EX-10.1 2 finalequitylifestylesels.htm EX-10.1 finalequitylifestylesels
LEGAL02\012134\447070\42426800.v2-2/24/23 Execution Version FIRST AMENDMENT TO THIRD AMENDED AND RESTATED CREDIT AGREEMENT THIS FIRST AMENDMENT TO THIRD AMENDED AND RESTATED CREDIT AGREEMENT (this “Amendment”) dated as of March 1, 2023, by and among MHC OPERATING LIMITED PARTNERSHIP, a limited partnership formed under the laws of the State of Illinois (the “Borrower”), EQUITY LIFESTYLE PROPERTIES, INC., a corporation formed under the laws of the State of Maryland (the “Parent”), each of the Lenders party hereto, and WELLS FARGO BANK, NATIONAL ASSOCIATION, as Administrative Agent (together with its successors and assigns, the “Administrative Agent”). WHEREAS, the Borrower, the Parent, the Lenders, the Issuing Banks, the Administrative Agent and certain other parties have entered into that certain Third Amended and Restated Credit Agreement dated as of April 19, 2021 (as amended and as in effect immediately prior to the effectiveness of this Amendment, the “Existing Credit Agreement”); and WHEREAS, the Borrower, the Parent, the Lenders party hereto and the Administrative Agent desire to amend certain provisions of the Existing Credit Agreement on the terms and conditions contained herein; NOW, THEREFORE, for good and valuable consideration, the receipt and sufficiency of which are hereby acknowledged by the parties hereto, the parties hereto hereby agree as follows: Section 1. Specific Amendments to Credit Agreement. Upon the satisfaction of each of the conditions set forth in Section 2 of this Amendment, the parties hereto agree that the Existing Credit Agreement is amended as follows: (a) The Existing Credit Agreement is amended to delete the stricken text (indicated textually in the same manner as the following example: stricken text) and to add the underlined text (indicated textually in the same manner as the following example: underlined text) as set forth in Annex A attached hereto. (b) The Existing Credit Agreement is further amended by replacing Exhibits C, D, E and M with Exhibits C, D, E and M, respectively, attached hereto. On the First Amendment Effective Date (as defined in the Credit Agreement, as amended by this Amendment (the “Amended Credit Agreement”)), all outstanding LIBOR Loans (as defined in the Existing Credit Agreement), if any, shall be converted to an alternate interest rate set forth on the Notice of Conversion delivered pursuant to Section 2(b) hereof (the “Effective Date Conversion”). Notwithstanding anything to the contrary set forth in the Existing Credit Agreement, the Lenders hereby waive any amounts which may be owed by the Borrower in respect of breakage costs pursuant to Section 4.4. of the Existing Credit Agreement associated with the Effective Date Conversion. Section 2. Conditions Precedent. The effectiveness of this Amendment is subject to receipt by the Administrative Agent of each of the following, each in form and substance satisfactory to the Administrative Agent: (a) a counterpart of this Amendment duly executed by the Borrower, the Parent, the Administrative Agent and each of the Lenders;


 
- 2 - LEGAL02\012134\447070\42426800.v2-2/24/23 (b) a Notice of Conversion duly executed by the Borrower in respect of the Conversion of all LIBOR Loans outstanding as of the First Amendment Effective Date; and (c) such other documents, instruments and agreements as the Administrative Agent may reasonably request. Section 3. Representations. Each of the Parent and the Borrower represents and warrants to the Administrative Agent and the Lenders that: (a) Authorization. Each of the Parent and Borrower has the right and power, and has taken all necessary action to authorize it, to execute and deliver this Amendment and to perform its obligations hereunder and under the Amended Credit Agreement in accordance with their respective terms. This Amendment has been duly executed and delivered by a duly authorized officer of each of the Parent and the Borrower and each of this Amendment and the Amended Credit Agreement is a legal, valid and binding obligation of the Parent and the Borrower enforceable against the Parent and the Borrower in accordance with its respective terms except as the same may be limited by bankruptcy, insolvency, and other similar laws affecting the rights of creditors generally and the availability of equitable remedies for the enforcement of certain obligations contained herein or therein and as may be limited by equitable principles generally. (b) Compliance with Laws, etc. The execution and delivery by each of the Parent and the Borrower of this Amendment and the performance by the Parent and the Borrower of this Amendment and the Amended Credit Agreement in accordance with their respective terms, do not and will not, by the passage of time, the giving of notice or otherwise: (i) require any Governmental Approval or violate any Applicable Law (including Environmental Laws) relating to the Parent, the Borrower or any other Loan Party; (ii) conflict with, result in a breach of or constitute a default under the organizational documents of the Parent, the Borrower or any other Loan Party, or any material indenture, material agreement or other material instrument to which the Parent, the Borrower or any other Loan Party is a party or by which it or any of its respective properties may be bound; or (iii) result in or require the creation or imposition of any Lien upon or with respect to any property now owned or hereafter acquired by the Parent, the Borrower or any other Loan Party, other than in favor of the Administrative Agent for its benefit and the benefit of the Lenders. (c) No Default. No Default or Event of Default has occurred and is continuing as of the date hereof or will exist immediately after giving effect to this Amendment. Section 4. Reaffirmation of Representations by Parent and Borrower. Each of the Parent and the Borrower hereby reaffirms that the representations and warranties made or deemed made by the Parent, the Borrower and each other Loan Party in the Loan Documents to which any of them is a party are true and correct in all material respects (except in the case of a representation or warranty qualified by materiality, in which case such representation or warranty is true and correct in all respects) on and as of the date hereof with the same force and effect as if made on and as of the date hereof except to the extent that such representations and warranties expressly relate solely to an earlier date (in which case such representations and warranties were true and correct in all material respects (except in the case of a representation or warranty qualified by materiality, in which case such representation or warranty was true and correct in all respects) on and as of such earlier date) and except for changes in factual circumstances specifically and expressly permitted under the Amended Credit Agreement or the other Loan Documents.


 
- 3 - LEGAL02\012134\447070\42426800.v2-2/24/23 Section 5. Certain References. Each reference to the Credit Agreement in any of the Loan Documents shall be deemed to be a reference to the Amended Credit Agreement. This Amendment shall constitute a Loan Document. Section 6. Expenses. The Borrower shall reimburse the Administrative Agent upon demand for all reasonable out-of-pocket costs and expenses (including reasonable attorneys’ fees) incurred by the Administrative Agent in connection with the preparation, negotiation and execution of this Amendment and the other agreements and documents executed and delivered in connection herewith. Section 7. Benefits. This Amendment shall be binding upon and shall inure to the benefit of the parties hereto and their respective successors and assigns. Section 8. GOVERNING LAW. THIS AMENDMENT SHALL BE GOVERNED BY, AND CONSTRUED IN ACCORDANCE WITH, THE LAWS OF THE STATE OF NEW YORK APPLICABLE TO CONTRACTS EXECUTED, AND TO BE FULLY PERFORMED, IN SUCH STATE. Section 9. Effect. Except as expressly herein amended, the terms and conditions of the Existing Credit Agreement and the other Loan Documents remain in full force and effect. The amendments contained herein shall be deemed to have prospective application only from the date as of which this Amendment is dated, unless otherwise specifically stated herein. Section 10. Counterparts. This Amendment may be executed in any number of counterparts, each of which shall be deemed to be an original and shall be binding upon all parties, their successors and assigns. Section 11. Definitions. All capitalized terms not otherwise defined herein are used herein with the respective definitions given them in the Amended Credit Agreement. Section 12. Reaffirmation of Guaranty. The Parent hereby reaffirms its continuing obligations to the Administrative Agent and the Lenders under that certain Guaranty dated as of April 19, 2021 (the “Guaranty”) to which the Parent is a party, and agrees that the transactions contemplated by the Amendment shall not in any way affect the validity and enforceability of the Guaranty, or reduce, impair or discharge the obligations of the Parent thereunder. [Signatures on Next Page]


 
LEGAL02\012134\447070\42426800.v2-2/24/23 IN WITNESS WHEREOF, the parties hereto have caused this First Amendment to Third Amended and Restated Credit Agreement to be executed as of the date first above written. BORROWER: MHC OPERATING LIMITED PARTNERSHIP, an Illinois limited partnership By: Equity LifeStyle Properties, Inc., a Maryland corporation, its general partner By: /s/ Adam Leonardi Name: Adam Leonardi Title: Senior Vice President and Treasurer PARENT: EQUITY LIFESTYLE PROPERTIES, INC., a Maryland corporation By: /s/ Adam Leonardi Name: Adam Leonardi Title: Senior Vice President and Treasurer [Signatures Continued on Next Page]


 
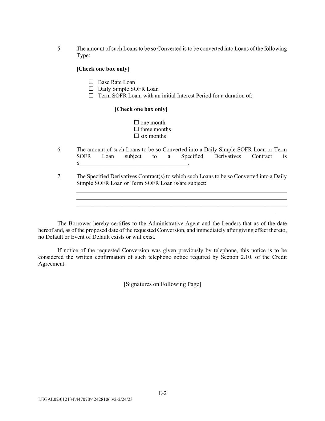
LEGAL02\012134\447070\42426800.v2-2/24/23 [Signature Page to First Amendment to Third Amended and Restated Credit Agreement for MHC Operating Limited Partnership] WELLS FARGO BANK, NATIONAL ASSOCIATION, as Administrative Agent and as a Lender By: /s/ Brendan Magrady Name: Brendan Magrady Title: Vice President [Signatures Continued on Next Page]


 
LEGAL02\012134\447070\42426800.v2-2/24/23 [Signature Page to First Amendment to Third Amended and Restated Credit Agreement for MHC Operating Limited Partnership] BANK OF AMERICA, N.A., as a Lender By: /s/ Cheryl Sneor Name: Cheryl Sneor Title: Vice President [Signatures Continued on Next Page]


 
LEGAL02\012134\447070\42426800.v2-2/24/23 [Signature Page to First Amendment to Third Amended and Restated Credit Agreement for MHC Operating Limited Partnership] REGIONS BANK, as a Lender By: /s/ Nicholas R. Frerman Name: Nicholas R. Frerman Title: Senior Vice President [Signatures Continued on Next Page]


 
LEGAL02\012134\447070\42426800.v2-2/24/23 [Signature Page to First Amendment to Third Amended and Restated Credit Agreement for MHC Operating Limited Partnership] TRUIST BANK, as a Lender By: /s/ C. Vincent Hughes, Jr. Name: C. Vincent Hughes, Jr. Title: Director [Signatures Continued on Next Page]


 
LEGAL02\012134\447070\42426800.v2-2/24/23 [Signature Page to First Amendment to Third Amended and Restated Credit Agreement for MHC Operating Limited Partnership] U.S. BANK NATIONAL ASSOCIATION, as a Lender By: /s/ Curt M. Steiner Name: Curt M. Steiner Title: Senior Vice President [Signatures Continued on Next Page]


 
LEGAL02\012134\447070\42426800.v2-2/24/23 [Signature Page to First Amendment to Third Amended and Restated Credit Agreement for MHC Operating Limited Partnership] BANK OF MONTREAL, as a Lender By: /s/ Lloyd Baron Name: Lloyd Baron Title: Managing Director [Signatures Continued on Next Page]


 
LEGAL02\012134\447070\42426800.v2-2/24/23 [Signature Page to First Amendment to Third Amended and Restated Credit Agreement for MHC Operating Limited Partnership] CAPITAL ONE, NATIONAL ASSOCIATION, as a Lender By: /s/ Jessica W. Phillips Name: Jessica W. Phillips Title: Authorized Signatory [Signatures Continued on Next Page]


 
LEGAL02\012134\447070\42426800.v2-2/24/23 [Signature Page to First Amendment to Third Amended and Restated Credit Agreement for MHC Operating Limited Partnership] PNC BANK, NATIONAL ASSOCIATION, as a Lender By: /s/ James A. Harmann Name: James A. Harmann Title: Senior Vice President [Signatures Continued on Next Page]


 
LEGAL02\012134\447070\42426800.v2-2/24/23 [Signature Page to First Amendment to Third Amended and Restated Credit Agreement for MHC Operating Limited Partnership] ASSOCIATED BANK, NATIONAL ASSOCIATION, as a Lender By: /s/ Mitchell Vega Name: Mitchell Vega Title: Senior Vice President [Signatures Continued on Next Page]


 
LEGAL02\012134\447070\42426800.v2-2/24/23 [Signature Page to First Amendment to Third Amended and Restated Credit Agreement for MHC Operating Limited Partnership] MORGAN STANLEY BANK, N.A., as a Lender By: /s/ Jack Kuhns Name: Jack Kuhns Title: Authorized Signatory [Signatures Continued on Next Page]


 
LEGAL02\012134\447070\42426800.v2-2/24/23 [Signature Page to First Amendment to Third Amended and Restated Credit Agreement for MHC Operating Limited Partnership] GOLDMAN SACHS BANK USA, as a Lender By: /s/ Keshia Leday Name: Keshia Leday Title: Authorized Signatory


 
LEGAL02\012134\447070\42426800.v2-2/24/23 ANNEX A AMENDED CREDIT AGREEMENT [See attached]


 
LEGAL02\42427047.v4 Loan Number: 6023ZMC (Conformed for First Amendment dated March 1, 2023) EXECUTION VERSION THIRD AMENDED AND RESTATED CREDIT AGREEMENT Dated as of April 19, 2021 by and among MHC OPERATING LIMITED PARTNERSHIP, as Borrower, EQUITY LIFESTYLE PROPERTIES, INC., as Parent, THE FINANCIAL INSTITUTIONS PARTY HERETO AND THEIR ASSIGNEES UNDER SECTION 12.5., as Lenders, and WELLS FARGO BANK, NATIONAL ASSOCIATION, as Administrative Agent, ______________________________________________________ WELLS FARGO SECURITIES, LLC and BOFA SECURITIES, INC., as Joint Lead Arrangers and Joint Bookrunners, BANK OF AMERICA, N.A., as Syndication Agent, and REGIONS BANK, TRUIST SECURITIES, INC., and U.S. BANK NATIONAL ASSOCIATION, as Joint Lead Arrangers and Documentation Agents


 
TABLE OF CONTENTS Article I. Definitions 1 Section 1.1. Definitions. 1 Section 1.2. General; References to Central time. 3735 Section 1.3. Financial Attributes of Non-Wholly Owned Subsidiaries. 3836 Section 1.4. Rates. 3836 Section 1.5. Divisions. 3937 Article II. Credit Facility 3937 Section 2.1. Revolving Loans. 3937 Section 2.2. Term Loans. 4038 Section 2.3. Letters of Credit. 4039 Section 2.4. [Reserved]. 4543 Section 2.5. Rates and Payment of Interest on Loans. 4543 Section 2.6. Number of Interest Periods. 4645 Section 2.7. Repayment of Loans. 4645 Section 2.8. Prepayments. 4745 Section 2.9. Continuation. 4745 Section 2.10. Conversion. 4846 Section 2.11. Notes. 4846 Section 2.12. Voluntary Reductions of the Revolving Commitment. 4947 Section 2.13. Extension of Revolving Termination Date. 4947 Section 2.14. Expiration Date of Letters of Credit Past Commitment Termination. 4948 Section 2.15. Amount Limitations. 5048 Section 2.16. Increase in Revolving Commitments and Additional Term Loans. 5048 Section 2.17. Funds Transfer Disbursements. 5150 Section 2.18. Reallocations on Effective Date. 5150 Section 2.19. Initial Benchmark Conforming Changes. 50 Article III. Payments, Fees and Other General Provisions 5251 Section 3.1. Payments. 5251 Section 3.2. Pro Rata Treatment. 5351 Section 3.3. Sharing of Payments, Etc. 5352 Section 3.4. Several Obligations. 5452 Section 3.5. Fees. 5453 Section 3.6. Computations. 5553 Section 3.7. Usury. 5554 Section 3.8. Statements of Account. 5554 Section 3.9. Defaulting Lenders. 5654 Section 3.10. Taxes. 5957 Article IV. Yield Protection, Etc. 6361 Section 4.1. Additional Costs; Capital Adequacy. 6361 Section 4.2. Suspension of LIBORSOFR Loans. 6463 Section 4.3. Illegality. 6765 Section 4.4. Compensation. 6765 Section 4.5. Treatment of Affected Loans. 6766 Section 4.6. Affected Lenders. 6867 Section 4.7. Change of Lending Office. 6967 - i - LEGAL02\42427047.v4


 
Section 4.8. Assumptions Concerning Funding of LIBORSOFR Loans. 6967 Article V. Conditions Precedent 6967 Section 5.1. Initial Conditions Precedent. 6967 Section 5.2. Conditions Precedent to All Loans and Letters of Credit. 7169 Article VI. Representations and Warranties 7270 Section 6.1. Representations and Warranties. 7270 Section 6.2. Survival of Representations and Warranties, Etc. 7876 Article VII. Affirmative Covenants 7877 Section 7.1. Preservation of Existence and Similar Matters. 7877 Section 7.2. Compliance with Applicable Law. 7977 Section 7.3. Maintenance of Property. 7978 Section 7.4. Conduct of Business. 7978 Section 7.5. Insurance. 7978 Section 7.6. Payment of Taxes. 8078 Section 7.7. Books and Records; Inspections. 8078 Section 7.8. Use of Proceeds. 8079 Section 7.9. Environmental Matters. 8179 Section 7.10. Further Assurances. 8180 Section 7.11. REIT Status. 8180 Section 7.12. Exchange Listing. 8180 Article VIII. Information 8180 Section 8.1. Quarterly Financial Statements. 8280 Section 8.2. Year-End Statements. 8280 Section 8.3. Compliance Certificate. 8281 Section 8.4. Other Information. 8281 Section 8.5. Electronic Delivery of Certain Information. 8482 Section 8.6. Public/Private Information. 8583 Section 8.7. PATRIOT Act Notice; Compliance. 8583 Section 8.8. Qualifying Unencumbered Properties. 8584 Article IX. Negative Covenants 8584 Section 9.1. Financial Covenants. 8684 Section 9.2. Indebtedness. 8785 Section 9.3. Liens. 8786 Section 9.4. Negative Pledge. 8887 Section 9.5. Restrictions on Intercompany Transfers. 8987 Section 9.6. Merger, Consolidation, Sales of Assets and Other Arrangements. 8988 Section 9.7. Plan Assets. 9089 Section 9.8. Fiscal Year. 9089 Section 9.9. Modifications of Organizational Documents. 9089 Section 9.10. Transactions with Affiliates. 9089 Section 9.11. Environmental Matters. 9189 Section 9.12. Derivatives Contracts. 9189 Article X. Default 9190 Section 10.1. Events of Default. 9190 Section 10.2. Remedies Upon Event of Default. 9493 - ii - LEGAL02\42427047.v4


 
Section 10.3. Remedies Upon Default. 9594 Section 10.4. Marshaling; Payments Set Aside. 9694 Section 10.5. Allocation of Proceeds. 9694 Section 10.6. Letter of Credit Collateral Account. 9795 Section 10.7. Rescission of Acceleration by Requisite Lenders. 9897 Section 10.8. Performance by Administrative Agent. 9897 Section 10.9. Rights Cumulative. 9997 Article XI. The Administrative Agent 9998 Section 11.1. Appointment and Authorization. 9998 Section 11.2. Wells Fargo as Lender. 10099 Section 11.3. Approvals of Lenders. 10199 Section 11.4. Notice of Events of Default. 10199 Section 11.5. Administrative Agent’s Reliance. 101100 Section 11.6. Indemnification of Administrative Agent. 102100 Section 11.7. Lender Credit Decision, Etc. 103101 Section 11.8. Successor Administrative Agent. 103102 Section 11.9. Titled Agents. 104103 Section 11.10. Specified Derivatives Contracts. 103 Section 11.11. Erroneous Payments. 103 Article XII. Miscellaneous 105 Section 12.1. Notices. 105 Section 12.2. Expenses. 107 Section 12.3. Setoff. 107108 Section 12.4. Litigation; Jurisdiction; Other Matters; Waivers. 108 Section 12.5. Successors and Assigns. 109 Section 12.6. Amendments and Waivers. 114115 Section 12.7. Nonliability of Administrative Agent and Lenders. 117 Section 12.8. Confidentiality. 117118 Section 12.9. Indemnification. 118119 Section 12.10. Termination; Survival. 120121 Section 12.11. Severability of Provisions. 120121 Section 12.12. GOVERNING LAW. 121 Section 12.13. Counterparts. 121 Section 12.14. Obligations with Respect to Loan Parties. 121 Section 12.15. Independence of Covenants. 121122 Section 12.16. Limitation of Liability. 121122 Section 12.17. Entire Agreement. 121122 Section 12.18. Construction. 122 Section 12.19. Headings. 122 Section 12.20. Acknowledgement and Consent to Bail-in of Affected Financial Institutions. 122 Section 12.21. Acknowledgement Regarding any Supported QFCs. 122123 Section 12.22. No Novation. 123 SCHEDULE I Revolving Commitments and Term Loans SCHEDULE 1.1. Qualifying Unencumbered Properties SCHEDULE 6.1.(b) Ownership Structure SCHEDULE 6.1.(h) Litigation - iii - LEGAL02\42427047.v4


 
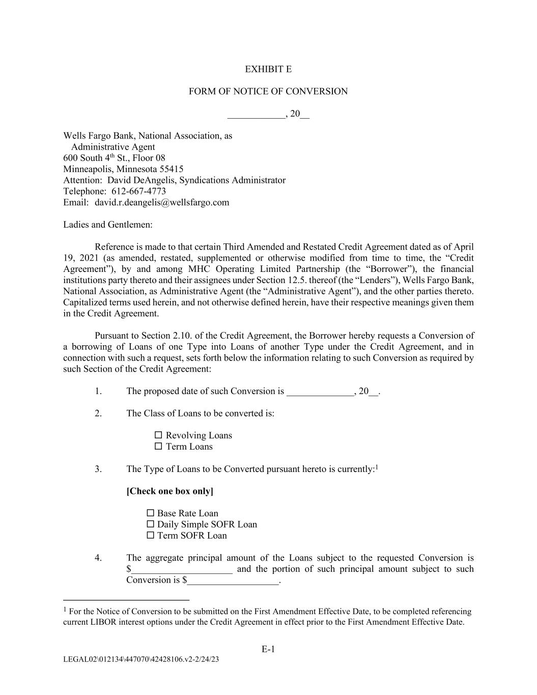
SCHEDULE 9.10. Transactions with Affiliates EXHIBIT A Form of Assignment and Assumption Agreement EXHIBIT B Form of Guaranty EXHIBIT C Form of Notice of Revolving Borrowing EXHIBIT D Form of Notice of Continuation EXHIBIT E Form of Notice of Conversion EXHIBIT F [Reserved] EXHIBIT G Form of Revolving Note EXHIBIT H [Reserved] EXHIBIT I Form of Disbursement Instruction Agreement EXHIBIT J Form of Opinion of Counsel EXHIBIT K Form of Compliance Certificate EXHIBIT L Form of Term Note EXHIBIT M Form of Notice of Term Borrowing EXHIBIT N Forms of U.S. Tax Compliance Certificates EXHIBIT O Form of Sustainability Grid Notice - iv - LEGAL02\42427047.v4


 
THIS THIRD AMENDED AND RESTATED CREDIT AGREEMENT (this “Agreement”) dated as of April 19, 2021 by and among MHC OPERATING LIMITED PARTNERSHIP, a limited partnership formed under the laws of the State of Illinois (the “Borrower”), EQUITY LIFESTYLE PROPERTIES, INC., a corporation formed under the laws of the State of Maryland (the “Parent”), each of the financial institutions initially a signatory hereto together with their successors and assignees under Section 12.5. (the “Lenders”) and WELLS FARGO BANK, NATIONAL ASSOCIATION, as Administrative Agent (the “Administrative Agent”), with WELLS FARGO SECURITIES, LLC and BOFA SECURITIES, INC., as Joint Lead Arrangers and Joint Bookrunners (each a “Lead Arranger”), BANK OF AMERICA, N.A., as Syndication Agent (the “Syndication Agent”) and REGIONS BANK, TRUIST SECURITIES, INC., and U.S. BANK NATIONAL ASSOCIATION, as Documentation Agents (each a “Documentation Agent”) and Joint Lead Arrangers. WHEREAS, certain of the Lenders and other financial institutions have made available to the Borrower credit facilities on the terms and conditions contained in that certain Second Amended, Restated and Consolidated Credit Agreement dated as of October 27, 2017 (as amended and in effect immediately prior to the date hereof, the “Existing Credit Agreement”) by and among the Borrower, the Parent, such Lenders, certain other financial institutions and the Administrative Agent; and WHEREAS, the Administrative Agent and the Lenders desire to amend and restate the terms of, the Existing Credit Agreement, all on the terms and conditions contained herein. NOW, THEREFORE, for good and valuable consideration, the receipt and sufficiency of which are hereby acknowledged by the parties hereto, the parties hereto agree that the Existing Credit Agreement is hereby amended and restated as follows: ARTICLE I. DEFINITIONS Section 1.1. Definitions. In addition to terms defined elsewhere herein, the following terms shall have the following meanings for the purposes of this Agreement: “2020 Baseline” means the Sustainability Metric at the end of the January 1 through December 31, 2020 fiscal year. “Accommodation Obligations” as applied to any Person, means any obligation, contingent or otherwise, of that Person in respect of which that Person is liable for any Indebtedness or other obligation or liability of another Person, including without limitation and without duplication (a) any such Indebtedness, obligation or liability directly or indirectly guaranteed, endorsed (otherwise than for collection or deposit in the ordinary course of business), co-made or discounted or sold with recourse by that Person, or in respect of which that Person is otherwise directly or indirectly liable, including Contractual Obligations (contingent or otherwise) arising through any agreement to purchase, repurchase or otherwise acquire such Indebtedness, obligation or liability or any security therefor, or to provide funds for the payment or discharge thereof (whether in the form of loans, advances, stock purchases, capital contributions or otherwise), or to maintain solvency, assets, level of income, or other financial condition, or to make payment other than for value received and (b) all Indebtedness of other Persons which is recourse to such Person (except for Non-Recourse Exceptions). “Additional Costs” has the meaning given that term in Section 4.1.(b). “Additional Term Loans” has the meaning given that term in Section 2.16. LEGAL02\42427047.v4


 
“Adjusted Daily Simple SOFR” means, for any day (a “Simple SOFR Rate Day”), a rate per annum equal to the greater of (a) the sum of (i) SOFR for the day (such day, a “SOFR Determination Day”) that is five (5) U.S. Government Securities Business Days prior to (A) if such Simple SOFR Rate Day is a U.S. Government Securities Business Day, such Simple SOFR Rate Day or (B) if such Simple SOFR Rate Day is not a U.S. Government Securities Business Day, the U.S. Government Securities Business Day immediately preceding such Simple SOFR Rate Day, in each case, as such SOFR is published by the SOFR Administrator on the SOFR Administrator’s Website; provided that if by 5:00 p.m. on the second (2nd) U.S. Government Securities Business Day immediately following any SOFR Determination Day, SOFR in respect of such SOFR Determination Day has not been published on the SOFR Administrator’s Website and a Benchmark Replacement Date with respect to Adjusted Daily Simple SOFR has not occurred, then SOFR for such SOFR Determination Day will be SOFR as published in respect of the first preceding U.S. Government Securities Business Day for which such SOFR was published on the SOFR Administrator’s Website; provided further that SOFR as determined pursuant to this proviso shall be utilized for purposes of calculation of Adjusted Daily Simple SOFR for no more than three (3) consecutive Simple SOFR Rate Days and (ii) the SOFR Adjustment and (b) the Floor. Any change in Adjusted Daily Simple SOFR due to a change in SOFR shall be effective from and including the effective date of such change in SOFR without notice to the Borrower. “Adjusted EBITDA” means, for any given period, (a) the EBITDA for such period, minus (b) Capital Reserves. “Adjusted Term SOFR” means, for purposes of any calculation, the rate per annum equal to (a) Term SOFR for such calculation plus (b) the SOFR Adjustment; provided that if Adjusted Term SOFR as so determined shall ever be less than the Floor, then Adjusted Term SOFR shall be deemed to be the Floor. “Administrative Agent” means Wells Fargo Bank, National Association as contractual representative of the Lenders under this Agreement, or any successor Administrative Agent appointed pursuant to Section 11.8. “Administrative Questionnaire” means the Administrative Questionnaire completed by each Lender and delivered to the Administrative Agent in a form supplied by the Administrative Agent to the Lenders from time to time. “Affected Financial Institution” means (a) any EEA Financial Institution or (b) any UK Financial Institution. “Affected Lender” has the meaning given that term in Section 4.6. “Affiliate” means, with respect to a specified Person, another Person that directly, or indirectly through one or more intermediaries, Controls or is Controlled by or is under common Control with the Person specified. In no event shall the Administrative Agent or any Lender be deemed to be an Affiliate of the Borrower. “Agreement Date” means the date as of which this Agreement is dated. “Announcements” has the meaning given that term in Section 1.4. “Anti-Corruption Laws” means all Applicable Laws, rules, and regulations of any jurisdiction from time to time concerning or relating to bribery or corruption, including the United States Foreign - 2 - LEGAL02\42427047.v4


 
- 3 - LEGAL02\42427047.v4 Ratio of Total Indebtedness to Total Asset Value 3 Applicable Margin for Revolving Loans that are LIBORSOFR Loans Applicable Margin for Revolving Loans that are Base Rate Loans 0.20% Applicable Margin for Term Loans that are LIBORSOFR Loans 1 Applicable Margin for Term Loans that are Base Rate Loans 1 4 Less than or equal to 0.35 to 1.00 0.20% 1.25% 0.25% 0.25% Level 1.40% 0.40% 5 2 Greater than 0.35 to 1.00 but less than or equal to 0.40 to 1.00 0.30% 1.35% 2 0.35% 1.50% Facility Fee 0.50% 6 0.20% 3 0.35% Greater than 0.40 to 1.00 but less than or equal to 0.45 to 1.00 Corrupt Practices Act of 1977 and the rules and regulations thereunder and the U.K. Bribery Act 2010 and the rules and regulations thereunder. “Anti-Money Laundering Laws” means any and all Applicable Laws, statutes, regulations or obligatory government orders, decrees, ordinances or rules related to terrorism financing, money laundering, any predicate crime to money laundering or any financial record keeping, including any applicable provision of the PATRIOT Act and The Currency and Foreign Transactions Reporting Act (also known as the “Bank Secrecy Act,” 31 U.S.C. §§ 5311-5330 and 12 U.S.C. §§ 1818(s), 1820(b) and 1951-1959). “Applicable Facility Fee” means the percentage set forth in the table below corresponding to the Level at which the Applicable Margins are determined in accordance with the definition thereof: 1.40% Any change in the applicable Level at which the Applicable Margins are determined shall result in a corresponding and simultaneous change in the Applicable Facility Fee. The provisions of this definition shall be subject to Section 2.5.(c). “Applicable Law” means all international, foreign, federal, state and local statutes, treaties, rules, guidelines, regulations, ordinances, codes, executive orders, and administrative or judicial precedents or authorities, including the interpretation or administration thereof by any Governmental Authority charged with the enforcement, interpretation or administration thereof, and all applicable administrative orders, directed duties, requests, licenses, authorizations and permits of, and agreements with, any Governmental Authority, in each case whether or not having the force of law. “Applicable Margin” means, with respect to a particular Class and Type of Loan, the percentage rate set forth below corresponding to the ratio of Total Indebtedness to Total Asset Value as determined in accordance with Section 9.1.(a): 0.40% 1.55% 0.55% Level


 
- 4 - LEGAL02\42427047.v4 1.55% 0.45% 0.55% 4 1.80% 1.65% 0.80% 0.65% 6 Greater than 0.45 to 1.00 but less than or equal to 0.50 to 1.00 Greater than 0.55 to 1.00 1.65% 0.65% 5 1.95% 1.45% 0.95% Greater than 0.50 to 1.00 but less than or equal to 0.55 to 1.00 The Applicable Margins shall be determined by the Administrative Agent from time to time in accordance with the table above, based on the range which the ratio of Total Indebtedness to Total Asset Value as set forth in the Compliance Certificate most recently delivered by the Borrower pursuant to Section 8.3. then falls in the table set forth above (each such range a “Level”). Any adjustment to the Applicable Margins shall be effective as of the first day of the calendar month immediately following the month during which the Borrower delivers to the Administrative Agent the applicable Compliance Certificate pursuant to Section 8.3. If the Borrower fails to deliver a Compliance Certificate pursuant to Section 8.3., the Applicable Margins shall equal the percentages corresponding to Level 6 until the first day of the calendar month immediately following the month that the required Compliance Certificate is delivered. Notwithstanding the foregoing, for the period from the Effective Date through but excluding the date on which the Administrative Agent first determines the Applicable Margins as set forth above, the Applicable Margins shall be determined based on Level 1. Thereafter, such Applicable Margin shall be adjusted from time to time as set forth in this definition. Notwithstanding the foregoing, if at the end of any fiscal year the Borrower meets the Sustainability Metric Threshold Percentage for such fiscal year, then from and after the fifth (5th) Business Day following the date the Borrower provides to the Administrative Agent a notice in the form of Exhibit O attached hereto (the “Sustainability Grid Notice”) that the Sustainability Metric Threshold Percentage for such fiscal year was satisfied, the Applicable Margin for Revolving Loans shall decrease by 0.01% (but not to below zero percent per annum) from the Applicable Margin that would otherwise be applicable; provided that (x) at no time shall the reduction in the Applicable Margin for Revolving Loans resulting from the delivery of the Sustainability Grid Notice exceed 0.01% and (y) on the one year anniversary of such change to the Applicable Margin, the Applicable Margin shall automatically revert to the original grid set forth above unless and until the Borrower delivers a Sustainability Grid Notice to the Administrative Agent indicating that the Sustainability Metric Percentage for the new fiscal year has been satisfied. The provisions of this definition shall be subject to Section 2.5.(c). “Approved Fund” means any Fund that is administered or managed by (a) a Lender, (b) an Affiliate of a Lender, or (c) an entity or an Affiliate of any entity that administers or manages a Lender. “Assignee” has the meaning given that term in Section 12.5.(b). “Assignment and Assumption” means an Assignment and Assumption entered into by a Lender and an Eligible Assignee (with the consent of any party whose consent is required by Section 12.5.), and accepted by the Administrative Agent, in substantially the form of Exhibit A or any other form approved by the Administrative Agent. “Attributable Indebtedness” means, on any date, without duplication, (a) in respect of any Capital Lease of any Person, the capitalized amount thereof that would appear on a balance sheet of such


 
Person prepared as of such date in accordance with GAAP, (b) in respect of any Synthetic Lease Obligation, the capitalized amount of the remaining lease or similar payments under the relevant lease or other applicable agreement or instrument that would appear on a balance sheet of such Person prepared as of such date in accordance with GAAP if such lease or other agreement or instrument were accounted for as a Capital Lease and (c) all Synthetic Debt of such Person. “Available Tenor” means, as of any date of determination and with respect to theany then-current Benchmark, as applicable, (xa) if the then-currentsuch Benchmark is a term rate, any tenor for such Benchmark (or (y) otherwise, any payment period for interest calculated with reference to such Benchmark, as applicable, in each case,component thereof) that is or may be used for determining the length of an Interest Period pursuant to this Agreement or (b) otherwise, any payment period for interest calculated with reference to such Benchmark (or component thereof) that is or may be used for determining any frequency of making payments of interest calculated with reference to such Benchmark, in each case, as of such date and not including, for the avoidance of doubt, any tenor for such Benchmark that is then-removed from the definition of “Interest Period” pursuant to Section 4.2.(b)(iv). “Bail-In Action” means the exercise of any Write-Down and Conversion Powers by the applicable Resolution Authority in respect of any liability of an Affected Financial Institution. “Bail-In Legislation” means (a) with respect to any EEA Member Country implementing Article 55 of Directive 2014/59/EU of the European Parliament and of the Council of the European Union, the implementing law, regulation rule or requirement for such EEA Member Country from time to time which is described in the EU Bail-In Legislation Schedule and (b) with respect to the United Kingdom, Part I of the United Kingdom Banking Act 2009 (as amended from time to time) and any other law, regulation or rule applicable in the United Kingdom relating to the resolution of unsound or failing banks, investment firms or other financial institutions or their affiliates (other than through liquidation, administration or other insolvency proceedings). “Bankruptcy Code” means the Bankruptcy Code of 1978, as amended. “Base Rate” means, at any time, the highest of (a) the Prime Rate, (b) the Federal Funds Rate plus 0.50%, and (c) the LIBOR Market Index RateAdjusted Daily Simple SOFR on such day plus 1.0% and (d) 1.01.00%; each change in the Base Rate shall take effect simultaneously with the corresponding change or changes in the Prime Rate, the Federal Funds Rate or the LIBOR Market Index RateAdjusted Daily Simple SOFR, as applicable (provided that clause (c) shall not be applicable during any period in which LIBORAdjusted Daily Simple SOFR is unavailable or unascertainable). Notwithstanding the foregoing, in no event shall the Base Rate be less than 1.00%. “Base Rate Loan” means a Revolving Loan or Term Loan (or any portion thereof) bearing interest at a rate based on the Base Rate, and, for the avoidance of doubt, except as otherwise expressly provided, shall include Same-Day Borrowings bearing interest at the Base Rate. “Benchmark” means, initially, USD LIBORAdjusted Daily Simple SOFR or Adjusted Term SOFR, as applicable; provided that if a Benchmark Transition Event, a Term SOFR Transition Event, or an Early Opt-in Election, as applicable, and its related Benchmark Replacement Date have has occurred with respect to USD LIBOR or theAdjusted Daily Simple SOFR or Adjusted Term SOFR, as applicable, or the applicable then-current Benchmark, then “Benchmark” means the applicable Benchmark Replacement to the extent that such Benchmark Replacement has replaced such prior benchmark rate pursuant to Section 4.2.(b)(i). “Benchmark Replacement” means, for any Available Tenor, - 5 - LEGAL02\42427047.v4


 
(a) with respect to any Benchmark Transition Event or Early Opt-in Election, the first alternative set forth in the order below that can be determined by the Administrative Agent for the applicable Benchmark Replacement Date: (1) the sum of: (A) Term SOFR and (B) the related Benchmark Replacement Adjustment; provided, that, if the Borrower has provided a notification to the Administrative Agent in writing on or prior to such Benchmark Replacement Date that the Borrower has a Derivatives Contract in place with respect to any of the Loans as of the date of such notice (which such notification the Administrative Agent shall be entitled to rely upon and shall have no duty or obligation to ascertain the correctness or completeness of), then the Administrative Agent, in its sole discretion, may decide not to determine the Benchmark Replacement pursuant to this clause (a)(1) for such Benchmark Transition Event or Early Opt-in Election, as applicable; (2) the sum of: (A) Daily Simple SOFR and (B) the related Benchmark Replacement Adjustment; (3) “Benchmark Replacement” means, with respect to any Benchmark Transition Event for any then-current Benchmark, the sum of: (Aa) the alternate benchmark rate that has been selected by the Administrative Agent and the Borrower as the replacement for the then-currentsuch Benchmark for the applicable Corresponding Tenor giving due consideration to (i) any selection or recommendation of a replacement benchmark rate or the mechanism for determining such a rate by the Relevant Governmental Body or (ii) any evolving or then-prevailing market convention for determining a benchmark rate as a replacement for theto such then-current Benchmark for Dollar-denominated syndicated credit facilities at such time and (Bb) the related Benchmark Replacement Adjustment; or (b) with respect to any Term SOFR Transition Event, the sum of (i) Term SOFR and (ii) the related Benchmark Replacement Adjustment; provided that, (i) in the case of clause (a)(1), if the Administrative Agent decides that Term SOFR is not administratively feasible for the Administrative Agent, then Term SOFR will be deemed unable to be determined for purposes of this definition and (ii) in the case of clause (a)(1) or clause (b) of this definition, the applicable Unadjusted Benchmark Replacement is displayed on a screen or other information service that publishes such rate from time to time as selected by the Administrative Agent in its reasonable discretion. If theif such Benchmark Replacement as so determined pursuant to clause (a)(1), (a)(2) or (a)(3) or clause (b) of this definition would be less than the Floor, thesuch Benchmark Replacement will be deemed to be the Floor for the purposes of this Agreement and the other Loan Documents. “Benchmark Replacement Adjustment” means, with respect to any replacement of the then-current Benchmark with an Unadjusted Benchmark Replacement for any applicable Interest Period and Available Tenor for any setting of such Unadjusted Benchmark Replacement: (1) for purposes of clauses (a)(1) and (a)(2) of the definition of “Benchmark Replacement,” the first alternative set forth in the order below that can be determined by the Administrative Agent: (a) the spread adjustment, or method for calculating or determining such spread adjustment, (which may be a positive or negative value or zero) as of the Reference Time such Benchmark Replacement is first set for such Interest Period that has been selected or recommended by the Relevant Governmental Body for the replacement of such Available Tenor of such Benchmark with the applicable Unadjusted Benchmark Replacement; (b) the spread adjustment (which may be a positive or negative value or zero) as of the Reference Time such Benchmark Replacement is first set for such Interest Period that would apply to the fallback rate for a derivative transaction referencing the ISDA Definitions to be effective upon an index cessation event with respect to such Available Tenor of such Benchmark; (2) for purposes of clause (a)(3) of the definition of “Benchmark Replacement,” Adjustment” means, with respect to any replacement of any then-current Benchmark with an Unadjusted Benchmark Replacement for any applicable Available Tenor (if applicable), the spread adjustment, or method for calculating or determining such spread adjustment, (which may be a positive or negative - 6 - LEGAL02\42427047.v4


 
value or zero) that has been selected by the Administrative Agent and the Borrower giving due consideration to (ia) any selection or recommendation of a spread adjustment, or method for calculating or determining such spread adjustment, for the replacement of such Available Tenor of such Benchmark with the applicable Unadjusted Benchmark Replacement by the Relevant Governmental Body on the applicable Benchmark Replacement Date or (iib) any evolving or then-prevailing market convention for determining a spread adjustment, or method for calculating or determining such spread adjustment, for the replacement of such Available Tenor of such Benchmark with the applicable Unadjusted Benchmark Replacement for Dollar-denominated syndicated credit facilities; and. (3) for purposes of clause (b) of the definition of “Benchmark Replacement,” the spread adjustment, or method for calculating or determining such spread adjustment, (which may be a positive or negative value or zero) as of the Reference Time such Benchmark Replacement is first set for such Interest Period that has been selected or recommended by the Relevant Governmental Body for the replacement of such Available Tenor of USD LIBOR with a SOFR-based rate; provided that, (x) in the case of clause (1) above, such adjustment is displayed on a screen or other information service that publishes such Benchmark Replacement Adjustment from time to time as selected by the Administrative Agent in its reasonable discretion and (y) if the then-current Benchmark is a term rate, more than one tenor of such Benchmark is available as of the applicable Benchmark Replacement Date and the applicable Unadjusted Benchmark Replacement that will replace such Benchmark in accordance with Section 4.2.(b)(i) will not be a term rate, the Available Tenor of such Benchmark for purposes of this definition of “Benchmark Replacement Adjustment” shall be deemed to be, with respect to each Unadjusted Benchmark Replacement having a payment period for interest calculated with reference thereto, the Available Tenor that has approximately the same length (disregarding business day adjustments) as such payment period. “Benchmark Replacement Conforming Changes” means, with respect to any Benchmark Replacement, any technical, administrative or operational changes (including changes to the definition of “Base Rate,” the definition of “Business Day,” the definition of “Interest Period,” timing and frequency of determining rates and making payments of interest, timing of borrowing requests or prepayment, conversion or continuation notices, length of lookback periods, the applicability of breakage provisions, and other technical, administrative or operational matters) that the Administrative Agent decides may be appropriate to reflect the adoption and implementation of such Benchmark Replacement and to permit the administration thereof by the Administrative Agent in a manner substantially consistent with market practice (or, if the Administrative Agent decides that adoption of any portion of such market practice is not administratively feasible or if the Administrative Agent determines that no market practice for the administration of such Benchmark Replacement exists, in such other manner of administration as the Administrative Agent decides is reasonably necessary in connection with the administration of this Agreement and the other Loan Documents). “Benchmark Replacement Date” means the earliest to occur of the following events with respect to the then-current Benchmark: (a) (1) in the case of clause (1a) or (2b) of the definition of “Benchmark Transition Event,” the later of (ai) the date of the public statement or publication of information referenced therein and (bii) the date on which the administrator of such Benchmark (or the published component used in the calculation thereof) permanently or indefinitely ceases to provide all Available Tenors (if applicable) of such Benchmark (or such component thereof); or (b) (2) in the case of clause (3c) of the definition of “Benchmark Transition Event,” the first date of the publicon which such Benchmark (or the published component used in the calculation thereof) has been determined and announced by the regulatory supervisor for the administrator of such Benchmark (or such component thereof) to be non-representative; provided, that such non-representativeness will be determined by reference to the most recent statement or publication of - 7 - LEGAL02\42427047.v4


 
information referenced therein;in such clause (c) and even if any Available Tenor (if applicable) of such Benchmark (or such component thereof) continues to be provided on such date. (3) in the case of a Term SOFR Transition Event, the date that is thirty (30) days after the Administrative Agent has provided the Term SOFR Notice to the Lenders and the Borrower pursuant to Section 4.2.(b)(i)(B); or (4) in the case of an Early Opt-in Election, the sixth (6th) Business Day after the date notice of such Early Opt-in Election is provided to the Lenders, so long as the Administrative Agent has not received, by 5:00 p.m. on the fifth (5th) Business Day after the date notice of such Early Opt-in Election is provided to the Lenders, written notice of objection to such Early Opt-in Election from Lenders comprising the Requisite Lenders. For the avoidance of doubt, (i) if the event giving rise to the Benchmark Replacement Date occurs on the same day as, but earlier than, the Reference Time in respect of any determination, the Benchmark Replacement Date will be deemed to have occurred prior to the Reference Time for such determination and (ii)applicable then-current Benchmark has any Available Tenors, the “Benchmark Replacement Date” will be deemed to have occurred in the case of clause (1a) or (2b) with respect to any Benchmark upon the occurrence of the applicable event or events set forth therein with respect to all then-current Available Tenors of such Benchmark (or the published component used in the calculation thereof). “Benchmark Transition Event” means the occurrence of one or more of the following events with respect to the then-current Benchmark: (a) (1) a public statement or publication of information by or on behalf of the administrator of such Benchmark (or the published component used in the calculation thereof) announcing that such administrator has ceased or will cease to provide all Available Tenors (if applicable) of such Benchmark (or such component thereof), permanently or indefinitely,; provided that, at the time of such statement or publication, there is no successor administrator that will continue to provide any Available Tenor (if applicable) of such Benchmark (or such component thereof); (b) (2) a public statement or publication of information by the regulatory supervisor for the administrator of such Benchmark (or the published component used in the calculation thereof), the FRB, the Federal Reserve Bank of New York, an insolvency official with jurisdiction over the administrator for such Benchmark (or such component), a resolution authority with jurisdiction over the administrator for such Benchmark (or such component) or a court or an entity with similar insolvency or resolution authority over the administrator for such Benchmark (or such component), which states that the administrator of such Benchmark (or such component) has ceased or will cease to provide all Available Tenors (if applicable)of such Benchmark (or such component thereof) permanently or indefinitely,; provided that, at the time of such statement or publication, there is no successor administrator that will continue to provide any Available Tenor (if applicable) of such Benchmark (or such component thereof); or (c) (3) a public statement or publication of information by the regulatory supervisor for the administrator of such Benchmark (or the published component used in the calculation thereof) announcing that all Available Tenors (if applicable) of such Benchmark (or such component thereof) are no longernot, or as of a specified future date will not be, representative. For the avoidance of doubt, if the applicable then-current Benchmark has any Available Tenors, a “Benchmark Transition Event” will be deemed to have occurred with respect to any Benchmark if a public statement or publication of information set forth above has occurred with respect to each - 8 - LEGAL02\42427047.v4


 
then-current Available Tenor of such Benchmark (or the published component used in the calculation thereof). “Benchmark Transition Start Date” means, in the case of a Benchmark Transition Event, the earlier of (a) the applicable Benchmark Replacement Date and (b) if such Benchmark Transition Event is a public statement or publication of information of a prospective event, the 90th day prior to the expected date of such event as of such public statement or publication of information (or if the expected date of such prospective event is fewer than 90 days after such statement or publication, the date of such statement or publication). “Benchmark Unavailability Period” means, with respect to any then-current Benchmark, the period (if any) (x) beginning at the time that a Benchmark Replacement Date pursuant to clauses (1) or (2) of that definitionwith respect to such Benchmark has occurred if, at such time, no Benchmark Replacement has replaced the then-currentsuch Benchmark for all purposes hereunder and under any Loan Document in accordance with Section 4.2.(b) and (y) ending at the time that a Benchmark Replacement has replaced the then-currentsuch Benchmark for all purposes hereunder and under any Loan Document in accordance with Section 4.2.(b). “Beneficial Ownership Certification” means a certification regarding beneficial ownership as required by the Beneficial Ownership Regulation. “Beneficial Ownership Regulation” means 31 CFR § 1010.230. “Benefit Arrangement” means at any time an employee benefit plan within the meaning of Section 3(3) of ERISA which is not a Plan or a Multiemployer Plan and which is maintained or otherwise contributed to by any member of the ERISA Group. “BHC Act Affiliate” of a party means an “affiliate” (as such term is defined under, and interpreted in accordance with, 12 U.S.C. 1841(k)) of such party. “Borrower” has the meaning set forth in the introductory paragraph hereof and shall include the Borrower’s successors and permitted assigns. “Borrower Information” has the meaning given that term in Section 2.5.(c). “Business Day” means (a) for all purposes other than as set forth in clause (b) below, any day (other thanany day which (a) is not a Saturday, Sunday or legal holiday) onother day on which the Federal Reserve Bank of New York is closed and (b) is not a day on which banks in San Francisco, California andor New York, New York, are open for the conduct of their commercial banking business, and (b) with respect to all notices and determinations in connection with, and payments of principal and interest on, any LIBOR Loan, or any Base Rate Loan as to which the interest rate is determined by reference to LIBOR, any day that is a Business Day described in clause (a) and that is also a day for trading by and between banks in Dollar deposits in the London interbank marketclosed. Unless specifically referenced in this Agreement as a Business Day, all references to “days” shall be to calendar days. “Capital Lease,” as applied to any Person, means any lease of any property (whether real, personal or mixed) by that Person as lessee which, in conformity with GAAP, is or should be accounted for as a capital lease on the balance sheet of that Person. - 9 - LEGAL02\42427047.v4


 
“Capital Reserves” means, for any period and with respect to any manufactured home, marina or recreational vehicle site which is then leased on an annual basis, an amount equal to (a) $50, times (b) the number of days in such period, divided by (c) 365. If the term Capital Reserves is used without reference to any specific Property, then it shall be determined on an aggregate basis with respect to all manufactured home, marina and recreational vehicle sites then leased on an annual basis and the applicable Ownership Shares of all such manufactured home, marina and recreational vehicle of all Unconsolidated Affiliates. “Capitalization Rate” means six percent (6.00%). “Cash Collateralize” means, to pledge and deposit with or deliver to the Administrative Agent, for the benefit of the Issuing Banks or the Revolving Lenders, as collateral for Letter of Credit Liabilities or obligations of Revolving Lenders to fund participations in respect of Letter of Credit Liabilities, cash or deposit account balances or, if the Administrative Agent and an Issuing Bank shall agree in their sole discretion, other credit support, in each case pursuant to documentation in form and substance satisfactory to the Administrative Agent and such Issuing Bank. “Cash Collateral” shall have a meaning correlative to the foregoing and shall include the proceeds of such cash collateral and other credit support. “Cash Equivalents” means (a) marketable direct obligations issued or unconditionally guaranteed by the federal government of the United States of America or issued by an agency thereof and backed by the full faith and credit of the United States of America, in each case maturing within 1 year after the date of acquisition thereof; (b) marketable direct obligations issued by any state of the United States of America or any political subdivision of any such state or any public instrumentality thereof maturing within 90 days after the date of acquisition thereof and, at the time of acquisition, having one of the two highest ratings obtainable from any two nationally recognized rating services reasonably acceptable to the Administrative Agent; (c) domestic corporate bonds, other than domestic corporate bonds issued by the Parent or any of its Affiliates, maturing no more than 2 years after the date of acquisition thereof and, at the time of acquisition, having a rating of at least A or the equivalent from two nationally recognized rating services reasonably acceptable to the Administrative Agent; (d) variable-rate domestic corporate notes or medium term corporate notes, other than notes issued by the Parent or any of its Affiliates, maturing or resetting no more than 1 year after the date of acquisition thereof and having a rating of at least AA or the equivalent from two nationally recognized rating services reasonably acceptable to the Administrative Agent; (e) commercial paper (foreign and domestic) or master notes, other than commercial paper or master notes issued by the Parent or any of its Affiliates, and, at the time of acquisition, having a long-term rating of at least A or the equivalent from a nationally recognized rating service reasonably acceptable to the Administrative Agent and having a short-term rating of at least A-1 and P-1 from S&P and Moody’s, respectively (or, if at any time neither S&P nor Moody’s shall be rating such obligations, then the highest rating from such other nationally recognized rating services reasonably acceptable to the Administrative Agent); (f) domestic and Eurodollar certificates of deposit or domestic time deposits or Eurotime deposits or bankers’ acceptances (foreign or domestic) that are issued by a bank (i) which has, at the time of acquisition, a long-term rating of at least A or the equivalent from a nationally recognized rating service reasonably acceptable to the Administrative Agent and (ii) if a domestic bank, which is a member of the Federal Deposit Insurance Corporation; and (g) overnight securities repurchase agreements, or reverse repurchase agreements secured by any of the foregoing types of securities or debt instruments, provided that the collateral supporting such repurchase agreements shall have a value not less than 101% of the principal amount of the repurchase agreement plus accrued interest. - 10 - LEGAL02\42427047.v4


 
“Class” (a) when used with respect to a Loan, refers to whether such Loan is a Revolving Loan or a Term Loan and (b) when used with respect to a Lender, refers to whether such Lender has a Loan or Commitment with respect to a particular Class of Loans or Commitments. “Commitment” means a Revolving Commitment. “Commodity Exchange Act” means the Commodity Exchange Act (7 U.S.C. § 1 et seq.). “Competitor” means any Person (a) who is a bona fide direct competitor with the Parent, the Borrower or any Subsidiary of the Parent or the Borrower whose primary business is (i) the business of owning, operating, managing and developing Designated Use Properties and the provision of services incidental thereto, (ii) the brokerage, purchase and sale of manufactured home units, and (iii) other business activities reasonably incidental to the foregoing and (b) who either (x) has been designated by the Borrower as a “Competitor” by written notice to the Administrative Agent (which such notice shall specify such Person by exact legal name) and the Lenders (including by posting such notice to IntraLinks, SyndTrak or other similar information transmission systems) not less than ten (10) Business Days prior to such date or (y) is an Affiliate of such properly designated Competitor if and to the extent that such Affiliate is reasonably identifiable as an Affiliate of such Competitor on the basis of its name; provided that any bona fide debt fund or investment vehicle that is engaged in making, purchasing, holding or otherwise investing in commercial loans and similar extensions of credit in the ordinary course of business which is managed, sponsored or advised by any Person Controlling, Controlled by or under common Control with such Competitor or its Controlling owner and for which no personnel involved with the competitive activities of such Competitor or Controlling owner (i) makes any investment decisions for such debt fund or (ii) has access to any confidential information (other than publicly available information) relating to the Parent, the Borrower and its Subsidiaries shall be deemed not to be a Competitor of the Parent, the Borrower or any of its Subsidiaries. “Compliance Certificate” has the meaning given that term in Section 8.3. “Conforming Changes” means, with respect to either the use or administration of an initial Benchmark or the use, administration, adoption or implementation of any Benchmark Replacement, any technical, administrative or operational changes (including changes to the definition of “Base Rate,” the definition of “Business Day,” the definition of “U.S. Government Securities Business Day,” the definition of “Interest Period” or any similar or analogous definition (or the addition of a concept of “interest period”), timing and frequency of determining rates and making payments of interest, timing of borrowing requests or prepayment, conversion or continuation notices, the applicability and length of lookback periods, the applicability of Section 4.4. and other technical, administrative or operational matters) that the Administrative Agent decides (in consultation with the Borrower) may be appropriate to reflect the adoption and implementation of any such rate or to permit the use and administration thereof by the Administrative Agent in a manner substantially consistent with market practice (or, if the Administrative Agent decides that adoption of any portion of such market practice is not administratively feasible or if the Administrative Agent determines that no market practice for the administration of any such rate exists, in such other manner of administration as the Administrative Agent decides (in consultation with the Borrower) is reasonably necessary in connection with the administration of this Agreement and the other Loan Documents). “Connection Income Taxes” means Other Connection Taxes that are imposed on or measured by net income (however denominated) or that are franchise Taxes or branch profits Taxes. “Continue”, “Continuation” and “Continued” each refers to the continuation of a LIBORTerm SOFR Loan from one Interest Period to another Interest Period pursuant to Section 2.9. - 11 - LEGAL02\42427047.v4


 
“Contractual Obligation,” as applied to any Person, means any provision of any Securities issued by that Person or any indenture, mortgage, deed of trust, lease, contract, undertaking, document or instrument to which that Person is a party or by which it or any of its properties is bound, or to which it or any of its properties is subject (including without limitation any restrictive covenant affecting such Person or any of its properties). “Control” means the possession, directly or indirectly, of the power to direct or cause the direction of the management or policies of a Person, whether through the ability to exercise voting power, by contract or otherwise. “Controlling” and “Controlled” have meanings correlative thereto. “Convert”, “Conversion” and “Converted” each refers to the conversion of a Loan of one Type into a Loan of another Type pursuant to Section 2.10. “Corresponding Tenor” with respect to any Available Tenor means, as applicable, either a tenor (including overnight) or an interest payment period having approximately the same length (disregarding business day adjustment) as such Available Tenor. “Covered Entity” means any of the following: (i) a “covered entity” as that term is defined in, and interpreted in accordance with, 12 C.F.R. §252.82(b); (ii) a “covered bank” as that term is defined in, and interpreted in accordance with, 12 C.F.R. §47.3(b); or (iii) a “covered FSI” as that term is defined in, and interpreted in accordance with, 12 C.F.R. §382.2(b). “Credit Event” means either of the following: (a) the making (or deemed making) of any Loan and (b) the issuance of a Letter of Credit or the amendment of a Letter of Credit that extends the maturity, or increases the Stated Amount, of such Letter of Credit. “Daily Simple SOFR Loan” means, for any day, SOFR, with the conventions for this rate (which will include a lookback) being established by the Administrative Agent in accordance with the conventions for this rate selected or recommended by the Relevant Governmental Body for determining “Daily Simple SOFR” for syndicated business loans; provided, that if the Administrative Agent decides that any such convention is not administratively feasible for the Administrative Agent, then the Administrative Agent may establish another convention in its reasonable discretion.Loan bearing interest at a rate based on Adjusted Daily Simple SOFR (other than pursuant to the Adjusted Daily Simple SOFR component of the definition of “Base Rate”), and, for the avoidance of doubt, except as otherwise expressly provided, shall include Same-Day Borrowings bearing interest at Adjusted Daily Simple SOFR. “Debtor Relief Laws” means the Bankruptcy Code, and all other liquidation, conservatorship, bankruptcy, assignment for the benefit of creditors, moratorium, rearrangement, receivership, insolvency, reorganization, or similar Applicable Laws relating to the relief of debtors in the United States of America or other applicable jurisdictions from time to time in effect. “Default” means any of the events specified in Section 10.1., whether or not there has been satisfied any requirement for the giving of notice, the lapse of time, or both, in each case, as set forth in such Section. “Defaulting Lender” means, subject to Section 3.9.(f), any Lender that (a) has failed to (i) fund all or any portion of its Loans within 2 Business Days of the date such Loans were required to be funded hereunder unless such Lender notifies the Administrative Agent and the Borrower in writing that such failure is the result of such Lender’s determination that one or more conditions precedent to funding (each of which conditions precedent, together with any applicable default, shall be specifically identified - 12 - LEGAL02\42427047.v4


 
in such writing) has not been satisfied, or (ii) pay to the Administrative Agent, any Issuing Bank, or any other Lender any other amount required to be paid by it hereunder (including in the case of a Revolving Lender, in respect of its participation in Letters of Credit) within 2 Business Days of the date when due, (b) has notified the Borrower, the Administrative Agent, any Issuing Bank in writing that it does not intend to comply with its funding obligations hereunder, or has made a public statement to that effect (unless such writing or public statement relates to such Lender’s obligation to fund a Loan hereunder and states that such position is based on such Lender’s determination that a condition precedent to funding (which condition precedent, together with any applicable default, shall be specifically identified in such writing or public statement) cannot be satisfied), (c) in the case of a Revolving Lender, has failed, within 3 Business Days after written request by the Administrative Agent or the Borrower, to confirm in writing to the Administrative Agent and the Borrower that it will comply with its prospective funding obligations hereunder (provided that such Lender shall cease to be a Defaulting Lender pursuant to this clause (c) upon receipt of such written confirmation by the Administrative Agent and the Borrower), or (d) has, or has a direct or indirect parent company that has, (i) become the subject of a proceeding under any Debtor Relief Law, (ii) had appointed for it a receiver, custodian, conservator, trustee, administrator, assignee for the benefit of creditors or similar Person charged with reorganization or liquidation of its business or assets, including the Federal Deposit Insurance Corporation or any other state or federal regulatory authority acting in such a capacity or (iii) become the subject of a Bail-in Action; provided that a Lender shall not be a Defaulting Lender solely by virtue of the ownership or acquisition of any equity interest in that Lender or any direct or indirect parent company thereof by a Governmental Authority so long as such ownership interest does not result in or provide such Lender with immunity from the jurisdiction of courts within the United States of America or from the enforcement of judgments or writs of attachment on its assets or permit such Lender (or such Governmental Authority) to reject, repudiate, disavow or disaffirm any contracts or agreements made with such Lender. Any determination by the Administrative Agent that a Lender is a Defaulting Lender under any one or more of clauses (a) through (d) above shall be conclusive and binding absent manifest error, and such Lender shall be deemed to be a Defaulting Lender (subject to Section 3.9.(f)) upon delivery of written notice of such determination to the Borrower, each Issuing Bank and each Lender. “Default Right” has the meaning assigned to that term in, and shall be interpreted in accordance with, 12 C.F.R. §§ 252.81, 47.2 or 382.1, as applicable. “Derivatives Contract” means a “swap agreement” as defined in Section 101 the Bankruptcy Code. “Derivatives Support Document” means (a) any Credit Support Annex comprising part of (and as defined in) any Specified Derivatives Contract, and (b) any document or agreement pursuant to which cash, deposit accounts, securities accounts or similar financial asset collateral are pledged to or made available for set-off by, a Specified Derivatives Provider, including any banker’s lien or similar right, securing or supporting Specified Derivatives Obligation. “Derivatives Termination Value” means, in respect of any one or more Derivatives Contracts, after taking into account the effect of any legally enforceable netting agreement or provision relating thereto, (a) for any date on or after the date such Derivatives Contracts have been terminated or closed out, the termination amount or value determined in accordance therewith, and (b) for any date prior to the date such Derivatives Contracts have been terminated or closed out, the then-current mark-to-market value for such Derivatives Contracts, determined based upon one or more mid-market quotations or estimates provided by any recognized dealer in Derivatives Contracts (which may include the Administrative Agent, any Lender, any Specified Derivatives Provider or any Affiliate of any of them). - 13 - LEGAL02\42427047.v4


 
“Designated Use Property” means a property owned and operated primarily (a) for the purpose of leasing sites to individuals on which such individuals place manufactured homes or recreational vehicles for the purpose of occupying such manufactured homes or recreational vehicles, (b) as a daily stay campground, membership interest campground or park model community, (c) for the purpose of renting cabins, manufactured homes or recreational vehicles on such property to individuals or (d) for business purposes customarily associated with a property that is or is a part of a marina. “Designated Use Property Ownership Interests” means partnership, joint venture, membership or other Equity Interests issued by any Person engaged primarily in the business of developing, owning, and managing Designated Use Properties. “Development Activity” means construction in process, that is being performed by or at the direction of the Borrower, any Subsidiary or any Unconsolidated Affiliate, at any Designated Use Property that will be owned and operated by the Borrower, any Subsidiary or any Unconsolidated Affiliate upon completion of construction, including construction in process at Designated Use Properties not owned by the Borrower, any Subsidiary or any Unconsolidated Affiliate but which the Borrower, any Subsidiary or any Unconsolidated Affiliate has the contractual obligation to purchase. A Property shall cease to be included as “Development Activity” on the earliest of (a) the date which is 180 days following the date of substantial completion of construction, (b) the date which is 18 months following the first date that such Property first constituted “Development Activity” and (c) the date following commencement of construction on which the Occupancy Rate first equals or exceeds 85%. “Development Activity” shall not include construction in process for the purpose of expanding, altering, maintaining or refurbishing Designated Use Properties owned by the Borrower, any Subsidiary or any Unconsolidated Affiliate. “Disbursement Instruction Agreement” means an agreement substantially in the form of Exhibit I to be executed and delivered by the Borrower pursuant to Section 5.1.(a), as the same may be amended, restated or modified from time to time with the prior written approval of the Administrative Agent. “Dollars” or “$” means the lawful currency of the United States of America. “Early Opt-in Election” means, if the then-current Benchmark is USD LIBOR, the occurrence of: (1) a notification by the Administrative Agent to (or the request by the Borrower to the Administrative Agent to notify) each of the other parties hereto that at least five currently outstanding Dollar-denominated syndicated credit facilities at such time contain (as a result of amendment or as originally executed) a SOFR-based rate (including SOFR, a term SOFR or any other rate based upon SOFR) as a benchmark rate (and such syndicated credit facilities are identified in such notice and are publicly available for review), and (2) the joint election by the Administrative Agent and the Borrower to trigger a fallback from USD LIBOR and the provision by the Administrative Agent of written notice of such election to the Lenders. “EBITDA” means, for any period and without duplication (a) Net Income for such period, plus (b) depreciation and amortization expense and other non-cash items deducted in the calculation of Net Income for such period, plus (c) Interest Expense deducted in the calculation of Net Income for such period, plus (d) Income Taxes deducted in the calculation of Net Income for such period, minus (e) the gains (and plus the charges) from extraordinary or unusual items or asset sales or write-ups (or non-cash write-downs) or forgiveness of indebtedness included in the calculation of Net Income, for such period, minus (f) earnings of Subsidiaries for such period distributed to third parties, plus (g) the amount of deferred revenues less deferred expenses relating to membership sales by the Parent and its Subsidiaries - 14 - LEGAL02\42427047.v4


 
during such period deducted in the calculation of Net Income for such period, minus (h) interest income for such period from Mezzanine Debt Investments, plus (i) the Parent’s Ownership Share of EBITDA of its Unconsolidated Affiliates for such period. “EEA Financial Institution” means (a) any credit institution or investment firm established in any EEA Member Country which is subject to the supervision of an EEA Resolution Authority, (b) any entity established in an EEA Member Country which is a parent of an institution described in clause (a) of this definition, or (c) any financial institution established in an EEA Member Country which is a subsidiary of an institution described in clauses (a) or (b) of this definition and is subject to consolidated supervision with its parent. “EEA Member Country” means any of the member states of the European Union, Iceland, Liechtenstein, and Norway. “EEA Resolution Authority” means any public administrative authority or any person entrusted with public administrative authority of any EEA Member Country (including any delegee) having responsibility for the resolution of any EEA Financial Institution. “Effective Date” means the later of (a) the Agreement Date and (b) the date on which all of the conditions precedent set forth in Section 5.1. shall have been fulfilled or waived by all of the Lenders. “Eligible Assignee” means (a) a Lender, (b) an Affiliate of a Lender, (c) an Approved Fund and (d) any other Person (other than a natural person (or holding company, investment vehicle or trust for, or owned and operated for the primary benefit of a natural person)) approved by the Administrative Agent (such approval not to be unreasonably withheld or delayed); provided that notwithstanding the foregoing, “Eligible Assignee” shall not include any Person specified in clause (v) or (vi) of Section 12.5.(b). “Environmental Laws” means any Applicable Law relating to environmental protection or the manufacture, storage, remediation, disposal or clean-up of Hazardous Materials including, without limitation, the following: Clean Air Act, 42 U.S.C. § 7401 et seq.; Federal Water Pollution Control Act, 33 U.S.C. § 1251 et seq.; Solid Waste Disposal Act, as amended by the Resource Conservation and Recovery Act, 42 U.S.C. § 6901 et seq.; Comprehensive Environmental Response, Compensation and Liability Act, 42 U.S.C. § 9601 et seq.; National Environmental Policy Act, 42 U.S.C. § 4321 et seq.; regulations of the Environmental Protection Agency, any applicable rule of common law and any judicial interpretation thereof relating primarily to the environment or Hazardous Materials, and any analogous or comparable state or local laws, regulations or ordinances that concern Hazardous Materials or protection of the environment. “Equity Interest” means, with respect to any Person, any share of capital stock of (or other ownership or profit interests in) such Person, any warrant, option or other right for the purchase or other acquisition from such Person of any share of capital stock of (or other ownership or profit interests in) such Person whether or not certificated, any security convertible into or exchangeable for any share of capital stock of (or other ownership or profit interests in) such Person or warrant, right or option for the purchase or other acquisition from such Person of such shares (or such other interests), and any other ownership or profit interest in such Person (including, without limitation, partnership, member or trust interests therein), whether voting or nonvoting, and whether or not such share, warrant, option, right or other interest is authorized or otherwise existing on any date of determination. “Equity Issuance” means any issuance or sale by a Person of any Equity Interest in such Person and shall in any event include the issuance of any Equity Interest upon the conversion or exchange of any - 15 - LEGAL02\42427047.v4


 
security constituting Indebtedness that is convertible or exchangeable, or is being converted or exchanged, for Equity Interests. “ERISA” means the Employee Retirement Income Security Act of 1974, as in effect from time to time. “ERISA Event” means, with respect to the ERISA Group, (a) any “reportable event” as defined in Section 4043 of ERISA with respect to a Plan (other than an event for which the 30-day notice period is waived); (b) the withdrawal of a member of the ERISA Group from a Plan subject to Section 4063 of ERISA during a plan year in which it was a “substantial employer” as defined in Section 4001(a)(2) of ERISA or a cessation of operations that is treated as such a withdrawal under Section 4062(e) of ERISA; (c) the incurrence by a member of the ERISA Group of any liability with respect to the withdrawal or partial withdrawal from any Multiemployer Plan; (d) the incurrence by any member of the ERISA Group of any liability under Title IV of ERISA with respect to the termination of any Plan or Multiemployer Plan; (e) the institution of proceedings to terminate a Plan or Multiemployer Plan by the PBGC; (f) the failure by any member of the ERISA Group to make when due required contributions to a Multiemployer Plan or Plan unless such failure is cured within 30 days or the filing pursuant to Section 412(c) of the Internal Revenue Code or Section 302(c) of ERISA of an application for a waiver of the minimum funding standard; (g) any other event or condition that might reasonably be expected to constitute grounds under Section 4042 of ERISA for the termination of, or the appointment of a trustee to administer, any Plan or Multiemployer Plan or the imposition of liability under Section 4069 or 4212(c) of ERISA; (h) the receipt by any member of the ERISA Group of any notice or the receipt by any Multiemployer Plan from any member of the ERISA Group of any notice, concerning the imposition of Withdrawal Liability or a determination that a Multiemployer Plan is, or is expected to be, insolvent (within the meaning of Section 4245 of ERISA), in reorganization (within the meaning of Section 4241 of ERISA), or in “critical” status (within the meaning of Section 432 of the Internal Revenue Code or Section 305 of ERISA); (i) the imposition of any liability under Title IV of ERISA, other than for PBGC premiums due but not delinquent under Section 4007 of ERISA, upon any member of the ERISA Group or the imposition of any Lien in favor of the PBGC under Title IV of ERISA; or (j) a determination that a Plan is, or is reasonably expected to be, in “at risk” status (within the meaning of Section 430 of the Internal Revenue Code or Section 303 of ERISA). “ERISA Group” means the Parent, the Borrower, any Subsidiary and all members of a controlled group of corporations and all trades or businesses (whether or not incorporated) under common control, which, together with the Borrower or any Subsidiary, are treated as a single employer under Section 414 of the Internal Revenue Code. “Erroneous Payment” has the meaning assigned thereto in Section 11.11.(a). “Erroneous Payment Deficiency Assignment” has the meaning assigned thereto in Section 11.11.(d). “Erroneous Payment Impacted Class” has the meaning assigned thereto in Section 11.11.(d). “Erroneous Payment Return Deficiency” has the meaning assigned thereto in Section 11.11.(d). “EU Bail-In Legislation Schedule” means the EU Bail-In Legislation Schedule published by the Loan Market Association (or any successor person), as in effect from time to time. - 16 - LEGAL02\42427047.v4


 
“Eurodollar Reserve Percentage” means, for any day, the percentage which is in effect for such day as prescribed by the Board of Governors of the Federal Reserve System (or any successor) for determining the maximum reserve requirement (including, without limitation, any basic, supplemental or emergency reserves) in respect of eurocurrency liabilities or any similar category of liabilities for a member bank of the Federal Reserve System in New York City. “Event of Default” means any of the events specified in Section 10.1., provided that any requirement for notice or lapse of time (including the expiration of any applicable cure period) or any other condition has been satisfied, in each case, as specified in such Section. “Excluded Subsidiary” means any Subsidiary (a) holding title to assets that are or are to become collateral for any Non-Recourse Indebtedness of such Subsidiary and (b) that is prohibited from Guarantying the Indebtedness of any other Person pursuant to (i) any document, instrument, or agreement evidencing such Non-Recourse Indebtedness or (ii) a provision of such Subsidiary’s organizational documents which provision was included in such Subsidiary’s organizational documents as a condition to the extension of such Non-Recourse Indebtedness. “Excluded Swap Obligation” means, with respect to any Loan Party, any Swap Obligation if, and to the extent that, all or a portion of the liability of such Loan Party for or the Guarantee of such Loan Party of, or the grant by such Loan Party of a Lien to secure, such Swap Obligation (or any liability or guarantee thereof) is or becomes illegal under the Commodity Exchange Act or any rule, regulation or order of the Commodity Futures Trading Commission (or the application or official interpretation of any thereof) by virtue of such Loan Party’s failure for any reason to constitute an “eligible contract participant” as defined in the Commodity Exchange Act and the regulations thereunder at the time the liability for or the Guarantee of such Loan Party or the grant of such Lien becomes effective with respect to such Swap Obligation (such determination being made after giving effect to any applicable keepwell, support or other agreement for the benefit of the applicable Loan Party, including under Section 31 of the Guaranty). If a Swap Obligation arises under a master agreement governing more than one swap, such exclusion shall apply only to the portion of such Swap Obligation that is attributable to swaps for which such Guarantee or Lien is or becomes illegal for the reasons identified in the immediately preceding sentence of this definition. “Excluded Taxes” means any of the following Taxes imposed on or with respect to a Recipient or required to be withheld or deducted from a payment to a Recipient, (a) Taxes imposed on or measured by net income (however denominated), franchise Taxes, and branch profits Taxes, in each case, (i) imposed as a result of such Recipient being organized under the laws of, or having its principal office or, in the case of any Lender, its applicable Lending Office located in, the jurisdiction imposing such Tax (or any political subdivision thereof) or (ii) that are Other Connection Taxes, (b) in the case of a Lender, U.S. federal withholding Taxes imposed on amounts payable to or for the account of such Lender with respect to an applicable interest in a Loan or Commitment pursuant to an Applicable Law in effect on the date on which (i) such Lender acquires such interest in the Loan or Commitment (other than pursuant to an assignment request by the Borrower under Section 4.6.) or (ii) such Lender changes its lending office, except in each case to the extent that, pursuant to Section 3.10., amounts with respect to such Taxes were payable either to such Lender’s assignor immediately before such Lender became a party hereto or to such Lender immediately before it changed its lending office, (c) Taxes attributable to such Recipient’s failure to comply with Section 3.10.(g) and (d) any U.S. federal withholding Taxes imposed under FATCA. “Existing Credit Agreement” has the meaning given such term in the first “WHEREAS” clause of this Agreement. - 17 - LEGAL02\42427047.v4


 
“Existing Term Loan” means the term loan made pursuant to that certain Term Loan Agreement dated as of February 5, 2021 by and among the Parent, the Borrower, the financial institutions party thereto and Wells Fargo Bank, National Association, as administrative agent. “Extended Letter of Credit” has the meaning given that term in Section 2.3.(b). “Fair Market Value” means, (a) with respect to a security listed on a national securities exchange or the NASDAQ National Market, the price of such security as reported on such exchange or market by any widely recognized reporting method customarily relied upon by financial institutions and (b) with respect to any other property, the price which could be negotiated in an arm’s-length free market transaction, for cash, between a willing seller and a willing buyer. “FASB ASC” means the Accounting Standards Codification of the Financial Accounting Standards Board. “FATCA” means Sections 1471 through 1474 of the Internal Revenue Code, as of the date of this Agreement (or any amended or successor version that is substantively comparable and not materially more onerous to comply with) and any current or future regulations or official interpretations thereof and any agreement entered into pursuant to Section 1471(b)(1) of the Internal Revenue Code and any fiscal or regulatory legislation, rules or practices adopted pursuant to any intergovernmental agreement, treaty or convention among Governmental Authorities entered into in connection with the implementation of the foregoing. “FCA” has the meaning given that term in Section 1.4. “Federal Funds Rate” means, for any period, a fluctuating interest rate per annum equal for each day during such period to the weighted average of the rates on overnight Federal funds transactions with members of the Federal Reserve System, as published for such day (or, if such day is not a Business Day, for the immediately preceding Business Day) by the Federal Reserve Bank of New York, or, if such rate is not so published for any day which is a Business Day, the average of the quotations for such day on such transactions received by the Administrative Agent from three Federal Funds brokers of recognized standing selected by the Administrative Agent. If the Federal Funds Rate determined as provided above would be less than zero, the Federal Funds Rate shall be deemed to be zero. “Fee Letter” means (i) that certain fee letter dated as of March 18, 2021, by and among the Parent, the Borrower, Bank of America, N.A. and Wells Fargo Bank, National Association and (ii) each other fee letter entered into in connection with this Agreement by and between the Parent, the Borrower and a Documentation Agent in its capacity as a Joint Lead Arranger. “Fees” means, without duplication, the fees and commissions provided for or referred to in Section 3.5. and any other fees payable by the Borrower hereunder, under any other Loan Document or under the Fee Letter. “First Amendment Effective Date” means March 1, 2023. “Fixed Charges” means, with respect to a Person and for a given period, the sum of (a) the Interest Expense of such Person for such period, plus (b) the aggregate of all regularly scheduled principal payments on Indebtedness made by such Person during such period (excluding balloon, bullet or similar payments of principal that repays such Indebtedness in full), plus (c) the aggregate of all Preferred Dividends paid in cash by such Person during such period. The Parent’s Ownership Share of the Fixed Charges of its Unconsolidated Affiliates will be included in the calculation of “Fixed Charges”. - 18 - LEGAL02\42427047.v4


 
“Floor” means the benchmark rate floor, if any, provided in this Agreement initially (as of the execution of this Agreement, the modification, amendment or renewal of this Agreement or otherwise) with respect to USD LIBOR.a rate of interest equal to 0.00%. “Foreign Lender” means (a) if the Borrower is a U.S. Person, a Lender that is not a U.S. Person, and (b) if the Borrower is not a U.S. Person, a Lender that is resident or organized under the laws of a jurisdiction other than that in which the Borrower is resident for tax purposes. “FRB” means the Board of Governors of the Federal Reserve System of the United States. “Fronting Exposure” means, at any time there is a Defaulting Lender that is a Revolving Lender, with respect to the Issuing Banks, such Defaulting Lender’s Revolving Commitment Percentage of the outstanding Letter of Credit Liabilities other than Letter of Credit Liabilities as to which such Defaulting Lender’s participation obligation has been reallocated to other Revolving Lenders or Cash Collateralized in accordance with the terms hereof. “Fund” means any Person (other than a natural person) that is (or will be) engaged in making, purchasing, holding or otherwise investing in commercial loans and similar extensions of credit in the ordinary course of its activities. “Funds from Operations” means “Funds from Operations” as defined in, and calculated consistent with, the White Paper on Funds from Operations dated April 2002 issued by the National Association of Real Estate Investment Trusts, Inc., but without giving effect to any supplements, amendments or other modifications promulgated after the Agreement Date. “GAAP” means generally accepted accounting principles in the United States of America set forth in the opinions and pronouncements of the Accounting Principles Board of the American Institute of Certified Public Accountants and statements and pronouncements of the Financial Accounting Standards Board (including Statement of Financial Accounting Standards No. 168, “The FASB Accounting Standards Codification”) or in such other statements by such other entity as may be approved by a significant segment of the accounting profession in the United States of America, which are applicable to the circumstances as of the date of determination. “Governmental Approvals” means all authorizations, consents, approvals, licenses and exemptions of, registrations and filings with, and reports to, all Governmental Authorities. “Governmental Authority” means any national, state or local government (whether domestic or foreign), any political subdivision thereof or any other governmental, quasi-governmental, judicial, administrative, public or statutory instrumentality, authority, body, agency, bureau, commission, board, department or other entity (including, without limitation, the Federal Deposit Insurance Corporation, the Comptroller of the Currency or the Federal Reserve Board, any central bank or any comparable authority) or any arbitrator with authority to bind a party at law. “Guaranteed Obligations” means, collectively, (a) the Obligations and (b) all existing or future payment and other obligations owing by any Loan Party under any Specified Derivatives Contract (other than any Excluded Swap Obligation). “Guarantor” means the Parent. “Guaranty”, “Guaranteed”, “Guarantying” or to “Guarantee” as applied to any obligation means and includes: (a) a guaranty (other than by endorsement of negotiable instruments for collection - 19 - LEGAL02\42427047.v4


 
in the ordinary course of business), directly or indirectly, in any manner, of any part or all of such obligation, or (b) an agreement, direct or indirect, contingent or otherwise, and whether or not constituting a guaranty, the practical effect of which is to assure the payment or performance (or payment of damages in the event of nonperformance) of any part or all of such obligation whether by: (i) the purchase of securities or obligations, (ii) the purchase, sale or lease (as lessee or lessor) of property or the purchase or sale of services primarily for the purpose of enabling the obligor with respect to such obligation to make any payment or performance (or payment of damages in the event of nonperformance) of or on account of any part or all of such obligation, or to assure the owner of such obligation against loss, (iii) the supplying of funds to or in any other manner investing in the obligor with respect to such obligation, (iv) repayment of amounts drawn down by beneficiaries of letters of credit (including Letters of Credit), or (v) the supplying of funds to or investing in a Person on account of all or any part of such Person’s obligation under a Guaranty of any obligation or indemnifying or holding harmless, in any way, such Person against any part or all of such obligation. As the context requires, “Guaranty” shall also mean the guaranty executed and delivered pursuant to Section 5.1. and substantially in the form of Exhibit B. “Hazardous Materials” means all or any of the following: (a) substances that are defined or listed in, or otherwise classified pursuant to, any applicable Environmental Laws as “hazardous substances”, “hazardous materials”, “hazardous wastes”, “toxic substances” or any other formulation intended to define, list or classify substances by reason of deleterious properties such as ignitability, corrosivity, reactivity, carcinogenicity, reproductive toxicity, “TCLP” toxicity, or “EP toxicity”; (b) oil, petroleum or petroleum derived substances, natural gas, natural gas liquids or synthetic gas and drilling fluids, produced waters and other wastes associated with the exploration, development or production of crude oil, natural gas or geothermal resources; (c) any flammable substances or explosive substances or any radioactive materials; (d) asbestos in any form; and (e) electrical equipment which contains any oil or dielectric fluid containing levels of polychlorinated biphenyls in excess of fifty parts per million. “IBA” has the meaning given that term in Section 1.4. “Income Taxes” means all federal, state, local and foreign income and gross receipts taxes. “Indebtedness,” as applied to any Person (and without duplication), means all of the following, whether or not considered indebtedness or liabilities under GAAP: (a) all indebtedness, obligations or other liabilities (whether secured, unsecured, recourse, non-recourse, direct, senior or subordinate) of such Person for borrowed money; (b) all indebtedness, obligations or other liabilities of such Person evidenced by Securities or other similar instruments; (c) all reimbursement obligations and other liabilities (contingent or otherwise) of such Person with respect to letters of credit or banker’s acceptances issued for such Person’s account or other similar instruments (including bank guaranties, surety bonds, comfort letters, keep-well agreement and capital maintenance agreements) for which a contingent liability exists, in each case whether or not the same have been presented for payment; (d) net obligations under any Derivatives Contract (which shall be deemed to have an amount equal to the Derivatives Termination Value thereof at such time but in no event shall be less than zero); (e) all obligations of such Person to pay the deferred purchase price of property or services; (f) all obligations of such Person in respect of Capital Leases and all Synthetic Lease Obligations and Synthetic Debt of such Person; (g) all Accommodation Obligations of such Person; (h) all indebtedness, obligations or other liabilities of such Person or others secured by a Lien on any asset of such Person, whether or not such indebtedness, obligations or liabilities are assumed by, or are a personal liability of, such Person; and (i) ERISA obligations of such Person currently due and payable. For purposes of this definition, (x) the amount of any Capital Lease or Synthetic Lease Obligation as of any date shall be deemed to be the amount of Attributable Indebtedness in respect thereof as of such date and (y) contingent obligations of a Person in respect of (I) Non-Recourse Exceptions or (II) in respect of guarantees of completion or obligations to pay carry expense which, in each case with respect to this clause (II), contain customary - 20 - LEGAL02\42427047.v4


 
terms, shall not shall not give rise to Indebtedness unless and until such obligations are no longer contingent and a claim for payment has been made. “Indemnified Taxes” means (a) Taxes, other than Excluded Taxes, imposed on or with respect to any payment made by or on account of any obligation of the Borrower or any other Loan Party under any Loan Document and (b) to the extent not otherwise described in the immediately preceding clause (a), Other Taxes. “Intellectual Property” has the meaning given that term in Section 6.1.(q). “Interest Expense” means, for any period and without duplication, total interest expense, whether paid, accrued or capitalized (including letter of credit fees, the interest component of Capital Leases and amortization of deferred financing costs, but excluding interest expense covered by an interest reserve established under a loan facility) of the Parent, on a consolidated basis and determined in accordance with GAAP. “Interest Period” means, with respect to each LIBORTerm SOFR Loan, each period commencing on the date such LIBORTerm SOFR Loan is made, or in the case of the Continuation of a LIBORTerm SOFR Loan the last day of the preceding Interest Period for such Loan, and ending on the numerically corresponding day in the first, third or sixth calendar month thereafter, as the Borrower may select in a Notice of Revolving Borrowing, the Notice of Term Borrowing, a Notice of Continuation or a Notice of Conversion, as the case may be, except that each Interest Period that commences on the last Business Day of a calendar month (or on any day for which there is no numerically corresponding day in the appropriate subsequent calendar month) shall end on the last Business Day of the appropriate subsequent calendar month. Notwithstanding the foregoing: (a) if any Interest Period for a Class of Loans would otherwise end after the TerminationMaturity Date for such Class of Loans, such Interest Period shall end on the TerminationMaturity Date for such Class of Loans and (b) each Interest Period that would otherwise end on a day which is not a Business Day shall end on the immediately following Business Day (or, if such immediately following Business Day falls in the next calendar month, on the immediately preceding Business Day). No tenor that has been removed from this definition pursuant to Section 4.2(b)(iv) shall be available for specification in any Notice of Borrowing or Notice of Conversion/Continuation. “Internal Revenue Code” means the Internal Revenue Code of 1986. “Investment” means, with respect to any Person, any acquisition or investment (whether or not of a controlling interest) by such Person, by means of any of the following: (a) the purchase or other acquisition of any Equity Interest in another Person, (b) a loan, advance or extension of credit to, capital contribution to, Guaranty of Indebtedness of, or purchase or other acquisition of any Indebtedness of, another Person, including any partnership or joint venture interest in such other Person, or (c) the purchase or other acquisition (in one transaction or a series of transactions) of assets of another Person that constitute the business or a division or operating unit of another Person. Any irrevocable commitment to make an Investment in any other Person, as well as any option of another Person to require an Investment in such Person, shall constitute an Investment. Except as expressly provided otherwise, for purposes of determining compliance with any covenant contained in a Loan Document, the amount of any Investment shall be the amount actually invested, without adjustment for subsequent increases or decreases in the value of such Investment. “ISDA Definitions” means the 2006 ISDA Definitions published by the International Swaps and Derivatives Association, Inc. or any successor thereto, as amended or supplemented from time to time, or - 21 - LEGAL02\42427047.v4


 
any successor definitional booklet for interest rate derivatives published from time to time by the International Swaps and Derivatives Association, Inc. or such successor thereto. “ISP98” means the International Standby Practices (1998 Revision, effective January 1, 1999), International Chamber of Commerce Publication No. 590. “Issuing Banks” means each of Wells Fargo and Bank of America, N.A., each in its capacity as an issuer of Letters of Credit pursuant to Section 2.3. “L/C Commitment Amount” has the meaning given to that term in Section 2.3.(a). “L/C Disbursement” has the meaning given to that term in Section 3.9.(b). “Lender” means each financial institution from time to time party hereto as a “Lender;” together with its respective successors and permitted assigns. Except as otherwise expressly provided herein, “Lender” shall exclude any Lender (or its Affiliates) in its capacity as a Specified Derivatives Provider. “Lender Parties” means, collectively, the Administrative Agent, the Lenders, the Issuing Banks, the Specified Derivatives Providers, each co-agent or sub-agent appointed by the Administrative Agent from time to time pursuant to Section 11.5., any other holder from time to time of any of any Obligations and, in each case, their respective successors and permitted assigns. “Lending Office” means, for each Lender and for each Type of Loan, the office of such Lender specified in such Lender’s Administrative Questionnaire or in the applicable Assignment and Assumption, or such other office of such Lender as such Lender may notify the Administrative Agent in writing from time to time. “Letter of Credit” has the meaning given that term in Section 2.3.(a). “Letter of Credit Collateral Account” means a special deposit account maintained by the Administrative Agent, for the benefit of the Administrative Agent, the Issuing Banks and the Revolving Lenders, and under the sole dominion and control of the Administrative Agent. “Letter of Credit Documents” means, with respect to any Letter of Credit, collectively, any application therefor, any certificate or other document presented in connection with a drawing under such Letter of Credit and any other agreement, instrument or other document governing or providing for (a) the rights and obligations of the parties concerned or at risk with respect to such Letter of Credit or (b) any collateral security for any of such obligations. “Letter of Credit Liabilities” means, without duplication, at any time and in respect of any Letter of Credit, the sum of (a) the Stated Amount of such Letter of Credit plus (b) the aggregate unpaid principal amount of all Reimbursement Obligations of the Borrower at such time due and payable in respect of all drawings made under such Letter of Credit. For purposes of this Agreement, a Revolving Lender (other than the Revolving Lender then acting as Issuing Bank with respect to the related Letter of Credit) shall be deemed to hold a Letter of Credit Liability in an amount equal to its participation interest under Section 2.3. in the related Letter of Credit, and the Revolving Lender then acting as Issuing Bank with respect to such related letter of Credit shall be deemed to hold a Letter of Credit Liability in an amount equal to its retained interest in the related Letter of Credit after giving effect to the acquisition by the Revolving Lenders (other than the Revolving Lender then acting as Issuing Bank with respect to such related Letter of Credit) of their participation interests under such Section. For all purposes of this Agreement, if on any date of determination a Letter of Credit has expired by its terms but any amount - 22 - LEGAL02\42427047.v4


 
may still be drawn thereunder by reason of the operation of Rule 3.14 of ISP98, such Letter of Credit shall be deemed to be “outstanding” in the amount so remaining available to be drawn. “Level” has the meaning given that term in the definition of the term “Applicable Margin.” “LIBOR” means, subject to the implementation of a Benchmark Replacement in accordance with Section 4.2.(b), the rate of interest obtained by dividing (i) the rate of interest per annum determined on the basis of the rate for deposits in Dollars for a period equal to the applicable Interest Period as published by the ICE Benchmark Administration Limited, a United Kingdom company, or a comparable or successor quoting service approved by the Administrative Agent, at approximately 11:00 a.m. (London time) two (2) Business Days prior to the first day of the applicable Interest Period by (ii) a percentage equal to 1 minus the Eurodollar Reserve Percentage. If, for any reason, the rate referred to in the preceding clause (i) is not so published, then “LIBOR” shall be determined by the Administrative Agent to be the arithmetic average of the rate per annum at which deposits in Dollars would be offered by first class banks in the London interbank market to the Administrative Agent at approximately 11:00 a.m. (London time) two (2) Business Days prior to the first day of the applicable Interest Period for a period equal to such Interest Period. Each calculation by the Administrative Agent of LIBOR shall be conclusive and binding for all purposes, absent manifest error. Notwithstanding the foregoing, (x) in no event shall LIBOR (including any Benchmark Replacement with respect thereto) be less than 0% and (y) unless otherwise specified in any amendment to this Agreement entered into in accordance with Section 4.2.(b), in the event that a Benchmark Replacement with respect to LIBOR is implemented then all references herein to LIBOR shall be deemed references to such Benchmark Replacement. “LIBOR Loan” means a Revolving Loan or Term Loan (or portion thereof) (other than a Base Rate Loan) bearing interest at a rate based on LIBOR and, for the avoidance of doubt, except as otherwise expressly provided, shall include Same-Day Borrowings bearing interest at the LIBOR Market Index Rate. “LIBOR Market Index Rate” means, for any day, LIBOR as of that day that would be applicable for a LIBOR Loan having a one-month Interest Period determined at approximately 10:00 a.m. Central time for such day (rather than 11:00 a.m. (London time) two Business Days prior to the first day of such Interest Period as otherwise provided in the definition of “LIBOR”), or if such day is not a Business Day, the immediately preceding Business Day. The LIBOR Market Index Rate shall be determined on a daily basis. “Lien” means any mortgage, deed of trust, pledge, hypothecation, assignment, deposit arrangement, security interest, encumbrance (including, but not limited to, easements, rights-of-way, zoning restrictions and the like), lien (statutory or other), preference, priority or other security agreement of any kind or nature whatsoever, including without limitation any conditional sale or other title retention agreement, the interest of a lessor under a Capital Lease, any financing lease having substantially the same economic effect as any of the foregoing, and the filing of any financing statement (other than a financing statement (a) filed by a “true” lessor pursuant to Section 9-408 of the Uniform Commercial Code or (b) the filing of which was not authorized pursuant to Section 9-509 of the Uniform Commercial Code) naming the owner of the asset to which such Lien relates as debtor, under the Uniform Commercial Code or other comparable law of any jurisdiction. “Loan” means a Revolving Loan or a Term Loan. “Loan Document” means this Agreement, each Note, the Guaranty, each Letter of Credit Document and each other document or instrument now or hereafter executed and delivered by a Loan Party in connection with, pursuant to or relating to this Agreement (other than the Fee Letter and any Specified Derivatives Contract). - 23 - LEGAL02\42427047.v4


 
“Loan Party” means each of the Borrower, the Parent and each other Person who guarantees all or a portion of the Obligations and/or who pledges any collateral to secure all or a portion of the Obligations. “Manufactured Home Inventory Value” means with respect to any Person, as of any date of determination, the lesser of (a) the total cost to such Person of all manufactured home units, which have never been occupied (other than for short periods in the ordinary course of such Person’s customary sales practices), then owned by such Person that were acquired new from the manufacturers of such units, or from Persons who acquired such units new from such manufacturers, within the one-year period immediately preceding the date of determination and (b) $35,000,000. “Material Adverse Effect” means (a) a materially adverse change in, or a materially adverse effect on the operations, business, assets, properties, liabilities (actual or contingent), or financial condition of the Parent, the Borrower and the other Subsidiaries taken as a whole; (b) a material impairment of (i) the rights and remedies of the Lenders, the Issuing Banks and the Administrative Agent under any of the Loan Documents or (ii) the ability of the Parent, the Borrower and the other Loan Parties, taken as a whole, to perform their obligations under the Loan Documents to which such Loan Party is a party; or (c) a materially adverse effect on the validity or enforceability of any of the Loan Documents. “Material Acquisition” means any acquisition (whether by direct purchase, merger or otherwise and whether in one or more related transactions) by the Borrower or any Subsidiary in which the purchase price of the assets acquired exceeds 5% of Total Asset Value. “Mezzanine Debt Investments” mean any mezzanine or subordinated mortgage loans made by the Borrower, any of its Subsidiaries or any of its Unconsolidated Affiliates to entities that own commercial real estate (or to Persons holding Equity Interests in such entities), which real estate has a Fair Market Value in excess of the aggregate amount of such mortgage loans and any senior Indebtedness secured by a Lien on such real estate on the date when such mortgage loan was made or acquired by the Borrower, such Subsidiary or such Unconsolidated Affiliate and which has been designated by the Parent as a “Mezzanine Debt Investment” in its most recent Compliance Certificate; provided, however, that if any such mortgage loans are owed by a Subsidiary or an Unconsolidated Affiliate, then the amount of Mezzanine Debt Investments attributable to such mortgage loans shall be limited to the Parent’s Ownership Share of such Subsidiary or Unconsolidated Affiliate, as the case may be. “Moody’s” means Moody’s Investors Service, Inc. and its successors. “Mortgage Receivable” means a promissory note secured by a mortgage, deed of trust, deed to secure debt or similar security instrument made by a Person owning an interest in real estate granting a Lien on such interest in real estate as security for the payment of Indebtedness of which the Parent, the Borrower or another Subsidiary is the holder and retains the rights of collection of all payments thereunder. “Multiemployer Plan” means at any time a multiemployer plan within the meaning of Section 4001(a)(3) of ERISA to which any member of the ERISA Group is then making or accruing an obligation to make contributions or has within the preceding six plan years made contributions, including for these purposes any Person which ceased to be a member of the ERISA Group during such six year period. “Negative Pledge” means, with respect to a given asset, any provision of a document, instrument or agreement (other than any Loan Document or Specified Derivatives Contract) which prohibits or purports to prohibit the creation or assumption of any Lien on such asset as security for Indebtedness of - 24 - LEGAL02\42427047.v4


 
the Person owning such asset or any other Person; provided, however, that an agreement that conditions a Person’s ability to encumber its assets upon the maintenance of one or more specified ratios that limit such Person’s ability to encumber its assets but that do not generally prohibit the encumbrance of its assets, or the encumbrance of specific assets, shall not constitute a Negative Pledge. “Net Income” means, for any period, the net income (or loss) after Income Taxes of the Parent, on a consolidated basis, for such period calculated in conformity with GAAP; provided, however, that Net Income shall not include the net income (or loss) of Unconsolidated Affiliates. “Net Operating Income” means, for any Property and for a given period, the sum of the following (without duplication and determined on a consistent basis with prior periods): (a) rents and other revenues received in the ordinary course from such Property (including proceeds from rent loss or business interruption insurance but excluding pre-paid rents and revenues and security deposits except, in each case, to the extent applied in satisfaction of tenants’ obligations for rent) minus (b) all expenses paid (excluding interest but including an appropriate accrual for property taxes and insurance) related to the ownership, operation or maintenance of such Property, including but not limited to, property taxes, assessments and the like, insurance, utilities, payroll costs, maintenance, repair and landscaping expenses, marketing expenses, management fees and general and administrative expenses (including an appropriate allocation for legal, accounting, advertising, marketing, management fees and other expenses incurred in connection with such Property, but specifically excluding general overhead expenses of the Parent or the Borrower, any property management fees, debt service charges, income taxes, depreciation, amortization, other non-cash expenses, and any extraordinary, non-recurring expense associated with any financing, merger, acquisition, divestiture or other capital transaction) minus (c) the greater of (i) the actual property management fee paid during such period with respect to such Property and (ii) an imputed management fee in an amount equal to 3% of the gross revenues for such Property for such period. “Net Proceeds” means with respect to an Equity Issuance by a Person, the aggregate amount of all cash and the Fair Market Value of all other property (other than securities of such Person being converted or exchanged in connection with such Equity Issuance) received by such Person in respect of such Equity Issuance net of investment banking fees, legal fees, accountants’ fees, underwriting discounts and commissions and other customary fees and expenses actually incurred by such Person in connection with such Equity Issuance. “Non-Consenting Lender” means any Lender that does not approve any consent, waiver or amendment that (a) requires the approval of all affected Lenders in accordance with the terms of Section 12.6.(b) and (b) has been approved by the Requisite Lenders. “Non-Defaulting Lender” means, at any time, each Lender that is not a Defaulting Lender at such time. “Non-Recourse Exceptions” means, with respect to Non-Recourse Indebtedness, exceptions for fraud, misrepresentation, misapplication of cash, waste, environmental claims and liabilities and other circumstances customarily excluded by institutional lenders from exculpation provisions and/or included in separate indemnification agreements in non-recourse financing of real estate. “Non-Recourse Indebtedness” means any single loan with respect to which recourse for payment is limited to specific assets related to a particular Property or group of Properties encumbered by a Lien securing such Indebtedness; provided, however, that personal recourse to the Parent, the Borrower or any Subsidiary by a holder of any such loan for (i) Non-Recourse Exceptions or (ii) guarantees of completion or obligations to pay carry expense which, in each case with respect to this - 25 - LEGAL02\42427047.v4


 
clause (ii), contain customary terms, shall not, by themselves, prevent such loan from being characterized as Non-Recourse Indebtedness unless and until such obligations are no longer contingent and a claim for payment has been made. “Note” means a Revolving Note or a Term Note. “Notice of Continuation” means a notice substantially in the form of Exhibit D (or such other form reasonably acceptable to the Administrative Agent and containing the information required in such Exhibit) to be delivered to the Administrative Agent pursuant to Section 2.9. evidencing the Borrower’s request for the Continuation of a LIBORTerm SOFR Loan. “Notice of Conversion” means a notice substantially in the form of Exhibit E (or such other form reasonably acceptable to the Administrative Agent and containing the information required in such Exhibit) to be delivered to the Administrative Agent pursuant to Section 2.10. evidencing the Borrower’s request for the Conversion of a Loan from one Type to another Type. “Notice of Revolving Borrowing” means a notice substantially in the form of Exhibit C (or such other form reasonably acceptable to the Administrative Agent and containing the information required in such Exhibit) to be delivered to the Administrative Agent pursuant to Section 2.1.(b) evidencing the Borrower’s request for a borrowing of Revolving Loans. “Notice of Term Borrowing” means a notice substantially in the form of Exhibit M (or such other form reasonably acceptable to the Administrative Agent and containing the information required in such Exhibit) to be delivered to the Administrative Agent pursuant to Section 2.2. or Section 2.16. evidencing the Borrower’s request for the borrowing of the Term Loans. “Obligations” means, individually and collectively: (a) the aggregate principal balance of, and all accrued and unpaid interest on, all Loans; (b) all Reimbursement Obligations and all other Letter of Credit Liabilities; and (c) all other indebtedness, liabilities, obligations, covenants and duties of the Borrower and the other Loan Parties owing to the Administrative Agent, any Issuing Bank or any Lender of every kind, nature and description, under or in respect of this Agreement or any of the other Loan Documents, including, without limitation, the Fees and indemnification obligations, whether direct or indirect, absolute or contingent, due or not due, contractual or tortious, liquidated or unliquidated, and whether or not evidenced by any promissory note. For the avoidance of doubt, “Obligations” shall not include any indebtedness, liabilities, obligations, covenants or duties in respect of Specified Derivatives Contracts. “Occupancy Rate” means, with respect to a Property at any time, the ratio, expressed as a percentage, of (a) the total number of leasing sites, camp sites, rental units, boat slips or similar units at such Property actually occupied by tenants that are not Affiliates of the Parent and paying rent at rates not materially less than rates generally prevailing at the time the applicable lease was entered into, pursuant to binding leases as to which no monetary default as to the payment of base rent has occurred and has continued unremedied for 60 or more days, to (b) the aggregate number of leasing sites, camp sites, rental units or similar units at such Property. “OFAC” means the U.S. Department of the Treasury’s Office of Foreign Assets Control. “Other Connection Taxes” means, with respect to any Recipient, Taxes imposed as a result of a present or former connection between such Recipient and the jurisdiction imposing such Tax (other than connections arising from such Recipient having executed, delivered, become a party to, performed its obligations under, received payments under, received or perfected a security interest under, engaged in - 26 - LEGAL02\42427047.v4


 
any other transaction pursuant to or enforced any Loan Document, or sold or assigned an interest in any Loan or Loan Document). “Other Taxes” means all present or future stamp, court or documentary, intangible, recording, filing or similar Taxes that arise from any payment made under, from the execution, delivery, performance, enforcement or registration of, from the receipt or perfection of a security interest under, or otherwise with respect to, any Loan Document, except any such Taxes that are Other Connection Taxes imposed with respect to an assignment (other than an assignment made pursuant to Section 4.6.). “Ownership Share” means, except as otherwise provided in Section 1.3.(b), with respect to any Subsidiary of a Person (other than a Wholly Owned Subsidiary) or any Unconsolidated Affiliate of a Person, the greater of (a) such Person’s relative nominal direct and indirect ownership interest (expressed as a percentage) in such Subsidiary or Unconsolidated Affiliate or (b) subject to compliance with Section 8.4.(j), such Person’s relative direct and indirect economic interest (calculated as a percentage) in such Subsidiary or Unconsolidated Affiliate determined in accordance with the applicable provisions of the declaration of trust, articles or certificate of incorporation, articles of organization, partnership agreement, joint venture agreement or other applicable organizational document of such Subsidiary or Unconsolidated Affiliate. “Parent” has the meaning set forth in the introductory paragraph hereof and shall include the Parent’s successors and permitted assigns. “Participant” has the meaning given that term in Section 12.5.(d). “Participant Register” has the meaning given that term in Section 12.5.(d). “Partnership Agreement” means the Second Amended and Restated Agreement of Limited Partnership dated as of March 15, 1996 for the Borrower. “PATRIOT Act” means the USA PATRIOT Act (Title III of Pub. L. 107-56 (signed into law October 26, 2001)). “Payment Recipient” has the meaning assigned thereto in Section 11.11.(a). “PBGC” means the Pension Benefit Guaranty Corporation and any successor agency. “Permitted Liens” means, with respect to any asset or property of a Person, (a)(i) Liens securing taxes, assessments and other charges or levies imposed by any Governmental Authority (excluding any Lien imposed pursuant to any of the provisions of ERISA or pursuant to any Environmental Laws) or (ii) the claims of materialmen, mechanics, carriers, warehousemen or landlords for labor, materials, supplies or rentals incurred in the ordinary course of business, which, if unpaid, might become a Lien on any properties of such Person, in each case being contested in good faith by appropriate proceedings which operate to suspend the collection thereof and for which adequate reserves have been established on the books of such Person, in accordance with GAAP; (b) Liens consisting of deposits or pledges made in connection with, or to secure payment of, obligations under workers’ compensation, unemployment insurance or similar Applicable Laws, the performance of bids, trade contracts and leases, statutory obligations, surety and appeal bonds, performance bonds and other obligations of a like nature, in the case of each of the foregoing, in each case, incurred in the ordinary course of business and not otherwise securing Indebtedness; (c) Liens consisting of encumbrances in the nature of zoning restrictions, easements, and rights or restrictions of record on the use of real property, which do not materially detract from the value of such property or impair the intended use thereof in the business of such Person; (d) the - 27 - LEGAL02\42427047.v4


 
rights of tenants under leases or subleases not interfering with the ordinary conduct of business of such Person; (e) Liens in favor of the Administrative Agent for its benefit and the benefit of the Lender Parties; (f) any option, contract or other agreement to sell an asset provided such sale is otherwise permitted by this Agreement; and (g) Liens arising from precautionary uniform commercial code financing statements filed under any lease permitted by this Agreement and with respect to which no grant of security interest has been made. “Person” means any natural person, corporation, limited partnership, general partnership, joint stock company, limited liability company, limited liability partnership, joint venture, association, company, trust, bank, trust company, land trust, business trust or other organization, whether or not a legal entity, or any other nongovernmental entity, or any Governmental Authority. “Plan” means at any time an employee pension benefit plan (other than a Multiemployer Plan) which is covered by Title IV of ERISA or subject to the minimum funding standards under Section 412 of the Internal Revenue Code and either (a) is maintained, or contributed to, by any member of the ERISA Group for employees of any member of the ERISA Group or (b) has at any time within the preceding six years been maintained, or contributed to, by any Person which was at such time a member of the ERISA Group for employees of any Person which was at such time a member of the ERISA Group. “Post-Default Rate” means (a) with respect to any principal of any Loan or any Reimbursement Obligation, the interest rate otherwise applicable to such Loan or Reimbursement Obligation plus an additional two percent (2.0%) per annum and (b) with respect to any other Obligation, a rate per annum equal to the Base Rate as in effect from time to time plus the Applicable Margin for Revolving Loans that are Base Rate Loans plus two percent (2.0%). “Preferred Dividends” means, for any period and without duplication, all Restricted Payments paid during such period on Preferred Stock issued by the Parent or any of its Subsidiaries. Preferred Dividends shall not include dividends or distributions (a) paid or payable solely in Equity Interests (other than Equity Interest convertible into Indebtedness) payable to holders of such class of Equity Interests, (b) paid or payable to the Parent or any of its Subsidiaries, or (c) constituting or resulting in the redemption of Preferred Stock, other than scheduled redemptions not constituting balloon, bullet or similar redemptions in full. “Preferred Stock” means, with respect to any Person, shares of capital stock of, or other Equity Interests in, such Person which are entitled to preference or priority over any other capital stock of, or other Equity Interest in, such Person in respect of the payment of dividends or distribution of assets upon liquidation or both. “Prime Rate” means, at any time, the rate of interest per annum publicly announced from time to time by the Lender then acting as the Administrative Agent as its prime rate. Each change in the Prime Rate shall be effective as of the opening of business on the day such change in such prime rate occurs. The parties hereto acknowledge that the rate announced publicly by the Lender acting as Administrative Agent as its prime rate is an index or base rate and shall not necessarily be its lowest or best rate charged to its customers or other banks. “Principal Office” means the office of the Administrative Agent located at 600 South 4th St., 8th Floor, Minneapolis, Minnesota 55415 or any other subsequent office that the Administrative Agent shall have specified by written notice to the Borrower and the Lenders as the Principal Office. - 28 - LEGAL02\42427047.v4


 
“Pro Rata Share” means, as to each Lender, the ratio, expressed as a percentage of (a)(i) the amount of such Lender’s Revolving Commitment plus (ii) the aggregate outstanding principal amount of such Lender’s Term Loan, if any, to (b)(i) the aggregate amount of the Revolving Commitments of all Lenders plus (ii) the aggregate amount of all outstanding Term Loans; provided, however, that if at the time of determination the Revolving Commitments have terminated or been reduced to zero, the “Pro Rata Share” of a Lender shall be the ratio, expressed as a percentage of (A) the sum of the unpaid principal amount of all outstanding Loans and Letter of Credit Liabilities owing to such Lender as of such date to (B) the sum of the aggregate unpaid principal amount of all outstanding Loans and Letter of Credit Liabilities of all Lenders as of such date. If at the time of determination the Revolving Commitments have terminated and there are no outstanding Loans or Letter of Credit Liabilities, then the Pro Rata Shares of the Lenders shall be determined as of the most recent date on which any Loans and/or Letters of Credit Liabilities were outstanding. For purposes of this definition, a Revolving Lender shall be deemed to hold a Letter of Credit Liability to the extent such Revolving Lender has acquired a participation therein under the terms of this Agreement and has not failed to perform its obligations in respect of such participation. “Property” means a parcel (or group of related parcels) of real property owned or leased by the Parent, the Borrower, any other Loan Party, any other Subsidiary or any Unconsolidated Affiliate. “QFC” has the meaning assigned to the term “qualified financial contract” in, and shall be interpreted in accordance with, 12 U.S.C. 5390(c)(8)(D). “Qualified ECP Guarantor” means, in respect of any Swap Obligation, each Loan Party that has total assets exceeding $10,000,000 at the time the relevant Guarantee or grant of the relevant security interest becomes effective with respect to such Swap Obligation or such other person as constitutes an “eligible contract participant” under the Commodity Exchange Act or any regulations promulgated thereunder and can cause another person to qualify as an “eligible contract participant” at such time by entering into a keepwell under Section 1a(18)(A)(v)(II) of the Commodity Exchange Act. “Qualified Plan” means a Benefit Arrangement that is intended to be tax-qualified under Section 401(a) of the Internal Revenue Code. “Qualifying Ground Lease” means, as of any determination date, a ground lease containing terms and conditions customarily required by mortgagees making a loan secured by the interest of the holder of the leasehold estate demised pursuant to a ground lease, including without limitation, the following: (a) a remaining term (inclusive of any unexercised extension options) of 25 years or more from such determination date; (b) the right of the lessee to mortgage and encumber its interest in the leased property, and to amend the terms of any such mortgage or encumbrance, in each case, without the consent of the lessor; (c) the obligation of the lessor to give the holder of any mortgage Lien on such leased property written notice of any defaults on the part of the lessee and agreement of such lessor that such lease will not be terminated until such holder has had a reasonable opportunity to cure or complete foreclosures, and fails to do so; (d) acceptable transferability of the lessee’s interest under such lease, including ability to sublease; (e) acceptable limitations on the use of the leased property; and (f) clearly determinable rental payment terms which in no event contain profit participation rights. “Qualifying Unencumbered Property” means (a) the Properties listed on Schedule 1.1. and (b) any Property designated by Borrower from time to time pursuant to Section 8.8. which satisfies all of the following requirements: (i) such Property is a Designated Use Property; (ii) such Property is owned (A) in fee simple or (B) pursuant to a Qualifying Ground Lease, in either case, entirely by the Borrower or any Subsidiary of the Borrower; (iii) such Property is located in a state of the United States of America, in the District of Columbia, in Canada or in Mexico; (iv) regardless of whether such Property is owned - 29 - LEGAL02\42427047.v4


 
by the Borrower or a Subsidiary of the Borrower, the Borrower has the right directly, or indirectly through a Subsidiary, to take the following actions without the need to obtain the consent of any Person: (A) to create Liens on such Property as security for Indebtedness of the Borrower or such Subsidiary, as applicable, and (B) to sell, transfer or otherwise dispose of such Property; (v) neither such Property, nor if such Property is owned by a Subsidiary of the Borrower, any of the Borrower’s direct or indirect ownership interest in such Subsidiary, is subject to (A) any Lien other than Permitted Liens (except for Permitted Liens under clause (f) of the definition thereof) or (B) any Negative Pledge; and (vi) such Property is free of all structural defects, title defects, environmental conditions or other adverse matters except for defects, conditions or matters which do not materially detract from the value of such Property or impair the intended use thereof in the business of the applicable Qualifying Unencumbered Property Owner. A Property (including any Property set forth on Schedule 1.1.) shall cease to be a “Qualifying Unencumbered Property” at such time as it fails to satisfy any of the conditions set forth in clauses (i) through (vi) of this definition. In addition, the Borrower may, upon at least 15 Business Days prior written notice to the Administrative Agent, designate that any Qualifying Unencumbered Property shall no longer be considered a Qualifying Unencumbered Property (and upon such designation, such Property shall no longer be a Qualifying Unencumbered Property). “Qualifying Unencumbered Property Owner” means any Subsidiary of the Parent which owns a Qualifying Unencumbered Property. “Recipient” means (a) the Administrative Agent, (b) any Lender and (c) any Issuing Bank, as applicable. “Recourse Indebtedness” means, with respect to any Person, Indebtedness which is not Non-Recourse Indebtedness. “Reference Time” with respect to any setting of the then-current Benchmark means (1) if such Benchmark is USD LIBOR, 11:00 a.m. (London time) on the day that is two (2) Business Days preceding the date of such setting, and (2) if such Benchmark is not USD LIBOR, the time determined by the Administrative Agent in its reasonable discretion. “Register” has the meaning given that term in Section 12.5.(c). “Regulatory Change” means, with respect to any Lender, any change effective after the Agreement Date in Applicable Law (including without limitation, Regulation D of the Board of Governors of the Federal Reserve System) or the adoption or making after such date of any interpretation, directive or request applying to a class of banks, including such Lender, of or under any Applicable Law (whether or not having the force of law and whether or not failure to comply therewith would be unlawful) by any Governmental Authority or monetary authority charged with the interpretation or administration thereof or compliance by any Lender with any request or directive regarding capital adequacy or liquidity. Notwithstanding anything herein to the contrary, (a) the Dodd-Frank Wall Street Reform and Consumer Protection Act and all requests, rules, guidelines or directives thereunder or issued in connection therewith and (b) all requests, rules, guidelines or directives promulgated by the Bank for International Settlements, the Basel Committee on Banking Supervision (or any successor or similar authority) or the United States or foreign regulatory authorities, in each case pursuant to Basel III, shall in each case be deemed to be a “Regulatory Change”, regardless of the date enacted, adopted or issued. “Reimbursement Obligation” means the absolute, unconditional and irrevocable obligation of the Borrower to reimburse an Issuing Bank for any drawing honored by such Issuing Bank under a Letter of Credit. - 30 - LEGAL02\42427047.v4


 
“REIT” means a Person qualifying for treatment as a “real estate investment trust” under the Internal Revenue Code. “Related Parties” means, with respect to any Person, such Person’s Affiliates and the partners, shareholders, directors, officers, employees, agents and advisors of such Person and of such Person’s Affiliates. “Relevant Governmental Body” means the FRB or the Federal Reserve Bank of New York, or a committee officially endorsed or convened by the FRB or the Federal Reserve Bank of New York, or any successor thereto. “Requisite Class Lenders” means, as of any date of determination, (a) in the case of Revolving Lenders, Revolving Lenders (i) having more than 50.0% of the aggregate amount of the Revolving Commitments or (ii) if the Revolving Commitments have terminated, holding more than 50.0% of the principal amount of the aggregate outstanding Revolving Loans and outstanding Letter of Credit Liabilities and (b) in the case of Term Loan Lenders, Term Loan Lenders holding more than 50.0% of the principal amount of the aggregate outstanding Term Loans; provided that (i) in determining such percentage at any given time, all then existing Defaulting Lenders of such Class will be disregarded and excluded, and (ii) at all times when two or more Lenders (excluding Defaulting Lenders) of such Class are party to this Agreement, the term “Requisite Class Lenders” shall in no event mean less than two Lenders of such Class. For purposes of this definition, a Revolving Lender shall be deemed to hold a Letter of Credit Liability to the extent such Lender has acquired a participation therein under the terms of this Agreement and has not failed to perform its obligations in respect of such participation. “Requisite Lenders” means, as of any date, (a) Lenders having more than 50.0% of the aggregate amount of the Revolving Commitments and the principal amount of the aggregate outstanding Term Loans, or (b) if the Revolving Commitments have been terminated or reduced to zero, Lenders holding more than 50.0% of the principal amount of the aggregate outstanding Loans and Letter of Credit Liabilities; provided that (i) in determining such percentage at any given time, all then existing Defaulting Lenders will be disregarded and excluded, and (ii) at all times when two or more Lenders (excluding Defaulting Lenders) are party to this Agreement, the term “Requisite Lenders” shall in no event mean less than two Lenders. For purposes of this definition, a Revolving Lender shall be deemed to hold a Letter of Credit Liability to the extent such Lender has acquired a participation therein under the terms of this Agreement and has not failed to perform its obligations in respect of such participation. “Resolution Authority” means an EEA Resolution Authority or, with respect to any UK Financial Institution, a UK Resolution Authority. “Responsible Officer” means with respect to the Parent, the Borrower or any Subsidiary, the chief executive officer, the president, the chief financial officer, any senior vice president, any executive vice president and any vice president of the Parent, the Borrower or such Subsidiary. “Restricted Payment” means (a) any dividend or other distribution, direct or indirect, on account of any Equity Interest of the Parent, the Borrower, or any other Subsidiary now or hereafter outstanding, except a dividend or other distributions payable solely in shares of that class of Equity Interests to the holders of that class; (b) any redemption, conversion, exchange, retirement, sinking fund or similar payment, purchase or other acquisition for value, direct or indirect, of any shares of any Equity Interest of the Parent, the Borrower or any other Subsidiary now or hereafter outstanding, except any redemption, repurchase, conversion or exchange of shares of any class payable solely in common stock of such entity; and (c) any payment made to retire, or to obtain the surrender of, any outstanding - 31 - LEGAL02\42427047.v4


 
warrants, options or other rights to acquire any Equity Interests of the Parent, the Borrower or any other Subsidiary now or hereafter outstanding. “Revolving Commitment” means, as to each Revolving Lender, such Lender’s obligation to make Revolving Loans pursuant to Section 2.1., to issue (in the case of an Issuing Bank) and to participate (in the case of the other Revolving Lenders) in Letters of Credit pursuant to Section 2.3.(i), in an amount up to, but not exceeding the amount set forth for such Lender on Schedule I as such Lender’s “Revolving Commitment” or as set forth in any applicable Assignment and Assumption, or agreement executed by a Person becoming a Revolving Lender in accordance with Section 2.16., as the same may be reduced from time to time pursuant to Section 2.12. or increased or reduced as appropriate to reflect any assignments to or by such Lender effected in accordance with Section 12.5. “Revolving Commitment Percentage” means, as to each Revolving Lender, the ratio, expressed as a percentage, of (a) the amount of such Lender’s Revolving Commitment to (b) the aggregate amount of all of the Revolving Commitments; provided, however, that if at the time of determination the Revolving Commitments have been terminated or been reduced to zero, the “Revolving Commitment Percentage” of each Revolving Lender shall be the “Revolving Commitment Percentage” of such Lender in effect immediately prior to such termination or reduction. “Revolving Credit Exposure” means, as to any Revolving Lender at any time, the aggregate principal amount at such time of its outstanding Revolving Loans and such Revolving Lender’s participation in Letter of Credit Liabilities at such time. “Revolving Lender” means a Lender having a Revolving Commitment, or if the Revolving Commitments have terminated, holding any Revolving Loans. “Revolving Loan” means a loan made by a Revolving Lender to the Borrower pursuant to Section 2.1.(a). “Revolving Note” means a promissory note of the Borrower substantially in the form of Exhibit G, payable to the order of a Revolving Lender in a principal amount equal to the amount of such Revolving Lender’s Commitment. “Revolving Termination Date” means April 18, 2025, as such date may be extended pursuant to Section 2.13. “Same-Day Borrowing” means a borrowing of a Revolving Loan only for which the date of the Notice of Revolving Borrowing and the date of the funding of such borrowing occur on the same day. “Sanctioned Country” means at any time, a country, region or territory which is itself (or whose government is) the subject or target of any Sanctions (including, as of the ClosingFirst Amendment Effective Date, Cuba, Iran, North Korea, Syria and, the Crimea Region of Ukraine and the so-called Donetsk People’s Republic or Luhansk People’s Republic regions of Ukraine). “Sanctioned Person” means, at any time, (a) any Person listed in any Sanctions-related list of designated Persons maintained by OFAC (including OFAC’s Specially Designated Nationals and Blocked Persons List and OFAC’s Consolidated Non-SDN List), the U.S. Department of State, the United Nations Security Council, the European Union, any European member state, HerHis Majesty’s Treasury, or other relevant sanctions authority, (b) any Person operating, organized or resident in a Sanctioned Country, (c) any Person owned or controlled by, or acting or purporting to act for or on - 32 - LEGAL02\42427047.v4


 
behalf of, directly or indirectly, any such Person or Persons described in clauses (a) and (b), including a Person that is deemed by OFAC to be a Sanctions target based on the ownership of such legal entity by Sanctioned Person(s) or (d) any Person otherwise a target of Sanctions, including vessels and aircraft, that are designated under any Sanctions program. “Sanctions” means any and all economic or financial sanctions, sectoral sanctions, secondary sanctions, trade embargoes and restrictions and anti-terrorism laws, including but not limited to those imposed, administered or enforced from time to time by the U.S. government (including those administered by OFAC or the U.S. Department of State), the United Nations Security Council, the European Union, any European member state, HerHis Majesty’s Treasury, or other relevant sanctions authority in any jurisdiction in which (a) the Parent, the Borrower or any of its Subsidiaries or Affiliates is located or conducts business, (b) in which any of the proceeds of any Loan will be used, or (c) from which repayment of the Obligations will be derived. “SEC” means the Securities and Exchange Commission, or any Governmental Authority succeeding to any of its principal functions. “Secured Debt” means Indebtedness, the payment of which is secured by a Lien on any property; provided, however, that, except for purposes of the representation contained in the last sentence of Section 6.1.(g), any Indebtedness that is secured only by a pledge of Equity Interests shall not be considered to be Secured Debt. “Securities” means any stock, partnership interests, shares, shares of beneficial interest, voting trust certificates, bonds, debentures, notes or other evidences of indebtedness, secured or unsecured, convertible, subordinated or otherwise, or in general any instruments commonly known as “securities,” or any certificates of interest, shares, or participations in temporary or interim certificates for the purchase or acquisition of, or any right to subscribe to, purchase or acquire any of the foregoing, but shall not include any evidence of the Obligations. “Securities Act” means the Securities Act of 1933, together with all rules and regulations issued thereunder. “SOFR” means, with respect to any Business Day, a rate per annum equal to the secured overnight financing rate for such Business Day publishedas administered by the SOFR Administrator on the SOFR Administrator’s Website on the immediately succeeding Business Day. “SOFR Adjustment” means a percentage equal to 0.10% per annum. “SOFR Administrator” means the Federal Reserve Bank of New York (or a successor administrator of the secured overnight financing rate). “SOFR Administrator’s Website” means the website of the Federal Reserve Bank of New York, currently at http://www.newyorkfed.org, or any successor source for the secured overnight financing rate identified as such by the SOFR Administrator from time to time. “SOFR Loan” means a Daily Simple SOFR Loan or Term SOFR Loan. “Solvent” means, when used with respect to any Person, that (a) the fair value and the fair salable value of its assets (taken as a going concern) are each in excess of the fair valuation of its total liabilities (including all contingent liabilities computed at the amount which, in light of all facts and circumstances existing at such time, represents the amount that could reasonably be expected to become an actual and matured liability); (b) such Person is generally able to pay its debts or other obligations in - 33 - LEGAL02\42427047.v4


 
the ordinary course as they mature; and (c) such Person has capital not unreasonably small to carry on its business and all business in which it proposes to be engaged. “Specified Derivatives Contract” means any Derivatives Contract, together with any Derivatives Support Document relating thereto, that is made or entered into at any time, or in effect at any time now or hereafter, whether as a result of an assignment or transfer or otherwise, between the Parent, the Borrower, any other Loan Party or any other Subsidiary and any Specified Derivatives Provider. “Specified Derivatives Obligations” means all indebtedness, liabilities, obligations, covenants and duties of the Parent, the Borrower, any other Loan Party or any other Subsidiary under or in respect of any Specified Derivatives Contract, whether direct or indirect, absolute or contingent, due or not due, liquidated or unliquidated, and whether or not evidenced by any written confirmation. “Specified Derivatives Provider” means any Person that (a) at the time it enters into a Specified Derivatives Contract with a Loan Party, is a Lender or an Affiliate of a Lender or (b) at the time it (or its Affiliate) becomes a Lender or the Administrative Agent (including on the Effective Date), is a party to a Specified Derivatives Contract with a Loan Party, in each case in its capacity as a party to such Specified Derivatives Contract. “S&P” means S&P Global Ratings, a business unit of Standard & Poor’s Financial Services LLC business, or any successor. “Stated Amount” means the amount available to be drawn by a beneficiary under a Letter of Credit from time to time, as such amount may be increased or reduced from time to time in accordance with the terms of such Letter of Credit; provided, however, that with respect to any Letter of Credit that, by its terms or the terms of any Letter of Credit Document related thereto, provides for one or more automatic increases in the stated amount thereof, the amount of such Letter of Credit shall be deemed to be the amount of the maximum stated amount of such Letter of Credit after giving effect to all such increases, whether or not such maximum stated amount is in effect at such time. “Subsidiary” means, for any Person, any corporation, partnership, limited liability company or other entity of which at least a majority of the Equity Interests having by the terms thereof ordinary voting power to elect a majority of the board of directors or other individuals performing similar functions of such corporation, partnership, limited liability company or other entity (without regard to the occurrence of any contingency) is at the time directly or indirectly owned or controlled by such Person or one or more Subsidiaries of such Person or by such Person and one or more Subsidiaries of such Person, and shall include all Persons the accounts of which are consolidated with those of such Person pursuant to GAAP. “Sustainability Grid Notice” has the meaning given such term in the definition of “Applicable Margin”. “Sustainability Metric” means, collectively, for any fiscal year, the total number of water conserving “smart” water submeters installed as a replacement to a traditional water submeter on an existing water line, as a percentage of the total water submeters eligible for replacement as of the Agreement Date at all Properties owned by Borrower and/or the Borrower’s Subsidiaries. “Sustainability Metric Threshold Percentage” means the Sustainability Metric specified in the table below for the applicable fiscal year: - 34 - LEGAL02\42427047.v4


 
- 35 - LEGAL02\42427047.v4 January 1 through December 31, 2022 January 1 through December 31, 2020 2020 Baseline plus 18% Fiscal Year 2020 Baseline January 1 through December 31, 2023 2020 Baseline plus 27% Sustainability Metric Threshold Percentage January 1 through December 31, 2024 January 1 through December 31, 2021 2020 Baseline plus 36% 2020 Baseline plus 9% January 1, 2025 through Revolving Termination Date 2020 Baseline plus 45% “Swap Obligation” means, with respect to the Guarantor, any obligation to pay or perform under any agreement, contract or transaction that constitutes a “swap” within the meaning of Section 1a(47) of the Commodity Exchange Act. “Synthetic Debt” means, with respect to any Person as of any date of determination thereof, all obligations of such Person in respect of transactions entered into by such Person that are intended to function primarily as a borrowing of funds (including any minority interest transactions that function primarily as a borrowing) but are not otherwise included in the definition of “Indebtedness” or as a liability on the consolidated balance sheet of such Person and its Subsidiaries in accordance with GAAP. “Synthetic Lease Obligation” means the monetary obligation of a Person under (a) a so-called synthetic, off-balance sheet or tax retention lease, or (b) an agreement for the use or possession of property (including sale and leaseback transactions), in each case, creating obligations that do not appear on the balance sheet of such Person but which, upon the application of any Debtor Relief Laws to such Person, would be characterized as the indebtedness of such Person (without regard to accounting treatment). “Taxes” means all present or future taxes, levies, imposts, duties, deductions, withholdings (including backup withholding), assessments, fees or other charges imposed by any Governmental Authority, including any interest, additions to tax or penalties applicable thereto. “Term Loan” means a loan made by a Term Loan Lender to the Borrower pursuant to Section 2.2.(a) and any Additional Term Loans made pursuant to Section 2.16. “Term Loan Commitment” means, as to each Term Loan Lender on the Effective Date, such Lender’s obligation to make Term Loans pursuant to Section 2.2.(a), in an amount up to, but not exceeding the amount set forth for such Lender on Schedule I as such Lender’s “Term Loan Commitment”. “Term Loan Lender” means, on the Effective Date, a Lender holding a Term Loan Commitment and, after the Effective Date, means a Lender holding Term Loans. “Term Loan Termination Date” means April 17, 2026. “Term Note” means a promissory note of the Borrower substantially in the form of Exhibit L, payable to the order of a Term Loan Lender in a principal amount equal to the amount of such Term Loan Lender’s Term Loan. “Term SOFR” means, for any calculation, the Term SOFR Reference Rate for a tenor comparable to the applicable Interest Period on the day (such day, the “Term SOFR Determination Day”) that is two (2) U.S. Government Securities Business Days prior to the first day of such Interest Period, as such rate is published by the Term SOFR Administrator; provided, however, that if as of 5:00 p.m.


 
(Eastern time) on any Term SOFR Determination Day the Term SOFR Reference Rate for the applicable tenor has not been published by the Term SOFR Administrator and a Benchmark Replacement Date with respect to the Term SOFR Reference Rate has not occurred, then Term SOFR will be the Term SOFR Reference Rate for such tenor as published by the Term SOFR Administrator on the first preceding U.S. Government Securities Business Day for which such Term SOFR Reference Rate for such tenor was published by the Term SOFR Administrator so long as such first preceding U.S. Government Securities Business Day is not more than three (3) U.S. Government Securities Business Days prior to such Term SOFR Determination Day. “Term SOFR Administrator” means CME Group Benchmark Administration Limited (CBA) (or a successor administrator of the Term SOFR Reference Rate selected by the Administrative Agent in its reasonable discretion). “Term SOFR Loan” means any Loan bearing interest at a rate based on Adjusted Term SOFR. “Term SOFR” means, for the applicable Corresponding Tenor as of the applicable Reference Time, Reference Rate” means the forward-looking term rate based on SOFR that has been selected or recommended by the Relevant Governmental Body. “Term SOFR Notice” means a notification by the Administrative Agent to the Lenders and the Borrower of the occurrence of a Term SOFR Transition Event. “Term SOFR Transition Event” means the determination by the Administrative Agent that (a) Term SOFR has been recommended for use by the Relevant Governmental Body, (b) the administration of Term SOFR is administratively feasible for the Administrative Agent and (c) a Benchmark Transition Event or an Early Opt-in Election, as applicable, has previously occurred resulting in the replacement of the then-current Benchmark for all purposes hereunder and under any Loan Document in accordance with Section 4.2.(b) with a Benchmark Replacement the Unadjusted Benchmark Replacement component of which is not Term SOFR. “Termination Date” means (a) with respect to the Revolving Loans and Revolving Commitments, the Revolving Termination Date and (b) with respect to the Term Loans, the Term Loan Termination Date. “Titled Agent” has the meaning given that term in Section 11.9. “Total Asset Value” means, as of any date of determination and without duplication, the sum of (a)(i)(x) Net Operating Income attributable to Properties owned by the Borrower or any of its Subsidiaries for any period of 12 consecutive calendar months ending during the term of this Agreement plus (y) the Parent’s Ownership Share of Net Operating Income attributable to Properties owned by Unconsolidated Affiliates for such period, divided by (ii) the Capitalization Rate, plus (b) the purchase price paid by the Borrower, any of its Subsidiaries or any of its Unconsolidated Affiliates (less any amounts paid to the Borrower, such Subsidiary or such Unconsolidated Affiliate as a purchase price adjustment, held in escrow, retained as a contingency reserve, or in connection with other similar arrangements) for any Property acquired by the Borrower, such Subsidiary or such Unconsolidated Affiliate during any such period of 12 consecutive calendar months, limited in the case of an Unconsolidated Affiliate, to the Parent’s Ownership Share of the amounts referred to in this clause (b), plus (c) the value of all unrestricted cash and Cash Equivalents then owned by the Parent, the Borrower and their respective Subsidiaries plus (d) Manufactured Home Inventory Value of the Parent, the Borrower and their respective Subsidiaries, at such time, plus (e) the GAAP book value of all Mezzanine Debt Investments, Mortgage Receivables and other notes receivable (i) for which payments by the obligor thereof are not more than 90 days past due and (ii) the obligor of which is not subject to any proceeding of the types described in Section 10.1.(e) or 10.1.(f), plus (f) the GAAP book value of - 36 - LEGAL02\42427047.v4


 
Development Activity and Unimproved Land then owned by the Parent, the Borrower and their respective Subsidiaries, plus (g) the Parent’s Ownership Share of the foregoing items described in clauses (c), (d), (e) and (f) of its Unconsolidated Affiliates; provided, however, that to the extent that the amount of Total Asset Value attributable to (i) Properties that are not Designated Use Properties, (ii) Unimproved Land, (iii) Development Activity, (iv) Mezzanine Debt Investments, Mortgage Receivables and other notes receivable, and (v) Investments in Unconsolidated Affiliates and in Subsidiaries that are not Wholly Owned Subsidiaries, in the aggregate would exceed 20% of Total Asset Value, such excess shall be excluded. Net Operating Income attributable to Properties acquired or disposed of by the Borrower or any of its Subsidiaries or Unconsolidated Affiliates during any applicable period of 12 consecutive calendar months shall be excluded when determining Net Operating Income for purposes of the immediately preceding clause (a). “Total Indebtedness” means all Indebtedness of the Parent and its Subsidiaries, determined on a consolidated basis, plus the Parent’s Ownership Share of all Indebtedness of its Unconsolidated Affiliates. “Trade Date” has the meaning given that term in Section 12.5.(h). “Type” with respect to any Loan, refers to whether such Loan (or portion thereof) is a LIBORTerm SOFR Loan, a Daily Simple SOFR Loan or a Base Rate Loan. “UK Financial Institution” means any BRRD Undertaking (as such term is defined under the PRA Rulebook (as amended form time to time) promulgated by the United Kingdom Prudential Regulation Authority) or any person falling within IFPRU 11.6 of the FCA Handbook (as amended from time to time) promulgated by the United Kingdom Financial Conduct Authority, which includes certain credit institutions and investment firms, and certain affiliates of such credit institutions or investment firms. “UK Resolution Authority” means the Bank of England or any other public administrative authority having responsibility for the resolution of any UK Financial Institution. “Unadjusted Benchmark Replacement” means the applicable Benchmark Replacement excluding the related Benchmark Replacement Adjustment. “Unconsolidated Affiliate” means, with respect to any Person, any other Person in whom such Person holds an Investment, which Investment is accounted for in the financial statements of such Person on an equity basis of accounting and whose financial results would not be consolidated under GAAP with the financial results of such Person on the consolidated financial statements of such Person. “Unencumbered Net Operating Income” means for any period, Net Operating Income for such period from each Qualifying Unencumbered Property. Notwithstanding the foregoing, for purposes of determining Unencumbered Net Operating Income, (i) to the extent the amount of the Net Operating Income attributable to Qualifying Unencumbered Properties located in Canada and Mexico exceeds 20% of Unencumbered Net Operating Income, such excess shall be excluded, (ii) to the extent the amount of the Net Operating Income attributable to Qualifying Unencumbered Properties owned pursuant to a Qualifying Ground Lease exceeds 5% of Unencumbered Net Operating Income, such excess shall be excluded and (iii) to the extent the amount of the Net Operating Income attributable to Qualifying Unencumbered Properties owned by Subsidiaries other than Wholly-Owned Subsidiaries exceeds 5% of Unencumbered Net Operating Income, such excess shall be excluded. - 37 - LEGAL02\42427047.v4


 
“Unimproved Land” means, as of any date, land on which no development (other than improvements that are not material and that are temporary in nature) has occurred and for which no development is scheduled in the 12 months following such date. “Unsecured Debt” means, as of any date of determination and without duplication, all Indebtedness of the Parent, the Borrower or any Wholly Owned Subsidiary, which is not Secured Debt, but in any event shall exclude (a) all accounts payable of the Parent, the Borrower or any Wholly Owned Subsidiary incurred in the ordinary course of business, (b) all advance rents received and (c) all accrued interest payable. “Unsecured Interest Expense” means Interest Expense payable in respect of Unsecured Debt. “USD LIBOR” means the London interbank offered rate for Dollars. “U.S. Government Securities Business Day” means any day except for (a) a Saturday, (b) a Sunday or (c) a day on which the Securities Industry and Financial Markets Association recommends that the fixed income departments of its members be closed for the entire day for purposes of trading in United States government securities; provided, that for purposes of notice requirements in Sections 2.1.(b), 2.8., 2.9. and 2.10., in each case, such day is also a Business Day. “U.S. Person” means any Person that is a “United States Person” as defined in Section 7701(a)(30) of the Internal Revenue Code. “U.S. Tax Compliance Certificate” has the meaning assigned to such term in Section 3.10.(g)(ii)(B)(III). “Wells Fargo” means Wells Fargo Bank, National Association, and its successors and assigns. “Wholly Owned Subsidiary” means any Subsidiary of a Person in respect of which all of the Equity Interests (other than, in the case of a corporation, directors’ qualifying shares) are at the time directly or indirectly owned or controlled by such Person or one or more other Subsidiaries of such Person or by such Person and one or more other Subsidiaries of such Person. “Withdrawal Liability” means any liability as a result of a complete or partial withdrawal from a Multiemployer Plan as such terms are defined in Part I of Subtitle E of Title IV of ERISA. “Withholding Agent” means (a) the Borrower, (b) any other Loan Party and (c) the Administrative Agent, as applicable. “Write-Down and Conversion Powers” means, (a) with respect to any EEA Resolution Authority, the write-down and conversion powers of such EEA Resolution Authority from time to time under the Bail-In Legislation for the applicable EEA Member Country, which write-down and conversion powers are described in the EU Bail-In Legislation Schedule, and (b) with respect to the United Kingdom, any powers of the applicable Resolution Authority under the Bail-In Legislation to cancel, reduce, modify or change the form of a liability of any UK Financial Institution or any contract or instrument under which that liability arises, to convert all or part of that liability into shares, securities or obligations of that person or any other person, to provide that any such contract or instrument is to have effect as if a right had been exercised under it or to suspend any obligation in respect of that liability or any of the powers under that Bail-In Legislation that are related to or ancillary to any of those powers. - 38 - LEGAL02\42427047.v4


 
Section 1.2. General; References to Central time. Unless otherwise indicated, all accounting terms, ratios and measurements shall be interpreted or determined in accordance with GAAP as in effect from time to time; provided that, if at any time any change in GAAP would affect the computation of any financial ratio or requirement (including in any affirmative or negative covenant) set forth in any Loan Document, and either the Borrower or the Requisite Lenders shall so request, the Administrative Agent, the Lenders and the Borrower shall negotiate in good faith to amend such ratio or requirement to preserve the original intent thereof in light of such change in GAAP (subject to the approval of the appropriate Lenders required under Section 12.6.); provided further that, until so amended, (i) such ratio or requirement shall continue to be computed in accordance with GAAP prior to such change therein and (ii) the Parent shall provide to the Administrative Agent and the Lenders financial statements and other documents required under this Agreement or as reasonably requested hereunder setting forth a reconciliation between calculations of such ratio or requirement made before and after giving effect to such change in GAAP. Notwithstanding the preceding sentence, (i) the calculation of liabilities shall not include any fair value adjustments to the carrying value of liabilities to record such liabilities at fair value pursuant to electing the fair value option election under FASB ASC 825-10-25 (formerly known as FAS 159, The Fair Value Option for Financial Assets and Financial Liabilities) or other FASB standards allowing entities to elect fair value option for financial liabilities, and the effects of FAS 141(R) in respect of fees and expenses in connection with a business combination shall be disregarded and (ii) all accounting terms, ratios and calculations shall be determined without giving effect to Accounting Standards Codification 842 (or any other Accounting Standards Codification or Financial Accounting Standard having a similar result or effect) (and related interpretations) to the extent any lease (or similar arrangement conveying the right to use) would be required to be treated as a capital lease thereunder where such lease (or similar arrangement) would have been treated as an operating lease under GAAP as in effect immediately prior to the effectiveness of the Accounting Standards Codification 842, provided that the Borrower shall provide to the Administrative Agent and the Lenders financial statements and other documents reasonably requested by the Administrative Agent and the Lenders setting forth a reconciliation between calculations of such ratio or requirement made in accordance with GAAP and made without giving effect to Account Standards Codification 842. References in this Agreement to “Sections”, “Articles”, “Exhibits” and “Schedules” are to sections, articles, exhibits and schedules herein and hereto unless otherwise indicated. References in this Agreement to any document, instrument or agreement (a) shall include all exhibits, schedules and other attachments thereto, (b) shall include all documents, instruments or agreements issued or executed in replacement thereof, to the extent permitted hereby and (c) shall mean such document, instrument or agreement, or replacement or predecessor thereto, as amended, supplemented, restated or otherwise modified from time to time to the extent not otherwise stated herein or prohibited hereby and in effect at any given time. Wherever from the context it appears appropriate, each term stated in either the singular or plural shall include the singular and plural, and pronouns stated in the masculine, feminine or neuter gender shall include the masculine, the feminine and the neuter. Except as expressly provided otherwise in any Loan Document, (i) any reference to any law shall include all statutory and regulatory provisions consolidating, amending, replacing, supplementing or interpreting such law and any reference to any law or regulation shall, unless otherwise specified, refer to such law or regulation as amended, modified, extended, restated, replaced or supplemented from time to time and (ii) any reference to any Person shall be construed to include such Person’s permitted successors and permitted assigns. Unless explicitly set forth to the contrary, a reference to “Subsidiary” means a Subsidiary of the Parent or a Subsidiary of such Subsidiary and a reference to an “Affiliate” means a reference to an Affiliate of the Borrower. Titles and captions of Articles, Sections, subsections and clauses in this Agreement are for convenience only, and neither limit nor amplify the provisions of this Agreement. Unless otherwise indicated, all references to time are references to Central time, daylight or standard, as applicable. Any financial ratios required to be maintained by the Borrower pursuant to this Agreement shall be calculated by dividing the appropriate component by the other component, carrying the result to one place more than the number of places by - 39 - LEGAL02\42427047.v4


 
which such ratio is expressed herein and rounding the result up or down to the nearest number (with a rounding-up if there is no nearest number). Section 1.3. Financial Attributes of Non-Wholly Owned Subsidiaries. Except as otherwise expressly provided herein, when determining compliance by the Parent or the Borrower with any financial covenant contained in any of the Loan Documents (a) only the Ownership Share of the Parent or the Borrower, as applicable, of the financial attributes of a Subsidiary that is not a Wholly Owned Subsidiary shall be included and (b) the Parent’s Ownership Share of the Borrower shall be deemed to be 100.0%. Section 1.4. Rates. The interest rate on LIBOR Loans and Base Rate Loans (when determined by reference to clause (c) of the definition of Base Rate) may be determined by reference to LIBOR, which is derived from the London interbank offered rate. The London interbank offered rate is intended to represent the rate at which contributing banks may obtain short-term borrowings from each other in the London interbank market. On March 5, 2021, ICE Benchmark Administration (“IBA”), the administrator of the London interbank offered rate, and the Financial Conduct Authority (the “FCA”), the regulatory supervisor of IBA, announced in public statements (the “Announcements”) that the final publication or representativeness date for the London interbank offered rate for Dollars for: (a) 1-week and 2-month tenor settings will be December 31, 2021 and (b) overnight, 1-month, 3-month, 6-month and 12-month tenor settings will be June 30, 2023. No successor administrator for IBA was identified in such Announcements. As a result, it is possible that commencing immediately after such dates, the London interbank offered rate for such tenors may no longer be available or may no longer be deemed a representative reference rate upon which to determine the interest rate on LIBOR Loans or Base Rate Loans (when determined by reference to clause (c) of the definition of Base Rate). There is no assurance that the dates set forth in the Announcements will not change or that IBA or the FCA will not take further action that could impact the availability, composition or characteristics of any London interbank offered rate. Public and private sector industry initiatives have been and continue, as of the date hereof, to be underway to implement new or alternative reference rates to be used in place of the London interbank offered rate. In the event that the London interbank offered rate or any other then-current Benchmark is no longer available or in certain other circumstances set forth in Section 4.2.(b), such Section 4.2.(b) provides a mechanism for determining an alternative rate of interest. The Administrative Agent will notify the Borrower, pursuant to Section 4.2.(b), of any change to the reference rate upon which the interest rate on LIBOR Loans and Base Rate Loans (when determined by reference to clause (c) of the definition of Base Rate) is based. However, the Administrative Agent does not warrant or accept any responsibility for, and shall not have any liability with respect to, (ia) the continuation of, administration of, submission of, calculation of or any other matter related to the London interbank offered rate or otherAdjusted Daily Simple SOFR, SOFR, the Term SOFR Reference Rate, Adjusted Term SOFR or Term SOFR, or any component definition thereof or rates referred to in the definition of “LIBOR” orthereof, or with respect to any alternative, comparable or successor rate thereto, or replacement rate thereofthereto (including any then-current Benchmark or any Benchmark Replacement), including whether the composition or characteristics of any such alternative, successor or replacement reference rate (including any Benchmark Replacement), as it may or may not be adjusted pursuant to Section 4.2.(b), will be similar to, or produce the same value or economic equivalence of, LIBOR or any other Benchmark, or have the same volume or liquidity as did the London interbank offered rate or any other, Adjusted Daily Simple SOFR, SOFR, the Term SOFR Reference Rate, Adjusted Term SOFR, Term SOFR or any other Benchmark prior to its discontinuance or unavailability, or (iib) the effect, implementation or composition of any Benchmark Replacement Conforming Changes. The Administrative Agent and its Affiliates or other related entities may engage in transactions that affect the - 40 - LEGAL02\42427047.v4


 
calculation of Adjusted Daily Simple SOFR, SOFR, the Term SOFR Reference Rate, Adjusted Term SOFR, or Term SOFR, any alternative, successor or replacement rate (including any Benchmark Replacement) or any relevant adjustments thereto and such transactions may be adverse to the Borrower. The Administrative Agent may select information sources or services in its reasonable discretion to ascertain Adjusted Daily Simple SOFR, SOFR, the Term SOFR Reference Rate, Adjusted Term SOFR or Term SOFR, or any other Benchmark, any component definition thereof or rates referred to in the definition thereof, in each case pursuant to the terms of this Agreement, and shall have no liability to the Borrower, any Lender or any other person or entity for damages of any kind, including direct or indirect, special, punitive, incidental or consequential damages, costs, losses or expenses (whether in tort, contract or otherwise and whether at law or in equity), for any error or calculation of any such rate (or component thereof) provided by any such information source or service. Section 1.5. Divisions. For all purposes under the Loan Documents, in connection with any division or plan of division under Delaware law (or any comparable event under a different jurisdiction’s laws): (a) if any asset, right, obligation or liability of any Person becomes the asset, right, obligation or liability of a different Person, then it shall be deemed to have been transferred from the original Person to the subsequent Person, and (b) if any new Person comes into existence, such new Person shall be deemed to have been organized on the first date of its existence by the holders of its equity interests at such time. ARTICLE II. CREDIT FACILITY Section 2.1. Revolving Loans. (a) Making of Revolving Loans. Subject to the terms and conditions set forth in this Agreement, including without limitation, Section 2.15., each Revolving Lender severally and not jointly agrees to make Revolving Loans in Dollars to the Borrower during the period from and including the Effective Date to but excluding the Revolving Termination Date, in an aggregate principal amount at any one time outstanding up to, but not exceeding, such Lender’s Revolving Commitment. Each borrowing of Revolving Loans shall be in an aggregate minimum amount of $1,000,000 and integral multiples of $100,000 in excess thereof. Notwithstanding the immediately preceding sentence but subject to Section 2.15., a borrowing of Revolving Loans may be in the aggregate amount of the unused Revolving Commitments. Within the foregoing limits and subject to the terms and conditions of this Agreement, the Borrower may borrow, repay and reborrow Revolving Loans. (b) Requests for Revolving Loans. Not later than (i) 12:00 p.m. Central time at least 1 Business Day prior to a borrowing of Revolving Loans that are to be Base Rate Loans (or Daily Simple SOFR Loans (in each case other than any Same-Day Borrowing), (ii) not later than 12:00 p.m. Central time at least 3 U.S. Government Securities Business Days prior to a borrowing of Revolving Loans that are to be LIBORTerm SOFR Loans (other than any Same-Day Borrowing) and (iii) 10:00 a.m. Central time on the date of any borrowing of Revolving Loans that are to be Same-Day Borrowings, the Borrower shall deliver to the Administrative Agent a Notice of Revolving Borrowing. Each Notice of Revolving Borrowing shall specify the aggregate principal amount of the Revolving Loans to be borrowed, the date such Revolving Loans are to be borrowed (which must be a Business Day), the use of the proceeds of such Revolving Loans, the Type of the requested Revolving Loans, whether such Revolving Loans are to be Same-Day Borrowings, and if such Revolving Loans are to be LIBORTerm SOFR Loans, the initial Interest Period for such Revolving Loans. Each Notice of Revolving Borrowing shall be irrevocable once given and binding on the Borrower. Prior to delivering a Notice of Revolving Borrowing, the Borrower may (without specifying whether a Revolving Loan will be a Base Rate Loan, a Term SOFR Loan or a LIBORDaily Simple SOFR Loan) request that the Administrative Agent provide - 41 - LEGAL02\42427047.v4


 
the Borrower with the most recent LIBORAdjusted Term SOFR or Adjusted Daily Simple SOFR available to the Administrative Agent. The Administrative Agent shall provide such quoted rate to the Borrower on the date of such request or as soon as possible thereafter. If the Borrower requests a borrowing of a Term SOFR Loan in any such Notice of Borrowing, but fails to specify an Interest Period, it will be deemed to have specified an Interest Period of one month. (c) Funding of Revolving Loans. Promptly after receipt of a Notice of Revolving Borrowing under the immediately preceding subsection (b), the Administrative Agent shall notify each Revolving Lender of the proposed borrowing. Each Revolving Lender shall deposit an amount equal to the Revolving Loan to be made by such Lender to the Borrower with the Administrative Agent at the Principal Office, in immediately available funds not later than (i) in the case of a Same-Day Borrowing or, 12:00 p.m. Central time on the date of such proposed Revolving Loans; and (ii) in the case of a non-Same-Day Borrowing, 11:00 a.m. Central time on the date specified in the applicable Notice of Revolving Borrowing. Subject to fulfillment of all applicable conditions set forth herein, the Administrative Agent shall make available to the Borrower in the account specified in the Disbursement Instruction Agreement, not later than (i) in the case of a Same-Day Borrowing, 2:00 p.m. Central time on the date of the requested borrowing of Revolving Loans; and (ii) in the case of a non-Same-Day Borrowing, 12:00 p.m. Central time on the Business Day specified in the applicable Notice of Revolving Borrowing, the proceeds of such amounts received by the Administrative Agent. (d) Assumptions Regarding Funding by Revolving Lenders. With respect to Revolving Loans to be made after the Effective Date, unless the Administrative Agent shall have been notified by any Revolving Lender that such Lender will not make available to the Administrative Agent a Revolving Loan to be made by such Lender in connection with any borrowing, the Administrative Agent may assume that such Lender will make the proceeds of such Revolving Loan available to the Administrative Agent in accordance with this Section, and the Administrative Agent may (but shall not be obligated to), in reliance upon such assumption, make available to the Borrower the amount of such Revolving Loan to be provided by such Lender. In such event, if such Lender does not make available to the Administrative Agent the proceeds of such Revolving Loan, then such Lender and the Borrower severally agree to pay to the Administrative Agent on demand the amount of such Revolving Loan with interest thereon, for each day from and including the date such Revolving Loan is made available to the Borrower but excluding the date of payment to the Administrative Agent, at (i) in the case of a payment to be made by such Lender, the greater of the Federal Funds Rate and a rate determined by the Administrative Agent in accordance with banking industry rules on interbank compensation and (ii) in the case of a payment to be made by the Borrower, the interest rate applicable to Base Rate Loans. If the Borrower and such Lender shall pay the amount of such interest to the Administrative Agent for the same or overlapping period, the Administrative Agent shall promptly remit to the Borrower the amount of such interest paid by the Borrower for such period. If such Lender pays to the Administrative Agent the amount of such Revolving Loan, the amount so paid shall constitute such Lender’s Revolving Loan included in the borrowing. Any payment by the Borrower shall be without prejudice to any claim the Borrower may have against a Revolving Lender that shall have failed to make available the proceeds of a Revolving Loan to be made by such Lender. Section 2.2. Term Loans. (a) Making of Term Loans. Subject to the terms and conditions hereof, on the Effective Date, each Lender severally and not jointly agrees to make Term Loans to the Borrower in the aggregate principal amount equal to the amount of such Lender’s Term Loan Commitment. Upon funding of the Term Loans, the Term Loan Commitments shall terminate. - 42 - LEGAL02\42427047.v4


 
(b) Requests for Loans. Not later than 10:00 a.m. Central time on the Business Day immediately preceding the anticipated Effective Date, the Borrower shall give the Administrative Agent a Notice of Term Borrowing. Such notice shall be irrevocable once given and binding on the Borrower. (c) Funding of Loans. Subject to fulfillment of all applicable conditions set forth herein, the Administrative Agent shall make available to the Borrower in the account specified in the Disbursement Instruction Agreement, not later than 10:00 a.m. Central time on the Effective Date, the proceeds of such amounts received by the Administrative Agent. The Borrower may not reborrow any portion of the Term Loans once repaid. Section 2.3. Letters of Credit. (a) Letters of Credit. Subject to the terms and conditions of this Agreement, including without limitation, Section 2.15., each Issuing Bank, on behalf of the Revolving Lenders, agrees to issue for the account of the Borrower during the period from and including the Effective Date to, but excluding, the date 30 days prior to the Revolving Termination Date, one or more standby letters of credit (each a “Letter of Credit”) up to a maximum aggregate Stated Amount at any one time outstanding not to exceed $50,000,000 as such amount may be reduced from time to time in accordance with the terms hereof (the “L/C Commitment Amount”); provided, that the aggregate Stated Amount of outstanding Letters of Credit issued by an Issuing Bank shall not exceed 50% of the L/C Commitment Amount at any time. (b) Terms of Letters of Credit. At the time of issuance, the amount, form, terms and conditions of each Letter of Credit, and of any drafts or acceptances thereunder, shall be subject to approval by the applicable Issuing Bank and the Borrower. Notwithstanding the foregoing, in no event may (i) the expiration date of any Letter of Credit extend beyond the date that is 10 days prior to the Revolving Termination Date, or (ii) any Letter of Credit have an initial duration in excess of one year; provided, however, a Letter of Credit may contain a provision providing for the automatic extension of the expiration date in the absence of a notice of non-renewal from the applicable Issuing Bank but in no event shall any such provision permit the extension of the expiration date of such Letter of Credit beyond the date that is 10 days prior to the Revolving Termination Date. Notwithstanding the foregoing, a Letter of Credit may, as a result of its express terms or as the result of the effect of an automatic extension provision, have an expiration date of not more than one year beyond the Revolving Termination Date (any such Letter of Credit being referred to as an “Extended Letter of Credit”), so long as the Borrower delivers to the Administrative Agent for its benefit and the benefit of the Issuing Bank and the Revolving Lenders no later than 30 days prior to the Revolving Termination Date, Cash Collateral for such Letter of Credit for deposit into the Letter of Credit Collateral Account in an amount equal to the Stated Amount of such Letter of Credit; provided, that the obligations of the Borrower under this Section in respect of such Extended Letters of Credit shall survive the termination of this Agreement and shall remain in effect until no such Extended Letters of Credit remain outstanding. If the Borrower fails to provide Cash Collateral with respect to any Extended Letter of Credit by the date 30 days prior to the Revolving Termination Date, such failure shall be treated as a drawing under such Extended Letter of Credit (in an amount equal to the maximum Stated Amount of such Letter of Credit), which shall be reimbursed (or participations therein funded) by the Revolving Lenders in accordance with the immediately following subsections (i) and (j), with the proceeds being utilized to provide Cash Collateral for such Letter of Credit. The initial Stated Amount of each Letter of Credit shall be at least $50,000 (or such lesser amount as the applicable Issuing Bank, the Administrative Agent and the Borrower may agree). (c) Requests for Issuance of Letters of Credit. The Borrower shall give the applicable Issuing Bank and the Administrative Agent written notice at least 5 Business Days prior to the requested date of issuance of a Letter of Credit, such notice to describe in reasonable detail the proposed terms of - 43 - LEGAL02\42427047.v4


 
such Letter of Credit and the nature of the transactions or obligations proposed to be supported by such Letter of Credit, and in any event shall set forth with respect to such Letter of Credit the proposed (i) initial Stated Amount, (ii) beneficiary, and (iii) expiration date. The Borrower shall also execute and deliver such customary applications and agreements for standby letters of credit, and other forms as requested from time to time by the applicable Issuing Bank. Provided the Borrower has given the notice prescribed by the first sentence of this subsection and delivered such applications and agreements referred to in the preceding sentence, subject to the other terms and conditions of this Agreement, including the satisfaction of any applicable conditions precedent set forth in Section 5.2., the applicable Issuing Bank shall issue the requested Letter of Credit on the requested date of issuance for the benefit of the stipulated beneficiary but in no event prior to the date 5 Business Days following the date after which the applicable Issuing Bank has received all of the items required to be delivered to it under this subsection. An Issuing Bank shall not at any time be obligated to issue any Letter of Credit if such issuance would conflict with, or cause the Administrative Agent, the applicable Issuing Bank or any Revolving Lender to exceed any limits imposed by, any Applicable Law. References herein to “issue” and derivations thereof with respect to Letters of Credit shall also include extensions or modifications of any outstanding Letters of Credit, unless the context otherwise requires. Upon the written request of the Borrower, the applicable Issuing Bank shall deliver to the Borrower a copy of each issued Letter of Credit within a reasonable time after the date of issuance thereof. To the extent any term of a Letter of Credit Document is inconsistent with a term of any Loan Document, the term of such Loan Document shall control. (d) Reimbursement Obligations. Upon receipt by an Issuing Bank from the beneficiary of a Letter of Credit issued by such Issuing Bank of any demand for payment under such Letter of Credit, such Issuing Bank shall promptly notify the Borrower and the Administrative Agent of the amount to be paid by such Issuing Bank as a result of such demand and the date on which payment is to be made by such Issuing Bank to such beneficiary in respect of such demand; provided, however, that an Issuing Bank’s failure to give, or delay in giving, such notice shall not discharge the Borrower in any respect from the applicable Reimbursement Obligation. The Borrower hereby absolutely, unconditionally and irrevocably agrees to pay and reimburse each Issuing Bank for the amount of each payment under each Letter of Credit issued by such Issuing Bank in accordance with clause (e) below, without presentment, demand, protest or other formalities of any kind. Upon receipt by an Issuing Bank of any payment in respect of any Reimbursement Obligation, such Issuing Bank shall promptly pay to the Administrative Agent for the account of each Revolving Lender that has acquired a participation therein under the second sentence of the immediately following subsection (i) such Lender’s Revolving Commitment Percentage of such payment. (e) Manner of Reimbursement. Upon receipt by an Issuing Bank from the beneficiary of a Letter of Credit of any demand for payment under such Letter of Credit, then (i) if the applicable conditions contained in Article V. would permit the making of Revolving Loans, the Borrower shall be deemed to have requested a borrowing of Revolving Loans (which shall be Base Rate Loans) in an amount equal to the unpaid Reimbursement Obligation and the Administrative Agent shall give each Revolving Lender prompt notice of the amount of the Revolving Loan to be made available to the Administrative Agent not later than 12:00 noon Central time on the Business Day immediately following the date that the Administrative Agent receives such notice from the applicable Issuing Bank and (ii) if such conditions would not permit the making of Revolving Loans, the provisions of subsection (j) of this Section shall apply. The limitations set forth in the second sentence of Section 2.1.(a) shall not apply to any borrowing of Base Rate Loans under this subsection. (f) Effect of Letters of Credit on Revolving Commitments. Upon the issuance by an Issuing Bank of any Letter of Credit and until such Letter of Credit shall have expired or been cancelled, the Revolving Commitment of each Revolving Lender shall be deemed to be utilized for all purposes of this - 44 - LEGAL02\42427047.v4


 
Agreement in an amount equal to the product of (i) such Lender’s Revolving Commitment Percentage and (ii) the sum of (A) the Stated Amount of such Letter of Credit plus (B) without duplication, any related Reimbursement Obligations then outstanding. (g) Issuing Banks’ Duties Regarding Letters of Credit; Unconditional Nature of Reimbursement Obligations. In examining documents presented in connection with drawings under Letters of Credit and making payments under Letters of Credit issued by an Issuing Bank against such documents, such Issuing Bank shall only be required to use the same standard of care as it uses in connection with examining documents presented in connection with drawings under letters of credit in which it has not sold participations and making payments under such letters of credit. The Borrower assumes all risks of the acts and omissions of, or misuse of the Letters of Credit by, the respective beneficiaries of such Letters of Credit. In furtherance and not in limitation of the foregoing, none of the Issuing Banks, the Administrative Agent or any of the Lenders shall be responsible for, and the Borrower’s obligations in respect of Letters of Credit shall not be affected in any manner by (i) the form, validity, sufficiency, accuracy, genuineness or legal effects of any document submitted by any party in connection with the application for and issuance of or any drawing honored under any Letter of Credit even if such document should in fact prove to be in any or all respects invalid, insufficient, inaccurate, fraudulent or forged; (ii) the validity or sufficiency of any instrument transferring or assigning or purporting to transfer or assign any Letter of Credit, or the rights or benefits thereunder or proceeds thereof, in whole or in part, which may prove to be invalid or ineffective for any reason; (iii) failure of the beneficiary of any Letter of Credit to comply fully with conditions required in order to draw upon such Letter of Credit; (iv) errors, omissions, interruptions or delays in transmission or delivery of any messages, by mail, cable, facsimile, electronic mail, telecopy or otherwise, whether or not they be in cipher; (v) errors in interpretation of technical terms; (vi) any loss or delay in the transmission or otherwise of any document required in order to make a drawing under any Letter of Credit, or of the proceeds thereof; (vii) the misapplication by the beneficiary of any Letter of Credit, or of the proceeds of any drawing under any Letter of Credit; or (viii) any consequences arising from causes beyond the control of the Issuing Banks, the Administrative Agent or the Lenders. None of the above shall affect, impair or prevent the vesting of any of an Issuing Bank’s or Administrative Agent’s rights or powers hereunder. Any action taken or omitted to be taken by an Issuing Bank under or in connection with any Letter of Credit issued by such Issuing Bank, if taken or omitted in the absence of gross negligence or willful misconduct (as determined by a court of competent jurisdiction in a final, non-appealable judgment), shall not create against such Issuing Bank any liability to the Borrower, the Administrative Agent or any Lender. In this connection, the obligation of the Borrower to reimburse an Issuing Bank for any drawing made under any Letter of Credit issued by such Issuing Bank, and to repay any Revolving Loan made pursuant to the second sentence of the immediately preceding subsection (e), shall be absolute, unconditional and irrevocable and shall be paid strictly in accordance with the terms of this Agreement and any other applicable Letter of Credit Document under all circumstances whatsoever, including without limitation, the following circumstances: (A) any lack of validity or enforceability of any Letter of Credit Document or any term or provisions therein; (B) any amendment or waiver of or any consent to departure from all or any of the Letter of Credit Documents; (C) the existence of any claim, setoff, defense or other right which the Borrower may have at any time against such Issuing Bank, any other Issuing Bank, the Administrative Agent, any Lender, any beneficiary of a Letter of Credit or any other Person, whether in connection with this Agreement, the transactions contemplated hereby or in the Letter of Credit Documents or any unrelated transaction; (D) any breach of contract or dispute between the Borrower, such Issuing Bank, any other Issuing Bank, the Administrative Agent, any Lender or any other Person; (E) any demand, statement or any other document presented under a Letter of Credit proving to be forged, fraudulent, invalid or insufficient in any respect or any statement therein or made in connection therewith being untrue or inaccurate in any respect whatsoever; (F) any non-application or misapplication by the beneficiary of a Letter of Credit or of the proceeds of any drawing under such Letter of Credit; (G) payment by such Issuing Bank under any Letter of Credit against presentation of a - 45 - LEGAL02\42427047.v4


 
draft or certificate which does not strictly comply with the terms of such Letter of Credit; and (H) any other act, omission to act, delay or circumstance whatsoever that might, but for the provisions of this Section, constitute a legal or equitable defense to or discharge of the Borrower’s Reimbursement Obligations. Notwithstanding anything to the contrary contained in this Section or Section 12.9., but not in limitation of the Borrower’s unconditional obligation to reimburse an Issuing Bank for any drawing made under a Letter of Credit as provided in this Section and to repay any Revolving Loan made pursuant to the second sentence of the immediately preceding subsection (e), the Borrower shall have no obligation to indemnify the Administrative Agent, an Issuing Bank or any Lender in respect of any liability incurred by the Administrative Agent, such Issuing Bank or such Lender arising solely out of the gross negligence or willful misconduct of such Person or such Person’s Related Parties in respect of a Letter of Credit as determined by a court of competent jurisdiction in a final, non-appealable judgment. Except as otherwise provided in this Section, nothing in this Section shall affect any rights the Borrower may have with respect to the gross negligence or willful misconduct of the Administrative Agent, an Issuing Bank, any Lender or any of their respective Related Parties with respect to any Letter of Credit. (h) Amendments, Etc. The issuance by an Issuing Bank of any amendment, supplement or other modification to any Letter of Credit issued by such Issuing Bank shall be subject to the same conditions applicable under this Agreement to the issuance of new Letters of Credit (including, without limitation, that the request therefor be made through the applicable Issuing Bank and the Administrative Agent), and no such amendment, supplement or other modification shall be issued unless either (i) the respective Letter of Credit affected thereby would have complied with such conditions had it originally been issued hereunder in such amended, supplemented or modified form or (ii) the Administrative Agent and the applicable Revolving Lenders required by Section 12.6. shall have consented thereto. In connection with any such amendment, supplement or other modification, the Borrower shall pay the fees, if any, payable under the last sentence of Section 3.5.(c). (i) Revolving Lenders’ Participation in Letters of Credit. Immediately upon the issuance by an Issuing Bank of any Letter of Credit, each Revolving Lender shall be deemed to have absolutely, irrevocably and unconditionally purchased and received from the applicable Issuing Bank, without recourse or warranty, an undivided interest and participation to the extent of such Lender’s Revolving Commitment Percentage of the liability of such Issuing Bank with respect to such Letter of Credit and each Revolving Lender thereby shall absolutely, unconditionally and irrevocably assume, as primary obligor and not as surety, and shall be unconditionally obligated to such Issuing Bank to pay and discharge when due, such Lender’s Revolving Commitment Percentage of such Issuing Bank’s liability under such Letter of Credit. In addition, upon the making of each payment by a Revolving Lender to the Administrative Agent for the account of an Issuing Bank in respect of any Letter of Credit issued by it pursuant to the immediately following subsection (j), such Lender shall, automatically and without any further action on the part of such Issuing Bank, the Administrative Agent or such Lender, acquire (i) a participation in an amount equal to such payment in the Reimbursement Obligation owing to such Issuing Bank by the Borrower in respect of such Letter of Credit and (ii) a participation in a percentage equal to such Lender’s Revolving Commitment Percentage in any interest or other amounts payable by the Borrower in respect of such Reimbursement Obligation (other than the Fees payable to such Issuing Bank pursuant to the last sentence of Section 3.5.(c)). (j) Payment Obligation of Lenders. Each Revolving Lender severally agrees to pay to the Administrative Agent, for the account of each Issuing Bank, on demand in immediately available funds in Dollars the amount of such Lender’s Revolving Commitment Percentage of each drawing paid by such Issuing Bank under each Letter of Credit issued by it to the extent such amount is not reimbursed by the Borrower pursuant to the immediately preceding subsection (d); provided, however, that in respect of any drawing under any Letter of Credit, the maximum amount that any Revolving Lender shall be required to fund, whether as a Revolving Loan or as a participation, shall not exceed such Lender’s Revolving - 46 - LEGAL02\42427047.v4


 
Commitment Percentage of such drawing except as otherwise provided in Section 3.9.(d). If the notice referenced in the second sentence of Section 2.3.(e) is received by a Revolving Lender not later than 11:00 a.m. Central time, then such Lender shall make such payment available to the Administrative Agent not later than 2:00 p.m. Central time on the date of demand therefor; otherwise, such payment shall be made available to the Administrative Agent not later than 1:00 p.m. Central time on the next succeeding Business Day. Each Revolving Lender’s obligation to make such payments to the Administrative Agent under this subsection, and the Administrative Agent’s right to receive the same for the account of the applicable Issuing Bank, shall be absolute, irrevocable and unconditional and shall not be affected in any way by any circumstance whatsoever, including without limitation, (i) the failure of any other Revolving Lender to make its payment under this subsection, (ii) the financial condition of the Borrower or any other Loan Party, (iii) the existence of any Default or Event of Default, including any Event of Default described in Section 10.1.(e) or (f), (iv) the termination of the Commitments or (v) the delivery of Cash Collateral in respect of any Extended Letter of Credit. Each such payment to the Administrative Agent for the account of the Issuing Bank shall be made without any offset, abatement, withholding or deduction whatsoever. (k) Information to Revolving Lenders. Promptly following any change in Letters of Credit outstanding, the applicable Issuing Bank shall deliver to the Administrative Agent, who shall promptly deliver the same to each Revolving Lender and the Borrower, a notice describing the aggregate amount of all Letters of Credit issued by such Issuing Bank outstanding at such time. Upon the request of any Revolving Lender from time to time, an Issuing Bank shall deliver any other information reasonably requested by such Lender with respect to such Letter of Credit then outstanding. Other than as set forth in this subsection, the Issuing Banks and the Administrative Agent shall have no duty to notify the Revolving Lenders regarding the issuance or other matters regarding Letters of Credit issued hereunder. The failure of any Issuing Bank or the Administrative Agent to perform its requirements under this subsection shall not relieve any Revolving Lender from its obligations under the immediately preceding subsection (j). (l) Applicability of ISP98. Unless otherwise expressly agreed by any Issuing Bank and the Borrower when a Letter of Credit is issued, the rules of ISP98 shall apply to each standby Letter of Credit. (m) Extended Letters of Credit. Each Revolving Lender confirms that its obligations under the immediately preceding subsections (i) and (j) shall be reinstated in full and apply if the delivery of any Cash Collateral in respect of an Extended Letter of Credit is subsequently invalidated, declared to be fraudulent or preferential, set aside or required to be repaid to a trustee, receiver or any other party, in connection with any proceeding under any Debtor Relief Law or otherwise. Section 2.4. [Reserved]. Section 2.5. Rates and Payment of Interest on Loans. (a) Rates. The Borrower promises to pay to the Administrative Agent for the account of each Lender interest on the unpaid principal amount of each Loan made by such Lender for the period from and including the date of the making of such Loan to but excluding the date such Loan shall be paid in full, at the following per annum rates: (i) in the case of a Revolving Loan, during such periods as such Loan is (x) a LIBOR Loan (other than a Same-Day Borrowing), at LIBORTerm SOFR Loan, at Adjusted Term SOFR for such Loan for the Interest Period therefor, plus the Applicable Margin for Revolving Loans that are LIBORSOFR Loans, (y) a LIBOR Loan that is a Same-Day Borrowing, at the - 47 - LEGAL02\42427047.v4


 
LIBOR Market Index RateDaily Simple SOFR Loan, at Adjusted Daily Simple SOFR plus the Applicable Margin for Revolving Loans that are LIBORSOFR Loans, and (z) a Base Rate Loan, at the Base Rate (as in effect from time to time), plus the Applicable Margin for Revolving Loans that are Base Rate Loans; and (ii) in the case of a Term Loan, during such periods as such Loan is (x) a LIBORTerm SOFR Loan, at LIBORAdjusted Term SOFR for such Loan for the Interest Period therefor, plus the Applicable Margin for Term Loans that are LIBOR LoansSOFR Loans, (y) a Daily Simple SOFR Loan, at Adjusted Daily Simple SOFR plus the Applicable Margin for Term Loans that are SOFR Loans, and (y) a Base Rate Loan, at the Base Rate (as in effect from time to time), plus the Applicable Margin for Term Loans that are Base Rate Loans. Notwithstanding the foregoing, while an Event of Default exists, the Borrower shall pay to the Administrative Agent for the account of each Lender and each Issuing Bank, as the case may be, interest at the Post-Default Rate on the outstanding principal amount of any Loan made by such Lender, on all Reimbursement Obligations and on any other amount payable by the Borrower hereunder or under the Notes held by such Lender to or for the account of such Lender (including without limitation, accrued but unpaid interest to the extent permitted under Applicable Law); provided, however, except in the case of a Default or Event of Default under Section 10.1.(a)(in which event the following notice shall not be required), the Borrower shall not be required to pay interest at the Post-Default Rate unless the Administrative Agent, at the direction of the Requisite Lenders, shall have notified the Borrower that interest shall be payable at the Post-Default Rate. (b) Payment of Interest. All accrued and unpaid interest on the outstanding principal amount of each Loan shall be payable (i) monthly in arrears on the first day of each month, commencing with the first full calendar month occurring after the Effective Date and (ii) on any date on which the principal balance of such Loan is due and payable in full (whether at maturity, due to acceleration or otherwise). Interest payable at the Post-Default Rate shall be payable from time to time on demand. All determinations by the Administrative Agent of an interest rate hereunder shall be conclusive and binding on the Lenders and the Borrower for all purposes, absent manifest error. (c) Borrower Information Used to Determine Applicable Interest Rates. (i) The parties understand that the applicable interest rate for the Obligations and certain fees set forth herein may be determined and/or adjusted from time to time based upon certain financial ratios and/or other information to be provided or certified to the Lenders by the Borrower (the “Borrower Information”). If it is subsequently determined that any such Borrower Information was incorrect (for whatever reason, including without limitation because of a subsequent restatement of earnings by the Borrower) at the time it was delivered to the Administrative Agent, and if the applicable interest rate or fees calculated for any period were lower than they should have been had the correct information been timely provided, then, such interest rate and such fees for such period shall be automatically recalculated using correct Borrower Information. The Administrative Agent shall promptly notify the Borrower in writing of any additional interest and fees due because of such recalculation, and the Borrower shall pay such additional interest or fees due to the Administrative Agent, for the account of each Lender, within 5 Business Days of receipt of such written notice. Any recalculation of interest or fees required by this provision shall survive the termination of this Agreement, and this provision shall not in any way limit any of the Administrative Agent’s, any Issuing Bank’s, or any Lender’s other rights under this Agreement. - 48 - LEGAL02\42427047.v4


 
(ii) Each party hereto hereby agrees that the Administrative Agent shall not have any responsibility for (or liability in respect of) reviewing, auditing or otherwise evaluating any calculation by the Borrower of any Sustainability Metric Threshold Percentage or any Sustainability Metric (or any of the data or computations that are part of or related to any such calculation) set forth in any Sustainability Grid Notice. The Administrative Agent may rely conclusively on any Sustainability Grid Notice delivered by the Borrower without any responsibility to verify the accuracy thereof. Section 2.6. Number of Interest Periods. There may be no more than (a) 10 different Interest Periods for Revolving Loans that are LIBORTerm SOFR Loans outstanding at the same time and (b) 10 different Interest Periods for Term Loans that are LIBORTerm SOFR Loans outstanding at the same time. Section 2.7. Repayment of Loans. The Borrower shall repay the entire outstanding principal amount of, and all accrued but unpaid interest on, (a) the Revolving Loans on the Revolving Termination Date and (b) the Term Loans on the Term Loan Termination Date. Section 2.8. Prepayments. (a) Optional. Subject to Section 4.4., the Borrower may prepay any Loan at any time without premium or penalty. The Borrower shall give the Administrative Agent at least (x) 3 U.S. Government Securities Business Days in the case of a SOFR Loan or (y) 3 Business Days in the case of a Base Rate Loan, prior written notice of the prepayment of any Loan. Each such notice of prepayment shall be irrevocable; provided, that such notice of repayment (i) in connection with a refinancing of the entire outstanding principal amount of, and all accrued but unpaid interest on, the Loans may be contingent upon the closing of such refinancing; or (ii) may state that it is conditioned upon such other specified transaction, in which case such notice may be revoked by the Borrower (by written notice to the Administrative Agent on or prior to 2:00 p.m. (x) one (1)U.S. Government Securities Business Day in the case of a SOFR Loan or (y) one Business Day in the case of a Base Rate Loan, prior to the specified effective date). Each voluntary prepayment of a Class of Loans shall be in an aggregate minimum amount of $100,000 and integral multiples of $25,000 in excess thereof or the aggregate outstanding principal amount of the Loans of such Class. (b) Mandatory. If at any time the aggregate principal amount of all outstanding Revolving Loans, together with the aggregate amount of all Letter of Credit Liabilities, exceeds the aggregate amount of the Revolving Commitments, the Borrower shall promptly, and in any event within 1 Business Day of demand, pay to the Administrative Agent for the account of the Revolving Lenders the amount of such excess. Amounts paid under the preceding sentence shall be applied, first, to pay all amounts of principal outstanding on the Revolving Loans and any Reimbursement Obligations pro rata in accordance with Section 3.2. and if any Letters of Credit are outstanding at such time, the remainder, if any, shall be deposited into the Letter of Credit Collateral Account for application to any Reimbursement Obligations. If the Borrower is required to pay any outstanding LIBORTerm SOFR Loans by reason of this Section prior to the end of the applicable Interest Period therefor, the Borrower shall pay all amounts due under Section 4.4. (c) No Effect on Derivatives Contracts. No repayment or prepayment of the Loans pursuant to this Section shall affect any of the Borrower’s obligations under any Derivatives Contracts entered into with respect to any of the Loans. - 49 - LEGAL02\42427047.v4


 
Section 2.9. Continuation. So long as no Event of Default exists, the Borrower may on any U.S. Government Securities Business Day, with respect to any LIBORTerm SOFR Loan, elect to maintain such LIBORTerm SOFR Loan or any portion thereof as a LIBORTerm SOFR Loan by selecting a new Interest Period for such LIBORTerm SOFR Loan. Each Continuation of LIBORTerm SOFR Loans of the same Class shall be in an aggregate minimum amount of $1,000,000 and integral multiples of $100,000 in excess of that amount, and each new Interest Period selected under this Section shall commence on the last day of the immediately preceding Interest Period. Each selection of a new Interest Period shall be made by the Borrower giving to the Administrative Agent a Notice of Continuation not later than 12:00 p.m. Central time on the third U.S. Government Securities Business Day prior to the date of any such Continuation. Such notice by the Borrower of a Continuation shall be by telecopy, electronic mail or other similar form of communication in the form of a Notice of Continuation, specifying (a) the proposed date of such Continuation, (b) the LIBORTerm SOFR Loans, Class and portions thereof subject to such Continuation, (c) the duration of the selected Interest Period and (d) the amount of such LIBORTerm SOFR Loan, or portion thereof, that the Borrower has elected to have subject to a Derivatives Contract that provides a hedge against interest rate risk and the Derivatives Contract(s) to which such amount is subject, all of which shall be specified in such manner as is necessary to comply with all limitations on Loans outstanding hereunder. Each Notice of Continuation shall be irrevocable by and binding on the Borrower once given. Promptly after receipt of a Notice of Continuation, the Administrative Agent shall notify each Lender holding a Loan being Continued of the proposed Continuation. If the Borrower shall fail to select in a timely manner a new Interest Period for any LIBORTerm SOFR Loan in accordance with this Section, such Loan will automatically, on the last day of the current Interest Period therefor, continue as a LIBORTerm SOFR Loan with an Interest Period of one month; provided, however that if an Event of Default exists, such Loan will automatically, on the last day of the current Interest Period therefor, Convert into a Base Rate Loan notwithstanding the first sentence of Section 2.10. or the Borrower’s failure to comply with any of the terms of such Section. Section 2.10. Conversion. The Borrower may on any U.S. Government Securities Business Day, upon the Borrower’s giving of a Notice of Conversion to the Administrative Agent by telecopy, electronic mail or other similar form of communication, Convert all or a portion of a Loan of one Type into a Loan of another Type; provided, however, a Base Rate Loan may not be Converted into a LIBORSOFR Loan if a Default or Event of Default exists. Each Conversion of Base Rate Loans of a Class into LIBORTerm SOFR Loans or Daily Simple SOFR Loans shall be in an aggregate minimum amount of $1,000,000 and integral multiples of $100,000 in excess of that amount. Each Notice of Conversion shall be given not later than (i) in the case of a Conversion to Base Rate Loans, 12:00 p.m. Central time 1 Business Day prior to the date of such proposed Conversion, (ii) in the case of a Conversion of Term SOFR Loans, 12:00 p.m. Central time 3 U.S. Government Securities Business Days prior to the date of anysuch proposed Conversion and (iii) in the case of a Conversion to Daily Simple SOFR Loans, 10:00 a.m. Central time on the date of such proposed Conversion. Promptly after receipt of a Notice of Conversion, the Administrative Agent shall notify each Lender holding a Loan being Converted of the proposed Conversion. Subject to the restrictions specified above, each Notice of Conversion shall be by telecopy, electronic mail or other similar form of communication in the form of a Notice of Conversion specifying (a) the requested date of such Conversion, (b) the Type and Class of Loan to be Converted, (c) the portion of such Type of Loan to be Converted, (d) the Type of Loan such Loan is to be Converted into and (e) if such Conversion is into a LIBORTerm SOFR Loan, the requested duration of the Interest Period of such Loan and the amount of such LIBORTerm SOFR Loan, if any, that the Borrower has elected to have subject to a Derivatives Contract that provides a hedge against interest rate risk and the - 50 - LEGAL02\42427047.v4


 
Derivatives Contract(s) to which such amount is subject. Each Notice of Conversion shall be irrevocable by and binding on the Borrower once given. Section 2.11. Notes. (a) Notes. Except in the case of a Lender that has notified the Administrative Agent in writing that it elects not to receive Notes, the Loans of a Class made by a Lender shall, in addition to this Agreement, also be evidenced by a Note of such Class, payable to the order of such Lender in a principal amount equal to, in the case of a Revolving Lender, the amount of its Revolving Commitment as originally in effect (or otherwise in effect at the time that the applicable Revolving Note is issued), and in the case of a Term Loan Lender, the initial principal amount of its Term Loan and, in each case, otherwise duly completed. (b) Records. The date, amount, interest rate, Type and duration of Interest Periods (if applicable) of each Loan made by each Lender to the Borrower, and each payment made on account of the principal thereof, shall be recorded by such Lender on its books and such entries shall be binding on the Borrower absent manifest error; provided, however, that (i) the failure of a Lender to make any such record shall not affect the obligations of the Borrower under any of the Loan Documents and (ii) if there is a discrepancy between such records of a Lender and the statements of accounts maintained by the Administrative Agent pursuant to Section 3.8., in the absence of manifest error, the statements of account maintained by the Administrative Agent pursuant to Section 3.8. shall be controlling. (c) Lost, Stolen, Destroyed or Mutilated Notes. Upon receipt by the Borrower of (i) written notice from a Lender that a Note of such Lender has been lost, stolen, destroyed or mutilated, and (ii)(A) in the case of loss, theft or destruction, an unsecured agreement of indemnity from such Lender in form reasonably satisfactory to the Borrower, or (B) in the case of mutilation, upon surrender and cancellation of such Note, the Borrower shall at its own expense execute and deliver to such Lender a new Note dated the date of such lost, stolen, destroyed or mutilated Note. Section 2.12. Voluntary Reductions of the Revolving Commitment. The Borrower shall have the right to terminate or reduce the aggregate unused amount of the Revolving Commitments (for which purpose use of the Revolving Commitments shall be deemed to include the aggregate amount of all Letter of Credit Liabilities) at any time and from time to time without penalty or premium upon not less than 5 Business Days prior written notice to the Administrative Agent of each such termination or reduction, which notice shall specify the effective date thereof and the amount of any such reduction (which in the case of any partial reduction of the Revolving Commitments shall not be less than $10,000,000 and integral multiples of $5,000,000 in excess of that amount in the aggregate) and shall be irrevocable once given and effective only upon receipt by the Administrative Agent (“Commitment Reduction Notice”); provided, however, the Borrower may not reduce the aggregate amount of the Revolving Commitments below $100,000,000 unless the Borrower is terminating the Revolving Commitments in full. Promptly after receipt of a Commitment Reduction Notice the Administrative Agent shall notify each Revolving Lender of the proposed termination or reduction of the Revolving Commitments. The Revolving Commitments, once reduced or terminated pursuant to this Section, may not be increased or reinstated. Section 2.13. Extension of Revolving Termination Date. The Borrower shall have the right, exercisable two times, to extend the Revolving Termination Date by six months for each extension. The Borrower may exercise such right only by executing and delivering to the Administrative Agent at least 30 days but not more than 90 days prior to the then current - 51 - LEGAL02\42427047.v4


 
Revolving Termination Date, a written request for such extension (the “Extension Request”). The Administrative Agent shall notify the Revolving Lenders if it receives the Extension Request promptly upon receipt thereof. Subject to satisfaction of the following conditions, the Revolving Termination Date shall be extended for six months from the then current Revolving Termination Date effective upon receipt by the Administrative Agent of payment of the fee referred to in the following clause (b): (a) immediately prior to such extension and immediately after giving effect thereto, (i) no Default or Event of Default shall exist and (ii) the representations and warranties made or deemed made by the Parent, the Borrower and each other Loan Party in the Loan Documents to which any of them is a party, shall be true and correct in all material respects (except in the case of a representation or warranty qualified by materiality, in which case such representation or warranty shall be true and correct in all respects) on and as of the date of such extension with the same force and effect as if made on and as of such date except to the extent that such representations and warranties expressly relate solely to an earlier date (in which case such representations and warranties shall have been true and correct in all material respects (except in the case of a representation or warranty qualified by materiality, in which case such representation or warranty shall be true and correct in all respects) on and as of such earlier date) and except for changes in factual circumstances not prohibited under the Loan Documents and (b) the Borrower shall have paid the Fees payable under Section 3.5.(d). At any time prior to the effectiveness of any such extension, upon the Administrative Agent’s request (or the request of any Lender through the Administrative Agent), the Parent shall deliver to the Administrative Agent a certificate from a Responsible Officer of the Parent certifying the matters referred to in the immediately preceding clauses (a)(i) and (a)(ii). Section 2.14. Expiration Date of Letters of Credit Past Commitment Termination. If on the date the Revolving Commitments are terminated or reduced to zero (whether voluntarily, by reason of the occurrence of an Event of Default or otherwise), there are any Letters of Credit outstanding hereunder and the aggregate Stated Amount of such Letters of Credit exceeds the balance of available funds on deposit in the Letter of Credit Collateral Account, then the Borrower shall, on such date, pay to the Administrative Agent, for its benefit and the benefit of the Revolving Lenders and the Issuing Banks, for deposit into the Letter of Credit Collateral Account, an amount of money equal to the amount of such excess. Section 2.15. Amount Limitations. Notwithstanding any other term of this Agreement or any other Loan Document, no Revolving Lender shall be required to make any Revolving Loan, the Issuing Banks shall not be required to issue a Letter of Credit, and no reduction of the Revolving Commitments pursuant to Section 2.12. shall take effect, if immediately after the making of such Loan, the issuance of such Letter of Credit or reduction in the Revolving Commitments the aggregate principal amount of all outstanding Revolving Loans, together with the aggregate amount of all Letter of Credit Liabilities, would exceed the aggregate amount of the Revolving Commitments at such time. Section 2.16. Increase in Revolving Commitments and Additional Term Loans. The Borrower shall have the right (a) prior to the Revolving Termination Date, to request increases in the aggregate amount of the Revolving Commitments and (b) prior to the Term Loan Termination Date, to request the making of additional Term Loans (“Additional Term Loans”), in each case, by providing written notice to the Administrative Agent, which notice shall be irrevocable once given; provided, however, that after giving effect to any increase in the Revolving Commitments and the making of any Additional Term Loans, the aggregate amount of the increases in the Revolving Commitments and the aggregate principal amount of Additional Term Loans shall not exceed - 52 - LEGAL02\42427047.v4


 
$200,000,000. Each such increase in the Revolving Commitments or borrowing of Additional Term Loans must be in an aggregate minimum amount of $25,000,000 and integral multiples of $5,000,000 in excess thereof. Additional Term Loans shall be subject to the same terms and conditions of this Agreement that are applicable to all other Term Loans. The Administrative Agent, in consultation with the Borrower, shall manage all aspects of the syndication of such increase in the Revolving Commitments or making of Additional Term Loans, as applicable, including decisions as to the selection of the existing Lenders and/or other banks, financial institutions and other institutional lenders to be approached with respect to such increase in the Revolving Commitments or the making of Additional Term Loans, as applicable, and the allocations of the increase in the Revolving Commitments or the making of Additional Term Loans, as applicable, among such existing Lenders and/or other banks, financial institutions and other institutional lenders. No Lender shall be obligated in any way whatsoever to increase its Revolving Commitment, provide a new Revolving Commitment or make an Additional Term Loan, and any new Lender becoming a party to this Agreement in connection with any such requested increase in the Revolving Commitments or the making of Additional Term Loans, as applicable, must be an Eligible Assignee. If a new Revolving Lender becomes a party to this Agreement, or if any existing Lender is increasing its Revolving Commitment or making an initial Revolving Commitment, such Lender shall on the date it becomes a Revolving Lender hereunder (or in the case of an existing Revolving Lender, increases its Revolving Commitment) (and as a condition thereto) purchase from the other Revolving Lenders its Revolving Commitment Percentage or, in the case of a Revolving Lender increasing its Revolving Commitment, the amount of the increase in its Revolving Commitment Percentage (determined with respect to the Revolving Lenders’ respective Revolving Commitments and after giving effect to the increase of Revolving Commitments) of any outstanding Revolving Loans, by making available to the Administrative Agent for the account of such other Revolving Lenders, in same day funds, an amount equal to the sum of (A) the portion of the outstanding principal amount of such Revolving Loans to be purchased by such Revolving Lender, plus (B) the aggregate amount of payments previously made by the other Revolving Lenders under Section 2.3.(j) that have not been repaid, plus (C) interest accrued and unpaid to and as of such date on such portion of the outstanding principal amount of such Revolving Loans. The Borrower shall pay to the Revolving Lenders amounts payable, if any, to such Revolving Lenders under Section 4.4. as a result of the prepayment of any such Revolving Loans. Effecting the increase of the Revolving Commitments or the making of Additional Term Loans under this Section is subject to the following conditions precedent: (x) no Default or Event of Default shall be in existence on the effective date of such increase in the Revolving Commitments or the making of such Additional Term Loans, (y) the representations and warranties made or deemed made by the Borrower and any other Loan Party in any Loan Document to which such Loan Party is a party shall be true and correct in all material respects (except in the case of a representation or warranty qualified by materiality, in which case such representation or warranty shall be true and correct in all respects) on the effective date of such increase except to the extent that such representations and warranties expressly relate solely to an earlier date (in which case such representations and warranties shall have been true and correct in all material respects (except in the case of a representation or warranty qualified by materiality, in which case such representation or warranty shall be true and correct in all respects) on and as of such earlier date) and except for changes in factual circumstances not prohibited hereunder, and (z) the Administrative Agent shall have received each of the following, in form and substance satisfactory to the Administrative Agent: (i) if not previously delivered to the Administrative Agent, copies certified by the Secretary or Assistant Secretary of (A) all partnership action taken by the Borrower to authorize such increase in the Revolving Commitments or the borrowing of Additional Term Loans, as applicable, and (B) all corporate or other necessary action taken by the Guarantor authorizing the guaranty of such increase in the Revolving Commitments or the borrowing of Additional Term Loans, as applicable; (ii) if requested by the Administrative Agent, an opinion of counsel to the Loan Parties, and addressed to the Administrative Agent and the Lenders covering such matters as reasonably requested by the Administrative Agent; (iii) in the case of an increase in the Revolving Commitments, new Revolving Notes executed by the Borrower, payable to any - 53 - LEGAL02\42427047.v4


 
new Revolving Lenders and replacement Revolving Notes executed by the Borrower, payable to any existing Revolving Lenders increasing their Revolving Commitments, in the amount of such Revolving Lender’s Revolving Commitment at the time of the effectiveness of the applicable increase in the aggregate amount of the Revolving Commitments (in each case unless any such Revolving Lender requests not to receive such a note); and (iv) in the case of the making of Additional Term Loans, new Term Notes executed by the Borrower, payable to any new Term Loan Lenders and replacement Term Notes executed by the Borrower, payable to any existing Term Loan Lenders increasing their Term Loans, in the amount of such Term Loan Lender’s Term Loan (in each case unless any such Term Loan Lender requests not to receive such a Note). In connection with any increase in the aggregate amount of the Revolving Commitments or the making of any Additional Term Loans pursuant to this Section any Lender becoming a party hereto shall (1) execute such documents and agreements as the Administrative Agent may reasonably request and (2) in the case of any Lender that is organized under the laws of a jurisdiction outside of the United States of America, provide to the Administrative Agent, its name, address, tax identification number and/or such other information as shall be necessary for the Administrative Agent to comply with “know your customer” and anti-money laundering rules and regulations, including without limitation, the Patriot Act. Section 2.17. Funds Transfer Disbursements. The Borrower hereby authorizes the Administrative Agent to disburse the proceeds of any Loan made by the Lenders or any of their Affiliates pursuant to the Loan Documents as requested by an authorized representative of the Borrower to any of the accounts designated in the Disbursement Instruction Agreement. Section 2.18. Reallocations on Effective Date. Simultaneously with the effectiveness of this Agreement, the Revolving Commitments of each of the Revolving Lenders as existing immediately prior to the Effective Date, shall be reallocated among the Revolving Lenders so that the Revolving Commitments are held by the Revolving Lenders as set forth on Schedule I attached hereto. To effect such reallocations each Revolving Lender who either had no Revolving Commitment prior to the effectiveness of this Agreement or whose Revolving Commitment upon the effectiveness of this Agreement exceeds its Revolving Commitment immediately prior to the effectiveness of this Agreement (each an “Assignee Revolving Lender”) shall be deemed to have purchased all right, title and interest in, and all obligations in respect of, the Revolving Commitments from the Revolving Lenders whose Revolving Commitments upon the effectiveness of this Agreement are less than their respective Revolving Commitment immediately prior to the effectiveness of this Agreement (each an “Assignor Revolving Lender”), so that the Revolving Commitments of the Revolving Lenders will be held by the Revolving Lenders as set forth on Schedule I. Such purchases shall be deemed to have been effected by way of, and subject to the terms and conditions of, Assignment and Assumptions without the payment of any related assignment fee, and, except for Notes to be provided to the Assignor Lenders and Assignee Lenders in the principal amount of their respective Revolving Commitments, no other documents or instruments shall be, or shall be required to be, executed in connection with such assignments (all of which are hereby waived). The Assignor Lenders, the Assignee Lenders and the other Lenders shall make such cash settlements among themselves, through the Administrative Agent, as the Administrative Agent may direct (after giving effect to the making of any Loans to be made on the Effective Date and any netting transactions effected by the Administrative Agent) with respect to such reallocations and assignments so that the aggregate outstanding principal amount of Revolving Loans shall be held by the Revolving Lenders pro rata in accordance with the amount of the Revolving Commitments as set forth on Schedule I. - 54 - LEGAL02\42427047.v4


 
Section 2.19. Initial Benchmark Conforming Changes. In connection with the use or administration of any Benchmark, the Administrative Agent will have the right to make Conforming Changes from time to time and, notwithstanding anything to the contrary herein or in any other Loan Document, any amendments implementing such Conforming Changes will become effective without any further action or consent of any other party to this Agreement or any other Loan Document. The Administrative Agent will promptly notify the Borrower and the Lenders of the effectiveness of any Conforming Changes in connection with the use or administration of any Benchmark. ARTICLE III. PAYMENTS, FEES AND OTHER GENERAL PROVISIONS Section 3.1. Payments. (a) Payments by Borrower. Except to the extent otherwise provided herein, all payments of principal, interest, Fees and other amounts to be made by the Borrower under this Agreement, the Notes or any other Loan Document shall be made in Dollars, in immediately available funds, without setoff, deduction or counterclaim (excluding Taxes required to be withheld pursuant to Section 3.10.), to the Administrative Agent at the Principal Office, not later than 1:00 p.m. Central time on the date on which such payment shall become due (each such payment made after such time on such due date to be deemed to have been made on the next succeeding Business Day). Subject to Section 10.5., the Borrower shall, at the time of making each payment under this Agreement or any other Loan Document, specify to the Administrative Agent the amounts payable by the Borrower hereunder to which such payment is to be applied. Each payment received by the Administrative Agent for the account of a Lender under this Agreement or any Note shall be paid promptly to such Lender by wire transfer of immediately available funds in accordance with the wiring instructions provided by such Lender to the Administrative Agent from time to time, for the account of such Lender at the applicable Lending Office of such Lender. Each payment received by the Administrative Agent for the account of an Issuing Bank under this Agreement shall be paid promptly to such Issuing Bank by wire transfer of immediately available funds in accordance with the wiring instructions provided by such Issuing Bank to the Administrative Agent from time to time, for the account of such Issuing Bank. In the event the Administrative Agent fails to pay such amounts to such Lender or such Issuing Bank, as the case may be, within one Business Day of receipt of such amounts, the Administrative Agent shall pay interest on such amount until paid at a rate per annum equal to the Federal Funds Rate from time to time in effect. If the due date of any payment under this Agreement or any other Loan Document would otherwise fall on a day which is not a Business Day such date shall be extended to the next succeeding Business Day and interest shall continue to accrue at the rate, if any, applicable to such payment for the period of such extension. (b) Presumptions Regarding Payments by Borrower. Unless the Administrative Agent shall have received notice from the Borrower prior to the date on which any payment is due to the Administrative Agent for the account of the Lenders or the Issuing Banks hereunder that the Borrower will not make such payment, the Administrative Agent may assume that the Borrower has made such payment on such date in accordance herewith and may (but shall not be obligated to), in reliance upon such assumption, distribute to the applicable Lenders or the Issuing Banks, as the case may be, the amount due. In such event, if the Borrower has not in fact made such payment, then each of the Lenders or the applicable Issuing Bank, as the case may be, severally agrees to repay to such Administrative Agent on demand that amount so distributed to such Lender or such Issuing Bank, with interest thereon, for each day from and including the date such amount is distributed to it to but excluding the date of payment to the Administrative Agent, at the greater of the Federal Funds Rate and a rate determined by the Administrative Agent in accordance with banking industry rules on interbank compensation. - 55 - LEGAL02\42427047.v4


 
Section 3.2. Pro Rata Treatment. Except to the extent otherwise provided herein: (a) each borrowing from the Revolving Lenders under Section 2.1.(a) and 2.3.(e) shall be made from the Revolving Lenders, each payment of the fees under Section 3.5.(b), the first sentence of 3.5.(c) and Section 3.5.(d) shall be made for the account of the Revolving Lenders, and each termination or reduction of the amount of the Revolving Commitments under Section 2.12. shall be applied to the respective Revolving Commitments of the Revolving Lenders, pro rata according to the amounts of their respective Revolving Commitments; (b) each payment or prepayment of principal of a Class of Loans shall be made for the account of the Lenders of such Class pro rata in accordance with the respective unpaid principal amounts of the Loans of such Class held by them, provided that, subject to Section 3.9., if immediately prior to giving effect to any such payment in respect of any Revolving Loans the outstanding principal amount of the Revolving Loans shall not be held by the Revolving Lenders pro rata in accordance with their respective Revolving Commitments in effect at the time such Loans were made, then such payment shall be applied to the Revolving Loans in such manner as shall result, as nearly as is practicable, in the outstanding principal amount of the Revolving Loans being held by the Revolving Lenders pro rata in accordance with their respective Revolving Commitments; (c) each payment of interest on a Class of Loans shall be made for the account of the Lenders of such Class pro rata in accordance with the amounts of interest on such Loans then due and payable to the respective Class of Lenders; (d) the Conversion and Continuation of Loans of a particular Class and Type (other than Conversions provided for by Sections 4.1.(c) and 4.5.) shall be made pro rata among the Lenders of such Class according to the amounts of their Loans of such Class and the then current Interest Period for each Lender’s portion of each Loan of such Type shall be coterminous; (e) [reserved]; and (f) the Revolving Lenders’ participation in, and payment obligations in respect of, Letters of Credit under Section 2.3., shall be in accordance with their respective Revolving Commitment Percentages. Section 3.3. Sharing of Payments, Etc. If a Lender shall obtain payment of any principal of, or interest on, any Loan of a Class made by it to the Borrower under this Agreement or shall obtain payment on any other Obligation owing by the Borrower or any other Loan Party through the exercise of any right of set-off, banker’s lien, counterclaim or similar right or otherwise or through voluntary prepayments directly to a Lender or other payments made by or on behalf of the Borrower or any other Loan Party to a Lender (other than any payment in respect of Specified Derivatives Obligations) not in accordance with the terms of this Agreement and such payment should be distributed to the Lenders of the same Class as such Lender in accordance with Section 3.2. or Section 10.5., as applicable, such Lender shall promptly purchase from the other Lenders of such Class participations in (or, if and to the extent specified by such Lender, direct interests in) the Loans of such Class made by the other Lenders of such Class or other Obligations owed to such other Lenders in such amounts, and make such other adjustments from time to time as shall be equitable, to the end that all the Lenders of such Class shall share the benefit of such payment (net of any reasonable expenses which may actually be incurred by such Lender in obtaining or preserving such benefit) in accordance with the requirements of Section 3.2. or Section 10.5., as applicable. To such end, all the Lenders of such Class shall make appropriate adjustments among themselves (by the resale of participations sold or otherwise) if such payment is rescinded or must otherwise be restored. The Borrower agrees that any Lender of such Class so purchasing a participation (or direct interest) in the Loans or other Obligations owed to such other Lenders of such Class may exercise all rights of set-off, banker’s lien, counterclaim or similar rights with respect to such participation as fully as if such Lender were a direct holder of Loans of such Class in the amount of such participation. Nothing contained herein shall require any Lender to exercise any such right or shall affect the right of any Lender to exercise and retain the benefits of exercising, any such right with respect to any other indebtedness or obligation of the Borrower. - 56 - LEGAL02\42427047.v4


 
Section 3.4. Several Obligations. No Lender shall be responsible for the failure of any other Lender to make a Loan or to perform any other obligation to be made or performed by such other Lender hereunder, and the failure of any Lender to make a Loan or to perform any other obligation to be made or performed by it hereunder shall not relieve the obligation of any other Lender to make any Loan or to perform any other obligation to be made or performed by such other Lender. Section 3.5. Fees. (a) Closing Fee. On the Effective Date, the Borrower agrees to pay to the Administrative Agent and each Lender all loan fees as have been agreed to in writing by the Borrower and the Administrative Agent, which are then due and payable. (b) Facility Fee. During the period from the Effective Date to but excluding the Revolving Termination Date, the Borrower agrees to pay to the Administrative Agent for the account of the Revolving Lenders a facility fee equal to the daily aggregate amount of the Revolving Commitments (whether or not utilized) times a rate per annum equal to the Applicable Facility Fee. Such fee shall be payable quarterly in arrears on the first day of each January, April, July and October during the term of this Agreement and on the Revolving Termination Date or any earlier date of termination of the Revolving Commitments or reduction of the Revolving Commitments to zero. The Borrower acknowledges that the fee payable under this subsection is a bona fide commitment fee and is intended as reasonable compensation to the Revolving Lenders for committing to make funds available to the Borrower as described herein and for no other purposes. (c) Letter of Credit Fees. The Borrower agrees to pay to the Administrative Agent for the account of each Revolving Lender a letter of credit fee at a rate per annum equal to the Applicable Margin for Revolving Loans that are LIBORSOFR Loans times the daily average Stated Amount of each Letter of Credit for the period from and including the date of issuance of such Letter of Credit (x) to and including the date such Letter of Credit expires or is cancelled or (y) to but excluding the date such Letter of Credit is drawn in full; provided, however, if any of the Obligations are bearing interest as the Post-Default rate in accordance with Section 2.5.(a), such letter of credit fees shall accrue at the Post-Default Rate. The fees provided for in this subsection shall be nonrefundable and payable, in the case of the fee provided for in the first sentence, in arrears (i) quarterly on the first day of January, April, July and October, (ii) on the Revolving Termination Date, (iii) on the date the Revolving Commitments are terminated or reduced to zero and (iv) thereafter from time to time on demand of the Administrative Agent. The Borrower shall pay directly to the applicable Issuing Bank from time to time on demand all commissions, charges, costs and expenses in the amounts customarily charged or incurred by the applicable Issuing Bank from time to time in like circumstances with respect to the issuance, amendment, renewal or extension of any Letter of Credit issued by such Issuing Bank or any other transaction relating thereto. (d) Extension Fee. If the Borrower exercises its right to extend the Revolving Termination Date in accordance with Section 2.13., the Borrower shall pay to the Administrative Agent for the account of each Revolving Lender a fee equal to seven and one-half one-hundredths of one percent (0.075%) of the amount of such Lender’s Revolving Commitment (whether or not utilized) payable in connection with each such extension. - 57 - LEGAL02\42427047.v4


 
(e) Administrative and Other Fees. The Borrower agrees to pay the administrative and other fees of the Administrative Agent and the Lead Arrangers as provided in the Fee Letter and as may be otherwise agreed to in writing from time to time by the Borrower and the Administrative Agent. Section 3.6. Computations. Unless otherwise expressly set forth herein, any accrued interest on any Loan, any Fees or any other Obligations due hereunder shall be computed on the basis of a year of 360 days and the actual number of days elapsed. Section 3.7. Usury. In no event shall the amount of interest due or payable on the Loans or other Obligations exceed the maximum rate of interest allowed by Applicable Law and, if any such payment is paid by the Borrower or any other Loan Party or received by any Lender, then such excess sum shall be credited as a payment of principal, unless the Borrower shall notify the respective Lender in writing that the Borrower elects to have such excess sum returned to it forthwith. It is the express intent of the parties hereto that the Borrower not pay and the Lenders not receive, directly or indirectly, in any manner whatsoever, interest in excess of that which may be lawfully paid by the Borrower under Applicable Law. The parties hereto hereby agree and stipulate that the only charge imposed upon the Borrower for the use of money in connection with this Agreement is and shall be the interest specifically described in Section 2.5.(a)(i) and (ii). Notwithstanding the foregoing, the parties hereto further agree and stipulate that all agency fees, syndication fees, closing fees, facility fees, extension fees, letter of credit fees, underwriting fees, default charges, funding or “breakage” charges, increased cost charges, attorneys’ fees and reimbursement for costs and expenses paid by the Administrative Agent or any Lender to third parties or for damages incurred by the Administrative Agent or any Lender, in each case, in connection with the transactions contemplated by this Agreement and the other Loan Documents, are charges made to compensate the Administrative Agent or any such Lender for underwriting or administrative services and costs or losses performed or incurred, and to be performed or incurred, by the Administrative Agent and the Lenders in connection with this Agreement and shall under no circumstances be deemed to be charges for the use of money. All charges other than charges for the use of money shall be fully earned and nonrefundable when due. Section 3.8. Statements of Account. The Administrative Agent will account to the Borrower monthly with a statement of Loans, accrued interest and Fees, charges and payments made pursuant to this Agreement and the other Loan Documents, and such account rendered by the Administrative Agent shall be deemed conclusive upon the Borrower absent manifest error. The failure of the Administrative Agent to deliver such a statement of accounts shall not relieve or discharge the Borrower from any of its obligations hereunder. Section 3.9. Defaulting Lenders. Notwithstanding anything to the contrary contained in this Agreement, if any Lender becomes a Defaulting Lender, then, until such time as such Lender is no longer a Defaulting Lender, to the extent permitted by Applicable Law: (a) Waivers and Amendments. Such Defaulting Lender’s right to approve or disapprove any amendment, waiver or consent with respect to this Agreement shall be restricted as set forth in the definitions of Requisite Lenders and Requisite Class Lenders and as set forth in Section 12.6. - 58 - LEGAL02\42427047.v4


 
(b) Defaulting Lender Waterfall. Any payment of principal, interest, Fees or other amounts received by the Administrative Agent for the account of such Defaulting Lender (whether voluntary or mandatory, at maturity, pursuant to Article X. or otherwise) or received by the Administrative Agent from a Defaulting Lender pursuant to Section 3.3. shall be applied at such time or times as may be determined by the Administrative Agent as follows: first, to the payment of any amounts owing by such Defaulting Lender to the Administrative Agent hereunder; second, in the case of a Defaulting Lender that is a Revolving Lender, to Cash Collateralize the Issuing Banks’ Fronting Exposure with respect to such Defaulting Lender in accordance with subsection (e) below; third, as the Borrower may request (so long as no Default or Event of Default exists), to the funding of any Loan in respect of which such Defaulting Lender has failed to fund its portion thereof as required by this Agreement, as determined by the Administrative Agent; fourth, in the case of a Defaulting Lender that is a Revolving Lender, if so determined by the Administrative Agent and the Borrower, to be held in a deposit account and released pro rata in order to (x) satisfy such Defaulting Lender’s potential future funding obligations with respect to Loans under this Agreement and (y) Cash Collateralize the Issuing Banks’ future Fronting Exposure with respect to such Defaulting Lender with respect to future Letters of Credit issued under this Agreement, in accordance with subsection (e) below; fifth, to the payment of any amounts owing to the Lenders or the Issuing Banks as a result of any judgment of a court of competent jurisdiction obtained by any Lender or any Issuing Bank against such Defaulting Lender as a result of such Defaulting Lender’s breach of its obligations under this Agreement; sixth, so long as no Default or Event of Default exists, to the payment of any amounts owing to the Borrower as a result of any judgment of a court of competent jurisdiction obtained by the Borrower against such Defaulting Lender as a result of such Defaulting Lender’s breach of its obligations under this Agreement; and seventh, to such Defaulting Lender or as otherwise directed by a court of competent jurisdiction; provided that if (x) such payment is a payment of the principal amount of any Loans of any Class or amounts owing by such Defaulting Lender under Section 2.3.(j) in respect of Letters of Credit (such amounts “L/C Disbursements”), in respect of which such Defaulting Lender has not fully funded its appropriate share, and (y) such Loans were made or the related Letters of Credit were issued at a time when the conditions set forth in Article V. were satisfied or waived, such payment shall be applied solely to pay the Loans of such Class of, and L/C Disbursements owed to, all Non-Defaulting Lenders of the applicable Class on a pro rata basis prior to being applied to the payment of any Loans of, or L/C Disbursements owed to, such Defaulting Lender until such time as all Loans of such Class and, as applicable, funded and unfunded participations in Letter of Credit Liabilities, are held by the Lenders pro rata in accordance with their respective Revolving Commitment Percentages (determined without giving effect to the immediately following subsection (d)) and all Term Loan are held by the Term Loan Lenders pro rata as if there had been no Term Loan Lenders that are Defaulting Lenders. Any payments, prepayments or other amounts paid or payable to a Defaulting Lender that are applied (or held) to pay amounts owed by a Defaulting Lender or to post Cash Collateral pursuant to this subsection shall be deemed paid to and redirected by such Defaulting Lender, and each Lender irrevocably consents hereto. (c) Certain Fees. (i) No Defaulting Lender that is a Revolving Lender shall be entitled to receive any Fee payable under Section 3.5.(b) for any period during which that Lender is a Defaulting Lender (and the Borrower shall not be required to pay any such Fee that otherwise would have been required to have been paid to that Defaulting Lender). (ii) Each Defaulting Lender that is a Revolving Lender shall be entitled to receive payable under Section 3.5.(c) for any period during which that Lender is a Defaulting Lender only to the extent allocable to its Revolving Commitment Percentage of the stated amount of Letters of Credit for which it has provided Cash Collateral pursuant to the immediately following subsection (e). - 59 - LEGAL02\42427047.v4


 
(iii) With respect to any Fee not required to be paid to any Defaulting Lender pursuant to the immediately preceding clause (ii), the Borrower shall (x) pay to each Non-Defaulting Lender that portion of any such Fee otherwise payable to such Defaulting Lender with respect to such Defaulting Lender’s participation in Letter of Credit Liabilities that has been reallocated to such Non-Defaulting Lender pursuant to the immediately following subsection (d), (y) pay to each Issuing Bank the amount of any such Fee otherwise payable to such Defaulting Lender to the extent allocable to such Issuing Bank’s to such Defaulting Lender, and (z) not be required to pay the remaining amount of any such Fee. (d) Reallocation of Participations to Reduce Fronting Exposure. In the case of a Defaulting Lender that is a Revolving Lender, all or any part of such Defaulting Lender’s participation in Letter of Credit Liabilities shall be reallocated among the Non-Defaulting Lenders that are Revolving Lenders in accordance with their respective Revolving Commitment Percentages (determined without regard to such Defaulting Lender’s Revolving Commitment) but only to the extent that such reallocation does not cause the aggregate Revolving Credit Exposure of any Non-Defaulting Lender that is a Revolving Lender to exceed such Non-Defaulting Lender’s Revolving Commitment. Subject to Section 12.20, no reallocation hereunder shall constitute a waiver or release of any claim of any party hereunder against a Defaulting Lender arising from that Lender having become a Defaulting Lender, including any claim of a Non-Defaulting Lender as a result of such Non-Defaulting Lender’s increased exposure following such reallocation. (e) Cash Collateral. (i) If the reallocation described in the immediately preceding subsection (d) above cannot, or can only partially, be effected, the Borrower shall, without prejudice to any right or remedy available to it hereunder or under law, Cash Collateralize the Issuing Banks’ Fronting Exposure in accordance with the procedures set forth in this subsection. (ii) At any time that there shall exist a Defaulting Lender that is a Revolving Lender, within 1 Business Day following the written request of the Administrative Agent or the applicable Issuing Bank (with a copy to the Administrative Agent), the Borrower shall Cash Collateralize such Issuing Bank’s Fronting Exposure with respect to such Defaulting Lender (determined after giving effect to the immediately preceding subsection (d) and any Cash Collateral provided by such Defaulting Lender) in an amount not less than the aggregate Fronting Exposure of such Issuing Bank with respect to Letters of Credit issued and outstanding at such time. (iii) The Borrower, and to the extent provided by any Defaulting Lender that is a Revolving Lender, such Defaulting Lender, hereby grant to the Administrative Agent, for the benefit of the Issuing Banks, and agree to maintain, a first priority security interest in all such Cash Collateral as security for the obligation of Defaulting Lenders that are Revolving Lenders to fund participations in respect of Letter of Credit Liabilities, to be applied pursuant to the immediately following clause (iv). If at any time the Administrative Agent determines that Cash Collateral is subject to any right or claim of any Person other than the Administrative Agent and the Issuing Banks as herein provided, or that the total amount of such Cash Collateral is less than the aggregate Fronting Exposure of the Issuing Banks with respect to Letters of Credit issued and outstanding at such time, the Borrower will, promptly upon demand by the Administrative Agent, pay or provide to the Administrative Agent additional Cash Collateral in an amount sufficient to eliminate such deficiency (after giving effect to any Cash Collateral provided by the Defaulting Lender that is a Revolving Lender). - 60 - LEGAL02\42427047.v4


 
(iv) Notwithstanding anything to the contrary contained in this Agreement, Cash Collateral provided under this Section in respect of Letters of Credit shall be applied to the satisfaction of the obligation of a Defaulting Lender to fund participations in respect of Letter of Credit Liabilities (including, as to Cash Collateral provided by a Defaulting Lender, any interest accrued on such obligation) for which the Cash Collateral was so provided, prior to any other application of such property as may otherwise be provided for herein. (v) Cash Collateral (or the appropriate portion thereof) provided to reduce an Issuing Bank’s Fronting Exposure shall no longer be required to be held as Cash Collateral pursuant to this subsection following (x) the elimination of the applicable Fronting Exposure (including by the termination of Defaulting Lender status of the applicable Lender), or (y) the determination by the Administrative Agent and the applicable Issuing Bank that there exists excess Cash Collateral; provided that, subject to the immediately preceding subsection (b), the Person providing Cash Collateral and the applicable Issuing Bank may (but shall not be obligated to) agree that Cash Collateral shall be held to support future anticipated Fronting Exposure or other obligations and provided further that to the extent that such Cash Collateral was provided by the Borrower, such Cash Collateral shall remain subject to the security interest granted pursuant to the Loan Documents. (f) Defaulting Lender Cure. If the Borrower and the Administrative Agent, and solely in the case of a Defaulting Lender that is a Revolving Lender, the Issuing Banks, agree in writing that a Lender is no longer a Defaulting Lender, the Administrative Agent will so notify the parties hereto, whereupon as of the effective date specified in such notice and subject to any conditions set forth therein (which, in the case of a Defaulting Lender that is a Revolving Lender, may include arrangements with respect to any Cash Collateral), that Lender will, to the extent applicable, purchase at par that portion of outstanding Loans of the other Lenders or take such other actions as the Administrative Agent may determine to be necessary to cause, as applicable, (i) the Revolving Loans and funded and unfunded participations in Letters of Credit to be held pro rata by the Revolving Lenders in accordance with their respective Revolving Commitment Percentages (determined without giving effect to the immediately preceding subsection (d)) and (ii) the Term Loans to be held by the Term Loan Lenders pro rata in as if there had been no Term Loan Lenders that were Defaulting Lenders, whereupon such Lender will cease to be a Defaulting Lender; provided that no adjustments will be made retroactively with respect to Fees accrued or payments made by or on behalf of the Borrower while that Lender was a Defaulting Lender; and provided, further, that except to the extent otherwise expressly agreed by the affected parties, no change hereunder from Defaulting Lender to Lender will constitute a waiver or release of any claim of any party hereunder arising from that Lender’s having been a Defaulting Lender. (g) New Letters of Credit. So long as any Revolving Lender is a Defaulting Lender, each Issuing Bank shall not be required to issue, extend, renew or increase any Letter of Credit unless it is satisfied that it will have no Fronting Exposure after giving effect thereto. Section 3.10. Taxes. (a) Issuing Banks. For purposes of this Section, the term “Lender” includes the Issuing Banks and the Administrative Agent, the term “Applicable Law” includes FATCA and the term “IRS Form W-8BEN” includes both IRS Form W-8BEN and IRS Form W-8BEN-E, as applicable. (b) Payments Free of Taxes. Any and all payments by or on account of any obligation of the Borrower or any other Loan Party under any Loan Document shall be made without deduction or withholding for any Taxes, except as required by Applicable Law. If any Applicable Law (as determined - 61 - LEGAL02\42427047.v4


 
in the good faith discretion of an applicable Withholding Agent) requires the deduction or withholding of any Tax from any such payment by a Withholding Agent, then the applicable Withholding Agent shall be entitled to make such deduction or withholding and shall timely pay the full amount deducted or withheld to the relevant Governmental Authority in accordance with Applicable Law and, if such Tax is an Indemnified Tax, then the sum payable by the Borrower or other applicable Loan Party shall be increased as necessary so that after such deduction or withholding has been made (including such deductions and withholdings applicable to additional sums payable under this Section) the applicable Recipient receives an amount equal to the sum it would have received had no such deduction or withholding been made. (c) Payment of Other Taxes by the Borrower. The Borrower and the other Loan Parties shall timely pay to the relevant Governmental Authority in accordance with Applicable Law, or at the option of the Administrative Agent timely reimburse it for the payment of, any Other Taxes. (d) Indemnification by the Borrower. Without duplication of any obligation under the preceding subsections (b) or (c), the Borrower and the other Loan Parties shall jointly and severally indemnify each Recipient, within 10 days after demand therefor, for the full amount of any Indemnified Taxes (including Indemnified Taxes imposed or asserted on or attributable to amounts payable under this Section) payable or paid by such Recipient or required to be withheld or deducted from a payment to such Recipient and any reasonable expenses arising therefrom or with respect thereto, whether or not such Indemnified Taxes were correctly or legally imposed or asserted by the relevant Governmental Authority. A certificate as to the amount of such payment or liability delivered to the Borrower by a Lender (with a copy to the Administrative Agent), or by the Administrative Agent on its own behalf or on behalf of a Lender, shall be conclusive absent manifest error. (e) Indemnification by the Lenders. Each Lender shall severally indemnify the Administrative Agent, within 10 days after demand therefor, for (i) any Indemnified Taxes attributable to such Lender (but only to the extent that the Borrower or another Loan Party has not already indemnified the Administrative Agent for such Indemnified Taxes and without limiting the obligation of the Borrower and the other Loan Parties to do so), (ii) any Taxes attributable to such Lender’s failure to comply with the provisions of Section 12.5. relating to the maintenance of a Participant Register and (iii) any Excluded Taxes attributable to such Lender, in each case, that are payable or paid by the Administrative Agent in connection with any Loan Document, and any reasonable expenses arising therefrom or with respect thereto, whether or not such Taxes were correctly or legally imposed or asserted by the relevant Governmental Authority. A certificate as to the amount of such payment or liability delivered to any Lender by the Administrative Agent shall be conclusive absent manifest error. Each Lender hereby authorizes the Administrative Agent to set off and apply any and all amounts at any time owing to such Lender under any Loan Document or otherwise payable by the Administrative Agent to the Lender from any other source against any amount due to the Administrative Agent under this subsection. The provisions of this subsection shall continue to inure to the benefit of an Administrative Agent following its resignation as Administrative Agent. (f) Evidence of Payments. As soon as practicable after any payment of Taxes by the Borrower or any other Loan Party to a Governmental Authority pursuant to this Section, the Borrower or such other Loan Party shall deliver to the Administrative Agent the original or a certified copy of a receipt issued by such Governmental Authority evidencing such payment, a copy of the return reporting such payment or other evidence of such payment reasonably satisfactory to the Administrative Agent. (g) Status of Lenders. (i) Any Lender that is entitled to an exemption from or reduction of withholding Tax with respect to payments made under any Loan Document shall deliver to the Borrower and - 62 - LEGAL02\42427047.v4


 
the Administrative Agent, at the time or times reasonably requested by the Borrower or the Administrative Agent, such properly completed and executed documentation reasonably requested by the Borrower or the Administrative Agent as will permit such payments to be made without withholding or at a reduced rate of withholding. In addition, any Lender, if reasonably requested by the Borrower or the Administrative Agent, shall deliver such other documentation prescribed by Applicable Law or reasonably requested by the Borrower or the Administrative Agent as will enable the Borrower or the Administrative Agent to determine whether or not such Lender is subject to backup withholding or information reporting requirements. Notwithstanding anything to the contrary in the preceding two sentences, the completion, execution and submission of such documentation (other than such documentation set forth in the immediately following clauses (ii)(A), (ii)(B) and (ii)(D)) shall not be required if in the Lender’s reasonable judgment such completion, execution or submission would subject such Lender to any material unreimbursed cost or expense or would materially prejudice the legal or commercial position of such Lender. (ii) Without limiting the generality of the foregoing, in the event that the Borrower is a U.S. Person: (A) any Lender that is a U.S. Person shall deliver to the Borrower and the Administrative Agent on or prior to the date on which such Lender becomes a Lender under this Agreement (and from time to time thereafter upon the reasonable request of the Borrower or the Administrative Agent), an electronic copy (or an original if requested by the Borrower or the Administrative Agent) of an executed IRS Form W-9 (or any successor form) certifying that such Lender is exempt from U.S. federal backup withholding tax; (B) any Foreign Lender shall, to the extent it is legally entitled to do so, deliver to the Borrower and the Administrative Agent (in such number of copies as shall be requested by the recipient) on or prior to the date on which such Foreign Lender becomes a Lender under this Agreement (and from time to time thereafter upon the reasonable request of the Borrower or the Administrative Agent), whichever of the following is applicable: (I) in the case of a Foreign Lender claiming the benefits of an income tax treaty to which the United States is a party (x) with respect to payments of interest under any Loan Document, an electronic copy (or an original if requested by the Borrower or the Administrative Agent) of an executed IRS Form W-8BEN establishing an exemption from, or reduction of, U.S. federal withholding Tax pursuant to the “interest” article of such tax treaty and (y) with respect to any other applicable payments under any Loan Document, IRS Form W-8BEN establishing an exemption from, or reduction of, U.S. federal withholding Tax pursuant to the “business profits” or “other income” article of such tax treaty; (II) an electronic copy (or an original if requested by the Borrower or the Administrative Agent) of an executed IRS Form W-8ECI; (III) in the case of a Foreign Lender claiming the benefits of the exemption for portfolio interest under Section 881(c) of the Internal Revenue Code, (x) a certificate substantially in the form of Exhibit N-1 to the effect that such Foreign Lender is not a “bank” within the meaning of Section 881(c)(3)(A) - 63 - LEGAL02\42427047.v4


 
of the Internal Revenue Code, a “10 percent shareholder” of the Borrower within the meaning of Section 881(c)(3)(B) of the Internal Revenue Code, or a “controlled foreign corporation” described in Section 881(c)(3)(C) of the Internal Revenue Code (a “U.S. Tax Compliance Certificate”) and (y) an electronic copy (or an original if requested by the Borrower or the Administrative Agent) of IRS Form W-8BEN; or (IV) to the extent a Foreign Lender is not the beneficial owner, an electronic copy (or an original if requested by the Borrower or the Administrative Agent) of an executed IRS Form W-8IMY, accompanied by IRS Form W-8ECI, IRS Form W-8BEN, a U.S. Tax Compliance Certificate substantially in the form of Exhibit N-2 or Exhibit N-3, IRS Form W-9, and/or other certification documents from each beneficial owner, as applicable; provided that if the Foreign Lender is a partnership and one or more direct or indirect partners of such Foreign Lender are claiming the portfolio interest exemption, such Foreign Lender may provide a U.S. Tax Compliance Certificate substantially in the form of Exhibit N-4 on behalf of each such direct and indirect partner; (C) any Foreign Lender shall, to the extent it is legally entitled to do so, deliver to the Borrower and the Administrative Agent (in such number of copies as shall be requested by the recipient) on or prior to the date on which such Foreign Lender becomes a Lender under this Agreement (and from time to time thereafter upon the reasonable request of the Borrower or the Administrative Agent), an electronic copy (or an original if requested by the Borrower or the Administrative Agent) of any other form prescribed by Applicable Law as a basis for claiming exemption from or a reduction in U.S. federal withholding Tax, duly completed, together with such supplementary documentation as may be prescribed by Applicable Law to permit the Borrower or the Administrative Agent to determine the withholding or deduction required to be made; and (D) if a payment made to a Recipient under any Loan Document would be subject to U.S. federal withholding Tax imposed by FATCA if such Recipient were to fail to comply with the applicable reporting requirements of FATCA (including those contained in Section 1471(b) or 1472(b) of the Internal Revenue Code, as applicable), such Recipient shall deliver to the Borrower and the Administrative Agent at the time or times prescribed by Applicable Law and at such time or times reasonably requested by the Borrower or the Administrative Agent such documentation prescribed by Applicable Law (including as prescribed by Section 1471(b)(3)(C)(i) of the Internal Revenue Code) and such additional documentation reasonably requested by the Borrower or the Administrative Agent as may be necessary for the Borrower and the Administrative Agent to comply with their obligations under FATCA and to determine that such Recipient has complied with such Recipient’s obligations under FATCA or to determine the amount to deduct and withhold from such payment. Solely for purposes of this clause (D), “FATCA” shall include any amendments made to FATCA after the date of this Agreement. (iii) If an Administrative Agent is a United States person (as defined in Section 7701(a)(30) of the Code), upon the request of the Borrower, it shall deliver to the Borrower on or prior to the date on which it becomes an Administrative Agent under this Agreement with two duly completed copies of Form W-9. If the Administrative Agent is not a United States person - 64 - LEGAL02\42427047.v4


 
(as defined in Section 7701(a)(30) of the Code), upon the request of the Borrower, it shall provide to the Borrower on or prior to the date on which it becomes an Administrative Agent under this Agreement (and from time to time thereafter upon the reasonable request of the Borrower): (A) two executed copies of Form W-8ECI with respect to any amounts payable to the Administrative Agent for its own account, and (B) two executed copies of Form W-8IMY with respect to any amounts payable to the Administrative Agent for the account of others, certifying that it is a “U.S. branch” and that the payments it receives for the account of others are not effectively connected with the conduct of its trade or business within the United States and that it is using such form as evidence of its agreement with the Borrower to be treated as a United States person with respect to such payments (and the Borrower and the Administrative Agent agree to so treat the Administrative Agent as a United States person with respect to such payments as contemplated by Section 1.1441-1(b)(2)(iv) of the United States Treasury Regulations). Each Recipient agrees that if any form or certification it previously delivered expires or becomes obsolete or inaccurate in any respect, it shall update such form or certification or promptly notify the Borrower and the Administrative Agent in writing of its legal inability to do so. (h) Treatment of Certain Refunds. If any party determines, in its sole discretion exercised in good faith, that it has received a refund of any Taxes as to which it has been indemnified pursuant to this Section (including by the payment of additional amounts pursuant to this Section), it shall pay to the indemnifying party an amount equal to such refund (but only to the extent of indemnity payments made under this Section with respect to the Taxes giving rise to such refund), net of all out-of-pocket expenses (including Taxes) of such indemnified party and without interest (other than any interest paid by the relevant Governmental Authority with respect to such refund). Such indemnifying party, upon the request of such indemnified party, shall repay to such indemnified party the amount paid over pursuant to this subsection (plus any penalties, interest or other charges imposed by the relevant Governmental Authority) in the event that such indemnified party is required to repay such refund to such Governmental Authority. Notwithstanding anything to the contrary in this subsection, in no event will the indemnified party be required to pay any amount to an indemnifying party pursuant to this subsection the payment of which would place the indemnified party in a less favorable net after-Tax position than the indemnified party would have been in if the Tax subject to indemnification and giving rise to such refund had not been deducted, withheld or otherwise imposed and the indemnification payments or additional amounts with respect to such Tax had never been paid. This subsection shall not be construed to require any indemnified party to make available its Tax returns (or any other information relating to its Taxes that it deems confidential) to the indemnifying party or any other Person. (i) Survival. Each party’s obligations under this Section shall survive the resignation or replacement of the Administrative Agent or any assignment of rights by, or the replacement of, a Lender, the termination of the Commitments and the repayment, satisfaction or discharge of all obligations under any Loan Document. ARTICLE IV. YIELD PROTECTION, ETC. Section 4.1. Additional Costs; Capital Adequacy. (a) Capital Adequacy. If any Lender determines that any Regulatory Change affecting such Lender or any lending office of such Lender or such Lender’s holding company, if any, regarding capital or liquidity ratios or requirements, has or would have the effect of reducing the rate of return on such Lender’s capital or on the capital of such Lender’s holding company, if any, as a consequence of this Agreement, the Commitment of such Lender or the Loans made by, or participations in Letters of Credit - 65 - LEGAL02\42427047.v4


 
held by, such Lender, to a level below that which such Lender or such Lender’s holding company could have achieved but for such Regulatory Change (taking into consideration such Lender’s policies and the policies of such Lender’s holding company with respect to capital adequacy), then from time to time the Borrower will pay to such Lender such additional amount or amounts as will compensate such Lender or such Lender’s holding company for any such reduction suffered. (b) Additional Costs. In addition to, and not in limitation of the immediately preceding subsection (a), the Borrower shall promptly pay to the Administrative Agent for the account of a Lender from time to time such amounts as such Lender may determine to be necessary to compensate such Lender for any costs incurred by such Lender that it determines are attributable to its making or maintaining of any LIBORSOFR Loans or its obligation to make any LIBORSOFR Loans hereunder, any reduction in any amount receivable by such Lender under this Agreement or any of the other Loan Documents in respect of any of such LIBORSOFR Loans or such obligation or the maintenance by such Lender of capital in respect of its LIBORSOFR Loans or its Commitment (such increases in costs and reductions in amounts receivable being herein called “Additional Costs”), resulting from any Regulatory Change that: (i) changes the basis of taxation of any amounts payable to such Lender under this Agreement or any of the other Loan Documents in respect of any of such LIBORSOFR Loans or its Commitment (other than Indemnified Taxes, Taxes described in clauses (b) through (d) of the definition of Excluded Taxes and Connection Income Taxes); (ii) imposes or modifies any reserve, special deposit, compulsory loan, insurance charge or similar requirements (other than Regulation D of the Board of Governors of the Federal Reserve System or other similar reserve requirement applicable to any other category of liabilities or category of extensions of credit or other assets by reference to which the interest rate on LIBORSOFR Loans is determined to the extent utilized when determining LIBORSOFR for such Loans) relating to any extensions of credit or other assets of, or any deposits with or other liabilities of, or other credit extended by, or any other acquisition of funds by such Lender (or its parent corporation), or any commitment of such Lender (including, without limitation, the Commitment of such Lender hereunder); or (iii) imposes on any Lender or the London interbank market any other condition, cost or expense (other than Taxes) affecting this Agreement or the Loans made by such Lender. (c) Lender’s Suspension of LIBORSOFR Loans. Without limiting the effect of the provisions of the immediately preceding subsections (a) and (b), if by reason of any Regulatory Change, any Lender either (i) incurs Additional Costs based on or measured by the excess above a specified level of the amount of a category of deposits or other liabilities of such Lender that includes deposits by reference to which the interest rate on LIBORSOFR Loans is determined as provided in this Agreement or a category of extensions of credit or other assets of such Lender that includes LIBORSOFR Loans or (ii) becomes subject to restrictions on the amount of such a category of liabilities or assets that it may hold, then, if such Lender so elects by notice to the Borrower (with a copy to the Administrative Agent), the obligation of such Lender to make or Continue, or to Convert Base Rate Loans into, LIBORSOFR Loans hereunder shall be suspended until such Regulatory Change ceases to be in effect (in which case the provisions of Section 4.5. shall apply). (d) Additional Costs in Respect of Letters of Credit. Without limiting the obligations of the Borrower under the preceding subsections of this Section (but without duplication), if as a result of any Regulatory Change or any risk-based capital guideline or other requirement heretofore or hereafter issued by any Governmental Authority there shall be imposed, modified or deemed applicable any Tax (other - 66 - LEGAL02\42427047.v4


 
than Indemnified Taxes, Taxes described in clauses (b) through (d) of the definition of Excluded Taxes and Connection Income Taxes), reserve, special deposit, capital adequacy or similar requirement against or with respect to or measured by reference to Letters of Credit and the result shall be to increase the cost to the applicable Issuing Bank of issuing (or any Revolving Lender of purchasing participations in) or maintaining its obligation hereunder to issue (or purchase participations in) any Letter of Credit or reduce any amount receivable by an Issuing Bank or any Revolving Lender hereunder in respect of any Letter of Credit, then, upon demand by such Issuing Bank or such Lender, the Borrower shall promptly, and in any event within 1 Business Day of demand, pay to such Issuing Bank or, in the case of such Lender, to the Administrative Agent for the account of such Lender, from time to time as specified by such Issuing Bank or such Lender, such additional amounts as shall be sufficient to compensate such Issuing Bank or such Lender for such increased costs or reductions in amount. (e) Notification and Determination of Additional Costs. Each of the Administrative Agent, each Issuing Bank and each Lender, as the case may be, agrees to notify the Borrower (and in the case of the Issuing Bank or a Lender, to notify the Administrative Agent) in writing of any event occurring after the Agreement Date entitling the Administrative Agent, the applicable Issuing Bank or such Lender to compensation under any of the preceding subsections of this Section as promptly as practicable; provided, however, that the failure of the Administrative Agent, any Issuing Bank or any Lender to give such written notice shall not release the Borrower from any of its obligations hereunder. The Administrative Agent, each Issuing Bank and each Lender, as the case may be, agrees to furnish to the Borrower (and in the case of an Issuing Bank or a Lender to the Administrative Agent as well) a certificate setting forth the basis and amount of each request for compensation under this Section. Determinations by the Administrative Agent, such Issuing Bank or such Lender, as the case may be, of the effect of any Regulatory Change shall be conclusive and binding for all purposes, absent manifest error. The Borrower shall pay the Administrative Agent, any such Issuing Bank and or any such Lender, as the case may be, the amount shown as due on any such certificate within 30 days after receipt thereof. (f) Delay in Requests. Failure or delay on the part of any Lender or an Issuing Bank to demand compensation pursuant to this Section shall not constitute a waiver of such Lender’s or such Issuing Bank’s right to demand such compensation; provided that the Borrower shall not be required to compensate a Lender or an Issuing Bank pursuant to this Section 4.1. for any increased costs incurred or reductions suffered more than 180 days prior to the date that such Lender or such Issuing Bank, as the case may be, notifies the Borrower of the Regulatory Change giving rise to such increased costs or reductions, and of such Lender’s or such Issuing Bank’s intention to claim compensation therefor (except that, if the Regulatory Change giving rise to such increased costs or reductions is retroactive, then the 180 days period referred to above shall be extended to include the period of retroactive effect thereof). Section 4.2. Suspension of LIBORSOFR Loans. (a) Circumstances Affecting LIBORSOFR Rate Availability. Subject to clause (cb) below, in connection with any request for a LIBORSOFR Loan or a conversion to or continuation of a LIBOR LoanConversion to or Continuation thereof or otherwise, if for any reason (i) Dollar deposits are not being offered to banks in the London interbank eurodollar market for the applicable amount and Interest Period of such Loan, (ii)the Administrative Agent shall determine (which determination shall be conclusive and binding absent manifest error) that reasonable and adequate means do not exist for the ascertaining LIBOR for suchAdjusted Daily Simple SOFR pursuant to the definition thereof or Adjusted Term SOFR on or prior to the first day of the applicable Interest Period with respect to a proposed LIBOR Loan or (iiiii) the RequisiteRequired Lenders shall determine that LIBOR(which determination shall be conclusive and binding absent manifest error) that Adjusted Daily Simple SOFR or Adjusted Term SOFR, as applicable, does not adequately and fairly reflect the cost to such Lenders of making or maintaining any such LoansLoan during, with respect to Adjusted Term SOFR, such Interest Period and, - 67 - LEGAL02\42427047.v4


 
thenin the case of clause (ii), the Required Lenders have provided notice of such determination to the Administrative Agent, then, in each case, the Administrative Agent shall promptly give notice thereof to the Borrower. Thereafter, untilUpon notice thereof by the Administrative Agent notifiesto the Borrower that such circumstances no longer exist, the, any obligation of the Lenders to make LIBORSOFR Loans, and theany right of the Borrower to convertConvert any Loan to or continueContinue any Loan as a LIBORSOFR Loan, shall be suspended (to the extent of the affected SOFR Loans or the affected Interest Periods) until the Administrative Agent (with respect to clause (ii), at the instruction of the Required Lenders) revokes any such notice. Upon receipt of such notice, (A) the Borrower may revoke any pending request for a LIBOR Loan or the conversion to or continuation of LIBOR Loans and the Borrower shall either (A)borrowing of, Conversion to or Continuation of SOFR Loans (to the extent of the affected SOFR Loans or the affected Interest Periods) or, failing that, the Borrower will be deemed to have Converted any such request into a request for a borrowing of or Conversion to Base Rate Loans in the amount specified therein, (B) the Borrower may repay in full (or cause to be repaid in full) the then outstanding principal amount of each such LIBORSOFR Loan together with accrued interest thereon (subject to Section 3.7.), on the last day of the then current Interest Period applicable to such LIBOR Loan; or (B) convert the then outstanding principal amount of each such LIBOR Loan to a Base Rate Loan (with Base Rate determined other than by reference to LIBOR) as of the last day of such (I) with respect to any Daily Simple SOFR Loans, immediately and (II) with respect to any Term SOFR Loans, at the end of the applicable Interest Period, and (C) any outstanding affected SOFR Loans will be deemed to have been converted into Base Rate Loans (I) with respect to any Daily Simple SOFR Loans, immediately and (II) with respect to any Term SOFR Loans, at the end of the applicable Interest Period. Upon any such repayment or Conversion, the Borrower shall also pay accrued interest on the amount so repaid or Converted, together with any additional amounts required pursuant to Section 4.4. (b) Benchmark Replacement Setting. (i) (i) Benchmark Replacement. (A) (A) Notwithstanding anything to the contrary herein or in any other Loan Document (and any Derivatives Contract shall be deemed not to be a “Loan Document” for purposes of this Section 4.2.(b)) if, upon the occurrence of a Benchmark Transition Event or an Early Opt-in Election, as applicable, and its related Benchmark Replacement Date have occurred prior to the Reference Time inwith respect ofto any setting of the then-current Benchmark, then (x) ifthe Administrative Agent and the Borrower may amend this Agreement to replace such Benchmark with a Benchmark Replacement is determined in accordance with clause (a)(1) or (a)(2) of the definition of “Benchmark Replacement” for such Benchmark Replacement Date, such Benchmark Replacement will replace such Benchmark for all purposes hereunder and under any Loan Document in respect of such Benchmark setting and subsequent Benchmark settings without any amendment to, or further action or consent of any other party to, this Agreement or any other Loan Document and (y) if a Benchmark Replacement is determined in accordance with clause (a)(3) of the definition of “Benchmark Replacement” for such Benchmark Replacement Date, such Benchmark Replacement will replace such Benchmark for all purposes hereunder and under any Loan Document in respect of any Benchmark setting at or after. Any such amendment with respect to a Benchmark Transition Event will become effective at 5:00 p.m. on the fifth (5th) Business Day after the date notice of such Benchmark Replacement is provided to the Lenders without any amendment to, or further action or consent of any other party to, this Agreement or any other Loan DocumentAdministrative Agent has posted such proposed amendment to all affected Lenders and the Borrower so long as the Administrative Agent has not received, by such time, written notice of objection to such Benchmark Replacementamendment from - 68 - LEGAL02\42427047.v4


 
Lenders comprising the Requisite Lenders. Required Lenders. No replacement of a Benchmark with a Benchmark Replacement pursuant to this Section 4.2.(b)(i)(A) will occur prior to the applicable Benchmark Transition Start Date. (B) No Derivatives Contract shall be deemed to be a “Loan Document” for purposes of this Section 4.2.(b). (B) Notwithstanding anything to the contrary herein or in any other Loan Document, if a Term SOFR Transition Event and its related Benchmark Replacement Date have occurred prior to the Reference Time in respect of any setting of the then-current Benchmark, then the applicable Benchmark Replacement will replace the then-current Benchmark for all purposes hereunder or under any Loan Document in respect of such Benchmark setting and subsequent Benchmark settings, without any amendment to, or further action or consent of any other party to, this Agreement or any other Loan Document; provided that this clause (B) shall not be effective unless the Administrative Agent has delivered to the Lenders and the Borrower a Term SOFR Notice. For the avoidance of doubt, the Administrative Agent shall not be required to deliver a Term SOFR Notice after a Term SOFR Transition Event and may elect or not elect to do so in its sole discretion. (ii) (ii)Benchmark Replacement Conforming Changes. In connection with the use, administration, adoption or implementation of a Benchmark Replacement, the Administrative Agent will have the right to make Benchmark Replacement Conforming Changes from time to time and, notwithstanding anything to the contrary herein or in any other Loan Document, any amendments implementing such Benchmark Replacement Conforming Changes will become effective without any further action or consent of any other party to this Agreement or any other Loan Document. (iii) (iii) Notices; Standards for Decisions and Determinations. The Administrative Agent will promptly notify the Borrower and the Lenders of (A) any occurrence of a Benchmark Transition Event, a Term SOFR Transition Event or an Early Opt-in Election, as applicable, and its related Benchmark Replacement Date, (B) thethe implementation of any Benchmark Replacement, and (CB) the effectiveness of any Benchmark Replacement Conforming Changes, (D) in connection with the use, administration, adoption or implementation of a Benchmark Replacement. The Administrative Agent will promptly notify the Borrower of the removal or reinstatement of any tenor of a Benchmark pursuant to Section 4.2.(b)(iv) below and (E) the commencement or conclusion of any Benchmark Unavailability Period. Any determination, decision or election that may be made by the Administrative Agent or, if applicable, any Lender (or group of Lenders) pursuant to this Section 4.2.(b), including any determination with respect to a tenor, rate or adjustment or of the occurrence or non-occurrence of an event, circumstance or date and any decision to take or refrain from taking any action or any selection, will be conclusive and binding absent manifest error and may be made in its or their sole discretion and without consent from any other party to this Agreement or any other Loan Document, except, in each case, as expressly required pursuant to this Section 4.2.(b). (iv) (iv) Unavailability of Tenor of Benchmark. Notwithstanding anything to the contrary herein or in any other Loan Document, at any time (including in connection with the implementation of a Benchmark Replacement), (A) if theany then-current Benchmark is a term rate (including Adjusted Term SOFR or USD LIBOR) and either (1) any tenor for such Benchmark is not displayed on a screen or other information service that publishes such rate from time to time as selected by the Administrative Agent in its reasonable discretion or (2) the regulatory supervisor for the administrator of such Benchmark has provided a public statement or publication of information announcing that any tenor for such Benchmark is not or will be no - 69 - LEGAL02\42427047.v4


 
longernot be representative, then the Administrative Agent may modify the definition of “Interest Period” (or any similar or analogous definition) for any Benchmark settings at or after such time to remove such unavailable or non-representative tenor and (B) if a tenor that was removed pursuant to clause (A) above either (1) is subsequently displayed on a screen or information service for a Benchmark (including a Benchmark Replacement) or (2) is not, or is no longer, subject to an announcement that it is not or will no longernot be representative for a Benchmark (including a Benchmark Replacement), then the Administrative Agent may modify the definition of “Interest Period” (or any similar or analogous definition) for all Benchmark settings at or after such time to reinstate such previously removed tenor. (v) (v) Benchmark Unavailability Period. Upon the Borrower’s receipt of notice of the commencement of a Benchmark Unavailability Period, with respect to a given Benchmark, (A) the Borrower may revoke any pending request for a borrowing of, conversion to or continuation of LIBORConversion to or Continuation of any affected SOFR Loans to be made, converted or continuedConverted or Continued during any Benchmark Unavailability Period and, failing that, the Borrower will be deemed to have convertedConverted any such request into a request for a borrowing of or conversionConversion to Base Rate Loans and (B) any outstanding affected SOFR Loans will be deemed to have been Converted to Base Rate Loans (I) with respect to any Daily Simple SOFR Loans, immediately and (II) with respect to any Term SOFR Loans, at the end of the applicable Interest Period. During any Benchmark Unavailability Period with respect to any Benchmark or at any time that a tenor for theany then-current Benchmark is not an Available Tenor, the component of the Base Rate based upon the then-current Benchmark that is the subject of such Benchmark Unavailability Period or such tenor for such Benchmark, as applicable, will not be used in any determination of the Base Rate. (vi) London Interbank Offered Rate Benchmark Transition Event. On March 5, 2021, the IBA, the administrator of the London interbank offered rate, and the FCA, the regulatory supervisor of the IBA, made the Announcements that the final publication or representativeness date for (I) 1-week and 2-month London interbank offered rate tenor settings will be December 31, 2021 and (II) overnight, 1-month, 3-month, 6-month and 12-month London interbank offered rate tenor settings will be June 30, 2023. No successor administrator for the IBA was identified in such Announcements. The parties hereto agree and acknowledge that the Announcements resulted in the occurrence of a Benchmark Transition Event with respect to the London interbank offered rate pursuant to the terms of this Agreement and that any obligation of the Administrative Agent to notify any parties of such Benchmark Transition Event pursuant to clause (iii) of this Section 4.2.(b) shall be deemed satisfied. Section 4.3. Illegality. Notwithstanding any other provision of this Agreement, if any Lender shall determine (which determination shall be conclusive and binding) that it is unlawful for such Lender to honor its obligation to make or maintain LIBORSOFR Loans hereunder, then such Lender shall promptly notify the Borrower thereof (with a copy of such notice to the Administrative Agent) and such Lender’s obligation to make or Continue, or to Convert Loans of any other Type into, LIBORSOFR Loans shall be suspended until such time as such Lender may again make and maintain LIBORSOFR Loans (in which case the provisions of Section 4.5. shall be applicable). Section 4.4. Compensation. The Borrower shall pay to the Administrative Agent for the account of each Lender, upon the request of the Administrative Agent, such amount or amounts as the Administrative Agent shall determine in its sole discretion shall be sufficient to compensate such Lender for any loss, cost or expense attributable to: - 70 - LEGAL02\42427047.v4


 
(a) any payment or prepayment (whether mandatory or optional) of a LIBORTerm SOFR Loan, or Conversion of a LIBORTerm SOFR Loan, made by such Lender for any reason (including, without limitation, acceleration) on a date other than the last day of the Interest Period for such Loan; or (b) any failure by the Borrower for any reason (including, without limitation, the failure of any of the applicable conditions precedent specified in Section 5.2. to be satisfied, but excluding any failure resulting from the operation of Section 4.2.) to borrow a LIBORSOFR Loan from such Lender on the date for such borrowing, or to Convert a Base Rate Loan into a LIBORSOFR Loan or Continue a LIBORSOFR Loan on the requested date of such Conversion or Continuation. Not in limitation of the foregoing, such compensation shall include, without limitation, an amount equal to the then present value of (A) the amount of interest that would have accrued on such LIBORTerm SOFR Loan for the remainder of the Interest Period at the rate applicable to such LIBORTerm SOFR Loan, less (B) the amount of interest that would accrue on the same LIBORTerm SOFR Loan for the same period if LIBORAdjusted Term SOFR were set on the date on which such LIBORTerm SOFR Loan was repaid, prepaid or Converted or the date on which the Borrower failed to borrow, Convert or Continue such LIBORTerm SOFR Loan, as applicable, calculating present value by using as a discount rate LIBORAdjusted Term SOFR quoted on such date. Upon the Borrower’s request, the Administrative Agent shall provide the Borrower with a statement setting forth the basis for requesting such compensation and the method for determining the amount thereof. Any such statement shall be conclusive absent manifest error. Section 4.5. Treatment of Affected Loans. If the obligation of any Lender to make LIBORSOFR Loans or to Continue, or to Convert Base Rate Loans into, LIBORSOFR Loans shall be suspended pursuant to Section 4.1.(c), Section 4.2. or Section 4.3. then such Lender’s LIBORSOFR Loans shall be automatically Converted into Base Rate Loans on (I) with respect to any Daily Simple SOFR Loans, immediately and (II) with respect to any Term SOFR Loans, on the last day(s) of the then current Interest Period(s) for LIBORsuch Term SOFR Loans (or, in the case of a Conversion required by Section 4.1.(c), Section 4.2., or Section 4.3. on such earlier date as such Lender or the Administrative Agent, as applicable, may specify to the Borrower (with a copy to the Administrative Agent, as applicable)) and, in each case, unless and until such Lender or the Administrative Agent, as applicable, gives notice as provided below that the circumstances specified in Section 4.1., Section 4.2. or Section 4.3. that gave rise to such Conversion no longer exist: (a) to the extent that such Lender’s LIBORSOFR Loans have been so Converted, all payments and prepayments of principal that would otherwise be applied to such Lender’s LIBORSOFR Loans shall be applied instead to its Base Rate Loans; and (b) all Loans that would otherwise be made or Continued by such Lender as LIBORSOFR Loans shall be made or Continued instead as Base Rate Loans, and all Base Rate Loans of such Lender that would otherwise be Converted into LIBORSOFR Loans shall remain as Base Rate Loans. If such Lender or the Administrative Agent, as applicable, gives notice to the Borrower (with a copy to the Administrative Agent, as applicable) that the circumstances specified in Section 4.1.(c), 4.2. or 4.3. that gave rise to the Conversion of such Lender’s LIBORSOFR Loans pursuant to this Section no longer exist (which such Lender or the Administrative Agent, as applicable, agrees to do promptly upon such - 71 - LEGAL02\42427047.v4


 
circumstances ceasing to exist) at a time when LIBORSOFR Loans made by other Lenders are outstanding, then such Lender’s Base Rate Loans shall be automatically Converted, (I) with respect to any Daily Simple SOFR Loans, immediately and (II) with respect to any Term SOFR Loans, on the first day(s) of the next succeeding Interest Period(s) for such outstanding LIBORTerm SOFR Loans, in each case to the extent necessary so that, after giving effect thereto, all Loans held by the Lenders holding LIBORSOFR Loans and by such Lender are held pro rata (as to principal amounts, Types and Interest Periods) in accordance with their respective Commitments, in the case of Revolving Loans, or the outstanding principal amount of Term Loans, in the case of Term Loans. Section 4.6. Affected Lenders. If (a) a Lender requests compensation pursuant to Section 3.10. or 4.1., and the Requisite Lenders are not also doing the same, or (b) the obligation of any Lender to make LIBORSOFR Loans or to Continue, or to Convert Base Rate Loans into, LIBORSOFR Loans shall be suspended pursuant to Section 4.1.(b) or 4.3. but the obligation of the Requisite Lenders shall not have been suspended under such Sections, or (c) a Lender becomes a Defaulting Lender or a Non-Consenting Lender, then, so long as there does not then exist any Default or Event of Default, the Borrower may demand that such Lender (the “Affected Lender”), and upon such demand the Affected Lender shall promptly, assign its Commitment, if any, and Loans to an Eligible Assignee subject to and in accordance with the provisions of Section 12.5.(b) for a purchase price equal to (x) the aggregate principal balance of all Loans then owing to the Affected Lender, plus (y) in the case of an Affected Lender that is a Revolving Lender, the aggregate amount of payments previously made by the Affected Lender under Section 2.3.(j) that have not been repaid, plus (z) any accrued but unpaid interest and accrued but unpaid fees owing to the Affected Lender, or any other amount as may be mutually agreed upon by such Affected Lender and Eligible Assignee. Each of the Administrative Agent and the Affected Lender shall reasonably cooperate in effectuating the replacement of such Affected Lender under this Section, but at no time shall the Administrative Agent, such Affected Lender nor any other Lender nor any Titled Agent be obligated in any way whatsoever to initiate any such replacement or to assist in finding an Eligible Assignee. The exercise by the Borrower of its rights under this Section shall be at the Borrower’s sole cost and expense and at no cost or expense to the Administrative Agent, the Affected Lender or any of the other Lenders. The terms of this Section shall not in any way limit the Borrower’s obligation to pay to any Affected Lender compensation owing to such Affected Lender pursuant to this Agreement (including, without limitation, pursuant to Sections 3.10., 4.1. or 4.4.) with respect to any period up to the date of replacement. Section 4.7. Change of Lending Office. Each Lender agrees that it will use reasonable efforts (consistent with its internal policy and legal and regulatory restrictions) to designate an alternate Lending Office with respect to any of its Loans affected by the matters or circumstances described in Sections 3.10., 4.1. or 4.3. to reduce the liability of the Borrower or avoid the results provided thereunder, so long as such designation is not disadvantageous to such Lender as determined by such Lender in its sole discretion, except that such Lender shall have no obligation to designate a Lending Office located in the United States of America. Section 4.8. Assumptions Concerning Funding of LIBORSOFR Loans. Calculation of all amounts payable to a Lender under this Article shall be made as though such Lender had actually funded LIBORSOFR Loans through the purchase of deposits in the relevant market bearing interest at the rate applicable to such LIBORSOFR Loans in an amount equal to the amount of the LIBORSOFR Loans and having a maturity comparable to the relevant Interest Period; provided, - 72 - LEGAL02\42427047.v4


 
however, that each Lender may fund each of its LIBORSOFR Loans in any manner it sees fit and the foregoing assumption shall be used only for calculation of amounts payable under this Article. ARTICLE V. CONDITIONS PRECEDENT Section 5.1. Initial Conditions Precedent. The obligation of the Lenders to effect or permit the occurrence of the first Credit Event hereunder, whether as the making of a Loan or the issuance of a Letter of Credit, and the effectiveness of the amendment and restatement of the Existing Credit Agreement, are subject to the satisfaction or waiver of the following conditions precedent: (a) The Administrative Agent shall have received each of the following, in form and substance satisfactory to the Administrative Agent: (i) counterparts of this Agreement executed by each of the parties hereto; (ii) Notes executed by the Borrower, payable to each Lender (other than any Lender that has requested that it not receive Notes) and complying with the terms of Section 2.11.(a); (iii) the Guaranty executed by the Parent; (iv) an opinion of counsel to the Borrower and the other Loan Parties, addressed to the Administrative Agent and the Lenders and in the form set forth in Exhibit J; (v) the certificate or articles of incorporation or formation, articles of organization, certificate of limited partnership, declaration of trust or other comparable organizational instrument (if any) of each Loan Party certified as of a recent date by the Secretary of State of the state of formation of such Loan Party; (vi) a certificate of good standing (or certificate of similar meaning) with respect to each Loan Party issued as of a recent date by the Secretary of State of the state of formation of each such Loan Party and certificates of qualification to transact business or other comparable certificates issued as of a recent date by each Secretary of State (and any state department of taxation, as applicable) of each state in which such Loan Party is required to be so qualified and where failure to be so qualified could reasonably be expected to have a Material Adverse Effect; (vii) a certificate of incumbency signed by the Secretary or Assistant Secretary (or other individual performing similar functions) of each Loan Party with respect to each of the officers of such Loan Party authorized to execute and deliver the Loan Documents to which such Loan Party is a party, and in the case of the Borrower, authorized to execute and deliver on behalf of the Borrower Notices of Revolving Borrowing, the Notice of Term Borrowing, requests for Letters of Credit, Notices of Conversion and Notices of Continuation; (viii) copies certified by the Secretary or Assistant Secretary (or other individual performing similar functions) of each Loan Party of (A) the by-laws of such Loan Party, if a corporation, the operating agreement, if a limited liability company, the partnership agreement, if a limited or general partnership, or other comparable document in the case of any other form of legal entity and (B) all corporate, partnership, member or other necessary action taken by such Loan Party to authorize the execution, delivery and performance of the Loan Documents to which it is a party; - 73 - LEGAL02\42427047.v4


 
(ix) a Compliance Certificate calculated as of March 31, 2021 giving pro forma effect to the transactions contemplated by this Agreement; (x) a completed Disbursement Instruction Agreement effective as of the Agreement Date; (xi) evidence that the Fees, if any, then due and payable under Section 3.5., together with all other fees, expenses and reimbursement amounts due and payable to the Administrative Agent and any of the Lenders, including without limitation, the fees and expenses of counsel to the Administrative Agent, have been paid; (xii) evidence that all accrued and unpaid interest and fees owing by the Loan Parties under the Existing Credit Agreement have been paid in full and that the principle amount of the Existing Term Loans and all interest, fees and other amounts owed with respect to the Existing Term Loans have been paid in full and that the agreement evidencing the Existing Term Loans has been terminated; and (xiii) such other documents, agreements and instruments as the Administrative Agent, or any Lender through the Administrative Agent, may reasonably request; (b) since December 31, 2020, there shall not have occurred or become known to the Administrative Agent or any of the Lenders any event or condition that has had or could reasonably be expected to have a Material Adverse Effect; (c) no litigation, action, suit, investigation or other arbitral, administrative or judicial proceeding shall be pending or threatened which could reasonably be expected to (i) result in a Material Adverse Effect or (ii) restrain or enjoin, or otherwise materially and adversely affect, the ability of the Parent, the Borrower or any other Loan Party to fulfill its obligations under the Loan Documents to which it is a party; (d) the Parent, the Borrower, the other Loan Parties and the other Subsidiaries shall have received all approvals, consents and waivers, and shall have made or given all necessary filings and notices as shall be required to consummate the transactions contemplated hereby without the occurrence of any default under, conflict with or violation of (i) any Applicable Law or (ii) any agreement, document or instrument to which any Loan Party is a party or by which any of them or their respective properties is bound, except for such approvals, consents, waivers, filings and notices the receipt, making or giving of which could not reasonably be likely to (x) have a Material Adverse Effect, or (y) restrain or enjoin, or otherwise materially and adversely affect the ability of the Parent, the Borrower or any other Loan Party to fulfill its obligations under the Loan Documents to which it is a party; and (e) the Administrative Agent and the Lenders shall have received, at least five (5) Business Days prior to the Agreement Date, all documentation and other information requested by the Administrative Agent or any Lender or required by regulatory authorities in order for the Administrative Agent and the Lenders to comply with requirements of any Anti-Money Laundering Laws, including the PATRIOT Act and any applicable “know your customer” rules and regulations; and (f) the Borrower shall have delivered to the Administrative Agent, and directly to any Lender requesting the same, a Beneficial Ownership Certification in relation to it (or a certification that such Borrower qualifies for an express exclusion from the “legal entity customer” definition under the Beneficial Ownership Regulations), in each case at least five (5) Business Days prior to the Closing Date - 74 - LEGAL02\42427047.v4


 
The Administrative Agent shall give notice (which may be by electronic mail or other similar means of electronic communication) to the Borrower and the Lenders promptly upon its determination that all of the conditions precedent set forth in this Section shall have been fulfilled or waived by all of the Lenders. Section 5.2. Conditions Precedent to All Loans and Letters of Credit. In addition to satisfaction or waiver of the conditions precedent contained in Section 5.1., the obligations of (i) Lenders to make any Loans and (ii) the Issuing Banks to issue Letters of Credit, are each subject to the further conditions precedent that: (a) no Default or Event of Default shall exist as of the date of the making of such Loan or date of issuance of such Letter of Credit or would exist immediately after giving effect thereto, and no violation of the limits described in Section 2.15. would occur after giving effect thereto; (b) the representations and warranties made or deemed made by the Parent, the Borrower and each other Loan Party in the Loan Documents to which any of them is a party, shall be true and correct in all material respects (except in the case of a representation or warranty qualified by materiality, in which case such representation or warranty shall be true and correct in all respects) on and as of the date of the making of such Loan or date of issuance of such Letter of Credit with the same force and effect as if made on and as of such date except to the extent that such representations and warranties expressly relate solely to an earlier date (in which case such representations and warranties shall have been true and correct in all material respects (except in the case of a representation or warranty qualified by materiality, in which case such representation or warranty shall be true and correct in all respects) on and as of such earlier date) and except for changes in factual circumstances not prohibited hereunder and (c) in the case of the borrowing of Revolving Loans, the Administrative Agent shall have received a timely Notice of Revolving Borrowing, in the case of the borrowing of Term Loans, the Administrative Agent shall have received the Notice of Term Borrowing, and in the case of the issuance of a Letter of Credit, the applicable Issuing Bank and the Administrative Agent shall have received a timely request for the issuance of such Letter of Credit. Each Credit Event shall constitute a certification by the Borrower to the effect set forth in the preceding sentence (both as of the date of the giving of notice relating to such Credit Event and, unless the Borrower otherwise notifies the Administrative Agent prior to the date of such Credit Event, as of the date of the occurrence of such Credit Event). In addition, the Borrower shall be deemed to have represented to the Administrative Agent and the Lenders at the time any Loan is made or any Letter of Credit is issued that all conditions to the making of such Loan or issuing of such Letter of Credit contained in this Article V., and not waived by the Lenders in accordance with the terms of this Agreement, have been satisfied. Unless set forth in writing to the contrary, the making of its initial Loan by a Lender shall constitute a certification by such Lender to the Administrative Agent and the other Lenders that the conditions precedent for initial Loans set forth in Sections 5.1. and 5.2. that have not previously been waived by the Lenders in accordance with the terms of this Agreement have been satisfied. ARTICLE VI. REPRESENTATIONS AND WARRANTIES Section 6.1. Representations and Warranties. In order to induce the Administrative Agent and each Lender to enter into this Agreement and to make Loans and, in the case of an Issuing Bank, to issue Letters of Credit, each of the Parent and the Borrower represents and warrants to the Administrative Agent, each Issuing Bank and each Lender as follows: (a) Organization; Power; Qualification. Each of the Parent, the Borrower and the other Loan Parties is a corporation, partnership or other legal entity, duly organized or formed, validly existing and in good standing under the jurisdiction of its incorporation or formation, has the power and authority - 75 - LEGAL02\42427047.v4


 
to own or lease its respective properties and to carry on its respective business as now being and hereafter proposed to be conducted and is duly qualified and is in good standing as a foreign corporation, partnership or other legal entity, and authorized to do business, in each jurisdiction in which the character of its properties or the nature of its business requires such qualification or authorization unless the failure to be so qualified or authorized could not reasonably be expected to have, in each instance, a Material Adverse Effect. (b) Ownership Structure. Part I of Schedule 6.1.(b) is, as of the Effective Date, a complete and correct list of (i) each Person holding any Equity Interest in the Borrower, (ii) the percentage of ownership of such Person in the Borrower and (iii) the jurisdiction of organization of each Loan Party. Except as disclosed on such Schedule, there are no outstanding subscriptions, options, warrants, commitments, preemptive rights or agreements of any kind (including, without limitation, any stockholders’ or voting trust agreements) for the issuance, sale, registration or voting of, or outstanding securities convertible into, any additional shares of capital stock of any class, or partnership or other ownership interests of any type in the Borrower. To Borrower’s and the Parent’s knowledge, all of the Equity Interests in Borrower have been issued in compliance with all Applicable Law. As of the Agreement Date, Part II of Schedule 6.1.(b) correctly sets forth all Subsidiaries and Unconsolidated Affiliates of the Parent, including the correct legal name of such Person, the type of legal entity which each such Person is, and all Equity Interests (and the Ownership Share) in such Person held directly or indirectly by the Parent. (c) Authorization of Loan Documents and Borrowings. The Borrower has the right and power, and has taken all necessary action to authorize it, to borrow and obtain the other extensions of credit hereunder. The Parent, the Borrower and each other Loan Party has the right and power, and has taken all necessary action to authorize it, to execute, deliver and perform each of the Loan Documents and the Fee Letter to which it is a party in accordance with their respective terms and to consummate the transactions contemplated hereby and thereby. The Loan Documents and the Fee Letter to which the Parent, the Borrower or any other Loan Party is a party have been duly executed and delivered by the duly authorized officers of such Person and each is a legal, valid and binding obligation of such Person enforceable against such Person in accordance with its respective terms, except as the same may be limited by bankruptcy, insolvency, and other similar laws affecting the rights of creditors generally and the availability of equitable remedies for the enforcement of certain obligations contained herein or therein and as may be limited by equitable principles generally. (d) Compliance of Loan Documents with Laws. The execution, delivery and performance of this Agreement and the other Loan Documents to which any Loan Party is a party and of the Fee Letter in accordance with their respective terms and the borrowings and other extensions of credit hereunder do not and will not, by the passage of time, the giving of notice, or both: (i) require any Governmental Approval that has not already been obtained or violate any Applicable Law (including all Environmental Laws) relating to the Parent, the Borrower or any other Loan Party; (ii) conflict with, result in a breach of or constitute a default under the organizational documents of the Parent, the Borrower or any other Loan Party, or any material indenture, material agreement or other material instrument to which the Parent, the Borrower or any other Loan Party is a party or by which it or any of its respective properties may be bound; or (iii) result in or require the creation or imposition of any Lien upon or with respect to any property now owned or hereafter acquired by any Loan Party other than in favor of the Administrative Agent for its benefit and the benefit of the Lender Parties. (e) Compliance with Applicable Law; Governmental Approvals. Each of the Parent, the Borrower, each other Loan Party and each other Subsidiary is in compliance with each Governmental Approval and all other Applicable Laws relating to it except for noncompliances which, and - 76 - LEGAL02\42427047.v4


 
Governmental Approvals the failure to possess which, could not, individually or in the aggregate, reasonably be expected to have a Material Adverse Effect. (f) Title to Properties. Each of the Parent, the Borrower, each other Loan Party and each other Subsidiary has good, marketable and legal title to, or a valid leasehold interest in, its respective material assets to the extent necessary to conduct their respective businesses. (g) Certain Indebtedness. As of the Agreement Date, no default or event of default has occurred with respect to the payment of interest or principal on any Indebtedness of the Parent, the Borrower, any other Loan Party or any other Subsidiary having an aggregate outstanding principal amount of $5,000,000 or more and, to the knowledge of any Responsible Officer of the Parent or the Borrower, none of the Parent, the Borrower, the other Loan Parties or the other Subsidiaries has received any notice of default or event of default, or event or condition which with the giving of notice, the lapse of time, or both, would constitute a default or event of default, with respect to any such Indebtedness, that is reasonably likely to result in a Material Adverse Effect. (h) Litigation. Except as set forth on Schedule 6.1.(h), there are no actions, suits or proceedings pending (nor, to the knowledge of the Parent or the Borrower, are there any actions, suits or proceedings threatened) against or in any other way relating adversely to or affecting the Parent, the Borrower, any other Loan Party or any other Subsidiary or any of their respective property in any court or before any arbitrator of any kind or before or by any other Governmental Authority which, (i) could reasonably be expected to have a Material Adverse Effect or (ii) in any manner draws into question the validity or enforceability of any Loan Document or the Fee Letter. There are no strikes, slow downs, work stoppages or walkouts or other labor disputes in progress or threatened relating to, any Loan Party or any other Subsidiary which could reasonably be expected to have a Material Adverse Effect. (i) Taxes. All material federal, state and other tax returns of the Parent, the Borrower, any other Loan Party or any other Subsidiary required by Applicable Law to be filed have been duly filed, and all material federal, state and other taxes, assessments and other governmental charges or levies upon the Parent, the Borrower, each other Loan Party and each other Subsidiary and their respective properties, income, profits and assets which are due and payable have been paid, except any such nonpayment or non-filing which is at the time permitted under Section 7.6. As of the Agreement Date, none of the United States income tax returns of the Parent, the Borrower, any other Loan Party or any other Subsidiary is under audit. All charges, accruals and reserves on the books of the Parent, the Borrower, each other Loan Party and each other Subsidiary in respect of any taxes or other governmental charges are in accordance with GAAP in all material respects. (j) Financial Statements. The Parent has furnished to each Lender copies of the audited consolidated balance sheet of the Parent and its consolidated Subsidiaries for the fiscal year ended December 31, 2020, and the related audited consolidated statements of operations, shareholders’ equity and cash flow for the fiscal year ended on such date, with the opinion thereon of Ernst & Young LLP. Such financial statements (including in each case related schedules and notes) are complete and correct in all material respects and present fairly, in all material respects in accordance with GAAP consistently applied throughout the periods involved, the consolidated financial position of the Parent and its consolidated Subsidiaries as at their respective dates and the results of operations and the cash flow for such periods (subject, as to interim statements, to changes resulting from normal year-end audit adjustments and absence of footnotes). (k) No Material Adverse Change; Solvency. Since December 31, 2020, there has been no event, change, circumstance or occurrence that could reasonably be expected to have a Material Adverse Effect. The Parent, the Borrower and their respective Subsidiaries, taken as a whole, are Solvent. - 77 - LEGAL02\42427047.v4


 
(l) ERISA. (i) Except as could not individually or in the aggregate, reasonably be expected to have a Material Adverse Effect, each Benefit Arrangement is in compliance with the applicable provisions of ERISA, the Internal Revenue Code and other Applicable Laws. Except with respect to Multiemployer Plans, each Qualified Plan (A) has received a favorable determination from the Internal Revenue Service applicable to such Qualified Plan’s current remedial amendment cycle (as defined in Revenue Procedure 2007-44 or “2007-44” for short), (B) has timely filed for a favorable determination letter from the Internal Revenue Service during its staggered remedial amendment cycle (as defined in 2007-44) and such application is currently being processed by the Internal Revenue Service, (C) had filed for a determination letter prior to its “GUST remedial amendment period” (as defined in 2007-44) and received such determination letter and the staggered remedial amendment cycle first following the GUST remedial amendment period for such Qualified Plan has not yet expired, or (D) is maintained under a prototype plan and may rely upon a favorable opinion letter issued by the Internal Revenue Service with respect to such prototype plan. To the knowledge of the Parent and the Borrower, nothing has occurred which could reasonably be expected to result in the revocation of a Qualified Plan’s favorable determination letter or opinion letter. (ii) None of the Parent, the Borrower or any of their respective Subsidiaries has any liability, contingent or otherwise, to a Benefit Arrangement that is a retiree welfare benefit arrangement. (iii) Except as could not reasonably be expected, individually or in the aggregate, to have a Material Adverse Effect: (i) no ERISA Event has occurred or is expected to occur; (ii) there are no pending, or to the knowledge of the Parent and the Borrower, threatened, claims, actions or lawsuits or other action by any Governmental Authority, plan participant or beneficiary with respect to a Benefit Arrangement; (iii) there are no violations of the fiduciary responsibility rules with respect to any Benefit Arrangement; and (iv) no member of the ERISA Group has engaged in a non-exempt “prohibited transaction,” as defined in Section 406 of ERISA and Section 4975 of the Internal Revenue Code, in connection with any Plan, that would subject any member of the ERISA Group to a tax on prohibited transactions imposed by Section 502(i) of ERISA or Section 4975 of the Internal Revenue Code. (m) Absence of Default. None of the Parent, the Borrower, any other Loan Party or any other Subsidiary is in default under its certificate or articles of incorporation or formation, bylaws, partnership agreement or other similar organizational documents, and no event has occurred, which has not been remedied, cured or waived: (i) which constitutes a Default or an Event of Default; or (ii) which constitutes, or which with the passage of time, the giving of notice, or both, would constitute, a default or event of default by, the Parent, the Borrower, any other Loan Party or any other Subsidiary under any agreement (other than this Agreement) or judgment, decree or order to which any such Person is a party or by which any such Person or any of its respective properties may be bound where such default or event of default could, individually or in the aggregate, reasonably be expected to have a Material Adverse Effect. (n) Environmental Laws. In the ordinary course of business, each of the Parent, the Borrower, each other Loan Party and each other Subsidiary causes reviews to be conducted of its respective operations or properties, to the extent applicable, for compliance with Environmental Laws. Each of the Parent, the Borrower, each other Loan Party and each other Subsidiary: (i) is in compliance with all Environmental Laws applicable to its business, operations and the Properties, (ii) has obtained all - 78 - LEGAL02\42427047.v4


 
Governmental Approvals which are required under Environmental Laws for its business and operations, and each such Governmental Approval is in full force and effect, and (iii) is in compliance with all terms and conditions of such Governmental Approvals, where with respect to each of the immediately preceding clauses (i) through (iii) the failure to obtain or to comply could reasonably be expected to have a Material Adverse Effect. Except for any of the following matters that could not reasonably be expected to have a Material Adverse Effect, none of the Parent, the Borrower, any other Loan Party or any other Subsidiary has any knowledge of, nor has the Parent, the Borrower, any other Loan Party or any other Subsidiary received written notice of, any past, present, or pending releases, events, conditions, circumstances, activities, practices, incidents, facts, occurrences, actions, or plans that, with respect to the Parent, the Borrower, such other Loan Party or such other Subsidiary, their respective businesses, operations or with respect to the Properties, is reasonably likely to: (x) cause or contribute to a violation of or noncompliance with Environmental Laws, (y) cause or contribute to any other claim or other liability under any Environmental Law, or (z) cause any of the Properties to become subject to any restrictions on ownership, occupancy, use or transferability under any Environmental Law or require the filing or recording of any notice, approval or disclosure document under any Environmental Law. There is no civil, criminal, or administrative action, suit, demand, claim, hearing, notice, or demand letter, mandate, order, lien, request, investigation, or proceeding pending or, to the Parent’s knowledge after due inquiry, threatened, against the Parent, the Borrower, any other Loan Party or any other Subsidiary relating in any way to Environmental Laws which, reasonably could be expected to have a Material Adverse Effect. None of the Properties is listed on or, to the Parent’s knowledge, proposed for listing on, the National Priority List promulgated pursuant to the Comprehensive Environmental Response, Compensation and Liability Act of 1980 and its implementing regulations, or any comparable state or local priority list promulgated pursuant to any analogous state or local law, except as could not reasonably be expected to result in a Material Adverse Effect. To Parent’s knowledge, no Hazardous Materials generated at or transported from the Properties are or have been transported to, or disposed of at, any location that is listed or proposed for listing on the National Priority List or any comparable state or local priority list, or any other location that is or has been the subject of a clean-up, removal or remedial action pursuant to any Environmental Law, except to the extent that such transportation or disposal could not reasonably be expected to result in a Material Adverse Effect. (o) Investment Company. None of the Parent, the Borrower, any other Loan Party or any other Subsidiary is (i) an “investment company” or a company “controlled” by an “investment company” within the meaning of the Investment Company Act of 1940, as amended, or (ii) subject to any other Applicable Law which purports to restrict its ability to borrow money or obtain other extensions of credit or to consummate the transactions contemplated by this Agreement or to perform its obligations under any Loan Document to which it is a party. (p) Margin Stock. None of the Parent, the Borrower, any other Loan Party or any other Subsidiary is engaged principally, or as one of its important activities, in the business of extending credit for the purpose, whether immediate, incidental or ultimate, of buying or carrying “margin stock” within the meaning of Regulation U of the Board of Governors of the Federal Reserve System. (q) Intellectual Property. Each of the Loan Parties and each other Subsidiary owns or has the right to use, under valid license agreements or otherwise, all patents, licenses, franchises, trademarks, trademark rights, service marks, service mark rights, trade names, trade name rights, trade secrets and copyrights (collectively, “Intellectual Property”) necessary to the conduct of its businesses, without known conflict with any patent, license, franchise, trademark, trademark right, service mark, service mark right, trade secret, trade name, copyright, or other proprietary right of any other Person except for such Intellectual Property, the absence of which, and for conflicts which, could not reasonably be expected to have a Material Adverse Effect. Each of the Loan Parties and each other Subsidiary has taken all such steps as it deems reasonably necessary to protect its respective rights under and with - 79 - LEGAL02\42427047.v4


 
respect to such Intellectual Property. No material claim has been asserted by any Person with respect to the use of any such Intellectual Property by the Parent, the Borrower, any other Loan Party or any other Subsidiary, or challenging or questioning the validity or effectiveness of any such Intellectual Property. The use of such Intellectual Property by the Parent, the Borrower, the other Loan Parties and the other Subsidiaries does not infringe on the rights of any Person, subject to such claims and infringements as do not, in the aggregate, give rise to any liabilities on the part of the Parent, the Borrower, any other Loan Party or any other Subsidiary that could reasonably be expected to have a Material Adverse Effect. (r) Business. As of the Agreement Date, the Parent, the Borrower, the other Loan Parties and the other Subsidiaries are primarily engaged in (i) the business of owning, operating, managing and developing Designated Use Properties and the provision of services incidental thereto, (ii) the brokerage, purchase and sale of manufactured home units, (iii) the business of owning, operating, managing and developing marinas and (iv) other business activities reasonably incidental to the foregoing. (s) Broker’s Fees. No broker’s or finder’s fee, commission or similar compensation will be payable with respect to the transactions contemplated hereby. No other similar fees or commissions will be payable by any Loan Party for any other services rendered to the Parent, the Borrower, any other Loan Party or any other Subsidiary to the transactions contemplated hereby. (t) Accuracy and Completeness of Information. All written information, reports and other papers and data (other than (i) financial projections, budgets, forecasts, pro forma financial statements and other forward looking statements and (ii) general economic or industry information) furnished to the Administrative Agent or any Lender by, on behalf of, or at the direction of, the Parent, the Borrower, any other Loan Party or any other Subsidiary were, at the time the same were so furnished and taken as a whole with all other written information, reports and other papers and data furnished substantially contemporaneously therewith, complete and correct in all material respects, to the extent necessary to give the recipient a true and accurate knowledge of the subject matter, or, in the case of financial statements (other than (x) financial projections, budgets, forecasts, pro forma financial statements and other forward looking statements and (y) the financial statements covered in Section 6.1.(j)), are complete and correct in all material respects and present fairly, in all material respects in accordance with GAAP consistently applied throughout the periods involved, the consolidated financial position of the Persons involved as at their respective dates and the results of operations for such periods (subject, as to interim statements, to changes resulting from normal year-end audit adjustments and absence of full footnote disclosure). All financial projections, budgets, forecasts, pro forma financial statements and other forward looking statements prepared by or on behalf of the Parent, the Borrower, any other Loan Party or any other Subsidiary that have been or may hereafter be made available to the Administrative Agent or any Lender were or will be prepared in good faith based on assumptions believed to be reasonable at the time of preparation thereof. No fact is known to any Loan Party which has had, or may in the future have (so far as any Loan Party can reasonably foresee), a Material Adverse Effect which has not been set forth in the financial statements referred to in Section 6.1.(j) or in such information, reports or other papers or data or otherwise disclosed in writing to the Administrative Agent and the Lenders. No document furnished or written statement made to the Administrative Agent or any Lender in connection with the negotiation, preparation or execution of, or pursuant to, this Agreement or any of the other Loan Documents (other than (i) financial projections, budgets, forecasts, pro forma financial statements and other forward looking statements and (ii) general industry information) contains or will contain any untrue statement of a material fact, or omits or will omit to state a material fact necessary in order to make the statements contained therein not misleading. (u) Not Plan Assets; No Prohibited Transactions. None of the assets of the Parent, the Borrower, any other Loan Party or any other Subsidiary constitutes “plan assets” as defined by 29 C.F.R. 2510.3-101 (as modified by §3(42) of ERISA). Assuming that no Lender funds any amount payable by it - 80 - LEGAL02\42427047.v4


 
hereunder with “plan assets,” as that term is defined in 29 C.F.R. 2510.3-101 (as modified by §3(42) of ERISA), the execution, delivery and performance of this Agreement and the other Loan Documents, and the extensions of credit and repayment of amounts hereunder, do not and will not constitute non-exempt “prohibited transactions” under §406 of ERISA or §4975 of the Internal Revenue Code. (v) Anti-Corruption Laws and Sanctions; Anti-Money Laundering Laws. (i) None of (A) the Parent, the Borrower, any Subsidiary or, to the knowledge of the Borrower, any of their respective directors, officers, employees or Affiliates, or (B) to the knowledge of the Borrower, any agent or representative of the Parent, the Borrower or any Subsidiary that will act in any capacity in connection with or benefit from the Loans, (I) is a Sanctioned Person or currently the subject or target of any Sanctions, (II) has its assets located in a Sanctioned Country, (III) is, to its knowledge, under administrative, civil or criminal investigation for an alleged violation of, or received notice from or made a voluntary disclosure to any governmental entity regarding a possible violation of, Anti-Corruption Laws, Anti-Money Laundering Laws or Sanctions by a governmental authority that enforces Sanctions or any Anti-Corruption Laws or Anti-Money Laundering Laws, or (IV) directly or, to the knowledge of the Borrower, indirectly derives revenues from investments in, or transactions with, Sanctioned Persons. (ii) Each of the Parent, the Borrower and its Subsidiaries has implemented and maintains in effect policies and procedures designed to promote and achieve compliance by the Parent, the Borrower and its Subsidiaries and their respective directors, officers, employees, agents and Affiliates with all Anti-Corruption Laws and Anti-Money Laundering Laws, and will implement within 120 days following the Effective Date policies and procedures designed to promote and achieve compliance by the Parent, the Borrower and its Subsidiaries and their respective directors, officers, employees, agents and Affiliates with applicable Sanctions. (iii) Each of the Parent, the Borrower and its Subsidiaries, and to the knowledge of the Borrower, director, officer, employee, agent and Affiliate of the Parent, the Borrower and each such Subsidiary, is in compliance with all Anti-Corruption Laws, Anti-Money Laundering Laws, and applicable Sanctions in all material respects. (iv) No proceeds of any Loan has been used, directly or, to the knowledge of the Borrower, indirectly, by the Borrower, any of its Subsidiaries or any of its or their respective directors, officers and employees in violation of Section 7.8. (w) REIT Status. The Parent qualifies as, and has elected to be treated as, a REIT and is in compliance with all requirements and conditions imposed under the Internal Revenue Code to allow the Parent to maintain its status as a REIT. (x) Qualifying Unencumbered Properties. Schedule 1.1. sets forth, as of the Effective Date, a list of each Qualified Unencumbered Property as of such date including the owner of such Property. Each Property included in a given calculation of the Unencumbered Net Operating Income satisfied, at the time of such calculation, all of the requirements contained in the definition of “Qualifying Unencumbered Property”. (y) Affected Financial Institution. None of the Borrower, any other Loan Party or any other Subsidiary is an Affected Financial Institution. - 81 - LEGAL02\42427047.v4


 
Section 6.2. Survival of Representations and Warranties, Etc. All statements contained in any certificate, financial statement or other instrument delivered by or on behalf of the Parent, the Borrower, any other Loan Party or any other Subsidiary to the Administrative Agent or any Lender pursuant to or in connection with this Agreement or any of the other Loan Documents (including, but not limited to, any such statement made in or in connection with any amendment thereto or any statement contained in any certificate, financial statement or other instrument delivered by or on behalf of the Parent, the Borrower, any other Loan Party or any other Subsidiary prior to the Agreement Date and delivered to the Administrative Agent or any Lender in connection with the underwriting or closing the transactions contemplated hereby but excluding financial projections, budgets, forecasts, pro forma financial statements and other forward looking statements and general industry information) shall constitute representations and warranties made by the Borrower under this Agreement. All representations and warranties made under this Agreement and the other Loan Documents shall be deemed to be made at and as of the Agreement Date, the Effective Date, the date on which any extension of the Revolving Termination Date is effectuated pursuant to Section 2.13., the date on which any increase of the Revolving Commitments is effectuated or Additional Term Loans are made pursuant to Section 2.16. and as of the date of the occurrence of each Credit Event, except to the extent that such representations and warranties expressly relate solely to an earlier date (in which case such representations and warranties shall have been true and correct in all material respects (except in the case of a representation or warranty qualified by materiality, in which case such representation or warranty shall be true and correct in all respects) on and as of such earlier date) and except for changes in factual circumstances not prohibited hereunder. All such representations and warranties shall survive the effectiveness of this Agreement, the execution and delivery of the Loan Documents and the making of the Loans and the issuance of the Letters of Credit. ARTICLE VII. AFFIRMATIVE COVENANTS For so long as this Agreement is in effect, the Parent and the Borrower shall comply with the following covenants: Section 7.1. Preservation of Existence and Similar Matters. Except as otherwise permitted under Section 9.6., the Parent and the Borrower shall, and shall cause each other Loan Party and each other Subsidiary to, preserve and maintain its respective existence, rights, franchises, licenses and privileges in the jurisdiction of its incorporation or formation and qualify and remain qualified and authorized to do business in each jurisdiction in which the character of its properties or the nature of its business requires such qualification and authorization unless the failure to be so authorized and qualified could not reasonably be expected to have a Material Adverse Effect. Section 7.2. Compliance with Applicable Law. (a) The Parent and the Borrower shall, and shall cause each other Loan Party and each other Subsidiary to, comply with all Applicable Laws, including the obtaining of all Governmental Approvals, the failure with which to comply could reasonably be expected to have a Material Adverse Effect. (b) The Parent and the Borrower shall, and shall cause each other Loan Party to, (i) implement within 120 days following the Effective Date (as applicable), and maintain in effect and enforce policies and procedures designed to promote and achieve compliance by the Parent, the Borrower, its Subsidiaries and their respective directors, officers, employees and agents with all Anti-Corruption Laws, Anti-Money Laundering Laws and applicable Sanctions, (ii) notify the Administrative Agent and each Lender that previously received a Beneficial Ownership Certification (or - 82 - LEGAL02\42427047.v4


 
a certification that the Borrower qualifies for an express exclusion to the “legal entity customer” definition under the Beneficial Ownership Regulation) of any change in the information provided in the Beneficial Ownership Certification that would result in a change to the list of beneficial owners identified therein (or, if applicable, the Borrower ceasing to fall within an express exclusion to the definition of “legal entity customer” under the Beneficial Ownership Regulation) and (iii) promptly upon the reasonable request of the Administrative Agent or any Lender, provide the Administrative Agent or directly to such Lender, as the case may be, any information or documentation requested by it for purposes of complying with the Beneficial Ownership Regulation. Section 7.3. Maintenance of Property. In addition to the requirements of any of the other Loan Documents, the Parent and the Borrower shall, and shall cause each other Loan Party and each other Subsidiary to, (a) protect and preserve, and maintain in good repair, working order and condition, all of its respective material properties, ordinary wear and tear and casualty and condemnation excepted, and (b) from time to time make or cause to be made all needed and appropriate repairs, renewals, replacements and additions to such properties, so that the business carried on in connection therewith may be properly and advantageously conducted at all times. Section 7.4. Conduct of Business. Except as otherwise permitted under Section 9.6., the Parent and the Borrower shall, and shall cause each other Loan Party and each other Subsidiary to, carry on its respective businesses as described in Section 6.1.(r). Section 7.5. Insurance. In addition to the requirements of any of the other Loan Documents, the Parent and the Borrower shall, and shall cause each other Loan Party and each other Subsidiary to, maintain insurance with financially sound and reputable insurance companies against such risks and in such amounts as is customarily maintained by Persons engaged in similar businesses or as may be required by Applicable Law. The Borrower shall from time to time deliver to the Administrative Agent upon reasonable request a detailed list, together with reasonable evidence of the insurance then in effect, stating the names of the insurance companies, the amounts and rates of the insurance, the dates of the expiration thereof and the properties and risks covered thereby. Section 7.6. Payment of Taxes. The Parent and the Borrower shall, and shall cause each other Loan Party and each other Subsidiary to, pay and discharge when due all material taxes, assessments and governmental charges or levies imposed upon it or upon its income or profits or upon any properties belonging to it which, if unpaid, might become a Lien (except for Permitted Liens) on any properties of such Person; provided, however, that this Section shall not require the payment or discharge of any such tax, assessment, charge or levy which is being contested in good faith by appropriate proceedings which operate to suspend the collection thereof and for which adequate reserves have been established on the books of such Person, in accordance with GAAP. Section 7.7. Books and Records; Inspections. The Parent and the Borrower shall, and shall cause each other Loan Party and each other Subsidiary to, keep proper books of record and account in which full, true and correct entries in all - 83 - LEGAL02\42427047.v4


 
material respects in conformity with GAAP consistently applied shall be made. The Parent and the Borrower shall, and shall cause each other Loan Party and each other Subsidiary to, permit representatives of the Administrative Agent or any Lender to visit and inspect any of their respective properties, to examine and make abstracts from any of their respective books and records and to discuss their respective affairs, finances and accounts with their respective officers, employees and independent public accountants (in the presence of an officer of the Borrower), all at such reasonable times during business hours and so long as no Event of Default exists, with reasonable prior notice; provided, that, unless an Event of Default has occurred and is continuing, the Administrative Agent and Lenders (taken as a whole) shall not conduct more than one such inspection in any twelve month period. The Borrower shall be obligated to reimburse the Administrative Agent and the Lenders for their costs and expenses incurred in connection with the exercise of their rights under this Section only if such exercise occurs while a Default or Event of Default exists. The Borrower hereby authorizes and instructs its accountants to discuss the financial affairs of the Borrower, any other Loan Party or any other Subsidiary with the Administrative Agent or any Lender; provided that an officer of the Borrower shall be given a reasonable opportunity to be present for any discussions with any such accountants. Notwithstanding anything to the contrary contained herein, none of the Parent, the Borrower, any Loan Party or any Subsidiary shall be required to disclose, permit the inspection, examination, or making copies or abstracts of, or discussion of any document or information (a) that constitutes non-financial trade secrets or non-financial proprietary information; (b) in respect of which disclosure to the Administrative Agent and the Lenders is prohibited by law; or (c) that is subject to attorney-client privilege or similar privilege or constitutes attorney work product. Section 7.8. Use of Proceeds. The Borrower will use the proceeds of Loans only (a) to finance acquisitions permitted under this Agreement; (b) to finance capital expenditures and (c) to provide for the general working capital needs of the Borrower and its Subsidiaries and for other general corporate purposes of the Borrower and its Subsidiaries. The Borrower shall only use Letters of Credit for the same purposes for which it may use the proceeds of Loans. The Parent and the Borrower shall not, and shall not permit any other Loan Party or any other Subsidiary to, use any part of such proceeds to purchase or carry, or to reduce or retire or refinance any credit incurred to purchase or carry, any margin stock (within the meaning of Regulation U of the Board of Governors of the Federal Reserve System) or to extend credit to others for the purpose of purchasing or carrying any such margin stock. The Borrower shall not request any borrowing of any Loans or the issuance of any Letter of Credit, and the Borrower shall not use, and shall ensure that its Subsidiaries and its or their respective directors, officers, employees and agents shall not use, the proceeds of any Loan or any Letter of Credit, directly or, to the knowledge of the Borrower, indirectly, (i) in furtherance of an offer, payment, promise to pay, or authorization of the payment or giving of money, or anything else of value, to any Person in violation of any Anti-Corruption Laws or Anti-Money Laundering Laws, (ii) for the purpose of funding, financing or facilitating any activities, business or transaction of or with any Sanctioned Person, or in any Sanctioned Country, or (iii) in any manner that would result in the violation of any Sanctions applicable to any party hereto. Section 7.9. Environmental Matters. The Parent and the Borrower shall, and shall cause each other Loan Party and each other Subsidiary to, comply with all Environmental Laws the failure with which to comply could reasonably be expected to have a Material Adverse Effect. The Parent and the Borrower shall comply, and shall cause each other Loan Party and each other Subsidiary to comply, and the Parent and the Borrower shall use, and shall cause each other Loan Party and each other Subsidiary to use, commercially reasonable efforts to cause all other Persons occupying, using or present on the Properties to comply, with all Environmental Laws the failure with which to comply could reasonably be expected to have a Material - 84 - LEGAL02\42427047.v4


 
Adverse Effect. The Parent and the Borrower shall, and shall cause each other Loan Party and each other Subsidiary to, promptly take all actions and pay or arrange to pay all costs necessary for it and for the Properties to comply with all Environmental Laws and all Governmental Approvals, including actions to remove and dispose of all Hazardous Materials and to clean up the Properties as required under Environmental Laws, in each case, the failure with which to comply could reasonably be expected to have a Material Adverse Effect. Nothing in this Section shall impose any obligation or liability whatsoever on the Administrative Agent or any Lender. Section 7.10. Further Assurances. At the Borrower’s cost and expense and upon request of the Administrative Agent, the Parent and the Borrower shall, and shall cause each other Loan Party and each other Subsidiary to, duly execute and deliver or cause to be duly executed and delivered, to the Administrative Agent such further instruments, documents and certificates, and do and cause to be done such further acts that may be reasonably necessary or advisable in the reasonable opinion of the Administrative Agent to carry out more effectively the provisions and purposes of this Agreement and the other Loan Documents; provided, however, that, except as may be expressly required pursuant to the terms of any Loan Document, neither Parent, Borrower, nor any other Loan Party shall be obligated to deliver any instrument, document or certificate which expands such Person’s liability or reduces such Person’s express rights hereunder. Section 7.11. REIT Status. The Parent shall maintain its status as, and election to be treated as, a REIT. Section 7.12. Exchange Listing. The Parent shall maintain at least one class of common shares of the Parent having trading privileges on the New York Stock Exchange or other nationally recognized securities exchange. ARTICLE VIII. INFORMATION For so long as this Agreement is in effect, the Borrower shall furnish (including by electronic means as provided in Section 8.5.) to each Lender (or to the Administrative Agent if so provided below): Section 8.1. Quarterly Financial Statements. As soon as available and in any event within 5 days after the same is required to be filed with the SEC (but in no event later than 50 days after the end of each of the first, second and third fiscal quarters of the Parent commencing with the fiscal quarter ending March 31, 2021), the unaudited consolidated balance sheet of the Parent and its Subsidiaries as at the end of such period and the related unaudited consolidated statements of operations, stockholders’ equity and cash flows of the Parent and its Subsidiaries for such period, setting forth in each case in comparative form the figures as of the end of and for the corresponding periods of the previous fiscal year (if any), all of which shall be certified by the chief executive officer, chief financial officer or vice president-treasurer of the Parent, in his or her opinion, to present fairly, in accordance with GAAP in all material respects and consistently applied, the consolidated financial position of the Parent and its Subsidiaries as at the date thereof and the results of operations for such period (subject, in each case, to normal year-end audit adjustments and the absence of full footnote disclosure). - 85 - LEGAL02\42427047.v4


 
Section 8.2. Year-End Statements. As soon as available and in any event within 5 days after the same is required to be filed with the SEC (but in no event later than 120 days after the end of each fiscal year of the Parent), the audited consolidated balance sheet of the Parent and its Subsidiaries as at the end of such fiscal year and the related audited consolidated statements of operations, stockholders’ equity and cash flows of the Parent and its Subsidiaries for such fiscal year, setting forth in comparative form the figures as at the end of and for the previous fiscal year (if any), all of which shall be (a) certified by the chief executive officer, chief financial officer or vice president-treasurer of the Parent, in his or her opinion, to present fairly, in all material respects and in accordance with GAAP consistently applied, the financial position of the Parent and its Subsidiaries as at the date thereof and the result of operations for such period and (b) accompanied by the report thereon of Ernst & Young LLP or other independent certified public accountants of recognized national standing acceptable to the Administrative Agent, whose report shall be unqualified as to “going concern” (and other like qualifications or exceptions) and to scope. Section 8.3. Compliance Certificate. Not later than 50 days after the end of the first, second and third fiscal quarters of the Parent and 120 days after the end of the fiscal year of the Parent, a certificate substantially in the form of Exhibit K (a “Compliance Certificate”) executed on behalf of the Parent by the chief executive officer, chief financial officer or vice president-treasurer of the Parent (a) setting forth in reasonable detail as of the end of such quarterly accounting period or fiscal year, as the case may be, the calculations required to establish whether the Parent was in compliance with the covenants contained in Section 9.1. and (b) stating that no Default or Event of Default exists, or, if such is not the case, specifying such Default or Event of Default and its nature, when it occurred and the steps being taken by the Parent with respect to such event, condition or failure. Section 8.4. Other Information. (a) Promptly upon the Administrative Agent’s request, copies of all reports, if any, submitted to the Parent or its Board of Directors by its independent public accountants including, without limitation, any management report; (b) Within 5 Business Days of the filing thereof, copies of all registration statements (excluding the exhibits thereto (unless requested by the Administrative Agent) and any registration statements on Form S-8 or its equivalent), reports on Forms 10-K, 10-Q and 8-K (or their equivalents) and all other periodic reports which the Parent, the Borrower, any other Loan Party or any other Subsidiary shall file with the SEC or any national securities exchange; (c) Promptly upon the mailing thereof to the shareholders of the Parent generally, copies of all financial statements, reports and proxy statements so mailed; (d) At the time financial statements are furnished pursuant to Sections 8.1. and 8.2., (i) a statement of Funds from Operations certified by the chief executive officer, chief financial officer or vice president-treasurer of the Parent in form and substance reasonably satisfactory to the Administrative Agent; and (ii) a report of newly acquired Properties, in form and detail reasonably satisfactory to the Administrative Agent, which shall include, without limitation, the Net Operating Income of such Property, the cost of acquisition of such Property and the amount, if any, of Indebtedness secured by a Lien on such Property; - 86 - LEGAL02\42427047.v4


 
(e) No later than 30 days after the beginning of each fiscal year of the Parent ending prior to the latest Termination Date, projected balance sheets, operating statements, profit and loss projections and cash flow budgets of the Parent and its Subsidiaries on a consolidated basis for such fiscal year, all itemized in reasonable detail; (f) If any ERISA Event shall occur that individually, or together with any other ERISA Event that has occurred and is continuing, could reasonably be expected to have a Material Adverse Effect, a certificate of the chief executive officer, chief financial officer or vice president-treasurer of the Parent setting forth details as to such occurrence and the action, if any, which the Parent or applicable member of the ERISA Group is required or proposes to take; (g) To the extent the Parent, the Borrower, any other Loan Party or any other Subsidiary is aware of the same, prompt notice of the commencement of any proceeding or investigation by or before any Governmental Authority and any action or proceeding in any court or other tribunal or before any arbitrator against or in any other way relating to, or affecting, the Parent, the Borrower, any other Loan Party or any other Subsidiary or any of their respective properties, assets or businesses which could reasonably be expected to have a Material Adverse Effect; (h) Prompt notice of the occurrence of any event which has had, or could reasonably be expected to have, a Material Adverse Effect; (i) Prompt notice of the occurrence of any Default or Event of Default; (j) Promptly upon the request of the Administrative Agent, evidence of the Parent’s calculation of the Ownership Share with respect to a Subsidiary (other than a Wholly Owned Subsidiary) or an Unconsolidated Affiliate, such evidence to be in form and detail reasonably satisfactory to the Administrative Agent; (k) Promptly upon the request thereof, such other information and documentation required under applicable “know your customer” rules and regulations, the PATRIOT Act or any applicable Anti-Money Laundering Laws or Anti-Corruption Laws, in each case as from time to time reasonably requested in writing by the Administrative Agent or any Lender; (l) Promptly, and in any event within 3 Business Days after the Parent or the Borrower obtains knowledge thereof, written notice of the occurrence of any of the following: (i) the Parent, the Borrower, any other Loan Party or any other Subsidiary shall receive notice that any violation of or noncompliance with any Environmental Law has or may have been committed; (ii) the Parent, the Borrower, any other Loan Party or any other Subsidiary shall receive notice that any administrative or judicial complaint, order or petition has been filed or other proceeding has been initiated, or is about to be filed or initiated against any such Person alleging any violation of or noncompliance with any Environmental Law or requiring any such Person to take any action in connection with the release or threatened release of Hazardous Materials; (iii) the Parent, the Borrower, any other Loan Party or any other Subsidiary shall receive any notice from a Governmental Authority or private party alleging that any such Person may be liable or responsible for any costs associated with a response to, or remediation or cleanup of, a release or threatened release of Hazardous Materials or any damages caused thereby; or (iv) the Parent, the Borrower, any other Loan Party or any other Subsidiary shall receive notice of any other fact, circumstance or condition that could reasonably be expected to form the basis of an environmental claim, and in the case of any of the foregoing of (i) through (iv), such matters, whether individually or in the aggregate, could reasonably be expected to have a Material Adverse Effect; - 87 - LEGAL02\42427047.v4


 
(m) Prompt notice of any material change in accounting policies or financial reporting practices by the Parent, the Borrower, any other Loan Party or any other Subsidiary; and (n) From time to time and promptly upon each request, such data, certificates, reports, statements, documents or further information regarding any Property or the business, assets, liabilities, financial condition, results of operations or business prospects of the Parent, the Borrower, any other Loan Party or any other Subsidiary as the Administrative Agent or any Lender may reasonably request. Section 8.5. Electronic Delivery of Certain Information. (a) Documents required to be delivered pursuant to the Loan Documents may be delivered by electronic communication and delivery, including, the Internet, e-mail or intranet websites to which the Administrative Agent and each Lender have access (including a commercial, third-party website or a website sponsored or hosted by the Administrative Agent or the Parent (including, without limitation, on the Parent’s website)) provided that the foregoing shall not apply to (i) notices to any Lender (or any Issuing Bank) pursuant to Article II. and (ii) any Lender that has notified the Administrative Agent and the Parent that it cannot or does not want to receive electronic communications. The Administrative Agent, the Parent or the Borrower may, in its discretion, agree to accept notices and other communications to it hereunder by electronic delivery pursuant to procedures approved by it for all or particular notices or communications. Unless the Administrative Agent otherwise prescribes, (i) notices and other communications sent to an e-mail address shall be deemed received upon the sender’s receipt of an acknowledgement from the intended recipient (such as by the “return receipt requested” function, as available, return e-mail or other written acknowledgement) and (ii) documents or notices posted to the Internet or intranet website shall be deemed to have been delivered 24 hours after the date and time on which the Administrative Agent, the Parent or the Borrower posts such documents or the documents become available on a commercial website and the Administrative Agent, the Parent or the Borrower notifies each Lender of said posting and provides a link thereto; provided that for both clauses (i) and (ii) above, if such notice, email or other communication is not sent or posted during the normal business hours of the recipient, said delivery or posting date and time shall be deemed to have occurred as of 11:00 a.m. Central time on the opening of business on the next business day for the recipient. Notwithstanding anything contained herein, the Parent shall deliver paper copies of any documents to the Administrative Agent or to any Lender that requests such paper copies until a written request to cease delivering paper copies is given by the Administrative Agent or such Lender. The Administrative Agent shall have no obligation to request the delivery of or to maintain paper copies of the documents delivered electronically, and in any event shall have no responsibility to monitor compliance by the Parent or the Borrower with any such request for delivery. Each Lender shall be solely responsible for requesting delivery to it of paper copies and maintaining its paper or electronic documents. (b) Documents required to be delivered pursuant to Article II. may be delivered electronically to a website provided for such purpose by the Administrative Agent pursuant to the procedures provided to the Parent or the Borrower by the Administrative Agent. Section 8.6. Public/Private Information. The Parent and the Borrower shall cooperate with the Administrative Agent in connection with the publication of certain materials and/or information provided by or on behalf of the Parent or the Borrower. Documents required to be delivered pursuant to the Loan Documents shall be delivered by or on behalf of the Parent or the Borrower to the Administrative Agent and the Lenders (collectively, “Information Materials”) pursuant to this Article and the Parent or the Borrower shall designate Information Materials that are either available to the public or not material with respect to Parent, the Borrower and the other Subsidiaries or any of their respective securities for purposes of United States - 88 - LEGAL02\42427047.v4


 
federal and state securities laws, as “Public Information”. All such Information Materials not so designated as “Public Information” shall be deemed to be “Private Information”. Section 8.7. PATRIOT Act Notice; Compliance. The PATRIOT Act and federal regulations issued with respect thereto require all financial institutions to obtain, verify and record certain information that identifies individuals or business entities which open an “account” with such financial institution. Consequently, a Lender (for itself and/or as agent for all Lenders hereunder) may from time-to-time request, and the Parent and the Borrower shall, and shall cause the other Loan Parties to, provide promptly upon any such request to such Lender, such Loan Party’s name, address, tax identification number and/or such other identification information as shall be necessary for such Lender to comply with federal law. An “account” for this purpose may include, without limitation, a deposit account, cash management service, a transaction or asset account, a credit account, a loan or other extension of credit, and/or other financial services product. Section 8.8. Qualifying Unencumbered Properties. The Borrower may from time to time but no more frequently than quarterly deliver notice to the Administrative Agent stating that the Borrower intends to designate a Property to become a Qualifying Unencumbered Property. Such notice shall (a) set forth the name of such Property (or, if such Property has no name, such notice shall otherwise identify such Property), and (b) be accompanied by a statement of income, certified by the chief executive officer, chief financial officer or vice president-treasurer of the Parent, for each such Property for the then most recently completed fiscal quarter (or, if such statement of income is unavailable, a pro forma financial statement setting forth the Net Operating Income with respect to such Property for the then current fiscal quarter). If any such Property meets the requirements set forth in the definition of “Qualifying Unencumbered Properties” and the Administrative Agent fails to deliver written notice to the Borrower stating that the Requisite Lenders have disapproved the designation of such Property as a Qualifying Unencumbered Property (it being understood that such notice shall provide the Borrower with information regarding why such designation was disapproved by the Requisite Lenders and that the Requisite Lenders will not unreasonably disapprove such designation) within 20 days after receipt of such information by the Administrative Agent, such Property shall become a Qualifying Unencumbered Property. ARTICLE IX. NEGATIVE COVENANTS For so long as this Agreement is in effect, the Parent and the Borrower, as applicable, shall comply with the following covenants: Section 9.1. Financial Covenants. (a) Maximum Leverage Ratio. The Parent shall not permit the ratio of (i) Total Indebtedness to (ii) Total Asset Value, to exceed 0.60 to 1.00 at any time; provided, however, that if such ratio is greater than 0.60 to 1.00 but is not greater than 0.65 to 1.00, then the Parent shall be deemed to be in compliance with this Section 9.1(a) so long as (A) the Borrower completed a Material Acquisition which resulted in such ratio (after giving effect to such Material Acquisition) exceeding 0.60 to 1.00 at any time during the fiscal quarter in which such Material Acquisition took place and during the subsequent fiscal quarter thereafter, (B) the Borrower has maintained compliance with this Section 9.1.(a) in reliance on this proviso not more than two times during the term of this Agreement, and (C) such ratio (after giving effect to such Material Acquisition) is not greater than 0.65 to 1.00 at any time. - 89 - LEGAL02\42427047.v4


 
(b) Maximum Fixed Charge Coverage Ratio. The Parent shall not permit the ratio of (i) Adjusted EBITDA for any period of 12 consecutive calendar months ending during the term of this Agreement to (ii) Fixed Charges of the Parent and its Subsidiaries determined on a consolidated basis for such period, to be less than 1.40 to 1.00 at any time. (c) Minimum Unencumbered Debt Yield. The Parent shall not permit the ratio (expressed as a percentage) of (i) Unencumbered Net Operating Income for any period of 12 consecutive calendar months ending during the term of this Agreement to (ii) Unsecured Debt to be less than 9.75% at any time. (d) Minimum Unencumbered Interest Coverage Ratio. The Parent shall not permit the ratio of (i) Unencumbered Net Operating Income any fiscal quarter ending during the term of this Agreement to (ii) Unsecured Interest Expense for such fiscal quarter, to be less than 2.00 to 1.00 at any time. (e) [Reserved]. (f) Dividends and Other Restricted Payments. Subject to the following sentence, if an Event of Default exists, the Parent and the Borrower shall not, and shall not permit any of the other Subsidiaries to, declare or make any Restricted Payments, except that notwithstanding the existence of an Event of Default, the Borrower may pay cash dividends to the Parent and other holders of partnership interests in the Borrower with respect to any fiscal year ending during the term of this Agreement to the extent necessary for the Parent to distribute, and the Parent may so distribute, cash dividends to its shareholders in an aggregate amount not to exceed the amount required for the Parent to maintain its status as a real estate investment trust and to avoid payment of any income or excise taxes imposed under Section 857(b)(1), 857(b)(3) or 4981 of the Internal Revenue Code. Subsidiaries (other than the Borrower) may make Restricted Payments to the Borrower and other Subsidiaries at any time. For purposes of calculating compliance with the financial covenants set forth in this Section 9.1. and the other covenants contained in this Article IX., each of the following transactions, in each case not prohibited by the Loan Documents, that occurred during the period for which such financial covenant is to be calculated, shall be calculated on a pro forma basis assuming that each such transaction had occurred on the first day of such period (and taking into account (i) cost savings to the extent same would be permitted to be reflected in pro forma financial information complying with the requirements of GAAP and Article XI of Regulation S-X under the Securities Act and (ii) such other adjustments as may be reasonably approved by the Administrative Agent in writing, such approval not to be unreasonably withheld or delayed): (a) the purchase or other acquisition of (i) property and assets or businesses of any Person or of assets constituting a business unit, a line of business or division of such Person, (ii) a Property or (iii) Equity Interests in a Person that, upon the consummation thereof, will be a Subsidiary of such Person (including as a result of a merger or consolidation); (b) the sale, transfer, license, lease or other disposition (including any sale and leaseback transaction and any sale or issuance of Equity Interests in a Subsidiary) of any property by any Person, including any sale, assignment, transfer or other disposal, with or without recourse, of any notes or accounts receivable or any rights and claims associated therewith; and (c) any incurrence (including by assumption or Guaranty) or repayment (including by redemption, repayment, retirement or extinguishment) of any Indebtedness. All pro forma calculations pursuant to this Section shall be made in good faith by the chief executive officer, chief financial officer or vice president-treasurer of the Parent. - 90 - LEGAL02\42427047.v4


 
Section 9.2. Indebtedness. The Parent and the Borrower shall not, and shall not permit any of their respective Subsidiaries to, directly or indirectly create, incur, assume or otherwise become or remain directly or indirectly liable with respect to, any Indebtedness, except: (a) the Obligations; (b) guaranties of the Obligations described in the immediately preceding subsection (a); (c) in the case of the Borrower and its Subsidiaries, trade debt incurred in the normal course of business; (d) in the case of the Borrower and its Subsidiaries, intercompany Indebtedness (including, without limitation, amounts owing under intercompany leases) owing between Subsidiaries; and (e) Indebtedness which, after giving effect thereto, may be incurred or may remain outstanding without giving rise to an Event of Default or Default, including without limitation any Default or Event of Default resulting from noncompliance with any of the terms of Article IX.; provided, however, that the Parent and the Borrower (i) shall not and shall not permit any of its Subsidiaries to, guarantee or otherwise become or remain directly or indirectly liable with respect to the Indebtedness of any Unconsolidated Affiliate, and (ii) shall not permit any Subsidiary (excluding the Borrower) to create, incur, assume or otherwise become or remain directly or indirectly liable with respect to, any Recourse Indebtedness (including without limitation Recourse Indebtedness attributable to Accommodation Obligations or other Guaranties of Indebtedness), in an aggregate amount collectively for both clauses (i) and (ii), in excess of (A) $50,000,000 for any such Subsidiary or Unconsolidated Affiliate at any time or (B) an amount equal to 5% of Total Asset Value in the aggregate for all Subsidiaries and Unconsolidated Affiliates as measured at the time of the incurrence of such Indebtedness. Section 9.3. Liens. The Parent and the Borrower shall not, and shall not permit any of their respective Subsidiaries to, directly or indirectly create, incur, assume or permit to exist any Lien on or with respect to any of its Property, except: (a) Permitted Liens; (b) Liens securing Indebtedness permitted to be incurred and remain outstanding pursuant to Section 9.2.(d) and (e); (c) lawful claims of materialmen, mechanics, carriers, warehousemen and landlords for labor, materials, supplies and rentals which are being contested in good faith by appropriate proceedings which operate to suspend the collection thereof and for which adequate reserves have been established in accordance with GAAP; (d) with respect to a Property, items listed on Schedule B to the owner’s title insurance policy of the Borrower or a Subsidiary with respect to such Property, which do not materially detract from the value of such Property or impair the intended use thereof in the business of the Borrower or such Subsidiary, as applicable; (e) Liens in favor of counterparties in respect of any Derivative Contracts; - 91 - LEGAL02\42427047.v4


 
(f) Liens securing judgments and awards (or appeal or other surety bonds relating to such judgments) for the payment of money not constituting an Event of Default under Section 10.1.(h); (g) bankers’ Liens, rights of setoff and other similar Liens existing solely with respect to cash and Cash Equivalents on deposit in one or more of accounts maintained by the Borrower or any Subsidiary, in each case granted in the ordinary course of business in favor of the bank or banks with which such accounts are maintained, securing amounts owing to such bank with respect to cash management and operating account arrangements, including those involving pooled accounts and netting arrangements; provided that in no case shall any such Liens secure (either directly or indirectly) the repayment of any Indebtedness; (h) licenses or sublicenses granted to others in the ordinary course of business which do not (i) interfere in any material respect with the business of the Borrower and its Subsidiaries taken as a whole and (ii) secure any Indebtedness; (i) Liens of a collection bank arising under Section 4-210 of the Uniform Commercial Code on the items in the course of collection; (j) Liens solely on any cash earnest money deposits made by the Borrower or any Subsidiary in connection with any letter of intent or purchase agreement permitted hereunder; (k) Liens imposed pursuant to any of the provisions of ERISA or pursuant to any Environmental Laws not otherwise resulting in a Default or Event of Default; and (l) other Liens securing obligations (not constituting Indebtedness) outstanding in an aggregate amount not to exceed $2,000,000 at any time. Section 9.4. Negative Pledge. The Parent and the Borrower shall not, and shall not permit any other Loan Party or any other Subsidiary (other than an Excluded Subsidiary) to, enter into, assume or otherwise be bound by any Negative Pledge except for a Negative Pledge contained in (i) an agreement (x) evidencing Indebtedness which (A) the Parent, the Borrower, such Loan Party or such Subsidiary may create, incur, assume, or permit or suffer to exist without violation of this Agreement and (B) is secured by a Lien permitted to exist under the Loan Documents (including Liens permitted under Section 9.3.), and (y) which prohibits the creation of any other Lien on only the property securing such Indebtedness as of the date such agreement was entered into; (ii) an agreement relating to the sale of a Subsidiary or assets pending such sale, provided that in any such case the Negative Pledge applies only to the Subsidiary or the assets that are the subject of such sale or proceeds or contract related to such sale; (iii) any document or instrument relating to any Lien permitted under subsections (b), (e), (g), (h), (j) or (k) of Section 9.3. or any Lien referred to in clause (b) of the definition of the term “Permitted Lien”, provided that in any such case the Negative Pledge applies only to the assets that are subject to such Lien; or (iv) any Loan Document or Specified Derivatives Contract. Section 9.5. Restrictions on Intercompany Transfers. The Parent and the Borrower shall not, and shall not permit any other Loan Party or any other Subsidiary (other than an Excluded Subsidiary) to, create or otherwise cause or suffer to exist or become effective any consensual encumbrance or restriction of any kind on the ability of any Subsidiary (other than an Excluded Subsidiary) to: (a) pay dividends or make any other distribution on any of such - 92 - LEGAL02\42427047.v4


 
Subsidiary’s capital stock or other equity interests owned by the Parent, the Borrower or any other Subsidiary; (b) pay any Indebtedness owed to the Parent, the Borrower or any other Subsidiary; (c) make loans or advances to the Parent, the Borrower or any other Subsidiary; or (d) transfer any of its property or assets to the Parent, the Borrower or any other Subsidiary; other than (i) with respect to the preceding clauses (a) through (d), those encumbrances or restrictions contained in any Loan Document, (ii) with respect to clause (d), customary provisions restricting assignment of any lease or other agreement entered into by the Parent, the Borrower, any other Loan Party or any other Subsidiary in the ordinary course of business, (iii) with respect to the preceding clauses (a), (c) and (d), which are customary provisions in joint venture agreements and other similar agreements applicable to joint ventures permitted hereunder and applicable solely to such joint venture entered into in the ordinary course of business, and (iv) with respect to clause (d), customary restrictions contained in leases, subleases, licenses or asset sale agreements otherwise permitted hereby so long as such restrictions relate to the assets subject thereto. Section 9.6. Merger, Consolidation, Sales of Assets and Other Arrangements. (a) The Parent and the Borrower shall not, and shall not permit any other Loan Party or any other Subsidiary to, (w) enter into any transaction of merger, consolidation, reorganization or recapitalization; (x) liquidate, windup or dissolve itself (or suffer any liquidation or dissolution); (y) convey, sell, lease, sublease, transfer or otherwise dispose of, in one transaction or a series of transactions, all or substantially all of its business or assets, or the Equity Interests in any Subsidiary, whether now owned or hereafter acquired; or (z) acquire all or substantially all of the assets of, or Equity Interests in, any other Person; provided, however, that: (i) any Subsidiary (A) may merge with a Loan Party so long as such Loan Party is the survivor (and in any merger involving the Borrower, the Borrower is the survivor) and (B) that is not a Loan Party may merge with any other Subsidiary that is not a Loan Party; (ii) any Subsidiary (A) may sell, transfer or otherwise dispose of its assets to a Loan Party and (B) that is not a Loan Party may sell, transfer or otherwise dispose of its assets to any other Subsidiary that is not a Loan Party, in each case, including any disposition that is by its nature a liquidation; (iii) (A) a Loan Party (other than the Parent, the Borrower or any Qualifying Unencumbered Property Owner) and any Subsidiary that is not (and is not required to be) a Loan Party may convey, sell, transfer or otherwise dispose of, in one transaction or a series of transactions, all or substantially all of its business or assets, or the capital stock of or other Equity Interests in any of its Subsidiaries (other than the Borrower or a Qualifying Unencumbered Property Owner), and (B) any Loan Party and any other Subsidiary may, directly or indirectly, acquire (whether by purchase, acquisition of Equity Interests of a Person, or as a result of a merger or consolidation) all or substantially all of the assets of, or acquire Equity Interests in, any other Person, so long as, in the case of each of clause (A) and (B), (1) immediately prior thereto, and immediately thereafter and after giving effect thereto, no Default or Event of Default is or would be in existence, including, without limitation, a Default or Event of Default resulting from a breach of any of the covenants contained in Section 9.1.; (2) to the extent such sale, transfer, disposition or acquisition of all or substantially all of the assets or Equity Interest of any Subsidiary (other than the Borrower, a Loan Party or a Qualifying Unencumbered Property Owner) and the consideration of such transaction equals or exceeds 5% of Total Asset Value immediately prior to giving effect to such sale, transfer, disposition or acquisition: (x) the Borrower shall have given the Administrative Agent and the Lenders at least 15-days prior written notice of such conveyance, sale, transfer, disposition, acquisition, purchase, merger or consolidation, specifying the nature of the transaction in reasonable detail; and (y) at the time the - 93 - LEGAL02\42427047.v4


 
Borrower gives notice pursuant to clause (2)(x) of this subsection, the Borrower shall have delivered to the Administrative Agent for distribution to each of the Lenders a Compliance Certificate, calculated on a pro forma basis, evidencing the continued compliance by the Loan Parties with the terms and conditions of this Agreement and the other Loan Documents, including without limitation, the covenants contained in Section 9.1., after giving pro forma effect to such conveyance, sale, transfer, disposition, acquisition, purchase, merger or consolidation; and (3) in the case of a consolidation or merger involving the Parent, the Borrower or a Qualifying Unencumbered Property Owner, the Parent, the Borrower or such Qualifying Unencumbered Property Owner, as the case may be, shall be the survivor thereof; and (iv) the Parent, the Borrower, the other Loan Parties and the other Subsidiaries may lease and sublease their respective assets, as lessor or sublessor (as the case may be), in the ordinary course of their business. Section 9.7. Plan Assets. The Parent and the Borrower shall not, and shall not permit any other Loan Party or any other Subsidiary to, permit any of its respective assets to become or be deemed to be “plan assets” as defined by 29 C.F.R. 2510.3-101 (as modified by §3(42) of ERISA). Section 9.8. Fiscal Year. The Parent and the Borrower shall not, and shall not permit any other Loan Party or other Subsidiary to, change its fiscal year from that in effect as of the Agreement Date. Section 9.9. Modifications of Organizational Documents. The Parent and the Borrower shall not, and shall not permit any other Loan Party or any other Subsidiary to, amend, supplement, restate or otherwise modify its certificate or articles of incorporation or formation, by-laws, operating agreement, declaration of trust, partnership agreement or other applicable organizational document if such amendment, supplement, restatement or other modification (a) would materially and adversely affect the Administrative Agent, the Issuing Banks or the Lenders or their respective rights and remedies under the Loan Documents or (b) could reasonably be expected to have a Material Adverse Effect. Section 9.10. Transactions with Affiliates. The Parent and the Borrower shall not permit to exist or enter into, and shall not permit any other Loan Party or any other Subsidiary to permit to exist or enter into, any transaction (including the purchase, sale, lease or exchange of any property or the rendering of any service) with any Affiliate, except (a) as set forth on Schedule 9.10., (b) transactions solely among the Loan Parties, or (c) transactions in the ordinary course of business of the Parent, the Borrower, such Loan Party or such Subsidiary and upon fair and reasonable terms which are no less favorable to the Parent, the Borrower, such Loan Party or such Subsidiary than would be obtained in a comparable arm’s length transaction with a Person that is not an Affiliate. Notwithstanding the foregoing, no payments may be made with respect to any items set forth on such Schedule 9.10. if a Default or Event of Default exists or would result therefrom. - 94 - LEGAL02\42427047.v4


 
Section 9.11. Environmental Matters. The Parent and the Borrower shall not, and shall not permit any other Loan Party, any other Subsidiary or any other Person to, use, generate, discharge, emit, manufacture, handle, process, store, release, transport, remove, dispose of or clean up any Hazardous Materials on, under or from the Properties in violation of any Environmental Law, or in a manner that could reasonably be expected to lead to any claim under Environmental Law or pose a risk to human health, safety or the environment, in each case, which could reasonably be expected to have a Material Adverse Effect. Nothing in this Section shall impose any obligation or liability whatsoever on the Administrative Agent or any Lender. Section 9.12. Derivatives Contracts. The Parent and the Borrower shall not, and shall not permit any other Loan Party or any other Subsidiary to, enter into or become obligated in respect of, Derivatives Contracts, other than Derivatives Contracts entered into by the Parent, the Borrower, such Loan Party or such Subsidiary in the ordinary course of business and which are intended to establish an effective hedge in respect of liabilities, commitments or assets held or reasonably anticipated by such Person. ARTICLE X. DEFAULT Section 10.1. Events of Default. Each of the following shall constitute an Event of Default, whatever the reason for such event and whether it shall be voluntary or involuntary or be effected by operation of Applicable Law or pursuant to any judgment or order of any Governmental Authority: (a) Default in Payment. (i) The Borrower shall fail to pay when due under this Agreement or any other Loan Document (whether upon demand, at maturity, by reason of acceleration or otherwise) the principal of any of the Loans or of any Reimbursement Obligation; (ii) The Borrower shall fail to pay when due under this Agreement or any other Loan Document (whether upon demand, at maturity, by reason of acceleration or otherwise) any interest on any of the Loans or on any Reimbursement Obligation and in the case of this subsection (a)(ii) only, such failure shall continue for a period of 5 days; or (iii) The Borrower or any other Loan Party shall fail to pay when due under this Agreement or any other Loan Document (whether upon demand, at maturity, by reason of acceleration or otherwise) any other payment Obligations owing by the Borrower or such Loan Party under this Agreement, any other Loan Document or the Fee Letter and in the case of this subsection (a)(iii) only, such failure shall continue for a period of 5 days after the earlier of (x) the date upon which a Responsible Officer of the Parent, the Borrower or such other Loan Party obtains knowledge of such failure or (y) the date upon which the Parent or the Borrower has received written notice of such failure from the Administrative Agent. (b) Default in Performance. (i) Any Loan Party shall fail to perform or observe any term, covenant, condition or agreement on its part to be performed or observed and contained in Section 7.8., Section 8.4.(i), Section 9.1., any of Sections 9.4 through Section 9.9. or Section 9.12; or - 95 - LEGAL02\42427047.v4


 
(ii) Any Loan Party shall fail to perform or observe any term, covenant, condition or agreement contained in this Agreement or any other Loan Document to which it is a party and not otherwise mentioned in this Section, and in the case of this subsection (b)(ii) only, such failure shall continue for a period of 30 days after the earlier of (x) the date upon which a Responsible Officer of the Parent, the Borrower or such other Loan Party obtains knowledge of such failure or (y) the date upon which the Parent or the Borrower has received written notice of such failure from the Administrative Agent. (c) Misrepresentations. Any written statement, representation or warranty (other than (i) financial projections, budgets, forecasts, pro forma financial statements and other forward looking statements and (ii) general industry information) made or deemed made by or on behalf of any Loan Party under this Agreement or under any other Loan Document, or any amendment hereto or thereto at any time furnished by, or at the direction of, any Loan Party to the Administrative Agent, any Issuing Bank or any Lender, shall at any time prove to have been incorrect or misleading in any material respect when furnished or made or deemed made. (d) Indebtedness Cross- Default. (i) The Parent, the Borrower, any other Loan Party or any other Subsidiary shall fail to make any payment when due and payable (after the applicable grace or cure period, if any, specified in any agreement or instrument relating to such Recourse Indebtedness) in respect of any Recourse Indebtedness (other than the Loans and Reimbursement Obligations and any Indebtedness in respect to any Derivatives Contract) having an aggregate outstanding principal amount (individually or in the aggregate with all other Indebtedness as to which such a failure exists) of $50,000,000 or more (all such Indebtedness being “Material Indebtedness”); or (ii) (x) The maturity of any Material Indebtedness shall have been accelerated in accordance with the provisions of any indenture, contract or instrument evidencing, providing for the creation of or otherwise concerning such Material Indebtedness or (y) any Material Indebtedness shall have been required to be prepaid, repurchased, redeemed or defeased prior to the stated maturity thereof; or (iii) Any other event shall have occurred and be continuing which, with or without the passage of time, the giving of notice, or otherwise, would permit any holder or holders of any Recourse Indebtedness having an aggregate outstanding principal amount (individually or in the aggregate with all other Indebtedness as to which such a failure exists) of $75,000,000 or more (other than the Loans and Reimbursement Obligations and any Indebtedness in respect to any Derivatives Contract), any trustee or agent acting on behalf of such holder or holders or any other Person, to accelerate the maturity of any such Recourse Indebtedness or require any such Recourse Indebtedness to be prepaid, repurchased, redeemed or defeased prior to its stated maturity; or (iv) The Parent, the Borrower, any other Loan Party or any other Subsidiary shall fail to pay when due (after giving effect to all applicable notice and cure rights) payments in respect of Derivatives Contracts in an aggregate amount of $50,000,000 or more. (e) Voluntary Bankruptcy Proceeding. The Parent, the Borrower, any other Loan Party or any other Subsidiary shall: (i) commence a voluntary case under the Bankruptcy Code or other federal bankruptcy laws (as now or hereafter in effect); (ii) file a petition seeking to take advantage of any other Applicable Laws, domestic or foreign, relating to bankruptcy, insolvency, reorganization, winding-up, or - 96 - LEGAL02\42427047.v4


 
composition or adjustment of debts; (iii) consent to, or fail to contest in a timely and appropriate manner, any petition filed against it in an involuntary case under such bankruptcy laws or other Applicable Laws or consent to any proceeding or action described in the immediately following subsection (f); (iv) apply for or consent to, or fail to contest in a timely and appropriate manner, the appointment of, or the taking of possession by, a receiver, custodian, trustee, or liquidator of itself or of a substantial part of its property, domestic or foreign; (v) admit in writing its inability to pay its debts generally as they become due; (vi) make a general assignment for the benefit of creditors; (vii) make a conveyance fraudulent as to creditors under any Applicable Law; or (viii) take any corporate or partnership action for the purpose of effecting any of the foregoing. (f) Involuntary Bankruptcy Proceeding. A case or other proceeding shall be commenced against the Parent, the Borrower, any other Loan Party or any other Subsidiary in any court of competent jurisdiction seeking: (i) relief under the Bankruptcy Code or other federal bankruptcy laws (as now or hereafter in effect) or under any other Applicable Laws, domestic or foreign, relating to bankruptcy, insolvency, reorganization, winding-up, or composition or adjustment of debts; or (ii) the appointment of a trustee, receiver, custodian, liquidator or the like of such Person, or of all or any substantial part of the assets, domestic or foreign, of such Person, and in the case of either clause (i) or (ii) such case or proceeding shall continue undismissed or unstayed for a period of 60 consecutive days, or an order granting the remedy or other relief requested in such case or proceeding (including, but not limited to, an order for relief under such Bankruptcy Code or such other federal bankruptcy laws) shall be entered. (g) Revocation of Loan Documents. Any Loan Party shall (or shall attempt to) disavow, revoke or terminate (except as a result of the express terms thereof) any Loan Document or the Fee Letter to which it is a party or shall otherwise challenge or contest in any action, suit or proceeding in any court or before any Governmental Authority the validity or enforceability of any Loan Document or the Fee Letter or any Loan Document or the Fee Letter shall cease to be in full force and effect (except as a result of the express terms thereof). (h) Judgment. A judgment or order for the payment of money or for an injunction or other non-monetary relief shall be entered against the Parent, the Borrower, any other Loan Party or any other Subsidiary by any court or other tribunal and (i) such judgment or order shall continue for a period of 45 days without being paid, stayed or dismissed through appropriate appellate proceedings and (ii) either (A) the amount of such judgment or order for which insurance has not been acknowledged in writing by the applicable insurance carrier (or the amount as to which the insurer has denied liability) exceeds, individually or together with all other such judgments or orders entered against the Loan Parties, $75,000,000 or (B) in the case of an injunction or other non-monetary relief, such injunction or judgment or order could reasonably be expected to have a Material Adverse Effect. (i) Attachment. A warrant, writ of attachment, execution or similar process shall be issued against any property of the Borrower, any other Loan Party or any other Subsidiary, which exceeds, individually or together with all other such warrants, writs, executions and processes, $50,000,000 in amount and such warrant, writ, execution or process shall not be paid, discharged, vacated, stayed or bonded for a period of 45 days. (j) ERISA. Any ERISA Event shall have occurred that results or could reasonably be expected to have a Material Adverse Effect. (k) Loan Documents. An Event of Default (as defined therein) shall occur under any of the other Loan Documents. - 97 - LEGAL02\42427047.v4


 
(l) Change of Control. (i) Any “person” or “group” (as such terms are used in Sections 13(d) and 14(d) of the Securities Exchange Act of 1934, as amended (the “Exchange Act”))(other than Sam Zell), is or becomes the “beneficial owner” (as defined in Rules 13d-3 and 13d-5 under the Exchange Act, except that a Person will be deemed to have “beneficial ownership” of all securities that such Person has the right to acquire, whether such right is exercisable immediately or only after the passage of time), directly or indirectly, of more than 40.0% of the total voting power of the then outstanding voting stock of the Parent; or (ii) during any period of 12 consecutive months ending after the Agreement Date, individuals who at the beginning of any such 12-month period constituted the Board of Directors of the Parent (together with any new directors whose election by such Board or whose nomination for election by the shareholders of the Parent was approved by a vote of a majority of the directors then still in office who were either directors at the beginning of such period or whose election or nomination for election was previously so approved) cease for any reason to constitute a majority of the Board of Directors of the Parent then in office; or (iii) the Parent shall cease to own and control, directly or indirectly, more than 50% of the outstanding Equity Interests of the Borrower; or (iv) the Parent shall cease to be the sole general partner of the Borrower or shall cease to have the sole and exclusive power to exercise all management and control over the Borrower. Section 10.2. Remedies Upon Event of Default. While an Event of Default shall exist, the following provisions shall apply: (a) Acceleration; Termination of Facilities. (i) Automatic. Upon the occurrence of an Event of Default specified in Sections 10.1.(e) or 10.1.(f), (1)(A) the principal of, and all accrued interest on, the Loans and the Notes at the time outstanding, (B) an amount equal to the Stated Amount of all Letters of Credit outstanding as of the date of the occurrence of such Event of Default for deposit into the Letter of Credit Collateral Account and (C) all of the other Obligations, including, but not limited to, the other amounts owed to the Lenders and the Administrative Agent under this Agreement, the Notes or any of the other Loan Documents shall become immediately and automatically due and payable without presentment, demand, protest, or other notice of any kind, all of which are expressly waived by the Parent and the Borrower on behalf of themselves and the other Loan Parties, and (2) the Commitments and the obligation of each Issuing Bank to issue Letters of Credit hereunder, shall all immediately and automatically terminate. (ii) Optional. While any other Event of Default shall exist, the Administrative Agent may, and at the direction of the Requisite Lenders shall: (1) declare (A) the principal of, and accrued interest on, the Loans and the Notes at the time outstanding, (B) an amount equal to the Stated Amount of all Letters of Credit outstanding as of the date of the occurrence of such Event of Default for deposit into the Letter of Credit Collateral Account and (C) all of the other Obligations, including, but not limited to, the other amounts owed to the Lenders and the Administrative Agent under this Agreement, the Notes or any of the other Loan Documents to be forthwith due and payable, whereupon the same shall immediately become due and payable - 98 - LEGAL02\42427047.v4


 
without presentment, demand, protest or other notice of any kind, all of which are expressly waived by the Parent and the Borrower on behalf of themselves and the other Loan Parties, and (2) terminate the Commitments and the obligation of each Issuing Bank to issue Letters of Credit hereunder. (b) Loan Documents. The Requisite Lenders may direct the Administrative Agent to, and the Administrative Agent if so directed shall, exercise any and all of its rights under any and all of the other Loan Documents. (c) Applicable Law. The Requisite Lenders may direct the Administrative Agent to, and the Administrative Agent if so directed shall, exercise all other rights and remedies it may have under any Applicable Law. (d) Appointment of Receiver. To the extent permitted by Applicable Law, the Administrative Agent and the Lenders shall be entitled to the appointment of a receiver for the assets and properties of the Parent, the Borrower, the other Loan Parties and the other Subsidiaries, without notice of any kind whatsoever and without regard to the adequacy of any security for the Obligations or the solvency of any party bound for its payment, to take possession of all or any portion of the property and/or the business operations of the Parent, the Borrower, the other Loan Parties and the other Subsidiaries and to exercise such power as the court shall confer upon such receiver. (e) Specified Derivatives Contract Remedies. Notwithstanding any other provision of this Agreement or other Loan Document, each Specified Derivatives Provider shall have the right, with prompt notice to the Administrative Agent, but without the approval or consent of or other action by the Administrative Agent or the Lenders, and without limitation of other remedies available to such Specified Derivatives Provider under contract or Applicable Law, to undertake any of the following: (a) to declare an event of default, termination event or other similar event under any Specified Derivatives Contract and to create an “Early Termination Date” (as defined therein) in respect thereof, (b) to determine net termination amounts in respect of any and all Specified Derivatives Contracts in accordance with the terms thereof, and to set off amounts among such contracts, (c) to set off or proceed against deposit account balances, securities account balances and other property and amounts held by such Specified Derivatives Provider to the extent permitted under any applicable Specified Derivatives Contract or Applicable Law, and (d) to prosecute any legal action against the Borrower, any Loan Party or other Subsidiary to enforce or collect net amounts owing to such Specified Derivatives Provider pursuant to any Specified Derivatives Contract. Section 10.3. Remedies Upon Default. Upon the occurrence of a Default specified in Section 10.1.(e), the Commitments and the obligation of each Issuing Bank to issue Letters of Credit, shall immediately and automatically terminate. Section 10.4. Marshaling; Payments Set Aside. No Lender Party shall be under any obligation to marshal any assets in favor of any Loan Party or any other party or against or in payment of any or all of the Guaranteed Obligations. To the extent that any Loan Party makes a payment or payments to a Lender Party, or a Lender Party enforces its security interest or exercises its right of setoff, and such payment or payments or the proceeds of such enforcement or setoff or any part thereof are subsequently invalidated, declared to be fraudulent or preferential, set aside and/or required to be repaid to a trustee, receiver or any other party under any bankruptcy law, state or federal law, common law or equitable cause, then to the extent of such recovery, the Guaranteed Obligations, or part thereof originally intended to be satisfied, and all Liens, rights and - 99 - LEGAL02\42427047.v4


 
remedies therefor, shall be revived and continued in full force and effect as if such payment had not been made or such enforcement or setoff had not occurred. Section 10.5. Allocation of Proceeds. If an Event of Default exists, all payments received by the Administrative Agent (or any Lender as a result of its exercise of remedies permitted under Section 12.3.) under any of the Loan Documents in respect of any Guaranteed Obligations shall be applied in the following order and priority: (a) to payment of that portion of the Guaranteed Obligations constituting fees, indemnities, expenses and other amounts, including attorney fees, payable to the Administrative Agent in its capacity as such, the applicable Issuing Bank in its capacity as such, ratably among the Administrative Agent and each Issuing Bank in proportion to the respective amounts described in this clause (a) payable to them; (b) to payment of that portion of the Guaranteed Obligations constituting fees, indemnities and other amounts (other than principal and interest) payable to the Lenders under the Loan Documents, including attorney fees, ratably among the Lenders in proportion to the respective amounts described in this clause (b) payable to them; (c) [reserved]; (d) to payment of that portion of the Guaranteed Obligations constituting accrued and unpaid interest on the Loans and Reimbursement Obligations, ratably among the Lenders and the Issuing Banks in proportion to the respective amounts described in this clause (d) payable to them; (e) [reserved]; (f) to payment of that portion of the Guaranteed Obligations constituting unpaid principal of the Loans, Reimbursement Obligations, other Letter of Credit Liabilities and payment obligations then owing under Specified Derivatives Contracts, ratably among the Lenders, the Issuing Banks and the Specified Derivatives Providers in proportion to the respective amounts described in this clause (f) payable to them; provided, however, to the extent that any amounts available for distribution pursuant to this clause are attributable to the issued but undrawn amount of an outstanding Letter of Credit, such amounts shall be paid to the Administrative Agent for deposit into the Letter of Credit Collateral Account; and (g) the balance, if any, after all of the Guaranteed Obligations have been indefeasibly paid in full, to the Borrower or as otherwise required by Applicable Law. Notwithstanding the foregoing, Guaranteed Obligations arising under Specified Derivatives Contracts shall be excluded from the application described above if the Administrative Agent has not received written notice thereof, together with such supporting documentation as the Administrative Agent may request, from the applicable Specified Derivatives Provider. Each Specified Derivatives Provider not a party to this Agreement that has given the notice contemplated by the preceding sentence shall, by such notice, be deemed to have acknowledged and accepted the appointment of the Administrative Agent pursuant to the terms of Article XI. for itself and its Affiliates as if a “Lender” party hereto. Excluded Swap Obligations with respect to the Guarantor shall not be paid with amounts received from the Guarantor or the Guarantor’s assets, but appropriate adjustments shall be made with respect to payments from other Loan Parties to preserve the allocations otherwise set forth above in this Section. - 100 - LEGAL02\42427047.v4


 
Section 10.6. Letter of Credit Collateral Account. (a) As collateral security for the prompt payment in full when due of all Letter of Credit Liabilities and the other Obligations, the Borrower hereby pledges and grants to the Administrative Agent, for the ratable benefit of the Administrative Agent, the Issuing Banks and the Revolving Lenders as provided herein, a security interest in all of its right, title and interest in and to the Letter of Credit Collateral Account and the balances from time to time in the Letter of Credit Collateral Account (including the investments and reinvestments therein provided for below). The balances from time to time in the Letter of Credit Collateral Account shall not constitute payment of any Letter of Credit Liabilities until applied by the applicable Issuing Bank as provided herein. Anything in this Agreement to the contrary notwithstanding, funds held in the Letter of Credit Collateral Account shall be subject to withdrawal only as provided in this Section. (b) Amounts on deposit in the Letter of Credit Collateral Account shall be invested and reinvested by the Administrative Agent in such Cash Equivalents as the Administrative Agent shall determine in its sole discretion. All such investments and reinvestments shall be held in the name of and be under the sole dominion and control of the Administrative Agent for the ratable benefit of the Administrative Agent, the Issuing Banks and the Revolving Lenders, provided, that all earnings on such investments will be credited to and retained in the Letter of Credit Collateral Account. The Administrative Agent shall exercise reasonable care in the custody and preservation of any funds held in the Letter of Credit Collateral Account and shall be deemed to have exercised such care if such funds are accorded treatment substantially equivalent to that which the Administrative Agent accords other funds deposited with the Administrative Agent, it being understood that the Administrative Agent shall not have any responsibility for taking any necessary steps to preserve rights against any parties with respect to any funds held in the Letter of Credit Collateral Account. (c) If a drawing pursuant to any Letter of Credit occurs on or prior to the expiration date of such Letter of Credit, the Borrower and the Revolving Lenders authorize the Administrative Agent to use the monies deposited in the Letter of Credit Collateral Account to reimburse the applicable Issuing Bank for the payment made by such Issuing Bank to the beneficiary with respect to such drawing or the payee with respect to such presentment. (d) If an Event of Default exists, the Administrative Agent may (and, if instructed by the Requisite Lenders, shall) in its (or their) discretion at any time and from time to time elect to liquidate any such investments and reinvestments and apply the proceeds thereof to the Obligations in accordance with Section 10.5. Notwithstanding the foregoing, the Administrative Agent shall not be required to liquidate and release any such amounts if such liquidation or release would result in the amount available in the Letter of Credit Collateral Account to be less than the Stated Amount of all Extended Letters of Credit that remain outstanding. (e) So long as no Default or Event of Default exists, and to the extent amounts on deposit in or credited to the Letter of Credit Collateral Account exceed the aggregate amount of the Letter of Credit Liabilities then due and owing, the Administrative Agent shall, from time to time, at the request of the Borrower, deliver to the Borrower within 10 Business Days after the Administrative Agent’s receipt of such request from the Borrower, against receipt but without any recourse, warranty or representation whatsoever, such amount of the credit balances in the Letter of Credit Collateral Account as exceeds the aggregate amount of Letter of Credit Liabilities at such time. Upon the expiration, termination or cancellation of an Extended Letter of Credit for which the Lenders reimbursed (or funded participations in) a drawing deemed to have occurred under the fourth sentence of Section 2.3.(b) for deposit into the Letter of Credit Collateral Account but in respect of which the Lenders have not otherwise received - 101 - LEGAL02\42427047.v4


 
payment for the amount so reimbursed or funded, the Administrative Agent shall promptly remit to the Lenders the amount so reimbursed or funded for such Extended Letter of Credit that remains in the Letter of Credit Collateral Account, pro rata in accordance with the respective unpaid reimbursements or funded participations of the Lenders in respect of such Extended Letter of Credit, against receipt but without any recourse, warranty or representation whatsoever. When all of the Obligations shall have been indefeasibly paid in full (other than contingent indemnification obligations in respect of which no claims have been asserted) and no Letters of Credit remain outstanding, the Administrative Agent shall deliver to the Borrower, against receipt but without any recourse, warranty or representation whatsoever, the balances remaining in the Letter of Credit Collateral Account. (f) The Borrower shall pay to the Administrative Agent from time to time such fees as the Administrative Agent normally charges for similar services in connection with the Administrative Agent’s administration of the Letter of Credit Collateral Account and investments and reinvestments of funds therein. Section 10.7. Rescission of Acceleration by Requisite Lenders. If at any time after acceleration of the maturity of the Loans and the other Obligations, the Borrower shall pay all arrears of interest and all payments on account of principal of the Obligations which shall have become due otherwise than by acceleration (with interest on principal and, to the extent permitted by Applicable Law, on overdue interest, at the rates specified in this Agreement) and all Events of Default and Defaults (other than nonpayment of principal of and accrued interest on the Obligations due and payable solely by virtue of acceleration) shall become remedied or waived to the satisfaction of the Requisite Lenders, then by written notice to the Borrower, the Requisite Lenders may elect, in the sole discretion of such Requisite Lenders, to rescind and annul the acceleration and its consequences. The provisions of the preceding sentence are intended merely to bind all of the Lenders to a decision which may be made at the election of the Requisite Lenders, and are not intended to benefit the Borrower and do not give the Borrower the right to require the Lenders to rescind or annul any acceleration hereunder, even if the conditions set forth herein are satisfied. Section 10.8. Performance by Administrative Agent. If the Parent, the Borrower or any other Loan Party shall fail to perform any covenant, duty or agreement contained in any of the Loan Documents, the Administrative Agent may, after notice to the Borrower, perform or attempt to perform such covenant, duty or agreement on behalf of the Parent, the Borrower or such other Loan Party, as applicable, after the expiration of any cure or grace periods set forth herein. In such event, the Borrower shall, at the request of the Administrative Agent, promptly pay any amount reasonably expended by the Administrative Agent in such performance or attempted performance to the Administrative Agent, together with interest thereon from the date of such expenditure until paid at the interest rate applicable to Base Rate Loans or at the Post-Default Rate if then applicable under Section 2.5.(a). Notwithstanding the foregoing, neither the Administrative Agent nor any Lender shall have any liability or responsibility whatsoever for the performance of any obligation of the Borrower under this Agreement or any other Loan Document. Section 10.9. Rights Cumulative. (a) Generally. The rights and remedies of the Administrative Agent, the Lenders and the Issuing Banks under this Agreement, each of the other Loan Documents and the Fee Letter and of the Specified Derivatives Providers under the Specified Derivatives Contract shall be cumulative and not exclusive of any rights or remedies which any of them may otherwise have under Applicable Law. In exercising their respective rights and remedies the Administrative Agent, the Lenders, the Issuing Banks - 102 - LEGAL02\42427047.v4


 
and the Specified Derivatives Providers may be selective and no failure or delay by any such Lender Party in exercising any right shall operate as a waiver of it, nor shall any single or partial exercise of any power or right preclude its other or further exercise or the exercise of any other power or right. (b) Enforcement by Administrative Agent. Notwithstanding anything to the contrary contained herein or in any other Loan Document, the authority to enforce rights and remedies hereunder and under the other Loan Documents against the Loan Parties or any of them shall be vested exclusively in, and all actions and proceedings at law in connection with such enforcement shall be instituted and maintained exclusively by, the Administrative Agent in accordance with Article X. for the benefit of all the Lenders and the Issuing Banks; provided that the foregoing shall not prohibit (i) the Administrative Agent from exercising on its own behalf the rights and remedies that inure to its benefit (solely in its capacity as Administrative Agent) hereunder and under the other Loan Documents, (ii) the Issuing Banks from exercising the rights and remedies that inure to their benefit (solely in their capacity as an Issuing Bank) hereunder or under the other Loan Documents, (iii) any Specified Derivatives Provider from exercising the rights and remedies that inure to its benefit under any Specified Derivatives Contract, (iv) any Lender from exercising setoff rights in accordance with Section 12.3. (subject to the terms of Section 3.3.), or (v) any Lender from filing proofs of claim or appearing and filing pleadings on its own behalf during the pendency of a proceeding relative to any Loan Party under any Debtor Relief Law; and provided, further, that if at any time there is no Person acting as Administrative Agent hereunder and under the other Loan Documents, then (x) the Requisite Lenders shall have the rights otherwise ascribed to the Administrative Agent pursuant to Article X. and (y) in addition to the matters set forth in clauses (ii), (iv) and (v) of the preceding proviso and subject to Section 3.3., any Lender may, with the consent of the Requisite Lenders, enforce any rights and remedies available to it and as authorized by the Requisite Lenders. ARTICLE XI. THE ADMINISTRATIVE AGENT Section 11.1. Appointment and Authorization. Each Lender hereby irrevocably appoints and authorizes the Administrative Agent to take such action as contractual representative on such Lender’s behalf and to exercise such powers under this Agreement and the other Loan Documents as are specifically delegated to the Administrative Agent by the terms hereof and thereof, together with such powers as are reasonably incidental thereto. Not in limitation of the foregoing, each Lender authorizes and directs the Administrative Agent to enter into the Loan Documents for the benefit of the Lenders. Each Lender hereby agrees that, except as otherwise set forth herein, any action taken by the Requisite Lenders in accordance with the provisions of this Agreement or the Loan Documents, and the exercise by the Requisite Lenders of the powers set forth herein or therein, together with such other powers as are reasonably incidental thereto, shall be authorized and binding upon all of the Lenders. Nothing herein shall be construed to deem the Administrative Agent a trustee or fiduciary for any Lender or to impose on the Administrative Agent duties or obligations other than those expressly provided for herein. Without limiting the generality of the foregoing, the use of the terms “Agent”, “Administrative Agent”, “agent” and similar terms in the Loan Documents with reference to the Administrative Agent is not intended to connote any fiduciary or other implied (or express) obligations arising under agency doctrine of any Applicable Law. Instead, use of such terms is merely a matter of market custom, and is intended to create or reflect only an administrative relationship between independent contracting parties. The Administrative Agent shall deliver or otherwise make available to each Lender, promptly upon receipt thereof by the Administrative Agent, copies of each of the financial statements, certificates, notices and other documents delivered to the Administrative Agent pursuant to Article VIII. that the Parent or the Borrower is not otherwise required to deliver directly to the Lenders. The Administrative Agent will furnish to any Lender, upon the request of such Lender, a copy (or, where appropriate, an original) of any document, instrument, - 103 - LEGAL02\42427047.v4


 
agreement, certificate or notice furnished to the Administrative Agent by the Parent, the Borrower, any other Loan Party or any other Affiliate of the Parent, pursuant to this Agreement or any other Loan Document not already delivered or otherwise made available to such Lender pursuant to the terms of this Agreement or any such other Loan Document. As to any matters not expressly provided for by the Loan Documents (including, without limitation, enforcement or collection of any of the Obligations), the Administrative Agent shall not be required to exercise any discretion or take any action, but shall be required to act or to refrain from acting (and shall be fully protected in so acting or refraining from acting) upon the instructions of the Requisite Lenders (or all of the Lenders if explicitly required under any other provision of this Agreement), and such instructions shall be binding upon all Lenders and all holders of any of the Obligations; provided, however, that, notwithstanding anything in this Agreement to the contrary, the Administrative Agent shall not be required to take any action which exposes the Administrative Agent to personal liability or which is contrary to this Agreement or any other Loan Document or Applicable Law. Not in limitation of the foregoing, the Administrative Agent may exercise any right or remedy it or the Lenders may have under any Loan Document upon the occurrence of a Default or an Event of Default unless the Requisite Lenders have directed the Administrative Agent otherwise. Without limiting the foregoing, no Lender shall have any right of action whatsoever against the Administrative Agent as a result of the Administrative Agent acting or refraining from acting under this Agreement or any of the other Loan Documents in accordance with the instructions of the Requisite Lenders, or where applicable, all the Lenders. Section 11.2. Wells Fargo as Lender. Wells Fargo, as a Lender or as a Specified Derivatives Provider, as the case may be, shall have the same rights and powers under this Agreement and any other Loan Document and under any Specified Derivatives Contract, as the case may be, as any other Lender or Specified Derivatives Provider and may exercise the same as though it were not the Administrative Agent; and the term “Lender” or “Lenders” shall, unless otherwise expressly indicated, include Wells Fargo in each case in its individual capacity. Wells Fargo and its Affiliates may each accept deposits from, maintain deposits or credit balances for, invest in, lend money to, act as trustee under indentures of, serve as financial advisor to, and generally engage in any kind of business with the Parent, the Borrower, any other Loan Party or any other Affiliate thereof as if it were any other bank and without any duty to account therefor to the Lenders, the Issuing Banks or any Specified Derivatives Providers. Further, the Administrative Agent and any Affiliate may accept fees and other consideration from the Parent, the Borrower, any other Loan Party or any other Subsidiary for services in connection with this Agreement or any Specified Derivatives Contract, or otherwise without having to account for the same to the Lenders, the Issuing Banks or any Specified Derivatives Providers. The Issuing Banks and the Lenders acknowledge that, pursuant to such activities, Wells Fargo or its Affiliates may receive information regarding the Parent, the Borrower, other Loan Parties, other Subsidiaries and other Affiliates (including information that may be subject to confidentiality obligations in favor of such Person) and acknowledge that the Administrative Agent shall be under no obligation to provide such information to them. Section 11.3. Approvals of Lenders. All communications from the Administrative Agent to any Lender requesting such Lender’s determination, consent or approval (a) shall be given in the form of a written notice to such Lender, (b) shall be accompanied by a description of the matter or issue as to which such determination, consent or approval is requested, or shall advise such Lender where information, if any, regarding such matter or issue may be inspected, or shall otherwise describe the matter or issue to be resolved and (c) shall include, if reasonably requested by such Lender and to the extent not previously provided to such Lender, written materials provided to the Administrative Agent by the Borrower in respect of the matter or issue to be resolved. Unless a Lender shall give written notice to the Administrative Agent that it specifically - 104 - LEGAL02\42427047.v4


 
objects to the requested determination, consent or approval within 10 Business Days (or such lesser or greater period as may be specifically required under the express terms of the Loan Documents) of receipt of such communication, such Lender shall be deemed to have conclusively approved such requested determination, consent or approval. The provisions of this Section shall not apply to any amendment, waiver or consent regarding any of the matters described in Section 12.6.(b) or (c). Section 11.4. Notice of Events of Default. The Administrative Agent shall not be deemed to have knowledge or notice of the occurrence of a Default or Event of Default unless the Administrative Agent has received notice from a Lender or the Borrower referring to this Agreement, describing with reasonable specificity such Default or Event of Default and stating that such notice is a “notice of default.” If any Lender (excluding the Lender which is also serving as the Administrative Agent) becomes aware of any Default or Event of Default, it shall promptly send to the Administrative Agent such a “notice of default”; provided, a Lender’s failure to provide such a “notice of default” to the Administrative Agent shall not result in any liability of such Lender to any other party to any of the Loan Documents. Further, if the Administrative Agent receives such a “notice of default,” the Administrative Agent shall give prompt notice thereof to the Lenders. Section 11.5. Administrative Agent’s Reliance. Notwithstanding any other provisions of this Agreement or any other Loan Documents, neither the Administrative Agent nor any of its Related Parties shall be liable for any action taken or not taken by it under or in connection with this Agreement or any other Loan Document, except for its or their own gross negligence or willful misconduct in connection with its duties expressly set forth herein or therein as determined by a court of competent jurisdiction in a final non-appealable judgment. Without limiting the generality of the foregoing, the Administrative Agent may consult with legal counsel (including its own counsel or counsel for the Parent, the Borrower or any other Loan Party), independent public accountants and other experts selected by it and shall not be liable for any action taken or omitted to be taken in good faith by it in accordance with the advice of such counsel, accountants or experts. Neither the Administrative Agent nor any of its Related Parties: (a) makes any warranty or representation to any Lender, any Issuing Bank or any other Person or shall be responsible to any Lender, any Issuing Bank or any other Person for any statement, warranty or representation made or deemed made by the Parent, the Borrower, any other Loan Party or any other Person in or in connection with this Agreement or any other Loan Document; (b) shall have any duty to ascertain or to inquire as to the performance or observance of any of the terms, covenants or conditions of this Agreement or any other Loan Document or the satisfaction of any conditions precedent under this Agreement or any Loan Document on the part of the Borrower or other Persons or to inspect the property, books or records of the Borrower or any other Person; (c) shall be responsible to any Lender or any Issuing Bank for the due execution, legality, validity, enforceability, genuineness, sufficiency or value of this Agreement or any other Loan Document, any other instrument or document furnished pursuant thereto; (d) shall have any liability in respect of any recitals, statements, certifications, representations or warranties contained in any of the Loan Documents or any other document, instrument, agreement, certificate or statement delivered in connection therewith; and (e) shall incur any liability under or in respect of this Agreement or any other Loan Document by acting upon any notice, consent, certificate or other instrument or writing (which may be by telephone, telecopy or electronic mail) believed by it to be genuine and signed, sent or given by the proper party or parties. The Administrative Agent may execute any of its duties under the Loan Documents by or through agents, employees or attorneys-in-fact and shall not be responsible for the negligence or misconduct of any agent or attorney-in-fact that it selects in the absence of gross negligence or willful misconduct in the selection of such agent or attorney-in-fact as determined by a court of competent jurisdiction in a final non-appealable judgment. - 105 - LEGAL02\42427047.v4


 
Section 11.6. Indemnification of Administrative Agent. Each Lender agrees to indemnify the Administrative Agent (to the extent not reimbursed by the Borrower and without limiting the obligation of the Borrower to do so) pro rata in accordance with such Lender’s respective Pro Rata Share (determined as of the time the applicable unreimbursed expense or indemnity payment is sought), from and against any and all liabilities, obligations, losses, damages, penalties, actions, judgments, suits, reasonable out-of-pocket costs and expenses or disbursements of any kind or nature whatsoever which may at any time be imposed on, incurred by, or asserted against the Administrative Agent (in its capacity as Administrative Agent but not as a Lender) in any way relating to or arising out of the Loan Documents, any transaction contemplated hereby or thereby or any action taken or omitted by the Administrative Agent under the Loan Documents (collectively, “Indemnifiable Amounts”); provided, further, that no Lender shall be liable for any portion of such Indemnifiable Amounts to the extent resulting from the Administrative Agent’s gross negligence or willful misconduct as determined by a court of competent jurisdiction in a final, non-appealable judgment; provided, further, that no action taken in accordance with the directions of the Requisite Lenders (or all of the Lenders, if expressly required hereunder) shall be deemed to constitute gross negligence or willful misconduct for purposes of this Section. Without limiting the generality of the foregoing, each Lender agrees to reimburse the Administrative Agent (to the extent not reimbursed by the Borrower and without limiting the obligation of the Borrower to do so) promptly upon demand for its Pro Rata Share of any out-of-pocket expenses (including the reasonable fees and expenses of the counsel to the Administrative Agent) incurred by the Administrative Agent in connection with the preparation, negotiation, execution, administration, or enforcement (whether through negotiations, legal proceedings, or otherwise) of, or legal advice with respect to the rights or responsibilities of the parties under, the Loan Documents, any suit or action brought by the Administrative Agent to enforce the terms of the Loan Documents and/or collect any Obligations, any “lender liability” suit or claim brought against the Administrative Agent and/or the Lenders, and any claim or suit brought against the Administrative Agent and/or the Lenders arising under any Environmental Laws. Such out-of-pocket expenses (including counsel fees) shall be advanced by the Lenders on the request of the Administrative Agent notwithstanding any claim or assertion that the Administrative Agent is not entitled to indemnification hereunder upon receipt of an undertaking by the Administrative Agent that the Administrative Agent will reimburse the Lenders if it is actually and finally determined by a court of competent jurisdiction that the Administrative Agent is not so entitled to indemnification. The agreements in this Section shall survive the payment of the Loans and all other Obligations and the termination of this Agreement. If the Borrower shall reimburse the Administrative Agent for any Indemnifiable Amount following payment by any Lender to the Administrative Agent in respect of such Indemnifiable Amount pursuant to this Section, the Administrative Agent shall share such reimbursement on a ratable basis with each Lender making any such payment. Section 11.7. Lender Credit Decision, Etc. Each of the Lenders and each Issuing Bank expressly acknowledges and agrees that neither the Administrative Agent nor any of its Related Parties has made any representations or warranties to such Issuing Bank or such Lender and that no act by the Administrative Agent hereafter taken, including any review of the affairs of the Parent, the Borrower, any other Loan Party or any other Subsidiary or Affiliate, shall be deemed to constitute any such representation or warranty by the Administrative Agent to any Issuing Bank or any Lender. Each of the Lenders and each Issuing Bank acknowledges that it has made its own credit and legal analysis and decision to enter into this Agreement and the transactions contemplated hereby, independently and without reliance upon the Administrative Agent, any other Lender or counsel to the Administrative Agent, or any of their respective Related Parties, and based on the financial statements of the Parent, the Borrower, the other Loan Parties, the other Subsidiaries and other Affiliates, and inquiries of such Persons, its independent due diligence of the business and affairs - 106 - LEGAL02\42427047.v4


 
of the Parent, the Borrower, the other Loan Parties, the other Subsidiaries and other Persons, its review of the Loan Documents, the legal opinions required to be delivered to it hereunder, the advice of its own counsel and such other documents and information as it has deemed appropriate. Each of the Lenders and each Issuing Bank also acknowledges that it will, independently and without reliance upon the Administrative Agent, any other Lender or counsel to the Administrative Agent or any of their respective officers, directors, employees and agents, and based on such review, advice, documents and information as it shall deem appropriate at the time, continue to make its own decisions in taking or not taking action under the Loan Documents. The Administrative Agent shall not be required to keep itself informed as to the performance or observance by the Parent, the Borrower or any other Loan Party of the Loan Documents or any other document referred to or provided for therein or to inspect the properties or books of, or make any other investigation of, the Parent, the Borrower, any other Loan Party or any other Subsidiary. Except for notices, reports and other documents and information expressly required to be furnished to the Lenders and the Issuing Banks by the Administrative Agent under this Agreement or any of the other Loan Documents, the Administrative Agent shall have no duty or responsibility to provide any Lender or any Issuing Bank with any credit or other information concerning the business, operations, property, financial and other condition or creditworthiness of the Parent, the Borrower, any other Loan Party or any other Affiliate thereof which may come into possession of the Administrative Agent or any of its Related Parties. Each of the Lenders and each Issuing Bank acknowledges that the Administrative Agent’s legal counsel in connection with the transactions contemplated by this Agreement is only acting as counsel to the Administrative Agent and is not acting as counsel to any Lender or any Issuing Bank. Further, the Administrative Agent shall not be responsible or have any liability for, or have any duty to ascertain, inquire into, monitor or enforce, compliance with the provisions hereof relating to Competitors. Without limiting the generality of the foregoing, the Administrative Agent shall not (x) be obligated to ascertain, monitor or inquire as to whether any Lender or Participant or prospective Lender or Participant is a Competitor or (y) have any liability with respect to or arising out of any assignment or participation of Commitments or Loans, or disclosure of confidential information, to any Competitor. Section 11.8. Successor Administrative Agent. The Administrative Agent may resign at any time as Administrative Agent under the Loan Documents by giving written notice thereof to the Lenders and the Borrower. Upon any such resignation, the Requisite Lenders shall have the right to appoint a successor Administrative Agent which appointment shall, provided no Event of Default exists, be subject to the Borrower’s approval, which approval shall not be unreasonably withheld or delayed (except that the Borrower shall, in all events, be deemed to have approved each Lender and any of its Affiliates as a successor Administrative Agent). If no successor Administrative Agent shall have been so appointed in accordance with the immediately preceding sentence, and shall have accepted such appointment, within 30 days after the current Administrative Agent’s giving of notice of resignation, then the current Administrative Agent may, on behalf of the Lenders and the Issuing Banks, appoint a successor Administrative Agent, which shall be a Lender, if any Lender shall be willing to serve, and otherwise shall be an Eligible Assignee; provided that if the Administrative Agent shall notify the Borrower and the Lenders that no Lender has accepted such appointment, then such resignation shall nonetheless become effective in accordance with such notice and (1) the Administrative Agent shall be discharged from its duties and obligations hereunder and under the other Loan Documents and (2) all payments, communications and determinations provided to be made by, to or through the Administrative Agent shall instead be made to each Lender and each Issuing Bank directly, until such time as a successor Administrative Agent has been appointed as provided for above in this Section; provided, further that such Lenders and such Issuing Bank so acting directly shall be and be deemed to be protected by all indemnities and other provisions herein for the benefit and protection of the Administrative Agent as if each such Lender or each such Issuing Bank were itself the Administrative Agent. Upon the acceptance of any appointment as Administrative Agent hereunder by a - 107 - LEGAL02\42427047.v4


 
successor Administrative Agent, such successor Administrative Agent shall thereupon succeed to and become vested with all the rights, powers, privileges and duties of the current Administrative Agent, and the current Administrative Agent shall be discharged from its duties and obligations under the Loan Documents. Any resignation by an Administrative Agent shall also constitute the resignation as an Issuing Bank by the Lender then acting as Administrative Agent (the “Resigning Lender”). Upon the acceptance of a successor’s appointment as Administrative Agent hereunder (i) the Resigning Lender shall be discharged from all duties and obligations of an Issuing Bank hereunder and under the other Loan Documents and (ii) any successor Issuing Bank shall issue letters of credit in substitution for all Letters of Credit issued by the Resigning Lender as an Issuing Bank outstanding at the time of such succession (which letters of credit issued in substitutions shall be deemed to be Letters of Credit issued hereunder) or make other arrangements satisfactory to the Resigning Lender to effectively assume the obligations of the Resigning Lender with respect to such Letters of Credit. After any Administrative Agent’s resignation hereunder as Administrative Agent, the provisions of this Article XI. shall continue to inure to its benefit as to any actions taken or omitted to be taken by it while it was Administrative Agent under the Loan Documents. Notwithstanding anything contained herein to the contrary, the Administrative Agent may assign its rights and duties under the Loan Documents to any of its Affiliates by giving the Borrower and each Lender prior written notice. Section 11.9. Titled Agents. Each of the Lead Arrangers, the Syndication Agent and the Documentation Agents (each a “Titled Agent”) in each such respective capacity, assumes no responsibility or obligation hereunder, including, without limitation, for servicing, enforcement or collection of any of the Loans, nor any duties as an agent hereunder for the Lenders. The titles given to the Titled Agents are solely honorific and imply no fiduciary responsibility on the part of the Titled Agents to the Administrative Agent, any Lender, any Issuing Bank, the Borrower or any other Loan Party and the use of such titles does not impose on the Titled Agents any duties or obligations greater than those of any other Lender or entitle the Titled Agents to any rights other than those to which any other Lender is entitled. Section 11.10. Specified Derivatives Contracts. No Specified Derivatives Provider that obtains the benefits of Section 10.5. by virtue of the provisions hereof or of any Loan Document shall have any right to notice of any action or to consent to, direct or object to any action hereunder or under any other Loan Document or otherwise in respect of any Loan Document other than in its capacity as a Lender and, in such case, only to the extent expressly provided in the Loan Documents. Notwithstanding any other provision of this Article to the contrary, the Administrative Agent shall not be required to verify the payment of, or that other satisfactory arrangements have been made with respect to, Specified Derivatives Contracts unless the Administrative Agent has received written notice of such Specified Derivatives Contracts, together with such supporting documentation as the Administrative Agent may request, from the applicable Specified Derivatives Provider. Section 11.11. Erroneous Payments. (a) Each Lender, each Issuing Bank, each Specified Derivatives Provider and any other party hereto hereby severally agrees that if (i) the Administrative Agent notifies (which such notice shall be conclusive absent manifest error) such Lender or Issuing Bank or Specified Derivatives Provider or any other Person that has received funds from the Administrative Agent or any of its Affiliates, either for its own account or on behalf of a Lender or Issuing Bank or Specified Derivatives Provider (each such recipient, a “Payment Recipient”) that the Administrative Agent has determined in its sole discretion that any funds received by such Payment Recipient were erroneously transmitted to, or otherwise erroneously - 108 - LEGAL02\42427047.v4


 
or mistakenly received by, such Payment Recipient (whether or not known to such Payment Recipient) or (ii) any Payment Recipient receives any payment from the Administrative Agent (or any of its Affiliates) (x) that is in a different amount than, or on a different date from, that specified in a notice of payment, prepayment or repayment sent by the Administrative Agent (or any of its Affiliates) with respect to such payment, prepayment or repayment, as applicable, (y) that was not preceded or accompanied by a notice of payment, prepayment or repayment sent by the Administrative Agent (or any of its Affiliates) with respect to such payment, prepayment or repayment, as applicable, or (z) that such Payment Recipient otherwise becomes aware was transmitted or received in error or by mistake (in whole or in part) then, in each case, an error in payment shall be presumed to have been made (any such amounts specified in clauses (i) or (ii) of this Section 11.11.(a), whether received as a payment, prepayment or repayment of principal, interest, fees, distribution or otherwise; individually and collectively, an “Erroneous Payment”), then, in each case, such Payment Recipient is deemed to have knowledge of such error at the time of its receipt of such Erroneous Payment; provided that nothing in this Section shall require the Administrative Agent to provide any of the notices specified in clauses (i) or (ii) above. Each Payment Recipient agrees that it shall not assert any right or claim to any Erroneous Payment, and hereby waives any claim, counterclaim, defense or right of set-off or recoupment with respect to any demand, claim or counterclaim by the Administrative Agent for the return of any Erroneous Payments, including without limitation waiver of any defense based on “discharge for value” or any similar doctrine. (b) Without limiting the immediately preceding clause (a), each Payment Recipient agrees that, in the case of clause (a)(ii) above, it shall promptly notify the Administrative Agent in writing of such occurrence. (c) In the case of either clause (a)(i) or (a)(ii) above, such Erroneous Payment shall at all times remain the property of the Administrative Agent and shall be segregated by the Payment Recipient and held in trust for the benefit of the Administrative Agent, and upon demand from the Administrative Agent such Payment Recipient shall (or, shall cause any Person who received any portion of an Erroneous Payment on its behalf to), promptly, but in all events no later than two Business Days thereafter, return to the Administrative Agent the amount of any such Erroneous Payment (or portion thereof) as to which such a demand was made in same day funds and in the currency so received, together with interest thereon in respect of each day from and including the date such Erroneous Payment (or portion thereof) was received by such Payment Recipient to the date such amount is repaid to the Administrative Agent at the greater of the Federal Funds Rate and a rate determined by the Administrative Agent in accordance with banking industry rules on interbank compensation from time to time in effect. (d) In the event that an Erroneous Payment (or portion thereof) is not recovered by the Administrative Agent for any reason, after demand therefor by the Administrative Agent in accordance with immediately preceding clause (c), from any Lender that is a Payment Recipient or an Affiliate of a Payment Recipient (such unrecovered amount as to such Lender, an “Erroneous Payment Return Deficiency”), then at the sole discretion of the Administrative Agent and upon the Administrative Agent’s written notice to such Lender (i) such Lender shall be deemed to have made a cashless assignment of the full face amount of the portion of its Loans of the relevant Class with respect to which such Erroneous Payment was made (the “Erroneous Payment Impacted Class”) to the Administrative Agent or, at the option of the Administrative Agent, the Administrative Agent’s applicable lending affiliate in an amount that is equal to the Erroneous Payment Return Deficiency (or such lesser amount as the Administrative Agent may specify) (such assignment of the Loans of the Erroneous Payment Impacted Class, the “Erroneous Payment Deficiency Assignment”) plus any accrued and unpaid interest on such assigned amount, without further consent or approval of any party hereto and without any payment by the Administrative Agent or its applicable lending affiliate as the assignee of such Erroneous Payment Deficiency Assignment. The parties hereto acknowledge and agree that (1) any assignment - 109 - LEGAL02\42427047.v4


 
contemplated in this clause (d) shall be made without any requirement for any payment or other consideration paid by the applicable assignee or received by the assignor, (2) the provisions of this clause (d) shall govern in the event of any conflict with the terms and conditions of Section 12.5 and (3) the Administrative Agent may reflect such assignments in the Register without further consent or action by any other Person. (e) Each party hereto hereby agrees that (x) in the event an Erroneous Payment (or portion thereof) is not recovered from any Payment Recipient that has received such Erroneous Payment (or portion thereof) for any reason, the Administrative Agent (1) shall be subrogated to all the rights of such Payment Recipient with respect to such amount and (2) is authorized to set off, net and apply any and all amounts at any time owing to such Payment Recipient under any Loan Document, or otherwise payable or distributable by the Administrative Agent to such Payment Recipient from any source, against any amount due to the Administrative Agent under this Section 11.11. or under the indemnification provisions of this Agreement, (y) the receipt of an Erroneous Payment by a Payment Recipient shall not for the purpose of this Agreement be treated as a payment, prepayment, repayment, discharge or other satisfaction of any Obligations owed by the Borrower or any other Credit Party, except, in each case, to the extent such Erroneous Payment is, and solely with respect to the amount of such Erroneous Payment that is, comprised of funds received by the Administrative Agent from the Borrower or any other Credit Party for the purpose of making a payment on the Obligations and (z) to the extent that an Erroneous Payment was in any way or at any time credited as payment or satisfaction of any of the Obligations, the Obligations or any part thereof that were so credited, and all rights of the Payment Recipient, as the case may be, shall be reinstated and continue in full force and effect as if such payment or satisfaction had never been received. (f) Each party’s obligations under this Section 11.11. shall survive the resignation or replacement of the Administrative Agent or any transfer of right or obligations by, or the replacement of, a Lender, or the repayment, satisfaction or discharge of all Obligations (or any portion thereof) under any Loan Document. (g) Nothing in this Section 11.11. will constitute a waiver or release of any claim of the Administrative Agent hereunder arising from any Payment Recipient’s receipt of an Erroneous Payment. (h) Notwithstanding anything to the contrary herein or in any other Loan Document, this Section 11.11. will not increase or otherwise alter the Borrower’s or any Loan Party’s obligations or liabilities under the Loan Documents. ARTICLE XII. MISCELLANEOUS Section 12.1. Notices. Unless otherwise provided herein (including without limitation as provided in Section 8.5.), communications provided for hereunder shall be in writing and shall be mailed, telecopied, or delivered as follows: - 110 - LEGAL02\42427047.v4


 
If to the Parent or the Borrower: Equity LifeStyle Properties, Inc. or MHC Operating Limited Partnership Two North Riverside Place, Suite 800 Chicago, Illinois 60606 Attention: David Eldersveld, General Counsel Telephone: (312) 279-1442 Email: david_eldersveld@equitylifestyle.com with a copy to: Equity LifeStyle Properties, Inc. or MHC Operating Limited Partnership Two North Riverside Place, Suite 800 Chicago, Illinois 60606 Attention: Paul Seavey, Executive Vice-President and Chief Financial Officer Telephone: (312) 279-1488 Email: paul_seavey@equitylifestyle.com with a copy to (which shall not constitute notice): Kirkland & Ellis LLP 300 N. LaSalle Street Chicago, IL 60654 Attention: Daniel J. Perlman, P.C. and Rachel S. Brown, P.C. Telephone: (312) 862-5275 Email: rachel.brown@kirkland.com If to the Administrative Agent: Wells Fargo Bank, National Association 10 South Wacker Drive, 32nd Floor Chicago, Illinois 60606 Attention: Scott Solis Telephone: (312) 269-4818 Email: scott.s.solis@wellsfargo.com If to the Administrative Agent under Article II.: Wells Fargo Bank, National Association 600 South 4th St., 8th Floor Minneapolis, Minnesota 55415 Attention: David DeAngelis, Syndications Administrator Telephone: 612-667-4773 Email: david.r.deangelis@wellsfargo.com - 111 - LEGAL02\42427047.v4


 
If to Wells Fargo Bank, as an Issuing Bank: Wells Fargo Bank, National Association 10 South Wacker Drive, 32nd Floor Chicago, Illinois 60606 Attention: Scott Solis Telephone: (312) 269-4818 Email: scott.s.solis@wellsfargo.com If to Bank of America, as an Issuing Bank: Bank of America, N.A. One Fleet Way PA6-580-02-30 Scranton, PA 18507-1999 Attention: Standby Letter Of Credit Unit Telephone: 800-370-7519 Email: Scranton_standby_lc@bankofamerica.com If to any other Lender: To such Lender’s address or telecopy number as set forth in the applicable Administrative Questionnaire or, as to each party at such other address as shall be designated by such party in a written notice to the other parties delivered in compliance with this Section; provided, a Lender or an Issuing Bank shall only be required to give notice of any such other address to the Administrative Agent and the Borrower. All such notices and other communications shall be effective (i) if mailed, upon the first to occur of receipt or the expiration of three (3) days after the deposit in the United States Postal Service mail, postage prepaid and addressed to the address of the Borrower or the Administrative Agent, the Issuing Banks and Lenders at the addresses specified; (ii) if hand delivered or sent by overnight courier, when delivered; or (iii) if delivered in accordance with Section 8.5. to the extent applicable; provided, however, that, in the case of the immediately preceding clauses (i) and (ii), non-receipt of any communication as of the result of any change of address of which the sending party was not notified or as the result of a refusal to accept delivery shall be deemed receipt of such communication. Notwithstanding the immediately preceding sentence, all notices or communications to the Administrative Agent, the Issuing Banks or any Lender under Article II. shall be effective only when actually received. None of the Administrative Agent, any Issuing Bank or any Lender shall incur any liability to any Loan Party (nor shall the Administrative Agent incur any liability to the Issuing Banks or the Lenders) for acting upon any telephonic notice referred to in this Agreement which the Administrative Agent, such Issuing Bank or such Lender, as the case may be, believes in good faith to have been given by a Person authorized to deliver such notice or for otherwise acting in good faith hereunder. Failure of a Person designated to get a copy of a notice to receive such a copy shall not affect the validity of notice properly given to another Person. Section 12.2. Expenses. The Borrower agrees (a) to pay or reimburse the Administrative Agent for all of its reasonable and invoiced out-of-pocket costs and expenses incurred in connection with the preparation, negotiation and execution of, and any amendment, supplement or modification to, any of the Loan Documents (including due diligence expense and reasonable travel expenses related to closing), and the consummation of the transactions contemplated hereby and thereby, including the reasonable and - 112 - LEGAL02\42427047.v4


 
invoiced fees and disbursements of outside counsel to the Administrative Agent and all costs and expenses of the Administrative Agent in connection with the use of IntraLinks, SyndTrak or other similar information transmission systems in connection with the Loan Documents, (b) to pay to each Issuing Bank all reasonable out-of-pocket costs and expenses incurred by such Issuing Bank in connection with the issuance, amendment, renewal or extension of any Letter of Credit or any demand for payment thereunder, (c) to pay or reimburse the Administrative Agent, each Issuing Bank and the Lenders for all their out-of-pocket costs and expenses incurred in connection with the enforcement or preservation of any rights under the Loan Documents and the Fee Letter, including the reasonable fees and disbursements of their respective counsel and any payments in indemnification or otherwise payable by the Lenders to the Administrative Agent pursuant to the Loan Documents, (d) to pay, and indemnify and hold harmless the Administrative Agent, each Issuing Bank and the Lenders from, any and all recording and filing fees, if any, which may be payable or determined to be payable in connection with the execution and delivery of any of the Loan Documents, or consummation of any amendment, supplement or modification of, or any waiver or consent under or in respect of, any Loan Document and (e) to the extent not already covered by any of the preceding subsections, to pay or reimburse the fees and disbursements of counsel to the Administrative Agent, any Issuing Bank and any Lender incurred in connection with the representation of the Administrative Agent, any Issuing Bank or such Lender in any matter relating to or arising out of any bankruptcy or other proceeding of the type described in Sections 10.1.(e) or 10.1.(f), including, without limitation (i) any motion for relief from any stay or similar order, (ii) the negotiation, preparation, execution and delivery of any document relating to the Obligations and (iii) the negotiation and preparation of any debtor-in-possession financing or any plan of reorganization of the Parent, the Borrower or any other Loan Party, whether proposed by the Parent, the Borrower, such Loan Party, the Lenders or any other Person, and whether such fees and expenses are incurred prior to, during or after the commencement of such proceeding or the confirmation or conclusion of any such proceeding. If the Borrower shall fail to pay any amounts required to be paid by it pursuant to this Section, the Administrative Agent and/or the Lenders may pay such amounts on behalf of the Borrower and such amounts shall be deemed to be Obligations owing hereunder. Section 12.3. Setoff. Subject to Section 3.3. and in addition to any rights now or hereafter granted under Applicable Law and not by way of limitation of any such rights, the Borrower hereby authorizes the Administrative Agent, each Issuing Bank, each Lender, each Affiliate of the Administrative Agent, any Issuing Bank or any Lender, and each Participant, at any time or from time to time while an Event of Default exists, without notice to the Borrower or to any other Person, any such notice being hereby expressly waived, but in the case of an Issuing Bank, a Lender, an Affiliate of an Issuing Bank or a Lender, or a Participant subject to receipt of the prior written consent of the Requisite Lenders exercised in their sole discretion, to set off and to appropriate and to apply any and all deposits (general or special, including, but not limited to, indebtedness evidenced by certificates of deposit, whether matured or unmatured, but excluding trust, payroll and tax withholding accounts) and any other indebtedness at any time held or owing by the Administrative Agent, such Issuing Bank, such Lender, any Affiliate of the Administrative Agent, such Issuing Bank or such Lender, or such Participant, to or for the credit or the account of the Borrower against and on account of any of the Obligations, irrespective of whether or not any or all of the Loans and all other Obligations have been declared to be, or have otherwise become, due and payable as permitted by Section 10.2., and to the extent permitted under Applicable Law such Obligations as shall be contingent or unmatured. Notwithstanding anything to the contrary in this Section, if any Defaulting Lender shall exercise any such right of setoff, (x) all amounts so set off shall be paid over immediately to the Administrative Agent for further application in accordance with the provisions of Section 3.9. and, pending such payment, shall be segregated by such Defaulting Lender from its other funds and deemed held in trust for the benefit of the Administrative Agent, the Issuing Banks and the Lenders and (y) such Defaulting Lender shall provide promptly to the Administrative Agent a statement describing in - 113 - LEGAL02\42427047.v4


 
reasonable detail the Obligations owing to such Defaulting Lender as to which it exercised such right of setoff. Section 12.4. Litigation; Jurisdiction; Other Matters; Waivers. (a) EACH PARTY HERETO ACKNOWLEDGES THAT ANY DISPUTE OR CONTROVERSY BETWEEN OR AMONG THE PARENT, THE BORROWER, THE ADMINISTRATIVE AGENT, ANY ISSUING BANK OR ANY OF THE LENDERS WOULD BE BASED ON DIFFICULT AND COMPLEX ISSUES OF LAW AND FACT AND WOULD RESULT IN DELAY AND EXPENSE TO THE PARTIES. ACCORDINGLY, TO THE EXTENT PERMITTED BY APPLICABLE LAW, EACH OF THE LENDERS, THE ADMINISTRATIVE AGENT, EACH ISSUING BANK, THE PARENT, AND THE BORROWER HEREBY WAIVES ITS RIGHT TO A TRIAL BY JURY IN ANY ACTION OR PROCEEDING OF ANY KIND OR NATURE IN ANY COURT OR TRIBUNAL IN WHICH AN ACTION MAY BE COMMENCED BY OR AGAINST ANY PARTY HERETO ARISING OUT OF THIS AGREEMENT, ANY OTHER LOAN DOCUMENT OR THE FEE LETTER OR IN CONNECTION WITH ANY COLLATERAL OR BY REASON OF ANY OTHER SUIT, CAUSE OF ACTION OR DISPUTE WHATSOEVER BETWEEN OR AMONG THE PARENT, THE BORROWER, THE ADMINISTRATIVE AGENT, ANY ISSUING BANK OR ANY OF THE LENDERS OF ANY KIND OR NATURE RELATING TO ANY OF THE LOAN DOCUMENTS. (b) EACH OF THE BORROWER AND THE PARENT IRREVOCABLY AND UNCONDITIONALLY AGREES THAT IT WILL NOT COMMENCE ANY ACTION, LITIGATION OR PROCEEDING OF ANY KIND OR DESCRIPTION, WHETHER IN LAW OR EQUITY, WHETHER IN CONTRACT OR IN TORT OR OTHERWISE, AGAINST THE ADMINISTRATIVE AGENT, ANY LENDER, ANY ISSUING BANK, OR ANY RELATED PARTY OF THE FOREGOING IN ANY WAY RELATING TO THIS AGREEMENT OR ANY OTHER LOAN DOCUMENT OR THE TRANSACTIONS RELATING HERETO OR THERETO, IN ANY FORUM OTHER THAN THE COURTS OF THE STATE OF NEW YORK SITTING IN NEW YORK COUNTY, AND OF THE UNITED STATES DISTRICT COURT OF THE SOUTHERN DISTRICT OF NEW YORK, AND ANY APPELLATE COURT FROM ANY THEREOF, AND EACH OF THE PARTIES HERETO IRREVOCABLY AND UNCONDITIONALLY SUBMITS TO THE JURISDICTION OF SUCH COURTS AND AGREES THAT ALL CLAIMS IN RESPECT OF ANY SUCH ACTION, LITIGATION OR PROCEEDING MAY BE HEARD AND DETERMINED IN SUCH NEW YORK STATE COURT OR, TO THE FULLEST EXTENT PERMITTED BY APPLICABLE LAW, IN SUCH FEDERAL COURT. EACH OF THE PARTIES HERETO AGREES THAT A FINAL JUDGMENT IN ANY SUCH ACTION, LITIGATION OR PROCEEDING SHALL BE CONCLUSIVE AND MAY BE ENFORCED IN OTHER JURISDICTIONS BY SUIT ON THE JUDGMENT OR IN ANY OTHER MANNER PROVIDED BY LAW. NOTHING IN THIS AGREEMENT OR IN ANY OTHER LOAN DOCUMENT SHALL AFFECT ANY RIGHT THAT THE ADMINISTRATIVE AGENT, ANY LENDER OR ANY ISSUING BANK MAY OTHERWISE HAVE TO BRING ANY ACTION OR PROCEEDING RELATING TO THIS AGREEMENT OR ANY OTHER LOAN DOCUMENT AGAINST THE BORROWER OR THE PARENT OR EITHER OR THEIR RESPECTIVE PROPERTIES IN THE COURTS OF ANY JURISDICTION. EACH PARTY FURTHER WAIVES ANY OBJECTION THAT IT MAY NOW OR HEREAFTER HAVE TO THE VENUE OF ANY SUCH ACTION OR PROCEEDING IN ANY SUCH COURT OR THAT SUCH ACTION OR PROCEEDING WAS BROUGHT IN AN INCONVENIENT FORUM AND EACH AGREES NOT TO PLEAD OR CLAIM THE SAME. THE CHOICE OF FORUM SET FORTH IN THIS SECTION SHALL NOT BE DEEMED TO PRECLUDE THE BRINGING OF ANY ACTION BY THE ADMINISTRATIVE AGENT, ANY ISSUING BANK OR ANY LENDER OR THE ENFORCEMENT BY THE ADMINISTRATIVE AGENT, ANY ISSUING BANK OR ANY LENDER - 114 - LEGAL02\42427047.v4


 
OF ANY JUDGMENT OBTAINED IN SUCH FORUM IN ANY OTHER APPROPRIATE JURISDICTION. (c) THE PROVISIONS OF THIS SECTION HAVE BEEN CONSIDERED BY EACH PARTY WITH THE ADVICE OF COUNSEL AND WITH A FULL UNDERSTANDING OF THE LEGAL CONSEQUENCES THEREOF, AND SHALL SURVIVE THE PAYMENT OF THE LOANS AND ALL OTHER AMOUNTS PAYABLE HEREUNDER OR UNDER THE OTHER LOAN DOCUMENTS, THE TERMINATION OR EXPIRATION OF ALL LETTERS OF CREDIT AND THE TERMINATION OF THIS AGREEMENT. Section 12.5. Successors and Assigns. (a) Successors and Assigns Generally. The provisions of this Agreement shall be binding upon and inure to the benefit of the parties hereto and their respective successors and assigns permitted hereby, except that none of the Parent, the Borrower or any other Loan Party may assign or otherwise transfer any of its rights or obligations hereunder without the prior written consent of the Administrative Agent and each Lender and no Lender may assign or otherwise transfer any of its rights or obligations hereunder or under any other Loan Document except (i) to an Eligible Assignee in accordance with the provisions of the immediately following subsection (b), (ii) by way of participation in accordance with the provisions of the immediately following subsection (d) or (iii) by way of pledge or assignment of a security interest subject to the restrictions of the immediately following subsection (e) (and, subject to the last sentence of the immediately following subsection (b), any other attempted assignment or transfer by any party hereto shall be null and void). Nothing in this Agreement, expressed or implied, shall be construed to confer upon any Person (other than the parties hereto, their respective successors and assigns permitted hereby, Participants to the extent provided in the immediately following subsection (d) and, to the extent expressly contemplated hereby, the Related Parties of the Administrative Agent and the Lenders) any legal or equitable right, remedy or claim under or by reason of this Agreement. (b) Assignments by Lenders. Any Lender may at any time assign to one or more Eligible Assignees (an “Assignee”) all or a portion of its rights and obligations under this Agreement (including all or a portion of its Commitment, if any, and the Loans at the time owing to it); provided that any such assignment shall be subject to the following conditions: (i) Minimum Amounts. (A) in the case of an assignment of the entire remaining amount of an assigning Lender’s Commitment and/or the Loans of a given Class at the time owing to it, or in the case of an assignment to a Lender, an Affiliate of a Lender or an Approved Fund, no minimum amount need be assigned; and (B) subject to Section 12.5.(b)(iii)(D), in any case not described in the immediately preceding subsection (A), the aggregate amount of a Commitment (which for this purpose includes Loans of such Class outstanding thereunder) or, if the Commitments are not then in effect, the principal outstanding balance of the Loans of such Class of the assigning Lender subject to each such assignment (in each case, determined as of the date the Assignment and Assumption with respect to such assignment is delivered to the Administrative Agent or, if “Trade Date” is specified in the Assignment and Assumption, as of the Trade Date) shall not be less than $5,000,000; provided, however, that if after giving effect to such assignment, the amount of the Commitment held by such assigning Lender or the outstanding principal balance of the Loans of such Class of such assigning Lender, as applicable, would be less than - 115 - LEGAL02\42427047.v4


 
$5,000,000, then such assigning Lender shall assign the entire amount of its Commitment and the Loans of such Class at the time owing to it. (ii) Proportionate Amounts. Each partial assignment shall be made as an assignment of a proportionate part of all the assigning Lender’s rights and obligations under this Agreement with respect to the Class of Loan or the Commitment assigned, except that this clause (ii) shall not prohibit any Lender from assigning all or a portion of its rights and obligations among separate Classes of Loans and Commitments on a non-rata basis. (iii) Required Consents. No consent shall be required for any assignment except: (A) the consent of the Borrower (such consent not to be unreasonably withheld or delayed) shall be required unless (x) an Event of Default shall exist at the time of such assignment or (y) such assignment is to a Lender, an Affiliate of a Lender or an Approved Fund; provided that the Borrower shall be deemed to have consented to any such assignment unless it shall object thereto by written notice to the Administrative Agent within 10 Business Days after having received notice thereof; (B) the consent of the Administrative Agent (such consent not to be unreasonably withheld or delayed) shall be required for assignments in respect of (x) a Revolving Commitment if such assignment is to a Person that is not already a Revolving Lender, an Affiliate of such a Lender or an Approved Fund with respect to such a Lender or (y) a Term Loan to a Person who is not a Lender, an Affiliate of a Lender or Approved Fund; (C) the consent of the applicable Issuing Bank (such consent not to be unreasonably withheld or delayed) shall be required for any assignment in respect of a Revolving Commitment; and (D) except as provided in Section 12.5.(b)(i)(A), the consent of the Administrative Agent and, so long as no Event of Default shall exist, the Borrower (each such consent not to be unreasonably withheld or delayed), shall be required for any assignment of a Commitment (or, if the Commitments are not then in effect or in the case of Term Loans, the principal outstanding balance of the Loans of such Class), which is less than $5,000,000 in an aggregate amount (unless such amount represents the entire amount of the assigning Lender’s Commitment or, if the Commitments are not then in effect or in the case of Term Loans, the entire amount of all Loans of such Class at the time owing to it); provided that the Borrower shall be deemed to have consented to any such assignment unless it shall object thereto by written notice to the Administrative Agent within 10 Business Days after having received notice thereof. (iv) Assignment and Assumption; Notes. The parties to each assignment shall (A) execute and deliver to the Administrative Agent an Assignment and Assumption, together with a processing and recordation fee of $4,500 for each assignment (which fee the Administrative Agent may, in its sole discretion, elect to waive), and the assignee, if it is not a Lender, shall deliver to the Administrative Agent an Administrative Questionnaire and (B) deliver the documents required under Section 3.10.(g). If requested by the transferor Lender or the Assignee, upon the consummation of any assignment, the transferor Lender, the Administrative Agent and the Borrower shall make appropriate arrangements so that new Notes are issued to the Assignee and such transferor Lender, as appropriate. - 116 - LEGAL02\42427047.v4


 
(v) No Assignment to Certain Persons. No such assignment shall be made to (A) the Parent, the Borrower or any of the Affiliates or Subsidiaries of the Parent or the Borrower, (B) to any Defaulting Lender or any of its Subsidiaries, or to any Person who, upon becoming a Lender hereunder, would constitute any of the foregoing Persons described in this clause (B) or (C) a Competitor. (vi) No Assignment to Natural Persons. No such assignment shall be made to a natural person (or holding company, investment vehicle or trust for, or owned and operated for the primary benefit of a natural person). (vii) Certain Additional Payments. In connection with any assignment of rights and obligations of any Defaulting Lender hereunder, no such assignment shall be effective unless and until, in addition to the other conditions thereto set forth herein, the parties to the assignment shall make such additional payments to the Administrative Agent in an aggregate amount sufficient, upon distribution thereof as appropriate (which may be outright payment, purchases by the assignee of participations or subparticipations, or other compensating actions, including funding, with the consent of the Borrower and the Administrative Agent, the applicable pro rata share of Loans previously requested but not funded by the Defaulting Lender, to each of which the applicable assignee and assignor hereby irrevocably consent), to (x) pay and satisfy in full all payment liabilities then owed by such Defaulting Lender to the Administrative Agent, the Issuing Banks and each other Lender hereunder (and interest accrued thereon), and (y) acquire (and fund as appropriate) its full pro rata share of all Loans and, in the case of a Defaulting Lender that is a Revolving Lender, participations in Letters of Credit in accordance with its Revolving Commitment Percentage. Notwithstanding the foregoing, in the event that any assignment of rights and obligations of any Defaulting Lender hereunder shall become effective under Applicable Law without compliance with the provisions of this paragraph, then the assignee of such interest shall be deemed to be a Defaulting Lender for all purposes of this Agreement until such compliance occurs. Subject to acceptance and recording thereof by the Administrative Agent pursuant to the immediately following subsection (c), from and after the effective date specified in each Assignment and Assumption, the assignee thereunder shall be a party to this Agreement and, to the extent of the interest assigned by such Assignment and Assumption, have the rights and obligations of a Lender under this Agreement, and the assigning Lender thereunder shall, to the extent of the interest assigned by such Assignment and Assumption, be released from its obligations under this Agreement (and, in the case of an Assignment and Assumption covering all of the assigning Lender’s rights and obligations under this Agreement, such Lender shall cease to be a party hereto) but shall continue to be entitled to the benefits of Sections 4.4., 12.2. and 12.9. and the other provisions of this Agreement and the other Loan Documents as provided in Section 12.10. with respect to facts and circumstances occurring prior to the effective date of such assignment; provided, that except to the extent otherwise expressly agreed by the affected parties, no assignment by a Defaulting Lender will constitute a waiver or release of any claim of any party hereunder arising from that Lender having been a Defaulting Lender. Any assignment or transfer by a Lender of rights or obligations under this Agreement that does not comply with this paragraph shall be treated for purposes of this Agreement as a sale by such Lender of a participation in such rights and obligations in accordance with the immediately following subsection (d). (c) Register. The Administrative Agent, acting solely for this purpose as a non-fiduciary agent of the Borrower, shall maintain at the Principal Office a copy of each Assignment and Assumption delivered to it and a register for the recordation of the names and addresses of the Lenders, and the Commitments of, and principal amounts and stated interest of the Loans owing to, each Lender pursuant to the terms hereof from time to time (the “Register”). The entries in the Register shall be conclusive - 117 - LEGAL02\42427047.v4


 
(absent manifest error), and the Borrower, the Administrative Agent and the Lenders shall treat each Person whose name is recorded in the Register pursuant to the terms hereof as a Lender hereunder for all purposes of this Agreement, notwithstanding notice to the contrary. The Register shall be available for inspection by the Borrower and any Lender, at any reasonable time and from time to time upon reasonable prior notice. It is the intent of the parties to this Agreement that the Loans and Commitments be in registered form within the meanings of Sections 163(f), 871(h)(2) and 881(c)(2) of the Internal Revenue Code and any related regulations (and any successor provisions). (d) Participations. Any Lender may at any time, without the consent of, or notice to, the Parent, the Borrower, the Administrative Agent, the Issuing Banks, sell participations to any Person (other than a Defaulting Lender or a natural person (or holding company, investment vehicle or trust for, or owned and operated for the primary benefit of a natural person) or the Borrower or any of the Borrower’s Affiliates or Subsidiaries) (each, a “Participant”) in all or a portion of such Lender’s rights and/or obligations under this Agreement (including all or a portion of its Commitment and/or the Loans owing to it); provided that (i) such Lender’s obligations under this Agreement shall remain unchanged, (ii) such Lender shall remain solely responsible to the other parties hereto for the performance of such obligations and (iii) the Parent, the Borrower, the Administrative Agent, the Issuing Banks and the Lenders shall continue to deal solely and directly with such Lender in connection with such Lender’s rights and obligations under this Agreement. Any agreement or instrument pursuant to which a Lender sells such a participation shall provide that such Lender shall retain the sole right to enforce this Agreement and to approve any amendment, modification or waiver of any provision of this Agreement; provided that such agreement or instrument may provide that such Lender will not, without the consent of the Participant, agree to (i) increase such Lender’s Commitment, (ii) extend the date fixed for the payment of principal on the Loans or portions thereof owing to such Lender, (iii) reduce the rate at which interest is payable thereon or (iv) release the Guarantor from its Obligations under the Guaranty, in each case, as applicable to that portion of such Lender’s rights and/or obligations that are subject to the participation. The Borrower agrees that each Participant shall be entitled to the benefits of Sections 3.10., 4.1., 4.4. (subject to the requirements and limitations therein, including the requirements under Section 3.10.(g) (it being understood that the documentation required under Section 3.10.(g) shall be delivered to the participating Lender)) to the same extent as if it were a Lender and had acquired its interest by assignment pursuant to subsection (b) of this Section; provided that such Participant (A) agrees to be subject to the provisions of Section 4.6. as if it were an assignee under subsection (b) of this Section; and (B) shall not be entitled to receive any greater payment under Sections 4.1. or 3.10., with respect to any participation, than its participating Lender would have been entitled to receive, except to the extent such entitlement to receive a greater payment results from a Regulatory Change that occurs after the Participant acquired the applicable participation. Each Lender that sells a participation agrees, at the Borrower’s request and expense, to use reasonable efforts to cooperate with the Borrower to effectuate the provisions of Section 4.6. with respect to any Participant. To the extent permitted by Applicable Law, each Participant also shall be entitled to the benefits of Section 12.3. as though it were a Lender; provided that such Participant agrees to be subject to Section 3.3. as though it were a Lender. Each Lender that sells a participation shall, acting solely for this purpose as a non-fiduciary agent of the Borrower, maintain a register on which it enters the name and address of each Participant and the principal amounts (and stated interest) of each Participant’s interest in the Loans or other obligations under the Loan Documents (the “Participant Register”); provided that no Lender shall have any obligation to disclose all or any portion of the Participant Register (including the identity of any Participant or any information relating to a Participant’s interest in any commitments, loans, letters of credit or its other obligations under any Loan Document) to any Person except to the extent that such disclosure is necessary to establish that such commitment, loan, letter of credit or other obligation is in registered form under Section 5f.103-1(c) of the United States Treasury Regulations. The entries in the Participant Register shall be conclusive absent manifest error, and such Lender shall treat each Person whose name is recorded in the Participant Register as the owner of such participation for all purposes of - 118 - LEGAL02\42427047.v4


 
this Agreement notwithstanding any notice to the contrary. For the avoidance of doubt, the Administrative Agent (in its capacity as Administrative Agent) shall have no responsibility for maintaining a Participant Register. (e) Certain Pledges. Any Lender may at any time pledge or assign a security interest in all or any portion of its rights under this Agreement to secure obligations of such Lender, including any pledge or assignment to secure obligations to a Federal Reserve Bank; provided that no such pledge or assignment shall release such Lender from any of its obligations hereunder or substitute any such pledgee or assignee for such Lender as a party hereto. (f) No Registration. Each Lender agrees that, without the prior written consent of the Borrower and the Administrative Agent, it will not make any assignment hereunder in any manner or under any circumstances that would require registration or qualification of, or filings in respect of, any Loan or Note under the Securities Act or any other securities laws of the United States of America or of any other jurisdiction. (g) USA Patriot Act Notice; Compliance. In order for the Administrative Agent to comply with “know your customer” and anti-money laundering rules and regulations, including without limitation, the Patriot Act, prior to any Lender that is organized under the laws of a jurisdiction outside of the United States of America becoming a party hereto, the Administrative Agent may request, and such Lender shall provide to the Administrative Agent, its name, address, tax identification number and/or such other identification information as shall be necessary for the Administrative Agent to comply with federal law. (h) Competitors. (i) No assignment or participation shall be made to any Person that was a Competitor as of the date (the “Trade Date”) on which the assigning Lender entered into a binding agreement to sell and assign or participate all or a portion of its rights and obligations under this Agreement to such Person (unless the Borrower has consented to such assignment or participation in writing in its sole and absolute discretion, in which case such Person will not be considered a Competitor for the purpose of such assignment or participation). For the avoidance of doubt, with respect to any assignee that becomes a Competitor after the applicable Trade Date, (x) such assignee shall not retroactively be disqualified from becoming a Lender and (y) the execution by the Borrower of an Assignment and Assumption with respect to such assignee will not by itself result in such assignee no longer being considered a Competitor. Any assignment in violation of this clause (h)(i) shall not be void, but the other provisions of this clause (h) shall apply. (ii) If any assignment or participation is made to any Competitor without the Borrower’s prior written consent in violation of clause (i) above, or if any Person becomes a Competitor after the applicable Trade Date, the Borrower may, at its sole expense and effort, upon notice to the applicable Competitor and the Administrative Agent, (A) terminate any Revolving Commitment of such Competitor and repay all obligations of the Borrower owing to such Competitor in connection with such Revolving Commitment, (B) in the case of outstanding Term Loans held by Competitors, purchase or prepay such Term Loan by paying the lesser of (x) the principal amount thereof and (y) the amount that such Competitor paid to acquire such Term Loans, in each case plus accrued interest, accrued fees and all other amounts (other than principal amounts) payable to it hereunder and/or (C) require such Competitor to assign, without recourse (in accordance with and subject to the restrictions contained in this Section 12.5), all of its interest, rights and obligations under this Agreement to one or more Eligible Assignees at the lesser of (x) the principal amount thereof and (y) the amount that such Competitor paid to - 119 - LEGAL02\42427047.v4


 
acquire such interests, rights and obligations, in each case plus accrued interest, accrued fees and all other amounts (other than principal amounts) payable to it hereunder. (iii) Notwithstanding anything to the contrary contained in this Agreement, Competitors (A) will not (x) have the right to receive information, reports or other materials provided to Lenders by the Borrower, the Administrative Agent or any other Lender, (y) attend or participate in meetings attended by the Lenders and the Administrative Agent, or (z) access any electronic site established for the Lenders or confidential communications from counsel to or financial advisors of the Administrative Agent or the Lenders and (B) (x) for purposes of any consent to any amendment, waiver or modification of, or any action under, and for the purpose of any direction to the Administrative Agent or any Lender to undertake any action (or refrain from taking any action) under this Agreement or any other Loan Document, each Competitor will be deemed to have consented in the same proportion as the Lenders that are not Competitors consented to such matter, and (y) for purposes of voting on any plan of reorganization, each Competitor party hereto hereby agrees (1) not to vote on such plan, (2) if such Competitor does vote on such plan of reorganization notwithstanding the restriction in the foregoing clause (1), such vote will be deemed not to be in good faith and shall be “designated” pursuant to Section 1126(e) of the Bankruptcy Code (or any similar provision in any other Debtor Relief Laws), and such vote shall not be counted in determining whether the applicable class has accepted or rejected such plan of reorganization in accordance with Section 1126(c) of the Bankruptcy Code (or any similar provision in any other Debtor Relief Laws) and (3) not to contest any request by any party for a determination by the Bankruptcy Court (or other applicable court of competent jurisdiction) effectuating the foregoing clause (2). (iv) The Administrative Agent shall have the right, and the Borrower hereby expressly authorizes the Administrative Agent, to (A) post the list of Competitors provided by the Borrower and any updates thereto from time to time (collectively, the “Competitors List”) on the IntraLinks, SyndTrak or other similar information transmission systems, including that portion of such platform that is designated for “public side” Lenders and/or (B) provide the Competitors List to each Lender requesting the same. Section 12.6. Amendments and Waivers. (a) Generally. Except as otherwise expressly provided in this Agreement (including Section 4.2.(b)), (i) any consent or approval required or permitted by this Agreement or any other Loan Document to be given by the Lenders may be given, (ii) any provision of this Agreement or of any other Loan Document may be amended, (iii) the performance or observance by the Parent, the Borrower or any other Loan Party or any other Subsidiary of any terms of this Agreement or such other Loan Document may be waived, and (iv) the continuance of any Default or Event of Default may be waived (either generally or in a particular instance and either retroactively or prospectively) with, but only with, the written consent of the Requisite Lenders (or the Administrative Agent at the written direction of the Requisite Lenders), and, in the case of an amendment to any Loan Document, the written consent of each Loan Party which is party thereto. Any term of this Agreement or of any other Loan Document relating solely to the rights or obligations of the Lenders of one Class, and not Lenders of the other Class, may be amended, and the performance or observance by the Borrower or any other Loan Party or any Subsidiary of any such terms may be waived (either generally or in a particular instance and either retroactively or prospectively) with, and only with, the written consent of the Requisite Class Lenders for such Class of Lenders (and, in the case of an amendment to any Loan Document, the written consent of each Loan Party which is a party thereto). - 120 - LEGAL02\42427047.v4


 
(b) Additional Lender Consents. In addition to the foregoing requirements, no amendment, waiver or consent shall: (i) increase (or reinstate) a Commitment of a Lender or subject a Lender to any additional obligations without the written consent of such Lender; (ii) reduce the principal of, or interest that has accrued or the rates of interest that will be charged on the outstanding principal amount of, any Loans or other Obligations, or postpone any date fixed for, or forgive, any payment of principal of, or interest on, any Loan or for the payment of Fees or any other Obligations, in each case, owing to any of the Lenders, without the written consent of each Lender directly affected thereby; provided, however, only the written consent of the Requisite Lenders shall be required for the waiver of interest payable at the Post-Default Rate, retraction of the imposition of interest at the Post-Default Rate and amendment of the definition of “Post-Default Rate”; (iii) reduce the amount of any Fees payable to a Lender without the written consent of such Lender; (iv) modify the definitions of “Revolving Termination Date” (except in accordance with Section 2.13.) or “Revolving Commitment Percentage”, modify clause (a) of the definition of the term “Termination Date”, or extend the expiration date of any Letter of Credit beyond the Revolving Termination Date, in each case, without the written consent of each Revolving Lender; (v) modify the definition of “Term Loan Termination Date” or modify clause (b) of the definition of the term “Termination Date”, in each case, without the written consent of each Term Loan Lender; (vi) while any Term Loans remain outstanding, amend, modify or waive (A) Section 5.2. or any other provision of this Agreement if the effect of such amendment, modification or waiver is to require the Revolving Lenders to make Revolving Loans or the Issuing Banks to issue Letters of Credit when such Lenders or the Issuing Banks, as applicable, would not otherwise be required to do so, or (B) the L/C Commitment Amount, in each case, without the prior written consent of the Requisite Class Lenders for the Revolving Lenders; (vii) modify the definition of “Pro Rata Share” or amend or otherwise modify the provisions of Section 3.2., Section 3.3., or Section 10.5. without the written consent of each Lender; (viii) amend this Section or amend the definitions of the terms used in this Agreement or the other Loan Documents insofar as such definitions affect the substance of this Section without the written consent of each Lender; (ix) modify the definition of the term “Requisite Lenders” or modify in any other manner the number or percentage of all of the Lenders required to make any determinations or waive any rights hereunder or to modify any provision hereof without the written consent of each Lender; (x) modify the definition of the term “Requisite Class Lenders” as it relates to a Class of Lenders, or modify in any other manner the number or percentage of a Class of Lenders required to make any determinations or waive any rights hereunder or to modify any provision - 121 - LEGAL02\42427047.v4


 
hereof, in each case, solely with respect to such Class of Lenders, without the written consent of each Lender in such Class; (xi) release the Guarantor from its obligations under the Guaranty without the written consent of each Lender; or (xii) amend, or waive the Borrower’s compliance with, Section 2.15. without the written consent of each Revolving Lender. Notwithstanding anything to the contrary herein, no Defaulting Lender shall have any right to approve or disapprove any amendment, waiver or consent hereunder (and any amendment, waiver or consent which by its terms requires the consent of all Lenders or each affected Lender may be effected with the consent of the applicable Lenders other than Defaulting Lenders), except that (x) the Commitment of any Defaulting Lender may not be increased, reinstated or extended without the written consent of such Defaulting Lender and (y) any waiver, amendment or modification requiring the consent of all Lenders or each affected Lender that by its terms affects any Defaulting Lender more adversely than other affected Lenders shall require the written consent of such Defaulting Lender. (c) Amendment of Administrative Agent’s Duties, Etc. No amendment, waiver or consent unless in writing and signed by the Administrative Agent, in addition to the Lenders required hereinabove to take such action, shall affect the rights or duties of the Administrative Agent under this Agreement or any of the other Loan Documents. Any amendment, waiver or consent relating to Section 2.3. or the obligations of the Issuing Banks under this Agreement or any other Loan Document shall, in addition to the Lenders required hereinabove to take such action, require the written consent of the applicable Issuing Bank. Any amendment, waiver or consent with respect to any Loan Document that (i) diminishes the rights of a Specified Derivatives Provider in a manner or to an extent dissimilar to that affecting the Lenders or (ii) increases the liabilities or obligations of a Specified Derivatives Provider shall, in addition to the Lenders required hereinabove to take such action, require the consent of the Lender that is (or having an Affiliate that is) such Specified Derivatives Provider. No waiver shall extend to or affect any obligation not expressly waived or impair any right consequent thereon and any amendment, waiver or consent shall be effective only in the specific instance and for the specific purpose set forth therein. No course of dealing or delay or omission on the part of the Administrative Agent or any Lender in exercising any right shall operate as a waiver thereof or otherwise be prejudicial thereto. Any Event of Default occurring hereunder shall continue to exist until such time as such Event of Default is waived in writing in accordance with the terms of this Section, notwithstanding any attempted cure or other action by the Parent, the Borrower, any other Loan Party or any other Person subsequent to the occurrence of such Event of Default; provided, however, that any Event of Default resulting solely from the failure of any Loan Parties to give notice of a Default pursuant as required by Section 8.4.(i) shall be deemed to be waived upon the cure or waiver of such Default without any further action hereunder. Except as otherwise explicitly provided for herein or in any other Loan Document, no notice to or demand upon the Borrower shall entitle the Borrower to other or further notice or demand in similar or other circumstances. (d) Technical Amendments. Notwithstanding anything to the contrary in this Section 12.6., if the Administrative Agent and the Borrower have jointly identified an ambiguity, omission, mistake or defect in any provision of this Agreement or an inconsistency between provisions of this Agreement, the Administrative Agent and the Borrower shall be permitted to amend such provision or provisions to cure such ambiguity, omission, mistake, defect or inconsistency so long as to do so would not adversely affect the interests of the Lenders and the Issuing Banks. Any such amendment shall become effective without any further action or consent of any of other party to this Agreement and the Administrative Agent shall promptly forward any such amendment to the Lenders. - 122 - LEGAL02\42427047.v4


 
(e) Conforming Changes. Notwithstanding anything to the contrary in this Section 12.6., the Administrative Agent may, without the consent of any Lender, enter into amendments or modifications to this Agreement or any of the other Loan Documents or to enter into additional Loan Documents in order to implement any Benchmark Replacement or any Conforming Changes or otherwise effectuate the terms of Section 4.2.(b) in accordance with the terms of Section 4.2.(b). Section 12.7. Nonliability of Administrative Agent and Lenders. (a) The relationship between the Borrower, on the one hand, and the Lenders, the Issuing Banks and the Administrative Agent, on the other hand, shall be solely that of borrower and lender. None of the Administrative Agent, any Issuing Bank or any Lender shall have any fiduciary responsibilities to the Parent, the Borrower or any other Loan Party and no provision in this Agreement or in any of the other Loan Documents, and no course of dealing between or among any of the parties hereto, shall be deemed to create any fiduciary duty owing by the Administrative Agent, any Issuing Bank or any Lender to any Lender, the Parent, the Borrower, any Subsidiary or any other Loan Party. None of the Administrative Agent, any Issuing Bank or any Lender undertakes any responsibility to the Parent or the Borrower to review or inform the Parent or the Borrower of any matter in connection with any phase of the business or operations of the Parent or the Borrower. (b) In connection with all aspects of the Loan Documents, the Borrower and the Parent acknowledge and agree that: (i) this Agreement and each transaction contemplated hereby is an arm’s-length commercial transaction between the Borrower, on the one hand, and the Lenders, the Issuing Banks and the Administrative Agent, on the other hand, and the Borrower is capable of evaluating and understanding and understand and accept the terms, risks and conditions of this Agreement and the other Loan Documents, (ii) none of the Lenders, the Issuing Banks or the Administrative Agent has assumed or will assume an advisory, agency or fiduciary responsibility in the Borrower’s, the Parent’s or their respective Affiliates’ favor with respect to any of the transaction contemplated by the Loan Documents and none of the Lenders, the Issuing Banks or the Administrative Agent has any obligation to the Borrower, the Parent or their respective Affiliates with respect to the transaction contemplated by the Loan Documents except those obligations expressly set forth in the Loan Documents, (iii) the Lenders, the Issuing Banks, the Administrative Agent and their respective Affiliates may be engaged in a broad range of transactions that involve interests that differ from the Borrower, the Parent and their respective Affiliates and none of the Lenders, the Issuing Banks or the Administrative Agent shall have any obligation to disclose any of such interests, and (iv) none of the Lenders, the Issuing Banks or the Administrative Agent has provided any legal, accounting, regulatory or tax advice with respect to this Agreement and the other Loan Documents and the Borrower, the Parent and their respective Affiliates have consulted their own legal, accounting, regulatory and tax advisors to the extent they have deemed appropriate. Section 12.8. Confidentiality. Except as otherwise provided by Applicable Law, the Administrative Agent, each Issuing Bank and each Lender shall maintain the confidentiality of all Information (as defined below) in accordance with its customary procedure for handling confidential information of this nature and in accordance with safe and sound banking practices but in any event may make disclosure: (a) to its Affiliates and to its and its Affiliates’ respective partners, directors, officers, employees, agents, advisors and other representatives (it being understood that the Persons to whom such disclosure is made will be informed of the confidential nature of such Information and instructed to keep such Information confidential); (b) subject to an agreement containing provisions substantially the same as (or at least as restrictive as) those of this Section, to (i) any actual or proposed Assignee, Participant or other transferee in connection - 123 - LEGAL02\42427047.v4


 
with a potential transfer of any Commitment or participation therein as permitted hereunder, or (ii) any actual or prospective, direct or indirect, counterparty (or its advisors) to any swap or derivative transaction relating to any Loan Party and its obligations; (c) as required or requested by any Governmental Authority or representative thereof or pursuant to legal process or in connection with any legal proceedings, or as otherwise required by Applicable Law (and prior to such disclosure, to the extent permitted under Applicable Law, the Administrative Agent, the applicable Issuing Bank or applicable Lender shall provide written notice thereof to the Borrower); (d) to the Administrative Agent’s, Issuing Bank’s or such Lender’s independent auditors and other professional advisors (provided they shall be notified of the confidential nature of the information); (e) in connection with the exercise of any remedies under any Loan Document (or any Specified Derivatives Contract) or any action or proceeding relating to any Loan Document (or any such Specified Derivatives Contract) or the enforcement of rights hereunder or thereunder; (f) to the extent such Information (i) becomes publicly available other than as a result of a breach of this Section actually known by the Administrative Agent or such Lender to be a breach of this Section or (ii) becomes available to the Administrative Agent, any Lender or any Affiliate of the Administrative Agent or any Lender on a nonconfidential basis from a source other than the Parent, the Borrower or any of their respective Affiliates; (g) to the extent requested by, or required to be disclosed to, any nationally recognized rating agency or regulatory or similar authority (including any self-regulatory authority, such as the National Association of Insurance Commissioners) having or purporting to have jurisdiction over it; (h) to bank trade publications, such information to consist of deal terms and other information customarily found in such publications; (i) to any other party hereto; and (j) with the consent of the Borrower. Notwithstanding the foregoing, the Administrative Agent, each Issuing Bank, each Lender, and their respective Affiliates may disclose any such confidential information, without notice to the Parent, the Borrower or any other Loan Party, to Governmental Authorities or self-regulatory authorities (including, without limitations, bank and securities examiners) having or claiming to have authority to regulate or oversee any aspect of the respective businesses of the Administrative Agent, any Issuing Bank, any Lender or any of their respective Affiliates in connection with any regulatory examination of the Administrative Agent, such Issuing Bank or such Lender or in accordance with the regulatory compliance policy of the Administrative Agent, such Issuing Bank, such Lender or such Affiliate. As used in this Section, the term “Information” means all information received from the Parent, the Borrower, any other Loan Party, any other Subsidiary or Affiliate relating to any Loan Party or any of their respective businesses, other than any such information that is available to the Administrative Agent, any Lender or any Issuing Bank on a nonconfidential basis prior to disclosure by the Parent, the Borrower, any other Loan Party, any other Subsidiary or any Affiliate. Any Person required to maintain the confidentiality of Information as provided in this Section shall be considered to have complied with its obligation to do so if such Person has exercised the same degree of care to maintain the confidentiality of such Information as such Person would accord to its own confidential information. The obligations of any Person required to maintain the confidentiality of Information as provided in this Section shall survive the termination of this Agreement but shall terminate on the date one year following the latest Termination Date. Section 12.9. Indemnification. (a) The Borrower shall and hereby agrees to indemnify, defend and hold harmless the Administrative Agent, each of the Lenders, each Issuing Bank and their respective Related Parties (each referred to herein as an “Indemnified Party”) from and against any and all of the following (collectively, the “Indemnified Costs”): actual losses, costs, claims, penalties, damages, liabilities, deficiencies, judgments or out-of-pocket expenses of every kind and nature (including, without limitation, amounts paid in settlement, court costs and the fees and disbursements of counsel incurred in connection with any litigation, investigation, claim or proceeding or any advice rendered in connection therewith, but excluding Indemnified Costs indemnification in respect of which is specifically covered by Section 3.10. or 4.1. or expressly excluded from the coverage of such Sections) incurred by an Indemnified Party in - 124 - LEGAL02\42427047.v4


 
connection with, arising out of, or by reason of, any suit, cause of action, claim, arbitration, investigation or settlement, consent decree or other proceeding (the foregoing referred to herein as an “Indemnity Proceeding”) which is in any way related directly or indirectly to: (i) this Agreement or any other Loan Document or the transactions contemplated thereby; (ii) the making of any Loans or issuance of Letters of Credit hereunder; (iii) any actual or proposed use by the Borrower of the proceeds of the Loans or Letters of Credit; (iv) the Administrative Agent’s, any Issuing Bank’s or any Lender’s entering into this Agreement; (v) the fact that the Administrative Agent, the Issuing Banks and the Lenders have established the credit facility evidenced hereby in favor of the Borrower; (vi) the fact that the Administrative Agent, the Issuing Banks and the Lenders are creditors of the Borrower and have or are alleged to have information regarding the financial condition, strategic plans or business operations of the Parent, the Borrower and the Subsidiaries; (vii) the fact that the Administrative Agent, the Issuing Banks and the Lenders are material creditors of the Borrower and are alleged to influence directly or indirectly the business decisions or affairs of the Parent, the Borrower and the Subsidiaries or their financial condition; (viii) the exercise of any right or remedy the Administrative Agent, the Issuing Banks or the Lenders may have under this Agreement or the other Loan Documents; (ix) any civil penalty or fine assessed by the OFAC against, and all costs and expenses (including out-of-pocket counsel fees and disbursements) incurred in connection with defense thereof by, the Administrative Agent, any Issuing Bank or any Lender as a result of conduct of the Parent, the Borrower, any other Loan Party or any other Subsidiary that violates a sanction administered or enforced by the OFAC; or (x) any violation or non-compliance by the Parent, the Borrower, any other Loan Party or any other Subsidiary of any Applicable Law (including any Environmental Law) including, but not limited to, any Indemnity Proceeding commenced by (A) the Internal Revenue Service or state taxing authority or (B) any Governmental Authority or other Person under any Environmental Law, including any Indemnity Proceeding commenced by a Governmental Authority or other Person seeking remedial or other action to cause the Parent or its Subsidiaries (or its respective properties) (or the Administrative Agent and/or the Lenders and/or the Issuing Banks as successors to the Borrower) to be in compliance with such Environmental Laws; provided, however, that the Borrower shall not be obligated to indemnify any Indemnified Party for any acts or omissions of such Indemnified Party in connection with matters described in this subsection to the extent arising from the gross negligence, bad faith or willful misconduct of such Indemnified Party, as determined by a court of competent jurisdiction in a final, non-appealable judgment. This paragraph (a) of this Section shall not apply with respect to Taxes other than any Taxes that represent losses, claims or damages arising from any non-Tax claim. (b) The Borrower’s indemnification obligations under this Section shall apply to all Indemnity Proceedings arising out of, or related to, the foregoing whether or not an Indemnified Party is a named party in such Indemnity Proceeding. In this connection, this indemnification shall cover all Indemnified Costs of any Indemnified Party in connection with any deposition of any Indemnified Party or compliance with any subpoena (including any subpoena requesting the production of documents). This indemnification shall, among other things, apply to any Indemnity Proceeding commenced by other creditors of the Parent, the Borrower or any Subsidiary, any shareholder of the Parent or any Subsidiary (whether such shareholder(s) are prosecuting such Indemnity Proceeding in their individual capacity or derivatively on behalf of the Borrower), any account debtor of the Parent, the Borrower or any Subsidiary or by any Governmental Authority. (c) This indemnification shall apply to any Indemnity Proceeding arising during the pendency of any bankruptcy proceeding filed by or against the Parent, the Borrower and/or any Subsidiary. (d) An Indemnified Party may conduct its own investigation and defense of, and may formulate its own strategy with respect to, any Indemnity Proceeding covered by this Section and, as provided above, all Indemnified Costs incurred by such Indemnified Party shall be reimbursed by the - 125 - LEGAL02\42427047.v4


 
Borrower. No action taken by legal counsel chosen by an Indemnified Party in investigating or defending against any such Indemnity Proceeding shall vitiate or in any way impair the obligations and duties of the Borrower hereunder to indemnify and hold harmless each such Indemnified Party; provided, however, that if (i) the Borrower is required to indemnify an Indemnified Party pursuant hereto and (ii) the Borrower has provided evidence reasonably satisfactory to such Indemnified Party that the Borrower has the financial wherewithal to reimburse such Indemnified Party for any amount paid by such Indemnified Party with respect to such Indemnity Proceeding, such Indemnified Party shall not settle or compromise any such Indemnity Proceeding without the prior written consent of the Borrower (which consent shall not be unreasonably withheld or delayed). Notwithstanding the foregoing, an Indemnified Party may settle or compromise any such Indemnity Proceeding without the prior written consent of the Borrower where (x) no monetary relief is sought against such Indemnified Party in such Indemnity Proceeding or (y) there is an allegation of a violation of law by such Indemnified Party. (e) If and to the extent that the obligations of the Borrower under this Section are unenforceable for any reason, the Borrower hereby agrees to make the maximum contribution to the payment and satisfaction of such obligations which is permissible under Applicable Law. (f) The Borrower’s obligations under this Section shall survive any termination of this Agreement and the other Loan Documents and the payment in full in cash of the Obligations, and are in addition to, and not in substitution of, any of the other obligations set forth in this Agreement or any other Loan Document to which it is a party. References in this Section 12.9. to “Lender” or “Lenders” shall be deemed to include such Persons (and their Affiliates) in their capacity as Specified Derivatives Providers. Section 12.10. Termination; Survival. This Agreement shall terminate at such time as (a) all of the Commitments have been terminated, (b) all Letters of Credit have terminated or expired or have been canceled (other than Extended Letters of Credit in respect of which the Borrower has satisfied the requirements to provide Cash Collateral as required in Section 2.3.(b)), (c) none of the Lenders is obligated any longer under this Agreement to make any Loans and each Issuing Bank is no longer obligated to issue Letters of Credit under this Agreement and (d) all Obligations (other than obligations which survive as provided in the following sentence) have been paid and satisfied in full. The indemnities to which the Administrative Agent, the Issuing Banks and the Lenders are entitled under the provisions of Sections 3.10., 4.1., 4.4., 11.6., 12.2. and 12.9. and any other provision of this Agreement and the other Loan Documents, and the provisions of Section 12.4., shall continue in full force and effect and shall protect the Administrative Agent, the Issuing Banks and the Lenders (i) notwithstanding any termination of this Agreement, or of the other Loan Documents, against events arising after such termination as well as before and (ii) at all times after any such party ceases to be a party to this Agreement with respect to all matters and events existing on or prior to the date such party ceased to be a party to this Agreement. Section 12.11. Severability of Provisions. If any provision of this Agreement or the other Loan Documents shall be determined by a court of competent jurisdiction to be invalid or unenforceable, that provision shall be deemed severed from the Loan Documents, and the validity, legality and enforceability of the remaining provisions shall remain in full force as though the invalid, illegal, or unenforceable provision had never been part of the Loan Documents. - 126 - LEGAL02\42427047.v4


 
Section 12.12. GOVERNING LAW. THIS AGREEMENT SHALL BE GOVERNED BY, AND CONSTRUED IN ACCORDANCE WITH, THE LAWS OF THE STATE OF NEW YORK APPLICABLE TO CONTRACTS EXECUTED, AND TO BE FULLY PERFORMED, IN SUCH STATE. Section 12.13. Counterparts. To facilitate execution, this Agreement and any amendments, waivers, consents or supplements may be executed in any number of counterparts as may be convenient or required (which may be effectively delivered by facsimile, in portable document format (“PDF”) or other similar electronic means). It shall not be necessary that the signature of, or on behalf of, each party, or that the signature of all persons required to bind any party, appear on each counterpart. All counterparts shall collectively constitute a single document. It shall not be necessary in making proof of this document to produce or account for more than a single counterpart containing the respective signatures of, or on behalf of, each of the parties hereto. Section 12.14. Obligations with Respect to Loan Parties. The obligations of the Parent and the Borrower to direct or prohibit the taking of certain actions by the other Loan Parties as specified herein shall be absolute and not subject to any defense the Parent or the Borrower may have that the Parent or the Borrower does not control such Loan Parties. Section 12.15. Independence of Covenants. All covenants hereunder shall be given in any jurisdiction independent effect so that if a particular action or condition is not permitted by any of such covenants, the fact that it would be permitted by an exception to, or be otherwise within the limitations of, another covenant shall not avoid the occurrence of a Default or an Event of Default if such action is taken or condition exists. Section 12.16. Limitation of Liability. None of the Administrative Agent, any Issuing Bank, any Lender or any of their respective Related Parties shall have any liability with respect to, and each of the Parent and the Borrower hereby waives, releases, and agrees not to sue any of them upon, any claim for any special, indirect, incidental, or consequential damages suffered or incurred by the Parent or the Borrower in connection with, arising out of, or in any way related to, this Agreement, any of the other Loan Documents or the Fee Letter, or any of the transactions contemplated by this Agreement or any of the other Loan Documents. Each of the Parent and the Borrower hereby waives, releases, and agrees not to sue the Administrative Agent, any Issuing Bank, any Lender or any of their respective Related Parties for punitive damages in respect of any claim in connection with, arising out of, or in any way related to, this Agreement, any of the other Loan Documents, the Fee Letter, or any of the transactions contemplated by this Agreement or financed hereby. Section 12.17. Entire Agreement. This Agreement, the Notes, the other Loan Documents and the Fee Letter embody the final, entire agreement among the parties hereto and supersede any and all prior commitments, agreements, representations, and understandings, whether written or oral, relating to the subject matter hereof and thereof and may not be contradicted or varied by evidence of prior, contemporaneous, or subsequent oral agreements or discussions of the parties hereto. To the extent any term of this Agreement is inconsistent - 127 - LEGAL02\42427047.v4


 
with a term of any other Loan Document to which the parties of this Agreement are party, the term of this Agreement shall control to the extent of such inconsistency. There are no oral agreements among the parties hereto. Section 12.18. Construction. The Administrative Agent, each Issuing Bank, each Lender, the Parent and the Borrower acknowledge that each of them has had the benefit of legal counsel of its own choice and has been afforded an opportunity to review this Agreement and the other Loan Documents with its legal counsel and agree that this Agreement and the other Loan Documents shall be construed as if jointly drafted by the Administrative Agent, each Issuing Bank, each Lender, the Parent and the Borrower. Section 12.19. Headings. The paragraph and section headings in this Agreement are provided for convenience of reference only and shall not affect its construction or interpretation. Section 12.20. Acknowledgement and Consent to Bail-in of Affected Financial Institutions. Notwithstanding anything to the contrary in any Loan Document or in any other agreement, arrangement or understanding among any such parties, each party hereto acknowledges that any liability of any Affected Financial Institution arising under any Loan Document, to the extent such liability is unsecured, may be subject to the write-down and conversion powers of the applicable Resolution Authority and agrees and consents to, and acknowledges and agrees to be bound by: (a) the application of any Write-Down and Conversion Powers by the applicable Resolution Authority to any such liabilities arising hereunder which may be payable to it by any party hereto that is an Affected Financial Institution; and (b) the effects of any Bail-in Action on any such liability, including, if applicable: (i) a reduction in full or in part or cancellation of any such liability; (ii) a conversion of all, or a portion of, such liability into shares or other instruments of ownership in such Affected Financial Institution, its parent undertaking, or a bridge institution that may be issued to it or otherwise conferred on it, and that such shares or other instruments of ownership will be accepted by it in lieu of any rights with respect to any such liability under this Agreement or any other Loan Document; or (iii) the variation of the terms of such liability in connection with the exercise of the write-down and conversion powers of the applicable Resolution Authority. Section 12.21. Acknowledgement Regarding any Supported QFCs. To the extent that the Loan Documents provide support, through a guarantee or otherwise, for a Derivatives Contract or any other agreement or instrument that is a QFC (such support, “QFC Credit Support” and each such QFC a “Supported QFC”), the parties acknowledge and agree as follows with respect to the resolution power of the Federal Deposit Insurance Corporation under the Federal Deposit Insurance Act and Title II of the Dodd-Frank Wall Street Reform and Consumer Protection Act (together with the regulations promulgated thereunder, the “U.S. Special Resolution Regimes”) in respect of such Supported QFC and QFC Credit Support (with the provisions below applicable notwithstanding that the - 128 - LEGAL02\42427047.v4


 
Loan Documents and any Supported QFC may in fact be stated to be governed by the laws of the State of New York and/or of the United States or any other state of the United States): In the event a Covered Entity that is party to a Supported QFC (each, a “Covered Party”) becomes subject to a proceeding under a U.S. Special Resolution Regime, the transfer of such Supported QFC and the benefit of such QFC Credit Support (and any interest and obligation in or under such Supported QFC and such QFC Credit Support, and any rights in property securing such Supported QFC or such QFC Credit Support) from such Covered Party will be effective to the same extent as the transfer would be effective under the U.S. Special Resolution Regime if the Supported QFC and such QFC Credit Support (and any such interest, obligation and rights in property) were governed by the laws of the United States or a state of the United States. In the event a Covered Party or a BHC Act Affiliate of a Covered Party becomes subject to a proceeding under a U.S. Special Resolution Regime, Default Rights under the Loan Documents that might otherwise apply to such Supported QFC or any QFC Credit Support that may be exercised against such Covered Party are permitted to be exercised to no greater extent than such Default Rights could be exercised under the U.S. Special Resolution Regime if the Supported QFC and the Loan Documents were governed by the laws of the United States or a state of the United States. Without limitation of the foregoing, it is understood and agreed that rights and remedies of the parties with respect to a Defaulting Lender shall in no event affect the rights of any Covered Party with respect to a Supported QFC or any QFC Credit Support Section 12.22. No Novation. (a) Existing Credit Agreement. Upon satisfaction of the conditions precedent set forth in Sections 5.1. and 5.2. of this Agreement, this Agreement and the other Loan Documents shall exclusively control and govern the mutual rights and obligations of the parties hereto with respect to the Existing Credit Agreement, and the Existing Credit Agreement shall be superseded in all respects, in each case, on a prospective basis only. (b) NO NOVATION. THE PARTIES HERETO HAVE ENTERED INTO THIS AGREEMENT SOLELY TO AMEND AND RESTATE THE TERMS OF, AND THE OBLIGATIONS OWING UNDER, THE EXISTING CREDIT AGREEMENT. THE PARTIES DO NOT INTEND THIS AGREEMENT OR THE TRANSACTIONS CONTEMPLATED HEREBY TO BE, AND THIS AGREEMENT AND THE TRANSACTIONS CONTEMPLATED HEREBY SHALL NOT BE CONSTRUED TO BE, A NOVATION OF ANY OF THE OBLIGATIONS OWING BY THE BORROWER UNDER OR IN CONNECTION WITH THE EXISTING CREDIT AGREEMENT OR ANY OF THE OTHER LOAN DOCUMENTS (AS DEFINED IN THE EXISTING CREDIT AGREEMENT). [Signatures on Following Pages] - 129 - LEGAL02\42427047.v4


 
LEGAL02\012134\447070\42426800.v2-2/24/23 EXHIBIT C [See attached]


 
C-1 LEGAL02\012134\447070\42428106.v2-2/24/23 EXHIBIT C FORM OF NOTICE OF REVOLVING BORROWING ____________, 20__ Wells Fargo Bank, National Association, as Administrative Agent 600 South 4th St., Floor 08 Minneapolis, Minnesota 55415 Attention: David DeAngelis, Syndications Administrator Telephone: 612-667-4773 Email: david.r.deangelis@wellsfargo.com Ladies and Gentlemen: Reference is made to that certain Third Amended and Restated Credit Agreement dated as of April 19, 2021 (as amended, restated, supplemented or otherwise modified from time to time, the “Credit Agreement”), by and among MHC Operating Limited Partnership (the “Borrower”), the financial institutions party thereto and their assignees under Section 12.5. thereof (the “Lenders”), Wells Fargo Bank, National Association, as Administrative Agent (the “Administrative Agent”), and the other parties thereto. Capitalized terms used herein, and not otherwise defined herein, have their respective meanings given them in the Credit Agreement. 1. Pursuant to Section 2.1.(b) of the Credit Agreement, the Borrower hereby requests that the Revolving Lenders make Revolving Loans to the Borrower in an aggregate principal amount equal to $___________________. 2. The Borrower requests that such Revolving Loans be made available to the Borrower on ____________, 20__. 3. The Borrower hereby requests that such Revolving Loans be of the following Type: [Check one box only]  Same-Day Borrowing Base Rate Loans  Base Rate Loans (non-Same-Day Borrowing)  Same-Day Borrowing Daily Simple SOFR Loans  Daily Simple SOFR Loans (non-Same-Day Borrowing)  Term SOFR Loans, with an initial Interest Period for a duration of: [Check one box only]  one month  three months  six months 4. The proceeds of such Revolving Loans will be used for ___________________________________________. The Borrower hereby certifies to the Administrative Agent and the Lenders that as of the date hereof and as of the date of the making of the requested Revolving Loans, and immediately after giving effect thereto, (a) no Default or Event of Default exists or shall exist, and none of the limits specified in Section 2.15. of the Credit Agreement shall be violated; and (b) the representations and warranties made or


 
C-2 LEGAL02\012134\447070\42428106.v2-2/24/23 deemed made by the Borrower and each other Loan Party in the Loan Documents to which any of them is a party are and shall be true and correct in all material respects (except in the case of a representation or warranty qualified by materiality, in which case such representation or warranty is and shall be true and correct in all respects) with the same force and effect as if made on and as of such date except to the extent that such representations and warranties expressly relate solely to an earlier date (in which case such representations and warranties shall have been true and correct in all material respects (except in the case of a representation or warranty qualified by materiality, in which case such representation or warranty was true and correct in all respects) on and as of such earlier date) and except for changes in factual circumstances not prohibited under the Loan Documents. In addition, the Borrower certifies to the Administrative Agent and the Lenders that all conditions to the making of the requested Revolving Loans contained in Article V. of the Credit Agreement will have been satisfied (or waived in accordance with the applicable provisions of the Loan Documents) at the time such Revolving Loans are made. [Signatures on Following Page]


 
C-3 LEGAL02\012134\447070\42428106.v2-2/24/23 IN WITNESS WHEREOF, the undersigned has duly executed and delivered this Notice of Borrowing as of the date first written above. MHC OPERATING LIMITED PARTNERSHIP, an Illinois limited partnership By: Equity LifeStyle Properties, Inc., a Maryland corporation, its general partner By: ________________________________ Name: ___________________________ Title: ____________________________


 
LEGAL02\012134\447070\42426800.v2-2/24/23 EXHIBIT D [See attached]


 
D-1 LEGAL02\012134\447070\42428106.v2-2/24/23 EXHIBIT D FORM OF NOTICE OF CONTINUATION ____________, 20__ Wells Fargo Bank, National Association, as Administrative Agent 600 South 4th St., Floor 08 Minneapolis, Minnesota 55415 Attention: David DeAngelis, Syndications Administrator Telephone: 612-667-4773 Email: david.r.deangelis@wellsfargo.com Ladies and Gentlemen: Reference is made to that certain Third Amended and Restated Credit Agreement dated as of April 19, 2021 (as amended, restated, supplemented or otherwise modified from time to time, the “Credit Agreement”), by and among MHC Operating Limited Partnership (the “Borrower”), the financial institutions party thereto and their assignees under Section 12.5. thereof (the “Lenders”), Wells Fargo Bank, National Association, as Administrative Agent (the “Administrative Agent”), and the other parties thereto. Capitalized terms used herein, and not otherwise defined herein, have their respective meanings given them in the Credit Agreement. Pursuant to Section 2.9. of the Credit Agreement, the Borrower hereby requests a Continuation of Term SOFR Loans under the Credit Agreement, and in connection with such a request, sets forth below the information relating to such Continuation as required by such Section of the Credit Agreement: 1. The proposed date of such Continuation is ____________, 20__. 2. The Class of Loans subject to such Continuation is:  Revolving Loans  Term Loans 3. The aggregate principal amount of the Loans subject to the requested Continuation is $________________________ and the portion of such principal amount subject to such Continuation is $__________________________. 4. The current Interest Period for each of the Loans subject to such Continuation ends on ________________, 20__. 5. The duration of the new Interest Period for each of such Loans or portion thereof subject to such Continuation is: [Check one box only]  one month  three months  six months


 
D-2 LEGAL02\012134\447070\42428106.v2-2/24/23 6. The portion of the principal amount of such Loans subject to a Specified Derivatives Contract is $______________________________. 7. The Specified Derivatives Contract(s) to which such Loans is/are subject: _________________________________________________________________________ _________________________________________________________________________ _________________________________________________________________________ _________________________________________________________________________ The Borrower hereby certifies to the Administrative Agent and the Lenders that as of the date hereof, as of the proposed date of the requested Continuation, and after immediately giving effect thereto, no Event of Default exists or will exist. If notice of the requested Continuation was given previously by telephone, this notice is to be considered the written confirmation of such telephone notice required by Section 2.9. of the Credit Agreement. [Signatures on Following Page]


 
D-3 LEGAL02\012134\447070\42428106.v2-2/24/23 IN WITNESS WHEREOF, the undersigned has duly executed and delivered this Notice of Continuation as of the date first written above. MHC OPERATING LIMITED PARTNERSHIP, an Illinois limited partnership By: Equity LifeStyle Properties, Inc., a Maryland corporation, its general partner By: ________________________________ Name: ___________________________ Title: ____________________________


 
LEGAL02\012134\447070\42426800.v2-2/24/23 EXHIBIT E [See attached]


 
E-1 LEGAL02\012134\447070\42428106.v2-2/24/23 EXHIBIT E FORM OF NOTICE OF CONVERSION ____________, 20__ Wells Fargo Bank, National Association, as Administrative Agent 600 South 4th St., Floor 08 Minneapolis, Minnesota 55415 Attention: David DeAngelis, Syndications Administrator Telephone: 612-667-4773 Email: david.r.deangelis@wellsfargo.com Ladies and Gentlemen: Reference is made to that certain Third Amended and Restated Credit Agreement dated as of April 19, 2021 (as amended, restated, supplemented or otherwise modified from time to time, the “Credit Agreement”), by and among MHC Operating Limited Partnership (the “Borrower”), the financial institutions party thereto and their assignees under Section 12.5. thereof (the “Lenders”), Wells Fargo Bank, National Association, as Administrative Agent (the “Administrative Agent”), and the other parties thereto. Capitalized terms used herein, and not otherwise defined herein, have their respective meanings given them in the Credit Agreement. Pursuant to Section 2.10. of the Credit Agreement, the Borrower hereby requests a Conversion of a borrowing of Loans of one Type into Loans of another Type under the Credit Agreement, and in connection with such a request, sets forth below the information relating to such Conversion as required by such Section of the Credit Agreement: 1. The proposed date of such Conversion is ______________, 20__. 2. The Class of Loans to be converted is:  Revolving Loans  Term Loans 3. The Type of Loans to be Converted pursuant hereto is currently:1 [Check one box only]  Base Rate Loan  Daily Simple SOFR Loan  Term SOFR Loan 4. The aggregate principal amount of the Loans subject to the requested Conversion is $_____________________ and the portion of such principal amount subject to such Conversion is $___________________. 1 For the Notice of Conversion to be submitted on the First Amendment Effective Date, to be completed referencing current LIBOR interest options under the Credit Agreement in effect prior to the First Amendment Effective Date.


 
E-2 LEGAL02\012134\447070\42428106.v2-2/24/23 5. The amount of such Loans to be so Converted is to be converted into Loans of the following Type: [Check one box only]  Base Rate Loan  Daily Simple SOFR Loan  Term SOFR Loan, with an initial Interest Period for a duration of: [Check one box only]  one month  three months  six months 6. The amount of such Loans to be so Converted into a Daily Simple SOFR Loan or Term SOFR Loan subject to a Specified Derivatives Contract is $_____________________________________. 7. The Specified Derivatives Contract(s) to which such Loans to be so Converted into a Daily Simple SOFR Loan or Term SOFR Loan is/are subject: ________________________________________________________________________ ________________________________________________________________________ ________________________________________________________________________ ____________________________________________________________________ The Borrower hereby certifies to the Administrative Agent and the Lenders that as of the date hereof and, as of the proposed date of the requested Conversion, and immediately after giving effect thereto, no Default or Event of Default exists or will exist. If notice of the requested Conversion was given previously by telephone, this notice is to be considered the written confirmation of such telephone notice required by Section 2.10. of the Credit Agreement. [Signatures on Following Page]


 
E-3 LEGAL02\012134\447070\42428106.v2-2/24/23 IN WITNESS WHEREOF, the undersigned has duly executed and delivered this Notice of Conversion as of the date first written above. MHC OPERATING LIMITED PARTNERSHIP, an Illinois limited partnership By: Equity LifeStyle Properties, Inc., a Maryland corporation, its general partner By: ________________________________ Name: ___________________________ Title: ____________________________


 
LEGAL02\012134\447070\42426800.v2-2/24/23 EXHIBIT M [See attached]


 
M-4 LEGAL02\012134\447070\42428106.v2-2/24/23 EXHIBIT M FORM OF NOTICE OF TERM BORROWING ____________, 20__ Wells Fargo Bank, National Association, as Administrative Agent 600 South 4th St., Floor 08 Minneapolis, Minnesota 55415 Attention: David DeAngelis, Syndications Administrator Telephone: 612-667-4773 Email: david.r.deangelis@wellsfargo.com Ladies and Gentlemen: Reference is made to that certain Third Amended and Restated Credit Agreement dated as of April 19, 2021 (as amended, restated, supplemented or otherwise modified from time to time, the “Credit Agreement”), by and among MHC Operating Limited Partnership (the “Borrower”), the financial institutions party thereto and their assignees under Section 12.5. thereof (the “Lenders”), Wells Fargo Bank, National Association, as Administrative Agent (the “Administrative Agent”), and the other parties thereto. Capitalized terms used herein, and not otherwise defined herein, have their respective meanings given them in the Credit Agreement. 1. Pursuant to [Section 2.16][Section 2.2] of the Credit Agreement, the Borrower hereby requests that the Term Loan Lenders make [Additional] Term Loans to the Borrower in an aggregate amount equal to $___________________. 2. The Borrower requests that such [Additional] Term Loans be made available to the Borrower on ____________, 20__. 3. The proceeds of such [Additional] Term Loans will be used for ___________________________________________. 4. The Borrower hereby requests that such [Additional] Term Loans be of the following Type: [Check one box only]  Base Rate Loans  Daily Simple SOFR Loans  Term SOFR Loans, with an initial Interest Period for a duration of: [Check one box only]  one month  three months  six months The Borrower hereby certifies to the Administrative Agent and the Lenders that as of the date hereof and, as of the date of the making of the requested [Additional] Term Loans, and immediately after giving effect thereto, (a) no Default or Event of Default exists or shall exist; and (b) the representations and warranties made or deemed made by the Borrower and each other Loan Party in the Loan Documents to which any of them is a party are and shall be true and correct in all material respects (except in the case of


 
M-5 LEGAL02\012134\447070\42428106.v2-2/24/23 a representation or warranty qualified by materiality, in which case such representation or warranty is and shall be true and correct in all respects) with the same force and effect as if made on and as of such date except to the extent that such representations and warranties expressly relate solely to an earlier date (in which case such representations and warranties shall have been true and correct in all material respects (except in the case of a representation or warranty qualified by materiality, in which case such representation or warranty was true and correct in all respects) on and as of such earlier date) and except for changes in factual circumstances not prohibited under the Loan Documents. In addition, the Borrower certifies to the Administrative Agent and the Lenders that all conditions to the making of the requested [Additional] Term Loans contained in Article V. of the Credit Agreement will have been satisfied (or waived in accordance with the applicable provisions of the Loan Documents) at the time such [Additional] Term Loans are made. [Signatures on Following Page]


 
M-6 LEGAL02\012134\447070\42428106.v2-2/24/23 IN WITNESS WHEREOF, the undersigned has duly executed and delivered this Notice of Borrowing as of the date first written above. MHC OPERATING LIMITED PARTNERSHIP, an Illinois limited partnership By: Equity LifeStyle Properties, Inc., a Maryland corporation, its general partner By: ________________________________ Name: ___________________________ Title: ____________________________