6-K 1 elppr4q23_6k.htm 6-K

SECURITIES AND EXCHANGE COMMISSION

Washington, D.C. 20549

 


 

FORM 6-K

 

Report of Foreign Private Issuer
Pursuant to Rule 13a-16 or 15d-16 of the

Securities Exchange Act of 1934

 

For the month of February, 2024

Commission File Number 1-14668

 


 

COMPANHIA PARANAENSE DE ENERGIA

(Exact name of registrant as specified in its charter)

 

Energy Company of Paraná

(Translation of Registrant's name into English)

 

José Izidoro Biazetto, 158
81200-240 Curitiba, Paraná
Federative Republic of Brazil
+55 (41) 3331-4011

(Address of principal executive offices)

 

Indicate by check mark whether the registrant files or will file annual reports under cover Form 20-F or Form 40-F.  Form 20-F ___X___ Form 40-F _______

 Indicate by check mark whether the registrant by furnishing the information contained in this Form is also thereby furnishing the information to the Commission pursuant to Rule 12g3-2(b) under the Securities Exchange Act of 1934.  

Yes _______ No ___X____

 

 
 

 

 

 
 

4Q23 Highlights

 

 

§Record adjusted EBITDA1 of R$ 5.8 billion in 2023 (+5.6% vs 2022) and R$ 1.5 billion in 4Q23 (+4.6% vs 2022)
§Net Income 1 of R$ 943 million in 4Q23 (+51.1% vs 4Q22) and R$ 2.3 billion in 2023 (+102.5% vs. 2022)

 

§Leverage of 1.9x EBITDA

 

§Operating Cash Generation of R$ 1.5 billion in 4Q23
§Supplementary dividend proposal of R$ 131.0 million, total of R$ 1.1 billion – Payout of 50%
§Copel Distribuição’s Regulatory efficiency of 28% adjusted LTM
§UEGA’s Divestment – signning of CCVA

 

§Included in MSCI Brazil’s composition – world reference to institucional investors
§Procces of undoing the UNITS program finished
§LatinFinance Award - Deal of the Year
§ISE B3 Copel remains in the index in 2024
§Copel foward to A- score from CDP

 

1 Considers discontinued operations

 

 

 

 

 
 

Message from the CEO

 

 

In 2023, A new journey began to Copel’s history. Our common shares valued in 43%, while preferred shares grew by 36%, bringing the company to a market value of R$29.8 billion. Throughout the year, we led the company's transformation into a corporation with dispersed capital and no controlling shareholder (“True Corporation”). Completed in August, it reached the largest follow-on and the second largest offer in the Utilities sector in the West in 2023, moving R$5.2 billion. Of these, R$3.2 billion refers to the secondary offer from the State of Paraná and R$2.0 billion to the primary offer, an amount that will be used to pay the grant bonus for the full renewal of the concessions of the three largest hydroelectric plants of Copel (Foz do Areia, Salto Segredo and Salto Caxias), which together add up to 4.2 GW of installed capacity (approximately 60% of the Company's total capacity).

This achievement goes beyond the renewal of these fundamental concessions. As a corporation, with a private legal nature, Copel gains better conditions to operate in the competitive and challenging environment of the electricity sector, with efficiency gains and the real possibility of leveraging investment conditions. We combine Copel's 69-year history of contributions to the national electricity sector with a more competitive, sustainable and innovative future, contributing to the development of Paraná and Brazil. The success of the transformation process into a corporation was aligned with the company's other operations. We achieved an adjusted EBITDA of R$5.8 billion and a net income of R$2.3 billion, an increase of 102% compared to the previous year. In 2023, we made the largest investment in the history of Copel Distribuição with an investment of R$2 billion for the modernization, expansion and automation of Paraná's electrical infrastructure. Thus, at the end of the year we achieved historic efficiency, with adjusted EBITDA exceeding regulatory EBITDA by 28%.

In a challenging year, faced with a scenario of constant low energy prices, Copel Geração e Transmissão managed to achieve the enviable amount of R$3.5 billion in adjusted EBITDA in its continuing operations. For the third consecutive year, Copel Mercado Livre was among the largest traders in the country in terms of energy volume. Faced with the challenge of managing uncontracted energy from Copel GeT and facing another stage in the expansion of the free market starting in 2024, we restructured our trader and invested in digitalization and efficiency, integrating and centralizing Copel's energy planning.

Focused on our sustainable agenda, we completed the acquisition of the Aventura and Santa Rosa & Mundo Novo Wind Complexes, with 260.4 MW of installed capacity, and we are about to complete the divestment in the Araucária Gas Power Plant (UEGA) and consolidate a generator matrix practically 100% renewable. And, in line with the strategy of concentrating our operations in the electricity sector, we continued with the process of selling our shareholding in Compagas.

Expanding the frontiers of innovation, we created a Corporate Venture Capital fund with a commitment to invest R$150 million over 10 years. We have already made our first contributions: at Move, a start-up that works with electric mobility and offers electric charger management solutions.

The constant focus on results and our ability to achieve led Copel to the Morgan Stanley Capital Index (MSCI) seal, an important global reference index for institutional investors. We also ranked for the 18th time in the corporate sustainability ranking (ISE) and in the Efficient Carbon Index (ICO2), both from B3.

 

 
 

Finally, I reinforce that in 2024 we will continue on a journey of operational excellence, in the discipline of capital allocation and execution of our strategic plan. We believe that Copel's integrated operations, with a relevant presence in the Generation, Transmission, Distribution and Trade business, is one of our great competitive differentiators and will allow the Company to continue generating value for all stakeholders.

All of this represents, on the eve of the celebration of the company's 70th anniversary, some of the perennial hallmarks of Copel's operations since its inception: innovation, sustainability, solidity and permanent commitment to the customer.

Daniel Slaviero

Copel’s CEO


RESULTS | 4Q23

 

 

 
 

List of contents

1.   Consolidated Results 2
1.1 EBITDA 2
1.2 Operating Revenue 3
1.3 Operational Costs and Expenses 4
1.4 Equity in Earnings of Subsidiaries 6
1.5 Financial Results 6
1.6 Consolidated Net Income 7
1.7 Debt 7
2. Investment 9
2.1 Investment Policy 9
2.2 Investment Program 9
3.   Copel Geração e Transmissão 10
3.1 Financial Performance 10
3.1.1 IFRS effect in the Transmission segment 12
3.2   Operacional Performance 12
3.2.1 Generation 13
3.2.2 Hydro and Wind Generation 13
3.2.3 Thermal Generation 13
3.3 Transmission 14
3.3.1 RBSE Reprofiling 14

 

4. Copel Distribuição 15
4.1 Financial Performance 15
4.1.1 Regulatory Efficiency 16
4.2   Operational Performance 17
4.2.1 Grid Market (TUSD) 17
4.2.2 Captive Market 17
4.2.3 Concession Agreement 17
4.2.4 Investment and Operational Data 17
5.   Copel Mercado Livre 20
5.1   Financial Performance 20
5.2   Operational Performance 21
6. ESG Performance 22
6.1 Copel pioneers in ESG in the sector 22
6.2   Recent Highlights 22
6.3 Indicators 23
6.4 Ratings, Rankings, and Indexes 24
7. Other highlights 25
Exhibit 29

 

 

   
RESULTS | 4Q231 
 

 

1.Consolidated
Results

The following analyzes refer to the fourth quarter of 2023 and the year to date, compared to the same period in 2022.

1.1 EBITDA

Adjusted EBITDA from continuing operations (excluding Compagas and UEGA, which are in the process of being sold) and excluding non-recurring items, grew 10.1% in 4Q23 (R$1,482.9 compared to R$1,347.0 million in 4Q22 ) reflecting, above all, the better result of Copel Distribuição (+35.6%). When including the result of discontinued operations, adjusted EBITDA reached R$1,493.6 million, an amount 4.6% higher than the R$1,427.6 million recorded in 4Q22 and, also, when excluding the effects of the equity in earnings of subsidiaries (that is, adjusted EBITDA with all operations and without equity in earnings of subsidiaries) there was an increase of 11.8% (R$1,430.5 million in 4Q23 compared to R$1,279.2 million in 4Q22).

Therefore, the main factors that explain the growth in results in the quarter are, mainly, (i) the 8.0% growth in the billed grid market, (ii) the tariff adjustment in June 2023, with an average effect of 6.32% in Tariffs for the Use of the Distribution System (TUSD), and (iii) the increase of 5.4% (+R$8.1 million) in other operating revenues, mainly because of leases and rentals of equipment and structures and sharing of posts. Also contributing to the result were: (i) Copel GeT's better performance in the purchase and sale of electricity (+R$50.9 million 4Q23 compared to 4Q22), due to the scenario of greater hydrology in 4Q23 (average GSF of 83.8%, compared to 77.6% in 4Q22) and the increase in results from the Aventura and Santa Rosa & Mundo Novo – SRMN Wind Complexes, acquired on January 30, 2023 (+ R$29.1 million in adjusted EBITDA); and (ii) the reversal of provisions in 4Q23 mainly due to the reversal of R$83.0 million in regulatory litigation within the scope of Copel GeT, effect of Aneel Order No. 4,758 of December 5, 2023 which deals with the calculation methodology of the Surplus and Deficit Compensation Mechanism (MCSD)[1].

These events were partially offset, above all, by (i) lower remuneration on transmission agreement assets, mainly due to the periodic tariff review applied to the agreements and lower inflation in the comparison between periods (IPCA of 1.08% in 4Q23 compared to 1.63% in 4Q22), with a reduction of R$15.9 million in Copel GeT's revenue from use of the main transmission grid and R$85.3 million in equity in earnings of subsidiaries; and (ii) the reduction of R$30.2 million in revenue from wind farms[2] due to generation diversion in the comparison between periods, essentially due to the operational restriction imposed by the ONS (Constrained-off).

 

Adjusted Consolidated EBITDA

Obs. Considers descontinued operations.

 

The non-recurring items that were neutralized to calculate adjusted EBITDA are shown in the following table:


[1] Due to the renegotiation of the hydrological risk in the ACR in 2016, which extended the validity period for plants with existing energy in the period from 05/24/2023 to 09/17/2023, Copel GeT, understanding that the amounts originally contracted in the auctions must be fully rehired, without subsequent reductions caused by the Surplus and Deficit Return Mechanism – MSCD 4% and monthly, filed a precautionary measure with Aneel, accepted by the agency, to suspend the effects of the MCSD in this process.

[2] More details in Item 3. Generation and Transmission.

 

   
RESULTS | 4Q232 
 

 

In 4Q23, the following non-recurring items were recorded: (i) the partial reversal of impairment of generation assets in the amount of R$123.7 million, mainly explained by the reversal of R$105.1 million relating to HPP Colíder and R$24.1 million referring to HPP Baixo Iguaçu, due to the reevaluation of calculation assumptions considering a reduction in operating costs and the discount rate (WACC) from 5.71% p.a. to 5.43% p.a. (more details in explanatory note 16.4.1 of the Financial Statements); (ii) the provision for additional litigation in the amount of R$51.1 million, in accordance with the agreement signed to close the arbitration process (more information in Explanatory Note 40.1 of our Financial Statements); (iii) reversal of R$26.4 million due to the review of accounting recognition carried out in 3Q23 which dealt with recording the extension of the concession period for HPP Mauá in intangible assets[3]; and (iv) R$11.4 million referring to the fair value of energy purchase and sale contracts (mark to market) from Copel Mercado Livre, an amount determined by the difference between the contracted price and the future market price estimated by the Company.

In 2023, adjusted EBITDA from continuing operations (disregarding Compagas and UEGA, which are in the process of being sold) and excluding non-recurring items, reached R$5,693.4 million, growth of 6.5% in relation to R $5,343.6 million recorded in 2022. This result is mainly explained by (i) the better performance of Copel Distribuição with the increase of R$499.2 million in “Parcel B”, essentially due to the increase in the market and tariff adjustments applied in June 2022 (+16.55%) and June 2023 (+6.32%) in tariffs for the use of the distribution system (TUSD); (ii) the increase in the result of wind power generation assets, mainly due to the entry into commercial operation of the Jandaíra Wind Complex (+R$42.7 million in adjusted EBITDA) and the acquisition of the Aventura and SRMN Wind Complexes (+R$109.0 million in adjusted EBITDA); and (iii) the higher result of Copel Mercado Livre (adjusted EBITDA of R$112.6 million in 2023 compared to R$90.3 million in 2022), mainly due to the improvement in energy trading margins. These events were partially offset, especially by the decrease in Elejor's results, due to the lower margin in electricity sales, and by the drop in remuneration on transmission assets of subsidiaries (Costa Oeste, Marumbi and Uirapuru) and jointly controlled ventures, mainly due to the periodic tariff review applied to the agreements and lower inflation when comparing periods (IPCA of 4.62% in 2023 compared to 5.79% in 2022).


[3] Reversal made due to the fact that the exclusion of liability only shifts the plant's concession period in time, with the extension of the concession period being related to the construction period, i.e., not generating additional revenues correlated to the asset.

Within the scope of transmission assets, item 3.1.1 presents the regulatory accounting of results for the purpose of verifying the IFRS (International Financial Reporting Standards) effect.

1.2 Operating Revenue

Net operating revenue from continuing operations totaled R$5,567.7 million in 4Q23, growth of 5.8% compared to the R$5,264.8 million recorded in 4Q22. This result is mainly a reflection of:

(i)the increase of R$429.4 million in revenue from electricity sales to final customers, essentially due to the 9.0% growth in the billed captive market and the tariff adjustment applied to the Energy Tariff (TE) component from the distributor in June 2023, with an average effect of 17.4%; and
(ii)the increase of R$357.8 million in revenue from use of the main distribution and transmission grid, mainly due to the 8.0% growth in Copel Distribuição's billed grid market, which considers offset energy from Mini and Micro Distributed Generation – MMGD and the June 2023 tariff adjustment of Copel Distribuição, with an average effect of an increase of 6.32% in tariffs for the use of the distribution system (TUSD).

These increases were partially offset by (i) the reduction of R$376.4 million in the result of sectorial financial assets and liabilities (CVA), due to the drop in energy costs; and (ii) the decrease of R$117.4 million in revenue from electricity sales to distributors, essentially a consequence of the 17.8% reduction in the amounts of electricity sold by Copel Mercado Livre through bilateral contracts.

 

   
RESULTS | 4Q233 
 

 

The other variations in operating income were:

(i)the increase of R$15.3 million in construction revenue, essentially due to the increase in the volume of works related to Copel Distribuição's “Transformation” program, which encompasses investments aimed at improving and modernizing infrastructure and improvements in customer service; and
(ii)the increase of R$8.1 million in the “other operating revenue” line, basically due to higher income from leasing and rentals by the distributor, with emphasis on the greater volume of sharing of poles/fixing points.

In 2023, net operating revenue totaled R$21,479.5 million, an increase of 4.6% compared to the R$20,535.3 million recorded in 2022, with emphasis on the following variations: (i) increase of R$1,173.4 million (+24.3%) in revenue from “Use of the main distribution and transmission grid”; (ii) increase of R$436.1 million (+5.8%) with “electricity sales to final customers”; (iii) increase of R$169.7 million (+7.8%) in construction revenue; (iv) growth of R$99.3 million (+21.5%) in the “other operating revenues” item; (v) reduction of R$705.7 million (-42.1%) in the result of sectorial financial assets and liabilities; and (v) a drop of R$211.6 million (-5.5%) in revenue from “electricity sales to distributors”.

1.3 Operational Costs and Expenses

In 4Q23, operating costs and expenses from continuing operations totaled R$4,445.1 million, a reduction of 6.7% compared to the R$4,765.5 million recorded in 4Q22, mainly due to:

(i)the reduction of R$603.5 million with “provisions and reversals”, mainly reflecting (a) the extraordinary event of recording a provision in 4Q22, in the amount of R$452.7 million related to the discussion of a process that it was in arbitration at the time (more information in Explanatory Note 40.1 of our Financial Statements); (b) the partial reversal of impairment of generation assets in the amount of R$123.7 million, mainly explained by the reversal of R$105.1 million relating to HPP Colíder and R$24.1 million relating to HPP Baixo Iguaçu , as a result of the reassessment of assumptions in the calculation of fair value considering better estimates of revenue from the sale of electricity and reduction in operating costs and discount rate (more details in explanatory note 16.4.1 in the Financial Statements); and (c) the reversal of R$83.0 million of regulatory litigation within the scope of Copel GeT, effect of Aneel Order No. 4,758 of December 5, 2023, which deals with the calculation methodology of the Surplus and Deficit Compensation Mechanism (MCSD ); and
(ii)the drop of R$50.7 million in electricity purchased for resale (-2.4%), basically due to the lower average price applied to the purchase of electricity and the drop in the volume of electricity purchased by Copel Mercado Livre and Copel GeT, due to the improvement in the hydrological scenario (average GSF of 83.8%, compared to 77.6% in 4Q22).

These reductions were partially offset by:

(i)the increase of R$ 148.6 million (+23.7%) with “charges for using the electricity grid” justified mainly by higher costs with transporting energy on the basic grid; and
(ii)the growth of R$ 109.9 million (+16.1%) with manageable costs (PMSO), excluding provisions and reversals, mainly due to; (a) the Company's best results in 2023 and the performance related to short-term goals, resulting in greater amounts allocated to the performance bonus (PPD) and profit sharing (PLR), with a record of R$39, 5 million in 4Q23 compared to a reversal of R$24.1 million in 4Q22; and (b) higher expenses with third-party services (+27.8%), basically due to the increase in maintenance costs for the electrical system, mainly resulting from the greater number of interventions in the distribution grid caused by bad weather and rain during the period, in addition to the costs added by the acquisition of the Aventura and Santa Rosa & Mundo Novo Wind Complexes within the scope of Copel GeT. These events were partially offset by the 21.7% reduction in the item “other costs and expenses”, mainly due to (a) the recovery of taxes, especially related to the court decision on the Inspection Fee for the Use or Occupation of the Highway Right-of-Way – TFDER (DER/PR) in the amount of R$24.8 million[4], and (b) lower losses related to the deactivation of assets.

[4] This is a sentence relating to the removal of the Inspection Fee for the Use or Occupation of the Highway Right-of-Way – TFDER, provided for in State Law no. 17,445/2012

 

   
RESULTS | 4Q234 
 

 

Neutralizing the effects of provisions related to PPD and PLR, there is an increase of 1.1% in the quarterly comparison, despite the effects of ACT 2022/2024 with salary bonus in 4Q23 and salary adjustments of 7.19% in January and 4.51% in October of the current year. Considering the accumulated inflation measured by the National Consumer Price Index – INPC, of 3.71% between 4Q22 and 4Q23, there was a reduction in real terms of 2.5%, due to the reduction of 71 employees in the comparison between periods.

Headcount Evolution

In 2023, total operating costs and expenses reached R$18,092.6 million, a value 4.9% higher than the R$17,254.6 million recorded in 2022, mainly justified by (i) higher expenses with personnel and management, due to (a) the provisioning of R$610.1 million in 2023 referring to the Voluntary Dismissal Program (PDV), as per Notice to the Market 23/23, (b) the increase of R$134.0 million in the amount intended for the payment of performance bonuses (PPD) and profit sharing (PLR), resulting from the Company's best results and performance related to short-term goals, and (c) compensation of R$138.2 million paid in January 2023 regarding the bonus of the additional third of vacation, after a collective agreement signed with employees; and (ii) the increase of R$408.7 million with charge of the main distribution and transmission grid, mainly due to the higher costs of transporting energy on the basic grid. These events were partially offset, especially, by reductions of R$380.7 million in electricity purchased for resale and R$625.3 million in provisions and reversals.

Considering the impact of the provision for the allocation of PIS and Cofins credits in 2022 (R$810.6 million), total operating costs and expenses increased by 0.2% (R$18,092.6 million in 2023 compared to R$18,065.1 million in 2022).

 

 

   
RESULTS | 4Q235 
 

 

Breakdown of Costs and Expenses

 

It is worth mentioning that the company, in 2023, changed the method of accounting for the “monetary update on provisions for litigation” item, which was no longer recorded in the provisions and reversals line and began to form part of financial expenses. More information in Explanatory Note 28.1 of our Financial Statements.

1.4 Equity in Earnings of Subsidiaries

The equity result of joint ventures and other Copel associates reduced R$85.3 million compared to that recorded in the same period of the previous year (R$63.1 million, compared to R$148.5 million recorded in 4Q22), due to the lower remuneration on transmission agreement assets, basically explained by the periodic tariff review applied to transmission agreements and the lower inflation (IPCA) in 4Q23 (1.08% compared to 1.63% in 4Q22). More details can be seen in Appendix I.

1.5 Financial Results

In 4Q23, the financial result was a negative R$305.7 million, compared to a negative R$279.7 million recorded in 4Q22.

Financial expenses registered an increase of R$65.8 million, basically due to the growth of R$36.0 million in monetary variation and debt charges due to the greater volume of loans and financing (R$15.0 billion in 4Q23 compared to R$ 12.5 billion in 4Q22) and the greater impact of monetary variation and adjustment to present value on accounts payable linked to the concession (+R$25.1 million), referring to the UBP (Use of Public Asset) of Elejor. Financial expenses were also impacted by the voluntary change in the accounting method for the “monetary update on provisions for litigation” item, which was no longer recorded in the provisions and reversals line and became part of financial expenses. More information in Explanatory Note 28.1 of our Financial Statements.

Financial revenues increased by R$39.9 million, reflecting, above all, the higher income from investments (+R$64.4 million), essentially due to the greater volume of investments coming from cash resources, partially offset due to the drop in the remuneration of sectoral financial assets and liabilities (-R$ 41.7 million) within the distributor.

In the 2023 consolidated, excluding the effect of updating the provision for the allocation of PIS and Cofins credit, the financial result was negative by R$1,205.0 million compared to R$994.6 million recorded in 2022, essentially justified by the growth of R$284.5 million with monetary variation and debt charges, resulting from the greater volume of loans and financing.

 

1.6 Consolidated Net Income

Copel recorded in 4Q23, considering discontinued operations, net income of R$942.8 million compared to R$623.5 million in 4Q22 (an increase of 51.2%). In addition to the items already mentioned, the reversal of impairment at UEGA in the amount of R$258.6 million contributed to the growth in results, as a result of the signing of the share purchase and sale contract – CCVA, according to Material Fact 20/23.

 

   
RESULTS | 4Q236 
 

 

Also noteworthy is the difference of R$627.7 million in income tax and social contribution, mainly reflecting the recognition of the PIS/COFINS provision in 2022, impacting the result and deferred taxes.

  

Considering the accumulated result for 2023, the net income recorded, considering discontinued operations, was R$2,327.2 million compared to R$1,149.3 million recorded in 2022.

1.7 Debt

Copel's total consolidated debt, considering the results of continuing operations, totaled R$14,962.3 million on December 31, 2023, a variation of 20.1% in relation to the amount recorded on December 31, 2022, of R$12,454.2 million.

At the end of 2023, the Company's gross debt represented 61.8% of consolidated net equity, which was R$24,191.7 million.

The following table and graphs demonstrate the indebtedness of Copel and its subsidiaries at the end of 2023.

 

Debt by Subsidiary

 

 

Adjusted Net Debt/EBITDA Adjusted

 

 

 

Debt Indexers Average cost: 8.72%

 

   
RESULTS | 4Q237 
 

 

 

Amortization - R$ million Average term to maturity: 4.0 years

 

Weighted Average Cost and Average term to maturity

 

 

 

Copel's consolidated debt at the end of 2023, considering the 4th issuance of simple debentures by Compagas in July 2023 in the amount of R$295.0 million, totaled R$15,246.5 million.

 

 

 

 

 

 

 

 

 

 

   
RESULTS | 4Q238 
 

 

2. Investment

 

2.1 Investment Policy

In March 2021, the Board of Directors approved the Company's Investment Policy. Said Policy was subject to analysis and approval by the Investment and Innovation Committee, which was established by the new Bylaws of March 11, 2021, whose main purpose is to improve discipline in the allocation of capital, being an essential tool for the execution of the strategic guidelines for sustainable growth, generation of value for shareholders and the perpetuity of our energy business.

The Policy establishes the criteria for selecting, prioritizing, evaluating, approving and monitoring investments. Among the various aspects, the Policy segregates investment opportunities into three groups that will be prioritized as follows:

(i)Operating Investments: expansion of capacity and modernization of the assets of the Distribution, Transmission and Generation concessions, in addition to the continuity of existing businesses;
(ii)Strategic Investments: acquisition and development of new assets with an emphasis on brownfield opportunities and that provide operational synergies to the Company. Portfolio review and divestments are included; and
(iii)Investments in Innovation: where we highlight projects aimed at open innovation.

The Investment and Innovation Committee meets ordinarily once a month and extraordinarily whenever necessary, analyzing and issuing recommendations for the Company's investment proposals.

2.2 Investment Program

Investment Programs follow their schedules in each development project. In 2023, the amount realized from the investment program was R$2,252.1 million (99.1% of the forecast), of which R$1,966.5 million was made by Copel Distribuição, R$240.1 million by Copel Geração e Transmissão, R$40.7 million by Copel Serviços and R$4.8 million by Copel Holding and Copel Mercado Livre.

The investments made at Copel Distribuição aim to expand and automate the electrical infrastructure in the concession area, mainly through the “Paraná Trifásico”, Smart Grid and Total Reliability programs (see item 4.2.4). Of the amount allocated in the year, 95.0% was allocated to investments in electrical assets, 4.4% to investments in non-electrical assets and 0.6% to other investments.

1 Includes "Transformation" Program composed of the Paraná Trifásico, Smart Grid and Total Reliability projects.

2 Includes the Facilities Modernization Plan - PMI.

3Includes modernization of COGT (Generation and Transmission Operation Center), HPP GPS Parigot de Souza, SHPs Marumbi and Uirapuru, Jandaíra Wind Complexes and other projects.

4 Considers innovation plan within the energy sector and aligned with Copel's investment thesis and ESG practice.

5 Does not consider appropriation of own labor, charges and others, as well the acquisition of the Aventura and SRMN Wind Complexes in 2023 and the Grant Bonus for the renewal of the Salto Caxias, Segredo and Foz do Areia HPP concessions, in the amount of R$3.7 billion, scheduled for 2024.

 

 

   
RESULTS | 4Q239 
 

 

3.       Copel Geração e Transmissão

(Consolidated Results)

3.1 Financial Performance

Copel GeT presented an adjusted EBITDA of R$866.0 million considering the result of the discontinued UEGA operation and excluding non-recurring items, an amount 1.2% higher than the R$855.6 million recorded in 4Q22, due to, mainly, (a) the reduction of R$96.2 million with provisions and reversals (on a recurring basis), explained, above all, by the reversal of R$83.0 million in regulatory litigation, in which Aneel accepted, through the Order Aneel No. 4,758 of December 5, 2023, Copel's challenge to the methodology for calculating the Surplus and Deficit Return Mechanism – MCSD[5]; (b) the best result with the purchase and sale of electrical energy (+R$50.9 million), essentially justified by the reduction of R$48.3 million in acquisition costs for electricity purchased for resale, resulting from the more favorable hydrological scenario in 4Q23, with an average GSF of 83.8%, compared to 77.6% in 4Q22; and (c) addition of R$29.1 million to the result due to the incorporation of the Aventura and Santa Rosa & Mundo Novo Wind Complexes on January 30, 2023.

This result was partially offset by:

i.the reduction of R$30.2 million (R$ 62.0 million in 4Q23 compared to R$31.8 million in 4Q23) in net operating revenue from wind farms, caused by the diversion of generation resulting from the operational restriction imposed by the ONS (Constrained-off) in 4Q23. Considering the existing wind farms in both periods[6], the effect of the generation restriction on revenue was R$27.9 million;

 


[5] Due to the renegotiation of the hydrological risk in the ACR in 2016, which extended the validity period for plants with existing energy in the period from 05/24/2023 to 09/17/2023, Copel GeT, understanding that the amounts originally contracted in the auctions must be fully rehired, without the subsequent reductions caused by MSCD 4% and monthly, had filed a precautionary measure with the agency.

[6] Considers the wind farms of Cutia, São Bento, Brisa Potiguar, Bento Miguel and Vilas.

ii.the lower remuneration on transmission agreement assets, mainly due to the periodic tariff review applied to the agreements and lower inflation in the comparison between periods (IPCA of 1.08% in 4Q23 compared to 1.63% in 4Q22), with a reduction of R$15.9 million in Copel GeT's revenue from use of the main transmission grid and R$85.3 million in equity in earnings of subsidiaries. Item 3.1.1 presents the regulatory accounting of results for the purpose of verifying the IFRS (International Financial Reporting Standards) effect on transmission assets.

Regarding non-recurring items for continuing operations in 4Q23, the following were recorded: (i) the partial reversal of impairment of generation assets in the amount of R$123.7 million, mainly explained by the reversal of R$105.1 million relating to HPP Colíder and R$24.1 million referring to HPP Baixo Iguaçu, due to the revaluation of the discount rate, after taxes, to 5.43% p.a. (5.71% p.a. in 2022) and better estimates of revenue from the sale of electricity and reduction in operating costs (more details in explanatory note 16.4.1 in the Financial Statements); ii) reversal of R$26.4 million, which had been recorded in intangible assets in 3Q23 relating to the extension of the concession period for HPP Mauá, which had its accounting recognition reviewed. In the case of the discontinued UEGA operation, the reversal of impairment was recorded (R$258.6 million), as a result of the signing of the CCVA share purchase and sale contract (more details in “Other highlights of the period” and Note in Explanatory 39 Copel's financial statements);

 

 

   
RESULTS | 4Q2310 
 

 

Expenses with PMSO, excluding provisions and reversals, increased 5.9%, mainly influenced by:

(i)increase in “personnel and management” costs of R$21.8 million, justified mainly by the higher provision for the performance bonus (PPD) and profit sharing (PLR), +R$ 10, 4 million in 4Q23 compared to a reversal of -R$ 6.1 million in 4Q22;
(ii)increase in expenses with “third party services” by 22.3%, essentially due to the costs of maintaining wind farms (+R$ 7.0 million), also reflecting the incorporation of the Aventura and Santa Rosa & Mundo Novo Wind Complexes;
(iii)partially offset by the reduction in “Other costs and expenses” by 31.4%, mainly by the reimbursement of coal through the energy development account (CDE), resulting from the return to operation of TPP Figueira since December 2022 (R $11.8 million).

Neutralizing the effects of provisions relating to PPD and PLR, there is an increase of 5.8% in personnel and management costs in the quarterly comparison, mainly due to the effects of ACT 2022/2024 with salary bonus (+R$ 5.2 million) in 4Q23 and salary adjustments of 7.19% in January and 4.51% in October of this year, despite the reduction of 10 employees. Considering the accumulated inflation measured by the National Consumer Price Index – INPC, of 3.71% between 4Q22 and 4Q23, there was an increase in real terms of 2.0%.

In 2023, Copel GeT recorded EBITDA of R$3,466.6 with continuing operations, a decrease of 1.8% compared to 2022, mainly due to provisions for compensation from the voluntary dismissal program and compensation for the additional third of vacation, partially offset by (a) reversal of the impairment of generation assets, (b) incorporation of new wind farms (Complexo Jandaíra, Aventura and SRMN), (c) the best result with the purchase and sale of electricity in the year, explained by better hydrological conditions. Including discontinued operations and disregarding non-recurring effects, adjusted EBITDA was recorded at R$3,453.3 million, an increase of 0.8%, compared to R$3,424.4 million in the same period of the previous year.

Net income from continuing operations was R$1,634.3 million in 2023, a reduction of 11.8% compared to 2022. This result mainly reflects the negative financial result in R$ 747.4 million in 2023, compared to a negative R$ 636.0 million recorded in 2022, resulting from the increase in debt charges, reflecting the greater amount of debentures, loans and financing, being partially offset by the growth in EBITDA, by the points presented previously. Considering discontinued operations, net income reached R$1,700.5 million, 6.3% higher than in the previous year, essentially due to the reversal of the UEGA impairment.

 

3.1.1 IFRS effect in the Transmission segment

For the calculation, an adjustment was made considering the effects of the application of CPC47/IFRS15 in the corporate statements in the transmission business.

 

   
RESULTS | 4Q2311 
 

 

3.2  Operacional Performance

 

Copel is present in 10 states, operating in the generation and transmission business.

In the Generation business, Copel GET operates a diversified park of hydroelectric, wind and thermal plants, totaling 6,966.7 MW of installed capacity and 3,156.6 average MW of assure energy. In the Transmission business, Copel owns a total grid of 9,685 Km of transmission lines and 53 basic grid substations, considering the affiliates.

For more information on generation and transmission operational data, see Exhibit IV.

 

 

3.2.1 Generation

Copel's generating portfolio is made up of 94% of renewable sources, such as hydro and wind power.

 

   
RESULTS | 4Q2312 
 

 

 

3.2.2 Hydro and Wind Generation

The energy generation of Copel Geração e Transmissão S.A. and its wind farms in 2023 was 25,797 GWh (compared to 24,721 GWh in 2022). The increase is mainly due to the entry into commercial operation of Jandaíra Wind Farm and the acquisition of the Aventura and Santa Rosa & Mundo Novo (SRMN) Wind Complexes.

In the fourth quarter of 2023, Copel Geração e Transmissão's hydro plants (including HPP Foz do Areia and SHP Bela Vista) recorded 5,600 GWh of electricity sold, an increase of 10.7%, mainly due to CCEARs resulting from the renegotiation of the GSF.

For wind farms, the total electricity sold in 4Q23 was 1,159 GWh, an increase of 30.9%, influenced by the acquisition of the Aventura and SRMN Wind Complexes, which became part of the Company's portfolio on January 30, 2023.

 

 

3.2.3 Thermal Generation

TPP Araucária

It is a natural gas generation plant with an installed capacity of 484.2 MW that operates in a combined cycle (two gas turbines and one steam turbine) and operates in the modality known as "merchant" in which the plant operates without sales contracts. of electricity, whether in the free (ACL) or regulated (ACR) environment, subject to fluctuations in the Price for Settlement of Differences - PLD. In this modality, the thermoelectric plant is dispatched centrally by the National Electric System Operator (ONS), in situations where the Marginal Cost of Operation (CMO) of the electrical system exceeds its Variable Unit Cost (CVU) approved by ANEEL, or out of order of merit, when requested by the ONS. For TPP Araucária, which is in the process of being disinvested by Copel, there was no dispatch in 4Q23, due to hydrological conditions.

 

   
RESULTS | 4Q2313 
 

 

TPP Figueira

Coal-fired generation plant with an installed capacity of 20 MW, achieved after a modernization process that allowed an increase in capacity without the need to increase the volume of coal consumed. TPP Figueira resumed commercial operations on 12/07/2022, by ANEEL order no. 2502/2022. On 10/31/2023, the Company filed a letter with the Ministry of Mines and Energy requesting the withdrawal of the intention to extend the TPP Figueira concession. Concomitantly, in 4Q23 the plant was unavailable due to the obstruction of one of the coal supply lines, causing no generation in 4Q23. On 02/23/2024, Aneel decided to suspend commercial operations, more details in “Other highlights”.

In 2023, generation was 40.1 GWh.

GSF and PLD

3.3 Transmission

Copel has more than 9.6 thousand km of transmission lines in eight Brazilian states, considering its own assets and in partnership with other companies. In addition to building, maintaining and operating an extensive own energy transmission grid, Copel provides services to projects of other concessionaires with the quality of someone who has accumulated more than 60 years of experience in the sector. The Transmission projects are listed in Exhibit IV, including the projects of Copel Geração e Transmissão, SPCs Costa Oeste, Marumbi and Uirapuru Transmissora (100% Copel GeT), as well as the 7 SPCs in which Copel GeT has a stake.

3.3.1 RBSE Reprofiling

The Concession Agreement 060/2001 represents 42.3% of the annual permitted revenue (APR) of Copel GET's transmission business, also considering its affiliates. Below, we describe the flow of receipt of the portion of revenue referring to the Basic Grid - Existing System (RBSE) for the next cycles. It is important to note that this flow may change in the future, as a result of the tariff review processes and/or review of parameters used to compose these revenues by the regulatory agent. The values referring to O&M from the 2023-2024 cycle were readjusted by the IPCA.

 

 

Note:

Economic component: future values based on the 2023-2024 cycle (according to REH 3.216/2023 of 06/30/2023)

Financial component: values published in REH 2847/21. Subject to review during the current cycle in view of the controversy in the methodology used to calculate these values by the regulatory agency.

RAP values up to the 2023-2024 cycle taken from the REH of each cycle, with reference to the cycle price (June of the year of publication) RAP values include RB and DIT assets

 

   
RESULTS | 4Q2314 
 

 

4. Copel Distribuição
4.1 Financial Performance

EBITDA in 4Q23 reached R$599.1 million, growth of 35.6%, due to (i) the 8.0% growth in the billed grid market, mainly due to the high average temperature in the fourth quarter of 2023 (see item 4.2.1); (ii) the tariff adjustment of June 2023, with an average increase of 6.32% in the Tariffs for the Use of the Distribution System (TUSD); and (iii) the increase of 41.6% (+R$43.2 million) in other operating revenues, mainly referring to leases and rentals of equipment and structures and sharing of poles, including fines. In the fourth quarter there were no non-recurring items for adjustment. In the year to date, excluding the non-recurring effects listed below, adjusted EBITDA increased by 24.5%.

Manageable costs, excluding provisions and reversals, increased by 17.8% compared to 4Q22, mainly as a result of: (i) the 24.3% increase in expenses with personnel and management, due to the provision of R$24,6 million for profit sharing (PLR) and performance bonus (PPD) in 4Q23, compared to the reversal of R$17.4 million in PLR in 4Q22, and (ii) the increase of 23.2% (+R$ 33.2 million) with third-party services, mainly caused by higher expenses with maintenance of the electrical system, especially the increase in expenses with emergency situations, due to a higher incidence of storms; partially offset by the 14.0% reduction in other operating costs and expenses, mainly related to the recovery of expenses due to a court decision in favor of Copel DIS on the non-enforceability of the Inspection Fee for the Use or Occupation of the Highway Right-of-Way – TFDE/DER and refund of amounts paid in 2013, in the amount of R$ 24.8 million.

The personnel and management account, excluding the effects of the provision of PDV, PPD and PLR, recorded a reduction of 2.7%, mainly due to the reduction of 54 employees, despite the effects of ACT 2022/2024 with bonus salary (+R$ 12.8 million) in 4Q23 and salary adjustments of 7.19% in January 2023 and 4.51% in October 2023 of the current year. Considering the accumulated inflation measured by the National Consumer Price Index – INPC, of 3.71% between 4Q22 and 4Q23, the personnel and management cost line recorded a reduction in real terms of 6.2%.

The following table presents the main indicators of Copel Distribuição:

In 4Q23, we also highlight:

 

   
RESULTS | 4Q2315 
 

 

(i)the 34.2% growth in revenue from Use of the main distribution grid, mainly due to the 8.0% growth in the billed grid market, which considers offset energy from Mini and Micro Distributed Generation – MMGD, and the tariff adjustment of June 2023, with an average effect of an increase of 6.32% in the Tariffs for the Use of the Distribution System (TUSD). Also contributing to this growth was the reduction of R$24.1 million in the Energy Development Account – CDE, a reducing account for the item, which constitutes a sectoral liability in the CVA to maintain the neutrality of charges for the distributor;
(ii)the 33.6% increase in electricity sales to final customers revenue, due to the +9.0% variation in the captive market billed in the quarter, valued by the average effect of a 17.4% increase in the Energy Tariff (TE) component in the 2023 tariff adjustment;
(iii)the 61.6% reduction in revenue from electricity sales to distributors, due to lower revenue from energy settlement in the CCEE Spot Market and revenue from MVE contracts;
(iv)the 80.5% reduction in the sectorial assets and liabilities result, mainly due to lower energy costs in the period;
(v)the 28.4% increase in costs with charges of main transmission grid, due to higher expenses with: charges for the use of the Basic Grid (+R$ 102.4 million), given the readjustment of the APR, power transport from Itaipu (+R$34.3 million), given the increase in the tariff, and System Services Charges – ESS (+R$37.3 million), given the considerable increase in load which, despite the storage of ten /2023 being better than Dec/2022, required an additional thermal dispatch for the electrical safety of the system; and
(vi)the 22.1% reduction in provisions and reversals, due to the reversal of provisions for labor, tax, civil and administrative disputes, partially offset by the 42.5% increase in the provision for doubtful debts, due to the reduction in invoice recovery, of R$17.1 million in 4Q23 versus R$32.9 million in 4Q22, as a result of the resumption of collection actions by distributors, interrupted due to the Covid-19 epidemic, and (b ) to the constitution of PCLD of R$33.1 million in 4Q23 compared to R$1.2 million in 4Q22.

Copel Distribuição's net income was R$263.3 million in 4Q23 compared to R$324.3 million in 4Q22. In the year, net income was R$569.1 million, result of the better operational performance of Copel Distribuição, highlighted previously, and higher than the accumulated loss in 2022 of R$229.8 million, due to the provision for allocation of PIS and Cofins credits and its update.

 

4.1.1 Regulatory Efficiency

Copel Distribuição recorded an adjusted EBITDA of R$2,111.9 million in the last 12 months, equivalent to an efficiency of R$461.5 million, 28.0% above regulatory EBITDA.

Note: Regulatory EBITDA is calculated based on the WACC + QRR values published in ANEEL's Technical Notes in Tariff Revision or Adjustment events.

 

 

   
RESULTS | 4Q2316 
 

 

4.2 Operational Performance

4.2.1 Grid Market (TUSD)

Copel Distribuição's grid market, made up of the captive market, supply to concessionaires and licensees within the State of Paraná and all the free customers existing in its concession area, had a 10.0% increase in electricity consumption in the 4Q23 compared to the same period of the previous year and 4.0% year-to-date, mainly due to the high average temperature in the fourth quarter of 2023. The billed grid market, which considers offset energy from Distributed Mini and Micro Generation – MMGD, increased 8.0% in the quarter and dropped 1.9% in the year, considering the Availability Cost.

4.2.2 Captive Market

The captive market showed an increase of 12.1% in electricity consumption in the fourth quarter of 2023 and 4.1% for the year. The billed captive market, which considers MMGD offset energy, increased by 9.0% in the fourth quarter of 2023 and 0.5% in the year.

4.2.3 Concession Agreement

In December 2015, the Company signed the fifth amendment to the Public Service Concession Agreement for Electricity Distribution No. 46/1999 of Copel Distribuição SA, which extends the concession until July 7, 2045. Copel Distribuição complied with the conditioning requirements of economic-financial efficiency and quality for the inspection cycle of the initial 5 years. From the sixth year after the conclusion of the contract, failure to comply with the quality criteria for three consecutive years or the economic-financial management criteria for two consecutive years will result in the opening of the expiry process. For the quality criterion of distribution service provision, ANEEL defined the limits of Equivalent Interruption Duration per Consumer Unit - DEC and Equivalent Interruption Frequency per Consumer Unit - FEC for the years 2021 to 2026. For DEC, the result for the last 12 months calculated in December 2023 was 7.86 hours. For the FEC, the result in the same period was 5.21 interruptions.

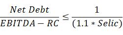
The economic-financial management efficiency criterion will be measured by the calculation, each calendar year, according to ANEEL Normative Resolution No. 896/2020, by the following inequation:

4.2.4 Investment and Operational Data

Transformation Program (Programa Transformação) - a broad investment plan with the objective of modernizing, auto mating and renovating the distribution grid and private communication grid with standardized technologies to service automation equipment. Among the expected benefits are the strengthening of rural grid to reduce disconnections and guarantee support for the growth of agribusiness in the State of Paraná, the reduction of costs with O&M and commercial services and improvement in the control of DEC and FEC indicators. The program is composed of 3 pillar projects to achieve the objectives:

 

   
RESULTS | 4Q2317 
 

 

·Paraná Tri-phase: represents the improvement and renewal of rural distribution grid in the Company's concession area, with the implementation of a three-phase grid and creation of redundancy in the main rural branches. By the end of 2023, 15,254 km of grid had been completed.
·Smart Grid: aims to implement a private communication network with standardized technology to service all automation equipment in the distribution grid and advanced metering infrastructure. By the end of 2023, 615,644 smart meters had already been installed. In phase 1 of the program, advances were identified for our operation, with a reduction in man-hours and kilometers driven, fewer non-technical losses, improvements in quality and reduction in compensation, with estimated benefits of around R$49 million/ year.
·Total Reliability: aims to ensure modernity in the operations of the energy grid based on the following premises: maintain full communication between teams and the availability of equipment on the grid, implement automation in special equipment, maintain the entire municipality of the concession with a substation or special key and expand the grid circuits and Self Healing. By the end of 2023, the project had completed 84.35% of the planned schedule.

Copel Distribuição's Transformation Program covers the construction of approximately 25 thousand km of new grid, 15 thousand new automated points and the implementation of smart grid technology in the state of Paraná.

Compact and Protected Grid – deployment of compact grid predominantly in urban areas with a high degree of afforestation in the vicinity of distribution grid and protected grid exclusively in rural areas. Compact grid avoids cutting and pruning trees and improves the quality of supply, as it reduces the number of disconnections. Protected grid also improves the quality and reliability of the system as it avoids interruptions due to contact with vegetation or other objects and bad weather. At the end of 2023, the length of compact and protected grid installed was 27,851 km, compared to 22,366 km in 2022, an increase of 5,485 km, or 24.52%, in twelve months.

Isolated Secondary Grid- investment in low voltage isolated secondary grid (127/220V), which have significant advantages over the conventional overhead grid, such as: improving DEC and FEC indicators; make energy theft difficult; improve environmental conditions; reduce pruning areas; increase security; reduce voltage drop across the grid; increase the useful life of transformers by reducing the number of short circuits in the grid, among others. At the end of 2023, the length of isolated secondary distribution grid installed was 22,827 km, compared to 21,896 km in 2022, an increase of 931 km, or 4.25%, in twelve months.

Losses - refer to the generated electrical energy that passes through transmission lines and distribution grid, but which is not commercialized, either for technical or commercial reasons. Distribution losses can be defined as the difference between the electricity purchased by distributors and that billed to their consumers, being classified as technical and non-technical. Technical Losses are inherent to the electrical energy distribution activity and occur due to its dissipation during the transport process, voltage transformation and measurement due to the laws of physics. Historically, the Company's Technical Losses have maintained percentages close to or below the regulatory target. At the end of 2023, Technical Losses were 2,120 GWh, compared to 2,040 GWh in 2022. Non-Technical Losses, calculated by the difference between total and technical losses, originate mainly from theft (illegal connection, direct grid diversion), fraud (meter tampering or deviations), reading, measurement and billing errors. These losses are largely associated with the concessionaire's management and the socioeconomic characteristics of the concession areas. At the end of September 2023, Non-Technical Losses for the last 12 months were 575 GWh, compared to 614 GWh in the same period of the previous year. In this sense, the Company maintains a Program to Combat Non-Technical Losses that consists of several actions that aim to reduce or maintain the current level of non-technical losses, through the following actions:

üImprovement of actions to combat irregular procedures, improving the performance of targeted inspections;
üInvestments destined to the availability and/or acquisition of equipment for inspection;
üPreparation and execution of specific training and recycling related to commercial losses;
üCarrying out inspections, both at Medium and Low Voltage;
üEducational notes in the press and messages on the electricity bill.
üJoint operations with the Civil Police and Public Ministry;
üOpening of police investigations in regions where significant numbers of irregular procedures were found.

 

   
RESULTS | 4Q2318 
 

 

At the end of 2023, Non-Technical Losses in the last 12 months were 742 GWh, compared to 661 GWh in the same period of the previous year.

It is worth noting that the targets established for the reasonable tariff for Non-Technical Losses take into account the level of complexity of the distributor's concession area and, according to the Aneel Report on Electricity Losses in Distribution 2023, the complexity index of Copel Distribuição's concession is one of the smallest compared to other dealerships in Brazil.

At the end of 2023, total losses in the last 12 months were 2,862 GWh, compared to 2,701 GWh in the same period of the previous year. In terms of classification, Total Losses were made up of 74.1% Technical Losses and 25.9% Non-Technical Losses.

GWh - 12 Months Dec/19 Dec /20 Dec /21 Dec /22 Dec /23
Injected Energy 32,994 32,754 34,403 35,253 36,639
Distribuition losses 2,402 2,553 2,660 2,701 2,862
Technical losses 1,995 1,981 1,991 2,040 2,120
Non-Technical losses 407 573 669 661 742

* The losses reflect the difference between the measured load and the billed market and, with the onset of the Covid-19 Pandemic, the load in 2020 suffered a rapid retraction, but the market did not respond at the same speed, due to the mismatch between the measurement schedule and consumers billing schedule, reducing the volume of losses in this period.

 

The tariff transfer of the efficient levels of losses is foreseen in the concession contracts and these losses are considered in the costs with the purchase of energy up to the regulatory limit stipulated by ANEEL. Despite the total losses having percentages slightly above the regulatory one, the methodology for regulatory calculation uses the billed market and within this methodology, no loss glosses were calculated for Copel Distribuição in the annual tariff readjustment cycles of 2022 and 2023.

 

   
RESULTS | 4Q2319 
 

 


5.Copel Mercado Livre
5.1    Financial Performance

In 4Q23, Copel Mercado Livre presented an adjusted EBITDA of R$9.7 million, an amount 61.3% lower than the R$25.2 million recorded in 4Q22, mainly reflecting a lower margin in electricity sales. In 2023, adjusted EBITDA increased by 24.7%, mainly as a result of the higher annual margin in electricity sales, resulting from purchase contracts signed in previous years, reaching R$112.6 million compared to R$90.3 million from the same period of the previous year.

In the quarter, the adjustment in the periods was the fair value of the electricity purchase and sale contracts (mark to market) - amount determined by the difference between the contracted price and the future market price estimated by the Company - a result, mainly, of carrying out contracts that left the base and the increased sensitivity of default given by the credit risk rate. In 2023, the adjustments were the mark-to-market, the provision of compensation for PDV, recorded in the third quarter, and the compensation for the bonus for the additional third of vacation that occurred in the first quarter.

Manageable costs increased by 37.2% in 4Q23 (+1.9 million), mainly impacted by the increase in insurance expenses (+R$0.6 million) and projects to support social development and sport through tax incentives (+R$ 1.2 million), which have no impact on the result and still contribute to the brand's exposure and positioning strategy.

The personnel and management account, excluding the PLR and PPD effects, recorded a 13.5% reduction in 4Q23, mainly due to the 12.8% reduction in the number of employees, despite the effects of ACT 2022/2024 with salary bonus (+R$ 0.2 million) in 4Q23 and salary adjustments of 7.19% in January 2023 and 4.51% in October 2023 of the current year. Considering the accumulated inflation measured by the National Consumer Price Index – INPC, of 3.71% between the quarters, the personnel and management cost line registered a reduction in real terms of 17.2%. In the year to date, disregarding the effects of PLR and PPD, compensation for PDV and compensation for the bonus of the additional third of vacation, the personnel and management account reduced by 2.7%.

Net income in 4Q23 was R$24.7 million, 50.5% lower than the R$49.9 million in 4Q22 as a result of the reduction in the sales margin. In 2023, Copel Mercado Livre's net income was R$105.6 million compared to R$108.4 million in 2022.

 

 

   
RESULTS | 4Q2320 
 

 

5.2    Operational Performance

Copel was a pioneer in creating an energy trader and the first to sell energy to free consumers, when this category was created in the country, in 1995. Copel Mercado Livre, created in 2016, is already the largest in the country in terms of energy volume marketed in the free contracting environment, offering more savings and peace of mind for customers from all regions of Brazil.

For a long time known as Copel Energia, Copel Mercado Livre is responsible for trading energy and providing services in the ACL. In December 2023, the Company registered 1,747 customers/contracts, an increase of 3.8% compared to the same period of the previous year. The amount of energy sold reached 22,450 GWh in 2023, a reduction of 9.5% compared to 2022. The graph below shows the evolution of Copel Mercado Livre in terms of the amount of GWh sold and number of final consumers.

 

   
RESULTS | 4Q2321 
 

 

6. ESG Performance
6.1 Copel pioneers in ESG in the sector

Copel was the first company in the industry to produce an Environmental Impact Report for a generation project, and the first energy company in Brazil to become a signatory of the UN Global Compact in 2000. The Company promotes actions to disseminate the UN’s Agenda 2030 and implement the SDGs of the electricity sector. In 2020/2021, Copel participated in the Global Compact Program “SDG Ambition”. Copel joined the “Pact on Water and Energy Resilience” Commitment and received the Federal Government’s Pro Gender and Race Equality Seal. The Company received the Pró-Ética Seal, 2018-2019 and 2020-2021 editions, granted by the Brazillian Comptroller General (CGU) and Instituto ETHOS, for the voluntary adoption of integrity measures, for public recognition of the commitment to implement measures aimed at prevention, detection, and remediation of acts of corruption and fraud.

6.2Recent Highlights

 

§Copel achieved an A- (A minus) rating from the CDP Disclosure Insight Action, previously known as the Carbon Disclosure Project, reinforcing its commitment to the ESG theme.
§For the 18th time, Copel is in the ISE B3 portfolio – Corporate Sustainability Index.
§Copel signed the Share Purchase and Sale agreement relating to its shareholding in UEG Araucária S.A. (“UEGA”), in line with the decarbonization process of the generation matrix and adhering to Copel’s Business Strategic Planning – Vision 2030, strengthening the pillars for the longevity and sustainable growth of businesses.
§Copel concluded its 2023 materiality process, where 10 material themes were defined, namely: Corporate Governance; Economic-financial performance; Customer satisfaction; Environmental commitment; Social Commitment; People management; Well-being, health and safety for the workforce; Transformation of the energy sector; Public safety; Sustainable Supplier Management. For the first time, the Company also carried out double materiality, i.e., it worked on ESG and financial analysis together, strengthening its corporate strategy.
§The transformation of Copel into a Corporation led to the review of several Corporate Policies, Regulations and Bylaws, keeping the Company's Governance aligned with the best market practices.
§The Company participated for the second consecutive year as a partner in “Empoderando Refugiadas” in Curitiba, a UN Women project that aims to increase the employability of migrant women. Copel works on the project mainly through corporate volunteering.

 

Environmental

§It has a Copel 2030 Neutrality Plan, approved by the Board of Directors: focusing on science-based goals (SBTi), with the purpose of neutralizing the Emission of Greenhouse Effect Gases (GHG) of Scope 1, for the assets that Copel owns operational control (according to the concept established in the GHG Protocol methodology) by 2030.
§Net Zero Ambition Movement – Copel joined the Net Zero Ambition Movement. The movement is part of the strategies developed by the Global Compact so that large companies together can promote actions that result in the reduction of 2Gton CO2e by 2030.
§Has corporate policies on Climate Change, Environmental, and Biodiversity.
§Integrates the Brazilian Business Commitment to Biodiversity with the Brazilian Business Council for Sustainable Development (CEBDS).

 

Social

§Actions and Programs – Solidary Selective Collection; Grow Energy Program; Electricity Citizenship; Good Neighborhood Program; Diversity Commission; Human Rights; EducaODS; Illuminating Generations; More than Energy, among others.
§Has corporate policies on Human Rights, Engagement with Stakeholders, Private Social Investment, People Management, Occupational Health and Safety, among others.

 

 

   
RESULTS | 4Q2322 
 

 

Governance

§It has Statutory Advisory Committees to the Board of Directors: Statutory Audit Committee -CAE; Statutory Sustainable Development Committee -CDS, Investment and Innovation Committee -CII and Minority Shareholders Committee –CDM.
§The Board of Directors is made up mostly of independent members;
§The Statutory Audit Committee -CAE is made up of independent members, one of whom is an external member.
§Establishment of variable remuneration with ESG targets –2022: 30% of PPD.
§Listed under B3 Governance Level 2.
§On 08/11/2023, Copel was transformed into a Corporation. As a result, the company became a company with dispersed capital and no controlling shareholder.

 

Priority SDG of the Brazilian Electricity Sector

 

 

6.3 Indicators

The indicators may change due to the assurance of the independent external audit.

In relation to the scope 1 GHG indicator (tCO2), the increase recorded is due to the return of commercial operation at UTE Figueira, on 12/07/2022, by ANEEL Order no. 2502/2022, with generation until September 2023. Online With the plan to have a 100% clean generation matrix, in October 2023 the Company filed a letter with the Ministry of Mines and Energy - MME requesting the withdrawal of the intention to extend the TPP Figueira concession. In February 2024, Aneel decided to suspend commercial operations, and the plant will be hibernated. More details in “Other highlights”.

 

   
RESULTS | 4Q2323 
 

 

 

6.4 Ratings, Rankings, and Indexes

Index Ranking Reference Year:
ISE B3 15th position 2023
S&P Global CSA Score 70 2023
CARBON DISCLOSURE PROGRAM (CDP) A- 2023
ICO2 B3 yes 2023
Sustainalytics Medium Risk 2023
MSCI A 2023
 

 

 

   
RESULTS | 4Q2324 
 

 

 7. Other highlights

Available Cash Flow and Dividends

The Available Cash Flow is defined in the Dividend Policy as: FCD = Cash generated by Operating activities, deducted from the net cash used by investing activities, as follows: (a) Cash generated by Operating Activities: cash generated by operating activities in the fiscal year, before taxes, contributions (IRCS) and financial charges; (b) Net cash used by Investing activities: amount invested in noncurrent assets in the fiscal year. The Table below shows the calculation of FCD as of December 31, 2023:

R$’000

12.31.2023
CASH FLOW FROM OPERATIONAL ACTIVITIES
CASH GENERATED BY OPERATING ACTIVITIES 5.360.703
CASH FLOW FROM INVESTMENT ACTIVITIES
FROM CONTINUING OPERATIONS (3,099,567)
FROM DISCONTINUED OPERATIONS (35,524)
NET CASH USED FROM INVESTMENT ACTIVITIES (3,135,091)
AVAIABLE CASH FLOW “FCD” 2,225,612

 

In line with the dividend policy, considering the above DCF and the level of leverage, the Company proposed the total payment of R$1,089.2 million in dividends for the 2023 financial year, of which R$958.0 million in the form of Interest on Equity (JCP) and R$131.2 million in the form of dividends. The Company has already paid R$456.9 million on November 30, 2023, and the remaining R$632.3 million will be paid by June 30, 2024, after deliberation at the Ordinary General Meeting – AGM on 22/04 /2024.

Copel Day 2023 – True Corporation

The Company held Investor Day at its headquarters in Curitiba-PR, on November 22, 2023, and was attended in person by more than 40 analysts, investors and interested parties and more than 400 spectators who watched the live broadcast. The event discussed, among other topics, PMSO planning + Contingency Provision, Investment in Reinforcement and Improvement in Transmission Lines and the Regulatory Remuneration Base. For more information, access the event broadcast and presentation available on our website.

Divestment in UEGA: signing of Share Purchase and Sale Agreement (CCVA)

On December 14, 2023, Copel and Copel GeT signed a CCVA contract for the 81.2% equity interest in TPP Araucária with Âmbar Energia S.A. The signing of the CCVA derives from the acceptance of the binding proposal received by the Company in the value of its participation corporate value (“Enterprise Value”) of R$320.7 million, on the base date of September 30, 2023, with the “Equity Value” being R$290.7 million, considering a net debt of R$30.0 million on the same base date. For more information, visit here.

On February 23, 2024, Petróleo Brasileiro S.A. – Petrobras adhered to the terms and conditions of the CCVA for the sale of 18.8% of its stake, representing the divestment of the entire plant.

Copel becomes part of the MSCI Brazil index

Since December 1, 2023, class B preferred shares (CPLE6) have been included in the Morgan Stanley Capital Index (MSCI) seal. As a result, the shares were heavily traded with index-based funds. MSCI indices are a global reference for institutional investors who use them as a reference to compose the investment portfolio of passive funds around the world. According to MSCI, currently around US$14.9 trillion in assets under investment fund management are managed globally using MSCI indices as a benchmark.

Copel receives the Deal of the Year Award from LatinFinance magazine

On January 25, 2024, the Company received the Subnational Deal of the Year award from LatinFinance magazine, in recognition of the process of transforming COPEL into a corporation with dispersed capital and without a controlling shareholder, which took place in 2023. This achievement reflects the commitment, efficiency and effectiveness of the entire Company in the set of actions for the successful execution of the Public Offering of Shares process.

For more information, visit here.

 

Closing of the Unit Program

On December 26, 2023, the program was discontinued upon approval at the 209th EGM of December 18, 2023 and resulted in the cancellation of the share deposit certificates (“Units”) (CPLE11) and the consequent delivery of the 5 (five) shares of issued by the Company underlying each Unit in 1 (one) common share (CPLE3) and 4 (four) class “B” preferred shares (CPLE6), preserving the same rights, advantages and restrictions of these shares for the holders of the Units.

For more information, click here.

 

 

 

   
RESULTS | 4Q2325 
 

 

TPP Figueira: SFT/ANEEL Order - No. 561/2024

On February 23, 2024, Aneel's Technical Inspection Superintendence (SFT), through Order No. 561/2024, authorized the suspension of the commercial operation of the generating unit – UG1 of TPP Figueira. Copel has also formalized with the granting authority the withdrawal of the request to extend the concession of the asset and is awaiting a response from the Ministry of Mines and Energy. The thermoelectric plant with 20 MW of installed power, powered by mineral coal, does not have current energy supply contracts. This claim is another stage in Copel's strategic plan to decarbonize its energy generation portfolio.

Copel remains in ISE B3

The Company will continue to be part of the B3 – Brasil, Bolsa, Balcão Corporate Sustainability Index (ISE) portfolio in 2024. The ISE portfolio evaluation process is organized into 5 dimensions (environment, corporate governance and senior management, human capital, social capital and business model and innovation), and a sixth dimension, referring to climate change, assessed using the CDP-Climate Change score (index produced by the international organization Carbon Disclosure Project, used to evaluate companies in in relation to issues relating to climate change). The ISE is a comparative analysis tool and reflects the return of a portfolio made up of shares from companies with the best performance in ESG (Environmental, Social and Governance) aspects, being a reference for the Company's strategy, providing longevity and sustainability to its businesses.

 

 

Copel advanced to A- CDP score

The Company achieved an A- rating from the CDP Disclosure Insight Action, formerly known as the Carbon Disclosure Project. The Company has responded to the CDP since 2010 and in recent years has maintained a B score, increasing its score in the Climate Change program in 2023 to A-. CDP is a global organization that manages the main environmental disclosure platform for strategic climate change management initiatives. With strategic guidelines adhering to ESG precepts, Copel's evolution reflects practices developed such as inventory history, approval of the carbon neutrality plan, investment in a more renewable company, carrying out risk analyzes and development of planning strategic and financial strategies that consider climate change and its articulation with interested parties.

Copel closes 2023 with delivery of 30 transmission and distribution works

During 2023, Copel carried out around 30 works including construction or expansion of substations, transmission and energy distribution lines in Paraná. The projects are part of the company's investment plan in recent years and total R$428 million in improvements. The majority, R$379 million, was invested by the company in 27 works that modernize and reinforce the energy distribution infrastructure. Another R$49 million was allocated to the modernization of three transmission grid projects.

Creation of the Regulatory Assistance Office

Aiming to align with the best market practices, have integrated policies with better control of results, optimize leadership functions and strengthen them for continuous value generation, the Company defined and the Board of Directors (“CAD”) approved the new organizational structure of Copel Holding with the creation of the Regulatory Assistance Office linked directly to the Presidency, contemplating an exclusive structure for even more strategic action in the regulatory sphere with a view to creating value for the Company. Since January 02, 2024, the new officer is engineer Fernando Antônio Gruppelli Junior. Graduated in Electrical Engineering from the Federal Technological University of Paraná (UTFPR), the new director has a master's degree in electrical engineering and industrial information technology from the same institution, an MBA in management from Fundação Dom Cabral, and an MBA in finance, controllership and compliance from Fundação Getúlio Vargas. A career employee since 1997, Director Fernando Gruppelli has worked in the areas of planning, underground networks, research and development, projects and works and management. He has held management positions since 2007 and for the last six years was superintendent of Asset Management and Distribution Finance.

New Officer of Copel Mercado Livre

On December 01, 2023, electrical engineer Kleberson Luiz da Silva is the new general director of Copel Mercado Livre. Working at the Company since 2010, Kleberson was in charge of several areas of energy commercialization in the company and, more recently, the superintendencies of energy commercialization at GeT. He was at Copel Mercado Livre in the Energy Market and Planning department. Graduated in Electrical Engineering with a Master's degree in Technology Development from Lactec, he is a member of the Board of Directors of Simepar and the Supervisory Board of the Electricity Trading Chamber-CCEE. He has been a career employee of Copel since 2010, working as an Electrical Engineer and holding management positions in various areas of commercialization and generation and transmission.

 

 

 

   
RESULTS | 4Q2326 
 

 

.Disclaimer

The information contained in this press release may contain forward-looking statements that reflect management’s current view and estimates of future economic circumstances, industry conditions, company performance, and financial results. Any statements, expectations, capabilities, plans and assumptions contained in this press release that do not describe historical facts such as statements regarding the declaration or payment of dividends, the direction of future operations, the implementation of relevant operating and financial strategies, the investment program, factors or trends affecting the Company’s financial condition, liquidity or results of operations are forward-looking statements within the meaning of the U.S. Private Securities Litigation Reform Act of 1995 and involve a number of risks and uncertainties. There is no guarantee that these results will actually occur. The statements are based on many assumptions and factors, including general economic and market conditions, industry conditions and operating factors. Any changes in such assumptions or factors could cause actual results to differ materially from current expectations.

 

 

 

 

 

 

 

 

 

 

 

 

 

 

Investor Relations

ri@copel.com

Phone: +55 (41) 3331-4011

   
RESULTS | 4Q2327 
   
 

 

 

 

   

 

Exhibit I - CONSOLIDATED RESULTS > INCOME STATEMENT
Income Statement 4Q23 4Q22 Δ% 2023 2022 Δ%  
 
OPERATING REVENUES  5,567,699  5,264,780  5.8   21,479,468   20,535,341  4.6  
Electricity sales to final customers  2,192,491  1,763,100 24.4  7,946,168  7,510,037   5.8  
Electricity sales to distributors 864,078 981,497   (12.0)  3,602,787  3,814,409  (5.5)  
Use of the main distribution and transmission grid  1,654,202  1,296,436 27.6  6,002,192  4,828,841 24.3  
Construction revenue 587,661 572,340   2.7  2,333,788  2,164,134   7.8  
Fair value of assets from the indemnity for the concession   20,269   34,124   (40.6)   62,167   79,169   (21.5)  
Result of Sectorial financial assets and liabilities   91,494 467,880   (80.4) 971,203  1,676,936   (42.1)  
Other operating revenues 157,504 149,403   5.4 561,163 461,815 21.5  
OPERATING COSTS AND EXPENSES   (4,445,090)   (4,765,496)   (6.7) (18,092,563) (18,065,146)  0.2  
Electricity purchased for resale   (2,022,064)   (2,072,787)  (2.4)   (7,716,190)   (8,096,910)  (4.7)  
Charge of the main distribution and transmission grid   (778,220)   (629,269) 23.7   (2,896,710)   (2,487,997) 16.4  
Personnel and management   (316,642)   (249,726) 26.8   (1,878,332)   (977,904) 92.1  
Pension and healthcare plans  (65,950)  (64,485)   2.3   (260,159)   (260,197)  (0.0)  
Materials and supplies  (37,917)  (26,358) 43.9   (102,667)  (90,541) 13.4  
Materials and supplies for power eletricity  - (9,349)  -  (17,654) (9,349) 88.8  
Third-party services   (267,960)   (209,625) 27.8   (996,312)   (754,551) 32.0  
Depreciation and amortization   (354,807)   (318,215) 11.5   (1,382,040)   (1,233,097) 12.1  
Provisions and reversals 112,537   (490,967) (122.9)  (92,235)   (717,531)   (87.1)  
Construction cost   (585,226)   (563,881)   3.8   (2,319,720)   (2,137,188)   8.5  
Renegotiation of Hydrological Risk - GSF - HPP Mauá  (26,405)  -  -  -  -  -  
Other cost and expenses   (102,435)   (130,834)   (21.7)   (430,544)   (489,318)   (12.0)  
PROVISION FOR ALLOCATION OF PIS AND COFINS - - - -   (810,563) -  
EQUITY IN EARNINGS OF SUBSIDIARIES 63,134  148,462 (57.5)  307,809  478,577 (35.7)  
PROFIT BEFORE FINANCIAL RESULTS AND TAXES  1,185,742  647,746   83.1  3,694,714  2,948,772   25.3  
FINANCIAL RESULTS   (305,701)   (279,746)  9.3   (1,204,990)   (2,005,884) (39.9)  
Financial income 272,666 232,808 17.1  1,069,116 956,413 11.8  
Financial expenses   (578,367)   (512,554) 12.8   (2,274,106)   (1,950,927) 16.6  
Update of provision for allocation of Pis and Cofins credits  -  -  -  -   (1,011,370)  -  
OPERATIONAL EXPENSES/ INCOME  880,041  368,000 139.1  2,489,724  942,888 164.1  
INCOME TAX AND SOCIAL CONTRIBUTION ON PROFIT   (261,000)  366,766  (171.2)   (354,057)  281,099 -  
Income tax and social contribution on profit  (73,702) 179,562 (141.0)   (371,104)   (368,035)   0.8  
Deferred income tax and social contribution on profit   (187,298) 187,204 (200.1)   17,047 649,134   (97.4)  
NET INCOME continuing operations  619,041  734,766 (15.7)  2,135,667  1,223,987   74.5  
NET INCOME discontinued operations  323,767   (111,256) -  191,501  (74,666) -  
NET INCOME  942,808  623,510   51.2  2,327,168  1,149,321 102.5  
Attributed to the controlling company's shareholders - continuing operations 637,261 733,224   (13.1)  2,158,077  1,237,819 74.3  
Attributed to the controlling company's shareholders - discontinued operations 241,762   (111,947)  - 100,733   (125,812)  -  
Attributed to non-controlling shareholders- continuing operations (5,241)  3,809  -  873 (207)  -  
Attributed to non-controlling shareholders- discontinued operations   69,027 (1,576)  -   67,485   37,521 79.9  
EBITDA continued operations   1,540,549   965,961   59.5   5,076,754   4,181,869   21.4  

 

   

 

Exhibit I - CONSOLIDATED RESULTS > BALANCE SHEET

 
R$'000   R$'000
Assets Dec-23 Dec-22 Δ%   Liabilities Dec-23 Dec-22 Δ%
 CURRENT    13,715,730   9,327,249 47.1    CURRENT    9,309,433   7,156,597 30.1
 Cash and cash equivalents   5,634,623  2,678,457   110.4    Payroll, social charges and accruals   927,538  252,789   266.9
 Bonds and securities    4,763  93   -    Suppliers   2,154,430  2,090,022 3.1
 Collaterals and escrow accounts  9   157 (94.3)    Income tax and social contribution payable   132,979  156,191 (14.9)
 Customers    3,761,170  3,342,050  12.5    Other taxes due   346,083  303,606  14.0
 Dividends receivable  95,569  138,330 (30.9)    Loans and financing   675,980  278,838   142.4
 Sectorial financial assets  15,473  190,699 (91.9)    Debentures   1,225,649  1,346,347   (9.0)
 Account receivable related to concession    9,354   8,603 8.7    Minimum compulsory dividend payable   464,147  482,325   (3.8)
 Contract Assets   284,616  220,660  29.0    Post employment benefits   85,833 73,814  16.3
 Other current receivables   949,732  897,380 5.8    Customer charges due  61,466 46,488  32.2
 Inventories   174,726  194,850 (10.3)    Research and development and energy efficiency   320,196  370,244 (13.5)
 Income tax and social contribution   315,218  355,065 (11.2)    Accounts Payable related to concession   101,976  105,003   (2.9)
 Other current recoverable taxes   943,343  1,239,694 (23.9)    Net sectorial financial liabilities   476,103  433,914 9.7
 Prepaid expenses  62,869 60,076 4.6    Lease liability  49,742 64,870 (23.3)
 Related parties    1,336   1,135  17.7    Other accounts payable   859,456  601,619  42.9
 Assets held for sale   1,462,929 -   -    PIS and COFINS to be refunded to costumers   558,591  550,527 1.5
 NON-CURRENT    42,103,344   40,376,451   4.3    Provisions for litigation   336,000 -   -
 Long Term Assets    16,343,437   16,442,145 (0.6)    Liabilities associated with assets held for sale   533,264 -   -
 Bonds and securities   490,732  430,963  13.9   NON-CURRENT   22,317,974   21,415,878   4.2
 Other temporary investments  31,728 25,619  23.8    Suppliers   131,143  125,448 4.5
 Customers    105,259  109,819   (4.2)    Deferred income tax and social contribution   1,686,793  1,517,682  11.1
 Judicial deposits   634,712  632,458 0.4    Other taxes due   612,093  633,491   (3.4)
 Sectoral financial assets  15,473  190,699 (91.9)    Loans and financing   4,667,237  4,371,525 6.8
 Account receivable related to concession   2,809,901  2,269,690  23.8    Debentures   8,393,457  6,457,508  30.0
 Contract Assets   7,320,445  7,452,019   (1.8)    Post employment benefits    1,398,410  996,223  40.4
 Other non-current receivables   853,340  931,452   (8.4)    Research and development and energy efficiency   233,478  244,514   (4.5)
 Income tax and social contribution  68,003  127,824 (46.8)    Accounts Payable related to concession    791,879  832,539   (4.9)
 Deferred income tax and social contribution    1,757,688  1,644,299 6.9    Net sectorial financial liabilities  27,888 49,341 (43.5)
 Other non-current recoverable taxes   2,256,156  2,627,293 (14.1)    Lease liability   220,700  208,886 5.7
 Prepaid expenses  -  10  (100.0)    Other accounts payable   579,070  645,234 (10.3)
 Investments    3,511,797   3,325,731   5.6    PIS and COFINS to be refunded to costumers   173,135  1,444,631 (88.0)
 Property, plant and equipment, net    10,825,421   10,069,468   7.5    Provision for allocation of Pis and Cofins credits   1,909,775  1,851,257 3.2
 Intangible assets    11,170,089   10,277,727   8.7    Provisions for litigation   1,492,916  2,037,599 (26.7)
 Right to use an asset    252,600   261,380 (3.4)   EQUITY   24,191,667   21,131,225 14.5
TOTAL   55,819,074   49,703,700 12.3    Attributed to controlling shareholders    23,886,153   20,817,364  14.7
           Share capital     12,821,758   10,800,000  18.7
           Equity valuation adjustments   307,050  593,382 (48.3)
           Legal reserves   1,625,628  1,512,687 7.5
           Retained earnings   9,000,506  7,911,295  13.8
           Proposed additional dividend   131,211 -  -
           Accrued earnings  - -  -
           Attributable to non-controlling interest    305,514  313,861   (2.7)
          TOTAL   55,819,074   49,703,700 12.3

 

   

 

Exhibit I - CONSOLIDATED RESULTS > CASH FLOW
    R$'000
  12/31/23 12/31/22
 CASH FLOWS FROM OPERATIONAL ACTIVITIES 
     
 Net income from continuing operations   2,135,667  1,223,987
     
 Adjustments to reconcile net income for the period with cash generation from operating activities:   4,775,315  3,210,369
 Unrealized monetary and exchange variation and debt charges - net   1,951,552  1,298,681
 Interest - bonus from the grant of concession agreements under the quota system    (114,370)   (118,439)
 Remuneration of transmission concession contracts    (730,094)   (769,248)
 Provision for allocation of PIS and Cofins credits    -  1,821,933
 Income tax and social contribution  371,104 368,035
 Deferred income tax and social contribution   (17,047)   (649,134)
 Equity in earnings of investees    (307,809)   (478,577)
 Appropriation of post-employment benefits obligations  267,741 266,273
 Creation for research and development and energy efficiency programs  165,459 155,705
 Recognition of fair value of assets from the indemnity for the concession   (62,167)  (79,169)
 Sectorial financial assets and liabilities result    (1,070,196)   (1,847,863)
 Depreciation and amortization   1,382,040  1,233,097
 Provision from the voluntary dismissal program  610,057   -
 Net operating estimated losses, provisions and reversals    92,235 717,531
 Resultado da repactuação do risco hidrológico - GSF    -   -
 Realization of added value in business combinations    (722)   (721)
 Fair value in energy purchase and sale operations  (5,046)  (32,748)
 Derivatives fair value    -  2,907
 Loss on disposal of accounts receivable related to concession  270   26,533
 Loss on disposal of contract assets    16,728  8,829
 Loss on disposal of property, plant and equipment    10,458  7,850
 Loss on disposal of intangible assets    78,728   55,053
 Result of write-offs of use rights of assets and liabilities of leases - net   726   (146)
     
 Decrease (increase) in assets   98,706  2,335,113
 Trade accounts receivable  188,437  1,482,232
 Dividends and interest on own capital received   174,826   67,732
 Judicial deposits    33,298  1,521
 Sectorial financial assets    36,964 966,466
 Other receivables    (11,555)   69,208
 Inventories    18,741  7,326
 Income tax and social contribution recoverable    (201,003)   (488,495)
 Other taxes recoverable    (138,520) 236,843
 Prepaid expenses  (2,281) (6,585)
 Related parties    (201) (1,135)
     
 Increase (decrease) in liabilities  486,682   (449,170)
 Payroll, social charges and accruals  297,343   (191,643)
 Suppliers    19,506   (347,157)
 Other taxes  974,083 884,140
 Post-employment benefits    (224,809)   (200,697)
 Sectorial charges due    14,978   (151,898)
 Research and development and energy efficiency     (255,295)   (202,073)
 Payable related to the concession    (115,736)   (106,370)
 Other accounts payable  149,450 106,269
 Provisions for legal claims   (372,838)   (239,741)
     
 CASH GENERATED BY OPERATING ACTIVITIES  5,360,703  5,096,312
     
 Income tax and social contribution paid    (294,676)   (124,381)
 Loans and financing - interest due and paid    (521,134)   (337,455)
 Debentures - interest due and paid    (1,127,607)   (890,123)
 Charges for lease liabilities paid   (24,284)  (19,531)
     
 NET CASH GENERATED BY OPERATING ACTIVITIES FROM CONTINUING OPERATIONS   3,393,002  3,724,822
 NET CASH GENERATED BY OPERATING ACTIVITIES FROM DISCONTINUED OPERATIONS  125,474 177,827
 NET CASH GENERATED FROM OPERATING ACTIVITIES  3,518,476  3,902,649
     
 CASH FLOWS FROM INVESTMENT ACTIVITIES 
 Financial investments    (44,061)   44,190
 Additions to contract assets    (1,973,215)   (1,909,603)
 Acquisitions of subsidiaries - effect on cash    (911,450)  (18,031)
 Disposal of investments    58,132   -
 Additions in investments  (10,780) (4,829)
 Capital reduction of investees    -   61,536
 Additions to property, plant and equipment     (204,805)   (381,938)
 Additions to intangible assets   (13,388) (8,319)
     
 NET CASH USED BY INVESTMENT ACTIVITIES FROM CONTINUING OPERATIONS    (3,099,567)   (2,216,994)
 NET CASH USED BY INVESTMENT ACTIVITIES FROM DISCONTINUED OPERATIONS   (35,524)   (558,002)
 NET CASH USED FROM INVESTING ACTIVITIES   (3,135,091)   (2,774,996)
     
 CASH FLOWS FROM FINANCING ACTIVITIES 
 Loans and financing obtained from third parties   45,325  1,891,954
 Transaction costs in the issuing of loans and financing  (6,886)  (19,781)
 Issue of debentures   2,900,000  1,500,000
 Transaction costs in the issuing of debentures   (60,677)  (14,445)
 Payments of principal - loans and financing   (260,971)   (1,000,319)
 Payments of principal - debentures    (1,193,910)   (2,051,481)
 Amortization of principal of lease liabilities   (69,293)  (57,212)
 Capital increase   2,031,619   -
 Transaction costs in the capital increase   (14,941)   -
 Dividends and interest on own capital paid    (750,371)   (2,167,769)
     
 NET CASH  GENERATED (USED) BY FINANCING ACTIVITIES FROM CONTINUING OPERATIONS   2,619,895   (1,919,053)
 NET CASH GENERATED (USED)  BY FINANCING ACTIVITIES  FROM DISCONTINUED OPERATIONS     76,677 (2,988)
 NET CASH GENERATED (USED) FROM FINANCING ACTIVITIES   2,696,572   (1,922,041)
     
 TOTAL EFFECTS ON CASH AND CASH EQUIVALENTS   3,079,957   (794,388)
     
 Cash and cash equivalents at the beginning of the period   2,678,457  3,472,845
 Cash and cash equivalents at the end of the period   5,634,623  2,552,407
 Change in cash and cash equivalents from discontinued operations  123,971 126,050
     
 CHANGE IN CASH AND CASH EQUIVALENTS   3,079,957   (794,388)

 

   

 

Exhibit I - CONSOLIDATED RESULTS > ADJUSTED EBITDA AND FINANCIAL RESULT
        R$'000
  4Q23 4Q22 Δ% 2023 2022 Δ%
EBITDA FROM CONTINUING OPERATIONS 1,540.5 966.0 59.5 5,076.8 4,181.9 21.4
(-/+) Fair value in the purchase and sale of energy  (11.4)  (36.9) (69.1) (5.0)  (32.7) (84.6)
(-/+) Impairment   (123.7)  (34.8)   255.8   (177.7)  7.4  
(-/+) Tariff flag account on MMGD    -   -     -  (43.4)  
(-/+) Reflection of the PIS/Cofins forecast   -   -     -  (58.1)  
(-/+) Indemnity of adittional third of vacation bonus   -   -   138.2   -  
(-/+) Provision for allocation of PIS/Cofins credits   -   -     - 810.6  
(-/+) Provision/Reversal for indemnification for PDV   -   -   610.1 (7.9)  
(-/+) Hydrological Risk Renegotiation (GSF) - HPP Mauá   26.4   -     -   -  
(-/+) Provision for litigation   51.1 452.7 (88.7)   51.1 452.7 (88.7)
(-/+) Adherence to REFIS/PR   -   -     -   33.3  
Adjusted EBITDA FROM CONTINUING OPERATIONS 1,483.0 1,347.0 10.1 5,693.4 5,343.8   6.5
(-) Ebitda from discontinued Op. Compagas and UEGA   10.6   80.6 (86.8) 137.0 179.8 (24)
Adjusted EBITDA INCLUDED DISCONTINUED OPERATIONS 1,493.6 1,427.6   4.6 5,830.3 5,523.6   5.6
(-/+) Equity in earnings of subsidiaries  (63.1)   (148.5) (57.5)   (307.8)   (478.6) (36)
Adjusted EBITDA INCLUDED DISCONTINUED OP without earnings of subsidiaries 1,430.5 1,279.2 11.8 5,522.5 5,045.0   9.5
             
            R$'000
  4Q23 4Q22 Δ% 2023 2022 Δ%
Financial Revenues  272,666  232,808 17.1  1,069,116  956,413 11.8
Income from investments held for trading 173,232 108,872  59.1 540,672 406,270  33.1
Late fees on electricity bills   44,007   47,301   (7.0) 200,341 265,818 (24.6)
Monetary restatement and adjustment to present value of accounts payable related to concession   -   (157)  -   69,059 2,720  -
Income from sectorial assets and liabilities 7,040   48,769 (85.6)   62,795 146,753 (57.2)
Exchange variation About Purchase Itaipu Electric Power 3,047 2,572  18.5   17,073   43,946 (61.2)
Interest on taxes to be compensated   38,964   14,026   177.8   89,938   63,810  40.9
Income and monetary restatement of judicial deposits   13,700   11,218  22.1   55,092   42,846  28.6
Other financial revenues 4,325   10,122 (57.3)   75,660   25,748   193.8
(-) Pis/Pasep and Cofins on revenues  (11,649)   (9,915)  17.5  (41,514)  (41,498) 0.0
Financial Expenses  578,367  512,554 12.8  2,274,106  1,950,927 16.6
Monetary variation, foreign exchange and debt service charges 408,512 372,461 9.7 1,763,555 1,479,057  19.2
Monetary variation and adjustment to present value of accounts payable related to concession   38,990   13,936   179.8 140,214 142,673   (1.7)
Exchange variation About Purchase Itaipu Electric Power 2,820 1,160   143.1   10,605   27,584 (61.6)
Pis/ Pasep and Cofins taxes over interest on equity   30,497   83,532 (63.5) 101,251 107,720   (6.0)
Income from sectorial assets and liabilities 768 1,529 (49.8) 4,542   11,208 (59.5)
Derivatives fair value - forward contract   -   (2,907)  -   -   -  -
Interest on R&D and PEE 5,854   10,231 (42.8)   26,009   33,810 (23.1)
Interest on tax installments 8,563   10,753 (20.4)   39,569   38,111 3.8
Interest on lease liabilities 7,033 5,283  33.1   24,292   19,441  25.0
Monetary variation of litigation   74,147 3,340  - 150,140   33,981  -
Other financial expenses 1,183   13,236 (91.1)   13,929   57,342 (75.7)
(-) Update of provision for allocation of PIS and Cofins credits   -   -  -   -  1,011,370  -
Financial income (expenses) (305,701) (279,746)   9.3 (1,204,990) (2,005,884)   (39.9)

 

   

 

Exhibit I - CONSOLIDATED RESULTS > EQUITY IN EARNINGS OF SUBSIDIARIES AND INDICATORS
                R$'000
Variation in Equity in earnings of subsidiaries   4Q23 4Q22 Δ% 2023 2022 Δ%
Joint Ventures      57,819  142,219  (59.3) 285,808 452,562   (36.8)
Voltalia São Miguel do Gostoso I Participações S.A.       2,112 1,940   8.9   1,508   2,157 (30.1)
Caiuá Transmissora de Energia S.A.      2,854 6,568 (56.5) 12,263 23,806 (48.5)
Integração Maranhense Transmissora de Energia S.A.      4,873 4,942  (1.4) 24,218 32,824 (26.2)
Matrinchã Transmissora de Energia (TP NORTE) S.A.     12,728  42,756 (70.2) 77,493  162,298 (52.3)
Guaraciaba Transmissora de Energia (TP SUL) S.A.      4,933  30,551 (83.9) 30,871 82,251 (62.5)
Paranaíba Transmissora de Energia S.A.      6,617  26,565 (75.1) 36,269 47,623 (23.8)
Mata de Santa Genebra Transmissão S.A.     12,861  15,495 (17.0) 58,262 56,140 3.8
Cantareira Transmissora de Energia S.A.     10,799  13,494 (20.0) 44,563 45,293   (1.6)
Solar Paraná     42  (92) -  361  170   112.4
Associates     5,315   6,243  (14.9)   22,001   26,015   (15.4)
Dona Francisca Energética S.A.      1,162 734  58.3   5,353 5,648   (5.2)
Foz do Chopim Energética Ltda.      4,155 5,510 (24.6) 16,651 20,370 (18.3)
Others ¹      (2)   (1) -  (3)  (3)  -
 TOTAL        63,134  148,462  (57.5) 307,809 478,577   (35.7)
1 Includes Carbocampel S.A.          
                 
                R$'000
Main Indicators -Associates  Dec-23         Dona Francisca Foz do Chopim
Total assets             170,927     47,069
Shareholder’s equity¹             133,787     45,047
Net operating revenue            66,166     60,593
Net Income            23,243     46,547
Participation in the enterprise - %             23.0     35.8
Investment book value            30,812     16,113
                R$'000
Main Indicators -Joint ventures
Dec-23
Voltalia Caiuá Integração Maranhense Matrinchã Guaraciaba Paranaíba Mata de Santa Genebra Cantareira
Total assets  239,779  335,003  585,668 2,984,765   1,611,484   2,047,430   3,768,174   1,799,642
Shareholder’s equity¹  239,762  271,578  432,775 2,030,613   1,004,252   1,191,925   1,470,430   955,738
Net operating revenue  -  36,562  63,370 313,948   165,557   282,153   393,463   177,852
Net Income   3,075  25,025  49,420 158,149  63,003   148,036   116,292  90,945
Participation in the enterprise - %  49.0   49.0   49.0 49.0   49.0   24.5   50.1   49.0
Investment book value  117,484  133,074  212,060 994,999   492,083   292,022   736,685   468,311
Note: Income from Transmitters according to adjustments for the application of CPC 47 / IFRS 15 in the Corporate Statements.      

 

   

 

Exhibit I - CONSOLIDATED RESULTS > SHARE CAPITAL
Share Capital -  As of December, 31,2023 *
                   Thousand shares 
Shareholders Common % Preferred "A" % Preferred "B" % Special ** TOTAL %
State of Paraná 358,563 27.6%  -   -  116,081 6.9%  <1   474,644 15.9%
BNDESPAR 131,161 10.1%  -   -  524,646 31.2%  -  655,807 22.0%
Free Floating 807,456 62.1%   686 21.9%  1,037,615 61.8%   -  1,845,757 61.9%
B3   782,255 60.2% 686 21.9%   935,818 55.7%   - 1,718,759 57.6%
NYSE 24,993 1.9%  -   -  99,992 6.0%  -   124,985 4.2%
LATIBEX   208 0.0%  -   - 1,805 0.1%  - 2,013 0.1%
Other  3,167 0.2%   2,442 78.1%   993 0.1%   -   6,602 0.2%
TOTAL 1,300,347 100%   3,128 100%  1,679,335 100%  <1   2,982,810 100%
* The 209th Extraordinary General Assembly approved the undoing of the UNITS Program, ending in December/23.          
** State of Paraná has a special class preferred share with veto power as established in the Statute.            

 

   

 

Exhibit II- RESULT BY SUBSIDIARY > COPEL GET (CONSOLIDATED)
        R$'000
Income Statement 4Q23 4Q22 Δ% 2023 2022 Δ%
OPERATING REVENUES 1,215,688 1,233,631  (1.5) 5,117,723 4,941,152 3.6
 Electricity sales to final customers   - -   - -   103   -
 Electricity sales to distributors    967,208  964,636   0.3  4,022,079  3,784,322   6.3
 Use of the main transmission grid   222,697  238,580 (6.7)  966,844  991,174 (2.5)
 Construction revenue  19,080 17,773   7.4 99,248  116,112  (14.5)
 Other operating revenues    6,703 12,642  (47.0) 29,552 49,441  (40.2)
OPERATING COSTS AND EXPENSES (493,088) (659,147)   (25.2) (2,771,944) (2,626,709) 5.5
 Electricity purchased for resale    (45,326)   (93,582)  (51.6) (216,565) (377,716)  (42.7)
 Charges of main distribution and transmission grid  (147,082) (141,459)   4.0 (589,428) (533,591) 10.5
 Personnel and management  (102,810)   (81,054) 26.8 (604,808) (319,740) 89.2
 Pension and healthcare plans    (20,605)   (19,732)   4.4   (81,704)   (79,056)   3.3
 Materials and supplies     (11,454)  (4,719)  142.7   (26,246)   (17,640) 48.8
 Materials and supplies for power eletricity  -  (6,398)   -   (17,654)  (9,349) 88.8
 Third-party services    (68,661)   (56,126) 22.3 (269,711) (207,486) 30.0
 Depreciation and amortization  (209,179) (189,560) 10.3 (820,188) (743,375) 10.3
 Provisions and reversals   214,454 29,335   -  159,214 11,461   -
 Construction cost    (16,646)  (9,314) 78.7   (85,181)   (89,166) (4.5)
 Renegotiation of Hydrological Risk - GSF - HPP Mauá    (26,405) -   - - -   -
 Other cost and expenses    (59,374)   (86,538) (0.3) (219,673) (261,051) (0.2)
EQUITY IN EARNINGS OF SUBSIDIARIES  59,820   145,882   (59.0)   300,589   470,606   (36.1)
PROFIT BEFORE FINANCIAL RESULTS AND TAXES   782,420   720,366 8.6   2,646,368   2,785,049  (5.0)
FINANCIAL RESULTS (163,680) (160,462) 2.0 (747,409) (636,045)  17.5
 Financial income  78,511 71,561   9.7  334,020  257,977 29.5
 Financial expenses  (242,191) (232,023)   4.4 (1,081,429) (894,022) 21.0
OPERATIONAL EXPENSES/ INCOME   618,740   559,904  10.5   1,898,959   2,149,004   (11.6)
INCOME TAX AND SOCIAL CONTRIBUTION ON PROFIT (101,978)   121,019   (264,614) (295,404)   (10.4)
 Income tax and social contribution on profit    (58,592)  109,503   (247,136) (212,852) 16.1
 Deferred income tax and social contribution on profit    (43,386) 11,516     (17,478)   (82,552)  (78.8)
NET INCOME continuing operations   516,762   680,923   (24.1)   1,634,345   1,853,600   (11.8)
NET INCOME discontinued operations   282,281 (179,713)    66,176 (254,141)  
NET INCOME    799,043   501,210  59.4   1,700,521   1,599,459 6.3
Attributed to shareholders of the parent company - continuing operations  523,341  680,186  (23.1)  1,651,036  1,866,955  (11.6)
Attributed to the controlling company's shareholders - discontinued operations  167,900 (108,992)   30,134 (162,903)  
Attributed to non-controlling shareholders  107,802   (69,984)   19,351 (104,593)  
EBITDA continuing operations  991,599  909,926   9.0  3,165,967  3,057,818   3.5

 

   

 

Exhibit II- RESULT BY SUBSIDIARY > COPEL DIS
        R$'000
Income Statement 4Q23 4Q22 Δ% 2023 2022 Δ%
OPERATING REVENUES   4,016,174   3,587,443  12.0   15,085,707   13,903,300 8.5
 Electricity sales to final customers    1,613,874  1,208,415 33.6  5,663,429  5,236,339   8.2
 Electricity sales to distributors   24,369 63,535  (61.6)  164,825  266,991  (38.3)
 Use of the main distribution grid   1,550,506  1,155,062 34.2  5,468,715  4,221,011 29.6
 Construction revenue   568,580  554,567   2.5  2,234,539  2,048,022   9.1
 Fair value of assets from the indemnity for the concession  20,269 34,124  (40.6) 62,167 79,169  (21.5)
 Sectorial assets and liabilities result  91,494  467,880  (80.4)  971,203  1,676,936  (42.1)
 Other operating revenues   147,082  103,860 41.6  520,829  374,832 38.9
OPERATING COSTS AND EXPENSES (3,552,826) (3,265,136) 8.8 (13,983,117) (13,418,798) 4.2
 Electricity purchased for resale  (1,585,200) (1,546,763)   2.5 (6,074,752) (5,980,124)   1.6
 Charges of main transmission grid  (743,458) (579,074) 28.4 (2,715,273) (2,313,203) 17.4
 Personnel and management  (191,156) (153,742) 24.3 (1,174,906) (599,121) 96.1
 Pension and healthcare plans    (42,400)   (42,215)   0.4 (167,533) (169,493) (1.2)
 Materials and supplies     (25,544)   (21,243) 20.2   (74,501)   (71,302)   4.5
 Third-party services  (176,368) (143,126) 23.2 (643,999) (505,407) 27.4
 Depreciation and amortization  (135,744) (119,638) 13.5 (521,301) (454,307) 14.7
 Provisions and reversals    (54,646)   (70,190)  (22.1) (201,083) (281,895)  (28.7)
 Construction cost  (568,580) (554,567)   2.5 (2,234,539) (2,048,022)   9.1
 Other cost and expenses    (29,730)   (34,577)  (14.0) (175,230) (185,361) (5.5)
 Provision for allocation of PIS and Cofins    -     -     -     -   (810,563)   -  
PROFIT BEFORE FINANCIAL RESULTS AND TAXES   463,348   322,306  43.8   1,102,590   484,502   127.6
FINANCIAL RESULTS (144,134)   (62,536)   130.5 (475,102) (1,169,741)  (59.4)
 Financial income   115,304  138,255  (16.6)  479,944  593,726  (19.2)
 Financial expenses  (259,438) (200,791) 29.2 (955,046) (752,097) 27.0
 Update of provision for allocation of PIS and Cofins credits    -     -     -     -   (1,011,370)   -  
OPERATIONAL EXPENSES/ INCOME   319,214   259,770  22.9   627,488 (685,239)   -  
INCOME TAX AND SOCIAL CONTRIBUTION ON PROFIT   (55,924)  64,497   -     (58,368)   455,465   -  
 Income tax and social contribution on profit    (12,255) 42,283   -     (87,394) (130,102)  (32.8)
 Deferred income tax and social contribution on profit    (43,669) 22,214   -   29,026  585,567  (95.0)
NET INCOME (LOSS)   263,290   324,267   (18.8)   569,120 (229,774)   -  
EBITDA  599,092  441,945 35.6  1,623,891  938,809 73.0

 

   

 

Exhibit II- RESULT BY SUBSIDIARY > COPEL COM (MERCADO LIVRE)
        R$'000
Income Statement 4Q23 4Q22 Δ% 2023 2022 Δ%
 OPERATING REVENUES    1,037,173   1,279,343   (18.9)   4,056,904   4,938,368   (17.8)
 Electricity sales to final customers    579,008  555,071   4.3  2,284,271  2,275,872   0.4
 Electricity sales to distributors    454,267  688,188  (34.0)  1,761,200  2,620,535  (32.8)
 Other operating revenues    3,898 36,084  (89.2) 11,433 41,961  (72.8)
 OPERATING COSTS AND EXPENSES  (1,016,478) (1,217,361)   (16.5) (3,948,287) (4,814,710)   (18.0)
 Electricity purchased for resale  (1,007,473) (1,211,291)  (16.8) (3,908,484) (4,790,427)  (18.4)
 Personnel and management   (3,670)  (3,471)   5.7   (21,133)   (12,712) 66.2
 Pension and healthcare plans  (454) (458) (1.0)  (1,877)  (1,787)   5.0
 Materials and supplies     (17)   (17) (0.1)   (77)   (53) 45.3
 Third-party services  (503) (479)   5.0  (3,389)  (2,665) 27.2
 Depreciation and amortization  (439)   (99)  346.0  (2,003) (353)  467.4
 Provisions and reversals  (672) (220)  204.8  (3,927)  (1,724)  127.8
 Other cost and expenses   (3,251)  (1,326)  145.1  (7,396)  (4,989) 48.2
 PROFIT BEFORE FINANCIAL RESULTS AND TAXES   20,696  61,981   (66.6)   108,618   123,658   (12.2)
 FINANCIAL RESULTS   10,127 9,120  11.0  37,861  32,376  16.9
 Financial income  10,579   9,175 15.3 38,577 32,667 18.1
 Financial expenses  (453)   (55)  723.6 (717) (291)  146.4
 OPERATIONAL EXPENSES/ INCOME   30,822  71,101   (56.7)   146,479   156,034  (6.1)
 INCOME TAX AND SOCIAL CONTRIBUTION ON PROFIT   (6,148)   (21,229)   (71.0)   (40,928)   (47,659)   (14.1)
 Income tax and social contribution on profit   (2,569)  (6,214)  (58.7)   (30,418)   (25,081) 21.3
 Deferred income tax and social contribution on profit   (3,579)   (15,015)  (76.2)   (10,510)   (22,578)  (53.5)
 NET INCOME (LOSS)   24,675  49,872  (50.5)   105,550   108,375  (2.6)
EBITDA  21,135  62,080   (66.0)   110,620   124,011   (10.8)

 

   

 

Exhibit II- RESULT BY SUBSIDIARY > INCOME STATEMENT FOR THE QUARTER BY COMPANY
R$'000
 Income Statement 4Q23   GET   Distribuição   Compagas   Elejor   UEG Araucária   Serviços   Wind Farms   FDA   Bela Vista   C. Oeste, Marumbi, Uirapuru   Mercado Livre   Holding   Elimination   Consolidated 
 Geração   Transmissão 
 NET OPERATING INCOME            630,506           230,996      4,016,174         212,824          34,465                   -                   -         172,135         172,465            6,804          19,547      1,037,173                   -         (965,391)          5,567,698
 Electricity sales to final customers                      6                    (6)      1,613,874                   -                   -                   -                   -                   -                   -                   -                   -         579,008                   -                (391)           2,192,491
 Electricity sales to distributors            615,810                     -           24,369                   -           34,377                   -                   -         172,135         172,459            6,804                   -         454,267                   -          (616,143)             864,078
 Use of the main distribution and transmission grid (TUSD/ TUST)                      -           205,764      1,550,506                   -                   -                   -                   -                   -                   -                   -           19,503                   -                   -          (121,571)           1,654,202
 Construction revenue                      -             19,043         568,580            6,822                   -                   -                   -                   -                   -                   -                 37                   -                   -              (6,822)             587,660
 Fair value of assets from the indemnity for the concession                      -                     -           20,269                   -                   -                   -                   -                   -                   -                   -                   -                   -                   -                     -               20,269
 Distribution of piped gas                      -                     -                   -         206,002                   -                   -                   -                   -                   -                   -                   -                   -                   -          (206,002)                       -
 Sectoral assets and liabilities result                      -                     -           91,494                   -                   -                   -                   -                   -                   -                   -                   -                   -                   -                     -               91,494
 Other operating revenues              14,690               6,195         147,082                   -                 88                   -                   -                   -                  6                   -                  7            3,898                   -            (14,462)             157,504
 OPERATING COSTS AND EXPENSES          (178,298)           (71,020)    (3,552,826)       (184,753)         (23,776)         221,574           (1,779)       (141,265)         (96,852)           (9,211)           (2,595)    (1,016,478)       (105,281)           717,468         (4,445,091)
 Energy purchased for resale              (26,952)            (14,741)     (1,585,200)                   -                (25)           (3,282)                   -           (3,633)                   -                   -                   -     (1,007,473)                   -           619,242          (2,022,064)
 Charges of the main distribution and transmission grid             (92,034)                     -        (743,458)                   -           (6,236)           (8,962)                   -          (16,861)          (40,211)              (347)                   -                   -                   -           129,887            (778,222)
 Personnel and management             (54,172)            (41,749)        (191,156)          (10,421)           (1,176)           (1,770)                (47)           (5,555)              (773)              (305)              (256)           (3,670)          (17,783)             12,191            (316,642)
 Private pension and health plans              (11,458)              (8,347)          (42,400)           (1,716)                (56)              (214)                 (8)              (652)                (92)                (25)                (31)              (454)           (2,428)               1,930              (65,950)
 Materials and supplies               (2,518)              (1,331)          (25,544)              (503)                (58)                 (8)              (212)           (3,614)              (572)           (3,324)                (93)                (17)              (636)                 514              (37,916)
 Materials and supplies for power eletricity                      -                     -                   -                   -                   -              (428)                   -                   -                   -                   -                   -                   -                   -                 428                       -
 Natural gas and supplies for gas business                      -                     -                   -        (145,206)                   -                   -                   -                   -                   -                   -                   -                   -                   -           145,206                       -
 Third-party services             (27,216)            (13,199)        (176,368)           (3,764)           (3,913)           (5,010)           (1,212)          (30,613)           (4,718)           (2,253)           (1,760)              (503)          (18,326)             20,894            (267,960)
 Depreciation and amortization             (94,000)              (4,182)        (135,744)          (10,781)           (8,467)           (5,156)              (211)          (68,883)          (32,037)           (2,718)                (10)              (439)              (767)               8,588            (354,808)
 Provisions and reversals            185,768             24,771          (54,646)           (1,150)                   -         248,283                   -            3,933                (48)                 (1)                (82)              (672)          (58,999)          (234,620)             112,537
 Construction cost                      -            (16,609)        (568,580)           (6,822)                   -                   -                   -                   -                   -                   -                (37)                   -                   -               6,822            (585,226)
 Renegotiation of Hydrological Risk - GSF - HPP Mauá             (26,405)                     -                   -                   -                   -                   -                   -                   -                   -                   -                   -                   -                   -                     -              (26,405)
 Other operating costs and expenses             (29,311)               4,367          (29,730)           (4,390)           (3,845)           (1,879)                (89)          (15,387)          (18,401)              (238)              (326)           (3,251)           (6,342)               6,386            (102,435)
 EQUITY IN EARNINGS OF SUBSIDIARIES              45,912             72,987                   -                   -                   -                   -                   -          15,070                   -                   -                   -                   -         812,988         (883,823)               63,134
 EARNINGS BEFORE INCOME TAXES            498,120           232,963         463,348          28,071          10,689         221,574           (1,779)          45,940          75,613           (2,407)          16,952          20,696         707,707       (1,131,746)          1,185,740
 FINANCIAL RESULTS            (94,652)           (53,124)       (144,134)           (2,586)         (33,348)           (1,442)               (23)         (24,249)            8,865               869            1,642          10,127          31,683             (5,328)           (305,701)
 Financial income              25,590             12,903         115,304           11,687            4,647               602               138           30,901            9,039               876            2,233           10,579           69,812            (21,645)             272,666
 Financial expenses           (120,242)            (66,027)        (259,438)          (14,273)          (37,995)           (2,044)              (161)          (55,150)              (174)                 (7)              (591)              (453)          (38,129)             16,317            (578,367)
 OPERATIONAL EXPENSES / INCOME            403,468           179,839         319,214          25,485         (22,659)         220,132           (1,802)          21,691          84,478           (1,538)          18,594          30,822         739,390       (1,137,074)             880,039
 INCOME TAX AND SOCIAL CONTRIBUTION ON PROFIT            (45,171)           (14,794)         (55,923)            2,489            5,186          50,409                   -         (16,367)         (26,152)             (510)           (1,388)           (6,148)       (102,129)           (50,499)           (260,998)
NET INCOME continuing operations           358,297           165,045         263,291          27,974         (17,473)         270,541           (1,802)            5,324          58,326           (2,048)          17,206          24,675         637,261       (1,187,573)             619,041
NET INCOME discontinued operations           167,900                     -                   -                   -                   -                   -                   -                   -                   -                   -                   -                   -         241,762           (85,895)             323,767
NET INCOME           526,197           165,045         263,291          27,974         (17,473)         270,541           (1,802)            5,324          58,326           (2,048)          17,206          24,675         879,023       (1,273,468)             942,808
Attributed to shareholders of the parent company - continuing operations           358,298           165,045         263,291                   -          (12,231)                   -           (1,802)            5,324           58,326           (2,048)           17,206           24,675         805,160        (1,043,981)             637,260
Attributed to the controlling company's shareholders - discontinued operations           167,899                     -                   -           14,267                   -         219,679                   -                   -                   -                   -                   -                   -           73,863          (233,942)             241,762
Attributed to non-controlling shareholders  - continuing operations                     -                     -                   -                   -           (5,241)                   -                   -                   -                   -                   -                   -                   -                   -                     -                (5,241)
Attributed to non-controlling shareholders  - discontinued operations                     -                     -                   -           13,707                   -           50,862                   -                   -                   -                   -                   -                   -                   -               4,455               69,027
EBITDA continuing operations       592,120       237,145     599,092       38,852       19,156     226,730        (1,568)     114,823     107,650             311       16,962       21,135     708,474  (1,140,334)      1,540,548
                               
R$'000
 Income Statement 4Q22   GET   Distribuição   Compagas   Elejor   UEG Araucária   Serviços   Wind Farms   FDA   Bela Vista   C. Oeste, Marumbi, Uirapuru   Mercado Livre   Holding   Elimination   Consolidated 
 Geração   Transmissão 
 NET OPERATING INCOME            639,697           247,032      3,587,443         361,872          44,254                 33                 -            152,943         185,827            7,722          16,567      1,279,343                 -          (1,257,953)          5,264,780
 Electricity sales to final customers                    -                      -         1,208,415                 -                    -                    -                    -                    -                    -                    -                    -            555,071                 -                   (386)           1,763,100
 Electricity sales to distributors            619,824                   -              63,535                 -              44,019                 33                 -            151,267         185,823            7,722                 -            688,188                 -             (778,914)             981,497
 Use of the main distribution and transmission grid (TUSD/ TUST)                    -              224,262      1,155,062                 -                    -                    -                    -                    -                    -                    -              16,753                 -                    -               (99,641)           1,296,436
 Construction revenue                    -                17,965         554,567            2,985                 -                    -                    -                    -                    -                    -                 (192)                 -                    -                 (2,985)             572,340
 Fair value of assets from the indemnity for the concession                    -                      -              34,124           (2,059)                 -                    -                    -                    -                    -                    -                    -                    -                    -                  2,059               34,124
 Distribution of piped gas                    -                      -                    -            349,468                 -                    -                    -                    -                    -                    -                    -                    -                    -             (349,468)                     -   
 Sectoral assets and liabilities result                    -                      -            467,880                 -                    -                    -                    -                    -                    -                    -                    -                    -                    -                       (0)             467,880
 Other operating revenues              19,873               4,805         103,860           11,478               235                 -                    -               1,676                  4                 -                     6           36,084                 -               (28,618)             149,403
 OPERATING COSTS AND EXPENSES          (393,183)           (60,640)    (3,265,138)       (277,205)         (22,417)       (169,217)             (809)       (113,191)         (99,846)           (4,959)           (2,130)    (1,217,362)       (463,864)        1,324,465         (4,765,496)
 Energy purchased for resale              (93,096)                   -        (1,546,763)                 -                   (18)                 -                    -                 (502)               309              (309)                 -        (1,211,291)                 -              778,883          (2,072,787)
 Charges of the main distribution and transmission grid             (91,007)                   -           (579,074)                 -              (5,744)           (8,706)                 -             (13,218)          (39,212)              (330)                 -                    -                    -              108,022            (629,269)
 Personnel and management             (45,142)            (30,156)        (153,742)           (9,921)           (1,145)           (1,717)                 -              (4,260)              (829)              (396)              (271)           (3,472)          (10,313)             11,638            (249,726)
 Private pension and health plans              (11,620)              (7,561)          (42,215)           (1,196)                (79)              (162)                 -                 (418)                (83)                (22)                (28)              (458)           (2,002)               1,359              (64,485)
 Materials               (3,133)              (1,137)          (21,243)              (560)                (53)                 (7)                 (2)                (48)              (310)                 (9)                (81)                (16)              (325)                 566              (26,358)
 Raw material and supplies - energy production                (9,349)                   -                    -                    -                    -              (1,212)                 -                    -                    -                    -                    -                    -                    -                  1,212                (9,349)
 Natural gas and supplies for gas business                    -                      -                    -           (237,592)                 -                    -                    -                    -                    -                    -                    -                    -                    -              237,592                     -   
 Third-party services             (20,912)              (9,135)        (143,127)           (2,908)           (4,834)          (20,126)              (384)          (23,601)          (11,050)              (704)           (1,649)              (479)           (9,340)             38,624            (209,625)
 Depreciation and amortization             (93,895)              (3,360)        (119,638)          (12,473)           (7,744)           (5,914)              (545)          (55,319)          (31,897)           (2,800)                 (7)                (98)              (632)             16,107            (318,215)
 Provisions and reversals              35,083              (3,847)          (70,188)              (697)                 -           (108,207)                 63           (1,807)                 (1)                (91)                 (2)              (220)        (436,315)             95,262            (490,967)
 Construction cost                    -                 (9,506)        (554,567)           (2,985)                 -                    -                    -                    -                    -                    -                  192                 -                    -                  2,985            (563,881)
 Other operating costs and expenses             (60,112)               4,062          (34,581)           (8,873)           (2,800)          (23,166)                 59          (14,018)          (16,773)              (298)              (284)           (1,328)           (4,937)             32,215            (130,834)
 PROVISION FOR ALLOCATION OF PIS/COFINS CREDITS                    -                      -                    -                    -                    -                    -                    -                    -                    -                    -                    -                    -                    -                      -                        -   
 EQUITY IN EARNINGS OF SUBSIDIARIES            132,889           154,995                 -                    -                    -                    -                    -             54,728                 -                    -                    -                    -         1,065,020       (1,259,170)             148,462
 EARNINGS BEFORE INCOME TAXES            379,403           341,387         322,305          84,667          21,837       (169,184)             (809)          94,480          85,981            2,763          14,437          61,981         601,156       (1,192,658)             647,746
 FINANCIAL RESULTS            (97,607)           (55,426)         (62,536)            8,620           (6,367)            1,161             (183)          12,886            7,146               574            1,285            9,120         (59,318)           (39,101)           (279,746)
 Financial income              22,680             11,781         138,255           17,187            5,882            2,854               150           33,694            7,275               574            2,036            9,175            8,733            (27,468)             232,808
 Financial expenses           (120,287)            (67,207)        (200,791)           (8,567)          (12,249)           (1,693)              (333)          (20,808)              (129)                 -                 (751)                (55)          (68,051)            (11,633)            (512,554)
 Provision for allocation of PIS/COFINS credits update                    -                      -                    -                    -                    -                    -                    -                    -                    -                    -                    -                    -                    -                      -                        -   
 OPERATIONAL EXPENSES / INCOME            281,796           285,961         259,769          93,287          15,470       (168,023)             (992)         107,366          93,127            3,337          15,722          71,101         541,838       (1,231,759)             368,000
 INCOME TAX AND SOCIAL CONTRIBUTION ON PROFIT              99,078             67,264          64,498         (27,842)           (2,774)         (10,945)                 -            (14,907)         (29,475)             (436)           (1,219)         (21,228)         205,251             39,501             366,766
NET INCOME continuing operations           380,874           353,225         324,267         179,202          12,696       (267,492)             (992)          92,459          63,652            2,901          14,503          49,873         747,089       (1,217,491)             734,766
NET INCOME discontinued operations         (162,903)                   -                    -          (113,757)                 -             88,524                 -                    -                    -                    -                    -                    -          (125,812)           202,692           (111,256)
NET INCOME           217,971           353,225         324,267          65,445          12,696       (178,968)             (992)          92,459          63,652            2,901          14,503          49,873         621,277       (1,014,798)             623,510
Attributed to shareholders of the parent company - continuing operations           380,874           353,225         324,267                 -               8,887                 -                 (992)           92,459           63,652            2,901           14,503           49,873         584,185        (1,140,611)             733,224
Attributed to the controlling company's shareholders - discontinued operations          (162,903)                   -                    -              33,377                 -           (145,323)                 -                    -                    -                    -                    -                    -              37,092           125,810            (111,947)
Attributed to non-controlling shareholders  - continuing operations                   -                      -                    -                    -               3,809                 -                    -                    -                    -                    -                    -                    -                    -                      -                    3,809
Attributed to non-controlling shareholders  - discontinued operations                   -                      -                    -              32,069                 -             (33,645)                 -                    -                    -                    -                    -                    -                    -                      -                   (1,576)
EBITDA continuing operations       473,298       344,747     441,943       97,140       29,581   (163,270)           (264)     149,799     117,878          5,563       14,444       62,079     601,788  (1,208,765)         965,961
   

 

Exhibit II- RESULT BY SUBSIDIARY > INCOME STATEMENT BY COMPANY ACCUMULATED
R$'000
 Income Statement 2023   GET   Distribuição   Compagas   Elejor   UEG Araucária   Serviços   Wind Farms   FDA   Bela Vista   C. Oeste, Marumbi, Uirapuru   Mercado Livre   Holding   Elimination   Consolidated 
 Geração   Transmissão 
 NET OPERATING INCOME         2,523,737        1,034,167      15,085,707         978,581         140,757                   -                   -         782,111         755,449          29,754          67,695      4,056,904                   -       (3,975,394)        21,479,468
 Electricity sales to final customers                      6                    (6)        5,663,429                   -                   -                   -                   -                   -                   -                   -                   -      2,284,271                   -              (1,532)           7,946,168
 Electricity sales to distributors          2,463,377                     -           164,825                   -         139,968                   -                   -         781,534         755,433           29,754                   -      1,761,200                   -        (2,493,303)           3,602,788
 Use of the main distribution and transmission grid (TUSD/ TUST)                      -           908,902        5,468,715                   -                   -                   -                   -                   -                   -                   -           67,969                   -                   -          (443,394)           6,002,192
 Construction revenue                      -             99,549        2,234,539           17,010                   -                   -                   -                   -                   -                   -              (301)                   -                   -            (17,010)           2,333,787
 Fair value of assets from the indemnity for the concession                      -                     -            62,167                   -                   -                   -                   -                   -                   -                   -                   -                   -                   -                     -               62,167
 Distribution of piped gas                      -                     -                     -         961,567                   -                   -                   -                   -                   -                   -                   -                   -                   -          (961,567)                       -
 Sectoral assets and liabilities result                      -                     -           971,203                   -                   -                   -                   -                   -                   -                   -                   -                   -                   -                     -             971,203
 Other operating revenues              60,354             25,722           520,829                  4               789                   -                   -               577                 16                   -                 27           11,433                   -            (58,588)             561,163
 OPERATING COSTS AND EXPENSES        (1,336,235)         (477,353)    (13,983,117)       (814,455)         (92,793)            4,674           (2,606)       (532,931)       (432,953)         (23,618)           (9,417)    (3,948,287)       (216,087)        3,772,614       (18,092,563)
 Energy purchased for resale            (123,926)            (14,741)       (6,074,752)                   -           (1,073)           (3,282)                   -          (23,261)          (61,983)              (673)                   -     (3,908,484)                   -         2,495,985          (7,716,190)
 Charges of the main distribution and transmission grid           (373,875)                     -       (2,715,273)                   -          (24,149)          (35,362)                   -          (64,281)        (159,227)           (1,335)                   -                   -                   -           476,792          (2,896,710)
 Personnel and management           (334,294)          (246,379)       (1,174,906)          (43,201)           (4,991)           (6,381)                (62)          (18,779)           (3,036)           (1,306)           (1,014)          (21,133)          (72,432)             49,582          (1,878,332)
 Private pension and health plans              (46,035)            (32,882)          (167,533)           (6,222)              (196)              (733)                (10)           (2,214)              (356)                (96)              (121)           (1,877)           (8,839)               6,955            (260,159)
 Materials and supplies             (10,932)              (5,374)           (74,501)           (1,574)              (248)                (40)              (212)           (4,725)           (1,644)           (3,363)              (209)                (77)           (1,384)               1,616            (102,667)
 Materials and supplies for power eletricity             (17,654)                     -                     -                   -                   -           (1,459)                   -                   -                   -                   -                   -                   -                   -               1,459              (17,654)
 Natural gas and supplies for gas business                      -                     -                     -        (678,885)                   -                   -                   -                   -                   -                   -                   -                   -                   -           678,885                       -
 Third-party services           (104,178)            (49,586)          (643,999)          (13,861)          (16,355)          (21,096)           (1,594)        (117,604)          (32,052)           (4,589)           (6,671)           (3,389)          (65,775)             84,437            (996,312)
 Depreciation and amortization           (378,112)            (16,167)          (521,301)          (41,148)          (33,863)          (21,588)           (1,668)        (259,228)        (127,732)          (11,201)                (40)           (2,003)           (3,017)             35,028          (1,382,040)
 Provisions and reversals            168,260            (20,712)          (201,083)              (548)                   -           97,811                   -            6,116                (50)                 (1)              (425)           (3,927)          (47,348)            (90,328)              (92,235)
 Construction cost                      -            (85,482)       (2,234,539)          (17,010)                   -                   -                   -                   -                   -                   -               301                   -                   -             17,010          (2,319,720)
 Renegotiation of Hydrological Risk - GSF - HPP Mauá                      -                     -                     -                   -                   -                   -                   -                   -                   -                   -                   -                   -                   -                     -                       -
 Other operating costs and expenses           (115,489)              (6,030)          (175,230)          (12,006)          (11,918)           (3,196)               940          (48,955)          (46,873)           (1,054)           (1,238)           (7,396)          (17,292)             15,193            (430,544)
 EQUITY IN EARNINGS OF SUBSIDIARIES            305,369           347,703                     -                   -                   -                   -                   -          86,058                   -                   -                   -                   -      2,332,609       (2,763,930)             307,809
 EARNINGS BEFORE INCOME TAXES         1,492,871           904,517        1,102,590         164,126          47,964            4,674           (2,606)         335,238         322,496            6,136          58,278         108,618      2,116,522       (2,966,710)          3,694,714
 FINANCIAL RESULTS          (381,271)         (284,257)         (475,102)         (11,757)         (43,569)            2,856             (656)       (115,435)          26,634            3,296            6,655          37,861          30,212                (456)         (1,204,990)
 Financial income            106,496             57,636           479,944           36,559           90,509            9,803               497         133,035           27,294            3,304            9,286           38,577         145,881            (69,705)           1,069,116
 Financial expenses           (487,767)          (341,893)          (955,046)          (48,316)        (134,078)           (6,947)           (1,153)        (248,470)              (660)                 (8)           (2,631)              (717)        (115,669)             69,249          (2,274,106)
 OPERATIONAL EXPENSES / INCOME         1,111,600           620,260          627,488         152,369            4,395            7,530           (3,262)         219,803         349,130            9,432          64,933         146,479      2,146,734       (2,967,166)          2,489,724
 INCOME TAX AND SOCIAL CONTRIBUTION ON PROFIT            (60,404)           (20,420)           (58,368)         (40,750)           (1,487)          36,795                   -         (67,057)       (115,615)           (2,900)           (5,347)         (40,928)          11,343             11,081           (354,057)
NET INCOME continuing operations        1,051,196           599,840          569,121         111,619            2,908          44,325           (3,262)         152,746         233,515            6,532          59,586         105,550      2,158,077       (2,956,085)          2,135,667
NET INCOME discontinued operations             30,134                     -                     -                   -                   -                   -                   -                   -                   -                   -                   -                   -         100,733             60,634             191,501
NET INCOME        1,081,330           599,840          569,121         111,619            2,908          44,325           (3,262)         152,746         233,515            6,532          59,586         105,550      2,258,810       (2,895,451)          2,327,168
Attributed to shareholders of the parent company - continuing operations         1,051,196           599,840           569,121                   -            2,036                   -           (3,262)         152,746         233,515            6,532           59,586         105,550      2,188,210        (2,806,994)           2,158,077
Attributed to the controlling company's shareholders - discontinued operations             30,134                     -                     -           56,926                   -           35,992                   -                   -                   -                   -                   -                   -           70,600            (92,912)             100,733
Attributed to non-controlling shareholders  - continuing operations                     -                     -                     -                   -               873                   -                   -                   -                   -                   -                   -                   -                   -                     -                   873
Attributed to non-controlling shareholders  - discontinued operations                     -                     -                     -           54,693                   -            8,333                   -                   -                   -                   -                   -                   -                   -               4,455               67,485
EBITDA continuing operations    1,870,983       920,684    1,623,891     205,274       81,827       26,262           (938)     594,466     450,228       17,337       58,318     110,620  2,119,539  (3,001,738)      5,076,754
                               
R$'000
 Income Statement 2022   GET   Distribuição   Compagas   Elejor   UEG Araucária   Serviços   Wind Farms   FDA   Bela Vista   C. Oeste, Marumbi, Uirapuru   Mercado Livre   Holding   Elimination   Consolidated 
 Geração   Transmissão 
 NET OPERATING INCOME         2,511,145        1,041,939      13,903,300      1,297,034         194,287          98,508            8,014         588,519         743,002          30,249         103,908      4,938,368                 -          (4,922,932)        20,535,341
 Electricity sales to final customers                  103                   -           5,236,339                 -                    -                    -                    -                    -                    -                    -                    -         2,275,872                 -                 (2,277)           7,510,037
 Electricity sales to distributors          2,436,222                   -              266,991                 -            194,052           98,508                 -            583,222         742,981           30,249                 -         2,620,535                 -           (3,158,351)           3,814,409
 Use of the main distribution and transmission grid (TUSD/ TUST)                      -           898,353        4,221,011                 -                    -                    -                    -                    -                    -                    -            102,942                 -                    -             (393,465)           4,828,841
 Construction revenue                      -           115,171        2,048,022           12,024                 -                    -                    -                    -                    -                    -                  941                 -                    -               (12,024)           2,164,134
 Fair value of assets from the indemnity for the concession                      -                   -               79,169           10,772                 -                    -                    -                    -                    -                    -                    -                    -                    -               (10,772)               79,169
 Distribution of piped gas                      -                   -                      -         1,262,658                 -                    -                    -                    -                    -                    -                    -                    -                    -           (1,262,658)                     -   
 Sectoral assets and liabilities result                      -                   -           1,676,936                 -                    -                    -                    -                    -                    -                    -                    -                    -                    -                       (0)           1,676,936
 Other operating revenues              74,820             28,415           374,832           11,580               235                 -               8,014            5,297                 21                 -                    25           41,961                 -               (83,385)             461,815
 OPERATING COSTS AND EXPENSES        (1,553,242)         (306,202)    (13,418,798)    (1,076,181)         (86,033)       (365,522)         (10,864)       (400,945)       (398,843)         (19,493)           (9,074)    (4,814,710)       (553,266)        4,948,027       (18,065,146)
 Energy purchased for resale            (341,302)                   -          (5,980,124)                 -                 (142)                 -                    -             (14,383)          (28,632)           (1,751)                 -        (4,790,427)                 -            3,059,851          (8,096,910)
 Charges of the main distribution and transmission grid           (344,501)                   -          (2,313,203)                 -             (23,425)          (33,129)                 -             (48,461)        (148,610)           (1,296)                 -                    -                    -              424,628          (2,487,997)
 Personnel and management           (178,225)          (122,623)          (599,121)          (42,166)           (4,738)           (6,791)           (3,387)          (13,897)           (2,790)           (1,300)              (905)          (12,712)          (38,207)             48,958            (977,904)
 Private pension and health plans              (46,283)            (30,851)          (169,493)           (5,366)              (252)              (618)           (2,924)           (1,452)              (297)                (76)                (97)           (1,787)           (6,685)               5,984            (260,197)
 Materials             (11,041)              (5,185)           (71,302)           (1,644)              (630)              (263)                (52)              (440)              (853)                 (9)              (112)                (53)              (864)               1,907              (90,541)
 Raw material and supplies - energy production                (9,349)                   -                      -                    -                    -           (113,930)                 -                    -                    -                    -                    -                    -                    -              113,930                (9,349)
 Natural gas and supplies for gas business                    -                      -                      -           (939,516)                 -                    -                    -                    -                    -                    -                    -                    -                    -              939,516                     -   
 Third-party services             (87,466)            (36,748)          (505,407)          (13,316)          (16,781)          (45,902)           (2,439)          (82,116)          (38,785)           (2,625)           (6,128)           (2,665)          (38,794)           124,621            (754,551)
 Depreciation and amortization           (374,150)            (13,662)          (454,307)          (44,190)          (30,474)          (23,694)           (2,085)        (200,052)        (134,432)          (11,164)                (30)              (353)           (2,504)             58,000          (1,233,097)
 Provisions and reversals              11,505              (3,847)          (281,895)           (2,717)                 -           (110,968)                 59           (2,065)                 (7)                (91)                (30)           (1,724)        (441,160)           115,409            (717,531)
 Construction cost                    -               (88,225)       (2,048,022)          (12,024)                 -                    -                    -                    -                    -                    -                 (941)                 -                    -                12,024          (2,137,188)
 Other operating costs and expenses           (172,430)              (5,061)          (185,361)          (15,242)           (9,591)          (30,227)                (36)          (38,079)          (44,437)           (1,181)              (831)           (4,989)          (25,052)             43,199            (489,318)
PROVISION FOR ALLOCATION OF PIS AND COFINS                   -                      -             (810,563)                 -                    -                    -                    -                    -                    -                    -                    -                    -                    -                      -               (810,563)
 EQUITY IN EARNINGS OF SUBSIDIARIES            307,565           547,702                   -                    -                    -                    -                    -             75,322                 -                    -                    -                    -         1,746,263       (2,198,275)             478,577
 EARNINGS BEFORE INCOME TAXES         1,265,468        1,283,439          484,502         220,853         108,254       (267,014)           (2,850)         262,896         344,159          10,756          94,834         123,658      1,192,997       (2,173,180)          2,948,772
 FINANCIAL RESULTS          (351,940)         (217,582)      (1,169,741)          28,440       (113,102)          11,407               345         (92,530)          24,714            1,405            3,810          32,376       (119,717)           (43,769)         (2,005,884)
 Financial income            104,228             51,661           593,726           56,730           19,069           19,694            1,633         111,378           25,236            1,405            6,854           32,667           57,658          (125,526)             956,413
 Financial expenses           (456,168)          (269,243)          (752,097)          (28,290)        (132,171)           (8,287)           (1,288)        (203,908)              (522)                 -              (3,044)              (291)        (177,375)             81,757          (1,950,927)
 Update of provision for allocation of PIS and Cofins credits                    -                      -          (1,011,370)                 -                    -                    -                    -                    -                    -                    -                    -                    -                    -                      -             (1,011,370)
 OPERATIONAL EXPENSES / INCOME            913,528        1,065,857         (685,239)         249,293           (4,848)       (255,607)           (2,505)         170,366         368,873          12,161          98,644         156,034      1,073,280       (2,216,949)             942,888
 INCOME TAX AND SOCIAL CONTRIBUTION ON PROFIT            (60,605)           (51,824)          455,465         (70,091)            4,157         (11,885)                 -            (53,572)       (123,452)           (1,421)           (5,608)         (47,658)         164,539             83,054             281,099
NET INCOME continuing operations           852,923        1,014,033         (229,774)         179,202             (691)       (267,492)           (2,505)         116,794         245,421          10,740          93,036         108,376      1,237,819       (2,133,895)          1,223,987
NET INCOME discontinued operations         (162,903)                   -                      -                    -                    -                    -                    -                    -                    -                    -                    -                    -          (125,812)           214,049             (74,666)
NET INCOME           690,020        1,014,033         (229,774)         179,202             (691)       (267,492)           (2,505)         116,794         245,421          10,740          93,036         108,376      1,112,007       (1,919,845)          1,149,321
Attributed to shareholders of the parent company - continuing operations           852,923         1,014,033          (229,774)                   -              (484)                   -           (2,505)         116,794         245,421           10,740           93,036         108,376      1,074,915        (2,045,657)           1,237,819
Attributed to the controlling company's shareholders - discontinued operations          (162,903)                     -                     -           91,393                   -        (217,204)                   -                   -                   -                   -                   -                   -           37,092           125,810            (125,812)
Attributed to non-controlling shareholders  - continuing operations                     -                     -                     -                   -              (207)                   -                   -                   -                   -                   -                   -                   -                   -                     -                  (207)
Attributed to non-controlling shareholders  - discontinued operations                     -                     -                     -           87,809                   -          (50,288)                   -                   -                   -                   -                   -                   -                   -                     -               37,521
EBITDA continuing operations    1,639,618    1,297,101       938,809     265,043     138,728   (243,320)           (765)     462,948     478,591       21,920       94,864     124,011  1,195,501  (2,231,180)      4,181,869
   

 

Exhibit II- RESULT BY SUBSIDIARY > ASSETS BY COMPANY
                            R$'000
 Assets - December -2023   Geração e Transmissão   Distribuição   Compagas   Elejor   UEG Araucária   Serviços   Wind Farms   FDA   Bela Vista   Costa Oeste, Marumbi, Uirapuru   Mercado Livre   Holding   Eliminations   Consolidated 
CURRENT                   2,483,103               5,153,666                  240,017                  209,323                   36,580                   13,598               1,008,543                  442,162                   38,993                  110,409               1,074,359               4,820,021             (1,915,044)             13,715,730
 Cash and cash equivalents                     1,008,767                  626,708                  101,437                  166,544                    22,354                     3,290                  831,553                  353,241                    34,999                    83,343                  294,762               2,231,413                 (123,788)               5,634,623
 Bonds and securities                               -                            -                            -                            -                     4,670                            -                            -                            -                            -                            -                          93                            -                     4,763
 Collaterals and escrow accounts                                 -                           9                        211                            -                            -                            -                            -                            -                            -                            -                            -                            -                       (211)                           9
 Customers                        425,448               2,973,010                    83,153                    21,157                            -                            -                  115,672                    84,309                     3,074                     7,976                  382,264                            -                 (334,893)               3,761,170
 Dividends receivable                       212,944                            -                            -                            -                            -                            -                    19,883                            -                            -                            -                            -               1,942,406              (2,079,664)                    95,569
 Sectorial financial assets                       15,473                            -                            -                              -                            -                            -                            -                            -                            -                            -                            -                    15,473
 Account receivable related to concession                           9,354                            -                            -                            -                            -                            -                            -                            -                            -                            -                            -                            -                            -                     9,354
 Contract Assets                       268,260                            -                            -                            -                            -                            -                            -                            -                            -                    16,356                            -                            -                            -                  284,616
 Other current receivables                       118,627                  435,619                    43,950                     9,398                           1                     3,120                     5,968                        252                            -                        653                  383,243                     2,431                   (53,530)                  949,732
 Inventories                         37,923                  131,927                     5,383                        264                            -                          16                     4,375                          16                            -                        205                            -                            -                    (5,383)                  174,726
 Income tax and social contribution                       150,720                     1,259                     5,326                    10,217                    13,909                     1,937                    19,316                     2,586                        491                     1,644                    13,516                  113,532                   (19,235)                  315,218
 Other current recoverable taxes                         18,688                  922,450                           8                            -                            -                        565                        102                     1,180                          23                            -                        333                            -                          (6)                  943,343
 Prepaid expenses                         11,334                    37,807                        549                     1,743                        316                            -                     8,631                        578                        406                        232                        241                     1,897                       (865)                    62,869
 Related parties                         24,474                     9,404                            -                            -                            -                            -                     3,043                            -                            -                            -                            -                          54                   (35,639)                     1,336
 Assets held for sale                       196,564                            -                            -                            -                            -                            -                            -                            -                            -                            -                            -                  528,195                  738,170               1,462,929
NON-CURRENT                  20,868,273             16,677,461                  783,607                  594,827                  386,787                   49,078               8,125,742                  452,885                  196,589                  491,174                  750,631             20,538,876            (27,812,586)             42,103,344
Long Term Assets                   5,886,631               8,229,821                   73,274                   83,192                   98,157                        593                  609,417                   18,922                        224                  490,861                  740,114                  611,187                (498,956)             16,343,437
 Bonds and securities                       136,591                     1,005                            -                            -                            -                            -                  330,401                    16,388                            -                     4,410                     1,937                            -                            -                  490,732
 Other temporary investments                                 -                            -                            -                            -                            -                            -                            -                            -                            -                            -                            -                    31,728                            -                    31,728
 Customers                                  -                  105,259                            -                            -                            -                            -                            -                            -                            -                            -                            -                            -                            -                  105,259
 Judicial deposits                         94,368                  380,433                          61                            -                          41                        593                          81                            -                        218                            -                    15,647                  143,371                       (101)                  634,712
 Sectoral financial assets                                 -                    15,473                            -                            -                              -                            -                            -                            -                            -                            -                            -                            -                    15,473
 Account receivable related to concession                       855,222               1,954,679                            -                            -                            -                            -                            -                            -                            -                            -                            -                            -                            -               2,809,901
 Contract Assets                     4,639,497               2,201,958                    44,039                            -                            -                            -                            -                            -                            -                  486,451                            -                            -                   (51,500)               7,320,445
 Other non-current receivables                         81,646                    44,839                    29,174                     2,507                            -                            -                          44                     1,859                            -                            -                  722,423                          18                   (29,170)                  853,340
 Income tax and social contribution                             508                    66,123                            -                     1,301                            -                            -                            -                            -                            -                            -                          71                            -                            -                    68,003
 Deferred income tax and social contribution                                  -               1,324,670                            -                    73,533                    73,066                            -                            -                            -                            -                            -                            -                  359,485                   (73,066)               1,757,688
 Other non-current recoverable taxes                         78,799               2,135,382                            -                            -                    25,050                            -                        178                        675                           6                            -                          36                    41,078                   (25,048)               2,256,156
 Related parties                                 -                            -                            -                     5,851                            -                            -                  278,713                            -                            -                            -                            -                    35,507                 (320,071)                            -
 Investments                    8,629,485                        443                            -                            -                            -                            -               2,788,839                            -                            -                            -                            -             19,906,237            (27,813,207)               3,511,797
 Property, plant and equipment, net                    5,259,216                            -                            -                  326,291                  288,602                   43,881               4,676,981                  318,527                  191,085                        247                        770                     8,424                (288,603)             10,825,421
 Intangible assets                    1,028,600               8,317,327                  699,697                  184,539                          28                        911                     7,267                  115,436                     5,280                          66                     5,784                     6,336                  798,818             11,170,089
 Right to use an asset                         64,341                  129,870                   10,636                        805                            -                     3,693                   43,238                            -                            -                            -                     3,963                     6,692                  (10,638)                  252,600
TOTAL              23,351,376         21,831,127           1,023,624              804,150              423,367                62,676           9,134,285              895,047              235,582              601,583           1,824,990         25,358,897       (29,727,630)         55,819,074
                             
                             
 Assets - December-2022   Geração e Transmissão   Distribuição   Compagas   Elejor   UEG Araucária   Serviços   Wind Farms   FDA   Bela Vista   Costa Oeste, Marumbi, Uirapuru   Mercado Livre   Holding   Eliminations   Consolidated 
CURRENT                   1,647,236               4,937,240                  282,714                  224,833                   97,587                     6,075                  937,476                  376,804                   26,828                   94,931                  990,867               1,180,872             (1,476,214)               9,327,249
 Cash and cash equivalents                       380,955                  430,121                    61,059                  185,916                    64,991                     3,748                  755,355                  284,624                    22,934                    71,141                  217,736                  199,877                            -               2,678,457
 Bonds and securities                                 -                            -                            -                            -                            -                            -                            -                            -                            -                            -                            -                          93                            -                          93
 Collaterals and escrow accounts                                 -                          90                          67                            -                            -                            -                            -                            -                            -                            -                            -                            -                            -                        157
 Customers                        389,967               2,429,434                  128,589                    23,272                            -                            -                    97,594                    88,764                     2,997                     7,184                  475,170                            -                 (300,921)               3,342,050
 Dividends receivable                       352,718                            -                            -                            -                            -                            -                    45,676                            -                            -                            -                            -                  824,143              (1,084,207)                  138,330
 Sectorial financial assets                                 -                  190,699                            -                            -                            -                            -                            -                            -                            -                            -                            -                            -                            -                  190,699
 Account receivable related to concession                           8,603                            -                            -                            -                            -                            -                            -                            -                            -                            -                            -                            -                            -                     8,603
 Contract Assets                       205,647                            -                            -                            -                            -                            -                            -                            -                            -                    15,013                            -                            -                            -                  220,660
 Other current receivables                       137,224                  408,462                    49,518                    12,237                           5                           2                     5,616                           2                            -                          66                  292,962                        977                    (9,691)                  897,380
 Inventories                         30,024                  158,487                     5,694                        195                            -                        249                            -                            -                            -                        201                            -                            -                            -                  194,850
 Income tax and social contribution                       102,625                    95,397                     8,705                     3,097                    12,885                     1,693                    16,522                     1,620                        250                     1,129                     3,619                  107,523                            -                  355,065
 Other current recoverable taxes                         11,312               1,178,192                    28,505                            -                    19,705                        241                        120                     1,225                          16                            -                        378                            -                            -               1,239,694
 Prepaid expenses                         13,000                    37,593                        577                        116                            -                        142                     5,394                        569                        631                        197                     1,002                        855                            -                    60,076
 Related parties                         15,162                     8,765                            -                            -                            -                            -                    11,199                            -                            -                            -                            -                    47,404                   (81,395)                     1,135
NON-CURRENT                  20,110,117             15,601,575                  800,999                  623,364                  236,832                   16,870               6,623,943                  561,976                  210,555                  496,329                  818,104             20,894,673            (26,618,884)             40,376,451
Long Term Assets                   5,924,570               8,200,557                   59,505                   80,811                   43,358                        536                  476,931                   15,875                          15                  496,232                  809,498                  538,071                (203,812)             16,442,145
 Bonds and securities                       123,022                        905                            -                            -                            -                            -                  286,623                    14,750                            -                     3,974                     1,689                            -                            -                  430,963
 Other temporary investments                                 -                            -                            -                            -                            -                            -                            -                            -                            -                            -                            -                    25,619                            -                    25,619
 Customers                                  -                  109,472                            -                            -                            -                            -                        347                            -                            -                            -                            -                            -                            -                  109,819
 Judicial deposits                         87,125                  384,425                          69                          58                     7,087                        536                          49                            -                            -                            -                    14,362                  138,747                            -                  632,458
 Sectoral financial assets                                 -                  190,699                            -                            -                            -                            -                            -                            -                            -                            -                            -                            -                            -                  190,699
 Account receivable related to concession                       826,871               1,442,819                            -                            -                            -                            -                            -                            -                            -                            -                            -                            -                            -               2,269,690
 Contract Assets                     4,607,214               2,332,171                    30,032                            -                            -                            -                            -                            -                            -                  490,785                            -                            -                    (8,183)               7,452,019
 Other non-current receivables                         89,225                    15,020                    29,394                     2,508                            -                            -                            -                        475                            -                     1,473                  793,339                          18                            -                  931,452
 Income tax and social contribution                       106,729                    19,723                            -                     1,301                            -                            -                            -                            -                            -                            -                          71                            -                            -                  127,824
 Deferred income tax and social contribution                                  -               1,203,057                            -                    71,094                    36,271                            -                            -                            -                            -                            -                            -                  333,877                            -               1,644,299
 Other non-current recoverable taxes                         84,383               2,502,266                            -                            -                            -                            -                        133                        649                          15                            -                          37                    39,810                            -               2,627,293
 Prepaid expenses                                 -                            -                          10                            -                            -                            -                            -                            -                            -                            -                            -                            -                            -                          10
 Related parties                                 -                            -                            -                     5,851                            -                            -                  189,779                            -                            -                            -                            -                            -                 (195,630)                            -
 Investments                    7,720,268                        534                            -                            -                            -                            -               2,402,494                            -                            -                            -                            -             20,339,344            (27,136,909)               3,325,731
 Property, plant and equipment, net                    5,278,437                            -                            -                  345,813                  193,421                     1,977               3,720,908                  315,167                  205,250                           5                        541                     7,948                            -             10,069,468
 Intangible assets                    1,126,526               7,257,827                  726,107                  195,778                          53                     1,263                     1,104                  230,934                     5,288                          92                     6,193                     4,724                  721,837             10,277,727
 Right to use an asset                         60,316                  142,657                   15,387                        962                            -                   13,094                   22,506                            -                            -                            -                     1,872                     4,586                            -                  261,380
TOTAL              21,757,353         20,538,815           1,083,713              848,198              334,418                22,946           7,561,419              938,779              237,382              591,260           1,808,971         22,075,545       (28,095,099)         49,703,700

 

   

 

Exhibit II- RESULT BY SUBSIDIARY > LIABILITIES BY COMPANY
                            R$'000
 Liabilities - December -23   Geração e Transmissão   Distribuição   Compagas   Elejor   UEG Araucária   Serviços   Wind Farms   FDA   Bela Vista   Costa Oeste, Marumbi, Uirapuru   Mercado Livre   Holding   Eliminations   Consolidated 
 CURRENT    10,603,209   15,048,263 508,958 840,289 105,756  8,354 3,629,611 260,994  6,311 69,359 1,482,784 1,472,745   (2,409,227)   31,627,407
 Social charges and accruals  290,601 597,160  9,452 369 702  -   64  -  - -  8,736   30,608  (10,154) 927,538
 Associated companies and parent company    5,967   11,950  -  -  -   54   30,356 865 238   286 379  1,841  (51,933)  -
 Suppliers  318,600  1,605,111   58,010  3,984  5,684  3,754   68,712   23,045 586   976 381,520  4,529   (320,085)  2,154,430
 Income Tax and Social Contribution payable   -  -   12,876 294  -  -  8,721 122,906 278   596  - 183  (12,876) 132,979
 Other taxes    57,245 253,336   13,463  1,057 277 208  8,611  4,871 501   264   19,508 474  (13,734) 346,083
 Loans and financing  174,260 375,135  -  -  -  - 120,930  -  -   5,656  -  -  - 675,980
 Debentures  607,981 569,700   81,797  -  -  -   47,968  -  - -  -  -  (81,797)  1,225,649
 Dividends payable   1,274,433 460,904   24,314  -   43,134  -   40,397   55,460  1,552  14,151 185,341 464,147 (2,099,687) 464,147
 Post employment benefits    22,124   59,742  -  -  -  -  -  -  - - 125  3,842  -   85,833
 Customer charges due    15,248   44,789  -  -  -  -  -  1,177  -   252  -  -  -   61,466
 Research and development and energy efficiency    55,130 262,444  -  1,672  -  -  - 369  -   582  -  -  - 320,196
 Payables related to concession    2,170  -  -   99,806  -  -  -  -  - -  -  -  - 101,976
 Sectorial financial liabilities   - 476,103  -  -  -  -  -  -  - -  -  -  - 476,103
 Other accounts payable   8,364   40,083  2,601 249  -   17 487  -  - - 137 405 (2,601)   49,742
 Other bills to pay    97,549 175,695  3,624  1,919  -  - 222,868  9,309 446  41 336,491   15,135 (3,620) 859,456
 PIS and Cofins to be refunded to consumers    558,591          -     -      - 558,591
 Provisions for litigation   -  -  -  -  -  -  -  -  - -  - 336,000  - 336,000
 Liabilities associated with assets held for sale   -  -          -  -   -    - 533,264 533,264
 NON-CURRENT  7,673,538 9,557,520 302,821 730,939   55,959  4,321 3,080,497   42,991  2,710 46,556 550,547 615,580   (346,004)   22,317,974
 Associated companies and parent company    -  -  -  -   35,616  - 265,157  -  - -  -  5,851   (306,624)  -
 Suppliers  131,143  -  -  -  -  -  -  -  - -  -  -  - 131,143
 Deferred income tax and social contribution   1,207,009  -   21,319  1,465  -  -   24,244   35,267 865  18,733 109,736  - 268,156  1,686,793
 Tax liabilities    60,756 546,184  -  -  - 589  -  -  - - 534  4,030  - 612,093
 Loans and financing   2,106,275 375,585  -  -  -  -  2,164,987  -  -  20,390  -  -  -  4,667,237
 Debentures   3,160,977  4,750,476 202,405  -  -  - 482,004  -  - -  -  -   (202,405)  8,393,457
 Post-employment benefits  398,594 948,724  8,608  - 718  -  -  -  - -  3,555   47,537 (9,326)  1,398,410
 Research and development and energy efficiency   - 224,996  -  -  8,690  -  -  7,724  -   757  -  - (8,690) 233,478
 Payables related to the concession    62,990  -  - 728,889  -  -  -  -  - -  -  -  - 791,879
 Sectorial financial liabilities   -   27,888  -  -    -  -  -  - -  -  -  -   27,888
 Lease liability    60,761   99,138  8,972 585  -  3,732   45,781  -  - -  4,022  6,681 (8,972) 220,700
 Other payables    49,539  1,559   45,086  -  -  -   96,018  -  -  17 431,938   25,297  (70,384) 579,070
 PIS/Cofins to be refunded to consumers    173,135          -     -      - 173,135
 Provision for allocation of PIS and COFINS     1,909,775          -              1,909,775
 Provisions for litigation  435,495 500,060   16,431  -   10,935  -  2,306  -  1,845   6,658 762 526,183 (7,759)  1,492,916
 EQUITY    12,748,166 6,782,864 514,666 (36,139) 317,611   54,322 5,504,674 634,053 229,271   532,222 342,206   23,886,152 (27,623,917)   23,886,153
 Attributable to controlling shareholders    12,748,166 6,782,864 514,666 (36,139) 317,611   54,322 5,504,674 634,053 229,271   532,222 342,206   23,886,152 (27,623,917)   23,886,153
 Capital   6,242,757  5,372,206 220,966   35,503 425,662   16,685  5,157,938 409,509 223,913   275,161 237,210   12,821,758  (18,617,510)   12,821,758
 Advance for Future Capital Increase   -  -  -  -  -   48,950   17,681  -  - -  -  -  (66,631)  -
 Capital reserves               -     -        
 Asset valuation adjustments  498,183   (163,951) 983  2,844 442 (1)  -  -  - - (1,097) 307,049   (337,403) 307,050
 Legal Reserves  961,538 335,200   44,193  -  -  -   55,133   58,164 703  27,949   28,071  1,625,628 (1,510,951)  1,625,628
 Profit retention reserve   5,045,688  1,239,409 136,905  -  -  - 443,457  -  -   186,658  4,377  9,000,505 (7,056,494)  9,000,506
 Additional proposed dividends   -  -  -  -  -  - 117,100 166,380  4,655  42,454   73,645 131,211   (404,235) 131,211
 Accumulated profit   -  - 111,619  (74,486)   (108,493)  (11,312)   (286,635)  -  - -  -  - 369,307  -
 Attributable to noncontrolling interests   -  -  -  -  -  -  -  -  - -  -  - 305,514 305,514
 TOTAL  23,351,376 21,831,127   1,023,624 804,150 423,367   62,676   9,134,285 895,047 235,582  601,582   1,824,990 25,358,897  (29,727,630) 55,819,074
                             
                            R$'000
 Liabilities - December-22   Geração e Transmissão   Distribuição   Compagas   Elejor   UEG Araucária   Serviços   Wind Farms   FDA   Bela Vista   Costa Oeste, Marumbi, Uirapuru   Mercado Livre   Holding   Eliminations   Consolidated 
 CURRENT  2,077,931 3,970,515 419,277 111,142   45,115 881 490,273 297,517  4,622 34,551 790,165 390,708   (1,476,100) 7,156,597
 Social charges and accruals    77,637 154,982  9,892 352 646  -   51  -   37 -  2,587  6,605  - 252,789
 Associated companies and parent company    5,897  8,962  -  -  -  -   62,831 913 241   299 378  1,838  (81,359)  -
 Suppliers  312,042  1,447,967   97,759  3,320  5,955   76   41,489   23,378  1,357   883 460,957  5,373   (310,534)  2,090,022
 Income Tax and Social Contribution payable   -  -   12,534  -  -  -  7,371 130,875 254   546  4,611  -  - 156,191
 Other taxes    35,711 182,308   24,641  1,345 358   30  6,604  5,516 248   247   17,908   28,690  - 303,606
 Loans and financing  173,609  6,203  -  -  -  -   91,293  -  -   7,733  -  -  - 278,838
 Debentures  923,657 373,634  -  -  -  -   49,056  -  - -  -  -  -  1,346,347
 Dividends payable  372,899 265,574 267,149  -   38,156  -   86,592 125,978  1,788  24,519   39,626 344,251 (1,084,207) 482,325
 Post employment benefits    18,795   51,978  -  -  -  -  -  -  - -   84  2,957  -   73,814
 Customer charges due    14,914   29,032  -  -  -  -  -  2,343  -   199  -  -  -   46,488
 Research and development and energy efficiency    83,566 284,305  -  1,467  -  -  - 826  -  80  -  -  - 370,244
 Payables related to concession    1,918  -  - 103,085  -  -  -  -  - -  -  -  - 105,003
 Sectorial financial liabilities   - 433,914  -  -  -  -  -  -  - -  -  -  - 433,914
 Other accounts payable    10,777   48,882  3,580 169  - 774 145  -  - - 107 436  -   64,870
 Other bills to pay    46,509 132,247  3,722  1,404  -  1 144,841  7,688 697  45 263,907 558  - 601,619
 PIS and Cofins to be refunded to consumers   - 550,527  -  -  -  -  -  -  - -  -  -  - 550,527
 NON-CURRENT  6,889,354 9,958,028 107,306 771,897   16,322   13,431 2,174,205   78,093  3,108 52,623 600,024 867,473   (115,986)   21,415,878
 Associated companies and parent company    -  -  -  -  -  - 189,888  -  - -  -  5,851   (195,739)  -
 Suppliers  125,448  -  -  -  -  -  -  -  - -  -  -  - 125,448
 Deferred income tax and social contribution   1,188,192  -   36,200  -  -  -   10,632   73,025 416  17,838   99,217  -   92,162  1,517,682
 Tax liabilities    55,695 566,826  -  -  6,331 536  -  -  - - 427  3,676  - 633,491
 Loans and financing   2,215,315 751,805  -  -  -  -  1,378,697  -  -  25,708  -  -  -  4,371,525
 Debentures   2,304,860  3,642,973  -  -  -  - 509,675  -  - -  -  -  -  6,457,508
 Post-employment benefits  300,979 657,867  9,294  - 901  -  -  -  - -  3,292   23,890  - 996,223
 Research and development and energy efficiency   5,983 223,805  -  -  7,698  -  -  5,068  -   1,960  -  -  - 244,514
 Payables related to the concession    61,437  -  - 771,102  -  -  -  -  - -  -  -  - 832,539
 Sectorial financial liabilities   -   49,341  -  -  -  -  -  -  - -  -  -  -   49,341
 Lease liability    52,848 100,659   12,421 795  -   12,895   23,030  -  - -  1,865  4,373  - 208,886
 Other payables    46,169   16,006   33,223  -  -  -   54,340  -  - - 494,641   25,241  (24,386) 645,234
 PIS/Cofins to be refunded to consumers   -  1,444,631  -  -  -  -  -  -  - -  -  -  -  1,444,631
 Provision for allocation of PIS and Cofins credits   -  1,851,257  -  -  -  -  -  -  - -  -  -  -  1,851,257
 Provisions for litigation  532,428 652,858   16,168  -  1,392  -  7,943  -  2,692   7,117 582 804,442   11,977  2,037,599
 EQUITY    12,790,068 6,610,272 557,130 (34,841) 272,981  8,634 4,896,941 563,169 229,652   504,086 418,782   20,817,364 (26,503,013)   21,131,225
 Attributable to controlling shareholders    12,790,068 6,610,272 557,130 (34,841) 272,981  8,634 4,896,941 563,169 229,652   504,086 418,782   20,817,364 (26,816,874)   20,817,364
 Capital   6,242,757  5,359,206 220,966   35,503 425,662   15,085  4,685,823 409,509 223,913   239,000 237,210   10,800,000  (18,094,634)   10,800,000
 Advance for Future Capital Increase   -  -  -  -  -  1,600  1,460  -  - -  -  - (3,060)  -
 Capital reserves   -  -  -  -  -  -  -  -  - -  -  -  -  -
 Equity valuation adjustments   586,054   15,777   (363)  7,050 137 (1)  -  -  - - (1,113) 593,382   (607,541) 593,382
 Legal Reserves  877,479 306,744   44,193  -  -  -   34,835   46,488 376  24,970   22,794  1,512,687 (1,357,879)  1,512,687
 Profit retention reserve   4,241,625 928,545 292,334  -  -  - 382,719  -  -   222,819 123,934  7,911,295 (6,191,976)  7,911,295
 Additional proposed dividends  842,153  -  -  -  -  -   68,365 107,172  5,363  17,297   35,957  - (1,076,307)  -
 Accumulated profit   -  -  -  (77,394)   (152,818) (8,050)   (276,261)  -  - -  -  - 514,523  -
 Attributable to noncontrolling interests   -  -    -  -  -  -  -  - -  -  - 313,861 313,861
 TOTAL  21,757,353 20,538,815   1,083,713 848,198 334,418   22,946   7,561,419 938,779 237,382  591,260   1,808,971 22,075,545  (28,095,099) 49,703,700

 

   

 

Exhibit III - ENERGY MARKET> DISTRIBUTION AND TOTAL MARKET
Copel’s Total Market    Number of Customers / Agreements   Energy Sold (GWh)
  Dec-23 Dec-22 ∆%   4Q23 4Q22 Δ% 2023 2022 Δ%
                       
 Copel DIS    5,098,389 5,011,883 1.7    5,668 5,961 -4.9 22,645 23,471 -3.5
Captive Market      5,098,006   5,011,555 1.7     5,321  4,746 12.1  20,173  19,370 4.1
Concessionaries  and Licensees     2   2  -    23   22 4.5  89  91 -2
CCEE (Assigments MCSD EN)     381   304 25.3   75   80 -6.3   247   239 3.3
CCEE (MVE)     -   22  -      -  177  -    -    702  - 
CCEE (MCP) 2     -    -   -     249 936 -73.4 2,136 3,069 -30.4
 Copel GeT     360  284 26.8    5,600 5,060 10.7 16,532 17,344 -4.7
CCEAR  (Copel DIS)      3   3  -    93   92 1.1   122   123 -0.8
CCEAR  (other concessionaries)     101   101  -      2,031  1,668 21.8 3,772 2,215 70.3
Free Customers     -    1  -      -    -   -    -    -   - 
Bilateral Agreements (Copel Mercado Livre)     252   175 44     3,054  3,015 1.3  12,180  13,893 -12.3
Bilateral Agreements 1     4   4  -    43   36 19.4   270   259 4.2
CCEE (MCP) 2     -    -   -     379 249 52.2   188   854 -78
 Wind Farms Complex     565  363 55.6    1,159 886 30.9   4,447   3,215 38.3
     15   6 150   29  8 262.5   111  32 246.9
CCEAR  (other concessionaries)     512   328 56.1    575 325 76.9 2,201 1,289 70.8
CER    10  10  -     231 231  -    916   916  - 
Bilateral Agreements (Copel Mercado Livre)     8   9 -11.1    148 140 5.7   598   374 59.9
Bilateral Agreements    20  10 100    172 148 16.7   621   482 28.8
CCEE (MCP) 2     -    -   -      4   34 -88.2   -    122  - 
 Copel Mercado Livre     1,747  1,683 4.5    5,726 6,209 -7.8 22,450 24,817 -9.5
Free Customers     1,624   1,490 9.3     3,022  2,802 7.9  11,884  11,498 3.4
Bilateral Agreements (Group Companies)     -   16  -      -  309  -    504 1,208 -58.3
Bilateral Agreements     123   177 -35.5     2,704  3,051 -11.4 9,819  11,949 -17.8
CCEE (MCP) 2     -   -   -      -    47  -    243   162 50
Total Copel   5,101,061 5,014,213 1.7     18,153  18,116 0.2 66,074 68,847 -4
 Eliminations (operations with Group companies)             3,264 4,083 -20.1 10,251 11,690 -12.3
Total Consolidated Copel             14,889  14,033 6.1 55,823 57,157 -2.3
Note: Not considering the energy from MRE (Energy Relocation Mechanism) and the energy from TPP Araucária sold in the CCEE Spot Market.
1 Includes Short Term Sales Agreements and CBR
2 Assured Power allocated in the period, after impact of the GSF.
CCEE: Electric Power Trade Chamber / CCEAR: Energy Purchase Agreements in the Regulated Market / MCP: Short Term Market / CER: Agreements Reserve Energy / MCSD EN - Mechanism for Compensation of Surpluses and Deficits of New Energy / MVE - MVE - Sale of energy to the free market through the Surplus Selling Mechanism.
                       
Copel’s Dis Market    Number of Customers   Consumed Energy (GWh)
  Dec-23 Dec-22 ∆%   4Q23 4Q22 Δ% 2023 2022 Δ%
Residential   4,121,397 4,127,292   2.1    2,400 2,055   16.8   8,888   8,212 8.2
Industrial     69,134   69,731  (0.9)    3,098 3,047  1.7 12,292 12,250 0.3
Captive   67,858 68,618  (1.1)    478 507 (5.7) 1,942 2,102   (7.6)
Free     1,276   1,113  14.6     2,620  2,541  3.1  10,350  10,147 2.0
Commercial   440,749 431,417   2.2    1,787 1,518   17.7   6,734   6,256 7.7
Captive     439,039   429,962   2.1     1,202  1,049   14.7 4,520 4,294 5.2
Free     1,710   1,455  17.5    585 470   24.5 2,215 1,961  12.9
Rural   323,481 331,987 (2.6)    643 571   12.6   2,516   2,487 1.2
Captive     323,408   331,938  (2.6)    598 536   11.5 2,352 2,357   (0.2)
Free    73  49  49.0   45   35   28.9   165   130  27.1
Others     55,316   53,757   2.9    644 601  7.1   2,480   2,411 2.8
Captive   55,304 53,745   2.9    642 599  7.1 2,472 2,405 2.8
Free    12  12   -       2  2   -   7 7   -  
 Total Captive Market   5,098,006 5,011,555   1.7    5,321 4,746   12.1 20,173 19,370 4.1
 Total Free Market    3,071  2,629 16.8    3,252 3,047  6.7 12,737 12,244 4.0
Supply to Concessionaries      7   7   -     242 224  8.0   940   925 1.7
Total Grid Market 5,101,084 5,014,191   1.7    8,814 8,017   10.0 33,850 32,539 4.0
Micro and Mini Distributed Energy Generation    312,775 213,179 46.7     (519)  (339)   52.9 (1,798) (1,090)  65.0
Total Billed Market            8,296 7,678  8.0 32,052 31,449 1.9

 

   

 

Exhibit III - ENERGY MARKET> TARIFFS
Supply Tariff (R$/MWh) Amount Dec-23 Dec-22 Δ%
Average MW
Copel Geração e Transmissão        
Auction CCEAR 2011 - 2040 ( HPP Mauá) 102 288.50 277.07 4.1%
Auction CCEAR 2013 - 2042 (SHP Cavernoso II) 8 313.24 302.31 3.6%
Auction - CCEAR 2015 - 2044 (HPP Colíder) 130 220.13 211.44 4.1%
Auction - CCEAR 2018 - 2048 (HPP Baixo Iguaçu) 38 228.94 220.04 4.0%
Auction - CCEAR 2024 - 2053 (HPP Baixo Iguaçu) *      
Auction - CCEAR 2024 - 2053 (SHP Bela Vista) *      
Copel Distribuição        
Concession holders in the State of Paraná 14 273.04 262.70 3.9%
Total / Tariff Weighted Average Supply 292 250.25 240.43 4.1%
Contains PIS and COFINS. Net of ICMS.        
*Supply contract from January/2024. Auction prices, updated by IPCA until Dec/23 (Reference Jan/24), for HPP Baixo Iguaçu R$ 202.99 and SHP Bela Vista R$ 261.90. Source: CCEE
         
Purchase Tariff - Copel Distribuição (R$/MWh) Amount Dec-23 Dec-22 Δ%
Average MW
Itaipu 1                    516.0                   214.53                   279.57 -23.3%
Auction – CCEAR 2010 – H30                     71.3                   301.39                   289.97 3.9%
Auction – CCEAR 2010 – T15 2                     60.1                   256.60                   185.46 38.4%
Auction – CCEAR 2011 – H30                     58.9                   310.73                   298.96 3.9%
Auction – CCEAR 2011 – T15 2                     54.2                   298.41                   229.16 30.2%
Auction – CCEAR 2012 – T15 2                    107.5                   219.98                   171.88 28.0%
Auction – CCEAR 2016 – T20 2                     26.6                  (790.93)                   207.85 -480.5%
Angra                     99.5                   337.00                   335.41 0.5%
CCGF 3                    532.4                   158.89                   133.23 19.3%
Santo Antônio                    140.6                   192.84                   185.53 3.9%
Jirau                     234.0                   169.67                   163.25 3.9%
Others Auctions 4                    785.0                   210.83                   230.95 -8.7%
Total /  Average Purchuse Tariff                 2,686.1                 199.24                 212.12 -6.1%
Contains PIS and COFINS        
1  Furnas transport charge not included.        
2 Average auction price restated according as bilateral payment to vendors. It does not include hiring effects recorded by the CCEE.        
3 Contract of quotas of assured power of those HPPs which concessions were extended pursuant the new rules of Law 12783/13.        
4  Products average price, does not include PROINFA.        
*The table has been updated for all periods as new calculation methodology for average prices, a result of the 4th phase of the Public Hearing 78/2011 Aneel approved on 03.28.2016.
         
Retail Tariff - Copel Distribuição (R$/MWh)   Dec-23 Dec-22 Δ%
 
Industrial                       555.58 506.44 9.7%
Residential                       551.81 530.23 4.1%
Commercial                       619.93 598 3.7%
Rural                       606.40 570.28 6.3%
Other                       462.82 407.55 13.6%
Retail Tariff  supply average tariff                       618.52 583.46 6.0%
Demand average tariff (R$/kW)                        38.24 29.82 28.2%
 Does not consider tariff flags, Pis/Pasep and net of ICMS.        
   

 

Exhibit III - ENERGY MARKET> ELECTRICITY PURCHASED AND CHARGES
            R$'000
Electricity Purchased for Resale 4Q23 4Q22 Δ% 2023 2022 Δ%
Purchase of energy in the regulated party - CCEAR  925,266   917,953  0.8  3,658,852  3,538,507 3.4
Itaipu Binacional  252,378   368,504  (31.5)  980,302  1,460,955 (32.9)
Câmara de Comercialização de Energia - CCEE   79,778  67,738   17.8  431,303  370,207  16.5
Micro and mini generators and customer repurchase  346,162   197,863   75.0  1,125,857  675,804  66.6
Proinfa   93,763   107,315  (12.6)  370,495  437,461 (15.3)
Bilateral Agreements  547,379   669,906  (18.3)  1,998,640  2,609,713 (23.4)
Fair value in the purchase and sale of energy (6,347)   (4,139)   53.3 - -  -
(-) PIS/Pasep and Cofins (216,315)  (252,353)  (14.3) (849,259) (995,737) (14.7)
TOTAL   2,022,064  2,072,787   (2.4)   7,716,190   8,096,910  (4.7)
             
            R$'000
Charges of the main distribution and transmission grid  4Q23 4Q22 Δ% 2023 2022 Δ%
Itaipu transportation charges   55,063  40,529   35.9  188,817  150,158  25.7
System Service Charges - ESS   38,564 1,260   -   79,358  340,254 (76.7)
System usage charges  668,698   561,868   19.0  2,494,191  1,982,465  25.8
Charge reserve energy - EER  104,725  97,462  7.5  452,513  297,057  52.3
System usage charges - Provisions   (85) (73)   16.8   11,595  2,031 470.7
(-) PIS / Pasep and Cofins taxes on charges for use of power grid  (88,745) (71,777)   23.6 (329,766) (283,968)  16.1
  TOTAL   778,220  629,269  23.7   2,896,708   2,487,997  16.4

 

   

 

Exhibit III - ENERGY MARKET> ENERGY BALANCE
          (average MW)
Energy Balance - Copel GET - Dec-23 2023 2024 2025 2026 2027
Own Resources GeT  2,099   2,111  2,088 2,090   2,078
GeT  1,488   1,507  1,487 1,489   1,469
GPS + Bela Vista + FDA 611   604 601 601   609
Own Resources SPP and Wind Farm 544   544 544 544   544
Purchases   75  59   43 -  -
TOTAL OWN RESOURCES + SOLD    2,718 2,714   2,675   2,634 2,622
TOTAL SOLD   2,447 2,229   2,053   1,588 1,377
Sales (Regulated) 884   766 781 781   781
Sales (Regulated) % 33% 29% 29% 30% 30%
Sales (Free Market)  1,563   1,463  1,272 807   596
Sales (Free Market) % 57% 55% 48% 31% 22%
Total Available 271 485 622 1046 1245
Total Available (%) 10% 16% 23% 39% 48%
Avarege price of energy sold (R$)    206.63 176.89   171.17   178.24 184.01
Reference: December/23          
Note: Considers Assured Power updated by Ordinance No. 709/2022 for: FDA, Segredo  and Salto Caxias.      
(1) Includes Mauá and Baixo Iguaçu Power Plants (proportional to the stake in the project) and GPS 30% (ex-CCGF). Does not include Elejor and Foz do Chopim.
(2) Does not include Voltália Wind Complex.          

 

   

 

Exhibit III - ENERGY MARKET> WIND POWER PRICES
Wind Farms - Sold  Auction ¹ Price (R$)² Amount
MW average/year
Start of  Supply End of
Supply
São Bento Energia, Invest. e Part. S.A.          
GE Boa Vista S.A.  2º LFA
(08/26/2010)
 300.43 5.70 01.01.2013 12.31.2032
GE Farol S.A.  291.67 9.10
GE Olho D’Água S.A.  291.67 14.90
GE São Bento do Norte S.A.  291.67 14.00
Copel Brisa Potiguar S.A.          
Nova Asa Branca I Energias Renováveis S.A. 2º LFA
(08/26/2010)
 294.79 13.20 01.01.2013 12.31.2032
Nova Asa Branca II Energias Renováveis S.A.  294.79 12.80
Nova Asa Branca III Energias Renováveis S.A.  294.79 12.50
Nova Eurus IV Energias Renováveis S.A.  294.79 13.70
Santa Maria Energias Renováveis S.A. 4º LER
(08/18/2011)
 207.75 15.70 07.01.2014 06.30.2034
Santa Helena Energias Renováveis S.A.  207.75 16.00
Ventos de Santo Uriel S.A.  206.14 9.00
Cutia          
UEE Cutia S.A. 6º LER
(10/31/2014)
 244.37 9.60 10.01.2017 09.30.2037
UEE Esperança do Nordeste S.A.  244.37 9.10
UEE Guajiru S.A.  244.37 8.30
UEE Jangada S.A.  244.37 10.30
UEE Maria Helena S.A.  244.37 12.00
UEE Paraíso dos Ventos do Nordeste S.A.  244.37 10.60
UEE Potiguar S.A.  244.37 11.30
Bento Miguel          
CGE São Bento do Norte I S.A. 20ª LEN
(11/28/2014)
 231.47 9.70 01.01.2019 12.31.2038
CGE São Bento do Norte II S.A.  231.47 10.00
CGE São Bento do Norte III S.A.  231.47 9.60
CGE São Miguel I S.A.  231.47 8.70
CGE São Miguel II S.A.  231.47 8.40
CGE São Miguel III S.A.  231.47 8.40
Vilas          
Vila Ceará I (Antiga Vila Paraíba IV) 28ª LEN
(08/31/2018)
 124.46 8.20 01.01.2024 12.31.2043
Vila Maranhão I  124.46 8.30
Vila Maranhão II   124.46 8.30
Vila Maranhão III (Antiga Vila Paraíba III)  124.46 8.20
Vila Mato Grosso (Antiga Vila Alagoas III) 29ª LEN
(06/28/2019)
 103.83 3.30 01.01.2023 12.31.2042
Jandaira          
Jandaira I 30ª LEN
(10/18/2019)
 126.97 1.60 01.01.2025 12.31.2044
Jandaira II  126.97 4.10
Jandaira III  126.97 4.40
Jandaira IV  126.97 4.30
Aventura          
Aventura II 26º LEN
(20/12/2017)
 134.22 11.70 01.01.2023 12.31.2042
Aventura III  134.22 12.80
Aventura IV  134.22 14.10
Aventura V  134.22 15.00
Santa Rosa & Mundo Novo          
Santa Rosa & Mundo Novo I 26º LEN
(20/12/2017)
 136.99 16.50 01.01.2023 12.31.2042
Santa Rosa & Mundo Novo II  136.99 17.00
Santa Rosa & Mundo Novo III  136.99 18.00
Santa Rosa & Mundo Novo IV  136.99 7.50
Santa Rosa & Mundo Novo V  136.99 8.10
Voltália3          
Carnaúbas 04ª LER
(08/18/2011)
 201.52 13.10 07.01.2014 06.30.2034
Reduto  201.52 13.90
Santo Cristo  201.52 14.80
São João   201.52 14.30
¹LFA - Alternative Sources Auction/LER - Reserve Energy Auction/LEN - New Energy Auction.          
² Price updated by IPCA until dec/2023 (Reference jan/24). Source: CCEE          
3 Values presented refer to 100% of the Complex. Copel has a 49% stake in the project.          

 

   

 

Exhibit III - ENERGY MARKET> ENERGY FLOW
                        GWh
Energy Flow COPEL DIS COPEL GET
+ FDA + BELA VISTA
WIND POWER COPEL COM ELIMINATIONS CONSOLIDATED
4Q23 4Q22 4Q23 4Q22 4Q23 4Q22 4Q23 4Q22 4Q23 4Q22 4Q23 4Q22
 Own Generation      6,995 6,979 1,092 887         8,087 7,866
 Purchased energy  6,122 6,455 151 370  -  - 5,726 6,209 3,264 3,884 8,735 9,150
 Copel Mercado Livre       - 309  -  -      - 309  -  -
 Companies of the group  60 39      -   3,204 3,536 3,264 3,575  -  -
 Itaipu  1,200 1,329          -       1,200 1,329
 Auction – CCEAR  3,352 3,130          -       3,352 3,130
 CCEE (MCP)   -  -  -  -     6       6  -
 Angra  220 234                 220 234
 CCGF  1,159 1,505                 1,159 1,505
 Proinfa  113 119                 113 119
 Other (1)  18 99      -  - 2,504 2,673     2,522 2,772
 Elejor              12  -     12  -
 Dona Francisca      34 34             34 34
 MRE Receipt      117 27             117 27
 Avaiable  6,122 6,455 7,146 7,349 1,092 887 5,726 6,209 3,264 3,940 16,822 16,959
 Captive Market  5,321 4,746                 5,321 4,746
 Concessionaires (2)  23 22                 23 22
 CCEE concessionaire supply (3)      43 36             43 36
 CCEE (MCSD EN Assignments) (4)  75 80                 75 80
 CCEE (MVE) (5)   - 177                  - 177
 CCEE (MCP) (6)  249 936 379 249 5 34  - 47     633 1,266
 Free Customers       -  -     3,022 2,802     3,022 2,802
 Bilateral Agreements       -  - 172 148 2,704 3,051     2,876 3,199
 Auction – CCEAR (7)      583 566 575 325         1,158 891
 MRE assignment (8)      3,054 3,015             3,054 3,015
 CER (9)          231 231         231 231
 Copel Mercado Livre      3,056 3,452 148 140     3,204 3,592  -  -
 Companies of the group      31 31 29 8  - 309 60 348  -  -
 Losses and Differences (10)  454 493     -68 1         386 494
                         
Energy Flow COPEL DIS COPEL GET
+ FDA + BELA VISTA
WIND POWER COPEL COM ELIMINATIONS CONSOLIDATED
2023 2022 2023 2022 2023 2022 2023 2022 2023 2022 2023 2022
 Own Generation   -  - 21,845 21,936 3,952 2,785 0  -  -  - 25,797 24,721
 Purchased energy  24,072 25,443 1,048 3,064 127 108 22,450 24,817 13,515 15,574 34,182 37,858
 Copel Mercado Livre   -  - 398 1,208 106  -  -  - 504 1,208  -  -
 Companies of the group  233 155  -  -  -  - 12,778 14,211 13,011 14,366  -  -
 Itaipu  4,761 5,272  -  -  -  -  -  -  -  - 4,761 5,272
 Auction – CCEAR  13,142 12,354  -  -  -  -  -  -  -  - 13,142 12,354
 CCEE (MCP)   -  - 296 63  -  - 91 12  -  - 387 75
 Angra  872 928  -  -  -  -  -  -  -  - 872 928
 CCGF  4,568 5,901  -  -  -  -  -  -  -  - 4,568 5,901
 Proinfa  427 441  -  -  -  -  -  -  -  - 427 441
 Other (1)  69 392  -  - 21 108 9,537 10,594  -  - 9,627 11,094
 Elejor   -  -  -  -  -  - 44  -  -  - 44  -
 Dona Francisca   -  - 134 134  -  -  -  -  -  - 134 134
 MRE Receipt   -  - 220 1,659  -  -  -  -  -  - 220 1,659
 Avaiable  24,072 25,443 22,893 25,000 4,079 2,893 22,450 24,817 13,515 15,630 59,979 62,521
 Captive Market  20,173 19,370  -  -  -  -  -  -  -  - 20,173 19,370
 Concessionaires (2)  89 91  -  -  -  -  -  -  -  - 89 91
 CCEE concessionaire supply (3)   -  - 164 150  -  -  -  -  -  - 164 150
 CCEE (MCSD EN Assignments) (4)  247 239  -  -  -  -  -  -  -  - 247 239
 CCEE (MVE) (5)   - 702  -  -  -  -  -  -  -  -  - 702
 CCEE (MCP) (6)  2,136 3,069 188 854 -2 122 243 162  -  - 2,565 4,207
 Free Customers   -  -  -  -  -  - 11,884 11,498  -  - 11,884 11,498
 Bilateral Agreements   -  - 106 108 621 482 9,819 11,949  -  - 10,546 12,539
 Auction – CCEAR (7)   -  - 3,772 2,215 2,201 1,289  -  -  -  - 5,973 3,504
 MRE assignment (8)   -  - 6,361 7,657  -  -  -  -  -  - 6,361 7,657
 CER (9)   -  -  -  - 916 916  -  -  -  - 916 916
 Copel Mercado Livre   -  - 12,180 13,893 598 374  -  - 12,778 14,267  -  -
 Companies of the group   -  - 122 123 111 32 504 1,208 737 1,363  -  -
 Losses and Differences (10)  1,427 1,969  -  - -366 -322  -  -  -  - 1,061 1,648
                         
(1) Others: Energy purchased by Copel Comercialização. Includes MCSD EM Assignments of Copel Distribuição (purchase)                
(2) Energy supply to concessionaires and licensees with their own market below 500GWh/year                  
(3) Supply of energy to CCEE's agent distributor, through a Regulated Bilateral Contract Agreement - CBR                  
(4) Assignments MCSD EN - Contractual assignments to other distributors through the New Energy Surplus and Deficit Compensation Mechanism              
(5) CCEE (MVE): Financial settlement of energy surpluses from the distributor to the free market through the Surplus Sale Mechanism                
(6) CCEE (MCP): Electric Energy Commercialization Chamber (Spot Market).                    
(7) CCEAR: Energy Trading Agreement in the Regulated Environment.                      
(8) MRE: Energy Reallocation Mechanism.                        
(9) CER: Reserve Energy Contract.                        
(10) Considers the effects of  Mini and Micro Distributed Generation (MMGD).                    
(11) CG: Submarket Center of Gravity (difference between billed and received energy at the CG).                  
It does not consider the energy produced by UTE Araucária sold on the spot market (MCP).                    

 

   

 

Exhibit III - ENERGY MARKET> ENERGY FLOW

 

   

 

Exhibit IV - OPERATIONAL DATA> INDICATORS SUMMARY
MANAGEMENT            
Copel Staff List 2018 2019 2020 2021 2022 Dec-23
Geração e Transmissão 1,660 1,620 1,533 1,523 1,487 1,477
Distribuição 5,364 4,964 4,641 4,430 4,257 4,203
Telecomunicações 478 412 355  -   -   - 
Holding 75 61 96 169 84 83
Comercialização 34 38 42 44 47 41
Serviços   -     -     -   217   -    - 
TOTAL  7,611 7,095 6,667 6,383 5,875 5,804
             
Cotrolated Staff List 2018 2019 2020 2021 2022 Dec-23
Compagás 159 148 142 133 132 129
UEG Araucária 17 16 17 15 15 7
Elejor 7 7 7 7 7 14
             
GENERATION            
Copel GET Amount Installed
Capacity (MW)
Assured Power
(Average MW)
Hydroelectric 18   4,868.5   2,067.9  
Thermoelectric 1   20.0   17.7  
Wind 43   1,130.2   561.3  
Copel GET
(Interest)
  Proportional installed
capacity (MW)
Proporcional Assured Power
(Average MW)
Hydroelectric 3   299.6   155.2  
Thermoelectric 1   294.8   162.6  
Total Copel GET     6,613.1   2,964.7  
Other Interest Copel   Proportional installed
capacity (MW)
Proporcional Assured Power
(Average MW)
Hydroelectric 5   201.3   109.7  
Thermoelectric 1   98.3   54.2  
Wind 4   53.2   28.0  
Solar 1   1.1   -  
Total Other Interest 11   353.9   191.9  
TOTAL Copel Group     6,967.0   3,156.6  
             
TRANSMISSION            
Copel GeT Amount   APR (R$ million)
Transmission Lines (km)   3,705   1,049.2
Substation (amount)   45  
Interest Amount   Proporcional APR (R$ million)
Transmission Lines (km)   5,980   512.8
Substation (amount)   8  
TOTAL TL 9,685   1,562.0
Substation 53  
             
DISTRIBUTION            
Distribution lines (km) 211,318     Captive customers 5,098,006  
Substations 394     Customers by distribution employee 1,213  
Installed power substations (MVA) 11,799     DEC (in hundredths of an hour and minute)  7.86  
Municipalities served 395     FEC (number of outages) 5.21  
Locations served 1,068          
             
MERCADO LIVRE            
Number of contracts 1,747          
Energy sold (GWh) 5,726          

 

   

 

Exhibit IV - OPERATIONAL DATA> GENERATION
COPEL GET        
  Installed
Capacity (MW)
Assured Power
(Average MW)
Generation 2023
(GWh)*
Concession Expires
Hydroelectric Power Plants 4,868.5 2,067.9 21,027.0  
Large hydroelectric power plant (HPP) 4,772.0 2,006.8 20,519.8  
Gov. Bento Munhoz da Rocha Netto (Foz do Areia)(5) 1,676.0 575.3 6,315.1 12.21.2024
Gov. Ney Aminthas de B. Braga (Segredo)(5) 1,260.0 558.3 5,952.4 09.25.2032
Gov. José Richa (Salto Caxias)(5)  1,240.0 575.4 5,829.2 03.20.2033
Gov. Parigot de Souza (1)(5) 260.0 103.6 1,080.6 01.03.2053
  - Regime de Cotas (70%) 182.0 72.5 756.4
  - Copel GeT(30%) 78.0 31.1 324.2
Colíder(5) 300.0 178.1 1,171.4 01.30.2046
Guaricana(5)   36.0 16.1 171.1 07.21.2028
Small hydroelectric power station (SHP) 86.9 55.9 470.7  
Bela Vista(2) 29.8 18.6 141.4 01.02.2041
Cavernoso  (5) 1.3 1.0 1.3 06.23.2033
Cavernoso II(5) 19.0 10.6 98.9 12.06.2050
Chaminé (5) 18.0 11.6 103.4 08.02.2028
Apucaraninha (5) 10.0 6.7 62.3 01.27.2027
Derivação do Rio Jordão (5) 6.5 5.9 49.5 06.21.2032
São Jorge (5) 2.3 1.5 14.0 07.24.2026
hydroelectric power plant (HPP) 9.6 5.2 36.5  
Marumbi  4.8 2.4 22.3 (6)
Chopim I  2.0 1.5 1.2 (3)
Melissa  1.0 0.6 4.9 (3)
Salto do Vau  0.9 0.6 5.5 (3)
Pitangui  0.9 0.1 2.6 (3)
Thermal Power Plant 20.0 17.7 40.1  
Figueira  20.0 17.7 40.1 03.27.2019
Wind Power Plants 1,130.2 561.3 4,055.7  
Eólica de Palmas (4) 2.5 0.4 2.29 09.29.2029
São Bento Energia, Invest. e Part. S.A. 94.0 38.1 286.9  
GE Boa Vista S.A.  14.0 5.2 34.4 04.28.2046
GE Farol S.A. 20.0 8.8 61.5 04.20.2046
GE Olho D’Água S.A. 30.0 12.8 98.5 06.01.2046
GE São Bento do Norte S.A. 30.0 11.3 92.5 05.19.2046
Copel Brisa Potiguar S.A. 183.6 89.4 562.6  
Nova Asa Branca I Energias Renováveis S.A. 27.0 12.1 79.2 04.25.2046
Nova Asa Branca II Energias Renováveis S.A. 27.0 11.9 76.8 05.31.2046
Nova Asa Branca III Energias Renováveis S.A. 27.0 12.3 64.3 05.31.2046
Nova Eurus IV Energias Renováveis S.A. 27.0 12.4 84.4 04.27.2046
Santa Maria Energias Renováveis S.A. 29.7 15.7 95.6 05.08.2047
Santa Helena Energias Renováveis S.A. 29.7 16.0 105.8 04.09.2047
Ventos de Santo Uriel S.A. 16.2 9.0 56.5 04.09.2047
Complexo Eólico Cutia 180.6 71.4 591.9  
UEE Cutia S.A. 23.1 9.6 82.7 01.05.2042
UEE Esperança do Nordeste S.A. 27.3 9.1 69.4 05.11.2050
UEE Guajiru S.A. 21.0 8.3 66.0 01.05.2042
UEE Jangada S.A. 27.3 10.3 96.7 01.05.2042
UEE Maria Helena S.A. 27.3 12.0 94.5 01.05.2042
UEE Paraíso dos Ventos do Nordeste S.A. 27.3 10.6 91.9 05.11.2050
UEE Potiguar S.A. 27.3 11.5 90.8 05.11.2050
Complexo Eólico Bento Miguel 132.3 58.7 425.7  
CGE São Bento do Norte I S.A. 23.1 10.1 79.6 08.04.2050
CGE São Bento do Norte II S.A. 23.1 10.8 86 08.04.2050
CGE São Bento do Norte III S.A. 23.1 10.2 71.9 08.04.2050
CGE São Miguel I S.A. 21.0 9.3 63 08.04.2050
CGE São Miguel II S.A. 21.0 9.1 63.1 08.04.2050
CGE São Miguel III S.A. 21.0 9.2 62.1 08.04.2050
Complexo Eólico Vilas (8) 186.7 98.6 610.8  
Vila Ceará I (Antiga Vila Paraíba IV) 32.0 17.8 100.8 01.14.2054
Vila Maranhão I 32.0 17.8 113.4 01.11.2054
Vila Maranhão II  32.0 17.8 112.8 01.14.2054
Vila Maranhão III (Antiga Vila Paraíba III) 32.0 16.6 103.6 01.14.2054
Vila Mato Grosso (Antiga Vila Alagoas III) 58.9 28.6 180.2 12.06.2054
Complexo Jandaira 90.1 46.9 346.6  
Jandaira I 10.4 5.6 45.97 04.02.2055
Jandaira II 24.3 12.3 100.38 04.02.2055
Jandaira III 27.7 14.8 99.52 04.02.2055
Jandaira IV 27.7 14.2 100.76 04.02.2055
Aventura 9 105.0 65.0 496.7  
Aventura II 21.0 13.1 99.3 06.05.2053
Aventura III 25.2 15.5 117.6 06.11.2053
Aventura IV 29.4 18.5 142.5 06.05.2053
Aventura V 29.4 17.9 137.3 06.05.2053
Santa Rosa e Mundo Novo 9 155.4 92.8 732.2  
Santa Rosa e  Mundo Novo I 33.6 17.3 132.47 06.04.2053
Santa Rosa e  Mundo Novo II 29.4 17.2 147.23 06.04.2053
Santa Rosa e  Mundo Novo III 33.6 21.5 171.55 06.04.2053
Santa Rosa e  Mundo Novo IV 33.6 21.0 170.16 06.01.2053
Santa Rosa e  Mundo Novo V 25.2 15.8 110.78 06.01.2053
TOTAL  6,018.7 2,646.9 25,122.8  
(1) RAG of R$160.9 million, updated by Aneel's Resolution No. 3,225, of July 18, 2023.
(2) In partial operation, entry into commercial operation of the fourth generating unit scheduled for 2022.
(3) Power plants exempted from concession, are only registered with ANEEL.
(4) Assured power considered the average wind generation.
(5) Extension of Grant according to REH 2919/2021, 2932/2021  and  3.242/2023.
(6) Under approval by ANEEL.

(7) Assured Power updated by Ordinance N°709/2022 for: FDA, Segredo, Salto Caxias and GPS, effective from January/2023.
(8) Started up in test operation on 04/25/2022, according to ANEEL Dispatch No. 1047/2022. In commercial operation since 12/07/2022, by ANEEL order No. 2502/2022.
(9) Complexes Aventura and Santa Rosa & Novo Mundo joined the Company's portfolio in Jan/23.
* Considers internal consumption of generators and generation in commercial operation.
** Plant do not participate in the MRE.

 

   

 

Exhibit IV - OPERATIONAL DATA > GENERATION
INTEREST            
Enterprise Partners Installed
Capacity (MW)
Assured Power 1
(Average MW)
Proportional installed capacity (MW) Proporcional Assured Power
(Average MW)
Concession Expires
Hydroelectric Power Plants                1,111.7           586.8                500.9           264.9  
Large hydroelectric power plant (HPP)   1,076.5 561.5 486.2 254.2  
HPP Gov. Jayme Canet Junior (Mauá) 6
(Consórcio Energético Cruzeiro do Sul)
COPEL GeT - 51%
Eletrosul - 49%
361.0 188.5 184.1 96.1 06.28.2049
HPP Baixo Iguaçu
(Consórcio Empreendedor Baixo Iguaçu)
COPEL GeT - 30%
Geração Céu Azul - 70%
350.2 172.4 105.1 51.7 12.03.2049
HPP Santa Clara  
(Elejor)
COPEL - 70%
Paineira Participações - 30%
120.2 66.0 84.2 46.2 05.10.2040
HPP Fundão  
(Elejor)
COPEL - 70%
Paineira Participações - 30%
120.2 62.1 84.1 43.5 06.11.2040
HPP Dona Francisca
(DFESA)
COPEL - 23,03%
Gerdau - 51,82%
Celesc - 23,03%
Statkraft - 2,12%
125.0 72.5 28.8 16.7 09.21.2037
Small hydroelectric power station (SHP)   29.1 20.4 10.4 7.3  
SHP Arturo Andreoli 6
(Foz do Chopim)
COPEL GeT - 35,77%
Silea Participações - 64,23%
29.1 20.4 10.4 7.3 07.07.2034
hydroelectric power plant (HPP)   6.1 4.9 4.3 3.4  
SHP Santa Clara I  
(Elejor)
COPEL - 70%
Paineira Participações - 30%
3.6 2.8 2.5 2.0 (2)
SHP Fundão I  
(Elejor)
COPEL - 70%
Paineira Participações - 30%
2.5 2.1 1.7 1.5 (2)
Thermal Power Plant                         484.2               267.0                      393.1               216.8  
TPP Araucária 3
(UEG Araucária)
COPEL - 20,3%
COPEL GeT - 60,9%
Petrobras - 18,8%
484.2 267.0 393.1 216.8 12.23.2029
Wind Power Plants                         108.0                 57.1                        52.9                 28.0  
Voltalia - São Miguel
do Gostoso (5 parques)
COPEL- 49%
Voltalia-  51% 
108.0 57.1 52.9 28.0 (4)
 Solar                             2.3                     -                             1.1                      -     
Solar Paraná 5         
  COPEL - 49%
2.3                      -    1.1                      -    09.15.2046
TOTAL    1,706.2 910.9 948.0 509.7  
1 Assured power updated by Ordinance No. 709/2022 of: HPP Mauá, Santa Clara, Fundão and Dona Francisca, effective from January/2023. 
2  Elejor requested the reclassification of its Small Hydroelectric Power Plants - (SHPs) Fundão I and Santa Clara I to Hydroelectric Generating Centers (CGHs), as amended by Art. 8 of Law 9074/1995. This was formalized through ANEEL Authorizing Resolutions 14,744 and 14,745 of 06/20/2023, with the plants exempted from concession, having only registration with ANEEL.
3  Since February 1, 2014, the plant’s operation has been under the responsibility of UEGA. The Araucária TPP does not have availability agreements and operates under the merchant model. The most recent data from SIGA/ANEEL indicate a  Assured power of 267 MW, however, there is no Assured power for the operation of the plant under the terms of MME Ordinance No. 64/2023.
4 The Concession Expires of the wind farm concessions are respectively: Carnaúbas (04.09.2047), Reduto (04.16.2047), Santo Cristo (04.18.2047), São João (03.26.2047).
5 Holding of 6 SCPs operating in the field of distributed generation (photovoltaic plants): Pharma Solar II, Pharma Solar III, Pharma Solar IV, in commercial operation, e Bandeirantes Solar I, Bandeirantes Solar II e Bandeirantes Solar III, in pre-operational.
6  Extension of Grant according to REH 3.242/2023.
   

 

Exhibit IV - OPERATIONAL DATA > TRANSMISSION
Subsidiary / SPC Contract Enterprise TL   APR ¹ (R$ milhões) Concession Expiration
Extension (km)2 Amount MVA
Copel GeT 060/20013 Several 2,129 35 12,590 661.3 01.01.2043
Copel GeT 075/20014 TL Bateias - Jaguariaiva 138 - - 16.8 08.17.2031
Copel GeT 006/2008 TL Bateias - Pilarzinho 32 - - 3.5 03.17.2038
Copel GeT 027/2009 TL Foz - Cascavel Oeste 117 - - 16.0 11.19.2039
Copel GeT 010/2010 TL Araraquara II — Taubaté 334 - - 43.6 10.06.2040
Copel GeT 015/2010 SE Cerquilho III - 1 300 7.0 10.06.2040
Copel GeT 022/2012 TL Foz do Chopim - Salto Osório
LT Londrina - Figueira
102 - - 7.8 08.27.2042
Copel GeT 002/2013 TL Assis — Paraguaçu Paulista II 83 1 150 12.2 02.25.2043
Copel GeT 005/2014 TL Bateias - Curitiba Norte 31 1 300 12.9 01.29.2044
Copel GeT 021/2014 TL Foz do Chopim - Realeza 52 1 300 13.0 09.05.2044
Copel GeT 022/2014 TL Assis – Londrina 122 - - 27.1 09.05.2044
Copel GeT 006/165 Lot E: TL Baixo Iguaçu - Realeza; TL Uberaba - Curitiba Centro; TL Curitiba Leste - Blumenau; SE Medianeira; SE Curitiba Centro; SE Andirá leste; Other Sections 255 4 900 154.8 04.07.2046
Costa Oeste
Copel Get - 100%
001/2012 TL Cascavel Norte - Cascavel Oeste
TL Cascavel Norte - Umuarama Sul
SE Umuarama Sul
159 1 300 19.0 01.12.2042
Marumbi
Copel GeT - 100%
008/2012 TL Curitiba - Curitiba Leste 29 1 672 27.3 05.10.2042
Uirapuru Transmissora
Copel GeT - 100%
002/20056 TL Ivaiporã - Londrina 122 - - 26.9 03.04.2035
Subtotal Copel GeT 7     3,705 45 15,512 1,049.2  
Caiuá Transmissora
Copel GeT - 49%
Elecnor - 51%
007/2012 TL Guaíra - Umuarama Sul
TL Cascavel Norte - Cascavel Oeste
SE Santa Quitéria / SE Cascavel Norte
142 2 700 16.4 05.10.2042
Integração Maranhense
Copel GeT - 49%
Elecnor - 51%
011/2012 TL Açailandia - Miranda II 365 - - 24.7 05.10.2042
Matrinchã
Copel GeT - 49%
State Grid - 51%
012/2012 TL Paranaíta - Ribeirãozinho 2,033 4 800 133.7 05.10.2042
Guaraciaba
Copel GeT - 49%
State Grid - 51%
013/2012 TL Ribeirãozinho - Marimbondo 930 1 - 69.0 05.10.2042
Paranaíba
Copel GeT - 24,5%
Furnas - 24,5%
State Grid - 51%
007/2012 TL Barreiras II - Pirapora II 967 - - 44.5 05.02.2043
Cantareira
Copel GeT - 49%
Elecnor - 51%
19/2014 TL Estreito - Fernão Dias 656 - - 68.1 09.05.2044
Mata de Santa Genebra
Copel GeT - 50,1%
Furnas - 49,9%
001/14 TL Araraquara II - Bateias 887 1 3,600 156.4 05.14.2044
Subtotal SPCs 8     5,980 8 5,100 512.8  
Total     9,685 53 20,612 1,562.0  
1 Proportional to Copel's interest in the project. Values referring to the 2023/2024 cycle, effective from July 1, 2023, according to REH 3.216/2023 - Technical Note No. 39/2023 – STR/ANEEL, of December 30, 2023. Considers investments that came into operation until 12/31/2023.
² Considers double circuit sections (circuits that share the same transmission tower).
³ Contract renewed according to Law 12,783/13. The O&M portion is part of the RBSE, under the terms of the Law. It will be received until the end of the concession (Jan/2043). The value of the APR for the 2023-2024 cycle, excluding the RBSE, according to REH 3,216/2023, is R$ 146.1 million. This amount refers to additional RAP for reinforcements and improvements, in effect when REH 3,216/2023 was published.
4 As of 10.31.2018, the APR was reduced by 50%.
5 The construction of 38 km of sectioning lines was foreseen in the implementation of the Andirá Leste and Medianeira SEs, 2 km of which for Contract 060/2001 and 36 km for LTs that do not belong to Copel GeT, which, despite being included in the APR, in reason for the investment made, will not be added to Copel's assets.
6 As of 07/09/2021, the APR was reduced by 50%.
7 Consolidated Result.
8 Equity Income.

 

   

 

Exhibit IV - OPERATIONAL DATA > DISTRIBUTION
OPERATIONAL DATA            
             
Number of Consumers Locations served Cities served Voltage Number of Substations MVA Km of lines
5,101,084 1,068 395 13,8 kV 0 5                              112,871
34,5 kV 236 1,685                                90,902
69 kV 36 2,477                                      778
138 kV 122 7,632                                  6,767
        394 11,799 211,318
             
Consumer-to-employee ratio DIS 2018 2019 2020 2021 2022 Dec-23

Captive Consumers 
4,637,804 4,713,240 4,835,852 4,926,608 5,011,555 5,098,006
Copel Dis employees 5,364 4,964 4,641 4,430 4,257 4,203
Consum/Emp 865 949 1,042 1,112 1,177 1,213
             
QUALITY OF SUPPLY            
             
  Year DEC ¹
(hours)
FEC ²
(outages) 
     
  2019 9.11 6.02      
  2020 7.83 5.61      
  2021 7.20 4.76      
  2022 7.98 5.29      
  2023 7.86 5.21      
¹  DEC measured in hours and hundredths of an hour
²  FEC expressed in number of interruptions and hundredths of a number of interruptions year to date
* Values of the last 12 months
     
Period Technical Loss Non-Technical Loss Total loss
Regulatory (1)  Real (2) Regulatory (3)  Calculated (4) Regulatory (5)  Total (6)
Dec-19 6.05% 5.97% 4.70% 2.77% 8.14% 7.28%
Dec-20 6.05% 6.03% 4.70% 3.92% 8.14% 7.80%
Dec-21 5.79% 5.84% 4.56% 4.58% 7.72% 7.73%
Dec-22 5.79% 5.72% 4.47% 4.62% 7.60% 7.66%
Dec-23 5.79% 5.90% 4.47% 4.54% 7.78% 7.81%
(1) Percentage established in the tariff review;
(2) Technical loss calculated and reported monthly to Aneel;
(3) Percentage established in the tariff review;
(4) Difference between reported total losses and technical losses calculated as a percentage established in the review and the total injected energy, also reported monthly to Aneel;
(5) (Regulatory percentage of PNT x informed BT Market + technical losses calculated as a percentage established in the review and the total energy injected) / Injected energy;
(6) Total loss on injected energy.
NOTE: In the calculation of the distributor's total losses, energy losses inherent to the electric power system (technical losses), commercial losses (mainly due to fraud, theft) and differences related to the shift in the billing schedule and the effects of the portion of mini and micro generation distributed in the Company's networkS

 

 

 
 

 

 

SIGNATURE

 

 

Pursuant to the requirements of the Securities Exchange Act of 1934, the registrant has duly caused this report to be signed on its behalf by the undersigned, thereunto duly authorized.

Date February 29, 2024

 

COMPANHIA PARANAENSE DE ENERGIA – COPEL
     
By:

/S/  Daniel Pimentel Slaviero


 
  Daniel Pimentel Slaviero
Chief Executive Officer
 

 

 

FORWARD-LOOKING STATEMENTS

 

This press release may contain forward-looking statements. These statements are statements that are not historical facts, and are based on management's current view and estimates of future economic circumstances, industry conditions, company performance and financial results. The words "anticipates", "believes", "estimates", "expects", "plans" and similar expressions, as they relate to the company, are intended to identify forward-looking statements. Statements regarding the declaration or payment of dividends, the implementation of principal operating and financing strategies and capital expenditure plans, the direction of future operations and the factors or trends affecting financial condition, liquidity or results of operations are examples of forward-looking statements. Such statements reflect the current views of management and are subject to a number of risks and uncertainties. There is no guarantee that the expected events, trends or results will actually occur. The statements are based on many assumptions and factors, including general economic and market conditions, industry conditions, and operating factors. Any changes in such assumptions or factors could cause actual results to differ materially from current expectations.