6-K 1 tm2524630d7_6k.htm FORM 6-K

 

 

 

UNITED STATES

SECURITIES AND EXCHANGE COMMISSION

Washington, D.C. 20549

 

 

 

FORM 6-K

 

 

 

REPORT OF FOREIGN PRIVATE ISSUER

PURSUANT TO RULE 13a-16 OR 15d-16
OF THE SECURITIES EXCHANGE ACT OF 1934

 

2 October 2025

 

Commission File Number 001-04546

 

 

 

UNILEVER PLC

(Translation of registrant’s name into English)

 

 

 

UNILEVER HOUSE, BLACKFRIARS, LONDON, ENGLAND

(Address of principal executive offices)

 

 

 

Indicate by check mark whether the registrant files or will file annual reports under cover of Form 20-F or Form 40-F:

 

x  Form 20-F        ¨ Form 40-F 

 

 

 

 

 

 

GRAPHIC

Demerger of the Magnum Ice Cream Company and Share Consolidation of Unilever PLC Toppan Merrill - Verdi Mailing Notice of EGM Circular ED | 120838 | 01-Oct-25 06:42 | 25-24630-1.aa | Sequence: 1 CHKSUM Content: 0 Layout: 46994 Graphics: 29193 CLEAN JOB: 25-24630-1 CYCLE#;BL#: 12; 0 TRIM: 8.27" x 11.69" AS: London: 011-44-20-7422-6100 COLORS: Yellow, Cyan, ~note-color 2, Black, Magenta GRAPHICS: 24630-1_ofc_4c.eps V1.5

GRAPHIC

THIS DOCUMENT AND ANY ACCOMPANYING DOCUMENTS ARE IMPORTANT AND REQUIRE YOUR IMMEDIATE ATTENTION. If you are in any doubt as to the action you should take, you are recommended to seek immediately your own personal financial advice from your stockbroker, bank manager, solicitor, accountant, fund manager or other appropriate independent financial adviser, who is authorised under the Financial Services and Markets Act 2000 if you are in the UK or, if not, from another appropriately authorised independent financial adviser. If you have sold or otherwise transferred all of your Unilever Shares or Unilever ADSs, please send this document, together with the other accompanying documents, at once to the purchaser or transferee, or to the stockbroker, bank or other agent through whom the sale or transfer was effected for transmission to the purchaser or transferee. If you sell or have sold or otherwise transferred only part of your holding of Unilever Shares or Unilever ADSs, you should retain these documents and contact the bank, stockbroker or other agent through whom the sale or transfer was effected. Unilever PLC Incorporated in England and Wales with registered number 00041424 Demerger of The Magnum Ice Cream Company and Proposed Share Consolidation of Unilever PLC and Notice of General Meeting This document should be read as a whole. Your attention is drawn to the letter from the Chair of Unilever which is set out on pages 3 to 7 of this document. This letter contains a recommendation of the Unilever Board that you vote in favour of the Resolutions to be proposed at the General Meeting referred to below. The Notice of the General Meeting of Unilever to be held at the offices of Linklaters, One Silk Street, London EC2Y 8HQ at 8:00 a.m. on Tuesday 21 October 2025 is set out on pages 51 to 56 of this document. A Form of Proxy for use at the General Meeting is enclosed and, to be valid, should be completed, signed and returned so as to be received by Unilever’s Registrars, Computershare Investor Services PLC, as soon as possible but, in any event, so as to arrive no later than 8:00 a.m. on Sunday 19 October 2025. Completion and return of a Form of Proxy will not prevent members from attending and voting in person should they wish to do so. Applications for the New Unilever Shares arising from the proposed consolidation and division of Unilever’s total issued ordinary share capital: (i) to listing on the Equity Shares (Commercial Companies) Category of the Official List of the Financial Conduct Authority and to trading on the London Stock Exchange’s Main Market for listed securities; (ii) to listing and trading on Euronext Amsterdam; and (iii) to listing on the New York Stock Exchange (not for trading but only in connection with the listing and trading of the Unilever ADSs) will be made. In the event that the Share Consolidation takes place on Tuesday 11 November 2025, it is expected that admission and dealings in New Unilever Shares will commence on the London Stock Exchange at 8:00 a.m., Euronext at 9:00 a.m. (Amsterdam time) and admission and dealings in New Unilever ADSs will commence on the New York Stock Exchange at 9:30 a.m. (New York time). A summary of the action to be taken by Unilever Shareholders and Unilever ADS Holders is set out on pages 8 and 9 of this document and in the accompanying Notice of General Meeting. Capitalised terms have the meaning ascribed to them in Part VII of this document. All times referred to are London time unless otherwise stated. Toppan Merrill - Verdi Mailing Notice of EGM Circular ED | 120838 | 01-Oct-25 06:42 | 25-24630-1.ae | Sequence: 1 CHKSUM Content: 64301 Layout: 12626 Graphics: 6537 CLEAN JOB: 25-24630-1 CYCLE#;BL#: 12; 0 TRIM: 8.27" x 11.69" AS: London: 011-44-20-7422-6100 COLORS: Dark, Magenta, Cyan, ~note-color 2, Black, C=14 M=7 Y=13 K=0 GRAPHICS: unilever_4c_logo.eps V1.5

GRAPHIC

Contents Page General Information 1 Letter from the Chair of Unilever 3 Action to be Taken 8 Part I Expected Timeline of Principal Events 10 Part II FAQs 12 Part III Information on the TMICC Group 17 Part IV Information on the Demerger 19 Part V Information on the Share Consolidation 27 Part VI Taxation 31 Part VII Glossary 37 Schedule 1 Corporate Sponsored Nominee T&Cs 41 Schedule 2 Direct Registration System T&Cs 49 Schedule 3 Notice of General Meeting 51 Table of contents Toppan Merrill - Verdi Mailing Notice of EGM Circular ED | 120838 | 01-Oct-25 06:42 | 25-24630-1.ba | Sequence: 1 CHKSUM Content: 19825 Layout: 32106 Graphics: 0 CLEAN JOB: 25-24630-1 CYCLE#;BL#: 12; 0 TRIM: 8.27" x 11.69" AS: London: 011-44-20-7422-6100 COLORS: Dark, ~note-color 2, Black, C=14 M=7 Y=13 K=0 GRAPHICS: none V1.5

GRAPHIC

Separation and presentation of information The Separation of the Ice Cream Business from Unilever as outlined in this document is subject to certain conditions including (amongst other things) the obtaining of certain regulatory approvals including the admission of TMICC Shares to various stock exchanges. Details of the key terms of the Separation are outlined in the document and will be further described in the TMICC Prospectuses to be published. The Directors will not take the necessary steps to implement the Demerger or the Share Consolidation unless and until the relevant conditions have been or will be satisfied (or, where applicable, waived) and, at the relevant time, the Directors consider that it continues to be in the best interests of Unilever Shareholders and Unilever ADS Holders that the Demerger and the Share Consolidation be implemented. There is no certainty or assurance that all regulatory approvals will be received, or that Separation will complete, on the intended schedule or at all. General Statements made in this document are made only as at the date of this document. The information in this document remains subject to change without notice. Unilever may in its absolute discretion, but without being under any obligation to do so, update or supplement this document. However, except as required by law, Unilever does not intend to, or undertake to, or assume any obligation to, provide any additional information or revise the statements in this document, whether as a result of a change in expectations or assumptions, new information, future events, results or circumstances. This document does not constitute or contain an offer to Unilever Shareholders or Unilever ADS Holders (or any other person), or a solicitation of an offer from Unilever Shareholders or Unilever ADS Holders (or any other person), in any jurisdiction. This document has been prepared without reference to the investment objectives, financial and taxation situation or particular needs of any Unilever Shareholder or Unilever ADS Holder or any other person. The information contained in this document does not constitute, and should not be taken as, financial product advice. The Unilever Board encourages you to seek independent financial and taxation advice before making any investment decision. The contents of this document are not to be construed as legal, business or tax advice. You should consult your own legal adviser, financial adviser or tax adviser for advice. Investors should only rely on the information contained in this document and any document incorporated into this document by reference. Without limitation to the foregoing, reliance should not be placed on any information in announcements released by Unilever prior to the date hereof, except to the extent that such information is repeated or incorporated by reference into this document. No person has been authorised to give any information or make any representations other than those contained in this document and, if given or made, such information or representations must not be relied upon as having been so authorised. Unilever Shareholders and Unilever ADS Holders should carefully consider the key risks set out in the TMICC Prospectuses, as well as other information contained in this document and/or the TMICC Prospectuses, before making any investment decision in connection with TMICC Shares. Unless otherwise stated, the TMICC Prospectuses (and any of their content) and the content of the Unilever Group’s website (www.unilever.com) or any website accessible via hyperlinks from the Unilever Group’s website are not incorporated into, and do not form part of, this document. Forward-looking statements This document contains forward-looking statements. The words “guidance”, “foresee”, “likely”, “potential”, “anticipate”, “believe”, “aim”, “estimate”, “expect”, “intend”, “may”, “target”, “plan”, “forecast”, “project”, “schedule”, “will”, “should”, “seek” and other similar words or expressions are intended to identify forward-looking statements. Similarly, statements that describe the objectives, plans, goals or expectations of Unilever are or may be forward-looking statements. You should be aware that those statements and any assumptions on which they are based are only opinions and are subject to inherent known and unknown risks and uncertainties, many of which are beyond the control of Unilever. Those risks and uncertainties include factors and risks specific to the industries in which Unilever operates, as well as general economic conditions, prevailing exchange rates and interest rates and conditions in financial markets (for example (not exhaustive) price fluctuations, actual demand, currency fluctuations, production results, operating results, loss of market, industry competition, environmental risks, physical risks, legislative, fiscal and regulatory developments, economic and financial market conditions in various countries, approvals and cost estimates). If any of these variables or other assumptions were to change or be found to be incorrect, this would be likely to cause outcomes to differ from the statements made in this document. General Information 1 Unilever Shareholder Circular Toppan Merrill - Verdi Mailing Notice of EGM Circular ED | 120838 | 01-Oct-25 06:42 | 25-24630-1.ca | Sequence: 1 CHKSUM Content: 25249 Layout: 32450 Graphics: 0 CLEAN JOB: 25-24630-1 CYCLE#;BL#: 12; 0 TRIM: 8.27" x 11.69" AS: London: 011-44-20-7422-6100 COLORS: C=14 M=7 Y=13 K=0, ~note-color 2, Black, Dark GRAPHICS: none V1.5

GRAPHIC

None of Unilever nor any of its related bodies corporate, nor any person named in this document or involved in the preparation of this document, makes any representation or warranty (either express or implied) as to the accuracy or likelihood of fulfilment of any forward-looking statement, or any events or results expressed or implied in any forward-looking statement. Accordingly, you are cautioned not to place undue reliance on those statements. The forward-looking statements in this document reflect views held only at the date of this document. Subject to any continuing obligations under law, Unilever and its related bodies corporate disclaim any obligation or undertaking to distribute after the date of this document any updates or revisions to any forward-looking statements to reflect any change in expectations in relation to those statements or any change in events, conditions or circumstances on which any statement is based. Past performance and pro forma historical information is given for illustrative purposes only. It should not be relied on and is not indicative of future performance, including future security prices. Overseas jurisdictions and Overseas Shareholders The release, publication or distribution of this document in jurisdictions other than the United Kingdom, the United States or the Netherlands may be restricted by law and, therefore, any persons who are subject to the laws of any jurisdiction other than the United Kingdom, the United States or the Netherlands should inform themselves about, and observe, any applicable requirements. It is the responsibility of any person receiving a copy of this document outside the United Kingdom, the United States or the Netherlands to satisfy themselves as to the full observance of the laws and regulatory requirements of the relevant territory in connection therewith, including obtaining any governmental or other consents which may be required or observing any other formalities required to be observed in such territory and paying any other issue, transfer or other taxes due in such territory. If in doubt, such persons should consult their professional advisers. Persons (including, without limitation, nominees and trustees) receiving this document should not distribute or send it into any jurisdiction when to do so would, or might, contravene local securities laws or regulations. 2 Unilever Shareholder Circular General Information - continued Toppan Merrill - Verdi Mailing Notice of EGM Circular ED | 120838 | 01-Oct-25 06:42 | 25-24630-1.ca | Sequence: 2 CHKSUM Content: 38666 Layout: 44268 Graphics: 0 CLEAN JOB: 25-24630-1 CYCLE#;BL#: 12; 0 TRIM: 8.27" x 11.69" AS: London: 011-44-20-7422-6100 COLORS: C=14 M=7 Y=13 K=0, ~note-color 2, Black, Dark GRAPHICS: none V1.5

GRAPHIC

Registered Office Port Sunlight Wirral Merseyside CH62 4ZD United Kingdom Dear Unilever Shareholder, Demerger of The Magnum Ice Cream Company and Proposed Share Consolidation of Unilever PLC 1. Introduction On 19 March 2024, the Unilever Board announced a proposal to separate Unilever’s Ice Cream Business to make Unilever a simpler, more focused company, operating four Business Groups across Beauty & Wellbeing, Personal Care, Home Care and Foods. I am pleased to write to you now to provide an update on the separation, which is proposed to take place in November 2025. The decision to separate the Ice Cream Business was centred around a number of factors. Relative to other parts of Unilever, the Ice Cream Business operates on the basis of a very distinct set of characteristics. It is a highly seasonal and capital intensive business. It also has a very different channel profile and operates with a supply chain geared to cold chain logistics. This lack of complementarity with the rest of Unilever was becoming increasingly apparent, and so the Board concluded that the Ice Cream Business is more likely to thrive under a different ownership structure. As global market leader in an attractive category — owning some of the world’s top ice cream brands and delivering a turnover of €7.9 billion in 2024 — the Board is confident that the Ice Cream Business has a bright future and that Separation will set it up for even greater success. Equally, the Board is clear that Separation is beneficial for Unilever. It will leave Unilever with a simpler, more focused business, better able to commit effort and resource behind brands and categories that enjoy complementary operating models — and where Unilever’s innovation, research & development and go-to-market capabilities can be more effectively leveraged. After a comprehensive review of the separation options, Unilever announced on 13 February 2025 that the Ice Cream Business will be known as The Magnum Ice Cream Company, and that separation would be implemented through a Demerger. The Unilever Board believes that this will maximise value for shareholders, who immediately after the Demerger will hold shares in a more focused Unilever and shares in an exciting pure-play ice cream business. Upon implementation of the Demerger: Qualifying Shareholders and Qualifying ADS Holders will receive one TMICC Share for every five Unilever Shares or Unilever ADSs (as applicable) that they hold at the Demerger Record Time Qualifying Shareholders and Qualifying ADS Holders will also retain their existing interests in Unilever Shares and Unilever ADSs (as applicable) (subject to any changes as a result of the Share Consolidation, as explained below) In connection with the Demerger and conditional on its completion, it is also proposed that Unilever will consolidate (or sub-divide and consolidate) its existing issued share capital in order to reduce the total number of Unilever Shares in issue (while increasing the nominal value per share). The approval of Unilever Shareholders for this matter will be sought at the General Meeting as described in paragraph 4 below. 3 Unilever Shareholder Circular Letter from the Chair of Unilever Toppan Merrill - Verdi Mailing Notice of EGM Circular ED | 120838 | 01-Oct-25 06:43 | 25-24630-1.da | Sequence: 1 CHKSUM Content: 42976 Layout: 57474 Graphics: 5567 CLEAN JOB: 25-24630-1 CYCLE#;BL#: 12; 0 TRIM: 8.27" x 11.69" AS: London: 011-44-20-7422-6100 COLORS: Dark, Yellow, Magenta, C=14 M=7 Y=13 K=0, Cyan, ~note-color 2, Black GRAPHICS: 24630-1_chair_4c_pht.eps V1.5

GRAPHIC

2. Overview of the Demerger The Demerger will result in The Magnum Ice Cream Company N.V. (“TMICC”), a company incorporated and headquartered in the Netherlands, becoming a listed company separate from Unilever. Upon completion of the Demerger, Qualifying Shareholders and Qualifying ADS Holders will receive one TMICC Share for every five Unilever Shares or Unilever ADSs (as applicable) that they hold at the Demerger Record Time. They will also continue to hold their Unilever Shares following the Demerger. Immediately after completion of the Demerger, TMICC will issue the Retained Shares to the Unilever Group (as further described at paragraph 2.4 of Part IV) of this document, following which Qualifying Shareholders and Qualifying ADS Holders will hold approximately 80.1 per cent. of the issued share capital of TMICC and the Unilever Group will hold approximately 19.9 per cent. TMICC is seeking admission to trading on Euronext Amsterdam, the London Stock Exchange (on the Equity Shares (Commercial Companies) category) and the New York Stock Exchange. This will ensure that Qualifying Shareholders and Qualifying ADS Holders will be able to hold and trade TMICC Shares across the same three markets on which Unilever securities are currently traded. Unlike Unilever, which has ADSs trading on the New York Stock Exchange, the TMICC securities which will trade on the New York Stock Exchange will be ordinary shares. Subject to the satisfaction of certain conditions, the Demerger is expected to complete on Saturday 8 November 2025. Admission of the TMICC Shares to listing and trading, and the commencement of dealings in TMICC Shares, are anticipated to take place on Monday 10 November 2025. An expected timeline of principal events is set out in Part I of this document. Part IV of this document provides Unilever Shareholders with further information on the Demerger. From a single company Unilever Beauty & Wellbeing Personal Care Home Care Foods Ice Cream Unilever Beauty & Wellbeing Personal Care Home Care Foods Incorporated in the UK, listed in London, Amsterdam and New York The Magnum Ice Cream Company Incorporated in the Netherlands, listed in Amsterdam, London and New York To two companies 4 Unilever Shareholder Circular Letter from the Chair of Unilever - continued Toppan Merrill - Verdi Mailing Notice of EGM Circular ED | 120838 | 01-Oct-25 06:43 | 25-24630-1.da | Sequence: 2 CHKSUM Content: 14007 Layout: 50370 Graphics: 5934 CLEAN JOB: 25-24630-1 CYCLE#;BL#: 12; 0 TRIM: 8.27" x 11.69" AS: London: 011-44-20-7422-6100 COLORS: Dark, Yellow, Magenta, C=14 M=7 Y=13 K=0, Cyan, ~note-color 2, Black GRAPHICS: 24630-1_unil_mag_4c_flow.eps V1.5

GRAPHIC

It also describes the way in which Qualifying Shareholders and Qualifying ADS Holders will receive TMICC Shares, including fractional entitlements, and the way in which TMICC Shares can be traded and settled on the relevant stock exchanges following the Demerger. Notwithstanding the above, if the Unilever Board determines at any time that the Demerger no longer continues to be in the best interests of Unilever and the Unilever Shareholders, it is entitled, in its sole discretion, to decide not to proceed with the Demerger (and the Share Consolidation). 3. The TMICC Group The TMICC Group is a global market leader in ice cream across developed and emerging markets, operating in 80 countries. Accounting for approximately 21 per cent. of the global retail ice cream market in 2024, the TMICC Group is the largest ice cream company by retail sales in the world.1 Part III of this document contains a brief description of the TMICC Group and its business and of the arrangements that have been entered into as part of Separation, including details of key transitional arrangements between Unilever and the TMICC Group. Further information on the TMICC Group will be available in the TMICC Prospectuses (once published), and shareholders are encouraged to read the relevant TMICC Prospectus in full. 4. Share Consolidation of Unilever Following the Demerger, the Unilever Group itself will no longer own the Ice Cream Business (other than as a minority shareholder through its holding of the Retained Shares). As a result, Unilever expects that its market capitalisation and share price will likely adjust to reflect the revised scope of its business operations. Therefore, in connection with the Demerger and conditional on its completion, it is also proposed that Unilever will consolidate (or sub-divide and consolidate) its existing issued share capital in order to reduce the total number of Unilever Shares in issue (while increasing the nominal value per share). The Share Consolidation is intended to maintain comparability between Unilever’s share price and per share metrics (including earnings per share and dividends per share) before and after the Demerger, while also preserving (as far as reasonably possible) the value of awards granted under Unilever Share Plans, avoiding the need for any specific adjustments to the numbers of awards under those plans. As all Existing Unilever Shares will be consolidated, whilst each Unilever Shareholder will hold fewer New Unilever Shares by number, each Unilever Shareholder will still hold the same proportion of Unilever’s share capital after the Share Consolidation as they held immediately before it. Although the New Unilever Shares will have a different nominal value, they will have the same rights and be subject to the same restrictions (save as to nominal value) as the Existing Unilever Shares prior to the consolidation. Existing Unilever Shares2 £36 New Unilever Shares2 £36 £3 £4 £4 £4 £4 £4 £4 £4 £4 £4 £3 £3 £3 £3 £3 £3 £3 £3 £3 £3 £3 1. TMICC analysis based on Euromonitor, Snacks 2026 edition, Retail Value Sales (RSP) in EUR, y-o-y ex. rates, current prices, adjusted for economic ownership of brands in each market. 2. The Share Consolidation will be implemented following the Demerger. This diagram is illustrative only as the ratio of Existing Unilever Shares to New Unilever Shares cannot be fixed at the time of publication of this document. See Part V of this document for further details on the process for determining the ratio for the Share Consolidation. 5 Unilever Shareholder Circular Letter from the Chair of Unilever - continued Toppan Merrill - Verdi Mailing Notice of EGM Circular ED | 120838 | 01-Oct-25 06:43 | 25-24630-1.da | Sequence: 3 CHKSUM Content: 63304 Layout: 55432 Graphics: 60447 CLEAN JOB: 25-24630-1 CYCLE#;BL#: 12; 0 TRIM: 8.27" x 11.69" AS: London: 011-44-20-7422-6100 COLORS: Dark, Yellow, Magenta, C=14 M=7 Y=13 K=0, Cyan, ~note-color 2, Black GRAPHICS: fc_consolidation-4c.eps V1.5

GRAPHIC

The Share Consolidation requires the approval of Unilever Shareholders and will only take effect if the Demerger completes. It is expected to take place on Tuesday 11 November 2025 (or such other date as the Unilever Board may determine). In the event that the Share Consolidation takes place on Tuesday 11 November 2025, it is expected that admission and dealings in New Unilever Shares will commence on the London Stock Exchange at 8:00 a.m. and on Euronext Amsterdam at 9:00 a.m. (Amsterdam time) and, in the case of New Unilever ADSs, on the New York Stock Exchange at 9:30 a.m. (New York time). In connection with the Share Consolidation, a technical amendment is required to Unilever’s Articles to ensure Unilever Shareholders continue to have one vote per ordinary share held by them. It is also proposed to amend the authority for the repurchase of shares granted at the 2025 Annual General Meeting to reflect the change in nominal value of the Unilever Shares as a result of the Share Consolidation. The approval of Unilever Shareholders for these matters will be sought at the General Meeting. The General Meeting will be held at 8:00 a.m. on Tuesday 21 October 2025 at the offices of Linklaters, One Silk Street, London EC2Y 8HQ. Further details in respect of the Share Consolidation, including the process for determining the ratio for the Share Consolidation and the impact of the Share Consolidation on Unilever ADS Holders, are set out in Part V of this document. The formal Notice of General Meeting, together with the explanatory notes to the business of the meeting, is set out in Schedule 3 of this document. Your Board unanimously believes that the Resolutions set out in the Notice of General Meeting are in the best interests of Unilever and Unilever Shareholders as a whole. Accordingly, the Unilever Directors unanimously recommend that you vote in favour of the Resolutions, as they intend to do themselves in respect of their own Unilever Shares, by completing, signing and returning the Form of Proxy as soon as possible and, in any event, by no later than 8:00 a.m. on Sunday 19 October 2025. The Demerger is not conditional on the passing of the Resolutions and may proceed if the Resolutions are not passed. As with the Demerger, if the Unilever Board determines at any time that the Share Consolidation no longer continues to be in the best interests of Unilever and the Unilever Shareholders, it is entitled, in its sole discretion, not to proceed with the Share Consolidation. 5. Additional Information 5.1 TMICC Prospectuses Subject to relevant regulatory approvals, on or around Wednesday 5 November 2025, TMICC will publish: a combined EU and UK Prospectus with respect to the listing of TMICC Shares in the Netherlands and the UK, and admission to trading on Euronext Amsterdam and the London Stock Exchange; and a Registration Statement with respect to the registration of TMICC Shares under the US Exchange Act, and admission to trading on the New York Stock Exchange. The TMICC Prospectuses will be available, once published, on TMICC’s website at https://corporate.magnumicecream.com/ en/home.html. The TMICC Prospectuses will contain important information about TMICC and the Demerger, and Unilever Shareholders are encouraged to read the relevant TMICC Prospectus in full. 5.2 Unilever Share Plans Please refer to paragraph 2.9 of Part IV and paragraph 1.6 of Part V of this document for information on the impact of the Demerger and Share Consolidation on Unilever Share Plans. Participants in Unilever Share Plans will also be sent a separate letter explaining the implications of the Demerger and the Share Consolidation for their awards and what action, if any, they may need to take. 5.3 Overseas Shareholders Please refer to paragraph 3.4.6 of Part IV of this document for a description of the implications of the Demerger for Overseas Shareholders. 5.4 Frequently asked questions This document contains responses to a set of “Frequently Asked Questions” or “FAQs”, which Unilever hopes will answer questions you may have about the Demerger and the Share Consolidation. Please see Part II of this document for those FAQs. 6 Unilever Shareholder Circular Letter from the Chair of Unilever - continued Toppan Merrill - Verdi Mailing Notice of EGM Circular ED | 120838 | 01-Oct-25 06:43 | 25-24630-1.da | Sequence: 4 CHKSUM Content: 39904 Layout: 38579 Graphics: 0 CLEAN JOB: 25-24630-1 CYCLE#;BL#: 12; 0 TRIM: 8.27" x 11.69" AS: London: 011-44-20-7422-6100 COLORS: Dark, ~note-color 2, Black, C=14 M=7 Y=13 K=0 GRAPHICS: none V1.5

GRAPHIC

5.5 Action to be taken Details of the actions required from Unilever Shareholders in relation to the General Meeting are set out in the section of this document entitled “Action to be Taken” on page 8. 5.6 Taxation Please refer to Part VI of this document for a summary of certain United Kingdom, United States and Dutch tax implications of the Demerger and Share Consolidation. 5.7 Helpline Unilever Shareholders holding shares in certificated form or through CREST can call Computershare Investor Services PLC for further assistance on +44 (0)370 600 3977. Unilever Shareholders holding shares through Euroclear can call ABN AMRO Bank N.V. for further assistance on +31 (0) 20 628 6070. Unilever ADS Holders can call Deutsche Bank Trust Company Americas for further assistance on +1 866 249 2593 (toll-free for Unilever ADS Holders calling from within the US) or +1 718 921 8137 (for Unilever ADS Holders calling from outside the US). Thank you for taking the time to read this letter. You are encouraged to read the rest of this document, which contains important information regarding TMICC, the Demerger, the Share Consolidation and the General Meeting, and the relevant TMICC Prospectus in full (once available), which will contain important information regarding TMICC and the Demerger. Yours faithfully, Ian Meakins Chair of Unilever 7 Unilever Shareholder Circular Letter from the Chair of Unilever - continued Toppan Merrill - Verdi Mailing Notice of EGM Circular ED | 120838 | 01-Oct-25 06:43 | 25-24630-1.da | Sequence: 5 CHKSUM Content: 28540 Layout: 52423 Graphics: 0 CLEAN JOB: 25-24630-1 CYCLE#;BL#: 12; 0 TRIM: 8.27" x 11.69" AS: London: 011-44-20-7422-6100 COLORS: Dark, ~note-color 2, Black, C=14 M=7 Y=13 K=0 GRAPHICS: none V1.5

GRAPHIC

Read this document in full You should read this document in full, including before making any decision on how to vote at the General Meeting. This document contains important information and sets out the reasons for the Resolutions. General Meeting Consider, complete and return Form of Proxy A General Meeting of Unilever’s shareholders will be held at the offices of Linklaters, One Silk Street, London EC2Y 8HQ, United Kingdom at 8:00 a.m. on Tuesday 21 October 2025 to consider the Resolutions to approve: (i) the Share Consolidation and the related amendment to Unilever’s Articles; and (ii) an amendment to the authority for Unilever to repurchase its own shares in connection with the Share Consolidation. The formal notice for this General Meeting is set out in Schedule 3 of this document. The Unilever Board unanimously recommends that you vote in favour of the Resolutions and urges you to either: (i) register your proxy vote using our electronic voting facility; or (ii) complete, sign and return the Form of Proxy, as soon as possible and no later than 8:00 a.m. on Sunday 19 October 2025. How to vote: All Unilever Shareholders are strongly encouraged to complete and return the Form of Proxy appointing the Chair of the General Meeting as proxy. This will ensure that your vote will be counted irrespective of attendance. You can do this by: voting online at www.investorcentre.co.uk/eproxy; completing the Form of Proxy in accordance with the instructions printed on it; using the CREST voting service (if you hold Unilever Shares in CREST); or rendering your voting instructions electronically via www.abnamro.com/evoting (if you hold Unilever Shares through Euroclear Nederland). If you complete the Form of Proxy, please return it by no later than 8:00 a.m. on Sunday 19 October 2025 (or in the case of an adjournment, no later than 48 hours before the time and date set for the adjourned meeting) to Unilever’s registrars: Computershare Investor Services PLC, The Pavilions, Bridgwater Road, Bristol BS99 6ZY. If you are in the United Kingdom and have completed a Form of Proxy, you can use the business reply envelope provided to you. Please refer to Schedule 3 of this document and in particular the Notes to the Notice of General Meeting for a detailed explanation of voting procedures. Unilever ADS Holders Registered holders of Unilever ADSs will be able to complete a Unilever ADS Voting Instruction Card sent separately by (or on behalf of) Deutsche Bank Trust Company Americas to exercise your voting rights. If you complete the Unilever ADS Voting Instruction Card, please return it by no later than 10:00 a.m. (New York time) on Tuesday 14 October 2025. If you hold your Unilever ADSs indirectly via a bank, broker, share plan administrator or other financial institution, you must rely on the procedures of such nominee to exercise your voting rights. Attendance at the General Meeting Unilever Shareholders can attend the General Meeting at the offices of Linklaters, One Silk Street, London EC2Y 8HQ at 8:00 a.m. on Tuesday 21 October 2025. If you do not wish to attend the General Meeting, you may vote as above. Unilever Shareholders may also submit questions prior to the meeting for the Chair of the General Meeting to respond to. Any such question should relate to the business of the meeting and should be submitted via shareholder.services@unilever.com before 1:00 p.m. on Friday 10 October 2025. Unilever may summarise and bundle questions thematically or set further conditions to facilitate the smooth running of the meeting. If your Unilever Shares are held via a nominee account, you will need to contact your nominee account representative to obtain a letter of representation to attend the meeting on Tuesday 21 October 2025. Further Actions Apart from completing and returning the Form of Proxy or giving voting instructions, you do not need to take any further action. Action to be Taken 8 Unilever Shareholder Circular Toppan Merrill - Verdi Mailing Notice of EGM Circular ED | 120838 | 01-Oct-25 06:43 | 25-24630-1.da | Sequence: 6 CHKSUM Content: 29179 Layout: 28494 Graphics: 0 CLEAN JOB: 25-24630-1 CYCLE#;BL#: 12; 0 TRIM: 8.27" x 11.69" AS: London: 011-44-20-7422-6100 COLORS: Dark, ~note-color 2, Black, C=14 M=7 Y=13 K=0 GRAPHICS: none V1.5

GRAPHIC

No vote is required in respect of the Demerger and TMICC Shares will be delivered automatically to Qualifying Shareholders and Qualifying ADS Holders on completion of the Demerger. The Demerger is not conditional on the passing of the Resolutions and may proceed if the Resolutions are not passed. Helplines Unilever Shareholders holding Unilever Shares through CREST can call Computershare Investor Services PLC for further assistance on +44 (0)370 600 3977. Lines are open 8:30 a.m. to 5:30 p.m. Monday to Friday (excluding Bank Holidays). Calls to the shareholder helpline from outside the United Kingdom will be charged at international rates. Charges from mobiles and other telephone provider costs may apply. Unilever Shareholders holding Unilever Shares through Euroclear can call ABN AMRO Bank N.V. for further assistance on +31 (0) 20 628 6070. Lines are open 8:30 a.m. to 6:00 p.m. (Amsterdam time) Monday to Friday (excluding Bank Holidays). Calls to the shareholder helpline from outside the Netherlands will be charged at international rates. Charges from mobiles and other telephone provider costs may apply. Unilever ADS Holders can call Deutsche Bank Trust Company Americas for further assistance on +1 866 249 2593 (toll-free for Unilever ADS Holders calling from within the US) or +1 718 921 8137 (for Unilever ADS Holders calling from outside the US). Demerger website Look out for further information on the Demerger website: https://www.unilever.com/investors/the-magnum-ice-cream-company-demerger and TMICC’s website: https://www.corporate.magnumicecream.com. 9 Unilever Shareholder Circular Action to be Taken - continued Toppan Merrill - Verdi Mailing Notice of EGM Circular ED | 120838 | 01-Oct-25 06:43 | 25-24630-1.da | Sequence: 7 CHKSUM Content: 60887 Layout: 6747 Graphics: 0 CLEAN JOB: 25-24630-1 CYCLE#;BL#: 12; 0 TRIM: 8.27" x 11.69" AS: London: 011-44-20-7422-6100 COLORS: Dark, ~note-color 2, Black, C=14 M=7 Y=13 K=0 GRAPHICS: none V1.5

GRAPHIC

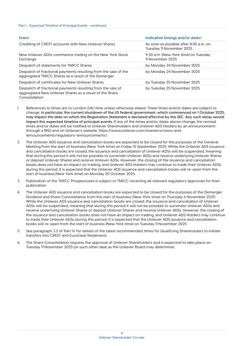
Event Indicative timings and/or dates1 Record time and date for Unilever ADS Holders’ entitlement to vote at Close of business (New York time) on the General Meeting Thursday 11 September 2025 Closing of the Unilever ADS issuance and cancellation books for the Start of business (New York time) on purposes of the General Meeting2 Friday 12 September 2025 Publication of this document and Notice of General Meeting Thursday 2 October 2025 for the Share Consolidation Latest time and date for receipt of Unilever ADS Voting Instruction 10:00 a.m. (New York time) on Tuesday Cards from Unilever ADS Holders 14 October 2025 Latest time and date for receipt of Form of Proxy and CREST Proxy 8:00 a.m. on Sunday 19 October 2025 Instructions from Unilever Shareholders Record time and date for Unilever Shareholders’ entitlement to 6:30 p.m. on Sunday 19 October 2025 vote at the General Meeting General Meeting of Unilever to approve the Share Consolidation 8:00 a.m. on Tuesday 21 October 2025 and other special resolutions Announcement of result of General Meeting Tuesday 21 October 2025 (after the General Meeting) Expected publication date of the TMICC Prospectuses3 Wednesday 5 November 2025 Closing of the Unilever ADS issuance and cancellation books for Start of business (New York time) on Thursday the purposes of the Demerger Dividend and Share Consolidation4 6 November 2025 Latest time and date for transfers of Unilever Shares to be 6:00 p.m. on Friday 7 November 2025 registered in order for the transferee to be registered at the Demerger Record Time5 Demerger Record Time 10:00 p.m. on Friday 7 November 2025 Demerger Effective Time 6:00 p.m. on Saturday 8 November 2025 Issuance of Retained Shares to the Unilever Group Sunday 9 November 2025 Ex dividend date for the Demerger Monday 10 November 2025 Admission of TMICC to trading on each of Euronext Amsterdam, Monday 10 November 2025 the London Stock Exchange and the New York Stock Exchange TMICC Shares commence trading on Euronext Amsterdam 9:00 a.m. (Amsterdam time) on Monday 10 November 2025 TMICC Shares commence trading on the London Stock Exchange 8:00 a.m. on Monday 10 November 2025 Crediting of TMICC Shares in DTC As soon as possible after 8:00 a.m. (New York time) on Monday 10 November 2025 Crediting of CREST accounts and Euroclear accounts with TMICC As soon as possible after 8:00 a.m. (New York Depositary Interests time) on Monday 10 November 2025 TMICC Shares commence trading on the New York Stock Exchange 9:30 a.m. (New York time) on Monday 10 November 2025 Share Consolidation Record Time 10:00 p.m. on Monday 10 November 2025 Share Consolidation becomes effective6 8:00 a.m. on Tuesday 11 November 2025 New Unilever Shares commence trading on the London Stock 8:00 a.m. on Tuesday 11 November 2025 Exchange New Unilever Shares commence trading on Euronext Amsterdam 9:00 a.m. (Amsterdam time) on Tuesday 11 November 2025 Part I - Expected Timeline of Principal Events 10 Unilever Shareholder Circular Toppan Merrill - Verdi Mailing Notice of EGM Circular ED | 120838 | 01-Oct-25 06:43 | 25-24630-1.ea | Sequence: 1 CHKSUM Content: 26243 Layout: 20133 Graphics: 0 CLEAN JOB: 25-24630-1 CYCLE#;BL#: 12; 0 TRIM: 8.27" x 11.69" AS: London: 011-44-20-7422-6100 COLORS: Dark, ~note-color 2, Black, C=14 M=7 Y=13 K=0 GRAPHICS: none V1.5

GRAPHIC

Event Indicative timings and/or dates1 Crediting of CREST accounts with New Unilever Shares As soon as possible after 8:00 a.m. on Tuesday 11 November 2025 New Unilever ADSs commence trading on the New York Stock 9:30 a.m. (New York time) on Tuesday Exchange 11 November 2025 Despatch of statements for TMICC Shares by Monday 24 November 2025 Despatch of fractional payments resulting from the sale of the by Monday 24 November 2025 aggregated TMICC Shares as a result of the Demerger Despatch of certificates for New Unilever Shares by Tuesday 25 November 2025 Despatch of fractional payments resulting from the sale of by Tuesday 25 November 2025 aggregated New Unilever Shares as a result of the Share Consolidation 1. References to times are to London (UK) time unless otherwise stated. These times and/or dates are subject to change. In particular, the current shutdown of the US federal government, which commenced on 1 October 2025, may impact the date on which the Registration Statement is declared effective by the SEC. Any such delay would impact this expected timeline of principal events. If any of the times and/or dates above change, the revised times and/or dates will be notified to Unilever Shareholders and Unilever ADS Holders by an announcement through a RNS and on Unilever’s website: https://www.unilever.com/investors/news-and-announcements/regulatory-announcements/. 2. The Unilever ADS issuance and cancellation books are expected to be closed for the purposes of the General Meeting from the start of business (New York time) on Friday 12 September 2025. While the Unilever ADS issuance and cancellation books are closed, the issuance and cancellation of Unilever ADSs will be suspended, meaning that during this period it will not be possible to surrender Unilever ADSs and receive underlying Unilever Shares or deposit Unilever Shares and receive Unilever ADSs. However, the closing of the issuance and cancellation books does not have an impact on trading, and Unilever ADS Holders may continue to trade their Unilever ADSs during this period. It is expected that the Unilever ADS issuance and cancellation books will re-open from the start of business (New York time) on Monday 20 October 2025. 3. Publication of the TMICC Prospectuses is subject to TMICC receiving all relevant regulatory approvals for their publication. 4. The Unilever ADS issuance and cancellation books are expected to be closed for the purposes of the Demerger Dividend and Share Consolidation from the start of business (New York time) on Thursday 6 November 2025. While the Unilever ADS issuance and cancellation books are closed, the issuance and cancellation of Unilever ADSs will be suspended, meaning that during this period it will not be possible to surrender Unilever ADSs and receive underlying Unilever Shares or deposit Unilever Shares and receive Unilever ADSs. However, the closing of the issuance and cancellation books does not have an impact on trading, and Unilever ADS Holders may continue to trade their Unilever ADSs during this period. It is expected that the Unilever ADS issuance and cancellation books will re-open from the start of business (New York time) on Tuesday 11 November 2025. 5. See paragraph 3.2 of Part IV for details of the latest recommended times for Qualifying Shareholders to initiate transfers into CREST and Euroclear Nederland. 6. The Share Consolidation requires the approval of Unilever Shareholders and is expected to take place on Tuesday 11 November 2025 (or such other date as the Unilever Board may determine). Part I - Expected Timeline of Principal Events - continued 11 Unilever Shareholder Circular Toppan Merrill - Verdi Mailing Notice of EGM Circular ED | 120838 | 01-Oct-25 06:43 | 25-24630-1.ea | Sequence: 2 CHKSUM Content: 30576 Layout: 30900 Graphics: 0 CLEAN JOB: 25-24630-1 CYCLE#;BL#: 12; 0 TRIM: 8.27" x 11.69" AS: London: 011-44-20-7422-6100 COLORS: Dark, ~note-color 2, Black, C=14 M=7 Y=13 K=0 GRAPHICS: none V1.5

GRAPHIC

1. Demerger 1.1 Why is Unilever separating the Ice Cream Business? The Unilever Board believes that the separation of the Ice Cream Business is in the best interests of Unilever and its shareholders as a whole, to make Unilever a simpler, more focused company operating four Business Groups (i.e. Beauty & Wellbeing; Personal Care; Home Care; and Foods) with complementary operating models. The Ice Cream Business operates on the basis of a very distinct set of characteristics. It is a highly seasonal and capital intensive business. It also has a very different channel profile and operates with a supply chain geared to cold chain logistics. This lack of complementarity with the rest of Unilever was becoming increasingly apparent, and so the Board concluded that the Ice Cream Business is more likely to thrive under a different ownership structure. As a global market leader in an attractive category — owning some of the world’s top ice cream brands — the Board is confident that the Ice Cream Business has a bright future and that Separation will set it up for even greater success. Equally, the Board is clear that Separation is beneficial for Unilever. It will leave Unilever with a simpler, more focused business, better able to commit effort and resource behind brands and categories that enjoy complementary operating models — and where Unilever’s innovation, research & development and go-to-market capabilities can be more effectively leveraged. 1.2 When is the Demerger happening? Unilever anticipates that the Demerger will take place and TMICC Shares will be issued to Qualifying Shareholders and Qualifying ADS Holders on Saturday 8 November 2025, with the first day of trading in TMICC Shares expected to be Monday 10 November 2025. Please see Part I of this document for the expected timeline of principal events. 1.3 Is the Demerger subject to any conditions? The Demerger is conditional on the receipt of certain regulatory approvals in connection with the admission of the TMICC Shares to listing in the Netherlands, the UK and the US, and to trading on each of Euronext Amsterdam, the London Stock Exchange (on the Equity Shares (Commercial Companies) category of the FCA’s Official List) and the New York Stock Exchange. Unilever will also only proceed with the Demerger and approve the Demerger Dividend if the Unilever Board believes that the Demerger continues to be in the best interests of Unilever and its shareholders. 1.4 Does the Demerger require shareholder approval? The approval of Unilever Shareholders is not required for the Demerger. The General Meeting is being held to approve the Share Consolidation and related matters. 2. TMICC Shares 2.1 Where will TMICC Shares be traded? TMICC is seeking admission to trading of TMICC Shares on Euronext Amsterdam, the London Stock Exchange and the New York Stock Exchange. This will ensure that Qualifying Shareholders and Qualifying ADS Holders will be able to hold and trade their TMICC Shares across the same three markets on which Unilever Shares and Unilever ADSs are currently traded (except that TMICC Shares will be listed directly on the New York Stock Exchange, unlike Unilever Shares which are instead represented by Unilever ADSs). 2.2 What indices do you anticipate TMICC to be included in following listing? Index inclusion will be determined by the index providers’ specific rules. It is expected that the indices in which TMICC will be included will be announced shortly before the Admission Date. It is not anticipated that TMICC Shares will be eligible for inclusion in any of the FTSE UK series indices (such as the FTSE100, of which Unilever is a constituent member). 2.3 Do I need to take any action to receive my TMICC Shares? No, you are not required to take any action — Qualifying Shareholders and Qualifying ADS Holders will receive their TMICC Shares automatically once the Demerger takes effect. Please see Part IV of this document for further information. Part II - FAQs 12 Unilever Shareholder Circular Toppan Merrill - Verdi Mailing Notice of EGM Circular ED | 120838 | 01-Oct-25 06:43 | 25-24630-1.ea | Sequence: 3 CHKSUM Content: 29038 Layout: 62233 Graphics: 0 CLEAN JOB: 25-24630-1 CYCLE#;BL#: 12; 0 TRIM: 8.27" x 11.69" AS: London: 011-44-20-7422-6100 COLORS: Dark, ~note-color 2, Black, C=14 M=7 Y=13 K=0 GRAPHICS: none V1.5

GRAPHIC

2.4 What do I receive as a Unilever Shareholder? Qualifying Shareholders that are on the Unilever register of members as at the Demerger Record Time will receive one TMICC Share for every five Unilever Shares that they hold. 2.5 What do I receive as a Unilever ADS Holder? Qualifying ADS Holders as at the Demerger Record Time will receive one TMICC Share for every five Unilever ADSs that they hold. 2.6 Will this affect my Unilever Shares or Unilever ADSs? The number of Unilever Shares or Unilever ADSs that Unilever Shareholders or Unilever ADS Holders hold respectively will not be affected by the Demerger. However, the number of Unilever Shares or Unilever ADSs that Unilever Shareholders or Unilever ADS Holders hold will be impacted by the Share Consolidation. Please read section 3 of this Part II for further information. As with all listed securities, the price of both Unilever’s and TMICC’s securities are subject to change and will be influenced by market forces, including factors that are unrelated to either company’s underlying financial performance. 2.7 When is the record time for the purposes of receiving TMICC Shares? Qualifying Shareholders and Qualifying ADS Holders will receive shares in TMICC pursuant to the Demerger Dividend if they (or their relevant nominee(s)) are recorded on the relevant Unilever register at the Demerger Record Time, which is expected to be 10:00 p.m. on Friday 7 November 2025. 2.8 If I hold Unilever Shares or Unilever ADSs as at the Demerger Record Time, when will I receive my TMICC Shares? It is currently expected that the Demerger will complete on Saturday 8 November 2025, on which date the TMICC Shares will be issued to Qualifying Shareholders and Qualifying ADS Holders. Admission of the TMICC Shares to trading on each of Euronext Amsterdam, the London Stock Exchange and the New York Stock Exchange is expected to take place on Monday 10 November 2025, with the first day of trading in TMICC Shares expected to be Monday 10 November 2025. Exactly how and when you will receive your TMICC Shares will depend on how you hold your Unilever Shares or Unilever ADSs. Please read Part IV of this document, in which further information on settlement is provided. 2.9 I am a Qualifying Shareholder who holds my Unilever Shares in a CREST or Euroclear account: will I hold my TMICC Shares in the same account? The settlement mechanics for the Demerger have been designed so that, as far as reasonably practicable, Qualifying Shareholders will receive interests in TMICC Shares delivered in the same or an equivalent form as their holding of Unilever Shares. The precise settlement mechanics relevant to a particular Qualifying Shareholder depend on the way in which that Qualifying Shareholder holds their Unilever Shares at the Demerger Record Time. For instance, Qualifying Shareholders holding their Unilever Shares in CREST will receive interests in TMICC Shares in CREST (settled in the form of Depositary Interests). Qualifying Shareholders holding interests in Unilever Shares in Euroclear will receive interests in TMICC Shares in Euroclear. For information on the settlement arrangements, please refer to Part IV of this document. 2.10 I am a Qualifying Shareholder who holds my Unilever Shares in certificated form and my registered address on the Unilever share register is in a Relevant Territory. How will I receive my TMICC Shares? TMICC has arranged for Computershare Investor Services PLC to provide a corporate sponsored nominee service (the “Nominee Service”). Under this Nominee Service, Computershare Company Nominees Limited (the “Nominee”) will hold Depositary Interests (representing the TMICC Shares to which you would have been entitled) in its CREST account and act as nominee on your behalf. The Nominee Service will enable you to hold and settle trades placed on the London Stock Exchange via the Nominee. You will receive a statement evidencing the number of Depositary Interests held in the Nominee Service on your behalf. Part II - FAQs - continued 13 Unilever Shareholder Circular Toppan Merrill - Verdi Mailing Notice of EGM Circular ED | 120838 | 01-Oct-25 06:43 | 25-24630-1.ea | Sequence: 4 CHKSUM Content: 21956 Layout: 12312 Graphics: 0 CLEAN JOB: 25-24630-1 CYCLE#;BL#: 12; 0 TRIM: 8.27" x 11.69" AS: London: 011-44-20-7422-6100 COLORS: Dark, ~note-color 2, Black, C=14 M=7 Y=13 K=0 GRAPHICS: none V1.5

GRAPHIC

2.11 I am a Qualifying Shareholder who holds my Unilever Shares in certificated form, but my registered address on the Unilever share register is not in a Relevant Territory. How will I receive my TMICC Shares? You will receive your TMICC Shares in registered form, meaning that your name will be entered into TMICC’s shareholder register as the owner of the relevant number of TMICC Shares. Please note that this also applies to Unilever ADS Holders who hold their Unilever ADSs in registered or certificated form. Any TMICC Shares delivered in this way will be administered via the DRS. The DRS is a service provided by DTC to facilitate the holding of TMICC Shares outside DTC and allow the relevant TMICC DRS Shareholder to hold their TMICC Shares in book-entry form in their own name. Further information about the DRS, which will apply to holdings of TMICC Shares can be found in Schedule 2 to this document or downloaded at https://www-us.computershare.com/Investor/#Help/ PrintableForms. Please read Part IV of this document, in which further information on settlement is provided. 2.12 What if I trade my Unilever Shares or Unilever ADSs prior to the Demerger Record Time? Only Qualifying Shareholders and Qualifying ADS Holders on the relevant Unilever register as at the Demerger Record Time are entitled to receive TMICC Shares on completion of the Demerger. If you sell or have sold or otherwise transferred all of your Unilever Shares or Unilever ADSs, please send this document together with the accompanying documents at once to the purchaser or transferee, or to the stockbroker, bank or other agent through whom the sale or transfer was effected, for transmission to the purchaser or transferee. However, such documents should not be forwarded or transmitted in or into or from any jurisdiction in which such act would constitute a violation of the relevant laws of such jurisdiction. If you sell or have sold or otherwise transferred only part of your holding of Unilever Shares or Unilever ADSs, you should retain these documents and contact the bank, stockbroker or other agent through whom the sale or transfer was effected. 2.13 What if I trade my Unilever Shares after the Demerger Record Time but before the ex dividend date for the Demerger? If you trade your Unilever Shares before the ex dividend date for the Demerger, then, unless you otherwise agree with the purchaser or transferee, the transferee of such Unilever Shares will be entitled to the benefit of the TMICC Shares and you will need to pass the benefit to the transferee (even if you are the recorded owner at the Demerger Record Time). 2.14 What will happen to any fractional entitlements resulting from the Demerger? Qualifying Shareholders and Qualifying ADS Holders will be eligible to receive one TMICC Share for every five Unilever Shares or Unilever ADSs (as applicable) they hold as at the Demerger Record Time. Any holding of Unilever Shares or Unilever ADSs which is not exactly divisible by five will result in the number of entitlements to TMICC Shares to be received being rounded down to the nearest whole number. Individual fractional entitlements to TMICC Shares will be aggregated and the resulting TMICC Shares sold in the open market, as soon as practicable, at the best price reasonably obtainable, and, subject to applicable law, the net proceeds will be paid to each Qualifying Shareholder and Qualifying ADS Holder. 2.15 Will Unilever hold any TMICC Shares post Demerger? Yes. Following the Demerger, Unilever will retain a holding of approximately 19.9 per cent. in TMICC (i.e. the Retained Shares). However, in accordance with applicable US federal tax laws and regulations, Unilever will exercise any votes attaching to the Retained Shares in proportion to the votes cast by TMICC’s other shareholders. Over time, Unilever intends to sell the Retained Shares in an orderly and considered manner and in any event will dispose of all the Retained Shares within five years of the date of the Demerger. Unilever intends to use the proceeds of any sale to pay separation costs and maintain capital flexibility through a reduction in net debt. 2.16 Will Unilever appoint any directors to the board of TMICC? Unilever will not have the right to appoint a director to serve on the TMICC Board following the Demerger. However, it is expected that Reginaldo Ecclissato, a member of the Unilever Leadership Executive, will join the TMICC Board to provide his invaluable experience to TMICC in the period post-Demerger for up to a maximum period of two years. Part II - FAQs - continued 14 Unilever Shareholder Circular Toppan Merrill - Verdi Mailing Notice of EGM Circular ED | 120838 | 01-Oct-25 06:43 | 25-24630-1.ea | Sequence: 5 CHKSUM Content: 52693 Layout: 7246 Graphics: 0 CLEAN JOB: 25-24630-1 CYCLE#;BL#: 12; 0 TRIM: 8.27" x 11.69" AS: London: 011-44-20-7422-6100 COLORS: Dark, ~note-color 2, Black, C=14 M=7 Y=13 K=0 GRAPHICS: none V1.5

GRAPHIC

3. Unilever Share Consolidation 3.1 What is the Share Consolidation? Following the Demerger, the Unilever Group itself will no longer own the Ice Cream Business (other than as a minority shareholder through its holding of the Retained Shares). As a result, Unilever expects that its market capitalisation and share price will likely adjust to reflect the revised scope of its business operations. Reducing the number of Unilever Shares is intended to ensure that there will be comparability, so far as practicable, between Unilever’s share price and per share metrics (including earnings per share and dividends per share) before and after the Demerger (subject to interim market movements). The Share Consolidation is also designed to preserve (as far as reasonably possible) the value of awards granted under any Unilever Share Plan, thereby avoiding the need for any specific adjustments to the numbers of awards under those schemes. Share consolidations are commonly undertaken by companies following a demerger, for the reasons set out above. If the Share Consolidation, and associated Resolutions, are not approved by Unilever Shareholders at the General Meeting, the Unilever Remuneration Committee will reconsider what action (if any) may be appropriate in the circumstances in respect of options and awards outstanding under the Unilever Share Plans. 3.2 Will the New Unilever Shares have the same rights as Existing Unilever Shares? Other than having a different nominal value, each New Unilever Share will carry the same rights as set out in Unilever’s Articles that currently attach to the Existing Unilever Shares. The proportion of the issued ordinary share capital of Unilever held by each Unilever Shareholder will, save for fractional entitlements, remain unchanged as a result of the Share Consolidation. 3.3 Does the Share Consolidation require shareholder approval? Yes. The Share Consolidation, and associated Resolutions, require the approval of Unilever Shareholders. Details of the Resolutions proposed to be passed can be found in the Notice of General Meeting set out in Schedule 3 of this document. 3.4 When will the Share Consolidation happen? It is expected that Unilever will consolidate (or sub-divide and consolidate) its existing issued share capital in order to reduce the total number of Unilever Shares in issue (while increasing the nominal value of such shares) at 8:00 a.m. on Tuesday 11 November 2025. 3.5 What is the ratio for the Share Consolidation? The ratio for the Share Consolidation and the number of New Unilever Shares or New Unilever ADSs that each Unilever Shareholder or Unilever ADS Holder (respectively) will receive for each Existing Unilever Share or Existing Unilever ADS held at the Share Consolidation Record Time cannot be fixed at the time of publication of this document. The ratio is expected to be confirmed by the Unilever Board on or around Monday 10 November 2025 and will primarily be determined by comparing the price of Existing Unilever Shares following the Demerger against the price thereof immediately prior to the Demerger (or such other method, (or such other time and/or date as the Unilever Board may determine). In determining the ratio, the Unilever Board may make necessary adjustments to this calculation methodology as required to avoid an overly complex ratio, fractional entitlements that may arise following the Share Consolidation or other issues that may result from such Share Consolidation. Once determined, the ratio will be announced by Unilever via RNS, Euronext Announcement Services and the New York Stock Exchange Trader Updates (noting that such announcement may be made outside of standard business hours). 3.6 What will happen to any fractional entitlements resulting from the Share Consolidation? Fractional entitlements may arise as a result of the Share Consolidation. Any holding of Unilever Shares which is not exactly divisible by the consolidation ratio (once determined) will result in the number of entitlements to New Unilever Shares to be received being rounded down to the nearest whole number. Individual fractional entitlements to New Unilever Shares will be aggregated and the resulting New Unilever Shares sold in the open market, as soon as practicable, at the best price reasonably obtainable, and, subject to applicable law, the net proceeds will be paid to each Unilever Shareholder according to his or her entitlement. 3.7 How will Unilever ADSs be affected by the Share Consolidation? A summary of the impact of the Share Consolidation on Unilever ADS Holders is set out in paragraph 1.5 of Part V of this document. 3.8 Will the Demerger still proceed if the Share Consolidation is not approved? Yes. The Demerger is not conditional on the passing of the Resolutions and may proceed if the Resolutions are not passed. Part II - FAQs - continued 15 Unilever Shareholder Circular Toppan Merrill - Verdi Mailing Notice of EGM Circular ED | 120838 | 01-Oct-25 06:43 | 25-24630-1.ea | Sequence: 6 CHKSUM Content: 59747 Layout: 48888 Graphics: 0 CLEAN JOB: 25-24630-1 CYCLE#;BL#: 12; 0 TRIM: 8.27" x 11.69" AS: London: 011-44-20-7422-6100 COLORS: Dark, ~note-color 2, Black, C=14 M=7 Y=13 K=0 GRAPHICS: none V1.5

GRAPHIC

4. Tax 4.1 Will the Demerger and the Share Consolidation have any tax impacts for Unilever Shareholders and Unilever ADS Holders? Please refer to Part VI of this document. 5. Other questions 5.1 Will the Demerger or the Share Consolidation impact Unilever’s dividends? The Demerger and Share Consolidation are not expected to impact Unilever’s dividend policy of paying an attractive, sustainable dividend to Unilever Shareholders and Unilever ADS Holders with an expected dividend payout ratio of approximately 60 per cent. of underlying earnings per share. The Demerger and Share Consolidation will not affect the expected payment date of the Q3 2025 Dividend to Unilever Shareholders and Unilever ADS Holders registered on the record date for the Q3 2025 Dividend. However, please check the Unilever website for the latest details of other key dates related to the Q3 2025 Dividend (including the ex-dividend date, the record date and deadlines for making dividend reinvestment and other key elections) as these may change. The Share Consolidation is intended to maintain comparability, as far as practicable, between Unilever’s share price and per share metrics (including earnings per share and dividends per share) before and after the Demerger. 5.2 Do I need to change my existing instructions so far as the payment of Unilever dividends is concerned? No. 5.3 I hold unvested share plan awards under the Unilever Share Plan. Will I be entitled to receive TMICC Shares too? Will Separation have any impact on my awards under the Unilever Share Plans? Holders of conditional share plan awards (e.g. PSP and ASP awards under the Unilever Share Plan 2017 and Unilever North America Omnibus Equity Compensation Plan, and Match Shares under the SHARES Plan) will not participate in the Demerger and will therefore not receive TMICC Shares. Holders of awards that give rise to participants having a beneficial ownership of Unilever Shares or Unilever ADSs (e.g. bonus deferral awards under the Unilever Share Plan 2017 and Unilever North America Omnibus Equity Compensation Plan, Investment Shares under the SHARES Plan, and Partnership and Dividend shares under UK ShareBuy) will participate in the Demerger, meaning that these participants will receive TMICC Shares (or a beneficial entitlement to TMICC Shares). The Compensation Committee has determined that TMICC Shares will be received and held subject to the same terms as the underlying award of Unilever Shares or Unilever ADSs. Subject to the above, awards under the Unilever Share Plans held by participants remaining in the Unilever Group would continue to remain outstanding on their existing terms following the Demerger. Participants in the Unilever Share Plans whose employment is moving out of the Unilever Group on completion of the Demerger will, in addition to the impact on awards as a result of the Demerger as described above, have their rights under the Unilever Share Plans treated in accordance with the rules of the relevant plans, as “good leavers”. More detailed information will be provided separately to participants in any Unilever Share Plan explaining the impact of the Demerger on their awards under the Unilever Share Plans. 5.4 Who is TMICC’s US Transfer Agent, and how do I contact them? To support the listing and register structure for TMICC Shares, Computershare Trust Company, N.A. will be appointed as the US Transfer Agent (the US equivalent to a registrar). TMICC will appoint Computershare Investor Services PLC as the DI Issuer and provider of the Nominee Service. Prior to the Demerger Effective Time, you should contact Computershare Investor Services PLC for further assistance on +44 (0)370 600 3977 or via email on web.queries@computershare.com. Following the Demerger Effective Time, you will be able to contact Computershare Trust Company N.A. and Computershare Investor Services PLC on specific US helpline services. The details of these services will be included in the Corporate Sponsored Nominee Programme and DRS statements for TMICC Shareholders. 5.5 Where can I find more information on the Demerger and TMICC? Subject to receipt of relevant regulatory approvals, on or around Wednesday 5 November 2025 TMICC will publish the TMICC Prospectuses. The TMICC Prospectuses will be available, once published, on TMICC’s website at https://corporate.magnumicecream.com/en/home.html. The TMICC Prospectuses will contain important information about TMICC and the Demerger, and Unilever Shareholders and Unilever ADS Holders are encouraged to read the relevant TMICC Prospectus in full. If you have questions relating to the Demerger, please feel free to call the helplines set out on page 7 of this document. Part II - FAQs - continued 16 Unilever Shareholder Circular Toppan Merrill - Verdi Mailing Notice of EGM Circular ED | 120838 | 01-Oct-25 06:43 | 25-24630-1.ea | Sequence: 7 CHKSUM Content: 23732 Layout: 7246 Graphics: 0 CLEAN JOB: 25-24630-1 CYCLE#;BL#: 12; 0 TRIM: 8.27" x 11.69" AS: London: 011-44-20-7422-6100 COLORS: Dark, ~note-color 2, Black, C=14 M=7 Y=13 K=0 GRAPHICS: none V1.5

GRAPHIC

1. Background The TMICC Group is a global market leader in ice cream across developed and emerging markets, operating in 80 countries. Accounting for approximately 21 per cent. of the global retail ice cream market in 2024, the TMICC Group is the largest ice cream company by retail sales in the world.1 It is number one by retail sales in nine of its 10 largest markets (being the United States,2 Turkey, Germany, the United Kingdom, Mexico, Italy, France, the Philippines and Indonesia3) and number two in China.4 With a rich history spanning over a century, the TMICC Group has built a portfolio of household names, including global power brands: The Heartbrand (an “umbrella” brand with numerous well-known sub-brands), Magnum, Ben & Jerry’s and Cornetto, and local heroes such as Breyers, Klondike and Popsicle. Through its brand portfolio, the TMICC Group offers ice cream products addressing the full value spectrum, and all consumption occasions and demand moments, offering tastes and product formats specifically curated to regional consumer preferences. Throughout its history, the TMICC Group has also led innovation on the product category which has influenced when and how ice cream is consumed worldwide today. Its innovation track-record started early in its history, with the introduction of Popsicle as a frozen, flavoured ice snack on a stick that could be consumed without a utensil. In the 1980s and 1990s, Ben & Jerry’s drove growth in the market for premium ice cream offered in pint-sized and smaller containers, which have subsequently become a staple in supermarkets worldwide. The TMICC Group owns, manufactures and sells ice cream brands and products that are tailored for both at-home and away-from-home consumption. The TMICC Group’s strong position in both categories is supported by its fleet of approximately three million freezer cabinets. Its global operations are supported by a comprehensive global supply chain and production footprint, consisting of 30 manufacturing facilities, approximately 200 distribution centres, 327 production lines and 2,150 distributors, across six continents. Its global scale of production and supply chain provide significant economies of scale and agility, and enable local-for-local production and distribution. 2. Establishment of the TMICC Group In preparation for the Demerger, the Unilever Group’s Ice Cream Business has been legally separated into a standalone corporate group within the existing Unilever Group. This legal separation of the Ice Cream Business has been achieved through: the incorporation of TMICC and certain of the TMICC Group Companies to form a standalone group of companies within the wider Unilever Group (with TMICC to become the parent company of the TMICC Group on completion of the Demerger); and the transfer by the relevant Unilever Group Companies of those companies, assets (including intellectual property rights) and liabilities that comprise the Ice Cream Business to TMICC Group Companies, (the “Reorganisation”). Ownership of the Ice Cream Business in the majority of operating markets was transferred to the TMICC Group on 1 July 2025, with other markets transferring since that date, and in some cases after the Demerger. This standalone corporate group will become an independent group of companies separate from the Unilever Group on completion of the Demerger. Further information regarding: (i) how the Reorganisation was undertaken in individual countries; and (ii) details of certain markets where the relevant Ice Cream Business (or part thereof) has not yet transferred will be provided in the TMICC Prospectuses (once published). 3. Transitional Services and Interim Operating Models To ensure business continuity following 1 July 2025 (being the principal date for completion of the Reorganisation), certain members of the TMICC Group and Unilever Group entered into a number of transitional arrangements pursuant to which both corporate groups will provide certain services to the other, including a global transitional services agreement (the “GTSA”) and operating model agreements (the “Local OMAs”). 1. TMICC analysis based on Euromonitor, Snacks 2026 edition, Retail Value Sales (RSP) in EUR, y-o-y ex. rates, current prices, adjusted for economic ownership of brands in each market. 2. TMICC analysis based on Circana as of MAT August 2025. 3. The TMICC Group’s top 10 markets are based on the TMICC Group’s FY2023 revenue. 4. TMICC analysis based on Euromonitor, Snacks 2026 edition, Retail Value Sales (RSP) in EUR, y-o-y ex. rates, current prices (excluding US). Part III - Information on the TMICC Group 17 Unilever Shareholder Circular Toppan Merrill - Verdi Mailing Notice of EGM Circular ED | 120838 | 01-Oct-25 06:43 | 25-24630-1.ea | Sequence: 8 CHKSUM Content: 62759 Layout: 19770 Graphics: 0 CLEAN JOB: 25-24630-1 CYCLE#;BL#: 12; 0 TRIM: 8.27" x 11.69" AS: London: 011-44-20-7422-6100 COLORS: Dark, ~note-color 2, Black, C=14 M=7 Y=13 K=0 GRAPHICS: none V1.5

GRAPHIC

Under the GTSA, Unilever will provide, or procure the provision of, certain services on a transitional basis for a period of up to 30 months (the “Transitional Period”), at which point the TMICC Group anticipates that it will be able to fully operate on a standalone basis. For the duration of the Transitional Period, the TMICC Group will operate in accordance with an “interim operating model” pursuant to the GTSA and a set of Local OMAs which operationalise the GTSA in particular markets. This “interim operating model” authorises Unilever to perform certain business operations on behalf of the TMICC Group until the end of the Transitional Period, when the TMICC Group has its own systems in place which are sufficient to allow it to transact independently. These arrangements have been entered into in order to ensure that the TMICC Group can continue to operate its business while it develops the capacity and systems to operate separately from the Unilever Group. Under the GTSA and Local OMAs, the TMICC Group has agreed to pay certain fees to the Unilever Group in exchange for the services being provided by the Unilever Group. 4. Intellectual Property Rights Prior to the Reorganisation, the intellectual property rights used in the Ice Cream Business (including rights in respect of the brands used in the Ice Cream Business) were owned by entities within the Unilever Group. As part of the Reorganisation, these intellectual property rights were assigned or licensed to the TMICC Group. Further information regarding the intellectual property rights will be available in the TMICC Prospectuses (once published). 5. The TMICC Board and leadership team TMICC will begin its life as a separate company with an experienced board of directors and senior leadership team. The composition of the TMICC Board at the time of the Demerger will be as follows: Jean-François van Boxmeer Chair Peter ter Kulve Chief Executive Officer Abhijit Bhattacharya Chief Financial Officer Melissa Bethell Independent Non-Executive Director Stefan Bomhard Independent Non-Executive Director Stacey Cartwright Independent Non-Executive Director René Hooft Graafland Independent Non-Executive Director Anja Mutsaers Independent Non-Executive Director Reginaldo Ecclissato Non-Executive Director In addition, Josh Frank will be appointed as an Independent Non-Executive Director on or before 1 March 2026. TMICC’s leadership team will have full operational and financial flexibility to grow the business, allocate capital and resources in support of the TMICC Group’s distinct strategy, including further optimising its manufacturing and logistics network and developing wide-reaching, flexible distribution channels over and above the changes that are currently underway in the business. 6. Further information Further information on the TMICC Group, its business, leadership team and corporate governance arrangements will be available in the TMICC Prospectuses (once published). Part III - Information on the TMICC Group - continued 18 Unilever Shareholder Circular Toppan Merrill - Verdi Mailing Notice of EGM Circular ED | 120838 | 01-Oct-25 06:43 | 25-24630-1.ea | Sequence: 9 CHKSUM Content: 19905 Layout: 39729 Graphics: 0 CLEAN JOB: 25-24630-1 CYCLE#;BL#: 12; 0 TRIM: 8.27" x 11.69" AS: London: 011-44-20-7422-6100 COLORS: Pebble, Dark, ~note-color 2, Black, C=14 M=7 Y=13 K=0 GRAPHICS: none V1.5

GRAPHIC

1. Overview On completion of the Demerger: the Ice Cream Business will be owned by the TMICC Group as a standalone corporate group separate from Unilever; approximately 80.1 per cent. of the TMICC Shares will be owned by Qualifying Shareholders and Qualifying ADS Holders; approximately 19.9 per cent. of the TMICC Shares (i.e. the Retained Shares) will be held by the Unilever Group; subject to receipt of certain regulatory approvals, the TMICC Shares will be admitted to listing in the Netherlands, the UK (on the Equity Shares (Commercial Companies) category of the FCA’s Official List) and the US and admitted to trading on each of Euronext Amsterdam, the London Stock Exchange and the New York Stock Exchange; and Unilever Shareholders and Unilever ADS Holders will continue to hold their Unilever Shares and Unilever ADSs respectively. 2. Demerger Following the Reorganisation, it is proposed that the TMICC Group be demerged from Unilever, at which point it will become an independent group of companies separate from the Unilever Group and owned, immediately following the Demerger Effective Time, by Qualifying Shareholders and Qualifying ADS Holders. 2.1 Conditions to Demerger Completion of the Demerger is subject to the satisfaction (or, where applicable, waiver) of the following conditions: completion of the Reorganisation (save for those markets that will transfer on or after the Demerger); approval of the Demerger Dividend and the transfer of TMICC HoldCo under the Demerger by or on behalf of the Unilever Board; approval of the EU and UK Prospectus by the FCA and the AFM being granted and remaining in full force and effect; the Registration Statement having been declared effective by the SEC and no stop order suspending its effectiveness being in effect, and no proceedings for such purpose being pending before or threatened by the SEC; the London Stock Exchange having acknowledged to TMICC that the TMICC Shares will be admitted to trading on the Main Market of the London Stock Exchange and having not withdrawn such acknowledgement; the FCA having approved the application for the admission of the TMICC Shares to the Official List and having not withdrawn such approval; Euronext Amsterdam N.V. having approved the application for the admission of the TMICC Shares to Euronext Amsterdam and having not withdrawn such approval; the TMICC Shares having been approved for listing on the New York Stock Exchange (subject only to official notice of issuance) and such approval having not been withdrawn; and the Sponsors’ Agreement and the Demerger Agreement not having been terminated. The Unilever Board will not take the necessary steps to implement the Demerger unless and until the conditions above have been or will be satisfied (or, where applicable, waived) and, at the relevant time, the Unilever Board considers that it continues to be in the best interests of Unilever and the Unilever Shareholders that the Demerger be implemented. 2.2 Demerger Agreement TMICC and Unilever entered into the Demerger Agreement on Wednesday 1 October 2025 for the implementation of the Demerger and to govern aspects of the relationship between the TMICC Group and the Unilever Group following completion of the Demerger, including in respect of, among other things, undertakings to proceed with the steps required to give effect to the Demerger, allocation of risk and responsibility for certain liabilities between the Unilever Group and the TMICC Group and dealing with separation issues between the TMICC Group and the Unilever Group. Further information on the Demerger Agreement will be provided in the TMICC Prospectuses (once published). 2.3 Tax Matters Agreement On Wednesday 1 October 2025, TMICC and Unilever entered into the Tax Matters Agreement, which governs how certain tax matters related to the Demerger and Reorganisation should be dealt with as between the TMICC Group and the Unilever Group following completion of the Demerger. Part IV - Information on the Demerger 19 Unilever Shareholder Circular Toppan Merrill - Verdi Mailing Notice of EGM Circular ED | 120838 | 01-Oct-25 06:43 | 25-24630-1.ea | Sequence: 10 CHKSUM Content: 17437 Layout: 30863 Graphics: 0 CLEAN JOB: 25-24630-1 CYCLE#;BL#: 12; 0 TRIM: 8.27" x 11.69" AS: London: 011-44-20-7422-6100 COLORS: Pebble, Dark, ~note-color 2, Black, C=14 M=7 Y=13 K=0 GRAPHICS: none V1.5

GRAPHIC

The Tax Matters Agreement includes provisions in respect of, amongst other things: (i) the allocation of certain tax liabilities between the Unilever Group and the TMICC Group; (ii) ensuring that the expected tax treatment of the Demerger and certain US steps involved in the Reorganisation is maintained; and (iii) other more administrative tax matters (such as tax filings and the conduct of tax claims). 2.4 Demerger Steps The Demerger will be implemented through an interim dividend in specie by Unilever (the “Demerger Dividend”). The Demerger Dividend will be satisfied by the transfer by Unilever of the entire issued share capital of TMICC HoldCo to TMICC, in consideration for which TMICC will issue TMICC Shares to Qualifying Shareholders and Qualifying ADS Holders on the relevant register of Unilever at the Demerger Record Time. Upon these steps having taken place, TMICC will hold the entire issued share capital of TMICC HoldCo and will become the parent company of the TMICC Group. Following the Demerger Effective Time, the Unilever Group will transfer shares in TMICC NewCo to TMICC in exchange for the issuance of new TMICC Shares in such number that would give the Unilever Group an approximate 19.9 per cent. shareholding interest in TMICC (i.e. the Retained Shares). Accordingly, immediately after completion of the Demerger and the step described above, Qualifying Shareholders and Qualifying ADS Holders will hold approximately 80.1 per cent. of the issued share capital of TMICC and the Unilever Group will hold approximately 19.9 per cent. No TMICC Shares are being sold pursuant to the Demerger (save in respect of the treatment of any fractional entitlements described in paragraph 3.5 below) and TMICC is not raising any new capital as part of the Demerger. Neither Qualifying Shareholders nor Qualifying ADS Holders will be required to pay any consideration in order to receive TMICC Shares as a result of the Demerger Dividend. Unilever will not receive any cash consideration via the Demerger, although it expects in due course to receive cash proceeds from the sale of the Retained Shares (see paragraph 2.8 below). 2.5 Impact of Demerger on Qualifying Shareholders and Qualifying ADS Holders Upon implementation of the Demerger, Qualifying Shareholders and Qualifying ADS Holders will receive one TMICC Share for every five Unilever Shares or Unilever ADSs that they hold at the Demerger Record Time. Qualifying Shareholders and Qualifying ADS Holders will also retain their existing interests in Unilever Shares and Unilever ADSs. The number of Unilever Shares or Unilever ADSs currently held by Qualifying Shareholders and Qualifying ADS Holders (as applicable) will not change as a result of the Demerger. However, the Share Consolidation will, if approved, reduce the number of Unilever Shares or Unilever ADSs currently held by Unilever Shareholders and Unilever ADS Holders, but each Unilever Shareholder and Unilever ADS Holder will still hold the same proportion of Unilever’s share capital after the Share Consolidation as they held immediately before it, subject to fractional entitlements. 2.6 Listings Applications will be made for the TMICC Shares to be admitted to listing in the Netherlands, the UK (in the FCA’s Equity Shares (Commercial Companies) category) and the US, and to be admitted to trading on Euronext Amsterdam, the London Stock Exchange and the New York Stock Exchange. It is anticipated that trading in TMICC Shares on each of those exchanges will commence on Monday 10 November 2025 at: 9:00 a.m. (Amsterdam time) on Euronext Amsterdam; 8:00 a.m. on the London Stock Exchange; and 9:30 a.m. (New York time) on the New York Stock Exchange. TMICC Shares will be listed directly on the New York Stock Exchange, unlike Unilever Shares which are instead represented by Unilever ADSs. It is anticipated that the TMICC Shares will trade under the ticker “MICC” on each of Euronext Amsterdam, the London Stock Exchange and the New York Stock Exchange. 2.7 Index Inclusion Index inclusion will be determined by the index providers’ specific rules. It is expected that the indices in which TMICC will be included will be announced shortly before the Admission Date. It is not anticipated that TMICC Shares will be eligible for inclusion in any of the FTSE UK series indices (such as the FTSE100, of which Unilever is a constituent member). Part IV - Information on the Demerger - continued 20 Unilever Shareholder Circular Toppan Merrill - Verdi Mailing Notice of EGM Circular ED | 120838 | 01-Oct-25 06:43 | 25-24630-1.ea | Sequence: 11 CHKSUM Content: 30726 Layout: 13789 Graphics: 0 CLEAN JOB: 25-24630-1 CYCLE#;BL#: 12; 0 TRIM: 8.27" x 11.69" AS: London: 011-44-20-7422-6100 COLORS: Dark, ~note-color 2, Black, C=14 M=7 Y=13 K=0 GRAPHICS: none V1.5

GRAPHIC

2.8 Unilever Retained Interest in TMICC Following the Demerger, the Unilever Group will maintain a holding of approximately 19.9 per cent. in TMICC (i.e. the Retained Shares). Unilever will not have the right to appoint any directors or otherwise be represented on the TMICC Board. However, it is expected that Reginaldo Ecclissato, a member of the Unilever Leadership Executive, will join the TMICC Board to provide his invaluable experience to TMICC in the period post-Demerger for up to a maximum period of two years. Over time, Unilever intends to sell the Retained Shares in an orderly and considered manner and in any event will dispose of all the Retained Shares within five years of the date of the Demerger. Unilever intends to use the proceeds of any sale to pay separation costs and maintain capital flexibility through a reduction in net debt. In accordance with applicable US federal tax laws and regulations, Unilever will exercise any votes attaching to the Retained Shares in proportion to the votes cast by TMICC’s other shareholders. 2.9 Unilever Share Plans Unilever currently operates a number of employee share plans, including the Unilever Share Plan 2017 (which for the avoidance of doubt includes the Unilever North America Omnibus Equity Compensation Plan), the SHARES Plan and the UK ShareBuy, under which awards are granted in respect of Unilever Shares. Awards under the Unilever Share Plans are in the form of either awards pursuant to which participants have beneficial ownership of Unilever Shares under award (including “forfeitable shares”), or conditional share awards. 2.9.1 Awards with beneficial ownership to Unilever Shares Holders of awards that give rise to the participant having a beneficial ownership of Unilever Shares will participate in the Demerger, meaning these participants will receive TMICC Shares (or a beneficial entitlement to TMICC Shares). In accordance with the rules of the relevant Unilever Share Plan, TMICC Shares will be received and held subject to the same terms and/or restrictions as the underlying award of Unilever Shares. 2.9.2 Conditional share award holders Holders of conditional share awards will not receive TMICC Shares in the Demerger. No specific adjustments will be necessary. Please refer to paragraph 1.6 of Part V of this document for information on the impact of the Share Consolidation on the value of such awards. Awards under the Unilever Share Plans held by participants remaining in employment with the Unilever Group would continue to remain outstanding on their existing terms following the Demerger (and the Share Consolidation). 2.9.3 Performance target impact The Unilever Compensation Committee will also consider whether the Demerger will have any impact on any of the targets applicable to outstanding awards under the Unilever Share Plans and, if so, will consider whether any action is required in order to ensure that such targets continue to be capable of being assessed on a consistent basis. 2.9.4 Share plan participants moving to TMICC Participants in the Unilever Share Plans who will leave the Unilever Group as a result of the Demerger will, in addition to the impact on awards as a result of the Demerger as described above, have their rights under the Unilever Share Plans treated in accordance with the rules of the relevant plans, as “good leavers”. If you participate in any of the Unilever Share Plans, you will be sent a separate letter explaining the implications of the Demerger (and the Share Consolidation) for your awards and what action, if any, you may need to take. The impact described above will also apply to any awards under the Unilever Share Plans held by Unilever Board members. 3. Delivery of TMICC Shares 3.1 Introduction This section describes the way in which TMICC Shares will be delivered to Qualifying Shareholders and Qualifying ADS Holders on the completion of the Demerger. No action is required to be taken by any Qualifying Shareholder or Qualifying ADS Holder to receive TMICC Shares (or interests in those TMICC Shares). Part IV - Information on the Demerger - continued 21 Unilever Shareholder Circular Toppan Merrill - Verdi Mailing Notice of EGM Circular ED | 120838 | 01-Oct-25 06:43 | 25-24630-1.ea | Sequence: 12 CHKSUM Content: 4344 Layout: 28321 Graphics: 0 CLEAN JOB: 25-24630-1 CYCLE#;BL#: 12; 0 TRIM: 8.27" x 11.69" AS: London: 011-44-20-7422-6100 COLORS: Dark, ~note-color 2, Black, C=14 M=7 Y=13 K=0 GRAPHICS: none V1.5

GRAPHIC

The TMICC Shares to be issued on implementation of the Demerger (or interests in those TMICC Shares) will be delivered to Qualifying Shareholders and Qualifying ADS Holders automatically depending on the way in which those Qualifying Shareholders and Qualifying ADS Holders hold their Unilever Shares or Unilever ADSs (as applicable) as at the Demerger Record Time. It is therefore important that Unilever Shareholders and Unilever ADS Holders read this section carefully to ensure that they understand the arrangements that will apply to them in relation to, and following, the Demerger. 3.2 Entitlement to receive TMICC Shares Only Qualifying Shareholders and Qualifying ADS Holders as at the Demerger Record Time will be eligible to receive TMICC Shares. The Demerger Record Time is expected to be 10:00 p.m. on Friday 7 November 2025. The Demerger Record Time is the same for all Qualifying Shareholders regardless of whether their Unilever Shares are held in CREST (including those in respect of the Unilever ADSs), in Euroclear or in certificated form, and for all Qualifying ADS Holders regardless of whether their Unilever ADSs are held in DTC or in registered form. The latest recommended time for Qualifying Shareholders to transfer their Unilever Shares into the CREST settlement system in order for those transfers to be registered by 6:00 p.m. on Friday 7 November and the Qualifying Shareholders to therefore hold Unilever Shares in CREST as at the Demerger Record Time and to receive TMICC Shares (or interests in those TMICC Shares) in CREST is expected to be 3:00 p.m. on Friday 7 November 2025. The latest recommended time for Qualifying Shareholders to transfer their Unilever Shares into the Euroclear Nederland settlement system in order for those transfers to be registered by 6:00 p.m. on Friday 7 November and the Qualifying Shareholders to therefore hold Unilever Shares in Euroclear Nederland as at the Demerger Record Time and to receive TMICC Shares (or interests in those TMICC Shares) in Euroclear Nederland is expected to be 5:00 p.m. (Amsterdam time) on Friday 7 November 2025. The Unilever ADS issuance and cancellation books are expected to be closed for the purposes of the Demerger Dividend and Share Consolidation from the start of business on Thursday 6 November 2025. While the Unilever ADS issuance and cancellation books are closed, the issuance and cancellation of Unilever ADSs will be suspended, meaning that during this period it will not be possible to surrender Unilever ADSs and receive underlying Unilever Shares or deposit Unilever Shares and receive Unilever ADSs. However, the closing of the issuance and cancellation books does not have an impact on trading, and Unilever ADS Holders may continue to trade their Unilever ADSs during this period. It is expected that the Unilever ADS issuance and cancellation books will re-open from the start of business on Tuesday 11 November 2025. The way in which Qualifying Shareholders and Qualifying ADS Holders will receive their TMICC Shares (or interests in those TMICC Shares) is summarised in paragraph 3.3 below. References to times are to London (UK) time unless otherwise stated. These times and/or dates are subject to change. If any of the times and/or dates above change, the revised times and/or dates will be notified to Unilever Shareholders and Unilever ADS Holders by an announcement through a Regulatory Information Service. Part IV - Information on the Demerger - continued 22 Unilever Shareholder Circular Toppan Merrill - Verdi Mailing Notice of EGM Circular ED | 120838 | 01-Oct-25 06:43 | 25-24630-1.ea | Sequence: 13 CHKSUM Content: 40628 Layout: 62054 Graphics: 0 CLEAN JOB: 25-24630-1 CYCLE#;BL#: 12; 0 TRIM: 8.27" x 11.69" AS: London: 011-44-20-7422-6100 COLORS: Dark, ~note-color 2, Black, C=14 M=7 Y=13 K=0 GRAPHICS: none V1.5

GRAPHIC

3.3 Overview of settlement of TMICC Shares The way in which Qualifying Shareholders and Qualifying ADS Holders will receive their TMICC Shares on the Demerger will depend on how they hold their Unilever Shares or Unilever ADSs on the relevant Unilever register as at the Demerger Record Time, summarised below: Please refer to following Current Unilever security type TMICC security type to be received on Demerger paragraph below 3.4 Settlement by shareholder category 3.4.1 Euroclear shareholders For Qualifying Shareholders whose Unilever Shares are traded on Euronext Amsterdam and held in uncertificated form via Euroclear Nederland (whether directly or through a broker or nominee), DTC will credit the relevant number of interests in TMICC Shares in dematerialised form (“DTC Interests”) to the DTC account of Euroclear Nederland directly via Euroclear Bank. Euroclear Nederland will then include the DTC Interests in the giro deposit (giro depot) and will in turn credit the DTC Interests to the collective deposit (verzameldepot) held by intermediaries, who will subsequently credit the accounts of the relevant Qualifying Shareholders with the DTC Interests. Following completion of the Demerger and Admission, these DTC Interests will be able to be traded on Euronext Amsterdam. Holders of dematerialised interests representing TMICC Shares in Euroclear Bank and Euroclear Nederland will not be the registered holders of the TMICC Shares that they represent. Cede & Co., as nominee for DTC, being the principal central securities depositary for TMICC, will be the registered holder of such TMICC Shares. Interests in TMICC Shares delivered to existing Paragraph 3.4.1 Euroclear Nederland accounts of such Qualifying Shareholders. Unilever Shareholder holding in Euroclear Depositary Interests representing TMICC Shares Paragraph 3.4.2 delivered to existing CREST accounts of such Qualifying Shareholders. Unilever Shareholder holding in CREST Interests in TMICC Shares delivered to existing DTC Paragraph 3.4.3 accounts of Qualifying ADS Holders. Unilever ADS Holder holding in DTC TMICC Shares recorded in the TMICC share register Paragraph 3.4.5 administered through the Direct Registration System. Unilever ADS Holder holding registered Unilever ADSs and Unilever ADS Holder holding certificated Unilever ADSs Qualifying Shareholders with certificated Unilever Paragraph 3.4.4 Shares and a registered address in the United Kingdom, Argentina, Botswana, Brazil, Chile, Gibraltar, Guernsey, Guinea, Hong Kong, Indonesia, Isle of Man, Jersey, Mexico, Namibia, Paraguay, Peru, South Africa, South Korea, Switzerland and Taiwan: Depositary Interests in TMICC Shares will be issued to Computershare Company Nominees Limited, acting as the nominee for Computershare Investor Services PLC, and held on behalf of these shareholders in the Corporate Sponsored Nominee Programme. Unilever Shareholder holding certificated Unilever Shares Qualifying Shareholders with certificated Unilever Paragraph 3.4.5 Shares in other jurisdictions: TMICC Shares recorded in the TMICC share register administered through the Direct Registration System. In some jurisdictions, applicable regulation or Paragraph 3.4.6 securities or economic sanctions laws may make delivery of interests in TMICC Shares impractical or impossible. In the case of these Unilever Shareholders, their interests in TMICC Shares will be aggregated and sold on their behalf and pro rata cash proceeds remitted to them where possible or otherwise held on their behalf. Overseas Shareholders Part IV - Information on the Demerger - continued 23 Unilever Shareholder Circular Toppan Merrill - Verdi Mailing Notice of EGM Circular ED | 120838 | 01-Oct-25 06:43 | 25-24630-1.ea | Sequence: 14 CHKSUM Content: 56581 Layout: 40846 Graphics: 0 CLEAN JOB: 25-24630-1 CYCLE#;BL#: 12; 0 TRIM: 8.27" x 11.69" AS: London: 011-44-20-7422-6100 COLORS: Dark, ~note-color 2, Black, C=14 M=7 Y=13 K=0 GRAPHICS: none V1.5

GRAPHIC

3.4.2 CREST shareholders Securities of issuers incorporated outside the United Kingdom and the Channel Islands, such as TMICC (which is incorporated in the Netherlands), are unable to be held, transferred or settled directly through CREST (being the UK system for paperless settlement of trades in securities and the holding of uncertificated securities operated by Euroclear UK). Unilever Shares that trade on the London Stock Exchange are held, transferred and settled in CREST. As a result, TMICC Shares that are traded on the London Stock Exchange will be settled in the form of Depositary Interests representing TMICC Shares, being an interest that is eligible for clearing in CREST. Qualifying Shareholders whose Unilever Shares are traded on the London Stock Exchange and held in uncertificated form via CREST (whether directly or through a broker or nominee) at the Demerger Record Time will receive Depositary Interests. These Depositary Interests will be delivered into the CREST account in which Qualifying Shareholders hold their Unilever Shares at the Demerger Record Time. TMICC Shares, represented by Depositary Interests, will be able to be traded on the London Stock Exchange. The Depositary Interests will be in wholly uncertificated form and will only be capable of being held and transferred between CREST participants. Each Depositary Interest entitles the holder to the same rights with respect to voting and attendance at general meetings of TMICC, receipt of information published by TMICC and to dividends as if the holder instead held TMICC Shares. For these purposes, each Depositary Interest will be treated as one TMICC Share. TMICC has arranged for the US Transfer Agent to administer the creation and issuance of these Depositary Interests as follows: DTC will credit DTC Interests to the DTC account of Computershare Trust Company, N.A. (in its capacity as the “DI Custodian”). The DI Custodian will hold the DTC Interests for Computershare Investor Services PLC (the “DI Issuer”). Following receipt of the DTC Interests by the DI Custodian, the DI Issuer will issue Depositary Interests representing the DTC Interests directly to CREST participants, who will subsequently credit the CREST accounts of the relevant Qualifying Shareholders with the Depositary Interests. Holders of Depositary Interests will not be the registered holders of the TMICC Shares that they represent. Cede & Co., acting as nominee for DTC, being the principal central securities depositary for TMICC, will be the registered holder of such TMICC Shares. A TMICC register of CREST participants will be maintained showing full details of the holders of the Depositary Interests in a similar fashion to the register of legal ownership of the TMICC Shares. The Depositary Interests will have the same ISIN as the underlying TMICC Shares and will not require a separate listing on the FCA’s Official List. 3.4.3 Qualifying ADS Holders in dematerialised form in DTC Qualifying ADS Holders whose Unilever ADSs are held in DTC in dematerialised form at the Demerger Record Time will receive DTC Interests into the DTC account in which they hold their Unilever ADSs at the Demerger Record Time. Computershare Trust Company N.A. (in its capacity as the “US Transfer Agent”) will be responsible for the delivery of DTC Interests on behalf of Unilever to Qualifying ADS Holders whose Unilever ADSs are held in DTC. Deutsche Bank Trust Company Americas, the Unilever ADS Depositary, will not be responsible for the delivery of DTC Interests to Qualifying ADS Holders. 3.4.4 Certificated shareholders in UK and other relevant territories To facilitate the ability of a company’s shareholders (who may not necessarily have access to the appropriate electronic accounts but who are receiving entitlements to shares in an overseas company) to hold, trade and settle trades in these entitlements, it is typical for a corporate sponsored nominee service to be put in place. In this case, TMICC has arranged for Computershare Investor Services PLC to provide a corporate sponsored nominee service (the “Nominee Service”) to Qualifying Shareholders who hold their Unilever Shares in certificated form and whose registered address on the Unilever share register is in the UK, Argentina, Botswana, Brazil, Chile, Gibraltar, Guernsey, Guinea, Hong Kong, Indonesia, Isle of Man, Jersey, Mexico, Namibia, Paraguay, Peru, South Africa, South Korea, Switzerland or Taiwan (the “Relevant Territories”) (such Qualifying Shareholders being “Eligible Certificated Shareholders”). Under this Nominee Service, Computershare Company Nominees Limited (the “Nominee”) will hold Depositary Interests (representing TMICC Shares to which Eligible Certificated Shareholders would have been entitled) in its CREST account and act as nominee on behalf of Eligible Certificated Shareholders. The Nominee Service will enable Eligible Certificated Shareholders to hold and settle trades placed on the London Stock Exchange via the Nominee. Eligible Certificated Shareholders will also receive a statement evidencing the number of Depositary Interests held in the Nominee Service on their behalf. The costs of operating the Nominee Service will be borne by TMICC with the exception of any dealing or cancellation charges. A copy of the terms and conditions of the Nominee Service is included as Schedule 1 of this document. Part IV - Information on the Demerger - continued 24 Unilever Shareholder Circular Toppan Merrill - Verdi Mailing Notice of EGM Circular ED | 120838 | 01-Oct-25 06:43 | 25-24630-1.ea | Sequence: 15 CHKSUM Content: 29792 Layout: 64629 Graphics: 0 CLEAN JOB: 25-24630-1 CYCLE#;BL#: 12; 0 TRIM: 8.27" x 11.69" AS: London: 011-44-20-7422-6100 COLORS: Dark, ~note-color 2, Black, C=14 M=7 Y=13 K=0 GRAPHICS: none V1.5

GRAPHIC

The names of TMICC Shareholders who hold their TMICC Shares under the Nominee Service will not appear on the TMICC shareholder register, though a separate entitlement register shall be maintained by the operator of the Nominee Service and such records may be made available to TMICC. 3.4.5 Other certificated shareholders and registered Qualifying ADS Holders This paragraph applies to: (i) Qualifying Shareholders who hold their Unilever Shares in certificated form, but whose registered address on the Unilever share register is not in a Relevant Territory; (ii) Qualifying ADS Holders who hold their Unilever ADSs in registered or certificated form; and (iii) any Qualifying Shareholders or Qualifying ADS Holders who are not eligible for DTC, (each, a “TMICC DRS Shareholder”). TMICC DRS Shareholders will receive their TMICC Shares in registered form, meaning that each TMICC DRS Shareholder will have their name entered into TMICC’s shareholder register as the owner of the relevant number of TMICC Shares. Any TMICC Shares delivered in this way will be administered via the DRS. The DRS is a service provided by DTC to facilitate the holding of TMICC Shares outside DTC and allow the relevant TMICC DRS Shareholder to hold their TMICC Shares in book-entry form in their own name. Further information about the DRS which will apply to holdings of TMICC Shares can be found in Schedule 2 to this document or downloaded at https://www-us.computershare.com/Investor/#Help/ PrintableForms. Computershare Trust Company, N.A. (in its capacity as the “US Transfer Agent”) will be responsible for maintaining TMICC’s register of members, including records of the TMICC DRS Shareholders’ holdings electronically. Deutsche Bank Trust Company Americas, the Unilever ADS Depositary, will not be responsible for registration or delivery of TMICC Shares to Qualifying ADS Holders. Any TMICC Shares recorded in the DRS will not be traded on any stock exchange unless TMICC Shareholders elect to take further steps to have those TMICC Shares entered into DTC for trading on Euronext Amsterdam, the London Stock Exchange or the New York Stock Exchange. 3.4.6 Overseas Shareholders If, in respect of any Overseas Shareholder, Unilever or TMICC is advised that the distribution or issue of the TMICC Shares would or may: (i) infringe applicable laws with respect to economic sanctions; or (ii) require Unilever or TMICC to comply with any governmental or other consent or any registration, filing or other formality with which Unilever or TMICC is unable to comply or compliance with which Unilever or TMICC regards as unduly onerous, then upon the Demerger Effective Time, Unilever or TMICC may, in its sole discretion, determine that such TMICC Shares shall not be issued to such Unilever Shareholder or Unilever ADS Holder (“Excluded Holders”) but shall instead be issued to a person to sell the TMICC Shares so issued on behalf of the relevant Excluded Holder as soon as is practicable following Admission. The proceeds of such sale shall be paid to the relevant Excluded Holder (after the deduction of all expenses and commissions incurred in connection with the sale) or, if such payment would or may infringe applicable laws with respect to economic sanctions or require compliance with any other registration, filing or other formality with which Unilever or TMICC is unable to comply or compliance with which Unilever or TMICC regards as unduly onerous, held on behalf of the Excluded Holder and paid to the Excluded Holder as soon as practicable once such payment would not cause such infringement or require such compliance. Where possible, proceeds for such Excluded Holder, pro rata, shall be remitted to the account where dividends for Unilever Shares are usually paid. Save for the Overseas Shareholders described in this paragraph 3.4, Qualifying Shareholders or Qualifying ADS Holders will not be entitled to receive cash instead of TMICC Shares on the Demerger, subject to fractional entitlements (see below). 3.5 Fractional entitlements Qualifying Shareholders and Qualifying ADS Holders will be eligible to receive one TMICC Share for every five Unilever Shares or Unilever ADSs (as applicable) they hold as at the Demerger Record Time. As a consequence of this ratio, it is likely that entitlements to fractions of TMICC Shares will arise. For example, if a Qualifying Shareholder holds eight Unilever Shares at the Demerger Record Time, they will receive one TMICC Share plus an entitlement to a 3/5 fraction of a TMICC Share. Where individual fractional entitlements to TMICC Shares arise on the Demerger, the number of TMICC Shares to be received will be rounded down to the nearest whole number. Any fractional entitlements to TMICC Shares will be Part IV - Information on the Demerger - continued 25 Unilever Shareholder Circular Toppan Merrill - Verdi Mailing Notice of EGM Circular ED | 120838 | 01-Oct-25 06:43 | 25-24630-1.ea | Sequence: 16 CHKSUM Content: 41336 Layout: 23745 Graphics: 0 CLEAN JOB: 25-24630-1 CYCLE#;BL#: 12; 0 TRIM: 8.27" x 11.69" AS: London: 011-44-20-7422-6100 COLORS: Dark, ~note-color 2, Black, C=14 M=7 Y=13 K=0 GRAPHICS: none V1.5

GRAPHIC

aggregated with those from other Qualifying Shareholders and Qualifying ADS Holders and sold on the open market as soon as practicable and the relevant Qualifying Shareholders and Qualifying ADS Holders will be entitled to receive the net proceeds (subject to applicable law and following the deduction of any sale or currency exchange costs or commissions being deducted) pro rata to their fractional entitlement. If any such payment would or may infringe applicable laws with respect to economic sanctions or require compliance with any other registration, filing or other formality with which Unilever or TMICC is unable to comply or compliance with which Unilever or TMICC regards as unduly onerous, such proceeds will be held on behalf of the relevant Qualifying Shareholders and Qualifying ADS Holders and paid to them as soon as practicable once such payment would not cause such infringement or require such compliance. 3.6 Mandates All mandates, communication preferences, bank account notifications, currency elections for dividend payments and other instructions issued by Qualifying Shareholders to Unilever or Qualifying ADS Holders to the Unilever ADS Depositary in force at the Demerger Record Time (other than in relation to the Unilever dividend reinvestment plan) shall, to the extent possible, unless and until revoked or amended, be replicated as valid and effective mandates, communication preferences, bank account notifications, currency elections for dividend payments and instructions to the Nominee (in respect of Depositary Interests held by Eligible Certificated Shareholders) and the DI Issuer (in respect of Depositary Interests held by other TMICC Shareholders). TMICC DRS Shareholders are expected to be required to submit revised payment preferences in accordance with the instructions provided to TMICC DRS Shareholders following completion of the Demerger. 3.7 Further information Further information regarding the holding and trading of TMICC Shares will be available in the TMICC Prospectuses (once published). Part IV - Information on the Demerger - continued 26 Unilever Shareholder Circular Toppan Merrill - Verdi Mailing Notice of EGM Circular ED | 120838 | 01-Oct-25 06:43 | 25-24630-1.ea | Sequence: 17 CHKSUM Content: 37290 Layout: 35143 Graphics: 0 CLEAN JOB: 25-24630-1 CYCLE#;BL#: 12; 0 TRIM: 8.27" x 11.69" AS: London: 011-44-20-7422-6100 COLORS: Dark, ~note-color 2, Black, C=14 M=7 Y=13 K=0 GRAPHICS: none V1.5

GRAPHIC

1. Resolution 1: Share Consolidation 1.1 Background to the Share Consolidation Following the Demerger, the Unilever Group will no longer own the Ice Cream Business (other than as a minority shareholder through its holding of the Retained Shares). As a result, Unilever expects that its market capitalisation and share price will likely adjust to reflect the revised scope of its business operations. It is therefore proposed that Unilever will consolidate (or sub-divide and consolidate) its existing issued share capital in order to reduce the total number of Unilever Shares in issue (while increasing the nominal value per share). The Share Consolidation is intended to maintain comparability, so far as practicable, between Unilever’s share price and per share metrics (including earnings per share and dividends per share) before and after the Demerger, while also preserving (as far as reasonably possible) the value of awards granted under Unilever Share Plans, avoiding the need for any specific adjustments to the numbers of awards under those plans. Share consolidations are commonly undertaken by companies following a demerger, for the reasons set out above. The Share Consolidation is conditional on the Demerger and is expected to take place on Tuesday 11 November 2025, one day after TMICC Shares begin trading. It is expected that admission and dealings in New Unilever Shares on the London Stock Exchange at 8:00 a.m. and on Euronext Amsterdam will commence at 9:00 a.m. (Amsterdam time), and admission and dealings in New Unilever ADSs on the New York Stock Exchange at 9:30 a.m. (New York time). In connection with the Share Consolidation and in order to ensure compliance with the UK Listing Rules, a technical amendment is required to Unilever’s Articles to ensure that shareholders continue to have one vote per ordinary share held. The intention is to preserve the position that would have applied had the Share Consolidation not taken place. Currently, the Existing Unilever Shares have a nominal value of 3 1/9 pence and voting rights are expressed as one vote for every 3 1/9 pence in nominal value. Following the Share Consolidation, the nominal value of the New Unilever Shares will not be divisible by 3 1/9 pence and so this formulation is no longer suitable. Therefore, Resolution 1 also proposes to amend Unilever’s Articles so that, following the Share Consolidation, the New Unilever Shares will carry one vote each by amending Article 61 such that instead of it stating that “On a poll every member who is present in person or by proxy shall have one vote for every 3 1/9 pence nominal of capital held by them of whatever class”, it shall instead state “On a poll every member who is present in person or by proxy shall have one vote for every one share in the Company held by them of whatever class”. Resolution 1 will be proposed as a special resolution and requires the approval of three-quarters of the votes cast at the meeting. As with the Demerger, if the Unilever Board determines at any time that the Share Consolidation no longer continues to be in the best interests of Unilever and the Unilever Shareholders, it is entitled, in its sole discretion, not to proceed with the Share Consolidation. 1.2 Ratio for the Share Consolidation The ratio for the Share Consolidation and the number of New Unilever Shares (or part thereof) that each Unilever Shareholder will receive for each Existing Unilever Share held at the Share Consolidation Record Time is expected to be determined by the Unilever Board on or around Monday 10 November 2025 (or such other time and/or date as the Unilever Board may determine). Once determined, the ratio for the Share Consolidation will be announced by Unilever via RNS, Euronext Announcement Services and the New York Stock Exchange Trader Updates (noting that such announcement may be made outside of standard business hours). The ratio for the Share Consolidation cannot be fixed at the time of publication of this document. This is because it will primarily be determined by comparing the price of Existing Unilever Shares following the Demerger against the price thereof immediately prior to the Demerger (or such other times and/or dates as the Unilever Board may determine). In determining the ratio for the Share Consolidation, the Unilever Board may make necessary adjustments to this calculation methodology as required to avoid an overly complex ratio, fractional entitlements that may arise following the Share Consolidation or other issues that may result from such Share Consolidation. 1.3 Dealings and settlement Applications will be made for the New Unilever Shares arising from the Share Consolidation to be admitted to: (i) the Equity Shares (Commercial Companies) Category listing segment of the FCA’s Official List; (ii) trading on the London Stock Exchange’s Main Market for listed securities; and (iii) trading on Euronext Amsterdam. It is expected that admission of the New Unilever Shares will become effective and dealings in the New Unilever Shares will commence on the London Stock Exchange at 8:00 a.m. on Tuesday 11 November 2025 and on Euronext Amsterdam at 9:00 a.m. (Amsterdam time) on Tuesday 11 November 2025 (or such other date as the Unilever Board may determine). Part V - Information on the Share Consolidation 27 Unilever Shareholder Circular Toppan Merrill - Verdi Mailing Notice of EGM Circular ED | 120838 | 01-Oct-25 06:43 | 25-24630-1.ea | Sequence: 18 CHKSUM Content: 6056 Layout: 26489 Graphics: 0 CLEAN JOB: 25-24630-1 CYCLE#;BL#: 12; 0 TRIM: 8.27" x 11.69" AS: London: 011-44-20-7422-6100 COLORS: Dark, ~note-color 2, Black, C=14 M=7 Y=13 K=0 GRAPHICS: none V1.5

GRAPHIC

It is expected that the current ISIN (GB00B10RZP78) in relation to New Unilever Shares will be disabled in CREST as at 6:00 p.m. on Monday 10 November 2025 and a new ISIN (GB00BVZK7T90) in relation to the New Unilever Shares will come into effect at 8:00 a.m. on Tuesday 11 November 2025 (or such other date as the Unilever Board may determine). With effect from the effective time and date of the Share Consolidation, share certificates in respect of Existing Unilever Shares will no longer be valid. However, share certificates in respect of New Unilever Shares will only be issued following the Share Consolidation. It is therefore important that, if you hold share certificates in respect of your Existing Unilever Shares, you retain them for the time being. New share certificates and fractional payments (if applicable) in respect of the New Unilever Shares are expected to be despatched, at the risk of Unilever Shareholders, by no later than Tuesday 25 November 2025 to those Unilever Shareholders who, at the Share Consolidation Record Time, hold their Existing Unilever Shares in certificated form. Such certificates will replace existing share certificates, which should then be destroyed. Pending the receipt of new share certificates, transfers of New Unilever Shares held in certificated form will be certified against the relevant register. The new share certificates in respect of the New Unilever Shares are despatched to Unilever Shareholders at their own risk. Please note, if you are a “gone away” Unilever Shareholder on Unilever’s register of members maintained in the UK, your share certificate in respect of the New Unilever Shares and, if applicable, your cash payment in respect of fractional entitlements will not be issued until you contact Unilever’s registrar, Computershare. Unilever Shareholders who, at the Share Consolidation Record Time, hold their New Unilever Shares in uncertificated form through CREST or Euroclear will have their CREST or Euroclear Nederland accounts (as applicable) adjusted to reflect their New Unilever Shares on Tuesday 11 November 2025. See paragraph 1.5 below for details applicable to Unilever ADS Holders. 1.4 Fractional entitlements Please note that fractional entitlements to New Unilever Shares may arise as a result of the Share Consolidation. Any holding of Unilever Shares which is not exactly divisible by the consolidation ratio (once determined) will result in the number of entitlements to New Unilever Shares to be received being rounded down to the nearest whole number. Individual fractional entitlements will be aggregated and sold in the market. The net proceeds of the sale, after the deduction of any expenses and/or commission associated with such sale (including any related VAT), will be paid in due proportion to the relevant Unilever Shareholders. Payment of fractional entitlements (where applicable) is expected to be effected no later than Tuesday 25 November 2025. Unilever Shareholders holding their Unilever Shares in CREST will receive their fractional entitlement payment via their CREST accounts, and Unilever Shareholders holding their Unilever Shares in Euroclear Nederland will receive their fractional entitlement in accordance with the customary arrangements they have in place with their financial intermediary. Unilever Shareholders who do not hold their Unilever Shares in CREST or Euroclear Nederland will receive their payment to their mandated bank or building society account, or by cheque if no such mandate is registered. In respect of Unilever ADS Holders, the net proceeds from the sale of fractional entitlements (after deduction of any fees, charges and expenses associated with such sale (including any related VAT and any taxes withheld, if applicable)) will, be paid in due proportion (rounded down to the nearest whole cent) amongst the relevant holders who would otherwise be entitled to such fractions. If any such payment would or may infringe applicable laws with respect to economic sanctions or require compliance with any other registration, filing or other formality with which Unilever or TMICC is unable to comply or compliance with which Unilever or TMICC regards as unduly onerous, such proceeds will be held on behalf of the relevant Unilever Shareholders and Unilever ADS Holders and paid to them as soon as practicable once such payment would not cause such infringement or require such compliance. 1.5 Unilever ADS Holders Following the Share Consolidation becoming effective, the Existing Unilever Shares held by the Unilever ADS Depositary will be replaced with New Unilever Shares. As a result, Existing Unilever ADS Holders on the Unilever ADS Register as at 10:00 p.m. on Monday 10 November 2025, will, upon cancellation of their Existing Unilever ADSs, be issued and receive New Unilever ADSs pursuant to the Share Consolidation ratio. As described in paragraph 1.2 above, the ratio for the Share Consolidation cannot be fixed at the time of publication of this document. Fractional entitlements will be dealt with in the manner described in paragraph 1.4 above. Each Existing Unilever ADS represents one (1) Existing Unilever Share. Following the Share Consolidation, the New Unilever ADSs will continue to each represent one (1) New Unilever Share. Following the Share Consolidation becoming effective, the Unilever ADS Depositary will inform Unilever ADS Holders on the Unilever ADS Register regarding the mechanics of the cancellation of their Existing Unilever ADSs and issuance of New Unilever ADSs as described below. For those Unilever ADS Holders currently holding their Unilever ADSs on the books of the Unilever ADS Depositary in book-entry form (i.e. through the Direct Registration System (“DRS”)), the Unilever ADS Depositary will automatically Part V - Information on the Share Consolidation - continued 28 Unilever Shareholder Circular Toppan Merrill - Verdi Mailing Notice of EGM Circular ED | 120838 | 01-Oct-25 06:43 | 25-24630-1.ea | Sequence: 19 CHKSUM Content: 37954 Layout: 59859 Graphics: 0 CLEAN JOB: 25-24630-1 CYCLE#;BL#: 12; 0 TRIM: 8.27" x 11.69" AS: London: 011-44-20-7422-6100 COLORS: Dark, ~note-color 2, Black, C=14 M=7 Y=13 K=0 GRAPHICS: none V1.5

GRAPHIC

cancel the Existing Unilever ADSs and mail a new DRS statement reflecting the number of New Unilever ADSs to be credited to the holder’s account and any net proceeds from the sale of fractional New Unilever ADSs to which the holder may be entitled. No action will be necessary on the part of Unilever ADS Holders unless their Unilever ADSs are in certificated form. For those Unilever ADS Holders who hold Unilever ADSs in physical certificated form, instructions for the cancellation of such certificated Unilever ADSs will be set out in the letter of transmittal and related Unilever ADS Depositary notice. If such holders do not surrender their certificates for cancellation, they will not receive the new entitlement and all dividends will be held until such time as they surrender their old certificates. Unilever ADS Holders who are not on the Unilever ADS Register and therefore hold their Unilever ADSs through a broker, financial institution or other nominee or otherwise must rely on the procedures of such broker, financial institution or other nominee. 1.6 Unilever Share Plans As noted at paragraph 2.9 of Part IV in this document, awards under the Unilever Share Plans are in the form of either awards pursuant to which participants have beneficial ownership of Unilever Shares under award (including “forfeitable shares”), or conditional share awards. 1.6.1 Awards with beneficial ownership to Unilever Shares Holders of awards that give rise to the participant having a beneficial ownership of Unilever Shares will be treated in the same way as other Unilever Shareholders under the Share Consolidation. The proportion of the issued ordinary share capital of Unilever held by each Unilever Shareholder (including those awards which grant participants beneficial ownership of Unilever Shares) following the Share Consolidation will, save for fractional entitlements, remain unchanged. 1.6.2 Conditional share award holders The Share Consolidation should substantially preserve (as far as reasonably possible) the value of conditional awards, therefore avoiding the need for any specific adjustments that may be permitted under the relevant plan rules to the number of Unilever Shares underlying the conditional share awards. Awards under the Unilever Share Plans held by participants remaining in employment with the Unilever Group would continue to remain outstanding on their existing terms following the Share Consolidation (and Demerger). If you participate in any of the Unilever Share Plans, you will also be sent a separate letter explaining the implications of the Share Consolidation (and the Demerger) for your awards and what action, if any, you may need to take. The impact described above will apply to any awards under the Unilever Share Plans held by Unilever Board members. 2. Resolution 2: Amendment to buyback authority The authority received at the 2025 Annual General Meeting will, if Resolution 2 is passed, be amended to reflect that the ordinary shares in the capital of the Company will, following the Share Consolidation, no longer have a nominal value of 3 1/9 pence. The Share Consolidation will reduce the number of shares in issue and therefore will result in the maximum number of shares which may be acquired by the Company representing over 10 per cent. of the Company’s issued ordinary share capital. The Directors have no present intention of purchasing over 10 per cent. of its issued ordinary share capital under this authority. As the intention of Resolution 2 is to amend the existing authority granted at the 2025 Annual General Meeting and preserve the position that would have applied had the Share Consolidation not taken place, if Resolution 2 is passed the authority will expire at the conclusion of the 2026 Annual General Meeting or at the close of business on 30 June 2026 (whichever is earlier). Unilever will consider holding any of the New Unilever Shares that it purchases pursuant to the authority conferred in the Resolution as treasury shares. This may give Unilever the ability to re-issue treasury shares quickly and cost effectively and may provide Unilever with additional flexibility in the management of its capital base, including the allotment of New Unilever Shares in relation to share plans. No dividends will be paid on New Unilever Shares whilst held in treasury, and no voting rights will attach to them. Resolution 2 will be proposed as a special resolution and requires the approval of three-quarters of the votes cast at the meeting. It is conditional upon Resolution 1 being passed and upon the admission of the New Unilever Shares to listing and trading on Euronext Amsterdam, to listing on the Equity Shares (Commercial Companies) Category of the Official List of the Financial Conduct Authority and to trading on the London Stock Exchange’s Main Market for listed securities. Part V - Information on the Share Consolidation - continued 29 Unilever Shareholder Circular Toppan Merrill - Verdi Mailing Notice of EGM Circular ED | 120838 | 01-Oct-25 06:43 | 25-24630-1.ea | Sequence: 20 CHKSUM Content: 30786 Layout: 52693 Graphics: 0 CLEAN JOB: 25-24630-1 CYCLE#;BL#: 12; 0 TRIM: 8.27" x 11.69" AS: London: 011-44-20-7422-6100 COLORS: Dark, ~note-color 2, Black, C=14 M=7 Y=13 K=0 GRAPHICS: none V1.5

GRAPHIC

3. Details of the General Meeting Further to the above, you will find at Schedule 3 of this document the notice of the General Meeting being convened to be held at 8:00 a.m. on Tuesday 21 October 2025 at the offices of Linklaters, One Silk Street, London EC2Y 8HQ. Resolution 1 covers the approval of the Share Consolidation and the related amendment to Unilever’s Articles. Resolution 2 relates to the renewal of Unilever’s authority to make repurchases of its shares, similar to the resolution that shareholders pass each year at the Annual General Meeting. Full explanations of all proposed Resolutions are set out in the explanatory notes to the Resolutions. Your Board unanimously believes that all the Resolutions set out in the Notice of General Meeting are in the best interests of Unilever and Unilever Shareholders as a whole. Accordingly, the Unilever Directors unanimously recommend that you vote in favour of the Resolutions, as they intend to do themselves in respect of their own Unilever Shares. You can register your proxy vote either using our electronic voting facility via www.investorcentre.co.uk/eproxy or by completing and returning the proxy form, in accordance with the instructions set out on the back of your proxy form. Institutional investors are able to cast their votes using CREST electronic proxy voting. Holders of shares in Unilever held through Euroclear Nederland who wish to participate in the voting process can render their voting instructions electronically via www.abnamro.com/evoting. As usual at the General Meeting, all Resolutions will be put to a poll. This will ensure an exact and definitive result. We encourage you to appoint the Chair of the General Meeting as your proxy to ensure that your vote is counted if you are unable to attend and vote on the day of the General Meeting. The results of the General Meeting will be announced on the Unilever website www.unilever.com/gm as soon as possible after being released to the London Stock Exchange. The Notice of General Meeting, which you should read in full, is set out as Schedule 3 of this document. All your votes are important to us and I would urge you to complete and return your votes by proxy in good time, and in any event no later than 8:00 a.m. on Sunday 19 October 2025. Part V - Information on the Share Consolidation - continued 30 Unilever Shareholder Circular Toppan Merrill - Verdi Mailing Notice of EGM Circular ED | 120838 | 01-Oct-25 06:43 | 25-24630-1.ea | Sequence: 21 CHKSUM Content: 51317 Layout: 62054 Graphics: 0 CLEAN JOB: 25-24630-1 CYCLE#;BL#: 12; 0 TRIM: 8.27" x 11.69" AS: London: 011-44-20-7422-6100 COLORS: Dark, ~note-color 2, Black, C=14 M=7 Y=13 K=0 GRAPHICS: none V1.5

GRAPHIC

The following is a summary of certain United Kingdom, United States and Dutch tax consequences for Unilever Shareholders and Unilever ADS Holders of the receipt of the Demerger Dividend and the Share Consolidation. This summary does not constitute tax advice, is intended as general information only and does not provide an exhaustive overview of all United Kingdom, United States and Dutch tax consequences that may be relevant for Unilever Shareholders and Unilever ADS Holders. This summary is based on tax legislation, published case law, treaties, regulations and published policy, in each case as in force as at the date of this document, and it does not take into account any developments or amendments thereof after that date whether or not such developments or amendments have retroactive effect. THE TAX LEGISLATION OF THE COUNTRY OF CITIZENSHIP, DOMICILE OR RESIDENCY OF A UNILEVER SHAREHOLDER OR UNILEVER ADS HOLDER MAY ALSO IMPACT THE TAX CONSEQUENCES OF THE RECEIPT OF THE DEMERGER DIVIDEND AND THE SHARE CONSOLIDATION. UNILEVER SHAREHOLDERS AND UNILEVER ADS HOLDERS WHO ARE IN ANY DOUBT AS TO THEIR TAX POSITION OR WHO MAY BE SUBJECT TO TAX IN A JURISDICTION OTHER THAN THE UNITED KINGDOM, THE UNITED STATES OR THE NETHERLANDS ARE STRONGLY RECOMMENDED TO CONSULT THEIR OWN PROFESSIONAL ADVISERS. Unilever Shareholders and Unilever ADS Holders should also note that further details of the tax consequences of the receipt of the Demerger Dividend and receiving and holding the TMICC Shares will be set out in the TMICC Prospectuses (when available). References to Unilever Shareholders in the remainder of this section refer also to Unilever ADS Holders and references to Unilever Shares in this section refer also to Unilever ADSs. United Kingdom Taxation The comments set out below are based on current United Kingdom tax law as applied in England and Wales and HMRC practice (which may not be binding on HMRC), in each case as in force as at the date of this document, and both of which are subject to change, possibly with retrospective effect. They are intended as a general guide and apply (except where stated otherwise) only to Unilever Shareholders: (i) resident for tax purposes in the United Kingdom (and, in the case of individuals, only to those Unilever Shareholders who are not eligible for and claiming relief from the United Kingdom taxation of foreign income and gains under the rules in Chapter 1, Part 2 of the Finance Act 2025 and to whom “split year” treatment does not apply); (ii) who hold their Unilever Shares as an investment (other than in an individual savings account or pension arrangement); and (iii) who are, or are treated as, the absolute beneficial owners of their Unilever Shares and any dividends paid on them (“UK Shareholders”). The discussion further assumes that a Unilever ADS Holder is the absolute beneficial owner of the underlying Unilever Shares. The discussion does not address all possible tax consequences relating to an investment in the Unilever Shares. Certain categories of Unilever Shareholders, including those carrying on certain financial activities, those subject to specific tax regimes or benefiting from certain reliefs or exemptions, those connected with Unilever, TMICC or their respective groups and those for whom the Unilever Shares or the TMICC Shares are employment-related securities, may be subject to special rules and this summary does not apply to such Unilever Shareholders. United Kingdom Tax Consequences of the Demerger Tax on income Unilever has received clearance from HMRC under Section 1091 of the Corporation Tax Act 2010 confirming that the Demerger Dividend will qualify as an “exempt distribution” for the purposes of Section 1075 of the Corporation Tax Act 2010. As a result, a UK Shareholder should not incur any liability to income tax or corporation tax on income (as applicable) in respect of the receipt of their TMICC Shares under the Demerger. Chargeable gains UK Shareholders who do not hold (either alone or together with persons connected to them) more than 5 per cent. of, or of any class of, the Unilever Shares should not be treated, by virtue of the receipt of TMICC Shares under the Demerger, as making a disposal or part disposal of their Unilever Shares for the purposes of taxation of chargeable gains. The TMICC Shares distributed to UK Shareholders pursuant to the Demerger should be treated as the same asset, and having been acquired at the same time, as the Unilever Shares already held by the UK Shareholders. The aggregate base cost of the Unilever Shares and the TMICC Shares immediately after the Demerger should be the same as the base cost of the Unilever Shares immediately before the Demerger. Such base cost should be apportioned between the Unilever Shares and the TMICC Shares by reference to their respective market values on the first day on which the market values or prices are quoted or published for such shares. Part VI - Taxation 31 Unilever Shareholder Circular Toppan Merrill - Verdi Mailing Notice of EGM Circular ED | 120838 | 01-Oct-25 06:43 | 25-24630-1.ea | Sequence: 22 CHKSUM Content: 17389 Layout: 60438 Graphics: 0 CLEAN JOB: 25-24630-1 CYCLE#;BL#: 12; 0 TRIM: 8.27" x 11.69" AS: London: 011-44-20-7422-6100 COLORS: Dark, ~note-color 2, Black, C=14 M=7 Y=13 K=0 GRAPHICS: none V1.5

GRAPHIC

Any UK Shareholder who holds (either alone or together with persons connected to them) more than 5 per cent. of, or of any class of, the Unilever Shares will only be eligible for the treatment described in the preceding paragraph if the Demerger is effected for bona fide commercial reasons and does not form part of a scheme or arrangement of which the main purpose, or one of the main purposes, is the avoidance of liability to capital gains tax or corporation tax. Such UK Shareholders are advised that clearance has been obtained from HMRC under Section 138 of the Taxation of Chargeable Gains Act 1992 in respect of the Demerger that HMRC are satisfied that the Demerger will be effected for bona fide commercial reasons and will not form part of such a scheme or arrangement. As a result, any such UK Shareholder should be treated in the manner described in the preceding paragraph. To the extent that a UK Shareholder receives cash under the Demerger by virtue of a sale of any TMICC Shares to which the UK Shareholder has a fractional entitlement, the amount of any cash proceeds should not exceed the value of a single TMICC Share. Although the position is not free from doubt, it is expected that in practice the UK Shareholder should not normally be treated as making a part disposal of their holding of Unilever Shares (or TMICC Shares) and the proceeds should instead be deducted from the base cost of the UK Shareholder’s new holdings (comprising their Unilever Shares and any TMICC Shares). Alternatively, or if the proceeds exceed that base cost, it is expected that the UK Shareholder will be treated as disposing of their fractional entitlement and may be subject to tax in respect of any chargeable gain thereby realised. Stamp duty and stamp duty reserve tax (“SDRT”) The following statement about United Kingdom stamp duty and SDRT applies regardless of whether or not a Unilever Shareholder is resident in the United Kingdom or elsewhere, and is intended as a guide only to the general United Kingdom stamp duty and SDRT position. No United Kingdom stamp duty or SDRT should be payable by Unilever Shareholders in respect of the distribution of the TMICC Shares to them pursuant to the Demerger Dividend. United Kingdom Tax Consequences of the Share Consolidation Chargeable gains To the extent that a UK Shareholder receives New Unilever Shares pursuant to the Share Consolidation, such UK Shareholder should not be treated as making a disposal or part disposal of their existing Unilever Shares as a result of the Share Consolidation. On a subsequent disposal of New Unilever Shares a UK Shareholder may, depending on their individual circumstances (including the availability of exemptions, reliefs and allowable losses), be subject to tax on the amount of any chargeable gain realised. When computing any such chargeable gain, the New Unilever Shares should be treated as having been acquired at the same time and for the same consideration as the UK Shareholder’s original holding of Unilever Shares (i.e. the UK Shareholder’s holding of Unilever Shares before the Share Consolidation). To the extent that a UK Shareholder receives cash under the Share Consolidation by virtue of a sale of any New Unilever Shares to which the UK Shareholder has a fractional entitlement, in practice the UK Shareholder should not normally be treated as making a part disposal of their holding of Unilever Shares and the proceeds should instead be deducted from the base cost of the Shareholder’s new holding. However, if the proceeds exceed that base cost, or if the UK Shareholder holds an insufficient number of original Unilever Shares meaning that it is not entitled to any New Unilever Shares on the Share Consolidation, the UK Shareholder will be treated as disposing of part or all of their existing holding of Unilever Shares and may be subject to tax in respect of any chargeable gain thereby realised. Stamp duty and SDRT The following statement about United Kingdom stamp duty and SDRT applies regardless of whether or not a Unilever Shareholder is resident in the United Kingdom or elsewhere, and is intended as a guide only to the general United Kingdom stamp duty and SDRT position. No United Kingdom stamp duty or SDRT should be payable by Unilever Shareholders in respect of the Share Consolidation. Certain US Federal Income Tax Considerations The following is a summary of certain US federal income tax consequences applicable to US Shareholders (as defined below) of the Demerger and the Share Consolidation. This summary deals only with US Shareholders that hold Unilever Shares and Unilever ADSs as capital assets. The discussion does not cover all aspects of US federal income taxation that may be relevant to, or the actual tax effect that any of the matters described herein will have on, particular investors (including consequences under the alternative minimum tax or net investment income tax), and does not address state, local, non-US or other tax laws (such as estate or gift tax laws). This summary also does not address tax considerations applicable to investors that own (directly, indirectly or by attribution) 10 per cent. or more of the equity interests of Unilever by vote or value, nor does this summary discuss all of the tax considerations that may be relevant to certain Part VI - Taxation - continued 32 Unilever Shareholder Circular Toppan Merrill - Verdi Mailing Notice of EGM Circular ED | 120838 | 01-Oct-25 06:43 | 25-24630-1.ea | Sequence: 23 CHKSUM Content: 54063 Layout: 54537 Graphics: 0 CLEAN JOB: 25-24630-1 CYCLE#;BL#: 12; 0 TRIM: 8.27" x 11.69" AS: London: 011-44-20-7422-6100 COLORS: Dark, ~note-color 2, Black, C=14 M=7 Y=13 K=0 GRAPHICS: none V1.5

GRAPHIC

types of investors subject to special treatment under US federal income tax laws (such as financial institutions, insurance companies, individual retirement accounts and other tax-deferred accounts, tax-exempt organisations, dealers in securities or currencies, investors holding Unilever Shares or Unilever ADSs as part of straddles, hedging transactions or conversion transactions for US federal income tax purposes, persons that have ceased to be US citizens or lawful permanent residents of the United States, investors holding Unilever Shares or Unilever ADSs in connection with a trade or business conducted outside of the United States, US citizens or lawful permanent residents living abroad or investors whose functional currency is not the US dollar). For US federal income tax purposes, US holders of Unilever ADSs will generally be treated as the owner of the Unilever Shares that are represented by the Unilever ADSs, and references herein to Unilever Shares also refer to Unilever ADSs representing Unilever Shares. As used herein, the term “US Shareholder” means a beneficial owner of Unilever Shares that is, for US federal income tax purposes: (i) an individual citizen or resident of the United States; (ii) a corporation created or organised under the laws of the United States, or any state thereof or the District of Columbia; (iii) an estate the income of which is subject to US federal income tax without regard to its source; or (iv) a trust if a court within the United States is able to exercise primary supervision over the administration of the trust and one or more US persons have the authority to control all substantial decisions of the trust, or the trust has validly elected to be treated as a domestic trust for US federal income tax purposes. The US federal income tax treatment of a partner in an entity or arrangement treated as a partnership for US federal income tax purposes that holds Unilever Shares will depend on the status of the partner and the activities of the partnership. Entities or arrangements treated as partnerships for US federal income tax purposes should consult their tax advisers concerning the US federal income tax consequences to them and their partners of participating in the Demerger and Share Consolidation. This summary is based on the tax laws of the United States, including the Internal Revenue Code of 1986, as amended (the “Code”), its legislative history, existing and proposed US Treasury regulations thereunder, published rulings and court decisions, all as of the date hereof and all subject to change at any time, possibly with retroactive effect. Other than as described below, no rulings have been requested from the US Internal Revenue Service (the “IRS”) and there can be no guarantee that the IRS would not challenge, possibly successfully, the treatment described below. US Federal Income Tax Consequences of the Demerger Unilever has received a private letter ruling from the IRS and expects to receive an opinion from its tax adviser, Linklaters, to the effect that, among other things, the Demerger (including the retention of less than 20 per cent. of the TMICC Shares) will qualify as a transaction that is tax-free for US federal income tax purposes under Sections 355 and 368(a)(1)(D) of the Code. The private letter ruling is and the opinion of Linklaters (the “Tax Opinion”) will be based upon and rely on, among other things, various facts and assumptions, as well as certain representations, statements and undertakings of Unilever and TMICC (including those relating to the past and future conduct of Unilever and TMICC). If any of these representations, statements or undertakings is, or becomes, inaccurate or incomplete, or if Unilever or TMICC breach any of their respective representations or covenants contained in any of the Demerger-related agreements and documents or in any documents relating to the private letter ruling and/or the Tax Opinion, such private letter ruling and/or the Tax Opinion may be invalid and the conclusions reached therein could be jeopardised. The Tax Opinion will rely on the private letter ruling as to matters covered by the ruling. If the Demerger qualifies as a transaction that is tax-free for US federal income tax purposes under Sections 355 and 368(a)(1)(D) of the Code, as Unilever expects, for US federal income tax purposes: no gain or loss will be recognised by, or be includible in the income of, a US Shareholder upon the receipt of TMICC Shares as a result of the Demerger (except with respect to any cash received in respect of fractional entitlements to TMICC Shares); the aggregate tax basis of the Unilever Shares and the TMICC Shares held by each US Shareholder immediately after the Demerger (including any fractional entitlement to TMICC Shares to which US Shareholders may be entitled) will be the same as the aggregate tax basis of the Unilever Shares held by the US Shareholder immediately before the Demerger, allocated between the Unilever Shares and the TMICC Shares in proportion to their relative fair market values on the date of the Demerger; and the holding period of the TMICC Shares received by each US Shareholder will include the holding period of their Unilever Shares. US Shareholders that have acquired different blocks of Unilever Shares at different times or at different prices are urged to consult their tax advisers regarding the allocation of their aggregate adjusted tax basis among, and the holding period of, the TMICC Shares distributed with respect to such blocks of Unilever Shares. A US Shareholder that receives cash in respect of a fractional entitlement to a TMICC Share as a result of the Demerger will be treated as if the US Shareholder first received a distribution of the fractional entitlement to the TMICC Share in the Demerger and then sold it for the amount of cash actually received. Such US Shareholder will generally recognise capital gain or loss equal to the difference between the US dollar value of the amount received for the fractional entitlement and the US Shareholder’s tax basis in the fractional entitlement, as determined above. Any gain or loss Part VI - Taxation - continued 33 Unilever Shareholder Circular Toppan Merrill - Verdi Mailing Notice of EGM Circular ED | 120838 | 01-Oct-25 06:43 | 25-24630-1.ea | Sequence: 24 CHKSUM Content: 41269 Layout: 7649 Graphics: 0 CLEAN JOB: 25-24630-1 CYCLE#;BL#: 12; 0 TRIM: 8.27" x 11.69" AS: London: 011-44-20-7422-6100 COLORS: Dark, ~note-color 2, Black, C=14 M=7 Y=13 K=0 GRAPHICS: none V1.5

GRAPHIC

generally should be treated as arising from US sources. The gain or loss will be long-term capital gain or loss if the US Shareholder’s holding period in the Unilever Shares exceeds one year. Long-term capital gains of non-corporate US Shareholders are subject to preferential tax rates. Deductions for capital loss are subject to significant limitations. Notwithstanding Unilever’s receipt of the IRS private letter ruling and the Tax Opinion, the IRS could determine that the Demerger should be treated as a taxable transaction for US federal income tax purposes if it determines that any of the representations, assumptions, or undertakings upon which the IRS private letter ruling or the Tax Opinion was based are inaccurate or have not been complied with. In addition, the IRS private letter ruling does not address all of the issues that are relevant in determining whether the Demerger qualifies as a transaction that is generally tax-free for US federal income tax purposes. The Tax Opinion will not be binding on the IRS or any court and the IRS or a court may disagree with the conclusions in the Tax Opinion. Accordingly, notwithstanding Unilever’s receipt of the IRS private letter ruling and the Tax Opinion, there can be no assurance that the IRS will not assert that the Demerger does not qualify for tax-free treatment for US federal income tax purposes, or that a court would not sustain such a challenge. If the Demerger were determined not to qualify for tax-free treatment, the US tax consequences described above would not apply and each US Shareholder who receives TMICC Shares (and any cash received in respect of fractional entitlements to TMICC Shares) in the Demerger would generally be treated as receiving a distribution in an amount equal to the fair market value of the TMICC Shares received (including any fractional entitlements to TMICC Shares). Such distribution would be taxable to a US Shareholder as ordinary dividend income to the extent of the current and accumulated earnings and profits of Unilever as determined for US federal income tax purposes. To the extent the amount of the aggregate distribution exceeds the current and accumulated earnings and profits of Unilever, the distribution would be treated as a non-taxable return of capital, reducing the US Shareholder’s adjusted tax basis in its Unilever Shares. To the extent the distribution in excess of earnings and profits exceeds the US Shareholder’s adjusted tax basis in its Unilever Shares, the excess would be taxed as capital gain. Unilever does not maintain calculations of its earnings and profits in accordance with US federal income tax accounting principles, and a US Shareholder should therefore assume that any taxable distribution in respect of Unilever Shares would constitute ordinary income. In addition, the US Shareholder’s tax basis in the TMICC Shares would equal the fair market value of such TMICC Shares on the date of receipt, and the US Shareholder’s holding period for the TMICC Shares would begin on the day after the date of receipt. US Federal Income Tax Consequences of the Share Consolidation A US Shareholder should not recognise any gain or loss on the Share Consolidation except for the receipt of cash in respect of fractional entitlements to New Unilever Shares. A US Shareholder’s tax basis and holding period in its New Unilever Shares should be the same as its basis and holding period in the Existing Unilever Shares exchanged therefor. To the extent that a US Shareholder receives cash, by virtue of a sale on its behalf of any New Unilever Shares to which it has a fractional entitlement, the US Shareholder should recognise capital gain or loss equal to the difference between the US dollar value of the amount received for the fractional entitlement and the US Shareholder’s tax basis in the fractional entitlement. Any gain or loss generally should be treated as arising from US sources. The gain or loss will be long-term capital gain or loss if the US Shareholder’s holding period in the Existing Unilever Shares exceeds one year. Long-term capital gains of non-corporate US Shareholders are subject to preferential tax rates. Deductions for capital loss are subject to significant limitations. Foreign Financial Asset Reporting US taxpayers that own certain foreign financial assets, including equity of non-US entities, with an aggregate value in excess of U.S.$50,000 at the end of the taxable year or U.S.$75,000 at any time during the taxable year (or, for certain individuals living outside the United States and married individuals filing joint returns, certain higher thresholds) may be required to file an information report with respect to such assets with their tax returns. The TMICC Shares and New Unilever Shares are expected to constitute foreign financial assets subject to these requirements unless the TMICC Shares and New Unilever Shares are held in an account at a financial institution (in which case the account may be reportable if maintained by a non-US financial institution). US Shareholders should consult their tax advisers regarding the application of the rules relating to foreign financial asset reporting. Dutch Taxation The comments below are intended as a general guide and apply only to Unilever Shareholders resident or deemed resident for tax purposes in the Netherlands. For the purposes of Dutch tax law, a Unilever Shareholder may include an individual or entity who does not have the legal title of these Unilever Shares, but to whom nevertheless the Unilever Shares or the income thereof is attributed based on specific statutory provisions or on the basis of such individual or entity having an interest in the Unilever Shares or the income thereof. This summary does not address the Dutch tax consequences for: (i) investment institutions (fiscale beleggingsinstellingen); (ii) pension funds, exempt investment institutions (vrijgestelde beleggingsinstellingen) or other Dutch tax resident entities that are not subject to or exempt from Dutch corporate income tax; Part VI - Taxation - continued 34 Unilever Shareholder Circular Toppan Merrill - Verdi Mailing Notice of EGM Circular ED | 120838 | 01-Oct-25 06:43 | 25-24630-1.ea | Sequence: 25 CHKSUM Content: 23604 Layout: 62054 Graphics: 0 CLEAN JOB: 25-24630-1 CYCLE#;BL#: 12; 0 TRIM: 8.27" x 11.69" AS: London: 011-44-20-7422-6100 COLORS: Dark, ~note-color 2, Black, C=14 M=7 Y=13 K=0 GRAPHICS: none V1.5

GRAPHIC

(iii) corporate Unilever Shareholders which qualify for the participation exemption (deelnemingsvrijstelling) or which qualify for participation credit (deelnemingsverrekening). Generally speaking, a shareholding is considered to qualify as a participation for the participation exemption or participation credit if it represents an interest of 5 per cent. or more of the nominal paid-up share capital; (iv) individuals holding a substantial interest (aanmerkelijk belang) or deemed substantial interest (fictief aanmerkelijk belang) in Unilever and individuals of whom a certain related person holds a substantial interest in Unilever. Generally speaking, a substantial interest in Unilever arises if an individual, alone or together with their partner (statutorily defined term), directly or indirectly, holds or is deemed to hold: (a) an interest of 5 per cent. or more of the total issued and outstanding capital of Unilever or 5 per cent. or more of the issued and outstanding capital of a certain class of shares of Unilever; (b) rights to acquire, directly or indirectly, such interest; or (c) certain profit-sharing rights in Unilever; (v) persons to whom the Unilever Shares and the income from the Unilever Shares are attributed based on the separated private assets (afgezonderd particulier vermogen) provisions of the Dutch Income Tax Act 2001 (Wet inkomstenbelasting 2001); (vi) Unilever Shareholders which are not considered the beneficial owner (uiteindelijk gerechtigde) of these Unilever Shares or the benefits derived from or realised in respect of these Unilever Shares; and (vii) individuals to whom the Unilever Shares or the income therefrom are attributable to employment activities which are taxed as employment income in the Netherlands. Where this summary refers to the Netherlands, such reference is restricted to the part of the Kingdom of the Netherlands that is situated in Europe and the legislation applicable in that part of the Kingdom. Dutch Tax Consequences of the Demerger Dividend withholding tax The Demerger Dividend is considered for Dutch tax purposes to be a dividend distribution by Unilever to its Shareholders. Since Unilever is a United Kingdom tax resident entity, no Dutch dividend withholding tax will have to be withheld. Corporate and individual income tax Corporate Unilever Shareholder residents of the Netherlands If a Unilever Shareholder is an entity and is a resident of the Netherlands or deemed to be a resident of the Netherlands for Dutch corporate income tax purposes and is fully subject to Dutch corporate income tax or is only subject to Dutch corporate income tax in respect of an enterprise to which the Unilever Shares are attributable, the Demerger Dividend is generally taxable in the Netherlands (at up to a maximum rate of 25.8 per cent.). In addition, such Unilever Shareholder is also taxable in the Netherlands (at up to a maximum rate of 25.8 per cent.) with respect to the net proceeds received pro rata to their fractional entitlement to TMICC Shares, but only to the extent such net proceeds are the result of an increase in value of the TMICC Shares since the Demerger Effective Time. Individual Unilever Shareholder residents of the Netherlands If a Unilever Shareholder is an individual and is a resident of the Netherlands or deemed to be a resident of the Netherlands for Dutch individual income tax purposes, the Demerger Dividend is taxable at progressive rates (up to a maximum rate of 49.50 per cent.) under the Dutch Income Tax Act 2001, if: (i) the individual is an entrepreneur (ondernemer) and has an enterprise to which the Unilever Shares are attributable or the individual has, other than as a Unilever Shareholder, a co-entitlement to the net worth of an enterprise (medegerechtigde), to which enterprise the Unilever Shares are attributable; or (ii) such income or gains qualify as income from miscellaneous activities (resultaat uit overige werkzaamheden), which includes activities with respect to the Unilever Shares that exceed regular, active portfolio management (normaal, actief vermogensbeheer). In addition, such Unilever Shareholder is also taxable in the Netherlands (at up to a maximum rate of 49.5 per cent.) with respect to the net proceeds received pro rata to their fractional entitlement to TMICC Shares, but only to the extent such net proceeds are the result of an increase in value of the TMICC Shares since the Demerger Effective Time. If neither situation (i) nor situation (ii) above applies to the Unilever Shareholder, then the Unilever Shareholder, must record the Unilever Shares as assets that are held in box 3 for Dutch individual income tax purposes. Taxable income is then determined on the basis of a certain deemed return (rendement) on the Shareholder’s yield basis (rendementsgrondslag) at the beginning of the calendar year insofar as the yield basis exceeds a certain threshold (€57,684 for an individual taxpayer and €115,368 in case of a “qualifying partner” (statutory defined term)) (heffingvrij vermogen), rather than on the basis of income actually received or gains actually realised. Such yield basis is Part VI - Taxation - continued 35 Unilever Shareholder Circular Toppan Merrill - Verdi Mailing Notice of EGM Circular ED | 120838 | 01-Oct-25 06:43 | 25-24630-1.ea | Sequence: 26 CHKSUM Content: 18396 Layout: 60878 Graphics: 0 CLEAN JOB: 25-24630-1 CYCLE#;BL#: 12; 0 TRIM: 8.27" x 11.69" AS: London: 011-44-20-7422-6100 COLORS: Dark, ~note-color 2, Black, C=14 M=7 Y=13 K=0 GRAPHICS: none V1.5

GRAPHIC

determined as the fair market value of certain qualifying savings and investments held by the Unilever Shareholder, less the fair market value of certain qualifying debts at the beginning of the calendar year. The deemed return is determined on separate deemed return percentages for bank savings, other investments and liabilities. For the calendar year 2025, the deemed return percentage for other investments (including the Unilever Shares) is 5.88 per cent. Subject to certain anti-abuse provisions, the product of an amount equal to: (a) the total deemed return divided by the yield basis; and (b) the yield basis minus the threshold (heffingvrij vermogen), forms the individual’s taxable income from savings and investments. The taxable income from savings and investments so computed is taxed at the prevailing statutory rate of 36 per cent. The Demerger Dividend as such is then not taxed. The Dutch Supreme Court has ruled that box 3 taxation as outlined above is in violation of article 1 of the first protocol to the European Convention on Human Rights (right to property) and of article 14 of the European Convention on Human Rights (prohibition of discrimination), where the deemed return is higher than the actual nominal return on the assets and liabilities, including unrealised changes in value of such assets and liabilities. In these cases, the Dutch Supreme Court has ruled that legal redress should be provided to the party concerned. The Dutch legislator has introduced new legislation to take away the violations. Unilever Shareholders that are taxed in box 3 for Dutch individual income tax purposes with respect to their Unilever Shares are recommended to consult a professional tax adviser. Dutch Tax Consequences of the Share Consolidation Corporate and individual income tax Corporate Unilever Shareholder residents of the Netherlands If a Unilever Shareholder is an entity and is a resident of the Netherlands or deemed to be a resident of the Netherlands for Dutch corporate income tax purposes and is fully subject to Dutch corporate income tax or is only subject to Dutch corporate income tax in respect of an enterprise to which the Unilever Shares are attributable, the Unilever Shareholder should for Dutch corporate income tax purposes: (i) likely not be treated as making a disposal or part disposal of their existing Unilever Shares nor making an acquisition of New Unilever Shares as a result of the Share Consolidation; or (ii) where the Unilever Shareholder should for Dutch corporate income tax purposes be treated as making a disposal and an acquisition as a result of the Share Consolidation, be allowed to roll-over the tax book value of their existing Unilever Shares to the New Unilever Shares on the basis of Dutch Supreme Court Case law. Any cash received under the Share Consolidation by virtue of a sale of any New Unilever Shares to which a fractional entitlement exists should likely be taxable in the Netherlands (at up to a maximum rate of 25.8 per cent.). Unilever Shareholders who are in any doubt as to their tax position are strongly recommended to consult their own professional advisers. Individual Unilever Shareholder residents of the Netherlands If a Unilever Shareholder is an individual and is a resident of the Netherlands or deemed to be a resident of the Netherlands for Dutch individual income tax purposes, the Unilever Shareholder should for Dutch individual income tax purposes: (i) likely not be treated as making a disposal or part disposal of their existing Unilever Shares nor making an acquisition of New Unilever Shares as a result of the Share Consolidation; or (ii) where the Unilever Shareholder should for Dutch individual income tax purposes be treated as making a disposal and an acquisition as a result of the Share Consolidation, be allowed to roll-over the tax book value of their existing Unilever Shares to the New Unilever Shares on the basis of Dutch Supreme Court Case law, if: (i) the individual is an entrepreneur (ondernemer) and has an enterprise to which the Unilever Shares and the New Unilever Shares are attributable or the individual has, other than as a Unilever Shareholder, a co-entitlement to the net worth of an enterprise (medegerechtigde), to which enterprise the Unilever Shares and the New Unilever Shares are attributable; or (ii) such income or gains qualify as income from miscellaneous activities (resultaat uit overige werkzaamheden), which includes activities with respect to the Unilever Shares and the New Unilever Shares that exceed regular, active portfolio management (normaal, actief vermogensbeheer). Any cash received under the Share Consolidation by virtue of a sale of any New Unilever Shares to which a fractional entitlement exists should likely be taxable in the Netherlands (at up to a maximum rate of 49.5 per cent.). If neither situation (i) nor situation (ii) applies to the Unilever Shareholder, then the Unilever Shareholder, is taxed in accordance with box 3 for Dutch individual income tax purposes. The Share Consolidation should then likely not impact the taxable income of such Unilever Shareholder (including where any cash is received under the Share Consolidation by virtue of a sale of any New Unilever Shares to which a fractional entitlement exists). Unilever Shareholders who are in any doubt as to their tax position are strongly recommended to consult their own professional advisers. Part VI - Taxation - continued 36 Unilever Shareholder Circular Toppan Merrill - Verdi Mailing Notice of EGM Circular ED | 120838 | 01-Oct-25 06:43 | 25-24630-1.ea | Sequence: 27 CHKSUM Content: 30696 Layout: 62054 Graphics: 0 CLEAN JOB: 25-24630-1 CYCLE#;BL#: 12; 0 TRIM: 8.27" x 11.69" AS: London: 011-44-20-7422-6100 COLORS: Dark, ~note-color 2, Black, C=14 M=7 Y=13 K=0 GRAPHICS: none V1.5

GRAPHIC

For the purposes of this document, “subsidiary”, “subsidiary undertaking” and “undertaking” have the respective meanings given to them in the Companies Act. All times referred to are London time unless otherwise stated. References to the singular include the plural and vice versa. “Admission” the admission to listing and trading of the TMICC Shares on each of Euronext Amsterdam and the New York Stock Exchange, to listing on the Equity Shares (Commercial Companies) Category of the Official List of the FCA and to trading on the London Stock Exchange’s Main Market for listed securities “Admission Date” the date of Admission of the TMICC Shares “AFM” the Dutch Authority for the Financial Markets (Stichting Autoriteit Financiële Markten) “certificated” or “in certificated form” a share or other security which is not in uncertificated form (that is, not in CREST, Euroclear or DTC) “Companies Act” the Companies Act 2006, as amended from time to time “CREST” the system for the paperless settlement of trades in securities and the holding of uncertificated securities operated by Euroclear “CREST Manual” the CREST Manual published by Euroclear, as amended from time to time “CREST Regulations” the Uncertificated Securities Regulations 2001 (SI 2001/3755), as amended “Demerger” the demerger of the Ice Cream Business by way of the Demerger Dividend to be satisfied by the transfer of the entire issued share capital of TMICC HoldCo from Unilever to TMICC in consideration for the issuance by TMICC of TMICC Shares to each Qualifying Shareholder and Qualifying ADS Holder at the Demerger Record Time in proportion to their holding “Demerger Agreement” the demerger agreement entered into between Unilever, TMICC and TMICC HoldCo on Wednesday 1 October 2025 “Demerger Dividend” the interim in specie dividend proposed to be approved by the Unilever Board pursuant to which the Demerger will be effected “Demerger Effective Time” the time at which the Demerger becomes effective, expected to be 6:00 p.m. on Saturday 8 November 2025 “Demerger Record Time” 10:00 p.m. on Friday 7 November 2025 (or such other time and date as Unilever may determine and announce through a RNS) “Depositary Interests” a CREST depositary interest representing a TMICC Share “Direct Registration System” or “DRS” the Direct Registration System service provided by DTC to permit TMICC Shareholders to hold TMICC Shares in book-entry form in their own name the Depository Trust Company “EU and UK Prospectus” the prospectus to be published by TMICC for the purposes of the admission to listing and trading of the TMICC Shares on Euronext Amsterdam, to listing on the Equity Shares (Commercial Companies) Category of the Official List of the FCA and to trading on the London Stock Exchange’s Main Market for listed securities, as approved by the AFM and the FCA respectively “Euroclear” Euroclear UK & International Limited “Euroclear Bank” Euroclear Bank SA/NV “Euroclear Nederland” the Netherlands Central Institute for Giro Securities Transactions (Nederlands Centraal Instituut voor Giraal Effectenverkeer B.V.), trading as Euroclear Nederland Euronext Amsterdam, the regulated market operated by Euronext Amsterdam N.V. “Euronext Amsterdam” the electronic information dissemination platform operated by Euronext Amsterdam N.V. “Euronext Announcement Services” “Existing Unilever ADSs” the Unilever ADSs prior to the Share Consolidation becoming effective “DTC” Part VII - Glossary 37 Unilever Shareholder Circular Toppan Merrill - Verdi Mailing Notice of EGM Circular ED | 120838 | 01-Oct-25 06:43 | 25-24630-1.ea | Sequence: 28 CHKSUM Content: 35473 Layout: 36099 Graphics: 0 CLEAN JOB: 25-24630-1 CYCLE#;BL#: 12; 0 TRIM: 8.27" x 11.69" AS: London: 011-44-20-7422-6100 COLORS: Dark, ~note-color 2, Black, C=14 M=7 Y=13 K=0 GRAPHICS: none V1.5

GRAPHIC

“Existing Unilever Shares” ordinary shares of 3 1/9 pence each in the capital of Unilever “FCA” or “Financial Conduct Authority” the Financial Conduct Authority acting in its capacity as the competent authority for the purposes of Part VI of FSMA “FSMA” the UK Financial Services and Markets Act 2000 (as it may have been, or may from time to time be, amended, modified, re-enacted or replaced) “General Meeting” the general meeting of Unilever to be held at 8:00 a.m. on Tuesday 21 October 2025 at the offices of Linklaters, One Silk Street, London EC2Y 8HQ “HMRC” HM Revenue and Customs or its successor from time to time “Ice Cream Business” the existing business of the Unilever Group in the relevant territories concerning: (i) the researching and developing of ice cream products; (ii) the franchising of operations related to the marketing, distribution and sale of ice cream products; (iii) the marketing, distributing and selling of ice cream products; (iv) the ownership, maintenance, sale, distribution, lending and/or leasing of ice cream freezer cabinets; and (v) the manufacturing, procuring, producing, packaging, packing and storage of ice cream products “Joint Sponsors” J.P. Morgan Securities plc (which conducts its UK investment banking activities as J.P. Morgan Cazenove) and Morgan Stanley & Co. International plc “London Stock Exchange” London Stock Exchange plc or its successor “Market Abuse Regulation” the Market Abuse Regulation (EU) (596/2014) (as it forms part of the laws of the UK by virtue of the European Union (Withdrawal) Act 2018 (as amended)) “New Unilever ADSs” American depositary shares of Unilever following completion of the Share Consolidation, each representing one New Unilever Share “New Unilever Share(s)” ordinary shares in the capital of Unilever following completion of the Share Consolidation “New York Stock Exchange” New York Stock Exchange LLC or its successor “New York Stock Exchange Trader Updates” the official bulletins, notices or communications issued by the New York Stock Exchange to members, trading participants and market users as published from time to time through the New York Stock Exchange’s recognised communication channels “Overseas Shareholders” any Unilever Shareholder or Unilever ADS Holder in respect of which TMICC is advised that allotment and/or issuance of any TMICC Shares would or may: (i) infringe applicable laws with respect to economic sanctions; or (ii) require TMICC to comply with any governmental or other consent or any registration, filing or other formality with which TMICC is unable to comply or compliance with which TMICC regards as unduly onerous “Q3 2025 Dividend” the dividend expected to be paid to Unilever Shareholders and Unilever ADS Holders on or around Friday 5 December 2025 “Notice of General Meeting” the notice of the General Meeting set out in Schedule 3 of this document the Unilever Certificated ADS Holders and the Unilever Uncertificated ADS Holders “Qualifying ADS Holders” Part VII - Glossary - continued 38 Unilever Shareholder Circular Toppan Merrill - Verdi Mailing Notice of EGM Circular ED | 120838 | 01-Oct-25 06:43 | 25-24630-1.ea | Sequence: 29 CHKSUM Content: 62473 Layout: 9878 Graphics: 0 CLEAN JOB: 25-24630-1 CYCLE#;BL#: 12; 0 TRIM: 8.27" x 11.69" AS: London: 011-44-20-7422-6100 COLORS: Dark, ~note-color 2, Black, C=14 M=7 Y=13 K=0 GRAPHICS: none V1.5

GRAPHIC

Unilever Shareholders on the register of members of Unilever as at the Demerger Record Time (but excluding: (i) Unilever itself in respect of Unilever Shares held in treasury; (ii) the Unilever ADS Depositary; and (iii) where relevant, Overseas Shareholders) “Qualifying Shareholders” “Registrar of Companies” the Registrar of Companies in England and Wales “Registration Statement” a registration statement on Form 20-F under the US Exchange Act “Regulations” the Uncertificated Securities Regulations 2001 Argentina, Botswana, Brazil, Chile, Gibraltar, Guernsey, Guinea, Hong Kong, Indonesia, Isle of Man, Jersey, Mexico, Namibia, Paraguay, Peru, South Africa, South Korea, Switzerland, Taiwan and the UK “Relevant Territories” “Resolutions” the resolutions set out in the Notice of General Meeting the TMICC Shares held by Unilever on and from the Admission Date as described in paragraph 2.8 of Part IV of this document “Retained Shares” “RNS” the Regulatory News Services of the London Stock Exchange “SEC” the US Securities and Exchange Commission the separation of the Ice Cream Business from the Unilever Group to a separate and distinct legal entity, following the Reorganisation, by way of the Demerger “Separation” the proposed consolidation (or consolidation and sub-division) of Unilever Shares as set out in this document “Share Consolidation” 10:00 p.m. on Tuesday 10 November 2025 (or such other time and date as Unilever may determine and announce through a RNS) “Share Consolidation Record Time” the sponsors’ agreement between TMICC and each of the Joint Sponsors dated on or around 5 November 2025 “Sponsors’ Agreement” the tax matters agreement entered into between TMICC and Unilever on Wednesday 1 October 2025 “Tax Matters Agreement” “TMICC” The Magnum Ice Cream Company N.V. “TMICC Board” the directors of TMICC from time to time TMICC HoldCo and its subsidiaries immediately prior to the Separation, and “TMICC Group Company” means any one of them “TMICC Group” “TMICC HoldCo” The Magnum Ice Cream Company HoldCo Netherlands B.V. “TMICC NewCo” The Magnum Ice Cream Company NewCo Netherlands B.V. the EU and UK Prospectus and the Registration Statement, and “TMICC Prospectus” means either one of them “TMICC Prospectuses” holders of TMICC Shares (including, where relevant, holders of interests in TMICC Shares) “TMICC Shareholder(s)” “Reorganisation” (i) the incorporation of TMICC and certain of the TMICC Group Companies to form a standalone group of companies within the wider Unilever Group (with TMICC to become the parent company of the TMICC Group on completion of the Demerger); and (ii) the transfer by the relevant Unilever Group Companies of those companies, assets (including intellectual property rights) and liabilities that comprise the Ice Cream Business to TMICC Group Companies “TMICC DRS Shareholder” (i) Qualifying Shareholders who hold their Unilever Shares in certificated form, but whose registered address on the Unilever share register is not in a Relevant Territory (see above); (ii) Qualifying ADS Holders who hold their Unilever ADSs in registered form; and (iii) any Qualifying Shareholders or Qualifying ADS Holders who are not eligible for DTC Part VII - Glossary - continued 39 Unilever Shareholder Circular Toppan Merrill - Verdi Mailing Notice of EGM Circular ED | 120838 | 01-Oct-25 06:43 | 25-24630-1.ea | Sequence: 30 CHKSUM Content: 15730 Layout: 58437 Graphics: 0 CLEAN JOB: 25-24630-1 CYCLE#;BL#: 12; 0 TRIM: 8.27" x 11.69" AS: London: 011-44-20-7422-6100 COLORS: Dark, ~note-color 2, Black, C=14 M=7 Y=13 K=0 GRAPHICS: none V1.5

GRAPHIC

“Unilever” Unilever PLC “Unilever ADS Depositary” DB London (Investor Services) Nominees Ltd as nominee for Deutsche Bank Trust Company Americas in its capacity as depositary bank under the Unilever ADS Programme “Unilever ADS Holders” holders of Unilever ADSs from time to time (including, where relevant, holders of interests in Unilever ADSs) “Unilever ADS Programme” the American Depositary Share programme operated by Unilever in respect of certain Unilever Shares from time to time “Unilever ADS Register” the register of Unilever ADS Holders “Unilever ADSs” American depositary shares of Unilever each representing one Unilever Share “Unilever Board” or “Unilever Directors” the directors of Unilever from time to time “Unilever Certificated ADS Holders” those persons who, at the Demerger Record Time, hold Unilever ADSs in certificated form “Unilever Group” Unilever and its subsidiaries, and “Unilever Group Company” means any one of them “Unilever Share Plans” employee share plans operated by Unilever, including the Unilever Share Plan 2017 (which, for the avoidance of doubt, includes the Unilever North America Omnibus Equity Compensation Plan), the SHARES Plan and the UK ShareBuy “Unilever Share(s)” ordinary shares in the capital of Unilever from time to time “Unilever Shareholder(s)” holders of Unilever Shares from time to time (including, where relevant, holders of interests in Unilever Shares) “Unilever Uncertificated ADS Holders” those persons who, at the Demerger Record Time, hold Unilever ADSs in uncertificated form in DTC “US” or “United States” the United States of America, its territories and possessions, any state of the United States of America and the District of Columbia “US Exchange Act” the US Securities Exchange Act of 1934 “US Transfer Agent” Computershare Trust Company N.A. “Unilever’s Articles” the articles of association of Unilever a share or other security recorded on the relevant register as being held in uncertificated form in CREST and title to which, by virtue of the CREST Regulations, may be transferred by means of CREST “uncertificated” or “in uncertificated form” “UK ShareBuy” the Unilever Share Incentive Plan the listing rules made by the FCA under Part VI of the FSMA (as set out in the handbook of the FCA), as amended “UK Listing Rules” ordinary shares in the capital of TMICC or a dematerialised book-entry interest created through the systems of DTC, Euroclear Bank, Euroclear Nederland or a Depositary Interest with an underlying right to the same, as the context may require, and “TMICC Share” means any one of them “TMICC Shares” “UK” or “United Kingdom” the United Kingdom of Great Britain and Northern Ireland Part VII - Glossary - continued 40 Unilever Shareholder Circular Toppan Merrill - Verdi Mailing Notice of EGM Circular ED | 120838 | 01-Oct-25 06:43 | 25-24630-1.ea | Sequence: 31 CHKSUM Content: 18714 Layout: 120 Graphics: 0 CLEAN JOB: 25-24630-1 CYCLE#;BL#: 12; 0 TRIM: 8.27" x 11.69" AS: London: 011-44-20-7422-6100 COLORS: Dark, ~note-color 2, Black, C=14 M=7 Y=13 K=0 GRAPHICS: none V1.5

GRAPHIC

Corporate Sponsored Nominee T&Cs Key information about this Service CORPORATE SPONSORED NOMINEE ACCOUNT TERMS AND CONDITIONS 1.1 What Service are we providing? We agree to provide you with access to The Magnum Ice Cream Company N.V. corporate sponsored nominee account (Service). The type of Security held in the corporate sponsored nominee account for you by our Nominee will be Depositary Interests. We are authorised and regulated by the Financial Conduct Authority. These legally binding terms explain to you the relationship between you and us in relation to the Service. The price of Securities can go down as well as up and the income from Securities is not guaranteed. You may suffer a loss and receive back less than you originally invested. Remember that past performance is no guide to future performance. Please read these terms and conditions carefully. If there is anything you do not understand, please contact us or seek independent professional advice. We may change these terms and conditions, if we do so, we will let you know beforehand. We only make the Service available to people over 18 years old living in one of the Permitted Countries and to companies in one of the Permitted Countries. You may not use this Service unless you live in a Permitted Country or (for companies) you are registered in a Permitted Country. In any event, you may not use this Service in a country where it would be either illegal to do so or that would require us to observe regulatory procedures or legal formalities in addition to those required in England and Wales. The Permitted Countries section has further details. 1.2 How much will it cost you to use the Service? We will not charge you for holding your Securities. The Company is charged an annual administration fee for the provision of the Service. We may charge you a fee for transferring your Securities, or for using some of the services provided under these terms and conditions. If the Company makes a distribution or pays a cash dividend then where we carry out a currency conversion for you, we will charge a fee of up to 1.5% of the distribution or cash dividend. So for example if we converted a cash dividend of £100 into another currency for you, you would be charged £1.50. If, following your instructions, we transfer your Securities to a central securities depository (CSD), a third party brokerage account or you, we will charge you £50.00. We may deduct our fees directly from your Account before arranging for monies to be sent to you by one of the methods set out in these terms and conditions, or we may request you send us a cheque or make payment to us by another means. You may request an itemised breakdown of total costs and charges. Further information on our charges is available in the What are our Costs section. 1.3 Are we providing you with any advice? We will not provide you with any investment, taxation or legal advice in relation to either the Service or the purchase, sale or transfer of Securities. We will not assess the suitability or appropriateness of any product, service or transaction and we will not recommend or invite you to sell, transfer or hold your Securities. You will not benefit from the protection of the FCA Rules on assessing appropriateness. It is your responsibility to make sure the Service is right for you and you may wish to seek independent professional advice before using it. 1.4 How do you contact us? You can contact us by e-mail at web.queries@computershare.co.uk or by post. You can also telephone us on +44 (0) 344 472 6064 between 08:30 to 17:30 on Business Days. The Contacting Each Other section has further details. 1.5 How do you keep your personal information up to date? When we contact you we will use the most recent contact details we have for you on our records. Where we make a payment to you it will be to the bank account details we have for you on our records or by cheque that we will send to the most recent address we have for you on our records. You must tell us immediately if you change your contact details or your bank account. 1.6 What happens if you are unhappy with the Service? We will always aim to provide the Service with reasonable care and skill. If you are not happy with any aspect of the Service, please contact us. The Complaints and Compensation section has further information. Please note that we limit our liability to you under these terms and conditions. Further information is contained in the Limits on our Liability section. Schedule 1 41 Unilever Shareholder Circular Toppan Merrill - Verdi Mailing Notice of EGM Circular ED | 120838 | 01-Oct-25 06:43 | 25-24630-1.fa | Sequence: 1 CHKSUM Content: 42823 Layout: 63403 Graphics: 59781 CLEAN JOB: 25-24630-1 CYCLE#;BL#: 12; 0 TRIM: 8.27" x 11.69" AS: London: 011-44-20-7422-6100 COLORS: Dark, ~note-color 2, Black, Pebble GRAPHICS: 24630-1_page1_4c.eps V1.5

GRAPHIC

List of technical words used in these terms and what they mean When a word appears in these terms that starts with a capital letter, check to see if it appears in the list of defined terms below for its specific meaning. "Account" means the account managed by our Nominee who shall use it to hold Securities on your behalf; “Business Day” means any day on which the London Stock Exchange (“LSE”) is open for business; “Company” means the company in which we hold Securities on your behalf and any other company it has control of or that is controlled by the same people who also control the company, as the context requires; "CSD" means a central securities depository which is a computer-based system enabling securities to be held and transferred electronically. Relevant depositories include CREST in the UK, the Depository Trust Company in the USA, Nominatif Pur in France and Issuer Sponsored Subregister in Australia; “FCA” means the UK Financial Conduct Authority; “FCA Rules” means the rules, guidance and principles set out in the FCA Handbook; "Nominee" means one of our group companies which we may nominate to provide the Service, and whose business shall consist solely of acting as a nominee holder of shares or other securities on behalf of others. This company shall initially be Computershare Company Nominees Limited; “Security” means financial instruments issued by the Company which may include: • stock, or shares which are a unit of share capital; • depository interests or CREST Depository Interests which represent shares and can be held and settled electronically through a CSD; and • debenture, loan note, right, warrant, or any other type of financial instrument. and "Securities" shall mean any one or combination of these. “us”, “we”, “our” or “Computershare” means Computershare Investor Services PLC (Company No: 3498808) whose registered address is The Pavilions, Bridgwater Road, Bristol, BS13 8AE, Financial Services Register No. 188534; “you” means the person holding an interest in the Security. Where our Nominee holds your Security for more than one person, references to “you” in these terms and conditions are to be treated as references to each joint holder jointly and severally. Interpretation We have referred to some statutes, regulations or other rules. References to them include references to them as amended or replaced from time to time. Where we have referred to a time of day this means UK time, unless we say otherwise. Where we start a phrase with the words 'including' or 'include', the phrase is to be construed as illustrative only and does not limit the sense of the words preceding those terms. 42 Unilever Shareholder Circular Schedule 1 - continued Toppan Merrill - Verdi Mailing Notice of EGM Circular ED | 120838 | 01-Oct-25 06:43 | 25-24630-1.fa | Sequence: 2 CHKSUM Content: 47168 Layout: 16492 Graphics: 982 CLEAN JOB: 25-24630-1 CYCLE#;BL#: 12; 0 TRIM: 8.27" x 11.69" AS: London: 011-44-20-7422-6100 COLORS: Dark, ~note-color 2, Black, Pebble GRAPHICS: 24630-1_page2_4c.eps V1.5

GRAPHIC

How the Service will operate 2. Nominee Arrangements 2.1 Our Nominee normally holds your Securities electronically in a relevant CSD. Nothing in these terms varies in any way any of the rights or duties our Nominee has as legal owner in relation to the Company. 2.2 Our Nominee will hold your Securities on trust for you which means that they will be the legal owner of the Securities and you will remain the beneficial owner. 2.3 You agree that the Company may issue Securities to our Nominee and require our Nominee to hold the Securities. Under these terms neither we nor our Nominee will have any claim over or interest in your Securities other than where we use them as security against a debt you owe to us (subject to FCA Rules), or where we do so under a separate agreement. 2.4 You agree that you alone have all interests and rights in the Securities and that you will not pledge or charge the Securities to any third party. Therefore you must not give any other person rights over your Securities, or give them any benefits or rights under these terms. We will not recognise any duty or responsibility to any third party. We will only recognise our responsibilities to you under these terms and conditions. You must tell us immediately if someone is claiming an interest in your Securities or may try to stop you from transferring them. 2.5 We will only accept instructions from you in writing or via your online account, and which contain your Shareholder Reference Number ("SRN"). We put this number on all statements we send to you. You must keep the SRN secure and maintain the security of your account at all times. You must use your SRN in all communications you send to us about your Securities. If you lose or fail to quote your SRN we may delay acting upon your instruction. If you ask us we will acknowledge your instructions to transfer by an amended statement of holdings. We will confirm any other instructions by simply following them. We will not write to you to tell you we have done so. 3. Company meetings and communications 3.1 Where we are reasonably able to, we will let you know about the Company's annual meetings and other shareholder meetings. We will also send you a form you can give to our Nominee with your voting instructions to vote by proxy, on a poll, or by show of hands. If you want to attend a shareholders' meeting we will appoint you as our proxy in respect of your Securities (as long as this is permitted by the Company's constitutional documents), provided you have sent us the relevant form correctly filled out and on time, with your instructions. We can only offer you these services in so far as they are allowed by the CSD. We will let you know when we are able to offer this service. 4. Entitlements attaching to Securities and corporate actions 4.1 In the event of a corporate action (for example a takeover or rights issue) we will treat you as far as reasonably possible as if you were a registered shareholder. Where you want to exercise any rights over your Securities we will follow your reasonable written instructions, provided you instruct us following these terms and conditions and in accordance with any instructions we provide you with at that time. Where a payment is required on your behalf, we will not act on your instructions until you have sent us money to cover that payment. 4.2 Where our Nominee holds Securities or other rights in the Securities for other investors, our Nominee will share them among all investors on a pro rata basis. If any fractions in the Securities arise as a result of our Nominee holding the Security for a number of investors then our Nominee will aggregate the fractions and sell them with the sale proceeds shared among all investors on a pro rata basis. 4.3 If the Company offers a dividend reinvestment plan, it will be subject to separate terms and conditions which will be provided to you when the dividend reinvestment plan becomes available. 4.4 If you choose to take part in any currency election that we offer you, we will convert any distribution or cash dividend payable and attributable to your account with our Nominee into any other available currency. We will pay you this money by cheque or by electronic transfer into your nominated UK bank account, at about the same time as this happens for other Company shareholders. 4.5 We will hold this money in a client money bank account in our name which will be governed by the FCA rules on client money. We will not pay you interest. We will charge you a currency conversion fee every time we convert your cash dividend or distribution into another currency, which we will deduct from your dividend or distribution before sending to you. Refer to the What are our Costs section for more information. 4.6 We will carry out the currency conversion using a competitive rate based on a wholesale exchange rate. The wholesale rate is a point in time rate that is updated throughout the day subject to the availability of currencies for online trading. It will be derived from a reliable foreign exchange feed such as Reuters or Bloomberg and will also be dependent upon the ability to buy and/or sell currencies and the bulk buying position. 4.7 We may combine a number of foreign currency conversion instructions for payments denominated in the same currency, in order to provide a more favourable exchange rate than if each order were carried out separately. We will not accept from you any instruction that the conversion must be carried out at a minimum currency exchange rate. 4.8 You agree that the currency exchange rate may vary after you send us your instructions but before we are able to convert the currency, which may reduce the value of the proceeds we send you. We accept no liability for any losses or expenses which you may suffer as a result of any such movement in the currency exchange rate. 4.9 The payment of any cash dividends or other distributions from your Securities may attract withholding tax, a tax required to be applied by us on any dividend or other distribution payable to you. We may deduct any withholding tax from the cash dividend or other distribution payable to you, and pay it to the relevant tax authority. We may appoint a "Withholding Agent" to send any withholding tax to the tax authorities for you. We may require you to send us a dividend withholding form or such other information as we require to work out exactly how much withholding tax you owe. 5. Statements 5.1 When we open an Account for you we will send you a statement setting out how many Securities you have in the Account. After that we will send you a statement at least quarterly i.e. at regular intervals not less than four times a year for as long as we hold assets or cash for you. You may request statements more frequently, but we may charge you for providing these. 5.2 You must check your statements and if anything is wrong or you have any questions about the statement you must contact us straightaway. 6. What are our Costs? 6.1 Our fees are set out in the Key Information section. 6.2 We will not charge you for holding your Securities in the Account and taking care of much of the administration. 43 Unilever Shareholder Circular Schedule 1 - continued Toppan Merrill - Verdi Mailing Notice of EGM Circular ED | 120838 | 01-Oct-25 06:43 | 25-24630-1.fa | Sequence: 3 CHKSUM Content: 36773 Layout: 3639 Graphics: 65440 CLEAN JOB: 25-24630-1 CYCLE#;BL#: 12; 0 TRIM: 8.27" x 11.69" AS: London: 011-44-20-7422-6100 COLORS: Dark, ~note-color 2, Black, Pebble GRAPHICS: 24630-1_page3_4c.eps V1.5

GRAPHIC

6.3 We may charge you for other ancillary services provided under these terms and conditions such as providing duplicate tax vouchers, acquisition costs, withdrawal and statutory fees or other charges associated with carrying out your instructions. Our current fees and charges for these other services are available upon request from us. 6.4 We may increase our charges and we will notify you in writing at least 20 Business Days in advance of any proposed new charge or before we increase our charges. If we do this, you may withdraw from the Service within the notice period without incurring any penalties. We may increase our charges for any reason, which may include: (a) increases in inflation; (b) changes in interest rates; (c) increases in our running costs of the Service; (d) additional charges imposed by parties we work with in connection with the provision of the Service; (e) new services being offered under the Service; (f) alterations in the provision of the Service being provided; and/or (g) tax or legal changes. 6.5 All applicable UK Value Added Tax (VAT) on our fees, commissions and charges is payable by you to us. All our fees, commissions and charges are inclusive of any applicable VAT unless specifically stated otherwise. Our dealing and currency conversion fees are exclusive of VAT, but currently no VAT is applicable to these fees. If that situation changes in the future we will charge you VAT without notifying you beforehand. 6.6 If you instruct us to transfer any of your Securities you agree to indemnify us and our Nominee against any liabilities or costs we or the Nominee may suffer, because of anything you have done that stops the transfer from completing. 7. Purchases and Sales of Securities 7.1 If the Company permits it, you may buy more Company Securities and put them in your Account at any time. There may be other instances where we will permit our Nominee to accept additional Securities into your Account. 7.2 If you take part in a dividend reinvestment plan you will have more Securities added to your Account. 7.3 You can only buy or sell your Securities through a facility we may provide, which will be subject to its own terms and conditions. 8. How to Exit or Transfer from the Service Transfer 8.1 You may instruct us to arrange for our Nominee to hold your Securities for someone else or to add someone else as a joint holder of the Securities with you. We will only do this if you send us the correct form confirming that this transfer is a gift from you to them. We will not charge you for this transfer. 8.2 We may reject any transfer instruction provided using the wrong or incorrectly filled in form. You may not amend or cancel any transfer instruction once you have sent it to us. 8.3 We will not accept transfer of Securities into our Nominee unless the Company allows us to do so. 8.4 We may choose to reject an instruction to transfer Securities into the Nominee's name (provided we have a reasonable basis to do so, for example, if you owe us money or your transfer request is incompatible with these terms and conditions or our legal and regulatory obligations). Cancellation Rights 8.5 You may cancel participation in the Service up to fourteen calendar days after activation (the Cancellation Period). However, you will lose your cancellation right if you ask us during the Cancellation Period to process any payment to you or sell any of your Securities for you, in accordance with separate dealing terms and conditions. 8.6 If you want to cancel your participation in the Service you must tell us before the Cancellation Period ends. We will not charge you any fees when you cancel. After you have cancelled and we have transferred any Securities these terms and conditions will cease to apply to you. If you do not cancel then we will provide the Service in accordance with these terms and conditions. Withdrawal Rights 8.7 You may end this agreement for the Service with us at any time. You will have to pay any fees and taxes associated with withdrawing. What you need to know about both your Withdrawal and Cancellation Options. 8.8 When you cancel or decide to withdraw from the Service we will, depending on your instructions and the options available to you as set out in the Key Information section, transfer your Securities from the Service to: (a) you, so that you may hold a share certificate and be named directly on the Company share register; (b) you, so that you may hold your Securities through a relevant CSD; or (c) a third party stock brokerage account. 8.9 You can end the Service by either writing to us, or by using the form we send you. You must give details of the full name and SRN of the account you wish to end and if you wish to end an account in the name of joint holders, then the form must be signed by all joint holders. 9. Our Right to end this Agreement 9.1 We may stop you using the Account at any time on five days' notice if: (a) we think you are in material breach of these terms and conditions; or (b) we or our Nominee is unable to comply with any obligation we or our Nominee are subject to in relation to your Securities. 9.2 If this happens or if the agreement between us and the Company governing the Account ends (in whole or in part) or if you or we choose to end this agreement for the Service or if the Account closes for any other reason then we will, depending on your instructions and the options available, transfer your Securities from the Account to either: (a) you, so that you may hold a share certificate and be named directly on the Company share register; (b) you, so that you may hold your Securities through a relevant CSD; or (c) a third party stock brokerage account. 9.3 Even if we end this Service for any of the reasons set out above we will still honour any instructions which you have already sent to us, subject to these terms and conditions. When this Service ends for whatever reasons yours and our rights and responsibilities to each other that continue afterwards, in relation to the Service, shall still be governed by these terms and conditions. 9.4 Whenever we transfer Securities into your name on the Company share register, the Company may apply any mandates or other instructions given by you under the Service to your registered holding. 44 Unilever Shareholder Circular Schedule 1 - continued Toppan Merrill - Verdi Mailing Notice of EGM Circular ED | 120838 | 01-Oct-25 06:43 | 25-24630-1.fa | Sequence: 4 CHKSUM Content: 2087 Layout: 9253 Graphics: 22416 CLEAN JOB: 25-24630-1 CYCLE#;BL#: 12; 0 TRIM: 8.27" x 11.69" AS: London: 011-44-20-7422-6100 COLORS: Dark, ~note-color 2, Black, Pebble GRAPHICS: 24630-1_page4_4c.eps V1.5

GRAPHIC

9.5 You agree to appoint us to be your agent for the purpose of issuing any instructions to the relevant CSD to give effect to the transfers referred to in these terms and conditions. 10. Joint holders 10.1 We will send all notices and other documents under these terms and conditions to the first named holder on the nominee register, which will then be treated as sent to all of the other joint holders. The first named joint holder who receives the notices or other documents agrees to notify the other joint holders. Only one joint holder may be nominated as proxy to attend, speak and vote at meetings of the Company's shareholders (where that proxy facility is made available by the CSD and where it is possible under the Company's constitutional documents). 10.2 Each joint holder therefore agrees that: (a) we and our Nominee are liable to the joint holders taken together and not separately; and (b) the joint holders are liable to us and the Nominee together and not separately. 10.3 We will only accept transfer instructions given by or on behalf of all of the joint holders, but we may accept other instructions signed by one or more joint holders which means the joint holder(s) giving the instructions warrant(s) to us that they have the necessary authority to act on behalf of all joint holders. We will only hold Securities for up to four joint holders. 10.4 Where we receive transfer instructions from a corporate holder, we will assume the signatory has the necessary authority to act on behalf of the corporate holder. 45 Unilever Shareholder Circular Schedule 1 - continued Toppan Merrill - Verdi Mailing Notice of EGM Circular ED | 120838 | 01-Oct-25 06:43 | 25-24630-1.fa | Sequence: 5 CHKSUM Content: 24562 Layout: 9145 Graphics: 62307 CLEAN JOB: 25-24630-1 CYCLE#;BL#: 12; 0 TRIM: 8.27" x 11.69" AS: London: 011-44-20-7422-6100 COLORS: Dark, ~note-color 2, Black, Pebble GRAPHICS: 24630-1_page5_4c.eps V1.5

GRAPHIC

General information 1. Limits on our liability 1.1 We and our Nominee will provide the Service with reasonable care and skill. 1.2 We are not liable for losses unless they are foreseeable by each of us at the time we enter into an agreement governed by these terms and conditions and are caused by our or our Nominee's breach of these terms and conditions, negligence, wilful default or fraud. 1.3 We are not liable for losses or expenses suffered by you that are caused by: (a) your failure to obey the law; (b) third parties (which for this purpose includes banks, custodians the Nominee and CSDs but otherwise excludes our own sub-contractors) subject to the provisions of these terms and conditions; (c) documents getting lost or delayed in the post; (d) delays over the internet before your communication reaches the Computershare website; (e) your online communication being intercepted or hacked before it reaches the Computershare website; (f) any planned maintenance that we have to carry out which will normally take place outside Business Hours; (g) fraudulent instructions; (h) us acting on your instructions; and/or (i) unclear instructions. 1.4 We are not liable for any indirect losses or consequential loss of any kind and in any event we are not liable for: (a) loss of opportunity (including investment opportunity); (b) loss of potential future income, revenue, or increase in value; (c) loss of income including interest; (d) loss of goodwill; (e) loss of anticipated savings; or (f) any wasted time, whether they amount to direct or indirect loss. 1.5 Nothing in these terms and conditions excludes or limits in any way our liability for: (a) death or personal injury caused by our negligence; or (b) fraud or fraudulent misrepresentation; or (c) any other matter for which it would be illegal or unlawful for us to exclude or limit or attempt to exclude or limit our liability. 1.6 We shall not be responsible for delays or failure to perform the Service due to circumstances beyond our reasonable control which may include for example market conditions, halts on trading in a market, power failures or natural disasters. Where we do suffer such delays we will try to resume the Service as soon as reasonably possible. 1.7 You accept responsibility for all instructions you send to us or arrange to be sent to us on your behalf. 2. Contacting Each Other 2.1 When you write to us you must send all correspondence to: Computershare Investor Services PLC, The Pavilions, Bridgwater Road, Bristol BS99 6ZZ and include the full name and SRN of your Account. 2.2 When we send documents by post to you we will treat them as delivered two Business Days after we have sent them if you live in the UK, or five Business Days after if you live outside the UK. Where we send documents by courier, we will treat them as received by you on delivery. 2.3 If we send you an email or communicate with you via the Computershare website we shall regard the communications as being delivered instantly. 2.4 We will not accept any instructions from you by fax, email or photocopied forms. 2.5 Ours and your obligations under these terms and conditions shall be binding on us and you and your successors, executors, administrators and other legal representatives. 2.6 Where we are reasonably satisfied someone has proved they are authorised to act on your behalf in relation to your Securities, we will be entitled to rely and act upon any instructions they give us on your behalf as if they came from you. We will only act on an instruction sent under a power of attorney if you send the original power of attorney or a copy certified by a solicitor or notary public to us by post, which will be inspected and returned to you. 2.7 We provide these terms and conditions in English and we will only communicate with you in English when providing the Service. 3. General 3.1 These terms and conditions and the Service are governed by the laws of England. You agree that any claim under these terms must be brought before an English court. 3.2 You agree under these terms and conditions that your Securities and your rights and interests in your Securities are provided to us as security. You will indemnify us against any losses and expenses we suffer because: (a) you fail to give us sufficient funds to carry out your instructions; (b) you are in breach of these terms and conditions; or (c) we have had to pay taxes on your behalf arising out of your use of the Service. 3.3 Where we owe you money and you owe us money under the Service, we will deduct the monies you owe us from the monies we owe you, and only send you the net amount (if any). 3.4 We will round down any money payable to you to the nearest penny and keep the difference for our own benefit. 3.5 Unless we waive any of our rights in writing you cannot take any conduct or delay on our part to mean we have given up those rights. 3.6 We reserve the right to reject instructions from you. We may do this if we think we need to: (a) obtain further information from you; (b) comply with any legal requirements (for example: obtaining evidence of identity to comply with anti-money laundering regulations); (c) investigate any other issues we may have with your instructions; (d) check that you are not breaching money laundering legislation; and/or (e) carry out a credit check against you. Where you fail to provide us with the evidence we need we may stop holding Securities and/or stop making payments to you. We may also notify the relevant authorities. We will notify you in writing as soon as possible if we decide not to accept an instruction from you. By agreeing to use this Service, you give us permission to check your identity using electronic identity checking services where necessary. 46 Unilever Shareholder Circular Schedule 1 - continued Toppan Merrill - Verdi Mailing Notice of EGM Circular ED | 120838 | 01-Oct-25 06:43 | 25-24630-1.fa | Sequence: 6 CHKSUM Content: 65117 Layout: 982 Graphics: 25503 CLEAN JOB: 25-24630-1 CYCLE#;BL#: 12; 0 TRIM: 8.27" x 11.69" AS: London: 011-44-20-7422-6100 COLORS: Dark, ~note-color 2, Black, Pebble GRAPHICS: 24630-1_page6_4c.eps V1.5

GRAPHIC

3.7 Neither we nor our Nominee will lend your Securities to any third party or borrow money using them as security. 3.8 When we arrange for the sale of Securities for you we could be: (a) acting for an associated company which is dealing as principal for its own account by buying Securities from you; (b) buying Securities where an associated company is involved in a new issue, rights issue, takeover or similar transaction concerning the Company Security; or (c) otherwise in a position where we have a material interest in the transaction. 3.9 Conflicts of interest which may be detrimental to you may arise between us, our agents, our other corporate clients, our employees and those who use the Service. We will make every effort to identify and prevent such conflicts. Where this is not possible, we will manage and mitigate the conflicts. Where we cannot prevent, manage or mitigate such conflicts we will disclose details to you. You may obtain a copy of our Conflicts of Interest Policy, which we update regularly, on our website or you may request a copy by writing to us at Computershare Investor Services PLC, The Pavilions, Bridgwater Road, Bristol BS13 8AE, United Kingdom. 3.10 In performing the Service we may on occasion employ agents to carry out certain activities. Before doing so we will satisfy ourselves that they are able to do the job we are asking them to do. 3.11 The Service (and as a result all or some client money and assets) may at any time be moved to another provider. You will be notified in advance of when this will occur (the transfer date). The new provider may notify you of any changes to the scope of the Service and details of their terms and conditions as well as any associated information such as changes of address and banking details. Rights you may have against us which relate to the period before the transfer date will not be affected, but we and the Nominee shall have no liability to you in respect of the period after the transfer date. 3.12 We may at any time move all or part of our business (and as a result all or some client money and assets) to another provider, including for example as part of a restructure or amalgamation. The new provider will assume our rights and obligations under these terms and conditions and we will notify you in advance of when this will occur (the transfer date). This notice will include details of any changes to the Service and to these terms and conditions necessary because of the transfer, for example changes of address and banking details. Rights you may have against us which relate to the period before the transfer date will not be affected, but we and the Nominee shall have no liability to you in respect of the period after the transfer date. Subject to the contents of the notice referred to above, from the transfer date: (a) these terms and conditions will be treated for all purposes as being entered into by you and the new provider rather than us; (b) references to us will be read as references to the new provider and references to the Nominee will be read as references to the new provider or its new nominee; and (c) we and the Nominee will be released and discharged from all of our obligations under these terms and conditions. 3.13 In these circumstances, we will satisfy ourselves that the new provider will hold monies in accordance with the FCA Rules on client money or if not, we will exercise due skill, care and diligence in assessing whether the new provider will apply adequate equivalent measures to protect your client money. You agree that from the transfer date we will no longer hold your money in a client money bank account and we will no longer treat it as client money under the FCA Rules. 3.14 In offering the Service we will treat you as a "retail client". As a retail client you are protected by the FCA Rules and you may be eligible for compensation under the FSCS, as described further in the Complaints and Compensation section. 3.15 Only you or we have any right to enforce these terms and no third party has right to enforce any of the terms by virtue of the Contracts (Rights of Third Parties) Act 1999. 3.16 We will not do anything which we think would or might break any relevant laws, rules, regulations or codes, or risk exposing us to criticism for behaving improperly or not acting in accordance with good market practice. 3.17 We will notify you when we change these terms and conditions and if we make any changes that are to your material disadvantage, we will give you not less than twenty Business Days' notice before such change becomes effective, and you will be able to withdraw from the Service without suffering any penalty during this period of twenty Business Days if you disagree with the change. 3.18 We may change these terms and conditions without telling you beforehand if we need to change them because the law or regulation changes. 4. Client Money and Assets 4.1 When we provide you with the Service you agree that we can hold your money in a UK bank chosen by us. The money will be held in a separate pooled client money bank account together with other clients' monies but separate from our money. You will still have the same rights to your money. The account will be governed by the FCA Rules on client money. All money belonging to clients will be held on trust for the sole benefit of clients. We will not pay interest on monies we hold for you. 4.2 Assets will be segregated and held with assets of other customers of our nominee services. You agree that by pooling your Securities with those of other shareholders you retain all rights you have as the legal owner of your assets, but that your entitlement will not be identifiable by separate share certificates or other physical or electronic records of title. 4.3 We will not be responsible for anything a UK bank or any sub-custodian in relation to the assets, does or fails to do with your money or assets. 4.4 Under the FCA Rules, if we, a bank or any sub-custodian becomes insolvent and cannot repay all the money or assets owed to clients this could result in a shortfall. In that case, we will treat money or assets as pooled, which means that any shortfall will be shared equally and proportionally with other shareholders of the Company and other customers of ours who are affected by the shortfall. You may not recover all of your money or assets. In this situation, you may be eligible to claim under the Financial Services Compensation Scheme (FSCS). For more information, please see the Complaints and Compensation section. 4.5 Sometimes, in exceptional circumstances we may hold your money or assets in a bank or sub-custodian based outside of the UK. If we do so, we will take all reasonable steps to protect your money or assets in line with local laws, which may be different from the laws in the UK, and your rights in the event of insolvency of the bank or sub-custodian may be reduced. 4.6 If you hold client money with us and there has been no movement in your balance for at least six years, other than charges we may have levied, we may remove this money from the client money bank account and donate it to a registered 47 Unilever Shareholder Circular Schedule 1 - continued Toppan Merrill - Verdi Mailing Notice of EGM Circular ED | 120838 | 01-Oct-25 06:43 | 25-24630-1.fa | Sequence: 7 CHKSUM Content: 27138 Layout: 40833 Graphics: 51893 CLEAN JOB: 25-24630-1 CYCLE#;BL#: 12; 0 TRIM: 8.27" x 11.69" AS: London: 011-44-20-7422-6100 COLORS: Dark, ~note-color 2, Black, Pebble GRAPHICS: 24630-1_page7_4c.eps V1.5

GRAPHIC

charity of our choice. You may later claim this sum of money back from us, but you will not be entitled to claim any interest on it. We will let you know at least 28 days before we do this by writing to you at the last email or postal address we have for you. Where the amount is no more than £25 (or equivalent) and you fail to claim it before the 28 day notice period expires, we will donate the money without attempting to contact to you again. If the amount is more than £25 (or equivalent), after the 28 day notice period expires, we will make at least one further attempt to contact you using other means, before donating the money to charity. 4.7 If we have not received any instructions from you for at least twelve years, we may sell assets we hold for you at market value if the law and applicable regulations allow it. You may later claim from us a sum equal to the value of the proceeds at the time your assets were sold. You will not be entitled to claim any interest on this sum. We will let you know at least 28 days before we do this by writing to you at the last email or postal address we have for you. If we have not heard from you within the 28 days' notice period, we will make at least one further attempt to contact you using other means. After a further 28 day period, we will donate the assets or proceeds to a registered charity of our choice. 5. Permitted Countries 5.1 The Permitted Countries list may be updated from time to time with the current list displayed on our website. If you are resident in another territory you will be excluded from the Service. If you are unsure of your status please call us. 6. Data Protection 6.1 In order to provide the Service to you we need to use your personal information. We may also transfer your personal information to other countries which have different data protection laws. We will only do this if we are satisfied that there are adequate safeguards in place to protect your personal information. 6.2 For full details about how we use and share your personal information please see our Privacy Policy, which is available on our website. The Privacy Policy also explains your rights in relation to your personal information and how you can exercise them. 7. Complaints and Compensation 7.1 If you are dissatisfied with the Service we have provided you or wish to receive a copy of our complaints procedure please write to us or find a copy of our complaints procedure on the Computershare website. If we cannot resolve your complaint, you may refer it to the Financial Ombudsman Service, Telephone: +44 (0)800 023 4567 (free from UK landlines) or 0300 123 9123 (from UK mobiles) or at www.financial-ombudsman.org.uk. 7.2 Under the FSCS you may be entitled to compensation if we cannot meet our financial obligations. You may be covered for up to 100% of the first £85,000 (or equivalent) of your investments (i.e. a maximum of £85,000 per person). Where we hold your money in a client bank account and the relevant UK approved bank becomes insolvent, you may be covered under the FSCS for up to £85,000 of the money on deposit with that bank. Details about our external banking partners are available on request. These amounts may be subject to change. Where we are required to hold your client money in a jurisdiction outside the UK, your rights in the event of insolvency may be reduced. Further details of your rights under the FSCS can be found here: www.fscs.org.uk. Computershare Investor Services PLC is authorised and regulated by the Financial Conduct Authority, Registered Office: 12 Endeavour Square London E20 1JN. Computershare Investor Services PLC is on the Financial Conduct Authority Register with registration number 188534. Computershare Investor Services PLC is registered in England & Wales, Company No. 3498808, Registered Office: The Pavilions, Bridgwater Road, Bristol, BS13 8AE. The main business of Computershare Investor Services PLC is the provision of share registry and shareholder services. 48 Unilever Shareholder Circular Schedule 1 - continued Toppan Merrill - Verdi Mailing Notice of EGM Circular ED | 120838 | 01-Oct-25 06:43 | 25-24630-1.fa | Sequence: 8 CHKSUM Content: 39587 Layout: 16085 Graphics: 44124 CLEAN JOB: 25-24630-1 CYCLE#;BL#: 12; 0 TRIM: 8.27" x 11.69" AS: London: 011-44-20-7422-6100 COLORS: Dark, ~note-color 2, Black, Pebble GRAPHICS: 24630-1_page8_4c.eps V1.5

GRAPHIC

Direct Registration System T&Cs in respect of TMICC Shares 03HT8A CNTN_QA_F_01 Why is the Company using DRS? DRS: – Eliminates your risk of loss, theft or destruction of certificates, plus the time and expense to replace a lost certificate – Eliminates the cost of maintaining a secure place to keep your certificates – Makes your stock transactions faster and easier – Saves the Company unnecessary printing and mailing expenses – Supports the U.S. securities industry’s move towards certificateless shares – Has become the global standard for share ownership – Offers a quick and convenient way of selling your DRS shares Without certificates, how will I know how many shares I own? Each time you have a share transaction you are sent a Direct Registration Transaction Advice (Advice) reporting the number of the Company’s shares you hold in book-entry form. For instructions on how to transfer your shares, please visit us online or call Computershare at the telephone number on your Advice. What about the certificates I already hold? If applicable, you may convert your certificated shares in the Company to DRS if you wish. To do this, send your stock certificate(s), along with a signed written request to deposit the enclosed certificates into your account, to: Computershare Attn: Stock Transfer Department 150 Royall Street, Suite 101 Canton, MA 02021 Note: We cannot convert your stock certificates to DRS shares without receipt of the actual certificates. We recommend that you use a courier service and please make sure that you DO NOT sign the back of your certificates. How do I sell my DRS shares? You may sell your shares through the DRS Sales Facility, administered by Computershare Trust Company, N.A. The types of sale orders available may be different for each company. You may go online at www.computershare.com/investor or call Computershare to find out what order types are available. The following describes the types of orders. Market Order. A market order is a request to sell shares promptly at market price. For Market Orders, depending on the number of shares being sold and current trading volume in the shares, a Market Order may only be partially filled or not filled at all on the trading day in which it is placed, in which case the order, or remainder of the order, as applicable, will be cancelled at the end of such day. To determine if your shares were sold, you should check your account online at www.computershare.com or contact us. If your Market Order sale was not filled and you still want the shares sold, you will need to re-enter the sale request. A sale request received in writing may, in Computershare’s sole discretion, be treated as a Market Order sale or may be submitted with other sales requests for a security received in writing as an aggregated request. Sale instructions received in writing by Computershare will be processed no later than five business days after the date on which the order is received (except where deferral is required under applicable federal or state laws or regulations), assuming the applicable market is open for trading and sufficient market liquidity exists. Day Limit Order. A Day Limit Order is an order to sell shares when and if the stock reaches a specific price on a specific day. The order is automatically canceled if the price is not met by the end of that trading day (or, for orders placed outside of market hours, the next trading day). Depending on the number of shares being sold and current trading volume in the shares, such an order may only be partially filled, in which case the remainder of the order will be canceled. Any request by you to otherwise cancel a pending Day Limit Order will be honored on a best efforts basis. Good-Til-Canceled (GTC) Limit Order. A GTC Limit Order is an order to sell shares when and if the stock reaches a specific price at any time while the order remains open (typically 30 days, but may differ by company). Depending on the number of shares being sold and current trading volume in the shares, sales may be executed in multiple transactions and may be traded on more than one day. If shares trade on more than one day a separate fee will be charged for each day. The order (or any unexecuted portion thereof) is automatically canceled if the price is not met by the end of the order period. The order also may be canceled by the applicable stock exchange or at your request, by telephone or online. Are there any fees? Sales proceeds in Market Orders, Day Limit Orders and GTC Limit Orders equal the market price that the broker receives for your shares, less applicable taxes and fees. If available, requests for such order types may only be placed online or by telephone using the Interactive Voice Response (IVR) system or through a Customer Service Representative (CSR). For more information about the timing, processing, and the pricing of sale requests, see the Terms and Conditions of Sales Facility on the back of this page. For questions on fees please log into your account at www.computershare.com. Note: the different types of orders and orders placed by telephone through a CSR are subject to different fees. Can I transfer my DRS shares to my broker? Yes, have your broker request your shares be sent to them through the Depository Trust Company’s Direct Registration Profile System. You need to supply your broker with a copy of your latest Advice and the following information: – Your Computershare account number (on your Advice) – Your Social Security Number – Computershare’s DTC number, 7807 – The number of whole shares you wish to move from your Computershare account to your brokerage account The Company in which you own stock has elected to use the Direct Registration System (DRS) as its means of recording stock ownership. This brochure outlines what DRS means to you as a shareholder. DRS is share ownership without paper stock certificates. Your shares are held in book-entry form. As the Company’s transfer agent, Computershare keeps a record of your shares on the Company’s register of owners. When you transfer or sell DRS shares, the transaction takes place electronically without the movement of stock certificates. The following pages more fully describe DRS. Direct Registration the security and convenience of certificateless share ownership INVESTOR SERVICES Frequently Asked Questions Schedule 2 49 Unilever Shareholder Circular Toppan Merrill - Verdi Mailing Notice of EGM Circular ED | 120838 | 01-Oct-25 06:43 | 25-24630-1.fa | Sequence: 9 CHKSUM Content: 36051 Layout: 22965 Graphics: 13824 CLEAN JOB: 25-24630-1 CYCLE#;BL#: 12; 0 TRIM: 8.27" x 11.69" AS: London: 011-44-20-7422-6100 COLORS: Dark, ~note-color 2, Black, Pebble GRAPHICS: 24630-1_page10_4c.eps V1.5

GRAPHIC

Terms and Conditions of Sales Facility As a condition to using the Direct Registration services provided by Computershare Trust Company, N.A. (“Computershare”), you hereby agree to the following terms: 1. Sale Requests. (a) As a holder of book-entry shares, you may request that Computershare sell all or a portion of your shares online at www.computershare.com, via telephone or in writing. In submitting the sale instruction, you agree that Computershare may transfer your shares to complete the sale, including transfers to a nominee account of Computershare and to Computershare’s brokerage firm. (b) If available, Market Order, Day Limit Order, and Good-Til-Canceled (GTC) Limit Order sale requests received at www.computershare.com through Investor Centre or by telephone will be placed promptly upon receipt during market hours (normally 9:30 a.m. to 4:00 p.m. Eastern Time). Any orders received after 4:00 p.m. Eastern Time will be placed promptly on the next day the market is open. The price shall be the market price of the sale obtained by Computershare’s broker, net of fees. For Market Orders, depending on the number of shares being sold and current trading volume in the shares, a Market Order may only be partially filled or not filled at all on the trading day in which it is placed, in which case the order, or remainder of the order, as applicable, will be cancelled at the end of such day. To determine if your shares were sold, you should check your account online at www.computershare.com or contact us. If your Market Order sale was not filled and you still want the shares sold, you will need to re-enter the sale request. (c) Sale requests received in writing may, in Computershare’s sole discretion, be treated as a Market Order sale (as described in Section 1(b) above), or may be submitted with other sale requests for a security received in writing as an aggregated request. Sale requests received in writing by Computershare will be processed no later than five Business Days after the date on which the order is received assuming the relevant markets are open and sufficient market liquidity exists (and except where deferral is required under applicable federal or state laws or regulations). (As used herein, the term “Business Day” means any day except a Saturday, Sunday, Federal Reserve Bank holiday or New York Stock Exchange holiday). In the event sale requests are aggregated, the price to each selling shareholder shall be the weighted average sale price obtained by Computershare’s broker net of fees for each such order placed by Computershare and executed by the broker. To maximize cost savings for aggregated order sale requests, Computershare will seek to sell shares in round lot transactions. For this purpose Computershare may combine each selling shareholder’s shares with those of other selling shareholders. (d) A Day Limit Order (an order to sell shares when and if the stock reaches a specific price on a specific day) is automatically canceled if the price is not met by the end of that trading day (or, for orders placed outside of market hours, the next trading day). Depending on the number of shares being sold and current trading volume in the shares, such an order may only be partially filled, in which case the remainder of the order will be canceled. Any request by you to otherwise cancel a pending Day Limit Order will be honored on a best efforts basis. (e) For a GTC Limit Order (an order to sell shares when and if the stock reaches a specific price at any time while the order remains open (typically 30 days, but may differ by company)), depending on the number of shares being sold and current trading volume in the shares, sales may be executed in multiple transactions and may be traded on more than one day. If shares trade on more than one day a separate fee will be charged for each day. The order (or any unexecuted portion thereof) is automatically canceled if the price is not met by the end of the order period. The order also may be canceled by the applicable stock exchange or at your request in writing, by telephone or online. (f) Proceeds from the sale will generally be mailed within three (3) Business Days of the date upon which the sale transaction is settled. You agree that Computershare makes no representations or warranty that any of the services shall be performed at any set time, and Computershare shall not be liable of any change in the market value of any security at any time. If you are a shareholder enrolled in the Company’s dividend reinvestment or direct stock purchase plan (collectively, the “Plan”), and the Plan provides that split, spin-off, or distributed shares are to be allocated to the shareholder through the Plan, then the sale of book-entry shares will be subject to the Plan, in which case such shareholder may not use the sales facility. (g) Computershare will instruct its broker, which may be an affiliate of Computershare, to effect sales on any securities market where the Company’s shares are traded, subject to such terms with respect to price, delivery or other factors as Computershare may determine. No instruction to sell shares recently acquired will be accepted until the shares have been completely posted by Computershare to your book-entry Direct Registration account. You do not have any authority or power to direct the exact time at which shares may be sold or to select the broker or dealer through whom sales are to be made. (h) Except as otherwise provided for Day Limit Orders and GTC Limit Orders, all sales requests are final. Once Computershare receives your sale instructions, the request cannot be stopped or canceled. Shares sold may be a combination of DRS and Plan shares. Computershare does not provide any investment advice or recommendations with respect to any sale transaction initiated by you. Any decision to sell any security under the Sales Facility must be made by you based upon your own research and judgment. The IRS requires that we report the cost basis of certain shares acquired after January 1, 2011. If your shares were covered by the legislation and you sold or transferred the shares and requested a specific cost basis calculation method, we have processed as requested. If you did not specify a cost basis calculation method, we have defaulted to the first in, first out (FIFO) method. Please visit our website or consult your tax advisor if you need additional information about cost basis. 2. Fees. In processing a sale instruction, you agree that Computershare is entitled to compensation under its fee schedule. The charge for the transaction is available online at www.computershare.com. All fees shall be deducted from the sale proceeds. The fees are subject to change at any time without notice. You may inquire about the applicable fee before requesting a sale. 3. Taxes. Computershare, as dividend disbursing agent and as Direct Registration sales service agent, is required to perform backup withholding on those accounts which do not have a certified tax identification number. To avoid backup withholding on dividend disbursements or on sales of shares, please be sure your tax identification number on file with us is certified through the completion of Form W-9. Please visit us online if you need a W-9 for this purpose. 4. Corporate Insiders. If you are subject to Section 16 of the Securities Exchange Act of 1934 (or any rule promulgated thereunder) or are an affiliate of the Company (as that term is defined in Rule 144 of the Securities Act of 1933), you agree not to use the Sales Facility except in strict compliance with applicable securities law. You further agree that you are solely responsible for determining and maintaining compliance under applicable securities law. (Please note that the processing of such sales orders may entail additional delays.) 5. Limitation of Liability. No obligations are assumed by Computershare other than those that are specifically set forth herein, it being expressly understood that there are no implied duties or obligations under this Sales Facility. Computershare shall not be liable to you for any action taken or omitted to be taken in connection with or under this Sales Facility, except that Computershare shall be liable for direct losses incurred by you arising out of the willful misconduct of Computershare. Under no circumstances whatsoever shall Computershare be liable for special, indirect, incidental, punitive or consequential loss, or damage of any kind whatsoever (including, but not limited to, lost profits), even if Computershare has been advised of the possibility of such loss or damage. Under no circumstances whatsoever shall Computershare be liable for any actions or inactions of any brokerage firm retained by Computershare to perform any services under this Sales Facility. Computershare shall not be liable for any loss or damage resulting from its inability to comply with these Terms and Conditions by reason of events beyond its reasonable control, including acts of war, terrorism, riots, civil emergencies, acts of God or nature, local or regional electrical or communications system breakdowns, or acts of civil or military authority. 6. Entire Agreement and Modifications. The terms and conditions of this Sales Facility, including this brochure and all exhibits attached hereto, constitutes the entire agreement between the parties with respect to the subject matter hereof and supersedes all prior or contemporaneous agreements, whether written or oral, between the parties. Computershare reserves the right to amend or modify these Terms and Conditions and to terminate this Sales Facility at any time, by sending a copy of such modification or notice of termination (that may be included with normal company mailings to shareholders) to shareholders in Direct Registration or by posting a copy of such modification or notice at www.computershare.com. 7. Governing Law and Jurisdiction. The Sales Facility shall be governed by the laws of the State of New York (without regard to the conflict of law principles), and the parties hereby consent to the jurisdiction of courts in Illinois, New Jersey, and Massachusetts (whether state or federal) over all matters relating to this Sales Facility. Privacy Notice At Computershare, we take privacy seriously. In the course of providing services to you in connection with employee stock purchase plans, dividend reinvestment plans, direct stock purchase plans, direct registration services and/or custody services, we receive nonpublic, personal information about you. We receive this information through transactions we perform for you, from enrollment forms, automatic debit forms, and through other communications with you in writing, electronically, and by telephone. We may also receive information about you by virtue of your transaction with affiliates of Computershare or other parties. This information may include your name, address (residential and mailing), social security number, bank account information, date of birth, government-issued identification number, and other financial information. With respect both to current and former customers, Computershare does not share nonpublic personal information with any non-affiliated third-party except as necessary to process a transaction, service your account or as required or permitted by law. Our affiliates and outside service providers with whom we share information are legally bound not to disclose the information in any manner, unless required or permitted by law or other governmental process. We strive to restrict access to your personal information to those employees who need to know the information to provide our services to you. Computershare maintains physical, electronic and procedural safeguards to protect your personal information. Computershare realizes that you entrust us with confidential personal and financial information and we take that trust very seriously. CNTN_QA_R_01 50 Unilever Shareholder Circular Schedule 2 - continued Toppan Merrill - Verdi Mailing Notice of EGM Circular ED | 120838 | 01-Oct-25 06:43 | 25-24630-1.fa | Sequence: 10 CHKSUM Content: 20918 Layout: 16085 Graphics: 19301 CLEAN JOB: 25-24630-1 CYCLE#;BL#: 12; 0 TRIM: 8.27" x 11.69" AS: London: 011-44-20-7422-6100 COLORS: Dark, ~note-color 2, Black, Pebble GRAPHICS: 24630-1_page11_4c.eps V1.5

GRAPHIC

Notice of General Meeting Notice is hereby given that a General Meeting of Unilever PLC (the “Company”) will be held at the offices of Linklaters, One Silk Street, London EC2Y 8HQ at 8:00 a.m. (London time) on Tuesday 21 October 2025 to transact the following business: To consider, and if thought fit, pass Resolutions 1 and 2 as special resolutions: RESOLUTION 1 THAT: (a) Prior to the New Unilever Shares (as defined below) being admitted to listing and trading on Euronext Amsterdam, to listing on the Equity Shares (Commercial Companies) Category of the Official List of the Financial Conduct Authority and to trading on the London Stock Exchange’s Main Market for listed securities (“Admission”), the Company and its Directors be authorised at its discretion, subject to completion by the Company of the proposed demerger of The Magnum Ice Cream Company N.V., to: (i) (A) consolidate each of the existing ordinary shares of 3 1/9 pence each in the capital of the Company (the “Existing Unilever Shares”) into one or more (such number being at the discretion of the Directors) ordinary shares in the capital of the Company (such share or shares being “intermediate share(s)”), and (B) immediately after such consolidation, sub-divide each intermediate share into such number of new ordinary shares in the capital of the Company of such nominal value as the Directors may determine, such shares having the same rights and being subject to the same restrictions (save as to nominal value) as the Existing Unilever Shares in the capital of the Company as set out in the Company’s articles of association (as amended pursuant to Resolution 1(b)) (the “New Unilever Shares”); or (ii) (A) sub-divide each of the existing ordinary shares of 3 1/9 pence each in the capital of the Company (the “Existing Unilever Shares”) into such number of ordinary shares in the capital of the Company as the Directors may determine (such shares being “intermediate shares”), and (B) immediately after such sub-division, consolidate the intermediate shares into such number of new ordinary shares in the capital of the Company of such nominal value as the Directors may determine, such shares having the same rights and being subject to the same restrictions (save as to nominal value) as the Existing Unilever Shares in the capital of the Company as set out in the Company’s articles of association (as amended pursuant to Resolution 1(b)) (the “New Unilever Shares”), on the basis that: I. the record date for any such consolidation and/or sub-division shall be 6:30 p.m. (London time) on Tuesday 10 November 2025 or such other time and/or date as the Directors may determine; II. the Directors shall have discretion to make any arrangements which they consider necessary, appropriate or expedient: (i) to deal with fractions, rounding or other practical problems or matters which may result from any such consolidation and/or sub-division; or (ii) for the purpose of giving effect to any such consolidation and/or sub-division; and III. in particular and without prejudice to the general discretion of the Directors under paragraph II above, no ordinary shareholder of the Company (“Unilever Shareholder”) shall be entitled to a fraction of a New Unilever Share arising out of such consolidation and division, and the aggregate number of New Unilever Shares to which a Unilever Shareholder shall be entitled shall be rounded down to the nearest whole number of New Unilever Shares. Any fraction of a New Unilever Share to which a Unilever Shareholder would otherwise have been entitled shall, so far as practicable, be aggregated with the fractions of a New Unilever Share (if any) to which other shareholders of the Company would be similarly entitled and the Directors be and are hereby authorised to sell (or appoint any other person to sell). For the purposes of implementing such sale: (A) any Director may appoint and authorise any person to execute and deliver an instrument (or instruments) or instruction (or instructions) of transfer and to do any and all acts and things and make any and all arrangements as such Director considers necessary, expedient or appropriate to effect the transfer, settlement and/or disposal of such fractional entitlements; (B) in respect of Unilever Shareholders (excluding, for the avoidance of doubt, Unilever ADS Holders (as such term is defined in the Circular of which this Notice of General Meeting forms part), the net proceeds of such sale (after the deduction of any expenses and/or commissions associated with such sale, including any VAT payable on the proceeds of sale) shall be paid in due proportion (rounded down to the nearest penny) to the relevant shareholders entitled to such fractions; Schedule 3 51 Unilever Shareholder Circular Toppan Merrill - Verdi Mailing Notice of EGM Circular ED | 120838 | 01-Oct-25 06:43 | 25-24630-1.fa | Sequence: 11 CHKSUM Content: 7579 Layout: 25932 Graphics: 0 CLEAN JOB: 25-24630-1 CYCLE#;BL#: 12; 0 TRIM: 8.27" x 11.69" AS: London: 011-44-20-7422-6100 COLORS: Dark, ~note-color 2, Black, Pebble GRAPHICS: none V1.5

GRAPHIC

(C) in respect of Unilever ADS Holders, the net proceeds of such sale (after the deduction of any expenses and/or commissions associated with such sale (including any related VAT)) shall be paid in due proportion (rounded down to the nearest whole cent) amongst the relevant Unilever ADS Holders who would otherwise be entitled to such fractions; and (D) in the absence of bad faith or willful default, neither the Company nor any person appointed pursuant to sub-paragraph (A) of this Resolution 1 shall have any liability for any loss or damage arising as a result of the timing or terms of any sale pursuant to this Resolution 1; and (b) Article 61 of the articles of association of the Company be amended such that the words “for every 3 1/9 pence nominal of capital” be deleted and replaced with the words “for every one share in the Company”. RESOLUTION 2 Subject to Resolution 1 being passed and Admission taking place, the following amendments to Resolution 18, the special resolution in relation to the Company’s authority to purchase its own shares as set out in the Company’s notice of the Annual General Meeting 2025 and renewed at the annual general meeting of the Company on Wednesday 30 April 2025, be approved: (a) to delete the words “of 3 1/9p each” in the first paragraph of Resolution 18; and (b) to replace the words “3 1/9p” with an amount equal to “the nominal value of such share” in sub-paragraph b. By order of the Board Maria Varsellona Chief Legal Officer and Group Secretary 52 Unilever Shareholder Circular Schedule 3 - continued Toppan Merrill - Verdi Mailing Notice of EGM Circular ED | 120838 | 01-Oct-25 06:43 | 25-24630-1.fa | Sequence: 12 CHKSUM Content: 13517 Layout: 41389 Graphics: 0 CLEAN JOB: 25-24630-1 CYCLE#;BL#: 12; 0 TRIM: 8.27" x 11.69" AS: London: 011-44-20-7422-6100 COLORS: Dark, ~note-color 2, Black, Pebble GRAPHICS: none V1.5

GRAPHIC

Explanatory notes to the Resolutions The explanatory notes that follow form part of the Notice of General Meeting and provide important information regarding the items of business to be considered at the General Meeting. Resolutions 1 and 2 are proposed as special resolutions. This means that for each of these Resolutions to be passed, at least three-quarters of the votes cast must be in favour of the resolution. Resolution 1 Share Consolidation The Directors believe that it is advantageous for the Company to consolidate its existing issued share capital in order to reduce the total number of the Company’s shares in issue (while increasing the nominal value of each such share) with the intention of maintaining comparability, so far as practicable, between the Company’s share price and per share metrics (including earnings per share and dividends per share) before and after the demerger of the ice cream business. This Resolution provides the authority from shareholders for such consolidation of shares. In order to achieve the desired number of shares in issue, the consolidation may proceed by way of a sub-division immediately followed by a consolidation, or vice versa, and Resolution 1 grants the Board the authority to proceed on the appropriate basis. Article 61 of the Company’s articles of association currently provides that each shareholder has one vote for every 3 1/9 pence nominal of capital held by them (of whatever class). As the nominal value per share will change as a result of the Share Consolidation, this Article needs to be amended as part of the Share Consolidation so that each shareholder continues to have one vote per ordinary share held, to ensure compliance with the UK Listing Rules. This Resolution provides the authority from shareholders for such amendment of the Company’s articles of association. Resolution 2 Company’s authority to purchase its own shares The Directors believe that it is advantageous for the Company to have the flexibility to purchase its own shares, and this Resolution provides the authority from shareholders to do so. Renewal of this authority is also sought at the Annual General Meeting each year and was received at the 2025 Annual General Meeting. The authority received at the 2025 Annual General Meeting will be amended by Resolution 2, if passed, to reflect that the ordinary shares in the capital of the Company will, following the Share Consolidation, no longer have a nominal value of 3 1/9 pence. The Share Consolidation, if approved, will decrease the number of shares in issue and therefore will result in the maximum number of shares which may be acquired by the Company representing over 10 per cent. of the Company’s issued ordinary share capital. The Directors have no present intention of purchasing over 10 per cent. of its issued ordinary share capital under this authority. The purchase of shares by the Company under this authority would be carried out by a purchase in the market and should not be confused with any share-dealing facilities which may be offered to shareholders by the Company from time to time. The Company would consider holding any of its own shares that it purchases pursuant to the authority conferred by this Resolution as treasury shares. This would give the Company the ability to sell or transfer treasury shares quickly and cost-effectively, including for the purposes of meeting obligations under employees’ share schemes, and would provide the Company with additional flexibility in the management of its capital base. The authority sought under this Resolution will expire at the earlier of the conclusion of next year’s Annual General Meeting or the close of business on 30 June 2026, being the last date by which the Company must hold an Annual General Meeting in 2026. Any shares purchased would be held as “treasury shares”, in which case they could be held in the name of the Company or another Unilever Group company pending their use to meet obligations under an employee share scheme or resale. Shares purchased and not otherwise so used may also be cancelled at the discretion of the Company. 53 Unilever Shareholder Circular Schedule 3 - continued Toppan Merrill - Verdi Mailing Notice of EGM Circular ED | 120838 | 01-Oct-25 06:43 | 25-24630-1.fa | Sequence: 13 CHKSUM Content: 30719 Layout: 12683 Graphics: 0 CLEAN JOB: 25-24630-1 CYCLE#;BL#: 12; 0 TRIM: 8.27" x 11.69" AS: London: 011-44-20-7422-6100 COLORS: Dark, ~note-color 2, Black, Pebble GRAPHICS: none V1.5

GRAPHIC

Notes to Notice of General Meeting 1. Shareholders will have the right to attend and vote at the General Meeting. Registration will start at 7:30 a.m. (London time). If you are attending the General Meeting in person, please bring the Attendance Card included within your Proxy Form or, if you opt to receive your communications electronically, a copy of your shareholder email, and hand it in on arrival. It is necessary for your admission to the meeting. If you do not bring this form or email with you, then proof of identification will be required for you to gain admittance to the General Meeting. 2. A shareholder who is unable or does not wish to attend the General Meeting is entitled to appoint one or more Proxies to exercise all or any of his/her rights to attend and to speak and vote on his/her behalf at the meeting. A Proxy need not be a shareholder. A Proxy Form which may be used to make such appointment and give Proxy instructions accompanies this Notice of General Meeting. If you do not have a Proxy Form and believe that you should have one, or if you require additional forms, please contact Computershare Investor Services PLC on +44 (0)370 600 3977. You can only appoint a Proxy using the procedures set out in these notes and the notes to the Proxy Form. The return of a completed Proxy Form, or the registration of appointment of a Proxy or any CREST Proxy Instruction (as described in paragraph 10 below), will not prevent a shareholder from attending the meeting and voting in person if they wish to do so. Shareholders are encouraged to appoint the Chair of the General Meeting as their Proxy, even if they intend to attend the General Meeting in person. This is to ensure that your vote is counted if you are unable to attend in person on the day of the General Meeting. 3. A shareholder may appoint more than one Proxy in relation to the General Meeting, provided that each Proxy is appointed to exercise the rights attached to a different share or shares held by that shareholder. To do this, that shareholder must complete a separate Proxy Form for each Proxy. Shareholders can copy their original Proxy Form for this purpose. A Proxy Form is included with this Notice of General Meeting and additional Proxy Forms can also be obtained from Computershare Investor Services PLC on +44 (0)370 600 3977. A shareholder appointing more than one Proxy should indicate the number of shares for which each Proxy is authorised to act on his or her behalf and place an “X” in the box provided on the Proxy Form to confirm that the instruction is one of a multiple. 4. To be valid, any Proxy Form must be received by hand or by post at Computershare Investor Services PLC, The Pavilions, Bridgwater Road, Bristol BS99 6ZY, no later than 8:00 a.m. (London time) on Sunday 19 October 2025. 5. A shareholder can also submit his or her vote or, in accordance with Section 333A of the Companies Act 2006, appoint a Proxy electronically, by logging on to www.investorcentre.co.uk/eproxy. To do this, a shareholder will need the Shareholder Reference Number (SRN), Control Number and five-digit PIN shown on the front of the Proxy Form or via email if you subscribe to electronic communications. Electronic Proxy appointments must be received, in accordance with the instructions on the website, by no later than 8:00 a.m. (London time) on Sunday 19 October 2025. Please note that an electronic communication in respect of the appointment of a Proxy which contains a computer virus may not be accepted. The Company will try to inform the shareholder in question of a rejected communication and will try to ensure that its outgoing electronic communications are, as far as reasonably practicable, virus-free. 6. In the case of a shareholder which is a company, the Proxy Form must be executed under its common seal or be signed on its behalf by an attorney or officer duly authorised. All signatories must state their capacity (e.g. director, secretary). 7. Any power of attorney or any other authority under which the Proxy Form is signed (or a copy of such authority certified by a notary) must be included with the Proxy Form. 8. A “Vote withheld” is not a vote in law, which means that the vote will not be counted in the proportion of votes “For” and “Against” the Resolutions. A shareholder who does not give any voting instructions in relation to the Resolutions should note that his/her Proxy will have authority to vote or to withhold a vote on the Resolution as he/she thinks fit. A Proxy will also have authority to vote or to withhold a vote on any other business (including amendments to the Resolutions) which properly comes before the General Meeting as he/she thinks fit. 9. CREST members who wish to appoint a Proxy or Proxies through the CREST electronic proxy appointment service may do so for the General Meeting and any adjournment(s) thereof by using the procedures described in the CREST Manual. CREST personal members or other CREST sponsored members, and those CREST members who have appointed a service provider(s), should refer to their CREST sponsor or voting service provider(s), who will be able to take the appropriate action on their behalf. 54 Unilever Shareholder Circular Schedule 3 - continued Toppan Merrill - Verdi Mailing Notice of EGM Circular ED | 120838 | 01-Oct-25 06:43 | 25-24630-1.fa | Sequence: 14 CHKSUM Content: 49793 Layout: 42866 Graphics: 0 CLEAN JOB: 25-24630-1 CYCLE#;BL#: 12; 0 TRIM: 8.27" x 11.69" AS: London: 011-44-20-7422-6100 COLORS: Dark, ~note-color 2, Black, Pebble GRAPHICS: none V1.5

GRAPHIC

10. In order for a Proxy appointment or instruction made using the CREST service to be valid, the appropriate CREST message (a “CREST Proxy Instruction”) must be properly authenticated in accordance with the specifications of Euroclear UK and Ireland Limited (Euroclear), and must contain the information required for such instruction, as described in the CREST Manual (available via www.euroclear.com). The message, regardless of whether it constitutes the appointment of a Proxy or is an amendment to the instruction given to a previously appointed Proxy, must, in order to be valid, be transmitted so as to be received by the Company’s agent (ID number 3RA50) by the latest time for receipt of Proxy appointments specified in this Notice of General Meeting. For this purpose, the time of receipt will be taken to be the time (as determined by the timestamp applied to the message by the CREST Application Host) from which the Company’s agent is able to retrieve the message by enquiry to CREST in the manner prescribed by CREST. After this time, any change of instructions to Proxies appointed through CREST should be communicated to the appointee through other means. 11. CREST members and, where applicable, their CREST sponsors or voting service providers, should note that Euroclear does not make available special procedures in CREST for any particular message. Normal system timings and limitations will therefore apply in relation to the input of CREST Proxy Instructions. It is the responsibility of the CREST member concerned to take (or, if the CREST member is a CREST personal member or sponsored member or has appointed a voting service provider, to procure that his or her CREST sponsor or voting service provider(s) take(s)) such action as shall be necessary to ensure that a message is transmitted by means of the CREST system by any particular time. In connection with this, CREST members and, where applicable, their CREST sponsors or voting system providers are referred, in particular, to those sections of the CREST Manual concerning practical limitations of the CREST system and timing. 12. The Company may treat as invalid a CREST Proxy Instruction in the circumstances set out in Regulation 35(5)(a) of the Uncertificated Securities Regulations 2001. 13. Holders of shares in the Company held through Euroclear Nederland who wish to attend the meeting in person can register themselves via www.abnamro.com/evoting. Holders of such shares who wish to attend the meeting in person must further request an attendance letter of authorisation for the General Meeting of the Company via corporate.broking@nl.abnamro.com. To be admitted to the meeting, holders of such shares will be asked to provide a copy of the attendance letter of authorisation at the meeting. Holders of such shares who wish to participate in the voting process can render their voting instruction electronically via www.abnamro.com/evoting. 14. Only one holder of shares may vote by Proxy. In the case of joint holders, where more than one of the joint holders purports to appoint a Proxy, only the appointment submitted by the most senior holder will be accepted. Seniority is determined by the order in which the names of the joint holders appear in the Company’s register of members in respect of the joint holding (the first-named being the most senior). 15. If two or more valid but differing appointments of a Proxy are received in respect of the same share for use at the same meeting, the one which is last received (regardless of its date or the date of its signature) shall be treated as replacing and revoking the others as regards that share; if the Company is unable to determine which was last received, none of them shall be treated as valid in respect of that share. 16. Any person to whom this Notice of General Meeting is sent who is a person nominated under Section 146 of the Companies Act 2006 to enjoy information rights (a “Nominated Person”) may, under an agreement between him/her and the shareholder by whom he/she was nominated, have a right to be appointed (or to have someone else appointed) as a Proxy for the General Meeting. If a Nominated Person has no such Proxy appointment right or does not wish to exercise it, he/she may, under any such agreement, have a right to give instructions to the shareholder as to the exercise of voting rights. The statement of the rights of shareholders in relation to the appointment of Proxies in paragraphs 2 and 3 above does not apply to Nominated Persons. The rights described in those paragraphs can only be exercised by shareholders of the Company. 17. The Company specifies that only those shareholders registered in the register of members of the Company at 6:30 p.m. (London time) on Sunday 19 October 2025 shall be entitled to vote at the General Meeting in respect of the number of shares registered in their name at that time. Changes to the register of members after the relevant deadline shall be disregarded in determining the rights of any person to vote at the General Meeting. If the General Meeting is adjourned, only shareholders entered on the Company’s register of members not later than 48 hours before the time fixed for the adjourned meeting shall be entitled to attend and vote at the meeting. Representatives of corporate shareholders, including retail shareholders holding their shares through a nominee, looking to attend the General Meeting in person should contact their nominee, broker or custodian in advance of the meeting to request a Letter of Representation. The Letter of Representation must include the registered name in which your nominee, broker or custodian holds the shares, the CREST ID, the Designation and the number of shares held on which you are permitted to vote. This should be presented at registration to evidence your valid appointment at the General Meeting. Please contact your nominee, broker or custodian significantly in advance of 55 Unilever Shareholder Circular Schedule 3 - continued Toppan Merrill - Verdi Mailing Notice of EGM Circular ED | 120838 | 01-Oct-25 06:43 | 25-24630-1.fa | Sequence: 15 CHKSUM Content: 24569 Layout: 6747 Graphics: 0 CLEAN JOB: 25-24630-1 CYCLE#;BL#: 12; 0 TRIM: 8.27" x 11.69" AS: London: 011-44-20-7422-6100 COLORS: Dark, ~note-color 2, Black, Pebble GRAPHICS: none V1.5

GRAPHIC

the General Meeting for these purposes to allow time for the issue of the Letter of Representation. The Company’s Registrar, Computershare Investor Services PLC (“Computershare”), can also be contacted to provide further explanation of this process. 18. Voting on the Resolutions will be conducted by way of a poll. This will ensure an exact and definitive result. 19. Any corporation which is a shareholder can appoint one or more corporate representatives who may exercise on its behalf all of its powers as a shareholder provided that they do not do so in relation to the same shares. 20. Any shareholder attending a meeting of the Company has the right to ask questions. The Company must cause to be answered any such question relating to the business being dealt with at the meeting but no such answer need be given if: a. to do so would interfere unduly with the preparation for the meeting or involve the disclosure of confidential information; b. the answer has already been given on a website in the form of an answer to a question; or c. it is undesirable in the interests of the Company or the good order of the meeting that the question be answered. Shareholders are encouraged to submit questions for the Q&A session in advance of the General Meeting by emailing shareholder.services@unilever.com before 1:00 p.m. (London time) on Friday 10 October 2025. 21. A copy of this notice, and other information required by Section 311A of the Companies Act 2006, can be found at www.unilever.com/gm. 22. The Company may decide that it is in the interests of our employees and shareholders to adopt measures to preserve the health and wellbeing of any persons attending the General Meeting. We therefore encourage shareholders to check our website (www.unilever.com/gm) regularly for the latest information on arrangements for the General Meeting. 23. We do not permit behaviour that may interfere with anyone’s security or safety or the good order of the meeting. Anyone who does not comply may be removed from the meeting. 24. You may not use any electronic address provided in either this document or any related documents to communicate with the Company for any purposes other than those expressly stated. Route Description The General Meeting will be held at the offices of Linklaters, One Silk Street, London EC2Y 8HQ. The offices of Linklaters are in close proximity to Moorgate, Barbican and Liverpool Street underground stations, all within walking distance. 56 Unilever Shareholder Circular Schedule 3 - continued Toppan Merrill - Verdi Mailing Notice of EGM Circular ED | 120838 | 01-Oct-25 06:43 | 25-24630-1.fa | Sequence: 16 CHKSUM Content: 15135 Layout: 44268 Graphics: 0 CLEAN JOB: 25-24630-1 CYCLE#;BL#: 12; 0 TRIM: 8.27" x 11.69" AS: London: 011-44-20-7422-6100 COLORS: Dark, ~note-color 2, Black, Pebble GRAPHICS: none V1.5

GRAPHIC

Toppan Merrill - Verdi Mailing Notice of EGM Circular ED | 120838 | 01-Oct-25 06:43 | 25-24630-1.za | Sequence: 1 CHKSUM Content: 0 Layout: 11830 Graphics: 13673 CLEAN JOB: 25-24630-1 CYCLE#;BL#: 12; 0 TRIM: 8.27" x 11.69" AS: London: 011-44-20-7422-6100 COLORS: Cyan, ~note-color 2, Black, Magenta GRAPHICS: 24630-1_obc_4c.eps V1.5

 

Signatures

 

Pursuant to the requirements of the Securities Exchange Act of 1934, the registrant has duly caused this report to be signed on its behalf by the undersigned, thereunto duly authorized.

 

  UNILEVER PLC
     
  By: /s/ M. Varsellona
    Name:   M. Varsellona
    Title:     Chief Legal Officer and Group Secretary

 

Date: 2 October 2025