line Lender and the Administrative Agent not later than 10:00 a.m. (London time) on the requested borrowing date, and shall specify (A) the amount to be borrowed, which shall be in a minimum of the Alternative Currency Equivalent of $1,000,000 or a whole multiple of $100,000 in excess thereof, (B) the currency of the Foreign Swing Line Loans to be borrowed, and (C) the requested borrowing date, which shall be a Business Day. Unless the Swing Line Lender has received notice from the Administrative Agent (including at the request of any Lender) prior to 11:00 a.m. (London time) on the date of the proposed Swing Line Borrowing (1) directing the Swing Line Lender not to make such Foreign Swing Line Loan as a result of the limitations set forth in the first proviso to the first sentence of Section 2.04(a), or (2) that one or more of the applicable conditions specified in Article IV is not then satisfied, then, subject to the terms and conditions hereof, the Swing Line Lender may, not later than 3:00 p.m. (London time) on the borrowing date specified in such Swing Line Loan Notice, make the amount of its Foreign Swing Line Loan available to the Foreign Borrower.


 
66 (c) Refinancing of Swing Line Loans. (i) The Swing Line Lender at any time in its sole discretion may request, on behalf of the Company or the Foreign Borrower, as applicable (which hereby irrevocably authorizes the Swing Line Lender to so request on its behalf), that each Revolving Lender make (x) a Base Rate Loan, in respect of Domestic Swing Line Loans and (y) an Alternative Currency Loan, in respect of Foreign Swing Line Loans, in each case in an amount equal to such Lender’s Applicable Revolving Percentage of the amount of Swing Line Loans then outstanding. Such request shall be made in writing (which written request shall be deemed to be a Loan Notice for purposes hereof) and in accordance with the requirements of Section 2.02, without regard to the minimum and multiples specified therein for the principal amount of Base Rate Loans but subject to the unutilized portion of the aggregate Revolving Commitments and the conditions set forth in Section 4.02. The Swing Line Lender shall furnish the Company or the Foreign Borrower, as applicable, with a copy of the applicable Loan Notice promptly after delivering such notice to the Administrative Agent. Each Revolving Lender shall make an amount equal to its Applicable Revolving Percentage of the amount specified in such Loan Notice available to the Administrative Agent in Same Day Funds (and the Administrative Agent may apply Cash Collateral available with respect to the applicable Swing Line Loan) in Dollars if the applicable Swing Line Loan is a Domestic Swing Line Loan or the currency of the applicable Swing Line Loan if the Swing Line Loan is a Foreign Swing Line Loan for the account of the Swing Line Lender at the Administrative Agent’s Office for such payments not later than 1:00 p.m. on the day specified in such Loan Notice, whereupon, subject to Section 2.04(c)(ii), each Revolving Lender that so makes funds available shall be deemed to have made a Base Rate Loan or Alternative Currency Daily Rate Loan, as applicable, to the Company or to the Foreign Borrower in such amount. The Administrative Agent shall remit the funds so received to the Swing Line Lender. (ii) If for any reason any Swing Line Loan cannot be refinanced by such a Borrowing in accordance with Section 2.04(c)(i) (including, without limitation, the failure to satisfy the conditions set forth in Section 4.02), the request for Base Rate Loans, submitted by the Swing Line Lender as set forth herein shall be deemed to be a request by the Swing Line Lender that each of the Revolving Lenders fund its risk participation in the relevant Swing Line Loan and each Revolving Lender’s payment to the Administrative Agent for the account of the Swing Line Lender pursuant to Section 2.04(c)(i) shall be deemed payment in respect of such participation. (iii) If any Revolving Lender fails to make available to the Administrative Agent for the account of the Swing Line Lender any amount required to be paid by such Lender pursuant to the foregoing provisions of this Section 2.04(c) by the time specified in Section 2.04(c)(i), the Swing Line Lender shall be entitled to recover from such Revolving Lender (acting through the Administrative Agent), on demand, such amount with interest thereon for the period from the date such payment is required to the date on which such payment is immediately available to the Swing Line Lender at a rate per annum equal to the applicable Overnight Rate from time to time in effect, plus any administrative, processing or similar fees customarily charged by the Swing Line Lender in connection with the foregoing. If such Revolving Lender pays such amount (with interest and fees as aforesaid), the amount so paid shall constitute such Lender’s Revolving Loan included in the relevant Borrowing or funded participation in the relevant Swing Line Loan, as the case may be. A certificate of the Swing Line Lender submitted to any Lender (through the Administrative Agent) with respect to any amounts owing under this clause (iii) shall be conclusive absent manifest error. (iv) Each Revolving Lender’s obligation to make Revolving Loans or to purchase and fund risk participations in Swing Line Loans pursuant to this Section 2.04(c) shall be absolute and


 
67 unconditional and shall not be affected by any circumstance, including (A) any setoff, counterclaim, recoupment, defense or other right which such Revolving Lender may have against the Swing Line Lender, the Company, the Foreign Borrower or any other Person for any reason whatsoever, (B) the occurrence or continuance of a Default, or (C) any other occurrence, event or condition, whether or not similar to any of the foregoing; provided that each Revolving Lender’s obligation to make Revolving Loans pursuant to this Section 2.04(c) is subject to the conditions set forth in Section 4.02 (other than delivery by the Company or, as applicable, the Foreign Borrower of a Loan Notice). No such funding of risk participations shall relieve or otherwise impair the obligation of the Company or the Foreign Borrower, as applicable, to repay Swing Line Loans, together with interest as provided herein. (d) Repayment of Participations. (i) At any time after any Revolving Lender has purchased and funded a risk participation in a Swing Line Loan, if the Swing Line Lender receives any payment on account of such Swing Line Loan, the Swing Line Lender will distribute to such Revolving Lender its Applicable Revolving Percentage thereof in the same funds as those received by the Swing Line Lender. (ii) If any payment received by the Swing Line Lender in respect of principal or interest on any Swing Line Loan is required to be returned by the Swing Line Lender under any of the circumstances described in Section 11.05 (including pursuant to any settlement entered into by the Swing Line Lender in its discretion), each Revolving Lender shall pay to the Swing Line Lender its Applicable Revolving Percentage thereof on demand of the Administrative Agent, plus interest thereon from the date of such demand to the date such amount is returned, at a rate per annum equal to the applicable Overnight Rate. The Administrative Agent will make such demand upon the request of the Swing Line Lender. The obligations of the Revolving Lenders under this clause shall survive the payment in full of the Obligations and the termination of this Agreement. (e) Interest for Account of Swing Line Lender. The Swing Line Lender shall be responsible for invoicing the Company (on behalf of the Foreign Borrower, if applicable) for interest on the Swing Line Loans. Until a Revolving Lender funds its Base Rate Loan or risk participation pursuant to this Section 2.04 to refinance such Lender’s Applicable Revolving Percentage of any Swing Line Loan, interest in respect of such Lender’s Applicable Revolving Percentage shall be solely for the account of the Swing Line Lender. (f) Payments Directly to Swing Line Lender. The Company or the Foreign Borrower shall make all payments of principal and interest in respect of the Swing Line Loans directly to the Swing Line Lender. 2.05 Prepayments. (a) Optional. (i) Each Borrower may, upon notice from such Borrower to the Administrative Agent pursuant to delivery to the Administrative Agent of a Notice of Loan Prepayment, at any time or from time to time voluntarily prepay its Loans in whole or in part without premium or penalty subject to Section 3.05; provided that, unless otherwise agreed by the Administrative Agent, (i) such notice must be received by the Administrative Agent not later than 11:00 a.m. (A) three (3) Business Days prior to any date of prepayment of Term SOFR Loans, (B) four (4) Business Days (or five (5), in the case of prepayment of Loans denominated in Special Notice Currencies) prior to any date of prepayment of any Alternative Currency Loan, and (C) one Business Day prior to the


 
68 date of prepayment of Base Rate Loans; (ii) any prepayment of Term SOFR Loans shall be in a principal amount of $5,000,000 or a whole multiple of $1,000,000 in excess thereof; (iii) any prepayment of Alternative Currency Loans shall be in a minimum principal amount of the applicable Alternative Currency Equivalent of $5,000,000 or a whole multiple of the applicable Alternative Currency Equivalent of $1,000,000 in excess thereof; and (iv) any prepayment of Base Rate Loans shall be in a principal amount of $500,000 or a whole multiple of $100,000 in excess thereof or, in each case, if less, the entire principal amount thereof then outstanding. Each such notice shall specify the date, the currency and amount of such prepayment and the Type(s) of Loans to be prepaid, and, if Term SOFR Loans or Alternative Currency Term Rate Loans are to be prepaid, the Interest Period(s) of such Loans. The Administrative Agent will promptly notify each Lender of its receipt of each such notice, and of the amount of such Lender’s ratable portion of such prepayment (based on such Lender’s Applicable Percentage in respect of the relevant Facility). If such notice is given by a Borrower, the applicable Borrower shall make such prepayment and the payment amount specified in such notice shall be due and payable on the date specified therein. Any prepayment of a Term SOFR Loan and any Alternative Currency Term Rate Loan shall be accompanied by all accrued interest on the amount prepaid, together with any additional amounts required pursuant to Section 3.05. Each prepayment of the outstanding Term Loans pursuant to this Section 2.05(a) shall be applied to the principal repayment installments thereof set forth in Section 2.07(c), in direct order of maturity. Subject to Section 2.16, such prepayments shall be paid to the Lenders in accordance with their respective Applicable Percentages in respect of each of the relevant Facilities. (ii) The Company or the Foreign Borrower may, upon notice to the Swing Line Lender pursuant to the delivery to the Swing Line Lender of a Notice of Loan Prepayment (with a copy to the Administrative Agent), at any time or from time to time, voluntarily prepay Swing Line Loans in whole or in part without premium or penalty; provided that unless otherwise agreed to by the Swing Line Lender (i) such notice must be received by the Swing Line Lender and the Administrative Agent not later than (A) in the case of Domestic Swing Line Loans, 12:00 noon on the date of the prepayment and (B) in the case of Foreign Swing Line Loans, 10:00 a.m. (London time) on the date that is one Business Day prior to the date of such prepayment and (ii) any such prepayment shall be in a minimum principal amount of (A) $100,000, or a whole multiple of $50,000 in excess thereof, in the case of Domestic Swing Line Loans and (B) the applicable Alternative Currency Equivalent of $500,000, in the case of Foreign Swing Line Loans (or in the case of (A) and (B) immediately above, if less, the entire principal amount thereof then outstanding). Each such notice shall specify the date and amount of such prepayment. If such notice is given by the Company, the Company shall make such prepayment and the payment amount specified in such notice shall be due and payable on the date specified therein. (b) Mandatory. (i) If the Administrative Agent notifies the Company and the Foreign Borrower at any time that the Total Revolving Outstandings at such time exceed the Revolving Facility, then, within two Business Days after receipt of such notice, the Borrowers shall prepay Revolving Loans (provided that the Foreign Borrower shall repay only those Revolving Loans that are attributable to it), Swing Line Loans and L/C Borrowings (together with all accrued but unpaid interest thereon) and/or the Company shall Cash Collateralize the L/C Obligations in an aggregate amount sufficient to reduce the Total Revolving Outstandings as of such date of payment or Cash Collateralization to an amount not to exceed 100% of the Revolving Facility; provided, however, that, the Company shall not be required to Cash Collateralize the L/C Obligations pursuant to this Section 2.05(b) unless after the prepayment in full of the Revolving Loans the Total Revolving Outstandings exceed the Revolving Facility. The Administrative Agent may, at any time and from time to time


 
69 after the initial deposit of such Cash Collateral (but only to the extent that, at such time, the Total Revolving Outstandings exceed the Revolving Facility), request that additional Cash Collateral be provided in order to protect against the results of further exchange rate fluctuations. (ii) If the Administrative Agent notifies the Company at any time that the Outstanding Amount of all Domestic Swing Line Loans that are not Cash Collateralized by the Company at such time exceeds an amount equal to the Domestic Swing Line Sublimit then in effect, then, within two Business Days after receipt of such notice, the Company shall prepay the Domestic Swing Line Loans in an aggregate amount sufficient to reduce such Outstanding Amount as of such date of payment to an amount not to exceed 100% of the Domestic Swing Line Sublimit. (iii) If the Administrative Agent notifies the Foreign Borrower at any time that the Outstanding Amount of all Foreign Swing Line Loans that are not Cash Collateralized by the Foreign Borrower at such time exceeds an amount equal to the Foreign Swing Line Sublimit then in effect, then, within two Business Days after receipt of such notice, the Foreign Borrower shall prepay the Foreign Swing Line Loans in an aggregate amount sufficient to reduce such Outstanding Amount as of such date of payment to an amount not to exceed 100% of the Foreign Swing Line Sublimit. (iv) If the Administrative Agent notifies the Foreign Borrower at any time that the Outstanding Amount of all Loans made to the Foreign Borrower and L/C Obligations of the Foreign Borrower at such time exceeds an amount equal to the Foreign Borrower Sublimit then in effect, then, within two Business Days after receipt of such notice, the Foreign Borrower shall prepay Loans made to them and L/C Borrowings of the Foreign Borrower (together with all accrued but unpaid interest thereon) and/or the Foreign Borrower shall Cash Collateralize the L/C Obligations of the Foreign Borrower in an aggregate amount sufficient to reduce the Outstanding Amount of such Loans as of such date of payment or as of the date of such Cash Collateralization to an amount not to exceed 100% of the Foreign Borrower Sublimit. 2.06 Termination or Reduction of Commitments. (a) Optional. The Company may, upon notice to the Administrative Agent, terminate the Revolving Facility, the Letter of Credit Sublimit or the Swing Line Sublimit or from time to time permanently reduce the Revolving Facility, the Letter of Credit Sublimit or the Swing Line Sublimit; provided that (i) any such notice shall be received by the Administrative Agent not later than 11:00 a.m. five (5) Business Days prior to the date of termination or reduction, (ii) any such partial reduction shall be in an aggregate amount of $10,000,000 or any whole multiple of $1,000,000 in excess thereof, (iii) the Company shall not terminate or reduce the (A) Revolving Facility if, after giving effect thereto and to any concurrent prepayments hereunder, the Total Revolving Outstandings would exceed the Revolving Facility, (B) the Letter of Credit Sublimit if, after giving effect thereto, the Outstanding Amount of L/C Obligations not fully Cash Collateralized hereunder would exceed the Letter of Credit Sublimit, or (C) the Swing Line Sublimit if, after giving effect thereto and to any concurrent prepayments hereunder, the Outstanding Amount of Swing Line Loans would exceed the Swing Line Sublimit. In addition, during the Availability Period in respect of the Term Facility, the Company may, upon notice to the Administrative Agent as set forth above, from time to time terminate (in whole or in part) the unused portion of the aggregate Term Commitments. (b) Mandatory. (i) The aggregate Term Commitments shall be automatically and permanently reduced to zero on on the last day of the Availability Period for the Term Facility.


 
70 (ii) If, after giving effect to any reduction of the Revolving Facility, the Letter of Credit Sublimit, the Foreign Borrower Sublimit, or the Swing Line Sublimit exceeds the amount of the Revolving Facility, such Sublimit shall be automatically reduced by the amount of such excess. (c) Application of Commitment Reductions; Payment of Fees. (i) The Administrative Agent will promptly notify the Lenders of any such notice of termination or reduction of the Letter of Credit Sublimit, Swing Line Sublimit or the Revolving Commitment under this Section 2.06. Upon any reduction of the Revolving Commitments, the Revolving Commitment of each Revolving Lender shall be reduced by such Lender’s Applicable Revolving Percentage of such reduction amount. All fees accrued until the effective date of any termination of the Revolving Facility shall be paid on the effective date of such termination. (ii) The Administrative Agent will promptly notify the Lenders of any termination or reduction of the unused portion of the aggregate Term Commitments under this Section 2.06. Upon any reduction of the unused portion of the aggregate Term Commitments, the Term Commitment of each Term Lender shall be reduced by such Lender’s ratable portion of such reduction amount. All fees in respect of the Term Facility accrued until the effective date of any termination of the Term Facility shall be paid on the effective date of such termination. 2.07 Repayment of Loans. (a) Term Loans. Subject to adjustment as a result of the application of prepayments in accordance with the order of priority set forth in Section 2.05(a) solely to the extent of any such amounts applied to the prepayment of Term Loans, the Term Loans shall be due and payable, and the Company shall repay to the Term Lenders (i) quarterly on the last Business Day of each March, June, September and December, commencing on the last Business Day of the first full fiscal quarter following the Delayed Draw Term Loan Funding Date, an aggregate principal amount equal to the percentage of the original principal amount of the Term Loans for the relevant period set forth in the table immediately below or, if less, the entire principal of the Term Loans then outstanding, unless accelerated sooner pursuant to Section 8.02 and (ii) on the Maturity Date for the Term Loans, the aggregate principal amount of all Term Loans outstanding on such date: Period Term Loan Amortization Percentage the last Business Day of each of the first twelve (12) fiscal quarters that occur after the Delayed Draw Term Loan Funding Date 0.625% per quarter the last Business Day of each fiscal quarter that occurs thereafter 1.25% per quarter provided, however, (x) if any principal repayment installment to be made by the Company (other than principal repayment installments on Term SOFR Loans) shall come due on a day other than a Business Day, such principal repayment installment shall be due on the next succeeding Business Day, and such extension of time shall be reflected in computing interest or fees, as the case may be and (y) if any principal repayment installment to be made by the Company on a Term SOFR Loan shall come due on a day other than a Business Day, such principal repayment installment shall be extended to the next succeeding Business Day unless the result of such extension would be to extend such principal repayment installment into another calendar month, in which event such principal repayment installment shall be due on the immediately preceding Business Day.


 
71 (b) Revolving Loans. Each Borrower shall repay to the Revolving Lenders on the Maturity Date for the Revolving Facility the aggregate principal amount of Revolving Loans made to such Borrower and outstanding on such date. (c) Swing Line Loans. The Company or the Foreign Borrower shall repay each Swing Line Loan made to the Company or the Foreign Borrower on the earlier to occur of (a) the date ten Business Days after such Loan is made and (b) the Maturity Date for the Revolving Facility. 2.08 Interest and Default Rate. (a) Interest. Subject to the provisions of Section 2.08(b) below, (i) each Term SOFR Loan shall bear interest on the outstanding principal amount thereof for each Interest Period from the applicable Borrowing date at a rate per annum equal to the lesser of (x) the Highest Lawful Rate and (y) the Term SOFR for such Interest Period plus the Applicable Rate; (ii) each Loan denominated in Dollars and made as a Base Rate Loan shall bear interest on the outstanding principal amount thereof from the applicable Borrowing date at a rate per annum equal to the lesser of (x) the Highest Lawful Rate and (y) the Base Rate plus the Applicable Rate; (iii) each Alternative Currency Daily Rate Loan shall bear interest on the outstanding principal amount thereof from the applicable borrowing date at a rate per annum equal to the lesser of (x) the Highest Lawful Rate and (y) the Alternative Currency Daily Rate plus the Applicable Rate; (iv) each Alternative Currency Term Rate Loan shall bear interest on the outstanding principal amount thereof for each Interest Period from the applicable Borrowing date at a rate per annum equal to the lesser of (x) the Highest Lawful Rate and (y) the Alternative Currency Term Rate for such Interest Period plus the Applicable Rate; (v) each Domestic Swing Line Loan shall bear interest on the outstanding principal amount thereof from the applicable Borrowing date at a rate per annum equal to the lesser of (x) the Highest Lawful Rate and (y) the SOFR Daily Floating Rate plus the Applicable Rate and (vi) each Foreign Swing Line Loan shall bear interest on the outstanding principal amount thereof at the lesser of (x) the Highest Lawful Rate and (y) the Overnight Rate plus the Applicable Rate for Domestic Swing Line Loans. To the extent that any calculation of interest or any fee required to be paid under this Agreement shall be based on (or result in) a calculation that is less than zero, such calculation shall be deemed zero for purposes of this Agreement. (b) Default Rate. (i) If any amount of principal of any Loan is not paid when due (without regard to any applicable grace periods), whether at stated maturity, by acceleration or otherwise, such amount shall thereafter bear interest at a fluctuating interest rate per annum at all times equal to the Default Rate to the fullest extent permitted by Applicable Laws. (ii) If any amount (other than principal of any Loan) payable by either Borrower under any Loan Document is not paid when due (without regard to any applicable grace periods), whether at stated maturity, by acceleration or otherwise, then upon the request of the Required Lenders, such amount shall thereafter bear interest at a fluctuating interest rate per annum at all times equal to the Default Rate to the fullest extent permitted by Applicable Laws. (iii) Upon the request of the Required Lenders, while any Event of Default exists (other than as set forth in clauses (b)(i) and (b)(ii) above), the defaulting Borrower shall pay interest on the principal amount of all outstanding Obligations or Foreign Obligations (including Letter of Credit Fees) hereunder, as applicable, attributable to such defaulting Borrower at a fluctuating interest rate per annum at all times equal to the Default Rate to the fullest extent permitted by Applicable Laws.


 
72 (iv) Accrued and unpaid interest on past due amounts (including interest on past due interest) shall be due and payable upon demand. (c) Interest Payment Date. Interest on each Loan shall be due and payable in arrears on each Interest Payment Date applicable thereto and at such other times as may be specified herein. Interest hereunder shall be due and payable in accordance with the terms hereof before and after judgment, and before and after the commencement of any proceeding under any Debtor Relief Law. (d) Interest Act (Canada). For the purposes of the Interest Act (Canada), (i) whenever a rate of interest or fee rate hereunder is calculated on the basis of a year (the “deemed year”) that contains fewer days than the actual number of days in the calendar year of calculation, such rate of interest or fee rate shall be expressed as a yearly rate by multiplying such rate of interest or fee rate by the actual number of days in the calendar year of calculation and dividing it by the number of days in the deemed year, (ii) the principle of deemed reinvestment of interest shall not apply to any interest calculation hereunder, and (iii) the rates of interest stipulated herein are intended to be nominal rates and not effective rates or yields. 2.09 Fees. In addition to certain fees described in subsections (l) and (m) of Section 2.03: (a) Revolving Commitment Fee and Delayed Draw Commitment Fee. The Company and the Foreign Borrower (in respect of the following clause (i)) shall pay (in the case of the following clause (i), each in accordance with its pro rata share of the Outstanding Amount of Revolving Loans) to the Administrative Agent for the account of each Revolving Lender in accordance with its Applicable Revolving Percentage, a commitment fee (the “Revolving Commitment Fee”) in Dollars equal to the Applicable Rate times the actual daily amount by which the Revolving Facility exceeds the sum of (i) the Outstanding Amount of Revolving Loans and (ii) the Outstanding Amount of L/C Obligations, subject to adjustment as provided in Section 2.16. For the avoidance of doubt, the Outstanding Amount of Swing Line Loans shall not be counted towards or considered usage of the Revolving Facility for purposes of determining the Revolving Commitment Fee. In addition, the Company shall pay to the Administrative Agent for the account of each Term Lender in accordance with its Applicable Percentage of the Term Facility, a commitment fee (the “Delayed Draw Commitment Fee”) equal to the Applicable Rate times the actual daily amount by which the aggregate Term Commitments exceed the Outstanding Amount of Term Loans, subject to adjustment as provided in Section 2.16. The Revolving Commitment Fee shall accrue at all times during the Availability Period for the Revolving Facility, including at any time during which one or more of the conditions in Article IV is not met, and shall be due and payable quarterly in arrears on the last Business Day of each March, June, September and December, commencing with the first such date to occur after the Closing Date and on the last day of the Availability Period for the Revolving Facility. The Delayed Draw Commitment Fee shall accrue from and including the 91st day following the Closing Date, including at any time during which one or more of the conditions in Article IV is not met, and shall be due and payable quarterly in arrears on the last Business Day of each March, June, September and December, commencing with the first such date to occur after the 91st day following the Closing Date and on the last day of the Availability Period for the Term Facility. The Revolving Commitment Fee and the Delayed Draw Commitment Fee shall be calculated quarterly in arrears, and if there is any change in the Applicable Rate during any quarter, the actual daily amount shall be computed and multiplied by the Applicable Rate separately for each period during such quarter that such Applicable Rate was in effect. (b) Other Fees. (i) The Company shall pay to the Arrangers and the Administrative Agent for their own respective accounts, in Dollars, fees in the amounts and at the times specified in the Fee Letter. Such fees shall be fully earned when paid and shall not be refundable for any reason whatsoever.


 
73 (ii) The Company shall pay to the Lenders, in Dollars, such fees as shall have been separately agreed upon in writing in the amounts and at the times so specified. Such fees shall be fully earned when paid and shall not be refundable for any reason whatsoever. 2.10 Computation of Interest and Fees. All computations of interest for Base Rate Loans (including Base Rate Loans determined by reference to Term SOFR) and for loans denominated in Alternative Currencies (other than Alternative Currency Loans with respect to EURIBOR) shall be made on the basis of a year of 365 or 366 days, as the case may be, and actual days elapsed, or, in the case of interest in respect of Loans denominated in Alternative Currencies as to which market practice differs from the foregoing, in accordance with such market practice. All other computations of fees and interest, including those with respect to Term SOFR Loans and Alternative Currency Loans determined by reference to EURIBOR shall be made on the basis of a three hundred sixty (360) day year and actual days elapsed (which results in more fees or interest, as applicable, being paid than if computed on the basis of a 365-day year), or, in the case of interest in respect of Loans denominated in Alternative Currencies as to which market practice differs from the foregoing, in accordance with such market practice. Interest shall accrue on each Loan for the day on which the Loan is made, and shall not accrue on a Loan, or any portion thereof, for the day on which the Loan or such portion is paid, provided that any Loan that is repaid on the same day on which it is made shall, subject to Section 2.12(a), bear interest for one day. Each determination by the Administrative Agent (or, if applicable, the Swing Line Lender or applicable L/C Issuer) of an interest rate or fee hereunder shall be conclusive and binding for all purposes, absent manifest error. 2.11 Evidence of Debt. (a) Maintenance of Accounts. The Credit Extensions made by each Lender and each L/C Issuer shall be evidenced by one or more accounts or records maintained by such Lender or such L/C Issuer and by the Administrative Agent in the ordinary course of business. The Administrative Agent shall maintain the Register in accordance with Section 11.06(c). The accounts or records maintained by the Administrative Agent and each Lender or such L/C Issuer shall be conclusive absent manifest error of the amount of the Credit Extensions made by the Lenders or such L/C Issuer to the Borrowers and the interest and payments thereon. Any failure to so record or any error in doing so shall not, however, limit or otherwise affect the obligation of the Borrowers hereunder to pay any amount owing with respect to the Obligations. In the event of any conflict between the accounts and records maintained by any Lender or any L/C Issuer and the Register, the Register shall control in the absence of manifest error. Upon the request of any Lender to a Borrower made through the Administrative Agent, such Borrower shall execute and deliver to such Lender (through the Administrative Agent) a Note, which shall evidence such Lender’s Loans to such Borrower in addition to such accounts or records. Each Lender may attach schedules to its Note and endorse thereon the date, Type (if applicable), amount, currency and maturity of its Loans and payments with respect thereto. (b) Maintenance of Records. In addition to the accounts and records referred to in Section 2.11(a), each Lender and the Administrative Agent shall maintain in accordance with its usual practice accounts or records evidencing the purchases and sales by such Lender of participations in Letters of Credit and Swing Line Loans. In the event of any conflict between the accounts and records maintained by the Administrative Agent and the accounts and records of any Lender in respect of such matters, the accounts and records of the Administrative Agent shall control in the absence of manifest error. 2.12 Payments Generally; Administrative Agent’s Clawback. (a) General. All payments to be made by the Company or by the Foreign Borrower with respect to the Obligations or the Foreign Obligations, as applicable, shall be made free and clear of and without condition or deduction for any counterclaim, defense, recoupment or setoff. Except as otherwise


 
74 expressly provided herein and except with respect to principal of and interest on Loans denominated in an Alternative Currency and Foreign Swing Line Loans, all payments by the Company or by the Foreign Borrower hereunder with respect to the Obligations or the Foreign Obligations, as applicable, shall be made to the Administrative Agent, for the account of the respective Lenders (including without limitation, the Swing Line Lender) to which such payment is owed, at the applicable Administrative Agent’s Office in Dollars and in Same Day Funds not later than 2:00 p.m. on the date specified herein. Except as otherwise expressly provided herein, all payments by the Company or by the Foreign Borrower hereunder with respect to principal and interest on Loans denominated in an Alternative Currency and Foreign Swing Line Loans (in each case, as such Loans or Swing Line Loans may be attributable to the Obligations or the Foreign Obligations, as applicable) shall be made to the Administrative Agent, for the account of the respective Lenders to which such payment is owed, at the applicable Administrative Agent’s Office in such Alternative Currency and in Same Day Funds not later than the Applicable Time specified by the Administrative Agent on the dates specified herein. Without limiting the generality of the foregoing, the Administrative Agent may require that any payments due under this Agreement be made in the United States. If, for any reason, the Company or the Foreign Borrower, as applicable, is prohibited by any Law from making any required payment hereunder in an Alternative Currency, such Borrower shall make such payment in Dollars in the Dollar Equivalent of the Alternative Currency payment amount. The Administrative Agent will promptly distribute to each Lender its Applicable Percentage (or other applicable share as provided herein) of such payment in like funds as received by wire transfer to such Lender’s Lending Office. All payments received by the Administrative Agent (i) after 2:00 p.m., in the case of payments in Dollars, or (ii) after the Applicable Time specified by the Administrative Agent in the case of payments in an Alternative Currency, shall in each case be deemed received on the immediately following Business Day and any applicable interest or fee shall continue to accrue. If any payment to be made by the Company or by the Foreign Borrower, as applicable, shall come due on a day other than a Business Day, payment shall be made on the immediately following Business Day, and such extension of time shall be reflected in computing interest or fees, as the case may be. (b) (i) Funding by Lenders; Presumption by Administrative Agent. Unless the Administrative Agent shall have received notice from a Lender prior to the proposed date of any Borrowing of Term SOFR Loans or Alternative Currency Loans (or, in the case of any Borrowing of Base Rate Loans, prior to 12:00 noon on the date of such Borrowing) that such Lender will not make available to the Administrative Agent such Lender’s share of such Borrowing, the Administrative Agent may assume that such Lender has made such share available on such date in accordance with Section 2.02 (or, in the case of a Borrowing of Base Rate Loans, that such Lender has made such share available in accordance with and at the time required by Section 2.02) and may, in reliance upon such assumption, make available to the applicable Borrower a corresponding amount. In such event, if a Lender has not in fact made its share of the applicable Borrowing available to the Administrative Agent, then the applicable Lender and the Company or the Foreign Borrower, as applicable, severally agree to pay to the Administrative Agent forthwith on demand such corresponding amount in Same Day Funds with interest thereon, for each day from and including the date such amount is made available to such Borrower to but excluding the date of payment to the Administrative Agent, at (A) in the case of a payment to be made by such Lender, the Overnight Rate, plus any administrative, processing or similar fees customarily charged by the Administrative Agent in connection with the foregoing, and (B) in the case of a payment to be made by such Borrower, the interest rate applicable to the Base Rate Loans or in the case of Alternative Currencies in accordance with market practice applicable to borrowers similarly situated to the Borrowers hereunder in credit facilities similar to the credit facility evidenced by this Agreement, in each case, as applicable. If such Borrower and such Lender shall pay such interest to the Administrative Agent for the same or an overlapping period, the Administrative Agent shall promptly remit to such Borrower the amount of such interest paid by such Borrower for such period. If such Lender pays its share of the applicable Borrowing to the Administrative Agent, then the amount so paid shall constitute such Lender’s Loan included in such


 
75 Borrowing. Any payment by such Borrower shall be without prejudice to any claim such Borrower may have against a Lender that shall have failed to make such payment to the Administrative Agent. (ii) Payments by Borrowers; Presumptions by Administrative Agent. Unless the Administrative Agent shall have received notice from the Company or the Foreign Borrower, as applicable, prior to the date on which any payment is due to the Administrative Agent for the account of the Lenders or any L/C Issuer hereunder that the applicable Borrower will not make such payment, the Administrative Agent may assume that such Borrower has made such payment on such date in accordance herewith and may, in reliance upon such assumption, distribute to the Appropriate Lenders or the applicable L/C Issuer, as the case may be, the amount due. With respect to any payment that the Administrative Agent makes for the account of the Lenders or any L/C Issuer hereunder as to which the Administrative Agent determines (which determination shall be conclusive absent manifest error) that any of the following applies (such payment referred to as the “Rescindable Amount”): (1) the Company or the Foreign Borrower, as applicable, has not in fact made such payment; (2) the Administrative Agent has made a payment in excess of the amount so paid by the Company or the Foreign Borrower, as applicable, (whether or not then owed); or (3) the Administrative agent has for any reason otherwise erroneously made such payment; then each of the Appropriate Lenders or the applicable L/C Issuer, as the case may be, severally agrees to repay to the Administrative Agent forthwith on demand the Rescindable Amount so distributed to such Lender or such L/C Issuer, in Same Day Funds with interest thereon, for each day from and including the date such amount is distributed to it to but excluding the date of payment to the Administrative Agent, at the Overnight Rate. A notice of the Administrative Agent to any Lender or a Borrower with respect to any amount owing under this clause (b) shall be conclusive, absent manifest error. (iii) Payments in Other Currencies. A notice of the Administrative Agent to any Lender, the Company or the Foreign Borrower, as applicable, with respect to any amount owing under this clause (b) shall be conclusive, absent manifest error. (c) Failure to Satisfy Conditions Precedent. If any Lender makes available to the Administrative Agent funds for any Loan to be made by such Lender to any Borrower as provided in the foregoing provisions of this Article II, and such funds are not made available to such Borrower by the Administrative Agent because the conditions to the applicable Credit Extension set forth in Article IV are not satisfied or waived in accordance with the terms hereof, the Administrative Agent shall promptly return such funds (in like funds as received from such Lender) to such Lender, without interest. (d) Obligations of Lenders Several. The obligations of the Lenders hereunder to make Revolving Loans, to fund participations in Letters of Credit and Swing Line Loans, in each case to the Company or to the Foreign Borrower, as applicable, and to make payments pursuant to Section 11.04(c) are several and not joint. The failure of any Lender to make any Loan, to fund any such participation or to make any payment under Section 11.04(c) on any date required hereunder shall not relieve any other Lender of its corresponding obligation to do so on such date, and no Lender shall be responsible for the failure of any other Lender to so make its Loan, to purchase its participation or to make its payment under Section 11.04(c). (e) Funding Source. Nothing herein shall be deemed to obligate any Lender to obtain the funds for any Loan in any particular place or manner or to constitute a representation by any Lender that it has obtained or will obtain the funds for any Loan in any particular place or manner. (f) Pro Rata Treatment. Except to the extent otherwise provided herein: (i) each Borrowing (other than Swing Line Borrowings) shall be made from the Appropriate Lenders, each payment of fees


 
76 under Section 2.09 and clauses (l) and (m) of Sections 2.03 shall be made for account of the Appropriate Lenders, and each termination or reduction of the amount of the Commitments shall be applied to the respective Commitments of the Lenders, pro rata according to their respective Commitments; (ii) each Borrowing shall be allocated pro rata among the Lenders according to the amounts of their respective Commitments (in the case of the making of Revolving Loans) or their respective Loans that are to be included in such Borrowing (in the case of conversions and continuations of Loans); (iii) each payment or prepayment of principal of Loans by a Borrower shall be made for account of the Appropriate Lenders pro rata in accordance with the respective unpaid principal amounts of the Loans held by them, as the case may be; and (iv) each payment of interest on Loans by a Borrower shall be made for account of the Appropriate Lenders pro rata in accordance with the amounts of interest on such Loans then due and payable to the respective Appropriate Lenders. 2.13 Sharing of Payments by Lenders. If any Lender shall, by exercising any right of setoff or counterclaim or otherwise, obtain payment in respect of (a) Obligations in respect of any of the Facilities due and payable to such Lender hereunder and under the other Loan Documents at such time in excess of its ratable share (according to the proportion of (i) the amount of such Obligations due and payable to such Lender at such time to (ii) the aggregate amount of the Obligations in respect of the Revolving Facility due and payable to all Lenders hereunder and under the other Loan Documents at such time) of payments on account of the Obligations in respect of the Revolving Facility due and payable to all Lenders hereunder and under the other Loan Documents at such time obtained by all the Lenders at such time or (b) Obligations in respect of the Revolving Facility owing (but not due and payable) to such Lender hereunder and under the other Loan Documents at such time in excess of its ratable share (according to the proportion of (i) the amount of such Obligations owing (but not due and payable) to such Lender at such time to (ii) the aggregate amount of the Obligations in respect of the Revolving Facility owing (but not due and payable) to all Lenders hereunder and under the other Loan Documents at such time) of payment on account of the Obligations in respect of the Revolving Facility owing (but not due and payable) to all Lenders hereunder and under the other Loan Documents at such time obtained by all of the Lenders at such time then, in each case under clauses (a) and (b) above, the Lender receiving such greater proportion shall (A) notify the Administrative Agent of such fact, and (B) purchase (for cash at face value) participations in the Loans and subparticipations in L/C Obligations and Swing Line Loans of the other Lenders, or make such other adjustments as shall be equitable, so that the benefit of all such payments shall be shared by the Lenders ratably in accordance with the aggregate amount of Obligations in respect of the Revolving Facility then due and payable to the Lenders or owing (but not due and payable) to the Lenders, as the case may be, provided that: (i) if any such participations or subparticipations are purchased and all or any portion of the payment giving rise thereto is recovered, such participations or subparticipations shall be rescinded and the purchase price restored to the extent of such recovery, without interest; and (ii) the provisions of this Section shall not be construed to apply to (x) any payment made by or on behalf of a Borrower pursuant to and in accordance with the express terms of this Agreement (including the application of funds arising from the existence of a Defaulting Lender), (y) the application of Cash Collateral provided for in Section 2.15, or (z) any payment obtained by a Lender as consideration for the assignment of or sale of a participation in any of its Loans or subparticipations in L/C Obligations or Swing Line Loans to any assignee or participant, other than an assignment to the Company or any Subsidiary or Affiliate thereof (as to which the provisions of this Section 2.13 shall apply). Each Borrower consents to the foregoing and agrees, to the extent it may effectively do so under Applicable Law, that any Lender acquiring a participation pursuant to the foregoing arrangements may


 
77 exercise against such Borrower rights of setoff and counterclaim with respect to such participation as fully as if such Lender were a direct creditor of such Borrower in the amount of such participation. 2.14 Increase in Commitments. (a) Request for Increase. Provided (i) subject to Section 1.11, there exists no Default both before and after giving effect to any Incremental Revolving Commitment or Incremental Term Commitment (including compliance by the Company with the covenants set forth in Sections 7.10 and 7.11 determined on a pro forma basis) and (ii) upon notice to the Administrative Agent (which shall promptly notify the Lenders), the Company may from time to time, request, and, subject to this Section 2.14 (including Section 2.14(c)) Lenders hereby consent to, (x) an increase in the Revolving Facility (each, an “Incremental Revolving Commitment”) and/or (y) the establishment of one or more new term loan commitments (each, an “Incremental Term Commitment”), by an amount (for all such requests in the aggregate) not exceeding $250,000,000; provided that (A) any such request for an increase shall be in a minimum amount of $5,000,000, and (B) no such increase shall increase the Letter of Credit Sublimit, the Domestic Swing Line Sublimit, the Foreign Swing Line Sublimit or the Foreign Borrower Sublimit. At the time of sending such notice, the Company (in consultation with the Administrative Agent) shall specify the time period within which each Lender is requested to respond (which shall in no event be less than ten (10) Business Days from the date of delivery of such notice to the Lenders or such other time period as agreed to by the Company and any Lender providing an Incremental Revolving Commitment or an Incremental Term Commitment). (b) Terms of New Loans and Commitments. The terms and provisions of Loans made pursuant to Incremental Commitments shall be as follows: (i) the terms and provisions of Incremental Term Loans shall be reasonably satisfactory to the Administrative Agent; provided that in any event the Incremental Term Loans must comply with clause (iii) below; (ii) the terms and provisions of Revolving Loans made pursuant to Incremental Revolving Commitments shall be identical to the Revolving Loans; and (iii) the maturity date of Incremental Term Loans (the “Incremental Term Loan Maturity Date”) shall not be earlier than the Maturity Date for the Term Facility. (c) Lender Elections to Increase. Each Lender shall notify the Administrative Agent within such time period specified in the notice referred to in subsection (a) above (i) whether or not it agrees to provide an Incremental Term Commitment and (ii) whether or not it agrees to increase its Revolving Commitment and, if so, whether by an amount equal to, greater than, or less than its Applicable Revolving Percentage of such requested increase, as applicable. Any Lender not responding within such time period shall be deemed to have declined to provide an Incremental Term Commitment or increase its Revolving Commitment, as applicable. (d) Notification by Administrative Agent; Additional Lenders. The Administrative Agent shall notify the Company and each Lender of the Lenders’ responses to each request made hereunder. To achieve the full amount of a requested increase, and subject to the approval of the Administrative Agent, the L/C Issuers and the Swing Line Lender (which approvals shall not be unreasonably withheld or delayed), the Company may also invite additional Eligible Assignees to become Lenders (the “New Lenders”).


 
78 (e) Increase Joinder; Effective Date; Allocations. The Incremental Commitments shall be effected by a joinder agreement (the “Increase Joinder”) executed by the Company, the Administrative Agent and each Lender making such Incremental Commitment, including each New Lender, in form and substance reasonably satisfactory to each of them. The Administrative Agent and the Company shall determine the effective date (the “Increase Effective Date”) and the final allocation of such increase. The Administrative Agent shall promptly notify the Company and the Lenders of the final allocation of such increase and the Increase Effective Date. Notwithstanding the provisions of Section 11.01, the Increase Joinder may, without the consent of any other Lenders, effect such amendments to this Agreement and the other Loan Documents as may be necessary or appropriate, in the reasonable opinion of the Administrative Agent, to effect the provisions of this Section 2.14. In addition, unless otherwise specifically provided herein, all references in the Loan Documents to Loans shall be deemed, unless the context otherwise requires, to include references to Revolving Loans made pursuant to Incremental Revolving Commitments and Incremental Term Loans made pursuant to Incremental Term Commitments, respectively, made pursuant to this Agreement. (f) Conditions to Effectiveness of Increase. As a condition precedent to such increase, the Company shall deliver to the Administrative Agent a certificate of each Borrower dated as of the Increase Effective Date (in sufficient copies for each Lender) signed by a Responsible Officer of such Borrower (i) certifying and attaching the resolutions adopted by such Borrower approving or consenting to such increase, and (ii) in the case of the Company, certifying that, before and after giving effect to such increase, (A) each of the conditions set forth in Section 4.02 shall have been satisfied; (B) the representations and warranties contained in Article V and the other Loan Documents are true and correct in all material respects (except to the extent that any representation and warranty that is already qualified by materiality in which case such representation and warranty shall be true and correct in all respects), on and as of the Increase Effective Date, except to the extent that such representations and warranties specifically refer to an earlier date, in which case they are true and correct in all material respects (except that any representation and warranty is qualified as to “materiality” or “Material Adverse Effect” shall be true and correct in all respects) as of such earlier date, and except that for purposes of this Section 2.14, the representations and warranties contained in subsections (a) and (b) of Section 5.05 shall be deemed to refer to the most recent statements furnished pursuant to clauses (a) and (b), respectively, of Section 6.01, (C) no Default exists and (D) the Company’s compliance with the covenants set forth in Sections 7.10 and 7.11 determined on a pro forma basis after giving effect to such increase. The Company shall deliver or cause to be delivered any other customary documents, including, without limitation, legal opinions, as reasonably requested by the Administrative Agent in connection with any Incremental Revolving Commitment or Incremental Term Commitment. Notwithstanding anything to the contrary in this Section and solely in the case of any Incremental Commitments incurred in connection with a Limited Condition Acquisition, the Company’s compliance with any representation or warranty, covenant or other condition shall be determined in accordance with Section 1.11 hereof. Notwithstanding Section 2.14(f) or in any other provision of any Loan Document, if the proceeds of any Incremental Term Loans are to incurred in connection with a Limited Condition Acquisition and the Lenders or other lenders providing such Incremental Term Loans so agree, the availability thereof shall be subject to customary “SunGard” conditionality. (g) Adjustment of Revolving Loans. To the extent the Commitments being increased on the relevant Increase Effective Date are Incremental Revolving Commitments, each Revolving Lender shall purchase or sell (as the case may be), without recourse, an amount of the Revolving Loans outstanding such that, after giving effect to the Incremental Revolving Commitments, the amount of each such Lender’s Revolving Commitment utilized and the amount of the Revolving Loans owed to each Revolving Lender will be equal to its Applicable Revolving Percentage thereof after giving effect to such increase. The Borrowers shall pay each Revolving Lender any additional amounts required pursuant to Section 3.05 as a result of any such purchases or sales.


 
79 (h) Making of New Incremental Term Loans. Notwithstanding anything to the contrary contained in this Agreement, on any Increase Effective Date on which new Incremental Term Commitments for Incremental Term Loans are effective, subject to the satisfaction of the foregoing terms and conditions, each Lender of each new Incremental Term Commitment shall make an Incremental Term Loan to the Company in an amount equal to its new Incremental Term Commitment. (i) Equal and Ratable Benefit. The Loans and Commitments established pursuant to this paragraph shall constitute Loans and Commitments under, and shall be entitled to all the benefits afforded by, this Agreement and the other Loan Documents, and shall, without limiting the foregoing, benefit equally and ratably from the Guaranties and the Security Instruments. (j) Conflicting Provisions. This Section shall supersede any provisions in Section 2.13 or 11.01 to the contrary. 2.15 Cash Collateral. (a) Certain Credit Support Events. If (i) any L/C Issuer has honored any full or partial drawing request under any Letter of Credit and such drawing has resulted in an L/C Borrowing, (ii) as of the Letter of Credit Expiration Date, any L/C Obligation for any reason remains outstanding, (iii) the Company shall be required to provide Cash Collateral pursuant to Section 2.05 or 8.02(c), or (iv) there shall exist a Defaulting Lender, the Company shall immediately (in the case of clause (iii) above) or within one Business Day (in all other cases) following any request by the Administrative Agent or applicable L/C Issuer, provide Cash Collateral in an amount not less than the applicable Minimum Collateral Amount (determined in the case of Cash Collateral provided pursuant to clause (iv) above, after giving effect to Section 2.16(a)(iv) and any Cash Collateral provided by the Defaulting Lender). (b) Grant of Security Interest. The Company, and to the extent provided by any Defaulting Lender, such Defaulting Lender, hereby grants to (and subjects to the control of) the Administrative Agent, for the benefit of the Administrative Agent, the L/C Issuers and the Lenders, and agrees to maintain, a first priority security interest in all such cash, deposit accounts and all balances therein, and all other property so provided as Collateral pursuant hereto, and in all proceeds of the foregoing, all as security for the obligations to which such Cash Collateral may be applied pursuant to Section 2.15(c). If at any time the Administrative Agent determines that Cash Collateral is subject to any right or claim of any Person other than the Administrative Agent or the applicable L/C Issuer as herein provided, or that the total amount of such Cash Collateral is less than the Minimum Collateral Amount, the Company will, promptly upon demand by the Administrative Agent, pay or provide to the Administrative Agent additional Cash Collateral in an amount sufficient to eliminate such deficiency (determined in the case of Cash Collateral provided pursuant to Section 2.16(a)(v), after giving effect to Section 2.16(a)(iv) and any Cash Collateral provided by the Defaulting Lender). All Cash Collateral (other than credit support not constituting funds subject to deposit) shall be maintained in blocked, non-interest bearing deposit accounts at Bank of America. The Company shall pay on demand therefor from time to time all customary account opening, activity and other administrative fees and charges in connection with the maintenance and disbursement of Cash Collateral. (c) Application. Notwithstanding anything to the contrary contained in this Agreement, Cash Collateral provided under any of this Section 2.15 or Sections 2.03, 2.04, 2.05, 2.16, or 8.02 in respect of Letters of Credit shall be held and applied to the satisfaction of the specific L/C Obligations, obligations to fund participations therein (including, as to Cash Collateral provided by a Revolving Lender that is a Defaulting Lender, any interest accrued on such obligation) and other obligations for which the Cash Collateral was so provided, prior to any other application of such property as may otherwise be provided for herein.


 
80 (d) Release. Cash Collateral (or the appropriate portion thereof) provided to reduce Fronting Exposure or to secure other obligations shall be released promptly following (i) the elimination of the applicable Fronting Exposure or other obligations giving rise thereto (including by the termination of Defaulting Lender status of the applicable Revolving Lender (or, as appropriate, its assignee following compliance with Section 11.06(b)(vi))) or (ii) the determination by the Administrative Agent and the applicable L/C Issuer that there exists excess Cash Collateral; provided, however, (x) any such release shall be without prejudice to, and any disbursement or other transfer of Cash Collateral shall be and remain subject to, any other Lien conferred under the Loan Documents and the other applicable provisions of the Loan Documents, and (y) the Person providing Cash Collateral and the applicable L/C Issuer may agree that Cash Collateral shall not be released but instead held to support future anticipated Fronting Exposure or other obligations. 2.16 Defaulting Lenders. (a) Adjustments. Notwithstanding anything to the contrary contained in this Agreement, if any Lender becomes a Defaulting Lender, then, until such time as that Lender is no longer a Defaulting Lender, to the extent permitted by Applicable Law: (i) Waivers and Amendments. Such Defaulting Lender’s right to approve or disapprove any amendment, waiver or consent with respect to this Agreement shall be restricted as set forth in the definition of “Required Lenders” and Section 11.01. (ii) Defaulting Lender Waterfall. Any payment of principal, interest, fees or other amounts received by the Administrative Agent for the account of such Defaulting Lender (whether voluntary or mandatory, at maturity, pursuant to Article VIII or otherwise) or received by the Administrative Agent from a Defaulting Lender pursuant to Section 11.08, shall be applied at such time or times as may be determined by the Administrative Agent as follows: first, to the payment of any amounts owing by such Defaulting Lender to the Administrative Agent hereunder; second, to the payment on a pro rata basis of any amounts owing by such Defaulting Lender to the applicable L/C Issuer or Swing Line Lender hereunder; third, to Cash Collateralize such L/C Issuer’s Fronting Exposure with respect to such Defaulting Lender in accordance with Section 2.15; fourth, as the Company or the Foreign Borrower, as applicable, may request (so long as no Default or Event of Default exists), to the funding of any Loan in respect of which such Defaulting Lender has failed to fund its portion thereof as required by this Agreement, as determined by the Administrative Agent; fifth, if so determined by the Administrative Agent and the Company or the Foreign Borrower, as applicable, to be held in a deposit account and released pro rata in order to (x) satisfy such Defaulting Lender’s potential future funding obligations with respect to Loans under this Agreement and (y) Cash Collateralize the applicable L/C Issuer’s future Fronting Exposure with respect to such Defaulting Lender with respect to future Letters of Credit issued under this Agreement, in accordance with Section 2.15; sixth, to the payment of any amounts owing to the Lenders, the applicable L/C Issuer or Swing Line Lender as a result of any final and non- appealable judgment of a court of competent jurisdiction obtained by any Lender, such L/C Issuer or the Swing Line Lender against such Defaulting Lender as a result of such Defaulting Lender’s breach of its obligations under this Agreement; seventh, so long as no Default or Event of Default exists, to the payment of any amounts owing to the Company or the Foreign Borrower, as applicable, as a result of any final and non-appealable judgment of a court of competent jurisdiction obtained by such Borrower against such Defaulting Lender as a result of such Defaulting Lender’s breach of its obligations under this Agreement; and eighth, to such Defaulting Lender or as otherwise as may be required under the Loan Documents in connection with any Lien thereunder or directed by a court of competent jurisdiction; provided that if (x) such payment is a payment of the principal amount of any Loans or L/C Borrowings in respect of which such Defaulting Lender


 
81 has not fully funded its appropriate share, and (y) such Loans were made or the related Letters of Credit were issued at a time when the conditions set forth in Section 4.02 were satisfied or waived, such payment shall be applied solely to pay the Loans of, and L/C Obligations owed to, all Non-Defaulting Lenders on a pro rata basis prior to being applied to the payment of any Loans of, or L/C Obligations owed to, such Defaulting Lender until such time as all Loans and funded and unfunded participations in L/C Obligations and Swing Line Loans are held by the Lenders pro rata in accordance with the Commitments hereunder without giving effect to Section 2.16(a)(iv). Any payments, prepayments or other amounts paid or payable to a Defaulting Lender that are applied (or held) to pay amounts owed by a Defaulting Lender or to post Cash Collateral pursuant to this Section 2.16(a)(ii) shall be deemed paid to and redirected by such Defaulting Lender, and each Lender irrevocably consents hereto. (iii) Certain Fees. (A) No Defaulting Lender shall be entitled to receive any fee payable under Section 2.09(a) for any period during which that Lender is a Defaulting Lender (and neither the Company nor the Foreign Borrower shall be required to pay any such fee that otherwise would have been required to have been paid to that Defaulting Lender). For the avoidance of doubt, (x) no Revolving Commitment Fee shall accrue on any of the Revolving Commitments of a Defaulting Lender so long as such Lender shall be a Defaulting Lender and (y) no Delayed Draw Commitment Fee shall accrue on any of the Term Commitments of a Defaulting Lender so long as such Lender shall be a Defaulting Lender. (B) Each Defaulting Lender shall be entitled to receive Letter of Credit Fees for any period during which that Lender is a Defaulting Lender only to the extent allocable to its Applicable Revolving Percentage of the stated amount of Letters of Credit for which such Defaulting Lender has provided Cash Collateral pursuant to Section 2.16 or otherwise. If any portion of a Defaulting Lender’s pro rata share of any Letter of Credit is Cash Collateralized by the Company or Foreign Borrower or reallocated to the other Revolving Lenders pursuant to Section 2.16(a)(iv), then the Company or, as applicable, the Foreign Borrower shall not be required to pay a Letter of Credit Fee to such Defaulting Lender with respect to such portion of such Defaulting Lender’s pro rata share so long as it is Cash Collateralized by the Borrowers or reallocated to the other Lenders. For the avoidance of doubt, Letter of Credit Fees not required to be paid to any Defaulting Lender shall be subject to clause (C) below. (C) With respect to any Letter of Credit Fee not required to be paid to any Defaulting Lender pursuant to clause (B) above, the Company or the Foreign Borrower, as applicable, shall (x) pay to each Non-Defaulting Lender that portion of any such fee otherwise payable to such Defaulting Lender with respect to such Defaulting Lender’s participation in L/C Obligations or Swing Line Loans that has been reallocated to such Non-Defaulting Lender pursuant to clause (iv) below, (y) pay to the applicable L/C Issuer and Swing Line Lender, as applicable, the amount of any such fee otherwise payable to such Defaulting Lender to the extent allocable to such L/C Issuer’s or Swing Line Lender’s Fronting Exposure to such Defaulting Lender, and (z) not be required to pay the remaining amount of any such fee. (iv) Reallocation of Applicable Percentages to Reduce Fronting Exposure. All or any part of such Defaulting Lender’s participation in L/C Obligations and Swing Line Loans shall be reallocated among the Non-Defaulting Lenders in accordance with their respective Applicable Revolving Percentages (calculated without regard to such Defaulting Lender’s Revolving


 
82 Commitment) but only to the extent that such reallocation does not cause the aggregate Revolving Exposure of any Non-Defaulting Lender to exceed such Non-Defaulting Lender’s Revolving Commitment. Subject to Section 11.26, no reallocation hereunder shall constitute a waiver or release of any claim of any party hereunder against a Defaulting Lender arising from that Lender having become a Defaulting Lender, including any claim of a Non-Defaulting Lender as a result of such Non-Defaulting Lender’s increased exposure following such reallocation. (v) Cash Collateral, Repayment of Swing Line Loans. If the reallocation described in clause (a)(iv) above cannot, or can only partially, be effected, the Company or the Foreign Borrower, as applicable, shall, without prejudice to any right or remedy available to it hereunder or under Applicable Law, (x) first, prepay Swing Line Loans in an amount equal to the Swing Line Lenders’ Fronting Exposure and (y) second, Cash Collateralize the L/C Issuers’ Fronting Exposure in accordance with the procedures set forth in Section 2.15. (b) Defaulting Lender Cure. If the Company, the Foreign Borrower, the Administrative Agent, Swing Line Lender and each L/C Issuer agree in writing that a Lender is no longer a Defaulting Lender, the Administrative Agent will so notify the parties hereto, whereupon as of the effective date specified in such notice and subject to any conditions set forth therein (which may include arrangements with respect to any Cash Collateral), that Lender will, to the extent applicable, purchase at par that portion of outstanding Loans of the other Lenders or take such other actions as the Administrative Agent may determine to be necessary to cause the Loans and funded and unfunded participations in Letters of Credit and Swing Line Loans to be held on a pro rata basis by the Lenders in accordance with their Revolving Commitments (without giving effect to Section 2.16(a)(iv)), whereupon that Lender will cease to be a Defaulting Lender; provided that no adjustments will be made retroactively with respect to fees accrued or payments made by or on behalf of the Company while that Lender was a Defaulting Lender; and provided, further, that except to the extent otherwise expressly agreed by the affected parties, no change hereunder from Defaulting Lender to Lender will constitute a waiver or release of any claim of any party hereunder arising from that Lender’s having been a Defaulting Lender. (c) New Swing Line Loans/Letters of Credit. So long as any Revolving Lender is a Defaulting Lender, (i) the Swing Line Lender shall not be required to fund any Swing Line Loans unless it is satisfied that it will have no Fronting Exposure after giving effect to such Swing Line Loan (and, for the avoidance of doubt, after giving effect to any reallocation described in Section 2.16(a)(iv) above) and (ii) no L/C Issuer shall be required to issue, extend, increase, reinstate or renew any Letter of Credit unless it is satisfied that it will have no Fronting Exposure after giving effect thereto. 2.17 Designation of Material Subsidiaries. If, at the time a Compliance Certificate is delivered pursuant to Section 6.02(a), the Material Subsidiaries that are Domestic Subsidiaries are insufficient to satisfy each of the thresholds set forth in part (a) of the definition of Material Subsidiaries, the Company shall, no later than thirty (30) days after the date of delivery of such Compliance Certificate, designate in writing to the Administrative Agent such additional Domestic Subsidiaries as “Material Subsidiaries” as are necessary to comply with such definition. In the case of any designations pursuant to this Section each such designated Subsidiary shall comply with all the applicable provisions of Section 6.14 within the time provided therein. 2.18 Designated Lender. Subject to the first sentence of Section 3.06(a), each of the Administrative Agent, each L/C Issuer, the Swing Line Lender and each Lender at its option may make any Credit Extension or otherwise perform its obligations hereunder through any Lending Office (each, a “Designated Lender”); provided that any exercise of such option shall not affect the obligation of such Borrower to repay such Credit Extension in accordance with the terms of this Agreement. Any Designated Lender shall be considered a Lender, provided that designation of a Designated Lender is for administrative


 
83 convenience only and does not expand the scope of liabilities or obligations of any Lender or Designated Lender beyond those of the Lender designating such Person as a Designated Lender as provided in this Agreement. 2.19 Successor Foreign Borrower. Notwithstanding anything set forth in Section 7.04 and Section 11.06(a) to the contrary, upon at least five (5) Business Days prior written notice to the Administrative Agent and the Lenders, CMC International Finance may assign all of its rights and obligations hereunder and be replaced as the Foreign Borrower by an entity that assumes all of CMC International Finance’s obligations under this Agreement and the other Loan Documents so long as each of the following conditions are satisfied on or prior to the Foreign Borrower Replacement Date: (a) The Successor Foreign Borrower shall be organized and existing under the laws of Luxembourg. (b) The Foreign Guarantor shall continue to be a direct Subsidiary of the Successor Foreign Borrower and the Foreign Guaranty shall not be affected by the Successor Foreign Borrower’s assumption all of CMC International Finance’s obligations under this Agreement. (c) CMC International Finance and the Successor Foreign Borrower shall execute and deliver to the Administrative Agent an assumption, assignment and ratification agreement in form and substance satisfactory to the Administrative Agent. (d) The Administrative Agent shall have received the following each properly executed by a Responsible Officer of the Successor Foreign Borrower and in form and substance satisfactory to the Administrative Agent: (i) Notes executed by the Successor Foreign Borrower in favor of each Lender that has requested a Note; (ii) such certificates, resolutions or other action, incumbency certificates and/or other certificates of the Responsible Officer, secretary or assistant secretary (or other individuals performing similar functions) of the Successor Foreign Borrower evidencing the identity, authority and capacity of each Responsible Officer thereof authorized to act as a Responsible Officer in connection with this Agreement and the other Loan Documents to which the Successor Foreign Borrower is a party; (iii) such documents and certifications as the Administrative Agent may reasonably require to evidence that the Successor Foreign Borrower is duly organized or formed, and is validly existing, in good standing or the equivalent thereof (to the extent applicable) and qualified to engage in business in its jurisdiction of incorporation or organization; (iv) a favorable opinion of special counsel to the Successor Foreign Borrower in Luxembourg, addressed to the Administrative Agent and each Lender, as to the matters concerning the Loan Parties and the Loan Documents as the Administrative Agent or the Required Lenders may reasonably request; (v) a certificate of a Responsible Officer of the Successor Foreign Borrower either (A) attaching copies of all consents, licenses and approvals required in connection with the execution, delivery and performance by the Successor Foreign Borrower and the validity against the Successor Foreign Borrower of the Loan Documents to which it is a party, and such consents,


 
84 licenses and approvals shall be in full force and effect, or (B) stating that no such consents, licenses or approvals are so required; (vi) a certificate for each of the Company and the Successor Foreign Borrower, as applicable, signed by a Responsible Officer thereof certifying (A) no Default or Event of Default has occurred and is continuing and (B) that there has been no event or circumstance since the date of the Audited Financial Statements that has had or could be reasonably expected, either individually or in the aggregate, to have a Material Adverse Effect; (vii) updated schedules to the Loan Documents if, and as, requested by the Administrative Agent, and (viii) such other documents as may be reasonably requested by the Administrative Agent, all in form, content and scope reasonably satisfactory to the Administrative Agent. (e) Upon the reasonable request of any Lender made prior to the Foreign Borrower Replacement Date, the Successor Foreign Borrower shall have provided to such Lender, and such Lender shall be reasonably satisfied with, the documentation and other information so requested in connection with applicable “know your customer” and Anti-Money Laundering Laws, including, without limitation, the PATRIOT Act. (f) At least three (3) Business Days prior to the Foreign Borrower Replacement Date, if the Successor Foreign Borrower qualifies as a “legal entity customer” under the Beneficial Ownership Regulation, such Successor Foreign Borrower shall have provided, to each Lender that so requests, information required to complete a Beneficial Ownership Certification in relation to such Borrower and will provide such Beneficial Ownership Certification executed by such Successor Foreign Borrower on the Foreign Borrower Replacement Date. Notwithstanding anything set forth in Section 11.01 to the contrary, any waiver, consent or other amendment to any term or provision of this Agreement and the Exhibits hereto necessary or advisable to effectuate the intent of this Section 2.19 to allow for a Successor Foreign Borrower shall be effective when executed by the Administrative Agent and the Borrowers. ARTICLE III. TAXES, YIELD PROTECTION AND ILLEGALITY 3.01 Taxes. (a) Defined Terms. For purposes of this Section 3.01, the term “Applicable Law” includes FATCA and the term “Lender” includes any L/C Issuer. (b) Payments Free of Taxes; Obligation to Withhold; Payments on Account of Taxes. Any and all payments by or on account of any obligation of any Loan Party under any Loan Document shall be made without deduction or withholding for any Taxes, except as required by Applicable Laws. If any Applicable Laws (as determined in the good faith discretion of an applicable Withholding Agent) require the deduction or withholding of any Tax from any such payment by a Withholding Agent, then the applicable Withholding Agent shall be entitled to make such deduction or withholding and shall timely pay the full amount deducted or withheld to the relevant Governmental Authority in accordance with Applicable Law and, if such Tax is an Indemnified Tax, then the sum payable by the applicable Loan Party shall be increased as necessary so that after any required withholding or the making of all required deductions (including deductions


 
85 applicable to additional sums payable under this Section 3.01) the applicable Recipient receives an amount equal to the sum it would have received had no such withholding or deduction been made. (c) Payment of Other Taxes by the Loan Parties. The Loan Parties shall timely pay to the relevant Governmental Authority in accordance with Applicable Law, or at the option of the Administrative Agent timely reimburse it for the payment of, any Other Taxes. (d) Tax Indemnifications. (i) Each of the Loan Parties shall, and does hereby, jointly and severally indemnify each Recipient, and shall make payment in respect thereof within ten (10) days after demand therefor, for the full amount of any Indemnified Taxes (including Indemnified Taxes imposed or asserted on or attributable to amounts payable under this Section 3.01) payable or paid by such Recipient or required to be withheld or deducted from a payment to such Recipient, and any penalties, interest and reasonable expenses arising therefrom or with respect thereto, whether or not such Indemnified Taxes were correctly or legally imposed or asserted by the relevant Governmental Authority. A certificate as to the amount of such payment or liability delivered to the Company by a Lender (with a copy to the Administrative Agent), or by the Administrative Agent on its own behalf or on behalf of a Lender, shall be conclusive absent manifest error. (ii) Each Lender shall, and does hereby, severally indemnify and shall make payment in respect thereof within ten (10) days after demand therefor, (A) the Administrative Agent against any Indemnified Taxes attributable to such Lender (but only to the extent that any Loan Party has not already indemnified the Administrative Agent for such Indemnified Taxes and without limiting the obligation of the Loan Parties to do so), (B) the Administrative Agent and the Loan Parties, as applicable, against any Taxes attributable to such Lender’s failure to comply with the provisions of Section 11.06(d) relating to the maintenance of a Participant Register and (C) the Administrative Agent and the Loan Parties, as applicable, against any Excluded Taxes attributable to such Lender, in each case, that are payable or paid by the Administrative Agent or a Loan Party in connection with any Loan Document, and any reasonable expenses arising therefrom or with respect thereto, whether or not such Taxes were correctly or legally imposed or asserted by the relevant Governmental Authority. A certificate as to the amount of such payment or liability delivered to any Lender by the Administrative Agent shall be conclusive absent manifest error. Each Lender hereby authorizes the Administrative Agent to set off and apply any and all amounts at any time owing to such Lender under any Loan Document or otherwise payable by the Administrative Agent to the Lender from any other source against any amount due to the Administrative Agent under this clause (d)(ii). (e) Evidence of Payments. As soon as practicable after any payment of Taxes by any Loan Party to a Governmental Authority, as provided in this Section 3.01, the Company shall deliver to the Administrative Agent the original or a certified copy of a receipt issued by such Governmental Authority evidencing such payment, a copy of any return reporting such payment or other evidence of such payment reasonably satisfactory to the Administrative Agent. (f) Status of Lenders; Tax Documentation. (i) Any Lender that is entitled to an exemption from or reduction of withholding Tax with respect to payments made under any Loan Document shall deliver to the Company and the Administrative Agent, at the time or times reasonably requested by the Company or the Administrative Agent, such properly completed and executed documentation reasonably requested by the Company or the Administrative Agent as will permit such payments to be made without


 
86 withholding or at a reduced rate of withholding. In addition, any Lender, if reasonably requested by the Company or the Administrative Agent, shall deliver such other documentation prescribed by Applicable Law or reasonably requested by the Company or the Administrative Agent as will enable the Company or the Administrative Agent to determine whether or not such Lender is subject to backup withholding or information reporting requirements. Notwithstanding anything to the contrary in the preceding two sentences, the completion, execution and submission of such documentation (other than such documentation set forth in Section 3.01(f)(ii)(A), (ii)(B) and (ii)(D) below) shall not be required if in the Lender’s reasonable judgment such completion, execution or submission would subject such Lender to any material unreimbursed cost or expense or would materially prejudice the legal or commercial position of such Lender. (ii) Without limiting the generality of the foregoing, in the event that a Borrower is a U.S. Person, (A) any Lender that is a U.S. Person shall deliver to the Company and the Administrative Agent on or prior to the date on which such Lender becomes a Lender under this Agreement (and from time to time thereafter upon the reasonable request of the Company or the Administrative Agent), executed copies of IRS Form W–9 certifying that such Lender is exempt from U.S. federal backup withholding tax; (B) any Foreign Lender shall, to the extent it is legally entitled to do so, deliver to the Company and the Administrative Agent (in such number of copies as shall be requested by the recipient) on or prior to the date on which such Foreign Lender becomes a Lender under this Agreement (and from time to time thereafter upon the reasonable request of the Company or the Administrative Agent), whichever of the following is applicable: (1) in the case of a Foreign Lender claiming the benefits of an income tax treaty to which the United States is a party (x) with respect to payments of interest under any Loan Document, executed copies of IRS Form W–8BEN–E (or W–8BEN, as applicable) establishing an exemption from, or reduction of, U.S. federal withholding Tax pursuant to the “interest” article of such tax treaty and (y) with respect to any other applicable payments under any Loan Document, IRS Form W–8BEN–E (or W–8BEN, as applicable) establishing an exemption from, or reduction of, U.S. federal withholding Tax pursuant to the “business profits” or “other income” article of such tax treaty; (2) executed copies of IRS Form W–8ECI; (3) in the case of a Foreign Lender claiming the benefits of the exemption for portfolio interest under Section 881(c) of the Code, (x) a certificate substantially in the form of Exhibit H–1 to the effect that such Foreign Lender is not a “bank” within the meaning of Section 881(c)(3)(A) of the Code, a “10 percent shareholder” of the Company within the meaning of Section 881(c)(3)(B) of the Code, or a “controlled foreign corporation” described in Section 881(c)(3)(C) of the Code (a “U.S. Tax Compliance Certificate”) and (y) executed copies of IRS Form W–8BEN– E (or W–8BEN, as applicable); or


 
87 (4) to the extent a Foreign Lender is not the beneficial owner, executed copies of IRS Form W–8IMY, accompanied by IRS Form W– 8ECI, IRS Form W–8BEN–E (or W–8BEN, as applicable), a U.S. Tax Compliance Certificate substantially in the form of Exhibit H–2 or Exhibit H–3, IRS Form W–9, and/or other certification documents from each beneficial owner, as applicable; provided that if the Foreign Lender is a partnership and one or more direct or indirect partners of such Foreign Lender are claiming the portfolio interest exemption, such Foreign Lender may provide a U.S. Tax Compliance Certificate substantially in the form of Exhibit H–4 on behalf of each such direct and indirect partner; (C) any Foreign Lender shall, to the extent it is legally entitled to do so, deliver to the Company and the Administrative Agent (in such number of copies as shall be requested by the recipient) on or prior to the date on which such Foreign Lender becomes a Lender under this Agreement (and from time to time thereafter upon the reasonable request of the Company or the Administrative Agent), executed copies (or originals, as required) of any other form prescribed by Applicable Law as a basis for claiming exemption from or a reduction in U.S. federal withholding Tax, duly completed, together with such supplementary documentation as may be prescribed by Applicable Law to permit the Company or the Administrative Agent to determine the withholding or deduction required to be made; and (D) if a payment made to a Lender under any Loan Document would be subject to U.S. federal withholding Tax imposed by FATCA if such Lender were to fail to comply with the applicable reporting requirements of FATCA (including those contained in Section 1471(b) or 1472(b) of the Code, as applicable), such Lender shall deliver to the Company and the Administrative Agent at the time or times prescribed by law and at such time or times reasonably requested by the Company or the Administrative Agent such documentation prescribed by Applicable Law (including as prescribed by Section 1471(b)(3)(C)(i) of the Code) and such additional documentation reasonably requested by the Company or the Administrative Agent as may be necessary for the Company and the Administrative Agent to comply with their obligations under FATCA and to determine that such Lender has complied with such Lender’s obligations under FATCA or to determine the amount to deduct and withhold from such payment. Solely for the purposes of this clause (f)(ii)(D), “FATCA” shall include any amendments made to FATCA after the date of this Agreement. (iii) Each Lender agrees that if any form or certification it previously delivered pursuant to this Section 3.01 expires or becomes obsolete or inaccurate in any respect, it shall update such form or certification or promptly notify the Company and the Administrative Agent in writing of its legal inability to do so. (g) Treatment of Certain Refunds. Unless required by Applicable Laws, at no time shall the Administrative Agent have any obligation to file for or otherwise pursue on behalf of a Lender, or have any obligation to pay to any Lender, any refund of Taxes withheld or deducted from funds paid for the account of such Lender. If any Recipient determines, in its sole discretion exercised in good faith, that it has received a refund of any Taxes as to which it has been indemnified by any Loan Party or with respect to which any Loan Party has paid additional amounts pursuant to this Section 3.01, it shall pay to such Loan Party an amount equal to such refund (but only to the extent of indemnity payments made, or additional amounts paid, by such Loan Party under this Section 3.01 with respect to the Taxes giving rise to such refund), net of all out-of-pocket expenses (including Taxes) incurred by such Recipient, as the case may be, and without


 
88 interest (other than any interest paid by the relevant Governmental Authority with respect to such refund), provided that each Loan Party, upon the request of the Recipient, agrees to repay the amount paid over to such Loan Party (plus any penalties, interest or other charges imposed by the relevant Governmental Authority) to the Recipient in the event the Recipient is required to repay such refund to such Governmental Authority. Notwithstanding anything to the contrary in this clause (g), in no event will the applicable Recipient be required to pay any amount to such Loan Party pursuant to this clause (g) the payment of which would place the Recipient in a less favorable net after-Tax position than such Recipient would have been in if the Tax subject to indemnification and giving rise to such refund had not been deducted, withheld or otherwise imposed and the indemnification payments or additional amounts with respect to such Tax had never been paid. This clause (g) shall not be construed to require any Recipient to make available its tax returns (or any other information relating to its Taxes that it deems confidential) to any Loan Party or any other Person. (h) Survival. Each party’s obligations under this Section 3.01 shall survive the resignation or replacement of the Administrative Agent or any assignment of rights by, or the replacement of, a Lender, the termination of the Commitments and the repayment, satisfaction or discharge of all other Obligations. 3.02 Illegality and Designated Lenders. (a) If any Lender determines in good faith that any Law has made it unlawful, or that any Governmental Authority has asserted that it is unlawful, for any Lender or its applicable Lending Office to make, maintain or fund or charge interest with respect to any Credit Extension, or to determine or charge interest rates based upon a Relevant Rate, or any Governmental Authority has imposed material restrictions on the authority of such Lender to purchase or sell, or to take deposits of, Dollars or any Alternative Currency in the applicable interbank market, then, upon notice thereof by such Lender to the Company (through the Administrative Agent), (i) any obligation of such Lender to make or continue Alternative Currency Loans in the affected currency or currencies or, in the case of Loans denominated in Dollars, any obligation of Lender to make or continue Term SOFR Loans, to make SOFR Daily Floating Rate Loans or to convert Base Rate Loans to Term SOFR Loans shall be suspended, and (ii) if such notice asserts the illegality of such Lender making or maintaining Base Rate Loans the interest rate on which is determined by reference to the Term SOFR component of the Base Rate, the interest rate on which Base Rate Loans of such Lender shall, if necessary to avoid such illegality, be determined by the Administrative Agent without reference to the Term SOFR component of the Base Rate, in each case until such Lender notifies the Administrative Agent and the Company that the circumstances giving rise to such determination no longer exist (which such Lender agrees to do promptly upon the occurrence thereof). Upon receipt of such notice, (x) the Borrowers shall, upon demand from such Lender (with a copy to the Administrative Agent), prepay all Term SOFR Loans, all SOFR Daily Floating Rate Loans or Alternative Currency Loans, as applicable in the affected currency or currencies or, if applicable and such Loans are denominated in Dollars, convert all such Term SOFR Loans and SOFR Daily Floating Rate Loans of such Lender to the Company to Base Rate Loans (the interest rate on which Base Rate Loans of such Lender shall, if necessary to avoid such illegality, be determined by the Administrative Agent without reference to Term SOFR component of the Base Rate), in each case, immediately, or, in the case of Alternative Currency Term Rate Loans or Term SOFR Loans, on the last day of the Interest Period therefor, if such Lender may lawfully continue to maintain such Term SOFR Loans or Alternative Currency Term Rate Loans, as applicable, to such day, or immediately, if such Lender may not lawfully continue to maintain such Term SOFR Loans or Alternative Currency Term Rate Loans and (y) if such notice asserts the illegality of such Lender determining or charging interest rates based upon the SOFR, the Administrative Agent shall during the period of such suspension compute the Base Rate applicable to such Lender without reference to the Term SOFR component thereof until the Administrative Agent is advised in writing by such Lender that it is no longer illegal for such Lender to determine or charge interest rates based upon SOFR. Upon any such prepayment


 
89 or conversion, the Borrowers shall also pay accrued interest on the amount so prepaid or converted, together with any additional amounts required pursuant to Section 3.05. (b) If, in any applicable jurisdiction, the Administrative Agent, any L/C Issuer or any Lender or any Designated Lender determines that any Law has made it unlawful, or that any Governmental Authority has asserted that it is unlawful, for the Administrative Agent, any L/C Issuer or any Lender or its applicable Designated Lender to (i) perform any of its obligations hereunder or under any other Loan Document, (ii) to fund, hold a commitment or maintain its participation in any Loan or Letter of Credit or (iii) issue, make, maintain, fund or charge interest or fees with respect to any Credit Extension to the Foreign Borrower, such Person shall promptly notify the Administrative Agent, then, upon the Administrative Agent notifying the Company, and until such notice by such Person is revoked, any obligation of such Person to issue, make, maintain, fund or charge interest or fees with respect to any such Credit Extension shall be suspended, and to the extent required by Applicable Law, cancelled. Upon receipt of such notice, the Loan Parties shall, (A) repay that Person’s participation in the Loans or other applicable Obligations on the last day of the Interest Period for each Loan or other Obligation occurring after the Administrative Agent has notified the Company or, if earlier, the date specified by such Person in the notice delivered to the Administrative Agent (being no earlier than the last day of any applicable grace period permitted by Applicable Law), (B) to the extent applicable to any L/C Issuer, Cash Collateralize that portion of applicable L/C Obligations comprised of the aggregate undrawn amount of Letters of Credit issued by such L/C Issuer to the extent not otherwise Cash Collateralized and (C) take all reasonable actions requested by such Person to mitigate or avoid such illegality. 3.03 Inability to Determine Rates. (a) If in connection with any request for a Term SOFR Loan, a SOFR Daily Floating Rate Loan or an Alternative Currency Loan or a conversion of a Base Rate Loans to a Term SOFR Loan or an Alternative Currency Loan or a continuation of any Term SOFR Loan or any Alternative Currency Term Rate Loan, (i) the Administrative Agent determines (which determination shall be conclusive absent manifest error) that (A) no Successor Rate for the Relevant Rate for the applicable Agreed Currency has been determined in accordance with Section 3.03(b) or Section 3.03(c) and the circumstances under clause (i) of Section 3.03(b) or of Section 3.03(c) or the Scheduled Unavailability Date or the SOFR Scheduled Unavailability Date has occurred with respect to such Relevant Rate (as applicable), or (B) adequate and reasonable means do not otherwise exist for determining the Relevant Rate for the applicable Agreed Currency for any determination date(s) or requested Interest Period, as applicable, with respect to a proposed Term SOFR Loan, SOFR Daily Floating Rate Loan or an Alternative Currency Loan or in connection with an existing or proposed Base Rate Loan, or (ii) the Administrative Agent or the Required Lenders determine that for any reason that the Relevant Rate with respect to a proposed Loan denominated in an Agreed Currency for any requested Interest Period or determination date(s) does not adequately and fairly reflect the cost to such Lenders of funding such Loan, the Administrative Agent will promptly so notify the Company and each Lender. Thereafter, (x) the obligation of the Lenders to make or maintain Term SOFR Loans, SOFR Daily Floating Rate Loans or Loans in the affected currencies, as applicable, or to convert Base Rate Loans to Term SOFR Loans or Loans in the affected currencies, as applicable, shall be suspended in each case to the extent of the affected Term SOFR Loans, SOFR Daily Floating Rate Loans, Alternative Currency Loans or Interest Period or determination date(s), as applicable, and (y) in the event of a determination described in the preceding sentence with respect to the Term SOFR component of the Base Rate, the utilization of the Term SOFR component in determining the Base Rate shall be suspended, in each case until the Administrative Agent (or, in the case of a determination by the Required Lenders described in clause (ii) of this Section 3.03(a), until the Administrative Agent upon instruction of the Required Lenders) revokes such notice.


 
90 Upon receipt of such notice, (i) the Company may revoke any pending request for a Borrowing of, conversion to or continuation of Term SOFR Loans, a Borrowing of SOFR Daily Floating Rate Loans or a Borrowing of, or continuation of Alternative Currency Loans to the extent of the affected Alternative Currency Loans or Interest Period or determination date(s), as applicable or, failing that, will be deemed to have converted such request into a request for a Borrowing of Base Rate Loans denominated in Dollars in the Dollar Equivalent of the amount specified therein and (ii) (A) any outstanding Term SOFR Loans shall be deemed to have been converted to Base Rate Loans at the end of the applicable Interest Period, (B) any outstanding SOFR Daily Floating Rate Loans, at the Company’s election, shall either (1) be converted into a Borrowing of Base Rate Loans immediately or (2) be prepaid in full immediately; provided that if no election is made by the Company in the case of an SOFR Daily Floating Rate Loan, by the date that is three Business Days after receipt by the Company of such notice or, the Company shall be deemed to have elected clause (1) above and (C) any outstanding affected Alternative Currency Loans, at the Company’s election, shall either (1) be converted into a Borrowing of Base Rate Loans denominated in Dollars in the Dollar Equivalent of the amount of such outstanding Alternative Currency Loan immediately, in the case of an Alternative Currency Daily Rate Loan or at the end of the applicable Interest Period, in the case of an Alternative Currency Term Rate Loan or (2) be prepaid in full immediately, in the case of an Alternative Currency Daily Rate Loan, or at the end of the applicable Interest Period, in the case of an Alternative Currency Term Rate Loan; provided that if no election is made by the Company (x) in the case of an Alternative Currency Daily Rate Loan, by the date that is three Business Days after receipt by the Company of such notice or (y) in the case of an Alternative Currency Term Rate Loan, by the last day of the current Interest Period for the applicable Alternative Currency Term Rate Loan, the Company shall be deemed to have elected clause (1) above. (b) Replacement of Term SOFR, SOFR Daily Floating Rate or SOFR Successor Rate. Notwithstanding anything to the contrary in this Agreement or any other Loan Documents, if the Administrative Agent determines (which determination shall be conclusive absent manifest error), or the Company or Required Lenders notify the Administrative Agent (with, in the case of the Required Lenders, a copy to the Company) that the Company or Required Lenders (as applicable) have determined, that: (i) adequate and reasonable means do not exist for ascertaining one month, three month and six month interest periods of Term SOFR (or, in the case of SOFR Daily Floating Rate Loans, the one month interest period of Term SOFR), including, without limitation because SOFR is not available or published on a current basis or the Term SOFR Screen Rate is not available or published on a current basis, and such circumstances are unlikely to be temporary; or (ii) CME or any successor administrator of the Term SOFR Screen Rate or a Governmental Authority having jurisdiction over the Administrative Agent or such administrator with respect to its publication of Term SOFR, in each case acting in such capacity, has made a public statement identifying a specific date after which each of one month, three month and six month interest periods of Term SOFR (or, in the case of SOFR Daily Floating Rate Loans, the one month interest period of Term SOFR) or the Term SOFR Screen Rate shall or will no longer be made available, or permitted to be used for determining the interest rate of syndicated loans denominated in Dollars, or shall or will otherwise cease, provided that, in each case, at the time of such statement, there is no successor administrator that is satisfactory to the Administrative Agent that will continue to provide interest periods of Term SOFR (or, in the case of SOFR Daily Floating Rate Loans, the one month interest period of Term SOFR), as applicable, after such specific date (the latest date on which one month, three month and six month interest periods of Term SOFR (or, in the case of SOFR Daily Floating Rate Loans, the one month interest period of Term SOFR) or the Term SOFR Screen Rate are no longer available permanently or indefinitely, the “SOFR Scheduled Unavailability Date”);


 
91 then, on a date and time determined by the Administrative Agent (any such date, the “Term SOFR Replacement Date”), which date shall be at the end of an Interest Period or on the relevant interest payment date, as applicable, for interest calculated and, solely with respect to clause (ii) above, no later than the SOFR Scheduled Unavailability Date, Term SOFR and the SOFR Daily Floating Rate will be replaced hereunder and under any Loan Document with Daily Simple SOFR plus the SOFR Adjustment for any payment period for interest calculated that can be determined by the Administrative Agent, in each case, without any amendment to, or further action or consent of any other party to, this Agreement or any other Loan Document (the “SOFR Successor Rate”). If the SOFR Successor Rate is Daily Simple SOFR plus the SOFR Adjustment, all interest payments will be payable on a quarterly basis. Notwithstanding anything to the contrary herein, (i) if the Administrative Agent determines that Daily Simple SOFR is not available on or prior to the Term SOFR Replacement Date, or (ii) if the events or circumstances of the type described in Section 3.03(b)(i) or (ii) have occurred with respect to the SOFR Successor Rate then in effect, then in each case, the Administrative Agent and the Company may amend this Agreement solely for the purpose of replacing Term SOFR, the SOFR Daily Floating Rate or any then current SOFR Successor Rate in accordance with this Section 3.03 at the end of any Interest Period, relevant interest payment date or payment period (or, in the case of a daily floating interest rate, upon the effectiveness of such amendment) for interest calculated, as applicable, with an alternative benchmark rate giving due consideration to any evolving or then existing convention for similar credit facilities syndicated and agented in the U.S. and denominated in Dollars for such alternative benchmark and, in each case, including any mathematical or other adjustments to such benchmark giving due consideration to any evolving or then existing convention for similar credit facilities syndicated and agented in the U.S. and denominated in Dollars for such benchmark, which adjustment or method for calculating such adjustment shall be published on an information service as selected by the Administrative Agent from time to time in its reasonable discretion and may be periodically updated (and any such proposed rate, including for the avoidance of doubt, any adjustment thereto, a “SOFR Successor Rate”), and any such amendment shall become effective at 5:00 p.m. on the fifth Business Day after the Administrative Agent shall have posted such proposed amendment to all Lenders and the Company unless, prior to such time, Lenders comprising the Required Lenders have delivered to the Administrative Agent written notice that such Required Lenders object to such amendment. (c) Replacement of Relevant Rate or Successor Rate. Notwithstanding anything to the contrary in this Agreement or any other Loan Documents, if the Administrative Agent determines (which determination shall be conclusive absent manifest error), or the Company or Required Lenders notify the Administrative Agent (with, in the case of the Required Lenders, a copy to the Company) that the Company or Required Lenders (as applicable) have determined, that: (i) adequate and reasonable means do not exist for ascertaining the Relevant Rate (other than Term SOFR, SOFR Daily Floating Rate or Daily Simple SOFR) for an Agreed Currency (other than Dollars) because none of the tenors of such Relevant Rate (other than Term SOFR, SOFR Daily Floating Rate or Daily Simple SOFR) under this Agreement is available or published on a current basis and such circumstances are unlikely to be temporary; or (ii) the Applicable Authority has made a public statement identifying a specific date after which all tenors of the Relevant Rate (other than Term SOFR, SOFR Daily Floating Rate or Daily Simple SOFR) for an Agreed Currency (other than Dollars) under this Agreement shall or will no longer be representative or made available, or permitted to be used for determining the interest rate of syndicated loans denominated in such Agreed Currency (other than Dollars), or shall or will otherwise cease, provided that, in each case, at the time of such statement, there is no successor administrator that is satisfactory to


 
92 the Administrative Agent that will continue to provide such representative tenor(s) of the Relevant Rate (other than Term SOFR, SOFR Daily Floating Rate or Daily Simple SOFR) for such Agreed Currency (other than Dollars) (the latest date on which all tenors of the Relevant Rate for such Agreed Currency (other than Dollars) under this Agreement are no longer representative or available permanently or indefinitely, the “Scheduled Unavailability Date”); or (iii) if the events or circumstances of the type described in Section 3.03(c)(i) or (ii) have occurred with respect to the Non-SOFR Successor Rate then in effect, then, the Administrative Agent and the Company may amend this Agreement solely for the purpose of replacing the Relevant Rate for an Agreed Currency or any then current Non-SOFR Successor Rate for an Agreed Currency in accordance with this Section 3.03 with an alternative benchmark rate giving due consideration to any evolving or then existing convention for similar credit facilities syndicated and agented in the U.S. and denominated in such Agreed Currency for such alternative benchmarks, and, in each case, including any mathematical or other adjustments to such benchmark giving due consideration to any evolving or then existing convention for similar credit facilities syndicated and agented in the U.S. and denominated in such Agreed Currency for such benchmarks, which adjustment or method for calculating such adjustment shall be published on an information service as selected by the Administrative Agent from time to time in its reasonable discretion and may be periodically updated (and any such proposed rate, including for the avoidance of doubt, any adjustment thereto, a “Non-SOFR Successor Rate”, and collectively with the SOFR Successor Rate, each a “Successor Rate”), and any such amendment shall become effective at 5:00 p.m. on the fifth Business Day after the Administrative Agent shall have posted such proposed amendment to all Lenders and the Company unless, prior to such time, Lenders comprising the Required Lenders have delivered to the Administrative Agent written notice that such Required Lenders object to such amendment. (d) Successor Rate. The Administrative Agent will promptly (in one or more notices) notify the Company and each Lender of the implementation of any Successor Rate. Any Successor Rate shall be applied in a manner consistent with market practice; provided that to the extent such market practice is not administratively feasible for the Administrative Agent, such Successor Rate shall be applied in a manner as otherwise reasonably determined by the Administrative Agent. Notwithstanding anything else herein, if at any time any Successor Rate as so determined would otherwise be less than zero%, the Successor Rate will be deemed to be zero% for the purposes of this Agreement and the other Loan Documents. In connection with the implementation of a Successor Rate, the Administrative Agent will have the right to make Conforming Changes from time to time and, notwithstanding anything to the contrary herein or in any other Loan Document, any amendments implementing such Conforming Changes will become effective without any further action or consent of any other party to this Agreement; provided that, with respect to any such amendment effected, the Administrative Agent shall post each such amendment implementing such Conforming Changes to the Company and the Lenders reasonably promptly after such amendment becomes effective. (e) For the purposes of this Section 3.03, those Lenders that either have not made, or do not have an obligation under this Agreement to make, the relevant Loans in the relevant Alternative Currency shall be excluded from any determination of Required Lenders.


 
93 3.04 Increased Costs. (a) Increased Costs Generally. If any Change in Law shall: (i) impose, modify or deem applicable any reserve, special deposit, compulsory loan, insurance charge or similar requirement against assets of, deposits with or for the account of, or credit extended or participated in by, any Lender or the applicable L/C Issuer; (ii) subject any Recipient to any Taxes (other than (A) Indemnified Taxes, (B) Taxes described in clauses (b) through (d) of the definition of Excluded Taxes and (C) Connection Income Taxes) on its loans, loan principal, letters of credit, commitments, or other obligations, or its deposits, reserves, other liabilities or capital attributable thereto; or (iii) impose on any Lender or any L/C Issuer or the London interbank market any other condition, cost or expense affecting this Agreement, Term SOFR Loans, SOFR Daily Floating Rate Loans or Alternative Currency Loans made by such Lender or any Letter of Credit issued by such L/C Issuer or participation therein; and the result of any of the foregoing shall be to increase the cost to such Lender of making, converting to, continuing or maintaining any Loan (or of maintaining its obligation to make any such Loan), or to increase the cost to such Lender or any L/C Issuer of participating in, issuing or maintaining any Letter of Credit (or of maintaining its obligation to participate in or to issue any Letter of Credit), or to reduce the amount of any sum received or receivable by such Lender or such L/C Issuer hereunder (whether of principal, interest or any other amount) then, upon request of such Lender or such L/C Issuer, the Company will pay (or cause the applicable Borrower to pay) to such Lender or such L/C Issuer, as the case may be, such additional amount or amounts as will compensate such Lender or such L/C Issuer, as the case may be, for such additional costs incurred or reduction suffered. (b) Capital or Liquidity Requirements. If any Lender or any L/C Issuer in good faith determines (which such determination shall, absent manifest error, be final and conclusive and binding upon all parties) that any Change in Law affecting such Lender or any L/C Issuer or any Lending Office of such Lender or such Lender’s or such L/C Issuer’s holding company, if any, regarding capital or liquidity requirements has or would have the effect of reducing the rate of return on such Lender’s or such L/C Issuer’s capital or on the capital of such Lender’s or such L/C Issuer’s holding company, if any, as a consequence of this Agreement, the Commitments of such Lender or the Loans made by, or participations in Letters of Credit or Swing Line Loans held by, such Lender, or the Letters of Credit issued by such L/C Issuer, to a level below that which such Lender or such L/C Issuer or such Lender’s or such L/C Issuer’s holding company could have achieved but for such Change in Law (taking into consideration such Lender’s or such L/C Issuer’s policies and the policies of such Lender’s or such L/C Issuer’s holding company with respect to capital adequacy and liquidity), then from time to time the Company will pay (or cause the applicable Borrower to pay) to such Lender or such L/C Issuer, as the case may be, such additional amount or amounts as will compensate such Lender or such L/C Issuer or such Lender’s or such L/C Issuer’s holding company for any such reduction suffered. (c) Mandatory Costs. If any Lender or any L/C Issuer incurs any Mandatory Costs attributable to the Obligations, then from time to time the Company will pay (or cause the applicable Borrower to pay) to such Lender or such L/C Issuer, as the case may be, such Mandatory Costs. Such amount shall be expressed as a percentage rate per annum and shall be payable on the full amount of the applicable Obligations.


 
94 (d) Certificates for Reimbursement. A certificate of a Lender or such L/C Issuer setting forth the amount or amounts necessary to compensate such Lender or such L/C Issuer or its holding company, as the case may be, as specified in subsection (a), (b) or (c) of this Section and delivered to the Company shall be conclusive absent manifest error. The Company shall pay (or cause the applicable Borrower to pay) such Lender or such L/C Issuer, as the case may be, the amount shown as due on any such certificate within 10 days after receipt thereof. (e) Reserved. (f) Delay in Requests. Failure or delay on the part of any Lender or any L/C Issuer to demand compensation pursuant to the foregoing provisions of this Section 3.04 shall not constitute a waiver of such Lender’s or such L/C Issuer’s right to demand such compensation, provided that no Borrower shall be required to compensate a Lender or an L/C Issuer pursuant to the foregoing provisions of this Section 3.04 for any increased costs incurred or reductions suffered more than nine (9) months prior to the date that such Lender or such L/C Issuer, as the case may be, notifies the Company of the Change in Law giving rise to such increased costs or reductions and of such Lender’s or such L/C Issuer’s intention to claim compensation therefor (except that, if the Change in Law giving rise to such increased costs or reductions is retroactive, then the nine-month period referred to above shall be extended to include the period of retroactive effect thereof). 3.05 Compensation for Losses. Upon demand of any Lender (with a copy to the Administrative Agent) from time to time, the Company or the Foreign Borrower, as applicable, shall promptly compensate such Lender for, and hold such Lender harmless, from any loss, cost or expense incurred by it as a result of: (i) any continuation, conversion, payment or prepayment of any Loan other than a Base Rate Loan on a day other than the last day of the Interest Period for such Loan (whether voluntary, mandatory, automatic, by reason of acceleration, or otherwise); (ii) any failure by such Borrower (for a reason other than the failure of such Lender to make a Loan) to prepay, borrow, continue or convert any Loan other than a Base Rate Loan on the date or in the amount notified by the Company or the applicable Borrower; (iii) any failure by such Borrower to make payment of any Loan or drawing under any Letter of Credit (or interest due thereon) denominated in an Alternative Currency on its scheduled due date or any payment thereof in a different currency; or (iv) any assignment of a Term SOFR Loan or an Alternative Currency Term Rate Loan on a day other than the last day of the Interest Period therefor as a result of a request by the Company pursuant to Section 11.13; including any foreign exchange losses and any loss or expense arising from the liquidation or reemployment of funds obtained by it to maintain such Loan, from fees payable to terminate the deposits from which such funds were obtained or from the performance of any foreign exchange contract but excluding any loss of profits or margin. The Company or the Foreign Borrower, as applicable, shall also pay any reasonable and customary administrative fees charged by such Lender in connection with the foregoing. For purposes of calculating amounts payable by the Company or the Foreign Borrower, as applicable, to the Lenders under this Section 3.05, each Lender shall be deemed to have funded each Alternative Currency Term Rate Loan made by it at the Alternative Currency Term Rate for such Loan by a matching deposit or


 
95 other borrowing in the offshore interbank market for such currency for a comparable amount and for a comparable period, whether or not such Alternative Currency Term Rate Loan was in fact so funded. 3.06 Mitigation Obligations; Replacement of Lenders. (a) Designation of a Different Lending Office. If any Lender requests compensation under Section 3.04, or requires any Borrower to pay any Indemnified Taxes or additional amounts to any Lender, any L/C Issuer, or any Governmental Authority for the account of any Lender or any L/C Issuer pursuant to Section 3.01, or if any Lender gives a notice pursuant to Section 3.02, then at the request of such Borrower such Lender or such L/C Issuer shall, as applicable, use reasonable efforts to designate a different Lending Office for funding or booking its Loans hereunder or to assign its rights and obligations hereunder to another of its offices, branches or affiliates, if, in the judgment of such Lender or such L/C Issuer, such designation or assignment (i) would eliminate or reduce amounts payable pursuant to Section 3.01 or 3.04, as the case may be, in the future, or eliminate the need for the notice pursuant to Section 3.02, as applicable, and (ii) in each case, would not subject such Lender or such L/C Issuer, as the case may be, to any unreimbursed cost or expense and would not otherwise be disadvantageous to such Lender or such L/C Issuer, as the case may be. The Company or the Foreign Borrower, as applicable, hereby agrees to pay all reasonable costs and expenses incurred by any Lender or any L/C Issuer in connection with any such designation or assignment. (b) Replacement of Lenders. If any Lender requests compensation under Section 3.04 or gives a notice provided for under Section 3.02 or if any Loan Party is required to pay Indemnified Taxes or additional amounts to any Lender or any Governmental Authority for the account of any Lender pursuant to Section 3.01, and, in each case, such Lender has declined or is unable to designate a different lending office in accordance with Section 3.06(a), the Company may replace such Lender in accordance with Section 11.13. 3.07 Survival. All of the Borrowers’ obligations under this Article III shall survive termination of the Aggregate Commitments, repayment of all other Obligations hereunder, resignation of the Administrative Agent and the Facility Termination Date. ARTICLE IV. CONDITIONS PRECEDENT TO CREDIT EXTENSIONS 4.01 Conditions of Initial Credit Extension. The effectiveness of this Agreement and the obligation of each L/C Issuer and each Lender to make its initial Credit Extension hereunder is subject to satisfaction of the following conditions precedent: (a) The Administrative Agent’s receipt of the following, each of which shall be originals, telecopies or “PDFs” (followed promptly by originals) unless otherwise specified, each properly executed by a Responsible Officer of the signing Loan Party, each dated the Closing Date (or, in the case of certificates of governmental officials, a recent date before the Closing Date) and each in form and substance satisfactory to the Administrative Agent and each Lender: (i) executed counterparts of this Agreement, the Guaranties and the applicable Security Instruments, sufficient in number for distribution to the Administrative Agent, each Lender, the Company and the Foreign Borrower; (ii) Notes executed by each of the Borrowers in favor of each Lender that has requested Notes;


 
96 (iii) such certificates, resolutions or other action, incumbency certificates and/or other certificates of Responsible Officers, secretaries or assistant secretaries (or other individuals performing similar functions) of each Loan Party as the Administrative Agent may reasonably require evidencing the identity, authority and capacity of each Responsible Officer thereof authorized to act as a Responsible Officer in connection with this Agreement and the other Loan Documents to which such Loan Party is a party; (iv) such documents and certifications as the Administrative Agent may reasonably require to evidence that each Loan Party is duly organized or formed, and that each of the Loan Parties is validly existing, in good standing or the equivalent thereof (to the extent applicable) and qualified to engage in business in its jurisdiction of incorporation or organization; (v) a favorable opinion of counsel to the Loan Parties including special counsel to the Foreign Borrower in Luxembourg, and special counsel to the Foreign Guarantor in Poland, in each case, addressed to the Administrative Agent and each Lender (and expressly permitting reliance by successors and assigns of the Administrative Agent and each Lender), as to the matters concerning the Loan Parties and the Loan Documents as the Administrative Agent or the Required Lenders may reasonably request; (vi) a certificate of a Responsible Officer of each Loan Party either (A) attaching copies of all consents, licenses and approvals required in connection with the execution, delivery and performance by such Loan Party and the validity against such Loan Party of the Loan Documents to which it is a party, and such consents, licenses and approvals shall be in full force and effect, or (B) stating that no such consents, licenses or approvals are so required; (vii) a certificate for each Company and the Foreign Borrower, as applicable, signed by a Responsible Officer thereof certifying (A) that the conditions specified in Sections 4.02(a) and (b) have been satisfied, (B) that there has been no event or circumstance since the date of the Audited Financial Statements that has had or could be reasonably expected, either individually or in the aggregate, to have a Material Adverse Effect and (C) the current Debt Ratings; and (viii) such other assurances, certificates, documents, consents or opinions as the Administrative Agent, any L/C Issuer, the Swing Line Lender or the Required Lenders reasonably may require. (b) The Administrative Agent shall have received evidence satisfactory to it of the insurance required to be maintained by the Loan Parties pursuant to the Security Agreement. (c) The Administrative Agent shall have received the results of a Lien search (including a search as to judgments and tax matters), in form and substance reasonably satisfactory thereto, made against the Loan Parties under the Uniform Commercial Code (or applicable judicial docket) as in effect in each jurisdiction in which filings or recordations under the Uniform Commercial Code should be made to evidence or perfect security interests in assets of the same type as the Collateral of such Loan Party, indicating among other things that the assets of each such Loan Party are free and clear of any Lien (except for Liens permitted pursuant to Section 7.01). (d) Any fees and expenses required to be paid on or before the Closing Date under the Fee Letters or under any Loan Document shall have been paid. (e) Unless waived by the Administrative Agent, the Company and the Foreign Borrower, as applicable, each shall have paid all fees, charges and disbursements of counsel to the Administrative Agent


 
97 (directly to such counsel if requested by the Administrative Agent) to the extent invoiced prior to or on the Closing Date, plus such additional amounts of such fees, charges and disbursements as shall constitute its reasonable estimate of such fees, charges and disbursements incurred or to be incurred by it through the closing proceedings (provided that such estimate shall not thereafter preclude a final settling of accounts between the Company and the Administrative Agent). (f) The Administrative Agent shall have received a Solvency Certificate signed by a Responsible Officer of the Company as to the Solvency of the Company and its Subsidiaries, both before and after giving effect to the initial Borrowings under the Loan Documents and the other transactions contemplated hereby. (g) At least three (3) Business Days prior to the proposed Closing Date, and upon the reasonable request of any Lender, the Company shall have provided to such Lender, and such Lender shall be reasonably satisfied with, the documentation and other information so requested in connection with applicable “know your customer” and anti-money-laundering rules and regulations, including, without limitation, the Patriot Act, and any Loan Party that qualifies as a “legal entity customer” under the Beneficial Ownership Regulation shall have delivered to each Lender that so requests, a Beneficial Ownership Certification in relation to such Loan Party. (h) Each Lender shall have obtained all applicable licenses, consents, permits and approvals as deemed necessary by such Lender in order to execute and perform the transactions contemplated by the Loan Documents. Without limiting the generality of the provisions of the last paragraph of Section 9.03, for purposes of determining compliance with the conditions specified in this Section 4.01, each Lender that has signed this Agreement shall be deemed to have consented to, approved or accepted or to be satisfied with, each document or other matter required thereunder to be consented to or approved by or acceptable or satisfactory to a Lender unless the Administrative Agent shall have received notice from such Lender prior to the proposed Closing Date specifying its objection thereto. 4.02 Conditions to all Credit Extensions. The obligation of each Lender and the L/C Issuer to honor any Request for Credit Extension (other than a Loan Notice requesting only a conversion of Loans to the other Type, or a continuation of Term SOFR Loans or Alternative Currency Term Rate Loans) is subject to the following conditions precedent: (a) The representations and warranties of (i) the Borrowers contained in Article V and (ii) each Loan Party contained in each other Loan Document or in any document furnished at any time under or in connection herewith or therewith, shall be true and correct in all material respects (except that any representation or warranty that is qualified as to “materiality” or “Material Adverse Effect” shall be true and correct in all respects) on and as of the date of such Credit Extension, except (i) to the extent that such representations and warranties specifically refer to an earlier date, in which case they shall be true and correct in all material respects (except that any representation or warranty that is qualified as to “materiality” or “Material Adverse Effect” shall be true and correct in all respects) as of such earlier date, and (ii) that for purposes of this Section 4.02, the representations and warranties contained in subsections (a) and (b) of Section 5.05 shall be deemed to refer to the most recent statements furnished pursuant to subsections (a) and (b), respectively, of Section 6.01. (b) No Default shall exist, or would result from such proposed Credit Extension or from the application of the proceeds thereof.


 
98 (c) The Administrative Agent and, if applicable, the applicable L/C Issuer or the Swing Line Lender shall have received a Request for Credit Extension in accordance with the requirements hereof. (d) In the case of a Credit Extension to be denominated in an Alternative Currency, such currency remains an Eligible Currency. (e) There shall be no impediment, restriction, limitation or prohibition imposed under Law or by any Governmental Authority, as to the proposed financing under this Agreement or the repayment thereof or as to rights created under any Loan Document or as to application of the proceeds of the realization of any such rights. Each Request for Credit Extension (other than a Loan Notice (x) requesting only a conversion of Loans to the other Type or a continuation of Term SOFR Loans or Alternative Currency Term Rate Loans or (y) deemed submitted pursuant to Section 2.04(c)(i)) submitted by the Company shall be deemed to be a representation and warranty that the conditions specified in Sections 4.02(a) and (b) have been satisfied on and as of the date of the applicable Credit Extension. ARTICLE V. REPRESENTATIONS AND WARRANTIES The Company, as to itself and its Subsidiaries, and the Foreign Borrower solely as to itself and its Subsidiaries, represents and warrants to the Administrative Agent and the Lenders, as of the date made or deemed made, that: 5.01 Existence, Qualification and Power. Each Loan Party and each other Material Subsidiary (a) is duly organized or formed, validly existing and, as applicable, in good standing or the equivalent thereof (to the extent applicable) under the Laws of the jurisdiction of its incorporation, organization or formation, or its place of central administration (head-office), (b) has all requisite power and authority and all requisite governmental licenses, authorizations, consents and approvals to (i) own or lease its assets and carry on its business and (ii) execute, deliver and perform its obligations under the Loan Documents to which it is a party, (c) is duly qualified and is licensed and, as applicable, in good standing or the equivalent thereof (to the extent applicable) under the Laws of each jurisdiction where its ownership, lease or operation of properties or the conduct of its business requires such qualification or license and (d) is in compliance with all Laws; except in each case referred to in clause (b)(i), (c) or (d), to the extent that failure to do so would not reasonably be expected to have a Material Adverse Effect. The copy of the Organization Documents of each Loan Party provided to the Administrative Agent pursuant to the terms of this Agreement is a true and correct copy of each such document, each of which is valid and in full force and effect. 5.02 Authorization; No Contravention. The execution, delivery and performance by each Loan Party of each Loan Document to which such Person is or is to be a party, have been duly authorized by all necessary corporate or other organizational action, and do not and will not (a) contravene the terms of any of such Person’s Organization Documents; (b) conflict with or result in any breach or contravention of, or the creation of (or the requirement to create) any Lien under, or require any payment to be made under (i) any Contractual Obligation to which such Person is a party or affecting such Person or the properties of such Person or any of its Subsidiaries or (ii) any order, injunction, writ or decree of any Governmental Authority or any arbitral award to which such Person or its property is subject; or (c) violate any Applicable Law, except in the case of the preceding clause (b) to the extent that any such violation, conflict, breach, contravention or creation would not reasonably be expected to have a Material Adverse Effect.


 
99 5.03 Governmental Authorization; Other Consents. No approval, consent, exemption, authorization, or other action by, or notice to, or filing with, any Governmental Authority or any other Person is necessary or required in connection with (a) the execution, delivery or performance by, or enforcement against, any Loan Party of this Agreement or any other Loan Document, (b) the grant by any Loan Party of the Liens granted by it pursuant to the Security Instruments, (c) the perfection or maintenance of the Liens created under the Security Instruments (including the first priority nature thereof) or (d) the exercise by the Administrative Agent or any Lender of its rights under the Loan Documents or the remedies in respect of the Collateral pursuant to the Security Instruments, other than (i) authorizations, approvals, actions, notices and filings which have been duly obtained and (ii) filings to perfect the Liens created by the Security Instruments. 5.04 Binding Effect. This Agreement has been, and each other Loan Document, when delivered hereunder, will have been, duly executed and delivered by each Loan Party that is party thereto. This Agreement constitutes, and each other Loan Document when so delivered will constitute, a legal, valid and binding obligation of such Loan Party that is a party thereto, enforceable against each Loan Party that is party thereto in accordance with its terms subject to applicable bankruptcy, solvency, reorganization, moratorium or other laws affecting creditors’ rights generally and subject to general principals of equity. 5.05 Financial Statements; No Material Adverse Effect; Casualty Events. (a) Audited Financial Statements. The Audited Financial Statements (i) were prepared in accordance with GAAP consistently applied throughout the period covered thereby, except as otherwise expressly noted therein; (ii) fairly present the financial condition of the Company and its consolidated Subsidiaries as of the date thereof and their results of operations for the period covered thereby in accordance with GAAP consistently applied throughout the period covered thereby, except as otherwise expressly noted therein; and (iii) show all material indebtedness and other liabilities, direct or contingent, of the Company and its consolidated Subsidiaries as of the date thereof, including liabilities for taxes, material commitments and Indebtedness. (b) Quarterly Financial Statements. The unaudited consolidated balance sheets of the Company and its consolidated Subsidiaries dated May 31, 2022, and the related consolidated statements of income and cash flows for the fiscal quarter ended on that date (i) were prepared in accordance with GAAP consistently applied throughout the period covered thereby, except as otherwise expressly noted therein, and (ii) fairly present the financial condition of the Company and its Subsidiaries as of the date thereof and their results of operations and cash flows for the period covered thereby, subject, in the case of clauses (i) and (ii), to the absence of footnotes and to normal year-end audit adjustments. (c) Since the date of the Audited Financial Statements, there has been no event or circumstance, either individually or in the aggregate, that has had or would reasonably be expected to have a Material Adverse Effect. 5.06 Litigation. There are no actions, suits, proceedings, claims or disputes pending or, to the actual knowledge of the Company, threatened or contemplated, at law, in equity, in arbitration or before any Governmental Authority, by or against the Company or any of its Material Subsidiaries or against any of their respective properties or revenues that (a) purport to pertain to this Agreement or any other Loan Document, or any of the transactions contemplated hereby or (b) either individually or in the aggregate, if determined adversely, would reasonably be expected to have a Material Adverse Effect. 5.07 No Default. Neither the Company nor any Material Subsidiary is in default under or with respect to any Contractual Obligation that would, either individually or in the aggregate, reasonably be


 
100 expected to have a Material Adverse Effect. No Default has occurred and is continuing or would result from the consummation of the transactions contemplated by this Agreement or any other Loan Document. 5.08 Ownership of Property; Liens. Each of the Company and its Material Subsidiaries has good record and indefeasible title to, or valid leasehold interests in, all real property necessary or used in the ordinary conduct of its business, except for such defects in title as would not, individually or in the aggregate, reasonably be expected to have a Material Adverse Effect. The property of the Company and its Material Subsidiaries is subject to no Liens, other than Permitted Liens. 5.09 Environmental Compliance. The Company and its Material Subsidiaries have complied with all Environmental Laws except for any Environmental Liability as a result of any non-compliance therewith which would not, individually or in the aggregate, reasonably be expected to have a Material Adverse Effect. 5.10 Insurance. The properties of the Company and its Material Subsidiaries are insured with financially sound and reputable insurance companies not Affiliates of the Company, in such amounts, with such deductibles and covering such risks as are customarily carried by companies of similar size engaged in similar businesses and owning similar properties in localities where the Company or the applicable Subsidiary operates, except to the extent failure to maintain any such insurance would not reasonably be expect to result in a Material Adverse Effect. 5.11 Taxes. The Company and its Material Subsidiaries have filed all Federal, state and other material tax returns and reports required to be filed, and have paid all Federal, state and other material taxes, assessments, fees and other governmental charges levied or imposed upon them or their properties, income or assets otherwise due and payable, except those which are being contested in good faith by appropriate proceedings diligently conducted and for which adequate reserves have been provided in accordance with GAAP. There is no proposed tax assessment against the Company or any Material Subsidiary that would, if made, have a Material Adverse Effect. 5.12 ERISA Compliance. (a) Each Plan is in compliance in all material respects with the applicable provisions of ERISA, the Code and other federal or state laws. Each Plan that is intended to be a qualified plan under Section 401(a) of the Code has received a favorable determination letter or is subject to a favorable opinion letter from the IRS to the effect that the form of such Plan is qualified under Section 401(a) of the Code, or an application for such a letter is currently being processed by the IRS. To the best knowledge of the Company, nothing has occurred that would prevent or cause the loss of such tax-qualified status. (b) There are no pending or, to the best knowledge of the Company, threatened claims, actions or lawsuits, or action by any Governmental Authority, with respect to any Plan that would reasonably be expected to have a Material Adverse Effect. There has been no non-exempt prohibited transaction or violation of the fiduciary responsibility rules with respect to any Plan that has resulted or would reasonably be expected to result in a Material Adverse Effect. (c) Except as would not reasonably be expected to constitute or result in a Material Adverse Effect (i) no ERISA Event has occurred or is reasonably be expected to occur; (ii) as of the most recent valuation date for any Pension Plan, the funding target attainment percentage (as defined in Section 430(d)(2) of the Code) is 60% or higher, and it is reasonably expected that no such funding target attainment percentage will fall below 60%; (iii) neither the Company nor any ERISA Affiliate has incurred any liability to the PBGC other than for the payment of premiums, and there are no premium payments which have become due that are unpaid; (iv) neither the Company nor any ERISA Affiliate has engaged in a transaction


 
101 that could be subject to Section 4069 or Section 4212(c) of ERISA; and (v) no Pension Plan has been terminated by the plan administrator thereof nor by the PBGC, and no event or circumstance has occurred or exists that could reasonably be expected to cause the PBGC to institute proceedings under Title IV of ERISA to terminate any Pension Plan. (d) Neither the Company nor any ERISA Affiliate maintains or contributes to, or has any unsatisfied obligation to contribute to, or liability under, any active or terminated Pension Plan other than (i) on the Closing Date, those listed on Schedule 5.12 hereto and (ii) thereafter, Pension Plans not otherwise prohibited by this Agreement. (e) The Company represents and warrants as of the Closing Date that the Company is not and will not be using “plan assets” (within the meaning of Section 3(42) of ERISA or otherwise) of one or more Benefit Plans with respect to the Company’s entrance into, participation in, administration of and performance of the Loans, the Letters of Credit, the Commitments or this Agreement. 5.13 Subsidiaries; Equity Interests. (a) Subsidiaries. As of the Closing Date, the Company has no Subsidiaries other than those specifically disclosed in Part (a) of Schedule 5.13, and all of the outstanding Equity Interests in such Subsidiaries have been validly issued, are (as applicable) fully paid (other than, until July 22, 2021, a portion of the purchase price for the Equity Interests owned by the Foreign Guarantor in its wholly owned subsidiary Ecosteel sp. z o.o) and non-assessable and are owned, directly or indirectly, by the applicable Loan Party in the amounts specified on Part (a) of Schedule 5.13 free and clear of all Liens (other than Liens permitted under Section 7.01). As of the Closing Date, the Company owns no Equity Interests in any other corporation or entity other than those specifically disclosed in Part (b) of Schedule 5.13. All of the outstanding Equity Interests in the Company have been validly issued, and are fully paid and non- assessable. Each of the Domestic Guarantors (other than the Company), the Foreign Borrower and the Foreign Guarantor and each Material Subsidiary is identified as such in Part (a) of Schedule 5.13. (b) Loan Parties. Set forth on Part (b) of Schedule 5.13 is a complete and accurate list of all Loan Parties, showing as of the Closing Date, (i) the exact legal name, (ii) any former legal names of such Loan Party in the four (4) months prior to the Closing Date, (iii) the jurisdiction of its incorporation or organization, as applicable, (iv) the type of organization, (v) the jurisdictions in which such Loan Party is qualified to do business, (vi) the address of its chief executive office, (vii) the address of its principal place of business, (viii) its U.S. federal taxpayer identification number or, in the case of any non-U.S. Loan Party that does not have a U.S. taxpayer identification number, its unique identification number issued to it by the jurisdiction of its incorporation or organization, (ix) the organization identification number and (x) ownership information (e.g., publicly held or if private or partnership, the owners and partners of each of the Loan Parties). 5.14 Margin Regulations; Investment Company Act. (a) No Borrower nor any Subsidiary is engaged or will engage, principally or as one of its important activities, in the business of purchasing or carrying margin stock (within the meaning of Regulation U issued by the FRB), or extending credit for the purpose of purchasing or carrying margin stock. Following the application of the proceeds of each Borrowing or drawing under each Letter of Credit, not more than twenty-five percent (25%) of the value of the assets (either of the applicable Borrower only or of the Company and its Subsidiaries on a consolidated basis) subject to the provisions of Section 7.01 or Section 7.05 or subject to any restriction contained in any agreement or instrument between any Borrower and any Lender or any Affiliate of any Lender relating to Indebtedness and within the scope of Section 8.01(e) will be margin stock.


 
102 (b) None of the Company, any Person Controlling the Company or any Subsidiary is or is required to be registered as an “investment company” under the Investment Company Act of 1940. 5.15 Disclosure. The Company has disclosed to the Administrative Agent and the Lenders all agreements, instruments and corporate or other restrictions actually known to the Company to which it or any of its Subsidiaries is subject, and all other matters actually known to it, that would reasonably be expected to result in a Material Adverse Effect. No report, financial statement, certificate or other written information furnished by or on behalf of any Loan Party to the Administrative Agent or any Lender in connection with the transactions contemplated hereby and the negotiation of this Agreement or delivered hereunder or under any other Loan Document (in each case as modified or supplemented by other written information so furnished) contains any material misstatement of fact or omits to state any material fact necessary to make the statements therein, in the light of the circumstances under which they were made, not misleading; provided that, with respect to projected financial information, the Company represents only that such information was prepared in good faith based on assumptions believed to be reasonable at the time. 5.16 Compliance with Laws. Each Loan Party and each Subsidiary thereof is in compliance in all material respects with the requirements of all Applicable Laws and all orders, writs, injunctions and decrees applicable to it or to its properties, except in such instances in which (a) such requirement of Law or order, writ, injunction or decree is being contested in good faith by appropriate proceedings diligently conducted or (b) the failure to comply therewith, either individually or in the aggregate, would not reasonably be expected to have a Material Adverse Effect. 5.17 Intellectual Property; Licenses, Etc. The Company and its Material Subsidiaries own, or possess the right to use, all of the trademarks, service marks, trade names, copyrights, patents, patent rights, trade secrets, know-how, franchises, licenses and other intellectual property rights (collectively, “IP Rights”) that are reasonably necessary for the operation of their respective businesses, without conflict with the rights of any other Person. To the best knowledge of the Company, no slogan or other advertising device, product, process, method, substance, part or other material now employed, or now contemplated to be employed, by the Company or any Subsidiary infringes, misappropriates or otherwise violates upon any rights held by any other Person. No claim or litigation regarding any of the foregoing is pending or, to the best knowledge of the Company, threatened, which, either individually or in the aggregate, could reasonably be expected to have a Material Adverse Effect. To the actual knowledge of the Company, there has been no unauthorized use, access, interruption, modification or corruption of any information stored within the technology assets or owned or used by the Company or any of its Subsidiaries in the past two years, which, either individually or in the aggregate, would reasonably be expected to have a Material Adverse Effect. To the actual knowledge of the Company, there has been no unplanned interruption or malfunction of any information technology assets or systems owned or used by the Company or any of its Subsidiaries in the past two years, which, either individually or in the aggregate, would reasonably be expected to have a Material Adverse Effect. 5.18 Solvency. The Company is, the Foreign Borrower is, and the Company and its Subsidiaries are on a consolidated basis, Solvent. 5.19 Representations as to Foreign Obligors. (a) Each Foreign Obligor is subject to civil and commercial Laws with respect to its obligations under this Agreement and the other Loan Documents to which it is a party (collectively as to such Foreign Obligor, the “Applicable Foreign Obligor Documents”), and the execution, delivery and performance by such Foreign Obligor of the Applicable Foreign Obligor Documents constitute and will constitute private and commercial acts and not public or governmental acts. Neither such Foreign Obligor


 
103 nor any of its property has any immunity from jurisdiction of any court or from any legal process (whether through service or notice, attachment prior to judgment, attachment in aid of execution, execution or otherwise) under the laws of the jurisdiction in which such Foreign Obligor is organized and existing in respect of its obligations under the Applicable Foreign Obligor Documents. (b) The Applicable Foreign Obligor Documents are in proper legal form under the Laws of the jurisdiction in which such Foreign Obligor is organized and existing for the enforcement thereof against such Foreign Obligor under the Laws of such jurisdiction, and to ensure the legality, validity, enforceability, priority or admissibility in evidence of the Applicable Foreign Obligor Documents. It is not necessary to ensure the legality, validity, enforceability, priority or admissibility in evidence of the Applicable Foreign Obligor Documents that the Applicable Foreign Obligor Documents be filed, registered or recorded with, or executed or notarized before, any court or other authority in the jurisdiction in which such Foreign Obligor is organized and existing or that any registration charge or stamp or similar tax be paid on or in respect of the Applicable Foreign Obligor Documents or any other document, except for (i) any such filing, registration, recording, execution or notarization as has been made or is not required to be made until the Applicable Foreign Obligor Document or any other document is sought to be enforced and (ii) any charge or tax as has been timely paid. (c) There is no tax, levy, impost, duty, fee, assessment or other governmental charge, or any deduction or withholding, imposed by any Governmental Authority in or of the jurisdiction in which such Foreign Obligor is organized and existing either (i) on or by virtue of the execution or delivery of the Applicable Foreign Obligor Documents or (ii) on any payment to be made by such Foreign Obligor (other than the Foreign Guarantor) pursuant to the Applicable Foreign Obligor Documents. It is not required under the Laws of the jurisdiction in which any Foreign Obligor (other than the Foreign Guarantor) is incorporated or resident or at the address specified for each Foreign Obligor on Schedule 11.02 to make any deduction for or on account of Tax from any payment it may make under any Loan Document. (d) The execution, delivery and performance of the Applicable Foreign Obligor Documents executed by such Foreign Obligor are, under applicable foreign exchange control regulations of the jurisdiction in which such Foreign Obligor is organized and existing, not subject to any notification or authorization except (i) such as have been made or obtained or (ii) such as cannot be made or obtained until a later date (provided that any notification or authorization described in clause (ii) shall be made or obtained as soon as is reasonably practicable). (e) The choice of the law of the State of Texas as the governing law of the Loan Documents will be recognized and enforced in each Foreign Obligor’s jurisdiction of incorporation subject, where applicable, to the relevant provisions of Regulation (EC) 593/2008 of 17 June 2008 on the law applicable to contractual obligations, and any judgment obtained in Texas in relation to a Loan Document will be recognized and enforced in each Foreign Obligor’s jurisdiction of incorporation. (f) Under the Laws of the jurisdiction in which each Foreign Obligor is incorporated it is not necessary that the Loan Documents be filed, recorded or enrolled with any court or other authority in that jurisdiction or that any stamp, registration or similar tax be paid on or in relation to the Loan Documents or the transactions contemplated by the Loan Documents, except for Luxembourg registration duties (droit d’enregistrement) in case of voluntary registration of the Loan Documents by a Loan Party with the Administration de l’Enregistrement et des Domaines in Luxembourg, or in case the Loan Documents are appended to a document that requires obligatory registration in Luxembourg. According to Luxembourg law, a judgment rendered in respect of the Loan Documents against a Luxembourg Person by a court of competent jurisdiction in the State of Texas would be recognized and enforced by a Luxembourg court, in principle without reconsideration of the merits, in compliance with the enforcement (exequatur) procedures


 
104 set out in articles 678 and seq. of the Luxembourg New Code of Civil Procedure (Nouveau Code de Procédure Civile) subject to the following conditions: (i) the judgment of the foreign court must be enforceable (executoire) in the country in which it was rendered; (ii) the foreign court must have had jurisdiction according to the Luxembourg conflict of jurisdiction rules; (iii) the foreign court must have applied to the matter submitted to it the proper law designated by the Luxembourg conflict of laws rules (although some case law mandates that this condition no longer applies); (iv) the judgment of the foreign court must not have been obtained by fraud, but in compliance with procedural rules of the country in which it was rendered, in particular with regard to the rights of the defendant; and (v) the judgment of the foreign court must not be contrary to Luxembourg international public policy. 5.20 Sanctions Concerns and Anti-Corruption. (a) Sanctions Concerns. Neither Borrower, any Subsidiary of either Borrower or, to the knowledge of the Company, any director, officer, employee, agent, or representative thereof or any other Affiliate of either Borrower, is an individual or entity that is (i) currently the subject or target of any Sanctions, (ii) included on OFAC’s List of Specially Designated Nationals or HMT’s Consolidated List of Financial Sanctions Targets, or any similar list enforced by any other relevant sanctions authority, in each case, that would constitute a violation of applicable Laws or (iii) located, organized or resident in a Designated Jurisdiction. The Company and its Subsidiaries have conducted their businesses in compliance with all applicable Sanctions in jurisdictions in which the Company or any such Subsidiary is domiciled or conducts business and have instituted and maintained policies and procedures reasonably designed to promote and achieve compliance with such Sanctions. (b) Anti-Corruption Laws. The Loan Parties and their Subsidiaries have conducted their business in compliance in all material respects with the United States Foreign Corrupt Practices Act of 1977, the UK Bribery Act 2010 and other applicable anti-corruption legislation in other jurisdictions in which the Company or any such Subsidiary is domiciled or conducts business, and have instituted and maintained policies and procedures reasonably designed to promote and achieve compliance in all material respects with such laws. 5.21 Collateral Representations. The provisions of the Security Instruments are effective to create in favor of the Administrative Agent for the benefit of the Secured Parties a legal, valid and enforceable security interest in all of the applicable Loan Party’s right, title, and interest in and to the Collateral described therein. The security interests granted pursuant to the Security Instruments shall constitute valid and perfected first priority security interests (subject to Permitted Liens) in all of the Collateral to the extent such security interests can be perfected by (i) the filing by the Administrative Agent, for the benefit of the Secured Parties, of UCC financing statements (which are in appropriate form and describe the Collateral) with the appropriate offices in the jurisdiction of organization of each Loan Party of the Collateral with respect to which security interest can be perfected by filing one or more UCC financing statements or (ii) upon the taking of possession,


 
105 delivery or control by the Administrative Agent, for the benefit of the Secured Parties, of the Collateral with respect to which a security interest can be perfected only by possession, delivery or control under the terms of the UCC. Except for filings completed prior to the Closing Date and as contemplated hereby and by the Security Instruments, no filing or other action will be necessary to perfect or protect such Liens. 5.22 Affected Financial Institution. No Loan Party is an Affected Financial Institution. 5.23 Covered Entities. No Loan Party is a Covered Entity. 5.24 Beneficial Ownership Certification. The information included in the Beneficial Ownership Certification, if applicable, is true and correct in all material respects. ARTICLE VI. AFFIRMATIVE COVENANTS So long as any Lender shall have any Commitment hereunder, any Loan or other Obligation (other than contingent indemnification obligations as to which no claim has been asserted) shall remain unpaid or unsatisfied, or any Letter of Credit shall remain outstanding, the Company shall, and shall (except in the case of the covenants set forth in Sections 6.01, 6.02, 6.03, 6.11 and 6.16) cause each Material Subsidiary to: 6.01 Financial Statements. Deliver to the Administrative Agent with sufficient copies for each Lender, in form and detail satisfactory to the Administrative Agent and the Required Lenders: (a) as soon as available and in any event within 5 days after the date that annual financial statements are required to be filed with the SEC, but in no event later than 100 days after the close of each fiscal year, copies of: (i) consolidated balance sheets of the Company and its consolidated Subsidiaries as of the close of such fiscal year; (ii) consolidated statements of income and retained earnings of the Company and its consolidated Subsidiaries for such fiscal year; and (iii) consolidated statements of cash flows of the Company and its consolidated Subsidiaries for such fiscal year, in each case setting forth in comparative form the consolidated figures for the preceding fiscal year, and the Company further agrees to provide with such financial statements information (by business segment) as to the amount charged to amortization and depreciation expense, interest expense, rental expense and capital spending for such fiscal year and the unamortized balance of goodwill as of the end of such fiscal year, all in reasonable detail and accompanied by an unqualified opinion thereon of a public accounting firm of recognized national standing to the effect that the consolidated financial statements present fairly, in all material respects, the consolidated financial position of the Company and its consolidated Subsidiaries as of the end of the fiscal year being reported on and the consolidated results of the operations and cash flows for said year in conformity with GAAP and applicable Securities Laws, without expressing a doubt as to the ability of the Company to continue as a going concern or like qualification or exception or any qualification or exception as to the scope of such audit, and that the examination of such accountants in connection with such financial statements has been conducted in accordance with generally accepted auditing standards and included such tests of the accounting records and such other auditing procedures as said accountants deemed necessary in the circumstances;


 
106 (b) as soon as available and in any event within 5 days after the date that quarterly financial statements are required to be filed with the SEC (excluding the last quarterly fiscal period of each fiscal year), but in no event later than 50 days after the end of each quarterly fiscal period (except the last) of each fiscal year, copies of: (i) consolidated balance sheets of the Company and its consolidated Subsidiaries as of the close of such quarterly fiscal period, and, to the extent available to the Company, setting forth in comparative form the consolidated figures for the corresponding period of the preceding fiscal year; (ii) consolidated statements of income of the Company and its consolidated Subsidiaries for the portion of the fiscal year ending with such quarterly fiscal period, and, to the extent available to the Company, in each case setting forth in comparative form the consolidated figures for the corresponding periods of the preceding fiscal year; and (iii) consolidated statements of cash flows of the Company and its consolidated Subsidiaries for the portion of the fiscal year ending with such quarterly fiscal period, and, to the extent available to the Company, setting forth in comparative form the consolidated figures for the corresponding period of the preceding fiscal year, all in reasonable detail and certified as complete and correct by an authorized financial officer of the Company and the Company further agrees to provide with such financial statements information (by business segment) as to the amount charged to amortization and depreciation expense, interest expense, rental expense and net capital spending, in each case for the periods indicated above and the unamortized balance of goodwill as at the end of the periods indicated above. As to any information contained in materials furnished pursuant to Section 6.02(c), the Company shall not be separately required to furnish such information under subsection (a) or (b) above, but the foregoing shall not be in derogation of the obligation of the Company to furnish the information and materials described in subsections (a) and (b) above at the times specified therein. 6.02 Certificates; Other Information. Deliver to the Administrative Agent, in form and detail satisfactory to the Administrative Agent and the Required Lenders: (a) concurrently with the delivery of the financial statements referred to in Sections 6.01(a) and (b), a duly completed Compliance Certificate signed by a Responsible Officer of the Company; (b) promptly after any request by the Administrative Agent or any Lender, copies of any detailed audit reports of the Company by independent accountants in connection with the accounts or books of the Company or any Subsidiary, or any audit of any of them; (c) promptly after the same are available, copies of each (i) annual report, proxy or financial statement or, at the Administrative Agent’s request, copies of each other report or communication sent to the stockholders of the Company, and copies of all annual, regular, periodic and special reports (including Forms 10K, 10Q and 8K) and registration statements which the Company may file or be required to file with the SEC under Section 13 or 15(d) of the Exchange Act, and not otherwise required to be delivered to the Administrative Agent pursuant hereto and (ii) without duplication, copies of any certifications or affidavits required by the SEC in connection with the filing of Forms 10K, 10Q and 8K;


 
107 (d) promptly, such additional information regarding the business, financial or corporate affairs of the Company or any Subsidiary, or compliance with the terms of the Loan Documents, as the Administrative Agent or any Lender may from time to time reasonably request; (e) promptly following any request therefor, provide information and documentation reasonably requested by the Administrative Agent or any Lender for purposes of compliance with applicable “know your customer” and Anti-Money Laundering Laws, including, without limitation, the Act and the Beneficial Ownership Regulation; and (f) not less than ten (10) days prior (or such later or extended period of time as agreed to by the Administrative Agent) provide notice of any change in (i) any Loan Party’s legal name or jurisdiction of organization or (ii) either Borrower’s organizational existence. Documents required to be delivered pursuant to Section 6.01(a) or (b) or Section 6.02(c) (to the extent any such documents are included in materials otherwise filed with the SEC) may be delivered electronically and if so delivered, shall be deemed to have been delivered on the date (i) on which the Company posts such documents, or provides a link thereto on the Company’s website on the Internet at the website address listed on Schedule 11.02; or (ii) on which such documents are posted on the Company’s behalf on an Internet or intranet website, if any, to which each Lender and the Administrative Agent have access (whether a commercial, third-party website or whether sponsored by the Administrative Agent); provided that the Company shall deliver paper copies of such documents to the Administrative Agent for any Lender that requests the Company to deliver such paper copies until a written request to cease delivering paper copies is given by the Administrative Agent or such Lender. The Administrative Agent shall have no obligation to request the delivery of or to maintain paper copies of the documents referred to above, and in any event shall have no responsibility to monitor compliance by the Company with any such request by a Lender for delivery, and each Lender shall be solely responsible for requesting delivery to it or maintaining its copies of such documents. Each Borrower hereby acknowledges that (a) the Administrative Agent and/or an Affiliate thereof may, but shall not be obligated to, make available to the Lenders and the L/C Issuers materials and/or information provided by or on behalf of such Borrower hereunder (collectively, “Borrower Materials”) by posting the Borrower Materials on IntraLinks, Syndtrak, ClearPar or a substantially similar electronic transmission system (the “Platform”) and (b) certain of the Lenders may have personnel who do not wish to receive material non-public information with respect to the Borrowers, or the securities of the Company (each, a “Public Lender”), and who may be engaged in investment and other market-related activities with respect to the Company’s securities. The Company hereby agrees that so long as the Company is the issuer of any outstanding debt or equity securities that are registered or issued pursuant to a private offering or is actively contemplating issuing any such securities (A) all Borrower Materials that are to be made available to Public Lenders shall be clearly and conspicuously marked “PUBLIC” which, at a minimum, shall mean that the word “PUBLIC” shall appear prominently on the first page thereof; (B) by marking Borrower Materials “PUBLIC,” the Borrowers shall be deemed to have authorized the Administrative Agent, any Affiliate thereof, the Arrangers, the L/C Issuers and the Lenders to treat such Borrower Materials as not containing any material non-public information (although it may be sensitive and proprietary) with respect to the Company or its securities for purposes of United States Federal and state securities laws (provided, however, that to the extent such Borrower Materials constitute confidential Information, they shall be treated as set forth in Section 11.07); (C) all Borrower Materials marked “PUBLIC” are permitted to be made available through a portion of the Platform designated “Public Side Information;” and (D) the Administrative Agent, any Affiliate thereof and the Arrangers shall be entitled to treat any Borrower Materials that are not marked “PUBLIC” as being suitable only for posting on a portion of the Platform not designated “Public Side Information.” Notwithstanding the foregoing, the Borrowers shall be under no obligation to mark any Borrower Materials “PUBLIC.”


 
108 6.03 Notices. Promptly notify the Administrative Agent: (a) of the occurrence of any Default; (b) of any matter that has resulted or would reasonably be expected to result in a Material Adverse Effect, including to the extent any of the following would reasonably be expected to result in a Material Adverse Effect, (i) any breach or non-performance of, or any default (after giving effect to any applicable grace or cure period) under, a Contractual Obligation of the Company or any Subsidiary; (ii) any action, suit, dispute, litigation, investigation, proceeding or suspension involving the Company or any Subsidiary and any Governmental Authority; or (iii) the commencement of, or any material development in, any litigation or proceeding affecting the Company or any Subsidiary, including pursuant to any applicable Environmental Laws; (c) of the occurrence of any ERISA Event that would reasonably be expected to result in liability of the Company in an aggregate amount in excess of $12,500,000; (d) of any material change in accounting policies or financial reporting practices by the Company or any Subsidiary thereof; or (e) of any announcement by Moody’s, S&P or Fitch of any change in a Debt Rating. Each notice pursuant to this Section shall be accompanied by a statement of a Responsible Officer of the Company setting forth details of the occurrence referred to therein and to the extent applicable stating what action the Company has taken and proposes to take with respect thereto. Each notice pursuant to Section 6.03(a) shall describe with particularity any and all provisions of this Agreement and any other Loan Document that have been breached. 6.04 Payment of Obligations. Pay and discharge as the same shall become due and payable, all its material obligations and liabilities, including (a) all material tax liabilities, assessments and governmental charges or levies upon it or its properties or assets, unless the same are being contested in good faith by appropriate proceedings diligently conducted and adequate reserves in accordance with GAAP are being maintained by the Company or such Material Subsidiary; (b) all lawful claims which, if unpaid, would by Law become a Lien upon its property, unless the same are being contested in good faith by appropriate proceedings diligently conducted and adequate reserves in accordance with GAAP are being maintained by the Company or such Material Subsidiary; and (c) all Indebtedness with a principal obligation of not less than $10,000,000, as and when due and payable, but subject to any subordination provisions contained in any instrument or agreement evidencing such Indebtedness. 6.05 Preservation of Existence, Etc. (a) Preserve, renew and maintain in full force and effect its legal existence and good standing under the Laws of the jurisdiction of its organization except in a transaction permitted by Section 7.04 or 7.05; (b) take all reasonable action to maintain all rights, privileges, permits, licenses and franchises necessary or desirable in the normal conduct of its business, except to the extent that failure to do so would not reasonably be expected to have a Material Adverse Effect; and (c) preserve or renew all of its registered patents, trademarks, trade names and service marks, the non- preservation of which would reasonably be expected to have a Material Adverse Effect. 6.06 Maintenance of Properties. (a) Maintain, preserve and protect all of its material properties and equipment used in the operation of its business in good working order and condition, ordinary wear and tear excepted and except in connection with transactions permitted by Section 7.05; and (b) make all necessary repairs thereto and renewals and replacements thereof except where the failure to do so would not reasonably be expected to have a Material Adverse Effect.


 
109 6.07 Maintenance of Insurance. (a) Maintenance of Insurance. Maintain with financially sound and reputable insurance companies not Affiliates of the Company, insurance with respect to its properties and business against loss or damage of the kinds customarily insured against by Persons engaged in the same or similar business, of such types and in such amounts as are customarily carried under similar circumstances by such other Persons. (b) Evidence of Insurance. Cause the Administrative Agent to be named as lenders’ loss payable or loss payee, as its interest may appear, and/or additional insured with respect of any such insurance providing liability coverage or coverage in respect of any Collateral. Annually, upon expiration of current insurance coverage, within a reasonable period of time, the Loan Parties shall provide, or cause to be provided, to the Administrative Agent, such evidence of insurance as reasonably required by the Administrative Agent. As requested by the Administrative Agent, the Loan Parties agree to deliver to the Administrative Agent an Authorization to Share Insurance Information; provided that Administrative Agent shall only directly communicate with a Loan Party’s insurance company or agent pursuant to such Authorization to Share Insurance Information if the Company fails to provide the information required by this Section 6.07(b) within five (5) days of written request therefor by Administrative Agent. 6.08 Compliance with Laws. Comply in all material respects with the requirements of all Applicable Laws and all orders, writs, injunctions and decrees applicable to it or to its business or property, except in such instances in which (a) such requirement of Law or order, writ, injunction or decree is being contested in good faith by appropriate proceedings diligently conducted; or (b) the failure to comply therewith would not reasonably be expected to have a Material Adverse Effect. 6.09 Books and Records. (a) Maintain proper books of record and account, in which full, true and correct entries in conformity with GAAP, consistently applied shall be made of all financial transactions and matters involving the assets and business of the Company or such Material Subsidiary, as the case may be; and (b) maintain such books of record and account in material conformity with all applicable requirements of any Governmental Authority having regulatory jurisdiction over the Company or such Material Subsidiary, as the case may be. 6.10 Inspection Rights. Permit representatives and independent contractors of the Administrative Agent, on behalf of Lenders, to visit and inspect any of its properties, to examine its corporate, financial and operating records, and make copies thereof or abstracts therefrom, and to discuss its affairs, finances and accounts with its officers and independent public accountants, in each case as reasonably necessary, and all at such reasonable times during normal business hours and as often as may be reasonably desired, upon reasonable advance notice (which notice shall include the subject matter of the proposed inspection, examination or discussion) to the Company; provided, however, that when an Event of Default exists the Administrative Agent or any Lender (or any of their respective representatives or independent contractors) may do any of the foregoing at the expense of the Company at any time during normal business hours upon no less than two days advance notice. 6.11 Use of Proceeds. Use the proceeds of the Credit Extensions for general corporate purposes not in contravention of any Law or of any Loan Document. 6.12 Compliance with Environmental Laws. Except, in each case, to the extent that the failure to do so would not reasonably be expected to have, individually or in the aggregate, a Material Adverse Effect, (a) comply, and take all reasonable actions to cause any lessees and other Persons operating or occupying its properties to comply, with all applicable Environmental Laws and Environmental Permits; (b) obtain and renew all Environmental Permits necessary for its operations and properties; and (c) in each


 
110 case to the extent required by applicable Environmental Laws, conduct any investigation, study, sampling and testing, and undertake any cleanup, removal, remedial or other action necessary to remove and clean up all Hazardous Materials from any of its properties, in accordance with the requirements of all applicable Environmental Laws. 6.13 Approvals and Authorizations. Maintain all authorizations, consents, approvals and licenses from, exemptions of, and filings and registrations with, each Governmental Authority of the jurisdiction in which each Foreign Obligor is organized and existing, and all approvals and consents of each other Person in such jurisdiction, in each case that are necessary to maintain the enforceability of, and the practical realization by the Secured Parties of the intended benefit of, the applicable Loan Documents against such Foreign Obligors. 6.14 Notices Regarding Subsidiaries; Covenant to Guarantee and Give Security; Scope of Collateral. (a) Notices and Information. Provide notice to the Administrative Agent (i) no later than 15 days after the date on which any Person becomes, as a result of formation or acquisition, a Domestic Subsidiary that is not a Domestic Guarantor but is a Material Subsidiary (other than by virtue of clause (ii) of the proviso contained in the definition of “Material Subsidiary”) and (ii) no later than 30 days after the delivery of each Compliance Certificate of any Domestic Subsidiary that is not a Domestic Guarantor but is as of the last day of the fiscal quarter for which such Compliance Certificate was delivered a Material Subsidiary. (b) Domestic Guarantors and Collateral. Within 30 days (or such later time as may be determined by the Administrative Agent in its sole discretion) after the date any notice is provided, or is required to be provided, pursuant to Section 6.14(a)(i) or (ii) above, if any relevant Person is an indirect or direct Domestic Subsidiary that is a Material Subsidiary, cause such Domestic Subsidiary to (as applicable): (i) become a Domestic Guarantor by execution and delivery to the Administrative Agent of a joinder agreement in the form provided in the Domestic Guaranty or in such other form as is reasonably acceptable to the Administrative Agent; (ii) except during a Collateral Release Period, grant a security interest in all of its assets of the type constituting, or required to constitute, Collateral (subject to the exceptions contained in the applicable Security Instruments) owned by such Domestic Subsidiary by execution and delivery to the Administrative Agent of a supplement or joinder agreement in the form provided in the applicable Security Instrument or in such other form as is reasonably acceptable to the Administrative Agent; and (iii) in furtherance of clauses (i) and (ii) above, deliver to the Administrative Agent for the benefit of the Secured Parties, (A) such other document or documents as the Administrative Agent shall reasonably deem appropriate to effect the purposes set forth in such clauses, (B) such documents and certificates referred to in Section 4.01 (including, without limitation, legal opinions) as may be reasonably requested by the Administrative Agent, (C) except during a Collateral Release Period, such original Collateral (together with transfer powers) and other items as may be required to be delivered hereunder and under the terms of the applicable Security Instruments, (D) updated schedules to the Loan Documents if, and as, requested by the Administrative Agent and (E) such other documents as may be reasonably requested by the Administrative Agent, all in form, content and scope reasonably satisfactory to the Administrative Agent.


 
111 (c) Scope of Collateral Application. Notwithstanding anything to the contrary in this Agreement or in any other Loan Document, the Administrative Agent, the L/C Issuers, the Swing Line Lender and the Lenders agree and acknowledge, for the avoidance of doubt, that (i) the Foreign Borrower shall be liable only for repayment of Loans that are made to it, in its capacity as a Borrower hereunder and (ii) the Foreign Guaranty shall only guaranty repayment of the Foreign Obligations. 6.15 Further Assurances. Promptly upon the written request by the Administrative Agent (which may act at the request of any Lender), the Company or the applicable Loan Party shall (a) correct any material defect or error that may be discovered in any Loan Document or in the execution, acknowledgment, filing or recordation thereof, and (b) do, execute, acknowledge, deliver, record, re-record, file, re-file, register and re-register any and all such further acts, deeds, certificates, assurances and other instruments as the Administrative Agent, may reasonably require from time to time in order to (i) carry out more effectively the purposes of the Loan Documents, (ii) except during a Collateral Release Period, to the fullest extent permitted by applicable Laws, subject any Loan Party’s or any of its Subsidiaries’ properties, assets, rights or interests to the Liens now or hereafter intended to be covered by any of the Security Instruments, (iii) except during a Collateral Release Period, perfect and maintain the validity, effectiveness and priority of any of the Security Instruments and any of the Liens intended to be created thereunder in accordance with the applicable terms of the Security Instruments and (iv) except during a Collateral Release Period, assure, convey, grant, assign, transfer, preserve, protect and confirm more effectively unto the Secured Parties the rights granted or now or hereafter intended to be granted to the Secured Parties under any Loan Document or under any other instrument executed in connection with any Loan Document to which any Loan Party or any of its Subsidiaries is or is to be a party, and cause each of its Subsidiaries to do so. Each Loan Party shall make, execute or endorse, and acknowledge and deliver or file or cause the same to be done, all such vouchers, invoices, notices, certifications, and additional agreements, undertakings, conveyances, transfers, assignments, financing statements, or other assurances, and shall take any and all such other action, as the Administrative Agent may, from time to time, and acting reasonably, deem necessary in connection with this Agreement or any of the other Loan Documents, the obligations of such Loan Party hereunder or thereunder for better assuring and confirming unto the Secured Parties all or any part of the Collateral for any of such obligations. 6.16 Corporate Ratings. Use commercially reasonable efforts to maintain at all times a Debt Rating from at least two of the following three rating agencies: Moody’s, S&P and Fitch (or, if one of the ratings is not available or cannot be obtained by using commercially reasonable efforts, use commercially reasonable efforts to obtain a similar type rating from another rating agency reasonably acceptable to the Administrative Agent). 6.17 Post-Closing Matters. Execute and deliver the documents and complete the tasks set forth on Schedule 6.17, in each case within the time limits specified therefor on such schedule (as such time periods may be extended by the Administrative Agent in its sole discretion). 6.18 Pari Passu Ranking. Ensure that the payment obligations of the Loan Parties under the Loan Documents rank and continue to rank at least pari passu with the claims of all of the Loan Parties’ other unsecured and unsubordinated creditors, except for obligations mandatorily preferred by Law applying to companies generally. 6.19 Anti-Money Laundering Laws; Anti-Corruption Laws. Conduct its business in compliance in all material respects with the United States Foreign Corrupt Practices Act of 1977, the UK Bribery Act 2010 and other applicable anti-corruption legislation in other jurisdictions in which the Company or any such Material Subsidiary is domiciled or conducts business and with all applicable Sanctions in such jurisdictions, and maintain policies and procedures reasonably designed to promote and achieve compliance with such laws and Sanctions.


 
112 ARTICLE VII. NEGATIVE COVENANTS So long as any Lender shall have any Commitment hereunder, any Loan or other Obligation (other than contingent indemnification obligations as to which no claim has been asserted) shall remain unpaid or unsatisfied, or any Letter of Credit shall remain outstanding: 7.01 Liens. The Company shall not, nor shall it permit any Subsidiary to, directly or indirectly, create, incur, assume or suffer to exist any Lien upon any of its property, assets or revenues, whether now owned or hereafter acquired, other than the following (“Permitted Liens”): (a) Liens for property taxes and assessments or governmental charges or levies and Liens securing claims or demands of mechanics and materialmen, if payment thereof is not at the time required by Section 6.04; (b) Liens of or resulting from any judgment or award, the time for the appeal or petition for rehearing of which shall not have expired, or in respect of which the Company or a Subsidiary shall at any time in good faith be prosecuting an appeal or proceeding for a review and in respect of which a stay of execution pending such appeal or proceeding for review shall have been secured or which are covered by insurance and which are removed within 60 days after attachment; provided the aggregate amount of such judgments and awards shall not exceed $10,000,000; (c) Liens incidental to the conduct of business or the ownership of properties and assets (including Liens in connection with worker’s compensation, unemployment insurance and other like laws, warehousemen’s and attorneys’ liens and statutory landlords’ liens, but excluding any Lien imposed by ERISA) and Liens to secure the performance of bids, tenders or trade contracts, or to secure statutory obligations, surety or appeal bonds or other Liens of like general nature incurred in the ordinary course of business and not in connection with the borrowing of money, if in each case, the obligation secured is not overdue or, if overdue, is being contested in good faith by appropriate actions or proceedings; (d) Liens securing Indebtedness of a Subsidiary to the Company or to a Material Domestic Subsidiary; (e) Liens existing as of the Closing Date and reflected in Schedule 7.01 and any extension, renewal or replacement of such liens in connection with the extension, renewal or refunding of the Indebtedness secured thereby, provided (i) the principal amount of such Indebtedness is not increased, other than through the capitalization of accrued interest, and (ii) such extension, renewal or replacement shall be limited to all or any part of the same property that secured the Lien extended, renewed or replaced (together with improvements on such property); (f) Liens incurred after the Closing Date given to secure the payment of the purchase price incurred in connection with the acquisition, alteration or improvement of fixed assets useful and intended to be used in carrying on the business of the Company or a Subsidiary (and any renewals or extensions of any Indebtedness so secured), including Liens existing on such fixed assets at the time of acquisition thereof or at the time of acquisition by the Company or a Subsidiary of any business entity then owning such fixed assets, whether or not such existing Liens were given to secure the payment of the purchase price of the fixed assets to which they attach so long as they were not incurred, extended or renewed in contemplation of such acquisition, provided (i) the Lien shall attach solely to the fixed assets acquired, altered or improved and (ii) at the time of acquisition, alteration or improvement of such fixed assets, the aggregate amount remaining unpaid on all Indebtedness secured by Liens on such fixed assets whether or not assumed by the Company or a Subsidiary shall not exceed an amount equal to the lesser of the total cost of such acquisition,


 
113 alteration or improvement or fair market value at the time of acquisition, alteration or improvement of such fixed assets (as determined in good faith by the Board of Directors of the Company); (g) Liens on Receivables and Related Assets arising under Permitted Receivables Financing permitted under Section 7.03(k), provided that any such Lien shall only apply to Receivables of the Company or any applicable Subsidiary purported to be transferred to a Receivables Financing Subsidiary or another applicable Person in accordance with the applicable Permitted Receivables Financing and the Related Assets with respect thereto. (h) Liens on the assets of CMC Poland Sp. z o.o., a Polish limited liability company, in an amount not to exceed $50,000,000 in the aggregate, provided that such Liens are non-recourse to the Company and its other Subsidiaries; (i) Liens pursuant to any Loan Document; (j) Liens against proceeds of the New Markets Tax Credit Transactions or any reserve or disbursement accounts holding such proceeds granted in connection with any New Markets Tax Credit Transactions; and (k) Liens in addition to those permitted by the foregoing clauses (a) through (i), provided at the time of the creation of any such Lien and after giving effect thereto and to the application of the proceeds of any Indebtedness secured thereby, the aggregate amount of all Indebtedness secured by such Liens does not exceed 12.5% of Consolidated Net Worth; provided that, notwithstanding anything to the contrary in this Section, none of the foregoing provisions of this Section 7.01 (other than clause (i) above) shall permit any Lien to exist on assets that constitute or would constitute Collateral if a Collateral Event was to take place. 7.02 Investments. The Company shall not, and shall not permit any Material Subsidiary to, make any Investments, except: (a) Investments held by the Company or any Subsidiary in the form of Cash and Cash Equivalents; (b) loans and advances to (i) employees of the Company and Subsidiaries in the ordinary course of business and (ii) Subsidiaries in the ordinary course of business; provided if any loans or advances under this clause (ii) are owing by a Loan Party to a Subsidiary that is not a Loan Party, the repayment thereof shall be subordinated to the Obligations in a manner reasonably satisfactory to the Administrative Agent; (c) Investments consisting of extensions of credit in the nature of accounts receivable or notes receivable arising from the grant of trade credit in the ordinary course of business, and Investments received in satisfaction or partial satisfaction thereof from financially troubled account debtors, and Investments consisting of prepayments to suppliers in the ordinary course of business and consistent with past practice; (d) Guarantees permitted by Section 7.03; (e) Investments existing as of the Closing Date and listed on Schedule 7.02; (f) Permitted Acquisitions;


 
114 (g) so long as no Default shall have occurred and be continuing or would result therefrom, Investments (other than a hostile acquisition) of the Company or any of its Subsidiaries in an aggregate amount that, when combined with all other Investments previously made pursuant to this clause (g) does not exceed 10% of Consolidated Assets; (h) deposits made in the ordinary course of business to secure the performance of leases or other obligations; (i) Swap Contracts permitted pursuant to Section 7.03; (j) Investments (including debt obligations and Equity Interests) received in connection with the bankruptcy or reorganization of suppliers and customers or in settlement of delinquent obligations of, or other disputes with, customers and suppliers arising in the ordinary course of business or upon the foreclosure (or other transfer of title in lieu of foreclosure) with respect to any secured Investment; (k) Investments arising out of the receipt by the Company or any Subsidiary of non-cash consideration for the Disposition of assets permitted under Section 7.05; (l) Investments represented by Guarantees by the Company or any of its Subsidiaries of operating leases or of other obligations that do not constitute Indebtedness, in each case, entered into in the ordinary course of business; (m) extensions of trade credit in the ordinary course of business and consistent with customary credit practices and policies; (n) Investments in the ordinary course of business consisting of endorsements for collection or deposit; and (o) Investments in respect of New Markets Tax Credit Transactions, the net amount of which shall not exceed an aggregate amount of Five Hundred Million ($500,000,000) US Dollars. 7.03 Indebtedness. The Company shall not, and shall not permit any Subsidiary to, create, incur, assume or suffer to exist any Indebtedness, except: (a) Indebtedness under the Loan Documents; (b) Indebtedness outstanding on the date hereof and listed on Schedule 7.03 and any Refinancing Indebtedness in respect thereof; (c) Guarantees of the Company or any Subsidiary in respect of Indebtedness otherwise permitted hereunder; (d) obligations (contingent or otherwise) of the Company or any Subsidiary existing or arising under any Swap Contract, provided that (i) such obligations are (or were) entered into by such Person in the ordinary course of business for the purpose of mitigating risks associated with liabilities, commitments, investments, assets, or property held or reasonably anticipated by such Person, or changes in the value of securities issued by such Person, and not for purposes of speculation or taking a “market view;” and (ii) such Swap Contract does not contain any provision exonerating the non-defaulting party from its obligation to make payments on outstanding transactions to the defaulting party;


 
115 (e) unsecured intercompany Indebtedness owed by the Company or any Subsidiary to (i) the Company, (ii) any other Loan Party or (iii) any Subsidiary that is not a Loan Party; provided if Indebtedness arising under clause (iii) is owing by a Loan Party, it is subordinated to the Obligations in a manner reasonably satisfactory to the Administrative Agent; (f) Indebtedness in respect of capital leases, Synthetic Lease Obligations and purchase money obligations for fixed or capital assets within the limitations set forth in Section 7.01(f) and Refinancing Indebtedness in respect of such Indebtedness; provided that (i) at the time of incurrence thereof, no Default has occurred and is continuing or would result from the incurrence of such Indebtedness immediately following the incurrence of such Indebtedness; and (ii) immediately before and immediately after giving pro forma effect to the incurrence of such Indebtedness the Company and its Subsidiaries shall be in compliance with each of the financial covenants contained in Sections 7.10 and 7.11; (g) other Indebtedness; provided that (i) at the time of incurrence thereof, no Default has occurred and is continuing or would result from the incurrence of such Indebtedness immediately following the incurrence of such Indebtedness; (ii) immediately before and immediately after giving pro forma effect to the incurrence of such Indebtedness, the Company and its Subsidiaries shall be in compliance with each of the financial covenants contained in Sections 7.10 and 7.11; (iii) such Indebtedness shall not be scheduled to mature prior to the Maturity Date and shall not have a weighted average life to maturity (as reasonably determined by the Administrative Agent in accordance with customary financial practice) that is shorter than the remaining term of the Commitments; and (iv) if such Indebtedness is secured, the aggregate amount of such secured Indebtedness does not exceed the amount permitted pursuant to Section 7.01(k); (h) Indebtedness under or in respect of Cash Management Agreements; (i) Indebtedness arising from the honoring by a bank or other financial institution of a check, draft or other similar instrument drawn against insufficient funds in the ordinary course of business; (j) Indebtedness under letters of credit, performance bonds, surety bonds, release, appeal and similar bonds, statutory obligations or with respect to workers’ compensation claims, in each case incurred in the ordinary course of business, and reimbursement obligations in respect of any of the foregoing (including in respect of letters of credit issued in support of any of the foregoing); (k) Indebtedness in respect of Permitted Receivables Financings of the Company and/or its Domestic Subsidiaries, Indebtedness in respect of Permitted Receivables Financings of Foreign Subsidiaries and unsecured Indebtedness of Foreign Subsidiaries, so long as the aggregate outstanding amount of all Permitted Receivables Financing including Receivables and Related Assets, and all unsecured Indebtedness of Foreign Subsidiaries shall not exceed $550,000,000 at any time; (l) other unsecured Indebtedness (excluding such Indebtedness of Foreign Subsidiaries); provided that (i) at the time of the incurrence thereof, no Default has occurred and is continuing or would result from the incurrence of such Indebtedness immediately following the incurrence of such Indebtedness; (ii) immediately before and immediately after giving pro forma effect to the incurrence of such Indebtedness, the Company and its Subsidiaries shall be in compliance with each of the financial covenants contained in Sections 7.10 and 7.11; and (iii) at the time of the incurrence thereof, the outstanding aggregate principal amount of such Indebtedness shall not exceed 10% of Consolidated Assets; and (m) Indebtedness under or in respect of Trade Documents.


 
116 7.04 Fundamental Changes. The Company shall not, nor shall it permit any Material Subsidiary to, merge, dissolve, liquidate, consolidate with or into another Person, or Dispose of (whether in one transaction or in a series of transactions) all or substantially all of its assets (whether now owned or hereafter acquired) to or in favor of any Person, except that, so long as no Default exists or would result therefrom: (a) any Subsidiary may merge with (i) the Company, provided that the Company shall be the continuing or surviving Person, or (ii) any one or more other Subsidiaries, provided that each of the following must be satisfied: (i) when the Foreign Borrower is merging with another Subsidiary the continuing or surviving Person shall be the Foreign Borrower; or (ii) when any Guarantor is merging with another Subsidiary, (1) the continuing or surviving person shall be (x) such Guarantor or (y) become a Guarantor substantially simultaneously with such merger and (in the case of this clause (y)) assume all of the obligations of the non-surviving or non-continuing Guarantor pursuant to documentation (including, if reasonably requested by the Administrative Agent, legal opinions) in form and substance reasonably satisfactory to the Administrative Agent and (2) if either party is a Domestic Guarantor, the continuing or surviving Person shall be or become a Domestic Guarantor; and (b) any Subsidiary may Dispose of all or substantially all of its assets (upon voluntary liquidation or otherwise) to the Company or to any other Subsidiary; provided that if the transferor in such a transaction is a Guarantor, then the transferee must either be the Company or a Guarantor. 7.05 Dispositions. The Company shall not, and shall not permit any Material Subsidiary to make any Disposition, except: (a) Dispositions of obsolete or worn out property in the ordinary course of business; (b) Dispositions of inventory and Cash and Cash Equivalents in the ordinary course of business; (c) Dispositions of property by any Subsidiary to the Company or to another Subsidiary; provided that if the transferor of such property is a Guarantor, the transferee thereof must either be the Company or a Guarantor; (d) Dispositions in which the Net Proceeds thereof are used 365 days prior to or 365 days after such Disposition to purchase assets useful in the business of the Company and its Material Subsidiaries; (e) Dispositions of Receivables and Related Assets pursuant to a Permitted Receivables Financing in accordance with the terms thereof; and (f) Dispositions other than those otherwise specifically permitted pursuant to clauses (a) through (e) above, provided that the aggregate book value of assets Disposed of during any fiscal year may not exceed 15% of Consolidated Assets determined as of the last day of the immediately preceding fiscal year; Provided, however, notwithstanding anything above to the contrary, in no event shall any Disposition be less than for full, fair and reasonable consideration.


 
117 7.06 Change in Nature of Business. The Company shall not, and shall not permit any Subsidiary to, engage in any material line of business substantially different from those lines of business conducted by the Company and its Subsidiaries on the date hereof or any business substantially related or incidental thereto. 7.07 Transactions with Affiliates. The Company shall not, and shall not permit any Material Subsidiary to, enter into or be a party to any transaction or arrangement with any Affiliate (including the purchase from, sale to or exchange of property with, or the rendering of any service by or for, any Affiliate), except in the ordinary course of, and pursuant to the reasonable requirements of the Company’s or such Material Subsidiary’s business and upon fair and reasonable terms no less favorable to the Company or such Material Subsidiary than would obtain in a comparable arm’s length transaction with a Person other than an Affiliate; provided, however, (i) the Company may make charitable contributions to any tax-exempt entity under Section 501(c)(3) of the Code, in an amount up to 5% of the Company’s pre-tax profit in any fiscal year and (ii) the Company and its Subsidiaries may enter into and perform their respective obligations, subject to the limitations set forth in this Agreement, under and pursuant to New Markets Tax Credit Transactions; provided that the aggregate principal amount of all such New Market Tax Credit Transactions does not exceed $500,000,000. 7.08 Burdensome Agreements. The Company shall not, nor shall it permit any Material Subsidiary to, enter into any Contractual Obligation (other than this Agreement or any other Loan Document) that (a) limits the ability (i) of any Material Subsidiary to declare or pay dividends to the Company or to otherwise transfer property to the Company, or (ii) of the Company or any Subsidiary to create, incur, assume or suffer to exist Liens on property of such Person; provided, however, that this clause (ii) shall not prohibit any negative pledge or restriction on transfer incurred or provided in favor of any holder of Indebtedness solely to the extent any such negative pledge or restriction on transfer relates to the property financed by or the subject of such Indebtedness; or (b) requires the grant of a Lien to secure an obligation of such Person if a Lien is granted to secure another obligation of such Person; provided that the foregoing clauses (a)(ii) and (b) shall not prohibit any such Contractual Obligation in favor of a holder of Indebtedness pursuant to the 2013 Indenture or the holder of any Indebtedness under any agreement on terms substantially similar to or less restrictive than the 2013 Indenture. 7.09 Use of Proceeds. The Company shall not, nor shall it permit any Subsidiary to, use the proceeds of any Credit Extension, whether directly or indirectly, and whether immediately, incidentally or ultimately, to purchase or carry margin stock (within the meaning of Regulation U of the FRB) or to extend credit to others for the purpose of purchasing or carrying margin stock or to refund indebtedness originally incurred for such purpose. 7.10 Interest Coverage Ratio. The Company shall not permit the Interest Coverage Ratio to be less than 2.50 to 1.00 at any time. 7.11 Debt to Capitalization Ratio. The Company shall not permit the Debt to Capitalization Ratio to be greater than 0.60 to 1.00 at any time. 7.12 Accounting Changes. The Company shall not, and shall not suffer or permit any Material Subsidiary to, make any significant change in accounting treatment or reporting practices, except as required or permitted by GAAP or any Governmental Authority, as applicable, or change the fiscal year of the Company or of any Material Subsidiary. 7.13 Speculative Hedges. The Company will not, and will not permit any Material Subsidiary to, enter into any interest rate protection agreement, foreign currency exchange agreement, commodity price protection agreement or other interest, currency exchange rate or commodity price hedging agreement


 
118 except those entered into with the intention to hedge or mitigate risks to which the Company or such Material Subsidiary is exposed in the conduct of its business or the management of its liabilities. 7.14 Restricted Payments. The Company shall not, nor shall it permit any Material Subsidiary to, declare or make, directly or indirectly, any Restricted Payment, or incur any obligation (contingent or otherwise) to do so, except that, so long as no Default shall have occurred and be continuing at the time of any action described below or would result therefrom: (a) each Subsidiary may make dividends or distributions to the Company, the Guarantors, another Subsidiary and any other Person that owns an Equity Interest in such Subsidiary, ratably according to their respective holdings of the type of Equity Interest in respect of which such Restricted Payment is being made; (b) the Company and each Subsidiary may declare and make dividend payments or other distributions payable solely in Equity Interests (other than Redeemable Stock) of such Person; (c) the Company and each Subsidiary may purchase, redeem or otherwise acquire Equity Interests issued by it with the proceeds received from the substantially concurrent issue of new shares of its Equity Interests (other than Redeemable Stock); and (d) the Company and its Subsidiaries may pay dividends, make other distributions and/or purchase, redeem or otherwise acquire Equity Interests issued by it so long as such dividends, distributions, purchases, redemptions or acquisitions of or in respect of Equity Interests in the aggregate since the Closing Date do not exceed the Available Basket Amount at such time. 7.15 Organizational Documents. The Company shall not, and shall not permit any Material Subsidiary to, amend, modify or change any Organization Document of any Loan Party in any manner that materially and adversely affects the rights and interests of the Secured Parties under the Loan Documents or the rights and interests of the Secured Parties with respect to the Collateral. 7.16 Anti-Money Laundering Laws; Anti-Corruption Laws. The Company shall not, nor shall it permit any Subsidiary to: (a) directly, or, to the Company’s knowledge after due investigation, indirectly, use any Credit Extension or the proceeds of any Credit Extension, or lend, contribute or otherwise make available such Credit Extension or the proceeds of any Credit Extension to any Person, to fund any activities of or business with any Person, that, at the time of such funding, is the subject of Sanctions, or in any other manner that will result in a violation by any Person that is a party to this Agreement (including any Person participating in this transaction, whether as Lender, Arranger, Administrative Agent, L/C Issuer, Swing Line Lender, or otherwise) or Subsidiaries of the Company of Sanctions; or (b) directly, or, to the Company’s knowledge after due investigation, indirectly, use any Credit Extension or the proceeds of any Credit Extension for any purpose which would breach the United States Foreign Corrupt Practices Act of 1977, the UK Bribery Act 2010 and other similar anti-corruption legislation in other jurisdictions in which the Company or any such Subsidiary is domiciled or conducts business. It is acknowledged and agreed that the representations, covenants and undertakings (as applicable) set out in Sections 5.20, 6.19 and 7.16 are only sought and given with respect to any natural or legal person resident or incorporated in the European Union to the extent permissible pursuant to (i) any provision of Council Regulation (EC) No. 2271/1996 of 22 November 1996 (or any law or regulation implementing such


 
119 Regulation in any member state of the European Union) as amended, supplemented or otherwise altered from time to time, or (ii) any similar blocking or anti-boycott law. ARTICLE VIII. EVENTS OF DEFAULT AND REMEDIES 8.01 Events of Default. Any of the following shall constitute an event of default (each, an “Event of Default”): (a) Non-Payment. The Company, the Foreign Borrower or any other Loan Party, as applicable, (i) fails to pay (x) when and as required to be paid herein and in the currency required hereunder, any amount of principal of any Loan or any L/C Obligation, or (y) the earlier of (A) five calendar days or (B) three Business Days after notice, that the same becomes due, any interest on any Loan or on any L/C Obligation, or any commitment fee or any other fees or amounts due hereunder or under any other Loan Document or (ii) fails to deposit the earlier of (A) five calendar days or (B) three Business Days after notice, that the same becomes required to be deposited, any funds as Cash Collateral in respect of L/C Obligations; or (b) Specific Covenants. The Company or any of its Subsidiaries, or the Foreign Borrower, as applicable, fails to perform or observe any term, covenant or agreement contained in any of Section 6.03, 6.05, 6.10, 6.11, 6.14, 6.15, 6.17 or Article VII; or (c) Other Defaults. The Company or any of its Subsidiaries, or the Foreign Borrower, as applicable, fails to perform or observe any other covenant or agreement (not specified in subsection (a) or (b) above) contained in any Loan Document on its part to be performed or observed and such failure continues for 30 days after the earlier of (i) the date upon which a Responsible Officer knew or reasonably should have known of such failure or (ii) the date upon which written notice thereof is given to the Company by the Administrative Agent or any Lender; or (d) Representations and Warranties. Any representation, warranty, certification or statement of fact made or deemed made by or on behalf of the Company or any Subsidiary, or the Foreign Borrower, as applicable, herein, in any other Loan Document, or in any document delivered in connection herewith or therewith shall be incorrect or misleading in any material respect when made or deemed made; or (e) Cross-Default. (i) The Company or any Material Subsidiary (A) fails to make any payment when due (whether by scheduled maturity, required prepayment, acceleration, demand, or otherwise) in respect of any Indebtedness or Guarantee (other than Indebtedness hereunder and Indebtedness under Swap Contracts) having an aggregate principal amount (including undrawn committed or available amounts and including amounts owing to all creditors under any combined or syndicated credit arrangement) of more than $25,000,000 and such failure continues after the applicable grace or notice period, if any, specified in the relevant document on the date of such failure, or (B) fails to observe or perform any other agreement or condition relating to any such Indebtedness or Guarantee or contained in any instrument or agreement evidencing, securing or relating thereto, or any other event or condition occurs, the effect of which default or other event or condition is to cause, or to permit the holder or holders of such Indebtedness or the beneficiary or beneficiaries of such Guarantee (or a trustee or agent on behalf of such holder or holders or beneficiary or beneficiaries) to cause, with the giving of notice if required, such Indebtedness to be demanded or to become due or to be repurchased, prepaid, defeased or redeemed (automatically or otherwise), or an offer to repurchase, prepay, defease or redeem such Indebtedness to be made, prior to its stated maturity, or such Guarantee to become payable or cash collateral in respect thereof to be demanded; or (ii) there occurs under any Swap Contract an Early Termination Date (as defined in such Swap Contract) resulting from (A) any event of default under such Swap Contract as to which the Company or any Material


 
120 Subsidiary is the Defaulting Party (as defined in such Swap Contract) or (B) any Termination Event (as so defined) under such Swap Contract as to which the Company or a Material Subsidiary is an Affected Party (as so defined) and, in either event, the Swap Termination Value owed by the Company or such Material Subsidiary as a result thereof is greater than $25,000,000; or (f) Insolvency Proceedings, Etc. The Company or any Material Subsidiary institutes or consents to the institution of any proceeding under any Debtor Relief Law, or makes an assignment for the benefit of creditors; or applies for or consents to the appointment of any receiver, trustee, custodian, conservator, liquidator, rehabilitator or similar officer for it or for all or any material part of its property; or any receiver, trustee, custodian, conservator, liquidator, rehabilitator or similar officer is appointed without the application or consent of such Person and the appointment continues undischarged or unstayed for sixty (60) calendar days; or any proceeding under any Debtor Relief Law relating to any such Person or to all or any material part of its property is instituted without the consent of such Person and continues undismissed or unstayed for 60 calendar days, or an order for relief is entered in any such proceeding; or any Material Subsidiary shall become subject to any conservation, rehabilitation or liquidation order, directive or mandate issued by an Governmental Authority; or (g) Inability to Pay Debts; Attachment. (i) The Company or any Material Subsidiary becomes unable or admits in writing its inability or fails generally to pay its debts as they become due, subject to applicable grace periods, if any, whether at stated maturity or otherwise, or (ii) any writ or warrant of attachment or execution or similar process is issued or levied against all or any material part of the property of any such Person and is not released, vacated or fully bonded within 60 days after its issue or levy; or (h) Monetary Judgments. One or more non-interlocutory judgments, non-interlocutory orders, decrees or arbitration awards is entered against the Company or any Subsidiary involving in the aggregate a liability (to the extent not covered by independent third-party insurance as to which the insurer does not dispute coverage) as to any single or related series of transactions, incidents or conditions, of $25,000,000 or more, and the same shall remain unsatisfied, unvacated and unstayed pending appeal for a period of 30 days after the entry thereof; or (i) ERISA. (i) An ERISA Event occurs with respect to a Pension Plan or Multiemployer Plan which has resulted or would reasonably be expected to result in liability of the Company under Title IV of ERISA to the Pension Plan, Multiemployer Plan or the PBGC in an aggregate amount in excess of $25,000,000; or (ii) the Company or any ERISA Affiliate fails to pay when due, after the expiration of any applicable grace period, any installment payment with respect to its withdrawal liability under Section 4201 of ERISA under a Multiemployer Plan in an aggregate amount in excess of $25,000,000; or (j) Invalidity of Loan Documents. Any material provision of any Loan Document, at any time after its execution and delivery and for any reason other than as expressly permitted hereunder or satisfaction in full of all the Obligations, ceases to be in full force and effect; or the Company or any other Person contests in any manner the validity or enforceability of any material provision of any Loan Document; or any Loan Party denies that it has any or further liability or obligation under any Loan Document, or purports to revoke, terminate or rescind any material provision of any Loan Document; or it is or it becomes unlawful for any Loan Party to perform any of its obligations under the Loan Documents; or (k) Security Instrument. Any Security Instrument after delivery thereof pursuant to the terms of the Loan Documents shall for any reason (other than pursuant to the terms thereof including as a result of a transaction not prohibited under this Agreement or the occurrence of a Collateral Release Event) cease to create a valid and perfected Lien (subject to Permitted Liens) with the priority required by the Security Instrument on the Collateral purported to be covered thereby, or any Loan Party shall assert in writing the


 
121 invalidity of such Liens, except in all cases to the extent that any such perfection or priority is not required pursuant to the Loan Documents or any loss of perfection or priority results from (x) the failure of the Administrative Agent to (i) maintain possession of Collateral actually delivered to it and pledged under the Security Instrument or (ii) file initial UCC financing statements or UCC continuation statements or (y) the Administrative Agent taking any action to terminate a UCC financing statement; or (l) Change of Control. (i) There occurs any Change of Control with respect to the Company or (ii) the Company shall cease to own and control, of record and beneficially, directly or indirectly, 100% of the Equity Interests of the Foreign Borrower. Without limiting the provisions of Article IX, if a Default shall have occurred under the Loan Documents, then such Default will continue to exist until it either is cured (to the extent specifically permitted) in accordance with the Loan Documents or is otherwise expressly waived by Administrative Agent (with the approval of requisite Appropriate Lenders (in their sole discretion)) as determined in accordance with Section 11.01; and once an Event of Default occurs under the Loan Documents, then such Event of Default will continue to exist until it is expressly waived by the requisite Appropriate Lenders or by the Administrative Agent with the approval of the requisite Appropriate Lenders, as required hereunder in Section 11.01. 8.02 Remedies Upon Event of Default. If any Event of Default occurs and is continuing, the Administrative Agent shall, at the request of, or may, with the consent of, the Required Lenders, take any or all of the following actions: (a) declare the Commitment of each Lender to make Loans and any obligation of an L/C Issuer to make L/C Credit Extensions to be terminated, whereupon such commitments and obligation shall be terminated; (b) declare the unpaid principal amount of all outstanding Loans, all interest accrued and unpaid thereon, and all other amounts owing or payable hereunder or under any other Loan Document to be immediately due and payable, without presentment, demand, protest or other notice of any kind, all of which are hereby expressly waived by the Borrowers; (c) require that the Company Cash Collateralize the L/C Obligations (in an amount equal to the Minimum Collateral Amount with respect thereto); and (d) exercise on behalf of itself, the Lenders and the L/C Issuers all rights and remedies available to it, the Lenders and the L/C Issuers under the Loan Documents or Applicable Law or equity; provided, however, that upon the occurrence of an Event of Default described in Section 8.01(f) with respect to either Borrower, the Commitment of each Lender to make Loans and any obligation of an L/C Issuer to make L/C Credit Extensions shall automatically terminate, the unpaid principal amount of all outstanding Loans and all interest and other amounts as aforesaid shall automatically become due and payable, and the obligation of the Company to Cash Collateralize the L/C Obligations as aforesaid shall automatically become effective, in each case without further act of the Administrative Agent or any Lender. 8.03 Application of Funds. (a) After the exercise of remedies provided for in Section 8.02 (or after the Loans have automatically become immediately due and payable and the L/C Obligations have automatically been required to be Cash Collateralized as set forth in the proviso to Section 8.02), or if at any time insufficient funds are received by and available to the Administrative Agent to pay fully all Secured Obligations then


 
122 due hereunder, any amounts received on account of the Secured Obligations shall, subject to the provisions of Sections 2.15 and 2.16, be applied by the Administrative Agent in the following order: First, to payment of that portion of the Secured Obligations constituting fees, indemnities, expenses and other amounts (including fees, charges, Attorney Costs and amounts payable under Article III) payable to the Administrative Agent in its capacity as such; Second, to payment of that portion of the Secured Obligations constituting fees, indemnities and other amounts (other than principal, interest and Letter of Credit Fees) payable to the Lenders and the L/C Issuers (including fees, charges, Attorney Costs of counsel to the respective Lenders and the L/C Issuers, if any under Section 11.04(a)) arising under the Loan Documents and amounts payable under Article III, ratably among them in proportion to the amounts described in this clause Second payable to them; Third, to payment of that portion of the Secured Obligations constituting accrued and unpaid Letter of Credit Fees and interest on the Loans and L/C Borrowings and other Secured Obligations arising under the Loan Documents, ratably among the Lenders and the L/C Issuers in proportion to the respective amounts described in this clause Third payable to them; Fourth, to payment of that portion of the Secured Obligations constituting unpaid principal of the Loans and L/C Borrowings and Secured Obligations then owing under Secured Hedge Agreements, Secured Cash Management Agreements, and Secured Trade Documents and to the Administrative Agent for the account of the applicable L/C Issuer, to Cash Collateralize that portion of L/C Obligations comprised of the aggregate undrawn amount of Letters of Credit to the extent not otherwise Cash Collateralized by the Company pursuant to Sections 2.03 and 2.15, ratably among the Administrative Agent, the Lenders, the L/C Issuers, the Hedge Banks, the Cash Management Banks, and the Trade Banks in proportion to the respective amounts described in this clause Fourth held by them; and Last, the balance, if any, after all of the Secured Obligations have been indefeasibly paid in full, to the Company or as otherwise required by Law. (b) Subject to Section 2.03(c) and 2.15, amounts used to Cash Collateralize the aggregate undrawn amount of Letters of Credit pursuant to clause Fourth above shall be applied to satisfy drawings under such Letters of Credit as they occur. If any amount remains on deposit as Cash Collateral after all Letters of Credit have either been fully drawn or expired, such remaining amount shall be applied to the other Secured Obligations, if any, in the order set forth above. Excluded Swap Obligations with respect to any Guarantor shall not be paid with amounts received from such Guarantor or its assets, but appropriate adjustments shall be made with respect to payments from other Loan Parties and Affiliates of Loan Parties to preserve the allocation to Secured Obligations otherwise set forth above in this Section 8.03. (c) Notwithstanding the foregoing, Secured Obligations arising under Secured Cash Management Agreements, Secured Hedge Agreements and Secured Trade Documents shall be excluded from the application described above if the Administrative Agent has not received a Secured Party Designation Notice, together with such supporting documentation as the Administrative Agent may request, from the applicable Cash Management Bank, Hedge Bank or Trade Bank, as the case may be. Each Cash Management Bank, Hedge Bank or Trade Bank not a party to this Agreement that has given the notice contemplated by the preceding sentence shall, by such notice, be deemed to have acknowledged and accepted the appointment of the Administrative Agent pursuant to the terms of Article IX hereof for itself and its Affiliates as if a “Lender” party hereto.


 
123 ARTICLE IX. ADMINISTRATIVE AGENT 9.01 Appointment and Authority. (a) Appointment. Each of the Lenders and the L/C Issuers hereby irrevocably appoints, designates and authorizes Bank of America to act on its behalf as the Administrative Agent hereunder and under the other Loan Documents and authorizes the Administrative Agent to take such actions on its behalf and to exercise such powers as are delegated to the Administrative Agent by the terms hereof or thereof, together with such actions and powers as are reasonably incidental thereto. The provisions of this Article are solely for the benefit of the Administrative Agent, the Lenders and the L/C Issuers, and neither the Company nor any other Loan Party shall have rights as a third party beneficiary of any of such provisions (other than in respect of the consent right of the Company set forth in Section 9.06). It is understood and agreed that the use of the term “agent” herein or in any other Loan Documents (or any other similar term) with reference to the Administrative Agent is not intended to connote any fiduciary or other implied (or express) obligations arising under agency doctrine of any Applicable Law. Instead such term is used as a matter of market custom, and is intended to create or reflect only an administrative relationship between contracting parties. (b) Collateral Agent. The Administrative Agent shall also act as the “collateral agent” under the Loan Documents, and each of the Lenders (including in its capacities as a potential Hedge Bank, a potential Cash Management Bank and a potential Trade Bank) and each L/C Issuer hereby irrevocably appoints and authorizes the Administrative Agent to act as the agent of such Lender and such L/C Issuer for purposes of acquiring, holding and enforcing any and all Liens on Collateral granted by any of the Loan Parties to secure any of the Secured Obligations, together with such powers and discretion as are reasonably incidental thereto. In this connection, the Administrative Agent, as “collateral agent” and any co-agents, sub-agents and attorneys-in-fact appointed by the Administrative Agent pursuant to Section 9.05 for purposes of holding or enforcing any Lien on the Collateral (or any portion thereof) granted under the Security Instruments, or for exercising any rights and remedies thereunder at the direction of the Administrative Agent, shall be entitled to the benefits of all provisions of this Article IX and Article XI (including Section 11.04(c), as though such co-agents, sub-agents and attorneys-in-fact were the “collateral agent” under the Loan Documents) as if set forth in full herein with respect thereto. 9.02 Rights as a Lender. The Person serving as the Administrative Agent hereunder shall have the same rights and powers in its capacity as a Lender as any other Lender and may exercise the same as though it were not the Administrative Agent and the term “Lender” or “Lenders” shall, unless otherwise expressly indicated or unless the context otherwise requires, include the Person serving as the Administrative Agent hereunder in its individual capacity. Such Person and its Affiliates may accept deposits from, lend money to, own securities of, act as the financial advisor or in any other advisory capacity for and generally engage in any kind of banking, trust, financial, advisory, underwriting or other business with any Loan Party or any Subsidiary or other Affiliate thereof as if such Person were not the Administrative Agent hereunder and without any duty to account therefor to the Lenders or to provide notice to or consent of the Lenders with respect thereto. 9.03 Exculpatory Provisions. (a) The Administrative Agent, or the Arrangers, as applicable shall not have any duties or obligations except those expressly set forth herein and in the other Loan Documents, and its duties hereunder shall be administrative in nature. Without limiting the generality of the foregoing, the Administrative Agent or the Arrangers, as applicable, and their respective Related Parties:


 
124 (i) shall not be subject to any fiduciary or other implied duties, regardless of whether a Default has occurred and is continuing; (ii) shall not have any duty or responsibility to take any discretionary action or exercise any discretionary powers, except discretionary rights and powers expressly contemplated hereby or by the other Loan Documents that the Administrative Agent is required to exercise as directed in writing by the Required Lenders (or such other number or percentage of the Lenders as shall be expressly provided for herein or in the other Loan Documents), provided that the Administrative Agent shall not be required to take any action that, in its opinion or the opinion of its counsel, may expose the Administrative Agent to liability or that is contrary to any Loan Document or Applicable Law, including for the avoidance of doubt any action that may be in violation of the automatic stay under any Debtor Relief Law or that may effect a forfeiture, modification or termination of property of a Defaulting Lender in violation of any Debtor Relief Law; and (iii) shall not have any duty or responsibility to disclose, and shall not be liable for the failure to disclose, to any Lender or any L/C Issuer any credit or other information concerning the business, prospects, operations, property, financial and other condition or creditworthiness of any of the Loan Parties or any of their Affiliates that is communicated to, or in the possession of, the Administrative Agent, any Arranger or any of their Related Parties in any capacity, except for notices, reports and other documents expressly required to be furnished to the Lenders by the Administrative Agent herein. (b) Neither the Administrative Agent nor any of its Related Parties shall be liable for any action taken or not taken by the Administrative Agent under or in connection with this Agreement or any other Loan Document or the transactions contemplated hereby (i) with the consent or at the request of the Required Lenders (or such other number or percentage of the Lenders as shall be necessary, or as the Administrative Agent shall believe in good faith shall be necessary, under the circumstances as provided in Sections 11.01 and 8.02) or (ii) in the absence of its own gross negligence or willful misconduct as determined by a court of competent jurisdiction in a final and non-appealable judgment. The Administrative Agent shall be deemed not to have knowledge of any Default unless and until notice describing such Default is given in writing to the Administrative Agent by the Company, a Lender or an L/C Issuer. (c) Neither the Administrative Agent nor any of its Related Parties shall have any duty or obligation to any Lender or participant or any other Person to ascertain or inquire into (i) any statement, warranty or representation made in or in connection with this Agreement or any other Loan Document, (ii) the contents of any certificate, report or other document delivered hereunder or thereunder or in connection herewith or therewith, (iii) the performance or observance of any of the covenants, agreements or other terms or conditions set forth herein or therein or the occurrence of any Default, (iv) the validity, enforceability, effectiveness or genuineness of this Agreement, any other Loan Document or any other agreement, instrument or document, or the creation, perfection or priority of any Lien purported to be created by the Security Instruments, (v) the value or sufficiency of any Collateral or (vi) the satisfaction of any condition set forth in Article IV or elsewhere herein, other than to confirm receipt of items expressly required to be delivered to the Administrative Agent. 9.04 Reliance by Administrative Agent. The Administrative Agent shall be entitled to rely upon, and shall be fully protected in relying and shall not incur any liability for relying upon, any notice, request, certificate, communication, consent, statement, instrument, document or other writing (including any electronic message, Internet or intranet website posting or other distribution) believed by it to be genuine and to have been signed, sent or otherwise authenticated by the proper Person. The Administrative Agent also may rely upon any statement made to it orally or by telephone and believed by it to have been


 
125 made by the proper Person, and shall be fully protected in relying and shall not incur any liability for relying thereon. In determining compliance with any condition hereunder to the making of a Loan, or the issuance, extension, renewal or increase of a Letter of Credit, that by its terms must be fulfilled to the satisfaction of a Lender or an L/C Issuer, the Administrative Agent may presume that such condition is satisfactory to such Lender or such L/C Issuer unless the Administrative Agent shall have received notice to the contrary from such Lender or such L/C Issuer prior to the making of such Loan or the issuance of such Letter of Credit. The Administrative Agent may consult with legal counsel (who may be counsel for the Company), independent accountants and other experts selected by it, and shall not be liable for any action taken or not taken by it in accordance with the advice of any such counsel, accountants or experts. For purposes of determining compliance with the conditions specified in Section 4.01, each Lender that has signed this Agreement shall be deemed to have consented to, approved or accepted or to be satisfied with, each document or other matter required thereunder to be consented to or approved by or acceptable or satisfactory to a Lender unless the Administrative Agent shall have received notice from such Lender prior to the proposed Closing Date specifying its objections. 9.05 Delegation of Duties. The Administrative Agent may perform any and all of its duties and exercise its rights and powers hereunder or under any other Loan Document by or through any one or more sub agents appointed by the Administrative Agent. The Administrative Agent and any such sub agent may perform any and all of its duties and exercise its rights and powers by or through their respective Related Parties. The exculpatory provisions of this Article shall apply to any such sub agent and to the Related Parties of the Administrative Agent and any such sub agent, and shall apply to their respective activities in connection with the syndication of the credit facilities provided for herein as well as activities as Administrative Agent. The Administrative Agent shall not be responsible for the negligence or misconduct of any sub-agents except to the extent that a court of competent jurisdiction determines in a final and non- appealable judgment that the Administrative Agent acted with gross negligence or willful misconduct in the selection of such sub-agents. 9.06 Resignation of Administrative Agent. (a) Notice. The Administrative Agent may at any time give notice of its resignation to the Lenders, the L/C Issuers and the Company. Upon receipt of any such notice of resignation, the Required Lenders shall have the right, in consultation with the Company so long as no Default has occurred and is continuing, to appoint a successor, which shall be a bank with an office in the United States, or an Affiliate of any such bank with an office in the United States. If no such successor shall have been so appointed by the Required Lenders and shall have accepted such appointment within 30 days after the retiring Administrative Agent gives notice of its resignation (or such earlier day as shall be agreed by the Required Lenders) (the “Resignation Effective Date”), then the retiring Administrative Agent may (but shall not be obligated to) on behalf of the Lenders and the L/C Issuers, appoint a successor Administrative Agent meeting the qualifications set forth above; provided that in no event shall any successor Administrative Agent be a Defaulting Lender. Whether or not a successor has been appointed, such resignation shall become effective in accordance with such notice on the Resignation Effective Date. (b) Defaulting Lenders. If the Person serving as Administrative Agent is a Defaulting Lender pursuant to clause (d) of the definition thereof, the Required Lenders may, to the extent permitted by Applicable Law, by notice in writing to the Company and such Person remove such Person as Administrative Agent and, in consultation with the Company so long as no Default has occurred and is continuing, appoint a successor. If no such successor shall have been so appointed by the Required Lenders and shall have accepted such appointment within 30 days (or such earlier day as shall be agreed by the Required Lenders) (the “Removal Effective Date”), then such removal shall nonetheless become effective in accordance with such notice on the Removal Effective Date.


 
126 (c) Effect of Resignation or Removal. With effect from the Resignation Effective Date or the Removal Effective Date (as applicable) (1) the retiring or removed Administrative Agent shall be discharged from its duties and obligations hereunder and under the other Loan Documents (except that in the case of any collateral security held by the Administrative Agent on behalf of the Lenders or the L/C Issuer under any of the Loan Documents, the retiring or removed Administrative Agent shall continue to hold such collateral security until such time as a successor Administrative Agent is appointed) and (2) except for any indemnity payments or other amounts then owed to the retiring or removed Administrative Agent, all payments, communications and determinations provided to be made by, to or through the Administrative Agent shall instead be made by or to each Lender and the L/C Issuer directly, until such time, if any, as the Required Lenders appoint a successor Administrative Agent as provided for above. Upon the acceptance of a successor’s appointment as Administrative Agent hereunder, such successor shall succeed to and become vested with all of the rights, powers, privileges and duties of the retiring (or removed) Administrative Agent (other than as provided in Section 3.01(g) and other than any rights to indemnity payments or other amounts owed to the retiring or removed Administrative Agent as of the Resignation Effective Date or the Removal Effective Date, as applicable), and the retiring or removed Administrative Agent shall be discharged from all of its duties and obligations hereunder or under the other Loan Documents (if not already discharged therefrom as provided above in this Section 9.06). The fees payable by the Company to a successor Administrative Agent shall be the same as those payable to its predecessor unless otherwise agreed between the Company and such successor. After the retiring or removed Administrative Agent’s resignation or removal hereunder and under the other Loan Documents, the provisions of this Article and Section 11.04 shall continue in effect for the benefit of such retiring or removed Administrative Agent, its sub agents and their respective Related Parties in respect of any actions taken or omitted to be taken by any of them (i) while the retiring or removed Administrative Agent was acting as Administrative Agent and (ii) after such resignation or removal for as long as any of them continues to act in any capacity hereunder or under the other Loan Documents, including, without limitation, (A) acting as collateral agent or otherwise holding any collateral security on behalf of any of the Secured Parties and (B) in respect of any actions taken in connection with transferring the agency to any successor Administrative Agent. (d) L/C Issuer and Swing Line Lender. Any resignation by Bank of America as Administrative Agent pursuant to this Section shall also constitute its resignation as an L/C Issuer and Swing Line Lender. If Bank of America resigns as an L/C Issuer, it shall retain all the rights, powers, privileges and duties of an L/C Issuer hereunder with respect to all Letters of Credit outstanding as of the effective date of its resignation as an L/C Issuer and all L/C Obligations with respect thereto, including the right to require the Lenders to make Base Rate Loans or fund risk participations in Unreimbursed Amounts pursuant to Section 2.03(c). If Bank of America resigns as Swing Line Lender, it shall retain all the rights of the Swing Line Lender provided for hereunder with respect to Swing Line Loans made by it and outstanding as of the effective date of such resignation, including the right to require the Lenders to make Base Rate Loans or fund risk participations in outstanding Swing Line Loans pursuant to Section 2.04(c). Upon the appointment by the Company of a successor L/C Issuer or Swing Line Lender hereunder (which successor shall in all cases be a Lender other than a Defaulting Lender), (a) such successor shall succeed to and become vested with all of the rights, powers, privileges and duties of the retiring L/C Issuer or Swing Line Lender, as applicable, (b) the retiring L/C Issuer and Swing Line Lender shall be discharged from all of their respective duties and obligations hereunder or under the other Loan Documents, and (c) the successor L/C Issuer shall issue letters of credit in substitution for the Letters of Credit, if any, outstanding at the time of such succession or make other arrangements satisfactory to Bank of America to effectively assume the obligations of Bank of America with respect to such Letters of Credit. 9.07 Non-Reliance on Administrative Agent and Other Lenders. Each Lender and each L/C Issuer expressly acknowledges that none of the Administrative Agent nor the Arrangers has made any representation or warranty to it, and that no act by the Administrative Agent or the Arrangers hereafter


 
127 taken, including any consent to, and acceptance of any assignment or review of the affairs of any Loan Party or any Affiliate thereof, shall be deemed to constitute any representation or warranty by the Administrative Agent or the Arrangers to any Lender or each L/C Issuer as to any matter, including whether the Administrative Agent or the Arrangers have disclosed material information in their (or their Related Parties’) possession. Each Lender and each L/C Issuer represents to the Administrative Agent and the Arrangers that it has, independently and without reliance upon the Administrative Agent, the Arrangers, any other Lender or any of their Related Parties and based on such documents and information as it has deemed appropriate, made its own credit analysis of, appraisal of, and investigation into, the business, prospects, operations, property, financial and other condition and creditworthiness of the Loan Parties and their Subsidiaries, and all applicable bank or other regulatory Laws relating to the transactions contemplated hereby, and made its own decision to enter into this Agreement and to extend credit to the Borrowers hereunder. Each Lender and each L/C Issuer also acknowledges that it will, independently and without reliance upon the Administrative Agent, the Arrangers, any other Lender or any of their Related Parties and based on such documents and information as it shall from time to time deem appropriate, continue to make its own credit analysis, appraisals and decisions in taking or not taking action under or based upon this Agreement, any other Loan Document or any related agreement or any document furnished hereunder or thereunder, and to make such investigations as it deems necessary to inform itself as to the business, prospects, operations, property, financial and other condition and creditworthiness of the Loan Parties. Each Lender and each L/C Issuer represents and warrants that (i) the Loan Documents set forth the terms of a commercial lending facility and (ii) it is engaged in making, acquiring or holding commercial loans in the ordinary course and is entering into this Agreement as a Lender or L/C Issuer for the purpose of making, acquiring or holding commercial loans and providing other facilities set forth herein as may be applicable to such Lender or L/C Issuer, and not for the purpose of purchasing, acquiring or holding any other type of financial instrument, and each Lender and each L/C Issuer agrees not to assert a claim in contravention of the foregoing. Each Lender and each L/C Issuer represents and warrants that it is sophisticated with respect to decisions to make, acquire and/or hold commercial loans and to provide other facilities set forth herein, as may be applicable to such Lender or such L/C Issuer, and either it, or the Person exercising discretion in making its decision to make, acquire and/or hold such commercial loans or to provide such other facilities, is experienced in making, acquiring or holding such commercial loans or providing such other facilities. 9.08 No Other Duties, Etc. Anything herein to the contrary notwithstanding, none of the titles listed on the cover page hereof shall have any powers, duties or responsibilities under this Agreement or any of the other Loan Documents, except in its capacity, as applicable, as the Administrative Agent, a Lender or an L/C Issuer hereunder. 9.09 Administrative Agent May File Proofs of Claim; Credit Bidding. (a) In case of the pendency of any proceeding under any Debtor Relief Law or any other judicial proceeding relative to any Loan Party, the Administrative Agent (irrespective of whether the principal of any Loan or L/C Obligation shall then be due and payable as herein expressed or by declaration or otherwise and irrespective of whether the Administrative Agent shall have made any demand on either Borrower) shall be entitled and empowered, by intervention in such proceeding or otherwise (i) to file and prove a claim for the whole amount of the principal and interest owing and unpaid in respect of the Loans, L/C Obligations and all other Secured Obligations that are owing and unpaid and to file such other documents as may be necessary or advisable in order to have the claims of the Lenders, the L/C Issuers and the Administrative Agent (including any claim for the reasonable compensation, expenses, disbursements and advances of the Lenders, the L/C Issuers and the Administrative Agent and their respective agents and counsel and all other amounts due the Lenders, the L/C Issuers and the Administrative Agent under Sections 2.03(h) and (i), 2.09 and 11.04) allowed in such judicial proceeding; and


 
128 (ii) to collect and receive any monies or other property payable or deliverable on any such claims and to distribute the same; and any custodian, receiver, assignee, trustee, liquidator, sequestrator or other similar official in any such judicial proceeding is hereby authorized by each Lender and each L/C Issuer to make such payments to the Administrative Agent and, in the event that the Administrative Agent shall consent to the making of such payments directly to the Lenders and the L/C Issuers, to pay to the Administrative Agent any amount due for the reasonable compensation, expenses, disbursements and advances of the Administrative Agent and its agents and counsel, and any other amounts due the Administrative Agent under Sections 2.09 and 11.04. (b) Nothing contained herein shall be deemed to authorize the Administrative Agent to authorize or consent to or accept or adopt on behalf of any Lender or L/C Issuer any plan of reorganization, arrangement, adjustment or composition affecting the Secured Obligations or the rights of any Lender or L/C Issuer to authorize the Administrative Agent to vote in respect of the claim of any Lender or L/C Issuer in any such proceeding. (c) The Secured Parties hereby irrevocably authorize the Administrative Agent, at the direction of the Required Lenders, to credit bid all or any portion of the Secured Obligations (including accepting some or all of the Collateral in satisfaction of some or all of the Secured Obligations pursuant to a deed in lieu of foreclosure or otherwise) and in such manner purchase (either directly or through one or more acquisition vehicles) all or any portion of the Collateral (i) at any sale thereof conducted under the provisions of the Bankruptcy Code of the United States, including under Sections 363, 1123 or 1129 of the Bankruptcy Code of the United States, or any similar Laws in any other jurisdictions to which a Loan Party is subject or (ii) at any other sale or foreclosure or acceptance of collateral in lieu of debt conducted by (or with the consent or at the direction of) the Administrative Agent (whether by judicial action or otherwise) in accordance with any Applicable Law. In connection with any such credit bid and purchase, the Secured Obligations owed to the Secured Parties shall be entitled to be, and shall be, credit bid on a ratable basis (with Secured Obligations with respect to contingent or unliquidated claims receiving contingent interests in the acquired assets on a ratable basis that would vest upon the liquidation of such claims in an amount proportional to the liquidated portion of the contingent claim amount used in allocating the contingent interests) in the asset or assets so purchased (or in the Equity Interests or debt instruments of the acquisition vehicle or vehicles that are used to consummate such purchase). In connection with any such bid, the Administrative Agent shall be authorized to (i) form one or more acquisition vehicles to make a bid, (ii) adopt documents providing for the governance of the acquisition vehicle or vehicles, provided that any actions by the Administrative Agent with respect to such acquisition vehicle or vehicles, including any disposition of the assets or Equity Interests thereof shall be governed, directly or indirectly, by the vote of the Required Lenders, irrespective of the termination of this Agreement and without giving effect to the limitations on actions by the Required Lenders contained in clauses (a) through (i) of Section 11.01 of this Agreement and (iii) assign the relevant Secured Obligations to any such acquisition vehicle pro rata by the Lenders, as a result of which each of the Lenders shall be deemed to have received a pro rata portion of any Equity Interests and/or debt instruments issued by such an acquisition vehicle on account of the assignment of the Secured Obligations to be credit bid, all without the need for any Secured Party or acquisition vehicle to take any further action. In addition, to the extent that Secured Obligations that are assigned to an acquisition vehicle are not used to acquire Collateral for any reason (as a result of another bid being higher or better, because the amount of Secured Obligations assigned to the acquisition vehicle exceeds the amount of debt credit bid by the acquisition vehicle or otherwise), such Secured Obligations shall automatically be reassigned to the Lenders pro rata and the Equity Interests and/or debt instruments issued by any acquisition vehicle on account of the Secured Obligations that had been assigned to the acquisition vehicle shall automatically be cancelled, without the need for any Secured Party or any acquisition vehicle to take any further action.


 
129 9.10 Collateral and Guaranty Matters. (a) Each of the Lenders (including in its capacity as a potential Cash Management Bank, a potential Hedge Bank, and a potential Trade Bank) and each L/C Issuer irrevocably authorizes the Administrative Agent, at its option and in its discretion, (i) to release any Lien on any property granted to or held by the Administrative Agent under any Loan Document (i) upon the Facility Termination Date, (ii) that is sold or otherwise disposed of or to be sold or otherwise disposed of as part of or in connection with any sale or other disposition permitted hereunder or under any other Loan Document, (iii) in connection with the release of the Collateral provided in Section 11.21(a) or (iv) if approved, authorized or ratified in writing in accordance with Section 11.01; (ii) to release any Guarantor from its obligations under the Guaranty if such Person ceases to be a Subsidiary as a result of a transaction permitted under the Loan Documents; and (iii) to subordinate any Lien on any property granted to or held by the Administrative Agent under any Loan Document to the holder of any Lien on such property that is permitted by Section 7.01(f). (b) Upon request by the Administrative Agent at any time, the Required Lenders will confirm in writing the Administrative Agent’s authority to release or subordinate its interest in particular types or items of property, or to release any Guarantor from its obligations under the Guaranty pursuant to this Section 9.10. In each case as specified in this Section 9.10, the Administrative Agent will, at the Company’s expense, execute and deliver to the applicable Loan Party such documents as such Loan Party may reasonably request to evidence the release of such item of Collateral from the assignment and security interest granted under the Security Instruments or to subordinate its interest in such item, or to release such Guarantor from its obligations under the Guaranty, in each case in accordance with the terms of the Loan Documents and this Section 9.10. (c) The Administrative Agent shall not be responsible for or have a duty to ascertain or inquire into any representation or warranty regarding the existence, value or collectability of the Collateral, the existence, priority or perfection of the Administrative Agent’s Lien thereon, or any certificate prepared by any Loan Party in connection therewith, nor shall the Administrative Agent be responsible or liable to the Lenders for any failure to monitor or maintain any portion of the Collateral. 9.11 Secured Cash Management Agreements, Secured Hedge Agreements and Trade Documents. Except as otherwise expressly set forth in any Guaranty or any Security Instrument, no Cash Management Bank, Hedge Bank or Trade Bank that obtains the benefit of the provisions of Section 8.03, any Guaranty or any Collateral by virtue of the provisions hereof or of any Guaranty or Security Instrument shall have any right to notice of any action or to consent to, direct or object to any action hereunder or under any other Loan Document or otherwise in respect of the Collateral (including the release or impairment of any Collateral) (or to notice of or to consent to any amendment, waiver or modification of the provisions hereof or of any Guaranty or any Security Instrument) other than in its capacity as a Lender and, in such case, only to the extent expressly provided in the Loan Documents. Notwithstanding any other provision of this Article IX to the contrary, the Administrative Agent shall not be required to verify the payment of, or that other satisfactory arrangements have been made with respect to, Secured Obligations arising under Secured Cash Management Agreements, Secured Hedge Agreements and Secured Trade Documents except to the extent expressly provided herein and unless the Administrative Agent has received a Secured Party Designation Notice of such Secured Obligations, together with such supporting documentation as the Administrative Agent may request, from the applicable Cash Management Bank, Hedge Bank or Trade


 
130 Bank, as the case may be. The Administrative Agent shall not be required to verify the payment of, or that other satisfactory arrangements have been made with respect to, Secured Obligations arising under Secured Cash Management Agreements, Secured Hedge Agreements or Secured Trade Documents in the case of a Facility Termination Date. 9.12 Recovery of Erroneous Payments. Without limitation of any other provision in this Agreement, if at any time the Administrative Agent makes a payment hereunder in error to any Lender Recipient Party, whether or not in respect of an Obligation due and owing by any Borrower at such time, where such payment is a Rescindable Amount, then in any such event, each Lender Recipient Party receiving a Rescindable Amount severally agrees to repay to the Administrative Agent forthwith on demand the Rescindable Amount received by such Lender Recipient Party in Same Day Funds in the currency so received, with interest thereon, for each day from and including the date such Rescindable Amount is received by it to but excluding the date of payment to the Administrative Agent, at the greater of the Federal Funds Rate and a rate determined by the Administrative Agent in accordance with banking industry rules on interbank compensation. Each Lender Recipient Party irrevocably waives any and all defenses, including any “discharge for value” (under which a creditor might otherwise claim a right to retain funds mistakenly paid by a third party in respect of a debt owed by another) or similar defense to its obligation to return any Rescindable Amount. The Administrative Agent shall inform each Lender Recipient Party promptly upon determining that any payment made to such Lender Recipient Party comprised, in whole or in part, a Rescindable Amount. ARTICLE X. COLLECTION ALLOCATION MECHANISM 10.01 Implementation of CAM. (a) On the CAM Exchange Date, to the extent not otherwise prohibited by Law or otherwise, (i) each Lender shall immediately be deemed to have acquired participations in the Swing Line Loans in an amount equal to such Lender’s Applicable Percentage of each Swing Line Loan outstanding on such date, and shall promptly make payment therefor to the Swing Line Lender in accordance with Section 2.04(c) (each of which such participations shall, upon funding thereof, be deemed to result in such funding Lender directly holding the share of the Swing Line Loans so participated), (ii) each Lender shall promptly make payment of any L/C Advance owing by it to any L/C Issuer (together with an interest thereon), (iii) all Loans and any Unreimbursed Amounts outstanding in any currency other than Dollars (collectively, “Obligations to be Converted”) shall be converted into Dollars (calculated on the basis of the relevant Spot Rates as of the Business Day immediately preceding the CAM Exchange Date) (“Converted Loans”), and (iv) each CAM Exchange Party that is a party hereto severally, unconditionally and irrevocably agrees that it shall purchase or sell in Dollars a participating interest in the Designated Obligations in an amount equal to its CAM Percentage of the outstanding principal amount of the Designated Obligations, such that in lieu of the interest of each CAM Exchange Party in the applicable Facility in which it shall participate prior to the CAM Exchange Date, each such CAM Exchange Party shall hold an interest in every one of the applicable Facilities whether or not such CAM Exchange Party shall have previously participated therein, equal to such CAM Exchange Party’s CAM Percentage thereof on the CAM Exchange Date. All Converted Loans made to the Company shall bear interest at the rate which would otherwise be applicable to Base Rate Loans and all Converted Loans made to the Foreign Borrower shall bear interest at the Overnight Rate applicable to Dollars. Each CAM Exchange Party that is a party hereto and each Borrower hereby consents and agrees to the CAM Exchange, and each such CAM Exchange Party agrees that the CAM Exchange shall be binding upon its successors and assigns and any person that acquires a participation in its interests hereunder. Each Borrower agrees from time to time to execute and deliver to the Administrative Agent all instruments and documents as the Administrative Agent shall reasonably request to evidence and confirm the respective interests of the CAM Exchange Parties after giving effect to the CAM Exchange.


 
131 (b) If, for any reason, the Obligations to be Converted may not be converted into Dollars in the manner contemplated by subsection (a) of this Section 10.01, the Administrative Agent shall determine the Dollar Equivalent of the Obligations to be Converted (calculated on the basis of the Spot Rate as of the Business Day immediately preceding the date on which such conversion would otherwise occur pursuant to subsection (a) of this Section 10.01). Such determination shall be utilized to determine the CAM Percentage of each CAM Exchange Party and the participations to be exchanged. (c) As a result of the CAM Exchange, upon and after the CAM Exchange Date, each payment received by the Administrative Agent pursuant to any Loan Document in respect of the Designated Obligations, and each distribution made by the Administrative Agent pursuant to any Security Instrument in respect of the Designated Obligations, shall be distributed to the CAM Exchange Parties pro rata in accordance with their respective CAM Percentages. Any direct payment received by a CAM Exchange Party upon or after the CAM Exchange Date, including by way of setoff, in respect of a Designated Obligation shall be paid over to the Administrative Agent for distribution to the CAM Exchange Parties in accordance herewith. 10.02 Letters of Credit. In the event that, on or after the CAM Exchange Date, the aggregate amount of the Designated Obligations shall change as a result of a drawing under a Letter of Credit that is not reimbursed by the Company, then (i) each Lender shall, in accordance with Section 2.03(c), promptly make its L/C Advance in respect of such Unreimbursed Amount (without giving effect to the CAM Exchange), (ii) the Administrative Agent shall redetermine the CAM Percentages after giving effect to such drawing and the making of such L/C Advances and each of the CAM Exchange Parties shall automatically and without further act be deemed to have exchanged interests in the Designated Obligations such that each CAM Exchange Party shall own an interest equal to such CAM Exchange Party’s CAM Percentage in the Designated Obligations (and the interests in the Designated Obligations to be received in such deemed exchange shall, automatically and with no further action required, be converted into Dollars in accordance with the first sentence of Section 10.01), and (iii) in the event distributions shall have been made in accordance with clause (c) of Section 10.01, the CAM Exchange Parties shall make such payments to one another as shall be necessary in order that the amounts received by them shall be equal to the amounts they would have received had each such drawing and L/C Advance been outstanding on the CAM Exchange Date. Each such redetermination shall be binding on each of the Lenders and their successors and assigns and shall be conclusive, absent manifest error. 10.03 No Additional Obligations of Loan Parties. The provisions of this Article X are solely an agreement among the Lenders, the L/C Issuers and the Administrative Agent for the purpose of allocating risk and no Loan Party shall have any additional obligations to any of the Lenders, the L/C Issuers, the Administrative Agent or any other Person solely as a result of the operation of this Article X (except for the obligations of the Borrowers under the last sentence of Section 10.01(a)). ARTICLE XI. MISCELLANEOUS 11.01 Amendments, Etc. (a) Subject to Section 3.03(c) and the last paragraph of this Section 11.01, no amendment or waiver of any provision of this Agreement or any other Loan Document, and no consent to any departure by the Company or any other Loan Party therefrom, shall be effective unless in writing signed by the Required Lenders (or by the Administrative Agent with the consent of the Required Lenders) and the Company or the applicable Loan Party, as the case may be, and acknowledged by the Administrative Agent, and each such waiver or consent shall be effective only in the specific instance and for the specific purpose for which given; provided, however, that no such amendment, waiver or consent shall:


 
132 (i) (x) waive any condition set forth in Section 4.01(a) without the written consent of each Lender or (y) waive or amend any condition set forth in Section 4.02 as to any Credit Extension under a particular Facility without the written consent of the Required Revolving Lenders or the Required Term Lenders, as the case may be; (ii) extend or increase the Commitment of any Lender (or reinstate any Commitment terminated pursuant to Section 8.02) without the written consent of such Lender (it being understood and agreed that a waiver of any condition precedent in Section 4.02 or of any Default is not considered an extension or increase in Commitments of any Lender); (iii) postpone any date fixed by this Agreement or any other Loan Document for any payment (excluding mandatory prepayments) of principal, interest, fees or other amounts due to the Lenders (or any of them) hereunder or under such other Loan Document without the written consent of each Lender entitled to such payment; (iv) reduce the principal of, or the rate of interest specified herein on, any Loan or L/C Borrowing, or (subject to clause (iv) of the second proviso to this Section 11.01) any fees or other amounts payable hereunder or under any other Loan Document without the written consent of each Lender entitled to such amount; provided, however, that only the consent of (i) the Required Lenders shall be necessary to amend the definition of “Default Rate” or (ii) the Required Revolving Lenders to waive any obligation of any Borrower to pay interest or Letter of Credit Fees at the Default Rate; (v) change (i) Section 8.03, Section 2.13¸ Section 2.05(a) or Section 2.06(c) in a manner that would alter the pro rata sharing of payments or the ratable reduction of commitments required thereby without the written consent of each Lender, (ii) the order of application of any reduction in the Commitments or any prepayment of Loans among the Facilities from the application thereof set forth in the applicable provisions of Section 2.05(a) or 2.06(c), respectively, in any manner that materially and adversely affects the Lenders under a Facility without the written consent of the Required Revolving Lenders or the Required Term Lenders, as applicable, (iii) Section 2.12(f) in a manner that would alter the pro rata application required thereby without the written consent of each Lender directly affected thereby, (iv) subordinate, or have the effect of subordinating, the Obligations hereunder to any other Indebtedness or other obligation, without the written consent of each Lender or (v) subordinate the Liens on the Collateral securing the Obligations to the Liens securing any other Indebtedness or other obligations in any transaction or series of related transaction (other than as authorized by Section 9.10(a)(iii)), without the written consent of each Lender; (vi) amend Section 1.09 or the definition of “Alternative Currency”, “Alternative Currency Daily Rate” or “Alternative Currency Term Rate” without the written consent of each Lender directly affected thereby; (vii) change any provision of this Section or the definition of “Required Lenders,” “Required Revolving Lenders,” “Required Term Lenders,” or any other provision hereof specifying the number or percentage of Lenders required to amend, waive or otherwise modify any rights hereunder or make any determination or grant any consent hereunder without the written consent of each Lender; (viii) release or subordinate all or substantially all of the value of the Collateral (other than as authorized by Sections 9.10 or 11.21) without the written consent of each Lender;


 
133 (ix) release (i) either Borrower from its respective Obligations hereunder or under the Loan Documents, (ii) the Company from its Obligations as a Guarantor of the Obligations hereunder or under the Loan Documents, or (iii) other Guarantors comprising all or substantially all of the credit support, in each case (other than as authorized by Section 9.10) without the written consent of each Lender; or (x) directly and materially adversely affect the rights of Lenders holding Commitments or Loans of one Class differently from the rights of Lenders holding Commitments or Loans of any other Class without the written consent of the applicable Required Class Lenders; and, provided further, that (i) no amendment, waiver or consent shall, unless in writing and signed by the applicable L/C Issuer in addition to the Lenders required above, affect the rights or duties of such L/C Issuer under this Agreement or any Issuer Document relating to any Letter of Credit issued or to be issued by it; (ii) no amendment, waiver or consent shall, unless in writing and signed by the Swing Line Lender in addition to the Lenders required above, affect the rights or duties of the Swing Line Lender under this Agreement; (iii) no amendment, waiver or consent shall, unless in writing and signed by the Administrative Agent in addition to the Lenders required above, affect the rights or duties of the Administrative Agent under this Agreement or any other Loan Document; and (iv) the Fee Letters may be amended, or rights or privileges thereunder waived, in a writing executed only by the parties thereto. (b) Notwithstanding anything to the contrary herein, (A) no Defaulting Lender shall have any right to approve or disapprove any amendment, waiver or consent hereunder (and any amendment, waiver or consent which by its terms requires the consent of all Lenders, or each affected Lender may be effective with the consent of the applicable Lenders other than Defaulting Lenders), except that (x) the Commitment of any Defaulting Lender may not be increased or extended or the principal owed to such Defaulting Lender reduced or the final maturity thereof extended without the consent of such Defaulting Lender, and (y) any waiver, amendment or other modification requiring the consent of all Lenders or each affected Lender that by its terms affects any Defaulting Lender disproportionately adversely relative to other affected Lenders shall require the consent of such Defaulting Lender, (B) any waiver, consent or other amendment to any term or provision of this Agreement necessary or advisable to effectuate the intent of Section 2.14 to provide any Incremental Commitments shall be effective when executed by the Borrowers, the Administrative Agent and each Lender or other approved financial institution making such Incremental Commitment, (C) each Lender is entitled to vote as such Lender sees fit on any bankruptcy reorganization plan that affects the Loans, and each Lender acknowledges that the provisions of Section 1126(c) of the Bankruptcy Code of the United States supersedes the unanimous consent provisions set forth herein and (D) the Required Lenders shall determine whether or not to allow a Loan Party to use cash collateral in the context of a bankruptcy or insolvency proceeding and such determination shall be binding on all of the Lenders. (c) Notwithstanding anything to the contrary herein, this Agreement may be amended and restated without the consent of any Lender (but with the consent of the Company and the Administrative Agent) if, upon giving effect to such amendment and restatement, such Lender shall no longer be a party to this Agreement (as so amended and restated), the Commitments of such Lender shall have terminated, such Lender shall have no other commitment or other obligation hereunder and shall have been paid in full all principal, interest and other amounts owing to it or accrued for its account under this Agreement. (d) Notwithstanding any provision herein to the contrary, this Agreement may be amended with the written consent of the Administrative Agent, the L/C Issuers, the Borrowers and the Lenders affected thereby to amend the definition of “Alternative Currency” “Alternative Currency Term Rate” or “Alternative Currency Daily Rate” or Section 1.09 solely to add additional currency options and the applicable interest rate with respect thereto, in each case solely to the extent permitted pursuant to Section 1.09.


 
134 (e) Notwithstanding any provision herein to the contrary, if the Administrative Agent and the Company acting together identify any ambiguity, omission, mistake, typographical error or other defect in any provision of this Agreement or any other Loan Document (including the schedules and exhibits thereto), then the Administrative Agent and the Company shall be permitted to amend, modify or supplement such provision to cure such ambiguity, omission, mistake, typographical error or other defect, and such amendment shall become effective without any further action or consent of any other party to this Agreement. 11.02 Notices; Effectiveness; Electronic Communication. (a) Notices Generally. Except in the case of notices and other communications expressly permitted to be given by telephone (and except as provided in subsection (b) below), all notices and other communications provided for herein shall be in writing and shall be delivered by hand or overnight courier service, mailed by certified or registered mail or sent by fax transmission or e-mail transmission as follows, and all notices and other communications expressly permitted hereunder to be given by telephone shall be made to the applicable telephone number, as follows: (i) if to the Company or any other Loan Party, the Administrative Agent, an L/C Issuer or the Swing Line Lender, to the address, facsimile number, electronic mail address or telephone number specified for such Person on Schedule 11.02; and (ii) if to any other Lender, to the address, fax number, e-mail address or telephone number specified in its Administrative Questionnaire (including, as appropriate, notices delivered solely to the Person designated by a Lender on its Administrative Questionnaire then in effect for the delivery of notices that may contain material non-public information relating to the Company). Notices and other communications sent by hand or overnight courier service, or mailed by certified or registered mail, shall be deemed to have been given when received; notices and other communications sent by fax transmission shall be deemed to have been given when sent (except that, if not given during normal business hours for the recipient, shall be deemed to have been given at the opening of business on the next Business Day for the recipient). Notices and other communications delivered through electronic communications to the extent provided in clause (b) below, shall be effective as provided in such clause (b). This Agreement was prepared by: Greenberg Traurig, LLP 2200 Ross Avenue, Suite 5200 Dallas, Texas 75202 Attention: Lou Ann Brunenn Phone: 214-665-3661 E-mail: brunennl@gtlaw.com (b) Electronic Communications. (i) Notices and other communications to the Administrative Agent, the Lenders, the Swing Line Lender and the L/C Issuers hereunder may be delivered or furnished by electronic communication (including e-mail, FPML messaging, and Internet or intranet websites) pursuant to procedures approved by the Administrative Agent in its sole discretion; provided that the foregoing shall not apply to notices to any Lender, the Swing Line Lender or any L/C Issuer pursuant to Article II if such Lender, the Swing Line Lender or such L/C Issuer, as applicable, has notified the Administrative Agent that it is incapable of receiving notices under such Article II by electronic communication. The Administrative Agent, the Swing Line Lender, any L/C Issuer or any


 
135 Borrower may each, in its discretion, agree to accept notices and other communications to it hereunder by electronic communications pursuant to procedures approved by it, provided that approval of such procedures may be limited to particular notices or communications. (ii) Unless the Administrative Agent otherwise prescribes, (A) notices and other communications sent to an e-mail address shall be deemed received upon the sender’s receipt of an acknowledgment from the intended recipient (such as by the “return receipt requested” function, as available, return e-mail or other written acknowledgement) and (B) notices and other communications posted to an Internet or intranet website shall be deemed received by the intended recipient upon the sender’s receipt of an acknowledgement from the intended recipient (such as by the “return receipt requested” function, as available, return e-mail address or other written acknowledgement) indicating that such notice or communication is available and identifying the website address therefor; provided that for both clauses (A) and (B), if such notice or other communication is not sent during the normal business hours of the recipient, such notice, email or communication shall be deemed to have been sent at the opening of business on the next Business Day for the recipient. (c) The Platform. THE PLATFORM IS PROVIDED “AS IS” AND “AS AVAILABLE.” THE AGENT PARTIES (AS DEFINED BELOW) DO NOT WARRANT THE ACCURACY OR COMPLETENESS OF THE BORROWER MATERIALS OR THE ADEQUACY OF THE PLATFORM, AND EXPRESSLY DISCLAIM LIABILITY FOR ERRORS IN OR OMISSIONS FROM THE BORROWER MATERIALS. NO WARRANTY OF ANY KIND, EXPRESS, IMPLIED OR STATUTORY, INCLUDING ANY WARRANTY OF MERCHANTABILITY, FITNESS FOR A PARTICULAR PURPOSE, NON-INFRINGEMENT OF THIRD PARTY RIGHTS OR FREEDOM FROM VIRUSES OR OTHER CODE DEFECTS, IS MADE BY ANY AGENT PARTY IN CONNECTION WITH THE BORROWER MATERIALS OR THE PLATFORM. In no event shall the Administrative Agent or any of its Related Parties (collectively, the “Agent Parties”) have any liability to the Company, any other Loan Party, any Lender or L/C Issuer or any other Person for losses, claims, damages, liabilities or expenses of any kind (whether in tort, contract or otherwise) arising out of the Company’s, any other Loan Party’s or the Administrative Agent’s transmission of Borrower Materials or notices through the Platform, any other electronic platform or electronic messaging service, or through the Internet. (d) Change of Address, Etc. Each of the Borrowers, the Administrative Agent, any L/C Issuer and the Swing Line Lender may change its address, fax number or telephone number or e-mail address for notices and other communications hereunder by notice to the other parties hereto. Each other Lender may change its address, fax number or telephone number or e-mail address for notices and other communications hereunder by notice to the Company, the Administrative Agent, the L/C Issuers and the Swing Line Lender. In addition, each Lender agrees to notify the Administrative Agent from time to time to ensure that the Administrative Agent has on record (i) an effective address, contact name, telephone number, fax number and e-mail address to which notices and other communications may be sent and (ii) accurate wire instructions for such Lender. Furthermore, each Public Lender agrees to cause at least one individual at or on behalf of such Public Lender to at all times have selected the “Private Side Information” or similar designation on the content declaration screen of the Platform in order to enable such Public Lender or its delegate, in accordance with such Public Lender’s compliance procedures and Applicable Law, including United States Federal and state securities Laws, to make reference to Borrower Materials that are not made available through the “Public Side Information” portion of the Platform and that may contain material non- public information with respect to the Company or its securities for purposes of United States Federal or state securities laws.


 
136 (e) Reliance by Administrative Agent, L/C Issuers and Lenders. The Administrative Agent, the L/C Issuers and the Lenders shall be entitled to rely and act upon any notices (including telephonic or electronic notices, Loan Notices, Letter of Credit Applications, Notice of Loan Prepayment and Swing Line Loan Notices) purportedly given by or on behalf of the Company even if (i) such notices were not made in a manner specified herein, were incomplete or were not preceded or followed by any other form of notice specified herein, or (ii) the terms thereof, as understood by the recipient, varied from any confirmation thereof. The Company shall indemnify the Administrative Agent, each L/C Issuer, each Lender and the Related Parties of each of them from all losses, costs, expenses and liabilities resulting from the reliance by such Person on each notice purportedly given by or on behalf of the Company. All telephonic notices to and other telephonic communications with the Administrative Agent may be recorded by the Administrative Agent, and each of the parties hereto hereby consents to such recording. 11.03 No Waiver; Cumulative Remedies; Enforcement. (a) No failure by any Lender or the Administrative Agent to exercise, and no delay by any such Person in exercising, any right, remedy, power or privilege hereunder or any other Loan Document shall operate as a waiver thereof; nor shall any single or partial exercise of any right, remedy, power or privilege hereunder or under any other Loan Document preclude any other or further exercise thereof or the exercise of any other right, remedy, power or privilege. The rights, remedies, powers and privileges herein provided, and provided under each other Loan Document, are cumulative and not exclusive of any rights, remedies, powers and privileges provided by law. (b) Notwithstanding anything to the contrary contained herein or in any other Loan Document, the authority to enforce rights and remedies hereunder and under the other Loan Documents against the Loan Parties or any of them shall be vested exclusively in, and all actions and proceedings at law in connection with such enforcement shall be instituted and maintained exclusively by, the Administrative Agent in accordance with Section 8.02 for the benefit of all the Lenders and the L/C Issuers; provided, however, that the foregoing shall not prohibit (a) the Administrative Agent from exercising on its own behalf the rights and remedies that inure to its benefit (solely in its capacity as Administrative Agent) hereunder and under the other Loan Documents, (b) any L/C Issuer or the Swing Line Lender from exercising the rights and remedies that inure to its benefit (solely in its capacity as an L/C Issuer or Swing Line Lender, as the case may be) hereunder and under the other Loan Documents, (c) any Lender from exercising setoff rights in accordance with Section 11.08 (subject to the terms of Section 2.13), or (d) any Lender from filing proofs of claim or appearing and filing pleadings on its own behalf during the pendency of a proceeding relative to any Loan Party under any Debtor Relief Law; and provided, further, that if at any time there is no Person acting as Administrative Agent hereunder and under the other Loan Documents, then (i) the Required Lenders shall have the rights otherwise ascribed to the Administrative Agent pursuant to Section 8.02 and (ii) in addition to the matters set forth in clauses (b), (c) and (d) of the preceding proviso and subject to Section 2.13, any Lender may, with the consent of the Required Lenders, enforce any rights and remedies available to it and as authorized by the Required Lenders. 11.04 Expenses; Indemnity; Damage Waiver. (a) Costs and Expenses. The Borrowers shall, jointly and severally, pay (i) all reasonable out of pocket expenses incurred by the Administrative Agent and its Affiliates (including the Attorney Costs of counsel for the Administrative Agent), in connection with the syndication of the credit facilities provided for herein, the preparation, negotiation, execution, delivery and administration of this Agreement and the other Loan Documents or any amendments, modifications or waivers of the provisions hereof or thereof (whether or not the transactions contemplated hereby or thereby shall be consummated), (ii) all reasonable out of pocket expenses incurred by the L/C Issuers in connection with the issuance, amendment, extension, reinstatement or renewal of any Letter of Credit or any demand for payment thereunder and (iii) all out of


 
137 pocket expenses incurred by the Administrative Agent or any Lender or L/C Issuer (including the fees, charges and disbursements of any counsel which shall be limited to one counsel to the Administrative Agent, the Lenders and L/C Issuers taken as a whole and, if reasonably necessary, one local counsel in each relevant jurisdiction material to the interests of the Lenders taken as a whole and, solely in the case of an actual or perceived conflict of interest, one additional counsel in each relevant jurisdiction to each group of similarly situated affected parties), in connection with the enforcement or protection of its rights (A) in connection with this Agreement and the other Loan Documents, including its rights under this Section, or (B) in connection with the Loans made or Letters of Credit issued hereunder, including all such out of pocket expenses incurred during any workout, restructuring or negotiations in respect of such Loans or Letters of Credit. (b) Indemnification by the Borrowers. (i) Each Borrower shall jointly and severally indemnify the Administrative Agent (and any sub-agent thereof), each Arranger, each Lender and each L/C Issuer, and each Related Party of any of the foregoing Persons (each such Person being called an “Indemnitee”) against, and hold each Indemnitee harmless from, any and all losses, claims, damages, liabilities and related expenses (including the Attorney Costs for any Indemnitee, but limited in the case of legal fees and expenses to the reasonable and documented or invoiced out-of-pocket fees, disbursements and other charges of one counsel to all Indemnitees taken as a whole and, if necessary, one local counsel for all Indemnitees taken as a whole in each relevant jurisdiction material to the interests of the Lenders and, solely in the case of an actual or perceived conflict of interest, where the Indemnitee affected by such conflict informs the Company of such conflict and thereafter retains its own counsel, one additional counsel in each relevant jurisdiction to each group of similarly situated affected Indemnitees), incurred by any Indemnitee or asserted against any Indemnitee by any Person (including the Borrowers or any other Loan Party) arising out of, in connection with, or as a result of (i) the execution or delivery of this Agreement, any other Loan Document or any other agreement (other than administration costs, fees or expenses incurred in the ordinary administration of this Agreement and the other Loan Documents related to the information postings, Loan Notices, payment notices, billing, collection of Lender payments and the distribution of payments made by the Borrowers to the Administrative Agent for the benefit of the Lenders that have been paid and are contemplated by the Fee Letter), or instrument delivered in connection with the transactions and contemplated hereby or thereby, the performance by the parties hereto of their respective obligations hereunder or thereunder or the consummation of the transactions contemplated hereby or thereby, or, in the case of the Administrative Agent (and any sub-agent thereof) and its Related Parties only, the administration of this Agreement and the other Loan Documents (including in respect of any matters addressed in Section 3.01), (ii) any Loan or Letter of Credit or the use or proposed use of the proceeds therefrom (including any refusal by any L/C Issuer to honor a demand for payment under a Letter of Credit if the documents presented in connection with such demand do not strictly comply with the terms of such Letter of Credit), (iii) any actual or alleged presence or Release of Hazardous Materials on or from any property owned, leased or operated by a Loan Party or any of its Subsidiaries, or any Environmental Liability related in any way to a Loan Party or any of its Subsidiaries, or (iv) any actual or prospective claim, litigation, investigation or proceeding relating to any of the foregoing, whether based on contract, tort or any other theory, whether brought by a third party or by a Borrower or any other Loan Party, and regardless of whether any Indemnitee is a party thereto, IN ALL CASES, WHETHER OR NOT CAUSED BY OR ARISING, IN WHOLE OR IN PART, OUT OF THE COMPARATIVE, CONTRIBUTORY OR SOLE NEGLIGENCE OF THE INDEMNITEE; provided that such indemnity shall not, as to any Indemnitee, be available (x) to the extent that such losses, claims, damages, liabilities or related expenses are determined by a court of competent jurisdiction by final and non-appealable judgment to have resulted from the gross negligence or willful misconduct of


 
138 such Indemnitee or (y) for any loss asserted against it by another Indemnitee, provided that such asserted loss was not a result of the Company’s or its Subsidiaries’ own conduct. Without limiting the provisions of Section 3.01(c), this Section 11.04(b) shall not apply with respect to Taxes other than any Taxes that represent losses, claims, damages, etc. arising from any non-Tax claim. (ii) EACH INDEMNITEE AGREES WITH RESPECT TO ANY ACTION AGAINST IT IN RESPECT OF WHICH INDEMNITY MAY BE SOUGHT UNDER THIS SECTION 11.04, THAT SUCH INDEMNITEE WILL GIVE WRITTEN NOTICE OF THE COMMENCEMENT OF SUCH ACTION TO THE COMPANY WITHIN A REASONABLE TIME AFTER SUCH INDEMNITEE IS MADE A PARTY TO SUCH ACTION. UPON RECEIPT OF ANY SUCH NOTICE BY THE COMPANY, THE COMPANY, UNLESS SUCH INDEMNITEE SHALL BE ADVISED BY ITS COUNSEL THAT THERE ARE OR MAY BE LEGAL DEFENSES AVAILABLE TO SUCH INDEMNITEE THAT ARE DIFFERENT FROM, IN ADDITION TO, OR IN CONFLICT WITH, THE DEFENSES AVAILABLE TO THE COMPANY OR ANY OTHER LOAN PARTY, MAY PARTICIPATE WITH THE INDEMNITEE IN THE DEFENSE OF SUCH INDEMNIFIED MATTER; PROVIDED, HOWEVER, NOTHING PROVIDED HEREIN SHALL (i) ENTITLE THE COMPANY OR ANY OTHER LOAN PARTY TO ASSUME THE DEFENSE OF SUCH INDEMNIFIED MATTER OR (ii) REQUIRE THE CONSENT OF THE COMPANY OR ANY OTHER LOAN PARTY FOR ANY SETTLEMENT OR ACTION IN RESPECT OF SUCH INDEMNIFIED MATTER, ALTHOUGH EACH INDEMNITEE AGREES TO CONFER AND CONSULT WITH THE COMPANY OR ANY OTHER LOAN PARTY BEFORE MAKING ANY SETTLEMENT OF SUCH INDEMNIFIED MATTER. (c) Reimbursement by Lenders. To the extent that the Company for any reason fails to indefeasibly pay any amount required under subsection (a) or (b) of this Section to be paid by it to the Administrative Agent (or any sub-agent thereof), any Arranger, any L/C Issuer, the Swing Line Lender or any Related Party of any of the foregoing, each Lender severally agrees to pay to the Administrative Agent (or any such sub-agent), such Arranger, such L/C Issuer, the Swing Line Lender or such Related Party, as the case may be, such Lender’s pro rata share (determined as of the time that the applicable unreimbursed expense or indemnity payment is sought based on each Lender’s share of the Total Credit Exposure at such time) of such unpaid amount (including any such unpaid amount in respect of a claim asserted by such Lender), such payment to be made severally among them based on such Lender’s Applicable Percentage (determined as of the time that the applicable unreimbursed expense or indemnity payment is sought), provided further that the unreimbursed expense or indemnified loss, claim, damage, liability or related expense, as the case may be, was incurred by or asserted against the Administrative Agent (or any such sub-agent), such Arranger, such L/C Issuer or the Swing Line Lender in its capacity as such, or against any Related Party of any of the foregoing acting for the Administrative Agent (or any such sub-agent), such Arranger, such L/C Issuer or the Swing Line Lender in connection with such capacity. The obligations of the Lenders under this subsection (c) are subject to the provisions of Section 2.12(d). (d) Waiver of Consequential Damages, Etc. To the fullest extent permitted by Applicable Law, the Borrowers shall not assert, and hereby waive, and acknowledge that no other Person shall have, any claim against any Indemnitee, on any theory of liability, for special, indirect, consequential or punitive damages (as opposed to direct or actual damages) arising out of, in connection with, or as a result of, this Agreement, any other Loan Document or any agreement or instrument contemplated hereby, the transactions contemplated hereby or thereby, any Loan or Letter of Credit or the use of the proceeds thereof. No Indemnitee referred to in subsection (b) above shall be liable for any damages arising from the use by unintended recipients of any information or other materials distributed to such unintended recipients by such Indemnitee through telecommunications, electronic or other information transmission systems in connection with this Agreement or the other Loan Documents or the transactions contemplated hereby or


 
139 thereby other than for direct or actual damages resulting from the gross negligence or willful misconduct of such Indemnitee as determined by a final and non-appealable judgment of a court of competent jurisdiction. (e) Payments. All amounts due under this Section shall be payable not later than ten Business Days after demand therefor. (f) Survival. The agreements in this Section and the indemnity provisions of Section 11.02(e) shall survive the resignation of the Administrative Agent, any L/C Issuer and the Swing Line Lender, the replacement of any Lender, the termination of the Aggregate Commitments and the repayment, satisfaction or discharge of all the other Obligations. 11.05 Payments Set Aside. To the extent that any payment by or on behalf of any Loan Party is made to the Administrative Agent, any L/C Issuer or any Lender, or the Administrative Agent, any L/C Issuer or any Lender exercises its right of setoff, and such payment or the proceeds of such setoff or any part thereof is subsequently invalidated, declared to be fraudulent or preferential, set aside or required (including pursuant to any settlement entered into by the Administrative Agent, such L/C Issuer or such Lender in its discretion) to be repaid to a trustee, receiver or any other party, in connection with any proceeding under any Debtor Relief Law or otherwise, then (a) to the extent of such recovery, the obligation or part thereof originally intended to be satisfied shall be revived and continued in full force and effect as if such payment had not been made or such setoff had not occurred, and (b) each Lender and each L/C Issuer severally agrees to pay to the Administrative Agent upon demand its applicable share (without duplication) of any amount so recovered from or repaid by the Administrative Agent, plus interest thereon from the date of such demand to the date such payment is made at a rate per annum equal to the applicable Overnight Rate from time to time in effect, in the applicable currency of such recovery or payment. The obligations of the Lenders and the L/C Issuers under clause (b) of the preceding sentence shall survive the payment in full of the Obligations and the termination of this Agreement. 11.06 Successors and Assigns. (a) Successors and Assigns Generally. The provisions of this Agreement and the other Loan Documents shall be binding upon and inure to the benefit of the parties hereto and thereto and their respective successors and assigns permitted hereby, except that neither the Company nor any other Loan Party may assign or otherwise transfer any of its rights or obligations hereunder without the prior written consent of the Administrative Agent and each Lender and no Lender may assign or otherwise transfer any of its rights or obligations hereunder except (i) to an assignee in accordance with the provisions of Section 11.06(b), (ii) by way of participation in accordance with the provisions of Section 11.06(d), or (iii) by way of pledge or assignment of a security interest subject to the restrictions of Section 11.06(f) (and any other attempted assignment or transfer by any party hereto shall be null and void). Nothing in this Agreement, expressed or implied, shall be construed to confer upon any Person (other than the parties hereto, their respective successors and assigns permitted hereby, Participants to the extent provided in Section 11.06(d) and, to the extent expressly contemplated hereby, the Related Parties of each of the Administrative Agent, the L/C Issuers and the Lenders) any legal or equitable right, remedy or claim under or by reason of this Agreement. (b) Assignments by Lenders. Any Lender may at any time assign to one or more assignees all or a portion of its rights and obligations under this Agreement and the other Loan Documents (including all or a portion of its Commitment and the Loans (including for purposes of this subsection (b), participations in L/C Obligations and in Swing Line Loans) at the time owing to it); provided that any such assignment shall be subject to the following conditions:


 
140 (i) Minimum Amounts. (A) in the case of an assignment of the entire remaining amount of the assigning Lender’s Commitment under any Facility and/or the Loans at the time owing to it (in each case with respect to any Facility) or contemporaneous assignments to related Approved Funds (determined after giving effect to such assignments) that equal at least the amount specified in clause (b)(i)(B) of this Section 11.06 in the aggregate or in the case of an assignment to a Lender, an Affiliate of a Lender or an Approved Fund, no minimum amount need be assigned; and (B) in any case not described in clause (b)(i)(A) of this Section 11.06, the aggregate amount of the Commitment (which for this purpose includes Loans outstanding thereunder) or, if the Commitment is not then in effect, the principal outstanding balance of the Loans of the assigning Lender subject to each such assignment, determined as of the date the Assignment and Assumption with respect to such assignment is delivered to the Administrative Agent or, if “Trade Date” is specified in the Assignment and Assumption, as of the Trade Date, shall not be less than $5,000,000, in the case of any assignment in respect of the Revolving Facility, or $1,000,000, in the case of any assignment in respect of the Term Facility, unless each of the Administrative Agent and, so long as no Event of Default has occurred and is continuing, the Company otherwise consents (each such consent not to be unreasonably withheld or delayed). (ii) Proportionate Amounts. Each partial assignment shall be made as an assignment of a proportionate part of all the assigning Lender’s rights and obligations under this Agreement and the other Loan Documents with respect to the Loans and/or the Commitment assigned, except that this clause (ii) shall not (A) apply to the Swing Line Lender’s rights and obligations in respect of Swing Line Loans or (B) prohibit any Lender from assigning all or a portion of its rights and obligations under separate Facilities on a non-pro rata basis; (iii) Required Consents. No consent shall be required for any assignment except to the extent required by clause (b)(i)(B) of this Section 11.06 and, in addition: (A) the consent of the Company (such consent not to be unreasonably withheld or delayed) shall be required unless (1) an Event of Default has occurred and is continuing at the time of such assignment or (2) such assignment is to a Lender, an Affiliate of a Lender or an Approved Fund; provided that the Company shall be deemed to have consented to any such assignment unless it shall object thereto by written notice to the Administrative Agent within ten (10) Business Days after having received notice thereof; (B) the consent of the Administrative Agent (such consent not to be unreasonably withheld or delayed) shall be required for assignments in respect of (1) any unfunded Term Commitment or any Revolving Commitment if such assignment is to a Person that is not a Lender with a Commitment in respect of the applicable Facility, an Affiliate of such Lender or an Approved Fund with respect to such Lender or (2) any Term Loan to a Person that is not a Lender, an Affiliate of a Lender or an Approved Fund; and (C) the consent of each L/C Issuer and the Swing Line Lender (each such consent not to be unreasonably withheld or delayed) shall be required for any assignment in respect of the Revolving Facility.


 
141 (iv) Assignment and Assumption. The parties to each assignment shall execute and deliver to the Administrative Agent an Assignment and Assumption, together with a processing and recordation fee in the amount of $3,500; provided, however, that the Administrative Agent may, in its sole discretion, elect to waive such processing and recordation fee in the case of any assignment. The assignee, if it is not a Lender, shall deliver to the Administrative Agent an Administrative Questionnaire. (v) No Assignment to Certain Persons. No such assignment shall be made (A) to the Company or any of the Company’s Affiliates or Subsidiaries, (B) to any Defaulting Lender or any of its Subsidiaries, or any Person who, upon becoming a Lender hereunder, would constitute any of the foregoing Persons described in this clause (B), or (C) to a natural person (or a holding company, investment vehicle or trust for, or owned and operated by or for the primary benefit of, one or more natural Persons). (vi) Certain Additional Payments. In connection with any assignment of rights and obligations of any Defaulting Lender hereunder, no such assignment shall be effective unless and until, in addition to the other conditions thereto set forth herein, the parties to the assignment shall make such additional payments to the Administrative Agent in an aggregate amount sufficient, upon distribution thereof as appropriate (which may be outright payment, purchases by the assignee of participations or subparticipations, or other compensating actions, including funding, with the consent of the Company and the Administrative Agent, the applicable pro rata share of Loans previously requested but not funded by the Defaulting Lender, to each of which the applicable assignee and assignor hereby irrevocably consent), to (x) pay and satisfy in full all payment liabilities then owed by such Defaulting Lender to the Administrative Agent, any L/C Issuer or any Lender hereunder (and interest accrued thereon) and (y) acquire (and fund as appropriate) its full pro rata share of all Loans and participations in Letters of Credit and Swing Line Loans in accordance with its Applicable Percentage. Notwithstanding the foregoing, in the event that any assignment of rights and obligations of any Defaulting Lender hereunder shall become effective under Applicable Law without compliance with the provisions of this clause (b)(vi), then the assignee of such interest shall be deemed to be a Defaulting Lender for all purposes of this Agreement until such compliance occurs. (vii) No Assignment Resulting in Additional Indemnified Taxes. No such assignment shall be made to any Person (other than an assignment at the request of the Company pursuant to Section 11.13) that, through its Lending Offices, is not capable of lending such Alternative Currency to the relevant Borrowers without the imposition of any additional Taxes for which the Loan Parties are required to indemnify the Administrative Agent and the Lenders pursuant to Section 3.01; provided that this clause (vii) shall not apply after the occurrence and during the continuance of an Event of Default. (viii) Alternative Currencies. Unless at the time of any assignment an Event of Default shall have occurred and be continuing, no such assignment shall be made to any Person that cannot make Loans to the Borrowers in all Alternative Currencies then available to the Borrowers hereunder unless the Company consents to such assignment. (ix) Luxembourg Civil Code. The parties hereto hereby expressly accept and confirm, for the purpose of articles 1278 and seq. of the Luxembourg Civil Code that, notwithstanding any assignment, transfer and/or novation permitted under, and made in accordance with this Agreement or any other Loan Document, any Guaranty or Collateral given under this Agreement or pursuant to any other Loan Document shall be preserved for the benefit of any assignee or transferee. The sending to the Foreign Borrower of a copy of the agreement or instrument pursuant to which a


 
142 Lenders sells a participation in accordance with Section 11.06(d) shall be deemed in relation to the Loan Documents to be sufficient to fulfill the notification requirement of article 1690 of the Luxembourg Civil Code (to the extent applicable). (x) Subject to acceptance and recording thereof by the Administrative Agent pursuant to Section 11.06(c), from and after the effective date specified in each Assignment and Assumption, the assignee thereunder shall be a party to this Agreement and, to the extent of the interest assigned by such Assignment and Assumption, have the rights and obligations of a Lender under this Agreement, and the assigning Lender thereunder shall, to the extent of the interest assigned by such Assignment and Assumption, be released from its obligations under this Agreement (and, in the case of an Assignment and Assumption covering all of the assigning Lender’s rights and obligations under this Agreement, such Lender shall cease to be a party hereto but shall continue to be entitled to the benefits of Sections 3.01, 3.04, 3.05, and 11.04 with respect to facts and circumstances occurring prior to the effective date of such assignment); provided, that except to the extent otherwise expressly agreed by the affected parties, no assignment by a Defaulting Lender will constitute a waiver or release of any claim of any party hereunder arising from that Lender’s having been a Defaulting Lender. Upon request, the Borrowers (at their expense) shall execute and deliver a Note to the assignee Lender. Any assignment or transfer by a Lender of rights or obligations under this Agreement that does not comply with this subsection shall be treated for purposes of this Agreement as a sale by such Lender of a participation in such rights and obligations in accordance with Section 11.06(d). (c) Register. The Administrative Agent, acting solely for this purpose as a non-fiduciary agent of the Borrowers, (and such agency being solely for Tax purposes) shall maintain at the Administrative Agent’s Office a copy of each Assignment and Assumption delivered to it (or the equivalent thereof in electronic form) and a register for the recordation of the names and addresses of the Lenders, and the Commitments of, and principal amounts (and interest amounts) of the Loans and L/C Obligations owing to, each Lender pursuant to the terms hereof from time to time (the “Register”). The entries in the Register shall be conclusive absent manifest error, and the Borrowers, the Administrative Agent and the Lenders shall treat each Person whose name is recorded in the Register pursuant to the terms hereof as a Lender hereunder for all purposes of this Agreement. The Register shall be available for inspection by the Borrowers and any Lender (with respect to such Lender’s interest only), at any reasonable time and from time to time upon reasonable prior notice. (d) Participations. (i) Any Lender may at any time, without the consent of the Borrowers or the Administrative Agent (but with notice by such Lender to the Administrative Agent at least 5 Business Days prior to any such sale, which notice the Administrative Agent shall use commercially reasonable efforts to disclose to the Company prior to such sale), sell participations to any Person (other than a natural Person (or a holding company, investment vehicle or trust for, or owned and operated for the primary benefit of, one or more natural Persons), a Defaulting Lender or the Company or any of the Company’s Affiliates or Subsidiaries) (each, a “Participant”) in all or a portion of such Lender’s rights and/or obligations under this Agreement (including all or a portion of its Commitment and/or the Loans (including such Lender’s participations in L/C Obligations and/or Swing Line Loans) owing to it); provided that (i) such Lender’s obligations under this Agreement shall remain unchanged, (ii) such Lender shall remain solely responsible to the other parties hereto for the performance of such obligations and (iii) the Borrowers, the Administrative Agent, the Lenders and the L/C Issuers shall continue to deal solely and directly with such Lender in connection with such Lender’s rights and obligations under this Agreement.


 
143 For the avoidance of doubt, each Lender shall be responsible for the indemnity under Section 11.04(d) without regard to the existence of any participations. (ii) Any agreement or instrument pursuant to which a Lender sells such a participation shall provide that such Lender shall retain the sole right to enforce this Agreement and to approve any amendment, modification or waiver of any provision of this Agreement; provided that such agreement or instrument may provide that such Lender will not, without the consent of the Participant, agree to any amendment, waiver or other modification described in the first proviso to Section 11.01 that affects such Participant. The Borrowers agree that each Participant shall be entitled to the benefits of Sections 3.01, 3.04 and 3.05 (subject to the requirements and limitations therein, including the requirements under Section 3.01(e) (it being understood that the documentation required under Section 3.01(e) shall be delivered to the Lender who sells the participation)) to the same extent as if it were a Lender and had acquired its interest by assignment pursuant to clause (b) of this Section 11.06; provided that such Participant (A) shall be subject to the provisions of Sections 3.06 and 11.13 as if it were an assignee under clause (b) of this Section 11.06 and (B) shall not be entitled to receive any greater payment under Sections 3.01 or 3.04, with respect to any participation, than the Lender from whom it acquired the applicable participation would have been entitled to receive, except to the extent such entitlement to receive a greater payment results from a Change in Law that occurs after the Participant acquired the applicable participation. Each Lender that sells a participation agrees, at the Borrowers’ request and expense, to use reasonable efforts to cooperate with the Borrowers to effectuate the provisions of Section 3.06 with respect to any Participant. To the extent permitted by law, each Participant also shall be entitled to the benefits of Section 11.08 as though it were a Lender; provided that such Participant agrees to be subject to Section 2.13 as though it were a Lender. Each Lender that sells a participation shall, acting solely for this purpose as a non-fiduciary agent of the Borrowers, maintain a register on which it enters the name and address of each Participant and the principal amounts (and interest amounts) of each Participant’s interest in the Loans or other obligations under the Loan Documents (the “Participant Register”); provided that no Lender shall have any obligation to disclose all or any portion of the Participant Register (including the identity of any Participant or any information relating to a Participant’s interest in any commitments, loans, letters of credit or its other obligations under any Loan Document) to any Person except to the extent that such disclosure is necessary to establish that such commitment, loan, letter of credit or other obligation is in registered form under Section 5f.103-1(c) of the United States Treasury Regulations. The entries in the Participant Register shall be conclusive absent manifest error, and such Lender shall treat each Person whose name is recorded in the Participant Register as the owner of such participation for all purposes of this Agreement notwithstanding any notice to the contrary. For the avoidance of doubt, the Administrative Agent (in its capacity as Administrative Agent) shall have no responsibility for maintaining a Participant Register. (e) Limitations upon Participant Rights. Notwithstanding anything in Section 11.06(d)(ii) to the contrary, a Participant shall not be entitled to receive any greater payment under Section 3.01 or 3.04 than the applicable Lender would have been entitled to receive with respect to the participation sold to such Participant, unless the sale of the participation to such Participant is made with the Company’s prior written consent. A Participant that would be a Foreign Lender if it were a Lender shall not be entitled to the benefits of Section 3.01 unless the Company is notified of the participation sold to such Participant and such Participant agrees, for the benefit of the Borrowers, to comply with Section 3.01(e) as though it were a Lender. (f) Certain Pledges. Any Lender may at any time pledge or assign a security interest in all or any portion of its rights under this Agreement (including under its Note(s), if any) to secure obligations of such Lender, including any pledge or assignment to secure obligations to a Federal Reserve Bank; provided


 
144 that no such pledge or assignment shall release such Lender from any of its obligations hereunder or substitute any such pledgee or assignee for such Lender as a party hereto. (g) Resignation as an L/C Issuer or Swing Line Lender after Assignment. Notwithstanding anything to the contrary contained herein, if at any time Bank of America assigns all of its Revolving Commitment and Revolving Loans pursuant to subsection (b) above, Bank of America may, (i) upon 30 days’ notice to the Company and the Lenders, resign as an L/C Issuer and/or (ii) upon 30 days’ notice to the Company, resign as Swing Line Lender. In the event of any such resignation as an L/C Issuer or Swing Line Lender, the Company shall be entitled to appoint from among the Lenders a successor L/C Issuer or Swing Line Lender hereunder; provided, however, that no failure by the Company to appoint any such successor shall affect the resignation of Bank of America as an L/C Issuer or Swing Line Lender, as the case may be. If Bank of America resigns as an L/C Issuer, it shall retain all the rights, powers, privileges and duties of an L/C Issuer hereunder with respect to all Letters of Credit issued by it and outstanding as of the effective date of its resignation as an L/C Issuer and all L/C Obligations with respect thereto (including the right to require the Lenders to make Base Rate Loans or fund risk participations in Unreimbursed Amounts pursuant to Section 2.03(c)). If Bank of America resigns as Swing Line Lender, it shall retain all the rights of the Swing Line Lender provided for hereunder with respect to Swing Line Loans made by it and outstanding as of the effective date of such resignation, including the right to require the Lenders to make Base Rate Loans or fund risk participations in outstanding Swing Line Loans pursuant to Section 2.04(c). Upon the appointment of a successor L/C Issuer and/or Swing Line Lender, (a) such successor shall succeed to and become vested with all of the rights, powers, privileges and duties of the retiring L/C Issuer or Swing Line Lender, as the case may be, and (b) the successor L/C Issuer shall issue letters of credit in substitution for the Letters of Credit issued by Bank of America, if any, and outstanding at the time of such succession or make other arrangements satisfactory to Bank of America to effectively assume the obligations of Bank of America with respect to such Letters of Credit. Notwithstanding anything herein to the contrary and without limiting the foregoing, if at any time an L/C Issuer other than Bank of America assigns all of its Revolving Commitment and Revolving Loans pursuant to such subsection (b) above, such L/C Issuer may, (i) upon 30 days’ notice to the Company and the Lenders, resign as an L/C Issuer. In the event of any such resignation as an L/C Issuer, the Company shall be entitled to appoint from among the Lenders a successor L/C Issuer hereunder; provided, however, that no failure by the Company to appoint any such successor shall affect the resignation of such L/C Issuer. Such resigning L/C Issuer shall retain all the rights, powers, privileges and duties of an L/C Issuer hereunder with respect to all Letters of Credit issued by it and outstanding as of the effective date of its resignation as an L/C Issuer and all L/C Obligations with respect thereto (including the right to require Lenders to make Base Rate Loans or fund participations in Unreimbursed Amounts pursuant to Section 2.03(c)). Upon the appointment of a successor L/C Issuer, (a) such successor shall succeed to and become vested with all of the rights, powers, privileges and duties of the retiring L/C Issuer and (b) the successor L/C Issuer shall issue letters of credit in substitution for the Letters of Credit issued by the resigning L/C Issuer, if any, and outstanding at the time of such succession or make other arrangements satisfactory to the resigning L/C Issuer to effectively assume the obligations of such resigning L/C Issuer with respect to such Letters of Credit. 11.07 Treatment of Certain Information; Confidentiality. (a) Treatment of Certain Information. Each of the Administrative Agent, the Lenders and the L/C Issuers agrees to maintain the confidentiality of the Information (as defined below), except that Information may be disclosed (i) to its Affiliates, its auditors and to its Related Parties (it being understood that the Persons to whom such disclosure is made will be informed of the confidential nature of such Information and instructed to keep such Information confidential), (ii) to the extent required or requested by any regulatory authority purporting to have jurisdiction over such Person or its Related Parties (including any self-regulatory authority, such as the National Association of Insurance Commissioners), (iii) to the extent required by Applicable Laws or regulations or by any subpoena or similar legal process, (iv) to any


 
145 other party hereto, (v) in connection with the exercise of any remedies hereunder or under any other Loan Document or any action or proceeding relating to this Agreement or any other Loan Document or the enforcement of rights hereunder or thereunder, (vi) subject to an agreement containing provisions substantially the same as those of this Section 11.07, to (x) any assignee of or Participant in, or any prospective assignee of or Participant in, any of its rights and obligations under this Agreement or any Eligible Assignee invited to be a Lender pursuant to Section 2.14(c), (y) any actual or prospective party (or its Related Parties) to any swap, derivative or other transaction under which payments are made by reference to either Borrower and its obligations, this Agreement or payments hereunder or (z) any credit insurance providers and brokers, (vii) on a confidential basis to (x) any rating agency in connection with rating the Company or any of its Subsidiaries or the credit facilities provided hereunder, (y) the provider of any Platform or other electronic delivery service used by the Administrative Agent, any L/C Issuer or the Swing Line Lender to deliver Borrower Materials or notices to the Lenders, or (z) the CUSIP Service Bureau or any similar agency in connection with the application, issuance, publishing and monitoring of CUSIP numbers or other market identifiers with respect to the credit facilities provided hereunder, (viii) with the consent of the Company, (ix) to the extent such Information (x) becomes publicly available other than as a result of a breach of this Section or (y) becomes available to the Administrative Agent, any Lender, any L/C Issuer or any of their respective Affiliates on a nonconfidential basis from a source other than the Company or (x) if such Information is independently discovered or developed by a party hereto without utilizing any Information received from the Company or violating the terms of this Section 11.07. For purposes of this Section, “Information” means all information received from the Company or any Subsidiary relating to the Company or any Subsidiary or any of their respective businesses, other than any such information that is available to the Administrative Agent, any Lender or L/C Issuer on a nonconfidential basis prior to disclosure by the Company or any Subsidiary, provided that, in the case of information received from the Company or any Subsidiary after the date hereof, such information is clearly identified at the time of delivery as confidential. Any Person required to maintain the confidentiality of Information as provided in this Section 11.07 shall be considered to have complied with its obligation to do so if such Person has exercised the same degree of care to maintain the confidentiality of such Information as such Person would accord to its own confidential information. In addition, the Administrative Agent and the Lenders may disclose the existence of this Agreement and publicly available information about this Agreement to market data collectors, similar service providers to the lending industry and service providers to the Administrative Agent and the Lenders in connection with the administration of this Agreement, the other Loan Documents and the Commitments. (b) Non-Public Information. Each of the Administrative Agent, the Lenders and the L/C Issuers acknowledges that (i) the Information may include material non-public information concerning the Company or a Subsidiary, as the case may be, (ii) it has developed compliance procedures regarding the use of material non-public information and (iii) it will handle such material non-public information in accordance with Applicable Law, including United States Federal and state securities Laws. (c) Press Releases. The Loan Parties and their Affiliates agree that they will not in the future issue any press releases or other public disclosure using the name of the Administrative Agent or any Lender or their respective Affiliates or referring to this Agreement or any of the Loan Documents without the prior written consent of the Administrative Agent, unless (and only to the extent that) the Loan Parties or such Affiliate is required to do so under applicable Law. For the avoidance of doubt, the Loan Parties shall not be prohibited from filing annual, regular, periodic and special reports (including Forms 10K, 10Q and 8K) and registration statements which the Company may file or be required to file with the SEC under Section 13 or 15(d) of the Securities Exchange Act of 1934, which reports and statements may refer to this Agreement and any other Loan Documents, and to the names of the Administrative Agent and any Lender, and the Administrative Agent hereby consents to the filing by the Loan Parties of any such reports or statements; provided, however, in no event shall the Company disclose the fees provided for in the Fee Letter unless otherwise required by applicable Law.


 
146 (d) Customary Advertising Material. The Loan Parties consent to the publication by the Administrative Agent or any Lender of customary advertising material relating to the transactions contemplated hereby using the name, product photographs, logo or trademark of the Loan Parties. 11.08 Right of Setoff. If an Event of Default shall have occurred and be continuing, each Lender, each L/C Issuer and each of their respective Affiliates is hereby authorized at any time and from time to time, to the fullest extent permitted by applicable law, to set off and apply any and all deposits (general or special, time or demand, provisional or final, in whatever currency) at any time held and other obligations (in whatever currency) at any time owing by such Lender, such L/C Issuer or any such Affiliate to or for the credit or the account of either Borrower or any other Loan Party against any and all of the obligations of such Borrower now or hereafter existing under this Agreement or any other Loan Document to such Lender or such L/C Issuer or their respective Affiliates, irrespective of whether or not such Lender, such L/C Issuer or Affiliate shall have made any demand under this Agreement or any other Loan Document and although such obligations of such Borrower or such Loan Party may be contingent or unmatured, secured or unsecured, or are owed to a branch, office or Affiliate of such Lender or such L/C Issuer different from the branch, office or Affiliate holding such deposit or obligated on such indebtedness; provided, that in the event that any Defaulting Lender shall exercise any such right of setoff hereunder, (x) all amounts so set off shall be paid over immediately to the Administrative Agent for further application in accordance with the provisions of Section 2.16 and, pending such payment, shall be segregated by such Defaulting Lender from its other funds and deemed held in trust for the benefit of the Administrative Agent, the L/C Issuers and the Lenders, and (y) the Defaulting Lender shall provide promptly to the Administrative Agent a statement describing in reasonable detail the Secured Obligations owing to such Defaulting Lender as to which it exercised such right of setoff. The rights of each Lender, each L/C Issuer and their respective Affiliates under this Section are in addition to other rights and remedies (including other rights of setoff) that such Lender, such L/C Issuer or their respective Affiliates may have under Applicable Law. Each Lender and each L/C Issuer agrees to notify the Company and the Administrative Agent promptly after any such setoff and application, provided that the failure to give such notice shall not affect the validity of such setoff and application. 11.09 Interest Rate Limitation. Notwithstanding anything to the contrary contained in any Loan Document, the interest paid or agreed to be paid under the Loan Documents shall not exceed the Highest Lawful Rate. If the Administrative Agent or any Lender shall receive interest in an amount that exceeds the Highest Lawful Rate, the excess interest shall be applied to the principal of the Loans or, if it exceeds such unpaid principal, refunded to the Company or the other applicable Loan Party. In determining whether the interest contracted for, charged, or received by the Administrative Agent or a Lender exceeds the Highest Lawful Rate, such Person may, to the extent permitted by Applicable Law, (a) characterize any payment that is not principal as an expense, fee, or premium rather than interest, (b) exclude voluntary prepayments and the effects thereof, and (c) amortize, prorate, allocate, and spread in equal or unequal parts the total amount of interest throughout the contemplated term of the Obligations hereunder. 11.10 Integration; Effectiveness. This Agreement, the other Loan Documents, and any separate letter agreements with respect to fees payable to the Administrative Agent or any L/C Issuer, constitute the entire contract among the parties relating to the subject matter hereof and supersede any and all previous agreements and understandings, oral or written, relating to the subject matter hereof. Except as provided in Section 4.01, this Agreement shall become effective when it shall have been executed by the Administrative Agent and when the Administrative Agent shall have received counterparts hereof that, when taken together, bear the signatures of each of the other parties hereto, and thereafter shall be binding upon and inure to the benefit of the parties hereto and their respective successors and assigns. 11.11 Survival of Representations and Warranties. All representations and warranties made hereunder and in any other Loan Document or other document delivered pursuant hereto or thereto or in


 
147 connection herewith or therewith shall survive the execution and delivery hereof and thereof. Such representations and warranties have been or will be relied upon by the Administrative Agent and each Lender, regardless of any investigation made by the Administrative Agent or any Lender or on their behalf and notwithstanding that the Administrative Agent or any Lender may have had notice or knowledge of any Default at the time of any Credit Extension, and shall continue in full force and effect as long as any Loan or any other Obligation hereunder shall remain unpaid or unsatisfied or any Letter of Credit shall remain outstanding. 11.12 Severability. If any provision of this Agreement or the other Loan Documents is held to be illegal, invalid or unenforceable, (a) the legality, validity and enforceability of the remaining provisions of this Agreement and the other Loan Documents shall not be affected or impaired thereby and (b) the parties shall endeavor in good faith negotiations to replace the illegal, invalid or unenforceable provisions with valid provisions the economic effect of which comes as close as possible to that of the illegal, invalid or unenforceable provisions. The invalidity of a provision in a particular jurisdiction shall not invalidate or render unenforceable such provision in any other jurisdiction. Without limiting the foregoing provisions of this Section 11.12, if and to the extent that the enforceability of any provision of this Agreement relating to Defaulting Lenders shall be limited by Debtor Relief Laws, as determined in good faith by the Administrative Agent, the L/C Issuer or the Swing Line Lender, as applicable, then such provisions shall be deemed to be in effect only to the extent so limited. 11.13 Replacement of Lenders. (a) If the Company is entitled to replace a Lender or Designated Lender pursuant to the provisions of Section 3.06, or if any Lender is a Defaulting Lender or a Non-Consenting Lender, or if any other circumstance exists hereunder that gives the Company the right to replace a Lender as a party hereto, then the Company may, at its sole expense and effort, upon notice to such Lender and the Administrative Agent, require such Lender to assign and delegate, without recourse (in accordance with and subject to the restrictions contained in, and consents required by, Section 11.06), all of its interests, rights (other than its existing rights to payments pursuant to Sections 3.01 and 3.04) and obligations under this Agreement and the related Loan Documents to an Eligible Assignee that shall assume such obligations (which assignee may be another Lender, if a Lender accepts such assignment), provided that: (i) the Company shall have paid to the Administrative Agent the assignment fee (if any) specified in Section 11.06(b) (other than in the case of the replacement of a Defaulting Lender or a Non-Consenting Lender); (ii) such Lender shall have received payment of an amount equal to the outstanding principal of its Loans and L/C Advances, accrued interest thereon, accrued fees and all other amounts payable to it hereunder and under the other Loan Documents (including any amounts under Section 3.05) from the assignee (to the extent of such outstanding principal and accrued interest and fees) or the Company, or the Foreign Borrower (in case of all other amounts); (iii) in the case of any such assignment resulting from a claim for compensation under Section 3.04 or payments required to be made pursuant to Section 3.01, such assignment will result in a reduction in such compensation or payments thereafter; (iv) such assignment does not conflict with Applicable Laws; and (v) in the case of an assignment resulting from a Lender becoming a Non-Consenting Lender, the applicable assignee shall have consented to the applicable amendment, waiver or consent.


 
148 (b) A Lender shall not be required to make any such assignment or delegation if, prior thereto, as a result of a waiver by such Lender or otherwise, the circumstances entitling the Company to require such assignment and delegation cease to apply. (c) Each party hereto agrees that (i) an assignment required pursuant to this Section 11.13 may be effected pursuant to an Assignment and Assumption executed by the Borrowers, the Administrative Agent and the assignee and (ii) the Lender required to make such assignment need not be a party thereto in order for such assignment to be effective and shall be deemed to have consented to and be bound by the terms thereof; provided, that, following the effectiveness of any such assignment, the other parties to such assignment agree to execute and deliver such documents necessary to evidence such assignment as reasonably requested by the applicable Lender, provided further that any such documents shall be without recourse to or warranty by the parties thereto. (d) Notwithstanding anything in this Section 11.13 to the contrary, (A) any Lender that acts as an L/C Issuer may not be replaced hereunder at any time it has any Letter of Credit outstanding hereunder unless arrangements satisfactory to such Lender (including the furnishing of a backstop standby letter of credit in form and substance, and issued by an issuer, reasonably satisfactory to such L/C Issuer or the depositing of Cash Collateral into a Cash Collateral account in amounts and pursuant to arrangements reasonably satisfactory to such L/C Issuer) have been made with respect to such outstanding Letter of Credit and (B) the Lender that acts as the Administrative Agent may not be replaced hereunder except in accordance with the terms of Section 9.06. 11.14 Governing Law; Jurisdiction; Etc. (a) GOVERNING LAW. THIS AGREEMENT AND THE OTHER LOAN DOCUMENTS AND ANY CLAIMS, CONTROVERSY, DISPUTE OR CAUSE OF ACTION (WHETHER IN CONTRACT OR TORT OR OTHERWISE) BASED UPON, ARISING OUT OF OR RELATING TO THIS AGREEMENT OR ANY OTHER LOAN DOCUMENT (EXCEPT, AS TO ANY OTHER LOAN DOCUMENT, AS EXPRESSLY SET FORTH THEREIN) AND THE TRANSACTIONS CONTEMPLATED HEREBY AND THEREBY SHALL BE GOVERNED BY, AND CONSTRUED IN ACCORDANCE WITH, THE LAW OF THE STATE OF TEXAS; PROVIDED THAT THE ADMINISTRATIVE AGENT, EACH LENDER AND EACH LOAN PARTY SHALL RETAIN ALL RIGHTS UNDER FEDERAL LAW. (b) SUBMISSION TO JURISDICTION. EACH BORROWER IRREVOCABLY AND UNCONDITIONALLY AGREES THAT IT WILL NOT COMMENCE ANY ACTION, LITIGATION OR PROCEEDING OF ANY KIND OR DESCRIPTION, WHETHER IN LAW OR EQUITY, WHETHER IN CONTRACT OR IN TORT OR OTHERWISE, AGAINST THE ADMINISTRATIVE AGENT, ANY LENDER, ANY L/C ISSUER, OR ANY RELATED PARTY OF THE FOREGOING IN ANY WAY RELATING TO THIS AGREEMENT OR ANY OTHER LOAN DOCUMENT OR THE TRANSACTIONS RELATING HERETO OR THERETO, IN ANY FORUM OTHER THAN THE COURTS OF THE STATE OF TEXAS SITTING IN DALLAS COUNTY AND OF THE UNITED STATES DISTRICT COURT FOR THE NORTHERN DISTRICT OF TEXAS, AND ANY APPELLATE COURT FROM ANY THEREOF, AND EACH OF THE PARTIES HERETO IRREVOCABLY AND UNCONDITIONALLY SUBMITS TO THE JURISDICTION OF SUCH COURTS AND AGREES THAT ALL CLAIMS IN RESPECT OF ANY SUCH ACTION, LITIGATION OR PROCEEDING MAY BE HEARD AND DETERMINED IN SUCH TEXAS STATE COURT OR, TO THE FULLEST EXTENT PERMITTED BY APPLICABLE LAW, IN SUCH FEDERAL COURT. EACH OF THE PARTIES HERETO AGREES THAT A FINAL JUDGMENT IN ANY SUCH ACTION, LITIGATION OR PROCEEDING SHALL BE CONCLUSIVE AND MAY BE ENFORCED IN OTHER JURISDICTIONS BY SUIT ON THE JUDGMENT OR IN ANY OTHER MANNER PROVIDED BY LAW. NOTHING IN


 
149 THIS AGREEMENT OR IN ANY OTHER LOAN DOCUMENT SHALL AFFECT ANY RIGHT THAT THE ADMINISTRATIVE AGENT, ANY LENDER OR THE L/C ISSUER MAY OTHERWISE HAVE TO BRING ANY ACTION OR PROCEEDING RELATING TO THIS AGREEMENT OR ANY OTHER LOAN DOCUMENT AGAINST EITHER BORROWER OR ITS PROPERTIES IN THE COURTS OF ANY JURISDICTION. (c) WAIVER OF VENUE. EACH BORROWER IRREVOCABLY AND UNCONDITIONALLY WAIVES, TO THE FULLEST EXTENT PERMITTED BY APPLICABLE LAW, ANY OBJECTION THAT IT MAY NOW OR HEREAFTER HAVE TO THE LAYING OF VENUE OF ANY ACTION OR PROCEEDING ARISING OUT OF OR RELATING TO THIS AGREEMENT OR ANY OTHER LOAN DOCUMENT IN ANY COURT REFERRED TO IN PARAGRAPH (B) OF THIS SECTION. EACH OF THE PARTIES HERETO HEREBY IRREVOCABLY AND UNCONDITIONALLY WAIVES, TO THE FULLEST EXTENT PERMITTED BY APPLICABLE LAW, THE DEFENSE OF AN INCONVENIENT FORUM TO THE MAINTENANCE OF SUCH ACTION OR PROCEEDING IN ANY SUCH COURT. (d) SERVICE OF PROCESS. EACH PARTY HERETO IRREVOCABLY CONSENTS TO SERVICE OF PROCESS IN THE MANNER PROVIDED FOR NOTICES IN SECTION 11.02. NOTHING IN THIS AGREEMENT WILL AFFECT THE RIGHT OF ANY PARTY HERETO TO SERVE PROCESS IN ANY OTHER MANNER PERMITTED BY APPLICABLE LAW. (e) SERVICE OF PROCESS FOR FOREIGN BORROWER. WITHOUT PREJUDICE TO ANY OTHER MODE OF SERVICE ALLOWED UNDER ANY RELEVANT LAW, THE FOREIGN BORROWER: (i) IRREVOCABLY APPOINTS THE COMPANY AS ITS AGENT FOR SERVICE OF PROCESS IN RELATION TO ANY PROCEEDINGS BEFORE THE COURTS OF THE STATE OF TEXAS IN CONNECTION WITH ANY LOAN DOCUMENT AND (ii) AGREES THAT FAILURE BY A PROCESS AGENT TO NOTIFY THE FOREIGN BORROWER OF THE PROCESS WILL NOT INVALIDATE THE PROCEEDINGS CONCERNED. THE FOREIGN BORROWER EXPRESSLY AGREES AND CONSENTS TO THE PROVISIONS OF THIS SECTION 11.14(e). 11.15 Waiver of Jury Trial. EACH PARTY HERETO HEREBY IRREVOCABLY WAIVES, TO THE FULLEST EXTENT PERMITTED BY APPLICABLE LAW, ANY RIGHT IT MAY HAVE TO A TRIAL BY JURY IN ANY LEGAL PROCEEDING DIRECTLY OR INDIRECTLY ARISING OUT OF OR RELATING TO THIS AGREEMENT OR ANY OTHER LOAN DOCUMENT OR THE TRANSACTIONS CONTEMPLATED HEREBY OR THEREBY (WHETHER BASED ON CONTRACT, TORT OR ANY OTHER THEORY). EACH PARTY HERETO (A) CERTIFIES THAT NO REPRESENTATIVE, AGENT OR ATTORNEY OF ANY OTHER PERSON HAS REPRESENTED, EXPRESSLY OR OTHERWISE, THAT SUCH OTHER PERSON WOULD NOT, IN THE EVENT OF LITIGATION, SEEK TO ENFORCE THE FOREGOING WAIVER AND (B) ACKNOWLEDGES THAT IT AND THE OTHER PARTIES HERETO HAVE BEEN INDUCED TO ENTER INTO THIS AGREEMENT AND THE OTHER LOAN DOCUMENTS BY, AMONG OTHER THINGS, THE MUTUAL WAIVERS AND CERTIFICATIONS IN THIS SECTION. 11.16 No Advisory or Fiduciary Responsibility. In connection with all aspects of each transaction contemplated hereby (including in connection with any amendment, waiver or other modification hereof or of any other Loan Document), each Borrower acknowledges and agrees that: (i)(A) the arranging and other services regarding this Agreement provided by the Administrative Agent, the Lenders, the Arrangers and their respective Affiliates’ are arm’s-length commercial transactions between such Borrower, each other Loan Party and their respective Affiliates, on the one hand, and the Administrative Agent, the Lenders, the Arrangers and their respective Affiliates’, on the other hand, (B) such Borrower and the other Loan Parties have consulted their own legal, accounting, regulatory and


 
150 tax advisors to the extent it has deemed appropriate, and (C) such Borrower and each other Loan Party is capable of evaluating, and understands and accepts, the terms, risks and conditions of the transactions contemplated hereby and by the other Loan Documents; (ii)(A) the Administrative Agent, each Lender, each Arranger and their respective Affiliates each is and has been acting solely as a principal and, except as expressly agreed in writing by the relevant parties, has not been, is not, and will not be acting as an advisor, agent or fiduciary for such Borrower, any other Loan Party or any of their respective Affiliates, or any other Person and (B) neither the Administrative Agent, any Lender nor any Arranger or any of their respective Affiliates has any obligation to such Borrower, any other Loan Party or any of their respective Affiliates with respect to the transactions contemplated hereby except those obligations expressly set forth herein and in the other Loan Documents; and (iii) the Administrative Agent, each Lender, and each Arranger and their respective Affiliates may be engaged in a broad range of transactions that involve interests that differ from those of such Borrower, the other Loan Parties and their respective Affiliates, and neither the Administrative Agent, any Lender nor Arranger or any of their respective Affiliates has any obligation to disclose any of such interests to such Borrower, any other Loan Party or any of their respective Affiliates. To the fullest extent permitted by law, each Borrower hereby waives and releases any claims that it may have against the Administrative Agent, each Lender, each Arranger and their respective Affiliates with respect to any breach or alleged breach of agency or fiduciary duty in connection with any aspect of any transactions contemplated hereby. 11.17 Electronic Execution; Electronic Records; Counterparts. This Agreement, any Loan Document and any other Communication, including Communications required to be in writing, may be in the form of an Electronic Record and may be executed using Electronic Signatures. Each of the Loan Parties and each of the Administrative Agent and each Lender Party agrees that any Electronic Signature on or associated with any Communication shall be valid and binding on such Person to the same extent as a manual, original signature, and that any Communication entered into by Electronic Signature, will constitute the legal, valid and binding obligation of such Person enforceable against such Person in accordance with the terms thereof to the same extent as if a manually executed original signature was delivered. Any Communication may be executed in as many counterparts as necessary or convenient, including both paper and electronic counterparts, but all such counterparts are one and the same Communication. For the avoidance of doubt, the authorization under this paragraph may include, without limitation, use or acceptance of a manually signed paper Communication which has been converted into electronic form (such as scanned into PDF format), or an electronically signed Communication converted into another format, for transmission, delivery and/or retention. The Administrative Agent and each of the Lender Parties may, at its option, create one or more copies of any Communication in the form of an imaged Electronic Record (“Electronic Copy”), which shall be deemed created in the ordinary course of such Person's business, and destroy the original paper document. All Communications in the form of an Electronic Record, including an Electronic Copy, shall be considered an original for all purposes, and shall have the same legal effect, validity and enforceability as a paper record. Notwithstanding anything contained herein to the contrary, neither the Administrative Agent, L/C Issuer nor Swing Line Lender is under any obligation to accept an Electronic Signature in any form or in any format unless expressly agreed to by such Person pursuant to procedures approved by it; provided, further, without limiting the foregoing, (a) to the extent the Administrative Agent, L/C Issuer and/or Swing Line Lender has agreed to accept such Electronic Signature, the Administrative Agent and each of the Lender Parties shall be entitled to rely on any such Electronic Signature purportedly given by or on behalf of any Loan Party and/or any Lender Party without further verification and (b) upon the request of the Administrative Agent or any Lender Party, any Electronic Signature shall be promptly followed by such manually executed counterpart. Neither the Administrative Agent, L/C Issuer nor Swing Line Lender shall be responsible for or have any duty to ascertain or inquire into the sufficiency, validity, enforceability, effectiveness or genuineness of any Loan Document or any other agreement, instrument or document (including, for the avoidance of doubt, in connection with the Administrative Agent's, L/C Issuer's or Swing Line Lender's


 
151 reliance on any Electronic Signature transmitted by telecopy, emailed .pdf or any other electronic means). The Administrative Agent, L/C Issuer and Swing Line Lender shall be entitled to rely on, and shall incur no liability under or in respect of this Agreement or any other Loan Document by acting upon, any Communication (which writing may be a fax, any electronic message, Internet or intranet website posting or other distribution or signed using an Electronic Signature) or any statement made to it orally or by telephone and believed by it to be genuine and signed or sent or otherwise authenticated (whether or not such Person in fact meets the requirements set forth in the Loan Documents for being the maker thereof). Each of the Loan Parties and each Lender Party hereby waives (i) any argument, defense or right to contest the legal effect, validity or enforceability of this Agreement, any other Loan Document based solely on the lack of paper original copies of this Agreement, such other Loan Document, and (ii) waives any claim against the Administrative Agent, each Lender Party and each Related Party for any liabilities arising solely from the Administrative Agent's and/or any Lender Party's reliance on or use of Electronic Signatures, including any liabilities arising as a result of the failure of the Loan Parties to use any available security measures in connection with the execution, delivery or transmission of any Electronic Signature. 11.18 USA PATRIOT Act. Each Lender that is subject to the Act (as hereinafter defined) and the Administrative Agent (for itself and not on behalf of any Lender) hereby notifies the Borrowers that pursuant to the requirements of the USA PATRIOT Act (Title III of Pub. L. 107-56 (signed into law October 26, 2001)) (the “Act”), it is required to obtain, verify and record information that identifies the Borrowers, which information includes the name and address of each Borrower and each other Loan Party and other information that will allow such Lender or the Administrative Agent, as applicable, to identify such Borrower and each other Loan Party in accordance with the Act. Each Borrower shall, promptly following a request by the Administrative Agent or any Lender, provide all such other documentation and information that the Administrative Agent or such Lender requests in order to comply with its ongoing obligations under applicable “know your customer” and anti-money laundering rules and regulations, including the Act. 11.19 Judgment Currency. If, for the purposes of obtaining judgment in any court, it is necessary to convert a sum due hereunder or any other Loan Document in one currency into another currency, the rate of exchange used shall be that at which in accordance with normal banking procedures the Administrative Agent could purchase the first currency with such other currency on the Business Day preceding that on which final judgment is given. The obligation of each Borrower in respect of any such sum due from it to the Administrative Agent or any Lender hereunder or under the other Loan Documents shall, notwithstanding any judgment in a currency (the “Judgment Currency”) other than that in which such sum is denominated in accordance with the applicable provisions of this Agreement (the “Agreement Currency”), be discharged only to the extent that on the Business Day following receipt by the Administrative Agent or such Lender, as the case may be, of any sum adjudged to be so due in the Judgment Currency, the Administrative Agent or such Lender, as the case may be, may in accordance with normal banking procedures purchase the Agreement Currency with the Judgment Currency. If the amount of the Agreement Currency so purchased is less than the sum originally due to the Administrative Agent or any Lender from a Borrower in the Agreement Currency, such Borrower agrees, as a separate obligation and notwithstanding any such judgment, to indemnify the Administrative Agent or such Lender, as the case may be, against such loss. If the amount of the Agreement Currency so purchased is greater than the sum originally due to the Administrative Agent or any Lender in such currency, the Administrative Agent or such Lender, as the case may be, agrees to return the amount of any excess to such Borrower (or to any other Person who may be entitled thereto under Applicable Law). 11.20 Exceptions to Covenants. Neither the Company nor any Subsidiary shall be deemed to be permitted to take any action or fail to take any action which is permitted as an exception to any of the


 
152 covenants contained herein or which is within the permissible limits of any of the covenants contained herein if such action or omission would result in the breach of any other covenant contained herein. 11.21 Release and Reinstatement of Collateral. (a) Notwithstanding anything to the contrary contained in this Agreement, any Loan Document or any other document executed in connection herewith, if at any time (including after a Collateral Reinstatement Event shall have previously occurred) Collateral Release Event shall have occurred, then all Collateral (other than Cash Collateral) and the Security Instruments (other than Security Instruments entered into in connection with Cash Collateral) shall be released automatically and terminated without any further action. In connection with the foregoing, the Administrative Agent shall, at the Company’s sole expense and at the Company’s request, promptly execute and file in the appropriate location and deliver to the Company such termination and full or partial release statements or confirmation thereof, as applicable, and do such other things as are reasonably necessary to release the Liens to be released pursuant hereto promptly upon the effectiveness of any such release. (b) Notwithstanding clause (a) above, if Collateral Reinstatement Event shall have occurred, all Collateral and Security Instruments shall, at the Company’s sole cost and expense, be reinstated and all actions reasonably necessary, or reasonably requested by the Administrative Agent, to provide to the Administrative Agent for the benefit of the Secured Parties valid, perfected, first priority security interests (subject to Liens permitted under Section 7.01) in the Collateral (including without limitation the delivery of documentation and taking of actions of the type described in Sections 6.14 and 6.15) shall be taken within 30 days of such event, which 30 day period may be extended by the Administrative Agent in its sole discretion. 11.22 Limitation on Obligations of Foreign Obligors. Notwithstanding anything to the contrary in this Agreement or any other Loan Document, no Foreign Obligor shall Guarantee or provide Collateral, or be deemed to have Guaranteed or provided Collateral, supporting or securing any Obligations other than Foreign Obligations. 11.23 Release of Guaranties and Collateral. Notwithstanding anything to the contrary contained in this Agreement, and without limitation of Section 11.21, each Secured Party that is a party hereto hereby agrees that: (a) upon the Facility Termination Date, (i) any Lien on any Collateral (including Cash Collateral, except to the extent intended to remain in place with respect to Letters of Credit by agreement between the Company and the applicable L/C Issuer) shall be released and (ii) each Guarantor shall be released from its obligations under the applicable Guaranty, but only to the extent provided therein and, in any case, in accordance with the terms thereof; (b) any Lien on any asset constituting Collateral shall be released in the event that such asset is Disposed of as part of or in connection with any Disposition permitted hereunder or under any other Loan Document; and (c) any Guarantor shall be released from its obligations under the applicable Guaranty if such Person ceases to be a Subsidiary as a result of a transaction or designation permitted hereunder, and any Lien on any asset of, or Equity Interests issued by, such Guarantor constituting Collateral shall be released as well. In connection with the foregoing, and subject to Section 9.10 (including the right of the Administrative Agent to obtain confirmation thereof from the Required Lenders), the Administrative Agent


 
153 shall, at the Company’s sole expense and at the Company’s request, (x) promptly execute and file in the appropriate location and deliver to the Company such termination and full or partial release statements or confirmations thereof, as applicable, and (y) do such other things as are reasonably necessary to release the Liens and Guarantees to be released pursuant hereto promptly upon the effectiveness of any such release. 11.24 ENTIRE AGREEMENT. THIS AGREEMENT AND THE OTHER LOAN DOCUMENTS REPRESENT THE FINAL AGREEMENT AMONG THE PARTIES AND MAY NOT BE CONTRADICTED BY EVIDENCE OF PRIOR, CONTEMPORANEOUS, OR SUBSEQUENT ORAL AGREEMENTS OF THE PARTIES. THERE ARE NO UNWRITTEN ORAL AGREEMENTS AMONG THE PARTIES. 11.25 Keepwell. Each Loan Party that is a Qualified ECP Guarantor at the time the Guaranty or the grant of the security interest under the Collateral Documents, in each case, by any Specified Loan Party, becomes effective with respect to any Swap Obligation, hereby jointly and severally, absolutely, unconditionally and irrevocably undertakes to provide such funds or other support to each Specified Loan Party with respect to such Swap Obligation as may be needed by such Specified Loan Party from time to time to honor all of its obligations under its Guaranty and the other Loan Documents in respect of such Swap Obligation (but, in each case, only up to the maximum amount of such liability that can be hereby incurred without rendering such Qualified ECP Guarantor’s obligations and undertakings under this Section 11.25 voidable under Applicable Law relating to fraudulent conveyance or fraudulent transfer, and not for any greater amount). The obligations and undertakings of each Qualified ECP Guarantor under this Section 11.25 shall remain in full force and effect until the Obligations have been indefeasibly paid and performed in full. Solely for purposes of the Commodity Exchange Act, each Qualified ECP Guarantor intends this Section 11.25 to constitute, and for such purposes this Section 11.25 shall be deemed to constitute, a guarantee of the obligations of, and a “keepwell, support, or other agreement” for the benefit of, each Specified Loan Party. 11.26 Acknowledgment and Consent to Bail-In of Affected Financial Institutions. Notwithstanding anything to the contrary in any Loan Document or in any other agreement, arrangement or understanding among any such parties, each party hereto acknowledges that any liability of any Lender that is an Affected Financial Institution arising under any Loan Document, to the extent such liability is unsecured, may be subject to the Write-Down and Conversion Powers of the applicable Resolution Authority and agrees and consents to, and acknowledges and agrees to be bound by: (a) the application of any Write-Down and Conversion Powers by the applicable Resolution Authority to any such liabilities arising hereunder which may be payable to it by any Lender that is an Affected Financial Institution; and (b) the effects of any Bail-in Action on any such liability, including, if applicable: (i) a reduction in full or in part or cancellation of any such liability; (ii) a conversion of all, or a portion of, such liability into shares or other instruments of ownership in such Affected Financial Institution, its parent undertaking, or a bridge institution that may be issued to it or otherwise conferred on it, and that such shares or other instruments of ownership will be accepted by it in lieu of any rights with respect to any such liability under this Agreement or any other Loan Document; or (iii) the variation of the terms of such liability in connection with the exercise of the Write-Down and Conversion Powers of the applicable Resolution Authority.


 
154 11.27 [Reserved]. 11.28 Acknowledgment Regarding Any Supported QFCs. To the extent that the Loan Documents provide support, through a guarantee or otherwise, for any Swap Contract or any other agreement or instrument that is a QFC (such support, “QFC Credit Support”, and each such QFC, a “Supported QFC”), the parties acknowledge and agree as follows with respect to the resolution power of the Federal Deposit Insurance Corporation under the Federal Deposit Insurance Act and Title II of the Dodd-Frank Wall Street Reform and Consumer Protection Act (together with the regulations promulgated thereunder, the “U.S. Special Resolution Regimes”) in respect of such Supported QFC and QFC Credit Support (with the provisions below applicable notwithstanding that the Loan Documents and any Supported QFC may in fact be stated to be governed by the laws of the State of New York and/or of the United States or any other state of the United States): In the event a Covered Entity that is party to a Supported QFC (each, a “Covered Party”) becomes subject to a proceeding under a U.S. Special Resolution Regime, the transfer of such Supported QFC and the benefit of such QFC Credit Support (and any interest and obligation in or under such Supported QFC and such QFC Credit Support, and any rights in property securing such Supported QFC or such QFC Credit Support) from such Covered Party will be effective to the same extent as the transfer would be effective under the U.S. Special Resolution Regime if the Supported QFC and such QFC Credit Support (and any such interest, obligation and rights in property) were governed by the laws of the United States or a state of the United States. In the event a Covered Party or a BHC Act Affiliate of a Covered Party becomes subject to a proceeding under a U.S. Special Resolution Regime, Default Rights under the Loan Documents that might otherwise apply to such Supported QFC or any QFC Credit Support that may be exercised against such Covered Party are permitted to be exercised to no greater extent than such Default Rights could be exercised under the U.S. Special Resolution Regime if the Supported QFC and the Loan Documents were governed by the laws of the United States or a state of the United States. Without limitation of the foregoing, it is understood and agreed that rights and remedies of the parties with respect to a Defaulting Lender shall in no event affect the rights of any Covered Party with respect to a Supported QFC or any QFC Credit Support. 11.29 Amendment and Restatement; No Novation (a) This Agreement constitutes an amendment and restatement of the Existing Credit Agreement, as amended, effective from and after the Closing Date. The execution and delivery of this Agreement shall not constitute a novation of any debt or other obligations owing to the Lenders or the Administrative Agent under the Existing Credit Agreement or any other Loan Document based on facts or events occurring or existing prior to the execution and delivery of this Agreement. On the Closing Date, the credit facilities described in the Existing Credit Agreement, as amended, shall be amended, supplemented, modified and restated in their entirety by the credit facilities described herein, and all loans and other obligations of the Borrowers outstanding as of such date under the Existing Credit Agreement, as amended, to the extent not repaid in accordance with the terms herein, shall be deemed to be loans and obligations outstanding under the corresponding facilities described herein, without any further action by any Person, except that the Administrative Agent shall make such transfers of funds as are necessary in order that the outstanding balance of such Loans, together with any Loans funded on the Closing Date, reflect the respective Commitments of the Lenders hereunder. (b) On the Closing Date, (i) all outstanding loans under the Existing Credit Agreement (“Existing Loans”) made by any Person that is a “Lender” under the Existing Credit Agreement which is not a Lender hereunder (each, an “Exiting Lender”) shall be repaid in full and the commitments and other obligations and rights (except as expressly set forth in the Existing Credit Agreement) of such Exiting Lender shall be terminated, (ii) all outstanding Existing Loans constituting Revolving Loans under the Existing Credit Agreement that are not being repaid under clause (i) above shall be Revolving Loans hereunder in accordance with Section 2.01(b) and the Administrative Agent shall make such transfers of


 
155 funds as are necessary in order that the outstanding balance of such Revolving Loans, together with any Revolving Loans funded on the Closing Date, are in accordance with the relevant Applicable Percentages of the Lenders hereunder, (iii) there shall have been paid in cash in full all accrued but unpaid interest on the Existing Loans to the Closing Date, (iv) there shall have been paid in cash in full all accrued but unpaid fees under the Existing Credit Agreement due to the Closing Date and all other amounts, costs and expenses then owing to any of the Exiting Lenders, Lenders and/or Bank of America, as administrative agent under the Existing Credit Agreement and (v) all outstanding Letters of Credit under the Existing Credit Agreement shall be Letters of Credit hereunder. (c) All security agreements and other documents and instruments granting a security interest or Lien in the assets of the Company and the Domestic Guarantors that restate any previously granted security interest or Liens shall supersede any security agreements, mortgages and other documents and instruments granting any such security interest that were executed and delivered in connection with the Existing Credit Agreement (the “Original Security Documents”), except for the security interests and Liens created under the Original Security Documents which shall remain valid, binding and enforceable security interests and Liens against the Company and Domestic Guarantors. All Original Security Documents shall continue to secure the Secured Obligations as herein defined, and shall be in full force and effect. The Lenders acknowledge that the intent of this paragraph is to maintain the priority of the security interests and Liens on the assets of the company and Domestic Guarantors to secure the Secured Obligations. [Signature Pages Follow]


 


 


 
CMC INTERNATIONAL FINANCE, asociete a responsabilite /imitee, as Borrower By: _ _____________ _ Name; Pieter Jan van der Meer Title: Class A Manager By:d~ Name: Nathan Kraus Title: Class B Manager Signature Page to Sixth Amended and Restated Credit Agreement


 


 


 
Signature Page to Sixth Amended and Restated Credit Agreement CITIBANK, N.A., as a Lender and an L/C Issuer By: Name: Brad Peters Title: Director


 
Signature Page to Sixth Amended and Restated Credit Agreement WELLS FARGO BANK, NATIONAL ASSOCIATION, as a Lender By: Name: Daniel K. Kinasz Title: Vice President


 
Signature Page to Sixth Amended and Restated Credit Agreement PNC BANK, NATIONAL ASSOCIATION, as a Lender By: Name: Daniel Scherling Title: Vice President


 


 


 
Signature Page to Sixth Amended and Restated Credit Agreement BMO HARRIS BANK N.A., as a Lender By: Name: Kendal B. Kumzi Title: Director


 


 


 


 
Signature Page to Sixth Amended and Restated Credit Agreement MIZUHO BANK, LTD., as a Lender By: Name: Donna DeMagistris Title: Executive Director


 
ACTIVE 682595819v6 SCHEDULE 1.01(b) EXISTING LETTERS OF CREDIT Issuer Type Alias Amount Expiry Date Beneficiary Information Citibank Performance 63659460 CITI 421,039.43 12/15/2023 South Carolina Department of Health Citibank Performance 63659459 CITI 492,000.00 12/15/2023 Texas Commission of Environment Citibank Financial 63659775 CITI 500,000.00 1/19/2023 Highlands Insurance Company


 
Schedule 2.01(a) ACTIVE 682595819v6 SCHEDULE 2.01(a) COMMITMENTS AND APPLICABLE PERCENTAGES Lender Revolving Commitment Applicable Percentage in respect of Revolving Facility Term Commitment Applicable Percentage in respect of Term Facility Bank of America, N.A. $90,000,000 15.000000000% $35,000,000 17.500000000% PNC Bank, National Association $80,000,000 13.333333333% $30,000,000 15.000000000% Citibank, N.A. $80,000,000 13.333333333% $0 0.000000000% Wells Fargo Bank, National Association $80,000,000 13.333333333% $0 0.000000000% Fifth Third Bank, National Association $50,000,000 8.333333333% $30,000,000 15.000000000% Mizuho Bank, Ltd. $50,000,000 8.333333333% $30,000,000 15.000000000% Truist Bank $50,000,000 8.333333333% $30,000,000 15.000000000% Capital One, National Association $30,000,000 5.000000000% $20,000,000 10.000000000% Regions Bank $30,000,000 5.000000000% $20,000,000 10.000000000% BMO Harris Bank, N.A. $30,000,000 5.000000000% $5,000,000 2.500000000% U.S. Bank National Association $30,000,000 5.000000000% $0 0.000000000% TOTAL $600,000,000.00 100.000000000% $200,000,000.00 100.000000000%


 
Schedule 2.01(b) ACTIVE 682595819v6 SCHEDULE 2.01(b) LETTER OF CREDIT COMMITMENTS L/C Issuer L/C Commitment Bank of America, N.A. $25,000,000 Citibank, N.A. $25,000,000 Total $50,000,000


 
Schedule 5.12 ACTIVE 682595819v6 SCHEDULE 5.12(d) PENSION PLANS 1. C M C Steel Fabricators, Inc. Retirement Plan for Hourly Union Employees 2. TAMCO Pension Plan for Hourly Employee 3. TGL Pension Plan


 
4866-6269-9830 v.3 Schedule 5.13 ACTIVE 682595819v7 SCHEDULE 5.13 SUBSIDIARIES; OTHER EQUITY INVESTMENTS PART (A) All of the Company’s Subsidiaries: Name of Subsidiary and Incorporation % Ownership 3603 Jensen, LLC (TX) 70% A.C.N. 001 444 364 Pty Ltd. (Australia) 100% A.C.N. 150 795 083 Pty Ltd (Australia) 100% AHT, Inc. (PA) 100% Centrum Promocji Jakosci Stali Sp. z o.o. (Poland) 100% CMC (Beijing) International Trade Company Limited (China) 100% CMC Cometals International (Luxembourg) 100% CMC Cometals Processing, Inc. (TX) 100% CMC Commercial Metals de Mexico, S. de R.L. de C.V. (Mexico) 100% CMC Composites LLC (DE) 100% CMC Europe GmbH (Switzerland) 100% CMC GH Sisak d.o.o. (Croatia) 100% CMC GH, LLC (DE) 100% CMC GH, Ltd. (Bermuda) 100% CMC International Finance (Luxembourg) 100% CMC Metals Cyprus Limited (Cyprus) 100% C.M.C. Oil Company (TX) 100% CMC Poland Sp. z o.o. (Poland) 100% CMC Post Oklahoma, LLC (DE) 100% CMC Putex Sp. z o.o. (Poland) 100% CMC Receivables, Inc. (DE) 100% CMC Steel Distribution Pty Ltd (Australia) (*in liquidation) 100% CMC Steel Fabricators, Inc. (TX) 100% CMC Steel Oklahoma, LLC (DE) 100% CMC Steel US, LLC (DE) 100% CMC Victoria Pty Ltd (Australia) (*in liquidation) 100% CMC Wire Products, LLC (DE) CMCR, LLC (DE) (*dormant) 100% Com Met Company S.à r.l. (Luxembourg) 100% Cometals China, Inc. (TX) 100% Cometals Far East, Inc. (TX) 100% Commercial Metals (Bermuda), L.P. (Bermuda) 100% Commercial Metals (Thailand) Ltd. (Thailand) 100% CMC Bermuda LP (Bermuda) 100% Commercial Metals Company US LLC (DE) 100% Commercial Metals Deutschland GmbH (Germany) 100% Commercial Metals International GmbH (Switzerland) 100%


 
4866-6269-9830 v.3 Schedule 5.13 ACTIVE 682595819v7 Commercial Metals Pty Ltd (Australia) (*in liquidation) 100% Commonwealth Acquisitions Holdings, Inc. (DE) 100% HGAC, LLC (DE) 100% Owen Electric Steel Company of South Carolina (SC) 100% Owen Industrial Products, Inc. (SC) 100% Przedsiębiorstwo Produkcyjno-Usługowe “Ecosteel” Sp. z o.o. (Poland) 100% SMI Steel LLC (AL) 100% SMI-Owen Steel Company, Inc. (SC) 100% Steel Products de Mexico, S.A. de C.V. (Mexico) 100% Structural Metals, Inc. (TX) 100% Tamco (CA) 100% CMC Tensar Holdings, Inc. (DE) 100% TAC HoldCo Inc. (DE) 100% Tensar Corporation (DE) 100% Tensar Holdings, LLC (DE) 100% Tensar Polytechnologies, Inc. (GA) (*dormant) 100% North American Green Inc. (IN) 100% Tensar International, LLC (DE) 100% Geotechnical Reinforcement Company Inc. (GA) 100% Geopier Foundation Company, Inc. (GA) 100% Tensar International Corporation (GA) 100% Tensar Corporation, LLC (GA) 100% The Tensar Group Trustee Company Limited (United Kingdom) (*dormant) 100% Tensar Investments Limited (United Kingdom) (*dormant) 100% Tensar Environmental Systems Limited (United Kingdom) (*dormant) 100% Geosynthetic Products Limited (United Kingdom) (*dormant) 100% Geogrids Limited (United Kingdom) (*dormant) 100% Shorestar Limited (United Kingdom) (*dormant) 100% F. B. Mercer Limited (United Kingdom) (*dormant) 100% Welbech Technical Textiles Limited (United Kingdom) (*dormant) 100% The Tensar Sales Limited (United Kingdom) (*dormant) 100% Netlon Sentinel Limited (United Kingdom) (*dormant) 100% Extruded Fabrics Limited (United Kingdom) (*dormant) 100% Tensar U.K. Limited (United Kingdom) (*dormant) 100% Geopier Limited (United Kingdom) (*dormant) 100% Geopier UK Limited (United Kingdom) (*dormant) 100% Tensar International GmbH (Germany) 100% Tensar International s.r.o. (Czech Republic) 100% Tensar International S.A.R.L. (France) 100% Tensar International B.V. (Netherlands) 100% Tensar Saudi Limited (Saudi Arabia) (*dormant) 100% Tensar Geosynthetics India Private Limited (India) 100% TTC UK Holdings Limited (United Kingdom) 100% The Tensar Group Limited (United Kingdom) 100%


 
4866-6269-9830 v.3 Schedule 5.13 ACTIVE 682595819v7 Tensar International Limited (United Kingdom) 100% Tensar Manufacturing Limited (United Kingdom) 100% P.L.G. Research Limited (United Kingdom) 100% Tensar International Spain S.L. (Spain) 100% Tensar International Co. L.L.C (UAE) 49% Geologics B.V. (Netherlands) 100% Tensar International Design and Consult (Beijing) Limited (China) 100% Tensar Polska Sp. z o.o. (Poland) 100% Tensar Geosynthetics (China) Limited (China) 100% Tensar Technologies Limited (United Kingdom) 100% TR Holdings Limited (Cyprus) 74% Tensar Innovative Solutions LLC (Russia) 100% Advanced Steel Recovery, LLC (CA) 100% Domestic Guarantors CMC Steel Fabricators, Inc. CMC GH, LLC CMC Steel Oklahoma, LLC CMC Steel US, LLC Owen Electric Steel Company of South Carolina SMI Steel LLC SMI-Owen Steel Company, Inc. Structural Metals, Inc. CMC Tensar Holdings Inc. TAC Holdco, Inc. Tensar Corporation Tensar Holdings, LLC Tensar International, LLC Geopier Foundation Company, Inc. Tensar International Corporation Foreign Guarantor CMC Poland Sp. z o.o. Foreign Borrower CMC International Finance Material Subsidiaries CMC Steel Fabricators, Inc. CMC GH, LLC CMC International Finance CMC Poland Sp. z o.o. CMC Steel Oklahoma, LLC CMC Steel US, LLC Com Met Company S.à r.l. Commercial Metals (Bermuda), L.P. CMC Bermuda LP Owen Electric Steel Company of South Carolina


 
4866-6269-9830 v.3 Schedule 5.13 ACTIVE 682595819v7 SMI Steel LLC SMI-Owen Steel Company, Inc. Structural Metals, Inc. CMC Tensar Holdings Inc. TAC Holdco, Inc. Tensar Corporation Tensar Holdings, LLC Tensar International, LLC Geopier Foundation Company, Inc. Tensar International Corporation (b) None, other than as listed above in this Schedule 5.13.


 
ACTIVE 682595819v7 PART (B) LOAN PARTY INFORMATION Commercial Metals Company: (a) Name: Commercial Metals Company (b) Jurisdiction of Organization: Delaware (c) Entity Type: Corporation (d) Jurisdictions of Foreign Qualification: Alabama, Arkansas, California, Florida, Georgia, Hawaii, Illinois, Kansas, Louisiana, Maryland, Missouri, New Jersey, New York, North Carolina, Oklahoma, Tennessee, Texas, Washington, West Virginia (e) Address of Chief Executive Office and Principal Place of Business: 6565 N. MacArthur Blvd., Suite 800 Irving, TX 75039 (f) Federal Taxpayer Identification Number: 75-0725338 (g) Organization Identification Number: 406521 (h) Ownership Information: Publicly held CMC International Finance: (a) Name: CMC International Finance (b) Jurisdiction of Organization: Luxembourg (c) Entity Type: Société à responsabilité limitée (d) Jurisdictions of Foreign Qualification: N/A (e) Address of Chief Executive Office and Principal Place of Business: 1, rue Pletzer L-8080 Bertrange Grand-Duchy of Luxembourg (f) Unique Identification Number: B 161.680 (g) Organization Identification Number: B 161.680 (h) Ownership Information: 50% owned by CMC Cometals International and 50% owned by Com Met Company, S.à r.l. CMC GH, LLC: (a) Name: CMC GH, LLC (b) Jurisdiction of Organization: Delaware (c) Entity Type: Limited Liability Company (d) Jurisdictions of Foreign Qualification: N/A (e) Address of Chief Executive Office and Principal Place of Business: 6565 N. MacArthur Blvd., Suite 800 Irving, TX 75039 (f) Federal Taxpayer Identification Number: 45-2451845 (g) Organization Identification Number: 4979190 (h) Ownership Information: 100% owned by Commercial Metals Company C M C Steel Fabricators, Inc.: (a) Name: C M C Steel Fabricators, Inc. (b) Jurisdiction of Organization: Texas (c) Entity Type: Corporation (d) Jurisdictions of Foreign Qualification: Alabama, Arizona, Arkansas, California, Colorado, Connecticut, Delaware, Florida, Georgia, Hawaii, Idaho, Illinois, Indiana, Iowa, Kansas, Kentucky,


 
Schedule 5.13 - 2 ACTIVE 682595819v7 Louisiana, Maryland, Massachusetts, Michigan, Minnesota, Mississippi, Missouri, Montana, Nevada, New Jersey, New Mexico, New York, North Carolina, Ohio, Oklahoma, Oregon, Pennsylvania, South Carolina, Tennessee, Utah, Virginia, Washington, West Virginia, Wisconsin, Wyoming (e) Address of Chief Executive Office and Principal Place of Business: 1 Steel Mill Drive Seguin, TX 78155 (f) Federal Taxpayer Identification Number: 74-2195234 (g) Organization Identification Number: 42590700 (h) Ownership Information: 100% owned by Commercial Metals Company CMC Steel Oklahoma, LLC: (a) Name: CMC Steel Oklahoma, LLC (b) Jurisdiction of Organization: Delaware (c) Entity Type: Limited Liability Company (d) Jurisdictions of Foreign Qualification: California, Florida, New Jersey, New York, Oklahoma, South Carolina, Texas, Virginia (e) Address of Chief Executive Office and Principal Place of Business: 2353 E. Main Street Durant, OK 74701 (f) Federal Taxpayer Identification Number: 47-4781696 (g) Organization Identification Number: 5797703 (h) Ownership Information: 100% owned by CMC Steel Fabricators, Inc. CMC Steel US, LLC: (a) Name: CMC Steel US, LLC (b) Jurisdiction of Organization: Delaware (c) Entity Type: Limited Liability Company (d) Jurisdictions of Foreign Qualification: Alabama, Arizona, California, Connecticut, Florida, Georgia, Idaho, Illinois, Indiana, Kentucky, Missouri, Montana, Nevada, New Jersey, North Carolina, Ohio, Oklahoma, Oregon, Pennsylvania, Tennessee, Texas, Utah, Virginia, Washington (e) Address of Chief Executive Office and Principal Place of Business: 6565 N. MacArthur Blvd., Suite 800 Irving, TX 75039 (f) Federal Taxpayer Identification Number: 82-4065247 (g) Organization Identification Number: 6656190 (h) Ownership Information: 100% owned by Commercial Metals Company Owen Electric Steel Company of South Carolina: (a) Name: Owen Electric Steel Company of South Carolina (b) Jurisdiction of Organization: South Carolina (c) Entity Type: Corporation (d) Jurisdictions of Foreign Qualification: Alabama, Georgia, North Carolina, Pennsylvania (e) Address of Chief Executive Office and Principal Place of Business: 310 New State Road Cayce, SC 29033 (f) Federal Taxpayer Identification Number: 57-0409183 (g) Organization Identification Number: N/A


 
Schedule 5.13 - 3 ACTIVE 682595819v7 (h) Ownership Information: 100% owned by SMI-Owen Steel Company, Inc. SMI-Owen Steel Company, Inc: (a) Name: SMI-Owen Steel Company, Inc (b) Jurisdiction of Organization: South Carolina (c) Entity Type: Corporation (d) Jurisdictions of Foreign Qualification: Alabama, Florida, Georgia, Illinois, Indiana, Kansas, Kentucky, Louisiana, Massachusetts, Michigan, Missouri, Nevada, New Jersey, New York, North Carolina, Pennsylvania, South Dakota, Tennessee, Texas, Vermont, Virginia, Washington, West Virginia, Wisconsin (e) Address of Chief Executive Office and Principal Place of Business: 251 Hosea Road Lawrenceville, GA 30046 (f) Federal Taxpayer Identification Number: 57-1008708 (g) Organization Identification Number: N/A (h) Ownership Information: 100% owned by Commercial Metals Company SMI Steel LLC: (a) Name: SMI Steel LLC (b) Jurisdiction of Organization: Alabama (c) Entity Type: Limited Liability Company (d) Jurisdictions of Foreign Qualification: Georgia, Illinois, North Carolina, Ohio, South Carolina (e) Address of Chief Executive Office and Principal Place of Business: 101 S. 50th St. Birmingham, AL 35212 (f) Federal Taxpayer Identification Number: 63-0860755 (g) Organization Identification Number: 6656190 (h) Ownership Information: 100% owned by Commercial Metals Company Structural Metals, Inc.: (a) Name: Structural Metals, Inc. (b) Jurisdiction of Organization: Texas (c) Entity Type: Corporation (d) Jurisdictions of Foreign Qualification: Alabama (e) Address of Chief Executive Office and Principal Place of Business: 1 Steel Mill Drive Seguin, TX 78155 (f) Federal Taxpayer Identification Number: 74-1070965 (g) Organization Identification Number: 9292700 (h) Ownership Information: 100% owned by Commercial Metals Company CMC Poland Sp. z o.o.: (a) Name: CMC Poland Sp. z o.o. (b) Jurisdiction of Organization: Poland (c) Entity Type: Limited Liability Company (d) Jurisdictions of Foreign Qualification: N/A (e) Address of Chief Executive Office and Principal Place of Business:


 
Schedule 5.13 - 4 ACTIVE 682595819v7 ul. Piłsudskiego 82 42-400 Zawiercie, Poland (f) Unique Identification Number: 0000443829 (g) Organization Identification Number: REGON: 272819315 / NIP: 6490001173 (h) Ownership Information: 100% owned by CMC International Finance CMC Tensar Holdings Inc.: (a) Name: CMC Tensar Holdings Inc. (b) Jurisdiction of Organization: Delaware (c) Entity Type: Corporation (d) Jurisdictions of Foreign Qualification: N/A (e) Address of Chief Executive Office and Principal Place of Business: 2500 Northwinds Parkway, Suite 500 Alpharetta, GA 30009 (f) Federal Taxpayer Identification Number: 47-1058872 (g) Organization Identification Number: 5488998 (h) Ownership Information: 100% owned by Commercial Metals Company TAC HoldCo, Inc.: (a) Name: TAC HoldCo, Inc. (b) Jurisdiction of Organization: Delaware (c) Entity Type: Corporation (d) Jurisdictions of Foreign Qualification: N/A (e) Address of Chief Executive Office and Principal Place of Business: 2500 Northwinds Parkway, Suite 500 Alpharetta, GA 30009 (f) Federal Taxpayer Identification Number: 47-1263648 (g) Organization Identification Number: 5563093 (h) Ownership Information: 100% owned by CMC Tensar Holdings Inc. Tensar Corporation: (a) Name: Tensar Corporation (b) Jurisdiction of Organization: Delaware (c) Entity Type: Corporation (d) Jurisdictions of Foreign Qualification: N/A (e) Address of Chief Executive Office and Principal Place of Business: 2500 Northwinds Parkway, Suite 500 Alpharetta, GA 30009 (f) Federal Taxpayer Identification Number: 20-3443010 (g) Organization Identification Number: 4023452 (h) Ownership Information: 100% owned by TAC HoldCo, Inc. Tensar Holdings, LLC: (a) Name: Structural Metals, Inc. (b) Jurisdiction of Organization: Delaware


 
Schedule 5.13 - 5 ACTIVE 682595819v7 (c) Entity Type: limited liability company (d) Jurisdictions of Foreign Qualification: Georgia, Idaho (e) Address of Chief Executive Office and Principal Place of Business: 2500 Northwinds Parkway, Suite 500 Alpharetta, GA 30009 (f) Federal Taxpayer Identification Number: 58-2590404 (g) Organization Identification Number: 3324979 (h) Ownership Information: 100% owned by Tensar Corporation Tensar International, LLC: (a) Name: Tensar International, LLC (b) Jurisdiction of Organization: Delaware (c) Entity Type: limited liability company (d) Jurisdictions of Foreign Qualification: N/A (e) Address of Chief Executive Office and Principal Place of Business: 2500 Northwinds Parkway, Suite 500 Alpharetta, GA 30009 (f) Federal Taxpayer Identification Number: 16-1712069 (g) Organization Identification Number: 4356041 (h) Ownership Information: 100% owned by Tensar Holdings, LLC Geopier Foundation Company, Inc.: (a) Name: Geopier Foundation Company, Inc. (b) Jurisdiction of Organization: Georgia (c) Entity Type: corporation (d) Jurisdictions of Foreign Qualification: Alabama, Arizona, Arkansas, California, Colorado, Connecticut, Florida, Illinois, Indiana, Kentucky, Louisiana, Michigan, Mississippi, Missouri, Nevada, New Hampshire, New Jersey, New Mexico, North Carolina, Ohio, Puerto Rico, Rhode Island, South Carolina, Tennessee, Texas, Virginia, West Virginia, Wyoming (e) Address of Chief Executive Office and Principal Place of Business: 130 Harbour Place Drive, Suite 280 Davidson, NC 28036 (f) Federal Taxpayer Identification Number: 58-2076369 (g) Organization Identification Number: K323751 (h) Ownership Information: 100% owned by Tensar International, LLC Tensar International Corporation: (a) Name: Tensar International Corporation (b) Jurisdiction of Organization: Georgia (c) Entity Type: corporation (d) Jurisdictions of Foreign Qualification: Alabama, Alaska, Arizona, Arkansas, California, Colorado, Connecticut, Delaware, Florida, Hawaii, Idaho, Illinois, Indiana, Kansas, Kentucky, Louisiana, Maryland, Massachusetts, Michigan, Minnesota, Mississippi, Missouri, Montana, Nebraska, Nevada, New Hampshire, New Jersey, North Carolina, North Dakota, Ohio, Oklahoma, Oregon, Pennsylvania, Rhode Island, South Carolina, South Dakota, Tennessee, Texas, Utah, Virginia, Washington, West Virginia, Wisconsin, Wyoming


 
Schedule 5.13 - 6 ACTIVE 682595819v7 (e) Address of Chief Executive Office and Principal Place of Business: 2500 Northwinds Parkway, Suite 500 Alpharetta, GA 30009 (f) Federal Taxpayer Identification Number: 58-1779663 (g) Organization Identification Number: J804778 (h) Ownership Information: 100% owned by Tensar International, LLC


 
Schedule 6.17 ACTIVE 682595819v6 SCHEDULE 6.17 POST-CLOSING MATTERS 1. Within 30 days of the Closing Date (or such extended period of time acceptable to the Administrative Agent in its sole discretion), the Loan Parties shall deliver UCC-3 amendments or terminations statements, each in form and substance satisfactory to the Administrative Agent, for the following UCC filings: a. UCC No. 20219046898 filed with the Delaware Secretary of State on November 9, 2021 naming Commercial Metals Company as the debtor and PNC Equipment Finance, LLC as the secured party b. UCC No. 20220903153 filed with the Delaware Secretary of State on February 2, 2022 naming Commercial Metals Company as the debtor and Bank of Montreal as the secured party


 
Schedule 7.01 ACTIVE 682595819v6 SCHEDULE 7.01 EXISTING LIENS Lienor Lien Holder Created on Summary COMMERCIAL METALS COMPANY 1. CAPITAL ONE, NATIONAL ASSOCIATION 6/19/2006 Lease of one new Caterpillar model no. M318C MH wheel excavator 2. WELLS FARGO EQUIPMENT FINANCE, INC. 5/14/2010 Lease of four Yale diesel model #GDP060VXNYSE087 lift trucks, and one Yale gas model #GDP155VXNCBV126 lift trucks 3. WELLS FARGO EQUIPMENT FINANCE, INC. 5/14/2010 Lease of one Genesis non-rotating GXP660 sheer s/n 600480 4. WELLS FARGO EQUIPMENT FINANCE, INC. 8/3/2010 Lease of one telehandler 2005 Terex model TH1056 and one 2008 Caterpillar model 232B2 skid steer loader 5. WELLS FARGO EQUIPMENT FINANCE, INC. 4/14/2011 Lease of one Yale narrow aisle lift truck and one Douglas battery power factor charger and one 12-125-17 battery 6. GE CREDIT CORPORATION OF TENNESSEE 8/17/2011 Lease of three Yale Veracitor diesel powered solid pneumatic tire forklift and one 7. PNC EQUIPMENT FINANCE, LLC. 9/8/2011 Lease of one new 2011 Lieberr A924C hydraulic scrap handler 8. PNC EQUIPMENT FINANCE, LLC. 9/8/2011 Lease of one new 2011 Lieber A924C hydraulic scrap handler 9. FIFTH THIRD EQUIPMENT FINANCE COMPANY 9/20/2011 One new 2012 Liebherr A934C hydraulic scrap material handler S/N 1006 54570; 58’’ Scrap Star-Aluminum magnet S/N 6311; Liebherr type 65 rotating grapple 10. WELLS FARGO EQUIPMENT FINANCE, INC. 9/20/2011 One Better Built 2011 Kingpin trailer S/N 4mnfk3835b1001269 and one Better Built 2011 Kingpin trailer 11. WELLS FARGO EQUIPMENT FINANCE, INC. 10/20/2011 Lease of one 2011 Liebherr A944 CHD hydraulic scrap handler 12. FIFTH THIRD EQUIPMENT FINANCE COMPANY 11/21/2011 One new Yale lift truck S/N B875V07597J


 
Schedule 7.01 ACTIVE 682595819v6 13. WELLS FARGO EQUIPMENT FINANCE, INC. 11/29/2011 One Caterpillar 256C skid steer loader S/N DWS01913 and one Caterpillar 246C skid steer loader S/N JAY04920 14. FIFTH THIRD EQUIPMENT FINANCE COMPANY 11/30/2011 One Caterpillar wheel excavator model M322D MH 15. WELLS FARGO EQUIPMENT FINANCE, INC. 3/8/2012 Lease: One (1) New Caterpillar, Model M325 Hydraulic Excavator, S/N KGG02034. 16. PNC EQUIPMENT FINANCE, LLC 3/15/2012 Lease: One (1) New CAT M325DL Wheel Excavator, S/N KGG02032. 17. PNC EQUIPMENT FINANCE, LLC 4/3/2012 Lease: New 2012 Liebber Scrap Handler, Model A934C, S/N 1049- 57973; New 2012 Liebber Scrap Handler, Model A924C, S/N 1006- 57979. 18. WELLS FARGO EQUIPMENT FINANCE, INC. 5/7/2012 Lease: Two (2) Canon Imageprograf IPF/36” wide w/Format Printer; Two KIP 7900 Printer/Scanner. 19. WELLS FARGO EQUIPMENT FINANCE, INC. 5/9/2012 Lease: One (1) Caterpillar 966H Wheel Loader, S/N A6D1637 w/bucket scales. 20. FIFTH THIRD EQUIPMENT FINANCE COMPANY 5/18/2012 Lease: One (1) Liebherr Hydraulic Scrap Handler, Model R944CEW, S/N 793-32629 w/Liebherr type 69 Grapple and 20 KW GTS solid state. 21. WELLS FARGO EQUIPMENT FINANCE, INC. 6/22/2012 Lease: One (1) 2012 Liebherr A943C Material Handler, S/N 1066-56521 w/20 KW Baldor Generator, S/N 2011- 850841. 22. WELLS FARGO EQUIPMENT FINANCE, INC. 8/23/2012 Lease: Doosan DL200 Wheel Loader, S/N 5854 w/One (1) Doosan 72037720 Hydraulic Coupler, S/N ATFL00108; One (1) Dymax 5824D1 48” Tines and 96” Carriage, S/N 153877; One (1) Doosan 7203901 100” Bucket, S/N ATNT00148. 23. PNC EQUIPMENT FINANCE, LLC. 8/30/2012 Lease: 2012 Liebherr Scrap Handler. 24. WELLS FARGO EQUIPMENT FINANCE, INC. 8/31/2012 Lease: One (1) Caterpillar, Model 906H2 Compact Wheel Loader, S/N 0JRF00324. 25. WELLS FARGO EQUIPMENT FINANCE, INC. 9/19/2012 Lease: One (1) 2012 A924C Liebherr Hydraulic Scrap Handler, VIN WLHZ1049KZK062933 w/57” Magnet and 15kw Generator/Controller.


 
Schedule 7.01 ACTIVE 682595819v6 26. WELLS FARGO EQUIPMENT FINANCE, INC. 11/16/2012 Lease: One (1) 2013 Clement Monstar Trailer, VIN 5C2BB40B6DM008387; One (1) Caterpillar 246C Skid Steer Loader, S/N JAY08269. 27. WELLS FARGO EQUIPMENT FINANCE, INC. 11/16/2012 Lease: Two (2) Toyota Model 8FDU30 Diesel Lift Trucks, S/Ns 31615/8FDU32 and 31623/8FDU32. 28. WELLS FARGO EQUIPMENT FINANCE, INC. 12/5/2012 Lease: One (1) Liebherr A934C HD Material Handler, S/N 1419-58698 w/One (1) Liebherr Model 60 4-line Grapple, S/N 2012-210910. 29. PNC EQUIPMENT FINANCE, LLC 12/17/2012 Lease: 2013 Sierra/RB6000 Baler/Logger, S/N 0620312. 30. WELLS FARGO EQUIPMENT FINANCE, INC. 12/21/2012 Lease: One (1) 2012 Liebherr Model A934C Material Handler, S/N 1418- 62712. 31. WELLS FARGO EQUIPMENT FINANCE, INC. 12/21/2012 Lease: One (1) Caterpillar M325DL MH Hydraulic Material Handler, S/N 0KGG02033; One (1) Liebherr LH60M Hydraulic Scrap Handler, S/N WLHZ1204VZK063400. 32. WELLS FARGO EQUIPMENT FINANCE, INC. 12/21/2012 Lease: One (1) 2012 Liebherr Model A924C Scrap Handler, S/N 1049-58548. 33. WELLS FARGO EQUIPMENT FINANCE, INC. 2/11/2013 Lease: One (1) Sennebogen Model 860M D Series Material Handler, S/N 86001016 w/One (1) Sennebogen 2 CY 4 Tine Orange Peel Grapple w/Link & Jumper Lines. 34. U.S. BANK EQUIPMENT FINANCE, A DIVISION OF U.S. BANK NATIONAL ASSOCIATION 6/13/2013 Lease: One (1) Toyota Forklift, Model 7FDKU40. 35. U.S. BANK EQUIPMENT FINANCE, A DIVISION OF U.S. BANK NATIONAL ASSOCIATION 6/13/2013 Lease: One (1) Liebherr Hydraulic Scrap Handler, Model A934C. 36. PNC EQUIPMENT FINANCE, LLC 6/20/2013 Lease: Boom Genie – 60’ Articulating; Telescopic – 125 Telescopic Boomlift. 37. U.S. BANK EQUIPMENT FINANCE, A DIVISION OF U.S. BANK NATIONAL ASSOCIATION 7/2/2013 Lease: One (1) Caterpillar 930K SWL Fusion QC, Model 930K QC.


 
Schedule 7.01 ACTIVE 682595819v6 38. U.S. BANK EQUIPMENT FINANCE, A DIVISION OF U.S. BANK NATIONAL ASSOCIATION 7/19/2013 Lease: One (1) Caterpillar Hydraulic Wheel Excavator w/Grapple, Model MD322D. 39. PNC EQUIPMENT FINANCE, LLC 8/8/2013 Lease: GXP660R Excavator – Genesis; EKDK3-6685 Excavator – LB 350X3. 40. PNC EQUIPMENT FINANCE, LLC 8/15/2013 Lease: 1049/64278 New A924C Liebherr. 41. U.S. BANK EQUIPMENT FINANCE, A DIVISION OF U.S. BANK NATIONAL ASSOCIATION 8/29/2013 Lease: One (1) Sennebogen Material Handler, Model 825M equipped w/ One (1) Sennebogen RT-502 1.0 YD3 4-Tine Orange Peel Grapple; Two (2) Tank Automatic Fire Suppression Systems. 42. PNC EQUIPMENT FINANCE, LLC 9/3/2013 Lease: 83571143 Sennebogen. 43. PNC EQUIPMENT FINANCE, LLC 9/5/2013 Lease: 32114/8FDU32 Toyota Forklift. 44. PNC EQUIPMENT FINANCE, LLC 9/11/2013 Lease: JRS00510 Caterpillar 907H2 Wheel Loader. 45. PNC EQUIPMENT FINANCE, LLC 9/27/2013 Lease: 1006/62828 A934C Liebherr Hydraulic Scrap Handler. 46. PNC EQUIPMENT FINANCE, LLC 10/16/2013 Lease: 6C-32711 Waldon Wheel Loader. 47. PNC EQUIPMENT FINANCE, LLC 10/16/2013 Lease: E878V01678L Electric Forklift. 48. PNC EQUIPMENT FINANCE, LLC 10/16/2013 Lease: 1706413 Wheel Loader. 49. PNC EQUIPMENT FINANCE, LLC 10/30/2013 Lease: FJH00753 2013 Caterpillar TC HYD Excavator w/ancillary equipment; Saber Mobile Shear. 50. PNC EQUIPMENT FINANCE, LLC 11/8/2013 Lease: 5KKHAXDV8EPFM3059 2014 Western Star 4700SB Tractor w/Grapple. 51. WELLS FARGO EQUIPMENT FINANCE, INC. 11/25/2013 Lease: One (1) LaBounty MSD 3000 Saber Mobile Shear CAT 336E Excavator; One (1) HOLT CAT 336EL TC Material Handler, S/N 0FJH00984. 52. WELLS FARGO EQUIPMENT FINANCE, INC. 11/25/2013 Lease: One (1) Volvo L30GS Compact Wheel Loader, S/N 3220020.


 
Schedule 7.01 ACTIVE 682595819v6 53. BB&T EQUIPMENT FINANCE CORPORATION 12/18/2013 Lease: All right, title and interest under the Product Supply Agreement dated 12.08.13 between Debtor and Harris Waste Management, Inc., any and all insurance or other proceeds, including the Harris Dry Plant Ferrous Downstream System equipment. 54. WELLS FARGO EQUIPMENT FINANCE, INC. 1/21/2014 Lease: One (1) New 2014 Sennebogen 840 ME Material Handler, S/N 840M2009 w/Windshield Guard, S/N ATT3756GRD; Skylight Guard, S/N ATT3757GRDm LO-150C 1.50 YD 4 Tine Scrap Grabble, S/N L0200C-321 and Connecting Link, S/N 350W634. 55. BB&T EQUIPMENT FINANCE CORPORATION 2/12/2014 Lease: Caterpillar 246D L1 Skid Steer Loader w/Caterpillar SSGRAPBKI72 Grapple Bucket. 56. BB&T EQUIPMENT FINANCE CORPORATION 2/12/2014 Lease: Caterpillar 242D CL2 Skid Steer Loader. 57. WELLS FARGO EQUIPMENT FINANCE, INC. 2/17/2014 Lease: One (1) Caterpillar M325DL Material Handler, S/N KGG02046 w/Genset MA-1 and .75 CYD Grapple, S/N H2K00311. 58. WELLS FARGO EQUIPMENT FINANCE, INC. 2/17/2014 Lease: One (1) Caterpillar 349EL TC Excavator, S/N MPZ00726 w/LaBounty MSD 4000 Mobile Shear, S/N 640147. 59. WELLS FARGO EQUIPMENT FINANCE, INC. 2/26/2014 Lease: One (1) Liebherr LH 40 M Litronic Hydraulic Scrap Handler, S/N 1202 w/Liebherr 65 Five Tine Hydraulic Grapple w/Rotation, S/N 70578. 60. PNC EQUIPMENT FINANCE, LLC 3/18/2014 Lease: 1049/65162 Leibherr Hydraulic Scrap Handler. 61. PNC EQUIPMENT FINANCE, LLC 3/31/2014 Lease: 23 Plate F Woodchip railcars w/Modified 70 ton Truck. See UCC for S/Ns. 62. U.S. BANK EQUIPMENT FINANCE, A DIVISION OF U.S. BANK NATIONAL ASSOCIATION 4/23/2014 Lease: One (1) 2014 Tennant Rider Sweeper, Model S30. 63. PNC EQUIPMENT FINANCE, LLC 5/9/2014 Lease: 210358 Volvo Model EC250DL Hydraulic Excavator w/Genesis Model GSXT445R Shear, S/N 4451002R. 64. BB&T EQUIPMENT FINANCE CORPORATION 5/15/2014 Lease: Four (4) Toyota 8FDU32, diesel lift trucks.


 
Schedule 7.01 ACTIVE 682595819v6 65. BB&T EQUIPMENT FINANCE CORPORATION 5/16/2014 Lease: Volvo L120G Wheel Loader, S/N 31187 and two CAT 906H2 Wheel Loader. 66. BB&T EQUIPMENT FINANCE CORPORATION 5/19/2014 Lease: Two (2) Toyota 8FG35U lift trucks, S/N 10309/8FG40U and 10306/8FG40U. 67. WELLS FARGO EQUIPMENT FINANCE, INC. 5/23/2014 Lease: One (1) Sierra International RB6000 Baler Logger, S/N 0222314, VIN 4MNFK493XE1000448. 68. WELLS FARGO EQUIPMENT FINANCE, INC. 7/10/2014 Lease: One (1) 2014 Sierra RB6000 Car Logger/Baler, S/N 0422514, VIN 4MNFK4939E1000960. 69. BB&T EQUIPMENT FINANCE CORPORATION 7/23/2014 Lease: One Toyota 8FDU32 Diesel Lift Truck, S/N 60277/8FDU32. 70. BB&T EQUIPMENT FINANCE CORPORATION 7/23/2014 Lease: One 2014 Genie S-80 X Manlift, S/N S80X14-11962. 71. BB&T EQUIPMENT FINANCE CORPORATION 7/23/2014 Lease: Four (4) Toyota 8FDU32 Diesel Lift Trucks, S/N: 60267/8FDU32, 60295/8FDU32, 60307/8FDU32, and 60292/8FDU32; One (1) 2014 Yale GPD155VXNJBV126 Veracitor TM Pneumatic Tire Forklift, S/N E878V01842M. 72. BB&T EQUIPMENT FINANCE CORPORATION 7/23/2014 Lease: Three (3) Toyota 8FDU32, S/Ns 60289/8FDU32, 60304/8FDU32, and 60305/8FDU32. 73. BB&T EQUIPMENT FINANCE CORPORATION 8/7/2014 Lease: One (1) Volvo MC115C Skid Steer Loader, S/N 2206645, with Loader Attachment S/N 371942 and Setco Solid Tires; one (1) Caterpillar 938K Wheel Loader, S/N SWL03295; and the two (2) CAT 906H2 Compact Wheel Loaders, S/N JRF02293 with CAT 81” Grapple Bucket, S/N SCCWMHB00190, and S/N JRF02242 with CAT 81” Grapple Bucket, S/N SCCWMHB00189. 74. PNC EQUIPMENT FINANCE, LLC 8/15/2014 Lease: one (1) Caterpillar Model 336EL Hydraulic Excavator with Labounty MSD 3000 Saber Mobile Shear, S/N FJH01788; one (1) Komatsu Model PC 490LC Hydraulic Excavator, S/N A40777, with Genesis Model SHR- GTX995R-OTH Shear, S/N 9951005; one (1) Liebherr Model LH60 Material Handler with ancillary equipment, S/N 1212-68203; one (1) Texas TERP Tax.


 
Schedule 7.01 ACTIVE 682595819v6 75. WELLS FARGO EQUIPMENT FINANCE, INC. 8/27/2014 One (1) La Bounty MSD 2250R Mobile Shear, S/N 622107 with one (1) Volvo EC300D Excavator, S/N 211133, Engine S/N11506419. 76. BB&T EQUIPMENT FINANCE CORPORATION 8/28/2014 Lease: One (1) Toyota 8FDU32 Diesel Lift Truck, S/N 60648/8FDU32; one (1) Toyota 8FDU32 Diesel Lift Truck, S/N 60520/8FDU32; one (1) Caterpillar 906H2 Compact Wheel Loader with 78" Grapple Bucket, S/N JRF01663; one (l) Caterpillar 930K QC Wheel Loader, S/N RHN03853; Caterpillar 906H Compact Wheel Loader, S/N JRF02512; Caterpillar 908H Compact Wheel Loader, S/N JRD02496; 2015 Caterpillar DP70N-D Pneumatic Tire Lift Truck, Model: GLP050VXNVAE084, S/N AT20D10172; 2014 Yale Veracitor Pneumatic Tire Forklift, Model: GDP080VXNKAE090, S/N J813V03062M; One (1) Toyota 8FDU32 Diesel Lift Truck, S/N 60479/8FDU32; 2014 Yale Veracitor Pneumatic Tire Forklift Model GDP060VXNYLF091, S/N C875V02603M; 2014 Yale Veracitor Pneumatic Tire Forklift Model GDP060VXNYLF091, S/N C875V02601M; 2014 Toyota Diesel Lift Truck Model 8FDU32, S/N 60643/8FDU32; 2015 Caterpillar 906H2 Compact Wheel Loader, S/N JRF02910; 2015 Caterpillar Model 246D Skid Steer Loader, with Bucket, Ind. Grap, 72" BOCE, S/N BYF01644; 2015 Toyota Model 8FDU32 Diesel Lift Truck, S/N 60869/8FDU32; Two (2) 2015 Yale Veracitor Pneumatic Tire Forklifts Model GLP070VXNLSF087, S/Ns D875V02409N and D875V02422N; Five (5) 2015 Toyota Model 8FDU32 Diesel Lift Trucks; One (1) 2015 Toyota Model 8FG35U Lift Truck, S/N 11105/8FG40U; 2015 Toyota Model 8FD35U Lift Truck, S/N 11015/8FD4OU; CAT 246D Open ROPS SF Skid Steer Loader, S/N BYF02217; 2014 Used CAT 950K SW Loader, S/N R4A02297; Two (2) 2015 Toyota Model 8FDU32 Diesel Lift Trucks, S/Ns 61066/8FDU32 and 61097/8FDU32; Three (3) 2015 Toyota Model 9FDU32 Diesel Lift Trucks; 2015 Toyota Model 8FD35U Diesel Lift Truck; 2016 Yale


 
Schedule 7.01 ACTIVE 682595819v6 Veracitor Pneumatic Tire Forklift Model GLP 050VXNDAE084; 2015 Toyota Model 8FD35U Diesel Lift Truck; (3) 2016 Yale Veracitor Pneumatic Tire Forklifts Model GLP 050VXNDAE084; 2016 Yale Veracitor Pneumatic Tire Forklift Model GDP070VXNKSF087; 2016 Yale Veracitor Pneumatic Tire Forklift Model GDP070VXNKSF087; 2016 Yale Veracitor Pneumatic Tire Forklift Model GDP080VXNTAE090; (3) 2016 Yale Veracitor Pneumatic Tire Forklifts Model GLP050VXNDAE084; (2) 2016 Yale Veracitor Pneumatic Tire Forklifts Model GDP070VXNKSF087; 2016 Yale Veracitor Pneumatic Tire Forklift Model GDP080VXNTAE090; 2015 Yale Veracitor Pneumatic Tire Forklift Model GDP050VXNKAE084; 2016 Yale Model GLP090VXNGAE090 Veracitor Pneumatic Tire Forklift; 2016 Moffett M8 55.3T4 Building Supply, 12' Mast. See UCC for S/Ns. 77. HEWLETT-PACKARD FINANCIAL SERVICES COMPANY 4/1/2015 All equipment and software now or hereafter acquired, which Secured Party has leased to or financed for debtor, including but not limited to computer, printing, imaging, copying, scanning, projection, storage equipment, any and all related peripherals, and any right, title, or license for any software used to operate or otherwise stalled in any of the forgoing, and products and proceeds of the above. 78. PNC EQUIPMENT FINANCE, LLC 4/6/2015 Lease: One (1) Deshazo Series 75 Overhead Crane. 79. WELLS FARGO EQUIPMENT FINANCE, INC. 1/27/2016 Lease: One (1) 2015 Caterpillar MH3037 Excavator 80. PNC EQUIPMENT FINANCE, LLC 2/1/2016 Lease: One (1) 2015 Mack GU813 Truck, S/N 1M2AX13C3FM030554. 81. WELLS FARGO EQUIPMENT FINANCE, INC. 2/5/2016 One (1) Sennebogen Model 830M-D Material Handler, S/N 83001616, with 58” Magnet Model 835, S/N E12861. 82. WELLS FARGO EQUIPMENT FINANCE INC. 3/23/2016 Lease: One (1) 2016 Barko 595 B ML Loader, S/N 11659523964; four (4) Tine Builtrite ½ yard scrap grapple with 48” winkle magnet with chains; One (1) 2016 Savage Trailer Self-Propelled


 
Schedule 7.01 ACTIVE 682595819v6 Carrier Model LC48SP Serial# 0508316CSP484WDSD. 83. BB&T EQUIPMENT FINANCE CORPORATION 4/19/2016 2016 Portable Model 580CL Car Logger/ Baler, S/N 20001. 84. BB&T EQUIPMENT FINANCE CORPORATION 6/30/2016 Lease: One (1) 2015 Yale Veracitor Pneumatic Tire Forklift Model GDP050VXNKA08; seven (7) 2016 Yale Model GLP090VXNGAE090 Veracitor Pneumatic Tires; one (1) Moffett M8 55.3T4 Building Supply, 12’ Mast; one (1) 2016 Toyota Model 8FGU32 LP Gas Lift Truck; three (3) Toyota Model 8FDU32 Diesel Lift Trucks; two (2) 2016 Yale Model GLP090VXNGAE090 Veracitor Pneumatic Tire Forklifts; two (2) 2016 Yale Model GLP090VXNGAE090 Veracitor Pneumatic Forklifts; one (1) JCB Model TLT30D Teletruk; 2016 Toyota Model 8FDU25 LP Gas Lift Truck; S450 T4 Bobcat Skid-Steer Loader; one (1) 2016 Yale Model GLP090VXNGAE086 Veracitor Pneumatic Tire Forklift; See UCC for S/Ns. 85. BMO HARRIS EQUIPMENT FINANCE COMPANY 7/1/2016 Lease: Thirty-Four (34) 2017 Great Dane FLP-0024-00053 53’ Trailers; five (5) 2016 Clemont Monstar 99 45’ Scrap Trailer; See UCC for S/Ns. 86. BB&T EQUIPMENT FINANCE CORPORATION 7/25/2016 Lease: 2015 Yale Veracitor Pneumatic Tire Forklift Model GDP120VXNKBE099, S/N J813V02843M; 2016 Toyota Model 8FDU32 Diesel Lift Truck, SN 61688/8FDU32; 2016 Toyota Model 8FDU32 Diesel Lift Truck, SN 61691/8FDU32; 2016 Toyota Model 7FBCU45 4-Wheel Sit-Down AC Electric Lift Truck, SN 61337/7FBCU45; 2016 Terex Model Z30/20N, SN Z30N16F-18236. 87. WINTRUST COMMERCIAL FINANCE, A DIVISION OF WINTRUST ASSET FINANCE INC. 8/3/2016 Lease: Skid Steer Loader Model 226D, SN HRD00470; Volvo L150H Wheel Loader, S/N 5150; Komatsu Wheel Loader Model WA500-8, S/N A96032. 88. WELLS FARGO BANK, N.A. 8/31/2016 One (1) 2016 Rail King RK330 Railcar Mover, S/N RCM1168-6.


 
Schedule 7.01 ACTIVE 682595819v6 89. BB&T EQUIPMENT FINANCE CORPORATION 10/28/2016 Lease: 2016 Toyota Model 8FD40U, S/N 11545/8FD40U. 90. WELLS FARGO EQUIPMENT FINANCE, INC. 12/19/2016 One (1) Sennebogen 830 M Material Handler, S/N 830.0.1477. 91. BB&T EQUIPMENT FINANCE CORPORATION 1/23/2017 Lease: Three (3) 2017 Moffett M8 55.3 Building Supply, 12’ Mast, S/N P440748B, S/N P440778B, S/N P440708B; four (4) Toyota Model 8FDU32 Diesel Lift Truck, S/N 61994, S/N 61981, S/N 61985, S/N 61989. 92. SHARPE IMAGES INC 2/1/2017 Various KIP Copier/Printer Systems 93. BMO HARRIS EQUIPMENT FINANCE COMPANY 2/14/2017 Lease: one (1) Sierra RB6000 Baler/Logger Portable with Crane, Cummins Diesel Engine with Air Conditioning, S/N IA9L84935HA245722, 0424716 94. BMO HARRIS EQUIPMENT FINANCE COMPANY 2/14/2017 Lease: one (1) Sierra RB6000 Baler/Logger Portable with Crane, Cummins Diesel Engine with Air Conditioning, S/N IA9L849333HA24721, 0324616 95. BMO HARRIS EQUIPMENT FINANCE COMPANY 2/15/2017 Lease: Thirty-Four (34) 2017 Great Dane FLP-0024-00053 53’ Trailers; five (5) 2016 Clemont Monstar 99 45’ Scrap Trailers; See UCC for S/Ns. 96. BB&T EQUIPMENT FINANCE CORPORATION 4/3/2017 Lease: One 2017 Toyota Model 8FDU32 Diesel Lift Truck; one (1) Yale Model GLP060MXNEAE091 Fork Lift; three (3) 2017 Yale Model GLP050VXNDAE084 Fork Lift; one (1) 2017 Yale Model GLP080VXNEAE090 Fork Lift; one (1) 2017 Yale Model GLP050VXNKAE084 Fork Lift; one (1) 2017 Yale Model GDP070VXNKAF087 Fork Lift; one (1) 2017 Yale Model GLP080VXNEAV098 Fork Lift; one (1) 2017 Yale Model GDP050VXNKAE084 Fork Lift; 2017 Toyota Model 8FKE32 Lift Truck; 2017 Yale Model GDP080VXNKAE090 Fork Lift; 2017 Yale Pneumatic Tire Electric Model, ERP050VLE80TE083 Fork Lift; Two (2) 2017 Yale Model GDP080VXNKAE090 Fork Lifts; 2017 Taylor Model X-360M Forklift; 2017 Toyota Model 8FD70U Diesel Lift Truck; 2017 Genie Model S65 Broom Lift; 2017 Toyota Model 8FD45U 10K Diesel Lift Truck; 2017 Genie S125


 
Schedule 7.01 ACTIVE 682595819v6 Broom Lift; Three (3) 2017 Taylor X- 360M Forklifts; 2017 Toyota Model 8FD35U Diesel Lift Truck; Four (4) 2017 Toyota Model 8FDU32 Diesel Lift Trucks. 97. BMO HARRIS EQUIPMENT FINANCE COMPANY 4/3/2017 Lease: Eight (8) 2018 Great Dane 53’ Flatbed Trailers; two (2) 2018 Clement ROT3645ETBR Roll off Trailers; one (1) 2017 Clement Monstar 89 Trailer; one (1) Rhino 68000 Round Bottom Semi Trailer; six (6) 2018 Fontaine Platform Trailers; one (1) 2018 Fontaine Trailer; two (2) 2018 Monstar 89 Clement Trailers; one (1) 2018 Clement Gondola Trailer; (1) one (1) 2018 Clement Scrapstar Trailer. 98. BB&T EQUIPMENT FINANCE CORPORATION 6/8/2017 Lease: 2017 Caterpillar Model No. DT80K Superior Broom, SN 817486. 99. BB&T EQUIPMENT FINANCE CORPORATION 6/8/2017 Lease: 2017 Caterpillar Model No. DT80K Superior Broom, SN 817486. 100. BB&T EQUIPMENT FINANCE CORPORATION 6/21/2017 Lease: Thirty (30) 4,000 cu. ft. gondola railcars bearing reporting numbers SMIX 4101, 4102, 4103, 4104, 4105, 4106, 4107, 4108, 4109, 4110, 4111, 4112, 4113, 4114, 4115, 4116, 4117, 4118, 4119, 4120, 4121, 4122, 4123, 4124, 4125, 4126, 4127, 4128, 4129. 101. WELLS FARGO EQUIPMENT FINANCE, INC. 6/23/2017 Lease: One (1) Sennebogen 835M "E" Series Mobile Material Handler Machine S/N 835.0.2353. 102. BB&T EQUIPMENT FINANCE CORPORATION 6/27/2017 Lease: 2017 Volvo Model L180H Wheel Loader, S/N 4310 with 134" bucket, S/N 17180118. 103. BB&T EQUIPMENT FINANCE CORPORATION 6/27/2017 Lease: 2017 Yale Model GDP080VXNKAE090 Fork Lift, S/N K813V03214R; 2017 Yale Model GP080VX Fork Lift; 2017 Yale Model GDP080VXNKAE090 Fork Lift, S/N K813V03249R; 2017 Yale Pneumatic Tire Electrick Model ERP050VL Fork Lift. 104. WELLS FARGO EQUIPMENT FINANCE, INC. 6/29/2017 Lease: One (1) Walker 57"D Scrapmaster II Magnet, S/N 81049; One (1) Sennebogen 835M Material Handler Machine, S/N 835.0.2352 105. BB&T EQUIPMENT FINANCE CORPORATION 7/17/2017 Lease: 2017 Bobcat Model S550 A5l Loader, S/N 25645, w/ 62" LP Bucket, S/N 000023775; 2017 Caterpillar Model 226D Skid Steer Loader, S/N


 
Schedule 7.01 ACTIVE 682595819v6 HRD02281, w/ 60" Bucket; 2017 Case SV280, Skid Steer Loader, S/N NM429593. 106. PNC EQUIPMENT FINANCE, LLC 7/17/2017 Lease: Non-ferrous equipment. 107. WELLS FARGO EQUIPMENT FINANCE, INC. 7/20/2017 Lease: One (1) 2017 Caterpillar Model 349FL TC Hydraulic Excavator, S/N CAT0349FTHPD10187; one (1) Stanley LaBounty MSD 4500 Mobile Shear, S/N 646074. 108. BB&T EQUIPMENT FINANCE CORPORATION 9/29/2017 Lease: 2017 Taylor Model XH-400L with Training Cab; 2017 Toyota Model 8FDU32 Diesel Lift Truck; 2017 Toyota 8FD35U Diesel Lift Truck; 2017 Genie Model S65 Telescopic Boomlift; 2017 Moffett Model 55 3 NX 12' Mast; 2017 Toyota Model 8FD35U Diesel Lift Truck; 2017 Yale Model GDP120VXNKBV111 Forklift; 2017 Toyota Model 8FDU32 Diesel Lift Truck. 109. BB&T EQUIPMENT FINANCE CORPORATION 9/29/2017 Lease: 2017 Toyota Model 8FKE32 Lift Truck; 2017 Yale Model GDP080VXNKAE090 Fork Lift; 2017 Yale Pneumatic Tire Electric Model, ERP050VLE80TE083 Fork Lift; Two (2) 2017 Yale Model GDP080VXNKAE090 Fork Lifts; 2017 Taylor Model X-360M Forklift; 2017 Toyota Model 8FD70U Diesel Lift Truck; 2017 Genie Model S65 Broom Lift; 2017 Toyota Model 8FD45U 10K Diesel Lift Truck; 2017 Genie S125 Broom Lift; Three (3) 2017 Taylor X- 360M Forklifts; 2017 Toyota Model 8FD35U Diesel Lift Truck; Four (4) 2017 Toyota Model 8FDU32 Diesel Lift Trucks; 2017 Toyota Model 8FDU32 Diesel Lift Truck. 110. WELLS FARGO EQUIPMENT FINANCE, INC. 11/8/2017 Lease: One (1) Caterpillar 336F L Hex Hydraulic Excavator, S/N RKB10686. 111. BB&T EQUIPMENT FINANCE CORPORATION 11/16/2017 Lease: 2017 Caterpillar 242D Skid Steer Loader with 66" Caterpillar GP Bucket; Caterpillar 242D Skid Steer Loader with 66" Boce GP bucket. 112. BMO HARRIS EQUIPMENT FINANCE COMPANY 2/7/2018 Lease: Wheel Loaders; one (1) 2018 Volvo U20H Loader CER-2738-18-002; one (1) 2018 Volvo L180H Loader CER-1090-18-002; two (2) 2018 Volvo L180H Loaders CER-1090-17-001; one (1) Caterpillar 262D Skid Steer and


 
Schedule 7.01 ACTIVE 682595819v6 Bucket CER-2736-18-003; one (1) Cat 262D OSI Skid Steer CER-2738-18- 003; one (1) Cat SS BKIG 72 Bucket CER-2738-18-003; one (1) Cat 262D OSI Skid Steer CER- 2738-18-003; one (1) Cat SS BKIG 72 Bucket CER- 2738- 18-003; one (1) Cat 262D OSI Skid Steer CER- 2738-18-003; one (1) Cat SS BKIG 72 Bucket CER-2738-18-003; one (1) Cat 262D OSI Skid Steer CER- 2738-18-003; one (1) Cat SS BKIG 72 Bucket CER-2738-18-003; one (1) Caterpillar 262D Skid Steer CER-2697- 18-010; one (1) Caterpillar 950M Loader CER- 2731-18-002; (1) Volvo L150H Loader CER-1030-18-026; one (1) John Deere 544-II Loader CER- 1161-18-003. 113. BMO HARRIS EQUIPMENT FINANCE COMPANY 2/7/2018 Lease: one (1) Cat 242D OS1 Skid Steer CER- 1090-17-001; one (1) Cat 906M Mini Compact Wheel Loader ID NO: HLK03726; one (1) Cat 906M CWL Wheel Loader ID NO: HCT0I0237; one (1) Cat 966M Wheel Loader CER-2697- 18-001; (1) Loadrite LR2180-ROT- SYSTEM, ROT, TRIG mounted on CER-2697-18-001; one (1) KRB #14 Mechanical Table Bender, CER 1432- 18-002; one (1) KRB Conveyors and Racks, CER 1235-18-001; one (1) KRB Conveyors, Guillotine Shear, Racks, Pockets, CER-1330-18-001; one (1) RMS I Schilt Double Bender, CER- 1360-18--008; one (1) RMS Spiral-Fab Machine, CER-1432-18-004; one (1) RMS #11 Bender, CER-1545-18-006; one (1) RMS Ultra Raduis Machine, CER-1300-18-009; one (1) Schnell Bar Wiser 22 N Multifeed Bender, CER- 1390-18-002. 114. BB&T EQUIPMENT FINANCE CORPORATION 2/9/2018 Lease: Hiab Model MB 55 3 NX Moffett with Mast 12'; 2018 Yale Model GLP060VXNEAE091 Fork Lift; 2018 Yale Model GDP080VXNKAE090 Fork Lift; 2018 Yale Model GLP050VXNEAE084 Fork Lift; Toyota Model 8FD35U Fork Lift; Toyota Model 8FD35U Fork Lift. 115. WELLS FARGO EQUIPMENT FINANCE, INC. 3/28/2018 Lease: One (1) Sennebogen 835M "E" Series Mobile Material Handler Machine, S/N 835.0.2407; one (1) Sennebogen 835M "E" Series Mobile Material Handler Machine, S/N 835.0.2408; one (1) Young Hydraulic Power Grapple, 4Tine Scrap, S/N LO- 125D-58; one (1) Walker Scrapmaster II


 
Schedule 7.01 ACTIVE 682595819v6 4400lbs Magnet, S/N 81092; one (1) Young Hydraulic Power Grapple, 4Tine Scrap, S/N LO-125O-62; one (1) Walker Scrapmaster II 4400lbs Magnet, S/N 810006. 116. BB&T EQUIPMENT FINANCE CORPORATION 4/9/2018 Lease: (1) Toyota Model 8FDU32 Diesel Lift Truck; (1) Toyota Model 8FDU32 Diesel Lift Truck; (1) Toyota Model 8FDU32 Diesel Lift Truck; (1) 2018 Yale Model GDP060VXNKAE091 Lift Truck; (1) 2017 Yale Model GDP050VXNKAE084 Lift Truck; (1) 2018 Yale Model GLP050VSNEAE084 Lift Truck; (1) 2017 Yale Model GDP120VXNKBV088 Lift Truck; (1) Mollett Model M812 Ft. Mast Fork Lift; Toyota Model 8FDU32 Diesel Lift Truck; (1) 2018 Yale Model GDP050 Lift Truck; (1) 2018 Yale Model GDP080 Lift Truck; (1) 2016 CAT Model DP30N5 Lift Truck; (1) 2018 CAT Model P30N5 Lift Truck; (1) 2016 CAT Model DP30N5 Lift Truck; (1) 2018 Yale Model DP080VXNKAE0890 Lift Truck; (1) 2018 Yale Model GLP060VXNEAE091 Lift Truck; (1) 2018 Genie Model Z45/25J Manlift; (1) Yale Model: GDP080VXNKAV098 Fork Lift; (1) 2018 Yale Model NR045EBNS36TE107 Lift Truck; (1) 2018 Taylor Model XC220S Forklift; (1) 2018 Taylor Model XH400L Industrial Truck. 117. BB&T EQUIPMENT FINANCE CORPORATION 4/9/2018 Lease: Miscellaneous equipment, including, but not limited to, trailers. 118. BANK OF MONTREAL 4/27/2018 Lease: six (6) Wendt Wire Chopper Systems. See UCC for S/Ns. 119. PNC EQUIPMENT FINANCE, LLC 5/24/2018 Lease: Twenty-five (25) Ortner Gondola Cars, SNs SMIX4149, SMIX4150, SMIX4151, SMIX4152, SMIX4153, SMIX4154, SMIX4155, SMIX4156, SMIX4157, SMIX4158, SMIX4159, SMIX4160, SMIX4161, SMIX4162, SMIX4163, SMIX4164, SMIX4165, SMIX4166, SMIX4167, SMIX4168, SMIX4169, SMIX4170, SMIX4171, SMIX4172, SMIX4173. 120. WELLS FARGO EQUIPMENT FINANCE, INC. 6/5/2018 One (1) Sennebogen 825M Handler S/N 825.0.2528; One (1) Rotobec Grapple S/N 14 3337-5-1; One (1) WALKER 57" LIFTMASTER MAGNET S/N 810119.


 
Schedule 7.01 ACTIVE 682595819v6 121. WELLS FARGO EQUIPMENT FINANCE, INC. 6/20/2018 One (1) Ohio 48" Super Loadstar Magnet, S/N 23990; One (1) Ohio 58" Super Loadstar Magnet, S/N 24038; One (1) Sennebogen 835M Material Handler, S/N 835.0.2432. 122. BB&T EQUIPMENT FINANCE CORPORATION 6/25/2018 Lease: Miscellaneous equipment, including, but not limited to, forklifts, lift trucks, roll-offs, rebar benders, skid steers, wheel loaders, cranes, trailers, and related attachments and other material handling equipment. 123. BB&T EQUIPMENT FINANCE CORPORATION 6/25/2018 Lease: (1) 2018 Toyota Model 8FGU25 Lift Truck; (1) Toyota Model 8FD35U Diesel Lift Truck; (2) 2018 Toyota Model 8FDU32 Diesel Lift Trucks; (1) 2018 Toyota Model 8FGU25 Lift Truck; (1) 2018 Toyota 8FD35U Lift Truck; (2) 2018 Toyota Model 8FD35U; (3) 2018 Toyota Model 8FD35U Lift Trucks; (4) 2018 Yale Model GP070VX Fork Lifts. 124. WELLS FARGO BANK, N.A. 7/2/2018 One (1) Rail King RK330 Railcar Mover, S/N RCM 1231-6. 125. BMO HARRIS EQUIPMENT FINANCE COMPANY 7/13/2018 (1) Cat 242D OS1 Skid Steer CER- 1090-17-001, S/N DZT04199; (1) Cat 906M Mini Compact Wheel Loader ID NO: 8LK032726 86602470; (1) Cat 906M CWL Wheel Loader ID NO: 8CT010237 86602764; (1) Cat 966M Wheel Loader CER-2697-18-001, S/N ICJP02770; (1) Loadrite LR2180-ROT- SYSTEM, ROT, TRIG mounted on CER-2697-18-001 2697-18-001. 126. WELLS FARGO EQUIPMENT FINANCE, INC. 8/2/2018 Lease: One (1) Sennebogen 830M Material Handler, S/N 830.0.2559. 127. BMO HARRIS EQUIPMENT FINANCE COMPANY 8/20/2018 (1) KRB #14 Mechanical Table Bender CER 1432-18-002; (1) KRB Conveyors and Racks CER 1235-18-001; (1) KRB Conveyors, Guillotine Shear, Racks, Pockets CER-1330-18-001; (1) RMS / Schilt Double Bender CER-1360-18- 008; (1) RMS Spiral-Fab Machine CER- 1432-18-004; (1) RMS #11 Bender CER-1545-18-006; (1) RMS Ultra Raduis Machine CER-1300-18-009; (1) Schnell Bar Wiser 22 N Multifeed Bender CER-1390-18-002. 128. WELLS FARGO BANK, N.A. 8/24/2018 2018- Rail King Railcar Mover RK330, S/N RCM1245-6.


 
Schedule 7.01 ACTIVE 682595819v6 129. WELLS FARGO EQUIPMENT FINANCE, INC. 8/24/2018 Lease: One (1) 2018 Sennebogen 835R- HD Material Handler, S/N 83552444. 130. WELLS FARGO EQUIPMENT FINANCE, INC. 9/10/2018 One (1) Young YOU-LO 200D 4Tine Grapple, S/N LO200D-73. 131. WELLS FARGO EQUIPMENT FINANCE, INC. 9/21/2018 One (1) Sennebogen 835R-HD Material Handler, S/N 83552448. 132. WELLS FARGO EQUIPMENT FINANCE, INC. 9/26/2018 One (1) Sennebogen 825M "D" Material Handler, S/N 825.0.2548, including one (1) 1 Yard Robotec Grapple, S/N A3045032-1-1. 133. BB&T EQUIPMENT FINANCE CORPORATION 9/27/2018 Lease: One (1) 2018 CAT DP30NS Diesel Lift Truck; Two (2) 2018 Linde Model H35T 7,0001b. Mast. 134. BB&T EQUIPMENT FINANCE CORPORATION 9/27/2018 Miscellaneous equipment, including, but not limited to, forklifts, lift trucks, roll- offs, rebar benders, skid steers, wheel loaders, cranes, trailers, and related attachments and other material handling equipment. See UCC for a complete description. 135. WELLS FARGO EQUIPMENT FINANCE, INC. 10/5/2018 One (1) Sennebogen 840M "E" Material Handler, S/N 840.0.2137. 136. WELLS FARGO EQUIPMENT FINANCE, INC. 11/15/2018 One (1) Stanley LaBounty MSD 4500 Mobile Shear, S/N SN646094. 137. BMO HARRIS EQUIPMENT FINANCE COMPANY 12/4/2018 (1) Multiradius Bend 36 CER-1300-18- 008; (1) RMS #18 Table Bender CER- 1247-19-001; (1) RMS Ultra Radius Machine CER-1450-19-006; (1) RMS Shearline and Evacuation System CER- 1360-19-002; (1) RMS #14 Rebar Bender CER-1260-19-004; (1) Schnell Reta 20 Straightening Machine Super UL CER-1431-18-005; (1) Automatic Stirrup Bender CER-1431-19-002; (1) Double Bender Robomaster/60/50 ft Mirror CER-1260-19-003; (1) Schnell Robomaster Bender CER-1230-19-002; (1) Schnell Coil 16 Pack2 3D Bender CER-1330-19-001. 138. BMO HARRIS EQUIPMENT FINANCE COMPANY 12/7/2018 Lease: (1) 219 Volvo L180H Wheel Loader with Loader Bucket; (1) Bobcat s70 Skid Steer Loader CER-1055-19- 043; (1) Bobcat BKLGP Bucket; (1) Volvo L150H Wheel Loader CER-


 
Schedule 7.01 ACTIVE 682595819v6 1030-19-009; (1) Volvo L150H Wheel Loader CER-1030-19-009; (1) Waldon 6000C Loader; (1) Caterpillar 906M CER-2683-19-007; (1) Caterpillar 906M Wheel Loader CER-2737-18-006. 139. PNC EQUIPMENT FINANCE, LLC (USD) 12/20/2018 Lease: One (1) Landfill Recovery Turnkey System. 140. BB&T EQUIPMENT FINANCE CORPORATION 12/28/2018 Lease: Two (2) Infinidat F4240 Storage Array Systems. 141. BB&T EQUIPMENT FINANCE CORPORATION 12/28/2018 Lease: 1 Toyota Model 8FDU32 Diesel Lift Truck; 1 Toyota Model BFGC70U Lift Truck; 1 Toyota Model 8FDU32, Diesel Lift Truck; 1 Toyota Model 8FDU32 Diesel Lift Truck; 1 Clark Model C60 Diesel Pneumatic Fork Lift; 1 2018 Yale Model GLP080VXNKBV088 Lift Truck; 2 Taylor Model XH-350L Industrial Lift Trucks; 1 Toyota Model 8FDU32 Diesel Lift Truck; 1 Used 2010 Taylor TE800S Forklift; 1 2019 Genie Model S60XC Telescopic Fork Lift; 1 Toyota Model 8FDU32 Diesel Lift Truck. 142. BB&T EQUIPMENT FINANCE CORPORATION 12/28/2018 Miscellaneous equipment, including, but not limited to, forklifts, lift trucks, roll- offs, rebar benders, skid steers, wheel loaders, cranes, trailers, and related attachments and other material handling equipment. 143. BB&T EQUIPMENT FINANCE CORPORATION 1/17/2019 Lease: New Sierra Model 4200 Baler/Logger Portable with crane. 144. WELLS FARGO EQUIPMENT FINANCE, INC. 1/18/2019 One (1) 2016 Volvo EC350EL Crawler Excavator, S/N 350E310277, with Genesis GXT665R Rotating Shear Excavator, S/N 6651128. 145. WELLS FARGO EQUIPMENT FINANCE, INC. 1/18/2019 One (1) 2019 Volvo EC350EL Crawler Excavator, S/N 350E310737, with Genesis GXT665R Rotating Shear, S/N 6651146. 146. WELLS FARGO EQUIPMENT FINANCE, INC. 1/22/2019 Lease: One (1) 2019 Volvo EC350EL Crawler Excavator with Genesis GXT665R Rotating Shear. 147. WELLS FARGO EQUIPMENT FINANCE, INC. 1/22/2019 Lease: One (1) 2016 Volvo EC350EL Crawler Excavator, S/N 350E310277, with Genesis GXT665R Rotating Shear Excavator, S/N 6651128.


 
Schedule 7.01 ACTIVE 682595819v6 148. WELLS FARGO EQUIPMENT FINANCE, INC. 2/8/2019 Lease: One (1) Sennebogen Model 840M Material Handler, S/N 840.0.2153. 149. WELLS FARGO EQUIPMENT FINANCE, INC. 2/14/2019 Lease: One (1) 2019 Caterpillar Model 349F L Excavator, S/N HPD20419; One (1) Stanley LaBounty Model MSD 4500 Mobile Shear, S/N 646094. 150. BANK OF MONTREAL 3/6/2019 (1) KRB H-4100 Shear CER-1200-19- 003; (1) KRB Conveyor CER-1200-19- 004; (1) KRB H-4100 Shear CER-1200- 19-003; (1) KRB Conveyor CER-1200- 19-004; (1) KRB Conveyor CER-1200- 19-004; (1) KRB H-4100 Shear CER- 1200-19-003; (1) RMS Shearline CER- 1451-18-022; (1) RMS Ultra Radius Bedoer CER-1454-18-003; (1) RMS Ultra Radius Bedoer CER-1454-18-003; (1) RMS Shearline CER-1451-18-022; (l) RMS Ultra Radius Bedoer CER- 1454-18-003; (1) RMS Shearline CER- 1451-18-022; (1) Schilt RMS Double Bender CER 1340-19- 005; (1) Schnell Formula /14 Bender CER-1434-10-003; (1) Schnell Bar Wiser 22 N Multifeed Bender CER- 1391-18-014; (1) Schnell Bar Wiser 22 N Multifeed Bender CER- 1451-18-019; (1) Schnell Bar Wiser 22 N Multifeed Bender CER-1340-18-025; (1) Schnell Formula /14 Bender CER- 1247-18-001; (1) Schnell Bar Wiser 22 N Multifeed Bender CER-1451-18-019; (1) Schnell Bar Wiser 22 N Multifeed Bender CER-1340-18-025; (1) Stirrup Bender Machine Mod. Bar Wiser 22N Multifeed CER-1200-18-007; (1) Schnell Formula /14 Bender CER-1434- 10-003; (1) Schnell Formula /14 Bender CER-1247-18-001; (1) Parts CER-1340- 18-025; (1) Schnell Bar Wiser 22 N Multifeed Bender CER-1340-18-025; (1) Schnell Formula /14 Bender CER- 1247-18- 001; (1) Stirrup Bender Machine Mod. Bar Wiser 22N Multifeed CER-1200-18-007; (1) Schnell Formula /14 Bender CER-1434- 10-003; (1) Schnell Bar Wiser 22 N Multifeed Bender CER-1340-18-025; (1) Schnell Bar Wiser 22 N Multifeed Bender CER-1451-18-019; (1) Parts CER-1340-18-025; (1) Schnell Formula /14 Bender CER-1434-10-003; (1) Stirrup Bender Machine Mod. Bar Wiser 22N Multifeed CER-1200-18- 007.


 
Schedule 7.01 ACTIVE 682595819v6 151. BANK OF MONTREAL 3/22/2019 Lease: (1) Case CER-2695-18-004 SV340 Skid Steer Loader; (1) Cat CER- 2738-19-0036 262D OS1 Skid-Steer Loader; CER-2738-19-0036; (1) Cat 262D OS1 Skid-Steer Loader CER- 2738-19-0036; (1) Cat SS BKIG 72 Bucket; (1) Cat SS BKIG 72 Bucket; (1) Bobcat S850 Skid-Steer Loader with Bucket; (1) Caterpillar 938M Loader CER-2692-19-002; (1) 2019 Caterpillar 926M Wheel Loader CER-2686-19-001; (1) 2019 Caterpillar 926M Wheel Loader CER-2687-19-001; (1) Caterpillar 226D L1 Skid Steer Loader CER-1070-19-014; (1) Volvo L30GS Compact Wheel Loader CER-2684-10- 002. 152. BB&T EQUIPMENT FINANCE CORPORATION 3/28/2019 Lease: Miscellaneous equipment, including, but not limited to, forklifts, lift trucks, roll-offs, rebar benders, skid steers, wheel loaders, cranes, trailers, and related attachments and other material handling equipment. 153. BB&T EQUIPMENT FINANCE CORPORATION 3/28/2019 Lease: 2019 Terex Model Z-45 XC Forklift; 2018 Yale Model GDP155VXNKBV148 Forklift; 2019 Yale Model GLP050VXNEAE084 Forklift; 2019 Yale Model GLP060VXNEAE091 Forklift; Toyota Model 8FDU32 Lift Truck; 2018 Yale Model GDP080VXNKAF098 Forklift; 2 Caterpillar Model DP30N5 Lift Truck; Toyota Model 7FBCU45 Lift Truck; 2019 Yale Model GDP155VXNKBV148 Lift Truck; Yale Model GLP100VXNEBE096 Lift Truck; Toyota Model 8FDU32 Lift Truck; Yale Model. GL0060VSNEAE091 Fork Lift; Yale Model. GLP100VXNKBE096 Truck; 2019 Yale Model. GDP070VXHKAF087 Fork Lift; 2019 Yale Model GDP080VXNKAE090 Lift Truck; Toyota Model 8FD35U Lift. 154. WELLS FARGO EQUIPMENT FINANCE, INC. 4/8/2019 Lease: One (1) Caterpillar 349FL Hydraulic Excavator, S/N HPD20561. 155. WELLS FARGO BANK RAIL CORPORATION 4/16/2019 Lease: 200 railcar units. See UCC for a complete description. 156. HYG FINANCIAL SERVICES, INC. 4/25/2019 Lease: All of the equipment now or hereafter leased by Lessor to Lessee; and all accessions, additions, replacements, and substitutions thereto


 
Schedule 7.01 ACTIVE 682595819v6 and therefore; and all proceeds including insurance proceeds thereof. 157. BB&T EQUIPMENT FINANCE CORPORATION 5/31/2019 Lease: One hundred ninety-nine (199) flat bottom gondola railcars bearing reporting marks and numbers TILX 35001 - 35027, inclusive, and TILX 35029 - 35200, inclusive. 158. FIFTH THIRD BANK 6/4/2019 Lease: 198 Used 2013 Flat Bottom Gondola Railcars. See UCC for a complete description. 159. BB&T EQUIPMENT FINANCE CORPORATION 6/21/2019 Lease: All right, title and interest of Debtor in, to and under certain agreement(s) for the purchase of various trailers. 160. BB&T EQUIPMENT FINANCE CORPORATION 6/21/2019 Lease: One (1) Toyota Model 7FBCU45 Lift Truck; Four (4) 2019 Yale Model GP080VXNKAE090 Lift Trucks; One (1) 2019 Yale Model GDP060VXNKAE091 Lift Truck; One (1) Toyota Model 8FD35U Lift Truck; One (1) 2019 Yale Model GDP090VXNKAF086 Lift Truck; One (1) Taylor Industrial Lift Truck Model X360M; One (1) Taylor Model XH- 400L Industrial Truck 161. WELLS FARGO EQUIPMENT FINANCE, INC. 7/12/2019 Lease: One (1) 2018 Sennebogen 840M "E" Material Handler, S/N 840.0.2175, with One (1) Ohio 58" Super Loadstar Magnet, S/N 24187. 162. WELLS FARGO EQUIPMENT FINANCE, INC. 7/12/2019 Lease: One (1) Sennebogen 830M-HD- S Material Handler, S/N 830.0.2766, with One (1) Young 1.25 Cubic Yard 4Tine Scrap Grapple, S/N LO125D-80. 163. BANK OF MONTREAL 7/17/2019 Lease: (2) Shear Consoles for CER- 1475-19-057; (1) Service; (1) MEP Format 16 H.S.; (1) Evacuating Pocket Assembly; (1) MagnaBend 211R Double Bender RH;48FT (15M); (1) 60ft. Gage Table Assembly, 36” PL, RH, S/D; (1) Machine for the production of stirrups; (1) Bender; (1) Service performed; (1) DBS2-60 Double Bender; (1) DBS2-60-N Double Bender; (1) RMS Ultra Radius Bender and Epoxy Rolls; (1) Double Bender; (1) Schnell Coil/20 Bender; (1) Freight; (1) Conveyor; (1) Bender; (1) Shear Assembly; (1) Schnell Reta 20 Straightening Machine; (2) Benders; (1) Shaping and Stirrup Bender; (1) Shearline; (1) RMS Spiral FAB to include a Structural Steel Base, Heavy Duty Coil Carousel and Micro Control System; (1) Duel End Bending Machine; (1) Hytrol conveyor system; (1)


 
Schedule 7.01 ACTIVE 682595819v6 Shearline; (1) RMS Schilt Double Bender; (1) Robomaster 60 EVO Double Bender; (1) RMS Shearline to include a 611 HD shear; (1) Double Bender; (1) Two Chain Buffer System; (1) Coil 20 for Coil 20 EVO CFD UL- CSA; (2) Stirrup Benders; (1) EVG PCX 16A Wire and Coiled Rebar Straightening Machine. See UCC for S/Ns 164. BANK OF MONTREAL 7/17/2019 New Loaders; (1) 2019 Bobcat S450 T4 Compact Skid Loader with Low Profile Bucket CER-1030-19-050; (1) 2019 Bobcat S450 T4 Compact Skid Loader with Low Profile Bucket CER-1030-19-049; (1) Only x New Flip Screen (Green & Black) with Smart Valve CER-2695-19-005; (1) Caterpillar 914M Mini Compact Wheel Loader CER-2692-19-002; (1) 2019 Caterpillar 930M Wheel Loader CER-2695-19-005; (1) 2019 Caterpillar 950GC CER-1020- 20-003; (1) 2020 Cat 262D3 Skid Steer S/ZB200966N; (1) 2020 Cat 262D3 Skid Steer; (1) 2020 Caterpillar 966H Loader; (1) 2020 Volvo L150H Loader; (1) HEIT. 165. PNC EQUIPMENT FINANCE, LLC (USD) 7/29/2019 (4) Wire Chopper Systems. 166. WELLS FARGO EQUIPMENT FINANCE, INC. 8/12/2019 Lease: One (1) Sennebogen 835M-E Material Handler, S/N 83502561; One (1) Young YOU-L0-125D Grapple, S/N L0125D-79. 167. WELLS FARGO EQUIPMENT FINANCE, INC. 8/12/2019 Lease: One (1) Sennebogen 935M Material Handler, S/N 835.0.2564; One (1) Young YOU-L0-125C Grapple, S/N L0125C-222. 168. BB&T EQUIPMENT FINANCE CORPORATION 8/23/2019 Lease: Tennant Model 800 Power Sweeper, Rider. 169. WELLS FARGO EQUIPMENT FINANCE, INC. 9/11/2019 Lease: One (1) Sennebogen 835M Material Handler, S/N 835.0.2575; One (1) Young 4Tine Scrap Grapple, S/N L0150D-122. 170. BB&T EQUIPMENT FINANCE CORPORATION 9/18/2019 Lease: Miscellaneous equipment, including, but not limited to, forklifts, lift trucks, roll-offs, rebar benders, skid steers, wheel loaders, cranes, trailers, and related attachments and other material handling equipment.


 
Schedule 7.01 ACTIVE 682595819v6 171. BB&T EQUIPMENT FINANCE CORPORATION 9/30/2019 Lease: (1) Toyota Model 8FD45U Diesel Lift Truck; (1) Taylor Model XH350L Industrial Lift Truck; (1) 2020 Yale GLP155VXNEBE123 Fork Lift; (5) Toyota Model 8FDU32 Diesel Lift Trucks; (1) 2020 Doosan Model DSOC- 7 Mast. 172. BB&T EQUIPMENT FINANCE CORPORATION 9/30/2019 Lease: Two (2) Linde Model H35D Masts; One (1) Yale Model NR045EBNS36TE107 Fork Lift. 173. U.S. BANK EQUIPMENT FINANCE, A DIVISION OF U.S. BANK NATIONAL ASSOCIATION 10/8/2019 Various items of equipment. 174. WELLS FARGO EQUIPMENT FINANCE, INC. 11/20/2019 Lease: One (1) 2019 Sennebogen 830MMaterial Handler, S/N 83002848; One (1) Young 4Tine Scrap Grapple, S/N L0125D-85; One (1) Ohio 58" Loadstar Magnet, S/N 24228. 175. DELL FINANCIAL SERVICES L.L.C. 11/26/2019 Lease: The computer equipment, peripherals, and other equipment (collectively "Equipment") wherever located, financed under and described in Agreement Number 001-6077636-001. 176. WELLS FARGO EQUIPMENT FINANCE, INC. 1/30/2020 One (1) Sennebogen 835M "E", S/N 835.0.2653; One (1) Rotobec OP4S 4tine Grapple. 177. WELLS FARGO EQUIPMENT FINANCE, INC. 1/30/2020 One (1) Sennebogen 835E Material Handler, S/N 83502665. 178. WELLS FARGO EQUIPMENT FINANCE, INC. 2/5/2020 One (1) Sennebogen 830M Material Handler, S/N 830.0.2886; One (1) Rotobec OP5S Grapple. 179. WELLS FARGO EQUIPMENT FINANCE, INC. 2/5/2020 One (1) Sennebogen 830M Material Handler, S/N 835.0.2647; One (1) Rotobec OP5S Grapple. 180. PNC EQUIPMENT FINANCE, LLC 2/10/2020 Lease: Two Hundred (200) Trinity-built 66 FT Flat Bottom Gondola Railcars. See UCC for more detailed information. 181. BANK OF MONTREAL 2/14/2020 (1) 2020 Tymco DST-6 Steet Sweeper mounted on a 2019 Peterbilt 3BPPHM7X2KF592510, 20190SSN561197DSTBAH. 182. WELLS FARGO EQUIPMENT FINANCE, INC. 2/25/2020 Lease: One (1) Caterpillar MH3026 Material Handler, S/N FB900444, with One (1) Young YOU-L0-75C Grapple, S/N L075C-195; One (1) Walker Magnets WAL-48D Magnet.


 
Schedule 7.01 ACTIVE 682595819v6 183. WELLS FARGO EQUIPMENT FINANCE, INC. 3/9/2020 Lease: One (1) Sennebogen 835M-E Material Handler, S/N 83502666. 184. WELLS FARGO EQUIPMENT FINANCE, INC. 3/10/2020 One (1) Sennebogen 830 M-HD-S series E Material Handler, S/N 830.0.2949. 185. BB&T EQUIPMENT FINANCE CORPORATION 3/20/2020 Lease: Sennebogen Model 850 A- Special "E" Material Handling Machine 186. BB&T EQUIPMENT FINANCE CORPORATION 3/20/2020 Lease: Sierra Model RB6000 Baler/Logger Portable with crane, S/N 0930519, attached to 2019 Atoka Lowboy Trailer, VIN#: 1A9L84933LA245288. 187. BB&T EQUIPMENT FINANCE CORPORATION 3/20/2020 Lease: Various Trailers. 188. BB&T EQUIPMENT FINANCE CORPORATION 3/20/2020 Lease: (5) Toyota Model 8FDU32 Diesel Lift Trucks; (1) Clark Model C60 Forklift; Taylor Model X-360M Lift Truck; Hyundai Model 50L7AHD Mast; 2020 Yale Model GDP070VXNKSF087 Lift Truck; 2020 Yale Model GLP060VXNEAF087 Lift Truck; 2020 Yale Model NR045EBNS36TE107 Lift Truck; (3) 2020 Yale Model GDP100VXNKBE096 Lift Trucks; (1) 2020 Yale Model GDP090VXNKAF086 Lift Truck; (1) Yale Model GP050VXNKAE084 Lift Truck; (1) Yale Model GP080VXNKAE090 Lift Truck; (1) Caterpillar Model DP30 Lift Truck w/48 inch forks; (1) Taylor Model X-220S Lift Truck; (1) 2020 Yale Model GDP080VXNKAE090 Lift Truck; (1) 2020 Yale Model GDP155VXNKBV148 Lift Truck; (1) Taylor Model X-360L Lift Truck; (1) 2020 Yale Model GP080VXNKAE086 Lift Truck; (1) 2020 Yale Model GLP060VXNEAE091 Lift Truck. 189. FIFTH THIRD BANK, NATIONAL ASSOCIATION 3/31/2020 Lease: Equipment, machinery, and other personal property. 190. WELLS FARGO EQUIPMENT FINANCE, INC. 3/31/2020 One (1) 2019 Sennebogen 830M-HD Material Handler, S/N 830.0.2959.


 
Schedule 7.01 ACTIVE 682595819v6 191. BB&T EQUIPMENT FINANCE CORPORATION 4/20/2020 Lease: Argostar Model Siriostar 2P-5T Re-spooling Stretching Line. 192. PNC EQUIPMENT FINANCE, LLC (USD) 5/15/2020 Lease: Volvo Construction Model EC250EL Excavator, S/N EC250EA00314142, with Genesis Demolition Shear Attachment Model GXT445R, S/N 4451177. 193. PNC EQUIPMENT FINANCE, LLC 6/15/2020 Lease: Liebherr/EP944 Electric Material Scrap Handler, S/N EP944 MH. 194. BB&T EQUIPMENT FINANCE CORPORATION 6/26/2020 Lease: Miscellaneous equipment, including, but not limited to, forklifts, loaders, metal benders, lift trucks, roll- offs, rebar benders, skid steers, wheel loaders, and related attachments and other material handling equipment. 195. BB&T EQUIPMENT FINANCE CORPORATION 6/26/2020 Lease: Various trailers. 196. BANK OF MONTREAL 6/30/2020 Lease: (1) aSa Shear Console for Special Build Line; (1) FREIGHT; (1) Console, misc, shipping; (1) Shear Assembly; (1) SCHILT/ RMS DOUBLE BENDER; (1) Shear and Table; (1) Automatic Stirrup Bender Coil20; (1) final payment EVG Wire and Coiled Rebar Straightening. 197. PNC EQUIPMENT FINANCE, LLC (USD) 7/6/2020 Lease: (1) Sennebogen 835M Material Handler, S/N 83502729. 198. FIFTH THIRD BANK, NATIONAL ASSOCIATION 8/12/2020 2019 Skid Steer Loader Model SR270, S/N NJM458747. 199. FIFTH THIRD BANK, NATIONAL ASSOCIATION 8/12/2020 (2) 2020 CAT 906M Wheel Loaders; (1) 2020 CAT 246D Skid Steer Loader; (1) 2020 Barko 595 BL Loader; (1) 1021G Wheel Loader; (1) CAT 262D3 Skid Steer Loader. 200. FIFTH THIRD BANK, NATIONAL ASSOCIATION 8/12/2020 New Rebar Spooler Line. 201. FIFTH THIRD BANK, NATIONAL ASSOCIATION 8/12/2020 Equipment, machinery, and other personal property. 202. BB&T EQUIPMENT FINANCE CORPORATION 8/21/2020 Lease: Sierra Model T750CSL Electric Shear/Baler/Logger, S/N 076020.


 
Schedule 7.01 ACTIVE 682595819v6 203. PNC EQUIPMENT FINANCE, LLC (USD) 8/28/2020 Lease: (1) Wendt Turnkey Wire and Cable Shredding System. 204. TRUIST EQUIPMENT FINANCE CORP. 9/30/2020 2020 Yale Model GDP080VXNKAE090 Forklift, S/N K813V06090U; 2020 Yale Model GDP110VXNKBE122 Forklift, S/N K813V06082U; Taylor Model X-360M Lift Truck, S/N S GE 45589; Toyota Model 8FD35U Diesel Lift Truck, S/N 20487. 205. TRUIST EQUIPMENT FINANCE CORP. 9/30/2020 Lease: Miscellaneous equipment, including, but not limited to, forklifts, loaders, metal benders, lift trucks, roll- offs, rebar benders, skid steers, wheel loaders, and related attachments and other material handling equipment. 206. FIFTH THIRD BANK, NATIONAL ASSOCIATION 9/30/2020 Schilt MultibarS00 Rebar Shearline with Automatic Bar Loader (1); Pocket Systems, Conveyors; Bending Units; ABL Flatbed Storage Pockets; Flatbed Racks; Vibrating Pockets; Hydraulic Units; Conveyors; Catwalks w/ 2 stairs; Schilt PCX16 Straightening Machine (1); Schilt PCX20 Straightening Machine (1); HD Cooler, Cable Winches; Wire changing devices; control systems; Conveyors; Catwalks w/2 stairs Pocket in Rack below ABL, Shake Out Rack, 2 Levels, 14 meters. 207. TRUIST EQUIPMENT FINANCE CORP. 10/5/2020 Lease: One hundred (100) flat bottom gondola railcars. See UCC for more detailed information. 208. PNC EQUIPMENT FINANCE, LLC (USD) 10/7/2020 Lease: Sennebogan, 825M Material Handler, S/N 82503300. 209. PNC EQUIPMENT FINANCE, LLC (USD) 12/3/2020 Lease: New Case CX490D Excavator, S/N DAC490K7NKS7S1137. 210. U.S. BANK EQUIPMENT FINANCE, A DIVISION OF U.S. BANK NATIONAL ASSOCIATION 12/23/2020 Forty seven (47) F18023E MILL GONDOLA, 66', 3564 CF STEEL ENG; fifty three (53) F18023F MILL GONDOLA, 66’, 3564 CF STEEL ENG. 211. TRUIST EQUIPMENT FINANCE CORP. 12/31/2020 Lease: Miscellaneous equipment, including, but not limited to, forklifts, loaders, metal benders, lift trucks, roll- offs, rebar benders, skid steers, wheel loaders, and related attachments and other material handling equipment. 212. TRUIST EQUIPMENT FINANCE CORP. 12/31/2020 Lease: Various trailers.


 
Schedule 7.01 ACTIVE 682595819v6 213. FIFTH THIRD BANK, NATIONAL ASSOCIATION 12/31/2020 One (1) 2020 Caterpillar 903D Mini Cab Compact Wheel Loader, S/N MZY01030. 214. FIFTH THIRD BANK, NATIONAL ASSOCIATION 12/31/2020 One (1) 2020 Caterpillar 246D3 C3H2 Skid Steer Loader, S/N KC601097; One (1) 2020 Caterpillar 908M Wheel Loader, S/N H8804630. 215. PNC EQUIPMENT FINANCE, LLC (USD) 1/7/2021 Lease: Sennebogen 825M Material Handler EQ0123997 with Rotobec OP45-075 Grapple, S/N 82503422. 216. FIFTH THIRD BANK, NATIONAL ASSOCIATION 2/23/2021 Lease: Equipment, machinery, and other personal property. 217. PNC EQUIPMENT FINANCE, LLC (USD) 2/24/2021 Lease: Q0126157 Fortress FS75S Shear for Cat 336, Miscellaneous Model: FS75159S, S/N FS75159. 218. CITY OF DALLAS 11/11/2019 201900302985 219. CITY OF DALLAS 11/11/2019 201900303230 220. CITY OF DALLAS 1/22/2020 202000018948 221. PNC EQUIPMENT FINANCE, LLC (USD) 3/9/2021 All equipment, inventory, furniture and/or fixtures and other goods and all software and other general intangibles, whether now owned or existing or hereafter acquired or arising, leased to Debtor, as lessee, pursuant to Schedule Number 169861073 to Master Lease Agreement dated September 1, 2017 between Secured Party, as lessor, and lessee, as either of the foregoing may be amended, restated, replaced, superseded or assigned from time to time, including, without limitation, the property which is described below, all replacements, substitutions, attachments, accessions, upgrades, parts and additions to such property, all options to purchase such property under such schedule, all supporting obligations pertaining to the foregoing, and all proceeds of the foregoing (cash and non-cash), including, without limitation, insurance proceeds and condemnation awards and all proceeds in the form of accounts, chattel paper, general intangibles, goods or instruments. This filing is for precautionary purposes in connection with a leasing transaction and is not to be construed as indicating that the transaction is other than a true lease. Serial Number Description Quantity


 
Schedule 7.01 ACTIVE 682595819v6 Usage condition Model Year Asset Location YBM10190 CAT F320 Excavator 1 Used 2017 2061 Nazareth Church Rd., Spartanburg, SPARTANBURG, SC, USA, 29301- 5943 222. TRUIST EQUIPMENT FINANCE CORP. 3/26/2021 This financing statement covers all of Debtor's right, title and interest in and to the following assets and property, wherever located, whether now owned or hereafter acquired or now existing or hereafter arising (collectively, "Collateral"): certain goods (irrespective of whether such goods constitute equipment, inventory or fixtures or some other type of collateral category under the UCC) generally described on the attached Exhibit A attached hereto and made a part hereof, and more particularly described or referred to as the "Equipment" subject to that certain Equipment Schedule No. 30095-22-01- CSllS dated as of June 30, 2021, to that certain Master Equipment Lease Agreement No. 30095 dated as of December 18, 2013 (collectively, the "Lease"), together with: (a) all related software (embedded therein or otherwise); (b) all replacements, repairs, upgrades, additions, parts, accessories, substitutions and exchanges for such goods and of such goods and accessions to such goods; (c) as and to the extent applicable, all subleases, rental contracts, chattel paper, accounts, security deposits and general intangibles relating to such goods, in each case in which Debtor shall from time to time acquire an interest; and (d) any and all proceeds of the foregoing, including, (1) any and all proceeds of any insurance , indemnity, warranty or guaranty payable to Debtor from time to time with respect to any Collateral, (2) any and all payments (in any form whatsoever) made or due and payable to Debtor from time to time in connection with any requisition, confiscation, condemnation, seizure or forfeiture of any Collateral by any Governmental Authority (as defined in the Lease) (or any Person (as defined in the Lease) acting under color of Governmental Authority), (3) any recoveries by Debtor against third parties with respect to any litigation or dispute concerning any Collateral,


 
Schedule 7.01 ACTIVE 682595819v6 including claims arising out of the loss or nonconformity of, interference with the use of, defects in, or infringement of rights in, or damage to, any Collateral, and (4) any and all other amounts, accounts, general intangibles and other rights to payment or other property acquired upon the sale, lease, license, exchange or other disposition of any Collateral and all rights arising out of any Collateral. 223. TRUIST EQUIPMENT FINANCE CORP. 3/26/2021 (a) All right, title and interest of Debtor in, to and under certain agreement(s) for the purchase of miscellaneous equipment, including, but not limited to, various trailers, and related attachments between various vendors (the "Vendor") and Debtor, leased pursuant to that certain Master Lease Agreement No. 30095 dated as of December 18, 2013 (the "Lease"), between Secured Party, as lessor, and Debtor, as lessee; and (b) the various trailers, and related attachments subject to the agreement(s), together with all related software (embedded therein or otherwise) , if any, and general intangibles, all additions, attachments, accessories and accessions thereto whether or not furnished by the Vendor, and any and all substitutions, replacements or exchanges for any such item of equipment or other collateral, all subleases, chattel paper, accounts, security deposits and general intangibles relating thereto, in each such case in which Debtor shall from time to time acquire an interest; and (c) any and all insurance and/or other proceeds thereof. 224. PNC EQUIPMENT FINANCE, LLC (USD) 5/19/2021 All equipment, inventory, furniture and/or fixtures and other goods and all software and other general intangibles, whether now owned or existing or hereafter acquired or arising, leased to Debtor, as lessee, pursuant to Schedule Number 169861074 to Master Lease Agreement dated September 1, 2017 between Secured Party, as lessor, and lessee, as either of the foregoing may be amended, restated, replaced, superseded or assigned from time to time, including, without limitation, the property which is described below, all replacements, substitutions, attachments, accessions, upgrades, parts and additions to such property, all options to purchase such


 
Schedule 7.01 ACTIVE 682595819v6 property under such schedule, all supporting obligations pertaining to the foregoing, and all proceeds of the foregoing (cash and non-cash), including, without limitation, insurance proceeds and condemnation awards and all proceeds in the form of accounts, chattel paper, general intangibles, goods or instruments. This filing is for precautionary purposes in connection with a leasing transaction and is not to be construed as indicating that the transaction is other than a true lease. Serial Number Description Quantity Usage condition Model Year Asset Location m900591 CAT MH3026 Wheeled Material Handler with Ancillary Equipment 1 New 2021 1704 Howard Lane, Austin, TRAVIS, TX, USA, 78728-7713 225. TRUIST EQUIPMENT FINANCE CORP. 6/29/2021 Collateral Description: This financing statement covers all of Debtor's right, title and interest in and to the following assets and property, wherever located, whether now owned or hereafter acquired or now existing or hereafter arising (collectively, "Collateral"): certain goods (irrespective of whether such goods constitute equipment, inventory or fixtures or some other type of collateral category under the UCC) generally described on the attached Exhibit A attached hereto and made a part hereof, and more particularly described or referred to as the "Equipment" subject to that certain Equipment Schedule No. 30095-22-01- CS120 dated as of September 29, 2021, to that certain Master Equipment Lease Agreement No. 30095 dated as of December 18, 2013, (collectively, the "Lease"}, together with: (a) all related software (embedded therein or otherwise); (b) all replacements, repairs, upgrades, additions, parts, accessories, substitutions and exchanges for such goods and of such goods and accessions to such goods; (c) as and to the extent applicable, all subleases, rental contracts, chattel paper, accounts, security deposits and general intangibles relating to such goods, in each case in which Debtor shall from time to time acquire an interest; and (d) any and all proceeds of the foregoing, including, (1) any and all proceeds of any insurance ,


 
Schedule 7.01 ACTIVE 682595819v6 indemnity, warranty or guaranty payable to Debtor from time to time with respect to any Collateral, (2) any and all payments (in any form whatsoever) made or due and payable to Debtor from time to time in connection with any requisition, confiscation, condemnation, seizure or forfeiture of any Collateral by any Governmental Authority (as defined in the Lease) (or any Person (as defined in the Lease) acting under color of Governmental Authority), (3) any recoveries by Debtor against third parties with respect to any litigation or dispute concerning any Collateral, including claims arising out of the loss or nonconformity of, interference with the use of, defects in, or infringement of rights in, or damage to, any Collateral, and (4) any and all other amounts, accounts, general intangibles and other rights to payment or other property acquired upon the sale, lease, license, exchange or other disposition of any Collateral and all rights arising out of any Collateral. 226. TRUIST EQUIPMENT FINANCE CORP. 6/29/2021 (a) All right, title and interest of Debtor in, to and under certain agreement(s) for the purchase of miscellaneous equipment, including, but not limited to, various trailers, and related attachments between various vendors (the "Vendor") and Debtor, leased pursuant to that certain Master Lease Agreement No. 30095 dated as of December 18, 2013 (the "Lease"), between Secured Party, as lessor, and Debtor, as lessee; and (b) the various trailers, and related attachments subject to the agreement(s), together with all related software (embedded therein or otherwise) , if any, and general intangibles, all additions, attachments, accessories and accessions thereto whether or not furnished by the Vendor, and any and all substitutions, replacements or exchanges for any such item of equipment or other collateral, all subleases, chattel paper, accounts, security deposits and general intangibles relating thereto, in each such case in which Debtor shall from time to time acquire an interest; and (c) any and all insurance and/or other proceeds thereof.


 
Schedule 7.01 ACTIVE 682595819v6 227. FIFTH THIRD BANK, NATIONAL ASSOCIATION 6/30/2021 All of Debtor's right, title and interest in the following (whether now existing or hereafter created and whether now owned or hereafter acquired): (1) the equipment described below (inventory, equipment, fixtures or otherwise) (the "Equipment") and general intangibles relating thereto, (2) additions, attachments, accessories and accessions thereto whether or not furnished by the Supplier of such Equipment, (3) all subleases (including the right to receive any payment thereunder and the right to make any election or determination or give any consent or waiver thereunder), chattel paper, accounts, security deposits and bills of sale relating thereto, (4) any and all substitutions, replacements or exchanges for any such Equipment, and (5) any and all products and proceeds of any collateral hereunder (including all insurance and requisition proceeds and all other payments of any kind with respect to the equipment and other collateral). One (1) Komatsu WAS00-8 Wheel Loader, S/N: A96867 One (1) CAT 906M Wheel Loader with CAT CWLGRAP Work Tool, S/N Loader: H6604885 and S/N Work Tool: 14212GB20003 228. FIFTH THIRD BANK, NATIONAL ASSOCIATION 6/30/2021 All of Debtor's right, title and interest in the following (whether now existing or hereafter created and whether now owned or hereafter acquired): (1) the equipment described hereto (inventory, equipment, fixtures or otherwise) (the "Equipment") and general intangibles relating thereto, (2) additions, attachments, accessories and accessions thereto whether or not furnished by the Supplier of such Equipment, (3) all subleases (including the right to receive any payment thereunder and the right to make any election or determination or give any consent or waiver thereunder), chattel paper, accounts, security deposits and bills of sale relating thereto, (4) any and all substitutions, replacements or exchanges for any such Equipment, and (5) any and all products and proceeds of any collateral hereunder (including all insurance and requisition proceeds and all other payments of any kind with respect to the equipment and other collateral). Taylor Wheel Loader, Model T-1025, S/N: 45734


 
Schedule 7.01 ACTIVE 682595819v6 229. WELLS FARGO BANK, N.A. 8/10/2021 The equipment described below and all equipment parts, accessories, substitutions, additions, accessions and replacements thereto and thereof, now or hereafter installed in, affixed to, or used in conjunction therewith and the proceeds thereof, together with all installment payments, insurance proceeds, other proceeds and payments due and to become due arising from or relating to said equipment. 1 OTHER RK330 RAILKING Railcar Mover S/N 1231-6 230. TRUIST EQUIPMENT FINANCE CORP. 9/28/2021 Collateral Description: This financing statement covers all of Debtor's right, title and interest in and to the following assets and property, wherever located, whether now owned or hereafter acquired or now existing or hereafter arising (collectively, "Collateral"): certain goods (irrespective of whether such goods constitute equipment, inventory or fixtures or some other type of collateral category under the UCC) generally described below, and more particularly described or referred to as the "Equipment" subject to that certain Interim Financing Schedule No. 30095- 22-01-CS122 dated as of December 22, 2021, to that certain Master Equipment Lease Agreement No. 30095 dated as of October 11, 2021 (collectively, the "Lease"), together with: (a) all related software (embedded therein or otherwise); (b) all replacements, repairs, upgrades, additions, parts, accessories, substitutions and exchanges for such goods and of such goods and accessions to such goods; (c) as and to the extent applicable, all. subleases, rental contracts, chattel. paper, accounts, security deposits and general intangibles relating to such goods, in each case in which Debtor shall. from time to time acquire an interest; and {d) any and all proceeds of the foregoing, including, (1) any and all proceeds of any insurance, indemnity, warranty or guaranty payable to Debtor from time to time with respect to any Collateral., (2) any and all payments (in any form whatsoever) made or due and payable to Debtor from time to time in connection with any requisition, confiscation, condemnation, seizure or forfeiture of any Collateral. by any Governmental.


 
Schedule 7.01 ACTIVE 682595819v6 Authority {as defined in the Lease) {or any Person {as defined in the Lease) acting under color of Governmental. Authority), (3) any recoveries by Debtor against third parties with respect to any l.itigation or dispute concerning any Collateral., including claims arising out of the Loss or nonconformity of, interference with the use of, defects in, or infringement of rights in, or damage to, any Collateral., and (4) any and all other amounts, accounts, general intangibles and other rights to payment or other property acquired upon the sale, l.ease, l.icense, exchange or other disposition of any Collateral. and all rights arising out of any Collateral. 2021 Yale Model. GP070VX Forklift, SN: D875Vl4600V; 2021 Toyota Model. 8FDU25 Diesel. Lift Truck, SN: Cl637 231. TRUIST EQUIPMENT FINANCE CORP. 9/28/2021 Collateral Description: This financing statement covers all of Debtor's right, title and interest in and to the following assets and property, wherever located, whether now owned or hereafter acquired or now existing or hereafter arising (collectively, "Collateral"): certain goods (irrespective of whether such goods constitute equipment, inventory or fixtures or some other type of collateral category under the UCC) generally described below, and more particularly described or referred to as the "Equipment" subject to that certain Interim Funding Agreement dated as of April 6, 2021, to that certain Master Equipment Lease Agreement No. 30095 dated as of December 18, 2013 (collectively, the "Lease"), together with: (a) all related software (embedded therein or otherwise); (b) all replacements, repairs, upgrades, additions, parts, accessories, substitutions and exchanges for such goods and of such goods and accessions to such goods; (c) as and to the extent applicable, all subleases, rental contracts, chattel paper, accounts, security deposits and general intangibles relating to such goods, in each case in which Debtor shall from time to time acquire an interest; and (d) any and all proceeds of the foregoing, including, (1) any and all proceeds of any insurance, indemnity, warranty or guaranty payable to Debtor from time to time with respect


 
Schedule 7.01 ACTIVE 682595819v6 to any Collateral, (2) any and all payments (in any form whatsoever) made or due and payable to Debtor from time to time in connection with any requisition, confiscation, condemnation, seizure or forfeiture of any Collateral by any Governmental Authority (as defined in the Lease) (or any Person (as defined in the Lease) acting under color of Governmental Authority), (3) any recoveries by Debtor against third parties with respect to any litigation or dispute concerning any Collateral, including claims arising out of the loss or nonconformity of, interference with the us e of, defects in, or infringement of rights in, or damage to, any Collateral, and (4) any and all other amounts, accounts, general intangibles and other rights to payment or other property acquired upon the sale, lease, license, exchange or other disposition of any Collateral and all rights arising out of any Collateral. Various types of trailers 232. FIFTH THIRD BANK, NATIONAL ASSOCIATION 9/30/2021 All of Debtor's right, title and interest in the following (whether now existing or hereafter created and whether now owned or hereafter acquired): (1) the equipment described on exhibit attached hereto (inventory, equipment, fixtures or otherwise) (the "Equipment") and general intangibles relating thereto, (2) additions, attachments, accessories and accessions thereto whether or not furnished by the Supplier of such Equipment, (3) all subleases (including the right to receive any payment thereunder and the right to make any election or determination or give any consent or waiver thereunder), chattel paper, accounts, security deposits and bills of sale relating thereto, (4) any and all substitutions, replacements or exchanges for any such Equipment, and (5) any and all products and proceeds of any collateral hereunder (including all insurance and requisition proceeds and all other payments of any kind with respect to the equipment and other collateral). 233. WELLS FARGO EQUIPMENT FINANCE, INC. 10/04/2021 One (1) Sennebogen 825M Material Handling S/N 825.0.3587 with One (1) Rotobec OP4S-100 Grapple S/N 09178600-1-1 together with all replacements, substitutions, parts, improvements, repairs, and accessories


 
Schedule 7.01 ACTIVE 682595819v6 and all additions incorporated therein or affixed thereto being referred to herein as the ""Equipment"". This transaction is intended to be a true lease and not a security transaction and the filing of this financing statement is not an admission that the transaction is other than a true lease. Equipment originally located at: 1605 Garden City Hwy, Midland, TX 79701 234. PNC EQUIPMENT FINANCE, LLC (USD) 11/04/2021 All equipment, inventory, furniture and/or fixtures and other goods and all software and other general intangibles, whether now owned or existing or hereafter acquired or arising, leased to Debtor, as lessee, pursuant to Schedule Number 169861075 to Master Lease Agreement dated September 1, 2017 between Secured Party, as lessor, and lessee, as either of the foregoing may be amended, restated, replaced, superseded or assigned from time to time, including, without limitation, the property which is described below, all replacements, substitutions, attachments, accessions, upgrades, parts and additions to such property, all options to purchase such property under such schedule, all supporting obligations pertaining to the foregoing, and all proceeds of the foregoing (cash and non-cash), including, without limitation, insurance proceeds and condemnation awards and all proceeds in the form of accounts, chattel paper, general intangibles, goods or instruments. This filing is for precautionary purposes in connection with a leasing transaction and is not to be construed as indicating that the transaction is other than a true lease. Serial Number Description Quantity Usage condition Model Year Asset Location 835.0.2924 2021 Sennebogen 835M "E" series Material Handler with ancillary equipment. 1 New 2021 2000 Washington St., CHATTANOOGA, HAMILTON, TN, USA, 37408-2700 235. PNC EQUIPMENT FINANCE, LLC 11/09/2021 ALL ASSETS OF THE DEBTOR. or All of Debtor's property (except consumer goods), real and personal, tangible and intangible, including, without limitation, the following property: all accounts, chattel paper, deposit accounts, documents, equipment, [farm products], fixtures, general intangibles, goods, instruments,


 
Schedule 7.01 ACTIVE 682595819v6 inventory, investment property, letter- of-credit rights, all supporting obligations pertaining to the foregoing, and all proceeds of the foregoing (cash and noncash), including, without limitation, insurance proceeds and condemnation awards. 236. PNC EQUIPMENT FINANCE, LLC (USD) 12/02/2021 All equipment, inventory, furniture and/or fixtures and other goods and all software and other general intangibles, whether now owned or existing or hereafter acquired or arising, leased to Debtor, as lessee, pursuant to Schedule Number 169861077 to Master Lease Agreement dated September 1, 2017 between Secured Party, as lessor, and lessee, as either of the foregoing may be amended, restated, replaced, superseded or assigned from time to time, including, without limitation, the property which is described below, all replacements, substitutions, attachments, accessions, upgrades, parts and additions to such property, all options to purchase such property under such schedule, all supporting obligations pertaining to the foregoing, and all proceeds of the foregoing (cash and non-cash), including, without limitation, insurance proceeds and condemnation awards and all proceeds in the form of accounts, chattel paper, general intangibles, goods or instruments. This filing is for precautionary purposes in connection with a leasing transaction and is not to be construed as indicating that the transaction is other than a true lease. Serial Number Description Quantity Usage condition Model Year Asset Location DNZ01009 2021 Caterpillar MH3260-07 Material Handler with ancillary equipment, serial number DNZ01009 1 New 2021 2015 Quitman Street, HOUSTON, HARRIS, TX, us~, 77026 237. PNC EQUIPMENT FINANCE, LLC (USD) 12/20/2021 All equipment, inventory, furniture and/or fixtures and other goods and all software and other general intangibles, whether now owned or existing or hereafter acquired or arising, leased to Debtor, as lessee, pursuant to Schedule Number 169861079 to Master Lease Agreement dated September 1, 2017 between Secured Party, as lessor, and lessee, as either of the foregoing may be


 
Schedule 7.01 ACTIVE 682595819v6 amended, restated, replaced, superseded or assigned from time to time, including, without limitation, the property which is described below, all replacements, substitutions, attachments, accessions, upgrades, parts and additions to such property, all options to purchase such property under such schedule, all supporting obligations pertaining to the foregoing, and all proceeds of the foregoing (cash and non-cash), including, without limitation, insurance proceeds and condemnation awards and all proceeds in the form of accounts, chattel paper, general intangibles, goods or instruments. This filing is for precautionary purposes in connection with a leasing transaction and is not to be construed as indicating that the transaction is other than a true lease. Seria1Number Description Quantity Usage Condition Model Year Asset Location 835.0.2713 2021 Sennebogen 835M Material Handler with Rotobec OP5S-110 Grapple S/N 157584-4-1 1 New 2021 6565 N. MacArthur Blvd., IRVING, DALLAS, TX, USA, 75039- 6283 238. PNC EQUIPMENT FINANCE, LLC (USD) 12/20/2021 All equipment, inventory, furniture and/or fixtures and other goods and all software and other general intangibles, whether now owned or existing or hereafter acquired or arising, leased to Debtor, as lessee, pursuant to Schedule Number 169861078 to Master Lease Agreement dated September 1, 2017 between Secured Party, as lessor, and lessee, as either of the foregoing may be amended, restated, replaced, superseded or assigned from time to time, including, without limitation, the property which is described below, all replacements, substitutions, attachments, accessions, upgrades, parts and additions to such property, all options to purchase such property under such schedule, all supporting obligations pertaining to the foregoing, and all proceeds of the foregoing (cash and non-cash), including, without limitation, insurance proceeds and condemnation awards and all proceeds in the form of accounts, chattel paper, general intangibles, goods or instruments. This filing is for precautionary purposes in connection with a leasing transaction and is not to


 
Schedule 7.01 ACTIVE 682595819v6 be construed as indicating that the transaction is other than a true lease. Serial Number Description Quantity Usage condition Model Year Asset Location 81852579 Sennebogen 818R -HD Multi-Handler 1 New 2022 1729 North Westmoreland Road, DALLAS, DALLAS, TX, USA, 75212 239. FIFTH THIRD BANK, NATIONAL ASSOCIATION 12/21/2021 All of Debtor's right, title and interest in the following (whether now existing or hereafter created and whether now owned or hereafter acquired): (1) the equipment described on exhibit attached hereto (inventory, equipment, fixtures or otherwise) (the "Equipment") and general intangibles relating thereto, (2) additions, attachments, accessories and accessions thereto whether or not furnished by the Supplier of such Equipment, (3) all subleases (including the right to receive any payment thereunder and the right to make any election or determination or give any consent or waiver thereunder), chattel paper, accounts, security deposits and bills of sale relating thereto, (4) any and all substitutions, replacements or exchanges for any such Equipment, and (5) any and all products and proceeds of any collateral hereunder (including all insurance and requisition proceeds and all other payments of any kind with respect to the equipment and other collateral). 240. TRUIST EQUIPMENT FINANCE CORP. 12/29/2021 Collateral Description: This financing statement covers all of Debtor's right, title and interest in and to the following assets and property, wherever located, whether now owned or hereafter acquired or now existing or hereafter arising (collectively, "Collateral"): certain goods (irrespective of whether such goods constitute equipment, inventory or fixtures or some other type of collateral category under the UCC) generally described below, and more particularly described or referred to as the "Equipment" subject to that certain Equipment Schedule No. 30095-22-0l- CS124 dated as of March 30, 2022, to that certain Master Equipment Lease Agreement No. 30095 dated as of October 11, 2021 (collectively, the "Lease"), together with: (a) all related software (embedded therein or


 
Schedule 7.01 ACTIVE 682595819v6 otherwise); (b) all replacements, repairs, upgrades, additions, parts, accessories, substitutions and exchanges for such goods and of such goods and accessions to such goods; (c) as and to the extent applicable, all subleases, rental contracts, chattel paper, accounts, security deposits and general intangibles relating to such goods, in each case in which Debtor shall from time to time acquire an interest; and (d) any and all proceeds of the foregoing , including , (1) any and all proceeds of any insurance, indemnity, warranty or guaranty payable to Debtor from time to time with respect to any Collateral, (2) any and all payments (in any form whatsoever) made or due and payable to Debtor from time to time in connection with any requisition, confiscation, condemnation, seizure or forfeiture of any Collateral by any Governmental Authority (as defined in the Lease) (or any Person (as defined in the Lease) acting under color of Governmental Authority), (3) any recoveries by Debtor against third parties with respect to any litigation or dispute concerning any Collateral, including claims arising out of the loss or nonconformity of, interference with the use of, defects in, or infringement of rights in, or damage to, any Collateral, and (4) any and all other amounts, accounts, general intangibles and other rights to payment or other property acquired upon the sale, lease, license, exchange or other disposition of any Collateral and all rights arising out of any Collateral. One (1) New Taylor Model XH360L Industrial Truck, SN: 44842 241. TRUIST EQUIPMENT FINANCE CORP. 12/29/2021 Collateral Description: This financing statement covers all of Debtor's right, title and interest in and to the following assets and property, wherever located, whether now owned or hereafter acquired or now existing or hereafter arising (collectively, "Collateral"): certain goods (irrespective of whether such goods constitute equipment, inventory or fixtures or some other type of collateral category under the UCC) generally described below, and more particularly described or referred to as the "Equipment" subject to that certain Interim Funding Agreement dated as of


 
Schedule 7.01 ACTIVE 682595819v6 October 11, 2021, to that certain Master Equipment Lease Agreement No. 30095 dated as of December 18, 2013 (collectively, the "Lease"), together with: (a) al.1 related software (embedded therein or otherwise); (b) all replacements, repairs, upgrades, additions, parts, accessories, substitutions and exchanges for such goods and of such goods and accessions to such goods; (c) as and to the extent applicable, all subleases, rental. contracts, chattel. paper, accounts, security deposits and general. intangibl.es relating to such goods, in each case in which Debtor shall from time to time acquire an interest; and (d) any and all proceeds of the foregoing, including, (1) any and all proceeds of any insurance, indemnity, warranty or guaranty payable to Debtor from time to time with respect to any Collateral., (2) any and all payments (in any form whatsoever) made or due and payable to Debtor from time to time in connection with any requisition, confiscation, condemnation, seizure or forfeiture of any Collateral by any Governmental Authority (as defined in the Lease) (or any Person (as defined in the Lease) acting under color of Governmental Authority), (3) any recoveries by Debtor against third parties with respect to any litigation or dispute concerning any Collateral., including claims arising out of the loss or nonconformity of, interference with the use of, defects in, or infringement of rights in, or damage to, any Collateral., and (4) any and all other amounts, accounts, general. intangibl.es and other rights to payment or other property acquired upon the sale lease, license, exchange or other disposition of any Collateral and all rights arising out of any Collateral. Various types of trailers 242. WELLS FARGO FINANCE CORP. 1/07/2022 One (1) Sennebogen 835R-HD Material Handler S/N 83552931 together with all replacements, substitutions, parts, improvements, repairs, and accessories and all additions incorporated therein or affixed thereto being referred to herein as the "Equipment". This transaction is intended to be a true lease and not a security transaction and the filing of this financing statement is not


 
Schedule 7.01 ACTIVE 682595819v6 an admission that the transaction is other than a true lease. 243. BANK OF MONTREAL 2/02/2022 2022 Capex Including all attachments, accessories, appurtenances, accessions and substitutions relating thereto. Insurance proceeds on above 244. PNC EQUIPMENT FINANCE, LLC 3/07/2022 All equipment, inventory, furniture and/or fixtures and other goods and all software and other general intangibles, whether now owned or existing or hereafter acquired or arising, leased to Debtor, as lessee, pursuant to Schedule Number 169861080 to Master Lease Agreement dated September 1, 2017 between Secured Party, as lessor, and lessee, as either of the foregoing may be amended, restated, replaced, superseded or assigned from time to time, including, without limitation, the property which is described below, all replacements, substitutions, attachments, accessions, upgrades, parts and additions to such property, all options to purchase such property under such schedule, all supporting obligations pertaining to the foregoing, and all proceeds of the foregoing (cash and non-cash), including, without limitation, insurance proceeds and condemnation awards and all proceeds in the form of accounts, chattel paper, general intangibles, goods or instruments. Equipment Description: Kubota Model SSV65PHC Skid Loader, Pilot Control, Cab w/ Hyd Coupler; 60" Low Profile Bucket WATER TEMP SHUT DOWN SYSTEM; REAR DOOR GUARD; with SSV, Special Application Door, Vl311-96821 (Requires Vl311-96811 for ROPS units) Serial Number- KBCZ131CJM3H55004 245. U.S. BANK EQUIPMENT FINANCE, A DIVISION OF U.S. BANK NATIONAL ASSOCIATION 3/24/2022 VARIOUS ITEMS OF EQUIPMENT FINANCED BY U.S. BANK EQUIPMENT FINANCE, A DIVISION OF U.S. BANK NATIONAL ASSOCIATION, WHETHER NOW OWNED OR HEREAFTER ACQUIRED AND INCLUDING, BUT NOT LIMITED TO, TRACTORS AND R>RKLIFTS, AS FURTHER DESCRIBED ON INVOICES KEPT IN LESSORS COLLATERAL FILE; WHEREVER LOCATED; TOGETHER WITH ALL REPLACEMENTS, PARTS, REPAIRS, ADDITIONS, ACCESSIONS AND ACCESSORIES INCORPORATED


 
Schedule 7.01 ACTIVE 682595819v6 THEREIN OR AFFIXED OR ATTACHED THERETO AND ANY AND ALL PROCEEDS OF THE FOREGOING, INCLUDING, WITHOUT LIMITATION, INSURANCE RECOVERIES. 246. TRUIST EQUIPMENT FINANCE CORP. 3/31/2022 Collateral Description: This financing statement covers all of Debtor's right, title and interest in and to the following assets and property, wherever located, whether now owned or hereafter acquired or now existing or hereafter arising (collectively, "Collateral"): certain goods (irrespective of whether such goods constitute equipment, inventory or fixtures or some other type of collateral category under the UCC) generally described on the attached Exhibit A attached hereto and made a part hereof, and more particularly described or referred to as the "Equipment" subject to that certain Equipment Schedule No. 30095-22-01- CS 126 dated as of June 30, 2022, to that certain Master Equipment Lease Agreement No. 30095 dated as of October 11, 2021 (collectively, the "Lease"), together with: (a) a II related software ( embedded therein or otherwise); (b) all replacements, repairs, upgrades, additions, parts, accessories, substitutions and exchanges for such goods and of such goods and accessions to such goods; (c) as and to the extent applicable, all subleases, rental contracts, chattel paper, accounts, security deposits and general intangibles relating to such goods, in each case in which Debtor shall from time to time acquire an interest; and (d) any and all proceeds of the foregoing, including, (1) any and all proceeds of any insurance, indemnity, warranty or guaranty payable to Debtor from time to time with respect to any Collateral, (2) any and all payments (in any form whatsoever) made or due and payable to Debtor from time to time in connection with any requisition, confiscation, condemnation, seizure or forfeiture of any Collateral by any Governmental Authority (as defined in the Lease) (or any Person (as defined in the Lease) acting under color of Governmental Authority), (3) any recoveries by Debtor against third parties with respect to any


 
Schedule 7.01 ACTIVE 682595819v6 litigation or dispute concerning any Collateral, including claims arising out of the loss or nonconformity of, interference with the use of, defects in, or infringement of rights in, or damage to, any Collateral, and (4) any and all other amounts, accounts, general intangibles and other rights to payment or other property acquired upon the sale, lease, license, exchange or other disposition of any Collateral and all rights arising out of any Collateral. 247. TRUIST EQUIPMENT FINANCE CORP. 3/31/2022 Collateral Description: This financing statement covers all of Debtor's right, title and interest in and to the following assets and property, wherever located, whether now owned or hereafter acquired or now existing or hereafter arising (collectively, "Collateral"): certain goods (irrespective of whether such goods constitute equipment, inventory or fixtures or some other type of collateral category under the UCC) generally described below, and more particularly described or referred to as the "Equipment" subject to that certain Interim Funding Agreement dated as of April 29, 2022, to that certain Master Equipment Lease Agreement No. 30095 dated as of October 11, 2022 (collectively, the "Lease"), together with: (a) all related software (embedded therein or otherwise); (b) all replacements, repairs, upgrades, additions, parts, accessories, substitutions and exchanges for such goods and of such goods and accessions to such goods; (c) as and to the extent applicable, all subleases, rental. contracts, chattel. paper, accounts, security deposits and general. intangibl.es relating to such goods, in each case in which Debtor shall from time to time acquire an interest; and (d) any and all proceeds of the foregoing, including, (1) any and all proceeds of any insurance, indemnity, warranty or guaranty payable to Debtor from time to time with respect to any Collateral., (2) any and all payments (in any form whatsoever) made or due and payable to Debtor from time to time in connection with any requisition, confiscation, condemnation, seizure or forfeiture of any Collateral. by any Governmental. Authority (as


 
Schedule 7.01 ACTIVE 682595819v6 defined in the Lease) (or any Person (as defined in the Lease) acting under color of Governmental. Authority), (3) any recoveries by Debtor against third parties with respect to any l.itigation or dispute concerning any Collateral., including claims arising out of the loss or nonconformity of, interference with the use of, defects in, or infringement of rights in, or damage to, any Collateral, and (4) any and all other amounts, accounts, general. intangibl.es and other rights to payment or other property acquired upon the sale, Lease, License, exchange or other disposition of any Collateral. and all rights arising out of any Collateral. Various types of trailers 248. WELLS FARGO EQUIPMENT FINANCE, INC. 4/07/2022 The Equipment described on Schedule A to Contract #001-0010609-000 attached hereto and made a part hereof "together with all replacements, substitutions, parts, improvements, repairs, and accessories and all additions incorporated therein or affixed thereto being referred to herein as the ""Equipment"". This transaction is intended to be a true lease and not a security transaction and the filing of this financing statement is not an admission that the transaction is other than a true lease." Collateral Description - please see attached 249. PNC EQUIPMENT FINANCE, LLC 4/12/2022 All equipment, inventory, furniture and/or fixtures and other goods and all software and other general intangibles, whether now owned or existing or hereafter acquired or arising, leased to Debtor, as lessee, pursuant to Schedule Number 169861081 to Master Lease Agreement dated September 1, 2017 between Secured Party, as lessor, and lessee, as either of the foregoing may be amended, restated, replaced, superseded or assigned from time to time, including, without limitation, the property which is described below, all replacements, substitutions, attachments, accessions, upgrades, parts and additions to such property, all options to purchase such property under such schedule, all supporting obligations pertaining to the foregoing, and all proceeds of the foregoing (cash and non-cash), including, without limitation, insurance proceeds and condemnation awards and


 
Schedule 7.01 ACTIVE 682595819v6 all proceeds in the form of accounts, chattel paper, general intangibles, goods or instruments. Equipment Description: 2022 Caterpillar Model 262D3 C3H2 2675-2999 LB Wheeled Skid Steer with Ancillary Equipment. Serial Number- ZB204692 250. PNC EQUIPMENT FINANCE, LLC 4/13/2022 All equipment, inventory, furniture and/or fixtures and other goods and all software and other general intangibles, whether now owned or existing or hereafter acquired or arising, leased to Debtor, as lessee, pursuant to Schedule Number 169861082 to Master Lease Agreement dated September 1, 2017 between Secured Party, as lessor, and lessee, as either of the foregoing may be amended, restated, replaced, superseded or assigned from time to time, including, without limitation, the property which is described below, all replacements, substitutions, attachments, accessions, upgrades, parts and additions to such property, all options to purchase such property under such schedule, all supporting obligations pertaining to the foregoing, and all proceeds of the foregoing (cash and non-cash), including, without limitation, insurance proceeds and condemnation awards and all proceeds in the form of accounts, chattel paper, general intangibles, goods or instruments. Equipment Description: 2022 Komatsu Model WA270-8 Wheel Loader with ancillary equipment, S/N A29517 251. PNC EQUIPMENT FINANCE, LLC 4/26/2022 All equipment, inventory, furniture and/or fixtures and other goods and all software and other general intangibles, whether now owned or existing or hereafter acquired or arising, leased to Debtor, as lessee, pursuant to Schedule Number 169861083 to Master Lease Agreement dated September 1, 2017 between Secured Party, as lessor, and lessee, as either of the foregoing may be amended, restated, replaced, superseded or assigned from time to time, including, without limitation, the property which is described below, all replacements, substitutions, attachments, accessions, upgrades, parts and additions to such property, all options to purchase such property under such schedule, all supporting obligations pertaining to the foregoing, and all proceeds of the


 
Schedule 7.01 ACTIVE 682595819v6 foregoing (cash and non-cash), including, without limitation, insurance proceeds and condemnation awards and all proceeds in the form of accounts, chattel paper, general intangibles, goods or instruments. Equipment Description: EQ0266240 TX525 WIDE TRACK DINGO 22324 TORO MODEL: TX525W S/N: 411834616 0; 20205243 TXl000 STANDARD BUCKET TORO MODEL: TX1000BKT42 S/N: 407561812 EQ0205105 DINGO DIESEL PLATFORM 22746 TORO MODEL: CULDSLPLTM 22476 S/N: 407357887 EQ0135032 Case 221F Wheel Loader Case M:>DEL: 221F S/N: FNH221FHNMHP02954 Caterpillar Model 246D3 L2+ 246 Skid Steer Loader SN: KC602069 252. WELLS FARGO EQUIPMENT FINANCE, INC. 5/13/2022 One (1) Caterpillar 349TC Machine Tool S/N RYG20616, One (1) Stanley Black & Decker Inc. MSD 4500 LEGEND MOBILE SH Machine Tool S/N SN745029 together with all replacements, substitutions, parts, improvements, repairs, and accessories and all additions incorporated therein or affixed thereto being referred to herein as the "Equipment". This transaction is intended to be a true lease and not a security transaction and the filing of this financing statement is not an admission that the transaction is other than a true lease. Equipment Original Location: 3501 West Second Street, Odessa, TX 79763 253. WELLS FARGO EQUIPMENT FINANCE, INC. 5/13/2022 The Equipment described on Schedule A to Contract #001-0010964-000 attached hereto and made a part hereof, together with all replacements, substitutions, parts, improvements, repairs, and accessories and all additions incorporated therein or affixed thereto being referred to herein as the "Equipment". Collateral Description - please see attached 254. WELLS FARGO EQUIPMENT FINANCE, INC. 5/13/2022 One (1) Caterpillar 349 Hydraulic Excavator Machine Tool S/N RYG20637, One (1) Stanley Black & Decker MSD 4500 Machine Tool S/N SN745031 together with all replacements, substitutions, parts, improvements, repairs, and accessories and all additions incorporated therein or affixed thereto being referred to herein


 
Schedule 7.01 ACTIVE 682595819v6 as the "Equipment". This transaction is intended to be a true lease and not a security transaction and the filing of this financing statement is not an admission that the transaction is other than a true lease. Equipment Original Location: 5250 College Street, Beaumont, TX 77707 255. WELLS FARGO EQUIPMENT FINANCE, INC. 6/03/2022 The Equipment described on Schedule A to Contract #001-0011202-000 attached hereto and made a part hereof, together with all replacements, substitutions, parts, improvements, repairs, and accessories and all additions incorporated therein or affixed thereto being referred to herein as the "Equipment". This transaction is intended to be a true lease and not a security transaction and the filing of this financing statement is not an admission that the transaction is other than a true lease. Collateral Description - please see attached 256. PNC BANK, NATIONAL ASSOCIATION 6/09/2022 All equipment, inventory, furniture and/or fixtures and other goods and all software and other general intangibles, whether now owned or existing or hereafter acquired or arising, leased to Debtor, as lessee, pursuant to Schedule Number 169861084 to Master Lease Agreement dated September 1, 2017 between Secured Party, as lessor, and lessee, as either of the foregoing may be amended, restated, replaced, superseded or assigned from time to time, including, without limitation, the property which is described below, all replacements, substitutions, attachments, accessions, upgrades, parts and additions to such property, all options to purchase such property under such schedule, all supporting obligations pertaining to the foregoing, and all proceeds of the foregoing (cash and non-cash), including, without limitation, insurance proceeds and condemnation awards and all proceeds in the form of accounts, chattel paper, general intangibles, goods or instruments. Equipment Description: Genesis GXT665S Shear, Serial number #6651265 installed to a Caterpillar Excavator Serial number FJH01788 257. PNC BANK, NATIONAL ASSOCIATION 6/09/2022 All equipment, inventory, furniture and/or fixtures and other goods and all software and other general intangibles,


 
Schedule 7.01 ACTIVE 682595819v6 whether now owned or existing or hereafter acquired or arising, leased to Debtor, as lessee, pursuant to Schedule Number 169861085 to Master Lease Agreement dated September 1, 2017 between Secured Party, as lessor, and lessee, as either of the foregoing may be amended, restated, replaced, superseded or assigned from time to time, including, without limitation, the property which is described below, all replacements, substitutions, attachments, accessions, upgrades, parts and additions to such property, all options to purchase such property under such schedule, all supporting obligations pertaining to the foregoing, and all proceeds of the foregoing (cash and non-cash), including, without limitation, insurance proceeds and condemnation awards and all proceeds in the form of accounts, chattel paper, general intangibles, goods or instruments. Equipment Description: CAT Model 262D3 Skid Steer with Ancillary Equipment, Serial Number ZB205056 258. TRUIST EQUIPMENT FINANCE CORP. 6/28/2022 Collateral Description: This financing statement covers all of Debtor's right, title and interest in and to the following assets and property, wherever located, whether now owned or hereafter acquired or now existing or hereafter arising (collectively, "Collateral"): certain goods (irrespective of whether such goods constitute equipment, inventory or fixtures or some other type of collateral category under the UCC) generally described bel ow, and more particularly described or referred to as the "Equipment" subject to that certain Interim Funding Agreement dated April 29 , 2022 , to that certain Master Equipment Lease Agreement No. 30095 dated as of October 11, 2021 (collectively , the "Lease"), together with: (a) all related software (embedded therein or otherwise); (b) all replacements, repairs, upgrades, additions, parts, accessories, substitutions and exchanges for such goods and of such goods and accessions to such goods; (c) as and to the extent applicable, all subleases, rental contracts, chattel paper, accounts, security deposits and general intangibles


 
Schedule 7.01 ACTIVE 682595819v6 relating to such goods, in each case in which Debtor shall from time to time acquire an interest; and (d) any and all proceeds of the foregoing, including, (1) any and all proceeds of any insurance, indemnity, warranty or guaranty payable to Debtor from time to time with respect to any Collateral, (2) any and all payments (in any form whatsoever) made or due and payable to Debtor from time to time in connection with any requisition, confiscation, condemnation, seizure or forfeiture of any Collateral by any Governmental Authority (as defined in the Lease) (or any Person (as defined in the Lease) acting under color of Governmental Authority), (3) any recoveries by Debtor against third parties with respect to any litigation or dispute concerning any Collateral, including claims arising out of the loss or nonconformity of, interference with the use of, defects in, or infringement of rights in, or damage to, any Collateral, and (4) any and all other amounts, accounts, general intangibles and other rights to payment or other property acquired upon the sale, lease, license, exchange or other disposition of any Collateral and all rights arising out of any Collateral. Forklifts, loaders, metal benders, lift trucks, rolloffs, rebar benders, skid steers, wheel loaders, and related attachments and other material handling equipment 259. TRUIST EQUIPMENT FINANCE CORP. 6/28/2022 Collateral Description: This financing statement covers all of Debtor's right, title and interest in and to the following assets and property, wherever located, whether now owned or hereafter acquired or now existing or hereafter arising (collectively, "Collateral"): certain goods (irrespective of whether such goods constitute equipment, inventory or fixtures or some other type of collateral category under the UCC) generally described below, and more particularly described or referred to as the "Equipment" subject to that certain Interim Funding Agreement dated as of April 29, 2022, to that certain Master Equipment Lease Agreement No. 30095 dated as of October 11, 2022 (collectively, the "Lease"), together with: (a) all related software (embedded therein or otherwise); (b) all


 
Schedule 7.01 ACTIVE 682595819v6 replacements, repairs, upgrades, additions, parts, accessories, substitutions and exchanges for such goods and of such goods and accessions to such goods; (c) as and to the extent applicable, all subleases, rental contracts, chattel paper, accounts, security deposits and general intangibles relating to such goods, in each case in which Debtor shall from time to time acquire an interest; and (d) any and all proceeds of the foregoing, including, (1) any and all proceeds of any insurance, indemnity, warranty or guaranty payable to Debtor from time to time with respect to any Collateral, (2) any and all payments (in any form whatsoever) made or due and payable to Debtor from time to time in connection with any requisition, confiscation, condemnation, seizure or forfeiture of any Collateral by any Governmental Authority (as defined in the Lease) (or any Person (as defined in the Lease) acting under color of Governmental Authority), (3) any recoveries by Debtor against third parties with respect to any litigation or dispute concerning any Collateral, including claims arising out of the loss or nonconformity of, interference with the use of, defects in, or infringement of rights in, or damage to, any Collateral, and (4) any and all other amounts, accounts, general intangibles and other rights to payment or other property acquired upon the sale, lease, license, exchange or other disposition of any Collateral and all rights arising out of any Collateral. Various types of trailers 260. PNC BANK, NATIONAL ASSOCIATION 7/18/2022 All equipment, inventory, furniture and/or fixtures and other goods and all software and other general intangibles, whether now owned or existing or hereafter acquired or arising, leased to Debtor, as lessee, pursuant to Schedule Number 169861087 to Master Lease Agreement dated 9/1/2017 between Secured Party, as lessor, and lessee, as either of the foregoing may be amended, restated, replaced, superseded or assigned from time to time, including, without limitation, the property which is described below, all replacements, substitutions, attachments, accessions, upgrades, parts and additions to such property, all options to


 
Schedule 7.01 ACTIVE 682595819v6 purchase such property under such Schedule, all supporting obligations pertaining to the foregoing, and all proceeds of the foregoing (cash and noncash), including, without limitation, insurance proceeds and condemnation awards and all proceeds in the form of accounts, chattel paper, general intangibles, goods or instruments. New Cat Compact Wheel Loader Model 906M, Serial No. H6605322 and Cat Bucket Model BU81906 Serial No. CMC81BUCKET 261. WELLS FARGO EQUIPMENT FINANCE, INC. 7/27/2022 One (1) John Deere Model 300G Excavator S/N 1FF300GXPNF731947 equipped with One (1) Genesis GXT555R Mobile Shear S/N 5551162 together with all replacements, substitutions, parts, improvements, repairs, and accessories and all additions incorporated therein or affixed thereto being referred to herein as the "Equipment". This transaction is intended to be a true lease and not a security transaction and the filing of this financing statement is not an admission that the transaction is other than a true lease. Equipment Original Location:634 E Phelps St., Springfield, MO 65806 262. PNC BANK, NATIONAL ASSOCIATION 7/28/2022 All equipment, inventory, furniture and/or fixtures and other goods and all software and other general intangibles, whether now owned or existing or hereafter acquired or arising, leased to Debtor, as lessee, pursuant to Schedule Number 169861085 to Master Lease Agreement dated September 1, 2017 between Secured Party, as lessor, and lessee, as either of the foregoing may be amended, restated, replaced, superseded or assigned from time to time, including, without limitation, the property which is described below, all replacements, substitutions, attachments, accessions, upgrades, parts and additions to such property, all options to purchase such property under such schedule, all supporting obligations pertaining to the foregoing, and all proceeds of the foregoing (cash and non-cash), including, without limitation, insurance proceeds and condemnation awards and all proceeds in the form of accounts, chattel paper, general intangibles, goods or instruments. Equipment Description:


 
Schedule 7.01 ACTIVE 682595819v6 Case Model 321F Loader, Serial Number FNH321FHNMHP03312 with 72" Utility scrap Grapple Model Number SSB72SG 263. PNC BANK, NATIONAL ASSOCIATION 7/28/2022 All equipment, inventory, furniture and/or fixtures and other goods and all software and other general intangibles, whether now owned or existing or hereafter acquired or arising, leased to Debtor, as lessee, pursuant to Schedule Number 169861089 to Master Lease Agreement dated September 1, 2017 between Secured Party, as lessor, and lessee, as either of the foregoing may be amended, restated, replaced, superseded or assigned from time to time, including, without limitation, the property which is described below, all replacements, substitutions, attachments, accessions, upgrades, parts and additions to such property, all options to purchase such property under such schedule, all supporting obligations pertaining to the foregoing, and all proceeds of the foregoing (cash and non-cash), including, without limitation, insurance proceeds and condemnation awards and all proceeds in the form of accounts, chattel paper, general intangibles, goods or instruments. Equipment Description: 2021 Liebherr L586 X Power Wheel Loader, Serial Number 062492-1761 with Integrated Scale System, Front Window Guard, 7.85yd Rehandling bucket. 264. CITIZENS ASSET FINANCE, A DIVISION OF CITIZENS BANK, N.A. 8/05/2022 The railcars described on Exhibit A attached hereto and made a part hereof, including all accessories, attachments, parts, repairs, additions, substitutions, upgrades and accessions thereto and all replacements and substitutions therefor, together with (i) all related software embedded or otherwise associated with the foregoing property, (ii) all general intangibles relating to the foregoing property, (iii) all documents relating to the foregoing property, (iv) any cash or cash equivalent deposits made by Debtor to Secured Party comprising a security deposit, (v) all accounts, chattel paper and general intangibles arising out of the sale, lease, transfer or other disposition of any of the foregoing property, (vi) all of Debtor's rights to receive the return of any premiums for, or proceeds of, any insurance,


 
Schedule 7.01 ACTIVE 682595819v6 indemnity, warranty or guaranty with respect to any of the foregoing property and (vii) all products and proceeds of any of the foregoing property. Debtor has possession of the foregoing property under a true lease only. Secured Party has a security interest in the forgoing property to the extent necessary to protect its title and interest therein. Debtor has waived any right that it may have to file with the applicable filing officer any financing statement, amendment, termination or other record pertaining to the Equipment and/or Secured Party's interest therein. 265. WELLS FARGO EQUIPMENT FINANCE, INC. 8/18/2022 One (1) 2022 Liebherr Model fLH40M Material Handler S/N 141096-1215 mounted with One (1) 2022 Liebherr GM69 Grapple S/N 103-767669 together with all replacements, substitutions, parts, improvements, repairs, and accessories and all additions incorporated therein or affixed thereto being referred to herein as the ""Equipment"". This transaction is intended to be a true lease and not a security transaction and the filing of this financing statement is not an admission that the transaction is other than a true lease. Equipment originally located at: 501 s. 20Th Street, Independence, KS 67301 266. PNC BANK, NATIONAL ASSOCIATION 8/22/2022 All equipment, inventory, furniture and/or fixtures and other goods and all software and other general intangibles, whether now owned or existing or hereafter acquired or arising, leased to Debtor, as lessee, pursuant to Schedule Number 169861088 to Master Lease Agreement dated 9/1/2017 between Secured Party, as lessor, and lessee, as either of the foregoing may be amended, restated, replaced, superseded or assigned from time to time, including, without limitation, the property which is described below, all replacements, substitutions, attachments, accessions, upgrades, parts and additions to such property, all options to purchase such property under such Schedule, all supporting obligations pertaining to the foregoing, and all proceeds of the foregoing (cash and noncash), including, without limitation, insurance proceeds and condemnation awards and all proceeds in the form of


 
Schedule 7.01 ACTIVE 682595819v6 accounts, chattel paper, general intangibles, goods or instruments. Qty. Description Serial No. Address City, State 1 New Cat Skid Steer Loader Model 242D3 with Cat Skid Steer BKT 7" Serial No A4221BK21462 and all other attachments HSX02471 2308 Two Notch Road Lexington, SC 29072 1 New Cate Skid Steer Loader Model 242D3 OS2 with Cat Skid Steer BKT 7" Model SSBKGP 74E Serial No. A4221BK24145 and all other attachments HSX02350 2308 Two Notch Road Lexington, SC 29072 267. PNC BANK, NATIONAL ASSOCIATION 9/12/2022 All equipment, inventory, furniture and/or fixtures and other goods and all software and other general intangibles, whether now owned or existing or hereafter acquired or arising, leased to Debtor, as lessee, pursuant to Schedule Number 169861091 to Master Lease Agreement dated September 1, 2017 between Secured Party, as lessor, and lessee, as either of the foregoing may be amended, restated, replaced, superseded or assigned from time to time, including, without limitation, the property which is described below, all replacements, substitutions, attachments, accessions, upgrades, parts and additions to such property, all options to purchase such property under such schedule, all supporting obligations pertaining to the foregoing, and all proceeds of the foregoing (cash and non-cash), including, without limitation, insurance proceeds and condemnation awards and all proceeds in the form of accounts, chattel paper, general intangibles, goods or instruments. This filing is for precautionary purposes in connection with a leasing transaction and is not to be construed as indicating that the transaction is other than a true lease. Equipment Description: 2022 Caterpillar Model 336 Excavator S/N YBN21574 2022 MSD 3000 Legend Mobile Shear S/N 730069 268. PNC BANK, NATIONAL ASSOCIATION 9/12/2022 USA All equipment, inventory, furniture and/or fixtures and other goods and all software and other general intangibles, whether now owned or existing or hereafter acquired or arising, leased to Debtor, as lessee, pursuant to Schedule Number 169861092 to Master Lease Agreement dated September 1, 2017


 
Schedule 7.01 ACTIVE 682595819v6 between Secured Party, as lessor, and lessee, as either of the foregoing may be amended, restated, replaced, superseded or assigned from time to time, including, without limitation, the property which is described below, all replacements, substitutions, attachments, accessions, upgrades, parts and additions to such property, all options to purchase such property under such schedule, all supporting obligations pertaining to the foregoing, and all proceeds of the foregoing (cash and non-cash), including, without limitation, insurance proceeds and condemnation awards and all proceeds in the form of accounts, chattel paper, general intangibles, goods or instruments. This filing is for precautionary purposes in connection with a leasing transaction and is not to be construed as indicating that the transaction is other than a true lease. Equipment Description: 2022 CAT MH3026 Wheel Material Handler S/N KE800294 269. PNC BANK, NATIONAL ASSOCIATION 9/13/2022 All equipment, inventory, furniture and/or fixtures and other goods and all software and other general intangibles, whether now owned or existing or hereafter acquired or arising, leased to Debtor, as lessee, pursuant to Schedule Number 169861094 to Master Lease Agreement dated September 1, 2017 between Secured Party, as lessor, and lessee, as either of the foregoing may be amended, restated, replaced, superseded or assigned from time to time, including, without limitation, the property which is described below, all replacements, substitutions, attachments, accessions, upgrades, parts and additions to such property, all options to purchase such property under such schedule, all supporting obligations pertaining to the foregoing, and all proceeds of the foregoing (cash and non-cash), including, without limitation, insurance proceeds and condemnation awards and all proceeds in the form of accounts, chattel paper, general intangibles, goods or instruments. This filing is for precautionary purposes in connection with a leasing transaction and is not to be construed as indicating that the transaction is other than a true lease. Equipment Description: 2022 Genesis


 
Schedule 7.01 ACTIVE 682595819v6 Shear-GXT995R-CAT349E 2022 Caterpillar Model 349 Hydraulic Excavator Serial Number RYG20658 270. PNC BANK, NATIONAL ASSOCIATION 9/19/2022 All equipment, inventory, furniture and/or fixtures and other goods and all software and other general intangibles, whether now owned or existing or hereafter acquired or arising, leased to Debtor, as lessee, pursuant to Schedule Number 169861093 to Master Lease Agreement dated September 1, 2017 between Secured Party, as lessor, and lessee, as either of the foregoing may be amended, restated, replaced , superseded or assigned from time to time, includi ng, without limitation, the property which is described below, all replacements, substitutions, attachments, accessions, upgrades, parts and additions to such property, all options to purchase such property under such schedule, all supporting obligations pertaining to the foregoing, and all proceeds of the foregoing (cash and non-cash), including, without limitation, insurance proceeds and condemnation awards and all proceeds in the form of accounts, chattel paper, general intangibles, goods or instruments. This filing is for precautionary purposes in connection with a leasing transaction and is not to be construed as indicating that the transaction is other than a true lease. Equipment Description: 2022 CAT MH 3040 Material Handler with Ancillary Equipment S/N GKT00298 271. PNC BANK, NATIONAL ASSOCIATION 9/19/2022 All equipment, inventory, furniture and/or fixtures and other goods and all software and other general intangibles, whether now owned or existing or hereafter acquired or arising, leased to Debtor, as lessee, pursuant to Schedule Number 169861090 to Master Lease Agreement dated September 1, 2017 between Secured Party, as lessor, and lessee, as either of the foregoing may be amended, restated, replaced, superseded or assigned from time to time, including, without limitation, the property which is described below, all replacements, substitutions, attachments, accessions, upgrades, parts and additions to such property, all options to purchase such property under such schedule, all supporting obligations pertaining to the foregoing, and all proceeds of the


 
Schedule 7.01 ACTIVE 682595819v6 foregoing (cash and non-cash), including, without limitation, insurance proceeds and condemnation awards and all proceeds in the form of accounts, chattel paper, general intangibles, goods or instruments. This filing is for precautionary purposes in connection with a leasing transaction and is not to be construed as indicating that the transaction is other than a true lease. Equipment Description: 2022 Fuchs MHL350F3 Material Handler S/N 350410/6084 272. TRUIST EQUIPMENT FINANCE CORP. 9/28/2022 Collateral Description: This financing statement covers all of Debtor's right, title and interest in and to the following assets and property, wherever located, whether now owned or hereafter acquired or now existing or hereafter arising (collectively, "Collateral"): certain goods (irrespective of whether such goods constitute equipment, inventory or fixtures or some other type of collateral category under the UCC) generally described below, and more particularly described or referred to as the "Equipment" subject to that certain Interim Funding Agreement dated as of April 29, 2022, to that certain Master Equipment Lease Agreement No. 30095 dated as of October 11, 2022 (collectively, the "Lease"), together with: (a) all related software (embedded therein or otherwise); (b) all replacements, repairs, upgrades, additions, parts, accessories, substitutions and exchanges for such goods and of such goods and accessions to such goods; (c) as and to the extent applicable, all subleases, rental contracts, chattel paper, accounts, security deposits and general intangibles relating to such goods, in each case in which Debtor shall from time to time acquire an interest; and (d) any and all proceeds of the foregoing, including, (1) any and all proceeds of any insurance, indemnity, warranty or guaranty payable to Debtor from time to time with respect to any Collateral, (2) any and all payments (in any form whatsoever) made or due and payable to Debtor from time to time in connection with any requisition, defined in the Lease) (or any Person (as defined in the Lease) acting under color of Governmental Authority),


 
Schedule 7.01 ACTIVE 682595819v6 (3) any recoveries by Debtor against third parties with respect to any litigation or dispute concerning any Collateral, including claims arising out of the loss or nonconformity of, interference with the us e of, defects in, or infringement of rights in, or damage to, any Collateral, and (4) any and all other amounts, accounts, general intangibles and other rights to payment or other property acquired upon the sale, lease, license, exchange or other disposition of any Collateral and all rights arising out of any Collateral. Various types of Balers/Loggers. 273. TRUIST EQUIPMENT FINANCE CORP. 9/30/2022 Collateral Description: This financing statement covers all of Debtor's right, title and interest in and to the following assets and property, wherever located, whether now owned or hereafter acquired or now existing or hereafter arising (collectively, "Collateral"): certain goods (irrespective of whether such goods constitute equipment, inventory or fixtures or some other type of collateral category under the UCC) generally described below, and more particularly described or referred to as the "Equipment" subject to that certain Interim Funding Agreement dated as of April 29 , 2022, to that certain Master Equipment Lease Agreement No. 30095 dated as of October 11, 2022 (collectively, the "Lease"), together with: (a) all related software (embedded therein or otherwise) ; (b) all replacements, repairs, upgrades, additions, parts, accessories, substitutions and exchanges for such goods and of such goods and accessions to such goods ; (c) as and to the extent applicable, all subleases, rental contracts, chattel paper, accounts, security deposits and general intangibles relating to such goods , in each case in which Debtor shall from time to time acquire an interest; and (d) any and all proceeds of the foregoing, including, (1) any and all proceeds of any insurance, indemnity, warranty or guaranty payable to Debtor from time to time with respect to any Collateral, (2) any and all payments (in any form whatsoever) made or due and payable to Debtor from time to time in connection with any requisition, confiscation , condemnation,


 
Schedule 7.01 ACTIVE 682595819v6 seizure or forfeiture of any Collateral by any Governmental Authority (as defined in the Lease) (or any Person (as defined in the Lease) acting under color of Governmental Authority), (3) any recoveries by Debtor against third parties with respect to any litigation or dispute concerning any Collateral, including claims arising out of the loss or nonconformity of, interference with the use of, defects in, or infringement of rights in, or damage to, any Collateral, and (4) any and all other amounts, accounts, general intangibles and other rights to payment or other property acquired upon the sale, lease, license, exchange or other disposition of any Collateral and all rights arising out of any Collateral. Various types of Balers/Loggers. C M C STEEL FABRICATORS, INC. 1. BB&T EQUIPMENT FINANCE CORPORATION 12/27/2013 Lease: Yale GDP080VXNKAE090 Lift Trucks. 2. BB&T EQUIPMENT FINANCE CORPORATION 2/18/2014 Lease: Toyota 8FG4OU Internal Combustion Lift Truck. 3. BB&T EQUIPMENT FINANCE CORPORATION 4/30/2014 Lease: Toyota 8FG40U Diesel Lift Truck, S/N 10310/8FD40U. 4. WELLS FARGO EQUIPMENT FINANCE, INC. 7/18/2014 One (1) KT Grant GEF 530 Electric Top Mount Furnace Machine. 5. WELLS FARGO EQUIPMENT FINANCE, INC. 7/23/2014 One (1) John Deere 130G Excavator, Serial # 1FF130GXEEE040515. 6. BLUE MOUNTAIN EQUIPMENT INC CRADER EQUIPMENT COMPANY, INC. DBA CRADER DISTRIBUTING COMPANY 9/1/2015 Stihl branded products including but not limited to, Stihl chainsaws, saw chains and guide bars, Stihl industrial products, Stihl brushcutters, trimmers and blowers, Stihl branded or authorized spare and replacement parts, related Stihl branded lubricants, accessories and other products. 7. BMO HARRIS EQUIPMENT FINANCE COMPANY 2/15/2017 One (1) Sierra RB6000 Baler/Logger Portable with Crane, Cummins Diesel Engine with Air Conditioning, S/N IA9L84935HA245722, 0424716


 
Schedule 7.01 ACTIVE 682595819v6 8. BMO HARRIS EQUIPMENT FINANCE COMPANY 2/15/2017 One (1) Sierra RB6000 Baler/Logger Portable with Crane, Cummins Diesel Engine with Air Conditioning, S/N IA9L849333HA24721, 0324616 9. BMO HARRIS EQUIPMENT FINANCE COMPANY 2/16/2017 Lease: Thirty-Four (34) 2017 Great Dane FLP-0024-00053 53’ Trailers; five (5) 2016 Clemont Monstar 99 45’ Scrap Trailers; See UCC for S/Ns. 10. BMO HARRIS EQUIPMENT FINANCE COMPANY 4/3/2017 Lease: Eight (8) 2018 Great Dane 53’ Flatbed Trailers; two (2) 2018 Clement ROT3645ETBR Roll off Trailers; one (1) 2017 Clement Monstar 89 Trailer; one (1) Rhino 68000 Round Bottom Semi Trailer; six (6) 2018 Fontaine Platform Trailers; one (1) 2018 Fontaine Trailer; two (2) 2018 Monstar 89 Clement Trailers; one (1) 2018 Clement Gondola Trailer; (1) one (1) 2018 Clement Scrapstar Trailer. 11. BMO HARRIS EQUIPMENT FINANCE COMPANY 3/23/2018 Shear Lines and Benders 12. BMO HARRIS EQUIPMENT FINANCE COMPANY 3/23/2018 Lease: (1) Cat 242D OSI Skid Steer CER-1090-17-001; (1) Cat 906M Mini Compact Wheel Loader ID NO: HLK032726; (1) Cat 906M CWL Wheel Loader ID NO: HCT010237; (1) Cat 966M Wheel Loader CER-2697-18- 001; (1) Loadrite LR2180-ROT- SYSTEM, ROT, TRIG mounted on CER02697-18-001 13. BANK OF MONTREAL 4/27/2018 Lease: six (6) Wendt Wire Chopper Systems. See UCC for S/Ns. 14. BMO HARRIS EQUIPMENT FINANCE COMPANY 7/13/2018 (1) Cat 242D OS1 Skid Steer CER- 1090-17-001, S/N DZT04199; (1) Cat 906M Mini Compact Wheel Loader ID NO: 8LK032726 86602470; (1) Cat 906M CWL Wheel Loader ID NO: 8CT010237 86602764; (1) Cat 966M Wheel Loader CER-2697-18-001, S/N ICJP02770; (1) Loadrite LR2180-ROT- SYSTEM, ROT, TRIG mounted on CER-2697-18-001 2697-18-001. 15. BMO HARRIS EQUIPMENT FINANCE COMPANY 8/20/2018 (1) KRB #14 Mechanical Table Bender CER 1432-18-002; (1) KRB Conveyors and Racks CER 1235-18-001; (1) KRB Conveyors, Guillotine Shear, Racks, Pockets CER-1330-18-001; (1) RMS / Schilt Double Bender CER-1360-18- 008; (1) RMS Spiral-Fab Machine CER-1432-18-004; (1) RMS #11 Bender CER-1545-18-006; (1) RMS Ultra Raduis Machine CER-1300-18-


 
Schedule 7.01 ACTIVE 682595819v6 009; (1) Schnell Bar Wiser 22 N Multifeed Bender CER-1390-18-002. 16. BMO HARRIS EQUIPMENT FINANCE COMPANY 12/4/2018 (1) Multiradius Bend 36 CER-1300-18- 008; (1) RMS #18 Table Bender CER- 1247-19-001; (1) RMS Ultra Radius Machine CER-1450-19-006; (1) RMS Shearline and Evacuation System CER- 1360-19-002; (1) RMS #14 Rebar Bender CER-1260-19-004; (1) Schnell Reta 20 Straightening Machine Super UL CER-1431-18-005; (1) Automatic Stirrup Bender CER-1431-19-002; (1) Double Bender Robomaster/60/50 ft Mirror CER-1260-19-003; (1) Schnell Robomaster Bender CER-1230-19-002; (1) Schnell Coil 16 Pack2 3D Bender CER-1330-19-001. 17. BMO HARRIS EQUIPMENT FINANCE COMPANY 12/7/2018 Lease: (1) 219 Volvo L180H Wheel Loader with Loader Bucket; (1) Bobcat s70 Skid Steer Loader CER-1055-19- 043; (1) Bobcat BKLGP Bucket; (1) Volvo L150H Wheel Loader CER- 1030-19-009; (1) Volvo L150H Wheel Loader CER-1030-19-009; (1) Waldon 6000C Loader; (1) Caterpillar 906M CER-2683-19-007; (1) Caterpillar 906M Wheel Loader CER-2737-18-006. 18. WELLS FARGO VENDOR FINANCIAL SERVICES, LLC 1/9/2019 One (1) 2008 Tennant Sweepers Model #Tennant Sentinel S/N 7821 19. BANK OF MONTREAL 3/6/2019 (1) KRB H-4100 Shear CER-1200-19- 003; (1) KRB Conveyor CER-1200-19- 004; (1) KRB H-4100 Shear CER-1200- 19-003; (1) KRB Conveyor CER-1200- 19-004; (1) KRB Conveyor CER-1200- 19-004; (1) KRB H-4100 Shear CER- 1200-19-003; (1) RMS Shearline CER- 1451-18-022; (1) RMS Ultra Radius Bedoer CER-1454-18-003; (1) RMS Ultra Radius Bedoer CER-1454-18-003; (1) RMS Shearline CER-1451-18-022; (l) RMS Ultra Radius Bedoer CER- 1454-18-003; (1) RMS Shearline CER- 1451-18-022; (1) Schilt RMS Double Bender CER 1340-19- 005; (1) Schnell Formula /14 Bender CER-1434-10-003; (1) Schnell Bar Wiser 22 N Multifeed Bender CER- 1391-18-014; (1) Schnell Bar Wiser 22 N Multifeed Bender CER- 1451-18-019; (1) Schnell Bar Wiser 22 N Multifeed Bender CER-1340-18-025; (1) Schnell Formula /14 Bender CER- 1247-18-001; (1) Schnell Bar Wiser 22 N Multifeed Bender CER-1451-18-019;


 
Schedule 7.01 ACTIVE 682595819v6 (1) Schnell Bar Wiser 22 N Multifeed Bender CER-1340-18-025; (1) Stirrup Bender Machine Mod. Bar Wiser 22N Multifeed CER-1200-18-007; (1) Schnell Formula /14 Bender CER-1434- 10-003; (1) Schnell Formula /14 Bender CER-1247-18-001; (1) Parts CER-1340- 18-025; (1) Schnell Bar Wiser 22 N Multifeed Bender CER-1340-18-025; (1) Schnell Formula /14 Bender CER- 1247-18- 001; (1) Stirrup Bender Machine Mod. Bar Wiser 22N Multifeed CER-1200-18-007; (1) Schnell Formula /14 Bender CER-1434- 10-003; (1) Schnell Bar Wiser 22 N Multifeed Bender CER-1340-18-025; (1) Schnell Bar Wiser 22 N Multifeed Bender CER-1451-18-019; (1) Parts CER-1340-18-025; (1) Schnell Formula /14 Bender CER-1434-10-003; (1) Stirrup Bender Machine Mod. Bar Wiser 22N Multifeed CER-1200-18- 007. 20. BANK OF MONTREAL 3/22/2019 Lease: (1) Case CER-2695-18-004 SV340 Skid Steer Loader; (1) Cat CER- 2738-19-0036 262D OS1 Skid-Steer Loader; CER-2738-19-0036; (1) Cat 262D OS1 Skid-Steer Loader CER- 2738-19-0036; (1) Cat SS BKIG 72 Bucket; (1) Cat SS BKIG 72 Bucket; (1) Bobcat S850 Skid-Steer Loader with Bucket; (1) Caterpillar 938M Loader CER-2692-19-002; (1) 2019 Caterpillar 926M Wheel Loader CER-2686-19- 001; (1) 2019 Caterpillar 926M Wheel Loader CER-2687-19-001; (1) Caterpillar 226D L1 Skid Steer Loader CER-1070-19-014; (1) Volvo L30GS Compact Wheel Loader CER-2684-10- 002. 21. BANK OF MONTREAL 7/17/2019 Lease: New Benders Machines Including all attachments, accessories, appurtenances, accessions and substitutions relating thereto. Insurance proceeds on above; (2) Shear Consoles for CER-1475-19-057; (1) Service; (1) MEP Format 16 H.S.; (1) Evacuating Pocket Assembly; (1) MagnaBend 211R Double Bender RH;48FT (15M); (1) 60ft. Gage Table Assembly, 36” PL, RH, S/D; (1) Machine for the production of stirrups; (1) Bender; (1) Service performed; (1) DBS2-60 Double Bender; (1) DBS2-60-N Double Bender; (1) RMS Ultra Radius Bender and Epoxy Rolls; (1) Double Bender;


 
Schedule 7.01 ACTIVE 682595819v6 (1) Schnell Coil/20 Bender; (1) Freight; (1) Conveyor; (1) Bender; (1) Shear Assembly; (1) Schnell Reta 20 Straightening Machine; (2) Benders; (1) Shaping and Stirrup Bender; (1) Shearline; (1) RMS Spiral FAB to include a Structural Steel Base, Heavy Duty Coil Carousel and Micro Control System; (1) Duel End Bending Machine; (1) Hytrol conveyor system; (1) Shearline; (1) RMS Schilt Double Bender; (1) Robomaster 60 EVO Double Bender; (1) RMS Shearline to include a 611 HD shear; (1) Double Bender; (1) Two Chain Buffer System; (1) Coil 20 for Coil 20 EVO CFD UL- CSA; (2) Stirrup Benders; (1) EVG PCX 16A Wire and Coiled Rebar Straightening Machine. See UCC for S/Ns 22. BANK OF MONTREAL 7/17/2019 New Loaders; (1) 2019 Bobcat S450 T4 Compact Skid Loader with Low Profile Bucket CER-1030-19-050; (1) 2019 Bobcat S450 T4 Compact Skid Loader with Low Profile Bucket CER-1030-19-049; (1) Only x New Flip Screen (Green & Black) with Smart Valve CER-2695-19-005; (1) Caterpillar 914M Mini Compact Wheel Loader CER-2692-19-002; (1) 2019 Caterpillar 930M Wheel Loader CER- 2695-19-005; (1) 2019 Caterpillar 950GC CER-1020-20-003; (1) 2020 Cat 262D3 Skid Steer S/ZB200966N; (1) 2020 Cat 262D3 Skid Steer; (1) 2020 Caterpillar 966H Loader; (1) 2020 Volvo L150H Loader; (1) HEIT. 23. BANK OF MONTREAL 2/14/2020 (1) 2020 Tymco DST-6 Steet Sweeper mounted on a 2019 Peterbilt 3BPPHM7X2KF592510, 20190SSN561197DSTBAH. 24. BANK OF MONTREAL 6/30/2020 New Shear Lines and Benders, Wheel Loaders, Wire Choppers, other Manufacturing Equipment, Mobile Equipment and Rolling Stock. 25. FIFTH THIRD BANK, NATIONAL ASSOCIATION 8/12/2020 New Rebar Spooler Line. 26. FIFTH THIRD BANK, NATIONAL ASSOCIATION 10/1/2020 Schilt MultibarS00 Rebar Shearline with Automatic Bar Loader (1); Pocket Systems, Conveyors; Bending Units; ABL Flatbed Storage Pockets; Flatbed Racks; Vibrating Pockets; Hydraulic Units; Conveyors; Catwalks w/ 2 stairs; Schilt PCX16 Straightening Machine


 
Schedule 7.01 ACTIVE 682595819v6 (1); Schilt PCX20 Straightening Machine (1); HD Cooler, Cable Winches; Wire changing devices; control systems; Conveyors; Catwalks w/2 stairs; Pocket in Rack below ABL, Shake Out Rack, 2 Levels, 14 meters. 27. U.S. BANK EQUIPMENT FINANCE, A DIVISION OF U.S. BANK NATIONAL ASSOCIATION 11/25/2020 Two (2) 2021 capacity truck tractors, model TJ6500 28. FIFTH THIRD BANK, NATIONAL ASSOCIATION 2/24/2021 Equipment, machinery and other personal property financed or leased under Master Equipment Lease Agreement dated August 25, 2010 and Interim Funding Schedule No. 004 dated February 17, 2021, and proceeds thereof. 29. FIFTH THIRD BANK 6/30/2021 All of Debtor's right, title and interest in the following (whether now existing or hereafter created and whether now owned or hereafter acquired): (1) the equipment described hereto (inventory, equipment, fixtures or otherwise) (the "Equipment") and general intangibles relating thereto, (2) additions, attachments, accessories and accessions thereto whether or not furnished by the Supplier of such Equipment, (3) all subleases (including the right to receive any payment thereunder and the right to make any election or determination or give any consent or waiver thereunder), chattel paper, accounts, security deposits and bills of sale relating thereto, (4) any and all substitutions, replacements or exchanges for any such Equipment, and (5) any and all products and proceeds of any collateral hereunder (including all insurance and requisition proceeds and all other payments of any kind with respect to the equipment and other collateral). Taylor Wheel Loader, Model T-1025, S/N: 45734 30. U.S. BANK EQUIPMENT FINANCE, A DIVISION OF U.S. BANK NATIONAL ASSOCIATION 4/29/2022 ONE (1) TAYLOR PNEUMATIC FORKLIFT, MODEL XH-350L; ONE (1) TAYLOR PNEUMATIC FORKLIFT, MODEL XH-350L; ONE (1) TAYLOR PNEUMATIC FORKLIFT, MODEL XH-350L; ONE (1) TAYLOR PNEUMATIC FORKLIFT, MODEL XH-350L; ONE (1) TAYLOR PNEUMATIC


 
Schedule 7.01 ACTIVE 682595819v6 FORKLIFT, MODEL XH-350L; TOGETHER WITH ALL REPLACEMENTS, PARTS, REPAIRS, ADDITIONS, ACCESSIONS AND ACCESSORIES INCORPORATED THEREIN OR AFFIXED OR ATTACHED THERETO AND ANY AND ALL PROCEEDS OF THE FOREGOING, INCLUDING, WITHOUT LIMITATION, INSURANCE RECOVERIES. 31. U.S. BANK EQUIPMENT FINANCE, A DIVISION OF U.S. BANK NATIONAL ASSOCIATION 5/27/2022 ONE (1) OTTAWA YARD TRACTOR MODEL T2 4X2 OFF ROAD; TOGETHER WITH ALL IREPLACEMENTS, PARTS, REPAIRS, ADDITIONS, ACCESSIONS AND ACCESSORIES INCORPORATED HEREIN OR AFFIXED OR ATTACHED THERETO AND ANY AND ALL PROCEEDS OF THE FOREGOING, INCLUDING, WITHOUT LIMITATION, INSURANCE RECOVERIES. CMC STEEL OKLAHOMA, LLC 1. BMO HARRIS EQUIPMENT FINANCE COMPANY 2/14/2017 Lease: one (1) Sierra RB6000 Baler/Logger Portable with Crane, Cummins Diesel Engine with Air Conditioning, S/N IA9L84935HA245722, 0424716 2. BMO HARRIS EQUIPMENT FINANCE COMPANY 2/14/2017 Lease: one (1) Sierra RB6000 Baler/Logger Portable with Crane, Cummins Diesel Engine with Air Conditioning, S/N IA9L849333HA24721, 0324616 3. BMO HARRIS EQUIPMENT FINANCE COMPANY 4/3/2017 Lease: Eight (8) 2018 Great Dane 53’ Flatbed Trailers; two (2) 2018 Clement ROT3645ETBR Roll off Trailers; one (1) 2017 Clement Monstar 89 Trailer; one (1) Rhino 68000 Round Bottom Semi Trailer; six (6) 2018 Fontaine Platform Trailers; one (1) 2018 Fontaine Trailer; two (2) 2018 Monstar 89 Clement Trailers; one (1) 2018 Clement Gondola Trailer; (1) one (1) 2018 Clement Scrapstar Trailer. 4. BMO HARRIS EQUIPMENT FINANCE COMPANY 2/7/2018 Lease: Wheel Loaders; one (1) 2018 Volvo U20H Loader CER-2738-18-002; one (1) 2018 Volvo L180H Loader CER- 1090-18-002; two (2) 2018 Volvo L180H Loaders CER-1090-17-001; one (1) Caterpillar 262D Skid Steer and


 
Schedule 7.01 ACTIVE 682595819v6 Bucket CER-2736-18-003; one (1) Cat 262D OSI Skid Steer CER-2738-18-003; one (1) Cat SS BKIG 72 Bucket CER- 2738-18-003; one (1) Cat 262D OSI Skid Steer CER- 2738-18-003; one (1) Cat SS BKIG 72 Bucket CER- 2738-18-003; one (1) Cat 262D OSI Skid Steer CER- 2738-18-003; one (1) Cat SS BKIG 72 Bucket CER-2738-18-003; one (1) Cat 262D OSI Skid Steer CER- 2738-18- 003; one (1) Cat SS BKIG 72 Bucket CER-2738-18-003; one (1) Caterpillar 262D Skid Steer CER-2697-18-010; one (1) Caterpillar 950M Loader CER- 2731- 18-002; (1) Volvo L150H Loader CER- 1030-18-026; one (1) John Deere 544-II Loader CER-1161-18-003. 5. BMO HARRIS EQUIPMENT FINANCE COMPANY 3/23/2018 Shear Lines and Benders 6. BMO HARRIS EQUIPMENT FINANCE COMPANY 3/23/2018 Lease: (1) Cat 242D OSI Skid Steer CER-1090-17-001; (1) Cat 906M Mini Compact Wheel Loader ID NO: HLK032726; (1) Cat 906M CWL Wheel Loader ID NO: HCT010237; (1) Cat 966M Wheel Loader CER-2697-18-001; (1) Loadrite LR2180-ROT-SYSTEM, ROT, TRIG mounted on CER02697-18- 001 7. BANK OF MONTREAL 4/27/2018 Lease: six (6) Wendt Wire Chopper Systems. See UCC for S/Ns. 8. BMO HARRIS EQUIPMENT FINANCE COMPANY 7/13/2018 (1) Cat 242D OS1 Skid Steer CER-1090- 17-001, S/N DZT04199; (1) Cat 906M Mini Compact Wheel Loader ID NO: 8LK032726 86602470; (1) Cat 906M CWL Wheel Loader ID NO: 8CT010237 86602764; (1) Cat 966M Wheel Loader CER-2697-18-001, S/N ICJP02770; (1) Loadrite LR2180-ROT-SYSTEM, ROT, TRIG mounted on CER-2697-18-001 2697-18-001. 9. BMO HARRIS EQUIPMENT FINANCE COMPANY 8/20/2018 (1) KRB #14 Mechanical Table Bender CER 1432-18-002; (1) KRB Conveyors and Racks CER 1235-18-001; (1) KRB Conveyors, Guillotine Shear, Racks, Pockets CER-1330-18-001; (1) RMS / Schilt Double Bender CER-1360-18-008; (1) RMS Spiral-Fab Machine CER-1432- 18-004; (1) RMS #11 Bender CER-1545- 18-006; (1) RMS Ultra Raduis Machine CER-1300-18-009; (1) Schnell Bar Wiser 22 N Multifeed Bender CER- 1390-18-002.


 
Schedule 7.01 ACTIVE 682595819v6 10. BMO HARRIS EQUIPMENT FINANCE COMPANY 12/4/2018 (1) Multiradius Bend 36 CER-1300-18- 008; (1) RMS #18 Table Bender CER- 1247-19-001; (1) RMS Ultra Radius Machine CER-1450-19-006; (1) RMS Shearline and Evacuation System CER-1360-19-002; (1) RMS #14 Rebar Bender CER-1260-19-004; (1) Schnell Reta 20 Straightening Machine Super UL CER-1431-18-005; (1) Automatic Stirrup Bender CER-1431-19-002; (1) Double Bender Robomaster/60/50 ft Mirror CER-1260-19-003; (1) Schnell Robomaster Bender CER-1230-19- 002; (1) Schnell Coil 16 Pack2 3D Bender CER-1330-19-001. 11. BMO HARRIS EQUIPMENT FINANCE COMPANY 12/7/2018 Lease: (1) 219 Volvo L180H Wheel Loader with Loader Bucket; (1) Bobcat s70 Skid Steer Loader CER-1055-19- 043; (1) Bobcat BKLGP Bucket; (1) Volvo L150H Wheel Loader CER-1030- 19-009; (1) Volvo L150H Wheel Loader CER-1030-19-009; (1) Waldon 6000C Loader; (1) Caterpillar 906M CER-2683- 19-007; (1) Caterpillar 906M Wheel Loader CER-2737-18-006. 12. BANK OF MONTREAL 3/6/2019 (1) KRB H-4100 Shear CER-1200-19- 003; (1) KRB Conveyor CER-1200-19- 004; (1) KRB H-4100 Shear CER-1200- 19-003; (1) KRB Conveyor CER-1200- 19-004; (1) KRB Conveyor CER-1200- 19-004; (1) KRB H-4100 Shear CER- 1200-19-003; (1) RMS Shearline CER- 1451-18-022; (1) RMS Ultra Radius Bedoer CER-1454-18-003; (1) RMS Ultra Radius Bedoer CER-1454-18-003; (1) RMS Shearline CER-1451-18-022; (l) RMS Ultra Radius Bedoer CER-1454- 18-003; (1) RMS Shearline CER-1451- 18-022; (1) Schilt RMS Double Bender CER 1340-19- 005; (1) Schnell Formula /14 Bender CER-1434-10-003; (1) Schnell Bar Wiser 22 N Multifeed Bender CER- 1391-18-014; (1) Schnell Bar Wiser 22 N Multifeed Bender CER- 1451-18-019; (1) Schnell Bar Wiser 22 N Multifeed Bender CER-1340-18-025; (1) Schnell Formula /14 Bender CER-1247- 18-001; (1) Schnell Bar Wiser 22 N Multifeed Bender CER-1451-18-019; (1) Schnell Bar Wiser 22 N Multifeed Bender CER-1340-18-025; (1) Stirrup Bender Machine Mod. Bar Wiser 22N Multifeed CER-1200-18-007; (1) Schnell Formula /14 Bender CER-1434-10-003; (1) Schnell Formula /14 Bender CER- 1247-18-001; (1) Parts CER-1340-18-


 
Schedule 7.01 ACTIVE 682595819v6 025; (1) Schnell Bar Wiser 22 N Multifeed Bender CER-1340-18-025; (1) Schnell Formula /14 Bender CER-1247- 18- 001; (1) Stirrup Bender Machine Mod. Bar Wiser 22N Multifeed CER- 1200-18-007; (1) Schnell Formula /14 Bender CER-1434-10-003; (1) Schnell Bar Wiser 22 N Multifeed Bender CER- 1340-18-025; (1) Schnell Bar Wiser 22 N Multifeed Bender CER-1451-18-019; (1) Parts CER-1340-18-025; (1) Schnell Formula /14 Bender CER-1434-10-003; (1) Stirrup Bender Machine Mod. Bar Wiser 22N Multifeed CER-1200-18-007. 13. BANK OF MONTREAL 3/22/2019 Lease: (1) Case CER-2695-18-004 SV340 Skid Steer Loader; (1) Cat CER- 2738-19-0036 262D OS1 Skid-Steer Loader; CER-2738-19-0036; (1) Cat 262D OS1 Skid-Steer Loader CER-2738- 19-0036; (1) Cat SS BKIG 72 Bucket; (1) Cat SS BKIG 72 Bucket; (1) Bobcat S850 Skid-Steer Loader with Bucket; (1) Caterpillar 938M Loader CER-2692-19- 002; (1) 2019 Caterpillar 926M Wheel Loader CER-2686-19-001; (1) 2019 Caterpillar 926M Wheel Loader CER- 2687-19-001; (1) Caterpillar 226D L1 Skid Steer Loader CER-1070-19-014; (1) Volvo L30GS Compact Wheel Loader CER-2684-10-002. 14. BANK OF MONTREAL 7/17/2019 Lease: (2) Shear Consoles for CER- 1475-19-057; (1) Service; (1) MEP Format 16 H.S.; (1) Evacuating Pocket Assembly; (1) MagnaBend 211R Double Bender RH;48FT (15M); (1) 60ft. Gage Table Assembly, 36” PL, RH, S/D; (1) Machine for the production of stirrups; (1) Bender; (1) Service performed; (1) DBS2-60 Double Bender; (1) DBS2-60- N Double Bender; (1) RMS Ultra Radius Bender and Epoxy Rolls; (1) Double Bender; (1) Schnell Coil/20 Bender; (1) Freight; (1) Conveyor; (1) Bender; (1) Shear Assembly; (1) Schnell Reta 20 Straightening Machine; (2) Benders; (1) Shaping and Stirrup Bender; (1) Shearline; (1) RMS Spiral FAB to include a Structural Steel Base, Heavy Duty Coil Carousel and Micro Control System; (1) Duel End Bending Machine; (1) Hytrol conveyor system; (1) Shearline; (1) RMS Schilt Double Bender; (1) Robomaster 60 EVO Double Bender; (1) RMS Shearline to include a 611 HD shear; (1) Double Bender; (1) Two Chain Buffer System; (1) Coil 20


 
Schedule 7.01 ACTIVE 682595819v6 for Coil 20 EVO CFD UL-CSA; (2) Stirrup Benders; (1) EVG PCX 16A Wire and Coiled Rebar Straightening Machine. See UCC for S/Ns 15. BANK OF MONTREAL 7/17/2019 New Loaders; (1) 2019 Bobcat S450 T4 Compact Skid Loader with Low Profile Bucket CER-1030-19-050; (1) 2019 Bobcat S450 T4 Compact Skid Loader with Low Profile Bucket CER-1030-19-049; (1) Only x New Flip Screen (Green & Black) with Smart Valve CER-2695-19-005; (1) Caterpillar 914M Mini Compact Wheel Loader CER-2692-19-002; (1) 2019 Caterpillar 930M Wheel Loader CER-2695-19-005; (1) 2019 Caterpillar 950GC CER-1020- 20-003; (1) 2020 Cat 262D3 Skid Steer S/ZB200966N; (1) 2020 Cat 262D3 Skid Steer; (1) 2020 Caterpillar 966H Loader; (1) 2020 Volvo L150H Loader; (1) HEIT. 16. BANK OF MONTREAL 2/14/2020 (1) 2020 Tymco DST-6 Steet Sweeper mounted on a 2019 Peterbilt 3BPPHM7X2KF592510, 20190SSN561197DSTBAH. 17. BANK OF MONTREAL 6/30/2020 Lease: (1) aSa Shear Console for Special Build Line; (1) FREIGHT; (1) Console, misc, shipping; (1) Shear Assembly; (1) SCHILT/ RMS DOUBLE BENDER; (1) Shear and Table; (1) Automatic Stirrup Bender Coil20; (1) final payment EVG Wire and Coiled Rebar Straightening. 18. FIFTH THIRD BANK, NATIONAL ASSOCIATION 2/23/2021 Equipment, machinery and other personal property financed or leased under Master Equipment Lease Agreement dated August 25, 2010 and Interim Funding Schedule No. 004 dated February 17, 2021, and proceeds thereof. CMC STEEL US, LLC 1. HITACHI CAPITAL AMERICA CORP. 11/7/2018 Equipment contained on or subject to Agreement No. 38965 2. DE LAGE LANDEN FINANCIAL SERVICES, INC. 3/13/2019 All equipment under Lease Agreement Numbers 100-10120604, 100-10135419, 100-10147146 3. WELLS FARGO BANK, N.A. 6/24/2019 1-Hyundai Forklift 160D-9 sn HHKHFT23AG0000103 4. WELLS FARGO BANK, N.A. 6/24/2019 1 2016 Hyundai 160D-7A Forklift S/N HHKHFT23CG0000065


 
Schedule 7.01 ACTIVE 682595819v6 5. WELLS FARGO BANK, N.A. 6/24/2019 1 Combilift Lift Truck C14000 sn 27372 6. BANK OF MONTREAL 7/17/2019 Lease: (2) Shear Consoles for CER-1475- 19-057; (1) Service; (1) MEP Format 16 H.S.; (1) Evacuating Pocket Assembly; (1) MagnaBend 211R Double Bender RH;48FT (15M); (1) 60ft. Gage Table Assembly, 36” PL, RH, S/D; (1) Machine for the production of stirrups; (1) Bender; (1) Service performed; (1) DBS2-60 Double Bender; (1) DBS2-60-N Double Bender; (1) RMS Ultra Radius Bender and Epoxy Rolls; (1) Double Bender; (1) Schnell Coil/20 Bender; (1) Freight; (1) Conveyor; (1) Bender; (1) Shear Assembly; (1) Schnell Reta 20 Straightening Machine; (2) Benders; (1) Shaping and Stirrup Bender; (1) Shearline; (1) RMS Spiral FAB to include a Structural Steel Base, Heavy Duty Coil Carousel and Micro Control System; (1) Duel End Bending Machine; (1) Hytrol conveyor system; (1) Shearline; (1) RMS Schilt Double Bender; (1) Robomaster 60 EVO Double Bender; (1) RMS Shearline to include a 611 HD shear; (1) Double Bender; (1) Two Chain Buffer System; (1) Coil 20 for Coil 20 EVO CFD UL- CSA; (2) Stirrup Benders; (1) EVG PCX 16A Wire and Coiled Rebar Straightening Machine. See UCC for S/Ns 7. BANK OF MONTREAL 7/17/2019 New Loaders; (1) 2019 Bobcat S450 T4 Compact Skid Loader with Low Profile Bucket CER-1030-19-050; (1) 2019 Bobcat S450 T4 Compact Skid Loader with Low Profile Bucket CER-1030-19-049; (1) Only x New Flip Screen (Green & Black) with Smart Valve CER-2695-19-005; (1) Caterpillar 914M Mini Compact Wheel Loader CER-2692- 19-002; (1) 2019 Caterpillar 930M Wheel Loader CER-2695-19-005; (1) 2019 Caterpillar 950GC CER-1020-20-003; (1) 2020 Cat 262D3 Skid Steer S/ZB200966N; (1) 2020 Cat 262D3 Skid Steer; (1) 2020 Caterpillar 966H Loader; (1) 2020 Volvo L150H Loader; (1) HEIT. 8. WELLS FARGO EQUIPMENT FINANCE, INC. 11/22/2019 Lease: one (1) Young 4Tine Scrap Grapple s/n: L0150-133


 
Schedule 7.01 ACTIVE 682595819v6 9. WELLS FARGO EQUIPMENT FINANCE, INC. 1/31/2020 One (1) Sennebogen 840M Material Handler s/n: 840.0.2217 10. BANK OF MONTREAL 2/14/2020 (1) 2020 Tymco DST-6 Street Sweeper mounted on a 2019 Peterbilt 3BPPHM7X2KF592510, 20190SSN561197DSTBAH 11. FIFTH THIRD BANK, NATIONAL ASSOCIATION 3/31/2020 Equipment, machinery and other property financed or leased under Master Equipment Lease Agreement dated 8/25/2010 and Interim Funding Schedule No. 003 dated 3/4/2020 12. BB&T EQUIPMENT FINANCE CORPORATION 4/20/2020 This financing statement covers all of Debtor's right, title and interest in and to the following assets and property, wherever located, whether now owned or hereafter acquired or now existing or hereafter arising (collectively, "Collateral"): certain goods (irrespective of whether such goods constitute equipment, inventory or fixtures or some other type of collateral category under the UCC) generally described below, and more particularly described or referred to as the "Equipment" subject to that certain Equipment Schedule No. 9990004336-0l- 0lCS109 dated as of April 29, 2021, to that certain Master Lease Agreement No. 30095 dated as of December 18, 2003 (collectively, the "Lease"), together with: (a) all related software (embedded therein or otherwise) and general intangibles; (b) all additions, attachments, accessories and accessions to such goods whether or not furnished by the supplier thereof; (c) all subleases, chattel paper, accounts, security deposits and general intangibles relating to such goods ; (d) any and all substitutions replacements or exchanges for any such goods or Collateral; and (e) any and all insurance and/or other proceeds of such goods and other Collateral. 2020 Argostar Model Siriostar 2P-5T Re-Spooling Stretching Line, SN: 874, with automatic vertical spooler, as more fully described in Promostar S.r.l. Offer PV190329 Rev.4 18/12/2019, as amended. 13. BANK OF MONTREAL 6/30/2020 Lease: (1) aSa Shear Console for Special Build Line; (1) FREIGHT; (1) Console, misc, shipping; (1) Shear Assembly; (1) SCHILT/ RMS DOUBLE BENDER; (1)


 
Schedule 7.01 ACTIVE 682595819v6 Shear and Table; (1) Automatic Stirrup Bender Coil20; (1) final payment EVG Wire and Coiled Rebar Straightening. 14. FIFTH THIRD BANK, NATIONAL ASSOCIATION 8/12/2020 2019 SKID STEER LOADER MODEL S/N NJM458747 15. FIFTH THIRD BANK, NATIONAL ASSOCIATION 2/23/2021 Equipment, machinery and other personal property financed or leased under Master Equipment Lease Agreement dated August 25, 2010 and Interim Funding Schedule No. 004 dated February 17, 2021, and proceeds thereof. 16. WELLS FARGO EQUIPMENT FINANCE, INC. 5/26/2021 One (1) 2019 Sennebogen 850M "E" Material Handler S/N 850.3002; including but not limited to One (1) 25KM Baldor Generator, One (1) 35ft Sin Boom, One (1) 24fr 7in Arm "together with all replacements, substitutions, parts, improvements, repairs, and accessories and all additions incorporated therein or affixed thereto being referred to herein as the ""Equipment"". This transaction is intended to be a true lease and not a security transaction and the filing of this financing statement is not an admission that the transaction is other than a true lease." Equipment originally located at: 1 Crossman Rd N, Sayreville NJ 08872 17. WELLS FARGO EQUIPMENT FINANCE, INC. 10/08/2021 One (1) Sennebogen 850ME Material Handling S/N 85003095 together with all replacements, substitutions, parts, improvements, repairs, and accessories and all additions incorporated therein or affixed thereto being referred to herein as the ""Equipment"". This transaction is intended to be a true lease and not a security transaction and the filing of this financing statement is not an admission that the transaction is other than a true lease. Equipment originally located at: 16770 Rebar Rd, Baldwin, FL 32234 18. MOBILE COMMUNICATIONS AMERICA 11/29/2021 Motorola Radio Equipment Hardware and accessories AND ALL PRODUCTS, PROCEEDS AND ATTACHMENTS. THIS UCC-1 IS FILED PURSUANT TO SECTION 9-505 OF THE UNIFORM COMMERCIAL CODE FOR INFORMATIONAL PURPOSES ONLY. THIS TRANSACTION IS INTENDED BY THE LESSEE AND LESSOR TO BE A LEASE.


 
Schedule 7.01 ACTIVE 682595819v6 19. FIFTH THIRD BANK, NATIONAL ASSOCIATION 12/21/2021 All of Debtor's right, title and interest in the following (whether now existing or hereafter created and whether now owned or hereafter acquired): (1) the equipment described on exhibit attached hereto (inventory, equipment, fixtures or otherwise) (the "Equipment") and general intangibles relating thereto, (2) additions, attachments, accessories and accessions thereto whether or not furnished by the Supplier of such Equipment, (3) all subleases (including the right to receive any payment thereunder and the right to make any election or determination or give any consent or waiver thereunder), chattel paper, accounts, security deposits and bills of sale relating thereto, (4) any and all substitutions, replacements or exchanges for any such Equipment, and (5) any and all products and proceeds of any collateral hereunder (including all insurance and requisition proceeds and all other payments of any kind with respect to the equipment and other collateral). 20. THE HUNTINGTON NATIONAL BANK 3/25/2022 One (1) Sennebogen Model #850R HD-E Material Handling S/N 850.5.3094 together with all replacements, substitutions, parts, improvements, repairs, and accessories and all additions incorporated therein or affixed thereto being referred to herein as the ""Equipment"". This transaction is intended to be a true lease and not a security transaction and the filing of this financing statement is not an admission that the transaction is other than a true lease. Equipment originally located at: 1919 Tennessee Ave, Knoxville, TN 37921 21. U.S. BANK EQUIPMENT FINANCE, A DIVISION OF U.S. BANK NATIONAL ASSOCIATION 5/27/2022 ONE (1) OTTAWA YARD TRACTOR MODEL T2 4X2 OFF ROAD; TOGETHER WITH ALL REPLACEMENTS, PARTS, REPAIRS, ADDITIONS, ACCESSIONS AND ACCESSORIES INCORPORATED THEREIN OR AFFIXED OR ATTACHED THERETO AND ANY AND ALL PROCEEDS OF THE FOREGOING, INCLUDING, WITHOUT LIMITATION, INSURANCE RECOVERIES.


 
Schedule 7.01 ACTIVE 682595819v6 OWEN ELECTRIC STEEL COMPANY OF SOUTH CAROLINA 1. BMO HARRIS EQUIPMENT FINANCE COMPANY 2/14/2017 Lease: one (1) Sierra RB6000 Baler/Logger Portable with Crane, Cummins Diesel Engine with Air Conditioning, S/N IA9L84935HA245722, 0424716 2. BMO HARRIS EQUIPMENT FINANCE COMPANY 2/14/2017 Lease: one (1) Sierra RB6000 Baler/Logger Portable with Crane, Cummins Diesel Engine with Air Conditioning, S/N IA9L849333HA24721, 0324616 3. BMO HARRIS EQUIPMENT FINANCE COMPANY 4/3/2017 Lease: Eight (8) 2018 Great Dane 53’ Flatbed Trailers; two (2) 2018 Clement ROT3645ETBR Roll off Trailers; one (1) 2017 Clement Monstar 89 Trailer; one (1) Rhino 68000 Round Bottom Semi Trailer; six (6) 2018 Fontaine Platform Trailers; one (1) 2018 Fontaine Trailer; two (2) 2018 Monstar 89 Clement Trailers; one (1) 2018 Clement Gondola Trailer; (1) one (1) 2018 Clement Scrapstar Trailer. 4. BMO HARRIS EQUIPMENT FINANCE COMPANY 3/23/2018 Shear Lines and Benders 5. BMO HARRIS EQUIPMENT FINANCE COMPANY 3/23/2018 Lease: (1) Cat 242D OSI Skid Steer CER-1090-17-001; (1) Cat 906M Mini Compact Wheel Loader ID NO: HLK032726; (1) Cat 906M CWL Wheel Loader ID NO: HCT010237; (1) Cat 966M Wheel Loader CER-2697-18-001; (1) Loadrite LR2180-ROT-SYSTEM, ROT, TRIG mounted on CER02697-18- 001 6. BANK OF MONTREAL 4/27/2018 Lease: six (6) Wendt Wire Chopper Systems. See UCC for S/Ns. 7. BMO HARRIS EQUIPMENT FINANCE COMPANY 7/13/2018 (1) Cat 242D OS1 Skid Steer CER-1090- 17-001, S/N DZT04199; (1) Cat 906M Mini Compact Wheel Loader ID NO: 8LK032726 86602470; (1) Cat 906M CWL Wheel Loader ID NO: 8CT010237 86602764; (1) Cat 966M Wheel Loader CER-2697-18-001, S/N ICJP02770; (1) Loadrite LR2180-ROT-SYSTEM, ROT, TRIG mounted on CER-2697-18-001 2697-18-001. 8. BMO HARRIS EQUIPMENT FINANCE COMPANY 8/20/2018 (1) KRB #14 Mechanical Table Bender CER 1432-18-002; (1) KRB Conveyors and Racks CER 1235-18-001; (1) KRB Conveyors, Guillotine Shear, Racks,


 
Schedule 7.01 ACTIVE 682595819v6 Pockets CER-1330-18-001; (1) RMS / Schilt Double Bender CER-1360-18-008; (1) RMS Spiral-Fab Machine CER-1432- 18-004; (1) RMS #11 Bender CER-1545- 18-006; (1) RMS Ultra Raduis Machine CER-1300-18-009; (1) Schnell Bar Wiser 22 N Multifeed Bender CER-1390-18- 002. 9. BMO HARRIS EQUIPMENT FINANCE COMPANY 12/4/2018 (1) Multiradius Bend 36 CER-1300-18- 008; (1) RMS #18 Table Bender CER- 1247-19-001; (1) RMS Ultra Radius Machine CER-1450-19-006; (1) RMS Shearline and Evacuation System CER- 1360-19-002; (1) RMS #14 Rebar Bender CER-1260-19-004; (1) Schnell Reta 20 Straightening Machine Super UL CER- 1431-18-005; (1) Automatic Stirrup Bender CER-1431-19-002; (1) Double Bender Robomaster/60/50 ft Mirror CER- 1260-19-003; (1) Schnell Robomaster Bender CER-1230-19-002; (1) Schnell Coil 16 Pack2 3D Bender CER-1330-19- 001. 10. BMO HARRIS EQUIPMENT FINANCE COMPANY 12/7/2018 Lease: (1) 219 Volvo L180H Wheel Loader with Loader Bucket; (1) Bobcat s70 Skid Steer Loader CER-1055-19-043; (1) Bobcat BKLGP Bucket; (1) Volvo L150H Wheel Loader CER-1030-19-009; (1) Volvo L150H Wheel Loader CER- 1030-19-009; (1) Waldon 6000C Loader; (1) Caterpillar 906M CER-2683-19-007; (1) Caterpillar 906M Wheel Loader CER- 2737-18-006. 11. BANK OF MONTREAL 3/6/2019 (1) KRB H-4100 Shear CER-1200-19- 003; (1) KRB Conveyor CER-1200-19- 004; (1) KRB H-4100 Shear CER-1200- 19-003; (1) KRB Conveyor CER-1200- 19-004; (1) KRB Conveyor CER-1200- 19-004; (1) KRB H-4100 Shear CER- 1200-19-003; (1) RMS Shearline CER- 1451-18-022; (1) RMS Ultra Radius Bedoer CER-1454-18-003; (1) RMS Ultra Radius Bedoer CER-1454-18-003; (1) RMS Shearline CER-1451-18-022; (l) RMS Ultra Radius Bedoer CER-1454-18- 003; (1) RMS Shearline CER-1451-18- 022; (1) Schilt RMS Double Bender CER 1340-19- 005; (1) Schnell Formula /14 Bender CER-1434-10-003; (1) Schnell Bar Wiser 22 N Multifeed Bender CER- 1391-18-014; (1) Schnell Bar Wiser 22 N Multifeed Bender CER-1451-18-019; (1) Schnell Bar Wiser 22 N Multifeed Bender CER-1340-18-025; (1) Schnell Formula


 
Schedule 7.01 ACTIVE 682595819v6 /14 Bender CER-1247-18-001; (1) Schnell Bar Wiser 22 N Multifeed Bender CER-1451-18-019; (1) Schnell Bar Wiser 22 N Multifeed Bender CER-1340-18- 025; (1) Stirrup Bender Machine Mod. Bar Wiser 22N Multifeed CER-1200-18- 007; (1) Schnell Formula /14 Bender CER-1434-10-003; (1) Schnell Formula /14 Bender CER-1247-18-001; (1) Parts CER-1340-18-025; (1) Schnell Bar Wiser 22 N Multifeed Bender CER-1340-18- 025; (1) Schnell Formula /14 Bender CER-1247-18- 001; (1) Stirrup Bender Machine Mod. Bar Wiser 22N Multifeed CER-1200-18-007; (1) Schnell Formula /14 Bender CER-1434-10-003; (1) Schnell Bar Wiser 22 N Multifeed Bender CER-1340-18-025; (1) Schnell Bar Wiser 22 N Multifeed Bender CER-1451-18- 019; (1) Parts CER-1340-18-025; (1) Schnell Formula /14 Bender CER-1434- 10-003; (1) Stirrup Bender Machine Mod. Bar Wiser 22N Multifeed CER-1200-18- 007. 12. BANK OF MONTREAL 3/7/2019 (1) KRB H-4100 Shear CER-1200-19- 003; (1) KRB Conveyor CER-1200-19- 004; (1) KRB H-4100 Shear CER-1200- 19-003; (1) KRB Conveyor CER-1200- 19-004; (1) KRB Conveyor CER-1200- 19-004; (1) KRB H-4100 Shear CER- 1200-19-003; (1) RMS Shearline CER- 1451-18-022; (1) RMS Ultra Radius Bedoer CER-1454-18-003; (1) RMS Ultra Radius Bedoer CER-1454-18-003; (1) RMS Shearline CER-1451-18-022; (l) RMS Ultra Radius Bedoer CER-1454-18- 003; (1) RMS Shearline CER-1451-18- 022; (1) Schilt RMS Double Bender CER 1340-19- 005; (1) Schnell Formula /14 Bender CER-1434-10-003; (1) Schnell Bar Wiser 22 N Multifeed Bender CER- 1391-18-014; (1) Schnell Bar Wiser 22 N Multifeed Bender CER-1451-18-019; (1) Schnell Bar Wiser 22 N Multifeed Bender CER-1340-18-025; (1) Schnell Formula /14 Bender CER-1247-18-001; (1) Schnell Bar Wiser 22 N Multifeed Bender CER-1451-18-019; (1) Schnell Bar Wiser 22 N Multifeed Bender CER-1340-18- 025; (1) Stirrup Bender Machine Mod. Bar Wiser 22N Multifeed CER-1200-18- 007; (1) Schnell Formula /14 Bender CER-1434-10-003; (1) Schnell Formula /14 Bender CER-1247-18-001; (1) Parts CER-1340-18-025; (1) Schnell Bar Wiser


 
Schedule 7.01 ACTIVE 682595819v6 22 N Multifeed Bender CER-1340-18- 025; (1) Schnell Formula /14 Bender CER-1247-18- 001; (1) Stirrup Bender Machine Mod. Bar Wiser 22N Multifeed CER-1200-18-007; (1) Schnell Formula /14 Bender CER-1434-10-003; (1) Schnell Bar Wiser 22 N Multifeed Bender CER-1340-18-025; (1) Schnell Bar Wiser 22 N Multifeed Bender CER-1451-18- 019; (1) Parts CER-1340-18-025; (1) Schnell Formula /14 Bender CER-1434- 10-003; (1) Stirrup Bender Machine Mod. Bar Wiser 22N Multifeed CER-1200-18- 007. 13. BANK OF MONTREAL 3/22/2019 Lease: (1) Case CER-2695-18-004 SV340 Skid Steer Loader; (1) Cat CER- 2738-19-0036 262D OS1 Skid-Steer Loader; CER-2738-19-0036; (1) Cat 262D OS1 Skid-Steer Loader CER-2738- 19-0036; (1) Cat SS BKIG 72 Bucket; (1) Cat SS BKIG 72 Bucket; (1) Bobcat S850 Skid-Steer Loader with Bucket; (1) Caterpillar 938M Loader CER-2692-19- 002; (1) 2019 Caterpillar 926M Wheel Loader CER-2686-19-001; (1) 2019 Caterpillar 926M Wheel Loader CER- 2687-19-001; (1) Caterpillar 226D L1 Skid Steer Loader CER-1070-19-014; (1) Volvo L30GS Compact Wheel Loader CER-2684-10-002. 14. BANK OF MONTREAL 7/17/2019 Lease: (2) Shear Consoles for CER-1475- 19-057; (1) Service; (1) MEP Format 16 H.S.; (1) Evacuating Pocket Assembly; (1) MagnaBend 211R Double Bender RH;48FT (15M); (1) 60ft. Gage Table Assembly, 36” PL, RH, S/D; (1) Machine for the production of stirrups; (1) Bender; (1) Service performed; (1) DBS2-60 Double Bender; (1) DBS2-60-N Double Bender; (1) RMS Ultra Radius Bender and Epoxy Rolls; (1) Double Bender; (1) Schnell Coil/20 Bender; (1) Freight; (1) Conveyor; (1) Bender; (1) Shear Assembly; (1) Schnell Reta 20 Straightening Machine; (2) Benders; (1) Shaping and Stirrup Bender; (1) Shearline; (1) RMS Spiral FAB to include a Structural Steel Base, Heavy Duty Coil Carousel and Micro Control System; (1) Duel End Bending Machine; (1) Hytrol conveyor system; (1) Shearline; (1) RMS Schilt Double Bender; (1) Robomaster 60 EVO Double Bender; (1) RMS Shearline to include a 611 HD shear; (1) Double Bender; (1) Two Chain Buffer System;


 
Schedule 7.01 ACTIVE 682595819v6 (1) Coil 20 for Coil 20 EVO CFD UL- CSA; (2) Stirrup Benders; (3) EVG PCX 16A Wire and Coiled Rebar Straightening Machines. See UCC for S/Ns 15. BANK OF MONTREAL 7/17/2019 New Loaders; (1) 2019 Bobcat S450 T4 Compact Skid Loader with Low Profile Bucket CER-1030-19-050; (1) 2019 Bobcat S450 T4 Compact Skid Loader with Low Profile Bucket CER-1030-19-049; (1) Only x New Flip Screen (Green & Black) with Smart Valve CER-2695-19-005; (1) Caterpillar 914M Mini Compact Wheel Loader CER-2692-19-002; (1) 2019 Caterpillar 930M Wheel Loader CER-2695-19-005; (1) 2019 Caterpillar 950GC CER-1020- 20-003; (1) 2020 Cat 262D3 Skid Steer S/ZB200966N; (1) 2020 Cat 262D3 Skid Steer; (1) 2020 Caterpillar 966H Loader; (1) 2020 Volvo L150H Loader; (1) HEIT. 16. WELLS FARGO EQUIPMENT FINANCE, INC. 9/6/2019 Lease: one (1) 2019 Sennebogen 850M Material Handler s/n: 85003036; one (1) Young 4Tine Scrap Grapple s/n: LO- 200D-87; one (1) Walker Scrapmaster II Magnet s/n: 810816 17. WELLS FARGO EQUIPMENT FINANCE, INC. 12/3/2019 Lease: one (1) 2019 Sennebogen 830M- HD-S Material Handler s/n: 83002862; one (1) Young 4Tine Scrap Grapple s/n: LO150D-134 18. BANK OF MONTREAL 2/14/2020 (1) 2020 Tymco DST-6 Steet Sweeper mounted on a 2019 Peterbilt 3BPPHM7X2KF592510, 20190SSN561197DSTBAH. 19. BANK OF MONTREAL 6/30/2020 New shear lines and benders, wheel loaders, wire choppers, other manufacturing equipment, mobile equipment and rolling stock. 20. BANK OF MONTREAL 6/30/2020 New shear lines and benders, wheel loaders, wire choppers, other manufacturing equipment, mobile equipment and rolling stock. 21. BANK OF MONTREAL 6/30/2020 New shear lines and benders, wheel loaders, wire choppers, other manufacturing equipment, mobile equipment and rolling stock. 22. FIFTH THIRD BANK, NATIONAL ASSOCIATION 2/24/2021 Equipment, machinery and other personal property financed or leased under Master Equipment Lease Agreement dated August 25, 2010 and Interim Funding


 
Schedule 7.01 ACTIVE 682595819v6 Schedule No. 004 dated February 17, 2021, and proceeds thereof. 23. WELLS FARGO EQUIPMENT FINANCE INC 9/15/2021 One (1) 2021 Sennebogen Material Handler SIN 835.0.2888 together with all replacements, substitutions, parts, improvements, repairs, and accessories, and all additions incorporated therein or affixed thereto being referred to herein as the "Equipment" This transaction is intended to be a true lease and not a security transaction and the filing of this financing statement is not an admission that the transaction is other than a true lease. Equipment originally located at: 419 Atando Avenue, Charlotte, NC 28206 24. WELLS FARGO EQUIPMENT FINANCE INC 8/1/2021 One (1) Volvo EC380EL Crawler Excavator S/N 380E312039; One (1) SENNEBOGEN 850M Multihandler S/N 85003134 together with all replacements, substitutions, parts, improvements, repairs, and accessories, and all additions incorporated therein or affixed thereto being referred to herein as the "Equipment" Equipment Original Location: 2061 Nazareth Church Road, Spartanburg, SC 29301 SMI STEEL LLC 1. WELLS FARGO BANK, N.A., AS ADMINISTRATIVE AGENT 4/6/2011 (i) All Receivables existing as of the close of business on the Initial Cutoff Date or thereafter arising from time to time prior to the date the Sale Agreement terminates pursuant to its terms, (ii) all Related Security relating thereto, (iii) all Collections thereof, (iv) each Lock-Box and each Lock-Box Account, and (v) all proceeds of any of the foregoing. “Receivable” means the indebtedness and other obligations owed to an Originator, whether constituting an account, chattel paper, an instrument or general intangible, arising from the sale of goods or provision of services by a division of such Originator listed on Schedule 2 (see Exhibit A attached to Financing Statement for complete collateral description). 2. BMO HARRIS EQUIPMENT FINANCE COMPANY 2/15/2017 Lease: one (1) Sierra RB6000 Baler/Logger Portable with Crane, Cummins Diesel Engine with Air


 
Schedule 7.01 ACTIVE 682595819v6 Conditioning, S/N IA9L84935HA245722, 0424716 3. BMO HARRIS EQUIPMENT FINANCE COMPANY 2/15/2017 Lease: one (1) Sierra RB6000 Baler/Logger Portable with Crane, Cummins Diesel Engine with Air Conditioning, S/N IA9L849333HA24721, 0324616 4. BMO HARRIS EQUIPMENT FINANCE COMPANY 4/4/2017 Lease: Eight (8) 2018 Great Dane 53’ Flatbed Trailers; two (2) 2018 Clement ROT3645ETBR Roll off Trailers; one (1) 2017 Clement Monstar 89 Trailer; one (1) Rhino 68000 Round Bottom Semi Trailer; six (6) 2018 Fontaine Platform Trailers; one (1) 2018 Fontaine Trailer; two (2) 2018 Monstar 89 Clement Trailers; one (1) 2018 Clement Gondola Trailer; (1) one (1) 2018 Clement Scrapstar Trailer. 5. BMO HARRIS EQUIPMENT FINANCE COMPANY 3/26/2018 Lease: (1) Cat 242D OSI Skid Steer CER- 1090-17-001; (1) Cat 906M Mini Compact Wheel Loader ID NO: HLK032726; (1) Cat 906M CWL Wheel Loader ID NO: HCT010237; (1) Cat 966M Wheel Loader CER-2697-18-001; (1) Loadrite LR2180- ROT-SYSTEM, ROT, TRIG mounted on CER02697-18-001 6. BMO HARRIS EQUIPMENT FINANCE COMPANY 3/26/2018 Shear Lines and Benders 7. BANK OF MONTREAL 5/1/2018 Lease: six (6) Wendt Wire Chopper Systems. See UCC for S/Ns. 8. BMO HARRIS EQUIPMENT FINANCE COMPANY 7/13/2018 (1) Cat 242D OS1 Skid Steer CER-1090- 17-001, S/N DZT04199; (1) Cat 906M Mini Compact Wheel Loader ID NO: 8LK032726 86602470; (1) Cat 906M CWL Wheel Loader ID NO: 8CT010237 86602764; (1) Cat 966M Wheel Loader CER-2697-18-001, S/N ICJP02770; (1) Loadrite LR2180-ROT-SYSTEM, ROT, TRIG mounted on CER-2697-18-001 2697-18-001. 9. BMO HARRIS EQUIPMENT FINANCE COMPANY 8/20/2018 (1) KRB #14 Mechanical Table Bender CER 1432-18-002; (1) KRB Conveyors and Racks CER 1235-18-001; (1) KRB Conveyors, Guillotine Shear, Racks, Pockets CER-1330-18-001; (1) RMS / Schilt Double Bender CER-1360-18-008; (1) RMS Spiral-Fab Machine CER-1432- 18-004; (1) RMS #11 Bender CER-1545- 18-006; (1) RMS Ultra Raduis Machine CER-1300-18-009; (1) Schnell Bar Wiser 22 N Multifeed Bender CER-1390-18-002.


 
Schedule 7.01 ACTIVE 682595819v6 10. BMO HARRIS EQUIPMENT FINANCE COMPANY 12/4/2018 (1) Multiradius Bend 36 CER-1300-18- 008; (1) RMS #18 Table Bender CER- 1247-19-001; (1) RMS Ultra Radius Machine CER-1450-19-006; (1) RMS Shearline and Evacuation System CER- 1360-19-002; (1) RMS #14 Rebar Bender CER-1260-19-004; (1) Schnell Reta 20 Straightening Machine Super UL CER- 1431-18-005; (1) Automatic Stirrup Bender CER-1431-19-002; (1) Double Bender Robomaster/60/50 ft Mirror CER- 1260-19-003; (1) Schnell Robomaster Bender CER-1230-19-002; (1) Schnell Coil 16 Pack2 3D Bender CER-1330-19- 001. 11. BMO HARRIS EQUIPMENT FINANCE COMPANY 12/7/2018 Lease: (1) 219 Volvo L180H Wheel Loader with Loader Bucket; (1) Bobcat s70 Skid Steer Loader CER-1055-19-043; (1) Bobcat BKLGP Bucket; (1) Volvo L150H Wheel Loader CER-1030-19-009; (1) Volvo L150H Wheel Loader CER- 1030-19-009; (1) Waldon 6000C Loader; (1) Caterpillar 906M CER-2683-19-007; (1) Caterpillar 906M Wheel Loader CER- 2737-18-006. 12. BANK OF MONTREAL 3/7/2019 (1) KRB H-4100 Shear CER-1200-19-003; (1) KRB Conveyor CER-1200-19-004; (1) KRB H-4100 Shear CER-1200-19-003; (1) KRB Conveyor CER-1200-19-004; (1) KRB Conveyor CER-1200-19-004; (1) KRB H-4100 Shear CER-1200-19-003; (1) RMS Shearline CER-1451-18-022; (1) RMS Ultra Radius Bedoer CER-1454-18- 003; (1) RMS Ultra Radius Bedoer CER- 1454-18-003; (1) RMS Shearline CER- 1451-18-022; (l) RMS Ultra Radius Bedoer CER-1454-18-003; (1) RMS Shearline CER-1451-18-022; (1) Schilt RMS Double Bender CER 1340-19- 005; (1) Schnell Formula /14 Bender CER- 1434-10-003; (1) Schnell Bar Wiser 22 N Multifeed Bender CER- 1391-18-014; (1) Schnell Bar Wiser 22 N Multifeed Bender CER-1451-18-019; (1) Schnell Bar Wiser 22 N Multifeed Bender CER-1340-18-025; (1) Schnell Formula /14 Bender CER- 1247-18-001; (1) Schnell Bar Wiser 22 N Multifeed Bender CER-1451-18-019; (1) Schnell Bar Wiser 22 N Multifeed Bender CER-1340-18-025; (1) Stirrup Bender Machine Mod. Bar Wiser 22N Multifeed CER-1200-18-007; (1) Schnell Formula /14 Bender CER-1434-10-003; (1) Schnell Formula /14 Bender CER-1247-18-001; (1) Parts CER-1340-18-025; (1) Schnell


 
Schedule 7.01 ACTIVE 682595819v6 Bar Wiser 22 N Multifeed Bender CER- 1340-18-025; (1) Schnell Formula /14 Bender CER-1247-18- 001; (1) Stirrup Bender Machine Mod. Bar Wiser 22N Multifeed CER-1200-18-007; (1) Schnell Formula /14 Bender CER-1434-10-003; (1) Schnell Bar Wiser 22 N Multifeed Bender CER-1340-18-025; (1) Schnell Bar Wiser 22 N Multifeed Bender CER-1451- 18-019; (1) Parts CER-1340-18-025; (1) Schnell Formula /14 Bender CER-1434- 10-003; (1) Stirrup Bender Machine Mod. Bar Wiser 22N Multifeed CER-1200-18- 007. 13. BANK OF MONTREAL 3/22/2019 Lease: (1) Case CER-2695-18-004 SV340 Skid Steer Loader; (1) Cat CER-2738-19- 0036 262D OS1 Skid-Steer Loader; CER- 2738-19-0036; (1) Cat 262D OS1 Skid- Steer Loader CER-2738-19-0036; (1) Cat SS BKIG 72 Bucket; (1) Cat SS BKIG 72 Bucket; (1) Bobcat S850 Skid-Steer Loader with Bucket; (1) Caterpillar 938M Loader CER-2692-19-002; (1) 2019 Caterpillar 926M Wheel Loader CER- 2686-19-001; (1) 2019 Caterpillar 926M Wheel Loader CER-2687-19-001; (1) Caterpillar 226D L1 Skid Steer Loader CER-1070-19-014; (1) Volvo L30GS Compact Wheel Loader CER-2684-10- 002. 14. BANK OF MONTREAL 7/17/2019 Lease: (2) Shear Consoles for CER-1475- 19-057; (1) Service; (1) MEP Format 16 H.S.; (1) Evacuating Pocket Assembly; (1) MagnaBend 211R Double Bender RH;48FT (15M); (1) 60ft. Gage Table Assembly, 36” PL, RH, S/D; (1) Machine for the production of stirrups; (1) Bender; (1) Service performed; (1) DBS2-60 Double Bender; (1) DBS2-60-N Double Bender; (1) RMS Ultra Radius Bender and Epoxy Rolls; (1) Double Bender; (1) Schnell Coil/20 Bender; (1) Freight; (1) Conveyor; (1) Bender; (1) Shear Assembly; (1) Schnell Reta 20 Straightening Machine; (2) Benders; (1) Shaping and Stirrup Bender; (1) Shearline; (1) RMS Spiral FAB to include a Structural Steel Base, Heavy Duty Coil Carousel and Micro Control System; (1) Duel End Bending Machine; (1) Hytrol conveyor system; (1) Shearline; (1) RMS Schilt Double Bender; (1) Robomaster 60 EVO Double Bender; (1) RMS Shearline to include a 611 HD shear; (1) Double Bender; (1) Two Chain Buffer System; (1)


 
Schedule 7.01 ACTIVE 682595819v6 Coil 20 for Coil 20 EVO CFD UL-CSA; (2) Stirrup Benders; (1) EVG PCX 16A Wire and Coiled Rebar Straightening Machine. See UCC for S/Ns 15. BANK OF MONTREAL 7/17/2019 New Loaders; (1) 2019 Bobcat S450 T4 Compact Skid Loader with Low Profile Bucket CER-1030-19-050; (1) 2019 Bobcat S450 T4 Compact Skid Loader with Low Profile Bucket CER-1030-19-049; (1) Only x New Flip Screen (Green & Black) with Smart Valve CER-2695-19-005; (1) Caterpillar 914M Mini Compact Wheel Loader CER-2692- 19-002; (1) 2019 Caterpillar 930M Wheel Loader CER-2695-19-005; (1) 2019 Caterpillar 950GC CER-1020-20-003; (1) 2020 Cat 262D3 Skid Steer S/ZB200966N; (1) 2020 Cat 262D3 Skid Steer; (1) 2020 Caterpillar 966H Loader; (1) 2020 Volvo L150H Loader; (1) HEIT. 16. BANK OF MONTREAL 2/14/2020 (1) 2020 Tymco DST-6 Steet Sweeper mounted on a 2019 Peterbilt 3BPPHM7X2KF592510, 20190SSN561197DSTBAH. 17. BANK OF MONTREAL 7/1/2020 Lease: (1) aSa Shear Console for Special Build Line; (1) FREIGHT; (1) Console, misc, shipping; (1) Shear Assembly; (1) SCHILT/ RMS DOUBLE BENDER; (1) Shear and Table; (1) Automatic Stirrup Bender Coil20; (1) final payment EVG Wire and Coiled Rebar Straightening. 18. FIFTH THIRD BANK, NATIONAL ASSOCIATION 2/25/2021 Equipment, machinery and other personal property financed or leased under Master Equipment Lease Agreement dated August 25, 2010 and Interim Funding Schedule No. 004 dated February 17, 2021, and proceeds thereof. SMI-OWEN STEEL COMPANY, INC. 1. BB&T EQUIPMENT FINANCE CORPORATION 12/27/2013 Lease: Yale GDP155VXNJBV108 Lift Truck. 2. BMO HARRIS EQUIPMENT FINANCE COMPANY 2/14/2017 Lease: one (1) Sierra RB6000 Baler/Logger Portable with Crane, Cummins Diesel Engine with Air Conditioning, S/N IA9L84935HA245722, 0424716 3. BMO HARRIS EQUIPMENT FINANCE COMPANY 2/14/2017 Lease: one (1) Sierra RB6000 Baler/Logger Portable with Crane, Cummins Diesel Engine with Air


 
Schedule 7.01 ACTIVE 682595819v6 Conditioning, S/N IA9L849333HA24721, 0324616 4. BMO HARRIS EQUIPMENT FINANCE COMPANY 4/3/2017 Lease: Eight (8) 2018 Great Dane 53’ Flatbed Trailers; two (2) 2018 Clement ROT3645ETBR Roll off Trailers; one (1) 2017 Clement Monstar 89 Trailer; one (1) Rhino 68000 Round Bottom Semi Trailer; six (6) 2018 Fontaine Platform Trailers; one (1) 2018 Fontaine Trailer; two (2) 2018 Monstar 89 Clement Trailers; one (1) 2018 Clement Gondola Trailer; (1) one (1) 2018 Clement Scrapstar Trailer. 5. BMO HARRIS EQUIPMENT FINANCE COMPANY 3/23/2018 Shear Lines and Benders 6. BMO HARRIS EQUIPMENT FINANCE COMPANY 3/23/2018 Lease: (1) Cat 242D OSI Skid Steer CER- 1090-17-001; (1) Cat 906M Mini Compact Wheel Loader ID NO: HLK032726; (1) Cat 906M CWL Wheel Loader ID NO: HCT010237; (1) Cat 966M Wheel Loader CER-2697-18-001; (1) Loadrite LR2180-ROT-SYSTEM, ROT, TRIG mounted on CER02697-18- 001 7. BANK OF MONTREAL 4/27/2018 Lease: six (6) Wendt Wire Chopper Systems. See UCC for S/Ns. 8. BMO HARRIS EQUIPMENT FINANCE COMPANY 7/13/2018 (1) Cat 242D OS1 Skid Steer CER-1090- 17-001, S/N DZT04199; (1) Cat 906M Mini Compact Wheel Loader ID NO: 8LK032726 86602470; (1) Cat 906M CWL Wheel Loader ID NO: 8CT010237 86602764; (1) Cat 966M Wheel Loader CER-2697-18-001, S/N ICJP02770; (1) Loadrite LR2180-ROT-SYSTEM, ROT, TRIG mounted on CER-2697-18-001 2697-18-001. 9. BMO HARRIS EQUIPMENT FINANCE COMPANY 8/20/2018 (1) KRB #14 Mechanical Table Bender CER 1432-18-002; (1) KRB Conveyors and Racks CER 1235-18-001; (1) KRB Conveyors, Guillotine Shear, Racks, Pockets CER-1330-18-001; (1) RMS / Schilt Double Bender CER-1360-18-008; (1) RMS Spiral-Fab Machine CER-1432- 18-004; (1) RMS #11 Bender CER-1545- 18-006; (1) RMS Ultra Raduis Machine CER-1300-18-009; (1) Schnell Bar Wiser 22 N Multifeed Bender CER-1390-18- 002.


 
Schedule 7.01 ACTIVE 682595819v6 10. BMO HARRIS EQUIPMENT FINANCE COMPANY 12/4/2018 (1) Multiradius Bend 36 CER-1300-18- 008; (1) RMS #18 Table Bender CER- 1247-19-001; (1) RMS Ultra Radius Machine CER-1450-19-006; (1) RMS Shearline and Evacuation System CER- 1360-19-002; (1) RMS #14 Rebar Bender CER-1260-19-004; (1) Schnell Reta 20 Straightening Machine Super UL CER- 1431-18-005; (1) Automatic Stirrup Bender CER-1431-19-002; (1) Double Bender Robomaster/60/50 ft Mirror CER- 1260-19-003; (1) Schnell Robomaster Bender CER-1230-19-002; (1) Schnell Coil 16 Pack2 3D Bender CER-1330-19- 001. 11. BMO HARRIS EQUIPMENT FINANCE COMPANY 12/7/2018 Lease: (1) 219 Volvo L180H Wheel Loader with Loader Bucket; (1) Bobcat s70 Skid Steer Loader CER-1055-19-043; (1) Bobcat BKLGP Bucket; (1) Volvo L150H Wheel Loader CER-1030-19-009; (1) Volvo L150H Wheel Loader CER- 1030-19-009; (1) Waldon 6000C Loader; (1) Caterpillar 906M CER-2683-19-007; (1) Caterpillar 906M Wheel Loader CER- 2737-18-006. 12. BANK OF MONTREAL 3/6/2019 (1) KRB H-4100 Shear CER-1200-19- 003; (1) KRB Conveyor CER-1200-19- 004; (1) KRB H-4100 Shear CER-1200- 19-003; (1) KRB Conveyor CER-1200- 19-004; (1) KRB Conveyor CER-1200- 19-004; (1) KRB H-4100 Shear CER- 1200-19-003; (1) RMS Shearline CER- 1451-18-022; (1) RMS Ultra Radius Bedoer CER-1454-18-003; (1) RMS Ultra Radius Bedoer CER-1454-18-003; (1) RMS Shearline CER-1451-18-022; (l) RMS Ultra Radius Bedoer CER-1454-18- 003; (1) RMS Shearline CER-1451-18- 022; (1) Schilt RMS Double Bender CER 1340-19- 005; (1) Schnell Formula /14 Bender CER-1434-10-003; (1) Schnell Bar Wiser 22 N Multifeed Bender CER- 1391-18-014; (1) Schnell Bar Wiser 22 N Multifeed Bender CER-1451-18-019; (1) Schnell Bar Wiser 22 N Multifeed Bender CER-1340-18-025; (1) Schnell Formula /14 Bender CER-1247-18-001; (1) Schnell Bar Wiser 22 N Multifeed Bender CER- 1451-18-019; (1) Schnell Bar Wiser 22 N Multifeed Bender CER-1340-18-025; (1) Stirrup Bender Machine Mod. Bar Wiser 22N Multifeed CER-1200-18-007; (1) Schnell Formula /14 Bender CER-1434- 10-003; (1) Schnell Formula /14 Bender CER-1247-18-001; (1) Parts CER-1340-


 
Schedule 7.01 ACTIVE 682595819v6 18-025; (1) Schnell Bar Wiser 22 N Multifeed Bender CER-1340-18-025; (1) Schnell Formula /14 Bender CER-1247- 18- 001; (1) Stirrup Bender Machine Mod. Bar Wiser 22N Multifeed CER- 1200-18-007; (1) Schnell Formula /14 Bender CER-1434-10-003; (1) Schnell Bar Wiser 22 N Multifeed Bender CER- 1340-18-025; (1) Schnell Bar Wiser 22 N Multifeed Bender CER-1451-18-019; (1) Parts CER-1340-18-025; (1) Schnell Formula /14 Bender CER-1434-10-003; (1) Stirrup Bender Machine Mod. Bar Wiser 22N Multifeed CER-1200-18-007. 13. BANK OF MONTREAL 3/7/2019 (1) KRB H-4100 Shear CER-1200-19- 003; (1) KRB Conveyor CER-1200-19- 004; (1) KRB H-4100 Shear CER-1200- 19-003; (1) KRB Conveyor CER-1200- 19-004; (1) KRB Conveyor CER-1200- 19-004; (1) KRB H-4100 Shear CER- 1200-19-003; (1) RMS Shearline CER- 1451-18-022; (1) RMS Ultra Radius Bedoer CER-1454-18-003; (1) RMS Ultra Radius Bedoer CER-1454-18-003; (1) RMS Shearline CER-1451-18-022; (l) RMS Ultra Radius Bedoer CER-1454-18- 003; (1) RMS Shearline CER-1451-18- 022; (1) Schilt RMS Double Bender CER 1340-19- 005; (1) Schnell Formula /14 Bender CER-1434-10-003; (1) Schnell Bar Wiser 22 N Multifeed Bender CER- 1391-18-014; (1) Schnell Bar Wiser 22 N Multifeed Bender CER-1451-18-019; (1) Schnell Bar Wiser 22 N Multifeed Bender CER-1340-18-025; (1) Schnell Formula /14 Bender CER-1247-18-001; (1) Schnell Bar Wiser 22 N Multifeed Bender CER- 1451-18-019; (1) Schnell Bar Wiser 22 N Multifeed Bender CER-1340-18-025; (1) Stirrup Bender Machine Mod. Bar Wiser 22N Multifeed CER-1200-18-007; (1) Schnell Formula /14 Bender CER-1434- 10-003; (1) Schnell Formula /14 Bender CER-1247-18-001; (1) Parts CER-1340- 18-025; (1) Schnell Bar Wiser 22 N Multifeed Bender CER-1340-18-025; (1) Schnell Formula /14 Bender CER-1247- 18- 001; (1) Stirrup Bender Machine Mod. Bar Wiser 22N Multifeed CER- 1200-18-007; (1) Schnell Formula /14 Bender CER-1434-10-003; (1) Schnell Bar Wiser 22 N Multifeed Bender CER- 1340-18-025; (1) Schnell Bar Wiser 22 N Multifeed Bender CER-1451-18-019; (1) Parts CER-1340-18-025; (1) Schnell


 
Schedule 7.01 ACTIVE 682595819v6 Formula /14 Bender CER-1434-10-003; (1) Stirrup Bender Machine Mod. Bar Wiser 22N Multifeed CER-1200-18-007. 14. BANK OF MONTREAL 3/22/2019 Lease: (1) Case CER-2695-18-004 SV340 Skid Steer Loader; (1) Cat CER-2738-19- 0036 262D OS1 Skid-Steer Loader; CER- 2738-19-0036; (1) Cat 262D OS1 Skid- Steer Loader CER-2738-19-0036; (1) Cat SS BKIG 72 Bucket; (1) Cat SS BKIG 72 Bucket; (1) Bobcat S850 Skid-Steer Loader with Bucket; (1) Caterpillar 938M Loader CER-2692-19-002; (1) 2019 Caterpillar 926M Wheel Loader CER- 2686-19-001; (1) 2019 Caterpillar 926M Wheel Loader CER-2687-19-001; (1) Caterpillar 226D L1 Skid Steer Loader CER-1070-19-014; (1) Volvo L30GS Compact Wheel Loader CER-2684-10- 002. 15. BANK OF MONTREAL 7/17/2019 Lease: (2) Shear Consoles for CER-1475- 19-057; (1) Service; (1) MEP Format 16 H.S.; (1) Evacuating Pocket Assembly; (1) MagnaBend 211R Double Bender RH;48FT (15M); (1) 60ft. Gage Table Assembly, 36” PL, RH, S/D; (1) Machine for the production of stirrups; (1) Bender; (1) Service performed; (1) DBS2-60 Double Bender; (1) DBS2-60-N Double Bender; (1) RMS Ultra Radius Bender and Epoxy Rolls; (1) Double Bender; (1) Schnell Coil/20 Bender; (1) Freight; (1) Conveyor; (1) Bender; (1) Shear Assembly; (1) Schnell Reta 20 Straightening Machine; (2) Benders; (1) Shaping and Stirrup Bender; (1) Shearline; (1) RMS Spiral FAB to include a Structural Steel Base, Heavy Duty Coil Carousel and Micro Control System; (1) Duel End Bending Machine; (1) Hytrol conveyor system; (1) Shearline; (1) RMS Schilt Double Bender; (1) Robomaster 60 EVO Double Bender; (1) RMS Shearline to include a 611 HD shear; (1) Double Bender; (1) Two Chain Buffer System; (1) Coil 20 for Coil 20 EVO CFD UL-CSA; (2) Stirrup Benders; (3) EVG PCX 16A Wire and Coiled Rebar Straightening Machines. See UCC for S/Ns 16. BANK OF MONTREAL 7/17/2019 New Loaders; (1) 2019 Bobcat S450 T4 Compact Skid Loader with Low Profile Bucket CER-1030-19-050; (1) 2019 Bobcat S450 T4 Compact Skid Loader with Low Profile Bucket CER-1030-19-049; (1) Only x New Flip


 
Schedule 7.01 ACTIVE 682595819v6 Screen (Green & Black) with Smart Valve CER-2695-19-005; (1) Caterpillar 914M Mini Compact Wheel Loader CER-2692- 19-002; (1) 2019 Caterpillar 930M Wheel Loader CER-2695-19-005; (1) 2019 Caterpillar 950GC CER-1020-20-003; (1) 2020 Cat 262D3 Skid Steer S/ZB200966N; (1) 2020 Cat 262D3 Skid Steer; (1) 2020 Caterpillar 966H Loader; (1) 2020 Volvo L150H Loader; (1) HEIT. 17. BANK OF MONTREAL 2/14/2020 (1) 2020 Tymco DST-6 Steet Sweeper mounted on a 2019 Peterbilt 3BPPHM7X2KF592510, 20190SSN561197DSTBAH. 18. BANK OF MONTREAL 6/30/2020 New shear lines and benders, wheel loaders, wire choppers, other manufacturing equipment, mobile equipment and rolling stock. 19. BANK OF MONTREAL 6/30/2020 New shear lines and benders, wheel loaders, wire choppers, other manufacturing equipment, mobile equipment and rolling stock. 20. BANK OF MONTREAL 6/30/2020 New shear lines and benders, wheel loaders, wire choppers, other manufacturing equipment, mobile equipment and rolling stock. 21. FIFTH THIRD BANK, NATIONAL ASSOCIATION 2/24/2021 Equipment, machinery and other personal property financed or leased under Master Equipment Lease Agreement dated August 25, 2010 and Interim Funding Schedule No. 004 dated February 17, 2021, and proceeds thereof. STRUCTURAL METALS, INC. 1. HYG FINANCIAL SERVICES, INC. 10/11/2007 All of the equipment now or hereafter leased by Lessor to Lessee 2. WELLS FARGO EQUIPMENT FINANCE, INC. 11/26/2013 Lease: One (1) Caterpillar 330D Material Handler; One (1) Young LO 75C Grapple. 3. BB&T EQUIPMENT FINANCE CORPORATION 2/18/2014 Lease: One (1) Caterpillar IT14G Compact Wheel Loader. 4. WELLS FARGO EQUIPMENT FINANCE, INC. 3/28/2014 Lease: One (1) Liebherr LH60M Hydraulic Scrap Handler w/Young LO125C Rotating Grapple. 5. U.S. BANK EQUIPMENT FINANCE, A DIVISION OF U.S. BANK 4/9/2014 Lease: One (1) Satellite Shelters 32’ X 62’ Locker/Break Room Complex.


 
Schedule 7.01 ACTIVE 682595819v6 NATIONAL ASSOCIATION 6. BB&T EQUIPMENT FINANCE CORPORATION 4/23/2014 Lease: Volvo L150G Wheel Loader w/Bucket. 7. WELLS FARGO EQUIPMENT FINANCE, INC. 8/5/2014 One (1) CAT MH3037 Wheel Material Handler 8. BB&T EQUIPMENT FINANCE CORPORATION 8/27/2014 Lease: One (1) New RB6000 Baler/Logger Portable with Crain S/N: 0622714 with 2014 Better Built King Pin Trailer VIN No.: 4MNFK4935E1001295 9. WELLS FARGO EQUIPMENT FINANCE, INC. 1/27/2016 Lease: One (1) New Caterpillar MH3037 Excavator, S/N KPM00233 with One (1) New Walker 57”D Scrapmaster II Magnet 10. WELLS FARGO EQUIPMENT FINANCE, INC. 6/24/2016 Lease: One (1) Genesis GXT 775 Mobile Shear Serial# 7751015 11. WELLS FARGO EQUIPMENT FINANCE, INC. 8/19/2016 Lease: One (1) Sennebogen Model 850M-D Material Handler Serial# 85001157, one (1) Young 1.25 CU Yd 4Tine Scrap Grapple Serial# LO125C- 216 and one (1) Crosshead Adapter, Female, 130K 12. BMO HARRIS EQUIPMENT FINANCE COMPANY 2/15/2017 One (1) Sierra RB6000 Baler/Logger Portable with Crane, Cummins Diesel Engine with Air Conditioning, S/N IA9L84935HA245722, 0424716 13. BMO HARRIS EQUIPMENT FINANCE COMPANY 2/15/2017 One (1) Sierra RB6000 Baler/Logger Portable with Crane, Cummins Diesel Engine with Air Conditioning, S/N IA9L849333HA24721, 0324616 14. BMO HARRIS EQUIPMENT FINANCE COMPANY 2/16/2017 Lease: Thirty-Four (34) 2017 Great Dane FLP-0024-00053 53’ Trailers; five (5) 2016 Clemont Monstar 99 45’ Scrap Trailers; See UCC for S/Ns. 15. WELLS FARGO EQUIPMENT FINANCE, INC. 3/23/2017 Lease: one (1) 2017 Shuttle-Lift SCD25 25 ton capacity Carry Deck Crane Serial# 322465 16. BMO HARRIS EQUIPMENT FINANCE COMPANY 4/3/2017 Lease: Eight (8) 2018 Great Dane 53’ Flatbed Trailers; two (2) 2018 Clement ROT3645ETBR Roll off Trailers; one (1) 2017 Clement Monstar 89 Trailer; one (1) Rhino 68000 Round Bottom Semi Trailer; six (6) 2018 Fontaine Platform Trailers; one (1) 2018 Fontaine Trailer; two (2) 2018 Monstar 89 Clement Trailers; one (1) 2018 Clement


 
Schedule 7.01 ACTIVE 682595819v6 Gondola Trailer; (1) one (1) 2018 Clement Scrapstar Trailer. 17. WELLS FARGO EQUIPMENT FINANCE, INC. 6/12/2017 Lease: one (1) 2016 Sennebogen 850M- D Material Handler, serial number 85001180 18. BANK OF MONTREAL 4/27/2018 Lease: six (6) Wendt Wire Chopper Systems. See UCC for S/Ns. 19. BMO HARRIS EQUIPMENT FINANCE COMPANY 7/13/2018 (1) Cat 242D OS1 Skid Steer CER- 1090-17-001, S/N DZT04199; (1) Cat 906M Mini Compact Wheel Loader ID NO: 8LK032726 86602470; (1) Cat 906M CWL Wheel Loader ID NO: 8CT010237 86602764; (1) Cat 966M Wheel Loader CER-2697-18-001, S/N ICJP02770; (1) Loadrite LR2180-ROT- SYSTEM, ROT, TRIG mounted on CER-2697-18-001 2697-18-001. 20. BMO HARRIS EQUIPMENT FINANCE COMPANY 8/20/2018 (1) KRB #14 Mechanical Table Bender CER 1432-18-002; (1) KRB Conveyors and Racks CER 1235-18-001; (1) KRB Conveyors, Guillotine Shear, Racks, Pockets CER-1330-18-001; (1) RMS / Schilt Double Bender CER-1360-18- 008; (1) RMS Spiral-Fab Machine CER- 1432-18-004; (1) RMS #11 Bender CER-1545-18-006; (1) RMS Ultra Raduis Machine CER-1300-18-009; (1) Schnell Bar Wiser 22 N Multifeed Bender CER-1390-18-002. 21. BMO HARRIS EQUIPMENT FINANCE COMPANY 12/4/2018 (1) Multiradius Bend 36 CER-1300-18- 008; (1) RMS #18 Table Bender CER- 1247-19-001; (1) RMS Ultra Radius Machine CER-1450-19-006; (1) RMS Shearline and Evacuation System CER- 1360-19-002; (1) RMS #14 Rebar Bender CER-1260-19-004; (1) Schnell Reta 20 Straightening Machine Super UL CER-1431-18-005; (1) Automatic Stirrup Bender CER-1431-19-002; (1) Double Bender Robomaster/60/50 ft Mirror CER-1260-19-003; (1) Schnell Robomaster Bender CER-1230-19-002; (1) Schnell Coil 16 Pack2 3D Bender CER-1330-19-001. 22. BMO HARRIS EQUIPMENT FINANCE COMPANY 12/7/2018 Lease: (1) 219 Volvo L180H Wheel Loader with Loader Bucket; (1) Bobcat s70 Skid Steer Loader CER-1055-19- 043; (1) Bobcat BKLGP Bucket; (1) Volvo L150H Wheel Loader CER-1030- 19-009; (1) Volvo L150H Wheel Loader CER-1030-19-009; (1) Waldon 6000C Loader; (1) Caterpillar 906M CER- 2683-19-007; (1) Caterpillar 906M Wheel Loader CER-2737-18-006.


 
Schedule 7.01 ACTIVE 682595819v6 23. BANK OF MONTREAL 3/6/2019 (1) KRB H-4100 Shear CER-1200-19- 003; (1) KRB Conveyor CER-1200-19- 004; (1) KRB H-4100 Shear CER-1200- 19-003; (1) KRB Conveyor CER-1200- 19-004; (1) KRB Conveyor CER-1200- 19-004; (1) KRB H-4100 Shear CER- 1200-19-003; (1) RMS Shearline CER- 1451-18-022; (1) RMS Ultra Radius Bedoer CER-1454-18-003; (1) RMS Ultra Radius Bedoer CER-1454-18-003; (1) RMS Shearline CER-1451-18-022; (l) RMS Ultra Radius Bedoer CER- 1454-18-003; (1) RMS Shearline CER- 1451-18-022; (1) Schilt RMS Double Bender CER 1340-19- 005; (1) Schnell Formula /14 Bender CER-1434-10-003; (1) Schnell Bar Wiser 22 N Multifeed Bender CER- 1391-18-014; (1) Schnell Bar Wiser 22 N Multifeed Bender CER- 1451-18-019; (1) Schnell Bar Wiser 22 N Multifeed Bender CER-1340-18-025; (1) Schnell Formula /14 Bender CER- 1247-18-001; (1) Schnell Bar Wiser 22 N Multifeed Bender CER-1451-18-019; (1) Schnell Bar Wiser 22 N Multifeed Bender CER-1340-18-025; (1) Stirrup Bender Machine Mod. Bar Wiser 22N Multifeed CER-1200-18-007; (1) Schnell Formula /14 Bender CER-1434- 10-003; (1) Schnell Formula /14 Bender CER-1247-18-001; (1) Parts CER-1340- 18-025; (1) Schnell Bar Wiser 22 N Multifeed Bender CER-1340-18-025; (1) Schnell Formula /14 Bender CER- 1247-18- 001; (1) Stirrup Bender Machine Mod. Bar Wiser 22N Multifeed CER-1200-18-007; (1) Schnell Formula /14 Bender CER-1434-10-003; (1) Schnell Bar Wiser 22 N Multifeed Bender CER-1340-18-025; (1) Schnell Bar Wiser 22 N Multifeed Bender CER- 1451-18-019; (1) Parts CER-1340-18- 025; (1) Schnell Formula /14 Bender CER-1434-10-003; (1) Stirrup Bender Machine Mod. Bar Wiser 22N Multifeed CER-1200-18-007. 24. BANK OF MONTREAL 3/22/2019 Lease: (1) Case CER-2695-18-004 SV340 Skid Steer Loader; (1) Cat CER- 2738-19-0036 262D OS1 Skid-Steer Loader; CER-2738-19-0036; (1) Cat 262D OS1 Skid-Steer Loader CER- 2738-19-0036; (1) Cat SS BKIG 72 Bucket; (1) Cat SS BKIG 72 Bucket; (1) Bobcat S850 Skid-Steer Loader with Bucket; (1) Caterpillar 938M Loader CER-2692-19-002; (1) 2019 Caterpillar


 
Schedule 7.01 ACTIVE 682595819v6 926M Wheel Loader CER-2686-19-001; (1) 2019 Caterpillar 926M Wheel Loader CER-2687-19-001; (1) Caterpillar 226D L1 Skid Steer Loader CER-1070-19-014; (1) Volvo L30GS Compact Wheel Loader CER-2684-10- 002. 25. WELLS FARGO BANK, N.A. 7/10/2019 One (1) Trackmobile Railcar Mover Model#: ATLAS T4 S/N: LGN1005530119 26. BANK OF MONTREAL 7/17/2019 Lease: New Benders Machines Including all attachments, accessories, appurtenances, accessions and substitutions relating thereto. Insurance proceeds on above; (2) Shear Consoles for CER-1475-19- 057; (1) Service; (1) MEP Format 16 H.S.; (1) Evacuating Pocket Assembly; (1) MagnaBend 211R Double Bender RH;48FT (15M); (1) 60ft. Gage Table Assembly, 36” PL, RH, S/D; (1) Machine for the production of stirrups; (1) Bender; (1) Service performed; (1) DBS2-60 Double Bender; (1) DBS2-60- N Double Bender; (1) RMS Ultra Radius Bender and Epoxy Rolls; (1) Double Bender; (1) Schnell Coil/20 Bender; (1) Freight; (1) Conveyor; (1) Bender; (1) Shear Assembly; (1) Schnell Reta 20 Straightening Machine; (2) Benders; (1) Shaping and Stirrup Bender; (1) Shearline; (1) RMS Spiral FAB to include a Structural Steel Base, Heavy Duty Coil Carousel and Micro Control System; (1) Duel End Bending Machine; (1) Hytrol conveyor system; (1) Shearline; (1) RMS Schilt Double Bender; (1) Robomaster 60 EVO Double Bender; (1) RMS Shearline to include a 611 HD shear; (1) Double Bender; (1) Two Chain Buffer System; (1) Coil 20 for Coil 20 EVO CFD UL-CSA; (2) Stirrup Benders; (1) EVG PCX 16A Wire and Coiled Rebar Straightening Machine. See UCC for S/Ns 27. BANK OF MONTREAL 7/17/2019 New Loaders; (1) 2019 Bobcat S450 T4 Compact Skid Loader with Low Profile Bucket CER-1030-19-050; (1) 2019 Bobcat S450 T4 Compact Skid Loader with Low Profile Bucket CER-1030-19-049; (1) Only x New Flip Screen (Green & Black) with Smart Valve CER-2695-19-005; (1) Caterpillar 914M Mini Compact Wheel Loader CER-2692-19-002; (1) 2019 Caterpillar 930M Wheel Loader CER-2695-19-005;


 
Schedule 7.01 ACTIVE 682595819v6 (1) 2019 Caterpillar 950GC CER-1020- 20-003; (1) 2020 Cat 262D3 Skid Steer S/ZB200966N; (1) 2020 Cat 262D3 Skid Steer; (1) 2020 Caterpillar 966H Loader; (1) 2020 Volvo L150H Loader; (1) HEIT. 28. BANK OF MONTREAL 2/14/2020 (1) 2020 Tymco DST-6 Steet Sweeper mounted on a 2019 Peterbilt 3BPPHM7X2KF592510, 20190SSN561197DSTBAH. 29. FIFTH THIRD BANK, NATIONAL ASSOCIATION 6/12/2020 1030-20-010 Kubota Skid Loader SSV65PHC s/n 52184 2734-20-002 2020 CAT 938M Wheel Loader s/n J3R08698 30. BANK OF MONTREAL 6/30/2020 New shear lines and benders, wheel loaders, wire choppers, other manufacturing equipment, mobile equipment and rolling stock. 31. WELLS FARGO BANK, N.A. 8/10/2020 1 Railcar Mover Serial# RCM12986 Model#: RK330 32. FIFTH THIRD BANK, NATIONAL ASSOCIATION 8/12/2020 Equipment, machinery and other personal property financed or leased under Master Equipment Lease Agreement dated August 25, 2010 and Interim Funding Schedule No. 003 dated March 4, 2020, and proceeds thereof. 33. WELLS FARGO EQUIPMENT FINANCE, INC. 9/9/2020 One (1) Sennebogen Model 850M Material Handling S/N 85003067 34. FIFTH THIRD BANK, NATIONAL ASSOCIATION 12/31/2020 One (1) 2020 Caterpillar 903D Mini Cab Compact Wheel Loader S/N: MZY01030 35. FIFTH THIRD BANK, NATIONAL ASSOCIATION 2/24/2021 Equipment, machinery and other personal property financed or leased under Master Equipment Lease Agreement dated August 25, 2010 and Interim Funding Schedule No. 004 dated February 17, 2021, and proceeds thereof. 36. WELLS FARGO EQUIPMENT FINANCE, INC. 6/23/2021 One (1) Rail King RK330 Rail Car Mover S/N P46799 as more fully described on invoice #F78566 from Taylor Machine Works, Inc. together with all replacements, substitutions, parts, improvements, repairs, and accessories and all additions incorporated therein or affixed thereto being referred to herein as the ""Equipment"". Equipment originally located at: 1 Steel Mill Drive, Seguin, TX 78155 This transaction is intended to be a true lease and not a security transaction and the filing of this


 
Schedule 7.01 ACTIVE 682595819v6 financing statement is not an admission that the transaction is other than a true lease. 37. WELLS FARGO EQUIPMENT FINANCE, INC. 9/10/2021 One (1) Komatsu PC490LC-11 Excavator S/N A42877 together with all replacements, substitutions, parts, improvements, repairs, and accessories and all additions incorporated therein or affixed thereto being referred to herein as the ""Equipment'"'. This transaction is intended to be a true lease and not a security transaction and the filing of this financing statement is not an admission that the transaction is other than a true lease. Equipment originally located at: 1 Steel Mill Dr., Seguin, TX 78155 38. FIFTH THIRD BANK, NATIONAL ASSOCIATION 12/23/2021 All of Debtor’s right, title and interest in the following (whether now existing or hereafter created and whether now owned or hereafter acquired): (1) the equipment described on exhibit attached hereto (inventory, equipment. fixtures or otherwise) {the equipment) and general intangibles relating thereto, (2) additions, attachments. accessories and accessions thereto whether or not furnished by the Supplier of such Equipment, (3) all subleases {including the right.to receive any payment thereunder and the right-to'-make any election or determination or give any consent or waiver thereunder), chattel paper, accounts, security deposits and bills of sale relating thereto, (4) any and all substitutions, replacements orꞏ exchanges for any such Equipment, and, (5) any and all products and proceeds of any collateral hereunder (including all insurance and requisition proceeds arid all other payments of any kind with respect to the equipment and other Collateral). 39. WELLS FARGO EQUIPMENT FINANCE, INC. 6/16/2021 The Equipment described on Schedule A to Contract #001-0011333-000 attached hereto and made a part hereof, together with all replacements, substitutions, parts, improvements, repairs, and accessories and all additions incorporated therein or affixed thereto being referred to herein as the “"Equipment"". This transaction is intended to be a true lease and,not a security transaction.and the filing of this financing statement is not an admission


 
Schedule 7.01 ACTIVE 682595819v6 that the transaction is other than a true lease. 40. U.S. BANK EQUIPMENT FINANCE, A DIVISION OF U.S. BANK NATIONAL ASSOCIATION 9/28/2022 ONE (1) 2019 CAPACITY TRUCK TRACTOR. MODEL T J6500, VIN: 4LMDF7139KL028431; TOGETHER WITH ALL REPLACEMENTS, PARTS, REPAIRS, ADDITIONS, ACCESSIONS AND ACCESSORIES INCORPORATED THEREIN OR AFFIXED OR ATTACHED THERETO AND ANY AND ALL PROCEEDS OF THE FOREGOING, INCLUDING, WITHOUT LIMITATION, INSURANCE RECOVERIES. ANY RECEIPT OF PROCEEDS OF THE COLLATERAL BY ANOTHER SECURED PARTY VIOLATES THE RIGHTS OF SECURED PARTY. CMC GH, LLC None CMC TENSAR HOLDINGS INC. None TAC HOLDCO, INC. None TENSAR CORPORATION None TENSAR HOLDINGS, LLC None TENSAR INTERNATIONAL, LLC None TENSAR INTERNATIONAL CORPORATION None GEOPIER FOUNDATION COMPANY, INC. None


 
4866-6269-9830 v.3 Schedule 7.02 ACTIVE 682595819v6 SCHEDULE 7.02 EXISTING INVESTMENTS 1. Intercompany Loan Agreement dated August 13, 2020, by and between CMC Poland Sp. z o.o., as Lender, and Commercial Metals Company, as Borrower, as amended by Amendment No 1 dated November 10, 2020. 2. CMC Poland Sp. z o.o. owns a 33% equity interest in Centrum Promocji Jakosci Stali Sp. z o.o., a Polish limited liability company.


 
Schedule 7.03 ACTIVE 682595819v6 SCHEDULE 7.03 EXISTING INDEBTEDNESS Existing Indebtedness Senior unsecured notes* $ 1,375,060,000 Poland Term Loan $ 32,439,424 Standby letters of credit $ 21,340,920 Capital leases $ 58,535,762 *Senior Unsecured Notes Maturity Coupon Face value 5/15/2023 4.875% $ 330,000,000 1/15/2030 4.125% $ 300,000,000 2/15/2031 3.875% $ 300,000,000 3/15/2032 4.375% $ 300,000,000 10/15/2047 4.00% $ 145,060,000


 
Schedule 11.01 ACTIVE 682595819v6 SCHEDULE 11.02 Administrative Agent’s Office; Certain Addresses for Notices Company: Commercial Metals Company 6565 North MacArthur Blvd., Suite 800 Irving, Texas 75039 Attn: Matthew McClellan Phone: 972-308-4724 Email: matthew.mcclellan@cmc.com Fax Number: 214-689-5886 Website Address: www.cmc.com With a Copy to: Commercial Metals Company 6565 North MacArthur Blvd., Suite 800 Irving, Texas 75039 Attn: Office of the General Counsel Fax Number: 214-689-5886 Commercial Metals Company 6565 North MacArthur Blvd., Suite 800 Irving, Texas 75039 Attn: Matthew McClellan; Matthew Whaley Email: Matthew.McClellan@cmc.com; Matthew.Whaley@cmc.com Fax Number: 214-689-5886 Administrative Agent: For payments and Requests for Credit Extensions Bank of America, N.A. 2380 Performance Drive TX2-984-03-23 Richardson, TX 75082 Attention: Gita Pandey Telephone: 1.214.209.2984 Fax: 1.214.290.8350 Electronic Mail: gita.pandey@bofa.com Other Notices for Administrative Agent Bank of America, N.A. Agency Management Gateway Village – 900 Building 900 W Trade Street Mail Code: NC1-026-06-03 Charlotte, NC 28255-0001 Attention: Michael Nicholson Telephone: 1-980-387-2469 Facsimile: 1-704-625-4275 Electronic Mail: michael.r.nicholson@bofa.com L/C Issuers: Bank of America Trade Operations Mail Code: PA6-580-02-30 1 Fleet Way Scranton, PA 18507 Phone: (570) 496-9619 Fax: 800-755-8740 Email: tradeclientserviceteamus@bofa.com Citibank, N.A. CCB Trade Servicing 1 RXR Plaza Uniondale, NY 11556 Attention: Fidelis Ines Fax No: (877) 612-3960 Swing Line Lender: Bank of America, N.A. 2380 Performance Drive TX2-984-03-23 Richardson, TX 75082 Attention: Gity Pandey Tel: 469-201-8837 Email: gita.pandey@bofa.com Facsimile: 214-290-9412 Account No.: 1366072250600 Account Name: Wire Clearing Acct for Syn-Loans LIQ Ref: Commercial Metal Corporation ABA# 026009593


 
Schedule 11.01 ACTIVE 682595819v6 With a copy to: Citibank N.A. 2001 Ross Ave, Suite 4300 Dallas, TX 75201 Attention: Brad Peters Fax No: (866) 341-6080 Remittance Instructions -USD : Bank of America NA (SWIFT ID: BOFAUS3N) ABA Number: 026009593 Beneficiary Account Number: 1366072250600 Acct Name: Wire Clearing Acct for Syn Loans – LIQ Beneficiary: Commercial Metals Company BANK OF AMERICA, N.A. 100 NORTH TRYON STREET CHARLOTTE, NC 28255 Remittance Instructions -EUR : Beneficiary Bank: Bank of America NT and SA (Swift ID: BOFAGB22) Beneficiary Account Number: GB89 BOFA 1650 5095 687029 Beneficiary: Bank of America NA BANK OF AMERICA, N.A. LONDON BANK OF AMERICA MERRILL LYNCH, FINANCIAL CENTER, 2 KING EDWARD ST.LONDON EC1A 1HQ Remittance Instructions -GBP : Beneficiary Bank: Bank of America NT and SA (Swift ID: BOFAGB22) Beneficiary Account Number: GB90 BOFA 1650 5095 687011 Beneficiary: Bank of America NA BANK OF AMERICA, N.A. LONDON BANK OF AMERICA MERRILL LYNCH, FINANCIAL CENTER, 2 KING EDWARD ST .LONDON EC1A 1HQ Remittance Instructions -CAD: Beneficiary Bank: Bank of America Canada (Swift ID: BOFACATT) Beneficiary Account Number: 711465090227 Beneficiary: Bank of America NA BANK OF AMERICA, NATIONAL ASSOCIATION, CANADA BRANCH SIMCOE PLACE 200 FRONT STREET WEST SUITE 2700 TORONTO, CANADA M5V 3L2 Remittance Instructions -JPY: Beneficiary Bank: Bank of America NA (Swift ID: BOFAJPJX) Beneficiary Account Number: 606495687013 Beneficiary: Bank of America NA BANK OF AMERICA, TOKYO NIHONBASHI 1-CHOME BUILDING, 1-4-1 NIHONBASHI CHUO-KUTOKYO, JAPAN 103- 0027 Remittance Instructions -AUD: Beneficiary Bank: Bank of America Australia (Swift ID: BOFAAUSX) Beneficiary Account Number: 520195687018 Beneficiary: Bank of America NA BANK OF AMERICA, N.A. SYDNEY GOVERNOR PHILLIP TOWER 1 FARRER PLACE SYDNEY, AUSTRALIA 20000


 
Exhibit A ACTIVE 682595837v3 EXHIBIT A Form of Loan Notice TO: Bank of America, N.A., as Administrative Agent RE: Sixth Amended and Restated Credit Agreement, dated as of October 26, 2022, by and among Commercial Metals Company, a Delaware corporation (the “Company”), CMC International Finance, a company organized and existing under the laws of Luxembourg as a société à responsabilité limitée, having its registered office at 1, rue Pletzer, L-8080 Bertrange, Grand Duchy of Luxembourg, registered with the Luxembourg Trade and Companies Register (Registre de Commerce et des Sociétés) under number B161680 (the “Foreign Borrower”), the Lenders from time to time party thereto and Bank of America, N.A., as Administrative Agent, an L/C Issuer and Swing Line Lender (as amended, modified, extended, restated, replaced, or supplemented from time to time, the “Credit Agreement”; capitalized terms used herein and not otherwise defined shall have the meanings set forth in the Credit Agreement) DATE: [Date] EFFECTIVE DATE: [Date1] The undersigned hereby requests the following2: Revolving Facility Indicate: Borrowing or Conversion or Continuation Indicate: Applicable Borrower Name Indicate: Requested Amount Indicate: Currency Indicate: Base Rate Loan, Term SOFR Loan, Alternative Currency Daily Rate Loan or Alternative Currency Term Rate Loan For Term SOFR Loans and Alternative Currency Term Rate Loans Indicate: Interest Period (e.g. 1, 3 or 6 month interest period) Term Facility Indicate: Borrowing or Conversion or Continuation Indicate: Applicable Borrower Name Indicate: Requested Amount Indicate: Base Rate Loan or Term SOFR Loan For Term SOFR Loans Indicate: 1 Note to Borrower. All requests submitted under a single Loan Notice must be effective on the same date. If multiple effective dates are needed, multiple Loan Notices will need to be prepared and signed. 2 Note to Borrower. For multiple borrowings, conversions and/or continuations for a particular facility, fill out a new row for each borrowing/conversion and/or continuation.


 
Exhibit A ACTIVE 682595837v3 Interest Period (e.g. 1, 3 or 6 month interest period) The Revolving Borrowing requested herein complies with the proviso to the first sentence of Section 2.01(a) of the Credit Agreement. The [Company][Foreign Borrower] hereby represents and warrants that the conditions specified in Section 4.02 of the Credit Agreement shall be satisfied on and as of the date of the Credit Extension requested hereby. Delivery of an executed counterpart of a signature page of this notice by fax transmission or other electronic mail transmission (e.g. “pdf” or “tif”) shall be effective as delivery of a manually executed counterpart of this notice.


 
Exhibit A ACTIVE 682595837v3 [COMMERCIAL METALS COMPANY] By: Name: Title: [CMC INTERNATIONAL FINANCE, société à responsabilité limitée] By: Name: Title: ]


 
Exhibit B ACTIVE 682595837v3 EXHIBIT B Form of Swing Line Loan Notice TO: Bank of America, N.A., as Administrative Agent and Swingline Lender RE: Sixth Amended and Restated Credit Agreement, dated as of October 26, 2022, by and among Commercial Metals Company, a Delaware corporation (the “Company”), CMC International Finance, a company organized and existing under the laws of Luxembourg as a société à responsabilité limitée, having its registered office at 1, rue Pletzer, L-8080 Bertrange, Grand Duchy of Luxembourg, registered with the Luxembourg Trade and Companies Register (Registre de Commerce et des Sociétés) under number B161680 (the “Foreign Borrower”), the Lenders from time to time party thereto and Bank of America, N.A., as Administrative Agent, an L/C Issuer and Swing Line Lender (as amended, modified, extended, restated, replaced, or supplemented from time to time, the “Credit Agreement”; capitalized terms used herein and not otherwise defined shall have the meanings set forth in the Credit Agreement) DATE: [Date] The undersigned [Company][Foreign Borrower] hereby requests a [Domestic][Foreign] Swing Line Loan: 1. On [ ] (the “Credit Extension Date”) 2. In the amount of $[ ] in [_____________] currency. The Swing Line Borrowing requested herein complies with the requirements of the provisos contained in Section 2.04(a) of the Credit Agreement. The [Company][Foreign Borrower] hereby represents and warrants that the conditions specified in Section 4.02 shall be satisfied on and as of the date of the Credit Extension Date. Delivery of an executed counterpart of a signature page of this notice by fax transmission or other electronic mail transmission (e.g. “pdf” or “tif”) shall be effective as delivery of a manually executed counterpart of this notice. [COMMERCIAL METALS COMPANY By: Name: Title: [CMC INTERNATIONAL FINANCE, société à responsabilité limitée] By: Name: Title: ]


 
Exhibit C-1 - 1 ACTIVE 682595837v3 EXHIBIT C-1 FORM OF COMPANY REVOLVING NOTE ____________________ FOR VALUE RECEIVED, the undersigned (the “Company”) hereby promises to pay to __________________________________ or registered assigns (the “Lender”), in accordance with the provisions of the Agreement (as hereinafter defined), the principal amount of each Revolving Loan from time to time made by the Lender to the Company under that certain Sixth Amended and Restated Credit Agreement, dated as of October 26, 2022 (as amended, restated, extended, supplemented or otherwise modified in writing from time to time, the “Agreement”; the terms defined therein being used herein as therein defined), among Commercial Metals Company, a Delaware corporation, CMC International Finance, a company organized and existing under the laws of Luxembourg as a société à responsabilité limitée, having its registered office at 1, rue Pletzer, L-8080 Bertrange, Grand Duchy of Luxembourg, registered with the Luxembourg Trade and Companies Register (Registre de Commerce et des Sociétés) under number B161680, the Lenders from time to time party thereto, and Bank of America, N.A., as Administrative Agent, Swing Line Lender and an L/C Issuer. The Company promises to pay interest on the unpaid principal amount of each Revolving Loan made to the Company from the date of such Revolving Loan until such principal amount is paid in full, at such interest rates and at such times as provided in the Agreement. Except as otherwise provided in Section 2.04(f) of the Agreement with respect to Swing Line Loans, all payments of principal and interest shall be made to the Administrative Agent for the account of the Lender in the currency in which such Revolving Loan was denominated and in Same Day Funds at the Administrative Agent’s Office for such currency. If any amount is not paid in full when due hereunder, such unpaid amount shall bear interest, to be paid upon demand, from the due date thereof until the date of actual payment (and before as well as after judgment) computed at the per annum rate set forth in the Agreement. This Revolving Note is one of the Revolving Notes referred to in the Agreement, is entitled to the benefits thereof and may be prepaid in whole or in part subject to the terms and conditions provided therein. [This Revolving Note is a replacement, renewal and modification (but not a novation of the debt evidenced thereby) of that certain company note, dated as of March 31, 2021, payable by the Company to the order of the Lender]. This Revolving Note is also entitled to the benefits of the Domestic Guaranty, and is secured by the Collateral if a Collateral Event has occurred and is continuing. Upon the occurrence and continuation of one or more of the Events of Default specified in the Agreement, all amounts then remaining unpaid on this Revolving Note shall become, or may be declared to be, immediately due and payable all as provided in the Agreement. Revolving Loans made by the Lender shall be evidenced by one or more loan accounts or records maintained by the Revolving Lender in the ordinary course of business. The Lender may also attach schedules to this Revolving Note and endorse thereon the date, amount, currency and maturity of its Loans and payments with respect thereto. The Company, for itself, its successors and assigns, hereby waives diligence, presentment, protest and demand and notice of protest, demand, dishonor and non-payment of this Revolving Note. Delivery of an executed counterpart of a signature page of this Revolving Note by fax transmission or other electronic mail transmission (e.g. “pdf” or “tif”) shall be effective as delivery of a manually executed counterpart of this Revolving Note. [REMAINDER OF PAGE INTENTIONALLY LEFT BLANK]


 
Exhibit C-1 - 2 ACTIVE 682595837v3 THIS REVOLVING NOTE SHALL BE GOVERNED BY AND CONSTRUED IN ACCORDANCE WITH THE LAWS OF THE STATE OF TEXAS. COMMERCIAL METALS COMPANY By: Name: Title:


 
Exhibit C-1 - 3 ACTIVE 682595837v3 REVOLVING LOANS AND PAYMENTS WITH RESPECT THERETO Date Type of Loan Made Amount of Loan Made End of Interest Period Amount of Principal or Interest Paid This Date Outstanding Principal Balance This Date Notation Made By __________ __________ __________ __________ __________ __________ __________ __________ __________ __________ __________ __________ __________ __________ __________ __________ __________ __________ __________ __________ __________ __________ __________ __________ __________ __________ __________ __________ __________ __________ __________ __________ __________ __________ __________ __________ __________ __________ __________ __________ __________ __________ __________ __________ __________ __________ __________ __________ __________ __________ __________ __________ __________ __________ __________ __________ __________ __________ __________ __________ __________ __________ __________ __________ __________ __________ __________ __________ __________ __________ __________ __________ __________ __________ __________ __________ __________ __________ __________ __________ __________ __________ __________ __________ __________ __________ __________ __________ __________ __________ __________ __________ __________ __________ __________ __________ __________ __________ __________ __________ __________ __________ __________ __________ __________ __________ __________ __________ __________ __________ __________ __________ __________ __________ __________ __________ __________ __________ __________ __________ __________ __________ __________ __________ __________ __________


 
Exhibit C-2 - 1 ACTIVE 682595837v3 EXHIBIT C-2 FORM OF FOREIGN BORROWER REVOLVING NOTE ____________________ FOR VALUE RECEIVED, the undersigned (the “Foreign Borrower”) hereby promises to pay to __________________________________ or registered assigns (the “Lender”), in accordance with the provisions of the Agreement (as hereinafter defined), the principal amount of each Revolving Loan from time to time made by the Lender to the Foreign Borrower under that certain Sixth Amended and Restated Credit Agreement, dated as of October 26, 2022 (as amended, restated, extended, supplemented or otherwise modified in writing from time to time, the “Agreement”; the terms defined therein being used herein as therein defined), among Commercial Metals Company, a Delaware corporation, CMC International Finance, a company organized and existing under the laws of Luxembourg as a société à responsabilité limitée, having its registered office at 1 rue Pletzer, L-8080 Bertrange, Grand Duchy of Luxembourg, registered with the Luxembourg Trade and Companies Register (Registre de Commerce et des Sociétés) under number B-161680, the Lenders from time to time party thereto, and Bank of America, N.A., as Administrative Agent, Swing Line Lender and an L/C Issuer. The Foreign Borrower promises to pay interest on the unpaid principal amount of each Revolving Loan made to the Foreign Borrower from the date of such Revolving Loan until such principal amount is paid in full, at such interest rates and at such times as provided in the Agreement. Except as otherwise provided in Section 2.04(f) of the Agreement with respect to Swing Line Loans, all payments of principal and interest shall be made to the Administrative Agent for the account of the Lender in the currency in which such Revolving Loan was denominated and in Same Day Funds at the Administrative Agent’s Office for such currency. If any amount is not paid in full when due hereunder, such unpaid amount shall bear interest, to be paid upon demand, from the due date thereof until the date of actual payment (and before as well as after judgment) computed at the per annum rate set forth in the Agreement. This Revolving Note is one of the Revolving Notes referred to in the Agreement, is entitled to the benefits thereof and may be prepaid in whole or in part subject to the terms and conditions provided therein. [This Revolving Note is a replacement, renewal and modification (but not a novation of the debt evidenced thereby) of that certain company note, dated as of March 31, 2021, payable by the Foreign Borrower to the order of the Lender]. This Revolving Note is also entitled to the benefits of the Guaranty, and is secured by the Collateral if a Collateral Event has occurred and is continuing. Upon the occurrence and continuation of one or more of the Events of Default specified in the Agreement, all amounts then remaining unpaid on this Revolving Note shall become, or may be declared to be, immediately due and payable all as provided in the Agreement. Revolving Loans made by the Lender shall be evidenced by one or more loan accounts or records maintained by the Lender in the ordinary course of business. The Lender may also attach schedules to this Revolving Note and endorse thereon the date, amount, currency and maturity of its Loans and payments with respect thereto. The Foreign Borrower, for itself, its successors and assigns, hereby waives diligence, presentment, protest and demand and notice of protest, demand, dishonor and non-payment of this Revolving Note. Delivery of an executed counterpart of a signature page of this Revolving Note by fax transmission or other electronic mail transmission (e.g. “pdf” or “tif”) shall be effective as delivery of a manually executed counterpart of this Revolving Note. [REMAINDER OF PAGE INTENTIONALLY LEFT BLANK]


 
Exhibit C-2 - 1 ACTIVE 682595837v3 THIS REVOLVING NOTE SHALL BE GOVERNED BY AND CONSTRUED IN ACCORDANCE WITH THE LAWS OF THE STATE OF TEXAS. THE APPLICATION OF THE PROVISIONS OF ARTICLES 470-1 TO 470-19 OF THE LUXEMBOURG LAW OF AUGUST 10, 1915 ON COMMERCIAL COMPANIES, AS AMENDED, SHALL BE EXCLUDED IN RELATION TO THIS REVOLVING NOTE. CMC INTERNATIONAL FINANCE, a société à responsabilité limitée By: Name: Title:


 
Exhibit C-2 - 2 ACTIVE 682595837v3 REVOLVING LOANS AND PAYMENTS WITH RESPECT THERETO Date Type of Loan Made Amount of Loan Made End of Interest Period Amount of Principal or Interest Paid This Date Outstanding Principal Balance This Date Notation Made By __________ __________ __________ __________ __________ __________ __________ __________ __________ __________ __________ __________ __________ __________ __________ __________ __________ __________ __________ __________ __________ __________ __________ __________ __________ __________ __________ __________ __________ __________ __________ __________ __________ __________ __________ __________ __________ __________ __________ __________ __________ __________ __________ __________ __________ __________ __________ __________ __________ __________ __________ __________ __________ __________ __________ __________ __________ __________ __________ __________ __________ __________ __________ __________ __________ __________ __________ __________ __________ __________ __________ __________ __________ __________ __________ __________ __________ __________ __________ __________ __________ __________ __________ __________ __________ __________ __________ __________ __________ __________ __________ __________ __________ __________ __________ __________ __________ __________ __________ __________ __________ __________ __________ __________ __________ __________ __________ __________ __________ __________ __________ __________ __________ __________ __________ __________ __________ __________ __________ __________ __________ __________ __________ __________ __________ __________


 
Exhibit C-3 - 1 ACTIVE 682595837v3 EXHIBIT C-3 FORM OF COMPANY TERM NOTE ____________________ FOR VALUE RECEIVED, the undersigned (the “Company”) hereby promises to pay to __________________________________ or registered assigns (the “Lender”), in accordance with the provisions of the Agreement (as hereinafter defined), the principal amount of each Term Loan from time to time made by the Lender to the Company under that certain Sixth Amended and Restated Credit Agreement, dated as of October 26, 2022 (as amended, restated, extended, supplemented or otherwise modified in writing from time to time, the “Agreement”; the terms defined therein being used herein as therein defined), among Commercial Metals Company, a Delaware corporation, CMC International Finance, a company organized and existing under the laws of Luxembourg as a société à responsabilité limitée, having its registered office at 1, rue Pletzer, L-8080 Bertrange, Grand Duchy of Luxembourg, registered with the Luxembourg Trade and Companies Register (Registre de Commerce et des Sociétés) under number B161680, the Lenders from time to time party thereto, and Bank of America, N.A., as Administrative Agent, Swing Line Lender and an L/C Issuer. The Company promises to pay interest on the unpaid principal amount of each Term Loan made to the Company from the date of such Term Loan until such principal amount is paid in full, at such interest rates and at such times as provided in the Agreement. All payments of principal and interest shall be made to the Administrative Agent for the account of the Lender in Dollars in immediately available funds at the Administrative Agent’s Office. If any amount is not paid in full when due hereunder, such unpaid amount shall bear interest, to be paid upon demand, from the due date thereof until the date of actual payment (and before as well as after judgment) computed at the per annum rate set forth in the Agreement. This Term Note is one of the Term Notes referred to in the Agreement, is entitled to the benefits thereof and may be prepaid in whole or in part subject to the terms and conditions provided therein. This Term Note is also entitled to the benefits of the Domestic Guaranty, and is secured by the Collateral if a Collateral Event has occurred and is continuing. Upon the occurrence and continuation of one or more of the Events of Default specified in the Agreement, all amounts then remaining unpaid on this Term Note shall become, or may be declared to be, immediately due and payable all as provided in the Agreement. Each Term Loan made by the Lender shall be evidenced by one or more loan accounts or records maintained by the Term Lender in the ordinary course of business. The Term Lender may also attach schedules to this Term Note and endorse thereon the date, amount, currency and maturity of its Loans and payments with respect thereto. Delivery of an executed counterpart of a signature page of this Term Note by fax transmission or other electronic mail transmission (e.g. “pdf” or “tif”) shall be effective as delivery of a manually executed counterpart of this Term Note. The Company, for itself, its successors and assigns, hereby waives diligence, presentment, protest and demand and notice of protest, demand, dishonor and non-payment of this Term Note. [REMAINDER OF PAGE INTENTIONALLY LEFT BLANK]


 
Exhibit C-3 - 2 ACTIVE 682595837v3 THIS TERM NOTE SHALL BE GOVERNED BY AND CONSTRUED IN ACCORDANCE WITH THE LAWS OF THE STATE OF TEXAS. COMMERCIAL METALS COMPANY By: Name: Title:


 
Exhibit C-3 -3 ACTIVE 682595837v3 TERM LOANS AND PAYMENTS WITH RESPECT THERETO Date Type of Loan Made Amount of Loan Made End of Interest Period Amount of Principal or Interest Paid This Date Outstanding Principal Balance This Date Notation Made By __________ __________ __________ __________ __________ __________ __________ __________ __________ __________ __________ __________ __________ __________ __________ __________ __________ __________ __________ __________ __________ __________ __________ __________ __________ __________ __________ __________ __________ __________ __________ __________ __________ __________ __________ __________ __________ __________ __________ __________ __________ __________ __________ __________ __________ __________ __________ __________ __________ __________ __________ __________ __________ __________ __________ __________ __________ __________ __________ __________ __________ __________ __________ __________ __________ __________ __________ __________ __________ __________ __________ __________ __________ __________ __________ __________ __________ __________ __________ __________ __________ __________ __________ __________ __________ __________ __________ __________ __________ __________ __________ __________ __________ __________ __________ __________ __________ __________ __________ __________ __________ __________ __________ __________ __________ __________ __________ __________ __________ __________ __________ __________ __________ __________ __________ __________ __________ __________ __________ __________ __________ __________ __________ __________ __________ __________


 
Exhibit D - 1 ACTIVE 682595837v3 EXHIBIT D Form of Compliance Certificate Financial Statement Date: _____________ TO: Bank of America, N.A., as Administrative Agent RE: Sixth Amended and Restated Credit Agreement, dated as of October 26, 2022, by and among Commercial Metals Company, a Delaware corporation (the “Company”), CMC International Finance, a company organized and existing under the laws of Luxembourg as a société à responsabilité limitée, having its registered office at 1, rue Pletzer, L-8080 Bertrange, Grand Duchy of Luxembourg, registered with the Luxembourg Trade and Companies Register (Registre de Commerce et des Sociétés) under number B161680 (the “Foreign Borrower”), the Lenders from time to time party thereto and Bank of America, N.A., as Administrative Agent, an L/C Issuer and Swing Line Lender (as amended, modified, extended, restated, replaced, or supplemented from time to time, the “Credit Agreement”; capitalized terms used herein and not otherwise defined shall have the meanings set forth in the Credit Agreement) DATE: [Date] The undersigned Responsible Officer hereby certifies as of the date hereof that [he/she] is the [_____________________] of the Company, and that, as such, [he/she] is authorized to execute and deliver this Certificate to the Administrative Agent on the behalf of the Company and the other Loan Parties, and that: [Use following paragraph 1 for fiscal year-end financial statements] 1. Attached hereto as Schedule 1 are the year-end audited financial statements required by Section 6.01(a) of the Agreement for the fiscal year of the Company ended as of the above date, together with the report and opinion of an independent certified public accountant required by such section. [Use following paragraph 1 for fiscal quarter-end financial statements] 1. Attached hereto as Schedule 1 are the unaudited financial statements required by Section 6.01(b) of the Agreement for the fiscal quarter of the Company ended as of the above date. Such financial statements fairly present the financial condition, results of operations and cash flows of the Company and its Subsidiaries in accordance with GAAP as at such date and for such period, subject only to normal year-end audit adjustments and the absence of footnotes. 2. The undersigned has reviewed and is familiar with the terms of the Agreement and has made, or has caused to be made under his/her supervision, a detailed review of the transactions and condition (financial or otherwise) of the Company during the accounting period covered by the attached financial statements. 3. A review of the activities of the Company during such fiscal period has been made under the supervision of the undersigned with a view to determining whether during such fiscal period the Company performed and observed all its Obligations under the Loan Documents, and


 
Exhibit D - 2 ACTIVE 682595837v3 [select one:] [to the best knowledge of the undersigned, during such fiscal period, the Company and each of the other Loan Parties performed and observed each covenant and condition of the Loan Documents applicable to it, and no Default has occurred and is continuing.] --or-- [to the best knowledge of the undersigned, the following covenants or conditions have not been performed or observed and the following is a list of each such Default and its nature and status:] 4. The representations and warranties of (i) the Borrowers contained in Article V of the Credit Agreement and (ii) each Loan Party contained in each other Loan Document, or which are contained in any document furnished at any time under or in connection therewith are true and correct in all material respects (except that any representation or warranty that is qualified as to “materiality” or “Material Adverse Effect” shall be true and correct in all respects) on and as of the date hereof, except (a) to the extent that such representations and warranties specifically refer to an earlier date, in which case, they shall be true and correct in all material respects (except that any representation or warranty that is qualified as to “materiality” or “Material Adverse Effect” shall be true and correct in all respects) as of such earlier date and (b) for purposes of this Compliance Certificate, the representations and warranties contained in clauses (a) and (b) of Section 5.05 of the Credit Agreement shall be deemed to refer to the most recent statements furnished pursuant to clauses (a) and (b), respectively, of Section 6.01 of the Credit Agreement, including the statements in connection with which this Compliance Certificate is delivered. 5. The financial covenant analyses and information set forth on Schedule 2 attached hereto are true and accurate on and as of the date of this Certificate. 6. The Debt Rating is [ ]. Delivery of an executed counterpart of a signature page of this Certificate by fax transmission or other electronic mail transmission (e.g. “pdf” or “tif”) shall be effective as delivery of a manually executed counterpart of this Certificate. [REMAINDER OF PAGE INTENTIONALLY LEFT BLANK]


 
Exhibit D - 3 ACTIVE 682595837v3 COMMERCIAL METALS COMPANY By: Name: Title:


 
Exhibit D - 1 ACTIVE 682595837v3 For the Quarter/Year ended ___________________(“Statement Date”) SCHEDULE 2 to the Compliance Certificate ($ in 000's) I. Section 7.05(f) – Dispositions A. 15% of Consolidated Assets as of last day of immediately preceding fiscal year $__________ B. Aggregate book value of assets Disposed (excluding Dispositions pursuant to clause (a) through (e) of Section 7.05) during existing fiscal year through Statement Date $__________ C. Difference (A – B) $__________ II. Section 7.10 – Interest Coverage Ratio A. Consolidated EBITDA for four consecutive fiscal quarters ending on Statement Date: (1) Consolidated Net Income $__________ (2) Interest expense $__________ (3) Taxes (including tax expense and the provision for federal, state, local and foreign income tax payable) $__________ (4) Depreciation and Amortization expense $__________ (5) Non-cash charges and losses (excluding any such non-cash charges or losses to the extent (A) there were cash charges with respect to such charges and losses in past accounting periods or (B) there is a reasonable expectation that there will be cash charges with respect to such charges and losses in future accounting periods) $__________ (6) Non-cash gains (excluding any such non-cash gains to the extent (i) there were cash gains with respect to such gains in past accounting periods or (ii) there is a reasonable expectation that there will be cash gains with respect to such gains in future accounting periods) $__________ (7) Consolidated EBITDA (Lines II.A.(1) + (2) + (3) + (4) + (5) – (6)) $__________ B. Consolidated Interest Expense for four consecutive fiscal quarters ending on Statement Date $__________ C. Interest Coverage Ratio (Line II.A.(7)  Line II.B.) ____ to ____ D. Minimum Required – 2.50 to 1.00 III. Section 7.11 – Debt to Capitalization Ratio A. Consolidated Funded Debt at Statement Date: (1) The outstanding principal amount of all Indebtedness, whether current or long-term for borrowed money or which has been incurred in connection with the acquisition of plant, property and equipment and all obligations evidenced by bonds, debentures, notes, loan agreements (including the Credit Agreement) or other similar instruments (other than Receivables Facility Attributed Indebtedness) $__________ (2) All Capitalized Rentals $__________ (3) Without duplication, all Guarantees by such Person of Funded Debt $__________


 
Exhibit D - 2 ACTIVE 682595837v3 of others (4) Total (Lines III.A.(1) + (2) + (3)) $__________ B. Total Capitalization at Statement Date (1) Line III.A.(4) $__________ (2) Consolidated Net Worth $__________ (3) Total Capitalization (Line III.B.(1) + Line III.B.(2)) $__________ C. Debt to Capitalization Ratio (Line III.A.(4) / (Line III.B.(3)) _____ to 1 Maximum Allowed 0.60 to 1


 
Exhibit E - 5 ACTIVE 682595837v3 EXHIBIT E FORM OF ASSIGNMENT AND ASSUMPTION This Assignment and Assumption (the “Assignment and Assumption”) is dated as of the Effective Date set forth below and is entered into by and between [the][each]1 Assignor identified in item 1 below ([the][each, an] “Assignor”) and [the][each]2 Assignee identified in item 2 below ([the][each, an] “Assignee”). [It is understood and agreed that the rights and obligations of [the Assignors][the Assignees]3 hereunder are several and not joint.]4 Capitalized terms used but not defined herein shall have the meanings given to them in the Credit Agreement identified below (the “Credit Agreement”), receipt of a copy of which is hereby acknowledged by the Assignee. The Standard Terms and Conditions set forth in Annex 1 attached hereto are hereby agreed to and incorporated herein by reference and made a part of this Assignment and Assumption as if set forth herein in full. For an agreed consideration, [the][each] Assignor hereby irrevocably sells and assigns to [the Assignee][the respective Assignees], and [the][each] Assignee hereby irrevocably purchases and assumes from [the Assignor][the respective Assignors], subject to and in accordance with the Standard Terms and Conditions and the Credit Agreement, as of the Effective Date inserted by the Administrative Agent as contemplated below (i) all of [the Assignor’s][the respective Assignors’] rights and obligations in [its capacity as a Lender][their respective capacities as Lenders] under the Credit Agreement and any other documents or instruments delivered pursuant thereto to the extent related to the amount and percentage interest identified below of all of such outstanding rights and obligations of [the Assignor][the respective Assignors] under the respective facilities identified below (including, without limitation, the Letters of Credit and the Swing Line Loans included in such facilities) and (ii) to the extent permitted to be assigned under applicable law, all claims, suits, causes of action and any other right of [the Assignor (in its capacity as a Lender)][the respective Assignors (in their respective capacities as Lenders)] against any Person, whether known or unknown, arising under or in connection with the Credit Agreement, any other documents or instruments delivered pursuant thereto or the loan transactions governed thereby or in any way based on or related to any of the foregoing, including, but not limited to, contract claims, tort claims, malpractice claims, statutory claims and all other claims at law or in equity related to the rights and obligations sold and assigned pursuant to clause (i) above (the rights and obligations sold and assigned by [the][any] Assignor to [the][any] Assignee pursuant to clauses (i) and (ii) above being referred to herein collectively as [the][an] “Assigned Interest”). Each such sale and assignment is without recourse to [the][and] Assignor, and, except as expressly provided in this Assignment and Assumption, without representation or warranty by [the][any] Assignor. 1. Assignor[s]: 2. Assignee[s]: [for each Assignee, indicate [Affiliate][Approved Fund] of [identify Lender]] 3. Borrowers: Commercial Metals Company, a Delaware corporation, and CMC International Finance, a company organized and existing under the laws of Luxembourg as a société à 1 For bracketed language here and elsewhere in this form relating to the Assignor(s), if the assignment is from a single Assignor, choose the first bracketed language. If the assignment is from multiple Assignors, choose the second bracketed language. 2 For bracketed language here and elsewhere in this form relating to the Assignee(s), if the assignment is to a single Assignee, choose the first bracketed language. If the assignment is to multiple Assignees, choose the second bracketed language. 3 Select as appropriate. 4 Include bracketed language if there are either multiple Assignors or multiple Assignees.


 
Exhibit E - 5 ACTIVE 682595837v3 responsabilité limitée, having its registered office at 1, rue Pletzer, L-8080 Bertrange, Grand Duchy of Luxembourg, registered with the Luxembourg Trade and Companies Register (Registre de Commerce et des Sociétés) under number B161680 (collectively, the “Borrowers”). 4. Administrative Agent: Bank of America, N.A., as the administrative agent under the Credit Agreement. 5. Credit Agreement: Sixth Amended and Restated Credit Agreement, dated as of October 26, 2022, among the Borrowers, the Lenders from time to time party thereto, and Bank of America, N.A., as Administrative Agent, Swing Line Lender and an L/C Issuer. 6. Assigned Interest[s]: Assignor[s]5 Assignee[s]6 Facility Assigned7 Aggregate Amount of Commitment/ Loans for all Lenders8 Amount of Commitment/ Loans Assigned Percentage Assigned of Commitment/ Loans9 CUSIP Number $ $ _______% $ $ _______% $ $ _______% [7. Trade Date: ]10 Effective Date: , 20____ [TO BE INSERTED BY ADMINISTRATIVE AGENT AND WHICH SHALL BE THE EFFECTIVE DATE OF RECORDATION OF TRANSFER IN THE REGISTER THEREFOR.] 5 List each Assignor, as appropriate. 6 List each Assignee, as appropriate. 7 Fill in the appropriate terminology for the types of facilities under the Credit Agreement that are being assigned under this Assignment. 8 Amounts in this column and in the column immediately to the right to be adjusted by the counterparties to take into account any payments or prepayments made between the Trade Date and the Effective Date. 9 Set forth, to at least 9 decimals, as a percentage of the Commitment/Loans of all Lenders thereunder. 10 To be completed if the Assignor and the Assignee intend that the minimum assignment amount is to be determined as of the Trade Date.


 
Exhibit E - 5 ACTIVE 682595837v3 The terms set forth in this Assignment and Assumption are hereby agreed to: ASSIGNOR [NAME OF ASSIGNOR] By: Name: Title: ASSIGNEE [NAME OF ASSIGNEE] By: Name: Title: [Consented to and]11 Accepted: BANK OF AMERICA, N.A., as Administrative Agent By: Title: [Consented to:]12 COMMERCIAL METALS COMPANY By: Title: 11 To be added only if the consent of the Administrative Agent is required by the terms of the Credit Agreement. 12 To be added only if the consent of the Company and/or other parties (e.g. Swing Line Lender(s), L/C Issuer(s)) is required by the terms of the Credit Agreement.


 
Exhibit E - 5 ACTIVE 682595837v3 ANNEX 1 TO ASSIGNMENT AND ASSUMPTION STANDARD TERMS AND CONDITIONS FOR ASSIGNMENT AND ASSUMPTION 1. Representations and Warranties. 1.1 Assignor. [The][Each] Assignor (a) represents and warrants that (i) it is the legal and beneficial owner of [the][the relevant] Assigned Interest, (ii) [the][such] Assigned Interest is free and clear of any lien, encumbrance or other adverse claim and (iii) it has full power and authority, and has taken all action necessary, to execute and deliver this Assignment and Assumption and to consummate the transactions contemplated hereby; and (b) assumes no responsibility with respect to (i) any statements, warranties or representations made in or in connection with the Credit Agreement or any other Loan Document, (ii) the execution, legality, validity, enforceability, genuineness, sufficiency or value of the Loan Documents or any collateral thereunder, (iii) the financial condition of the Company, any of its Subsidiaries or Affiliates or any other Person obligated in respect of any Loan Document or (iv) the performance or observance by the Borrowers, any of their respective Subsidiaries or Affiliates or any other Person of any of their respective obligations under any Loan Document. 1.2 Assignee. [The][Each] Assignee (a) represents and warrants that (i) it has full power and authority, and has taken all action necessary, to execute and deliver this Assignment and Assumption and to consummate the transactions contemplated hereby and to become a Lender under the Credit Agreement, (ii) it meets all the requirements to be an assignee under the terms of the Credit Agreement (subject to such consents, if any, as may be required under the terms of the Credit Agreement), (iii) from and after the Effective Date, it shall be bound by the provisions of the Credit Agreement as a Lender thereunder and, to the extent of [the][the relevant] Assigned Interest, shall have the obligations of a Lender thereunder, (iv) it is sophisticated with respect to decisions to acquire assets of the type represented by [the][such] Assigned Interest and either it, or the Person exercising discretion in making its decision to acquire [the][such] Assigned Interest, is experienced in acquiring assets of such type, (v) it has received a copy of the Credit Agreement, and has received or has been accorded the opportunity to receive copies of the most recent financial statements delivered pursuant to the terms of the Credit Agreement, and such other documents and information as it deems appropriate to make its own credit analysis and decision to enter into this Assignment and Assumption and to purchase [the][such] Assigned Interest, (vi) it has independently and without reliance on the Administrative Agent or any other Lender and based on such documents and information as it has deemed appropriate, made its own credit analysis and decision to enter into this Assignment and Assumption and to purchase [the][such] Assigned Interest, and (vii) if it is a Foreign Lender, attached hereto is any documentation required to be delivered by it pursuant to the terms of the Credit Agreement, duly completed and executed by [the][such] Assignee; and (b) agrees that (i) it will, independently and without reliance on the Administrative Agent, [the][any] Assignor or any other Lender, and based on such documents and information as it shall deem appropriate at the time, continue to make its own credit decisions in taking or not taking action under the Loan Documents, and (ii) it will perform in accordance with their terms all of the obligations which by the terms of the Loan Documents are required to be performed by it as a Lender. 2. Payments. From and after the Effective Date, the Administrative Agent shall make all payments in respect of [the][each] Assigned Interest (including payments of principal, interest, fees and other amounts) to [the][the relevant] Assignor for amounts which have accrued to but excluding the Effective Date and to [the][the relevant] Assignee for amounts which have accrued from and after the Effective Date. 3. General Provisions. This Assignment and Assumption shall be binding upon, and inure to the benefit of, the parties hereto and their respective successors and assigns. This Assignment and


 
Exhibit E - 5 ACTIVE 682595837v3 Assumption may be executed in any number of counterparts, which together shall constitute one instrument. Delivery of an executed counterpart of a signature page of this Assignment and Assumption by fax transmission or other electronic mail transmission (e.g. “pdf” or “tif”) shall be effective as delivery of a manually executed counterpart of this Assignment and Assumption. This Assignment and Assumption shall be governed by, and construed in accordance with, the law of the State of Texas.


 
Exhibit F-1 ACTIVE 682595837v3 EXHIBIT F-1 Form of Domestic Guaranty [See Attached]


 
Execution Version SECOND AMENDED AND RESTATED DOMESTIC GUARANTY THIS SECOND AMENDED AND RESTATED DOMESTIC GUARANTY (as amended, restated, extended, supplemented or otherwise modified from time to time, this “Guaranty”), dated as of October 26, 2022, is made by Commercial Metals Company, a Delaware corporation (the “Company”), certain Subsidiaries of the Company identified on the signature pages hereto and any Additional Guarantor (as defined below) who may become a party to this Guaranty (such signatories and the Additional Guarantors, collectively, the “Guarantors” and each individually, a “Guarantor”), in favor of Bank of America, N.A., as Administrative Agent (in such capacity, the “Administrative Agent”) for the benefit of itself and the Secured Parties. PRELIMINARY STATEMENTS Pursuant to that certain Sixth Amended and Restated Credit Agreement dated as of October 26, 2022 (as amended, restated, extended, supplemented or otherwise modified from time to time, the “Credit Agreement”), among the Company, CMC International Finance, a company organized and existing under the laws of Luxembourg as a société à responsabilité limitée, having its registered office at 1, rue Pletzer, L-8080 Bertrange, Grand Duchy of Luxembourg, registered with the Luxembourg Trade and Companies Register (Registre de Commerce et des Sociétés) under number B-161680 (together, with the Company, the “Borrowers”), the Lenders from time to time party thereto, the Administrative Agent, the Swing Line Lender and each L/C Issuer, the Lenders and the L/C Issuers have agreed to make Credit Extensions to the Borrowers upon the terms and subject to the conditions set forth therein. Each Guarantor will materially benefit from the Credit Extensions made and to be made under the Credit Agreement. Each Guarantor is required to enter into this Guaranty pursuant to the terms of the Credit Agreement. For good and valuable consideration, the receipt and sufficiency of which are hereby acknowledged by the parties hereto, and to induce the Administrative Agent and the other Secured Parties to make their respective Credit Extensions and other financial accommodations under the Loan Documents, the Secured Cash Management Agreements, the Secured Hedge Agreements or the Trade Documents, the Guarantors hereby agree with the Administrative Agent, for the benefit of the Secured Parties, as follows: 1. Defined Terms. Capitalized terms used and not otherwise defined herein shall have the meanings ascribed thereto in the Credit Agreement. The following terms when used herein shall have the meanings set forth below: “Additional Guarantor” means each Person which hereafter becomes a Guarantor pursuant to Section 19 hereof and Section 6.14 of the Credit Agreement. “Contribution Share” means, for any Guarantor in respect of any Excess Payment made by any other Guarantor, the ratio (expressed as a percentage) as of the date of such Excess Payment of (a) the amount by which the aggregate present fair salable value of all of its assets and properties exceeds the amount of all debts and liabilities of such Guarantor (including probable contingent, subordinated, unmatured, and unliquidated liabilities, but excluding the obligations of such Guarantor hereunder) to (b) the amount by which the aggregate present fair salable value of all assets and other properties of the Guarantors other than the maker of such Excess Payment exceeds the amount of all of the debts and liabilities (including probable contingent, subordinated, unmatured, and unliquidated liabilities, but


 
2 excluding the obligations of the Guarantors hereunder) of the Guarantors other than the maker of such Excess Payment; provided that for purposes of calculating the Contribution Shares of the Guarantors in respect of any Excess Payment, any Guarantor that became a Guarantor subsequent to the date of any such Excess Payment shall be deemed to have been a Guarantor on the date of such Excess Payment and the financial information for such Guarantor as of the date such Guarantor became a Guarantor shall be utilized for such Guarantor in connection with such Excess Payment. “Excess Payment” means the amount paid by any Guarantor in excess of its Ratable Share of any Guaranteed Obligations. “Guaranteed Obligations” has the meaning set forth in Section 2. “Ratable Share” means, for any Guarantor in respect of any payment of Guaranteed Obligations, the ratio (expressed as a percentage) as of the date of such payment of Guaranteed Obligations of (a) the amount by which the aggregate present fair salable value of all of its assets and properties exceeds the amount of all debts and liabilities of such Guarantor (including probable contingent, subordinated, unmatured, and unliquidated liabilities, but excluding the obligations of such Guarantor hereunder) to (b) the amount by which the aggregate present fair salable value of all assets and other properties of all of the Guarantors exceeds the amount of all of the debts and liabilities (including probable contingent, subordinated, unmatured, and unliquidated liabilities, but excluding the obligations of the Guarantors hereunder) of the Guarantors; provided that for purposes of calculating the Ratable Shares of the Guarantors in respect of any payment of Guaranteed Obligations, any Guarantor that became a Guarantor subsequent to the date of any such payment shall be deemed to have been a Guarantor on the date of such payment and the financial information for such Guarantor as of the date such Guarantor became a Guarantor shall be utilized for such Guarantor in connection with such payment. 2. Guaranty. Each Guarantor hereby, jointly and severally, with the other Guarantors, absolutely and unconditionally guarantees, as a guaranty of payment and performance and not merely as a guaranty of collection, prompt payment when due, whether at stated maturity, by required prepayment, upon acceleration, demand or otherwise, and at all times thereafter, of all Secured Obligations, including any and all existing and future indebtedness and liabilities of every kind, nature and character, direct or indirect, absolute or contingent, liquidated or unliquidated, voluntary or involuntary and whether for principal, interest, premiums, fees indemnities, damages, costs, expenses or otherwise, of each Borrower and any Affiliate thereof to any Secured Party arising under the Credit Agreement, any other Loan Document, any Secured Cash Management Agreement, any Secured Hedge Agreement or any Trade Document (including all renewals, extensions, amendments, restatements and other modifications thereof and all reasonable costs, attorneys’ fees of outside counsel and out-of-pocket expenses incurred by the Administrative Agent or any other Secured Party in connection with the collection or enforcement thereof), and whether recovery upon such indebtedness and liabilities may be or hereafter become unenforceable or shall be an allowed or disallowed claim under any proceeding or case commenced by or against any Guarantor or either Borrower under any Debtor Relief Law, and including interest that accrues after the commencement by or against either Borrower of any proceeding under any Debtor Relief Laws (collectively, the “Guaranteed Obligations”). The books and records of the Administrative Agent and the books and records of each Secured Party showing the amount of the Guaranteed Obligations shall be admissible in evidence in any action or proceeding, and shall be conclusive absent manifest error of the amount of the Credit Extensions made by the Lenders to the Borrowers and the interest and payments thereon. This Guaranty shall not be affected by the genuineness, validity, regularity or enforceability of the Guaranteed Obligations or any instrument or agreement evidencing any Guaranteed Obligations, or by the existence, validity, enforceability, perfection, non-perfection or extent of any collateral therefor, or by any fact or circumstance relating to the Guaranteed Obligations which might otherwise constitute a defense to the obligations of each Guarantor under this Guaranty, and such


 
3 Guarantor hereby irrevocably waives any defenses it may now have or hereafter acquire in any way relating to any or all of the foregoing. Anything contained herein to the contrary notwithstanding, the obligations of each Guarantor hereunder at any time shall be limited to an aggregate amount equal to the largest amount that would not render its obligations hereunder subject to avoidance as a fraudulent transfer or conveyance under Section 548 of the Bankruptcy Code (Title 11, United States Code) or any comparable provisions of any similar federal or state law. 3. No Setoff or Deductions; Taxes; Payments. Each Guarantor shall make all payments hereunder without setoff or counterclaim and free and clear of and without deduction for any taxes, levies, imposts, duties, charges, fees, deductions, withholdings, compulsory loans, restrictions or conditions of any nature now or hereafter imposed or levied by any jurisdiction or any political subdivision thereof or taxing or other authority therein (other than Excluded Taxes) unless such Guarantor is compelled by applicable Law to make such deduction or withholding and each Guarantor shall, jointly and severally, pay and indemnify each Secured Party for Taxes and Other Taxes. The obligations of each Guarantor under this paragraph shall survive the payment in full of the Guaranteed Obligations and termination of this Guaranty. 4. Rights of Secured Parties. To the fullest extent not prohibited by applicable Law, each Guarantor consents and agrees that the Secured Parties may, at any time and from time to time, without notice or demand, and without affecting the enforceability or continuing effectiveness hereof: (a) amend, extend, renew, compromise, discharge, accelerate or otherwise change the time for payment or the terms of the Guaranteed Obligations or any part thereof, (b) take, hold, exchange, enforce, waive, release, fail to perfect, sell, or otherwise dispose of any security for the payment of this Guaranty or any Guaranteed Obligations, (c) apply such security and direct the order or manner of sale thereof as the Secured Parties in their sole discretion may determine and (d) release or substitute one or more of any endorsers or other guarantors of any of the Guaranteed Obligations. Without limiting the generality of the foregoing, to the fullest extent not prohibited by applicable Law, each Guarantor consents to the taking of, or failure to take, any action which might in any manner or to any extent vary the risks of such Guarantor under this Guaranty or which, but for this provision, might operate as a discharge of such Guarantor. 5. Certain Waivers. To the fullest extent permitted by applicable Law, each Guarantor waives (a) any defense arising by reason of any disability or other defense of either Borrower or any other Guarantor, or the cessation from any cause whatsoever (including any act or omission of any Secured Party) of the liability of either Borrower other than indefeasible payment and performance in full of the Guaranteed Obligations, (b) any defense based on any claim that such Guarantor’s obligations exceed or are more burdensome than those of either Borrower, (c) the benefit of any statute of limitations affecting such Guarantor’s liability hereunder, (d) any right to require any Secured Party to proceed against either Borrower, proceed against or exhaust any security for the Guaranteed Obligations, or pursue any other remedy in any Secured Party’s power whatsoever, whether arising pursuant to Chapter 43 of the Texas Civil Practice and Remedies Code, as amended, Section 17.001 of the Texas Civil Practice and Remedies Code, as amended, Rule 31 of the Texas Rules of Civil Procedure, as amended, or otherwise, (e) any benefit of and any right to participate in any security now or hereafter held by any Secured Party and (f) any and all other defenses or benefits that may be derived from or afforded by applicable Law limiting the liability of or exonerating guarantors or sureties. To the fullest extent not prohibited by applicable Law, each Guarantor expressly waives all setoffs and counterclaims and all presentments, demands for payment or performance, notices of nonpayment or nonperformance, protests, notices of protest, notices of dishonor and all other notices or demands of any kind or nature whatsoever with respect to the Guaranteed Obligations, and all notices of acceptance of this Guaranty or of the existence, creation or incurrence of new or additional Guaranteed Obligations.


 
4 6. Obligations Independent. The obligations of each Guarantor hereunder are those of primary obligor, and not merely as surety, and are independent of the Guaranteed Obligations and the obligations of any other Guarantor, and a separate action may be brought against such Guarantor to enforce this Guaranty whether or not either Borrower or any other person or entity is joined as a party. 7. Subrogation. Each Guarantor shall not exercise any right of subrogation, contribution, indemnity, reimbursement or similar rights with respect to any payments it makes under this Guaranty until all of the Guaranteed Obligations and any amounts payable under this Guaranty have been indefeasibly paid and performed in full and any commitments of each Secured Party or facilities provided by each Secured Party with respect to the Guaranteed Obligations are terminated. If any amounts are paid to any Guarantor in violation of the foregoing limitation, then such amounts shall be held in trust for the benefit of the Secured Parties and shall forthwith be paid to the Administrative Agent (for the benefit of itself and the other Secured Parties) to reduce the amount of the Guaranteed Obligations, whether matured or unmatured. 8. Contribution. Subject to Section 7, each Guarantor hereby agrees with each other Guarantor that if any Guarantor shall make an Excess Payment, such Guarantor shall have a right of contribution from each other Guarantor in an amount equal to such other Guarantor’s Contribution Share of such Excess Payment. The payment obligations of any Guarantor under this Section shall be subordinate and subject in right of payment to the Guaranteed Obligations until such time as the Guaranteed Obligations have been indefeasibly paid and performed in full, and no Guarantor shall exercise any right or remedy under this Section against any other Guarantor until such Guaranteed Obligations have been indefeasibly paid and performed in full. Each Guarantor recognizes and acknowledges that the rights to contribution arising hereunder shall constitute an asset in favor of the party entitled to such contribution. This Section shall not be deemed to affect any right of subrogation, indemnity, reimbursement or contribution that any Guarantor may have under applicable Law against either Borrower in respect of any payment of Guaranteed Obligations. 9. Termination; Reinstatement. This Guaranty is a continuing and irrevocable guaranty of all Guaranteed Obligations now or hereafter existing and shall remain in full force and effect until all Guaranteed Obligations and any other amounts payable under this Guaranty are indefeasibly paid in full in cash (other than (a) contingent indemnification obligations as to which no claim has been asserted and (b) obligations and liabilities under Secured Cash Management Agreements, Secured Hedge Agreements and Trade Documents either (i) as to which arrangements satisfactory to the applicable Cash Management Bank, Hedge Bank or Trade Bank shall have been made or (ii) notice has not been received by the Administrative Agent from the applicable Cash Management Bank, Hedge Bank or Trade Bank, as the case may be, that amounts are due and payable under such Secured Cash Management Agreement, Secured Hedge Agreement or Trade Document, as the case may be), the expiration or termination of all Letters of Credit (other than any Letter of Credit the Outstanding Amount of which has been Cash Collateralized or back-stopped by a letter of credit or other credit support in form and substance reasonably satisfactory to the Administrative Agent and the applicable L/C Issuer) and any commitments of each Secured Party or facilities provided by each Secured Party with respect to the Guaranteed Obligations are terminated. Notwithstanding the foregoing, this Guaranty shall continue in full force and effect or be revived, as the case may be, if any payment by or on behalf of either Borrower or any Guarantor is made, or any Secured Party exercises its right of setoff, in respect of the Guaranteed Obligations and such payment or the proceeds of such setoff or any part thereof is subsequently invalidated, declared to be fraudulent or preferential, set aside or required (including pursuant to any settlement entered into by any Secured Party in its discretion) to be repaid to a trustee, receiver or any other party, in connection with any proceeding under any Debtor Relief Laws or otherwise, all as if such payment had not been made or such setoff had not occurred and whether or not any Secured Party is in possession of or has released this Guaranty and regardless of any prior revocation, rescission, termination


 
5 or reduction. The obligations of each Guarantor under this paragraph shall survive termination of this Guaranty. 10. Subordination. Each Guarantor hereby subordinates the payment of all obligations and indebtedness of any Borrower owing to such Guarantor, whether now existing or hereafter arising, including but not limited to any obligation of any Borrower to such Guarantor as subrogee of any Secured Party or resulting from such Guarantor’s performance under this Guaranty, to the indefeasible payment in full in cash of all Guaranteed Obligations; provided that either Borrower may make ordinary course payments pursuant to such Borrower’s and its Subsidiaries’ cash management systems unless an Event of Default has occurred and is continuing. If the Administrative Agent so requests when an Event of Default has occurred and is continuing, any such obligation or indebtedness of either Borrower to any Guarantor shall be enforced and performance received by such Guarantor as trustee for the Administrative Agent and the proceeds thereof, as well as any other amounts received by such Guarantor in violation of this Section, shall be paid over to the Administrative Agent on account of the Guaranteed Obligations, but without reducing or affecting in any manner the liability of such Guarantor under this Guaranty. 11. Stay of Acceleration. In the event that acceleration of the time for payment of any of the Guaranteed Obligations is stayed by an order of the court or by judicial decree, in connection with any case commenced by or against either Borrower or any Guarantor under any Debtor Relief Laws, or otherwise, all such amounts shall nonetheless be payable by such Guarantor immediately upon demand by the Administrative Agent. 12. Condition of Borrowers. Each Guarantor acknowledges and agrees that it has the sole responsibility for, and has adequate means of, obtaining from the Borrowers and any other Guarantor such information concerning the financial condition, business and operations of the Borrowers and any such other guarantor as such Guarantor requires, and that no Secured Party has a duty, and such Guarantor is not relying on any Secured Party at any time, to disclose to such Guarantor any information relating to the business, operations or financial condition of the Borrowers or any other Guarantor (the Guarantor waiving any duty on the part of any Secured Parties to disclose such information and any defense relating to the failure to provide the same). 13. Representations and Warranties. Each Guarantor represents and warrants that each representation and warranty contained in Article V of the Credit Agreement relating to such Guarantor is true and correct as if made by such Guarantor herein. 14. Amendments, Waivers and Consents. None of the terms or provisions of this Guaranty may be waived, amended, supplemented or otherwise modified, nor any consent be given, except in accordance with Section 11.01 of the Credit Agreement. 15. Notices. All notices and communications hereunder shall be given to the addresses and otherwise made in accordance with Section 11.02 of the Credit Agreement; provided that notices and communications to the Guarantors shall be directed to the Guarantors, at the address of the Company set forth in Section 11.02 of the Credit Agreement. 16. Expenses; Indemnification and Survival. The Guarantors shall, jointly and severally, (a) pay all reasonable out-of-pocket expenses actually incurred by the Administrative Agent and each other Secured Party and (b) indemnify each Indemnitee (which for purposes of this Guaranty shall include, without limitation, all Secured Parties), in each case, to the extent any Borrower would be required to do so pursuant to Section 11.04 of the Credit Agreement. The obligations of the Guarantors under this paragraph shall survive the payment in full of the Guaranteed Obligations and termination of this Guaranty in accordance with its terms.


 
6 17. Right of Setoff; Governing Law; Submission to Jurisdiction; Venue; WAIVER OF JURY TRIAL; Judgment Currency. THIS GUARANTY SHALL BE GOVERNED BY, AND CONSTRUED IN ACCORDANCE WITH, THE LAW OF THE STATE OF TEXAS. Without limiting the general applicability of the foregoing and the terms of the other Loan Documents to this Guaranty and the parties hereto, the terms of Sections 11.08, 11.14, 11.15, 11.19 and 11.28 of the Credit Agreement are incorporated herein by reference, mutatis mutandis, with each reference to the “Borrower” or the “Borrowers” therein (whether express or by reference to the Borrower or the Borrowers as a “party” thereto) being a reference to the Guarantors, and the parties hereto agree to such terms. 18. Counterparts; Electronic Execution. This Guaranty may be executed in counterparts (and by different parties hereto in different counterparts), each of which shall constitute an original, but all of which when taken together shall constitute a single contract. Delivery of an executed counterpart of a signature page of this Guaranty by telecopy or other electronic imaging means shall be effective as delivery of a manually executed counterpart of this Guaranty. 19. Additional Guarantors. At any time after the date of this Guaranty, one or more additional Persons may become a party hereto by executing and delivering to the Administrative Agent a joinder agreement in form and substance reasonably satisfactory to the Administrative Agent, pursuant to Section 6.14 of the Credit Agreement. Immediately upon such execution and delivery of such joinder agreement, and without any further action, each such additional Person will become a party to this Guaranty as a “Guarantor” and have all of the rights and obligations of a Guarantor hereunder and this Guaranty shall be deemed amended by such joinder agreement. 20. Miscellaneous. No failure by the Administrative Agent or any Secured Party to exercise, and no delay in exercising, any right, remedy or power hereunder shall operate as a waiver thereof, nor shall any single or partial exercise of any right, remedy or power hereunder preclude any other or further exercise thereof or the exercise of any other right, power or remedy. The remedies herein provided are cumulative and not exclusive of any remedies provided by law or in equity. The unenforceability or invalidity of any provision of this Guaranty shall not affect the enforceability or validity of any other provision herein. Unless otherwise agreed by the Administrative Agent and each Guarantor in writing, this Guaranty is not intended to supersede or otherwise affect any other guaranty now or hereafter given by any Guarantor or any other guarantor for the benefit of the Secured Parties or any term or provision thereof. 21. Acknowledgments. Each Guarantor hereby acknowledges that (a) it has been advised by counsel in the negotiation, execution and delivery of this Guaranty and the other Loan Documents to which it is a party and (b) it has received a copy of the Credit Agreement and the other Loan Documents and has reviewed and understands the same. 22. Severability. If any provision of this Guaranty is held to be illegal, invalid or unenforceable, (a) the legality, validity and enforceability of the remaining provisions of this Guaranty shall not be affected or impaired thereby and (b) the parties shall endeavor in good faith negotiations to replace the illegal, invalid or unenforceable provisions with valid provisions the economic effect of which comes as close as possible to that of the illegal, invalid or unenforceable provisions. The invalidity of a provision in a particular jurisdiction shall not invalidate or render unenforceable such provision in any other jurisdiction. 23. Titles and Captions. Titles and captions of Articles, Sections and subsections in this Guaranty are for convenience only, and neither limit nor amplify the provisions of this Guaranty.


 
7 24. USA PATRIOT Act. Each Secured Party that is subject to the USA PATRIOT Act (Title III of Pub. L. 107-56 (signed into law October 26, 2001)) (the “ Act “) and the Administrative Agent (for itself and not on behalf of any Secured Party) hereby notifies the Guarantors that pursuant to the requirements of the Act, it is required to obtain, verify and record information that identifies each Guarantor, which information includes the name and address of each Guarantor and other information that will allow such Secured Party or the Administrative Agent, as applicable, to identify each Guarantor in accordance with the Act. Each Guarantor shall, promptly following a request by the Administrative Agent or any Secured Party, provide all documentation and other information that the Administrative Agent or such Secured Party requests in order to comply with its ongoing obligations under applicable “know your customer” and anti-money laundering rules and regulations, including the Act. 25. Successors and Assigns. The provisions of this Guaranty shall be binding upon and inure to the benefit of the parties hereto and their respective successors and permitted assigns; except that no Guarantor may assign or otherwise transfer any of its rights or obligations under this Guaranty without the prior written consent of the Administrative Agent and the other Secured Parties (in accordance with the Credit Agreement). 26. Keepwell. Each Guarantor that is a Qualified ECP Guarantor at the time this Guaranty by any Specified Loan Party becomes effective with respect to any Swap Obligation, hereby jointly and severally, absolutely, unconditionally and irrevocably undertakes to provide such funds or other support to each Specified Loan Party with respect to such Swap Obligation as may be needed by such Specified Loan Party from time to time to honor all of its obligations under this Guaranty and the other Loan Documents in respect of such Swap Obligation (but, in each case, only up to the maximum amount of such liability that can be hereby incurred without rendering such Qualified ECP Guarantor’s obligations and undertakings under this Section 26 voidable under Applicable Law relating to fraudulent conveyance or fraudulent transfer, and not for any greater amount). The obligations and undertakings of each Qualified ECP Guarantor under this Section 26 shall remain in full force and effect until the Guaranteed Obligations have been indefeasibly paid and performed in full. Solely for purposes of the Commodity Exchange Act, each Qualified ECP Guarantor intends this Section 26 to constitute, and for such purposes this Section 26 shall be deemed to constitute, a guarantee of the obligations of, and a “keepwell, support, or other agreement” for the benefit of, each Specified Loan Party. 27. Amendment and Restatement. The Guarantors previously executed and delivered that certain Amended and Restated Guaranty dated March 31, 2022 as supplemented by that certain Joinder dated August 29, 2022 executed by Tensar Corporation, that certain Joinder dated August 29, 2022 executed by TAC Holdco, Inc., that certain Joinder dated August 29, 2022 executed by Geopier Foundation Company, Inc., that certain Joinder dated August 29, 2022 executed by CMC Tensar Holdings Inc., that certain Joinder dated August 29, 2022 executed by Tensar International, LLC, that certain Joinder dated August 29, 2022 executed by Tensar International Corporation and that certain Joinder dated August 29, 2022 executed by Tensar Holdings, LLC (the Amended and Restated Guaranty, as amended and supplemented, the “Existing Domestic Guaranty”) in favor of the Administrative Agent. This Guaranty is an amendment and restatement of the Existing Domestic Guaranty and is the “Domestic Guaranty” as defined in the Credit Agreement. The Guarantors affirm their obligations pursuant to the Existing Domestic Guaranty and agree that this Guaranty amends and restates the Existing Domestic Guaranty Agreement in its entirety. This Guaranty is not intended as, and shall not be construed as, a release or novation of any obligation of the Guarantors pursuant to the Existing Domestic Guaranty. 28. ENTIRE AGREEMENT. THIS GUARANTY AND THE OTHER LOAN DOCUMENTS REPRESENT THE FINAL AGREEMENT AMONG THE PARTIES AND MAY NOT BE CONTRADICTED BY EVIDENCE OF PRIOR, CONTEMPORANEOUS, OR SUBSEQUENT


 
8 ORAL AGREEMENTS OF THE PARTIES. THERE ARE NO UNWRITTEN ORAL AGREEMENTS AMONG THE PARTIES. [Signature Pages Follow]


 
[Signature Page to Second Amended and Restated Domestic Guaranty] IN WITNESS WHEREOF, each of the parties hereto has caused this Guaranty to be duly executed as of the date first above written. GUARANTORS: COMMERCIAL METALS COMPANY By: Name: Matthew McClellan Title: Treasurer STRUCTURAL METALS, INC. C M C STEEL FABRICATORS, INC. SMI STEEL LLC OWEN ELECTRIC STEEL COMPANY OF SOUTH CAROLINA SMI-OWEN STEEL COMPANY, INC. CMC STEEL US, LLC CMC STEEL OKLAHOMA, LLC By: Name: Paul J. Lawrence Title: Treasurer CMC GH, LLC By: Name: Paul J. Lawrence Title: President CMC TENSAR HOLDINGS INC. By: Name: Paul J. Lawrence Title: Senior Vice President and Chief Financial Officer


 
[Signature Page to Second Amended and Restated Domestic Guaranty] TENSAR CORPORATION TENSAR HOLDINGS, LLC TAC HOLDCO, INC. GEOPIER FOUNDATION COMPANY, INC. TENSAR INTERNATIONAL, LLC TENSAR INTERNATIONAL CORPORATION By: Name: Thierry Amat Title: Executive Vice President, Chief Financial Officer and Treasurer


 
Exhibit F-2 ACTIVE 682595837v3 EXHIBIT F-2 Form of Foreign Guaranty [See Attached]


 
Execution Version SECOND AMENDED AND RESTATED FOREIGN GUARANTY THIS SECOND AMENDED AND RESTATED FOREIGN GUARANTY (as amended, restated, extended, supplemented or otherwise modified from time to time, this “Guaranty”), dated as of October 26, 2022, is made by CMC Poland Sp. z o.o., a Polish limited liability company (the “Guarantor”), and a Foreign Subsidiary of Commercial Metals Company, a Delaware corporation (the “Company”), identified on the signature pages hereto and any Additional Guarantor (as defined below) who may become a party to this Guaranty, in favor of Bank of America, N.A., as Administrative Agent (in such capacity, the “Administrative Agent”) for the benefit of itself and the Secured Parties. PRELIMINARY STATEMENTS Pursuant to that certain Sixth Amended and Restated Credit Agreement dated as of the date hereof (as amended, restated, extended, supplemented or otherwise modified from time to time, the “Credit Agreement”), among the Company, CMC International Finance, a company organized and existing under the laws of Luxembourg as a société à responsabilité limitée, having its registered office at 1, rue Pletzer, L-8080 Bertrange, Grand Duchy of Luxembourg, registered with the Luxembourg Trade and Companies Register (Registre de Commerce et des Sociétés) under number B-161680 (the “Foreign Borrower” and together with the Company, the “Borrowers”), the Lenders from time to time party thereto, the Administrative Agent, the Swing Line Lender and each L/C Issuer, the Lenders and the L/C Issuers have agreed to make Credit Extensions to the Borrowers upon the terms and subject to the conditions set forth therein. The Guarantor will materially benefit from the Credit Extensions made and to be made under the Credit Agreement. The Guarantor is required to enter into this Guaranty pursuant to the terms of the Credit Agreement. For good and valuable consideration, the receipt and sufficiency of which are hereby acknowledged by the parties hereto, and to induce the Administrative Agent and the other Secured Parties to make their respective Credit Extensions and other financial accommodations under the Loan Documents to the Foreign Borrower, the Guarantor hereby agrees with the Administrative Agent, for the benefit of the Secured Parties, as follows: 1. Defined Terms. Capitalized terms used and not otherwise defined herein shall have the meanings ascribed thereto in the Credit Agreement. The following terms when used herein shall have the meanings set forth below: “Foreign Obligations” means any and all existing and future indebtedness and liabilities of every kind, nature and character, direct or indirect, absolute or contingent, liquidated or unliquidated, voluntary or involuntary and whether for principal, interest, premiums, fees, indemnities, damages, costs, expenses or otherwise, of the Foreign Borrower to any Secured Party arising under the Credit Agreement or any other Loan Document (including all renewals, extensions, amendments, restatements and other modifications thereof and all reasonable costs, attorneys’ fees of outside counsel and out-of-pocket expenses incurred by the Administrative Agent or any other Secured Party in connection with the collection or enforcement thereof); provided, however, the principal amount of indebtedness under the Credit Agreement and other Loan Documents consisting of Foreign Obligations shall not exceed $50,000,000, and the aggregate amount of all Foreign Obligations shall not exceed $60,000,000. “Guaranteed Obligations” has the meaning set forth in Section 2.


 
2 2. Guaranty. The Guarantor hereby absolutely and unconditionally guarantees, as a guaranty of payment and performance and not merely as a guaranty of collection, prompt payment when due, whether at stated maturity, by required prepayment, upon acceleration, demand or otherwise, and at all times thereafter, of all Foreign Obligations, and whether recovery upon such Foreign Obligations may be or hereafter become unenforceable or shall be an allowed or disallowed claim under any proceeding or case commenced by or against the Guarantor or the Foreign Borrower under any Debtor Relief Law, and including interest that accrues after the commencement by or against the Foreign Borrower of any proceeding under any Debtor Relief Laws (collectively, the “Guaranteed Obligations”). The books and records of the Administrative Agent and the books and records of each Secured Party showing the amount of the Guaranteed Obligations shall be admissible in evidence in any action or proceeding, and shall be conclusive absent manifest error of the amount of the Credit Extensions made by the Lenders to the Foreign Borrower and the interest and payments thereon. This Guaranty shall not be affected by the genuineness, validity, regularity or enforceability of the Guaranteed Obligations or any instrument or agreement evidencing any Guaranteed Obligations, or by the existence, validity, enforceability, perfection, non-perfection or extent of any collateral therefor, or by any fact or circumstance relating to the Guaranteed Obligations which might otherwise constitute a defense to the obligations of the Guarantor under this Guaranty, and the Guarantor hereby irrevocably waives any defenses it may now have or hereafter acquire in any way relating to any or all of the foregoing. The foregoing guaranty with respect to the Guaranteed Obligations shall expire on the date that is three years after the Maturity Date, as such date may be extended from time to time, unless a demand for payment has been made pursuant to this Guaranty prior to such date, in which event the foregoing guaranty shall continue until performed in accordance with this Guaranty. Anything contained herein to the contrary notwithstanding, the obligations of the Guarantor hereunder at any time shall be limited to an aggregate amount equal to the largest amount that would not render its obligations hereunder subject to avoidance as a fraudulent transfer or conveyance under Section 548 of the Bankruptcy Code (Title 11, United States Code) or any comparable provisions of any similar federal, state or foreign law. 3. No Setoff or Deductions; Taxes; Payments. The Guarantor shall make all payments hereunder without setoff or counterclaim and free and clear of and without deduction for any taxes, levies, imposts, duties, charges, fees, deductions, withholdings, compulsory loans, restrictions or conditions of any nature now or hereafter imposed or levied by any jurisdiction or any political subdivision thereof or taxing or other authority therein (other than Excluded Taxes) unless the Guarantor is compelled by applicable Law to make such deduction or withholding, in which case the Guarantor shall be entitled to make such deduction or withholding and at the same time the sum payable by the Guarantor shall be increased as necessary so that after any required withholding or the making of all required deductions (including deductions applicable to additional sums payable under this paragraph) the applicable Secured Party receives an amount equal to the sum it would have received had no such withholding or deduction been made. The Guarantor shall pay and indemnify each Secured Party for Taxes and Other Taxes. The obligations of the Guarantor under this paragraph shall survive the payment in full of the Guaranteed Obligations and termination of this Guaranty. 4. Rights of Secured Parties. To the fullest extent not prohibited by applicable Law, the Guarantor consents and agrees that the Secured Parties may, at any time and from time to time, without notice or demand, and without affecting the enforceability or continuing effectiveness hereof: (a) amend, extend, renew, compromise, discharge, accelerate or otherwise change the time for payment or the terms of the Guaranteed Obligations or any part thereof, (b) take, hold, exchange, enforce, waive, release, fail to perfect, sell, or otherwise dispose of any security for the payment of this Guaranty or any Guaranteed Obligations, (c) apply such security and direct the order or manner of sale thereof as the Secured Parties in their sole discretion may determine and (d) release or substitute one or more of any endorsers or other


 
3 guarantors of any of the Guaranteed Obligations. Without limiting the generality of the foregoing, to the fullest extent not prohibited by applicable Law, the Guarantor consents to the taking of, or failure to take, any action which might in any manner or to any extent vary the risks of the Guarantor under this Guaranty or which, but for this provision, might operate as a discharge of the Guarantor. 5. Certain Waivers. To the fullest extent permitted by applicable Law, the Guarantor waives (a) any defense arising by reason of any disability or other defense of the Foreign Borrower or any other guarantor, or the cessation from any cause whatsoever (including any act or omission of any Secured Party) of the liability of the Foreign Borrower other than indefeasible payment and performance in full of the Guaranteed Obligations, (b) any defense based on any claim that the Guarantor’s obligations exceed or are more burdensome than those of the Foreign Borrower, (c) the benefit of any statute of limitations affecting the Guarantor’s liability hereunder, (d) any right to require any Secured Party to proceed against the Foreign Borrower, proceed against or exhaust any security for the Guaranteed Obligations, or pursue any other remedy in any Secured Party’s power whatsoever, (e) any benefit of and any right to participate in any security now or hereafter held by any Secured Party and (f) any and all other defenses or benefits that may be derived from or afforded by applicable Law limiting the liability of or exonerating guarantors or sureties. To the fullest extent not prohibited by applicable Law, the Guarantor expressly waives all setoffs and counterclaims and all presentments, demands for payment or performance, notices of nonpayment or nonperformance, protests, notices of protest, notices of dishonor and all other notices or demands of any kind or nature whatsoever with respect to the Guaranteed Obligations, and all notices of acceptance of this Guaranty or of the existence, creation or incurrence of new or additional Guaranteed Obligations. 6. Obligations Independent. The obligations of the Guarantor hereunder are those of primary obligor, and not merely as surety, and are independent of the Guaranteed Obligations and the obligations of any other guarantor, and a separate action may be brought against the Guarantor to enforce this Guaranty whether or not the Foreign Borrower or any other person or entity is joined as a party. 7. Subrogation. The Guarantor shall not exercise any right of subrogation, contribution, indemnity, reimbursement or similar rights with respect to any payments it makes under this Guaranty until all of the Guaranteed Obligations and any amounts payable under this Guaranty have been indefeasibly paid and performed in full and any commitments of each Secured Party or facilities provided by each Secured Party with respect to the Guaranteed Obligations are terminated; provided that (a) the foregoing limitation shall not be applicable to any right of setoff by the Guarantor against CMC Metals Cyprus Ltd or any of its assignee under that certain Amended and Restated Intercompany Loan Agreement by and between the Guarantor as borrower thereunder and CMC Metals Cyprus Ltd. (as the assignee of the Foreign Borrower), as the lender thereunder, dated as of April 1, 2013, as amended, restated or otherwise modified from time to time and (b) so long as no Event of Default has occurred and is continuing at the time any such right of setoff is exercised, the foregoing limitation shall not be applicable to any right of setoff by the Guarantor against the Company under the Intercompany Loan Agreement by and between the Company, as the borrower thereunder, and the Guarantor, as the lender thereunder, dated as of August 13, 2020, as further amended. If any amounts are paid to the Guarantor in violation of the foregoing limitation, then such amounts shall be held in trust for the benefit of the Secured Parties and shall forthwith be paid to the Administrative Agent (for the benefit of itself and the other Secured Parties) to reduce the amount of the Guaranteed Obligations, whether matured or unmatured. 8. Termination; Reinstatement. This Guaranty is a continuing and irrevocable guaranty of all Guaranteed Obligations now or hereafter existing and shall remain in full force and effect until all Guaranteed Obligations and any other amounts payable under this Guaranty are indefeasibly paid in full in cash (other than (a) contingent indemnification obligations as to which no claim has been asserted and


 
4 (b) obligations and liabilities under Secured Cash Management Agreements and Secured Hedge Agreements either (i) as to which arrangements satisfactory to the applicable Cash Management Bank or Hedge Bank shall have been made or (ii) notice has not been received by the Administrative Agent from the applicable Cash Management Bank or Hedge Bank, as the case may be, that amounts are due and payable under such Secured Cash Management Agreement or Secured Hedge Agreement, as the case may be), the expiration or termination of all Letters of Credit (other than any Letter of Credit the Outstanding Amount of which has been Cash Collateralized or back-stopped by a letter of credit or other credit support in form and substance reasonably satisfactory to the Administrative Agent and the applicable L/C Issuer) and any commitments of each Secured Party or facilities provided by each Secured Party with respect to the Guaranteed Obligations are terminated. Notwithstanding the foregoing, this Guaranty shall continue in full force and effect or be revived, as the case may be, if any payment by or on behalf of the Foreign Borrower or any other Person is made, or any Secured Party exercises its right of setoff, in respect of the Guaranteed Obligations and such payment or the proceeds of such setoff or any part thereof is subsequently invalidated, declared to be fraudulent or preferential, set aside or required (including pursuant to any settlement entered into by any Secured Party in its discretion) to be repaid to a trustee, receiver or any other party, in connection with any proceeding under any Debtor Relief Laws or otherwise, all as if such payment had not been made or such setoff had not occurred and whether or not any Secured Party is in possession of or has released this Guaranty and regardless of any prior revocation, rescission, termination or reduction. The obligations of the Guarantor under this paragraph shall survive termination of this Guaranty. 9. Subordination. The Guarantor hereby subordinates the payment of all obligations and indebtedness of the Foreign Borrower owing to the Guarantor, whether now existing or hereafter arising, including but not limited to any obligation of the Foreign Borrower to the Guarantor as subrogee of any Secured Party or resulting from the Guarantor’s performance under this Guaranty, to the indefeasible payment in full in cash of all Guaranteed Obligations; provided that unless an Event of Default has occurred and is continuing, the Foreign Borrower may make (a) ordinary course payments pursuant to the Foreign Borrower’s and its Subsidiaries’ cash management systems, and (b) any advances of loan proceeds required to be made by Foreign Borrower to Guarantor. If the Administrative Agent so requests when an Event of Default has occurred and is continuing, any such obligation or indebtedness of the Foreign Borrower to the Guarantor shall be enforced and performance received by the Guarantor as trustee for the Administrative Agent and the proceeds thereof, as well as any other amounts received by the Guarantor in violation of this Section, shall be paid over to the Administrative Agent on account of the Guaranteed Obligations, but without reducing or affecting in any manner the liability of the Guarantor under this Guaranty. 10. Stay of Acceleration. In the event that acceleration of the time for payment of any of the Guaranteed Obligations is stayed, in connection with any case commenced by or against the Foreign Borrower or the Guarantor under any Debtor Relief Laws, or otherwise, all such amounts shall nonetheless be payable by the Guarantor immediately upon demand by the Administrative Agent. 11. Condition of Foreign Borrower. The Guarantor acknowledges and agrees that it has the sole responsibility for, and has adequate means of, obtaining from the Foreign Borrowers and any other guarantor such information concerning the financial condition, business and operations of the Foreign Borrower and any such other guarantor as the Guarantor requires, and that no Secured Party has a duty, and the Guarantor is not relying on any Secured Party at any time, to disclose to the Guarantor any information relating to the business, operations or financial condition of the Foreign Borrower or any other Guarantor (the Guarantor waiving any duty on the part of any Secured Parties to disclose such information and any defense relating to the failure to provide the same).


 
5 12. Representations and Warranties. The Guarantor represents and warrants that each representation and warranty contained in Article V of the Credit Agreement relating to the Guarantor is true and correct as if made by the Guarantor herein. 13. Amendments, Waivers and Consents. None of the terms or provisions of this Guaranty may be waived, amended, supplemented or otherwise modified, nor any consent be given, except in accordance with Section 11.01 of the Credit Agreement. 14. Notices. All notices and communications hereunder shall be given to the addresses and otherwise made in accordance with Section 11.02 of the Credit Agreement; provided that notices and communications to the Guarantor shall be directed to the Guarantors, at the address of the Company set forth in Section 11.02 of the Credit Agreement. 15. Expenses; Indemnification and Survival. The Guarantor shall (a) pay all reasonable out-of- pocket expenses actually incurred by the Administrative Agent and each other Secured Party and (b) indemnify each Indemnitee (which for purposes of this Guaranty shall include, without limitation, all Secured Parties), in each case, to the extent the Foreign Borrower would be required to do so pursuant to Section 11.04 of the Credit Agreement. The obligations of the Guarantor under this paragraph shall survive the payment in full of the Guaranteed Obligations and termination of this Guaranty in accordance with its terms. 16. Right of Setoff; Governing Law; Submission to Jurisdiction; Venue; WAIVER OF JURY TRIAL; Judgment Currency. (a) THIS GUARANTY SHALL BE GOVERNED BY, AND CONSTRUED IN ACCORDANCE WITH, THE LAW OF THE STATE OF TEXAS. Without limiting the general applicability of the foregoing and the terms of the other Loan Documents to this Guaranty and the parties hereto, the terms of Sections 11.08, 11.14, 11.15, 11.19 and 11.28 of the Credit Agreement are incorporated herein by reference, mutatis mutandis, with each reference to the “Borrower” or the “Borrowers” therein (whether express or by reference to the Borrower or the Borrowers as a “party” thereto) being a reference to the Guarantor, and the parties hereto agree to such terms. (b) The Guarantor’s obligations pursuant to this Guaranty shall be limited to the extent required so that such obligations do not and cannot result in a reduction of the assets required for the coverage of the total nominal capital as defined in, or a repayment of capital as prohibited under, Art. 189 and/or by Art. 344 of the Polish Commercial Companies Code of 15 September 2000 (Journal of Laws of 2000 No. 94 section 1037, as subsequently amended). (c) Subject to Section 16(d), the obligations of the Guarantor pursuant to this Guaranty shall be limited to the aggregate value of the Guarantor’s assets current at the time less the aggregate value of its liabilities current at the time which are included for the purpose of the insolvency test under Art. 11 section 2-5 of the Bankruptcy Law of 28 February 2003 (Journal of Laws No. 60, no. 535) (as amended, the “Polish Bankruptcy Laws”) and thus they do not result in the insolvency of that Guarantor within the meaning of Art. 11 section 2 of the Polish Bankruptcy Law. (d) The limitation in Section 16(c) will not apply if one or more of the following circumstances occurs: (i) an Event of Default (other than as listed in Section 8.01(a) or (f) of the Credit Agreement) occurs and either (A) the Foreign Obligations have been accelerated, or (B) Polish Bankruptcy Law or other applicable Law prohibits acceleration of the Foreign Obligations,


 
6 irrespective of whether that Event of Default occurred before or after the Guarantor became insolvent (or upon the Guarantor becoming insolvent) within the meaning of Art. 11 section 1 or 2 of the Polish Bankruptcy Law; or (ii) an Event of Default described in Section 8.01(a) or (f) of the Credit Agreement occurs that has not been waived, irrespective of whether it occurred before or after the Guarantor became insolvent within the meaning of Art. 11 section 1 or 2 of the Polish Bankruptcy Law; or (iii) the liabilities of the Guarantor (other than those under the Loan Documents) result in its insolvency within the meaning of Article 11 section 2 of the Polish Bankruptcy Law; or (iv) Polish law is amended in such a manner that over-indebtedness (stan nadmiernego zadłużenia) as provided for in Article 11 section 2 of the Polish Bankruptcy Law (as in force on the date of this Guaranty) no longer gives grounds for bankruptcy or obliges the representatives of the Guarantor to file for bankruptcy. 17. Counterparts; Electronic Execution. This Guaranty may be executed in counterparts (and by different parties hereto in different counterparts), each of which shall constitute an original, but all of which when taken together shall constitute a single contract. Delivery of an executed counterpart of a signature page of this Guaranty by telecopy or other electronic imaging means shall be effective as delivery of a manually executed counterpart of this Guaranty. 18. Limitations on Guaranteed Obligations. Notwithstanding anything to the contrary in this Guaranty, the Guaranteed Obligations shall be subject to the limitations set forth in Section 11.22 of the Credit Agreement. 19. Miscellaneous. No failure by the Administrative Agent or any Secured Party to exercise, and no delay in exercising, any right, remedy or power hereunder shall operate as a waiver thereof, nor shall any single or partial exercise of any right, remedy or power hereunder preclude any other or further exercise thereof or the exercise of any other right, power or remedy. The remedies herein provided are cumulative and not exclusive of any remedies provided by law or in equity. The unenforceability or invalidity of any provision of this Guaranty shall not affect the enforceability or validity of any other provision herein. Unless otherwise agreed by the Administrative Agent and the Guarantor in writing, this Guaranty is not intended to supersede or otherwise affect any other guaranty now or hereafter given by the Guarantor or any other guarantor for the benefit of the Secured Parties or any term or provision thereof. 20. Acknowledgments. The Guarantor hereby acknowledges that (a) it has been advised by counsel in the negotiation, execution and delivery of this Guaranty and the other Loan Documents to which it is a party and (b) it has received a copy of the Credit Agreement and the other Loan Documents and has reviewed and understands the same. 21. Severability. If any provision of this Guaranty is held to be illegal, invalid or unenforceable, (a) the legality, validity and enforceability of the remaining provisions of this Guaranty shall not be affected or impaired thereby and (b) the parties shall endeavor in good faith negotiations to replace the illegal, invalid or unenforceable provisions with valid provisions the economic effect of which comes as close as possible to that of the illegal, invalid or unenforceable provisions. The invalidity of a provision in a particular jurisdiction shall not invalidate or render unenforceable such provision in any other jurisdiction.


 
7 22. Titles and Captions. Titles and captions of Articles, Sections and subsections in this Guaranty are for convenience only, and neither limit nor amplify the provisions of this Guaranty. 23. Amendment and Restatement. The Guarantor previously executed and delivered that certain Foreign Guaranty dated March 31, 2021 (the “Existing Foreign Guaranty”) in favor of the Administrative Agent. This Guaranty is an amendment and restatement of the Existing Foreign Guaranty and is the “Foreign Guaranty” as defined in the Credit Agreement. The Guarantor affirms its obligations pursuant to the Existing Foreign Guaranty and agrees that this Guaranty amends and restates the Existing Foreign Guaranty Agreement in its entirety. This Guaranty is not intended as, and shall not be construed as, a release or novation of any obligation of the Guarantor pursuant to the Existing Foreign Guaranty. 24. USA PATRIOT Act. Each Secured Party that is subject to the USA PATRIOT Act (Title III of Pub. L. 107-56 (signed into law October 26, 2001)) (the “Act”) and the Administrative Agent (for itself and not on behalf of any Secured Party) hereby notifies the Guarantors that pursuant to the requirements of the Act, it is required to obtain, verify and record information that identifies the Guarantor, which information includes the name and address of the Guarantor and other information that will allow such Secured Party or the Administrative Agent, as applicable, to identify the Guarantor in accordance with the Act. The Guarantor shall, promptly following a request by the Administrative Agent or any Secured Party, provide all documentation and other information that the Administrative Agent or such Secured Party requests in order to comply with its ongoing obligations under applicable “know your customer” and anti-money laundering rules and regulations, including the Act. 25. Successors and Assigns. The provisions of this Guaranty shall be binding upon and inure to the benefit of the parties hereto and their respective successors and permitted assigns; except that the Guarantor may not assign or otherwise transfer any of its rights or obligations under this Guaranty without the prior written consent of the Administrative Agent and the other Secured Parties (in accordance with the Credit Agreement). 26. SERVICE OF PROCESS FOR GUARANTOR. WITHOUT PREJUDICE TO ANY OTHER MODE OF SERVICE ALLOWED UNDER ANY RELEVANT LAW, THE GUARANTOR: (i) IRREVOCABLY APPOINTS THE COMPANY AS ITS AGENT FOR SERVICE OF PROCESS IN RELATION TO ANY PROCEEDINGS BEFORE THE COURTS OF THE STATE OF TEXAS IN CONNECTION WITH ANY LOAN DOCUMENT AND (ii) AGREES THAT FAILURE BY A PROCESS AGENT TO NOTIFY THE GUARANTOR OF THE PROCESS WILL NOT INVALIDATE THE PROCEEDINGS CONCERNED. THE GUARANTOR EXPRESSLY AGREES AND CONSENTS TO THE PROVISIONS OF THIS SECTION 26. 27. ENTIRE AGREEMENT. THIS GUARANTY AND THE OTHER LOAN DOCUMENTS REPRESENT THE FINAL AGREEMENT AMONG THE PARTIES AND MAY NOT BE CONTRADICTED BY EVIDENCE OF PRIOR, CONTEMPORANEOUS, OR SUBSEQUENT ORAL AGREEMENTS OF THE PARTIES. THERE ARE NO UNWRITTEN ORAL AGREEMENTS AMONG THE PARTIES. [Signature Pages Follow]


 
[Signature Page to Second Amended and Restated Foreign Guaranty] IN WITNESS WHEREOF, each of the parties hereto has caused this Guaranty to be duly executed as of the date first above written. GUARANTOR: CMC POLAND SP. Z O.O. By: Name: Title:


 
Exhibit G ACTIVE 682595837v3 EXHIBIT G Form of Security Agreement [See Attached]


 
Execution Version SECOND AMENDED AND RESTATED SECURITY AGREEMENT THIS SECOND AMENDED AND RESTATED SECURITY AGREEMENT (as amended, restated, extended, supplemented or otherwise modified from time to time, this “Agreement”) is entered into as of October 26, 2022 among Commercial Metals Company, a Delaware corporation (the “Company”), the Domestic Subsidiaries of the Company identified as “Grantors” on the signature pages hereto, each Additional Grantor (as defined below) party hereto after the date hereof (collectively with the Company, the “Grantors”) and Bank of America, N.A., in its capacity as administrative agent (in such capacity, the “Administrative Agent”) for the Secured Parties. PRELIMINARY STATEMENTS Pursuant to that certain Sixth Amended and Restated Credit Agreement dated as of October 26, 2022 (as amended, restated, extended, supplemented or otherwise modified from time to time, the “Credit Agreement”) among the Company, the Foreign Borrower (as defined therein, and together with the Company, the “Borrowers”), the lenders from time to time party thereto (the “Lenders”), the Administrative Agent, the Swing Line Lender and each L/C Issuer, the Lenders and the L/C Issuers have agreed to make Credit Extensions to the Borrowers upon the terms and subject to the conditions set forth therein. It is a requirement under the Credit Agreement that the Grantors execute and deliver this Agreement to the Administrative Agent, for the benefit of the Secured Parties. NOW, THEREFORE, for good and valuable consideration, the receipt and sufficiency of which are hereby acknowledged by the parties hereto, and to induce the Lenders and the L/C Issuers to enter into and to make Credit Extensions to the Borrowers under the Credit Agreement, each Grantor hereby agrees with the Administrative Agent, for the benefit of the Secured Parties, as follows: 1. Definitions. Capitalized terms used and not otherwise defined herein shall have the meanings ascribed to such terms in the Credit Agreement, and the following terms shall have the meanings set forth in the UCC: Accession; Chattel Paper; Deposit Account; Document; Electronic Chattel Paper; General Intangible; Instrument; Inventory; Proceeds; Record; Supporting Obligation; and Tangible Chattel Paper. In addition, the following terms shall have the meanings set forth below: “Additional Grantor” means each Person that becomes a Grantor pursuant to Section 17. “Collateral” has the meaning provided in Section 2. “Excluded Obligations” means (a) contingent indemnification obligations as to which no claim has been asserted and (b) obligations and liabilities under Secured Cash Management Agreements, Secured Hedge Agreements and Trade Documents. “Insurance” means all insurance policies which cover any and all of the Collateral (regardless of whether the Administrative Agent is the loss payee thereof). “Permitted Liens” means Liens permitted to exist under Section 7.01 of the Credit Agreement. “Secured Obligations” means all “Secured Obligations” as defined in the Credit Agreement, including, without limitation, the “Guaranteed Obligations” of each Guarantor under the Guaranty; provided, for avoidance of doubt, Secured Obligations shall exclude any Excluded Swap Obligations.


 
2 “UCC” means the Uniform Commercial Code as in effect in the State of Texas; provided that, if perfection or the effect of perfection or non-perfection or the priority of any security interest in any Collateral is governed by the Uniform Commercial Code as in effect in a jurisdiction other than the State of Texas, “UCC” means the Uniform Commercial Code as in effect from time to time in such other jurisdiction for purposes of the provisions hereof relating to such perfection, effect of perfection or non- perfection or priority. With reference to this Agreement and each other Loan Document, unless otherwise specified herein or in such other Loan Document: (i) the definitions of terms herein shall apply equally to the singular and plural forms of the terms defined, (ii) whenever the context may require, any pronoun shall include the corresponding masculine, feminine and neuter forms, (iii) the words “include”, “includes” and “including” shall be deemed to be followed by the phrase “without limitation”, (iv) the word “will” shall be construed to have the same meaning and effect as the word “shall”, (v) any definition of or reference to any agreement, instrument or other document herein shall be construed as referring to such agreement, instrument or other document, as from time to time amended, supplemented or otherwise modified (subject to any restrictions on such amendments, supplements or modifications set forth herein), (vi) any reference herein to any Person shall be construed to include such Person’s permitted successors and assigns, (vii) the words “herein”, “hereof” and “hereunder”, and words of similar import, shall be construed to refer to this Agreement in its entirety and not to any particular provision hereof, (viii) all references herein to Articles, Sections, Exhibits and Schedules shall be construed to refer to Articles and Sections of, and Exhibits and Schedules to, this Agreement, (ix) the words “asset” and “property” shall be construed to have the same meaning and effect and to refer to any and all tangible and intangible assets and properties, including cash, securities, accounts and contract rights, (x) the term “documents” includes any and all instruments, documents, agreements, certificates, notices, reports, financial statements and other writings, however evidenced, whether in physical or electronic form, (xi) in the computation of periods of time from a specified date to a later specified date, the word “from” means “from and including;” the words “to” and “until” each mean “to but excluding;” and the word “through” means “to and including”, (xii) Section headings herein and in the other Loan Documents are included for convenience of reference only and shall not affect the interpretation of this Agreement or any other Loan Document and (xiii) where the context requires, terms relating to the Collateral or any part thereof, when used in relation to a Grantor, shall refer to such Grantor’s Collateral or the relevant part thereof. Whenever any provision contained in this Agreement refers to the knowledge (or an analogous phrase) of any Grantor, such words are intended to signify that such Grantor (or any Responsible Officer of such Grantor) has actual knowledge or awareness of a particular fact or circumstance or that such Grantor (or any Responsible Officer of such Grantor), if it had exercised reasonable and customary diligence, would have known or been aware of such fact or circumstance. 2. Grant of Security Interest in the Collateral. To secure the prompt payment and performance in full when due, whether by lapse of time, acceleration, mandatory prepayment or otherwise, of the Secured Obligations, each Grantor hereby grants, pledges and collaterally assigns to the Administrative Agent, for the benefit of the Secured Parties, a continuing security interest in any and all right, title and interest of such Grantor in and to all of the following, whether now owned or existing or owned, acquired, or arising hereafter (collectively, the “Collateral”): (a) all Inventory located in the United States; (b) all Chattel Paper, Documents, General Intangibles and Instruments, in each case, directly relating to, or arising from, all Inventory located in the United States; (c) each Deposit Account that contains any Proceeds of any of the foregoing and following property;


 
3 (d) all Records related to the foregoing and following; and (e) all Proceeds (including Insurance Proceeds) and products of any and all of the foregoing, all Accessions to any of the foregoing and all collateral security and Supporting Obligations given by any Person with respect to any of the foregoing. Each of the Grantors and the Administrative Agent, on behalf of the Secured Parties, hereby acknowledge and agree that the security interest created hereby in the Collateral constitutes continuing collateral security for all of the Secured Obligations, whether now existing or hereafter arising. 3. Representations and Warranties. The Company, as to itself and each other Grantor, and each other Grantor solely as to itself and its Subsidiaries, hereby represents and warrants to the Administrative Agent, for the benefit of the Secured Parties, that: (a) Ownership. Each Grantor is the legal and beneficial owner of its Collateral free and clear of any Lien (other than Permitted Liens) and has the right to pledge, sell, assign or transfer the same. No Grantor has authenticated any agreement authorizing any secured party thereunder to file a financing statement purporting to cover any of the Collateral, except to perfect Permitted Liens. (b) Security Interest/Priority. This Agreement creates a valid security interest in the Collateral of such Grantor in favor of the Administrative Agent, for the benefit of the Secured Parties, as collateral security for the Secured Obligations, free and clear of all Liens (other than Permitted Liens). The security interests granted pursuant to this Agreement shall constitute valid and perfected first priority security interests (subject to Permitted Liens) in all of the Collateral to the extent such security interests can be perfected as follows: (i) upon the filing by the Administrative Agent, for the benefit of the Secured Parties, of UCC financing statements (which are in appropriate form and describe the Collateral) with the appropriate offices in the appropriate states, of the Collateral with respect to which a security interest can be perfected by filing one or more financing statements, or (ii) upon the taking of possession, delivery or control by the Administrative Agent, for the benefit of the Secured Parties, of the Collateral with respect to which a security interest can be perfected only by possession, delivery or control under the terms of the UCC. (c) Places of Business; Acquisitions; Mergers; Tradenames. As of the Closing Date, (i) the chief executive office of each Grantor and the office where each Grantor keeps its books and records relating to the Chattel Paper, Documents, General Intangibles, Instruments and Inventory, in each case constituting Collateral in which it has any interest is located at the locations specified on Schedule 3(c) under such Grantor’s name and (ii) except as disclosed on Schedule 3(c) under such Grantor’s name, no Grantor has (A) acquired assets from any Person, other than assets acquired in the ordinary course of such Grantor’s business from a Person engaged in the business of selling goods of such kind, during the past five years or (B) been party to a merger during the five years prior to the Closing Date except as disclosed on Schedule 3(c) under such Grantor’s name. (d) Inventory. As of the Closing Date, all Collateral consisting of Inventory having a value of more than $500,000 is located at the locations identified on Schedule 3(d), except as otherwise permitted hereunder. Except as could not reasonably be expected to have a Material Adverse Effect, Collateral consisting of Inventory is of good and merchantable quality, free from any material defects. No Inventory of a Grantor in excess of $1,000,000 is held by a Person other than a Grantor pursuant to consignment, sale or return, sale on approval or similar arrangement.


 
4 (e) Consents; Etc. Except for (i) the filing or recording of UCC financing statements, (ii) obtaining control to perfect the Liens created by this Agreement (to the extent required under Section 4(a)), and (iii) consents, authorizations, filings or other actions which have been obtained or made, no consent or authorization of, filing with, or other act by or in respect of, any arbitrator or Governmental Authority and no consent of any other Person (including, without limitation, any stockholder, member or creditor of such Grantor), is required for (A) the grant by such Grantor of the security interest in the Collateral granted hereby or for the execution and delivery of performance under this Agreement by such Grantor, (B) the perfection of such security interest (to the extent such security interest can be perfected by filing under the UCC, the taking possession or the granting of control (to the extent required under Section 4(a)) or (C) to the knowledge of such Grantor, the exercise by the Administrative Agent or any of the Secured Parties of the rights and remedies provided for in this Agreement. (f) Organization Information. As of the Closing Date: (i) Schedule 3(f), Section (a) states the exact name of such Grantor, as such name appears in its currently effective Organization Documents as filed with the appropriate authority of the jurisdiction of such Grantor’s organization. (ii) Schedule 3(f), Section (b) states the jurisdiction of organization of such Grantor. (iii) Such Grantor is not organized in more than one jurisdiction. (iv) Schedule 3(f), Section (c) sets forth the current type of entity of such Grantor. (v) Schedule 3(f), Section (d) states each other entity type, jurisdiction of organization and name such Grantor has had in the five-year period preceding such Schedule Effective Date, together with the date of the relevant change. (vi) Except as set forth on Schedule 3(f), Section (d), such Grantor has not changed its identity or type of entity, jurisdiction of organization or name in any way within the five-year period preceding such Schedule Effective Date (changes in identity or type of entity include mergers, consolidations, acquisitions (including both equity and asset acquisitions), and any change in the form, nature or jurisdiction of organization). (vii) Schedule 3(f), Section (e) states all other names (including trade, assumed and similar names) used by such Grantor or any of its divisions or other business units at any time during the five-year period preceding such Schedule Effective Date. (viii) Schedule 3(f), Section (f) states the Federal Taxpayer Identification Number of such Grantor. (ix) Schedule 3(f), Section (g) states the location of the office designated for filing a UCC financing statement covering the Collateral in the state of Grantor’s jurisdiction of organization. 4. Covenants. Each Grantor covenants that until such time as the Secured Obligations (other than Excluded Obligations) have been paid in full, the Commitments have expired or been terminated, and no Letters of Credit remain outstanding (other than any Letters of Credit the Outstanding Amount of which has been Cash Collateralized or back-stopped by a letter of credit or other credit


 
5 support in form and substance reasonably satisfactory to the Administrative Agent and the applicable L/C Issuer), such Grantor shall: (a) Delivery of Certain Collateral. (i) Instruments; Tangible Chattel Paper; Documents. If any amount payable under or in connection with any of the Collateral shall be or become evidenced by any Instrument or Tangible Chattel Paper having a face value of more than (x) $1,000,000, individually, or (y) $2,000,000, when aggregated together with the value of all other Instruments and Tangible Chattel Paper, not yet delivered to the Administrative Agent pursuant to this Section 4(a), or if any Collateral shall be stored or shipped subject to a Document, (A) ensure that such Instrument, Tangible Chattel Paper or Document is either in the possession of such Grantor at all times or, if requested by the Administrative Agent because possession is required to perfect its first priority security interest in such Collateral, deliver such Instrument, Tangible Chattel Paper or Document to the Administrative Agent duly endorsed in a manner reasonably satisfactory to the Administrative Agent and (B) upon the request of the Administrative Agent, ensure that any such Tangible Chattel Paper is marked with a legend reasonably acceptable to the Administrative Agent, indicating the Administrative Agent’s security interest in such Tangible Chattel Paper. (ii) Electronic Chattel Paper. Execute and deliver all agreements, assignments, instruments or other documents as reasonably requested by the Administrative Agent for the purpose of obtaining and maintaining control with respect to any Collateral consisting of Electronic Chattel Paper having a value of more than (x) $500,000, individually, or (y) $1,000,000, when aggregated together with the value of all other Electronic Chattel Paper but not yet delivered to the Administrative Agent pursuant to this Section 4(a). (b) Filing of Financing Statements, Notices, Assignment of Claims Act, Etc. Execute and deliver to the Administrative Agent such agreements, assignments or instruments (including affidavits, notices, reaffirmations and amendments and restatements of existing documents) and do all such other things, in each case, as the Administrative Agent may reasonably deem necessary and may reasonably request (i) to assure to the Administrative Agent its security interests hereunder, including such instruments as the Administrative Agent may from time to time reasonably request in order to perfect and maintain the security interests granted hereunder in accordance with the UCC, (ii) to consummate the transactions contemplated hereby and (iii) to otherwise protect and assure the Administrative Agent of its rights and interests hereunder. Furthermore, each Grantor also hereby irrevocably makes, constitutes and appoints the Administrative Agent, its nominee or any other person whom the Administrative Agent may designate, as such Grantor’s attorney in fact with full power and for the limited purpose to sign in the name of such Grantor any financing statements, or amendments and supplements to financing statements, renewal financing statements, notices or any similar documents which in the Administrative Agent’s reasonable discretion would be necessary or appropriate in order to perfect and maintain perfection of the security interests in the Collateral granted hereunder, such power, being coupled with an interest, being and remaining irrevocable until such time as the Secured Obligations (other than Excluded Obligations) have been paid in full, the Commitments have expired or been terminated, and no Letters of Credit remain outstanding (other than any Letters of Credit the Outstanding Amount of which has been Cash Collateralized or back-stopped by a letter of credit or other credit support in form and substance reasonably satisfactory to the Administrative Agent and the applicable L/C Issuer). Each Grantor hereby agrees that a carbon, photographic or other reproduction of this Agreement or any such financing statement is sufficient for filing as a financing statement by the Administrative Agent without notice thereof to such Grantor wherever the Administrative Agent may in its sole discretion desire to file the same. After the Closing Date, upon the reasonable request of the Administrative Agent and at the sole expense of the Grantors, each Grantor will promptly and duly execute and deliver such further


 
6 instruments and documents and take such further actions as the Administrative Agent may reasonably request for the purpose of obtaining or preserving the full benefits of this Agreement and of the rights and powers herein granted. In the case of any contract that any Grantor is a party to which is subject to the Assignment of Claims Act of 1940 (31 U.S.C. Section 3727, 41 U.S.C. Section 15), such Grantor shall take all actions reasonably requested by the Administrative Agent to evidence compliance therewith. (c) Required Notifications. Each Grantor shall (i) promptly notify the Administrative Agent, in writing, of (A) any Lien (other than any Permitted Lien) on any of the Collateral which would materially adversely affect the ability of the Administrative Agent to exercise any of its remedies hereunder, (B) the occurrence of any other event which could reasonably be expected to have a Material Adverse Effect on the aggregate value of the Collateral or on the security interests granted pursuant to the Loan Documents, (C) any amount payable under or in connection with any of the Collateral that shall be or become evidenced by any Instrument or Tangible Chattel Paper having a face value of more than (x) $500,000, individually, or (y) $1,000,000, when aggregated together with the value of all other Instruments and Tangible Chattel Paper not yet delivered to the Administrative Agent pursuant to Section 4(a), (D) any Collateral having a value of $1,000,000 or more that is stored or shipped subject to a Document and (E) any Collateral with an aggregate value in excess of $1,000,000 that is in the possession or control of any single consignee warehouseman, bailee (other than a common carrier transporting inventory to a purchaser in the ordinary course of business), processor or any other third party and (ii) not later than 15 days after the delivery of each Compliance Certificate, each Grantor shall deliver to the Administrative Agent a supplement to Schedule 3(d) (in form and substance reasonably acceptable to the Administrative Agent) identifying any leased premises not previously disclosed to the Administrative Agent on Schedule 3(d) on which Collateral with an aggregate value in excess of $2,000,000 is located. (d) Collateral Located on Leased Premises. If any Collateral with an aggregate value in excess of $2,000,000 is at any time located on leased premises, and if the Administrative Agent so reasonably requests, use commercially reasonable efforts to obtain a landlord waiver or collateral access letter from the lessor of such premises in favor of the Administrative Agent (in form and substance satisfactory to the Administrative Agent). (e) Collateral Held by Warehouseman, Bailee, Etc. If any Collateral with an aggregate value in excess of $5,000,000 is at any time in the possession or control of any single consignee warehouseman, bailee (other than a common carrier transporting inventory to a purchaser in the ordinary course of business), processor or any other third party and if the Administrative Agent so reasonably requests, (i) notify such Person in writing of the Administrative Agent’s security interest therein, (ii) instruct such Person to hold all such Collateral for the Administrative Agent’s account and subject to the Administrative Agent’s instructions, (iii) use commercially reasonable efforts to obtain a collateral access agreement from such Person that it is holding such Collateral in favor of the Administrative Agent (in form and substance satisfactory to the Administrative Agent) and (iv) use commercially reasonable efforts to cause such Person to issue and deliver to the Administrative Agent warehouse receipts, bills of lading or any similar documents relating to such Collateral, together with, all such endorsements, assignments and other instruments of transfer reasonably requested by the Administrative Agent with respect to the security interest granted in such Collateral, and in each case, in form and substance reasonably satisfactory to the Administrative Agent. Further, if the Administrative Agent so reasonably requests, each Grantor shall perfect and protect such Grantor’s ownership interests in all Inventory having a fair market value of more than $250,000 and stored with a consignee against creditors of the consignee by filing and maintaining financing statements against the consignee reflecting the consignment arrangement filed in all appropriate filing offices, providing any written notices required by the UCC to notify any prior creditors of the consignee of the consignment arrangement, and taking such other actions as may be appropriate to perfect and protect such Grantor’s interests in such Inventory under Section 2.326, Section 9.103, Section 9.324 and Section 9.505 of the UCC or otherwise. All such financing statements filed


 
7 pursuant to this Section shall be assigned to the Administrative Agent, for the benefit of the Secured Parties. (f) Change in Names; Corporate Structure or Location. Not (i) change its jurisdiction of organization or formation, as applicable, or the location of its chief executive office from that identified on Schedule 3(c) or (ii) change its legal name, identity or corporate or organizational structure to such an extent that any financing statement filed by the Administrative Agent in connection with this Agreement would become seriously misleading within the meaning of the UCC; provided that a Grantor may make any change described in clause (i) or (ii) so long as at least thirty (30) days (or such later time as may be determined by the Administrative Agent in its sole discretion) prior to taking such action, such Grantor notifies the Administrative Agent in writing and delivers to the Administrative Agent (x) all additional financing statements and other instruments and documents reasonably requested by the Administrative Agent to maintain the validity, perfection and priority of the Administrative Agent’s security interest in the Collateral of such Grantor and (y) if applicable, a written supplement to the Schedules of this Agreement (upon delivery of which, the Schedules of this Agreement will be deemed amended thereby). (g) Maintenance of Insurance. The primary global liability insurance and primary global property insurance of the Company shall cover the Collateral until such time as the Secured Obligations (other than the Excluded Obligations) have been paid in full, the Commitments have expired or been terminated, and no Letters of Credit remain outstanding (other than any Letters of Credit the Outstanding Amount of which has been Cash Collateralized or back-stopped by a letter of credit or other credit support in form and substance reasonably satisfactory to the Administrative Agent and the applicable L/C Issuer), and shall (i) provide that no cancellation or material modification thereof shall be effective until at least thirty (30) days (or such shorter period as may be acceptable to the Administrative Agent in its sole discretion) after receipt by the Administrative Agent of written notice thereof, and (ii) in the case of the foregoing primary global liability and property policies, name the Administrative Agent as an additional insured party thereunder. On the Closing Date and from time to time thereafter deliver to the Administrative Agent, upon its reasonable written request, information in reasonable detail as to the primary global liability insurance and property insurance of the Company then in effect pertaining to the Collateral, stating the names of the insurance companies, the amounts of the insurance, the dates of the expiration thereof and the properties and risks covered thereby. 5. Authorization to File Financing Statements. Each Grantor hereby authorizes the Administrative Agent to prepare and file such financing statements (including continuation statements) or amendments thereof or supplements thereto or other instruments as the Administrative Agent may from time to time deem necessary or appropriate in order to perfect and maintain the security interests granted hereunder in accordance with the UCC. 6. Remedies. (a) General Remedies. Upon the occurrence and during the continuance of an Event of Default, and to the extent not prohibited by applicable Law, the Administrative Agent shall have, in addition to the rights and remedies provided herein, in the Loan Documents, in any other documents relating to the Secured Obligations, or by Law (including, but not limited to, levy of attachment, garnishment and the rights and remedies set forth in the UCC of the jurisdiction applicable to the affected Collateral), the rights and remedies of a secured party under the UCC (regardless of whether the UCC is the law of the jurisdiction where the rights and remedies are asserted and regardless of whether the UCC applies to the affected Collateral), and further, to the extent not prohibited by applicable Law, the Administrative Agent may, with or without judicial process or the aid and assistance of others, (i) enter on any premises on which any of the Collateral may be located and, without resistance or interference by the Grantors, take possession of the Collateral, (ii) dispose of any Collateral on any such premises,


 
8 (iii) require the Grantors to assemble and make available to the Administrative Agent at the expense of the Grantors any Collateral at any place and time designated by the Administrative Agent which is reasonably convenient to both parties, (iv) remove any Collateral from any such premises for the purpose of effecting sale or other disposition thereof, and/or (v) without demand and without advertisement, notice, hearing or process of law, all of which each of the Grantors hereby waives to the fullest extent permitted by Law, at any place and time or times, sell and deliver any or all Collateral held by or for it at public or private sale, at any exchange or broker’s board or elsewhere, by one or more contracts, in one or more parcels, for money, upon credit or otherwise, at such prices and upon such terms as the Administrative Agent deems advisable, in its sole discretion (subject to any and all mandatory legal requirements). Each Grantor acknowledges that any such private sale may be at prices and on terms less favorable to the seller than the prices and other terms which might have been obtained at a public sale. Neither the Administrative Agent’s compliance with applicable Law nor its disclaimer of warranties relating to the Collateral shall be considered to adversely affect the commercial reasonableness of any sale. To the extent the rights of notice cannot be legally waived hereunder, each Grantor agrees that any requirement of reasonable notice shall be met if such notice, specifying the place of any public sale or the time after which any private sale is to be made, is personally served on or mailed, postage prepaid, to the Company in accordance with the notice provisions of Section 11.02 of the Credit Agreement at least ten (10) days before the earliest time of sale set forth in the notification or other event giving rise to the requirement of such notice. The Administrative Agent may adjourn any public or private sale from time to time by announcement at the time and place fixed therefor, and such sale may, without further notice, be made at the time and place to which it was so adjourned. The Administrative Agent shall not be obligated to make any sale or other disposition of the Collateral regardless of notice having been given. To the extent not prohibited by applicable Law, any Secured Party may be a purchaser at any such sale. To the extent not prohibited by applicable Law, each of the Grantors hereby waives all of its rights of redemption with respect to any such sale. Subject to the provisions of applicable Law, the Administrative Agent may postpone or cause the postponement of the sale of all or any portion of the Collateral by announcement at the time and place of such sale, and such sale may, without further notice, to the extent permitted by applicable Law, be made at the time and place to which the sale was postponed, or the Administrative Agent may further postpone such sale by announcement made at such time and place. (b) Advances. Upon the occurrence and during the continuance of an Event of Default, and to the extent not prohibited by applicable Law, the Administrative Agent may, at its sole option and in its sole discretion, take such actions as it reasonably deems necessary for the protection of the security interest in the Collateral granted hereby, or which may be compelled to make by operation of Law, and in so doing may expend such sums as the Administrative Agent may reasonably deem advisable in the performance thereof, including, without limitation, the payment of any insurance premiums, the payment of any taxes, a payment to obtain a release of a Lien or potential Lien, expenditures made in defending against any adverse claim and all other expenditures which the Administrative Agent reasonably may make therefor. All such sums and amounts so expended shall be repayable by the Grantors on a joint and several basis promptly upon timely notice thereof and demand therefor, shall constitute additional Secured Obligations and shall bear interest from the date said amounts are expended at the Default Rate. No performance of any covenant or agreement by the Administrative Agent on behalf of any Grantor, and no such advance or expenditure therefor, shall relieve the Grantors of any Default or Event of Default. Upon the occurrence and during the continuance of an Event of Default, the Administrative Agent may make any payment hereby authorized in accordance with any bill, statement or estimate procured from the appropriate public office or holder of the claim to be discharged without inquiry into the accuracy of such bill, statement or estimate or into the validity of any tax assessment, sale, forfeiture, tax lien, title or claim except to the extent the Administrative Agent has knowledge that such payment is being contested in good faith by a Grantor in appropriate proceedings and against which adequate reserves are being maintained in accordance with GAAP.


 
9 (c) Access. In addition to the rights and remedies hereunder, upon the occurrence and during the continuance of an Event of Default, and to the extent permitted under applicable Law, the Administrative Agent shall have the right to enter and remain upon the various premises of the Grantors without cost or charge to the Administrative Agent, and use the same, together with materials, supplies, books and records of the Grantors for the purpose of collecting and liquidating the Collateral, or for preparing for sale and conducting the sale of the Collateral, whether by foreclosure, auction or otherwise. In addition, the Administrative Agent may, to the full extent permitted under applicable Law, remove Collateral, or any part thereof, from such premises and/or any records with respect thereto, in order to effectively collect or liquidate such Collateral. (d) Nonexclusive Nature of Remedies. Failure by the Administrative Agent or any Secured Party to exercise any right, remedy or option under this Agreement, any other Loan Document, any other document relating to the Secured Obligations, or as provided by applicable Law, or any delay by the Administrative Agent or any Secured Party in exercising the same, shall not operate as a waiver of any such right, remedy or option. No waiver hereunder shall be effective unless it is in writing, signed by the party against whom such waiver is sought to be enforced and then only to the extent specifically stated, which in the case of the Administrative Agent or the Secured Parties shall only be granted as provided herein. To the extent permitted by applicable Law, neither the Administrative Agent, the Secured Parties, nor any party acting as attorney for the Administrative Agent or the Secured Parties, shall be liable hereunder for any acts or omissions or for any error of judgment or mistake of fact or law other than their gross negligence or willful misconduct hereunder. The rights and remedies of the Administrative Agent and the Secured Parties under this Agreement shall be cumulative and not exclusive of any other right or remedy which the Administrative Agent or the Secured Parties may have. (e) Retention of Collateral. In addition to the rights and remedies hereunder, the Administrative Agent may, in compliance with Sections 9.620 and 9.621 of the UCC or otherwise complying with the requirements (including without limitation any notice requirements) of applicable Law of the relevant jurisdiction, accept or retain the Collateral in satisfaction of the Secured Obligations. Unless and until the Administrative Agent shall have provided such notices, however, the Administrative Agent shall not be deemed to have retained any Collateral in satisfaction of any Secured Obligations for any reason. (f) Deficiency. In the event that the proceeds of any sale, collection or realization are insufficient to pay all amounts to which the Administrative Agent or the Secured Parties are legally entitled, the Grantors shall be jointly and severally liable for the deficiency, together with interest thereon at the Default Rate, together with the costs of collection and the fees, charges and disbursements of counsel as provided in the Loan Documents. Any surplus remaining after the full payment and satisfaction of the Secured Obligations (other than Excluded Obligations) shall be returned to the Grantors or to whomsoever a court of competent jurisdiction shall determine to be entitled thereto. (g) Application of Proceeds. Upon the acceleration of the Secured Obligations pursuant to Section 8.02 of the Credit Agreement, any payments in respect of the Secured Obligations and any proceeds of the Collateral, when received by the Administrative Agent or any Secured Party in money, will be applied in the manner and in the order set forth in Section 8.03 of the Credit Agreement. 7. The Administrative Agent. (a) Power of Attorney. IN ADDITION TO OTHER POWERS OF ATTORNEY CONTAINED HEREIN, EACH GRANTOR HEREBY DESIGNATES AND APPOINTS THE ADMINISTRATIVE AGENT, ON BEHALF OF THE SECURED PARTIES, AND EACH OF ITS DESIGNEES OR AGENTS, AS ATTORNEY-IN-FACT OF SUCH GRANTOR, IRREVOCABLY


 
10 AND WITH POWER OF SUBSTITUTION, WITH AUTHORITY TO TAKE ANY OR ALL OF THE FOLLOWING ACTIONS UPON THE OCCURRENCE AND DURING THE CONTINUANCE OF AN EVENT OF DEFAULT: (i) to demand, collect, settle, compromise, adjust, give discharges and releases, all as the Administrative Agent may reasonably determine; (ii) to commence and prosecute any actions at any court for the purposes of collecting any Collateral and enforcing any other right in respect thereof; (iii) to defend, settle or compromise any action brought and, in connection therewith, give such discharge or release as the Administrative Agent may deem reasonably appropriate; (iv) to receive, open and dispose of mail addressed to a Grantor and endorse checks, notes, drafts, acceptances, money orders, bills of lading, warehouse receipts or other instruments or documents evidencing payment, shipment or storage of the goods giving rise to the Collateral of such Grantor on behalf of and in the name of such Grantor, or securing, or relating to such Collateral; (v) to sell, assign, transfer, make any agreement in respect of, or otherwise deal with or exercise rights in respect of, any Collateral or the goods or services which have given rise thereto, as fully and completely as though the Administrative Agent were the absolute owner thereof for all purposes; (vi) to adjust and settle claims under any insurance policy relating thereto; (vii) to execute and deliver all assignments, conveyances, statements, financing statements, renewal financing statements, security agreements, affidavits, notices and other agreements, instruments and documents that the Administrative Agent may reasonably determine necessary in order to perfect and maintain the security interests and liens granted in this Agreement and in order to fully consummate all of the transactions contemplated therein; (viii) to the extent permitted by applicable Law, to institute any foreclosure proceedings that the Administrative Agent may reasonably deem appropriate; (ix) to sign and endorse any drafts, assignments, proxies, stock powers, verifications, notices and other documents relating to the Collateral; (x) to pay or discharge taxes, liens, security interests or other encumbrances levied or placed on or threatened against the Collateral; (xi) to direct any parties liable for any payment in connection with any of the Collateral to make payment of any and all monies due and to become due thereunder directly to the Administrative Agent or as the Administrative Agent shall direct; (xii) to receive payment of and receipt for any and all monies, claims, and other amounts due and to become due at any time in respect of or arising out of any Collateral; and (xiii) do and perform all such other acts and things as the Administrative Agent may reasonably deem to be necessary, proper or convenient in connection with the Collateral.


 
11 THIS POWER OF ATTORNEY IS A POWER COUPLED WITH AN INTEREST AND SHALL BE IRREVOCABLE UNTIL SUCH TIME AS THE SECURED OBLIGATIONS (OTHER THAN EXCLUDED OBLIGATIONS) HAVE BEEN PAID IN FULL, the Commitments have expired or been terminated, and no Letters of Credit remain outstanding (other than Letters of Credit the Outstanding Amount of which has been Cash Collateralized or back-stopped by a letter of credit or other credit support in form and substance reasonably satisfactory to the Administrative Agent and the applicable L/C Issuer). The Administrative Agent shall be under no duty to exercise or withhold the exercise of any of the rights, powers, privileges and options expressly or implicitly granted to the Administrative Agent in this Agreement, and shall not be liable for any failure to do so or any delay in doing so. The Administrative Agent shall not be liable for any act or omission or for any error of judgment or any mistake of fact or law in its individual capacity or its capacity as attorney-in-fact except acts or omissions resulting from its gross negligence or willful misconduct. This power of attorney is conferred on the Administrative Agent solely to protect, preserve and realize upon its security interest in the Collateral on behalf of the Secured Parties. TEXAS FINANCE CODE SECTION 307.052 COLLATERAL PROTECTION INSURANCE NOTICE (IF A GRANTOR IS A “DEBTOR” AS DEFINED IN SUCH SECTION): (A) SUCH GRANTOR IS REQUIRED TO: (i) KEEP THE COLLATERAL INSURED AGAINST DAMAGE AS REQUIRED BY THE LOAN DOCUMENTS; AND (ii) NAME THE ADMINISTRATIVE AGENT AS THE PERSON TO BE PAID UNDER THE POLICY OR POLICIES IN THE EVENT OF A LOSS; (B) SUCH GRANTOR MUST, IF REQUIRED BY THE SECURED PARTIES OR THE LOAN DOCUMENTS, DELIVER TO THE ADMINISTRATIVE AGENT A COPY OF EACH POLICY AND PROOF OF THE PAYMENT OF PREMIUMS; AND (C) IF SUCH GRANTOR FAILS TO MEET ANY REQUIREMENT LISTED IN CLAUSE (A) OR (B), THE ADMINISTRATIVE AGENT MAY OBTAIN COLLATERAL PROTECTION INSURANCE ON BEHALF OF SUCH GRANTOR AT SUCH GRANTOR’S EXPENSE. (b) Assignment by the Administrative Agent. The Administrative Agent may from time to time assign the Secured Obligations or any portion thereof to a successor Administrative Agent appointed in accordance with the Credit Agreement, and such successor shall be entitled to all of the rights and remedies of the Administrative Agent under this Agreement in relation thereto. (c) The Administrative Agent’s Duty of Care. The sole duty of Administrative Agent with respect to the custody, safekeeping and physical preservation of the Collateral in its possession, under Section 9.207 of the UCC or otherwise, shall be to deal with it in the same manner as the Administrative Agent deals with similar property for its own account. Neither the Administrative Agent, any other Secured Party nor any of their respective officers, directors, employees or agents shall be liable for failure to demand, collect or realize upon any of the Collateral or for any delay in doing so or shall be under any obligation to sell or otherwise dispose of any Collateral upon the request of any Grantor or any other Person or to take any other action whatsoever with regard to the Collateral or any part thereof. The powers conferred on the Administrative Agent and the other Secured Parties hereunder are solely to protect the interests of the Administrative Agent and the other Secured Parties in the Collateral and shall not impose any duty upon the Administrative Agent or any other Secured Party to exercise any such powers. The Administrative Agent and the other Secured Parties shall be accountable only for amounts that they actually receive as a result of the exercise of such powers, and neither they nor any of their officers, directors, employees or agents shall be responsible to any Grantor for any act or failure to act hereunder, except for their own gross negligence or willful misconduct as determined by a court of competent jurisdiction in a final, non-appealable judgment with respect thereto. In the event of a public or private sale of Collateral pursuant to Section 6, the Administrative Agent shall have no responsibility for (i) ascertaining or taking action with respect to calls, conversions, exchanges, maturities, tenders or other matters relating to any Collateral, whether or not the Administrative Agent has or is deemed to have


 
12 knowledge of such matters, or (ii) taking any steps to clean, repair or otherwise prepare the Collateral for sale. 8. Grantors Remain Liable. Anything herein to the contrary notwithstanding, (a) each Grantor shall remain liable to perform all of its duties and obligations under the contracts and agreements included in the Collateral to the same extent as if this Agreement had not been executed, (b) the exercise by the Administrative Agent or any other Secured Party of any of the rights hereunder shall not release any Grantor from any of its duties or obligations under the contracts and agreements included in the Collateral, (c) neither the Administrative Agent nor any other Secured Party shall have any obligation or liability under the contracts and agreements included in the Collateral by reason of this Agreement, nor shall the Administrative Agent nor any other Secured Party be obligated to perform any of the obligations or duties of any Grantor thereunder or to take any action to collect or enforce any claim for payment assigned hereunder, and (d) neither the Administrative Agent nor any other Secured Party shall have any liability in contract or tort for any Grantor’s acts or omissions. 9. Releases of Collateral. (i) If (x) any Collateral shall be sold or is to be sold as part of or in connection with any Disposition permitted under the Credit Agreement or under any other Loan Document or (y) the release of any Collateral shall be approved, authorized or ratified in writing in accordance with Section 11.01 of the Credit Agreement, then the Administrative Agent, at the request and sole expense of such Grantor, shall promptly release the Liens created hereby or by any other Security Instrument on such Collateral in accordance with Section 9.10 of the Credit Agreement. (ii) After the occurrence and during the continuance of Collateral Release Event and in accordance with Section 11.21(a) of the Credit Agreement, the Administrative Agent, at the request and sole expense of the Company, shall promptly execute and deliver to the Company all releases and other documents, and take such other action, reasonably necessary for the release of the Liens created hereby or by any other Security Instrument on the applicable Collateral. (iii) The Administrative Agent may release any of the Collateral from this Agreement in accordance with Section 9.10 of the Credit Agreement or may substitute any of the Collateral for other Collateral without altering, varying or diminishing in any way the force, effect, lien, pledge or security interest of this Agreement as to any Collateral not expressly released or substituted, and this Agreement shall continue as a first priority lien on all Collateral not expressly released or substituted. 10. Reinstatement of Collateral. Notwithstanding Section 9(ii) above, if a Collateral Reinstatement Event shall have occurred and in accordance with Section 11.21(b) of the Credit Agreement, all Collateral and Security Instruments (including this Agreement) shall, at the Company’s sole cost and expense, be reinstated and all actions reasonably necessary, or reasonably requested by the Administrative Agent, to provide to the Administrative Agent for the benefit of the Secured Parties valid, perfected, first priority security interests (subject to Liens permitted under Section 7.01 of the Credit Agreement) in the Collateral shall be taken within 30 days of such event, which 30 day period may be extended by the Administrative Agent in its sole discretion. 11. Continuing Agreement. (a) This Agreement shall remain in full force and effect until such time as the Secured Obligations (other than Excluded Obligations) have been paid in full, the Commitments have expired or been terminated, and no Letters of Credit remain outstanding (other than Extended Letters of Credit and


 
13 any other Letters of Credit the Outstanding Amount of which has been Cash Collateralized or back- stopped by a letter of credit or other credit support in form and substance reasonably satisfactory to the Administrative Agent and the applicable L/C Issuer), at which time this Agreement shall be automatically terminated and the Administrative Agent shall at the expense of the Grantors, promptly release all of its liens and security interests hereunder and shall execute and deliver, or authorize the Grantors to prepare and file, all UCC termination statements and/or other documents reasonably requested by the Grantors evidencing such termination. (b) This Agreement shall continue to be effective or be automatically reinstated, as the case may be, if at any time payment, in whole or in part, of any of the Secured Obligations is rescinded or must otherwise be restored or returned by the Administrative Agent or any Secured Party as a preference, fraudulent conveyance or otherwise under any Debtor Relief Law, all as though such payment had not been made; provided that in the event payment of all or any part of the Secured Obligations is rescinded or must be restored or returned, all reasonable costs and expenses (including without limitation any reasonable legal fees and disbursements) incurred by the Administrative Agent or any Secured Party in defending and enforcing such reinstatement shall be deemed to be included as a part of the Secured Obligations. 12. Amendments; Waivers; Consents. None of the terms or provisions of this Agreement may be waived, amended, supplemented or otherwise modified, nor any consent be given, except in accordance with Section 11.01 of the Credit Agreement; provided that any update or revision to any schedules hereto delivered by any Grantor shall not constitute an amendment for purposes of this Section or Section 11.01 of the Credit Agreement. 13. Notices. All notices and communications hereunder shall be given to the addresses and otherwise made in accordance with Section 11.02 of the Credit Agreement; provided that notices and communications to any Grantor other than the Company shall be directed to such Grantor, at the address of the Company set forth in Section 11.02 of the Credit Agreement. 14. Expenses; Indemnification and Survival. The Grantors shall, jointly and severally, (a) pay all reasonable out-of-pocket expenses actually incurred by the Administrative Agent and each other Secured Party and (b) indemnify each Indemnitee (which for purposes of this Agreement shall include, without limitation, all Secured Parties), in each case, to the extent any Borrower would be required to do so pursuant to Section 11.04 of the Credit Agreement. The obligations of the Grantors under this paragraph shall survive the payment in full of the Secured Obligations (other than Excluded Obligations) and termination of this Agreement in accordance with its terms. 15. Right of Setoff; Governing Law; Submission to Jurisdiction; Venue; WAIVER OF JURY TRIAL; Judgment Currency. THIS AGREEMENT SHALL BE GOVERNED BY, AND CONSTRUED IN ACCORDANCE WITH, THE LAW OF THE STATE OF TEXAS. Without limiting the general applicability of the foregoing and the terms of the other Loan Documents to this Agreement and the parties hereto, the terms of Sections 11.08, 11.14, 11.15, 11.19 and 11.28 of the Credit Agreement are incorporated herein by reference, mutatis mutandis, with each reference to the “Borrower” or the “Borrowers” (whether express or by reference to the Borrower or Borrowers as a “party” thereto) therein being a reference to the Grantors, and the parties hereto agree to such terms. 16. Counterparts; Electronic Execution. This Agreement may be executed in counterparts (and by different parties hereto in different counterparts), each of which shall constitute an original, but all of which when taken together shall constitute a single contract. Delivery of an executed counterpart of a signature page of this Agreement by telecopy or other electronic imaging means shall be effective as delivery of a manually executed counterpart of this Agreement.


 
14 17. Additional Grantors. At any time after the date of this Agreement, one or more additional Persons may become a party hereto by executing and delivering to the Administrative Agent a joinder agreement in form and substance reasonably satisfactory to the Administrative Agent, pursuant to Section 6.14 of the Credit Agreement. Immediately upon such execution and delivery of such joinder agreement and without any further action, each such additional Person will become a party to this Agreement as a “Grantor” and have all of the rights and obligations of a Grantor hereunder and this Agreement shall be deemed amended by such joinder agreement. 18. Severability. If any provision of this Agreement is held to be illegal, invalid or unenforceable, (a) the legality, validity and enforceability of the remaining provisions of this Agreement shall not be affected or impaired thereby and (b) the parties shall endeavor in good faith negotiations to replace the illegal, invalid or unenforceable provisions with valid provisions the economic effect of which comes as close as possible to that of the illegal, invalid or unenforceable provisions. The invalidity of a provision in a particular jurisdiction shall not invalidate or render unenforceable such provision in any other jurisdiction. 19. Titles and Captions. Titles and captions of Articles, Sections and subsections in this Agreement are provided for convenience only, and neither limit nor amplify the provisions of this Agreement. 20. Rights of Required Lenders. All rights of the Administrative Agent hereunder, if not exercised by the Administrative Agent, may be exercised by the Required Lenders. 21. USA PATRIOT Act. Each Secured Party that is subject to the USA PATRIOT Act (Title III of Pub. L. 107-56 (signed into law October 26, 2001)) (the “Act”) and the Administrative Agent (for itself and not on behalf of any Secured Party) hereby notifies the Grantors that pursuant to the requirements of the Act, it is required to obtain, verify and record information that identifies each Grantor, which information includes the name and address of each Grantor and other information that will allow such Secured Party or the Administrative Agent, as applicable, to identify each Grantor in accordance with the Act. Each Grantor shall, promptly following a request by the Administrative Agent or any Secured Party, provide all documentation and other information that the Administrative Agent or such Secured Party requests in order to comply with its ongoing obligations under applicable “know your customer” and anti-money laundering rules and regulations, including the Act. 22. Successors and Assigns. The provisions of this Agreement shall be binding upon each Grantor, its successors and assigns and shall inure, together with the rights and remedies of the Administrative Agent and the Secured Parties hereunder, to the benefit of the Administrative Agent and the Secured Parties and their respective successors and permitted assigns; except that no Grantor may assign or otherwise transfer any of its rights or obligations under this Agreement without the prior written consent of the Administrative Agent and the other Secured Parties (in accordance with the Credit Agreement). 23. Keepwell. Each Grantor that is a Qualified ECP Guarantor at the time of the grant of the security interest under this Agreement by any Specified Loan Party becomes effective with respect to any Swap Obligation, hereby jointly and severally, absolutely, unconditionally and irrevocably undertakes to provide such funds or other support to each Specified Loan Party with respect to such Swap Obligation as may be needed by such Specified Loan Party from time to time to honor all of its obligations under this Agreement in respect of such Swap Obligation (but, in each case, only up to the maximum amount of such liability that can be hereby incurred without rendering such Qualified ECP Guarantor’s obligations and undertakings under this Section 23 voidable under Applicable Law relating to fraudulent conveyance or fraudulent transfer, and not for any greater amount). The obligations and undertakings of each


 
15 Qualified ECP Guarantor under this Section 23 shall remain in full force and effect until the Obligations have been indefeasibly paid and performed in full. Solely for purposes of the Commodity Exchange Act, each Qualified ECP Guarantor intends this Section 23 to constitute, and for such purposes this Section 23 shall be deemed to constitute, a guarantee of the obligations of, and a “keepwell, support, or other agreement” for the benefit of, each Specified Loan Party. 24. Amendment and Restatement. The Grantors previously executed and delivered that certain Amended and Restated Security Agreement dated March 31, 2021 as supplemented by that certain Security Agreement Joinder dated August 29, 2022 executed by Tensar Corporation, that certain Security Agreement Joinder dated August 29, 2022 executed by TAC Holdco, Inc., that certain Security Agreement Joinder dated August 29, 2022 executed by Geopier Foundation Company, Inc., that certain Security Agreement Joinder dated August 29, 2022 executed by CMC Tensar Holdings Inc., that certain Security Agreement Joinder dated August 29, 2022 executed by Tensar International, LLC, that certain Security Agreement Joinder dated August 29, 2022 executed by Tensar International Corporation and that certain Security Agreement Joinder dated August 29, 2022 executed by Tensar Holdings, LLC (the Amended and Restated Security Agreement, as supplemented, the “Existing Security Agreement”) in favor of the Administrative Agent. This Agreement is an amendment and restatement of the Existing Security Agreement and is the “Security Agreement” as defined in the Credit Agreement. The Guarantors affirm their obligations pursuant to the Existing Security Agreement and agree that this Agreement amends and restates the Existing Security Agreement in its entirety. This Security Agreement is not intended as, and shall not be construed as, a release or novation of any obligation of the Grantors pursuant to the Existing Security Agreement. 25. ENTIRE AGREEMENT. THIS AGREEMENT AND THE OTHER LOAN DOCUMENTS REPRESENT THE FINAL AGREEMENT AMONG THE PARTIES AND MAY NOT BE CONTRADICTED BY EVIDENCE OF PRIOR, CONTEMPORANEOUS, OR SUBSEQUENT ORAL AGREEMENTS OF THE PARTIES. THERE ARE NO UNWRITTEN ORAL AGREEMENTS AMONG THE PARTIES. [Signature Pages Follow]


 
[Signature Page to Second Amended and Restated Security Agreement] Each of the parties hereto has caused a counterpart of this Agreement to be duly executed and delivered as of the date first above written. GRANTORS: COMMERCIAL METALS COMPANY By: ______________________________ Name: Matthew McClellan Title: Treasurer STRUCTURAL METALS, INC. C M C STEEL FABRICATORS, INC. SMI STEEL LLC OWEN ELECTRIC STEEL COMPANY OF SOUTH CAROLINA SMI-OWEN STEEL COMPANY, INC. CMC STEEL OKLAHOMA, LLC CMC STEEL US, LLC By: ______________________________ Name: Paul J. Lawrence Title: Treasurer CMC GH, LLC By: ______________________________ Name: Paul J. Lawrence Title: President CMC TENSAR HOLDINGS INC. By: Name: Paul J. Lawrence Title: Senior Vice President and Chief Financial Officer


 
[Signature Page to Second Amended and Restated Security Agreement] TENSAR CORPORATION TENSAR HOLDINGS, LLC TAC HOLDCO, INC. GEOPIER FOUNDATION COMPANY, INC. TENSAR INTERNATIONAL, LLC TENSAR INTERNATIONAL CORPORATION By: Name: Thierry Amat Title: Executive Vice President, Chief Financial Officer and Treasurer


 
[Signature Page to Second Amended and Restated Security Agreement] ADMINISTRATIVE AGENT: BANK OF AMERICA, N.A., as Administrative Agent By: Name: Kyle D. Harding Title: Vice President


 
4879-4687-7238 v.4 Schedule 3(c) SCHEDULE 3(c) PLACES OF BUSINESS; ACQUISITIONS; MERGERS; TRADENAMES Grantor Chief Executive Office Location of Books and Records COMMERCIAL METALS COMPANY 6565 N. MacArthur Blvd., Suite 800 Irving, TX 75039 6565 N. MacArthur Blvd., Suite 800 Irving, TX 75039 STRUCTURAL METALS, INC. 1 Steel Mill Drive Seguin, TX 78155 6565 N. MacArthur Blvd., Suite 800 Irving, TX 75039 C M C STEEL FABRICATORS, INC. 1 Steel Mill Drive Seguin, TX 78155 6565 N. MacArthur Blvd., Suite 800 Irving, TX 75039 SMI STEEL LLC 101 S. 50th St. Birmingham, AL 35212 6565 N. MacArthur Blvd., Suite 800 Irving, TX 75039 OWEN ELECTRIC STEEL COMPANY OF SOUTH CAROLINA 310 New State Road Cayce, SC 29033 6565 N. MacArthur Blvd., Suite 800 Irving, TX 75039 SMI-OWEN STEEL COMPANY, INC. 114 East Warehouse Court Taylors, SC 29687 6565 N. MacArthur Blvd., Suite 800 Irving, TX 75039 CMC GH, LLC 6565 N. MacArthur Blvd., Suite 800 Irving, TX 75039 6565 N. MacArthur Blvd., Suite 800 Irving, TX 75039 CMC STEEL OKLAHOMA, LLC 584 Old Hwy 70 Durant, OK 74701 6565 N. MacArthur Blvd., Suite 800 Irving, TX 75039 CMC STEEL US, LLC 6565 N. MacArthur Blvd., Suite 800 Irving, TX 75039 6565 N. MacArthur Blvd., Suite 800 Irving, TX 75039 CMC TENSAR HOLDINGS INC. 2500 Northwinds Parkway, Suite 500 Alpharetta, GA 30009 2500 Northwinds Parkway, Suite 500 Alpharetta, GA 30009 TAC HOLDCO, INC. 2500 Northwinds Parkway, Suite 500 Alpharetta, GA 30009 2500 Northwinds Parkway, Suite 500 Alpharetta, GA 30009 TENSAR CORPORATION 2500 Northwinds Parkway, 2500 Northwinds Parkway,


 
4879-4687-7238 v.4 Schedule 3(c) Suite 500 Alpharetta, GA 30009 Suite 500 Alpharetta, GA 30009 TENSAR HOLDINGS, LLC 2500 Northwinds Parkway, Suite 500 Alpharetta, GA 30009 2500 Northwinds Parkway, Suite 500 Alpharetta, GA 30009 TENSAR INTERNATIONAL, LLC 2500 Northwinds Parkway, Suite 500 Alpharetta, GA 30009 2500 Northwinds Parkway, Suite 500 Alpharetta, GA 30009 GEOPIER FOUNDATION COMPANY, INC. 130 Harbour Place Drive, Suite 280 Davidson, NC 28036 130 Harbour Place Drive, Suite 280 Davidson, NC 28036 TENSAR INTERNATIONAL CORPORATION 2500 Northwinds Parkway, Suite 500 Alpharetta, GA 30009 2500 Northwinds Parkway, Suite 500 Alpharetta, GA 30009 Grantor Date of Change Merger/Acquisition C M C STEEL FABRICATORS, INC. 1/1/2021 CMC Rebar West, LLC was merged into C M C Steel Fabricators, Inc. C M C STEEL FABRICATORS, INC.; CMC STEEL US, LLC; COMMERCIAL METALS COMPANY 11/5/2018 Acquisition CMC STEEL OKLAHOMA, LLC 7/21/2020 Acquisition C M C STEEL FABRICATORS, INC. 12/27/2018 Acquisition SMI-OWEN STEEL COMPANY, INC. 12/12/2016 Acquisition OWEN ELECTRIC STEEL COMPANY OF SOUTH CAROLINA 3/6/2017 Acquisition C M C STEEL FABRICATORS, INC. 10/26/2017 Acquisition COMMERCIAL METALS COMPANY 1/20/2017 Acquisition CMC TENSAR HOLDINGS INC. 4/25/2022 TAC Acquisition Corp merged with Tahoe Merger Sub Inc. TAC HOLDCO, INC. 7/3/2014 Name change – TAC


 
4879-4687-7238 v.4 Schedule 3(c) Holdings, Inc.. to TAC Holdco, Inc. TENSAR CORPORATION 4/25/2014 TAC Merger Corp. merged into Tensar Corporation TENSAR HOLDINGS, LLC 4/18/2012 Name change – Tensar Holdings Corporation to Tensar Holdings, LLC TENSAR INTERNATIONAL, LLC 4/16/2012 Name change – Tensar International Corporation to Tensar International, LLC GEOPIER FOUNDATION COMPANY, INC. 11/30/2007 Geopier Global Corporation merges into Geopier Foundation Company, Inc. TENSAR INTERNATIONAL CORPORATION 5/17/2007 Name change – Tensar Earth Technoogies, Inc. to Tensar International Corporation


 
4879-4687-7238 v.4 Schedule 3(d) SCHEDULE 3(d) INVENTORY LOCATIONS Address City State Owned/Leased 667 Emerson Rd Alexander City AL Owned 101 50th St S Birmingham AL Owned 3431 27th Avenue North Birmingham AL Owned 108 Parkway East Pell City AL Owned 4820 West Colter Street Glendale AZ Leased 100 Columbia Magnolia AR Owned 11444 E. Germann Road Mesa AZ Owned 12451 Arrow Route Etiwanda CA Owned 15050 Santa Ana Avenue Fontana CA Owned 13600 Napa Street Fontana CA Third-Party 2990 E. Annadale Fresno CA Owned 5425 Industrial Pkwy San Bernardino CA Leased 7326 Mission Gorge Rd San Bernardino CA Leased 3880 Murphy Canyon San Diego CA Leased 120 W. Larch Road Tracy CA Owned 455 Ida Street Brighton CO Owned 5353 Franklin Street Denver CO Owned 3000 Gamson Rd., Orange County Industrial Park Apopka FL Owned 2665 Prince St. Ft. Myers FL Owned 1508 N.W. 55th Pl. Gainesville FL Owned 1395-2 Chaffee Rd S Jacksonville FL Leased 2038 N. Lane Ave. Jacksonville FL Owned 16770 Rebar Rd Jacksonville FL Owned 1755 Avenue A Kissimmee FL Owned 590 Old Hull Rd Athens GA Owned 1890 Old Savannah Rd. Augusta GA Owned 251 Hosea Road Lawrenceville GA Owned 91-156 Kalaeloa Blvd Kapolei HI Owned 775 Eastgate Industrial Parkway Kankakee IL Leased 780 Eastgate Industrial Parkway Kankakee IL Owned 11950 S Harlem Ave Palos Heights IL Leased 501 S. 20th Street Independence KS Owned 4212 N. Bolton Avenue Alexandria LA Owned 1235 Centerpointe Dr Baton Rouge LA Owned 18909 HIGHLAND RD Baton Rouge LA Owned 4908 Hazel Jones Blvd. Bossier City LA Owned 600 St. George St. New Orleans LA Owned


 
4879-4687-7238 v.4 Schedule 3(d) 3647 Hollywood Ave. Shreveport LA Owned 3310 E. Napoleon Sulphur LA Owned 717 E 12th St Joplin MO Owned 6790 Yankee Ridge Rd Polo MO Owned 634 E. Phelps Springfield MO Owned 18 Lavell Ladner Road Lumberton MS Owned 209 E Canal St Picayune MS Leased 2600 Park Road Extension Burlington NC Owned 419 Atando Ave Charlotte NC Owned 2528 N. Chester Street Gastonia NC Owned 2300 First Street NW Albuquerque NM Owned 4485 Colton Ave Las Vegas NV Owned 1804 N 166th East Ave Tulsa OK Owned 5460 S. Garnett Road Tulsa OK Leased 2641 Carnegie Rd York PA Leased 428 N Gossett St Anderson SC Owned 310 New State Rd. Cayce SC Owned 850 Taylor St Cayce SC Owned 2105 S. Beltline Columbia SC Owned 1148 Shop Rd. Columbia SC Owned 5308 Liberty Chapel Rd. Florence SC Owned 661 Neely Wingard Rd Gilbert SC Owned 2308 Two Notch Road Lexington SC Owned 2061 Nazareth Church Rd Spartanburg SC Owned 7515 Asheville Hwy Spartanburg SC Leased 557 Old Spartanburg Hwy Wellford SC Owned 2000 Washington Street Chattanooga TN Owned 624 Terminal Rd Chattanooga TN Owned 852 Visco Dr. Nashville TN Owned 1704 Howard Lane Austin TX Owned 4123 Todd Ln Austin TX Owned 710 Industrial Blvd. Austin TX Owned 5250 COLLEGE ST Beaumont TX Owned 15019 IH 35 Buda TX Owned 513 Moffet Rd Clute TX Owned 10650 State Hwy 30 College Station TX Owned 2309 N. Frazier Conroe TX Owned 301 45th St. Corpus Christi TX Owned 6802 Safety Steel Dr. Corpus Christi TX Owned 1729 N. Westmorland Dallas TX Owned 2215 S. Good-Latimer Dallas TX Owned


 
4879-4687-7238 v.4 Schedule 3(d) 2216 S. Good-Latimer Dallas TX Owned 2323 Irving Blvd. Dallas TX Owned 1839 W Commerce Street Dallas TX Owned 4846 Singleton Blvd. Dallas TX Owned 1000 Pendale Rd. El Paso TX Leased 1000 Pendale Street El Paso TX Leased 3280 N Fwy Fort Worth TX Owned 4500 Old Decatur Road Ft. Worth TX Owned 7100 Broadway St. Galveston TX Owned 2120 Industrial Blvd Harlingen TX Owned 10792 Leslie Rd Helotes TX Owned 2001 Brittmoore Rd. Houston TX Owned 2015 Quitman St. Houston TX Owned 235 Portwall Street Houston TX Owned 7063 Fairbanks North Houston Houston TX Owned 9103 E. Almeda Houston TX Owned 8901 E. Almeda Houston TX Owned 11811 East Freeway Houston TX Leased 321 Wildcat Drive Laredo TX Leased 513 32nd St. Lubbock TX Leased 506 32nd Street Lubbock TX Leased 4060 Hwy 59 North Lufkin TX Owned 2202 McKinney Street Melissa TX Owned 1605 Garden City Hwy Midland TX Owned 3501 W 2ND ST Odessa TX Owned 5301 N. Cage Blvd Pharr TX Leased 3243 Hwy 59 Rosenberg TX Leased 16709 Central Commerce Dr. Round Rock TX Owned 10874 Leslie Road San Antonio TX Owned 4911 Whirlwind Dr. San Antonio TX Owned 726 Probandt San Antonio TX Owned 440 Wonder World Dr. San Marcos TX Owned 1 Steel Mill Dr. Seguin TX Owned 1558 N Austin Seguin TX Owned 3430 First Avenue South Texas City TX Owned 255 Skytop Rd. Victoria TX Owned 1400 E. League Avenue Waco TX Owned 166 E 14000 S Draper UT Leased 4100 North I-35 East Waxahachie TX Owned 901 Cantrell Street Waxahachie TX Owned 920 W. 600 North Brigham City UT Owned


 
4879-4687-7238 v.4 Schedule 3(d) 1050 W. Center St. Lindon UT Leased 9434 Crossrds Pky Fredericksburg VA Owned 2306 B Street NW Auburn WA Leased 1001 C Street SW Auburn WA Leased 3228 Turnberry Oak Dr Waukesha WI Leased 8615 Clinton Drive Houston TX Third-Party 1900 N. 62nd Street Tampa FL Owned CMC STEEL US, LLC: Address City State Owned/Leased 16770 Rebar Road Jacksonville Florida Owned 1 Crossman Road North Sayreville New Jersey Owned 1919 Tennessee Avenue Knoxville Tennessee Owned 3811 Bank Street Duluth Georgia Owned 2595 Tripp Road Belvidere Illinois Owned 3500 27th Avenue North Birmingham Alabama Leased 301 Black Satchel Drive Charlotte North Carolina Owned 2176 Schlicter Drive Hamilton Ohio Leased 2411 Audie Murphy Parkway East Farmersville Texas Leased 2025 Tigertail Boulevard Dania Beach Florida Owned 9625 Florida Mining Boulevard Jacksonville Florida Owned 12612 Avoca Road Louisville Kentucky Owned – but there is a Land Lease and Track Lease 1810 South Macedonia Avenue Muncie Indiana Leased 2301 Anderson Road Muskogee Oklahoma Leased 4280 Sidco Drive Nashville Tennessee Owned 10924 Dennis W. Kearns Parkway King George Virginia Owned 3200 SE 59th Street Oklahoma City Oklahoma Leased 333 Riverview Drive, Building 51 Perth Amboy New Jersey Leased 1755 Old Dean Forest Road Pooler Georgia Leased 1478 Hoff Industrial Center O'Fallon Missouri Leased 2100 Joe Macintosh Road Plant City Florida Owned 1700 7th Avenue York Pennsylvania Owned 3915 Riga Boulevard Tampa Florida Leased 1255 Lakes Parkway Lawrenceville Georgia Leased 13535 S Torrence Ave Chicago IL Third-Party CMC STEEL OKLAHOMA, LLC Address City State Owned/Leased


 
4879-4687-7238 v.4 Schedule 3(d) 2353 E. Main Street Durant Oklahoma Owned 5101 Bird Creek Ave Catoosa Oklahoma Third-Party GEOPIER FOUNDATION COMPANY, INC. Address City State Owned/Leased 10325 Ridge Creek Dr. Charlotte North Carolina Leased


 
4879-4687-7238 v.4 Schedule 3(f) SCHEDULE 3(f) ORGANIZATION AND NAMES (Schedule Date: October 26, 2022) COMMERCIAL METALS COMPANY: (a) Name: Commercial Metals Company (b) Jurisdiction of organization: Delaware (c) Entity type: Corporation (d) Changes in jurisdiction of organization, name or entity type: N/A (e) Trade names: See subsection (e) below. (f) Federal Taxpayer Identification Number: 75-0725338 (g) UCC Filing Office: Delaware Secretary of State STRUCTURAL METALS, INC.: (a) Name: Structural Metals, Inc. (b) Jurisdiction of organization: Texas (c) Entity type: Corporation (d) Changes in jurisdiction of organization, name or entity type: N/A (e) Trade names: See subsection (e) below. (f) Federal Taxpayer Identification Number: 74-1070965 (g) UCC Filing Office: Texas Secretary of State C M C STEEL FABRICATORS, INC.: (a) Name: C M C Steel Fabricators, Inc. (b) Jurisdiction of organization: Texas (c) Entity type: Corporation (d) Changes in jurisdiction of organization, name or entity type: N/A (e) Trade names: See subsection (e) below. (f) Federal Taxpayer Identification Number: 74-2195234 (g) UCC Filing Office: Texas Secretary of State SMI STEEL LLC: (a) Name: SMI Steel LLC (b) Jurisdiction of organization: Alabama (c) Entity type: Limited Liability Company (d) Changes in jurisdiction of organization, name or entity type: N/A (e) Trade names: See subsection (e) below. (f) Federal Taxpayer Identification Number: 63-0860755 (g) UCC Filing Office: Alabama Secretary of State OWEN ELECTRIC STEEL COMPANY OF SOUTH CAROLINA: (a) Name: Owen Electric Steel Company of South Carolina (b) Jurisdiction of organization: South Carolina (c) Entity type: Corporation (d) Changes in jurisdiction of organization, name or entity type: N/A (e) Trade names: See subsection (e) below. (f) Federal Taxpayer Identification Number: 57-0409183 (g) UCC Filing Office: South Carolina Secretary of State


 
4879-4687-7238 v.4 Schedule 3(f) SMI-OWEN STEEL COMPANY, INC.: (a) Name: SMI-Owen Steel Company, Inc. (b) Jurisdiction of organization: South Carolina (c) Entity type: Corporation (d) Changes in jurisdiction of organization, name or entity type: N/A (e) Trade names: See subsection (e) below. (f) Federal Taxpayer Identification Number: 57-1008708 (g) UCC Filing Office: South Carolina Secretary of State CMC GH, LLC: (a) Name: CMC GH, LLC (b) Jurisdiction of organization: Delaware (c) Entity type: Limited Liability Company (d) Changes in jurisdiction of organization, name or entity type: N/A (e) Trade names: N/A (f) Federal Taxpayer Identification Number: 45-2451845 (g) UCC Filing Office: Delaware Secretary of State CMC STEEL US, LLC: (a) Name: CMC STEEL US, LLC (b) Jurisdiction of organization: Delaware (c) Entity type: Limited Liability Company (d) Changes in jurisdiction of organization, name or entity type: N/A (e) Trade names: See subsection (e) below. (f) Federal Taxpayer Identification Number: 82-40652471 (g) UCC Filing Office: Delaware CMC STEEL OKLAHOMA, LLC: (a) Name: CMC STEEL OKLAHOMA, LLC (b) Jurisdiction of organization: Delaware (c) Entity type: limited liability company (d) Changes in jurisdiction of organization, name or entity type: N/A (e) Trade names: See subsection (e) below. (f) Federal Taxpayer Identification Number: 47-4781696 (g) UCC Filing Office: Delaware CMC TENSAR HOLDINGS INC.: (a) Name: CMC Tensar Holdings Inc. (b) Jurisdiction of organization: Delaware (c) Entity type: corporation (d) Changes in jurisdiction of organization, name or entity type: N/A (e) Trade names: N/A (f) Federal Taxpayer Identification Number: 47-1058872 (g) UCC Filing Office: Delaware TAC HOLDCO, INC.: (a) Name: TAC HoldCo, Inc. 1 This entity is a pass thru entity. For tax purposes use the FEIN of CMC Steel Fabricators, Inc.: 74-2195234.


 
4879-4687-7238 v.4 Schedule 3(f) (b) Jurisdiction of organization: Delaware (c) Entity type: corporation (d) Changes in jurisdiction of organization, name or entity type: N/A (e) Trade names: N/A (f) Federal Taxpayer Identification Number: 47-1263648 (g) UCC Filing Office: Delaware TENSAR CORPORATION: (a) Name: Tensar Corporation (b) Jurisdiction of organization: Delaware (c) Entity type: corporation (d) Changes in jurisdiction of organization, name or entity type: N/A (e) Trade names: N/A (f) Federal Taxpayer Identification Number: 20-3443010 (g) UCC Filing Office: Delaware TENSAR HOLDINGS, LLC: (a) Name: Tensar Holdings, LLC (b) Jurisdiction of organization: Delaware (c) Entity type: limited liability company (d) Changes in jurisdiction of organization, name or entity type: N/A (e) Trade names: N/A (f) Federal Taxpayer Identification Number: 58-2590404 (g) UCC Filing Office: Delaware TENSAR INTERNATIONAL, LLC: (a) Name: Tensar International, LLC (b) Jurisdiction of organization: Delaware (c) Entity type: limited liability company (d) Changes in jurisdiction of organization, name or entity type: N/A (e) Trade names: N/A (f) Federal Taxpayer Identification Number: 16-1712069 (g) UCC Filing Office: Delaware GEOPIER FOUNDATION COMPANY, INC.: (a) Name: Geopier Foundation Company, Inc. (b) Jurisdiction of organization: Georgia (c) Entity type: corporation (d) Changes in jurisdiction of organization, name or entity type: N/A (e) Trade names: N/A (f) Federal Taxpayer Identification Number: 58-2076369 (g) UCC Filing Office: Georgia TENSAR INTERNATIONAL CORPORATION: (a) Name: Tensar International Corporation (b) Jurisdiction of organization: Georgia (c) Entity type: corporation (d) Changes in jurisdiction of organization, name or entity type: N/A (e) Trade names: N/A (f) Federal Taxpayer Identification Number: 58-1779663 (g) UCC Filing Office: Georgia


 
Schedule 3(f) (e) Assumed Names for CMC Entities Structural Metals, Inc.: Name Name Type Effective Date End Date Discontinuance Date Jurisdiction CMC Steel of Texas Name Registration 9/30/2025 n/a TX CMC Recycling – San Antonio Name Registration 6/13/2024 n/a TX CMC Rebar Texas Name Registration 6/14/2028 n/a TX Commercial Metals Company Name Name Type Effective Date End Date Discontinuance Date Jurisdiction Commercial Metals Company True Name 2/27/2010 -- n/a n/a AARON SCRAP METALS Fictious Name 3/30/1990 -- 8/30/2000 FL AMERICAN RESOURCE RECOVERY COMPANY Fictious Name 11/15/1990 -- 10/2/1992 FL ALL AMERICAN RECYCLING Fictious Name 1/7/1991 -- 8/30/2000 FL CADDO-BOSSIER METALS Assumed Name 11/17/1989 -- 8/30/2000 LA CMC-TALLULAH Assumed Name 12/15/1989 -- 2/1/1990 LA CMC-FALK STEEL AND METAL COMPANY Assumed Name 8/10/1989 -- 7/10/1995 MS KARCHMER IRON & METAL COMPANY Assumed Name 3/18/1988 -- 8/30/2000 MO CMC-MESA Assumed Name 11/14/1994 -- 8/30/2000 NM SOUTHWEST MESA SCRAP CO. Assumed Name 11/14/1994 -- 8/30/2000 NM SOUTHWEST METAL COMPANY Assumed Name 11/14/1994 -- 8/30/2000 NM COMMERCIAL - LEVIN Assumed Name 5/15/1992 -- 8/30/2000 NC CMC-YARMUK SCRAP PROCESSING Trade Name 5/6/1988 -- 8/1/1994 OK COMMONWEALTH METAL CORPORATION Assumed Name 9/26/1996 -- 8/30/2000 NJ COMETALS, INC. Assumed Name 8/26/1996 -- 8/30/2000 NY Cometals Inc Assumed Name 6/20/1997 -- 8/30/2000 NY ATLAS IRON & METAL Assumed Name 4/28/1998 -- 8/30/2000 MO CENTRAL NON-FERROUS, INC. Assumed Name 4/28/1998 -- 8/30/2000 MO CENTRAL NON-FERROUS, INC. Assumed Name 5/1/1998 -- 8/30/2000 KS CENTRAL NON-FERROUS, INC. Trade Name 9/28/1998 -- 8/30/2000 OK TWELFTH STREET SCRAP COMPANY Assumed Name 4/28/1998 -- 8/30/2000 MO PITTSBURGH RECYCLING CO. Assumed Name 5/1/1998 -- 8/30/2000 KS MIAMI IRON & METAL CO. Trade Name 9/28/1998 -- 8/30/2000 OK CMC Recycling Liberty Assumed 10/7/2005 9/30/2025 -- TX


 
Schedule 3(f) Name CMC Recycling - American Name Registration 9/30/2025 n/a TX CMC Recycling U Pull 'N Save Fictious Name 12/31/2022 n/a FL CMC Recycling Assumed Name 9/19/2020 n/a TN CMC Recycling Fictious Name 12/31/2025 n/a FL CMC Recycling Fictious Name 4/15/2021 n/a MO CMC Recycling Name Registration 10/1/2025 n/a TX CMC Recycling Trade Name -- n/a LA CMC Recycling Assumed Name -- n/a AR CMC Recycling Trade Name -- n/a OK CMC Recycling -- n/a WV   C M C Steel Fabricators, Inc. Name Name Type Effective Date End Date Discontinuance Date Jurisdiction C M C Steel Fabricators, Inc. True Name -- -- n/a n/a CMC Steel Arizona - n/a AZ (Maricopa) CMC Steel Arkansas -- n/a AR CMC Steel Nashville Assumed Name 11/8/2023 n/a TN CMC Recycling -- n/a NC (Alamance) CMC Rebar West 1/13/2022 n/a CO CMC Rebar West UT SMI STEEL FABRICATORS Assumed Name 9/1/1989 -- 9/30/2000 OK SMI STEEL FABRICATORS Assumed Name 9/26/1989 -- 9/30/2000 MI SMI STEEL FABRICATORS Assumed Name 5/7/1990 -- 9/30/2000 LA SMI STEEL FABRICATORS Assumed Name 9/29/1989 -- 9/30/2000 AR SMI STEEL FABRICATORS Assumed Name 9/1/1989 -- 9/30/2000 AZ SOUTHERN POST COMPANY Assumed Name 7/16/1985 -- 9/30/2000 AR SOUTHERN POST COMPANY Assumed Name 7/16/1985 -- 9/30/2000 AR SOUTHERN POST COMPANY Assumed Name 12/8/2025 TX (Travis) SOUTHERN POST COMPANY Assumed Name -- 9/30/2000 WA SMI Steel-Arkansas Assumed Name 12/2/1985 -- 9/30/2000 AR SAFETY DETENTION SYSTEMS Assumed Name 3/9/1988 -- 10/28/1991 AR SMI - JOIST COMPANY Assumed Name 1/26/1990 -- 9/30/2000 AR CAPITOL STEEL, INC. Assumed Name 3/18/1988 -- 9/30/2000 LA SAFETY STEEL SERVICE Assumed Name 8/7/1989 -- 9/30/2000 MA


 
Schedule 3(f) SAFETY STEEL SERVICE INC. Assumed Name 7/11/1988 -- 9/30/2000 MI SAFETY STEEL SERVICE INC. Assumed Name 3/13/1989 -- 9/30/2000 VA SOUTHERN POST- UTAH Assumed Name 10/7/1993 -- 9/30/2000 UT TEXPOST, INC. Former Name -- -- n/a n/a SHEPLER'S Assumed Name 4/1/1998 -- 9/30/2000 GA SMI JOIST COMPANY Fictious Name 7/30/1998 -- 9/30/2000 CA SMI STEEL PRODUCTS Assumed Name 11/5/1998 -- 9/30/2000 GA SMI STEEL PRODUCTS Assumed Name 10/28/1998 -- 9/30/2000 UT SMI STEEL PRODUCTS Assumed Name 10/28/1998 -- 9/30/2000 NV SMI STEEL PRODUCTS Assumed Name 10/28/1998 -- 9/30/2000 AR SMI STEEL PRODUCTS Fictious Name 12/1/1998 -- 9/30/2000 CA SMI STEEL PRODUCTS Trade Name 10/28/1998 -- 9/30/2000 OK Southern Post-Utah Assumed Name 10/7/1993 -- -- UT CMC Southern Post Assumed Name 1/6/2012 2/28/2024 -- UT CMC Construction Services Assumed Name 3/9/2012 -- -- OK CMC Construction Services Assumed Name 8/30/2012 8/30/2015 -- UT CMC Steel Products Assumed Name 8/30/2012 8/30/2015 -- UT CMC Economy Steel Assumed Name 8/30/2012 8/30/2015 -- UT CMC Rebar Name Registration 7/26/2007 12/8/2025 -- TX (Travis) CMC Rebar Fictious Name 8/31/2021 CA (LA) CMC Rebar Fictious Name 11/13/2021 CA (Fresno) CMC Rebar Assumed Name 12/31/2022 FL CMC Rebar Assumed Name 4/29/2024 CA (San Joaquin) CMC Rebar Assumed Name 7/12/2024 TN CMC Rebar Assumed Name 7/19/2024 NV (Clark) CMC Rebar Fictious Name 8/5/2024 CA (San Diego) CMC Rebar Assumed Name 8/17/2024 MD CMC Rebar Assumed Name 8/28/2024 AZ CMC Rebar Assumed Name 5/1/2025 IL CMC Rebar Assumed Name 8/2/2027 TX (Travis) CMC Rebar Assumed Name 2/22/2028 LA CMC Rebar Assumed Name Perpetual AR CMC Rebar Assumed Name Perpetual CO


 
Schedule 3(f) CMC Rebar Assumed Name Perpetual GA (Chatham/ Fulton) CMC Rebar Assumed Name Perpetual MS CMC Rebar Assumed Name Perpetual NC (Gaston) CMC Rebar Assumed Name Perpetual NC (Stokes) CMC Rebar Trade Name Perpetual OK CMC Rebar Assumed Name Perpetual VA (Fredericksburg) CMC Rebar Assumed Name Perpetual n/a WA CMC Joist & Deck Assumed Name 3/29/2007 -- n/a IN CMC Rebar Assumed Name 12/27/2025 n/a HI CMC Cable Fictious Name 8/30/2024 n/a CA (San Bernardino) CMC Cable Fictious Name 3/28/2024 n/a CA (Los Angeles) CMC Cable Assumed Name -- n/a WA CMC Cable East Assumed Name 5/16/2024 n/a OH CMC Cable East Fictious Name 5/24/2024 n/a FL CMC Cable East Assumed Name 5/16/2029 n/a TN CMC Cable East Assumed Name -- n/a GA (Fulton) CMC Cable East Fictious Name -- n/a MS CMC Cable East Assumed Name -- n/a NC (Wake) CMC Cable East Assumed Name -- n/a VA (Fairfax) CMC Cable East Assumed Name -- n/a VA (Newport News) CMC Cable East Assumed Name -- n/a VA (Northampton) CMC Cable East Assumed Name -- n/a VA (Prince William) CMC Cable East Assumed Name -- n/a VA (Richmond) CMC Cable East Assumed Name -- n/a VA (Southampton) CMC Cable East Assumed Name -- n/a VA (Virginia Beach) CMC Construction Services Fictious Name 12/31/2025 n/a FL CMC Construction Services Assumed Name 8/12/2025 n/a TX (Dallas) CMC Construction Services Assumed Name 9/7/2025 n/a LA CMC Construction Services Assumed Name -- n/a AZ (Maricopa) CMC Construction Services Assumed Name -- n/a AR CMC Construction Services Assumed Name -- n/a CO CMC Construction Services Assumed Name -- ID CMC Construction Services Trade Name -- OK CMC Paving Solutions Assumed Name 5/1/2025 n/a IL


 
Schedule 3(f) CMC Paving Solutions Assumed Name -- n/a CO CMC Paving Solutions Assumed Name -- n/a IA CMC Paving Solutions Fictious Name -- n/a MS CMC Paving Solutions Assumed Name -- n/a NC (Gaston) CMC Rail Assumed Name -- n/a TX (Travis) SMI Steel LLC Name Name Type Effective Date End Date Discontinuance Date Jurisdiction SMI Steel LLC True Name -- -- n/a n/a CMC Steel Alabama Assumed Name 7/25/2012 -- -- GA (Fulton) CMC Steel Alabama Registered Name 1/24/2024 -- AL CMC Steel Alabama Assumed Name 7/27/2012 5/5/2025 -- IL CMC Steel Alabama Assumed Name 7/26/2012 -- -- NC (Mecklenburg) CMC Steel Alabama Fictitious Name 9/5/2007 9/5/2012 -- OH   Owen Electric Steel Company of South Carolina this is also an assumed name for SMI- Owen Steel Company, Inc. Name  Name Type Effective Date End Date Discontinuance Date Jurisdiction  CMC Recycling Assumed Name -- n/a GA (Athens- Clarke) Owen Electric Steel Company of South Carolina, Inc. Registered Name 6/13/2024 n/a AL SMI-Owen Steel Company, Inc. Name Name Type Effective Date End Date Discontinuance Date Jurisdiction SMI-Owen Steel Company, Inc. True Name -- -- n/a n/a CMC South Carolina Steel Assumed Name -- n/a GA (Cobb/ Gwinnett/ henry)) CMC Acquisition Company Former Name 11/15/1994 -- n/a n/a OWEN ELECTRIC STEEL COMPANY OF SOUTH CAROLINA Assumed Name 1/4/1995 -- 8/30/2000 SC SOUTH CAROLINA STEEL Assumed Name 9/21/1995 -- 8/30/2000 MA SOUTH CAROLINA STEEL Assumed Name 9/28/1995 -- 8/30/2000 NY SOUTH CAROLINA STEEL CORPORATION Assumed Name 9/22/1995 -- 8/30/2000 TN SMI-OWEN STEEL COMPANY Assumed Name 4/15/1996 -- 8/30/2000 OH OWEN STEEL COMPANY, INC. Assumed Name 11/21/1994 -- 8/30/2000 SC Continental Concrete Structures Assumed Name 4/18/2017 4/18/2027 n/a TX Continental Concrete Structures Fictious Name 2/28/2017 2/28/2022 n/a FL


 
Schedule 3(f) Continental Concrete Structures Trade Name 3/29/2017 - n/a GA Continental Concrete Structures Trade Name 5/31/2017 5/31/2026 n/a LA Continental Concrete Structures Assumed Name for Corporation 4/18/2017 - n/a NC Continental Concrete Structures Assumed Name 3/23/2017 - n/a TN SMI Steel Products Assumed Name 8/24/2000 - n/a VA Continental Concrete Structures Fictitious Name 2/28/207 12/31/2022 n/a FL CMC Steel US, LLC Name Name Type Effective Date End Date Discontinuance Date Jurisdiction CMC Rebar Assumed Name 11/9/2023 n/a NJ CMC Rebar Registered Name 11/16/2023 n/a AL CMC Rebar Assumed Name 11/20/2023 n/a MO CMC Rebar Assumed Name 12/17/2023 n/a OH CMC Rebar Assumed Name 12/18/2023 n/a KY (Franklin) CMC Rebar Assumed Name Fictious Name 12/31/2023 n/a FL CMC Rebar Name Registration 12/27/2028 n/a TX (Dallas) CMC Rebar Assumed Name Perpetual n/a GA (Chatham/ Gwinn) CMC Rebar Assumed Name Perpetual n/a IN CMC Rebar Assumed Name Perpetual n/a NC (Mecklenburg) CMC Rebar Assumed Name Perpetual n/a PA CMC Rebar Assumed Name Perpetual n/a VA (King George) CMC Rebar East Assumed Name 9/1/2020 n/a IL CMC Rebar East Assumed Name 1/21/2024 n/a TN CMC Rebar East Trade Name Perpetual n/a OK CMC Rebar West Assumed Name 1/22/2024 n/a AZ CMC Steel Assumed Name 9/1/2020 n/a IL CMC Steel Florida Fictious Name Fictious Name 12/31/2023 n/a FL (Duval) CMC Steel New Jersey Alternate Name 11/8/2023 n/a NJ CMC Steel Tennessee Assumed Name 11/8/2023 n/a TN CMC Steel Oklahoma, LLC Name Name Type Effective Date End Date Discontinuance Date Jurisdiction CMC Galvabar Fictitious Business Name 7/21/2020 9/11/2025 n/a CA CMC Galvabar Fictitious Name 8/17/2020 9/2/2025 n/a FL CMC Galvabar Assumed Name 8/17/2020 -- n/a DE


 
Schedule 3(f) CMC Galvabar 8/17/2020 8/17/2025 n/a NJ CMC Galvabar Assumed Name 8/21/2020 -- n/a NY CMC Galvabar Name Registration 8/17/2020 12/8/2025 n/a TX (Travis) CMC Galvabar Trade Name 8/17/2020 -- n/a OK CMC Galvabar Assumed Name 8/17/2020 -- n/a VA


 
Exhibit H-1 ACTIVE 682595837v3 EXHIBIT H-1 Form of U.S. Tax Compliance Certificate (For Foreign Lenders That Are Not Partnerships For U.S. Federal Income Tax Purposes) Reference is hereby made to the Sixth Amended and Restated Credit Agreement, dated as of October 26, 2022, by and among Commercial Metals Company, a Delaware corporation (the “Company”), CMC International Finance, a company organized and existing under the laws of Luxembourg as a société à responsabilité limitée having its registered office at 1, rue Pletzer, L-8080 Bertrange, Grand Duchy of Luxembourg, registered with the Luxembourg Trade and Companies Register (Registre de Commerce et des Sociétés) under number B161680 (the “Foreign Borrower”), the Lenders from time to time party thereto and Bank of America, N.A., as Administrative Agent, an L/C Issuer and Swing Line Lender (as amended, modified, extended, restated, replaced, or supplemented from time to time, the “Credit Agreement”; capitalized terms used herein and not otherwise defined shall have the meanings set forth in the Credit Agreement). Pursuant to the provisions of Section 3.01 of the Credit Agreement, the undersigned hereby certifies that (a) it is the sole record and beneficial owner of the Loan(s) (as well as any Note(s) evidencing such Loan(s)) in respect of which it is providing this certificate, (b) it is not a bank within the meaning of Section 881(c)(3)(A) of the Code, (c) it is not a ten percent shareholder of the Company within the meaning of Section 871(h)(3)(B) of the Code, and (d) it is not a controlled foreign corporation related to the Company as described in Section 881(c)(3)(C) of the Code. The undersigned has furnished the Administrative Agent and the Company with a certificate of its non-U.S. Person status on IRS Form W-8BEN. By executing this certificate, the undersigned agrees that (a) if the information provided on this certificate changes, the undersigned shall promptly so inform the Company and the Administrative Agent, and (b) the undersigned shall have at all times furnished the Company and the Administrative Agent with a properly completed and currently effective certificate in either the calendar year in which each payment is to be made to the undersigned, or in either of the two calendar years preceding such payments. Unless otherwise defined herein, terms defined in the Credit Agreement and used herein shall have the meanings given to them in the Credit Agreement. [NAME OF FOREIGN LENDER] By: Name: Title: Date: [________ __], [___]


 
Exhibit H-2 ACTIVE 682595837v3 EXHIBIT H-2 Form of U.S. Tax Compliance Certificate (For Foreign Participants That Are Not Partnerships For U.S. Federal Income Tax Purposes) Reference is hereby made to the Sixth Amended and Restated Credit Agreement, dated as of October 26, 2022, by and among Commercial Metals Company, a Delaware corporation (the “Company”), CMC International Finance, a company organized and existing under the laws of Luxembourg as a société à responsabilité limitée, having its registered office at 1, rue Pletzer, L-8080 Bertrange, Grand Duchy of Luxembourg, registered with the Luxembourg Trade and Companies Register (Registre de Commerce et des Sociétés) under number B161680 (the “Foreign Borrower”), the Lenders from time to time party thereto and Bank of America, N.A., as Administrative Agent, an L/C Issuer and Swing Line Lender (as amended, modified, extended, restated, replaced, or supplemented from time to time, the “Credit Agreement”; capitalized terms used herein and not otherwise defined shall have the meanings set forth in the Credit Agreement). Pursuant to the provisions of Section 3.01 of the Credit Agreement, the undersigned hereby certifies that (a) it is the sole record and beneficial owner of the participation in respect of which it is providing this certificate, (b) it is not a bank within the meaning of Section 881(c)(3)(A) of the Code, (c) it is not a ten percent shareholder of the Company within the meaning of Section 871(h)(3)(B) of the Code, and (d) it is not a controlled foreign corporation related to the Company as described in Section 881(c)(3)(C) of the Code. The undersigned has furnished its participating Lender with a certificate of its non-U.S. Person status on IRS Form W-8BEN. By executing this certificate, the undersigned agrees that (a) if the information provided on this certificate changes, the undersigned shall promptly so inform such Lender in writing, and (b) the undersigned shall have at all times furnished such Lender with a properly completed and currently effective certificate in either the calendar year in which each payment is to be made to the undersigned, or in either of the two calendar years preceding such payments. Unless otherwise defined herein, terms defined in the Credit Agreement and used herein shall have the meanings given to them in the Credit Agreement. [NAME OF PARTICIPANT] By: Name: Title: Date: ________ __, ____


 
Exhibit H-3 ACTIVE 682595837v3 EXHIBIT H-3 Form of U.S. Tax Compliance Certificate (For Foreign Participants That Are Partnerships For U.S. Federal Income Tax Purposes) Reference is hereby made to the Sixth Amended and Restated Credit Agreement, dated as of October 26, 2022, by and among Commercial Metals Company, a Delaware corporation (the “Company”), CMC International Finance, a company organized and existing under the laws of Luxembourg as a société à responsabilité limitée, having its registered office at 1, rue Pletzer, L-8080 Bertrange, Grand Duchy of Luxembourg, registered with the Luxembourg Trade and Companies Register (Registre de Commerce et des Sociétés) under number B161680 (the “Foreign Borrower”), the Lenders from time to time party thereto and Bank of America, N.A., as Administrative Agent, an L/C Issuer and Swing Line Lender (as amended, modified, extended, restated, replaced, or supplemented from time to time, the “Credit Agreement”; capitalized terms used herein and not otherwise defined shall have the meanings set forth in the Credit Agreement). Pursuant to the provisions of Section 3.01 of the Credit Agreement, the undersigned hereby certifies that (a) it is the sole record owner of the participation in respect of which it is providing this certificate, (b) its direct or indirect partners/members are the sole beneficial owners of such participation, (c) with respect such participation, neither the undersigned nor any of its direct or indirect partners/members is a bank extending credit pursuant to a loan agreement entered into in the ordinary course of its trade or business within the meaning of Section 881(c)(3)(A) of the Code, (d) none of its direct or indirect partners/members is a ten percent shareholder of the Company within the meaning of Section 871(h)(3)(B) of the Code, and (e) none of its direct or indirect partners/members is a controlled foreign corporation related to the Company as described in Section 881(c)(3)(C) of the Code. The undersigned has furnished its participating Lender with IRS Form W-8IMY accompanied by one of the following forms from each of its partners/members that is claiming the portfolio interest exemption: (a) an IRS Form W-8BEN or (b) an IRS Form W-8IMY accompanied by an IRS Form W-8BEN from each of such partner’s/member’s beneficial owners that is claiming the portfolio interest exemption. By executing this certificate, the undersigned agrees that (i) if the information provided on this certificate changes, the undersigned shall promptly so inform such Lender and (ii) the undersigned shall have at all times furnished such Lender with a properly completed and currently effective certificate in either the calendar year in which each payment is to be made to the undersigned, or in either of the two calendar years preceding such payments. Unless otherwise defined herein, terms defined in the Credit Agreement and used herein shall have the meanings given to them in the Credit Agreement. [NAME OF PARTICIPANT] By: Name: Title: Date: ________ __, ____


 
Exhibit H-4 ACTIVE 682595837v3 EXHIBIT H-4 Form of U.S. Tax Compliance Certificate (For Foreign Lenders That Are Partnerships For U.S. Federal Income Tax Purposes) Reference is hereby made to the Sixth Amended and Restated Credit Agreement, dated as of October 26, 2022, by and among Commercial Metals Company, a Delaware corporation (the “Company”), CMC International Finance, a company organized and existing under the laws of Luxembourg as a société à responsabilité limitée, having its registered office at 1, rue Pletzer, L-8080 Bertrange, Grand Duchy of Luxembourg, registered with the Luxembourg Trade and Companies Register (Registre de Commerce et des Sociétés) under number B161680 (the “Foreign Borrower”), the Lenders from time to time party thereto and Bank of America, N.A., as Administrative Agent, an L/C Issuer and Swing Line Lender (as amended, modified, extended, restated, replaced, or supplemented from time to time, the “Credit Agreement”; capitalized terms used herein and not otherwise defined shall have the meanings set forth in the Credit Agreement). Pursuant to the provisions of Section 3.01 of the Credit Agreement, the undersigned hereby certifies that (a) it is the sole record owner of the Loan(s) (as well as any Note(s) evidencing such Loan(s)) in respect of which it is providing this certificate, (b) its direct or indirect partners/members are the sole beneficial owners of such Loan(s) (as well as any Note(s) evidencing such Loan(s)), (c) with respect to the extension of credit pursuant to this Credit Agreement or any other Loan Document, neither the undersigned nor any of its direct or indirect partners/members is a bank extending credit pursuant to a loan agreement entered into in the ordinary course of its trade or business within the meaning of Section 881(c)(3)(A) of the Code, (d) none of its direct or indirect partners/members is a ten percent shareholder of the Company within the meaning of Section 871(h)(3)(B) of the Code and (e) none of its direct or indirect partners/members is a controlled foreign corporation related to the Company as described in Section 881(c)(3)(C) of the Code. The undersigned has furnished the Administrative Agent and the Company with IRS Form W-8IMY accompanied by one of the following forms from each of its partners/members that is claiming the portfolio interest exemption: (a) an IRS Form W-8BEN or (b) an IRS Form W-8IMY accompanied by an IRS Form W-8BEN from each of such partner’s/member’s beneficial owners that is claiming the portfolio interest exemption. By executing this certificate, the undersigned agrees that (i) if the information provided on this certificate changes, the undersigned shall promptly so inform the Company and the Administrative Agent, and (ii) the undersigned shall have at all times furnished the Company and the Administrative Agent with a properly completed and currently effective certificate in either the calendar year in which each payment is to be made to the undersigned, or in either of the two calendar years preceding such payments. Unless otherwise defined herein, terms defined in the Credit Agreement and used herein shall have the meanings given to them in the Credit Agreement. [NAME OF LENDER] By: Name: Title: Date: ________ __, ___


 
Exhibit I ACTIVE 682595837v3 EXHIBIT I Form of Secured Party Designation Notice TO: Bank of America, N.A., as Administrative Agent RE: Sixth Amended and Restated Credit Agreement, dated as of October 26, 2022 (as amended, restated, extended, supplemented or otherwise modified in writing from time to time, the “Agreement”; the terms defined therein being used herein as therein defined), among Commercial Metals Company, a Delaware corporation (the “Company”), CMC International Finance, a company organized and existing under the laws of Luxembourg as a société à responsabilité limitée, having its registered office at 1, rue Pletzer, L-8080 Bertrange, Grand Duchy of Luxembourg, registered with the Luxembourg Trade and Companies Register (Registre de Commerce et des Sociétés) under number B161680 (the “Foreign Borrower”), the Lenders from time to time party thereto, and Bank of America, N.A., as Administrative Agent, Swing Line Lender and an L/C Issuer. DATE: [Date] [Name of Cash Management Bank/Hedge Bank/Trade Bank] (the “Secured Party”) hereby notifies you, pursuant to the terms of the Credit Agreement, that the Secured Party meets the requirements of a [Cash Management Bank] [Hedge Bank] [Trade Bank] under the terms of the Agreement and is a [Cash Management Bank] [Hedge Bank] [Trade Bank] under the Agreement and the other Loan Documents. Delivery of an executed counterpart of a signature page of this notice by fax transmission or other electronic mail transmission (e.g. “pdf” or “tif”) shall be effective as delivery of a manually executed counterpart of this notice. A duly authorized officer of the undersigned has executed this notice as of the day and year set forth above. as a [Cash Management Bank] [Hedge Bank] [Trade Bank] By: Name: Title


 
Exhibit J - 1 ACTIVE 682595837v3 EXHIBIT J Form of Notice of Loan Prepayment TO: Bank of America, N.A., as Administrative Agent and a Swingline Lender RE: Sixth Amended and Restated Credit Agreement, dated as of October 26, 2022 (as amended, restated, extended, supplemented or otherwise modified in writing from time to time, the “Agreement”; the terms defined therein being used herein as therein defined), among Commercial Metals Company, a Delaware corporation (the “Company”), CMC International Finance, a company organized and existing under the laws of Luxembourg as a société à responsabilité limitée, having its registered office at 1, rue Pletzer, L-8080 Bertrange, Grand Duchy of Luxembourg, registered with the Luxembourg Trade and Companies Register (Registre de Commerce et des Sociétés) under number B161680 (the “Foreign Borrower”), the Lenders from time to time party thereto, and Bank of America, N.A., as Administrative Agent, Swing Line Lender and an L/C Issuer. DATE: [Date] The [Company][Foreign Borrower] hereby notifies the Administrative Agent that on _____________1 pursuant to the terms of Section 2.05(a) (Prepayments) of the Credit Agreement, the [Company][Foreign Borrower] intends to prepay/repay the following Loans as more specifically set forth below2: Revolving Loans: Indicate: Applicable Borrower Name Indicate: Amount3 Indicate: Currency Indicate: Base Rate Loan, Term SOFR Loan, Alternative Currency Daily Rate Loan or Alternative Currency Term Rate Loan For Term SOFR Loans and Alternative Currency Term Rate Loans Indicate: Interest Period (e.g. 1, 3 or 6 month interest period) Term Loans: Indicate: Amount4 Indicate: Base Rate Loan or Term SOFR Loan For Term SOFR Loans Indicate: Interest Period (e.g. 1, 3 or 6 month interest period) 1 Specify date of such prepayment. 2 Note to Borrower. Scheduled payments and advances should only be processed by auto debit, wire or to BAC’s ACH account (not check or cashier’s check). Unscheduled payments should only be received by wire or DDA transfers (not ACH or check or cashier’s check). 3 Any prepayment of Revolving Loans shall be in a principal amount of (A) $5,000,000 or a whole multiple of $1,000,000 in excess thereof (or if less, the entire principal amount thereof outstanding) for Term SOFR Loans, (B) the applicable Alternative Currency Equivalent of $5,000,000 or a whole multiple of Alternative Currency Equivalent of $1,000,000 in excess thereof for Alternative Currency Loans and (C) $500,000 or a whole multiple of $100,000 in excess thereof for Base Rate Loans, or, in each case if less, the entire principal amount thereof outstanding. 4 Any prepayment of Term Loans shall be in a principal amount of (A) $5,000,000 or a whole multiple of $1,000,000 in excess thereof (or if less, the entire principal amount thereof outstanding) for Term SOFR Loans, (B) the applicable Alternative Currency Equivalent of $5,000,000 or a whole multiple of Alternative Currency Equivalent of $1,000,000 in excess thereof for Alternative Currency Loans and (C) $500,000 or a whole multiple of $100,000 in excess thereof for Base Rate Loans, or, in each case if less, the entire principal amount thereof outstanding.


 
Exhibit J - 2 ACTIVE 682595837v3


 
Exhibit J - 3 ACTIVE 682595837v3 Swing Line Loans: Indicate: Applicable Borrower Name Indicate: Amount5 Indicate: Currency Indicate: Domestic Swing Line Loan or Foreign Swing Line Rate Loan Delivery of an executed counterpart of a signature page of this notice by fax transmission or other electronic mail transmission (e.g. “pdf” or “tif”) shall be effective as delivery of a manually executed counterpart of this notice. [REMAINDER OF PAGE INTENTIONALLY LEFT BLANK] 5 Any prepayment of Swingline Loans shall be in a principal amount of (A) $100,000 or a whole multiple of $50,000 in excess thereof (or if less, the entire principal amount thereof outstanding) for Domestic Swing Line Loans and (B) the applicable Alternative Currency Equivalent of $500,000, in the case of Foreign Swing Line Loans.


 
Exhibit J - 4 ACTIVE 682595837v3 [COMMERCIAL METALS COMPANY] By: Name: Title: ] [CMC INTERNATIONAL FINANCE, société à responsabilité limitée] By: Name: Title: ]


 
Exhibit K - 1 ACTIVE 682595837v3 EXHIBIT K Form of Letter of Credit Report TO: Bank of America, N.A., as Administrative Agent RE: Sixth Amended and Restated Credit Agreement, dated as of October 26, 2022 (as amended, restated, extended, supplemented or otherwise modified in writing from time to time, the “Agreement”; the terms defined therein being used herein as therein defined), among Commercial Metals Company, a Delaware corporation (the “Company”), CMC International Finance, a company organized and existing under the laws of Luxembourg as a société à responsabilité limitée, having its registered office at 1, rue Pletzer, L-8080 Bertrange, Grand Duchy of Luxembourg, registered with the Luxembourg Trade and Companies Register (Registre de Commerce et des Sociétés) under number B161680 (the “Foreign Borrower”), the Lenders from time to time party thereto, and Bank of America, N.A., as Administrative Agent, Swing Line Lender and an L/C Issuer. DATE: [Date] The undersigned, [insert name of L/C Issuer] (the “L/C Issuer”) hereby delivers this report to the Administrative Agent, pursuant to the terms of Section 2.03(r) of the Credit Agreement. The L/C Issuer plans to issue, amend, renew, increase or extend the follow Letter(s) of Credit on [insert date]. L/C No. Maximum Face Amount Current Face Amount Currency Financials or Performance SBLC Beneficiary Name Issuance Date Expiry Date Auto Renewal Date of Amendment Amount of Amendment [The L/C Issuer made a payment, with respect to L/C No. _______, on [insert date] in the amount of [$]_____________].


 
Exhibit K - 2 ACTIVE 682595837v3 [The Borrower failed to reimburse the L/C Issuer for a payment required to be reimbursed to L/C Issuer made in the amount of [$][insert amount of such payment] pursuant to L/C No. ______ on [insert date of such failure], with respect to L/C No. _______.] Set forth in the table below is a description of each Letter of Credit issued by the undersigned and outstanding on the date hereof. L/C No. Maximum Face Amount Current Face Amount Currency Financials or Performance SBLC Beneficiary Name Issuance Date Expiry Date Auto Renewal Date of Amendment Amount of Amendment Delivery of an executed counterpart of a signature page of this notice by fax transmission or other electronic mail transmission (e.g. “pdf” or “tif”) shall be effective as delivery of a manually executed counterpart of this notice. [REMAINDER OF PAGE INTENTIONALLY LEFT BLANK]


 
Exhibit K - 3 ACTIVE 682595837v3 [L/C ISSUER]. As L/C Issuer By: Name: Title:


 
Exhibit L ACTIVE 682595837v3 EXHIBIT L Form of Solvency Certificate TO: Bank of America, N.A., as Administrative Agent RE: Sixth Amended and Restated Credit Agreement, dated as of October 26, 2022 (as amended, restated, extended, supplemented or otherwise modified in writing from time to time, the “Agreement”; the terms defined therein being used herein as therein defined), among Commercial Metals Company, a Delaware corporation (the “Company”), CMC International Finance, a company organized and existing under the laws of Luxembourg as a société à responsabilité limitée, having its registered office at 1, rue Pletzer, L-8080 Bertrange, Grand Duchy of Luxembourg, registered with the Luxembourg Trade and Companies Register (Registre de Commerce et des Sociétés) under number B161680 (the “Foreign Borrower”), the Lenders from time to time party thereto, and Bank of America, N.A., as Administrative Agent, Swing Line Lender and an L/C Issuer. DATE: [Date] The undersigned Responsible Officer of the Company is familiar with the properties, businesses, assets and liabilities of the Loan Parties and is duly authorized to execute this certificate on behalf of the Company and the other Loan Parties. The undersigned certifies that [he][she] has made such reasonable investigation and inquiries as to the financial condition of the Loan Parties and their Subsidiaries as the undersigned deems necessary and prudent for the purpose of providing this Certificate. The undersigned acknowledges that the Administrative Agent and the Lenders are relying on the truth and accuracy of this Certificate in connection with the making of Credit Extensions and the other transactions contemplated under the Credit Agreement. The undersigned certifies that the financial information, projections and assumptions which underlie and form the basis for the representations made in this Certificate were reasonable when made and were made in good faith and continue to be reasonable as of the date hereof. BASED ON THE FOREGOING, the undersigned certifies that, both before and after giving effect to the transactions contemplated by the Credit Agreement: (a) The fair value of the assets of the Company and its Subsidiaries is greater than the total amount of liabilities, including contingent liabilities, of the Company and its Subsidiaries. (b) The present fair salable value of the assets of the Company and its Subsidiaries is not less than the amount that will be required to pay the probable liability of the Company and its Subsidiaries on their debts as they become absolute and matured. (c) The Company and its Subsidiaries do not intend to, and does not reasonably believe that it will, incur debts or liabilities beyond the Company’s and its Subsidiaries individual or consolidated ability to pay such debts and liabilities as they mature.


 
Exhibit L ACTIVE 682595837v3 (d) Neither the Company nor any of its Subsidiaries is engaged in business or a transaction and is not about to engage in business or a transaction, for the Company’s or its Subsidiaries’ property would constitute, on a consolidated basis, an unreasonably small capital. (e) The Company and its Subsidiaries are able to pay its individual and consolidated debts and liabilities, contingent obligations and other commitments as they mature in the ordinary course of business. Delivery of an executed counterpart of a signature page of this Certificate by fax transmission or other electronic mail transmission (e.g. “pdf” or “tif”) shall be effective as delivery of a manually executed counterpart of this Certificate. [REMAINDER OF PAGE INTENTIONALLY LEFT BLANK]


 
Exhibit L ACTIVE 682595837v3 COMMERCIAL METALS COMPANY By: Name: Title:


 
Exhibit M ACTIVE 682595837v3 EXHIBIT M Form of Authorization to Share Insurance Information TO: Insurance Agent RE: Sixth Amended and Restated Credit Agreement, dated as of October 26, 2022 (as amended, restated, extended, supplemented or otherwise modified in writing from time to time, the “Agreement”; the terms defined therein being used herein as therein defined), among Commercial Metals Company, a Delaware corporation (the “Company”), CMC International Finance, a company organized and existing under the laws of Luxembourg as a société à responsabilité limitée, having its registered office at 1, rue Pletzer, L-8080 Bertrange, Grand Duchy of Luxembourg, registered with the Luxembourg Trade and Companies Register (Registre de Commerce et des Sociétés) under number B161680 (the “Foreign Borrower”), the Lenders from time to time party thereto, and Bank of America, N.A., as Administrative Agent, Swing Line Lender and an L/C Issuer. DATE: [Date] Grantor: [Insert Applicable Loan Party Name] (the “Grantor”) Administrative Agent: Bank of America, N.A., as Administrative Agent for the Secured Parties, I.S.A.O.A., A.T.I.M.A. * (the “Administrative Agent”) Attn: MAC Legal Collateral Administration Mail Code CA4-702-02-25 2001 Clayton Road, 2nd Floor Concord, CA 94520 Policy Number: [Insert Applicable Policy Number] Insurance Company/Agent: [Insert Applicable Insurance Company/Agent] (the “Insurance Agent”) Insurance Company Address: [Insert Insurance Company’s Address] Insurance Company Telephone No.: [Insert Insurance Company’s Telephone No.] Insurance Company Fax No.: [Insert Insurance Company’s Fax No.] The Grantor hereby authorizes the Insurance Agent to send evidence of all insurance to the Administrative Agent, as may be reasonably requested by the Administrative Agent, together with requested insurance policies, certificates of insurance, declarations and endorsements. Delivery of an executed counterpart of a signature page of this Certificate by fax transmission or other electronic mail transmission (e.g. “pdf” or “tif”) shall be effective as delivery of a manually executed counterpart of this Certificate. * I.S.A.O.A. stands for “its successors and/or assigns.” A.T.I.M.A. stands for “as their interest may appear.”


 
Exhibit M ACTIVE 682595837v3 COMMERCIAL METALS COMPANY By: Name: Title: