EX-10.6 4 exhibit106-altixformofpr.htm EX-10.6 exhibit106-altixformofpr
ACTIVE/129072202.5 ALTI GLOBAL, INC. 2023 STOCK INCENTIVE PLAN NOTICE OF GRANT OF PERFORMANCE-BASED RESTRICTED STOCK UNITS AND AWARD AGREEMENT FOR NON-U.S. PARTICIPANTS AlTi Global, Inc., pursuant to its 2023 Stock Incentive Plan (the “Plan”), hereby grants to the individual listed below (the “Participant”) this award of Restricted Stock Units. The Restricted Stock Units described in this Notice of Grant of Performance-Based Restricted Stock Units for Non-U.S. Participants (the “Notice”) are subject to the terms and conditions set forth in the Performance-Based Award Agreement, including all schedules and exhibits thereto, attached as Exhibit A hereto (the “Agreement”) and the Plan, each of which is incorporated herein by reference. Unless otherwise defined herein, capitalized terms used in this Notice and the Agreement will have the meanings defined in the Plan. Participant: Grant Date: Target Number of Restricted Stock Units: Vesting Conditions: See Schedule 1 to the Agreement. By signing below, the Participant agrees to be bound by the terms and conditions of the Plan, the Agreement and this Notice. This document may be executed, including by electronic means, in multiple counterparts, each of which will be deemed an original, and all of which together will be deemed a single instrument. The award of the Restricted Stock Units shall be conditional upon the Participant making good any “Tax Liability” (as defined below) in relation to the Restricted Stock Units or entering into arrangements acceptable to the “Relevant Company” (as defined below) if applicable, in respect of such Tax Liability, in accordance with Section 15 (Tax Withholding) of the Plan. ALTI GLOBAL, INC. Sign: _______________________________ Name: ______________________________ Title: _______________________________ Date: _______________________________ PARTICIPANT Sign: _______________________________ Name: ______________________________ Date: _______________________________


 
ACTIVE/129072202.5 1 EXHIBIT A PERFORMANCE-BASED RESTRICTED STOCK UNITS AWARD AGREEMENT FOR NON- U.S. PARTICIPANTS UNDER THE ALTI GLOBAL, INC. 2023 STOCK INCENTIVE PLAN 1. Definitions. For the purposes of this Agreement, the following terms shall have the following respective meanings. “HMRC” shall mean His Majesty’s Revenue & Customs; “ITEPA” shall mean Income Tax (Earnings and Pensions) Act 2003; “Relevant Company” shall mean the Company, or any Subsidiary or any company by which the Participant is employed or was employed, including for the avoidance of doubt, an employer of record or a professional employer organization; and “Tax Liability” shall mean a liability to account for any tax, National Insurance contributions (including for the avoidance of doubt, any employer’s National Insurance contributions, where legally permitted), social security contributions or other levies in respect of: (i) the Restricted Stock Units (whether by reason of grant, vesting, transfer or otherwise); (ii) the transfer or issue of Shares to the Participant on vesting of the Restricted Stock Units or any other benefit on vesting of the Restricted Stock Units; (iii) any restrictions applicable to the Restricted Stock Units ceasing to apply; and (iv) the disposal of the Shares. 2. Award of Restricted Stock Units. Effective as of the Grant Date set forth in the Notice, the Company has granted to the Participant the target number of Restricted Stock Units set forth in the Notice (this “Award”), subject to the restrictions and on the terms and conditions set forth in the Notice, the Plan and this Agreement. Each Restricted Stock Unit represents the right to receive one Share at the times and subject to the conditions set forth below and in Schedule 1. 3. Vesting of Restricted Stock Units. (a) Subject to the continued service of the Participant with the Company through the relevant vesting date(s) or event(s), the Restricted Stock Units will become vested in such amounts and at such times as set forth in Schedule 1. (b) Solely for purposes of this Agreement, service with the Company will be deemed to include service with an Affiliate of the Company (for only so long as such entity remains an Affiliate of the Company). For purposes of this Agreement, “Affiliate” means an entity that directly or indirectly controls, is controlled by, or is under common control with the Company. (c) Upon the cessation of the Participant’s service with the Company due to the Participant’s death, any Restricted Stock Units that are outstanding and unvested immediately prior to the Participant’s death shall vest as to 100% of the Target Number of Restricted Stock Units assuming the performance metrics had been achieved at target levels. (d) Notwithstanding anything in the Plan or in this Agreement to the contrary, in the event of a Change in Control (as defined in the Plan), the Administrator shall determine achievement of the performance criteria as of the date of such Change in Control in its sole discretion in accordance with Exhibit A and the restrictions and conditions of this Section 2(a) of this Agreement shall lapse immediately


 
ACTIVE/129072202.5 2 prior to such Change in Control with respect to the portion of this Award that is deemed earned based upon achievement of the performance criteria as of such Change in Control. (e) Unless otherwise set forth in this Section 2 or otherwise provided in the Participant’s employment agreement or in the discretion of the Committee, upon the cessation of the Participant’s service with the Company for any other reason, any then unvested portion of the Restricted Stock Units will be forfeited automatically. 4. Settlement of Restricted Stock Units. (a) One Share will be delivered with respect to each vested Restricted Stock Unit within sixty (60) days following the applicable vesting date or event, subject to the requirements of the Plan and this Agreement. (b) The Restricted Stock Units constitute an unfunded and unsecured obligation of the Company. The Participant shall not have any rights of a stockholder of the Company with respect to the Shares underlying the Restricted Stock Units unless and until the Restricted Stock Units become vested and are settled by the issuance of Shares. (c) Notwithstanding the foregoing, to the extent provided in Treas. Reg. § 1.409A-1(b)(4)(ii) or any successor provision, the Company may delay settlement of Restricted Stock Units if it reasonably determines that such settlement would violate federal securities laws or any other Applicable Law. 5. Non-Transferability of Restricted Stock Units. The Restricted Stock Units are subject to restrictions on transfer as set forth in Section 13 of the Plan (Limited Transferability of Awards). 6. Section 409A. The grant of Restricted Stock Units is intended to be exempt from or comply with Section 409A of the Code and should be interpreted accordingly. Nonetheless, the Company does not guarantee the tax treatment of the Restricted Stock Units. 7. No Continuation of Service. Neither the Plan nor this Agreement will confer upon the Participant any right to continue in the employment or service of the Company or any of its Affiliates, or limit in any respect the right of the Company or its Affiliates to discharge the Participant at any time with or without Cause. 8. Tax Liability. (a) The Participant hereby agrees that he or she is liable for any Tax Liability owed in connection with the Restricted Stock Units and the underlying Shares, regardless of any action the Relevant Company takes with respect to such tax withholding obligations that arise in connection with the Restricted Stock Units and the underlying Shares. The Participant hereby covenants to pay any such Tax Lability, as and when requested by the Relevant Company or by HMRC (or any other tax authority or any other relevant authority in any other jurisdiction (as applicable)). Where, in relation to the Restricted Stock Units and the underlying Shares, the Relevant Company is liable, or is in accordance with current practice believed to be liable under any statute or regulation or otherwise, to account to any revenue or other authority in any jurisdiction for sums in respect of a Tax Liability, the Participant shall indemnify and shall keep indemnified the Relevant Company for the Tax Liability that they are required to pay or withhold on the Participant’s behalf or have paid or will pay to HMRC (or any other tax authority or any other relevant authority in any other jurisdiction (as applicable)) and the Participant shall pay the Relevant Company a sum equal to the Tax Liability immediately upon written notice of the quantum of the said liability.


 
ACTIVE/129072202.5 3 (b) Notwithstanding the above, the Relevant Company may impose such conditions upon the vesting of the Restricted Stock Units as are necessary to ensure that the Relevant Company is able to meet any or all of such liabilities, including, without limitation, a condition that no vesting may take place unless the Participant has provided the Relevant Company with cash funds sufficient to meet such Tax Liability, or has entered into arrangements acceptable to the Relevant Company to secure that such cash funds are available, or to allow the Relevant Company to deduct the amount of such Tax Liability from any cash amounts (including salary and bonuses) which may become payable to the Participant by any Relevant Company. (c) As a condition of participation in the Plan and at the request of the Company no later than the date of execution of this Agreement, the Participant agrees to enter into, jointly with the Relevant Company, a joint election within Section 431 of ITEPA in respect of computing any tax charge on the acquisition of “restricted securities” (as defined in Sections 423 and 424 of ITEPA), and that the Participant will not revoke such election at any time (the “Section 431 Election”). This Section 431 Election will be to treat the Shares acquired as if such Shares were not restricted securities (for U.K. tax purposes only). If the Participant is required to but does not enter into such a Section 431 Election prior to the vesting of the Restricted Stock Unit, the Participant will not be entitled to acquire the Shares and no Shares will be issued to the Participant, without any liability to the Relevant Company. The Participant must enter into the Section 431 Election at such subsequent time as may be designated by the Relevant Company. (d) As a condition of participation in the Plan and no later than the vesting of the Restricted Stock Units, the Participant also agrees to accept liability for any secondary Class 1 National Insurance contributions which may be payable by the Relevant Company in connection with any event giving rise to tax liability in relation to the Restricted Stock Units (“Employer’s NICs”), if applicable, and if determined by the Board in its discretion. The Employer’s NICs may be collected by the Relevant Company using any method as determined by the Board. Without prejudice to the foregoing and if applicable, the Participant agrees to execute a joint election with the Relevant Company (a “NICs Joint Election”), the form of such NICs Joint Election being formally approved by HMRC, and any other consent or elections required to accomplish the transfer of the Employer’s NICs to the Participant. The Participant further agrees to execute such other elections as may be required by any successor to the Relevant Company for the purpose of continuing the effectiveness of the Participant’s NICs Joint Election. If the Participant does not complete the Joint Election prior to the vesting of the Restricted Stock Units, or if approval of the NICs Joint Election is withdrawn by HMRC and a new NICs Joint Election is not entered into, the Participant’s the Restricted Stock Units shall become null and void and may not be settled, without any liability to the Relevant Company. The Participant must enter into the NICs Joint Election at such subsequent time as may be designated by the Relevant Company. (e) The Relevant Company does not make any representation or undertaking regarding the treatment of any tax withholding in connection with the award, vesting of the Restricted Stock Units or issue of the Shares or the subsequent sale of such Shares. The Relevant Company does not commit and is under no obligation to structure the Shares to reduce or eliminate the Participant’s Tax Liability. 9. The Plan. The Participant has received a copy of the Plan, has read the Plan and is familiar with its terms, and hereby accepts the Restricted Stock Units subject to the terms and provisions of the Plan. Pursuant to the Plan, the Committee is authorized to construe and interpret the Plan, and to prescribe rules and regulations not inconsistent with the Plan as it deems appropriate. The Participant hereby agrees to accept as binding, conclusive and final all decisions or interpretations of the Committee with respect to questions arising under the Plan, the Notice or this Agreement. 10. Clawback Provisions. In consideration for the grant of this Award, the Participant agrees to be subject to:


 
ACTIVE/129072202.5 4 (a) any compensation, clawback, recoupment or similar policies of the Company or its Affiliates covering the Participant that may be in effect from time to time, whether adopted before or after the Grant Date; and (b) to such other clawbacks as may be required by Applicable Law ((i) and (ii) together, the “Clawback Provisions”). The Participant understands that the Clawback Provisions are not limited in their application to the Award, or to equity or cash received in connection with the Award. 11. Data Privacy. (a) By participating in the Plan and acquiring the Restricted Stock Units and the underlying Shares, the Participant acknowledges that the Relevant Company, trustee or third-party service provider shall process the Participant’s personal information for a number of purposes relating to the operation of the Plan. These include, but are not limited to: (a) administering and maintaining the Participant’s records; (b) providing information to group companies, trustees of any employee benefit trust or third-party administrators; and (c) providing information to future purchasers or merger partners of the Relevant Company or the business in which the Participant works. The Relevant Company, trustee or third-party service provider may also transfer information about the Participant to countries or territories that may not provide the same statutory protection for the information as the Participant’s home country. (b) The Participant may have certain rights in relation to their personal information, including to request a copy of the personal information held about them and if anything is inaccurate to have it corrected. (c) The basis for any processing of personal information about the Participant under the EU’s General Data Protection Regulation (2016/679) or the UK’s Data Protection Act 2018 (or any successor laws) is set out in the Company’s Privacy Notice (the “Privacy Notice”) available on request. The Privacy Notice also contains more details about how the Participant’s personal information is processed and the Participant’s rights in relation to that information. The Participant has the right to review the Privacy Notice. 12. Other Company Policies. The Participant agrees, in consideration for the grant of this Award, to be subject to any policies of the Company and its Affiliates regarding securities trading and hedging or pledging of securities that may be in effect from time to time, or as may otherwise be required by Applicable Law. 13. Entire Agreement. The Notice and this Agreement, together with the Plan, represent the entire agreement between the parties with respect to the subject matter hereof and supersede any prior agreement, written or otherwise, relating to the subject matter hereof. 14. Acknowledgment of Non-Reliance. Except for those representations and warranties expressly set forth in this Agreement, the Participant hereby disclaims reliance on any and all representations, warranties, or statements of any nature or kind, express or implied, including, but not limited to, the accuracy or completeness of such representations, warranties, or statements. 15. Amendment. This Agreement may only be amended by a writing signed by each of the parties hereto; provided that the Company may amend this Agreement without the Participant’s consent, if the amendment does not materially and adversely affect the Participant’s rights hereunder.


 
ACTIVE/129072202.5 5 16. Choice of Law. This Agreement, the interpretation and enforcement thereof and all claims arising out of or relating to this Agreement or the transactions contemplated by this Agreement, whether sounding in tort, contract or otherwise, shall be governed solely and exclusively by, and construed in accordance with, the laws and judicial decisions of the State of Delaware without giving effect to any choice or conflict of law provision or rule that would cause the application of the laws and judicial decisions of any jurisdiction other than the State of Delaware. 17. Forum Selection. All actions and proceedings arising out of or relating to this Agreement, or the transactions contemplated by this Agreement, shall be heard and determined solely and exclusively in the Delaware Court of Chancery and any state appellate court therefrom within the State of Delaware (unless the Delaware Court of Chancery shall decline to accept jurisdiction over a particular matter, in which case, exclusively in any state or federal court within the State of Delaware). 18. Waiver of Jury Trial. Each party hereby waives its right to a jury trial of any and all claims or cause of actions based upon or arising out of this Agreement or the transactions contemplated by this Agreement. Each party hereby acknowledges and agrees that the waiver contained in this Section 18 is made knowingly and voluntarily. 19. Headings. The headings in this Agreement are for convenience only. They form no part of the Agreement and will not affect its interpretation. 20. Tax Withholding. The Participant acknowledges that the issuance of Shares hereunder will give rise to taxable income which may be subject to required withholding. In accordance with Section 15 of the Plan and subject to Section 8 of this Agreement, the obligations of the Company hereunder are conditioned on the Participant timely paying, or otherwise making arrangements satisfactory to the Company regarding the timely satisfaction of, any such required withholding. 21. Electronic Delivery of Documents. The Participant authorizes the Company to deliver electronically any prospectuses or other documentation related to the Restricted Stock Units and any other compensation or benefit plan or arrangement in effect from time to time (including, without limitation, reports, proxy statements or other documents that are required to be delivered to participants in such arrangements pursuant to federal or state laws, rules or regulations). For this purpose, electronic delivery will include, without limitation, delivery by means of e-mail or e-mail notification that such documentation is available on the Company’s intranet site or the website of a third-party administrator designated by the Company. Upon written request, the Company will provide to the Participant a paper copy of any document also delivered to the Participant electronically. The authorization described in this paragraph may be revoked by the Participant at any time by written notice to the Company. 22. Further Assurances. The Participant agrees, upon demand of the Company, to do all acts and execute, deliver and perform all additional documents, instruments and agreements which may be reasonably required by the Company to implement the provisions and purposes of this Agreement and the Plan.


 
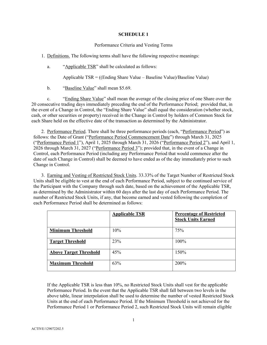
ACTIVE/129072202.5 1 SCHEDULE 1 Performance Criteria and Vesting Terms 1. Definitions. The following terms shall have the following respective meanings: a. “Applicable TSR” shall be calculated as follows: Applicable TSR = ((Ending Share Value – Baseline Value)/Baseline Value) b. “Baseline Value” shall mean $5.69. c. “Ending Share Value” shall mean the average of the closing price of one Share over the 20 consecutive trading days immediately preceding the end of the Performance Period; provided that, in the event of a Change in Control, the “Ending Share Value” shall equal the consideration (whether stock, cash, or other securities or property) received in the Change in Control by holders of Common Stock for each Share held on the effective date of the transaction as determined by the Administrator. 2. Performance Period. There shall be three performance periods (each, “Performance Period”) as follows: the Date of Grant (“Performance Period Commencement Date”) through March 31, 2025 (“Performance Period 1”), April 1, 2025 through March 31, 2026 (“Performance Period 2”), and April 1, 2026 through March 31, 2027 (“Performance Period 3”); provided that, in the event of a Change in Control, each Performance Period (including any Performance Period that would commence after the date of such Change in Control) shall be deemed to have ended as of the day immediately prior to such Change in Control. 3. Earning and Vesting of Restricted Stock Units. 33.33% of the Target Number of Restricted Stock Units shall be eligible to vest at the end of each Performance Period, subject to the continued service of the Participant with the Company through such date, based on the achievement of the Applicable TSR, as determined by the Administrator within 60 days after the last day of each Performance Period. The number of Restricted Stock Units, if any, that become earned and vested following the completion of each Performance Period shall be determined as follows: Applicable TSR Percentage of Restricted Stock Units Earned Minimum Threshold 10% 75% Target Threshold 23% 100% Above Target Threshold 45% 150% Maximum Threshold 63% 200% If the Applicable TSR is less than 10%, no Restricted Stock Units shall vest for the applicable Performance Period. In the event that the Applicable TSR shall fall between two levels in the above table, linear interpolation shall be used to determine the number of vested Restricted Stock Units at the end of each Performance Period. If the Minimum Threshold is not achieved for the Performance Period 1 or Performance Period 2, such Restricted Stock Units will remain eligible


 
ACTIVE/129072202.5 2 to vest during Performance Period 3. Notwithstanding the foregoing, in no event will the total number of Restricted Stock Units earned for any Performance Period exceed 200% of the number of Restricted Stock Units eligible to vest for such Performance Period.