6-K 1 tm2529715d2_6k.htm FORM 6-K

 

SECURITIES AND EXCHANGE COMMISSION

WASHINGTON, D. C. 20549

 

FORM 6-K

 

REPORT OF FOREIGN PRIVATE ISSUER

 

Pursuant to Rule 13a-16 or 15d-16 of

the Securities Exchange Act of 1934

 

For the month of October 2025

Commission File Number: 001-06439

 

SONY GROUP CORPORATION

(Translation of registrant’s name into English)

 

1-7-1 KONAN, MINATO-KU, TOKYO, 108-0075, JAPAN

(Address of principal executive offices)

 

The registrant files annual reports under cover of Form 20-F.

 

Indicate by check mark whether the registrant files or will file annual reports under cover of Form 20-F or Form 40-F,

 

Form 20-F x  Form 40-F ¨

 

SIGNATURE

 

Pursuant to the requirements of the Securities Exchange Act of 1934, the registrant has duly caused this report to be signed on its behalf by the undersigned, thereunto duly authorized.

 

 

SONY GROUP CORPORATION

(Registrant)

     
  By: /s/ Lin Tao
      (Signature)
  Lin Tao
  Chief Financial Officer

 

Date: October 30, 2025

 

List of Materials

 

Documents attached hereto:

 

Sony Group Corporation to Issue Stock Acquisition Rights for the Purpose of Granting Stock Options

 

 

 

 

 

 

  1-7-1 Konan, Minato-ku
  Tokyo, 108-0075 Japan

 

News & Information 

October 30, 2025

 

Sony Group Corporation to Issue Stock Acquisition Rights 
for the Purpose of Granting Stock Options

 

Sony Group Corporation (the “Corporation”) today announced that the Representative Corporate Executive Officer of the Corporation had decided to issue stock acquisition rights for the purpose of granting stock options, pursuant to the delegation of authority approved by resolutions of the Board of Directors of the Corporation.

 

I. The reason the Corporation will issue stock acquisition rights for the purpose of granting stock options

 

The Corporation will issue stock acquisition rights to corporate executive officers and employees of the Corporation, and directors, officers and employees of subsidiaries of the Corporation, for the purpose of giving them an incentive to contribute towards the improvement of the business performance of the Corporation and of its group companies (collectively the “Group”) and thereby improving the business performance of the Group by making the economic interest which such directors, officers or employees will receive correspond to the business performance of the Group.

 

II. The principal terms of the issue

 

1. The Fifty-Third Series of stock acquisition rights (the “Stock Acquisition Rights” in this Section 1)

 

(1)Persons to whom Stock Acquisition Rights will be allocated and number of Stock Acquisition Rights to be allocated:

 

 

 

    Number of persons 
    (Number of Stock Acquisition Rights) 
Corporate executive officers of the Corporation   6    (9,872)
Employees of the Corporation   15    (3,053)
Directors and officers of the subsidiaries of the Corporation   11    (1,935)
Employees of the subsidiaries of the Corporation   139    (5,527)
    total: 171    (total: 20,387)

 

1/8

 

 

(2)Class and number of shares to be issued or transferred upon exercise of Stock Acquisition Rights:

 

2,038,700 shares of common stock of the Corporation 

 

The number of shares to be issued or transferred upon exercise of each Stock Acquisition Right (the “Number of Granted Shares”) shall be 100 shares.

 

(3)Aggregate number of Stock Acquisition Rights:

 

20,387

 

(4)Method for calculating the amount to be paid in exchange for the Stock Acquisition Rights:

 

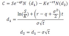
The amount of money to be paid in exchange for the Stock Acquisition Rights shall be the amount obtained by multiplying the option price per share of common stock (calculated using the Black-Scholes model based on the basic figures in (ii) through (vii) below), by the number of shares to be received by exercising the Stock Acquisition Rights.

 

 

 

i.Option price per share of common stock (C)

 

ii.Share price (𝑆): The closing price of the Corporation’s common stock in regular trading on the Tokyo Stock Exchange (the “Closing Price”) on November 21, 2025 (if there is no Closing Price on such date, the Closing Price on the immediately preceding trading day)

 

iii.Exercise price (𝐾): The average of the Closing Prices for the ten (10) consecutive trading days (excluding days on which there is no Closing Price) immediately prior to the allotment date of such Stock Acquisition Rights; provided, however, that if such calculated price is lower than the Closing Price on the trading day immediately preceding the allotment date of the Stock Acquisition Rights (if there is no Closing Price on such date, the Closing Price on the immediately preceding trading day), the Exercise price (𝐾) shall be the Closing Price on the trading day immediately preceding the allotment date of the Stock Acquisition Rights

 

iv.Estimated remaining years(t): 5.68 years

 

v.Volatility (𝜎): The volatility rate of the share price based on the Closing Prices during the 5.68 years (from March 18, 2020 to November 21, 2025)

 

vi.Risk-free rate (𝑟): Interest rate on Japanese government bonds whose remaining years correspond to the expected remaining years

 

vii.Dividend Yield (𝑞): Dividend per share (expected dividend for the year ending March 31, 2026) / share price (S)

 

viii.Cumulative density function of the standard normal distribution: (N(·))

 

(Note 1): The amount calculated using the above formula will be the fair value of the Stock Acquisition Rights and will not be an amount that is particularly favorable to the allottee of the Stock Acquisition Rights (the “Allottee” in this Section 1).

 

2/8

 

 

The payment of the amount to be paid by the Allottee in exchange for the Stock Acquisition Rights multiplied by the Allottee’s allotted number of Stock Acquisition Rights (the “Total Amount to be Paid” in this item (4) of Section 1) will be made by offsetting such amount against: (i) remuneration claims, in an amount equal to the Total Amount to be Paid, which will be granted to the Allottee by the Corporation, if the Allottee is a corporate executive officer or an employee of the Corporation, or, (ii) remuneration claims in an amount equal to the Total Amount to be Paid, which will be granted to the Allottee by subsidiaries of the Corporation and assumed by the Corporation, if the Allottee is a director, officer or an employee of a subsidiary of the Corporation. Therefore, no monetary payment will be made by the Allottee on the Allotment Date for the purpose of paying the Total Amount to be Paid. However, these remuneration claims shall be granted on the condition that the Allottee enters into an allocation agreement with the Corporation.

 

(Note 2) The specific amount to be paid in exchange for the Stock Acquisition Rights will be determined on November 21, 2025.

 

(5)Amount of assets to be contributed upon exercise of Stock Acquisition Rights:

 

The amount of assets to be contributed upon exercise of each Stock Acquisition Right shall be the amount obtained by multiplying the amount to be paid per share to be issued or transferred upon exercise of Stock Acquisition Rights (the “Exercise Price”) by the Number of Granted Shares. The Exercise Price shall initially be the average of the Closing Prices for the ten (10) consecutive trading days (excluding days on which there is no Closing Price) immediately prior to the allotment date of such Stock Acquisition Rights (any fraction less than one (1) yen arising as a result of such calculation shall be rounded up to the nearest one (1) yen); provided, however, that if such calculated price is lower than the Closing Price on the trading day immediately preceding the allotment date of the Stock Acquisition Rights (if there is no Closing Price on such date, the Closing Price on the immediately preceding trading day), the Exercise Price shall be the amount equal to the Closing Price on the trading day immediately preceding the allotment date of the Stock Acquisition Rights.

 

(6)Period during which Stock Acquisition Rights may be exercised:

 

From and including November 25, 2026, up to and including November 24, 2035. If the last day of such period falls on a holiday of the Corporation, the immediately preceding business day shall be the last day of such period. The exercise of Stock Acquisition Rights during such period shall be subject to the restrictions provided for in the allocation agreement entered into by and between the Corporation and the person to whom Stock Acquisition Rights will be allocated (the “Allocation Agreement”).

 

(7)Conditions for the exercise of Stock Acquisition Rights:

 

(a)No Stock Acquisition Right may be exercised in part.

 

(b)In the event of a resolution being passed at a general meeting of shareholders of the Corporation for an agreement for any consolidation, amalgamation or merger (other than a consolidation, amalgamation or merger in which the Corporation is the continuing corporation), or in the event of a resolution being passed at a general meeting of shareholders of the Corporation (or, where a resolution of a general meeting of shareholders is not necessary, at a meeting of the Board of Directors of the Corporation) for any agreement for share exchange (kabushiki-kokan) or any plan for share transfer (kabushiki-iten) pursuant to which the Corporation is to become a wholly-owned subsidiary of another corporation, Stock Acquisition Rights may not be exercised on and after the effective date of such consolidation, amalgamation or merger, such share exchange (kabushiki-kokan) or such share transfer (kabushiki-iten).

 

3/8

 

 

(c)The exercise of the Stock Acquisition Rights shall be subject to the conditions and restrictions provided for in the Allocation Agreement.

 

(8)Matters concerning the amount of capital and the additional paid-in capital increased by the issuance of shares upon exercise of Stock Acquisition Rights:

 

(a)The amount of capital increased by the issuance of shares upon exercise of Stock Acquisition Rights shall be the amount obtained by multiplying the maximum limit of capital increase, as calculated in accordance with the provisions of Paragraph 1, Article 17 of the Company Accounting Ordinance of Japan, by 0.5, and any fraction less than one (1) yen arising as a result of such calculation shall be rounded up to the nearest one (1) yen.

 

(b)The amount of additional paid-in capital increased by the issuance of shares upon exercise of Stock Acquisition Rights shall be the amount obtained by deducting the capital to be increased, as provided in (a) above, from the maximum limit of capital increase, as also provided in (a) above.

 

(9)Mandatory repurchase of Stock Acquisition Rights:

 

Not applicable.

 

(10)Restrictions on the acquisition of Stock Acquisition Rights through transfer:

 

The Stock Acquisition Rights cannot be acquired through transfer, unless such acquisition is expressly approved by the Board of Directors of the Corporation. Transfer of the Stock Acquisition Rights shall be subject to the restrictions provided for in the Allocation Agreement.

 

(11)Allotment date of Stock Acquisition Rights:

 

November 25, 2025

 

4/8

 

 

2. The Fifty-Fourth Series of Stock Acquisition Rights (the “Stock Acquisition Rights” in this Section 2)

 

(1)Persons to whom Stock Acquisition Rights will be allocated and number of Stock Acquisition Rights to be allocated:

 

    Number of persons 
    (Number of Stock Acquisition Rights) 
Employees of the Corporation   2    (181)
Directors and officers of the subsidiaries of the Corporation   4    (3,771)
Employees of the subsidiaries of the Corporation   18    (5,431)
   total: 24    (total: 9,383

 

(2)Class and number of shares to be issued or transferred upon exercise of Stock Acquisition Rights:

 

938,300 shares of common stock of the Corporation

The number of shares to be issued or transferred upon exercise of each Stock Acquisition Right (the “Number of Granted Shares”) shall be 100 shares.

 

(3)Aggregate number of Stock Acquisition Rights:

 

9,383

 

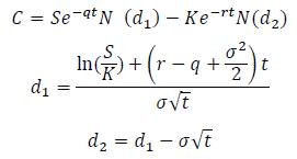
(4)Method for calculating the amount to be paid in exchange for the Stock Acquisition Rights:

 

The amount of money to be paid in exchange for the Stock Acquisition Rights shall be the amount obtained by multiplying the option price per share of common stock (calculated using the Black-Scholes model based on the basic figures in (ii) through (vii) below), by the number of shares to be received by exercising the Stock Acquisition Rights.

 

 

 

i.Option price per share of common stock (C)

 

ii.Share price (𝑆): The price obtained by converting the Closing Price on November 21, 2025 (if there is no Closing Price on such date, the Closing Price on the immediately preceding trading day) into U.S. dollars (by the exchange rate quotations by a leading commercial bank in Tokyo for selling spot U.S. dollars by telegraphic transfer) against yen

 

iii.Exercise price (𝐾): The U.S. dollar amount obtained by dividing the average of the Closing Prices for the ten (10) consecutive trading days (excluding days on which there is no Closing Price) immediately prior to the allotment date of such Stock Acquisition Rights (the “Reference Yen Price”) by the average of the exchange rate quotations by a leading commercial bank in Tokyo for selling spot U.S. dollars by telegraphic transfer against yen for such ten (10) consecutive trading days (the “Reference Exchange Rate”) (any fraction less than one (1) cent arising as a result of such calculation shall be rounded up to the nearest one (1) cent); provided, however, that if the Reference Yen Price is lower than the Closing Price on the trading day immediately preceding the allotment date of the Stock Acquisition Rights (if there is no Closing Price on such date, the Closing Price on the immediately preceding trading day), the Exercise price (𝐾) shall be the U.S. dollar amount obtained by dividing the Closing Price on the trading day immediately preceding the allotment date of the Stock Acquisition Rights by the Reference Exchange Rate (any fraction less than one (1) cent arising as a result of such calculation shall be rounded up to the nearest one (1) cent)

 

5/8

 

 

iv.Estimated remaining years (t): 5.53 years

 

v.Volatility (𝜎): The volatility rate of the share price based on the closing price of the Corporation’s American Depository Receipts (ADRs) on the New York Stock Exchange on each trading day during the 5.53 years (from May 12, 2020 to November 21, 2025)

 

vi.Risk-free rate (𝑟): Interest rate on Japanese government bonds whose remaining years correspond to the expected remaining years

 

vii.Dividend Yield (𝑞): Dividend per share (expected dividend for the year ending March 31, 2026) / the Closing Price on November 21, 2025 (if there is no Closing Price on such date, the Closing Price on the immediately preceding trading day)

 

viii.Cumulative density function of the standard normal distribution: (N (·))

 

(Note 1) The amount calculated using the above formula will be the fair value of the Stock Acquisition Rights and will not be an amount that is particularly favorable to the allottee of the Stock Acquisition Rights (the “Allottee” in this Section 2).

 

The payment of the amount to be paid by the Allottee in exchange for the Stock Acquisition Rights multiplied by the Allottee’s allotted number of Stock Acquisition Rights (the “Total Amount to be Paid” in this item (4) of Section 2) will be made by offsetting such amount against: (i) remuneration claims, in an amount equal to the Total Amount to be Paid, which will be granted to the Allottee by the Corporation, if the Allottee is an employee of the Corporation, or, (ii) remuneration claims in an amount equal to the Total Amount to be Paid, which will be granted to the Allottee by subsidiaries of the Corporation and assumed by the Corporation, if the Allottee is a director, officer or an employee of a subsidiary of the Corporation. Therefore, no monetary payment will be made by the Allottee on the Allotment Date for the purpose of paying the Total Amount to be Paid. However, these remuneration claims shall be granted on the condition that the Allottee enters into an allocation agreement with the Corporation.

 

6/8

 

 

(Note 2) The specific amount to be paid in exchange for the Stock Acquisition Rights will be determined on November 21, 2025.

 

(5)Amount of assets to be contributed upon exercise of Stock Acquisition Rights:

 

The amount of assets to be contributed upon exercise of each Stock Acquisition Right shall be the amount obtained by multiplying the amount to be paid per share to be issued or transferred upon exercise of Stock Acquisition Rights (the “Exercise Price”) by the Number of Granted Shares. The Exercise Price shall initially be the U.S. dollar amount obtained by dividing the Reference Yen Price by the Reference Exchange Rate (any fraction less than one (1) cent arising as a result of such calculation shall be rounded up to the nearest one (1) cent); provided, however, that if the Reference Yen Price is lower than the Closing Price on the trading day immediately preceding the allotment date of the Stock Acquisition Rights (if there is no Closing Price on such date, the Closing Price on the immediately preceding trading day), the Exercise Price shall be the U.S. dollar amount obtained by dividing the Closing Price on the trading day immediately preceding the allotment date of the Stock Acquisition Rights by the Reference Exchange Rate (any fraction less than one (1) cent arising as a result of such calculation shall be rounded up to the nearest one (1) cent).

 

(6)Period during which Stock Acquisition Rights may be exercised:

 

From and including November 25, 2026, up to and including November 24, 2035. If the last day of such period falls on a holiday of the Corporation, the immediately preceding business day shall be the last day of such period. The exercise of Stock Acquisition Rights during such period shall be subject to the restrictions provided for in the allocation agreement entered into by and between the Corporation and the person to whom Stock Acquisition Rights will be allocated (the “Allocation Agreement”).

 

(7)Conditions for the exercise of Stock Acquisition Rights:

 

(a)No Stock Acquisition Right may be exercised in part.

 

(b)In the event of a resolution being passed at a general meeting of shareholders of the Corporation for an agreement for any consolidation, amalgamation or merger (other than a consolidation, amalgamation or merger in which the Corporation is the continuing corporation), or in the event of a resolution being passed at a general meeting of shareholders of the Corporation (or, where a resolution of a general meeting of shareholders is not necessary, at a meeting of the Board of Directors of the Corporation) for any agreement for share exchange (kabushiki-kokan) or any plan for share transfer (kabushiki-iten) pursuant to which the Corporation is to become a wholly-owned subsidiary of another corporation, Stock Acquisition Rights may not be exercised on and after the effective date of such consolidation, amalgamation or merger, such share exchange (kabushiki-kokan) or such share transfer (kabushiki-iten).

 

(c)The exercise of the Stock Acquisition Rights shall be subject to the conditions and restrictions provided for in the Allocation Agreement.

 

(8)Matters concerning the amount of capital and the additional paid-in capital increased by the issuance of shares upon exercise of Stock Acquisition Rights:

 

(a)The amount of capital increased by the issuance of shares upon exercise of Stock Acquisition Rights shall be the amount obtained by multiplying the maximum limit of capital increase, as calculated in accordance with the provisions of Paragraph 1, Article 17 of the Company Accounting Ordinance of Japan, by 0.5, and any fraction less than one (1) yen arising as a result of such calculation shall be rounded up to the nearest one (1) yen.

 

7/8

 

 

(b)The amount of additional paid-in capital increased by the issuance of shares upon exercise of Stock Acquisition Rights shall be the amount obtained by deducting the capital to be increased, as provided in (a) above, from the maximum limit of capital increase, as also provided in (a) above.

 

(9)Mandatory repurchase of Stock Acquisition Rights:

 

Not applicable.

 

(10)Restrictions on the acquisition of Stock Acquisition Rights through transfer:

 

The Stock Acquisition Rights cannot be acquired through transfer (other than any transfer upon the death of a holder of the Stock Acquisition Rights to such holder’s estate or beneficiaries), unless such acquisition is expressly approved by the Board of Directors of the Corporation. Transfer of the Stock Acquisition Rights shall be subject to the restrictions provided for in the Allocation Agreement.

 

(11)Allotment date of Stock Acquisition Rights:

 

November 25, 2025

 

8/8