EX-10.1 2 a20230807-ufccxthirdamen.htm EX-10.1 a20230807-ufccxthirdamen
DocuSign Envelope ID: 9E563B20-B76C-4493-95C4-959322E1FD09 THIRD AMENDMENT TO CREDIT AGREEMENT AND WAIVER This Third Amendment to Credit Agreement and Waiver (herein, the “Amendment”) is entered into as of August 7, 2023, between UNITED FIRE & CASUALTY COMPANY, an Iowa corporation (the “Borrower”) and WELLS FARGO BANK, NATIONAL ASSOCIATION, a national banking association, in its capacity as administrative agent and the sole Lender (“Wells Fargo”). PRELIMINARY STATEMENTS A. The Borrower and Wells Fargo entered into a certain Credit Agreement, dated as March 31, 2020 (as the same may be amended, modified, restated or supplemented from time to time pursuant to the terms thereof, the “Credit Agreement”). All capitalized terms used herein without definition shall have the same meanings herein as such terms have in the Credit Agreement. B. The Borrower and Wells Fargo have agreed to waive certain Events of Default, and amend the Credit Agreement on the terms and conditions set forth in this Amendment. NOW, THEREFORE, for good and valuable consideration, the receipt and sufficiency of which is hereby acknowledged, the parties hereto agree as follows: SECTION 1. AMENDMENTS. Subject to the satisfaction of the conditions precedent set forth in Section 3 below, the Credit Agreement shall be and hereby is amended as follows 1.1. Section 8.15(b) of the Credit Agreement shall be and hereby is amended and restated to read in its entirety as follows: (b) Consolidated Net Worth. Maintain Consolidated Net Worth as of the last day of each fiscal quarter of Holdings (commencing with the fiscal quarter ending September 30, 2023) in an amount less than $700,000,000. 1.2. Exhibit F of the Credit Agreement shall be and hereby is amended and restated to read in the form attached hereto as Exhibit F SECTION 2. WAIVER. The Borrower has advised Wells Fargo that it is not in compliance with the Consolidated Net Worth covenant set forth in Section 8.15(b) of the Credit Agreement for the fiscal quarter ended June 30, 2023, which such non-compliance constitutes an Event of Default under Section 9.1(d) of the Credit Agreement (the “Existing Default”). The Borrower has requested that Wells Fargo waive the Existing Default and, subject to the satisfaction of the conditions set forth in Section 3 hereof, Wells Fargo hereby agrees to waive the Existing Default. 2023.08.07 - UFCC - Third Amendment to Credit Agreement v3 4320982


 
DocuSign Envelope ID: 9E563B20-B76C-4493-95C4-959322E1FD09 -2- SECTION 3. CONDITIONS PRECEDENT. The effectiveness of this Amendment is subject to the satisfaction of all of the following conditions precedent: 3.1. The Borrower and Wells Fargo shall have executed and delivered this Amendment. 3.2. Wells Fargo shall have received a non-refundable amendment fee in an amount equal to $75,000. 3.3. Legal matters incident to the execution and delivery of this Amendment shall be satisfactory to Wells Fargo and its counsel. SECTION 4. REPRESENTATIONS. In order to induce Wells Fargo to enter into this Amendment, the Borrower hereby represents and warrants to Wells Fargo that as of the date hereof: 4.1. Authorization, Etc. The Borrower has the power and authority to execute, deliver and perform this Amendment and the other Loan Documents (if any) called for hereby. The Borrower has taken all necessary action (including, without limitation, obtaining approval of its equity holders, if necessary) to authorize its execution, delivery and performance of this Amendment and the other Loan Documents (if any) called for hereby. No consent, approval or authorization of, or declaration or filing with, any Governmental Authority, and no consent of any other Person, is required in connection with Borrower’s execution, delivery and performance of this Amendment or such other Loan Documents, except for those already duly obtained. This Amendment and the other Loan Documents (if any) called for hereby have been duly executed and delivered by the Borrower and constitute the legal, valid and binding obligation of the Borrower, enforceable against it in accordance with their terms, except as enforceability may be limited by applicable bankruptcy, insolvency, or similar laws affecting the enforcement of creditor rights generally or by equitable principles relating to enforceability. The execution, delivery and performance of this Amendment and the other Loan Documents (if any) called for hereby by the Borrower does not (i) contravenes the terms of the Borrower’s Organizational Documents; (ii) conflict with or constitute a violation or breach of, or constitutes a default under, or results in the creation or imposition of any Lien (other than Permitted Liens) upon the Property of the Borrower by reason of the terms of any material contractual obligation (including without limitation contractual obligations arising from any material agreements to which the Borrower is a party or which is binding upon it); or (iii) violates any Applicable Law in any material respect. 4.2. No Change to Organizational Documents and Resolutions. The Borrower hereby certifies that: (x) the copies of its Organizational Documents and resolutions of the board of directors (or other governing body) of the Borrower previously delivered to Wells Fargo under the Loan Documents continue to be true, correct and complete, have


 
DocuSign Envelope ID: 9E563B20-B76C-4493-95C4-959322E1FD09 -3- not been amended or otherwise modified or rescinded since the date of such delivery, and are in full force and effect on the date hereof; and (y) each Person previously identified by the Borrower to sign any Loan Document on its behalf continues to be so authorized on the date hereof and is authorized to sign this Amendment. Wells Fargo may conclusively rely on this certification until it is otherwise notified by the the Borrower in writing. 4.3. Representations and Warranties. After giving effect to this Amendment, the representations and warranties set forth in Article VI of the Credit Agreement and in the other Loan Documents are and shall be and remain true and correct in all material respects, except for any representation and warranty that is qualified by materiality or reference to Material Adverse Effect, which such representation and warranty are and shall be and remain true and correct in all respects, and except for any such representation and warranty that by its terms is made only as of an earlier date, which representation and warranty shall remain true and correct in all material respects as of such earlier date, except for any representation and warranty that is qualified by materiality or reference to Material Adverse Effect, which such representation and warranty shall be true and correct in all respects as of such earlier date). 4.4. No Default. After giving effect to this Amendment, no Default or Event of Default exists under the Credit Agreement or would occur as a result of this Amendment. 4.5. No Material Adverse Effect. Since December 31, 2022, there has been no material adverse change in the properties, business, operations, prospects, or condition (financial or otherwise) of the Borrower and its Subsidiaries and no event has occurred or condition arisen, either individually or in the aggregate, that could reasonably be expected to have a Material Adverse Effect, other than the Existing Default. SECTION 5. MISCELLANEOUS. 5.1. Except as specifically amended or waived herein, the Credit Agreement shall continue in full force and effect in accordance with its original terms. Reference to this specific Amendment need not be made in the Credit Agreement, or any other instrument or document executed in connection therewith, or in any certificate, letter or communication issued or made pursuant to or with respect to the Credit Agreement, any reference in any of such items to the Credit Agreement being sufficient to refer to the Credit Agreement as amended hereby. This Amendment is not a novation nor is it to be construed as a release, waiver or modification of any of the terms, conditions, representations, warranties, covenants, rights or remedies set forth in the Credit Agreement or the other Loan Documents, except as specifically set forth herein. Without limiting the foregoing, the Borrower agrees to comply with all of the terms, conditions, and provisions of the Credit Agreement and the other Loan Documents except to the extent such compliance is irreconcilably inconsistent with the express provisions of this Amendment. 5.2. The Borrower agrees to pay on demand all reasonable out-of-pocket costs and expenses of or incurred by Wells Fargo in connection with the negotiation, preparation, execution and delivery of this Amendment and the other instruments and documents being


 
DocuSign Envelope ID: 9E563B20-B76C-4493-95C4-959322E1FD09 -4- executed and delivered in connection herewith and the transactions contemplated hereby, including the reasonable fees, charges and disbursements of counsel for Wells Fargo. 5.3. This Amendment may be executed in any number of counterparts, and by the different parties on different counterpart signature pages, all of which taken together shall constitute one and the same agreement. Any of the parties hereto may execute this Amendment by signing any such counterpart and each of such counterparts shall for all purposes be deemed to be an original. Delivery of an executed counterpart of a signature page of this Amendment by facsimile or in electronic (e.g., “pdf” or “tif”) format shall be effective as delivery of a manually executed counterpart of Amendment. The provisions contained in Sections 11.5 (Governing Law; Jurisdiction; Etc.) and 11.6 (Waiver of Jury Trial) of the Credit Agreement are incorporated herein by reference to the same extent as if reproduced herein in their entirety, except with reference to this Amendment rather than the Credit Agreement.


 
DocuSign Envelope ID: 9E563B20-B76C-4493-95C4-959322E1FD09 [Amendment – United Fire] This Third Amendment to Credit Agreement and Waiver is entered into as of the date and year first above written. UNITED FIRE & CASUALTY COMPANY, as Borrower By: Name: Eric Martin Title: Chief Financial Officer AGENTS AND LENDER: WELLS FARGO BANK, NATIONAL ASSOCIATION, as Administrative Agent and sole Lender By: Name: Jeff Glas Title: Director


 
DocuSign Envelope ID: 9E563B20-B76C-4493-95C4-959322E1FD09 Exhibit F Form of Officer’s Compliance Certificate EXHIBIT F FORM OF OFFICER’S COMPLIANCE CERTIFICATE Dated as of: The undersigned [chief financial officer/the treasurer], on behalf of UNITED FIRE & CASUALTY COMPANY, an Iowa corporation (the “Borrower”), hereby certifies to the Administrative Agent and the Lenders, each as defined in the Credit Agreement referred to below, as follows: 1. This certificate is delivered to you pursuant to Section 7.2 of the Credit Agreement dated as of March 31, 2020 (the “Credit Agreement”), by and among the Borrower, the Lenders party thereto and Wells Fargo Bank, National Association, as Administrative Agent. Capitalized terms used herein and not defined herein shall have the meanings assigned thereto in the Credit Agreement. 2. I have reviewed the financial statements of Holdings and its Subsidiaries dated as of and for the period[s] then ended and such statements fairly present in all material respects the financial condition of Holdings and its Subsidiaries as of the dates indicated and the results of their operations and cash flows for the period[s] indicated. 3. I have reviewed the terms of the Credit Agreement, and the related Loan Documents and have made, or caused to be made under my supervision, a review in reasonable detail of the transactions and the condition of Holdings and its Subsidiaries during the accounting period covered by the financial statements referred to in Paragraph 2 above. Such review has not disclosed the existence during or at the end of such accounting period of any condition or event that constitutes a Default or an Event of Default, nor do I have any knowledge of the existence of any such condition or event as at the date of this certificate [except, if such condition or event existed or exists, describe the nature and period of existence thereof and what action the Borrower has taken, is taking and proposes to take with respect thereto]. 4. Holdings and its Subsidiaries are in compliance with the financial covenants contained in Section 8.15 of the Credit Agreement as shown on such Schedule 1 and Holdings and its Subsidiaries are in compliance with the other covenants and restrictions contained in the Credit Agreement. [Remainder of page intentionally left blank; signature page follows]


 
DocuSign Envelope ID: 9E563B20-B76C-4493-95C4-959322E1FD09 Exhibit F Form of Officer’s Compliance Certificate IN WITNESS WHEREOF, the undersigned has executed this Compliance Certificate as of the day and year first written above. UNITED FIRE & CASUALTY COMPANY, an Iowa corporation By: Name: Title:


 
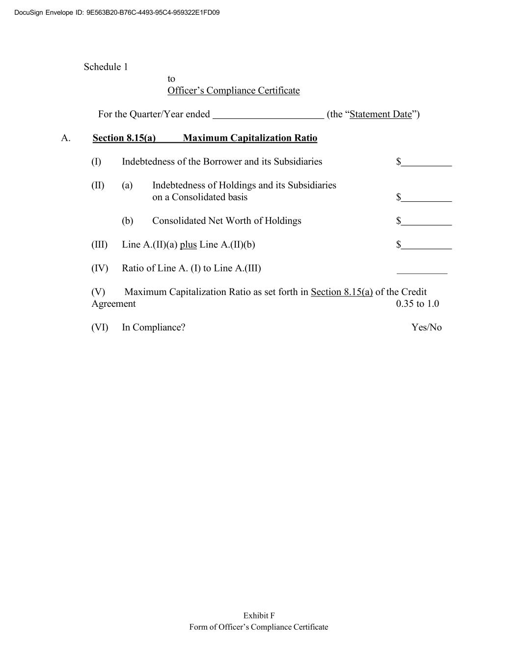
DocuSign Envelope ID: 9E563B20-B76C-4493-95C4-959322E1FD09 Exhibit F Form of Officer’s Compliance Certificate Schedule 1 to Officer’s Compliance Certificate For the Quarter/Year ended (the “Statement Date”) A. Section 8.15(a) Maximum Capitalization Ratio (I) Indebtedness of the Borrower and its Subsidiaries $ (II) (a) Indebtedness of Holdings and its Subsidiaries on a Consolidated basis $ (b) Consolidated Net Worth of Holdings $ (III) Line A.(II)(a) plus Line A.(II)(b) $ (IV) Ratio of Line A. (I) to Line A.(III) (V) Maximum Capitalization Ratio as set forth in Section 8.15(a) of the Credit Agreement 0.35 to 1.0 (VI) In Compliance? Yes/No


 
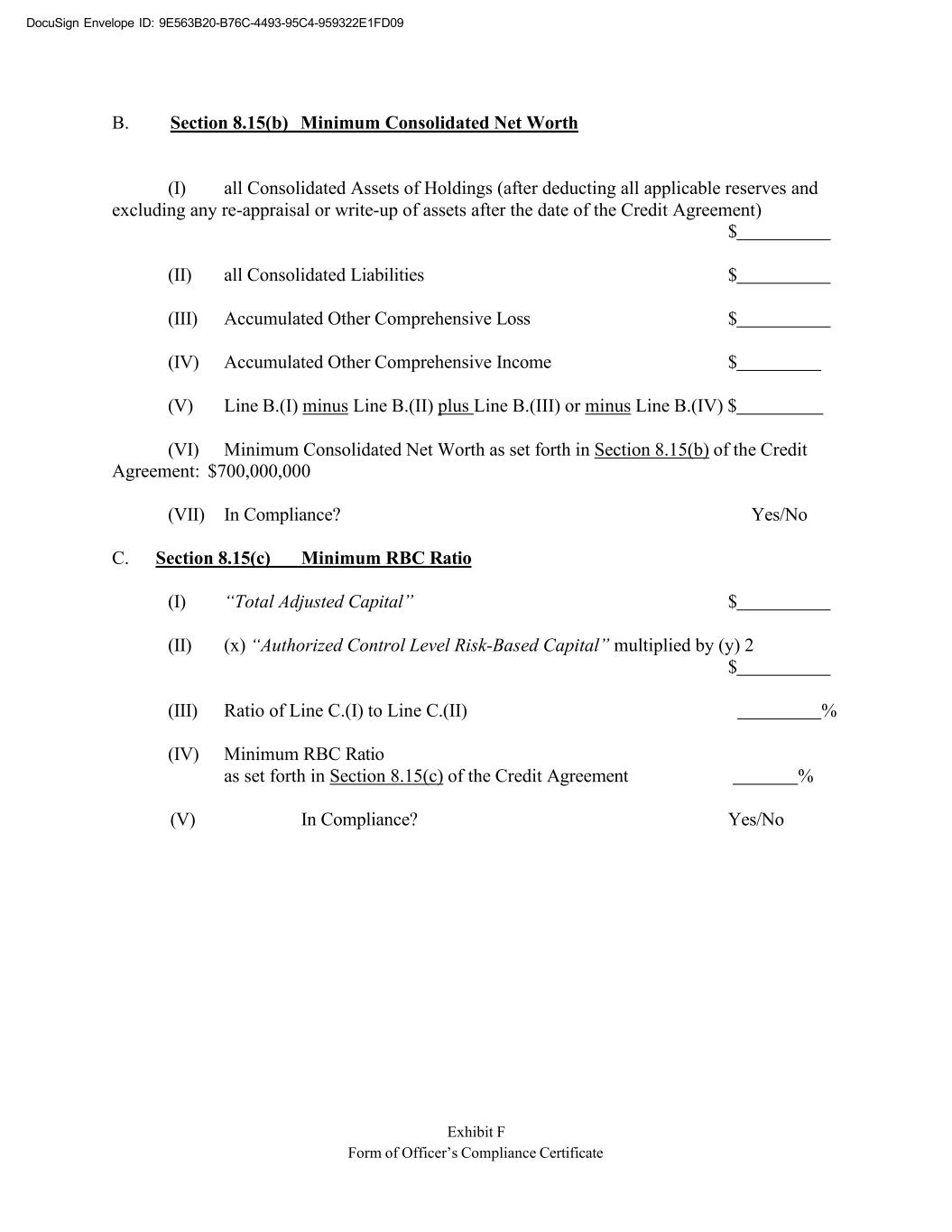
DocuSign Envelope ID: 9E563B20-B76C-4493-95C4-959322E1FD09 Exhibit F Form of Officer’s Compliance Certificate B. Section 8.15(b) Minimum Consolidated Net Worth (I) all Consolidated Assets of Holdings (after deducting all applicable reserves and excluding any re-appraisal or write-up of assets after the date of the Credit Agreement) $ (II) all Consolidated Liabilities $ (III) Accumulated Other Comprehensive Loss $ (IV) Accumulated Other Comprehensive Income $ (V) Line B.(I) minus Line B.(II) plus Line B.(III) or minus Line B.(IV) $ (VI) Minimum Consolidated Net Worth as set forth in Section 8.15(b) of the Credit Agreement: $700,000,000 (VII) In Compliance? Yes/No C. Section 8.15(c) Minimum RBC Ratio (I) “Total Adjusted Capital” $ (II) (x) “Authorized Control Level Risk-Based Capital” multiplied by (y) 2 $ (III) Ratio of Line C.(I) to Line C.(II) % (IV) Minimum RBC Ratio as set forth in Section 8.15(c) of the Credit Agreement % (V) In Compliance? Yes/No