EX-99.9 10 ex09d16form604jpmorgan.htm EX-99.9 ex09d16form604jpmorgan
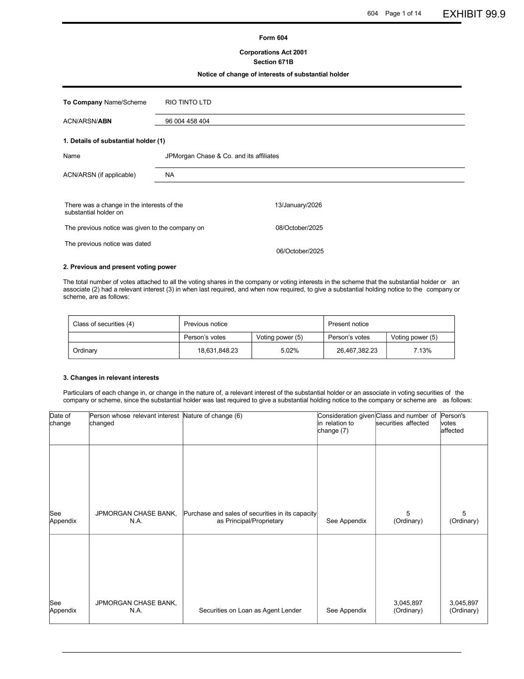
604 Page 1 of 14 Form 604 Corporations Act 2001 Section 671B Notice of change of interests of substantial holder To Company Name/Scheme RIO TINTO LTD ACN/ARSN/ABN 96 004 458 404 1. Details of substantial holder (1) Name JPMorgan Chase & Co. and its affiliates ACN/ARSN (if applicable) NA There was a change in the interests of the substantial holder on 13/January/2026 The previous notice was given to the company on 08/October/2025 The previous notice was dated 06/October/2025 2. Previous and present voting power The total number of votes attached to all the voting shares in the company or voting interests in the scheme that the substantial holder or an associate (2) had a relevant interest (3) in when last required, and when now required, to give a substantial holding notice to the company or scheme, are as follows: Class of securities (4) Previous notice Present notice Person’s votes Voting power (5) Person’s votes Voting power (5) Ordinary 18,631,848.23 5.02% 26,467,382.23 7.13% 3. Changes in relevant interests Particulars of each change in, or change in the nature of, a relevant interest of the substantial holder or an associate in voting securities of the company or scheme, since the substantial holder was last required to give a substantial holding notice to the company or scheme are as follows: Date of change Person whose relevant interest changed Nature of change (6) Consideration given in relation to change (7) Class and number of securities affected Person's votes affected See Appendix JPMORGAN CHASE BANK, N.A. Purchase and sales of securities in its capacity as Principal/Proprietary See Appendix 5 (Ordinary) 5 (Ordinary) See Appendix JPMORGAN CHASE BANK, N.A. Securities on Loan as Agent Lender See Appendix 3,045,897 (Ordinary) 3,045,897 (Ordinary) EXHIBIT 99.9


 
604 Page 2 of 14 See Appendix J.P. MORGAN SECURITIES PLC Holder of securities subject to an obligation to return under a securities lending agreement See Appendix 4,133,668 (Ordinary) 4,133,668 (Ordinary) See Appendix J.P. MORGAN SECURITIES PLC Purchase and sales of securities in its capacity as Principal/Proprietary See Appendix 91,729 (Ordinary) 91,729 (Ordinary) See Appendix J.P. MORGAN SECURITIES LLC Holder of securities subject to an obligation to return under a securities lending agreement See Appendix 1,200,000 (Ordinary) 1,200,000 (Ordinary) See Appendix J.P. MORGAN SECURITIES LLC Rehypothecation of client securities under a Prime Brokerage Agreement See Appendix 139,750 (Ordinary) 139,750 (Ordinary) See Appendix J.P. MORGAN SECURITIES AUSTRALIA LIMITED Holder of securities subject to an obligation to return under a securities lending agreement See Appendix 467,219 (Ordinary) 467,219 (Ordinary) See Appendix J.P. MORGAN SECURITIES AUSTRALIA LIMITED Purchase and sales of securities in its capacity as Principal/Proprietary See Appendix 350,356 (Ordinary) 350,356 (Ordinary) See Appendix J.P. MORGAN SE Purchase and sales of securities in its capacity as Principal/Proprietary See Appendix 26,556 (Ordinary) 26,556 (Ordinary)


 
604 Page 3 of 14 See Appendix J.P. MORGAN PRIME INC. Rehypothecation of client securities under a Prime Brokerage Agreement See Appendix 26,495 (Ordinary) 26,495 (Ordinary) See Appendix JPMORGAN ASSET MANAGEMENT (UK) LIMITED In its capacity as investment manager or in various other related capacities See Appendix 13,989 (Ordinary) 13,989 (Ordinary) See Appendix JPMORGAN ASSET MANAGEMENT (JAPAN) LIMITED In its capacity as investment manager or in various other related capacities See Appendix 4,223 (Ordinary) 4,223 (Ordinary) See Appendix JPMORGAN ASSET MANAGEMENT (CHINA) COMPANY LIMITED In its capacity as investment manager or in various other related capacities See Appendix 3,995 (Ordinary) 3,995 (Ordinary) See Appendix JPMORGAN ASSET MANAGEMENT (ASIA PACIFIC) LIMITED In its capacity as investment manager or in various other related capacities See Appendix 163,816 (Ordinary) 163,816 (Ordinary) See Appendix J.P. MORGAN INVESTMENT MANAGEMENT INC. In its capacity as investment manager or in various other related capacities See Appendix 121,446 (Ordinary) 121,446 (Ordinary) See Appendix JPMORGAN CHASE BANK, N.A. In its capacity as investment manager or in various other related capacities See Appendix 5,464 (Ordinary) 5,464 (Ordinary)


 
604 Page 4 of 14 4. Present relevant interests Particulars of each relevant interest of the substantial holder in voting securities after the change are as follows: Holder of relevant interest Registered holder of securities Person entitled to be registered as holder (8) Nature of relevant interest (6) Class and number of securities Person's votes JPMORGAN CHASE BANK, N.A. JPM Nominees Australia Pty Limited Various Borrowers under the Securities Lending Agreement Securities on Loan as Agent Lender 6,525,936 (Ordinary) 6,525,936 (Ordinary) J.P. MORGAN SECURITIES PLC JPM Nominees Australia Pty Limited JPM Nominees Australia Pty Limited Holder of securities subject to an obligation to return under a securities lending agreement 7,709,043 (Ordinary) 7,709,043 (Ordinary) J.P. MORGAN SECURITIES PLC JPM Nominees Australia Pty Limited J.P. MORGAN SECURITIES PLC Purchase and sales of securities in its capacity as Principal/Proprietary 400,701.23 (Ordinary) 400,701.23 (Ordinary) J.P. MORGAN SECURITIES LLC Citi Australia Citi Australia Holder of securities subject to an obligation to return under a securities lending agreement 1,200,000 (Ordinary) 1,200,000 (Ordinary) J.P. MORGAN SECURITIES AUSTRALIA LIMITED Ecapital Nominees Pty Ltd J.P. MORGAN SECURITIES AUSTRALIA LIMITED Purchase and sales of securities in its capacity as Principal/Proprietary 1,919,866 (Ordinary) 1,919,866 (Ordinary) J.P. MORGAN SECURITIES AUSTRALIA LIMITED Ecapital Nominees Pty Ltd Ecapital Nominees Pty Ltd Holder of securities subject to an obligation to return under a securities lending agreement 2,351,462 (Ordinary) 2,351,462 (Ordinary)


 
604 Page 5 of 14 J.P. MORGAN SE JPM Nominees Australia Pty Limited J.P. MORGAN SE Purchase and sales of securities in its capacity as Principal/Proprietary 110,948 (Ordinary) 110,948 (Ordinary) J.P. MORGAN PRIME INC. Citi Australia Various Clients and Custodians Rehypothecation of client securities under a Prime Brokerage Agreement 26,495 (Ordinary) 26,495 (Ordinary) J.P. MORGAN INVESTMENT MANAGEMENT INC. Bank Of New York Mellon SA/NV Brussels Various Clients and Custodians In its capacity as investment manager or in various other related capacities 56,328 (Ordinary) 56,328 (Ordinary) J.P. MORGAN INVESTMENT MANAGEMENT INC. BNP Paribas (Sydney Branch) Various Clients and Custodians In its capacity as investment manager or in various other related capacities 44,175 (Ordinary) 44,175 (Ordinary) J.P. MORGAN INVESTMENT MANAGEMENT INC. BNP Paribas, Italian Branch Various Clients and Custodians In its capacity as investment manager or in various other related capacities 1,598 (Ordinary) 1,598 (Ordinary) J.P. MORGAN INVESTMENT MANAGEMENT INC. BROWN BROTHERS HARRIMAN & CO. Various Clients and Custodians In its capacity as investment manager or in various other related capacities 1,835 (Ordinary) 1,835 (Ordinary) J.P. MORGAN INVESTMENT MANAGEMENT INC. Brown Brothers Harriman and Co. (Boston) - USE REMAINING SPN 117331 Various Clients and Custodians In its capacity as investment manager or in various other related capacities 15,306 (Ordinary) 15,306 (Ordinary)


 
604 Page 6 of 14 J.P. MORGAN INVESTMENT MANAGEMENT INC. BROWN BROTHERS HARRIMAN TRUSTEE SERVICES (IRELAND ) LIMITED Various Clients and Custodians In its capacity as investment manager or in various other related capacities 55,010 (Ordinary) 55,010 (Ordinary) J.P. MORGAN INVESTMENT MANAGEMENT INC. Cibc Mellon Global Securities Services Co Toronto Various Clients and Custodians In its capacity as investment manager or in various other related capacities 9,831 (Ordinary) 9,831 (Ordinary) J.P. MORGAN INVESTMENT MANAGEMENT INC. Fidelity Strategic Advisors Various Clients and Custodians In its capacity as investment manager or in various other related capacities 151,365 (Ordinary) 151,365 (Ordinary) J.P. MORGAN INVESTMENT MANAGEMENT INC. HSBC Institutional Trust Services (Asia) Limited Various Clients and Custodians In its capacity as investment manager or in various other related capacities 43,773 (Ordinary) 43,773 (Ordinary) J.P. MORGAN INVESTMENT MANAGEMENT INC. J.P. Morgan SE - Luxembourg Branch Various Clients and Custodians In its capacity as investment manager or in various other related capacities 282,611 (Ordinary) 282,611 (Ordinary) J.P. MORGAN INVESTMENT MANAGEMENT INC. JPMorgan Chase Bank – London Various Clients and Custodians In its capacity as investment manager or in various other related capacities 1,721,470 (Ordinary) 1,721,470 (Ordinary) J.P. MORGAN INVESTMENT MANAGEMENT INC. JPMorgan Chase Bank – Sydney Various Clients and Custodians In its capacity as investment manager or in various other related capacities 58,498 (Ordinary) 58,498 (Ordinary)


 
604 Page 7 of 14 J.P. MORGAN INVESTMENT MANAGEMENT INC. JPMorgan Chase Bank NA Various Clients and Custodians In its capacity as investment manager or in various other related capacities 930,574 (Ordinary) 930,574 (Ordinary) J.P. MORGAN INVESTMENT MANAGEMENT INC. JPMorgan Chase Bank, N.A. - Hong Kong Branch Various Clients and Custodians In its capacity as investment manager or in various other related capacities 102 (Ordinary) 102 (Ordinary) J.P. MORGAN INVESTMENT MANAGEMENT INC. Landesbank Baden- Wurttemberg Various Clients and Custodians In its capacity as investment manager or in various other related capacities 1,689 (Ordinary) 1,689 (Ordinary) J.P. MORGAN INVESTMENT MANAGEMENT INC. NEXI CAPITAL SPA Various Clients and Custodians In its capacity as investment manager or in various other related capacities 786 (Ordinary) 786 (Ordinary) J.P. MORGAN INVESTMENT MANAGEMENT INC. Northern Trust Company, Chicago Various Clients and Custodians In its capacity as investment manager or in various other related capacities 54,076 (Ordinary) 54,076 (Ordinary) J.P. MORGAN INVESTMENT MANAGEMENT INC. STATE STREET GLOBAL MARKETS LLC Various Clients and Custodians In its capacity as investment manager or in various other related capacities 59,000 (Ordinary) 59,000 (Ordinary) J.P. MORGAN INVESTMENT MANAGEMENT INC. The Bank Of New York Mellon Various Clients and Custodians In its capacity as investment manager or in various other related capacities 92,001 (Ordinary) 92,001 (Ordinary)


 
604 Page 8 of 14 J.P. MORGAN INVESTMENT MANAGEMENT INC. THE NORTHERN TRUST COMPANY- LONDON Various Clients and Custodians In its capacity as investment manager or in various other related capacities 57,646 (Ordinary) 57,646 (Ordinary) J.P. MORGAN SECURITIES LLC J.P. Morgan Securities LLC Various Clients and Custodians In its capacity as investment manager or in various other related capacities 636 (Ordinary) 636 (Ordinary) JPMORGAN ASSET MANAGEMENT (ASIA PACIFIC) LIMITED Bank Of New York Mellon SA/NV Brussels Various Clients and Custodians In its capacity as investment manager or in various other related capacities 27,051 (Ordinary) 27,051 (Ordinary) JPMORGAN ASSET MANAGEMENT (ASIA PACIFIC) LIMITED BNP PARIBAS SECURITIES SERVICES FRANKFURT BRANCH Various Clients and Custodians In its capacity as investment manager or in various other related capacities 68,515 (Ordinary) 68,515 (Ordinary) JPMORGAN ASSET MANAGEMENT (ASIA PACIFIC) LIMITED CACEIS BANK SA/GERMANY Various Clients and Custodians In its capacity as investment manager or in various other related capacities 37,545 (Ordinary) 37,545 (Ordinary) JPMORGAN ASSET MANAGEMENT (ASIA PACIFIC) LIMITED HSBC Trinkaus & Burkhardt AG Various Clients and Custodians In its capacity as investment manager or in various other related capacities 20,465 (Ordinary) 20,465 (Ordinary) JPMORGAN ASSET MANAGEMENT (ASIA PACIFIC) LIMITED J.P. Morgan SE - Luxembourg Branch Various Clients and Custodians In its capacity as investment manager or in various other related capacities 388,880 (Ordinary) 388,880 (Ordinary)


 
604 Page 9 of 14 JPMORGAN ASSET MANAGEMENT (ASIA PACIFIC) LIMITED JPMorgan Chase Bank – London Various Clients and Custodians In its capacity as investment manager or in various other related capacities 351,986 (Ordinary) 351,986 (Ordinary) JPMORGAN ASSET MANAGEMENT (ASIA PACIFIC) LIMITED State Street Bank International GmbH Various Clients and Custodians In its capacity as investment manager or in various other related capacities 108,496 (Ordinary) 108,496 (Ordinary) JPMORGAN ASSET MANAGEMENT (ASIA PACIFIC) LIMITED STATE STREET GLOBAL MARKETS LLC Various Clients and Custodians In its capacity as investment manager or in various other related capacities 199,176 (Ordinary) 199,176 (Ordinary) JPMORGAN ASSET MANAGEMENT (CHINA) COMPANY LIMITED The Bank Of New York Mellon Various Clients and Custodians In its capacity as investment manager or in various other related capacities 50,336 (Ordinary) 50,336 (Ordinary) JPMORGAN ASSET MANAGEMENT (JAPAN) LIMITED BNP Paribas, Succursale de Luxembourg Various Clients and Custodians In its capacity as investment manager or in various other related capacities 4,706 (Ordinary) 4,706 (Ordinary) JPMORGAN ASSET MANAGEMENT (JAPAN) LIMITED JPMorgan Chase Bank – London Various Clients and Custodians In its capacity as investment manager or in various other related capacities 6,091 (Ordinary) 6,091 (Ordinary) JPMORGAN ASSET MANAGEMENT (JAPAN) LIMITED JPMorgan Chase Bank, N.A. - Hong Kong Branch Various Clients and Custodians In its capacity as investment manager or in various other related capacities 942 (Ordinary) 942 (Ordinary)


 
604 Page 10 of 14 JPMORGAN ASSET MANAGEMENT (JAPAN) LIMITED RBC Dexia Investor Services Trust – London Various Clients and Custodians In its capacity as investment manager or in various other related capacities 2,314 (Ordinary) 2,314 (Ordinary) JPMORGAN ASSET MANAGEMENT (JAPAN) LIMITED THE NORTHERN TRUST COMPANY-LONDON Various Clients and Custodians In its capacity as investment manager or in various other related capacities 26,859 (Ordinary) 26,859 (Ordinary) JPMORGAN ASSET MANAGEMENT (UK) LIMITED BNP Paribas (Sydney Branch) Various Clients and Custodians In its capacity as investment manager or in various other related capacities 534,767 (Ordinary) 534,767 (Ordinary) JPMORGAN ASSET MANAGEMENT (UK) LIMITED BNP Paribas Securities Services SCA Various Clients and Custodians In its capacity as investment manager or in various other related capacities 1,829 (Ordinary) 1,829 (Ordinary) JPMORGAN ASSET MANAGEMENT (UK) LIMITED Brown Brothers Harriman and Co. (Boston) - USE REMAINING SPN 117331 Various Clients and Custodians In its capacity as investment manager or in various other related capacities 19,038 (Ordinary) 19,038 (Ordinary) JPMORGAN ASSET MANAGEMENT (UK) LIMITED BROWN BROTHERS HARRIMAN TRUSTEE SERVICES (IRELAND ) LIMITED Various Clients and Custodians In its capacity as investment manager or in various other related capacities 7,435 (Ordinary) 7,435 (Ordinary) JPMORGAN ASSET MANAGEMENT (UK) LIMITED Cibc Mellon Global Securities Services Co Toronto Various Clients and Custodians In its capacity as investment manager or in various other related capacities 72,867 (Ordinary) 72,867 (Ordinary)


 
604 Page 11 of 14 JPMORGAN ASSET MANAGEMENT (UK) LIMITED Citibank, N.A., Hong Kong Branch Various Clients and Custodians In its capacity as investment manager or in various other related capacities 197,162 (Ordinary) 197,162 (Ordinary) JPMORGAN ASSET MANAGEMENT (UK) LIMITED Desjardins Trust Various Clients and Custodians In its capacity as investment manager or in various other related capacities 10,074 (Ordinary) 10,074 (Ordinary) JPMORGAN ASSET MANAGEMENT (UK) LIMITED JPMorgan Chase Bank – London Various Clients and Custodians In its capacity as investment manager or in various other related capacities 4,972 (Ordinary) 4,972 (Ordinary) JPMORGAN ASSET MANAGEMENT (UK) LIMITED JPMorgan Chase Bank NA Various Clients and Custodians In its capacity as investment manager or in various other related capacities 302 (Ordinary) 302 (Ordinary) JPMORGAN ASSET MANAGEMENT (UK) LIMITED STATE STREET BANK & TRUST COMPANY Various Clients and Custodians In its capacity as investment manager or in various other related capacities 10,269 (Ordinary) 10,269 (Ordinary) JPMORGAN ASSET MANAGEMENT (UK) LIMITED STATE STREET BANK & TRUST COMPANY- HONG KONG BRANCH Various Clients and Custodians In its capacity as investment manager or in various other related capacities 932 (Ordinary) 932 (Ordinary) JPMORGAN ASSET MANAGEMENT (UK) LIMITED STATE STREET BANK & TRUST COMPANY- TORONTO Various Clients and Custodians In its capacity as investment manager or in various other related capacities 10,774 (Ordinary) 10,774 (Ordinary)


 
604 Page 12 of 14 JPMORGAN CHASE BANK, N.A. JPMorgan Chase Bank - London Various Clients and Custodians In its capacity as investment manager or in various other related capacities 417,933 (Ordinary) 417,933 (Ordinary) JPMORGAN CHASE BANK, N.A. JPMorgan Chase Bank NA Various Clients and Custodians In its capacity as investment manager or in various other related capacities 2,905 (Ordinary) 2,905 (Ordinary) 5. Changes in association The persons who have become associates (2) of, ceased to be associates of, or have changed the nature of their association (9) with, the substantial holder in relation to voting interests in the company or scheme are as follows: Name and ACN/ARSN (if applicable) Nature of association J.P. MORGAN SECURITIES AUSTRALIA LIMITED Subsidiary of JPMorgan Chase & Co. J.P. MORGAN SECURITIES LLC Subsidiary of JPMorgan Chase & Co. J.P. MORGAN SECURITIES PLC Subsidiary of JPMorgan Chase & Co. JPMORGAN CHASE BANK, N.A. Subsidiary of JPMorgan Chase & Co. J.P. MORGAN PRIME INC. Subsidiary of JPMorgan Chase & Co. J.P. MORGAN SE Subsidiary of JPMorgan Chase & Co. J.P. MORGAN INVESTMENT MANAGEMENT INC. Subsidiary of JPMorgan Chase & Co. JPMORGAN ASSET MANAGEMENT (UK) LIMITED Subsidiary of JPMorgan Chase & Co. JPMORGAN ASSET MANAGEMENT (ASIA PACIFIC) LIMITED Subsidiary of JPMorgan Chase & Co. JPMORGAN ASSET MANAGEMENT (JAPAN) LIMITED Subsidiary of JPMorgan Chase & Co. JPMORGAN ASSET MANAGEMENT (CHINA) COMPANY LIMITED Subsidiary of JPMorgan Chase & Co. 6. Addresses The addresses of persons named in this form are as follows: Name Address JPMorgan Chase & Co. 270 Park Avenue, New York, New York, NY, 10017, United States J.P. MORGAN SECURITIES AUSTRALIA LIMITED LEVEL 18, 83-85 CASTLEREAGH STREET, SYDNEY, NSW 2000, Australia J.P. MORGAN SECURITIES LLC 270 Park Avenue, New York, New York, NY, 10017, United States


 
604 Page 13 of 14 J.P. MORGAN SECURITIES PLC 25 Bank Street, Canary Wharf, London, E14 5JP, England JPMORGAN CHASE BANK, N.A. 1111 Polaris Parkway, Columbus, Delaware, OH, 43240, United States J.P. MORGAN PRIME INC. 270 Park Avenue, New York, New York, NY, 10017, United States J.P. MORGAN SE TaunusTurm, Taunustor 1, Frankfurt am Main, Frankfurt, 60310, Germany J.P. MORGAN INVESTMENT MANAGEMENT INC. 270 Park Avenue, New York, New York, NY, 10017, United States JPMORGAN ASSET MANAGEMENT (UK) LIMITED 60 Victoria Embankment, London, EC4Y0JP, England JPMORGAN ASSET MANAGEMENT (ASIA PACIFIC) LIMITED 19 & 20/F, Chater House, 8 Connaught Road Central, Hong Kong, Hong Kong JPMORGAN ASSET MANAGEMENT (JAPAN) LIMITED Tokyo Building, 7-3 Marunouchi 2 Chome,Chiyoda-ku, Tokyo, 100 6432, Japan JPMORGAN ASSET MANAGEMENT (CHINA) COMPANY LIMITED 42F&43F, 479 Lujiazui Ring Road, China (Shanghai) Pilot Free Trade Zone, Shanghai, 200120, China Signature print name Vasim Pathan Capacity Compliance Officer sign here Date 15/January/2026


 
604 Page 14 of 14 DIRECTIONS (1) If there are a number of substantial holders with similar or related relevant interests (eg. a corporation and its related corporations, or the manager and trustee of an equity trust), the names could be included in an annexure to the form. If the relevant interests of a group of persons are essentially similar, they may be referred to throughout the form as a specifically named group if the membership of each group, with the names and addresses of members is clearly set out in paragraph 6 of the form. (2) See the definition of "associate" in section 9 of the Corporations Act 2001. (3) See the definition of "relevant interest" in sections 608 and 671B(7) of the Corporations Act 2001. (4) The voting shares of a company constitute one class unless divided into separate classes. (5) The person's votes divided by the total votes in the body corporate or scheme multiplied by 100. (6) Include details of: (a) any relevant agreement or other circumstances because of which the change in relevant interest occurred. If subsection 671B(4) applies, a copy of any document setting out the terms of any relevant agreement, and a statement by the person giving full and accurate details of any contract, scheme or arrangement, must accompany this form, together with a written statement certifying this contract, scheme or arrangement; and (b) any qualification of the power of a person to exercise, control the exercise of, or influence the exercise of, the voting powers or disposal of the securities to which the relevant interest relates (indicating clearly the particular securities to which the qualification applies). See the definition of "relevant agreement" in section 9 of the Corporations Act 2001. (7) Details of the consideration must include any and all benefits, money and other, that any person from whom a relevant interest was acquired has, or may, become entitled to receive in relation to that acquisition. Details must be included even if the benefit is conditional on the happening or not of a contingency. Details must be included of any benefit paid on behalf of the substantial holder or its associate in relation to the acquisitions, even if they are not paid directly to the person from whom the relevant interest was acquired. (8) If the substantial holder is unable to determine the identity of the person (eg. if the relevant interest arises because of an option) write "unknown". (9) Give details, if appropriate, of the present association and any change in that association since the last substantial holding notice.


 
TRADES FOR RELEVANT PERIOD Appendix Transaction Date Entity Product Type Type of Transaction Quantity Price (AUD) Consideration Balance at start of relevant period 18,631,848.23 7-Oct-25 J.P. MORGAN SECURITIES AUSTRALIA LIMITED Equity Sell (136) 123.60 16,809.60$ 7-Oct-25 J.P. MORGAN SECURITIES AUSTRALIA LIMITED Equity Sell (278) 124.53 34,619.98$ 7-Oct-25 J.P. MORGAN SECURITIES AUSTRALIA LIMITED Equity Sell (668) 124.69 83,290.59$ 7-Oct-25 J.P. MORGAN SECURITIES AUSTRALIA LIMITED Equity Sell (124) 123.58 15,323.92$ 7-Oct-25 J.P. MORGAN SECURITIES AUSTRALIA LIMITED Equity Sell (3,846) 124.18 477,596.28$ 7-Oct-25 J.P. MORGAN SECURITIES AUSTRALIA LIMITED Equity Sell (115) 124.18 14,280.70$ 7-Oct-25 J.P. MORGAN SECURITIES PLC Equity Sell (946) 124.52 117,800.46$ 7-Oct-25 J.P. MORGAN SECURITIES AUSTRALIA LIMITED Equity Buy 1,619 124.63 201,776.03$ 7-Oct-25 J.P. MORGAN SECURITIES AUSTRALIA LIMITED Equity Buy 42,229 124.28 5,248,105.72$ 7-Oct-25 J.P. MORGAN SECURITIES AUSTRALIA LIMITED Equity Buy 1,331 124.47 165,667.61$ 7-Oct-25 J.P. MORGAN SECURITIES AUSTRALIA LIMITED Equity Buy 1,906 124.59 237,459.77$ 7-Oct-25 J.P. MORGAN SECURITIES AUSTRALIA LIMITED Equity Buy 2,252 124.73 280,902.32$ 7-Oct-25 J.P. MORGAN SECURITIES AUSTRALIA LIMITED Equity Buy 244 124.75 30,439.60$ 7-Oct-25 J.P. MORGAN SECURITIES AUSTRALIA LIMITED Equity Buy 9,256 124.60 1,153,343.77$ 7-Oct-25 J.P. MORGAN SECURITIES AUSTRALIA LIMITED Equity Buy 3,393 124.20 421,427.01$ 7-Oct-25 J.P. MORGAN SECURITIES AUSTRALIA LIMITED Equity Buy 1,315 124.20 163,321.19$ 7-Oct-25 J.P. MORGAN SECURITIES AUSTRALIA LIMITED Equity Buy 324 124.48 40,333.03$ 7-Oct-25 J.P. MORGAN SECURITIES PLC Equity Borrow Return (10,688) - -$ 7-Oct-25 J.P. MORGAN SECURITIES AUSTRALIA LIMITED Equity Adjustment (3,163) - -$ 7-Oct-25 J.P. MORGAN SECURITIES PLC Equity Adjustment (4) - -$ 7-Oct-25 J.P. MORGAN SECURITIES PLC Equity Adjustment (166) - -$ 7-Oct-25 J.P. MORGAN SECURITIES PLC Equity Adjustment (526) - -$ 7-Oct-25 JPMORGAN ASSET MANAGEMENT (UK) LIMITED Equity Buy 34 123.60 4,202.40$ 7-Oct-25 J.P. MORGAN INVESTMENT MANAGEMENT INC. Equity In-kind transaction to receive the shares/par/units 1,460 - -$ 7-Oct-25 JPMORGAN CHASE BANK, N.A. Equity Borrow Return (6,480) - -$ 7-Oct-25 JPMORGAN CHASE BANK, N.A. Equity Borrow 4,000 - -$ 8-Oct-25 J.P. MORGAN SECURITIES AUSTRALIA LIMITED Equity Sell (3,534) 125.29 442,774.86$ 8-Oct-25 J.P. MORGAN SECURITIES AUSTRALIA LIMITED Equity Sell (4,037) 125.29 505,795.73$ 8-Oct-25 J.P. MORGAN SECURITIES AUSTRALIA LIMITED Equity Sell (47) 125.29 5,888.63$ 8-Oct-25 J.P. MORGAN SECURITIES AUSTRALIA LIMITED Equity Sell (129) 125.29 16,162.41$ 8-Oct-25 J.P. MORGAN SECURITIES AUSTRALIA LIMITED Equity Sell (3,817) 125.02 477,201.88$ 8-Oct-25 J.P. MORGAN SECURITIES AUSTRALIA LIMITED Equity Sell (199) 125.05 24,885.51$ 8-Oct-25 J.P. MORGAN SECURITIES AUSTRALIA LIMITED Equity Sell (21) 125.05 2,626.10$ 8-Oct-25 J.P. MORGAN SECURITIES AUSTRALIA LIMITED Equity Sell (155) 125.14 19,397.39$ 8-Oct-25 J.P. MORGAN SECURITIES AUSTRALIA LIMITED Equity Sell (20,261) 125.32 2,539,196.37$ 8-Oct-25 J.P. MORGAN SECURITIES AUSTRALIA LIMITED Equity Sell (77) 125.23 9,642.61$ 8-Oct-25 J.P. MORGAN SECURITIES AUSTRALIA LIMITED Equity Sell (1,315) 124.18 163,296.70$ 8-Oct-25 J.P. MORGAN SECURITIES AUSTRALIA LIMITED Equity Sell (261) 124.18 32,410.98$ 8-Oct-25 J.P. MORGAN SECURITIES AUSTRALIA LIMITED Equity Buy 4,037 125.29 505,795.73$ 8-Oct-25 J.P. MORGAN SECURITIES AUSTRALIA LIMITED Equity Buy 129 125.29 16,162.41$ 8-Oct-25 J.P. MORGAN SECURITIES AUSTRALIA LIMITED Equity Buy 115 124.50 14,317.50$ 8-Oct-25 J.P. MORGAN SECURITIES AUSTRALIA LIMITED Equity Buy 78,257 125.29 9,804,680.47$ 8-Oct-25 J.P. MORGAN SECURITIES AUSTRALIA LIMITED Equity Buy 947 125.27 118,633.80$ 8-Oct-25 J.P. MORGAN SECURITIES AUSTRALIA LIMITED Equity Buy 3,810 125.14 476,791.56$ 8-Oct-25 J.P. MORGAN SECURITIES PLC Equity Buy 1,158 125.29 145,085.82$ 8-Oct-25 J.P. MORGAN SECURITIES PLC Equity Buy 192 125.29 24,055.68$ 8-Oct-25 J.P. MORGAN SECURITIES AUSTRALIA LIMITED Equity Buy 8,454 125.32 1,059,445.62$ 8-Oct-25 J.P. MORGAN SECURITIES AUSTRALIA LIMITED Equity Buy 1,950 125.30 244,328.96$ 8-Oct-25 J.P. MORGAN SECURITIES AUSTRALIA LIMITED Equity Buy 744 125.37 93,273.42$ 8-Oct-25 J.P. MORGAN SECURITIES AUSTRALIA LIMITED Equity Buy 3,769 125.30 472,249.12$ 8-Oct-25 J.P. MORGAN SECURITIES AUSTRALIA LIMITED Equity Buy 34,790 125.30 4,359,126.29$ 8-Oct-25 J.P. MORGAN SECURITIES AUSTRALIA LIMITED Equity Buy 14,086 125.30 1,764,951.22$ 8-Oct-25 J.P. MORGAN SECURITIES AUSTRALIA LIMITED Equity Buy 5,768 125.25 722,416.29$ 8-Oct-25 J.P. MORGAN SECURITIES AUSTRALIA LIMITED Equity Buy 1,405 125.37 176,147.78$ 8-Oct-25 J.P. MORGAN SECURITIES AUSTRALIA LIMITED Equity Buy 2,975 125.28 372,707.03$ 8-Oct-25 J.P. MORGAN SECURITIES AUSTRALIA LIMITED Equity Borrow Return (20,000) - -$ 8-Oct-25 J.P. MORGAN SECURITIES PLC Equity Borrow Return (30,000) - -$ 8-Oct-25 J.P. MORGAN SECURITIES PLC Equity Borrow Return (13,237) - -$ 8-Oct-25 J.P. MORGAN SECURITIES PLC Equity Borrow Return (7,548) - -$ 8-Oct-25 J.P. MORGAN SECURITIES PLC Equity Borrow Return (16,680) - -$ 8-Oct-25 J.P. MORGAN SECURITIES PLC Equity Borrow Return (2,025) - -$ 8-Oct-25 J.P. MORGAN SECURITIES PLC Equity Borrow Return (545) - -$ 8-Oct-25 J.P. MORGAN SECURITIES PLC Equity Borrow Return (2,044) - -$ 8-Oct-25 J.P. MORGAN SECURITIES PLC Equity Borrow Return (30,660) - -$ 8-Oct-25 J.P. MORGAN SECURITIES PLC Equity Borrow Return (47) - -$ 8-Oct-25 J.P. MORGAN SECURITIES PLC Equity Borrow Return (554) - -$ 8-Oct-25 J.P. MORGAN SECURITIES PLC Equity Borrow Return (2,619) - -$ 8-Oct-25 J.P. MORGAN SECURITIES PLC Equity Borrow Return (308) - -$ 8-Oct-25 J.P. MORGAN SECURITIES PLC Equity Borrow Return (3,113) - -$ 8-Oct-25 J.P. MORGAN SECURITIES PLC Equity Borrow Return (17,745) - -$ 8-Oct-25 J.P. MORGAN SECURITIES PLC Equity Borrow Return (55,803) - -$ 8-Oct-25 J.P. MORGAN SECURITIES PLC Equity Borrow Return (19,036) - -$ 8-Oct-25 J.P. MORGAN SECURITIES PLC Equity Borrow Return (30,000) - -$ 8-Oct-25 J.P. MORGAN SECURITIES PLC Equity Borrow Return (112,164) - -$ 8-Oct-25 J.P. MORGAN SECURITIES PLC Equity Borrow Return (1,078) - -$ 8-Oct-25 J.P. MORGAN SECURITIES PLC Equity Borrow Return (50,397) - -$ 8-Oct-25 J.P. MORGAN SECURITIES PLC Equity Borrow Return (1) - -$ 8-Oct-25 J.P. MORGAN SECURITIES PLC Equity Borrow Return (1) - -$ 8-Oct-25 J.P. MORGAN SECURITIES PLC Equity Borrow Return (15,000) - -$ 8-Oct-25 J.P. MORGAN SECURITIES PLC Equity Borrow Return (1) - -$ 8-Oct-25 J.P. MORGAN SECURITIES PLC Equity Borrow Return (30,000) - -$ 8-Oct-25 J.P. MORGAN SECURITIES PLC Equity Borrow 7,548 - -$ 8-Oct-25 J.P. MORGAN SECURITIES PLC Equity Borrow 1 - -$ 8-Oct-25 J.P. MORGAN SECURITIES PLC Equity Borrow 13,237 - -$ 8-Oct-25 J.P. MORGAN SECURITIES PLC Equity Borrow 3,113 - -$ 8-Oct-25 J.P. MORGAN SECURITIES PLC Equity Borrow 50,397 - -$ 8-Oct-25 J.P. MORGAN SECURITIES PLC Equity Borrow 30,000 - -$ 8-Oct-25 J.P. MORGAN SECURITIES PLC Equity Borrow 15,000 - -$ 8-Oct-25 J.P. MORGAN SECURITIES PLC Equity Borrow 30,660 - -$ 8-Oct-25 J.P. MORGAN SECURITIES PLC Equity Borrow 30,000 - -$ 8-Oct-25 J.P. MORGAN SECURITIES PLC Equity Borrow 47 - -$ 8-Oct-25 J.P. MORGAN SECURITIES PLC Equity Borrow 17,745 - -$ 8-Oct-25 J.P. MORGAN SECURITIES PLC Equity Borrow 2,044 - -$ 8-Oct-25 J.P. MORGAN SECURITIES PLC Equity Borrow 308 - -$ 8-Oct-25 J.P. MORGAN SECURITIES PLC Equity Borrow 55,803 - -$ 8-Oct-25 J.P. MORGAN SECURITIES PLC Equity Borrow 19,036 - -$ 8-Oct-25 J.P. MORGAN SECURITIES PLC Equity Borrow 545 - -$ 8-Oct-25 J.P. MORGAN SECURITIES PLC Equity Borrow 554 - -$ 8-Oct-25 J.P. MORGAN SECURITIES PLC Equity Borrow 1,078 - -$ 8-Oct-25 J.P. MORGAN SECURITIES PLC Equity Borrow 30,000 - -$ 8-Oct-25 J.P. MORGAN SECURITIES PLC Equity Borrow 112,164 - -$ 8-Oct-25 J.P. MORGAN SECURITIES PLC Equity Borrow 1 - -$ 8-Oct-25 J.P. MORGAN SECURITIES PLC Equity Borrow 2,025 - -$ 8-Oct-25 J.P. MORGAN SECURITIES PLC Equity Borrow 1 - -$ 8-Oct-25 J.P. MORGAN SECURITIES PLC Equity Borrow 2,619 - -$ 8-Oct-25 J.P. MORGAN SECURITIES PLC Equity Borrow 16,680 - -$ 8-Oct-25 J.P. MORGAN INVESTMENT MANAGEMENT INC. Equity Sell (379) 124.50 47,185.50$ 8-Oct-25 J.P. MORGAN INVESTMENT MANAGEMENT INC. Equity Buy 6 124.50 747.00$ 8-Oct-25 J.P. MORGAN INVESTMENT MANAGEMENT INC. Equity Buy 123 124.50 15,313.50$ 8-Oct-25 J.P. MORGAN INVESTMENT MANAGEMENT INC. Equity Sell (5,492) 125.29 688,092.68$ 8-Oct-25 JPMORGAN CHASE BANK, N.A. Equity Borrow 1,000 - -$ 8-Oct-25 JPMORGAN CHASE BANK, N.A. Equity Borrow 6,189 - -$ 8-Oct-25 JPMORGAN CHASE BANK, N.A. Equity Borrow 6,189 - -$ 9-Oct-25 J.P. MORGAN SECURITIES AUSTRALIA LIMITED Equity Sell (82) 126.07 10,337.74$ 9-Oct-25 J.P. MORGAN SECURITIES AUSTRALIA LIMITED Equity Sell (321) 126.07 40,468.90$ 9-Oct-25 J.P. MORGAN SECURITIES AUSTRALIA LIMITED Equity Sell (567) 126.71 71,846.43$ 9-Oct-25 J.P. MORGAN SECURITIES AUSTRALIA LIMITED Equity Sell (43) 127.12 5,466.16$ 9-Oct-25 J.P. MORGAN SECURITIES AUSTRALIA LIMITED Equity Sell (17,338) 127.17 2,204,813.04$ 9-Oct-25 J.P. MORGAN SECURITIES AUSTRALIA LIMITED Equity Sell (22,500) 125.29 2,819,025.00$ 9-Oct-25 J.P. MORGAN SECURITIES AUSTRALIA LIMITED Equity Sell (3,261) 127.27 415,027.47$ 9-Oct-25 J.P. MORGAN SECURITIES AUSTRALIA LIMITED Equity Sell (31) 127.27 3,945.37$ 9-Oct-25 J.P. MORGAN SECURITIES AUSTRALIA LIMITED Equity Sell (116) 127.27 14,763.32$ 9-Oct-25 J.P. MORGAN SECURITIES AUSTRALIA LIMITED Equity Sell (39,382) 125.29 4,934,170.78$ 9-Oct-25 J.P. MORGAN SECURITIES AUSTRALIA LIMITED Equity Buy 1,865 127.27 237,358.55$ 9-Oct-25 J.P. MORGAN SECURITIES AUSTRALIA LIMITED Equity Buy 1,081 127.30 137,606.39$ 9-Oct-25 J.P. MORGAN SECURITIES AUSTRALIA LIMITED Equity Buy 387 127.04 49,163.13$ 9-Oct-25 J.P. MORGAN SECURITIES AUSTRALIA LIMITED Equity Buy 1,747 126.88 221,655.32$ 9-Oct-25 J.P. MORGAN SECURITIES AUSTRALIA LIMITED Equity Buy 3,366 127.20 428,149.27$ 9-Oct-25 J.P. MORGAN SECURITIES AUSTRALIA LIMITED Equity Buy 4,159 126.16 524,687.33$ 9-Oct-25 J.P. MORGAN SECURITIES AUSTRALIA LIMITED Equity Buy 66 126.24 8,331.78$ 9-Oct-25 J.P. MORGAN SECURITIES AUSTRALIA LIMITED Equity Buy 22,500 126.88 2,854,820.14$ 9-Oct-25 J.P. MORGAN SECURITIES AUSTRALIA LIMITED Equity Buy 76,364 127.21 9,714,565.16$ 9-Oct-25 J.P. MORGAN SECURITIES AUSTRALIA LIMITED Equity Buy 8 126.22 1,009.76$ 1/25


 
TRADES FOR RELEVANT PERIOD Appendix 9-Oct-25 J.P. MORGAN SECURITIES AUSTRALIA LIMITED Equity Buy 765 126.38 96,680.47$ 9-Oct-25 J.P. MORGAN SECURITIES AUSTRALIA LIMITED Equity Buy 3,353 126.62 424,567.04$ 9-Oct-25 J.P. MORGAN SECURITIES AUSTRALIA LIMITED Equity Buy 1,204 126.20 151,943.11$ 9-Oct-25 J.P. MORGAN SECURITIES AUSTRALIA LIMITED Equity Buy 21,365 127.16 2,716,696.12$ 9-Oct-25 J.P. MORGAN SECURITIES AUSTRALIA LIMITED Equity Buy 4,305 126.78 545,773.69$ 9-Oct-25 J.P. MORGAN SECURITIES AUSTRALIA LIMITED Equity Buy 31 127.27 3,945.37$ 9-Oct-25 J.P. MORGAN SECURITIES AUSTRALIA LIMITED Equity Buy 60 126.23 7,574.03$ 9-Oct-25 J.P. MORGAN SECURITIES AUSTRALIA LIMITED Equity Buy 400 126.99 50,794.04$ 9-Oct-25 J.P. MORGAN SECURITIES PLC Equity Borrow Return (308) - -$ 9-Oct-25 JPMORGAN ASSET MANAGEMENT (ASIA PACIFIC) LIMITED Equity Buy 7,645 127.27 972,979.15$ 9-Oct-25 J.P. MORGAN INVESTMENT MANAGEMENT INC. Equity In-kind transaction to receive the shares/par/units 1,563 - -$ 9-Oct-25 J.P. MORGAN INVESTMENT MANAGEMENT INC. Equity In-kind transaction to receive the shares/par/units 730 - -$ 9-Oct-25 JPMORGAN CHASE BANK, N.A. Equity Borrow Return (13,843) - -$ 9-Oct-25 JPMORGAN CHASE BANK, N.A. Equity Borrow 24 - -$ 10-Oct-25 J.P. MORGAN SECURITIES AUSTRALIA LIMITED Equity Sell (110) 125.15 13,766.50$ 10-Oct-25 J.P. MORGAN SECURITIES AUSTRALIA LIMITED Equity Sell (8,209) 125.03 1,026,346.96$ 10-Oct-25 J.P. MORGAN SECURITIES AUSTRALIA LIMITED Equity Sell (538) 125.13 67,318.22$ 10-Oct-25 J.P. MORGAN SECURITIES PLC Equity Sell (27) 125.15 3,379.05$ 10-Oct-25 J.P. MORGAN SECURITIES PLC Equity Sell (6) 125.15 750.90$ 10-Oct-25 J.P. MORGAN SECURITIES AUSTRALIA LIMITED Equity Sell (4,834) 127.27 615,223.18$ 10-Oct-25 J.P. MORGAN SECURITIES AUSTRALIA LIMITED Equity Sell (3,780) 125.15 473,067.00$ 10-Oct-25 J.P. MORGAN SECURITIES AUSTRALIA LIMITED Equity Sell (79) 125.15 9,886.85$ 10-Oct-25 J.P. MORGAN SECURITIES AUSTRALIA LIMITED Equity Sell (51) 125.15 6,382.65$ 10-Oct-25 J.P. MORGAN SECURITIES AUSTRALIA LIMITED Equity Sell (5) 125.15 625.75$ 10-Oct-25 J.P. MORGAN SECURITIES PLC Equity Sell (10) 125.15 1,251.50$ 10-Oct-25 J.P. MORGAN SECURITIES AUSTRALIA LIMITED Equity Buy 479 125.15 59,946.85$ 10-Oct-25 J.P. MORGAN SECURITIES AUSTRALIA LIMITED Equity Buy 344 124.90 42,966.09$ 10-Oct-25 J.P. MORGAN SECURITIES AUSTRALIA LIMITED Equity Buy 51,212 125.01 6,401,930.08$ 10-Oct-25 J.P. MORGAN SECURITIES AUSTRALIA LIMITED Equity Buy 116 126.71 14,698.36$ 10-Oct-25 J.P. MORGAN SECURITIES AUSTRALIA LIMITED Equity Buy 10,094 125.13 1,263,054.66$ 10-Oct-25 J.P. MORGAN SECURITIES AUSTRALIA LIMITED Equity Buy 209 125.22 26,170.16$ 10-Oct-25 J.P. MORGAN SECURITIES AUSTRALIA LIMITED Equity Buy 6,126 125.02 765,842.77$ 10-Oct-25 J.P. MORGAN SECURITIES AUSTRALIA LIMITED Equity Buy 6,768 125.07 846,485.92$ 10-Oct-25 J.P. MORGAN SECURITIES AUSTRALIA LIMITED Equity Buy 51 125.15 6,382.65$ 10-Oct-25 J.P. MORGAN SECURITIES AUSTRALIA LIMITED Equity Buy 5 125.15 625.75$ 10-Oct-25 J.P. MORGAN SECURITIES PLC Equity Buy 10 125.15 1,251.50$ 10-Oct-25 J.P. MORGAN SECURITIES PLC Equity Borrow Return (54,994) - -$ 10-Oct-25 J.P. MORGAN SECURITIES PLC Equity Borrow Return (18,057) - -$ 10-Oct-25 J.P. MORGAN SECURITIES PLC Equity Borrow Return (30,000) - -$ 10-Oct-25 J.P. MORGAN SECURITIES PLC Equity Borrow Return (19,036) - -$ 10-Oct-25 J.P. MORGAN SECURITIES PLC Equity Borrow Return (17,745) - -$ 10-Oct-25 J.P. MORGAN SECURITIES PLC Equity Borrow Return (15,238) - -$ 10-Oct-25 J.P. MORGAN SECURITIES PLC Equity Borrow Return (16,680) - -$ 10-Oct-25 J.P. MORGAN SECURITIES PLC Equity Borrow Return (19,885) - -$ 10-Oct-25 J.P. MORGAN SECURITIES PLC Equity Borrow Return (13,237) - -$ 10-Oct-25 J.P. MORGAN SECURITIES PLC Equity Borrow Return (7,548) - -$ 10-Oct-25 J.P. MORGAN SECURITIES PLC Equity Borrow Return (2,255) - -$ 10-Oct-25 J.P. MORGAN SECURITIES PLC Equity Borrow Return (4,023) - -$ 10-Oct-25 J.P. MORGAN SECURITIES PLC Equity Borrow Return (1,606) - -$ 10-Oct-25 J.P. MORGAN SECURITIES PLC Equity Borrow Return (1,078) - -$ 10-Oct-25 J.P. MORGAN SECURITIES PLC Equity Borrow Return (2,025) - -$ 10-Oct-25 J.P. MORGAN SECURITIES PLC Equity Borrow Return (42) - -$ 10-Oct-25 J.P. MORGAN SECURITIES PLC Equity Borrow Return (64) - -$ 10-Oct-25 J.P. MORGAN SECURITIES AUSTRALIA LIMITED Equity Borrow Return (16,000) - -$ 10-Oct-25 J.P. MORGAN SECURITIES AUSTRALIA LIMITED Equity Borrow Return (1,300) - -$ 10-Oct-25 JPMORGAN ASSET MANAGEMENT (UK) LIMITED Equity Buy 24 126.71 3,041.04$ 10-Oct-25 J.P. MORGAN INVESTMENT MANAGEMENT INC. Equity Sell (25) 126.71 3,167.75$ 10-Oct-25 JPMORGAN CHASE BANK, N.A. Equity Sell (205) 126.71 25,975.55$ 10-Oct-25 JPMORGAN ASSET MANAGEMENT (UK) LIMITED Equity Buy 446 126.71 56,512.66$ 10-Oct-25 JPMORGAN CHASE BANK, N.A. Equity Borrow 7,564 - -$ 13-Oct-25 J.P. MORGAN SECURITIES AUSTRALIA LIMITED Equity Sell (70,071) 125.00 8,758,584.63$ 13-Oct-25 J.P. MORGAN SECURITIES AUSTRALIA LIMITED Equity Sell (438) 124.70 54,617.42$ 13-Oct-25 J.P. MORGAN SECURITIES AUSTRALIA LIMITED Equity Sell (386) 125.15 48,307.90$ 13-Oct-25 J.P. MORGAN SECURITIES AUSTRALIA LIMITED Equity Sell (200) 125.15 25,030.00$ 13-Oct-25 J.P. MORGAN SECURITIES AUSTRALIA LIMITED Equity Buy 1,686 125.21 211,104.06$ 13-Oct-25 J.P. MORGAN SECURITIES AUSTRALIA LIMITED Equity Buy 31 125.21 3,881.51$ 13-Oct-25 J.P. MORGAN SECURITIES AUSTRALIA LIMITED Equity Buy 33 125.38 4,137.54$ 13-Oct-25 J.P. MORGAN SECURITIES AUSTRALIA LIMITED Equity Buy 880 124.85 109,867.38$ 13-Oct-25 J.P. MORGAN SECURITIES AUSTRALIA LIMITED Equity Buy 5,211 125.20 652,397.09$ 13-Oct-25 J.P. MORGAN SECURITIES AUSTRALIA LIMITED Equity Buy 19,691 124.98 2,460,904.21$ 13-Oct-25 J.P. MORGAN SECURITIES AUSTRALIA LIMITED Equity Buy 386 124.88 48,204.48$ 13-Oct-25 J.P. MORGAN SECURITIES AUSTRALIA LIMITED Equity Buy 25 123.81 3,095.15$ 13-Oct-25 J.P. MORGAN SECURITIES AUSTRALIA LIMITED Equity Buy 509 124.91 63,578.67$ 13-Oct-25 J.P. MORGAN SECURITIES AUSTRALIA LIMITED Equity Buy 3,173 124.89 396,270.48$ 13-Oct-25 J.P. MORGAN SECURITIES AUSTRALIA LIMITED Equity Buy 298 124.71 37,163.22$ 13-Oct-25 J.P. MORGAN SECURITIES AUSTRALIA LIMITED Equity Buy 61 125.33 7,645.37$ 13-Oct-25 J.P. MORGAN SECURITIES PLC Equity Buy 1,008 124.57 125,562.33$ 13-Oct-25 J.P. MORGAN SECURITIES PLC Equity Borrow Return (554) - -$ 13-Oct-25 J.P. MORGAN SECURITIES PLC Equity Borrow Return (1) - -$ 13-Oct-25 J.P. MORGAN SECURITIES PLC Equity Borrow Return (47) - -$ 13-Oct-25 J.P. MORGAN SECURITIES PLC Equity Borrow Return (545) - -$ 13-Oct-25 J.P. MORGAN SECURITIES PLC Equity Borrow Return (1) - -$ 13-Oct-25 J.P. MORGAN SECURITIES PLC Equity Borrow Return (2,044) - -$ 13-Oct-25 J.P. MORGAN SECURITIES PLC Equity Borrow Return (1) - -$ 13-Oct-25 J.P. MORGAN SECURITIES PLC Equity Borrow Return (558) - -$ 13-Oct-25 J.P. MORGAN SECURITIES PLC Equity Borrow Return (48) - -$ 13-Oct-25 J.P. MORGAN SECURITIES PLC Equity Borrow Return (546) - -$ 13-Oct-25 J.P. MORGAN SECURITIES PLC Equity Borrow Return (3,300) - -$ 13-Oct-25 J.P. MORGAN SECURITIES PLC Equity Borrow Return (1,151) - -$ 13-Oct-25 J.P. MORGAN SECURITIES PLC Equity Borrow Return (4,451) - -$ 13-Oct-25 J.P. MORGAN SECURITIES PLC Equity Borrow 3,193 - -$ 13-Oct-25 J.P. MORGAN SECURITIES PLC Equity Borrow 4,451 - -$ 13-Oct-25 J.P. MORGAN SECURITIES PLC Equity Borrow 304 - -$ 13-Oct-25 J.P. MORGAN SECURITIES PLC Equity Borrow 847 - -$ 13-Oct-25 J.P. MORGAN SECURITIES PLC Equity Borrow 2,226 - -$ 13-Oct-25 J.P. MORGAN SECURITIES PLC Equity Borrow 1,074 - -$ 13-Oct-25 JPMORGAN ASSET MANAGEMENT (UK) LIMITED Equity Buy 2,324 125.21 290,988.04$ 13-Oct-25 JPMORGAN ASSET MANAGEMENT (UK) LIMITED Equity Buy 29 125.38 3,636.02$ 13-Oct-25 JPMORGAN ASSET MANAGEMENT (UK) LIMITED Equity Buy 117 125.38 14,669.46$ 13-Oct-25 JPMORGAN CHASE BANK, N.A. Equity Borrow Return (190) - -$ 13-Oct-25 JPMORGAN CHASE BANK, N.A. Equity Borrow Return (6,189) - -$ 13-Oct-25 JPMORGAN CHASE BANK, N.A. Equity Borrow Return (6,189) - -$ 14-Oct-25 J.P. MORGAN SECURITIES AUSTRALIA LIMITED Equity Sell (7,919) 127.43 1,009,118.17$ 14-Oct-25 J.P. MORGAN SECURITIES AUSTRALIA LIMITED Equity Sell (530) 127.43 67,537.90$ 14-Oct-25 J.P. MORGAN SECURITIES AUSTRALIA LIMITED Equity Sell (449) 128.45 57,674.75$ 14-Oct-25 J.P. MORGAN SECURITIES AUSTRALIA LIMITED Equity Sell (156) 127.01 19,814.27$ 14-Oct-25 J.P. MORGAN SECURITIES AUSTRALIA LIMITED Equity Sell (31) 127.50 3,952.50$ 14-Oct-25 J.P. MORGAN SECURITIES AUSTRALIA LIMITED Equity Sell (3,308) 128.50 425,065.01$ 14-Oct-25 J.P. MORGAN SECURITIES AUSTRALIA LIMITED Equity Sell (16,858) 129.68 2,186,126.14$ 14-Oct-25 J.P. MORGAN SECURITIES AUSTRALIA LIMITED Equity Sell (1,162) 127.43 148,073.66$ 14-Oct-25 J.P. MORGAN SECURITIES AUSTRALIA LIMITED Equity Sell (78) 128.30 10,007.60$ 14-Oct-25 J.P. MORGAN SECURITIES AUSTRALIA LIMITED Equity Sell (7,093) 127.26 902,663.56$ 14-Oct-25 J.P. MORGAN SECURITIES AUSTRALIA LIMITED Equity Sell (748) 127.74 95,548.30$ 14-Oct-25 J.P. MORGAN SECURITIES AUSTRALIA LIMITED Equity Sell (5,211) 125.21 652,469.31$ 14-Oct-25 J.P. MORGAN SECURITIES AUSTRALIA LIMITED Equity Sell (10,068) 125.21 1,260,614.28$ 14-Oct-25 J.P. MORGAN SECURITIES AUSTRALIA LIMITED Equity Sell (862) 125.21 107,931.02$ 14-Oct-25 J.P. MORGAN SECURITIES AUSTRALIA LIMITED Equity Sell (4,305) 125.21 539,029.05$ 14-Oct-25 J.P. MORGAN SECURITIES AUSTRALIA LIMITED Equity Sell (200) 125.21 25,042.00$ 14-Oct-25 J.P. MORGAN SECURITIES AUSTRALIA LIMITED Equity Buy 844 127.43 107,550.92$ 14-Oct-25 J.P. MORGAN SECURITIES AUSTRALIA LIMITED Equity Buy 7,919 127.43 1,009,118.17$ 14-Oct-25 J.P. MORGAN SECURITIES AUSTRALIA LIMITED Equity Buy 371 127.43 47,276.53$ 14-Oct-25 J.P. MORGAN SECURITIES AUSTRALIA LIMITED Equity Buy 862 127.66 110,043.72$ 14-Oct-25 J.P. MORGAN SECURITIES AUSTRALIA LIMITED Equity Buy 9,086 127.36 1,157,181.27$ 14-Oct-25 J.P. MORGAN SECURITIES AUSTRALIA LIMITED Equity Buy 9,454 127.89 1,209,093.37$ 14-Oct-25 J.P. MORGAN SECURITIES AUSTRALIA LIMITED Equity Buy 51,584 128.21 6,613,374.38$ 14-Oct-25 J.P. MORGAN SECURITIES AUSTRALIA LIMITED Equity Buy 2,929 129.85 380,327.79$ 14-Oct-25 J.P. MORGAN SECURITIES AUSTRALIA LIMITED Equity Buy 4,431 127.78 566,188.21$ 14-Oct-25 J.P. MORGAN SECURITIES AUSTRALIA LIMITED Equity Buy 3,776 127.54 481,601.24$ 14-Oct-25 J.P. MORGAN SECURITIES AUSTRALIA LIMITED Equity Buy 2,235 128.75 287,755.13$ 14-Oct-25 J.P. MORGAN SECURITIES AUSTRALIA LIMITED Equity Buy 260 129.83 33,756.87$ 14-Oct-25 J.P. MORGAN SECURITIES AUSTRALIA LIMITED Equity Buy 6,944 127.81 887,497.15$ 14-Oct-25 J.P. MORGAN SECURITIES AUSTRALIA LIMITED Equity Buy 204 127.36 25,980.97$ 14-Oct-25 J.P. MORGAN SECURITIES AUSTRALIA LIMITED Equity Buy 5,576 129.87 724,180.02$ 14-Oct-25 J.P. MORGAN SECURITIES PLC Equity Borrow Return (558) - -$ 14-Oct-25 J.P. MORGAN SECURITIES PLC Equity Borrow Return (889) - -$ 2/25


 
TRADES FOR RELEVANT PERIOD Appendix 14-Oct-25 J.P. MORGAN SECURITIES PLC Equity Borrow Return (546) - -$ 14-Oct-25 J.P. MORGAN SECURITIES PLC Equity Borrow Return (48) - -$ 14-Oct-25 J.P. MORGAN SECURITIES PLC Equity Borrow 12,000 - -$ 14-Oct-25 J.P. MORGAN INVESTMENT MANAGEMENT INC. Equity Buy 5 127.50 637.50$ 14-Oct-25 JPMORGAN CHASE BANK, N.A. Equity Sell (1) 127.50 127.50$ 14-Oct-25 J.P. MORGAN INVESTMENT MANAGEMENT INC. Equity Sell (2,795) 127.43 356,166.85$ 14-Oct-25 JPMORGAN ASSET MANAGEMENT (UK) LIMITED Equity Sell (584) 127.43 74,419.12$ 14-Oct-25 JPMORGAN CHASE BANK, N.A. Equity Borrow 7,635 - -$ 14-Oct-25 JPMORGAN CHASE BANK, N.A. Equity Borrow 160 - -$ 14-Oct-25 JPMORGAN CHASE BANK, N.A. Equity Borrow 337,900 - -$ 14-Oct-25 JPMORGAN CHASE BANK, N.A. Equity Borrow 15,800 - -$ 15-Oct-25 J.P. MORGAN SECURITIES AUSTRALIA LIMITED Equity Sell (5,590) 129.69 724,967.10$ 15-Oct-25 J.P. MORGAN SECURITIES AUSTRALIA LIMITED Equity Sell (49) 129.69 6,354.81$ 15-Oct-25 J.P. MORGAN SECURITIES AUSTRALIA LIMITED Equity Sell (371) 127.99 47,484.29$ 15-Oct-25 J.P. MORGAN SECURITIES AUSTRALIA LIMITED Equity Sell (453) 129.27 58,559.79$ 15-Oct-25 J.P. MORGAN SECURITIES AUSTRALIA LIMITED Equity Sell (92) 128.67 11,837.88$ 15-Oct-25 J.P. MORGAN SECURITIES AUSTRALIA LIMITED Equity Sell (112) 129.69 14,525.28$ 15-Oct-25 J.P. MORGAN SECURITIES AUSTRALIA LIMITED Equity Sell (59,708) 129.15 7,711,229.57$ 15-Oct-25 J.P. MORGAN SECURITIES PLC Equity Sell (108) 129.69 14,006.52$ 15-Oct-25 J.P. MORGAN SECURITIES AUSTRALIA LIMITED Equity Sell (52) 129.69 6,743.88$ 15-Oct-25 J.P. MORGAN SECURITIES AUSTRALIA LIMITED Equity Sell (758) 127.43 96,591.94$ 15-Oct-25 J.P. MORGAN SECURITIES AUSTRALIA LIMITED Equity Sell (2,569) 127.43 327,367.67$ 15-Oct-25 J.P. MORGAN SECURITIES AUSTRALIA LIMITED Equity Sell (200) 127.43 25,486.00$ 15-Oct-25 J.P. MORGAN SECURITIES AUSTRALIA LIMITED Equity Sell (4,427) 127.43 564,132.61$ 15-Oct-25 J.P. MORGAN SECURITIES AUSTRALIA LIMITED Equity Sell (355) 127.43 45,237.65$ 15-Oct-25 J.P. MORGAN SECURITIES AUSTRALIA LIMITED Equity Buy 4,807 129.69 623,419.83$ 15-Oct-25 J.P. MORGAN SECURITIES AUSTRALIA LIMITED Equity Buy 5,590 129.69 724,967.10$ 15-Oct-25 J.P. MORGAN SECURITIES AUSTRALIA LIMITED Equity Buy 14 129.69 1,815.66$ 15-Oct-25 J.P. MORGAN SECURITIES AUSTRALIA LIMITED Equity Buy 49 129.69 6,354.81$ 15-Oct-25 J.P. MORGAN SECURITIES AUSTRALIA LIMITED Equity Buy 552 129.69 71,588.88$ 15-Oct-25 J.P. MORGAN SECURITIES AUSTRALIA LIMITED Equity Buy 126,444 129.03 16,314,533.58$ 15-Oct-25 J.P. MORGAN SECURITIES AUSTRALIA LIMITED Equity Buy 22,942 129.69 2,975,347.98$ 15-Oct-25 J.P. MORGAN SECURITIES AUSTRALIA LIMITED Equity Buy 5,519 128.73 710,472.79$ 15-Oct-25 J.P. MORGAN SECURITIES AUSTRALIA LIMITED Equity Buy 60 129.28 7,757.04$ 15-Oct-25 J.P. MORGAN SECURITIES AUSTRALIA LIMITED Equity Buy 3,183 129.29 411,520.27$ 15-Oct-25 J.P. MORGAN SECURITIES AUSTRALIA LIMITED Equity Buy 3,055 129.11 394,419.73$ 15-Oct-25 J.P. MORGAN SECURITIES AUSTRALIA LIMITED Equity Buy 79 128.92 10,184.63$ 15-Oct-25 J.P. MORGAN SECURITIES AUSTRALIA LIMITED Equity Buy 1,537 129.69 199,333.53$ 15-Oct-25 J.P. MORGAN SECURITIES AUSTRALIA LIMITED Equity Buy 67 128.74 8,625.77$ 15-Oct-25 J.P. MORGAN SECURITIES AUSTRALIA LIMITED Equity Buy 4,427 129.17 571,834.12$ 15-Oct-25 J.P. MORGAN SECURITIES AUSTRALIA LIMITED Equity Buy 4 129.41 517.64$ 15-Oct-25 J.P. MORGAN SECURITIES PLC Equity Buy 1 129.69 129.69$ 15-Oct-25 J.P. MORGAN SECURITIES AUSTRALIA LIMITED Equity Buy 9,361 128.88 1,206,405.74$ 15-Oct-25 J.P. MORGAN SECURITIES AUSTRALIA LIMITED Equity Buy 4,786 128.73 616,087.90$ 15-Oct-25 J.P. MORGAN SECURITIES AUSTRALIA LIMITED Equity Buy 3,891 128.71 500,815.28$ 15-Oct-25 J.P. MORGAN SECURITIES AUSTRALIA LIMITED Equity Buy 49 129.69 6,354.81$ 15-Oct-25 J.P. MORGAN SECURITIES AUSTRALIA LIMITED Equity Buy 23 129.69 2,982.87$ 15-Oct-25 J.P. MORGAN SECURITIES AUSTRALIA LIMITED Equity Buy 327 129.72 42,417.11$ 15-Oct-25 J.P. MORGAN SECURITIES AUSTRALIA LIMITED Equity Buy 13,936 128.66 1,793,010.09$ 15-Oct-25 J.P. MORGAN INVESTMENT MANAGEMENT INC. Equity Sell (10,274) 129.69 1,332,435.06$ 15-Oct-25 J.P. MORGAN INVESTMENT MANAGEMENT INC. Equity Sell (4,335) 129.69 562,206.15$ 15-Oct-25 J.P. MORGAN INVESTMENT MANAGEMENT INC. Equity Sell (288) 129.69 37,350.72$ 15-Oct-25 J.P. MORGAN INVESTMENT MANAGEMENT INC. Equity Sell (224) 129.69 29,050.56$ 15-Oct-25 J.P. MORGAN INVESTMENT MANAGEMENT INC. Equity Sell (23,720) 129.69 3,076,246.80$ 15-Oct-25 J.P. MORGAN INVESTMENT MANAGEMENT INC. Equity Buy 11 127.99 1,407.89$ 15-Oct-25 J.P. MORGAN INVESTMENT MANAGEMENT INC. Equity Sell (746) 129.69 96,748.74$ 15-Oct-25 JPMORGAN CHASE BANK, N.A. Equity Borrow Return (765) - -$ 15-Oct-25 JPMORGAN CHASE BANK, N.A. Equity Borrow 27,000 - -$ 15-Oct-25 JPMORGAN CHASE BANK, N.A. Equity Borrow Return (6,000) - -$ 15-Oct-25 JPMORGAN CHASE BANK, N.A. Equity Borrow 28,205 - -$ 16-Oct-25 J.P. MORGAN SECURITIES PLC Equity Sell (3) 129.54 388.62$ 16-Oct-25 J.P. MORGAN SECURITIES AUSTRALIA LIMITED Equity Sell (10,442) 129.27 1,349,837.34$ 16-Oct-25 J.P. MORGAN SECURITIES AUSTRALIA LIMITED Equity Sell (3,780) 129.27 488,640.60$ 16-Oct-25 J.P. MORGAN SECURITIES AUSTRALIA LIMITED Equity Sell (83) 129.00 10,707.00$ 16-Oct-25 J.P. MORGAN SECURITIES AUSTRALIA LIMITED Equity Sell (165) 129.51 21,368.64$ 16-Oct-25 J.P. MORGAN SECURITIES AUSTRALIA LIMITED Equity Sell (23,640) 129.32 3,057,211.96$ 16-Oct-25 J.P. MORGAN SECURITIES AUSTRALIA LIMITED Equity Sell (312) 129.64 40,446.59$ 16-Oct-25 J.P. MORGAN SECURITIES AUSTRALIA LIMITED Equity Sell (1,474) 129.67 191,134.98$ 16-Oct-25 J.P. MORGAN SECURITIES AUSTRALIA LIMITED Equity Sell (60) 129.69 7,781.40$ 16-Oct-25 J.P. MORGAN SECURITIES AUSTRALIA LIMITED Equity Sell (766) 129.69 99,342.54$ 16-Oct-25 J.P. MORGAN SECURITIES AUSTRALIA LIMITED Equity Sell (12,500) 129.69 1,621,125.00$ 16-Oct-25 J.P. MORGAN SECURITIES AUSTRALIA LIMITED Equity Sell (222) 129.69 28,791.18$ 16-Oct-25 J.P. MORGAN SECURITIES AUSTRALIA LIMITED Equity Sell (7,034) 129.69 912,239.46$ 16-Oct-25 J.P. MORGAN SECURITIES AUSTRALIA LIMITED Equity Sell (10,616) 129.69 1,376,789.04$ 16-Oct-25 J.P. MORGAN SECURITIES PLC Equity Buy 3 129.54 388.62$ 16-Oct-25 J.P. MORGAN SECURITIES PLC Equity Buy 20 129.54 2,590.80$ 16-Oct-25 J.P. MORGAN SECURITIES AUSTRALIA LIMITED Equity Buy 4,516 129.00 582,564.00$ 16-Oct-25 J.P. MORGAN SECURITIES AUSTRALIA LIMITED Equity Buy 3,266 129.27 422,195.82$ 16-Oct-25 J.P. MORGAN SECURITIES AUSTRALIA LIMITED Equity Buy 10,442 129.27 1,349,837.34$ 16-Oct-25 J.P. MORGAN SECURITIES AUSTRALIA LIMITED Equity Buy 10 129.27 1,292.70$ 16-Oct-25 J.P. MORGAN SECURITIES AUSTRALIA LIMITED Equity Buy 256 129.82 33,232.86$ 16-Oct-25 J.P. MORGAN SECURITIES AUSTRALIA LIMITED Equity Buy 11,050 129.56 1,431,688.41$ 16-Oct-25 J.P. MORGAN SECURITIES AUSTRALIA LIMITED Equity Buy 237 129.55 30,703.43$ 16-Oct-25 J.P. MORGAN SECURITIES AUSTRALIA LIMITED Equity Buy 9,949 129.60 1,289,347.42$ 16-Oct-25 J.P. MORGAN SECURITIES AUSTRALIA LIMITED Equity Buy 1,009 129.27 130,433.43$ 16-Oct-25 J.P. MORGAN SECURITIES AUSTRALIA LIMITED Equity Buy 1,925 129.55 249,375.34$ 16-Oct-25 J.P. MORGAN SECURITIES AUSTRALIA LIMITED Equity Buy 1,959 130.56 255,774.92$ 16-Oct-25 J.P. MORGAN SECURITIES AUSTRALIA LIMITED Equity Buy 12,500 129.85 1,623,138.04$ 16-Oct-25 J.P. MORGAN SECURITIES PLC Equity Buy 2 129.27 258.54$ 16-Oct-25 J.P. MORGAN SECURITIES PLC Equity Buy 92 129.27 11,892.84$ 16-Oct-25 J.P. MORGAN SECURITIES AUSTRALIA LIMITED Equity Buy 71 130.67 9,277.47$ 16-Oct-25 J.P. MORGAN SECURITIES AUSTRALIA LIMITED Equity Buy 1,431 130.47 186,709.71$ 16-Oct-25 J.P. MORGAN SECURITIES AUSTRALIA LIMITED Equity Buy 53 130.25 6,903.29$ 16-Oct-25 JPMORGAN ASSET MANAGEMENT (UK) LIMITED Equity Buy 109 129.00 14,061.00$ 16-Oct-25 JPMORGAN ASSET MANAGEMENT (UK) LIMITED Equity Buy 19 129.00 2,451.00$ 16-Oct-25 JPMORGAN ASSET MANAGEMENT (ASIA PACIFIC) LIMITED Equity Sell (3,977) 130.36 518,444.11$ 16-Oct-25 J.P. MORGAN INVESTMENT MANAGEMENT INC. Equity In-kind transaction to receive the shares/par/units 2,605 - -$ 16-Oct-25 JPMORGAN CHASE BANK, N.A. Equity Borrow 46,000 - -$ 16-Oct-25 JPMORGAN CHASE BANK, N.A. Equity Borrow Return (5,228) - -$ 16-Oct-25 JPMORGAN CHASE BANK, N.A. Equity Borrow 54,700 - -$ 16-Oct-25 JPMORGAN CHASE BANK, N.A. Equity Borrow 4,000 - -$ 16-Oct-25 JPMORGAN CHASE BANK, N.A. Equity Borrow 6,219 - -$ 17-Oct-25 J.P. MORGAN SECURITIES AUSTRALIA LIMITED Equity Sell (18,489) 129.27 2,390,073.03$ 17-Oct-25 J.P. MORGAN SECURITIES AUSTRALIA LIMITED Equity Sell (13,586) 129.27 1,756,262.22$ 17-Oct-25 J.P. MORGAN SECURITIES AUSTRALIA LIMITED Equity Sell (499) 130.88 65,309.12$ 17-Oct-25 J.P. MORGAN SECURITIES AUSTRALIA LIMITED Equity Sell (3,112) 130.88 407,298.56$ 17-Oct-25 J.P. MORGAN SECURITIES AUSTRALIA LIMITED Equity Sell (528) 129.62 68,440.93$ 17-Oct-25 J.P. MORGAN SECURITIES AUSTRALIA LIMITED Equity Sell (4,055) 129.58 525,440.46$ 17-Oct-25 J.P. MORGAN SECURITIES AUSTRALIA LIMITED Equity Sell (10) 129.19 1,291.90$ 17-Oct-25 J.P. MORGAN SECURITIES AUSTRALIA LIMITED Equity Sell (131) 130.88 17,145.28$ 17-Oct-25 J.P. MORGAN SECURITIES AUSTRALIA LIMITED Equity Sell (11,050) 129.27 1,428,433.50$ 17-Oct-25 J.P. MORGAN SECURITIES AUSTRALIA LIMITED Equity Sell (200) 129.27 25,854.00$ 17-Oct-25 J.P. MORGAN SECURITIES AUSTRALIA LIMITED Equity Sell (198) 129.27 25,595.46$ 17-Oct-25 J.P. MORGAN SECURITIES AUSTRALIA LIMITED Equity Sell (539) 129.27 69,676.53$ 17-Oct-25 J.P. MORGAN SECURITIES AUSTRALIA LIMITED Equity Sell (107) 129.27 13,831.89$ 17-Oct-25 J.P. MORGAN SECURITIES AUSTRALIA LIMITED Equity Sell (200) 129.27 25,854.00$ 17-Oct-25 J.P. MORGAN SECURITIES AUSTRALIA LIMITED Equity Sell (734) 129.27 94,884.18$ 17-Oct-25 JPMORGAN CHASE BANK, N.A. Equity Sell (5) 127.99 639.95$ 17-Oct-25 J.P. MORGAN SECURITIES AUSTRALIA LIMITED Equity Buy 3,112 130.88 407,298.56$ 17-Oct-25 J.P. MORGAN SECURITIES AUSTRALIA LIMITED Equity Buy 56 130.88 7,329.28$ 17-Oct-25 J.P. MORGAN SECURITIES AUSTRALIA LIMITED Equity Buy 6 130.88 785.28$ 17-Oct-25 J.P. MORGAN SECURITIES AUSTRALIA LIMITED Equity Buy 38 130.88 4,973.44$ 17-Oct-25 J.P. MORGAN SECURITIES AUSTRALIA LIMITED Equity Buy 2,645 129.27 341,927.20$ 17-Oct-25 J.P. MORGAN SECURITIES AUSTRALIA LIMITED Equity Buy 435 129.21 56,205.66$ 17-Oct-25 J.P. MORGAN SECURITIES AUSTRALIA LIMITED Equity Buy 539 129.98 70,056.87$ 17-Oct-25 J.P. MORGAN SECURITIES AUSTRALIA LIMITED Equity Buy 32 129.44 4,142.08$ 17-Oct-25 J.P. MORGAN SECURITIES AUSTRALIA LIMITED Equity Buy 13,903 130.86 1,819,406.00$ 17-Oct-25 J.P. MORGAN SECURITIES AUSTRALIA LIMITED Equity Buy 3,457 129.76 448,587.05$ 17-Oct-25 J.P. MORGAN SECURITIES AUSTRALIA LIMITED Equity Buy 19,734 129.94 2,564,238.05$ 17-Oct-25 J.P. MORGAN SECURITIES PLC Equity Buy 1 130.08 130.08$ 17-Oct-25 J.P. MORGAN SECURITIES PLC Equity Buy 28 130.09 3,642.52$ 17-Oct-25 J.P. MORGAN SECURITIES PLC Equity Buy 177 129.56 22,931.41$ 17-Oct-25 J.P. MORGAN SECURITIES PLC Equity Buy 72 130.02 9,361.33$ 17-Oct-25 J.P. MORGAN SECURITIES PLC Equity Buy 50 129.84 6,492.10$ 17-Oct-25 J.P. MORGAN SECURITIES PLC Equity Buy 466 130.23 60,687.44$ 3/25


 
TRADES FOR RELEVANT PERIOD Appendix 17-Oct-25 J.P. MORGAN SECURITIES PLC Equity Buy 2 129.00 258.00$ 17-Oct-25 J.P. MORGAN SECURITIES AUSTRALIA LIMITED Equity Buy 61 129.83 7,919.79$ 17-Oct-25 J.P. MORGAN SECURITIES AUSTRALIA LIMITED Equity Buy 734 130.88 96,065.92$ 17-Oct-25 J.P. MORGAN SECURITIES AUSTRALIA LIMITED Equity Buy 76 129.83 9,866.85$ 17-Oct-25 J.P. MORGAN SECURITIES AUSTRALIA LIMITED Equity Buy 1,994 130.91 261,026.91$ 17-Oct-25 J.P. MORGAN SECURITIES PLC Equity Borrow Return (236) - -$ 17-Oct-25 J.P. MORGAN SECURITIES PLC Equity Borrow Return (32,940) - -$ 17-Oct-25 J.P. MORGAN SECURITIES PLC Equity Borrow Return (26,921) - -$ 17-Oct-25 J.P. MORGAN SECURITIES PLC Equity Borrow Return (32,100) - -$ 17-Oct-25 J.P. MORGAN SECURITIES PLC Equity Borrow Return (23,959) - -$ 17-Oct-25 J.P. MORGAN SECURITIES PLC Equity Borrow Return (18,661) - -$ 17-Oct-25 J.P. MORGAN SECURITIES PLC Equity Borrow Return (15,399) - -$ 17-Oct-25 J.P. MORGAN SECURITIES PLC Equity Borrow Return (15,410) - -$ 17-Oct-25 J.P. MORGAN SECURITIES PLC Equity Borrow Return (15,207) - -$ 17-Oct-25 J.P. MORGAN SECURITIES PLC Equity Borrow Return (15,000) - -$ 17-Oct-25 J.P. MORGAN SECURITIES PLC Equity Borrow Return (18,169) - -$ 17-Oct-25 J.P. MORGAN SECURITIES PLC Equity Borrow Return (12,513) - -$ 17-Oct-25 J.P. MORGAN SECURITIES PLC Equity Borrow Return (11,485) - -$ 17-Oct-25 J.P. MORGAN SECURITIES PLC Equity Borrow Return (15,693) - -$ 17-Oct-25 J.P. MORGAN SECURITIES PLC Equity Borrow Return (10,397) - -$ 17-Oct-25 J.P. MORGAN SECURITIES PLC Equity Borrow Return (8,660) - -$ 17-Oct-25 J.P. MORGAN SECURITIES PLC Equity Borrow Return (11,101) - -$ 17-Oct-25 J.P. MORGAN SECURITIES PLC Equity Borrow Return (7,884) - -$ 17-Oct-25 J.P. MORGAN SECURITIES PLC Equity Borrow Return (7,552) - -$ 17-Oct-25 J.P. MORGAN SECURITIES PLC Equity Borrow Return (11,484) - -$ 17-Oct-25 J.P. MORGAN SECURITIES PLC Equity Borrow Return (10,000) - -$ 17-Oct-25 J.P. MORGAN SECURITIES PLC Equity Borrow Return (7,528) - -$ 17-Oct-25 J.P. MORGAN SECURITIES PLC Equity Borrow Return (7,900) - -$ 17-Oct-25 J.P. MORGAN SECURITIES PLC Equity Borrow Return (9,964) - -$ 17-Oct-25 J.P. MORGAN SECURITIES PLC Equity Borrow Return (4,877) - -$ 17-Oct-25 J.P. MORGAN SECURITIES PLC Equity Borrow Return (5,039) - -$ 17-Oct-25 J.P. MORGAN SECURITIES PLC Equity Borrow Return (4,692) - -$ 17-Oct-25 J.P. MORGAN SECURITIES PLC Equity Borrow Return (5,000) - -$ 17-Oct-25 J.P. MORGAN SECURITIES PLC Equity Borrow Return (4,249) - -$ 17-Oct-25 J.P. MORGAN SECURITIES PLC Equity Borrow Return (6,380) - -$ 17-Oct-25 J.P. MORGAN SECURITIES PLC Equity Borrow Return (3,115) - -$ 17-Oct-25 J.P. MORGAN SECURITIES PLC Equity Borrow Return (3,275) - -$ 17-Oct-25 J.P. MORGAN SECURITIES PLC Equity Borrow Return (3,089) - -$ 17-Oct-25 J.P. MORGAN SECURITIES PLC Equity Borrow Return (2,644) - -$ 17-Oct-25 J.P. MORGAN SECURITIES PLC Equity Borrow Return (2,427) - -$ 17-Oct-25 J.P. MORGAN SECURITIES PLC Equity Borrow Return (2,116) - -$ 17-Oct-25 J.P. MORGAN SECURITIES PLC Equity Borrow Return (2,303) - -$ 17-Oct-25 J.P. MORGAN SECURITIES PLC Equity Borrow Return (533) - -$ 17-Oct-25 J.P. MORGAN SECURITIES PLC Equity Borrow Return (2,036) - -$ 17-Oct-25 J.P. MORGAN INVESTMENT MANAGEMENT INC. Equity Sell (192) 130.88 25,128.96$ 17-Oct-25 JPMORGAN CHASE BANK, N.A. Equity Borrow Return (9) - -$ 17-Oct-25 JPMORGAN CHASE BANK, N.A. Equity Borrow 884 - -$ 17-Oct-25 JPMORGAN CHASE BANK, N.A. Equity Borrow 5,585 - -$ 17-Oct-25 JPMORGAN CHASE BANK, N.A. Equity Borrow 1,515 - -$ 20-Oct-25 J.P. MORGAN SECURITIES AUSTRALIA LIMITED Equity Sell (93) 130.71 12,156.03$ 20-Oct-25 J.P. MORGAN SECURITIES AUSTRALIA LIMITED Equity Sell (5,040) 130.71 658,778.40$ 20-Oct-25 J.P. MORGAN SECURITIES AUSTRALIA LIMITED Equity Sell (41,154) 130.61 5,374,921.22$ 20-Oct-25 J.P. MORGAN SECURITIES AUSTRALIA LIMITED Equity Sell (144) 130.02 18,722.88$ 20-Oct-25 J.P. MORGAN SECURITIES AUSTRALIA LIMITED Equity Sell (14) 130.02 1,820.28$ 20-Oct-25 J.P. MORGAN SECURITIES AUSTRALIA LIMITED Equity Sell (11,161) 130.20 1,453,158.94$ 20-Oct-25 J.P. MORGAN SECURITIES AUSTRALIA LIMITED Equity Sell (345) 129.78 44,775.72$ 20-Oct-25 J.P. MORGAN SECURITIES AUSTRALIA LIMITED Equity Sell (701) 129.99 91,123.86$ 20-Oct-25 J.P. MORGAN SECURITIES AUSTRALIA LIMITED Equity Sell (100) 129.03 12,903.00$ 20-Oct-25 J.P. MORGAN SECURITIES AUSTRALIA LIMITED Equity Sell (661) 130.71 86,399.31$ 20-Oct-25 J.P. MORGAN SECURITIES AUSTRALIA LIMITED Equity Sell (16,487) 130.88 2,157,818.56$ 20-Oct-25 J.P. MORGAN SECURITIES AUSTRALIA LIMITED Equity Sell (1,686) 130.88 220,663.68$ 20-Oct-25 J.P. MORGAN SECURITIES AUSTRALIA LIMITED Equity Buy 93 130.71 12,156.03$ 20-Oct-25 J.P. MORGAN SECURITIES AUSTRALIA LIMITED Equity Buy 13,182 130.40 1,718,920.87$ 20-Oct-25 J.P. MORGAN SECURITIES AUSTRALIA LIMITED Equity Buy 1,686 130.25 219,598.73$ 20-Oct-25 J.P. MORGAN SECURITIES AUSTRALIA LIMITED Equity Buy 65 129.26 8,402.06$ 20-Oct-25 J.P. MORGAN SECURITIES AUSTRALIA LIMITED Equity Buy 17,500 129.30 2,262,721.11$ 20-Oct-25 J.P. MORGAN SECURITIES AUSTRALIA LIMITED Equity Buy 40 130.33 5,213.20$ 20-Oct-25 J.P. MORGAN SECURITIES AUSTRALIA LIMITED Equity Buy 11,238 129.92 1,460,018.17$ 20-Oct-25 J.P. MORGAN SECURITIES AUSTRALIA LIMITED Equity Buy 581 130.37 75,747.24$ 20-Oct-25 J.P. MORGAN SECURITIES PLC Equity Borrow 578 - -$ 20-Oct-25 J.P. MORGAN SECURITIES PLC Equity Borrow 600 - -$ 20-Oct-25 J.P. MORGAN SECURITIES PLC Equity Borrow 5,301 - -$ 20-Oct-25 J.P. MORGAN SECURITIES PLC Equity Borrow 3,229 - -$ 20-Oct-25 J.P. MORGAN SECURITIES PLC Equity Borrow 12,903 - -$ 20-Oct-25 J.P. MORGAN SECURITIES PLC Equity Borrow 19,864 - -$ 20-Oct-25 JPMORGAN ASSET MANAGEMENT (ASIA PACIFIC) LIMITED Equity Buy 8,151 130.26 1,061,776.97$ 20-Oct-25 J.P. MORGAN INVESTMENT MANAGEMENT INC. Equity Sell (6) 129.03 774.18$ 20-Oct-25 J.P. MORGAN INVESTMENT MANAGEMENT INC. Equity Sell (207) 129.03 26,709.21$ 20-Oct-25 J.P. MORGAN INVESTMENT MANAGEMENT INC. Equity In-kind transaction to receive the shares/par/units 258 - -$ 20-Oct-25 JPMORGAN CHASE BANK, N.A. Equity Borrow Return (1,115) - -$ 20-Oct-25 JPMORGAN CHASE BANK, N.A. Equity Borrow Return (381) - -$ 20-Oct-25 JPMORGAN CHASE BANK, N.A. Equity Borrow Return (343) - -$ 20-Oct-25 JPMORGAN CHASE BANK, N.A. Equity Borrow 153 - -$ 20-Oct-25 JPMORGAN CHASE BANK, N.A. Equity Borrow 110,000 - -$ 20-Oct-25 JPMORGAN CHASE BANK, N.A. Equity Borrow 1,880 - -$ 20-Oct-25 JPMORGAN CHASE BANK, N.A. Equity Borrow 68,076 - -$ 20-Oct-25 JPMORGAN CHASE BANK, N.A. Equity Borrow 7,000 - -$ 21-Oct-25 J.P. MORGAN SECURITIES AUSTRALIA LIMITED Equity Sell (134) 131.89 17,673.26$ 21-Oct-25 J.P. MORGAN SECURITIES AUSTRALIA LIMITED Equity Sell (1,488) 131.89 196,252.32$ 21-Oct-25 J.P. MORGAN SECURITIES AUSTRALIA LIMITED Equity Sell (12) 131.89 1,582.68$ 21-Oct-25 J.P. MORGAN SECURITIES AUSTRALIA LIMITED Equity Sell (13,729) 131.89 1,810,717.81$ 21-Oct-25 J.P. MORGAN SECURITIES AUSTRALIA LIMITED Equity Sell (123) 131.89 16,222.47$ 21-Oct-25 J.P. MORGAN SECURITIES AUSTRALIA LIMITED Equity Sell (11) 132.21 1,454.31$ 21-Oct-25 J.P. MORGAN SECURITIES AUSTRALIA LIMITED Equity Sell (10,710) 131.89 1,412,541.90$ 21-Oct-25 J.P. MORGAN SECURITIES AUSTRALIA LIMITED Equity Sell (3,119) 132.46 413,131.75$ 21-Oct-25 J.P. MORGAN SECURITIES AUSTRALIA LIMITED Equity Sell (109) 132.51 14,443.72$ 21-Oct-25 J.P. MORGAN SECURITIES AUSTRALIA LIMITED Equity Sell (73,364) 132.23 9,700,980.92$ 21-Oct-25 J.P. MORGAN SECURITIES AUSTRALIA LIMITED Equity Sell (14) 132.21 1,850.94$ 21-Oct-25 J.P. MORGAN SECURITIES AUSTRALIA LIMITED Equity Sell (15,558) 132.63 2,063,502.69$ 21-Oct-25 J.P. MORGAN SECURITIES AUSTRALIA LIMITED Equity Sell (1,329) 132.78 176,459.24$ 21-Oct-25 J.P. MORGAN SECURITIES AUSTRALIA LIMITED Equity Sell (14,444) 130.71 1,887,975.24$ 21-Oct-25 J.P. MORGAN SECURITIES AUSTRALIA LIMITED Equity Sell (100) 130.71 13,071.00$ 21-Oct-25 J.P. MORGAN SECURITIES AUSTRALIA LIMITED Equity Sell (5,000) 130.71 653,550.00$ 21-Oct-25 J.P. MORGAN SECURITIES AUSTRALIA LIMITED Equity Buy 134 131.89 17,673.26$ 21-Oct-25 J.P. MORGAN SECURITIES AUSTRALIA LIMITED Equity Buy 12 131.89 1,582.68$ 21-Oct-25 J.P. MORGAN SECURITIES AUSTRALIA LIMITED Equity Buy 13,729 131.89 1,810,717.81$ 21-Oct-25 J.P. MORGAN SECURITIES AUSTRALIA LIMITED Equity Buy 9,863 131.89 1,300,831.07$ 21-Oct-25 J.P. MORGAN SECURITIES AUSTRALIA LIMITED Equity Buy 656 132.02 86,605.12$ 21-Oct-25 J.P. MORGAN SECURITIES AUSTRALIA LIMITED Equity Buy 5 132.02 660.10$ 21-Oct-25 J.P. MORGAN SECURITIES AUSTRALIA LIMITED Equity Buy 8,918 132.47 1,181,356.68$ 21-Oct-25 J.P. MORGAN SECURITIES AUSTRALIA LIMITED Equity Buy 367 132.83 48,749.30$ 21-Oct-25 J.P. MORGAN SECURITIES AUSTRALIA LIMITED Equity Buy 5,178 132.65 686,873.32$ 21-Oct-25 J.P. MORGAN SECURITIES PLC Equity Buy 91 131.89 12,001.99$ 21-Oct-25 J.P. MORGAN SECURITIES AUSTRALIA LIMITED Equity Buy 76 132.88 10,098.61$ 21-Oct-25 J.P. MORGAN SECURITIES AUSTRALIA LIMITED Equity Buy 57 132.91 7,576.14$ 21-Oct-25 J.P. MORGAN SECURITIES AUSTRALIA LIMITED Equity Buy 57 132.82 7,570.51$ 21-Oct-25 J.P. MORGAN SECURITIES AUSTRALIA LIMITED Equity Buy 1,293 131.92 170,567.88$ 21-Oct-25 J.P. MORGAN SECURITIES PLC Equity Borrow Return (8,307) - -$ 21-Oct-25 J.P. MORGAN SECURITIES PLC Equity Borrow Return (46,725) - -$ 21-Oct-25 J.P. MORGAN SECURITIES PLC Equity Borrow Return (35,000) - -$ 21-Oct-25 J.P. MORGAN SECURITIES PLC Equity Borrow Return (13,680) - -$ 21-Oct-25 J.P. MORGAN SECURITIES PLC Equity Borrow Return (17,560) - -$ 21-Oct-25 J.P. MORGAN SECURITIES PLC Equity Borrow Return (255) - -$ 21-Oct-25 J.P. MORGAN SECURITIES PLC Equity Borrow Return (150,989) - -$ 21-Oct-25 J.P. MORGAN SECURITIES PLC Equity Borrow Return (73,271) - -$ 21-Oct-25 J.P. MORGAN SECURITIES PLC Equity Borrow Return (5,012) - -$ 21-Oct-25 J.P. MORGAN SECURITIES PLC Equity Borrow Return (2,466) - -$ 21-Oct-25 J.P. MORGAN SECURITIES PLC Equity Borrow Return (33,648) - -$ 21-Oct-25 J.P. MORGAN SECURITIES PLC Equity Borrow Return (19,598) - -$ 21-Oct-25 J.P. MORGAN SECURITIES PLC Equity Borrow Return (8,978) - -$ 21-Oct-25 J.P. MORGAN SECURITIES PLC Equity Borrow Return (9,039) - -$ 21-Oct-25 J.P. MORGAN SECURITIES PLC Equity Borrow Return (11,914) - -$ 21-Oct-25 J.P. MORGAN SECURITIES PLC Equity Borrow Return (2,517) - -$ 21-Oct-25 J.P. MORGAN SECURITIES PLC Equity Borrow Return (7,399) - -$ 21-Oct-25 J.P. MORGAN SECURITIES PLC Equity Borrow Return (908) - -$ 4/25


 
TRADES FOR RELEVANT PERIOD Appendix 21-Oct-25 J.P. MORGAN SECURITIES PLC Equity Borrow Return (31,888) - -$ 21-Oct-25 J.P. MORGAN SECURITIES PLC Equity Borrow Return (3,546) - -$ 21-Oct-25 J.P. MORGAN SECURITIES PLC Equity Borrow Return (1,988) - -$ 21-Oct-25 J.P. MORGAN SECURITIES PLC Equity Borrow Return (96,000) - -$ 21-Oct-25 J.P. MORGAN SECURITIES PLC Equity Borrow Return (34,201) - -$ 21-Oct-25 J.P. MORGAN SECURITIES PLC Equity Borrow Return (2,685) - -$ 21-Oct-25 J.P. MORGAN SECURITIES PLC Equity Borrow Return (10,067) - -$ 21-Oct-25 J.P. MORGAN SECURITIES PLC Equity Borrow Return (2,027) - -$ 21-Oct-25 J.P. MORGAN SECURITIES PLC Equity Borrow Return (701) - -$ 21-Oct-25 J.P. MORGAN SECURITIES PLC Equity Borrow Return (9,051) - -$ 21-Oct-25 J.P. MORGAN SECURITIES PLC Equity Borrow Return (37,497) - -$ 21-Oct-25 J.P. MORGAN SECURITIES PLC Equity Borrow Return (4,200) - -$ 21-Oct-25 J.P. MORGAN SECURITIES PLC Equity Borrow Return (766) - -$ 21-Oct-25 J.P. MORGAN SECURITIES PLC Equity Borrow Return (19,666) - -$ 21-Oct-25 J.P. MORGAN SECURITIES PLC Equity Borrow Return (94,696) - -$ 21-Oct-25 J.P. MORGAN SECURITIES PLC Equity Borrow Return (48,471) - -$ 21-Oct-25 J.P. MORGAN SECURITIES PLC Equity Borrow Return (8,576) - -$ 21-Oct-25 J.P. MORGAN SECURITIES PLC Equity Borrow Return (118,000) - -$ 21-Oct-25 J.P. MORGAN SECURITIES PLC Equity Borrow Return (86,086) - -$ 21-Oct-25 J.P. MORGAN SECURITIES PLC Equity Borrow Return (342,540) - -$ 21-Oct-25 J.P. MORGAN SECURITIES PLC Equity Borrow Return (4,334) - -$ 21-Oct-25 J.P. MORGAN SECURITIES PLC Equity Borrow Return (51,872) - -$ 21-Oct-25 J.P. MORGAN SECURITIES PLC Equity Borrow Return (65,835) - -$ 21-Oct-25 J.P. MORGAN SECURITIES PLC Equity Borrow Return (1,905) - -$ 21-Oct-25 J.P. MORGAN SECURITIES PLC Equity Borrow Return (9,579) - -$ 21-Oct-25 J.P. MORGAN SECURITIES PLC Equity Borrow Return (59,000) - -$ 21-Oct-25 J.P. MORGAN SECURITIES PLC Equity Borrow Return (25,000) - -$ 21-Oct-25 J.P. MORGAN SECURITIES PLC Equity Borrow Return (101) - -$ 21-Oct-25 J.P. MORGAN SECURITIES PLC Equity Borrow Return (263) - -$ 21-Oct-25 J.P. MORGAN SECURITIES PLC Equity Borrow Return (396) - -$ 21-Oct-25 J.P. MORGAN SECURITIES PLC Equity Borrow Return (20,000) - -$ 21-Oct-25 J.P. MORGAN SECURITIES PLC Equity Borrow Return (1,537) - -$ 21-Oct-25 J.P. MORGAN SECURITIES PLC Equity Borrow Return (200,000) - -$ 21-Oct-25 J.P. MORGAN SECURITIES PLC Equity Borrow Return (986) - -$ 21-Oct-25 J.P. MORGAN SECURITIES PLC Equity Borrow Return (11,700) - -$ 21-Oct-25 J.P. MORGAN SECURITIES PLC Equity Borrow Return (1,927) - -$ 21-Oct-25 J.P. MORGAN SECURITIES PLC Equity Borrow Return (687) - -$ 21-Oct-25 J.P. MORGAN SECURITIES PLC Equity Borrow Return (16,916) - -$ 21-Oct-25 J.P. MORGAN SECURITIES PLC Equity Borrow Return (270) - -$ 21-Oct-25 J.P. MORGAN SECURITIES PLC Equity Borrow Return (161) - -$ 21-Oct-25 J.P. MORGAN SECURITIES PLC Equity Borrow Return (428) - -$ 21-Oct-25 J.P. MORGAN SECURITIES PLC Equity Borrow Return (19,635) - -$ 21-Oct-25 J.P. MORGAN SECURITIES PLC Equity Borrow Return (3,184) - -$ 21-Oct-25 J.P. MORGAN SECURITIES PLC Equity Borrow Return (15,186) - -$ 21-Oct-25 J.P. MORGAN SECURITIES PLC Equity Borrow Return (1,630) - -$ 21-Oct-25 J.P. MORGAN SECURITIES PLC Equity Borrow Return (18,751) - -$ 21-Oct-25 J.P. MORGAN SECURITIES PLC Equity Borrow Return (26,837) - -$ 21-Oct-25 J.P. MORGAN SECURITIES PLC Equity Borrow Return (9,179) - -$ 21-Oct-25 J.P. MORGAN SECURITIES PLC Equity Borrow Return (1,074) - -$ 21-Oct-25 J.P. MORGAN SECURITIES PLC Equity Borrow Return (304) - -$ 21-Oct-25 J.P. MORGAN SECURITIES PLC Equity Borrow Return (847) - -$ 21-Oct-25 J.P. MORGAN SECURITIES PLC Equity Borrow Return (40,000) - -$ 21-Oct-25 J.P. MORGAN SECURITIES PLC Equity Borrow Return (530,099) - -$ 21-Oct-25 J.P. MORGAN SECURITIES PLC Equity Borrow Return (84,000) - -$ 21-Oct-25 J.P. MORGAN SECURITIES PLC Equity Borrow Return (2,226) - -$ 21-Oct-25 J.P. MORGAN SECURITIES PLC Equity Borrow Return (5,076) - -$ 21-Oct-25 J.P. MORGAN SECURITIES PLC Equity Borrow Return (2,681) - -$ 21-Oct-25 J.P. MORGAN SECURITIES PLC Equity Borrow 7,399 - -$ 21-Oct-25 J.P. MORGAN SECURITIES PLC Equity Borrow 908 - -$ 21-Oct-25 J.P. MORGAN SECURITIES PLC Equity Borrow 4,683 - -$ 21-Oct-25 J.P. MORGAN SECURITIES PLC Equity Borrow 1,727 - -$ 21-Oct-25 J.P. MORGAN SECURITIES PLC Equity Borrow 18,590 - -$ 21-Oct-25 J.P. MORGAN SECURITIES PLC Equity Borrow 13,680 - -$ 21-Oct-25 J.P. MORGAN SECURITIES PLC Equity Borrow 46,725 - -$ 21-Oct-25 J.P. MORGAN SECURITIES PLC Equity Borrow 35,000 - -$ 21-Oct-25 J.P. MORGAN SECURITIES PLC Equity Borrow 5,012 - -$ 21-Oct-25 J.P. MORGAN SECURITIES PLC Equity Borrow 150,989 - -$ 21-Oct-25 J.P. MORGAN SECURITIES PLC Equity Borrow 11,914 - -$ 21-Oct-25 J.P. MORGAN SECURITIES PLC Equity Borrow 33,648 - -$ 21-Oct-25 J.P. MORGAN SECURITIES PLC Equity Borrow 19,598 - -$ 21-Oct-25 J.P. MORGAN SECURITIES PLC Equity Borrow 31,888 - -$ 21-Oct-25 J.P. MORGAN SECURITIES PLC Equity Borrow 17,560 - -$ 21-Oct-25 J.P. MORGAN SECURITIES PLC Equity Borrow 255 - -$ 21-Oct-25 J.P. MORGAN SECURITIES PLC Equity Borrow 2,466 - -$ 21-Oct-25 J.P. MORGAN SECURITIES PLC Equity Borrow 908 - -$ 21-Oct-25 J.P. MORGAN SECURITIES PLC Equity Borrow 73,271 - -$ 21-Oct-25 J.P. MORGAN SECURITIES PLC Equity Borrow 3,546 - -$ 21-Oct-25 J.P. MORGAN SECURITIES PLC Equity Borrow 2,517 - -$ 21-Oct-25 J.P. MORGAN SECURITIES PLC Equity Borrow 9,039 - -$ 21-Oct-25 J.P. MORGAN SECURITIES PLC Equity Borrow 7,399 - -$ 21-Oct-25 J.P. MORGAN SECURITIES PLC Equity Borrow 8,978 - -$ 21-Oct-25 J.P. MORGAN SECURITIES PLC Equity Borrow 701 - -$ 21-Oct-25 J.P. MORGAN SECURITIES PLC Equity Borrow 342,540 - -$ 21-Oct-25 J.P. MORGAN SECURITIES PLC Equity Borrow 10,067 - -$ 21-Oct-25 J.P. MORGAN SECURITIES PLC Equity Borrow 86,086 - -$ 21-Oct-25 J.P. MORGAN SECURITIES PLC Equity Borrow 4,200 - -$ 21-Oct-25 J.P. MORGAN SECURITIES PLC Equity Borrow 4,334 - -$ 21-Oct-25 J.P. MORGAN SECURITIES PLC Equity Borrow 9,051 - -$ 21-Oct-25 J.P. MORGAN SECURITIES PLC Equity Borrow 19,666 - -$ 21-Oct-25 J.P. MORGAN SECURITIES PLC Equity Borrow 8,576 - -$ 21-Oct-25 J.P. MORGAN SECURITIES PLC Equity Borrow 48,471 - -$ 21-Oct-25 J.P. MORGAN SECURITIES PLC Equity Borrow 96,000 - -$ 21-Oct-25 J.P. MORGAN SECURITIES PLC Equity Borrow 1,988 - -$ 21-Oct-25 J.P. MORGAN SECURITIES PLC Equity Borrow 65,835 - -$ 21-Oct-25 J.P. MORGAN SECURITIES PLC Equity Borrow 2,685 - -$ 21-Oct-25 J.P. MORGAN SECURITIES PLC Equity Borrow 766 - -$ 21-Oct-25 J.P. MORGAN SECURITIES PLC Equity Borrow 94,696 - -$ 21-Oct-25 J.P. MORGAN SECURITIES PLC Equity Borrow 2,027 - -$ 21-Oct-25 J.P. MORGAN SECURITIES PLC Equity Borrow 118,000 - -$ 21-Oct-25 J.P. MORGAN SECURITIES PLC Equity Borrow 37,497 - -$ 21-Oct-25 J.P. MORGAN SECURITIES PLC Equity Borrow 51,872 - -$ 21-Oct-25 J.P. MORGAN SECURITIES PLC Equity Borrow 34,201 - -$ 21-Oct-25 J.P. MORGAN SECURITIES PLC Equity Borrow 1,905 - -$ 21-Oct-25 J.P. MORGAN SECURITIES PLC Equity Borrow 25,000 - -$ 21-Oct-25 J.P. MORGAN SECURITIES PLC Equity Borrow 9,579 - -$ 21-Oct-25 J.P. MORGAN SECURITIES PLC Equity Borrow 59,000 - -$ 21-Oct-25 J.P. MORGAN SECURITIES PLC Equity Borrow 986 - -$ 21-Oct-25 J.P. MORGAN SECURITIES PLC Equity Borrow 270 - -$ 21-Oct-25 J.P. MORGAN SECURITIES PLC Equity Borrow 1,927 - -$ 21-Oct-25 J.P. MORGAN SECURITIES PLC Equity Borrow 101 - -$ 21-Oct-25 J.P. MORGAN SECURITIES PLC Equity Borrow 396 - -$ 21-Oct-25 J.P. MORGAN SECURITIES PLC Equity Borrow 11,700 - -$ 21-Oct-25 J.P. MORGAN SECURITIES PLC Equity Borrow 20,000 - -$ 21-Oct-25 J.P. MORGAN SECURITIES PLC Equity Borrow 428 - -$ 21-Oct-25 J.P. MORGAN SECURITIES PLC Equity Borrow 19,635 - -$ 21-Oct-25 J.P. MORGAN SECURITIES PLC Equity Borrow 200,000 - -$ 21-Oct-25 J.P. MORGAN SECURITIES PLC Equity Borrow 1,537 - -$ 21-Oct-25 J.P. MORGAN SECURITIES PLC Equity Borrow 161 - -$ 21-Oct-25 J.P. MORGAN SECURITIES PLC Equity Borrow 16,916 - -$ 21-Oct-25 J.P. MORGAN SECURITIES PLC Equity Borrow 687 - -$ 21-Oct-25 J.P. MORGAN SECURITIES PLC Equity Borrow 263 - -$ 21-Oct-25 J.P. MORGAN SECURITIES PLC Equity Borrow 2,226 - -$ 21-Oct-25 J.P. MORGAN SECURITIES PLC Equity Borrow 304 - -$ 21-Oct-25 J.P. MORGAN SECURITIES PLC Equity Borrow 847 - -$ 21-Oct-25 J.P. MORGAN SECURITIES PLC Equity Borrow 18,751 - -$ 21-Oct-25 J.P. MORGAN SECURITIES PLC Equity Borrow 40,000 - -$ 21-Oct-25 J.P. MORGAN SECURITIES PLC Equity Borrow 1,630 - -$ 21-Oct-25 J.P. MORGAN SECURITIES PLC Equity Borrow 530,099 - -$ 21-Oct-25 J.P. MORGAN SECURITIES PLC Equity Borrow 15,186 - -$ 21-Oct-25 J.P. MORGAN SECURITIES PLC Equity Borrow 3,184 - -$ 21-Oct-25 J.P. MORGAN SECURITIES PLC Equity Borrow 84,000 - -$ 21-Oct-25 J.P. MORGAN SECURITIES PLC Equity Borrow 2,681 - -$ 21-Oct-25 J.P. MORGAN SECURITIES PLC Equity Borrow 26,837 - -$ 21-Oct-25 J.P. MORGAN SECURITIES PLC Equity Borrow 5,076 - -$ 21-Oct-25 J.P. MORGAN SECURITIES PLC Equity Borrow 9,179 - -$ 5/25


 
TRADES FOR RELEVANT PERIOD Appendix 21-Oct-25 J.P. MORGAN SECURITIES PLC Equity Borrow 1,074 - -$ 21-Oct-25 J.P. MORGAN SECURITIES AUSTRALIA LIMITED Equity Borrow 5,000 - -$ 21-Oct-25 J.P. MORGAN SECURITIES AUSTRALIA LIMITED Equity Borrow 138,887 - -$ 21-Oct-25 JPMORGAN ASSET MANAGEMENT (UK) LIMITED Equity Buy 28 132.02 3,696.56$ 21-Oct-25 J.P. MORGAN INVESTMENT MANAGEMENT INC. Equity Sell (396) 132.02 52,279.92$ 21-Oct-25 J.P. MORGAN INVESTMENT MANAGEMENT INC. Equity In-kind transaction to receive the shares/par/units 1,563 - -$ 21-Oct-25 JPMORGAN CHASE BANK, N.A. Equity Borrow Return (9) - -$ 21-Oct-25 JPMORGAN CHASE BANK, N.A. Equity Borrow 343 - -$ 21-Oct-25 JPMORGAN CHASE BANK, N.A. Equity Borrow 15,000 - -$ 21-Oct-25 JPMORGAN CHASE BANK, N.A. Equity Borrow 237 - -$ 21-Oct-25 JPMORGAN CHASE BANK, N.A. Equity Borrow 8,197 - -$ 21-Oct-25 JPMORGAN CHASE BANK, N.A. Equity Borrow 10,000 - -$ 22-Oct-25 J.P. MORGAN SECURITIES AUSTRALIA LIMITED Equity Sell (1,461) 130.40 190,514.40$ 22-Oct-25 J.P. MORGAN SECURITIES AUSTRALIA LIMITED Equity Sell (2,877) 130.40 375,160.80$ 22-Oct-25 J.P. MORGAN SECURITIES AUSTRALIA LIMITED Equity Sell (3,267) 130.40 426,016.80$ 22-Oct-25 J.P. MORGAN SECURITIES AUSTRALIA LIMITED Equity Sell (27) 129.48 3,495.95$ 22-Oct-25 J.P. MORGAN SECURITIES AUSTRALIA LIMITED Equity Sell (6) 129.24 775.44$ 22-Oct-25 J.P. MORGAN SECURITIES AUSTRALIA LIMITED Equity Sell (15,300) 130.40 1,995,120.00$ 22-Oct-25 J.P. MORGAN SECURITIES AUSTRALIA LIMITED Equity Sell (3,276) 129.44 424,043.08$ 22-Oct-25 J.P. MORGAN SECURITIES AUSTRALIA LIMITED Equity Sell (46,554) 130.14 6,058,502.09$ 22-Oct-25 J.P. MORGAN SECURITIES AUSTRALIA LIMITED Equity Sell (18,627) 130.34 2,427,865.89$ 22-Oct-25 J.P. MORGAN SECURITIES AUSTRALIA LIMITED Equity Sell (1,456) 129.70 188,837.99$ 22-Oct-25 J.P. MORGAN SECURITIES PLC Equity Sell (179) 130.40 23,341.60$ 22-Oct-25 J.P. MORGAN SECURITIES AUSTRALIA LIMITED Equity Sell (1,218) 131.89 160,642.02$ 22-Oct-25 J.P. MORGAN SECURITIES AUSTRALIA LIMITED Equity Sell (495) 131.89 65,285.55$ 22-Oct-25 J.P. MORGAN SECURITIES AUSTRALIA LIMITED Equity Sell (27) 131.89 3,561.03$ 22-Oct-25 J.P. MORGAN SECURITIES AUSTRALIA LIMITED Equity Buy 3,267 130.40 426,016.80$ 22-Oct-25 J.P. MORGAN SECURITIES AUSTRALIA LIMITED Equity Buy 13 129.72 1,686.36$ 22-Oct-25 J.P. MORGAN SECURITIES AUSTRALIA LIMITED Equity Buy 114 130.29 14,853.29$ 22-Oct-25 J.P. MORGAN SECURITIES AUSTRALIA LIMITED Equity Buy 3,625 130.27 472,240.07$ 22-Oct-25 J.P. MORGAN SECURITIES AUSTRALIA LIMITED Equity Buy 17 129.72 2,205.24$ 22-Oct-25 J.P. MORGAN SECURITIES AUSTRALIA LIMITED Equity Buy 250 130.17 32,542.86$ 22-Oct-25 J.P. MORGAN SECURITIES AUSTRALIA LIMITED Equity Buy 444 130.40 57,897.60$ 22-Oct-25 J.P. MORGAN SECURITIES AUSTRALIA LIMITED Equity Buy 12 129.78 1,557.32$ 22-Oct-25 J.P. MORGAN SECURITIES AUSTRALIA LIMITED Equity Buy 7,536 129.84 978,445.23$ 22-Oct-25 J.P. MORGAN SECURITIES AUSTRALIA LIMITED Equity Buy 27 130.38 3,520.26$ 22-Oct-25 J.P. MORGAN SECURITIES AUSTRALIA LIMITED Equity Buy 59 130.40 7,693.60$ 22-Oct-25 J.P. MORGAN SECURITIES AUSTRALIA LIMITED Equity Buy 8,521 130.43 1,111,360.63$ 22-Oct-25 J.P. MORGAN SECURITIES PLC Equity Borrow 89,250 - -$ 22-Oct-25 J.P. MORGAN INVESTMENT MANAGEMENT INC. Equity In-kind transaction to receive the shares/par/units 2,605 - -$ 22-Oct-25 JPMORGAN CHASE BANK, N.A. Equity Borrow Return (7,635) - -$ 22-Oct-25 JPMORGAN CHASE BANK, N.A. Equity Borrow 33,000 - -$ 22-Oct-25 JPMORGAN CHASE BANK, N.A. Equity Borrow Return (1,037) - -$ 22-Oct-25 JPMORGAN CHASE BANK, N.A. Equity Borrow Return (160) - -$ 22-Oct-25 JPMORGAN CHASE BANK, N.A. Equity Borrow 137,523 - -$ 22-Oct-25 JPMORGAN CHASE BANK, N.A. Equity Borrow 10,677 - -$ 22-Oct-25 JPMORGAN CHASE BANK, N.A. Equity Borrow 23,942 - -$ 22-Oct-25 JPMORGAN CHASE BANK, N.A. Equity Borrow 6,069 - -$ 22-Oct-25 JPMORGAN CHASE BANK, N.A. Equity Borrow 42 - -$ 22-Oct-25 JPMORGAN CHASE BANK, N.A. Equity Borrow 2,983 - -$ 22-Oct-25 JPMORGAN CHASE BANK, N.A. Equity Borrow 29 - -$ 23-Oct-25 J.P. MORGAN SECURITIES AUSTRALIA LIMITED Equity Sell (2,989) 129.90 388,271.10$ 23-Oct-25 J.P. MORGAN SECURITIES AUSTRALIA LIMITED Equity Sell (1,128) 129.90 146,527.20$ 23-Oct-25 J.P. MORGAN SECURITIES AUSTRALIA LIMITED Equity Sell (84) 129.90 10,911.60$ 23-Oct-25 J.P. MORGAN SECURITIES AUSTRALIA LIMITED Equity Sell (7,650) 129.90 993,735.00$ 23-Oct-25 J.P. MORGAN SECURITIES AUSTRALIA LIMITED Equity Sell (5,644) 129.86 732,931.47$ 23-Oct-25 J.P. MORGAN SECURITIES AUSTRALIA LIMITED Equity Sell (43,390) 129.91 5,636,688.33$ 23-Oct-25 J.P. MORGAN SECURITIES AUSTRALIA LIMITED Equity Sell (3,075) 129.40 397,913.43$ 23-Oct-25 J.P. MORGAN SECURITIES AUSTRALIA LIMITED Equity Sell (59) 128.62 7,588.58$ 23-Oct-25 J.P. MORGAN SECURITIES AUSTRALIA LIMITED Equity Sell (6) 128.85 773.10$ 23-Oct-25 J.P. MORGAN SECURITIES AUSTRALIA LIMITED Equity Sell (601) 129.74 77,973.32$ 23-Oct-25 J.P. MORGAN SECURITIES AUSTRALIA LIMITED Equity Sell (12) 128.85 1,546.20$ 23-Oct-25 J.P. MORGAN SECURITIES AUSTRALIA LIMITED Equity Sell (7,536) 130.40 982,694.40$ 23-Oct-25 J.P. MORGAN SECURITIES AUSTRALIA LIMITED Equity Sell (1,325) 130.40 172,780.00$ 23-Oct-25 J.P. MORGAN SECURITIES AUSTRALIA LIMITED Equity Sell (23) 130.40 2,999.20$ 23-Oct-25 J.P. MORGAN SECURITIES AUSTRALIA LIMITED Equity Buy 2,989 129.90 388,271.10$ 23-Oct-25 J.P. MORGAN SECURITIES AUSTRALIA LIMITED Equity Buy 104 128.73 13,387.40$ 23-Oct-25 J.P. MORGAN SECURITIES AUSTRALIA LIMITED Equity Buy 21,526 129.63 2,790,324.50$ 23-Oct-25 J.P. MORGAN SECURITIES AUSTRALIA LIMITED Equity Buy 23 129.08 2,968.84$ 23-Oct-25 J.P. MORGAN SECURITIES AUSTRALIA LIMITED Equity Buy 612 128.62 78,715.44$ 23-Oct-25 J.P. MORGAN SECURITIES PLC Equity Buy 168 129.90 21,823.20$ 23-Oct-25 J.P. MORGAN SECURITIES PLC Equity Buy 535 129.90 69,496.50$ 23-Oct-25 J.P. MORGAN SECURITIES PLC Equity Buy 23 129.90 2,987.70$ 23-Oct-25 J.P. MORGAN SECURITIES PLC Equity Buy 75 129.90 9,742.50$ 23-Oct-25 J.P. MORGAN SECURITIES AUSTRALIA LIMITED Equity Borrow Return (100) - -$ 23-Oct-25 J.P. MORGAN SECURITIES PLC Equity Borrow 44,600 - -$ 23-Oct-25 J.P. MORGAN SECURITIES PLC Equity Borrow 55,758 - -$ 23-Oct-25 J.P. MORGAN SECURITIES PLC Equity Borrow 74,501 - -$ 23-Oct-25 J.P. MORGAN SECURITIES AUSTRALIA LIMITED Equity Borrow 100 - -$ 23-Oct-25 JPMORGAN ASSET MANAGEMENT (ASIA PACIFIC) LIMITED Equity Buy 5,264 129.55 681,924.88$ 23-Oct-25 JPMORGAN CHASE BANK, N.A. Equity Borrow Return (4) - -$ 23-Oct-25 JPMORGAN CHASE BANK, N.A. Equity Borrow 1,226 - -$ 24-Oct-25 J.P. MORGAN SECURITIES AUSTRALIA LIMITED Equity Sell (5,982) 131.82 788,547.24$ 24-Oct-25 J.P. MORGAN SECURITIES AUSTRALIA LIMITED Equity Sell (3,850) 131.82 507,507.00$ 24-Oct-25 J.P. MORGAN SECURITIES AUSTRALIA LIMITED Equity Sell (27,969) 131.77 3,685,412.23$ 24-Oct-25 J.P. MORGAN SECURITIES AUSTRALIA LIMITED Equity Sell (43,482) 131.74 5,728,293.24$ 24-Oct-25 J.P. MORGAN SECURITIES AUSTRALIA LIMITED Equity Sell (836) 131.71 110,107.10$ 24-Oct-25 J.P. MORGAN SECURITIES PLC Equity Sell (269) 131.72 35,433.32$ 24-Oct-25 J.P. MORGAN SECURITIES PLC Equity Sell (54) 131.80 7,117.45$ 24-Oct-25 J.P. MORGAN SECURITIES PLC Equity Sell (110) 131.80 14,498.21$ 24-Oct-25 J.P. MORGAN SECURITIES AUSTRALIA LIMITED Equity Sell (2,336) 129.90 303,446.40$ 24-Oct-25 J.P. MORGAN SECURITIES AUSTRALIA LIMITED Equity Sell (1,844) 129.90 239,535.60$ 24-Oct-25 J.P. MORGAN SECURITIES AUSTRALIA LIMITED Equity Sell (1,399) 129.90 181,730.10$ 24-Oct-25 J.P. MORGAN SECURITIES AUSTRALIA LIMITED Equity Buy 15,230 131.82 2,007,618.60$ 24-Oct-25 J.P. MORGAN SECURITIES AUSTRALIA LIMITED Equity Buy 5,982 131.82 788,547.24$ 24-Oct-25 J.P. MORGAN SECURITIES AUSTRALIA LIMITED Equity Buy 575 131.82 75,796.50$ 24-Oct-25 J.P. MORGAN SECURITIES AUSTRALIA LIMITED Equity Buy 23 131.82 3,031.86$ 24-Oct-25 J.P. MORGAN SECURITIES AUSTRALIA LIMITED Equity Buy 5,372 131.68 707,369.10$ 24-Oct-25 J.P. MORGAN SECURITIES AUSTRALIA LIMITED Equity Buy 1,844 131.76 242,959.27$ 24-Oct-25 J.P. MORGAN SECURITIES AUSTRALIA LIMITED Equity Buy 84 131.00 11,004.00$ 24-Oct-25 J.P. MORGAN SECURITIES AUSTRALIA LIMITED Equity Buy 13 131.78 1,713.14$ 24-Oct-25 J.P. MORGAN SECURITIES AUSTRALIA LIMITED Equity Buy 19,890 131.82 2,621,899.80$ 24-Oct-25 J.P. MORGAN SECURITIES AUSTRALIA LIMITED Equity Buy 7,701 131.71 1,014,276.58$ 24-Oct-25 J.P. MORGAN SECURITIES AUSTRALIA LIMITED Equity Buy 597 131.70 78,623.40$ 24-Oct-25 J.P. MORGAN SECURITIES PLC Equity Buy 1 131.82 131.82$ 24-Oct-25 J.P. MORGAN SECURITIES PLC Equity Borrow 14,868 - -$ 24-Oct-25 J.P. MORGAN SECURITIES PLC Equity Borrow 10,029 - -$ 24-Oct-25 J.P. MORGAN INVESTMENT MANAGEMENT INC. Equity In-kind transaction to receive the shares/par/units 516 - -$ 24-Oct-25 JPMORGAN CHASE BANK, N.A. Equity Borrow Return (6) - -$ 24-Oct-25 JPMORGAN CHASE BANK, N.A. Equity Borrow 294 - -$ 24-Oct-25 JPMORGAN CHASE BANK, N.A. Equity Borrow 34,572 - -$ 27-Oct-25 J.P. MORGAN SECURITIES AUSTRALIA LIMITED Equity Sell (519) 133.49 69,281.31$ 27-Oct-25 J.P. MORGAN SECURITIES AUSTRALIA LIMITED Equity Sell (6,021) 133.49 803,743.29$ 27-Oct-25 J.P. MORGAN SECURITIES AUSTRALIA LIMITED Equity Sell (67) 133.49 8,943.83$ 27-Oct-25 J.P. MORGAN SECURITIES AUSTRALIA LIMITED Equity Sell (12) 133.49 1,601.88$ 27-Oct-25 J.P. MORGAN SECURITIES AUSTRALIA LIMITED Equity Sell (598) 132.00 78,936.00$ 27-Oct-25 J.P. MORGAN SECURITIES AUSTRALIA LIMITED Equity Sell (9,180) 133.49 1,225,438.20$ 27-Oct-25 J.P. MORGAN SECURITIES AUSTRALIA LIMITED Equity Sell (7,669) 133.49 1,023,734.81$ 27-Oct-25 J.P. MORGAN SECURITIES AUSTRALIA LIMITED Equity Sell (9,241) 133.20 1,230,926.44$ 27-Oct-25 J.P. MORGAN SECURITIES AUSTRALIA LIMITED Equity Sell (56,104) 133.08 7,466,127.04$ 27-Oct-25 J.P. MORGAN SECURITIES AUSTRALIA LIMITED Equity Sell (943) 132.51 124,957.75$ 27-Oct-25 J.P. MORGAN SECURITIES AUSTRALIA LIMITED Equity Sell (368) 132.82 48,877.56$ 27-Oct-25 J.P. MORGAN SECURITIES AUSTRALIA LIMITED Equity Sell (217) 131.82 28,604.94$ 27-Oct-25 J.P. MORGAN SECURITIES AUSTRALIA LIMITED Equity Sell (11,667) 131.82 1,537,943.94$ 27-Oct-25 J.P. MORGAN SECURITIES AUSTRALIA LIMITED Equity Sell (383) 131.82 50,487.06$ 27-Oct-25 J.P. MORGAN SECURITIES PLC Equity Sell (1,292) 132.20 170,807.44$ 27-Oct-25 J.P. MORGAN SECURITIES AUSTRALIA LIMITED Equity Buy 6,021 133.49 803,743.29$ 27-Oct-25 J.P. MORGAN SECURITIES AUSTRALIA LIMITED Equity Buy 6,353 133.49 848,061.97$ 27-Oct-25 J.P. MORGAN SECURITIES AUSTRALIA LIMITED Equity Buy 12 133.49 1,601.88$ 27-Oct-25 J.P. MORGAN SECURITIES AUSTRALIA LIMITED Equity Buy 67 133.49 8,943.83$ 27-Oct-25 J.P. MORGAN SECURITIES AUSTRALIA LIMITED Equity Buy 1,343 133.52 179,312.93$ 27-Oct-25 J.P. MORGAN SECURITIES AUSTRALIA LIMITED Equity Buy 197 133.49 26,297.53$ 27-Oct-25 J.P. MORGAN SECURITIES AUSTRALIA LIMITED Equity Buy 1,648 132.48 218,325.15$ 27-Oct-25 J.P. MORGAN SECURITIES AUSTRALIA LIMITED Equity Buy 306 132.00 40,392.00$ 27-Oct-25 J.P. MORGAN SECURITIES AUSTRALIA LIMITED Equity Buy 764 132.58 101,287.40$ 6/25


 
TRADES FOR RELEVANT PERIOD Appendix 27-Oct-25 J.P. MORGAN SECURITIES AUSTRALIA LIMITED Equity Buy 5,699 131.92 751,820.58$ 27-Oct-25 J.P. MORGAN SECURITIES AUSTRALIA LIMITED Equity Buy 383 132.20 50,633.33$ 27-Oct-25 J.P. MORGAN SECURITIES AUSTRALIA LIMITED Equity Buy 2,756 133.23 367,186.79$ 27-Oct-25 J.P. MORGAN SECURITIES AUSTRALIA LIMITED Equity Buy 58 132.06 7,659.45$ 27-Oct-25 J.P. MORGAN SECURITIES AUSTRALIA LIMITED Equity Buy 784 133.19 104,418.02$ 27-Oct-25 J.P. MORGAN SECURITIES PLC Equity Borrow 5,000 - -$ 27-Oct-25 J.P. MORGAN SECURITIES AUSTRALIA LIMITED Equity Borrow 50,289 - -$ 27-Oct-25 JPMORGAN ASSET MANAGEMENT (ASIA PACIFIC) LIMITED Equity Buy 13,908 132.66 1,845,078.39$ 27-Oct-25 JPMORGAN CHASE BANK, N.A. Equity Sell (564) 132.00 74,448.00$ 27-Oct-25 JPMORGAN ASSET MANAGEMENT (UK) LIMITED Equity Sell (364) 133.49 48,590.36$ 27-Oct-25 JPMORGAN ASSET MANAGEMENT (UK) LIMITED Equity Buy 100 132.00 13,200.00$ 27-Oct-25 JPMORGAN ASSET MANAGEMENT (UK) LIMITED Equity Buy 34 132.00 4,488.00$ 27-Oct-25 J.P. MORGAN INVESTMENT MANAGEMENT INC. Equity In-kind transaction to receive the shares/par/units 258 - -$ 27-Oct-25 JPMORGAN CHASE BANK, N.A. Equity Borrow 39,839 - -$ 27-Oct-25 JPMORGAN CHASE BANK, N.A. Equity Borrow Return (2,640) - -$ 28-Oct-25 J.P. MORGAN SECURITIES AUSTRALIA LIMITED Equity Sell (2,789) 132.72 370,156.08$ 28-Oct-25 J.P. MORGAN SECURITIES AUSTRALIA LIMITED Equity Sell (6,716) 132.72 891,347.52$ 28-Oct-25 J.P. MORGAN SECURITIES AUSTRALIA LIMITED Equity Sell (30) 132.72 3,981.60$ 28-Oct-25 J.P. MORGAN SECURITIES AUSTRALIA LIMITED Equity Sell (9) 132.72 1,194.48$ 28-Oct-25 J.P. MORGAN SECURITIES AUSTRALIA LIMITED Equity Sell (264) 133.16 35,154.24$ 28-Oct-25 J.P. MORGAN SECURITIES AUSTRALIA LIMITED Equity Sell (303) 132.83 40,247.95$ 28-Oct-25 J.P. MORGAN SECURITIES AUSTRALIA LIMITED Equity Sell (275) 132.72 36,498.00$ 28-Oct-25 J.P. MORGAN SECURITIES AUSTRALIA LIMITED Equity Sell (37) 132.72 4,910.64$ 28-Oct-25 J.P. MORGAN SECURITIES AUSTRALIA LIMITED Equity Sell (6,139) 132.85 815,573.15$ 28-Oct-25 J.P. MORGAN SECURITIES AUSTRALIA LIMITED Equity Sell (1,530) 132.72 203,061.60$ 28-Oct-25 J.P. MORGAN SECURITIES AUSTRALIA LIMITED Equity Sell (261) 132.91 34,690.44$ 28-Oct-25 J.P. MORGAN SECURITIES AUSTRALIA LIMITED Equity Sell (1,005) 133.03 133,690.15$ 28-Oct-25 J.P. MORGAN SECURITIES AUSTRALIA LIMITED Equity Sell (85) 133.20 11,321.97$ 28-Oct-25 J.P. MORGAN SECURITIES AUSTRALIA LIMITED Equity Sell (24,658) 132.87 3,276,195.80$ 28-Oct-25 J.P. MORGAN SECURITIES AUSTRALIA LIMITED Equity Sell (3,672) 132.72 487,347.84$ 28-Oct-25 J.P. MORGAN SECURITIES AUSTRALIA LIMITED Equity Sell (2,756) 133.49 367,898.44$ 28-Oct-25 J.P. MORGAN SECURITIES AUSTRALIA LIMITED Equity Sell (123) 133.49 16,419.27$ 28-Oct-25 J.P. MORGAN SECURITIES AUSTRALIA LIMITED Equity Buy 6,226 132.72 826,314.72$ 28-Oct-25 J.P. MORGAN SECURITIES AUSTRALIA LIMITED Equity Buy 2,789 132.72 370,156.08$ 28-Oct-25 J.P. MORGAN SECURITIES AUSTRALIA LIMITED Equity Buy 9 133.39 1,200.51$ 28-Oct-25 J.P. MORGAN SECURITIES AUSTRALIA LIMITED Equity Buy 612 133.16 81,493.92$ 28-Oct-25 J.P. MORGAN SECURITIES AUSTRALIA LIMITED Equity Buy 2,498 133.41 333,259.46$ 28-Oct-25 J.P. MORGAN SECURITIES AUSTRALIA LIMITED Equity Buy 30 132.93 3,987.83$ 28-Oct-25 J.P. MORGAN SECURITIES AUSTRALIA LIMITED Equity Buy 123 132.88 16,344.74$ 28-Oct-25 J.P. MORGAN SECURITIES AUSTRALIA LIMITED Equity Buy 968 132.56 128,321.63$ 28-Oct-25 J.P. MORGAN SECURITIES AUSTRALIA LIMITED Equity Buy 4,759 132.89 632,446.96$ 28-Oct-25 J.P. MORGAN SECURITIES AUSTRALIA LIMITED Equity Buy 113 132.58 14,981.54$ 28-Oct-25 J.P. MORGAN SECURITIES PLC Equity Buy 3,109 132.72 412,626.48$ 28-Oct-25 J.P. MORGAN SECURITIES PLC Equity Buy 42 132.72 5,574.24$ 28-Oct-25 J.P. MORGAN SECURITIES PLC Equity Borrow 20,542 - -$ 28-Oct-25 JPMORGAN CHASE BANK, N.A. Equity Borrow Return (294) - -$ 28-Oct-25 JPMORGAN CHASE BANK, N.A. Equity Borrow 408 - -$ 28-Oct-25 JPMORGAN CHASE BANK, N.A. Equity Borrow 29,610 - -$ 29-Oct-25 J.P. MORGAN SECURITIES AUSTRALIA LIMITED Equity Sell (101) 133.35 13,468.35$ 29-Oct-25 J.P. MORGAN SECURITIES AUSTRALIA LIMITED Equity Sell (44) 133.35 5,867.40$ 29-Oct-25 J.P. MORGAN SECURITIES AUSTRALIA LIMITED Equity Sell (154) 133.35 20,535.90$ 29-Oct-25 J.P. MORGAN SECURITIES AUSTRALIA LIMITED Equity Sell (26,850) 133.39 3,581,630.40$ 29-Oct-25 J.P. MORGAN SECURITIES AUSTRALIA LIMITED Equity Sell (976) 133.10 129,907.29$ 29-Oct-25 J.P. MORGAN SECURITIES AUSTRALIA LIMITED Equity Sell (48) 133.01 6,384.26$ 29-Oct-25 J.P. MORGAN SECURITIES AUSTRALIA LIMITED Equity Sell (165) 133.69 22,059.53$ 29-Oct-25 J.P. MORGAN SECURITIES AUSTRALIA LIMITED Equity Sell (101,515) 133.17 13,518,631.44$ 29-Oct-25 J.P. MORGAN SECURITIES AUSTRALIA LIMITED Equity Sell (6,120) 133.35 816,102.00$ 29-Oct-25 J.P. MORGAN SECURITIES AUSTRALIA LIMITED Equity Sell (53) 132.99 7,048.54$ 29-Oct-25 J.P. MORGAN SECURITIES AUSTRALIA LIMITED Equity Sell (2,859) 132.72 379,446.48$ 29-Oct-25 J.P. MORGAN SECURITIES AUSTRALIA LIMITED Equity Buy 101 133.35 13,468.35$ 29-Oct-25 J.P. MORGAN SECURITIES AUSTRALIA LIMITED Equity Buy 3,071 133.35 409,517.85$ 29-Oct-25 J.P. MORGAN SECURITIES AUSTRALIA LIMITED Equity Buy 92 133.35 12,268.20$ 29-Oct-25 J.P. MORGAN SECURITIES AUSTRALIA LIMITED Equity Buy 218 133.14 29,024.17$ 29-Oct-25 J.P. MORGAN SECURITIES AUSTRALIA LIMITED Equity Buy 64 132.80 8,498.95$ 29-Oct-25 J.P. MORGAN SECURITIES AUSTRALIA LIMITED Equity Buy 64 132.59 8,485.58$ 29-Oct-25 J.P. MORGAN SECURITIES AUSTRALIA LIMITED Equity Buy 30 133.49 4,004.70$ 29-Oct-25 J.P. MORGAN SECURITIES PLC Equity Borrow 3,000 - -$ 29-Oct-25 J.P. MORGAN SECURITIES PLC Equity Borrow 4,957 - -$ 29-Oct-25 J.P. MORGAN SECURITIES PLC Equity Borrow 40,009 - -$ 29-Oct-25 J.P. MORGAN SECURITIES PLC Equity Borrow 32,100 - -$ 29-Oct-25 J.P. MORGAN SECURITIES PLC Equity Borrow 33,991 - -$ 29-Oct-25 J.P. MORGAN SECURITIES PLC Equity Borrow 73,024 - -$ 29-Oct-25 JPMORGAN ASSET MANAGEMENT (UK) LIMITED Equity Sell (312) 133.35 41,605.20$ 29-Oct-25 JPMORGAN ASSET MANAGEMENT (UK) LIMITED Equity Buy 964 133.49 128,684.36$ 29-Oct-25 JPMORGAN CHASE BANK, N.A. Equity Borrow Return (45,981) - -$ 29-Oct-25 JPMORGAN CHASE BANK, N.A. Equity Borrow Return (59,991) - -$ 29-Oct-25 JPMORGAN CHASE BANK, N.A. Equity Borrow 26,567 - -$ 29-Oct-25 JPMORGAN CHASE BANK, N.A. Equity Borrow Return (8,564) - -$ 29-Oct-25 JPMORGAN CHASE BANK, N.A. Equity Borrow Return (10,029) - -$ 30-Oct-25 J.P. MORGAN SECURITIES AUSTRALIA LIMITED Equity Sell (78) 135.08 10,536.24$ 30-Oct-25 J.P. MORGAN SECURITIES AUSTRALIA LIMITED Equity Sell (1,126) 134.01 150,895.26$ 30-Oct-25 J.P. MORGAN SECURITIES AUSTRALIA LIMITED Equity Sell (1,235) 133.43 164,786.05$ 30-Oct-25 J.P. MORGAN SECURITIES AUSTRALIA LIMITED Equity Sell (281) 133.43 37,493.83$ 30-Oct-25 J.P. MORGAN SECURITIES AUSTRALIA LIMITED Equity Sell (12) 133.43 1,601.16$ 30-Oct-25 J.P. MORGAN SECURITIES AUSTRALIA LIMITED Equity Sell (83) 133.43 11,074.69$ 30-Oct-25 J.P. MORGAN SECURITIES AUSTRALIA LIMITED Equity Sell (102) 133.47 13,613.84$ 30-Oct-25 J.P. MORGAN SECURITIES AUSTRALIA LIMITED Equity Sell (1,619) 133.43 216,023.17$ 30-Oct-25 J.P. MORGAN SECURITIES AUSTRALIA LIMITED Equity Sell (138) 133.45 18,416.42$ 30-Oct-25 J.P. MORGAN SECURITIES AUSTRALIA LIMITED Equity Sell (57) 134.63 7,674.06$ 30-Oct-25 J.P. MORGAN SECURITIES AUSTRALIA LIMITED Equity Sell (37) 134.59 4,979.83$ 30-Oct-25 J.P. MORGAN SECURITIES AUSTRALIA LIMITED Equity Sell (1,100) 133.88 147,262.53$ 30-Oct-25 J.P. MORGAN SECURITIES AUSTRALIA LIMITED Equity Sell (6) 134.66 807.96$ 30-Oct-25 J.P. MORGAN SECURITIES AUSTRALIA LIMITED Equity Sell (15) 134.63 2,019.40$ 30-Oct-25 J.P. MORGAN SECURITIES AUSTRALIA LIMITED Equity Sell (45,705) 133.69 6,110,433.58$ 30-Oct-25 J.P. MORGAN SECURITIES AUSTRALIA LIMITED Equity Sell (193) 133.47 25,759.71$ 30-Oct-25 J.P. MORGAN SECURITIES AUSTRALIA LIMITED Equity Sell (240) 133.61 32,066.00$ 30-Oct-25 J.P. MORGAN SECURITIES AUSTRALIA LIMITED Equity Sell (14,082) 133.43 1,878,961.26$ 30-Oct-25 J.P. MORGAN SECURITIES AUSTRALIA LIMITED Equity Sell (167) 134.52 22,465.30$ 30-Oct-25 J.P. MORGAN SECURITIES PLC Equity Sell (630) 133.43 84,060.90$ 30-Oct-25 J.P. MORGAN SECURITIES AUSTRALIA LIMITED Equity Buy 78 135.08 10,536.24$ 30-Oct-25 J.P. MORGAN SECURITIES AUSTRALIA LIMITED Equity Buy 1,235 133.43 164,786.05$ 30-Oct-25 J.P. MORGAN SECURITIES AUSTRALIA LIMITED Equity Buy 3,246 133.43 433,113.78$ 30-Oct-25 J.P. MORGAN SECURITIES AUSTRALIA LIMITED Equity Buy 12 133.43 1,601.16$ 30-Oct-25 J.P. MORGAN SECURITIES AUSTRALIA LIMITED Equity Buy 83 133.43 11,074.69$ 30-Oct-25 J.P. MORGAN SECURITIES AUSTRALIA LIMITED Equity Buy 106 134.01 14,205.06$ 30-Oct-25 J.P. MORGAN SECURITIES AUSTRALIA LIMITED Equity Buy 179 133.81 23,951.19$ 30-Oct-25 J.P. MORGAN SECURITIES AUSTRALIA LIMITED Equity Buy 7,364 133.99 986,736.90$ 30-Oct-25 J.P. MORGAN SECURITIES AUSTRALIA LIMITED Equity Buy 8,448 133.54 1,128,169.40$ 30-Oct-25 J.P. MORGAN SECURITIES AUSTRALIA LIMITED Equity Buy 129 134.51 17,352.39$ 30-Oct-25 J.P. MORGAN SECURITIES AUSTRALIA LIMITED Equity Buy 681 133.58 90,970.03$ 30-Oct-25 J.P. MORGAN SECURITIES AUSTRALIA LIMITED Equity Buy 1,539 134.17 206,486.14$ 30-Oct-25 J.P. MORGAN SECURITIES AUSTRALIA LIMITED Equity Borrow 22,000 - -$ 30-Oct-25 J.P. MORGAN INVESTMENT MANAGEMENT INC. Equity Sell (361) 134.01 48,377.61$ 30-Oct-25 JPMORGAN ASSET MANAGEMENT (UK) LIMITED Equity Sell (708) 133.43 94,468.44$ 30-Oct-25 J.P. MORGAN INVESTMENT MANAGEMENT INC. Equity In-kind transaction to receive the shares/par/units 1,825 - -$ 30-Oct-25 J.P. MORGAN INVESTMENT MANAGEMENT INC. Equity In-kind transaction to receive the shares/par/units 8,395 - -$ 30-Oct-25 J.P. MORGAN INVESTMENT MANAGEMENT INC. Equity Buy 99 134.01 13,266.99$ 30-Oct-25 JPMORGAN CHASE BANK, N.A. Equity Borrow 595 - -$ 30-Oct-25 JPMORGAN CHASE BANK, N.A. Equity Borrow 2,432 - -$ 31-Oct-25 J.P. MORGAN SECURITIES AUSTRALIA LIMITED Equity Sell (9,011) 132.87 1,197,291.57$ 31-Oct-25 J.P. MORGAN SECURITIES AUSTRALIA LIMITED Equity Sell (41) 132.87 5,447.67$ 31-Oct-25 J.P. MORGAN SECURITIES AUSTRALIA LIMITED Equity Sell (12) 132.87 1,594.44$ 31-Oct-25 J.P. MORGAN SECURITIES AUSTRALIA LIMITED Equity Sell (2,392) 132.87 317,825.04$ 31-Oct-25 J.P. MORGAN SECURITIES AUSTRALIA LIMITED Equity Sell (45,407) 133.28 6,051,900.17$ 31-Oct-25 J.P. MORGAN SECURITIES AUSTRALIA LIMITED Equity Sell (449) 133.92 60,128.20$ 31-Oct-25 J.P. MORGAN SECURITIES AUSTRALIA LIMITED Equity Sell (130) 133.69 17,379.41$ 31-Oct-25 J.P. MORGAN SECURITIES AUSTRALIA LIMITED Equity Sell (8,448) 134.30 1,134,583.92$ 31-Oct-25 J.P. MORGAN SECURITIES PLC Equity Sell (2,174) 132.87 288,859.38$ 31-Oct-25 J.P. MORGAN SECURITIES AUSTRALIA LIMITED Equity Sell (681) 133.43 90,865.83$ 31-Oct-25 J.P. MORGAN SECURITIES AUSTRALIA LIMITED Equity Sell (1,655) 133.43 220,826.65$ 31-Oct-25 J.P. MORGAN SECURITIES AUSTRALIA LIMITED Equity Sell (11,416) 133.43 1,523,236.88$ 31-Oct-25 J.P. MORGAN SECURITIES AUSTRALIA LIMITED Equity Sell (23,490) 133.43 3,134,270.70$ 31-Oct-25 J.P. MORGAN SECURITIES AUSTRALIA LIMITED Equity Buy 839 132.87 111,477.93$ 31-Oct-25 J.P. MORGAN SECURITIES AUSTRALIA LIMITED Equity Buy 4,743 132.87 630,202.41$ 31-Oct-25 J.P. MORGAN SECURITIES AUSTRALIA LIMITED Equity Buy 9,011 132.87 1,197,291.57$ 7/25


 
TRADES FOR RELEVANT PERIOD Appendix 31-Oct-25 J.P. MORGAN SECURITIES AUSTRALIA LIMITED Equity Buy 12 132.87 1,594.44$ 31-Oct-25 J.P. MORGAN SECURITIES AUSTRALIA LIMITED Equity Buy 41 132.87 5,447.67$ 31-Oct-25 J.P. MORGAN SECURITIES AUSTRALIA LIMITED Equity Buy 52 132.87 6,909.24$ 31-Oct-25 J.P. MORGAN SECURITIES AUSTRALIA LIMITED Equity Buy 2,393 132.87 317,957.91$ 31-Oct-25 J.P. MORGAN SECURITIES AUSTRALIA LIMITED Equity Buy 11,416 133.48 1,523,791.83$ 31-Oct-25 J.P. MORGAN SECURITIES AUSTRALIA LIMITED Equity Buy 67 133.57 8,949.00$ 31-Oct-25 J.P. MORGAN SECURITIES AUSTRALIA LIMITED Equity Buy 4,590 132.87 609,873.30$ 31-Oct-25 J.P. MORGAN SECURITIES AUSTRALIA LIMITED Equity Buy 198 133.59 26,450.82$ 31-Oct-25 J.P. MORGAN SECURITIES AUSTRALIA LIMITED Equity Buy 6,531 132.88 867,865.41$ 31-Oct-25 J.P. MORGAN SECURITIES AUSTRALIA LIMITED Equity Buy 2,480 133.09 330,060.46$ 31-Oct-25 J.P. MORGAN SECURITIES AUSTRALIA LIMITED Equity Buy 11,220 133.89 1,502,279.03$ 31-Oct-25 J.P. MORGAN SECURITIES PLC Equity Buy 51 132.87 6,776.37$ 31-Oct-25 J.P. MORGAN SECURITIES PLC Equity Buy 1,228 132.94 163,245.90$ 31-Oct-25 J.P. MORGAN SECURITIES PLC Equity Borrow Return (128) - -$ 31-Oct-25 J.P. MORGAN SECURITIES PLC Equity Borrow 1,867 - -$ 31-Oct-25 J.P. MORGAN SECURITIES PLC Equity Borrow 3,073 - -$ 31-Oct-25 J.P. MORGAN SECURITIES PLC Equity Borrow 15,060 - -$ 31-Oct-25 J.P. MORGAN INVESTMENT MANAGEMENT INC. Equity Buy 48,087 134.32 6,459,214.14$ 31-Oct-25 J.P. MORGAN INVESTMENT MANAGEMENT INC. Equity Buy 7,378 134.32 991,038.78$ 31-Oct-25 JPMORGAN ASSET MANAGEMENT (UK) LIMITED Equity Buy 41 134.32 5,507.26$ 31-Oct-25 J.P. MORGAN INVESTMENT MANAGEMENT INC. Equity Buy 530 134.32 71,191.46$ 31-Oct-25 JPMORGAN CHASE BANK, N.A. Equity Sell (181) 133.59 24,179.79$ 31-Oct-25 J.P. MORGAN INVESTMENT MANAGEMENT INC. Equity Buy 847 134.32 113,772.00$ 31-Oct-25 J.P. MORGAN INVESTMENT MANAGEMENT INC. Equity Buy 2,866 132.87 380,805.42$ 31-Oct-25 J.P. MORGAN INVESTMENT MANAGEMENT INC. Equity Buy 14,426 134.32 1,937,750.81$ 31-Oct-25 J.P. MORGAN INVESTMENT MANAGEMENT INC. Equity Buy 212 132.87 28,168.44$ 31-Oct-25 J.P. MORGAN INVESTMENT MANAGEMENT INC. Equity Buy 173 134.32 23,237.97$ 31-Oct-25 JPMORGAN CHASE BANK, N.A. Equity Borrow 371 - -$ 3-Nov-25 J.P. MORGAN SECURITIES AUSTRALIA LIMITED Equity Sell (15,429) 132.84 2,049,588.36$ 3-Nov-25 J.P. MORGAN SECURITIES AUSTRALIA LIMITED Equity Sell (94) 132.86 12,488.84$ 3-Nov-25 J.P. MORGAN SECURITIES AUSTRALIA LIMITED Equity Sell (16,830) 132.84 2,235,697.20$ 3-Nov-25 J.P. MORGAN SECURITIES AUSTRALIA LIMITED Equity Sell (2,768) 132.84 367,701.68$ 3-Nov-25 J.P. MORGAN SECURITIES AUSTRALIA LIMITED Equity Sell (145) 132.78 19,253.80$ 3-Nov-25 J.P. MORGAN SECURITIES AUSTRALIA LIMITED Equity Sell (1,197) 132.82 158,991.20$ 3-Nov-25 J.P. MORGAN SECURITIES AUSTRALIA LIMITED Equity Sell (18) 132.84 2,391.12$ 3-Nov-25 J.P. MORGAN SECURITIES AUSTRALIA LIMITED Equity Sell (15,536) 132.74 2,062,273.23$ 3-Nov-25 J.P. MORGAN SECURITIES AUSTRALIA LIMITED Equity Sell (400) 132.84 53,136.00$ 3-Nov-25 J.P. MORGAN SECURITIES AUSTRALIA LIMITED Equity Sell (457) 132.87 60,721.59$ 3-Nov-25 J.P. MORGAN SECURITIES AUSTRALIA LIMITED Equity Buy 3,402 132.84 451,921.68$ 3-Nov-25 J.P. MORGAN SECURITIES AUSTRALIA LIMITED Equity Buy 15,429 132.84 2,049,588.36$ 3-Nov-25 J.P. MORGAN SECURITIES AUSTRALIA LIMITED Equity Buy 337 132.84 44,767.08$ 3-Nov-25 J.P. MORGAN SECURITIES AUSTRALIA LIMITED Equity Buy 550 132.84 73,062.00$ 3-Nov-25 J.P. MORGAN SECURITIES AUSTRALIA LIMITED Equity Buy 168 132.41 22,244.94$ 3-Nov-25 J.P. MORGAN SECURITIES AUSTRALIA LIMITED Equity Buy 17,827 132.45 2,361,215.19$ 3-Nov-25 J.P. MORGAN SECURITIES AUSTRALIA LIMITED Equity Buy 202 132.34 26,732.23$ 3-Nov-25 J.P. MORGAN SECURITIES AUSTRALIA LIMITED Equity Buy 1,074 133.45 143,325.30$ 3-Nov-25 J.P. MORGAN SECURITIES AUSTRALIA LIMITED Equity Buy 1,860 133.18 247,709.14$ 3-Nov-25 J.P. MORGAN SECURITIES PLC Equity Borrow Return (3,856) - -$ 3-Nov-25 J.P. MORGAN SECURITIES PLC Equity Borrow 47,087 - -$ 3-Nov-25 J.P. MORGAN SECURITIES PLC Equity Borrow 27,295 - -$ 3-Nov-25 J.P. MORGAN SECURITIES PLC Equity Borrow 28,618 - -$ 3-Nov-25 J.P. MORGAN SECURITIES PLC Equity Borrow 21,977 - -$ 3-Nov-25 J.P. MORGAN SECURITIES PLC Equity Borrow 20,700 - -$ 3-Nov-25 J.P. MORGAN INVESTMENT MANAGEMENT INC. Equity Sell (129) 132.86 17,138.94$ 3-Nov-25 JPMORGAN ASSET MANAGEMENT (UK) LIMITED Equity Buy 32 132.86 4,251.52$ 3-Nov-25 JPMORGAN CHASE BANK, N.A. Equity Borrow 21,000 - -$ 3-Nov-25 JPMORGAN CHASE BANK, N.A. Equity Borrow Return (2,246) - -$ 3-Nov-25 JPMORGAN CHASE BANK, N.A. Equity Borrow Return (1,473) - -$ 3-Nov-25 JPMORGAN CHASE BANK, N.A. Equity Borrow Return (7,934) - -$ 3-Nov-25 JPMORGAN CHASE BANK, N.A. Equity Borrow Return (7,104) - -$ 3-Nov-25 JPMORGAN CHASE BANK, N.A. Equity Borrow Return (595) - -$ 4-Nov-25 J.P. MORGAN SECURITIES AUSTRALIA LIMITED Equity Sell (3,914) 129.40 506,471.60$ 4-Nov-25 J.P. MORGAN SECURITIES AUSTRALIA LIMITED Equity Sell (8,773) 129.40 1,135,226.20$ 4-Nov-25 J.P. MORGAN SECURITIES AUSTRALIA LIMITED Equity Sell (4,380) 129.40 566,772.00$ 4-Nov-25 J.P. MORGAN SECURITIES AUSTRALIA LIMITED Equity Sell (194) 129.40 25,103.60$ 4-Nov-25 J.P. MORGAN SECURITIES AUSTRALIA LIMITED Equity Sell (11,177) 129.43 1,446,588.59$ 4-Nov-25 J.P. MORGAN SECURITIES AUSTRALIA LIMITED Equity Sell (9) 129.67 1,167.05$ 4-Nov-25 J.P. MORGAN SECURITIES AUSTRALIA LIMITED Equity Sell (600) 129.96 77,977.98$ 4-Nov-25 J.P. MORGAN SECURITIES AUSTRALIA LIMITED Equity Sell (214) 129.62 27,738.39$ 4-Nov-25 J.P. MORGAN SECURITIES AUSTRALIA LIMITED Equity Sell (4,896) 129.52 634,123.80$ 4-Nov-25 J.P. MORGAN SECURITIES AUSTRALIA LIMITED Equity Sell (8,625) 129.53 1,117,210.67$ 4-Nov-25 J.P. MORGAN SECURITIES AUSTRALIA LIMITED Equity Sell (89) 129.57 11,531.70$ 4-Nov-25 J.P. MORGAN SECURITIES AUSTRALIA LIMITED Equity Sell (1,673) 129.80 217,155.52$ 4-Nov-25 J.P. MORGAN SECURITIES AUSTRALIA LIMITED Equity Sell (150) 131.30 19,695.00$ 4-Nov-25 J.P. MORGAN SECURITIES AUSTRALIA LIMITED Equity Sell (73) 129.59 9,460.05$ 4-Nov-25 J.P. MORGAN SECURITIES AUSTRALIA LIMITED Equity Buy 612 129.40 79,192.80$ 4-Nov-25 J.P. MORGAN SECURITIES AUSTRALIA LIMITED Equity Buy 8,773 129.40 1,135,226.20$ 4-Nov-25 J.P. MORGAN SECURITIES AUSTRALIA LIMITED Equity Buy 75 129.80 9,734.63$ 4-Nov-25 J.P. MORGAN SECURITIES AUSTRALIA LIMITED Equity Buy 22 129.97 2,859.37$ 4-Nov-25 J.P. MORGAN SECURITIES AUSTRALIA LIMITED Equity Buy 60 130.00 7,800.27$ 4-Nov-25 J.P. MORGAN SECURITIES AUSTRALIA LIMITED Equity Buy 4,593 129.74 595,902.43$ 4-Nov-25 J.P. MORGAN SECURITIES AUSTRALIA LIMITED Equity Buy 79 129.69 10,245.12$ 4-Nov-25 J.P. MORGAN SECURITIES PLC Equity Borrow Return (21,180) - -$ 4-Nov-25 J.P. MORGAN SECURITIES PLC Equity Borrow Return (18,590) - -$ 4-Nov-25 J.P. MORGAN SECURITIES PLC Equity Borrow Return (12,000) - -$ 4-Nov-25 J.P. MORGAN SECURITIES PLC Equity Borrow Return (1,727) - -$ 4-Nov-25 J.P. MORGAN SECURITIES AUSTRALIA LIMITED Equity Borrow Return (5,000) - -$ 4-Nov-25 J.P. MORGAN SECURITIES PLC Equity Borrow 9,983 - -$ 4-Nov-25 J.P. MORGAN SECURITIES PLC Equity Borrow 9,983 - -$ 4-Nov-25 JPMORGAN ASSET MANAGEMENT (UK) LIMITED Equity Buy 2,315 131.30 303,959.50$ 4-Nov-25 J.P. MORGAN INVESTMENT MANAGEMENT INC. Equity Buy 93 131.30 12,210.90$ 4-Nov-25 J.P. MORGAN INVESTMENT MANAGEMENT INC. Equity Sell (455) 129.40 58,877.00$ 4-Nov-25 JPMORGAN ASSET MANAGEMENT (UK) LIMITED Equity Sell (705) 129.40 91,227.00$ 4-Nov-25 JPMORGAN ASSET MANAGEMENT (UK) LIMITED Equity Buy 246 131.30 32,299.80$ 4-Nov-25 JPMORGAN CHASE BANK, N.A. Equity Borrow Return (2) - -$ 4-Nov-25 JPMORGAN CHASE BANK, N.A. Equity Borrow Return (748,900) - -$ 4-Nov-25 JPMORGAN CHASE BANK, N.A. Equity Borrow 18,281 - -$ 4-Nov-25 JPMORGAN CHASE BANK, N.A. Equity Borrow 59,000 - -$ 5-Nov-25 J.P. MORGAN SECURITIES AUSTRALIA LIMITED Equity Sell (4) 127.19 508.76$ 5-Nov-25 J.P. MORGAN SECURITIES AUSTRALIA LIMITED Equity Sell (15,000) 126.79 1,901,896.37$ 5-Nov-25 J.P. MORGAN SECURITIES AUSTRALIA LIMITED Equity Sell (9,599) 127.65 1,225,267.49$ 5-Nov-25 J.P. MORGAN SECURITIES AUSTRALIA LIMITED Equity Sell (814) 126.75 103,175.53$ 5-Nov-25 J.P. MORGAN SECURITIES AUSTRALIA LIMITED Equity Sell (4,592) 127.84 587,041.28$ 5-Nov-25 J.P. MORGAN SECURITIES PLC Equity Sell (39) 127.84 4,985.76$ 5-Nov-25 J.P. MORGAN SECURITIES AUSTRALIA LIMITED Equity Sell (70) 126.75 8,872.83$ 5-Nov-25 J.P. MORGAN SECURITIES AUSTRALIA LIMITED Equity Sell (869) 127.07 110,423.03$ 5-Nov-25 J.P. MORGAN SECURITIES AUSTRALIA LIMITED Equity Buy 12,544 126.90 1,591,833.60$ 5-Nov-25 J.P. MORGAN SECURITIES PLC Equity Buy 1,058 126.63 133,978.98$ 5-Nov-25 J.P. MORGAN SECURITIES AUSTRALIA LIMITED Equity Buy 194 127.79 24,791.26$ 5-Nov-25 J.P. MORGAN SECURITIES AUSTRALIA LIMITED Equity Buy 48 127.84 6,136.32$ 5-Nov-25 J.P. MORGAN SECURITIES AUSTRALIA LIMITED Equity Buy 6,509 127.84 832,110.56$ 5-Nov-25 J.P. MORGAN SECURITIES AUSTRALIA LIMITED Equity Buy 15,120 125.79 1,901,999.20$ 5-Nov-25 J.P. MORGAN SECURITIES AUSTRALIA LIMITED Equity Buy 921 127.84 117,740.64$ 5-Nov-25 J.P. MORGAN SECURITIES AUSTRALIA LIMITED Equity Buy 3,838 126.45 485,302.25$ 5-Nov-25 J.P. MORGAN SECURITIES AUSTRALIA LIMITED Equity Buy 36,092 127.84 4,614,001.28$ 5-Nov-25 J.P. MORGAN SECURITIES AUSTRALIA LIMITED Equity Buy 125 127.84 15,980.00$ 5-Nov-25 J.P. MORGAN INVESTMENT MANAGEMENT INC. Equity Buy 21 127.79 2,683.59$ 5-Nov-25 J.P. MORGAN INVESTMENT MANAGEMENT INC. Equity Sell (192) 127.84 24,545.28$ 5-Nov-25 JPMORGAN CHASE BANK, N.A. Equity Borrow Return (2) - -$ 5-Nov-25 JPMORGAN CHASE BANK, N.A. Equity Borrow Return (5,000) - -$ 5-Nov-25 JPMORGAN CHASE BANK, N.A. Equity Borrow 41,539 - -$ 5-Nov-25 JPMORGAN CHASE BANK, N.A. Equity Borrow Return (34,404) - -$ 6-Nov-25 J.P. MORGAN SECURITIES AUSTRALIA LIMITED Equity Sell (803) 129.00 103,587.00$ 6-Nov-25 J.P. MORGAN SECURITIES AUSTRALIA LIMITED Equity Sell (28,254) 130.76 3,694,493.04$ 6-Nov-25 J.P. MORGAN SECURITIES AUSTRALIA LIMITED Equity Sell (12) 130.76 1,569.12$ 6-Nov-25 J.P. MORGAN SECURITIES AUSTRALIA LIMITED Equity Sell (499) 130.76 65,249.24$ 6-Nov-25 J.P. MORGAN SECURITIES AUSTRALIA LIMITED Equity Sell (20,708) 130.76 2,707,778.08$ 6-Nov-25 J.P. MORGAN SECURITIES AUSTRALIA LIMITED Equity Sell (3,786) 130.76 495,057.36$ 6-Nov-25 J.P. MORGAN SECURITIES AUSTRALIA LIMITED Equity Sell (60) 130.76 7,845.60$ 6-Nov-25 J.P. MORGAN SECURITIES AUSTRALIA LIMITED Equity Sell (71) 130.61 9,273.01$ 6-Nov-25 J.P. MORGAN SECURITIES AUSTRALIA LIMITED Equity Sell (261) 130.76 34,128.36$ 6-Nov-25 J.P. MORGAN SECURITIES AUSTRALIA LIMITED Equity Sell (482) 130.76 63,026.32$ 6-Nov-25 J.P. MORGAN SECURITIES AUSTRALIA LIMITED Equity Sell (9,185) 130.76 1,201,030.60$ 6-Nov-25 J.P. MORGAN SECURITIES AUSTRALIA LIMITED Equity Sell (1,502) 130.73 196,351.35$ 6-Nov-25 J.P. MORGAN SECURITIES AUSTRALIA LIMITED Equity Sell (8) 130.72 1,045.79$ 8/25


 
TRADES FOR RELEVANT PERIOD Appendix 6-Nov-25 J.P. MORGAN SECURITIES AUSTRALIA LIMITED Equity Sell (65) 130.40 8,475.91$ 6-Nov-25 J.P. MORGAN SECURITIES AUSTRALIA LIMITED Equity Sell (24) 130.95 3,142.68$ 6-Nov-25 J.P. MORGAN SECURITIES AUSTRALIA LIMITED Equity Sell (6,446) 130.75 842,794.48$ 6-Nov-25 J.P. MORGAN SECURITIES AUSTRALIA LIMITED Equity Sell (311) 130.76 40,666.36$ 6-Nov-25 J.P. MORGAN SECURITIES AUSTRALIA LIMITED Equity Sell (632) 129.51 81,849.18$ 6-Nov-25 J.P. MORGAN SECURITIES PLC Equity Sell (20) 130.76 2,615.20$ 6-Nov-25 J.P. MORGAN SECURITIES AUSTRALIA LIMITED Equity Sell (714) 130.76 93,362.64$ 6-Nov-25 J.P. MORGAN SECURITIES AUSTRALIA LIMITED Equity Sell (134) 130.76 17,521.84$ 6-Nov-25 J.P. MORGAN SECURITIES AUSTRALIA LIMITED Equity Sell (125) 127.84 15,980.00$ 6-Nov-25 J.P. MORGAN SECURITIES AUSTRALIA LIMITED Equity Buy 854 130.76 111,669.04$ 6-Nov-25 J.P. MORGAN SECURITIES AUSTRALIA LIMITED Equity Buy 3 130.76 392.28$ 6-Nov-25 J.P. MORGAN SECURITIES AUSTRALIA LIMITED Equity Buy 12 130.76 1,569.12$ 6-Nov-25 J.P. MORGAN SECURITIES AUSTRALIA LIMITED Equity Buy 28,254 130.76 3,694,493.04$ 6-Nov-25 J.P. MORGAN SECURITIES AUSTRALIA LIMITED Equity Buy 2,273 130.76 297,217.48$ 6-Nov-25 J.P. MORGAN SECURITIES AUSTRALIA LIMITED Equity Buy 499 130.76 65,249.24$ 6-Nov-25 J.P. MORGAN SECURITIES AUSTRALIA LIMITED Equity Buy 23,917 130.49 3,120,918.18$ 6-Nov-25 J.P. MORGAN SECURITIES AUSTRALIA LIMITED Equity Buy 64 129.66 8,297.95$ 6-Nov-25 J.P. MORGAN SECURITIES AUSTRALIA LIMITED Equity Buy 10 130.43 1,304.32$ 6-Nov-25 J.P. MORGAN SECURITIES AUSTRALIA LIMITED Equity Buy 1,838 129.00 237,102.00$ 6-Nov-25 J.P. MORGAN SECURITIES AUSTRALIA LIMITED Equity Buy 10,854 130.27 1,413,992.26$ 6-Nov-25 J.P. MORGAN SECURITIES AUSTRALIA LIMITED Equity Buy 2,073 129.87 269,217.03$ 6-Nov-25 J.P. MORGAN SECURITIES AUSTRALIA LIMITED Equity Buy 20 129.00 2,580.00$ 6-Nov-25 J.P. MORGAN SECURITIES AUSTRALIA LIMITED Equity Buy 2,903 130.34 378,387.06$ 6-Nov-25 J.P. MORGAN SECURITIES AUSTRALIA LIMITED Equity Buy 1,617 130.43 210,906.93$ 6-Nov-25 J.P. MORGAN SECURITIES AUSTRALIA LIMITED Equity Buy 5,498 130.33 716,543.50$ 6-Nov-25 J.P. MORGAN SECURITIES AUSTRALIA LIMITED Equity Buy 198 130.79 25,895.66$ 6-Nov-25 J.P. MORGAN SECURITIES AUSTRALIA LIMITED Equity Buy 1,320 130.85 172,728.00$ 6-Nov-25 J.P. MORGAN SE Equity Buy 25,382 130.76 3,318,950.32$ 6-Nov-25 J.P. MORGAN SECURITIES PLC Equity Borrow Return (65,835) - -$ 6-Nov-25 J.P. MORGAN SECURITIES PLC Equity Borrow Return (101) - -$ 6-Nov-25 J.P. MORGAN SECURITIES PLC Equity Borrow Return (7,399) - -$ 6-Nov-25 J.P. MORGAN SECURITIES PLC Equity Borrow 34,005 - -$ 6-Nov-25 J.P. MORGAN SECURITIES PLC Equity Borrow 31,830 - -$ 6-Nov-25 J.P. MORGAN SECURITIES PLC Equity Borrow 7,500 - -$ 6-Nov-25 J.P. MORGAN INVESTMENT MANAGEMENT INC. Equity In-kind transaction to receive the shares/par/units 2,084 - -$ 6-Nov-25 J.P. MORGAN INVESTMENT MANAGEMENT INC. Equity In-kind transaction to receive the shares/par/units 2,190 - -$ 6-Nov-25 JPMORGAN ASSET MANAGEMENT (UK) LIMITED Equity Buy 141 129.00 18,189.00$ 6-Nov-25 JPMORGAN CHASE BANK, N.A. Equity Borrow 70,000 - -$ 6-Nov-25 JPMORGAN CHASE BANK, N.A. Equity Borrow 5,594 - -$ 6-Nov-25 JPMORGAN CHASE BANK, N.A. Equity Borrow Return (41,539) - -$ 6-Nov-25 JPMORGAN CHASE BANK, N.A. Equity Borrow Return (7,000) - -$ 6-Nov-25 JPMORGAN CHASE BANK, N.A. Equity Borrow Return (24,596) - -$ 7-Nov-25 J.P. MORGAN SECURITIES AUSTRALIA LIMITED Equity Sell (209) 130.76 27,328.84$ 7-Nov-25 J.P. MORGAN SECURITIES AUSTRALIA LIMITED Equity Sell (12) 130.76 1,569.12$ 7-Nov-25 J.P. MORGAN SECURITIES PLC Equity Sell (116) 129.42 15,012.72$ 7-Nov-25 J.P. MORGAN SECURITIES PLC Equity Sell (18) 129.42 2,329.56$ 7-Nov-25 J.P. MORGAN SECURITIES AUSTRALIA LIMITED Equity Sell (2,833) 129.04 365,570.32$ 7-Nov-25 J.P. MORGAN SECURITIES AUSTRALIA LIMITED Equity Sell (204) 129.04 26,324.16$ 7-Nov-25 J.P. MORGAN SECURITIES AUSTRALIA LIMITED Equity Sell (8,315) 129.04 1,072,967.60$ 7-Nov-25 J.P. MORGAN SECURITIES AUSTRALIA LIMITED Equity Sell (206) 129.04 26,582.24$ 7-Nov-25 J.P. MORGAN SECURITIES AUSTRALIA LIMITED Equity Sell (12) 129.04 1,548.48$ 7-Nov-25 J.P. MORGAN SECURITIES AUSTRALIA LIMITED Equity Sell (268) 129.04 34,582.72$ 7-Nov-25 J.P. MORGAN SECURITIES AUSTRALIA LIMITED Equity Sell (5,681) 129.04 733,076.24$ 7-Nov-25 J.P. MORGAN SECURITIES AUSTRALIA LIMITED Equity Sell (14,174) 129.02 1,828,663.00$ 7-Nov-25 J.P. MORGAN SECURITIES AUSTRALIA LIMITED Equity Sell (9,186) 129.04 1,185,361.44$ 7-Nov-25 J.P. MORGAN SECURITIES AUSTRALIA LIMITED Equity Sell (7,941) 129.04 1,024,706.64$ 7-Nov-25 J.P. MORGAN SECURITIES AUSTRALIA LIMITED Equity Sell (24,234) 129.04 3,127,155.36$ 7-Nov-25 J.P. MORGAN SECURITIES AUSTRALIA LIMITED Equity Sell (242) 129.51 31,341.42$ 7-Nov-25 J.P. MORGAN SECURITIES AUSTRALIA LIMITED Equity Sell (32) 128.83 4,122.62$ 7-Nov-25 J.P. MORGAN SECURITIES AUSTRALIA LIMITED Equity Sell (40) 128.72 5,148.78$ 7-Nov-25 J.P. MORGAN SECURITIES AUSTRALIA LIMITED Equity Sell (198) 130.76 25,890.48$ 7-Nov-25 J.P. MORGAN SECURITIES AUSTRALIA LIMITED Equity Buy 12 130.76 1,569.12$ 7-Nov-25 J.P. MORGAN SECURITIES AUSTRALIA LIMITED Equity Buy 209 130.76 27,328.84$ 7-Nov-25 J.P. MORGAN SECURITIES AUSTRALIA LIMITED Equity Buy 6 130.76 784.56$ 7-Nov-25 J.P. MORGAN SECURITIES PLC Equity Buy 116 129.42 15,012.72$ 7-Nov-25 J.P. MORGAN SECURITIES PLC Equity Buy 18 129.42 2,329.56$ 7-Nov-25 J.P. MORGAN SECURITIES AUSTRALIA LIMITED Equity Buy 8,315 129.04 1,072,967.60$ 7-Nov-25 J.P. MORGAN SECURITIES AUSTRALIA LIMITED Equity Buy 12 129.04 1,548.48$ 7-Nov-25 J.P. MORGAN SECURITIES AUSTRALIA LIMITED Equity Buy 206 129.04 26,582.24$ 7-Nov-25 J.P. MORGAN SECURITIES AUSTRALIA LIMITED Equity Buy 269 128.71 34,623.37$ 7-Nov-25 J.P. MORGAN SECURITIES AUSTRALIA LIMITED Equity Buy 27 129.09 3,485.38$ 7-Nov-25 J.P. MORGAN SECURITIES AUSTRALIA LIMITED Equity Buy 8,189 128.91 1,055,665.59$ 7-Nov-25 J.P. MORGAN SECURITIES AUSTRALIA LIMITED Equity Buy 99 128.86 12,757.54$ 7-Nov-25 J.P. MORGAN SECURITIES AUSTRALIA LIMITED Equity Buy 17 129.07 2,194.12$ 7-Nov-25 J.P. MORGAN SECURITIES AUSTRALIA LIMITED Equity Buy 554 128.96 71,446.22$ 7-Nov-25 J.P. MORGAN SECURITIES AUSTRALIA LIMITED Equity Buy 926 129.07 119,514.93$ 7-Nov-25 J.P. MORGAN SECURITIES PLC Equity Borrow Return (323) - -$ 7-Nov-25 J.P. MORGAN INVESTMENT MANAGEMENT INC. Equity In-kind transaction to receive the shares/par/units 1,460 - -$ 7-Nov-25 JPMORGAN ASSET MANAGEMENT (UK) LIMITED Equity Buy 211 129.51 27,326.61$ 10-Nov-25 J.P. MORGAN SECURITIES AUSTRALIA LIMITED Equity Sell (17) 129.43 2,200.32$ 10-Nov-25 J.P. MORGAN SECURITIES AUSTRALIA LIMITED Equity Sell (25) 129.31 3,232.84$ 10-Nov-25 J.P. MORGAN SECURITIES AUSTRALIA LIMITED Equity Sell (557) 129.32 72,031.03$ 10-Nov-25 J.P. MORGAN SECURITIES AUSTRALIA LIMITED Equity Sell (9,185) 129.79 1,192,121.15$ 10-Nov-25 J.P. MORGAN SECURITIES AUSTRALIA LIMITED Equity Sell (213) 129.21 27,522.65$ 10-Nov-25 J.P. MORGAN SECURITIES AUSTRALIA LIMITED Equity Sell (665) 129.40 86,048.12$ 10-Nov-25 J.P. MORGAN SECURITIES AUSTRALIA LIMITED Equity Sell (20,921) 129.53 2,709,888.64$ 10-Nov-25 J.P. MORGAN SECURITIES AUSTRALIA LIMITED Equity Sell (1,497) 129.04 193,172.88$ 10-Nov-25 J.P. MORGAN SECURITIES AUSTRALIA LIMITED Equity Sell (34,299) 129.04 4,425,942.96$ 10-Nov-25 J.P. MORGAN SECURITIES PLC Equity Sell (27) 129.79 3,504.33$ 10-Nov-25 J.P. MORGAN SECURITIES AUSTRALIA LIMITED Equity Buy 127 129.82 16,486.63$ 10-Nov-25 J.P. MORGAN SECURITIES AUSTRALIA LIMITED Equity Buy 2,449 129.48 317,090.11$ 10-Nov-25 J.P. MORGAN SECURITIES AUSTRALIA LIMITED Equity Buy 15 129.25 1,938.77$ 10-Nov-25 J.P. MORGAN SECURITIES AUSTRALIA LIMITED Equity Buy 60 128.96 7,737.57$ 10-Nov-25 J.P. MORGAN SECURITIES AUSTRALIA LIMITED Equity Buy 949 129.62 123,005.28$ 10-Nov-25 J.P. MORGAN SECURITIES PLC Equity Buy 3 129.58 388.75$ 10-Nov-25 J.P. MORGAN SECURITIES PLC Equity Buy 45 129.52 5,828.28$ 10-Nov-25 J.P. MORGAN SECURITIES PLC Equity Buy 28 129.54 3,627.03$ 10-Nov-25 J.P. MORGAN SECURITIES PLC Equity Buy 1,477 129.79 191,699.83$ 10-Nov-25 J.P. MORGAN SECURITIES PLC Equity Buy 46 129.45 5,954.60$ 10-Nov-25 J.P. MORGAN SECURITIES PLC Equity Buy 652 129.53 84,455.60$ 10-Nov-25 J.P. MORGAN SECURITIES PLC Equity Buy 27 129.79 3,504.33$ 10-Nov-25 JPMORGAN ASSET MANAGEMENT (ASIA PACIFIC) LIMITED Equity Sell (1,550) 128.80 199,633.18$ 10-Nov-25 JPMORGAN ASSET MANAGEMENT (CHINA) COMPANY LIMITED Equity Sell (3,995) 129.37 516,827.16$ 10-Nov-25 JPMORGAN ASSET MANAGEMENT (UK) LIMITED Equity Sell (577) 129.79 74,888.83$ 10-Nov-25 J.P. MORGAN INVESTMENT MANAGEMENT INC. Equity In-kind transaction to receive the shares/par/units 2,084 - -$ 10-Nov-25 JPMORGAN CHASE BANK, N.A. Equity Borrow Return (9) - -$ 10-Nov-25 JPMORGAN CHASE BANK, N.A. Equity Borrow Return (2,122) - -$ 10-Nov-25 JPMORGAN CHASE BANK, N.A. Equity Borrow 2,122 - -$ 10-Nov-25 JPMORGAN CHASE BANK, N.A. Equity Borrow Return (305) - -$ 11-Nov-25 J.P. MORGAN SECURITIES AUSTRALIA LIMITED Equity Sell (12) 129.79 1,557.48$ 11-Nov-25 J.P. MORGAN SECURITIES AUSTRALIA LIMITED Equity Sell (12) 129.79 1,557.48$ 11-Nov-25 J.P. MORGAN SECURITIES AUSTRALIA LIMITED Equity Sell (16) 129.79 2,076.64$ 11-Nov-25 J.P. MORGAN SECURITIES AUSTRALIA LIMITED Equity Sell (196) 129.79 25,438.84$ 11-Nov-25 J.P. MORGAN SECURITIES AUSTRALIA LIMITED Equity Sell (35) 129.79 4,542.65$ 11-Nov-25 J.P. MORGAN SECURITIES AUSTRALIA LIMITED Equity Sell (26) 130.31 3,388.08$ 11-Nov-25 J.P. MORGAN SECURITIES AUSTRALIA LIMITED Equity Sell (51,799) 129.56 6,711,078.44$ 11-Nov-25 J.P. MORGAN SECURITIES AUSTRALIA LIMITED Equity Sell (34) 130.24 4,428.25$ 11-Nov-25 J.P. MORGAN SECURITIES AUSTRALIA LIMITED Equity Sell (2,878) 131.14 377,413.07$ 11-Nov-25 J.P. MORGAN SECURITIES AUSTRALIA LIMITED Equity Sell (1,076) 129.79 139,654.04$ 11-Nov-25 J.P. MORGAN SECURITIES AUSTRALIA LIMITED Equity Sell (1,080) 129.79 140,173.20$ 11-Nov-25 J.P. MORGAN SECURITIES AUSTRALIA LIMITED Equity Sell (18,498) 129.56 2,396,600.88$ 11-Nov-25 J.P. MORGAN SECURITIES AUSTRALIA LIMITED Equity Sell (51,799) 129.56 6,711,078.44$ 11-Nov-25 J.P. MORGAN SECURITIES AUSTRALIA LIMITED Equity Sell (11,713) 129.56 1,517,536.28$ 11-Nov-25 J.P. MORGAN SECURITIES AUSTRALIA LIMITED Equity Buy 12 129.79 1,557.48$ 11-Nov-25 J.P. MORGAN SECURITIES AUSTRALIA LIMITED Equity Buy 12 129.79 1,557.48$ 11-Nov-25 J.P. MORGAN SECURITIES AUSTRALIA LIMITED Equity Buy 16 129.79 2,076.64$ 11-Nov-25 J.P. MORGAN SECURITIES AUSTRALIA LIMITED Equity Buy 74 129.79 9,604.46$ 11-Nov-25 J.P. MORGAN SECURITIES AUSTRALIA LIMITED Equity Buy 35 129.79 4,542.65$ 11-Nov-25 J.P. MORGAN SECURITIES AUSTRALIA LIMITED Equity Buy 615 130.00 79,950.68$ 11-Nov-25 J.P. MORGAN SECURITIES AUSTRALIA LIMITED Equity Buy 932 129.59 120,774.07$ 11-Nov-25 J.P. MORGAN SECURITIES AUSTRALIA LIMITED Equity Buy 1,272 129.76 165,060.54$ 11-Nov-25 J.P. MORGAN SECURITIES AUSTRALIA LIMITED Equity Buy 56 130.10 7,285.83$ 11-Nov-25 J.P. MORGAN SECURITIES AUSTRALIA LIMITED Equity Buy 12,013 129.63 1,557,285.05$ 11-Nov-25 J.P. MORGAN SECURITIES AUSTRALIA LIMITED Equity Buy 20 129.90 2,597.93$ 11-Nov-25 J.P. MORGAN SECURITIES AUSTRALIA LIMITED Equity Buy 3,210 130.55 419,059.99$ 9/25


 
TRADES FOR RELEVANT PERIOD Appendix 11-Nov-25 J.P. MORGAN SECURITIES AUSTRALIA LIMITED Equity Buy 6,124 129.56 793,425.44$ 11-Nov-25 J.P. MORGAN SECURITIES AUSTRALIA LIMITED Equity Buy 9,097 129.70 1,179,913.69$ 11-Nov-25 J.P. MORGAN SECURITIES AUSTRALIA LIMITED Equity Buy 20,735 129.56 2,686,426.60$ 11-Nov-25 J.P. MORGAN SECURITIES AUSTRALIA LIMITED Equity Buy 31,064 129.56 4,024,651.84$ 11-Nov-25 J.P. MORGAN SECURITIES AUSTRALIA LIMITED Equity Buy 4,320 129.56 559,699.20$ 11-Nov-25 J.P. MORGAN SECURITIES AUSTRALIA LIMITED Equity Buy 18,498 129.56 2,396,600.88$ 11-Nov-25 J.P. MORGAN SECURITIES PLC Equity Borrow Return (7,500) - -$ 11-Nov-25 J.P. MORGAN SECURITIES PLC Equity Borrow 25 - -$ 11-Nov-25 J.P. MORGAN SECURITIES PLC Equity Borrow 1,511 - -$ 11-Nov-25 J.P. MORGAN SECURITIES PLC Equity Borrow 5,888 - -$ 11-Nov-25 J.P. MORGAN SECURITIES PLC Equity Borrow 76 - -$ 11-Nov-25 J.P. MORGAN INVESTMENT MANAGEMENT INC. Equity In-kind transaction to receive the shares/par/units 1,460 - -$ 11-Nov-25 JPMORGAN ASSET MANAGEMENT (UK) LIMITED Equity Buy 42 131.27 5,513.18$ 11-Nov-25 J.P. MORGAN INVESTMENT MANAGEMENT INC. Equity Buy 6,623 131.27 869,375.38$ 11-Nov-25 JPMORGAN CHASE BANK, N.A. Equity Borrow Return (7,630) - -$ 12-Nov-25 J.P. MORGAN SECURITIES AUSTRALIA LIMITED Equity Sell (5) 132.83 664.15$ 12-Nov-25 J.P. MORGAN SECURITIES AUSTRALIA LIMITED Equity Sell (60) 132.68 7,960.85$ 12-Nov-25 J.P. MORGAN SECURITIES AUSTRALIA LIMITED Equity Sell (672) 132.60 89,108.29$ 12-Nov-25 J.P. MORGAN SECURITIES AUSTRALIA LIMITED Equity Sell (4,601) 132.47 609,494.47$ 12-Nov-25 J.P. MORGAN SECURITIES AUSTRALIA LIMITED Equity Sell (592) 132.51 78,447.21$ 12-Nov-25 J.P. MORGAN SECURITIES AUSTRALIA LIMITED Equity Sell (129) 130.44 16,827.12$ 12-Nov-25 J.P. MORGAN SECURITIES PLC Equity Sell (232) 132.47 30,733.04$ 12-Nov-25 J.P. MORGAN SECURITIES PLC Equity Sell (76) 132.47 10,067.72$ 12-Nov-25 J.P. MORGAN SECURITIES PLC Equity Sell (672) 132.47 89,019.84$ 12-Nov-25 J.P. MORGAN SECURITIES AUSTRALIA LIMITED Equity Sell (2,819) 129.56 365,229.64$ 12-Nov-25 J.P. MORGAN SECURITIES AUSTRALIA LIMITED Equity Sell (686) 129.56 88,878.16$ 12-Nov-25 J.P. MORGAN SECURITIES AUSTRALIA LIMITED Equity Sell (102) 132.47 13,511.94$ 12-Nov-25 J.P. MORGAN SECURITIES AUSTRALIA LIMITED Equity Sell (12) 132.47 1,589.64$ 12-Nov-25 J.P. MORGAN SECURITIES AUSTRALIA LIMITED Equity Buy 426 132.47 56,432.22$ 12-Nov-25 J.P. MORGAN SECURITIES AUSTRALIA LIMITED Equity Buy 401 131.90 52,892.02$ 12-Nov-25 J.P. MORGAN SECURITIES AUSTRALIA LIMITED Equity Buy 6,123 132.47 811,113.81$ 12-Nov-25 J.P. MORGAN SECURITIES AUSTRALIA LIMITED Equity Buy 16,784 132.67 2,226,800.52$ 12-Nov-25 J.P. MORGAN SECURITIES AUSTRALIA LIMITED Equity Buy 13,678 132.34 1,810,089.05$ 12-Nov-25 J.P. MORGAN SECURITIES AUSTRALIA LIMITED Equity Buy 243 132.61 32,223.50$ 12-Nov-25 J.P. MORGAN SECURITIES AUSTRALIA LIMITED Equity Buy 4,315 131.80 568,705.16$ 12-Nov-25 J.P. MORGAN SECURITIES AUSTRALIA LIMITED Equity Buy 2,109 132.51 279,473.00$ 12-Nov-25 J.P. MORGAN SECURITIES PLC Equity Buy 46 132.47 6,093.62$ 12-Nov-25 J.P. MORGAN SECURITIES AUSTRALIA LIMITED Equity Buy 2,852 132.84 378,863.10$ 12-Nov-25 J.P. MORGAN SECURITIES AUSTRALIA LIMITED Equity Buy 177 132.84 23,512.13$ 12-Nov-25 J.P. MORGAN SECURITIES AUSTRALIA LIMITED Equity Buy 442 132.84 58,713.14$ 12-Nov-25 J.P. MORGAN SECURITIES AUSTRALIA LIMITED Equity Buy 2,854 132.84 379,134.21$ 12-Nov-25 J.P. MORGAN SECURITIES AUSTRALIA LIMITED Equity Buy 12 132.47 1,589.64$ 12-Nov-25 J.P. MORGAN SECURITIES AUSTRALIA LIMITED Equity Buy 102 132.47 13,511.94$ 12-Nov-25 J.P. MORGAN SECURITIES AUSTRALIA LIMITED Equity Buy 5 132.47 662.35$ 12-Nov-25 J.P. MORGAN SECURITIES AUSTRALIA LIMITED Equity Buy 1,903 132.50 252,140.83$ 12-Nov-25 J.P. MORGAN SECURITIES PLC Exchange Traded Derivatives - Option - Equity Buy 115,000 - -$ 12-Nov-25 J.P. MORGAN SECURITIES PLC Equity Borrow 2,644 - -$ 12-Nov-25 J.P. MORGAN SECURITIES PLC Equity Borrow 4,709 - -$ 12-Nov-25 J.P. MORGAN SECURITIES PLC Equity Borrow 17,647 - -$ 12-Nov-25 J.P. MORGAN SECURITIES AUSTRALIA LIMITED Equity Borrow 45,554 - -$ 12-Nov-25 J.P. MORGAN INVESTMENT MANAGEMENT INC. Equity Sell (56) 130.30 7,296.80$ 12-Nov-25 J.P. MORGAN INVESTMENT MANAGEMENT INC. Equity Sell (237) 130.30 30,881.10$ 12-Nov-25 JPMORGAN ASSET MANAGEMENT (ASIA PACIFIC) LIMITED Equity Buy 2,400 132.87 318,893.52$ 12-Nov-25 J.P. MORGAN INVESTMENT MANAGEMENT INC. Equity In-kind transaction to deliver the shares/par/units (1,028) - -$ 12-Nov-25 JPMORGAN ASSET MANAGEMENT (UK) LIMITED Equity Sell (237) 130.30 30,881.10$ 12-Nov-25 JPMORGAN CHASE BANK, N.A. Equity Borrow 1,022 - -$ 12-Nov-25 JPMORGAN CHASE BANK, N.A. Equity Borrow Return (42) - -$ 12-Nov-25 JPMORGAN CHASE BANK, N.A. Equity Borrow Return (386) - -$ 12-Nov-25 JPMORGAN CHASE BANK, N.A. Equity Borrow 2,614 - -$ 13-Nov-25 J.P. MORGAN SECURITIES AUSTRALIA LIMITED Equity Sell (103) 132.47 13,644.41$ 13-Nov-25 J.P. MORGAN SECURITIES AUSTRALIA LIMITED Equity Sell (2,512) 133.61 335,617.05$ 13-Nov-25 J.P. MORGAN SECURITIES AUSTRALIA LIMITED Equity Sell (302) 133.50 40,317.00$ 13-Nov-25 J.P. MORGAN SECURITIES AUSTRALIA LIMITED Equity Sell (8,085) 132.27 1,069,402.03$ 13-Nov-25 J.P. MORGAN SECURITIES AUSTRALIA LIMITED Equity Sell (57) 132.28 7,539.97$ 13-Nov-25 J.P. MORGAN SECURITIES AUSTRALIA LIMITED Equity Sell (218) 132.43 28,869.90$ 13-Nov-25 J.P. MORGAN SECURITIES AUSTRALIA LIMITED Equity Sell (353) 131.56 46,441.05$ 13-Nov-25 J.P. MORGAN SECURITIES AUSTRALIA LIMITED Equity Sell (16) 131.53 2,104.40$ 13-Nov-25 J.P. MORGAN SECURITIES AUSTRALIA LIMITED Equity Sell (1,903) 132.47 252,090.41$ 13-Nov-25 J.P. MORGAN SECURITIES AUSTRALIA LIMITED Equity Sell (10,378) 133.65 1,387,019.70$ 13-Nov-25 J.P. MORGAN SECURITIES PLC Equity Sell (114) 133.65 15,236.10$ 13-Nov-25 J.P. MORGAN SECURITIES PLC Equity Sell (1,938) 132.83 257,417.37$ 13-Nov-25 J.P. MORGAN SECURITIES AUSTRALIA LIMITED Equity Buy 103 132.47 13,644.41$ 13-Nov-25 J.P. MORGAN SECURITIES AUSTRALIA LIMITED Equity Buy 203 132.47 26,891.41$ 13-Nov-25 J.P. MORGAN SECURITIES AUSTRALIA LIMITED Equity Buy 93 132.47 12,319.71$ 13-Nov-25 J.P. MORGAN SECURITIES AUSTRALIA LIMITED Equity Buy 3,951 132.19 522,298.02$ 13-Nov-25 J.P. MORGAN SECURITIES AUSTRALIA LIMITED Equity Buy 1,129 132.65 149,766.99$ 13-Nov-25 J.P. MORGAN SECURITIES AUSTRALIA LIMITED Equity Buy 51 132.80 6,772.92$ 13-Nov-25 J.P. MORGAN SECURITIES AUSTRALIA LIMITED Equity Buy 216 133.16 28,762.64$ 13-Nov-25 J.P. MORGAN SECURITIES AUSTRALIA LIMITED Equity Buy 15,309 133.65 2,046,047.85$ 13-Nov-25 J.P. MORGAN SECURITIES AUSTRALIA LIMITED Equity Buy 27,376 132.87 3,637,492.16$ 13-Nov-25 J.P. MORGAN SECURITIES PLC Equity Buy 22 133.65 2,940.30$ 13-Nov-25 J.P. MORGAN SECURITIES AUSTRALIA LIMITED Equity Buy 3,179 132.48 421,160.54$ 13-Nov-25 J.P. MORGAN SECURITIES AUSTRALIA LIMITED Equity Buy 388 132.48 51,401.62$ 13-Nov-25 J.P. MORGAN SECURITIES AUSTRALIA LIMITED Equity Buy 3,604 132.47 477,426.30$ 13-Nov-25 J.P. MORGAN SECURITIES AUSTRALIA LIMITED Equity Buy 8,641 133.65 1,154,869.65$ 13-Nov-25 J.P. MORGAN SECURITIES AUSTRALIA LIMITED Equity Buy 10,378 133.65 1,387,019.70$ 13-Nov-25 J.P. MORGAN SECURITIES AUSTRALIA LIMITED Equity Buy 14,814 133.65 1,979,891.10$ 13-Nov-25 J.P. MORGAN SECURITIES AUSTRALIA LIMITED Equity Buy 70 133.65 9,355.50$ 13-Nov-25 J.P. MORGAN SECURITIES PLC Equity Buy 114 133.65 15,236.10$ 13-Nov-25 J.P. MORGAN SECURITIES PLC Equity Borrow 4,444 - -$ 13-Nov-25 J.P. MORGAN SECURITIES PLC Equity Borrow 5,057 - -$ 13-Nov-25 J.P. MORGAN SECURITIES PLC Equity Borrow 2,119 - -$ 13-Nov-25 J.P. MORGAN INVESTMENT MANAGEMENT INC. Equity In-kind transaction to receive the shares/par/units 2,084 - -$ 13-Nov-25 JPMORGAN CHASE BANK, N.A. Equity Borrow 12,000 - -$ 13-Nov-25 JPMORGAN CHASE BANK, N.A. Equity Borrow Return (10,887) - -$ 13-Nov-25 JPMORGAN CHASE BANK, N.A. Equity Borrow 231 - -$ 13-Nov-25 JPMORGAN CHASE BANK, N.A. Equity Borrow Return (231) - -$ 14-Nov-25 J.P. MORGAN SECURITIES AUSTRALIA LIMITED Equity Sell (2,166) 131.85 285,587.10$ 14-Nov-25 J.P. MORGAN SECURITIES AUSTRALIA LIMITED Equity Sell (137) 130.96 17,940.84$ 14-Nov-25 J.P. MORGAN SECURITIES AUSTRALIA LIMITED Equity Sell (12) 130.96 1,571.46$ 14-Nov-25 J.P. MORGAN SECURITIES AUSTRALIA LIMITED Equity Sell (2) 130.98 261.95$ 14-Nov-25 J.P. MORGAN SECURITIES AUSTRALIA LIMITED Equity Sell (55) 131.00 7,205.00$ 14-Nov-25 J.P. MORGAN SECURITIES AUSTRALIA LIMITED Equity Sell (251) 131.85 33,094.35$ 14-Nov-25 J.P. MORGAN SECURITIES AUSTRALIA LIMITED Equity Sell (1,781) 131.85 234,824.85$ 14-Nov-25 J.P. MORGAN SECURITIES AUSTRALIA LIMITED Equity Sell (2,577) 131.22 338,146.22$ 14-Nov-25 J.P. MORGAN SECURITIES AUSTRALIA LIMITED Equity Sell (294) 131.62 38,695.80$ 14-Nov-25 J.P. MORGAN SECURITIES AUSTRALIA LIMITED Equity Sell (22) 131.86 2,900.81$ 14-Nov-25 J.P. MORGAN SECURITIES AUSTRALIA LIMITED Equity Sell (1,935) 131.63 254,697.41$ 14-Nov-25 J.P. MORGAN SECURITIES AUSTRALIA LIMITED Equity Sell (18,682) 131.84 2,463,090.12$ 14-Nov-25 J.P. MORGAN SECURITIES AUSTRALIA LIMITED Equity Sell (2) 131.98 263.95$ 14-Nov-25 J.P. MORGAN SECURITIES PLC Equity Sell (16) 131.85 2,109.60$ 14-Nov-25 J.P. MORGAN SECURITIES PLC Equity Sell (23) 131.85 3,032.55$ 14-Nov-25 J.P. MORGAN SECURITIES AUSTRALIA LIMITED Equity Sell (476) 131.85 62,760.60$ 14-Nov-25 J.P. MORGAN SECURITIES AUSTRALIA LIMITED Equity Sell (216) 133.65 28,868.40$ 14-Nov-25 J.P. MORGAN SECURITIES AUSTRALIA LIMITED Equity Buy 12 130.96 1,571.46$ 14-Nov-25 J.P. MORGAN SECURITIES AUSTRALIA LIMITED Equity Buy 137 130.96 17,940.84$ 14-Nov-25 J.P. MORGAN SECURITIES AUSTRALIA LIMITED Equity Buy 6 130.96 785.73$ 14-Nov-25 J.P. MORGAN SECURITIES AUSTRALIA LIMITED Equity Buy 2 130.98 261.95$ 14-Nov-25 J.P. MORGAN SECURITIES AUSTRALIA LIMITED Equity Buy 251 131.85 33,094.35$ 14-Nov-25 J.P. MORGAN SECURITIES AUSTRALIA LIMITED Equity Buy 1,781 131.85 234,824.85$ 14-Nov-25 J.P. MORGAN SECURITIES AUSTRALIA LIMITED Equity Buy 1,049 131.85 138,310.65$ 14-Nov-25 J.P. MORGAN SECURITIES AUSTRALIA LIMITED Equity Buy 114 131.85 15,030.90$ 14-Nov-25 J.P. MORGAN SECURITIES AUSTRALIA LIMITED Equity Buy 4 131.75 527.00$ 14-Nov-25 J.P. MORGAN SECURITIES AUSTRALIA LIMITED Equity Buy 4 130.95 523.80$ 14-Nov-25 J.P. MORGAN SECURITIES AUSTRALIA LIMITED Equity Buy 367 131.68 48,327.07$ 14-Nov-25 J.P. MORGAN SECURITIES AUSTRALIA LIMITED Equity Buy 174 130.95 22,785.30$ 14-Nov-25 J.P. MORGAN SECURITIES AUSTRALIA LIMITED Equity Buy 510 131.85 67,243.50$ 14-Nov-25 JPMORGAN ASSET MANAGEMENT (UK) LIMITED Equity Buy 43 131.42 5,651.06$ 14-Nov-25 J.P. MORGAN INVESTMENT MANAGEMENT INC. Equity Sell (96) 131.42 12,616.32$ 14-Nov-25 J.P. MORGAN INVESTMENT MANAGEMENT INC. Equity Sell (53) 131.42 6,965.26$ 14-Nov-25 JPMORGAN CHASE BANK, N.A. Equity Borrow Return (34,265) - -$ 14-Nov-25 JPMORGAN CHASE BANK, N.A. Equity Borrow 11,000 - -$ 14-Nov-25 JPMORGAN CHASE BANK, N.A. Equity Borrow 22,507 - -$ 17-Nov-25 J.P. MORGAN SECURITIES AUSTRALIA LIMITED Equity Sell (92) 131.85 12,130.20$ 17-Nov-25 J.P. MORGAN SECURITIES AUSTRALIA LIMITED Equity Sell (282) 131.85 37,181.70$ 10/25


 
TRADES FOR RELEVANT PERIOD Appendix 17-Nov-25 J.P. MORGAN SECURITIES AUSTRALIA LIMITED Equity Sell (10,630) 132.59 1,409,431.70$ 17-Nov-25 J.P. MORGAN SECURITIES AUSTRALIA LIMITED Equity Sell (10,630) 132.59 1,409,431.70$ 17-Nov-25 J.P. MORGAN SECURITIES AUSTRALIA LIMITED Equity Sell (193) 131.80 25,437.40$ 17-Nov-25 J.P. MORGAN SECURITIES AUSTRALIA LIMITED Equity Sell (10,630) 132.59 1,409,431.70$ 17-Nov-25 J.P. MORGAN SECURITIES AUSTRALIA LIMITED Equity Sell (6,124) 132.59 811,981.16$ 17-Nov-25 J.P. MORGAN SECURITIES AUSTRALIA LIMITED Equity Sell (1,367) 132.59 181,250.53$ 17-Nov-25 J.P. MORGAN SECURITIES AUSTRALIA LIMITED Equity Sell (10,630) 132.59 1,409,431.70$ 17-Nov-25 J.P. MORGAN SECURITIES AUSTRALIA LIMITED Equity Sell (10,971) 132.59 1,454,644.89$ 17-Nov-25 J.P. MORGAN SECURITIES AUSTRALIA LIMITED Equity Sell (10,630) 132.59 1,409,431.70$ 17-Nov-25 J.P. MORGAN SECURITIES AUSTRALIA LIMITED Equity Sell (341) 132.59 45,213.19$ 17-Nov-25 J.P. MORGAN SECURITIES AUSTRALIA LIMITED Equity Sell (2,936) 132.59 389,284.24$ 17-Nov-25 J.P. MORGAN SECURITIES AUSTRALIA LIMITED Equity Sell (2,936) 132.59 389,284.24$ 17-Nov-25 J.P. MORGAN SECURITIES AUSTRALIA LIMITED Equity Sell (500) 132.82 66,409.84$ 17-Nov-25 J.P. MORGAN SECURITIES AUSTRALIA LIMITED Equity Sell (4) 132.60 530.40$ 17-Nov-25 J.P. MORGAN SECURITIES AUSTRALIA LIMITED Equity Sell (12,779) 132.94 1,698,903.58$ 17-Nov-25 J.P. MORGAN SECURITIES AUSTRALIA LIMITED Equity Sell (30) 133.01 3,990.22$ 17-Nov-25 J.P. MORGAN SECURITIES PLC Equity Sell (50) 132.59 6,629.50$ 17-Nov-25 J.P. MORGAN SECURITIES AUSTRALIA LIMITED Equity Buy 10,630 132.59 1,409,431.70$ 17-Nov-25 J.P. MORGAN SECURITIES AUSTRALIA LIMITED Equity Buy 2,936 132.59 389,284.24$ 17-Nov-25 J.P. MORGAN SECURITIES AUSTRALIA LIMITED Equity Buy 10,630 132.59 1,409,431.70$ 17-Nov-25 J.P. MORGAN SECURITIES AUSTRALIA LIMITED Equity Buy 380 133.20 50,617.54$ 17-Nov-25 J.P. MORGAN SECURITIES AUSTRALIA LIMITED Equity Buy 10,630 132.59 1,409,431.70$ 17-Nov-25 J.P. MORGAN SECURITIES AUSTRALIA LIMITED Equity Buy 30 133.24 3,997.32$ 17-Nov-25 J.P. MORGAN SECURITIES AUSTRALIA LIMITED Equity Buy 10,220 133.22 1,361,462.02$ 17-Nov-25 J.P. MORGAN SECURITIES AUSTRALIA LIMITED Equity Buy 10,630 132.59 1,409,431.70$ 17-Nov-25 J.P. MORGAN SECURITIES AUSTRALIA LIMITED Equity Buy 10,971 132.59 1,454,644.89$ 17-Nov-25 J.P. MORGAN SECURITIES AUSTRALIA LIMITED Equity Buy 10,630 132.59 1,409,431.70$ 17-Nov-25 J.P. MORGAN SECURITIES AUSTRALIA LIMITED Equity Buy 2,936 132.59 389,284.24$ 17-Nov-25 J.P. MORGAN SECURITIES AUSTRALIA LIMITED Equity Buy 2,936 132.59 389,284.24$ 17-Nov-25 J.P. MORGAN SECURITIES AUSTRALIA LIMITED Equity Buy 2,936 132.59 389,284.24$ 17-Nov-25 J.P. MORGAN SECURITIES AUSTRALIA LIMITED Equity Buy 118 132.59 15,645.62$ 17-Nov-25 J.P. MORGAN SECURITIES AUSTRALIA LIMITED Equity Buy 11 132.79 1,460.69$ 17-Nov-25 J.P. MORGAN SECURITIES AUSTRALIA LIMITED Equity Buy 20,488 133.01 2,725,060.59$ 17-Nov-25 J.P. MORGAN SECURITIES AUSTRALIA LIMITED Equity Buy 1,981 132.22 261,923.28$ 17-Nov-25 J.P. MORGAN SECURITIES AUSTRALIA LIMITED Equity Buy 111 132.87 14,748.94$ 17-Nov-25 J.P. MORGAN SECURITIES AUSTRALIA LIMITED Equity Buy 4,147 133.50 553,642.93$ 17-Nov-25 J.P. MORGAN SECURITIES AUSTRALIA LIMITED Equity Buy 2,562 133.15 341,118.51$ 17-Nov-25 J.P. MORGAN SECURITIES AUSTRALIA LIMITED Equity Buy 7,443 133.05 990,290.07$ 17-Nov-25 J.P. MORGAN SECURITIES AUSTRALIA LIMITED Equity Buy 18,714 133.20 2,492,704.80$ 17-Nov-25 J.P. MORGAN SECURITIES AUSTRALIA LIMITED Equity Buy 9 133.20 1,198.83$ 17-Nov-25 J.P. MORGAN SECURITIES PLC Equity Buy 1,007 132.39 133,319.25$ 17-Nov-25 J.P. MORGAN SECURITIES PLC Equity Borrow Return (240) - -$ 17-Nov-25 J.P. MORGAN SECURITIES PLC Equity Borrow Return (19,385) - -$ 17-Nov-25 J.P. MORGAN SECURITIES PLC Equity Borrow Return (26,837) - -$ 17-Nov-25 J.P. MORGAN SECURITIES PLC Equity Borrow Return (24,674) - -$ 17-Nov-25 J.P. MORGAN SECURITIES PLC Equity Borrow Return (76) - -$ 17-Nov-25 J.P. MORGAN SECURITIES PLC Equity Borrow Return (25) - -$ 17-Nov-25 JPMORGAN ASSET MANAGEMENT (UK) LIMITED Equity Buy 150 131.80 19,770.00$ 17-Nov-25 J.P. MORGAN INVESTMENT MANAGEMENT INC. Equity Buy 35 131.80 4,613.00$ 17-Nov-25 J.P. MORGAN INVESTMENT MANAGEMENT INC. Equity In-kind transaction to receive the shares/par/units 2,190 - -$ 17-Nov-25 JPMORGAN CHASE BANK, N.A. Equity Borrow Return (32,996) - -$ 17-Nov-25 JPMORGAN CHASE BANK, N.A. Equity Borrow Return (17,209) - -$ 17-Nov-25 JPMORGAN CHASE BANK, N.A. Equity Borrow Return (11,000) - -$ 18-Nov-25 J.P. MORGAN SECURITIES AUSTRALIA LIMITED Equity Sell (5,941) 132.59 787,717.19$ 18-Nov-25 J.P. MORGAN SECURITIES AUSTRALIA LIMITED Equity Sell (120) 129.24 15,508.32$ 18-Nov-25 J.P. MORGAN SECURITIES AUSTRALIA LIMITED Equity Sell (48) 129.08 6,195.84$ 18-Nov-25 J.P. MORGAN SECURITIES AUSTRALIA LIMITED Equity Sell (7,315) 129.83 949,742.26$ 18-Nov-25 J.P. MORGAN SECURITIES AUSTRALIA LIMITED Equity Sell (2,500) 129.64 324,093.85$ 18-Nov-25 J.P. MORGAN SECURITIES PLC Equity Sell (51) 129.08 6,583.08$ 18-Nov-25 J.P. MORGAN SECURITIES AUSTRALIA LIMITED Equity Sell (53,150) 132.59 7,047,158.50$ 18-Nov-25 J.P. MORGAN SECURITIES AUSTRALIA LIMITED Equity Sell (2,900) 132.59 384,511.00$ 18-Nov-25 J.P. MORGAN SECURITIES AUSTRALIA LIMITED Equity Sell (56) 128.82 7,213.92$ 18-Nov-25 J.P. MORGAN SECURITIES AUSTRALIA LIMITED Equity Sell (12) 128.82 1,545.84$ 18-Nov-25 J.P. MORGAN SECURITIES AUSTRALIA LIMITED Equity Sell (30,950) 129.08 3,995,026.00$ 18-Nov-25 J.P. MORGAN SECURITIES AUSTRALIA LIMITED Equity Buy 55 128.95 7,092.33$ 18-Nov-25 J.P. MORGAN SECURITIES AUSTRALIA LIMITED Equity Buy 38,569 129.26 4,985,413.90$ 18-Nov-25 J.P. MORGAN SECURITIES AUSTRALIA LIMITED Equity Buy 14,143 129.08 1,825,578.44$ 18-Nov-25 J.P. MORGAN SECURITIES AUSTRALIA LIMITED Equity Buy 6 128.87 773.24$ 18-Nov-25 J.P. MORGAN SECURITIES AUSTRALIA LIMITED Equity Buy 127 129.43 16,438.12$ 18-Nov-25 J.P. MORGAN SECURITIES AUSTRALIA LIMITED Equity Buy 752 129.18 97,139.68$ 18-Nov-25 J.P. MORGAN SECURITIES AUSTRALIA LIMITED Equity Buy 186 129.32 24,053.14$ 18-Nov-25 J.P. MORGAN SECURITIES AUSTRALIA LIMITED Equity Buy 30,536 129.48 3,953,804.36$ 18-Nov-25 J.P. MORGAN SECURITIES AUSTRALIA LIMITED Equity Buy 100 129.08 12,908.00$ 18-Nov-25 J.P. MORGAN SECURITIES AUSTRALIA LIMITED Equity Buy 2,599 129.08 335,478.92$ 18-Nov-25 J.P. MORGAN SECURITIES AUSTRALIA LIMITED Equity Buy 408 129.86 52,984.05$ 18-Nov-25 J.P. MORGAN SECURITIES AUSTRALIA LIMITED Equity Buy 59 128.89 7,604.53$ 18-Nov-25 J.P. MORGAN SECURITIES AUSTRALIA LIMITED Equity Buy 6,668 129.42 862,982.56$ 18-Nov-25 J.P. MORGAN SECURITIES AUSTRALIA LIMITED Equity Buy 9,957 129.40 1,288,457.67$ 18-Nov-25 J.P. MORGAN SECURITIES AUSTRALIA LIMITED Equity Buy 5,794 129.35 749,451.35$ 18-Nov-25 J.P. MORGAN SECURITIES AUSTRALIA LIMITED Equity Buy 53,150 132.59 7,047,158.50$ 18-Nov-25 J.P. MORGAN SECURITIES AUSTRALIA LIMITED Equity Buy 12 128.82 1,545.84$ 18-Nov-25 J.P. MORGAN SECURITIES AUSTRALIA LIMITED Equity Buy 56 128.82 7,213.92$ 18-Nov-25 J.P. MORGAN SECURITIES AUSTRALIA LIMITED Equity Buy 1 128.82 128.82$ 18-Nov-25 J.P. MORGAN SECURITIES AUSTRALIA LIMITED Equity Buy 164 128.76 21,116.64$ 18-Nov-25 J.P. MORGAN SECURITIES AUSTRALIA LIMITED Equity Buy 30,950 129.08 3,995,026.00$ 18-Nov-25 J.P. MORGAN SECURITIES AUSTRALIA LIMITED Equity Buy 344 129.08 44,403.52$ 18-Nov-25 J.P. MORGAN SECURITIES AUSTRALIA LIMITED Equity Buy 64 129.19 8,268.14$ 18-Nov-25 J.P. MORGAN SECURITIES PLC Equity Buy 1,484 130.97 194,353.84$ 18-Nov-25 J.P. MORGAN SECURITIES PLC Equity Borrow Return (2,619) - -$ 18-Nov-25 J.P. MORGAN INVESTMENT MANAGEMENT INC. Equity In-kind transaction to receive the shares/par/units 17,520 - -$ 18-Nov-25 JPMORGAN ASSET MANAGEMENT (UK) LIMITED Equity Buy 33 131.77 4,348.41$ 18-Nov-25 JPMORGAN ASSET MANAGEMENT (JAPAN) LIMITED Equity Sell (3,708) 129.08 478,628.64$ 18-Nov-25 JPMORGAN CHASE BANK, N.A. Equity Borrow 1,000 - -$ 18-Nov-25 JPMORGAN CHASE BANK, N.A. Equity Borrow Return (8,145) - -$ 18-Nov-25 JPMORGAN CHASE BANK, N.A. Equity Borrow 86,300 - -$ 18-Nov-25 JPMORGAN CHASE BANK, N.A. Equity Borrow 323 - -$ 18-Nov-25 JPMORGAN CHASE BANK, N.A. Equity Borrow 13,300 - -$ 19-Nov-25 J.P. MORGAN SECURITIES AUSTRALIA LIMITED Equity Sell (23,017) 129.08 2,971,034.36$ 19-Nov-25 J.P. MORGAN SECURITIES AUSTRALIA LIMITED Equity Sell (14,054) 129.27 1,816,760.58$ 19-Nov-25 J.P. MORGAN SECURITIES AUSTRALIA LIMITED Equity Sell (59) 129.27 7,626.93$ 19-Nov-25 J.P. MORGAN SECURITIES AUSTRALIA LIMITED Equity Sell (1,539) 129.27 198,946.53$ 19-Nov-25 J.P. MORGAN SECURITIES AUSTRALIA LIMITED Equity Sell (13,272) 128.98 1,711,857.21$ 19-Nov-25 J.P. MORGAN SECURITIES AUSTRALIA LIMITED Equity Sell (10,539) 128.78 1,357,194.76$ 19-Nov-25 J.P. MORGAN SECURITIES AUSTRALIA LIMITED Equity Sell (81) 129.37 10,478.81$ 19-Nov-25 J.P. MORGAN SECURITIES AUSTRALIA LIMITED Equity Sell (1,502) 128.70 193,314.45$ 19-Nov-25 J.P. MORGAN SECURITIES AUSTRALIA LIMITED Equity Sell (423) 128.73 54,451.81$ 19-Nov-25 J.P. MORGAN SECURITIES AUSTRALIA LIMITED Equity Sell (4,593) 129.27 593,737.11$ 19-Nov-25 J.P. MORGAN SECURITIES AUSTRALIA LIMITED Equity Sell (508) 129.50 65,786.00$ 19-Nov-25 J.P. MORGAN SECURITIES AUSTRALIA LIMITED Equity Sell (12) 128.49 1,541.86$ 19-Nov-25 J.P. MORGAN SECURITIES AUSTRALIA LIMITED Equity Sell (186) 128.46 23,893.62$ 19-Nov-25 J.P. MORGAN SECURITIES AUSTRALIA LIMITED Equity Sell (24) 129.08 3,097.92$ 19-Nov-25 J.P. MORGAN SECURITIES AUSTRALIA LIMITED Equity Sell (10,000) 129.08 1,290,800.00$ 19-Nov-25 J.P. MORGAN SECURITIES AUSTRALIA LIMITED Equity Sell (62) 129.27 8,014.74$ 19-Nov-25 J.P. MORGAN SECURITIES AUSTRALIA LIMITED Equity Sell (6,980) 129.08 900,978.40$ 19-Nov-25 J.P. MORGAN SECURITIES AUSTRALIA LIMITED Equity Sell (46) 129.08 5,937.68$ 19-Nov-25 J.P. MORGAN SECURITIES PLC Equity Sell (12) 129.27 1,551.24$ 19-Nov-25 J.P. MORGAN SECURITIES PLC Equity Sell (34) 129.27 4,395.18$ 19-Nov-25 J.P. MORGAN SECURITIES PLC Equity Sell (3) 129.27 387.81$ 19-Nov-25 J.P. MORGAN SECURITIES PLC Equity Sell (7) 129.27 904.89$ 19-Nov-25 J.P. MORGAN SECURITIES PLC Equity Sell (13) 129.27 1,680.51$ 19-Nov-25 J.P. MORGAN SECURITIES PLC Equity Sell (1) 129.27 129.27$ 19-Nov-25 J.P. MORGAN SECURITIES PLC Equity Sell (3) 129.27 387.81$ 19-Nov-25 J.P. MORGAN SECURITIES PLC Equity Sell (16) 129.27 2,068.32$ 19-Nov-25 J.P. MORGAN SECURITIES PLC Equity Sell (1) 129.27 129.27$ 19-Nov-25 J.P. MORGAN SECURITIES PLC Equity Sell (27) 129.27 3,490.29$ 19-Nov-25 J.P. MORGAN SECURITIES PLC Equity Sell (25) 129.27 3,231.75$ 19-Nov-25 J.P. MORGAN SECURITIES AUSTRALIA LIMITED Equity Buy 168 129.27 21,717.36$ 19-Nov-25 J.P. MORGAN SECURITIES AUSTRALIA LIMITED Equity Buy 14,054 129.27 1,816,760.58$ 19-Nov-25 J.P. MORGAN SECURITIES AUSTRALIA LIMITED Equity Buy 1 129.14 129.14$ 19-Nov-25 J.P. MORGAN SECURITIES AUSTRALIA LIMITED Equity Buy 20,000 128.79 2,575,711.10$ 19-Nov-25 J.P. MORGAN SECURITIES AUSTRALIA LIMITED Equity Buy 331 128.78 42,624.59$ 19-Nov-25 J.P. MORGAN SECURITIES AUSTRALIA LIMITED Equity Buy 612 129.50 79,254.00$ 19-Nov-25 J.P. MORGAN SECURITIES AUSTRALIA LIMITED Equity Buy 1,142 128.88 147,184.21$ 19-Nov-25 J.P. MORGAN SECURITIES AUSTRALIA LIMITED Equity Buy 560 128.38 71,892.84$ 19-Nov-25 J.P. MORGAN SECURITIES PLC Equity Buy 2 128.26 256.52$ 11/25


 
TRADES FOR RELEVANT PERIOD Appendix 19-Nov-25 J.P. MORGAN SECURITIES PLC Equity Buy 31 128.77 3,991.86$ 19-Nov-25 J.P. MORGAN SECURITIES AUSTRALIA LIMITED Equity Buy 62 129.27 8,014.74$ 19-Nov-25 J.P. MORGAN SECURITIES PLC Equity Buy 12 129.27 1,551.24$ 19-Nov-25 J.P. MORGAN SECURITIES PLC Equity Buy 34 129.27 4,395.18$ 19-Nov-25 J.P. MORGAN SECURITIES PLC Equity Buy 3 129.27 387.81$ 19-Nov-25 J.P. MORGAN SECURITIES PLC Equity Buy 7 129.27 904.89$ 19-Nov-25 J.P. MORGAN SECURITIES PLC Equity Buy 13 129.27 1,680.51$ 19-Nov-25 J.P. MORGAN SECURITIES PLC Equity Buy 1 129.27 129.27$ 19-Nov-25 J.P. MORGAN SECURITIES PLC Equity Buy 3 129.27 387.81$ 19-Nov-25 J.P. MORGAN SECURITIES PLC Equity Buy 16 129.27 2,068.32$ 19-Nov-25 J.P. MORGAN SECURITIES PLC Equity Buy 1 129.27 129.27$ 19-Nov-25 J.P. MORGAN SECURITIES PLC Equity Buy 27 129.27 3,490.29$ 19-Nov-25 J.P. MORGAN SECURITIES PLC Equity Buy 25 129.27 3,231.75$ 19-Nov-25 J.P. MORGAN SECURITIES PLC Equity Buy 2,064 128.72 265,685.92$ 19-Nov-25 J.P. MORGAN SECURITIES PLC Equity Borrow Return (15,060) - -$ 19-Nov-25 J.P. MORGAN SECURITIES PLC Equity Borrow Return (3,073) - -$ 19-Nov-25 J.P. MORGAN SECURITIES PLC Equity Borrow Return (1,867) - -$ 19-Nov-25 J.P. MORGAN SECURITIES PLC Equity Borrow Return (5,000) - -$ 19-Nov-25 J.P. MORGAN SECURITIES PLC Equity Borrow Return (55,758) - -$ 19-Nov-25 J.P. MORGAN SECURITIES PLC Equity Borrow Return (44,600) - -$ 19-Nov-25 J.P. MORGAN SECURITIES PLC Equity Borrow Return (74,501) - -$ 19-Nov-25 J.P. MORGAN SECURITIES PLC Equity Borrow Return (578) - -$ 19-Nov-25 J.P. MORGAN SECURITIES PLC Equity Borrow Return (12,775) - -$ 19-Nov-25 J.P. MORGAN SECURITIES PLC Equity Borrow Return (14,868) - -$ 19-Nov-25 J.P. MORGAN SECURITIES PLC Equity Borrow Return (10,029) - -$ 19-Nov-25 J.P. MORGAN SECURITIES PLC Equity Borrow Return (33,991) - -$ 19-Nov-25 J.P. MORGAN SECURITIES PLC Equity Borrow Return (40,009) - -$ 19-Nov-25 J.P. MORGAN SECURITIES PLC Equity Borrow Return (73,024) - -$ 19-Nov-25 J.P. MORGAN SECURITIES PLC Equity Borrow Return (9,983) - -$ 19-Nov-25 J.P. MORGAN SECURITIES PLC Equity Borrow Return (4,957) - -$ 19-Nov-25 J.P. MORGAN SECURITIES PLC Equity Borrow Return (9,983) - -$ 19-Nov-25 J.P. MORGAN SECURITIES PLC Equity Borrow Return (3,000) - -$ 19-Nov-25 J.P. MORGAN SECURITIES PLC Equity Borrow Return (31,860) - -$ 19-Nov-25 J.P. MORGAN SECURITIES PLC Equity Borrow Return (5,301) - -$ 19-Nov-25 J.P. MORGAN SECURITIES PLC Equity Borrow Return (4,444) - -$ 19-Nov-25 J.P. MORGAN SECURITIES PLC Equity Borrow Return (2,119) - -$ 19-Nov-25 J.P. MORGAN SECURITIES PLC Equity Borrow Return (3,229) - -$ 19-Nov-25 J.P. MORGAN SECURITIES PLC Equity Borrow Return (5,057) - -$ 19-Nov-25 J.P. MORGAN SECURITIES PLC Equity Borrow Return (600) - -$ 19-Nov-25 J.P. MORGAN SECURITIES PLC Equity Borrow Return (19,864) - -$ 19-Nov-25 J.P. MORGAN SECURITIES PLC Equity Borrow Return (27,295) - -$ 19-Nov-25 J.P. MORGAN SECURITIES PLC Equity Borrow Return (28,618) - -$ 19-Nov-25 J.P. MORGAN SECURITIES PLC Equity Borrow Return (20,700) - -$ 19-Nov-25 J.P. MORGAN SECURITIES PLC Equity Borrow Return (4,683) - -$ 19-Nov-25 J.P. MORGAN SECURITIES PLC Equity Borrow Return (46,764) - -$ 19-Nov-25 J.P. MORGAN SECURITIES PLC Equity Borrow Return (21,977) - -$ 19-Nov-25 J.P. MORGAN SECURITIES PLC Equity Borrow Return (20,542) - -$ 19-Nov-25 J.P. MORGAN SECURITIES PLC Equity Borrow Return (89,250) - -$ 19-Nov-25 J.P. MORGAN SECURITIES PLC Equity Borrow Return (2,644) - -$ 19-Nov-25 J.P. MORGAN SECURITIES PLC Equity Borrow Return (17,647) - -$ 19-Nov-25 J.P. MORGAN SECURITIES PLC Equity Borrow Return (4,709) - -$ 19-Nov-25 J.P. MORGAN SECURITIES PLC Equity Borrow 12,775 - -$ 19-Nov-25 J.P. MORGAN SECURITIES PLC Equity Borrow 1,867 - -$ 19-Nov-25 J.P. MORGAN SECURITIES PLC Equity Borrow 74,501 - -$ 19-Nov-25 J.P. MORGAN SECURITIES PLC Equity Borrow 5,000 - -$ 19-Nov-25 J.P. MORGAN SECURITIES PLC Equity Borrow 44,600 - -$ 19-Nov-25 J.P. MORGAN SECURITIES PLC Equity Borrow 578 - -$ 19-Nov-25 J.P. MORGAN SECURITIES PLC Equity Borrow 15,060 - -$ 19-Nov-25 J.P. MORGAN SECURITIES PLC Equity Borrow 55,758 - -$ 19-Nov-25 J.P. MORGAN SECURITIES PLC Equity Borrow 3,073 - -$ 19-Nov-25 J.P. MORGAN SECURITIES PLC Equity Borrow 73,024 - -$ 19-Nov-25 J.P. MORGAN SECURITIES PLC Equity Borrow 33,991 - -$ 19-Nov-25 J.P. MORGAN SECURITIES PLC Equity Borrow 31,860 - -$ 19-Nov-25 J.P. MORGAN SECURITIES PLC Equity Borrow 5,301 - -$ 19-Nov-25 J.P. MORGAN SECURITIES PLC Equity Borrow 4,957 - -$ 19-Nov-25 J.P. MORGAN SECURITIES PLC Equity Borrow 40,009 - -$ 19-Nov-25 J.P. MORGAN SECURITIES PLC Equity Borrow 10,029 - -$ 19-Nov-25 J.P. MORGAN SECURITIES PLC Equity Borrow 14,868 - -$ 19-Nov-25 J.P. MORGAN SECURITIES PLC Equity Borrow 3,229 - -$ 19-Nov-25 J.P. MORGAN SECURITIES PLC Equity Borrow 19,864 - -$ 19-Nov-25 J.P. MORGAN SECURITIES PLC Equity Borrow 600 - -$ 19-Nov-25 J.P. MORGAN SECURITIES PLC Equity Borrow 4,444 - -$ 19-Nov-25 J.P. MORGAN SECURITIES PLC Equity Borrow 2,119 - -$ 19-Nov-25 J.P. MORGAN SECURITIES PLC Equity Borrow 5,057 - -$ 19-Nov-25 J.P. MORGAN SECURITIES PLC Equity Borrow 20,700 - -$ 19-Nov-25 J.P. MORGAN SECURITIES PLC Equity Borrow 9,983 - -$ 19-Nov-25 J.P. MORGAN SECURITIES PLC Equity Borrow 9,983 - -$ 19-Nov-25 J.P. MORGAN SECURITIES PLC Equity Borrow 21,977 - -$ 19-Nov-25 J.P. MORGAN SECURITIES PLC Equity Borrow 28,618 - -$ 19-Nov-25 J.P. MORGAN SECURITIES PLC Equity Borrow 27,295 - -$ 19-Nov-25 J.P. MORGAN SECURITIES PLC Equity Borrow 46,764 - -$ 19-Nov-25 J.P. MORGAN SECURITIES PLC Equity Borrow 4,683 - -$ 19-Nov-25 J.P. MORGAN SECURITIES PLC Equity Borrow 3,000 - -$ 19-Nov-25 J.P. MORGAN SECURITIES PLC Equity Borrow 20,542 - -$ 19-Nov-25 J.P. MORGAN SECURITIES PLC Equity Borrow 2,644 - -$ 19-Nov-25 J.P. MORGAN SECURITIES PLC Equity Borrow 4,709 - -$ 19-Nov-25 J.P. MORGAN SECURITIES PLC Equity Borrow 17,647 - -$ 19-Nov-25 J.P. MORGAN SECURITIES PLC Equity Borrow 89,250 - -$ 19-Nov-25 JPMORGAN ASSET MANAGEMENT (UK) LIMITED Equity Sell (113) 129.27 14,607.51$ 19-Nov-25 J.P. MORGAN INVESTMENT MANAGEMENT INC. Equity Sell (200) 129.50 25,900.00$ 19-Nov-25 J.P. MORGAN INVESTMENT MANAGEMENT INC. Equity Sell (264) 129.27 34,127.28$ 19-Nov-25 J.P. MORGAN INVESTMENT MANAGEMENT INC. Equity In-kind transaction to receive the shares/par/units 1,095 - -$ 19-Nov-25 J.P. MORGAN INVESTMENT MANAGEMENT INC. Equity Sell (132) 129.27 17,063.64$ 19-Nov-25 JPMORGAN CHASE BANK, N.A. Equity Borrow 281 - -$ 19-Nov-25 JPMORGAN CHASE BANK, N.A. Equity Borrow 22,507 - -$ 19-Nov-25 JPMORGAN CHASE BANK, N.A. Equity Borrow Return (22,507) - -$ 20-Nov-25 J.P. MORGAN SECURITIES AUSTRALIA LIMITED Equity Sell (3,349) 129.50 433,695.50$ 20-Nov-25 J.P. MORGAN SECURITIES AUSTRALIA LIMITED Equity Sell (92) 129.68 11,930.56$ 20-Nov-25 J.P. MORGAN SECURITIES AUSTRALIA LIMITED Equity Sell (33,010) 131.66 4,346,094.78$ 20-Nov-25 J.P. MORGAN SECURITIES AUSTRALIA LIMITED Equity Sell (30,260) 129.50 3,918,670.00$ 20-Nov-25 J.P. MORGAN SECURITIES AUSTRALIA LIMITED Equity Sell (46) 129.94 5,977.24$ 20-Nov-25 J.P. MORGAN SECURITIES AUSTRALIA LIMITED Equity Sell (18) 129.79 2,336.23$ 20-Nov-25 J.P. MORGAN SECURITIES AUSTRALIA LIMITED Equity Sell (250) 129.50 32,375.00$ 20-Nov-25 J.P. MORGAN SECURITIES AUSTRALIA LIMITED Equity Sell (113) 129.50 14,633.50$ 20-Nov-25 J.P. MORGAN SECURITIES AUSTRALIA LIMITED Equity Sell (969) 130.05 126,015.78$ 20-Nov-25 J.P. MORGAN SECURITIES AUSTRALIA LIMITED Equity Sell (20,000) 130.00 2,600,001.22$ 20-Nov-25 J.P. MORGAN SECURITIES AUSTRALIA LIMITED Equity Sell (1) 132.12 132.12$ 20-Nov-25 J.P. MORGAN SECURITIES AUSTRALIA LIMITED Equity Buy 89 129.54 11,529.06$ 20-Nov-25 J.P. MORGAN SECURITIES AUSTRALIA LIMITED Equity Buy 162 130.31 21,110.22$ 20-Nov-25 J.P. MORGAN SECURITIES AUSTRALIA LIMITED Equity Buy 293 130.19 38,145.70$ 20-Nov-25 J.P. MORGAN SECURITIES AUSTRALIA LIMITED Equity Buy 3,018 130.97 395,279.82$ 20-Nov-25 J.P. MORGAN SECURITIES AUSTRALIA LIMITED Equity Buy 184 129.78 23,879.93$ 20-Nov-25 J.P. MORGAN SECURITIES PLC Equity Buy 34 132.12 4,492.08$ 20-Nov-25 J.P. MORGAN SECURITIES AUSTRALIA LIMITED Equity Buy 2,183 131.79 287,697.62$ 20-Nov-25 J.P. MORGAN SECURITIES PLC Equity Borrow Return (11,700) - -$ 20-Nov-25 J.P. MORGAN SECURITIES PLC Equity Borrow Return (9,039) - -$ 20-Nov-25 J.P. MORGAN SECURITIES PLC Equity Borrow Return (396) - -$ 20-Nov-25 J.P. MORGAN SECURITIES PLC Equity Borrow Return (4,200) - -$ 20-Nov-25 J.P. MORGAN SECURITIES PLC Equity Borrow Return (16,916) - -$ 20-Nov-25 J.P. MORGAN SECURITIES PLC Equity Borrow Return (33,648) - -$ 20-Nov-25 J.P. MORGAN SECURITIES PLC Equity Borrow Return (1,511) - -$ 20-Nov-25 J.P. MORGAN SECURITIES PLC Equity Borrow Return (9,051) - -$ 20-Nov-25 J.P. MORGAN SECURITIES PLC Equity Borrow Return (4,334) - -$ 20-Nov-25 J.P. MORGAN SECURITIES PLC Equity Borrow Return (600) - -$ 20-Nov-25 J.P. MORGAN SECURITIES PLC Equity Borrow Return (2,466) - -$ 20-Nov-25 J.P. MORGAN SECURITIES PLC Equity Borrow Return (687) - -$ 20-Nov-25 J.P. MORGAN SECURITIES PLC Equity Borrow Return (161) - -$ 20-Nov-25 J.P. MORGAN SECURITIES PLC Equity Borrow Return (9,331) - -$ 20-Nov-25 J.P. MORGAN SECURITIES PLC Equity Borrow Return (31,888) - -$ 20-Nov-25 J.P. MORGAN SECURITIES PLC Equity Borrow Return (73,024) - -$ 20-Nov-25 J.P. MORGAN SECURITIES PLC Equity Borrow Return (9,983) - -$ 20-Nov-25 J.P. MORGAN SECURITIES PLC Equity Borrow Return (8,978) - -$ 20-Nov-25 J.P. MORGAN SECURITIES PLC Equity Borrow Return (2,517) - -$ 20-Nov-25 J.P. MORGAN SECURITIES PLC Equity Borrow Return (1,927) - -$ 20-Nov-25 J.P. MORGAN SECURITIES PLC Equity Borrow Return (5,012) - -$ 12/25


 
TRADES FOR RELEVANT PERIOD Appendix 20-Nov-25 J.P. MORGAN SECURITIES PLC Equity Borrow Return (11,914) - -$ 20-Nov-25 J.P. MORGAN SECURITIES PLC Equity Borrow Return (9,983) - -$ 20-Nov-25 J.P. MORGAN SECURITIES PLC Equity Borrow Return (8,576) - -$ 20-Nov-25 J.P. MORGAN SECURITIES PLC Equity Borrow Return (59,000) - -$ 20-Nov-25 J.P. MORGAN SECURITIES PLC Equity Borrow Return (1,988) - -$ 20-Nov-25 J.P. MORGAN SECURITIES PLC Equity Borrow Return (270) - -$ 20-Nov-25 J.P. MORGAN SECURITIES PLC Equity Borrow Return (19,598) - -$ 20-Nov-25 J.P. MORGAN SECURITIES PLC Equity Borrow Return (37,497) - -$ 20-Nov-25 J.P. MORGAN SECURITIES PLC Equity Borrow Return (31,830) - -$ 20-Nov-25 J.P. MORGAN SECURITIES PLC Equity Borrow Return (986) - -$ 20-Nov-25 J.P. MORGAN SECURITIES PLC Equity Borrow Return (2,027) - -$ 20-Nov-25 J.P. MORGAN SECURITIES PLC Equity Borrow Return (701) - -$ 20-Nov-25 J.P. MORGAN SECURITIES PLC Equity Borrow Return (34,201) - -$ 20-Nov-25 J.P. MORGAN SECURITIES PLC Equity Borrow Return (15,186) - -$ 20-Nov-25 J.P. MORGAN SECURITIES PLC Equity Borrow Return (15,779) - -$ 20-Nov-25 J.P. MORGAN SECURITIES PLC Equity Borrow Return (2,681) - -$ 20-Nov-25 J.P. MORGAN SECURITIES PLC Equity Borrow Return (200,000) - -$ 20-Nov-25 J.P. MORGAN SECURITIES PLC Equity Borrow Return (263) - -$ 20-Nov-25 J.P. MORGAN SECURITIES PLC Equity Borrow Return (908) - -$ 20-Nov-25 J.P. MORGAN SECURITIES PLC Equity Borrow Return (5,076) - -$ 20-Nov-25 J.P. MORGAN SECURITIES PLC Equity Borrow Return (20,542) - -$ 20-Nov-25 J.P. MORGAN SECURITIES PLC Equity Borrow Return (35,000) - -$ 20-Nov-25 J.P. MORGAN SECURITIES PLC Equity Borrow Return (2,685) - -$ 20-Nov-25 J.P. MORGAN SECURITIES PLC Equity Borrow Return (40,000) - -$ 20-Nov-25 J.P. MORGAN SECURITIES PLC Equity Borrow Return (4,695) - -$ 20-Nov-25 J.P. MORGAN SECURITIES PLC Equity Borrow Return (1,193) - -$ 20-Nov-25 J.P. MORGAN SECURITIES AUSTRALIA LIMITED Equity Borrow Return (18,333) - -$ 20-Nov-25 J.P. MORGAN SECURITIES AUSTRALIA LIMITED Equity Borrow Return (22,000) - -$ 20-Nov-25 J.P. MORGAN SECURITIES AUSTRALIA LIMITED Equity Borrow Return (115,779) - -$ 20-Nov-25 J.P. MORGAN SECURITIES AUSTRALIA LIMITED Equity Borrow Return (76,781) - -$ 20-Nov-25 J.P. MORGAN SECURITIES AUSTRALIA LIMITED Equity Borrow Return (110,121) - -$ 20-Nov-25 J.P. MORGAN SECURITIES AUSTRALIA LIMITED Equity Borrow Return (15,914) - -$ 20-Nov-25 J.P. MORGAN SECURITIES AUSTRALIA LIMITED Equity Borrow Return (45,554) - -$ 20-Nov-25 J.P. MORGAN SECURITIES AUSTRALIA LIMITED Equity Borrow Return (89,559) - -$ 20-Nov-25 J.P. MORGAN SECURITIES AUSTRALIA LIMITED Equity Borrow Return (138,887) - -$ 20-Nov-25 J.P. MORGAN SECURITIES AUSTRALIA LIMITED Equity Borrow Return (585) - -$ 20-Nov-25 J.P. MORGAN SECURITIES AUSTRALIA LIMITED Equity Borrow Return (13,672) - -$ 20-Nov-25 J.P. MORGAN SECURITIES AUSTRALIA LIMITED Equity Borrow Return (50,289) - -$ 20-Nov-25 J.P. MORGAN SECURITIES AUSTRALIA LIMITED Equity Borrow Return (33,542) - -$ 20-Nov-25 J.P. MORGAN SECURITIES AUSTRALIA LIMITED Equity Borrow Return (4,069) - -$ 20-Nov-25 J.P. MORGAN SECURITIES AUSTRALIA LIMITED Equity Borrow Return (74,730) - -$ 20-Nov-25 J.P. MORGAN SECURITIES AUSTRALIA LIMITED Equity Borrow Return (129,114) - -$ 20-Nov-25 J.P. MORGAN SECURITIES PLC Equity Borrow 502,744 - -$ 20-Nov-25 J.P. MORGAN SECURITIES PLC Equity Borrow 172,256 - -$ 20-Nov-25 J.P. MORGAN SECURITIES PLC Equity Borrow 950,000 - -$ 20-Nov-25 J.P. MORGAN SECURITIES PLC Equity Borrow 46,029 - -$ 20-Nov-25 J.P. MORGAN SECURITIES PLC Equity Borrow 102,000 - -$ 20-Nov-25 J.P. MORGAN SECURITIES PLC Equity Borrow 349 - -$ 20-Nov-25 J.P. MORGAN SECURITIES PLC Equity Borrow 21,894 - -$ 20-Nov-25 J.P. MORGAN SECURITIES PLC Equity Borrow 78,380 - -$ 20-Nov-25 J.P. MORGAN SECURITIES AUSTRALIA LIMITED Equity Borrow 26,812 - -$ 20-Nov-25 J.P. MORGAN SECURITIES AUSTRALIA LIMITED Equity Borrow 180 - -$ 20-Nov-25 J.P. MORGAN INVESTMENT MANAGEMENT INC. Equity Buy 536 129.50 69,412.00$ 20-Nov-25 JPMORGAN CHASE BANK, N.A. Equity Buy 2,514 129.50 325,563.00$ 20-Nov-25 JPMORGAN CHASE BANK, N.A. Equity Borrow 69,404 - -$ 20-Nov-25 JPMORGAN CHASE BANK, N.A. Equity Borrow Return (4,000) - -$ 20-Nov-25 JPMORGAN CHASE BANK, N.A. Equity Borrow Return (230) - -$ 20-Nov-25 JPMORGAN CHASE BANK, N.A. Equity Borrow Return (366) - -$ 20-Nov-25 JPMORGAN CHASE BANK, N.A. Equity Borrow Return (600) - -$ 20-Nov-25 JPMORGAN CHASE BANK, N.A. Equity Borrow Return (180) - -$ 20-Nov-25 JPMORGAN CHASE BANK, N.A. Equity Borrow 3,303 - -$ 20-Nov-25 JPMORGAN CHASE BANK, N.A. Equity Borrow 55,687 - -$ 20-Nov-25 JPMORGAN CHASE BANK, N.A. Equity Borrow 11,313 - -$ 20-Nov-25 JPMORGAN CHASE BANK, N.A. Equity Borrow 1,000 - -$ 21-Nov-25 J.P. MORGAN SECURITIES AUSTRALIA LIMITED Equity Sell (1,663) 127.85 212,614.55$ 21-Nov-25 J.P. MORGAN SECURITIES AUSTRALIA LIMITED Equity Sell (2,699) 128.17 345,943.52$ 21-Nov-25 J.P. MORGAN SECURITIES AUSTRALIA LIMITED Equity Sell (76) 128.30 9,750.74$ 21-Nov-25 J.P. MORGAN SECURITIES AUSTRALIA LIMITED Equity Sell (2,111) 129.10 272,526.65$ 21-Nov-25 J.P. MORGAN SECURITIES AUSTRALIA LIMITED Equity Sell (65) 128.16 8,330.40$ 21-Nov-25 J.P. MORGAN SECURITIES AUSTRALIA LIMITED Equity Sell (45) 128.34 5,775.23$ 21-Nov-25 J.P. MORGAN SECURITIES AUSTRALIA LIMITED Equity Sell (132) 128.28 16,932.37$ 21-Nov-25 J.P. MORGAN SECURITIES AUSTRALIA LIMITED Equity Sell (2,504) 128.26 321,152.56$ 21-Nov-25 J.P. MORGAN SECURITIES AUSTRALIA LIMITED Equity Sell (2,147) 132.12 283,661.64$ 21-Nov-25 J.P. MORGAN SECURITIES AUSTRALIA LIMITED Equity Sell (2,240) 132.12 295,948.80$ 21-Nov-25 J.P. MORGAN SECURITIES AUSTRALIA LIMITED Equity Sell (2,820) 127.85 360,537.00$ 21-Nov-25 J.P. MORGAN SECURITIES AUSTRALIA LIMITED Equity Sell (595) 127.85 76,070.75$ 21-Nov-25 J.P. MORGAN SECURITIES AUSTRALIA LIMITED Equity Sell (9,437) 132.12 1,246,816.44$ 21-Nov-25 J.P. MORGAN SECURITIES AUSTRALIA LIMITED Equity Buy 883 128.64 113,591.22$ 21-Nov-25 J.P. MORGAN SECURITIES AUSTRALIA LIMITED Equity Buy 932 128.09 119,379.35$ 21-Nov-25 J.P. MORGAN SECURITIES AUSTRALIA LIMITED Equity Buy 6,125 127.85 783,081.25$ 21-Nov-25 J.P. MORGAN SECURITIES PLC Equity Buy 3,784 127.85 483,784.40$ 21-Nov-25 J.P. MORGAN SECURITIES AUSTRALIA LIMITED Equity Buy 159 132.12 21,007.08$ 21-Nov-25 J.P. MORGAN SECURITIES AUSTRALIA LIMITED Equity Buy 2,147 132.12 283,661.64$ 21-Nov-25 J.P. MORGAN SECURITIES AUSTRALIA LIMITED Equity Buy 1,661 127.85 212,358.85$ 21-Nov-25 J.P. MORGAN SECURITIES AUSTRALIA LIMITED Equity Buy 2,820 127.85 360,537.00$ 21-Nov-25 J.P. MORGAN SECURITIES AUSTRALIA LIMITED Equity Buy 284 127.85 36,309.40$ 21-Nov-25 J.P. MORGAN SECURITIES PLC Equity Borrow Return (389) - -$ 21-Nov-25 J.P. MORGAN SECURITIES PLC Equity Borrow Return (9,598) - -$ 21-Nov-25 J.P. MORGAN INVESTMENT MANAGEMENT INC. Equity Buy 6,315 128.39 810,770.22$ 21-Nov-25 JPMORGAN CHASE BANK, N.A. Equity Buy 316 128.39 40,570.61$ 21-Nov-25 J.P. MORGAN INVESTMENT MANAGEMENT INC. Equity Buy 831 128.39 106,690.43$ 21-Nov-25 J.P. MORGAN INVESTMENT MANAGEMENT INC. Equity Buy 205 128.39 26,319.54$ 21-Nov-25 J.P. MORGAN INVESTMENT MANAGEMENT INC. Equity Buy 101 128.39 12,967.19$ 21-Nov-25 J.P. MORGAN INVESTMENT MANAGEMENT INC. Equity Buy 67 128.16 8,586.72$ 21-Nov-25 J.P. MORGAN INVESTMENT MANAGEMENT INC. Equity In-kind transaction to receive the shares/par/units 1,563 - -$ 21-Nov-25 J.P. MORGAN INVESTMENT MANAGEMENT INC. Equity Buy 140 128.39 17,974.32$ 21-Nov-25 J.P. MORGAN INVESTMENT MANAGEMENT INC. Equity Buy 113 128.39 14,507.84$ 21-Nov-25 J.P. MORGAN INVESTMENT MANAGEMENT INC. Equity Buy 372 128.39 47,760.34$ 21-Nov-25 JPMORGAN CHASE BANK, N.A. Equity Borrow Return (70,000) - -$ 21-Nov-25 JPMORGAN CHASE BANK, N.A. Equity Borrow Return (5,417) - -$ 21-Nov-25 JPMORGAN CHASE BANK, N.A. Equity Borrow Return (13,017) - -$ 21-Nov-25 JPMORGAN CHASE BANK, N.A. Equity Borrow Return (12,477) - -$ 21-Nov-25 JPMORGAN CHASE BANK, N.A. Equity Borrow Return (1,891) - -$ 21-Nov-25 JPMORGAN CHASE BANK, N.A. Equity Borrow 5,000 - -$ 21-Nov-25 JPMORGAN CHASE BANK, N.A. Equity Borrow Return (31,561) - -$ 21-Nov-25 JPMORGAN CHASE BANK, N.A. Equity Borrow 1,478 - -$ 21-Nov-25 JPMORGAN CHASE BANK, N.A. Equity Borrow Return (45,850) - -$ 21-Nov-25 JPMORGAN CHASE BANK, N.A. Equity Borrow Return (110,382) - -$ 21-Nov-25 JPMORGAN CHASE BANK, N.A. Equity Borrow Return (237) - -$ 21-Nov-25 JPMORGAN CHASE BANK, N.A. Equity Borrow Return (2,614) - -$ 24-Nov-25 J.P. MORGAN SECURITIES AUSTRALIA LIMITED Equity Sell (586) 129.31 75,775.66$ 24-Nov-25 J.P. MORGAN SECURITIES AUSTRALIA LIMITED Equity Sell (2,482) 129.31 320,947.42$ 24-Nov-25 J.P. MORGAN SECURITIES AUSTRALIA LIMITED Equity Sell (558) 129.31 72,154.98$ 24-Nov-25 J.P. MORGAN SECURITIES AUSTRALIA LIMITED Equity Sell (13) 129.31 1,681.03$ 24-Nov-25 J.P. MORGAN SECURITIES AUSTRALIA LIMITED Equity Sell (21) 129.31 2,715.51$ 24-Nov-25 J.P. MORGAN SECURITIES AUSTRALIA LIMITED Equity Sell (7,664) 129.31 991,031.84$ 24-Nov-25 J.P. MORGAN SECURITIES AUSTRALIA LIMITED Equity Sell (284) 130.35 37,019.40$ 24-Nov-25 J.P. MORGAN SECURITIES AUSTRALIA LIMITED Equity Sell (27,559) 129.31 3,563,654.29$ 24-Nov-25 J.P. MORGAN SECURITIES AUSTRALIA LIMITED Equity Sell (15,015) 130.09 1,953,375.18$ 24-Nov-25 J.P. MORGAN SECURITIES PLC Equity Sell (381) 129.31 49,267.11$ 24-Nov-25 J.P. MORGAN SECURITIES PLC Equity Sell (118) 129.31 15,258.58$ 24-Nov-25 J.P. MORGAN SECURITIES PLC Equity Sell (53) 129.31 6,853.43$ 24-Nov-25 J.P. MORGAN SECURITIES PLC Equity Sell (206) 129.31 26,637.86$ 24-Nov-25 J.P. MORGAN SECURITIES PLC Equity Sell (1,341) 129.31 173,404.71$ 24-Nov-25 J.P. MORGAN SECURITIES PLC Equity Sell (748) 129.31 96,723.88$ 24-Nov-25 J.P. MORGAN SECURITIES AUSTRALIA LIMITED Equity Sell (13) 129.31 1,681.03$ 24-Nov-25 J.P. MORGAN SECURITIES AUSTRALIA LIMITED Equity Sell (71) 127.85 9,077.35$ 24-Nov-25 J.P. MORGAN SECURITIES AUSTRALIA LIMITED Equity Sell (181) 127.85 23,140.85$ 24-Nov-25 J.P. MORGAN SECURITIES PLC Equity Sell (211) 129.31 27,284.41$ 24-Nov-25 J.P. MORGAN SECURITIES PLC Equity Sell (9) 129.31 1,163.79$ 24-Nov-25 J.P. MORGAN SECURITIES PLC Equity Sell (5) 129.31 646.55$ 24-Nov-25 J.P. MORGAN SECURITIES PLC Equity Sell (6) 129.31 775.86$ 24-Nov-25 J.P. MORGAN SECURITIES PLC Equity Sell (692) 130.14 90,060.20$ 24-Nov-25 J.P. MORGAN SECURITIES AUSTRALIA LIMITED Equity Buy 1,828 129.31 236,378.68$ 24-Nov-25 J.P. MORGAN SECURITIES AUSTRALIA LIMITED Equity Buy 630 129.31 81,465.30$ 13/25


 
TRADES FOR RELEVANT PERIOD Appendix 24-Nov-25 J.P. MORGAN SECURITIES AUSTRALIA LIMITED Equity Buy 404 130.16 52,584.44$ 24-Nov-25 J.P. MORGAN SECURITIES AUSTRALIA LIMITED Equity Buy 1,955 130.20 254,550.53$ 24-Nov-25 J.P. MORGAN SECURITIES AUSTRALIA LIMITED Equity Buy 4,763 129.31 615,903.53$ 24-Nov-25 J.P. MORGAN SECURITIES AUSTRALIA LIMITED Equity Buy 2,482 129.31 320,947.42$ 24-Nov-25 J.P. MORGAN SECURITIES AUSTRALIA LIMITED Equity Buy 558 129.31 72,154.98$ 24-Nov-25 J.P. MORGAN SECURITIES AUSTRALIA LIMITED Equity Buy 12 129.31 1,551.72$ 24-Nov-25 J.P. MORGAN SECURITIES AUSTRALIA LIMITED Equity Buy 2 129.52 259.04$ 24-Nov-25 J.P. MORGAN SECURITIES AUSTRALIA LIMITED Equity Buy 395 129.65 51,210.43$ 24-Nov-25 J.P. MORGAN SECURITIES AUSTRALIA LIMITED Equity Buy 4,785 129.63 620,290.30$ 24-Nov-25 J.P. MORGAN SECURITIES AUSTRALIA LIMITED Equity Buy 41 130.34 5,344.12$ 24-Nov-25 J.P. MORGAN SECURITIES AUSTRALIA LIMITED Equity Buy 490 130.32 63,857.97$ 24-Nov-25 J.P. MORGAN SECURITIES AUSTRALIA LIMITED Equity Buy 99 129.78 12,847.96$ 24-Nov-25 J.P. MORGAN SECURITIES AUSTRALIA LIMITED Equity Buy 65 130.26 8,466.64$ 24-Nov-25 J.P. MORGAN SECURITIES AUSTRALIA LIMITED Equity Buy 116 129.66 15,040.90$ 24-Nov-25 J.P. MORGAN SECURITIES PLC Equity Buy 365 129.31 47,198.15$ 24-Nov-25 J.P. MORGAN SECURITIES PLC Equity Buy 2,189 129.31 283,059.59$ 24-Nov-25 J.P. MORGAN SECURITIES PLC Equity Buy 2 129.31 258.62$ 24-Nov-25 J.P. MORGAN SECURITIES PLC Equity Buy 14 129.31 1,810.34$ 24-Nov-25 J.P. MORGAN SECURITIES AUSTRALIA LIMITED Equity Buy 13 129.31 1,681.03$ 24-Nov-25 J.P. MORGAN SECURITIES AUSTRALIA LIMITED Equity Buy 13 129.31 1,681.03$ 24-Nov-25 J.P. MORGAN SECURITIES AUSTRALIA LIMITED Equity Buy 232 129.33 30,004.42$ 24-Nov-25 J.P. MORGAN SECURITIES AUSTRALIA LIMITED Equity Buy 132 129.34 17,072.33$ 24-Nov-25 J.P. MORGAN SECURITIES PLC Equity Buy 209 129.31 27,025.79$ 24-Nov-25 J.P. MORGAN SECURITIES PLC Equity Buy 9 129.31 1,163.79$ 24-Nov-25 J.P. MORGAN SECURITIES PLC Equity Buy 5 129.31 646.55$ 24-Nov-25 J.P. MORGAN SECURITIES PLC Equity Buy 6 129.31 775.86$ 24-Nov-25 J.P. MORGAN SECURITIES AUSTRALIA LIMITED Equity Buy 111 129.31 14,353.41$ 24-Nov-25 J.P. MORGAN INVESTMENT MANAGEMENT INC. Equity Buy 97 130.35 12,643.95$ 24-Nov-25 JPMORGAN ASSET MANAGEMENT (UK) LIMITED Equity Buy 48 130.35 6,256.80$ 24-Nov-25 J.P. MORGAN INVESTMENT MANAGEMENT INC. Equity Buy 9 129.31 1,163.79$ 24-Nov-25 JPMORGAN CHASE BANK, N.A. Equity Borrow 49,000 - -$ 24-Nov-25 JPMORGAN CHASE BANK, N.A. Equity Borrow 27,000 - -$ 25-Nov-25 J.P. MORGAN SECURITIES AUSTRALIA LIMITED Equity Sell (74) 131.50 9,731.00$ 25-Nov-25 J.P. MORGAN SECURITIES AUSTRALIA LIMITED Equity Sell (115) 132.30 15,214.16$ 25-Nov-25 J.P. MORGAN SECURITIES AUSTRALIA LIMITED Equity Sell (80) 132.16 10,572.40$ 25-Nov-25 J.P. MORGAN SECURITIES AUSTRALIA LIMITED Equity Sell (1,403) 132.28 185,588.84$ 25-Nov-25 J.P. MORGAN SECURITIES AUSTRALIA LIMITED Equity Sell (3,054) 132.41 404,378.60$ 25-Nov-25 J.P. MORGAN SECURITIES AUSTRALIA LIMITED Equity Sell (3,062) 132.28 405,041.36$ 25-Nov-25 J.P. MORGAN SECURITIES AUSTRALIA LIMITED Equity Sell (9,210) 132.47 1,220,011.99$ 25-Nov-25 J.P. MORGAN SECURITIES AUSTRALIA LIMITED Equity Sell (432) 132.47 57,224.92$ 25-Nov-25 J.P. MORGAN SECURITIES AUSTRALIA LIMITED Equity Sell (6,403) 132.32 847,239.97$ 25-Nov-25 J.P. MORGAN SECURITIES AUSTRALIA LIMITED Equity Sell (15,039) 129.31 1,944,693.09$ 25-Nov-25 J.P. MORGAN SECURITIES AUSTRALIA LIMITED Equity Sell (6,600) 132.28 873,048.00$ 25-Nov-25 J.P. MORGAN SECURITIES AUSTRALIA LIMITED Equity Sell (6,598) 132.28 872,783.44$ 25-Nov-25 J.P. MORGAN SECURITIES AUSTRALIA LIMITED Equity Sell (3,170) 132.28 419,327.60$ 25-Nov-25 J.P. MORGAN SECURITIES AUSTRALIA LIMITED Equity Sell (394) 132.28 52,118.32$ 25-Nov-25 J.P. MORGAN SECURITIES PLC Equity Sell (195) 132.28 25,794.60$ 25-Nov-25 J.P. MORGAN SECURITIES PLC Equity Sell (39) 132.37 5,162.43$ 25-Nov-25 J.P. MORGAN SECURITIES PLC Equity Sell (195) 132.28 25,794.60$ 25-Nov-25 J.P. MORGAN SECURITIES PLC Equity Sell (195) 132.28 25,794.60$ 25-Nov-25 J.P. MORGAN SECURITIES PLC Equity Sell (725) 132.21 95,850.66$ 25-Nov-25 J.P. MORGAN SECURITIES AUSTRALIA LIMITED Equity Buy 666 132.28 88,098.48$ 25-Nov-25 J.P. MORGAN SECURITIES AUSTRALIA LIMITED Equity Buy 6,555 132.28 867,076.36$ 25-Nov-25 J.P. MORGAN SECURITIES AUSTRALIA LIMITED Equity Buy 15,000 132.48 1,987,197.48$ 25-Nov-25 J.P. MORGAN SECURITIES AUSTRALIA LIMITED Equity Buy 7,968 132.24 1,053,677.71$ 25-Nov-25 J.P. MORGAN SECURITIES AUSTRALIA LIMITED Equity Buy 9 132.51 1,192.56$ 25-Nov-25 J.P. MORGAN SECURITIES PLC Equity Buy 14 132.25 1,851.49$ 25-Nov-25 J.P. MORGAN SECURITIES PLC Equity Buy 195 132.28 25,794.60$ 25-Nov-25 J.P. MORGAN SECURITIES PLC Equity Buy 9 132.25 1,190.28$ 25-Nov-25 J.P. MORGAN SECURITIES PLC Equity Buy 8 132.28 1,058.24$ 25-Nov-25 J.P. MORGAN SECURITIES PLC Equity Buy 180 132.28 23,810.40$ 25-Nov-25 J.P. MORGAN SECURITIES AUSTRALIA LIMITED Equity Buy 1,745 132.12 230,547.76$ 25-Nov-25 J.P. MORGAN SECURITIES AUSTRALIA LIMITED Equity Buy 10 132.17 1,321.70$ 25-Nov-25 J.P. MORGAN SECURITIES AUSTRALIA LIMITED Equity Buy 221 132.15 29,204.13$ 25-Nov-25 J.P. MORGAN SECURITIES AUSTRALIA LIMITED Equity Buy 6,598 132.28 872,783.44$ 25-Nov-25 J.P. MORGAN SECURITIES PLC Equity Buy 39 132.37 5,162.43$ 25-Nov-25 J.P. MORGAN SECURITIES PLC Equity Buy 195 132.28 25,794.60$ 25-Nov-25 J.P. MORGAN SECURITIES PLC Equity Buy 195 132.28 25,794.60$ 25-Nov-25 J.P. MORGAN INVESTMENT MANAGEMENT INC. Equity Buy 18 131.50 2,367.00$ 25-Nov-25 JPMORGAN ASSET MANAGEMENT (UK) LIMITED Equity Sell (240) 131.50 31,560.00$ 25-Nov-25 J.P. MORGAN INVESTMENT MANAGEMENT INC. Equity In-kind transaction to receive the shares/par/units 1,563 - -$ 25-Nov-25 J.P. MORGAN INVESTMENT MANAGEMENT INC. Equity In-kind transaction to receive the shares/par/units 1,468 - -$ 25-Nov-25 J.P. MORGAN INVESTMENT MANAGEMENT INC. Equity In-kind transaction to receive the shares/par/units 1,835 - -$ 25-Nov-25 J.P. MORGAN INVESTMENT MANAGEMENT INC. Equity Buy 2,277 131.50 299,425.50$ 25-Nov-25 JPMORGAN ASSET MANAGEMENT (UK) LIMITED Equity In-kind transaction to receive the shares/par/units 20 - -$ 25-Nov-25 JPMORGAN CHASE BANK, N.A. Equity Borrow Return (404) - -$ 25-Nov-25 JPMORGAN CHASE BANK, N.A. Equity Borrow 1,086 - -$ 25-Nov-25 JPMORGAN CHASE BANK, N.A. Equity Borrow Return (54,700) - -$ 25-Nov-25 JPMORGAN CHASE BANK, N.A. Equity Borrow Return (4,000) - -$ 26-Nov-25 J.P. MORGAN SECURITIES AUSTRALIA LIMITED Equity Sell (52) 133.76 6,955.27$ 26-Nov-25 J.P. MORGAN SECURITIES AUSTRALIA LIMITED Equity Sell (16,542) 133.79 2,213,202.91$ 26-Nov-25 J.P. MORGAN SECURITIES AUSTRALIA LIMITED Equity Sell (97) 133.70 12,969.04$ 26-Nov-25 J.P. MORGAN SECURITIES AUSTRALIA LIMITED Equity Sell (80) 133.91 10,712.40$ 26-Nov-25 J.P. MORGAN SECURITIES AUSTRALIA LIMITED Equity Sell (33,433) 134.18 4,486,039.94$ 26-Nov-25 J.P. MORGAN SECURITIES AUSTRALIA LIMITED Equity Sell (10,717) 134.18 1,438,007.06$ 26-Nov-25 J.P. MORGAN SECURITIES AUSTRALIA LIMITED Equity Sell (1,817) 134.18 243,805.06$ 26-Nov-25 J.P. MORGAN SECURITIES AUSTRALIA LIMITED Equity Sell (2,940) 134.10 394,268.65$ 26-Nov-25 J.P. MORGAN SECURITIES AUSTRALIA LIMITED Equity Sell (33,433) 134.18 4,486,039.94$ 26-Nov-25 J.P. MORGAN SECURITIES AUSTRALIA LIMITED Equity Sell (5,411) 134.18 726,047.98$ 26-Nov-25 J.P. MORGAN SECURITIES AUSTRALIA LIMITED Equity Sell (19,034) 134.18 2,553,982.12$ 26-Nov-25 J.P. MORGAN SECURITIES AUSTRALIA LIMITED Equity Sell (24,445) 134.18 3,280,030.10$ 26-Nov-25 J.P. MORGAN SECURITIES AUSTRALIA LIMITED Equity Sell (2,930) 134.18 393,147.40$ 26-Nov-25 J.P. MORGAN SECURITIES AUSTRALIA LIMITED Equity Sell (50) 134.18 6,709.00$ 26-Nov-25 J.P. MORGAN SECURITIES AUSTRALIA LIMITED Equity Sell (13) 134.18 1,744.34$ 26-Nov-25 J.P. MORGAN SECURITIES AUSTRALIA LIMITED Equity Sell (114,395) 134.18 15,349,521.10$ 26-Nov-25 J.P. MORGAN SECURITIES AUSTRALIA LIMITED Equity Sell (114,395) 134.18 15,349,521.10$ 26-Nov-25 J.P. MORGAN SECURITIES AUSTRALIA LIMITED Equity Sell (4,852) 132.28 641,822.56$ 26-Nov-25 J.P. MORGAN SECURITIES AUSTRALIA LIMITED Equity Sell (245) 134.18 32,874.10$ 26-Nov-25 J.P. MORGAN SECURITIES AUSTRALIA LIMITED Equity Buy 1,988 134.18 266,749.84$ 26-Nov-25 J.P. MORGAN SECURITIES AUSTRALIA LIMITED Equity Buy 2,822 133.38 376,408.21$ 26-Nov-25 J.P. MORGAN SECURITIES AUSTRALIA LIMITED Equity Buy 664 134.18 89,095.52$ 26-Nov-25 J.P. MORGAN SECURITIES AUSTRALIA LIMITED Equity Buy 12 133.21 1,598.52$ 26-Nov-25 J.P. MORGAN SECURITIES AUSTRALIA LIMITED Equity Buy 33 133.88 4,418.04$ 26-Nov-25 J.P. MORGAN SECURITIES AUSTRALIA LIMITED Equity Buy 4,957 134.05 664,475.95$ 26-Nov-25 J.P. MORGAN SECURITIES AUSTRALIA LIMITED Equity Buy 5,438 134.12 729,324.12$ 26-Nov-25 J.P. MORGAN SECURITIES AUSTRALIA LIMITED Equity Buy 38 133.92 5,089.10$ 26-Nov-25 J.P. MORGAN SECURITIES AUSTRALIA LIMITED Equity Buy 15 133.55 2,003.18$ 26-Nov-25 J.P. MORGAN SECURITIES AUSTRALIA LIMITED Equity Buy 488 133.66 65,223.80$ 26-Nov-25 J.P. MORGAN SECURITIES AUSTRALIA LIMITED Equity Buy 118 133.47 15,749.28$ 26-Nov-25 J.P. MORGAN SECURITIES AUSTRALIA LIMITED Equity Buy 119 134.00 15,945.96$ 26-Nov-25 J.P. MORGAN SECURITIES AUSTRALIA LIMITED Equity Buy 2,252 133.93 301,616.09$ 26-Nov-25 J.P. MORGAN SECURITIES AUSTRALIA LIMITED Equity Buy 33,433 134.18 4,486,039.94$ 26-Nov-25 J.P. MORGAN SECURITIES AUSTRALIA LIMITED Equity Buy 19,473 134.18 2,612,887.14$ 26-Nov-25 J.P. MORGAN SECURITIES AUSTRALIA LIMITED Equity Buy 19,034 134.18 2,553,982.12$ 26-Nov-25 J.P. MORGAN SECURITIES AUSTRALIA LIMITED Equity Buy 116 133.47 15,482.72$ 26-Nov-25 J.P. MORGAN SECURITIES AUSTRALIA LIMITED Equity Buy 50 134.18 6,709.00$ 26-Nov-25 J.P. MORGAN SECURITIES AUSTRALIA LIMITED Equity Buy 45 134.18 6,038.10$ 26-Nov-25 J.P. MORGAN SECURITIES AUSTRALIA LIMITED Equity Buy 114,395 134.18 15,349,521.10$ 26-Nov-25 J.P. MORGAN SECURITIES AUSTRALIA LIMITED Equity Buy 108 134.18 14,491.44$ 26-Nov-25 J.P. MORGAN SECURITIES AUSTRALIA LIMITED Equity Buy 114,395 134.18 15,349,521.10$ 26-Nov-25 J.P. MORGAN SECURITIES PLC Equity Borrow 15,962 - -$ 26-Nov-25 J.P. MORGAN SECURITIES PLC Equity Borrow 1,031 - -$ 26-Nov-25 J.P. MORGAN SECURITIES PLC Equity Borrow 16,945 - -$ 26-Nov-25 J.P. MORGAN SECURITIES PLC Equity Borrow 15,147 - -$ 26-Nov-25 J.P. MORGAN SECURITIES PLC Equity Borrow 46,877 - -$ 26-Nov-25 J.P. MORGAN SECURITIES AUSTRALIA LIMITED Equity Borrow 1,000 - -$ 26-Nov-25 J.P. MORGAN INVESTMENT MANAGEMENT INC. Equity Buy 12,088 133.45 1,613,115.80$ 26-Nov-25 J.P. MORGAN INVESTMENT MANAGEMENT INC. Equity Sell (116) 134.18 15,564.88$ 26-Nov-25 J.P. MORGAN INVESTMENT MANAGEMENT INC. Equity Sell (132) 134.18 17,711.76$ 26-Nov-25 J.P. MORGAN INVESTMENT MANAGEMENT INC. Equity In-kind transaction to receive the shares/par/units 734 - -$ 26-Nov-25 J.P. MORGAN INVESTMENT MANAGEMENT INC. Equity In-kind transaction to receive the shares/par/units 1,835 - -$ 26-Nov-25 JPMORGAN ASSET MANAGEMENT (UK) LIMITED Equity Buy 107 133.45 14,278.90$ 26-Nov-25 J.P. MORGAN INVESTMENT MANAGEMENT INC. Equity In-kind transaction to receive the shares/par/units 271 - -$ 26-Nov-25 JPMORGAN ASSET MANAGEMENT (UK) LIMITED Equity Sell (218) 133.30 29,059.40$ 26-Nov-25 JPMORGAN CHASE BANK, N.A. Equity Borrow Return (72,615) - -$ 14/25


 
TRADES FOR RELEVANT PERIOD Appendix 26-Nov-25 JPMORGAN CHASE BANK, N.A. Equity Borrow 1,255 - -$ 26-Nov-25 JPMORGAN CHASE BANK, N.A. Equity Borrow 12,960 - -$ 26-Nov-25 JPMORGAN CHASE BANK, N.A. Equity Borrow Return (13,300) - -$ 26-Nov-25 JPMORGAN CHASE BANK, N.A. Equity Borrow Return (3,303) - -$ 26-Nov-25 JPMORGAN CHASE BANK, N.A. Equity Borrow Return (27,000) - -$ 26-Nov-25 JPMORGAN CHASE BANK, N.A. Equity Borrow Return (1,000) - -$ 27-Nov-25 J.P. MORGAN SECURITIES AUSTRALIA LIMITED Equity Sell (4,655) 134.18 624,607.90$ 27-Nov-25 J.P. MORGAN SECURITIES AUSTRALIA LIMITED Equity Sell (25) 133.28 3,332.00$ 27-Nov-25 J.P. MORGAN SECURITIES AUSTRALIA LIMITED Equity Sell (4,431) 132.37 586,531.47$ 27-Nov-25 J.P. MORGAN SECURITIES AUSTRALIA LIMITED Equity Sell (6,993) 132.37 925,663.41$ 27-Nov-25 J.P. MORGAN SECURITIES AUSTRALIA LIMITED Equity Sell (379) 132.37 50,168.23$ 27-Nov-25 J.P. MORGAN SECURITIES AUSTRALIA LIMITED Equity Sell (4,609) 133.04 613,201.63$ 27-Nov-25 J.P. MORGAN SECURITIES AUSTRALIA LIMITED Equity Sell (241) 132.58 31,950.75$ 27-Nov-25 J.P. MORGAN SECURITIES AUSTRALIA LIMITED Equity Sell (61) 134.20 8,186.20$ 27-Nov-25 J.P. MORGAN SECURITIES AUSTRALIA LIMITED Equity Sell (3,005) 133.18 400,200.03$ 27-Nov-25 J.P. MORGAN SECURITIES AUSTRALIA LIMITED Equity Sell (6,347) 132.65 841,960.43$ 27-Nov-25 J.P. MORGAN SECURITIES AUSTRALIA LIMITED Equity Sell (26) 133.48 3,470.56$ 27-Nov-25 J.P. MORGAN SECURITIES AUSTRALIA LIMITED Equity Sell (3,140) 132.82 417,051.21$ 27-Nov-25 J.P. MORGAN SECURITIES AUSTRALIA LIMITED Equity Sell (788) 134.20 105,749.60$ 27-Nov-25 J.P. MORGAN SECURITIES AUSTRALIA LIMITED Equity Sell (7,094) 132.65 941,018.24$ 27-Nov-25 J.P. MORGAN SECURITIES PLC Equity Sell (2) 133.02 266.03$ 27-Nov-25 J.P. MORGAN SECURITIES AUSTRALIA LIMITED Equity Sell (6,172) 132.37 816,987.64$ 27-Nov-25 J.P. MORGAN SECURITIES AUSTRALIA LIMITED Equity Sell (38) 134.18 5,098.84$ 27-Nov-25 J.P. MORGAN SECURITIES PLC Equity Sell (1,532) 133.96 205,231.93$ 27-Nov-25 J.P. MORGAN SECURITIES AUSTRALIA LIMITED Equity Buy 857 134.20 115,009.40$ 27-Nov-25 J.P. MORGAN SECURITIES AUSTRALIA LIMITED Equity Buy 402 133.28 53,578.56$ 27-Nov-25 J.P. MORGAN SECURITIES AUSTRALIA LIMITED Equity Buy 284 133.28 37,851.52$ 27-Nov-25 J.P. MORGAN SECURITIES AUSTRALIA LIMITED Equity Buy 2 133.36 266.72$ 27-Nov-25 J.P. MORGAN SECURITIES AUSTRALIA LIMITED Equity Buy 6,993 132.37 925,663.41$ 27-Nov-25 J.P. MORGAN SECURITIES AUSTRALIA LIMITED Equity Buy 4,151 132.37 549,467.87$ 27-Nov-25 J.P. MORGAN SECURITIES AUSTRALIA LIMITED Equity Buy 38 132.37 5,030.06$ 27-Nov-25 J.P. MORGAN SECURITIES AUSTRALIA LIMITED Equity Buy 7 133.02 931.12$ 27-Nov-25 J.P. MORGAN SECURITIES AUSTRALIA LIMITED Equity Buy 1,475 132.37 195,245.75$ 27-Nov-25 J.P. MORGAN SECURITIES AUSTRALIA LIMITED Equity Buy 2,325 132.37 307,760.25$ 27-Nov-25 J.P. MORGAN SECURITIES AUSTRALIA LIMITED Equity Buy 520 132.90 69,107.12$ 27-Nov-25 J.P. MORGAN SECURITIES AUSTRALIA LIMITED Equity Buy 356 134.29 47,805.86$ 27-Nov-25 J.P. MORGAN SECURITIES AUSTRALIA LIMITED Equity Buy 7,596 132.48 1,006,332.89$ 27-Nov-25 J.P. MORGAN SECURITIES AUSTRALIA LIMITED Equity Buy 12 134.58 1,614.96$ 27-Nov-25 J.P. MORGAN SECURITIES AUSTRALIA LIMITED Equity Buy 169 132.80 22,443.66$ 27-Nov-25 J.P. MORGAN SECURITIES AUSTRALIA LIMITED Equity Buy 1,191 132.59 157,915.65$ 27-Nov-25 J.P. MORGAN SECURITIES AUSTRALIA LIMITED Equity Buy 382 132.37 50,565.34$ 27-Nov-25 J.P. MORGAN SECURITIES PLC Equity Borrow 2,663 - -$ 27-Nov-25 J.P. MORGAN SECURITIES PLC Equity Borrow 2,255 - -$ 27-Nov-25 J.P. MORGAN SECURITIES PLC Equity Borrow 30,138 - -$ 27-Nov-25 J.P. MORGAN INVESTMENT MANAGEMENT INC. Equity Sell (390) 134.20 52,338.00$ 27-Nov-25 JPMORGAN CHASE BANK, N.A. Equity Borrow 66,278 - -$ 27-Nov-25 JPMORGAN CHASE BANK, N.A. Equity Borrow 45,406 - -$ 27-Nov-25 JPMORGAN CHASE BANK, N.A. Equity Borrow 236,632 - -$ 27-Nov-25 JPMORGAN CHASE BANK, N.A. Equity Borrow 5,116 - -$ 27-Nov-25 JPMORGAN CHASE BANK, N.A. Equity Borrow 49,113 - -$ 27-Nov-25 JPMORGAN CHASE BANK, N.A. Equity Borrow 9,911 - -$ 27-Nov-25 JPMORGAN CHASE BANK, N.A. Equity Borrow 882 - -$ 27-Nov-25 JPMORGAN CHASE BANK, N.A. Equity Borrow Return (16,004) - -$ 28-Nov-25 J.P. MORGAN SECURITIES AUSTRALIA LIMITED Equity Sell (2,362) 132.37 312,657.94$ 28-Nov-25 J.P. MORGAN SECURITIES AUSTRALIA LIMITED Equity Sell (267) 132.37 35,342.79$ 28-Nov-25 J.P. MORGAN SECURITIES AUSTRALIA LIMITED Equity Sell (4,410) 132.28 583,354.80$ 28-Nov-25 J.P. MORGAN SECURITIES AUSTRALIA LIMITED Equity Sell (9,764) 132.28 1,291,581.92$ 28-Nov-25 J.P. MORGAN SECURITIES AUSTRALIA LIMITED Equity Sell (275) 132.28 36,377.00$ 28-Nov-25 J.P. MORGAN SECURITIES AUSTRALIA LIMITED Equity Sell (612) 131.40 80,416.80$ 28-Nov-25 J.P. MORGAN SECURITIES AUSTRALIA LIMITED Equity Sell (19) 132.01 2,508.21$ 28-Nov-25 J.P. MORGAN SECURITIES AUSTRALIA LIMITED Equity Sell (9,536) 132.17 1,260,369.42$ 28-Nov-25 J.P. MORGAN SECURITIES AUSTRALIA LIMITED Equity Sell (209) 132.06 27,599.77$ 28-Nov-25 J.P. MORGAN SECURITIES AUSTRALIA LIMITED Equity Sell (532) 132.22 70,340.02$ 28-Nov-25 J.P. MORGAN SECURITIES AUSTRALIA LIMITED Equity Sell (2,328) 131.87 307,000.59$ 28-Nov-25 J.P. MORGAN SECURITIES AUSTRALIA LIMITED Equity Sell (3) 132.17 396.50$ 28-Nov-25 J.P. MORGAN SECURITIES PLC Equity Sell (29) 132.28 3,836.12$ 28-Nov-25 J.P. MORGAN SECURITIES AUSTRALIA LIMITED Equity Sell (15) 132.37 1,985.55$ 28-Nov-25 J.P. MORGAN SECURITIES PLC Equity Sell (164) 132.28 21,693.92$ 28-Nov-25 J.P. MORGAN SECURITIES AUSTRALIA LIMITED Equity Buy 513 132.30 67,869.82$ 28-Nov-25 J.P. MORGAN SECURITIES AUSTRALIA LIMITED Equity Buy 3,519 132.30 465,563.14$ 28-Nov-25 J.P. MORGAN SECURITIES AUSTRALIA LIMITED Equity Buy 2,362 132.37 312,657.94$ 28-Nov-25 J.P. MORGAN SECURITIES AUSTRALIA LIMITED Equity Buy 9,764 132.28 1,291,581.92$ 28-Nov-25 J.P. MORGAN SECURITIES AUSTRALIA LIMITED Equity Buy 267 131.40 35,083.80$ 28-Nov-25 J.P. MORGAN SECURITIES AUSTRALIA LIMITED Equity Buy 453 132.28 59,922.84$ 28-Nov-25 J.P. MORGAN SECURITIES AUSTRALIA LIMITED Equity Buy 5,671 132.28 750,159.88$ 28-Nov-25 J.P. MORGAN SECURITIES AUSTRALIA LIMITED Equity Buy 11,293 132.23 1,493,235.26$ 28-Nov-25 J.P. MORGAN SECURITIES AUSTRALIA LIMITED Equity Buy 9,085 132.28 1,201,772.16$ 28-Nov-25 J.P. MORGAN SECURITIES AUSTRALIA LIMITED Equity Buy 12,489 132.06 1,649,308.69$ 28-Nov-25 J.P. MORGAN SECURITIES AUSTRALIA LIMITED Equity Buy 3,675 132.27 486,099.66$ 28-Nov-25 J.P. MORGAN SECURITIES PLC Equity Buy 360 132.28 47,620.80$ 28-Nov-25 J.P. MORGAN SECURITIES PLC Equity Buy 666 132.28 88,098.48$ 28-Nov-25 J.P. MORGAN SECURITIES PLC Equity Buy 74 132.28 9,788.72$ 28-Nov-25 J.P. MORGAN SECURITIES AUSTRALIA LIMITED Equity Buy 125 132.35 16,543.94$ 28-Nov-25 J.P. MORGAN SECURITIES AUSTRALIA LIMITED Equity Buy 911 132.08 120,321.26$ 28-Nov-25 J.P. MORGAN SECURITIES AUSTRALIA LIMITED Equity Buy 58 131.65 7,635.96$ 28-Nov-25 J.P. MORGAN SECURITIES PLC Equity Buy 164 132.28 21,693.92$ 28-Nov-25 J.P. MORGAN SECURITIES PLC Equity Buy 6,877 132.28 909,689.56$ 28-Nov-25 J.P. MORGAN INVESTMENT MANAGEMENT INC. Equity In-kind transaction to receive the shares/par/units 2,605 - -$ 28-Nov-25 J.P. MORGAN INVESTMENT MANAGEMENT INC. Equity In-kind transaction to receive the shares/par/units 2,605 - -$ 28-Nov-25 JPMORGAN ASSET MANAGEMENT (UK) LIMITED Equity Buy 19 131.40 2,496.60$ 28-Nov-25 J.P. MORGAN INVESTMENT MANAGEMENT INC. Equity Sell (434) 132.28 57,409.52$ 28-Nov-25 JPMORGAN CHASE BANK, N.A. Equity Borrow Return (10,677) - -$ 28-Nov-25 JPMORGAN CHASE BANK, N.A. Equity Borrow Return (23,942) - -$ 28-Nov-25 JPMORGAN CHASE BANK, N.A. Equity Borrow 12,693 - -$ 28-Nov-25 JPMORGAN CHASE BANK, N.A. Equity Borrow Return (250,000) - -$ 28-Nov-25 JPMORGAN CHASE BANK, N.A. Equity Borrow Return (310,000) - -$ 28-Nov-25 JPMORGAN CHASE BANK, N.A. Equity Borrow 12,858 - -$ 1-Dec-25 J.P. MORGAN SECURITIES AUSTRALIA LIMITED Equity Sell (490) 132.76 65,052.40$ 1-Dec-25 J.P. MORGAN SECURITIES AUSTRALIA LIMITED Equity Sell (6,430) 132.75 853,570.30$ 1-Dec-25 J.P. MORGAN SECURITIES AUSTRALIA LIMITED Equity Sell (1,930) 132.76 256,226.80$ 1-Dec-25 J.P. MORGAN SECURITIES AUSTRALIA LIMITED Equity Sell (114) 132.95 15,156.30$ 1-Dec-25 J.P. MORGAN SECURITIES AUSTRALIA LIMITED Equity Sell (54) 133.64 7,216.56$ 1-Dec-25 J.P. MORGAN SECURITIES AUSTRALIA LIMITED Equity Sell (8,732) 132.86 1,160,102.12$ 1-Dec-25 J.P. MORGAN SECURITIES AUSTRALIA LIMITED Equity Sell (3,089) 132.76 410,095.64$ 1-Dec-25 J.P. MORGAN SECURITIES AUSTRALIA LIMITED Equity Sell (10,576) 132.76 1,404,069.76$ 1-Dec-25 J.P. MORGAN SECURITIES AUSTRALIA LIMITED Equity Sell (3,675) 132.28 486,129.00$ 1-Dec-25 J.P. MORGAN SECURITIES AUSTRALIA LIMITED Equity Sell (1,984) 132.28 262,443.52$ 1-Dec-25 J.P. MORGAN SECURITIES AUSTRALIA LIMITED Equity Buy 1 133.05 133.05$ 1-Dec-25 J.P. MORGAN SECURITIES AUSTRALIA LIMITED Equity Buy 29 133.07 3,858.94$ 1-Dec-25 J.P. MORGAN SECURITIES AUSTRALIA LIMITED Equity Buy 230 133.26 30,649.71$ 1-Dec-25 J.P. MORGAN SECURITIES AUSTRALIA LIMITED Equity Buy 38,274 132.78 5,081,883.09$ 1-Dec-25 J.P. MORGAN SECURITIES AUSTRALIA LIMITED Equity Buy 86 132.74 11,415.81$ 1-Dec-25 J.P. MORGAN SECURITIES AUSTRALIA LIMITED Equity Buy 45 133.29 5,998.15$ 1-Dec-25 J.P. MORGAN SECURITIES AUSTRALIA LIMITED Equity Buy 92 132.65 12,203.93$ 1-Dec-25 J.P. MORGAN SECURITIES AUSTRALIA LIMITED Equity Buy 295 132.65 39,132.19$ 1-Dec-25 J.P. MORGAN SECURITIES AUSTRALIA LIMITED Equity Buy 23 132.21 3,040.72$ 1-Dec-25 J.P. MORGAN SECURITIES AUSTRALIA LIMITED Equity Buy 2,462 132.75 326,834.22$ 1-Dec-25 J.P. MORGAN SECURITIES AUSTRALIA LIMITED Equity Buy 10,566 132.78 1,402,930.18$ 1-Dec-25 J.P. MORGAN SECURITIES PLC Equity Buy 2 132.84 265.67$ 1-Dec-25 J.P. MORGAN SECURITIES AUSTRALIA LIMITED Equity Buy 120 132.97 15,956.42$ 1-Dec-25 J.P. MORGAN SECURITIES AUSTRALIA LIMITED Equity Buy 31 133.42 4,136.08$ 1-Dec-25 J.P. MORGAN SECURITIES AUSTRALIA LIMITED Equity Buy 84 133.15 11,184.87$ 1-Dec-25 J.P. MORGAN SECURITIES AUSTRALIA LIMITED Equity Buy 2,293 133.01 304,999.10$ 1-Dec-25 J.P. MORGAN SECURITIES AUSTRALIA LIMITED Equity Buy 57 132.41 7,547.52$ 1-Dec-25 J.P. MORGAN SECURITIES AUSTRALIA LIMITED Equity Buy 10,576 132.76 1,404,069.76$ 1-Dec-25 J.P. MORGAN SECURITIES AUSTRALIA LIMITED Equity Buy 19,815 133.13 2,638,030.40$ 1-Dec-25 J.P. MORGAN SECURITIES PLC Equity Borrow Return (102,000) - -$ 1-Dec-25 J.P. MORGAN INVESTMENT MANAGEMENT INC. Equity Buy 8,386 132.61 1,112,048.17$ 1-Dec-25 J.P. MORGAN INVESTMENT MANAGEMENT INC. Equity Sell (118) 132.51 15,636.18$ 1-Dec-25 J.P. MORGAN INVESTMENT MANAGEMENT INC. Equity Sell (124) 132.51 16,431.24$ 1-Dec-25 JPMORGAN ASSET MANAGEMENT (UK) LIMITED Equity Sell (1,008) 132.51 133,570.08$ 1-Dec-25 JPMORGAN CHASE BANK, N.A. Equity Sell (259) 132.51 34,320.09$ 1-Dec-25 J.P. MORGAN INVESTMENT MANAGEMENT INC. Equity Sell (342) 132.51 45,318.42$ 1-Dec-25 JPMORGAN ASSET MANAGEMENT (UK) LIMITED Equity Sell (1,318) 132.76 174,977.68$ 1-Dec-25 JPMORGAN ASSET MANAGEMENT (UK) LIMITED Equity Buy 109 132.61 14,454.24$ 15/25


 
TRADES FOR RELEVANT PERIOD Appendix 1-Dec-25 J.P. MORGAN INVESTMENT MANAGEMENT INC. Equity Buy 118 132.76 15,665.68$ 1-Dec-25 J.P. MORGAN INVESTMENT MANAGEMENT INC. Equity Sell (216) 132.51 28,622.16$ 1-Dec-25 J.P. MORGAN INVESTMENT MANAGEMENT INC. Equity Sell (225) 132.51 29,814.75$ 1-Dec-25 JPMORGAN ASSET MANAGEMENT (UK) LIMITED Equity Sell (35) 132.51 4,637.85$ 1-Dec-25 JPMORGAN ASSET MANAGEMENT (UK) LIMITED Equity Sell (208) 132.51 27,562.08$ 1-Dec-25 J.P. MORGAN INVESTMENT MANAGEMENT INC. Equity Sell (510) 132.51 67,580.10$ 1-Dec-25 J.P. MORGAN INVESTMENT MANAGEMENT INC. Equity Sell (678) 132.51 89,841.78$ 1-Dec-25 J.P. MORGAN INVESTMENT MANAGEMENT INC. Equity Sell (719) 132.51 95,274.69$ 1-Dec-25 JPMORGAN CHASE BANK, N.A. Equity Borrow 691 - -$ 1-Dec-25 JPMORGAN CHASE BANK, N.A. Equity Borrow 22,608 - -$ 1-Dec-25 JPMORGAN CHASE BANK, N.A. Equity Borrow Return (11,887) - -$ 1-Dec-25 JPMORGAN CHASE BANK, N.A. Equity Borrow 143 - -$ 1-Dec-25 JPMORGAN CHASE BANK, N.A. Equity Borrow 11,744 - -$ 1-Dec-25 JPMORGAN CHASE BANK, N.A. Equity Borrow 939 - -$ 1-Dec-25 JPMORGAN CHASE BANK, N.A. Equity Borrow Return (12,858) - -$ 1-Dec-25 JPMORGAN CHASE BANK, N.A. Equity Borrow 12,858 - -$ 2-Dec-25 J.P. MORGAN SECURITIES AUSTRALIA LIMITED Equity Sell (1,382) 134.82 186,325.26$ 2-Dec-25 J.P. MORGAN SECURITIES AUSTRALIA LIMITED Equity Sell (2,254) 135.17 304,669.74$ 2-Dec-25 J.P. MORGAN SECURITIES AUSTRALIA LIMITED Equity Sell (829) 135.03 111,939.87$ 2-Dec-25 J.P. MORGAN SECURITIES AUSTRALIA LIMITED Equity Sell (5,005) 134.62 673,786.19$ 2-Dec-25 J.P. MORGAN SECURITIES AUSTRALIA LIMITED Equity Sell (3,585) 135.02 484,039.18$ 2-Dec-25 J.P. MORGAN SECURITIES AUSTRALIA LIMITED Equity Sell (5,184) 135.03 699,995.52$ 2-Dec-25 J.P. MORGAN SECURITIES AUSTRALIA LIMITED Equity Sell (181) 134.13 24,278.24$ 2-Dec-25 J.P. MORGAN SECURITIES PLC Equity Sell (2) 135.03 270.06$ 2-Dec-25 J.P. MORGAN SECURITIES AUSTRALIA LIMITED Equity Sell (29,629) 135.03 4,000,803.87$ 2-Dec-25 J.P. MORGAN SECURITIES AUSTRALIA LIMITED Equity Sell (13) 135.03 1,755.39$ 2-Dec-25 J.P. MORGAN SECURITIES AUSTRALIA LIMITED Equity Sell (3,418) 135.03 461,532.54$ 2-Dec-25 J.P. MORGAN SECURITIES AUSTRALIA LIMITED Equity Sell (9,972) 135.03 1,346,519.16$ 2-Dec-25 J.P. MORGAN SECURITIES AUSTRALIA LIMITED Equity Sell (780) 135.03 105,323.40$ 2-Dec-25 J.P. MORGAN SECURITIES AUSTRALIA LIMITED Equity Sell (2,462) 132.76 326,855.12$ 2-Dec-25 J.P. MORGAN SECURITIES AUSTRALIA LIMITED Equity Sell (508) 132.76 67,442.08$ 2-Dec-25 J.P. MORGAN SECURITIES AUSTRALIA LIMITED Equity Buy 341 134.84 45,980.63$ 2-Dec-25 J.P. MORGAN SECURITIES AUSTRALIA LIMITED Equity Buy 2,864 135.08 386,870.76$ 2-Dec-25 J.P. MORGAN SECURITIES AUSTRALIA LIMITED Equity Buy 7,724 135.03 1,042,971.72$ 2-Dec-25 J.P. MORGAN SECURITIES AUSTRALIA LIMITED Equity Buy 17 134.77 2,291.16$ 2-Dec-25 J.P. MORGAN SECURITIES AUSTRALIA LIMITED Equity Buy 12,321 134.69 1,659,512.73$ 2-Dec-25 J.P. MORGAN SECURITIES AUSTRALIA LIMITED Equity Buy 24 134.57 3,229.61$ 2-Dec-25 J.P. MORGAN SECURITIES AUSTRALIA LIMITED Equity Buy 1,240 134.17 166,372.80$ 2-Dec-25 J.P. MORGAN SECURITIES AUSTRALIA LIMITED Equity Buy 15,043 135.03 2,031,310.70$ 2-Dec-25 J.P. MORGAN SECURITIES AUSTRALIA LIMITED Equity Buy 29,629 135.03 4,000,803.87$ 2-Dec-25 J.P. MORGAN SECURITIES AUSTRALIA LIMITED Equity Buy 13 135.03 1,755.39$ 2-Dec-25 J.P. MORGAN SECURITIES AUSTRALIA LIMITED Equity Buy 9,972 135.03 1,346,519.16$ 2-Dec-25 J.P. MORGAN SECURITIES AUSTRALIA LIMITED Equity Buy 22,473 135.03 3,034,529.19$ 2-Dec-25 J.P. MORGAN SECURITIES AUSTRALIA LIMITED Equity Buy 2,863 134.84 386,049.57$ 2-Dec-25 J.P. MORGAN SECURITIES AUSTRALIA LIMITED Equity Buy 670 135.17 90,566.04$ 2-Dec-25 J.P. MORGAN SECURITIES AUSTRALIA LIMITED Equity Buy 72 134.67 9,695.90$ 2-Dec-25 J.P. MORGAN SECURITIES AUSTRALIA LIMITED Equity Buy 148 134.67 19,930.89$ 2-Dec-25 J.P. MORGAN SECURITIES PLC Equity Buy 2,770 135.03 374,033.10$ 2-Dec-25 J.P. MORGAN SECURITIES PLC Equity Borrow Return (10,029) - -$ 2-Dec-25 J.P. MORGAN SECURITIES PLC Equity Borrow Return (78,380) - -$ 2-Dec-25 J.P. MORGAN SECURITIES PLC Equity Borrow Return (89,250) - -$ 2-Dec-25 J.P. MORGAN SECURITIES PLC Equity Borrow Return (4,444) - -$ 2-Dec-25 J.P. MORGAN SECURITIES PLC Equity Borrow Return (12,775) - -$ 2-Dec-25 J.P. MORGAN SECURITIES PLC Equity Borrow Return (5,057) - -$ 2-Dec-25 J.P. MORGAN SECURITIES PLC Equity Borrow Return (33,991) - -$ 2-Dec-25 J.P. MORGAN SECURITIES PLC Equity Borrow Return (31,860) - -$ 2-Dec-25 J.P. MORGAN SECURITIES PLC Equity Borrow Return (2,119) - -$ 2-Dec-25 J.P. MORGAN SECURITIES PLC Equity Borrow Return (46,725) - -$ 2-Dec-25 J.P. MORGAN SECURITIES PLC Equity Borrow Return (4,683) - -$ 2-Dec-25 J.P. MORGAN SECURITIES PLC Equity Borrow Return (3,000) - -$ 2-Dec-25 J.P. MORGAN SECURITIES PLC Equity Borrow Return (5,301) - -$ 2-Dec-25 J.P. MORGAN SECURITIES PLC Equity Borrow Return (2,255) - -$ 2-Dec-25 J.P. MORGAN SECURITIES PLC Equity Borrow Return (2,663) - -$ 2-Dec-25 J.P. MORGAN SECURITIES PLC Equity Borrow Return (30,138) - -$ 2-Dec-25 J.P. MORGAN SECURITIES PLC Equity Borrow Return (40,009) - -$ 2-Dec-25 J.P. MORGAN SECURITIES PLC Equity Borrow Return (73,271) - -$ 2-Dec-25 J.P. MORGAN SECURITIES PLC Equity Borrow Return (3,229) - -$ 2-Dec-25 J.P. MORGAN SECURITIES PLC Equity Borrow Return (28,618) - -$ 2-Dec-25 J.P. MORGAN SECURITIES PLC Equity Borrow Return (21,977) - -$ 2-Dec-25 J.P. MORGAN SECURITIES PLC Equity Borrow Return (4,709) - -$ 2-Dec-25 J.P. MORGAN SECURITIES PLC Equity Borrow Return (17,647) - -$ 2-Dec-25 J.P. MORGAN SECURITIES PLC Equity Borrow Return (37,166) - -$ 2-Dec-25 J.P. MORGAN SECURITIES PLC Equity Borrow Return (3,073) - -$ 2-Dec-25 J.P. MORGAN SECURITIES PLC Equity Borrow Return (27,295) - -$ 2-Dec-25 J.P. MORGAN SECURITIES PLC Equity Borrow Return (2,255) - -$ 2-Dec-25 J.P. MORGAN SECURITIES PLC Equity Borrow Return (20,700) - -$ 2-Dec-25 J.P. MORGAN SECURITIES PLC Equity Borrow Return (5,000) - -$ 2-Dec-25 J.P. MORGAN SECURITIES PLC Equity Borrow Return (1,867) - -$ 2-Dec-25 J.P. MORGAN SECURITIES PLC Equity Borrow Return (51,872) - -$ 2-Dec-25 J.P. MORGAN SECURITIES PLC Equity Borrow Return (15,060) - -$ 2-Dec-25 J.P. MORGAN SECURITIES PLC Equity Borrow 100,000 - -$ 2-Dec-25 J.P. MORGAN SECURITIES PLC Equity Borrow 60,000 - -$ 2-Dec-25 J.P. MORGAN SECURITIES PLC Equity Borrow 60,000 - -$ 2-Dec-25 J.P. MORGAN SECURITIES PLC Equity Borrow 34,131 - -$ 2-Dec-25 J.P. MORGAN SECURITIES PLC Equity Borrow 187,832 - -$ 2-Dec-25 J.P. MORGAN SECURITIES PLC Equity Borrow 34,477 - -$ 2-Dec-25 J.P. MORGAN SECURITIES PLC Equity Borrow 55,000 - -$ 2-Dec-25 J.P. MORGAN SECURITIES PLC Equity Borrow 85,000 - -$ 2-Dec-25 J.P. MORGAN INVESTMENT MANAGEMENT INC. Equity Buy 21,501 135.54 2,914,245.54$ 2-Dec-25 J.P. MORGAN INVESTMENT MANAGEMENT INC. Equity Sell (367) 135.03 49,556.01$ 2-Dec-25 J.P. MORGAN INVESTMENT MANAGEMENT INC. Equity Sell (2,184) 135.03 294,905.52$ 2-Dec-25 JPMORGAN CHASE BANK, N.A. Equity Borrow 948 - -$ 2-Dec-25 JPMORGAN CHASE BANK, N.A. Equity Borrow 13,779 - -$ 2-Dec-25 JPMORGAN CHASE BANK, N.A. Equity Borrow Return (31,413) - -$ 2-Dec-25 JPMORGAN CHASE BANK, N.A. Equity Borrow Return (4,301) - -$ 2-Dec-25 JPMORGAN CHASE BANK, N.A. Equity Borrow 350,000 - -$ 3-Dec-25 J.P. MORGAN SECURITIES AUSTRALIA LIMITED Equity Sell (304) 135.28 41,125.12$ 3-Dec-25 J.P. MORGAN SECURITIES AUSTRALIA LIMITED Equity Sell (358) 134.71 48,224.96$ 3-Dec-25 J.P. MORGAN SECURITIES AUSTRALIA LIMITED Equity Sell (1,859) 134.73 250,456.42$ 3-Dec-25 J.P. MORGAN SECURITIES AUSTRALIA LIMITED Equity Sell (952) 134.83 128,356.94$ 3-Dec-25 J.P. MORGAN SECURITIES AUSTRALIA LIMITED Equity Sell (19) 134.83 2,561.79$ 3-Dec-25 J.P. MORGAN SECURITIES AUSTRALIA LIMITED Equity Sell (40) 134.79 5,391.60$ 3-Dec-25 J.P. MORGAN SECURITIES AUSTRALIA LIMITED Equity Sell (232) 134.42 31,184.71$ 3-Dec-25 J.P. MORGAN SECURITIES AUSTRALIA LIMITED Equity Sell (4,217) 134.69 567,977.55$ 3-Dec-25 J.P. MORGAN SECURITIES AUSTRALIA LIMITED Equity Sell (618) 134.74 83,267.49$ 3-Dec-25 J.P. MORGAN SECURITIES AUSTRALIA LIMITED Equity Sell (82,633) 135.26 11,177,256.15$ 3-Dec-25 J.P. MORGAN SECURITIES AUSTRALIA LIMITED Equity Sell (19) 134.72 2,559.69$ 3-Dec-25 J.P. MORGAN SECURITIES AUSTRALIA LIMITED Equity Sell (890) 135.03 120,176.70$ 3-Dec-25 J.P. MORGAN SECURITIES AUSTRALIA LIMITED Equity Sell (5,181) 135.28 700,885.68$ 3-Dec-25 J.P. MORGAN SECURITIES AUSTRALIA LIMITED Equity Sell (4,381) 135.28 592,661.68$ 3-Dec-25 J.P. MORGAN SECURITIES AUSTRALIA LIMITED Equity Sell (195) 135.28 26,379.60$ 3-Dec-25 J.P. MORGAN SECURITIES AUSTRALIA LIMITED Equity Buy 2,673 134.53 359,602.65$ 3-Dec-25 J.P. MORGAN SECURITIES AUSTRALIA LIMITED Equity Buy 12 134.69 1,616.28$ 3-Dec-25 J.P. MORGAN SECURITIES AUSTRALIA LIMITED Equity Buy 10,123 134.99 1,366,522.77$ 3-Dec-25 J.P. MORGAN SECURITIES AUSTRALIA LIMITED Equity Buy 322 134.78 43,399.16$ 3-Dec-25 J.P. MORGAN SECURITIES AUSTRALIA LIMITED Equity Buy 154 134.63 20,732.72$ 3-Dec-25 J.P. MORGAN SECURITIES AUSTRALIA LIMITED Equity Buy 6 134.47 806.82$ 3-Dec-25 J.P. MORGAN SECURITIES AUSTRALIA LIMITED Equity Buy 4 134.69 538.76$ 3-Dec-25 J.P. MORGAN SECURITIES AUSTRALIA LIMITED Equity Buy 92 134.69 12,391.48$ 3-Dec-25 J.P. MORGAN SECURITIES PLC Equity Buy 103 134.34 13,837.35$ 3-Dec-25 J.P. MORGAN SECURITIES PLC Equity Buy 393 134.30 52,779.17$ 3-Dec-25 J.P. MORGAN SECURITIES AUSTRALIA LIMITED Equity Buy 16,975 135.20 2,294,964.56$ 3-Dec-25 J.P. MORGAN SECURITIES AUSTRALIA LIMITED Equity Buy 4,381 135.28 592,661.68$ 3-Dec-25 J.P. MORGAN SECURITIES PLC Equity Borrow 2,261 - -$ 3-Dec-25 J.P. MORGAN SECURITIES PLC Equity Borrow 5,872 - -$ 3-Dec-25 J.P. MORGAN SECURITIES PLC Equity Borrow 1,867 - -$ 3-Dec-25 J.P. MORGAN SECURITIES PLC Equity Borrow 3,073 - -$ 3-Dec-25 J.P. MORGAN SECURITIES PLC Equity Borrow 4,672 - -$ 3-Dec-25 J.P. MORGAN SECURITIES PLC Equity Borrow 2,255 - -$ 3-Dec-25 J.P. MORGAN SECURITIES AUSTRALIA LIMITED Equity Borrow 75,291 - -$ 3-Dec-25 J.P. MORGAN INVESTMENT MANAGEMENT INC. Equity Buy 12,827 134.78 1,728,823.06$ 3-Dec-25 JPMORGAN ASSET MANAGEMENT (UK) LIMITED Equity Sell (572) 134.78 77,094.16$ 3-Dec-25 JPMORGAN CHASE BANK, N.A. Equity Borrow 571 - -$ 3-Dec-25 JPMORGAN CHASE BANK, N.A. Equity Borrow 520 - -$ 3-Dec-25 JPMORGAN CHASE BANK, N.A. Equity Borrow 24,400 - -$ 16/25


 
TRADES FOR RELEVANT PERIOD Appendix 3-Dec-25 JPMORGAN CHASE BANK, N.A. Equity Borrow 18,588 - -$ 3-Dec-25 JPMORGAN CHASE BANK, N.A. Equity Borrow Return (12,858) - -$ 4-Dec-25 J.P. MORGAN SECURITIES AUSTRALIA LIMITED Equity Sell (170) 138.89 23,611.94$ 4-Dec-25 J.P. MORGAN SECURITIES AUSTRALIA LIMITED Equity Sell (5,066) 139.43 706,329.13$ 4-Dec-25 J.P. MORGAN SECURITIES AUSTRALIA LIMITED Equity Sell (249) 138.94 34,597.16$ 4-Dec-25 J.P. MORGAN SECURITIES AUSTRALIA LIMITED Equity Sell (795) 138.06 109,761.08$ 4-Dec-25 J.P. MORGAN SECURITIES AUSTRALIA LIMITED Equity Sell (522) 138.84 72,472.65$ 4-Dec-25 J.P. MORGAN SECURITIES AUSTRALIA LIMITED Equity Sell (21,436) 140.58 3,013,472.88$ 4-Dec-25 J.P. MORGAN SECURITIES AUSTRALIA LIMITED Equity Sell (11,567) 139.54 1,614,022.14$ 4-Dec-25 J.P. MORGAN SECURITIES AUSTRALIA LIMITED Equity Sell (33,407) 140.00 4,676,976.96$ 4-Dec-25 J.P. MORGAN SECURITIES AUSTRALIA LIMITED Equity Sell (89) 138.49 12,325.71$ 4-Dec-25 J.P. MORGAN SECURITIES PLC Equity Sell (19,727) 140.58 2,773,221.66$ 4-Dec-25 J.P. MORGAN SECURITIES PLC Equity Sell (294) 140.58 41,330.52$ 4-Dec-25 J.P. MORGAN SECURITIES AUSTRALIA LIMITED Equity Sell (22,444) 135.28 3,036,224.32$ 4-Dec-25 J.P. MORGAN SECURITIES AUSTRALIA LIMITED Equity Sell (4,283) 140.58 602,104.14$ 4-Dec-25 J.P. MORGAN SECURITIES AUSTRALIA LIMITED Equity Sell (11,905) 140.58 1,673,604.90$ 4-Dec-25 J.P. MORGAN SECURITIES AUSTRALIA LIMITED Equity Sell (122) 140.58 17,150.76$ 4-Dec-25 J.P. MORGAN SECURITIES AUSTRALIA LIMITED Equity Buy 521 138.00 71,898.00$ 4-Dec-25 J.P. MORGAN SECURITIES AUSTRALIA LIMITED Equity Buy 268 138.29 37,061.76$ 4-Dec-25 J.P. MORGAN SECURITIES AUSTRALIA LIMITED Equity Buy 92 138.96 12,784.72$ 4-Dec-25 J.P. MORGAN SECURITIES AUSTRALIA LIMITED Equity Buy 300 138.46 41,537.87$ 4-Dec-25 J.P. MORGAN SECURITIES AUSTRALIA LIMITED Equity Buy 306 138.00 42,228.00$ 4-Dec-25 J.P. MORGAN SECURITIES AUSTRALIA LIMITED Equity Buy 19 138.95 2,640.05$ 4-Dec-25 J.P. MORGAN SECURITIES AUSTRALIA LIMITED Equity Buy 163 137.72 22,448.82$ 4-Dec-25 J.P. MORGAN SECURITIES AUSTRALIA LIMITED Equity Buy 7 137.70 963.90$ 4-Dec-25 J.P. MORGAN SECURITIES AUSTRALIA LIMITED Equity Buy 1,522 139.94 212,989.29$ 4-Dec-25 J.P. MORGAN SECURITIES AUSTRALIA LIMITED Equity Buy 40,393 139.46 5,633,031.38$ 4-Dec-25 J.P. MORGAN SECURITIES AUSTRALIA LIMITED Equity Buy 25 137.74 3,443.56$ 4-Dec-25 J.P. MORGAN SECURITIES PLC Equity Buy 278 140.58 39,081.24$ 4-Dec-25 J.P. MORGAN SECURITIES AUSTRALIA LIMITED Equity Buy 18 138.99 2,501.89$ 4-Dec-25 J.P. MORGAN SECURITIES AUSTRALIA LIMITED Equity Buy 4,138 138.76 574,170.72$ 4-Dec-25 J.P. MORGAN SECURITIES AUSTRALIA LIMITED Equity Buy 3,327 138.84 461,919.68$ 4-Dec-25 J.P. MORGAN SECURITIES AUSTRALIA LIMITED Equity Buy 39 138.87 5,416.11$ 4-Dec-25 J.P. MORGAN SECURITIES AUSTRALIA LIMITED Equity Buy 7,095 138.78 984,618.13$ 4-Dec-25 J.P. MORGAN SECURITIES AUSTRALIA LIMITED Equity Buy 11,905 140.58 1,673,604.90$ 4-Dec-25 J.P. MORGAN SECURITIES AUSTRALIA LIMITED Equity Buy 1,349 140.58 189,642.42$ 4-Dec-25 J.P. MORGAN SECURITIES PLC Equity Borrow Return (46,029) - -$ 4-Dec-25 J.P. MORGAN SECURITIES AUSTRALIA LIMITED Equity Borrow Return (1,000,000) - -$ 4-Dec-25 J.P. MORGAN SECURITIES AUSTRALIA LIMITED Equity Borrow Return (1,000,000) - -$ 4-Dec-25 J.P. MORGAN SECURITIES PLC Equity Borrow 484 - -$ 4-Dec-25 J.P. MORGAN SECURITIES PLC Equity Borrow 45,545 - -$ 4-Dec-25 J.P. MORGAN SECURITIES AUSTRALIA LIMITED Equity Borrow 40,000 - -$ 4-Dec-25 J.P. MORGAN SECURITIES AUSTRALIA LIMITED Equity Borrow 30,000 - -$ 4-Dec-25 J.P. MORGAN SECURITIES AUSTRALIA LIMITED Equity Borrow 2,000,000 - -$ 4-Dec-25 J.P. MORGAN SECURITIES AUSTRALIA LIMITED Equity Borrow 186,150 - -$ 4-Dec-25 JPMORGAN ASSET MANAGEMENT (UK) LIMITED Equity Buy 81 138.00 11,178.00$ 4-Dec-25 JPMORGAN CHASE BANK, N.A. Equity Buy 1,077 140.58 151,404.66$ 4-Dec-25 J.P. MORGAN INVESTMENT MANAGEMENT INC. Equity Buy 95 138.00 13,110.00$ 4-Dec-25 J.P. MORGAN INVESTMENT MANAGEMENT INC. Equity Buy 14 138.00 1,932.00$ 4-Dec-25 JPMORGAN ASSET MANAGEMENT (ASIA PACIFIC) LIMITED Equity Buy 8,316 138.68 1,153,239.60$ 4-Dec-25 JPMORGAN CHASE BANK, N.A. Equity Borrow 1,088 - -$ 4-Dec-25 JPMORGAN CHASE BANK, N.A. Equity Borrow 4,000 - -$ 4-Dec-25 JPMORGAN CHASE BANK, N.A. Equity Borrow 23,038 - -$ 4-Dec-25 JPMORGAN CHASE BANK, N.A. Equity Borrow 348,533 - -$ 4-Dec-25 JPMORGAN CHASE BANK, N.A. Equity Borrow 257,467 - -$ 5-Dec-25 J.P. MORGAN SECURITIES AUSTRALIA LIMITED Equity Sell (32,964) 138.40 4,562,219.31$ 5-Dec-25 J.P. MORGAN SECURITIES AUSTRALIA LIMITED Equity Sell (46,299) 137.46 6,364,434.39$ 5-Dec-25 J.P. MORGAN SECURITIES AUSTRALIA LIMITED Equity Sell (290) 137.77 39,954.46$ 5-Dec-25 J.P. MORGAN SECURITIES AUSTRALIA LIMITED Equity Sell (164) 136.18 22,333.52$ 5-Dec-25 J.P. MORGAN SECURITIES AUSTRALIA LIMITED Equity Sell (1,385) 138.47 191,780.95$ 5-Dec-25 J.P. MORGAN SECURITIES AUSTRALIA LIMITED Equity Sell (488) 136.16 66,446.08$ 5-Dec-25 J.P. MORGAN SECURITIES AUSTRALIA LIMITED Equity Sell (9,595) 138.47 1,328,619.65$ 5-Dec-25 J.P. MORGAN SECURITIES AUSTRALIA LIMITED Equity Sell (3,516) 138.47 486,860.52$ 5-Dec-25 J.P. MORGAN SECURITIES AUSTRALIA LIMITED Equity Sell (481) 138.47 66,604.07$ 5-Dec-25 J.P. MORGAN SECURITIES AUSTRALIA LIMITED Equity Sell (1,522) 140.58 213,962.76$ 5-Dec-25 J.P. MORGAN SECURITIES AUSTRALIA LIMITED Equity Sell (1,922) 140.58 270,194.76$ 5-Dec-25 J.P. MORGAN SECURITIES AUSTRALIA LIMITED Equity Buy 428 138.47 59,265.16$ 5-Dec-25 J.P. MORGAN SECURITIES AUSTRALIA LIMITED Equity Buy 2,566 138.47 355,314.02$ 5-Dec-25 J.P. MORGAN SECURITIES AUSTRALIA LIMITED Equity Buy 56 136.28 7,631.52$ 5-Dec-25 J.P. MORGAN SECURITIES AUSTRALIA LIMITED Equity Buy 97 138.04 13,389.50$ 5-Dec-25 J.P. MORGAN SECURITIES AUSTRALIA LIMITED Equity Buy 49 136.27 6,677.37$ 5-Dec-25 J.P. MORGAN SECURITIES AUSTRALIA LIMITED Equity Buy 49 137.94 6,758.88$ 5-Dec-25 J.P. MORGAN SECURITIES AUSTRALIA LIMITED Equity Buy 15 136.29 2,044.41$ 5-Dec-25 J.P. MORGAN SECURITIES AUSTRALIA LIMITED Equity Buy 4,320 138.30 597,474.10$ 5-Dec-25 J.P. MORGAN SECURITIES AUSTRALIA LIMITED Equity Buy 100 138.47 13,847.00$ 5-Dec-25 J.P. MORGAN SECURITIES AUSTRALIA LIMITED Equity Buy 485 138.14 66,997.85$ 5-Dec-25 J.P. MORGAN SECURITIES AUSTRALIA LIMITED Equity Buy 6,124 138.47 847,990.28$ 5-Dec-25 J.P. MORGAN SECURITIES AUSTRALIA LIMITED Equity Buy 8,551 137.88 1,178,975.50$ 5-Dec-25 J.P. MORGAN SECURITIES AUSTRALIA LIMITED Equity Buy 56 138.35 7,747.32$ 5-Dec-25 J.P. MORGAN SECURITIES AUSTRALIA LIMITED Equity Buy 559 138.37 77,351.36$ 5-Dec-25 J.P. MORGAN SECURITIES AUSTRALIA LIMITED Equity Buy 73 138.37 10,100.95$ 5-Dec-25 J.P. MORGAN SECURITIES AUSTRALIA LIMITED Equity Buy 56 138.36 7,747.88$ 5-Dec-25 J.P. MORGAN SECURITIES AUSTRALIA LIMITED Equity Buy 306 136.26 41,695.56$ 5-Dec-25 J.P. MORGAN SECURITIES AUSTRALIA LIMITED Equity Buy 62 136.20 8,444.40$ 5-Dec-25 J.P. MORGAN SECURITIES AUSTRALIA LIMITED Equity Buy 3,475 138.47 481,183.25$ 5-Dec-25 J.P. MORGAN SECURITIES AUSTRALIA LIMITED Equity Buy 9,595 138.47 1,328,619.65$ 5-Dec-25 J.P. MORGAN SECURITIES AUSTRALIA LIMITED Equity Buy 481 138.47 66,604.07$ 5-Dec-25 J.P. MORGAN SECURITIES AUSTRALIA LIMITED Equity Buy 21,821 136.66 2,981,981.92$ 5-Dec-25 J.P. MORGAN SECURITIES AUSTRALIA LIMITED Equity Buy 13,867 136.66 1,895,015.96$ 5-Dec-25 J.P. MORGAN SECURITIES AUSTRALIA LIMITED Equity Borrow 20,000 - -$ 5-Dec-25 J.P. MORGAN SECURITIES AUSTRALIA LIMITED Equity Borrow 54 - -$ 5-Dec-25 J.P. MORGAN SECURITIES AUSTRALIA LIMITED Equity Borrow 60,000 - -$ 5-Dec-25 J.P. MORGAN SECURITIES AUSTRALIA LIMITED Equity Borrow 28,848 - -$ 5-Dec-25 JPMORGAN ASSET MANAGEMENT (UK) LIMITED Equity Buy 2,666 138.47 369,161.02$ 5-Dec-25 J.P. MORGAN INVESTMENT MANAGEMENT INC. Equity Buy 88 138.20 12,161.60$ 5-Dec-25 J.P. MORGAN INVESTMENT MANAGEMENT INC. Equity Sell (519) 138.20 71,725.85$ 5-Dec-25 J.P. MORGAN INVESTMENT MANAGEMENT INC. Equity Buy 126 138.47 17,447.22$ 5-Dec-25 JPMORGAN CHASE BANK, N.A. Equity Borrow 520 - -$ 5-Dec-25 JPMORGAN CHASE BANK, N.A. Equity Borrow 100,000 - -$ 5-Dec-25 JPMORGAN CHASE BANK, N.A. Equity Borrow 520 - -$ 5-Dec-25 JPMORGAN CHASE BANK, N.A. Equity Borrow 22,955 - -$ 5-Dec-25 JPMORGAN CHASE BANK, N.A. Equity Borrow 3,788 - -$ 5-Dec-25 JPMORGAN CHASE BANK, N.A. Equity Borrow 2,057 - -$ 5-Dec-25 JPMORGAN CHASE BANK, N.A. Equity Borrow 14,392 - -$ 5-Dec-25 JPMORGAN CHASE BANK, N.A. Equity Borrow Return (348,533) - -$ 5-Dec-25 JPMORGAN CHASE BANK, N.A. Equity Borrow 334,141 - -$ 5-Dec-25 JPMORGAN CHASE BANK, N.A. Equity Borrow Return (18,588) - -$ 5-Dec-25 JPMORGAN CHASE BANK, N.A. Equity Borrow Return (8,270) - -$ 5-Dec-25 JPMORGAN CHASE BANK, N.A. Equity Borrow Return (7,012) - -$ 5-Dec-25 JPMORGAN CHASE BANK, N.A. Equity Borrow 9,733 - -$ 8-Dec-25 J.P. MORGAN SECURITIES AUSTRALIA LIMITED Equity Sell (182) 137.18 24,966.76$ 8-Dec-25 J.P. MORGAN SECURITIES AUSTRALIA LIMITED Equity Sell (7,286) 136.85 997,124.06$ 8-Dec-25 J.P. MORGAN SECURITIES AUSTRALIA LIMITED Equity Sell (586) 136.71 80,112.49$ 8-Dec-25 J.P. MORGAN SECURITIES AUSTRALIA LIMITED Equity Sell (82) 136.82 11,219.51$ 8-Dec-25 J.P. MORGAN SECURITIES AUSTRALIA LIMITED Equity Sell (660) 136.27 89,937.59$ 8-Dec-25 J.P. MORGAN SECURITIES PLC Equity Sell (188) 136.61 25,682.29$ 8-Dec-25 J.P. MORGAN SECURITIES PLC Equity Sell (12) 136.73 1,640.71$ 8-Dec-25 J.P. MORGAN SECURITIES PLC Equity Sell (69) 136.96 9,450.13$ 8-Dec-25 J.P. MORGAN SECURITIES PLC Equity Sell (1,089) 136.87 149,051.41$ 8-Dec-25 J.P. MORGAN SECURITIES PLC Equity Sell (1,068) 137.18 146,508.24$ 8-Dec-25 J.P. MORGAN SECURITIES PLC Equity Sell (350) 136.93 47,926.66$ 8-Dec-25 J.P. MORGAN SECURITIES PLC Equity Sell (10) 136.87 1,368.66$ 8-Dec-25 J.P. MORGAN SECURITIES PLC Equity Sell (68) 136.67 9,293.72$ 8-Dec-25 J.P. MORGAN SECURITIES PLC Equity Sell (51) 136.73 6,973.39$ 8-Dec-25 J.P. MORGAN SECURITIES PLC Equity Sell (65) 137.10 8,911.30$ 8-Dec-25 J.P. MORGAN SECURITIES AUSTRALIA LIMITED Equity Sell (4,320) 138.47 598,190.40$ 8-Dec-25 J.P. MORGAN SECURITIES AUSTRALIA LIMITED Equity Sell (660) 137.18 90,538.80$ 8-Dec-25 J.P. MORGAN SECURITIES AUSTRALIA LIMITED Equity Sell (1,306) 137.18 179,157.08$ 8-Dec-25 J.P. MORGAN SECURITIES AUSTRALIA LIMITED Equity Buy 295 137.05 40,429.66$ 8-Dec-25 J.P. MORGAN SECURITIES AUSTRALIA LIMITED Equity Buy 96 136.90 13,142.40$ 8-Dec-25 J.P. MORGAN SECURITIES AUSTRALIA LIMITED Equity Buy 288 137.18 39,507.84$ 8-Dec-25 J.P. MORGAN SECURITIES AUSTRALIA LIMITED Equity Buy 4,001 136.56 546,395.96$ 8-Dec-25 J.P. MORGAN SECURITIES AUSTRALIA LIMITED Equity Buy 80 136.36 10,908.80$ 8-Dec-25 J.P. MORGAN SECURITIES AUSTRALIA LIMITED Equity Buy 7,753 136.51 1,058,393.90$ 8-Dec-25 J.P. MORGAN SECURITIES AUSTRALIA LIMITED Equity Buy 112 136.87 15,329.33$ 17/25


 
TRADES FOR RELEVANT PERIOD Appendix 8-Dec-25 J.P. MORGAN SECURITIES AUSTRALIA LIMITED Equity Buy 1,842 137.18 252,685.56$ 8-Dec-25 J.P. MORGAN SECURITIES AUSTRALIA LIMITED Equity Buy 660 137.18 90,538.80$ 8-Dec-25 J.P. MORGAN SECURITIES AUSTRALIA LIMITED Equity Borrow Return (54) - -$ 8-Dec-25 JPMORGAN ASSET MANAGEMENT (UK) LIMITED Equity Buy 37 136.81 5,061.97$ 8-Dec-25 JPMORGAN CHASE BANK, N.A. Equity Borrow Return (388) - -$ 8-Dec-25 JPMORGAN CHASE BANK, N.A. Equity Borrow 59,855 - -$ 8-Dec-25 JPMORGAN CHASE BANK, N.A. Equity Borrow 40,145 - -$ 8-Dec-25 JPMORGAN CHASE BANK, N.A. Equity Borrow 9,000 - -$ 8-Dec-25 JPMORGAN CHASE BANK, N.A. Equity Borrow 5,000 - -$ 8-Dec-25 JPMORGAN CHASE BANK, N.A. Equity Borrow 3,168 - -$ 8-Dec-25 JPMORGAN CHASE BANK, N.A. Equity Borrow Return (4,867) - -$ 8-Dec-25 JPMORGAN CHASE BANK, N.A. Equity Borrow 85 - -$ 8-Dec-25 JPMORGAN CHASE BANK, N.A. Equity Borrow Return (360,000) - -$ 9-Dec-25 J.P. MORGAN SECURITIES AUSTRALIA LIMITED Equity Sell (1,192) 137.03 163,339.76$ 9-Dec-25 J.P. MORGAN SECURITIES AUSTRALIA LIMITED Equity Sell (268) 137.03 36,724.04$ 9-Dec-25 J.P. MORGAN SECURITIES AUSTRALIA LIMITED Equity Sell (323) 137.03 44,260.69$ 9-Dec-25 J.P. MORGAN SECURITIES AUSTRALIA LIMITED Equity Sell (2,156) 137.03 295,436.68$ 9-Dec-25 J.P. MORGAN SECURITIES AUSTRALIA LIMITED Equity Sell (268) 137.39 36,819.45$ 9-Dec-25 J.P. MORGAN SECURITIES AUSTRALIA LIMITED Equity Sell (559) 138.69 77,527.52$ 9-Dec-25 J.P. MORGAN SECURITIES AUSTRALIA LIMITED Equity Sell (10) 137.03 1,370.30$ 9-Dec-25 J.P. MORGAN SECURITIES AUSTRALIA LIMITED Equity Sell (40) 137.50 5,500.00$ 9-Dec-25 J.P. MORGAN SECURITIES AUSTRALIA LIMITED Equity Sell (50) 138.78 6,939.00$ 9-Dec-25 J.P. MORGAN SECURITIES AUSTRALIA LIMITED Equity Sell (14,677) 137.03 2,011,189.31$ 9-Dec-25 J.P. MORGAN SECURITIES PLC Equity Sell (314) 137.03 43,027.42$ 9-Dec-25 J.P. MORGAN SECURITIES PLC Equity Sell (372) 137.03 50,975.16$ 9-Dec-25 J.P. MORGAN SECURITIES AUSTRALIA LIMITED Equity Sell (28,317) 137.18 3,884,526.06$ 9-Dec-25 J.P. MORGAN SECURITIES PLC Equity Sell (111) 137.03 15,210.33$ 9-Dec-25 J.P. MORGAN SECURITIES AUSTRALIA LIMITED Equity Buy 268 137.03 36,724.04$ 9-Dec-25 J.P. MORGAN SECURITIES AUSTRALIA LIMITED Equity Buy 437 137.74 60,193.22$ 9-Dec-25 J.P. MORGAN SECURITIES AUSTRALIA LIMITED Equity Buy 96 137.57 13,206.71$ 9-Dec-25 J.P. MORGAN SECURITIES AUSTRALIA LIMITED Equity Buy 124 137.50 17,050.00$ 9-Dec-25 J.P. MORGAN SECURITIES AUSTRALIA LIMITED Equity Buy 1,682 137.71 231,630.65$ 9-Dec-25 J.P. MORGAN SECURITIES AUSTRALIA LIMITED Equity Buy 225 138.43 31,146.30$ 9-Dec-25 J.P. MORGAN SECURITIES AUSTRALIA LIMITED Equity Buy 50 138.39 6,919.50$ 9-Dec-25 J.P. MORGAN SECURITIES PLC Equity Buy 322 137.43 44,253.52$ 9-Dec-25 J.P. MORGAN SECURITIES PLC Equity Buy 68 138.17 9,395.77$ 9-Dec-25 J.P. MORGAN SECURITIES PLC Equity Buy 57 137.79 7,854.17$ 9-Dec-25 J.P. MORGAN SECURITIES AUSTRALIA LIMITED Equity Buy 52 137.40 7,144.80$ 9-Dec-25 J.P. MORGAN SECURITIES PLC Equity Buy 111 137.03 15,210.33$ 9-Dec-25 J.P. MORGAN SECURITIES PLC Equity Borrow Return (2,226) - -$ 9-Dec-25 J.P. MORGAN SECURITIES PLC Equity Borrow Return (48,471) - -$ 9-Dec-25 J.P. MORGAN SECURITIES PLC Equity Borrow Return (19,666) - -$ 9-Dec-25 J.P. MORGAN SECURITIES PLC Equity Borrow Return (70,363) - -$ 9-Dec-25 J.P. MORGAN SECURITIES PLC Equity Borrow 70,363 - -$ 9-Dec-25 J.P. MORGAN SECURITIES PLC Equity Borrow 615 - -$ 9-Dec-25 J.P. MORGAN SECURITIES PLC Equity Borrow 1,114 - -$ 9-Dec-25 J.P. MORGAN SECURITIES PLC Equity Borrow 1,735 - -$ 9-Dec-25 J.P. MORGAN SECURITIES PLC Equity Borrow 17,931 - -$ 9-Dec-25 J.P. MORGAN SECURITIES PLC Equity Borrow 47,357 - -$ 9-Dec-25 J.P. MORGAN SECURITIES PLC Equity Borrow 1,611 - -$ 9-Dec-25 J.P. MORGAN INVESTMENT MANAGEMENT INC. Equity Buy 228 137.50 31,350.00$ 9-Dec-25 J.P. MORGAN INVESTMENT MANAGEMENT INC. Equity In-kind transaction to receive the shares/par/units 2,202 - -$ 9-Dec-25 JPMORGAN ASSET MANAGEMENT (ASIA PACIFIC) LIMITED Equity Buy 33,968 137.39 4,666,717.46$ 9-Dec-25 JPMORGAN CHASE BANK, N.A. Equity Borrow Return (3,612) - -$ 9-Dec-25 JPMORGAN CHASE BANK, N.A. Equity Borrow 737 - -$ 9-Dec-25 JPMORGAN CHASE BANK, N.A. Equity Borrow Return (731) - -$ 9-Dec-25 JPMORGAN CHASE BANK, N.A. Equity Borrow Return (103,815) - -$ 9-Dec-25 JPMORGAN CHASE BANK, N.A. Equity Borrow Return (11,978) - -$ 9-Dec-25 JPMORGAN CHASE BANK, N.A. Equity Borrow Return (11,585) - -$ 9-Dec-25 JPMORGAN CHASE BANK, N.A. Equity Borrow 14,000 - -$ 9-Dec-25 JPMORGAN CHASE BANK, N.A. Equity Borrow 68,000 - -$ 10-Dec-25 J.P. MORGAN SECURITIES AUSTRALIA LIMITED Equity Sell (46) 137.59 6,329.14$ 10-Dec-25 J.P. MORGAN SECURITIES AUSTRALIA LIMITED Equity Sell (9,239) 137.50 1,270,362.50$ 10-Dec-25 J.P. MORGAN SECURITIES AUSTRALIA LIMITED Equity Sell (1,410) 137.50 193,875.00$ 10-Dec-25 J.P. MORGAN SECURITIES AUSTRALIA LIMITED Equity Sell (8,837) 137.55 1,215,532.40$ 10-Dec-25 J.P. MORGAN SECURITIES AUSTRALIA LIMITED Equity Sell (12,249) 137.50 1,684,237.50$ 10-Dec-25 J.P. MORGAN SECURITIES AUSTRALIA LIMITED Equity Sell (100) 137.60 13,760.35$ 10-Dec-25 J.P. MORGAN SECURITIES AUSTRALIA LIMITED Equity Sell (315) 137.70 43,374.22$ 10-Dec-25 J.P. MORGAN SECURITIES AUSTRALIA LIMITED Equity Sell (302) 137.51 41,528.14$ 10-Dec-25 J.P. MORGAN SECURITIES AUSTRALIA LIMITED Equity Sell (320) 137.50 44,000.00$ 10-Dec-25 J.P. MORGAN SECURITIES AUSTRALIA LIMITED Equity Sell (88) 137.03 12,058.64$ 10-Dec-25 J.P. MORGAN SECURITIES AUSTRALIA LIMITED Equity Buy 643 137.50 88,412.50$ 10-Dec-25 J.P. MORGAN SECURITIES AUSTRALIA LIMITED Equity Buy 9,239 137.50 1,270,362.50$ 10-Dec-25 J.P. MORGAN SECURITIES AUSTRALIA LIMITED Equity Buy 271 137.64 37,301.75$ 10-Dec-25 J.P. MORGAN SECURITIES AUSTRALIA LIMITED Equity Buy 4,238 138.07 585,120.15$ 10-Dec-25 J.P. MORGAN SECURITIES AUSTRALIA LIMITED Equity Buy 130 137.80 17,913.78$ 10-Dec-25 J.P. MORGAN SECURITIES AUSTRALIA LIMITED Equity Buy 95 137.71 13,082.65$ 10-Dec-25 J.P. MORGAN SECURITIES AUSTRALIA LIMITED Equity Buy 1,872 137.78 257,932.80$ 10-Dec-25 J.P. MORGAN SECURITIES PLC Equity Buy 2,822 137.50 388,025.00$ 10-Dec-25 J.P. MORGAN SECURITIES AUSTRALIA LIMITED Equity Buy 46 137.91 6,343.63$ 10-Dec-25 J.P. MORGAN SECURITIES AUSTRALIA LIMITED Equity Buy 54 138.12 7,458.42$ 10-Dec-25 J.P. MORGAN SECURITIES AUSTRALIA LIMITED Equity Buy 310 137.89 42,744.43$ 10-Dec-25 J.P. MORGAN SECURITIES AUSTRALIA LIMITED Equity Buy 5,338 137.77 735,424.90$ 10-Dec-25 J.P. MORGAN SECURITIES AUSTRALIA LIMITED Equity Buy 14,586 137.53 2,005,976.12$ 10-Dec-25 J.P. MORGAN SECURITIES AUSTRALIA LIMITED Equity Buy 19,072 138.64 2,644,113.47$ 10-Dec-25 J.P. MORGAN SECURITIES PLC Equity Borrow 17,862 - -$ 10-Dec-25 J.P. MORGAN SECURITIES PLC Equity Borrow 7,138 - -$ 10-Dec-25 J.P. MORGAN SECURITIES PLC Equity Borrow 60,000 - -$ 10-Dec-25 J.P. MORGAN SECURITIES PLC Equity Borrow 8,715 - -$ 10-Dec-25 J.P. MORGAN INVESTMENT MANAGEMENT INC. Equity Buy 156 138.50 21,606.00$ 10-Dec-25 JPMORGAN CHASE BANK, N.A. Equity Borrow 7,000 - -$ 10-Dec-25 JPMORGAN CHASE BANK, N.A. Equity Borrow 276 - -$ 10-Dec-25 JPMORGAN CHASE BANK, N.A. Equity Borrow 11,000 - -$ 11-Dec-25 J.P. MORGAN SECURITIES AUSTRALIA LIMITED Equity Sell (4,553) 139.95 637,192.35$ 11-Dec-25 J.P. MORGAN SECURITIES AUSTRALIA LIMITED Equity Sell (3,288) 139.96 460,174.26$ 11-Dec-25 J.P. MORGAN SECURITIES AUSTRALIA LIMITED Equity Sell (483) 140.23 67,729.69$ 11-Dec-25 J.P. MORGAN SECURITIES AUSTRALIA LIMITED Equity Sell (1,225) 139.96 171,451.00$ 11-Dec-25 J.P. MORGAN SECURITIES AUSTRALIA LIMITED Equity Sell (919) 139.95 128,614.05$ 11-Dec-25 J.P. MORGAN SECURITIES AUSTRALIA LIMITED Equity Sell (100) 141.10 14,110.00$ 11-Dec-25 J.P. MORGAN SECURITIES PLC Equity Sell (106) 139.95 14,834.70$ 11-Dec-25 J.P. MORGAN SECURITIES PLC Equity Sell (199) 139.95 27,850.05$ 11-Dec-25 J.P. MORGAN SECURITIES AUSTRALIA LIMITED Equity Sell (5,338) 137.50 733,975.00$ 11-Dec-25 J.P. MORGAN SECURITIES AUSTRALIA LIMITED Equity Sell (1,793) 137.50 246,537.50$ 11-Dec-25 J.P. MORGAN SECURITIES AUSTRALIA LIMITED Equity Buy 859 139.95 120,217.05$ 11-Dec-25 J.P. MORGAN SECURITIES AUSTRALIA LIMITED Equity Buy 4,553 139.95 637,192.35$ 11-Dec-25 J.P. MORGAN SECURITIES AUSTRALIA LIMITED Equity Buy 6,815 139.95 953,759.25$ 11-Dec-25 J.P. MORGAN SECURITIES AUSTRALIA LIMITED Equity Buy 128 139.97 17,915.68$ 11-Dec-25 J.P. MORGAN SECURITIES AUSTRALIA LIMITED Equity Buy 483 139.80 67,522.29$ 11-Dec-25 J.P. MORGAN SECURITIES AUSTRALIA LIMITED Equity Buy 366 139.96 51,225.36$ 11-Dec-25 J.P. MORGAN SECURITIES AUSTRALIA LIMITED Equity Buy 97 139.73 13,553.95$ 11-Dec-25 J.P. MORGAN SECURITIES AUSTRALIA LIMITED Equity Buy 1,793 139.80 250,654.29$ 11-Dec-25 J.P. MORGAN SECURITIES AUSTRALIA LIMITED Equity Buy 716 140.01 100,245.98$ 11-Dec-25 J.P. MORGAN SECURITIES AUSTRALIA LIMITED Equity Buy 305 139.95 42,684.75$ 11-Dec-25 J.P. MORGAN SECURITIES AUSTRALIA LIMITED Equity Buy 100 140.80 14,080.00$ 11-Dec-25 J.P. MORGAN SECURITIES AUSTRALIA LIMITED Equity Buy 4,702 139.48 655,848.50$ 11-Dec-25 J.P. MORGAN SECURITIES AUSTRALIA LIMITED Equity Buy 1,198 140.75 168,616.96$ 11-Dec-25 J.P. MORGAN SECURITIES AUSTRALIA LIMITED Equity Buy 53,287 139.95 7,457,515.65$ 11-Dec-25 J.P. MORGAN SECURITIES AUSTRALIA LIMITED Equity Buy 770 139.44 107,372.35$ 11-Dec-25 J.P. MORGAN SECURITIES PLC Equity Buy 178 139.84 24,892.32$ 11-Dec-25 J.P. MORGAN SECURITIES PLC Equity Buy 149 139.85 20,838.30$ 11-Dec-25 J.P. MORGAN SECURITIES PLC Equity Buy 291 139.88 40,705.88$ 11-Dec-25 J.P. MORGAN SECURITIES PLC Equity Buy 64 139.95 8,956.80$ 11-Dec-25 J.P. MORGAN SECURITIES AUSTRALIA LIMITED Equity Buy 33 139.65 4,608.61$ 11-Dec-25 J.P. MORGAN SECURITIES AUSTRALIA LIMITED Equity Buy 103 140.00 14,419.57$ 11-Dec-25 J.P. MORGAN SECURITIES AUSTRALIA LIMITED Equity Buy 45 140.41 6,318.43$ 11-Dec-25 J.P. MORGAN SECURITIES PLC Equity Borrow 11,009 - -$ 11-Dec-25 J.P. MORGAN SECURITIES PLC Equity Borrow 1,648 - -$ 11-Dec-25 J.P. MORGAN SECURITIES PLC Equity Borrow 2,343 - -$ 11-Dec-25 J.P. MORGAN SECURITIES AUSTRALIA LIMITED Equity Borrow 8,000 - -$ 11-Dec-25 J.P. MORGAN INVESTMENT MANAGEMENT INC. Equity Buy 140 139.96 19,594.40$ 11-Dec-25 JPMORGAN ASSET MANAGEMENT (UK) LIMITED Equity Buy 166 139.96 23,233.36$ 11-Dec-25 JPMORGAN ASSET MANAGEMENT (UK) LIMITED Equity Sell (44) 139.96 6,158.24$ 11-Dec-25 JPMORGAN ASSET MANAGEMENT (ASIA PACIFIC) LIMITED Equity Buy 17,102 139.30 2,382,322.28$ 11-Dec-25 JPMORGAN CHASE BANK, N.A. Equity Borrow 1,000 - -$ 11-Dec-25 JPMORGAN CHASE BANK, N.A. Equity Borrow Return (121,581) - -$ 18/25


 
TRADES FOR RELEVANT PERIOD Appendix 11-Dec-25 JPMORGAN CHASE BANK, N.A. Equity Borrow Return (45,406) - -$ 11-Dec-25 JPMORGAN CHASE BANK, N.A. Equity Borrow Return (236,775) - -$ 11-Dec-25 JPMORGAN CHASE BANK, N.A. Equity Borrow Return (5,116) - -$ 11-Dec-25 JPMORGAN CHASE BANK, N.A. Equity Borrow Return (71,386) - -$ 11-Dec-25 JPMORGAN CHASE BANK, N.A. Equity Borrow Return (9,911) - -$ 11-Dec-25 JPMORGAN CHASE BANK, N.A. Equity Borrow Return (9,733) - -$ 12-Dec-25 J.P. MORGAN SECURITIES AUSTRALIA LIMITED Equity Sell (17,104) 143.40 2,452,713.60$ 12-Dec-25 J.P. MORGAN SECURITIES AUSTRALIA LIMITED Equity Sell (3,170) 143.40 454,578.00$ 12-Dec-25 J.P. MORGAN SECURITIES AUSTRALIA LIMITED Equity Sell (80) 143.35 11,468.35$ 12-Dec-25 J.P. MORGAN SECURITIES AUSTRALIA LIMITED Equity Sell (14,023) 142.98 2,005,024.09$ 12-Dec-25 J.P. MORGAN SECURITIES AUSTRALIA LIMITED Equity Sell (200) 142.65 28,530.00$ 12-Dec-25 J.P. MORGAN SECURITIES AUSTRALIA LIMITED Equity Sell (215) 143.31 30,812.07$ 12-Dec-25 J.P. MORGAN SECURITIES AUSTRALIA LIMITED Equity Sell (812) 139.95 113,639.40$ 12-Dec-25 J.P. MORGAN SECURITIES AUSTRALIA LIMITED Equity Sell (8,205) 139.95 1,148,289.75$ 12-Dec-25 J.P. MORGAN SECURITIES AUSTRALIA LIMITED Equity Sell (327) 139.95 45,763.65$ 12-Dec-25 J.P. MORGAN SECURITIES AUSTRALIA LIMITED Equity Buy 1,056 143.40 151,430.40$ 12-Dec-25 J.P. MORGAN SECURITIES AUSTRALIA LIMITED Equity Buy 12,949 143.40 1,856,886.60$ 12-Dec-25 J.P. MORGAN SECURITIES AUSTRALIA LIMITED Equity Buy 17,104 143.40 2,452,713.60$ 12-Dec-25 J.P. MORGAN SECURITIES AUSTRALIA LIMITED Equity Buy 491 143.40 70,409.40$ 12-Dec-25 J.P. MORGAN SECURITIES AUSTRALIA LIMITED Equity Buy 65 142.19 9,242.50$ 12-Dec-25 J.P. MORGAN SECURITIES AUSTRALIA LIMITED Equity Buy 69 142.52 9,833.98$ 12-Dec-25 J.P. MORGAN SECURITIES AUSTRALIA LIMITED Equity Buy 1,518 142.65 216,549.83$ 12-Dec-25 J.P. MORGAN SECURITIES AUSTRALIA LIMITED Equity Buy 96 143.11 13,738.99$ 12-Dec-25 J.P. MORGAN SECURITIES AUSTRALIA LIMITED Equity Buy 1,274 142.82 181,953.44$ 12-Dec-25 J.P. MORGAN SECURITIES AUSTRALIA LIMITED Equity Buy 510 142.47 72,658.38$ 12-Dec-25 J.P. MORGAN SECURITIES AUSTRALIA LIMITED Equity Buy 15,765 142.58 2,247,702.05$ 12-Dec-25 J.P. MORGAN SECURITIES AUSTRALIA LIMITED Equity Buy 32,700 143.26 4,684,689.64$ 12-Dec-25 J.P. MORGAN SECURITIES AUSTRALIA LIMITED Equity Buy 8,205 143.18 1,174,751.93$ 12-Dec-25 J.P. MORGAN SECURITIES AUSTRALIA LIMITED Equity Buy 14,757 143.09 2,111,510.95$ 12-Dec-25 J.P. MORGAN SECURITIES AUSTRALIA LIMITED Equity Buy 2,022 143.19 289,535.64$ 12-Dec-25 J.P. MORGAN SECURITIES PLC Equity Borrow Return (7,138) - -$ 12-Dec-25 J.P. MORGAN SECURITIES AUSTRALIA LIMITED Equity Borrow Return (1,000) - -$ 12-Dec-25 J.P. MORGAN SECURITIES AUSTRALIA LIMITED Equity Borrow Return (1,095) - -$ 12-Dec-25 J.P. MORGAN INVESTMENT MANAGEMENT INC. Equity Sell (91) 141.12 12,841.92$ 12-Dec-25 J.P. MORGAN INVESTMENT MANAGEMENT INC. Equity Buy 885 143.40 126,909.00$ 12-Dec-25 J.P. MORGAN INVESTMENT MANAGEMENT INC. Equity Buy 126 141.12 17,781.12$ 12-Dec-25 J.P. MORGAN INVESTMENT MANAGEMENT INC. Equity Sell (210) 141.12 29,635.20$ 12-Dec-25 JPMORGAN CHASE BANK, N.A. Equity Borrow Return (1,659) - -$ 12-Dec-25 JPMORGAN CHASE BANK, N.A. Equity Borrow 25,000 - -$ 12-Dec-25 JPMORGAN CHASE BANK, N.A. Equity Borrow 6,786 - -$ 12-Dec-25 JPMORGAN CHASE BANK, N.A. Equity Borrow Return (9,000) - -$ 12-Dec-25 JPMORGAN CHASE BANK, N.A. Equity Borrow 306,000 - -$ 12-Dec-25 JPMORGAN CHASE BANK, N.A. Equity Borrow Return (23,064) - -$ 12-Dec-25 JPMORGAN CHASE BANK, N.A. Equity Borrow 182,100 - -$ 15-Dec-25 J.P. MORGAN SECURITIES AUSTRALIA LIMITED Equity Sell (602) 139.61 84,045.22$ 15-Dec-25 J.P. MORGAN SECURITIES AUSTRALIA LIMITED Equity Sell (141) 139.61 19,685.01$ 15-Dec-25 J.P. MORGAN SECURITIES AUSTRALIA LIMITED Equity Sell (18) 139.61 2,512.98$ 15-Dec-25 J.P. MORGAN SECURITIES AUSTRALIA LIMITED Equity Sell (17) 139.61 2,373.37$ 15-Dec-25 J.P. MORGAN SECURITIES AUSTRALIA LIMITED Equity Sell (2) 139.61 279.22$ 15-Dec-25 J.P. MORGAN SECURITIES AUSTRALIA LIMITED Equity Sell (10,272) 139.94 1,437,463.68$ 15-Dec-25 J.P. MORGAN SECURITIES AUSTRALIA LIMITED Equity Sell (780) 139.94 109,153.20$ 15-Dec-25 J.P. MORGAN SECURITIES AUSTRALIA LIMITED Equity Sell (707) 140.79 99,537.67$ 15-Dec-25 J.P. MORGAN SECURITIES AUSTRALIA LIMITED Equity Sell (8) 140.87 1,126.98$ 15-Dec-25 J.P. MORGAN SECURITIES AUSTRALIA LIMITED Equity Sell (491) 142.00 69,722.00$ 15-Dec-25 J.P. MORGAN SECURITIES AUSTRALIA LIMITED Equity Sell (4,594) 139.94 642,884.36$ 15-Dec-25 J.P. MORGAN SECURITIES AUSTRALIA LIMITED Equity Sell (5,513) 139.94 771,489.22$ 15-Dec-25 J.P. MORGAN SECURITIES PLC Equity Sell (16) 140.28 2,244.49$ 15-Dec-25 J.P. MORGAN SECURITIES PLC Equity Sell (75) 140.34 10,525.54$ 15-Dec-25 J.P. MORGAN SECURITIES PLC Equity Sell (405) 140.30 56,823.19$ 15-Dec-25 J.P. MORGAN SECURITIES AUSTRALIA LIMITED Equity Sell (1,017) 143.40 145,837.80$ 15-Dec-25 J.P. MORGAN SECURITIES AUSTRALIA LIMITED Equity Sell (11,688) 143.40 1,676,059.20$ 15-Dec-25 J.P. MORGAN SECURITIES AUSTRALIA LIMITED Equity Sell (99) 143.40 14,196.60$ 15-Dec-25 J.P. MORGAN SECURITIES AUSTRALIA LIMITED Equity Sell (30,699) 143.40 4,402,236.60$ 15-Dec-25 J.P. MORGAN SECURITIES AUSTRALIA LIMITED Equity Buy 25 139.61 3,490.25$ 15-Dec-25 J.P. MORGAN SECURITIES AUSTRALIA LIMITED Equity Buy 1 139.61 139.61$ 15-Dec-25 J.P. MORGAN SECURITIES AUSTRALIA LIMITED Equity Buy 4 139.61 558.44$ 15-Dec-25 J.P. MORGAN SECURITIES AUSTRALIA LIMITED Equity Buy 426 139.94 59,614.44$ 15-Dec-25 J.P. MORGAN SECURITIES AUSTRALIA LIMITED Equity Buy 10,272 139.94 1,437,463.68$ 15-Dec-25 J.P. MORGAN SECURITIES AUSTRALIA LIMITED Equity Buy 3,417 139.94 478,174.98$ 15-Dec-25 J.P. MORGAN SECURITIES AUSTRALIA LIMITED Equity Buy 273 139.77 38,158.32$ 15-Dec-25 J.P. MORGAN SECURITIES AUSTRALIA LIMITED Equity Buy 12,500 140.85 1,760,676.88$ 15-Dec-25 J.P. MORGAN SECURITIES AUSTRALIA LIMITED Equity Buy 726 140.26 101,828.92$ 15-Dec-25 J.P. MORGAN SECURITIES AUSTRALIA LIMITED Equity Buy 13 139.98 1,819.76$ 15-Dec-25 J.P. MORGAN SECURITIES AUSTRALIA LIMITED Equity Buy 181 141.88 25,680.22$ 15-Dec-25 J.P. MORGAN SECURITIES AUSTRALIA LIMITED Equity Buy 38,469 140.29 5,396,914.84$ 15-Dec-25 J.P. MORGAN SECURITIES AUSTRALIA LIMITED Equity Buy 1,114 140.58 156,610.06$ 15-Dec-25 J.P. MORGAN SECURITIES AUSTRALIA LIMITED Equity Buy 13,945 140.66 1,961,448.95$ 15-Dec-25 J.P. MORGAN SECURITIES AUSTRALIA LIMITED Equity Buy 242 139.79 33,828.14$ 15-Dec-25 J.P. MORGAN SECURITIES AUSTRALIA LIMITED Equity Buy 1,017 140.15 142,528.35$ 15-Dec-25 J.P. MORGAN SECURITIES AUSTRALIA LIMITED Equity Buy 235 139.75 32,841.54$ 15-Dec-25 J.P. MORGAN SECURITIES PLC Equity Buy 22 140.45 3,089.98$ 15-Dec-25 J.P. MORGAN SECURITIES PLC Equity Buy 13 139.94 1,819.24$ 15-Dec-25 J.P. MORGAN SECURITIES AUSTRALIA LIMITED Equity Buy 46 141.74 6,519.93$ 15-Dec-25 J.P. MORGAN SECURITIES AUSTRALIA LIMITED Equity Buy 3,406 141.16 480,804.90$ 15-Dec-25 J.P. MORGAN SECURITIES AUSTRALIA LIMITED Equity Buy 182 141.54 25,759.64$ 15-Dec-25 J.P. MORGAN SECURITIES AUSTRALIA LIMITED Equity Buy 433 140.38 60,783.50$ 15-Dec-25 J.P. MORGAN SECURITIES PLC Equity Buy 1,273 141.62 180,285.06$ 15-Dec-25 J.P. MORGAN SE Equity Buy 1,174 139.94 164,289.56$ 15-Dec-25 J.P. MORGAN SECURITIES PLC Equity Borrow 26,067 - -$ 15-Dec-25 JPMORGAN ASSET MANAGEMENT (UK) LIMITED Equity Buy 28 142.00 3,976.00$ 15-Dec-25 J.P. MORGAN INVESTMENT MANAGEMENT INC. Equity Buy 9 142.00 1,278.00$ 15-Dec-25 J.P. MORGAN INVESTMENT MANAGEMENT INC. Equity In-kind transaction to receive the shares/par/units 1,042 - -$ 15-Dec-25 J.P. MORGAN INVESTMENT MANAGEMENT INC. Equity Buy 2,584 142.00 366,928.00$ 15-Dec-25 JPMORGAN CHASE BANK, N.A. Equity Borrow 1,000 - -$ 15-Dec-25 JPMORGAN CHASE BANK, N.A. Equity Borrow 47,000 - -$ 15-Dec-25 JPMORGAN CHASE BANK, N.A. Equity Borrow Return (14,782) - -$ 15-Dec-25 JPMORGAN CHASE BANK, N.A. Equity Borrow Return (5,672) - -$ 15-Dec-25 JPMORGAN CHASE BANK, N.A. Equity Borrow 9,000 - -$ 16-Dec-25 J.P. MORGAN SECURITIES AUSTRALIA LIMITED Equity Sell (428) 140.30 60,048.40$ 16-Dec-25 J.P. MORGAN SECURITIES AUSTRALIA LIMITED Equity Sell (53,528) 140.30 7,509,978.40$ 16-Dec-25 J.P. MORGAN SECURITIES AUSTRALIA LIMITED Equity Sell (16,326) 140.30 2,290,537.80$ 16-Dec-25 J.P. MORGAN SECURITIES AUSTRALIA LIMITED Equity Sell (13) 140.33 1,824.29$ 16-Dec-25 J.P. MORGAN SECURITIES AUSTRALIA LIMITED Equity Sell (3,731) 140.30 523,460.98$ 16-Dec-25 J.P. MORGAN SECURITIES AUSTRALIA LIMITED Equity Sell (3,131) 140.53 440,012.45$ 16-Dec-25 J.P. MORGAN SECURITIES AUSTRALIA LIMITED Equity Sell (200) 140.30 28,060.00$ 16-Dec-25 J.P. MORGAN SECURITIES AUSTRALIA LIMITED Equity Sell (10,717) 140.30 1,503,595.10$ 16-Dec-25 J.P. MORGAN SECURITIES PLC Equity Sell (1) 140.30 140.30$ 16-Dec-25 J.P. MORGAN SECURITIES AUSTRALIA LIMITED Equity Sell (4,067) 140.30 570,600.10$ 16-Dec-25 J.P. MORGAN SECURITIES AUSTRALIA LIMITED Equity Sell (16,793) 140.30 2,356,057.90$ 16-Dec-25 J.P. MORGAN SECURITIES AUSTRALIA LIMITED Equity Sell (31) 140.30 4,349.30$ 16-Dec-25 J.P. MORGAN SECURITIES AUSTRALIA LIMITED Equity Sell (395) 140.30 55,418.50$ 16-Dec-25 J.P. MORGAN SECURITIES AUSTRALIA LIMITED Equity Sell (1,697) 139.94 237,478.18$ 16-Dec-25 J.P. MORGAN SECURITIES AUSTRALIA LIMITED Equity Sell (337) 140.30 47,281.10$ 16-Dec-25 J.P. MORGAN SECURITIES AUSTRALIA LIMITED Equity Sell (7,000) 139.94 979,580.00$ 16-Dec-25 J.P. MORGAN SECURITIES AUSTRALIA LIMITED Equity Buy 3,680 141.33 520,106.47$ 16-Dec-25 J.P. MORGAN SECURITIES AUSTRALIA LIMITED Equity Buy 682 140.30 95,684.60$ 16-Dec-25 J.P. MORGAN SECURITIES AUSTRALIA LIMITED Equity Buy 139 140.61 19,544.82$ 16-Dec-25 J.P. MORGAN SECURITIES AUSTRALIA LIMITED Equity Buy 34 140.77 4,786.21$ 16-Dec-25 J.P. MORGAN SECURITIES AUSTRALIA LIMITED Equity Buy 20,073 140.37 2,817,565.85$ 16-Dec-25 J.P. MORGAN SECURITIES AUSTRALIA LIMITED Equity Buy 1,881 141.47 266,104.39$ 16-Dec-25 J.P. MORGAN SECURITIES AUSTRALIA LIMITED Equity Buy 28 140.63 3,937.72$ 16-Dec-25 J.P. MORGAN SECURITIES AUSTRALIA LIMITED Equity Buy 294 140.67 41,357.63$ 16-Dec-25 J.P. MORGAN SECURITIES PLC Equity Buy 303 140.30 42,510.90$ 16-Dec-25 J.P. MORGAN SECURITIES AUSTRALIA LIMITED Equity Buy 16,793 140.30 2,356,057.90$ 16-Dec-25 J.P. MORGAN SECURITIES AUSTRALIA LIMITED Equity Buy 122,799 139.94 17,184,492.06$ 16-Dec-25 J.P. MORGAN SECURITIES AUSTRALIA LIMITED Equity Buy 16 141.85 2,269.67$ 16-Dec-25 J.P. MORGAN SECURITIES AUSTRALIA LIMITED Equity Buy 1,398 141.22 197,426.47$ 16-Dec-25 J.P. MORGAN SECURITIES AUSTRALIA LIMITED Equity Buy 546 141.71 77,375.13$ 16-Dec-25 J.P. MORGAN SECURITIES AUSTRALIA LIMITED Equity Buy 31 140.30 4,349.30$ 16-Dec-25 J.P. MORGAN SECURITIES AUSTRALIA LIMITED Equity Borrow 20,000 - -$ 16-Dec-25 J.P. MORGAN SECURITIES AUSTRALIA LIMITED Equity Borrow 20,000 - -$ 16-Dec-25 JPMORGAN ASSET MANAGEMENT (ASIA PACIFIC) LIMITED Equity Buy 31,094 140.83 4,379,042.65$ 16-Dec-25 JPMORGAN ASSET MANAGEMENT (ASIA PACIFIC) LIMITED Equity Buy 16,655 140.83 2,345,563.62$ 16-Dec-25 JPMORGAN ASSET MANAGEMENT (UK) LIMITED Equity Buy 89 141.59 12,601.51$ 16-Dec-25 JPMORGAN ASSET MANAGEMENT (ASIA PACIFIC) LIMITED Equity Buy 3,360 140.83 473,196.86$ 19/25


 
TRADES FOR RELEVANT PERIOD Appendix 16-Dec-25 JPMORGAN ASSET MANAGEMENT (ASIA PACIFIC) LIMITED Equity Buy 1,738 140.83 244,766.71$ 16-Dec-25 JPMORGAN ASSET MANAGEMENT (ASIA PACIFIC) LIMITED Equity Buy 866 140.83 121,960.86$ 16-Dec-25 J.P. MORGAN INVESTMENT MANAGEMENT INC. Equity Sell (728) 140.30 102,138.40$ 16-Dec-25 J.P. MORGAN INVESTMENT MANAGEMENT INC. Equity Sell (377) 140.30 52,893.10$ 16-Dec-25 J.P. MORGAN INVESTMENT MANAGEMENT INC. Equity Buy 68 141.59 9,628.12$ 16-Dec-25 JPMORGAN ASSET MANAGEMENT (ASIA PACIFIC) LIMITED Equity Buy 5,490 140.83 773,169.88$ 16-Dec-25 JPMORGAN ASSET MANAGEMENT (ASIA PACIFIC) LIMITED Equity Buy 435 140.83 61,262.09$ 16-Dec-25 JPMORGAN ASSET MANAGEMENT (ASIA PACIFIC) LIMITED Equity Buy 1,420 140.83 199,982.01$ 16-Dec-25 JPMORGAN ASSET MANAGEMENT (ASIA PACIFIC) LIMITED Equity Buy 1,225 140.83 172,519.69$ 16-Dec-25 JPMORGAN CHASE BANK, N.A. Equity Borrow Return (1,000) - -$ 16-Dec-25 JPMORGAN CHASE BANK, N.A. Equity Borrow 489 - -$ 16-Dec-25 JPMORGAN CHASE BANK, N.A. Equity Borrow 145 - -$ 16-Dec-25 JPMORGAN CHASE BANK, N.A. Equity Borrow Return (961) - -$ 16-Dec-25 JPMORGAN CHASE BANK, N.A. Equity Borrow 413,000 - -$ 16-Dec-25 JPMORGAN CHASE BANK, N.A. Equity Borrow Return (5,780) - -$ 16-Dec-25 JPMORGAN CHASE BANK, N.A. Equity Borrow 27 - -$ 17-Dec-25 J.P. MORGAN SECURITIES AUSTRALIA LIMITED Equity Sell (6) 140.21 841.26$ 17-Dec-25 J.P. MORGAN SECURITIES AUSTRALIA LIMITED Equity Sell (645) 141.40 91,203.00$ 17-Dec-25 J.P. MORGAN SECURITIES AUSTRALIA LIMITED Equity Sell (14,493) 141.40 2,049,310.20$ 17-Dec-25 J.P. MORGAN SECURITIES AUSTRALIA LIMITED Equity Sell (3,528) 141.40 498,859.20$ 17-Dec-25 J.P. MORGAN SECURITIES AUSTRALIA LIMITED Equity Sell (184) 140.42 25,837.20$ 17-Dec-25 J.P. MORGAN SECURITIES AUSTRALIA LIMITED Equity Sell (8,074) 140.48 1,134,199.36$ 17-Dec-25 J.P. MORGAN SECURITIES AUSTRALIA LIMITED Equity Sell (5) 141.47 707.36$ 17-Dec-25 J.P. MORGAN SECURITIES AUSTRALIA LIMITED Equity Sell (36) 141.65 5,099.25$ 17-Dec-25 J.P. MORGAN SECURITIES AUSTRALIA LIMITED Equity Sell (104) 141.66 14,733.02$ 17-Dec-25 J.P. MORGAN SECURITIES AUSTRALIA LIMITED Equity Sell (1,833) 141.41 259,201.34$ 17-Dec-25 J.P. MORGAN SECURITIES AUSTRALIA LIMITED Equity Sell (711) 141.73 100,772.73$ 17-Dec-25 J.P. MORGAN SECURITIES PLC Equity Sell (15) 141.40 2,121.00$ 17-Dec-25 J.P. MORGAN SECURITIES PLC Equity Sell (259) 141.40 36,622.60$ 17-Dec-25 J.P. MORGAN SECURITIES AUSTRALIA LIMITED Equity Sell (3,804) 141.40 537,885.60$ 17-Dec-25 J.P. MORGAN SECURITIES AUSTRALIA LIMITED Equity Sell (10,000) 140.30 1,403,000.00$ 17-Dec-25 J.P. MORGAN SECURITIES AUSTRALIA LIMITED Equity Sell (276) 140.30 38,722.80$ 17-Dec-25 J.P. MORGAN SECURITIES PLC Equity Sell (35) 141.40 4,949.00$ 17-Dec-25 J.P. MORGAN SECURITIES AUSTRALIA LIMITED Equity Buy 146 140.21 20,470.66$ 17-Dec-25 J.P. MORGAN SECURITIES AUSTRALIA LIMITED Equity Buy 6 140.21 841.26$ 17-Dec-25 J.P. MORGAN SECURITIES AUSTRALIA LIMITED Equity Buy 10,651 141.40 1,506,051.40$ 17-Dec-25 J.P. MORGAN SECURITIES AUSTRALIA LIMITED Equity Buy 14,493 141.40 2,049,310.20$ 17-Dec-25 J.P. MORGAN SECURITIES AUSTRALIA LIMITED Equity Buy 5 140.63 703.13$ 17-Dec-25 J.P. MORGAN SECURITIES AUSTRALIA LIMITED Equity Buy 268 140.64 37,690.18$ 17-Dec-25 J.P. MORGAN SECURITIES AUSTRALIA LIMITED Equity Buy 1,061 140.54 149,108.03$ 17-Dec-25 J.P. MORGAN SECURITIES AUSTRALIA LIMITED Equity Buy 306 141.40 43,268.40$ 17-Dec-25 J.P. MORGAN SECURITIES AUSTRALIA LIMITED Equity Buy 7,259 141.21 1,025,058.73$ 17-Dec-25 J.P. MORGAN SECURITIES AUSTRALIA LIMITED Equity Buy 15,702 140.59 2,207,511.33$ 17-Dec-25 J.P. MORGAN SECURITIES AUSTRALIA LIMITED Equity Buy 142 141.06 20,030.21$ 17-Dec-25 J.P. MORGAN SECURITIES AUSTRALIA LIMITED Equity Buy 804 141.57 113,820.36$ 17-Dec-25 J.P. MORGAN SECURITIES AUSTRALIA LIMITED Equity Buy 61,311 140.30 8,601,933.30$ 17-Dec-25 J.P. MORGAN SECURITIES AUSTRALIA LIMITED Equity Buy 1,776 141.40 251,126.40$ 17-Dec-25 J.P. MORGAN SECURITIES AUSTRALIA LIMITED Equity Buy 2,147 141.40 303,585.80$ 17-Dec-25 J.P. MORGAN SECURITIES AUSTRALIA LIMITED Equity Buy 15,309 141.40 2,164,692.60$ 17-Dec-25 J.P. MORGAN SECURITIES AUSTRALIA LIMITED Equity Buy 45 140.63 6,328.16$ 17-Dec-25 J.P. MORGAN SECURITIES PLC Equity Buy 425 141.40 60,095.00$ 17-Dec-25 J.P. MORGAN SECURITIES PLC Equity Buy 27 141.40 3,817.80$ 17-Dec-25 J.P. MORGAN SECURITIES PLC Equity Buy 3 141.24 423.71$ 17-Dec-25 J.P. MORGAN SECURITIES PLC Equity Buy 18 141.40 2,545.20$ 17-Dec-25 J.P. MORGAN SECURITIES PLC Equity Buy 7 141.40 989.80$ 17-Dec-25 J.P. MORGAN SECURITIES PLC Equity Buy 18 141.40 2,545.20$ 17-Dec-25 J.P. MORGAN SECURITIES PLC Equity Buy 47 141.17 6,635.15$ 17-Dec-25 J.P. MORGAN SECURITIES PLC Equity Buy 124 141.15 17,502.21$ 17-Dec-25 J.P. MORGAN SECURITIES AUSTRALIA LIMITED Equity Buy 587 141.03 82,781.86$ 17-Dec-25 J.P. MORGAN SECURITIES AUSTRALIA LIMITED Equity Buy 147 141.24 20,761.57$ 17-Dec-25 J.P. MORGAN SECURITIES AUSTRALIA LIMITED Equity Buy 149 140.93 20,998.41$ 17-Dec-25 J.P. MORGAN SECURITIES AUSTRALIA LIMITED Equity Buy 55 141.58 7,787.05$ 17-Dec-25 J.P. MORGAN SECURITIES PLC Equity Buy 35 141.40 4,949.00$ 17-Dec-25 JPMORGAN ASSET MANAGEMENT (JAPAN) LIMITED Equity Sell (515) 141.40 72,821.00$ 17-Dec-25 JPMORGAN ASSET MANAGEMENT (ASIA PACIFIC) LIMITED Equity Buy 8,905 140.84 1,254,147.25$ 17-Dec-25 JPMORGAN ASSET MANAGEMENT (ASIA PACIFIC) LIMITED Equity Buy 946 140.84 133,231.14$ 17-Dec-25 JPMORGAN ASSET MANAGEMENT (UK) LIMITED Equity Buy 26 141.60 3,681.60$ 17-Dec-25 J.P. MORGAN INVESTMENT MANAGEMENT INC. Equity In-kind transaction to receive the shares/par/units 1,563 - -$ 17-Dec-25 J.P. MORGAN INVESTMENT MANAGEMENT INC. Equity In-kind transaction to receive the shares/par/units 9,639 - -$ 17-Dec-25 JPMORGAN ASSET MANAGEMENT (UK) LIMITED Equity Sell (15) 141.60 2,124.00$ 17-Dec-25 JPMORGAN CHASE BANK, N.A. Equity Sell (342) 141.60 48,427.20$ 17-Dec-25 JPMORGAN CHASE BANK, N.A. Equity Borrow Return (890) - -$ 17-Dec-25 JPMORGAN CHASE BANK, N.A. Equity Borrow 55,774 - -$ 17-Dec-25 JPMORGAN CHASE BANK, N.A. Equity Borrow Return (58,467) - -$ 17-Dec-25 JPMORGAN CHASE BANK, N.A. Equity Borrow Return (13,457) - -$ 18-Dec-25 J.P. MORGAN SECURITIES AUSTRALIA LIMITED Equity Sell (31) 143.40 4,445.40$ 18-Dec-25 J.P. MORGAN SECURITIES AUSTRALIA LIMITED Equity Sell (7,664) 141.40 1,083,689.60$ 18-Dec-25 J.P. MORGAN SECURITIES AUSTRALIA LIMITED Equity Sell (15,328) 141.40 2,167,379.20$ 18-Dec-25 J.P. MORGAN SECURITIES AUSTRALIA LIMITED Equity Sell (431) 142.88 61,581.28$ 18-Dec-25 J.P. MORGAN SECURITIES AUSTRALIA LIMITED Equity Sell (32,508) 142.88 4,644,743.04$ 18-Dec-25 J.P. MORGAN SECURITIES AUSTRALIA LIMITED Equity Sell (13) 142.88 1,857.44$ 18-Dec-25 J.P. MORGAN SECURITIES AUSTRALIA LIMITED Equity Sell (378) 142.88 54,008.64$ 18-Dec-25 J.P. MORGAN SECURITIES AUSTRALIA LIMITED Equity Sell (5,063) 143.00 724,009.00$ 18-Dec-25 J.P. MORGAN SECURITIES AUSTRALIA LIMITED Equity Sell (110) 142.98 15,727.84$ 18-Dec-25 J.P. MORGAN SECURITIES AUSTRALIA LIMITED Equity Sell (41) 142.77 5,853.72$ 18-Dec-25 J.P. MORGAN SECURITIES AUSTRALIA LIMITED Equity Sell (378) 142.83 53,991.20$ 18-Dec-25 J.P. MORGAN SECURITIES AUSTRALIA LIMITED Equity Sell (61,246) 143.00 8,758,178.00$ 18-Dec-25 J.P. MORGAN SECURITIES AUSTRALIA LIMITED Equity Sell (68) 143.00 9,724.00$ 18-Dec-25 J.P. MORGAN SECURITIES AUSTRALIA LIMITED Equity Sell (16,995) 143.00 2,430,285.00$ 18-Dec-25 J.P. MORGAN SECURITIES AUSTRALIA LIMITED Equity Sell (17,352) 141.40 2,453,572.80$ 18-Dec-25 J.P. MORGAN SECURITIES AUSTRALIA LIMITED Equity Buy 68 141.40 9,615.20$ 18-Dec-25 J.P. MORGAN SECURITIES AUSTRALIA LIMITED Equity Buy 7,664 141.40 1,083,689.60$ 18-Dec-25 J.P. MORGAN SECURITIES AUSTRALIA LIMITED Equity Buy 15,328 141.40 2,167,379.20$ 18-Dec-25 J.P. MORGAN SECURITIES AUSTRALIA LIMITED Equity Buy 13 142.88 1,857.44$ 18-Dec-25 J.P. MORGAN SECURITIES AUSTRALIA LIMITED Equity Buy 32,508 142.88 4,644,743.04$ 18-Dec-25 J.P. MORGAN SECURITIES AUSTRALIA LIMITED Equity Buy 26 142.88 3,714.88$ 18-Dec-25 J.P. MORGAN SECURITIES AUSTRALIA LIMITED Equity Buy 378 142.88 54,008.64$ 18-Dec-25 J.P. MORGAN SECURITIES AUSTRALIA LIMITED Equity Buy 2,375 143.01 339,648.64$ 18-Dec-25 J.P. MORGAN SECURITIES AUSTRALIA LIMITED Equity Buy 33,673 142.95 4,813,571.85$ 18-Dec-25 J.P. MORGAN SECURITIES AUSTRALIA LIMITED Equity Buy 14,081 142.88 2,011,893.28$ 18-Dec-25 J.P. MORGAN SECURITIES AUSTRALIA LIMITED Equity Buy 34 142.50 4,844.91$ 18-Dec-25 J.P. MORGAN SECURITIES AUSTRALIA LIMITED Equity Buy 8,376 142.88 1,196,762.88$ 18-Dec-25 J.P. MORGAN SECURITIES AUSTRALIA LIMITED Equity Buy 7,753 142.88 1,107,748.64$ 18-Dec-25 J.P. MORGAN SECURITIES PLC Equity Buy 123 142.88 17,574.24$ 18-Dec-25 J.P. MORGAN SECURITIES AUSTRALIA LIMITED Equity Buy 14,132 142.81 2,018,177.88$ 18-Dec-25 J.P. MORGAN SECURITIES AUSTRALIA LIMITED Equity Buy 168 142.75 23,982.27$ 18-Dec-25 J.P. MORGAN SECURITIES AUSTRALIA LIMITED Equity Buy 414 142.86 59,142.84$ 18-Dec-25 J.P. MORGAN SECURITIES AUSTRALIA LIMITED Equity Buy 482 143.10 68,972.87$ 18-Dec-25 J.P. MORGAN SECURITIES AUSTRALIA LIMITED Equity Buy 24,006 142.88 3,429,977.28$ 18-Dec-25 J.P. MORGAN SECURITIES AUSTRALIA LIMITED Equity Buy 333 142.85 47,570.23$ 18-Dec-25 J.P. MORGAN SECURITIES AUSTRALIA LIMITED Equity Borrow Return (20,000) - -$ 18-Dec-25 JPMORGAN ASSET MANAGEMENT (UK) LIMITED Equity Buy 2,037 143.00 291,291.00$ 18-Dec-25 J.P. MORGAN INVESTMENT MANAGEMENT INC. Equity In-kind transaction to receive the shares/par/units 3,927 - -$ 18-Dec-25 J.P. MORGAN INVESTMENT MANAGEMENT INC. Equity In-kind transaction to receive the shares/par/units 3,927 - -$ 18-Dec-25 JPMORGAN ASSET MANAGEMENT (UK) LIMITED Equity Buy 59 143.00 8,437.00$ 18-Dec-25 JPMORGAN CHASE BANK, N.A. Equity Borrow Return (6,110) - -$ 18-Dec-25 JPMORGAN CHASE BANK, N.A. Equity Borrow Return (3,788) - -$ 18-Dec-25 JPMORGAN CHASE BANK, N.A. Equity Borrow Return (29,547) - -$ 18-Dec-25 JPMORGAN CHASE BANK, N.A. Equity Borrow Return (2,057) - -$ 18-Dec-25 JPMORGAN CHASE BANK, N.A. Equity Borrow Return (85) - -$ 18-Dec-25 JPMORGAN CHASE BANK, N.A. Equity Borrow Return (145) - -$ 18-Dec-25 JPMORGAN CHASE BANK, N.A. Equity Borrow Return (5,926) - -$ 19-Dec-25 J.P. MORGAN SECURITIES AUSTRALIA LIMITED Equity Sell (54) 143.07 7,725.78$ 19-Dec-25 J.P. MORGAN SECURITIES AUSTRALIA LIMITED Equity Sell (8,666) 143.07 1,239,844.62$ 19-Dec-25 J.P. MORGAN SECURITIES AUSTRALIA LIMITED Equity Sell (119) 143.07 17,025.33$ 19-Dec-25 J.P. MORGAN SECURITIES AUSTRALIA LIMITED Equity Sell (30,299) 143.07 4,334,877.93$ 19-Dec-25 J.P. MORGAN SECURITIES AUSTRALIA LIMITED Equity Sell (163) 143.07 23,320.41$ 19-Dec-25 J.P. MORGAN SECURITIES AUSTRALIA LIMITED Equity Sell (2,115) 143.07 302,593.05$ 19-Dec-25 J.P. MORGAN SECURITIES AUSTRALIA LIMITED Equity Sell (11,049) 143.04 1,580,478.90$ 19-Dec-25 J.P. MORGAN SECURITIES AUSTRALIA LIMITED Equity Sell (220) 142.31 31,308.12$ 19-Dec-25 J.P. MORGAN SECURITIES AUSTRALIA LIMITED Equity Sell (18,374) 143.07 2,628,768.18$ 19-Dec-25 J.P. MORGAN SECURITIES AUSTRALIA LIMITED Equity Sell (233) 143.01 33,320.27$ 19-Dec-25 J.P. MORGAN SECURITIES PLC Equity Sell (339) 143.07 48,500.73$ 19-Dec-25 J.P. MORGAN SECURITIES PLC Equity Sell (3,176) 143.07 454,390.32$ 19-Dec-25 J.P. MORGAN SECURITIES PLC Equity Sell (85) 143.07 12,160.95$ 20/25


 
TRADES FOR RELEVANT PERIOD Appendix 19-Dec-25 J.P. MORGAN SECURITIES PLC Equity Sell (5,905) 143.07 844,828.35$ 19-Dec-25 J.P. MORGAN SECURITIES PLC Equity Sell (45) 143.07 6,438.15$ 19-Dec-25 J.P. MORGAN SECURITIES AUSTRALIA LIMITED Equity Sell (7,585) 143.07 1,085,185.95$ 19-Dec-25 J.P. MORGAN SECURITIES AUSTRALIA LIMITED Equity Sell (7,211) 142.88 1,030,307.68$ 19-Dec-25 J.P. MORGAN SECURITIES AUSTRALIA LIMITED Equity Sell (7,652) 143.07 1,094,771.64$ 19-Dec-25 J.P. MORGAN SECURITIES AUSTRALIA LIMITED Equity Sell (13) 143.07 1,859.91$ 19-Dec-25 J.P. MORGAN SECURITIES AUSTRALIA LIMITED Equity Sell (5,724) 143.07 818,932.68$ 19-Dec-25 J.P. MORGAN SECURITIES AUSTRALIA LIMITED Equity Buy 90 143.07 12,876.30$ 19-Dec-25 J.P. MORGAN SECURITIES AUSTRALIA LIMITED Equity Buy 8,666 143.07 1,239,844.62$ 19-Dec-25 J.P. MORGAN SECURITIES AUSTRALIA LIMITED Equity Buy 481 143.07 68,816.67$ 19-Dec-25 J.P. MORGAN SECURITIES AUSTRALIA LIMITED Equity Buy 2,159 142.68 308,049.99$ 19-Dec-25 J.P. MORGAN SECURITIES AUSTRALIA LIMITED Equity Buy 131 142.63 18,684.53$ 19-Dec-25 J.P. MORGAN SECURITIES AUSTRALIA LIMITED Equity Buy 480 142.31 68,310.11$ 19-Dec-25 J.P. MORGAN SECURITIES AUSTRALIA LIMITED Equity Buy 8 142.01 1,136.08$ 19-Dec-25 J.P. MORGAN SECURITIES AUSTRALIA LIMITED Equity Buy 127 142.75 18,129.60$ 19-Dec-25 J.P. MORGAN SECURITIES AUSTRALIA LIMITED Equity Buy 330 142.79 47,120.00$ 19-Dec-25 J.P. MORGAN SECURITIES AUSTRALIA LIMITED Equity Buy 95 143.07 13,591.65$ 19-Dec-25 J.P. MORGAN SECURITIES AUSTRALIA LIMITED Equity Buy 184 142.16 26,157.42$ 19-Dec-25 J.P. MORGAN SECURITIES AUSTRALIA LIMITED Equity Buy 21,275 142.71 3,036,250.67$ 19-Dec-25 J.P. MORGAN SECURITIES PLC Equity Buy 1 142.84 142.84$ 19-Dec-25 J.P. MORGAN SECURITIES PLC Equity Buy 33 142.56 4,704.32$ 19-Dec-25 J.P. MORGAN SECURITIES PLC Equity Buy 1,423 143.07 203,588.61$ 19-Dec-25 J.P. MORGAN SECURITIES PLC Equity Buy 170 143.07 24,321.90$ 19-Dec-25 J.P. MORGAN SECURITIES PLC Equity Buy 37 143.07 5,293.59$ 19-Dec-25 J.P. MORGAN SECURITIES PLC Equity Buy 2,609 143.07 373,269.63$ 19-Dec-25 J.P. MORGAN SECURITIES AUSTRALIA LIMITED Equity Buy 2,180 142.51 310,672.37$ 19-Dec-25 J.P. MORGAN SECURITIES AUSTRALIA LIMITED Equity Buy 20 142.69 2,853.76$ 19-Dec-25 J.P. MORGAN SECURITIES AUSTRALIA LIMITED Equity Buy 157 142.78 22,417.07$ 19-Dec-25 J.P. MORGAN SECURITIES AUSTRALIA LIMITED Equity Buy 10 142.38 1,423.78$ 19-Dec-25 J.P. MORGAN SECURITIES AUSTRALIA LIMITED Equity Buy 132 143.07 18,885.24$ 19-Dec-25 J.P. MORGAN SECURITIES AUSTRALIA LIMITED Equity Buy 53 142.51 7,552.77$ 19-Dec-25 J.P. MORGAN SECURITIES AUSTRALIA LIMITED Equity Buy 13 143.07 1,859.91$ 19-Dec-25 J.P. MORGAN SECURITIES AUSTRALIA LIMITED Equity Buy 7,652 143.07 1,094,771.64$ 19-Dec-25 J.P. MORGAN SECURITIES PLC Equity Buy 1 143.07 143.07$ 19-Dec-25 J.P. MORGAN INVESTMENT MANAGEMENT INC. Equity Buy 217 142.63 30,950.71$ 19-Dec-25 J.P. MORGAN INVESTMENT MANAGEMENT INC. Equity Buy 8 143.07 1,144.56$ 19-Dec-25 J.P. MORGAN INVESTMENT MANAGEMENT INC. Equity Buy 19 143.07 2,718.33$ 19-Dec-25 J.P. MORGAN INVESTMENT MANAGEMENT INC. Equity Sell (767) 143.07 109,734.69$ 19-Dec-25 J.P. MORGAN INVESTMENT MANAGEMENT INC. Equity Sell (533) 143.07 76,256.31$ 19-Dec-25 J.P. MORGAN INVESTMENT MANAGEMENT INC. Equity Sell (744) 143.07 106,444.08$ 19-Dec-25 JPMORGAN ASSET MANAGEMENT (UK) LIMITED Equity Sell (11,273) 142.61 1,607,692.13$ 19-Dec-25 J.P. MORGAN INVESTMENT MANAGEMENT INC. Equity Sell (6,415) 143.07 917,794.05$ 19-Dec-25 JPMORGAN ASSET MANAGEMENT (ASIA PACIFIC) LIMITED Equity Buy 455 141.79 64,514.63$ 19-Dec-25 J.P. MORGAN INVESTMENT MANAGEMENT INC. Equity Sell (214) 142.61 30,519.48$ 19-Dec-25 J.P. MORGAN INVESTMENT MANAGEMENT INC. Equity Sell (900) 143.07 128,763.00$ 19-Dec-25 J.P. MORGAN INVESTMENT MANAGEMENT INC. Equity Sell (1,118) 142.61 159,442.90$ 19-Dec-25 JPMORGAN ASSET MANAGEMENT (UK) LIMITED Equity Sell (3,115) 142.61 444,243.86$ 19-Dec-25 JPMORGAN CHASE BANK, N.A. Equity Borrow 45,178 - -$ 19-Dec-25 JPMORGAN CHASE BANK, N.A. Equity Borrow Return (684) - -$ 19-Dec-25 JPMORGAN CHASE BANK, N.A. Equity Borrow Return (33,186) - -$ 19-Dec-25 JPMORGAN CHASE BANK, N.A. Equity Borrow Return (3,047) - -$ 22-Dec-25 J.P. MORGAN SECURITIES AUSTRALIA LIMITED Equity Sell (7,122) 144.52 1,029,271.44$ 22-Dec-25 J.P. MORGAN SECURITIES AUSTRALIA LIMITED Equity Sell (2,936) 144.52 424,310.72$ 22-Dec-25 J.P. MORGAN SECURITIES AUSTRALIA LIMITED Equity Sell (1,745) 144.92 252,887.93$ 22-Dec-25 J.P. MORGAN SECURITIES AUSTRALIA LIMITED Equity Sell (39) 144.64 5,641.15$ 22-Dec-25 J.P. MORGAN SECURITIES AUSTRALIA LIMITED Equity Sell (2,024) 144.52 292,508.48$ 22-Dec-25 J.P. MORGAN SECURITIES AUSTRALIA LIMITED Equity Sell (1,030) 144.52 148,855.60$ 22-Dec-25 J.P. MORGAN SECURITIES AUSTRALIA LIMITED Equity Sell (920) 144.52 132,958.40$ 22-Dec-25 J.P. MORGAN SECURITIES AUSTRALIA LIMITED Equity Sell (514) 144.90 74,478.37$ 22-Dec-25 J.P. MORGAN SECURITIES AUSTRALIA LIMITED Equity Sell (789) 144.78 114,230.07$ 22-Dec-25 J.P. MORGAN SECURITIES AUSTRALIA LIMITED Equity Sell (526) 144.85 76,190.40$ 22-Dec-25 J.P. MORGAN SECURITIES PLC Equity Sell (55) 144.52 7,948.60$ 22-Dec-25 J.P. MORGAN SECURITIES AUSTRALIA LIMITED Equity Sell (56) 143.07 8,011.92$ 22-Dec-25 J.P. MORGAN SECURITIES AUSTRALIA LIMITED Equity Buy 3,656 144.52 528,365.12$ 22-Dec-25 J.P. MORGAN SECURITIES AUSTRALIA LIMITED Equity Buy 7,122 144.52 1,029,271.44$ 22-Dec-25 J.P. MORGAN SECURITIES AUSTRALIA LIMITED Equity Buy 966 144.83 139,902.00$ 22-Dec-25 J.P. MORGAN SECURITIES AUSTRALIA LIMITED Equity Buy 49 144.91 7,100.71$ 22-Dec-25 J.P. MORGAN SECURITIES AUSTRALIA LIMITED Equity Buy 599 144.88 86,783.51$ 22-Dec-25 J.P. MORGAN SECURITIES AUSTRALIA LIMITED Equity Buy 697 144.88 100,980.83$ 22-Dec-25 J.P. MORGAN SECURITIES AUSTRALIA LIMITED Equity Buy 6,403 144.91 927,880.06$ 22-Dec-25 J.P. MORGAN SECURITIES AUSTRALIA LIMITED Equity Buy 1,040 144.84 150,638.64$ 22-Dec-25 J.P. MORGAN SECURITIES AUSTRALIA LIMITED Equity Buy 305 144.00 43,920.00$ 22-Dec-25 J.P. MORGAN SECURITIES PLC Equity Buy 227 144.52 32,806.04$ 22-Dec-25 J.P. MORGAN SECURITIES AUSTRALIA LIMITED Equity Buy 131 144.84 18,974.45$ 22-Dec-25 J.P. MORGAN SECURITIES AUSTRALIA LIMITED Equity Buy 1,437 144.84 208,137.69$ 22-Dec-25 JPMORGAN ASSET MANAGEMENT (UK) LIMITED Equity Buy 181 144.00 26,064.00$ 22-Dec-25 JPMORGAN ASSET MANAGEMENT (UK) LIMITED Equity Buy 38 144.00 5,472.00$ 22-Dec-25 J.P. MORGAN INVESTMENT MANAGEMENT INC. Equity Buy 1,061 144.00 152,784.00$ 22-Dec-25 J.P. MORGAN INVESTMENT MANAGEMENT INC. Equity In-kind transaction to receive the shares/par/units 1,428 - -$ 22-Dec-25 J.P. MORGAN INVESTMENT MANAGEMENT INC. Equity Sell (827) 144.00 119,088.00$ 22-Dec-25 JPMORGAN CHASE BANK, N.A. Equity Borrow 2,000 - -$ 22-Dec-25 JPMORGAN CHASE BANK, N.A. Equity Borrow 1,320 - -$ 23-Dec-25 J.P. MORGAN SECURITIES AUSTRALIA LIMITED Equity Sell (88) 144.52 12,717.76$ 23-Dec-25 J.P. MORGAN SECURITIES AUSTRALIA LIMITED Equity Sell (6,382) 146.40 934,324.80$ 23-Dec-25 J.P. MORGAN SECURITIES AUSTRALIA LIMITED Equity Sell (222) 145.60 32,323.20$ 23-Dec-25 J.P. MORGAN SECURITIES AUSTRALIA LIMITED Equity Sell (397) 146.20 58,042.24$ 23-Dec-25 J.P. MORGAN SECURITIES AUSTRALIA LIMITED Equity Sell (1,675) 146.41 245,232.15$ 23-Dec-25 J.P. MORGAN SECURITIES AUSTRALIA LIMITED Equity Sell (14) 146.12 2,045.68$ 23-Dec-25 J.P. MORGAN SECURITIES AUSTRALIA LIMITED Equity Sell (1,033) 145.99 150,812.48$ 23-Dec-25 J.P. MORGAN SECURITIES PLC Equity Sell (14) 146.40 2,049.60$ 23-Dec-25 J.P. MORGAN SECURITIES AUSTRALIA LIMITED Equity Buy 134 144.52 19,365.68$ 23-Dec-25 J.P. MORGAN SECURITIES AUSTRALIA LIMITED Equity Buy 88 144.52 12,717.76$ 23-Dec-25 J.P. MORGAN SECURITIES AUSTRALIA LIMITED Equity Buy 1,042 146.40 152,548.80$ 23-Dec-25 J.P. MORGAN SECURITIES AUSTRALIA LIMITED Equity Buy 8,218 146.40 1,203,115.20$ 23-Dec-25 J.P. MORGAN SECURITIES AUSTRALIA LIMITED Equity Buy 6,382 146.40 934,324.80$ 23-Dec-25 J.P. MORGAN SECURITIES AUSTRALIA LIMITED Equity Buy 399 146.40 58,413.60$ 23-Dec-25 J.P. MORGAN SECURITIES AUSTRALIA LIMITED Equity Buy 3,487 146.05 509,293.29$ 23-Dec-25 J.P. MORGAN SECURITIES AUSTRALIA LIMITED Equity Buy 302 146.21 44,155.50$ 23-Dec-25 J.P. MORGAN SECURITIES AUSTRALIA LIMITED Equity Buy 154 146.45 22,553.88$ 23-Dec-25 J.P. MORGAN SECURITIES AUSTRALIA LIMITED Equity Buy 163 146.46 23,872.71$ 23-Dec-25 J.P. MORGAN SECURITIES AUSTRALIA LIMITED Equity Buy 7,112 146.51 1,041,984.43$ 23-Dec-25 J.P. MORGAN SECURITIES AUSTRALIA LIMITED Equity Buy 110 146.20 16,081.54$ 23-Dec-25 J.P. MORGAN SECURITIES PLC Equity Buy 12 146.41 1,756.91$ 23-Dec-25 J.P. MORGAN SECURITIES PLC Equity Buy 167 146.36 24,442.19$ 23-Dec-25 J.P. MORGAN SECURITIES PLC Equity Buy 9 146.40 1,317.60$ 23-Dec-25 J.P. MORGAN SECURITIES AUSTRALIA LIMITED Equity Buy 17,352 146.40 2,540,332.80$ 23-Dec-25 J.P. MORGAN SECURITIES AUSTRALIA LIMITED Equity Buy 2,876 146.12 420,239.19$ 23-Dec-25 J.P. MORGAN SECURITIES AUSTRALIA LIMITED Equity Buy 700 146.14 102,299.68$ 23-Dec-25 J.P. MORGAN SECURITIES AUSTRALIA LIMITED Equity Buy 76 146.07 11,101.09$ 23-Dec-25 JPMORGAN ASSET MANAGEMENT (UK) LIMITED Equity Sell (109) 145.60 15,870.40$ 23-Dec-25 JPMORGAN ASSET MANAGEMENT (UK) LIMITED Equity Sell (3,170) 146.40 464,088.00$ 23-Dec-25 J.P. MORGAN INVESTMENT MANAGEMENT INC. Equity In-kind transaction to receive the shares/par/units 500 - -$ 23-Dec-25 JPMORGAN ASSET MANAGEMENT (UK) LIMITED Equity Sell (449) 145.60 65,374.40$ 23-Dec-25 JPMORGAN CHASE BANK, N.A. Equity Borrow Return (45,178) - -$ 23-Dec-25 JPMORGAN CHASE BANK, N.A. Equity Borrow Return (1,000) - -$ 23-Dec-25 JPMORGAN CHASE BANK, N.A. Equity Borrow Return (55,090) - -$ 23-Dec-25 JPMORGAN CHASE BANK, N.A. Equity Borrow Return (40,145) - -$ 23-Dec-25 JPMORGAN CHASE BANK, N.A. Equity Borrow Return (31,127) - -$ 23-Dec-25 JPMORGAN CHASE BANK, N.A. Equity Borrow Return (3,809) - -$ 23-Dec-25 JPMORGAN CHASE BANK, N.A. Equity Borrow Return (2,713) - -$ 23-Dec-25 JPMORGAN CHASE BANK, N.A. Equity Borrow Return (8,089) - -$ 23-Dec-25 JPMORGAN CHASE BANK, N.A. Equity Borrow 30,000 - -$ 23-Dec-25 JPMORGAN CHASE BANK, N.A. Equity Borrow 671 - -$ 24-Dec-25 J.P. MORGAN SECURITIES AUSTRALIA LIMITED Equity Sell (119) 147.59 17,563.21$ 24-Dec-25 J.P. MORGAN SECURITIES AUSTRALIA LIMITED Equity Sell (39) 147.59 5,756.01$ 24-Dec-25 J.P. MORGAN SECURITIES AUSTRALIA LIMITED Equity Sell (26) 147.65 3,838.90$ 24-Dec-25 J.P. MORGAN SECURITIES AUSTRALIA LIMITED Equity Sell (24) 147.67 3,544.08$ 24-Dec-25 J.P. MORGAN SECURITIES AUSTRALIA LIMITED Equity Sell (28) 147.71 4,135.88$ 24-Dec-25 J.P. MORGAN SECURITIES AUSTRALIA LIMITED Equity Sell (5) 147.71 738.55$ 24-Dec-25 J.P. MORGAN SECURITIES AUSTRALIA LIMITED Equity Sell (6) 147.71 886.26$ 24-Dec-25 J.P. MORGAN SECURITIES AUSTRALIA LIMITED Equity Sell (2,762) 147.46 407,273.00$ 24-Dec-25 J.P. MORGAN SECURITIES AUSTRALIA LIMITED Equity Sell (614) 147.56 90,600.82$ 24-Dec-25 J.P. MORGAN SECURITIES AUSTRALIA LIMITED Equity Sell (78) 147.61 11,513.37$ 24-Dec-25 J.P. MORGAN SECURITIES AUSTRALIA LIMITED Equity Sell (15,615) 147.48 2,302,942.72$ 24-Dec-25 J.P. MORGAN SECURITIES AUSTRALIA LIMITED Equity Sell (610) 147.10 89,731.00$ 21/25


 
TRADES FOR RELEVANT PERIOD Appendix 24-Dec-25 J.P. MORGAN SECURITIES AUSTRALIA LIMITED Equity Sell (6) 147.94 887.64$ 24-Dec-25 J.P. MORGAN SECURITIES AUSTRALIA LIMITED Equity Sell (3,686) 147.55 543,871.88$ 24-Dec-25 J.P. MORGAN SECURITIES AUSTRALIA LIMITED Equity Sell (135) 147.48 19,909.43$ 24-Dec-25 J.P. MORGAN SECURITIES AUSTRALIA LIMITED Equity Sell (4,381) 147.49 646,136.25$ 24-Dec-25 J.P. MORGAN SECURITIES AUSTRALIA LIMITED Equity Sell (84) 147.58 12,396.72$ 24-Dec-25 J.P. MORGAN SECURITIES AUSTRALIA LIMITED Equity Sell (597) 147.50 88,057.50$ 24-Dec-25 J.P. MORGAN SECURITIES PLC Equity Sell (15) 147.50 2,212.50$ 24-Dec-25 J.P. MORGAN SECURITIES PLC Equity Sell (505) 147.50 74,487.50$ 24-Dec-25 J.P. MORGAN SECURITIES PLC Equity Sell (302) 147.50 44,545.00$ 24-Dec-25 J.P. MORGAN SECURITIES AUSTRALIA LIMITED Equity Buy 5 147.71 738.55$ 24-Dec-25 J.P. MORGAN SECURITIES AUSTRALIA LIMITED Equity Buy 240 147.52 35,405.93$ 24-Dec-25 J.P. MORGAN SECURITIES AUSTRALIA LIMITED Equity Buy 41 147.58 6,050.92$ 24-Dec-25 J.P. MORGAN SECURITIES PLC Equity Buy 5 147.48 737.42$ 24-Dec-25 J.P. MORGAN SECURITIES PLC Equity Buy 150 147.51 22,127.12$ 24-Dec-25 J.P. MORGAN SECURITIES PLC Equity Buy 22 147.49 3,244.85$ 24-Dec-25 J.P. MORGAN SECURITIES PLC Equity Buy 302 147.50 44,545.00$ 24-Dec-25 J.P. MORGAN SECURITIES PLC Equity Borrow Return (3,113) - -$ 24-Dec-25 J.P. MORGAN SECURITIES PLC Equity Borrow Return (1,600) - -$ 24-Dec-25 J.P. MORGAN INVESTMENT MANAGEMENT INC. Equity Sell (4) 147.10 588.40$ 24-Dec-25 JPMORGAN ASSET MANAGEMENT (UK) LIMITED Equity Buy 21 147.10 3,089.10$ 24-Dec-25 J.P. MORGAN INVESTMENT MANAGEMENT INC. Equity In-kind transaction to receive the shares/par/units 270 - -$ 24-Dec-25 J.P. MORGAN INVESTMENT MANAGEMENT INC. Equity In-kind transaction to receive the shares/par/units 270 - -$ 24-Dec-25 JPMORGAN CHASE BANK, N.A. Equity Borrow 6,000 - -$ 24-Dec-25 JPMORGAN CHASE BANK, N.A. Equity Borrow Return (5,000) - -$ 24-Dec-25 JPMORGAN CHASE BANK, N.A. Equity Borrow Return (22,608) - -$ 24-Dec-25 JPMORGAN CHASE BANK, N.A. Equity Borrow Return (3,945) - -$ 24-Dec-25 JPMORGAN CHASE BANK, N.A. Equity Borrow Return (54) - -$ 29-Dec-25 J.P. MORGAN SECURITIES AUSTRALIA LIMITED Equity Sell (4,079) 146.72 598,470.88$ 29-Dec-25 J.P. MORGAN SECURITIES AUSTRALIA LIMITED Equity Sell (26,485) 146.72 3,885,879.20$ 29-Dec-25 J.P. MORGAN SECURITIES AUSTRALIA LIMITED Equity Sell (529) 146.72 77,614.88$ 29-Dec-25 J.P. MORGAN SECURITIES AUSTRALIA LIMITED Equity Sell (667) 147.24 98,207.27$ 29-Dec-25 J.P. MORGAN SECURITIES AUSTRALIA LIMITED Equity Sell (22,221) 146.93 3,264,975.99$ 29-Dec-25 J.P. MORGAN SECURITIES AUSTRALIA LIMITED Equity Sell (1,512) 146.72 221,840.64$ 29-Dec-25 J.P. MORGAN SECURITIES AUSTRALIA LIMITED Equity Sell (2) 146.86 293.72$ 29-Dec-25 J.P. MORGAN SECURITIES AUSTRALIA LIMITED Equity Sell (21) 146.88 3,084.42$ 29-Dec-25 J.P. MORGAN SECURITIES AUSTRALIA LIMITED Equity Sell (46,626) 147.06 6,856,938.36$ 29-Dec-25 J.P. MORGAN SECURITIES AUSTRALIA LIMITED Equity Sell (570) 147.08 83,835.49$ 29-Dec-25 J.P. MORGAN SECURITIES AUSTRALIA LIMITED Equity Sell (1,555) 146.90 228,428.94$ 29-Dec-25 J.P. MORGAN SECURITIES AUSTRALIA LIMITED Equity Sell (15) 146.72 2,200.80$ 29-Dec-25 J.P. MORGAN SECURITIES AUSTRALIA LIMITED Equity Sell (86) 146.72 12,617.92$ 29-Dec-25 J.P. MORGAN SECURITIES AUSTRALIA LIMITED Equity Sell (36) 146.72 5,281.92$ 29-Dec-25 J.P. MORGAN SECURITIES AUSTRALIA LIMITED Equity Sell (1,705) 147.50 251,487.50$ 29-Dec-25 J.P. MORGAN SECURITIES AUSTRALIA LIMITED Equity Sell (62) 146.72 9,096.64$ 29-Dec-25 J.P. MORGAN SECURITIES AUSTRALIA LIMITED Equity Buy 26,485 146.72 3,885,879.20$ 29-Dec-25 J.P. MORGAN SECURITIES AUSTRALIA LIMITED Equity Buy 4,048 146.72 593,922.56$ 29-Dec-25 J.P. MORGAN SECURITIES AUSTRALIA LIMITED Equity Buy 603 147.28 88,812.18$ 29-Dec-25 J.P. MORGAN SECURITIES AUSTRALIA LIMITED Equity Buy 20 146.80 2,936.00$ 29-Dec-25 J.P. MORGAN SECURITIES AUSTRALIA LIMITED Equity Buy 1,705 147.05 250,725.01$ 29-Dec-25 J.P. MORGAN SECURITIES PLC Equity Buy 15 146.72 2,200.80$ 29-Dec-25 J.P. MORGAN SECURITIES AUSTRALIA LIMITED Equity Buy 86 146.72 12,617.92$ 29-Dec-25 J.P. MORGAN SECURITIES AUSTRALIA LIMITED Equity Buy 36 146.72 5,281.92$ 29-Dec-25 J.P. MORGAN INVESTMENT MANAGEMENT INC. Equity Sell (24,276) 146.72 3,561,774.72$ 29-Dec-25 JPMORGAN CHASE BANK, N.A. Equity Sell (568) 147.55 83,808.40$ 29-Dec-25 JPMORGAN CHASE BANK, N.A. Equity Borrow 4,000 - -$ 29-Dec-25 JPMORGAN CHASE BANK, N.A. Equity Borrow 15,000 - -$ 29-Dec-25 JPMORGAN CHASE BANK, N.A. Equity Borrow Return (26,123) - -$ 29-Dec-25 JPMORGAN CHASE BANK, N.A. Equity Borrow Return (1,821) - -$ 29-Dec-25 JPMORGAN CHASE BANK, N.A. Equity Borrow Return (310,000) - -$ 30-Dec-25 J.P. MORGAN SECURITIES AUSTRALIA LIMITED Equity Sell (4,291) 147.01 630,819.91$ 30-Dec-25 J.P. MORGAN SECURITIES AUSTRALIA LIMITED Equity Sell (57) 147.01 8,379.57$ 30-Dec-25 J.P. MORGAN SECURITIES AUSTRALIA LIMITED Equity Sell (69) 146.38 10,100.25$ 30-Dec-25 J.P. MORGAN SECURITIES AUSTRALIA LIMITED Equity Sell (38,876) 146.75 5,705,223.08$ 30-Dec-25 J.P. MORGAN SECURITIES AUSTRALIA LIMITED Equity Sell (312) 146.65 45,755.73$ 30-Dec-25 J.P. MORGAN SECURITIES PLC Equity Sell (6,335) 147.01 931,308.35$ 30-Dec-25 J.P. MORGAN SECURITIES AUSTRALIA LIMITED Equity Sell (3,741) 146.72 548,879.52$ 30-Dec-25 J.P. MORGAN SECURITIES AUSTRALIA LIMITED Equity Sell (1,022) 146.72 149,947.84$ 30-Dec-25 J.P. MORGAN SECURITIES AUSTRALIA LIMITED Equity Sell (1,019) 146.72 149,507.68$ 30-Dec-25 J.P. MORGAN SECURITIES AUSTRALIA LIMITED Equity Buy 2,108 147.01 309,897.08$ 30-Dec-25 J.P. MORGAN SECURITIES AUSTRALIA LIMITED Equity Buy 4,291 147.01 630,819.91$ 30-Dec-25 J.P. MORGAN SECURITIES AUSTRALIA LIMITED Equity Buy 184 147.01 27,049.84$ 30-Dec-25 J.P. MORGAN SECURITIES AUSTRALIA LIMITED Equity Buy 57 147.01 8,379.57$ 30-Dec-25 J.P. MORGAN SECURITIES AUSTRALIA LIMITED Equity Buy 1,019 146.88 149,671.98$ 30-Dec-25 J.P. MORGAN SECURITIES AUSTRALIA LIMITED Equity Buy 8,245 146.94 1,211,481.35$ 30-Dec-25 J.P. MORGAN SECURITIES AUSTRALIA LIMITED Equity Buy 106 146.54 15,532.77$ 30-Dec-25 J.P. MORGAN SECURITIES AUSTRALIA LIMITED Equity Buy 601 147.03 88,363.83$ 30-Dec-25 J.P. MORGAN SECURITIES AUSTRALIA LIMITED Equity Buy 127 147.10 18,681.19$ 30-Dec-25 J.P. MORGAN SECURITIES AUSTRALIA LIMITED Equity Buy 311 146.01 45,409.75$ 30-Dec-25 J.P. MORGAN SECURITIES AUSTRALIA LIMITED Equity Buy 1,022 146.93 150,158.24$ 30-Dec-25 J.P. MORGAN SECURITIES AUSTRALIA LIMITED Equity Buy 158 145.99 23,066.41$ 30-Dec-25 J.P. MORGAN SECURITIES AUSTRALIA LIMITED Equity Buy 3,563 147.04 523,898.58$ 30-Dec-25 JPMORGAN CHASE BANK, N.A. Equity Sell (3,212) 147.01 472,196.12$ 30-Dec-25 J.P. MORGAN INVESTMENT MANAGEMENT INC. Equity Sell (385) 146.00 56,210.00$ 30-Dec-25 JPMORGAN ASSET MANAGEMENT (UK) LIMITED Equity Buy 171 146.00 24,966.00$ 30-Dec-25 JPMORGAN CHASE BANK, N.A. Equity Borrow Return (520) - -$ 30-Dec-25 JPMORGAN CHASE BANK, N.A. Equity Borrow 907 - -$ 30-Dec-25 JPMORGAN CHASE BANK, N.A. Equity Borrow Return (6,565) - -$ 30-Dec-25 JPMORGAN CHASE BANK, N.A. Equity Borrow Return (20,027) - -$ 30-Dec-25 JPMORGAN CHASE BANK, N.A. Equity Borrow Return (1,937) - -$ 31-Dec-25 J.P. MORGAN SECURITIES AUSTRALIA LIMITED Equity Sell (120) 147.33 17,679.00$ 31-Dec-25 J.P. MORGAN SECURITIES AUSTRALIA LIMITED Equity Sell (13) 147.33 1,915.23$ 31-Dec-25 J.P. MORGAN SECURITIES AUSTRALIA LIMITED Equity Sell (7) 147.33 1,031.28$ 31-Dec-25 J.P. MORGAN SECURITIES AUSTRALIA LIMITED Equity Sell (139) 147.28 20,471.92$ 31-Dec-25 J.P. MORGAN SECURITIES AUSTRALIA LIMITED Equity Sell (362) 146.82 53,148.84$ 31-Dec-25 J.P. MORGAN SECURITIES AUSTRALIA LIMITED Equity Sell (1,007) 146.42 147,444.73$ 31-Dec-25 J.P. MORGAN SECURITIES AUSTRALIA LIMITED Equity Sell (344) 146.28 50,320.12$ 31-Dec-25 J.P. MORGAN SECURITIES AUSTRALIA LIMITED Equity Sell (1,679) 146.84 246,552.20$ 31-Dec-25 J.P. MORGAN SECURITIES AUSTRALIA LIMITED Equity Sell (241) 146.96 35,417.36$ 31-Dec-25 J.P. MORGAN SECURITIES AUSTRALIA LIMITED Equity Sell (1) 146.68 146.68$ 31-Dec-25 J.P. MORGAN SECURITIES AUSTRALIA LIMITED Equity Sell (19,836) 146.79 2,911,650.07$ 31-Dec-25 J.P. MORGAN SECURITIES PLC Equity Sell (6,374) 146.82 935,830.68$ 31-Dec-25 J.P. MORGAN SECURITIES PLC Equity Sell (84) 146.82 12,332.88$ 31-Dec-25 J.P. MORGAN SECURITIES AUSTRALIA LIMITED Equity Sell (7,557) 147.01 1,110,954.57$ 31-Dec-25 J.P. MORGAN SECURITIES AUSTRALIA LIMITED Equity Sell (789) 147.01 115,990.89$ 31-Dec-25 J.P. MORGAN SECURITIES AUSTRALIA LIMITED Equity Buy 13 147.33 1,915.23$ 31-Dec-25 J.P. MORGAN SECURITIES AUSTRALIA LIMITED Equity Buy 120 147.33 17,679.00$ 31-Dec-25 J.P. MORGAN SECURITIES AUSTRALIA LIMITED Equity Buy 1,097 146.82 161,061.54$ 31-Dec-25 J.P. MORGAN SECURITIES AUSTRALIA LIMITED Equity Buy 362 146.82 53,148.84$ 31-Dec-25 J.P. MORGAN SECURITIES AUSTRALIA LIMITED Equity Buy 204 146.82 29,951.28$ 31-Dec-25 J.P. MORGAN SECURITIES AUSTRALIA LIMITED Equity Buy 2,127 146.82 312,286.14$ 31-Dec-25 J.P. MORGAN SECURITIES AUSTRALIA LIMITED Equity Buy 132 146.70 19,364.27$ 31-Dec-25 J.P. MORGAN SECURITIES AUSTRALIA LIMITED Equity Buy 363 146.34 53,121.94$ 31-Dec-25 J.P. MORGAN SECURITIES AUSTRALIA LIMITED Equity Buy 46 147.27 6,774.39$ 31-Dec-25 J.P. MORGAN SECURITIES AUSTRALIA LIMITED Equity Buy 3,981 146.82 584,490.42$ 31-Dec-25 J.P. MORGAN SECURITIES AUSTRALIA LIMITED Equity Buy 220 147.28 32,402.43$ 31-Dec-25 J.P. MORGAN SECURITIES AUSTRALIA LIMITED Equity Buy 204 146.81 29,948.80$ 31-Dec-25 J.P. MORGAN SECURITIES AUSTRALIA LIMITED Equity Buy 866 146.24 126,640.23$ 31-Dec-25 J.P. MORGAN SECURITIES PLC Equity Buy 10 146.37 1,463.71$ 31-Dec-25 J.P. MORGAN SECURITIES PLC Equity Buy 655 146.82 96,167.10$ 31-Dec-25 J.P. MORGAN SECURITIES PLC Equity Buy 10 146.82 1,468.20$ 31-Dec-25 J.P. MORGAN SECURITIES PLC Equity Buy 95 146.82 13,947.90$ 31-Dec-25 JPMORGAN ASSET MANAGEMENT (UK) LIMITED Equity Sell (470) 146.96 69,071.20$ 31-Dec-25 JPMORGAN ASSET MANAGEMENT (UK) LIMITED Equity Buy 27 146.96 3,967.92$ 31-Dec-25 JPMORGAN ASSET MANAGEMENT (UK) LIMITED Equity Sell (614) 146.96 90,233.44$ 31-Dec-25 JPMORGAN CHASE BANK, N.A. Equity Borrow 3,000 - -$ 31-Dec-25 JPMORGAN CHASE BANK, N.A. Equity Borrow 589,500 - -$ 31-Dec-25 JPMORGAN CHASE BANK, N.A. Equity Borrow 914 - -$ 31-Dec-25 JPMORGAN CHASE BANK, N.A. Equity Borrow Return (142) - -$ 31-Dec-25 JPMORGAN CHASE BANK, N.A. Equity Borrow Return (23,288) - -$ 2-Jan-26 J.P. MORGAN SECURITIES AUSTRALIA LIMITED Equity Sell (8,634) 147.69 1,275,155.46$ 2-Jan-26 J.P. MORGAN SECURITIES AUSTRALIA LIMITED Equity Sell (3,744) 147.69 552,951.36$ 2-Jan-26 J.P. MORGAN SECURITIES AUSTRALIA LIMITED Equity Sell (2,930) 147.69 432,731.70$ 2-Jan-26 J.P. MORGAN SECURITIES AUSTRALIA LIMITED Equity Sell (178) 147.65 26,282.07$ 2-Jan-26 J.P. MORGAN SECURITIES AUSTRALIA LIMITED Equity Sell (138) 147.50 20,354.56$ 2-Jan-26 J.P. MORGAN SECURITIES AUSTRALIA LIMITED Equity Sell (7,098) 147.69 1,048,300.08$ 2-Jan-26 J.P. MORGAN SECURITIES AUSTRALIA LIMITED Equity Sell (37) 147.48 5,456.79$ 22/25


 
TRADES FOR RELEVANT PERIOD Appendix 2-Jan-26 J.P. MORGAN SECURITIES AUSTRALIA LIMITED Equity Sell (3,054) 147.69 451,045.26$ 2-Jan-26 J.P. MORGAN SECURITIES AUSTRALIA LIMITED Equity Sell (66) 147.61 9,742.02$ 2-Jan-26 J.P. MORGAN SECURITIES AUSTRALIA LIMITED Equity Sell (29) 147.50 4,277.40$ 2-Jan-26 J.P. MORGAN SECURITIES AUSTRALIA LIMITED Equity Sell (2,000) 146.82 293,640.00$ 2-Jan-26 J.P. MORGAN SECURITIES AUSTRALIA LIMITED Equity Sell (6) 147.69 886.14$ 2-Jan-26 J.P. MORGAN SECURITIES AUSTRALIA LIMITED Equity Buy 8,634 147.69 1,275,155.46$ 2-Jan-26 J.P. MORGAN SECURITIES AUSTRALIA LIMITED Equity Buy 177 147.66 26,136.32$ 2-Jan-26 J.P. MORGAN SECURITIES AUSTRALIA LIMITED Equity Buy 515 147.49 75,957.34$ 2-Jan-26 J.P. MORGAN SECURITIES AUSTRALIA LIMITED Equity Buy 26 147.64 3,838.56$ 2-Jan-26 J.P. MORGAN SECURITIES AUSTRALIA LIMITED Equity Buy 477 147.66 70,434.91$ 2-Jan-26 J.P. MORGAN SECURITIES AUSTRALIA LIMITED Equity Buy 8,523 147.70 1,258,874.68$ 2-Jan-26 J.P. MORGAN SECURITIES AUSTRALIA LIMITED Equity Buy 6,599 147.64 974,307.07$ 2-Jan-26 J.P. MORGAN SECURITIES PLC Equity Buy 138 147.69 20,381.22$ 2-Jan-26 J.P. MORGAN SECURITIES AUSTRALIA LIMITED Equity Buy 722 147.59 106,559.08$ 2-Jan-26 J.P. MORGAN SECURITIES AUSTRALIA LIMITED Equity Buy 461 147.77 68,120.82$ 2-Jan-26 J.P. MORGAN SECURITIES AUSTRALIA LIMITED Equity Buy 1,351 147.59 199,399.90$ 2-Jan-26 J.P. MORGAN SECURITIES AUSTRALIA LIMITED Equity Buy 371 147.75 54,813.68$ 2-Jan-26 J.P. MORGAN SECURITIES AUSTRALIA LIMITED Equity Buy 122 147.69 18,018.18$ 2-Jan-26 J.P. MORGAN SECURITIES PLC Equity Borrow Return (86,214) - -$ 2-Jan-26 J.P. MORGAN SECURITIES PLC Equity Borrow Return (47,357) - -$ 2-Jan-26 J.P. MORGAN SECURITIES PLC Equity Borrow Return (44,600) - -$ 2-Jan-26 J.P. MORGAN SECURITIES PLC Equity Borrow Return (17,931) - -$ 2-Jan-26 J.P. MORGAN SECURITIES PLC Equity Borrow Return (18,751) - -$ 2-Jan-26 J.P. MORGAN SECURITIES PLC Equity Borrow Return (17,560) - -$ 2-Jan-26 J.P. MORGAN SECURITIES PLC Equity Borrow Return (1,611) - -$ 2-Jan-26 J.P. MORGAN SECURITIES PLC Equity Borrow Return (1,735) - -$ 2-Jan-26 J.P. MORGAN SECURITIES PLC Equity Borrow Return (1,114) - -$ 2-Jan-26 J.P. MORGAN SECURITIES PLC Equity Borrow Return (1,074) - -$ 2-Jan-26 J.P. MORGAN SECURITIES PLC Equity Borrow Return (578) - -$ 2-Jan-26 J.P. MORGAN SECURITIES PLC Equity Borrow Return (304) - -$ 2-Jan-26 J.P. MORGAN SECURITIES PLC Equity Borrow Return (766) - -$ 2-Jan-26 J.P. MORGAN SECURITIES PLC Equity Borrow Return (847) - -$ 2-Jan-26 J.P. MORGAN SECURITIES PLC Equity Borrow Return (255) - -$ 2-Jan-26 J.P. MORGAN SECURITIES PLC Equity Borrow Return (615) - -$ 2-Jan-26 J.P. MORGAN SECURITIES AUSTRALIA LIMITED Equity Borrow Return (26,812) - -$ 2-Jan-26 J.P. MORGAN SECURITIES AUSTRALIA LIMITED Equity Borrow Return (75,291) - -$ 2-Jan-26 J.P. MORGAN SECURITIES AUSTRALIA LIMITED Equity Borrow Return (60,000) - -$ 2-Jan-26 J.P. MORGAN SECURITIES AUSTRALIA LIMITED Equity Borrow Return (40,000) - -$ 2-Jan-26 J.P. MORGAN SECURITIES AUSTRALIA LIMITED Equity Borrow Return (20,000) - -$ 2-Jan-26 J.P. MORGAN SECURITIES AUSTRALIA LIMITED Equity Borrow Return (20,000) - -$ 2-Jan-26 J.P. MORGAN SECURITIES AUSTRALIA LIMITED Equity Borrow Return (4,594) - -$ 2-Jan-26 J.P. MORGAN SECURITIES AUSTRALIA LIMITED Equity Borrow Return (3,124) - -$ 2-Jan-26 J.P. MORGAN SECURITIES AUSTRALIA LIMITED Equity Borrow Return (6,905) - -$ 2-Jan-26 J.P. MORGAN SECURITIES AUSTRALIA LIMITED Equity Borrow Return (180) - -$ 2-Jan-26 J.P. MORGAN SECURITIES PLC Equity Borrow 4,197 - -$ 2-Jan-26 J.P. MORGAN INVESTMENT MANAGEMENT INC. Equity In-kind transaction to receive the shares/par/units 2,072 - -$ 2-Jan-26 J.P. MORGAN INVESTMENT MANAGEMENT INC. Equity In-kind transaction to receive the shares/par/units 6,734 - -$ 2-Jan-26 JPMORGAN CHASE BANK, N.A. Equity Borrow Return (4,000) - -$ 2-Jan-26 JPMORGAN CHASE BANK, N.A. Equity Borrow 8,019 - -$ 2-Jan-26 JPMORGAN CHASE BANK, N.A. Equity Borrow Return (14,392) - -$ 2-Jan-26 JPMORGAN CHASE BANK, N.A. Equity Borrow Return (453,886) - -$ 2-Jan-26 JPMORGAN CHASE BANK, N.A. Equity Borrow Return (515,000) - -$ 2-Jan-26 JPMORGAN CHASE BANK, N.A. Equity Borrow Return (6,712) - -$ 5-Jan-26 J.P. MORGAN SECURITIES AUSTRALIA LIMITED Equity Sell (1,444) 149.59 216,007.96$ 5-Jan-26 J.P. MORGAN SECURITIES AUSTRALIA LIMITED Equity Sell (73) 149.59 10,920.07$ 5-Jan-26 J.P. MORGAN SECURITIES AUSTRALIA LIMITED Equity Sell (200) 149.65 29,930.00$ 5-Jan-26 J.P. MORGAN SECURITIES AUSTRALIA LIMITED Equity Sell (6) 149.23 895.35$ 5-Jan-26 J.P. MORGAN SECURITIES AUSTRALIA LIMITED Equity Sell (122) 148.29 18,091.38$ 5-Jan-26 J.P. MORGAN SECURITIES AUSTRALIA LIMITED Equity Sell (3,054) 149.59 456,847.86$ 5-Jan-26 J.P. MORGAN SECURITIES AUSTRALIA LIMITED Equity Sell (1,444) 149.44 215,789.12$ 5-Jan-26 J.P. MORGAN SECURITIES AUSTRALIA LIMITED Equity Sell (64) 149.49 9,567.60$ 5-Jan-26 J.P. MORGAN SECURITIES AUSTRALIA LIMITED Equity Sell (37,370) 149.44 5,584,545.82$ 5-Jan-26 J.P. MORGAN SECURITIES AUSTRALIA LIMITED Equity Sell (805) 149.59 120,419.95$ 5-Jan-26 J.P. MORGAN SECURITIES AUSTRALIA LIMITED Equity Buy 570 149.59 85,266.30$ 5-Jan-26 J.P. MORGAN SECURITIES AUSTRALIA LIMITED Equity Buy 1,444 149.59 216,007.96$ 5-Jan-26 J.P. MORGAN SECURITIES AUSTRALIA LIMITED Equity Buy 2,768 149.62 414,135.20$ 5-Jan-26 J.P. MORGAN SECURITIES AUSTRALIA LIMITED Equity Buy 200 149.52 29,904.00$ 5-Jan-26 J.P. MORGAN SECURITIES AUSTRALIA LIMITED Equity Buy 1,182 149.25 176,408.73$ 5-Jan-26 J.P. MORGAN SECURITIES PLC Equity Buy 167 149.59 24,981.53$ 5-Jan-26 J.P. MORGAN SECURITIES AUSTRALIA LIMITED Equity Buy 26 149.59 3,889.34$ 5-Jan-26 J.P. MORGAN SECURITIES PLC Equity Borrow 74,013 - -$ 5-Jan-26 J.P. MORGAN SECURITIES PLC Equity Borrow 1,518 - -$ 5-Jan-26 J.P. MORGAN INVESTMENT MANAGEMENT INC. Equity In-kind transaction to deliver the shares/par/units (30,345) - -$ 5-Jan-26 JPMORGAN ASSET MANAGEMENT (UK) LIMITED Equity Sell (527) 149.59 78,833.93$ 5-Jan-26 JPMORGAN CHASE BANK, N.A. Equity Borrow 25,000 - -$ 5-Jan-26 JPMORGAN CHASE BANK, N.A. Equity Borrow Return (54) - -$ 6-Jan-26 J.P. MORGAN SECURITIES AUSTRALIA LIMITED Equity Sell (2,033) 152.27 309,564.91$ 6-Jan-26 J.P. MORGAN SECURITIES AUSTRALIA LIMITED Equity Sell (14,630) 152.27 2,227,710.10$ 6-Jan-26 J.P. MORGAN SECURITIES AUSTRALIA LIMITED Equity Sell (2,086) 152.27 317,635.22$ 6-Jan-26 J.P. MORGAN SECURITIES AUSTRALIA LIMITED Equity Sell (230) 151.81 34,915.96$ 6-Jan-26 J.P. MORGAN SECURITIES AUSTRALIA LIMITED Equity Sell (2,172) 151.98 330,107.90$ 6-Jan-26 J.P. MORGAN SECURITIES AUSTRALIA LIMITED Equity Sell (27,763) 152.14 4,223,757.29$ 6-Jan-26 J.P. MORGAN SECURITIES AUSTRALIA LIMITED Equity Sell (2,494) 152.27 379,761.38$ 6-Jan-26 J.P. MORGAN SECURITIES AUSTRALIA LIMITED Equity Sell (11) 151.85 1,670.35$ 6-Jan-26 J.P. MORGAN SECURITIES PLC Equity Sell (4,384) 152.27 667,551.68$ 6-Jan-26 J.P. MORGAN SECURITIES PLC Equity Sell (1,043) 152.04 158,581.47$ 6-Jan-26 J.P. MORGAN SECURITIES AUSTRALIA LIMITED Equity Buy 4,357 152.27 663,440.39$ 6-Jan-26 J.P. MORGAN SECURITIES AUSTRALIA LIMITED Equity Buy 2,033 152.27 309,564.91$ 6-Jan-26 J.P. MORGAN SECURITIES AUSTRALIA LIMITED Equity Buy 11,686 152.27 1,779,427.22$ 6-Jan-26 J.P. MORGAN SECURITIES AUSTRALIA LIMITED Equity Buy 189 152.27 28,779.03$ 6-Jan-26 J.P. MORGAN SECURITIES AUSTRALIA LIMITED Equity Buy 49 151.61 7,428.65$ 6-Jan-26 J.P. MORGAN SECURITIES AUSTRALIA LIMITED Equity Buy 17 151.27 2,571.52$ 6-Jan-26 J.P. MORGAN SECURITIES AUSTRALIA LIMITED Equity Buy 47 152.93 7,187.71$ 6-Jan-26 J.P. MORGAN SECURITIES AUSTRALIA LIMITED Equity Buy 1,548 151.78 234,962.65$ 6-Jan-26 J.P. MORGAN SECURITIES AUSTRALIA LIMITED Equity Buy 380 151.26 57,478.72$ 6-Jan-26 J.P. MORGAN SECURITIES AUSTRALIA LIMITED Equity Buy 7,173 152.06 1,090,755.84$ 6-Jan-26 J.P. MORGAN SECURITIES AUSTRALIA LIMITED Equity Buy 37,881 152.06 5,760,340.44$ 6-Jan-26 J.P. MORGAN SECURITIES PLC Equity Borrow 25,000 - -$ 6-Jan-26 J.P. MORGAN SECURITIES PLC Equity Borrow 77,570 - -$ 6-Jan-26 J.P. MORGAN SECURITIES AUSTRALIA LIMITED Equity Borrow 5,000 - -$ 6-Jan-26 JPMORGAN ASSET MANAGEMENT (UK) LIMITED Equity Buy 148 152.93 22,633.64$ 6-Jan-26 J.P. MORGAN INVESTMENT MANAGEMENT INC. Equity Buy 200 152.93 30,586.00$ 6-Jan-26 JPMORGAN ASSET MANAGEMENT (UK) LIMITED Equity Sell (495) 152.93 75,700.35$ 6-Jan-26 J.P. MORGAN INVESTMENT MANAGEMENT INC. Equity In-kind transaction to receive the shares/par/units 1,036 - -$ 6-Jan-26 JPMORGAN ASSET MANAGEMENT (UK) LIMITED Equity Sell (288) 152.93 44,043.84$ 6-Jan-26 JPMORGAN CHASE BANK, N.A. Equity Borrow 10,323 - -$ 6-Jan-26 JPMORGAN CHASE BANK, N.A. Equity Borrow Return (174,100) - -$ 7-Jan-26 J.P. MORGAN SECURITIES AUSTRALIA LIMITED Equity Sell (597) 154.73 92,373.81$ 7-Jan-26 J.P. MORGAN SECURITIES AUSTRALIA LIMITED Equity Sell (9,752) 154.73 1,508,926.96$ 7-Jan-26 J.P. MORGAN SECURITIES AUSTRALIA LIMITED Equity Sell (4,395) 154.73 680,038.35$ 7-Jan-26 J.P. MORGAN SECURITIES AUSTRALIA LIMITED Equity Sell (9,160) 154.73 1,417,326.80$ 7-Jan-26 J.P. MORGAN SECURITIES AUSTRALIA LIMITED Equity Sell (9) 152.87 1,375.83$ 7-Jan-26 J.P. MORGAN SECURITIES AUSTRALIA LIMITED Equity Sell (305) 154.72 47,189.60$ 7-Jan-26 J.P. MORGAN SECURITIES AUSTRALIA LIMITED Equity Sell (9,198) 154.19 1,418,268.99$ 7-Jan-26 J.P. MORGAN SECURITIES AUSTRALIA LIMITED Equity Sell (189) 154.72 29,242.08$ 7-Jan-26 J.P. MORGAN SECURITIES AUSTRALIA LIMITED Equity Sell (348) 154.14 53,639.48$ 7-Jan-26 J.P. MORGAN SECURITIES AUSTRALIA LIMITED Equity Sell (50) 153.00 7,649.84$ 7-Jan-26 J.P. MORGAN SECURITIES AUSTRALIA LIMITED Equity Sell (22) 153.40 3,374.73$ 7-Jan-26 J.P. MORGAN SECURITIES AUSTRALIA LIMITED Equity Sell (895) 154.73 138,483.35$ 7-Jan-26 J.P. MORGAN SECURITIES AUSTRALIA LIMITED Equity Sell (1,590) 154.73 246,020.70$ 7-Jan-26 J.P. MORGAN SECURITIES AUSTRALIA LIMITED Equity Sell (12) 152.97 1,835.64$ 7-Jan-26 J.P. MORGAN SECURITIES AUSTRALIA LIMITED Equity Sell (10,488) 154.54 1,620,838.59$ 7-Jan-26 J.P. MORGAN SECURITIES PLC Equity Sell (4,384) 154.73 678,336.32$ 7-Jan-26 J.P. MORGAN SECURITIES AUSTRALIA LIMITED Equity Sell (89) 153.32 13,645.48$ 7-Jan-26 J.P. MORGAN SECURITIES AUSTRALIA LIMITED Equity Sell (154) 153.32 23,611.28$ 7-Jan-26 J.P. MORGAN SECURITIES AUSTRALIA LIMITED Equity Sell (1,991) 154.73 308,067.43$ 7-Jan-26 J.P. MORGAN SECURITIES AUSTRALIA LIMITED Equity Sell (337) 152.27 51,314.99$ 7-Jan-26 J.P. MORGAN SECURITIES PLC Equity Sell (1,185) 153.41 181,789.19$ 7-Jan-26 J.P. MORGAN SECURITIES AUSTRALIA LIMITED Equity Buy 9,752 154.73 1,508,926.96$ 7-Jan-26 J.P. MORGAN SECURITIES AUSTRALIA LIMITED Equity Buy 337 154.08 51,924.64$ 7-Jan-26 J.P. MORGAN SECURITIES AUSTRALIA LIMITED Equity Buy 3,222 153.84 495,684.58$ 7-Jan-26 J.P. MORGAN SECURITIES AUSTRALIA LIMITED Equity Buy 4 154.27 617.08$ 7-Jan-26 J.P. MORGAN SECURITIES AUSTRALIA LIMITED Equity Buy 1,338 153.52 205,415.66$ 7-Jan-26 J.P. MORGAN SECURITIES AUSTRALIA LIMITED Equity Buy 44 153.67 6,761.48$ 7-Jan-26 J.P. MORGAN SECURITIES AUSTRALIA LIMITED Equity Buy 2 153.77 307.54$ 23/25


 
TRADES FOR RELEVANT PERIOD Appendix 7-Jan-26 J.P. MORGAN SECURITIES AUSTRALIA LIMITED Equity Buy 1,621 153.82 249,341.67$ 7-Jan-26 J.P. MORGAN SECURITIES AUSTRALIA LIMITED Equity Buy 940 152.92 143,744.64$ 7-Jan-26 J.P. MORGAN SECURITIES PLC Equity Buy 203 154.73 31,410.19$ 7-Jan-26 J.P. MORGAN SECURITIES AUSTRALIA LIMITED Equity Buy 1,002 153.70 154,009.61$ 7-Jan-26 J.P. MORGAN SECURITIES AUSTRALIA LIMITED Equity Buy 986 153.81 151,652.32$ 7-Jan-26 J.P. MORGAN SECURITIES AUSTRALIA LIMITED Equity Buy 54 153.06 8,265.28$ 7-Jan-26 J.P. MORGAN SECURITIES AUSTRALIA LIMITED Equity Buy 13 153.32 1,993.16$ 7-Jan-26 J.P. MORGAN SECURITIES AUSTRALIA LIMITED Equity Buy 114 153.32 17,478.48$ 7-Jan-26 J.P. MORGAN SECURITIES AUSTRALIA LIMITED Equity Buy 89 153.32 13,645.48$ 7-Jan-26 J.P. MORGAN SECURITIES AUSTRALIA LIMITED Equity Buy 3,928 154.73 607,779.44$ 7-Jan-26 J.P. MORGAN SECURITIES AUSTRALIA LIMITED Equity Buy 61 154.34 9,415.00$ 7-Jan-26 J.P. MORGAN SECURITIES AUSTRALIA LIMITED Equity Buy 32,455 154.12 5,002,104.77$ 7-Jan-26 J.P. MORGAN SECURITIES AUSTRALIA LIMITED Equity Buy 184 154.73 28,470.32$ 7-Jan-26 J.P. MORGAN SECURITIES AUSTRALIA LIMITED Equity Buy 43,439 154.13 6,695,232.22$ 7-Jan-26 J.P. MORGAN SECURITIES AUSTRALIA LIMITED Equity Borrow 10,000 - -$ 7-Jan-26 JPMORGAN ASSET MANAGEMENT (UK) LIMITED Equity Buy 26 154.72 4,022.72$ 7-Jan-26 J.P. MORGAN INVESTMENT MANAGEMENT INC. Equity Buy 18 154.72 2,784.96$ 7-Jan-26 JPMORGAN CHASE BANK, N.A. Equity Borrow Return (9,000) - -$ 7-Jan-26 JPMORGAN CHASE BANK, N.A. Equity Borrow 134,500 - -$ 8-Jan-26 J.P. MORGAN SECURITIES AUSTRALIA LIMITED Equity Sell (553) 152.63 84,404.39$ 8-Jan-26 J.P. MORGAN SECURITIES AUSTRALIA LIMITED Equity Sell (7,968) 152.63 1,216,155.84$ 8-Jan-26 J.P. MORGAN SECURITIES AUSTRALIA LIMITED Equity Sell (9,892) 152.63 1,509,815.96$ 8-Jan-26 J.P. MORGAN SECURITIES AUSTRALIA LIMITED Equity Sell (13,948) 153.12 2,135,680.27$ 8-Jan-26 J.P. MORGAN SECURITIES AUSTRALIA LIMITED Equity Sell (27) 154.31 4,166.31$ 8-Jan-26 J.P. MORGAN SECURITIES AUSTRALIA LIMITED Equity Sell (35) 152.79 5,347.70$ 8-Jan-26 J.P. MORGAN SECURITIES AUSTRALIA LIMITED Equity Sell (4,557) 153.30 698,597.37$ 8-Jan-26 J.P. MORGAN SECURITIES AUSTRALIA LIMITED Equity Sell (19,304) 152.72 2,948,062.17$ 8-Jan-26 J.P. MORGAN SECURITIES AUSTRALIA LIMITED Equity Sell (2,074) 154.14 319,694.99$ 8-Jan-26 J.P. MORGAN SECURITIES AUSTRALIA LIMITED Equity Sell (1,442) 152.63 220,097.54$ 8-Jan-26 J.P. MORGAN SECURITIES AUSTRALIA LIMITED Equity Sell (20) 154.05 3,080.90$ 8-Jan-26 J.P. MORGAN SECURITIES AUSTRALIA LIMITED Equity Sell (2,805) 152.64 428,143.61$ 8-Jan-26 J.P. MORGAN SECURITIES AUSTRALIA LIMITED Equity Sell (24) 153.60 3,686.47$ 8-Jan-26 J.P. MORGAN SECURITIES PLC Equity Sell (46) 152.63 7,020.98$ 8-Jan-26 J.P. MORGAN SECURITIES AUSTRALIA LIMITED Equity Sell (19,085) 154.73 2,953,022.05$ 8-Jan-26 J.P. MORGAN SECURITIES AUSTRALIA LIMITED Equity Buy 7,968 152.63 1,216,155.84$ 8-Jan-26 J.P. MORGAN SECURITIES AUSTRALIA LIMITED Equity Buy 9,940 152.63 1,517,142.20$ 8-Jan-26 J.P. MORGAN SECURITIES AUSTRALIA LIMITED Equity Buy 193 152.63 29,457.59$ 8-Jan-26 J.P. MORGAN SECURITIES AUSTRALIA LIMITED Equity Buy 19,085 153.26 2,924,962.06$ 8-Jan-26 J.P. MORGAN SECURITIES AUSTRALIA LIMITED Equity Buy 11,817 153.82 1,817,652.18$ 8-Jan-26 J.P. MORGAN SECURITIES AUSTRALIA LIMITED Equity Buy 6,434 153.79 989,514.53$ 8-Jan-26 J.P. MORGAN SECURITIES AUSTRALIA LIMITED Equity Buy 83 153.84 12,769.04$ 8-Jan-26 J.P. MORGAN SECURITIES AUSTRALIA LIMITED Equity Buy 1,491 153.82 229,342.00$ 8-Jan-26 J.P. MORGAN SECURITIES AUSTRALIA LIMITED Equity Buy 350 153.97 53,889.66$ 8-Jan-26 J.P. MORGAN SECURITIES PLC Equity Buy 4,384 152.63 669,129.92$ 8-Jan-26 J.P. MORGAN SECURITIES AUSTRALIA LIMITED Equity Buy 28,976 153.42 4,445,424.84$ 8-Jan-26 J.P. MORGAN SECURITIES AUSTRALIA LIMITED Equity Buy 831 153.07 127,203.09$ 8-Jan-26 J.P. MORGAN SECURITIES PLC Equity Buy 1,198 152.63 182,850.74$ 8-Jan-26 JPMORGAN ASSET MANAGEMENT (UK) LIMITED Equity Buy 142 153.60 21,811.20$ 8-Jan-26 J.P. MORGAN INVESTMENT MANAGEMENT INC. Equity Buy 63 152.63 9,615.69$ 8-Jan-26 JPMORGAN ASSET MANAGEMENT (UK) LIMITED Equity In-kind transaction to receive the shares/par/units 57 - -$ 8-Jan-26 J.P. MORGAN INVESTMENT MANAGEMENT INC. Equity Sell (245) 153.60 37,632.00$ 8-Jan-26 JPMORGAN CHASE BANK, N.A. Equity Borrow 6,000 - -$ 8-Jan-26 JPMORGAN CHASE BANK, N.A. Equity Borrow 103,000 - -$ 9-Jan-26 J.P. MORGAN SECURITIES AUSTRALIA LIMITED Equity Sell (114) 143.06 16,308.84$ 9-Jan-26 J.P. MORGAN SECURITIES AUSTRALIA LIMITED Equity Sell (4,287) 143.06 613,298.22$ 9-Jan-26 J.P. MORGAN SECURITIES AUSTRALIA LIMITED Equity Sell (21,811) 143.06 3,120,281.66$ 9-Jan-26 J.P. MORGAN SECURITIES AUSTRALIA LIMITED Equity Sell (853) 143.06 122,030.18$ 9-Jan-26 J.P. MORGAN SECURITIES AUSTRALIA LIMITED Equity Sell (831) 152.63 126,835.53$ 9-Jan-26 J.P. MORGAN SECURITIES PLC Equity Sell (26) 143.06 3,719.56$ 9-Jan-26 J.P. MORGAN SECURITIES AUSTRALIA LIMITED Equity Buy 4,287 143.06 613,298.22$ 9-Jan-26 J.P. MORGAN SECURITIES AUSTRALIA LIMITED Equity Buy 114 143.06 16,308.84$ 9-Jan-26 J.P. MORGAN SECURITIES AUSTRALIA LIMITED Equity Buy 25,905 143.06 3,705,969.30$ 9-Jan-26 J.P. MORGAN SECURITIES AUSTRALIA LIMITED Equity Buy 853 143.06 122,030.18$ 9-Jan-26 J.P. MORGAN SECURITIES AUSTRALIA LIMITED Equity Buy 52 145.93 7,588.34$ 9-Jan-26 J.P. MORGAN SECURITIES PLC Equity Buy 26 143.06 3,719.56$ 9-Jan-26 J.P. MORGAN SECURITIES AUSTRALIA LIMITED Equity Buy 122 143.36 17,490.29$ 9-Jan-26 J.P. MORGAN SECURITIES AUSTRALIA LIMITED Equity Buy 6,075 143.76 873,320.28$ 9-Jan-26 J.P. MORGAN SECURITIES PLC Equity Borrow 57,309 - -$ 9-Jan-26 J.P. MORGAN SECURITIES PLC Equity Borrow 819 - -$ 9-Jan-26 J.P. MORGAN SECURITIES PLC Equity Borrow 200,000 - -$ 9-Jan-26 J.P. MORGAN INVESTMENT MANAGEMENT INC. Equity Sell (89) 143.06 12,732.34$ 9-Jan-26 J.P. MORGAN INVESTMENT MANAGEMENT INC. Equity In-kind transaction to deliver the shares/par/units (17,850) - -$ 9-Jan-26 JPMORGAN ASSET MANAGEMENT (UK) LIMITED Equity Buy 20 148.54 2,970.80$ 9-Jan-26 JPMORGAN CHASE BANK, N.A. Equity Borrow 1,722 - -$ 9-Jan-26 JPMORGAN CHASE BANK, N.A. Equity Borrow 3,833 - -$ 9-Jan-26 JPMORGAN CHASE BANK, N.A. Equity Borrow 465,000 - -$ 9-Jan-26 JPMORGAN CHASE BANK, N.A. Equity Borrow 2,446 - -$ 9-Jan-26 JPMORGAN CHASE BANK, N.A. Equity Borrow 766 - -$ 9-Jan-26 JPMORGAN CHASE BANK, N.A. Equity Borrow 3,448 - -$ 9-Jan-26 JPMORGAN CHASE BANK, N.A. Equity Borrow 80,000 - -$ 9-Jan-26 JPMORGAN CHASE BANK, N.A. Equity Borrow 1,000 - -$ 9-Jan-26 JPMORGAN CHASE BANK, N.A. Equity Borrow 123,320 - -$ 9-Jan-26 JPMORGAN CHASE BANK, N.A. Equity Borrow 49,356 - -$ 9-Jan-26 JPMORGAN CHASE BANK, N.A. Equity Borrow 13,001 - -$ 9-Jan-26 JPMORGAN CHASE BANK, N.A. Equity Borrow 9,735 - -$ 9-Jan-26 JPMORGAN CHASE BANK, N.A. Equity Borrow 629 - -$ 9-Jan-26 JPMORGAN CHASE BANK, N.A. Equity Borrow 6,246 - -$ 9-Jan-26 JPMORGAN CHASE BANK, N.A. Equity Borrow 32,569 - -$ 9-Jan-26 JPMORGAN CHASE BANK, N.A. Equity Borrow 7,318 - -$ 9-Jan-26 JPMORGAN CHASE BANK, N.A. Equity Borrow 305,000 - -$ 9-Jan-26 JPMORGAN CHASE BANK, N.A. Equity Borrow Return (255,000) - -$ 9-Jan-26 JPMORGAN CHASE BANK, N.A. Equity Borrow Return (5,810) - -$ 12-Jan-26 J.P. MORGAN SECURITIES AUSTRALIA LIMITED Equity Sell (123) 143.06 17,596.38$ 12-Jan-26 J.P. MORGAN SECURITIES AUSTRALIA LIMITED Equity Sell (31) 142.43 4,415.33$ 12-Jan-26 J.P. MORGAN SECURITIES AUSTRALIA LIMITED Equity Sell (896) 142.38 127,575.10$ 12-Jan-26 J.P. MORGAN SECURITIES AUSTRALIA LIMITED Equity Sell (11) 144.63 1,590.88$ 12-Jan-26 J.P. MORGAN SECURITIES AUSTRALIA LIMITED Equity Sell (119) 143.41 17,065.79$ 12-Jan-26 J.P. MORGAN SECURITIES AUSTRALIA LIMITED Equity Sell (42) 142.82 5,998.62$ 12-Jan-26 J.P. MORGAN SECURITIES AUSTRALIA LIMITED Equity Sell (719) 142.78 102,657.88$ 12-Jan-26 J.P. MORGAN SECURITIES AUSTRALIA LIMITED Equity Sell (625) 142.43 89,018.75$ 12-Jan-26 J.P. MORGAN SECURITIES AUSTRALIA LIMITED Equity Sell (243) 143.47 34,862.84$ 12-Jan-26 J.P. MORGAN SECURITIES AUSTRALIA LIMITED Equity Sell (122) 143.06 17,453.32$ 12-Jan-26 J.P. MORGAN SECURITIES AUSTRALIA LIMITED Equity Sell (109) 143.06 15,593.54$ 12-Jan-26 J.P. MORGAN SECURITIES AUSTRALIA LIMITED Equity Sell (148) 143.06 21,172.88$ 12-Jan-26 J.P. MORGAN SECURITIES PLC Equity Sell (20) 142.43 2,848.60$ 12-Jan-26 J.P. MORGAN SECURITIES PLC Equity Sell (106) 142.43 15,097.58$ 12-Jan-26 J.P. MORGAN SECURITIES PLC Equity Sell (27) 142.43 3,845.61$ 12-Jan-26 J.P. MORGAN SECURITIES PLC Equity Sell (4) 142.43 569.72$ 12-Jan-26 J.P. MORGAN SECURITIES PLC Equity Sell (1) 142.43 142.43$ 12-Jan-26 J.P. MORGAN SECURITIES PLC Equity Sell (1) 142.43 142.43$ 12-Jan-26 J.P. MORGAN SECURITIES PLC Equity Sell (1) 142.43 142.43$ 12-Jan-26 J.P. MORGAN SECURITIES PLC Equity Sell (17) 142.43 2,421.31$ 12-Jan-26 J.P. MORGAN SECURITIES PLC Equity Sell (38) 142.43 5,412.34$ 12-Jan-26 J.P. MORGAN SECURITIES PLC Equity Sell (177) 142.43 25,210.11$ 12-Jan-26 J.P. MORGAN SECURITIES PLC Equity Sell (16) 142.43 2,278.88$ 12-Jan-26 J.P. MORGAN SECURITIES PLC Equity Sell (34) 142.43 4,842.62$ 12-Jan-26 J.P. MORGAN SECURITIES PLC Equity Sell (2) 142.43 284.86$ 12-Jan-26 J.P. MORGAN SECURITIES AUSTRALIA LIMITED Equity Buy 1,289 142.43 183,592.27$ 12-Jan-26 J.P. MORGAN SECURITIES AUSTRALIA LIMITED Equity Buy 31 142.43 4,415.33$ 12-Jan-26 J.P. MORGAN SECURITIES AUSTRALIA LIMITED Equity Buy 14,100 142.06 2,003,073.07$ 12-Jan-26 J.P. MORGAN SECURITIES AUSTRALIA LIMITED Equity Buy 8,894 142.25 1,265,151.75$ 12-Jan-26 J.P. MORGAN SECURITIES AUSTRALIA LIMITED Equity Buy 699 141.94 99,215.10$ 12-Jan-26 J.P. MORGAN SECURITIES AUSTRALIA LIMITED Equity Buy 23 141.98 3,265.46$ 12-Jan-26 J.P. MORGAN SECURITIES AUSTRALIA LIMITED Equity Buy 1,046 142.11 148,646.03$ 12-Jan-26 J.P. MORGAN SECURITIES AUSTRALIA LIMITED Equity Buy 55 142.08 7,814.36$ 12-Jan-26 J.P. MORGAN SECURITIES AUSTRALIA LIMITED Equity Buy 1,072 142.13 152,361.91$ 12-Jan-26 J.P. MORGAN SECURITIES AUSTRALIA LIMITED Equity Buy 70 143.28 10,029.60$ 12-Jan-26 J.P. MORGAN SECURITIES AUSTRALIA LIMITED Equity Buy 83 142.43 11,821.69$ 12-Jan-26 J.P. MORGAN SECURITIES AUSTRALIA LIMITED Equity Buy 3,503 142.22 498,205.90$ 12-Jan-26 J.P. MORGAN SECURITIES AUSTRALIA LIMITED Equity Buy 9,055 141.46 1,280,932.25$ 12-Jan-26 J.P. MORGAN SECURITIES AUSTRALIA LIMITED Equity Buy 850 142.22 120,890.36$ 12-Jan-26 J.P. MORGAN SECURITIES PLC Equity Buy 20 142.43 2,848.60$ 12-Jan-26 J.P. MORGAN SECURITIES PLC Equity Buy 27 142.43 3,845.61$ 12-Jan-26 J.P. MORGAN SECURITIES PLC Equity Buy 106 142.43 15,097.58$ 12-Jan-26 J.P. MORGAN SECURITIES PLC Equity Buy 4 142.43 569.72$ 24/25


 
TRADES FOR RELEVANT PERIOD Appendix 12-Jan-26 J.P. MORGAN SECURITIES PLC Equity Buy 1 142.43 142.43$ 12-Jan-26 J.P. MORGAN SECURITIES PLC Equity Buy 1 142.43 142.43$ 12-Jan-26 J.P. MORGAN SECURITIES PLC Equity Buy 1 142.43 142.43$ 12-Jan-26 J.P. MORGAN SECURITIES PLC Equity Buy 17 142.43 2,421.31$ 12-Jan-26 J.P. MORGAN SECURITIES PLC Equity Buy 38 142.43 5,412.34$ 12-Jan-26 J.P. MORGAN SECURITIES PLC Equity Buy 177 142.43 25,210.11$ 12-Jan-26 J.P. MORGAN SECURITIES PLC Equity Buy 16 142.43 2,278.88$ 12-Jan-26 J.P. MORGAN SECURITIES PLC Equity Buy 34 142.43 4,842.62$ 12-Jan-26 J.P. MORGAN SECURITIES PLC Equity Buy 2 142.43 284.86$ 12-Jan-26 J.P. MORGAN SECURITIES PLC Equity Borrow Return (2,120) - -$ 12-Jan-26 J.P. MORGAN SECURITIES PLC Equity Borrow 6,054 - -$ 12-Jan-26 J.P. MORGAN SECURITIES PLC Equity Borrow 10,900 - -$ 12-Jan-26 J.P. MORGAN SECURITIES PLC Equity Borrow 3,102 - -$ 12-Jan-26 J.P. MORGAN SECURITIES PLC Equity Borrow 7,851 - -$ 12-Jan-26 J.P. MORGAN SECURITIES PLC Equity Borrow 1,468 - -$ 12-Jan-26 J.P. MORGAN SECURITIES PLC Equity Borrow 24,855 - -$ 12-Jan-26 J.P. MORGAN SECURITIES PLC Equity Borrow 37,891 - -$ 12-Jan-26 J.P. MORGAN SECURITIES PLC Equity Borrow 2,173 - -$ 12-Jan-26 J.P. MORGAN SECURITIES PLC Equity Borrow 470,625 - -$ 12-Jan-26 JPMORGAN ASSET MANAGEMENT (UK) LIMITED Equity Sell (2) 144.39 288.78$ 12-Jan-26 J.P. MORGAN INVESTMENT MANAGEMENT INC. Equity Sell (24) 144.39 3,465.36$ 12-Jan-26 J.P. MORGAN INVESTMENT MANAGEMENT INC. Equity Sell (144) 142.43 20,509.92$ 12-Jan-26 JPMORGAN CHASE BANK, N.A. Equity Borrow Return (137,523) - -$ 12-Jan-26 JPMORGAN CHASE BANK, N.A. Equity Borrow 12,500 - -$ 12-Jan-26 JPMORGAN CHASE BANK, N.A. Equity Borrow Return (1,503) - -$ 13-Jan-26 J.P. MORGAN SECURITIES AUSTRALIA LIMITED Equity Sell (3,750) 145.53 545,737.50$ 13-Jan-26 J.P. MORGAN SECURITIES AUSTRALIA LIMITED Equity Sell (141,147) 145.90 20,593,446.95$ 13-Jan-26 J.P. MORGAN SECURITIES AUSTRALIA LIMITED Equity Sell (882) 145.53 128,357.46$ 13-Jan-26 J.P. MORGAN SECURITIES AUSTRALIA LIMITED Equity Sell (719) 146.39 105,255.99$ 13-Jan-26 J.P. MORGAN SECURITIES AUSTRALIA LIMITED Equity Sell (22,140) 145.53 3,222,034.20$ 13-Jan-26 J.P. MORGAN SECURITIES AUSTRALIA LIMITED Equity Sell (83) 144.53 11,995.89$ 13-Jan-26 J.P. MORGAN SECURITIES PLC Equity Sell (412) 145.53 59,958.36$ 13-Jan-26 J.P. MORGAN SECURITIES PLC Equity Sell (1,040) 146.11 151,954.28$ 13-Jan-26 J.P. MORGAN SECURITIES PLC Equity Sell (163) 145.80 23,766.07$ 13-Jan-26 J.P. MORGAN SECURITIES PLC Equity Sell (1,098) 145.64 159,917.19$ 13-Jan-26 J.P. MORGAN SECURITIES PLC Equity Sell (97) 146.07 14,168.38$ 13-Jan-26 J.P. MORGAN SECURITIES PLC Equity Sell (12) 146.09 1,753.13$ 13-Jan-26 J.P. MORGAN SECURITIES PLC Equity Sell (12) 146.18 1,754.19$ 13-Jan-26 J.P. MORGAN SECURITIES AUSTRALIA LIMITED Equity Sell (850) 142.43 121,065.50$ 13-Jan-26 J.P. MORGAN SECURITIES AUSTRALIA LIMITED Equity Sell (868) 142.43 123,629.24$ 13-Jan-26 J.P. MORGAN SECURITIES AUSTRALIA LIMITED Equity Sell (98) 142.43 13,958.14$ 13-Jan-26 J.P. MORGAN SECURITIES AUSTRALIA LIMITED Equity Sell (100) 142.43 14,243.00$ 13-Jan-26 J.P. MORGAN SECURITIES AUSTRALIA LIMITED Equity Sell (1,158) 142.43 164,933.94$ 13-Jan-26 J.P. MORGAN SECURITIES AUSTRALIA LIMITED Equity Sell (1,423) 145.53 207,089.19$ 13-Jan-26 J.P. MORGAN SECURITIES AUSTRALIA LIMITED Equity Sell (228) 145.53 33,180.84$ 13-Jan-26 J.P. MORGAN SECURITIES LLC Equity On-Lend Return (139,750) - -$ 13-Jan-26 J.P. MORGAN PRIME INC. Equity On-Lend 26,495 - -$ 13-Jan-26 J.P. MORGAN SECURITIES AUSTRALIA LIMITED Equity Buy 93 146.05 13,582.64$ 13-Jan-26 J.P. MORGAN SECURITIES AUSTRALIA LIMITED Equity Buy 3,840 145.72 559,559.81$ 13-Jan-26 J.P. MORGAN SECURITIES AUSTRALIA LIMITED Equity Buy 2,320 144.79 335,923.94$ 13-Jan-26 J.P. MORGAN SECURITIES AUSTRALIA LIMITED Equity Buy 12 144.55 1,734.64$ 13-Jan-26 J.P. MORGAN SECURITIES AUSTRALIA LIMITED Equity Buy 506 144.80 73,268.36$ 13-Jan-26 J.P. MORGAN SECURITIES AUSTRALIA LIMITED Equity Buy 217 146.04 31,690.62$ 13-Jan-26 J.P. MORGAN SECURITIES AUSTRALIA LIMITED Equity Buy 2 145.35 290.69$ 13-Jan-26 J.P. MORGAN SECURITIES AUSTRALIA LIMITED Equity Buy 767 146.48 112,351.64$ 13-Jan-26 J.P. MORGAN SECURITIES AUSTRALIA LIMITED Equity Buy 156 145.99 22,774.43$ 13-Jan-26 J.P. MORGAN SECURITIES AUSTRALIA LIMITED Equity Buy 942 146.06 137,583.96$ 13-Jan-26 J.P. MORGAN SECURITIES AUSTRALIA LIMITED Equity Buy 840 146.24 122,844.39$ 13-Jan-26 J.P. MORGAN SECURITIES AUSTRALIA LIMITED Equity Buy 1 145.37 145.37$ 13-Jan-26 J.P. MORGAN SECURITIES AUSTRALIA LIMITED Equity Buy 191 146.08 27,901.69$ 13-Jan-26 J.P. MORGAN SECURITIES AUSTRALIA LIMITED Equity Buy 868 145.89 126,635.12$ 13-Jan-26 J.P. MORGAN SECURITIES AUSTRALIA LIMITED Equity Buy 1,076 146.06 157,161.74$ 13-Jan-26 J.P. MORGAN SECURITIES AUSTRALIA LIMITED Equity Buy 100 145.75 14,575.15$ 13-Jan-26 J.P. MORGAN SECURITIES AUSTRALIA LIMITED Equity Buy 1,338 145.75 195,010.39$ 13-Jan-26 J.P. MORGAN SECURITIES AUSTRALIA LIMITED Equity Buy 2,658 145.53 386,818.74$ 13-Jan-26 J.P. MORGAN SECURITIES AUSTRALIA LIMITED Equity Buy 1,423 145.53 207,089.19$ 13-Jan-26 J.P. MORGAN SECURITIES PLC Equity Buy 702 145.53 102,162.06$ 13-Jan-26 J.P. MORGAN SECURITIES AUSTRALIA LIMITED Equity Buy 10,000 145.88 1,458,781.60$ 13-Jan-26 J.P. MORGAN SECURITIES PLC Equity Borrow 200,000 - -$ 13-Jan-26 J.P. MORGAN SECURITIES PLC Equity Borrow 200,000 - -$ 13-Jan-26 J.P. MORGAN SECURITIES PLC Equity Borrow 1,300,000 - -$ 13-Jan-26 J.P. MORGAN SECURITIES PLC Equity Borrow 500,000 - -$ 13-Jan-26 J.P. MORGAN SECURITIES LLC Equity Borrow 50,000 - -$ 13-Jan-26 J.P. MORGAN SECURITIES LLC Equity Borrow 90,000 - -$ 13-Jan-26 J.P. MORGAN SECURITIES LLC Equity Borrow 601,200 - -$ 13-Jan-26 J.P. MORGAN SECURITIES LLC Equity Borrow 39,200 - -$ 13-Jan-26 J.P. MORGAN SECURITIES LLC Equity Borrow 31,200 - -$ 13-Jan-26 J.P. MORGAN SECURITIES LLC Equity Borrow 388,400 - -$ 13-Jan-26 J.P. MORGAN SECURITIES AUSTRALIA LIMITED Equity Adjustment 1,591 - -$ 13-Jan-26 J.P. MORGAN SECURITIES AUSTRALIA LIMITED Equity Adjustment 9,058 - -$ 13-Jan-26 J.P. MORGAN SECURITIES AUSTRALIA LIMITED Equity Adjustment 9,564 - -$ 13-Jan-26 J.P. MORGAN SECURITIES AUSTRALIA LIMITED Equity Adjustment 228 - -$ 13-Jan-26 J.P. MORGAN SECURITIES PLC Equity Adjustment 100 - -$ 13-Jan-26 J.P. MORGAN SECURITIES PLC Equity Adjustment 153 - -$ 13-Jan-26 JPMORGAN CHASE BANK, N.A. Equity Buy 6,889 144.14 992,981.15$ 13-Jan-26 J.P. MORGAN INVESTMENT MANAGEMENT INC. Equity Buy 5,754 144.14 829,382.14$ 13-Jan-26 JPMORGAN ASSET MANAGEMENT (UK) LIMITED Equity Buy 996 146.09 145,507.33$ 13-Jan-26 J.P. MORGAN INVESTMENT MANAGEMENT INC. Equity Buy 1,689 145.53 245,800.17$ 13-Jan-26 J.P. MORGAN INVESTMENT MANAGEMENT INC. Equity Buy 795 144.14 114,591.38$ 13-Jan-26 J.P. MORGAN INVESTMENT MANAGEMENT INC. Equity Buy 958 144.14 138,086.22$ 13-Jan-26 J.P. MORGAN INVESTMENT MANAGEMENT INC. Equity Buy 2,044 144.14 294,622.36$ 13-Jan-26 JPMORGAN ASSET MANAGEMENT (UK) LIMITED Equity Sell (360) 143.27 51,577.20$ 13-Jan-26 J.P. MORGAN INVESTMENT MANAGEMENT INC. Equity Sell (1,360) 145.53 197,920.80$ 13-Jan-26 JPMORGAN ASSET MANAGEMENT (UK) LIMITED Equity Sell (660) 145.53 96,049.80$ 13-Jan-26 J.P. MORGAN INVESTMENT MANAGEMENT INC. Equity Adjustment (270) - -$ 13-Jan-26 J.P. MORGAN INVESTMENT MANAGEMENT INC. Equity Adjustment 803 - -$ 13-Jan-26 JPMORGAN CHASE BANK, N.A. Equity Borrow 47,781 - -$ 13-Jan-26 JPMORGAN CHASE BANK, N.A. Equity Borrow 59,155 - -$ 13-Jan-26 JPMORGAN CHASE BANK, N.A. Equity Borrow 17,024 - -$ 13-Jan-26 JPMORGAN CHASE BANK, N.A. Equity Borrow 5,291 - -$ 13-Jan-26 JPMORGAN CHASE BANK, N.A. Equity Borrow 18,799 - -$ 13-Jan-26 JPMORGAN CHASE BANK, N.A. Equity Borrow 1,451,950 - -$ 13-Jan-26 JPMORGAN CHASE BANK, N.A. Equity Borrow Return (568,600) - -$ 13-Jan-26 JPMORGAN CHASE BANK, N.A. Equity Borrow Return (689,500) - -$ 13-Jan-26 JPMORGAN CHASE BANK, N.A. Equity Borrow 2,417 - -$ 13-Jan-26 JPMORGAN CHASE BANK, N.A. Equity Borrow 63,439 - -$ 13-Jan-26 JPMORGAN CHASE BANK, N.A. Equity Borrow 11,650 - -$ 13-Jan-26 JPMORGAN CHASE BANK, N.A. Equity Borrow 29,977 - -$ 13-Jan-26 JPMORGAN CHASE BANK, N.A. Equity Borrow 109,648 - -$ 13-Jan-26 JPMORGAN CHASE BANK, N.A. Equity Borrow 942,869 - -$ 13-Jan-26 JPMORGAN CHASE BANK, N.A. Equity Borrow Return (20,323) - -$ 13-Jan-26 JPMORGAN CHASE BANK, N.A. Equity Borrow Return (8,019) - -$ 13-Jan-26 JPMORGAN CHASE BANK, N.A. Equity Borrow Return (13,472) - -$ 13-Jan-26 JPMORGAN CHASE BANK, N.A. Equity Borrow Return (38,000) - -$ 13-Jan-26 JPMORGAN CHASE BANK, N.A. Equity Borrow Return (14,000) - -$ 13-Jan-26 JPMORGAN CHASE BANK, N.A. Equity Borrow Return (103,687) - -$ 13-Jan-26 JPMORGAN CHASE BANK, N.A. Equity Borrow 329 - -$ 13-Jan-26 JPMORGAN CHASE BANK, N.A. Equity Borrow 427 - -$ 13-Jan-26 JPMORGAN CHASE BANK, N.A. Equity Borrow 2,162 - -$ 13-Jan-26 JPMORGAN CHASE BANK, N.A. Equity Borrow 745,571 - -$ Balance at end of relevant period 26,467,382.23 25/25


 
Appendix: Prescribed information pursuant to securities lending arrangement disclosed under the substantial shareholding notice filed with ASX. Date: 15-Jan-2026 Company’s name: RIO TINTO LTD ISIN: AU000000RIO1 Date of change of relevant interests: 13-Jan-2026 Schedule Type of agreement Overseas Securities Lending Agreement (“OSLA”) Parties to agreement JPMorgan Chase Bank, N.A. (acting as agent) (“lender”) and Barclays Capital Securities Limited ( “Borrower”) Transfer date Settlement date 13-Jan-2026 Holder of voting rights Borrower Are there any restriction on voting rights Yes If yes, detail The borrower undertakes to use its best endeavors to arrange for the voting rights to be exercised in accordance with the instructions of the lender, provided that the lender uses its best endeavors to notify the borrower of its instructions in writing no later than 7 business days prior to the date upon which such votes are exercisable or as otherwise agreed between the parties. This undertaking is set out in clause 4(B)(vi) of the standard form OSLA. Scheduled return date (if any) None Does the borrower have the right to return early? Yes If yes, detail Borrower has right to return all and any equivalent securities early at any time in accordance with the lender’s instructions. Does the lender have the right to recall early? Yes If yes, detail Lender has right to recall all or any equivalent securities at any time by giving notice on any business day of not less than the standard settlement time for such equivalent securities on the exchange or in the clearing organisation through which the relevant borrowed securities were originally delivered (and where there is a difference between the settlement time for sales and purchases on the relevant exchange or clearing organisation, the standard settlement time shall be the shorter of the two times). The borrower must return the securities not later than the expiry of such notice in accordance with the lender’s instructions. Will the securities be returned on settlement? Yes If yes, detail any exceptions No exceptions Statement If requested by the company to whom the prescribed form must be given, or if requested by ASIC, a copy of the agreement will be given to that company or ASIC.


 
Appendix: Prescribed information pursuant to securities lending arrangement disclosed under the substantial shareholding notice filed with ASX. Date: 15-Jan-2026 Company’s name: RIO TINTO LTD ISIN: AU000000RIO1 Date of change of relevant interests: 13-Jan-2026 Schedule Type of agreement Master Securities Lending Agreement (“MSLA”) Parties to agreement JPMorgan Chase Bank, N.A. (acting as agent) (“lender”) and Bofa Securities, Inc. ( “Borrower”) Transfer date Settlement date 14-Jan-2026 15-Jan-2026 Holder of voting rights Borrower Are there any restriction on voting rights Yes If yes, detail The borrower undertakes to use its best endeavors to arrange for the voting rights to be exercised in accordance with the instructions of the lender, provided that the lender uses its best endeavors to notify the borrower of its instructions in writing no later than 7 business days prior to the date upon which such votes are exercisable or as otherwise agreed between the parties. This undertaking is set out as per the rights of the borrower as stated in the MSLA. Scheduled return date (if any) None Does the borrower have the right to return early? Yes If yes, detail Borrower has right to return all and any equivalent securities early at any time in accordance with the lender’s instructions. Does the lender have the right to recall early? Yes If yes, detail Lender has right to recall all or any equivalent securities at any time by giving notice on any business day of not less than the standard settlement time for such equivalent securities on the exchange or in the clearing organisation through which the relevant borrowed securities were originally delivered (and where there is a difference between the settlement time for sales and purchases on the relevant exchange or clearing organisation, the standard settlement time shall be the shorter of the two times). The borrower must return the securities not later than the expiry of such notice in accordance with the lender’s instructions. Will the securities be returned on settlement? Yes If yes, detail any exceptions No exceptions Statement If requested by the company to whom the prescribed form must be given, or if requested by ASIC, a copy of the agreement will be given to that company or ASIC.


 
Appendix: Prescribed information pursuant to securities lending arrangement disclosed under the substantial shareholding notice filed with ASX. Date: 15-Jan-2026 Company’s name: RIO TINTO LTD ISIN: AU000000RIO1 Date of change of relevant interests: 13-Jan-2026 Schedule Type of agreement Global Master Securities Lending Agreement ("GMSLA") Parties to agreement JPMorgan Chase Bank, N.A. (acting as agent) (“lender”) and Citigroup Global Markets Limited (Borrower) Transfer date Settlement Date 29-Sep-2025 28-Nov-2025 Holder of voting rights Borrower Are there any restriction on voting rights Yes If yes, detail The borrower undertakes to use its best endeavors to arrange for the voting rights to be exercised in accordance with the instructions of the lender, provided that the lender uses its best endeavors to notify the borrower of its instructions in writing no later than 7 business days prior to the date upon which such votes are exercisable or as otherwise agreed between the parties. This undertaking is set out in clause 6.6 of the standard form GMSLA. Scheduled return date (if any) None Does the borrower have the right to return early? Yes If yes, detail Borrower has right to return all and any equivalent securities early at any time in accordance with the lender's instructions. Does the lender have the right to recall early? Yes If yes, detail Lender has right to recall all or any equivalent securities at any time by giving notice on any business day of not less than the standard settlement time for such equivalent securities on the exchange or in the clearing organisation through which the relevant borrowed securities were originally delivered (and where there is a difference between the settlement time for sales and purchases on the relevant exchange or clearing organisation, the standard settlement time shall be the shorter of the two times). The borrower must return the securities not later than the expiry of such notice in accordance with the lender's instructions. Will the securities be returned on settlement? Yes If yes, detail any exceptions No exceptions Statement If requested by the company to whom the prescribed form must be given, or if requested by ASIC, a copy of the agreement will be given to that company or ASIC.


 
Appendix: Prescribed information pursuant to securities lending arrangement disclosed under the substantial shareholding notice filed with ASX. Date: 15-Jan-2026 Company’s name: RIO TINTO LTD ISIN: AU000000RIO1 Date of change of relevant interests: 13-Jan-2026 Schedule Type of agreement Master Securities Lending Agreement (“MSLA”) Parties to agreement JPMorgan Chase Bank, N.A. (acting as agent) (“lender”) and Citigroup Global Markets Inc. ( “Borrower”) Transfer date Settlement date 13-Jan-2026 Holder of voting rights Borrower Are there any restriction on voting rights Yes If yes, detail The borrower undertakes to use its best endeavors to arrange for the voting rights to be exercised in accordance with the instructions of the lender, provided that the lender uses its best endeavors to notify the borrower of its instructions in writing no later than 7 business days prior to the date upon which such votes are exercisable or as otherwise agreed between the parties. This undertaking is set out as per the rights of the borrower as stated in the MSLA. Scheduled return date (if any) None Does the borrower have the right to return early? Yes If yes, detail Borrower has right to return all and any equivalent securities early at any time in accordance with the lender’s instructions. Does the lender have the right to recall early? Yes If yes, detail Lender has right to recall all or any equivalent securities at any time by giving notice on any business day of not less than the standard settlement time for such equivalent securities on the exchange or in the clearing organisation through which the relevant borrowed securities were originally delivered (and where there is a difference between the settlement time for sales and purchases on the relevant exchange or clearing organisation, the standard settlement time shall be the shorter of the two times). The borrower must return the securities not later than the expiry of such notice in accordance with the lender’s instructions. Will the securities be returned on settlement? Yes If yes, detail any exceptions No exceptions Statement If requested by the company to whom the prescribed form must be given, or if requested by ASIC, a copy of the agreement will be given to that company or ASIC.


 
Appendix: Prescribed information pursuant to securities lending arrangement disclosed under the substantial shareholding notice filed with ASX. Date: 15-Jan-2026 Company’s name: RIO TINTO LTD ISIN: AU000000RIO1 Date of change of relevant interests: 13-Jan-2026 Schedule Type of agreement Master Securities Lending Agreement (“MSLA”) Parties to agreement JPMorgan Chase Bank, N.A. (acting as agent) (“lender”) and Goldman Sachs & Co. LLC ( “Borrower”) Transfer date Settlement Date 28-Nov-2025 09-Dec-2025 16-Dec-2025 15-Jan-2026 Holder of voting rights Borrower Are there any restriction on voting rights Yes If yes, detail The borrower undertakes to use its best endeavors to arrange for the voting rights to be exercised in accordance with the instructions of the lender, provided that the lender uses its best endeavors to notify the borrower of its instructions in writing no later than 7 business days prior to the date upon which such votes are exercisable or as otherwise agreed between the parties. This undertaking is set out as per the rights of the borrower as stated in the MSLA. Scheduled return date (if any) None Does the borrower have the right to return early? Yes If yes, detail Borrower has right to return all and any equivalent securities early at any time in accordance with the lender’s instructions. Does the lender have the right to recall early? Yes If yes, detail Lender has right to recall all or any equivalent securities at any time by giving notice on any business day of not less than the standard settlement time for such equivalent securities on the exchange or in the clearing organisation through which the relevant borrowed securities were originally delivered (and where there is a difference between the settlement time for sales and purchases on the relevant exchange or clearing organisation, the standard settlement time shall be the shorter of the two times). The borrower must return the securities not later than the expiry of such notice in accordance with the lender’s instructions. Will the securities be returned on settlement? Yes If yes, detail any exceptions No exceptions Statement If requested by the company to whom the prescribed form must be given, or if requested by ASIC, a copy of the agreement will be given to that company or ASIC.


 
Appendix: Prescribed information pursuant to securities lending arrangement disclosed under the substantial shareholding notice filed with ASX. Date: 15-Jan-2026 Company’s name: RIO TINTO LTD ISIN: AU000000RIO1 Date of change of relevant interests: 13-Jan-2026 Schedule Type of agreement Global Master Securities Lending Agreement ("GMSLA") Parties to agreement JPMorgan Chase Bank, N.A. (acting as agent) (“lender”) and Goldman Sachs International (Borrower) Transfer date Settlement Date 09-Jul-2025 26-Aug-2025 03-Sep-2025 24-Nov-2025 25-Nov-2025 Holder of voting rights Borrower Are there any restriction on voting rights Yes If yes, detail The borrower undertakes to use its best endeavors to arrange for the voting rights to be exercised in accordance with the instructions of the lender, provided that the lender uses its best endeavors to notify the borrower of its instructions in writing no later than 7 business days prior to the date upon which such votes are exercisable or as otherwise agreed between the parties. This undertaking is set out in clause 6.6 of the standard form GMSLA. Scheduled return date (if any) None Does the borrower have the right to return early? Yes If yes, detail Borrower has right to return all and any equivalent securities early at any time in accordance with the lender's instructions. Does the lender have the right to recall early? Yes If yes, detail Lender has right to recall all or any equivalent securities at any time by giving notice on any business day of not less than the standard settlement time for such equivalent securities on the exchange or in the clearing organisation through which the relevant borrowed securities were originally delivered (and where there is a difference between the settlement time for sales and purchases on the relevant exchange or clearing organisation, the standard settlement time shall be the shorter of the two times). The borrower must return the securities not later than the expiry of such notice in accordance with the lender's instructions. Will the securities be returned on settlement? Yes If yes, detail any exceptions No exceptions Statement If requested by the company to whom the prescribed form must be given, or if requested by ASIC, a copy of the agreement will be given to that company or ASIC.


 
Appendix: Prescribed information pursuant to securities lending arrangement disclosed under the substantial shareholding notice filed with ASX. Date: 15-Jan-2026 Company’s name: RIO TINTO LTD ISIN: AU000000RIO1 Date of change of relevant interests: 13-Jan-2026 Schedule Type of agreement Global Master Securities Lending Agreement (“GMSLA”) Parties to agreement JPMorgan Chase Bank, N.A. (acting as agent) (“lender”) and JEFFERIES INTERNATIONAL LIMITED ( “Borrower”) Transfer date Settlement Date 13-Jan-2026 Holder of voting rights Borrower Are there any restriction on voting rights Yes If yes, detail The borrower undertakes to use its best endeavors to arrange for the voting rights to be exercised in accordance with the instructions of the lender, provided that the lender uses its best endeavors to notify the borrower of its instructions in writing no later than 7 business days prior to the date upon which such votes are exercisable or as otherwise agreed between the parties. This undertaking is set out in clause 6.6 of the standard form GMSLA. Scheduled return date (if any) None Does the borrower have the right to return early? Yes If yes, detail Borrower has right to return all and any equivalent securities early at any time in accordance with the lender’s instructions. Does the lender have the right to recall early? Yes If yes, detail Lender has right to recall all or any equivalent securities at any time by giving notice on any business day of not less than the standard settlement time for such equivalent securities on the exchange or in the clearing organisation through which the relevant borrowed securities were originally delivered (and where there is a difference between the settlement time for sales and purchases on the relevant exchange or clearing organisation, the standard settlement time shall be the shorter of the two times). The borrower must return the securities not later than the expiry of such notice in accordance with the lender’s instructions. Will the securities be returned on settlement? Yes If yes, detail any exceptions No exceptions Statement If requested by the company to whom the prescribed form must be given, or if requested by ASIC, a copy of the agreement will be given to that company or ASIC.


 
Appendix: Prescribed information pursuant to securities lending arrangement disclosed under the substantial shareholding notice filed with ASX. Date: 15-Jan-2026 Company’s name: RIO TINTO LTD ISIN: AU000000RIO1 Date of change of relevant interests: 13-Jan-2026 Schedule Type of agreement Australian Master Securities Lending Agreement (“AMSLA”) Parties to agreement JPMorgan Chase Bank, N.A. (acting as agent) (“lender”) and Macquarie Bank Limited(Borrower) Transfer date Settlement Date 12-Sep-2025 19-Nov-2025 12-Jan-2026 13-Jan-2026 Holder of voting rights Borrower Are there any restriction on voting rights Yes If yes, detail The borrower undertakes to use its best endeavors to arrange for the voting rights to be exercised in accordance with the instructions of the lender, provided that the lender uses its best endeavors to notify the borrower of its instructions in writing no later than 7 business days prior to the date upon which such votes are exercisable or as otherwise agreed between the parties. This undertaking is set out in clause 4.3 of the standard form AMSLA. Scheduled return date (if any) None Does the borrower have the right to return early? Yes If yes, detail Borrower has right to return all and any equivalent securities early at any time in accordance with the lender’s instructions. Does the lender have the right to recall early? Yes If yes, detail Lender has right to recall all or any equivalent securities at any time by giving notice on any business day of not less than the standard settlement time for such equivalent securities on the exchange or in the clearing organisation through which the relevant borrowed securities were originally delivered (and where there is a difference between the settlement time for sales and purchases on the relevant exchange or clearing organisation, the standard settlement time shall be the shorter of the two times). The borrower must return the securities not later than the expiry of such notice in accordance with the lender’s instructions. Will the securities be returned on settlement? Yes If yes, detail any exceptions No exceptions Statement If requested by the company to whom the prescribed form must be given, or if requested by ASIC, a copy of the agreement will be given to that company or ASIC.


 
Appendix: Prescribed information pursuant to securities lending arrangement disclosed under the substantial shareholding notice filed with ASX. Date: 15-Jan-2026 Company’s name: RIO TINTO LTD ISIN: AU000000RIO1 Date of change of relevant interests: 13-Jan-2026 Schedule Type of agreement Global Master Securities Lending Agreement ("GMSLA") Parties to agreement JPMorgan Chase Bank, N.A. (acting as agent) (“lender”) and Merrill Lynch International(Borrower) Transfer date Settlement Date 03-Oct-2025 16-Oct-2025 23-Oct-2025 17-Dec-2025 30-Dec-2025 09-Jan-2026 12-Jan-2026 13-Jan-2026 Holder of voting rights Borrower Are there any restriction on voting rights Yes If yes, detail The borrower undertakes to use its best endeavors to arrange for the voting rights to be exercised in accordance with the instructions of the lender, provided that the lender uses its best endeavors to notify the borrower of its instructions in writing no later than 7 business days prior to the date upon which such votes are exercisable or as otherwise agreed between the parties. This undertaking is set out in clause 6.6 of the standard form GMSLA. Scheduled return date (if any) None Does the borrower have the right to return early? Yes If yes, detail Borrower has right to return all and any equivalent securities early at any time in accordance with the lender's instructions. Does the lender have the right to recall early? Yes If yes, detail Lender has right to recall all or any equivalent securities at any time by giving notice on any business day of not less than the standard settlement time for such equivalent securities on the exchange or in the clearing organisation through which the relevant borrowed securities were originally delivered (and where there is a difference between the settlement time for sales and purchases on the relevant exchange or clearing organisation, the standard settlement time shall be the shorter of the two times). The borrower must return the securities not later than the expiry of such notice in accordance with the lender's instructions. Will the securities be returned on settlement? Yes If yes, detail any exceptions No exceptions Statement If requested by the company to whom the prescribed form must be given, or if requested by ASIC, a copy of the agreement will be given to that company or ASIC.


 
Appendix: Prescribed information pursuant to securities lending arrangement disclosed under the substantial shareholding notice filed with ASX. Date: 15-Jan-2026 Company’s name: RIO TINTO LTD ISIN: AU000000RIO1 Date of change of relevant interests: 13-Jan-2026 Schedule Type of agreement Global Master Securities Lending Agreement ("GMSLA") Parties to agreement JPMorgan Chase Bank, N.A. (acting as agent) (“lender”) and Morgan Stanley & Co. International PLC (Borrower) Transfer date Settlement Date 02-Jan-2026 Holder of voting rights Borrower Are there any restriction on voting rights Yes If yes, detail The borrower undertakes to use its best endeavors to arrange for the voting rights to be exercised in accordance with the instructions of the lender, provided that the lender uses its best endeavors to notify the borrower of its instructions in writing no later than 7 business days prior to the date upon which such votes are exercisable or as otherwise agreed between the parties. This undertaking is set out in clause 6.6 of the standard form GMSLA. Scheduled return date (if any) None Does the borrower have the right to return early? Yes If yes, detail Borrower has right to return all and any equivalent securities early at any time in accordance with the lender's instructions. Does the lender have the right to recall early? Yes If yes, detail Lender has right to recall all or any equivalent securities at any time by giving notice on any business day of not less than the standard settlement time for such equivalent securities on the exchange or in the clearing organisation through which the relevant borrowed securities were originally delivered (and where there is a difference between the settlement time for sales and purchases on the relevant exchange or clearing organisation, the standard settlement time shall be the shorter of the two times). The borrower must return the securities not later than the expiry of such notice in accordance with the lender's instructions. Will the securities be returned on settlement? Yes If yes, detail any exceptions No exceptions Statement If requested by the company to whom the prescribed form must be given, or if requested by ASIC, a copy of the agreement will be given to that company or ASIC.


 
Appendix: Prescribed information pursuant to securities lending arrangement disclosed under the substantial shareholding notice filed with ASX. Date: 15-Jan-2026 Company’s name: RIO TINTO LTD ISIN: AU000000RIO1 Date of change of relevant interests: 13-Jan-2026 Schedule Type of agreement Australian Master Securities Lending Agreement (“AMSLA”) Parties to agreement JPMorgan Chase Bank, N.A. (acting as agent) (“lender”) and NATIONAL AUSTRALIA BANK LIMITED (“Borrower”) Transfer date Settlement Date 07-Jul-2025 09-Jan-2026 Holder of voting rights Borrower Are there any restriction on voting rights Yes If yes, detail The borrower undertakes to use its best endeavors to arrange for the voting rights to be exercised in accordance with the instructions of the lender, provided that the lender uses its best endeavors to notify the borrower of its instructions in writing no later than 7 business days prior to the date upon which such votes are exercisable or as otherwise agreed between the parties. This undertaking is set out in clause 4.3 of the standard form AMSLA. Scheduled return date (if any) None Does the borrower have the right to return early? Yes If yes, detail Borrower has right to return all and any equivalent securities early at any time in accordance with the lender’s instructions. Does the lender have the right to recall early? Yes If yes, detail Lender has right to recall all or any equivalent securities at any time by giving notice on any business day of not less than the standard settlement time for such equivalent securities on the exchange or in the clearing organisation through which the relevant borrowed securities were originally delivered (and where there is a difference between the settlement time for sales and purchases on the relevant exchange or clearing organisation, the standard settlement time shall be the shorter of the two times). The borrower must return the securities not later than the expiry of such notice in accordance with the lender’s instructions. Will the securities be returned on settlement? Yes If yes, detail any exceptions No exceptions Statement If requested by the company to whom the prescribed form must be given, or if requested by ASIC, a copy of the agreement will be given to that company or ASIC.


 
Appendix: Prescribed information pursuant to securities lending arrangement disclosed under the substantial shareholding notice filed with ASX. Date: 15-Jan-2026 Company’s name: RIO TINTO LTD ISIN: AU000000RIO1 Date of change of relevant interests: 13-Jan-2026 Schedule Type of agreement Global Master Securities Lending Agreement ("GMSLA") Parties to agreement JPMorgan Chase Bank, N.A. (acting as agent) (“lender”) and Nomura International PLC (Borrower) Transfer date Settlement Date 28-Nov-2025 Holder of voting rights Borrower Are there any restriction on voting rights Yes If yes, detail The borrower undertakes to use its best endeavors to arrange for the voting rights to be exercised in accordance with the instructions of the lender, provided that the lender uses its best endeavors to notify the borrower of its instructions in writing no later than 7 business days prior to the date upon which such votes are exercisable or as otherwise agreed between the parties. This undertaking is set out in clause 6.6 of the standard form GMSLA. Scheduled return date (if any) None Does the borrower have the right to return early? Yes If yes, detail Borrower has right to return all and any equivalent securities early at any time in accordance with the lender's instructions. Does the lender have the right to recall early? Yes If yes, detail Lender has right to recall all or any equivalent securities at any time by giving notice on any business day of not less than the standard settlement time for such equivalent securities on the exchange or in the clearing organisation through which the relevant borrowed securities were originally delivered (and where there is a difference between the settlement time for sales and purchases on the relevant exchange or clearing organisation, the standard settlement time shall be the shorter of the two times). The borrower must return the securities not later than the expiry of such notice in accordance with the lender's instructions. Will the securities be returned on settlement? Yes If yes, detail any exceptions No exceptions Statement If requested by the company to whom the prescribed form must be given, or if requested by ASIC, a copy of the agreement will be given to that company or ASIC.


 
Appendix: Prescribed information pursuant to securities lending arrangement disclosed under the substantial shareholding notice filed with ASX. Date: 15-Jan-2026 Company’s name: RIO TINTO LTD ISIN: AU000000RIO1 Date of change of relevant interests: 13-Jan-2026 Schedule Type of agreement Australian Master Securities Lending Agreement (“AMSLA”) Parties to agreement JPMorgan Chase Bank, N.A. (acting as agent) (“lender”) and ROYAL BANK OF CANADA - SYDNEY (“Borrower”) Transfer date Settlement Date 02-Dec-2025 12-Dec-2025 17-Dec-2025 Holder of voting rights Borrower Are there any restriction on voting rights Yes If yes, detail The borrower undertakes to use its best endeavors to arrange for the voting rights to be exercised in accordance with the instructions of the lender, provided that the lender uses its best endeavors to notify the borrower of its instructions in writing no later than 7 business days prior to the date upon which such votes are exercisable or as otherwise agreed between the parties. This undertaking is set out in clause 4.3 of the standard form AMSLA. Scheduled return date (if any) None Does the borrower have the right to return early? Yes If yes, detail Borrower has right to return all and any equivalent securities early at any time in accordance with the lender’s instructions. Does the lender have the right to recall early? Yes If yes, detail Lender has right to recall all or any equivalent securities at any time by giving notice on any business day of not less than the standard settlement time for such equivalent securities on the exchange or in the clearing organisation through which the relevant borrowed securities were originally delivered (and where there is a difference between the settlement time for sales and purchases on the relevant exchange or clearing organisation, the standard settlement time shall be the shorter of the two times). The borrower must return the securities not later than the expiry of such notice in accordance with the lender’s instructions. Will the securities be returned on settlement? Yes If yes, detail any exceptions No exceptions Statement If requested by the company to whom the prescribed form must be given, or if requested by ASIC, a copy of the agreement will be given to that company or ASIC.


 
Appendix: Prescribed information pursuant to securities lending arrangement disclosed under the substantial shareholding notice filed with ASX. Date: 15-Jan-2026 Company’s name: RIO TINTO LTD ISIN: AU000000RIO1 Date of change of relevant interests: 13-Jan-2026 Schedule Type of agreement Australian Master Securities Lending Agreement (“AMSLA”) Parties to agreement JPMorgan Chase Bank, N.A. (acting as agent) (“lender”) and UBS Securities Australia Ltd (Borrower) Transfer date Settlement Date 12-Jan-2026 Holder of voting rights Borrower Are there any restriction on voting rights Yes If yes, detail The borrower undertakes to use its best endeavors to arrange for the voting rights to be exercised in accordance with the instructions of the lender, provided that the lender uses its best endeavors to notify the borrower of its instructions in writing no later than 7 business days prior to the date upon which such votes are exercisable or as otherwise agreed between the parties. This undertaking is set out in clause 4.3 of the standard form AMSLA. Scheduled return date (if any) None Does the borrower have the right to return early? Yes If yes, detail Borrower has right to return all and any equivalent securities early at any time in accordance with the lender’s instructions. Does the lender have the right to recall early? Yes If yes, detail Lender has right to recall all or any equivalent securities at any time by giving notice on any business day of not less than the standard settlement time for such equivalent securities on the exchange or in the clearing organisation through which the relevant borrowed securities were originally delivered (and where there is a difference between the settlement time for sales and purchases on the relevant exchange or clearing organisation, the standard settlement time shall be the shorter of the two times). The borrower must return the securities not later than the expiry of such notice in accordance with the lender’s instructions. Will the securities be returned on settlement? Yes If yes, detail any exceptions No exceptions Statement If requested by the company to whom the prescribed form must be given, or if requested by ASIC, a copy of the agreement will be given to that company or ASIC.


 
Appendix: Prescribed information pursuant to securities lending arrangement disclosed under the substantial shareholding notice filed with ASX. Date: 15-Jan-2026 Company’s name: RIO TINTO LTD ISIN: AU000000RIO1 Date of change of relevant interests: 13-Jan-2026 Schedule Type of agreement Master Securities Lending Agreement (“MSLA”) Parties to agreement JPMorgan Chase Bank, N.A. (acting as agent) (“lender”) and UBS SECURITIES LLC ( “Borrower”) Transfer date Settlement Date 15-Jan-2026 Holder of voting rights Borrower Are there any restriction on voting rights Yes If yes, detail The borrower undertakes to use its best endeavors to arrange for the voting rights to be exercised in accordance with the instructions of the lender, provided that the lender uses its best endeavors to notify the borrower of its instructions in writing no later than 7 business days prior to the date upon which such votes are exercisable or as otherwise agreed between the parties. This undertaking is set out as per the rights of the borrower as stated in the MSLA. Scheduled return date (if any) None Does the borrower have the right to return early? Yes If yes, detail Borrower has right to return all and any equivalent securities early at any time in accordance with the lender’s instructions. Does the lender have the right to recall early? Yes If yes, detail Lender has right to recall all or any equivalent securities at any time by giving notice on any business day of not less than the standard settlement time for such equivalent securities on the exchange or in the clearing organisation through which the relevant borrowed securities were originally delivered (and where there is a difference between the settlement time for sales and purchases on the relevant exchange or clearing organisation, the standard settlement time shall be the shorter of the two times). The borrower must return the securities not later than the expiry of such notice in accordance with the lender’s instructions. Will the securities be returned on settlement? Yes If yes, detail any exceptions No exceptions Statement If requested by the company to whom the prescribed form must be given, or if requested by ASIC, a copy of the agreement will be given to that company or ASIC.


 
Appendix: Prescribed information pursuant to securities lending transaction disclosed under the substantial shareholding notice filed with ASX. Date: 15-Jan-2026 Company’s name: RIO TINTO LTD ISIN: AU000000RIO1 Date of change of relevant interests: 13-Jan-2026 Schedule Type of agreement Australian Master Securities Lending Agreement ("AMSLA") Parties to agreement BNP Paribas Fund Securities Services S.C.A.(“lender”), J.P. Morgan Securities Australia Limited (“borrower”) Transfer date Settlement Date 11-Sep-2025 15-Sep-2025 05-Dec-2025 Holder of voting rights Borrower Are there any restriction on voting rights Yes If yes, detail The borrower undertakes to use its best endeavours to arrange for the voting rights to be exercised in accordance with the instructions of the other lender, provided that the lender uses its best endeavours to notify the borrower of its instructions in writing no later than 7 business days prior to the date upon which such votes are exercisable or as otherwise agreed between the parties. This undertaking is set out in clause 4.3 of the standard form AMSLA. Scheduled return date (if any) None Does the borrower have the right to return early? Yes If yes, detail Borrower has right to return all and any equivalent securities early at any time in accordance with the lender’s instructions. Does the lender have the right to recall early? Yes If yes, detail Lender has right to recall all or any equivalent securities at any time by giving notice on any business day as agreed by the parties. The borrower must return the securities not later than the expiry of such notice in accordance with the lender’s instructions. Will the securities be returned on settlement? Yes If yes, detail any exceptions No exceptions Statement If requested by the company to whom the prescribed form must be given, or if requested by ASIC, a copy of the agreement will be given to that company or ASIC.


 
Appendix: Prescribed information pursuant to securities lending transaction disclosed under the substantial shareholding notice filed with ASX. Date: 15-Jan-2026 Company’s name: RIO TINTO LTD ISIN: AU000000RIO1 Date of change of relevant interests: 13-Jan-2026 Schedule Type of agreement Australian Master Securities Lending Agreement ("AMSLA") Parties to agreement JPMorgan Chase Bank, N.A. (acting as agent) ("lender"), J.P. Morgan Securities Australia Limited ('borrower') Transfer date Settlement Date 06-Jun-2025 08-Jan-2026 Holder of voting rights Borrower Are there any restriction on voting rights Yes If yes, detail The borrower undertakes to use its best endeavours to arrange for the voting rights to be exercised in accordance with the instructions of the lender, provided that the lender uses its best endeavours to notify the borrower of its instructions in writing no later than 7 business days prior to the date upon which such votes are exercisable or as otherwise agreed between the parties. This undertaking is set out in clause 4.3 of the standard form AMSLA. Scheduled return date (if any) None Does the borrower have the right to return early? Yes If yes, detail Borrower has right to return all and any securities or equivalent securities early at any time in accordance with the lender’s instructions. Does the lender have the right to recall early? Yes If yes, detail Lender has right to recall all or any equivalent securities on any business day by giving such notice as agreed by the parties. The borrower must return the securities not later than the expiry of such notice in accordance with the lender’s instructions. Will the securities be returned on settlement? Yes If yes, detail any exceptions No exception Statement If requested by the company to whom the prescribed form must be given, or if requested by ASIC, a copy of the agreement will be given to that company or ASIC.


 
Appendix: Prescribed information pursuant to securities lending transaction disclosed under the substantial shareholding notice filed with ASX. Date: 15-Jan-2026 Company’s name: RIO TINTO LTD ISIN: AU000000RIO1 Date of change of relevant interests: 13-Jan-2026 Schedule Type of agreement Global Master Securities Lending Agreement ("GMSLA") Parties to agreement State Street Bank and Trust Company ("lender") and J.P. Morgan Securities Australia Limited ("borrower") Transfer date Settlement Date 08-Dec-2025 09-Dec-2025 09-Jan-2026 Holder of voting rights Borrower Are there any restriction on voting rights Yes If yes, detail The borrower shall have no obligation to arrange for voting rights to be exercised in accordance with the instructions of the other party, unless otherwise agreed between the parties. Scheduled return date (if any) None Does the borrower have the right to return early? Yes If yes, detail Borrower has the right to terminate a loan and redeliver all and any equivalent securities due and outstanding to the lender in accordance with lender's instructions and lender shall accept such redelivery. Does the lender have the right to recall early? Yes If yes, detail Lender has right to recall all or any equivalent securities on any business day by giving such notice as agreed by the parties. The borrower must return the securities not later than the expiry of such notice in accordance with the lender’s instructions. Will the securities be returned on settlement? Yes If yes, detail any exceptions No exceptions Statement If requested by the company to whom the prescribed form must be given, or if requested by ASIC, a copy of the agreement will be given to that company or ASIC.


 
Appendix: Prescribed information pursuant to securities lending transaction disclosed under the substantial shareholding notice filed with ASX. Date: 15-Jan-2026 Company’s name: RIO TINTO LTD ISIN: AU000000RIO1 Date of change of relevant interests: 13-Jan-2026 Schedule Type of agreement Institutional Account Agreement Parties to agreement JP Morgan Securities LLC for itself and as agent and trustee for the other J.P. Morgan Entities and VANGUARD GROUP INC (AS AGT) (herein referred to as “JPMS”). “ J.P. Morgan Entities” means, as the context may require or permit, any and all of JPMSL, JPMorgan Chase Bank, N.A., J.P. Morgan Securities LLC., J.P. Morgan Markets Limited, J.P. Morgan Securities Australia Limited, J.P. Morgan Securities (Asia Pacific) Limited, J.P. Morgan Securities Japan Co., Ltd and J.P. Morgan Prime Nominees Limited and any additional entity notified to the Company from time to time. Transfer date Settlement Date 15-Jan-2026 Holder of voting rights JPMS is the holder of the voting rights from the time at which it exercises its right to borrow. Notwithstanding this, please note that the Company has the right to recall equivalent securities if it wishes to exercise its voting rights in respect of the securities. Are there any restriction on voting rights Yes If yes, detail JPMS will not be able to exercise voting rights in circumstances where the Company has recalled equivalent securities from JPMS before the voting rights have been exercised. In these circumstances, JPMS must return the securities to the Company and the Company holds the voting rights. Scheduled return date (if any) N/A. There is no term to the loan of securities. Does the borrower have the right to return early? Yes. If yes, detail JPMS has the right to return all and any securities or equivalent securities early at any time. Does the lender have the right to recall early? Yes. If yes, detail The Company has the right to recall all or any equivalent securities on demand. Will the securities be returned on settlement? Yes. Settlement of the loan will occur when JPMS returns equivalent securities to the Company. There is no term to the loan of securities. If yes, detail any exceptions Statement If requested by the company to whom the prescribed form must be given, or if requested by ASIC, a copy of the agreement will be given to that company or ASIC.


 
Appendix: Prescribed information pursuant to securities lending transaction disclosed under the substantial shareholding notice filed with ASX. Date: 15-Jan-2026 Company’s name: RIO TINTO LTD ISIN: AU000000RIO1 Date of change of relevant interests: 13-Jan-2026 Schedule Type of agreement Global Master Securities Lending Agreement ("GMSLA") Parties to agreement ABU DHABI INVESTMENT AUTHORITY (HSBC GULF FUND (TP EQ) 2021) ('lender'), J.P. Morgan Securities PLC ('borrower) Transfer date Settlement Date 08-Oct-2025 03-Dec-2025 Holder of voting rights Party holding collateral that has the voting rights. Are there any restriction on voting rights No, unless separately agreed to the contrary. If yes, detail NA Scheduled return date (if any) None Does the borrower have the right to return early? Yes If yes, detail This right is subject to the requirement that the borrower deliver alternative collateral acceptable to the lender and also to the mark to market requirements of ss 5.4 and 5.5 of this agreement. Does the lender have the right to recall early? Yes If yes, detail Lender has right to recall all or any equivalent securities on any business day by giving such notice as agreed by the parties. The borrower must return the securities not later than the expiry of such notice in accordance with the lender’s instructions. Will the securities be returned on settlement? Equivalent Securities must be returned. If yes, detail any exceptions Absent default, there are no exceptions. Statement No


 
Appendix: Prescribed information pursuant to securities lending transaction disclosed under the substantial shareholding notice filed with ASX. Date: 15-Jan-2026 Company’s name: RIO TINTO LTD ISIN: AU000000RIO1 Date of change of relevant interests: 13-Jan-2026 Schedule Type of agreement Global Master Securities Lending Agreement ("GMSLA") Parties to agreement Blackrock Advisors (UK) Limited ("lender") and J.P. Morgan Securities plc ("borrower") Transfer date Settlement Date 21-Oct-2025 04-Dec-2025 15-Dec-2025 Holder of voting rights Borrower Are there any restriction on voting rights Yes If yes, detail The borrower shall have no obligation to arrange for voting rights to be exercised in accordance with the instructions of the other party, unless otherwise agreed between the parties. Scheduled return date (if any) None Does the borrower have the right to return early? Yes If yes, detail Borrower has the right to terminate a loan and redeliver all and any equivalent securities due and outstanding to the lender in accordance with lender's instructions and lender shall accept such redelivery. Does the lender have the right to recall early? Yes.


 
If yes, detail Lender has right to recall all or any equivalent securities at any time by giving notice on any business day of not less than the standard settlement time for such equivalent securities on the exchange or in the clearing organisation through which the relevant borrowed securities were originally delivered. The borrower must return the securities not later than the expiry of such notice in accordance with the lender’s instructions. Will the securities be returned on settlement? Yes If yes, detail any exceptions No exceptions Statement If requested by the company to whom the prescribed form must be given, or if requested by ASIC, a copy of the agreement will be given to that company or ASIC.


 
Appendix: Prescribed information pursuant to securities lending transaction disclosed under the substantial shareholding notice filed with ASX. Date: 15-Jan-2026 Company’s name: RIO TINTO LTD ISIN: AU000000RIO1 Date of change of relevant interests: 13-Jan-2026 Schedule Type of agreement Overseas Securities Lender's Agreement ("OSLA") Parties to agreement J.P. Morgan Securities Plc ("borrower") and Citibank N.A. acting as Agent ("lender") Transfer date Settlement Date 14-Jan-2026 15-Jan-2026 16-Jan-2026 Holder of voting rights Borrower Are there any restriction on voting rights Yes If yes, detail The borrower undertakes to use its best endeavours to arrange for the voting rights to be exercised in accordance with the instructions of the lender, provided that the lender uses its best endeavours to notify the borrower of its instructions in writing no later than 7 business days prior to the date upon which such votes are exercisable or as otherwise agreed between the parties. This undertaking is set out in clause 4(B)(vi) of the standard form OSLA. Scheduled return date (if any) None Does the borrower have the right to return early? Yes If yes, detail Borrower has right to return all and any equivalent securities early at any time in accordance with the lender’s instructions. Does the lender have the right to recall early? Yes


 
If yes, detail Lender has right to recall all or any equivalent securities at any time by giving notice on any business day of not less than the standard settlement time for such equivalent securities on the exchange or in the clearing organisation through which the relevant borrowed securities were originally delivered. The borrower must return the securities not later than the expiry of such notice in accordance with the lender’s instructions. Will the securities be returned on settlement? Yes If yes, detail any exceptions No exceptions Statement If requested by the company to whom the prescribed form must be given, or if requested by ASIC, a copy of the agreement will be given to that company or ASIC.


 
Appendix: Prescribed information pursuant to securities lending transaction disclosed under the substantial shareholding notice filed with ASX. Date: 15-Jan-2026 Company’s name: RIO TINTO LTD ISIN: AU000000RIO1 Date of change of relevant interests: 13-Jan-2026 Schedule Type of agreement Global Master Securities Lending Agreement ("GMSLA") Parties to agreement HSBC Bank plc (as agent) and J.P. Morgan Securities plc Transfer date Settlement Date 08-Oct-2025 21-Nov-2025 Holder of voting rights Borrower Are there any restriction on voting rights Yes If yes, detail The borrower shall have no obligation to arrange for voting rights to be exercised in accordance with the instructions of the other party, unless otherwise agreed between the parties. Scheduled return date (if any) None Does the borrower have the right to return early? Yes If yes, detail Borrower has the right to terminate a loan and redeliver all and any equivalent securities due and outstanding to the lender in accordance with lender's instructions and lender shall accept such redelivery on a business day if notice of redelivery has been given within the standard market settlement period. Does the lender have the right to recall early? Yes If yes, detail Lender has right to recall all or any equivalent securities at any time by giving notice on any business day of not less than the standard settlement time provided notification is given by the lender within standard market settlement period for such equivalent securities on the exchange or in the clearing organisation through which the relevant borrowed securities were originally delivered. The borrower must return the securities not later than the expiry of such notice in accordance with the lender’s instructions. Will the securities be returned on settlement? Yes If yes, detail any exceptions No exceptions Statement If requested by the company to whom the prescribed form must be given, or if requested by ASIC, a copy of the agreement will be given to that company or ASIC.


 
Appendix: Prescribed information pursuant to securities lending transaction disclosed under the substantial shareholding notice filed with ASX. Date: 15-Jan-2026 Company’s name: RIO TINTO LTD ISIN: AU000000RIO1 Date of change of relevant interests: 13-Jan-2026 Schedule Type of agreement Global Master Securities Lending Agreement ("GMSLA") Parties to agreement HSBC Bank plc (as agent) and J.P. Morgan Securities plc Transfer date Settlement Date 08-Oct-2025 21-Nov-2025 03-Dec-2025 Holder of voting rights Borrower Are there any restriction on voting rights Yes If yes, detail The borrower shall have no obligation to arrange for voting rights to be exercised in accordance with the instructions of the other party, unless otherwise agreed between the parties. Scheduled return date (if any) None Does the borrower have the right to return early? Yes If yes, detail Borrower has the right to terminate a loan and redeliver all and any equivalent securities due and outstanding to the lender in accordance with lender's instructions and lender shall accept such redelivery on a business day if notice of redelivery has been given within the standard market settlement period. Does the lender have the right to recall early? Yes If yes, detail Lender has right to recall all or any equivalent securities at any time by giving notice on any business day of not less than the standard settlement time provided notification is given by the lender within standard market settlement period for such equivalent securities on the exchange or in the clearing organisation through which the relevant borrowed securities were originally delivered. The borrower must return the securities not later than the expiry of such notice in accordance with the lender’s instructions. Will the securities be returned on settlement? Yes If yes, detail any exceptions No exceptions


 
Statement If requested by the company to whom the prescribed form must be given, or if requested by ASIC, a copy of the agreement will be given to that company or ASIC.


 
Appendix: Prescribed information pursuant to securities lending transaction disclosed under the substantial shareholding notice filed with ASX. Date: 15-Jan-2026 Company’s name: RIO TINTO LTD ISIN: AU000000RIO1 Date of change of relevant interests: 13-Jan-2026 Schedule Type of agreement Overseas Securities Lender’s Agreement (“OSLA”) Parties to agreement JPMorgan Chase Bank, N.A. (acting as agent) (“lender”) J.P. Morgan Securities plc (“borrower”) Transfer date Settlement Date 21-Oct-2025 24-Nov-2025 12-Dec-2025 06-Jan-2026 08-Jan-2026 13-Jan-2026 14-Jan-2026 Holder of voting rights Borrower Are there any restriction on voting rights Yes If yes, detail The borrower undertakes to use its best endeavors to arrange for the voting rights to be exercised in accordance with the instructions of the lender, provided that the lender uses its best endeavors to notify the borrower of its instructions in writing no later than 7 business days prior to the date upon which such votes are exercisable or as otherwise agreed between the parties. This undertaking is set out in clause 4(B)(vi) of the standard form OSLA. Scheduled return date (if any) None Does the borrower have the right to return early? Yes


 
If yes, detail Borrower has right to return all and any equivalent securities early at any time in accordance with the lender’s instructions. Does the lender have the right to recall early? Yes If yes, detail Lender has right to recall all or any equivalent securities at any time by giving notice on any business day of not less than the standard settlement time for such equivalent securities on the exchange or in the clearing organisation through which the relevant borrowed securities were originally delivered (and where there is a difference between the settlement time for sales and purchases on the relevant exchange or clearing organisation, the standard settlement time shall be the shorter of the two times). The borrower must return the securities not later than the expiry of such notice in accordance with the lender’s instructions. Will the securities be returned on settlement? Yes If yes, detail any exceptions No exceptions Statement If requested by the company to whom the prescribed form must be given, or if requested by ASIC, a copy of the agreement will be given to that company or ASIC.


 
Appendix: Prescribed information pursuant to securities lending transaction disclosed under the substantial shareholding notice filed with ASX. Date: 15-Jan-2026 Company’s name: RIO TINTO LTD ISIN: AU000000RIO1 Date of change of relevant interests: 13-Jan-2026 Schedule Type of agreement Master Overseas Securities Borrowing Agreement Parties to agreement J.P. Morgan Securities Plc ("borrower") and The Northern Trust Company as agent ("lender") Transfer date Settlement Date 21-Oct-2025 19-Nov-2025 21-Nov-2025 11-Dec-2025 12-Dec-2025 17-Dec-2025 07-Jan-2026 08-Jan-2026 15-Jan-2026 Holder of voting rights Borrower Are there any restriction on voting rights Yes If yes, detail The borrower undertakes to use its best endeavours to arrange for the voting rights to be exercised in accordance with the instructions of the lender, provided that the lender uses its best endeavours to notify the borrower of its instructions in writing no later than 7 business days prior to the date upon which such votes are exercisable or as otherwise agreed between the parties. This undertaking is in clause 4(B)(vi) of the agreement. Scheduled return date (if any) None Does the borrower have the right to return early? Yes If yes, detail Borrower has the right to terminate a loan and redeliver all and any equivalent securities due and outstanding to the lender in accordance with lender's instructions and lender shall accept such redelivery. Does the lender have the right to recall early? Yes If yes, detail Lender has right to recall all or any equivalent securities at any time by giving notice on any business day of not less than the standard settlement time for such equivalent securities on the exchange or in the clearing organisation through which the relevant borrowed securities were originally delivered. The borrower must return the securities not later than the expiry of such notice in accordance with the lender’s instructions. Will the securities be returned on settlement? Yes If yes, detail any exceptions No exceptions


 
Statement If requested by the company to whom the prescribed form must be given, or if requested by ASIC, a copy of the agreement will be given to that company or ASIC.


 
Appendix: Prescribed information pursuant to securities lending transaction disclosed under the substantial shareholding notice filed with ASX. Date: 15-Jan-2026 Company’s name: RIO TINTO LTD ISIN: AU000000RIO1 Date of change of relevant interests: 13-Jan-2026 Schedule Type of agreement Global Master Securities Lending Agreement ("GMSLA") Parties to agreement J.P. Morgan Securities plc ("borrower") and State St Bank and Trust Company as agent ("lender") Transfer date Settlement Date 21-Oct-2025 19-Nov-2025 24-Nov-2025 04-Dec-2025 14-Jan-2026 Holder of voting rights Borrower Are there any restriction on voting rights Yes If yes, detail The borrower shall have no obligation to arrange for voting rights to be exercised in accordance with the instructions of the other party, unless otherwise agreed between the parties. Scheduled return date (if any) None Does the borrower have the right to return early? Yes If yes, detail Borrower has the right to terminate a loan and redeliver all and any equivalent securities due and outstanding to the lender in accordance with lender's instructions and lender shall accept such redelivery. Does the lender have the right to recall early? Yes


 
If yes, detail Lender has right to recall all or any equivalent securities at any time by giving notice on any business day of not less than the standard settlement time for such equivalent securities on the exchange or in the clearing organisation through which the relevant borrowed securities were originally delivered. The borrower must return the securities not later than the expiry of such notice in accordance with the lender’s instructions. Will the securities be returned on settlement? Yes If yes, detail any exceptions No exceptions Statement If requested by the company to whom the prescribed form must be given, or if requested by ASIC, a copy of the agreement will be given to that company or ASIC.


 
Appendix: Prescribed information pursuant to securities lending transaction disclosed under the substantial shareholding notice filed with ASX. Date: 15-Jan-2026 Company’s name: RIO TINTO LTD ISIN: AU000000RIO1 Date of change of relevant interests: 13-Jan-2026 Schedule Type of agreement Overseas Securities Lender’s Agreement (“OSLA”) Parties to agreement The Bank of New York Mellon Corporation (formerly known as The Bank of New York) (acting as agent) (“lender”), J.P. Morgan Securities Plc (“borrower”) Transfer date Settlement Date 08-Oct-2025 21-Oct-2025 28-Nov-2025 03-Dec-2025 13-Jan-2026 Holder of voting rights Borrower Are there any restriction on voting rights Yes If yes, detail The borrower undertakes to use its best endeavours to arrange for the voting rights to be exercised in accordance with the instructions of the lender, provided that the lender uses its best endeavours to notify the borrower of its instructions in writing no later than 7 business days prior to the date upon which such votes are exercisable or as otherwise agreed between the parties. This undertaking is set out in clause 4(B)(ii) of the standard form OSLA. Scheduled return date (if any) None Does the borrower have the right to return early? Yes If yes, detail Borrower has right to return all and any equivalent securities early at any time in accordance with the lender’s instructions. Does the lender have the right to recall early? Yes


 
If yes, detail Lender has right to recall all or any equivalent securities at any time by giving notice on any business day of not less than the standard settlement time for such equivalent securities on the exchange. The borrower must return the securities not later than the expiry of such notice in accordance with the lender’s instructions. Will the securities be returned on settlement? Yes If yes, detail any exceptions No exceptions Statement If requested by the company to whom the prescribed form must be given, or if requested by ASIC, a copy of the agreement will be given to that company or ASIC.