EX-99.20 21 ex20d28form604.htm EX-99.20 ex20d28form604
604 Page 1 28-Feb-2025 To Company Name/Scheme ACN/ARSN 1. Details of substantial holder (1) Name ACN/ARSN (if applicable) There was a change in the interests of the 26/02/2025 substantial holder on The previous notice was given to the company on 23/01/2025 The previous notice was dated 21/01/2025 2. Previous and present voting power The total number of votes attached to all the voting shares in the company or voting interests in the scheme that the substantial holder or an associate (2) had a relevant interest (3) in when last required, and when now required, to give a substantial holding notice to the company or scheme, are as follows: Class of securities (4) 3. Changes in relevant interests Particulars of each change in, or change in the nature of, a relevant interest of the substantial holder or an associate in voting securities of the company or scheme, since the substantial holder was last required to give a substantial holding notice to the company or scheme are as follows: Date of change Consideration given in relation to change (7) Person's votes affected 4.Present relevant interests Particulars of each relevant interest of the substantial holder in voting securities after the change are as follows: Holder of relevant interest Person's votes STATE STREET GLOBAL ADVISORS (JAPAN) CO., LTD. 21,712 Ordinary 21,712 STATE STREET GLOBAL ADVISORS (JAPAN) CO., LTD. 308,965 Ordinary 308,965 STATE STREET GLOBAL ADVISORS (JAPAN) CO., LTD. 33,922 Ordinary 33,922 STATE STREET GLOBAL ADVISORS (JAPAN) CO., LTD. 92,733 Ordinary 92,733 STATE STREET GLOBAL ADVISORS ASIA LIMITED 24,731 Ordinary 24,731 STATE STREET GLOBAL ADVISORS ASIA LIMITED 17,181 Ordinary 17,181 STATE STREET GLOBAL ADVISORS ASIA LIMITED 9,287 Ordinary 9,287 STATE STREET GLOBAL ADVISORS ASIA LIMITED 14,138 Ordinary 14,138 STATE STREET GLOBAL ADVISORS ASIA LIMITED 25,050 Ordinary 25,050 9.51% Sumitomo Trust and Banking Co USA Power to control the exercise of a right to vote attached to securities and/or the power to dispose of securities as investment manager or trustee State Street Corporation and subsidiaries named in paragraph 6 to this form n/a Present notice Power to control the exercise of a right to vote attached to securities and/or the power to dispose of securities as investment manager or trustee Nature of relevant interest (6) Citibank NA Section 671B Power to control the exercise of a right to vote attached to securities and/or the power to dispose of securities as investment manager or trustee JPMorgan AG Person whose relevant interest changed n/a Nature of change (6) Power to control the exercise of a right to vote attached to securities and/or the power to dispose of securities as investment manager or trustee Form 604 n/a 004 458 404 RIO TINTO LIMITED Power to control the exercise of a right to vote attached to securities and/or the power to dispose of securities as investment manager or trustee Brown Brothers Harriman and Co Voting power (5) Power to control the exercise of a right to vote attached to securities and/or the power to dispose of securities as investment manager or trustee State Street Bank and Trust Co Notice of change of interests of substantial holder State Street Bank and Trust Co Power to control the exercise of a right to vote attached to securities and/or the power to dispose of securities as investment manager or trustee Voting power (5) n/a Person’s votes Person’s votes n/a Corporations Act 2001 Registered holder of securities n/a Ordinary Annexure A, B & C n/a Northern Trust Company n/a 31,424,591 Person entitled to be registered as holder (8) Power to control the exercise of a right to vote attached to securities and/or the power to dispose of securities as investment manager or trustee Bank of New York Mellon Class and number of securities affected Class and number of securities n/a Previous notice 35,308,387 JPMorgan AG 8.47% Power to control the exercise of a right to vote attached to securities and/or the power to dispose of securities as investment manager or trustee EXHIBIT 99.20


 
604 Page 2 28-Feb-2025 STATE STREET GLOBAL ADVISORS EUROPE LIMITED 8,427 Ordinary 8,427 STATE STREET GLOBAL ADVISORS EUROPE LIMITED 47,507 Ordinary 47,507 STATE STREET GLOBAL ADVISORS EUROPE LIMITED 296,463 Ordinary 296,463 STATE STREET GLOBAL ADVISORS EUROPE LIMITED 18,244 Ordinary 18,244 STATE STREET GLOBAL ADVISORS EUROPE LIMITED 5,921 Ordinary 5,921 STATE STREET GLOBAL ADVISORS EUROPE LIMITED 156,320 Ordinary 156,320 STATE STREET GLOBAL ADVISORS EUROPE LIMITED 69,557 Ordinary 69,557 STATE STREET GLOBAL ADVISORS EUROPE LIMITED 171,188 Ordinary 171,188 STATE STREET BANK AND TRUST COMPANY 34,629 Ordinary 34,629 STATE STREET BANK AND TRUST COMPANY 12,448 Ordinary 12,448 STATE STREET BANK AND TRUST COMPANY 53,880 Ordinary 53,880 STATE STREET BANK AND TRUST COMPANY 18,638 Ordinary 18,638 STATE STREET BANK AND TRUST COMPANY 13,342 Ordinary 13,342 STATE STREET BANK AND TRUST COMPANY 34,029 Ordinary 34,029 STATE STREET BANK AND TRUST COMPANY 80,805 Ordinary 80,805 STATE STREET BANK AND TRUST COMPANY 13,963 Ordinary 13,963 STATE STREET BANK AND TRUST COMPANY 196,570 Ordinary 196,570 n/a For Lent securities:Relevant interest under section 608(8A) being the holder of securities subject to an obligation to return under a securities lending agreement.State Street Bank and Trust Company has lent the securities and retains a relevant interest CONFIDENTIAL CLIENT- C OREGON STATE TREASURY Power to control the exercise of a right to vote attached to securities and/or the power to dispose of securities as investment manager or trustee Power to control the exercise of a right to vote attached to securities and/or the power to dispose of securities as investment manager or trustee VALIC n/a STATE STREET GLOBAL ADVISORS LUXEMBOURG SICAV For Lent securities:Relevant interest under section 608(8A) being the holder of securities subject to an obligation to return under a securities lending agreement.State Street Bank and Trust Company has lent the securities and retains a relevant interest Caceis Bank Luxembourg CONFIDENTIAL CLIENT- C n/a For Lent securities:Relevant interest under section 608(8A) being the holder of securities subject to an obligation to return under a securities lending agreement.State Street Bank and Trust Company has lent the securities and retains a relevant interest Northern Trust Company Power to control the exercise of a right to vote attached to securities and/or the power to dispose of securities as investment manager or trustee Power to control the exercise of a right to vote attached to securities and/or the power to dispose of securities as investment manager or trustee Bank of New York Mellon n/a For Lent securities:Relevant interest under section 608(8A) being the holder of securities subject to an obligation to return under a securities lending agreement.State Street Bank and Trust Company has lent the securities and retains a relevant interest MANAGED PENSION FUNDS LIMITED STATE STREET GLOBAL ADVISORS LUXEMBOURG SICAV n/a VANECK ETF FUNDS OREGON STATE TREASURY n/a For Lent securities:Relevant interest under section 608(8A) being the holder of securities subject to an obligation to return under a securities lending agreement.State Street Bank and Trust Company has lent the securities and retains a relevant interest VALIC For Lent securities:Relevant interest under section 608(8A) being the holder of securities subject to an obligation to return under a securities lending agreement.State Street Bank and Trust Company has lent the securities and retains a relevant interest JP MORGAN ASSET MANAGEMENT (CANADA) INC. Power to control the exercise of a right to vote attached to securities and/or the power to dispose of securities as investment manager or trustee JPMorgan AG MANAGED PENSION FUNDS LIMITED BNP Paribas Power to control the exercise of a right to vote attached to securities and/or the power to dispose of securities as investment manager or trustee VANECK ETF FUNDS For Lent securities:Relevant interest under section 608(8A) being the holder of securities subject to an obligation to return under a securities lending agreement.State Street Bank and Trust Company has lent the securities and retains a relevant interest Nykredit Bank A.S JP MORGAN ASSET MANAGEMENT (CANADA) INC. Power to control the exercise of a right to vote attached to securities and/or the power to dispose of securities as investment manager or trustee UBS AG UBS (LUX) FUND SOLUTIONS n/a UBS (LUX) FUND SOLUTIONS SA FUNDS- INVESTMENT TRUST For Lent securities:Relevant interest under section 608(8A) being the holder of securities subject to an obligation to return under a securities lending agreement.State Street Bank and Trust Company has lent the securities and retains a relevant interest Power to control the exercise of a right to vote attached to securities and/or the power to dispose of securities as investment manager or trustee n/a For Lent securities:Relevant interest under section 608(8A) being the holder of securities subject to an obligation to return under a securities lending agreement.State Street Bank and Trust Company has lent the securities and retains a relevant interest State Street Bank and Trust Co SA FUNDS- INVESTMENT TRUST


 
604 Page 3 28-Feb-2025 STATE STREET BANK AND TRUST COMPANY 18,251 Ordinary 18,251 STATE STREET BANK AND TRUST COMPANY 8,218 Ordinary 8,218 STATE STREET BANK AND TRUST COMPANY 70,426 Ordinary 70,426 STATE STREET BANK AND TRUST COMPANY 2,711 Ordinary 2,711 STATE STREET BANK AND TRUST COMPANY 2,737 Ordinary 2,737 STATE STREET BANK AND TRUST COMPANY 125,716 Ordinary 125,716 STATE STREET BANK AND TRUST COMPANY 5,926 Ordinary 5,926 STATE STREET BANK AND TRUST COMPANY 13,517 Ordinary 13,517 STATE STREET BANK AND TRUST COMPANY 3,666 Ordinary 3,666 STATE STREET BANK AND TRUST COMPANY 13,874 Ordinary 13,874 STATE STREET BANK AND TRUST COMPANY 27,809 Ordinary 27,809 STATE STREET BANK AND TRUST COMPANY 813,540 Ordinary 813,540 STATE STREET BANK AND TRUST COMPANY 466,282 Ordinary 466,282 STATE STREET BANK AND TRUST COMPANY 8,840 Ordinary 8,840 STATE STREET BANK AND TRUST COMPANY 1,722,132 Ordinary 1,722,132 For Lent securities:Relevant interest under section 608(8A) being the holder of securities subject to an obligation to return under a securities lending agreement.State Street Bank and Trust Company has lent the securities and retains a relevant interest GMO BENCHMARK FREE FUND SSGA SPDR ETFS EUROPE II PLC MALTA PENSION INVESTMENTS SOCIAL PROTECTION FUND CALVERT For Lent securities:Relevant interest under section 608(8A) being the holder of securities subject to an obligation to return under a securities lending agreement.State Street Bank and Trust Company has lent the securities and retains a relevant interest ARAB BANK FOR ECONOMIC DEVELOPMENT IN AFRICA SSGA LOS ANGELES COUNTY EMPLOYEES RETIREMENT ASSOCIATION For Lent securities:Relevant interest under section 608(8A) being the holder of securities subject to an obligation to return under a securities lending agreement.State Street Bank and Trust Company has lent the securities and retains a relevant interest STATE STREET GLOBAL ADVISORS FUNDS MANAGEMENT LIMITED STATE STREET BANK AND TRUST COMPANY LOS ANGELES COUNTY EMPLOYEES RETIREMENT ASSOCIATION M FUND, INC. For memo pledge securities:Relevant interest under section 608(8) being the right, as lender, to dispose of shares pledged to secure a securities loan SSGA For Lent securities:Relevant interest under section 608(8A) being the holder of securities subject to an obligation to return under a securities lending agreement.State Street Bank and Trust Company has lent the securities and retains a relevant interest GMO IMPLEMENTATION FUND For Lent securities:Relevant interest under section 608(8A) being the holder of securities subject to an obligation to return under a securities lending agreement.State Street Bank and Trust Company has lent the securities and retains a relevant interest M FUND, INC. STATE STREET BANK AND TRUST COMPANY For Lent securities:Relevant interest under section 608(8A) being the holder of securities subject to an obligation to return under a securities lending agreement.State Street Bank and Trust Company has lent the securities and retains a relevant interest STATE STREET GLOBAL ADVISORS FUNDS MANAGEMENT LIMITED CONFIDENTIAL CLIENT ASIA A For Lent securities:Relevant interest under section 608(8A) being the holder of securities subject to an obligation to return under a securities lending agreement.State Street Bank and Trust Company has lent the securities and retains a relevant interest SSGA SPDR ETFS EUROPE II PLC For Lent securities:Relevant interest under section 608(8A) being the holder of securities subject to an obligation to return under a securities lending agreement.State Street Bank and Trust Company has lent the securities and retains a relevant interest For memo pledge securities:Relevant interest under section 608(8) being the right, as lender, to dispose of shares pledged to secure a securities loan For Lent securities:Relevant interest under section 608(8A) being the holder of securities subject to an obligation to return under a securities lending agreement.State Street Bank and Trust Company has lent the securities and retains a relevant interest CALVERT SSUTM AUTHORISED UNIT TRUST SCHEME KAISER PERMANENTE GROUP TRUST MALTA PENSION INVESTMENTS For Lent securities:Relevant interest under section 608(8A) being the holder of securities subject to an obligation to return under a securities lending agreement.State Street Bank and Trust Company has lent the securities and retains a relevant interest SOCIAL PROTECTION FUND KAISER PERMANENTE GROUP TRUST SSUTM AUTHORISED UNIT TRUST SCHEME For Lent securities:Relevant interest under section 608(8A) being the holder of securities subject to an obligation to return under a securities lending agreement.State Street Bank and Trust Company has lent the securities and retains a relevant interest STATE STREET BANK AND TRUST COMPANY CONFIDENTIAL CLIENT ASIA A TEACHER RETIREMENT SYSTEM OF TEXAS ARAB BANK FOR ECONOMIC DEVELOPMENT IN AFRICA For Lent securities:Relevant interest under section 608(8A) being the holder of securities subject to an obligation to return under a securities lending agreement.State Street Bank and Trust Company has lent the securities and retains a relevant interest For memo pledge securities:Relevant interest under section 608(8) being the right, as lender, to dispose of shares pledged to secure a securities loan


 
604 Page 4 28-Feb-2025 STATE STREET BANK AND TRUST COMPANY 96,444 Ordinary 96,444 STATE STREET BANK AND TRUST COMPANY 95,237 Ordinary 95,237 STATE STREET BANK AND TRUST COMPANY 4,087 Ordinary 4,087 STATE STREET BANK AND TRUST COMPANY 38,907 Ordinary 38,907 STATE STREET BANK AND TRUST COMPANY 77,814 Ordinary 77,814 STATE STREET BANK AND TRUST COMPANY 94,464 Ordinary 94,464 STATE STREET BANK AND TRUST COMPANY 1,587,810 Ordinary 1,587,810 STATE STREET BANK AND TRUST COMPANY 51,130 Ordinary 51,130 STATE STREET BANK AND TRUST COMPANY 119,691 Ordinary 119,691 STATE STREET BANK AND TRUST COMPANY 2,254 Ordinary 2,254 STATE STREET BANK AND TRUST COMPANY 19,894 Ordinary 19,894 STATE STREET BANK AND TRUST COMPANY 109,769 Ordinary 109,769 STATE STREET BANK AND TRUST COMPANY 230,167 Ordinary 230,167 STATE STREET BANK AND TRUST COMPANY 23,190 Ordinary 23,190 EURIZON CAPITAL S.A. For Lent securities:Relevant interest under section 608(8A) being the holder of securities subject to an obligation to return under a securities lending agreement.State Street Bank and Trust Company has lent the securities and retains a relevant interest ALBERTA INVESTMENT MANAGEMENT - ALBERTA FINANCE KAISER FOUNDATION HOSPITALS For Lent securities:Relevant interest under section 608(8A) being the holder of securities subject to an obligation to return under a securities lending agreement.State Street Bank and Trust Company has lent the securities and retains a relevant interest SSGA SPDR ETFS EUROPE I PLC WA STATE INVESTMENT BOARD For Lent securities:Relevant interest under section 608(8A) being the holder of securities subject to an obligation to return under a securities lending agreement.State Street Bank and Trust Company has lent the securities and retains a relevant interest GENERAL CONFERENCE OF SEVENTH DAY ADVENTIST For Lent securities:Relevant interest under section 608(8A) being the holder of securities subject to an obligation to return under a securities lending agreement.State Street Bank and Trust Company has lent the securities and retains a relevant interest For Lent securities:Relevant interest under section 608(8A) being the holder of securities subject to an obligation to return under a securities lending agreement.State Street Bank and Trust Company has lent the securities and retains a relevant interest KAISER FOUNDATION HOSPITALS GENERAL CONFERENCE OF SEVENTH DAY ADVENTIST TEACHER RETIREMENT SYSTEM OF TEXAS TEACHER RETIREMENT SYSTEM OF TEXAS CONFIDENTIAL CLIENT KK For Lent securities:Relevant interest under section 608(8A) being the holder of securities subject to an obligation to return under a securities lending agreement.State Street Bank and Trust Company has lent the securities and retains a relevant interest For Lent securities:Relevant interest under section 608(8A) being the holder of securities subject to an obligation to return under a securities lending agreement.State Street Bank and Trust Company has lent the securities and retains a relevant interest EURIZON CAPITAL S.A. SSGA FUNDS For Lent securities:Relevant interest under section 608(8A) being the holder of securities subject to an obligation to return under a securities lending agreement.State Street Bank and Trust Company has lent the securities and retains a relevant interest DIMENSIONAL FUND ADVISORS SSGA SPDR ETFS EUROPE I PLC SSGA FUNDS For Lent securities:Relevant interest under section 608(8A) being the holder of securities subject to an obligation to return under a securities lending agreement.State Street Bank and Trust Company has lent the securities and retains a relevant interest CBJ AS SUB- TRUSTEE FOR JAPAN POLICE PERSONNEL MUTUAL AID ASSOCIATION DIMENSIONAL FUND ADVISORS For Lent securities:Relevant interest under section 608(8A) being the holder of securities subject to an obligation to return under a securities lending agreement.State Street Bank and Trust Company has lent the securities and retains a relevant interest For Lent securities:Relevant interest under section 608(8A) being the holder of securities subject to an obligation to return under a securities lending agreement.State Street Bank and Trust Company has lent the securities and retains a relevant interest CBJ AS SUB- TRUSTEE FOR JAPAN POLICE PERSONNEL MUTUAL AID ASSOCIATION CONFIDENTIAL CLIENT KK MINNESOTA STATE BOARD OF INVESTMENT ALBERTA INVESTMENT MANAGEMENT - ALBERTA FINANCE RETIREMENT SYSTEMS OF ALABAMA MINNESOTA STATE BOARD OF INVESTMENT For Lent securities:Relevant interest under section 608(8A) being the holder of securities subject to an obligation to return under a securities lending agreement.State Street Bank and Trust Company has lent the securities and retains a relevant interest For Lent securities:Relevant interest under section 608(8A) being the holder of securities subject to an obligation to return under a securities lending agreement.State Street Bank and Trust Company has lent the securities and retains a relevant interest WA STATE INVESTMENT BOARD RETIREMENT SYSTEMS OF ALABAMA CONFIDENTIAL CLIENT N CONFIDENTIAL CLIENT N For Lent securities:Relevant interest under section 608(8A) being the holder of securities subject to an obligation to return under a securities lending agreement.State Street Bank and Trust Company has lent the securities and retains a relevant interest


 
604 Page 5 28-Feb-2025 STATE STREET BANK AND TRUST COMPANY 3,392 Ordinary 3,392 STATE STREET BANK AND TRUST COMPANY 162,778 Ordinary 162,778 STATE STREET BANK AND TRUST COMPANY 96,255 Ordinary 96,255 STATE STREET BANK AND TRUST COMPANY 3,285 Ordinary 3,285 STATE STREET BANK AND TRUST COMPANY 200,435 Ordinary 200,435 STATE STREET BANK AND TRUST COMPANY 72,716 Ordinary 72,716 STATE STREET BANK AND TRUST COMPANY 704,334 Ordinary 704,334 STATE STREET BANK AND TRUST COMPANY 26,821 Ordinary 26,821 STATE STREET BANK AND TRUST COMPANY 24,591 Ordinary 24,591 STATE STREET BANK AND TRUST COMPANY 217,546 Ordinary 217,546 STATE STREET BANK AND TRUST COMPANY 27,048 Ordinary 27,048 STATE STREET BANK AND TRUST COMPANY 413,430 Ordinary 413,430 STATE STREET BANK AND TRUST COMPANY 18,837 Ordinary 18,837 STATE STREET BANK AND TRUST COMPANY 35,378 Ordinary 35,378 STATE STREET GLOBAL ADVISORS TRUST COMPANY 66,131 Ordinary 66,131 CALSTRS THE MACQUARIE GROUP For Lent securities:Relevant interest under section 608(8A) being the holder of securities subject to an obligation to return under a securities lending agreement.State Street Bank and Trust Company has lent the securities and retains a relevant interest THE MACQUARIE GROUP For Lent securities:Relevant interest under section 608(8A) being the holder of securities subject to an obligation to return under a securities lending agreement.State Street Bank and Trust Company has lent the securities and retains a relevant interest UBS (IRL) ETF PLC For Lent securities:Relevant interest under section 608(8A) being the holder of securities subject to an obligation to return under a securities lending agreement.State Street Bank and Trust Company has lent the securities and retains a relevant interest For Lent securities:Relevant interest under section 608(8A) being the holder of securities subject to an obligation to return under a securities lending agreement.State Street Bank and Trust Company has lent the securities and retains a relevant interest UBS (IRL) ETF PLC n/aJPMorgan AG THE EATON VANCE INVESTMENT COMPANIES FEDERAL RETIREMENT THRIFT INVESTMENT BOARD For Lent securities:Relevant interest under section 608(8A) being the holder of securities subject to an obligation to return under a securities lending agreement.State Street Bank and Trust Company has lent the securities and retains a relevant interest SACRAMENTO COUNTY EMPLOYEES' RETIREMENT SYSTEM For Lent securities:Relevant interest under section 608(8A) being the holder of securities subject to an obligation to return under a securities lending agreement.State Street Bank and Trust Company has lent the securities and retains a relevant interest For collateral securities:Relevant interest under section 608(8A) being the right, as lender, to dispose of shares transferred to secure a securities loan FEDERAL RETIREMENT THRIFT INVESTMENT BOARD MASS MUTUAL ALLIANCE BERNSTEIN THE EATON VANCE INVESTMENT COMPANIES M.L. BASEBALL PLAYERS BENEFIT For Lent securities:Relevant interest under section 608(8A) being the holder of securities subject to an obligation to return under a securities lending agreement.State Street Bank and Trust Company has lent the securities and retains a relevant interest MASS MUTUAL For Lent securities:Relevant interest under section 608(8A) being the holder of securities subject to an obligation to return under a securities lending agreement.State Street Bank and Trust Company has lent the securities and retains a relevant interest MERCER GLOBAL INVESTMENTS For Lent securities:Relevant interest under section 608(8A) being the holder of securities subject to an obligation to return under a securities lending agreement.State Street Bank and Trust Company has lent the securities and retains a relevant interest CALSTRS For Lent securities:Relevant interest under section 608(8A) being the holder of securities subject to an obligation to return under a securities lending agreement.State Street Bank and Trust Company has lent the securities and retains a relevant interest Power to control the exercise of a right to vote attached to securities and/or the power to dispose of securities as investment manager or trustee SACRAMENTO COUNTY EMPLOYEES' RETIREMENT SYSTEM ALLIANCE BERNSTEIN JOHN HANCOCK EXCHANGE-TRADED FUND TRUST M.L. BASEBALL PLAYERS BENEFIT NATIONAL EMPLOYMENT SAVINGS TRUST CORPORATION CAISSE DE DEPOT ET PLACEMENT DU QUEBEC For Lent securities:Relevant interest under section 608(8A) being the holder of securities subject to an obligation to return under a securities lending agreement.State Street Bank and Trust Company has lent the securities and retains a relevant interest JOHN HANCOCK EXCHANGE-TRADED FUND TRUST SSGA SPDR INDEX SHARE FUNDS NATIONAL EMPLOYMENT SAVINGS TRUST CORPORATION MERCER GLOBAL INVESTMENTS For Lent securities:Relevant interest under section 608(8A) being the holder of securities subject to an obligation to return under a securities lending agreement.State Street Bank and Trust Company has lent the securities and retains a relevant interest For Lent securities:Relevant interest under section 608(8A) being the holder of securities subject to an obligation to return under a securities lending agreement.State Street Bank and Trust Company has lent the securities and retains a relevant interest CAISSE DE DEPOT ET PLACEMENT DU QUEBEC SSGA SPDR INDEX SHARE FUNDS


 
604 Page 6 28-Feb-2025 STATE STREET GLOBAL ADVISORS TRUST COMPANY 3,487,321 Ordinary 3,487,321 STATE STREET GLOBAL ADVISORS TRUST COMPANY 331,534 Ordinary 331,534 STATE STREET GLOBAL ADVISORS TRUST COMPANY 1,902 Ordinary 1,902 STATE STREET GLOBAL ADVISORS TRUST COMPANY 3,000 Ordinary 3,000 STATE STREET GLOBAL ADVISORS TRUST COMPANY 234,527 Ordinary 234,527 STATE STREET SAUDI ARABIA FINANCIAL SOLUTIONS COMPANY 715 Ordinary 715 SSGA FUNDS MANAGEMENT, INC. 1,123,982 Ordinary 1,123,982 SSGA FUNDS MANAGEMENT, INC. 1,718 Ordinary 1,718 SSGA FUNDS MANAGEMENT, INC. 7,610 Ordinary 7,610 SSGA FUNDS MANAGEMENT, INC. 13,019 Ordinary 13,019 STATE STREET GLOBAL ADVISORS LIMITED 30,807 Ordinary 30,807 STATE STREET GLOBAL ADVISORS LIMITED 669,427 Ordinary 669,427 STATE STREET GLOBAL ADVISORS LIMITED 6,374 Ordinary 6,374 STATE STREET GLOBAL ADVISORS LIMITED 1,028 Ordinary 1,028 STATE STREET GLOBAL ADVISORS LIMITED 13,112 Ordinary 13,112 STATE STREET GLOBAL ADVISORS LIMITED 20,119 Ordinary 20,119 STATE STREET GLOBAL ADVISORS LIMITED 17,801 Ordinary 17,801 STATE STREET GLOBAL ADVISORS LIMITED 36,165 Ordinary 36,165 STATE STREET GLOBAL ADVISORS LIMITED 3,089 Ordinary 3,089 STATE STREET GLOBAL ADVISORS, LTD. 36,244 Ordinary 36,244 STATE STREET GLOBAL ADVISORS, LTD. 2,266 Ordinary 2,266 STATE STREET GLOBAL ADVISORS, LTD. 14,231 Ordinary 14,231 STATE STREET GLOBAL ADVISORS, AUSTRALIA, LIMITED 1,583,176 Ordinary 1,583,176 STATE STREET GLOBAL ADVISORS, AUSTRALIA, LIMITED 12,756,077 Ordinary 12,756,077 Power to control the exercise of a right to vote attached to securities and/or the power to dispose of securities as investment manager or trustee State Street Bank and Trust Co Brown Brothers Harriman and Co Power to control the exercise of a right to vote attached to securities and/or the power to dispose of securities as investment manager or trustee JPMorgan AG Power to control the exercise of a right to vote attached to securities and/or the power to dispose of securities as investment manager or trustee n/a n/a n/a Power to control the exercise of a right to vote attached to securities and/or the power to dispose of securities as investment manager or trustee JPMorgan AG Power to control the exercise of a right to vote attached to securities and/or the power to dispose of securities as investment manager or trustee n/a Bank of New York Mellon Power to control the exercise of a right to vote attached to securities and/or the power to dispose of securities as investment manager or trustee n/a n/a State Street Bank and Trust Co Power to control the exercise of a right to vote attached to securities and/or the power to dispose of securities as investment manager or trustee n/a Power to control the exercise of a right to vote attached to securities and/or the power to dispose of securities as investment manager or trustee Northern Trust Company Power to control the exercise of a right to vote attached to securities and/or the power to dispose of securities as investment manager or trustee Bank of New York Mellon n/a Brown Brothers Harriman and Co n/a Power to control the exercise of a right to vote attached to securities and/or the power to dispose of securities as investment manager or trustee State Street Bank and Trust Co n/a n/a Power to control the exercise of a right to vote attached to securities and/or the power to dispose of securities as investment manager or trustee Power to control the exercise of a right to vote attached to securities and/or the power to dispose of securities as investment manager or trustee Pictet and Cie n/a n/a n/a Power to control the exercise of a right to vote attached to securities and/or the power to dispose of securities as investment manager or trustee BNP Paribas n/a Power to control the exercise of a right to vote attached to securities and/or the power to dispose of securities as investment manager or trustee BFF Bank S.p.A. Power to control the exercise of a right to vote attached to securities and/or the power to dispose of securities as investment manager or trustee State Street Bank and Trust Co Northern Trust Company Power to control the exercise of a right to vote attached to securities and/or the power to dispose of securities as investment manager or trustee Wilmington Trust Co Power to control the exercise of a right to vote attached to securities and/or the power to dispose of securities as investment manager or trustee Northern Trust Company n/a CIBC Mellon Power to control the exercise of a right to vote attached to securities and/or the power to dispose of securities as investment manager or trustee n/a Power to control the exercise of a right to vote attached to securities and/or the power to dispose of securities as investment manager or trustee Royal Bank of Canada n/a State Street Bank and Trust Co Bank of New York Mellon n/a n/a n/a Power to control the exercise of a right to vote attached to securities and/or the power to dispose of securities as investment manager or trustee Citibank NA Power to control the exercise of a right to vote attached to securities and/or the power to dispose of securities as investment manager or trustee Citibank NA n/a n/a Power to control the exercise of a right to vote attached to securities and/or the power to dispose of securities as investment manager or trustee Power to control the exercise of a right to vote attached to securities and/or the power to dispose of securities as investment manager or trustee UBS AG Power to control the exercise of a right to vote attached to securities and/or the power to dispose of securities as investment manager or trustee n/a


 
604 Page 7 28-Feb-2025 STATE STREET GLOBAL ADVISORS, AUSTRALIA, LIMITED 12,435 Ordinary 12,435 STATE STREET GLOBAL ADVISORS, AUSTRALIA, LIMITED 113,173 Ordinary 113,173 STATE STREET GLOBAL ADVISORS, AUSTRALIA, LIMITED 1,160,973 Ordinary 1,160,973 STATE STREET GLOBAL ADVISORS, AUSTRALIA, LIMITED 3,894,732 Ordinary 3,894,732 STATE STREET GLOBAL ADVISORS, AUSTRALIA, LIMITED 24,700 Ordinary 24,700 5. Changes in association The persons who have become associates (2) of, ceased to be associates of, or have changed the nature of their association (9) with, the substantial holder in relation to voting interests in the company or scheme are as follows: 6. Addresses The addresses of persons named in this form are as follows: Signature print name capacity sign here date 28/02/2025 1981 MCGILL COLLEGE AVENUE, SUITE 500, MONTREAL QUÉBEC H3A 3A8, CANADA Alok Maheshwary National Australian Bank LTD Subsidiary of State Street Corporation STATE STREET BANK AND TRUST COMPANY STATE STREET GLOBAL ADVISORS (JAPAN) CO., LTD. STATE STREET GLOBAL ADVISORS ASIA LIMITED STATE STREET GLOBAL ADVISORS EUROPE LIMITED SSGA FUNDS MANAGEMENT, INC. STATE STREET GLOBAL ADVISORS TRUST COMPANY STATE STREET SAUDI ARABIA FINANCIAL SOLUTIONS COMPANY STATE STREET GLOBAL ADVISORS LIMITED STATE STREET GLOBAL ADVISORS, LTD. STATE STREET GLOBAL ADVISORS, AUSTRALIA, LIMITED STATE STREET GLOBAL ADVISORS TRUST COMPANY Subsidiary of State Street Corporation n/a Address STATE STREET GLOBAL ADVISORS LIMITED Subsidiary of State Street Corporation TORANOMON HILLS MORI TOWER 25F, 1-23-1 TORANOMON, MINATO-KU, TOKYO, 105-6325, JAPAN Power to control the exercise of a right to vote attached to securities and/or the power to dispose of securities as investment manager or trustee Power to control the exercise of a right to vote attached to securities and/or the power to dispose of securities as investment manager or trustee KING FAHAD , ALOLAYA , 7277, RIYADH, RIYADH, 12212, SAUDI ARABIA n/a STATE STREET GLOBAL ADVISORS (JAPAN) CO., LTD. Subsidiary of State Street Corporation STATE STREET SAUDI ARABIA FINANCIAL SOLUTIONS COMPANY Subsidiary of State Street Corporation ONE CONGRESS STREET, SUITE 1, BOSTON MA 02114, UNITED STATES Power to control the exercise of a right to vote attached to securities and/or the power to dispose of securities as investment manager or trustee 20 CHURCHILL PLACE, LONDON, ENGLAND, E14 5HJ, UNITED KINGDOM STATE STREET GLOBAL ADVISORS EUROPE LIMITED n/a Subsidiary of State Street Corporation Citibank NA Pictet and Cie CHANNEL CENTER, 1 IRON STREET, BOSTON MA 02210, UNITED STATES Name Subsidiary of State Street Corporation Northern Trust Company Name and ACN/ARSN (if applicable) STATE STREET GLOBAL ADVISORS, LTD. Subsidiary of State Street Corporation 68TH FLOOR, TWO INTERNATIONAL FINANCE CENTRE, 8 FINANCE STREET, CENTRAL, HONG KONG, CHINA Authorised signatory STATE STREET GLOBAL ADVISORS ASIA LIMITED n/a LEVEL 15, 420 GEORGE STREET, SYDNEY NSW 2000, AUSTRALIA STATE STREET BANK AND TRUST COMPANY Subsidiary of State Street Corporation STATE STREET GLOBAL ADVISORS, AUSTRALIA, LIMITED 78 SIR JOHN ROGERSON’S QUAY, DUBLIN 2, IRELAND Power to control the exercise of a right to vote attached to securities and/or the power to dispose of securities as investment manager or trustee 1 IRON STREET, BOSTON MA 02210, UNITED STATES Power to control the exercise of a right to vote attached to securities and/or the power to dispose of securities as investment manager or trustee SSGA FUNDS MANAGEMENT, INC. Subsidiary of State Street Corporation BNP Paribas Nature of association n/a


 
604 Page 8 28-Feb-2025 DIRECTIONS (1) If there are a number of substantial holders with similar or related relevant interests (eg. a corporation and its related corporations, or the manager and trustee of an equity trust), the names could be included in an annexure to the form. If the relevant interests of a group of persons are essentially similar, they may be referred to throughout the form as a specifically named group if the membership of each group, with the names and ADDRESSES of members is clearly set out in paragraph 6 of the form. (2) See the definition of "associate" in section 9 of the Corporations Act 2001. (3) See the definition of "relevant interest" in sections 608 and 671B(7) of the Corporations Act 2001. (4) The voting shares of a company constitute one class unless divided into separate classes. (5) The person's votes divided by the total votes in the body corporate or scheme multiplied by 100. (6) Include details of: (a) any relevant agreement or other circumstances because of which the change in relevant interest occurred. If subsection 671B(4) applies, a copy of any document setting out the terms of any relevant agreement, and a statement by the person giving full and accurate details of any contract, scheme or arrangement, must accompany this form, together with a written statement certifying this contract, scheme or arrangement; and (b) any qualification of the power of a person to exercise, control the exercise of, or influence the exercise of, the voting powers or disposal of the securities to which the relevant interest relates (indicating clearly the particular securities to which the qualification applies). See the definition of "relevant agreement" in section 9 of the Corporations Act 2001. (7) Details of the consideration must include any and all benefits, money and other, that any person from whom a relevant interest was acquired has, or may, become entitled to receive in relation to that acquisition. Details must be included even if the benefit is conditional on the happening or not of a contingency. Details must be included of any benefit paid on behalf of the substantial holder or its associate in relation to the acquisitions, even if they are not paid directly to the person from whom the relevant interest was acquired. (8) If the substantial holder is unable to determine the identity of the person (eg. if the relevant interest arises because of an option) write "unknown". (9) Give details, if appropriate, of the present association and any change in that association since the last substantial holding notice.


 
604 Page 9 28-Feb-2025 Annexure A This is Annexure A referred to in Form 604, Notice of change of interest of substantial holder 28/02/2025 Date of change Consideration given in relation to change Person's votes affected 22/01/2025 n/a -2,538 Ordinary -2,538 22/01/2025 n/a 501 Ordinary 501 22/01/2025 n/a 297 Ordinary 297 22/01/2025 n/a 2,037 Ordinary 2,037 22/01/2025 n/a -297 Ordinary -297 22/01/2025 n/a -10,041 Ordinary -10,041 22/01/2025 n/a 10,041 Ordinary 10,041 22/01/2025 119.61 -111 Ordinary -111 22/01/2025 120.50 2,859 Ordinary 2,859 22/01/2025 119.61 -2,183 Ordinary -2,183 22/01/2025 119.61 -221 Ordinary -221 22/01/2025 n/a -13,517 Ordinary -13,517 22/01/2025 n/a 13,517 Ordinary 13,517 22/01/2025 n/a -5,926 Ordinary -5,926 22/01/2025 n/a 5,926 Ordinary 5,926 22/01/2025 n/a -108,131 Ordinary -108,131 22/01/2025 n/a 108,131 Ordinary 108,131 22/01/2025 119.61 98 Ordinary 98 22/01/2025 119.61 79 Ordinary 79 22/01/2025 119.61 184 Ordinary 184 22/01/2025 119.61 2,183 Ordinary 2,183 23/01/2025 118.00 -345 Ordinary -345 23/01/2025 118.00 656 Ordinary 656 23/01/2025 118.00 -656 Ordinary -656 23/01/2025 n/a -293 Ordinary -293 23/01/2025 n/a -151 Ordinary -151 23/01/2025 n/a 151 Ordinary 151 23/01/2025 n/a 293 Ordinary 293 23/01/2025 118.00 196 Ordinary 196 23/01/2025 118.00 237 Ordinary 237 24/01/2025 118.33 1,400 Ordinary 1,400 24/01/2025 118.33 589 Ordinary 589 24/01/2025 n/a -67 Ordinary -67 24/01/2025 n/a -72 Ordinary -72 24/01/2025 n/a 72 Ordinary 72 24/01/2025 n/a 67 Ordinary 67 24/01/2025 118.33 -76 Ordinary -76 24/01/2025 118.33 -1,034 Ordinary -1,034 27/01/2025 118.33 -1,540 Ordinary -1,540 27/01/2025 118.33 -276 Ordinary -276 Dated the Class and number of securities affected STATE STREET BANK AND TRUST COMPANY Transfer in STATE STREET GLOBAL ADVISORS, AUSTRALIA, LIMITED Transfer out Transfer in STATE STREET GLOBAL ADVISORS EUROPE LIMITED Lend - for stock lend STATE STREET GLOBAL ADVISORS TRUST COMPANY Collateral received Collateral received STATE STREET BANK AND TRUST COMPANY STATE STREET BANK AND TRUST COMPANY STATE STREET GLOBAL ADVISORS EUROPE LIMITED STATE STREET BANK AND TRUST COMPANY Transfer in STATE STREET GLOBAL ADVISORS TRUST COMPANY Borrow - for stock borrows STATE STREET BANK AND TRUST COMPANY Transfer out STATE STREET GLOBAL ADVISORS TRUST COMPANY STATE STREET BANK AND TRUST COMPANY Transfer in Person whose relevant interest changed Transfer in Transfer out STATE STREET GLOBAL ADVISORS EUROPE LIMITED Lend - for stock lend Transfer out STATE STREET BANK AND TRUST COMPANY SSGA FUNDS MANAGEMENT, INC. Transfer out STATE STREET BANK AND TRUST COMPANY STATE STREET BANK AND TRUST COMPANY Lend - for stock lend Lend - for stock lend STATE STREET GLOBAL ADVISORS LIMITED Nature of change STATE STREET BANK AND TRUST COMPANY Collateral received Authorised signatory Transfer in STATE STREET GLOBAL ADVISORS TRUST COMPANY STATE STREET GLOBAL ADVISORS EUROPE LIMITED Transfer out Borrow - for stock borrows STATE STREET BANK AND TRUST COMPANY STATE STREET BANK AND TRUST COMPANY Collateral received STATE STREET GLOBAL ADVISORS EUROPE LIMITED Lend - for stock lend STATE STREET GLOBAL ADVISORS TRUST COMPANY Alok Maheshwary Transfer in STATE STREET GLOBAL ADVISORS EUROPE LIMITED STATE STREET GLOBAL ADVISORS EUROPE LIMITED Transfer in STATE STREET BANK AND TRUST COMPANY Transfer out Lend - for stock lend STATE STREET BANK AND TRUST COMPANY Collateral received STATE STREET GLOBAL ADVISORS, LTD. Transfer out STATE STREET BANK AND TRUST COMPANY STATE STREET BANK AND TRUST COMPANY Lend - for stock lend STATE STREET BANK AND TRUST COMPANY Transfer in Transfer out STATE STREET BANK AND TRUST COMPANY STATE STREET BANK AND TRUST COMPANY Lend - for stock lend STATE STREET GLOBAL ADVISORS TRUST COMPANY Lend - for stock lend STATE STREET BANK AND TRUST COMPANY Transfer in Lend - for stock lend Lend - for stock lend Collateral received STATE STREET BANK AND TRUST COMPANY Lend - for stock lend STATE STREET GLOBAL ADVISORS, AUSTRALIA, LIMITED Lend - for stock lend SSGA FUNDS MANAGEMENT, INC.


 
604 Page 10 28-Feb-2025 27/01/2025 118.33 8 Ordinary 8 27/01/2025 118.33 24 Ordinary 24 28/01/2025 117.68 -1,196 Ordinary -1,196 28/01/2025 117.68 -874 Ordinary -874 28/01/2025 n/a -262 Ordinary -262 28/01/2025 n/a 262 Ordinary 262 28/01/2025 n/a 6,789 Ordinary 6,789 28/01/2025 n/a 3,039 Ordinary 3,039 28/01/2025 n/a 20,153 Ordinary 20,153 28/01/2025 n/a 2,041 Ordinary 2,041 28/01/2025 n/a 15,053 Ordinary 15,053 28/01/2025 n/a 62,807 Ordinary 62,807 28/01/2025 n/a 53,419 Ordinary 53,419 28/01/2025 n/a 1,966 Ordinary 1,966 28/01/2025 n/a 31,421 Ordinary 31,421 28/01/2025 n/a 1,872 Ordinary 1,872 28/01/2025 n/a 10,122 Ordinary 10,122 28/01/2025 117.68 -4,306 Ordinary -4,306 28/01/2025 n/a 8,734 Ordinary 8,734 28/01/2025 117.68 -2,166 Ordinary -2,166 28/01/2025 117.68 158 Ordinary 158 28/01/2025 117.68 1,494 Ordinary 1,494 28/01/2025 117.83 -414 Ordinary -414 29/01/2025 n/a -7,808 Ordinary -7,808 29/01/2025 n/a 60,150 Ordinary 60,150 29/01/2025 n/a 36,971 Ordinary 36,971 29/01/2025 n/a 196,374 Ordinary 196,374 29/01/2025 n/a 181,298 Ordinary 181,298 29/01/2025 n/a 7,808 Ordinary 7,808 29/01/2025 n/a 25,207 Ordinary 25,207 29/01/2025 n/a -6,789 Ordinary -6,789 29/01/2025 n/a -3,039 Ordinary -3,039 29/01/2025 n/a -20,153 Ordinary -20,153 29/01/2025 n/a -2,041 Ordinary -2,041 29/01/2025 n/a -15,053 Ordinary -15,053 29/01/2025 n/a -62,807 Ordinary -62,807 29/01/2025 n/a -53,419 Ordinary -53,419 29/01/2025 n/a -1,966 Ordinary -1,966 29/01/2025 n/a -31,421 Ordinary -31,421 29/01/2025 n/a -1,872 Ordinary -1,872 29/01/2025 n/a -10,122 Ordinary -10,122 29/01/2025 116.38 -964 Ordinary -964 29/01/2025 116.23 237 Ordinary 237 29/01/2025 116.90 28 Ordinary 28 29/01/2025 116.23 52,493 Ordinary 52,493 29/01/2025 116.90 -337 Ordinary -337 29/01/2025 116.90 988 Ordinary 988 STATE STREET BANK AND TRUST COMPANY STATE STREET BANK AND TRUST COMPANY Lend - for stock lend Collateral received STATE STREET BANK AND TRUST COMPANY STATE STREET GLOBAL ADVISORS (JAPAN) CO., LTD. Lend - for stock lend STATE STREET GLOBAL ADVISORS, LTD. Transfer out STATE STREET BANK AND TRUST COMPANY Collateral received Collateral received Transfer in STATE STREET BANK AND TRUST COMPANY STATE STREET BANK AND TRUST COMPANY STATE STREET BANK AND TRUST COMPANY Collateral received Collateral received STATE STREET BANK AND TRUST COMPANY Lend - for stock lend SSGA FUNDS MANAGEMENT, INC. STATE STREET BANK AND TRUST COMPANY Collateral received STATE STREET GLOBAL ADVISORS TRUST COMPANY STATE STREET BANK AND TRUST COMPANY Collateral received Collateral received STATE STREET GLOBAL ADVISORS EUROPE LIMITED Transfer out STATE STREET BANK AND TRUST COMPANY Collateral received STATE STREET BANK AND TRUST COMPANY Transfer out STATE STREET BANK AND TRUST COMPANY STATE STREET BANK AND TRUST COMPANY STATE STREET BANK AND TRUST COMPANY Transfer in STATE STREET BANK AND TRUST COMPANY Collateral received STATE STREET GLOBAL ADVISORS ASIA LIMITED Transfer in Transfer out Lend - for stock lend Collateral received STATE STREET GLOBAL ADVISORS TRUST COMPANY Transfer in STATE STREET GLOBAL ADVISORS (JAPAN) CO., LTD. STATE STREET BANK AND TRUST COMPANY Lend - for stock lend STATE STREET GLOBAL ADVISORS, AUSTRALIA, LIMITED Transfer in Collateral received STATE STREET BANK AND TRUST COMPANY Lend - for stock lend STATE STREET BANK AND TRUST COMPANY Collateral received STATE STREET GLOBAL ADVISORS TRUST COMPANY STATE STREET BANK AND TRUST COMPANY Collateral received Lend - for stock lend STATE STREET GLOBAL ADVISORS TRUST COMPANY STATE STREET BANK AND TRUST COMPANY Collateral received Transfer out STATE STREET BANK AND TRUST COMPANY Collateral received STATE STREET BANK AND TRUST COMPANY STATE STREET BANK AND TRUST COMPANY Transfer in STATE STREET BANK AND TRUST COMPANY Collateral received Collateral received STATE STREET GLOBAL ADVISORS TRUST COMPANY STATE STREET BANK AND TRUST COMPANY Transfer in STATE STREET GLOBAL ADVISORS EUROPE LIMITED STATE STREET BANK AND TRUST COMPANY Transfer out Lend - for stock lend Collateral received STATE STREET GLOBAL ADVISORS, AUSTRALIA, LIMITED Transfer out STATE STREET BANK AND TRUST COMPANY Collateral received SSGA FUNDS MANAGEMENT, INC. STATE STREET BANK AND TRUST COMPANY Collateral received STATE STREET BANK AND TRUST COMPANY Collateral receivedSTATE STREET BANK AND TRUST COMPANY Transfer in Lend - for stock lend STATE STREET BANK AND TRUST COMPANY Collateral received


 
604 Page 11 28-Feb-2025 30/01/2025 116.89 617 Ordinary 617 30/01/2025 117.05 -24 Ordinary -24 30/01/2025 117.05 -1,414 Ordinary -1,414 30/01/2025 117.05 1,414 Ordinary 1,414 30/01/2025 n/a -27,017 Ordinary -27,017 30/01/2025 n/a 156 Ordinary 156 30/01/2025 n/a -323 Ordinary -323 30/01/2025 n/a -916 Ordinary -916 30/01/2025 n/a 916 Ordinary 916 30/01/2025 n/a -156 Ordinary -156 30/01/2025 n/a -120,000 Ordinary -120,000 30/01/2025 n/a -10 Ordinary -10 30/01/2025 n/a 3,600 Ordinary 3,600 30/01/2025 117.05 40 Ordinary 40 30/01/2025 n/a 3,590 Ordinary 3,590 30/01/2025 117.05 -214 Ordinary -214 30/01/2025 117.05 253 Ordinary 253 31/01/2025 117.40 1,070 Ordinary 1,070 31/01/2025 117.40 -430 Ordinary -430 31/01/2025 117.40 -1,070 Ordinary -1,070 31/01/2025 n/a 150,000 Ordinary 150,000 31/01/2025 n/a 3,590 Ordinary 3,590 31/01/2025 117.40 30 Ordinary 30 31/01/2025 117.40 -3,226 Ordinary -3,226 31/01/2025 n/a 3,590 Ordinary 3,590 31/01/2025 117.40 -44 Ordinary -44 31/01/2025 117.40 -322 Ordinary -322 31/01/2025 117.40 13,072 Ordinary 13,072 31/01/2025 117.40 57,121 Ordinary 57,121 31/01/2025 117.40 25,879 Ordinary 25,879 31/01/2025 117.40 118,330 Ordinary 118,330 03/02/2025 115.00 -6,561 Ordinary -6,561 03/02/2025 114.91 -430 Ordinary -430 03/02/2025 n/a 186,004 Ordinary 186,004 03/02/2025 n/a -9,996 Ordinary -9,996 03/02/2025 n/a 1,203,819 Ordinary 1,203,819 03/02/2025 n/a 5,460 Ordinary 5,460 03/02/2025 n/a 1,461 Ordinary 1,461 03/02/2025 n/a 11,080 Ordinary 11,080 03/02/2025 n/a 333 Ordinary 333 03/02/2025 n/a 90,615 Ordinary 90,615 03/02/2025 n/a 113,568 Ordinary 113,568 03/02/2025 n/a 134,164 Ordinary 134,164 03/02/2025 n/a 664 Ordinary 664 03/02/2025 n/a 8,060 Ordinary 8,060 03/02/2025 n/a 8,460 Ordinary 8,460 STATE STREET BANK AND TRUST COMPANY Lend - for stock lend STATE STREET GLOBAL ADVISORS, AUSTRALIA, LIMITED Lend - for stock lend STATE STREET BANK AND TRUST COMPANY STATE STREET BANK AND TRUST COMPANY Lend - for stock lend Lend - for stock lend STATE STREET BANK AND TRUST COMPANY Transfer in Lend - for stock lend STATE STREET GLOBAL ADVISORS EUROPE LIMITED Transfer out STATE STREET BANK AND TRUST COMPANY STATE STREET BANK AND TRUST COMPANY Lend - for stock lend Transfer out STATE STREET BANK AND TRUST COMPANY Transfer in STATE STREET BANK AND TRUST COMPANY Transfer in STATE STREET GLOBAL ADVISORS, LTD. Transfer in STATE STREET GLOBAL ADVISORS TRUST COMPANY Transfer out STATE STREET GLOBAL ADVISORS, AUSTRALIA, LIMITED Transfer out STATE STREET BANK AND TRUST COMPANY Transfer out STATE STREET BANK AND TRUST COMPANY Lend - for stock lend STATE STREET BANK AND TRUST COMPANY Lend - for stock lend STATE STREET BANK AND TRUST COMPANY STATE STREET GLOBAL ADVISORS TRUST COMPANY Borrow - for stock borrows Lend - for stock lend STATE STREET GLOBAL ADVISORS TRUST COMPANY Borrow - for stock borrows STATE STREET BANK AND TRUST COMPANY Lend - for stock lend Transfer in Transfer out STATE STREET GLOBAL ADVISORS, AUSTRALIA, LIMITED STATE STREET BANK AND TRUST COMPANY Transfer out STATE STREET GLOBAL ADVISORS TRUST COMPANY Lend - for stock lend STATE STREET BANK AND TRUST COMPANY Lend - for stock lend STATE STREET GLOBAL ADVISORS EUROPE LIMITED Lend - for stock lend STATE STREET BANK AND TRUST COMPANY Transfer in STATE STREET GLOBAL ADVISORS, AUSTRALIA, LIMITED Transfer out Lend - for stock lend STATE STREET GLOBAL ADVISORS TRUST COMPANY Lend - for stock lend Transfer in STATE STREET BANK AND TRUST COMPANY STATE STREET GLOBAL ADVISORS EUROPE LIMITED STATE STREET GLOBAL ADVISORS TRUST COMPANY Transfer in STATE STREET BANK AND TRUST COMPANY Borrow - for stock borrows STATE STREET BANK AND TRUST COMPANY Lend - for stock lendSTATE STREET BANK AND TRUST COMPANY STATE STREET GLOBAL ADVISORS EUROPE LIMITED Transfer out STATE STREET GLOBAL ADVISORS LIMITED Transfer out Lend - for stock lend STATE STREET BANK AND TRUST COMPANY STATE STREET BANK AND TRUST COMPANY STATE STREET BANK AND TRUST COMPANY Lend - for stock lend STATE STREET BANK AND TRUST COMPANY Transfer in STATE STREET BANK AND TRUST COMPANY Lend - for stock lend STATE STREET GLOBAL ADVISORS, AUSTRALIA, LIMITED Lend - for stock lend STATE STREET GLOBAL ADVISORS TRUST COMPANY STATE STREET GLOBAL ADVISORS, AUSTRALIA, LIMITED Transfer in Lend - for stock lend STATE STREET GLOBAL ADVISORS, AUSTRALIA, LIMITED Lend - for stock lendSTATE STREET BANK AND TRUST COMPANY Lend - for stock lend


 
604 Page 12 28-Feb-2025 03/02/2025 n/a 836 Ordinary 836 03/02/2025 n/a 1,936 Ordinary 1,936 03/02/2025 n/a 564 Ordinary 564 03/02/2025 n/a 27,649 Ordinary 27,649 03/02/2025 n/a 323 Ordinary 323 03/02/2025 114.91 294 Ordinary 294 03/02/2025 114.91 490 Ordinary 490 03/02/2025 114.91 158 Ordinary 158 03/02/2025 115.00 -563 Ordinary -563 04/02/2025 117.02 -18,387 Ordinary -18,387 04/02/2025 116.76 8,432 Ordinary 8,432 04/02/2025 116.76 3,835 Ordinary 3,835 05/02/2025 119.18 -430 Ordinary -430 05/02/2025 119.18 -612 Ordinary -612 05/02/2025 119.18 52,598 Ordinary 52,598 05/02/2025 119.18 -1,311 Ordinary -1,311 05/02/2025 119.39 594 Ordinary 594 05/02/2025 119.18 3,104 Ordinary 3,104 06/02/2025 n/a 852 Ordinary 852 06/02/2025 n/a 105 Ordinary 105 06/02/2025 n/a -23,600 Ordinary -23,600 06/02/2025 n/a -581 Ordinary -581 06/02/2025 n/a -105 Ordinary -105 06/02/2025 n/a -271 Ordinary -271 06/02/2025 n/a -6,441 Ordinary -6,441 06/02/2025 n/a -3,600 Ordinary -3,600 06/02/2025 120.18 8 Ordinary 8 06/02/2025 120.18 40 Ordinary 40 06/02/2025 120.18 24 Ordinary 24 06/02/2025 n/a -10,041 Ordinary -10,041 06/02/2025 120.18 196 Ordinary 196 06/02/2025 120.18 158 Ordinary 158 07/02/2025 n/a -36,439 Ordinary -36,439 07/02/2025 n/a -2,083 Ordinary -2,083 07/02/2025 n/a -13,561 Ordinary -13,561 07/02/2025 n/a -3,590 Ordinary -3,590 07/02/2025 n/a 3,590 Ordinary 3,590 07/02/2025 n/a -3,590 Ordinary -3,590 07/02/2025 n/a 3,590 Ordinary 3,590 07/02/2025 120.77 7,485 Ordinary 7,485 07/02/2025 n/a -13,517 Ordinary -13,517 07/02/2025 n/a 13,517 Ordinary 13,517 07/02/2025 n/a -5,926 Ordinary -5,926 07/02/2025 n/a 5,926 Ordinary 5,926 07/02/2025 n/a -116,865 Ordinary -116,865 07/02/2025 n/a 116,865 Ordinary 116,865 STATE STREET GLOBAL ADVISORS EUROPE LIMITED Transfer out STATE STREET BANK AND TRUST COMPANY Borrow - for stock borrows STATE STREET GLOBAL ADVISORS, AUSTRALIA, LIMITED Collateral received Lend - for stock lend Transfer in STATE STREET GLOBAL ADVISORS TRUST COMPANY STATE STREET BANK AND TRUST COMPANY Borrow - for stock borrows Lend - for stock lend Transfer in STATE STREET BANK AND TRUST COMPANY Lend - for stock lend STATE STREET BANK AND TRUST COMPANY STATE STREET GLOBAL ADVISORS (JAPAN) CO., LTD. Lend - for stock lend STATE STREET BANK AND TRUST COMPANY STATE STREET BANK AND TRUST COMPANY Transfer in STATE STREET GLOBAL ADVISORS, AUSTRALIA, LIMITED Transfer in SSGA FUNDS MANAGEMENT, INC. STATE STREET BANK AND TRUST COMPANY STATE STREET BANK AND TRUST COMPANY Borrow - for stock borrows STATE STREET BANK AND TRUST COMPANY Transfer out SSGA FUNDS MANAGEMENT, INC. Lend - for stock lend STATE STREET BANK AND TRUST COMPANY Transfer in STATE STREET GLOBAL ADVISORS TRUST COMPANY STATE STREET BANK AND TRUST COMPANY Collateral received STATE STREET GLOBAL ADVISORS, AUSTRALIA, LIMITED Transfer in Lend - for stock lend STATE STREET GLOBAL ADVISORS EUROPE LIMITED Transfer in STATE STREET BANK AND TRUST COMPANY Lend - for stock lend STATE STREET BANK AND TRUST COMPANY STATE STREET GLOBAL ADVISORS EUROPE LIMITED Transfer in Transfer in Collateral received STATE STREET BANK AND TRUST COMPANY Lend - for stock lend STATE STREET GLOBAL ADVISORS EUROPE LIMITED STATE STREET BANK AND TRUST COMPANY STATE STREET BANK AND TRUST COMPANY Transfer out STATE STREET GLOBAL ADVISORS EUROPE LIMITED Transfer in SSGA FUNDS MANAGEMENT, INC. Lend - for stock lend Transfer in Collateral received STATE STREET GLOBAL ADVISORS TRUST COMPANY Transfer in STATE STREET BANK AND TRUST COMPANY Borrow - for stock borrows Lend - for stock lend STATE STREET BANK AND TRUST COMPANY STATE STREET BANK AND TRUST COMPANY Borrow - for stock borrows STATE STREET BANK AND TRUST COMPANY Transfer out SSGA FUNDS MANAGEMENT, INC. Lend - for stock lend Lend - for stock lend SSGA FUNDS MANAGEMENT, INC. STATE STREET GLOBAL ADVISORS TRUST COMPANY Lend - for stock lend Transfer in STATE STREET BANK AND TRUST COMPANY Collateral received STATE STREET BANK AND TRUST COMPANY Borrow - for stock borrows STATE STREET BANK AND TRUST COMPANY Lend - for stock lend STATE STREET BANK AND TRUST COMPANY Collateral received Transfer out SSGA FUNDS MANAGEMENT, INC. Transfer in STATE STREET BANK AND TRUST COMPANY STATE STREET BANK AND TRUST COMPANY Lend - for stock lend STATE STREET BANK AND TRUST COMPANY


 
604 Page 13 28-Feb-2025 07/02/2025 120.77 -164 Ordinary -164 07/02/2025 120.77 -2,908 Ordinary -2,908 07/02/2025 120.77 2,908 Ordinary 2,908 10/02/2025 119.32 345 Ordinary 345 10/02/2025 n/a -2,567 Ordinary -2,567 10/02/2025 119.32 30 Ordinary 30 10/02/2025 119.32 150 Ordinary 150 10/02/2025 119.32 -1,938 Ordinary -1,938 10/02/2025 n/a -2,567 Ordinary -2,567 10/02/2025 119.32 161 Ordinary 161 10/02/2025 119.32 161 Ordinary 161 10/02/2025 119.32 -169 Ordinary -169 11/02/2025 n/a -1,841 Ordinary -1,841 11/02/2025 n/a 1,841 Ordinary 1,841 11/02/2025 n/a -1,023 Ordinary -1,023 11/02/2025 119.71 12 Ordinary 12 11/02/2025 119.71 8 Ordinary 8 11/02/2025 n/a -1,023 Ordinary -1,023 11/02/2025 119.71 158 Ordinary 158 12/02/2025 119.02 -2,847 Ordinary -2,847 12/02/2025 119.00 -690 Ordinary -690 12/02/2025 119.00 -1,586 Ordinary -1,586 12/02/2025 119.00 -860 Ordinary -860 12/02/2025 n/a -3,590 Ordinary -3,590 12/02/2025 119.00 -2,886 Ordinary -2,886 12/02/2025 119.02 -456 Ordinary -456 12/02/2025 n/a -3,590 Ordinary -3,590 12/02/2025 119.00 98 Ordinary 98 12/02/2025 119.00 138 Ordinary 138 12/02/2025 119.00 1,148 Ordinary 1,148 12/02/2025 119.00 -1,886 Ordinary -1,886 12/02/2025 119.02 -334 Ordinary -334 12/02/2025 119.00 1,250 Ordinary 1,250 13/02/2025 n/a 10,000 Ordinary 10,000 13/02/2025 n/a 78 Ordinary 78 13/02/2025 n/a -78 Ordinary -78 13/02/2025 120.19 429 Ordinary 429 13/02/2025 120.35 3,000 Ordinary 3,000 13/02/2025 120.19 -1,494 Ordinary -1,494 13/02/2025 120.35 161 Ordinary 161 14/02/2025 121.29 188 Ordinary 188 14/02/2025 121.17 850 Ordinary 850 14/02/2025 121.34 211 Ordinary 211 14/02/2025 121.17 1,631 Ordinary 1,631 14/02/2025 n/a 181 Ordinary 181 14/02/2025 n/a -181 Ordinary -181 STATE STREET GLOBAL ADVISORS TRUST COMPANY Lend - for stock lend STATE STREET GLOBAL ADVISORS LIMITED Transfer in Transfer out STATE STREET GLOBAL ADVISORS EUROPE LIMITED STATE STREET BANK AND TRUST COMPANY STATE STREET GLOBAL ADVISORS, AUSTRALIA, LIMITED Borrow - for stock borrows Transfer in Transfer out Transfer in STATE STREET BANK AND TRUST COMPANY STATE STREET GLOBAL ADVISORS EUROPE LIMITED Transfer in STATE STREET BANK AND TRUST COMPANY STATE STREET GLOBAL ADVISORS EUROPE LIMITED STATE STREET GLOBAL ADVISORS EUROPE LIMITED Transfer out Transfer in STATE STREET GLOBAL ADVISORS EUROPE LIMITED Lend - for stock lend STATE STREET GLOBAL ADVISORS TRUST COMPANY STATE STREET BANK AND TRUST COMPANY Transfer in Transfer in Transfer out STATE STREET GLOBAL ADVISORS, AUSTRALIA, LIMITED Borrow - for stock borrows STATE STREET GLOBAL ADVISORS EUROPE LIMITED Transfer out STATE STREET GLOBAL ADVISORS TRUST COMPANY STATE STREET BANK AND TRUST COMPANY Transfer out Transfer in STATE STREET GLOBAL ADVISORS TRUST COMPANY Transfer out Transfer in SSGA FUNDS MANAGEMENT, INC. Transfer in SSGA FUNDS MANAGEMENT, INC. Transfer in STATE STREET GLOBAL ADVISORS, AUSTRALIA, LIMITED STATE STREET GLOBAL ADVISORS TRUST COMPANY STATE STREET GLOBAL ADVISORS EUROPE LIMITED Lend - for stock lend Transfer in STATE STREET BANK AND TRUST COMPANY Transfer in Transfer in STATE STREET BANK AND TRUST COMPANY STATE STREET GLOBAL ADVISORS TRUST COMPANY STATE STREET GLOBAL ADVISORS TRUST COMPANY STATE STREET GLOBAL ADVISORS EUROPE LIMITED Transfer out Borrow - for stock borrows Transfer in STATE STREET BANK AND TRUST COMPANY Lend - for stock lend SSGA FUNDS MANAGEMENT, INC. STATE STREET GLOBAL ADVISORS, AUSTRALIA, LIMITED Transfer in Lend - for stock lend Transfer out Transfer out SSGA FUNDS MANAGEMENT, INC. STATE STREET GLOBAL ADVISORS EUROPE LIMITED Lend - for stock lend STATE STREET GLOBAL ADVISORS TRUST COMPANY Lend - for stock lend STATE STREET GLOBAL ADVISORS, AUSTRALIA, LIMITED Transfer out STATE STREET BANK AND TRUST COMPANY STATE STREET GLOBAL ADVISORS TRUST COMPANY Transfer out STATE STREET BANK AND TRUST COMPANY Transfer in STATE STREET GLOBAL ADVISORS EUROPE LIMITED Transfer in STATE STREET GLOBAL ADVISORS, AUSTRALIA, LIMITED Transfer in Transfer in STATE STREET BANK AND TRUST COMPANY STATE STREET BANK AND TRUST COMPANY SSGA FUNDS MANAGEMENT, INC. STATE STREET BANK AND TRUST COMPANY Lend - for stock lend SSGA FUNDS MANAGEMENT, INC. Lend - for stock lend SSGA FUNDS MANAGEMENT, INC. Lend - for stock lend Transfer out


 
604 Page 14 28-Feb-2025 14/02/2025 121.17 -850 Ordinary -850 14/02/2025 121.17 98 Ordinary 98 14/02/2025 121.17 392 Ordinary 392 14/02/2025 121.17 160 Ordinary 160 14/02/2025 121.17 46 Ordinary 46 17/02/2025 120.12 -207 Ordinary -207 17/02/2025 120.94 797 Ordinary 797 17/02/2025 n/a -56,278 Ordinary -56,278 17/02/2025 n/a 808 Ordinary 808 17/02/2025 n/a -808 Ordinary -808 18/02/2025 120.66 -1,471 Ordinary -1,471 18/02/2025 120.51 545 Ordinary 545 18/02/2025 n/a -127,673 Ordinary -127,673 18/02/2025 n/a -42,750 Ordinary -42,750 18/02/2025 120.66 16 Ordinary 16 18/02/2025 120.49 -51,771 Ordinary -51,771 19/02/2025 121.97 -272 Ordinary -272 19/02/2025 121.95 -346 Ordinary -346 19/02/2025 121.95 -829 Ordinary -829 19/02/2025 n/a -172,327 Ordinary -172,327 19/02/2025 n/a 2,726 Ordinary 2,726 19/02/2025 n/a 1,699 Ordinary 1,699 19/02/2025 n/a 114 Ordinary 114 19/02/2025 n/a 32,481 Ordinary 32,481 19/02/2025 n/a 510 Ordinary 510 19/02/2025 121.95 60 Ordinary 60 19/02/2025 121.95 2,040 Ordinary 2,040 19/02/2025 121.97 -2,038 Ordinary -2,038 19/02/2025 121.95 -5,764 Ordinary -5,764 20/02/2025 120.09 -159,545 Ordinary -159,545 20/02/2025 120.09 -1,290 Ordinary -1,290 20/02/2025 120.09 10,768 Ordinary 10,768 20/02/2025 121.14 1,387 Ordinary 1,387 20/02/2025 n/a 196 Ordinary 196 20/02/2025 n/a -893 Ordinary -893 20/02/2025 n/a -30,424 Ordinary -30,424 20/02/2025 n/a 893 Ordinary 893 20/02/2025 n/a 26,916 Ordinary 26,916 20/02/2025 n/a 11,665 Ordinary 11,665 20/02/2025 n/a 268,795 Ordinary 268,795 20/02/2025 n/a 518 Ordinary 518 20/02/2025 n/a 17,300 Ordinary 17,300 20/02/2025 n/a 445 Ordinary 445 20/02/2025 n/a -664 Ordinary -664 20/02/2025 n/a 8,218 Ordinary 8,218 20/02/2025 n/a 174,017 Ordinary 174,017 STATE STREET BANK AND TRUST COMPANY Transfer out Lend - for stock lend STATE STREET BANK AND TRUST COMPANY STATE STREET BANK AND TRUST COMPANY Lend - for stock lend STATE STREET GLOBAL ADVISORS EUROPE LIMITED Transfer in Transfer in Transfer in STATE STREET GLOBAL ADVISORS, AUSTRALIA, LIMITED Lend - for stock lend STATE STREET GLOBAL ADVISORS (JAPAN) CO., LTD. Transfer out STATE STREET GLOBAL ADVISORS LIMITED Lend - for stock lend STATE STREET BANK AND TRUST COMPANY Lend - for stock lend STATE STREET BANK AND TRUST COMPANY Transfer out Lend - for stock lend STATE STREET BANK AND TRUST COMPANY STATE STREET GLOBAL ADVISORS EUROPE LIMITED Lend - for stock lend STATE STREET GLOBAL ADVISORS, AUSTRALIA, LIMITED STATE STREET BANK AND TRUST COMPANY SSGA FUNDS MANAGEMENT, INC. STATE STREET GLOBAL ADVISORS TRUST COMPANY Transfer in Lend - for stock lend STATE STREET GLOBAL ADVISORS LIMITED Transfer in STATE STREET BANK AND TRUST COMPANY STATE STREET GLOBAL ADVISORS TRUST COMPANY Transfer out Lend - for stock lend STATE STREET BANK AND TRUST COMPANY STATE STREET BANK AND TRUST COMPANY Lend - for stock lend STATE STREET GLOBAL ADVISORS EUROPE LIMITED Lend - for stock lend Transfer out STATE STREET GLOBAL ADVISORS, AUSTRALIA, LIMITED Lend - for stock lend STATE STREET BANK AND TRUST COMPANY Lend - for stock lend STATE STREET BANK AND TRUST COMPANY Lend - for stock lend Transfer in STATE STREET GLOBAL ADVISORS EUROPE LIMITED Lend - for stock lend STATE STREET GLOBAL ADVISORS TRUST COMPANY Transfer in STATE STREET BANK AND TRUST COMPANY Lend - for stock lend STATE STREET BANK AND TRUST COMPANY Transfer in STATE STREET BANK AND TRUST COMPANY STATE STREET BANK AND TRUST COMPANY Lend - for stock lend STATE STREET GLOBAL ADVISORS TRUST COMPANY Transfer out SSGA FUNDS MANAGEMENT, INC. Lend - for stock lend STATE STREET GLOBAL ADVISORS, AUSTRALIA, LIMITED Lend - for stock lend STATE STREET BANK AND TRUST COMPANY Transfer out STATE STREET BANK AND TRUST COMPANY Transfer in STATE STREET BANK AND TRUST COMPANY Lend - for stock lend STATE STREET BANK AND TRUST COMPANY Lend - for stock lend Transfer out STATE STREET GLOBAL ADVISORS, AUSTRALIA, LIMITED Transfer in STATE STREET BANK AND TRUST COMPANY STATE STREET BANK AND TRUST COMPANY Transfer out STATE STREET BANK AND TRUST COMPANY Lend - for stock lend STATE STREET GLOBAL ADVISORS EUROPE LIMITED Transfer out SSGA FUNDS MANAGEMENT, INC. STATE STREET GLOBAL ADVISORS EUROPE LIMITED Transfer out Transfer in STATE STREET GLOBAL ADVISORS (JAPAN) CO., LTD. Lend - for stock lend Lend - for stock lend STATE STREET BANK AND TRUST COMPANY


 
604 Page 15 28-Feb-2025 20/02/2025 n/a 3,868 Ordinary 3,868 20/02/2025 n/a 158 Ordinary 158 20/02/2025 n/a -9,171 Ordinary -9,171 20/02/2025 n/a 12,494 Ordinary 12,494 20/02/2025 n/a 1,646 Ordinary 1,646 20/02/2025 n/a -3,729 Ordinary -3,729 20/02/2025 n/a 480 Ordinary 480 20/02/2025 n/a 43,708 Ordinary 43,708 20/02/2025 n/a -86,976 Ordinary -86,976 20/02/2025 n/a -1,461 Ordinary -1,461 20/02/2025 120.09 -611 Ordinary -611 20/02/2025 121.14 -755 Ordinary -755 20/02/2025 120.09 160 Ordinary 160 21/02/2025 n/a 15 Ordinary 15 21/02/2025 n/a 580 Ordinary 580 21/02/2025 n/a 84 Ordinary 84 21/02/2025 n/a 829 Ordinary 829 21/02/2025 n/a 1,108 Ordinary 1,108 21/02/2025 n/a -1,221 Ordinary -1,221 21/02/2025 n/a 65,975 Ordinary 65,975 21/02/2025 n/a 1,206 Ordinary 1,206 21/02/2025 n/a -6,594 Ordinary -6,594 21/02/2025 n/a 1,745 Ordinary 1,745 21/02/2025 n/a 255 Ordinary 255 21/02/2025 n/a 4 Ordinary 4 21/02/2025 n/a -580 Ordinary -580 21/02/2025 n/a 134 Ordinary 134 21/02/2025 n/a 2 Ordinary 2 21/02/2025 n/a 76 Ordinary 76 21/02/2025 n/a 296 Ordinary 296 21/02/2025 n/a 5,694 Ordinary 5,694 21/02/2025 n/a 208 Ordinary 208 21/02/2025 n/a 339 Ordinary 339 21/02/2025 n/a 1,486 Ordinary 1,486 21/02/2025 n/a 597 Ordinary 597 21/02/2025 n/a 26,754 Ordinary 26,754 21/02/2025 n/a 677 Ordinary 677 21/02/2025 n/a 10 Ordinary 10 21/02/2025 n/a 1,832 Ordinary 1,832 21/02/2025 n/a 106 Ordinary 106 21/02/2025 n/a 60 Ordinary 60 21/02/2025 n/a 87 Ordinary 87 21/02/2025 n/a 22,997 Ordinary 22,997 21/02/2025 n/a 12 Ordinary 12 21/02/2025 n/a 154 Ordinary 154 21/02/2025 n/a 1 Ordinary 1 21/02/2025 n/a 376 Ordinary 376 Transfer out STATE STREET BANK AND TRUST COMPANY STATE STREET BANK AND TRUST COMPANY Collateral received STATE STREET BANK AND TRUST COMPANY Collateral receivedSTATE STREET BANK AND TRUST COMPANY STATE STREET BANK AND TRUST COMPANY Lend - for stock lend STATE STREET GLOBAL ADVISORS LIMITED STATE STREET BANK AND TRUST COMPANY STATE STREET BANK AND TRUST COMPANY Lend - for stock lend STATE STREET BANK AND TRUST COMPANY STATE STREET BANK AND TRUST COMPANY Collateral received Transfer in Collateral received Collateral received Lend - for stock lend STATE STREET BANK AND TRUST COMPANY Lend - for stock lend Lend - for stock lend Lend - for stock lend STATE STREET BANK AND TRUST COMPANY Collateral received Collateral received Lend - for stock lend STATE STREET BANK AND TRUST COMPANY Collateral received STATE STREET BANK AND TRUST COMPANY STATE STREET BANK AND TRUST COMPANY Lend - for stock lend STATE STREET BANK AND TRUST COMPANY STATE STREET BANK AND TRUST COMPANY STATE STREET GLOBAL ADVISORS LIMITED STATE STREET BANK AND TRUST COMPANY Transfer out STATE STREET BANK AND TRUST COMPANY Collateral received STATE STREET BANK AND TRUST COMPANY Collateral received Lend - for stock lend STATE STREET BANK AND TRUST COMPANY STATE STREET BANK AND TRUST COMPANY Lend - for stock lend STATE STREET BANK AND TRUST COMPANY Lend - for stock lend STATE STREET BANK AND TRUST COMPANY STATE STREET BANK AND TRUST COMPANY Lend - for stock lend STATE STREET BANK AND TRUST COMPANY Collateral received Lend - for stock lend STATE STREET BANK AND TRUST COMPANY Lend - for stock lend STATE STREET BANK AND TRUST COMPANY Lend - for stock lend STATE STREET BANK AND TRUST COMPANY STATE STREET BANK AND TRUST COMPANY STATE STREET BANK AND TRUST COMPANY Collateral received STATE STREET BANK AND TRUST COMPANY Lend - for stock lend STATE STREET BANK AND TRUST COMPANY Collateral received Collateral received STATE STREET BANK AND TRUST COMPANY Collateral received STATE STREET BANK AND TRUST COMPANY Collateral received STATE STREET BANK AND TRUST COMPANY STATE STREET BANK AND TRUST COMPANY STATE STREET BANK AND TRUST COMPANY Lend - for stock lend Collateral received STATE STREET BANK AND TRUST COMPANY STATE STREET BANK AND TRUST COMPANY Lend - for stock lend STATE STREET BANK AND TRUST COMPANY Collateral received STATE STREET BANK AND TRUST COMPANY Collateral received Lend - for stock lend STATE STREET GLOBAL ADVISORS EUROPE LIMITED STATE STREET BANK AND TRUST COMPANY Lend - for stock lend Lend - for stock lend Collateral received Collateral received Lend - for stock lend STATE STREET BANK AND TRUST COMPANY Lend - for stock lend STATE STREET BANK AND TRUST COMPANY


 
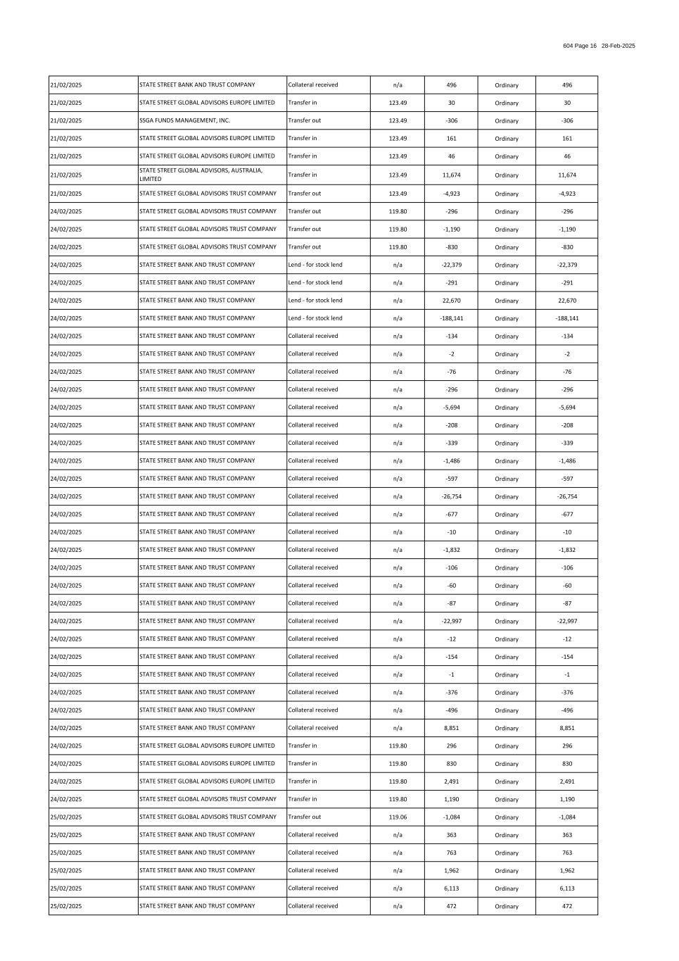
604 Page 16 28-Feb-2025 21/02/2025 n/a 496 Ordinary 496 21/02/2025 123.49 30 Ordinary 30 21/02/2025 123.49 -306 Ordinary -306 21/02/2025 123.49 161 Ordinary 161 21/02/2025 123.49 46 Ordinary 46 21/02/2025 123.49 11,674 Ordinary 11,674 21/02/2025 123.49 -4,923 Ordinary -4,923 24/02/2025 119.80 -296 Ordinary -296 24/02/2025 119.80 -1,190 Ordinary -1,190 24/02/2025 119.80 -830 Ordinary -830 24/02/2025 n/a -22,379 Ordinary -22,379 24/02/2025 n/a -291 Ordinary -291 24/02/2025 n/a 22,670 Ordinary 22,670 24/02/2025 n/a -188,141 Ordinary -188,141 24/02/2025 n/a -134 Ordinary -134 24/02/2025 n/a -2 Ordinary -2 24/02/2025 n/a -76 Ordinary -76 24/02/2025 n/a -296 Ordinary -296 24/02/2025 n/a -5,694 Ordinary -5,694 24/02/2025 n/a -208 Ordinary -208 24/02/2025 n/a -339 Ordinary -339 24/02/2025 n/a -1,486 Ordinary -1,486 24/02/2025 n/a -597 Ordinary -597 24/02/2025 n/a -26,754 Ordinary -26,754 24/02/2025 n/a -677 Ordinary -677 24/02/2025 n/a -10 Ordinary -10 24/02/2025 n/a -1,832 Ordinary -1,832 24/02/2025 n/a -106 Ordinary -106 24/02/2025 n/a -60 Ordinary -60 24/02/2025 n/a -87 Ordinary -87 24/02/2025 n/a -22,997 Ordinary -22,997 24/02/2025 n/a -12 Ordinary -12 24/02/2025 n/a -154 Ordinary -154 24/02/2025 n/a -1 Ordinary -1 24/02/2025 n/a -376 Ordinary -376 24/02/2025 n/a -496 Ordinary -496 24/02/2025 n/a 8,851 Ordinary 8,851 24/02/2025 119.80 296 Ordinary 296 24/02/2025 119.80 830 Ordinary 830 24/02/2025 119.80 2,491 Ordinary 2,491 24/02/2025 119.80 1,190 Ordinary 1,190 25/02/2025 119.06 -1,084 Ordinary -1,084 25/02/2025 n/a 363 Ordinary 363 25/02/2025 n/a 763 Ordinary 763 25/02/2025 n/a 1,962 Ordinary 1,962 25/02/2025 n/a 6,113 Ordinary 6,113 25/02/2025 n/a 472 Ordinary 472 STATE STREET BANK AND TRUST COMPANY Collateral received STATE STREET BANK AND TRUST COMPANY Collateral received STATE STREET BANK AND TRUST COMPANY Collateral received STATE STREET BANK AND TRUST COMPANY Collateral received STATE STREET BANK AND TRUST COMPANY Collateral received STATE STREET GLOBAL ADVISORS TRUST COMPANY Transfer out STATE STREET GLOBAL ADVISORS EUROPE LIMITED STATE STREET BANK AND TRUST COMPANY Transfer in Transfer in Collateral received STATE STREET BANK AND TRUST COMPANY STATE STREET BANK AND TRUST COMPANY Collateral received STATE STREET BANK AND TRUST COMPANY Collateral received STATE STREET BANK AND TRUST COMPANY Transfer in Collateral received STATE STREET BANK AND TRUST COMPANY Collateral received STATE STREET GLOBAL ADVISORS TRUST COMPANY Lend - for stock lend STATE STREET BANK AND TRUST COMPANY Collateral received STATE STREET GLOBAL ADVISORS TRUST COMPANY STATE STREET BANK AND TRUST COMPANY Lend - for stock lend STATE STREET GLOBAL ADVISORS TRUST COMPANY Collateral received STATE STREET BANK AND TRUST COMPANY Collateral received STATE STREET BANK AND TRUST COMPANY Collateral received STATE STREET BANK AND TRUST COMPANY Lend - for stock lend Transfer out Collateral received STATE STREET BANK AND TRUST COMPANY STATE STREET BANK AND TRUST COMPANY Collateral received Collateral received STATE STREET BANK AND TRUST COMPANY STATE STREET GLOBAL ADVISORS EUROPE LIMITED Transfer out STATE STREET GLOBAL ADVISORS, AUSTRALIA, LIMITED Transfer out STATE STREET BANK AND TRUST COMPANY Collateral received Collateral received STATE STREET BANK AND TRUST COMPANY STATE STREET BANK AND TRUST COMPANY STATE STREET BANK AND TRUST COMPANY STATE STREET BANK AND TRUST COMPANY Transfer in Transfer out STATE STREET GLOBAL ADVISORS TRUST COMPANY STATE STREET BANK AND TRUST COMPANY Collateral received Collateral received STATE STREET BANK AND TRUST COMPANY Transfer in STATE STREET GLOBAL ADVISORS EUROPE LIMITED Collateral received STATE STREET BANK AND TRUST COMPANY Transfer out STATE STREET BANK AND TRUST COMPANY Collateral received STATE STREET GLOBAL ADVISORS EUROPE LIMITED STATE STREET BANK AND TRUST COMPANY STATE STREET GLOBAL ADVISORS EUROPE LIMITED STATE STREET BANK AND TRUST COMPANY Collateral received STATE STREET BANK AND TRUST COMPANY Transfer in STATE STREET GLOBAL ADVISORS TRUST COMPANY Collateral received Collateral received STATE STREET BANK AND TRUST COMPANY Collateral received STATE STREET GLOBAL ADVISORS EUROPE LIMITED Transfer in STATE STREET BANK AND TRUST COMPANY Lend - for stock lend SSGA FUNDS MANAGEMENT, INC. Transfer in Collateral received Collateral received


 
604 Page 17 28-Feb-2025 25/02/2025 n/a 234 Ordinary 234 25/02/2025 n/a 440 Ordinary 440 25/02/2025 n/a 471 Ordinary 471 25/02/2025 n/a 21,872 Ordinary 21,872 25/02/2025 n/a 476 Ordinary 476 25/02/2025 n/a 1,082 Ordinary 1,082 25/02/2025 119.14 635 Ordinary 635 25/02/2025 119.06 586 Ordinary 586 25/02/2025 119.06 160 Ordinary 160 25/02/2025 119.06 230 Ordinary 230 25/02/2025 119.06 1,084 Ordinary 1,084 26/02/2025 117.20 1,781 Ordinary 1,781 26/02/2025 115.02 -430 Ordinary -430 26/02/2025 n/a 6,430 Ordinary 6,430 26/02/2025 n/a 13,688 Ordinary 13,688 26/02/2025 n/a 200,955 Ordinary 200,955 26/02/2025 n/a 1,206 Ordinary 1,206 26/02/2025 n/a 3,725 Ordinary 3,725 26/02/2025 n/a 217,546 Ordinary 217,546 26/02/2025 n/a 18,837 Ordinary 18,837 26/02/2025 n/a 2,711 Ordinary 2,711 26/02/2025 n/a 27,048 Ordinary 27,048 26/02/2025 n/a 23,190 Ordinary 23,190 26/02/2025 n/a -11,361 Ordinary -11,361 26/02/2025 n/a 72,716 Ordinary 72,716 26/02/2025 n/a 813,540 Ordinary 813,540 26/02/2025 n/a 15,680 Ordinary 15,680 26/02/2025 n/a -15,680 Ordinary -15,680 26/02/2025 n/a 109,769 Ordinary 109,769 26/02/2025 n/a 1,143 Ordinary 1,143 26/02/2025 n/a -341 Ordinary -341 26/02/2025 n/a 53,791 Ordinary 53,791 26/02/2025 n/a 191 Ordinary 191 26/02/2025 n/a 409 Ordinary 409 26/02/2025 n/a 426 Ordinary 426 26/02/2025 n/a 2,180 Ordinary 2,180 26/02/2025 n/a 3,779 Ordinary 3,779 26/02/2025 n/a -1,367 Ordinary -1,367 26/02/2025 n/a 1,216 Ordinary 1,216 26/02/2025 n/a 580 Ordinary 580 26/02/2025 115.02 980 Ordinary 980 26/02/2025 115.02 184 Ordinary 184 STATE STREET BANK AND TRUST COMPANY STATE STREET BANK AND TRUST COMPANY Transfer in STATE STREET BANK AND TRUST COMPANY Transfer in Lend - for stock lend Transfer in STATE STREET BANK AND TRUST COMPANY Collateral received STATE STREET BANK AND TRUST COMPANY Collateral received STATE STREET BANK AND TRUST COMPANY STATE STREET BANK AND TRUST COMPANY Lend - for stock lend STATE STREET SAUDI ARABIA FINANCIAL SOLUTIONS COMPANY Lend - for stock lend Collateral received Collateral received STATE STREET BANK AND TRUST COMPANY STATE STREET GLOBAL ADVISORS EUROPE LIMITED STATE STREET GLOBAL ADVISORS EUROPE LIMITED STATE STREET BANK AND TRUST COMPANY Lend - for stock lend STATE STREET BANK AND TRUST COMPANY Collateral received Lend - for stock lend STATE STREET BANK AND TRUST COMPANY Lend - for stock lend Transfer in STATE STREET GLOBAL ADVISORS EUROPE LIMITED STATE STREET BANK AND TRUST COMPANY Collateral received STATE STREET BANK AND TRUST COMPANY Lend - for stock lend STATE STREET BANK AND TRUST COMPANY STATE STREET BANK AND TRUST COMPANY Collateral received Collateral received STATE STREET BANK AND TRUST COMPANY Collateral received STATE STREET BANK AND TRUST COMPANY STATE STREET BANK AND TRUST COMPANY STATE STREET BANK AND TRUST COMPANY Transfer in Transfer in STATE STREET BANK AND TRUST COMPANY Collateral received Lend - for stock lend STATE STREET BANK AND TRUST COMPANY STATE STREET BANK AND TRUST COMPANY Collateral received STATE STREET GLOBAL ADVISORS, AUSTRALIA, LIMITED Lend - for stock lendSTATE STREET BANK AND TRUST COMPANY Lend - for stock lend STATE STREET GLOBAL ADVISORS LIMITED Collateral received STATE STREET BANK AND TRUST COMPANY Collateral received Lend - for stock lend STATE STREET BANK AND TRUST COMPANY Collateral received STATE STREET BANK AND TRUST COMPANY STATE STREET BANK AND TRUST COMPANY Lend - for stock lend STATE STREET GLOBAL ADVISORS EUROPE LIMITED Transfer in Lend - for stock lend STATE STREET GLOBAL ADVISORS, LTD. Transfer in Collateral received STATE STREET BANK AND TRUST COMPANY STATE STREET BANK AND TRUST COMPANY Lend - for stock lend Collateral received STATE STREET BANK AND TRUST COMPANY STATE STREET BANK AND TRUST COMPANY Lend - for stock lend Transfer out STATE STREET GLOBAL ADVISORS TRUST COMPANY Lend - for stock lend STATE STREET BANK AND TRUST COMPANY STATE STREET BANK AND TRUST COMPANY Collateral received


 
604 Page 18 28-Feb-2025 Annexure B This is Annexure B referred to in Form 604, Notice of change of interest of substantial holder 28/02/2025 Does the lender have the right to recall the securities early (ie before the scheduled return date)? [Yes/No] No, assuming the borrower returns the borrowed securities or equivalent securities If yes, in which circumstances? n/a (lender must return securities collateral if the borrower returns the borrowed securities or equivalent securities) Scheduled date (if any) when the securities are expected to be returned to the lender or its nominee (ie return date) No scheduled return date. Securities collateral is returned on termination of related securities loan Does the borrower have the right to return the securities early? [Yes/No] At any time subject to returning the borrowed securities or equivalent securities or providing alternative collateral If yes, in which circumstances? At any time subject to returning the borrowed securities or equivalent securities or providing alternative collateral Are there any restrictions on voting rights? (1) Yes, but only if the borrower defaults and ownership is enforce; (2) Yes If yes, in what detail? (1) Only if the borrower defaults and ownership is enforced; Date on which the securities were (or are) expected to be delivered to the borrower or its nominee (ie borrow date): The dates on which the securities were transferred, as indicated in Annexure A to this notice Holder of voting rights LENDER If yes, in which circumstances? Lender can require return of securities or equivalent securities at any time subject to giving notice Are there circumstances in which the borrower will not be required to return the securities on settlement? [Yes/No] No If yes, in which circumstances? n/a Part B: For relevant interests arising out of lending securities - State Street Bank and Trust Company acquires a relevant interest in securities through taking a security interest (“title transfer”) over the securities as collateral to secure a securities loan. (See Part A of this Annexure for securities loan details.) Type of agreement: Global Master Securities Lending Agreement Securities Lending Authorisation Agreement If requested, a pro forma copy of the agreement will be given to the ASIC or the company or responsible entity to whom the prescribed report was given. Parties to agreement: (1) State Street Bank and Trust Company (2) Counterparty / entities details to be shared, as and when requested. Does the borrower have the right to return the securities early? [Yes/No] No scheduled return date. Borrower can return securities or equivalent securities at any time subject to giving notice If yes, in which circumstances? Borrower can return securities or equivalent securities at any time subject to giving notice Does the lender have the right to recall the securities early (ie before the scheduled return date)? [Yes/No] No scheduled return date. Lender can require return of securities or equivalent securities at any time subject to giving notice If yes, in what detail? (1) Only if instructed to by the borrower (2) As determined by the owner of the securities Date on which the securities were (or are) expected to be delivered to the borrower or its nominee (ie borrow date): The dates on which the securities were delivered by State Street Bank and Trust Company as borrower are set out in Annexure A to this notice Scheduled date (if any) when the securities are expected to be returned to the lender or its nominee (ie return date) No scheduled return date Parties to agreement: (1) State Street Bank and Trust Company (2) Counterparty / entities details to be shared, as and when requested. Holder of voting rights BORROWER Are there any restrictions on voting rights? (1) No (2) Yes. (Borrower has the right to vote, but may on-lend securities) Type of agreement: Securities Lending Authorisation Agreement/ Global Master Securities Lending Agreement/ Securities Loan Agreement. A pro forma copy of the agreement will be given if requested by the ASIC or the company or responsible entity to whom the prescribed report is given. Alok Maheshwary Authorised signatory Dated the State Street Bank and Trust Company will, if requested by the company or responsible entity to whom this form must be given under the Corporations Act 2001 (Cth) or if requested by the Australian Securities and Investment Commission (ASIC), provide a copy of the master securities lending agreement/s and security agreement/s referred to below to the company, responsible entity or ASIC. Part A: For relevant interests arising out of lending securities - State Street Bank and Trust Company acquires relevant interest as lender of the securities under securities lending authorisation agreement, subject to obligation to return under the agreement. (State Street Bank and Trust Company has lent the securities and retains relevant interest as per Part B of this Annexure.)


 
604 Page 19 28-Feb-2025 Annexure C This is Annexure C referred to in Form 604, Notice of change of interest of substantial holder 28/02/2025 Does the borrower have the right to return the securities early? [Yes/No] No scheduled return date. Borrower can return securities or equivalent securities at any time subject to giving notice If yes, in which circumstances? Borrower can return securities or equivalent securities at any time subject to giving notice Does the lender have the right to recall the securities early (ie before the scheduled return date)? [Yes/No] No scheduled return date. Lender can require return of securities or equivalent securities at any time subject to giving notice If yes, in which circumstances? Lender can require return of securities or equivalent securities at any time subject to giving notice Are there circumstances in which the borrower will not be required to return the securities on settlement? [Yes/No] No If yes, in which circumstances? n/a (1) Yes, but only if the lender recalls the loan and exercises its right to become the registered holder (2) Yes (while registered holder) Date on which the securities were (or are) expected to be delivered to the borrower or its nominee (ie borrow date): The dates on which the securities were delivered to the borrower are set out in Annexure A to this notice Scheduled date (if any) when the securities are expected to be returned to the lender or its nominee (ie return date) No scheduled return date If yes, in what detail? (1) Only if the lender recalls the loan and exercises its right to become the registered holder (2) Borrower may exercise voting rights (while registered holder) Holder of voting rights LENDER If yes, in which circumstances? Lender can require return of securities or equivalent securities at any time subject to giving notice Are there circumstances in which the borrower will not be required to return the securities on settlement? [Yes/No] No If yes, in which circumstances? n/a Part B: For relevant interests arising out of lending securities - State Street Bank and Trust Company lends the securities under securities lending agreement, and retains relevant interest through the right to recall the securities or equivalent securities. Type of agreement: Global Master Securities Lending Agreement/Master Securities Loan Agreement. If requested, a pro forma copy of the agreement will be given to the ASIC or the company or responsible entity to whom the prescribed report was given. Parties to agreement: (1) State Street Bank and Trust Company (2) Counterparty / entities details to be shared, as and when requested. Are there any restrictions on voting rights? Does the borrower have the right to return the securities early? [Yes/No] No scheduled return date. Borrower can return securities or equivalent securities at any time subject to giving notice If yes, in which circumstances? Borrower can return securities or equivalent securities at any time subject to giving notice Does the lender have the right to recall the securities early (ie before the scheduled return date)? [Yes/No] No scheduled return date. Lender can require return of securities or equivalent securities at any time subject to giving notice If yes, in what detail? (1) Only if the borrower is the registered holder. However the securities are on-lent by the borrower as per Part B of this Annexure (2) n/a Date on which the securities were (or are) expected to be delivered to the borrower or its nominee (ie borrow date): The dates on which the securities were delivered to State Street Bank and Trust Company as borrower are set out in Annexure A to this notice Scheduled date (if any) when the securities are expected to be returned to the lender or its nominee (ie return date) No scheduled return date Parties to agreement: (1) State Street Bank and Trust Company (2) Counterparty / entities details to be shared, as and when requested. Holder of voting rights BORROWER Are there any restrictions on voting rights? (1) Yes (if the borrower is the registered holder. However the securities are on-lent by the borrower as per Part B of this Annexure) (2) No, not during term of securities loan Type of agreement: Global Master Securities Lending Agreement/Master Securities Loan Agreement/Securities Loan Agreement. If requested, a pro forma copy of the agreement will be given to the ASIC or the company or responsible entity to whom the prescribed report was given. Alok Maheshwary Authorised signatory Dated the State Street Bank and Trust Company will, if requested by the company or responsible entity to whom this form must be given under the Corporations Act 2001 (Cth) or if requested by the Australian Securities and Investment Commission (ASIC), provide a copy of the master securities lending agreement/s and security agreement/s referred to below to the company, responsible entity or ASIC. Part A: For relevant interests arising out of lending securities - State Street Bank and Trust Company acquires relevant interest as borrower of the securities under securities lending agreement, subject to obligation to return under the agreement. (State Street Bank and Trust Company has on-lent the securities and retains relevant interest as per Part A of this Annexure.)


 
604 Page 20 28-Feb-2025 If yes, in which circumstances? n/a (lender must release pledged securities if the borrower returns the borrowed securities or equivalent securities) Scheduled date (if any) when the securities are expected to be returned to the lender or its nominee (ie return date) No scheduled release date. Securities are released from pledge on termination of related securities loan Does the borrower have the right to return the securities early? [Yes/No] No scheduled release date. Securities are released from pledge on termination of related securities loan or the provision of alternative collateral If yes, in which circumstances? At any time subject to returning the borrowed securities or equivalent securities or providing alternative collateral If yes, in what detail? (1) Only if the borrower defaults and pledge is enforced (2) In accordance with ordinary rights as registered holder, either directly or through nominee holder Date on which the securities were (or are) expected to be delivered to the borrower or its nominee (ie borrow date): The dates on which the securities were pledged, as indicated in Annexure A to this notice Does the lender have the right to recall the securities early (ie before the scheduled return date)? [Yes/No] No, assuming the borrower returns the borrowed securities or equivalent securities Part C: For relevant interests arising out of lending securities - State Street Bank and Trust Company acquires a relevant interest in securities through taking a security interest (“pledge”) over the securities as collateral to secure a securities loan. (See Part B of this Annexure for securities loan details.) Type of agreement: Global Master Securities Lending Agreement Security Agreement: If requested, a pro forma copy of the agreement will be given to the ASIC or the company or responsible entity to whom the prescribed report was given. Are there any restrictions on voting rights? (1) Yes, but only if the borrower defaults and pledge is enforced Holder of voting rights LENDER Parties to agreement: (1) State Street Bank and Trust Company (2) Counterparty / entities details to be shared, as and when requested.