EX-10.37 11 exhibit1037_constellium-.htm EX-10.37 exhibit1037_constellium-
EXECUTION VERSION Constellium: Third Omnibus Amendment 756361753 THIRD OMNIBUS AMENDMENT This THIRD OMNIBUS AMENDMENT, dated as of September 15, 2023 (this “Amendment”) is: (1) THE THIRD AMENDMENT to the RECEIVABLES SALE AGREEMENT, between Constellium Muscle Shoals LLC, as seller (the “RSA Seller”) and Constellium Muscle Shoals Funding III LLC, as purchaser (the “RSA Purchaser”); and (2) THE THIRD AMENDMENT to the RECEIVABLES PURCHASE AGREEMENT, among Constellium Muscle Shoals Funding III LLC, as seller (the “RPA Seller”), the RSA Seller as servicer (the “Servicer”), Deutsche Bank Trust Company Americas, Deutsche Bank AG New York Branch, and each other subsidiary or affiliate of either such party who may from time to time become a party thereto (collectively, “DB”), in such capacity as a purchaser hereunder (each, a “RPA Purchaser”), and Intesa Sanpaolo S.p.A., New York Branch and each subsidiary or affiliate who may from time to time become a party thereto (collectively, “Intesa”), in its capacity as a purchaser thereunder (each, a “Purchaser” and, together with DB, and each of their permitted successors and assigns, collectively, the “Purchasers”), and in its capacity as purchaser representative hereunder (together with its successors and permitted assigns in such capacity, the “Purchaser Representative”). RECITALS WHEREAS, the RSA Seller and the RPA Seller have heretofore entered into the RECEIVABLES SALE AGREEMENT, dated as of September 30, 2021 (as amended, restated, amended and restated, supplemented, assigned or otherwise modified from time to time, the “Receivables Sale Agreement”); WHEREAS, Constellium International SAS (the “Parent”) has heretofore entered into a PERFORMANCE UNDERTAKING, dated as of September 30, 2021, in favor of the RPA Seller with respect to obligations under the Receivables Sale Agreement (as amended, restated, amended and restated, supplemented, assigned or otherwise modified from time to time, the “First Tier Parent Guarantee”); WHEREAS, the RPA Seller, the Servicer, Intesa (in its capacity as Purchaser and Purchaser Representative) and DB (in its capacity as Purchaser) heretofore entered into the RECEIVABLES PURCHASE AGREEMENT, dated as of September 30, 2021 (as amended, restated, amended and restated, supplemented or otherwise modified from time to time, the “Receivables Purchase Agreement”; together with the Receivables Sale Agreement, each an “Agreement” and collectively, the “Agreements”); WHEREAS, the Parent has heretofore entered into a PERFORMANCE UNDERTAKING, dated as of September 30, 2021, in favor of the Purchasers with respect to obligations under the Receivables Purchase Agreement (as amended, restated, amended and restated, supplemented, assigned or otherwise modified from time to time, the “Second Tier Parent Guarantee,” and together with the First Tier Parent Guarantee, the “Guarantees”);


 
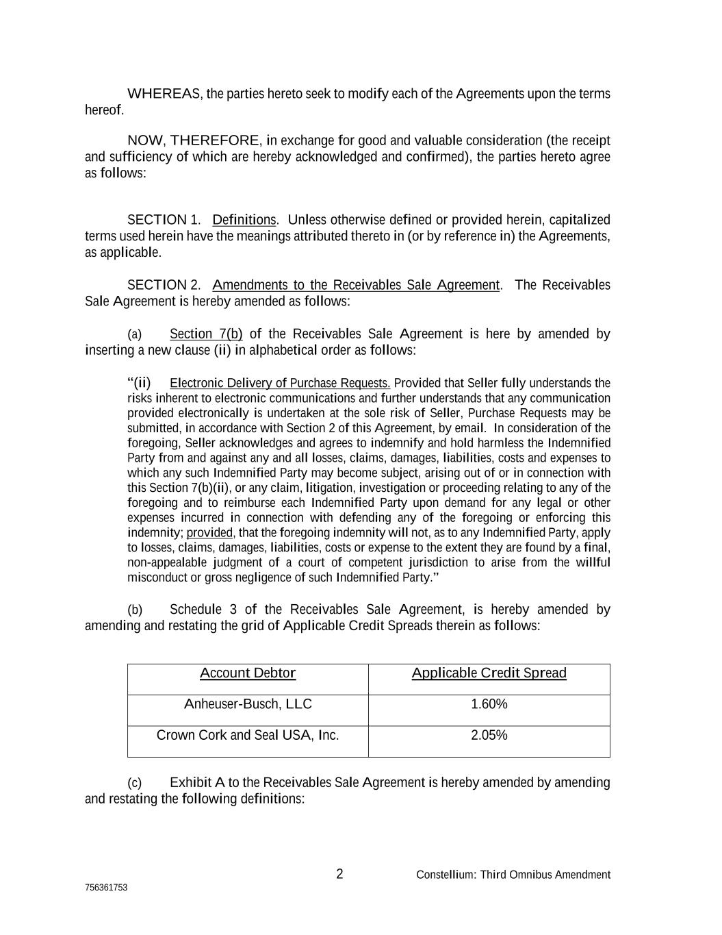
2 Constellium: Third Omnibus Amendment 756361753 WHEREAS, the parties hereto seek to modify each of the Agreements upon the terms hereof. NOW, THEREFORE, in exchange for good and valuable consideration (the receipt and sufficiency of which are hereby acknowledged and confirmed), the parties hereto agree as follows: SECTION 1. Definitions. Unless otherwise defined or provided herein, capitalized terms used herein have the meanings attributed thereto in (or by reference in) the Agreements, as applicable. SECTION 2. Amendments to the Receivables Sale Agreement. The Receivables Sale Agreement is hereby amended as follows: (a) Section 7(b) of the Receivables Sale Agreement is here by amended by inserting a new clause (ii) in alphabetical order as follows: “(ii) Electronic Delivery of Purchase Requests. Provided that Seller fully understands the risks inherent to electronic communications and further understands that any communication provided electronically is undertaken at the sole risk of Seller, Purchase Requests may be submitted, in accordance with Section 2 of this Agreement, by email. In consideration of the foregoing, Seller acknowledges and agrees to indemnify and hold harmless the Indemnified Party from and against any and all losses, claims, damages, liabilities, costs and expenses to which any such Indemnified Party may become subject, arising out of or in connection with this Section 7(b)(ii), or any claim, litigation, investigation or proceeding relating to any of the foregoing and to reimburse each Indemnified Party upon demand for any legal or other expenses incurred in connection with defending any of the foregoing or enforcing this indemnity; provided, that the foregoing indemnity will not, as to any Indemnified Party, apply to losses, claims, damages, liabilities, costs or expense to the extent they are found by a final, non-appealable judgment of a court of competent jurisdiction to arise from the willful misconduct or gross negligence of such Indemnified Party.” (b) Schedule 3 of the Receivables Sale Agreement, is hereby amended by amending and restating the grid of Applicable Credit Spreads therein as follows: Account Debtor Applicable Credit Spread Anheuser-Busch, LLC 1.60% Crown Cork and Seal USA, Inc. 2.05% (c) Exhibit A to the Receivables Sale Agreement is hereby amended by amending and restating the following definitions:


 
3 Constellium: Third Omnibus Amendment 756361753 “Facility Amount”: Up to USD 175,000,000, as such amount may be reduced from time to time by the Seller in accordance with the terms of Section 2(g) hereof. “Purchase Termination Date”: The date which is the earlier of (i) the date on which this Agreement terminates pursuant to Section 2(b) hereof, (ii) the date declared by Purchaser in its sole discretion following the occurrence of a Termination Event, (iii) the date declared by the Seller in accordance with the terms of Section 2(b) hereof, and (iv) September 30, 2025, as such date may be extended in accordance with the terms of Section 2(b) hereof. SECTION 3. Amendments to the Receivables Purchase Agreement. The Receivables Purchase Agreement is hereby amended as follows: (a) Section 7(b) of the Receivables Purchase Agreement is here by amended by inserting a new clause (iii) in alphabetical order as follows: “(iii) Electronic Delivery of Purchase Requests. Provided that Seller fully understands the risks inherent to electronic communications and further understands that any communication provided electronically is undertaken at the sole risk of Seller, Purchase Requests may be submitted, in accordance with Section 2 of this Agreement, by email. In consideration of the foregoing, Seller acknowledges and agrees to indemnify and hold harmless the Indemnified Parties from and against any and all losses, claims, damages, liabilities, costs and expenses to which any such Indemnified Party may become subject, arising out of or in connection with this Section 7(b)(iii), or any claim, litigation, investigation or proceeding relating to any of the foregoing and to reimburse each Indemnified Party upon demand for any legal or other expenses incurred in connection with defending any of the foregoing or enforcing this indemnity; provided, that the foregoing indemnity will not, as to any Indemnified Party, apply to losses, claims, damages, liabilities, costs or expense to the extent they are found by a final, non-appealable judgment of a court of competent jurisdiction to arise from the willful misconduct or gross negligence of such Indemnified Party.” (b) Section 12 of the Receivables Purchase Agreement is here by amended by amending and restating Intesa’s and DB’s notice information as follows: “If to Intesa, as a Purchaser and/or Purchaser Representative: Intesa Sanpaolo S.p.A., New York Branch One William Street New York, NY 10004 Attention: SEF & TEF Department Email: SEF_TEF_NY@intesasanpaolo.com with a copy to : Intesa Sanpaolo S.p.A., New York Branch One William Street New York, NY 10004 Attention: Legal Department Email: NYLegal@intesasanpaolo.com


 
4 Constellium: Third Omnibus Amendment 756361753 If to DB, as a Purchaser: Deutsche Bank AG New York Branch / Deutsche Bank Trust Company Americas 1 Columbus Circle, 17th Floor New York, NY, 10019 USA Attention: Pasquale Antolino Telephone: +1 (212) 250 5324 E-mail: TFDM.US@db.com” (c) Schedule 3 of the Receivables Purchase Agreement, is hereby amended by amending and restating the grid of Applicable Credit Spreads therein as follows: Account Debtor Applicable Credit Spread Anheuser-Busch, LLC 1.60% Crown Cork and Seal USA, Inc. 2.05% (d) Exhibit A to the Receivables Purchase Agreement is hereby amended by amending and restating the definition of “Purchase Termination Date” as follows: “Purchase Termination Date”: With respect to any Purchaser (it being understood if one Purchaser elects to terminate and one Purchaser elects to not so terminate, this Agreement shall be deemed to be terminated as to the terminating Purchaser, and remain in full force and effect with respect to the Purchaser who does not so terminate), the date which is the earlier of (i) the date on which this Agreement terminates pursuant to Section 2(b) hereof, (ii) the date declared by a Purchaser in its sole discretion following the occurrence of a Termination Event with respect to such Purchaser, (iii) the date declared by the Seller in accordance with the terms of Section 2(b) hereof, and (iv) September 30, 2025, as such date may be extended in accordance with the terms of Section 2(b) hereof. (e) Each Purchaser’s Commitment limits and Commitment sub-limit by Account Debtor in the Receivables Purchase Agreement are hereby amended and restated as set forth on the signature pages to this Amendment. SECTION 4. Consents and Limited Waiver. (a) The Parent hereby (a) consents to the RSA Seller and the RPA Seller entering into this Amendment, (b) confirms and restates its obligations under the First Tier Parent Guarantee and the Second Tier Parent Guarantee with respect to (i) the effectiveness of the Receivables Sale Agreement and the Receivables Purchase Agreement, respectively, each of which may be amended from time to time. The Parent further confirms and agrees that the First Tier Parent Guarantee and the


 
5 Constellium: Third Omnibus Amendment 756361753 Second Tier Parent Guarantee have not been annulled, revoked, rescinded or terminated prior to the date hereof. (b) With respect to the Receivables Sale Agreement, the RSA Purchaser hereby consents to this Amendment, and unilaterally waives it’s right to a thirty (30) day prior written notice under Section 2(g) of the Receivables Sale Agreement. Such limited waiver shall be effective only in this specific instance and for the purpose for which given. SECTION 5. Condition to Effectiveness. This Amendment shall become effective on the later of the date hereof or the date on which all of the following conditions have been satisfied (the “Effective Date”): (a) each of the parties hereto shall have received counterparts of this Amendment executed by each of the other parties hereto (including facsimile or e-mail signature pages); and (b) the representations and warranties contained in each of the Agreements and in this Amendment shall be true and correct both as of the date hereof and immediately after giving effect to this Amendment. SECTION 6. Representations and Warranties. Each of the RSA Seller, RPA Seller and the Parent, on and as of the date hereof, make the following representations and warranties: (a) Authority. Each such party has the requisite corporate power and authority to execute and deliver this Amendment and to perform its obligations hereunder and under the Agreements (as amended hereby) and the Guarantees, as the case may be. The execution, delivery and performance by such party of this Amendment and the performance of the Agreements (as amended hereby) and the Guarantees, as the case may be, have been duly approved by all necessary corporate action, and no other corporate proceedings are necessary to consummate such transactions; (b) Enforceability. This Amendment has been duly executed and delivered by it. Each of the Agreements (as amended hereby) and the Guarantees, as the case may be, is a legal, valid and binding obligation enforceable against such party in accordance with its terms, subject to applicable bankruptcy, insolvency, moratorium or other similar laws affecting the rights of creditors and to general principles of equity, and is in full force and effect; (c) Representations, Warranties and Covenants. Each such party’s representations, warranties and covenants contained in the Agreements and the Guarantees, as the case may be (other than any such representations or warranties that, by their terms, are specifically made as of a date other than the date hereof), are correct on and as of the date hereof as though made on and as of the date hereof; and (d) No Termination Event. No Termination Event has occurred and is continuing. SECTION 7. Effect of Amendment; Ratification.


 
6 Constellium: Third Omnibus Amendment 756361753 (a) Upon the effectiveness of this Amendment, (i) all references in the Receivables Sale Agreement or in any other Transaction Document to “the Receivables Sale Agreement,” “this Agreement,” “hereof,” “herein” or words of similar effect, in each case referring to the Receivables Sale Agreement, shall be deemed to be references to the Receivables Sale Agreement as amended by this Amendment and (ii) all references in the Receivables Purchase Agreement or in any other Transaction Document to “the Receivables Purchase Agreement,” “this Agreement,” “hereof,” “herein” or words of similar effect, in each case referring to the Receivables Purchase Agreement, shall be deemed to be references to the Receivables Purchase Agreement as amended by this Amendment. (b) Except as specifically amended hereby, the Agreements and all other Transaction Documents, instruments and agreements executed and/or delivered in connection therewith shall remain in full force and effect and are hereby ratified and confirmed in all respects. (c) The execution, delivery and effectiveness of this Amendment shall not operate as a waiver of any right (except as explicitly provided in Section 4(b) above), power or remedy of the Purchaser or any of its assignees under the Agreements or any other Transaction Document, instrument, or agreement executed in connection therewith, nor constitute a waiver of any provision contained therein. (d) All reasonable costs and expenses of the Purchaser Representative related to the preparation, negotiation and delivery of this Amendment shall be for the account of and promptly paid by the RSA Seller. SECTION 8. Counterparts. This Amendment may be executed in any number of counterparts and by different parties on separate counterparts, and each counterpart shall be deemed to be an original, and all such counterparts shall together constitute but one and the same instrument. SECTION 9. Governing Law. This Amendment shall be governed by the laws of the State of New York, without giving effect to conflict of laws principles that would require the application of the law of any other jurisdiction. SECTION 10. Transaction Document. This Amendment shall be a Transaction Document under each of the Agreements. SECTION 11. Section Headings. The various headings of the Amendment are inserted for convenience only and shall not affect the meaning or interpretation of this Amendment or the Agreements or any provision hereof or thereof. SECTION 12. Severability. If any one or more of the agreements, provisions or terms of this Amendment shall for any reason whatsoever be held invalid or unenforceable, then such agreements, provisions or terms shall be deemed severable from the remaining


 
7 Constellium: Third Omnibus Amendment 756361753 agreements, provisions and terms of this Amendment and shall in no way affect the validity or enforceability of the provisions of this Amendment. [Signatures follow]


 


 
S-2 Constellium: Third Omnibus Amendment 756361753 INTESA SANPAOLO S.P.A., NEW YORK BRANCH, as a Purchaser and as Purchaser Representative By:______________________________________ Name:____________________________________ Title:_____________________________________ By:______________________________________ Name:____________________________________ Title:_____________________________________ Intesa’s Total Aggregate Commitment pursuant to the Receivables Sale Agreement: $100,000,000.00 Intesa’s Sublimit Commitment pursuant to the Receivables Sale Agreement for Crown Cork and Seal USA, Inc.: $55,000,000.00 Intesa’s Sublimit Commitment pursuant to the Receivables Sale Agreement for Anheuser-Busch LLC: $45,000,000.00 Marco Fracchia Head of Financial Institutions - SEF & TEF Thomas Sakellariou Business Director


 
S-3 Constellium: Third Omnibus Amendment 756361753 DEUTSCHE BANK TRUST COMPANY AMERICAS, as a Purchaser By:______________________________________ Name:____________________________________ Title:_____________________________________ By:______________________________________ Name:____________________________________ Title:_____________________________________ DEUTSCHE BANK AG NEW YORK BRANCH, as a Purchaser By:______________________________________ Name:____________________________________ Title:_____________________________________ By:______________________________________ Name:____________________________________ Title:_____________________________________ DB’s Total Aggregate Commitment pursuant to the Receivables Sale Agreement: $75,000,000.00 DB’s Sublimit Commitment pursuant to the Receivables Sale Agreement for Crown Cork and Seal USA, Inc.: $50,000,000.00 DB’s Sublimit Commitment pursuant to the Receivables Sale Agreement for Anheuser-Busch LLC: $25,000,000.00 DocuSign Envelope ID: C3F9FA16-2301-45A8-97D3-4C26443ED0D5