EX-99.3 4 a993-transactioninownsha.htm EX-99.3 a993-transactioninownsha
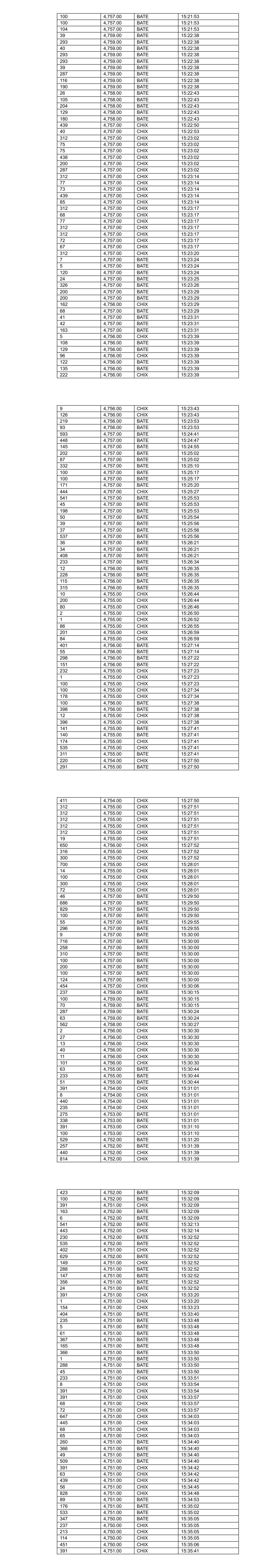
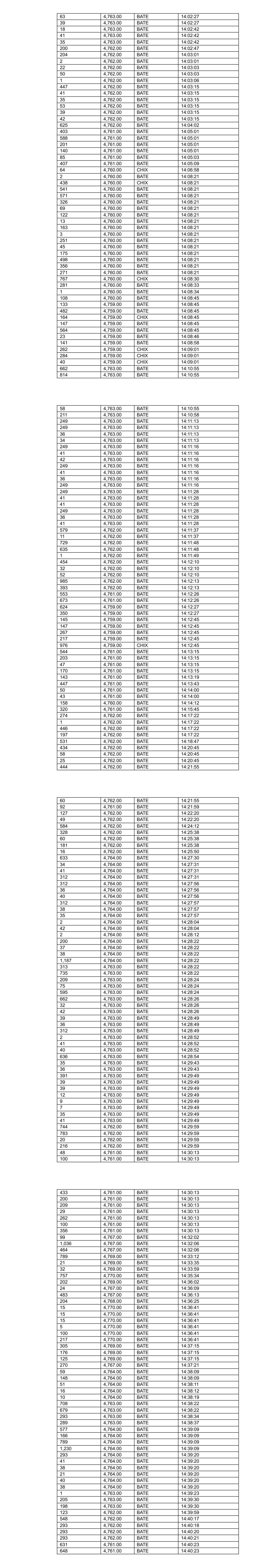
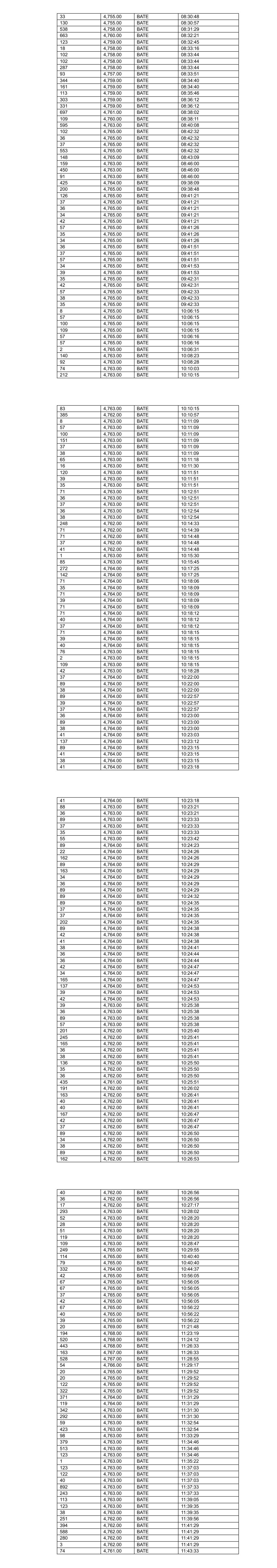
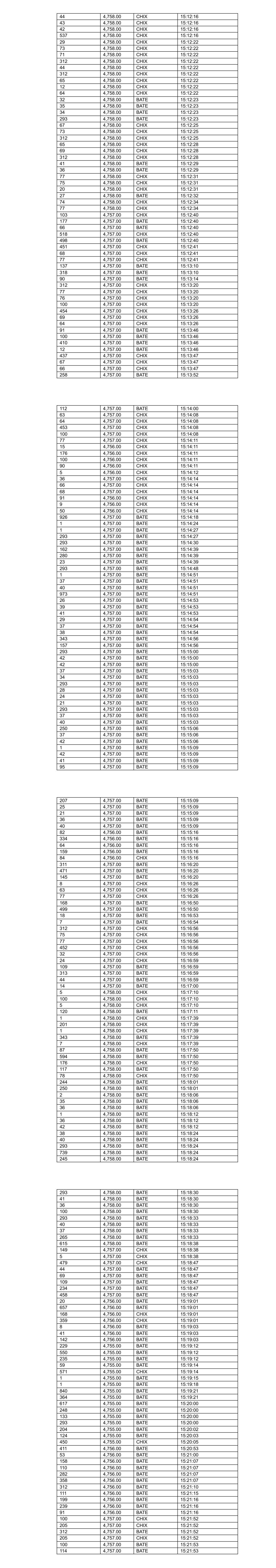
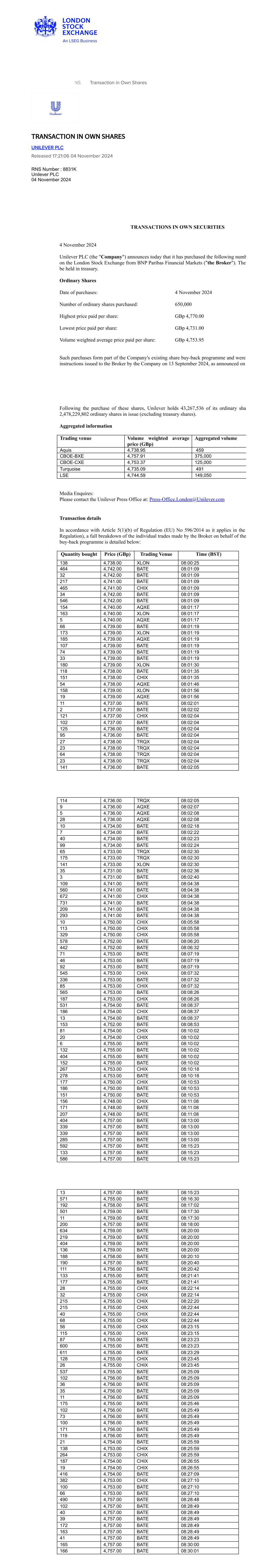
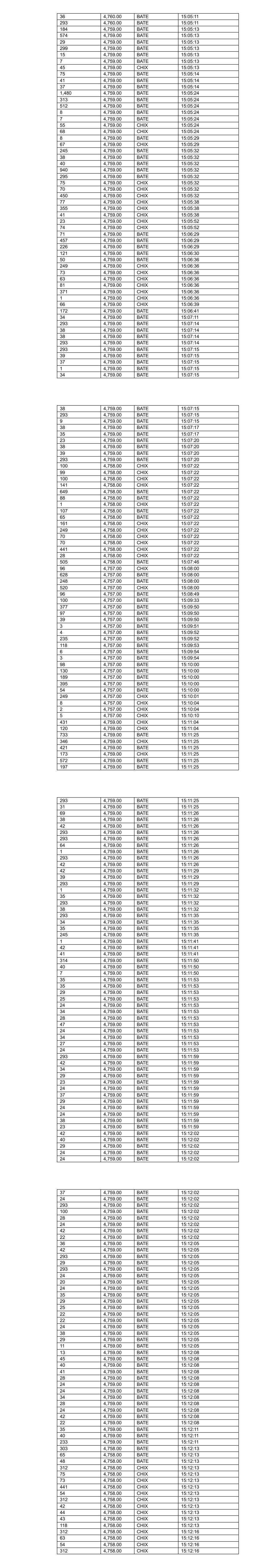
RNS Transaction in Own Shares TRANSACTION IN OWN SHARES UNILEVER PLC Released 17:21:06 04 November 2024 RNS Number : 8831K Unilever PLC 04 November 2024 TRANSACTIONS IN OWN SECURITIES 4 November 2024 Unilever PLC (the "Company") announces today that it has purchased the following numb on the London Stock Exchange from BNP Paribas Financial Markets ("the Broker"). The be held in treasury. Ordinary Shares Date of purchases: 4 November 2024 Number of ordinary shares purchased: 650,000 Highest price paid per share: GBp 4,770.00 Lowest price paid per share: GBp 4,731.00 Volume weighted average price paid per share: GBp 4,753.95 Such purchases form part of the Company's existing share buy-back programme and were instructions issued to the Broker by the Company on 13 September 2024, as announced on Following the purchase of these shares, Unilever holds 43,267,536 of its ordinary shar 2,478,229,802 ordinary shares in issue (excluding treasury shares). Aggregated information Trading venue Volume weighted average price (GBp) Aggregated volume Aquis 4,738.95 459 CBOE-BXE 4,757.91 375,000 CBOE-CXE 4,753.37 125,000 Turquoise 4,735.09 491 LSE 4,744.59 149,050 Media Enquires: Please contact the Unilever Press Office at: Press-Office.London@Unilever.com Transaction details In accordance with Article 5(1)(b) of Regulation (EU) No 596/2014 as it applies in the Regulation), a full breakdown of the individual trades made by the Broker on behalf of the buy-back programme is detailed below: Quantity bought Price (GBp) Trading Venue Time (BST) 138 4,738.00 XLON 08:00:25 464 4,742.00 BATE 08:01:09 32 4,742.00 BATE 08:01:09 217 4,741.00 BATE 08:01:09 465 4,741.00 CHIX 08:01:09 34 4,742.00 BATE 08:01:09 546 4,742.00 BATE 08:01:09 154 4,740.00 AQXE 08:01:17 163 4,740.00 XLON 08:01:17 5 4,740.00 AQXE 08:01:17 66 4,739.00 BATE 08:01:19 173 4,739.00 XLON 08:01:19 185 4,739.00 AQXE 08:01:19 107 4,739.00 BATE 08:01:19 74 4,739.00 BATE 08:01:19 33 4,739.00 BATE 08:01:19 180 4,739.00 XLON 08:01:30 118 4,738.00 BATE 08:01:35 151 4,738.00 CHIX 08:01:35 54 4,738.00 AQXE 08:01:46 158 4,739.00 XLON 08:01:56 19 4,739.00 AQXE 08:01:56 11 4,737.00 BATE 08:02:01 2 4,737.00 BATE 08:02:02 121 4,737.00 CHIX 08:02:04 102 4,737.00 BATE 08:02:04 125 4,736.00 BATE 08:02:04 95 4,736.00 BATE 08:02:04 27 4,738.00 TRQX 08:02:04 23 4,738.00 TRQX 08:02:04 64 4,738.00 TRQX 08:02:04 23 4,738.00 TRQX 08:02:04 141 4,736.00 BATE 08:02:05 114 4,736.00 TRQX 08:02:05 9 4,736.00 AQXE 08:02:07 5 4,736.00 AQXE 08:02:08 28 4,736.00 AQXE 08:02:08 10 4,734.00 BATE 08:02:18 7 4,734.00 BATE 08:02:22 40 4,734.00 BATE 08:02:23 99 4,734.00 BATE 08:02:24 65 4,733.00 TRQX 08:02:30 175 4,733.00 TRQX 08:02:30 141 4,733.00 XLON 08:02:30 35 4,731.00 BATE 08:02:36 3 4,731.00 BATE 08:02:40 109 4,741.00 BATE 08:04:38 560 4,741.00 BATE 08:04:38 672 4,741.00 CHIX 08:04:38 731 4,741.00 BATE 08:04:38 209 4,741.00 BATE 08:04:38 293 4,741.00 BATE 08:04:38 10 4,750.00 CHIX 08:05:58 113 4,750.00 CHIX 08:05:58 329 4,750.00 CHIX 08:05:58 578 4,752.00 BATE 08:06:20 442 4,752.00 BATE 08:06:32 71 4,753.00 BATE 08:07:19 46 4,753.00 BATE 08:07:19 92 4,753.00 BATE 08:07:19 545 4,753.00 CHIX 08:07:32 336 4,753.00 BATE 08:07:32 85 4,753.00 CHIX 08:07:32 565 4,753.00 BATE 08:08:26 187 4,753.00 CHIX 08:08:26 531 4,754.00 BATE 08:08:37 186 4,754.00 CHIX 08:08:37 13 4,754.00 BATE 08:08:37 153 4,752.00 BATE 08:08:53 81 4,754.00 CHIX 08:10:02 20 4,754.00 CHIX 08:10:02 6 4,755.00 BATE 08:10:02 132 4,755.00 BATE 08:10:02 404 4,755.00 BATE 08:10:02 152 4,755.00 BATE 08:10:02 267 4,753.00 CHIX 08:10:18 278 4,753.00 BATE 08:10:18 177 4,750.00 CHIX 08:10:53 186 4,750.00 BATE 08:10:53 151 4,750.00 BATE 08:10:53 156 4,748.00 CHIX 08:11:08 171 4,748.00 BATE 08:11:08 207 4,748.00 BATE 08:11:08 404 4,757.00 BATE 08:13:00 339 4,757.00 BATE 08:13:00 339 4,757.00 BATE 08:13:00 285 4,757.00 BATE 08:13:00 592 4,757.00 BATE 08:15:23 133 4,757.00 BATE 08:15:23 586 4,757.00 BATE 08:15:23 13 4,757.00 BATE 08:15:23 571 4,755.00 BATE 08:16:30 192 4,758.00 BATE 08:17:02 501 4,759.00 BATE 08:17:30 11 4,759.00 BATE 08:17:30 200 4,757.00 BATE 08:18:00 634 4,759.00 BATE 08:20:00 219 4,759.00 BATE 08:20:00 404 4,759.00 BATE 08:20:00 136 4,759.00 BATE 08:20:00 188 4,758.00 BATE 08:20:10 190 4,757.00 BATE 08:20:40 111 4,756.00 BATE 08:20:42 133 4,755.00 BATE 08:21:41 177 4,755.00 BATE 08:21:41 28 4,755.00 CHIX 08:22:14 32 4,755.00 CHIX 08:22:14 215 4,755.00 CHIX 08:22:20 215 4,755.00 CHIX 08:22:44 40 4,755.00 CHIX 08:22:44 68 4,755.00 CHIX 08:22:44 56 4,755.00 CHIX 08:23:15 115 4,755.00 CHIX 08:23:15 87 4,755.00 BATE 08:23:23 600 4,755.00 BATE 08:23:23 611 4,755.00 BATE 08:23:29 128 4,755.00 CHIX 08:23:45 26 4,755.00 CHIX 08:23:45 537 4,755.00 BATE 08:25:09 102 4,756.00 BATE 08:25:09 36 4,756.00 BATE 08:25:09 35 4,756.00 BATE 08:25:09 11 4,756.00 BATE 08:25:09 175 4,755.00 BATE 08:25:46 102 4,756.00 BATE 08:25:49 73 4,756.00 BATE 08:25:49 100 4,756.00 BATE 08:25:49 171 4,756.00 BATE 08:25:49 119 4,756.00 BATE 08:25:49 21 4,754.00 BATE 08:25:59 138 4,753.00 CHIX 08:25:59 264 4,753.00 CHIX 08:25:59 187 4,754.00 CHIX 08:26:55 19 4,754.00 CHIX 08:26:55 416 4,754.00 BATE 08:27:09 382 4,753.00 CHIX 08:27:10 100 4,753.00 BATE 08:27:10 66 4,753.00 BATE 08:27:10 490 4,757.00 BATE 08:28:48 102 4,757.00 BATE 08:28:49 40 4,757.00 BATE 08:28:49 39 4,757.00 BATE 08:28:49 172 4,757.00 BATE 08:28:49 163 4,757.00 BATE 08:28:49 41 4,757.00 BATE 08:28:49 165 4,757.00 BATE 08:30:00 166 4,757.00 BATE 08:30:01


 
33 4,755.00 BATE 08:30:48 130 4,755.00 BATE 08:30:57 538 4,758.00 BATE 08:31:29 663 4,760.00 BATE 08:32:21 123 4,759.00 BATE 08:32:45 18 4,758.00 BATE 08:33:16 102 4,758.00 BATE 08:33:44 102 4,758.00 BATE 08:33:44 287 4,758.00 BATE 08:33:44 93 4,757.00 BATE 08:33:51 344 4,759.00 BATE 08:34:40 161 4,759.00 BATE 08:34:40 113 4,759.00 BATE 08:35:46 303 4,759.00 BATE 08:36:12 331 4,759.00 BATE 08:36:12 697 4,761.00 BATE 08:38:02 109 4,760.00 BATE 08:38:11 595 4,763.00 BATE 08:40:08 102 4,765.00 BATE 08:42:32 36 4,765.00 BATE 08:42:32 37 4,765.00 BATE 08:42:32 553 4,765.00 BATE 08:42:32 148 4,765.00 BATE 08:43:09 159 4,763.00 BATE 08:46:00 450 4,763.00 BATE 08:46:00 91 4,763.00 BATE 08:46:00 425 4,764.00 BATE 09:38:09 200 4,765.00 BATE 09:38:48 126 4,765.00 BATE 09:41:21 37 4,765.00 BATE 09:41:21 36 4,765.00 BATE 09:41:21 34 4,765.00 BATE 09:41:21 42 4,765.00 BATE 09:41:21 57 4,765.00 BATE 09:41:26 35 4,765.00 BATE 09:41:26 34 4,765.00 BATE 09:41:26 36 4,765.00 BATE 09:41:51 37 4,765.00 BATE 09:41:51 57 4,765.00 BATE 09:41:51 34 4,765.00 BATE 09:41:53 39 4,765.00 BATE 09:41:53 35 4,765.00 BATE 09:42:31 42 4,765.00 BATE 09:42:31 57 4,765.00 BATE 09:42:33 38 4,765.00 BATE 09:42:33 35 4,765.00 BATE 09:42:33 8 4,765.00 BATE 10:06:15 57 4,765.00 BATE 10:06:15 100 4,765.00 BATE 10:06:15 109 4,765.00 BATE 10:06:15 57 4,765.00 BATE 10:06:16 57 4,765.00 BATE 10:06:16 2 4,765.00 BATE 10:06:31 140 4,763.00 BATE 10:08:23 92 4,763.00 BATE 10:08:28 74 4,763.00 BATE 10:10:03 212 4,763.00 BATE 10:10:15 83 4,763.00 BATE 10:10:15 385 4,762.00 BATE 10:10:57 8 4,763.00 BATE 10:11:09 57 4,763.00 BATE 10:11:09 100 4,763.00 BATE 10:11:09 151 4,763.00 BATE 10:11:09 37 4,763.00 BATE 10:11:09 38 4,763.00 BATE 10:11:09 65 4,763.00 BATE 10:11:18 16 4,763.00 BATE 10:11:30 120 4,763.00 BATE 10:11:51 39 4,763.00 BATE 10:11:51 35 4,763.00 BATE 10:11:51 71 4,763.00 BATE 10:12:51 36 4,763.00 BATE 10:12:51 37 4,763.00 BATE 10:12:51 36 4,763.00 BATE 10:12:54 38 4,763.00 BATE 10:12:54 248 4,762.00 BATE 10:14:33 71 4,762.00 BATE 10:14:39 71 4,762.00 BATE 10:14:48 37 4,762.00 BATE 10:14:48 41 4,762.00 BATE 10:14:48 1 4,763.00 BATE 10:15:30 85 4,763.00 BATE 10:15:45 272 4,764.00 BATE 10:17:25 142 4,764.00 BATE 10:17:25 71 4,764.00 BATE 10:18:06 35 4,764.00 BATE 10:18:09 71 4,764.00 BATE 10:18:09 39 4,764.00 BATE 10:18:09 71 4,764.00 BATE 10:18:09 71 4,764.00 BATE 10:18:12 40 4,764.00 BATE 10:18:12 37 4,764.00 BATE 10:18:12 71 4,764.00 BATE 10:18:15 39 4,764.00 BATE 10:18:15 40 4,764.00 BATE 10:18:15 76 4,763.00 BATE 10:18:15 2 4,763.00 BATE 10:18:15 109 4,763.00 BATE 10:18:15 42 4,763.00 BATE 10:18:28 37 4,764.00 BATE 10:22:00 89 4,764.00 BATE 10:22:00 38 4,764.00 BATE 10:22:00 89 4,764.00 BATE 10:22:57 39 4,764.00 BATE 10:22:57 37 4,764.00 BATE 10:22:57 36 4,764.00 BATE 10:23:00 89 4,764.00 BATE 10:23:00 38 4,764.00 BATE 10:23:00 41 4,764.00 BATE 10:23:03 137 4,764.00 BATE 10:23:12 89 4,764.00 BATE 10:23:15 41 4,764.00 BATE 10:23:15 38 4,764.00 BATE 10:23:15 41 4,764.00 BATE 10:23:18 41 4,764.00 BATE 10:23:18 88 4,763.00 BATE 10:23:21 36 4,763.00 BATE 10:23:21 89 4,763.00 BATE 10:23:33 37 4,763.00 BATE 10:23:33 35 4,763.00 BATE 10:23:33 55 4,763.00 BATE 10:23:42 89 4,764.00 BATE 10:24:23 22 4,764.00 BATE 10:24:26 162 4,764.00 BATE 10:24:26 89 4,764.00 BATE 10:24:29 163 4,764.00 BATE 10:24:29 34 4,764.00 BATE 10:24:29 36 4,764.00 BATE 10:24:29 89 4,764.00 BATE 10:24:29 89 4,764.00 BATE 10:24:32 89 4,764.00 BATE 10:24:35 37 4,764.00 BATE 10:24:35 37 4,764.00 BATE 10:24:35 202 4,764.00 BATE 10:24:35 89 4,764.00 BATE 10:24:38 42 4,764.00 BATE 10:24:38 41 4,764.00 BATE 10:24:38 38 4,764.00 BATE 10:24:41 36 4,764.00 BATE 10:24:44 36 4,764.00 BATE 10:24:44 42 4,764.00 BATE 10:24:47 34 4,764.00 BATE 10:24:47 165 4,764.00 BATE 10:24:47 137 4,764.00 BATE 10:24:53 39 4,764.00 BATE 10:24:53 42 4,764.00 BATE 10:24:53 39 4,763.00 BATE 10:25:38 36 4,763.00 BATE 10:25:38 89 4,763.00 BATE 10:25:38 57 4,763.00 BATE 10:25:38 201 4,762.00 BATE 10:25:40 245 4,762.00 BATE 10:25:41 165 4,762.00 BATE 10:25:41 36 4,762.00 BATE 10:25:41 38 4,762.00 BATE 10:25:41 136 4,762.00 BATE 10:25:50 35 4,762.00 BATE 10:25:50 36 4,762.00 BATE 10:25:50 435 4,761.00 BATE 10:25:51 191 4,762.00 BATE 10:26:02 163 4,762.00 BATE 10:26:41 40 4,762.00 BATE 10:26:41 40 4,762.00 BATE 10:26:41 167 4,762.00 BATE 10:26:47 42 4,762.00 BATE 10:26:47 37 4,762.00 BATE 10:26:47 89 4,762.00 BATE 10:26:50 34 4,762.00 BATE 10:26:50 38 4,762.00 BATE 10:26:50 89 4,762.00 BATE 10:26:50 162 4,762.00 BATE 10:26:53 40 4,762.00 BATE 10:26:56 36 4,762.00 BATE 10:26:56 17 4,762.00 BATE 10:27:17 293 4,763.00 BATE 10:28:02 52 4,763.00 BATE 10:28:20 28 4,763.00 BATE 10:28:20 51 4,763.00 BATE 10:28:20 119 4,763.00 BATE 10:28:20 109 4,763.00 BATE 10:28:47 249 4,765.00 BATE 10:29:55 114 4,765.00 BATE 10:40:40 79 4,765.00 BATE 10:40:40 332 4,764.00 BATE 10:44:37 42 4,765.00 BATE 10:56:05 67 4,765.00 BATE 10:56:05 67 4,765.00 BATE 10:56:05 37 4,765.00 BATE 10:56:05 42 4,765.00 BATE 10:56:05 67 4,765.00 BATE 10:56:22 40 4,765.00 BATE 10:56:22 39 4,765.00 BATE 10:56:22 20 4,769.00 BATE 11:21:48 194 4,768.00 BATE 11:23:19 520 4,768.00 BATE 11:24:12 443 4,768.00 BATE 11:26:33 163 4,767.00 BATE 11:26:33 528 4,767.00 BATE 11:28:55 54 4,766.00 BATE 11:29:17 20 4,765.00 BATE 11:29:52 20 4,765.00 BATE 11:29:52 122 4,765.00 BATE 11:29:52 322 4,765.00 BATE 11:29:52 371 4,764.00 BATE 11:31:29 119 4,764.00 BATE 11:31:29 342 4,763.00 BATE 11:31:30 292 4,763.00 BATE 11:31:30 59 4,763.00 BATE 11:32:54 423 4,763.00 BATE 11:32:54 98 4,763.00 BATE 11:33:29 379 4,763.00 BATE 11:34:46 513 4,763.00 BATE 11:34:46 123 4,763.00 BATE 11:34:46 1 4,763.00 BATE 11:35:22 123 4,763.00 BATE 11:37:03 122 4,763.00 BATE 11:37:03 40 4,763.00 BATE 11:37:03 892 4,763.00 BATE 11:37:33 243 4,763.00 BATE 11:37:33 113 4,763.00 BATE 11:39:05 123 4,763.00 BATE 11:39:35 38 4,763.00 BATE 11:39:35 251 4,762.00 BATE 11:39:56 394 4,762.00 BATE 11:41:29 588 4,762.00 BATE 11:41:29 280 4,762.00 BATE 11:41:29 3 4,762.00 BATE 11:41:29 74 4,761.00 BATE 11:43:33


 
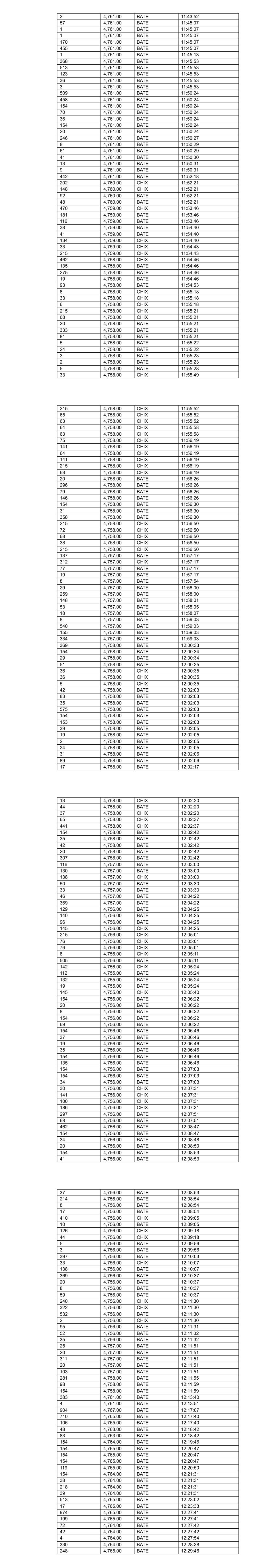
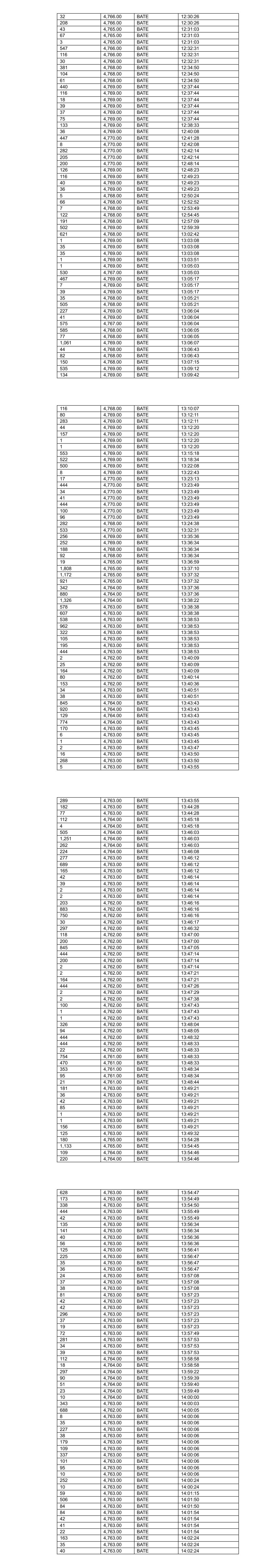
2 4,761.00 BATE 11:43:52 57 4,761.00 BATE 11:45:07 1 4,761.00 BATE 11:45:07 1 4,761.00 BATE 11:45:07 170 4,761.00 BATE 11:45:07 455 4,761.00 BATE 11:45:07 1 4,761.00 BATE 11:45:13 368 4,761.00 BATE 11:45:53 513 4,761.00 BATE 11:45:53 123 4,761.00 BATE 11:45:53 36 4,761.00 BATE 11:45:53 3 4,761.00 BATE 11:45:53 509 4,761.00 BATE 11:50:24 458 4,761.00 BATE 11:50:24 154 4,761.00 BATE 11:50:24 70 4,761.00 BATE 11:50:24 36 4,761.00 BATE 11:50:24 154 4,761.00 BATE 11:50:24 20 4,761.00 BATE 11:50:24 246 4,761.00 BATE 11:50:27 8 4,761.00 BATE 11:50:29 61 4,761.00 BATE 11:50:29 41 4,761.00 BATE 11:50:30 13 4,761.00 BATE 11:50:31 9 4,761.00 BATE 11:50:31 442 4,761.00 BATE 11:52:18 202 4,760.00 CHIX 11:52:21 148 4,760.00 CHIX 11:52:21 92 4,760.00 BATE 11:52:21 48 4,760.00 BATE 11:52:21 470 4,759.00 CHIX 11:53:46 181 4,759.00 BATE 11:53:46 116 4,759.00 BATE 11:53:46 38 4,759.00 BATE 11:54:40 41 4,759.00 BATE 11:54:40 134 4,759.00 CHIX 11:54:40 33 4,759.00 CHIX 11:54:43 215 4,759.00 CHIX 11:54:43 462 4,758.00 CHIX 11:54:46 135 4,758.00 BATE 11:54:46 275 4,758.00 BATE 11:54:46 19 4,758.00 BATE 11:54:46 93 4,758.00 BATE 11:54:53 8 4,758.00 CHIX 11:55:18 33 4,758.00 CHIX 11:55:18 6 4,758.00 CHIX 11:55:18 215 4,758.00 CHIX 11:55:21 68 4,758.00 CHIX 11:55:21 20 4,758.00 BATE 11:55:21 333 4,758.00 BATE 11:55:21 81 4,758.00 BATE 11:55:21 5 4,758.00 BATE 11:55:22 24 4,758.00 BATE 11:55:22 3 4,758.00 BATE 11:55:23 2 4,758.00 BATE 11:55:23 5 4,758.00 BATE 11:55:28 33 4,758.00 CHIX 11:55:49 215 4,758.00 CHIX 11:55:52 65 4,758.00 CHIX 11:55:52 63 4,758.00 CHIX 11:55:52 64 4,758.00 CHIX 11:55:58 63 4,758.00 CHIX 11:55:58 75 4,758.00 CHIX 11:56:19 141 4,758.00 CHIX 11:56:19 64 4,758.00 CHIX 11:56:19 141 4,758.00 CHIX 11:56:19 215 4,758.00 CHIX 11:56:19 68 4,758.00 CHIX 11:56:19 20 4,758.00 BATE 11:56:26 296 4,758.00 BATE 11:56:26 79 4,758.00 BATE 11:56:26 146 4,758.00 BATE 11:56:26 154 4,758.00 BATE 11:56:30 31 4,758.00 BATE 11:56:30 358 4,758.00 BATE 11:56:30 215 4,758.00 CHIX 11:56:50 72 4,758.00 CHIX 11:56:50 68 4,758.00 CHIX 11:56:50 38 4,758.00 CHIX 11:56:50 215 4,758.00 CHIX 11:56:50 137 4,757.00 BATE 11:57:17 312 4,757.00 CHIX 11:57:17 77 4,757.00 BATE 11:57:17 19 4,757.00 BATE 11:57:17 8 4,757.00 BATE 11:57:54 29 4,757.00 BATE 11:58:00 259 4,757.00 BATE 11:58:00 148 4,757.00 BATE 11:58:01 53 4,757.00 BATE 11:58:05 18 4,757.00 BATE 11:58:07 8 4,757.00 BATE 11:59:03 540 4,757.00 BATE 11:59:03 155 4,757.00 BATE 11:59:03 334 4,757.00 BATE 11:59:03 369 4,758.00 BATE 12:00:33 154 4,758.00 BATE 12:00:34 29 4,758.00 BATE 12:00:34 51 4,758.00 BATE 12:00:35 36 4,758.00 CHIX 12:00:35 36 4,758.00 CHIX 12:00:35 5 4,758.00 CHIX 12:00:35 42 4,758.00 BATE 12:02:03 83 4,758.00 BATE 12:02:03 35 4,758.00 BATE 12:02:03 575 4,758.00 BATE 12:02:03 154 4,758.00 BATE 12:02:03 153 4,758.00 BATE 12:02:03 39 4,758.00 BATE 12:02:05 19 4,758.00 BATE 12:02:05 2 4,758.00 BATE 12:02:05 24 4,758.00 BATE 12:02:05 31 4,758.00 BATE 12:02:06 89 4,758.00 BATE 12:02:06 17 4,758.00 BATE 12:02:17 13 4,758.00 CHIX 12:02:20 44 4,758.00 BATE 12:02:20 37 4,758.00 CHIX 12:02:20 65 4,758.00 CHIX 12:02:37 441 4,758.00 CHIX 12:02:37 154 4,758.00 BATE 12:02:42 35 4,758.00 BATE 12:02:42 42 4,758.00 BATE 12:02:42 20 4,758.00 BATE 12:02:42 307 4,758.00 BATE 12:02:42 116 4,757.00 BATE 12:03:00 130 4,757.00 BATE 12:03:00 138 4,757.00 CHIX 12:03:00 50 4,757.00 BATE 12:03:30 33 4,757.00 BATE 12:03:30 46 4,757.00 BATE 12:04:22 369 4,757.00 BATE 12:04:22 129 4,756.00 BATE 12:04:25 140 4,756.00 BATE 12:04:25 96 4,756.00 BATE 12:04:25 145 4,756.00 CHIX 12:04:25 215 4,756.00 CHIX 12:05:01 76 4,756.00 CHIX 12:05:01 76 4,756.00 CHIX 12:05:01 8 4,756.00 CHIX 12:05:11 505 4,756.00 BATE 12:05:11 142 4,756.00 CHIX 12:05:24 112 4,755.00 BATE 12:05:24 132 4,755.00 BATE 12:05:24 19 4,755.00 BATE 12:05:24 145 4,755.00 CHIX 12:05:40 154 4,756.00 BATE 12:06:22 20 4,756.00 BATE 12:06:22 8 4,756.00 BATE 12:06:22 154 4,756.00 BATE 12:06:22 69 4,756.00 BATE 12:06:22 154 4,756.00 BATE 12:06:46 37 4,756.00 BATE 12:06:46 19 4,756.00 BATE 12:06:46 35 4,756.00 BATE 12:06:46 154 4,756.00 BATE 12:06:46 135 4,756.00 BATE 12:06:46 154 4,756.00 BATE 12:07:03 154 4,756.00 BATE 12:07:03 34 4,756.00 BATE 12:07:03 30 4,756.00 CHIX 12:07:31 141 4,756.00 CHIX 12:07:31 100 4,756.00 CHIX 12:07:31 186 4,756.00 CHIX 12:07:31 297 4,756.00 BATE 12:07:51 68 4,756.00 BATE 12:07:51 462 4,756.00 BATE 12:08:47 154 4,756.00 BATE 12:08:47 34 4,756.00 BATE 12:08:48 20 4,756.00 BATE 12:08:50 154 4,756.00 BATE 12:08:53 41 4,756.00 BATE 12:08:53 37 4,756.00 BATE 12:08:53 214 4,756.00 BATE 12:08:54 8 4,756.00 BATE 12:08:54 17 4,756.00 BATE 12:08:54 410 4,756.00 CHIX 12:09:05 10 4,756.00 BATE 12:09:05 126 4,756.00 CHIX 12:09:18 44 4,756.00 CHIX 12:09:18 5 4,756.00 BATE 12:09:56 3 4,756.00 BATE 12:09:56 397 4,756.00 BATE 12:10:03 33 4,756.00 CHIX 12:10:07 138 4,756.00 BATE 12:10:07 369 4,756.00 BATE 12:10:37 20 4,756.00 BATE 12:10:37 8 4,756.00 BATE 12:10:37 59 4,756.00 BATE 12:10:37 240 4,756.00 CHIX 12:11:30 322 4,756.00 CHIX 12:11:30 532 4,756.00 BATE 12:11:30 2 4,756.00 CHIX 12:11:30 95 4,756.00 BATE 12:11:31 52 4,756.00 BATE 12:11:32 35 4,756.00 BATE 12:11:32 25 4,757.00 BATE 12:11:51 20 4,757.00 BATE 12:11:51 311 4,757.00 BATE 12:11:51 20 4,757.00 BATE 12:11:51 103 4,757.00 BATE 12:11:51 281 4,758.00 BATE 12:11:55 98 4,758.00 BATE 12:11:59 154 4,758.00 BATE 12:11:59 383 4,761.00 BATE 12:13:40 4 4,761.00 BATE 12:13:51 904 4,767.00 BATE 12:17:07 710 4,765.00 BATE 12:17:40 106 4,765.00 BATE 12:17:40 48 4,763.00 BATE 12:18:42 83 4,763.00 BATE 12:18:42 154 4,764.00 BATE 12:19:46 154 4,765.00 BATE 12:20:47 154 4,765.00 BATE 12:20:47 154 4,765.00 BATE 12:20:47 119 4,765.00 BATE 12:20:50 154 4,764.00 BATE 12:21:31 38 4,764.00 BATE 12:21:31 218 4,764.00 BATE 12:21:31 39 4,764.00 BATE 12:21:31 513 4,765.00 BATE 12:23:02 17 4,765.00 BATE 12:23:33 974 4,765.00 BATE 12:27:41 199 4,765.00 BATE 12:27:41 72 4,764.00 BATE 12:27:42 42 4,764.00 BATE 12:27:42 4 4,764.00 BATE 12:27:54 330 4,764.00 BATE 12:28:38 248 4,765.00 BATE 12:29:46


 
32 4,766.00 BATE 12:30:26 208 4,766.00 BATE 12:30:26 43 4,765.00 BATE 12:31:03 67 4,765.00 BATE 12:31:03 3 4,765.00 BATE 12:31:03 547 4,766.00 BATE 12:32:31 116 4,766.00 BATE 12:32:31 30 4,766.00 BATE 12:32:31 381 4,768.00 BATE 12:34:50 104 4,768.00 BATE 12:34:50 61 4,768.00 BATE 12:34:50 440 4,769.00 BATE 12:37:44 116 4,769.00 BATE 12:37:44 18 4,769.00 BATE 12:37:44 39 4,769.00 BATE 12:37:44 37 4,769.00 BATE 12:37:44 75 4,769.00 BATE 12:37:44 133 4,769.00 BATE 12:38:33 36 4,769.00 BATE 12:40:08 447 4,770.00 BATE 12:41:28 8 4,770.00 BATE 12:42:08 282 4,770.00 BATE 12:42:14 205 4,770.00 BATE 12:42:14 200 4,770.00 BATE 12:48:14 126 4,769.00 BATE 12:48:23 116 4,769.00 BATE 12:49:23 40 4,769.00 BATE 12:49:23 36 4,769.00 BATE 12:49:23 5 4,768.00 BATE 12:50:24 66 4,768.00 BATE 12:52:52 7 4,768.00 BATE 12:53:49 122 4,768.00 BATE 12:54:45 191 4,768.00 BATE 12:57:09 502 4,769.00 BATE 12:59:39 621 4,768.00 BATE 13:02:42 1 4,769.00 BATE 13:03:08 35 4,769.00 BATE 13:03:08 35 4,769.00 BATE 13:03:08 1 4,769.00 BATE 13:03:51 1 4,769.00 BATE 13:05:03 530 4,767.00 BATE 13:05:03 467 4,769.00 BATE 13:05:17 7 4,769.00 BATE 13:05:17 39 4,769.00 BATE 13:05:17 35 4,768.00 BATE 13:05:21 505 4,768.00 BATE 13:05:21 227 4,769.00 BATE 13:06:04 41 4,769.00 BATE 13:06:04 575 4,767.00 BATE 13:06:04 585 4,768.00 BATE 13:06:05 77 4,768.00 BATE 13:06:05 1,061 4,769.00 BATE 13:06:07 44 4,768.00 BATE 13:06:43 82 4,768.00 BATE 13:06:43 150 4,768.00 BATE 13:07:15 535 4,769.00 BATE 13:09:12 134 4,769.00 BATE 13:09:42 116 4,768.00 BATE 13:10:07 80 4,769.00 BATE 13:12:11 283 4,769.00 BATE 13:12:11 44 4,769.00 BATE 13:12:20 157 4,769.00 BATE 13:12:20 1 4,769.00 BATE 13:12:20 1 4,769.00 BATE 13:12:20 553 4,769.00 BATE 13:15:18 522 4,769.00 BATE 13:18:34 500 4,769.00 BATE 13:22:08 8 4,769.00 BATE 13:22:43 17 4,770.00 BATE 13:23:13 444 4,770.00 BATE 13:23:49 34 4,770.00 BATE 13:23:49 41 4,770.00 BATE 13:23:49 444 4,770.00 BATE 13:23:49 100 4,770.00 BATE 13:23:49 96 4,770.00 BATE 13:23:49 282 4,768.00 BATE 13:24:38 533 4,770.00 BATE 13:32:31 256 4,769.00 BATE 13:35:36 252 4,769.00 BATE 13:36:34 188 4,768.00 BATE 13:36:34 92 4,768.00 BATE 13:36:34 19 4,765.00 BATE 13:36:59 1,808 4,765.00 BATE 13:37:10 1,172 4,765.00 BATE 13:37:32 921 4,765.00 BATE 13:37:32 342 4,764.00 BATE 13:37:36 880 4,764.00 BATE 13:37:36 1,326 4,764.00 BATE 13:38:22 578 4,763.00 BATE 13:38:38 607 4,763.00 BATE 13:38:38 538 4,763.00 BATE 13:38:53 962 4,763.00 BATE 13:38:53 322 4,763.00 BATE 13:38:53 105 4,763.00 BATE 13:38:53 195 4,763.00 BATE 13:38:53 444 4,763.00 BATE 13:38:53 2 4,762.00 BATE 13:40:09 25 4,762.00 BATE 13:40:09 164 4,762.00 BATE 13:40:09 80 4,762.00 BATE 13:40:14 153 4,762.00 BATE 13:40:36 34 4,763.00 BATE 13:40:51 38 4,763.00 BATE 13:40:51 845 4,764.00 BATE 13:43:43 920 4,764.00 BATE 13:43:43 129 4,764.00 BATE 13:43:43 774 4,764.00 BATE 13:43:43 170 4,763.00 BATE 13:43:45 6 4,763.00 BATE 13:43:45 1 4,763.00 BATE 13:43:45 2 4,763.00 BATE 13:43:47 16 4,763.00 BATE 13:43:50 268 4,763.00 BATE 13:43:50 5 4,763.00 BATE 13:43:55 289 4,763.00 BATE 13:43:55 182 4,763.00 BATE 13:44:28 77 4,763.00 BATE 13:44:28 112 4,764.00 BATE 13:45:18 4 4,764.00 BATE 13:45:18 505 4,764.00 BATE 13:46:03 1,251 4,764.00 BATE 13:46:03 262 4,764.00 BATE 13:46:03 224 4,764.00 BATE 13:46:08 277 4,763.00 BATE 13:46:12 689 4,763.00 BATE 13:46:12 165 4,763.00 BATE 13:46:12 42 4,763.00 BATE 13:46:14 39 4,763.00 BATE 13:46:14 2 4,763.00 BATE 13:46:14 2 4,763.00 BATE 13:46:14 203 4,762.00 BATE 13:46:16 883 4,762.00 BATE 13:46:16 750 4,762.00 BATE 13:46:16 30 4,762.00 BATE 13:46:17 297 4,762.00 BATE 13:46:32 118 4,762.00 BATE 13:47:00 200 4,762.00 BATE 13:47:00 845 4,762.00 BATE 13:47:05 444 4,762.00 BATE 13:47:14 200 4,762.00 BATE 13:47:14 2 4,762.00 BATE 13:47:14 2 4,762.00 BATE 13:47:21 164 4,762.00 BATE 13:47:21 444 4,762.00 BATE 13:47:26 2 4,762.00 BATE 13:47:29 2 4,762.00 BATE 13:47:38 100 4,762.00 BATE 13:47:43 1 4,762.00 BATE 13:47:43 1 4,762.00 BATE 13:47:43 326 4,762.00 BATE 13:48:04 94 4,762.00 BATE 13:48:05 444 4,762.00 BATE 13:48:32 444 4,762.00 BATE 13:48:33 22 4,762.00 BATE 13:48:33 754 4,761.00 BATE 13:48:33 470 4,761.00 BATE 13:48:33 353 4,761.00 BATE 13:48:34 95 4,761.00 BATE 13:48:34 21 4,761.00 BATE 13:48:44 181 4,763.00 BATE 13:49:21 36 4,763.00 BATE 13:49:21 42 4,763.00 BATE 13:49:21 85 4,763.00 BATE 13:49:21 1 4,763.00 BATE 13:49:21 1 4,763.00 BATE 13:49:21 156 4,763.00 BATE 13:49:21 125 4,763.00 BATE 13:49:32 180 4,765.00 BATE 13:54:28 1,133 4,765.00 BATE 13:54:45 109 4,764.00 BATE 13:54:46 220 4,764.00 BATE 13:54:46 628 4,763.00 BATE 13:54:47 173 4,763.00 BATE 13:54:49 338 4,763.00 BATE 13:54:50 444 4,763.00 BATE 13:55:49 42 4,763.00 BATE 13:55:49 135 4,763.00 BATE 13:56:34 141 4,763.00 BATE 13:56:34 40 4,763.00 BATE 13:56:36 56 4,763.00 BATE 13:56:36 125 4,763.00 BATE 13:56:41 225 4,763.00 BATE 13:56:47 35 4,763.00 BATE 13:56:47 36 4,763.00 BATE 13:56:47 24 4,763.00 BATE 13:57:08 37 4,763.00 BATE 13:57:08 38 4,763.00 BATE 13:57:08 81 4,763.00 BATE 13:57:23 42 4,763.00 BATE 13:57:23 42 4,763.00 BATE 13:57:23 296 4,763.00 BATE 13:57:23 37 4,763.00 BATE 13:57:23 19 4,763.00 BATE 13:57:23 72 4,763.00 BATE 13:57:49 281 4,763.00 BATE 13:57:53 34 4,763.00 BATE 13:57:53 39 4,763.00 BATE 13:57:53 112 4,764.00 BATE 13:58:58 18 4,764.00 BATE 13:58:58 297 4,764.00 BATE 13:59:22 90 4,764.00 BATE 13:59:39 51 4,764.00 BATE 13:59:40 23 4,764.00 BATE 13:59:49 10 4,764.00 BATE 14:00:00 343 4,763.00 BATE 14:00:03 688 4,762.00 BATE 14:00:05 8 4,763.00 BATE 14:00:06 35 4,763.00 BATE 14:00:06 227 4,763.00 BATE 14:00:06 38 4,763.00 BATE 14:00:06 179 4,763.00 BATE 14:00:06 109 4,763.00 BATE 14:00:06 337 4,763.00 BATE 14:00:06 101 4,763.00 BATE 14:00:06 95 4,763.00 BATE 14:00:06 10 4,763.00 BATE 14:00:06 252 4,763.00 BATE 14:00:24 10 4,763.00 BATE 14:00:24 59 4,763.00 BATE 14:01:15 506 4,763.00 BATE 14:01:50 84 4,763.00 BATE 14:01:50 84 4,763.00 BATE 14:01:54 42 4,763.00 BATE 14:01:54 41 4,763.00 BATE 14:01:54 22 4,763.00 BATE 14:01:54 163 4,763.00 BATE 14:02:24 35 4,763.00 BATE 14:02:24 40 4,763.00 BATE 14:02:24


 
63 4,763.00 BATE 14:02:27 39 4,763.00 BATE 14:02:27 18 4,763.00 BATE 14:02:42 41 4,763.00 BATE 14:02:42 35 4,763.00 BATE 14:02:42 200 4,762.00 BATE 14:02:47 204 4,762.00 BATE 14:03:01 2 4,762.00 BATE 14:03:01 22 4,762.00 BATE 14:03:03 50 4,762.00 BATE 14:03:03 1 4,762.00 BATE 14:03:06 447 4,762.00 BATE 14:03:15 41 4,762.00 BATE 14:03:15 35 4,762.00 BATE 14:03:15 53 4,762.00 BATE 14:03:15 39 4,762.00 BATE 14:03:15 42 4,762.00 BATE 14:03:15 625 4,762.00 BATE 14:04:02 403 4,761.00 BATE 14:05:01 588 4,761.00 BATE 14:05:01 201 4,761.00 BATE 14:05:01 140 4,761.00 BATE 14:05:01 85 4,761.00 BATE 14:05:03 407 4,761.00 BATE 14:05:09 64 4,760.00 CHIX 14:06:58 2 4,760.00 BATE 14:08:21 438 4,760.00 CHIX 14:08:21 541 4,760.00 BATE 14:08:21 571 4,760.00 BATE 14:08:21 326 4,760.00 BATE 14:08:21 69 4,760.00 BATE 14:08:21 122 4,760.00 BATE 14:08:21 13 4,760.00 BATE 14:08:21 163 4,760.00 BATE 14:08:21 3 4,760.00 BATE 14:08:21 251 4,760.00 BATE 14:08:21 45 4,760.00 BATE 14:08:21 175 4,760.00 BATE 14:08:21 498 4,760.00 BATE 14:08:21 356 4,760.00 BATE 14:08:21 271 4,760.00 BATE 14:08:21 767 4,760.00 CHIX 14:08:30 281 4,760.00 BATE 14:08:33 1 4,760.00 BATE 14:08:34 108 4,760.00 BATE 14:08:45 133 4,759.00 BATE 14:08:45 482 4,759.00 BATE 14:08:45 164 4,759.00 CHIX 14:08:45 147 4,759.00 BATE 14:08:45 564 4,759.00 BATE 14:08:45 23 4,759.00 BATE 14:08:46 141 4,759.00 BATE 14:08:58 262 4,759.00 CHIX 14:09:01 284 4,759.00 CHIX 14:09:01 40 4,759.00 CHIX 14:09:01 662 4,763.00 BATE 14:10:55 814 4,763.00 BATE 14:10:55 58 4,763.00 BATE 14:10:55 211 4,763.00 BATE 14:10:58 249 4,763.00 BATE 14:11:13 249 4,763.00 BATE 14:11:13 36 4,763.00 BATE 14:11:13 34 4,763.00 BATE 14:11:13 249 4,763.00 BATE 14:11:16 41 4,763.00 BATE 14:11:16 42 4,763.00 BATE 14:11:16 249 4,763.00 BATE 14:11:16 41 4,763.00 BATE 14:11:16 36 4,763.00 BATE 14:11:16 249 4,763.00 BATE 14:11:16 249 4,763.00 BATE 14:11:28 41 4,763.00 BATE 14:11:28 41 4,763.00 BATE 14:11:28 249 4,763.00 BATE 14:11:28 36 4,763.00 BATE 14:11:28 41 4,763.00 BATE 14:11:28 579 4,762.00 BATE 14:11:37 11 4,762.00 BATE 14:11:37 729 4,762.00 BATE 14:11:48 635 4,762.00 BATE 14:11:48 1 4,762.00 BATE 14:11:49 454 4,762.00 BATE 14:12:10 32 4,762.00 BATE 14:12:10 52 4,762.00 BATE 14:12:10 985 4,762.00 BATE 14:12:13 393 4,762.00 BATE 14:12:13 553 4,761.00 BATE 14:12:26 673 4,761.00 BATE 14:12:26 624 4,759.00 BATE 14:12:27 350 4,759.00 BATE 14:12:27 145 4,759.00 BATE 14:12:45 147 4,759.00 BATE 14:12:45 267 4,759.00 BATE 14:12:45 217 4,759.00 BATE 14:12:45 976 4,759.00 CHIX 14:12:45 544 4,761.00 BATE 14:13:15 203 4,761.00 BATE 14:13:15 47 4,761.00 BATE 14:13:15 170 4,761.00 BATE 14:13:15 143 4,761.00 BATE 14:13:19 447 4,761.00 BATE 14:13:43 50 4,761.00 BATE 14:14:00 43 4,761.00 BATE 14:14:00 158 4,760.00 BATE 14:14:12 320 4,761.00 BATE 14:15:45 274 4,762.00 BATE 14:17:22 1 4,762.00 BATE 14:17:22 446 4,762.00 BATE 14:17:22 197 4,762.00 BATE 14:17:22 531 4,762.00 BATE 14:18:47 434 4,762.00 BATE 14:20:45 58 4,762.00 BATE 14:20:45 25 4,762.00 BATE 14:20:45 444 4,762.00 BATE 14:21:55 60 4,762.00 BATE 14:21:55 92 4,761.00 BATE 14:21:59 127 4,762.00 BATE 14:22:20 49 4,762.00 BATE 14:22:20 584 4,762.00 BATE 14:24:12 328 4,762.00 BATE 14:25:38 60 4,762.00 BATE 14:25:38 181 4,762.00 BATE 14:25:38 16 4,762.00 BATE 14:25:50 633 4,764.00 BATE 14:27:30 34 4,764.00 BATE 14:27:31 41 4,764.00 BATE 14:27:31 312 4,764.00 BATE 14:27:31 312 4,764.00 BATE 14:27:56 36 4,764.00 BATE 14:27:56 40 4,764.00 BATE 14:27:56 312 4,764.00 BATE 14:27:57 38 4,764.00 BATE 14:27:57 35 4,764.00 BATE 14:27:57 2 4,764.00 BATE 14:28:04 42 4,764.00 BATE 14:28:04 2 4,764.00 BATE 14:28:12 200 4,764.00 BATE 14:28:22 37 4,764.00 BATE 14:28:22 38 4,764.00 BATE 14:28:22 1,187 4,764.00 BATE 14:28:22 313 4,763.00 BATE 14:28:22 735 4,763.00 BATE 14:28:22 209 4,763.00 BATE 14:28:24 75 4,763.00 BATE 14:28:24 595 4,763.00 BATE 14:28:24 662 4,763.00 BATE 14:28:26 32 4,763.00 BATE 14:28:26 42 4,763.00 BATE 14:28:26 39 4,763.00 BATE 14:28:49 36 4,763.00 BATE 14:28:49 312 4,763.00 BATE 14:28:49 2 4,763.00 BATE 14:28:52 41 4,763.00 BATE 14:28:52 40 4,763.00 BATE 14:28:52 636 4,763.00 BATE 14:28:54 35 4,763.00 BATE 14:29:43 36 4,763.00 BATE 14:29:43 391 4,763.00 BATE 14:29:49 39 4,763.00 BATE 14:29:49 39 4,763.00 BATE 14:29:49 12 4,763.00 BATE 14:29:49 9 4,763.00 BATE 14:29:49 7 4,763.00 BATE 14:29:49 35 4,763.00 BATE 14:29:49 41 4,763.00 BATE 14:29:49 744 4,762.00 BATE 14:29:59 783 4,762.00 BATE 14:29:59 20 4,762.00 BATE 14:29:59 216 4,762.00 BATE 14:29:59 48 4,761.00 BATE 14:30:13 100 4,761.00 BATE 14:30:13 433 4,761.00 BATE 14:30:13 200 4,761.00 BATE 14:30:13 209 4,761.00 BATE 14:30:13 29 4,761.00 BATE 14:30:13 262 4,761.00 BATE 14:30:13 100 4,761.00 BATE 14:30:13 356 4,761.00 BATE 14:30:13 99 4,767.00 BATE 14:32:02 1,036 4,767.00 BATE 14:32:06 464 4,767.00 BATE 14:32:06 789 4,769.00 BATE 14:33:12 21 4,769.00 BATE 14:33:35 32 4,769.00 BATE 14:33:59 757 4,770.00 BATE 14:35:34 202 4,769.00 BATE 14:36:02 24 4,767.00 BATE 14:36:09 483 4,767.00 BATE 14:36:13 204 4,768.00 BATE 14:36:25 15 4,770.00 BATE 14:36:41 15 4,770.00 BATE 14:36:41 15 4,770.00 BATE 14:36:41 5 4,770.00 BATE 14:36:41 100 4,770.00 BATE 14:36:41 217 4,770.00 BATE 14:36:41 305 4,769.00 BATE 14:37:15 176 4,769.00 BATE 14:37:15 125 4,769.00 BATE 14:37:15 270 4,767.00 BATE 14:37:21 59 4,764.00 BATE 14:38:09 148 4,764.00 BATE 14:38:09 51 4,764.00 BATE 14:38:11 16 4,764.00 BATE 14:38:12 10 4,764.00 BATE 14:38:19 708 4,763.00 BATE 14:38:22 679 4,763.00 BATE 14:38:22 293 4,763.00 BATE 14:38:34 289 4,763.00 BATE 14:38:37 577 4,764.00 BATE 14:39:09 166 4,764.00 BATE 14:39:09 789 4,764.00 BATE 14:39:09 1,230 4,764.00 BATE 14:39:09 293 4,764.00 BATE 14:39:20 41 4,764.00 BATE 14:39:20 38 4,764.00 BATE 14:39:20 21 4,764.00 BATE 14:39:20 40 4,764.00 BATE 14:39:20 38 4,764.00 BATE 14:39:20 1 4,763.00 BATE 14:39:23 205 4,763.00 BATE 14:39:30 198 4,763.00 BATE 14:39:30 123 4,762.00 BATE 14:39:59 548 4,762.00 BATE 14:40:17 293 4,762.00 BATE 14:40:18 293 4,762.00 BATE 14:40:20 293 4,762.00 BATE 14:40:21 631 4,761.00 BATE 14:40:23 648 4,761.00 BATE 14:40:23


 
1,001 4,761.00 BATE 14:40:39 729 4,760.00 BATE 14:40:47 293 4,760.00 BATE 14:40:49 324 4,760.00 BATE 14:41:09 35 4,760.00 BATE 14:41:09 37 4,760.00 BATE 14:41:09 40 4,760.00 BATE 14:41:12 41 4,760.00 BATE 14:41:12 178 4,760.00 BATE 14:41:12 119 4,761.00 BATE 14:41:16 346 4,761.00 BATE 14:41:16 71 4,761.00 BATE 14:41:16 1 4,761.00 BATE 14:41:16 2 4,761.00 BATE 14:41:16 66 4,761.00 BATE 14:41:19 6 4,761.00 BATE 14:41:19 335 4,763.00 BATE 14:42:31 271 4,763.00 BATE 14:42:31 345 4,763.00 BATE 14:42:31 293 4,763.00 BATE 14:42:33 36 4,763.00 BATE 14:42:33 39 4,763.00 BATE 14:42:33 293 4,763.00 BATE 14:42:57 37 4,763.00 BATE 14:42:57 36 4,763.00 BATE 14:42:57 293 4,763.00 BATE 14:43:00 37 4,763.00 BATE 14:43:00 40 4,763.00 BATE 14:43:00 1 4,763.00 BATE 14:43:06 37 4,763.00 BATE 14:43:09 38 4,763.00 BATE 14:43:09 293 4,763.00 BATE 14:43:09 1 4,763.00 BATE 14:43:12 35 4,763.00 BATE 14:43:12 41 4,763.00 BATE 14:43:12 293 4,763.00 BATE 14:43:12 37 4,763.00 BATE 14:43:15 36 4,763.00 BATE 14:43:15 252 4,763.00 BATE 14:43:15 34 4,763.00 BATE 14:43:15 648 4,762.00 BATE 14:43:17 601 4,762.00 BATE 14:43:17 291 4,761.00 BATE 14:43:32 317 4,761.00 BATE 14:43:32 100 4,761.00 BATE 14:43:40 200 4,761.00 BATE 14:43:43 74 4,761.00 BATE 14:43:43 45 4,760.00 BATE 14:43:45 1 4,760.00 BATE 14:43:45 533 4,760.00 BATE 14:43:45 293 4,760.00 BATE 14:43:45 23 4,760.00 BATE 14:43:45 49 4,760.00 BATE 14:43:45 648 4,760.00 BATE 14:43:47 72 4,760.00 BATE 14:43:47 40 4,760.00 BATE 14:43:47 60 4,760.00 BATE 14:43:47 100 4,760.00 BATE 14:43:47 100 4,760.00 BATE 14:43:47 57 4,760.00 BATE 14:43:47 789 4,759.00 BATE 14:43:56 104 4,759.00 BATE 14:43:56 72 4,759.00 BATE 14:43:56 584 4,759.00 BATE 14:43:58 100 4,758.00 CHIX 14:43:59 333 4,759.00 CHIX 14:44:06 333 4,759.00 CHIX 14:44:09 297 4,759.00 CHIX 14:44:09 333 4,759.00 CHIX 14:44:09 293 4,759.00 BATE 14:44:12 65 4,758.00 CHIX 14:44:15 422 4,758.00 BATE 14:44:15 309 4,758.00 BATE 14:44:19 335 4,757.00 BATE 14:44:26 664 4,757.00 BATE 14:44:26 125 4,757.00 BATE 14:44:26 134 4,757.00 BATE 14:44:26 618 4,757.00 BATE 14:44:30 100 4,756.00 CHIX 14:44:32 100 4,756.00 CHIX 14:44:32 100 4,756.00 CHIX 14:44:32 66 4,756.00 BATE 14:44:32 100 4,756.00 CHIX 14:44:32 20 4,756.00 CHIX 14:44:32 100 4,756.00 BATE 14:44:32 126 4,756.00 BATE 14:44:40 457 4,756.00 BATE 14:44:44 20 4,756.00 BATE 14:44:44 110 4,756.00 BATE 14:44:44 54 4,756.00 BATE 14:44:50 293 4,756.00 BATE 14:44:54 19 4,756.00 BATE 14:44:54 1 4,756.00 BATE 14:44:54 1 4,756.00 BATE 14:44:54 7 4,756.00 BATE 14:44:54 318 4,756.00 CHIX 14:44:54 333 4,756.00 CHIX 14:45:06 409 4,756.00 CHIX 14:45:06 333 4,756.00 CHIX 14:45:06 404 4,756.00 BATE 14:45:11 219 4,756.00 CHIX 14:45:12 333 4,756.00 CHIX 14:45:15 5 4,756.00 CHIX 14:45:15 9 4,755.00 CHIX 14:45:16 177 4,755.00 CHIX 14:45:19 467 4,755.00 BATE 14:45:19 463 4,755.00 BATE 14:45:19 229 4,755.00 BATE 14:45:22 994 4,755.00 BATE 14:45:24 293 4,755.00 BATE 14:45:30 42 4,755.00 BATE 14:45:30 37 4,755.00 BATE 14:45:30 100 4,755.00 BATE 14:45:30 249 4,754.00 BATE 14:45:30 1 4,755.00 BATE 14:45:33 42 4,755.00 BATE 14:45:33 36 4,755.00 BATE 14:45:33 100 4,755.00 BATE 14:45:33 293 4,755.00 BATE 14:45:33 521 4,755.00 CHIX 14:45:37 364 4,755.00 CHIX 14:45:37 65 4,755.00 CHIX 14:45:37 76 4,755.00 CHIX 14:45:37 58 4,755.00 CHIX 14:45:37 333 4,755.00 CHIX 14:45:37 77 4,755.00 CHIX 14:45:37 65 4,755.00 CHIX 14:45:37 664 4,755.00 BATE 14:45:44 143 4,757.00 BATE 14:46:13 432 4,757.00 BATE 14:46:13 176 4,757.00 BATE 14:46:13 34 4,757.00 BATE 14:46:15 36 4,757.00 BATE 14:46:15 25 4,757.00 BATE 14:46:18 36 4,757.00 BATE 14:46:21 34 4,757.00 BATE 14:46:21 34 4,757.00 BATE 14:46:24 41 4,757.00 BATE 14:46:24 158 4,757.00 BATE 14:46:24 293 4,757.00 BATE 14:46:24 1 4,757.00 BATE 14:46:24 34 4,757.00 BATE 14:46:24 37 4,757.00 BATE 14:46:24 241 4,757.00 BATE 14:46:36 35 4,757.00 BATE 14:46:36 35 4,757.00 BATE 14:46:36 1 4,757.00 BATE 14:46:36 42 4,757.00 BATE 14:46:36 36 4,757.00 BATE 14:46:36 469 4,757.00 BATE 14:46:42 10 4,756.00 CHIX 14:46:42 100 4,756.00 CHIX 14:46:42 185 4,757.00 BATE 14:46:48 42 4,757.00 BATE 14:46:48 42 4,757.00 BATE 14:46:48 1 4,757.00 BATE 14:46:48 38 4,757.00 BATE 14:46:48 39 4,757.00 BATE 14:46:48 69 4,757.00 CHIX 14:46:56 53 4,757.00 CHIX 14:46:56 333 4,757.00 CHIX 14:46:56 68 4,757.00 CHIX 14:46:56 333 4,757.00 CHIX 14:46:59 72 4,757.00 CHIX 14:46:59 69 4,757.00 CHIX 14:46:59 54 4,757.00 CHIX 14:46:59 333 4,757.00 CHIX 14:46:59 52 4,757.00 CHIX 14:46:59 76 4,757.00 CHIX 14:46:59 77 4,757.00 CHIX 14:46:59 52 4,757.00 CHIX 14:46:59 333 4,757.00 CHIX 14:46:59 99 4,756.00 CHIX 14:47:29 761 4,757.00 BATE 14:47:46 556 4,756.00 BATE 14:48:00 50 4,756.00 BATE 14:48:00 36 4,756.00 BATE 14:48:00 45 4,756.00 BATE 14:48:00 283 4,756.00 CHIX 14:48:00 274 4,756.00 CHIX 14:48:00 9 4,756.00 BATE 14:48:00 725 4,756.00 BATE 14:48:00 61 4,756.00 CHIX 14:48:03 219 4,756.00 CHIX 14:48:03 423 4,756.00 CHIX 14:48:03 125 4,757.00 BATE 14:49:00 39 4,757.00 BATE 14:49:00 5 4,757.00 BATE 14:49:01 248 4,757.00 BATE 14:49:01 192 4,757.00 BATE 14:49:03 249 4,757.00 CHIX 14:49:24 72 4,757.00 CHIX 14:49:24 231 4,757.00 CHIX 14:49:24 88 4,757.00 CHIX 14:49:24 73 4,757.00 CHIX 14:49:24 8 4,757.00 CHIX 14:49:27 337 4,757.00 BATE 14:50:02 259 4,757.00 BATE 14:50:02 231 4,757.00 CHIX 14:50:03 66 4,757.00 CHIX 14:50:03 76 4,757.00 CHIX 14:50:03 42 4,756.00 BATE 14:50:06 110 4,756.00 BATE 14:50:06 39 4,756.00 BATE 14:50:06 293 4,756.00 BATE 14:50:06 249 4,756.00 CHIX 14:50:18 282 4,756.00 CHIX 14:50:18 75 4,756.00 CHIX 14:50:18 65 4,756.00 CHIX 14:50:18 249 4,756.00 CHIX 14:50:18 37 4,756.00 BATE 14:50:18 34 4,756.00 BATE 14:50:18 18 4,756.00 BATE 14:50:18 293 4,756.00 BATE 14:50:18 20 4,756.00 BATE 14:50:18 42 4,756.00 BATE 14:50:18 35 4,756.00 BATE 14:50:18 293 4,756.00 BATE 14:50:18 77 4,756.00 CHIX 14:50:21 72 4,756.00 CHIX 14:50:21 249 4,756.00 CHIX 14:50:21 249 4,756.00 CHIX 14:50:21 293 4,756.00 BATE 14:50:21 39 4,756.00 BATE 14:50:21 41 4,756.00 BATE 14:50:21 249 4,756.00 CHIX 14:50:24 74 4,756.00 CHIX 14:50:24 76 4,756.00 CHIX 14:50:24


 
65 4,756.00 CHIX 14:50:27 273 4,756.00 CHIX 14:50:27 70 4,756.00 CHIX 14:50:27 249 4,756.00 CHIX 14:50:30 73 4,756.00 CHIX 14:50:30 75 4,756.00 CHIX 14:50:30 249 4,756.00 CHIX 14:50:33 69 4,756.00 CHIX 14:50:33 65 4,756.00 CHIX 14:50:33 142 4,756.00 CHIX 14:50:33 246 4,756.00 BATE 14:50:33 42 4,756.00 BATE 14:50:33 42 4,756.00 BATE 14:50:33 219 4,756.00 CHIX 14:50:36 5 4,755.00 CHIX 14:50:38 304 4,756.00 CHIX 14:50:42 63 4,756.00 CHIX 14:50:42 63 4,756.00 CHIX 14:50:42 1 4,756.00 BATE 14:50:42 631 4,757.00 BATE 14:51:16 293 4,757.00 BATE 14:51:24 40 4,757.00 BATE 14:51:24 42 4,757.00 BATE 14:51:24 293 4,757.00 BATE 14:51:24 39 4,757.00 BATE 14:51:24 40 4,757.00 BATE 14:51:24 293 4,757.00 BATE 14:51:27 42 4,757.00 BATE 14:51:27 36 4,757.00 BATE 14:51:27 200 4,757.00 BATE 14:51:27 1 4,757.00 BATE 14:51:27 37 4,757.00 BATE 14:51:27 40 4,757.00 BATE 14:51:27 100 4,756.00 BATE 14:51:33 125 4,756.00 BATE 14:51:33 86 4,756.00 BATE 14:51:33 273 4,756.00 CHIX 14:51:33 1 4,756.00 BATE 14:51:33 1 4,756.00 CHIX 14:51:42 332 4,756.00 BATE 14:52:35 294 4,756.00 BATE 14:52:35 8 4,756.00 CHIX 14:52:36 41 4,756.00 CHIX 14:52:39 970 4,756.00 CHIX 14:52:42 298 4,756.00 CHIX 14:52:42 23 4,756.00 CHIX 14:52:42 69 4,756.00 CHIX 14:52:51 75 4,756.00 CHIX 14:52:51 247 4,756.00 CHIX 14:52:51 8 4,755.00 CHIX 14:52:51 100 4,755.00 CHIX 14:52:51 200 4,755.00 CHIX 14:52:51 16 4,756.00 BATE 14:53:21 200 4,756.00 BATE 14:53:21 370 4,756.00 BATE 14:53:21 2 4,756.00 BATE 14:53:21 4 4,756.00 BATE 14:53:21 10 4,756.00 BATE 14:53:21 5 4,756.00 BATE 14:53:22 100 4,755.00 CHIX 14:53:29 307 4,756.00 CHIX 14:53:30 65 4,756.00 CHIX 14:53:30 71 4,756.00 CHIX 14:53:30 303 4,756.00 CHIX 14:53:33 71 4,756.00 CHIX 14:53:33 569 4,758.00 BATE 14:54:56 95 4,758.00 CHIX 14:54:56 585 4,758.00 BATE 14:54:56 70 4,758.00 CHIX 14:54:56 125 4,758.00 BATE 14:54:56 625 4,758.00 BATE 14:54:56 125 4,758.00 CHIX 14:54:56 2 4,758.00 CHIX 14:54:56 269 4,758.00 CHIX 14:54:56 2 4,758.00 CHIX 14:54:56 310 4,758.00 BATE 14:55:00 46 4,758.00 CHIX 14:55:00 20 4,758.00 CHIX 14:55:14 87 4,758.00 BATE 14:55:50 504 4,758.00 BATE 14:55:55 4 4,758.00 CHIX 14:55:58 8 4,758.00 CHIX 14:56:04 447 4,759.00 BATE 14:57:00 372 4,761.00 BATE 14:58:00 375 4,761.00 BATE 14:58:08 154 4,760.00 BATE 14:58:11 8 4,761.00 BATE 14:58:16 39 4,761.00 BATE 14:58:16 35 4,761.00 BATE 14:58:16 1 4,761.00 BATE 14:58:22 39 4,761.00 BATE 14:58:22 434 4,761.00 BATE 14:58:37 34 4,761.00 BATE 14:58:37 37 4,761.00 BATE 14:58:37 1 4,761.00 BATE 14:58:37 159 4,760.00 CHIX 14:58:49 378 4,760.00 BATE 14:58:49 98 4,760.00 BATE 14:58:49 626 4,760.00 BATE 14:58:49 289 4,760.00 BATE 14:58:49 21 4,760.00 CHIX 14:58:49 412 4,760.00 CHIX 14:58:49 1 4,760.00 BATE 14:58:49 37 4,760.00 BATE 14:58:49 39 4,760.00 BATE 14:58:49 77 4,760.00 BATE 14:58:49 232 4,760.00 BATE 14:59:00 43 4,760.00 BATE 14:59:00 28 4,760.00 BATE 14:59:20 435 4,760.00 BATE 15:00:00 95 4,763.00 BATE 15:00:25 221 4,763.00 BATE 15:00:36 167 4,763.00 BATE 15:00:36 101 4,762.00 BATE 15:01:20 432 4,762.00 BATE 15:01:24 48 4,762.00 BATE 15:01:24 33 4,762.00 BATE 15:01:24 61 4,762.00 BATE 15:01:24 5 4,762.00 BATE 15:01:30 1 4,762.00 BATE 15:01:31 2 4,762.00 BATE 15:01:31 2 4,762.00 BATE 15:01:32 33 4,762.00 BATE 15:01:34 349 4,762.00 BATE 15:01:34 75 4,762.00 BATE 15:01:34 13 4,762.00 BATE 15:01:40 414 4,762.00 BATE 15:01:40 211 4,762.00 BATE 15:01:41 111 4,762.00 BATE 15:01:42 632 4,761.00 BATE 15:01:53 480 4,761.00 BATE 15:01:53 341 4,761.00 BATE 15:01:53 491 4,760.00 BATE 15:02:00 189 4,760.00 BATE 15:02:00 313 4,760.00 BATE 15:02:00 42 4,760.00 CHIX 15:02:03 232 4,760.00 CHIX 15:02:03 100 4,760.00 CHIX 15:02:03 75 4,760.00 CHIX 15:02:03 69 4,760.00 CHIX 15:02:03 249 4,760.00 CHIX 15:02:03 64 4,760.00 CHIX 15:02:03 249 4,760.00 CHIX 15:02:03 293 4,760.00 BATE 15:02:04 1 4,759.00 CHIX 15:02:10 100 4,759.00 CHIX 15:02:10 1 4,759.00 CHIX 15:02:10 293 4,760.00 BATE 15:02:10 39 4,760.00 BATE 15:02:10 42 4,760.00 BATE 15:02:10 293 4,760.00 BATE 15:02:10 293 4,760.00 BATE 15:02:10 36 4,760.00 BATE 15:02:10 40 4,760.00 BATE 15:02:10 293 4,760.00 BATE 15:02:13 40 4,760.00 BATE 15:02:13 39 4,760.00 BATE 15:02:13 607 4,760.00 BATE 15:02:13 293 4,760.00 BATE 15:02:13 41 4,760.00 BATE 15:02:13 36 4,760.00 BATE 15:02:13 151 4,759.00 BATE 15:02:14 239 4,759.00 BATE 15:02:14 576 4,759.00 BATE 15:02:14 140 4,759.00 BATE 15:02:15 238 4,759.00 BATE 15:02:15 175 4,759.00 BATE 15:02:16 63 4,759.00 CHIX 15:02:17 51 4,759.00 BATE 15:02:17 21 4,759.00 BATE 15:02:18 5 4,759.00 BATE 15:02:21 3 4,759.00 BATE 15:02:21 5 4,759.00 BATE 15:02:23 470 4,760.00 BATE 15:03:14 44 4,760.00 CHIX 15:03:14 651 4,760.00 BATE 15:03:14 298 4,760.00 CHIX 15:03:14 550 4,760.00 BATE 15:03:14 157 4,760.00 CHIX 15:03:14 293 4,760.00 BATE 15:03:14 40 4,760.00 BATE 15:03:14 36 4,760.00 BATE 15:03:14 5 4,760.00 BATE 15:03:15 2 4,760.00 BATE 15:03:16 2 4,760.00 BATE 15:03:16 93 4,760.00 BATE 15:03:17 1 4,760.00 BATE 15:03:17 81 4,760.00 BATE 15:03:17 2 4,760.00 CHIX 15:03:29 293 4,760.00 BATE 15:03:41 37 4,760.00 BATE 15:03:41 37 4,760.00 BATE 15:03:41 293 4,760.00 BATE 15:03:41 293 4,760.00 BATE 15:03:44 38 4,760.00 BATE 15:03:44 42 4,760.00 BATE 15:03:44 293 4,760.00 BATE 15:03:44 293 4,760.00 BATE 15:03:47 40 4,760.00 BATE 15:03:47 37 4,760.00 BATE 15:03:47 293 4,760.00 BATE 15:03:50 36 4,760.00 BATE 15:03:50 40 4,760.00 BATE 15:03:50 190 4,760.00 BATE 15:03:50 41 4,760.00 BATE 15:03:53 36 4,760.00 BATE 15:03:53 293 4,760.00 BATE 15:03:53 40 4,760.00 BATE 15:03:56 34 4,760.00 BATE 15:03:56 419 4,760.00 CHIX 15:03:57 15 4,760.00 CHIX 15:03:57 55 4,760.00 CHIX 15:03:57 74 4,760.00 CHIX 15:03:57 528 4,760.00 BATE 15:04:50 293 4,760.00 BATE 15:05:02 36 4,760.00 BATE 15:05:02 137 4,759.00 CHIX 15:05:05 41 4,760.00 BATE 15:05:05 36 4,760.00 BATE 15:05:05 293 4,760.00 BATE 15:05:05 293 4,760.00 BATE 15:05:05 41 4,760.00 BATE 15:05:08 34 4,760.00 BATE 15:05:08 293 4,760.00 BATE 15:05:08 293 4,760.00 BATE 15:05:08 364 4,759.00 BATE 15:05:10 293 4,760.00 BATE 15:05:11 34 4,760.00 BATE 15:05:11


 
36 4,760.00 BATE 15:05:11 293 4,760.00 BATE 15:05:11 184 4,759.00 BATE 15:05:13 574 4,759.00 BATE 15:05:13 29 4,759.00 BATE 15:05:13 299 4,759.00 BATE 15:05:13 15 4,759.00 BATE 15:05:13 7 4,759.00 BATE 15:05:13 45 4,759.00 CHIX 15:05:13 75 4,759.00 BATE 15:05:14 41 4,759.00 BATE 15:05:14 37 4,759.00 BATE 15:05:14 1,480 4,759.00 BATE 15:05:24 313 4,759.00 BATE 15:05:24 512 4,759.00 BATE 15:05:24 8 4,759.00 BATE 15:05:24 7 4,759.00 BATE 15:05:24 55 4,759.00 CHIX 15:05:24 68 4,759.00 CHIX 15:05:24 8 4,759.00 BATE 15:05:29 67 4,759.00 CHIX 15:05:29 245 4,759.00 BATE 15:05:32 38 4,759.00 BATE 15:05:32 40 4,759.00 BATE 15:05:32 940 4,759.00 BATE 15:05:32 295 4,759.00 BATE 15:05:32 75 4,759.00 CHIX 15:05:32 70 4,759.00 CHIX 15:05:32 450 4,759.00 CHIX 15:05:32 77 4,759.00 CHIX 15:05:38 355 4,759.00 CHIX 15:05:38 41 4,759.00 CHIX 15:05:38 23 4,759.00 CHIX 15:05:52 74 4,759.00 CHIX 15:05:52 71 4,759.00 BATE 15:06:29 457 4,759.00 BATE 15:06:29 226 4,759.00 BATE 15:06:29 121 4,759.00 BATE 15:06:30 50 4,759.00 BATE 15:06:36 249 4,759.00 CHIX 15:06:36 73 4,759.00 CHIX 15:06:36 63 4,759.00 CHIX 15:06:36 81 4,759.00 CHIX 15:06:36 371 4,759.00 CHIX 15:06:36 1 4,759.00 CHIX 15:06:36 66 4,759.00 CHIX 15:06:39 172 4,759.00 BATE 15:06:41 34 4,759.00 BATE 15:07:11 293 4,759.00 BATE 15:07:14 38 4,759.00 BATE 15:07:14 38 4,759.00 BATE 15:07:14 293 4,759.00 BATE 15:07:14 293 4,759.00 BATE 15:07:15 39 4,759.00 BATE 15:07:15 37 4,759.00 BATE 15:07:15 1 4,759.00 BATE 15:07:15 34 4,759.00 BATE 15:07:15 38 4,759.00 BATE 15:07:15 293 4,759.00 BATE 15:07:15 9 4,759.00 BATE 15:07:15 38 4,759.00 BATE 15:07:17 35 4,759.00 BATE 15:07:17 23 4,759.00 BATE 15:07:20 38 4,759.00 BATE 15:07:20 39 4,759.00 BATE 15:07:20 293 4,759.00 BATE 15:07:20 100 4,758.00 CHIX 15:07:22 99 4,758.00 CHIX 15:07:22 100 4,758.00 CHIX 15:07:22 141 4,758.00 CHIX 15:07:22 649 4,758.00 BATE 15:07:22 88 4,758.00 BATE 15:07:22 1 4,758.00 CHIX 15:07:22 107 4,758.00 BATE 15:07:22 65 4,758.00 BATE 15:07:22 161 4,758.00 CHIX 15:07:22 249 4,758.00 CHIX 15:07:22 70 4,758.00 CHIX 15:07:22 70 4,758.00 CHIX 15:07:22 441 4,758.00 CHIX 15:07:22 28 4,758.00 CHIX 15:07:22 505 4,758.00 BATE 15:07:46 96 4,757.00 CHIX 15:08:00 628 4,757.00 BATE 15:08:00 248 4,757.00 BATE 15:08:00 520 4,757.00 CHIX 15:08:00 96 4,757.00 BATE 15:08:49 100 4,757.00 BATE 15:09:33 377 4,757.00 BATE 15:09:50 97 4,757.00 BATE 15:09:50 39 4,757.00 BATE 15:09:50 3 4,757.00 BATE 15:09:51 4 4,757.00 BATE 15:09:52 235 4,757.00 BATE 15:09:52 118 4,757.00 BATE 15:09:53 6 4,757.00 BATE 15:09:54 3 4,757.00 BATE 15:09:54 98 4,757.00 BATE 15:10:00 130 4,757.00 BATE 15:10:00 189 4,757.00 BATE 15:10:00 395 4,757.00 BATE 15:10:00 54 4,757.00 BATE 15:10:00 249 4,757.00 CHIX 15:10:01 8 4,757.00 CHIX 15:10:04 2 4,757.00 CHIX 15:10:04 5 4,757.00 CHIX 15:10:10 431 4,759.00 CHIX 15:11:04 120 4,759.00 CHIX 15:11:04 733 4,759.00 BATE 15:11:25 346 4,759.00 CHIX 15:11:25 421 4,759.00 BATE 15:11:25 173 4,759.00 CHIX 15:11:25 572 4,759.00 BATE 15:11:25 197 4,759.00 BATE 15:11:25 293 4,759.00 BATE 15:11:25 31 4,759.00 BATE 15:11:25 69 4,759.00 BATE 15:11:26 38 4,759.00 BATE 15:11:26 42 4,759.00 BATE 15:11:26 293 4,759.00 BATE 15:11:26 293 4,759.00 BATE 15:11:26 64 4,759.00 BATE 15:11:26 1 4,759.00 BATE 15:11:26 293 4,759.00 BATE 15:11:26 42 4,759.00 BATE 15:11:26 42 4,759.00 BATE 15:11:29 39 4,759.00 BATE 15:11:29 293 4,759.00 BATE 15:11:29 1 4,759.00 BATE 15:11:32 35 4,759.00 BATE 15:11:32 293 4,759.00 BATE 15:11:32 38 4,759.00 BATE 15:11:32 293 4,759.00 BATE 15:11:35 34 4,759.00 BATE 15:11:35 35 4,759.00 BATE 15:11:35 245 4,759.00 BATE 15:11:35 1 4,759.00 BATE 15:11:41 42 4,759.00 BATE 15:11:41 41 4,759.00 BATE 15:11:41 314 4,759.00 BATE 15:11:50 40 4,759.00 BATE 15:11:50 7 4,759.00 BATE 15:11:50 35 4,759.00 BATE 15:11:53 35 4,759.00 BATE 15:11:53 29 4,759.00 BATE 15:11:53 25 4,759.00 BATE 15:11:53 24 4,759.00 BATE 15:11:53 34 4,759.00 BATE 15:11:53 28 4,759.00 BATE 15:11:53 47 4,759.00 BATE 15:11:53 24 4,759.00 BATE 15:11:53 34 4,759.00 BATE 15:11:53 27 4,759.00 BATE 15:11:53 24 4,759.00 BATE 15:11:53 293 4,759.00 BATE 15:11:59 42 4,759.00 BATE 15:11:59 34 4,759.00 BATE 15:11:59 29 4,759.00 BATE 15:11:59 23 4,759.00 BATE 15:11:59 24 4,759.00 BATE 15:11:59 37 4,759.00 BATE 15:11:59 29 4,759.00 BATE 15:11:59 24 4,759.00 BATE 15:11:59 24 4,759.00 BATE 15:11:59 38 4,759.00 BATE 15:11:59 23 4,759.00 BATE 15:11:59 42 4,759.00 BATE 15:12:02 40 4,759.00 BATE 15:12:02 29 4,759.00 BATE 15:12:02 24 4,759.00 BATE 15:12:02 24 4,759.00 BATE 15:12:02 37 4,759.00 BATE 15:12:02 24 4,759.00 BATE 15:12:02 293 4,759.00 BATE 15:12:02 100 4,759.00 BATE 15:12:02 28 4,759.00 BATE 15:12:02 24 4,759.00 BATE 15:12:02 42 4,759.00 BATE 15:12:02 22 4,759.00 BATE 15:12:02 36 4,759.00 BATE 15:12:05 42 4,759.00 BATE 15:12:05 293 4,759.00 BATE 15:12:05 29 4,759.00 BATE 15:12:05 293 4,759.00 BATE 15:12:05 24 4,759.00 BATE 15:12:05 20 4,759.00 BATE 15:12:05 24 4,759.00 BATE 15:12:05 35 4,759.00 BATE 15:12:05 29 4,759.00 BATE 15:12:05 25 4,759.00 BATE 15:12:05 22 4,759.00 BATE 15:12:05 22 4,759.00 BATE 15:12:05 24 4,759.00 BATE 15:12:05 38 4,759.00 BATE 15:12:05 29 4,759.00 BATE 15:12:05 11 4,759.00 BATE 15:12:05 13 4,759.00 BATE 15:12:08 45 4,759.00 BATE 15:12:08 40 4,759.00 BATE 15:12:08 41 4,759.00 BATE 15:12:08 28 4,759.00 BATE 15:12:08 24 4,759.00 BATE 15:12:08 24 4,759.00 BATE 15:12:08 34 4,759.00 BATE 15:12:08 28 4,759.00 BATE 15:12:08 24 4,759.00 BATE 15:12:08 42 4,759.00 BATE 15:12:08 22 4,759.00 BATE 15:12:08 35 4,759.00 BATE 15:12:11 40 4,759.00 BATE 15:12:11 233 4,759.00 BATE 15:12:11 303 4,758.00 BATE 15:12:13 65 4,758.00 BATE 15:12:13 48 4,758.00 BATE 15:12:13 312 4,758.00 CHIX 15:12:13 75 4,758.00 CHIX 15:12:13 73 4,758.00 CHIX 15:12:13 441 4,758.00 CHIX 15:12:13 54 4,758.00 CHIX 15:12:13 312 4,758.00 CHIX 15:12:13 42 4,758.00 CHIX 15:12:13 44 4,758.00 CHIX 15:12:13 43 4,758.00 CHIX 15:12:13 118 4,758.00 CHIX 15:12:13 312 4,758.00 CHIX 15:12:16 63 4,758.00 CHIX 15:12:16 54 4,758.00 CHIX 15:12:16 312 4,758.00 CHIX 15:12:16


 
44 4,758.00 CHIX 15:12:16 43 4,758.00 CHIX 15:12:16 42 4,758.00 CHIX 15:12:16 537 4,758.00 CHIX 15:12:16 29 4,758.00 CHIX 15:12:22 73 4,758.00 CHIX 15:12:22 71 4,758.00 CHIX 15:12:22 312 4,758.00 CHIX 15:12:22 44 4,758.00 CHIX 15:12:22 312 4,758.00 CHIX 15:12:22 65 4,758.00 CHIX 15:12:22 12 4,758.00 CHIX 15:12:22 64 4,758.00 CHIX 15:12:22 32 4,758.00 BATE 15:12:23 35 4,758.00 BATE 15:12:23 34 4,758.00 BATE 15:12:23 293 4,758.00 BATE 15:12:23 67 4,758.00 CHIX 15:12:25 73 4,758.00 CHIX 15:12:25 312 4,758.00 CHIX 15:12:25 65 4,758.00 CHIX 15:12:28 69 4,758.00 CHIX 15:12:28 312 4,758.00 CHIX 15:12:28 41 4,758.00 BATE 15:12:29 36 4,758.00 BATE 15:12:29 77 4,758.00 CHIX 15:12:31 75 4,758.00 CHIX 15:12:31 20 4,758.00 CHIX 15:12:31 27 4,758.00 BATE 15:12:32 74 4,758.00 CHIX 15:12:34 77 4,758.00 CHIX 15:12:34 103 4,757.00 CHIX 15:12:40 177 4,757.00 BATE 15:12:40 66 4,757.00 BATE 15:12:40 518 4,757.00 CHIX 15:12:40 498 4,757.00 BATE 15:12:40 451 4,757.00 CHIX 15:12:41 68 4,757.00 CHIX 15:12:41 77 4,757.00 CHIX 15:12:41 137 4,757.00 BATE 15:13:10 318 4,757.00 BATE 15:13:10 90 4,757.00 BATE 15:13:14 312 4,757.00 CHIX 15:13:20 77 4,757.00 CHIX 15:13:20 76 4,757.00 CHIX 15:13:20 100 4,757.00 CHIX 15:13:20 454 4,757.00 CHIX 15:13:26 69 4,757.00 CHIX 15:13:26 64 4,757.00 CHIX 15:13:26 91 4,757.00 BATE 15:13:46 100 4,757.00 BATE 15:13:46 410 4,757.00 BATE 15:13:46 12 4,757.00 BATE 15:13:46 437 4,757.00 CHIX 15:13:47 67 4,757.00 CHIX 15:13:47 66 4,757.00 CHIX 15:13:47 258 4,757.00 BATE 15:13:52 112 4,757.00 BATE 15:14:00 63 4,757.00 CHIX 15:14:08 64 4,757.00 CHIX 15:14:08 453 4,757.00 CHIX 15:14:08 100 4,757.00 CHIX 15:14:08 77 4,757.00 CHIX 15:14:11 15 4,756.00 CHIX 15:14:11 176 4,756.00 CHIX 15:14:11 100 4,756.00 CHIX 15:14:11 90 4,756.00 CHIX 15:14:11 5 4,756.00 CHIX 15:14:12 36 4,757.00 CHIX 15:14:14 66 4,757.00 CHIX 15:14:14 68 4,757.00 CHIX 15:14:14 91 4,756.00 CHIX 15:14:14 9 4,756.00 CHIX 15:14:14 50 4,756.00 CHIX 15:14:14 926 4,757.00 BATE 15:14:18 1 4,757.00 BATE 15:14:24 1 4,757.00 BATE 15:14:27 293 4,757.00 BATE 15:14:27 293 4,757.00 BATE 15:14:30 162 4,757.00 BATE 15:14:39 280 4,757.00 BATE 15:14:39 23 4,757.00 BATE 15:14:39 293 4,757.00 BATE 15:14:48 1 4,757.00 BATE 15:14:51 37 4,757.00 BATE 15:14:51 40 4,757.00 BATE 15:14:51 973 4,757.00 BATE 15:14:51 26 4,757.00 BATE 15:14:53 39 4,757.00 BATE 15:14:53 41 4,757.00 BATE 15:14:53 29 4,757.00 BATE 15:14:54 37 4,757.00 BATE 15:14:54 38 4,757.00 BATE 15:14:54 343 4,757.00 BATE 15:14:56 157 4,757.00 BATE 15:14:56 293 4,757.00 BATE 15:15:00 42 4,757.00 BATE 15:15:00 42 4,757.00 BATE 15:15:00 37 4,757.00 BATE 15:15:03 34 4,757.00 BATE 15:15:03 293 4,757.00 BATE 15:15:03 28 4,757.00 BATE 15:15:03 24 4,757.00 BATE 15:15:03 21 4,757.00 BATE 15:15:03 293 4,757.00 BATE 15:15:03 37 4,757.00 BATE 15:15:03 40 4,757.00 BATE 15:15:03 250 4,757.00 BATE 15:15:06 37 4,757.00 BATE 15:15:06 42 4,757.00 BATE 15:15:06 1 4,757.00 BATE 15:15:09 42 4,757.00 BATE 15:15:09 41 4,757.00 BATE 15:15:09 95 4,757.00 BATE 15:15:09 207 4,757.00 BATE 15:15:09 25 4,757.00 BATE 15:15:09 21 4,757.00 BATE 15:15:09 36 4,757.00 BATE 15:15:09 40 4,757.00 BATE 15:15:09 82 4,756.00 BATE 15:15:16 334 4,756.00 BATE 15:15:16 64 4,756.00 BATE 15:15:16 159 4,756.00 BATE 15:15:16 84 4,756.00 CHIX 15:15:16 311 4,757.00 BATE 15:16:20 471 4,757.00 BATE 15:16:20 145 4,757.00 BATE 15:16:20 8 4,757.00 CHIX 15:16:26 63 4,757.00 CHIX 15:16:26 77 4,757.00 CHIX 15:16:26 168 4,757.00 BATE 15:16:50 499 4,757.00 BATE 15:16:50 18 4,757.00 BATE 15:16:53 7 4,757.00 BATE 15:16:54 312 4,757.00 CHIX 15:16:56 75 4,757.00 CHIX 15:16:56 77 4,757.00 CHIX 15:16:56 452 4,757.00 CHIX 15:16:56 32 4,757.00 CHIX 15:16:56 24 4,757.00 CHIX 15:16:59 109 4,757.00 BATE 15:16:59 313 4,757.00 BATE 15:16:59 44 4,757.00 BATE 15:16:59 14 4,757.00 BATE 15:17:00 5 4,758.00 CHIX 15:17:10 100 4,758.00 CHIX 15:17:10 5 4,758.00 CHIX 15:17:10 120 4,758.00 BATE 15:17:11 1 4,758.00 CHIX 15:17:39 201 4,758.00 CHIX 15:17:39 1 4,758.00 CHIX 15:17:39 343 4,758.00 BATE 15:17:39 7 4,758.00 CHIX 15:17:39 87 4,758.00 BATE 15:17:50 594 4,758.00 BATE 15:17:50 176 4,758.00 CHIX 15:17:50 117 4,758.00 BATE 15:17:50 78 4,758.00 CHIX 15:17:50 244 4,758.00 BATE 15:18:01 250 4,758.00 BATE 15:18:01 2 4,758.00 BATE 15:18:06 35 4,758.00 BATE 15:18:06 36 4,758.00 BATE 15:18:06 1 4,758.00 BATE 15:18:12 36 4,758.00 BATE 15:18:12 42 4,758.00 BATE 15:18:12 38 4,758.00 BATE 15:18:24 40 4,758.00 BATE 15:18:24 293 4,758.00 BATE 15:18:24 739 4,758.00 BATE 15:18:24 245 4,758.00 BATE 15:18:24 293 4,758.00 BATE 15:18:30 41 4,758.00 BATE 15:18:30 36 4,758.00 BATE 15:18:30 100 4,758.00 BATE 15:18:30 293 4,758.00 BATE 15:18:33 40 4,758.00 BATE 15:18:33 37 4,758.00 BATE 15:18:33 265 4,758.00 BATE 15:18:33 615 4,758.00 BATE 15:18:38 149 4,757.00 CHIX 15:18:38 5 4,757.00 CHIX 15:18:38 479 4,757.00 CHIX 15:18:47 44 4,757.00 BATE 15:18:47 69 4,757.00 BATE 15:18:47 109 4,757.00 BATE 15:18:47 234 4,757.00 BATE 15:18:47 458 4,757.00 BATE 15:18:47 20 4,756.00 BATE 15:19:01 657 4,756.00 BATE 15:19:01 168 4,756.00 CHIX 15:19:01 359 4,756.00 CHIX 15:19:01 8 4,756.00 BATE 15:19:03 41 4,756.00 BATE 15:19:03 142 4,756.00 BATE 15:19:03 229 4,755.00 BATE 15:19:12 550 4,755.00 BATE 15:19:12 235 4,755.00 BATE 15:19:12 59 4,755.00 BATE 15:19:14 571 4,755.00 CHIX 15:19:14 1 4,755.00 BATE 15:19:15 1 4,755.00 BATE 15:19:18 840 4,755.00 BATE 15:19:21 364 4,755.00 BATE 15:19:21 617 4,755.00 BATE 15:20:00 248 4,755.00 BATE 15:20:00 133 4,755.00 BATE 15:20:00 293 4,755.00 BATE 15:20:00 204 4,755.00 BATE 15:20:02 124 4,755.00 BATE 15:20:03 450 4,755.00 CHIX 15:20:05 411 4,756.00 BATE 15:20:53 53 4,756.00 BATE 15:21:00 158 4,756.00 BATE 15:21:07 110 4,756.00 BATE 15:21:07 282 4,756.00 BATE 15:21:07 358 4,756.00 BATE 15:21:07 312 4,756.00 BATE 15:21:10 111 4,756.00 BATE 15:21:15 199 4,756.00 BATE 15:21:16 239 4,756.00 BATE 15:21:16 91 4,756.00 BATE 15:21:16 100 4,757.00 CHIX 15:21:52 205 4,757.00 CHIX 15:21:52 312 4,757.00 BATE 15:21:52 205 4,757.00 CHIX 15:21:52 100 4,757.00 BATE 15:21:53 114 4,757.00 BATE 15:21:53


 
100 4,757.00 BATE 15:21:53 100 4,757.00 BATE 15:21:53 104 4,757.00 BATE 15:21:53 39 4,759.00 BATE 15:22:38 293 4,759.00 BATE 15:22:38 40 4,759.00 BATE 15:22:38 293 4,759.00 BATE 15:22:38 293 4,759.00 BATE 15:22:38 39 4,759.00 BATE 15:22:38 287 4,759.00 BATE 15:22:38 116 4,759.00 BATE 15:22:38 190 4,759.00 BATE 15:22:38 26 4,758.00 BATE 15:22:43 105 4,758.00 BATE 15:22:43 204 4,758.00 BATE 15:22:43 129 4,758.00 BATE 15:22:43 180 4,758.00 BATE 15:22:43 439 4,757.00 CHIX 15:22:50 40 4,757.00 CHIX 15:22:53 312 4,757.00 CHIX 15:23:02 75 4,757.00 CHIX 15:23:02 75 4,757.00 CHIX 15:23:02 438 4,757.00 CHIX 15:23:02 200 4,757.00 CHIX 15:23:02 287 4,757.00 CHIX 15:23:02 312 4,757.00 CHIX 15:23:14 77 4,757.00 CHIX 15:23:14 73 4,757.00 CHIX 15:23:14 439 4,757.00 CHIX 15:23:14 85 4,757.00 CHIX 15:23:14 312 4,757.00 CHIX 15:23:17 68 4,757.00 CHIX 15:23:17 77 4,757.00 CHIX 15:23:17 312 4,757.00 CHIX 15:23:17 312 4,757.00 CHIX 15:23:17 72 4,757.00 CHIX 15:23:17 67 4,757.00 CHIX 15:23:17 312 4,757.00 CHIX 15:23:20 7 4,757.00 BATE 15:23:24 5 4,757.00 BATE 15:23:24 120 4,757.00 BATE 15:23:24 24 4,757.00 BATE 15:23:25 326 4,757.00 BATE 15:23:26 200 4,757.00 BATE 15:23:29 200 4,757.00 BATE 15:23:29 162 4,756.00 CHIX 15:23:29 68 4,757.00 BATE 15:23:29 41 4,757.00 BATE 15:23:31 42 4,757.00 BATE 15:23:31 163 4,757.00 BATE 15:23:31 5 4,756.00 CHIX 15:23:39 108 4,756.00 BATE 15:23:39 129 4,756.00 BATE 15:23:39 96 4,756.00 CHIX 15:23:39 122 4,756.00 BATE 15:23:39 135 4,756.00 BATE 15:23:39 222 4,756.00 CHIX 15:23:39 9 4,756.00 CHIX 15:23:43 126 4,756.00 CHIX 15:23:43 219 4,756.00 BATE 15:23:53 93 4,756.00 BATE 15:23:53 593 4,757.00 BATE 15:24:41 448 4,757.00 BATE 15:24:47 145 4,757.00 BATE 15:24:55 202 4,757.00 BATE 15:25:02 87 4,757.00 BATE 15:25:02 332 4,757.00 BATE 15:25:10 100 4,757.00 BATE 15:25:17 100 4,757.00 BATE 15:25:17 171 4,757.00 BATE 15:25:20 444 4,757.00 CHIX 15:25:27 541 4,757.00 BATE 15:25:53 45 4,757.00 BATE 15:25:53 198 4,757.00 BATE 15:25:53 50 4,757.00 BATE 15:25:54 39 4,757.00 BATE 15:25:56 37 4,757.00 BATE 15:25:56 537 4,757.00 BATE 15:25:56 36 4,757.00 BATE 15:26:21 34 4,757.00 BATE 15:26:21 408 4,757.00 BATE 15:26:21 233 4,757.00 BATE 15:26:34 12 4,756.00 BATE 15:26:35 228 4,756.00 BATE 15:26:35 115 4,756.00 BATE 15:26:35 315 4,756.00 BATE 15:26:35 10 4,755.00 CHIX 15:26:44 200 4,755.00 CHIX 15:26:44 80 4,755.00 CHIX 15:26:46 2 4,755.00 CHIX 15:26:50 1 4,755.00 CHIX 15:26:52 86 4,755.00 CHIX 15:26:55 201 4,755.00 CHIX 15:26:59 84 4,755.00 CHIX 15:26:59 401 4,756.00 BATE 15:27:14 55 4,756.00 BATE 15:27:14 298 4,756.00 BATE 15:27:22 151 4,756.00 BATE 15:27:22 232 4,755.00 CHIX 15:27:23 1 4,755.00 CHIX 15:27:23 100 4,755.00 CHIX 15:27:23 100 4,755.00 CHIX 15:27:34 178 4,755.00 CHIX 15:27:34 100 4,756.00 BATE 15:27:38 398 4,756.00 BATE 15:27:38 12 4,755.00 CHIX 15:27:38 396 4,755.00 CHIX 15:27:38 141 4,755.00 BATE 15:27:41 140 4,755.00 BATE 15:27:41 174 4,755.00 CHIX 15:27:41 535 4,755.00 CHIX 15:27:41 311 4,755.00 BATE 15:27:41 220 4,754.00 CHIX 15:27:50 291 4,755.00 BATE 15:27:50 411 4,754.00 CHIX 15:27:50 312 4,755.00 CHIX 15:27:51 312 4,755.00 CHIX 15:27:51 312 4,755.00 CHIX 15:27:51 312 4,755.00 CHIX 15:27:51 312 4,755.00 CHIX 15:27:51 19 4,755.00 CHIX 15:27:51 650 4,756.00 CHIX 15:27:52 316 4,755.00 CHIX 15:27:52 300 4,755.00 CHIX 15:27:52 700 4,755.00 CHIX 15:28:01 14 4,755.00 CHIX 15:28:01 100 4,755.00 CHIX 15:28:01 300 4,755.00 CHIX 15:28:01 72 4,755.00 CHIX 15:28:01 46 4,757.00 BATE 15:29:50 686 4,757.00 BATE 15:29:50 829 4,757.00 BATE 15:29:50 100 4,757.00 BATE 15:29:50 55 4,757.00 BATE 15:29:55 296 4,757.00 BATE 15:29:55 9 4,757.00 BATE 15:30:00 716 4,757.00 BATE 15:30:00 258 4,757.00 BATE 15:30:00 310 4,757.00 BATE 15:30:00 100 4,757.00 BATE 15:30:00 200 4,757.00 BATE 15:30:00 100 4,757.00 BATE 15:30:00 124 4,757.00 BATE 15:30:00 454 4,757.00 CHIX 15:30:06 237 4,759.00 BATE 15:30:15 100 4,759.00 BATE 15:30:15 70 4,759.00 BATE 15:30:15 287 4,759.00 BATE 15:30:24 63 4,759.00 BATE 15:30:24 562 4,758.00 CHIX 15:30:27 2 4,756.00 CHIX 15:30:30 27 4,756.00 CHIX 15:30:30 13 4,756.00 CHIX 15:30:30 40 4,756.00 CHIX 15:30:30 11 4,756.00 CHIX 15:30:30 101 4,756.00 CHIX 15:30:30 63 4,755.00 BATE 15:30:44 233 4,755.00 BATE 15:30:44 51 4,755.00 BATE 15:30:44 391 4,754.00 CHIX 15:31:01 8 4,754.00 CHIX 15:31:01 440 4,754.00 CHIX 15:31:01 235 4,754.00 CHIX 15:31:01 275 4,753.00 BATE 15:31:01 338 4,753.00 BATE 15:31:01 391 4,753.00 CHIX 15:31:10 100 4,753.00 CHIX 15:31:10 529 4,752.00 BATE 15:31:20 257 4,752.00 BATE 15:31:39 440 4,752.00 CHIX 15:31:39 814 4,752.00 CHIX 15:31:39 423 4,752.00 BATE 15:32:09 100 4,752.00 BATE 15:32:09 391 4,751.00 CHIX 15:32:09 163 4,752.00 BATE 15:32:09 6 4,752.00 BATE 15:32:09 541 4,752.00 BATE 15:32:13 443 4,752.00 CHIX 15:32:14 230 4,752.00 BATE 15:32:52 535 4,752.00 BATE 15:32:52 402 4,751.00 CHIX 15:32:52 629 4,752.00 BATE 15:32:52 149 4,751.00 CHIX 15:32:52 288 4,751.00 BATE 15:32:52 147 4,751.00 BATE 15:32:52 356 4,751.00 BATE 15:32:52 24 4,751.00 BATE 15:32:52 391 4,751.00 CHIX 15:33:20 1 4,751.00 CHIX 15:33:20 154 4,751.00 CHIX 15:33:23 404 4,751.00 BATE 15:33:40 235 4,751.00 BATE 15:33:48 5 4,751.00 BATE 15:33:48 61 4,751.00 BATE 15:33:48 367 4,751.00 BATE 15:33:48 165 4,751.00 BATE 15:33:48 366 4,751.00 BATE 15:33:50 1 4,751.00 BATE 15:33:50 288 4,751.00 BATE 15:33:50 45 4,751.00 BATE 15:33:50 233 4,751.00 CHIX 15:33:51 8 4,751.00 CHIX 15:33:54 391 4,751.00 CHIX 15:33:54 391 4,751.00 CHIX 15:33:57 68 4,751.00 CHIX 15:33:57 72 4,751.00 CHIX 15:33:57 647 4,751.00 CHIX 15:34:03 445 4,751.00 CHIX 15:34:03 68 4,751.00 CHIX 15:34:03 65 4,751.00 CHIX 15:34:03 260 4,751.00 BATE 15:34:40 366 4,751.00 BATE 15:34:40 49 4,751.00 BATE 15:34:40 509 4,751.00 BATE 15:34:40 391 4,751.00 CHIX 15:34:42 63 4,751.00 CHIX 15:34:42 439 4,751.00 CHIX 15:34:42 56 4,751.00 CHIX 15:34:45 828 4,751.00 CHIX 15:34:48 89 4,751.00 BATE 15:34:53 176 4,751.00 BATE 15:35:02 533 4,751.00 BATE 15:35:02 347 4,750.00 BATE 15:35:05 237 4,750.00 CHIX 15:35:05 213 4,750.00 CHIX 15:35:05 114 4,750.00 CHIX 15:35:05 451 4,750.00 CHIX 15:35:06 391 4,751.00 CHIX 15:35:41


 
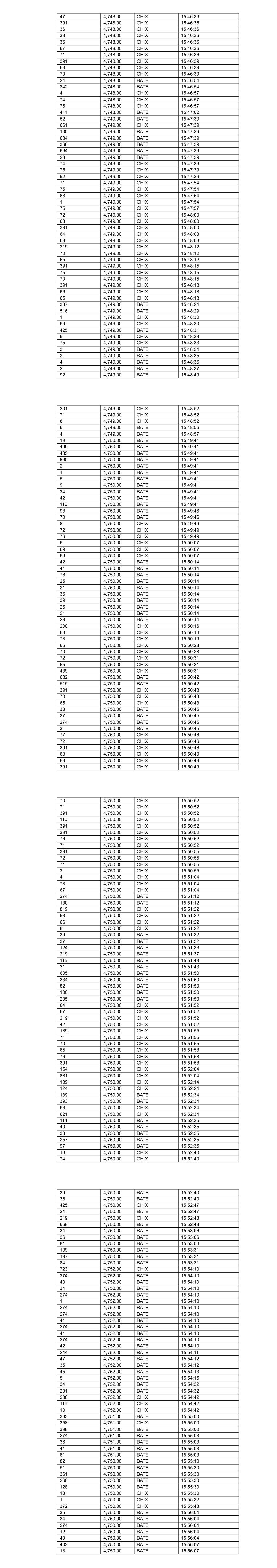
66 4,751.00 CHIX 15:35:41 75 4,751.00 CHIX 15:35:41 444 4,751.00 CHIX 15:35:41 400 4,751.00 BATE 15:35:53 454 4,751.00 BATE 15:35:53 21 4,751.00 BATE 15:35:53 59 4,751.00 BATE 15:35:58 356 4,751.00 BATE 15:35:58 166 4,751.00 BATE 15:36:16 300 4,751.00 CHIX 15:36:17 441 4,751.00 CHIX 15:36:17 74 4,751.00 CHIX 15:36:17 137 4,751.00 CHIX 15:36:17 40 4,751.00 CHIX 15:36:17 2 4,751.00 BATE 15:36:19 24 4,751.00 CHIX 15:36:20 366 4,751.00 BATE 15:36:22 42 4,751.00 BATE 15:36:22 34 4,751.00 BATE 15:36:22 19 4,751.00 BATE 15:36:22 31 4,751.00 BATE 15:36:22 8 4,751.00 BATE 15:36:44 366 4,751.00 BATE 15:36:44 35 4,751.00 BATE 15:36:44 36 4,751.00 BATE 15:36:44 62 4,751.00 BATE 15:36:44 35 4,751.00 BATE 15:36:44 39 4,751.00 BATE 15:36:44 317 4,751.00 BATE 15:36:44 125 4,750.00 BATE 15:36:57 172 4,750.00 BATE 15:36:57 18 4,750.00 BATE 15:36:57 397 4,749.00 CHIX 15:37:19 96 4,749.00 CHIX 15:37:19 136 4,749.00 CHIX 15:37:19 332 4,750.00 BATE 15:37:20 257 4,749.00 CHIX 15:37:23 283 4,749.00 CHIX 15:37:27 130 4,749.00 CHIX 15:37:27 55 4,749.00 CHIX 15:37:36 7 4,749.00 CHIX 15:37:36 2 4,749.00 CHIX 15:37:37 156 4,750.00 BATE 15:37:39 35 4,750.00 BATE 15:37:39 39 4,750.00 BATE 15:37:39 100 4,750.00 BATE 15:37:39 2 4,749.00 CHIX 15:37:40 112 4,750.00 BATE 15:37:42 34 4,750.00 BATE 15:37:42 36 4,750.00 BATE 15:37:42 41 4,750.00 BATE 15:37:42 131 4,750.00 BATE 15:37:42 1 4,750.00 BATE 15:37:42 114 4,750.00 BATE 15:37:42 73 4,750.00 BATE 15:37:43 71 4,750.00 BATE 15:38:25 100 4,750.00 BATE 15:38:25 481 4,750.00 BATE 15:38:25 686 4,750.00 BATE 15:38:25 41 4,750.00 BATE 15:38:25 294 4,750.00 BATE 15:38:25 1 4,749.00 CHIX 15:38:25 256 4,749.00 BATE 15:38:26 392 4,749.00 CHIX 15:38:26 337 4,749.00 BATE 15:38:26 11 4,747.00 CHIX 15:38:32 1 4,747.00 CHIX 15:38:32 70 4,747.00 CHIX 15:38:55 83 4,747.00 CHIX 15:39:00 392 4,748.00 BATE 15:39:06 48 4,748.00 BATE 15:39:06 36 4,748.00 BATE 15:39:06 100 4,748.00 BATE 15:39:07 124 4,747.00 CHIX 15:39:08 121 4,748.00 BATE 15:39:08 520 4,748.00 BATE 15:39:40 689 4,748.00 BATE 15:39:40 33 4,748.00 BATE 15:39:40 295 4,748.00 BATE 15:39:41 44 4,748.00 BATE 15:39:41 270 4,747.00 CHIX 15:39:41 77 4,747.00 CHIX 15:39:41 11 4,746.00 BATE 15:39:57 8 4,747.00 CHIX 15:40:00 34 4,747.00 CHIX 15:40:00 391 4,747.00 CHIX 15:40:00 76 4,747.00 CHIX 15:40:00 63 4,747.00 CHIX 15:40:00 391 4,747.00 CHIX 15:40:00 34 4,747.00 CHIX 15:40:00 69 4,747.00 CHIX 15:40:12 75 4,747.00 CHIX 15:40:12 1,365 4,747.00 CHIX 15:40:12 88 4,747.00 CHIX 15:40:15 69 4,747.00 CHIX 15:40:15 63 4,747.00 CHIX 15:40:15 355 4,747.00 CHIX 15:40:15 563 4,749.00 CHIX 15:40:40 503 4,749.00 BATE 15:40:40 679 4,749.00 BATE 15:40:40 221 4,749.00 BATE 15:40:40 492 4,749.00 BATE 15:40:40 7 4,749.00 BATE 15:40:40 4 4,749.00 BATE 15:40:40 521 4,748.00 CHIX 15:40:41 140 4,748.00 CHIX 15:40:41 37 4,749.00 BATE 15:41:19 38 4,749.00 BATE 15:41:19 320 4,749.00 BATE 15:41:19 46 4,749.00 BATE 15:41:23 18 4,749.00 BATE 15:41:23 9 4,749.00 BATE 15:41:23 44 4,749.00 BATE 15:41:23 120 4,749.00 BATE 15:41:23 40 4,749.00 BATE 15:41:23 37 4,749.00 BATE 15:41:23 100 4,749.00 BATE 15:41:23 116 4,749.00 BATE 15:41:23 391 4,748.00 CHIX 15:41:24 67 4,748.00 CHIX 15:41:24 391 4,748.00 CHIX 15:41:24 111 4,748.00 BATE 15:41:24 224 4,748.00 BATE 15:41:24 178 4,748.00 BATE 15:41:53 118 4,748.00 BATE 15:41:55 2 4,748.00 BATE 15:41:55 213 4,748.00 BATE 15:41:55 22 4,748.00 BATE 15:41:56 108 4,748.00 BATE 15:41:56 40 4,748.00 BATE 15:41:58 19 4,748.00 BATE 15:41:59 391 4,748.00 CHIX 15:42:12 500 4,748.00 CHIX 15:42:15 623 4,748.00 BATE 15:43:17 377 4,748.00 BATE 15:43:17 198 4,748.00 BATE 15:43:17 522 4,748.00 BATE 15:43:17 100 4,748.00 BATE 15:43:17 60 4,748.00 BATE 15:43:17 402 4,747.00 CHIX 15:43:17 146 4,747.00 CHIX 15:43:17 278 4,747.00 BATE 15:43:17 329 4,748.00 BATE 15:43:17 37 4,748.00 BATE 15:43:20 366 4,748.00 BATE 15:43:20 42 4,748.00 BATE 15:43:20 34 4,748.00 BATE 15:43:20 132 4,748.00 BATE 15:43:21 84 4,748.00 BATE 15:43:21 248 4,748.00 BATE 15:43:51 252 4,748.00 BATE 15:43:57 288 4,748.00 BATE 15:43:57 169 4,747.00 CHIX 15:44:10 260 4,747.00 BATE 15:44:10 365 4,747.00 BATE 15:44:10 383 4,747.00 CHIX 15:44:10 142 4,747.00 BATE 15:44:10 136 4,747.00 CHIX 15:44:10 159 4,747.00 CHIX 15:44:12 118 4,747.00 CHIX 15:44:12 391 4,747.00 CHIX 15:44:36 332 4,748.00 CHIX 15:44:42 303 4,748.00 CHIX 15:44:42 72 4,748.00 BATE 15:44:45 248 4,748.00 BATE 15:44:45 150 4,748.00 BATE 15:44:47 65 4,748.00 BATE 15:44:48 391 4,748.00 CHIX 15:44:48 72 4,748.00 CHIX 15:44:48 73 4,748.00 CHIX 15:44:48 324 4,748.00 CHIX 15:44:48 72 4,748.00 CHIX 15:44:51 69 4,748.00 CHIX 15:44:51 148 4,748.00 BATE 15:44:53 135 4,748.00 BATE 15:44:53 71 4,748.00 BATE 15:44:54 43 4,748.00 BATE 15:45:55 52 4,748.00 BATE 15:45:55 484 4,748.00 BATE 15:45:55 543 4,748.00 BATE 15:45:55 366 4,748.00 BATE 15:45:56 37 4,748.00 BATE 15:45:56 34 4,748.00 BATE 15:45:56 19 4,748.00 BATE 15:45:56 110 4,748.00 BATE 15:45:56 34 4,748.00 BATE 15:45:58 275 4,748.00 BATE 15:45:59 19 4,748.00 BATE 15:45:59 124 4,748.00 BATE 15:46:00 76 4,748.00 CHIX 15:46:00 2 4,748.00 BATE 15:46:01 54 4,748.00 BATE 15:46:01 3 4,748.00 BATE 15:46:06 13 4,748.00 BATE 15:46:06 3 4,748.00 BATE 15:46:11 2 4,748.00 BATE 15:46:12 1 4,748.00 BATE 15:46:12 24 4,748.00 BATE 15:46:12 281 4,748.00 BATE 15:46:12 1 4,748.00 BATE 15:46:13 215 4,748.00 BATE 15:46:22 113 4,748.00 BATE 15:46:23 42 4,748.00 BATE 15:46:25 16 4,748.00 BATE 15:46:26 4 4,748.00 BATE 15:46:26 2 4,748.00 BATE 15:46:27 73 4,748.00 CHIX 15:46:27 7 4,748.00 BATE 15:46:32 366 4,748.00 BATE 15:46:32 37 4,748.00 BATE 15:46:32 34 4,748.00 BATE 15:46:32 27 4,748.00 BATE 15:46:32 23 4,748.00 BATE 15:46:32 24 4,748.00 BATE 15:46:32 153 4,748.00 BATE 15:46:32 391 4,748.00 CHIX 15:46:33 66 4,748.00 CHIX 15:46:33 73 4,748.00 CHIX 15:46:33 343 4,748.00 CHIX 15:46:33 391 4,748.00 CHIX 15:46:33 68 4,748.00 CHIX 15:46:33 70 4,748.00 CHIX 15:46:33 79 4,748.00 CHIX 15:46:33 391 4,748.00 CHIX 15:46:36 230 4,748.00 CHIX 15:46:36 64 4,748.00 CHIX 15:46:36 68 4,748.00 CHIX 15:46:36 8 4,748.00 CHIX 15:46:36


 
47 4,748.00 CHIX 15:46:36 391 4,748.00 CHIX 15:46:36 36 4,748.00 CHIX 15:46:36 38 4,748.00 CHIX 15:46:36 36 4,748.00 CHIX 15:46:36 67 4,748.00 CHIX 15:46:36 71 4,748.00 CHIX 15:46:36 391 4,748.00 CHIX 15:46:39 63 4,748.00 CHIX 15:46:39 70 4,748.00 CHIX 15:46:39 24 4,748.00 BATE 15:46:54 242 4,748.00 BATE 15:46:54 4 4,748.00 CHIX 15:46:57 74 4,748.00 CHIX 15:46:57 75 4,748.00 CHIX 15:46:57 411 4,748.00 BATE 15:47:02 52 4,749.00 BATE 15:47:39 661 4,749.00 CHIX 15:47:39 100 4,749.00 BATE 15:47:39 634 4,749.00 BATE 15:47:39 368 4,749.00 BATE 15:47:39 664 4,749.00 BATE 15:47:39 23 4,749.00 BATE 15:47:39 74 4,749.00 CHIX 15:47:39 75 4,749.00 CHIX 15:47:39 92 4,749.00 CHIX 15:47:39 71 4,749.00 CHIX 15:47:54 75 4,749.00 CHIX 15:47:54 68 4,749.00 CHIX 15:47:54 1 4,749.00 CHIX 15:47:54 75 4,749.00 CHIX 15:47:57 72 4,749.00 CHIX 15:48:00 68 4,749.00 CHIX 15:48:00 391 4,749.00 CHIX 15:48:00 64 4,749.00 CHIX 15:48:03 63 4,749.00 CHIX 15:48:03 219 4,749.00 CHIX 15:48:12 70 4,749.00 CHIX 15:48:12 65 4,749.00 CHIX 15:48:12 391 4,749.00 CHIX 15:48:15 75 4,749.00 CHIX 15:48:15 70 4,749.00 CHIX 15:48:15 391 4,749.00 CHIX 15:48:18 66 4,749.00 CHIX 15:48:18 65 4,749.00 CHIX 15:48:18 337 4,749.00 BATE 15:48:24 516 4,749.00 BATE 15:48:29 1 4,749.00 CHIX 15:48:30 69 4,749.00 CHIX 15:48:30 425 4,749.00 BATE 15:48:31 6 4,749.00 CHIX 15:48:33 75 4,749.00 CHIX 15:48:33 3 4,749.00 BATE 15:48:34 2 4,749.00 BATE 15:48:35 4 4,749.00 BATE 15:48:36 2 4,749.00 BATE 15:48:37 92 4,749.00 BATE 15:48:49 201 4,749.00 CHIX 15:48:52 71 4,749.00 CHIX 15:48:52 81 4,749.00 CHIX 15:48:52 6 4,749.00 BATE 15:48:56 4 4,749.00 BATE 15:48:57 19 4,750.00 BATE 15:49:41 499 4,750.00 BATE 15:49:41 485 4,750.00 BATE 15:49:41 980 4,750.00 BATE 15:49:41 2 4,750.00 BATE 15:49:41 1 4,750.00 BATE 15:49:41 5 4,750.00 BATE 15:49:41 9 4,750.00 BATE 15:49:41 24 4,750.00 BATE 15:49:41 42 4,750.00 BATE 15:49:41 116 4,750.00 BATE 15:49:41 98 4,750.00 BATE 15:49:46 70 4,750.00 BATE 15:49:46 8 4,750.00 CHIX 15:49:49 72 4,750.00 CHIX 15:49:49 76 4,750.00 CHIX 15:49:49 6 4,750.00 CHIX 15:50:07 69 4,750.00 CHIX 15:50:07 66 4,750.00 CHIX 15:50:07 42 4,750.00 BATE 15:50:14 41 4,750.00 BATE 15:50:14 76 4,750.00 BATE 15:50:14 25 4,750.00 BATE 15:50:14 21 4,750.00 BATE 15:50:14 36 4,750.00 BATE 15:50:14 39 4,750.00 BATE 15:50:14 25 4,750.00 BATE 15:50:14 21 4,750.00 BATE 15:50:14 29 4,750.00 BATE 15:50:14 200 4,750.00 CHIX 15:50:16 68 4,750.00 CHIX 15:50:16 73 4,750.00 CHIX 15:50:19 66 4,750.00 CHIX 15:50:28 70 4,750.00 CHIX 15:50:28 72 4,750.00 CHIX 15:50:31 65 4,750.00 CHIX 15:50:31 439 4,750.00 CHIX 15:50:31 682 4,750.00 BATE 15:50:42 515 4,750.00 BATE 15:50:42 391 4,750.00 CHIX 15:50:43 70 4,750.00 CHIX 15:50:43 65 4,750.00 CHIX 15:50:43 38 4,750.00 BATE 15:50:45 37 4,750.00 BATE 15:50:45 274 4,750.00 BATE 15:50:45 3 4,750.00 BATE 15:50:45 77 4,750.00 CHIX 15:50:46 72 4,750.00 CHIX 15:50:46 391 4,750.00 CHIX 15:50:46 63 4,750.00 CHIX 15:50:49 69 4,750.00 CHIX 15:50:49 391 4,750.00 CHIX 15:50:49 70 4,750.00 CHIX 15:50:52 71 4,750.00 CHIX 15:50:52 391 4,750.00 CHIX 15:50:52 110 4,750.00 CHIX 15:50:52 391 4,750.00 CHIX 15:50:52 391 4,750.00 CHIX 15:50:52 76 4,750.00 CHIX 15:50:52 71 4,750.00 CHIX 15:50:52 391 4,750.00 CHIX 15:50:55 72 4,750.00 CHIX 15:50:55 71 4,750.00 CHIX 15:50:55 2 4,750.00 CHIX 15:50:55 4 4,750.00 CHIX 15:51:04 73 4,750.00 CHIX 15:51:04 67 4,750.00 CHIX 15:51:04 274 4,750.00 BATE 15:51:12 130 4,750.00 BATE 15:51:12 819 4,750.00 CHIX 15:51:22 63 4,750.00 CHIX 15:51:22 66 4,750.00 CHIX 15:51:22 8 4,750.00 CHIX 15:51:22 39 4,750.00 BATE 15:51:32 37 4,750.00 BATE 15:51:32 124 4,750.00 BATE 15:51:33 219 4,750.00 BATE 15:51:37 115 4,750.00 BATE 15:51:43 31 4,750.00 BATE 15:51:43 605 4,750.00 BATE 15:51:50 334 4,750.00 BATE 15:51:50 82 4,750.00 BATE 15:51:50 100 4,750.00 BATE 15:51:50 295 4,750.00 BATE 15:51:50 64 4,750.00 CHIX 15:51:52 67 4,750.00 CHIX 15:51:52 219 4,750.00 CHIX 15:51:52 42 4,750.00 CHIX 15:51:52 139 4,750.00 CHIX 15:51:55 71 4,750.00 CHIX 15:51:55 70 4,750.00 CHIX 15:51:55 65 4,750.00 CHIX 15:51:58 76 4,750.00 CHIX 15:51:58 391 4,750.00 CHIX 15:51:58 154 4,750.00 CHIX 15:52:04 881 4,750.00 CHIX 15:52:04 139 4,750.00 CHIX 15:52:14 124 4,750.00 CHIX 15:52:24 139 4,750.00 BATE 15:52:34 393 4,750.00 BATE 15:52:34 63 4,750.00 CHIX 15:52:34 621 4,750.00 CHIX 15:52:34 114 4,750.00 BATE 15:52:35 40 4,750.00 BATE 15:52:35 38 4,750.00 BATE 15:52:35 257 4,750.00 BATE 15:52:35 97 4,750.00 BATE 15:52:35 16 4,750.00 CHIX 15:52:40 74 4,750.00 CHIX 15:52:40 39 4,750.00 BATE 15:52:40 36 4,750.00 BATE 15:52:40 425 4,750.00 CHIX 15:52:47 24 4,750.00 BATE 15:52:47 219 4,750.00 CHIX 15:52:48 669 4,750.00 BATE 15:52:48 34 4,750.00 BATE 15:53:06 36 4,750.00 BATE 15:53:06 81 4,750.00 BATE 15:53:06 139 4,750.00 BATE 15:53:31 197 4,750.00 BATE 15:53:31 84 4,750.00 BATE 15:53:31 723 4,752.00 CHIX 15:54:10 274 4,752.00 BATE 15:54:10 40 4,752.00 BATE 15:54:10 34 4,752.00 BATE 15:54:10 274 4,752.00 BATE 15:54:10 1 4,752.00 BATE 15:54:10 274 4,752.00 BATE 15:54:10 274 4,752.00 BATE 15:54:10 41 4,752.00 BATE 15:54:10 274 4,752.00 BATE 15:54:10 41 4,752.00 BATE 15:54:10 274 4,752.00 BATE 15:54:10 42 4,752.00 BATE 15:54:10 244 4,752.00 BATE 15:54:11 47 4,752.00 BATE 15:54:12 35 4,752.00 BATE 15:54:12 45 4,752.00 BATE 15:54:13 5 4,752.00 BATE 15:54:15 34 4,752.00 BATE 15:54:32 201 4,752.00 BATE 15:54:32 230 4,752.00 CHIX 15:54:42 116 4,752.00 CHIX 15:54:42 10 4,752.00 CHIX 15:54:42 363 4,751.00 BATE 15:55:00 358 4,751.00 CHIX 15:55:00 398 4,751.00 BATE 15:55:00 274 4,751.00 BATE 15:55:03 36 4,751.00 BATE 15:55:03 41 4,751.00 BATE 15:55:03 81 4,751.00 BATE 15:55:03 82 4,750.00 BATE 15:55:10 51 4,750.00 BATE 15:55:30 361 4,750.00 BATE 15:55:30 260 4,750.00 BATE 15:55:30 128 4,750.00 BATE 15:55:30 18 4,750.00 CHIX 15:55:30 1 4,750.00 CHIX 15:55:32 372 4,750.00 CHIX 15:55:43 35 4,750.00 BATE 15:56:04 34 4,750.00 BATE 15:56:04 274 4,750.00 BATE 15:56:04 12 4,750.00 BATE 15:56:04 40 4,750.00 BATE 15:56:04 402 4,750.00 BATE 15:56:07 13 4,750.00 BATE 15:56:07


 
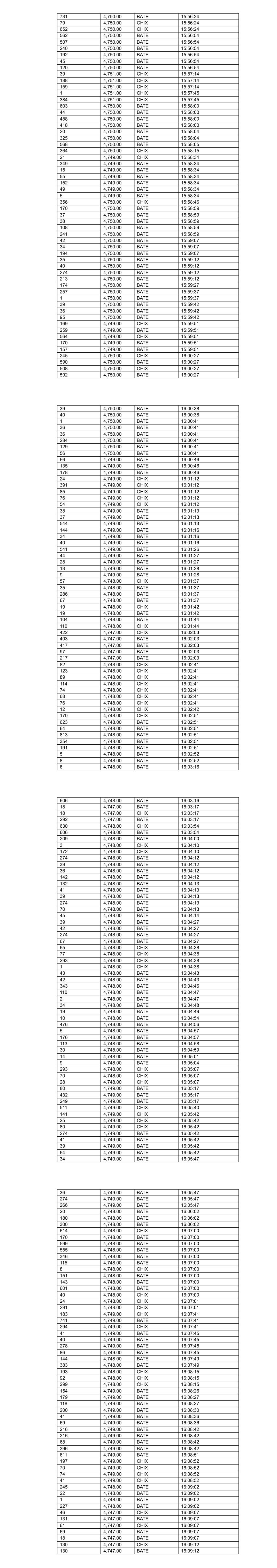
731 4,750.00 BATE 15:56:24 79 4,750.00 CHIX 15:56:24 652 4,750.00 CHIX 15:56:24 562 4,750.00 BATE 15:56:54 507 4,750.00 BATE 15:56:54 240 4,750.00 BATE 15:56:54 192 4,750.00 BATE 15:56:54 45 4,750.00 BATE 15:56:54 120 4,750.00 BATE 15:56:54 39 4,751.00 CHIX 15:57:14 188 4,751.00 CHIX 15:57:14 159 4,751.00 CHIX 15:57:14 1 4,751.00 CHIX 15:57:45 384 4,751.00 CHIX 15:57:45 603 4,750.00 BATE 15:58:00 44 4,750.00 BATE 15:58:00 488 4,750.00 BATE 15:58:00 418 4,750.00 BATE 15:58:00 20 4,750.00 BATE 15:58:04 325 4,750.00 BATE 15:58:04 568 4,750.00 BATE 15:58:05 364 4,750.00 CHIX 15:58:15 21 4,749.00 CHIX 15:58:34 349 4,749.00 BATE 15:58:34 15 4,749.00 BATE 15:58:34 55 4,749.00 BATE 15:58:34 152 4,749.00 BATE 15:58:34 49 4,749.00 BATE 15:58:34 5 4,749.00 BATE 15:58:34 356 4,750.00 CHIX 15:58:46 170 4,750.00 BATE 15:58:59 37 4,750.00 BATE 15:58:59 38 4,750.00 BATE 15:58:59 108 4,750.00 BATE 15:58:59 241 4,750.00 BATE 15:58:59 42 4,750.00 BATE 15:59:07 34 4,750.00 BATE 15:59:07 194 4,750.00 BATE 15:59:07 35 4,750.00 BATE 15:59:12 40 4,750.00 BATE 15:59:12 274 4,750.00 BATE 15:59:12 213 4,750.00 BATE 15:59:12 174 4,750.00 BATE 15:59:27 257 4,750.00 BATE 15:59:37 1 4,750.00 BATE 15:59:37 39 4,750.00 BATE 15:59:42 36 4,750.00 BATE 15:59:42 95 4,750.00 BATE 15:59:42 169 4,749.00 CHIX 15:59:51 259 4,749.00 BATE 15:59:51 564 4,749.00 CHIX 15:59:51 170 4,749.00 BATE 15:59:51 157 4,749.00 BATE 15:59:51 245 4,750.00 CHIX 16:00:27 590 4,750.00 BATE 16:00:27 508 4,750.00 CHIX 16:00:27 592 4,750.00 BATE 16:00:27 39 4,750.00 BATE 16:00:38 40 4,750.00 BATE 16:00:38 1 4,750.00 BATE 16:00:41 36 4,750.00 BATE 16:00:41 36 4,750.00 BATE 16:00:41 284 4,750.00 BATE 16:00:41 129 4,750.00 BATE 16:00:41 56 4,750.00 BATE 16:00:41 66 4,749.00 BATE 16:00:46 135 4,749.00 BATE 16:00:46 178 4,749.00 BATE 16:00:46 24 4,749.00 CHIX 16:01:12 391 4,749.00 CHIX 16:01:12 85 4,749.00 CHIX 16:01:12 76 4,749.00 CHIX 16:01:12 54 4,749.00 CHIX 16:01:12 38 4,749.00 BATE 16:01:13 37 4,749.00 BATE 16:01:13 544 4,749.00 BATE 16:01:13 144 4,749.00 BATE 16:01:16 34 4,749.00 BATE 16:01:16 40 4,749.00 BATE 16:01:16 541 4,749.00 BATE 16:01:26 44 4,749.00 BATE 16:01:27 28 4,749.00 BATE 16:01:27 13 4,749.00 BATE 16:01:28 9 4,749.00 BATE 16:01:28 57 4,748.00 CHIX 16:01:37 35 4,748.00 BATE 16:01:37 286 4,748.00 BATE 16:01:37 67 4,748.00 BATE 16:01:37 19 4,748.00 CHIX 16:01:42 19 4,748.00 BATE 16:01:42 104 4,748.00 BATE 16:01:44 110 4,748.00 CHIX 16:01:44 422 4,747.00 CHIX 16:02:03 403 4,747.00 BATE 16:02:03 417 4,747.00 BATE 16:02:03 97 4,747.00 BATE 16:02:03 217 4,747.00 BATE 16:02:03 82 4,748.00 CHIX 16:02:41 123 4,748.00 CHIX 16:02:41 89 4,748.00 CHIX 16:02:41 114 4,748.00 CHIX 16:02:41 74 4,748.00 CHIX 16:02:41 68 4,748.00 CHIX 16:02:41 76 4,748.00 CHIX 16:02:41 12 4,748.00 CHIX 16:02:42 170 4,748.00 CHIX 16:02:51 623 4,748.00 BATE 16:02:51 64 4,748.00 BATE 16:02:51 813 4,748.00 BATE 16:02:51 354 4,748.00 BATE 16:02:51 191 4,748.00 BATE 16:02:51 5 4,748.00 BATE 16:02:52 8 4,748.00 BATE 16:02:52 6 4,748.00 BATE 16:03:16 606 4,748.00 BATE 16:03:16 18 4,747.00 BATE 16:03:17 18 4,747.00 CHIX 16:03:17 292 4,747.00 BATE 16:03:17 630 4,748.00 CHIX 16:03:54 606 4,748.00 BATE 16:03:54 209 4,748.00 BATE 16:04:00 3 4,748.00 CHIX 16:04:10 172 4,748.00 CHIX 16:04:10 274 4,748.00 BATE 16:04:12 39 4,748.00 BATE 16:04:12 36 4,748.00 BATE 16:04:12 142 4,748.00 BATE 16:04:12 132 4,748.00 BATE 16:04:13 41 4,748.00 BATE 16:04:13 39 4,748.00 BATE 16:04:13 274 4,748.00 BATE 16:04:13 70 4,748.00 BATE 16:04:13 45 4,748.00 BATE 16:04:14 39 4,748.00 BATE 16:04:27 42 4,748.00 BATE 16:04:27 274 4,748.00 BATE 16:04:27 67 4,748.00 BATE 16:04:27 65 4,748.00 CHIX 16:04:38 77 4,748.00 CHIX 16:04:38 293 4,748.00 CHIX 16:04:38 1 4,748.00 CHIX 16:04:38 43 4,748.00 BATE 16:04:43 42 4,748.00 BATE 16:04:43 343 4,748.00 BATE 16:04:46 110 4,748.00 BATE 16:04:47 2 4,748.00 BATE 16:04:47 34 4,748.00 BATE 16:04:48 19 4,748.00 BATE 16:04:49 10 4,748.00 BATE 16:04:54 476 4,748.00 BATE 16:04:56 5 4,748.00 BATE 16:04:57 176 4,748.00 BATE 16:04:57 113 4,748.00 BATE 16:04:58 30 4,748.00 BATE 16:04:59 14 4,748.00 BATE 16:05:01 9 4,748.00 BATE 16:05:04 293 4,748.00 CHIX 16:05:07 70 4,748.00 CHIX 16:05:07 28 4,748.00 CHIX 16:05:07 80 4,749.00 BATE 16:05:17 432 4,749.00 BATE 16:05:17 249 4,749.00 BATE 16:05:17 511 4,749.00 CHIX 16:05:40 141 4,749.00 CHIX 16:05:42 25 4,749.00 CHIX 16:05:42 80 4,749.00 CHIX 16:05:42 274 4,749.00 BATE 16:05:42 41 4,749.00 BATE 16:05:42 39 4,749.00 BATE 16:05:42 64 4,749.00 BATE 16:05:42 34 4,749.00 BATE 16:05:47 36 4,749.00 BATE 16:05:47 274 4,749.00 BATE 16:05:47 266 4,749.00 BATE 16:05:47 20 4,748.00 BATE 16:06:02 180 4,748.00 BATE 16:06:02 300 4,748.00 BATE 16:06:02 614 4,748.00 CHIX 16:07:00 170 4,748.00 BATE 16:07:00 599 4,748.00 BATE 16:07:00 555 4,748.00 BATE 16:07:00 346 4,748.00 BATE 16:07:00 115 4,748.00 BATE 16:07:00 8 4,748.00 CHIX 16:07:00 151 4,748.00 BATE 16:07:00 143 4,748.00 BATE 16:07:00 601 4,748.00 BATE 16:07:00 40 4,748.00 CHIX 16:07:00 24 4,748.00 CHIX 16:07:01 291 4,748.00 CHIX 16:07:01 183 4,749.00 CHIX 16:07:41 741 4,749.00 BATE 16:07:41 294 4,749.00 CHIX 16:07:41 41 4,749.00 BATE 16:07:45 40 4,749.00 BATE 16:07:45 278 4,749.00 BATE 16:07:45 86 4,749.00 BATE 16:07:45 144 4,748.00 BATE 16:07:49 383 4,748.00 BATE 16:07:49 193 4,748.00 CHIX 16:08:15 92 4,748.00 CHIX 16:08:15 299 4,748.00 CHIX 16:08:15 154 4,749.00 BATE 16:08:26 179 4,749.00 BATE 16:08:27 118 4,749.00 BATE 16:08:27 200 4,749.00 BATE 16:08:30 41 4,749.00 BATE 16:08:36 69 4,749.00 BATE 16:08:36 216 4,749.00 BATE 16:08:42 216 4,749.00 BATE 16:08:42 68 4,749.00 BATE 16:08:42 396 4,749.00 BATE 16:08:42 611 4,749.00 BATE 16:08:51 197 4,749.00 CHIX 16:08:52 70 4,749.00 CHIX 16:08:52 74 4,749.00 CHIX 16:08:52 41 4,749.00 CHIX 16:08:52 245 4,748.00 BATE 16:09:02 22 4,748.00 BATE 16:09:02 1 4,748.00 BATE 16:09:02 227 4,748.00 BATE 16:09:02 46 4,747.00 CHIX 16:09:07 131 4,747.00 BATE 16:09:07 61 4,747.00 CHIX 16:09:07 69 4,747.00 BATE 16:09:07 18 4,747.00 BATE 16:09:07 130 4,747.00 CHIX 16:09:12 130 4,747.00 BATE 16:09:12


 
49 4,747.00 BATE 16:09:12 130 4,747.00 BATE 16:09:12 8 4,747.00 CHIX 16:09:12 114 4,747.00 CHIX 16:09:12 47 4,747.00 CHIX 16:09:12 20 4,746.00 BATE 16:09:16 119 4,746.00 BATE 16:09:16 35 4,746.00 BATE 16:09:16 16 4,746.00 BATE 16:09:17 70 4,746.00 BATE 16:09:17 13 4,746.00 BATE 16:09:17 8 4,746.00 BATE 16:09:19 35 4,746.00 BATE 16:09:37 264 4,746.00 BATE 16:09:37 176 4,746.00 BATE 16:09:37 86 4,746.00 BATE 16:09:37 75 4,746.00 BATE 16:09:37 98 4,746.00 BATE 16:09:37 27 4,746.00 BATE 16:09:37 141 4,746.00 BATE 16:09:40 29 4,746.00 BATE 16:09:40 8 4,746.00 CHIX 16:09:41 135 4,746.00 BATE 16:09:41 3 4,746.00 BATE 16:09:41 194 4,746.00 CHIX 16:09:41 8 4,746.00 BATE 16:09:41 11 4,746.00 CHIX 16:09:41 197 4,746.00 CHIX 16:09:41 42 4,746.00 BATE 16:09:46 28 4,746.00 BATE 16:09:46 68 4,746.00 CHIX 16:09:46 8 4,746.00 BATE 16:09:46 7 4,746.00 BATE 16:09:46 109 4,744.00 XLON 16:12:42 908 4,744.00 XLON 16:12:42 246 4,744.00 XLON 16:12:42 113 4,745.00 XLON 16:12:42 205 4,745.00 XLON 16:12:42 908 4,745.00 XLON 16:12:42 238 4,745.00 XLON 16:12:42 231 4,745.00 XLON 16:12:42 230 4,745.00 XLON 16:12:42 206 4,745.00 XLON 16:12:42 316 4,745.00 XLON 16:12:42 289 4,745.00 XLON 16:12:42 10 4,745.00 XLON 16:12:42 500 4,745.00 XLON 16:12:42 500 4,745.00 XLON 16:12:42 130 4,745.00 XLON 16:12:42 18 4,745.00 XLON 16:12:47 239 4,745.00 XLON 16:12:47 908 4,745.00 XLON 16:12:47 202 4,745.00 XLON 16:12:47 210 4,745.00 XLON 16:12:47 908 4,745.00 XLON 16:12:52 836 4,746.00 XLON 16:13:19 3,173 4,746.00 XLON 16:14:31 881 4,746.00 XLON 16:14:31 1,781 4,746.00 XLON 16:14:31 608 4,745.00 XLON 16:15:23 908 4,745.00 XLON 16:15:23 3 4,745.00 XLON 16:15:23 196 4,745.00 XLON 16:15:23 2,856 4,747.00 XLON 16:16:05 717 4,746.00 XLON 16:16:33 1,541 4,746.00 XLON 16:16:34 459 4,746.00 XLON 16:16:40 2,653 4,746.00 XLON 16:16:40 599 4,745.00 XLON 16:16:45 382 4,745.00 XLON 16:16:45 908 4,745.00 XLON 16:16:45 108 4,745.00 XLON 16:16:45 190 4,745.00 XLON 16:16:45 197 4,745.00 XLON 16:16:45 236 4,745.00 XLON 16:16:45 230 4,745.00 XLON 16:16:45 209 4,745.00 XLON 16:16:45 230 4,745.00 XLON 16:16:45 215 4,745.00 XLON 16:16:45 81 4,745.00 XLON 16:16:45 544 4,745.00 XLON 16:17:47 11,906 4,744.50 XLON 16:17:52 100 4,745.00 XLON 16:17:52 110 4,745.00 XLON 16:17:52 908 4,745.00 XLON 16:17:52 245 4,745.00 XLON 16:17:52 131 4,745.00 XLON 16:17:52 673 4,744.00 XLON 16:18:09 568 4,744.00 XLON 16:18:14 2,000 4,744.00 XLON 16:18:17 217 4,744.00 XLON 16:18:17 220 4,744.00 XLON 16:18:17 9,286 4,744.00 XLON 16:18:17 690 4,744.00 XLON 16:19:30 659 4,744.00 XLON 16:20:48 420 4,744.00 XLON 16:21:22 258 4,744.00 XLON 16:21:22 660 4,745.00 XLON 16:22:03 1,135 4,745.00 XLON 16:22:03 516 4,745.00 XLON 16:22:03 197 4,745.00 XLON 16:22:03 243 4,745.00 XLON 16:22:03 24 4,745.00 XLON 16:22:03 248 4,745.00 XLON 16:22:03 230 4,745.00 XLON 16:22:03 289 4,745.00 XLON 16:22:03 12,720 4,745.00 XLON 16:22:03 966 4,745.00 XLON 16:22:03 515 4,745.00 XLON 16:22:03 5,643 4,745.00 XLON 16:22:03 710 4,745.00 XLON 16:22:06 640 4,745.00 XLON 16:22:30 106 4,745.00 XLON 16:22:32 1,135 4,745.00 XLON 16:22:32 164 4,745.00 XLON 16:22:32 220 4,745.00 XLON 16:22:32 213 4,745.00 XLON 16:22:32 234 4,745.00 XLON 16:22:32 1,135 4,745.00 XLON 16:22:32 246 4,745.00 XLON 16:22:32 230 4,745.00 XLON 16:22:33 1,135 4,745.00 XLON 16:22:33 244 4,745.00 XLON 16:22:33 1,135 4,745.00 XLON 16:22:33 105 4,745.00 XLON 16:22:33 208 4,745.00 XLON 16:22:33 241 4,745.00 XLON 16:22:33 657 4,745.00 XLON 16:22:35 239 4,745.00 XLON 16:22:40 408 4,745.00 XLON 16:22:45 205 4,745.00 XLON 16:22:52 213 4,745.00 XLON 16:22:52 1,135 4,745.00 XLON 16:22:52 206 4,745.00 XLON 16:22:53 1,135 4,745.00 XLON 16:22:53 205 4,745.00 XLON 16:22:53 229 4,745.00 XLON 16:22:56 369 4,745.00 XLON 16:22:56 1,135 4,745.00 XLON 16:23:03 239 4,745.00 XLON 16:23:03 200 4,745.00 XLON 16:23:03 218 4,745.00 XLON 16:23:03 250 4,745.00 XLON 16:23:03 230 4,745.00 XLON 16:23:03 234 4,745.00 XLON 16:23:03 205 4,745.00 XLON 16:23:03 2 4,745.00 XLON 16:23:07 196 4,745.00 XLON 16:23:07 195 4,745.00 XLON 16:23:13 208 4,745.00 XLON 16:23:13 1,135 4,745.00 XLON 16:23:13 237 4,745.00 XLON 16:23:13 169 4,745.00 XLON 16:23:17 114 4,744.00 XLON 16:24:08 468 4,744.00 XLON 16:24:08 241 4,744.00 XLON 16:24:10 1,135 4,744.00 XLON 16:24:10 99 4,744.00 XLON 16:24:10 237 4,744.00 XLON 16:24:10 200 4,744.00 XLON 16:24:10 230 4,744.00 XLON 16:24:10 202 4,744.00 XLON 16:24:11 214 4,744.00 XLON 16:24:11 237 4,744.00 XLON 16:24:11 230 4,744.00 XLON 16:24:11 224 4,744.00 XLON 16:24:11 246 4,744.00 XLON 16:24:11 16 4,744.00 XLON 16:24:11 430 4,744.00 XLON 16:24:30 2 4,744.00 XLON 16:24:30 2 4,744.00 XLON 16:24:30 193 4,744.00 XLON 16:24:30 198 4,744.00 XLON 16:24:31 234 4,744.00 XLON 16:25:12 1,135 4,744.00 XLON 16:25:42 60 4,744.00 XLON 16:25:42 2 4,744.00 XLON 16:25:42 202 4,744.00 XLON 16:25:42 224 4,744.00 XLON 16:25:42 223 4,744.00 XLON 16:25:42 535 4,744.00 XLON 16:26:53 512 4,744.00 XLON 16:26:53 3,979 4,744.00 XLON 16:26:55 1,062 4,744.00 XLON 16:26:55 2,452 4,744.00 XLON 16:26:55 1,062 4,744.00 XLON 16:26:55 2,452 4,744.00 XLON 16:26:55 829 4,744.00 XLON 16:27:22 278 4,744.00 XLON 16:27:22 118 4,744.00 XLON 16:27:24 2,324 4,744.00 XLON 16:27:24 782 4,744.00 XLON 16:28:01 1,612 4,744.00 XLON 16:28:01 5,316 4,744.00 XLON 16:28:01 1,500 4,744.00 XLON 16:28:01 466 4,744.00 XLON 16:28:01 1,324 4,744.00 XLON 16:28:01 1,485 4,744.00 XLON 16:28:01 1,500 4,744.00 XLON 16:28:01 725 4,744.00 XLON 16:28:02 3,658 4,744.00 XLON 16:28:02 71 4,744.00 XLON 16:28:02 78 4,744.00 XLON 16:28:02 4,932 4,744.00 XLON 16:28:02 36 4,744.00 XLON 16:28:04 717 4,744.00 XLON 16:28:04 109 4,744.00 XLON 16:28:07 3,088 4,744.00 XLON 16:28:07 This information is provided by RNS, the news service of the London Stock Exchange. RNS is approved by the Financial Conduct Authority to act as a Primary Information Provider in the United Kingdom. Terms and conditions relating to the use and distribution of this information may apply. For further information, please contact rns@lseg.com or visit www.rns.com. RNS may use your IP address to confirm compliance with the terms and conditions, to analyse how you engage with the information contained in this communication, and to share such analysis on an anonymised basis with others as part of our commercial services. For further information about how RNS and the London Stock Exchange use the personal data you provide us, please see our Privacy Policy. END


 
London Stock Exchange plc is not responsible for and does not check content on this Website. Website users are responsible for checking content. Any news item (including any prospectus) which is addressed solely to the persons and countries specified therein should not be relied upon other than by such persons and/or outside the specified countries. Terms and conditions, including restrictions on use and distribution apply. © 2024 London Stock Exchange plc. All rights reserved.