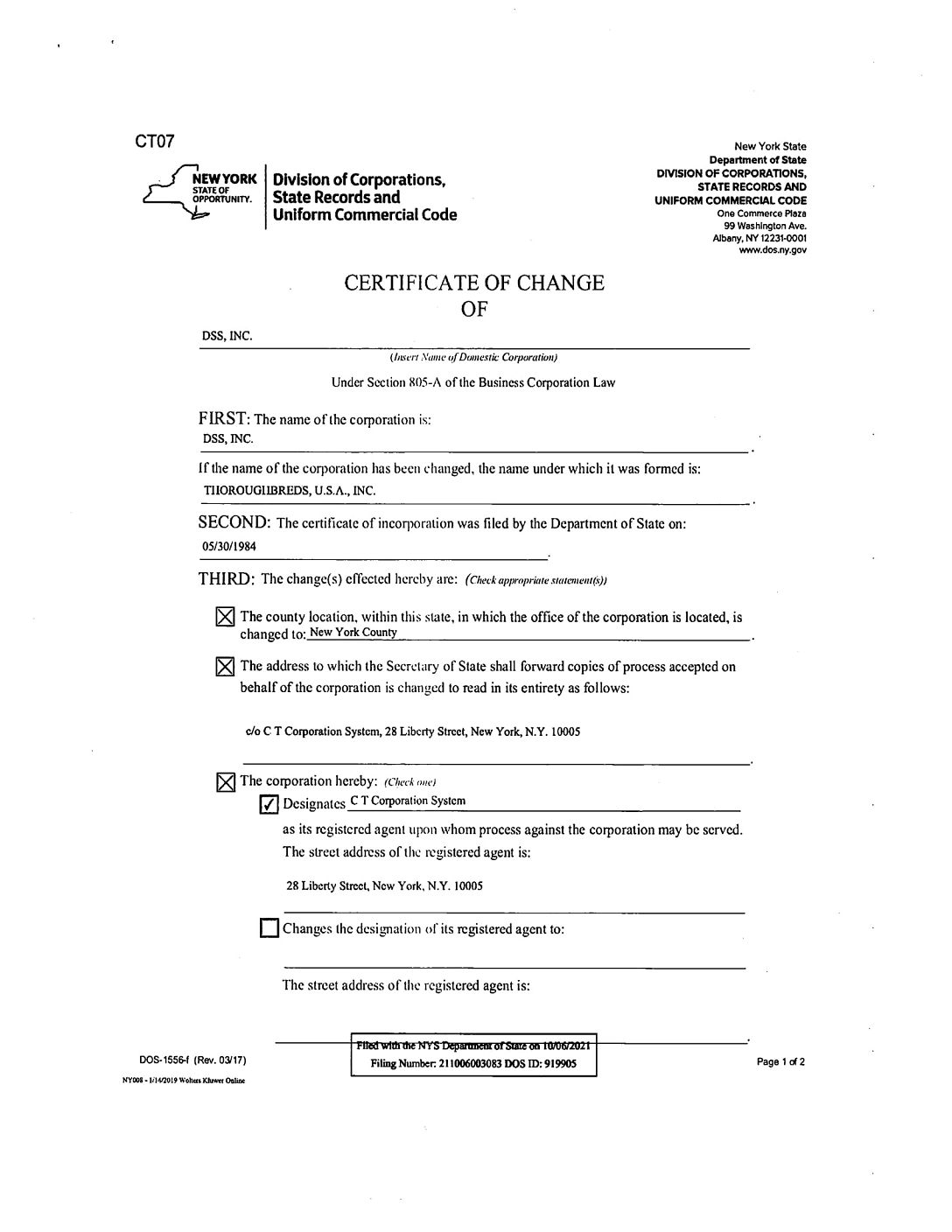
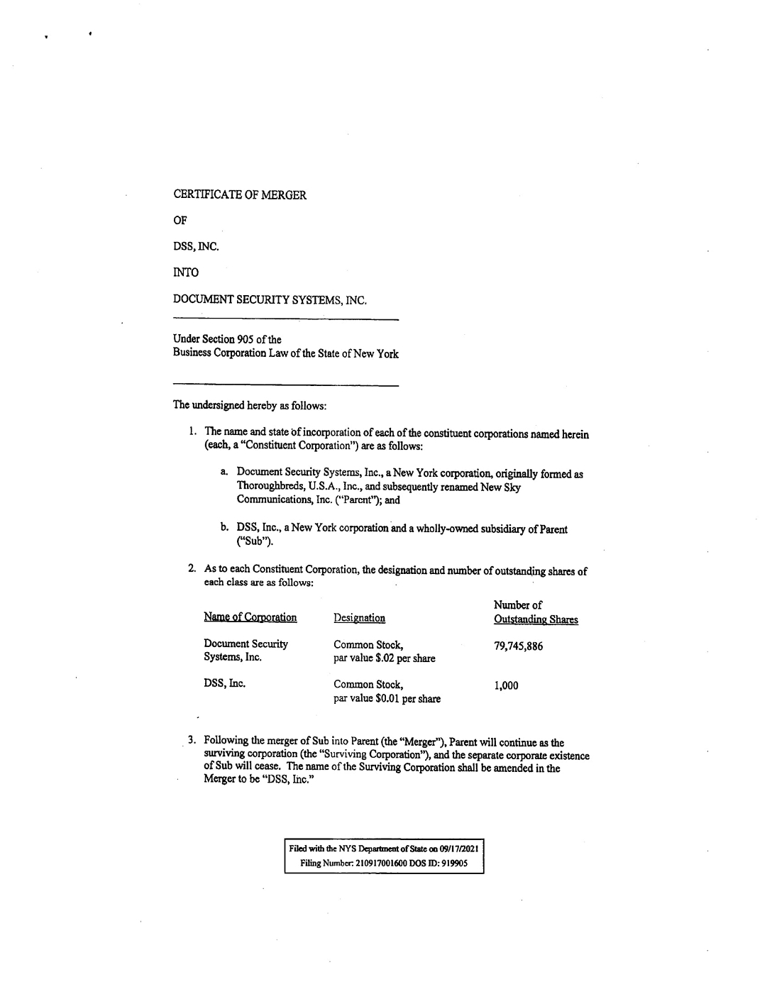
EX-3.1 2 ex3-1.htm EX-3.1

 

Exhibit 3.1