EX-10.5 6 morn_exhibitx105x0630202.htm EX-10.5 morn_exhibitx105x0630202
Execution Version THIRD AMENDMENT TO CREDIT AGREEMENT This Third Amendment to Credit Agreement (this “Amendment”) is entered into as of June 27, 2024 by and among MORNINGSTAR, INC., an Illinois corporation (the “Company”), certain Subsidiaries of the Company party hereto in the capacity of a “Borrower” (the “Designated Borrowers,” and together with the Company, the “Borrowers”), the subsidiaries of the Company party hereto in the capacity of a “Guarantor” (the “Guarantors”, together with the Borrowers, the “Loan Parties”) and BANK OF AMERICA, N.A. as administrative agent for the Lenders (the “Administrative Agent”). RECITALS A. The Loan Parties and the Administrative Agent are party to that certain Credit Agreement dated as of May 6, 2022 (as amended, restated, supplemented or otherwise modified from time to time, the “Credit Agreement”). Unless otherwise specified herein, capitalized terms used in this Amendment shall have the meanings ascribed to them by the Credit Agreement. B. Whereas, each of the Lenders and Loan Parties party hereto have agreed to make certain amendments to the Credit Agreement in order to replace the CDOR reference rate with Term CORRA, as set forth herein and upon the terms and subject to the conditions set forth herein. Now, therefore, in consideration of the mutual execution hereof and other good and valuable consideration, the parties hereto agree as follows: 1. Amendments to Credit Agreement. (a) Upon the “Third Amendment Effective Date” (as defined below), the Credit Agreement is hereby amended to delete the stricken text (indicated textually in the same manner as the following example: stricken text) and to add the double-underlined text (indicated textually in the same manner as the following example: double-underlined text) as set forth in the pages of the Credit Agreement attached as Annex I hereto. 2. Representations and Warranties of the Loan Parties. Each of the Loan Parties represents and warrants that: (a) the execution, delivery and performance by the Loan Parties of this Amendment and each of the other documents entered into in connection herewith (the “Amendment Documents”) have been duly authorized by all necessary corporate or other organizational action and that this Amendment and, once executed and delivered, each of the Amendment Documents will constitute a legal, valid and binding obligation of each of the Loan Parties enforceable against the Loan Parties in accordance with its terms, except as the enforcement thereof may be subject to the effect of any applicable bankruptcy, insolvency, reorganization, moratorium or similar law affecting creditors’ rights generally and subject to general principals of equity; (b) each of the representations and warranties contained in the Credit Agreement (deeming this Amendment as a Loan Document) is true and correct in all material respects on and as of the date hereof as if made by each Loan Party on the date hereof (except to the extent that such representations and warranties specifically refer to an earlier date, in which case they shall be true and correct in all material respects as of such earlier date); and (c) after giving effect to this Amendment and the Amendment Documents, no Default or Event of Default has occurred and is continuing. - 2 - 4. Third Amendment Effective Date. This Amendment shall become effective upon the execution and delivery hereof by each Loan Party, the Administrative Agent and each of the Lenders; provided that Section 1 hereof shall not become effective until the date (the “Third Amendment Effective Date”) when the following additional conditions have also been satisfied: (a) the Administrative Agent and the Lenders shall have received all reasonable and documented out of pocket expenses (including, without limitation, legal fees of counsel to the Administrative Agent), to the extent invoiced prior to the Third Amendment Effective Date, owing pursuant to the Loan Documents; (b) Lenders shall have received at least three Business Days prior to the Third Amendment Effective Date all documentation and other information regarding the Loan Parties required by Governmental Authorities under applicable “know your customer” and anti-money laundering rules and regulations, including, without limitation, the Patriot Act and the Canadian AML Acts, in each case to the extent reasonably requested of the Borrower at least 10 Business Days prior to the Third Amendment Effective Date (or such shorter period agreed to by the Company); and (c) the Loan Parties shall have paid any fees and expenses required to be paid pursuant to the Loan Documents. 5. Reference to and Effect Upon the Credit Agreement. (a) Except as specifically amended, the Credit Agreement and the other Loan Documents shall remain in full force and effect and are hereby ratified and confirmed. (b) The execution, delivery and effectiveness of this Amendment shall not operate as a waiver of any right, power or remedy of the Administrative Agent or any Lender under the Credit Agreement or any Loan Document, nor constitute a waiver of any provision of the Credit Agreement or any Loan Document, except as specifically set forth herein. Upon the effectiveness of this Amendment, each reference in the Credit Agreement to “this Agreement”, “hereunder”, “hereof”, “herein” or words of similar import shall mean and be a reference to the Credit Agreement as amended hereby. (c) This Amendment shall be deemed to be a Loan Document. 6. Costs and Expenses. Each Loan Party hereby affirms its obligation under Section 11.04 of the Credit Agreement to reimburse the Administrative Agent and the other Lenders, as applicable, for all reasonable out-of-pocket expenses incurred by the Administrative Agent and the Lenders in connection with the preparation, negotiation, execution and delivery of this Amendment, including but not limited to the reasonable fees, charges and disbursements of attorneys for the Administrative Agent with respect thereto. 7. Reaffirmation. Each Loan Party hereby reaffirms its obligations under the Credit Agreement and the other Loan Documents, including, with respect to each Guarantor, its obligations under Article X of the Credit Agreement. 8. Governing Law. This Amendment shall be construed in accordance with and governed by the law of the State of Illinois. - 3 - 9. Headings. Section headings in this Amendment are included herein for convenience of reference only and shall not constitute a part of this Amendment for any other purposes. 10. Counterparts; Electronic Execution. This Amendment may be in the form of an Electronic Record and may be executed using Electronic Signatures. Each of the Loan Parties and each of the Administrative Agent and each Lender Party agrees that any Electronic Signature on or associated with this Amendment shall be valid and binding on such Person to the same extent as a manual, original signature, and that this Amendment entered into by Electronic Signature, will constitute the legal, valid and binding obligation of such Person enforceable against such Person in accordance with the terms thereof to the same extent as if a manually executed original signature was delivered. This Amendment may be executed in as many counterparts as necessary or convenient, including both paper and electronic counterparts, but all such counterparts are one and the same instrument. For the avoidance of doubt, the authorization under this paragraph may include, without limitation, use or acceptance of a manually signed paper Amendment which has been converted into electronic form (such as scanned into PDF format), or an electronically signed Amendment converted into another format, for transmission, delivery and/or retention. The Administrative Agent and each of the Lender Parties may, at its option, create one or more copies of any counterpart to this Amendment in the form of an imaged Electronic Record (“Electronic Copy”), which shall be deemed created in the ordinary course of such Person’s business, and destroy the original paper document. This executed Amendment in the form of an Electronic Record, including an Electronic Copy, shall be considered an original for all purposes, and shall have the same legal effect, validity and enforceability as a paper record. Notwithstanding anything contained herein to the contrary, neither the Administrative Agent, L/C Issuer nor Swingline Lender is under any obligation to accept an Electronic Signature in any form or in any format unless expressly agreed to by such Person pursuant to procedures approved by it; provided, further, without limiting the foregoing, (a) to the extent the Administrative Agent, any L/C Issuer and/or Swingline Lender has agreed to accept such Electronic Signature, the Administrative Agent and each of the Lender Parties shall be entitled to rely on any such Electronic Signature purportedly given by or on behalf of any Loan Party and/or any Lender Party without further verification and (b) upon the request of the Administrative Agent or any Lender Party, any Electronic Signature shall be promptly followed by such manually executed counterpart. [Signature Pages Follow] [Signature Page to Third Amendment] IN WITNESS WHEREOF, the parties have executed this Amendment as of the date and year first above written. BORROWER: MORNINGSTAR, INC. By: /s/Jason Dubinsky Name: Jason Dubinsky Title: Chief Financial Officer


 
[Signature Page to Third Amendment] DESIGNATED BORROWERS: MORNINGSTAR AUSTRALASIA PTY LTD, as a Designated Borrower Executed in accordance with section 127 of the Corporations Act 2001 by MORNINGSTAR AUSTRALASIA PTY LTD: /s/Craig Hutcheson Director Signature Craig Hutcheson Print Name /s/Fiona White Secretary Signature Fiona White Print Name MORNINGSTAR RESEARCH INC., as a Designated Borrower By: /s/Lurim Muratovski Name: Lurim Muratovski Title: Director MORNINGSTAR HOLLAND B.V., as a Designated Borrower By: /s/Mark Roomans Name: Mark Roomans Title: Director MORNINGSTAR UK LIMITED, as a Designated Borrower By: /s/Paul Malone Name: Paul Malone Title: Director [Signature Page to Third Amendment] GUARANTORS: MORNINGSTAR INVESTMENT MANAGEMENT LLC By: /s/Daniel Needham Name: Daniel Needham Title: Co-President MORNINGSTAR RESEARCH SERVICES LLC By: /s/Michael Holt Name: Michael Holt Title: Co-President MORNINGSTAR RATINGS HOLDING CORP. By: /s/Jason Dubinsky Name: Jason Dubinsky Title: Chief Financial Officer PITCHBOOK DATA, INC. By: /s/Rod Diefendorf Name: Rod Diefendorf Title: President [Signature Page to Third Amendment] ADMINISTRATIVE AGENT AND LENDERS: BANK OF AMERICA, N.A., as Administrative Agent By: /s/Dewayne D. Rosse Name: Dewayne D. Rosse Title: Assistant Vice President BANK OF AMERICA, N.A., as a Lender, L/C Issuer and Swingline Lender By: /s/Michael J. Haas Name: Michael J. Haas Title: Sr. Vice President [Signature Page to Third Amendment] PNC BANK, NATIONAL ASSOCIATION, as a Lender By: /s/Christopher Collins Name: Christopher Collins Title: Vice President


 
[Signature Page to Third Amendment] HSBC BANK PLC, as a Lender By: /s/Robert Knapman Name: Robert Knapman Title: Relationship Director Jersey [Signature Page to Third Amendment] HSBC BANK USA, N.A., as a Lender By: /s/Shanti Aiyer Name: Shanti Aiyer (23509) Title: Senior Vice President Annex I Amended Credit Agreement [See Attached] AmericasActive:19866675.4 EXECUTION VERSION Annex I to SecondThird Amendment to Credit Agreement Published CUSIP Number (Deal): 61774PAA8 Published CUSIP Number (Revolver): 61774PAB6 Published CUSIP Number (Term): 61774PAC4 CREDIT AGREEMENT Dated as of May 6, 2022 among MORNINGSTAR, INC., as the Company and a Borrower, CERTAIN SUBSIDIARIES OF THE COMPANY as Designated Borrowers, CERTAIN SUBSIDIARIES OF THE BORROWER PARTY HERETO, as the Guarantors and BANK OF AMERICA, N.A., as Administrative Agent, Swingline Lender and an L/C Issuer and THE LENDERS PARTY HERETO ____________________________ BANK OF AMERICA, N.A. and PNC CAPITAL MARKETS LLC, as Joint Lead Arrangers and Joint Bookrunners PNC BANK, NATIONAL ASSOCIATION, as Syndication Agent HSBC BANK USA, N.A. and HSBC BANK PLC, as Co-Documentation Agents


 
TABLE OF CONTENTS Page ARTICLE I DEFINITIONS AND ACCOUNTING TERMS 1 1.1 Defined Terms 1 1.2 Other Interpretive Provisions 41 1.3 Accounting Terms 42 1.4 Rounding 43 1.5 Times of Day; Rates 43 1.6 Letter of Credit Amounts 43 1.7 Exchange Rates; Currency Equivalents; Licensing 44 1.8 Additional Alternative Currencies 44 1.9 Change of Currency 45 1.10 Existing CDOR Rate Loans 46 ARTICLE II COMMITMENTS AND CREDIT EXTENSIONS 46 2.1 Loans 46 2.2 Borrowings, Conversions and Continuations of Loans 47 2.3 Letters of Credit 49 2.4 Swingline Loans 59 2.5 Prepayments 61 2.6 Termination or Reduction of Commitments 63 2.7 Repayment of Loans 64 2.8 Interest and Default Rate 64 2.9 Fees 66 2.10 Computation of Interest and Fees 66 2.11 Evidence of Debt 67 2.12 Payments Generally; Administrative Agent Clawback 67 2.13 Sharing of Payments by Lenders 70 2.14 Cash Collateral 70 2.15 Defaulting Lenders 71 2.16 Designated Borrowers 74 2.17 Designated Lenders 75 2.18 Increase in Revolving Facility 75 ARTICLE III TAXES, YIELD PROTECTION AND ILLEGALITY 76 3.1 Taxes 76 3.2 Illegality 80 3.3 Inability to Determine Rates 81 3.4 Increased Costs 83 3.5 Compensation for Losses 84 3.6 Mitigation Obligations; Replacement of Lenders 85 3.7 Survival 86 3.8 United Kingdom Tax Matters 86 3.9 Australian Tax Matters 92 3.10 Dutch Tax Matters 96 ARTICLE IV CONDITIONS PRECEDENT TO CREDIT EXTENSIONS 101 4.1 Conditions of Initial Credit Extension 101 4.2 Conditions to all Credit Extensions 103 i ARTICLE V REPRESENTATIONS AND WARRANTIES 105 5.1 Existence, Qualification and Power 105 5.2 Authorization; No Contravention 105 5.3 Governmental Authorization; Other Consents 106 5.4 Binding Effect 106 5.5 Financial Statements; No Material Adverse Effect 106 5.6 Litigation 107 5.7 No Default 107 5.8 Ownership of Property 107 5.9 Environmental Compliance 107 5.10 Taxes 107 5.11 ERISA Compliance, etc 108 5.12 Margin Regulations; Investment Company Act 109 5.13 Disclosure 109 5.14 Sanctions Concerns and Anti-Corruption Laws 109 5.15 Responsible Officers 110 ARTICLE VI AFFIRMATIVE COVENANTS 110 6.1 Financial Statements 110 6.2 Certificates; Other Information 111 6.3 Notices 112 6.4 Payment of Obligations 112 6.5 Preservation of Existence, Etc 113 6.6 Maintenance of Properties 113 6.7 Maintenance of Insurance 113 6.8 Compliance with Laws 113 6.9 Books and Records 113 6.10 Inspection Rights 113 6.11 Use of Proceeds 114 6.12 Compliance with Environmental Laws 114 6.13 Covenant to Guarantee Obligations 114 6.14 Anti-Corruption Laws; Sanctions 114 6.15 Approvals and Authorizations 115 6.16 Tax Residence 115 ARTICLE VII NEGATIVE COVENANTS 115 7.1 Liens 115 7.2 Indebtedness 117 7.3 Investments 118 7.4 Fundamental Changes 119 7.5 Dispositions 120 7.6 Restricted Payments 121 7.7 Change in Nature of Business 121 7.8 Transactions with Affiliates 121 7.9 Burdensome Agreements 122 7.10 Use of Proceeds 122 7.11 Sanctions 122 7.12 Anti-Corruption Laws 123 7.13 Financial Covenants 123 7.14 Canadian Defined Benefit Pension Plans 123 ii ARTICLE VIII EVENTS OF DEFAULT AND REMEDIES 123 8.1 Events of Default 123 8.2 Remedies upon Event of Default 125 8.3 Application of Funds 126 ARTICLE IX ADMINISTRATIVE AGENT 127 9.1 Appointment and Authority 127 9.2 Rights as a Lender 127 9.3 Exculpatory Provisions 127 9.4 Reliance by Administrative Agent 128 9.5 Delegation of Duties 129 9.6 Resignation of Administrative Agent 129 9.7 Non-Reliance on Administrative Agent and Other Lenders 130 9.8 No Other Duties, Etc 131 9.9 Administrative Agent May File Proofs of Claim; Credit Bidding 131 9.10 Guaranty Matters 132 9.11 Certain ERISA Matters 132 9.12 Recovery of Erroneous Payments 133 ARTICLE X CONTINUING GUARANTY 133 10.1 Guaranty 133 10.2 Rights of Lender 134 10.3 Certain Waivers 134 10.4 Obligations Independent 135 10.5 Subrogation 135 10.6 Termination; Reinstatement 135 10.7 Stay of Acceleration 135 10.8 Condition of Borrower 135 10.9 Appointment of Borrower 136 10.10 Right of Contribution 136 10.11 Keepwell 136 ARTICLE XI MISCELLANEOUS 136 11.1 Amendments, Etc 136 11.2 Notices; Effectiveness; Electronic Communications 139 11.3 No Waiver; Cumulative Remedies; Enforcement 141 11.4 Expenses; Indemnity; Damage Waiver 141 11.5 Payments Set Aside 143 11.6 Successors and Assigns 143 11.7 Treatment of Certain Information; Confidentiality 148 11.8 Right of Setoff 149 11.9 Interest Rate Limitation 149 11.10 Integration; Effectiveness 150 11.11 Survival of Representations and Warranties 150 11.12 Severability 150 11.13 Replacement of Lender 150 11.14 Governing Law; Jurisdiction; Etc 151 11.15 Waiver of Jury Trial 153 11.16 Subordination 153 11.17 No Advisory or Fiduciary Responsibility 153 iii 11.18 Electronic Execution; Electronic Records; Counterparts 154 11.19 USA PATRIOT Act and Canadian AML Acts Notice 155 11.20 Acknowledgement and Consent to Bail-In of Affected Financial Institutions 155 11.21 Judgment Currency 156 11.22 Acknowledgement Regarding Any Supported QFCs 156 iv


 
BORROWER PREPARED SCHEDULES Schedule 1.01(c) Responsible Officers Schedule 6.01(c) Company Website Schedule 7.01 Existing Liens Schedule 7.02 Existing Indebtedness Schedule 7.03 Existing Investments Schedule 7.08(a) Affiliate Transactions ADMINISTRATIVE AGENT PREPARED SCHEDULES Schedule 1.01(a) Certain Addresses for Notices Schedule 1.01(b) Initial Commitments and Applicable Percentages Schedule 1.01(d) Existing Letters of Credit Schedule 2.01 Swingline Commitment Schedule 2.03 Letter of Credit Commitment EXHIBITS Exhibit A Form of Administrative Questionnaire Exhibit B Form of Assignment and Assumption Exhibit C Form of Compliance Certificate Exhibit D Form of Joinder Agreement Exhibit E Form of Loan Notice Exhibit F Form of Revolving Note Exhibit G Form of Swingline Loan Notice Exhibit H Form of Term Note Exhibit I Form of Officer’s Certificate Exhibit J Forms of U.S. Tax Compliance Certificates Exhibit K Form of Funding Indemnity Letter Exhibit L Form of Notice of Loan Prepayment Exhibit M Form of Letter of Credit Report Exhibit N Form of Notice of Additional L/C Issuer Exhibit O Designated Borrower Request and Assumption Agreement Exhibit P Designated Borrower Notice v CREDIT AGREEMENT This CREDIT AGREEMENT is entered into as of May 6, 2022, among MORNINGSTAR, INC., an Illinois corporation (the “Company”), certain Subsidiaries of the Company from time to time party hereto pursuant to Section 2.16 (each, a “Designated Borrower” and, together with the Company, the “Borrowers” and each a “Borrower”), the Guarantors (defined herein), the Lenders (defined herein), and BANK OF AMERICA, N.A., as the Administrative Agent, Swingline Lender, and an L/C Issuer. PRELIMINARY STATEMENTS: WHEREAS, the Loan Parties (as hereinafter defined) have requested that the Lenders, the Swingline Lender and each L/C Issuer make loans and other financial accommodations to the Loan Parties in an aggregate amount of up to $1,100,000,000. WHEREAS, the Lenders, the Swingline Lender and each L/C Issuer have agreed to make such loans and other financial accommodations to the Loan Parties on the terms and subject to the conditions set forth herein. NOW THEREFORE, in consideration of the mutual covenants and agreements herein contained, the parties hereto covenant and agree as follows. ARTICLE I DEFINITIONS AND ACCOUNTING TERMS 1.01 Defined Terms. As used in this Agreement, the following terms shall have the meanings set forth below: “Acquisition” means the acquisition, whether through a single transaction or a series of related transactions, of (a) a majority of the Voting Stock or other controlling ownership interest in another Person (including the purchase of an option, warrant or convertible or similar type security to acquire such a controlling interest at the time it becomes exercisable by the holder thereof), whether by purchase of such equity or other ownership interest or upon the exercise of an option or warrant for, or conversion of securities into, such equity or other ownership interest, or (b) assets of another Person which constitute all or substantially all of the assets of such Person or of a division, line of business or other business unit of such Person. “Administrative Agent” means Bank of America (or any of its designated branch offices or affiliates) in its capacity as administrative agent under any of the Loan Documents, or any successor administrative agent. “Administrative Agent’s Office” means, with respect to any currency, the Administrative Agent’s address and, as appropriate, account as set forth on Schedule 1.01(a) with respect to such currency, or such other address or account with respect to such currency as the Administrative Agent may from time to time notify the Borrower and the Lenders. “Administrative Questionnaire” means an Administrative Questionnaire in substantially the form of Exhibit A or any other form approved by the Administrative Agent. 1 “Affected Financial Institution” means (a) any EEA Financial Institution or (b) any UK Financial Institution. “Affiliate” means, with respect to a specified Person, another Person that directly, or indirectly through one or more intermediaries, Controls or is Controlled by or is under common Control with the Person specified. “Aggregate Commitments” means the Commitments of all the Lenders. “Agreed Currency” means Dollars or any Alternative Currency, as applicable. “Agreement” means this Credit Agreement, including all schedules, exhibits and annexes hereto. “Agreement Currency” has the meaning specified in Section 11.21. “Alternative Currency” means each of the following currencies: Euros, Canadian Dollars, Australian Dollars and Sterling, together with each other currency (other than Dollars) that is approved in accordance with Section 1.09; provided that for each Alternative Currency, such requested currency is an Eligible Currency. “Alternative Currency Daily Rate” means, for any day, with respect to any Credit Extension: (a) denominated in Sterling, the rate per annum equal to SONIA determined pursuant to the definition thereof plus the SONIA Adjustment; and (b) denominated in any other Alternative Currency (to the extent such Loans denominated in such currency will bear interest at a daily rate), the daily rate per annum as designated with respect to such Alternative Currency at the time such Alternative Currency is approved by the Administrative Agent and the relevant Lenders pursuant to Section 1.09(a) plus the adjustment (if any) determined by the Administrative Agent and the relevant Lenders pursuant to Section 1.09(a); provided, that, if any Alternative Currency Daily Rate shall be less than zero, such rate shall be deemed zero for purposes of this Agreement. Any change in an Alternative Currency Daily Rate shall be effective from and including the date of such change without further notice. “Alternative Currency Daily Rate Loan” means a Loan that bears interest at a rate based on the definition of “Alternative Currency Daily Rate.” All Alternative Currency Daily Rate Loans must be denominated in an Alternative Currency. “Alternative Currency Equivalent” means, at any time, with respect to any amount denominated in Dollars, the equivalent amount thereof in the applicable Alternative Currency as determined by the Administrative Agent or the L/C Issuers, as the case may be, by reference to Bloomberg (or such other publicly available service for displaying exchange rates), to be the exchange rate for the purchase of such Alternative Currency with Dollars at approximately 11:00 a.m. on the date two (2) Business Days prior to the date as of which the foreign exchange computation is made; provided, however, that if no such rate is available, the “Alternative Currency Equivalent” shall be determined by the Administrative Agent or the L/C Issuers, as the case may be, using any reasonable method of determination they deem appropriate in their sole discretion (and such determination shall be conclusive absent manifest error). “Alternative Currency Loan” means an Alternative Currency Daily Rate Loan or an Alternative Currency Term Rate Loan, as applicable. 2 “Alternative Currency Sublimit” means an amount equal to the lesser of the Aggregate Commitments and $250,000,000. The Alternative Currency Sublimit is part of, and not in addition to, the Aggregate Commitments. “Alternative Currency Term Rate” means, for any Interest Period, with respect to any Credit Extension: (a) denominated in Euros, the rate per annum equal to the Euro Interbank Offered Rate (“EURIBOR”), as published on the applicable Reuters screen page (or such other commercially available source providing such quotations as may be designated by the Administrative Agent from time to time) on the day that is two TARGET Days preceding the first day of such Interest Period with a term equivalent to such Interest Period; (b) denominated in Canadian dollars, the rate per annum equal to the Canadian Dollar Offered Rateforward-looking term rate based on CORRA (“CDORTerm CORRA”), as published on the applicable Reuters screen page (or such other commercially available source providing such quotations as may be designated by the Administrative Agent from time to time) (in such case, the “CDORTerm CORRA Rate”) on the day that is two (2) Business Days prior to the first day of such Interest Period (or if such day is not a Business Day, then on the immediately preceding Business Day) with a term equivalent to such Interest Period, plus the Term CORRA Adjustment for such Interest Period; (c) denominated in Australian dollars, the rate per annum equal to the Bank Bill Swap Reference Bid Rate (“BBSY”), as published on the applicable Reuters screen page (or such other commercially available source providing such quotations as may be designated by the Administrative Agent from time to time) on the Rate Determination Date with a term equivalent to such Interest Period; (d) denominated in any other Alternative Currency (to the extent such Loans denominated in such currency will bear interest at a term rate), the term rate per annum as designated with respect to such Alternative Currency at the time such Alternative Currency is approved by the Administrative Agent and the relevant Lenders pursuant to Section 1.09(a) plus the adjustment (if any) determined by the Administrative Agent and the relevant Lenders pursuant to Section 1.09(a); provided, that, if any Alternative Currency Term Rate shall be less than zero, such rate shall be deemed zero for purposes of this Agreement. “Alternative Currency Term Rate Loan” means a Loan that bears interest at a rate based on the definition of “Alternative Currency Term Rate.” All Alternative Currency Term Rate Loans must be denominated in an Alternative Currency. “Applicable Authority” means (a) with respect to SOFR, the SOFR Administrator or any Governmental Authority having jurisdiction over the Administrative Agent or the SOFR Administrator and (b) with respect to any Alternative Currency, the applicable administrator for the Relevant Rate for such Alternative Currency or any Governmental Authority having jurisdiction over the Administrative Agent or such administrator. “Applicable Law” means, as to any Person, all applicable Laws binding upon such Person or to which such Person is subject. “Applicable Percentage” means (a) in respect of the Term Facility, with respect to any Term Lender at any time, the percentage (carried out to the ninth decimal place) of the Term Facility represented by (i) at any time during the Availability Period in respect of such Facility, such Term 3


 
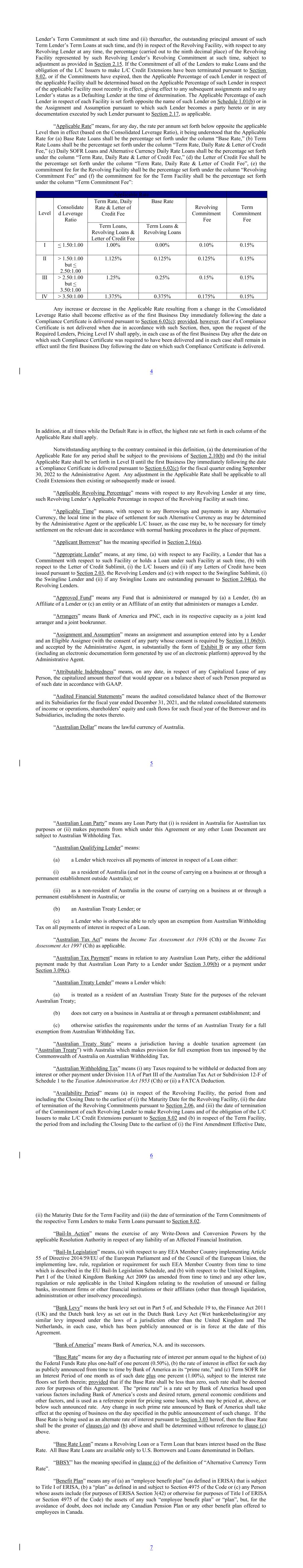
4 Term Commitment Fee 0.10% 0.15% II > 1.50:1.00 but < 2.50:1.00 Level 1.125% 0.125% 0.125% Term Loans, Revolving Loans & Letter of Credit Fee 0.15% Consolidate d Leverage Ratio Term Loans & Revolving Loans III Applicable Rate > 2.50:1.00 but < 3.50:1.00 1.25% Term Rate, Daily Rate & Letter of Credit Fee 0.25% 0.15% 0.15% Base Rate IV I > 3.50:1.00 1.375% < 1.50:1.00 0.375% Revolving Commitment Fee 0.175% 1.00% 0.15% Lender’s Term Commitment at such time and (ii) thereafter, the outstanding principal amount of such Term Lender’s Term Loans at such time, and (b) in respect of the Revolving Facility, with respect to any Revolving Lender at any time, the percentage (carried out to the ninth decimal place) of the Revolving Facility represented by such Revolving Lender’s Revolving Commitment at such time, subject to adjustment as provided in Section 2.15. If the Commitment of all of the Lenders to make Loans and the obligation of the L/C Issuers to make L/C Credit Extensions have been terminated pursuant to Section 8.02, or if the Commitments have expired, then the Applicable Percentage of each Lender in respect of the applicable Facility shall be determined based on the Applicable Percentage of such Lender in respect of the applicable Facility most recently in effect, giving effect to any subsequent assignments and to any Lender’s status as a Defaulting Lender at the time of determination. The Applicable Percentage of each Lender in respect of each Facility is set forth opposite the name of such Lender on Schedule 1.01(b) or in the Assignment and Assumption pursuant to which such Lender becomes a party hereto or in any documentation executed by such Lender pursuant to Section 2.17, as applicable. “Applicable Rate” means, for any day, the rate per annum set forth below opposite the applicable Level then in effect (based on the Consolidated Leverage Ratio), it being understood that the Applicable Rate for (a) Base Rate Loans shall be the percentage set forth under the column “Base Rate,” (b) Term Rate Loans shall be the percentage set forth under the column “Term Rate, Daily Rate & Letter of Credit Fee,” (c) Daily SOFR Loans and Alternative Currency Daily Rate Loans shall be the percentage set forth under the column “Term Rate, Daily Rate & Letter of Credit Fee,” (d) the Letter of Credit Fee shall be the percentage set forth under the column “Term Rate, Daily Rate & Letter of Credit Fee”, (e) the commitment fee for the Revolving Facility shall be the percentage set forth under the column “Revolving Commitment Fee” and (f) the commitment fee for the Term Facility shall be the percentage set forth under the column “Term Commitment Fee”: Any increase or decrease in the Applicable Rate resulting from a change in the Consolidated Leverage Ratio shall become effective as of the first Business Day immediately following the date a Compliance Certificate is delivered pursuant to Section 6.02(c); provided, however, that if a Compliance Certificate is not delivered when due in accordance with such Section, then, upon the request of the Required Lenders, Pricing Level IV shall apply, in each case as of the first Business Day after the date on which such Compliance Certificate was required to have been delivered and in each case shall remain in effect until the first Business Day following the date on which such Compliance Certificate is delivered. 0.00% In addition, at all times while the Default Rate is in effect, the highest rate set forth in each column of the Applicable Rate shall apply. Notwithstanding anything to the contrary contained in this definition, (a) the determination of the Applicable Rate for any period shall be subject to the provisions of Section 2.10(b) and (b) the initial Applicable Rate shall be set forth in Level II until the first Business Day immediately following the date a Compliance Certificate is delivered pursuant to Section 6.02(c) for the fiscal quarter ending September 30, 2022 to the Administrative Agent. Any adjustment in the Applicable Rate shall be applicable to all Credit Extensions then existing or subsequently made or issued. “Applicable Revolving Percentage” means with respect to any Revolving Lender at any time, such Revolving Lender’s Applicable Percentage in respect of the Revolving Facility at such time. “Applicable Time” means, with respect to any Borrowings and payments in any Alternative Currency, the local time in the place of settlement for such Alternative Currency as may be determined by the Administrative Agent or the applicable L/C Issuer, as the case may be, to be necessary for timely settlement on the relevant date in accordance with normal banking procedures in the place of payment. “Applicant Borrower” has the meaning specified in Section 2.16(a). “Appropriate Lender” means, at any time, (a) with respect to any Facility, a Lender that has a Commitment with respect to such Facility or holds a Loan under such Facility at such time, (b) with respect to the Letter of Credit Sublimit, (i) the L/C Issuers and (ii) if any Letters of Credit have been issued pursuant to Section 2.03, the Revolving Lenders and (c) with respect to the Swingline Sublimit, (i) the Swingline Lender and (ii) if any Swingline Loans are outstanding pursuant to Section 2.04(a), the Revolving Lenders. “Approved Fund” means any Fund that is administered or managed by (a) a Lender, (b) an Affiliate of a Lender or (c) an entity or an Affiliate of an entity that administers or manages a Lender. “Arrangers” means Bank of America and PNC, each in its respective capacity as a joint lead arranger and a joint bookrunner. “Assignment and Assumption” means an assignment and assumption entered into by a Lender and an Eligible Assignee (with the consent of any party whose consent is required by Section 11.06(b)), and accepted by the Administrative Agent, in substantially the form of Exhibit B or any other form (including an electronic documentation form generated by use of an electronic platform) approved by the Administrative Agent. “Attributable Indebtedness” means, on any date, in respect of any Capitalized Lease of any Person, the capitalized amount thereof that would appear on a balance sheet of such Person prepared as of such date in accordance with GAAP. “Audited Financial Statements” means the audited consolidated balance sheet of the Borrower and its Subsidiaries for the fiscal year ended December 31, 2021, and the related consolidated statements of income or operations, shareholders’ equity and cash flows for such fiscal year of the Borrower and its Subsidiaries, including the notes thereto. “Australian Dollar” means the lawful currency of Australia. 5 “Australian Loan Party” means any Loan Party that (i) is resident in Australia for Australian tax purposes or (ii) makes payments from which under this Agreement or any other Loan Document are subject to Australian Withholding Tax. “Australian Qualifying Lender” means: (a) a Lender which receives all payments of interest in respect of a Loan either: (i) as a resident of Australia (and not in the course of carrying on a business at or through a permanent establishment outside Australia); or (ii) as a non-resident of Australia in the course of carrying on a business at or through a permanent establishment in Australia; or (b) an Australian Treaty Lender; or (c) a Lender who is otherwise able to rely upon an exemption from Australian Withholding Tax on all payments of interest in respect of a Loan. “Australian Tax Act” means the Income Tax Assessment Act 1936 (Cth) or the Income Tax Assessment Act 1997 (Cth) as applicable. “Australian Tax Payment” means in relation to any Australian Loan Party, either the additional payment made by that Australian Loan Party to a Lender under Section 3.09(b) or a payment under Section 3.09(c). “Australian Treaty Lender” means a Lender which: (a) is treated as a resident of an Australian Treaty State for the purposes of the relevant Australian Treaty; (b) does not carry on a business in Australia at or through a permanent establishment; and (c) otherwise satisfies the requirements under the terms of an Australian Treaty for a full exemption from Australian Withholding Tax. “Australian Treaty State” means a jurisdiction having a double taxation agreement (an “Australian Treaty”) with Australia which makes provision for full exemption from tax imposed by the Commonwealth of Australia on Australian Withholding Tax. “Australian Withholding Tax” means (i) any Taxes required to be withheld or deducted from any interest or other payment under Division 11A of Part III of the Australian Tax Act or Subdivision 12-F of Schedule 1 to the Taxation Administration Act 1953 (Cth) or (ii) a FATCA Deduction. “Availability Period” means (a) in respect of the Revolving Facility, the period from and including the Closing Date to the earliest of (i) the Maturity Date for the Revolving Facility, (ii) the date of termination of the Revolving Commitments pursuant to Section 2.06, and (iii) the date of termination of the Commitment of each Revolving Lender to make Revolving Loans and of the obligation of the L/C Issuers to make L/C Credit Extensions pursuant to Section 8.02 and (b) in respect of the Term Facility, the period from and including the Closing Date to the earliest of (i) the First Amendment Effective Date, 6 (ii) the Maturity Date for the Term Facility and (iii) the date of termination of the Term Commitments of the respective Term Lenders to make Term Loans pursuant to Section 8.02. “Bail-In Action” means the exercise of any Write-Down and Conversion Powers by the applicable Resolution Authority in respect of any liability of an Affected Financial Institution. “Bail-In Legislation” means, (a) with respect to any EEA Member Country implementing Article 55 of Directive 2014/59/EU of the European Parliament and of the Council of the European Union, the implementing law, rule, regulation or requirement for such EEA Member Country from time to time which is described in the EU Bail-In Legislation Schedule, and (b) with respect to the United Kingdom, Part I of the United Kingdom Banking Act 2009 (as amended from time to time) and any other law, regulation or rule applicable in the United Kingdom relating to the resolution of unsound or failing banks, investment firms or other financial institutions or their affiliates (other than through liquidation, administration or other insolvency proceedings). “Bank Levy” means the bank levy set out in Part 5 of, and Schedule 19 to, the Finance Act 2011 (UK) and the Dutch bank levy as set out in the Dutch Bank Levy Act (Wet bankenbelasting)/or any similar levy imposed under the laws of a jurisdiction other than the United Kingdom and The Netherlands, in each case, which has been publicly announced or is in force at the date of this Agreement. “Bank of America” means Bank of America, N.A. and its successors. “Base Rate” means for any day a fluctuating rate of interest per annum equal to the highest of (a) the Federal Funds Rate plus one-half of one percent (0.50%), (b) the rate of interest in effect for such day as publicly announced from time to time by Bank of America as its “prime rate,” and (c) Term SOFR for an Interest Period of one month as of such date plus one percent (1.00%), subject to the interest rate floors set forth therein; provided that if the Base Rate shall be less than zero, such rate shall be deemed zero for purposes of this Agreement. The “prime rate” is a rate set by Bank of America based upon various factors including Bank of America’s costs and desired return, general economic conditions and other factors, and is used as a reference point for pricing some loans, which may be priced at, above, or below such announced rate. Any change in such prime rate announced by Bank of America shall take effect at the opening of business on the day specified in the public announcement of such change. If the Base Rate is being used as an alternate rate of interest pursuant to Section 3.03 hereof, then the Base Rate shall be the greater of clauses (a) and (b) above and shall be determined without reference to clause (c) above. “Base Rate Loan” means a Revolving Loan or a Term Loan that bears interest based on the Base Rate. All Base Rate Loans are available only to U.S. Borrowers and Loans denominated in Dollars. “BBSY” has the meaning specified in clause (c) of the definition of “Alternative Currency Term Rate”. “Benefit Plan” means any of (a) an “employee benefit plan” (as defined in ERISA) that is subject to Title I of ERISA, (b) a “plan” as defined in and subject to Section 4975 of the Code or (c) any Person whose assets include (for purposes of ERISA Section 3(42) or otherwise for purposes of Title I of ERISA or Section 4975 of the Code) the assets of any such “employee benefit plan” or “plan”, but, for the avoidance of doubt, does not include any Canadian Pension Plan or any other benefit plan offered to employees in Canada. 7


 
“BHC Act Affiliate” of a party means an “affiliate” (as such term is defined under, and interpreted in accordance with, 12 U.S.C. 1841(k)) of such party. “Blocking Regulation” means any provision of Council Regulation (EC) No 2271/1996 of 22 November 1996, as amended, including as it forms part of UK domestic law by virtue of the European Union (Withdrawal) Act 2018 (or any law or regulation implementing such Regulation in any member state of the European Union or the United Kingdom) or any similar blocking or anti-boycott law, regulation or statute in force from time to time. “Borrower” and “Borrowers” each has the meaning specified in the introductory paragraph hereto. “Borrower DTTP Filing” an H.M. Revenue & Customs’ Form DTTP2 duly completed and filed by the relevant UK Borrower, which (a) where it relates to a UK Treaty Lender that is a party to this Agreement as a Lender as at the date of this Agreement, contains the scheme reference number and jurisdiction of tax residence stated opposite that Lender’s name at Schedule 1.01(b), and is filed with HM Revenue & Customs within 30 days of the date of this Agreement: or (b) where it relates to a UK Treaty Lender that is not a party to this Agreement as a Lender as at the date of this Agreement, contains the scheme reference number and jurisdiction of tax residence stated in respect of that Lender in the documentation which it executes on becoming a party to this Agreement as a Lender, and is filed with H.M. Revenue & Customs within 30 days of the date on which that UK Treaty Lender becomes a Party to this Agreement as a Lender. “Borrower Materials” has the meaning specified in Section 6.01(d). “Borrowing” means a Revolving Borrowing, a Swingline Borrowing or a Term Borrowing, as the context may require. “Business Day” means any day other than a Saturday, Sunday or other day on which commercial banks are authorized to close under the Laws of, or are in fact closed in, the state where the Administrative Agent’s Office is located; provided that: (a) if such day relates to any interest rate settings as to an Alternative Currency Loan denominated in Euro, any fundings, disbursements, settlements and payments in Euro in respect of any such Alternative Currency Loan, or any other dealings in Euro to be carried out pursuant to this Agreement in respect of any such Alternative Currency Loan, means a Business Day that is also a TARGET Day; (b) if such day relates to any interest rate settings as to an Alternative Currency Loan denominated in Sterling, means a day other than a day banks are closed for general business in London because such day is a Saturday, Sunday or a legal holiday under the laws of the United Kingdom; and (c) if such day relates to any fundings, disbursements, settlements and payments in a currency other than Euro in respect of an Alternative Currency Loan denominated in a currency other than Euro, or any other dealings in any currency other than Euro to be carried out pursuant to this Agreement in respect of any such Alternative Currency Loan (other than any interest rate settings), means any such day on which banks are open for foreign exchange business in the principal financial center of the country of such currency. 8 “Canadian AML Acts” means applicable Canadian law regarding anti-money laundering, anti-terrorist financing, government sanction and “know your client” matters, including the Proceeds of Crime (Money Laundering) and Terrorist Financing Act (Canada). “Canadian Defined Benefit Pension Plan” means a Canadian Pension Plan that contains a "defined benefit provision" as such term is defined in Section 147.1(1) of the Income Tax Act (Canada). “Canadian Dollar” and “CAD” means the lawful currency of Canada. “Canadian Pension Plan” means a pension plan or plan that is subject to applicable pension benefits legislation in any jurisdiction of Canada and that is organized and administered to provide pensions, pension benefits or retirement benefits for employees and former employees of any Loan Party or any Subsidiary thereof, but, for the avoidance of doubt, does not include the Canada Pension Plan or the Quebec Pension Plan as maintained by the Government of Canada or the Province of Quebec, respectively. “Canadian Sanctions List” means the list of names subject to the Regulations Establishing a List of Entities made under subsection 83.05(1) of the Criminal Code (Canada), the Regulations Implementing the United Nations Resolutions on the Suppression of Terrorism, the United Nations Al-Qaida and Taliban Regulations and/or the Special Economic Measures Act (Canada). “Capitalized Leases” means all leases that have been or should be, in accordance with GAAP, recorded as capitalized leases; provided that, notwithstanding the foregoing, in no event will any lease that would have been categorized as an operating lease as determined in accordance with GAAP as of December 15, 2015 be considered a Capitalized Lease. “Cash Collateralize” means to pledge and deposit with or deliver to the Administrative Agent, for the benefit of one or more of the L/C Issuers or Swingline Lenders (as applicable) or the Lenders, as Collateral for L/C Obligations, the Obligations in respect of Swingline Loans, or obligations of the Revolving Lenders to fund participations in respect of L/C Obligations or Swingline Loans (as the context may require), (a) cash or deposit account balances, (b) backstop letters of credit entered into on terms, from issuers and in amounts satisfactory to the Administrative Agent and the applicable L/C Issuers, and/or (c) if the Administrative Agent and the applicable L/C Issuers or Swingline Lenders shall agree, in their sole discretion, other credit support, in each case, in Dollars and pursuant to documentation in form and substance satisfactory to the Administrative Agent and such L/C Issuer or the Swingline Lender (as applicable). “Cash Collateral” shall have a meaning correlative to the foregoing and shall include the proceeds of such Cash Collateral and other credit support. “Cash Equivalents” means any of the following types of Investments, to the extent owned by the Borrower or any of its Subsidiaries free and clear of all Liens (other than Permitted Liens): (a) readily marketable obligations issued or directly and fully guaranteed or insured by the United States or any agency or instrumentality thereof having maturities of not more than three hundred sixty days (360) days from the date of acquisition thereof; provided that the full faith and credit of the United States is pledged in support thereof; (b) time deposits with, or insured certificates of deposit or bankers’ acceptances of, any commercial bank that (i) (A) is a Lender or (B) is organized under the laws of the United States, any state thereof or the District of Columbia or is the principal banking subsidiary of a bank holding company 9 organized under the laws of the United States, any state thereof or the District of Columbia, and is a member of the Federal Reserve System, (ii) issues (or the parent of which issues) commercial paper rated as described in clause (c) of this definition and (iii) has combined capital and surplus of at least $1,000,000,000, in each case with maturities of not more than ninety (90) days from the date of acquisition thereof; (c) commercial paper issued by any Person organized under the laws of any state of the United States and rated at least “Prime-1” (or the then equivalent grade) by Moody’s or at least “A-1” (or the then equivalent grade) by S&P, in each case with maturities of not more than one hundred eighty (180) days from the date of acquisition thereof; (d) Investments, classified in accordance with GAAP as current assets of the Borrower or any of its Subsidiaries, in money market investment programs registered under the Investment Company Act of 1940, which are administered by financial institutions that have the highest rating obtainable from either Moody’s or S&P, and the portfolios of which are limited solely to Investments of the character, quality and maturity described in clauses (a), (b) and (c) of this definition; and (e) Investments permitted by the Borrower’s Investment Policy. “CDOR” has the meaning specified in clause (b) of the definition of “Alternative Currency Term Rate”. “CDOR Rate” has the meaning specified in clause (b) of the definition of “Alternative Currency Term Rate”. “Change in Law” means the occurrence, after the Closing Date, of any of the following: (a) the adoption or taking effect of any law, rule, regulation or treaty, (b) any change in any law, rule, regulation or treaty or in the administration, interpretation, implementation or application thereof by any Governmental Authority or (c) the making or issuance of any request, rule, guideline or directive (whether or not having the force of law) by any Governmental Authority; provided that notwithstanding anything herein to the contrary, (i) the Dodd-Frank Wall Street Reform and Consumer Protection Act and all requests, rules, guidelines or directives thereunder or issued in connection therewith or in the implementation thereof and (ii) all requests, rules, guidelines or directives promulgated by the Bank for International Settlements, the Basel Committee on Banking Supervision (or any successor or similar authority) or the United States or foreign regulatory authorities, in each case pursuant to Basel IV, shall in each case be deemed to be a “Change in Law”, regardless of the date enacted, adopted, issued or implemented. “Change of Control” means an event or series of events by which any “person” or “group” (as such terms are used in Sections 13(d) and 14(d) of the Securities Exchange Act of 1934, but excluding (a) the holders of any Founder Family Shares, (b) any employee benefit plan of such person or its subsidiaries, and any person or entity acting in its capacity as trustee, agent or other fiduciary or administrator of any such plan, (c) any person or entity acting in its capacity as trustee, agent or other fiduciary on behalf of any person or group described in preceding clauses (a) or (b)) becomes the “beneficial owner” (as defined in Rules 13d-3 and 13d-5 under the Securities Exchange Act of 1934, except that a person or group shall be deemed to have “beneficial ownership” of all securities that such person or group has the right to acquire, whether such right is exercisable immediately or only after the passage of time (such right, an “option right”)), directly or indirectly, of thirty-five percent (35%) or more of the Equity Interests of the Company entitled to vote for members of the board of directors or equivalent governing body of the Company on a fully-diluted basis (and taking into account all such securities that such “person” or “group” has the right to acquire pursuant to any option right) or (d) the 10 Company shall cease to own and control, of record and beneficially, directly or indirectly, at least 100% of the aggregate ordinary voting power represented by the issued and outstanding Equity Interests of each other Borrower on a fully diluted basis (which for this purpose shall excluded all Equity Interests that have not yet vested and Equity Interests issued to directors as qualifying shares to the extent such issuances are required under Applicable Law). “Class”, when used in reference to any Loan or Borrowing, refers to whether such Loan, or the Loans comprising such Borrowing, are Revolving Loans or Term Loans and, when used in reference to any Commitment, refers to whether such Commitment is a Revolving Commitment or Term Commitment. “Closing Date” means the date hereof. “CME” means CME Group Benchmark Administration Limited. “Code” means the Internal Revenue Code of 1986. “Commitment” means a Term Commitment or a Revolving Commitment, as the context may require. “Commodity Exchange Act” means the Commodity Exchange Act (7 U.S.C. § 1 et seq.), as amended from time to time, and any successor statute. “Communication” means this Agreement, any Loan Document and any document, amendment, approval, consent, information, notice, certificate, request, statement, disclosure or authorization related to any Loan Document. “Company” has the meaning specified in the introductory paragraph hereto. “Compliance Certificate” means a certificate substantially in the form of Exhibit C or such other form as may be approved by the Administrative Agent. “Conforming Changes” means, with respect to the use, administration of or any conventions associated with SOFR, SONIA, CORRA, Term CORRA or any proposed Successor Rate for an Agreed Currency or Term SOFR, as applicable, any conforming changes to the definitions of “Base Rate”, “SOFR”, “Term SOFR”, “SONIA”, “CORRA”, “Term CORRA”, “Interest Period”, timing and frequency of determining rates and making payments of interest and other technical, administrative or operational matters (including, for the avoidance of doubt, the definitions of “Business Day” and “U.S. Government Securities Business Day”, timing of borrowing requests or prepayment, conversion or continuation notices and length of lookback periods) as may be appropriate, in the discretion of the Administrative Agent, to reflect the adoption and implementation of such applicable rate(s) and to permit the administration thereof by the Administrative Agent in a manner substantially consistent with market practice for such Agreed Currency (or, if the Administrative Agent determines that adoption of any portion of such market practice is not administratively feasible or that no market practice for the administration of such rate for such Agreed Currency exists, in such other manner of administration as the Administrative Agent determines is reasonably necessary in connection with the administration of this Agreement and any other Loan Document). “Connection Income Taxes” means Other Connection Taxes that are imposed on or measured by net income (however denominated) or that are franchise Taxes or branch profits Taxes. 11


 
“Consolidated EBITDA” means, for any period, the sum of the following determined on a consolidated basis, without duplication, for the Borrower and its Subsidiaries in accordance with GAAP, (a) Consolidated Net Income for the most recently completed Measurement Period plus (b) the following to the extent deducted in calculating such Consolidated Net Income (without duplication): (i) Consolidated Interest Charges, (ii) the provision for federal, state, local and foreign income taxes payable and (iii) depreciation and amortization expense, (iv) non-cash charges, expenses and losses (excluding any such non-cash charges, expenses or losses to the extent (A) there were cash charges with respect to such charges and losses in past accounting periods or (B) there is a reasonable expectation that there will be cash charges with respect to such charges and losses in future accounting periods), (v)(A) other non-recurring items of the Borrower and its Subsidiaries for any period prior to the Closing Date, and (B) other non-recurring items of the Borrower and its Subsidiaries for any period on or after the Closing Date, provided that the amount added back to Consolidated Net Income pursuant to this clause (v)(B) shall not exceed 20% of Consolidated EBITDA for such period, and (vi) litigation expenses and liabilities, and settlements entered into to avoid litigation or to settle any claims, so long as no Event of Default exists under Section 8.01(h), less (c) without duplication and to the extent reflected as a gain or otherwise included in the calculation of Consolidated Net Income for such period (i) non-cash gains (excluding any such non-cash gains to the extent (A) there were cash gains with respect to such gains in past accounting periods or (B) there is a reasonable expectation that there will be cash gains with respect to such gains in future accounting periods). “Consolidated Funded Indebtedness” means, as of any date of determination, for the Borrower and its Subsidiaries on a consolidated basis, the sum of (a) the outstanding principal amount of all obligations, whether current or long-term, for borrowed money (including Obligations hereunder) and all obligations evidenced by bonds, debentures, notes, loan agreements or other similar instruments; (b) all purchase money Indebtedness; (c) all matured obligations then owed by the Borrower or any Subsidiary under issued and outstanding letters of credit (including standby and commercial), bankers’ acceptances, bank guaranties, surety bonds and similar instruments; (d) all obligations in respect of the deferred purchase price of property or services (other than trade accounts payable in the ordinary course of business); (e) all Attributable Indebtedness; (f) without duplication, all Guarantees with respect to outstanding Indebtedness of the types specified in clauses (a) through (e) above of Persons other than the Borrower or any Subsidiary; and (g) all Indebtedness of the types referred to in clauses (a) through (f) above of any partnership or joint venture (other than a joint venture that is itself a corporation or limited liability company) in which the Borrower or a Subsidiary is a general partner or joint venturer, unless such Indebtedness is expressly made non-recourse to the Borrower or such Subsidiary. “Consolidated Interest Charges” means, for any Measurement Period, the sum (without duplication) of (a) all interest, premium payments, debt discount, and similar charges attributable to such Measurement Period in connection with borrowed money (including capitalized interest) or in connection with the deferred purchase price of assets, in each case to the extent treated as interest in accordance with GAAP and (b) the portion of rent expense paid with respect to such Measurement Period under Capitalized Leases that is treated as interest in accordance with GAAP, in each case, of or by the Borrower and its Subsidiaries on a consolidated basis for the most recently completed Measurement Period. “Consolidated Interest Coverage Ratio” means, as of any date of determination, the ratio of (a) Consolidated EBITDA for the most recently completed Measurement Period to (b) Consolidated Interest Charges for the most recently completed Measurement Period to the extent paid in cash. 12 “Consolidated Leverage Ratio” means, as of any date of determination, the ratio of (a) Consolidated Funded Indebtedness as of such date to (b) Consolidated EBITDA for the most recently completed Measurement Period. “Consolidated Net Income” means, at any date of determination, the net income (or loss) of the Borrower and its Subsidiaries on a consolidated basis for the most recently completed Measurement Period; provided that Consolidated Net Income shall exclude (a) extraordinary gains and extraordinary losses for such Measurement Period, (b) the net income of any Subsidiary during such Measurement Period to the extent that the declaration or payment of dividends or similar distributions by such Subsidiary of such income is not permitted by operation of the terms of its Organization Documents or any agreement, instrument or Law applicable to such Subsidiary during such Measurement Period, except that the Borrower’s equity in the net income of any such Person for such Measurement Period shall be included in Consolidated Net Income up to the aggregate amount of cash actually distributed by such Person during such Measurement Period to the Borrower or a Subsidiary as a dividend or other distribution, and (c) any income (or loss) for such Measurement Period of any Person if such Person is not a Subsidiary, except that the Borrower’s equity in the net income of any such Person for such Measurement Period shall be included in Consolidated Net Income up to the aggregate amount of cash actually distributed by such Person during such Measurement Period to the Borrower or a Subsidiary as a dividend or other distribution. “Consolidated Total Assets” means, as of the date of any determination thereof, total assets of the Borrower and its Subsidiaries calculated in accordance with GAAP on a consolidated basis as of such date. “Contractual Obligation” means, as to any Person, any provision of any security issued by such Person or of any agreement, instrument or other undertaking to which such Person is a party or by which it or any of its property is bound. “Control” means the possession, directly or indirectly, of the power to direct or cause the direction of the management or policies of a Person, whether through the ability to exercise voting power, by contract or otherwise. “Controlling” and “Controlled” have meanings correlative thereto. “CORRA” means the Canadian Overnight Repo Rate Average administered and published by the Bank of Canada (or any successor administrator). “Covered Entity” means any of the following: (a) a “covered entity” as that term is defined in, and interpreted in accordance with, 12 C.F.R. § 252.82(b); (b) a “covered bank” as that term is defined in, and interpreted in accordance with, 12 C.F.R. § 47.3(b); or (c) a “covered FSI” as that term is defined in, and interpreted in accordance with, 12 C.F.R. § 382.2(b). “Credit Extension” means each of the following: (a) a Borrowing and (b) an L/C Credit Extension. “CTA” means the Corporation Tax Act 2009 (UK). “Daily Simple SOFR” with respect to any applicable determination date means the SOFR published on the fifth U.S. Government Securities Business Day preceding such date by the SOFR Administrator on the Federal Reserve Bank of New York’s website (or any successor source); provided however that if such determination date is not a U.S. Government Securities Business Day, then SOFR 13 means such rate that applied on the first U.S. Government Securities Business Day immediately prior thereto. “Daily SOFR Loan” means a Loan that bears interest at a rate based on Daily Simple SOFR. “Debtor Relief Laws” means the Bankruptcy Code of the United States, the Bankruptcy and Insolvency Act (Canada), the Companies’ Creditors Arrangement Act (Canada), the Winding-Up and Restructuring Act (Canada), and all other liquidation, conservatorship, bankruptcy, assignment for the benefit of creditors, moratorium, rearrangement, receivership, insolvency, reorganization, or similar debtor relief Laws of the United States, Canada or other applicable jurisdictions from time to time in effect and affecting the rights of creditors generally. “Default” means any event or condition that constitutes an Event of Default or that, with the giving of any notice, the passage of time, or both, would be an Event of Default. “Default Rate” means (a) with respect to any Obligation for which a rate is specified, a rate per annum equal to two percent (2%) in excess of the rate otherwise applicable thereto and (b) with respect to any Obligation for which a rate is not specified or available, a rate per annum equal to the Base Rate plus the Applicable Rate for Revolving Loans that are Base Rate Loans plus two percent (2%), in each case, to the fullest extent permitted by Applicable Law. “Default Right” has the meaning assigned to that term in, and shall be interpreted in accordance with, 12 C.F.R. §§ 252.81, 47.2 or 382.1, as applicable. “Defaulting Lender” means, subject to Section 2.15(b), any Lender that (a) has failed to (i) fund all or any portion of its Loans within two (2) Business Days of the date such Loans were required to be funded hereunder unless such Lender notifies the Administrative Agent and the Company in writing that such failure is the result of such Lender’s determination that one or more conditions precedent to funding (each of which conditions precedent, together with any applicable default, shall be specifically identified in such writing) has not been satisfied, or (ii) pay to the Administrative Agent, any L/C Issuer, any Swingline Lender or any other Lender any other amount required to be paid by it hereunder (including in respect of its participation in Letters of Credit or Swingline Loans) within two (2) Business Days of the date when due, (b) has notified the Company, the Administrative Agent, any L/C Issuer or any Swingline Lender in writing that it does not intend to comply with its funding obligations hereunder, or has made a public statement to that effect (unless such writing or public statement relates to such Lender’s obligation to fund a Loan hereunder and states that such position is based on such Lender’s determination that a condition precedent to funding (which condition precedent, together with any applicable default, shall be specifically identified in such writing or public statement) cannot be satisfied), (c) has failed, within three (3) Business Days after written request by the Administrative Agent or the Company, to confirm in writing to the Administrative Agent and the Company that it will comply with its prospective funding obligations hereunder (provided that such Lender shall cease to be a Defaulting Lender pursuant to this clause (c) upon receipt of such written confirmation by the Administrative Agent and the Company), or (d) has, or has a direct or indirect parent company that has, (i) become the subject of a proceeding under any Debtor Relief Law, (ii) had appointed for it a receiver, custodian, conservator, trustee, administrator, assignee for the benefit of creditors or similar Person charged with reorganization or liquidation of its business or assets, including the Federal Deposit Insurance Corporation or any other state or federal regulatory authority acting in such a capacity or (iii) become the subject of a Bail-In Action; provided that a Lender shall not be a Defaulting Lender solely by virtue of the ownership or acquisition of any Equity Interest in that Lender or any direct or indirect parent company thereof by a Governmental Authority so long as such ownership interest does not result in or provide such Lender with immunity from the jurisdiction of courts within the United States or from the enforcement of judgments or writs of 14 attachment on its assets or permit such Lender (or such Governmental Authority) to reject, repudiate, disavow or disaffirm any contracts or agreements made with such Lender. Any determination by the Administrative Agent that a Lender is a Defaulting Lender under any one or more of clauses (a) through (d) above, and the effective date of such status, shall be conclusive and binding absent manifest error, and such Lender shall be deemed to be a Defaulting Lender (subject to Section 2.15(b)) as of the date established therefor by the Administrative Agent in a written notice of such determination, which shall be delivered by the Administrative Agent to the Company, each L/C Issuer, the Swingline Lender and each other Lender promptly following such determination. “Designated Borrower” has the meaning specified in the introductory paragraph hereto. “Designated Borrower Request and Assumption Agreement” shall have the meaning set forth in Section 2.16(a). “Designated Borrower Notice” shall have the meaning set forth in Section 2.16(a). “Designated Lender” shall have the meaning set forth in Section 2.17. “Designated Jurisdiction” means any country or territory to the extent that such country or territory is the subject of any comprehensive or territory-wide Sanctions. “Disposition” or “Dispose” means the sale, transfer, license, lease or other disposition of any property by any Loan Party or Subsidiary (or the granting of any option or other right to do any of the foregoing), including any sale, assignment, transfer or other disposal, with or without recourse, of any notes or accounts receivable or any rights and claims associated therewith, but excluding any Involuntary Disposition. “Dividing Person” has the meaning assigned to it in the definition of “Division”. “Division” means the division of the assets, liabilities and/or obligations of a Person (the “Dividing Person”) among two or more Persons (whether pursuant to a “plan of division” or similar arrangement), which may or may not include the Dividing Person and pursuant to which the Dividing Person may or may not survive. “Division Successor” means any Person that, upon the consummation of a Division of a Dividing Person, holds all or any portion of the assets, liabilities and/or obligations previously held by such Dividing Person immediately prior to the consummation of such Division. A Dividing Person which retains any of its assets, liabilities and/or obligations after a Division shall be deemed a Division Successor upon the occurrence of such Division. “Dollar” and “$” mean lawful money of the United States. “Dollar Equivalent” means, for any amount, at the time of determination thereof, (a) if such amount is expressed in Dollars, such amount, (b) if such amount is expressed in an Alternative Currency, the equivalent of such amount in Dollars determined by using the rate of exchange for the purchase of Dollars with the Alternative Currency last provided (either by publication or otherwise provided to the Administrative Agent or the applicable L/C Issuer, as applicable) by the applicable Bloomberg source (or such other publicly available source for displaying exchange rates) on date that is two (2) Business Days immediately preceding the date of determination (or if such service ceases to be available or ceases to provide such rate of exchange, the equivalent of such amount in Dollars as determined by the Administrative Agent or the applicable L/C Issuer, as applicable using any method of determination it 15


 
deems appropriate in its sole discretion) and (c) if such amount is denominated in any other currency, the equivalent of such amount in Dollars as determined by the Administrative Agent or the applicable L/C Issuer, as applicable, using any method of determination it deems appropriate in its sole discretion. Any determination by the Administrative Agent or the applicable L/C Issuer pursuant to clauses (b) or (c) above shall be conclusive absent manifest error. “Domestic Subsidiary” means any Subsidiary that is organized under the laws of any political subdivision of the United States, any state thereof or the District of Columbia. “Dutch Borrower” means any Borrower (i) that is organized or formed under the laws of The Netherlands; (ii) that is resident in The Netherlands for Dutch tax purposes or (iii) payments from which under this Agreement or any other Loan Document are subject to withholding Taxes imposed by the laws of The Netherlands. “Dutch Qualifying Lender” means, in respect of advances to be made under this Agreement to a Dutch Borrower, a Lender which: (i) is entitled to receive a payment under this Agreement without any Dutch Tax Deduction; or (ii) is a Dutch Treaty Lender. “Dutch Tax Deduction” means a deduction or withholding from a payment under any Loan Document for and on account of any Taxes imposed by the laws of The Netherlands other than a FATCA Deduction. “Dutch Tax Payment” means in relation to any Dutch Borrower, either the increase in a payment made by that Dutch Borrower to a Lender under Section 3.10(b) or a payment under Section 3.10(c). “Dutch Treaty Lender” means, in relation to a Dutch Borrower, a Lender which: (a) is treated as a resident of a Dutch Treaty State for the purposes of the relevant Treaty; (b) does not carry on a business in the The Netherlands through a permanent establishment with which that Lender’s participation in any advance is effectively connected; and (c) fulfils any other conditions which must be fulfilled under the relevant Treaty by residents of that Dutch Treaty State for such residents to obtain a reduction or an exemption from Tax on interest imposed by the Netherlands. “Dutch Treaty State” means a jurisdiction having a double taxation agreement (a "Dutch Treaty") with The Netherlands which makes provision for a reduction or an exemption from Tax imposed by The Netherlands on interest. “EEA Financial Institution” means (a) any credit institution or investment firm established in any EEA Member Country which is subject to the supervision of an EEA Resolution Authority, (b) any entity established in an EEA Member Country which is a parent of an institution described in clause (a) of this definition, or (c) any financial institution established in an EEA Member Country which is a Subsidiary of an institution described in clauses (a) or (b) of this definition and is subject to consolidated supervision with its parent. 16 “EEA Member Country” means any of the member states of the European Union, Iceland, Liechtenstein, and Norway. “EEA Resolution Authority” means any public administrative authority or any Person entrusted with public administrative authority of any EEA Member Country (including any delegee) having responsibility for the resolution of any EEA Financial Institution. “Electronic Copy” shall have the meaning specified in Section 11.18. “Electronic Record” and “Electronic Signature” shall have the meanings assigned to them, respectively, by 15 USC §7006, as it may be amended from time to time. “Eligible Assignee” means any Person that meets the requirements to be an assignee under Section 11.06 (subject to such consents, if any, as may be required under Section 11.06(b)(iii)). “Eligible Currency” means any lawful currency other than Dollars that is readily available, freely transferable and convertible into Dollars in the international interbank market available to the Lenders in such market and as to which a Dollar Equivalent may be readily calculated. If, after the designation by the Lenders of any currency as an Alternative Currency, any change in currency controls or exchange regulations or any change in the national or international financial, political or economic conditions are imposed in the country in which such currency is issued, result in, in the reasonable opinion of the Administrative Agent (in the case of any Loans to be denominated in an Alternative Currency) or the L/C Issuers (in the case of any Letter of Credit to be denominated in an Alternative Currency), (a) such currency no longer being readily available, freely transferable and convertible into Dollars, (b) a Dollar Equivalent is no longer readily calculable with respect to such currency, (c) providing such currency is impracticable for the Lenders or (d) no longer a currency in which the Required Lenders are willing to make such Credit Extensions (each of clauses (a), (b), (c), and (d) a “Disqualifying Event”), then the Administrative Agent shall promptly notify the Lenders and the Company, and such country’s currency shall no longer be an Alternative Currency until such time as the Disqualifying Event(s) no longer exist. Within five (5) Business Days after receipt of such notice from the Administrative Agent, the Borrowers shall repay all Loans in such currency to which the Disqualifying Event applies or convert such Loans into the Dollar Equivalent of Loans in Dollars, subject to the other terms contained herein. “Eligible Foreign Subsidiary” means (i) any direct or indirect Foreign Subsidiary of the Borrower that contributed 2.5% or more of consolidated net revenue of the Borrower and its Subsidiaries in any fiscal year or, in the case of the consummation of any Permitted Acquisition (calculated on a Pro Forma Basis taking into account the consummation of such Permitted Acquisition) as if such Acquisition occurred on the first day of the fiscal year most recently ended, (ii) each of Morningstar Research Inc., Morningstar UK Limited, Morningstar Holland B.V. and Morningstar Australasia Pty Ltd. or (iii) any other Foreign Subsidiary agreed to by the Administrative Agent, in each case, subject to compliance with the terms and conditions set forth in Section 2.16 herein. “Environmental Laws” means any and all federal, state, local, and foreign statutes, laws, regulations, ordinances, rules, judgments, orders, decrees, permits, concessions, grants, franchises, licenses, agreements or governmental restrictions relating to pollution and the protection of the environment or the release of any materials into the environment, including those related to hazardous substances or wastes, air emissions and discharges to waste or public systems. “Equity Interests” means, with respect to any Person, all of the shares of capital stock or shares in the share capital of (or other ownership or profit interests in) such Person, all of the warrants, options or other rights for the purchase or acquisition from such Person of shares of capital stock of (or other 17 ownership or profit interests in) such Person, all of the securities convertible into or exchangeable for shares of capital stock of (or other ownership or profit interests in) such Person or warrants, rights or options for the purchase or acquisition from such Person of such shares (or such other interests), and all of the other ownership or profit interests in such Person (including partnership, member or trust interests therein), whether voting or nonvoting, and whether or not such shares, warrants, options, rights or other interests are outstanding on any date of determination. “ERISA” means the Employee Retirement Income Security Act of 1974, as amended, and the rules and regulations promulgated thereunder. “ERISA Affiliate” means any trade or business (whether or not incorporated) under common control with the Borrower within the meaning of Sections 414(b) or (c) of the Code (and Sections 414(m) and (o) of the Code for purposes of provisions relating to Section 412 of the Code). “ERISA Event” means (a) a Reportable Event with respect to a Pension Plan; (b) the withdrawal of the Borrower or any ERISA Affiliate from a Pension Plan subject to Section 4063 of ERISA during a plan year in which such entity was a “substantial employer” as defined in Section 4001(a)(2) of ERISA or a cessation of operations that is treated as such a withdrawal under Section 4062(e) of ERISA; (c) a complete or partial withdrawal by the Borrower or any ERISA Affiliate from a Multiemployer Plan; (d) the filing of a notice of intent to terminate, the treatment of a Pension Plan amendment as a termination under Section 4041 or 4041A of ERISA; (e) the institution by the PBGC of proceedings to terminate a Pension Plan; (f) any event or condition which constitutes grounds under Section 4042 of ERISA for the termination of, or the appointment of a trustee to administer, any Pension Plan; (g) the determination that any Pension Plan is considered an at-risk plan or a plan in endangered or critical status within the meaning of Sections 430, 431 and 432 of the Code or Sections 303, 304 and 305 of ERISA; (h) the imposition of any liability under Title IV of ERISA, other than for PBGC premiums due but not delinquent under Section 4007 of ERISA, upon the Borrower or any ERISA Affiliate or (i) a failure by the Borrower or any ERISA Affiliate to meet all applicable requirements under the Pension Funding Rules in respect of a Pension Plan, whether or not waived, or the failure by the Borrower or any ERISA Affiliate to make any required contribution to a Multiemployer Plan. “EU Bail-In Legislation Schedule” means the EU Bail-In Legislation Schedule published by the Loan Market Association (or any successor person), as in effect from time to time. “EURIBOR” has the meaning specified in clause (a) of the definition of “Alternative Currency Term Rate”. “Euro” and “€” mean the single currency of the Participating Member States. “Event of Default” has the meaning specified in Section 8.01. “Excluded Swap Obligation” means, with respect to any Loan Party, any Swap Obligation if, and to the extent that, all or a portion of the Guaranty of such Loan Party of such Swap Obligation (or any Guarantee thereof) is or becomes illegal under the Commodity Exchange Act or any rule, regulation or order of the Commodity Futures Trading Commission (or the application or official interpretation thereof) by virtue of such Loan Party’s failure for any reason to constitute an “eligible contract participant” as defined in the Commodity Exchange Act (determined after giving effect to Section 10.11 and any other “keepwell”, support or other agreement for the benefit of such Loan Party and any and all guarantees of such Loan Party’s Swap Obligations by other Loan Parties) at the time the Guaranty of such Loan Party becomes effective with respect to such Swap Obligation. If a Swap Obligation arises under a Master Agreement governing more than one Swap Contract, such exclusion shall apply only to 18 the portion of such Swap Obligation that is attributable to Swap Contracts for which such Guaranty or Lien is or becomes excluded in accordance with the first sentence of this definition. “Excluded Taxes” means any of the following Taxes imposed on or with respect to any Recipient or required to be withheld or deducted from a payment to a Recipient, (a) Taxes imposed on or measured by net income (however denominated), franchise Taxes, and branch profits Taxes, in each case, (i) imposed as a result of such Recipient being organized under the laws of, or having its principal office or, in the case of any Lender, its Lending Office located in, the jurisdiction imposing such Tax (or any political subdivision thereof) or (ii) that are Other Connection Taxes, (b) in the case of a Lender, U.S. federal withholding Taxes imposed on amounts payable to or for the account of such Lender with respect to an applicable interest in a Loan or Commitment pursuant to a law in effect on the date on which (i) such Lender acquires such interest in the Loan or Commitment (other than pursuant to an assignment request by the Borrower under Section 11.13) or (ii) such Lender changes its Lending Office, except in each case to the extent that, pursuant to Sections 3.01(b) or (d), amounts with respect to such Taxes were payable either to such Lender’s assignor immediately before such Lender became a party hereto or to such Lender immediately before it changed its Lending Office, (c) Taxes attributable to such Recipient’s failure to comply with Section 3.01(f), (d) any withholding Taxes imposed pursuant to FATCA and (e) any Bank Levy. “Existing Credit Agreement” means that certain Credit Agreement dated as of July 2, 2019 among the Borrower, the Loan Parties and Bank of America, N.A., as lender, as amended, amended and restated or otherwise modified from time to time prior to the date hereof. “Existing Letters of Credit” means the letters of credit identified on Schedule 1.01(d). “Existing Revolving Loans” means the “Revolving Loans” outstanding immediately prior to the Closing Date under, and as defined in, the Existing Credit Agreement. The aggregate outstanding principal amount of Existing Revolving Loans immediately prior to the Closing Date equals $180,000,000. “Facility” means the Revolving Facility or the Term Facility, as the context may require. “Facility Termination Date” means the date as of which all of the following shall have occurred: (a) the Aggregate Commitments have terminated, (b) all Obligations have been paid in full (other than contingent indemnification obligations), and (c) all Letters of Credit have terminated or expired (other than Letters of Credit as to which other arrangements with respect thereto satisfactory to Administrative Agent and the applicable L/C Issuers shall have been made). “FASB ASC” means the Accounting Standards Codification of the Financial Accounting Standards Board. “FATCA” means Sections 1471 through 1474 of the Code, as of the date of this Agreement (or any amended or successor version that is substantively comparable and not materially more onerous to comply with), any current or future regulations or official interpretations thereof, any agreements entered into pursuant to Section 1471(b)(1) of the Code and any fiscal or regulatory legislation, rules or practices adopted pursuant to any intergovernmental agreement, treaty or convention among Governmental Authorities and implementing such Sections of the Code. For the purposes of Section 3.08, Section 3.09, and Section 3.10 “FATCA” shall include any amendments made to FATCA after the date of this Agreement. 19


 
“FATCA Deduction” a deduction or withholding from a payment under a Loan Document required by FATCA. “FATCA Exempt Party” a party to this Agreement that is entitled to receive payment free from any FATCA Deduction. “Federal Funds Rate” means, for any day, the rate per annum calculated by the Federal Reserve Bank of New York based on such day’s federal funds transactions by depository institutions (as determined in such manner as the Federal Reserve Bank of New York shall set forth on its public website from time to time) and published on the next succeeding Business Day by the Federal Reserve Bank of New York as the federal funds effective rate; provided that if the Federal Funds Rate as so determined would be less than zero, such rate shall be deemed to be zero for the purposes of this Agreement. “Fee Letter” means that certain amended and restated letter agreement, dated the Closing Date, between the Borrower and Bank of America. “First Amendment” means that certain First Amendment to Credit Agreement dated as of September 13, 2022 by and among the Borrower, the Guarantors party thereto, the Lenders party thereto and the Administrative Agent. “First Amendment Effective Date” means September 13, 2022. “First Amendment Revolving Commitment Increase” has the meaning set forth in the First Amendment. “Foreign Borrower” means any Borrower that is organized under the laws of a jurisdiction other than the Unites States, a state thereof or the District of Columbia. “Foreign Lender” means, with respect to any Borrower (a) if such Borrower is a U.S. Person, a Lender that is not a U.S. Person, and (b) if the Borrower is not a U.S. Person, a Lender that is resident or organized under the laws of a jurisdiction other than that in which the Borrower is resident for tax purposes. For purposes of this definition, the United States, each State thereof and the District of Columbia shall be deemed to constitute a single jurisdiction. “Foreign Obligor” means a Loan Party that is a Foreign Subsidiary. “Foreign Subsidiary” means any Subsidiary that is organized under the laws of a jurisdiction other than the United States, a State thereof or the District of Columbia. “Founder Family Shares” mean any Equity Interests held, directly or indirectly, by Joe Mansueto, his spouse, parents, siblings or descendants (whether by birth, adoption or marriage) and any trustee or custodian for and on behalf of any of the foregoing. “FRB” means the Board of Governors of the Federal Reserve System of the United States. “Fronting Exposure” means, at any time there is a Defaulting Lender that is a Revolving Lender, (a) with respect to any L/C Issuer, such Defaulting Lender’s Applicable Percentage of the outstanding L/C Obligations other than L/C Obligations as to which such Defaulting Lender’s participation obligation has been reallocated to other Revolving Lenders or Cash Collateralized in accordance with the terms hereof, and (b) with respect to the Swingline Lender, such Defaulting Lender’s Applicable Percentage of Swingline Loans other than Swingline Loans as to which such Defaulting Lender’s 20 participation obligation has been reallocated to other Revolving Lenders or Cash Collateralized in accordance with the terms hereof. “Fund” means any Person (other than a natural Person) that is (or will be) engaged in making, purchasing, holding or otherwise investing in commercial loans and similar extensions of credit in the ordinary course of its activities. “Funding Indemnity Letter” means a funding indemnity letter, substantially in the form of Exhibit K. “GAAP” means generally accepted accounting principles in the United States set forth from time to time in the opinions and pronouncements of the Accounting Principles Board and the American Institute of Certified Public Accountants and statements and pronouncements of the Financial Accounting Standards Board (or agencies with similar functions of comparable stature and authority within the accounting profession) including, without limitation, the FASB Accounting Standards Codification, that are applicable to the circumstances as of the date of determination, or in the United Kingdom, in each case consistently applied and subject to Section 1.03. “Governmental Authority” means the government of the United States or any other nation, or of any political subdivision thereof, whether state, provincial or local, and any agency, authority, instrumentality, regulatory body, court, central bank or other entity exercising executive, legislative, judicial, taxing, regulatory or administrative powers or functions of or pertaining to government (including, without limitation, any supra-national bodies such as the European Union or the European Central Bank). “GST” means goods and services tax as imposed by the GST Law together with any related interest, penalty, fine or other charge. “GST Law” has the meaning given by the A New Tax System (Goods and Services Tax) Act 1999 (Cth), or if that Act does not exist means any Act imposing or relating to the imposition or administration of a goods and services tax in Australia and any regulation made under that Act. “Guarantee” means, as to any Person, (a) any obligation, contingent or otherwise, of such Person guaranteeing or having the economic effect of guaranteeing any Indebtedness of the kind described in clauses (a) through (h) of the definition thereof or other obligation payable or performable by another Person (the “primary obligor”) in any manner, whether directly or indirectly, and including any obligation of such Person, direct or indirect, (i) to purchase or pay (or advance or supply funds for the purchase or payment of) such Indebtedness or other obligation, (ii) to purchase or lease property, securities or services for the purpose of assuring the obligee in respect of such Indebtedness or other obligation of the payment or performance of such Indebtedness or other obligation, (iii) to maintain working capital, equity capital or any other financial statement condition or liquidity or level of income or cash flow of the primary obligor so as to enable the primary obligor to pay such Indebtedness or other obligation, or (iv) entered into for the purpose of assuring in any other manner the obligee in respect of such Indebtedness or other obligation of the payment or performance thereof or to protect such obligee against loss in respect thereof (in whole or in part), or (b) any Lien on any assets of such Person securing any Indebtedness of the kind described in clauses (a) through (h) of the definition thereof or other obligation of any other Person, whether or not such Indebtedness or other obligation is assumed or expressly undertaken by such Person (or any right, contingent or otherwise, of any holder of such Indebtedness to obtain any such Lien) but limited to the fair market value of the assets securing such Indebtedness or other obligations. The amount of any Guarantee shall be deemed to be an amount equal to the stated or determinable amount of the related primary obligation, or portion thereof, in respect of 21 which such Guarantee is made or, if not stated or determinable, the maximum reasonably anticipated liability in respect thereof as determined by the guaranteeing Person in good faith. The term “Guarantee” as a verb has a corresponding meaning. “Guaranteed Obligations” has the meaning set forth in Section 9.01. “Guaranteed Parties” means, collectively, the Administrative Agent, the Lenders and the Indemnitees. “Guarantor(s)” means, (a) in respect of the Obligations of the Company and each Designated Borrower, (i) Morningstar Investment Management LLC, (ii) Morningstar Research Services LLC, (iii) Morningstar Ratings Holding Corp., (iv) PitchBook Data, Inc., a Delaware corporation, and (v) the Subsidiaries of the Company as are or may from time to time become parties to this Agreement pursuant to Section 6.13, and (b) in addition to the foregoing, in respect of the Obligations of the Designated Borrowers, the Company. “Guaranty” means, collectively, the Guarantee made by the Guarantors under Article X in favor of the Guaranteed Parties, together with each other guaranty delivered pursuant to Section 6.13. “Hazardous Materials” means all explosive or radioactive substances or wastes and all hazardous or toxic substances, wastes or other pollutants, including petroleum or petroleum distillates, asbestos or asbestos-containing materials, polychlorinated biphenyls, radon gas, infectious or medical wastes and all other substances or wastes of any nature regulated pursuant to any Environmental Law. “Honor Date” has the meaning set forth in Section 2.03(c). “Impacted Loans” has the meaning assigned to such term in Section 3.03(a). “Indebtedness” means, as to any Person at a particular time, without duplication, all of the following, whether or not included as indebtedness or liabilities in accordance with GAAP: (a) all obligations of such Person for borrowed money and all obligations of such Person evidenced by bonds, debentures, notes, loan agreements or other similar instruments; (b) all direct or contingent obligations of such Person arising under letters of credit (including standby), bankers’ acceptances, bank guaranties and similar instruments; (c) net obligations of such Person under any Swap Contract; (d) all obligations (excluding earnout obligations that do not constitute indebtedness in accordance with GAAP) of such Person to pay the deferred purchase price of property or services (other than trade accounts payable in the ordinary course of business); (e) indebtedness (excluding prepaid interest thereon) secured by a Lien on property owned or being purchased by such Person (including indebtedness arising under conditional sales or other title retention agreements), whether or not such indebtedness shall have been assumed by such Person or is limited in recourse, but limited to the value of such property securing such indebtedness; (f) all Attributable Indebtedness in respect of Capitalized Leases of such Person; and (g) all Guarantees of such Person in respect of any of the foregoing. 22 For all purposes hereof, the Indebtedness of any Person shall include the Indebtedness of any partnership or joint venture (other than a joint venture that is itself a corporation or limited liability company) in which such Person is a general partner or a joint venturer, unless such Indebtedness is expressly made non-recourse to such Person. The amount of any net obligation under any Swap Contract on any date shall be deemed to be the Swap Termination Value thereof as of such date. “Indemnified Taxes” means all (a) Taxes, other than Excluded Taxes, imposed on or with respect to any payment made by or on account of any obligation of any Loan Party under any Loan Document and (b) to the extent not otherwise described in clause (a), Other Taxes. “Indemnitees” has the meaning specified in Section 11.04(b). “Information” has the meaning specified in Section 11.07. “Intercompany Debt” has the meaning specified in Section 7.02(d). “Interest Payment Date” means, (a) as to any Term Rate Loan, the last day of each Interest Period applicable to such Loan and the Maturity Date of the Facility under which such Loan was made; provided, however, that if any Interest Period for a Term Rate Loan exceeds three (3) months, the respective dates that fall every three (3) months after the beginning of such Interest Period shall also be Interest Payment Dates; and (b) as to any Base Rate Loan, Daily SOFR Loan, Alternative Currency Daily Rate Loan or Swingline Loan, the last Business Day of each March, June, September and December and the Maturity Date of the Facility under which such Loan was made (with Swingline Loans being deemed made under the Revolving Facility for purposes of this definition). “Interest Period” means, as to each Term Rate Loan, the period commencing on the date such Term Rate Loan is disbursed or converted to or continued as a Term Rate Loan and ending on the date one (1), three (3) or six (6) months thereafter (or solely with respect to each Term Rate Loan determined by reference to the CDORTerm CORRA Rate, one (1), two (2) or three (3) months thereafter) (in each case, subject to availability for the interest rate applicable to the relevant currency), as selected by the Company in its Loan Notice; provided that: (a) any Interest Period that would otherwise end on a day that is not a Business Day shall be extended to the next succeeding Business Day unless, in the case of a Term Rate Loan, such Business Day falls in another calendar month, in which case such Interest Period shall end on the next preceding Business Day; (b) any Interest Period pertaining to a Term Rate Loan that begins on the last Business Day of a calendar month (or on a day for which there is no numerically corresponding day in the calendar month at the end of such Interest Period) shall end on the last Business Day of the calendar month at the end of such Interest Period; and (c) no Interest Period shall extend beyond the Maturity Date of the Facility under which such Loan was made. “Investment” means, as to any Person, any direct or indirect acquisition or investment by such Person, whether by means of (a) the purchase or other acquisition of Equity Interests of another Person (including as a Division Successor pursuant to the Division of any Person that was not a wholly owned Subsidiary prior to such Division), (b) a loan, advance or capital contribution to, Guarantee or assumption of debt of, or purchase or other acquisition of any other debt or interest in, another Person (including any partnership or joint venture interest in such other Person and any arrangement pursuant to 23


 
which the investor guaranties Indebtedness of such other Person), or (c) the purchase or other acquisition (in one transaction or a series of transactions) of assets of another Person which constitute all or substantially all of the assets of such Person or of a division, line of business or other business unit of such Person. For purposes of covenant compliance, the amount of any Investment shall be the amount actually invested, without adjustment for subsequent increases or decreases in the value of such Investment. “Investment Policy” means the Investment Policy of the Borrower, effective as of May 14, 2021, delivered to the Administrative Agent prior to the date hereof, as such policy may be amended from time to time with the approval of the Board of Directors of the Company. “Involuntary Disposition” means any loss of, damage to or destruction of, or any condemnation or other taking for public use of, any property of any Loan Party or any Subsidiary. “IRS” means the United States Internal Revenue Service. “ISP” means the International Standby Practices, International Chamber of Commerce Publication No. 590 (or such later version thereof as may be in effect at the applicable time). “Issuer Documents” means with respect to any Letter of Credit, the Letter of Credit Application, and any other document, agreement and instrument entered into by any L/C Issuer and the Borrower (or any Subsidiary) or in favor of such L/C Issuer and relating to such Letter of Credit. “ITA” means the Income Tax Act 2007 (UK). “Joinder Agreement” means a joinder agreement substantially in the form of Exhibit D executed and delivered in accordance with the provisions of Section 6.13. “Judgment Currency” has the meaning specified in Section 11.21. “Laws” means, collectively, all international, foreign, federal, state, provincial and local statutes, treaties, rules, guidelines, regulations, ordinances, codes and administrative or judicial precedents or authorities, including the interpretation or administration thereof by any Governmental Authority charged with the enforcement, interpretation or administration thereof, and all applicable administrative orders, directed duties, requests, licenses, authorizations and permits of, and agreements with, any Governmental Authority. “L/C Advance” means, with respect to each Revolving Lender, such Lender’s funding of its participation in any L/C Borrowing in accordance with its Applicable Revolving Percentage. “L/C Borrowing” means an extension of credit resulting from a drawing under any Letter of Credit which has not been reimbursed on the date when made or refinanced as a Revolving Borrowing. “L/C Commitment” means, with respect to each L/C Issuer, the commitment of such L/C Issuer to issue Letters of Credit hereunder. The initial amount of each L/C Issuer’s Letter of Credit Commitment is set forth on Schedule 2.03, or if an L/C Issuer has entered into an Assignment and Assumption or has otherwise assumed a Letter of Credit Commitment after the Closing Date, the amount set forth for such L/C Issuer as its Letter of Credit Commitment in the Register maintained by the Administrative Agent. The Letter of Credit Commitment of an L/C Issuer may be modified from time to time by agreement between such L/C Issuer and the Company, and notified to the Administrative Agent. 24 “L/C Credit Extension” means, with respect to any Letter of Credit, the issuance thereof or extension of the expiry date thereof, or the increase of the amount thereof. “L/C Issuer” means (a) with respect to a particular Letter of Credit denominated in Dollars, (i) each L/C Issuer in its capacity as issuer of such Letter of Credit, or any successor issuer thereof, (ii) such other Lender selected by the Company pursuant to Section 2.03(s) from time to time to issue such Letter of Credit (provided that no Lender shall be required to become an L/C Issuer pursuant to this clause (b) without such Lender’s consent), or any successor issuer thereof or (iii) any Lender selected by the Company (with the prior consent of the Administrative Agent) to replace a Lender who is a Defaulting Lender at the time of such Lender’s appointment as an L/C Issuer (provided that no Lender shall be required to become an L/C Issuer pursuant to this clause (c) without such Lender’s consent), or any successor issuer thereof, and (b) with respect to a particular Letter of Credit denominated in an Alternative Currency, Bank of America in its capacity as issuer of such Letters of Credit, or any successor issuer thereof. “L/C Obligations” means, as at any date of determination, the aggregate amount available to be drawn under all outstanding Letters of Credit plus the aggregate of all Unreimbursed Amounts (including all L/C Borrowings). For purposes of computing the amount available to be drawn under any Letter of Credit, the amount of such Letter of Credit shall be determined in accordance with Section 1.06. For all purposes of this Agreement, if on any date of determination a Letter of Credit has expired by its terms but any amount may still be drawn thereunder by reason of the operation of Rule 3.14 of the ISP, such Letter of Credit shall be deemed to be “outstanding” in the amount so remaining available to be drawn. “Lender” means each of the Persons identified as a “Lender” on the signature pages hereto, each other Person that becomes a “Lender” in accordance with this Agreement and, their successors and assigns and, unless the context requires otherwise, includes the Swingline Lenders. The term “Lender” shall include any Designated Lender who has funded any Credit Extension. “Lender Parties” and “Lender Recipient Parties” mean, collectively, the Lenders, the Swingline Lender and the L/C Issuers. “Lending Office” means, as to the Administrative Agent, any L/C Issuer or any Lender, the office or offices of such Person described as such in such Person’s Administrative Questionnaire, or such other office or offices as such Person may from time to time notify the Company and the Administrative Agent; which office may include any Affiliate of such Person or any domestic or foreign branch of such Person or such Affiliate. “Letter of Credit” means any letter of credit issued hereunder and shall include the Existing Letters of Credit. “Letter of Credit Application” means an application and agreement for the issuance or amendment of a Letter of Credit in the form from time to time in use by the applicable L/C Issuer. “Letter of Credit Expiration Date” means the day that is seven (7) days prior to the Maturity Date then in effect for the Revolving Facility (or, if such day is not a Business Day, the next preceding Business Day). “Letter of Credit Fee” has the meaning specified in Section 2.03(l). 25 “Letter of Credit Report” means a certificate substantially the form of Exhibit M or any other form approved by the Administrative Agent. “Letter of Credit Sublimit” means, as of any date of determination, an amount equal to the lesser of (a) $50,000,000 and (b) the Revolving Facility; provided that each L/C Issuer’s Letter of Credit Sublimit shall not exceed its L/C Commitment. The Letter of Credit Sublimit is part of, and not in addition to, the Revolving Facility. “Lien” means any mortgage, pledge, hypothecation, assignment, deposit arrangement, encumbrance, lien (statutory or otherwise), charge, or preference, priority or other security interest or preferential arrangement in the nature of a security interest of any kind or nature whatsoever (including any conditional sale or other title retention agreement, any easement, right of way or other encumbrance on title to real property and any financing lease having substantially the same economic effect as any of the foregoing), other than a security interest as defined in section 12(3) of the Personal Property Securities Act 2009 (Cth) that does not in substance support a performance or payment obligation. “Loan” means an extension of credit by a Lender to the Borrower under Article II in the form of a Revolving Loan, Term Loan or a Swingline Loan. “Loan Documents” means, collectively, (a) this Agreement, (b) the Fee Letter, (c) the Guaranty, (d) each Issuer Document, (e) each Designated Borrower Request and Assumption Agreement and (f) all other certificates, agreements, documents and instruments executed and delivered, in each case, by or on behalf of any Loan Party pursuant to the foregoing and any amendments, modifications or supplements thereto or to any other Loan Document or waivers hereof or to any other Loan Document. “Loan Notice” means a notice of (a) a Borrowing, (b) a conversion of Loans from one Type to the other, or (c) a continuation of Term Rate Loans, pursuant to Section 2.02(a), which shall be substantially in the form of Exhibit E or such other form as may be approved by the Administrative Agent (including any form on an electronic platform or electronic transmission system as shall be approved by the Administrative Agent), appropriately completed and signed by a Responsible Officer of the Company. “Loan Parties” means, collectively, the Company, each Designated Borrower and each Guarantor. “Mandatory Cost” means any amount incurred periodically by any Lender with respect to the Borrower and similarly situated borrowers during the term of the Facility which constitutes fees, costs or charges imposed on lenders generally in the jurisdiction in which such Lender is domiciled, subject to regulation, or has its Lending Office by any Governmental Authority, in each case, incurred by such Lender in respect of any Revolving Exposure in connection with the making of any Revolving Loans, or issuance of any Letters of Credit, in an Alternative Currency. “Master Agreement” has the meaning set forth in the definition of “Swap Contract.” “Material Adverse Effect” means (a) a material adverse change in, or a material adverse effect upon, the operations, business, properties, liabilities or financial condition of the Borrower and its Subsidiaries taken as a whole; (b) a material impairment of the rights and remedies of the Lenders under any Loan Document, or of the ability of any Loan Party to perform its obligations under any Loan Document to which it is a party; or (c) a material adverse effect upon the legality, validity, binding effect or enforceability against any Loan Party of any Loan Document to which it is a party. 26 “Material Disposition” means (a) a Disposition by the Borrower or one of its Subsidiaries of a Subsidiary, other Person, or line of business with a value in excess of 10% or more of Consolidated Total Assets of the Borrower and its Subsidiaries as of the date of such Disposition, and (b) if, as of the date of any Disposition pursuant to Section 7.05(i), all Dispositions made by the Loan Parties and their respective Subsidiaries of assets during the current fiscal year of the Borrower up to, and including, such date, pursuant to Section 7.05(i) have an aggregate net book value in excess of 10% or more of Consolidated Total Assets of the Borrower and its Subsidiaries as of such date, all Dispositions made pursuant to Section 7.05(i) in such fiscal year shall be treated as one Material Disposition. “Material Subsidiary” means any direct or indirect Domestic Subsidiary of the Borrower that contributed 10% or more of consolidated net revenue of the Borrower and its Subsidiaries in any fiscal year or, in the case of the consummation of any Permitted Acquisition (calculated on a Pro Forma Basis taking into account the consummation of such Permitted Acquisition) as if such Acquisition occurred on the first day of the fiscal year most recently ended; provided that notwithstanding the foregoing, no Subsidiary that is a broker dealer or that is a nationally recognized statistical rating organization shall be a Material Subsidiary. “Maturity Date” means (a) with respect to the Revolving Facility, September 13, 2027 and (b) with respect to the Term Facility, September 13, 2027; provided, however, that in each case, if such date is not a Business Day, the Maturity Date shall be the next preceding Business Day. “Measurement Period” means, at any date of determination, the most recently completed four (4) fiscal quarters of the Borrower (or, for purposes of determining Pro Forma Compliance, the most recently completed four (4) fiscal quarters of the Borrower for which financial statements have been delivered pursuant to Section 6.01 or Section 6.01 of the Existing Credit Agreement). “Minimum Collateral Amount” means, at any time, (a) with respect to Cash Collateral consisting of cash or deposit account balances, an amount equal to 105% of the Fronting Exposure of all L/C Issuers with respect to Letters of Credit issued and outstanding at such time and (b) otherwise, an amount determined by the Administrative Agent and the L/C Issuers in their sole discretion. “Moody’s” means Moody’s Investors Service, Inc. and any successor thereto. “Morningstar Seed Portfolios” means proprietary portfolios of the Borrower or its Affiliates held in investments accounts or investments vehicles (including mutual funds, exchange-traded funds and other similar investment vehicles registered under the Investment Company Act of 1940 or similar foreign Applicable Law) consisting of stocks, bonds, options, commodities, mutual funds, money market funds, or exchange-traded funds (including margin stock). “Multiemployer Plan” means any employee benefit plan of the type described in Section 4001(a)(3) of ERISA, to which the Borrower or any ERISA Affiliate makes or is obligated to make contributions, or during the preceding five (5) plan years, has made or been obligated to make contributions, but, for the avoidance of doubt, does not include any Canadian Pension Plan or any other benefit plan offered to employees in Canada. “Multiple Employer Plan” means a Plan which has two or more contributing sponsors (including the Borrower or any ERISA Affiliate) at least two of whom are not under common control, as such a plan is described in Section 4064 of ERISA, but, for the avoidance of doubt, does not include any Canadian Pension Plan or any other benefit plan offered to employees in Canada. 27


 
“New Revolving Lender” has the meaning specified in Section 2.18(c). “Non-Consenting Lender” means any Lender that does not approve any consent, waiver or amendment that (a) requires the approval of all Lenders or all affected Lenders, or all Lenders or all affected Lenders in a Facility, in accordance with the terms of Section 11.01 and (b) has been approved by the Required Lenders. “Non-Defaulting Lender” means, at any time, each Lender that is not a Defaulting Lender at such time. “Non-Reinstatement Deadline” has the meaning specified in Section 2.03(b)(iii). “Note” means a Term Note or a Revolving Note, as the context may require. “Notice of Additional L/C Issuer” means a certificate substantially the form of Exhibit N or any other form approved by the Administrative Agent. “Notice of Loan Prepayment” means a notice of prepayment with respect to a Loan, which shall be substantially in the form of Exhibit L or such other form as may be approved by the Administrative Agent (including any form on an electronic platform or electronic transmission system as shall be approved by the Administrative Agent), appropriately completed and signed by a Responsible Officer. “Obligations” means (a) all advances to, and debts, liabilities, obligations, covenants and duties of, any Loan Party arising under any Loan Document or otherwise with respect to any Loan, or Letter of Credit and (b) all costs and expenses incurred in connection with enforcement and collection of the foregoing, including the fees, charges and disbursements of counsel, in each case whether direct or indirect (including those acquired by assumption), absolute or contingent, due or to become due, now existing or hereafter arising and including interest, expenses and fees that accrue after the commencement by or against any Loan Party or any Affiliate thereof pursuant to any proceeding under any Debtor Relief Laws naming such Person as the debtor in such proceeding, regardless of whether such interest, expenses and fees are allowed claims in such proceeding; provided that, without limiting the foregoing, the Obligations of a Loan Party shall exclude any Excluded Swap Obligations with respect to such Loan Party. “OFAC” means the Office of Foreign Assets Control of the United States Department of the Treasury. “Officer’s Certificate” means a certificate substantially in the form of Exhibit I or any other form approved by the Administrative Agent. “Organization Documents” means, (a) with respect to any corporation, the charter or certificate or articles of incorporation and the bylaws (or equivalent or comparable constitutive documents with respect to any non-U.S. jurisdiction); (b) with respect to any limited liability company, the certificate or articles of formation, association or organization and operating agreement or limited liability company agreement (or equivalent or comparable documents with respect to any non-U.S. jurisdiction); (c) with respect to any partnership, joint venture, trust or other form of business entity, the partnership, joint venture or other applicable agreement of formation or organization (or equivalent or comparable documents with respect to any non-U.S. jurisdiction) and (d) with respect to all entities, any agreement, instrument, filing or notice with respect thereto filed in connection with its formation or organization 28 with the applicable Governmental Authority in the jurisdiction of its formation or organization (or equivalent or comparable documents with respect to any non-U.S. jurisdiction). “Other Connection Taxes” means, with respect to any Recipient, Taxes imposed as a result of a present or former connection between such Recipient and the jurisdiction imposing such Tax (other than connections arising from such Recipient having executed, delivered, become a party to, performed its obligations under, received payments under, received or perfected a security interest under, engaged in any other transaction pursuant to or enforced any Loan Document, or sold or assigned an interest in any Loan or Loan Document). “Other Taxes” means all present or future stamp, court or documentary, intangible, recording, filing or similar Taxes that arise from any payment made under, from the execution, delivery, performance, enforcement or registration of, from the receipt or perfection of a security interest under, or otherwise with respect to, any Loan Document, except any such Taxes that are Other Connection Taxes imposed with respect to an assignment (other than an assignment made pursuant to Section 3.06). “Outstanding Amount” means (a) with respect to Revolving Loans, Term Loans and Swingline Loans on any date, the Dollar Equivalent of the aggregate outstanding principal amount thereof after giving effect to any Borrowings and prepayments or repayments of Revolving Loans, Term Loans and Swingline Loans, as the case may be, occurring on such date; and (b) with respect to any L/C Obligations on any date, the Dollar Equivalent amount of the aggregate outstanding amount of such L/C Obligations on such date after giving effect to any L/C Credit Extension occurring on such date and any other changes in the aggregate amount of the L/C Obligations as of such date, including as a result of any reimbursements by the Borrower of Unreimbursed Amounts. “Overnight Rate” means, for any day, (a) with respect to any amount denominated in Dollars, the greater of (i) the Federal Funds Rate and (ii) an overnight rate determined by the Administrative Agent, the L/C Issuers, or the Swingline Lender, as the case may be, in accordance with banking industry rules on interbank compensation, and (b) with respect to any amount denominated in an Alternative Currency, an overnight rate determined by the Administrative Agent or the L/C Issuers, as the case may be, in accordance with banking industry rules on interbank compensation. “Participant” has the meaning specified in Section 11.06(d)(i). “Participant Register” has the meaning specified in Section 11.06(d)(ii). “Participating Member State” means any member state of the European Union that adopts or has adopted the Euro as its lawful currency in accordance with legislation of the European Union relating to Economic and Monetary Union. “Patriot Act” has the meaning set forth in Section 11.19. “PBGC” means the Pension Benefit Guaranty Corporation. “Pension Funding Rules” means the rules of the Code and ERISA regarding minimum funding standards with respect to Pension Plans and set forth in Sections 412, 430, 431, 432 and 436 of the Code and Sections 302, 303, 304 and 305 of ERISA. “Pension Plan” means any employee pension benefit plan (including a Multiple Employer Plan or a Multiemployer Plan) that is maintained or is contributed to by the Borrower and any ERISA Affiliate or with respect to which the Borrower or any ERISA Affiliate has any liability and is either covered by 29 Title IV of ERISA or is subject to the minimum funding standards under Section 412 of the Code, but for the avoidance of doubt, does not include any Canadian Pension Plan. “Permitted Acquisition” means any Investment by a Loan Party not otherwise prohibited by the terms of this Agreement, in each case so long as: (a) no Default shall then exist or would exist after giving effect thereto; (b) (i) the Loan Parties shall demonstrate to the reasonable satisfaction of the Administrative Agent that, after giving effect to the Acquisition on a Pro Forma Basis, the Loan Parties are in Pro Forma Compliance with each of the financial covenants set forth in Section 7.13 and (ii) for any Permitted Acquisition with a purchase price in excess of $150,000,000 the Administrative Agent shall have received at least fifteen (15) days prior to the consummation of such Acquisition (or such shorter period as determined by the Administrative Agent its sole discretion) a certificate executed by a Responsible Officer of the Company demonstrating Pro Forma Compliance with each of the financial covenants set forth in Section 7.13 after giving effect to such Acquisition; provided, however, that with respect to the initial Credit Extension hereunder, the Loan Parties shall deliver such certificate on the date such initial Credit Extension is requested; and (c) such Acquisition shall not be a “hostile” Acquisition and, if required, shall have been approved by the board of directors (or equivalent) and/or shareholders (or equivalent) of the applicable Loan Party and the Person being Acquired or selling the assets subject to such Investment. “Permitted Liens” has the meaning set forth in Section 7.01. “Permitted Transfers” means (a) Dispositions of inventory in the ordinary course of business; (b) Dispositions of property to the Borrower or any Subsidiary; (c) Dispositions of accounts receivable in connection with the collection or compromise thereof; (d) licenses, sublicenses, leases or subleases granted to others not interfering in any material respect with the business of the Borrower and its Subsidiaries; and (e) the sale or disposition of Cash Equivalents for fair market value. “Person” means any natural person, corporation, limited liability company, trust, joint venture, association, company, partnership, Governmental Authority or other entity. “Plan” means any employee benefit plan within the meaning of Section 3(3) of ERISA (including a Pension Plan), maintained for employees of the Borrower or any ERISA Affiliate or any such Plan to which the Borrower or any ERISA Affiliate is required to contribute on behalf of any of its employees, but, for the avoidance of doubt, does not include any Canadian Pension Planor any other benefit plan offered to employees in Canada. “Platform” has the meaning specified in Section 6.01(d). “PNC” means PNC Capital Markets LLC and its successors. “Pro Forma Acquisition EBITDA” means Consolidated EBITDA (calculated in the same manner as Consolidated EBITDA) attributable to the target of each Permitted Acquisition consummated during the one (1) year period preceding the date of determination calculated solely for a number of months immediately preceding the consummation of the applicable Permitted Acquisition, which number equals twelve (12) minus the number of months following the consummation of the applicable Permitted Acquisition for which financial statements of Borrower and its Subsidiaries have been delivered to the Administrative Agent pursuant to Section 6.01(b). 30 “Pro Forma Basis” and “Pro Forma Effect” means, for (a) any Permitted Acquisition, (b) any Material Disposition, (c) any Indebtedness incurred pursuant any Section 7.02(i), (d) any Investment made pursuant to Section 7.06(i) or (e) any Restricted Payment made pursuant to Section 7.06(c), for purposes of determining compliance with the financial covenants set forth in Section 7.13, each such transaction or proposed transaction shall be deemed to have occurred on and as of the first day of the relevant Measurement Period, and the above pro forma calculations shall be made in good faith by a financial or accounting officer of the Company who is a Responsible Officer. “Pro Forma Compliance” means, with respect to any transaction, that such transaction does not cause, create or result in a Default after giving Pro Forma Effect to (a) such transaction and (b) all other transactions which are required to be given Pro Forma Effect hereunder for the relevant Measurement Period. “PTE” means a prohibited transaction class exemption issued by the U.S. Department of Labor, as any such exemption may be amended from time to time. “Public Lender” has the meaning specified in Section 6.01(d). “QFC” has the meaning assigned to the term “qualified financial contract” in, and shall be interpreted in accordance with, 12 U.S.C. 5390(c)(8)(D). “QFC Credit Support” has the meaning specified in Section 11.22. “Qualified ECP Guarantor” means, at any time, each Loan Party with total assets exceeding $10,000,000 or that qualifies at such time as an “eligible contract participant” under the Commodity Exchange Act and can cause another Person to qualify as an “eligible contract participant” at such time under Section 1a(18)(A)(v)(II) of the Commodity Exchange Act. “Rate Determination Date” means two (2) Business Days prior to the commencement of such Interest Period (or such other day as is generally treated as the rate fixing day by market practice in such interbank market, as determined by the Administrative Agent; provided that, to the extent such market practice is not administratively feasible for the Administrative Agent, then “Rate Determination Date” means such other day as otherwise reasonably determined by the Administrative Agent). “Recipient” means the Administrative Agent, any Lender, any L/C Issuer or any other recipient of any payment to be made by or on account of any obligation of any Loan Party hereunder. “Register” has the meaning specified in Section 11.06(c). “Related Parties” means, with respect to any Person, such Person’s Affiliates and the partners, directors, officers, employees, agents, trustees, administrators, managers, advisors and representatives of such Person and of such Person’s Affiliates. “Relevant Governmental Body” means (a) with respect to Loans denominated in Dollars, the Federal Reserve Board and/or the Federal Reserve Bank of New York, or a committee officially endorsed or convened by the Federal Reserve Board and/or the Federal Reserve Bank of New York, (b) with respect to Loans denominated in Sterling, the Bank of England, or a committee officially endorsed or convened by the Bank of England or, in each case, any successor thereto, (c) with respect to Loans denominated in Euros, the European Central Bank, or a committee officially endorsed or convened by the European Central Bank or, in each case, any successor thereto, and (d) with respect to Loans denominated in any other Agreed Currency, (i) the central bank for the currency in which such Loan is 31


 
denominated or any central bank or other supervisor which is responsible for supervising either (x) such Successor Rate or (y) the administrator of such Successor Rate or (ii) any working group or committee officially endorsed or convened by (w) the central bank for the currency in which such Successor Rate is denominated, (x) any central bank or other supervisor that is responsible for supervising either (A) such Successor Rate or (B) the administrator of such Successor Rate, (y) a group of those central banks or other supervisors or (z) the Financial Stability Board or any part thereof. “Relevant Rate” means with respect to any Credit Extension denominated in (a) Dollars, SOFR, (b) Sterling, SONIA, (c) Euros, EURIBOR, (d) Canadian Dollars, the CDORTerm CORRA Rate and (e) Australian Dollars, BBSY, as applicable. “Reportable Event” means any of the events set forth in Section 4043(c) of ERISA, other than events for which the thirty (30) day notice period has been waived. “Request for Credit Extension” means (a) with respect to a Borrowing, conversion or continuation of Revolving Loans or Term Loans, a Loan Notice, (b) with respect to an L/C Credit Extension, a Letter of Credit Application and (c) with respect to a Swingline Loan, a Swingline Loan Notice. “Required Class Lenders” means, at any time with respect to any Class of Loans or Commitments, Lenders having Total Credit Exposures with respect to such Class representing more than 50% of the Total Credit Exposures of all Lenders of such Class. The Total Credit Exposure of any Defaulting Lender with respect to such Class shall be disregarded in determining Required Class Lenders at any time. Notwithstanding the foregoing, at any time that there are two or more Lenders of a particular Class of Loans or Commitments, the term “Required Class Lenders” must include at least two Lenders of such Class of Loans or Commitments (Lenders that are Affiliates or Approved Funds of each other shall be deemed to be a single Lender for purposes of this sentence). “Required Lenders” means, at any time, Lenders having Total Credit Exposures representing more than 50% of the Total Credit Exposures of all Lenders. The Total Credit Exposure of any Defaulting Lender shall be disregarded in determining Required Lenders at any time; provided that, the amount of any participation in any Swingline Loan and Unreimbursed Amounts that such Defaulting Lender has failed to fund that have not been reallocated to and funded by another Lender shall be deemed to be held by the Lender that is the Swingline Lender or the applicable L/C Issuer, as the case may be, in making such determination. Notwithstanding the foregoing, at any time that there are two or more Lenders, the term “Required Lenders” must include at least two Lenders (Lenders that are Affiliates or Approved Funds of each other shall be deemed to be a single Lender for purposes of this sentence). “Required Revolving Lenders” means, at any time, Revolving Lenders having Total Revolving Exposures representing more than 50% of the Total Revolving Exposures of all Revolving Lenders. The Total Revolving Exposure of any Defaulting Lender shall be disregarded in determining Required Revolving Lenders at any time; provided that, the amount of any participation in any Swingline Loan and Unreimbursed Amounts that such Defaulting Lender has failed to fund that have not been reallocated to and funded by another Lender shall be deemed to be held by the Revolving Lender that is the Swingline Lender or the applicable L/C Issuer, as the case may be, in making such determination. Notwithstanding the foregoing, at any time that there are two or more Revolving Lenders, the term “Required Revolving Lenders” must include at least two Revolving Lenders (Lenders that are Affiliates or Approved Funds of each other shall be deemed to be a single Lender for purposes of this sentence). “Required Term Lenders” means, at any time, Term Lenders having Total Term Credit Exposures representing more than 50% of the Total Term Credit Exposures of all Term Lenders. The 32 Total Term Credit Exposure of any Defaulting Lender shall be disregarded in determining Required Term Lenders at any time. Notwithstanding the foregoing, at any time that there are two or more Term Lenders, the term “Required Term Lenders” must include at least two Term Lenders (Lenders that are Affiliates or Approved Funds of each other shall be deemed to be a single Lender for purposes of this sentence). “Rescindable Amount” has the meaning as defined in Section 2.12(c). “Resolution Authority” means an EEA Resolution Authority or, with respect to any UK Financial Institution, a UK Resolution Authority. “Responsible Officer” means the director, chief executive officer, president, chief financial officer, treasurer, assistant treasurer or controller of a Loan Party, solely for purposes of the delivery of incumbency certificates pursuant to Section 4.01, the secretary or any assistant secretary of a Loan Party and, solely for purposes of notices given pursuant to Article II, any other officer of the applicable Loan Party so designated by any of the foregoing officers in a notice to the Administrative Agent or any other officer or employee of the applicable Loan Party designated in or pursuant to an agreement between the applicable Loan Party and the Administrative Agent. Any document delivered hereunder that is signed by a Responsible Officer of a Loan Party shall be conclusively presumed to have been authorized by all necessary corporate, partnership and/or other action on the part of such Loan Party and such Responsible Officer shall be conclusively presumed to have acted on behalf of such Loan Party. To the extent requested by the Administrative Agent, each Responsible Officer will provide an incumbency certificate and, to the extent requested by the Administrative Agent, appropriate authorization documentation, in form and substance reasonably satisfactory to the Administrative Agent. “Restricted Payment” means any dividend or other distribution (whether in cash, securities or other property) with respect to any capital stock or other Equity Interest of the Borrower, or any payment (whether in cash, securities or other property), including any sinking fund or similar deposit, on account of the purchase, redemption, retirement, acquisition, cancellation or termination of any such capital stock or other Equity Interest, or on account of any return of capital to the Borrower’s stockholders (or the equivalent Person thereof). “Revaluation Date” means (a) with respect to any Loan, each of the following: (i) each date of a Borrowing of an Alternative Currency Term Rate Loan, (ii) with respect to an Alternative Currency Daily Rate Loan, each Interest Payment Date, (iii) each date of a continuation of a an Alternative Currency Term Rate Loan pursuant to Section 2.02, and (iiiiv) such additional dates as the Administrative Agent shall determine or the Required Lenders shall require; and (b) with respect to any Letter of Credit, each of the following: (i) each date of issuance, amendment and/or extension of a Letter of Credit denominated in an Alternative Currency, (ii) each date of any payment by the applicable L/C Issuer under any Letter of Credit denominated in an Alternative Currency and (iii) such additional dates as the Administrative Agent or the applicable L/C Issuer shall determine or the Required Lenders shall require. “Revolving Borrowing” means a borrowing consisting of simultaneous Revolving Loans of the same Type and, in the case of Term Rate Loans, having the same Interest Period made by each of the Revolving Lenders pursuant to Section 2.01(b). “Revolving Commitment” means, as to each Revolving Lender, its obligation to (a) make Revolving Loans to the Borrower pursuant to Section 2.01(b), (b) purchase participations in L/C Obligations, and (c) purchase participations in Swingline Loans, in an aggregate principal amount at any one time outstanding not to exceed the amount set forth opposite such Lender’s name on Schedule 33 1.01(b) under the caption “Revolving Commitment” or opposite such caption in the Assignment and Assumption pursuant to which such Lender becomes a party hereto, as applicable, as such amount may be adjusted from time to time in accordance with this Agreement. The Revolving Commitment of all of the Revolving Lenders on the Closing Date was $450,000,000, which such amount (x) was increased to $600,000,000 on the First Amendment Effective Date in connection with the First Amendment and (y) shall be increased further to $650,000,000 on the Second Amendment Effective Date in connection with the First Amendment. “Revolving Commitment Fee” has the meaning specified in Section 2.09(a). “Revolving Exposure” means, as to any Lender at any time, the aggregate principal amount at such time of its outstanding Revolving Loans and such Lender’s participation in L/C Obligations and Swingline Loans at such time. “Revolving Facility” means, at any time, the aggregate amount of the Revolving Lenders’ Revolving Commitments at such time. “Revolving Lender” means, at any time, (a) so long as any Revolving Commitment is in effect, any Lender that has a Revolving Commitment at such time or (b) if the Revolving Commitments have terminated or expired, any Lender that has a Revolving Loan or a participation in L/C Obligations or Swingline Loans at such time. “Revolving Loan” has the meaning specified in Section 2.01(b). “Revolving Note” means a promissory note made by the Borrower in favor of a Revolving Lender evidencing Revolving Loans or Swingline Loans, as the case may be, made by such Revolving Lender, substantially in the form of Exhibit F. “Rollover Revolving Loans” has the meaning specified in Section 2.01(b). It is understood and agreed that (x) the aggregate outstanding principal amount of Rollover Revolving Loans as of the Closing Date equals $180,000,000 and (y) all Rollover Revolving Loans shall constitute Revolving Loans for all purposes hereunder. “S&P” means Standard & Poor’s Financial Services LLC, a subsidiary of S&P Global Inc., and any successor thereto. “Same Day Funds” means (a) with respect to disbursements and payments in Dollars, immediately available funds, and (b) with respect to disbursements and payments in an Alternative Currency, same day or other funds as may be determined by the Administrative Agent or the L/C Issuers, as the case may be, to be customary in the place of disbursement or payment for the settlement of international banking transactions in the relevant Alternative Currency. “Sanction(s)” means any sanction administered or enforced by the United States Government (including, without limitation, OFAC), the United Nations Security Council, the European Union, Her Majesty’s Treasury (“HMT”), the Canadian Government, the Hong Kong Monetary Authority or other relevant sanctions authority. “SEC” means the Securities and Exchange Commission, or any Governmental Authority succeeding to any of its principal functions. 34 “Second Amendment” means that certain Second Amendment to Credit Agreement dated as of September 30, 2022 by and among the Borrower, the Guarantors party thereto, the Lenders party thereto and the Administrative Agent. “Second Amendment Effective Date” means September 30, 2022. “Second Amendment Revolving Commitment Increase” has the meaning set forth in the Second Amendment. “Second Amendment Term Commitment” means, as to each Term Lender, its obligation to make Second Amendment Term Loans to the Company pursuant to Section 2.01(a)(ii) in an aggregate principal amount at any one time outstanding not to exceed the amount set forth opposite such Term Lender’s name on Schedule 1.01(b) (as amended by the Second Amendment) under the caption “Second Amendment Term Commitment”. The Second Amendment Term Commitment of all of the Term Lenders as of the Second Amendment Effective Date is $50,000,000. “Second Amendment Term Loan” has the meaning specified in Section 2.01(a)(ii). “Securities Act” means the Securities Act of 1933, including all amendments thereto and regulations promulgated thereunder. “SOFR” means the Secured Overnight Financing Rate as administered by the Federal Reserve Bank of New York (or a successor administrator). “SOFR Adjustment” (a) with respect to Daily Simple SOFR, means 0.10% (10 basis points) and (b) with respect to Term SOFR, means 0.10% (10 basis points) for an Interest Period of one-month’s duration, and 0.15% (15 basis points;) for an Interest Period of three-month’s duration, 0.25% (25 basis points) for an Interest Period of six-months’ duration. “SOFR Administrator” means the Federal Reserve Bank of New York, as the administrator of SOFR, or any successor administrator of SOFR designated by the Federal Reserve Bank of New York or other Person acting as the SOFR Administrator at such time. “SONIA” means, with respect to any applicable determination date, the Sterling Overnight Index Average Reference Rate published on the fifth Business Day preceding such date on the applicable Reuters screen page (or such other commercially available source providing such quotations as may be designated by the Administrative Agent from time to time); provided however that if such determination date is not a Business Day, then such determination date shall be deemed to be the first Business Day immediately prior to such determination date. “SONIA Adjustment” means, with respect to SONIA, 0.0326% (3.26 basis points) per annum. “Special Notice Currency” means at any time an Alternative Currency, other than the currency of a country that is a member of the Organization for Economic Cooperation and Development at such time located in North America or Europe. “Specified Acquisition” means the Acquisition by the Company of the “Purchased Assets” owned by the “Seller Entities” pursuant to (and as such terms are defined in) the Specified Acquisition Agreement. 35


 
“Specified Acquisition Agreement” means that certain Asset Purchase Agreement dated as of April 3, 2022 by and among the Company and S&P Global Inc., including all schedules and exhibits thereto and all material documents entered into in connection therewith. “Specified Acquisition Agreement Representations” means such of the representations made by or with respect to the “Purchased Assets” and the “Seller Entities” pursuant to (and as defined in) the Specified Acquisition Agreement as are material to the interests of the Lenders (but only to the extent that the Company or its Affiliates have the right to terminate its or their obligations under the Specified Acquisition Agreement or decline to consummate the Specified Acquisition as a result of a breach of such representations in the Specified Acquisition Agreement). “Specified Acquisition Closing Date” means the date that the Specified Acquisition is consummated pursuant to and in accordance with the terms of the Specified Acquisition Agreement. It is understood and agreed for such purposes that such Specified Acquisition Closing Date occurred on May 31, 2022 which was a day before the Specified Acquisition was consummated (i.e., June 1, 2022). “Specified Loan Party” means any Loan Party that is not then an “eligible contract participant” under the Commodity Exchange Act (determined prior to giving effect to Section 10.11). “Specified Representations” means those representations and warranties made by the Borrowers or the other Loan Parties in Sections 5.01(a) and (b)(ii), 5.02(a), 5.04, 5.12 and, solely with respect to the use of proceeds of the Term Loans, Section 5.14. “Sterling” and “£” mean the lawful currency of the United Kingdom. “Subsidiary” of a Person means a corporation, partnership, joint venture, limited liability company or other business entity of which a majority of the shares of Voting Stock is at the time beneficially owned, or the management of which is otherwise controlled, directly, or indirectly through one or more intermediaries, or both, by such Person. Unless otherwise specified, all references herein to a “Subsidiary” or to “Subsidiaries” shall refer to a Subsidiary or Subsidiaries of the Company. “Successor Rate” has the meaning specified in Section 3.03(b). “Supported QFC” has the meaning specified in Section 11.22. “Swap Contract” means (a) any and all rate swap transactions, basis swaps, credit derivative transactions, forward rate transactions, commodity swaps, commodity options, forward commodity contracts, equity or equity index swaps or options, bond or bond price or bond index swaps or options or forward bond or forward bond price or forward bond index transactions, interest rate options, forward foreign exchange transactions, cap transactions, floor transactions, collar transactions, currency swap transactions, cross-currency rate swap transactions, currency options, spot contracts, or any other similar transactions or any combination of any of the foregoing (including any options to enter into any of the foregoing), whether or not any such transaction is governed by or subject to any master agreement, and (b) any and all transactions of any kind, and the related confirmations, which are subject to the terms and conditions of, or governed by, any form of master agreement published by the International Swaps and Derivatives Association, Inc., any International Foreign Exchange Master Agreement, or any other master agreement (any such master agreement, together with any related schedules, a “Master Agreement”), including any such obligations or liabilities under any Master Agreement. 36 “Swap Obligations” means with respect to any Loan Party any obligation to pay or perform under any agreement, contract or transaction that constitutes a “swap” within the meaning of Section 1a(47) of the Commodity Exchange Act. “Swap Termination Value” means, in respect of any one or more Swap Contracts, after taking into account the effect of any legally enforceable netting agreement relating to such Swap Contracts, (a) for any date on or after the date such Swap Contracts have been closed out and termination value(s) determined in accordance therewith, such termination value(s), and (b) for any date prior to the date referenced in clause (a), the amount(s) determined as the mark-to-market value(s) for such Swap Contracts, as determined based upon one or more mid-market or other readily available quotations provided by any recognized dealer in such Swap Contracts (which may include any Lender or any Affiliate of any Lender). “Swingline Borrowing” means a borrowing of a Swingline Loan pursuant to Section 2.04. “Swingline Commitment” means, as to any Lender (a) the amount set forth opposite such Lender’s name on Schedule 2.01 hereof or (b) if such Lender has entered into an Assignment and Assumption or has otherwise assumed a Swingline Commitment after the Closing Date, the amount set forth for such Lender as its Swingline Commitment in the Register maintained by the Administrative Agent pursuant to Section 11.06(c). “Swingline Lender” means Bank of America, through itself or through one of its designated Affiliates or branch offices, in its capacity as provider of Swingline Loans, or any successor swingline lender hereunder. “Swingline Loan” has the meaning specified in Section 2.04(a). “Swingline Loan Notice” means a notice of a Swingline Borrowing pursuant to Section 2.04(b), which shall be substantially in the form of Exhibit G or such other form as approved by the Administrative Agent (including any form on an electronic platform or electronic transmission system as shall be approved by the Administrative Agent), appropriately completed and signed by a Responsible Officer of the Company. “Swingline Sublimit” means an amount equal to the lesser of (a) $100,000,000 and (b) the Revolving Facility. The Swingline Sublimit is part of, and not in addition to, the Revolving Facility. “TARGET2” means the Trans-European Automated Real-time Gross Settlement Express Transfer payment system which utilizes a single shared platform and which was launched on November 19, 2007. “T2” means the real time gross settlement system operated by the Eurosystem, or any successor system. “TARGET Day” means any day on which TARGET2 (or, if such payment system ceases to be operative, such other payment system, if any, determined by the Administrative Agent to be a suitable replacement)T2 is open for the settlement of payments in Euro. “Tax Credit” a credit against, relief or remission for, or repayment of, any Taxes. 37 “Taxes” means all present or future taxes, levies, imposts, duties, deductions, withholdings (including backup withholding), assessments, fees or other charges imposed by any Governmental Authority, including any interest, additions to tax or penalties applicable thereto. “Term Borrowing” means a borrowing consisting of simultaneous Term Loans of the same Type and, in the case of Term SOFR Loans, having the same Interest Period made by each of the Term Lenders pursuant to Section 2.01(a). “Term Commitment” means, as to each Term Lender, its obligation to make Term Loans to the Borrower pursuant to Section 2.01(a) in an aggregate principal amount at any one time outstanding not to exceed the amount set forth opposite such Term Lender’s name on Schedule 1.01(b) under the caption “Term Commitment” or opposite such caption in the Assignment and Assumption pursuant to which such Term Lender becomes a party hereto, as applicable, as such amount may be adjusted from time to time in accordance with this Agreement. The Term Commitment of all of the Term Lenders on the Closing Date was $650,000,000 (it being understood and agreed that (x) $600,000,000 of such Term Commitments provided on the Closing Date were funded on May 31, 2022 pursuant to the Term Loan (First Draw), (y) the remaining $50,000,000 of unfunded Term Commitments provided on the Closing Date were terminated on the First Amendment Effective Date such that, as of the First Amendment Effective Date, the aggregate Term Commitments of all of the Term Lenders equaled $0 and (z) the Second Amendment Term Commitments shall constitute Term Commitments). “Term Commitment Fee” has the meaning specified in Section 2.09(a). “Term CORRA Adjustment” means (i) 0.29547% (29.547 basis points) for an Interest Period of one-month’s duration and (ii) 0.32138% (32.138 basis points) for an Interest Period of three-months’ duration. “Term CORRA Rate” has the meaning assigned to it in the definition of Alternative Currency Term Rate. “Term Facility” means, at any time, (a) at any time during the Availability Period in respect of such Facility, the sum of (i) the aggregate amount of the Term Commitments at such time and (ii) the aggregate principal amount of the Term Loans of all Term Lenders outstanding at such time and (b) thereafter, the aggregate principal amount of the Term Loans of all Term Lenders outstanding at such time. “Term Lender” means (a) at any time on or prior to the Closing Date, any Lender that has a Term Commitment at such time, (b) at any time during the Availability Period in respect of the Term Facility, any Lender that has a Term Commitment or that holds Term Loans at such time and (c) at any time after the Availability Period in respect of the Term Facility, any Lender that holds Term Loans at such time. “Term Loan” means an advance made by any Term Lender under the Term Facility (including, for the avoidance of doubt the Second Amendment Term Loans provided on the Second Amendment Effective Date). “Term Loan (First Draw)” means the initial advance of Term Loans on the Specified Acquisition Closing Date. It is understood and agreed that the Term Loan (First Draw) was advanced on the Specified Acquisition Closing Date in an amount equal to $600,000,000. 38 “Term Note” means a promissory note made by the Borrower in favor of a Term Lender evidencing Term Loans made by such Term Lender, substantially in the form of Exhibit H. “Term Rate Loan” means a Term SOFR Loan or an Alternative Currency Term Rate Loan. “Term SOFR” means: (a) for any Interest Period with respect to a Term SOFR Loan, the rate per annum equal to the Term SOFR Screen Rate two U.S. Government Securities Business Days prior to the commencement of such Interest Period with a term equivalent to such Interest Period; provided that if the rate is not published prior to 11:00 a.m. on such determination date then Term SOFR means the Term SOFR Screen Rate on the first U.S. Government Securities Business Day immediately prior thereto, in each case, plus the SOFR Adjustment for such Interest Period; and (b) for any interest calculation with respect to a Base Rate Loan on any date, the rate per annum equal to the Term SOFR Screen Rate with a term of one month commencing that day; provided that if the Term SOFR determined in accordance with either of the foregoing clauses (a) or (b) of this definition would otherwise be less than zero, the Term SOFR shall be deemed zero for purposes of this Agreement. “Term SOFR Loan” means a Loan that bears interest at a rate based on clause (a) of the definition of Term SOFR. “Term SOFR Screen Rate” means the forward-looking SOFR term rate administered by CME (or any successor administrator satisfactory to the Administrative Agent) and published on the applicable Reuters screen page (or such other commercially available source providing such quotations as may be designated by the Administrative Agent from time to time). “The Netherlands” means the European part of the Kingdom of the Netherlands and Dutch means in or of the Netherlands. “Third Amendment” means that certain Third Amendment to Credit Agreement, dated as of the Third Amendment Effective Date, by and among Company, certain Subsidiaries of the Company, Administrative Agent and the Lenders party thereto. “Third Amendment Effective Date” means June 27, 2024. “Total Credit Exposure” means, as to any Lender at any time, the unused Commitments, Revolving Exposure and Outstanding Amount of all Term Loans of such Lender at such time. “Total Revolving Exposure” means, as to any Revolving Lender at any time, the unused Commitments and Revolving Exposure of such Revolving Lender at such time. “Total Revolving Outstandings” means the aggregate Outstanding Amount of all Revolving Loans, Swingline Loans and L/C Obligations. “Total Term Credit Exposure” means, as to any Term Lender at any time, the Outstanding Amount of all Term Loans of such Term Lender at such time. 39


 
“Type” means, with respect to a Loan, its character as a Base Rate Loan, a Term Rate Loan, a Daily SOFR Loan or an Alternative Currency Daily Rate Loan. “UCP” means the Uniform Customs and Practice for Documentary Credits, International Chamber of Commerce Publication No. 600 (or such later version thereof as may be in effect at the applicable time). “UK Borrower” means any Borrower (i) that is organized or formed under the laws of the United Kingdom; (ii) that is resident in the United Kingdom for United Kingdom tax purposes or (iii) payments from which under this Agreement or any other Loan Document are subject to withholding Taxes imposed by the laws of the United Kingdom. “UK Financial Institution” means any BRRD Undertaking (as such term is defined under the PRA Rulebook (as amended form time to time) promulgated by the United Kingdom Prudential Regulation Authority) or any person subject to IFPRU 11.6 of the FCA Handbook (as amended from time to time) promulgated by the United Kingdom Financial Conduct Authority, which includes certain credit institutions and investment firms, and certain affiliates of such credit institutions or investment firms. “UK Resolution Authority” means the Bank of England or any other public administrative authority having responsibility for the resolution of any UK Financial Institution. “UK Lender” means any Lender that has issued a UK Commitment. “UK Non-Bank Lender” means a Lender which gives a UK Tax Confirmation in the documentation which it executes on becoming a party to this Agreement as a Lender. “UK Qualifying Lender” means: (a) a Lender (other than a Lender within clause (b) below) which is beneficially entitled to interest payable to that Lender in respect of an advance under a Loan Document and is: (i) a Lender: (A) that is a bank (as defined for the purpose of section 879 of the ITA) making an advance under a Loan Document and is within the charge to UK corporation tax as respects any payments of interest made in respect of that advance or would be within such charge as respects such payments apart from section 18A of the CTA; or (B) in respect of an advance made under a Loan Document by a person that was a bank (as defined for the purpose of section 879 of the ITA) at the time that such advance was made, and, is within the charge to United Kingdom corporation tax with respect to any payments of interest made in respect of that advance; or (ii) a Lender which is: (A) a company resident in the United Kingdom for United Kingdom tax purposes; (B) a partnership, each member of which is: 40 (1) a company so resident in the United Kingdom; or (2) a company not so resident in the United Kingdom which carries on a trade in the United Kingdom through a permanent establishment and which brings into account in computing its chargeable profits (within the meaning of section 19 of the CTA) the whole of any share of interest payable in respect of that advance that falls to it by reason of Part 17 of the CTA; or (C) a company not so resident in the United Kingdom which carries on a trade in the United Kingdom through a permanent establishment and which brings into account interest payable in respect of that advance in computing the chargeable profits (within the meaning of section 19 of the CTA) of that company; or (iii) a UK Treaty Lender; or (b) a building society (as defined for the purposes of section 880 of the ITA) making an advance under a Loan Document. “UK Tax Confirmation” means a confirmation by a Lender that the person beneficially entitled to interest payable to that Lender in respect of an advance under a Loan Document is either: (a) a company resident in the United Kingdom for United Kingdom tax purposes; or (b) a partnership each member of which is: (i) a company so resident in the United Kingdom; or (ii) a company not so resident in the United Kingdom which carries on a trade in the United Kingdom through a permanent establishment and which brings into account in computing its chargeable profits (within the meaning of section 19 of the CTA) the whole of any share of interest payable in respect of that advance that falls to it by reason of Part 17 of the CTA; or (c) a company not so resident in the United Kingdom which carries on a trade in the United Kingdom through a permanent establishment and which brings into account interest payable in respect of that advance in computing the chargeable profits (within the meaning of section 19 of the CTA) of that company. “UK Tax Deduction” means (i) a deduction or withholding from a payment under any Loan Document for and on account of any Taxes imposed by the laws of the United Kingdom or (ii) a FATCA Deduction. “UK Tax Payment” means in relation to any UK Borrower, either the increase in a payment made by that UK Borrower to a UK Lender under Section 3.08(b) or a payment under Section 3.08(c). “UK Treaty Lender” means a Lender which: (a) is treated as a resident of a UK Treaty State for the purposes of the relevant Treaty; (b) does not carry on a business in the United Kingdom through a permanent establishment with which that Lender’s participation in any advance is effectively connected; and 41 (c) fulfils any other conditions which must be fulfilled under the relevant Treaty by residents of that UK Treaty State for such residents to obtain full exemption from United Kingdom taxation on interest payable to that Lender in respect of an advance under a Loan Document, except that for this purpose it shall be assumed that there is no special relationship between the relevant UK Borrower and the Lender or between both of them and another person and that any necessary procedural formalities are satisfied. “UK Treaty State” means a jurisdiction having a double taxation agreement (a “Treaty”) with the United Kingdom which makes provision for full exemption from tax imposed by the United Kingdom on interest. “United States” and “U.S.” mean the United States of America. “Unreimbursed Amount” has the meaning specified in Section 2.03(c). “U.S. Government Securities Business Day” means any Business Day, except any Business Day on which any of the Securities Industry and Financial Markets Association, the New York Stock Exchange or the Federal Reserve Bank of New York is not open for business because such day is a legal holiday under the federal laws of the United States or the laws of the State of New York, as applicable. “U.S. Person” means any Person that is a “United States Person” as defined in Section 7701(a)(30) of the Code. “U.S. Special Resolution Regimes” has the meaning specified in Section 11.21. “U.S. Tax Compliance Certificate” has the meaning specified in Section 3.01(f)(ii)(B)(3). “VAT” means: (a) any tax imposed in compliance with the Council Directive of 28 November 2006 on the common system of value added tax (EC Directive 2006/112); (b) any tax imposed under the Value Added Tax Act 1994 and any supplementary regulations therein; and (c) any other tax of a similar nature, whether imposed in a member state of the European Union in substitution for, or levied in addition to, such tax referred to in paragraph (a) above, or imposed elsewhere. “Voting Stock” means, with respect to any Person, Equity Interests issued by such Person the holders of which are ordinarily, in the absence of contingencies, entitled to vote for the election of directors (or persons performing similar functions) of such Person, even though the right to so vote has been suspended by the happening of such contingency. “Withholding Agent” means the Borrower and the Administrative Agent. “Write-Down and Conversion Powers” means, (a) with respect to any EEA Resolution Authority, the write-down and conversion powers of such EEA Resolution Authority from time to time under the Bail-In Legislation for the applicable EEA Member Country, which write-down and conversion powers are described in the EU Bail-In Legislation Schedule, and (b) with respect to the United Kingdom, any powers of the applicable Resolution Authority under the Bail-In Legislation to cancel, reduce, modify or change the form of a liability of any UK Financial Institution or any contract or instrument under which that liability arises, to convert all or part of that liability into shares, securities or obligations of that person or any other person, to provide that any such contract or instrument is to have effect as if a right had been exercised under it or to suspend any obligation in respect of that liability or any of the powers under that Bail-In Legislation that are related to or ancillary to any of those powers. 42 1.02 Other Interpretive Provisions. With reference to this Agreement and each other Loan Document, unless otherwise specified herein or in such other Loan Document: (a) The definitions of terms herein shall apply equally to the singular and plural forms of the terms defined. Whenever the context may require, any pronoun shall include the corresponding masculine, feminine and neuter forms. The words “include,” “includes” and “including” shall be deemed to be followed by the phrase “without limitation.” The word “will” shall be construed to have the same meaning and effect as the word “shall.” Unless the context requires otherwise, (i) any definition of or reference to any agreement, instrument or other document (including the Loan Documents and any Organization Document) shall be construed as referring to such agreement, instrument or other document as from time to time amended, amended and restated, modified, extended, restated, replaced or supplemented from time to time (subject to any restrictions on such amendments, supplements or modifications set forth herein or in any other Loan Document), (ii) any reference herein to any Person shall be construed to include such Person’s successors and assigns, (iii) the words “hereto,” “herein,” “hereof” and “hereunder,” and words of similar import when used in any Loan Document, shall be construed to refer to such Loan Document in its entirety and not to any particular provision thereof, (iv) all references in a Loan Document to Articles, Sections, Preliminary Statements, Exhibits and Schedules shall be construed to refer to Articles and Sections of, and Preliminary Statements, Exhibits and Schedules to, the Loan Document in which such references appear, (v) any reference to any law shall include all statutory and regulatory rules, regulations, orders and provisions consolidating, amending, replacing or interpreting such law and any reference to any law or regulation shall, unless otherwise specified, refer to such law or regulation as amended, modified, extended, restated, replaced or supplemented from time to time, and (vi) the words “asset” and “property” shall be construed to have the same meaning and effect and to refer to any and all tangible and intangible assets and properties, including cash, securities, accounts and contract rights. Any and all references to “Borrower” regardless of whether preceded by the term “a”, “any”, “each of”, “all”, “and/or”, or any other similar term shall be deemed to refer, as the context requires, to each and every (and/or any, one or all) parties constituting a Borrower, individually and/or in the aggregate. (b) In the computation of periods of time from a specified date to a later specified date, the word “from” means “from and including;” the words “to” and “until” each mean “to but excluding;” and the word “through” means “to and including.” (c) Section headings herein and in the other Loan Documents are included for convenience of reference only and shall not affect the interpretation of this Agreement or any other Loan Document. (d) Any reference herein to a merger, transfer, consolidation, amalgamation, assignment, sale, disposition or transfer, or similar term, shall be deemed to apply to a division of or by a limited liability company, or an allocation of assets to a series of a limited liability company (or the unwinding of such a division or allocation), as if it were a merger, transfer, consolidation, amalgamation, assignment, sale, disposition or transfer, or similar term, as applicable, to, of or with a separate Person. Any division of a limited liability company shall constitute a separate Person hereunder (and each division of any limited liability company that is a Subsidiary, joint venture or any other like term shall also constitute such a Person or entity). 1.03 Accounting Terms. (a) Generally. All accounting terms not specifically or completely defined herein shall be construed in conformity with, and all financial data (including financial ratios and other financial 43


 
calculations) required to be submitted pursuant to this Agreement shall be prepared in conformity with, GAAP applied on a consistent basis, as in effect from time to time, applied in a manner consistent with that used in preparing the Audited Financial Statements, except as otherwise specifically prescribed herein. Notwithstanding the foregoing, for purposes of determining compliance with any covenant (including the computation of any financial covenant) contained herein, Indebtedness of the Borrower and its Subsidiaries shall be deemed to be carried at 100% of the outstanding principal amount thereof, and the effects of FASB ASC 825 on financial liabilities shall be disregarded. (b) Changes in GAAP. If at any time any change in GAAP would affect the computation of any financial ratio or requirement set forth in any Loan Document, and either the Company or the Required Lenders shall so request, the Administrative Agent, the Lenders and the Borrower shall negotiate in good faith to amend such ratio or requirement to preserve the original intent thereof in light of such change in GAAP (subject to the approval of the Required Lenders); provided that, until so amended, (i) such ratio or requirement shall continue to be computed in accordance with GAAP prior to such change therein and (ii) the Borrower shall provide to the Administrative Agent and the Lenders financial statements and other documents required under this Agreement or as reasonably requested hereunder setting forth a reconciliation between calculations of such ratio or requirement made before and after giving effect to such change in GAAP. Without limiting the foregoing, leases shall continue to be classified and accounted for on a basis consistent with that reflected in the Audited Financial Statements for all purposes of this Agreement, notwithstanding any change in GAAP relating thereto, unless the parties hereto shall enter into a mutually acceptable amendment addressing such changes, as provided for above. (c) Pro Forma Treatment. (i) Each Permitted Acquisition by the Borrower and its Subsidiaries that is consummated during any Measurement Period shall, for purposes of determining compliance with the financial covenants set forth in Section 7.13 and for purposes of determining the Applicable Rate, be given Pro Forma Effect as of the first day of such Measurement Period most recently ended for which Borrower has delivered (or was required to deliver) financial statements pursuant to Sections 6.01(a) or 6.01(b). All defined terms used in the calculation of the financial covenants set forth in Section 7.13 hereof shall be calculated on a historical pro forma basis giving effect, during any Measurement Period that includes any Permitted Acquisition, to the inclusion of the actual historical results of the Person or line of business so acquired and which amounts shall include adjustments as contemplated by the Pro Forma Acquisition EBITDA definition. (ii) Each Material Disposition by the Borrower and its Subsidiaries that is consummated during any Measurement Period shall, for purposes of determining compliance with the financial covenants set forth in Section 7.13 and for purposes of determining the Applicable Rate, be given Pro Forma Effect as of the first day of such Measurement Period most recently ended for which Borrower has delivered (or was required to deliver) financial statements pursuant to Sections 6.01(a) or 6.01(b). All defined terms used in the calculation of the financial covenants set forth in Section 7.13 hereof shall be calculated on a historical pro forma basis giving effect, during any Measurement Period that includes any Material Disposition, to the exclusion of the actual historical results of the Person or line of business so disposed of. 1.04 Rounding. Any financial ratios required to be maintained by the Borrower pursuant to this Agreement shall be calculated by dividing the appropriate component by the other component, carrying the result to one 44 place more than the number of places by which such ratio is expressed herein and rounding the result up or down to the nearest number (with a rounding-up if there is no nearest number). 1.05 Times of Day; Rates. Unless otherwise specified, all references herein to times of day shall be references to Central time (daylight or standard, as applicable). 1.06 Letter of Credit Amounts. Unless otherwise specified herein, the amount of a Letter of Credit at any time shall be deemed to be the Dollar Equivalent of the stated amount of such Letter of Credit in effect at such time; provided, however, that with respect to any Letter of Credit that, by its terms or the terms of any Issuer Document related thereto, provides for one or more automatic increases in the stated amount thereof, the amount of such Letter of Credit shall be deemed to be the Dollar Equivalent of the maximum stated amount of such Letter of Credit after giving effect to all such increases, whether or not such maximum stated amount is in effect at such time. 1.07 Exchange Rates; Currency Equivalents; Licensing. (a) The Administrative Agent or the L/C Issuers, as applicable, shall determine the Dollar Equivalent amounts of Credit Extensions and Outstanding Amounts denominated in Alternative Currencies. Such Dollar Equivalent shall become effective as of such Revaluation Date and shall be the Dollar Equivalent of such amounts until the next Revaluation Date to occur. Except for purposes of financial statements delivered by Loan Parties hereunder or calculating financial covenants hereunder or except as otherwise provided herein, the applicable amount of any currency (other than Dollars) for purposes of the Loan Documents shall be such Dollar Equivalent amount as so determined by the Administrative Agent or the L/C Issuers, as applicable. (b) Wherever in this Agreement in connection with a Borrowing, conversion, continuation or prepayment of an Alternative Currency Loan or the issuance, amendment or extension of a Letter of Credit, an amount, such as a required minimum or multiple amount, is expressed in Dollars, but such Borrowing, Alternative Currency Loan or Letter of Credit is denominated in an Alternative Currency, such amount shall be the relevant Alternative Currency Equivalent of such Dollar amount (rounded to the nearest unit of such Alternative Currency, with 0.50 of a unit being rounded upward), as determined by the Administrative Agent or the applicable L/C Issuer, as the case may be. (c) The Administrative Agent does not warrant, nor accept responsibility, nor shall the Administrative Agent have any liability with respect to the administration, submission or any other matter related to the rates in the definition of “SOFR”, “Term SOFR”, “Daily Simple SOFR”, “Alternative Currency Daily Rate” or “Alternative Currency Term Rate”, the selection of rates, any related spread or adjustment or with respect to any rate that is an alternative or replacement for or successor to any of such rates (including, without limitation, any Successor Rate) or the effect of any of the foregoing, or of any Successor Rate Conforming Changes. (d) By agreeing to make Loans under this Agreement, each Lender is confirming it has all licenses, permits and approvals necessary for use of the reference rates referred to herein and it will do all things necessary to comply, preserve, renew and keep in full force and effect such licenses, permits and approvals. 45 1.08 Additional Alternative Currencies. (a) The Company may from time to time request that Alternative Currency Loans be made and/or Letters of Credit be issued in a currency other than those specifically listed in the definition of “Alternative Currency”; provided that such requested currency is an Eligible Currency. In the case of any such request with respect to the making of Alternative Currency Loans, such request shall be subject to the approval of the Administrative Agent and each Lender with a Commitment under which such currency is requested to be made available; and in the case of any such request with respect to the issuance of Letters of Credit, such request shall be subject to the approval of the Administrative Agent and the applicable L/C Issuer. (b) Any such request shall be made to the Administrative Agent not later than 11:00 a.m., ten (10) Business Days prior to the date of the desired Credit Extension (or such other time or date as may be agreed by the Administrative Agent and, in the case of any such request pertaining to Letters of Credit, the L/C Issuers, in its or their sole discretion). In the case of any such request pertaining to Alternative Currency Loans, the Administrative Agent shall promptly notify each Appropriate Lender thereof; and in the case of any such request pertaining to Letters of Credit, the Administrative Agent shall promptly notify the L/C Issuers thereof. Each Appropriate Lender (in the case of any such request pertaining to Alternative Currency Loans) or the L/C Issuers (in the case of a request pertaining to Letters of Credit) shall notify the Administrative Agent, not later than 11:00 a.m., five (5) Business Days after receipt of such request whether it consents, in its sole discretion, to the making of Alternative Currency Loans or the issuance of Letters of Credit, as the case may be, in such requested currency. (c) Any failure by a Lender or any L/C Issuer, as the case may be, to respond to such request within the time period specified in the preceding sentence shall be deemed to be a refusal by such Lender or such L/C Issuer, as the case may be, to permit Alternate Currency Loans to be made or Letters of Credit to be issued in such requested currency. If the Administrative Agent and all the Appropriate Lenders consent to making Alternate Currency Loans in such requested currency and the Administrative Agent and such Lenders reasonably determine that an appropriate interest rate is available to be used for such requested currency, the Administrative Agent shall so notify the Company and (i) the Administrative Agent and such Lenders may amend the definition of Alternative Currency Daily Rate or Alternative Currency Term Rate to the extent necessary to add the applicable rate for such currency and any applicable adjustment for such rate and (ii) to the extent the definition of Alternative Currency Daily Rate or Alternative Currency Term Rate, as applicable, has been amended to reflect the appropriate rate for such currency, such currency shall thereupon be deemed for all purposes to be an Alternative Currency for purposes of any Borrowings of Alternative Currency Loans. If the Administrative Agent and the L/C Issuers consent to the issuance of Letters of Credit in such requested currency, the Administrative Agent shall so notify the Company and the Administrative Agent and the L/C Issuers may amend the definition of Alternative Currency Daily Rate or Alternative Currency Term Rate, as applicable, to the extent necessary to add the applicable rate for such currency and any applicable adjustment for such rate and to the extent the definition of Alternative Currency Daily Rate or Alternative Currency Term Rate, as applicable, has been amended to reflect the appropriate rate for such currency, such currency shall thereupon be deemed for all purposes to be an Alternative Currency, for purposes of any Letter of Credit issuances. If the Administrative Agent shall fail to obtain consent to any request for an additional currency under this Section 1.09, the Administrative Agent shall promptly so notify the Company. 1.09 Change of Currency. (a) Each obligation of the Borrowers to make a payment denominated in the national currency unit of any member state of the European Union that adopts the Euro as its lawful currency after 46 the date hereof shall be redenominated into Euro at the time of such adoption. If, in relation to the currency of any such member state, the basis of accrual of interest expressed in this Agreement in respect of that currency shall be inconsistent with any convention or practice in the interbank market for the basis of accrual of interest in respect of the Euro, such expressed basis shall be replaced by such convention or practice with effect from the date on which such member state adopts the Euro as its lawful currency; provided that, if any Borrowing in the currency of such member state is outstanding immediately prior to such date, such replacement shall take effect, with respect to such Borrowing, at the end of the then current Interest Period. (b) Each provision of this Agreement shall be subject to such reasonable changes of construction as the Administrative Agent may from time to time specify to be appropriate to reflect the adoption of the Euro by any member state of the European Union and any relevant market conventions or practices relating to the Euro. (c) Each provision of this Agreement also shall be subject to such reasonable changes of construction as the Administrative Agent may from time to time specify to be appropriate to reflect a change in currency of any other country and any relevant market conventions or practices relating to the change in currency. 1.10 Existing CDOR Rate Loans. For the avoidance of doubt, the Interest Periods for all Term Rate Loans determined by reference to the CDOR Rate (as such terms are defined in this Agreement as in effect immediately prior to the Third Amendment Effective Date) outstanding under this Agreement, if any, shall remain in effect as Term Rate Loans determined by reference to the CDOR Rate (as defined in this Agreement as in effect immediately prior to the Third Amendment Effective Date) under this Agreement without renewal, interruption or extension, and shall accrue interest at the rate of interest calculated based on the CDOR Rate (as defined in this Agreement as in effect immediately prior to the Third Amendment Effective Date), solely for the duration of any such Interest Periods (as defined in this Agreement as in effect immediately prior to the Third Amendment Effective Date) and shall be repaid by the Borrower at the end of such Interest Periods (as defined in this Agreement as in effect immediately prior to the Third Amendment Effective Date) ARTICLE II COMMITMENTS AND CREDIT EXTENSIONS 2.01 Loans. (a) Term Borrowing. (i) Subject to the terms and conditions set forth herein, each Term Lender severally agrees to make up to one (1) loan to the Company in Dollars from time to time, on any Business Day during the Availability Period for the Term Facility, in an aggregate amount not to exceed such Term Lender’s Applicable Percentage of the Term Facility (which such loan (i.e. the Term Loan (First Draw)) was funded on the Specified Acquisition Closing Date). The Term Borrowing shall consist of Term Loans made simultaneously by the Term Lenders in accordance with their respective Applicable Percentage of the Term Facility. Term Borrowings repaid or prepaid may not be reborrowed. Term Loans may be Base Rate Loans or Term SOFR Loans, as further provided herein; provided, however, any Term Borrowing made on the Closing Date or any of the three (3) Business Days following the Closing Date shall be made as Base Rate Loans unless 47


 
the Borrower delivers a Funding Indemnity Letter not less than three (3) Business Days prior to the date of such Term Borrowing. (ii) On the Second Amendment Effective Date, pursuant to the terms hereof, each Term Lender with a Second Amendment Term Commitment, severally and not jointly, shall make an additional term loan denominated in Dollars to the Company (collectively, the “Second Amendment Term Loans”) in an aggregate amount not to exceed such Term Lender’s Applicable Percentage of the Second Amendment Term Commitments. The Second Amendment Term Commitments shall terminate concurrently with the making of the Second Amendment Term Loans on the Second Amendment Effective Date. Term Borrowings of the Second Amendment Term Loans repaid or prepaid may not be reborrowed. Second Amendment Term Loans may be Base Rate Loans or Term SOFR Loans, as further provided herein. For the avoidance of doubt, it is understood and agreed that the Second Amendment Term Loans shall have all the terms and conditions applicable to, the initial Term Loans made pursuant to the Term Commitments provided on the Closing Date for all purposes under this Agreement and each Loan Document. Without limiting the generality of the foregoing, the Second Amendment Term Loans shall (x) constitute Obligations under the Loan Documents and have all of the benefits thereof, (x) have all of the rights, remedies, privileges and protections applicable to the Term Loans made prior to the Second Amendment Effective and (z) all references to “Term Loan”, “a Term Loan”, “any Term Loan”, or “the Term Loans” contained in this Agreement and/or the other Loan Documents shall be deemed to include the Second Amendment Term Loans. (b) Revolving Borrowings. Subject to the terms and conditions set forth herein, each Revolving Lender severally agrees (i) as of the Closing Date to rollover and convert all Existing Revolving Loans on a dollar-for-dollar basis as and into “Revolving Loans” hereunder (all such Loans, “Rollover Revolving Loans”) and (ii) to make loans (each such loan (including, without limitation and for the avoidance of doubt, the Rollover Revolving Loans), a “Revolving Loan”) to the Borrower, in Dollars or in one or more Alternative Currencies, from time to time, on any Business Day during the Availability Period, in an aggregate amount not to exceed at any time outstanding the amount of such Lender’s Revolving Commitment; provided, however, that after giving effect to any Revolving Borrowing, (i) the Total Revolving Outstandings shall not exceed the Revolving Facility, (ii) the Revolving Exposure of any Lender shall not exceed such Revolving Lender’s Revolving Commitment and (iii) the aggregate Outstanding Amount of all Loans denominated in Alternative Currencies shall not exceed the Alternative Currency Sublimit. Within the limits of each Revolving Lender’s Revolving Commitment, and subject to the other terms and conditions hereof, the Borrower may borrow Revolving Loans, prepay under Section 2.05, and reborrow under this Section 2.01(b). Revolving Loans may be Base Rate Loans or Term SOFR Loans, as further provided herein, provided that Alternative Currency Loans will be Alternative Daily Rate Loans or Alternative Currency Term Rate Loans; provided, however, any Revolving Borrowings made on the Closing Date or any of the three (3) Business Days following the Closing Date shall be made as Base Rate Loans unless the Borrower delivers a Funding Indemnity Letter not less than three (3) Business Days prior to the date of such Revolving Borrowing. 2.02 Borrowings, Conversions and Continuations of Loans. (a) Notice of Borrowing. Each Borrowing, each conversion of Loans from one Type to the other, and each continuation of Term Rate Loans shall be made upon the Company’s irrevocable notice to the Administrative Agent, which may be given by: (i) telephone or (ii) a Loan Notice; provided that any telephonic notice must be confirmed immediately by delivery to the Administrative Agent of a Loan Notice. Each such Loan Notice must be received by the Administrative Agent not later than 11:00 a.m. (or, solely with respect to clause (C) below, 4:00 p.m.) (A) two (2) Business Days prior to the requested date of any Borrowing of, conversion to or continuation of Term SOFR Loans denominated in Dollars or 48 of any conversion of Term SOFR Loans denominated in Dollars to Base Rate Loans, (B) three (3) Business Days (or four (4) Business Days in the case of a Special Notice Currency) prior to the requested date of any Borrowing or continuation of Alternative Currency Rate Loans denominated in Alternative Currencies, and (C) one (1) Business Day prior to the requested date of any Borrowing of Base Rate Loans; provided, however, that if the Borrower wishes to request Alternative Currency Term Rate Loans or Term SOFR Loans having an Interest Period other than one (1), three (3) or six (6) months in duration as provided in the definition of “Interest Period”, the applicable notice must be received by the Administrative Agent not later than 11:00 a.m. (x) four (4) Business Days prior to the requested date of such Borrowing, conversion or continuation of a Term SOFR Loan denominated in Dollars, or (y) five (5) Business Days (or six (6) Business Days in the case of a Special Notice Currency) prior to the requested date of such Borrower, conversion or continuation of Alternative Currency Term Rate Loans denominated in Alternative Currencies, whereupon the Administrative Agent shall give prompt notice to the Appropriate Lenders of such request and determine whether the requested Interest Period is acceptable to all of them. Not later than 11:00 a.m., (1) three (3) Business Days before the requested date of such Borrowing, conversion or continuation of Term SOFR Loans denominated in Dollars, or (2) four (4) Business Days (or five (5) Business Days in the case of a Special Notice Currency) prior to the requested date of such Borrower, conversion or continuation of Alternative Currency Term Rate Loans, the Administrative Agent shall notify the Borrower (which notice may be by telephone) whether or not the requested Interest Period has been consented to by all the Lenders. Each Borrowing of, conversion to or continuation of Term SOFR Loans and each Borrowing of, conversion to or continuation of an Alternative Currency Loan shall be in a principal amount of the Dollar Equivalent of $1,000,000 or a whole multiple of the Dollar Equivalent of $500,000 in excess thereof (or, in connection with any conversion or continuation of a Term Loan, if less, the entire principal thereof then outstanding). Except as provided in Sections 2.03(c) and 2.04(c), each Borrowing of or conversion to Base Rate Loans shall be in a principal amount of the Dollar Equivalent of $500,000 or a whole multiple of the Dollar Equivalent of $100,000 in excess thereof (or, in connection with any conversion or continuation of a Term Loan, if less, the entire principal thereof then outstanding). Each Loan Notice and each telephonic notice shall specify (I) the applicable Facility and whether the Borrower is requesting a Borrowing, a conversion of Loans from one Type to the other, or a continuation of Loans, as the case may be, under such Facility, (II) the requested date of the Borrowing, conversion or continuation, as the case may be (which shall be a Business Day), (III) the principal amount of Loans to be borrowed, converted or continued, (IV) the Type of Loans to be borrowed or to which existing Loans are to be converted, and (V) if applicable, the duration of the Interest Period with respect thereto, (VI) the currency of the Loans to be borrowed, and (VII) if applicable, the Designated Borrower. If the Company fails to specify a currency in a Loan Notice requesting a Borrowing, then the Loans so requested shall be made in Dollars. If the Borrower fails to specify a Type of Loan in a Loan Notice or if the Borrower fails to give a timely notice requesting a conversion or continuation, then the applicable Loans shall be made as, or converted to, Base Rate Loans; provided, however, that in the case of a failure to timely request a continuation of Alternative Currency Term Rate Loans, such Loans shall be continued as Alternative Currency Term Rate Loans in their original currency with an Interest Period of one (1) month. Any such automatic conversion to Base Rate Loans shall be effective as of the last day of the Interest Period then in effect with respect to the applicable Term Rate Loans. If the Borrower requests a Borrowing of, conversion to, or continuation of Term Rate Loans in any such Loan Notice, but fails to specify an Interest Period, it will be deemed to have specified an Interest Period of one (1) month. Notwithstanding anything to the contrary herein, a Swingline Loan may not be converted to a Term Rate Loan. Except as provided pursuant to Section 2.12(a), no Loan may be converted into or continued as a Loan denominated in a different currency, but instead must be repaid in the original currency of such Loan and reborrowed in the other currency. (b) Advances. Following receipt of a Loan Notice for a Facility, the Administrative Agent shall promptly notify each Appropriate Lender of the amount (and currency) of its Applicable Percentage under such Facility of the applicable Loans, and if no timely notice of a conversion or continuation is 49 provided by the Company, the Administrative Agent shall notify each Appropriate Lender of the details of any automatic conversion to Base Rate Loans or continuation of Loans denominated in a currency other than Dollars, in each case as described in Section 2.02(a). In the case of a Borrowing, each Appropriate Lender shall make the amount of its Loan available to the Administrative Agent in Same Day Funds at the Administrative Agent’s Office for the applicable currency not later than 1:00 p.m., in the case of any Loan denominated in Dollars, and not later than the Applicable Time specified by the Administrative Agent in the case of any Loan in an Alternative Currency, in each case on the Business Day specified in the applicable Loan Notice or, as to Loans to be made on the Closing Date as to which Advance Funding Arrangements are in effect, in accordance with the terms thereof. Upon satisfaction of the applicable conditions set forth in Section 4.02 (and, if such Borrowing is the initial Credit Extension, Section 4.01), the Administrative Agent shall make all funds so received available to the Borrower in like funds as received by the Administrative Agent either by (i) crediting the account of the Borrower on the books of Bank of America with the amount of such funds or (ii) wire transfer of such funds, in each case in accordance with instructions provided to (and reasonably acceptable to) the Administrative Agent by the Company; provided, however, that if, on the date a Loan Notice with respect to a Revolving Borrowing denominated in Dollars is given by the Borrower, there are L/C Borrowings outstanding, then the proceeds of such Revolving Borrowing, first, shall be applied to the payment in full of any such L/C Borrowings, and second, shall be made available to the Borrower as provided above. (c) Term Rate Loans. Except as otherwise provided herein, a Term Rate Loan may be continued or converted only on the last day of an Interest Period for such Term Rate Loan. During the existence of a Default, no Loans may be requested as, or converted to or continued as Term Rate Loans without the consent of the Required Lenders, and the Required Lenders may demand that any or all of the outstanding Term SOFR Loans denominated in Dollars be converted immediately to Base Rate Loans and any or all of the then outstanding Alternative Currency Loans be prepaid, or redenominated into Dollars in the amount of the Dollar Equivalent thereof, on the last day of the then current Interest Period with respect thereto. (d) Interest Rates. Each determination of an interest rate by the Administrative Agent pursuant to any provision of this Agreement shall be conclusive and binding on the Borrower and the Lenders in the absence of manifest error. (e) Interest Periods. After giving effect to all Term Borrowings, all conversions of Term Loans from one Type to the other, and all continuations of Term Loans as the same Type, there shall not be more than five (5) Interest Periods in effect in respect of the Term Facility. After giving effect to all Revolving Borrowings, all conversions of Revolving Loans from one Type to the other, and all continuations of Revolving Loans as the same Type, there shall not be more than seven (7) Interest Periods in effect in respect of the Revolving Facility. (f) Cashless Settlement Mechanism. Notwithstanding anything to the contrary in this Agreement, any Lender may exchange, continue or rollover all or the portion of its Loans in connection with any refinancing, extension, loan modification or similar transaction permitted by the terms of this Agreement, pursuant to a cashless settlement mechanism approved by the Borrower, the Administrative Agent and such Lender. (g) Conforming Changes. With respect to any Alternative Currency Daily Rate, Alternative Currency Term Rate or SOFR, the Administrative Agent will have the right to make Conforming Changes from time to time and, notwithstanding anything to the contrary herein or in any other Loan Document, any amendments implementing such Conforming Changes will become effective without any further action or consent of any other party to this Agreement or any other Loan Document; provided that, with respect to any such amendment effected, the Administrative Agent shall post each such 50 amendment implementing such Conforming Changes to the Borrower and the Lenders reasonably promptly after such amendment becomes effective. (h) Rollover Revolving Loans. Notwithstanding anything to the contrary set forth herein, all Rollover Revolving Loans outstanding on the Closing Date shall be permitted to continue as Eurocurrency Rate Loans (as defined in the Existing Credit Agreement) solely for the duration of such Eurocurrency Loans’ respective Interest Periods (as defined and set pursuant to the Existing Credit Agreement) and, upon expiration of such Interest Periods, such Rollover Revolving Loans shall be converted to Term SOFR Loans and/or a Base Rate Loans pursuant to and in accordance with the terms hereof. It is understood and agreed that all such Rollover Revolving Loans, for the temporary period that such Loans are permitted to continue as Eurocurrency Rate Loans (as defined in the Existing Credit Agreement) in accordance with the foregoing sentence, shall otherwise be subject to all terms and conditions applicable to Term SOFR Loans, mutatis mutandis, set forth herein, including, without limitation, with respect to the Applicable Rate. 2.03 Letters of Credit. (a) The Letter of Credit Commitment. Subject to the terms and conditions set forth herein, in addition to the Loans provided for in Section 2.01, the Borrower may request that any L/C Issuer, in reliance on the agreements of the Revolving Lenders set forth in this Section 2.03, issue, at any time and from time to time during the Availability Period, standby Letters of Credit for its own account or the account of any of its Subsidiaries in such form as is acceptable to the Administrative Agent and such L/C Issuer in its reasonable determination. Letters of Credit issued hereunder shall constitute utilization of the Revolving Commitments. All Existing Letters of Credit shall be deemed to have been issued pursuant hereto, and from and after the Closing Date shall be subject to and governed by the terms and conditions hereof. (b) Notice of Issuance, Amendment, Extension, Reinstatement or Renewal. (i) To request the issuance of a Letter of Credit (or the amendment of the terms and conditions, extension of the terms and conditions, extension of the expiration date, or reinstatement of amounts paid, or renewal of an outstanding Letter of Credit), the Company shall deliver (or transmit by electronic communication, if arrangements for doing so have been approved by the applicable L/C Issuer) to an L/C Issuer selected by it and to the Administrative Agent not later than 11:00 a.m. at least two (2) Business Days (or such later date and time as the Administrative Agent and such L/C Issuer may agree in a particular instance in their sole discretion) prior to the proposed issuance date or date of amendment, as the case may be a notice requesting the issuance of a Letter of Credit, or identifying the Letter of Credit to be amended, extended, reinstated or renewed, and specifying the date of issuance, amendment, extension, reinstatement or renewal (which shall be a Business Day), the date on which such Letter of Credit is to expire (which shall comply with clause (d) of this Section 2.03), the currency and amount of such Letter of Credit, the name and address of the beneficiary thereof, the purpose and nature of the requested Letter of Credit and such other information as shall be necessary to prepare, amend, extend, reinstate or renew such Letter of Credit. If requested by the applicable L/C Issuer, the Borrower also shall submit a letter of credit application and reimbursement agreement on such L/C Issuer’s standard form in connection with any request for a Letter of Credit. In the event of any inconsistency between the terms and conditions of this Agreement and the terms and conditions of any form of letter of credit application and reimbursement agreement or other agreement submitted by the Borrower to, or entered into by the Borrower with, an L/C Issuer relating to any Letter of Credit, the terms and conditions of this Agreement shall control. 51


 
(ii) If the Borrower so requests in any applicable Letter of Credit Application (or the amendment of an outstanding Letter of Credit), the applicable L/C Issuer may, in its sole discretion, agree to issue a Letter of Credit that has automatic extension provisions (each, an “Auto-Extension Letter of Credit”); provided that any such Auto-Extension Letter of Credit shall permit such L/C Issuer to prevent any such extension at least once in each twelve-month period (commencing with the date of issuance of such Letter of Credit) by giving prior notice to the beneficiary thereof not later than a day (the “Non-Extension Notice Date”) in each such twelve-month period to be agreed upon by the Borrower and the applicable L/C Issuer at the time such Letter of Credit is issued. Unless otherwise directed by the applicable L/C Issuer, the Borrower shall not be required to make a specific request to such L/C Issuer for any such extension. Once an Auto-Extension Letter of Credit has been issued, the Revolving Lenders shall be deemed to have authorized (but may not require) the applicable L/C Issuer to permit the extension of such Letter of Credit at any time to an expiration date not later than the date permitted pursuant to Section 2.03(d); provided, that such L/C Issuer shall not (A) permit any such extension if (1) such L/C Issuer has determined that it would not be permitted, or would have no obligation, at such time to issue such Letter of Credit in its extended form under the terms hereof (except that the expiration date may be extended to a date that is no more than one (1) year from the then-current expiration date) or (2) it has received notice (which may be in writing or by telephone (if promptly confirmed in writing)) on or before the day that is seven (7) Business Days before the Non-Extension Notice Date from the Administrative Agent that the Required Revolving Lenders have elected not to permit such extension or (B) be obligated to permit such extension if it has received notice (which may be in writing or by telephone (if promptly confirmed in writing)) on or before the day that is seven (7) Business Days before the Non-Extension Notice Date from the Administrative Agent, any Revolving Lender or the Borrower that one or more of the applicable conditions set forth in Section 4.02 is not then satisfied, and in each such case directing such L/C Issuer not to permit such extension. (iii) If the Borrower so requests in any applicable Letter of Credit Application, any L/C Issuer may, in its sole discretion, agree to issue a Letter of Credit that permits the automatic reinstatement of all or a portion of the stated amount thereof after any drawing thereunder (each, an “Auto-Reinstatement Letter of Credit”). Unless otherwise directed by the applicable L/C Issuer, the Borrower shall not be required to make a specific request to such L/C Issuer to permit such reinstatement. Once an Auto-Reinstatement Letter of Credit has been issued, except as provided in the following sentence, the Revolving Lenders shall be deemed to have authorized (but may not require) the applicable L/C Issuers to reinstate all or a portion of the stated amount thereof in accordance with the provisions of such Letter of Credit. Notwithstanding the foregoing, if such Auto-Reinstatement Letter of Credit permits the applicable L/C Issuer to decline to reinstate all or any portion of the stated amount thereof after a drawing thereunder by giving notice of such non-reinstatement within a specified number of days after such drawing (the “Non-Reinstatement Deadline”), such L/C Issuer shall not permit such reinstatement if it has received a notice (which may be by telephone or in writing) on or before the day that is seven (7) Business Days before the Non-Reinstatement Deadline (A) from the Administrative Agent that the Required Revolving Lenders have elected not to permit such reinstatement or (B) from the Administrative Agent, any Lender or the Borrower that one or more of the applicable conditions specified in Section 4.02 is not then satisfied (treating such reinstatement as an L/C Credit Extension for purposes of this clause) and, in each case, directing such L/C Issuer not to permit such reinstatement. (c) Limitations on Amounts, Issuance and Amendment. A Letter of Credit shall be issued, amended, extended, reinstated or renewed only if (and upon issuance, amendment, extension, reinstatement or renewal of each Letter of Credit the Borrower shall be deemed to represent and warrant 52 that), after giving effect to such issuance, amendment, extension, reinstatement or renewal (w) the aggregate amount of the outstanding Letters of Credit issued by any L/C Issuer shall not exceed its L/C Commitment, (x) the aggregate L/C Obligations shall not exceed the L/C Sublimit, (y) the Revolving Exposure of any Lender shall not exceed its Revolving Commitment and (z) the Total Revolving Exposure shall not exceed the total Revolving Commitments. (i) No L/C Issuer shall be under any obligation to issue any Letter of Credit if: (A) any order, judgment or decree of any Governmental Authority or arbitrator shall by its terms purport to enjoin or restrain such L/C Issuer from issuing the Letter of Credit, or any Law applicable to such L/C Issuer or any request or directive (whether or not having the force of law) from any Governmental Authority with jurisdiction over such L/C Issuer shall prohibit, or request that such L/C Issuer refrain from, the issuance of letters of credit generally or the Letter of Credit in particular or shall impose upon such L/C Issuer with respect to the Letter of Credit any restriction, reserve or capital requirement (for which such L/C Issuer is not otherwise compensated hereunder) not in effect on the Closing Date, or shall impose upon such L/C Issuer any unreimbursed loss, cost or expense which was not applicable on the Closing Date and which such L/C Issuer in good faith deems material to it; (B) the issuance of such Letter of Credit would violate one or more policies of such L/C Issuer applicable to letters of credit generally; (C) except as otherwise agreed by the Administrative Agent and such L/C Issuer, the Letter of Credit is in an initial stated amount less than $100,000; (D) any Revolving Lender is at that time a Defaulting Lender, unless such L/C Issuer has entered into arrangements, including the delivery of Cash Collateral, satisfactory to such L/C Issuer (in its sole discretion) with the Borrower or such Lender to eliminate such L/C Issuer’s actual or potential Fronting Exposure (after giving effect to Section 2.15(a)(iv)) with respect to the Defaulting Lender arising from either the Letter of Credit then proposed to be issued or that Letter of Credit and all other L/C Obligations as to which such L/C Issuer has actual or potential Fronting Exposure, as it may elect in its sole discretion; or (E) the Letter of Credit contains any provisions for automatic reinstatement of the stated amount after any drawing thereunder. (ii) No L/C Issuer shall be under any obligation to amend any Letter of Credit if (A) such L/C Issuer would have no obligation at such time to issue the Letter of Credit in its amended form under the terms hereof, or (B) the beneficiary of the Letter of Credit does not accept the proposed amendment to the Letter of Credit. (d) Expiration Date. Each Letter of Credit shall have a stated expiration date no later than the earlier of (ix) the date twelve (12) months after the date of the issuance of such Letter of Credit (or, in the case of any extension of the expiration date thereof, whether automatic or by amendment, twelve months after the then-current expiration date of such Letter of Credit) and (x) the date that is five (5) Business Days prior to the Maturity Date. (e) Participations. 53 (i) By the issuance of a Letter of Credit (or an amendment to a Letter of Credit increasing the amount or extending the expiration date thereof), and without any further action on the part of the applicable L/C Issuer or the Lenders, such L/C Issuer hereby grants to each Revolving Lender, and each Revolving Lender hereby acquires from such L/C Issuer, a participation in such Letter of Credit equal to such Lender’s Applicable Percentage of the aggregate amount available to be drawn under such Letter of Credit. Each Revolving Lender acknowledges and agrees that its obligation to acquire participations pursuant to this clause (e) in respect of Letters of Credit is absolute, unconditional and irrevocable and shall not be affected by any circumstance whatsoever, including any amendment, extension, reinstatement or renewal of any Letter of Credit or the occurrence and continuance of a Default or reduction or termination of the Revolving Commitments. (ii) In consideration and in furtherance of the foregoing, each Revolving Lender hereby absolutely, unconditionally and irrevocably agrees to pay to the Administrative Agent, for account of the applicable L/C Issuer, such Lender’s Applicable Percentage of each L/C Disbursement made by an L/C Issuer not later than 1:00 p.m. on the Business Day specified in the notice provided by the Administrative Agent to the Revolving Lenders pursuant to Section 2.03(f) until such L/C Disbursement is reimbursed by the Borrower or at any time after any reimbursement payment is required to be refunded to the Borrower for any reason, including after the Maturity Date. Such payment shall be made without any offset, abatement, withholding or reduction whatsoever. Each such payment shall be made in the same manner as provided in Section 2.02 with respect to Loans made by such Lender (and Section 2.02 shall apply, mutatis mutandis, to the payment obligations of the Revolving Lenders pursuant to this Section 2.03), and the Administrative Agent shall promptly pay to the applicable L/C Issuer the amounts so received by it from the Lenders. Promptly following receipt by the Administrative Agent of any payment from the Borrower pursuant to Section 2.03(f), the Administrative Agent shall distribute such payment to the applicable L/C Issuer or, to the extent that the Revolving Lenders have made payments pursuant to this clause (e) to reimburse such L/C Issuer, then to such Lenders and such L/C Issuer as their interests may appear. Any payment made by a Lender pursuant to this clause (e) to reimburse an L/C Issuer for any L/C Disbursement shall not constitute a Loan and shall not relieve the Borrower of its obligation to reimburse such L/C Disbursement. (iii) Each Revolving Lender further acknowledges and agrees that its participation in each Letter of Credit will be automatically adjusted to reflect such Lender’s Applicable Percentage of the aggregate amount available to be drawn under such Letter of Credit at each time such Lender’s Commitment is amended pursuant to the operation of Sections 2.18 or as a result of an assignment in accordance with Section 11.06 or otherwise pursuant to this Agreement. (iv) If any Revolving Lender fails to make available to the Administrative Agent for the account of the applicable L/C Issuer any amount required to be paid by such Lender pursuant to the foregoing provisions of this Section 2.03(e), then, without limiting the other provisions of this Agreement, the applicable L/C Issuer shall be entitled to recover from such Lender (acting through the Administrative Agent), on demand, such amount with interest thereon for the period from the date such payment is required to the date on which such payment is immediately available to such L/C Issuer at a rate per annum equal to the greater of the applicable Overnight Rate and a rate determined by the applicable L/C Issuer in accordance with banking industry rules on interbank compensation, plus any administrative, processing or similar fees customarily charged by such L/C Issuer in connection with the foregoing. If such Lender pays such amount (with interest and fees as aforesaid), the amount so paid shall constitute such Lender’s Revolving Loan included in the relevant Revolving Borrowing or L/C Advance in respect of the relevant 54 L/C Borrowing, as the case may be. A certificate of any L/C Issuer submitted to any Revolving Lender (through the Administrative Agent) with respect to any amounts owing under this clause (e)(vi) shall be conclusive absent manifest error. (f) Reimbursement. If an L/C Issuer shall make any L/C Disbursement in respect of a Letter of Credit, the Borrower shall reimburse such L/C Issuer in respect of such L/C Disbursement by paying to the Administrative Agent an amount equal to such L/C Disbursement not later than 12:00 noon on (i) the Business Day that the Borrower receives notice of such L/C Disbursement, if such notice is received prior to 10:00 a.m. or (ii) the Business Day immediately following the day that the Borrower receives such notice, if such notice is not received prior to such time, provided that, if such L/C Disbursement is not less than $500,000, the Borrower may, subject to the conditions to borrowing set forth herein, request in accordance with Section 2.02 or Section 2.04 that such payment be financed with a Borrowing of Base Rate Loans or Swingline Loan in an equivalent amount and, to the extent so financed, the Borrower’s obligation to make such payment shall be discharged and replaced by the resulting Borrowing of Base Rate Loans or Swingline Loan. If the Borrower fails to make such payment when due, the Administrative Agent shall notify each Revolving Lender of the applicable L/C Disbursement, the payment then due from the Borrower in respect thereof (the “Unreimbursed Amount”) and such Lender’s Applicable Percentage thereof. Promptly upon receipt of such notice, each Revolving Lender shall pay to the Administrative Agent its Applicable Percentage of the Unreimbursed Amount pursuant to Section 2.03(e)(ii), subject to the amount of the unutilized portion of the aggregate Revolving Commitments. Any notice given by any L/C Issuer or the Administrative Agent pursuant to this Section 2.03(f) may be given by telephone if immediately confirmed in writing; provided that the lack of such an immediate confirmation shall not affect the conclusiveness or binding effect of such notice. (g) Obligations Absolute. The Borrower’s obligation to reimburse L/C Disbursements as provided in clause (f) of this Section 2.03 shall be absolute, unconditional and irrevocable, and shall be performed strictly in accordance with the terms of this Agreement under any and all circumstances whatsoever and irrespective of: (i) any lack of validity or enforceability of this Agreement, any other Loan Document or any Letter of Credit, or any term or provision herein or therein; (ii) the existence of any claim, counterclaim, setoff, defense or other right that the Borrower or any Subsidiary may have at any time against any beneficiary or any transferee of such Letter of Credit (or any Person for whom any such beneficiary or any such transferee may be acting), any L/C Issuer or any other Person, whether in connection with this Agreement, the transactions contemplated hereby or by such Letter of Credit or any agreement or instrument relating thereto, or any unrelated transaction; (iii) any draft, demand, certificate or other document presented under such Letter of Credit proving to be forged, fraudulent, invalid or insufficient in any respect or any statement in such draft or other document being untrue or inaccurate in any respect; or any loss or delay in the transmission or otherwise of any document required in order to make a drawing under such Letter of Credit; (iv) waiver by any L/C Issuer of any requirement that exists for such L/C Issuer’s protection and not the protection of the Borrower or any waiver by such L/C Issuer which does not in fact materially prejudice the Borrower; 55


 
(v) honor of a demand for payment presented electronically even if such Letter of Credit required that demand be in the form of a draft; (vi) any payment made by any L/C Issuer in respect of an otherwise complying item presented after the date specified as the expiration date of, or the date by which documents must be received under such Letter of Credit if presentation after such date is authorized by the UCC, the ISP or the UCP, as applicable; (vii) payment by the applicable L/C Issuer under a Letter of Credit against presentation of a draft or other document that does not comply strictly with the terms of such Letter of Credit; or any payment made by any L/C Issuer under such Letter of Credit to any Person purporting to be a trustee in bankruptcy, debtor-in-possession, assignee for the benefit of creditors, liquidator, receiver or other representative of or successor to any beneficiary or any transferee of such Letter of Credit, including any arising in connection with any proceeding under any Debtor Relief Law; (viii) any other event or circumstance whatsoever, whether or not similar to any of the foregoing, that might, but for the provisions of this Section 2.03, constitute a legal or equitable discharge of, or provide a right of setoff against, the Borrower’s obligations hereunder; or (ix) any adverse change in the relevant exchange rates or in the availability of the relevant Alternative Currency to the Company or any Subsidiary or in the relevant currency markets generally. (h) Examination. The Borrower shall promptly examine a copy of each Letter of Credit and each amendment thereto that is delivered to it and, in the event of any claim of noncompliance with the Borrower’s instructions or other irregularity, the Borrower will immediately notify the applicable L/C Issuer. The Borrower shall be conclusively deemed to have waived any such claim against each L/C Issuer and its correspondents unless such notice is given as aforesaid. (i) Liability. None of the Administrative Agent, the Lenders, any L/C Issuer, or any of their Related Parties shall have any liability or responsibility by reason of or in connection with the issuance or transfer of any Letter of Credit by the applicable L/C Issuer or any payment or failure to make any payment thereunder (irrespective of any of the circumstances referred to in the preceding sentence), or any error, omission, interruption, loss or delay in transmission or delivery of any draft, notice or other communication under or relating to any Letter of Credit (including any document required to make a drawing thereunder), any error in interpretation of technical terms, any error in translation or any consequence arising from causes beyond the control of the applicable L/C Issuer; provided that the foregoing shall not be construed to excuse an L/C Issuer from liability to the Borrower to the extent of any direct damages (as opposed to consequential damages, claims in respect of which are hereby waived by the Borrower to the extent permitted by Applicable Law) suffered by the Borrower that are caused by such L/C Issuer’s failure to exercise care when determining whether drafts and other documents presented under a Letter of Credit comply with the terms thereof. The parties hereto expressly agree that, in the absence of gross negligence or willful misconduct on the part of an L/C Issuer (as finally determined by a court of competent jurisdiction), an L/C Issuer shall be deemed to have exercised care in each such determination, and that (i) an L/C Issuer may replace a purportedly lost, stolen, or destroyed original Letter of Credit or missing amendment thereto with a certified true copy marked as such or waive a requirement for its presentation; 56 (ii) an L/C Issuer may accept documents that appear on their face to be in substantial compliance with the terms of a Letter of Credit without responsibility for further investigation, regardless of any notice or information to the contrary, and may make payment upon presentation of documents that appear on their face to be in substantial compliance with the terms of such Letter of Credit and without regard to any non-documentary condition in such Letter of Credit; (iii) an L/C Issuer shall have the right, in its sole discretion, to decline to accept such documents and to make such payment if such documents are not in strict compliance with the terms of such Letter of Credit; and (iv) this sentence shall establish the standard of care to be exercised by an L/C Issuer when determining whether drafts and other documents presented under a Letter of Credit comply with the terms thereof (and the parties hereto hereby waive, to the extent permitted by Applicable Law, any standard of care inconsistent with the foregoing). Without limiting the foregoing, none of the Administrative Agent, the Lenders, any L/C Issuer, or any of their Related Parties shall have any liability or responsibility by reason of (A) any presentation that includes forged or fraudulent documents or that is otherwise affected by the fraudulent, bad faith, or illegal conduct of the beneficiary or other Person, (B) an L/C Issuer declining to take-up documents and make payment, (C) against documents that are fraudulent, forged, or for other reasons by which that it is entitled not to honor, (D) following a Borrower’s waiver of discrepancies with respect to such documents or request for honor of such documents or (E) an L/C Issuer retaining proceeds of a Letter of Credit based on an apparently applicable attachment order, blocking regulation, or third-party claim notified to such L/C Issuer. (j) Applicability of ISP and UCP. Unless otherwise expressly agreed by the applicable L/C Issuer and the Borrower when a Letter of Credit is issued by it (including any such agreement applicable to an Existing Letter of Credit), the rules of the ISP shall apply to each standby Letter of Credit. Notwithstanding the foregoing, no L/C Issuer shall be responsible to the Borrower for, and no L/C Issuer’s rights and remedies against the Borrower shall be impaired by, any action or inaction of any L/C Issuer required or permitted under any law, order, or practice that is required or permitted to be applied to any Letter of Credit or this Agreement, including the Law or any order of a jurisdiction where any L/C Issuer or the beneficiary is located, the practice stated in the ISP or UCP, as applicable, or in the decisions, opinions, practice statements, or official commentary of the ICC Banking Commission, the Bankers Association for Finance and Trade – International Financial Services Association (BAFT-IFSA), or the Institute of International Banking Law & Practice, whether or not any Letter of Credit chooses such law or practice. (k) Benefits. Each L/C Issuer shall act on behalf of the Lenders with respect to any Letters of Credit issued by it and the documents associated therewith, and each L/C Issuer shall have all of the benefits and immunities (i) provided to the Administrative Agent in Article IX with respect to any acts taken or omissions suffered by such L/C Issuer in connection with Letters of Credit issued by it or proposed to be issued by it and Issuer Documents pertaining to such Letters of Credit as fully as if the term “Administrative Agent” as used in Article IX included such L/C Issuer with respect to such acts or omissions, and (ii) as additionally provided herein with respect to such L/C Issuer. (l) Letter of Credit Fees. The Borrower shall pay to the Administrative Agent for the account of each Revolving Lender in accordance with its Applicable Revolving Percentage a Letter of Credit fee (the “Letter of Credit Fee”) for each Letter of Credit equal to the Applicable Rate times the Dollar Equivalent of the daily amount available to be drawn under such Letter of Credit. For purposes of computing the daily amount available to be drawn under any standby Letter of Credit, the amount of such 57 Letter of Credit shall be determined in accordance with Section 1.06. Letter of Credit Fees shall be (i) payable quarterly in arrears on the first Business Day following the end of each March, June, September and December, commencing with the first such date to occur after the issuance of such Letter of Credit, at the time of issuance of such Letter of Credit, on the Letter of Credit Expiration Date and thereafter on demand and (ii) accrued through and including the last day of each fiscal quarter in arrears. If there is any change in the Applicable Rate during any quarter, the daily amount available to be drawn under each standby Letter of Credit shall be computed and multiplied by the Applicable Rate separately for each period during such quarter that such Applicable Rate was in effect. Notwithstanding anything to the contrary contained herein, upon the request of the Required Revolving Lenders, while any Event of Default exists, all Letter of Credit Fees shall accrue at the Default Rate. (m) Fronting Fee and Documentary and Processing Charges Payable to L/C Issuers. The Borrower shall pay directly to the applicable L/C Issuer for its own account a fronting fee with respect to each Letter of Credit, at the rate per annum equal to the percentage separately agreed upon between the Borrower and such L/C Issuer, computed on the Dollar Equivalent of the daily amount available to be drawn under such Letter of Credit on a quarterly basis in arrears. Such fronting fee shall be due and payable no later than the tenth Business Day after the end of each fiscal quarter end in the most recently- ended quarterly period (or portion thereof, in the case of the first payment), commencing with the first such date to occur after the issuance of such Letter of Credit, on the Maturity Date and thereafter on demand. For purposes of computing the daily amount available to be drawn under any Letter of Credit, the amount of such Letter of Credit shall be determined in accordance with Section 1.06. In addition, the Borrower shall pay directly to the applicable L/C Issuer for its own account, the customary issuance, presentation, amendment and other processing fees, and other standard costs and charges, of such L/C Issuer relating to letters of credit as from time to time in effect. Such customary fees and standard costs and charges are due and payable on demand and are nonrefundable. (n) Disbursement Procedures. The L/C Issuer for any Letter of Credit shall, within the time allowed by Applicable Laws or the specific terms of the Letter of Credit following its receipt thereof, examine all documents purporting to represent a demand for payment under such Letter of Credit. Such L/C Issuer shall promptly after such examination notify the Administrative Agent and the Borrower in writing of such demand for payment if such L/C Issuer has made or will make an L/C Disbursement thereunder; provided that any failure to give or delay in giving such notice shall not relieve the Borrower of its obligation to reimburse such L/C Issuer and the Lenders with respect to any such L/C Disbursement. (o) Interim Interest. If the L/C Issuer for any standby Letter of Credit shall make any L/C Disbursement, then, unless the Borrower shall reimburse such L/C Disbursement in full on the date such L/C Disbursement is made, the unpaid amount thereof shall bear interest, for each day from and including the date such L/C Disbursement is made to but excluding the date that the Borrower reimburses such L/C Disbursement, at the rate per annum then applicable to Base Rate Loans; provided that if the Borrower fails to reimburse such L/C Disbursement when due pursuant to clause (f) of this Section 2.03, then Section 2.08(b) shall apply. Interest accrued pursuant to this clause (p) shall be for account of such L/C Issuer, except that interest accrued on and after the date of payment by any Lender pursuant to clause (f) of this Section 2.03 to reimburse such L/C Issuer shall be for account of such Lender to the extent of such payment. (p) Replacement of any L/C Issuer. Any L/C Issuer may be replaced at any time by written agreement between the Borrower, the Administrative Agent, the replaced L/C Issuer and the successor L/C Issuer. The Administrative Agent shall notify the Lenders of any such replacement of an L/C Issuer. At the time any such replacement shall become effective, the Borrower shall pay all unpaid fees accrued for the account of the replaced L/C Issuer pursuant to Section 2.03(m). From and after the effective date 58 of any such replacement, (i) the successor L/C Issuer shall have all the rights and obligations of an L/C Issuer under this Agreement with respect to Letters of Credit to be issued by it thereafter and (ii) references herein to the term “L/C Issuer” shall be deemed to include such successor or any previous L/C Issuer, or such successor and all previous L/C Issuer, as the context shall require. After the replacement of an L/C Issuer hereunder, the replaced L/C Issuer shall remain a party hereto and shall continue to have all the rights and obligations of an L/C Issuer under this Agreement with respect to Letters of Credit issued by it prior to such replacement, but shall not be required to issue additional Letters of Credit. (q) Cash Collateralization. (i) If any Event of Default shall occur and be continuing, on the Business Day that the Borrower receives notice from the Administrative Agent or the Required Revolving Lenders (or, if the maturity of the Loans has been accelerated, Revolving Lenders with L/C Obligations representing at least 66-2/3% of the total L/C Obligations) demanding the deposit of Cash Collateral pursuant to this clause (q), the Borrower shall immediately deposit into an account established and maintained on the books and records of the Administrative Agent (the “Collateral Account”) an amount in cash equal to 105% of the total L/C Obligations as of such date plus any accrued and unpaid interest thereon, provided that the obligation to deposit such Cash Collateral shall become effective immediately, and such deposit shall become immediately due and payable, without demand or other notice of any kind, upon the occurrence of any Event of Default with respect to the Borrower described in clause (f) of Section 8.01. Such deposit shall be held by the Administrative Agent as collateral for the payment and performance of the obligations of the Borrower under this Agreement. In addition, and without limiting the foregoing or clause (d) of this Section 2.03, if any L/C Obligations remain outstanding after the expiration date specified in said clause (d), the Borrower shall immediately deposit into the Collateral Account an amount in cash equal to 105% of such L/C Obligations as of such date plus any accrued and unpaid interest thereon. (ii) The Administrative Agent shall have exclusive dominion and control, including the exclusive right of withdrawal, over the Collateral Account. Other than any interest earned on the investment of such deposits, which investments shall be made at the option and sole discretion of the Administrative Agent and at the Borrower’s risk and expense, such deposits shall not bear interest. Interest or profits, if any, on such investments shall accumulate in the Collateral Account. Moneys in the Collateral Account shall be applied by the Administrative Agent to reimburse each L/C Issuer for L/C Disbursements for which it has not been reimbursed, together with related fees, costs, and customary processing charges, and, to the extent not so applied, shall be held for the satisfaction of the reimbursement obligations of the Borrower for the L/C Obligations at such time or, if the maturity of the Loans has been accelerated (but subject to the consent of Lenders with L/C Obligations representing 66-2/3% of the total L/C Obligations), be applied to satisfy other obligations of the Borrower under this Agreement. If the Borrower is required to provide an amount of Cash Collateral hereunder as a result of the occurrence of an Event of Default, such amount (to the extent not applied as aforesaid) shall be returned to the Borrower within three (3) Business Days after all Events of Default have been cured or waived. (r) L/C Issuer Reports to the Administrative Agent. Unless otherwise agreed by the Administrative Agent, each L/C Issuer shall, in addition to its notification obligations set forth elsewhere in this Section 2.03, provide the Administrative Agent a Letter of Credit Report, as set forth below: (i) reasonably prior to the time that such L/C Issuer issues, amends, renews, increases or extends a Letter of Credit, the date of such issuance, amendment, renewal, increase 59


 
or extension and the stated amount of the applicable Letters of Credit after giving effect to such issuance, amendment, renewal or extension (and whether the amounts thereof shall have changed); (ii) on each Business Day on which such L/C Issuer makes a payment pursuant to a Letter of Credit, the date and amount of such payment; (iii) on any Business Day on which the Borrower fails to reimburse a payment made pursuant to a Letter of Credit required to be reimbursed to such L/C Issuer on such day, the date of such failure and the amount of such payment; (iv) on any other Business Day, such other information as the Administrative Agent shall reasonably request as to the Letters of Credit issued by such L/C Issuer; and (v) for so long as any Letter of Credit issued by an L/C Issuer is outstanding, such L/C Issuer shall deliver to the Administrative Agent (A) on the last Business Day of each calendar month, (B) at all other times a Letter of Credit Report is required to be delivered pursuant to this Agreement, and (C) on each date that (1) an L/C Credit Extension occurs or (2) there is any expiration, cancellation and/or disbursement, in each case, with respect to any such Letter of Credit, a Letter of Credit Report appropriately completed with the information for every outstanding Letter of Credit issued by such L/C Issuer. (s) Additional L/C Issuers. Any Lender hereunder may become an L/C Issuer upon receipt by the Administrative Agent of a fully executed Notice of Additional L/C Issuer which shall be signed by the Company, the Administrative Agent and each L/C Issuer. Such new L/C Issuer shall provide its L/C Commitment in such Notice of Additional L/C Issuer and upon the receipt by the Administrative Agent of the fully executed Notice of Additional L/C Issuer, the defined term L/C Commitment shall be deemed amended to incorporate the L/C Commitment of such new L/C Issuer. (t) Letters of Credit Issued for Subsidiaries. Notwithstanding that a Letter of Credit issued or outstanding hereunder is in support of any obligations of, or is for the account of, a Subsidiary, the Borrower shall be obligated to reimburse, indemnify and compensate the applicable L/C Issuer hereunder for any and all drawings under such Letter of Credit as if such Letter of Credit had been issues solely for the account of the Borrower. The Borrower irrevocably waives any and all defenses that might otherwise be available to it as a guarantor or surety of any or all of the obligations of such Subsidiary in respect of such Letter of Credit. The Borrower hereby acknowledges that the issuance of Letters of Credit for the account of Subsidiaries inures to the benefit of the Borrower, and that the Borrower’s business derives substantial benefits from the businesses of such Subsidiaries. (u) Conflict with Issuer Documents. In the event of any conflict between the terms hereof and the terms of any Issuer Document, the terms hereof shall control. 2.04 Swingline Loans. (a) The Swingline. Subject to the terms and conditions set forth herein, the Swingline Lender, in reliance upon the agreements of the other Lenders set forth in this Section 2.04, may in its sole discretion make loans to the Company (each such loan, a “Swingline Loan”). Each such Swingline Loan may be made, subject to the terms and conditions set forth herein, to the Company, in Dollars, from time to time on any Business Day during the Availability Period in an aggregate amount not to exceed at any time outstanding the amount of the Swingline Sublimit; provided, however, that (i) after giving effect to any Swingline Loan, (A) the Total Revolving Outstandings shall not exceed the Revolving Facility at 60 such time, (B) the Revolving Exposure of any Revolving Lender at such time shall not exceed such Lender’s Revolving Commitment and (C) the aggregate amount of all Swingline Loans advanced by any Swingline Lender outstanding shall not exceed the Swingline Commitment of the Swingline Lender, (ii) the Borrower shall not use the proceeds of any Swingline Loan to refinance any outstanding Swingline Loan (for the avoidance of doubt, outstanding Swingline Loans may be repaid with the proceeds of a Revolving Loan), and (iii) the Swingline Lender shall not be under any obligation to make any Swingline Loan if it shall determine (which determination shall be conclusive and binding absent manifest error) that it has, or by such Credit Extension may have, Fronting Exposure. Within the foregoing limits, and subject to the other terms and conditions hereof, the Company may borrow under this Section 2.04, prepay under Section 2.05, and reborrow under this Section 2.04. Each Swingline Loan shall bear interest only at a rate based on the Base Rate plus the Applicable Rate. Immediately upon the making of a Swingline Loan, each Revolving Lender shall be deemed to, and hereby irrevocably and unconditionally agrees to, purchase from the Swingline Lender a risk participation in such Swingline Loan in an amount equal to the product of such Revolving Lender’s Applicable Revolving Percentage times the amount of such Swingline Loan. (b) Borrowing Procedures. (i) Each Swingline Borrowing shall be made upon the Comnpany’s irrevocable notice to the Swingline Lender and the Administrative Agent, which may be given by: (ii) telephone or (iii) a Swingline Loan Notice; provided that any telephonic notice must be confirmed immediately by delivery to the Swingline Lender and the Administrative Agent of a Swingline Loan Notice. Each such Swingline Loan Notice must be received by the Swingline Lender and the Administrative Agent not later than 1:00 p.m. on the requested borrowing date, and shall specify (A) the amount to be borrowed, which shall be a minimum of $100,000, and (B) the requested date of the Borrowing (which shall be a Business Day). Promptly after receipt by the Swingline Lender of any Swingline Loan Notice, the Swingline Lender will confirm with the Administrative Agent (by telephone or in writing) that the Administrative Agent has also received such Swingline Loan Notice and, if not, the Swingline Lender will notify the Administrative Agent (by telephone or in writing) of the contents thereof. Unless the Swingline Lender has received notice (by telephone or in writing) from the Administrative Agent (including at the request of any Revolving Lender) prior to 2:00 p.m. on the date of the proposed Swingline Borrowing (1) directing the Swingline Lender not to make such Swingline Loan as a result of the limitations set forth in the first proviso to the first sentence of Section 2.04(a), or (2) that one or more of the applicable conditions specified in Article IV is not then satisfied, then, subject to the terms and conditions hereof, the Swingline Lender will, not later than 3:00 p.m. on the borrowing date specified in such Swingline Loan Notice may, make the amount of its Swingline Loan available to the Borrower at its office by crediting the account of the Borrower on the books of the Swingline Lender in Same Day Funds. (c) Refinancing of Swingline Loans. (i) The Swingline Lender at any time in its sole discretion may request, on behalf of the Borrower (which hereby irrevocably authorizes the Swingline Lender to so request on its behalf), that each Revolving Lender make a Base Rate Loan in an amount equal to such Lender’s Applicable Revolving Percentage of the amount of Swingline Loans then outstanding. Such request shall be made in writing (which written request shall be deemed to be a Loan Notice for purposes hereof) and in accordance with the requirements of Section 2.02, without regard to the minimum and multiples specified therein for the principal amount of Base Rate Loans, but subject to the unutilized portion of the Revolving Facility and the conditions set forth in Section 4.02. The Swingline Lender shall furnish the Company with a copy of the applicable Loan Notice 61 promptly after delivering such notice to the Administrative Agent. Each Revolving Lender shall make an amount equal to its Applicable Revolving Percentage of the amount specified in such Loan Notice available to the Administrative Agent in Same Day Funds (and the Administrative Agent may apply Cash Collateral available with respect to the applicable Swingline Loan) for the account of the Swingline Lender at the Administrative Agent’s Office for Dollar-denominated payments not later than 1:00 p.m. on the day specified in such Loan Notice, whereupon, subject to Section 2.04(c)(ii), each Revolving Lender that so makes funds available shall be deemed to have made a Base Rate Loan to the Borrower in such amount. The Administrative Agent shall remit the funds so received to the Swingline Lender. (ii) Notwithstanding anything to the contrary in the foregoing, if for any reason any Swingline Loan cannot be refinanced by such a Revolving Borrowing in accordance with Section 2.04(c)(i) (including, without limitation, the failure to satisfy the conditions set forth in Section 4.02), the request for Base Rate Loans submitted by the Swingline Lender as set forth herein shall be deemed to be a request by the Swingline Lender that each of the Revolving Lenders fund its risk participation in the relevant Swingline Loan and each Revolving Lender’s payment to the Administrative Agent for the account of the Swingline Lender pursuant to Section 2.04(c)(i) shall be deemed payment in respect of such participation. (iii) If any Revolving Lender fails to make available to the Administrative Agent for the account of the Swingline Lender any amount required to be paid by such Lender pursuant to the foregoing provisions of this Section 2.04(c) by the time specified in Section 2.04(c)(i), the Swingline Lender shall be entitled to recover from such Lender (acting through the Administrative Agent), on demand, such amount with interest thereon for the period from the date such payment is required to the date on which such payment is immediately available to the Swingline Lender at a rate per annum equal to the applicable Overnight Rate from time to time in effect, plus any administrative, processing or similar fees customarily charged by the Swingline Lender in connection with the foregoing. If such Lender pays such amount (with interest and fees as aforesaid), the amount so paid shall constitute such Lender’s Revolving Loan included in the relevant Revolving Borrowing or funded participation in the relevant Swingline Loan, as the case may be. A certificate of the Swingline Lender submitted to any Lender (through the Administrative Agent) with respect to any amounts owing under this clause (c)(iii) shall be conclusive absent manifest error. (iv) Each Revolving Lender’s obligation to make Revolving Loans or to purchase and fund risk participations in Swingline Loans pursuant to this Section 2.04(c) shall be absolute and unconditional and shall not be affected by any circumstance, including (A) any setoff, counterclaim, recoupment, defense or other right which such Lender may have against the Swingline Lender, the Borrower or any other Person for any reason whatsoever, (B) the occurrence or continuance of a Default or (C) any other occurrence, event or condition, whether or not similar to any of the foregoing; provided, however, that each Revolving Lender’s obligation to make Revolving Loans pursuant to this Section 2.04(c) is subject to the conditions set forth in Section 4.02 (other than delivery by the Borrower of a Loan Notice). No such funding of risk participations shall relieve or otherwise impair the obligation of the Company to repay Swingline Loans, together with interest as provided herein. (d) Repayment of Participations. (i) At any time after any Revolving Lender has purchased and funded a risk participation in a Swingline Loan, if the Swingline Lender receives any payment on account of such Swingline Loan, the Swingline Lender will distribute to such Revolving Lender its 62 Applicable Revolving Percentage thereof in the same funds as those received by the Swingline Lender. (ii) If any payment received by the Swingline Lender in respect of principal or interest on any Swingline Loan is required to be returned by the Swingline Lender under any of the circumstances described in Section 11.05 (including pursuant to any settlement entered into by the Swingline Lender in its discretion), each Revolving Lender shall pay to the Swingline Lender its Applicable Revolving Percentage thereof on demand of the Administrative Agent, plus interest thereon from the date of such demand to the date such amount is returned, at a rate per annum equal to the applicable Overnight Rate. The Administrative Agent will make such demand upon the request of the Swingline Lender. The obligations of the Lenders under this clause shall survive the payment in full of the Obligations and the termination of this Agreement. (e) Interest for Account of Swingline Lender. The Swingline Lender shall be responsible for invoicing the Company for interest on the Swingline Loans. Until each Revolving Lender funds its Base Rate Loan or risk participation pursuant to this Section 2.04 to refinance such Revolving Lender’s Applicable Revolving Percentage of any Swingline Loan, interest in respect of such Applicable Revolving Percentage shall be solely for the account of the Swingline Lender. (f) Payments Directly to Swingline Lender. The Company shall make all payments of principal and interest in respect of the Swingline Loans directly to the Swingline Lender. 2.05 Prepayments. (a) Optional. (i) The Borrower may, upon notice from the Company to the Administrative Agent pursuant to delivery to the Administrative Agent of a Notice of Loan Prepayment, at any time or from time to time voluntarily prepay Revolving Loans and Term Loans in whole or in part without premium or penalty subject to Section 3.05; provided that unless otherwise agreed by Administrative Agent (A) such notice must be received by Administrative Agent not later than 11:00 a.m. (or, solely with respect to clause (3) below, 4:00 p.m.) (1) two (2) Business Days prior to any date of prepayment of any Term SOFR Loan or Daily SOFR Loan denominated in Dollars, (2) three (3) Business Days (or four (4), in the case of prepayment of Loans denominated in Special Notice Currencies) prior to any date of prepayment of any Alternative Currency Loan, and (3) one (1) Business Day prior to the date of prepayment of Base Rate Loans; (B) any prepayment of Term SOFR Loans or Daily SOFR Loans denominated in Dollars shall be in a principal amount of $1,000,000 or a whole multiple of $500,000 in excess thereof; (C) any prepayment of Alternative Currency Loans shall be in a minimum principal amount of $1,000,000 or a whole multiple of $500,000 in excess thereof, any (D) prepayment of Base Rate Loans shall be in a principal amount of $500,000 or a whole multiple of $100,000 in excess thereof or, in each case, if less, the entire principal amount thereof then outstanding. Each such notice shall specify the date, the currency and amount of such prepayment and the Type(s) of Loans to be prepaid and, if Term Rate Loans are to be prepaid, the Interest Period(s) of such Loans. The Administrative Agent will promptly notify each Lender of its receipt of each such notice, and of the amount of such Lender’s ratable portion of such prepayment (based on such Lender’s Applicable Percentage in respect of the relevant Facility). If such notice is given by the Company, the Borrower shall make such prepayment and the payment amount specified in such notice shall be due and payable on the date specified therein. Any prepayment of a Term Rate Loan shall be accompanied by all accrued interest on the amount prepaid, together with any additional amounts required pursuant to Section 3.05. Each prepayment of the outstanding Term 63


 
Loans pursuant to this Section 2.05 shall be applied to the principal repayment installments thereof in direct order of maturity. Subject to Section 2.15, such prepayments shall be paid to the Lenders in accordance with their respective Applicable Percentages in respect of each of the relevant Facilities. (ii) The Borrower may, upon notice from the Company to the Swingline Lender pursuant to delivery to the Swingline Lender of a Notice of Loan Prepayment (with a copy to the Administrative Agent), at any time or from time to time, voluntarily prepay Swingline Loans in whole or in part without premium or penalty; provided that, unless otherwise agreed by the Swingline Lender, (A) such notice must be received by the Swingline Lender and the Administrative Agent not later than 1:00 p.m. on the date of the prepayment, and (B) any such prepayment shall be in a minimum principal amount of $100,000 or a whole multiple of $100,000 in excess hereof (or, if less, the entire principal thereof then outstanding). Each such notice shall specify the date and amount of such prepayment. If such notice is given by the Borrower, the Borrower shall make such prepayment and the payment amount specified in such notice shall be due and payable on the date specified therein. (b) Mandatory. (i) Revolving Outstandings. If for any reason the Total Revolving Outstandings at any time exceed the Revolving Facility at such time, the Borrower shall immediately prepay Revolving Loans, Swingline Loans and L/C Borrowings, and/or Cash Collateralize the L/C Obligations in an aggregate amount equal to such excess (together with all accrued by unpaid interest thereon); provided, however, that the Borrower shall not be required to Cash Collateralize the L/C Obligations pursuant to this Section 2.05(b)(i) unless, after the prepayment of the Revolving Loans and Swingline Loans, the Total Revolving Outstandings exceed the Revolving Facility at such time. (ii) Application of Other Payments. Except as otherwise provided in Section 2.15, prepayments of the Revolving Facility made pursuant to this Section 2.05(b), first, shall be applied ratably to the L/C Borrowings and the Swingline Loans, second, shall be applied to the outstanding Revolving Loans, and, third, shall be used to Cash Collateralize the remaining L/C Obligations; and the amount remaining, if any, after the prepayment in full of all L/C Borrowings, Swingline Loans and Revolving Loans outstanding at such time and the Cash Collateralization of the remaining L/C Obligations in full (the sum of such prepayment amounts, Cash Collateralization amounts and remaining amount being, collectively, the “Reduction Amount”) may be retained by the Borrower for use in the ordinary course of its business, and the Revolving Facility shall be automatically and permanently reduced by the Reduction Amount as set forth in Section 2.06. Upon the drawing of any Letter of Credit that has been Cash Collateralized, the funds held as Cash Collateral shall be applied (without any further action by or notice to or from the Borrower or any other Loan Party or any Defaulting Lender that has provided Cash Collateral) to reimburse the applicable L/C Issuers or the Revolving Lenders, as applicable. (iii) Alternative Currencies. If the Administrative Agent notifies the Company at any time that the Outstanding Amount of all Loans and L/C Obligations denominated in Alternative Currencies at such time exceeds an amount equal to 105% of the Alternative Currency Sublimit then in effect, then, within two (2) Business Days after receipt of such notice, the Borrowers shall prepay Loans and/or Cash Collateralize Letters of Credit in an aggregate amount sufficient 64 to reduce such Outstanding Amount as of such date of payment to an amount not to exceed 100% of the Alternative Currency Sublimit then in effect. Within the parameters of the applications set forth above, prepayments pursuant to this Section 2.05(b) shall be applied first to Base Rate Loans and then to Term Rate Loans (and, if applicable, Daily SOFR Loans and Alternative Currency Daily Rate Loans) in direct order of Interest Period maturities. All prepayments under this Section 2.05(b) shall be subject to Section 3.05, but otherwise without premium or penalty, and shall be accompanied by interest on the principal amount prepaid through the date of prepayment. 2.06 Termination or Reduction of Commitments. (a) The Borrower may, upon notice from the Company to the Administrative Agent, terminate the Revolving Facility, the Letter of Credit Sublimit or the Swingline Sublimit or from time to time permanently reduce the Revolving Facility, the Letter of Credit Sublimit or the Swingline Sublimit; provided that (i) any such notice shall be received by the Administrative Agent not later than 11:00 a.m. five (5) Business Days prior to the date of termination or reduction, (ii) any such partial reduction shall be in an aggregate amount of $10,000,000 or any whole multiple of $1,000,000 in excess thereof and (iii) the Borrower shall not terminate or reduce (A) the Revolving Facility if, after giving effect thereto and to any concurrent prepayments hereunder, the Total Revolving Outstandings would exceed the Revolving Facility, (B) the Letter of Credit Sublimit if, after giving effect thereto, the Outstanding Amount of L/C Obligations not fully Cash Collateralized hereunder would exceed the Letter of Credit Sublimit or (C) the Swingline Sublimit if, after giving effect thereto and to any concurrent prepayments hereunder, the Outstanding Amount of Swingline Loans would exceed the Letter of Credit Sublimit. If after giving effect to any reduction or termination of Revolving Commitments under this Section 2.06, the Letter of Credit Sublimit, the Alternative Currency Sublimit or the Swingline Sublimit exceeds the Revolving Facility at such time, the Letter of Credit Sublimit, the Alternative Currency Sublimit or the Swingline Sublimit, as the case may be, shall be automatically reduced by the amount of such excess. The Administrative Agent will promptly notify the Lenders of any termination or reduction of the Letter of Credit Sublimit, Swingline Sublimit, the Alternative Currency Sublimit or the Revolving Commitment under this Section 2.06. The amount of any such reduction of the Revolving Commitments shall not be applied to the Alternative Currency Sublimit unless otherwise specified by the Company. Upon any reduction of the Revolving Commitments, the Revolving Commitment of each Revolving Lender shall be reduced by such Lender’s Applicable Revolving Percentage of such Reduction Amount. All fees in respect of the Revolving Facility accrued until the effective date of any termination of the Revolving Facility shall be paid on the effective date of such termination. (b) Payment of Fees. All fees in respect of the Revolving Facility accrued until the effective date of any termination of the Revolving Facility shall be paid on the effective date of such termination. (c) Term Facility. The aggregate Term Commitments shall be automatically and permanently reduced to zero (i) on the date of any Term Borrowing on a dollar-for-dollar basis equal to such Term Borrowing and (ii) to the extent undrawn and unused, on the last day of the Availability Period for the Term Facility. In addition, during the Availability Period in respect of the Term Facility, the Company may, upon notice to the Administrative Agent as set forth above in clause (a), from time to time terminate (in whole or in part) the unused portion of the aggregate Term Commitments. The Administrative Agent will promptly notify the Lenders of any voluntary termination or reduction of the unused portion of the aggregate Term Commitments under this Section 2.06(c). Upon any reduction of the unused portion of the aggregate Term Commitments, the Term Commitment of each Term Lender shall be reduced by such Lender’s ratable portion of such reduced amount. All fees in respect of the 65 Term Facility accrued until the effective date of any termination of the Term Facility shall be paid on the effective date of such termination. 2.07 Repayment of Loans. (a) Term Loans. The Company shall repay to the Term Lenders, on the last day of each fiscal quarter, beginning with the fiscal quarter ending December 31, 2022, in an amount equal to $8,125,000 (which amount shall be reduced as a result of the application of prepayments in accordance with the order of priority set forth in Section 2.05), unless accelerated sooner pursuant to Section 8.02; provided, however, that (i) the final principal repayment installment of the Term Loans shall be repaid on the Maturity Date for the Term Facility and in any event shall be in an amount equal to the aggregate principal amount of all Term Loans outstanding on such date, (ii) if any principal repayment installment to be made by the Company (other than principal repayment installments on Term SOFR Loans) shall come due on a day other than a Business Day, such principal repayment installment shall be due on the next succeeding Business Day, and such extension of time shall be reflected in computing interest or fees, as the case may be and (iii) if any principal repayment installment to be made by the Company on a Term SOFR Loan shall come due on a day other than a Business Day, such principal repayment installment shall be extended to the next succeeding Business Day unless the result of such extension would be to extend such principal repayment installment into another calendar month, in which event such principal repayment installment shall be due on the immediately preceding Business Day. (b) Revolving Loans. The Borrower shall repay to the Revolving Lenders on the Maturity Date for the Revolving Facility the aggregate principal amount of all Revolving Loans outstanding on such date. (c) Swingline Loans. The Company shall repay each Swingline Loan on the earlier to occur of (i) the date ten (10) Business Days after such Loan is made and (ii) the Maturity Date for the Revolving Facility. 2.08 Interest and Default Rate. (a) Interest. Subject to the provisions of Section 2.08(b), (i) each Term SOFR Loan under a Facility shall bear interest on the outstanding principal amount thereof for each Interest Period from the applicable Borrowing date at a rate per annum equal to the Term SOFR Rate for such Interest Period plus the Applicable Rate for such Facility, (ii) each Base Rate Loan under a Facility shall bear interest on the outstanding principal amount thereof from the applicable Borrowing date at a rate per annum equal to the Base Rate plus the Applicable Rate for such Facility, (iii) each Alternative Currency Daily Rate Loan shall bear interest on the outstanding principal amount thereof from the applicable borrowing date at a rate per annum equal to the Alternative Currency Daily Rate plus the Applicable Rate; (iv) each Alternative Currency Term Rate Loan shall bear interest on the outstanding principal amount thereof for each Interest Period at a rate per annum equal to the Alternative Currency Term Rate for such Interest Period plus the Applicable Rate; (v) if applicable, each Daily SOFR Loan shall bear interest on the outstanding principal amount thereof from the applicable borrowing date at a rate per annum equal to Daily Simple SOFR plus the Applicable Rate, and (vi) each Swingline Loan shall bear interest on the outstanding principal amount thereof from the applicable Borrowing date at a rate per annum equal to the Base Rate plus the Applicable Rate for the Revolving Facility, and the extent that any calculation of interest or any fee required to be paid under this Agreement shall be based on (or result in) a calculation that is less than zero, such calculation shall be deemed zero for purposes of this Agreement. (b) Default Rate. 66 (i) If any amount of principal of any Loan is not paid when due (without regard to any applicable grace periods), whether at stated maturity, by acceleration or otherwise, such amount shall thereafter bear interest at a fluctuating interest rate per annum at all times equal to the Default Rate to the fullest extent permitted by Applicable Laws. (ii) If any amount (other than principal of any Loan) payable by the Borrower under any Loan Document is not paid when due (without regard to any applicable grace periods), whether at stated maturity, by acceleration or otherwise, then upon the request of the Required Lenders such amount shall thereafter bear interest at a fluctuating interest rate per annum at all times equal to the Default Rate to the fullest extent permitted by Applicable Laws. (iii) Automatically during the occurrence and continuance of an Event of Default pursuant to Section 8.01(a)(i) or (f) or, upon the request of the Required Lenders, while any other Event of Default exists, all outstanding Obligations (including Letter of Credit Fees) may accrue at a fluctuating interest rate per annum at all times equal to the Default Rate to the fullest extent permitted by Applicable Laws. (iv) Accrued and unpaid interest on past due amounts (including interest on past due interest) shall be due and payable upon demand. (c) Interest Payments. Interest on each Loan shall be due and payable in arrears on each Interest Payment Date applicable thereto and at such other times as may be specified herein. Interest hereunder shall be due and payable in accordance with the terms hereof before and after judgment, and before and after the commencement of any proceeding under any Debtor Relief Law. (d) Interest Act (Canada). For the purposes of the Interest Act (Canada), (i) whenever a rate of interest or fee rate hereunder is calculated on the basis of a year (the “deemed year”) that contains fewer days than the actual number of days in the calendar year of calculation, such rate of interest or fee rate shall be expressed as a yearly rate by multiplying such rate of interest or fee rate by the actual number of days in the calendar year of calculation and dividing it by the number of days in the deemed year, (ii) the principle of deemed reinvestment of interest shall not apply to any interest calculation hereunder and (iii) the rates of interest stipulated herein are intended to be nominal rates and not effective rates or yields. Each Loan Party hereby irrevocably agrees not to plead or assert, whether by way of defense or otherwise, in any proceeding relating to this Agreement and the other Loan Documents, that the interest payable under this Agreement and the calculation thereof has not been adequately disclosed to it, whether pursuant to section 4 of the Interest Act (Canada) or any other applicable law or legal principle. 2.09 Fees. In addition to certain fees described in subsection (l) of Section 2.03: (a) Commitment Fees. The Borrower shall pay to the Administrative Agent for the account of each Revolving Lender in accordance with its Applicable Revolving Percentage, a commitment fee in Dollars equal to the Applicable Rate times the actual daily amount by which the Revolving Facility exceeds the sum of (i) the Outstanding Amount of Revolving Loans and (ii) the Outstanding Amount of L/C Obligations (the “Revolving Commitment Fee”). The Revolving Commitment Fee shall accrue at all times during the relevant Availability Period, including at any time during which one or more of the conditions in Section 4.02 is not met, and shall be due and payable quarterly in arrears on the last Business Day of each March, June, September and December, commencing with the first such date to occur after the Closing Date and on the last day of the Availability Period for the Revolving Facility. In 67


 
addition, commencing on July 2, 2022, the Borrower shall pay to the Administrative Agent for the account of each Term Lender in accordance with its Applicable Percentage of the Term Facility, a commitment fee equal to the Applicable Rate times the actual daily amount of the aggregate outstanding unfunded Term Commitments on and after July 2, 2022 (the “Term Commitment Fee”). The Term Commitment Fee shall accrue at all times on and after July 2, 2022 and ending on the last day of the relevant Availability Period, and shall be due and payable quarterly in arrears on the last Business Day of each March, June, September and December, commencing with the first such date to occur after July 2, 2022, and on the last day of the Availability Period for the Term Facility. The commitment fee shall be calculated quarterly in arrears and if there is any change in the Applicable Rate during any quarter, the actual daily amount shall be computed and multiplied by the Applicable Rate separately for each period during such quarter that such Applicable Rate was in effect. (b) Other Fees. (i) The Borrower shall pay to Bank of America for its own account, in Dollars, fees in the amounts and at the times specified in the Fee Letter. Such fees shall be fully earned when paid and shall not be refundable for any reason whatsoever. (ii) The Borrower shall pay to the Lenders, in Dollars, such fees as shall have been separately agreed upon in writing in the amounts and at the times so specified. Such fees shall be fully earned when paid and shall not be refundable for any reason whatsoever. 2.10 Computation of Interest and Fees. (a) Computation of Interest and Fees. All computations of interest for Base Rate Loans (including Base Rate Loans determined by reference to Term SOFR) and Loans denominated in Alternative Currencies (other than Alternative Currency Loans with respect to EURIBOR) shall be made on the basis of a year of 365 or 366 days, as the case may be, and actual days elapsed or, in the case of interest in respect of Loans denominated in Alternative Currencies (other than Canadian Dollars) as to which market practice differs from the foregoing, in accordance with such market practice. All other computations of fees and interest, including those with respect to Term SOFR Loans, Daily SOFR Loans and Alternative Currency Loans determined by reference to EURIBOR, shall be made on the basis of a 360-day year and actual days elapsed (which results in more fees or interest, as applicable, being paid than if computed on the basis of a 365-day year). Interest shall accrue on each Loan for the day on which the Loan is made, and shall not accrue on a Loan, or any portion thereof, for the day on which the Loan or such portion is paid, provided that any Loan that is repaid on the same day on which it is made shall, subject to Section 2.12(a), bear interest for one (1) day. Each determination by the Administrative Agent of an interest rate or fee hereunder shall be conclusive and binding for all purposes, absent manifest error. (b) Financial Statement Adjustments or Restatements. If, as a result of any restatement of or other adjustment to the financial statements of the Borrower and its Subsidiaries or for any other reason, the Borrower or the Lenders determine that (i) the Consolidated Leverage Ratio as calculated by the Borrower as of any applicable date was inaccurate and (ii) a proper calculation of the Consolidated Leverage Ratio would have resulted in higher pricing for such period, the Borrower shall immediately and retroactively be obligated to pay to the Administrative Agent for the account of the applicable Lenders or the applicable L/C Issuer, as the case may be, promptly on demand by the Administrative Agent (or, after the occurrence of an actual or deemed entry of an order for relief with respect to the Borrower under the Bankruptcy Code of the United States, automatically and without further action by the Administrative Agent), an amount equal to the excess of the amount of interest and fees that should have been paid for such period over the amount of interest and fees actually paid for such period. If, as a 68 result of any restatement of or other adjustment to the financial statements of the Borrower and its Subsidiaries or for any other reason, the Borrower or the Administrative Agent determines that (i) the Consolidated Leverage Ratio as calculated by the Borrower as of any applicable date was inaccurate and (ii) a proper calculation of the Consolidated Leverage Ratio would have resulted in lower pricing for such period, the Administrative Agent shall promptly on demand by the Borrower pay to Borrower an amount equal to the excess of the amount of interest and fees that were paid by Borrower to Administrative Agent for such period over the amount of interest and fees actually due for such period. This clause (b) shall not limit the rights of the Administrative Agent, any Lender or any L/C Issuer, as the case may be, under any provision of this Agreement to payment of any Obligations hereunder at the Default Rate or under Article VIII. The Borrower’s obligations under this clause (b) shall survive the termination of the Aggregate Commitments and the repayment of all other Obligations hereunder. 2.11 Evidence of Debt. (a) Maintenance of Accounts. The Credit Extensions made by each Lender shall be evidenced by one or more accounts or records maintained by such Lender in the ordinary course of business. The Administrative Agent shall maintain the Register in accordance with Section 11.06(c). The accounts or records maintained by each Lender shall be conclusive absent manifest error of the amount of the Credit Extensions made by the Lenders to the Borrower and the interest and payments thereon. Any failure to so record or any error in doing so shall not, however, limit or otherwise affect the obligation of the Borrower hereunder to pay any amount owing with respect to the Obligations. In the event of any conflict between the accounts and records maintained by any Lender and the Register, the Register shall control in the absence of manifest error. Upon the request of any Lender made through the Administrative Agent, the Borrower shall execute and deliver to such Lender (through the Administrative Agent) a Note, which shall evidence such Lender’s Loans in addition to such accounts or records. Each Lender may attach schedules to its Note and endorse thereon the date, Type (if applicable), amount, currency and maturity of its Loans and payments with respect thereto. (b) Maintenance of Records. In addition to the accounts and records referred to in Section 2.11(a), each Lender and the Administrative Agent shall maintain in accordance with its usual practice accounts or records evidencing the purchases and sales by such Lender of participations in Letters of Credit and Swingline Loans. In the event of any conflict between the accounts and records maintained by the Administrative Agent and the accounts and records of any Lender in respect of such matters, the accounts and records of the Administrative Agent shall control in the absence of manifest error. 2.12 Payments Generally; Administrative Agent Clawback. (a) General. All payments to be made by the Borrower shall be made free and clear of and without condition or deduction for any counterclaim, defense, recoupment or setoff. Except as otherwise expressly provided herein and except with respect to principal of and interest on Loans denominated in an Alternative Currency, all payments by the Borrower hereunder shall be made to the Administrative Agent, for the account of the respective Lenders to which such payment is owed, at the Administrative Agent’s Office in Dollars and in Same Day Funds not later than 2:00 p.m. on the date specified herein. Except as otherwise expressly provided herein, all payments by the Borrowers hereunder with respect to principal and interest on Loans denominated in an Alternative Currency shall be made to the Administrative Agent, for the account of the respective Lenders to which such payment is owed, at the applicable Administrative Agent’s Office in such Alternative Currency and in Same Day Funds not later than the Applicable Time specified by the Administrative Agent on the dates specified herein. Without limiting the generality of the foregoing, the Administrative Agent may require that any payments due under this Agreement be made in the United States. If, for any reason, any Borrower is prohibited by any Law from making any required payment hereunder in an Alternative Currency, such Borrower shall make 69 such payment in Dollars in the Dollar Equivalent of the Alternative Currency payment amount. The Administrative Agent will promptly distribute to each Lender its Applicable Percentage in respect of the relevant Facility (or other applicable share as provided herein) of such payment in like funds as received by wire transfer to such Lender’s Lending Office. All payments received by the Administrative Agent (i) after 2:00 p.m., in the case of payments in Dollars, or (ii) after the Applicable Time specified by the Administrative Agent, in the case of payments in an Alternative Currency, shall in each case be deemed received on the next succeeding Business Day and any applicable interest or fee shall continue to accrue. Subject to Section 2.07(a) and as otherwise specifically provided for in this Agreement, if any payment to be made by the Borrower shall come due on a day other than a Business Day, payment shall be made on the next following Business Day, and such extension of time shall be reflected in computing interest or fees, as the case may be. (b) Funding by Lenders; Presumption by Administrative Agent. Unless the Administrative Agent shall have received notice from a Lender prior to the proposed date of any Borrowing of Term Rate Loans, Daily SOFR Loans or Alternative Currency Loans (or, in the case of any Borrowing of Base Rate Loans, prior to 12:00 noon on the date of such Borrowing) that such Lender will not make available to the Administrative Agent such Lender’s share of such Borrowing, the Administrative Agent may assume that such Lender has made such share available on such date in accordance with Section 2.02 (or, in the case of a Borrowing of Base Rate Loans, that such Lender has made such share available in accordance with and at the time required by Section 2.02) and may, in reliance upon such assumption, make available to the Borrower a corresponding amount. In such event, if a Lender has not in fact made its share of the applicable Borrowing available to the Administrative Agent, then the applicable Lender and the Borrower severally agree to pay to the Administrative Agent forthwith on demand such corresponding amount in Same Day Funds with interest thereon, for each day from and including the date such amount is made available to the Borrower to but excluding the date of payment to the Administrative Agent, at (A) in the case of a payment to be made by such Lender, the Overnight Rate, plus any administrative, processing or similar fees customarily charged by the Administrative Agent in connection with the foregoing, and (B) in the case of a payment to be made by the Borrower, the interest rate applicable to Base Rate Loans or in the case of Alternative Currencies in accordance with such market practice, in each case, as applicable. If the Borrower and such Lender shall pay such interest to the Administrative Agent for the same or an overlapping period, the Administrative Agent shall promptly remit to the Borrower the amount of such interest paid by the Borrower for such period. If such Lender pays its share of the applicable Borrowing to the Administrative Agent, then the amount so paid shall constitute such Lender’s Loan included in such Borrowing. Any payment by the Borrower shall be without prejudice to any claim the Borrower may have against a Lender that shall have failed to make such payment to the Administrative Agent. (c) Payments by Borrower; Presumptions by Administrative Agent. Unless the Administrative Agent shall have received notice from the Borrower prior to the date on which any payment is due to the Administrative Agent for the account of the Lenders or any L/C Issuer hereunder that the Borrower will not make such payment, the Administrative Agent may assume that the Borrower has made such payment on such date in accordance herewith and may, in reliance upon such assumption, distribute to the Appropriate Lenders or the applicable L/C Issuers, as the case may be, the amount due. With respect to any payment that the Administrative Agent makes for the account of the Lenders or any L/C Issuer hereunder as to which the Administrative Agent determines (which determination shall be conclusive absent manifest error) that any of the following applies (such payment referred to as the “Rescindable Amount”): (1) the Borrower has not in fact made such payment; (2) the Administrative Agent has made a payment in excess of the amount so paid by such Borrower (whether or not then owed); or (3) the Administrative Agent has for any reason otherwise erroneously made such payment, then each of the Appropriate Lenders or the applicable L/C Issuers, as the case may be, severally agrees to repay to the Administrative Agent forthwith on demand the amount so distributed to such Lender or 70 such L/C Issuer, in Same Day Funds with interest thereon, for each day from and including the date such amount is distributed to it to but excluding the date of payment to the Administrative Agent, at the Overnight Rate. A notice of the Administrative Agent to any Lender or the Borrower with respect to any amount owing under this clause (b) shall be conclusive, absent manifest error. (d) Failure to Satisfy Conditions Precedent. If any Lender makes available to the Administrative Agent funds for any Loan to be made by such Lender as provided in the foregoing provisions of this Article II, and such funds are not made available to the Borrower by the Administrative Agent because the conditions to the applicable Credit Extension set forth in Article IV are not satisfied or waived in accordance with the terms hereof, the Administrative Agent shall return such funds (in like funds as received from such Lender) to such Lender, without interest. (e) Obligations of Lenders Several. The obligations of the Lenders hereunder to make Term Loans and Revolving Loans, to fund participations in Letters of Credit and Swingline Loans and to make payments pursuant to Section 11.04(c) are several and not joint. The failure of any Lender to make any Loan, to fund any such participation or to make any payment under Section 11.04(c) on any date required hereunder shall not relieve any other Lender of its corresponding obligation to do so on such date, and no Lender shall be responsible for the failure of any other Lender to so make its Loan, to purchase its participation or to make its payment under Section 11.04(c). (f) Funding Source. Nothing herein shall be deemed to obligate any Lender to obtain the funds for any Loan in any particular place or manner or to constitute a representation by any Lender that it has obtained or will obtain the funds for any Loan in any particular place or manner. (g) Pro Rata Treatment. Except to the extent otherwise provided herein: (i) each Borrowing (other than Swingline Borrowings) shall be made from the Appropriate Lenders, each payment of fees under Section 2.09 and clauses (l) and (m) of Section 2.03 shall be made for account of the Appropriate Lenders, and each termination or reduction of the amount of the Commitments shall be applied to the respective Commitments of the Lenders, pro rata according to the amounts of their respective Commitments; (ii) each Borrowing shall be allocated pro rata among the Lenders according to the amounts of their respective Commitments (in the case of the making of Revolving Loans) or their respective Loans that are to be included in such Borrowing (in the case of conversions and continuations of Loans); (iii) each payment or prepayment of principal of Loans by the Borrower shall be made for account of the Appropriate Lenders pro rata in accordance with the respective unpaid principal amounts of the Loans held by them; and (iv) each payment of interest on Loans by the Borrower shall be made for account of the Appropriate Lenders pro rata in accordance with the amounts of interest on such Loans then due and payable to the respective Appropriate Lenders. 2.13 Sharing of Payments by Lenders. If any Lender shall, by exercising any right of setoff or counterclaim or otherwise, obtain payment in respect of (a) Obligations in respect of any of the Facilities due and payable to such Lender hereunder and under the other Loan Documents at such time in excess of its ratable share (according to the proportion of (i) the amount of such Obligations due and payable to such Lender at such time to (ii) the aggregate amount of the Obligations in respect of the Facilities due and payable to all Lenders hereunder and under the other Loan Documents at such time) of payments on account of the Obligations in respect of the Facilities due and payable to all Lenders hereunder and under the other Loan Documents at such time obtained by all the Lenders at such time or (b) Obligations in respect of any of the Facilities owing (but not due and payable) to such Lender hereunder and under the other Loan Documents at such 71


 
time in excess of its ratable share (according to the proportion of (i) the amount of such Obligations owing (but not due and payable) to such Lender at such time to (ii) the aggregate amount of the Obligations in respect of the Facilities owing (but not due and payable) to all Lenders hereunder and under the other Loan Documents at such time) of payments on account of the Obligations in respect of the Facilities owing (but not due and payable) to all Lenders hereunder and under the other Loan Documents at such time obtained by all of the Lenders at such time, then, in each case under clauses (a) and (b) above, the Lender receiving such greater proportion shall (A) notify the Administrative Agent of such fact, and (B) purchase (for cash at face value) participations in the Loans and sub-participations in L/C Obligations and Swingline Loans of the other Lenders, or make such other adjustments as shall be equitable, so that the benefit of all such payments shall be shared by the Lenders ratably in accordance with the aggregate amount of Obligations in respect of the Facilities then due and payable to the Lenders or owing (but not due and payable) to the Lenders, as the case may be, provided that: (a) if any such participations or sub-participations are purchased and all or any portion of the payment giving rise thereto is recovered, such participations or sub-participations shall be rescinded and the purchase price restored to the extent of such recovery, without interest; and (b) the provisions of this Section 2.13 shall not be construed to apply to (A) any payment made by or on behalf of the Borrower pursuant to and in accordance with the express terms of this Agreement (including the application of funds arising from the existence of a Defaulting Lender), (B) the application of Cash Collateral provided for in Section 2.14, or (C) any payment obtained by a Lender as consideration for the assignment of or sale of a participation in any of its Loans or sub-participations in L/C Obligations or Swingline Loans to any assignee or participant, other than an assignment to any Loan Party or any Affiliate thereof (as to which the provisions of this Section 2.13 shall apply). Each Loan Party consents to the foregoing and agrees, to the extent it may effectively do so under Applicable Law, that any Lender acquiring a participation pursuant to the foregoing arrangements may exercise against such Loan Party rights of setoff and counterclaim with respect to such participation as fully as if such Lender were a direct creditor of such Loan Party in the amount of such participation 2.14 Cash Collateral. (a) Obligation to Cash Collateralize. At any time there shall exist a Defaulting Lender, within one Business Day following the written request of the Administrative Agent or any L/C Issuer (with a copy to the Administrative Agent), the Borrower shall Cash Collateralize the L/C Issuers’ Fronting Exposure with respect to such Defaulting Lender (determined after giving effect to Section 2.15(a)(iv) and any Cash Collateral provided by such Defaulting Lender) in an amount not less than the Minimum Collateral Amount. Additionally, if the Administrative Agent notifies the Company at any time that the Outstanding Amount of all L/C Obligations at such time exceeds 105% of the Letter of Credit Sublimit then in effect, then within two (2) Business Days after receipt of such notice, the Company shall provide Cash Collateral for the Outstanding Amount of the L/C Obligations in an amount not less than the amount by which the Outstanding Amount of all L/C Obligations exceeds the Letter of Credit Sublimit. (b) Grant of Security Interest. The Borrower, and to the extent provided by any Defaulting Lender, such Defaulting Lender, hereby grants to (and subjects to the control of) the Administrative Agent, for the benefit of the Administrative Agent, the L/C Issuers and the Lenders, and agrees to maintain, a first priority security interest in all such cash, deposit accounts and all balances therein, and all other property so provided as Collateral pursuant hereto, and in all proceeds of the foregoing, all as security for the obligations to which such Cash Collateral may be applied pursuant to Section 2.14(c). If at any time the Administrative Agent determines that Cash Collateral is subject to any right or claim of 72 any Person other than the Administrative Agent or the applicable L/C Issuer as herein provided, or that the total amount of such Cash Collateral is less than the Minimum Collateral Amount, the Borrower will, promptly upon demand by the Administrative Agent, pay or provide to the Administrative Agent additional Cash Collateral in an amount sufficient to eliminate such deficiency (determined in the case of Cash Collateral provided pursuant to Section 2.15(a)(v), after giving effect to Section 2.15(a)(v) and any Cash Collateral provided by the Defaulting Lender). All Cash Collateral (other than credit support not constituting funds subject to deposit) shall be maintained in blocked, non-interest bearing deposit accounts at Bank of America. The Borrower shall pay on demand therefor from time to time all customary account opening, activity and other administrative fees and charges in connection with the maintenance and disbursement of Cash Collateral. (c) Application. Notwithstanding anything to the contrary contained in this Agreement, Cash Collateral provided under any of this Section 2.14 or Sections 2.03, 2.05, 2.15 or 8.02 in respect of Letters of Credit shall be held and applied to the satisfaction of the specific L/C Obligations, obligations to fund participations therein (including, as to Cash Collateral provided by a Revolving Lender that is a Defaulting Lender, any interest accrued on such obligation) and other obligations for which the Cash Collateral was so provided, prior to any other application of such property as may be provided for herein. (d) Release. Cash Collateral (or the appropriate portion thereof) provided to reduce Fronting Exposure or to secure other obligations shall be released promptly following (i) the elimination of the applicable Fronting Exposure or other obligations giving rise thereto (including by the termination of Defaulting Lender status of the applicable Revolving Lender (or, as appropriate, its assignee following compliance with Section 11.06(b)(vi)) or (ii) the determination by the Administrative Agent and the applicable L/C Issuer that there exists excess Cash Collateral; provided, however, (A) any such release shall be without prejudice to, and any disbursement or other transfer of Cash Collateral shall be and remain subject to, any other Lien conferred under the Loan Documents and the other applicable provisions of the Loan Documents, and (B) the Person providing Cash Collateral and the applicable L/C Issuer may agree that Cash Collateral shall not be released but instead held to support future anticipated Fronting Exposure or other obligations. 2.15 Defaulting Lenders. (a) Adjustments. Notwithstanding anything to the contrary contained in this Agreement, if any Lender becomes a Defaulting Lender, then, until such time as that Lender is no longer a Defaulting Lender, to the extent permitted by Applicable Law: (i) Waivers and Amendments. Such Defaulting Lender’s right to approve or disapprove any amendment, waiver or consent with respect to this Agreement shall be restricted as set forth in the definition of “Required Lenders” and Section 11.01. (ii) Defaulting Lender Waterfall. Any payment of principal, interest, fees or other amounts received by the Administrative Agent for the account of such Defaulting Lender (whether voluntary or mandatory, at maturity, pursuant to Article VIII or otherwise) or received by the Administrative Agent from a Defaulting Lender pursuant to Section 11.08 shall be applied at such time or times as may be determined by the Administrative Agent as follows: first, to the payment of any amounts owing by such Defaulting Lender to the Administrative Agent hereunder; second, to the payment on a pro rata basis of any amounts owing by such Defaulting Lender to any L/C Issuer or the Swingline Lender hereunder; third, to Cash Collateralize the L/C Issuers’ Fronting Exposure with respect to such Defaulting Lender in accordance with Section 2.14; fourth, as the Borrower may request (so long as no Default or Event of Default exists), to the funding of any Loan in respect of which such Defaulting Lender has failed to fund its portion 73 thereof as required by this Agreement, as determined by the Administrative Agent; fifth, if so determined by the Administrative Agent and the Borrower, to be held in a deposit account and released pro rata in order to (A) satisfy such Defaulting Lender’s potential future funding obligations with respect to Loans under this Agreement and (B) Cash Collateralize the L/C Issuers’ future Fronting Exposure with respect to such Defaulting Lender with respect to future Letters of Credit issued under this Agreement, in accordance with Section 2.14; sixth, to the payment of any amounts owing to the Lenders, the L/C Issuers or Swingline Lender as a result of any judgment of a court of competent jurisdiction obtained by any Lender, any L/C Issuer or the Swingline Lender against such Defaulting Lender as a result of such Defaulting Lender’s breach of its obligations under this Agreement; seventh, so long as no Default or Event of Default exists, to the payment of any amounts owing to the Borrower as a result of any judgment of a court of competent jurisdiction obtained by the Borrower against such Defaulting Lender as a result of such Defaulting Lender’s breach of its obligations under this Agreement; and eighth, to such Defaulting Lender or as otherwise as may be required under the Loan Documents in connection with any Lien conferred thereunder or directed by a court of competent jurisdiction; provided that if (x) such payment is a payment of the principal amount of any Loans or L/C Borrowings in respect of which such Defaulting Lender has not fully funded its appropriate share, and (y) such Loans were made or the related Letters of Credit were issued at a time when the conditions set forth in Section 4.02 were satisfied or waived, such payment shall be applied solely to pay the Loans of, and L/C Obligations owed to, all Non-Defaulting Lenders on a pro rata basis prior to being applied to the payment of any Loans of, or L/C Obligations owed to, such Defaulting Lender until such time as all Loans and funded and unfunded participations in L/C Obligations and Swingline Loans are held by the Lenders pro rata in accordance with the Commitments hereunder without giving effect to Section 2.15(a)(v). Any payments, prepayments or other amounts paid or payable to a Defaulting Lender that are applied (or held) to pay amounts owed by a Defaulting Lender or to post Cash Collateral pursuant to this Section 2.15(a)(ii) shall be deemed paid to and redirected by such Defaulting Lender, and each Lender irrevocably consents hereto. (iii) Certain Fees. (A) Fees. No Defaulting Lender shall be entitled to receive any fee payable under Section 2.09(a) for any period during which that Lender is a Defaulting Lender (and the Borrower shall not be required to pay any such fee that otherwise would have been required to have been paid to that Defaulting Lender) (B) Letter of Credit Fees. Each Defaulting Lender shall be entitled to receive Letter of Credit Fees for any period during which that Lender is a Defaulting Lender only to the extent allocable to its Applicable Revolving Percentage of the stated amount of Letters of Credit for which it has provided Cash Collateral pursuant to Section 2.14. (C) Defaulting Lender Fees. With respect to any fee payable under Section 2.09 or any Letter of Credit Fee not required to be paid to any Defaulting Lender pursuant to clause (B) above, the Borrower shall (1) pay to each Non-Defaulting Lender that portion of any such fee otherwise payable to such Defaulting Lender with respect to such Defaulting Lender’s participation in L/C Obligations or Swingline Loans that has been reallocated to such Non-Defaulting Lender pursuant to clause (iv) below, (2) pay to each L/C Issuer and the Swingline Lender, as applicable, the amount of any such fee otherwise payable to such Defaulting Lender to the extent allocable to such L/C Issuer’s 74 or such Swingline Lender’s Fronting Exposure to such Defaulting Lender, and (3) not be required to pay the remaining amount of any such fee. (iv) Reallocation of Applicable Revolving Percentages to Reduce Fronting Exposure. All or any part of such Defaulting Lender’s participation in L/C Obligations and Swingline Loans shall be reallocated among the Non-Defaulting Lenders in accordance with their respective Applicable Revolving Percentages (calculated without regard to such Defaulting Lender’s Commitment) but only to the extent that such reallocation does not cause the aggregate Revolving Exposure of any Non-Defaulting Lender to exceed such Non-Defaulting Lender’s Revolving Commitment. Subject to Section 11.20, no reallocation hereunder shall constitute a waiver or release of any claim of any party hereunder against a Defaulting Lender arising from that Lender having become a Defaulting Lender, including any claim of a Non-Defaulting Lender as a result of such Non-Defaulting Lender’s increased exposure following such reallocation. (v) Cash Collateral, Repayment of Swingline Loans. If the reallocation described in clause (a)(iv) above cannot, or can only partially, be effected, the Borrower shall, without prejudice to any right or remedy available to it hereunder or under Applicable Law, (A) first, prepay Swingline Loans in an amount equal to the Swingline Lenders’ Fronting Exposure and (B) second, Cash Collateralize the L/C Issuers’ Fronting Exposure in accordance with the procedures set forth in Section 2.14. (b) Defaulting Lender Cure. If the Company, the Administrative Agent, the Swingline Lender and each L/C Issuer agree in writing that a Lender is no longer a Defaulting Lender, the Administrative Agent will so notify the parties hereto, whereupon as of the effective date specified in such notice and subject to any conditions set forth therein (which may include arrangements with respect to any Cash Collateral), that Lender will, to the extent applicable, purchase at par that portion of outstanding Loans of the other Lenders or take such other actions as the Administrative Agent may determine to be necessary to cause the Loans and funded and unfunded participations in Letters of Credit and Swingline Loans to be held pro rata by the Lenders in accordance with their Revolving Commitments (without giving effect to Section 2.15(a)(iv)), whereupon such Lender will cease to be a Defaulting Lender; provided that no adjustments will be made retroactively with respect to fees accrued or payments made by or on behalf of the Borrower while that Lender was a Defaulting Lender; and provided, further, that except to the extent otherwise expressly agreed by the affected parties, no change hereunder from Defaulting Lender to Lender will constitute a waiver or release of any claim of any party hereunder arising from that Lender’s having been a Defaulting Lender. (c) New Swingline Loans/Letters of Credit. So long as any Revolving Lender is a Defaulting Lender, (i) the Swingline Lender shall not be required to fund any Swingline Loans unless it is satisfied that it will have no Fronting Exposure after giving effect to such Swingline Loan and (ii) no L/C Issuer shall be required to issue, extend, increase, reinstate or renew any letter of Credit unless it is satisfied that it will have no Fronting Exposure after giving effect thereto. 2.16 Designated Borrowers. (a) Designated Borrowers. The Company may at any time, upon not less than ten (10) Business Days’ notice from the Company to the Administrative Agent (or such shorter period as may be agreed by the Administrative Agent in its sole discretion), request to designate any additional Material Subsidiary or Eligible Foreign Subsidiary of the Company (an “Applicant Borrower”) as a Designated Borrower to receive Loans hereunder by (x) on the Closing Date, countersigning this Agreement or (y) after the Closing Date, delivering to the Administrative Agent (which shall promptly deliver counterparts thereof to each Lender) a duly executed notice and agreement in substantially the form of Exhibit O (a 75


 
“Designated Borrower Request and Assumption Agreement”); provided, that, for the avoidance of doubt, it is understood and agreed that the Foreign Subsidiaries signatory hereto on the Closing Date and identified thereon as “Designated Borrowers” have each been designated as a Designated Borrower on and as of the Closing Date. The parties hereto acknowledge and agree that prior to any Applicant Borrower (other than with respect to the Designated Borrowers signatory hereto on the Closing Date, which shall instead be governed by Section 4.01) becoming entitled to utilize the credit facilities provided for herein (i) the Administrative Agent and the Lenders that are to provide Commitments and/or Loans in favor of an Applicant Borrower must each agree to such Applicant Borrower becoming a Designated Borrower and (ii) the Administrative Agent and such Lenders shall have received such supporting resolutions, incumbency certificates, opinions of counsel and other documents or information, in form, content and scope reasonably satisfactory to the Administrative Agent, as may be required by the Administrative Agent, together with other documentation and other information required by regulatory authorities under applicable “know your customer” and anti-money laundering rules and regulations, including, without limitation, the PATRIOT Act, requested by the Administrative Agent or any Revolving Lender and Notes signed by such new Borrowers to the extent any Lender so requires (the requirements in clauses (i) and (ii) hereof, the “Designated Borrower Requirements”). If the Designated Borrower Requirements are met, the Administrative Agent shall send a notice in substantially the form of Exhibit P (a “Designated Borrower Notice”) to the Company and the Lenders specifying the effective date upon which the Applicant Borrower shall constitute a Designated Borrower for purposes hereof, whereupon each of the Lenders agrees to permit such Designated Borrower to receive Loans hereunder, on the terms and conditions set forth herein, and each of the parties agrees that such Designated Borrower otherwise shall be a Borrower for all purposes of this Agreement; provided that no Loan Notice or Letter of Credit Application may be submitted by or on behalf of such Designated Borrower until the date five (5) Business Days after such effective date. (b) Obligations. Except as specifically provided herein, the Obligations of the Company and each of the Borrowers shall be joint and several in nature (unless such joint and several liability (i) shall result in adverse tax consequences to any such Designated Borrower or (ii) is not permitted by any Law applicable to such Designated Borrower, in which either such case, the liability of such Designated Borrower shall be several in nature) regardless of which such Person actually receives Credit Extensions hereunder or the amount of such Credit Extensions received or the manner in which the Administrative Agent, the L/C Issuer or any Lender accounts for such Credit Extensions on its books and records. Notwithstanding anything contained to the contrary herein or in any Loan Document (including any Designated Borrower Request and Assumption Agreement), (i) no Designated Borrower that is a Foreign Subsidiary shall be obligated with respect to any Obligations of the Company or of any Domestic Subsidiary, (ii) the Obligations owed by a Designated Borrower that is a Foreign Subsidiary shall be several and not joint with the Obligations of the Company or of any Designated Borrower that is a Domestic Subsidiary and (iii) no Designated Borrower that is a Foreign Subsidiary shall be obligated as a Guarantor under Article X with respect to the Obligations of the Company or any Domestic Subsidiary. (c) Appointment. Each Subsidiary of the Company that is or becomes a “Designated Borrower” pursuant to this Section 2.16 hereby irrevocably appoints the Company to act as its agent for all purposes of this Agreement and the other Loan Documents and agrees that (i) the Company may execute such documents on behalf of such Designated Borrower as the Company deems appropriate in its sole discretion and each Designated Borrower shall be obligated by all of the terms of any such document executed on its behalf, (ii) any notice or communication delivered by the Administrative Agent or the Lenders to the Company shall be deemed delivered to each Designated Borrower and (iii) the Administrative Agent or the Lenders may accept, and be permitted to rely on, any document, instrument or agreement executed by the Company on behalf of each of the Loan Parties. 76 2.17 Designated Lenders. Each of the Administrative Agent, each L/C Issuer, the Swingline Lender and each Lender at its option may make any Credit Extension or otherwise perform its obligations hereunder through any Lending Office (each, a “Designated Lender”); provided that any exercise of such option shall not affect the obligation of such Borrower to repay any Credit Extension in accordance with the terms of this Agreement. Any Designated Lender shall be considered a Lender; provided that designation of a Designated Lender is for administrative convenience only and does not expand the scope of liabilities or obligations of any Lender or Designated Lender beyond those of the Lender designating such Person as a Designated Lender as provided in this Agreement. 2.18 Increase in Revolving Facility. (a) Request for Increase. Provided there exists no Default, upon notice to the Administrative Agent (which shall promptly notify the Revolving Lenders), the Company, on behalf of itself and the other Borrowers, may from time to time, request an increase in the Revolving Facility by an amount (for all such requests) not exceeding $200,000,000 (an “Incremental Facility”); provided that (i) any such request for an Incremental Facility shall be in a minimum amount of $5,000,000 and (ii) the Borrower may make a maximum of three (3) such requests. At the time of sending such notice, the Borrower (in consultation with the Administrative Agent) shall specify the time period within which each Revolving Lender is requested to respond (which shall in no event be less than ten (10) Business Days from the date of delivery of such notice to the Revolving Lenders). For the avoidance of doubt and notwithstanding anything to the contrary set forth herein, it is understood and agreed that the First Amendment Revolving Commitment Increase, the Second Amendment Revolving Commitment Increase and the Second Amendment Term Commitments shall not constitute an Incremental Facility. (b) Lender Elections to Increase. Each Revolving Lender shall notify the Administrative Agent within such time period whether or not it agrees to increase its Revolving Commitment and, if so, whether by an amount equal to, greater than, or less than its Applicable Revolving Percentage of such requested increase. Any Revolving Lender not responding within such time period shall be deemed to have declined to increase its Revolving Commitment. (c) Notification by Administrative Agent; Additional Revolving Lenders. The Administrative Agent shall notify the Company and each Revolving Lender of the Revolving Lenders’ responses to each request made hereunder. To achieve the full amount of a requested increase, and subject to the approval of the Administrative Agent, the L/C Issuers and the Swingline Lenders, the Company may also invite additional Eligible Assignees to become Revolving Lenders pursuant to a joinder agreement (“New Revolving Lenders”) in form and substance satisfactory to the Administrative Agent and its counsel. (d) Effective Date and Allocations. If the Revolving Facility is increased in accordance with this Section 2.18, the Administrative Agent and the Company shall determine the effective date (the “Revolving Increase Effective Date”) and the final allocation of such increase. The Administrative Agent shall promptly notify the Company and the Revolving Lenders and the New Revolving Lenders of the final allocation of such increase and the Revolving Increase Effective Date. (e) Conditions to Effectiveness of Increase. As a condition precedent to such increase, the Company shall deliver to the Administrative Agent a certificate of each Loan Party dated as of the Revolving Increase Effective Date (in sufficient copies for each Lender) signed by a Responsible Officer of such Loan Party (i) certifying and attaching the resolutions adopted by such Loan Party approving or consenting to such increase, and (ii) in the case of the Borrower, certifying that, before and after giving 77 effect to such increase, (A) the representations and warranties contained in Article V and the other Loan Documents are true and correct, on and as of the Revolving Increase Effective Date, and except that for purposes of this Section 2.18, the representations and warranties contained in clauses (a) and (b) of Section 5.05 shall be deemed to refer to the most recent statements furnished pursuant to clauses (a) and (b), respectively, of Section 6.01, and (B) both before and after giving effect to the Incremental Facility, no Default exists. The Borrower shall deliver or cause to be delivered any other customary documents (including, without limitation, legal opinions) as reasonably requested by the Administrative Agent in connection with any Incremental Facility. The Borrower shall prepay any Revolving Loans outstanding on the Revolving Increase Effective Date (and pay any additional amounts required pursuant to Section 3.05) to the extent necessary to keep the outstanding Revolving Loans ratable with any revised Applicable Revolving Percentages arising from any nonratable increase in the Revolving Commitments under this Section 2.18. (f) Conflicting Provisions. This Section 2.18 shall supersede any provisions in Section 2.13 or 11.01 to the contrary. (g) Incremental Facility. Except as otherwise specifically set forth herein, all of the other terms and conditions applicable to such Incremental Facility shall be identical to the terms and conditions applicable to the Revolving Facility. ARTICLE III TAXES, YIELD PROTECTION AND ILLEGALITY 3.01 Taxes. (a) Defined Terms and Interpretation. For purposes of this Section 3.01, the term “Applicable Law” includes FATCA and the term “Lender” includes any L/C Issuer. The provisions of this Section 3.01 shall not apply in respect of any such UK Borrower, and in respect of any such UK Borrower, the provisions of Section 3.08 shall instead apply. In addition, the provisions of this Section 3.01 shall not apply in respect of any Australian Loan Party, and the provisions of Section 3.09 shall instead apply. (b) Payments Free of Taxes; Obligation to Withhold; Payments on Account of Taxes. Any and all payments by or on account of any obligation of any Loan Party under any Loan Document shall be made without deduction or withholding for any Taxes, except as required by Applicable Laws. If any Applicable Laws (as determined in the good faith discretion of an applicable Withholding Agent) require the deduction or withholding of any Tax from any such payment by a Withholding Agent, then the applicable Withholding Agent shall be entitled to make such deduction or withholding and shall timely pay the full amount deducted or withheld to the relevant Governmental Authority in accordance with Applicable Law and, if such Tax is an Indemnified Tax, then the Loan Party shall pay an additional amount together with the payment so that after any required withholding or the making of all required deductions (including deductions applicable to additional sums payable under this Section 3.01) the applicable Recipient receives an amount equal to the sum it would have received had no such withholding or deduction been made. (c) Payment of Other Taxes by the Loan Parties. The Loan Parties shall timely pay to the relevant Governmental Authority in accordance with Applicable Law, or at the option of the Administrative Agent timely reimburse it for the payment of, any Other Taxes. 78 (d) Tax Indemnifications. (i) Each of the Loan Parties shall, and does hereby, jointly and severally indemnify each Recipient, and shall make payment in respect thereof within ten (10) days after demand therefor, for the full amount of any Indemnified Taxes (including Indemnified Taxes imposed or asserted on or attributable to amounts payable under this Section 3.01) payable or paid by such Recipient or required to be withheld or deducted from a payment to such Recipient, and any penalties, interest and reasonable expenses arising therefrom or with respect thereto, whether or not such Indemnified Taxes were correctly or legally imposed or asserted by the relevant Governmental Authority. A certificate as to the amount of such payment or liability delivered to the Borrower by a Lender (with a copy to the Administrative Agent), or by the Administrative Agent on its own behalf or on behalf of a Lender, shall be conclusive absent manifest error. Each of the Loan Parties shall also, and does hereby, jointly and severally indemnify the Administrative Agent, and shall make payment in respect thereof within ten (10) days after demand therefor, for any amount which a Lender for any reason fails to pay indefeasibly to the Administrative Agent as required pursuant to Section 3.01(c)(ii) below. (ii) Each Lender shall, and does hereby, severally indemnify and shall make payment in respect thereof within ten (10) days after demand therefor, (A) the Administrative Agent against any Indemnified Taxes attributable to such Lender (but only to the extent that any Loan Party has not already indemnified the Administrative Agent for such Indemnified Taxes and without limiting the obligation of the Loan Parties to do so), (B) the Administrative Agent and the Loan Parties, as applicable, against any Taxes attributable to such Lender’s failure to comply with the provisions of Section 11.06(d) relating to the maintenance of a Participant Register and (C) the Administrative Agent and the Loan Parties, as applicable, against any Excluded Taxes attributable to such Lender, in each case, that are payable or paid by the Administrative Agent or a Loan Party in connection with any Loan Document, and any reasonable expenses arising therefrom or with respect thereto, whether or not such Taxes were correctly or legally imposed or asserted by the relevant Governmental Authority. A certificate as to the amount of such payment or liability delivered to any Lender by the Administrative Agent shall be conclusive absent manifest error. Each Lender hereby authorizes the Administrative Agent to set off and apply any and all amounts at any time owing to such Lender under any Loan Document or otherwise payable by the Administrative Agent to the Lender from any other source against any amount due to the Administrative Agent under this clause (d)(ii). (e) Evidence of Payments. As soon as practicable after any payment of Taxes by any Loan Party to a Governmental Authority, as provided in this Section 3.01, the Borrower shall deliver to the Administrative Agent the original or a certified copy of a receipt issued by such Governmental Authority evidencing such payment, a copy of any return reporting such payment or other evidence of such payment reasonably satisfactory to the Administrative Agent. (f) Status of Lenders; Tax Documentation. (i) Any Lender that is entitled to an exemption from or reduction of withholding Tax with respect to payments made under any Loan Document shall deliver to the Company and the Administrative Agent, at the time or times reasonably requested by the Company or the Administrative Agent, such properly completed and executed documentation reasonably requested by the Borrower or the Administrative Agent as will permit such payments to be made without withholding or at a reduced rate of withholding. In addition, if reasonably requested by the Company or the Administrative Agent, shall deliver such other documentation prescribed by Applicable Law or reasonably requested by the Company or the Administrative Agent as will 79


 
enable the Borrower or the Administrative Agent to determine whether or not such Lender is subject to backup withholding or information reporting requirements. Notwithstanding anything to the contrary in the preceding two sentences, the completion, execution and submission of such documentation (other than such documentation set forth in Section 3.01(e)(ii)(A), (ii)(B) and (ii)(D) below) shall not be required if in the Lender’s reasonable judgment such completion, execution or submission would subject such Lender to any material unreimbursed cost or expense or would materially prejudice the legal or commercial position of such Lender. (ii) Without limiting the generality of the foregoing, in the event that the Borrower is a U.S. Person, (A) any Lender that is a U.S. Person shall deliver to the Company and the Administrative Agent on or prior to the date on which such Lender becomes a Lender under this Agreement (and from time to time thereafter upon the reasonable request of the Company or the Administrative Agent), executed copies of IRS Form W–9 certifying that such Lender is exempt from U.S. federal backup withholding tax; (B) any Foreign Lender shall, to the extent it is legally entitled to do so, deliver to the Company and the Administrative Agent (in such number of copies as shall be requested by the recipient) on or prior to the date on which such Foreign Lender becomes a Lender under this Agreement (and from time to time thereafter upon the reasonable request of the Borrower or the Administrative Agent), whichever of the following is applicable: (1) in the case of a Foreign Lender claiming the benefits of an income tax treaty to which the United States is a party (x) with respect to payments of interest under any Loan Document, executed copies of IRS Form W–8BEN–E (or W–8BEN, as applicable) establishing an exemption from, or reduction of, U.S. federal withholding Tax pursuant to the “interest” article of such tax treaty and (y) with respect to any other applicable payments under any Loan Document, IRS Form W–8BEN–E (or W–8BEN, as applicable) establishing an exemption from, or reduction of, U.S. federal withholding Tax pursuant to the “business profits” or “other income” article of such tax treaty; (2) executed copies of IRS Form W–8ECI; (3) in the case of a Foreign Lender claiming the benefits of the exemption for portfolio interest under Section 881(c) of the Code, (x) a certificate substantially in the form of Exhibit J–1 to the effect that such Foreign Lender is not a “bank” within the meaning of Section 881(c)(3)(A) of the Code, a “10 percent shareholder” of the Borrower within the meaning of Section 881(c)(3)(B) of the Code, or a “controlled foreign corporation” described in Section 881(c)(3)(C) of the Code (a “U.S. Tax Compliance Certificate”) and (y) executed copies of IRS Form W–8BEN–E (or W–8BEN, as applicable); or (4) to the extent a Foreign Lender is not the beneficial owner, executed copies of IRS Form W–8IMY, accompanied by IRS Form W–8ECI, IRS Form W–8BEN–E (or W–8BEN, as applicable), a U.S. Tax Compliance Certificate substantially in the form of Exhibit J–2 or Exhibit J–3, IRS Form W–9, and/or other certification documents from each beneficial owner, as applicable; provided that if the Foreign Lender is a partnership and one or more 80 direct or indirect partners of such Foreign Lender are claiming the portfolio interest exemption, such Foreign Lender may provide a U.S. Tax Compliance Certificate substantially in the form of Exhibit J–4 on behalf of each such direct and indirect partner; (C) any Foreign Lender shall, to the extent it is legally entitled to do so, deliver to the Company and the Administrative Agent (in such number of copies as shall be requested by the recipient) on or prior to the date on which such Foreign Lender becomes a Lender under this Agreement (and from time to time thereafter upon the reasonable request of the Company or the Administrative Agent), executed copies (or originals, as required) of any other form prescribed by Applicable Law as a basis for claiming exemption from or a reduction in U.S. federal withholding Tax, duly completed, together with such supplementary documentation as may be prescribed by Applicable Law to permit the Borrower or the Administrative Agent to determine the withholding or deduction required to be made; and (D) if a payment made to a Lender under any Loan Document would be subject to withholding Tax imposed by FATCA if such Lender were to fail to comply with the applicable reporting requirements of FATCA (including those contained in Section 1471(b) or 1472(b) of the Code, as applicable), such Lender shall deliver to the Company and the Administrative Agent at the time or times prescribed by law and at such time or times reasonably requested by the Borrower or the Administrative Agent such documentation prescribed by Applicable Law (including as prescribed by Section 1471(b)(3)(C)(i) of the Code) and such additional documentation reasonably requested by the Borrower or the Administrative Agent as may be necessary for the Borrower and the Administrative Agent to comply with their obligations under FATCA and to determine that such Lender has complied with such Lender’s obligations under FATCA or to determine the amount to deduct and withhold from such payment. Solely for the purposes of this clause (f)(ii)(D), “FATCA” shall include any amendments made to FATCA after the date of this Agreement. (iii) Each Lender agrees that if any form or certification it previously delivered pursuant to this Section 3.01 expires or becomes obsolete or inaccurate in any respect, it shall update such form or certification or promptly notify the Company and the Administrative Agent in writing of its legal inability to do so. (g) Treatment of Certain Refunds. Unless required by Applicable Laws, at no time shall the Administrative Agent have any obligation to file for or otherwise pursue on behalf of a Lender, or have any obligation to pay to any Lender, any refund of Taxes withheld or deducted from funds paid for the account of such Lender. If any Recipient determines, in its sole discretion exercised in good faith, that it has received a refund of any Taxes as to which it has been indemnified by any Loan Party or with respect to which any Loan Party has paid additional amounts pursuant to this Section 3.01, it shall pay to such Loan Party an amount equal to such refund (but only to the extent of indemnity payments made, or additional amounts paid, by such Loan Party under this Section 3.01 with respect to the Taxes giving rise to such refund), net of all out-of-pocket expenses (including Taxes) incurred by such Recipient, as the case may be, and without interest (other than any interest paid by the relevant Governmental Authority with respect to such refund), provided that each Loan Party, upon the request of the Recipient, agrees to repay the amount paid over to such Loan Party (plus any penalties, interest or other charges imposed by the relevant Governmental Authority) to the Recipient in the event the Recipient is required to repay such refund to such Governmental Authority. Notwithstanding anything to the contrary in this clause (g), in no event will the applicable Recipient be required to pay any amount to such Loan Party pursuant to this 81 clause (g) the payment of which would place the Recipient in a less favorable net after-Tax position than such Recipient would have been in if the Tax subject to indemnification and giving rise to such refund had not been deducted, withheld or otherwise imposed and the indemnification payments or additional amounts with respect to such Tax had never been paid. This clause (g) shall not be construed to require any Recipient to make available its tax returns (or any other information relating to its Taxes that it deems confidential) to any Loan Party or any other Person. (h) Survival. Each party’s obligations under this Section 3.01 shall survive the resignation or replacement of the Administrative Agent or any assignment of rights by, or the replacement of, a Lender, the termination of the Commitments and the repayment, satisfaction or discharge of all other Obligations. 3.02 Illegality. (a) If any Lender determines that any Law has made it unlawful, or that any Governmental Authority has asserted that it is unlawful, for any Lender or its applicable Lending Office to make, maintain or fund or charge interest with respect to any Credit Extension, or to determine or charge interest rates based upon a Relevant Rate, or any Governmental Authority has imposed material restrictions on the authority of such Lender to engage in reverse repurchase of U.S. Treasury securities transactions of the type included in the determination of SOFR, or to determine or charge interest rates based upon a Relevant Rate purchase or sell, or to take deposits of, Dollars or any Alternative Currency in the applicable interbank market, then, upon notice thereof by such Lender to the Company (through the Administrative Agent), (i) any obligation of such Lender to make or maintain Alternative Currency Loans in the affected currency or currencies or, in the case of Loans denominated in Dollars, any obligation of such Lender to make or continue Term SOFR Loans, Daily SOFR Loans or Alternative Currency Loans or to convert Base Rate Loans to Term SOFR Loans shall be suspended, and (ii) if such notice asserts the illegality of such Lender making or maintaining Base Rate Loans the interest rate on which is determined by reference to the Term SOFR component of the Base Rate, the interest rate on which Base Rate Loans of such Lender shall, if necessary to avoid such illegality, be determined by the Administrative Agent without reference to the Term SOFR component of the Base Rate, in each case until such Lender notifies the Administrative Agent and the Company that the circumstances giving rise to such determination no longer exist. Upon receipt of such notice, (A) the Company shall, upon demand from such Lender (with a copy to the Administrative Agent), prepay all Term SOFR Loans, Daily SOFR Loans or Alternative Currency Loans, as applicable in the affected currency or currencies or, if applicable, convert all Term SOFR Loans and Daily SOFR Loans of such Lender to Base Rate Loans (the interest rate on which Base Rate Loans of such Lender shall, if necessary to avoid such illegality, be determined by the Administrative Agent without reference to the Term SOFR component of the Base Rate), in each case, immediately, on the last day of the Interest Period therefor, if such Lender may lawfully continue to maintain such Term Rate Loans to such day, or immediately, if such Lender may not lawfully continue to maintain such Term Rate Loans and (B) if such notice asserts the illegality of such Lender determining or charging interest rates based upon the SOFR, the Administrative Agent shall during the period of such suspension compute the Base Rate applicable to such Lender without reference to the Term SOFR component thereof until the Administrative Agent is advised in writing by such Lender that it is no longer illegal for such Lender to determine or charge interest rates based upon SOFR. Upon any such prepayment or conversion, the Borrower shall also pay accrued interest on the amount so prepaid or converted, together with any additional amounts required pursuant to Section 3.05. (b) If, in any applicable jurisdiction, the Administrative Agent, the L/C Issuer or any Lender or any Designated Lender determines that any Law has made it unlawful, or that any Governmental Authority has asserted that it is unlawful, for the Administrative Agent, the L/C Issuer or any Lender or its applicable Designated Lender to (i) perform any of its obligations hereunder or under any other Loan Document, (ii) to fund, hold a commitment or maintain its participation in any Loan or Letter of Credit or 82 (iii) issue, make, maintain, fund or charge interest or fees with respect to any Credit Extension to any Designated Borrower who is organized under the laws of a jurisdiction other than the United States, a State thereof or the District of Columbia such Person shall promptly notify the Administrative Agent, then, upon the Administrative Agent notifying the Company, and until such notice by such Person is revoked, any obligation of such Person to issue, make, maintain, fund or charge interest or fees with respect to any such Credit Extension shall be suspended, and to the extent required by Applicable Law, cancelled. Upon receipt of such notice, the Loan Parties shall, (A) repay that Person’s participation in the Loans or other applicable Obligations on the last day of the Interest Period for each Loan or other Obligation occurring after the Administrative Agent has notified the Company or, if earlier, the date specified by such Person in the notice delivered to the Administrative Agent (being no earlier than the last day of any applicable grace period permitted by Applicable Law), (B) to the extent applicable to the L/C Issuer, Cash Collateralize that portion of applicable L/C Obligations comprised of the aggregate undrawn amount of Letters of Credit to the extent not otherwise Cash Collateralized and (C) take all reasonable actions requested by such Person to mitigate or avoid such illegality. 3.03 Inability to Determine Rates. (a) If in connection with any request for a Term SOFR Loan, Daily SOFR Loan or an Alternative Currency Loan or a conversion of Base Rate Loans to a Term SOFR Loan or an Alternative Currency Loan or a continuation of any of such Loans, as applicable, (i) the Administrative Agent determines (which determination shall be conclusive absent manifest error) that (A) no Successor Rate for the Relevant Rate for the applicable Agreed Currency has been determined in accordance with Section 3.03(b) and the circumstances under clause (i) of Section 3.03(b) or the Scheduled Unavailability Date has occurred with respect to such Relevant Rate (as applicable), or (B) adequate and reasonable means do not otherwise exist for determining the Relevant Rate for the applicable Agreed Currency for any determination date(s) or requested Interest Period, as applicable, with respect to a proposed Term SOFR Loan, Daily SOFR Loan (if applicable) or an Alternative Currency Loan or in connection with an existing or proposed Base Rate Loan, or (ii) the Administrative Agent or the Required Lenders determine that for any reason that the Relevant Rate with respect to a proposed Loan denominated in an Agreed Currency for any requested Interest Period or determination date(s) does not adequately and fairly reflect the cost to such Lenders of funding such Loan, the Administrative Agent will promptly so notify the Company and each Lender. Thereafter, (x) the obligation of the Lenders to make or maintain Term SOFR Loans, Daily SOFR Loans or Loans in the affected currencies, as applicable, or to convert Base Rate Loans to Term SOFR Loans or Loans in the affected currencies, as applicable, shall be suspended in each case to the extent of the affected Term SOFR Loans, Daily SOFR Loans, Alternative Currency Loans or Interest Period or determination date(s), as applicable, and (y) in the event of a determination described in the preceding sentence with respect to the Term SOFR component of the Base Rate, the utilization of the Term SOFR component in determining the Base Rate shall be suspended, in each case until the Administrative Agent (or, in the case of a determination by the Required Lenders described in clause (ii) of this Section 3.03(a), until the Administrative Agent upon instruction of the Required Lenders) revokes such notice. Upon receipt of such notice, (i) the Borrower may revoke any pending request for a Borrowing of, conversion to, or continuation of Term SOFR Loans and/or Alternative Currency Loans to the extent of the affected Loans or Interest Period or determination date(s), as applicable or, failing that, will be deemed to have converted such request into a request for a Borrowing of Base Rate Loans in the amount specified therein and (ii) (A) any outstanding Term SOFR Loans (or, if applicable, Daily SOFR Loans) shall be deemed to have been converted to Base Rate Loans immediately and (B) any outstanding affected Alternative Currency Loans, at the Company’s election, shall either (1) be converted into a 83


 
Borrowing of Base Rate Loans denominated in Dollars in the Dollar Equivalent of the amount of such outstanding Alternative Currency Loan immediately, in the case of an Alternative Currency Daily Rate Loan or at the end of the applicable Interest Period, in the case of an Alternative Currency Term Rate Loan or (2) be prepaid in full immediately, in the case of an Alternative Currency Daily Rate Loan, or at the end of the applicable Interest Period, in the case of an Alternative Currency Term Rate Loan; provided that if no election is made by the Company (x) in the case of an Alternative Currency Daily Rate Loan, by the date that is three Business Days after receipt by the Company of such notice or (y) in the case of an Alternative Currency Term Rate Loan, by the last day of the current Interest Period for the applicable Alternative Currency Term Rate Loan, the Company shall be deemed to have elected clause (1) above. (b) Replacement of Relevant Rate or Successor Rate. Notwithstanding anything to the contrary in this Agreement or any other Loan Documents, if the Administrative Agent determines (which determination shall be conclusive absent manifest error), or the Borrower or Required Lenders notify the Administrative Agent (with, in the case of the Required Lenders, a copy to the Borrower) that the Borrower or Required Lenders (as applicable) have determined, that: (i) adequate and reasonable means do not exist for ascertaining the Relevant Rate for an Agreed Currency because none of the tenors of such Relevant Rate (including any forward-looking term rate thereof) is available or published on a current basis and such circumstances are unlikely to be temporary; or (ii) the Applicable Authority has made a public statement identifying a specific date after which all tenors of the Relevant Rate for an Agreed Currency (including any forward-looking term rate thereof) shall or will no longer be representative or made available, or used for determining the interest rate of loans denominated in such Agreed Currency, or shall or will otherwise cease, provided that, in each case, at the time of such statement, there is no successor administrator that is satisfactory to the Administrative Agent that will continue to provide such representative tenor(s) of the Relevant Rate for such Agreed Currency (the latest date on which all tenors of the Relevant Rate for such Agreed Currency (including any forward-looking term rate thereof) are no longer representative or available permanently or indefinitely, the “Scheduled Unavailability Date”); or (iii) syndicated loans currently being executed and agented in the U.S., are being executed or amended (as applicable) to incorporate or adopt a new benchmark interest rate to replace the Relevant Rate for an Agreed Currency; If the events or circumstances of the type described in Section 3.03(b)(i), (ii) or (iii) have occurred with respect to the Successor Rate then in effect, then, the Administrative Agent and the Borrower may amend this Agreement solely for the purpose of replacing the Relevant Rate for an Agreed Currency or any then current Successor Rate for an Agreed Currency in accordance with this Section 3.03 at the end of any Interest Period, relevant interest payment date or payment period for interest calculated, as applicable, with an alternative benchmark rate giving due consideration to any evolving or then existing convention for similar credit facilities syndicated and agented in the U.S. and denominated in such Agreed Currency for such alternative benchmarks, and, in each case, including any mathematical or other adjustments to such benchmark giving due consideration to any evolving or then existing convention for similar credit facilities syndicated and agented in the U.S. and denominated in such Agreed Currency for such benchmarks, which adjustment or method for calculating such adjustment shall be published on an information service as selected by the Administrative Agent from time to time in its reasonable discretion and may be periodically updated (and any such proposed rate, including for the avoidance of doubt, any adjustment thereto, a “Successor Rate”), and any such amendment shall become 84 effective at 5:00 p.m. on the fifth Business Day after the Administrative Agent shall have posted such proposed amendment to all Lenders and the Borrower unless, prior to such time, Lenders comprising the Required Lenders have delivered to the Administrative Agent written notice that such Required Lenders object to such amendment. The Administrative Agent will promptly (in one or more notices) notify the Borrower and each Lender of the implementation of any Successor Rate. Any Successor Rate shall be applied in a manner consistent with market practice; provided that to the extent such market practice is not administratively feasible for the Administrative Agent, such Successor Rate shall be applied in a manner as otherwise reasonably determined by the Administrative Agent. Notwithstanding anything else herein, if at any time any Successor Rate as so determined would otherwise be less than zero, the Successor Rate will be deemed to be zero for the purposes of this Agreement and the other Loan Documents. In connection with the implementation of a Successor Rate, the Administrative Agent will have the right to make Conforming Changes from time to time and, notwithstanding anything to the contrary herein or in any other Loan Document, any amendments implementing such Conforming Changes will become effective without any further action or consent of any other party to this Agreement; provided that, with respect to any such amendment effected, the Administrative Agent shall post each such amendment implementing such Conforming Changes to the Borrower and the Lenders reasonably promptly after such amendment becomes effective. 3.04 Increased Costs. (a) Increased Costs Generally. If any Change in Law shall: (i) impose, modify or deem applicable any reserve, special deposit, compulsory loan, insurance charge or similar requirement against assets of, deposits with or for the account of, or credit extended or participated in by, any Lender or any L/C Issuer; (ii) subject any Recipient to any Taxes (other than (A) Indemnified Taxes, (B) Taxes described in clauses (b) through (e) of the definition of Excluded Taxes and (C) Connection Income Taxes) on its loans, loan principal, letters of credit, commitments, or other obligations, or its deposits, reserves, other liabilities or capital attributable thereto; or (iii) impose on any Lender or any L/C Issuer or the applicable interbank market any other condition, cost or expense affecting this Agreement or Term SOFR Loans, Daily SOFR Loans or Alternative Currency Loans made by such Lender or any Letter of Credit or participation therein; and the result of any of the foregoing shall be to increase the cost to such Lender of making, converting to, continuing or maintaining any Loan (or of maintaining its obligation to make any such Loan), or to increase the cost to such Lender or such L/C Issuer of participating in, issuing or maintaining any Letter of Credit (or of maintaining its obligation to participate in or to issue any Letter of Credit), or to reduce the amount of any sum received or receivable by such Lender or such L/C Issuer hereunder (whether of principal, interest or any other amount) then, upon request of such Lender or such L/C Issuer, the Borrower will pay (or cause the applicable Designated Borrower to pay) to such Lender or such L/C 85 Issuer, as the case may be, such additional amount or amounts as will compensate such Lender or such L/C Issuer, as the case may be, for such additional costs incurred or reduction suffered. (b) Capital Requirements. If any Lender or any L/C Issuer determines that any Change in Law affecting such Lender or such L/C Issuer or any Lending Office of such Lender or such Lender’s or such L/C Issuer’s holding company, if any, regarding capital or liquidity requirements has or would have the effect of reducing the rate of return on such Lender’s or such L/C Issuer’s capital or on the capital of such Lender’s or such L/C Issuer’s holding company, if any, as a consequence of this Agreement, the Commitments of such Lender or the Loans made by, or participations in Letters of Credit or Swingline Loans held by, such Lender, or the Letters of Credit issued by such L/C Issuer, to a level below that which such Lender or such L/C Issuer or such Lender’s or such L/C Issuer’s holding company could have achieved but for such Change in Law (taking into consideration such Lender’s or such L/C Issuer’s policies and the policies of such Lender’s or such L/C Issuer’s holding company with respect to capital adequacy), then from time to time the Borrower will pay (or cause the applicable Designated Borrower to pay) to such Lender or such L/C Issuer, as the case may be, such additional amount or amounts as will compensate such Lender or such L/C Issuer or such Lender’s or such L/C Issuer’s holding company for any such reduction suffered. (c) Mandatory Costs. If any Lender or any L/C Issuer incurs any Mandatory Costs attributable to the Obligations, then from time to time the Company will pay (or cause the applicable Designated Borrower to pay) to such Lender or such L/C Issuer, as the case may be, such Mandatory Costs. Such amount shall be expressed as a percentage rate per annum and shall be payable on the full amount of the applicable Obligations giving rise to such Mandatory Costs. (d) Certificates for Reimbursement. A certificate of a Lender or an L/C Issuer setting forth the amount or amounts necessary to compensate such Lender or such L/C Issuer or its holding company, as the case may be, as specified in clause (a), (b) or (c) of this Section 3.04 and delivered to the Company shall be conclusive absent manifest error. The Borrower shall pay (or cause the applicable Designated Borrower to pay) such Lender or such L/C Issuer, as the case may be, the amount shown as due on any such certificate within ten (10) days after receipt thereof. (e) [Reserved]. (f) Delay in Requests. Failure or delay on the part of any Lender or any L/C Issuer to demand compensation pursuant to the foregoing provisions of this Section 3.04 shall not constitute a waiver of such Lender’s or such L/C Issuer’s right to demand such compensation, provided that the Borrower shall not be required to compensate a Lender or an L/C Issuer pursuant to the foregoing provisions of this Section 3.04 for any increased costs incurred or reductions suffered more than nine (9) months prior to the date that such Lender or such L/C Issuer, as the case may be, notifies the Borrower of the Change in Law giving rise to such increased costs or reductions and of such Lender’s or such L/C Issuer’s intention to claim compensation therefor (except that, if the Change in Law giving rise to such increased costs or reductions is retroactive, then the nine (9) month period referred to above shall be extended to include the period of retroactive effect thereof). 3.05 Compensation for Losses. Upon demand of any Lender (with a copy to the Administrative Agent) from time to time, the Borrower shall promptly compensate (or cause the applicable Designated Borrower to compensate) such Lender for and hold such Lender harmless from any loss, cost or expense incurred by it as a result of: 86 (a) any continuation, conversion, payment or prepayment of any Loan other than a Base Rate Loan on a day other than the last day of the Interest Period for such Loan (whether voluntary, mandatory, automatic, by reason of acceleration, or otherwise); (b) any failure by the Borrower (for a reason other than the failure of such Lender to make a Loan) to prepay, borrow, continue or convert any Loan other than a Base Rate Loan on the date or in the amount notified by the Borrower or the applicable Designated Borrower; or (c) any assignment of a Term Rate Loan on a day other than the last day of the Interest Period therefor as a result of a request by the Borrower pursuant to Section 11.13; or (d) any failure by any Borrower to make payment of any Loan or drawing under any Letter of Credit (or interest due thereon) denominated in an Alternative Currency on its scheduled due date or any payment thereof in a different currency; including any loss of anticipated profits, any foreign exchange losses and any loss or expense arising from the liquidation or reemployment of funds obtained by it to maintain such Loan or from fees payable to terminate the deposits from which such funds were obtained or from the performance of any foreign exchange contract. The Borrower shall also pay (or cause the applicable Designated Borrower to pay) any customary administrative fees charged by such Lender in connection with the foregoing. For purposes of calculating amounts payable by the Borrower (or the applicable Designated Borrower) to the Lenders under this Section 3.05, each Lender shall be deemed to have funded each Term Rate Loan made by it at the Relevant Rate for such Loan by a matching deposit or other borrowing in the offshore interbank market for such currency for a comparable amount and for a comparable period, whether or not such Term Rate Loan was in fact so funded. 3.06 Mitigation Obligations; Replacement of Lenders. (a) Designation of a Different Lending Office. If any Lender requests compensation under Section 3.04, or requires the Borrower to pay any Indemnified Taxes or additional amounts to any Lender, any L/C Issuer, or any Governmental Authority for the account of any Lender or any L/C Issuer pursuant to Section 3.01, or if any Lender gives a notice pursuant to Section 3.02, then at the request of the Borrower, such Lender or such L/C Issuer shall, as applicable, use reasonable efforts to designate a different Lending Office for funding or booking its Loans hereunder or to assign its rights and obligations hereunder to another of its offices, branches or affiliates, if, in the judgment of such Lender or such L/C Issuer, such designation or assignment (i) would eliminate or reduce amounts payable pursuant to Section 3.01 or 3.04, as the case may be, in the future, or eliminate the need for the notice pursuant to Section 3.02, as applicable, and (ii) in each case, would not subject such Lender or such L/C Issuer, as the case may be, to any unreimbursed cost or expense and would not otherwise be disadvantageous to such Lender or such L/C Issuer, as the case may be. The Borrower hereby agrees to pay (or cause the applicable Designated Borrower to pay) all reasonable costs and expenses incurred by any Lender or any L/C Issuer in connection with any such designation or assignment. (b) Replacement of Lenders. If any Lender requests compensation under Section 3.04, or if the Borrower is required to pay any Indemnified Taxes or additional amounts to any Lender or any Governmental Authority for the account of any Lender pursuant to Section 3.01 and, in each case, such Lender has declined or is unable to designate a different lending office in accordance with Section 3.06(a), the Borrower may replace such Lender in accordance with Section 11.13. 87


 
3.07 Survival. All of the Borrower’s obligations under this Article III shall survive termination of the Aggregate Commitments, repayment of all other Obligations hereunder, resignation of the Administrative Agent and the Facility Termination Date. 3.08 United Kingdom Tax Matters. (a) The provisions of this Section 3.08 shall only apply in respect of any UK Borrower, and in respect of any such UK Borrower, the provisions of Section 3.01 shall not apply. (b) Tax gross-up. (i) Each UK Borrower shall make all payments to be made by it under any Loan Document without any UK Tax Deduction unless a UK Tax Deduction is required by law. (ii) A UK Borrower shall, promptly upon becoming aware that it must make a UK Tax Deduction (or that there is any change in the rate or the basis of a UK Tax Deduction) notify the Administrative Agent accordingly. Similarly, a Lender shall notify Administrative Agent on becoming so aware in respect of a payment payable to that Lender. If Administrative Agent receives such notification from a Lender it shall notify the relevant UK Borrower. (iii) If a UK Tax Deduction is required by law to be made by a UK Borrower, the amount of the payment due from that UK Borrower shall be increased to an amount which (after making any UK Tax Deduction) leaves an amount equal to the payment which would have been due if no UK Tax Deduction had been required. (iv) A payment by a UK Borrower shall not be increased under clause (iii) above by reason of a UK Tax Deduction on account of Taxes imposed on interest by the United Kingdom if, on the date on which the payment falls due: (A) the payment could have been made to the relevant Lender without a UK Tax Deduction if the Lender had been a UK Qualifying Lender, but on that date that Lender is not or has ceased to be a UK Qualifying Lender other than as a result of any change after the date it became a Lender under this Agreement in (or in the published interpretation, administration, or application of) any law or Treaty or any published practice or published concession of any relevant taxing authority; or (B) the relevant Lender is a UK Qualifying Lender solely by virtue of clause (a)(ii) of the definition of UK Qualifying Lender, and: (1) an officer of H.M. Revenue & Customs has given (and not revoked) a direction (a “Direction”) under section 931 of the ITA which relates to the payment and that Lender has received from the UK Borrower making the payment a certified copy of that Direction; and (2) the payment could have been made to the Lender without any UK Tax Deduction if that Direction had not been made; or (C) the relevant Lender is a UK Qualifying Lender solely by virtue of clause (a)(ii) of the definition of UK Qualifying Lender and: 88 (1) the relevant Lender has not given a UK Tax Confirmation to the UK Borrower; and (2) the payment could have been made to the Lender without any UK Tax Deduction if the Lender had given a UK Tax Confirmation to the UK Borrower, on the basis that the UK Tax Confirmation would have enabled the UK Borrower to have formed a reasonable belief that the payment was an “excepted payment” for the purpose of section 930 of the ITA; or (D) the relevant Lender is a UK Treaty Lender and the UK Borrower making the payment is able to demonstrate that the payment could have been made to the Lender without the UK Tax Deduction had that Lender complied with its obligations under clause (vii) and clause (viii) below. (v) If a UK Borrower is required to make a UK Tax Deduction, that UK Borrower shall make that UK Tax Deduction and any payment required in connection with that UK Tax Deduction within the time allowed and in the minimum amount required by law. (vi) Within thirty days of making either a UK Tax Deduction or any payment required in connection with that UK Tax Deduction, the UK Borrower making that UK Tax Deduction shall deliver to Administrative Agent for the Lender entitled to the payment a statement under section 975 of the ITA or other evidence reasonably satisfactory to that Lender that the UK Tax Deduction has been made or (as applicable) any appropriate payment paid to the relevant taxing authority. (vii) (A) Subject to clause (vii)(B) below, a UK Treaty Lender and each UK Borrower which makes a payment to which that UK Treaty Lender is entitled shall co-operate as soon as reasonably practicable in completing any procedural formalities necessary for that UK Borrower to obtain authorization to make that payment without a UK Tax Deduction. (B) (1) A UK Treaty Lender which becomes a party to this Agreement on the day on which this Agreement is entered into that holds a passport under the HMRC DT Treaty Passport scheme, and which wishes that scheme to apply to this Agreement, shall include an indication to that effect (for the benefit of Administrative Agent and without liability to any UK Borrower) by confirming its scheme reference number and its jurisdiction of tax residence opposite its name at Schedule 1.01(b); and (2) a UK Treaty Lender which becomes a party to this Agreement after the day on which this Agreement is entered into that holds a passport under the HMRC DT Treaty Passport scheme, and which wishes that scheme to apply to this Agreement, shall include an indication to that effect (for the benefit of Administrative Agent and without liability to any UK Borrower) by confirming its scheme reference number and jurisdiction of tax residence in the 89 documentation which it executes on becoming a party to this Agreement as a Lender, and having done so, that Lender shall be under no obligation pursuant to clause (vii)(A) above. (viii) If a Lender has confirmed its scheme reference number and jurisdiction of tax residence in accordance with Section 3.08(b)(vii)(B) above and: (A) a UK Borrower making a payment to that Lender has not made a Borrower DTTP Filing in respect of that Lender; or (B) a UK Borrower making a payment to that Lender has made a Borrower DTTP Filing in respect of that Lender but: (1) that Borrower DTTP Filing has been rejected by H.M. Revenue & Customs; or (2) H.M. Revenue & Customs has not given the UK Borrower authority to make payment to that Lender without a UK Tax Deduction within 60 days of the date of the Borrower DTTP Filing, (3) and in each case, the UK Borrower has notified that Lender in writing, that Lender and the UK Borrower shall co-operate in completing any additional procedural formalities necessary for that UK Borrower to obtain authorization to make that payment without a UK Tax Deduction. (ix) If a Lender has not included an indication to the effect that it wishes the HMRC DT Treaty Passport scheme to apply to this Agreement in accordance with Section 3.08(b)(vii)(B) or Section 3.08(e), no UK Borrower shall make a Borrower DTTP Filing or file any other form relating to the HMRC DT Treaty Passport scheme in respect of that Lender’s advance or its participation in any advance unless the Lender otherwise agrees. (x) A UK Borrower shall, promptly on making a Borrower DTTP Filing, deliver a copy of that Borrower DTTP Filing to Agent for delivery to the relevant Lender. (xi) A UK Non-Bank Lender shall promptly notify the Company and Administrative Agent if there is any change in the position from that set out in the UK Tax Confirmation. (c) Tax indemnity. (i) A UK Borrower shall (within three Business Days of demand by the Administrative Agent) pay to a UK Lender an amount equal to the loss, liability or cost which that UK Lender determines has been (directly or indirectly) suffered for or on account of Taxes by that Lender in respect of a Loan Document. (ii) Clause (c)(i) above shall not apply: (A) with respect to any Taxes assessed on a Lender 90 (1) under the law of the jurisdiction in which such Lender is incorporated or, if different, the jurisdiction (or jurisdictions) in which such Lender is treated as resident for tax purposes; or (2) under the law of the jurisdiction in which such Lender’s Lending Office is located in respect of amounts received or receivable in such jurisdiction, if such Taxes are imposed on or calculated by reference to the net income, profits or gains received or receivable (but not any sum deemed to be received or receivable) by such Lender; or (3) to the extent a loss, liability or cost: i. is compensated for by an increased payment under Section 3.08(b)(iii); or ii. would have been compensated for by an increased payment under Section 3.08(b)(iii) but was not so compensated solely because one of the exclusions in Section 3.08(b)(iv) applied. iii. is within the scope of Section 3.08(f) or Section 3.08(g); or iv. is suffered or incurred in respect of or pursuant to, or is attributable to, any Bank Levy. (iii) A Lender making, or intending to make a claim under clause (c)(i) above shall promptly notify Administrative Agent of the event which has given, rise to the claim, following which Administrative Agent shall notify the UK Borrower. (iv) A Lender shall, on receiving a payment from a UK Borrower under this Section 3.08(c), notify Administrative Agent. (d) Tax Credit. If a UK Borrower makes a UK Tax Payment and the relevant Lender reasonably determines that: (i) a Tax Credit is attributable either to an increased payment of which that UK Tax Payment forms part, or to that UK Tax Payment or to a UK Tax Deduction in consequence of which that UK Tax Payment was required; and (ii) such Lender has obtained, utilized and retained that Tax Credit, in whole or in part, such Lender shall pay an amount to that UK Borrower which such Lender reasonably determines will leave it (after that payment) in the same after-Tax position as it would have been in had the UK Tax Payment not been required to be made by the UK Borrower. (e) Lender Status Confirmation. Each Lender which becomes a party to this Agreement after the date of this Agreement (“New Lender”) shall indicate, in the documentation which it executes on becoming a party to this Agreement, and for the benefit of Administrative Agent and without liability to any UK Borrower, which of the following categories it falls within: (i) not a UK Qualifying Lender; 91


 
(ii) a UK Qualifying Lender (other than a UK Treaty Lender); or (iii) a UK Treaty Lender. If a New Lender fails to indicate its status in accordance with this Section 3.08(e), then that New Lender shall be treated for the purposes of this Agreement (including by each UK Borrower) as if it is not a UK Qualifying Lender until such time as it notifies Agent which category of UK Qualifying Lender applies. For the avoidance of doubt, the documentation which a Lender executes on becoming a party to this Agreement shall not be invalidated by any failure of a New Lender to comply with this Section 3.08(e). (f) Stamp Taxes. The UK Borrower shall pay and, within three Business Days of demand, indemnify each Lender against any cost, loss or liability that Lender incurs in relation to all stamp duty, registration and other similar Taxes payable in respect of any Loan Document, other than in respect of an assignment or transfer by a Lender. (g) Value Added Tax. (i) All amounts expressed to be payable under a Loan Document by any party to any Lender which (in whole or in part) constitute the consideration for a supply for VAT purposes shall be deemed to be exclusive of any VAT which is chargeable on such supply, and accordingly, subject to clause (ii) below, if VAT is or becomes chargeable on any supply made by any Lender to any party under a Loan Document, that party shall pay to the Lender (in addition to and at the same time as paying any other consideration for such supply) an amount equal to the amount of such VAT (subject to such Lender issuing a valid VAT invoice to such party). (ii) If VAT is or becomes chargeable on any supply made by any Lender (the “Supplier”) to any other Lender (the “Recipient”) under a Loan Document, and any party other than the Recipient (the “Subject Party”) is required by the terms of any Loan Document to pay an amount equal to the consideration for such supply to the Supplier (rather than being required to reimburse the Recipient in respect of that consideration): (1) (where the Supplier is the person required to account to the relevant tax authority for the VAT) the Subject Party shall also pay to the Supplier (at the same time as paying such amount) an additional amount equal to the amount of such VAT. The Recipient must (where this clause (ii)(1) applies) promptly pay to the Subject Party an amount equal to any credit or repayment obtained by the Recipient from the relevant tax authority which the Recipient reasonably determines relates to the VAT chargeable on that supply; and (2) (where the Recipient is the person required to account to the relevant tax authority for the VAT) the Subject Party shall promptly, following demand from the Recipient, pay to the Recipient an amount equal to the VAT chargeable on that supply but only to the extent that the Recipient reasonably determines that it is not entitled to credit or repayment from the relevant tax authority in respect of that VAT. (iii) Where a Loan Document requires any party to reimburse or indemnify a Lender for any cost or expense, that party shall reimburse or indemnify (as the case may be) such Lender for the full amount of such cost or expense, including such part thereof as represents VAT, save 92 to the extent that such Lender reasonably determines that it is entitled to credit or repayment in respect of such VAT from the relevant tax authority. (iv) Any reference in this Section 3.08(h) to any party shall, at any time when such party is treated as a member of a group for VAT purposes, include (where appropriate and unless the context otherwise requires) a reference to the representative member of such group at such time (the term “representative member” to have the same meaning as in the United Kingdom Value Added Tax Act 1994). (v) In relation to any supply made by a Lender to any party under a Loan Document, if reasonably requested by such Lender, that party must promptly provide such Lender with details of that party’s VAT registration and such other information as is reasonably requested in connection with such Lender’s VAT reporting requirements in relation to such supply. (h) Determination. Except as otherwise expressly provided in this Section 3.08, a reference to “determines” or “determined” in connection with tax provisions contained in this Section 3.08 means a determination made in the absolute discretion of the person making the determination. (i) FATCA information. (i) Subject to clause (iii) below, each Lender and UK Borrower shall, within ten Business Days of a reasonable request by another such party: (A) confirm to that other party whether it is a FATCA Exempt Party or not a FATCA Exempt Party; (B) supply to that other party such forms, documentation and other information relating to its status under FATCA as that other party reasonably requests for the purposes of that other party’s compliance with FATCA; and (C) supply to that other party such forms, documentation and other information relating to its status as that other party reasonably requests for the purposes of that other party’s compliance with any other law, regulation, or exchange of information regime. (ii) If a party confirms to another party pursuant to clause (i)(1) above that it is a FATCA Exempt Party and it subsequently becomes aware that it is not or has ceased to be a FATCA Exempt Party, that party shall notify that other party reasonably promptly. (iii) Clause (i) above shall not oblige any party to do anything, which would or might in its reasonable opinion constitute a breach of: (A) any law or regulation; (B) any fiduciary duty; or (C) any duty of confidentiality. (iv) If a party fails to confirm whether or not it is a FATCA Exempt Party or to supply forms, documentation or other information requested in accordance with clause (i)(1) or (2) above (including, for the avoidance of doubt, where clause (iii) above applies), then such party shall be treated for the purposes of the Loan Documents (and payments under them) as if it 93 is not a FATCA Exempt Party until such time as the party in question provides the requested confirmation, forms, documentation or other information. (j) FATCA Deduction. (i) Each Lender and UK Borrower may make any FATCA Deduction it is required to make by FATCA, and any payment required in connection with that FATCA Deduction. (ii) Each Lender and UK Borrower shall promptly, upon becoming aware that it must make a FATCA Deduction (or that there is any change in the rate or the basis of such FATCA Deduction), notify the party to whom it is making the payment and, in addition, shall notify the Borrower Agent and Agent, and Agent shall notify the other Lenders. If as a result of circumstances existing at the date the assignment, a UK Borrower would be obliged to make a payment to the assignee under Section 3.08(b) then the assignee is only entitled to receive payment under those Sections to the same extent as the existing Lender would have been if the assignment had not occurred. 3.09 Australian Tax Matters. (a) The provisions of this Section 3.09 shall only apply in respect of any Australian Loan Party, and in respect of any such Australian Loan Party, the provisions of Section 3.01 shall not apply. (b) Tax Gross Up. (i) Each Australian Loan Party shall make all payments to be made by it under any Loan Document without any Australian Withholding Tax unless Australian Withholding Tax is required by law. (ii) An Australian Loan Party shall, promptly upon becoming aware that it must pay Australian Withholding Tax (or that there is any change in the rate or the basis of Australian Withholding Tax) notify Administrative Agent accordingly. Similarly, a Lender shall notify Administrative Agent on becoming so aware in respect of a payment payable to that Lender. If Administrative Agent receives such notification from a Lender it shall notify the relevant Australian Loan Party. (iii) If Australian Withholding Tax is required by law to be made by an Australian Loan Party, the Australian Loan Party shall pay an additional amount together with the payment so that after any required withholding or the making of all the required deductions (including deductions applicable to additional sums payable under this Section 3.09(b)(iii)) leaves an amount equal to the payment which would have been due if no Australian Withholding Tax had been required. (iv) No additional amounts shall be paid by an Australian Loan Party under Section 3.09(b)(iii) above by reason of Australian Withholding Tax if, on the date on which the payment falls due: (A) the payment could have been made to the relevant Lender without Australian Withholding Tax if the Lender had been an Australian Qualifying Lender, but on that date that Lender is not or has ceased to be an Australian Qualifying Lender other than as a result of any change after the date it became a Lender under this Agreement in (or in the published interpretation, administration, or application of) any law or 94 Australian Treaty or any published practice or published concession of any relevant taxing authority; or (B) the relevant Lender is an Australian Treaty Lender and the Australian Loan Party making the payment is able to demonstrate that the payment could have been made to the Lender without the Australian Withholding Tax had that Lender complied with its obligations under Section 3.09(b)(vii) below; or (C) it relates to a FATCA Deduction, other than a FATCA Deduction required as a result of any amendments made to FATCA after the date of this Agreement. (v) If an Australian Loan Party is required to pay Australia Withholding Tax, that Australian Loan Party shall pay the Australian Withholding Tax and any payment required in connection with that Australian Withholding Tax within the time allowed and in the minimum amount required by law. (vi) Within thirty days of making either paying Australian Withholding Tax or any payment required in connection with that Australian Withholding Tax, the Australian Loan Party making that Australian Withholding Tax shall deliver to Administrative Agent evidence reasonably satisfactory to that Lender that the Australian Withholding Tax has been made or (as applicable) any appropriate payment paid to the relevant taxing authority. (vii) An Australian Treaty Lender and each Australian Loan Party which makes a payment to which that Australian Treaty Lender is entitled shall co-operate in completing any procedural formalities necessary for that Australian Loan Party to obtain authorization to make that payment without Australian Withholding Tax. (c) Tax indemnity. (i) An Australian Loan Party shall (within three Business Days of demand by the Administrative Agent) pay to a Lender an amount equal to the loss, liability or cost which the Lender has (directly or indirectly) suffered for or on account of Taxes in respect of a Loan Document in relation to the Australian Loan Party. (ii) Section 3.09(c)(i) above shall not apply: (A) with respect to any Taxes assessed in respect of a Lender (1) under the law of the jurisdiction in which such Lender is incorporated or, if different, the jurisdiction (or jurisdictions) in which such Lender is treated as resident for tax purposes; or (2) under the law of the jurisdiction in which such Lender’s Lending Office is located in respect of amounts received or receivable in such jurisdiction, if such Taxes are imposed on or calculated by reference to the net income received or receivable (but not any sum deemed to be received or receivable) by such Lender; or 95


 
(3) to the extent a loss, liability or cost: i. is compensated for by an additional payment under Section 3.09(b)(iii); or ii. would have been compensated for by an additional payment under Section 3.09(b)(iii) but was not so compensated solely because one of the exclusions in Section 3.09(b)(iv) applied; or iii. is within the scope of Section 3.09(f) or Section 3.09(g); or (4) under section 255 of the Australian Tax Act or section 260-5 of Schedule 1 to the Taxation Administration Act 1953; or (5) because the Lender has not provided written notice of its tax file number or Australian business number or evidence of any exemption that the Lender may have from the need to advise its tax file number or Australian business number. (iii) A Lender making, or intending to make a claim under Section 3.09(c)(i) above shall promptly notify Administrative Agent of the event which will give, or has given, rise to the claim, following which Administrative Agent shall notify the Australian Loan Party. (iv) A Lender shall, on receiving a payment from an Australian Loan Party under this Section 3.09(c) notify Administrative Agent. (d) Tax Credit. If an Australian Loan Party makes an Australian Tax Payment and the relevant Lender reasonably determines that: (i) a Tax Credit is attributable either to an additional payment of which that Australian Withholding Tax forms part, or to that Australian Withholding Tax in consequence of which that Australian Withholding Tax was required; and (ii) such Lender has obtained, utilized and retained that Tax Credit, in whole or in part, such Lender shall pay an amount to that Australian Loan Party which such Lender reasonably determines will leave it (after that payment) in the same after-Tax position as it would have been in had the Australian Tax Payment not been required to be made by the Australian Loan Party. (e) Lender Status Confirmation. Each Lender which becomes a party to this Agreement after the date of this Agreement shall indicate, in the documentation which it executes on becoming a party to this Agreement, and for the benefit of Administrative Agent and without liability to any Australian Loan Party, which of the following categories it falls within: (i) not an Australian Qualifying Lender; (ii) an Australian Qualifying Lender (other than an Australian Treaty Lender); or (iii) an Australian Treaty Lender. If a Lender which becomes a party to this Agreement after the date of this Agreement fails to indicate its status in accordance with this Section 3.09(e), then that new Lender shall be treated 96 for the purposes of this Agreement (including by each Australian Loan Party) as if it is not an Australian Qualifying Lender until such time as it notifies Administrative Agent which category of Australian Qualifying Lender applies. For the avoidance of doubt, the documentation which a Lender executes on becoming a party to this Agreement shall not be invalidated by any failure of a new Lender to comply with this Section 3.09(e). (f) Stamp Taxes. (i) Each Australian Loan Party shall pay or reimburse the Lender for all stamp, transaction, registration and similar Taxes on or in relation to the execution, delivery, performance or enforcement of any Loan Document or any payment, receipt or other transaction contemplated by any Loan Document. (ii) Each Australian Loan Party shall indemnify the Lender against any liability resulting from delay or omission to pay those Taxes (including fines and penalties) except to the extent the liability results from failure by the Lender to pay any Tax after having been put in funds (with all necessary documents) to do so by the Borrower. (g) Goods and Services Tax (GST). (i) All payments (including the provision of any non-monetary consideration) to be made by an Australian Loan Party under or in connection with this Loan Document have been calculated without regard to GST. (ii) If all or part of that payment is the consideration for a taxable supply for GST purposes then, when the Australian Loan Party makes the payment: (A) it must pay to the Lender an additional amount equal to that payment (or part) multiplied by the appropriate rate of GST (currently 10%) following receipt of the tax invoice in paragraph (B) below; and (B) the Lender will promptly provide to the Australian Loan Party a tax invoice complying with the A New Tax System (Goods and Services Tax) Act 1999 (Cth). (iii) Where under this Loan Document an Australian Loan Party is required to reimburse or indemnify for an amount, the Borrower will pay the relevant amount (including any sum in respect of GST) less any GST input tax credit the Lender determines that it (or the representative member of its GST group, if applicable) is entitled to claim in respect of that amount. (h) Determination. Except as otherwise expressly provided in this Section 3.09, a reference to “determines” or “determined” in connection with tax provisions contained in this Section 3.09 means a determination made in the absolute discretion of the person making the determination. (i) FATCA information. (i) Subject to clause (iii) below, each Lender and Australian Loan Party shall, within ten Business Days of a reasonable request by another such party: (A) confirm to that other party whether it is a FATCA Exempt Party or not a FATCA Exempt Party; 97 (B) supply to that other party such forms, documentation and other information relating to its status under FATCA as that other party reasonably requests for the purposes of that other party’s compliance with FATCA; and (C) supply to that other party such forms, documentation and other information relating to its status as that other party reasonably requests for the purposes of that other party’s compliance with any other law, regulation, or exchange of information regime. (ii) If a party confirms to another party pursuant to clause (i)(1) above that it is a FATCA Exempt Party and it subsequently becomes aware that it is not or has ceased to be a FATCA Exempt Party, that party shall notify that other party reasonably promptly. (iii) Clause (i) above shall not oblige any party to do anything, which would or might in its reasonable opinion constitute a breach of: (A) any law or regulation; (B) any fiduciary duty; or (C) any duty of confidentiality. (iv) If a party fails to confirm whether or not it is a FATCA Exempt Party or to supply forms, documentation or other information requested in accordance with clause (i)(1) or (2) above (including, for the avoidance of doubt, where clause (iii) above applies), then such party shall be treated for the purposes of the Loan Documents (and payments under them) as if it is not a FATCA Exempt Party until such time as the party in question provides the requested confirmation, forms, documentation or other information. (j) FATCA Deduction. (i) Each Lender and Australian Loan Party may make any FATCA Deduction it is required to make by FATCA, and any payment required in connection with that FATCA Deduction. (ii) Each Lender and Australian Loan Party shall promptly, upon becoming aware that it must make a FATCA Deduction (or that there is any change in the rate or the basis of such FATCA Deduction), notify the party to whom it is making the payment and, in addition, shall notify the Borrower Agent and Agent, and Agent shall notify the other Lenders. If as a result of circumstances existing at the date of the assignment, an Australian Loan Party would be obliged to make a payment to the assignee under Section 3.09(b) then the assignee is only entitled to receive payment under those Sections to the same extent as the existing Lender would have been if the assignment had not occurred. 3.10 Dutch Tax Matters. (a) The provisions of this Section 3.10 shall only apply in respect of any Dutch Borrower, and in respect of any such Dutch Borrower, the provisions of Section 3.01 shall not apply. (b) Tax gross-up. 98 (i) Each Dutch Borrower shall make all payments to be made by it under any Loan Document without any Dutch Tax Deduction unless a Dutch Tax Deduction is required by law. (ii) A Dutch Borrower shall, promptly upon becoming aware that it must make a Dutch Tax Deduction (or that there is any change in the rate or the basis of a Dutch Tax Deduction) notify the Administrative Agent accordingly. Similarly, a Lender shall notify the Administrative Agent on becoming so aware in respect of a payment payable to that Lender. If the Administrative Agent receives such notification from a Lender it shall notify the Company. (iii) If a Dutch Tax Deduction is required by law to be made by a Dutch Borrower, the amount of the payment due from that Dutch Borrower shall be increased to an amount which (after making any Dutch Tax Deduction) leaves an amount equal to the payment which would have been due if no Dutch Tax Deduction had been required. (iv) A payment by a Dutch Borrower shall not be increased under clause (iii) above by reason of a Dutch Tax Deduction on account of Taxes imposed on interest by the Netherlands if, on the date on which the payment falls due: (A) the payment could have been made to the relevant Lender without a Dutch Tax Deduction if the Lender had been a Dutch Qualifying Lender, but on that date that Lender is not or has ceased to be a Dutch Qualifying Lender other than as a result of any change after the date it became a Lender under this Agreement in (or in the interpretation, administration, or application of) any law or Treaty or any published practice or published concession of any relevant taxing authority; or (B) the relevant Lender is a Dutch Treaty Lender and the Dutch Borrower making the payment is able to demonstrate that the payment could have been made to the Lender without the Dutch Tax Deduction had that Lender complied with its obligations under paragraph (vii) below. (v) If a Dutch Borrower is required to make a Dutch Tax Deduction, that Dutch Borrower shall make that Dutch Tax Deduction and any payment required in connection with that Dutch Tax Deduction within the time allowed and in the minimum amount required by law. (vi) Within thirty days of making either a Dutch Tax Deduction or any payment required in connection with that Dutch Tax Deduction, the Dutch Borrower making that Dutch Tax Deduction shall deliver to the Administrative Agent for the Lender entitled to the payment evidence reasonably satisfactory to that Lender that the Dutch Tax Deduction has been made or (as applicable) any appropriate payment paid to the relevant taxing authority. (vii) (A) A Dutch Treaty Lender and each Dutch Borrower which makes a payment to which that Lender is entitled shall co-operate in completing any procedural formalities necessary for that Dutch Borrower to obtain authorization to make that payment without a Dutch Tax Deduction. (c) Tax indemnity. (i) A Dutch Borrower shall (within three Business Days of demand by the Administrative Agent) pay to a Lender an amount equal to the loss, liability or cost which that 99


 
Lender determines will be or has been (directly or indirectly) suffered for or on account of Taxes by that Lender in respect of a Loan Document. (ii) Clause (c)(i) above shall not apply: (A) with respect to any Taxes assessed on a Lender (1) under the law of the jurisdiction in which such Lender is incorporated or, if different, the jurisdiction (or jurisdictions) in which such Lender is treated as resident for tax purposes; (2) under the law of the jurisdiction in which such Lender’s Lending Office is located in respect of amounts received or receivable in such jurisdiction; (3) under the law of the jurisdiction in which that Lender has a permanent establishment and/or permanent representative to which income under this Agreement is attributed in respect of amounts received or receivable in that jurisdiction; or (4) under the laws of The Netherlands to the extent that such Tax becomes payable as a result of such Lender having a substantial interest (aanmerkelijk belang) in a Dutch Borrower as laid down in the Dutch Income Tax Act 2001 (Wet inkomstenbelasting 2001), if such Taxes are imposed on or calculated by reference to the net income received or receivable (but not any sum deemed to be received or receivable) by such Lender; or (5) to the extent a loss, liability or cost: i. is compensated for by an increased payment under Section 3.10(b)(iii) (Tax gross-up); ii. would have been compensated for by an increased payment under Section 3.10(b)(iii) (Tax gross-up) but was not so compensated solely because one of the exclusions in Section 3.10(b)(iv) applied; iii. is compensated for by Section 3.10(f) (Stamp Taxes) or Section 3.10(g) (Value Added Tax) or would have been compensated for under those Sections but was not compensated solely because any of the exceptions set out therein applied; or iv. relates to any Bank Levy (or any payment attributable to, or liability arising as a consequence of, a Bank Levy). (iii) A Lender making, or intending to make a claim under clause (c)(i) above shall promptly notify Administrative Agent of the event which will give, or has given, rise to the claim, following which Administrative Agent shall notify the Company. 100 (d) Tax Credit. If a Dutch Borrower makes a Dutch Tax Payment and the relevant Lender determines that: (i) a Tax Credit is attributable either to an increased payment of which that Dutch Tax Payment forms part, or to that Dutch Tax Payment or to a Dutch Tax Deduction in consequence of which that Dutch Tax Payment was required; and (ii) such Lender has obtained, utilized and retained that Tax Credit, such Lender shall pay an amount to that Dutch Borrower which such Lender determines will leave it (after that payment) in the same after-Tax position as it would have been in had the Dutch Tax Payment not been required to be made by the Dutch Borrower. (e) Lender Status Confirmation. Each Lender which becomes a party to this Agreement after the date of this Agreement (“New Lender”) shall indicate, in the documentation which it executes on becoming a party to this Agreement, and for the benefit of the Administrative Agent and without liability to any Dutch Borrower, which of the following categories it falls within: (i) not a Dutch Qualifying Lender; (ii) a Dutch Qualifying Lender (other than a Dutch Treaty Lender); or (iii) a Dutch Treaty Lender. If a New Lender fails to indicate its status in accordance with this Section 3.10(e), then that New Lender shall be treated for the purposes of this Agreement (including by each Dutch Borrower) as if it is not a Dutch Qualifying Lender until such time as it notifies the Administrative Agent which category of Dutch Qualifying Lender applies. For the avoidance of doubt, the documentation which a Lender executes on becoming a party to this Agreement shall not be invalidated by any failure of a New Lender to comply with this Section 3.10(e). (f) Stamp Taxes. The Dutch Borrower shall pay and, within three Business Days of demand, indemnify each Lender against any cost, loss or liability that Lender incurs in relation to all stamp duty, registration and other similar Taxes payable in respect of any Loan Document, other than in respect of an assignment or transfer by a Lender. (g) Value Added Tax. (i) All amounts expressed to be payable under a Loan Document by any party to any Lender which (in whole or in part) constitute the consideration for a supply for VAT purposes shall be deemed to be exclusive of any VAT which is chargeable on such supply, and accordingly, subject to clause (ii) below, if VAT is or becomes chargeable on any supply made by any Lender to any party under a Loan Document, that party shall pay to the Lender (in addition to and at the same time as paying any other consideration for such supply) an amount equal to the amount of such VAT (and such Lender shall promptly provide an appropriate VAT invoice to such party). (ii) If VAT is or becomes chargeable on any supply made by any Lender (the “Supplier”) to any other Lender (the “Recipient”) under a Loan Document, and any party other than the Recipient (the “Subject Party”) is required by the terms of any Loan Document to pay 101 an amount equal to the consideration for such supply to the Supplier (rather than being required to reimburse or indemnify the Recipient in respect of that consideration): (1) (where the Supplier is the person required to account to the relevant tax authority for the VAT) the Subject Party shall also pay to the Supplier (at the same time as paying such amount) an additional amount equal to the amount of such VAT. The Recipient must (where this clause (ii)(1) applies) promptly pay to the Subject Party an amount equal to any credit or repayment obtained by the Recipient from the relevant tax authority which the Recipient reasonably determines relates to the VAT chargeable on that supply; and (2) (where the Recipient is the person required to account to the relevant tax authority for the VAT) the Subject Party shall promptly, following demand from the Recipient, pay to the Recipient an amount equal to the VAT chargeable on that supply but only to the extent that the Recipient reasonably determines that it is not entitled to credit or repayment from the relevant tax authority in respect of that VAT. (iii) Where a Loan Document requires any party to reimburse or indemnify a Lender for any cost or expense, that party shall reimburse or indemnify (as the case may be) such Lender for the full amount of such cost or expense, including such part thereof as represents VAT, save to the extent that such Lender reasonably determines that it is entitled to credit or repayment in respect of such VAT from the relevant tax authority. (iv) Any reference in this Section 3.10(g) to any party shall, at any time when such party is treated as a member of a group for VAT purposes, include (where appropriate and unless the context otherwise requires) a reference to the person who is treated as making the supply, or (as appropriate) receiving the supply under the grouping rules (as set out in Article 11 of Council Directive 2006/112/EC, as amended (or as implemented by a member state of the European Union) or any other similar provision in any jurisdiction which is not a member state of the European Union). (v) In relation to any supply made by a Lender to any party under a Loan Document, if reasonably requested by such Lender, that party must promptly provide such Lender with details of that party’s VAT registration and such other information as is reasonably requested in connection with such Lender’s VAT reporting requirements in relation to such supply. (h) Determination. Except as otherwise expressly provided in this Section 3.10, a reference to “determines” or “determined” in connection with tax provisions contained in this Section 3.10 means a determination made in the absolute discretion of the person making the determination. (i) FATCA information. (i) Subject to clause (iii) below, each Lender and Dutch Borrower shall, within ten Business Days of a reasonable request by another such party: (A) confirm to that other party whether it is a FATCA Exempt Party or not a FATCA Exempt Party; 102 (B) supply to that other party such forms, documentation and other information relating to its status under FATCA as that other party reasonably requests for the purposes of that other party’s compliance with FATCA; and (C) supply to that other party such forms, documentation and other information relating to its status as that other party reasonably requests for the purposes of that other party’s compliance with any other law, regulation, or exchange of information regime. (ii) If a party confirms to another party pursuant to clause (i)(i)(A) above that it is a FATCA Exempt Party and it subsequently becomes aware that it is not or has ceased to be a FATCA Exempt Party, that party shall notify that other party reasonably promptly. (iii) Clause (i) above shall not oblige any Lender to do anything, and clause (i)(C) above shall not oblige any other party to do anything, which would or might in its reasonable opinion constitute a breach of: (A) any law or regulation; (B) any fiduciary duty; or (C) any duty of confidentiality. (iv) If a party fails to confirm whether or not it is a FATCA Exempt Party or to supply forms, documentation or other information requested in accordance with clause (i)(B) or (C) above (including, for the avoidance of doubt, where clause (C) above applies), then such party shall be treated for the purposes of the Loan Documents (and payments under them) as if it is not a FATCA Exempt Party until such time as the party in question provides the requested confirmation, forms, documentation or other information. (j) FATCA Deduction. (i) Solely for the purposes of clause 3.10(j), “FATCA” shall include any amendments made to FATCA after the date of this Agreement. (ii) Each Lender and Dutch Borrower may make any FATCA Deduction it is required to make by FATCA, and any payment required in connection with that FATCA Deduction. (iii) If a Dutch Borrower is required by law to make a FATCA Deduction as a result of a change in law in relation to FATCA, the amount of the payment due from that Dutch Borrower shall be increased to an amount which (after making any FATCA Deduction) leaves an amount equal to the payment which would have been due if no FATCA Deduction had been required. (iv) Each Lender and Dutch Borrower shall promptly, upon becoming aware that it must make a FATCA Deduction (or that there is any change in the rate or the basis of such FATCA Deduction), notify the party to whom it is making the payment and, in addition, shall notify the Administrative Agent and the Administrative Agent shall notify the other Lenders. 103


 
ARTICLE IV CONDITIONS PRECEDENT TO CREDIT EXTENSIONS 4.01 Conditions of Initial Credit Extension. The obligation of any L/C Issuer and each Lender to make its initial Credit Extension hereunder on the Closing Date is subject to satisfaction of the following conditions precedent: (a) Execution of Credit Agreement; Loan Documents. The Administrative Agent shall have received (i) counterparts of this Agreement, executed by a Responsible Officer of each Loan Party and a duly authorized officer of each Lender, (ii) for the account of each Lender requesting a Note, a Note executed by a Responsible Officer of the Borrowers and (iii) counterparts of any other Loan Document, executed by a Responsible Officer of the applicable Loan Party and a duly authorized officer of each other Person party thereto. (b) Officer’s Certificate. The Administrative Agent shall have received a certificate of a Responsible Officer dated the Closing Date, certifying as to the Organization Documents of each Loan Party (which, to the extent filed with a Governmental Authority, shall be certified as of a recent date by such Governmental Authority), the resolutions of the governing body of each Loan Party, the good standing, existence or its equivalent of each Loan Party and of the incumbency (including specimen signatures) of the Responsible Officers of each Loan Party. (c) Legal Opinions of Counsel. The Administrative Agent shall have received an opinion or opinions (including local counsel opinions with respect to each Designated Borrower and, if requested by the Administrative Agent, any other local counsel opinions) of counsel for the Loan Parties, dated the Closing Date and addressed to the Administrative Agent and the Lenders, in form and substance acceptable to the Administrative Agent. (d) Financial Statements. The Administrative Agent and the Lenders shall have received copies of the financial statements referred to in Sections 5.05(a) and (b). (e) Closing Certificates. (i) The Administrative Agent shall have received a solvency certificate signed by a Responsible Officer of the Company as to the financial condition, solvency and related matters of the Company and its Subsidiaries, after giving effect to the initial borrowings under the Loan Documents and the other transactions contemplated hereby. (ii) The Administrative Agent shall have received a closing certificate signed by a Responsible Officer of the Company certifying to compliance with clause (h) and Sections 4.02(a) and (b). (f) Loan Notice. The Administrative Agent shall have received a Loan Notice with respect to the Loans to be made on the Closing Date. (g) Fees and Expenses. The Administrative Agent and the Lenders shall have received all fees to be paid on the Closing Date pursuant to the Fee Letter and this Agreement and reasonable and documented out of pocket expenses (including, without limitation, legal fees of counsel to the Administrative Agent), to the extent invoiced at least three Business Days prior to the Closing Date, 104 owing pursuant to the Loan Documents (which amounts may be offset against the proceeds of the initial Loans hereunder). (h) No Material Adverse Effect. Since December 31, 2021, there shall have been no Material Adverse Effect. (i) Existing Indebtedness. All third party Indebtedness for borrowed money of the Company and its Subsidiaries, including under the Existing Credit Agreement shall have been repaid or discharged or arrangements reasonably satisfactory to the Administrative Agent for such repayment or discharge shall have been made (other than (w) in respect of letters of credit (including the Existing Letters of Credit) that are either rolled into or back-stopped by letter(s) of credit issued hereunder or Cash Collateralized by the Borrower, (x) outstanding principal in respect of the Existing Revolving Loans that are rolled over as, and converted into, Revolving Loans hereunder, (y) other Indebtedness permitted to be incurred or outstanding on or prior to the Closing Date pursuant to the Specified Acquisition Agreement, and (z) other indebtedness permitted under Section 7.02) and all commitments thereunder and all guarantees and security interests granted in connection therewith, if any, shall be terminated on or prior to the Closing Date. Upon satisfaction of the condition set forth in this clause (i) with respect to the Existing Credit Agreement, Bank of America acknowledges and agrees that the Existing Credit Agreement shall automatically and without further action be terminated (other than provisions and obligations thereunder which by their express terms survive termination of the Existing Credit Agreement), all outstanding principal, interest and fees thereunder shall be paid in full and all commitments of the lenders thereunder shall be automatically and without further action terminated. (j) KYC; Anti-Money Laundering. The Lenders shall have received at least three Business Days prior to the Closing Date all documentation and other information regarding the Loan Parties required by Governmental Authorities under applicable “know your customer and anti-money laundering rules and regulations, including, without limitation, the Patriot Act and the Canadian AML Acts, in each case to the extent reasonably requested of the Borrower at least 10 Business Days prior to the Closing Date. 4.02 Conditions to all Credit Extensions. The obligation of each Lender and the L/C Issuer to honor any Request for Credit Extension (other than a Loan Notice requesting only a conversion of Loans to the other Type, or a continuation of Term Rate Loans) is subject to the following conditions precedent: (a) Representations and Warranties. (i) Other than with respect to a Credit Extension of the Term Loan (First Draw), the representations and warranties of the Borrower and each other Loan Party contained in Article II, Article V or any other Loan Document, or which are contained in any document furnished at any time under or in connection herewith or therewith, shall (x) with respect to representations and warranties that contain a materiality qualification, be true and correct on and as of the date of such Credit Extension (except to the extent that such representations and warranties specifically refer to an earlier date, in which case they shall be true and correct as of such earlier date), and (y) with respect to representations and warranties that do not contain a materiality qualification, be true and correct in all material respects on and as of the date of such Credit Extension (except to the extent that such representations and warranties specifically refer to an earlier date, in which case they shall be true and correct in all material respects as of such earlier date), and except that for purposes of this Section 4.02, the representations and warranties contained in Sections 5.05(a) and (b) shall be deemed to refer to the most recent statements furnished pursuant to Sections 6.01(a) and (b), respectively and (ii) solely with respect to a Credit Extension of the Term Loan (First Draw), the Specified Representations and Specified Acquisition Agreement Representations shall (A) with respect to 105 representations and warranties that contain a materiality qualification, be true and correct on and as of the Specified Acquisition Closing Date (except to the extent that such representations and warranties specifically refer to an earlier date, in which case they shall be true and correct as of such earlier date), and (B) with respect to representations and warranties that do not contain a materiality qualification, be true and correct in all material respects on and as of the Specified Acquisition Closing Date (except to the extent that such representations and warranties specifically refer to an earlier date, in which case they shall be true and correct in all material respects as of such earlier date). (b) Default. Other than with respect to a Credit Extension of the Term Loan (First Draw), no Default shall exist immediately prior to, or would result from such proposed Credit Extension or from the application of the proceeds thereof. (c) Request for Credit Extension. The Administrative Agent and, if applicable, the applicable L/C Issuer or the Swingline Lender shall have received a Request for Credit Extension in accordance with the requirements hereof. (d) Designated Borrower. Other than with respect to any credit Extension of the Term Loan, if the applicable Borrower is a Designated Borrower, then the conditions of Section 2.16 to the designation of such Borrower as a Designated Borrower shall have been met to the satisfaction of the Administrative Agent. (e) Alternative Currency. Other than with respect to any credit Extension of the Term Loan, in the case of a Credit Extension to be denominated in an Alternative Currency, such currency remains an Eligible Currency. (f) Legal Impediment. Other than with respect to any credit Extension of the Term Loan, there shall be no impediment, restriction, limitation or prohibition imposed under Law or by any Governmental Authority, as to the proposed financing under this Agreement or the repayment thereof or as to rights created under any Loan Document or as to application of the proceeds of the realization of any such rights. (g) Term Loan (First Draw). Solely with respect to a Credit Extension of the Term Loan (First Draw), the following additional conditions precedent: (i) Specified Acquisition. The Specified Acquisition shall have been consummated simultaneously or substantially concurrently with the funding of the Term Loan (First Draw) made on the Specified Acquisition Closing Date on the terms and conditions described in the Specified Acquisition Agreement, without giving effect to any amendment, waiver, consent or other modification thereof that is materially adverse to the interests of the Administrative Agent and the Lenders (in their respective capacities as such) unless approved by the Administrative Agent (which approval shall not be unreasonably withheld, delayed or conditioned). For purposes of the foregoing condition, it is hereby understood and agreed that (i) any reduction in the purchase price in connection with the Specified Acquisition Agreement, other than a reduction in accordance with the terms of the Specified Acquisition Agreement as in effect on April 3, 2022 (including without limitation, working capital adjustments), shall be deemed to be materially adverse to the interests of the Lenders, unless either such reduction of the purchase price is less than 15% of the total purchase price or, if such reduction is equal to or greater than 15% of the total purchase price, 100% of such amount is applied to reduce the amount of the Term Facility and (ii) any change, waivers or consent with respect to the definition of “Business 106 Material Adverse Effect” (as defined in the Specified Acquisition Agreement) shall be deemed materially adverse to the interest of the Lenders. (ii) No Business Material Adverse Effect. Since December 31, 2021 through the Closing Date, there has not been, individually or in the aggregate, a Business Material Adverse Effect or any Effect that would reasonably be expected to have, individually or in the aggregate, a Business Material Adverse Effect (as each such capitalized term in this clause (ii) is defined in the Specified Acquisition Agreement). (iii) Solvency Certificate. The Administrative Agent shall have received a solvency certificate signed by a Responsible Officer of the Company as to the financial condition, solvency and related matters of the Company and its Subsidiaries, after giving effect to the Term Loan (First Draw), the Specified Acquisition and the other transactions contemplated hereby. (iv) Officer’s Certificate. The Administrative Agent shall have received an officer’s certificate signed by a Responsible Officer of the Company (x) certifying to compliance with clauses (a), (g)(i) and (g)(ii) above and (y) certifying that attached thereto is a true, correct and complete copy of the Specified Acquisition Agreement and all amendments or modifications thereto, if any. (v) Financial Information and Projections. The Administrative Agent shall have received (i) the Business Financial Information described and defined in Section 5.05(c) and (ii) copies of projections of the Borrower and its Subsidiaries, in form and substance reasonably acceptable to the Administrative Agent. (vi) Fees and Expenses. The Administrative Agent and the Lenders shall have received all fees to be paid on the date of such Credit Extension pursuant to the Fee Letter and this Agreement and reasonable and documented out of pocket expenses (including, without limitation, legal fees of counsel to the Administrative Agent), to the extent invoiced at least three Business Days prior to such date, owing pursuant to the Loan Documents (which amounts may be offset against the proceeds of the initial Loans hereunder). (vii) Use of Proceeds. The proceeds of the Term Loan (First Draw) shall be used solely to finance in part the Specified Acquisition and to pay fees and expenses incurred in connection therewith and herewith. Each Request for Credit Extension (other than a Loan Notice requesting only a conversion of Loans to the other Type or a continuation of Term Rate Loans) submitted by the Borrower shall be deemed to be a representation and warranty that the conditions specified in Sections 4.02(a) and (b), as and to the extent applicable, have been satisfied on and as of the date of the applicable Credit Extension. ARTICLE V REPRESENTATIONS AND WARRANTIES Each Loan Party represents and warrants to the Administrative Agent and the Lenders, as of the Closing Date and on each other date made or deemed made, that: 107


 
5.01 Existence, Qualification and Power. Each Loan Party and each of its Subsidiaries (a) is (i) duly organized, incorporated or formed, validly existing and (ii) to the extent such concept exists and is applicable under the requirements of Applicable Law of the relevant jurisdiction (and for the avoidance of doubt such concept is not applicable to the Loan Parties and their Subsidiaries incorporated in England & Wales), in good standing under the Laws of the jurisdiction of its incorporation or organization, (b) has all requisite power and authority to (i) own or lease its assets and carry on its business and (ii) execute, deliver and perform its obligations under the Loan Documents to which it is a party, and (c) is duly qualified and, to the extent such concept exists and is applicable under the requirements of Applicable Law of the relevant jurisdiction (and for the avoidance of doubt such concept is not applicable to the Loan Parties and their Subsidiaries incorporated in England & Wales), in good standing under the Laws of each jurisdiction where its ownership, lease or operation of properties or the conduct of its business requires such qualification; except in each case referred to in clauses (a)(ii), (b)(i) or (c), to the extent that failure to do so would not reasonably be expected to have a Material Adverse Effect. 5.02 Authorization; No Contravention. The execution, delivery and performance by each Loan Party of each Loan Document to which such Person is a party have been duly authorized by all necessary corporate or other organizational action, and do not and will not (a) violate the terms of any of such Person’s Organization Documents; (b) conflict with or result in any breach or contravention of, or the creation of any Lien under, or require any payment to be made under (i) any Contractual Obligation to which such Person is a party or affecting such Person or the properties of such Person or any of its Subsidiaries which would reasonably be expected to have a Material Adverse Effect or (ii) any order, injunction, writ or decree of any Governmental Authority or any arbitral award to which such Person or its property is subject in a manner material and adverse to the Lenders; or (c) violate any Law in a manner material and adverse to the Lenders. 5.03 Governmental Authorization; Other Consents. No approval, consent, exemption, authorization, or other action by, or notice to, or filing with, any Governmental Authority or any other Person is necessary or required in connection with (a) the execution, delivery or performance by, or enforcement against, any Loan Party of this Agreement or any other Loan Document or (b) the exercise by the Administrative Agent or any Lender of its rights under the Loan Documents, other than authorizations, approvals, actions, notices and filings which have been duly obtained or the failure to obtain or make which would not reasonably be expected to have a Material Adverse Effect. 5.04 Binding Effect. This Agreement has been, and each other Loan Document, when delivered hereunder, will have been, duly executed and delivered by each Loan Party that is party thereto. This Agreement constitutes, and each other Loan Document when so delivered will constitute, a legal, valid and binding obligation of such Loan Party, enforceable against each Loan Party that is party thereto in accordance with its terms, subject to applicable bankruptcy, insolvency, reorganization, moratorium or other laws affecting creditors’ rights generally and subject to general principals of equity. 108 5.05 Financial Statements; No Material Adverse Effect. (a) Audited Financial Statements. The Audited Financial Statements (i) were prepared in accordance with GAAP consistently applied throughout the period covered thereby, except as otherwise expressly noted therein; (ii) fairly present in all material respects the financial condition of the Company and its Subsidiaries as of the date thereof and their results of operations for the period covered thereby in accordance with GAAP consistently applied throughout the period covered thereby, except as otherwise expressly noted therein; and (iii) show all material indebtedness and other liabilities, direct or contingent, of the Company and its Subsidiaries as of the date thereof, including liabilities for taxes, material commitments and Indebtedness to the extent required to be shown pursuant to GAAP. (b) Quarterly Financial Statements. The unaudited consolidated balance sheet of the Borrower and its Subsidiaries dated March 31, 2022, and the related consolidated statements of income or operations, shareholders’ equity and cash flows for the fiscal quarter ended on that date (i) were prepared in accordance with GAAP consistently applied throughout the period covered thereby, except as otherwise expressly noted therein, and (ii) fairly present in all material respects the financial condition of the Company and its Subsidiaries as of the date thereof and their results of operations for the period covered thereby, subject, in the case of clauses (i) and (ii), to the absence of footnotes and to normal year-end audit adjustments. (c) Business Financial Statements. The balance sheet accounts associated with the Business (as defined in the Specified Acquisition Agreement) for the fiscal years ended December 31, 2021 and December 31, 2020 and, to the knowledge of the Company, the related adjusted statements of operations and statement of profits and losses for the fiscal year then ended (such items, together with the notes and schedules thereto, collectively, the “Business Financial Information”), in each case, (x) has been derived from the books and records of the Seller (as defined in the Specified Acquisition Agreement), the other Seller Entities (as defined in the Specified Acquisition Agreement) and their respective Subsidiaries and includes the application of certain management judgements made in good faith, (y) were prepared as between such Business Financial Information on a comparable basis in accordance with GAAP and on the basis of the same accounting principles, methods and procedures, consistently applied in all material respects throughout the period covered thereby, except as otherwise expressly noted therein, and (z) fairly present, in accordance with GAAP, in all material respects, the combined financial position of the Business (as defined in the Specified Acquisition Agreement) as of the date thereof and the combined results of operations of the Business for the period covered thereby, subject, in the case of unaudited adjusted statements of operations and statement of profits and losses, to the absence of footnotes and to normal year-end audit adjustments; provided, that the Business Financial Information and the foregoing representations and warranties are qualified by the fact that the Business has not been operated as a separate standalone entity and therefore the Business Financial Information does not include all of the costs necessary for the Business to operate as a separate standalone entity, nor does it necessarily represent the financial, operating or other results of the Business had the Business been operated as a standalone entity. (d) Material Adverse Effect. Since the date of the Audited Financial Statements, except with respect to any event or condition disclosed by the Company in public filings with the SEC prior to the Closing Date, there has been no event or circumstance, either individually or in the aggregate, that has had or would reasonably be expected to have a Material Adverse Effect. 5.06 Litigation. Except as disclosed in the Audited Financial Statements, there are no actions, suits, proceedings, claims or disputes pending or, to the knowledge of the Loan Parties, threatened in writing, at law, in 109 equity, in arbitration or before any Governmental Authority, by or against any Loan Party or any Subsidiary or against any of their properties or revenues that (a) would reasonably be expected to affect the legality, enforcement or validity of this Agreement or any other Loan Document or any of the transactions contemplated hereby, or (b) either individually or in the aggregate would reasonably be expected to have a Material Adverse Effect. 5.07 No Default. Neither any Loan Party nor any Subsidiary thereof is in default under or with respect to, or a party to, any Contractual Obligation that would, either individually or in the aggregate, reasonably be expected to have a Material Adverse Effect. No Default has occurred and is continuing or would result from the consummation of the transactions contemplated by this Agreement or any other Loan Document. 5.08 Ownership of Property. Each Loan Party and each of its Subsidiaries has good record and marketable title in fee simple to, or valid leasehold interests in, all real property necessary or used in the ordinary conduct of its business, except for such defects in title as would not, individually or in the aggregate, reasonably be expected to have a Material Adverse Effect. 5.09 Environmental Compliance. The Loan Parties and their respective Subsidiaries conduct in the ordinary course of business a review of the effect of existing Environmental Laws and claims alleging potential liability or responsibility for violation of any Environmental Law on their respective businesses, operations and properties, and as a result thereof the Loan Parties have reasonably concluded that such Environmental Laws and claims would not, individually or in the aggregate, reasonably be expected to have a Material Adverse Effect. 5.10 Taxes. (a) Each Loan Party and its Subsidiaries have filed all federal, state and other material tax returns and reports required to be filed, and have paid all federal, state and other material taxes, assessments, fees and other governmental charges levied or imposed upon them or their properties, income or assets otherwise due and payable, except those (i) which are being contested in good faith by appropriate proceedings diligently conducted and for which adequate reserves have been provided in accordance with GAAP and (ii) those for which failure to file or non-payment would not reasonably be expected to have a Material Adverse Effect. (b) No claims or investigations are being, or are reasonably likely to be, made or conducted against a Loan Party (or any of its Subsidiaries) has or is reasonably likely to have a Material Adverse Effect. 5.11 ERISA Compliance, etc. (a) Each Plan is in compliance with the applicable provisions of ERISA, the Code and other federal or state laws, except for compliance failures that have not resulted, and are not reasonably expected to result, in a Material Adverse Effect. Each Pension Plan that is intended to be a qualified plan under Section 401(a) of the Code has received a favorable determination letter or is subject to a favorable opinion letter from the IRS to the effect that the form of such Plan is qualified under Section 401(a) of 110 the Code and the trust related thereto has been determined by the IRS to be exempt from federal income tax under Section 501(a) of the Code, or an application for such a letter is currently being processed by the IRS. To the best knowledge of the Loan Parties, nothing has occurred that would prevent or cause the loss of such tax-qualified status, which has resulted or would reasonably be expected to result in a Material Adverse Effect. (b) There are no pending or, to the best knowledge of the Loan Parties, threatened claims, actions or lawsuits, or action by any Governmental Authority, with respect to any Plan that would reasonably be expected to have a Material Adverse Effect. There has been no prohibited transaction or violation of the fiduciary responsibility rules with respect to any Plan that has resulted or would reasonably be expected to result in a Material Adverse Effect. (c) (i) No ERISA Event has occurred, and no Loan Party is aware of any fact, event or circumstance that would reasonably be expected to constitute or result in an ERISA Event with respect to any Pension Plan, that in either case has resulted or would reasonably be expected to result in a Material Adverse Effect; (ii) the Borrower and each ERISA Affiliate has met all applicable requirements under the Pension Funding Rules in respect of each Pension Plan, and no waiver of the minimum funding standards under the Pension Funding Rules has been applied for or obtained; (iii) as of the most recent valuation date for any Pension Plan, the funding target attainment percentage (as defined in Section 430(d)(2) of the Code) is sixty percent (60%) or higher; (iv) no Loan Party nor any ERISA Affiliate has incurred any liability to the PBGC other than for the payment of premiums, and there are no premium payments which have become due that are unpaid; (v) neither the Borrower nor any ERISA Affiliate has engaged in a transaction that could be subject to Section 4069 or Section 4212(c) of ERISA; and (vi) no Pension Plan has been terminated that has resulted or would reasonably be expected to result in a Material Adverse Effect. (d) Each Canadian Pension Plan (i) is in compliance with the applicable provisions of all Laws, except for compliance failures that have not resulted, and are not reasonably expected to result, in a Material Adverse Effect and (ii) each Canadian Pension Plan has received a confirmation of registration from the Canada Revenue Agency and, to the best knowledge of the Loan Parties, nothing has occurred which would prevent or cause the loss of such registration. Each Loan Party and each Subsidiary has made all required contributions to each Canadian Pension Plan, except for contributions that have not resulted, and would not reasonably be expected to result, in a Material Adverse Effect. (e) There are no pending or, to the best knowledge of the Loan Parties, threatened claims (other than routine claims for benefits in the ordinary course of business), actions or lawsuits, or action by any Governmental Authority, with respect to any Canadian Pension Plan that would reasonably be expected to have a Material Adverse Effect. There has been no violation of fiduciary duty with respect to any Canadian Pension Plan that would reasonably be expected to result in a Material Adverse Effect. (f) No Loan Party or Subsidiary maintains, contributes to, or has any liability or contingent liability with respect to, a Canadian Defined Benefit Pension Plan. 5.12 Margin Regulations; Investment Company Act. (a) Margin Regulations. Following the application of the proceeds of each Borrowing or drawing under each Letter of Credit, not more than twenty-five percent (25%) of the value of the assets (either of the Borrower only or of the Borrower and its Subsidiaries on a consolidated basis) subject to the provisions of Section 7.01 or Section 7.05 or subject to any restriction contained in any agreement or 111


 
instrument between the Borrower or any of its Subsidiaries and any Lender or any Affiliate of any Lender relating to Indebtedness and within the scope of Section 8.01(e) will be margin stock. (b) Investment Company Act. No Loan Party is or is required to be registered as an “investment company” under the Investment Company Act of 1940. 5.13 Disclosure. No written report, financial statement, certificate or other written information (excluding any forecasts, projections, budgets, estimates and general market or industry data) furnished by or on behalf of any Loan Party to the Administrative Agent or any Lender in connection with the transactions contemplated hereby and the negotiation of this Agreement or delivered hereunder or under any other Loan Document (in each case as modified or supplemented by other information so furnished or publicly disclosed by the Borrower) when provided and when taken as a whole with all other information or data provided, furnished or disclosed by the Borrower contains any material misstatement of fact or omits to state any material fact necessary to make the statements therein, in the light of the circumstances under which they were made, not misleading; provided that, (i) with respect to projected financial information, each Loan Party represents only that such information was prepared in good faith based upon assumptions believed to be reasonable at the time (it being understood and agreed that forecasts, estimates and projections as to future events are not to be viewed as facts or guaranties of future performance, that actual results during the period or periods covered by such projections may differ from the projected results and that such differences may be material and that the Borrower makes no representation that such representations will in fact be realized) and (ii) as to statements, information and reports specified as having been derived by the Borrower from third parties (including the “Seller Entities” (as defined in the Specified Acquisition Agreement)) and its Affiliates prior to the Closing Date), other than Affiliates of the Borrower or any of its Subsidiaries, the Borrower represents only that it has no knowledge of any material misstatement therein. 5.14 Sanctions Concerns and Anti-Corruption Laws. (a) Sanctions Concerns. Neither the Loan Parties, nor any of their Subsidiaries, nor any director, officer or, to the knowledge of the Loan Parties, employee thereof, is an individual or entity that is, or is owned or controlled by any individual or entity that is (i) currently the subject or target of any Sanctions, (ii) included on OFAC’s List of Specially Designated Nationals, OFSI’s Consolidated List of Financial Sanctions Targets and the Investment Ban List, the Canadian Sanctions List or any similar list enforced by any other relevant sanctions authority as applicable to any Borrower or (iii) located, organized or resident in a Designated Jurisdiction. The Company and its Subsidiaries have conducted their businesses in compliance with all applicable Sanctions and have instituted and maintained policies and procedures designed to promote and achieve compliance with such applicable Sanctions. Any provision of the foregoing shall not apply if and to the extent it is illegal, invalid or unenforceable as a result of any applicable Blocking Regulation and, in such case, the legality, validity and enforceability of the foregoing shall not otherwise be affected. (b) Anti-Corruption Laws. The Loan Parties and their Subsidiaries have conducted their business in compliance with the United States Foreign Corrupt Practices Act of 1977, the UK Bribery Act 2010 and other similar anti-corruption legislation in other jurisdictions as applicable to the Borrower, and have instituted and maintained policies and procedures designed to promote and achieve compliance with such laws. 112 5.15 Responsible Officers. Set forth on Schedule 1.01(c) are Responsible Officers, holding the offices indicated next to their respective names, as of the Closing Date and updated from time to time in writing by the Borrower and such Responsible Officers are the duly elected and qualified officers of such Loan Party and are duly authorized to execute and deliver, on behalf of the respective Loan Party, this Agreement, and the other Loan Documents. ARTICLE VI AFFIRMATIVE COVENANTS Each of the Loan Parties hereby covenants and agrees that on the Closing Date and thereafter until the Facility Termination Date, such Loan Party shall, and shall cause (other than with respect to Section 6.01 and 6.02) each of its Subsidiaries to: 6.01 Financial Statements. Deliver to the Administrative Agent and each Lender, in form and detail satisfactory to the Administrative Agent and the Required Lenders: (a) Audited Financial Statements. As soon as available, but in any event within ninety (90) days after the end of each fiscal year of the Company (or, if earlier, fifteen (15) days after the date required to be filed with the SEC (without giving effect to any extension permitted by the SEC), a consolidated balance sheet of the Company and its Subsidiaries as at the end of such fiscal year, and the related consolidated statements of income or operations, changes in shareholders’ equity and cash flows for such fiscal year, setting forth in each case in comparative form the figures for the previous fiscal year, all in reasonable detail and prepared in accordance with GAAP, such consolidated statements to be audited and accompanied by a report and opinion of an independent certified public accountant of nationally recognized standing reasonably acceptable to the Administrative Agent, which report and opinion shall be prepared in accordance with generally accepted auditing standards and shall not be subject to any “going concern” or like qualification or exception or any qualification or exception as to the scope of such audit. (b) Quarterly Financial Statements. As soon as available, but in any event within forty-five (45) days after the end of each of the first three (3) fiscal quarters of each fiscal year of the Company (or, if earlier, five (5) days after the date required to be filed with the SEC (without giving effect to any extension permitted by the SEC)) (commencing with the fiscal quarter ended March 31, 2022), a consolidated balance sheet of the Company and its Subsidiaries as at the end of such fiscal quarter, and the related consolidated statements of income or operations, changes in shareholders’ equity and cash flows for such fiscal quarter and for the portion of the Company’s fiscal year then ended, setting forth in each case in comparative form the figures for the corresponding fiscal quarter of the previous fiscal year and the corresponding portion of the previous fiscal year, all in reasonable detail and prepared in accordance with GAAP and including management discussion and analysis of operating results inclusive of operating metrics in comparative form, certified by the chief executive officer, chief financial officer, treasurer or controller who is a Responsible Officer of the Company as fairly presenting the financial condition, results of operations, shareholders’ equity and cash flows of the Company and its Subsidiaries, subject only to normal year-end audit adjustments and the absence of footnotes. (c) Documents required to be delivered pursuant to Section 6.01(a) or (b) (to the extent any such documents are included in materials otherwise filed with the SEC) may be delivered electronically 113 and if so delivered, shall be deemed to have been delivered on the date (i) on which the Company posts such documents, or provides a link thereto on the Company’s website on the Internet at the website address listed on Schedule 6.01(c); or (ii) on which such documents are posted on the Company’s behalf on an Internet or intranet website, if any, to which each Lender and the Administrative Agent have access (whether a commercial, third-party website or whether sponsored by the Administrative Agent); provided that the Borrower shall notify the Administrative Agent (by fax transmission or e-mail transmission) of the posting of any such documents. The Administrative Agent shall have no obligation to request the delivery of or to maintain paper copies of the documents referred to above, and in any event shall have no responsibility to monitor compliance by the Borrower with any such request by a Lender for delivery, and each Lender shall be solely responsible for requesting delivery to it or maintaining its copies of such documents. (d) The Borrower hereby acknowledges that (i) the Administrative Agent and/or an Affiliate thereof may, but shall not be obligated to, make available to the Lenders and the L/C Issuer materials and/or information provided by or on behalf of the Borrower hereunder (collectively, “Borrower Materials”) by posting the Borrower Materials on IntraLinks, Syndtrak, ClearPar or a substantially similar electronic transmission system (the “Platform”) and (ii) certain of the Lenders (each, a “Public Lender”) may have personnel who do not wish to receive material non-public information with respect to the Borrower or its Affiliates, or the respective securities of any of the foregoing, and who may be engaged in investment and other market-related activities with respect to such Persons’ securities. The Borrower hereby agrees that it will use commercially reasonable efforts to identify that portion of the Borrower Materials that may be distributed to the Public Lenders and that (A) all such Borrower Materials shall be clearly and conspicuously marked “PUBLIC” which, at a minimum, shall mean that the word “PUBLIC” shall appear prominently on the first page thereof; (B) by marking Borrower Materials “PUBLIC,” the Borrower shall be deemed to have authorized the Administrative Agent, any Affiliate thereof, the Arrangers, the L/C Issuer and the Lenders to treat such Borrower Materials as not containing any material non-public information (although it may be sensitive and proprietary) with respect to the Borrower or its securities for purposes of United States federal and state securities laws (provided, however, that to the extent such Borrower Materials constitute Information, they shall be treated as set forth in Section 11.07); (C) all Borrower Materials marked “PUBLIC” are permitted to be made available through a portion of the Platform designated “Public Side Information;” and (D) the Administrative Agent and any Affiliate thereof and the Arrangers shall be entitled to treat any Borrower Materials that are not marked “PUBLIC” as being suitable only for posting on a portion of the Platform not designated “Public Side Information.” 6.02 Certificates; Other Information. Deliver to the Administrative Agent and each Lender, in form and detail satisfactory to the Administrative Agent and the Required Lenders: (a) SEC Notices. Reasonably promptly after receipt thereof by any Loan Party or any Subsidiary thereof, copies of each written notice or other correspondence received from the SEC concerning any investigation or possible investigation or other inquiry by such agency regarding financial or other operational results of any Loan Party or any Subsidiary thereof that would reasonably be expected to result in a Material Adverse Effect. (b) Additional Information. Reasonably promptly, such additional information regarding the business, financial, legal or corporate affairs of any Loan Party or any Subsidiary thereof as Administrative Agent or any Lender reasonably determines is relevant to the Loan Documents and the 114 Facility created hereby, or compliance with the terms of the Loan Documents, as the Administrative Agent or any Lender may reasonably request from time to time. (c) Compliance Certificate. Concurrently with the delivery of the financial statements referred to in Sections 6.01(a) and (b) (commencing with the delivery of the financial statements for the fiscal quarter ended March 31, 2022) a duly completed Compliance Certificate signed by the chief executive officer, chief financial officer, treasurer or controller which is a Responsible Officer of the Borrower. Unless the Administrative Agent or a Lender requests executed originals, delivery of the Compliance Certificate may be by electronic communication including fax or email and shall be deemed to be an original and authentic counterpart thereof for all purposes. (d) Anti-Money-Laundering. Promptly following any request therefor, information and documentation reasonably requested by the Administrative Agent or any Lender for purposes of compliance with applicable “know your customer” and anti-money-laundering rules and regulations, including, without limitation, the Patriot Act, the Canadian AML Acts and other applicable anti-money laundering laws. 6.03 Notices. Promptly notify the Administrative Agent and each Lender: (a) of the occurrence of any Default; and (b) of the occurrence of any ERISA Event or any failure by any Loan Party or any Subsidiary to perform its obligations under a Canadian Pension Plan, in each case, that has resulted in or would reasonably be expected to result in a Material Adverse Effect. Each notice pursuant to this Section 6.03 shall be accompanied by a statement of a Responsible Officer of the Borrower setting forth details of the occurrence referred to therein and to the extent applicable, stating what action the Borrower has taken and proposes to take with respect thereto. 6.04 Payment of Obligations. Pay and discharge as the same shall become due and payable, all its obligations and liabilities, including (a) all tax liabilities, assessments and governmental charges or levies upon it or its properties or assets, unless (i) the same are being contested in good faith by appropriate proceedings diligently conducted and adequate reserves in accordance with GAAP are being maintained by the Borrower or such Subsidiary or (ii) the failure to do so would not reasonably be expected to have a Material Adverse Effect; (b) all lawful claims which, if unpaid, would by law become a Lien upon its property, except to the extent that any such Lien would be permitted to be incurred pursuant to Section 7.01; and (c) all Indebtedness, as and when due and payable, but subject to any subordination provisions contained in any instrument or agreement evidencing such Indebtedness, except to the extent that failure to do so would not reasonably be expected to have a Material Adverse Effect. 6.05 Preservation of Existence, Etc. (a) Preserve, renew and maintain in full force and effect its legal existence and, to the extent such concept exists and is applicable under the requirements of Applicable Law of the relevant jurisdiction (and for the avoidance of doubt such concept is not applicable to the Loan Parties and their Subsidiaries incorporated in England & Wales) good standing under the Laws of the jurisdiction of its organization except in a transaction permitted by Section 7.04 or 7.05 or (other than with respect to the 115


 
Borrower) except to the extent that failure to do so would not reasonably be expected to have a Material Adverse Effect; (b) take all reasonable action to maintain all rights, privileges, permits, licenses and franchises necessary or desirable in the normal conduct of its business, except to the extent that failure to do so would not reasonably be expected to have a Material Adverse Effect; and (c) preserve or renew all of its registered patents, trademarks, trade names and service marks, the non-preservation of which could reasonably be expected to have a Material Adverse Effect. 6.06 Maintenance of Properties. (a) Maintain, preserve and protect all of its material properties and equipment necessary in the operation of its business in good working order and condition, ordinary wear and tear excepted, except where the failure to do so would not reasonably be expected to have a Material Adverse Effect; and (b) make all necessary repairs thereto and renewals and replacements thereof except where the failure to do so would not reasonably be expected to have a Material Adverse Effect. 6.07 Maintenance of Insurance. Maintain with financially sound and reputable insurance companies not Affiliates of the Borrower, insurance with respect to its properties and business against loss or damage of the kinds customarily insured against by Persons engaged in the same or similar business, of such types and in such amounts (after giving effect to any self-insurance compatible with the following standards) as are customarily carried under similar circumstances by such other Persons, including, without limitation, terrorism insurance, except to the extent that failure to do so would not reasonably be expected to have a Material Adverse Effect. 6.08 Compliance with Laws. Comply with the requirements of all Applicable Laws and all orders, writs, injunctions and decrees applicable to it or to its business or property, except in such instances in which (a) such requirement of Law or order, writ, injunction or decree is being contested in good faith by appropriate proceedings diligently conducted; or (b) the failure to comply therewith would not reasonably be expected to have a Material Adverse Effect. 6.09 Books and Records. Maintain full and accurate books of record and account in conformity with GAAP consistently applied. 6.10 Inspection Rights. Except to the extent prohibited by applicable Law, regulatory policy or regulatory restriction (in the reasonable good faith judgment of the Borrower), no more than once a year and at their own expense (unless an Event of Default then exists in which case there shall be no limit so long as the Event of Default exists), permit representatives and independent contractors of the Administrative Agent and each Lender to visit and inspect any of its properties, to examine its corporate and financial records, and make copies thereof or abstracts therefrom, and to discuss its affairs, finances and accounts with its Responsible Officers, at such reasonable times during normal business hours, upon reasonable advance 116 notice to the Borrower; provided, however, that such visits, inspections, examinations and/or discussions shall be reasonably related to the Administrative Agent’s or any Lender’s rights and obligations hereunder and shall not require Borrower to provide any records or information subject to attorney-client or other similar legal privilege under Applicable Law (provided that, with respect to any such withheld information, the Borrower shall (a) make the Administrative Agent aware that information is being withheld and (b) use commercially reasonable efforts to communicate the relevant information in a way that does not violate such attorney-client or other similar legal privilege); provided further, that when an Event of Default exists the Administrative Agent or any Lender (or any of their respective representatives or independent contractors) may do any of the foregoing at the expense of the Borrower at any time during normal business hours and without advance notice. 6.11 Use of Proceeds. Use the proceeds of the Credit Extensions (a) in respect of Revolving Loans made on the Closing Date (i) to refinance existing Indebtedness of the Borrowers and their Subsidiaries and (ii) to pay for fees and expenses incurred in connection with the foregoing, (b) thereafter (exclusive of the Term Loans, which is governed by clauses (c) and (d) below), for working capital, capital expenditures and any other lawful corporate purposes not in contravention of any Law or of any Loan Document (including, without limitation, to finance purchase price adjustments related to the Specified Acquisition), (c) in respect of Term Loan (First Draw), (i) to finance the Specified Acquisition, (ii) to finance purchase price adjustments related to the Specified Acquisition and (iii) to pay for fees and expenses incurred in connection with the foregoing (it being understood and agreed that no proceeds of the Revolving Loans shall be used to finance the Specified Acquisition in connection with the Term Loan (First Draw)) and (d) in respect of the Second Amendment Term Loans, for working capital, capital expenditures and any other lawful corporate purposes not in contravention of any Law or of any Loan Document. 6.12 Compliance with Environmental Laws. Except as would not reasonably be expected to have a Material Adverse Effect, comply in all respects, with all applicable Environmental Laws. 6.13 Covenant to Guarantee Obligations. In connection with the delivery of the Compliance Certificate referred to in Section 6.02(c), if, since the date of the delivery of the last Compliance Certificate, any Investment, Disposition of assets by the Borrower or any Subsidiary, or Acquisition resulted in a Person becoming a Material Subsidiary, cause each Person that becomes a Material Subsidiary to become a Guarantor hereunder by way of execution of a Joinder Agreement. In connection with the foregoing, the Loan Parties shall deliver to the Administrative Agent, with respect to each new Guarantor to the extent applicable, substantially the same documentation required pursuant to Sections 4.01(b) and (c). 6.14 Anti-Corruption Laws; Sanctions. Conduct its business in compliance with the United States Foreign Corrupt Practices Act of 1977, the UK Bribery Act 2010, other similar anti-corruption legislation in other jurisdictions and with all applicable Sanctions, and maintain policies and procedures designed to promote and achieve compliance with such laws and Sanctions, provided that the foregoing shall not apply if and to the extent it is illegal, invalid or unenforceable as a result of any applicable Blocking Regulation and, in such case, the legality, validity and enforceability of the foregoing shall not otherwise be affected. 117 6.15 Approvals and Authorizations. Except as would not reasonably be expected to have a Material Adverse Effect, maintain all authorizations, consents, approvals and licenses from, exemptions of, and filings and registrations with, each Governmental Authority of the jurisdiction in which each Foreign Obligor is organized and existing, and all approvals and consents of each other Person in such jurisdiction, in each case that are required in connection with the Loan Documents. 6.16 Tax Residence. No member of the Group (other than a Borrower under a Term Facility) may change its residence for Tax purposes if such change has or is reasonably likely to have a Material Adverse Effect. ARTICLE VII NEGATIVE COVENANTS Each of the Loan Parties hereby covenants and agrees that on the Closing Date and thereafter until the Facility Termination Date, no Loan Party shall, nor shall it permit any Subsidiary to, directly or indirectly: 7.01 Liens. Create, incur, assume or suffer to exist any Lien upon any of its property, assets or revenues, whether now owned or hereafter acquired, except for the following (the “Permitted Liens”): (a) Liens existing on the Closing Date and listed on Schedule 7.01 and any renewals or extensions thereof; (b) Liens for taxes not yet due or which are being contested in good faith and by appropriate proceedings diligently conducted, if adequate reserves with respect thereto are maintained on the books of the applicable Person in accordance with GAAP or for which the failure to pay would not reasonably be expected to result in a Material Adverse Effect; (c) statutory Liens such as carriers’, warehousemen’s, mechanics’, materialmen’s, repairmen’s or other like Liens arising in the ordinary course of business which are not overdue for a period of more than sixty (60) days or which are being contested in good faith and by appropriate proceedings diligently conducted, if adequate reserves with respect thereto are maintained on the books of the applicable Person; (d) pledges or deposits in the ordinary course of business in connection with workers’ compensation, unemployment insurance and other social security legislation, other than any Lien imposed by ERISA or to secure letters of credit issued with respect thereto; (e) deposits to secure the performance of bids, trade contracts and leases (other than for borrowed money), statutory obligations, surety and appeal bonds, performance bonds and other obligations of a like nature incurred in the ordinary course of business; (f) easements, rights-of-way, restrictions and other similar encumbrances affecting real property which, in the aggregate, are not substantial in amount, and which do not in any case materially 118 detract from the value of the property subject thereto or materially interfere with the ordinary conduct of the business of the applicable Person; (g) Liens securing judgments for the payment of money (or appeal or other surety bonds relating to such judgments) not constituting an Event of Default under Section 8.01(h); (h) Liens on any asset acquired, repaired, constructed or improved by the Borrower or any Subsidiary securing Indebtedness permitted under Section 7.02 incurred or assumed for the purpose of such acquisition, repair, construction or improvement; provided that (i) such Liens do not at any time encumber any property other than the property financed by such Indebtedness and (ii) any such Lien shall be created substantially simultaneously with or within 12 months after the acquisition thereof or the completion of the repair, construction or improvement thereof; (i) Liens incurred in the ordinary course of business on deposit, custody and securities accounts; (j) any Lien arising in the ordinary course of business under applicable Dutch law for the purpose of netting debit and credit balances of any Loan Party or any Subsidiary; (k) any Lien or netting or set-off arrangement entered into by any Loan Party or any Subsidiary in the ordinary course of its banking arrangements with any bank operating in the Netherlands which arise for the general banking conditions (algemene bankvoorwaarden) under applicable Dutch law; (l) Any interest or title of a lessor, licensor or sublessor under any lease, license or sublease entered into by any Loan Party or any Subsidiary thereof in the ordinary course of business and covering only the assets so leased, licensed or subleased and other Liens incurred in the ordinary course of business that do not secure Indebtedness; (m) Liens of a collection bank arising under Section 4-210 of the uniform commercial code (or its equivalent) in the applicable jurisdiction on items in the course of collection; (n) Liens on property or property of a Person existing at the time such property is acquired or such Person is merged into or consolidated with the Borrower or any Subsidiary of the Borrower or becomes a Subsidiary of the Borrower; provided that such Liens were not created in contemplation of such acquisition, merger, consolidation or Investment and do not extend to any assets other than such acquired property or those of the Person merged into or consolidated with the Borrower or such Subsidiary or acquired by the Borrower or such Subsidiary, and the applicable Indebtedness secured by such Lien is permitted under Section 7.02; (o) Liens (not securing borrowed money) in favor of a Governmental Authority arising from or contemplated by any zoning, building, insurance, licensing requirements or similar laws, rules, regulations or rights reserved to or vested in any Governmental Authority or in the administration, interpretation, implementation or application thereof by any Governmental Authority; (p) Liens securing obligations under Swap Contracts; (q) Liens securing obligations of any Loan Party or any Subsidiary owed to another Loan Party or any Subsidiary; (r) Liens arising out of deposits of cash or securities into collateral trusts or reinsurance trusts with ceding companies or insurance regulators or on cash or securities repurchase, reverse 119


 
repurchase and securities lending transactions or arising under escrows, trusts, custodianships, separate accounts, funds withheld procedures, and similar deposits, arrangements or agreements established with respect to insurance policies, annuities, guaranteed investment contracts and similar products underwritten by, or reinsurance agreements or as otherwise entered in the ordinary course of business; (s) Liens on any cash deposits (including as part of any escrow arrangement) (i) made by the Company or any of its Subsidiaries in favor of the seller of any property to be acquired in connection with any Acquisition or other Investment, in each case, permitted hereunder, to be applied against the purchase price for such Permitted Acquisition or Investment and (ii) required under Applicable Law in connection with the settlement or other disposition of any proceeding or investigation involving any Governmental Authority; (t) Liens securing Indebtedness permitted to be incurred pursuant to Section 7.02(k); and (u) Liens securing the refinancing, extension or renewal of any Indebtedness or other obligations secured by a Lien permitted hereunder so long as such Liens do not attach to any additional property in connection with such refinancing, extension or renewal; provided that, none of the restrictions under this Section 7.01 shall apply to the Morningstar Seed Portfolios or any margin stock held by the Borrower or any of its Subsidiaries. 7.02 Indebtedness. Create, incur, assume or suffer to exist any Indebtedness, except: (a) Indebtedness under the Loan Documents; (b) Indebtedness outstanding on the date hereof and listed on Schedule 7.02 and any refinancings, refundings, renewals, replacements or extensions thereof; (c) Indebtedness in respect of Capitalized Leases and purchase money obligations for fixed or capital assets; provided, however, that the aggregate amount of all such Indebtedness at any one time outstanding shall not exceed $75,000,000; (d) loans or advances made by any Loan Party to any Subsidiary or any other Loan Party and made by any Subsidiary to any Loan Party or any other Subsidiary; (e) Guarantees of the Borrower or any Subsidiary in respect of Indebtedness otherwise permitted hereunder of the Borrower or any wholly-owned Subsidiary; (f) Any joint and several liability arising under applicable Dutch law as a result of (the establishment of) a fiscal unity (fiscale eenheid) between Loan Parties and/or Subsidiaries incorporated in the Netherlands; (g) Any liability of a Loan Party or a Subsidiary arising under a declaration of joint and several liability (hoofdelijke aansprakelijkheid) between any Subsidiaries of the Company pursuant to and in accordance with Section 2:403 of the Dutch Civil Code; (h) Indebtedness of any Person that is merged into or consolidated with the Borrower or any Subsidiary of the Borrower or becomes a Subsidiary of the Borrower or in respect of assets acquired after the date hereof in a transaction permitted hereunder; provided that such Indebtedness is existing at the time such Person is merged into or consolidated with the Borrower or any Subsidiary of the Borrower or 120 becomes a Subsidiary of the Borrower or such assets are acquired and was not incurred solely in contemplation thereof) and any refinancings, refundings, renewals or extensions thereof; (i) obligations (contingent or otherwise) existing or arising under any Swap Contract, provided that such obligations are (or were) entered into by such Person in the ordinary course of business for the purpose of directly mitigating risks associated with the business of such Person or its affiliate; (j) [reserved]; (k) other secured Indebtedness not contemplated by the above provisions in an aggregate principal amount outstanding at such time not to exceed 15% of Consolidated Total Assets as of the date of incurrence so long as no Default or Event of Default exists or would otherwise result therefrom as of the date of incurrence; and (l) other unsecured Indebtedness not contemplated by the above provisions, so long as after giving Pro Forma Effect to such Indebtedness at the time of incurrence (x) the Consolidated Leverage Ratio is not greater than the applicable ratio under Section 7.13(a) and (y) no Default or Event of Default exists or would otherwise result therefrom. 7.03 Investments. Make or hold any Investments, except: (a) Investments held by the Borrower and its Subsidiaries in the form of cash or Cash Equivalents; (b) advances to officers, directors and employees of the Borrower and Subsidiaries in the ordinary course of business for travel, entertainment, relocation and analogous ordinary business purposes; (c) (i) Investments by the Borrower and its Subsidiaries in their respective Subsidiaries outstanding on the date hereof, (ii) additional Investments by the Borrower and its Subsidiaries in Loan Parties, (iii) additional Investments by Subsidiaries of the Borrower that are not Loan Parties in other Subsidiaries, and (iv) investments by the Borrower and the Subsidiaries in equity interests of their respective Subsidiaries; (d) Investments consisting of extensions of credit in the nature of accounts receivable or notes receivable arising from the grant of trade credit in the ordinary course of business, and Investments received in satisfaction or partial satisfaction thereof from financially troubled account debtors to the extent reasonably necessary in order to prevent or limit loss; (e) Guarantees permitted by Section 7.02; (f) Investments existing on the date hereof (other than those referred to in Section 7.03(c)(i)) and set forth on Schedule 7.03; (g) Permitted Acquisitions; (h) other Investments not contemplated by the above provisions not exceeding $50,000,000 in the aggregate in any fiscal year of the Borrower; 121 (i) other Investments, so long as after giving Pro Forma Effect to such Investment at the time of such investment (x) the Consolidated Leverage Ratio is not greater than the applicable ratio under Section 7.13(a) and (y) no Default or Event of Default exists or would otherwise result therefrom; and (j) the Specified Acquisition. 7.04 Fundamental Changes. Merge, dissolve, liquidate, consolidate with or into another Person or consummate a Division as the Dividing Person, or Dispose of (whether in one transaction or in a series of transactions) all or substantially all of its assets (whether now owned or hereafter acquired) to or in favor of any Person, except that, so long as no Default exists or would result therefrom: (a) any Loan Party may Dispose of all or substantially all of its assets (upon voluntary liquidation or otherwise) to the Borrower or to another Loan Party; (b) any Subsidiary that is not a Loan Party may dispose of all or substantially all its assets (including any Disposition that is in the nature of a liquidation) to (i) another Subsidiary that is not a Loan Party or (ii) to a Loan Party; (c) in connection with any Permitted Acquisition, any Subsidiary of the Company may merge into or consolidate with any other Person or permit any other Person to merge into or consolidate with it; provided that in each case, immediately after giving effect thereto (i) in the case of any such merger or consolidation to which the Company is not party to, the Person surviving such merger shall be a wholly-owned Subsidiary of the Company, (ii) in the case of any such merger or consolidation to which the Company is a party, the Company is the surviving Person, (iii) in the case of any such merger or consolidation to which any Guarantor (other than the Company) is a party, a Guarantor shall be the surviving Person and (iv) in the case of any such merger or consolidation to which any Designated Borrower is a party, such Designated Borrower shall be the surviving Person; (d) so long as no Default has occurred and is continuing or would result therefrom, each of the Company and any of its Subsidiaries may merge into or consolidate with any other Person or permit any other Person to merge into or consolidate with it; provided, however, that in each case, immediately after giving effect thereto (i) in the case of any such merger or consolidation to which the Company is a party, the Company is the surviving Person, (ii) in the case of any such merger or consolidation to which any Guarantor (other than the Company) is a party, a Guarantor shall be the surviving Person and (iii) in the case of any such merger or consolidation to which any Designated Borrower is a party, such Designated Borrower shall be the surviving Person; (e) any Subsidiary may dissolve or liquidate if such dissolution or liquidation results from Dispositions not prohibited by this Agreement; and (f) any Material Subsidiary that is a limited liability company may consummate a Division as the Dividing Person if, immediately upon the consummation of the Division, the assets of the applicable Dividing Person are held by one or more Material Subsidiaries at such time, or, with respect to assets not so held by one or more Material Subsidiaries, such Division, in the aggregate, would otherwise result in a Disposition permitted by Section 7.05(i); provided that, notwithstanding anything to the contrary in this Agreement, any Subsidiary which is a Division Successor resulting from a Division of assets of a Material Subsidiary may not be deemed to be a Subsidiary that is not a Material Subsidiary at the time of or in connection with the applicable Division. 122 7.05 Dispositions. Make any Disposition, except: (a) Permitted Transfers; (b) Dispositions of obsolete or worn out property, whether now owned or hereafter acquired, in the ordinary course of business; (c) Dispositions of equipment or real property to the extent that (i) such property is exchanged for credit against the purchase price of similar replacement property or (ii) the proceeds of such Disposition are reasonably promptly applied to the purchase price of such replacement property; (d) Dispositions permitted by Section 7.04; (e) Dispositions and/or terminations of leases, subleases, licenses or sublicenses (i) the Disposition or termination of which will not materially interfere with the business of the Company and its Subsidiaries, taken as a whole, or (ii) which relate to closed facilities or the discontinuation of any line of business; (f) (i) any termination of any lease, sublease, license or sublicense in the ordinary course of business (and any related Disposition of improvements made to leased or sub-leased real property resulting therefrom), (ii) any expiration of any option agreement in respect of real or personal property and (iii) any surrender or waiver of contractual rights or the settlement, release or surrender of contractual rights or litigation claims (including in tort) in the ordinary course of business; (g) (i) Dispositions of non-core assets (as reasonably determined by the Company in good faith) acquired in connection with any Acquisition or similar Investment, in each case, permitted hereunder and (ii) sales of real property and related assets acquired in any Acquisition or similar Investment, in each case, permitted hereunder; provided, that, in each case of this clause (g) immediately prior to and after giving effect to such Disposition, no Event of Default shall have occurred and be continuing; (h) terminations or unwinds of Swap Contracts (i) other Dispositions so long as (i) the consideration paid in connection therewith shall be cash or Cash Equivalents paid contemporaneously with consummation of the transaction and shall be in an amount not less than the fair market value of the property disposed of, (ii) such transaction does not involve the sale or other disposition of a minority Equity Interests in any Loan Party, and (iii) the aggregate net book value of all of the assets sold or otherwise disposed of by the Loan Parties and their Subsidiaries in all such transactions during any fiscal year of the Borrower shall not exceed 20% of Consolidated Total Assets; provided, however, that if, as of the date of any proposed Disposition pursuant to this Section 7.05(i), all Dispositions made pursuant to this Section 7.05(i) (after giving effect to such proposed Disposition) in such fiscal year of the Borrower exceed 10% of Consolidated Total Assets as of such date, the Borrower shall be in Pro Forma Compliance with each of the financial covenants set forth in Section 7.13 after giving effect to such proposed Disposition treating all such Dispositions pursuant to this Section 7.05(i) in such fiscal year as one Material Disposition; and (j) Dispositions of Investments constituting minority Equity Interests of Persons that are not Subsidiaries, so long as after giving Pro Forma Effect to such Disposition at the time of such Disposition 123


 
(x) the Consolidated Leverage Ratio is not greater than the applicable ratio under Section 7.13(a) and (y) no Default or Event of Default exists or would otherwise result therefrom. provided that, none of the restrictions under this Section 7.05 shall apply to the Morningstar Seed Portfolios or any margin stock held by the Borrower or any of its Subsidiaries. 7.06 Restricted Payments. Declare or make, directly or indirectly, any Restricted Payment, or incur any obligation (contingent or otherwise) to do so, except that, so long as no Default shall have occurred and be continuing at the time of any action described below or would result therefrom: (a) each Subsidiary may make Restricted Payments (i) to any Loan Party or Subsidiary and (ii) to any other Person that owns Equity Interests in such Subsidiary on a ratable basis according to its respective holdings of the type of Equity Interest in respect of which such Restricted Payment is being made; (b) the Borrower and each Subsidiary may declare and make dividend payments or other distributions payable solely in common Equity Interests of such Person; and (c) the Borrower and its Subsidiaries may make other Restricted Payments, so long as after giving Pro Forma Effect to such Restricted Payment (x) the Consolidated Leverage Ratio is not greater than the applicable ratio under Section 7.13(a) and (y) no Default or Event of Default exists or would otherwise result therefrom. 7.07 Change in Nature of Business. Engage in any material line of business in a substantially different industry from those lines of business conducted by the Borrower and its Subsidiaries on the date hereof (including the business being acquired in the Specified Acquisition) or any business related, complementary or incidental thereto or that is a reasonable extension, development or expansion thereof. 7.08 Transactions with Affiliates. Enter into or permit to exist any transaction or series of transactions with any officer, director or Affiliate of such Person other than (a) transactions described on Schedule 7.08(a) as may be updated from time to time with the written consent of the Administrative Agent and the Required Lenders, (b) advances, transfers and other transactions between and among the Borrower and any of its Subsidiaries not otherwise prohibited by this Agreement, (c) (i) any employment, equity award, equity option or equity appreciation agreement or plan entered into by the Borrower or any of its Subsidiaries in the ordinary course of business of the Borrower or such Subsidiary and (ii) customary compensation, indemnification and other benefits made available to officers, directors or employees of the Borrower and any of its Subsidiaries, including reimbursement or advancement of out-of-pocket expenses and provisions of officers’ and directors’ liability insurance, (d) Restricted Payments not prohibited by Section 7.06 and (e) other transactions on terms and conditions substantially as favorable to such Person as would be obtainable by it at the time in a comparable arms-length transaction with a Person other than an officer, director or Affiliate. 7.09 Burdensome Agreements. (a) Enter into, or permit to exist, any Contractual Obligation (except for this Agreement and the other Loan Documents) that encumbers or restricts the ability of any such Person to (i) act as a Loan 124 Party; (ii) make Restricted Payments to any Loan Party, (iii) pay any Indebtedness or other obligation owed to any Loan Party or (iv) make loans or advances to any Loan Party, or (v) create any Lien upon any of their properties or assets, whether now owned or hereafter acquired, except, in the case of clause (a)(v) only, for any document or instrument governing Indebtedness secured by Permitted Liens, provided that any such restriction contained therein relates only to the asset or assets subject to such Permitted Liens. (b) Clause (a) of this Section 7.09 shall not prohibit (i) any such encumbrance or restriction existing under or by reason of Applicable Law, (ii) Permitted Liens, (iii) any Contractual Obligation (A) governing property existing at the time of the acquisition thereof, so long as the limitation relates only to the property so acquired or (B) of any Subsidiary existing at the time such Subsidiary was merged or consolidated with or into, or acquired by, the Borrower or a Subsidiary of the Borrower, or otherwise became a Subsidiary of the Borrower in each case not created in contemplation of such acquisition, merger or consolidation, and any amendments, modifications, restatements, renewals, increases, supplements, refundings, replacements or refinancings of such Contractual Obligations; provided that the amendments, modifications, restatements, renewals, increases, supplements, refundings, replacement or refinancings are no more restrictive, taken as a whole, with respect to such limitations than those contained in such Contractual Obligations, (iv) customary non-assignment provisions in Contractual Obligations entered into in the ordinary course of business, (v) any such Contractual Obligation restricting any mutual fund or investment fund managed or advised by a Subsidiary, (vi) restrictions on cash or other deposits or net worth imposed by customers under contracts entered into in the ordinary course of business, (vii) any Contractual Obligation related to any Indebtedness not prohibited by this Agreement, (viii) any Contractual Obligation with respect to the disposition or distribution of property or cash in joint ventures not otherwise prohibited by this Agreement and entered into in the ordinary course of business, (ix) any Contractual Obligation related to the sale, transfer or other disposition of a Subsidiary or property that is not prohibited by this Agreement; provided that such limitation applies only to that Subsidiary or property, as applicable, pending such sale, transfer or other disposition or (x) any Contractual Obligation related to preferred Equity Interests issued by a Subsidiary of the Borrower or the payment of dividends thereon in accordance with the terms thereof, provided that issuance of such preferred Equity Interests is not prohibited by Section 7.02 and the terms of such preferred Equity Interest do not expressly restrict the ability of such Subsidiary to make Restricted Payments (other than requirements to pay dividends or liquidation preferences on such preferred Equity Interests prior to paying any dividends or making any other distributions on other Equity Interests). 7.10 Use of Proceeds. Use the proceeds of any Credit Extension in any manner that would cause the representation in Section 5.12 not to be true immediately after giving effect to such use of proceeds. 7.11 Sanctions. Directly or to its knowledge, indirectly, use any Credit Extension or the proceeds of any Credit Extension, or lend, contribute or otherwise make available such Credit Extension or the proceeds of any Credit Extension to any Person, to fund any activities of or business with any Person, that, at the time of such funding, is the subject of Sanctions, or in any other manner that will result in a violation by any Person (including any Person participating in the transaction, whether as Lender, an Arranger, Administrative Agent, L/C Issuer, Swingline Lender, or otherwise) of applicable Sanctions, provided that the foregoing shall not apply if and to the extent it is illegal, invalid or unenforceable as a result of any applicable Blocking Regulation and, in such case, the legality, validity and enforceability of the foregoing shall not otherwise be affected. 125 7.12 Anti-Corruption Laws. Directly or indirectly, use any Credit Extension or the proceeds of any Credit Extension for any purpose which would breach the United States Foreign Corrupt Practices Act of 1977, the UK Bribery Act 2010 and other similar anti-corruption legislation in other jurisdictions as applicable to the Borrower. 7.13 Financial Covenants. (a) Consolidated Leverage Ratio. Permit the Consolidated Leverage Ratio as of the end of any Measurement Period ending as of the end of any fiscal quarter of the Company to be greater than 3.50 to 1.00; provided that, solely with respect to the four fiscal quarters following any Acquisition permitted by this Agreement with an aggregate purchase price in excess of $100,000,000 (a “Material Acquisition”), the Consolidated Leverage Ratio determined as of the end of such four fiscal quarters shall not be greater than 3.75 to 1.00; provided, further, that if the Consolidated Leverage Ratio has increased pursuant to the previous proviso, then there must exist at least one fiscal quarter without such an increase in effect prior to giving effect to any subsequent increase resulting from a Material Acquisition. (b) Consolidated Interest Coverage Ratio. Permit the Consolidated Interest Coverage Ratio as of the end of any Measurement Period ending as of the end of any fiscal quarter of the Borrower to be less than 3.00 to 1.00. 7.14 Canadian Defined Benefit Pension Plans. Maintain, contribute to, or incur any liability or contingent liability in respect of a Canadian Defined Benefit Pension Plan, without the prior consent of the Administrative Agent, such consent not to be unreasonably withheld. ARTICLE VIII EVENTS OF DEFAULT AND REMEDIES 8.01 Events of Default. Any of the following shall constitute an event of default (each, an “Event of Default”): (a) Non-Payment. The Borrower or any other Loan Party fails to pay (i) when and as required to be paid herein and in the currency required hereunder, any amount of principal of any Loan or any L/C Obligation or deposit any funds as Cash Collateral in respect of L/C Obligations when and as required herein, or (ii) within five (5) Business Days after the same becomes due and payable, any interest on any Loan or on any L/C Obligation, or any fee due hereunder pursuant to Section 2.09, or (iii) within five (5) days after the same becomes due and payable, any other amount payable hereunder or under any other Loan Document; or (b) Specific Covenants. Any Loan Party fails to perform or observe any term, covenant or agreement contained in any of Sections 6.03(a) or 6.05, or Article VII; or (c) Other Defaults. Any Loan Party fails to perform or observe any other covenant or agreement (not specified in Section 8.01(a) or (b) above) contained in this Agreement on its part to be performed or observed and such failure continues for thirty (30) days after written notice is given by the Administrative Agent to the Borrower; or 126 (d) Representations and Warranties. Any representation, warranty or certification made or deemed made by or on behalf of the Borrower or any other Loan Party herein or in any other Loan Document shall be incorrect or misleading in any material respect when made or deemed made in any material respect (provided that any Default arising therefrom shall not be deemed to be continuing if the facts give rise to such representation, warranty or certification being incorrect or misleading are corrected such that the representation, warranty or certification if made again would be true); or (e) Cross-Default. (i) Any Loan Party (A) fails to make any payment when due (whether by scheduled maturity, required prepayment, acceleration, demand, or otherwise) in respect of any Indebtedness or Guarantee (other than Indebtedness hereunder and Indebtedness under Swap Contracts) having an aggregate principal amount of more than $100,000,000 and such failure continues after the passing of the applicable notice and grace periods, or (B) fails to observe or perform any other agreement or condition relating to any such Indebtedness or contained in any instrument or agreement evidencing, securing or relating thereto, or any other event occurs, in each case, beyond the applicable grace, cure, extension, forbearance or similar period, if the effect of which failure is to cause such Indebtedness to be declared to be due and payable or required to be repurchased or prepaid(other than regularly scheduled payment) prior to its stated maturity (provided that, with respect to clause (B) only, the foregoing shall not apply to any mandatory tender, mandatory prepayment or put in connection with the consummation of any transaction not prohibited by this Agreement); or (ii) there occurs under any Swap Contract an Early Termination Date (as defined in such Swap Contract) resulting from (A) any event of default under such Swap Contract as to which a Loan Party or any Subsidiary thereof is the Defaulting Party (as defined in such Swap Contract) or (B) any Termination Event (as so defined) under such Swap Contract as to which a Loan Party or any Subsidiary thereof is an Affected Party (as so defined) and, in either event, the Swap Termination Value owed by such Loan Party or such Subsidiary as a result thereof is greater than the $100,000,000 (2) after giving effect to any applicable grace, cure, extension, forbearance or similar period, the effect of such Early Termination Date is to cause such Swap Termination Value to become due and (3) such Swap Termination Value has not been paid when due; or (f) Insolvency Proceedings, Etc. Any Loan Party institutes or consents to the institution of any proceeding under any Debtor Relief Law, or makes an assignment for the benefit of creditors; makes a proposal to its creditors or files notice of its intention to do so, institutes any other proceeding under applicable Law seeking to adjudicate it a bankrupt or an insolvent, or seeking liquidation, dissolution, winding-up, reorganization, compromise, arrangement, adjustment, protection, moratorium, relief, stay of proceedings of creditors, composition of it or its debts or any other similar relief; or applies for or consents to the appointment of any receiver, receiver-manager, trustee, custodian, conservator, liquidator, rehabilitator or similar officer for it or for all or any material part of its property; or any receiver, receiver-manager, trustee, custodian, conservator, liquidator, rehabilitator or similar officer is appointed without the application or consent of such Person and the appointment continues undischarged or unstayed for sixty (60) calendar days; or any proceeding under any Debtor Relief Law relating to any such Person or to all or any material part of its property is instituted without the consent of such Person and continues undismissed or unstayed for sixty (60) calendar days, or an order for relief is entered in any such proceeding; or (g) Inability to Pay Debts; Attachment. (i) Any Loan Party becomes unable or admits in writing its inability or fails generally to pay its debts as they become due, or (ii) any writ or warrant of attachment or execution or similar process is issued or levied against all or any material part of the property of any such Person and is not released, vacated or fully bonded within sixty (60) calendar days (or such longer period for which a stay of enforcement is allowed by applicable Law) after its issue or levy. 127


 
(h) Judgments. There is entered against any Loan Party (i) one or more final judgments or orders for the payment of money in an aggregate amount (as to all such judgments and orders) exceeding $100,000,000 (to the extent not covered by independent third-party insurance as to which the insurer does not dispute coverage), or (ii) any one or more non-monetary final judgments that have, or would reasonably be expected to have, individually or in the aggregate, a Material Adverse Effect and, in either case, (A) enforcement proceedings are commenced by any creditor upon such judgment or order, or (B) there is a period of thirty (30) consecutive days after the entry of such judgment during which a discharge, stay of enforcement of such judgment, by reason of a pending appeal or otherwise, is not in effect; or (i) ERISA. (i) An ERISA Event occurs with respect to a Pension Plan or Multiemployer Plan which has resulted or could reasonably be expected to result in liability of any Loan Party under Title IV of ERISA to the Pension Plan, Multiemployer Plan or the PBGC in an aggregate amount in excess of $100,000,000, (ii) the Borrower or any ERISA Affiliate fails to pay when due, after the expiration of any applicable grace period, any installment payment with respect to its withdrawal liability under Section 4201 of ERISA under a Multiemployer Plan in an aggregate amount in excess of $100,000,000, or (iii) any failure by any Loan Party or any Subsidiary to perform its obligations under a Canadian Pension Plan which has resulted or could reasonably be expected to result in liability of any Loan Party in an aggregate amount in excess of $100,000,000; or (j) Invalidity of Loan Documents. Any Loan Document, at any time after its execution and delivery and for any reason other than as expressly permitted hereunder or thereunder or satisfaction in full of all Obligations arising under the Loan Documents, ceases to be in full force and effect; or any Loan Party or any other Person contests in any manner the validity or enforceability of any Loan Document (other than contingent obligations not yet due and payable); or any Loan Party denies that it has any or further liability or obligation under any Loan Document, or purports to revoke, terminate or rescind any Loan Document; or (k) Change of Control. There occurs any Change of Control. Without limiting the provisions of Article IX, if a Default shall have occurred under the Loan Documents, then such Default will continue to exist until it either is cured (to the extent specifically permitted) in accordance with the Loan Documents or is otherwise expressly waived by Administrative Agent (with the approval of the requisite Appropriate Lenders (in their sole discretion)) as determined in accordance with Section 11.01; and once an Event of Default occurs under the Loan Documents, then such Event of Default will continue to exist until it is expressly waived by the requisite Appropriate Lenders or by the Administrative Agent with the approval of the requisite Appropriate Lenders, as required hereunder in Section 11.01. 8.02 Remedies upon Event of Default. If any Event of Default occurs and is continuing, the Administrative Agent shall, at the request of, or may, with the consent of the Required Lenders, take any or all of the following actions: (a) declare the Commitment of each Lender to make Loans any obligation of each L/C Issuer to make L/C Credit Extensions to be terminated, whereupon such commitments and obligation shall be terminated; (b) declare the unpaid principal amount of all outstanding Loans, all interest accrued and unpaid thereon, and all other amounts owing or payable hereunder or under any other Loan Document to 128 be immediately due and payable, without presentment, demand, protest or other notice of any kind, all of which are hereby expressly waived by the Borrower; (c) require that the Borrower Cash Collateralize the L/C Obligations (in an amount equal to the Minimum Collateral Amount with respect thereto); and (d) exercise on behalf of itself, the Lenders and the L/C Issuers all rights and remedies available to it, the Lenders and the L/C Issuers under the Loan Documents or Applicable Law or equity; provided, however, that upon the occurrence of an event described in Section 8.01(f) with respect to any Borrower, the Commitment of each Lender to make Loans and any obligation of each L/C Issuer to make L/C Credit Extensions shall automatically terminate, the unpaid principal amount of all outstanding Loans and all interest and other amounts as aforesaid shall automatically become due and payable, and the obligation of the Borrower to Cash Collateralize the L/C Obligations as aforesaid shall automatically become effective, in each case without further act of the Administrative Agent or any Lender. 8.03 Application of Funds. After the exercise of remedies provided for in Section 8.02 (or after the Loans have automatically become immediately due and payable and the L/C Obligations have automatically been required to be Cash Collateralized as set forth in the proviso to Section 8.02) or if at any time insufficient funds are received by and available to the Administrative Agent to pay fully all Obligations then due hereunder, any amounts received on account of the Obligations shall, subject to the provisions of Sections 2.14 and 2.15, be applied by the Administrative Agent in the following order: First, to payment of that portion of the Obligations constituting fees, indemnities, expenses and other amounts (including fees, charges and disbursements of counsel to the Administrative Agent and amounts payable under Article III) payable to the Administrative Agent in its capacity as such; Second, to payment of that portion of the Obligations constituting fees, indemnities and other amounts (other than principal, interest and Letter of Credit Fees) payable to the Lenders and the L/C Issuers (including fees, charges and disbursements of counsel to the respective Lenders and the L/C Issuers (including fees and time charges for attorneys who may be employees of any Lender or any L/C Issuer)) arising under the Loan Documents and amounts payable under Article III, ratably among them in proportion to the respective amounts described in this Second clause payable to them; Third, to payment of that portion of the Obligations constituting accrued and unpaid Letter of Credit Fees and interest on the Loans, L/C Borrowings and other Obligations arising under the Loan Documents, ratably among the Lenders and the L/C Issuers in proportion to the respective amounts described in this Third clause payable to them; Fourth, to payment of that portion of the Obligations constituting unpaid principal of the Loans, L/C Borrowings and Obligations then owing to the Administrative Agent for the account of the applicable L/C Issuer, to Cash Collateralize that portion of L/C Obligations comprised of the aggregate undrawn amount of Letters of Credit to the extent not otherwise Cash Collateralized by the Borrower pursuant to Sections 2.03 and 2.14, in each case ratably among the Administrative Agent, the Lenders and the L/C Issuers in proportion to the respective amounts described in this Fourth clause held by them; and 129 Last, the balance, if any, after all of the Obligations have been indefeasibly paid in full, to the Borrower or as otherwise required by Law. Subject to Sections 2.03(c) and 2.14, amounts used to Cash Collateralize the aggregate undrawn amount of Letters of Credit pursuant to the Fourth clause above shall be applied to satisfy drawings under such Letters of Credit as they occur. If any amount remains on deposit as Cash Collateral after all Letters of Credit have either been fully drawn or expired, such remaining amount shall be applied to the other Obligations, if any, in the order set forth above. ARTICLE IX ADMINISTRATIVE AGENT 9.01 Appointment and Authority. Each of the Lenders and the L/C Issuers hereby irrevocably appoints, designates and authorizes Bank of America to act on its behalf as the Administrative Agent hereunder and under the other Loan Documents and authorizes the Administrative Agent to take such actions on its behalf and to exercise such powers as are delegated to the Administrative Agent by the terms hereof or thereof, together with such actions and powers as are reasonably incidental thereto. The provisions of this Article IX are solely for the benefit of the Administrative Agent, the Lenders and the L/C Issuers, and neither the Borrower nor any other Loan Party shall have rights as a third party beneficiary of any of such provisions. It is understood and agreed that the use of the term “agent” herein or in any other Loan Documents (or any other similar term) with reference to the Administrative Agent is not intended to connote any fiduciary or other implied (or express) obligations arising under agency doctrine of any Applicable Law. Instead such term is used as a matter of market custom, and is intended to create or reflect only an administrative relationship between contracting parties. 9.02 Rights as a Lender. The Person serving as the Administrative Agent hereunder shall have the same rights and powers in its capacity as a Lender as any other Lender and may exercise the same as though it were not the Administrative Agent and the term “Lender” or “Lenders” shall, unless otherwise expressly indicated or unless the context otherwise requires, include the Person serving as the Administrative Agent hereunder in its individual capacity. Such Person and its Affiliates may accept deposits from, lend money to, own securities of, act as the financial advisor or in any other advisory capacity for and generally engage in any kind of banking, trust, financial, advisory, underwriting or other business with any Loan Party or any Subsidiary or other Affiliate thereof as if such Person were not the Administrative Agent hereunder and without any duty to account therefor to the Lenders or to provide notice to or consent of the Lenders with respect thereto. 9.03 Exculpatory Provisions. (a) The Administrative Agent or the Arrangers, as applicable, shall not have any duties or obligations except those expressly set forth herein and in the other Loan Documents, and its duties hereunder shall be administrative in nature. Without limiting the generality of the foregoing, the Administrative Agent or the Arrangers, as applicable, and its Related Parties: (i) shall not be subject to any fiduciary or other implied duties, regardless of whether a Default has occurred and is continuing; 130 (ii) shall not have any duty to take any discretionary action or exercise any discretionary powers, except discretionary rights and powers expressly contemplated hereby or by the other Loan Documents that the Administrative Agent is required to exercise as directed in writing by the Required Lenders (or such other number or percentage of the Lenders as shall be expressly provided for herein or in the other Loan Documents), provided that the Administrative Agent shall not be required to take any action that, in its opinion or the opinion of its counsel, may expose the Administrative Agent to liability or that is contrary to any Loan Document or Applicable Law, including for the avoidance of doubt any action that may be in violation of the automatic stay under any Debtor Relief Law or that may effect a forfeiture, modification or termination of property of a Defaulting Lender in violation of any Debtor Relief Law; and (iii) shall not have any duty or responsibility to disclose, and shall not be liable for the failure to disclose, to any Lender or any L/C Issuer any credit or other information concerning the business, prospects, operations, property, financial and other condition or creditworthiness of any of the Loan Parties or any of their Affiliates that is communicated to, or in possession of, the Administrative Agent, any Arranger or any of their respective Affiliates in any capacity, except for notices, reports and other documents expressly required to be furnished to the Lenders by the Administrative Agent herein. (b) Neither the Administrative Agent nor any of its Related Parties shall be liable for any action taken or not taken by the Administrative Agent under or in connection with this Agreement or any other Loan Document or the transactions contemplated hereby or thereby (i) with the consent or at the request of the Required Lenders (or such other number or percentage of the Lenders as shall be necessary), or as the Administrative Agent shall believe in good faith shall be necessary, under the circumstances as provided in Sections 11.01 and 8.02) or (ii) in the absence of its own gross negligence or willful misconduct as determined by a court of competent jurisdiction by final and non-appealable judgment. The Administrative Agent shall be deemed not to have knowledge of any Default unless and until notice describing such Default is given in writing to the Administrative Agent by the Borrower, a Lender or an L/C Issuer. (c) Neither the Administrative Agent nor any of its Related Parties have any duty or obligation to any Lender or participant or any other Person to ascertain or inquire into (i) any statement, warranty or representation made in or in connection with this Agreement or any other Loan Document, (ii) the contents of any certificate, report or other document delivered hereunder or thereunder or in connection herewith or therewith, (iii) the performance or observance of any of the covenants, agreements or other terms or conditions set forth herein or therein or the occurrence of any Default, (iv) the validity, enforceability, effectiveness or genuineness of this Agreement, any other Loan Document or any other agreement, instrument or document or (v) the satisfaction of any condition set forth in Article IV or elsewhere herein, other than to confirm receipt of items expressly required to be delivered to the Administrative Agent. 9.04 Reliance by Administrative Agent. The Administrative Agent shall be entitled to rely upon, and shall be fully protected in relying and shall not incur any liability for relying upon, any notice, request, certificate, communication, consent, statement, instrument, document or other writing (including any electronic message, Internet or intranet website posting or other distribution) believed by it to be genuine and to have been signed, sent or otherwise authenticated by the proper Person. The Administrative Agent also may rely upon any statement made to it orally or by telephone and believed by it to have been made by the proper Person, and shall be fully protected in relying and shall not incur any liability for relying thereon. In determining compliance with any condition hereunder to the making of a Loan, or the issuance, extension, renewal or 131


 
increase of a Letter of Credit, that by its terms must be fulfilled to the satisfaction of a Lender or an L/C Issuer, the Administrative Agent may presume that such condition is satisfactory to such Lender or such L/C Issuer unless the Administrative Agent shall have received notice to the contrary from such Lender or such L/C Issuer prior to the making of such Loan or the issuance of such Letter of Credit. The Administrative Agent may consult with legal counsel (who may be counsel for the Loan Parties), independent accountants and other experts selected by it, and shall not be liable for any action taken or not taken by it in accordance with the advice of any such counsel, accountants or experts. For purposes of determining compliance with the conditions specified in Section 4.01, each Lender that has signed this Agreement shall be deemed to have consented to, approved or accepted or to be satisfied with, each document or other matter required thereunder to be consented to or approved by or acceptable or satisfactory to a Lender unless the Administrative Agent shall have received notice from such Lender prior to the proposed Closing Date specifying its objections. 9.05 Delegation of Duties. The Administrative Agent may perform any and all of its duties and exercise its rights and powers hereunder or under any other Loan Document by or through any one or more sub-agents appointed by the Administrative Agent. The Administrative Agent and any such sub-agent may perform any and all of its duties and exercise its rights and powers by or through their respective Related Parties. The exculpatory provisions of this Article IX shall apply to any such sub-agent and to the Related Parties of the Administrative Agent and any such sub-agent, and shall apply to their respective activities in connection with the syndication of the Facilities as well as activities as Administrative Agent. The Administrative Agent shall not be responsible for the negligence or misconduct of any sub-agents except to the extent that a court of competent jurisdiction determines in a final and non-appealable judgment that the Administrative Agent acted with gross negligence or willful misconduct in the selection of such sub-agents. 9.06 Resignation of Administrative Agent. (a) Notice. The Administrative Agent may at any time give notice of its resignation to the Lenders, the L/C Issuers and the Company. Upon receipt of any such notice of resignation, the Required Lenders shall have the right, in consultation with the Company, to appoint a successor, which shall be a bank with an office in the United States, or an Affiliate of any such bank with an office in the United States. If no such successor shall have been so appointed by the Required Lenders and shall have accepted such appointment within thirty (30) days after the retiring Administrative Agent gives notice of its resignation (or such earlier day as shall be agreed by the Required Lenders) (the “Resignation Effective Date”), then the retiring Administrative Agent may (but shall not be obligated to) on behalf of the Lenders and the L/C Issuers, appoint a successor Administrative Agent meeting the qualifications set forth above; provided that in no event shall any successor Administrative Agent be a Defaulting Lender. Whether or not a successor has been appointed, such resignation shall become effective in accordance with such notice on the Resignation Effective Date. (b) Effect of Resignation. With effect from the Resignation Effective Date (i) the retiring Administrative Agent shall be discharged from its duties and obligations hereunder and under the other Loan Documents (except that in the case of any cash collateral security held by the Administrative Agent on behalf of the Lenders or the L/C Issuers under any of the Loan Documents, the retiring Administrative Agent shall continue to hold such cash collateral security until such time as a successor Administrative Agent is appointed) and (ii) except for any indemnity payments or other amounts then owed to the retired Administrative Agent, all payments, communications and determinations provided to be made by, to or through the Administrative Agent shall instead be made by or to each Lender and each L/C Issuer directly, until such time, if any, as the Required Lenders appoint a successor Administrative Agent as 132 provided for above. Upon the acceptance of a successor’s appointment as Administrative Agent hereunder, such successor shall succeed to and become vested with all of the rights, powers, privileges and duties of the retiring Administrative Agent (other than as provided in Section 3.01(g) and other than any rights to indemnity payments or other amounts owed to the retiring Administrative Agent as of the Resignation Effective Date), and the retiring Administrative Agent shall be discharged from all of its duties and obligations hereunder or under the other Loan Documents (if not already discharged therefrom as provided above in this Section 9.06). The fees payable by the Borrower to a successor Administrative Agent shall be the same as those payable to its predecessor unless otherwise agreed between the Company and such successor. After the retiring Administrative Agent’s resignation hereunder and under the other Loan Documents, the provisions of this Article IX and Section 11.04 shall continue in effect for the benefit of such retiring Administrative Agent, its sub-agents and their respective Related Parties in respect of any actions taken or omitted to be taken by any of them (A) while the retiring Administrative Agent was acting as Administrative Agent and (B) after such resignation for as long as any of them continues to act in any capacity hereunder or under the other Loan Documents, including, without limitation, (1) acting as collateral agent or otherwise holding any cash collateral security on behalf of any of the Lenders and (2) in respect of any actions taken in connection with transferring the agency to any successor Administrative Agent. (c) L/C Issuers and Swingline Lender. Any resignation by Bank of America as Administrative Agent pursuant to this Section 9.06 shall also constitute its resignation as an L/C Issuer and Swingline Lender. If Bank of America resigns as an L/C Issuer, it shall retain all the rights, powers, privileges and duties of an L/C Issuer hereunder with respect to all Letters of Credit outstanding as of the effective date of its resignation as an L/C Issuer and all L/C Obligations with respect thereto, including the right to require the Lenders to make Base Rate Loans or fund risk participations in Unreimbursed Amounts pursuant to Section 2.03(c). If Bank of America resigns as Swingline Lender, it shall retain all the rights of the Swingline Lender provided for hereunder with respect to Swingline Loans made by it and outstanding as of the effective date of such resignation, including the right to require the Lenders to make Base Rate Loans or fund risk participations in outstanding Swingline Loans pursuant to Section 2.04(c). Upon the appointment by the Company of a successor L/C Issuer or Swingline Lender hereunder (which successor shall in all cases be a Lender other than a Defaulting Lender), (i) such successor shall succeed to and become vested with all of the rights, powers, privileges and duties of the retiring L/C Issuer or Swingline Lender, as applicable, (ii) the retiring L/C Issuer and Swingline Lender shall be discharged from all of their respective duties and obligations hereunder or under the other Loan Documents, and (iii) the successor L/C Issuer shall issue Letters of Credit in substitution for the Letters of Credit, if any, outstanding at the time of such succession or make other arrangements satisfactory to Bank of America to effectively assume the obligations of Bank of America with respect to such Letters of Credit. 9.07 Non-Reliance on Administrative Agent and Other Lenders. Each Lender and each L/C Issuer expressly acknowledges that none of the Administrative Agent nor the Arrangers has made any representation or warranty to it, and that no act by the Administrative Agent or the Arrangers hereafter taken, including any consent to, and acceptance of any assignment or review of the affairs of any Loan Party or any Affiliate thereof, shall be deemed to constitute any representation or warranty by the Administrative Agent or any Arranger to any Lender or each L/C Issuer as to any matter, including whether the Administrative Agent or any Arranger have disclosed material information in their (or their Related Parties’) possession. Each Lender and each L/C Issuer represents to the Administrative Agent and the Arrangers that it has, independently and without reliance upon the Administrative Agent, any Arranger, any other Lender or any of their Related Parties and based on such documents and information as it has deemed appropriate, made its own credit analysis of, appraisal of, and investigation into, the business, prospects, operations, property, financial and other condition and 133 creditworthiness of the Loan Parties and their Subsidiaries, and all applicable bank or other regulatory Laws relating to the transactions contemplated hereby, and made its own decision to enter into this Agreement and to extend credit to the Borrower hereunder. Each Lender and each L/C Issuer also acknowledges that it will, independently and without reliance upon the Administrative Agent, any Arranger, any other Lender or any of their Related Parties and based on such documents and information as it shall from time to time deem appropriate, continue to make its own credit analysis, appraisals and decisions in taking or not taking action under or based upon this Agreement, any other Loan Document or any related agreement or any document furnished hereunder or thereunder, and to make such investigations as it deems necessary to inform itself as to the business, prospects, operations, property, financial and other condition and creditworthiness of the Loan Parties. Each Lender and each L/C Issuer represents and warrants that (i) the Loan Documents set forth the terms of a commercial lending facility and (ii) it is engaged in making, acquiring or holding commercial loans in the ordinary course and is entering into this Agreement as a Lender or L/C Issuer for the purpose of making, acquiring or holding commercial loans and providing other facilities set forth herein as may be applicable to such Lender or L/C Issuer, and not for the purpose of purchasing, acquiring or holding any other type of financial instrument, and each Lender and each L/C Issuer agrees not to assert a claim in contravention of the foregoing. Each Lender and each L/C Issuer represents and warrants that it is sophisticated with respect to decisions to make, acquire and/or hold commercial loans and to provide other facilities set forth herein, as may be applicable to such Lender or such L/C Issuer, and either it, or the Person exercising discretion in making its decision to make, acquire and/or hold such commercial loans or to provide such other facilities, is experienced in making, acquiring or holding such commercial loans or providing such other facilities. 9.08 No Other Duties, Etc. Anything herein to the contrary notwithstanding, none of the titles listed on the cover page hereof shall have any powers, duties or responsibilities under this Agreement or any of the other Loan Documents, except in its capacity, as applicable, as the Administrative Agent, an Arranger, a Lender or an L/C Issuer hereunder. 9.09 Administrative Agent May File Proofs of Claim; Credit Bidding. (a) In case of the pendency of any proceeding under any Debtor Relief Law or any other judicial proceeding relative to any Loan Party, the Administrative Agent (irrespective of whether the principal of any Loan or L/C Obligation shall then be due and payable as herein expressed or by declaration or otherwise and irrespective of whether the Administrative Agent shall have made any demand on the Borrower) shall be entitled and empowered, by intervention in such proceeding or otherwise: (i) to file and prove a claim for the whole amount of the principal and interest owing and unpaid in respect of the Loans, L/C Obligations and all other Obligations that are owing and unpaid and to file such other documents as may be necessary or advisable in order to have the claims of the Lenders, the L/C Issuers and the Administrative Agent (including any claim for the reasonable compensation, expenses, disbursements and advances of the Lenders, the L/C Issuers and the Administrative Agent and their respective agents and counsel and all other amounts due the Lenders, the L/C Issuers and the Administrative Agent under Sections 2.03(h) and (i), 2.09, 2.10(b) and 11.04) allowed in such judicial proceeding; and (ii) to collect and receive any monies or other property payable or deliverable on any such claims and to distribute the same; 134 and any custodian, receiver, assignee, trustee, liquidator, sequestrator or other similar official in any such judicial proceeding is hereby authorized by each Lender and each L/C Issuer to make such payments to the Administrative Agent and, in the event that the Administrative Agent shall consent to the making of such payments directly to the Lenders and the L/C Issuers, to pay to the Administrative Agent any amount due for the reasonable compensation, expenses, disbursements and advances of the Administrative Agent and its agents and counsel, and any other amounts due the Administrative Agent under Sections 2.09, 2.10(b) and 11.04. (b) Nothing contained herein shall be deemed to authorize the Administrative Agent to authorize or consent to or accept or adopt on behalf of any Lender or any L/C Issuer any plan of reorganization, arrangement, adjustment or composition affecting the Obligations or the rights of any Lender or any L/C Issuer to authorize the Administrative Agent to vote in respect of the claim of any Lender or any L/C Issuer or in any such proceeding. 9.10 Guaranty Matters. (a) Each of the Lenders and the L/C Issuers irrevocably authorize the Administrative Agent, at its option and in its discretion to release any Guarantor from its obligations under the Guaranty if such Person ceases to be a Subsidiary as a result of a transaction permitted under the Loan Documents. (b) Upon request by the Administrative Agent at any time, the Required Lenders will confirm in writing the Administrative Agent’s authority to release any Guarantor from its obligations under the Guaranty pursuant to this Section 9.10. In each case as specified in this Section 9.10, the Administrative Agent will, at the Borrower’s expense, execute and deliver to the applicable Loan Party such documents as such Loan Party may reasonably request to release such Guarantor from its obligations under the Guaranty, in each case in accordance with the terms of the Loan Documents and this Section 9.10. 9.11 Certain ERISA Matters. (a) Each Lender (x) represents and warrants, as of the date such Person became a Lender party hereto, to, and (y) covenants, from the date such Person became a Lender party hereto to the date such Person ceases being a Lender party hereto, for the benefit of, the Administrative Agent and not, for the avoidance of doubt, to or for the benefit of the Borrower or any other Loan Party, that at least one of the following is and will be true: (i) such Lender is not using “plan assets” (within the meaning of Section 3(42) of ERISA or otherwise) of one or more Benefit Plans with respect to such Lender’s entrance into, participation in, administration of and performance of the Loans, the Letters of Credit, the Commitments, or this agreement, (ii) the transaction exemption set forth in one or more PTEs, such as PTE 84–14 (a class exemption for certain transactions determined by independent qualified professional asset managers), PTE 95–60 (a class exemption for certain transactions involving insurance company general accounts), PTE 90–1 (a class exemption for certain transactions involving insurance company pooled separate accounts), PTE 91–38 (a class exemption for certain transactions involving bank collective investment funds) or PTE 96–23 (a class exemption for certain transactions determined by in-house asset managers), is applicable with respect to such Lender’s entrance into, participation in, administration of and performance of the Loans, the Letters of Credit, the Commitments and this Agreement, 135


 
(iii) such Lender is an investment fund managed by a “Qualified Professional Asset Manager” (within the meaning of Part VI of PTE 84–14), (B) such Qualified Professional Asset Manager made the investment decision on behalf of such Lender to enter into, participate in, administer and perform the Loans, the Letters of Credit, the Commitments and this Agreement, (C) the entrance into, participation in, administration of and performance of the Loans, the Letters of Credit, the Commitments and this Agreement satisfies the requirements of sub-sections (b) through (g) of Part I of PTE 84–14 and (D) to the best knowledge of such Lender, the requirements of subsection (a) of Part I of PTE 84–14 are satisfied with respect to such Lender’s entrance into, participation in, administration of and performance of the Loans, the Letters of Credit, the Commitments and this Agreement, or (iv) such other representation, warranty and covenant as may be agreed in writing between the Administrative Agent, in its sole discretion, and such Lender. (b) In addition, unless either (1) clause (i) in the immediately preceding clause (a) is true with respect to a Lender or (2) a Lender has provided another representation, warranty and covenant in accordance with clause (iv) in the immediately preceding clause (a), such Lender further (x) represents and warrants, as of the date such Person became a Lender party hereto, to, and (y) covenants, from the date such Person became a Lender party hereto to the date such Person ceases being a Lender party hereto, for the benefit of, the Administrative Agent and not, for the avoidance of doubt, to or for the benefit of the Borrower or any other Loan Party, that the Administrative Agent is not a fiduciary with respect to the assets of such Lender involved in such Lender’s entrance into, participation in, administration of and performance of the Loans, the Letters of Credit, the Commitments and this Agreement (including in connection with the reservation or exercise of any rights by the Administrative Agent under this Agreement, any Loan Document or any documents related hereto or thereto). 9.12 Recovery of Erroneous Payments. Without limitation of any other provision in this Agreement, if at any time the Administrative Agent makes a payment hereunder in error to any Lender Recipient Party, whether or not in respect of an Obligation due and owing by any Borrower at such time, where such payment is a Rescindable Amount, then in any such event, each Lender Recipient Party receiving a Rescindable Amount severally agrees to repay to the Administrative Agent forthwith on demand the Rescindable Amount received by such Lender Recipient Party in Same Day Funds in the currency so received, with interest thereon, for each day from and including the date such Rescindable Amount is received by it to but excluding the date of payment to the Administrative Agent, at the greater of the Federal Funds Rate and a rate determined by the Administrative Agent in accordance with banking industry rules on interbank compensation. Each Lender Recipient Party irrevocably waives any and all defenses, including any “discharge for value” (under which a creditor might otherwise claim a right to retain funds mistakenly paid by a third party in respect of a debt owed by another) or similar defense to its obligation to return any Rescindable Amount. The Administrative Agent shall inform each Lender Recipient Party promptly upon determining that any payment made to such Lender Recipient Party comprised, in whole or in part, a Rescindable Amount. ARTICLE X CONTINUING GUARANTY 10.01 Guaranty. Each Guarantor hereby absolutely and unconditionally, jointly and severally guarantees, as a primary obligor and as a guaranty of payment and performance and not merely as a guaranty of 136 collection, prompt payment when due, whether at stated maturity, by required prepayment, upon acceleration, demand or otherwise, and at all times thereafter, of any and all of the Obligations when due and payable, whether for principal, interest, premiums, fees, indemnities, damages, costs, expenses or otherwise, of the Borrower to the Guaranteed Parties, arising hereunder or under any other Loan Document (including all renewals, extensions, amendments, refinancings and other modifications thereof and all costs, attorneys’ fees and expenses incurred by the Guaranteed Parties in connection with the collection or enforcement thereof) (for each Guarantor, subject to the proviso in this sentence, its “Guaranteed Obligations”); provided that the liability of each Guarantor individually with respect to this Guaranty shall be limited to an aggregate amount equal to the largest amount that would not render its obligations hereunder subject to avoidance under Section 548 of the Bankruptcy Code of the United States or any comparable provisions of any applicable state law or other Applicable Law. Without limiting the generality of the foregoing, the Guaranteed Obligations shall include any such indebtedness, obligations and liabilities, or portions thereof, which may be or hereafter become unenforceable or compromised or shall be an allowed or disallowed claim under any proceeding or case commenced by or against any debtor under any Debtor Relief Laws. The Administrative Agent’s books and records showing the amount of the Obligations shall be admissible in evidence in any action or proceeding. This Guaranty shall not be affected by the genuineness, validity, regularity or enforceability of the Obligations or any instrument or agreement evidencing any Obligations, or by the existence, validity, enforceability, perfection, non-perfection or extent of any collateral therefor, or by any fact or circumstance relating to the Obligations which might otherwise constitute a defense to the enforceability of this Guaranty, and each Guarantor hereby irrevocably waives any defenses it may now have or hereafter acquire to the enforceability of this Guaranty in any way relating to any or all of the foregoing. 10.02 Rights of Lender. Each Guarantor consents and agrees that the Guaranteed Parties may, at any time and from time to time, to the extent permitted herein and in the Loan Documents without notice or demand, take the following actions without affecting the enforceability or continuing effectiveness of this Guaranty: (a) amend, extend, renew, compromise, discharge, accelerate or otherwise change the time for payment or the terms of the Obligations or any part thereof; (b) take, hold, exchange, enforce, waive, release, fail to perfect, sell, or otherwise dispose of any security for the payment of this Guaranty or any Obligations; (c) apply such security and direct the order or manner of sale thereof as the Administrative Agent, the L/C Issuer and the Lenders in their sole discretion may determine; and (d) release or substitute one or more of any endorsers or other guarantors of any of the Obligations. Without limiting the generality of the foregoing, solely with respect to the enforceability of this Guaranty, each Guarantor consents to the taking of, or failure to take, any action which might in any manner or to any extent vary the risks of such Guarantor under this Guaranty or which, but for this provision, might operate as a discharge of such Guarantor. 10.03 Certain Waivers. Each Guarantor waives each of the following with respect to the enforceability of this Guaranty: (a) any defense arising by reason of any disability or other defense of the Borrower or any other guarantor, or the cessation from any cause whatsoever (including any act or omission of any Guaranteed Party) of the liability of the Borrower or any other Loan Party; (b) any defense based on any claim that such Guarantor’s obligations exceed or are more burdensome than those of the Borrower or any other Loan Party; (c) the benefit of any statute of limitations affecting any Guarantor’s liability hereunder; (d) any right to proceed against the Borrower or any other Loan Party, proceed against or exhaust any security for the Obligations, or pursue any other remedy in the power of any Guaranteed Party whatsoever; (e) any benefit of and any right to participate in any security now or hereafter held by any Guaranteed Party; and (f) to the fullest extent permitted by law, any and all other defenses or benefits 137 that may be derived from or afforded by applicable Law limiting the liability of or exonerating guarantors or sureties. Each Guarantor expressly waives with respect to the enforceability of this Guaranty all setoffs and counterclaims and all presentments, demands for payment or performance, notices of nonpayment or nonperformance, protests, notices of protest, notices of dishonor and all other notices or demands of any kind or nature whatsoever with respect to the Obligations, and all notices of acceptance of this Guaranty or of the existence, creation or incurrence of new or additional Obligations. 10.04 Obligations Independent. The obligations of each Guarantor hereunder are those of primary obligor, and not merely as surety, and are independent of the Obligations and the obligations of any other guarantor, and a separate action may be brought against each Guarantor to enforce this Guaranty whether or not the Borrower or any other person or entity is joined as a party. 10.05 Subrogation. No Guarantor shall exercise any right of subrogation, contribution, indemnity, reimbursement or similar rights with respect to any payments it makes under this Guaranty until all of the Obligations and any amounts payable under this Guaranty have been indefeasibly paid and performed in full and the Commitments and the Facilities are terminated. If any amounts are paid to a Guarantor in violation of the foregoing limitation, then such amounts shall be held in trust for the benefit of the Guaranteed Parties and shall forthwith be paid to the Guaranteed Parties to reduce the amount of the Obligations, whether matured or unmatured. 10.06 Termination; Reinstatement. This Guaranty is a continuing and irrevocable guaranty (when due and payable) of all Obligations now or hereafter existing and shall remain in full force and effect until the Facility Termination Date. Notwithstanding the foregoing, this Guaranty shall continue in full force and effect or be revived, as the case may be, if any payment by or on behalf of the Borrower or a Guarantor is made, or any of the Guaranteed Parties exercises its right of setoff, in respect of the Obligations and such payment or the proceeds of such setoff or any part thereof is subsequently invalidated, declared to be fraudulent or preferential, set aside or required (including pursuant to any settlement entered into by any of the Guaranteed Parties in their discretion) to be repaid to a trustee, receiver or any other party, in connection with any proceeding under any Debtor Relief Laws or otherwise, all as if such payment had not been made or such setoff had not occurred and whether or not the Guaranteed Parties are in possession of or have released this Guaranty and regardless of any prior revocation, rescission, termination or reduction. The obligations of each Guarantor under this paragraph shall survive termination of this Guaranty. 10.07 Stay of Acceleration. If acceleration of the time for payment of any of the Obligations is stayed, in connection with any case commenced by or against a Guarantor or the Borrower under any Debtor Relief Laws, or otherwise, all such amounts shall nonetheless be payable by each Guarantor, jointly and severally, immediately upon demand by the Guaranteed Parties. 10.08 Condition of Borrower. Each Guarantor acknowledges and agrees that it has the sole responsibility for, and has adequate means of, obtaining from the Borrower and any other guarantor such information concerning the financial condition, business and operations of the Borrower and any such other guarantor as such 138 Guarantor requires, and that none of the Guaranteed Parties has any duty, and such Guarantor is not relying on the Guaranteed Parties at any time, to disclose to it any information relating to the business, operations or financial condition of the Borrower or any other guarantor (each Guarantor waiving any duty on the part of the Guaranteed Parties to disclose such information and any defense relating to the failure to provide the same). 10.09 Appointment of Borrower. Each of the Guarantors (other than the Company) hereby appoints the Company to act as its agent for all purposes of this Agreement and the other Loan Documents and agrees that (a) the Company may execute such documents on behalf of such Guarantor as the Company deems appropriate in its sole discretion and each Guarantor shall be obligated by all of the terms of any such document executed on its behalf, (b) any notice or communication delivered by the Administrative Agent, L/C Issuer or a Lender to the Company shall be deemed delivered to each Guarantor and (c) the Administrative Agent, L/C Issuer or the Lenders may accept, and be permitted to rely on, any document, instrument or agreement executed by the Company on behalf of each Guarantor. 10.10 Right of Contribution. The Guarantors agree among themselves that, in connection with payments made hereunder, each Guarantor shall have contribution rights against the other Guarantors as permitted under Applicable Law. 10.11 Keepwell. Each Loan Party that is a Qualified ECP Guarantor at the time the Guaranty or the grant of a Lien under the Loan Documents, in each case, by any Specified Loan Party becomes effective with respect to any Swap Obligation, hereby jointly and severally, absolutely, unconditionally and irrevocably undertakes to provide such funds or other support to each Specified Loan Party with respect to such Swap Obligation as may be needed by such Specified Loan Party from time to time to honor all of its obligations under the Loan Documents in respect of such Swap Obligation (but, in each case, only up to the maximum amount of such liability that can be hereby incurred without rendering such Qualified ECP Guarantor’s obligations and undertakings under this Article X voidable under Applicable Law relating to fraudulent conveyance or fraudulent transfer, and not for any greater amount). The obligations and undertakings of each Qualified ECP Guarantor under this Section 10.11 shall remain in full force and effect until the Secured Obligations have been indefeasibly paid and performed in full. Each Loan Party intends this Section 10.11 to constitute, and this Section 10.11 shall be deemed to constitute, a guarantee of the obligations of, and a “keepwell, support, or other agreement” for the benefit of, each Specified Loan Party for all purposes of the Commodity Exchange Act. ARTICLE XI MISCELLANEOUS 11.01 Amendments, Etc. (a) Subject to Section 3.03(c) and the last paragraph of this Section 11.01, no amendment or waiver of any provision of this Agreement or any other Loan Document, and no consent to any departure by the Borrower or any other Loan Party therefrom, shall be effective unless in writing signed by the Required Lenders (or by the Administrative Agent with the consent of the Required Lenders) and the Borrower or the applicable Loan Party, as the case may be, and acknowledged by the Administrative 139


 
Agent, and each such waiver or consent shall be effective only in the specific instance and for the specific purpose for which given; provided, however, that no such amendment, waiver or consent shall: (i) waive any condition set forth in Section 4.02 or, in the case of the initial Credit Extension, Section 4.01, without the written consent of each Lender; (ii) without limiting the generality of clause (a) above, waive any condition set forth in Section 4.02 as to any Credit Extension under a particular Facility without the written consent of the Required Revolving Lenders or the Required Term Lenders, as the case may be; (iii) extend or increase the Commitment of any Lender (or reinstate any Commitment terminated pursuant to Section 8.02) without the written consent of such Lender (it being understood and agreed that a waiver of any condition precedent in Section 4.02 or of any Default or a mandatory reduction in Commitments is not considered an extension or increase in Commitments of any Lender); (iv) postpone any date fixed by this Agreement or any other Loan Document for any payment (excluding mandatory prepayments) of principal, interest, fees or other amounts due to the Lenders (or any of them) hereunder or under such other Loan Document without the written consent of each Lender entitled to such payment; (v) reduce the principal of, or the rate of interest specified herein on, any Loan or L/C Borrowing, or (subject to clause (e) of the second proviso to this Section 11.01) any fees or other amounts payable hereunder or under any other Loan Document, or change the manner of computation of any financial ratio (including any change in any applicable defined term) used in determining the Applicable Rate that would result in a reduction of any interest rate on any Loan or any fee payable hereunder without the written consent of each Lender entitled to such amount; provided, however, that only the consent of the Required Lenders shall be necessary to amend the definition of “Default Rate” or to waive any obligation of the Borrower to pay interest or Letter of Credit Fees at the Default Rate; (vi) change (i) Section 8.03 or Section 2.13 in a manner that would alter the pro rata sharing of payments required thereby without the written consent of each Lender or (ii) Section 2.12(g) in a manner that would alter the pro rata application required thereby without the written consent of each Lender directly affected thereby; (vii) change (i) any provision of this Section 11.01 or the definition of “Required Lenders” or “Required Class Lenders” or any other provision of any Loan Document specifying the number or percentage of Lenders required to amend, waive or otherwise modify any rights hereunder or thereunder or make any determination or grant any consent hereunder (other than the definitions specified in clause (ii) of this clause (a)(vii)), without the written consent of each Lender or (ii) the definitions of “Required Revolving Lenders” or “Required Term Lenders” as each relates to the related Facility (or the constituent definition therein relating to such Facility) without the written consent of each Lender under such Facility; (viii) release all or substantially all of the value of the Guaranty, without the written consent of each Lender, except to the extent the release of any Subsidiary from the Guaranty is permitted pursuant to Section 9.10 (in which case such release may be made by the Administrative Agent acting alone); 140 (ix) release the Company (from its obligations as a Borrower or as a Guarantor hereunder) or any Designated Borrower, except in connection with the termination of a Designated Borrower’s status as such under Section 2.16, a merger or consolidation permitted under Section 7.04 or a Disposition permitted under Section 7.05; (x) directly and materially adversely affect the rights of Lenders holding Commitments or Loans of one Class differently from the rights of Lenders holding Commitments or Loans of any other Class without the written consent of the applicable Required Class Lenders; or (xi) amend Section 1.09 or the definition of “Alternative Currency”, “Alternative Currency Daily Rate” or “Alternative Currency Term Rate” without the written consent of each Lender directly affected thereby; and provided, further, that (A) no amendment, waiver or consent shall, unless in writing and signed by the L/C Issuers in addition to the Lenders required above, affect the rights or duties of the L/C Issuers under this Agreement or any Issuer Document relating to any Letter of Credit issued or to be issued by it; (B) no amendment, waiver or consent shall, unless in writing and signed by the Swingline Lender in addition to the Lenders required above, affect the rights or duties of the Swingline Lender under this Agreement; (C) no amendment, waiver or consent shall, unless in writing and signed by the Administrative Agent in addition to the Lenders required above, affect the rights or duties of the Administrative Agent under this Agreement or any other Loan Document; and (E) the Fee Letter may be amended, or rights or privileges thereunder waived, in a writing executed only by the parties thereto. (b) Notwithstanding anything to the contrary herein, (i) no Defaulting Lender shall have any right to approve or disapprove any amendment, waiver or consent hereunder (and any amendment, waiver or consent which by its terms requires the consent of all Lenders or each affected Lender, or all Lenders or each affected Lender under a Facility, may be effected with the consent of the applicable Lenders other than Defaulting Lenders), except that (A) the Commitment of any Defaulting Lender may not be increased or extended without the consent of such Lender and (B) any waiver, amendment or modification requiring the consent of all Lenders or each affected Lender, or all Lenders or each affected Lender under a Facility, that by its terms affects any Defaulting Lender disproportionately adversely relative to other affected Lenders shall require the consent of such Defaulting Lender; (ii) each Lender is entitled to vote as such Lender sees fit on any bankruptcy reorganization plan that affects the Loans, and each Lender acknowledges that the provisions of Section 1126(c) of the Bankruptcy Code of the United States supersedes the unanimous consent provisions set forth herein and (iii) the Required Lenders shall determine whether or not to allow a Loan Party to use cash collateral in the context of a bankruptcy or insolvency proceeding and such determination shall be binding on all of the Lenders. (c) Notwithstanding anything to the contrary herein, this Agreement may be amended and restated without the consent of any Lender (but with the consent of the Borrower and the Administrative Agent) if, upon giving effect to such amendment and restatement, such Lender shall no longer be a party to this Agreement (as so amended and restated), the Commitments of such Lender shall have terminated, such Lender shall have no other commitment or other obligation hereunder and shall have been paid in full all principal, interest and other amounts owing to it or accrued for its account under this Agreement. (d) Notwithstanding any provision herein to the contrary, this Agreement may be amended with the written consent of the Administrative Agent, any L/C Issuer, the Borrower and the Lenders affected thereby to amend the definition of “Alternative Currency”, “Alternative Currency Daily Rate” or “Alternative Currency Term Rate” or Section 1.09 solely to add additional currency options and the 141 applicable interest rate with respect thereto, in each case solely to the extent permitted pursuant to Section 1.09. Notwithstanding any provision herein to the contrary, if the Administrative Agent and the Company acting together identify any ambiguity, omission, mistake, typographical error or other defect in any provision of this Agreement or any other Loan Document (including the schedules and exhibits thereto), then the Administrative Agent and the Company shall be permitted to amend, modify or supplement such provision to cure such ambiguity, omission, mistake, typographical error or other defect, and such amendment shall become effective without any further action or consent of any other party to this Agreement. 11.02 Notices; Effectiveness; Electronic Communications. (a) Notices Generally. Except in the case of notices and other communications expressly permitted to be given by telephone (and except as provided in clause (b) below), all notices and other communications provided for herein shall be in writing and shall be delivered by hand or overnight courier service, mailed by certified or registered mail or sent by fax transmission or e-mail transmission as follows, and all notices and other communications expressly permitted hereunder to be given by telephone shall be made to the applicable telephone number, as follows: (i) if to the Borrower or any other Loan Party, the Administrative Agent, any L/C Issuer or the Swingline Lender, to the address, fax number, e-mail address or telephone number specified for such Person on Schedule 1.01(a); and (ii) if to any other Lender, to the address, fax number, e-mail address or telephone number specified in its Administrative Questionnaire (including, as appropriate, notices delivered solely to the Person designated by a Lender on its Administrative Questionnaire then in effect for the delivery of notices that may contain material non-public information relating to the Borrower). Notices and other communications sent by hand or overnight courier service, or mailed by certified or registered mail, shall be deemed to have been given when received; notices and other communications sent by (fax transmission or e-mail transmission shall be deemed to have been given when sent (except that, if not given during normal business hours for the recipient, shall be deemed to have been given at the opening of business on the next Business Day for the recipient). Notices and other communications delivered through electronic communications to the extent provided in clause (b) below shall be effective as provided in such clause (b). (b) Electronic Communications. (i) Notices and other communications to the Administrative Agent, the Lenders, the Swingline Lender and the L/C Issuers hereunder may be delivered or furnished by electronic communication (including e-mail, FPML messaging, and Internet or intranet websites) pursuant to an electronic communications agreement (or such other procedures approved by the Administrative Agent in its sole discretion); provided that the foregoing shall not apply to notices to any Lender, the Swingline Lender or any L/C Issuer pursuant to Article II if such Lender, the Swingline Lender or such L/C Issuer, as applicable, has notified the Administrative Agent that it is incapable of receiving notices under such Article II by electronic communication. The Administrative Agent, the Swingline Lender, any L/C Issuer or the Borrower may each, in its discretion, agree to accept notices and other communications to it hereunder by electronic 142 communications pursuant to procedures approved by it, provided that approval of such procedures may be limited to particular notices or communications. (ii) Unless the Administrative Agent otherwise prescribes, (A) notices and other communications sent to an e-mail address shall be deemed received upon the sender’s receipt of an acknowledgment from the intended recipient (such as by the “return receipt requested” function, as available, return e-mail or other written acknowledgement) and (B) notices and other communications posted to an Internet or intranet website shall be deemed received by the intended recipient upon the sender’s receipt of an acknowledgement from the intended recipient (such as by the “return receipt requested” function, as available, return e-mail address or other written acknowledgement) indicating that such notice or communication is available and identifying the website address therefor; provided that for both clauses (A) and (B), if such notice or other communication is not sent during the normal business hours of the recipient, such notice, email or communication shall be deemed to have been sent at the opening of business on the next Business Day for the recipient. (c) The Platform. THE PLATFORM IS PROVIDED “AS IS” AND “AS AVAILABLE.” THE AGENT PARTIES (AS DEFINED BELOW) DO NOT WARRANT THE ACCURACY OR COMPLETENESS OF THE BORROWER MATERIALS OR THE ADEQUACY OF THE PLATFORM, AND EXPRESSLY DISCLAIM LIABILITY FOR ERRORS IN OR OMISSIONS FROM THE BORROWER MATERIALS. NO WARRANTY OF ANY KIND, EXPRESS, IMPLIED OR STATUTORY, INCLUDING ANY WARRANTY OF MERCHANTABILITY, FITNESS FOR A PARTICULAR PURPOSE, NON-INFRINGEMENT OF THIRD PARTY RIGHTS OR FREEDOM FROM VIRUSES OR OTHER CODE DEFECTS, IS MADE BY ANY AGENT PARTY IN CONNECTION WITH THE BORROWER MATERIALS OR THE PLATFORM. In no event shall the Administrative Agent or any of its Related Parties (collectively, the “Agent Parties”) have any liability to the Borrower, any Lender, any L/C Issuer or any other Person for losses, claims, damages, liabilities or expenses of any kind (whether in tort, contract or otherwise) arising out of the Borrower’s, any Loan Party’s or the Administrative Agent’s transmission of Borrower Materials or notices through the Platform, any other electronic platform or electronic messaging service, or through the Internet. (d) Change of Address, Etc. Each of the Borrower, the Administrative Agent, each L/C Issuer and the Swingline Lender may change its address, fax number or telephone number or e-mail address for notices and other communications hereunder by notice to the other parties hereto. Each other Lender may change its address, fax number or telephone number or e-mail address for notices and other communications hereunder by notice to the Company, the Administrative Agent, each L/C Issuer and the Swingline Lender. In addition, each Lender agrees to notify the Administrative Agent from time to time to ensure that the Administrative Agent has on record (i) an effective address, contact name, telephone number, fax number and e-mail address to which notices and other communications may be sent and (ii) accurate wire instructions for such Lender. Furthermore, each Public Lender agrees to cause at least one (1) individual at or on behalf of such Public Lender to at all times have selected the “Private Side Information” or similar designation on the content declaration screen of the Platform in order to enable such Public Lender or its delegate, in accordance with such Public Lender’s compliance procedures and Applicable Law, including United States federal and state securities Laws, to make reference to Borrower Materials that are not made available through the “Public Side Information” portion of the Platform and that may contain material non-public information with respect to the Borrower or its securities for purposes of United States federal or state securities laws. (e) Reliance by Administrative Agent, L/C Issuers and Lenders. The Administrative Agent, the L/C Issuers and the Lenders shall be entitled to rely and act upon any notices (including, without limitation, telephonic or electronic notices, Loan Notices, Letter of Credit Applications, Notice of Loan 143


 
Prepayment and Swingline Loan Notices) purportedly given by or on behalf of any Loan Party even if (i) such notices were not made in a manner specified herein, were incomplete or were not preceded or followed by any other form of notice specified herein, or (ii) the terms thereof, as understood by the recipient, varied from any confirmation thereof. The Loan Parties shall indemnify the Administrative Agent, each L/C Issuer, each Lender and the Related Parties of each of them from all losses, costs, expenses and liabilities resulting from the reliance by such Person on each notice purportedly given by or on behalf of a Loan Party. All telephonic notices to and other telephonic communications with the Administrative Agent may be recorded by the Administrative Agent, and each of the parties hereto hereby consents to such recording. 11.03 No Waiver; Cumulative Remedies; Enforcement. (a) No failure by any Lender, any L/C Issuer or the Administrative Agent to exercise, and no delay by any such Person in exercising, any right, remedy, power or privilege hereunder or under any other Loan Document shall operate as a waiver thereof; nor shall any single or partial exercise of any right, remedy, power or privilege hereunder or under any other Loan Document preclude any other or further exercise thereof or the exercise of any other right, remedy, power or privilege. The rights, remedies, powers and privileges herein provided, and provided under each other Loan Document, are cumulative and not exclusive of any rights, remedies, powers and privileges provided by law. (b) Notwithstanding anything to the contrary contained herein or in any other Loan Document, the authority to enforce rights and remedies hereunder and under the other Loan Documents against the Loan Parties or any of them shall be vested exclusively in, and all actions and proceedings at law in connection with such enforcement shall be instituted and maintained exclusively by, the Administrative Agent in accordance with Section 8.02 for the benefit of all the Lenders and the L/C Issuers; provided, however, that the foregoing shall not prohibit (a) the Administrative Agent from exercising on its own behalf the rights and remedies that inure to its benefit (solely in its capacity as Administrative Agent) hereunder and under the other Loan Documents, (b) any L/C Issuer or the Swingline Lender from exercising the rights and remedies that inure to its benefit (solely in its capacity as an L/C Issuer or Swingline Lender, as the case may be) hereunder and under the other Loan Documents, (c) any Lender from exercising setoff rights in accordance with Section 11.08 (subject to the terms of Section 2.13), or (d) any Lender from filing proofs of claim or appearing and filing pleadings on its own behalf during the pendency of a proceeding relative to any Loan Party under any Debtor Relief Law; and provided, further, that if at any time there is no Person acting as Administrative Agent hereunder and under the other Loan Documents, then (i) the Required Lenders shall have the rights otherwise ascribed to the Administrative Agent pursuant to Section 8.02 and (ii) in addition to the matters set forth in clauses (b), (c) and (d) of the preceding proviso and subject to Section 2.13, any Lender may, with the consent of the Required Lenders, enforce any rights and remedies available to it and as authorized by the Required Lenders. 11.04 Expenses; Indemnity; Damage Waiver. (a) Costs and Expenses. The Loan Parties shall pay (i) all reasonable out-of-pocket expenses incurred by the Administrative Agent and its Affiliates (including, but not limited to, the reasonable fees, charges and disbursements of (x) one counsel for the Administrative Agent and its Affiliates and (y) one counsel for the Lenders and their respective Affiliates, taken as a whole, and, if necessary, one local counsel for the Administrative Agent, the Lenders and their respective Affiliates in each relevant jurisdiction and (B) due diligence expenses), in connection with the syndication of the credit facilities provided for herein, the preparation, negotiation, execution, delivery and administration of this Agreement and the other Loan Documents or any amendments, modifications or waivers of the provisions hereof or thereof (whether or not the transactions contemplated hereby or thereby shall be 144 consummated), (ii) all reasonable out-of-pocket expenses incurred by the L/C Issuers in connection with the issuance, amendment, extension, reinstatement or renewal of any Letter of Credit or any demand for payment thereunder and (iii) all out-of-pocket expenses incurred by the Administrative Agent, any Lender or any L/C Issuer (including the fees, charges and disbursements of one counsel for the Administrative Agent, one counsel for the Lenders and L/C Issuers if not the Administrative Agent or a Lender, taken as a whole, and, if necessary, one local counsel for the Administrative Agent, Lenders and L/C Issuers in each relevant jurisdiction), in connection with the enforcement or protection of its rights (A) in connection with this Agreement and the other Loan Documents, including its rights under this Section 11.04, or (B) in connection with Loans made or Letters of Credit issued hereunder, including all such out-of-pocket expenses incurred during any workout, restructuring or negotiations in respect of such Loans or Letters of Credit. (b) Indemnification by the Loan Parties. The Loan Parties shall indemnify the Administrative Agent (and any sub-agent thereof), each Lender and each L/C Issuer, and each Related Party of any of the foregoing Persons (each such Person being called an “Indemnitee”) against, and hold each Indemnitee harmless from, any and all losses, claims, damages, liabilities and related expenses (including the reasonable fees, charges and disbursements of one counsel for all Indemnitees and one local counsel for all Indemnitees in each relevant jurisdiction, unless a conflict of interest exists with respect to any Indemnitee in which case such Indemnitee may be reimbursed for the reasonable fees, charges and disbursements of its own counsel), incurred by any Indemnitee or asserted against any Indemnitee by any Person (including the Borrower or any other Loan Party) arising out of, in connection with, or as a result of (i) the execution or delivery of this Agreement, any other Loan Document or any agreement or instrument contemplated hereby or thereby (including, without limitation, the Indemnitee’s reliance on any Communication executed using an Electronic Record), the performance by the parties hereto of their respective obligations hereunder or thereunder or the consummation of the transactions contemplated hereby or thereby, or, in the case of the Administrative Agent (and any sub-agent thereof) and its Related Parties only, the administration of this Agreement and the other Loan Documents (including in respect of any matters addressed in Section 3.01), (ii) any Loan or Letter of Credit or the use or proposed use of the proceeds therefrom (including any refusal by any L/C Issuer to honor a demand for payment under a Letter of Credit if the documents presented in connection with such demand do not strictly comply with the terms of such Letter of Credit), or (iii) any actual or prospective claim, litigation, investigation or proceeding relating to any of the foregoing, whether based on contract, tort or any other theory, whether brought by a third party or by the Borrower or any other Loan Party or any of the Borrower’s or such Loan Party’s directors, shareholders or creditors, and regardless of whether any Indemnitee is a party thereto, provided that such indemnity shall not, as to any Indemnitee, be available to the extent that such losses, claims, damages, liabilities or related expenses (x) are determined by a court of competent jurisdiction by final and nonappealable judgment to have resulted from the gross negligence or willful misconduct of such Indemnitee (or its officers, directors, employees or agents) or (y) result from a claim brought by the Borrower or any other Loan Party against an Indemnitee for breach in bad faith of such Indemnitee’s obligations hereunder or under any other Loan Document, if the Borrower or such Loan Party has obtained a final and nonappealable judgment in its favor on such claim as determined by a court of competent jurisdiction. Without limiting the provisions of Section 3.01(c), this Section 11.04(b) shall not apply with respect to Taxes other than any Taxes that represent losses, claims, damages, etc. arising from any non-Tax claim. (c) Reimbursement by Lenders. To the extent that the Loan Parties for any reason fail to indefeasibly pay any amount required under clauses (a) or (b) of this Section 11.04 to be paid by it to the Administrative Agent (or any sub-agent thereof), any L/C Issuer, the Swingline Lender or any Related Party of any of the foregoing, each Lender severally agrees to pay to the Administrative Agent (or any such sub-agent), any L/C Issuer, the Swingline Lender or such Related Party, as the case may be, such Lender’s pro rata share (determined as of the time that the applicable unreimbursed expense or indemnity 145 payment is sought based on each Lender’s share of the Total Credit Exposure at such time) of such unpaid amount (including any such unpaid amount in respect of a claim asserted by such Lender), such payment to be made severally among them based on such Lender’s Applicable Percentage (determined as of the time that the applicable unreimbursed expense or indemnity payment is sought), provided, that the unreimbursed expense or indemnified loss, claim, damage, liability or related expense, as the case may be, was incurred by or asserted against the Administrative Agent (or any such sub-agent), such L/C Issuer or the Swingline Lender in its capacity as such, or against any Related Party of any of the foregoing acting for the Administrative Agent (or any such sub-agent), such L/C Issuer or the Swingline Lender in connection with such capacity. The obligations of the Lenders under this clause (c) are subject to the provisions of Section 2.12(e). (d) Waiver of Consequential Damages, Etc. To the fullest extent permitted by Applicable Law, no Loan Party shall assert, and each Loan Party hereby waives, and acknowledges that no other Person shall have, any claim against any Indemnitee, on any theory of liability, for special, indirect, consequential or punitive damages (as opposed to direct or actual damages) arising out of, in connection with, or as a result of, this Agreement, any other Loan Document or any agreement or instrument contemplated hereby, the transactions contemplated hereby or thereby, any Loan or Letter of Credit or the use of the proceeds thereof. No Indemnitee referred to in clause (b) above shall be liable for any damages arising from the use by unintended recipients of any information or other materials distributed to such unintended recipients by such Indemnitee through telecommunications, electronic or other information transmission systems in connection with this Agreement or the other Loan Documents or the transactions contemplated hereby or thereby other than for direct or actual damages resulting from the gross negligence, willful misconduct or material breach of this Agreement or any Loan Document of or by such Indemnitee (or its officers, directors, employees or agents) as determined by a final and nonappealable judgment of a court of competent jurisdiction. (e) Payments. All amounts due under this Section shall be payable not later than ten (10) Business Days after demand therefor. (f) Survival. The agreements in this Section 11.04 and the indemnity provisions of Section 11.02(e) shall survive the resignation of the Administrative Agent, the L/C Issuers and the Swingline Lender, the replacement of any Lender, the termination of the Aggregate Commitments and the repayment, satisfaction or discharge of all the other Obligations. 11.05 Payments Set Aside. To the extent that any payment by or on behalf of the Borrower is made to the Administrative Agent, any L/C Issuer or any Lender, or the Administrative Agent, any L/C Issuer or any Lender exercises its right of setoff, and such payment or the proceeds of such setoff or any part thereof is subsequently invalidated, declared to be fraudulent or preferential, set aside or required (including pursuant to any settlement entered into by the Administrative Agent, such L/C Issuer or such Lender in its discretion) to be repaid to a trustee, receiver or any other party, in connection with any proceeding under any Debtor Relief Law or otherwise, then (a) to the extent of such recovery, the obligation or part thereof originally intended to be satisfied shall be revived and continued in full force and effect as if such payment had not been made or such setoff had not occurred, and (b) each Lender and the L/C Issuer severally agrees to pay to the Administrative Agent upon demand its applicable share (without duplication) of any amount so recovered from or repaid by the Administrative Agent, plus interest thereon from the date of such demand to the date such payment is made at a rate per annum equal to the applicable Overnight Rate from time to time in effect, in the applicable currency of such recovery or 146 payment. The obligations of the Lenders and the L/C Issuers under clause (b) of the preceding sentence shall survive the payment in full of the Obligations and the termination of this Agreement. 11.06 Successors and Assigns. (a) Successors and Assigns Generally. The provisions of this Agreement and the other Loan Documents shall be binding upon and inure to the benefit of the parties hereto and thereto and their respective successors and assigns permitted hereby, except neither the Borrower nor any other Loan Party may assign or otherwise transfer any of its rights or obligations hereunder without the prior written consent of the Administrative Agent and each Lender and no Lender may assign or otherwise transfer any of its rights or obligations hereunder except (i) to an assignee in accordance with the provisions of Section 11.06(b), (ii) by way of participation in accordance with the provisions of Section 11.06(d), or (iii) by way of pledge or assignment of a security interest subject to the restrictions of Section 11.06(e) (and any other attempted assignment or transfer by any party hereto shall be null and void). Nothing in this Agreement, expressed or implied, shall be construed to confer upon any Person (other than the parties hereto, their respective successors and assigns permitted hereby, Participants to the extent provided in Section 11.06(d) and, to the extent expressly contemplated hereby, the Related Parties of each of the Administrative Agent, the L/C Issuers and the Lenders) any legal or equitable right, remedy or claim under or by reason of this Agreement. (b) Assignments by Lenders. Any Lender may at any time assign to one or more assignees all or a portion of its rights and obligations under this Agreement and the other Loan Documents (including all or a portion of its Commitment(s) and the Loans (including for purposes of this clause (b), participations in L/C Obligations and in Swingline Loans) at the time owing to it); provided that (in each case with respect to any Facility) any such assignment shall be subject to the following conditions: (i) Minimum Amounts. (A) in the case of an assignment of the entire remaining amount of the assigning Lender’s Commitment under any Facility and/or the Loans at the time owing to it (in each case with respect to any Facility) or contemporaneous assignments to related Approved Funds (determined after giving effect to such assignments) that equal at least the amount specified in clause (b)(i)(B) of this Section 11.06 in the aggregate or in the case of an assignment to a Lender, an Affiliate of a Lender or an Approved Fund, no minimum amount need be assigned; and (B) in any case not described in clause (b)(i)(A) of this Section 11.06, the aggregate amount of the Commitment (which for this purpose includes Loans outstanding thereunder) or, if the Commitment is not then in effect, the principal outstanding balance of the Loans of the assigning Lender subject to each such assignment, determined as of the date the Assignment and Assumption with respect to such assignment is delivered to the Administrative Agent or, if “Trade Date” is specified in the Assignment and Assumption, as of the Trade Date, shall not be less than $5,000,000, in the case of any assignment in respect of the Revolving Facility, or $1,000,000, in the case of any assignment in respect of the Term Facility, unless each of the Administrative Agent and, so long as no Event of Default has occurred and is continuing, the Company otherwise consents (each such consent not to be unreasonably withheld or delayed). (ii) Proportionate Amounts. Each partial assignment shall be made as an assignment of a proportionate part of all the assigning Lender’s rights and obligations under this Agreement 147


 
and the other Loan Documents with respect to the Loans and/or the Commitment assigned, except that this clause (b)(ii) shall not (A) apply to the Swingline Lender’s rights and obligations in respect of Swingline Loans or (B) prohibit any Lender from assigning all or a portion of its rights and obligations among separate Facilities on a non-pro rata basis. (iii) Required Consents. No consent shall be required for any assignment except to the extent required by clause (b)(i)(B) of this Section 11.06 and, in addition: (A) the consent of the Company (such consent not to be unreasonably withheld or delayed) shall be required unless (1) an Event of Default specified in Sections 8.01(a) or 8.01(f) has occurred and is continuing at the time of such assignment or (2) such assignment is to a Lender, an Affiliate of a Lender or an Approved Fund; provided that the Company shall be deemed to have consented to any such assignment unless it shall object thereto by written notice to the Administrative Agent within ten (10) Business Days after having received notice thereof; (B) the consent of the Administrative Agent (such consent not to be unreasonably withheld or delayed) shall be required for assignments in respect of (1) any unfunded Term Commitment or any Revolving Commitment if such assignment is to a Person that is not a Lender with a Commitment in respect of the applicable Facility, an Affiliate of such Lender or an Approved Fund with respect to such Lender or (2) any Term Loan to a Person that is not a Lender, an Affiliate of a Lender or an Approved Fund; and (C) the consent of each L/C Issuer and the Swingline Lender shall be required for any assignment in respect of the Revolving Facility. (iv) Assignment and Assumption. The parties to each assignment shall execute and deliver to the Administrative Agent an Assignment and Assumption, together with a processing and recordation fee in the amount of $3,500; provided, however, that the Administrative Agent may, in its sole discretion, elect to waive such processing and recordation fee in the case of any assignment. The assignee, if it is not a Lender, shall deliver to the Administrative Agent an Administrative Questionnaire. (v) No Assignment to Certain Persons. No such assignment shall be made (A) to the Borrower or any of the Borrower’s Affiliates or Subsidiaries, (B) to any Defaulting Lender or any of its Subsidiaries, or any Person who, upon becoming a Lender hereunder, would constitute any of the foregoing Persons described in this clause (B), or (C) to a natural Person (or a holding company, investment vehicle or trust for, or owned and operated by or for the primary benefit of one or more natural Persons). (vi) Certain Additional Payments. In connection with any assignment of rights and obligations of any Defaulting Lender hereunder, no such assignment shall be effective unless and until, in addition to the other conditions thereto set forth herein, the parties to the assignment shall make such additional payments to the Administrative Agent in an aggregate amount sufficient, upon distribution thereof as appropriate (which may be outright payment, purchases by the assignee of participations or sub-participations, or other compensating actions, including funding, with the consent of the Borrower and the Administrative Agent, the applicable pro rata share of Loans previously requested but not funded by the Defaulting Lender, to each of which the applicable assignee and assignor hereby irrevocably consent), to (A) pay and satisfy in full all payment liabilities then owed by such Defaulting Lender to the Administrative Agent, any L/C 148 Issuer or any Lender hereunder (and interest accrued thereon) and (B) acquire (and fund as appropriate) its full pro rata share of all Loans and participations in Letters of Credit and Swingline Loans in accordance with its Applicable Percentage. Notwithstanding the foregoing, in the event that any assignment of rights and obligations of any Defaulting Lender hereunder shall become effective under Applicable Law without compliance with the provisions of this clause (b)(vi), then the assignee of such interest shall be deemed to be a Defaulting Lender for all purposes of this Agreement until such compliance occurs. (vii) Subject to acceptance and recording thereof by the Administrative Agent pursuant to Section 11.06(c), from and after the effective date specified in each Assignment and Assumption, the assignee thereunder shall be a party to this Agreement and, to the extent of the interest assigned by such Assignment and Assumption, have the rights and obligations of a Lender under this Agreement, and the assigning Lender thereunder shall, to the extent of the interest assigned by such Assignment and Assumption, be released from its obligations under this Agreement (and, in the case of an Assignment and Assumption covering all of the assigning Lender’s rights and obligations under this Agreement, such Lender shall cease to be a party hereto but shall continue to be entitled to the benefits of Sections 3.01, 3.04, 3.05 and 11.04 with respect to facts and circumstances occurring prior to the effective date of such assignment); provided, that except to the extent otherwise expressly agreed by the affected parties, no assignment by a Defaulting Lender will constitute a waiver or release of any claim of any party hereunder arising from that Lender’s having been a Defaulting Lender. Upon request, the Borrower (at its expense) shall execute and deliver a Note to the assignee Lender. Any assignment or transfer by a Lender of rights or obligations under this Agreement that does not comply with this clause (b) shall be treated for purposes of this Agreement as a sale by such Lender of a participation in such rights and obligations in accordance with Section 11.06(d). (viii) If (as a result of circumstances existing at the date the assignment occurs), a UK Borrower would be obliged to make a payment to the assignee under Section 3.08, then the assignee is only entitled to receive payment under that Section to the same extent as the existing Lender would have been if the assignment had not occurred. (c) Register. The Administrative Agent, acting solely for this purpose as a non-fiduciary agent of the Borrower (and such agency being solely for Tax purposes), shall maintain at the Administrative Agent’s Office a copy of each Assignment and Assumption delivered to it (or the equivalent thereof in electronic form) and a register for the recordation of the names and addresses of the Lenders, and the Commitments of, and principal amounts (and interest amounts) of the Loans and L/C Obligations owing to, each Lender pursuant to the terms hereof from time to time (the “Register”). The entries in the Register shall be conclusive, absent manifest error, and the Borrower, the Administrative Agent and the Lenders shall treat each Person whose name is recorded in the Register pursuant to the terms hereof as a Lender hereunder for all purposes of this Agreement. The Register shall be available for inspection by the Borrower and any Lender (with respect to such Lender’s interest only), at any reasonable time and from time to time upon reasonable prior notice. (d) Participations. (i) Any Lender may at any time, without the consent of, or notice to, the Borrower or the Administrative Agent, sell participations to any Person (other than a natural Person, or a holding company, investment vehicle or trust for, or owned and operated for the primary benefit of one or more natural Persons, a Defaulting Lender or the Borrower or any of the Borrower’s Affiliates or Subsidiaries) (each, a “Participant”) in all or a portion of such Lender’s rights and/or obligations under this Agreement (including all or a portion of its Commitment and/or the 149 Loans (including such Lender’s participations in L/C Obligations and/or Swingline Loans) owing to it); provided that (i) such Lender’s obligations under this Agreement shall remain unchanged, (ii) such Lender shall remain solely responsible to the other parties hereto for the performance of such obligations and (iii) the Borrower, the Administrative Agent, the Lenders and the L/C Issuers shall continue to deal solely and directly with such Lender in connection with such Lender’s rights and obligations under this Agreement. For the avoidance of doubt, each Lender shall be responsible for the indemnity under Section 11.04(c) without regard to the existence of any participations (ii) Any agreement or instrument pursuant to which a Lender sells such a participation shall provide that such Lender shall retain the sole right to enforce this Agreement and to approve any amendment, modification or waiver of any provision of this Agreement; provided that such agreement or instrument may provide that such Lender will not, without the consent of the Participant, agree to any amendment, waiver or other modification described in the first proviso to Section 11.01 that affects such Participant. The Borrower agrees that each Participant shall be entitled to the benefits of Sections 3.01, 3.04 and 3.05 (subject to the requirements and limitations therein, including the requirements under Section 3.01(e) (it being understood that the documentation required under Section 3.01(e) shall be delivered to the Lender who sells the participation)) to the same extent as if it were a Lender and had acquired its interest by assignment pursuant to clause (b) of this Section 11.06; provided that such Participant (A) shall be subject to the provisions of Sections 3.06 and 11.13 as if it were an assignee under clause (b) of this Section 11.06 and (B) shall not be entitled to receive any greater payment under Sections 3.01 or 3.04, with respect to any participation, than the Lender from whom it acquired the applicable participation would have been entitled to receive, except to the extent such entitlement to receive a greater payment results from a Change in Law that occurs after the Participant acquired the applicable participation. Each Lender that sells a participation agrees, at the Borrower’s request and expense, to use reasonable efforts to cooperate with the Borrower to effectuate the provisions of Section 3.06 with respect to any Participant. To the extent permitted by law, each Participant also shall be entitled to the benefits of Section 11.08 as though it were a Lender; provided that such Participant agrees to be subject to Section 2.13 as though it were a Lender. Each Lender that sells a participation shall, acting solely for this purpose as a non-fiduciary agent of the Borrower, maintain a register on which it enters the name and address of each Participant and the principal amounts (and interest amounts) of each Participant’s interest in the Loans or other obligations under the Loan Documents (the “Participant Register”); provided that no Lender shall have any obligation to disclose all or any portion of the Participant Register (including the identity of any Participant or any information relating to a Participant’s interest in any commitments, loans, letters of credit or its other obligations under any Loan Document) to any Person except to the extent that such disclosure is necessary to establish that such commitment, loan, letter of credit or other obligation is in registered form under Section 5f.103–1(c) of the United States Treasury Regulations. The entries in the Participant Register shall be conclusive absent manifest error, and such Lender shall treat each Person whose name is recorded in the Participant Register as the owner of such participation for all purposes of this Agreement notwithstanding any notice to the contrary. For the avoidance of doubt, the Administrative Agent (in its capacity as Administrative Agent) shall have no responsibility for maintaining a Participant Register. (e) Certain Pledges. Any Lender may at any time pledge or assign a security interest in all or any portion of its rights under this Agreement (including under its Note or Notes, if any) to secure obligations of such Lender, including any pledge or assignment to secure obligations to a Federal 150 Reserve Bank; provided that no such pledge or assignment shall release such Lender from any of its obligations hereunder or substitute any such pledgee or assignee for such Lender as a party hereto. (f) Resignation as L/C Issuer or Swingline Lender after Assignment. Notwithstanding anything to the contrary contained herein, if at any time any L/C Issuer or the Swingline Lender assigns all of its Revolving Commitment and Revolving Loans pursuant to clause (b) above, such L/C Issuer or Swingline Lender may, (i) upon thirty (30) days’ notice to the Administrative Agent, the Company and the Lenders, resign as an L/C Issuer and/or (ii) upon thirty (30) days’ notice to the Company, resign as Swingline Lender. In the event of any such resignation as an L/C Issuer or Swingline Lender, the Company shall be entitled to appoint from among the Lenders a successor L/C Issuer or Swingline Lender hereunder; provided, however, that no failure by the Company to appoint any such successor shall affect the resignation of the applicable L/C Issuer or the applicable Swingline Lender as an L/C Issuer or Swingline Lender, as the case may be. If Bank of America resigns as an L/C Issuer, it shall retain all the rights, powers, privileges and duties of an L/C Issuer hereunder with respect to all Letters of Credit outstanding as of the effective date of its resignation as an L/C Issuer and all L/C Obligations with respect thereto (including the right to require the Lenders to make Base Rate Loans or fund risk participations in Unreimbursed Amounts pursuant to Section 2.03(c)). If Bank of America resigns as Swingline Lender, it shall retain all the rights of the Swingline Lender provided for hereunder with respect to Swingline Loans made by it and outstanding as of the effective date of such resignation, including the right to require the Lenders to make Base Rate Loans or fund risk participations in outstanding Swingline Loans pursuant to Section 2.04(c). Upon the appointment of a successor L/C Issuer and/or Swingline Lender, (A) such successor shall succeed to and become vested with all of the rights, powers, privileges and duties of the retiring L/C Issuer or Swingline Lender, as the case may be, and (B) the successor L/C Issuer shall issue letters of credit in substitution for the Letters of Credit, if any, outstanding at the time of such succession or make other arrangements satisfactory to the applicable retiring L/C Issuer to effectively assume the obligations of the applicable retiring L/C Issuer with respect to such Letters of Credit. 11.07 Treatment of Certain Information; Confidentiality. (a) Treatment of Certain Information. Each of the Administrative Agent, the Lenders and the L/C Issuers agrees to maintain the confidentiality of the Information (as defined below), except that Information may be disclosed (i) to its Affiliates, its auditors and its Related Parties on a need-to-know basis (it being understood that the Persons to whom such disclosure is made will be informed of the confidential nature of such Information and instructed to keep such Information confidential), (ii) to the extent required or requested by any regulatory authority purporting to have jurisdiction over such Person or its Related Parties (including any self-regulatory authority, such as the National Association of Insurance Commissioners) (in which case the disclosing party agrees, to the extent practicable and permitted by Applicable Law (including laws relating to disclosures to banking examiners or regulatory authorities), to notify the Company promptly prior to such disclosure), (iii) to the extent required by Applicable Laws or regulations or by any subpoena or similar legal process, (iv) to any other party hereto, (v) in connection with the exercise of any remedies hereunder or under any other Loan Document or any action or proceeding relating to this Agreement or any other Loan Document or the enforcement of rights hereunder or thereunder, (vi) subject to an agreement containing provisions substantially the same as those of this Section 11.07, to (A) any assignee of or Participant in, or any prospective assignee of or Participant in, any of its rights and obligations under this Agreement or (B) any actual or prospective party (or its Related Parties) to any swap, derivative or other transaction under which payments are to be made by reference to the Borrower and its obligations, this Agreement or payments hereunder or prospective assignee or Participant, in reliance on this clause (vi)), (vii) on a confidential basis to (A) any rating agency in connection with rating the Borrower or its Subsidiaries or the credit facilities provided hereunder or (B) the provider of any Platform or other electronic delivery service used 151


 
by the Administrative Agent, any L/C Issuer and/or the Swingline Lender to deliver Borrower Materials or notices to the Lenders or (viii) the CUSIP Service Bureau or any similar agency in connection with the application, issuance, publishing and monitoring of CUSIP numbers or other market identifiers with respect to the credit facilities provided hereunder, or (ix) with the consent of the Borrower or to the extent such Information (x) becomes publicly available other than as a result of a breach of this Section 11.07, (xi) becomes available to the Administrative Agent, any Lender, any L/C Issuer or any of their respective Affiliates on a nonconfidential basis from a source other than the Borrower or (xii) is independently discovered or developed by a party hereto without utilizing any Information received from the Borrower or violating the terms of this Section 11.07. For purposes of this Section 11.07, “Information” means all information received from the Borrower or any Subsidiary relating to the Borrower or any Subsidiary or any of their respective businesses, other than any such information that is available to the Administrative Agent, any Lender or any L/C Issuer on a nonconfidential basis prior to disclosure by the Borrower or any Subsidiary, provided that, in the case of information received from the Borrower or any Subsidiary after the date hereof, such information is clearly identified at the time of delivery as confidential. Any Person required to maintain the confidentiality of Information as provided in this Section 11.07 shall be considered to have complied with its obligation to do so if such Person has exercised the same degree of care to maintain the confidentiality of such Information as such Person would accord to its own confidential information. In addition, the Administrative Agent and the Lenders may disclose the existence of this Agreement and information about this Agreement to market data collectors, similar service providers to the lending industry and service providers to the Administrative Agent and the Lenders in connection with the administration of this Agreement, the other Loan Documents and the Commitments. (b) Non-Public Information. Each of the Administrative Agent, the Lenders and the L/C Issuers acknowledges that (i) the Information may include material non-public information concerning a Loan Party or a Subsidiary, as the case may be, (ii) it has developed compliance procedures regarding the use of material non-public information and (iii) it will handle such material non-public information in accordance with Applicable Law, including United States federal and state securities Laws. (c) Press Releases. The Loan Parties and their Affiliates agree that they will not in the future issue any press releases or other public disclosure using the name of the Administrative Agent or any Lender or their respective Affiliates or referring to this Agreement or any of the Loan Documents without the prior written consent of the Administrative Agent, unless (and only to the extent that) the Loan Parties or such Affiliate is required to do so under law and then, in any event the Loan Parties or such Affiliate will consult with such Person before issuing such press release or other public disclosure. (d) Customary Advertising Material. Neither the Administrative Agent nor any Lender shall publish any advertising material relating to the transactions contemplated hereby using the name, product photographs, logo or trademark of the Loan Parties without the prior written consent of the Company (such consent not to be unreasonably withheld or delayed). 11.08 Right of Setoff. If an Event of Default shall have occurred and be continuing, each Lender, each L/C Issuer and each of their respective Affiliates is hereby authorized at any time and from time to time, after obtaining the prior written consent of the Required Lenders to the fullest extent permitted by Applicable Law to set off and apply any and all deposits (general or special, time or demand, provisional or final, in whatever currency) at any time held and other obligations (in whatever currency) at any time owing by such Lender, such L/C Issuer or any such Affiliate to or for the credit or the account of the Borrower or any other Loan Party against any and all of the obligations of the Borrower or such Loan Party now or hereafter existing under this Agreement or any other Loan Document to such Lender, such L/C Issuer or 152 such Affiliates, irrespective of whether or not such Lender, such L/C Issuer or Affiliate shall have made any demand under this Agreement or any other Loan Document and although such obligations of the Borrower or such Loan Party may be contingent or unmatured, secured or unsecured, or are owed to a branch, office or Affiliate of such Lender or such L/C Issuer different from the branch, office or Affiliate holding such deposit or obligated on such indebtedness; provided that in the event that any Defaulting Lender shall exercise any such right of setoff, (a) all amounts so set off shall be paid over immediately to the Administrative Agent for further application in accordance with the provisions of Section 2.15 and, pending such payment, shall be segregated by such Defaulting Lender from its other funds and deemed held in trust for the benefit of the Administrative Agent, the L/C Issuers and the Lenders, and (b) the Defaulting Lender shall provide promptly to the Administrative Agent a statement describing in reasonable detail the Obligations owing to such Defaulting Lender as to which it exercised such right of setoff. The rights of each Lender, each L/C Issuer and their respective Affiliates under this Section 11.08 are in addition to other rights and remedies (including other rights of setoff) that such Lender, such L/C Issuer or their respective Affiliates may have under Applicable Law. Each Lender and each L/C Issuer agrees to notify the Borrower and the Administrative Agent promptly after any such setoff and application, provided that the failure to give such notice shall not affect the validity of such setoff and application. 11.09 Interest Rate Limitation. Notwithstanding anything to the contrary contained in any Loan Document, the interest paid or agreed to be paid under the Loan Documents shall not exceed the maximum rate of non-usurious interest permitted by Applicable Law (including without limitation, the Criminal Code (Canada)) (the “Maximum Rate”). If the Administrative Agent or any Lender shall receive interest in an amount that exceeds the Maximum Rate, the excess interest shall be applied to the principal of the Loans or, if it exceeds such unpaid principal, refunded to the Borrower. In determining whether the interest contracted for, charged, or received by the Administrative Agent or a Lender exceeds the Maximum Rate, such Person may, to the extent permitted by Applicable Law, (a) characterize any payment that is not principal as an expense, fee, or premium rather than interest, (b) exclude voluntary prepayments and the effects thereof, and (c) amortize, prorate, allocate, and spread in equal or unequal parts the total amount of interest throughout the contemplated term of the Obligations hereunder. 11.10 Integration; Effectiveness. This Agreement, the other Loan Documents, and any separate letter agreements with respect to fees payable to the Administrative Agent or any L/C Issuer, constitute the entire contract among the parties relating to the subject matter hereof and supersede any and all previous agreements and understandings, oral or written, relating to the subject matter hereof. Except as provided in Section 4.01, this Agreement shall become effective when it shall have been executed by the Administrative Agent and when the Administrative Agent shall have received counterparts hereof that, when taken together, bear the signatures of each of the other parties hereto, and thereafter shall be binding upon and inure to the benefit of the parties hereto and their respective successors and assigns. 11.11 Survival of Representations and Warranties. All representations and warranties made hereunder and in any other Loan Document or other document delivered pursuant hereto or thereto or in connection herewith or therewith shall survive the execution and delivery hereof and thereof. Such representations and warranties have been or will be relied upon by the Administrative Agent and each Lender, regardless of any investigation made by the Administrative Agent or any Lender or on their behalf and notwithstanding that the Administrative Agent or any Lender may have had notice or knowledge of any Default at the time of any Credit Extension, and 153 shall continue in full force and effect as long as any Loan or any other Obligation hereunder shall remain unpaid or unsatisfied or any Letter of Credit shall remain outstanding. 11.12 Severability. If any provision of this Agreement or the other Loan Documents is held to be illegal, invalid or unenforceable, (a) the legality, validity and enforceability of the remaining provisions of this Agreement and the other Loan Documents shall not be affected or impaired thereby and (b) the parties shall endeavor in good faith negotiations to replace the illegal, invalid or unenforceable provisions with valid provisions the economic effect of which comes as close as possible to that of the illegal, invalid or unenforceable provisions. The invalidity of a provision in a particular jurisdiction shall not invalidate or render unenforceable such provision in any other jurisdiction. Without limiting the foregoing provisions of this Section 11.12, if and to the extent that the enforceability of any provisions in this Agreement relating to Defaulting Lenders shall be limited by Debtor Relief Laws, as determined in good faith by the Administrative Agent, any L/C Issuer or the Swingline Lender, as applicable, then such provisions shall be deemed to be in effect only to the extent not so limited. 11.13 Replacement of Lender. If the Borrower is entitled to replace a Lender pursuant to the provisions of Section 3.06, or if any Lender is a Defaulting Lender or a Non-Consenting Lender or if any other circumstance exists hereunder that gives the Borrower the right to replace a Lender as a party hereto, then the Borrower may, at its sole expense and effort, upon notice to such Lender and the Administrative Agent, require such Lender to assign and delegate, without recourse (in accordance with and subject to the restrictions contained in, and consents required by, Section 11.06), all of its interests, rights (other than its existing rights to payments pursuant to Sections 3.01 and 3.04) and obligations under this Agreement and the related Loan Documents to an Eligible Assignee that shall assume such obligations (which assignee may be another Lender, if a Lender accepts such assignment), provided that: (a) the Borrower shall have paid (or caused a Designated Borrower to pay) to the Administrative Agent the assignment fee (if any) specified in Section 11.06(b); (b) such Lender shall have received payment of an amount equal to 100% of the outstanding principal of its Loans and L/C Advances, accrued interest thereon, accrued fees and all other amounts payable to it hereunder and under the other Loan Documents (including any amounts under Section 3.05) from the assignee (to the extent of such outstanding principal and accrued interest and fees) or the Borrower or applicable Designated Borrower (in the case of all other amounts); (c) in the case of any such assignment resulting from a claim for compensation under Section 3.04 or payments required to be made pursuant to Section 3.01, such assignment will result in a reduction in such compensation or payments thereafter; (d) such assignment does not conflict with Applicable Laws; and (e) in the case of an assignment resulting from a Lender becoming a Non-Consenting Lender, the applicable assignee shall have consented to the applicable amendment, waiver or consent. The Lender shall not be required to make any such assignment or delegation if, prior thereto, as a result of a waiver by such Lender or otherwise, the circumstances entitling the Borrower to require such assignment and delegation cease to apply. 154 Each party hereto agrees that (i) an assignment required pursuant to this Section 11.13 may be effected pursuant to an Assignment and Assumption executed by the Company, the Administrative Agent and the assignee and (ii) the Lender required to make such assignment need not be a party thereto in order for such assignment to be effective and shall be deemed to have consented to an be bound by the terms thereof; provided, that, following the effectiveness of any such assignment, the other parties to such assignment agree to execute and deliver such documents necessary to evidence such assignment as reasonably requested by the applicable Lender, provided further that any such documents shall be without recourse to or warranty by the parties thereto. Notwithstanding anything in this Section 11.13 to the contrary, (A) any Lender that acts as an L/C Issuer may not be replaced hereunder at any time it has any Letter of Credit outstanding hereunder unless arrangements satisfactory to such Lender (including the furnishing of a backstop standby letter of credit in form and substance, and issued by an issuer, reasonably satisfactory to such L/C Issuer or the depositing of Cash Collateral into a Cash Collateral account in amounts and pursuant to arrangements reasonably satisfactory to such L/C Issuer) have been made with respect to such outstanding Letter of Credit and (B) the Lender that acts as the Administrative Agent may not be replaced hereunder except in accordance with the terms of Section 9.06. 11.14 Governing Law; Jurisdiction; Etc. (a) GOVERNING LAW. THIS AGREEMENT AND THE OTHER LOAN DOCUMENTS (EXCEPT, AS TO ANY OTHER LOAN DOCUMENT, AS EXPRESSLY SET FORTH THEREIN) AND ANY CLAIMS, CONTROVERSY, DISPUTE OR CAUSE OF ACTION (WHETHER IN CONTRACT OR TORT OR OTHERWISE) BASED UPON, ARISING OUT OF OR RELATING TO THIS AGREEMENT OR ANY OTHER LOAN DOCUMENT (EXCEPT, AS TO ANY OTHER LOAN DOCUMENT, AS EXPRESSLY SET FORTH THEREIN) AND THE TRANSACTIONS CONTEMPLATED HEREBY AND THEREBY SHALL BE GOVERNED BY, AND CONSTRUED IN ACCORDANCE WITH, THE LAW OF THE STATE OF ILLINOIS. (b) SUBMISSION TO JURISDICTION. THE BORROWER AND EACH OTHER LOAN PARTY IRREVOCABLY AND UNCONDITIONALLY AGREES THAT IT WILL NOT COMMENCE ANY ACTION, LITIGATION OR PROCEEDING OF ANY KIND OR DESCRIPTION, WHETHER IN LAW OR EQUITY, WHETHER IN CONTRACT OR IN TORT OR OTHERWISE, AGAINST THE ADMINISTRATIVE AGENT, ANY LENDER, THE L/C ISSUERS OR ANY RELATED PARTY OF THE FOREGOING IN ANY WAY RELATING TO THIS AGREEMENT OR ANY OTHER LOAN DOCUMENT OR THE TRANSACTIONS RELATING HERETO OR THERETO, IN ANY FORUM OTHER THAN THE COURTS OF THE STATE OF ILLINOIS SITTING IN COOK COUNTY AND OF THE UNITED STATES DISTRICT COURT OF THE NORTHERN DISTRICT OF ILLINOIS, AND ANY APPELLATE COURT FROM ANY THEREOF, AND EACH OF THE PARTIES HERETO IRREVOCABLY AND UNCONDITIONALLY SUBMITS TO THE JURISDICTION OF SUCH COURTS AND AGREES THAT ALL CLAIMS IN RESPECT OF ANY SUCH ACTION, LITIGATION OR PROCEEDING MAY BE HEARD AND DETERMINED IN SUCH ILLINOIS STATE COURT OR, TO THE FULLEST EXTENT PERMITTED BY APPLICABLE LAW, IN SUCH FEDERAL COURT. EACH OF THE PARTIES HERETO AGREES THAT A FINAL JUDGMENT IN ANY SUCH ACTION, LITIGATION OR PROCEEDING SHALL BE CONCLUSIVE AND MAY BE ENFORCED IN OTHER JURISDICTIONS BY SUIT ON THE JUDGMENT OR IN ANY OTHER MANNER PROVIDED BY LAW. NOTHING IN THIS AGREEMENT OR IN ANY OTHER LOAN DOCUMENT SHALL AFFECT ANY RIGHT THAT THE ADMINISTRATIVE AGENT, ANY LENDER OR ANY L/C ISSUER MAY OTHERWISE HAVE TO BRING ANY ACTION OR PROCEEDING RELATING TO THIS AGREEMENT OR ANY OTHER LOAN DOCUMENT 155


 
AGAINST THE BORROWER OR ANY OTHER LOAN PARTY OR ITS PROPERTIES IN THE COURTS OF ANY JURISDICTION. (c) WAIVER OF VENUE. THE BORROWER AND EACH OTHER LOAN PARTY IRREVOCABLY AND UNCONDITIONALLY WAIVES, TO THE FULLEST EXTENT PERMITTED BY APPLICABLE LAW, ANY OBJECTION THAT IT MAY NOW OR HEREAFTER HAVE TO THE LAYING OF VENUE OF ANY ACTION OR PROCEEDING ARISING OUT OF OR RELATING TO THIS AGREEMENT OR ANY OTHER LOAN DOCUMENT IN ANY COURT REFERRED TO IN PARAGRAPH (B) OF THIS SECTION. EACH OF THE PARTIES HERETO HEREBY IRREVOCABLY WAIVES, TO THE FULLEST EXTENT PERMITTED BY APPLICABLE LAW, THE DEFENSE OF AN INCONVENIENT FORUM TO THE MAINTENANCE OF SUCH ACTION OR PROCEEDING IN ANY SUCH COURT. (d) SERVICE OF PROCESS. EACH PARTY HERETO (OTHER THAN SPECIFIED LOAN PARTIES) IRREVOCABLY CONSENTS TO SERVICE OF PROCESS IN THE MANNER PROVIDED FOR NOTICES IN SECTION 11.02. NOTHING IN THIS AGREEMENT WILL AFFECT THE RIGHT OF ANY PARTY HERETO TO SERVE PROCESS IN ANY OTHER MANNER PERMITTED BY APPLICABLE LAW. (e) SERVICE OF PROCESS (LOAN PARTIES). WITHOUT PREJUDICE TO ANY OTHER MODE OF SERVICE ALLOWED UNDER ANY RELEVANT LAW, THE LOAN PARIES: (i) IRREVOCABLY APPOINTS THE COMPANY AS ITS AGENT FOR SERVICE OF PROCESS IN RELATION TO ANY PROCEEDINGS BEFORE THE COURTS OF THE STATE OF ILLINOIS IN CONNECTION WITH ANY LOAN DOCUMENT AND (ii) AGREES THAT FAILURE BY A PROCESS AGENT TO NOTIFY THE LOAN PARTIES OTHER THAN THE COMPANY OF THE PROCESS WILL NOT INVALIDATE THE PROCEEDINGS CONCERNED. THE LOAN PARTIES EXPRESSLY AGREE AND CONSENT TO THE PROVISIONS OF THIS SECTION 11.14(E). 11.15 Waiver of Jury Trial. EACH PARTY HERETO HEREBY IRREVOCABLY WAIVES, TO THE FULLEST EXTENT PERMITTED BY APPLICABLE LAW, ANY RIGHT IT MAY HAVE TO A TRIAL BY JURY IN ANY LEGAL PROCEEDING DIRECTLY OR INDIRECTLY ARISING OUT OF OR RELATING TO THIS AGREEMENT OR ANY OTHER LOAN DOCUMENT OR THE TRANSACTIONS CONTEMPLATED HEREBY OR THEREBY (WHETHER BASED ON CONTRACT, TORT OR ANY OTHER THEORY). EACH PARTY HERETO (a) CERTIFIES THAT NO REPRESENTATIVE, AGENT OR ATTORNEY OF ANY OTHER PERSON HAS REPRESENTED, EXPRESSLY OR OTHERWISE, THAT SUCH OTHER PERSON WOULD NOT, IN THE EVENT OF LITIGATION, SEEK TO ENFORCE THE FOREGOING WAIVER AND (b) ACKNOWLEDGES THAT IT AND THE OTHER PARTIES HERETO HAVE BEEN INDUCED TO ENTER INTO THIS AGREEMENT AND THE OTHER LOAN DOCUMENTS BY, AMONG OTHER THINGS, THE MUTUAL WAIVERS AND CERTIFICATIONS IN THIS SECTION. 11.16 Subordination. Each Loan Party (a “Subordinating Loan Party”) hereby subordinates the payment of all obligations and indebtedness of any other Loan Party owing to it, whether now existing or hereafter arising, including but not limited to any obligation of any such other Loan Party to the Subordinating Loan Party as subrogee of the Guaranteed Parties or resulting from such Subordinating Loan Party’s performance under this Guaranty, to the indefeasible payment in full in cash of all Obligations. If the Guaranteed Parties so request, any such obligation or indebtedness of any such other Loan Party to the 156 Subordinating Loan Party shall be enforced and performance received by the Subordinating Loan Party as trustee for the Guaranteed Parties and the proceeds thereof shall be paid over to the Guaranteed Parties on account of the Obligations, but without reducing or affecting in any manner the liability of the Subordinating Loan Party under this Agreement. Without limitation of the foregoing, so long as no Default has occurred and is continuing, the Loan Parties may make and receive payments with respect to Intercompany Debt; provided, that in the event that any Loan Party receives any payment of any Intercompany Debt at a time when such payment is prohibited by this Section, such payment shall be held by such Loan Party, in trust for the benefit of, and shall be paid forthwith over and delivered, upon written request, to the Administrative Agent. 11.17 No Advisory or Fiduciary Responsibility. In connection with all aspects of each transaction contemplated hereby (including in connection with any amendment, waiver or other modification hereof or of any other Loan Document), the Borrower and each other Loan Party acknowledges and agrees, and acknowledges its Affiliates’ understanding, that: (a) (i) the arranging and other services regarding this Agreement provided by the Administrative Agent, the Arrangers and the Lenders and their respective Affiliates are arm’s-length commercial transactions between the Borrower, each other Loan Party and their respective Affiliates, on the one hand, and the Administrative Agent, the Arrangers and the Lenders and their respective Affiliates, on the other hand, (ii) each of the Borrower, and the other Loan Parties has consulted its own legal, accounting, regulatory and tax advisors to the extent it has deemed appropriate, and (iii) the Borrower and each other Loan Party is capable of evaluating, and understands and accepts, the terms, risks and conditions of the transactions contemplated hereby and by the other Loan Documents; (b) (i) the Administrative Agent, each Arranger and each Lender and each of their respective Affiliates each is and has been acting solely as a principal and, except as expressly agreed in writing by the relevant parties, has not been, is not, and will not be acting as an advisor, agent or fiduciary, for the Borrower, any other Loan Party or any of their respective Affiliates, or any other Person and (ii) neither the Administrative Agent, any Arranger, nor any Lender nor any of their respective Affiliates has any obligation to the Borrower, any other Loan Party or any of their respective Affiliates with respect to the transactions contemplated hereby except those obligations expressly set forth herein and in the other Loan Documents; and (c) the Administrative Agent, the Arrangers and the Lenders and their respective Affiliates may be engaged in a broad range of transactions that involve interests that differ from those of the Borrower, the other Loan Parties and their respective Affiliates, and neither the Administrative Agent, any Arranger, nor any Lender nor any of their respective Affiliates has any obligation to disclose any of such interests to the Borrower, any other Loan Party or any of their respective Affiliates. To the fullest extent permitted by law, each of the Borrower, and each other Loan Party hereby waives and releases any claims that it may have against the Administrative Agent, the Arrangers, the Lenders and their respective Affiliates with respect to any breach or alleged breach of agency or fiduciary duty in connection with any aspect of any transactions contemplated hereby. 11.18 Electronic Execution; Electronic Records; Counterparts. (a) This Agreement, any Loan Document and any other Communication, including Communications required to be in writing, may be in the form of an Electronic Record and may be executed using Electronic Signatures. Each of the Loan Parties and each of the Administrative Agent and each Lender Party agrees that any Electronic Signature on or associated with any Communication shall be valid and binding on such Person to the same extent as a manual, original signature, and that any Communication entered into by Electronic Signature, will constitute the legal, valid and binding obligation of such Person enforceable against such Person in accordance with the terms thereof to the same extent as if a manually executed original signature was delivered. Any Communication may be executed in as many counterparts as necessary or convenient, including both paper and electronic 157 counterparts, but all such counterparts are one and the same Communication. For the avoidance of doubt, the authorization under this paragraph may include, without limitation, use or acceptance of a manually signed paper Communication which has been converted into electronic form (such as scanned into PDF format), or an electronically signed Communication converted into another format, for transmission, delivery and/or retention. The Administrative Agent and each of the Lender Parties may, at its option, create one or more copies of any Communication in the form of an imaged Electronic Record (“Electronic Copy”), which shall be deemed created in the ordinary course of such Person’s business, and destroy the original paper document. All Communications in the form of an Electronic Record, including an Electronic Copy, shall be considered an original for all purposes, and shall have the same legal effect, validity and enforceability as a paper record. Notwithstanding anything contained herein to the contrary, neither the Administrative Agent, L/C Issuer nor Swingline Lender is under any obligation to accept an Electronic Signature in any form or in any format unless expressly agreed to by such Person pursuant to procedures approved by it; provided, further, without limiting the foregoing, (a) to the extent the Administrative Agent, any L/C Issuer and/or Swingline Lender has agreed to accept such Electronic Signature, the Administrative Agent and each of the Lender Parties shall be entitled to rely on any such Electronic Signature purportedly given by or on behalf of any Loan Party and/or any Lender Party without further verification and (b) upon the request of the Administrative Agent or any Lender Party, any Electronic Signature shall be promptly followed by such manually executed counterpart. (b) Neither the Administrative Agent, any L/C Issuer nor Swingline Lender shall be responsible for or have any duty to ascertain or inquire into the sufficiency, validity, enforceability, effectiveness or genuineness of any Loan Document or any other agreement, instrument or document (including, for the avoidance of doubt, in connection with the Administrative Agent’s, any L/C Issuer’s or Swingline Lender’s reliance on any Electronic Signature transmitted by telecopy, emailed .pdf or any other electronic means). The Administrative Agent, any L/C Issuer and Swingline Lender shall be entitled to rely on, and shall incur no liability under or in respect of this Agreement or any other Loan Document by acting upon, any Communication (which writing may be a fax, any electronic message, Internet or intranet website posting or other distribution or signed using an Electronic Signature) or any statement made to it orally or by telephone and believed by it to be genuine and signed or sent or otherwise authenticated (whether or not such Person in fact meets the requirements set forth in the Loan Documents for being the maker thereof). (c) Each of the Loan Parties and each Lender Party hereby waives (i) any argument, defense or right to contest the legal effect, validity or enforceability of this Agreement, any other Loan Document based solely on the lack of paper original copies of this Agreement, such other Loan Document, and (ii) waives any claim against the Administrative Agent, each Lender Party and each Related Party for any liabilities arising solely from the Administrative Agent’s and/or any Lender Party’s reliance on or use of Electronic Signatures, including any liabilities arising as a result of the failure of the Loan Parties to use any available security measures in connection with the execution, delivery or transmission of any Electronic Signature. 11.19 USA PATRIOT Act and Canadian AML Acts Notice. Each Lender that is subject to the Patriot Act or any Canadian AML Act and the Administrative Agent (for itself and not on behalf of any Lender) hereby notifies the Borrowers and the other Loan Parties that pursuant to the requirements of the USA PATRIOT Act (Title III of Pub. L. 107–56 (signed into law October 26, 2001)) (the “Patriot Act”) and the Canadian AML Acts, it is required to obtain, verify and record information that identifies each Borrower and each other Loan Party, which information includes the name and address of each Borrower and each other Loan Party, information concerning its direct and indirect holders of Equity Interests and other Persons exercising Control over it, and other information that will allow such Lender or the Administrative Agent, as applicable, to identify 158 the Borrowers and each other Loan Party in accordance with the Patriot Act and the Canadian AML Acts. Each Borrower and each other Loan Party shall, promptly following a request by the Administrative Agent or any Lender, provide all such other documentation and information that the Administrative Agent or such Lender requests in order to comply with its ongoing obligations under applicable “know your customer” and anti-money laundering rules and regulations, including the Patriot Act and the Canadian AML Acts. Notwithstanding anything in this Agreement, nothing in this Agreement shall require any Loan Party that is organized under the laws of Canada or any province thereof to commit an act or omission that contravenes the Foreign Extraterritorial Measures Act (Canada), and the rules and regulations promulgated thereunder, including the Foreign Extraterritorial Measures (United States) Order, 1992 (Canada). 11.20 Acknowledgement and Consent to Bail-In of Affected Financial Institutions. Solely to the extent any Lender or L/C Issuer that is an Affected Financial Institution is a party to this Agreement and notwithstanding anything to the contrary in any Loan Document or in any other agreement, arrangement or understanding among any such parties, each party hereto acknowledges that any liability of any Lender or L/C Issuer that is an Affected Financial Institution arising under any Loan Document, to the extent such liability is unsecured, may be subject to the Write-Down and Conversion Powers of the applicable Resolution Authority and agrees and consents to, and acknowledges and agrees to be bound by: (a) the application of any Write-Down and Conversion Powers by the applicable Resolution Authority to any such liabilities arising hereunder which may be payable to it by any Lender or L/C Issuer that is an Affected Financial Institution; and (b) the effects of any Bail-In Action on any such liability, including, if applicable: (i) a reduction in full or in part or cancellation of any such liability; (ii) a conversion of all, or a portion of, such liability into shares or other instruments of ownership in such Affected Financial Institution, its parent undertaking, or a bridge institution that may be issued to it or otherwise conferred on it, and that such shares or other instruments of ownership will be accepted by it in lieu of any rights with respect to any such liability under this Agreement or any other Loan Document; or (iii) the variation of the terms of such liability in connection with the exercise of the Write-Down and Conversion Powers of the applicable Resolution Authority. 11.21 Judgment Currency. If, for the purposes of obtaining judgment in any court, it is necessary to convert a sum due hereunder or any other Loan Document in one currency into another currency, the rate of exchange used shall be that at which in accordance with normal banking procedures the Administrative Agent could purchase the first currency with such other currency on the Business Day preceding that on which final judgment is given. The obligation of each Loan Party in respect of any such sum due from it to the Administrative Agent or any Lender hereunder or under the other Loan Documents shall, notwithstanding any judgment in a currency (the “Judgment Currency”) other than that in which such sum is denominated in accordance with the applicable provisions of this Agreement (the “Agreement Currency”), be discharged only to the extent that on the Business Day following receipt by the Administrative Agent or such Lender, as the case may be, of any sum adjudged to be so due in the Judgment Currency, the Administrative Agent or such Lender, as the case may be, may in accordance 159


 
with normal banking procedures purchase the Agreement Currency with the Judgment Currency. If the amount of the Agreement Currency so purchased is less than the sum originally due to the Administrative Agent or any Lender from any Loan Party in the Agreement Currency, such Loan Party agrees, as a separate obligation and notwithstanding any such judgment, to indemnify the Administrative Agent or such Lender, as the case may be, against such loss. If the amount of the Agreement Currency so purchased is greater than the sum originally due to the Administrative Agent or any Lender in such currency, the Administrative Agent or such Lender, as the case may be, agrees to return the amount of any excess to such Loan Party (or to any other Person who may be entitled thereto under Applicable law). 11.22 Acknowledgement Regarding Any Supported QFCs. To the extent that the Loan Documents provide support, through a guarantee or otherwise, for any Swap Contract or any other agreement or instrument that is a QFC (such support, “QFC Credit Support”, and each such QFC, a “Supported QFC”), the parties acknowledge and agree as follows with respect to the resolution power of the Federal Deposit Insurance Corporation under the Federal Deposit Insurance Act and Title II of the Dodd-Frank Wall Street Reform and Consumer Protection Act (together with the regulations promulgated thereunder, the “U.S. Special Resolution Regimes”) in respect of such Supported QFC and QFC Credit Support (with the provisions below applicable notwithstanding that the Loan Documents and any Supported QFC may in fact be stated to be governed by the laws of the State of New York and/or of the United States or any other state of the United States): In the event a Covered Entity that is party to a Supported QFC (each, a “Covered Party”) becomes subject to a proceeding under a U.S. Special Resolution Regime, the transfer of such Supported QFC and the benefit of such QFC Credit Support (and any interest and obligation in or under such Supported QFC and such QFC Credit Support, and any rights in property securing such Supported QFC or such QFC Credit Support) from such Covered Party will be effective to the same extent as the transfer would be effective under the U.S. Special Resolution Regime if the Supported QFC and such QFC Credit Support (and any such interest, obligation and rights in property) were governed by the laws of the United States or a state of the United States. In the event a Covered Party or a BHC Act Affiliate of a Covered Party becomes subject to a proceeding under a U.S. Special Resolution Regime, Default Rights under the Loan Documents that might otherwise apply to such Supported QFC or any QFC Credit Support that may be exercised against such Covered Party are permitted to be exercised to no greater extent than such Default Rights could be exercised under the U.S. Special Resolution Regime if the Supported QFC and the Loan Documents were governed by the laws of the United States or a state of the United States. Without limitation of the foregoing, it is understood and agreed that rights and remedies of the parties with respect to a Defaulting Lender shall in no event affect the rights of any Covered Party with respect to a Supported QFC or any QFC Credit Support. [Signature Pages Follow] 160