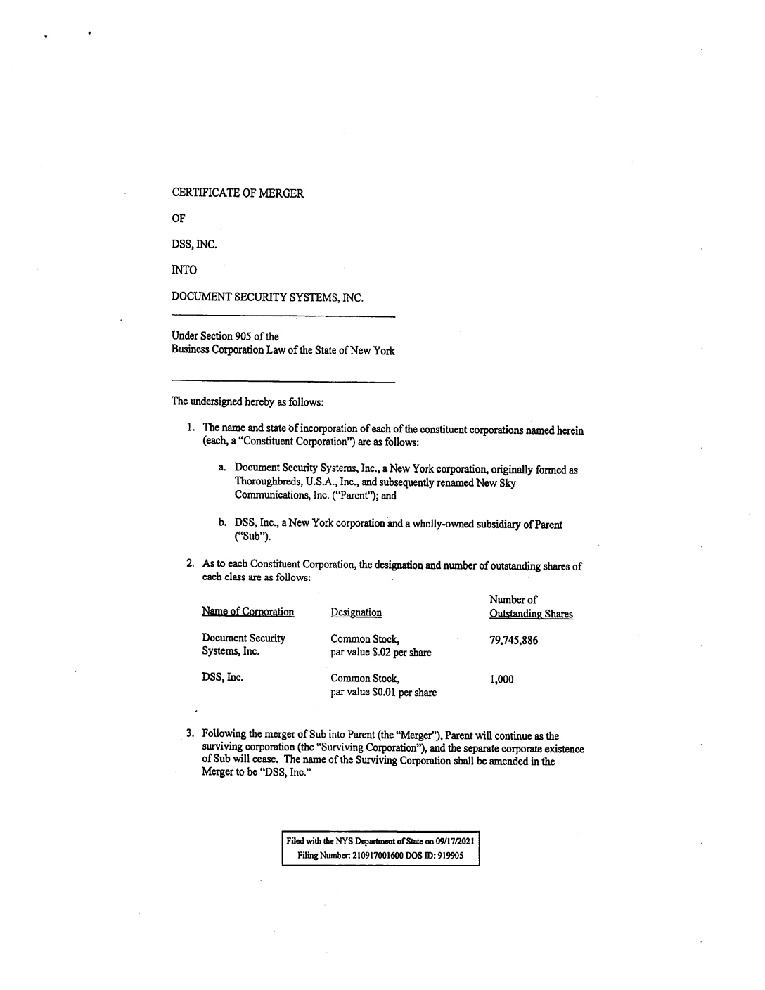
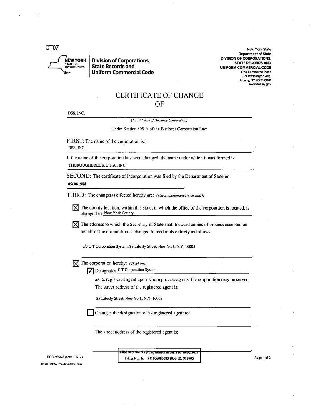
EX-3.1 2 ex3-1.htm

 

Exhibit 3.1