6-K 1 elp20250818_6k2.htm 6-K

SECURITIES AND EXCHANGE COMMISSION

Washington, D.C. 20549

 


 

FORM 6-K

 

Report of Foreign Private Issuer
Pursuant to Rule 13a-16 or 15d-16 of the

Securities Exchange Act of 1934

 

For the month of August, 2025

Commission File Number 1-14668

 


 

COMPANHIA PARANAENSE DE ENERGIA

(Exact name of registrant as specified in its charter)

 

Energy Company of Paraná

(Translation of Registrant's name into English)

 

José Izidoro Biazetto, 158
81200-240 Curitiba, Paraná
Federative Republic of Brazil
+55 (41) 3331-4011

(Address of principal executive offices)

 

Indicate by check mark whether the registrant files or will file annual reports under cover Form 20-F or Form 40-F.  Form 20-F ___X___ Form 40-F _______

 Indicate by check mark whether the registrant by furnishing the information contained in this Form is also thereby furnishing the information to the Commission pursuant to Rule 12g3-2(b) under the Securities Exchange Act of 1934.  

Yes _______ No ___X____

 

 
 

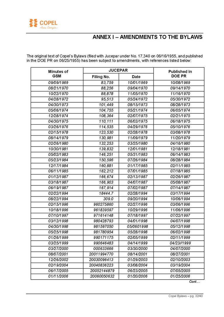
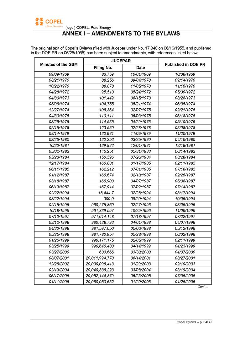
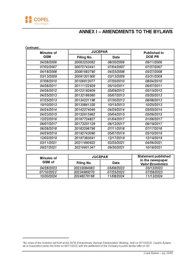
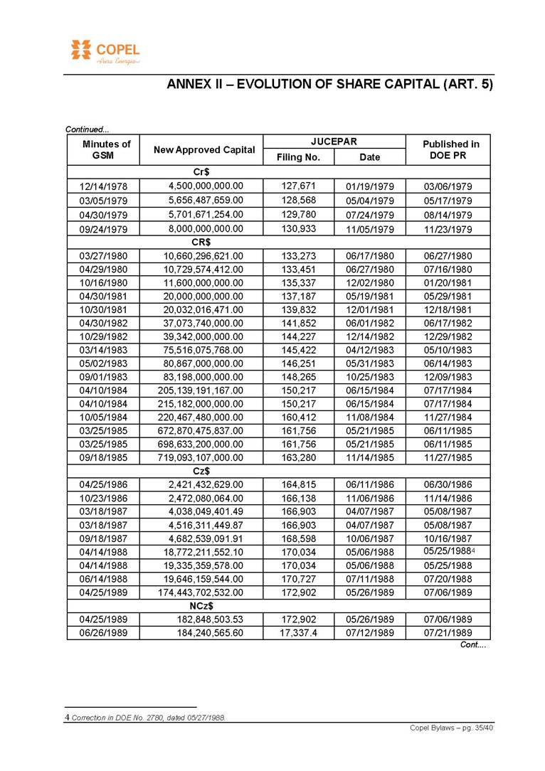
MANAGEMENT PROPOSAL AND MANUAL FOR PARTICIPATION IN GENERAL MEETINGS 212th Extraordinary General Meeting August 22, 2025 Manual for participation in General Meetings 2/30 CONTENTS I. Message from Management ..................................................................................................... 3 II. Guidelines for Participation in the General Meeting of Shareholders .................................. 4 Participation via Voting Ballot ................................................................................................. 4 Participation via Digital Platform ............................................................................................. 5 Holders of ADRs ..........................................................................................................................9 Convening of the General Meeting ............................................................................................9 Voting Rights................. ... ..........................................................................................................9 Approval of the Matters on the agenda........ ................. ...........................................................9 Final Guidelines........................................................................................................................10 III. Call Notice ............................................................................................................................... 11 IV. Management Proposal ......................................................................................................... 15 V. Appendices ............................................................................................................................ 30 Manual for participation in General Meetings 3/30 I. MESSAGE FROM MANAGEMENT Dear Shareholder: I am pleased to direct you to this Management Proposal and Manual for Participation in the Extraordinary General Meeting of Companhia Paranaense de Energia - Copel, with general guidance for an effective participation and exercise of the vote. This document has been prepared based on Copel’s Corporate Governance policy, which is founded on transparency, equity, accountability and corporate responsibility. The Proposal aims to present, in a clear and brief way, information related to the Company’s Shareholders’ Meeting, offering contributions that help the understanding of the proposals for resolution, encouraging the participation of shareholders in the events on the Company’s corporate agenda. The matters to be presented for resolution of shareholders as well as the types of shares granting the right to vote on each item of the agenda are described in the Call Notice and in the Management’s Proposal. In accordance with CVM’s decision of August 15, 2025, within the scope of CVM SEI Process No. 19957.008641/2025-06, Copel’s 212th EGM, originally convened for August 4, 2025, will be held on August 22, 2025, at 2 p.m., on first call, and will be held exclusively digitally, with the participation of its shareholders virtually, through Ten Meetings digital platform, without prejudice to the possibility of exercising the vote by means of a Distance Voting Ballot. It is also important to mention that the Meeting will be attended, among others, by members of the Executive Board and representatives of the Supervisory Board, the Statutory Audit Committee and the independent auditor, who will be in a position to provide additional clarifications on the matters on the agenda, in accordance with their respective duties. Your participation is very important, since relevant issues for the Company and its shareholders will be addressed at this Meeting. Yours sincerely, Marcel Martins Malczewski Chairman of the Board of Directors Manual for participation in General Meetings 4/30 II. GUIDELINES FOR PARTICIPATION IN THE EXTRAORDINARY GENERAL MEETING Copel’s shareholders may attend the Meeting: (i) via Ballot Paper, made available to shareholders on the following websites: the Company’s (ri.copel.com), B3 S.A. - Brasil, Bolsa, Balcão - B3 and Brazilian Securities and Exchange Commission - CVM; or (ii) via the Digital Platform, which may be accessed in person or by duly appointed proxy, pursuant to CVM Resolution no. 81/2022 - RCVM 81, as described below. The Company clarifies that the Meeting was originally convened to take place, on the first call, on August 4, 2025, and the call period was interrupted by the CVM Panel, on Augist 1, 2025, in order to allow for the analysis of the legality of the proposals submitted for decision by shareholders. In line with the Panel’s decision, issued on August 15, 2025, which acknowledged the legality of the matters proposed by management, the call period was resumed, counting from the date on which it had been interrupted. The Company also emphasizes that the voting instructions already forwarded by means of a distance voting ballot, considering the date on which the Meeting was originally scheduled, will remain valid, unless the shareholder him or herself requests its disregard or changes its voting instructions at the during Meeting itself. In this regard, it should be note that the registrations made on the Digital Platform before the interruption of the Meeting's call period will remain equally valid. Participation via Distance Voting Ballot The Company clarifies that shareholders who did not send a Voting Ballot within the applicable deadline, considering the originally scheduled date of the Meeting, and who still wish to do so, may send it directly to the Company, exclusively, observing the procedures described below. In this case, it is recommended that the Voting Ballot is sent preferably via scanned copy, with the relevant documents, to the following email address: ri@copel.com. Alternatively, the shareholder may send the physical copy of the Voting Ballot and pertinent documentation to Copel’s head office at Rua José Izidoro Biazetto nº 158, Bloco A, Bairro Campo Comprido, CEP 81200-240, Curitiba - PR, Brazil, Finance and Investor Relations Office, at its Investor Relations Department. In order for the Voting Ballot to be considered valid, it is essential that: (i) all its fields are duly filled out (ii) all of its pages are initialed; and (iii) at the end, the shareholder or his/her legal representative, as the case may be and in accordance with current legislation, has signed the form, and that it is accompanied by a copy of the following documents: Manual for participation in General Meetings 5/30 (a) for natural person shareholders: identity document with photo of the shareholder and/or his representative, as case may be; (b) for legal entity shareholders: last consolidated articles of incorporation or articles of incorporation and corporate documents evidencing the powers of representation of the shareholder; and valid identity document with a photo of the legal representative. (c) for investment funds: last consolidated regulation of the fund; bylaws or articles of incorporation of its administrator or manager, as the case may be, subject to the voting policy of the fund; corporate documents evidencing the powers of representation of the administrator or manager, as applicable; and valid and identity document with a photo of legal representative. The Company also clarifies that it will accept the new Voting Ballots received in full order by August 20, 2025 (inclusive) – this period, granted exceptionally by the Company, is an addition to that provided for in article 27 of RCVM 81. Any Voting Ballots received after the aforementioned date will be disregarded. Copel will communicate to the shareholder whether the documents submitted are sufficient for the vote to be valid or the need for rectification or supplementation, pursuant to the terms of RCVM 81 - note that the eventual rectification or supplementation by the shareholder should be forwarded in compliance with the deadline indicated above. In line with art. 49, I, of RCVM 81, the Company reinforces that the Ballots that have already been forwarded in compliance with the original deadline of the EGM will be taken into consideration by the Company, except if the shareholder him or herself requests its disregard or changes its voting instruction during the Meeting itself. Participation via Digital Platform The Meeting will be held exclusively in digital mode, with shareholders attending virtually through the Ten Meetings digital platform (“Digital Platform”). Therefore, shareholders shall not attend the meeting in person. For participation through the Digital Platform, the shareholder must register up to 2 days prior to the date of the Meeting, that is, until August 20, 2025, by accessing the link (https://assembleia.ten.com.br/685488074)and filling in all registration data and attaching all documents necessary to enable their participation and/or vote at the Meeting: Manual for participation in General Meetings 6/30 Natural person shareholder (a) valid identification document with photo of the shareholder and attorney-in-fact, if applicable; (b) instrument granting powers to a third party, if the shareholder is represented by a proxy; and (c) indication of email for receipt of individual invitation for access to the Digital Platform and participation in the Meeting. Legal entity shareholder (a) valid identification document with photo of legal representative; (b) documents evidencing representation, including a copy of the minutes of the election of the director(s) who represent the shareholder attending the Meeting or who, as the case may be, grant(s) the power of attorney for participation in the Meeting, and the power of attorney instrument; and (c) indication of e-mail address for receipt of individual invitation for access to the Digital Platform and participation in the Meeting. Investment Fund (a) valid identification document with photo of legal representative; (b) fund regulations in force; (c) articles of incorporation or bylaws of its manager or administrator, as the case may be, subject to the voting policy of the fund; (d) documents evidencing representation, including a copy of the minutes of the election of the director(s) of the manager(s) or director who will attend the Meeting or who, as the case may be, grant(s) the power of attorney for participation in the Meeting, and the power of attorney instrument; and (e) indication of email for receipt of individual invitation for access to the Digital Platform and participation in the Meeting. For participation through a proxy, the granting of representation powers must have taken place less than a year ago, pursuant to Art. 126, § 1 the Brazilian Corporate Law. Additionally, in compliance with the provisions of Art. 654, § 1 and § 2 of the Civil Code, the power of attorney must contain an indication of the place where it was issued, the full qualification of the grantor and the grantee, date and purpose of the grant, and the designation and extension of the powers conferred. The formalities of signature confirmation, authentication, notarization, consularization, apostille or sworn translation are exceptionally waived with in relation to the above documents, and their free translation into Portuguese is sufficient. Please note that documents in Portuguese, English and Spanish are also exempt from free translation. In such cases, the shareholder is responsible for the veracity and integrity of the documents submitted. Copel’s natural person shareholders can only be represented at the Meeting by a proxy who is a shareholder, a Company manager, a lawyer or a financial institution, as provided for in article 126, paragraph 1 of the Brazilian Corporate Law. The legal entities that are shareholders of the Manual for participation in General Meetings 7/30 Company may be represented by an attorney-in-fact appointed in accordance with their articles of association or bylaws and according to the rules of the Civil Code, without the need for such person to be a Company manager, shareholder or attorney-in-fact (Proc. CVM RJ2014/3578; j. 4.11.2014). Copel will analyze the information and documents received and will approve the registration. The shareholder will receive an email at the registered address indicating the approval or rejection of the registration, and, in the latter case, if applicable, guidelines for the regularization of the registration. In the case of proxy/representative, he/shr will receive an individual e-mail regarding the qualification status of each registered shareholder, and should provide, if necessary, document complementation. The proxy that may represent more than one shareholder will only be able to vote at the meeting for the shareholders whose qualification has been confirmed by the Company. Please note that the registration confirmation e-mail, as well as the reminder for the Meeting, will be sent exclusively to the e-mail address informed in the participation registration. Under the terms of article 6, paragraph3 of RCVM 81, the access to the Digital Platform will not be admitted by shareholders (directly or via proxies) who do not register through the link (https://assembleia.ten.com.br/685488074) and/or fail to attach the necessary participation documents within the term provided herein (until August 20, 2025, without fail). The Company reinforces that shareholders who have already validly registered on the Digital Platform before the interruption of the Meeting's call period will not need to make new registrations, unless the shareholder needs to update any information. Failure to receive registration If the shareholder (or his/her proxy, as the case may be) has not received the confirmation of his/her registration, he/she should contact the Company, through the e-mail ri@copel.com or by telephone +55 (41) 3331- 4011 within 2 (two) hours before the start time of the Meeting, so that the guidelines can be forwarded to him/her. In the event of the need for documentary supplementation and/or additional clarifications regarding the documents sent for the purposes of registration of participation, the Company will contact the shareholder (or their respective proxy, as the case may be) to request such documentary supplementation and/or additional clarifications in a timely manner, allowing the confirmation of the registration within the deadline referred to above. Login information and guidelines to access the Digital Platform: Login Information: After the qualification is confirmed by the Company as to the verification of the regularity of the representation documents sent in the terms above, an e-mail will be forwarded to each shareholder (or their respective proxy, as the case may Manual for participation in General Meetings 8/30 be) that has made the regular registration of participation, containing the information and guidelines to log into the Digital Platform. Confidentiality: The information and guidelines for access to the Digital Platform, including, but not limited to, the access password, are unique and non-transferable, and the shareholder (or his/her respective proxy, as the case may be) takes full responsibility for the possession and confidentiality of the information and guidelines transmitted to him/her by Copel under the terms of this Proposal. Shareholder’s responsibilities: While using the Digital Platform, shareholders commit to: (i) use the logins and passwords registered solely and exclusively for remote monitoring and/or voting on the Meeting; (ii) not transfer or disclose, in whole or in part, the logins and passwords registered to any third party, shareholder or not, since invitation is non-transferable; and (iii) not record or reproduce, in whole or in part, nor transfer, to any third party, shareholder or not, the content or any information transmitted by virtual means during the holding of the Meeting. Technology Requirements: To access the Digital Platform, the following are required: (i) computer or smartphone with camera and audio that can be enabled; and (ii) internet access connection of at least 10mb. Supported browsers: Google Chrome, Edge, or Safari. Incompatible browser: The Mozila Firefox browser is not compatible with the Digital Platform. VPN and cameras: It is recommended that the Shareholder disconnect any VPN or platform that may use their camera before accessing the Digital Platform. Smartphone: Although the platform is compatible with all operating systems and can also be accessed by smartphone, it is recommended that the shareholder access by computer, in order to have a better view of the event, giving preference to the Wi-Fi network for a more stable connection. Recording: There will be a full recording of the Meeting, as required by item II, of § 1, of Art. 28, of RCVM 81. Attendance and signing: The duly registered shareholder who participates in the Meeting digitally will be considered present, and may exercise their voting rights, and will be considered a signatory of the respective minutes, pursuant to the terms of RCVM 81. Connection issues: The Company is not responsible for any operational or connectivity problems that the shareholder may face, as well as for any other issues beyond the Manual for participation in General Meetings 9/30 Company’s control that may make it difficult or impossible for the shareholder to participate in the General Meetings by digital means. Holders of ADRs The financial depositary institution of American Depositary Receipts - ADRs in the United States, The Bank of New York Mellon, will send the powers of attorney to the holders of ADRs, so that they exercise their voting right at the General Meeting. Participation will take place through Banco Itaú, the representative of The Bank of New York Mellon in Brazil. Convening of the General Meetings Under the terms of article 135, caput, of the Corporation Law, for the General Meetings to be convened, on first call, it will be necessary for shareholders and/or their legal representatives holding an interest corresponding to at least 1/4 of the Company’s voting capital to be in a position to attend. If the aforementioned percentage is not reached, a new call will be made at least eight days in advance, after which the Meeting will be held with any number of shareholders present. Voting Rights Only holders of common shares shall have the right to vote at this Meeting. Additionally, as provided for in Art. 6 of the Company's bylaws, no shareholder or group of shareholders, Brazilian or foreign, public or private, may exercise the right to vote in a number greater than the equivalent of the percentage of 10% of the total number of shares in which the voting capital of Copel is divided, regardless of their stake in the share capital. Approval of Matters on the Agenda Pursuant to article 129 of the Brazilian Corporate Law, the resolutions of the General Shareholders’ Meetings, subject to the exceptions provided for by law, shall be taken by absolute majority of votes, disregarding abstentions. With regard to the agenda of the Meeting, the management notes that items 3 and 5, which refer to the amendment of preferences and advantages conferred to class “B” preferred shares and Manual for participation in General Meetings 10/30 the creation of a class “C” of preferred shares, respectively, are subject to the qualified quorum provided for in art. 136 of the Brazilian Corporate Law. Final Guidelines Should there be any doubt concerning the Extraordinary General Meeting procedures and deadlines, please contact the Investor Relations Department at (+55) (41) 3331- 4011 or by e- mail at ri@copel.com. Manual for participation in General Meetings 11/30 III. CALL NOTICE The Shareholders of Companhia Paranaense de Energia - Copel are invited to attend the Extraordinary General Meeting, to be held exclusively in digital mode, pursuant to art. 124 of Law no. 6404/76 - Brazilian Corporate Law and CVM Resolution no. 81/2022 - RCVM 81, and therefore be considered to be held at the Company’s headquarters, on August 22, 2025, at 2 p.m., on first call, via the Ten Meetings digital platform (https://assembleia.ten.com.br/685488074), to decide on the following agenda: 1. Authorization for the administrators to submit to B3 S.A. — Brasil, Bolsa, Balcão (“B3”) a request for the Company to enter, even if conditioned, the special segment of the B3 stock market called Novo Mercado and the admission of the Company’s shares to trading in said segment; 2. Amendment of the statutory rules applicable to the conversion of shares, with the exclusion of item III of §11 of Art. 5 of the Bylaws to enable the PN Unification (as defined in item 4 below), observing that the effectiveness of this statutory amendment will be subject to the approval of creditors whose respective financial instruments provide for the early maturity of the debts of the Company or its subsidiaries as a result of the approval of any matters provided herein (“Waivers”); 3. Amendment of the preferences and advantages granted to class “B” preferred shares (“PNB”) to make them equivalent to class ‘A’ preferred shares (“PNA”), with the respective amendment to article 5 of the Company’s Bylaws, the effectiveness of which will be subject to the Waivers being obtained; 4. Conditioned on the approval of items “2” and “3” above, the unification of the PNA and PNB share classes (PNA and PNB jointly, “PN”), through the mandatory conversion of all PNB shares into PNA (“PN Unification”), with the respective amendment of Art. 5 of the Company’s Bylaws, whose effectiveness will be subject to obtaining the Waivers; 5. Amendment of Art. 5 of the Company’s Bylaws to create a new class “C” of preferred shares, nominative, book-entry and without nominal value (“PNC”), compulsorily redeemable, without the need for approval at a special meeting of holders of PNC shares, pursuant to §6 of Art. 44 of the Brazilian Corporate Law; 6. Subject to the approval of the PN Unification, the mandatory conversion of all PN shares into common shares and PNC preferred shares, in the proportion of one new common share and one new PNC share for each PN share (“PN Conversion”), the effectiveness of which will be subject to the implementation of the following suspensive conditions (“Suspensive Conditions – NM”): (i) ratification of the PN Conversion at a special meeting of PN preferred shareholders, pursuant to Art. 136, § 1 of the Brazilian Corporate Law, to be convened in due course (“PN Ratification”); (ii) andention of Waivers; and Manual for participation in General Meetings 12/30 (iii) effective entry of the Company into the Novo Mercado segment and effective admission of the shares issued by the Company to trading in the Novo Mercado segment ("Migration to the Novo Mercado"). 7. Conditioned on the PN Conversion, application of available reserves in the compulsory redemption of all PNC shares, for the amount of R$ 0.7749 per share, without modification of the Company’s share capital ("Rescue"); 8. Conditioned on the PN Conversion, amendment and consolidation of the Company’s bylaws to provide for the result of the PN Conversion, the improvement in governance rules and the inclusion of the provisions required by the Novo Mercado listing regulation, in accordance with the management proposal (“Statutory Reform”); 9. Authorization for Management to perform all acts necessary to implement the resolutions above. The Company clarifies that the Shareholders’ Meeting was originally convened to take place, on first call, on August 4, 2025, and the call period was interrupted by the CVM Panel, on August 1, 2025, in order to allow for the analysis of the legality of the proposals submitted to shareholders. In line with the decision of the Panel, issued on August 15, 2025, which acknowledged the legality of the matters proposed by the administration, the counting of the call period was resumed from the date on which it had been interrupted. The updated documents referring to the matters to be discussed at the Extraordinary General Meeting, including the Management’s Proposal and the Manual for Participation in General Shareholders’ Meetings, are available for shareholders’ consultation at the Company’s headquarters as well as on its website (ri.copel.com). The Meeting will be held exclusively in digital mode, so as to promote greater accessibility for shareholders and increase efficiency in the process of organizing and conducting the Meeting. Thus, shareholder participation may be: a) through a voting ballot, the template for which is available to shareholders on the following websites: the Company’s (ri.copel.com), Brasil, Bolsa, Balcão - B3 and Brazilian Securities and Exchange Commission (CVM); or b) via digital platform (Ten Meetings), which shall be accessed personally or by a dully appointed proxy, according to RCVM 81. Shareholders may participate in the Meeting whether or not they have sent in the voting ballot. If they have sent it and choose to also participate in the Meeting, they may change the votes cast via Ballot by expressing this decision at the beginning of the Meeting. The Company also emphasizes that the voting instructions already forwarded by means of a distance voting ballot, considering the date on which the Meeting was originally scheduled, will remain valid, Manual for participation in General Meetings 13/30 unless the shareholder him or herself requests its disregard or changes its voting instructions at the during Meeting itself. Shareholders who did not send a Voting Ballot within the applicable deadline, considering the originally scheduled date of 04.08.2025, and who wish to do so, may forward it directly to the Company exclusively, until 20.08.2025, according to the information contained in the Proposal. The Company reinforces that shareholders who have already validly registered on the Digital Platform before the interruption of the Meeting's call period will not need to make new registrations, unless the shareholder needs to update any information. Shareholders who wish to register to participate in the Meeting through the Digital Platform, or in case they need to update their registration, must do so up to 2 (two) days in advance of the Meeting, that is, until August 20, 2025, by accessing the link (https://assembleia.ten.com.br/685488074), completing all registration data and attaching all documents necessary to enable their participation and/or vote in the Meeting, namely: Natural Person Shareholder: a) valid identification document with photo of the shareholder and proxy, if applicable; b) instrument granting powers to a third party, if the shareholder participates through a proxy; and c) indication of email to receive an individual invitation to access to the Digital Platform and participate in the Meeting. Legal Entity Shareholder or Investment Fund: a) valid identification document with photo of the legal representative; b) documents proving representation, including a copy of the minutes of the election of the director(s) who represent the shareholder attending the Meeting or who, as the case may be, grant(s) the power of attorney to attend the Meeting, and the power of attorney instrument; c) in the case of an investment fund, copies of: i. regulations of the fund in effect; ii. articles of incorporation or bylaws of its manager or administrator, as the case may be, subject to the voting policy of the fund; and d) indication of an e-mail address to receive an individual invitation to access the Digital Platform and consequently participate in the Meeting For participation by proxy, the granting of powers of representation must have taken place less than one year previously, pursuant to article 126, paragraph 1 of the Brazilian Corporate Law. In addition, in compliance with the provisions of article 654, paragraph 1 and paragraph 2 of the Civil Code, the power of attorney must contain an indication of the place where it was given, the full qualifications of the grantor and the grantee, the date and purpose of the grant with the designation and extent of the powers conferred. Natural persons who are shareholders of Copel may only be represented at the Meeting by a proxy who is a shareholder, officer of the Company, lawyer or financial institution, as provided for in art. 126, §1 of the Brazilian Corporate Law. Legal entities that are shareholders of the Company may be Manual for participation in General Meetings 14/30 represented by a proxy appointed in accordance with their articles of association or bylaws and in accordance with the rules of the Civil Code, without the need for such person to be an officer of the Company, a shareholder or a lawyer (Proc. CVM RJ2014/3578, j. 4.11.2014). Shareholders who fail to register and/or report the absence of receipt of access instructions in the manner and within the time limits set out above and in the Proposal will not be able to participate in the Meeting. On the date of the Meeting, the shareholder’s attendance will only be recorded by accessing the electronic system, in accordance with the instructions and within the times and deadlines published by the Company. Pursuant to RCVM 81, additional information and instructions for access to the Digital Platform and/or submission of the Voting Ballot are included in the Proposal. Curitiba, August 18, 2025 Marcel Martins Malczewski Chairman of the Board of Directors Publication This Call Notice is published, in accordance with current legislation, in the Valor Econômico newspaper, as from August 19, 2025, and on the Company's website (ri.copel.com). Manual for participation in General Meetings 15/30 IV. MANAGEMENT PROPOSAL In order to facilitate the understanding and participation of the Shareholder Lords in the Meeting, clarifications of the Company's Management on the matters that will be the subject of a deliberation to exercise the conscious vote are presented below. *** 1. AUTHORIZATION FOR THE COMPANY'S ADMINISTRATORS TO SUBMIT TO B3 S.A. - BRAZIL, STOCK EXCHANGE, COUNTER ("B3") A REQUEST FOR ENTRY OF THE COMPANY, EVEN IF CONDITIONED, IN THE SPECIAL SEGMENT OF THE B3 STOCK MARKET CALLED THE NOVO MERCADO AND ADMISSION OF THE COMPANY'S SHARES TO NEGOTIATION IN SAID SEGMENT Clarifications In line with the constant search for improvement of corporate governance, and following the process initiated in recent years, the Company’s management submits to the Shareholders’ Meeting the proposal for Copel to join and effectively list its shares in the special segment of the B3 stock market called Novo Mercado, which is exclusive for companies that adopt the highest corporate governance practices (“Migration to the Novo Mercado”). Among rules in force, we highlight the division of capital into voting shares only, favoring the principle of “one share, one vote”, as well as the requirement of specific policies and collegiate bodies, many of which are already voluntarily adopted by the Company due to its commitment to best practices. Migration to the Novo Mercado, therefore, requires the conversion of preferred shares of the Company into common shares. the conversion of shares mentioned above and comply with the mandatory rules of the Novo Mercado segment, it will be necessary to amend the Company’s Bylaws. The proposal for reform of the Bylaws for this purpose is presented in item 8 of this Proposal (and is further detailed in Appendices II, III and IV). In addition, it should be emphasized that the subject matters object of items 2, 3, 4 and 5 of this Proposal also refer to amendments necessary to enable the implementation of the steps that make up the proposed structure for Migration to the Novo Mercado, as highlighted throughout this Proposal. Thus, we subject for Shareholders approval the authorization for the Company to request its admission to the Novo Mercado segment, observing that the effective approval by B3 may be conditioned on the conversion of shares, approval of the amendment of Bylaws discussed below and the approval of policies and rules of procedure, among other requirements. Voting right Manual for participation in General Meetings 16/30 Holders of common shares have the right to vote on this item of the agenda. Additionally, pursuant to Article 6 of the Company’s bylaws, no shareholder or group of shareholders, Brazilian or foreign, public or private, may exercise voting rights in excess of the percentage equivalent to 10% (10 percent) of the total number of shares into which Copel’s voting capital is divided, regardless of their stake in the share capital. Approvals This matter was subject to review by the Board of Directors, at its 258th Extraordinary Meeting, held on June 23, 2025, and at its 259th Extraordinary Meeting, held on July 11, 2025; and by the Supervisory Board, at its 536th Meeting, held on June 23, 2025, and at its 537th Meeting held on July 11, 2025. 2. AMENDMENT OF THE STATUTORY RULES APPLICABLE TO THE CONVERSION OF SHARES, WITH THE EXCLUSION OF ITEM III OF § 11 OF ART. 5 OF THE COMPANY’S BYLAWS TO ENABLE PN UNIFICATION (AS DEFINED IN ITEM 4 BELOW), NOTING THAT THE EFFECTIVENESS OF THIS AMENDMENT WILL BE SUBJECT TO THE APPROVAL OF CREDITORS WHOSE FINANCIAL INSTRUMENTS PROVIDE FOR THE EARLY MATURITY OF THE DEBTS OF THE COMPANY OR ITS SUBSIDIARIES AS A RESULT OF THE APPROVAL OF ANY MATTERS PROVIDED HEREIN (“WAIVERS”); Clarifications The current wording of Art. 5, § 11, of the Company's Bylaws provides for certain rules of conversion of shares, essentially establishing that: (i) class A preferred shares (“PNA”) may be converted into class B preferred shares (“PNB”), at any time; (ii) PNA and PNB shares may be converted into common shares, in accordance with the terms, conditions and procedures defined by the Board of Directors; and (iii) common shares and the PNB shares may not be converted into PNA shares under any circumstances. Firstly, it should be noted that these conversion rules were introduced in another context, when the Company still had the Units Program, extinguished in 2023. Thus, these rules are no longer justified i view of the current composition of the Company's share capital and the proposed Migration to Novo Mercado. As highlighted above, the Company intends to carry out the Migration to Novo Mercado, which requires the conversion of PNA and PNB shares into common shares. In this sense, in line with the following items of the agenda of this Meeting, the structure proposed by Management to enable Migration to the Novo Mercado will include, in summary: Manual for participation in General Meetings 17/30 (a) the change in the preferences and advantages of PNB shares to match PNA shares, with the subsequent unification of the PNA and PNB classes (collectively referred to as “PN”) through the mandatory conversion of all PNB shares into PNA (“PN Unification”); (b) the creation of a new class C preferred share (“PNC”) compulsorily redeemable, without the need for approval at a special meeting of holders of PNC shares, pursuant to art. 44, §6, of the Brazilain Corporate Law; (c) the mandatory conversion of all PN shares into common shares and PNC shares, observing the proportion of one new common share and one new PNC share for each PN share (“PN Conversion”), the effectiveness of which will be subject to the implementation of certain suspensive conditions, detailed in item 6 of this Proposal; and (d) conditioned on PN Conversion, the application of the available reserves in the mandatory redemption of all PNC shares for the amount of BRL 0.7749 per share, without modification of the share capital ("Rescue"). To enable the implementation of the above steps, particularly PN Unification, the Company's management proposes to previously exclude Art. 5, §11, III, of the Bylaws, revoking the restriction on the conversion of common shares and PNB shares into PNA shares. The Company's management understands that there is no reason to maintain such restriction, either because it was created in a specific context, connected to a unit-based capital structure, which no longer exists, or because, after the preferences and advantages of PNB shares have been equalized with those of PNA shares, nothing prevents the unification of PNB and PNA, through the mandatory conversion of PNB to PNA. The updated wording of Art. 5 of the Company's Bylaws, without this restriction, is highlighted in the table contained in item 3 below. It should be noted too that, at the end of the Migration to Novo Mercado process, considering the implementation of the PN Conversion and of the Statutory Reform proposed in item 8 of the agenda, the wording presented in Appendices II, III and IV to this Proposal shall prevail. Finally, one must bear in mind that the effectiveness of this statutory reform is conditioned on obtaining the Waivers. Given that this deliberation is conditional on obtaining the Waivers, the Company's management clarifies that it has already started analysing its financial contracts and negotiating in order to obtain the necessary approvals from the creditors whose contracts provide for early maturity due to the changes proposed herein. The Board of Directors will meet in due course to certify compliance with this condition, keeping its shareholders and the market in general informed about the effectiveness of this resolution. Manual for participation in General Meetings 18/30 Voting right Holders of common shares have the right to vote on this item of the agenda. Additionally, pursuant to Article 6 of the Company’s bylaws, no shareholder or group of shareholders, Brazilian or foreign, public or private, may exercise voting rights in excess of the percentage equivalent to 10% (10 percent) of the total number of shares into which Copel’s voting capital is divided, regardless of their stake in the share capital. Approvals This matter was subject to review by the Board of Directors, at its 258th Extraordinary Meeting, held on June 23, 2025, and at its 259th Extraordinary Meeting, held on July 11, 2025; and by the Supervisory Board, at its 536th Meeting, held on June 23, 2025, and at its 537th Meeting held on July 11, 2025. 3. CHANGE IN PREFERENCES AND ADVANTAGES CONFERRED TO CLASS “B” PREFERRED SHARES (“PNB”) TO MATCH CLASS “A” PREFERRED SHARES (“PNA”), WITH THE PERTINENT AMENDMENT OF ART. 5. OF THE COMPANY’S BYLWAS, CONDITIONED ON OBTAINING WAIVERS Clarifications The proposal provides for the amendment of Art. 5 of the Bylaws to change the preferences and advantages currently conferred on PNB shares, in order to match them to those conferred on PNA shares, observing that the effectiveness of this deliberation will be conditioned on the obtaining of Waivers. Under this Proposal, once Waivers are obtained, the preferences and advantages of the PNA and PNB shares would be equalized and such modification would be reflected in the wording of Art. 5 of the Bylaws, to the extent that PNB shares would have priority in the distribution of minimum dividends of 10% (ten percent) per year, that would be apportioned among them equally, calculated on the basis of equity corresponding to that type and class of shares, paid up until December 31 of the immediately preceding fiscal year, an amount that would be imputed to the mandatory dividend. In view of this scenario, management subjects to Shareholders’ approval the amendment of Art. 5, § 7, I, IV, V and VI; the exclusion of Art. 5, § 7, II and III; and the renumbering of the other items of said paragraph, so that, between obtaining the Waivers and the effective Migration to the Novo Mercado, Art. 5, § 7, of the Company's Bylaws would come into force with the following new wording: “Art. 5 (...) § 7 Preferred shares shall give their holders the following preferences and advantages: Manual for participation in General Meetings 19/30 I. Preferred shares shall have priority in the distribution of minimum dividends of 10% (ten percent) per year, to be equally apportioned among them, on the basis of equity corresponding to this type of shares, paid up until December 31 of the immediately preceding fiscal year, an amount that will be imputed to the mandatory dividend provided for in Article 87; II. The dividend to be paid to each prefered share shall be at least 10% (ten percent) higher than that attributed to each common share, in accordance with the provisions of Federal Law No. 6,404/1976 and subsequent amendments; III. Preferred shares shall acquire the right to vote if, for a period of 03 (three) consecutive years, they are not paid the priority or minimum dividends to which they are entitled; IV. Preferred shares insure their holders the right to be included in a public offer to acquire shares as a result of the Disposal of Company Control at the same price and under the same conditions offered to the Disposing Controlling Shareholder; V. The special class preferred share held by the State of Paraná will give the State of Paraná priority in the reimbursement of capital, without premium, in the event of liquidation of the company, corresponding to the percentage of the share capital that such share represents, and the power to veto in general meeting resolutions (...)” Additionally, considering the proposal to match preferences and advantages between PNB and PNA shares, with the subsequent unification of the classes, it is reiterated that, in line with item 2 of the agenda, the Company's management also proposes the exclude Art. 5, § 11, III, which currently prohibits the conversion of PNB shares into PNA shares. These changes are consolidated in the table below. In compliance with art. 12, II, of RCVM 81, please find highlighted below the changes proposed to theBylaws in items 2 and 3 of this agenda, and the report that details the origin and justification of the proposed reform, analyzing itslegaland economic effects: Current Articles of Incorporation Proposed Amendment to Bylaws Art. 5. (...) § 7 Preferred shares shall give their holders the following preferences and advantages: Art. 5. (...) § 7 Preferred shares shall give their holders the following preferences and advantages: I. Class A preferred shares shall have priority in the distribution of minimum dividends of 10% (ten percent) per year, to be equally apportioned among them on the basis of equity corresponding to this type and class of shares, paid up until I. Class A preferred shares shall have priority in the distribution of minimum dividends of 10% (ten percent) per year, to be equally apportioned among them, on the basis of equity corresponding to this type and class of shares, paid up until December 31 of the Manual for participation in General Meetings 20/30 December 31 of the immediately preceding fiscal year, an amount that will be imputed to the mandatory dividend provided for in Article 87 immediately preceding fiscal year, an amount that will be imputed to the mandatory dividend provided for in Article 87 II. Class B preferred shares shall have priority in the distribution of mandatory dividends, to be apportioned equally among them, corresponding to the portion of the amount equivalent to at least 25% (twenty-five percent) of net profit, adjusted in accordance with Federal Law No. 6.404/1976 and subsequent amendments, calculated proportionally to equity capital for this type and class of shares, paid up by December 31 of the immediately preceding fiscal year; II. Class B preferred shares shall have priority in the distribution of mandatory dividends, to be apportioned equally among them, corresponding to the portion of the amount equivalent to at least 25% (twenty-five percent) of net profit, adjusted in accordance with Federal Law No. 6.404/1976 and subsequent amendments, calculated proportionally to equity capital for this type and class of shares, paid up by December 31 of the immediately preceding fiscal year; III. Dividends guaranteed by the previous item to class B preferred shares will only be a priority in relation to common shares and will only be paid to the account of profits remaining after paying the priority dividends of class A preferred shares; III. Dividends guaranteed by the previous item to class B preferred shares will only be a priority in relation to common shares and will only be paid to the account of profits remaining after paying the priority dividends of class A preferred shares; IV. The dividend to be paid to class A and class B preferred shares shall be at least 10% (ten percent) higher than that attributed to each common share, in accordance with the provisions of Federal Law No. 6.404/1976 and subsequent amendments; IVII. The dividend to be paid to class A and class B preferred shares shall be at least 10% (ten percent) higher than that attributed to each common share, in accordance with the provisions of Federal Law No. 6.404/1976 and subsequent amendments; V. Class A and class B preferred shares shall acquire the right to vote in full if, for a period of 03 (three) consecutive years, they are not paid the priority or minimum dividends to which they are entitled; and VIII. Class A and class B preferred shares shall acquire the right to vote in full if, for a period of 03 (three) consecutive years, they are not paid the priority or minimum dividends to which they are entitled; and VI. Class A and class B preferred shares insure their holders the right to be included in a public offer to acquire shares as a result of the Disposal of Company Control at the same price and under the same conditions offered to the Disposing Controlling Shareholder; and IVI. Class A and class B preferred shares insure their holders the right to be included in a public offer to acquire shares as a result of the Disposal of Company Control at the same price and under the same conditions offered to the Disposing Controlling Shareholder; and VII The special class preferred share held by the State of Paraná will give the State of Paraná priority in the reimbursement of capital, without premium, in the event of liquidation of the company, corresponding to the percentage of the share capital that such VII The special class preferred share held by the State of Paraná will give the State of Paraná priority in the reimbursement of capital, without premium, in the event of liquidation of the company, corresponding to the percentage of the share capital that such Manual for participation in General Meetings 21/30 share represents, and the power to veto in general meeting resolutions: (...) share represents, and the power to veto in general meeting resolutions: (...) § 11 The shares issued by the Company may be converted into another type and class, observing the following rules: (...) § 11 The shares issued by the Company may be converted into another type and class, observing the following rules: (...) III common shares and class B preferred shares may not be converted into class A preferred shares under any circumstances. III common shares and class B preferred shares may not be converted into class A preferred shares under any circumstances. Rationale and Impacts: The amendment tothe statutory provisionsherein aims to reflect the equivalence between the preferences and advantages conferred on PNA shares and PNB shares, in the context of the proposal to unify the preferred share classes object of item “4” on the agenda. In this regard, Management clarifies that the PNA and PNB shares issued by tha Company currently have substantially equal rights, sharing the same political rights and, in practical terms, similar economic rights, as can be seen from the current version of Art. 5 of its Bylaws. It is worth noting that, when examining the preferences and advantages expressed in Art. 5, §7, I, one can see that the Company’s Bylaws establish a priority, intended for PNA shares, in the distribution of minimum dividends of 10% per year, to be equally apportioned among them, calculated on the basis of the equity of this type and class of shares, paid up by December 31 of the precedidng fiscal year, and that it will be attributed to the mandatory dividend. Nevertheless, in light of the Company’s current Dividend Policy (NPC 0107 Dividend Policy), whose last version was approved by the 262nd Ordinary Meeting of the Board of Directors held on May 8, 2025 (“Dividend Policy”), the parameters for defining the annual amount of dividend to be paid out by the Company consider, as a rule, the minimum of 75% of net profit earned – which, in practical terms, as has been the case in recent years, implies an equality of economic rights between the PNA and PNB classes. Nevertheless, in order to remedy this formal distinction, the Company's management proposed, in this item 3 of the agenda of this Meeting, the change of preferences and advantages of PNB shares, in order to also equalize them in formal aspects to PNA shares, in the terms provided for in the Bylaws - including with respect to such right of priority in the receipt of dividends. The changes described above in the preferences and advantages of PNB shares do not imply any loss to holders of PNA or PNB shares. The Company's management considers this amendment tobe both relevant and timelyin the context of the proposal to unify the preferred share classes in order to enable the Company's migration to the Novo Mercado. Additionally, by equalizing the preferences and advantages attributed to the PNA and PNB classes in its Bylaws, the Company's management understands that it formally recognizes the equivalence of the rights conferred to each preferred share class, especially in light of the Company's current dividend policy. Manual for participation in General Meetings 22/30 The Company's management also notes that, if the PN Conversion and Migration to the Novo Mercado are approved and the suspensive conditions for migration are verified, the current holders of PNA and PNB shares will have their shares converted into common shares, favoring the composition of the Company's share capital required to enable entry into the Novo Mercado. Finally, it should be noted that, if approved, the amendment can grant the holders of common shares the right of recess, pursuant to the terms presented below. Given that this resolution is conditioned on obtaining the Waivers, the Company's management reinforces that it has started analysing its financial contracts and negotiations in order to obtain the necessary approvals from the creditors whose contracts provide for early maturity due to the changes proposed herein. The Board of Directors will meet in due course to certify compliance with this condition, keeping its shareholders and the market in general informed about the effectiveness of this resolution. With regard to item 3 on the agenda, management notes that shareholders holding common shares that do not approve the change of preferences and advantages conferred to PNB shares to match PNA shares - whether by dissention, abstention or absence - will have the right to withdraw from the Company, through the reimbursement of shares that are proven to be held uninterruptedly between this date and the date of effective exercise of the right of recess, pursuant to Art. 137, § 1, of the Corporations Law. It is also important to note that Copel reserves the right to convene a general meeting to ratify or reconsider this resolution, if management believes that the payment of the price of reimbursement of common shares to dissidenting shareholders who exercised the right of withdrawal will jeopardize the financial stability of the Company, pursuant to Art. 137, §3, of the Corporation Law. It should also be noted that, pursuant to Article 107 of the Company's current Bylaws, in the event of exercise of the right of withdrawal by shareholders holding common shares, the reimbursement amount will correspond to the book equity value of the share, calculated on the basis of the net equity contained in the last financial statements approved by the general meeting, ensuring the right to draw up a special balance sheet, as provided for in Art. 45 of the Brazilian Corporate Law. The information relating to the right of withdrawal applicable to potentially dissenting holders of common shares, in compliance with Article 21 of the RCVM 81, can be found in Appendix I to this Proposal. Voting right Holders of common shares have the right to vote on this item of the agenda. Additionally, pursuant to Article 6 of the Company’s bylaws, no shareholder or group of shareholders, Brazilian or foreign, public or private, may exercise voting rights in excess of the percentage equivalent to 10% (10 percent) of the total number of shares into which Copel’s voting capital is divided, regardless of their stake in the share capital. Approvals This matter was subject to review by the Board of Directors, at its 258th Extraordinary Meeting, held on June 23, 2025, and at its 259th Extraordinary Meeting, held on July 11, 2025; and by the Manual for participation in General Meetings 23/30 Supervisory Board, at its 536th Meeting, held on June 23, 2025, and at its 537th Meeting held on July 11, 2025. 4. CONDITIONED ON THE APPROVAL OF ITEMS “2” AND “3” ABOVE, THE UNIFICATION OF THE PNA AND PNB SHARE CLASSES (PNA AND PNB, TOGETHER, “PN”), THROUGH THE MANDATORY CONVERSION OF ALL PNB SHARES INTO PNA (“PN UNIFICATION”), WITH THE RESPECTIVE AMENDMENT OF ART. 5 OF THE COMPANY’S BYLAWS, WHOSE EFFICACY WILL BE SUBORDINATED TO OBTAINING WAIVERS Clarifications As highlighted above, the PN Unification, substantiated in the conversion of PNB shares into PNA shares, must occur prior to the PN Conversion and the implementation of the Migration to the Novo Mercado. Once the preferences and advantages of the PNA and PNB shares (object of item 3 of the agenda) have been formally equalized, the Company's management understands that the most appropriate measure is the PN Unification, in order for the holders of PNA shares and PNB shares to jointly decide on the PN Conversion within the scope of a special meeting of preferential shareholders, pursuant to Art. 136, §1, of the Corporations Law. The joint decision is justified not only because the legal status of the current holders of PNA and PNB shares will be equivalent and because such shareholders will be subject to the same effects of the proposed operation, and there will be no loss of right to the PN share classes. In addition, distortions are avoided in the decision-making process, especially considering the small representation of PNA shares in the total share capital of the Company and its high degree of share dispersion. Thus, the proposal for PN Unification presented herein, whose effectiveness remains subject to obtaining the Waivers described in item 3 above, becomes a fundamental measure to enable the appropriate resolution on the subsequent PN Conversion and Migration to the Novo Mercado. Finally, the Management emphasizes that the changes to Art. 5 of the Bylaws to reflect the PN Unification are already described in the table in item 3 above. Voting right Holders of common shares have the right to vote on this item of the agenda. Additionally, pursuant to Article 6 of the Company’s bylaws, no shareholder or group of shareholders, Brazilian or foreign, public or private, may exercise voting rights in excess of the percentage equivalent to 10% (10 percent) of the total number of shares into which Copel’s voting capital is divided, regardless of their stake in the share capital. Approvals This matter was subject to review by the Board of Directors, at its 258th Extraordinary Meeting, held on June 23, 2025, and at its 259th Extraordinary Meeting, held on July 11, 2025; and by the Manual for participation in General Meetings 24/30 Supervisory Board, at its 536th Meeting, held on June 23, 2025, and at its 537th Meeting held on July 11, 2025 5. AMENDMENT OF ART. 5 OF THE COMPANY’S BYLAWS FOR CREATION OF CLASS “C” PREFERRED SHARES, NOMINATIVE, BOOK-ENTRY AND WITHOUT NOMINAL VALUE (“PNC”), COMPULSORILY REDEEMABLE, WITHOUT THE NEED FOR APPROVAL AT A SPECIAL MEETING OF PNC SHAREHOLDERS, UNDER § 6 OF ART. 44 OF THE BRAZILIAN CORPORATE LAW Clarifications The proposal provides for the amendment of Art. 5 of the Bylaws to create a new class of preferred shares, called “PNC”, nominative, book-entry and without nominal value, compulsorily redeemable. In the context of the Migration to the Novo Mercado, as indicated in the items above, the Company's share capital should be exclusively composed of voting shares, which will require the conversion of the PN shares (current PNA and PNB shares, which will be unified) into common shares, if the proposal contained in item 4 above (PN Unification) is approved by the EGM. The structure proposed by the Company's management to enable this conversion of shares - PN Conversion, detailed in item 6 below - assumes, in summary: (a) the creation of the new PNC preferred share class; and (b) the mandatory conversion of all PN shares into common shares and "PNC" shares, observing the proportion of 1 common share and 1 PNC share for each 1 PN share. Accordingly, in the event of approval, current holders of PNA and PNB shares will receive 1 common share and 1 compulsorily redeemable PNC share. The PNC share created herein would be redeemed immediately after conversion, without the need for new approval at a Special Meeting of the PNC shareholders, as authorized by article 44, §6, of the Brazilian Corporate Law. The terms and conditions of the redemption of PNC shares are detailed in item 4 of this Proposal Under the proposed terms, PNC shares will have the following characteristics, rights and advantages, to be provided for in Article 5 of the Bylaws, as below: “Art. 5. (...) § 1. Subject to the provisions of Article 100, the Company may, by resolution of the General Meeting, issue preferential, nominative and non-nominal shares, which will have the following characteristics, rights and advantages: I. except for the provisions of the Level 2 Regulation until migration to the Novo Mercado, they shall not grant the holder the right to vote in the resolutions of the General Meeting, nor shall they acquire the right to vote fully in the event of non-declaration or payment of the proceeds to which they are entitled; II. they shall grant priority to repayment of capital in the event of liquidation of the Company's Manual for participation in General Meetings 25/30 assets, without premium, in the amount corresponding to the percentage of the share capital represented by such share; III. they are automatically and compulsorily redeemable immediately upon issuance, without the need for a special meeting of holders of preferred shares, for the amount to be defined at the time of its issuance, to be paid in national currency on the date of redemption, occasion on which the Company is permitted to withhold amounts for tax payment purposes, taxes, fees and expenses for which, by law, the Company is responsible for withholding at the source on behalf of the shareholder. IV. they confer the right to receiving proceeds on equal terms with the common shares issued by the Company; and V. they confer the right to be included in a public offer of disposal of control, on equal terms with common shares.” It should be emphasized that the proposal to amend Article 5 of the Bylaws, pursuant to the above terms, is already included in Appendices II, III and IV to this Management Proposal, which, in compliance with the provisions of Article 12 of RCVM 811, highlight the changes proposed to the Company's Bylaws (including the reform proposed in item 8 of the agenda), detailing the origin and justification of the proposed changes and analysis of their legal and economic effects. It is also noted that, in compliance with Article 18 of RCVM 81, Appendix V to this Management Proposal provides information relating to the creation of a new preferred share class. Finally, Appendix VI also provides information relating to the right of withdrawal to the holders of PN shares, as required by Article 21 of RCVM 81. Voting right Holders of common shares have the right to vote on this item of the agenda. Additionally, pursuant to Article 6 of the Company’s bylaws, no shareholder or group of shareholders, Brazilian or foreign, public or private, may exercise voting rights in excess of the percentage equivalent to 10% (10 percent) of the total number of shares into which Copel’s voting capital is divided, regardless of their stake in the share capital. Approvals This matter was subject to review by the Board of Directors, at its 258th Extraordinary Meeting, held on June 23, 2025, and at its 259th Extraordinary Meeting, held on July 11, 2025; and by the 1 For clarification purposes, the appendices related to the Bylaws include the following information: Annex II - Company Bylaws reflecting, among other changes, the new wording of Art. 5, with the proposed changes highlighted, in accordance with Art. 12 of RCVM 81. Annex III – Comparative table with the proposed amendment to the Company's Bylaws reflecting, among other amendments, the new wording of Art. 5, with description of the current articles and proposed articles and the justifications for the amendment, in accordance with Art. 12 of the 81 SmPC; and Annex IV - Bylaws of the consolidated Company. Manual for participation in General Meetings 26/30 Supervisory Board, at its 536th Meeting, held on June 23, 2025, and at its 537th Meeting held on July 11, 2025. 6. CONDITIONED ON THE APPROVAL OF PN UNIFICATION, MANDATORY CONVERSION OF ALL PN SHARES INTO COMMON SHARES AND PREFERRED PNC SHARES, OBSERVING THE PROPORTION OF ONE NEW COMMON SHARE AND ONE NEW PNC SHARE FOR EACH PN SHARE (“PN CONVERSION”), THE EFFECTIVENESS OF WHICH WILL BE SUBJECT TO THE IMPLEMENTATION OF THE FOLLOWING SUSPENSIVE CONDITIONS (“SUSPENSIVE CONDITIONS - NM”): (i) RATIFICATION OF THE PN CONVERSION AT A SPECIAL MEETING OF PREFERRED SHAREHOLDERS, PURSUANT TO ART. 136, § 1 OF THE BRAZILIAN CORPORATE LAW (“PN RATIFICATION”); (ii) OBTAINING WAIVERS; AND (iii) EFFECTIVE ENTRY OF THE COMPANY INTO THE NOVO MERCADO SEGMENT AND EFFECTIVE ADMISSION TO TRADING OF THE COMPANY'S SHARES IN THE NOVO MERCADO SEGMENT ("MIGRATION TO NOVO MERCADO"). Clarifications As highlighted above, to enable Migration to the Novo Mercado, the Company's management proposes a structure that includes the PN Conversion, namely, the mandatory conversion of all PN shares (currently PNA and PNB shares unified) into common shares and PNC shares - observing the proportion of 1 common share and 1 PNC share for each 1 PN share. It should be emphasized once again that the PN Conversion is necessary to meet the requirements of the Novo Mercado Regulation. Pursuant to Art. 8 of the Regulation, except for special classes of preferred shares in the event of destatization – as attributed to the State of Paraná pursuant to Art. 5 of the Bylaws – the share capital of the companies listed in the Novo Mercado must be divided exclusively into common shares. For clarification purposes, the preferred shares owned by the State of Paraná will not be subject to any modification in this Migration to the Novo Mercado process. Thus, the Company's management proposes that the Shareholders decide on the PN Conversion, the effectiveness of such conversion being conditioned on: (i) ratification by the holders of preferred shares (unified PNA and PNB shares) gathered at a special meeting, pursuant to Art. 136, §1 of the Brazilian Corporate Law, to be convened in due course (“PN Classification”); (ii) obtaining the Waivers; and (ii) migration to the Novo Mercado, with the effective admission of shares issued by the Company to trading in the segment. With regard to the Suspensive Conditions - NM, the Company's management reinforces that it will adopt all the relevant measures for its compliance. Manual for participation in General Meetings 27/30 Firstly, preferred shareholders will be convened to decide on PN Ratification at a special meeting (“AGESP PN”), as set forth in Article 136, §1, of the Corporations Law. The convening of the AGESP PN will only occur after the approval of the PN Unification (and obtaining of Waivers), so that, at the time of the AGESP PN, the necessary corporate approvals to enable the PN Unification (object of items 2, 3 and 4 of the agenda of this EGM) will have been obtained. In this sense, the current shareholders holding PNA and PNB shares will participate in the same special meeting, on equal terms, and the matter will be considered approved, pursuant to §1 of Art. 136 of the Brazilian Corporate Law, upon approval by holders of more than half of the PN shares (which, as mentioned, shall include the current PNA and PNB shares, considering the PN Unification). The convening of AGESP PN, with the information pertinent to the resolution by the PN shareholders, will be timely disclosed to the market by the Company's management. The current holders PNA and PNB shares who do not approve the PN Conversion in AGESP PN - either by dissention, abstention or absence —shall have the right to withdraw from the Company, through reimbursement of the shares that they are proven to be uninterrupted holders between the date of the relevant fact that announced the PN Conversion, on June 23, 2025 (date the transaction was disclosed to the market), and the effective exercise date of the right of wihdrawal, pursuant to art. 137, § 1, of the Brazilian Corporate Law. It is also important to note that Copel reserves the right to convene a general meeting to ratify or reconsider the deliberation, if Management believes that the payment of the price of reimbursement of the PN shares to the dissenting shareholders who exercised the right of withdrawal will jeopardize the financial stability of the Company, pursuant to Art. 137, §3, of the Corporation Law. It should also be emphasized that, pursuant to Article 107 of the Company's Bylaws, in the event of exercise of the right of withdrawal by shareholders holding PN shares, the amount of reimbursement will correspond to the book equity value of the share, calculated based on the net equity contained in the last financial statements approved by the general meeting, ensuring the right to draw up the special balance sheet provided for in Art. 45 of the Corporate Law. With regard to the Waivers, the Company's management reiterates that it has already started the analyses for its obtaining and will conduct the pertinent negotiations with the creditors in a timely manner. Finally, the PN Conversion also remains conditional on the Migration to the Novo Mercado – the order of which will be submitted to B3, as proposed in item 1 of the agenda of this Meeting. In this regard, the Company only clarifies that this condition will be considered fulfilled when B3 approval occurs, even if conditional, and the setting of the date on which the Company's shares will be traded on the Novo Mercado, without prejudice to any operational aspects necessary to carry out the PN Conversion itself. It should be noted that if the PN Conversion is concluded, the Company's capital will be divided exclusively into common, nominative, book-entry shares and without nominal value, with the exception of the Golden Share owned by the State of Paraná. Manual for participation in General Meetings 28/30 Information regarding the right of withdrawal arising from the PN Conversion, in compliance with Article 21 of the 81 RCVM, is found in Annex VI to this Proposal. Voting right Holders of common shares have the right to vote on this item of the agenda. Additionally, pursuant to Article 6 of the Company’s bylaws, no shareholder or group of shareholders, Brazilian or foreign, public or private, may exercise voting rights in excess of the percentage equivalent to 10% (10 percent) of the total number of shares into which Copel’s voting capital is divided, regardless of their stake in the share capital. Approvals This matter was subject to review by the Board of Directors, at its 258th Extraordinary Meeting, held on June 23, 2025, and at its 259th Extraordinary Meeting, held on July 11, 2025; and by the Supervisory Board, at its 536th Meeting, held on June 23, 2025, and at its 537th Meeting held on July 11, 2025 7. CONDITIONED ON THE PN CONVERSION, APPLICATION OF AVAILABLE RESERVES IN THE COMPULSORY REDEMPTION OF ALL THE PN SHARES, FOR THE AMOUNT OF R$ 0.7749 PER SHARE, WITHOUT MODIFICATION OF THE SHARE CAPITAL ("REDEMPTION") Clarifications In order to promote adherence and encourage shareholder approval of the transaction, especially the current holders of PNA and PNB shares, the Company's management proposes that the Conversion of Shares include, in addition to the delivery of the corresponding number of common shares (in the proportion of 1 common share for each PN share, as applicable), the delivery of 1 compulsorily redeemable PNC share, with the characteristics, rights and advantages provided for in item 5 of this Proposal. The Company's management proposes that the redemption, to be carried out immediately after the PN Conversion, be effected at the amount of R$ 0.7749 per PNC share redeemed. Under the proposed terms, the Redemption will be effective without reduction of share capital, through the application of available profit and capital reserves. The Company emphasizes that the Redemption is conditioned on the prior implementation of the PN Conversion. Finally, the Company reinforces that Redemption will not be subject to the approval of the holders of "PNC" shares, in view of the proposal to amend Art. 5 of the Bylaws and the provisions of Art. 44, § 6, of the Corporate Law. Voting right Holders of common shares have the right to vote on this item of the agenda. Additionally, pursuant to Article 6 of the Company’s bylaws, no shareholder or group of shareholders, Brazilian or foreign, public or private, may exercise voting rights in excess of the percentage equivalent to 10% (10 percent) of the total number of shares into which Copel’s voting capital is divided, regardless of their stake in the share capital. Manual for participation in General Meetings 29/30 Approvals This matter was subject to review by the Board of Directors, at its 258th Extraordinary Meeting, held on June 23, 2025, and at its 259th Extraordinary Meeting, held on July 11, 2025; and by the Supervisory Board, at its 536th Meeting, held on June 23, 2025, and at its 537th Meeting held on July 11, 2025 8. CONDITIONED ON PN CONVERSION, AMENDMENT AND CONSOLIDATION OF THE COMPANY'S BYLAWS TO PROVIDE FOR IMPROVEMENT IN GOVERNANCE AND AUTHORITY RULES AND INCLUSION OF THE PROVISIONS REQUIRED BY THE NOVO MERCADO LISTING REGULATION, PURSUANT TO THE MANAGEMENT PROPOSAL, ("AMENDMENT OF BYLAWS") Clarifications In view of the matters highlighted above, the Company's management proposes the Amendment of Bylaws to provide for and enable the PN Conversion (reflecting the result of its implementation), the improvement in governance and authority rules and the inclusion of the provisions required by the Novo Mercado Regulation. The effectiveness of the Shareholders’ resolution that approves the Amendment of Bylaws will be subject to the effective PN Conversion, which, in turn, is subject to the implementation of the Suspensive Conditions - NM detailed in item 6 above. Finally, it should be emphasized that the information required by RCVM 812, in the context of the reform of the Bylaws proposed herein, can be found in Appendices II, III and IV to this Management Proposal. Voting right Holders of common shares have the right to vote on this item of the agenda. Additionally, pursuant to Article 6 of the Company’s bylaws, no shareholder or group of shareholders, Brazilian or foreign, public or private, may exercise voting rights in excess of the percentage equivalent to 10% (10 percent) of the total number of shares into which Copel’s voting capital is divided, regardless of their stake in the share capital. Approvals This matter was subject to review by the Board of Directors, at its 258th Extraordinary Meeting, held on June 23, 2025, and at its 259th Extraordinary Meeting, held on July 11, 2025; and by the 2 For clarification purposes, the appendices related to the Bylaws include the following information: Annex II - Company Bylaws reflecting, among other changes, the new wording of Art. 5, with the proposed changes highlighted, in accordance with Art. 12 of RCVM 81. Annex III – Comparative table with the proposed amendment to the Company's Bylaws reflecting, among other amendments, the new wording of Art. 5, with description of the current articles and proposed articles and the justifications for the amendment, in accordance with Art. 12 of the 81 SmPC; and Annex IV - Bylaws of the consolidated Company. Manual for participation in General Meetings 30/30 Supervisory Board, at its 536th Meeting, held on June 23, 2025, and at its 537th Meeting held on July 11, 2025 9. AUTHORIZATION FOR ADMINISTRATORS TO PERFORM ALL ACTS NECESSARY TO IMPLEMENT THE DELIBERATIONS Clarifications Finally, it is proposed that the Company's management be authorized to perform all the acts necessary to carry out the aforementioned deliberations, including filing, before the competent auhtorities, the consolidated version of the Bylaws reflecting the changes approved herein. Approvals This matter was subject to review by the Board of Directors, at its 258th Extraordinary Meeting, held on June 23, 2025, and at its 259th Extraordinary Meeting, held on July 11, 2025; and by the Supervisory Board, at its 536th Meeting, held on June 23, 2025, and at its 537th Meeting held on July 11, 2025 V. APPENDICES Appendix I – Information regarding the right of withdrawal by shareholders holding common shares, in accordance with Art. 21 of RCVM 81 Appendix II – Company Bylaws reflecting, among other amendments, the new wording of Art. 5, with the proposed changes highlighted, in accordance with Art. 12 of RCVM 81. Appendix III – Comparative table with the proposed amendment to the Company's Bylaws reflecting, among other amendments, the new wording of Art. 5, with description of the current articles and proposed articles and the justifications for the amendment, in accordance with Art. 12 of RCVM 81. Appendix IV – Consolidated Bylaws of the Company. Appendix V – Information regarding the creation of a new preferred share class (PNC), in accordance with Art. 18 of RCVM 81 Appendix VI – Information regarding the right of withdrawal by shareholders holding PN shares, in accordance with Art. 21 of RCVM 81 Appendix I INFORMATION RELATING TO THE RIGHT OF WITHDRAWAL, IN ACCORDANCE WITH ART. 21 OF RCVM 81 (ANNEX H OF RCVM 81) 1. Describe the event that gave or will give rise to the withdrawal and its legal basis Under this Proposal, with the objective of enabling the migration of the Company to the Novo Mercado segment of B3, the Company's management proposed to its shareholders, among other matters, the change in preferences and benefits conferred to class “B” preferred shares (“PNB”) to match class “A” preferred shares (“PNA”), with the respective amendment of Art. 5 of the Company's Bylaws, whose effectiveness will be subject to the approval of creditors whose financial instruments provide for the early maturity of the debts of the Company or its subsidiaries as a result of the approval of any matters provided herein (“Waivers”). Pursuant to Article 136, II, of the Brazilian Corporate Law, the structure proposed above, with the equalizing of the preferences and advantages conferred on PNA shares with PNB shares, involves matters that, under the terms of the Brazilian Corporate Law (art. 137, I), confer the right of withdrawal to the holders of common shares, in view of the expansion of preferences and advantages of the former PNB shares. Shareholders who hold common shares that do not approve the change in preferences and advantages conferred to PNB shares to match PNA shares – whether by dissention, abstention or absence – will have the right to withdraw from the Company, through the reimbursement of shares of which they are proven to be uninterrupted holders between this date and the date of effective exercise of the right of withdrawal, pursuant to Art. 137, § 1, of the Brazilian Corporate Law. The criteria for calculating the reimbursement amount in the event of exercising of the right of withdrawal are provided for in item 5 below. Finally, the Company notes that it reserves the right to convene a general meeting to ratify or reconsider the decision, if administrators understand that payment of the price of the reimbursement of common shares to dissenting shareholders who exercised the right of withdrawal will put the financial stability of the Company at risk, pursuant to Art. 137, §3, of the Brazilian Corporate Law. 2. Report the shares and classes to which the withdrawal applies The right of withdrawal will be applicable to holders of common shares that do not approve – whether by dissention, abstention or absence – the change of preferences and advantages conferred on the PNB to match the PNA at the General Shareholders’ Meeting. 3. Inform the date of the first publication of the call notice of the meeting, as well as the date of communication of the material fact regarding the decision that gave or will give rise to the withdrawal The Material Fact regarding the proposals that will give rise to the right of withdrawal is disclosed by the Company on this date, July 11, 2025. The re-ratification of the call notice of this Meeting which included the proposal was originally published on July 11, 2025. 4. Inform the deadline for exercising the right of withdrawal and the date that will be considered for the purpose of determining the holders of the shares that may exercise the right of withdrawal Uninterrupted holders of common shares between July 11, 2025 and the date of effective exercise of the right of withdrawal, pursuant to Art. 137, § 1, of the Brazilian Corporate Law. Among such shareholders, those holders of common shares who do not approve – whether by dissention, abstention or absence, at the General Meeting, the change of preferences and advantages conferred on PNBs to match PNAs may exercise the right of withdrawal. Pursuant to Art. 137, IV, of the Brazilian Corporate Law, the deadline for exercising the right of withdrawal, under penalty of forfeiture, will be up to 30 days from the date of publication of the minutes of the EGM. 5. Report the amount of the reimbursement per share or, if it is not possible to determine it in advance, the management estimate of this amount Pursuant to Article 107 of the Company's Bylaws, in the event of exercise of the right of withdrawal by shareholders holding common shares, the amount of reimbursement will correspond to the book equity value of the share, calculated based on the net equity contained in the last financial statements approved by the general meeting, ensuring the right to draw up the special balance sheet provided for in Art. 45 of the Brazilian Corporate. Based on this criterion, the equity value of the Company's shares calculated based on the financial statements for the fiscal year ended December 31, 2024, adjusted based on the net equity divided by the number of outstanding shares, excluding shares in treasury, would correspond to BRL 8.6467556201 per share. 6. Inform how reimbursement is to be calculated The amount of the reimbursement will correspond to the book equity value of the share, calculated based on the net equity contained in the last financial statements approved by the general meeting, observing the provisions of item 5 above. 7. Inform whether shareholders will be entitled to request the drawing up of the special balance sheet The right to draw up the special balance sheet provided for in art. 45 of the Brazilian Corporate Law will be guaranteed, in compliance with the provisions of item 5 above. 8. If reimbursement amount is determined by evaluation, list experts or specialist companies recommended by management Not applicable. 9. In the event of incorporation, incorporation of shares or merger involving controlling and controlled companies or under common control a) Calculate stock replacement relationships based on equity value at market prices or other criteria accepted by CVM b) Inform whether the relationships of substitution of the actions provided for in the operation protocol are less advantageous than those calculated in accordance with item 9 (a) above c) Report the reimbursement amount calculated based on the value of the equity at market prices or other criteria accepted by the CVM Not applicable. 10. Report the equity value of each share calculated according to the last approved balance sheet The equity value of the Company's shares calculated based on the financial statements for the fiscal year ended December 31, 2024, adjusted based on the net equity divided by the number of shares outstanding, excluding shares in treasury, would correspond to BRL 8.6467556201 per share. BYLAWS OF COMPANHIA PARANAENSE DE ENERGIA Approved and consolidated by the 211212th Extraordinary General Meeting of Shareholders, held on 10/30/2024.August 22, 2025 CNPJ (National Registry of Legal Entities): 76.483.817/0001-20 NIRE (Company Register Identification Number): 41300036535 CVM (Securities and Exchange Commission]) Registration: 1431-1 Rua José Izidoro Biazetto, 158, Bloco A Curitiba - Paraná - Brazil ZIP Code: 81200-240 email: copel@copel.com Website: http://www.copel.com Phone: (41) 3310-5050 Fax: (41) 3331-4145 Copel Bylaws – p. 1/39 SUMMARY CHAPTER I - CORPORATE NAME, DURATION, HEADQUARTERS AND CORPORATE PURPOSE .............................................................................................................. 3 CHAPTER II - SHARE CAPITAL AND SHARES .......................................................................... 4 CHAPTER III - GENERAL SHAREHOLDERS’ MEETING (GSM) ................................................. 8 CHAPTER IV - MANAGEMENT OF THE COMPANY .................................................................... 9 SEÇÃO I - BOARD OF DIRECTORS (BOD) .................................................. 10 Composition, Appointment, and Term of Office ................................................... 10 Vacancy and Substitutions ................................................................................... 10 Operations ............................................................................................................ 11 Powers and Duties ................................................................................................ 11 SEÇÃO II - EXECUTIVE BOARD .................................................................... 15 Composition, Term, and Investiture ...................................................................... 15 Powers and Duties ................................................................................................ 15 Representation of the Company ........................................................................... 17 Vacancy and Substitution ..................................................................................... 17 SEÇÃO III - EXECUTIVE BOARD MEETINGS (REDIR) ................................. 18 Operations ............................................................................................................ 18 Powers and Duties ................................................................................................ 18 CHAPTER V - STATUTORY COMMITTEES ............................................................................... 20 SEÇÃO I - STATUTORY AUDIT COMMITTEE (CAE) ................................... 21 SEÇÃO II - INVESTMENT AND INNOVATION COMMITTEE (CII) ................ 22 SEÇÃO III - SUSTAINABLE DEVELOPMENT COMMITTEE (CDS) ............... 23 SEÇÃO IV - COMMITTEE OF PEOPLE (CDG, COMITÊ DE GENTE) ............ 23 CHAPTER VI - SUPERVISORY BOARD (FC) ............................................................................. 24 Composition and Operation .................................................................................. 24 Vacancy and Substitutions ................................................................................... 25 Representation and Opinions ............................................................................... 25 CHAPTER VII - COMMON RULES APPLICABLE TO THE STATUTORY BODIES ................... 25 Investiture, Impediments, and Restrictions .......................................................... 25 Compensation ....................................................................................................... 27 CHAPTER VIII - FISCAL YEAR, FINANCIAL STATEMENTS, PROFITS, RESERVES, AND DISTRIBUTION OF RESULTS ............................................................................ 27 CHAPTER IX - DISSOLUTION AND LIQUIDATION .................................................................... 28 CHAPTER X - DEFENSE MECHANISMS ................................................................................... 28 CHAPTER XI - CHANGE OF CONTROL AND EXIT FROM THE NOVO MERCADO ............. 29 CHAPTER XII - WITHDRAWAL FROM B3’S LEVEL 2 CORPORATE GOVERNANCE ............. 31 CHAPTER XIII - PROTECTION OF PUBLIC FLOAT ..................................................................... 32 CHAPTER XIIIV - CONFLICT RESOLUTION ................................................................................... 32 CHAPTER XIV - GENERAL PROVISIONS ..................................................................................... 32 ANNEXES: I AMENDMENTS TO THE BYLAWS ............................ Erro! Indicador não definido. II EVOLUTION OF SHARE CAPITAL ........................... Erro! Indicador não definido. Copel Bylaws – p. 2/39 DEFINITIONS: GSM: GENERAL SHAREHOLDERS’ MEETING EGSM: EXTRAORDINARY GENERAL SHAREHOLDERS’ MEETING JUCEPAR: COMMERCIAL REGISTRY OF THE STATE OF PARANÁ (JUNTA COMERCIAL DO ESTADO DO PARANÁ) DOE PR: OFFICIAL GAZETTE OF THE STATE OF PARANÁ (DIÁRIO OFICIAL DO ESTADO DO PARANÁ) Note: The original text was filed with JUCEPAR under No. 17,340 (now 41300036535) on 06/16/1955 and published in the DOE PR dated 06/25/1955. Copel Bylaws – p. 3/39 CHAPTER I - CORPORATE NAME, DURATION, HEADQUARTERS AND CORPORATE PURPOSE Art. 1° Companhia Paranaense de Energia – Copel, hereinafter referred to as “Copel” or the “Company,” is a publicly held corporation, endowed with legal personality under private law, governed by these Bylaws and by the applicable legislation. Sole Paragraph §1 The Company’s corporate name may not be altered. §2 With the Company's entry into the Novo Mercado da B3 S.A. – Brazil, Bolsa, Balcão ("B3"), the Company, its shareholders, including controlling shareholders, administrators and members of the supervisory board, when installed, are subject to the provisions of the Novo Mercado Regulation. Art. 2° The Company’s duration is indefinite. Art. 3° The Company has its principal place of business and legal venue in the City of Curitiba, State of Paraná, Brazil, and may establish, in Brazil and abroad, branches, agencies, subsidiaries, and offices. Sole Paragraph. The Company’s headquarters must always be located within the State of Paraná. Art. 4° The corporate purpose of the Company is to: I research and study, from technical and economic perspectives, any sources of energy, providing solutions for sustainable development; II research, study, plan, construct, and operate the production, transformation, transportation, storage, distribution, and trading of energy in any of its forms, principally electrical energy, fuels, and energy raw materials; III study, plan, design, construct, and operate dams and their reservoirs, as well as other projects aimed at the multiple use of water resources; IV provide services in the fields of energy business, energy infrastructure, information, and technical assistance regarding the rational use of energy and business initiatives aimed at the implementation and development of economic activities, provided that such activities are previously authorized by the Board of Directors; and V carry out activities in the fields of energy generation, electronic information transmission, communications and electronic controls, cellular telephony, and other activities of interest to Copel, being authorized, for these purposes and subject to prior authorization by the Board of Directors, to participate, preferably with a majority interest or a controlling interest, in consortia, companies, public bidding processes for new concessions, and/or existing companies established to operate existing concessions, taking into account, in addition to the general characteristics of the projects, the respective social and environmental impacts. § 1° The Company may, for the purpose of pursuing its corporate purpose, form subsidiaries, assume corporate control, and participate in the share capital of other companies or entities, provided that prior authorization is obtained from the Board of Directors. § 2° For the purpose of pursuing its corporate purpose and within its scope of operations, the Company may open, establish, maintain, transfer, or close branches, offices, agencies, representations, or any other establishments, or appoint representatives, subject to applicable legal and regulatory provisions. § 3° Upon the Company’s admission to the special listing segment known as Level 2 of Corporate Governance of B3 S.A. – Brasil, Bolsa, Balcão, the Company, its Copel Bylaws – p. 4/39 shareholders, officers (members of the Board of Directors and the Executive Board), and members of the Supervisory Board shall be subject to the provisions of the Level 2 Corporate Governance Listing Rules of B3 (Level 2 Rules). § 4° The provisions of the Level 2 Corporate Governance Listing Rules of B3 shall prevail over the provisions of these Bylaws in the event of any prejudice to the rights of the recipients of the public offers provided for herein. CHAPTER II - SHARE CAPITAL AND SHARES Art. 5 The fully paid-in share capital amounts to R$12,831,618,938.25 (twelve billion, eight hundred thirty-one million, six hundred eighteen thousand, nine hundred thirty-eight reais and twenty-five cents), represented by 2,982,810,591 (two billion, nine hundred eighty-two million, eight hundred ten thousand, five hundred ninety-one) shares without par value, consisting of 1,300,347,300 (one billion, three hundred million, three hundred forty-seven thousand, three hundred) common shares and 1,682,463,291 (one billion, six hundred eighty-two million, four hundred sixty-three thousand, two hundred ninety-one) preferred shares, of which 3,128,000 (three million, one hundred twenty-eight thousand) are Class A preferred shares and 1,679,335,290 (one billion, six hundred seventy-nine million, three hundred thirty-five thousand, two hundred ninety) are Class B preferred shares, fully subscribed and paid-in, divided into 2,982,810,590 (two billion, nine hundred and eighty-two million, eight hundred and ten thousand five hundred and ninety) common, nominative, bookkeeping shares and without nominal value and in 1 (one) special class preferred share held exclusively by the State of Paraná. § 1 Having observed the provisions of Article 100, the Company may, by resolution of the General Meeting, issue preferential, nominative and no nominal value shares, which will have the following characteristics, rights and advantages: I except for the provisions of the Level 2 Regulation until migration to the Novo Mercado, they do not grant the holder the right to vote in the resolutions of the General Meeting, nor will they acquire the right to vote in full in the event of non-declaration or payment of the proceeds to which they are entitled; II confer priority of capital reimbursement in the event of liquidation of the Company's assets, without premium, in the amount corresponding to the percentage of the share capital represented by such share; III are automatically and compulsorily redeemable immediately upon issuance, without the need for a special meeting of shareholders holding preferred shares, the amount to be defined at the time of its issuance, to be paid in national currency on the date of redemption, the Company is permitted to withhold amounts for tax payment purposes, taxes, fees and expenses for which, by law, the Company is responsible for carrying out the collection at the source in the name and on behalf of the shareholder; IV confer the right to receive proceeds on equal terms with the common shares issued by the Company; and V confer the right to be included in a public offer of transfer of control, on equal terms with common shares. § 1 2 The share capital may be increased, by resolution of the Board of Directors, after consulting the Supervisory Board, if installed, pursuant to applicable law and without the need for an amendment to the Bylaws, up to the limit of 4,000,000,000 (four billion) shares for the following purposes: I capitalization of profits and reserves; II in the event the General Shareholders’ Meeting resolves to issue subscription warrants, debentures convertible into shares, or, pursuant to a plan approved Copel Bylaws – p. 5/39 by the General Shareholders’ Meeting, to grant stock options to officers and employees, the exercise of the respective conversion or subscription rights; or III placement through sale on the stock exchange or public subscription of new common shares. § 2 3 The shares are registered, book-entry shares, and are maintained in deposit accounts with a duly authorized financial institution. § 3 4 The Company is authorized to select the financial institution, by resolution of the Board of Directors, to maintain the book-entry shares in deposit accounts. § 4 5 The Company may, with authorization from the Board of Directors, acquire its own shares, subject to the rules established by the Brazilian Securities and Exchange Commission. § 5 6 The special class preferred share, held exclusively by the State of Paraná, may only be redeemed with legal authorization and upon resolution by an Extraordinary General Shareholders’ Meeting. §6 Capital increases may be carried out through the issuance of common shares and class B preferred shares, without maintaining proportionality with the existing classes or with the common shares, subject to the limit established under Federal Law No. 6,404/1976, as amended. §7 The preferred shares shall grant their holders the following preferences and advantages: I. Class A preferred shares shall have priority in the distribution of minimum dividends of ten percent (10%) per year, to be equally divided among them, calculated based on the capital paid in for this type and class of shares as of December 31 of the previous year, and such amount shall be credited against the mandatory dividend provided for in Article 87; II. Class B preferred shares shall have priority in the distribution of mandatory dividends, to be equally divided among them, corresponding to a portion equivalent to at least twenty-five percent (25%) of net income, adjusted pursuant to Federal Law No. 6,404/1976, as amended, calculated proportionally to the capital paid in for this type and class of shares as of December 31 of the previous year; III. The dividends secured by the preceding item to class B preferred shares shall have priority only over common shares and shall be paid solely from the remaining profits after the payment of the priority dividends to class A preferred shares; IV. The dividend to be paid per class A and class B preferred share shall be at least ten percent (10%) higher than that attributed to each common share, in accordance with the provisions of Federal Law No. 6,404/1976, as amended; V. Class A and class B preferred shares shall acquire full voting rights if the priority or minimum dividends to which they are entitled are not paid for three (3) consecutive fiscal years; VI. Class A and Class B preferred shares guarantee their holders the right to be included in any public tender offer for the acquisition of shares resulting from the Company’s Change of Control, at the same price and under the same conditions offered to the Selling Controlling Shareholder; and VII § 7 The special class preferred share held by the State of Paraná shall confer upon the State of Paraná priority in the reimbursement of capital, without premium, in the event of the Company’s liquidation, corresponding to the percentage that such share represents of the share capital, and the power to veto resolutions at the general shareholders’ meeting: a) that authorize the officers to approve and execute the Annual Investment Plan of Copel Distribuição S.A. in the event that the investments, as from Copel Bylaws – p. 6/39 the 2021/2025 rate cycle, deemed prudent by ANEEL (Agência Nacional de Energia Elétrica [National Agency for Electricity]), do not reach, at a minimum, 2.0 times the Regulatory Depreciation Quota (QRR, Quota de Reintegração Regulatória) for that same Ordinary Rate Review cycle and/or on an accumulated basis by the end of the concession; b) hat aim to amend the Bylaws in order to remove or modify: 1. the obligation to maintain the Company’s current corporate name; 2. the obligation to maintain the Company’s headquarters in the State of Paraná; 3. the prohibition against any shareholder or group of shareholders exercising voting rights in a number exceeding 10% (ten percent) of the shares into which Copel’s voting share capital is divided; 4. the prohibition against the execution, filing, and registration of shareholders’ agreements for the exercise of voting rights, except for the formation of voting blocs with a number of votes below the limit set forth in these Bylaws; and 5. the exclusive authority of the general shareholders’ meeting to authorize the administrators to approve and execute the Copel Distribuição S.A. Annual Investment Plan if the investments, starting from the 2021/2025 rate cycle, deemed prudent by ANEEL, do not reach at least 2.0x the Regulatory Depreciation Quota (QRR) for that same Ordinary Rate Review cycle and/or, in the aggregate, by the end of the concession term. § 8 Each Class A and Class B preferred share grants its holder restricted voting rights, exclusively on the following matters: I transformation, merger, consolidation, or spin-off of the Company; II approval of agreements between the Company and the Controlling Shareholder, whether directly or through third parties, as well as with other companies in which the Controlling Shareholder holds an interest, whenever such agreements, by legal or statutory provision, must be resolved at a General Shareholders’ Meeting; III valuation of assets contributed for the purposes of increasing the Company’s share capital; IV selection of a specialized institution or firm to determine the Economic Value of the Company, as provided in Article 100 of these Bylaws; V amendment or repeal of statutory provisions that alter or modify any of the requirements set forth in item 4.1 of the Level 2 Corporate Governance Rules of B3, it being understood that such voting right shall prevail for as long as the Participation Agreement in Level 2 Corporate Governance remains in effect; and VI removal or amendment intended to eliminate the right provided in item XXIX of Article 30, as well as the right provided in this item, it being understood that such amendment shall require the approval of the majority of the preferred shares in a special shareholders’ meeting called for this purpose. § 9 8 Subject to the veto power provided for in item VII of paragraph 7 of this article, the special class preferred share held by the State of Paraná shall not carry voting rights, nor shall it acquire voting rights in the event of nonpayment of the distributions to which it is entitled. § 10 9The veto power provided for in item VII of paragraph 7 of this article may only be exercised in accordance with the terms of State of Paraná Law No. 21,272/2022 and applicable legislation. § 11 The shares issued by the Company may be converted into another type and class, subject to the following rules: Copel Bylaws – p. 7/39 I the class A preferred shares may be converted into class B preferred shares at any time; II the class A and class B preferred shares may be converted into common shares, in accordance with the timeframes, conditions, and procedures established by the Board of Directors; and III under no circumstances may the common shares or class B preferred shares be converted into class A preferred shares. § 12 10The issuances of shares, subscription warrants, convertible debentures, or other securities, up to the limit of the authorized capital, the placement of which occurs through sale on a stock exchange or public offering, may be approved with the exclusion of preemptive rights or reduction of the term for their exercise, in accordance with Federal Law No. 6,404/1976 and subsequent amendments. § 13 11 The debentures may be either non-convertible or convertible into shares, in accordance with Federal Law No. 6,404/1976 and subsequent amendments. Art. 6° No shareholder or group of shareholders, whether Brazilian or foreign, public or private, shall be permitted to exercise voting rights in excess of 10% (ten percent) of the total number of shares comprising Copel’s voting capital, regardless of their ownership interest in the share capital. Sole Paragraph – In the event that Copel’s preferred shares carry restricted voting rights or come to confer full voting rights under Article 111, paragraph 1, of Law No. 6,404 of 1976, the limitation set forth in the main clause of this Article 6 shall also apply to such preferred shares, such that all shares held by the shareholder or group of shareholders that confer voting rights with respect to a particular resolution (whether common or preferred shares) shall be considered for purposes of calculating the number of votes pursuant to the main clause of this Article. Art. 7° The execution of shareholders’ agreements aimed at regulating the exercise of voting rights in a number exceeding 10% (ten percent) of the total number of shares comprising Copel’s voting capital shall be prohibited, including in the situation described in Article 6, sole paragraph. § 1° The Company shall not file any shareholders’ agreement regarding the exercise of voting rights that conflicts with the provisions of these Bylaws. § 2° The chair of the Copel General Shareholders’ Meeting shall not count votes cast in violation of the rules set forth in Articles 6 and 7 of these Bylaws, without prejudice to the exercise of the State of Paraná’s right of veto, pursuant to Article 5 of these Bylaws. Art. 8° For purposes of these Bylaws, a group of shareholders shall be deemed to mean two (2) or more shareholders of the Company: I Who are parties to a voting agreement, either directly or through controlled companies, controlling companies, or companies under common control; II If one is, directly or indirectly, the controlling shareholder or controlling company of the other or of the others; III Who are companies directly or indirectly controlled by the same individual or entity, or group of individuals or entities, whether shareholders or not; or IV Who are companies, associations, foundations, cooperatives and trusts, investment funds or portfolios, universality of rights, or any other form of organization or enterprise with the same administrators or managers, or whose administrators or managers are companies directly or indirectly controlled by the same individual or entity, or group of individuals or entities, whether shareholders or not. § 1° In the case of investment funds with a common administrator or manager, they shall only be considered a group of shareholders if the investment policy and the policy for exercising voting rights at shareholders’ meetings, as provided in their respective Copel Bylaws – p. 8/39 regulations, are the responsibility of the administrator or manager, as the case may be, on a discretionary basis. § 2° In addition to the provisions of the caput and preceding paragraphs of this article, any shareholders represented by the same attorney-in-fact, administrator, or representative in any capacity shall also be deemed part of the same group of shareholders, except in the case of holders of securities issued under the Company’s Depositary Receipts program when represented by the respective depositary bank, provided that they do not fall within any of the other situations set forth in the caput or paragraph 1 of this article. § 3° In the case of shareholders’ agreements governing the exercise of voting rights, all signatories thereto shall be deemed, for purposes of this article, to be part of a group of shareholders for the application of the voting limit set forth in Articles 6 and 7. § 4° Shareholders must keep Copel informed of their membership in a group of shareholders pursuant to these Bylaws if such group of shareholders holds, in the aggregate, shares representing 10% (ten percent) or more of Copel’s voting capital. § 5° The members of the board of shareholders’ meetings may request documents and information from shareholders, as they deem necessary, in order to verify whether a shareholder belongs to a group of shareholders that may hold 10% (ten percent) or more of Copel’s voting capital. CHAPTER III - GENERAL SHAREHOLDERS’ MEETING (GM) Art. 9° The General Shareholders’ Meeting is the Company’s highest authority, vested with powers to deliberate on all matters related to its corporate purpose, and shall be governed by applicable law. Art. 10 The General Shareholders’ Meeting shall be called by the Board of Directors or, in the cases permitted by law, by the Executive Board, the Supervisory Board, if installed, or by the shareholders. Art. 11 The call notice of call shall be made published in accordance with applicable law, and the documents related to the respective agenda shall be made available on the same date as the call notice, in an accessible manner, including electronically. Sole Paragraph. At the General Shareholders’ Meetings, only matters included in the call notice of call shall be addressed, and the inclusion of general matters on the Meeting’s agenda shall not be permitted. Art. 12 The General Shareholders’ Meeting shall be convened and chaired by the Chairman of the Board of Directors or by a substitute appointed by the Chairman and, in the absence of both, by one (1) shareholder chosen at the time by the shareholders present. § 1° The quorum for convening General Shareholders’ Meetings, as well as for passing resolutions, shall be that determined by applicable law. § 2° The Chairman of the General Meeting shall choose one (1) secretary from among those present. Art. 13 The General Shareholders’ Meeting shall be held ordinarily within the first four (4) months following the end of the fiscal year to deliberate on the matters provided for by law, and extraordinarily whenever necessary. Sole Paragraph. The Annual General Shareholders’ Meeting and the Extraordinary General Shareholders’ Meeting may be convened and held cumulatively, at the same place, date, and time, and recorded in a single set of minutes. Art. 14 Each common share entitled to vote at the General Shareholders’ Meeting shall confer one (1) vote, subject to the voting limits applicable to each shareholder and group of shareholders, pursuant to Articles 6 and 7 of these Bylaws. Copel Bylaws – p. 9/39 Art. 15 A shareholder may participate in and be represented by a proxy at the General Shareholders’ Meetings, upon presentation, at the time of the meeting or beforehand, of documents and a power of attorney granting specific powers, as provided by law. Art. 16 The minutes of the General Shareholders’ Meeting shall be drawn up as a summary of the events that occurred, including any dissents and protests, and shall record only the resolutions passed, pursuant to Paragraph 1 of Article 130 of Law No. 6,404 of 1976, and its publication may omit the shareholders’ signatures, pursuant to Paragraph 2 of Article 130 of Law No. 6,404 of 1976. Art. 17 The General Shareholders’ Meeting, in addition to other cases provided by law, shall meet to resolve on: I the increase of share capital beyond the limit authorized in the Bylaws; II the appraisal of assets contributed by shareholders for the formation of share capital; III the transformation, merger, consolidation, spin-off, dissolution, and liquidation of the companyCompany; IV the amendment of the these Bylaws; V the election and removal, at any time, of the members of the Board of Directors, the Supervisory Board, if installed, and their respective alternates; VI the setting of compensation of officers, the members of the Supervisory Board, and the members of the Statutory Committees; VII the approval of the financial statements, of the management’s accounts, the allocation of the results for the fiscal year, and the distribution of dividends, in accordance with the dividend policy; VIII the authorization for the Company to bring a civil liability action against officers for losses caused to its assets; IX the disposal of real estate assets directly linked to the provision of services and the creation of security interests over them; X the exchange of shares or other securities; XI the issuance of debentures convertible into shares beyond the limit of the authorized capital set forth in these Bylaws; XII the issuance of any other securities or financial instruments convertible into shares, whether in Brazil or abroad, beyond the limit of the authorized capital set forth in these Bylaws; XIII the election and removal, at any time, of liquidators, and the review of their accounts; XIV the authorization for the officers to approve and execute the Annual Investment Plan of Copel Distribuição S.A. if, beginning with the 2021–2025 rate cycle, the investments deemed prudent by Aneel do not reach at least 2.0 times the Regulatory Reintegration Quota (QRR) for that same Ordinary Rate Review cycle and/or, on a cumulative basis, through the end of the concession; XV the suspension of the exercise of shareholders’ rights, pursuant to Article 120 of Law No. 6,404/76; and XVI approving, pursuant to the terms of the Novo Mercado Regulation, the waiving of a Public Offer to Purchase Shares in the event of voluntary exit from the Novo Mercado. Sole Paragraph. Subject to the exclusive powers assigned by law, the General Shareholders’ Meeting may deliberate on all businesses related to the Company’s corporate purpose and on any matters submitted to it by the Board of Directors. CHAPTER IV - MANAGEMENT OF THE COMPANY Art. 18 The Company shall be managed by the Board of Directors and the Executive Board. Sole Paragraph. The term for the members of the Board of Directors or the Executive Board extends until the investiture of the newly elected directors. Copel Bylaws – p. 10/39 SECTION I - BOARD OF DIRECTORS (BOD) Art. 19 The Board of Directors is a strategic and collegiate decision-making body responsible for the Company’s overall guidance. Composition, Appointment, and Term of Office Art. 20 The Board of Directors shall be composed of, at least, seven (7) and no more than nine (9) full members, elected and subject to removal by the General Shareholders’ Meeting, all serving a unified term of two (2) years, with reelection permitted as provided under Federal Law No. 6,404/1976 and other applicable regulations. § 1° Subject to the provisions of Federal Law No. 6,404/1976, the Internal Regulations of the Board of Directors shall establish the rules for nominating candidates and the election procedures to be adopted for filling the positions of director. § 2° Shareholders holding preferred shares who meet the percentages and requirements set forth in Article 141, paragraphs 4 and 5, of Federal Law No. 6,404/1976 are assured the right to elect one (1) director. § 3° The Board of Directors of the Wholly-Owned Subsidiaries shall be composed of at least three (3) members, including the General Director of the respective Wholly-Owned Subsidiary and one (1) officer of the Company. § 4 2 The positions of Chair of the Board of Directors and President of the Company or principal executive of the Company may not be held by the same person. § 5 3 The Board of Directors shall elect its Chair from among its members, and such election must take place at the first meeting following the assumption of office by the Directors or at the first meeting held after a vacancy occurs in such position. § 6 4 Nominations to the Board of Directors must comply with the requirements and prohibitions set forth in Federal Law No. 6,404/1976, the Company’s internal policy and rules on the nomination of members to statutory bodies, and must also meet the following parameters: I have a majority of independent directors, in accordance with the B3 Novo Mercado Level 2 Regulation and other applicable national and international regulations. The classification of the nominees as independent must be resolved at the General Shareholders’ Meeting; II rounding in the calculation of the number of independent members must comply with the provisions of the Level 2 Corporate Governance Rules of B3; and as a result of the calculation of independent members referred to in the item above, the result generates a fractional number, the Company must round up to the immediately higher whole number. III at least one (1) of the directors referred to in this paragraph 6 must have recognized experience in corporate accounting matters to serve on the Statutory Audit Committee provided for in these Bylaws. Art. 21 The assumption of office by members of the Board of Directors shall comply with the conditions established in Federal Law No. 6,404/1976 and other applicable legal provisions. Vacancy and Substitutions Art. 22 In the event of the permanent vacancy of a member of the Board of Directors before the expiration of the term, the Board of Directors shall convene a General Shareholders’ Meeting to elect a replacement to complete the term. § 1° Subject to the applicable legal requirements and prohibitions, the remaining directors shall appoint a substitute for the vacant position until the first General Shareholders’ Meeting, in accordance with Federal Law No. 6,404/1976. Copel Bylaws – p. 11/39 § 2° In the event of a vacancy of all positions on the Board of Directors, it shall be the responsibility of the Executive Board Officers to convene the General Shareholders’ Meeting. § 3° In the event of a vacancy in a position on the Board of Directors filled through the cumulative voting system, the General Shareholders’ Meeting shall be convened to elect all positions filled through that system to complete the terms. Art. 23 The position of director is personal and no alternates shall be permitted. Operations Art. 24 The Board of Directors shall meet regularly ordinarily at least once (1) per month 09 (nine) times a year, and extraordinarily whenever necessary, as provided in Article 27 of these Bylaws. Art. 25 Meetings of the Board of Directors shall be called by its Chair, or by the majority of the sitting directors, by means of physical or electronic correspondence sent to all directors, indicating the matters to be addressed. § 1° Notices sent to the physical or electronic address provided by the director shall be deemed valid, and it shall be the director’s responsibility to keep their information updated with the Company. § 2° Regular meetings must be called at least seven (7) days prior to the scheduled date. § 3° Call procedures are waived when all current directors are present at the meeting. § 3 4 Meetings of the Board of Directors shall be convened with the presence of the majority of its sitting members, and shall be presided over by the Chair of the Board of Directors or, in their absence, by the director chosen by the majority of those present. Art. 26 If necessary, directors may participate remotely in meetings, via teleconference or videoconference, provided that effective participation and the authenticity of their vote are ensured. In such cases, the director shall be deemed present at the meeting, and their vote shall be considered valid for all legal purposes and shall be incorporated into the minutes of said meeting. Art. 27 When there is an urgent reason, formally justified to the members of the Board of Directors, the Chair of the Board may call extraordinary meetings at any time, provided that at least forty-eight (48) hours’ notice is given prior to the meeting, by sending correspondence via physical or electronic means or through another form of communication to all directors. Participation via teleconference, videoconference, or any other reliable means of expressing the absent director’s will shall be permitted, and the director’s vote shall be considered valid for all purposes, without prejudice to the subsequent preparation and signing of the corresponding minutes. Art. 28 The Board of Directors shall resolve matters by a majority of the votes of the members present at the meeting, and in the event of a tie, the proposal supported by the director presiding over the meeting shall prevail. Art. 29 The meetings of the Board of Directors shall be recorded by a secretary appointed by the Chair, and all resolutions shall be recorded in minutes entered into the appropriate book, in accordance with the provisions of its Internal Regulations. Sole Paragraph. Whenever the minutes contain resolutions intended to produce effects with respect to third parties, a summary thereof shall be filed with the commercial registry and published in accordance with the applicable legislation, except for confidential matters, which shall be recorded in a separate document and shall not be made public. Powers and Duties Art. 30 Without prejudice to the powers provided for by law, it is the responsibility of the Board of Directors to: Copel Bylaws – p. 12/39 I set the general direction of the Company’s business, including approving and monitoring the business plan, strategic planning, and investments, seeking development with sustainability; II elect, remove, take notice of acknowledge the resignation of, and replace the Company’s officers, assigning their duties and supervising their management, as well as: a) examine at any time the Company’s books and records, contracts, or any other acts; b) approve and monitor the fulfillment of the goals and specific results to be achieved by the members of the Executive Board; and c) annually evaluate the implementation of the Company’s long-term strategy; III issue an opinion on the management report and the Executive Board’s accounts; IV convene the General Shareholders’ Meeting when deemed convenient or in the cases provided for under applicable law; V approve and monitor annual and multi-year plans and programs, including the corporate budget for expenditures and investments of the Company and its Wholly-Owned Subsidiaries, with an indication of the sources and uses of funds; VI authorize the engagement of the independent auditor, as well as the termination of the respective agreement, upon recommendation by the Statutory Audit Committee, including the hiring of other services from its independent auditors when the global compensation for such other services exceeds 5% (five percent) of the compensation for the independent auditing services, also upon recommendation by the Statutory Audit Committee; VII approve the annual internal audit work plan and discuss the external auditor’s work plan, with the support of the Statutory Audit Committee; VIII appoint and remove the Head of Internal Audit, following a recommendation from the Statutory Audit Committee; IX periodically monitor, with the support of the Statutory Audit Committee, the effectiveness of the risk management and internal control systems established for the prevention and mitigation of the main risks to which the Company is exposed, including risks related to the integrity of accounting and financial information and those related to the occurrence of corruption and fraud; X approve Copel’s Code of Conduct and Integrity Program, monitoring decisions involving corporate governance practices and relations with stakeholders; XI review, based on a direct report from the officer responsible for governance, risk, and compliance, situations where there is suspicion of involvement by the President of the Company in irregularities, or where the President of the Company fails to take necessary measures regarding a situation reported to him; XII establish guidelines for human resources management; XIII conduct an annual evaluation, both individual and collective, of its own performance and that of the other members of the statutory bodies and Executive Board; XIV approve related-party transactions, within the criteria and approval thresholds established by the Company, in accordance with the specific policy and with the support of the Statutory Audit Committee, except when the matter is of the competence of the General Meeting, as per the law; XV establish, install, and dissolve non-compensated advisory committees to the Board of Directors, appoint and remove their members, as well as appoint and remove the members of the statutory advisory committees to the Board of Directors, except as otherwise provided in these Bylaws; XVI approve the internal regulations of the Board of Directors, the Executive Board, and the Advisory Committees, both statutory and non-statutory, as well as any amendments thereto; XVII approve and monitor the Company’s general policies and any amendments thereto, including the following matters: a) risk management; Copel Bylaws – p. 13/39 b) integrity; c) related party transactions; d) corporate governance; e) sustainability; f) climate change; g) equity interests; h) people management; i) occupational health and safety; j) nomination of members of statutory bodies and annual performance evaluation of the Board of Directors, its Statutory Committees and Executive Board; k) communication and spokespersons; l) trading of the Company’s own shares; m) dividends; n) donations and sponsorships; o) disclosure of information and material facts; and p) investor relations; q) remuneration of the Statutory Bodies; and r) referral policy. XVIII set the Company’s maximum debt limit, and may establish a deadline for compliance, subject to the covenants set forth in existing contracts; XIX based on a proposal from the Executive Board Officers, authorize, when the transaction amount exceeds 2% (two percent) of the Company’s shareholders’ equity, accounting provisions and, in advance, the execution of any legal transactions, including the acquisition, sale, or encumbrance of assets, the loan of fixed assets, the creation of security interests, the provision of guarantees, the assumption of obligations in general, waivers, settlements, and also the formation of associations with other legal entities; XX establish the matters and amounts subject to its decision-making authority and that of the Executive Board, including the ability to delegate the approval of legal transactions within a defined authority limit, subject to the exclusive authority established by law; XXI deliberate on the proposed allocation of earnings to be submitted to the General Shareholders’ Meeting, in accordance with the provisions of the dividend policy; XXII deliberate on the distribution of intermediate dividends and interest on equity based on the accumulated profit account or reserve of existing profits recorded in the last annual or semi-annual balance sheet, or the distribution of interim dividends and interest on equity based on recorded profit reserves and net profit for the current year, calculated in interim financial statements, semi-annual balances sheets or, quarterly or in shorter periods, provided that the provisions of legislation are observed, in these Articles Bylaws and in the Company's dividend policy; XXIII within the limit of the authorized share capital: (i) resolve on the increase of the share capital, setting the respective conditions for subscription and payment; (ii) resolve on the issuance of subscription warrants; (iii) in accordance with a plan approved by the General Shareholders’ Meeting, grant stock options to officers and employees of the Company or its controlled companies, or to natural persons providing services thereto, without preemptive rights being granted to shareholders with respect to the granting or subscription of such shares; (iv) approve an increase in share capital through the capitalization of profits or reserves, with or without bonus shares; and (v) resolve on the issuance of convertible debentures; XXIV authorize the issuance and approve the subscription of new shares, as provided for in these Bylaws, setting all conditions of issuance; XXV authorize the issuance of securities, in the domestic or international market, for the raising of funds, in the form of debentures, promissory notes, commercial papers, bonds, and others, including through public offerings, as permitted by law, subject to the provisions of item XXXIII of this article, observing that, in the event of debentures not convertible into shares, the Board of Directors may even Copel Bylaws – p. 14/39 delegate this approval of its jurisdiction at the limit of authority it defines to the Executive Board Meeting; XXVI approve capital contributions to equity investments that result in an increase in the equity of holdings, and may, including, delegate this approval within a decision-making threshold to be defined; XXVII deliberate on investment projects and participation in new businesses, other companies, consortia, joint ventures, Wholly-Owned Subsidiaries, and other forms of association and ventures, as well as approve the formation, dissolution, or amendment of any companies, consortia, or ventures; XXVIII deliberate on matters that, by legal provision or determination of the General Shareholders’ Meeting, fall within its competence, including approving the Integrated or Sustainability Report and environmental, social, and governance indicators, the Reference Form, and the Form 20-F; XXIX ensure compliance with current regulations issued by the Agência Nacional de Energia Elétrica (ANEEL), through regulatory acts as well as through the regulatory clauses contained in the concession agreement to which Copel Distribuição S.A. is a signatory, ensuring the full application, on the respective base dates, of the rate values established by the granting authority; XXX approve the procurement of civil liability insurance on behalf of the members of the statutory bodies, employees, agents, and representatives of the Company, as well as the execution of indemnity agreements, in accordance with the indemnity policy and the general conditions of the indemnity agreements; XXXI request periodic internal audits regarding the activities of the closed private pension entity that manages the Company’s benefit plan; XXXII XXXI exercise the regulatory functions of the Company’s activities, being authorized to assume any matter that does not fall within the exclusive authority of the General Shareholders’ Meeting or the Executive Board, and to deliberate on any omissions in these Bylaws; XXXII express a favorable or unfavorable opinion elaborate and disclose a well-founded opinion, favorable or not, regarding any public tender offer for shares issued by the Company, through a prior reasoned opinion to be disclosed within fifteen (15) days from the publication of the public tender offer notice for the acquisition of shares, which must address, at a minimum: (i) the convenience and timing of the public tender offer for the acquisition of shares in relation to the interest of the Company and of all shareholders, including in relation to the price and to the potential impacts for liquidity of the shares and in relation to the liquidity of securities they hold; (ii) the effects of the public tender offer on the interests of the Company; (iii) the strategic plans disclosed by the offeror with respect to the Company; (iii) alternatives to the acceptance of the public offer for the acquisition of shares available in the market (iv) other matters the Board of Directors deems pertinent, as well as the information required by the applicable rules established by the Brazilian Securities and Exchange Commission (CVM); XXXIII set the individual remuneration to be allocated to the members of the Statutory Bodies, observing the overall amount established by the General Meeting; XXXIV define a list of three specialized firms for the economic valuation of companies to prepare the appraisal report of the Company’s shares in cases of a public tender offer for the delisting of the Company as a publicly held company or for withdrawal from the Level 2 Corporate Governance listing segment of B3; XXXV set deadlines, procedures, and rules applicable to the conversion of shares issued by the Company, in accordance with these Bylaws and applicable law; XXXVI XXXIV grant leave to the President of the Company of the Company and to the Chair of the Board of Directors; and XXXVII XXXV approve changes to the Company’s full address, within the headquarters municipality, as defined in Article 3. Copel Bylaws – p. 15/39 Art. 31 The Chair of the Board of Directors shall be responsible, in addition to the duties set forth in the Internal Regulations, for granting leave to its members, presiding over meetings,directing the proceedings, and coordinating the process for the individual and collective annual performance evaluation of the officers and members of the Statutory Committees, pursuant to these Bylaws. SECTION II - EXECUTIVE BOARD Art. 32 The Executive Board is the executive management and representative body, responsible for ensuring the regular operation of the Company in accordance with the general guidelines established by the Board of Directors. Composition, Term, and Investiture Art. 33 The Executive Board shall be elected by the Board of Directors and may be removed at any time by such body. It shall be composed of up to nine (9) members, one of whom shall be the President, and up to eight (8) Vice Presidents, all residing in the country, with a unified term of office of two (2) years, subject to reelection, and with a minimum of three (3) members. The Company may also have up to four (4) Officers, whose duties shall be defined by the Board of Directors, based on a proposal from the President of the Company. § 1° Nominations for the Executive Board must comply with the requirements and prohibitions set forth in Federal Law No. 6,404/1976 and in the Company’s internal policies and rules for the nominations of members of statutory bodies. § 2° When nominating the President of the Company, the Board of Directors must consider the candidate’s professional capacity, recognized expertise, specialization, and professional profile necessary for the duties of the position. § 3° The members of the Executive Board shall perform their duties on a full-time basis and with exclusive dedication to Copel’s activities, although they may simultaneously hold administrative positions in subsidiaries, controlled companies, or other equity interests of the Company. In order to serve in administrative positions of other companies and/or associations, prior approval by the Board of Directors shall be required, except for those sectoral entities already provided for in the Internal Regulations of the Executive Boards. Art. 34 As a condition for taking office in an executive position at the Company, the individual must commit to specific goals and results to be achieved, which must be approved by the Board of Directors, which shall be responsible for monitoring compliance therewith. Powers and Duties Art. 35 The Executive Board shall have the authority to perform all acts necessary for the regular operation of the Company and the fulfillment of its corporate purpose, subject to the applicable legal and statutory provisions and the provisions of its Internal Regulations. Sole Paragraph. Without prejudice to the provisions of Article 48, it shall be the responsibility of the Executive Board to manage and conduct the Company’s business in a sustainable manner, and it must submit, by the last ordinary meeting of the Board of Directors of the preceding year: I the business plan for the following fiscal year; II the bases, guidelines, and long-term strategies for the preparation of the strategic plan, as well as the annual and multiannual plans and programs, including the analysis of risks and opportunities for a minimum horizon defined in the Internal Regulations of the Executive Boards; and III the operating and capital investment budgets of the Company for the following fiscal year, aimed at achieving the corporate strategies. Art. 36 The President of the Company shall be responsible for: I leading and coordinating the Company; Copel Bylaws – p. 16/39 II representing the Company, both actively and passively, in court or outside of it, and for this purpose, may appoint an attorney-in-fact with special powers, including powers to receive service of process and notifications, subject to Article 40 and following articles of these Bylaws; III promoting the development of and submitting to the Board of Directors the Company’s corporate strategy, as well as ensuring its execution; IV ensuring the achievement of the Company’s goals, as established in accordance with the general guidelines set by the General Shareholders’ Meeting and the Board of Directors; V submitting the Company’s annual business report to the Ordinary General Shareholders’ Meeting, after consultation with the Board of Directors; VI leading and coordinating the work of the Executive Board; VII convening and presiding over the meetings of the Executive Board; VIII granting leave to the other members of the Executive Board and appointing a substitute in cases of absence or temporary impediment; IX resolving issues involving conflicts of interest or conflicts of authority between the Executive Officers; X proposing to the Board of Directors the appointment of members of the Executive Board and other Directors, in compliance with the requirements and restrictions established in internal policies and regulations, and may also propose their removal to the Board of Directors at any time; XI deciding on the adhesion to and continued participation in voluntary commitments assumed by Copel Holding and its Wholly-Owned Subsidiaries; and XII exercising other duties assigned to the President by the Board of Directors, in accordance with applicable law and these Bylaws. Art. 37 The Vice Presidents shall have the following duties: I managing the activities within their respective areas of responsibility, as established in the Internal Regulations of the Executive Board; II participating in meetings of the Executive Board, contributing to the definition and implementation of the policies to be followed by the Company, and reporting on relevant matters within their respective areas of responsibility; and III complying with and ensuring compliance with the general business guidelines of the Company, as established by the Board of Directors, with respect to the management of their specific areas of responsibility. § 1° The other individual duties of the Officers shall be detailed in the Internal Regulations of the Executive Board. § 2° In addition to the duties established in these Bylaws, the Vice Presidents and Officers shall assist and support the President of the Company in the management of the Company’s business, as well as ensure cooperation and support to the other Officers within their respective areas of responsibility, aiming at achieving the Company’s objectives and interests. § 3° The Vice Presidents and Officers shall perform their duties within the Company, and may simultaneously and without remuneration hold management positions in the Wholly-Owned Subsidiaries. Art. 38 The Executive Board responsible for governance, risk, and compliance shall be tasked with verifying the fulfillment of obligations and risk management, with duties relating to corporate risk management and internal controls, compliance, integrity, the cCode of cConduct, and the integrity program, among others defined in the Internal Regulations of the Executive Boards. § 1° The Officer responsible for governance, risk, and compliance may report directly to the Board of Directors in situations where there is suspected involvement of the President of the Company in irregularities or where the President of the Company fails to adopt the necessary measures regarding a situation reported to him. § 2° For the performance of its duties, the Executive Board shall be guaranteed independent action and access to all necessary information and documents. Copel Bylaws – p. 17/39 Art. 39 The Vice President responsible for finance and investor relations shall be tasked with providing information to the investing public, the Brazilian Securities and Exchange Commission, the United States Securities and Exchange Commission, and the stock exchanges where the Company is listed, and with keeping the Company’s registration as a publicly held company up to date, in compliance with all applicable laws and regulations. Representation of the Company Art. 40 The Company shall be bound before third parties: I by the signature of two (2) members of the Executive Board, one (1) of whom must necessarily be the President of the Company or the Vice President responsible for the financial area finance and investor relations, and the other a member of the Executive Board with duties related to the specific area to which the matter pertains; II by the signature of one (1) Vice President and one (1) attorney-in-fact, pursuant to the powers granted in the respective power of attorney; III by the signature of two (2) attorneys-in-fact, pursuant to the powers granted in the respective power of attorney; IV by the signature of one (1) attorney-in-fact, pursuant to the powers granted in the respective power of attorney, in which case exclusively for the performance of specific acts. Sole Paragraph. The Vice President responsible for finance and investor relations may, individually, represent the Company before the Brazilian Securities and Exchange Commission, the United States Securities and Exchange Commission, B3, the financial institution providing share bookkeeping services for the Company, and the administrators of organized markets where the Company’s securities are admitted for trading. Art. 41 The members of the Executive Board may appoint attorneys-in-fact for the Company, specifying in the instrument of appointment the acts or transactions that they may perform and the duration of the power of attorney, provided that only powers of attorney granted for judicial representation in general shall have an indefinite term. § 1° Powers of attorney granted by the Company must be signed jointly by two (2) directors, specifying the powers granted and establishing a maximum term of one (1) year. § 2° The powers of attorney shall expressly specify the special powers acts or operations granted, within the limits of the powers held by the members of the Executive Board granting them, as well as the duration of the mandate, which must have a fixed term. Subdelegation shall be prohibited, except in the case of a power of attorney for the Company’s legal representation, which may be granted for an indefinite term and may allow subdelegation under the conditions set forth in the respective instrument. Art. 42 Any member of the Executive Board may individually represent the Company when the act to be performed requires individual representation or in cases where the use of electronic signature makes it impossible for two or more individuals to sign the same document, subject to authorization from the Executive Board in session. Vacancy and Substitution Art. 43 In the event of vacancies, absences, or temporary impediments of any officer member of Executive Board, the President of the Company shall designate another member of the Executive Board to assume the functions on an interim basis. § 1° In the President’s own absences or temporary impediments, he or she shall be replaced by the Vice President designated by him or her, and if no designation is made, the other Vice Presidents shall elect a substitute at that time. Copel Bylaws – p. 18/39 § 2° The members of the Executive Board may not be absent from office for more than thirty (30) consecutive days, except in cases of medical leave or in situations authorized by the Board of Directors. § 3° The members of the Executive Board may request unpaid leave from the Board of Directors, provided that it does not exceed three (3) months, and such leave must be recorded in the minutes. Art. 44 In the event of death, resignation, or permanent impediment of any member of the Executive Board, the President of the Company shall nominate a substitute to the Board of Directors within thirty (30) days of the vacancy, and the Board shall be responsible for electing the nominated member, who shall complete the term of the replaced officer. Sole Paragraph. Until the election is held, the Executive Board may appoint one (1) provisional substitute. However, the election may be waived if the vacancy occurs in the year in which the term of the current Executive Board is set to expire. SECTION III - EXECUTIVE BOARD MEETINGS (REDIR) Operations Art. 45 The Executive Board, composed of the President and Vice Presidents, shall meet ordinarily on an ordinary monthly basis every two weeks and extraordinarily whenever necessary, upon the call of the President of the Company or any other two (2) Vice Presidents. § 1° Meetings of the Executive Board shall be convened with the presence of the majority of the acting members, considering the President and Vice Presidents, and matters shall be approved by a simple majority of those present. In the event of a tie, the proposal supported by the President of the Company shall prevail. § 2° Each member of the Executive Board present, limited exclusively to the President and Vice Presidents, shall be entitled to cast one (1) vote, even in the case of the accumulation of duties of President or Vice President. The right to vote at Executive Board Meetings is granted to the President and the Vice Presidents, and the accumulation of votes in the event of replacement is not permitted. Voting by proxy shall not be permitted. § 3° The resolutions of the Executive Board shall be recorded in minutes entered into the appropriate book and signed by all those present. § 4° The duties of Directors, if elected by the Board of Directors, shall be defined in the Internal Regulations of the Boards, and such position shall not confer voting rights. Art. 46 Remote participation of members of the Executive Board in ordinary and extraordinary meetings shall be permitted, when necessary, by means of teleconference or videoconference, provided that effective participation and the authenticity of their votes are ensured. In such case, the member of the Executive Board participating remotely shall be deemed present at the meeting, and their vote shall be valid for all legal purposes and incorporated into the minutes of the respective meeting. Art. 47 The meetings of the Executive Board shall be recorded by a secretary appointed by its President, and all resolutions shall be entered into minutes and recorded in the appropriate book. Powers and Duties Art. 48 Without prejudice to the powers and duties established by law and by the Internal Regulations of the Executive Board, the Executive Board shall: I resolve on the Company’s business activities in a sustainable manner, considering its corporate purpose, as well as economic, social, environmental, climate change, and corporate governance factors, along with risks and opportunities; Copel Bylaws – p. 19/39 II comply with and enforce compliance with the applicable law, the Bylaws, the Company’s internal policies and rules, and the resolutions of the General Shareholders’ Meeting and the Board of Directors; III prepare and submit for the approval of the Board of Directors, after prior review: a) the annual and multi-year plans and programs, aligning investment expenditures with the respective projects, including a risk and opportunity analysis for a minimum horizon defined in the Internal Regulations of the Executive Board; b) the Company’s budget, indicating the sources and uses of funds, as well as any amendments thereto; c) investment projects, investments in new businesses, other companies, consortia, joint ventures, Wholly-Owned Subsidiaries, and other forms of association and enterprises, as well as the incorporation, dissolution, or amendment of any companies, enterprises, or consortia; d) the performance results of the Company’s activities; e) the Company’s quarterly reports, accompanied by the financial statements; f) the Management Report, accompanied by the financial statements and respective notes, the opinion of the independent auditors, and the proposal for allocation of the net income for the fiscal year; g) the Company’s Integrated Report or Sustainability Report and other corporate reports to be signed by the Board of Directors; h) the Executive Board’s Internal Regulations, as well as the Company’s general regulations and policies; i) revisions to the Company’s Code of Conduct and Integrity Program, in accordance with applicable law; j) related-party transactions, within the criteria and limits defined by the Company. IV approve: a) the technical and economic evaluation criteria for investment projects, together with the respective delegation plans for their implementation and execution; b) the accounting chart of accounts; c) the Company’s annual insurance plan; d) residually, within the statutory and regulatory limits, all matters related to the Company’s activities that are not within the exclusive authority of the President of the Company, the Board of Directors, or the General Shareholders’ Meeting; e) the appointment of the Company’s representatives to the statutory bodies of companies in which it or its Wholly-Owned Subsidiaries hold or may come to hold a direct or indirect interest; f) corporate participation in trade associations and non-governmental entities; g) proposals related to personnel policy; and h) the internal procurement and contracting regulations. V to authorize, subject to the limits and guidelines set forth by law and by the Board of Directors, and the approval thresholds established in internal regulations and in the Executive Board’s Internal Regulations: a) acts of waiver or judicial or extrajudicial settlement to resolve disputes or claims, with authority to set value limits for delegating the performance of such acts to the President of the Company or any other officer member of the Executive Board; and b) the execution of any legal transactions when the transaction amount does not exceed two percent (2%) of the Company’s net worth, without prejudice to the authority granted by the Bylaws to the Board of Directors, including the acquisition, disposal, or encumbrance of assets, the obtaining of loans and financing, the assumption of obligations in general, and association with other legal entities; c) the issuance of non-convertible debentures into shares, observing the limits and guidelines set by the Board of Directors. Sole Paragraph. When the cumulative value of the acquisition, disposal, or encumbrance of assets, the obtaining of loans and financing, the assumption of obligations in general, and association with other legal entities reaches five percent Copel Bylaws – p. 20/39 (5%) of the Company’s net worth during the fiscal year, a report shall be submitted for resolution by the Board of Directors. VI to establish the guidelines and approve the creation of the organizational structures of the Company and its Wholly-Owned Subsidiaries; VII to negotiate and execute management instruments between the Company, its Wholly-Owned Subsidiaries, and Wholly-Owned Special Purpose Entities; VIII to establish and monitor governance practices, internal controls, guidelines, and policies for its Wholly-Owned Subsidiaries, in directly or indirectly controlled companies, and, in the case of direct or indirect minority interests, proportional to the relevance, materiality, and risks of the business in which they participate; IX to authorize the opening, establishment, transfer, and closure of branches, offices, agencies, representations, or any other establishments; X to designate, if it so decides, the Wholly-Owned Subsidiary responsible for carrying out activities related to the management of companies in which the Company and its Wholly-Owned Subsidiaries hold an equity interest, observing their duty to supervise based on governance and control practices proportional to the relevance, materiality, and risks of the business in which they participate; and XI to direct the vote to be cast by the Company at the General Shareholders’ Meetings of the Wholly-Owned Subsidiaries and other companies and associations in which the Company holds a direct interest. Sole Paragraph. § 1 The Executive Board may appoint agents or grant powers to other management levels of the Company and of the shared structure in which it participates, through internal rules or an appropriate instrument, including jointly with the Wholly-Owned Subsidiaries, within the individual limits and authority assigned to the officers, for purposes such as executing contracts, agreements, cooperation terms, and other instruments that create obligations for the Company or its Wholly-Owned Subsidiaries, except for acts that are non-delegable by law, provided that they are previously approved within the limits established herein. § 2 When the cumulative value of the acquisition, disposal, or encumbrance of assets, the obtaining of loans and financing, the assumption of obligations in general, and association with other legal entities reaches five percent (5%) of the Company’s net worth during the fiscal year, a report shall be submitted for resolution by the Board of Directors. Art. 49 The Executive Board’s Internal Regulations shall detail the individual duties of each officer and may also require that the performance of certain acts within their specific areas of authority be subject to prior authorization by the Executive Board. CHAPTER V - STATUTORY COMMITTEES Art. 50 The Company will have the following statutory committees: (i) Statutory Audit Committee, the; (ii) Investment and Innovation Committee, the People Committee and the; (iii) Sustainable Development Committee; and the (iv) People Committee (collectively “Statutory Committees”). § 1° The statutory committees Statutory Committees shall be remunerated, and their creation shall require an amendment to the Bylaws by resolution of the General Shareholders’ Meeting. § 2° The Board of Directors may establish additional committees to assist the Company’s Management, with specific and restricted objectives and a defined term of duration, appointing their respective members. § 3° The operation, compensation of the members, and duties of the Statutory Bodies and committees referred to in this article shall be governed by the Board of Directors through their respective Internal Regulations, in accordance with what is set forth in these Bylaws. Copel Bylaws – p. 21/39 SECTION I - STATUTORY AUDIT COMMITTEE (CAE) Art. 51 The Statutory Audit Committee is an independent, advisory, and permanent body that assists and is linked the Board of Directors. Art. 52 The Statutory Audit Committee shall be unified for the Company and its Wholly-Owned Subsidiaries, exercising its duties and responsibilities with respect to the entities directly or indirectly controlled by the Company, as determined by the Board of Directors. Art. 53 The duties, operation, procedures, and composition of the Statutory Audit Committee shall comply with applicable laws and regulations and shall be detailed in a specific internal regulation, which shall be approved by the Board of Directors, which will also define the activities of the Coordinator of the Statutory Audit Committee. § 1° The Coordinator of the Statutory Audit Committee shall be elected by the Board of Directors from among its independent members and shall be responsible for implementing the Committee’s decisions, with records entered in the appropriate minutes book. § 2° The Statutory Audit Committee shall be composed of three (3)to five (5) members, as determined by the Board of Directors, who shall be appointed, elected, and removable by said body, all by the Board of Directors, with a unified term of two (2) years, with reelection permitted, subject to the following parameters: I having a majority of independent members, as defined by applicable laws and regulations; II at least one (1) member must have recognized professional experience in corporate accounting, auditing, and financial matters, qualifying as a “financial expert” under applicable law; under the regulations issued by the Securities and Exchange Commission that governs the registration and exercise of independent auditing activity within the securities market; III at least 01 (one) of the members of the Statutory Audit Committee shall be an independent part member of the Board of Directors; IV at least one (1) of the Statutory Audit Committee members must not be a member of the Board of Directors and must be selected from the market among individuals with well-known experience and technical expertise; V the Coordinator of the Committee must be a member of the Board of Directors; VI V the maximum term for serving on the Committee is ten (10) years; and VI officers members of the Executive Board of the Ccompany, its subsidiaries, parent company, affiliates, or entities under common control, whether direct or indirect, are prohibited from serving on the Statutory Audit Committee. § 3° The same member of the Statutory Audit Committee may accumulate the characteristics provided for in § 2, II and III, above. § 4 3 The Statutory Audit Committee shall meet: regularly, once a month, and on an extraordinary basis whenever necessary, deciding by majority vote, with minutes duly recorded, in accordance with its Internal Regulations. § 5 4 The Internal Audit Department shall be functionally linked to the Board of Directors through the Statutory Audit Committee. Art. 54 The Statutory Audit Committee is granted operational autonomy and an annual or project-based budget allocation, within limits approved by the Board of Directors, to conduct or order consultations, assessments, and investigations within the scope of its activities, including the hiring and use of independent external specialists. Sole Paragraph. Without prejudice to the other duties established in the applicable rules and the Internal Regulations, the Statutory Audit Committee is responsible for: I opine on the hiring and removal of independent audit services for the preparation of an independent external audit or for any other service; Copel Bylaws – p. 22/39 II evaluate quarterly information, interim statements and financial statements; III monitor the activities of the Internal Audit and the Company's internal controls area; IV assess and monitor the Company's risk exposures; V evaluate, monitor, and recommend to management the correction or improvement of the Company's internal policies, including the policy of transactions between related parties; VI have means for receiving and processing information about non-compliance with legal and regulatory provisions applicable to the Company, in addition to internal regulations and codes, including with provision of specific procedures for protecting the provider and the confidentiality of the information; VII prepare an annual summary report, to be presented together with the financial statements, containing the description of: (a) meetings held, its activities, the main matters discussed, the results and conclusions reached and the recommendations made; and (b) any situations in which there is significant discrepancy between the Company's management, the independent auditors and the Statutory Audit Committee in relation to the Company's financial statements; VIII have means to receive complaints, including confidential ones, both internal and external to the company, in matters related to the scope of its activities; IX supervise the activities (a) of the independent auditors, in order to evaluate their independence, the quality of the services provided; and the adequacy of the services provided to the Company's needs; (b) the Company's internal controls area; (c) the Company's Internal Audit area; and (d) the drafting area of the Company's financial statements; X monitor the quality and integrity of: (a) internal control mechanisms; (b) quarterly information, interim statements and financial statements of the Company; and (c) information and measurements disclosed based on adjusted accounting data and non-accounting data that add elements not provided for in the structure of the usual reports of the financial statements; XI evaluate and monitor the Company's risk exposures, and even require detailed information on policies and procedures related to: (a) the remuneration of management; (b) the use of Company assets; and (c) expenses incurred on behalf of the Company; XII evaluate and monitor, together with management and the Internal Audit area, the adequacy of transactions with related parties carried out by the Company and their respective evidence; and XIII assess, at least annually, whether the Internal Audit department has a structure and budgets considered sufficient for the performance of its functions. SECTION II - INVESTMENT AND INNOVATION COMMITTEE (CII) Art. 55 The Investment and Innovation Committee is an independent, advisory, and permanent body that provides support to the Board of Directors. Art. 56 The Investment and Innovation Committee shall be a single committee for the Company and its Wholly-Owned Subsidiaries, and may perform its duties and responsibilities with respect to companies directly or indirectly controlled by the Company, by resolution of the Board of Directors. Art. 57 Its duties, operations, procedures, and composition shall comply with applicable law and will be detailed in specific Internal Regulations, which must be approved by the Board of Directors. Copel Bylaws – p. 23/39 § 1° The Coordinator of the Investment and Innovation Committee shall be elected by the Board of Directors from among its members and shall be responsible for carrying out the resolutions of the Committee, which must be recorded in the appropriate minutes book. § 2° The Investment and Innovation Committee shall be composed of three (3) members of the Board of Directors, elected and removable by that body, all with a unified term of office of two (2) years, with reelection permitted. § 3° The President of the Company shall be a member of the Investment and Innovation Committee without voting rights; and § 4° The Investment and Innovation Committee shall meet periodically and shall make decisions by majority vote, with the minutes recording all resolutions, including dissents and protests, as provided for in its Internal Regulations. Art. 58 The Investment and Innovation Committee shall have operational autonomy and an annual or project-specific budget allocation, within limits approved by the Board of Directors, to carry out its activities within its scope, including the engagement and use of independent external specialists. SECTION III - SUSTAINABLE DEVELOPMENT COMMITTEE (CDS) Art. 59 The Sustainable Development Committee is an independent, consultative, and permanent body that advises the Board of Directors. Art. 60 The Sustainable Development Committee shall be the sole committee for the Company and its Wholly-Owned Subsidiaries, and may exercise its duties and responsibilities in relation to companies directly or indirectly controlled by the Company, as determined by the Board of Directors. Art. 61 Its duties, operations, procedures, and composition shall comply with applicable law and will be detailed in specific Internal Regulations, which must be approved by the Board of Directors. § 1° The Coordinator of the Sustainable Development Committee shall be elected by the Board of Directors and shall be responsible for implementing the decisions of the body. § 2° The Sustainable Development Committee shall be composed of three (3) members, elected and subject to removal by the Board of Directors, all serving a unified term of two (2) years, with reelection permitted, subject to the following parameters: I up to three (3) members of the Board of Directors; and II up to one (1) external member with recognized professional experience in matters falling within the Committee’s responsibilities. § 3° The President of the Company shall serve on the Sustainable Development Committee without voting rights; and § 4° The Sustainable Development Committee shall meet periodically, making decisions by majority vote, with minutes recorded, including any dissents and protests, as provided for in its Internal Regulations. Art. 62 The Sustainable Development Committee shall have operational autonomy and an annual or project-based budget allocation, within the limits approved by the Board of Directors, to carry out its activities within its scope, including the hiring and use of independent external specialists. SECTION IV - COMMITTEE OF PEOPLE (CDG, COMITÊ DE GENTE) Art. 63 The Committee of People is an independent, consultative, and permanent body that advises the Board of Directors. Copel Bylaws – p. 24/39 Art. 64 The Committee of People shall be a single committee serving the Company and its Wholly-Owned Subsidiaries, and may exercise its duties and responsibilities with respect to companies directly or indirectly controlled by the Company, as determined by the Board of Directors. Art. 65 Its duties, operations, procedures, and composition shall comply with applicable law and will be detailed in specific Internal Regulations, which must be approved by the Board of Directors. § 1° The People Committee shall assist the Board of Directors in the development and monitoring of the succession plan, in the evaluation of the Board of Directors, of the Statutory Committees and of the Executive Board; as well as in the strategy for compensation of the Statutory Bodies officers, members of advisory committees and members of the Supervisory Board, as well as in proposals and other matters related to the personnel policy. § 2° The Committee of People shall monitor the eligibility process for officers, Supervisory Board members, and members of Statutory Committees, in accordance with legal and bylaw provisions and taking into account the rules established in internal regulations. § 3° The Coordinator of the Committee of People shall be elected by the Board of Directors from among its members and shall be responsible for carrying out the Committee’s resolutions. § 4° The Committee of People shall be composed of three (3) members, elected and removable by the Board of Directors, all with a unified term of office of two (2) years, with reelection permitted, subject to the following parameters: I up to three (3) members of the Board of Directors; and II up to one (1) external member with recognized professional experience in matters falling within the Committee’s responsibilities. § 5° The President of the Company shall serve on The Committee of People without voting rights; and § 6° The Committee of People shall meet periodically, deciding by majority vote, with all resolutions, including dissents and protests, recorded in minutes, as provided in its Internal Regulations. Art. 66 The Committee of People shall be granted operational autonomy and an annual or project-based budget, within the limits approved by the Board of Directors, to carry out its activities within its scope, including the hiring and use of independent external specialists. CHAPTER VI - SUPERVISORY BOARD (SB) Art. 67 The Company shall have a non-permanent Supervisory Board responsible for oversight, acting both collectively and individually, with the powers and duties set forth in Federal Law No. 6,404/1976 and other applicable legal provisions. Art. 68 If installed, the Supervisory Board shall meet as provided in its Internal Regulations, with minutes recorded in a specific book. Composition and Operation Art. 69 The Supervisory Board, with non-permanent operation, if installed, shall be composed of three (3) sitting members and an equal number of alternates, elected at the General Shareholders’ Meeting, pursuant to Law No. 6,404/1976, with a unified term of one (1) year from the date of their election, with reelection permitted. The Supervisory Board, when installed, will operate until the first Ordinary General Meeting that takes place after its installation. Copel Bylaws – p. 25/39 § 1° The chair of the Supervisory Board, if installed, shall be elected by its peers at the first meeting following the election of its members, and it shall be the responsibility of the chair to carry out the decisions of the body. § 2° Individuals who are natural persons, residing in Brazil, and who possess academic qualifications compatible with the exercise of the position may serve as members of the Supervisory Board, if installed , as per the terms of applicable legislation. Art. 70 If the Supervisory Board is installed, its powers, operation, and procedures shall comply with the applicable legislation and shall be detailed in specific internal regulations, which shall be approved by the Council itself. § 1° The position of member of the Supervisory Board is non-delegable. § 2° The members of the Supervisory Board have the same duties as the members of Management, as provided in Articles 153 to 156 of Federal Law No. 6,404/1976, and shall be liable for damages resulting from any failure to perform their duties, or from acts carried out with negligence or willful misconduct, or in violation of the law or the Bylaws. Vacancy and Substitutions Art. 71 If the Supervisory Board is installed, in the event of a vacancy, resignation, or removal of a sitting member, such member shall be replaced by their respective alternate, until a new council member is elected to complete the term. Representation and Opinions Art. 72 If the Supervisory Board is installed, the chair of the Supervisory Board, or at least one of its members, shall attend the meetings of the General Shareholders’ Meeting and respond to requests for information made by the shareholders. Sole Paragraph. The opinions and representations of the Supervisory Board, if installed, or of any of its members, may be submitted and read at the General Shareholders’ Meeting, regardless of publication and even if the subject matter is not included on the agenda. CHAPTER VII - COMMON RULES APPLICABLE TO THE STATUTORY BODIES Investiture, Impediments, and Restrictions Art. 73 For their investiture in office, the members of the statutory bodies shall meet the minimum requirements set forth in Federal Law No. 6,404/1976, and shall also comply with the procedures established in the Nomination Policy. Sole Paragraph - Due to incompatibility, the following individuals are prohibited from serving on the Board of Directors, advisory committees, Executive Board and Supervisory Board the Statutory Bodies and advisory committees of Copel, if installed, and its Wholly-Owned Subsidiaries: I representatives of the regulatory agency overseeing the Company; Ministers of State; State or Municipal Secretaries; holders of temporary positions in the public administration classified as special, directive, or advisory; officers of political parties; and holders of elected office in the Legislative Branch at any level of government, even if on leave from their positions; and II individuals who, within the past thirty-six (36) months, have served in the decision-making structure of a political party or have held a position in a labor union organization. Copel Bylaws – p. 26/39 Art. 74 The members of the statutory bodies shall take office upon signing a term of investiture, recorded in the respective minutes book, subjecting themselves to the arbitration clause referenced in article 98. § 1° The term of investiture must be signed within thirty (30) days following election or appointment, under penalty of ineffectiveness, unless justification is accepted by the body to which the member was elected. The term shall indicate at least one (1) domicile for the service of process and notices in administrative or judicial proceedings related to acts performed during the member’s term of office, and any change to the designated domicile shall only be effective upon written notice to the Company. § 2° Investiture shall be subject to the submission of a statement of assets and liabilities, in accordance with applicable law, which must be updated annually and upon the conclusion of the term of office. Art. 75 The investiture of the members of the Board of Directors and the Executive Board shall be conditioned upon the prior execution of the Directors’ Statement of Consent, and the investiture of the members of the Supervisory Board, if installed, shall be conditioned upon the prior execution of the Statement of Consent of the Members of the Supervisory Board, pursuant to the Level 2 Listing Rules of B3, as well as compliance with applicable legal requirements. Art. 76 75 The Company’s directors, the members of the Supervisory Board, if installed, and the members of the Statutory Bodies Committees shall adhere to the policy on trading in securities issued by the Company and the policy on disclosure of material information and facts, in compliance with the normative regulations of the Brazilian Securities and Exchange Commission, by signing the respective statements of adherence. Art. 77 76 Shareholders and the members of the Executive Board, Board of Directors, Supervisory Board, and Statutory Committees Statutory Bodies who, for any reason, have a direct, indirect, or conflicting personal interest with that of the Company in a given resolution must refrain from participating in the discussion and voting on such matter, even as representatives of third parties, with the reason for the abstention and the nature and extent of their interest to be recorded in the minutes. Art. 78 77 The members of the statutory bodies shall be removed upon voluntary resignation or dismissal at any time, in accordance with applicable law and these Bylaws. Art. 79 78 Except in the event of resignation or dismissal, the term of office of the members of the statutory bodies shall be automatically extended until the investiture of their successors. Art. 80 77 In addition to the cases provided for by law, a vacancy shall occur when: I a member of the Board of Directors, Supervisory Board, or Statutory Committees fails to attend two (2) consecutive meetings or three (3) non-consecutive meetings out of the last twelve (12) meetings, without justification; and II a member of the Executive Board is absent from the performance of their duties for more than thirty (30) consecutive days, except in the case of leave of absence or in situations authorized by the Board of Directors. Art. 81 78 An annual performance evaluation shall be conducted, individually and collectively, for the members of the Board of Directors, the Statutory Committees, the Executive Board, and the Supervisory Board of the Company, if installed, as well as of their respective Wholly-Owned Subsidiaries. Such evaluation may be carried out with the assistance of an independent institution, in accordance with a previously defined procedure and in compliance with the Evaluation Policy. Art. 82 79 The statutory bodies shall meet validly with the presence of the majority of their members and shall adopt resolutions by a majority vote of those present, with minutes recorded in the corresponding minutes book, which may be drawn up in summary form. § 1° In the event of a non-unanimous decision, a justification for the dissenting vote may be recorded, and a dissenting member shall be exempt from liability if their dissent Copel Bylaws – p. 27/39 is registered in the minutes of the meeting or, if that is not possible, if they immediately provide written notice of their position. § 2° In collegial deliberations of the Board of Directors and the Executive Board, the member presiding over the meeting shall have the casting vote, in addition to their personal vote. Art. 83 80 Members of one statutory body may attend the meetings of other bodies when invited, without voting rights. Art. 84 81 Meetings of the statutory bodies may be held in person, by teleconference, or by videoconference, in accordance with these Bylaws and the respective Internal Regulations. Compensation Art. 85 82 The compensation of the members of the statutory bodies shall be set annually by the General Shareholders’ Meeting, and no accumulation of compensation or any other benefits shall be allowed as a result of substitutions arising from vacancies, absences, or temporary impediments, in accordance with these Bylaws. § 1° The compensation of the members of the Supervisory Board, if installed, as set by the General Shareholders’ Meeting that elects them, shall observe the minimum amount established by law, in addition to the mandatory reimbursement of travel and lodging expenses necessary for the performance of their duties. § 2° The If Company's President, as a is elected as a member of the Board of Directors, will not be remunerated. he or she will not receive additional compensation for the position of member of the Board of Directors. CHAPTER VIII - FISCAL YEAR, FINANCIAL STATEMENTS, PROFITS, RESERVES, AND DISTRIBUTION OF RESULTS Art. 86 83 The fiscal year shall coincide with the calendar year, and at the end of each fiscal year, financial statements shall be prepared in accordance with the provisions of Federal Law No. 6,404/1976 and the regulations of the Brazilian Securities and Exchange Commission, including the requirement of an independent audit conducted by an auditor registered with such authority. § 1° The Company shall prepare quarterly financial statements information and disclose them on its website. § 2° At the end of each fiscal year, the Executive Board shall prepare the financial statements required by law, and the following rules shall be observed with respect to results: I accumulated losses and the provision for income tax shall be deducted from the results for the fiscal year before any allocation of profits; II five percent (5%) of the net income for the fiscal year shall be allocated to the legal reserve, which shall not exceed twenty percent (20%) of the share capital; III the Company may record, as a reserve, interest on investments made using its own capital in construction in progress; and IV other reserves may be established by the Company, in accordance with applicable law and subject to legal limits. Art. 87 84 Shareholders shall be entitled, each fiscal year, to receive dividends and/or interest on equity, which shall not be less than twenty-five percent (25%) of the adjusted net income, in accordance with Federal Law No. 6,404/1976. § 1° The Company may raise interim, semi-annual, quarterly or shorter financial statements and balance sheets. Based on retained earnings, profit reserves, and the net income for the current fiscal year, as recorded in annual financial accounting statements or semestral or quarterly interim financial Copel Bylaws – p. 28/39 statements, the Board of Directors may resolve to distribute interim dividends out of profit reserves, interim dividends based on interim financial statements, or pay interest on equity, provided that such distribution complies with applicable legislation and the dividend policy and is subject to subsequent ratification by the General Shareholders’ Meeting. § 2° Interim dividends out of profit reserves, interim dividends based on interim financial statements, and interest on equity distributed pursuant to paragraph 1 shall be credited against the mandatory dividend for the fiscal year in which they are declared, in accordance with applicable law. § 3° The Company shall not be required to distribute dividends in any fiscal year in which the Board of Directors, with the opinion of the Supervisory Board, if installed, advises the Annual General Shareholders’ Meeting that such distribution would be incompatible with the Company’s financial condition. § 4° Profits not distributed under paragraph 3 shall be allocated to a special reserve and, if not absorbed by losses in subsequent fiscal years, shall be distributed as soon as the Company’s financial condition permits. § 5° For purposes of calculating the mandatory distribution percentage set forth above, amounts distributed as interest on equity shall be considered net of applicable taxes, in accordance with applicable law. Art. 88 85 Subject to the limits and provisions set forth in Federal Law No. 6,404/1976, in fiscal years in which the mandatory dividend is paid, the General Shareholders’ Meeting shall annually establish the limits for the participation of the Executive Board in the Company’s profits. CHAPTER IX - DISSOLUTION AND LIQUIDATION Art. 89 86 The Company shall be dissolved and placed into liquidation in the cases provided for by law, and the General Shareholders’ Meeting shall determine the method of liquidation and elect the liquidator or liquidators, as well as the Supervisory Board, if installed, if its functioning is requested by shareholders representing the quorum established by law or by regulations issued by the Brazilian Securities and Exchange Commission, subject to the applicable legal formalities, and shall establish their powers and compensation. CHAPTER X - DEFENSE MECHANISMS Art. 90 87 The members of the Executive Board, the Board of Directors, the Supervisory Board, if installed, and the Statutory Committees Statutory Committees shall be liable for losses or damages caused in the performance of their duties, in the cases provided for by law. Art. 91 88 The Company shall ensure legal defense, where there is no conflict with its own interests, in judicial and administrative proceedings brought by third parties against current or former members of the statutory bodies, during or after their respective terms of office, for acts performed in the exercise of their positions or duties. § 1° The same protection set forth above shall be extended to employees, agents, and attorneys-in-fact of the Company who are named as defendants in judicial and/or administrative proceedings exclusively as a result of acts performed pursuant to authority granted by the Company or in the exercise of powers delegated by the directors. § 2° Legal defense shall be provided either through the Company’s internal legal department, by contracting insurance, or, if that is not possible, by retaining an external law firm, at the Company’s discretion. § 3° If, after a formal request by the interested party, the Company fails to provide defense as set forth in paragraph 2, the individual may retain legal counsel of their choice at their own expense and shall be entitled to reimbursement of reasonable attorneys’ Copel Bylaws – p. 29/39 fees and costs, provided that the amounts are proposed within the parameters and conditions then prevailing in the market for the defense of such specific case, approved by the Board of Directors, and provided further that the individual is ultimately acquitted or discharged from liability. § 4° The Board of Directors may resolve to advance attorneys’ fees in the case referred to in paragraph 3. Art. 92 89 The Company may enter into indemnity agreements, subject to applicable law and the guidelines established in the Indemnity Policy. § 1° The agreements referred to in the head paragraph of this article shall not provide indemnification for acts performed: I outside the scope of the duties or authority of their signatories; II in bad faith, with willful misconduct, gross negligence, or fraud; III in the interest of the individual or of third parties to the detriment of the Company’s corporate interest; and IV in any other cases provided for in the Indemnity Policy or the respective indemnity agreement. § 2° The coverage provided under the indemnity agreement shall apply only if there is no civil liability insurance coverage available, as provided for in Article 95 92 of these Bylaws. Art. 93 90 The Company shall ensure timely access to all documentation necessary for legal defense. Additionally, the Company shall bear court costs, fees of any kind, administrative expenses, and deposits required to secure appeals when the defense is conducted by the internal legal department. Art. 94 91 If any person entitled to legal defense, among those referred to in Article 91 88 of these Bylaws, is found liable or convicted by a final and unappealable judgment, based on a violation of law or of the Bylaws, or arising from willful misconduct or negligence, such person shall be required to reimburse the Company for all amounts actually disbursed in connection with the legal defense, as well as for any losses caused. Art. 95 92 The Company may maintain a permanent civil liability insurance policy in favor of the persons referred to in Article 91 88 of these Bylaws, in the form and scope defined by the Board of Directors and set forth in the applicable policy, to cover court costs and attorneys’ fees arising from judicial and administrative proceedings brought against them, in order to protect them from liabilities resulting from acts performed in the exercise of their positions or duties, covering the entire term of their respective mandates. CHAPTER XI - CHANGE OF CONTROL AND EXIT FROM THE NOVO MERCADO Art. 96 93 The direct or indirect transfer of control of the Company, if applicable, whether through a single transaction or successive transactions, shall be contracted subject to a suspensive or resolutory condition that the acquirer undertakes to launch a public tender offer for the shares held by the other shareholders of the Company, in accordance with the conditions and timeframes set forth in applicable law and current regulations and with the Level 2 Corporate Governance Rules of B3 Novo Mercado, so as to ensure that they receive treatment equal to that afforded to the transferring controlling shareholder. Sole Paragraph. The public tender offer referred to in this article shall also be required: (i) in the event of a compensated assignment of subscription rights to shares or of other securities or rights related to securities convertible into shares, that results in the transfer of control of the Company; or (ii) in the event of the transfer of control of a company that holds the controlling interest in the Company, in which case the transferring controlling shareholder shall be required to declare to B3 the value attributed to the Company in such transfer, attaching supporting documentation evidencing such value. Copel Bylaws – p. 30/39 Art. 94 Without prejudice to the provisions of the Novo Mercado, the voluntary exit from the Novo Mercado must be preceded by a public offer to acquire shares that observes the procedures provided for in the regulations issued by the Securities and Exchange Commission on public offers to acquire shares to cancel the registration of a publicly traded company and the following requirements: I the price offered must be fair, and it is possible to request a new evaluation of the Company in the manner established in Federal Law No. 6,404/1976; and II shareholders holding more than 1/3 of the outstanding shares must accept the public offer to acquire shares or expressly agree to the exit of the aforementioned segment without the effect of disposal of the shares. Sole Paragraph - Voluntary departure from the Novo Mercado may occur regardless of the public offer mentioned in this Article, in the event of dismissal approved at the General Meeting, pursuant to the terms of the Novo Mercado Regulation. Art. 97 Any person who acquires control by entering into a private share purchase agreement with the controlling shareholder, involving any number of shares, shall be required to: (i) conduct the public tender offer referred to in Article 96 above; and (ii) pay, under the terms set forth below, an amount equivalent to the difference between the public tender offer price and the price paid per share for any shares acquired on the stock exchange within the six (6) months preceding the acquisition of control, adjusted for inflation through the date of payment. The aforementioned amount shall be distributed among all persons who sold shares of the Company on the trading sessions in which the acquirer made purchases, in proportion to each seller’s net daily selling balance, with B3 responsible for carrying out the distribution in accordance with its regulations. Art. 98 The Company shall not register any transfer of shares to the acquirer or to any person or entity that comes to hold the controlling interest until such person or entity executes the Controlling Shareholders’ Statement of Consent referred to in the Level 2 Corporate Governance Rules of B3. Art. 99 No shareholders’ agreement governing the exercise of control shall be recorded at the Company’s headquarters unless its signatories have executed the Controlling Shareholders’ Statement of Consent referred to in the Level 2 Corporate Governance Rules of B3. Art. 100 In the public tender offer for the acquisition of shares, to be made by the controlling shareholder or by the Company for the purpose of deregistration as a publicly held company, the minimum offer price shall correspond to the economic value determined in the valuation report prepared in accordance with paragraphs 1 and 2 of this article, subject to applicable legal and regulatory requirements. § 1° The valuation report referred to in the head paragraph of this article shall be prepared by an institution or specialized company with proven experience and independence from the Company’s decision-making authority, its management, and/or its controlling shareholder(s), and shall comply with the requirements set forth in paragraph 1 of Article 8 of Federal Law No. 6,404/1976, as well as include the liability provisions set forth in paragraph 6 of the same article. § 2° The selection of the institution or specialized firm responsible for determining the Company’s economic value shall be the exclusive responsibility of the General Shareholders’ Meeting, based on a list of three candidates submitted by the Board of Directors. The resolution, with blank votes not counted and with each share entitled to one vote regardless of its type or class, shall be adopted by a majority of the votes cast by shareholders holding outstanding shares present at the meeting. If convened on first call, the meeting must have shareholders representing at least twenty percent (20%) of the total outstanding shares; if convened on second call, the meeting may be held with the presence of any number of shareholders holding outstanding shares. Copel Bylaws – p. 31/39 CHAPTER XII - WITHDRAWAL FROM B3’S LEVEL 2 CORPORATE GOVERNANCE Art. 101 If it is resolved that the Company will withdraw from Level 2 Corporate Governance, either to allow its securities to be registered for trading outside Level 2 Corporate Governance or as a result of a corporate reorganization in which the resulting company does not have its securities admitted for trading on Level 2 Corporate Governance within one hundred and twenty (120) days from the date of the General Shareholders’ Meeting that approved the transaction, the controlling shareholder shall conduct a public tender offer to acquire the shares held by the other shareholders of the Company at a price of no less than the economic value determined in a valuation report prepared in accordance with paragraphs 1 and 2 of Article 100, subject to applicable legal and regulatory requirements. Sole Paragraph. The controlling shareholder shall be exempt from conducting the public tender offer referred to in the head paragraph of this article if the Company withdraws from Level 2 Corporate Governance as a result of entering into a participation agreement for admission to the special B3 listing segment known as the Novo Mercado, or if the company resulting from a corporate reorganization obtains authorization to trade its securities on the Novo Mercado within one hundred and twenty (120) days from the date of the General Shareholders’ Meeting that approved the transaction. Art. 102 In the event there is no controlling shareholder, if it is resolved that the Company will withdraw from Level 2 Corporate Governance in order for its securities to be registered for trading outside Level 2 Corporate Governance, or as a result of a corporate reorganization in which the resulting company does not have its securities admitted for trading on either Level 2 Corporate Governance or the Novo Mercado within one hundred and twenty (120) days from the date of the General Shareholders’ Meeting that approved the transaction, such withdrawal shall be subject to the completion of a public tender offer for the acquisition of shares under the same conditions set forth in the preceding article. § 1° The General Shareholders’ Meeting shall determine the person(s) responsible for conducting the public tender offer for the acquisition of shares, who, if present at the meeting, must expressly assume the obligation to carry out the offer. § 2° In the absence of a designation of the responsible party for conducting the public tender offer for the acquisition of shares, in the case of a corporate reorganization in which the company resulting from such reorganization does not have its securities admitted for trading on Level 2 Corporate Governance, the obligation to carry out the offer shall fall on the shareholders who voted in favor of the reorganization. Art. 103 The withdrawal of the Company from Level 2 Corporate Governance of B3 due to a breach of obligations set forth in the Level 2 Rules shall be subject to the completion of a public tender offer for the acquisition of shares at a price of no less than the economic value of the shares, as determined in the valuation report referred to in Article 100 of these Bylaws, subject to applicable legal and regulatory requirements. § 1° The controlling shareholder shall conduct the public tender offer for the acquisition of shares referred to in the head paragraph of this article. § 2° In the event there is no controlling shareholder and the withdrawal from Level 2 Corporate Governance referred to in the head paragraph results from a resolution of the General Shareholders’ Meeting, the shareholders who voted in favor of the resolution that gave rise to the breach shall conduct the public tender offer for the acquisition of shares referred to in the head paragraph. § 3° In the event there is no controlling shareholder and the withdrawal from Level 2 Corporate Governance of B3 referred to in the head paragraph results from an act or omission of the Company’s management, the Company’s administrators shall call a General Shareholders’ Meeting, with the agenda to resolve on how to remedy the breach of the obligations set forth in the Level 2 Rules or, if applicable, to resolve on the withdrawal of the Company from Level 2 Corporate Governance. § 4° If the General Shareholders’ Meeting referred to in paragraph 3 resolves to withdraw the Company from Level 2 Corporate Governance of B3, it shall determine the Copel Bylaws – p. 32/39 person(s) responsible for conducting the public tender offer for the acquisition of shares referred to in the head paragraph, who, if present at the meeting, must expressly assume the obligation to carry out the offer. CHAPTER XIII - CHAPTER XII PROTECTION OF PUBLIC FLOAT Art. 104 95 Any shareholder or group of shareholders who, directly or indirectly, acquires common shares representing more than twenty-five percent (25%) of Copel’s voting capital and does not reduce their holdings to below such threshold within one hundred and twenty (120) days shall be required to conduct a public tender offer for the acquisition of all remaining common shares, at a price at least one hundred percent (100%) higher than the highest trading price of the common shares during the five hundred and four (504) trading sessions preceding the date on which the shareholder or group of shareholders exceeded the threshold set forth in this article, adjusted on a pro rata die basis by the Special System for Settlement and Custody (SELIC, Sistema Especial de Liquidação e Custódia) rate. Sole Paragraph. The obligation to conduct a public tender offer shall not apply to shareholders who, as of the effective date of this provision, already hold a direct or indirect interest exceeding the threshold set forth in the head paragraph, but shall apply if: (1) following a reduction in their holdings, their interest subsequently increases and again exceeds twenty-five percent (25%) of the Company’s voting capital; or (2) without having reduced their holdings below the threshold set forth in the head paragraph, they acquire any additional interest that is not divested within the period provided for in this article. Art. 105 96 Any shareholder or group of shareholders who, directly or indirectly, acquires common shares representing more than fifty percent (50%) of Copel’s voting capital and does not reduce their holdings to below such threshold within one hundred and twenty (120) days shall be required to conduct a public tender offer for the acquisition of all remaining common shares, at a price at least two hundred percent (200%) higher than the highest trading price of the common shares during the five hundred and four (504) trading sessions preceding the date on which the shareholder or group of shareholders exceeded the threshold set forth in this article, adjusted on a pro rata die basis by the Special System for Settlement and Custody (SELIC) rate. CHAPTER XIV - DISPUTE RESOLUTION Art. 106 97 The Company, its shareholders, administrators and members of the Audit Committee, if installed, and alternates, are forced to solve, through arbitration, before the Market Arbitration Chamber, in the form of its regulation, any and all disputes or controversies that may arise between them, related to or arising from their status as an issuer, shareholders, administrators, members of the supervisory board, members of Statutory Committees and, in particular, arising from how much application, validity, efficacy, interpretation, violation and its effects, of the provisions contained in Federal Law No. 6,404/1976, in Federal Law No. 6,385/76, and subsequent changes, in these Bylaws, in the standards edited by the National Monetary Council, by the Central Bank of Brazil and the Securities and Exchange Commission, as well as other standards applicable to the operation of the capital market in general, in addition to those contained in the Novo Mercado Regulation, the other regulations of B3 and the participation agreement in the Novo Mercado Level 2 New Market Share Agreement, of the Arbitration Regulation, Sanctions Regulation and Corporate Governance Level 2 Participation Agreement. CHAPTER XV - GENERAL PROVISIONS Art. 107 98 In the event of a shareholder withdrawal, the amount to be paid by the Company as reimbursement for the shares held by shareholders who have exercised their right of Copel Bylaws – p. 33/39 withdrawal, in cases authorized by law, shall correspond to the book value per share, determined based on the most recent set of financial statements approved by the General Shareholders’ Meeting, without prejudice to the shareholder’s right to request the preparation of a special balance sheet in the cases provided for in Article 45 of Federal Law No. 6,404/1976. Art. 108 99The Company shall comply not only with the shareholders’ agreement but also with the guidelines and procedures set forth in federal, state, and municipal legislation, as well as regulatory and normative rules issued by state and federal authorities. Art. 109 The employee representative elected at the 68th Annual General Shareholders’ Meeting, held on 04/28/2023, as a member of the Board of Directors, shall remain in office until the end of their term, which shall conclude at the Annual General Shareholders’ Meeting to be held in 2025. Art. 100 The provision contained in Article 5, Paragraph 1 shall cease to be in force with the start of trading of the Company's common shares in the Novo Mercado segment. [logo:] COPEL. Pure Energy ANNEX I – AMENDMENTS TO THE BYLAWS Copel Bylaws – p. 34/39 The original text of Copel’s Bylaws (filed with Jucepar under No. 17,340 on 06/16/1955, and published in the DOE PR on 06/25/1955) has been subject to amendments, with references listed below: Minutes of the GSM JUCEPAR Published in DOE PR Filing No. Date 09/09/1969 83,759 10/01/1969 10/08/1969 08/21/1970 88,256 09/04/1970 09/14/1970 10/22/1970 88,878 11/05/1970 11/16/1970 04/28/1972 95,513 05/24/1972 05/30/1972 04/30/1973 101,449 08/15/1973 08/28/1973 05/06/1974 104,755 05/21/1974 06/05/1974 12/27/1974 108,364 02/07/1975 02/21/1975 04/30/1975 110,111 06/03/1975 06/18/1975 03/26/1976 114,535 04/29/1976 05/10/1976 02/15/1978 123,530 02/28/1978 03/08/1978 08/14/1979 130,981 11/09/1979 11/20/1979 02/26/1980 132,253 03/25/1980 04/16/1980 10/30/1981 139,832 12/01/1981 12/18/1981 05/02/1983 146,251 05/31/1983 06/14/1983 05/23/1984 150,596 07/26/1984 08/28/1984 12/17/1984 160,881 01/17/1985 02/11/1985 06/11/1985 162,212 07/01/1985 07/18/1985 01/12/1987 166,674 02/13/1987 02/26/1987 03/18/1987 166,903 04/07/1987 05/08/1987 06/19/1987 167,914 07/02/1987 07/14/1987 02/22/1994 18,444.7 02/28/1994 03/17/1994 08/22/1994 309.0 09/20/1994 10/06/1994 02/15/1996 960,275,860 02/27/1996 03/06/1996 10/18/1996 961,839,597 10/29/1996 11/06/1996 07/10/1997 971,614,148 07/18/1997 07/22/1997 03/12/1998 980,428,793 04/01/1998 04/07/1998 04/30/1998 981,597,050 05/06/1998 05/12/1998 05/25/1998 981,780,954 05/28/1998 06/02/1998 01/26/1999 990,171,175 02/05/1999 02/11/1999 03/25/1999 990,646,483 04/14/1999 04/23/1999 03/27/2000 633,666 03/30/2000 04/07/2000 08/07/2001 20,011,994,770 08/14/2001 08/27/2001 12/26/2002 20,030,096,413 01/29/2003 02/10/2003 02/19/2004 20,040,836,223 03/08/2004 03/19/2004 06/17/2005 20,052,144,879 06/23/2005 07/05/2005 01/11/2006 20,060,050,632 01/20/2006 01/25/2006 Cont.... [logo:] COPEL. Pure Energy ANNEX I – AMENDMENTS TO THE BYLAWS Copel Bylaws – p. 35/39 Continued... Minutes of the GSM JUCEPAR Published in DOE PR Filing No. Date 08/24/2006 20,063,253,062 08/30/2006 09/11/2006 07/02/2007 20,072,743,441 07/04/2007 07/27/2007 04/18/2008 20,081,683,790 04/25/2008 05/27/2008 03/13/2009 20,091,201,500 03/13/2009 03/31/2009 07/08/2010 20,106,612,077 07/20/2010 08/04/2010 04/28/2011 20,111,122,929 05/10/2011 06/07/2011 04/26/2012 20,123,192,609 05/09/2012 05/15/2012 04/25/2013 20,132,186,560 05/07/2013 05/20/2013 07/25/2013 20,134,231,198 07/30/2013 08/09/2013 10/10/2013 20,135,861,330 10/15/2013 10/25/2013 04/24/2014 20,142,274,046 04/29/2014 05/05/2014 04/23/2015 20,152,615,962 05/04/2015 05/06/2015 12/22/2016 20,167,724,827 01/04/2017 01/06/2017 06/07/2017 20,173,251,129 06/12/2017 06/19/2017 06/28/2018 20,183,296,796 07/11/2018 07/17/2018 04/29/2019 20,192,743,090 05/07/2019 05/10/2019 12/02/2019 20,197,383,041 12/17/2019 12/19/2019 03/11/2021 20,211,660,922 03/25/2021 04/06/2021 09/27/2021 20,216,601,347 09/30/2021 10/18/2021 Minutes of the GSM JUCEPAR Statement published in Valor Econômico de Filing No. Date 04/28/2023 20,233,084,983 05/08/2023 05/12/2023 07/10/2023* 20,234,989,270 07/25/2023 07/28/2023 10/30/2024 20,248,270,168 11/08/2024 11/13/2024 * By virtue of the condition set forth at the 207th Extraordinary General Shareholders’ Meeting, held on 07/10/2023, Copel’s Bylaws as a Corporation came into force on 08/11/2023, upon the settlement of the Company’s public tender offer on B3, filed with Jucepar under No. 20237103575 on 10/10/2023. [logo:] COPEL. Pure Energy ANNEX II – EVOLUTION OF SHARE CAPITAL (ART. 5) Copel Bylaws – p. 36/39 Initial Capital on 03/28/1955: Cr$ 800,000,000.00 Minutes of the GSM New Approved Capital JUCEPAR Published in DOE PR Filing No. Date Cr$ 10/01/1960 1,400,000,000.00 26.350 10/13/1960 10/14/1960 04/16/1962 4,200,000,000.00 31,036 05/03/1962 05/26/1962 11/11/1963 8,000,000,000.00 37,291 11/28/1963 12/02/1963 10/13/1964 16,000,000,000.00 50,478 10/23/1964 10/31/1964 09/24/1965 20,829,538,000.00 65,280 10/15/1965 10/18/1965 10/29/1965 40,000,000,000.00 65,528 11/12/1965 11/18/1965 09/20/1966 70,000,000,000.00 70,003 10/11/1966 10/18/19661 NCr$ 10/31/1967 125,000,000.00 74,817 12/01/1967 12/07/1967 06/17/1968 138,660,523.00 77,455 06/27/1968 07/13/1968 11/27/1968 180,000,000.00 79,509 12/10/1968 12/20/1968 06/06/1969 210,000,000.00 82,397 07/11/1969 08/05/1969 10/13/1969 300,000,000.00 84,131 10/30/1969 11/03/1969 12/03/1969 300,005,632.00 84,552 12/16/1969 12/30/1969 04/06/1970 332,111,886.00 86,263 05/14/1970 06/09/1970 Cr$ 11/24/1970 425,000,000.00 89,182 12/11/1970 12/18/1970 12/18/1970 500,178,028.00 89,606 02/04/1971 02/17/1971 07/31/1972 866,000,000.00 97,374 09/21/1972 10/04/1972 04/30/19732 867,934,700.00 101,449 08/15/1973 08/28/1973 08/31/1973 877,000,000.00 102,508 11/09/1973 11/21/1973 10/30/19733 1,023,000,000.00 103,387 01/25/1974 02/11/1974 05/30/1974 1,023,000,010.00 105,402 06/21/1974 06/27/1974 12/27/1974 1,300,000,000.00 108,364 02/07/1975 02/21/1975 04/30/1975 1,302,795,500.00 110,111 06/13/1975 06/18/1975 12/22/1975 1,600,000,000.00 113,204 01/15/1976 02/13/1976 03/26/1976 1,609,502,248.00 114,535 04/29/1976 05/10/1976 12/17/1976 2,100,000,000.00 118,441 01/14/1977 02/04/1977 08/29/1977 3,000,000,000.00 122,059 10/14/1977 10/25/1977 11/16/1977 3,330,000,000.00 122,721 12/13/1977 01/12/1978 04/28/1978 3,371,203,080.00 125,237 07/06/1978 07/20/1978 Cont.... 1 Corrected in DOE PR dated 06/05/1967. 2 Corrected in the EGSM dated 08/07/1973, published in DOE PR dated 08/23/1973. 3 Corrected in the EGSM dated 12/21/1973, published in DOE PR dated 02/01/1974. [logo:] COPEL. Pure Energy ANNEX II – EVOLUTION OF SHARE CAPITAL (ART. 5) Copel Bylaws – p. 37/39 Continued... Minutes of the GSM New Approved Capital JUCEPAR Published in DOE PR Filing No. Date Cr$ 12/14/1978 4,500,000,000.00 127,671 01/19/1979 03/06/1979 03/05/1979 5,656,487,659.00 128,568 05/04/1979 05/17/1979 04/30/1979 5,701,671,254.00 129,780 07/24/1979 08/14/1979 09/24/1979 8,000,000,000.00 130,933 11/05/1979 11/23/1979 CR$ 03/27/1980 10,660,296,621.00 133,273 06/17/1980 06/27/1980 04/29/1980 10,729,574,412.00 133,451 06/27/1980 07/16/1980 10/16/1980 11,600,000,000.00 135,337 12/02/1980 01/20/1981 04/30/1981 20,000,000,000.00 137,187 05/19/1981 05/29/1981 10/30/1981 20,032,016,471.00 139,832 12/01/1981 12/18/1981 04/30/1982 37,073,740,000.00 141,852 06/01/1982 06/17/1982 10/29/1982 39,342,000,000.00 144,227 12/14/1982 12/29/1982 03/14/1983 75,516,075,768.00 145,422 04/12/1983 05/10/1983 05/02/1983 80,867,000,000.00 146,251 05/31/1983 06/14/1983 09/01/1983 83,198,000,000.00 148,265 10/25/1983 12/09/1983 04/10/1984 205,139,191,167.00 150,217 06/15/1984 07/17/1984 04/10/1984 215,182,000,000.00 150,217 06/15/1984 07/17/1984 10/05/1984 220,467,480,000.00 160,412 11/08/1984 11/27/1984 03/25/1985 672,870,475,837.00 161,756 05/21/1985 06/11/1985 03/25/1985 698,633,200,000.00 161,756 05/21/1985 06/11/1985 09/18/1985 719,093,107,000.00 163,280 11/14/1985 11/27/1985 Cz$ 04/25/1986 2,421,432,629.00 164,815 06/11/1986 06/30/1986 10/23/1986 2,472,080,064.00 166,138 11/06/1986 11/14/1986 03/18/1987 4,038,049,401.49 166,903 04/07/1987 05/08/1987 03/18/1987 4,516,311,449.87 166,903 04/07/1987 05/08/1987 09/18/1987 4,682,539,091.91 168,598 10/06/1987 10/16/1987 04/14/1988 18,772,211,552.10 170,034 05/06/1988 05/25/19884 04/14/1988 19,335,359,578.00 170,034 05/06/1988 05/25/1988 06/14/1988 19,646,159,544.00 170,727 07/11/1988 07/20/1988 04/25/1989 174,443,702,532.00 172,902 05/26/1989 07/06/1989 NCz$ 04/25/1989 182,848,503.53 172,902 05/26/1989 07/06/1989 06/26/1989 184,240,565.60 17,337.4 07/12/1989 07/21/1989 Cont.... 4 Correction in DOE No. 2780, dated 05/27/1988. [logo:] COPEL. Pure Energy ANNEX II – EVOLUTION OF SHARE CAPITAL (ART. 5) Copel Bylaws – p. 38/39 Continued... Minutes of the GSM New Approved Capital JUCEPAR Published in DOE PR Filing No. Date Cr$ 03/30/1990 2,902,464,247.10 175,349 05/02/1990 05/09/1990 03/30/1990 3,113,825,643.60 175,349 05/02/1990 05/09/1990 05/25/1990 3,126,790,072.52 176,016 07/10/1990 08/09/1990 03/25/1991 28,224,866,486.42 17,780.9 04/26/1991 05/23/1991 03/25/1991 30,490,956,176.38 17,780.9 04/26/1991 05/23/1991 05/23/1991 30,710,162,747.26 17,833.7 06/18/1991 06/27/1991 04/28/1992 337,561,908,212.47 18,061.7 06/08/1992 07/06/1992 04/28/1992 367,257,139,084.96 18,061.7 06/08/1992 07/06/1992 06/25/1992 369,418,108,461.33 18,089.9 07/09/1992 07/17/1992 04/01/1993 4,523,333,257,454.10 18,255.3 04/29/1993 05/20/1993 04/01/1993 4,814,158,615,553.95 18,255.3 04/29/1993 05/20/1993 06/15/1993 4,928,475,489,940.955 18,313.9 07/13/1993 08/24/1993 CR$ 04/26/1994 122,158,200,809.226 1,847,810 05/10/1994 06/08/1994 R$ 04/25/1995 446,545,229.15 950,696,471 05/18/1995 06/19/1995 04/23/1996 546,847,990.88 960,710,000 05/07/1996 05/15/1996 07/29/1997 1,087,959,086.89 971,614,130 07/30/1997 08/01/1997 08/07/1997 1,169,125,740.577 971,761,671 08/12/1997 08/15/1997 03/12/1998 1,225,351,436.59 980,428,793 04/01/1998 04/07/1998 03/25/1999 1,620,246,833.38 990,646,483 04/14/1999 04/23/1999 12/26/2002 2,900,000,000.00 20,030,096,413 01/29/2003 02/10/2003 04/29/2004 3,480,000,000.00 20,041,866,290 06/07/2004 06/18/2004 04/27/2006 3,875,000,000.00 20,061,227,897 05/09/2006 05/24/2006 04/27/2007 4,460,000,000.00 20,071,761,462 05/05/2007 05/29/2007 04/27/2010 6,910,000,000.00 20,105,343,960 05/06/2010 05/13/2010 12/22/2016 7,910,000,000.00 20,167,724,827 01/04/2017 01/06/2017 04/29/2019 10,800,000,000.00 20,192,743,090 05/07/2019 05/10/2019 Minutes New Approved Capital JUCEPAR Statement published in the newspaper Valor Econômico BOD - 09/06/2023 12,831,618,938.258 20,237,759,918 10/31/2023 11/13/2023 5 Due to Provisional Measure No. 336 of 07/28/1993, which changed the national currency, the Company’s share capital, as of 08/01/1993, began to be recorded in “cruzeiros reais” (CR$ 4,928,475,475.41 as of that date). 6 Due to Provisional Measure No. 542 of 06/30/1994, which changed the national currency, the Company’s share capital, as of 07/01/1994, began to be recorded in “reais” (R$ 44,421,146.54 as of that date). 7 Share capital increase authorized by the Board of Directors. 8 Share capital increase authorized by the Board of Directors. Bylaws Copel Holding – Comparative table of changes - 18/8/2025 – pg. 1/81 BYLAWS COPEL (HOLDING) COMPARATIVE TABLE OF CHANGES Current Article Last amendment to the 211th EGM, dated 10/30/2024 Proposed bylaws Rationale CHAPTER I - CORPORATE NAME, DURATION, HEADQUARTERS AND CORPORATE PURPOSE CHAPTER I - CORPORATE NAME, DURATION, HEADQUARTERS AND CORPORATE PURPOSE Keep unchanged. Art. 1 Companhia Paranaense de Energia – Copel, hereinafter referred to as “Copel” or the “Company,” is a publicly held corporation, endowed with legal personality under private law, governed by these Bylaws and by the applicable legislation. Art. 1 Companhia Paranaense de Energia – Copel, hereinafter referred to as “Copel” or the “Company,” is a publicly held corporation, endowed with legal personality under private law, governed by these Bylaws and by the applicable legislation. Keep unchanged. Sole Paragraph. The Company’s corporate name may not be altered. Sole Paragraph. § 1 The Company’s corporate name may not be altered. Renumbered, considering the inclusion of a new paragraph in Article 1. NEW § 2 With the Company's entry into the Novo Mercado of B3 S.A. – Brazil, Bolsa, Balcão ("B3"), the Company, its shareholders, including controlling shareholders, administrators and members of the supervisory board, when installed, are subject to the provisions of the Novo Mercado Regulation. Included for purposes of meeting Novo Mercado requirements. Art. 2 The Company’s duration is indefinite. Art. 2 The Company’s duration is indefinite. Keep unchanged. Art. 3 The Company has its principal place of business and legal venue in the City of Curitiba, State of Paraná, Brazil, and may establish branches, agencies, subsidiaries, and offices in Brazil and abroad,. Art. 3 The Company has its principal place of business and legal venue in the City of Curitiba, State of Paraná, Brazil, and may establish branches, agencies, subsidiaries, and offices in Brazil and abroad,. Keep unchanged. Sole Paragraph. The Company’s headquarters must always be located within the State of Paraná. Sole Paragraph.The Company’s headquarters must always be located within the State of Paraná. Excluded, item contained in the caput of Art. 3. Art. 4 The corporate purpose of the Company is to: Art. 4 The corporate purpose of the Company is to: Keep unchanged. Bylaws Copel Holding – Comparative table of changes - 18/8/2025 – pg. 2/81 BYLAWS COPEL (HOLDING) COMPARATIVE TABLE OF CHANGES Current Article Last amendment to the 211th EGM, dated 10/30/2024 Proposed bylaws Rationale I research and study, from technical and economic perspectives, any sources of energy, providing solutions for sustainable development; I research and study, from technical and economic perspectives, any sources of energy, providing solutions for sustainable development; Keep unchanged. II research, study, plan, construct, and operate the production, transformation, transportation, storage, distribution, and trading of energy in any of its forms, principally electrical energy, fuels, and energy raw materials; II research, study, plan, construct, and operate the production, transformation, transportation, storage, distribution, and trading of energy in any of its forms, principally electrical energy, fuels, and energy raw materials; Keep unchanged. III study, plan, design, construct, and operate dams and their reservoirs, as well as other projects aimed at the multiple use of water resources; III study, plan, design, construct, and operate dams and their reservoirs, as well as other projects aimed at the multiple use of water resources; Keep unchanged. IV provide services in the fields of energy business, energy infrastructure, information, and technical assistance regarding the rational use of energy and business initiatives aimed at the implementation and development of economic activities, provided that such activities are previously authorized by the Board of Directors; and IV provide services in the fields of energy business, energy infrastructure, information, and technical assistance regarding the rational use of energy, and business initiatives aimed at the implementation and development of economic activities, provided that such activities are previously authorized by the Board of Directors; and Writing adjustment without change of meaning. V carry out activities in the fields of energy generation, electronic information transmission, communications and electronic controls, cellular telephony, and other activities of interest to Copel, being authorized, for these purposes and subject to prior authorization by the Board of Directors, to participate, preferably with a majority interest or a controlling interest, in consortia, companies, public bidding processes for new concessions, and/or existing companies established to operate existing concessions, taking into account, in addition to the general characteristics of the projects, the respective social and environmental impacts. V carry out activities in the fields of energy generation, electronic information transmission, communications and electronic controls, cellular telephony, and other activities of interest to Copel, being authorized, for these purposes and subject to prior authorization by the Board of Directors, to participate, preferably with a majority interest or a controlling interest, in consortia, companies, public bidding processes for new concessions, and/or existing companies established to operate existing concessions, taking into account, in addition to the general characteristics of the projects, the respective social and environmental impacts. Keep unchanged. Bylaws Copel Holding – Comparative table of changes - 18/8/2025 – pg. 3/81 BYLAWS COPEL (HOLDING) COMPARATIVE TABLE OF CHANGES Current Article Last amendment to the 211th EGM, dated 10/30/2024 Proposed bylaws Rationale § 1 The Company may, for the purpose of pursuing its corporate purpose, form subsidiaries, assume corporate control, and participate in the share capital of other companies or entities, provided that prior authorization is obtained from the Board of Directors. § 1 The Company may, for the purpose of pursuing its corporate purpose, form subsidiaries, assume corporate control, and participate in the share capital of other companies or entities, provided that prior authorization is obtained from the Board of Directors. Inclusion of a comma, with no text change. § 2 For the purpose of pursuing its corporate purpose and within its scope of operations, the Company may open, establish, maintain, transfer, or close branches, offices, agencies, representations, or any other establishments, or appoint representatives, subject to applicable legal and regulatory provisions. § 2 For the purpose of pursuing its corporate purpose and within its scope of operations, the Company may open, establish, maintain, transfer, or close branches, offices, agencies, representations, or any other establishments, or appoint representatives, subject to applicable legal and regulatory provisions. Keep unchanged. § 3 Upon the Company’s admission to the special listing segment known as Level 2 of Corporate Governance of B3 S.A. – Brasil, Bolsa, Balcão, the Company, its shareholders, officers (members of the Board of Directors and the Executive Board), and members of the Supervisory Board shall be subject to the provisions of the Level 2 Corporate Governance Listing Rules of B3 (Level 2 Regulation). § 3 Upon the Company’s admission to the special listing segment known as Level 2 of Corporate Governance of B3 S.A. – Brasil, Bolsa, Balcão, the Company, its shareholders, officers (members of the Board of Directors and the Executive Board), and members of the Supervisory Board shall be subject to the provisions of the Level 2 Corporate Governance Listing Rules of B3 (Level 2 Regulation). Deleted, considering conversion of shares and migration to NM. § 4 The provisions of the Level 2 Corporate Governance Listing Regulation of B3 shall prevail over the provisions of these Bylaws in the event of any prejudice to the rights of the recipients of the public offers provided for herein. § 4 The provisions of the Level 2 Corporate Governance Listing Regulation of B3 shall prevail over the provisions of these Bylaws in the event of any prejudice to the rights of the recipients of the public offers provided for herein. Deleted, considering conversion of shares and migration to NM. CHAPTER II - SHARE CAPITAL AND SHARES CHAPTER II - SHARE CAPITAL AND SHARES Keep unchanged. Art. 5 The fully paid-in share capital amounts to BRL 12,831,618,938.25 (twelve billion, eight hundred thirty-one million, six hundred eighteen thousand, nine hundred thirty- eight reals and twenty-five cents), represented by 2,982,810,591 (two billion, nine hundred eighty-two million, Art. 5 The fully paid-in share capital amounts to BRL 12,831,618,938.25 (twelve billion, eight hundred thirty- one million, six hundred eighteen thousand, nine hundred thirty-eight reals and twenty-five cents), represented by 2,982,810,591 (two billion, nine hundred eighty-two million, eight hundred ten thousand, five hundred ninety- Text adjustment. Article 5 will be amended, considering that the Company will only rely on common shares, without prejudice to the preferred share of a special class of exclusive ownership of the State of Paraná. Bylaws Copel Holding – Comparative table of changes - 18/8/2025 – pg. 4/81 BYLAWS COPEL (HOLDING) COMPARATIVE TABLE OF CHANGES Current Article Last amendment to the 211th EGM, dated 10/30/2024 Proposed bylaws Rationale eight hundred ten thousand, five hundred ninety-one) shares without par value, consisting of 1,300,347,300 (one billion, three hundred million, three hundred forty-seven thousand, three hundred) common shares and 1,682,463,291 (one billion, six hundred eighty-two million, four hundred sixty- three thousand, two hundred ninety-one) preferred shares, of which 3,128,000 (three million, one hundred twenty-eight thousand) are Class A preferred shares and 1,679,335,290 (one billion, six hundred seventy-nine million, three hundred thirty-five thousand, two hundred ninety) are Class B preferred shares, and 1 (one) special class preferred share held exclusively by the State of Paraná. one) shares without par value, consisting of 1,300,347,300 (one billion, three hundred million, three hundred forty- seven thousand, three hundred) common shares and 1,682,463,291 (one billion, six hundred eighty-two million, four hundred sixty-three thousand, two hundred ninety- one) preferred shares, of which 3,128,000 (three million, one hundred twenty-eight thousand) are Class A preferred shares and 1,679,335,290 (one billion, six hundred seventy-nine million, three hundred thirty-five thousand, two hundred ninety) are Class B preferred shares, fully subscribed and paid-in, divided into 2,982,810,590 (two billion, nine hundred eighty-two million, eight hundred ten thousand, five hundred ninety-one) common shares, nominative, book-entry shares, and without par value and in 1 (one) special class preferred share held exclusively by the State of Paraná. NEW § 1 Having observed the provisions of Article 100, the Company may, by resolution of the General Meeting, issue preferential, nominative and no nominal value shares, which will have the following characteristics, rights and advantages: New, aiming to clarify the competence of the General Meeting regarding the deliberation for the issuance of preferred shares. NEW I. except for the provisions of the Level 2 Regulation until migration to the Novo Mercado, they do not grant the holder the right to vote in the resolutions of the General Meeting, nor will they acquire the right to vote in full in the event of non-declaration or payment of the proceeds to which they are entitled; New, aiming to clarify the rights of preferred shareholders. NEW II. confer priority of capital reimbursement in the event of liquidation of the Company's assets, without premium, in the amount corresponding to the percentage of the share capital amount represented by such share; New, aiming to clarify the rights of preferred shareholders. NEW III. are automatically and compulsorily redeemable immediately upon issuance, without the need for a special New, aiming to clarify the rights of preferred shareholders. Bylaws Copel Holding – Comparative table of changes - 18/8/2025 – pg. 5/81 BYLAWS COPEL (HOLDING) COMPARATIVE TABLE OF CHANGES Current Article Last amendment to the 211th EGM, dated 10/30/2024 Proposed bylaws Rationale meeting of shareholders holding preferred shares, the amount to be defined at the time of its issuance, to be paid in national currency on the date of redemption, the Company is permitted to withhold amounts for tribute payment purposes, taxes, fees and expenses for which, by law, the Company is responsible for carrying out the withholding at the source in the name and on behalf of the shareholder. NEW IV confer the right to receive proceeds on equal terms with the common shares issued by the Company; and New, aiming to clarify the rights of preferred shareholders. NEW V confer the right to be included in a public offer of transfer of control, on equal terms with common shares. New, aiming to clarify the rights of preferred shareholders. § 1 The share capital may be increased, by resolution of the Board of Directors, after consulting the Supervisory Board, if installed, pursuant to applicable law and without the need for an amendment to the Bylaws, up to the limit of 4,000,000,000 (four billion) shares for the following purposes: § 1º 2 The share capital may be increased, by resolution of the Board of Directors, after consulting the Supervisory Board, if installed, pursuant to applicable law and without the need for an amendment to the Bylaws, up to the limit of 4,000,000,000 (four billion) shares for the following purposes: Renumbering of the paragraph in view of the proposed adjustments in said article. I - capitalization of profits and reserves; I - capitalization of profits and reserves; Keep unchanged. II - in the event the General Shareholders’ Meeting resolves to issue subscription warrants, debentures convertible into shares, or, pursuant to a plan approved by the General Shareholders’ Meeting, to grant stock options to officers and employees, the exercise of the respective conversion or subscription rights; or II - in the event the General Shareholders’ Meeting resolves to issue subscription warrants, debentures convertible into shares, or, pursuant to a plan approved by the General Shareholders’ Meeting, to grant stock options to officers and employees, the exercise of the respective conversion or subscription rights; or Text adjustment, no change in meaning. III - placement, through sale on the stock exchange or public subscription of new common shares. III - placement, through sale on the stock exchange or public subscription, of new common shares. Text adjustment, no change in meaning. Bylaws Copel Holding – Comparative table of changes - 18/8/2025 – pg. 6/81 BYLAWS COPEL (HOLDING) COMPARATIVE TABLE OF CHANGES Current Article Last amendment to the 211th EGM, dated 10/30/2024 Proposed bylaws Rationale § 2 The shares are registered, book-entry shares, and are maintained in deposit accounts with a duly authorized financial institution. § 2º 3 The shares are registered, book-entry shares, and are maintained in deposit accounts with a duly authorized financial institution. Renumbering of the paragraph in view of the proposed adjustments in said article. § 3 The Company is authorized to select the financial institution, by resolution of the Board of Directors, to maintain the book-entry shares in deposit accounts. § 3º 4 The Company is authorized to select the financial institution, by resolution of the Board of Directors, to maintain the book-entry shares in deposit accounts. Renumbering of the paragraph in view of the proposed adjustments in said article. § 4 The Company may, with authorization from the Board of Directors, acquire its own shares, subject to the rules established by the Brazilian Securities and Exchange Commission. § 4º 5 The Company may, with authorization from the Board of Directors, acquire its own shares, subject to the rules established by the Brazilian Securities and Exchange Commission. Renumbering of the paragraph in view of the proposed adjustments in said article. § 5 The special class preferred share, held exclusively by the State of Paraná, may only be redeemed with legal authorization and upon resolution by an Extraordinary General Shareholders’ Meeting. § 5º 6 The special class preferred share, held exclusively by the State of Paraná, may only be redeemed with legal authorization and upon resolution by an Extraordinary General Shareholders’ Meeting. Renumbering of the paragraph in view of the proposed adjustments in said article. § 6 Capital increases may be carried out through the issuance of common shares and class B preferred shares, without maintaining proportionality with the existing classes or with the common shares, subject to the limit established under Federal Law No. 6,404/1976, as amended. § 6 Capital increases may be carried out through the issuance of common shares and class B preferred shares, without maintaining proportionality with the existing classes or with the common shares, subject to the limit established under Federal Law No. 6,404/1976, as amended. Deleted, considering conversion of shares and migration to NM. § 7 The preferred shares shall grant their holders the following preferences and advantages: § 7 The preferred shares shall grant their holders the following preferences and advantages: Deleted, considering conversion of shares and migration to NM. I. Class A preferred shares shall have priority in the distribution of minimum dividends of ten percent (10%) per year, to be equally divided among them, calculated based on the capital paid in for this type and class of shares as of December 31 of the previous year, and such amount shall be I. Class A preferred shares shall have priority in the distribution of minimum dividends of ten percent (10%) per year, to be equally divided among them, calculated based on the capital paid in for this type and class of shares as of December 31 of the previous year, and such amount Deleted, considering conversion of shares and migration to NM. Bylaws Copel Holding – Comparative table of changes - 18/8/2025 – pg. 7/81 BYLAWS COPEL (HOLDING) COMPARATIVE TABLE OF CHANGES Current Article Last amendment to the 211th EGM, dated 10/30/2024 Proposed bylaws Rationale credited against the mandatory dividend provided for in Article 87; shall be credited against the mandatory dividend provided for in Article 87; II. Class B preferred shares shall have priority in the distribution of mandatory dividends, to be equally divided among them, corresponding to a portion equivalent to at least twenty-five percent (25%) of net income, adjusted pursuant to Federal Law No. 6,404/1976, as amended, calculated proportionally to the capital paid in for this type and class of shares as of December 31 of the previous year; II. Class B preferred shares shall have priority in the distribution of mandatory dividends, to be equally divided among them, corresponding to a portion equivalent to at least twenty-five percent (25%) of net income, adjusted pursuant to Federal Law No. 6,404/1976, as amended, calculated proportionally to the capital paid in for this type and class of shares as of December 31 of the previous year; Deleted, considering conversion of shares and migration to NM. III. The dividends secured by the preceding item to class B preferred shares shall have priority only over common shares and shall be paid solely from the remaining profits after the payment of the priority dividends to class A preferred shares; III. The dividends secured by the preceding item to class B preferred shares shall have priority only over common shares and shall be paid solely from the remaining profits after the payment of the priority dividends to class A preferred shares; Deleted, considering conversion of shares and migration to NM. IV The dividend to be paid per class A and class B preferred share shall be at least ten percent (10%) higher than that attributed to each common share, in accordance with the provisions of Federal Law No. 6,404/1976, as amended; IV The dividend to be paid per class A and class B preferred share shall be at least ten percent (10%) higher than that attributed to each common share, in accordance with the provisions of Federal Law No. 6,404/1976, as amended; Deleted, considering conversion of shares and migration to NM. V. Class A and class B preferred shares shall acquire full voting rights if the priority or minimum dividends to which they are entitled are not paid for three (3) consecutive fiscal years; and V. Class A and class B preferred shares shall acquire full voting rights if the priority or minimum dividends to which they are entitled are not paid for three (3) consecutive fiscal years; and Deleted, considering conversion of shares and migration to NM. VI Class A and Class B preferred shares guarantee their holders the right to be included in any public tender offer for the acquisition of shares resulting from the Company’s Change of Control, at the same price and under the same conditions offered to the Selling Controlling Shareholder; and VI Class A and Class B preferred shares guarantee their holders the right to be included in any public tender offer for the acquisition of shares resulting from the Company’s Change of Control, at the same price and under the same conditions offered to the Selling Controlling Shareholder; and Deleted, considering conversion of shares and migration to NM. Bylaws Copel Holding – Comparative table of changes - 18/8/2025 – pg. 8/81 BYLAWS COPEL (HOLDING) COMPARATIVE TABLE OF CHANGES Current Article Last amendment to the 211th EGM, dated 10/30/2024 Proposed bylaws Rationale VII The special class preferred share held by the State of Paraná shall confer upon the State of Paraná priority in the reimbursement of capital, without premium, in the event of the Company’s liquidation, corresponding to the percentage that such share represents of the share capital, and the power to veto resolutions at the general shareholders’ meeting: VII §7The special class preferred share held by the State of Paraná shall confer upon the State of Paraná priority in the reimbursement of capital, without premium, in the event of the Company’s liquidation, corresponding to the percentage that such share represents of the share capital, and the power to veto resolutions at the general shareholders’ meeting: Renumbering of the paragraph in view of the proposed adjustments in said article. a) that authorize the officers to approve and execute the Annual Investment Plan of Copel Distribuição S.A. in the event that the investments, as from the 2021/2025 rate cycle, deemed prudent by Aneel (Agência Nacional de Energia Elétrica [National Agency for Electricity]), do not reach, at a minimum, 2.0 times the Regulatory Depreciation Quota (QRR, Quota de Reintegração Regulatória) for that same Ordinary Rate Review cycle and/or on an accumulated basis by the end of the concession; a) that authorize the officers to approve and execute the Annual Investment Plan of Copel Distribuição S.A. in the event that the investments, as from the 2021/2025 rate cycle, deemed prudent by Aneel (Agência Nacional de Energia Elétrica [National Agency for Electricity]), do not reach, at a minimum, 2.0 times the Regulatory Depreciation Quota (QRR, Quota de Reintegração Regulatória) for that same Ordinary Rate Review cycle and/or on an accumulated basis by the end of the concession; Keep unchanged. b) that aim to amend the Bylaws in order to remove or modify: b) that aim to amend the Bylaws in order to remove or modify: Keep unchanged. 1. the obligation to maintain the Company’s current corporate name; 1. the obligation to maintain the Company’s current corporate name; Keep unchanged. 2. the obligation to maintain the Company’s headquarters in the State of Paraná; 2. the obligation to maintain the Company’s headquarters in the State of Paraná; Keep unchanged. 3. the prohibition against any shareholder or group of shareholders exercising voting rights in a number exceeding 10% (ten percent) of the shares into which COPEL’s voting share capital is divided; 3. the prohibition against any shareholder or group of shareholders exercising voting rights in a number exceeding 10% (ten percent) of the shares into which COPEL’s voting share capital is divided; Keep unchanged. Bylaws Copel Holding – Comparative table of changes - 18/8/2025 – pg. 9/81 BYLAWS COPEL (HOLDING) COMPARATIVE TABLE OF CHANGES Current Article Last amendment to the 211th EGM, dated 10/30/2024 Proposed bylaws Rationale 4. the prohibition against the execution, filing, and registration of shareholders’ agreements for the exercise of voting rights, except for the formation of voting blocs with a number of votes below the limit set forth in these Bylaws; and 4. the prohibition against the execution, filing, and registration of shareholders’ agreements for the exercise of voting rights, except for the formation of voting blocs with a number of votes below the limit set forth in these Bylaws; and Keep unchanged. 5. the exclusive authority of the general shareholders’ meeting to authorize the administrators to approve and execute the Copel Distribuição S.A. Annual Investment Plan if the investments, starting from the 2021/2025 rate cycle, deemed prudent by Aneel, do not reach at least 2.0x the Regulatory Depreciation Quota (QRR) for that same Ordinary Rate Review cycle and/or, in the aggregate, by the end of the concession term. 5. the exclusive authority of the general shareholders’ meeting to authorize the administrators to approve and execute the Copel Distribuição S.A. Annual Investment Plan if the investments, starting from the 2021/2025 rate cycle, deemed prudent by Aneel, do not reach at least 2.0x the Regulatory Depreciation Quota (QRR) for that same Ordinary Rate Review cycle and/or, in the aggregate, by the end of the concession term. Keep unchanged. § 8 Each Class A and Class B preferred share grants its holder restricted voting rights, exclusively on the following matters: § 8 Each Class A and Class B preferred share grants its holder restricted voting rights, exclusively on the following matters: Deleted, considering conversion of shares and migration to NM. I transformation, merger, consolidation, or spin-off of the Company; I transformation, merger, consolidation, or spin-off of the Company; Deleted, considering conversion of shares and migration to NM. II approval of agreements between the Company and the Controlling Shareholder, whether directly or through third parties, as well as with other companies in which the Controlling Shareholder holds an interest, whenever such agreements, by legal or statutory provision, must be resolved at a General Shareholders’ Meeting; II approval of agreements between the Company and the Controlling Shareholder, whether directly or through third parties, as well as with other companies in which the Controlling Shareholder holds an interest, whenever such agreements, by legal or statutory provision, must be resolved at a General Shareholders’ Meeting; Deleted, considering conversion of shares and migration to NM. III valuation of assets contributed for the purposes of increasing the Company’s share capital; III valuation of assets contributed for the purposes of increasing the Company’s share capital; Deleted, considering conversion of shares and migration to NM. Bylaws Copel Holding – Comparative table of changes - 18/8/2025 – pg. 10/81 BYLAWS COPEL (HOLDING) COMPARATIVE TABLE OF CHANGES Current Article Last amendment to the 211th EGM, dated 10/30/2024 Proposed bylaws Rationale IV selection of a specialized institution or firm to determine the Economic Value of the Company, as provided in Article 100 of these Bylaws; IV selection of a specialized institution or firm to determine the Economic Value of the Company, as provided in Article 100 of these Bylaws; Deleted, considering conversion of shares and migration to NM. V amendment or repeal of statutory provisions that alter or modify any of the requirements set forth in item 4.1 of the Level 2 Corporate Governance Regulation of B3, it being understood that such voting right shall prevail for as long as the Participation Agreement in Level 2 Corporate Governance remains in effect; and V amendment or repeal of statutory provisions that alter or modify any of the requirements set forth in item 4.1 of the Level 2 Corporate Governance Rules of B3, it being understood that such voting right shall prevail for as long as the Participation Agreement in Level 2 Corporate Governance remains in effect; and Deleted, considering conversion of shares and migration to NM. VI removal or amendment intended to eliminate the right provided in item XXIX of Article 30, as well as the right provided in this item, it being understood that such amendment shall require the approval of the majority of the preferred shares in a special shareholders’ meeting called for this purpose. VI removal or amendment intended to eliminate the right provided in item XXIX of Article 30, as well as the right provided in this item, it being understood that such amendment shall require the approval of the majority of the preferred shares in a special shareholders’ meeting called for this purpose. Deleted, considering conversion of shares and migration to NM. § 9 Subject to the veto power provided for in item VII of paragraph 7 of this article, the special class preferred share held by the State of Paraná shall not carry voting rights, nor shall it acquire voting rights in the event of nonpayment of the distributions to which it is entitled. § 9º 8Subject to the veto power provided for in item VII of paragraph 7 paragraph 7 paragraph 7 of this article, the special class preferred share held by the State of Paraná shall not carry voting rights, nor shall it acquire voting rights in the event of nonpayment of the distributions to which it is entitled. Renumbering of the paragraph in view of the proposed adjustments in said article. § 10 The veto power provided for in item VII of paragraph 7 of this article may only be exercised in accordance with the terms of State of Paraná Law No. 21,272/2022 and applicable legislation. § 10 9 The veto power provided for in item VII of paragraph 7 of this article may only be exercised in accordance with the terms of State of Paraná Law No. 21,272/2022 and applicable legislation. Renumbering of the paragraph in view of the proposed adjustments in said article. § 11 The shares issued by the Company may be converted into another type and class, subject to the following rules: § 11 The shares issued by the Company may be converted into another type and class, subject to the following rules: Deleted, considering conversion of shares and migration to NM. Bylaws Copel Holding – Comparative table of changes - 18/8/2025 – pg. 11/81 BYLAWS COPEL (HOLDING) COMPARATIVE TABLE OF CHANGES Current Article Last amendment to the 211th EGM, dated 10/30/2024 Proposed bylaws Rationale I the class A preferred shares may be converted into class B preferred shares at any time; I the class A preferred shares may be converted into class B preferred shares at any time; Deleted, considering conversion of shares and migration to NM. II the class A and class B preferred shares may be converted into common shares, in accordance with the timeframes, conditions, and procedures established by the Board of Directors; and II the class A and class B preferred shares may be converted into common shares, in accordance with the timeframes, conditions, and procedures established by the Board of Directors; and Deleted, considering conversion of shares and migration to NM. III under no circumstances may the common shares or class B preferred shares be converted into class A preferred shares. III under no circumstances may the common shares or class B preferred shares be converted into class A preferred shares. Deleted, considering conversion of shares and migration to NM. § 12 The issuances of shares, subscription warrants, convertible debentures, or other securities, up to the limit of the authorized capital, the placement of which occurs through sale on a stock exchange or public offering, may be approved with the exclusion of preemptive rights or reduction of the term for their exercise, in accordance with Federal Law No. 6,404/1976 and subsequent amendments. § 12 10 The issuances of shares, subscription warrants, convertible debentures, or other securities, up to the limit of the authorized capital, the placement of which occurs through sale on a stock exchange or public offering, may be approved with the exclusion of preemptive rights or reduction of the term for their exercise, in accordance with Federal Law No. 6,404/1976 and subsequent amendments. Renumbering of the paragraph in view of the proposed adjustments in said article. § 13 The debentures may be either non-convertible or convertible into shares, in accordance with Federal Law No. 6,404/1976 and subsequent amendments. § 13 11 The debentures may be either non-convertible or convertible into shares, in accordance with Federal Law No. 6,404/1976 and subsequent amendments. Renumbering of the paragraph in view of the proposed adjustments in said article. Art. 6 No shareholder or group of shareholders, whether Brazilian or foreign, public or private, shall be permitted to exercise voting rights in excess of 10% (ten percent) of the total number of shares comprising Copel’s voting capital, regardless of their ownership interest in the share capital. Art. 6 No shareholder or group of shareholders, whether Brazilian or foreign, public or private, shall be permitted to exercise voting rights in excess of 10% (ten percent) of the total number of shares comprising Copel’s voting capital, regardless of their ownership interest in the share capital. Keep unchanged. Sole Paragraph – In the event that Copel’s preferred shares carry restricted voting rights or come to confer full voting rights under Article 111, paragraph 1, of Law No. 6,404 of Sole Paragraph – In the event that Copel’s preferred shares carry restricted voting rights or come to confer full voting rights under Article 111, paragraph 1, of Law No. Deleted, considering conversion of shares and migration to the Novo Mercado. Bylaws Copel Holding – Comparative table of changes - 18/8/2025 – pg. 12/81 BYLAWS COPEL (HOLDING) COMPARATIVE TABLE OF CHANGES Current Article Last amendment to the 211th EGM, dated 10/30/2024 Proposed bylaws Rationale 1976, the limitation set forth in the main clause of this Article 6 shall also apply to such preferred shares, such that all shares held by the shareholder or group of shareholders that confer voting rights with respect to a particular resolution (whether common or preferred shares) shall be considered for purposes of calculating the number of votes pursuant to the main clause of this Article. 6,404 of 1976, the limitation set forth in the main clause of this Article 6 shall also apply to such preferred shares, such that all shares held by the shareholder or group of shareholders that confer voting rights with respect to a particular resolution (whether common or preferred shares) shall be considered for purposes of calculating the number of votes pursuant to the main clause of this Article. Art. 7 The execution of shareholders’ agreements aimed at regulating the exercise of voting rights in a number exceeding 10% (ten percent) of the total number of shares comprising Copel’s voting capital shall be prohibited, including in the situation described in Article 6, sole paragraph. Art. 7 The execution of shareholders’ agreements aimed at regulating the exercise of voting rights in a number exceeding 10% (ten percent) of the total number of shares comprising Copel’s voting capital shall be prohibited, including in the situation described in Article 6, sole paragraph. Adjustment of text considering conversion of actions and migration to NM. § 1 The Company shall not file any shareholders’ agreement regarding the exercise of voting rights that conflicts with the provisions of these Bylaws. § 1 The Company shall not file any shareholders’ agreement regarding the exercise of voting rights that conflicts with the provisions of these Bylaws. Keep unchanged. § 2 The chair of the Copel General Shareholders’ Meeting shall not count votes cast in violation of the rules set forth in Articles 6 and 7 of these Bylaws, without prejudice to the exercise of the State of Paraná’s right of veto, pursuant to Article 5 of these Bylaws. § 2 The chair of the Copel General Shareholders’ Meeting shall not count votes cast in violation of the rules set forth in Articles 6 and 7 of these Bylaws, without prejudice to the exercise of the State of Paraná’s right of veto, pursuant to Article 5 of these Bylaws. Text adjustment, no change in meaning. Art. 8 For purposes of these Bylaws, a group of shareholders shall be deemed to mean two (2) or more shareholders of the Company: Art. 8 For purposes of these Bylaws, a group of shareholders shall be deemed to mean two (2) or more shareholders of the Company: Keep unchanged. I Who are parties to a voting agreement, either directly or through controlled companies, controlling companies, or companies under common control; I Who are parties to a voting agreement, either directly or through controlled companies, controlling companies, or companies under common control; Keep unchanged. Bylaws Copel Holding – Comparative table of changes - 18/8/2025 – pg. 13/81 BYLAWS COPEL (HOLDING) COMPARATIVE TABLE OF CHANGES Current Article Last amendment to the 211th EGM, dated 10/30/2024 Proposed bylaws Rationale II If one is, directly or indirectly, the controlling shareholder or controlling company of the other or of the others; II If one is, directly or indirectly, the controlling shareholder or controlling company of the other or of the others; Keep unchanged. III Who are companies directly or indirectly controlled by the same individual or entity, or group of individuals or entities, whether shareholders or not; or III Who are companies directly or indirectly controlled by the same individual or entity, or group of individuals or entities, whether shareholders or not; or Keep unchanged. IV Who are companies, associations, foundations, cooperatives and trusts, investment funds or portfolios, universality of rights, or any other form of organization or enterprise with the same administrators or managers, or whose administrators or managers are companies directly or indirectly controlled by the same individual or entity, or group of individuals or entities, whether shareholders or not. IV Who are companies, associations, foundations, cooperatives and trusts, investment funds or portfolios, universality of rights, or any other form of organization or enterprise with the same administrators or managers, or whose administrators or managers are companies directly or indirectly controlled by the same individual or entity, or group of individuals or entities, whether shareholders or not. Keep unchanged. § 1 In the case of investment funds with a common administrator or manager, they shall only be considered a group of shareholders if the investment policy and the policy for exercising voting rights at shareholders’ meetings, as provided in their respective regulations, are the responsibility of the administrator or manager, as the case may be, on a discretionary basis. § 1 In the case of investment funds with a common administrator or manager, they shall only be considered a group of shareholders if the investment policy and the policy for exercising voting rights at shareholders’ meetings, as provided in their respective regulations, are the responsibility of the administrator or manager, as the case may be, on a discretionary basis. Keep unchanged. § 2 In addition to the provisions of the caput and preceding paragraphs of this article, any shareholders represented by the same attorney-in-fact, administrator, or representative in any capacity shall also be deemed part of the same group of shareholders, except in the case of holders of securities issued under the Company’s Depositary Receipts program when represented by the respective depositary bank, provided that they do not fall within any of the other situations set forth in the caput or paragraph 1 of this article. § 2 In addition to the provisions of the caput and preceding paragraphs of this article, any shareholders represented by the same attorney-in-fact, administrator, or representative in any capacity shall also be deemed part of the same group of shareholders, except in the case of holders of securities issued under the Company’s Depositary Receipts program when represented by the respective depositary bank, provided that they do not fall Keep unchanged. Bylaws Copel Holding – Comparative table of changes - 18/8/2025 – pg. 14/81 BYLAWS COPEL (HOLDING) COMPARATIVE TABLE OF CHANGES Current Article Last amendment to the 211th EGM, dated 10/30/2024 Proposed bylaws Rationale within any of the other situations set forth in the caput or paragraph 1 of this article. § 3 In the case of shareholders’ agreements governing the exercise of voting rights, all signatories thereto shall be deemed, for purposes of this article, to be part of a group of shareholders for the application of the voting limit set forth in Articles 6 and 7. § 3 In the case of shareholders’ agreements governing the exercise of voting rights, all signatories thereto shall be deemed, for purposes of this article, to be part of a group of shareholders for the application of the voting limit set forth in Articles 6 and 7. Keep unchanged. § 4 Shareholders must keep Copel informed of their membership in a group of shareholders pursuant to these Bylaws if such group of shareholders holds, in the aggregate, shares representing 10% (ten percent) or more of Copel’s voting capital. §4 Shareholders must keep Copel informed of their membership in a group of shareholders, pursuant to these Bylaws if such group of shareholders holds, in the aggregate, shares representing 10% (ten percent) or more of Copel’s voting capital. Text adjustment, no change in meaning. § 5 The members of the board of shareholders’ meetings may request documents and information from shareholders, as they deem necessary, in order to verify whether a shareholder belongs to a group of shareholders that may hold 10% (ten percent) or more of Copel’s voting capital. § 5 The members of the board of shareholders’ meetings may request documents and information from shareholders, as they deem necessary, in order to verify whether a shareholder belongs to a group of shareholders that may hold 10% (ten percent) or more of Copel’s voting capital. Text adjustment, no change in meaning. CHAPTER III – GENERAL ASSEMBLY (GA) CHAPTER III – GENERAL ASSEMBLY (GA) Keep unchanged. Art. 9 The General Shareholders’ Meeting is the Company’s highest authority, vested with powers to deliberate on all matters related to its corporate purpose, and shall be governed by applicable law. Art. 9 The General Shareholders’ Meeting is the Company’s highest authority, vested with powers to deliberate on all matters related to its corporate purpose, and shall be governed by applicable law. Keep unchanged. Art. 10 The General Shareholders’ Meeting shall be called by the Board of Directors or, in the cases permitted by law, by the Executive Board, the Supervisory Board, if installed, or by the shareholders. Art. 10 The General Shareholders’ Meeting shall be called by the Board of Directors or, in the cases permitted by law, by the Executive Board, the Supervisory Board, if installed, or by the shareholders. Text adjustment, no change in meaning. Bylaws Copel Holding – Comparative table of changes - 18/8/2025 – pg. 15/81 BYLAWS COPEL (HOLDING) COMPARATIVE TABLE OF CHANGES Current Article Last amendment to the 211th EGM, dated 10/30/2024 Proposed bylaws Rationale Art. 11 The notice of call shall be made in accordance with applicable law, and the documents related to the respective agenda shall be made available on the same date as the call notice, in an accessible manner, including electronically. Art. 11 The call notice of call shall be made published in accordance with applicable law, and the documents related to the respective agenda shall be made available on the same date as the call notice, in an accessible manner, including electronically. Adjustment of text to clarify rules for convening the General Meeting. Sole Paragraph. At the General Shareholders’ Meetings, only matters included in the notice of call shall be addressed, and the inclusion of general matters on the Meeting’s agenda shall not be permitted. Sole Paragraph. At the General Shareholders’ Meetings, only matters included in the call notice of the call shall be addressed, and the inclusion of general matters in the Meeting’s agenda shall not be permitted. Text adjustment, no change in meaning Art. 12 The General Shareholders’ Meeting shall be convened and chaired by the Chairman of the Board of Directors or by a substitute appointed by the Chairman and, in the absence of both, by one (1) shareholder chosen at the time by the shareholders present. Art. 12 The General Shareholders’ Meeting shall be convened and chaired by the Chairman of the Board of Directors or by a substitute appointed by the Chairman and, in the absence of both, by one (1) shareholder chosen at the time by the shareholders present. Keep unchanged. §1 The quorum for convening General Shareholders’ Meetings, as well as for passing resolutions, shall be that determined by applicable law. §1 The quorum for convening General Shareholders’ Meetings, as well as for passing resolutions, shall be that determined by applicable law. Keep unchanged. § 2 The Chairman of the Meeting shall choose one (1) secretary from among those present. §2 The Chairman of the General Meeting shall choose one (1) secretary from among those present. Text adjustment, no change in meaning Art. 13 The General Shareholders’ Meeting shall be held ordinarily within the first four (4) months following the end of the fiscal year to deliberate on the matters provided for by law, and extraordinarily whenever necessary. Art. 13 The General Shareholders’ Meeting shall be held ordinarily within the first four (4) months following the end of the fiscal year to deliberate on the matters provided for by law, and extraordinarily whenever necessary. Keep unchanged. Sole Paragraph. The Ordinary General Shareholders’ Meeting and the Extraordinary General Shareholders’ Meeting may be convened and held cumulatively, at the same place, date, and time, and recorded in a single set of minutes. Sole Paragraph. The Ordinary General Shareholders’ Meeting and the Extraordinary General Shareholders’ Meeting may be convened and held cumulatively, at the same place, date, and time, and recorded in a single set of minutes. Keep unchanged. Bylaws Copel Holding – Comparative table of changes - 18/8/2025 – pg. 16/81 BYLAWS COPEL (HOLDING) COMPARATIVE TABLE OF CHANGES Current Article Last amendment to the 211th EGM, dated 10/30/2024 Proposed bylaws Rationale Art. 14 Each share entitled to vote at the General Shareholders’ Meeting shall confer one (1) vote, subject to the voting limits applicable to each shareholder and group of shareholders, pursuant to Articles 6 and 7 of these Bylaws. Art. 14 Each common share entitled to vote at the General Shareholders’ Meeting shall confer one (1) vote, subject to the voting limits applicable to each shareholder and group of shareholders, pursuant to Articles 6 and 7 of these Bylaws. Text adjustment, no change in meaning Art. 15 A shareholder may participate in and be represented by a proxy at the General Shareholders’ Meetings, upon presentation, at the time of the meeting or beforehand, of documents and a power of attorney granting specific powers, as provided by law. Art. 15 A shareholder may participate in and be represented by a proxy at the General Shareholders’ Meetings, upon presentation, at the time of the meeting or beforehand, of documents and a power of attorney granting specific powers, as provided by law. Keep unchanged. Art. 16 The minutes of the General Shareholders’ Meeting shall be drawn up as a summary of the events that occurred, including any dissents and protests, and shall record only the resolutions passed, pursuant to Paragraph 1 of Article 130 of Law No. 6,404 of 1976, and its publication may omit the shareholders’ signatures, pursuant to Paragraph 2 of Article 130 of Law No. 6,404 of 1976. Art. 16 The minutes of the General Shareholders’ Meeting shall be drawn up as a summary of the events that occurred, including any dissents and protests, and shall record only the resolutions passed, pursuant to Paragraph 1 of Article 130 of Law No. 6,404 of 1976, and its publication may omit the shareholders’ signatures, pursuant to Paragraph 2 of Article 130 of Law No. 6,404 of 1976. Keep unchanged. Art. 17 The General Shareholders’ Meeting, in addition to other cases provided by law, shall meet to resolve on: Art. 17 The General Shareholders’ Meeting, in addition to other cases provided by law, shall meet to resolve on: Keep unchanged. I the increase of share capital beyond the limit authorized in the Bylaws; I the increase of share capital beyond the limit authorized in the Bylaws; Keep unchanged. II the appraisal of assets contributed by the shareholder for the formation of share capital; II the appraisal of assets contributed by the shareholder for the formation of share capital; Keep unchanged. III the transformation, merger, consolidation, spin-off, dissolution, and liquidation of the company; III the transformation, merger, consolidation, spin-off, dissolution, and liquidation of the companyCompany; Text adjustment, no change in meaning IV the amendment of the Bylaws; IV the amendment of the these Bylaws; Text adjustment, no change in meaning Bylaws Copel Holding – Comparative table of changes - 18/8/2025 – pg. 17/81 BYLAWS COPEL (HOLDING) COMPARATIVE TABLE OF CHANGES Current Article Last amendment to the 211th EGM, dated 10/30/2024 Proposed bylaws Rationale V the election and removal, at any time, of the members of the Board of Directors, the Supervisory Board, if installed, and their respective alternates; V the election and removal, at any time, of the members of the Board of Directors, the Supervisory Board, if installed, and their respective alternates; Keep unchanged. VI the setting of compensation for the officers, the members of the Supervisory Board, and the members of the Statutory Committees; VI the setting of the overall compensation of officers and of Supervisory Board members, and members of the Statutory Committees; Adjustment of text, aiming to clarify the competence of the General Meeting in relation to the setting of remuneration of administrators and members of the Supervisory Board. VII the approval of the financial statements, the allocation of the results for the fiscal year, and the distribution of dividends, in accordance with the dividend policy; VII the approval of the financial statements, of the management’s accounts, of the allocation of the results for the fiscal year, and the distribution of dividends, in accordance with the dividend policy; Adjustment of text, considering the provisions of Art. 122, III of the Corporations Act. VIII authorization for the Company to file a civil liability lawsuit against officers for losses caused to its assets; VIII authorization for the Company to file a civil liability lawsuit against officers for losses caused to its assets; Keep unchanged. IX disposal of real estate assets directly linked to the provision of services and the creation of real encumbrances over them; IX disposal of real estate assets directly linked to the provision of services and the creation of real encumbrances over them; Keep unchanged. X the exchange of shares or other securities; X the exchange of shares or other securities; Keep unchanged. XI the issuance of debentures convertible into shares beyond the limit of the authorized capital set forth in these Bylaws; XI the issuance of debentures convertible into shares beyond the limit of the authorized capital set forth in these Bylaws; Keep unchanged. XII the issuance of any other securities or financial instruments convertible into shares, whether in Brazil or abroad, beyond the limit of the authorized capital set forth in these Bylaws; XII the issuance of any other securities or financial instruments convertible into shares, whether in Brazil or abroad, beyond the limit of the authorized capital set forth in these Bylaws; Keep unchanged. XIII the election and removal, at any time, of liquidators, and the review of their accounts; XIII the election and removal, at any time, of liquidators, and the review of their accounts; Text adjustment, no change in meaning. Bylaws Copel Holding – Comparative table of changes - 18/8/2025 – pg. 18/81 BYLAWS COPEL (HOLDING) COMPARATIVE TABLE OF CHANGES Current Article Last amendment to the 211th EGM, dated 10/30/2024 Proposed bylaws Rationale XIV authorization for the officers to approve and execute the Annual Investment Plan of Copel Distribuição S.A. if, beginning with the 2021–2025 rate cycle, the investments deemed prudent by Aneel do not reach at least 2.0x the Regulatory Reintegration Quota (QRR) for that same Ordinary Rate Review cycle and/or, on a cumulative basis, through the end of the concession. XIV authorization for the officers to approve and execute the Annual Investment Plan of Copel Distribuição S.A. if, beginning with the 2021–2025 rate cycle, the investments deemed prudent by Aneel do not reach at least 2.0x the Regulatory Reintegration Quota (QRR) for that same Ordinary Rate Review cycle and/or, on a cumulative basis, through the end of the concession; Text adjustment, no change in meaning. XV Suspend the exercise of shareholders’ rights, pursuant to Article 120 of Law No. 6,404/76. XV the suspension of the exercise of shareholders’ rights, pursuant to Article 120 of Law No. 6,404/76.; and Text adjustment, no change in meaning. NEW XVI approving, pursuant to the terms of the Novo Mercado Regulation, the waiving of a Public Offer to Purchase Shares in the event of voluntary exit from the Novo Mercado. New, aiming to clarify that it is up to the General Meeting to decide on the waiver of IPO under the NM regulation. Sole Paragraph. Subject to the exclusive powers assigned by law, the General Shareholders’ Meeting may deliberate on all business related to the Company’s corporate purpose and on any matters submitted to it by the Board of Directors. Sole Paragraph. Subject to the exclusive powers assigned by law, the General Shareholders’ Meeting may deliberate on all businesses related to the Company’s corporate purpose and on any matters submitted to it by the Board of Directors. Text adjustment, no change in meaning. CHAPTER IV - COMPANY MANAGEMENT CHAPTER IV - COMPANY MANAGEMENT Keep unchanged. Art. 18 The Company shall be managed by the Board of Directors and by the Executive Board. Art. 18 The Company shall be managed by the Board of Directors and by the Executive Board. Keep unchanged. NEW Sole Paragraph. The term for the members of the Board of Directors or the Executive Board extends until the investiture of the newly elected directors. New, aiming to clarify the rules related to the mandate of the officers. SECTION I - BOARD OF DIRECTORS (BD) SECTION I - BOARD OF DIRECTORS (BD) Keep unchanged. Bylaws Copel Holding – Comparative table of changes - 18/8/2025 – pg. 19/81 BYLAWS COPEL (HOLDING) COMPARATIVE TABLE OF CHANGES Current Article Last amendment to the 211th EGM, dated 10/30/2024 Proposed bylaws Rationale Art. 19 The Board of Directors is a strategic and joint decision- making body responsible for the Company’s overall guidance. Art. 19 The Board of Directors is a strategic and joint decision-making body responsible for the Company’s overall guidance. Keep unchanged. Composition, Appointment, and Term of Office Composition, Appointment, and Term of Office Keep unchanged. Art. 20 The Board of Directors shall be composed of at least seven (7) and no more than nine (9) full members, elected and subject to removal by the General Shareholders’ Meeting, all serving a unified term of two (2) years, with reelection permitted as provided under Federal Law No. 6,404/1976 and other applicable regulations. Art. 20 The Board of Directors shall be composed of, at least, seven (7) and, no more than nine (9) full members, elected and subject to removal by the General Shareholders’ Meeting, all serving a unified term of two (2) years, with reelection permitted as provided under Federal Law No. 6,404/1976 and other applicable regulations. Text adjustment, including comma, with no change in meaning. §1 Subject to the provisions of Federal Law No. 6,404/1976, the Internal Regulations of the Board of Directors shall establish the rules for nominating candidates and the election procedures to be adopted for filling the positions of Directors of the Board. § 1 Subject to the provisions of Federal Law No. 6,404/1976, the Internal Regulations of the Board of Directors shall establish the rules for nominating candidates and the election procedures to be adopted for filling the positions of Directors of the Board. Keep unchanged. § 2 Shareholders holding preferred shares who meet the percentages and requirements set forth in Article 141, paragraphs 4 and 5, of Federal Law No. 6,404/1976 are assured the right to elect one (1) director. § 2 Shareholders holding preferred shares who meet the percentages and requirements set forth in Article 141, paragraphs 4 and 5, of Federal Law No. 6,404/1976 are assured the right to elect one (1) director. Deleted, considering conversion of shares and migration to the Novo Mercado. § 3 The Board of Directors of the Wholly-Owned Subsidiaries shall be composed of at least three (3) members, including the General Director of the respective Wholly-Owned Subsidiary and one (1) officer of the Company. § 3 The Board of Directors of the Wholly-Owned Subsidiaries shall be composed of at least three (3) members, including the General Director of the respective Wholly-Owned Subsidiary and one (1) officer of the Company. Excluding, I take into account that such rule must be provided for in the Bylaws of the Subsidiaries. § 4 The positions of Chair of the Board of Directors and President of the Company or chief executive of the Compxany may not be held by the same person. §4 2 The positions of Chair of the Board of Directors and President of the Company or chief executive of the Company may not be held by the same person. Renumbering of the paragraph in view of the proposed adjustments in said article. Bylaws Copel Holding – Comparative table of changes - 18/8/2025 – pg. 20/81 BYLAWS COPEL (HOLDING) COMPARATIVE TABLE OF CHANGES Current Article Last amendment to the 211th EGM, dated 10/30/2024 Proposed bylaws Rationale § 5 The Board of Directors shall elect its Chair from among its members, and such election must take place at the first meeting following the assumption of office by the Directors or at the first meeting held after a vacancy occurs in such position. §5º 3 The Board of Directors shall elect its Chair from among its members, and such election must take place at the first meeting following the assumption of office by the Directors or at the first meeting held after a vacancy occurs in such position. Renumbering of the paragraph in view of the proposed adjustments in said article. § 6 Nominations to the Board of Directors must comply with the requirements and prohibitions set forth in Federal Law No. 6,404/1976, the internal policy and rules on the nomination of members to statutory bodies, and must also meet the following parameters: §6º 4º Nominations to the Board of Directors must comply with the requirements and prohibitions set forth in Federal Law No. 6,404/1976, and the internal the policy and rules on the nomination of members to statutory bodies, and must also meet the following parameters: Renumbering of the paragraph in view of the proposed adjustments in the aforementioned article and adequacy of the denomination of the Nomination Policy. I have a majority of independent directors, in accordance with the Level 2 Regulation and other applicable national and international regulations. The classification of the nominees as independent must be resolved at the General Shareholders’ Meeting; I have a majority of independent directors, in accordance with the B3 Level 2 Novo Mercado Regulation and other applicable national and international regulations. The classification of the nominees as independent must be resolved at the General Shareholders’ Meeting that elects them; and Change to fit Novo Mercado requirements. II rounding in the calculation of the number of independent members must comply with the provisions of the Level 2 Corporate Governance Rules of B3; and II rounding as to the calculation of the number of independent members must observe the terms of the Regulation of Level 2 of Corporate Governance; II as a result of the calculation of independent members referred to in the item above, the result generates a fractional number, the Company must round up to the immediately higher whole number. Change to fit Novo Mercado requirements. III at least one (1) of the directors referred to in this paragraph 6 must have recognized experience in corporate accounting matters to serve on the Statutory Audit Committee provided for in these Bylaws. III at least one (1) of the directors referred to in this paragraph 6 must have recognized experience in corporate accounting matters to serve on the Statutory Audit Committee provided for in these Bylaws. Excluded, in view of the Company's new legal regime and its current practices. Bylaws Copel Holding – Comparative table of changes - 18/8/2025 – pg. 21/81 BYLAWS COPEL (HOLDING) COMPARATIVE TABLE OF CHANGES Current Article Last amendment to the 211th EGM, dated 10/30/2024 Proposed bylaws Rationale Art. 21 The assumption of office by members of the Board of Directors shall comply with the conditions established in Federal Law No. 6,404/1976 and other applicable legal provisions. Art. 21 The assumption of office by members of the Board of Directors shall comply with the conditions established in Federal Law No. 6,404/1976 and other applicable legal provisions. Keep unchanged. Vacancy and Substitutions Vacancy and Substitutions Keep unchanged. Art. 22 In the event of the permanent vacancy of a member of the Board of Directors before the expiration of the term, the Board of Directors shall convene a General Shareholders’ Meeting to elect a replacement to complete the term. Art. 22 In the event of the permanent vacancy of a member of the Board of Directors before the expiration of the term, the Board of Directors shall convene a General Shareholders’ Meeting to elect a replacement to complete the term. Keep unchanged. § 1 Subject to the applicable legal requirements and prohibitions, the remaining directors shall appoint a substitute for the vacant position until the first General Shareholders’ Meeting, in accordance with Federal Law No. 6,404/1976. § 1 Subject to the applicable legal requirements and prohibitions, the remaining directors shall appoint a substitute for the vacant position until the first General Shareholders’ Meeting, in accordance with Federal Law No. 6,404/1976. Keep unchanged. § 2 In the event of a vacancy of all positions on the Board of Directors, it shall be the responsibility of the Executive Board to convene the General Shareholders’ Meeting. § 2 In the event of a vacancy of all positions on the Board of Directors, it shall be the responsibility of the Executive Board Officers to convene the General Shareholders’ Meeting. Amendment, aiming to clarify the competence of the Company's Officers in relation to the vacancy of the Board of Directors. § 3 In the event of a vacancy in a position on the Board of Directors filled through the cumulative voting system, the General Shareholders’ Meeting shall be convened to elect all positions filled through that system to complete the terms. § 3 In the event of a vacancy in a position on the Board of Directors filled through the cumulative voting system, the General Shareholders’ Meeting shall be convened to elect all positions filled through that system to complete the terms. Keep unchanged. Art. 23 The position of director of the board is personal and no alternates shall be permitted. Art. 23 The position of director of the board is personal and no alternates shall be permitted. Keep unchanged. Operations Operations Keep unchanged. Bylaws Copel Holding – Comparative table of changes - 18/8/2025 – pg. 22/81 BYLAWS COPEL (HOLDING) COMPARATIVE TABLE OF CHANGES Current Article Last amendment to the 211th EGM, dated 10/30/2024 Proposed bylaws Rationale Art. 24 The Board of Directors shall meet regularly once (1) per month and extraordinarily whenever necessary, as provided in Article 27 of these Bylaws. Art. 24 The Board of Directors shall meet regularly ordinarily, at least, 01 (once) per month 09 (nine) times a year and extraordinarily whenever necessary, as provided in Article 27 of these Bylaws. Adjustment of text, aiming to clarify the frequency of ordinary meetings of the Board of Directors. Art. 25 Meetings of the Board of Directors shall be called by its Chair, or by the majority of the sitting directors, by means of physical or electronic correspondence sent to all directors, indicating the matters to be addressed. Art. 25 Meetings of the Board of Directors shall be called by its Chair, or by the majority of the sitting directors, by means of physical or electronic correspondence sent to all directors, indicating the matters to be addressed. Keep unchanged. § 1 Notices sent to the physical or electronic address provided by the director shall be deemed valid, and it shall be the director’s responsibility to keep their information updated with the Company. § 1 Notices sent to the physical or electronic address provided by the director shall be deemed valid, and it shall be the director’s responsibility to keep their information updated with the Company. Keep unchanged. § 2º Regular meetings must be called at least seven (7) days prior to the scheduled date. § 2º Regular meetings must be called at least seven (7) days prior to the scheduled date. Keep unchanged. NEW §3 Call procedures are waived when all current directors are present at the meeting. New, aiming to clarify the procedures for convening meetings of the Board of Directors. § 3º Meetings of the Board of Directors shall be convened with the presence of the majority of its sitting members, and shall be presided over by the Chair of the Board of Directors or, in his or her absence, by the director chosen by the majority of those present. § 3º 4 Meetings of the Board of Directors shall be convened with the presence of the majority of its sitting members, and shall be presided over by the Chair of the Board of Directors or, in their absence, by the director chosen by the majority of those present. Renumbering of the paragraph in view of the proposed adjustments in said article. Art. 26 If necessary, directors may participate remotely in meetings, via teleconference or videoconference, provided that effective participation and the authenticity of their vote can be ensured. In such cases, the director shall be deemed present at the meeting, and their vote shall be considered valid for all legal purposes and shall be incorporated into the minutes of said meeting. Art. 26 If necessary, directors may participate remotely in meetings, via teleconference or videoconference, provided that effective participation and the authenticity of their vote can be ensured. In such cases, the director shall be deemed present at the meeting, and their vote shall be considered valid for all legal purposes and shall be incorporated into the minutes of said meeting. Keep unchanged. Bylaws Copel Holding – Comparative table of changes - 18/8/2025 – pg. 23/81 BYLAWS COPEL (HOLDING) COMPARATIVE TABLE OF CHANGES Current Article Last amendment to the 211th EGM, dated 10/30/2024 Proposed bylaws Rationale Art. 27 When there is an urgent reason, formally justified to the members of the Board of Directors, the Chair of the Board may call extraordinary meetings at any time, provided that at least forty-eight (48) hours’ notice is given prior to the meeting, by sending correspondence via physical or electronic means or through another form of communication to all directors. Participation via teleconference, videoconference, or any other reliable means of expressing the absent director’s will shall be permitted, and the director’s vote shall be considered valid for all purposes, without prejudice to the subsequent preparation and signing of the corresponding minutes. Art. 27 When there is an urgent reason, formally justified to the members of the Board of Directors, the Chair of the Board may call extraordinary meetings at any time, provided that at least forty-eight (48) hours’ notice is given prior to the meeting, by sending correspondence via physical or electronic means or through another form of communication to all directors. Participation via teleconference, videoconference, or any other reliable means of expressing the absent director’s will shall be permitted, and the director’s vote shall be considered valid for all purposes, without prejudice to the subsequent preparation and signing of the corresponding minutes. Keep unchanged. Art. 28 The Board of Directors shall resolve matters by a majority of votes of the members present at the meeting, and in the event of a tie, the proposal supported by the director presiding over the meeting shall prevail. Art. 28 The Board of Directors shall resolve matters by a majority of votes of the members present at the meeting, and in the event of a tie, the proposal supported by the director presiding over the meeting shall prevail. Keep unchanged. Art. 29 The meetings of the Board of Directors shall be recorded by a secretary appointed by the Chair, and all resolutions shall be recorded in minutes entered into the appropriate book in accordance with the provisions of its Internal Regulations. Art. 29 The meetings of the Board of Directors shall be recorded by a secretary appointed by the Chair, and all resolutions shall be recorded in minutes entered into the appropriate book, in accordance with the provisions of its Internal Regulations. Text adjustment, including comma, with no change in meaning. Sole Paragraph. Whenever the minutes contain resolutions intended to produce effects with respect to third parties, a summary thereof shall be filed with the commercial registry and published in accordance with the applicable legislation, except for confidential matters, which shall be recorded in a separate document and shall not be made public. Sole Paragraph. Whenever the minutes contain resolutions intended to produce effects with respect to third parties, a summary thereof shall be filed with the commercial registry and published in accordance with the applicable legislation, except for confidential matters, which shall be recorded in a separate document and shall not be made public. Keep unchanged. Bylaws Copel Holding – Comparative table of changes - 18/8/2025 – pg. 24/81 BYLAWS COPEL (HOLDING) COMPARATIVE TABLE OF CHANGES Current Article Last amendment to the 211th EGM, dated 10/30/2024 Proposed bylaws Rationale Powers and Duties Powers and Duties Keep unchanged. Art. 30 Without prejudice to the powers provided for by law, it is the responsibility of the Board of Directors to: Art. 30 Without prejudice to the powers provided for by law, it is the responsibility of the Board of Directors to: Keep unchanged. I set the general direction of the Company’s business, including approving and monitoring the business plan, strategic planning, and investments, seeking development with sustainability; I set the general direction of the Company’s business, including approving and monitoring the business plan, strategic planning, and investments, seeking development with sustainability; Keep unchanged. II elect, remove, take notice of the resignation of, and replace the Company’s officers, assigning their duties and supervising their management, as well as: II elect, remove, take notice of acknowledge the resignation of, and replace the Company’s officers, assigning their duties and supervising their management, as well as: Text adjustment, no change in meaning. a) examine at any time the Company’s books and records, contracts, or any other documents; a) examine at any time the Company’s books and records, contracts, or any other documents; Keep unchanged. b) approve and monitor the fulfillment of the goals and specific results to be achieved by the members of the Executive Board; and b) approve and monitor the fulfillment of the goals and specific results to be achieved by the members of the Executive Board; and Keep unchanged. c) annually evaluate the implementation of the Company’s long-term strategy; c) annually evaluate the implementation of the Company’s long-term strategy; Keep unchanged. III issue an opinion on the management report and the Executive Board’s accounts; III issue an opinion on the management report and the Executive Board’s accounts; Keep unchanged. IV convene the General Shareholders’ Meeting when deemed convenient or in the cases provided for under applicable law; IV convene the General Shareholders’ Meeting when deemed convenient or in the cases provided for under applicable law; Keep unchanged. V approve and monitor annual and multi-year plans and programs, including the corporate budget for expenditures and investments of the Company and its Wholly-Owned V approve and monitor annual and multi-year plans and programs, including the corporate budget for expenditures and investments of the Company and its Wholly-Owned Keep unchanged. Bylaws Copel Holding – Comparative table of changes - 18/8/2025 – pg. 25/81 BYLAWS COPEL (HOLDING) COMPARATIVE TABLE OF CHANGES Current Article Last amendment to the 211th EGM, dated 10/30/2024 Proposed bylaws Rationale Subsidiaries, with an indication of the sources and uses of funds; Subsidiaries, with an indication of the sources and uses of funds; VI authorize the engagement of the independent auditor, as well as the termination of the respective agreement, upon recommendation by the Statutory Audit Committee, including other services from its independent auditors, recommended by the Statutory Audit Committee, when the overall compensation exceeds 5% (five percent) of the compensation for the independent auditing services; VI authorize the engagement of the independent auditor, as well as the termination of the respective agreement, upon recommendation by the Statutory Audit Committee, including other services from its independent auditors, recommended by the Statutory Audit Committee, when the overall compensation exceeds 5% (five percent) of the compensation for the independent auditing services; Keep unchanged. VII approve the annual internal audit work plan and discuss the external auditor’s work plan, with the support of the Statutory Audit Committee; VII approve the annual internal audit work plan and discuss the external auditor’s work plan, with the support of the Statutory Audit Committee; Keep unchanged. VIII appoint and remove the Head of Internal Audits, following a recommendation from the Statutory Audit Committee; VIII appoint and remove the Head of Internal Audits, following a recommendation from the Statutory Audit Committee; Keep unchanged. IX periodically monitor, with the support of the Statutory Audit Committee, the effectiveness of the risk management and internal control systems established for the prevention and mitigation of the main risks to which the Company is exposed, including risks related to the integrity of accounting and financial information and those related to the occurrence of corruption and fraud; IX periodically monitor, with the support of the Statutory Audit Committee, the effectiveness of the risk management and internal control systems established for the prevention and mitigation of the main risks to which the Company is exposed, including risks related to the integrity of accounting and financial information and those related to the occurrence of corruption and fraud; Keep unchanged. X approve Copel’s Code of Conduct and Integrity Program, monitoring decisions involving corporate governance practices and relations with stakeholders; X approve Copel’s Code of Conduct and Integrity Program, monitoring decisions involving corporate governance practices and relations with stakeholders; Keep unchanged. XI review, based on a direct report from the officer responsible for governance, risk, and compliance, situations where there is suspicion of involvement by the President of XI review, based on a direct report from the officer responsible for governance, risk, and compliance, situations where there is suspicion of involvement by the Keep unchanged. Bylaws Copel Holding – Comparative table of changes - 18/8/2025 – pg. 26/81 BYLAWS COPEL (HOLDING) COMPARATIVE TABLE OF CHANGES Current Article Last amendment to the 211th EGM, dated 10/30/2024 Proposed bylaws Rationale the Company in irregularities, or where the President of the Company fails to take necessary measures regarding a situation reported to him; President of the Company in irregularities, or where the President of the Company fails to take necessary measures regarding a situation reported to him; XII establish guidelines for human resources management; XII establish guidelines for human resources management; Keep unchanged. XIII conduct an annual evaluation, both individual and collective, of its own performance and that of the other members of the statutory bodies; XIII conduct an annual, individual and collective evaluation of its performance, and that of the other members of the statutory bodies and Executive Board; Adjustment of text, aiming to clarify the scope of the performance evaluation of the Company's statutory bodies. XIV approve related-party transactions, within the criteria and approval thresholds established by the Company, in accordance with the specific policy and with the support of the Statutory Audit Committee; XIV approve related-party transactions, within the criteria and approval thresholds established by the Company, in accordance with the specific policy and with the support of the Statutory Audit Committee, except when the matter is of the competence of the General Meeting, as per the law; Adjustment of text, in order to clarify the competence of the Board of Directors in relation to the approval of transactions with related parties. XV establish, install, and dissolve non-compensated advisory committees to the Board of Directors, appoint and remove their members, as well as appoint and remove the members of the statutory advisory committees to the Board of Directors, except as otherwise provided in these Bylaws; XV establish, install, and dissolve non-compensated advisory committees to the Board of Directors, appoint and remove their members, as well as appoint and remove the members of the statutory advisory committees to the Board of Directors, except as otherwise provided in these Bylaws; Text adjustment, no change in meaning. XVI approve the internal regulations of the Board of Directors, the Executive Board, and the Advisory Committees, both statutory and non-statutory, as well as any amendments thereto. XVI approve the internal regulations of the Board of Directors, the Executive Board, and the Advisory Committees, both statutory and non-statutory, as well as any amendments thereto; Text adjustment, no change in meaning. XVII approve and monitor the Company’s general policies and any amendments thereto, including the following matters: XVII approve and monitor the Company’s general policies and any amendments thereto, including the following matters: Keep unchanged. a) risk management; a) risk management; Keep unchanged. Bylaws Copel Holding – Comparative table of changes - 18/8/2025 – pg. 27/81 BYLAWS COPEL (HOLDING) COMPARATIVE TABLE OF CHANGES Current Article Last amendment to the 211th EGM, dated 10/30/2024 Proposed bylaws Rationale b) integrity; b) integrity; Keep unchanged. c) related party transactions; c) related party transactions; Keep unchanged. d) corporate governance; d) corporate governance; Keep unchanged. e) sustainability; e) sustainability; Keep unchanged. f) climate change; f) climate change; Keep unchanged. g) equity interests; g) equity interests; Keep unchanged. h) people management; h) people management; Keep unchanged. i) occupational health and safety; i) occupational health and safety; Keep unchanged. j) nomination of members of statutory bodies and annual performance evaluation; j) appointment of the members of the statutory bodies and annual performance evaluation of the Board of Directors, its Statutory Committees and Executive Board; Text adjustment, no change in meaning. k) communication and spokespersons; k) communication and spokespersons; Keep unchanged. l) trading of the Company’s own shares; l) trading of the Company’s own shares; Keep unchanged. m) dividends; m) dividends; Keep unchanged. n) donations and sponsorships; n) donations and sponsorships; Keep unchanged. o) disclosure of information and material facts; and o) disclosure of information and material facts; and Text adjustment, no change in meaning. p) investor relations. p) investor relations; Text adjustment, no change in meaning. NEW q) remuneration of the Statutory Bodies; and New, aiming to meet the specific requirement of the Novo Mercado Regulation. Bylaws Copel Holding – Comparative table of changes - 18/8/2025 – pg. 28/81 BYLAWS COPEL (HOLDING) COMPARATIVE TABLE OF CHANGES Current Article Last amendment to the 211th EGM, dated 10/30/2024 Proposed bylaws Rationale NEW r) referral policy; New, aiming to meet the specific requirement of the Novo Mercado Regulation, aiming to clarify the competence of the Board of Directors to approve the Company's referrl policy. XVIII set the Company’s maximum debt limit, and may establish a deadline for compliance, subject to the covenants set forth in existing and already signed contracts; XVIII set the Company’s maximum debt limit, and may establish a deadline for compliance, subject to the covenants set forth in existing and already signed contracts; Keep unchanged. XIX based on a proposal from the Executive Board, authorize, when the transaction amount exceeds 2% (two percent) of the Company’s shareholders’ equity, accounting provisions and, in advance, the execution of any legal transactions, including the acquisition, sale, or encumbrance of assets, the loan for use of fixed assets, the creation of real encumbrances, the provision of guarantees, the assumption of obligations in general, waivers, transactions, and also the formation of associations with other legal entities; XIX based on a proposal from the Executive Board Officers, authorize, when the transaction amount exceeds 2% (two percent) of the Company’s shareholders’ equity, accounting provisions and, in advance, the execution of any legal transactions, including the acquisition, sale, or encumbrance of assets, the loan for use of fixed assets, the creation of real encumbrances, the provision of guarantees, the assumption of obligations in general, waivers, transactions, and also the formation of associations with other legal entities; Adjustment of text, in order to clarify the competence of the Executive Board. XX establish the matters and amounts subject to its decision- making authority and that of the Executive Board, including the ability to delegate the approval of legal transactions within a defined authority limit, subject to the exclusive authority established by law; XX establish the matters and amounts subject to its decision-making authority and that of the Executive Board, including the ability to delegate the approval of legal transactions within a defined authority limit, subject to the exclusive authority established by law; Keep unchanged. XXI deliberate on the proposed allocation of earnings to be submitted to the General Shareholders’ Meeting, in accordance with the provisions of the dividend policy; XXI deliberate on the proposed allocation of earnings to be submitted to the General Shareholders’ Meeting, in accordance with the provisions of the dividend policy; Keep unchanged. XXII deliberate on the distribution of interim dividends out of profit reserves, interim dividends based on interim financial XXII deliberate on the distribution of intermediate dividends and interest on equity based on the accumulated Bylaws Copel Holding – Comparative table of changes - 18/8/2025 – pg. 29/81 BYLAWS COPEL (HOLDING) COMPARATIVE TABLE OF CHANGES Current Article Last amendment to the 211th EGM, dated 10/30/2024 Proposed bylaws Rationale statements, and interest on shareholders’ equity based on profit reserves and net income for the current fiscal year, as recorded in semiannual or quarterly interim financial statements, provided that the applicable legislation, these Bylaws, and the Company’s dividend policy are observed; profit account or reserve of existing profits recorded in the last annual or semi-annual balance sheet, or the distribution of interim dividends and interest on equity based on recorded profit reserves and net profit for the current year, calculated in interim financial statements, semi-annual balances sheets or, quarterly or in shorter periods, provided that the provisions of legislation are observed, in these Articles Bylaws and in the Company's dividend policy; XXIII within the limit of the authorized share capital: (i) resolve on the increase of share capital, setting the respective conditions for subscription and payment; (ii) resolve on the issuance of subscription warrants; (iii) in accordance with a plan approved by the General Shareholders’ Meeting, grant stock options to officers and employees of the Company or its controlled companies, or to natural persons providing services thereto, without preemptive rights being granted to shareholders with respect to the granting or subscription of such shares; (iv) approve an increase in share capital through the capitalization of profits or reserves, with or without bonus shares; and (v) resolve on the issuance of convertible debentures; XXIII within the limit of the authorized share capital: (i) resolve on the increase of share capital, setting the respective conditions for subscription and payment; (ii) resolve on the issuance of subscription warrants; (iii) in accordance with a plan approved by the General Shareholders’ Meeting, grant stock options to officers and employees of the Company or its controlled companies, or to natural persons providing services thereto, without preemptive rights being granted to shareholders with respect to the granting or subscription of such shares; (iv) approve an increase in share capital through the capitalization of profits or reserves, with or without bonus shares; and (v) resolve on the issuance of convertible debentures; Keep unchanged. XXIV authorize the issuance and approve the subscription of new shares, as provided for in these Bylaws, setting all conditions of issuance; XXIV authorize the issuance and approve the subscription of new shares, as provided for in these Bylaws, setting all conditions of issuance; Keep unchanged. XXV authorize the issuance of securities, in the domestic or international market, for the raising of funds, in the form of debentures, promissory notes, commercial papers, bonds, XXV authorize the issuance of securities, on the domestic or external market, for fundraising, in the form of debentures, promissory notes, commercial papers, bonds and others, including for public distribution offer, in Adjustment in the reference and in the authority to explain that the Board Meeting may approve the issuance of debentures not Bylaws Copel Holding – Comparative table of changes - 18/8/2025 – pg. 30/81 BYLAWS COPEL (HOLDING) COMPARATIVE TABLE OF CHANGES Current Article Last amendment to the 211th EGM, dated 10/30/2024 Proposed bylaws Rationale and others, including through public offerings, as permitted by law, subject to the provisions of item XXXIII of this article; accordance with the law, in compliance with the provisions of item XXXIII of this article, observing that, in the event of debentures not convertible into shares, the Board of Directors may even delegate this approval of its jurisdiction at the limit of authority it defines to the Executive Board Meeting. convertible into shares, as defined by the Board of Directors. XXVI approve capital contributions to equity investments that result in an increase in the equity of holdings, and may, including, delegate this approval within a decision-making threshold to be defined; XXVI approve capital contributions to equity investments that result in an increase in the equity of holdings, and may, including, delegate this approval within a decision- making threshold to be defined; Keep unchanged. XXVII deliberate on investment projects and participation in new businesses, other companies, consortia, joint ventures, Wholly-Owned Subsidiaries, and other forms of association and ventures, as well as approve the formation, dissolution, or amendment of any companies, consortia, or ventures; XXVII deliberate on investment projects and participation in new businesses, other companies, consortia, joint ventures, Wholly-Owned Subsidiaries, and other forms of association and ventures, as well as approve the formation, dissolution, or amendment of any companies, consortia, or ventures; Keep unchanged. XXVIII deliberate on matters that, by legal provision or determination of the General Shareholders’ Meeting, fall within its competence, including approving the Integrated or Sustainability Report and environmental, social, and governance indicators, the Reference Form, and the Form 20- F; XXVIII deliberate on matters that, by legal provision or determination of the General Shareholders’ Meeting, fall within its competence, including approving the Integrated or Sustainability Report and environmental, social, and governance indicators, the Reference Form, and the Form 20-F; Keep unchanged. XXIX ensure compliance with current regulations issued by the Brazilian Electricity Regulatory Agency (ANEEL), through regulatory acts as well as through the regulatory clauses contained in the concession agreement to which Copel Distribuição S.A. is a signatory, ensuring full application, on the respective base dates, of the rate values established by the granting authority; XXIX ensure compliance with current regulations issued by the Brazilian Electricity Regulatory Agency (ANEEL), through regulatory acts as well as through the regulatory clauses contained in the concession agreement to which Copel Distribuição S.A. is a signatory, ensuring full application, on the respective base dates, of the rate values established by the granting authority; Keep unchanged. Bylaws Copel Holding – Comparative table of changes - 18/8/2025 – pg. 31/81 BYLAWS COPEL (HOLDING) COMPARATIVE TABLE OF CHANGES Current Article Last amendment to the 211th EGM, dated 10/30/2024 Proposed bylaws Rationale XXX approve the procurement of civil liability insurance on behalf of the members of the statutory bodies, employees, agents, and representatives of the Company, as well as the execution of indemnity agreements, in accordance with the indemnity policy and the general conditions of the indemnity agreements; XXX approve the procurement of civil liability insurance on behalf of the members of the statutory bodies, employees, agents, and representatives of the Company, as well as the execution of indemnity agreements, in accordance with the indemnity policy and the general conditions of the indemnity agreements; Keep unchanged. XXXI request periodic internal audits regarding the activities of the closed private pension entity that manages the Company’s benefit plan; XXXI request periodic internal audits regarding the activities of the closed private pension entity that manages the Company’s benefit plan; Excluded, considering that the Company is not subject to Federal Law No. 13,303/2016. XXXII exercise the regulatory functions of the Company's activities, being authorized to assume any matter that does not fall within the exclusive authority of the General Shareholders’ Meeting or the Executive Board, and deliberate on any omissions in these Bylaws; XXXII XXXI exercise the regulatory functions of the Company's activities, being authorized to assume any matter that does not fall within the exclusive authority of the General Shareholders’ Meeting or the Executive Board, and to deliberate on any omissions in these Bylaws ; Renumbered with text adjustment, no change in direction. XXXIII express a favorable or unfavorable opinion regarding any public tender offer for the acquisition of shares issued by the Company, through a prior reasoned opinion to be disclosed within fifteen (15) days from the publication of the public tender offer notice, which must address, at a minimum: (i) the convenience and timing of the public tender offer for the acquisiiton of shares in relation to the interest of all shareholders and the liquidity of the securities they hold; (ii) the effects of the public tender offer for the acquisition of shares on the interests of the Company; (iii) the strategic plans disclosed by the offeror with respect to the Company; (iv) other matters the Board of Directors deems pertinent, as well as the information required by the applicable rules established by the Brazilian Securities and Exchange Commission (CVM); XXXII express a favorable or unfavorable opinion elaborate and disclose a well-founded opinion, favorable or not, regarding any public tender offer for shares issued by the Company, through a prior reasoned opinion to be disclosed within fifteen (15) days from the publication of the public tender offer notice for the acquisition of shares, which must address, at a minimum: (i) the convenience and timing of the public tender offer for the acquisition of shares in relation to the interest of the Company and of all shareholders, including in relation to the price and to the potential impacts for liquidity of the shares and in relation to the liquidity of securities they hold; (ii) the effects of the public tender offer on the interests of the Company; (iii) the strategic plans disclosed by the offeror with respect to the Company; (iii) alternatives to the acceptance of the Renumbered with text adjustment, in order to clarify the competencies of the Board of Directors in any public offers, as well as requirements of the Novo Mercado Regulation. Bylaws Copel Holding – Comparative table of changes - 18/8/2025 – pg. 32/81 BYLAWS COPEL (HOLDING) COMPARATIVE TABLE OF CHANGES Current Article Last amendment to the 211th EGM, dated 10/30/2024 Proposed bylaws Rationale public offer for the acquisition of shares available in the market (iv) other matters the Board of Directors deems pertinent, as well as the information required by the applicable rules established by the Brazilian Securities and Exchange Commission (CVM); NEW XXXIII set the individual remuneration to be allocated to the members of the Statutory Bodies, observing the overall amount established by the General Meeting; New, considering the NM Regulation, aiming to clarify the competence of the Board of Directors to fix the remuneration of statutory bodies, from the overall amount defined and approved by the General Meeting. XXXIV define a list of three specialized firms for the economic valuation of companies to prepare the appraisal report of the Company’s shares in cases of a public tender offer for the acquisition of shares for the delisting of the Company as a publicly held company or for withdrawal from the Level 2 Corporate Governance listing segment of B3; XXXIV define a list of three specialized firms for the economic valuation of companies to prepare the appraisal report of the Company’s shares in cases of a public tender offer for the acquisition of shares for the delisting of the Company as a publicly held company or for withdrawal from the Level 2 Corporate Governance listing segment of B3; Deleted. Adjustment in line with Novo Mercado Regulation XXXV set deadlines, procedures, and rules applicable to the conversion of shares issued by the Company, in accordance with these Bylaws and applicable law; XXXV set deadlines, procedures, and rules applicable to the conversion of shares issued by the Company, in accordance with these Bylaws and applicable law; Deleted, considering conversion of shares and migration to the Novo Mercado. XXXVI grant leave to the President of the Company and to the Chair of the Board of Directors; and XXXVI XXXIV grant leave to the President of the Company and to the Chair of the Board of Directors; and Renumbered, considering the exclusion of the preceding item. XXXVII approve changes to the Company’s full address, within the headquarters’ municipality, as defined in Article 3. XXXVII XXXV approve changes to the Company’s full address, within the headquarters’ municipality, as defined in Article 3. Renumbered, considering the exclusion of the preceding item. Art. 31 The Chair of the Board of Directors shall be responsible, in addition to the duties set forth in the Internal Regulations, for granting leave to its members, presiding over meetings, directing the proceedings, and coordinating the Art. 31 The Chair of the Board of Directors shall be responsible, in addition to the duties set forth in the Internal Regulations, for granting leave to its members, presiding over meetings, directing the proceedings, and Keep unchanged. Bylaws Copel Holding – Comparative table of changes - 18/8/2025 – pg. 33/81 BYLAWS COPEL (HOLDING) COMPARATIVE TABLE OF CHANGES Current Article Last amendment to the 211th EGM, dated 10/30/2024 Proposed bylaws Rationale process for the individual and collective annual performance evaluation of the officers and members of the Statutory Committees, pursuant to these Bylaws. coordinating the process for the individual and collective annual performance evaluation of the officers and members of the Statutory Committees, pursuant to these Bylaws. SECTION II - EXECUTIVE BOARD SECTION II - EXECUTIVE BOARD Keep unchanged. Art. 32 The Executive Board is the executive management entity and representative body, responsible for ensuring the regular operation of the Company in accordance with the general guidelines established by the Board of Directors. Art. 32 The Executive Board is the executive management entity and representative body, responsible for ensuring the regular operation of the Company in accordance with the general guidelines established by the Board of Directors. Text adjustment, no change in meaning. Composition, Term, and Investiture Composition, Term, and Investiture Keep unchanged. Art. 33 The Executive Board shall be elected by the Board of Directors and may be removed at any time by such body. It shall be composed of up to nine (9) members, one of whom shall be the President, and up to eight (8) Vice Presidents, all residing in the country, with a unified term of office of two (2) years, subject to reelection, and with a minimum of three (3) members. The Company may also have up to four (4) Officers, whose duties shall be defined by the Board of Directors, based on a proposal from the President of the Company. Art. 33 The Executive Board shall be elected by the Board of Directors and may be removed at any time by such body. It shall be composed of up to nine (9) members, one of whom shall be the President, and up to eight (8) Vice Presidents, all residing in the country, with a unified term of office of two (2) years, subject to reelection, and with a minimum of three (3) members. The Company may also have up to four (4) Officers, whose duties shall be defined by the Board of Directors, based on a proposal from the President of the Company. Writing adjustment, without changing the meaning of the article. § 1 Nominations for the Executive Board must comply with the requirements and prohibitions set forth in Federal Law No. 6,404/1976 and in the Company’s internal policies and rules for the nomination of members of statutory bodies. § 1 Nominations for the Executive Board must comply with the requirements and prohibitions set forth in Federal Law No. 6,404/1976 and in the Company’s internal policies and rules for the nominations of members of statutory bodies. Text adjustment, aiming to clarify the need for referrals to the Executie Board to follow the Company's referral policy. §2 When nominating the President of the Company, the Board of Directors must consider the candidate’s professional §2 When nominating the President of the Company, the Board of Directors must consider the candidate’s Keep unchanged. Bylaws Copel Holding – Comparative table of changes - 18/8/2025 – pg. 34/81 BYLAWS COPEL (HOLDING) COMPARATIVE TABLE OF CHANGES Current Article Last amendment to the 211th EGM, dated 10/30/2024 Proposed bylaws Rationale capacity, recognized expertise, specialization, and professional profile necessary for the duties of the position. professional capacity, recognized expertise, specialization, and professional profile necessary for the duties of the position. §3 The members of the Executive Board shall perform their duties on a full-time basis and with exclusive dedication to Copel’s activities, although they may simultaneously hold administrative positions in subsidiaries, controlled companies, or other equity interests of the Company. In order to serve in administrative positions of other companies and/or associations, prior approval by the Board of Directors shall be required, except for those sectoral entities already provided for in the Internal Regulations of the Executive Boards. §3 The members of the Executive Board shall perform their duties on a full-time basis and with exclusive dedication to Copel’s activities, although they may simultaneously hold administrative positions in subsidiaries, controlled companies, or other equity interests of the Company. In order to serve in administrative positions of other companies and/or associations, prior approval by the Board of Directors shall be required, except for those sectoral entities already provided for in the Internal Regulations of the Executive Boards. Keep unchanged. Art. 34 As a condition for taking office in an executive position at the Company, the individual must commit to specific goals and results to be achieved, which must be approved by the Board of Directors, which shall be responsible for monitoring compliance therewith. Art. 34 As a condition for taking office in an executive position at the Company, the individual must commit to specific goals and results to be achieved, which must be approved by the Board of Directors, which shall be responsible for monitoring compliance therewith. Keep unchanged. Powers and Duties Powers and Duties Keep unchanged. Art. 35 The Executive Board shall have the authority to perform all acts necessary for the regular operation of the Company and the fulfillment of its corporate purpose, subject to the applicable legal and statutory provisions and the provisions of its Internal Regulations. Art. 35 The Executive Board shall have the authority to perform all acts necessary for the regular operation of the Company and the fulfillment of its corporate purpose, subject to the applicable legal and statutory provisions and the provisions of its Internal Regulations. Keep unchanged. Sole Paragraph. Without prejudice to the provisions of Article 48, it shall be the responsibility of the Executive Board to manage and conduct the Company’s business in a sustainable Sole Paragraph. Without prejudice to the provisions of Article 48, it shall be the responsibility of the Executive Board to manage and conduct the Company’s business in a sustainable manner, and it must submit, by the last Keep unchanged. Bylaws Copel Holding – Comparative table of changes - 18/8/2025 – pg. 35/81 BYLAWS COPEL (HOLDING) COMPARATIVE TABLE OF CHANGES Current Article Last amendment to the 211th EGM, dated 10/30/2024 Proposed bylaws Rationale manner, and it must submit, by the last ordinary meeting of the Board of Directors of the preceding year: ordinary meeting of the Board of Directors of the preceding year: I the business plan for the following fiscal year; I the business plan for the following fiscal year; Keep unchanged. II the bases, guidelines, and long-term strategies for the preparation of the strategic plan, as well as the annual and multiannual plans and programs, including the analysis of risks and opportunities for a minimum horizon defined in the Internal Regulations of the Executive Boards; and II the bases, guidelines, and long-term strategies for the preparation of the strategic plan, as well as the annual and multiannual plans and programs, including the analysis of risks and opportunities for a minimum horizon defined in the Internal Regulations of the Executive Boards; and Keep unchanged. III the operating and capital investment budgets of the Company for the following fiscal year, aimed at achieving the corporate strategies. III the operating and capital investment budgets of the Company for the following fiscal year, aimed at achieving the corporate strategies. Keep unchanged. Art. 36 The President of the Company shall be responsible for: Art. 36 The President of the Company shall be responsible for: Keep unchanged. I leading and coordinating the Company; I leading and coordinating the Company; Keep unchanged. II representing the Company, both actively and passively, in court or outside of it, and for this purpose, may appoint an attorney-in-fact with special powers, including powers to receive service of process and notifications, subject to Article 40 and following articles of these Bylaws; II representing the Company, both actively and passively, in court or outside of it, and for this purpose, may appoint an attorney-in-fact with special powers, including powers to receive service of process and notifications, subject to Article 40 and following of these Bylaws; Text adjustment, no change in meaning. III promoting development and submitting to the Board of Directors the Company’s corporate strategy, as well as ensuring its execution; III promoting development and submitting to the Board of Directors the Company’s corporate strategy, as well as ensuring its execution; Keep unchanged. IV ensuring the achievement of the Company’s goals, as established in accordance with the general guidelines set by the General Shareholders’ Meeting and the Board of Directors; IV ensuring the achievement of the Company’s goals, as established in accordance with the general guidelines set by the General Shareholders’ Meeting and the Board of Directors; Keep unchanged. Bylaws Copel Holding – Comparative table of changes - 18/8/2025 – pg. 36/81 BYLAWS COPEL (HOLDING) COMPARATIVE TABLE OF CHANGES Current Article Last amendment to the 211th EGM, dated 10/30/2024 Proposed bylaws Rationale V submitting the Company’s annual business report to the Ordinary General Shareholders’ Meeting, after consultation with the Board of Directors; V submitting the Company’s annual business report to the Ordinary General Shareholders’ Meeting, after consultation with the Board of Directors; Keep unchanged. VI leading and coordinating the work of the Executive Board; VI leading and coordinating the work of the Executive Board; Keep unchanged. VII convening and presiding over the meetings of the Executive Board; VII convening and presiding over the meetings of the Executive Board; Keep unchanged. VIII granting leave to the other members of the Executive Board and appointing a substitute in cases of absence or temporary impediment; VIII granting leave to the other members of the Executive Board and appointing a substitute in cases of absence or temporary impediment; Keep unchanged. IX resolving issues involving conflicts of interest or conflicts of authority between the Executive Officers; IX resolving issues involving conflicts of interest or conflicts of authority between the Executive Officers; Keep unchanged. X propose to the Board of Directors the appointment of members of the Executive Board and other Directors, in compliance with the requirements and restrictions established in internal policies and regulations, and may also propose their removal to the Board of Directors at any time; X propose to the Board of Directors the appointment of members of the Executive Board and other Directors, in compliance with the requirements and restrictions established in internal policies and regulations, and may also propose their removal to the Board of Directors at any time; Writing adjustment, without changing the meaning of the item. XI deciding on the adhesion to and continued participation in voluntary commitments assumed by Copel Holding and its Wholly-Owned Subsidiaries; and XI deciding on the adhesion to and continued participation in voluntary commitments assumed by Copel Holding and its Wholly-Owned Subsidiaries; and Keep unchanged. XII exercising other duties assigned by the Board of Directors, in accordance with applicable law and these Bylaws. XII exercising other duties assigned by the Board of Directors, in accordance with applicable law and these Bylaws. Text adjustment, no change in meaning. Art. 37 The Vice Presidents shall have the following power and duties: Art. 37 The Vice Presidents shall have the following power and duties: Keep unchanged. Bylaws Copel Holding – Comparative table of changes - 18/8/2025 – pg. 37/81 BYLAWS COPEL (HOLDING) COMPARATIVE TABLE OF CHANGES Current Article Last amendment to the 211th EGM, dated 10/30/2024 Proposed bylaws Rationale I managing the activities within their respective areas of responsibility, as established in the Internal Regulations of the Executive Board; I manage the activities within their respective areas of responsibility, as established in the Internal Regulations of the Executive Board; Text adjustment, no change in meaning. II participating in meetings of the Executive Board, contributing to the definition and implementation of the policies to be followed by the Company, and reporting on relevant matters within their respective areas of responsibility; and II participating in meetings of the Executive Board, contributing to the definition and implementation of the policies to be followed by the Company, and reporting on relevant matters within their respective areas of responsibility; and Keep unchanged. III complying with and ensuring compliance with the general business guidelines of the Company, as established by the Board of Directors, with respect to the management of their specific areas of responsibility. III complying with and ensuring compliance with the general business guidelines of the Company, as established by the Board of Directors, with respect to the management of their specific areas of responsibility. Keep unchanged. § 1 The other individual duties of the Officers shall be detailed in the Internal Regulations of the Executive Board. § 1 The other individual duties of the Oficers shall be detailed in the Internal Regulations of the Executive Boards. Text adjustment, no change in direction and adjustment in the nomenclature of the Internal Regulation § 2 In addition to the duties established in these Bylaws, the Vice Presidents and Officers shall assist and support the President of the Company in the management of the Company’s business, as well as ensure cooperation and support to the other Officers within their respective areas of responsibility, aiming at achieving the Company’s objectives and interests. § 2 In addition to the duties established in these Bylaws, the Vice Presidents and Officers shall assist and support the President of the Company in the management of the Company’s business, as well as ensure cooperation and support to the other Officers within their respective areas of responsibility, aiming at achieving the Company’s objectives and interests. Text adjustment, no change in meaning. § 3 The Vice Presidents and Officers shall perform their duties within the Company, and may simultaneously and without remuneration hold management positions in the Wholly-Owned Subsidiaries. § 3 The Vice Presidents and Officers shall perform their duties within the Company, and may simultaneously and without remuneration hold management positions in the Wholly-Owned Subsidiaries. Text adjustment, no change in meaning. Art. 38 The Executive Board responsible for governance, risk, and compliance shall be tasked with verifying the fulfillment Art. 38 The Executive Board responsible for governance, risk, and compliance shall be tasked with verifying the Text adjustment, no change in meaning. Bylaws Copel Holding – Comparative table of changes - 18/8/2025 – pg. 38/81 BYLAWS COPEL (HOLDING) COMPARATIVE TABLE OF CHANGES Current Article Last amendment to the 211th EGM, dated 10/30/2024 Proposed bylaws Rationale of obligations and risk management, with duties relating to corporate risk management and internal controls, compliance, integrity, the code of conduct, and the integrity program, among others defined in the Internal Regulations of the Executive Board. fulfillment of obligations and risk management, with duties relating to corporate risk management and internal controls, compliance, integrity, the code Code of conduct Conduct and the integrity program, among others defined in the Internal Regulations of the Executive Boards. § 1 The Officer responsible for governance, risk, and compliance may report directly to the Board of Directors in situations where there is suspected involvement of the President of the Company in irregularities or where the President of the Company fails to adopt the necessary measures regarding a situation reported to him. § 1 The Officer responsible for governance, risk, and compliance may report directly to the Board of Directors in situations where there is suspected involvement of the President of the Company in irregularities or where the President of the Company fails to adopt the necessary measures regarding a situation reported to him. Keep unchanged. § 2 For the performance of its duties, the Executive Board shall be guaranteed independent action and access to all necessary information and documents. § 2 For the performance of its duties, the Executive Board shall be guaranteed independent action and access to all necessary information and documents. Keep unchanged. Art. 39 The Vice President responsible for finance and investor relations shall be tasked with providing information to the investing public, the Brazilian Securities and Exchange Commission, the United States Securities and Exchange Commission, and the Stock Exchanges where the Company is listed, and with keeping the Company’s registration as a publicly held company up to date, in compliance with all applicable laws and regulations. Art. 39 The Vice President responsible for finance and investor relations shall be tasked with providing information to the investing public, the Brazilian Securities and Exchange Commission, the United States Securities and Exchange Commission, and the Stock Exchanges where the Company is listed, and with keeping the Company’s registration as a publicly held company up to date, in compliance with all applicable laws and regulations. Keep unchanged. Representation of the Company Representation of the Company Keep unchanged. Art. 40 The Company shall be bound before third parties: Art. 40 The Company shall be bound before third parties: Keep unchanged. I by the signature of two (2) members of the Executive Board, one (1) of whom must necessarily be the President of the Company or the Vice President responsible for the financial I by the signature of two (2) members of the Executive Board, one (1) of whom must necessarily be the President of the Company or the Vice President responsible for the Adjustment of text, aiming to adapt the nomenclature of the members of the Executive Board. Bylaws Copel Holding – Comparative table of changes - 18/8/2025 – pg. 39/81 BYLAWS COPEL (HOLDING) COMPARATIVE TABLE OF CHANGES Current Article Last amendment to the 211th EGM, dated 10/30/2024 Proposed bylaws Rationale area, and the other a member of the Executive Board with duties related to the specific area to which the matter pertains. financial area for finance and investor relations, and the other, a member of the Executive Board with duties related to the specific area to which the matter pertains. II by the signature of one (1) Vice President and one (1) attorney-in-fact, pursuant to the powers granted in the respective power of attorney; II by the signature of one (1) Vice President and one (1) attorney-in-fact, pursuant to the powers granted in the respective power of attorney; Keep unchanged. III by the signature of two (2) attorneys-in-fact, pursuant to the powers granted in the respective power of attorney; III by the signature of two (2) attorneys-in-fact, pursuant to the powers granted in the respective power of attorney; Keep unchanged. IV by the signature of one (1) attorney-in-fact, pursuant to the powers granted in the respective power of attorney, in which case exclusively for the performance of specific acts. IV by the signature of one (1) attorney-in-fact, pursuant to the powers granted in the respective power of attorney, in which case exclusively for the performance of specific acts. Keep unchanged. Sole Paragraph. The Vice President responsible for finance and investor relations may, individually, represent the Company before the Brazilian Securities and Exchange Commission, the United States Securities and Exchange Commission, B3, the financial institution providing share bookkeeping services for the Company, and the administrators of organized markets where the Company’s securities are admitted for trading. Sole Paragraph. The Vice President responsible for finance and investor relations may, individually, represent the Company before the Brazilian Securities and Exchange Commission, the United States Securities and Exchange Commission, B3, the financial institution providing share bookkeeping services for the Company, and the administrators of organized markets where the Company’s securities are admitted for trading. Keep unchanged. Art. 41 The members of the Executive Board may appoint attorneys-in-fact for the Company, specifying in the instrument of appointment the acts or transactions that they may perform and the duration of the power of attorney, provided that only powers of attorney granted for judicial representation in general shall have an indefinite term. Art. 41 The members of the Executive Board may appoint attorneys-in-fact for the Company, specifying in the instrument of appointment the acts or transactions that they may perform and the duration of the power of attorney, provided that only powers of attorney granted for judicial representation in general shall have an indefinite term. Keep unchanged. Bylaws Copel Holding – Comparative table of changes - 18/8/2025 – pg. 40/81 BYLAWS COPEL (HOLDING) COMPARATIVE TABLE OF CHANGES Current Article Last amendment to the 211th EGM, dated 10/30/2024 Proposed bylaws Rationale § 1 Powers of attorney granted by the Company must be signed jointly by two (2) directors, specifying the powers granted and establishing a maximum term of one (1) year. § 1 Powers of attorney granted by the Company must be signed jointly by two (2) directors, specifying the powers granted and establishing a maximum term of one (1) year. Keep unchanged. § 2 The powers of attorney shall expressly specify the special powers acts or operations granted, within the limits of the powers held by the members of the Executive Board granting them, as well as the duration of the power of attorney, which must have a fixed term. Subdelegation shall be prohibited, except in the case of a power of attorney for the Company’s legal representation, which may be granted for an indefinite term and may allow subdelegation under the conditions set forth in the respective instrument. § 2 The powers of attorney shall expressly specify the special powers acts or operations granted, within the limits of the powers held by the members of the Executive Board granting them, as well as the duration of the power of attorney, which must have a fixed term. Subdelegation shall be prohibited, except in the case of a power of attorney for the Company’s legal representation, which may be granted for an indefinite term and may allow subdelegation under the conditions set forth in the respective instrument. Keep unchanged. Art. 42 Any member of the Executive Board may individually represent the Company when the act to be performed requires individual representation or in cases where the use of the electronic signature makes it impossible for two or more individuals to sign the same document, subject to authorization from the Executive Board in session. Art. 42 Any member of the Executive Board may, individually represent, the Company when the act to be performed requires individual representation or in cases where the use of the electronic signature makes it impossible for two or more individuals to sign the same document, subject to authorization from the Executive Board in session. Text adjustment, no change in meaning. Vacancy and Substitution Vacancy and Substitution Keep unchanged. Art. 43 In the event of vacancies, absences, or temporary impediments of any officer, the President of the Company shall designate another member of the Executive Board to assume the functions on an interim basis. Art. 43 In the event of vacancies, absences, or temporary impediments of any officer member of Executive Board, the President of the Company shall designate another member of the Executive Board to assume the functions. Adjustment of text, aiming to adapt the article to the nomenclature of the board. § 1 In the President’s own absences or temporary impediments, he or she shall be replaced by the Vice § 1 In the President’s own absences or temporary impediments, he or she shall be replaced by the Vice Keep unchanged. Bylaws Copel Holding – Comparative table of changes - 18/8/2025 – pg. 41/81 BYLAWS COPEL (HOLDING) COMPARATIVE TABLE OF CHANGES Current Article Last amendment to the 211th EGM, dated 10/30/2024 Proposed bylaws Rationale President designated by him or her, and if no designation is made, the other Vice Presidents shall elect a substitute at that time. President designated by him or her, and if no designation is made, the other Vice Presidents shall elect a substitute at that time. § 2 The members of the Executive Board may not be absent from office for more than thirty (30) consecutive days, except in cases of medical leave or in situations authorized by the Board of Directors. § 2 The members of the Executive Board may not be absent from office for more than thirty (30) consecutive days, except in cases of medical leave or in situations authorized by the Board of Directors. Keep unchanged. § 3 The members of the Executive Board may request unpaid leave from the Board of Directors, provided that it does not exceed three (3) months, and such leave must be recorded in the minutes. § 3 The members of the Executive Board may request unpaid leave from the Board of Directors, provided that it does not exceed three (3) months, and such leave must be recorded in the minutes. Excluded, considering the subject contained in §2 of this article, it is the responsibility of the BD to decide on specific cases. Art. 44 In the event of death, resignation, or permanent impediment of any member of the Executive Board, the President of the Company shall nominate a substitute to the Board of Directors within thirty (30) days of the vacancy, and the Board shall be responsible for electing the nominated member, who shall complete the term of the replaced officer. Art. 44 In the event of death, resignation, or permanent impediment of any member of the Executive Board, the President of the Company shall nominate a substitute to the Board of Directors within thirty (30) days of the vacancy, and the Board shall be responsible for electing the nominated member, who shall complete the term of the replaced officer. Keep unchanged. Sole Paragraph. Until the election is held, the Executive Board may appoint one (1) provisional substitute. However, the election may be waived if the vacancy occurs in the year in which the term of the current Executive Board is set to expire. Sole Paragraph. Until the election is held, the Executive Board may appoint one (1) provisional substitute. However, the election may be waived if the vacancy occurs in the year in which the term of the current Executive Board is set to expire. Keep unchanged. SECTION III - EXECUTIVE BOARD MEETING (REDIR) SECTION III - EXECUTIVE BOARD MEETING (REDIR) Keep unchanged. Operations Operations Keep unchanged. Art. 45 The Executive Board, composed of the President and Vice Presidents, shall meet on an ordinary basis every two Art. 45 The Executive Board, composed of the President and Vice Presidents, shall meet ordinarily on an ordinary monthly basis every two weeks and extraordinarily Text adjustment, in order to clarify the frequency of Board Meetings. Bylaws Copel Holding – Comparative table of changes - 18/8/2025 – pg. 42/81 BYLAWS COPEL (HOLDING) COMPARATIVE TABLE OF CHANGES Current Article Last amendment to the 211th EGM, dated 10/30/2024 Proposed bylaws Rationale weeks and extraordinarily whenever necessary, upon the call of the President of the Company or any other two (2) Vice Presidents. whenever necessary, upon the call of the President of the Company or any other two (2) Vice Presidents. § 1 Meetings of the Executive Board shall be convened with the presence of the majority of the acting members, considering the President and Vice Presidents, and matters shall be approved by a simple majority of those present. In the event of a tie, the proposal supported by the President of the Company shall prevail. § 1 Meetings of the Executive Board shall be convened with the presence of the majority of the acting members, considering the President and Vice Presidents, and matters shall be approved by a simple majority of those present. In the event of a tie, the proposal supported by the President of the Company shall prevail. Keep unchanged. § 2 Each member of the Executive Board present, limited exclusively to the President and Vice Presidents, shall be entitled to cast one (1) vote, even in the case of the accumulation of duties of President or Vice Presidents. Voting by proxy shall not be permitted. § 2 Each member of the Executive Board present, limited exclusively to the President and Vice Presidents, shall be entitled to cast one (1) vote, even in the case of the accumulation of duties of President or Vice President. The right to vote at Executive Board Meetings is granted to the President and the Vice Presidents, and the accumulation of votes in the event of replacement is not permitted. Voting by proxy shall not be permitted. Text adjustment, no change in meaning. § 3 The resolutions of the Executive Board shall be recorded in minutes entered into the appropriate book and signed by all those present. § 3 The resolutions of the Executive Board shall be recorded in minutes entered into the appropriate book and signed by all those present. Text adjustment, no change in meaning. § 4 The duties of the Officers, if elected by the Board of Directors, shall be defined in the Internal Regulations of the Boards, and such position shall not confer voting rights. § 4 The duties of the Officers, if elected by the Board of Directors, shall be defined in the Internal Regulations of the Boards, and such position shall not confer voting rights. Keep unchanged. Art. 46 Remote participation of members of the Executive Board in ordinary and extraordinary meetings shall be permitted, when necessary, by means of teleconference or videoconference, provided that effective participation and the authenticity of their votes are ensured. In such case, the member of the Executive Board participating remotely shall be deemed present at the meeting, and their vote shall be Art. 46 Remote participation of members of the Executive Board in ordinary and extraordinary meetings shall be permitted, when necessary, by means of teleconference or videoconference, provided that effective participation and the authenticity of their votes are ensured. In such case, the member of the Executive Board participating remotely shall be deemed present at the meeting, and their vote Text adjustment, no change in meaning. Bylaws Copel Holding – Comparative table of changes - 18/8/2025 – pg. 43/81 BYLAWS COPEL (HOLDING) COMPARATIVE TABLE OF CHANGES Current Article Last amendment to the 211th EGM, dated 10/30/2024 Proposed bylaws Rationale valid for all legal purposes and incorporated into the minutes of the respective meeting. shall be valid for all legal purposes and incorporated into the minutes of the respective meeting. Art. 47 The meetings of the Executive Board shall be recorded by a secretary appointed by its President, and all resolutions shall be entered into minutes and recorded in the appropriate book. Art. 47 The meetings of the Executive Board shall be recorded by a secretary appointed by its President, and all resolutions shall be entered into minutes and recorded in the appropriate book. Text adjustment, no change in meaning. Powers and Duties Powers and Duties Keep unchanged. Art. 48 Without prejudice to the powers and duties established by law and by the Internal Regulations of the Executive Board, the Executive Board Meeting shall: Art. 48 Without prejudice to the powers and duties established by law and by the Internal Regulations of the Boards, it is the responsibility of the Executive Board Meeting to: Text adjustment, no change in meaning. I resolve on the Company’s business activities in a sustainable manner, considering its corporate purpose, as well as economic, social, environmental, climate change, and corporate governance factors, along with risks and opportunities; I resolve on the Company’s business activities in a sustainable manner, considering its corporate purpose, as well as economic, social, environmental, climate change, and corporate governance factors, along with risks and opportunities; Keep unchanged. II comply with and enforce compliance with the applicable law, the Bylaws, the Company’s internal policies and rules, and the resolutions of the General Shareholders’ Meeting and the Board of Directors; II comply with and enforce compliance with the applicable law, the Bylaws, the Company’s internal policies and rules, and the resolutions of the General Shareholders’ Meeting and the Board of Directors; Keep unchanged. III prepare and submit for the approval of the Board of Directors, after prior review: III prepare and submit for the approval of the Board of Directors, after prior review: Keep unchanged. a) the annual and multi-year plans and programs, aligning investment expenditures with the respective projects, including a risk and opportunity analysis for a minimum horizon defined in the Internal Regulations of the Executive Board; a) the annual and multi-year plans and programs, aligning investment expenditures with the respective projects, including a risk and opportunity analysis for a minimum horizon defined in the Internal Regulations of the Executive Board; Keep unchanged. Bylaws Copel Holding – Comparative table of changes - 18/8/2025 – pg. 44/81 BYLAWS COPEL (HOLDING) COMPARATIVE TABLE OF CHANGES Current Article Last amendment to the 211th EGM, dated 10/30/2024 Proposed bylaws Rationale b) the Company’s budget, indicating the sources and uses of funds, as well as any amendments thereto; b) the Company’s budget, indicating the sources and uses of funds, as well as any amendments thereto; Keep unchanged. c) investment projects, investments in new businesses, other companies, consortia, joint ventures, Wholly-Owned Subsidiaries, and other forms of association and enterprises, as well as the approval of incorporation, dissolution, or amendment of any companies, enterprises, or consortia; c) investment projects, investments in new businesses, other companies, consortia, joint ventures, Wholly-Owned Subsidiaries, and other forms of association and enterprises, as well as the approval of incorporation, dissolution, or amendment of any companies, enterprises, or consortia; Keep unchanged. d) the performance results of the Company’s activities; d) the performance results of the Company’s activities; Keep unchanged. e) the Company’s quarterly reports, accompanied by the financial statements; e) the Company’s quarterly reports, accompanied by the financial statements; Keep unchanged. f) the Management Report, accompanied by the financial statements and respective notes, the opinion of the independent auditors, and the proposal for allocation of the net income for the fiscal year; f) the Management Report, accompanied by the financial statements and respective notes, the opinion of the independent auditors, and the proposal for allocation of the net income for the fiscal year; Keep unchanged. g) the Company’s Integrated Report or Sustainability Report and other corporate reports to be signed by the Board of Directors; g) the Company’s Integrated Report or Sustainability Report and other corporate reports to be signed by the Board of Directors; Keep unchanged. h) the Executive Board’s Internal Regulations, as well as the Company’s general regulations and policies. h) the Executive Boards’ Internal Regiments and the Company’s general regulations and policies. Text adjustment, no change in meaning. i) revisions to the Company’s Code of Conduct and Integrity Program, in accordance with applicable law; i) revisions to the Company’s Code of Conduct and Integrity Program, in accordance with applicable law; Keep unchanged. j) related-party transactions, within the criteria and limits defined by the Company; j) related-party transactions, within the criteria and limits defined by the Company; Keep unchanged. IV approve: IV approve: Keep unchanged. Bylaws Copel Holding – Comparative table of changes - 18/8/2025 – pg. 45/81 BYLAWS COPEL (HOLDING) COMPARATIVE TABLE OF CHANGES Current Article Last amendment to the 211th EGM, dated 10/30/2024 Proposed bylaws Rationale a) the technical and economic evaluation criteria for investment projects, together with the respective delegation plans for their implementation and execution; a) the technical and economic evaluation criteria for investment projects, together with the respective delegation plans for their implementation and execution; Keep unchanged. b) the accounting accounts plan; b) the accounting accounts plan; Keep unchanged. c) the Company’s annual insurance plan; c) the Company’s annual insurance plan; Keep unchanged. d) residually, within the statutory and regulatory limits, all matters related to the Company’s activities that are not within the exclusive authority of the President of the Company, the Board of Directors, or the General Shareholders’ Meeting; d) residually, within the statutory and regulatory limits, all matters related to the Company’s activities that are not within the exclusive authority of the President of the Company, the Board of Directors, or the General Shareholders’ Meeting; Keep unchanged. e) the appointment of the Company’s representatives to the statutory bodies of companies in which it or its Wholly- Owned Subsidiaries hold or may come to hold a direct or indirect interest; e) the appointment of the Company’s representatives to the statutory bodies of Statutory Bodies of the companies in which it or its Wholly-Owned Subsidiaries hold or may come to hold a direct or indirect interest; Text adjustment, no change in meaning. f) corporate participation in trade associations and non- governmental entities; f) corporate participation in trade associations and non- governmental entities; Keep unchanged. g) proposals related to personnel policy; and g) proposals related to personnel policy; and Keep unchanged. h) the internal procurement and contracting regulations. h) the internal procurement and contracting regulations. Keep unchanged. V authorize, subjected to the limits and guidelines set forth by law and by the Board of Directors, and the approval thresholds established in internal regulations and in the Executive Board’s Internal Regulations: V authorize, subjected to the limits and guidelines set forth by law and by the Board of Directors, and the approval thresholds established in internal regulations and in the Executive Boards Internal Regulations: Text adjustment, no change in meaning. a) acts of waiver or judicial or extrajudicial settlement to resolve disputes or claims, with authority to set value limits for delegating the performance of such acts to the President of the Company or any other officer; and a) acts of waiver or judicial or extrajudicial settlement to resolve disputes or claims, with authority to set value limits for delegating the performance of such acts to the Adjustment of text, aiming to adapt the article to the nomenclature of the board. Bylaws Copel Holding – Comparative table of changes - 18/8/2025 – pg. 46/81 BYLAWS COPEL (HOLDING) COMPARATIVE TABLE OF CHANGES Current Article Last amendment to the 211th EGM, dated 10/30/2024 Proposed bylaws Rationale President of the Company or any other officer member of the Executive Board; and b) the execution of any legal transactions when the transaction amount does not exceed two percent (2%) of the Company’s net worth, without prejudice to the authority granted by the Bylaws to the Board of Directors, including the acquisition, disposal, or encumbrance of assets, the obtaining of loans and financing, the assumption of obligations in general, and association with other legal entities. b) the execution of any legal transactions when the transaction amount does not exceed two percent (2%) of the Company’s net worth, without prejudice to the authority granted by by these Bylaws to the Board of Directors, including the acquisition, disposal, or encumbrance of assets, the obtaining of loans and financing, the assumption of obligations in general, and association with other legal entities; and Text adjustment, no change in meaning. NEW c) the issuance of non-convertible debentures into shares, observing the limits and guidelines set by the Board of Directors. New, aiming to clarify the authority for the Board to approve the issuance of non- convertible debentures into shares. Sole Paragraph. When the cumulative value of the acquisition, disposal, or encumbrance of assets, the obtaining of loans and financing, the assumption of obligations in general, and association with other legal entities reaches five percent (5%) of the Company’s net worth during the fiscal year, a report shall be submitted for resolution by the Board of Directors. Sole Paragraph. When the cumulative value of the acquisition, disposal, or encumbrance of assets, the obtaining of loans and financing, the assumption of obligations in general, and association with other legal entities reaches five percent (5%) of the Company’s net worth during the fiscal year, a report shall be submitted for resolution by the Board of Directors. Deleted, moved to paragraph 2 of this article. VI establish the guidelines and approve the creation of the organizational structures of the Company and its Wholly- Owned Subsidiaries; VI establish the guidelines and approve the creation of the organizational structures of the Company and its Wholly- Owned Subsidiaries; Keep unchanged. VII negotiate and execute management instruments between the Company, its Wholly-Owned Subsidiaries, and Wholly- Owned Special Purpose Entities; VII negotiate and execute management instruments between the Company, its Wholly-Owned Subsidiaries, and Wholly-Owned Special Purpose Entities; Keep unchanged. VIII establish and monitor governance practices, internal controls, guidelines, and policies for its Wholly-Owned VIII establish and monitor governance practices, internal controls, guidelines, and policies for its Wholly-Owned Keep unchanged. Bylaws Copel Holding – Comparative table of changes - 18/8/2025 – pg. 47/81 BYLAWS COPEL (HOLDING) COMPARATIVE TABLE OF CHANGES Current Article Last amendment to the 211th EGM, dated 10/30/2024 Proposed bylaws Rationale Subsidiaries, in directly or indirectly controlled companies, and, in the case of direct or indirect minority interests, proportional to the relevance, materiality, and risks of the business in which they participate; Subsidiaries, in directly or indirectly controlled companies, and, in the case of direct or indirect minority interests, proportional to the relevance, materiality, and risks of the business in which they participate; IX authorize the opening, establishment, transfer, and closure of branches, offices, agencies, representations, or any other establishments; IX authorize the opening, establishment, transfer, and closure of branches, offices, agencies, representations, or any other establishments; Keep unchanged. X designate, if it so decides, the Wholly-Owned Subsidiary responsible for carrying out activities related to the management of companies in which the Company and its Wholly-Owned Subsidiaries hold an equity interest, observing their duty to supervise based on governance and control practices proportional to the relevance, materiality, and risks of the business in which they participate; and X designate, if it so decides, the Wholly-Owned Subsidiary responsible for carrying out activities related to the management of companies in which the Company and its Wholly-Owned Subsidiaries hold an equity interest, observing their duty to supervise based on governance and control practices proportional to the relevance, materiality, and risks of the business in which they participate; and Keep unchanged. XI direct the vote to be cast by the Company at the General Shareholders’ Meetings of the Wholly-Owned Subsidiaries and other companies and associations in which the Company holds a direct interest. XI direct the vote to be cast by the Company at the General Shareholders’ Meetings of the Wholly-Owned Subsidiaries and other companies and associations in which the Company holds a direct interest. Keep unchanged. Sole Paragraph. The Executive Board may appoint agents or grant powers to other management levels of the Company and of the shared structure in which it participates, through internal rules or an appropriate instrument, including jointly with the Wholly-Owned Subsidiaries, within the individual limits and authority assigned to the officers, for purposes such as executing contracts, agreements, cooperation terms, and other instruments that create obligations for the Company or its Wholly-Owned Subsidiaries, except for acts that are non-delegable by law, Sole Paragraph. §1 The Executive Board may appoint agents or grant powers to other management levels of the Company and of the shared structure in which it participates, through internal rules or an appropriate instrument, including jointly with the Wholly-Owned Subsidiaries, within the individual limits and authority assigned to the officers members of the Executive Board, for purposes such as executing contracts, agreements, cooperation terms, and other instruments that create obligations for the Company or its Wholly-Owned Renumbered with text adjustment, in order to adapt the wording to the nomenclature of the executive board. Bylaws Copel Holding – Comparative table of changes - 18/8/2025 – pg. 48/81 BYLAWS COPEL (HOLDING) COMPARATIVE TABLE OF CHANGES Current Article Last amendment to the 211th EGM, dated 10/30/2024 Proposed bylaws Rationale provided that they are previously approved within the limits established herein. Subsidiaries, except for acts that are non-delegable by law, provided that they are previously approved within the limits established herein. NEW Sole paragraph. §2 When the cumulative value of the acquisition, disposal, or encumbrance of assets, the obtaining of loans and financing, the assumption of obligations in general, and association with other legal entities reaches five percent (5%) of the Company’s Net Worth during the fiscal year, a report shall be submitted for resolution by the Board of Directors. Said report shall, for the purposes of this determination, consider the consolidated financial statements of the Company in relation to the last fiscal year. Renumbered, displaced from the sole paragraph of this article, with adjustment to clarify that the consolidated financial statements of the Company should be considered. Art. 49 The Executive Board’s Internal Regulations shall detail the individual duties of each officer and may also require that the performance of certain acts within their specific areas of authority be subject to prior authorization by the Executive Board Meeting. Art. 49 The Executive Board’s Internal Regulations shall detail the individual duties of each officer and may also require that the performance of certain acts within their specific areas of authority be subject to prior authorization by the Executive Board Meeting. Text adjustment, no change in meaning. CHAPTER V - STATUTORY COMMITTEES CHAPTER V - STATUTORY COMMITTEES Keep unchanged. Art. 50 The Company shall have a Statutory Audit Committee, an Investment and Innovation Committee, a People Committee, and a Sustainable Development Committee. Art. 50 The Company will have the following statutory committees: (i) Statutory Audit Committee, the; (ii) Investment and Innovation Committee, the People Committee and the; (iii) Sustainable Development Committee; and the (iv) People Committee (collectively “Statutory Committees”). Text adjustment, no change in meaning. §1 The Statutory Committees shall be remunerated, and their creation shall require an amendment to the Bylaws by resolution of the General Shareholders’ Meeting. §1 The statutory committees Statutory Committees shall be remunerated, and their creation shall require an Text adjustment, no change in meaning. Bylaws Copel Holding – Comparative table of changes - 18/8/2025 – pg. 49/81 BYLAWS COPEL (HOLDING) COMPARATIVE TABLE OF CHANGES Current Article Last amendment to the 211th EGM, dated 10/30/2024 Proposed bylaws Rationale amendment to the Bylaws by resolution of the General Shareholders’ Meeting. §2 The Board of Directors may establish additional committees to assist the Company’s Management, with specific and restricted objectives and a defined term of duration, appointing their respective members. §2 The Board of Directors may establish additional committees to assist the Company’s Management, with specific and restricted objectives and a defined term of duration, appointing their respective members. Keep unchanged. §3 The operation, compensation of the members, and duties of the committees referred to in this article shall be governed by the Board of Directors through their respective Internal Regulations, in accordance with what is set forth in these Bylaws. §3 The operation, compensation of the members, and duties of the Statutory Bodies and committees referred to in this Article shall be governed by the Board of Directors through their respective Internal Regulations, in accordance with what is set forth in these Bylaws. Text adjustments aiming to clarify the duties of the Board of Directors in disciplining its Committees through their Internal Rules. SECTION I - STATUTORY AUDIT COMMITTEE (SAC) SECTION I - STATUTORY AUDIT COMMITTEE (SAC) Keep unchanged. Art. 51 The Statutory Audit Committee is an independent, advisory, and permanent body that assists the Board of Directors. Art. 51 The Statutory Audit Committee is an independent, advisory, and permanent body that assists and is linked to the Board of Directors. Wording adjustment for the purposes of meeting the requirements of the Novo Mercado Art. 52 The Statutory Audit Committee shall be unified for the Company and its Wholly-Owned Subsidiaries, exercising its duties and responsibilities with respect to the entities directly or indirectly controlled by the Company, as determined by the Board of Directors. Art. 52 The Statutory Audit Committee shall be unified for the Company and its Wholly-Owned Subsidiaries, exercising its duties and responsibilities with respect to the entities directly or indirectly controlled by the Company, as determined by the Board of Directors. Keep unchanged. Art. 53 The duties, operation, procedures, and composition of the Statutory Audit Committee shall comply with applicable laws and regulations and shall be detailed in a specific internal regulation, which shall be approved by the Board of Directors. Art. 53 The duties, operation, procedures, and composition of the Statutory Audit Committee shall comply with applicable laws and regulations and shall be detailed in a specific-internal regulation, which shall be approved by the Board of Directors, which will also define the activities of the Coordinator of the Statutory Audit Committee. Wording adjustment for the purposes of meeting the requirements of the Novo Mercado. Bylaws Copel Holding – Comparative table of changes - 18/8/2025 – pg. 50/81 BYLAWS COPEL (HOLDING) COMPARATIVE TABLE OF CHANGES Current Article Last amendment to the 211th EGM, dated 10/30/2024 Proposed bylaws Rationale § 1 The Coordinator of the Statutory Audit Committee shall be elected by the Board of Directors from among its independent members and shall be responsible for implementing the Committee’s decisions, with records entered in the appropriate minutes book. § 1The Coordinator of the Statutory Audit Committee shall be elected by the Board of Directors from among its independent members and shall be responsible for implementing the Committee’s decisions, with records entered in the appropriate minutes book. Keep unchanged. § 2 The Statutory Audit Committee shall be composed of three (3) to five (5) members, as determined by the Board of Directors, who shall be appointed, elected, and removable by the Board, all with a unified term of two (2) years, with reelection permitted, subject to the following parameters: § 2 The Statutory Audit Committee shall be composed of three (3)to five (5) members, as determined by the Board of Directors, who shall be appointed, elected, and removable by said body, all by the Board of Directors, with a unified term of two (2) years, with reelection permitted, subject to the following parameters: Adjustment of text, in order to clarify the composition of the Statutory Audit Committee. I having a majority of independent members, as defined by applicable laws and regulations; I having a majority of independent members, as defined by applicable laws and regulations; Keep unchanged. II at least one (1) member must have recognized professional experience in corporate accounting, auditing, and finance, qualifying as a “financial expert” under applicable law; IIat least 01 (one) member with recognized professional experience in corporate accounting, auditing and financial matters, which characterizes him as a “financial specialist” under the terms of current legislation under the regulations issued by the Securities and Exchange Commission that governs the registration and exercise of independent auditing activity within the securities market; Adjustment of text, aiming to comply with the Novo Mercado Regulation. III at least one (1) of the Committee members must be a member of the Board of Directors; III at least 01 (one) of the members of the Statutory Audit Committee shall be an independent part member of the Board of Directors; Wording adjustment for the purposes of meeting the requirements of the Novo Mercado. IV at least one (1) of the Committee members must not be a member of the Board of Directors and must be selected from the market among individuals with well-known experience and technical expertise; IV at least one (1) of the Statutory Audit Committee members must not be a member of the Board of Directors and must be selected from the market among individuals with well-known experience and technical expertise; Text adjustment, no change in meaning. V the Coordinator of the Committee must be a member of the Board of Directors; V the Coordinator of the Committee must be a member of the Board of Directors; Excluded, already part found in §1 of Art. 53 above. Bylaws Copel Holding – Comparative table of changes - 18/8/2025 – pg. 51/81 BYLAWS COPEL (HOLDING) COMPARATIVE TABLE OF CHANGES Current Article Last amendment to the 211th EGM, dated 10/30/2024 Proposed bylaws Rationale VI the maximum term for serving on the Committee is ten (10) years; and VI V the maximum term for serving on the Committee is ten (10) years; and Keep unchanged. VII officers of the Company, its subsidiaries, parent company, affiliates, or entities under common control, whether direct or indirect, are prohibited from serving on the Committee. VII VI officers members of the Executive Board of the Ccompany, its subsidiaries, parent company, affiliates, or entities under common control, whether direct or indirect, are prohibited from serving on the Statutory Audit Committee. Text adjustment, no change in meaning. NEW § 3 The same member of the Statutory Audit Committee may accumulate the characteristics provided for in § 2, II and III, above. New, in compliance with the Noo Mercado Regulation, clarifying requirements for the composition of the Audit Committee. § 3 The Statutory Audit Committee shall meet: regularly, once a month, and on an extraordinary basis whenever necessary, deciding by majority vote, with minutes duly recorded, in accordance with its Internal Regulations. §3º §4º The Statutory Audit Committee will meet ordinarily, at least once a month a minimum of 09 (nine) times per year and extraordinarily, whenever necessary, observing the minimum periodicity required by the regulations issued by the Securities and Exchange Commission that govern the registration and exercise of the independent audit activity within the scope of the securities market, deciding by majority votes, with record minutes, in accordance with its Internal Regulations. Renumbered with text adjustment, in order to clarify the frequency of ordinary meetings of the Statutory Audit Committee. § 4 The Internal Audit Department shall be functionally linked to the Board of Directors through the Statutory Audit Committee. §4 §5 The Internal Audit Department shall be functionally linked to the Board of Directors through the Statutory Audit Committee. Renumbering of the paragraph in view of the proposed adjustments in said article. Art. 54 The Statutory Audit Committee is granted operational autonomy and an annual or project-based budget allocation, within limits approved by the Board of Directors, to conduct or order consultations, assessments, and investigations within the scope of its activities, including the hiring and use of independent external specialists. Art. 54 The Statutory Audit Committee is granted operational autonomy and an annual or project-based budget allocation, within limits approved by the Board of Directors, to conduct or order consultations, assessments, and investigations within the scope of its activities, Keep unchanged. Bylaws Copel Holding – Comparative table of changes - 18/8/2025 – pg. 52/81 BYLAWS COPEL (HOLDING) COMPARATIVE TABLE OF CHANGES Current Article Last amendment to the 211th EGM, dated 10/30/2024 Proposed bylaws Rationale including the hiring and use of independent external specialists. NEW Sole Paragraph. Without prejudice to the other duties established in the applicable rules and the Internal Regulations, the Statutory Audit Committee is responsible for: Inclusion to adapt to Novo Mercado requirements NEW I opine on the hiring and removal of independent audit services for the preparation of an independent external audit or for any other service; Inclusion to adapt to Novo Mercado requirements and to the RCVM [Securities and Exchange Commission Resolution] 23. NEW II evaluate quarterly information, interim statements and financial statements; Inclusion to adapt to Novo Mercado requirements NEW III monitor the activities of the Internal Audit and the Company's internal controls area; Inclusion to adapt to Novo Mercado requirements NEW IV assess and monitor the Company's risk exposures; Inclusion to adapt to Novo Mercado requirements NEW V evaluate, monitor, and recommend to management the correction or improvement of the Company's internal policies, including the policy of transactions between related parties; and Inclusion to adapt to Novo Mercado requirements NEW VI have means for receiving and processing information about non-compliance with legal and regulatory provisions applicable to the Company, in addition to internal regulations and codes, including with the provision of specific procedures for protecting the provider and the confidentiality of the information. Inclusion to adapt to Novo Mercado requirements NEW VII prepare an annual summary report, to be presented together with the financial statements, containing the description of: (a) meetings held, their activities, the main New, aiming to meet the Novo Mercado Regulation and the requirements of RCVM 23 Bylaws Copel Holding – Comparative table of changes - 18/8/2025 – pg. 53/81 BYLAWS COPEL (HOLDING) COMPARATIVE TABLE OF CHANGES Current Article Last amendment to the 211th EGM, dated 10/30/2024 Proposed bylaws Rationale matters discussed, the results and conclusions reached and the recommendations made; and (b) any situations in which there is significant discrepancy between the Company's management, the independent auditors and the Statutory Audit Committee in relation to the Company's financial statements; NEW VIII have means to receive complaints, including confidential ones, both internal and external to the company, in matters related to the scope of its activities; Inclusion to adapt to Novo Mercado requirements and to the RCVM [Securities and Exchange Commission Resolution] 23 NEW IX supervise the activities (a) of the independent auditors, in order to evaluate their independence, the quality of the services provided; and the adequacy of the services provided to the Company's needs; (b) the Company's internal controls area; (c) the Company's Internal Audit area; and (d) the drafting area of the Company's financial statements; Inclusion to adapt to Novo Mercado requirements and to the RCVM [Securities and Exchange Commission Resolution] 23 NEW X monitor the quality and integrity of: (a) internal control mechanisms; (b) quarterly information, interim statements and financial statements of the Company; and (c) information and measurements disclosed based on adjusted accounting data and non-accounting data that add elements not provided for in the structure of the usual reports of the financial statements; Inclusion to adapt to Novo Mercado requirements and to the RCVM [Securities and Exchange Commission Resolution] 23 NEW XI evaluate and monitor the Company's risk exposures, and even require detailed information on policies and procedures related to: (a) the remuneration of management; (b) the use of Company assets; and (c) expenses incurred on behalf of the Company; Inclusion to adapt to Novo Mercado requirements and to the RCVM [Securities and Exchange Commission Resolution] 23 Bylaws Copel Holding – Comparative table of changes - 18/8/2025 – pg. 54/81 BYLAWS COPEL (HOLDING) COMPARATIVE TABLE OF CHANGES Current Article Last amendment to the 211th EGM, dated 10/30/2024 Proposed bylaws Rationale NEW XII evaluate and monitor, together with management and the Internal Audit area, the adequacy of transactions with related parties carried out by the Company and their respective evidence; and Inclusion to adapt to Novo Mercado requirements and to the RCVM [Securities and Exchange Commission Resolution] 23 NEW XIII assess, at least annually, whether the Internal Audit department has a structure and budgets considered sufficient for the performance of its functions. Inclusion to adapt to Novo Mercado requirements and to the RCVM [Securities and Exchange Commission Resolution] 23 SECTION II - INVESTMENT AND INNOVATION COMMITTEE (IIC) SECTION II - INVESTMENT AND INNOVATION COMMITTEE (IIC) Keep unchanged. Art. 55 The Investment and Innovation Committee is an independent, advisory, and permanent body that provides support to the Board of Directors. Art. 55 The Investment and Innovation Committee is an independent, advisory, and permanent body that provides support to the Board of Directors. Keep unchanged. Art. 56 The Investment and Innovation Committee shall be a single committee for the Company and its Wholly-Owned Subsidiaries, and may perform its duties and responsibilities with respect to companies directly or indirectly controlled by the Company, by resolution of the Board of Directors. Art. 56 The Investment and Innovation Committee shall be a single committee for the Company and its Wholly-Owned Subsidiaries, and may perform its duties and responsibilities with respect to companies directly or indirectly controlled by the Company, by resolution of the Board of Directors. Keep unchanged. Art. 57 Its duties, operations, procedures, and composition shall comply with applicable law and will be detailed in specific Internal Regulations, which must be approved by the Board of Directors. Art. 57 Its duties, operations, procedures, and composition shall comply with applicable law and will be detailed in specific Internal Regulations, which must be approved by the Board of Directors. Keep unchanged. § 1 The Coordinator of the Investment and Innovation Committee shall be elected by the Board of Directors from among its members and shall be responsible for carrying out the resolutions of the Committee, which must be recorded in the appropriate minutes book. § 1The Coordinator of the Investment and Innovation Committee shall be elected by the Board of Directors from among its members and shall be responsible for carrying out the resolutions of the Committee, which must be recorded in the appropriate minutes book. Keep unchanged. Bylaws Copel Holding – Comparative table of changes - 18/8/2025 – pg. 55/81 BYLAWS COPEL (HOLDING) COMPARATIVE TABLE OF CHANGES Current Article Last amendment to the 211th EGM, dated 10/30/2024 Proposed bylaws Rationale § 2 The Investment and Innovation Committee shall be composed of three (3) members of the Board of Directors, elected and removed by that body, all with a unified term of office of two (2) years, with reelection permitted. § 2 The Investment and Innovation Committee shall be composed of three (3) members of the Board of Directors, elected and removed removable by that body, all with a unified term of office of two (2) years, with reelection permitted. Text adjustment, no change in meaning. § 3 The President of the Company shall be a member of the Investment and Innovation Committee without voting rights; and § 3 The President of the Company shall be a member of the Investment and Innovation Committee without voting rights; and. Text adjustment, no change in meaning. § 4 The Investment and Innovation Committee shall meet periodically and shall make decisions by majority vote, with the minutes recording all resolutions, including dissents and protests, as provided for in its Internal Regulations. § 4 The Investment and Innovation Committee shall meet periodically and shall make decisions by majority vote, with the minutes recording all resolutions, including dissents and protests, as provided for in its Internal Regulations. Keep unchanged. Art. 58 The Investment and Innovation Committee shall have operational autonomy and an annual or project-specific budget allocation, within limits approved by the Board of Directors, to carry out its activities within its scope, including the engagement and use of independent external specialists. Art. 58 The Investment and Innovation Committee shall have operational autonomy and an annual or project- specific budget allocation, within limits approved by the Board of Directors, to carry out its activities within its scope, including the engagement and use of independent external specialists. Text adjustment, aiming to clarify the autonomy of the Investment and Innovation Committee. SECTION III - SUSTAINABLE DEVELOPMENT COMMITTEE (SDC) SECTION III - SUSTAINABLE DEVELOPMENT COMMITTEE (SDC) Keep unchanged. Art. 59 The Sustainable Development Committee is an independent, consultative, and permanent body that advises the Board of Directors. Art. 59 The Sustainable Development Committee is an independent, consultative, and permanent body that advises the Board of Directors. Keep unchanged. Art. 60 The Sustainable Development Committee shall be a single committee for the Company and its Wholly-Owned Subsidiaries, and may exercise its duties and responsibilities Art. 60 The Sustainable Development Committee shall be a single committee for the Company and its Wholly-Owned Subsidiaries, and may exercise its duties and responsibilities in relation to companies directly or Keep unchanged. Bylaws Copel Holding – Comparative table of changes - 18/8/2025 – pg. 56/81 BYLAWS COPEL (HOLDING) COMPARATIVE TABLE OF CHANGES Current Article Last amendment to the 211th EGM, dated 10/30/2024 Proposed bylaws Rationale in relation to companies directly or indirectly controlled by the Company, as determined by the Board of Directors. indirectly controlled by the Company, as determined by the Board of Directors. Art. 61 Its duties, operations, procedures, and composition shall comply with applicable law and will be detailed in specific Internal Regulations, which must be approved by the Board of Directors. Art. 61 Its duties, operations, procedures, and composition shall comply with applicable law and will be detailed in specific Internal Regulations, which must be approved by the Board of Directors. Keep unchanged. § 1 The Coordinator of the Sustainable Development Committee shall be elected by the Board of Directors and shall be responsible for implementing the decisions of the body. § 1 The Coordinator of the Sustainable Development Committee, shall be elected by the Board of Directors and shall be responsible for implementing the decisions of the body. Text adjustment, no change in meaning. § 2 The Sustainable Development Committee shall be composed of three (3) members, elected and subject to removal by the Board of Directors, all serving a unified term of two (2) years, with reelection permitted, subject to the following parameters: § 2 The Sustainable Development Committee shall be composed by of three (3) members, elected and removed subject to removal by the Board of Directors, all serving a unified term of two (2) years, with reelection permitted, subject to the following parameters: Text adjustment, no change in meaning. I up to three (3) members of the Board of Directors; and I up to three (3) members of the Board of Directors; and Keep unchanged. II up to one (1) external member with recognized professional experience in matters falling within the Committee’s responsibilities. II up to one (1) external member with recognized professional experience in matters falling within the Sustainable Development Committee’s responsibilities. Keep unchanged. § 3 The President of the Company shall serve on the Sustainable Development Committee without voting rights; and § 3 The President of the Company shall serve on the Sustainable Development Committee without voting rights; and Keep unchanged. § 4 The Sustainable Development Committee shall meet periodically, making decisions by majority vote, with minutes recorded, including any dissents and protests, as provided for in its Internal Regulations. § 4 The Sustainable Development Committee shall meet periodically, making decisions by majority vote, with minutes recorded, including any dissents and protests, as provided for in its Internal Regulations. Keep unchanged. Bylaws Copel Holding – Comparative table of changes - 18/8/2025 – pg. 57/81 BYLAWS COPEL (HOLDING) COMPARATIVE TABLE OF CHANGES Current Article Last amendment to the 211th EGM, dated 10/30/2024 Proposed bylaws Rationale Art. 62 The Sustainable Development Committee shall have operational autonomy and an annual or project-based budget allocation, within the limits approved by the Board of Directors, to carry out its activities within its scope, including the hiring and use of independent external specialists. Art. 62 The Sustainable Development Committee shall have operational autonomy and an annual or project- based budget allocation, within the limits approved by the Board of Directors, to carry out its activities within its scope, including the hiring and use of independent external specialists. Adjustment of text, aiming to clarify the autonomy of the Sustainable Development Committee. SECTION IV - PEOPLE COMMITTEE (PC) SECTION IV - PEOPLE COMMITTEE (PC) Keep unchanged. Art. 63 The People Committee is an independent, consultative, and permanent body that advises the Board of Directors. Art. 63 The People Committee is an independent, consultative, and permanent body that advises the Board of Directors. Keep unchanged. Art. 64 The People Committee shall be a single committee serving the Company and its Wholly-Owned Subsidiaries, and may exercise its duties and responsibilities with respect to companies directly or indirectly controlled by the Company, as determined by the Board of Directors. Art. 64 The People Committee shall be a single committee serving the Company and its Wholly-Owned Subsidiaries, and may exercise its duties and responsibilities with respect to companies directly or indirectly controlled by the Company, as determined by the Board of Directors. Keep unchanged. Art. 65 Its duties, operations, procedures, and composition shall comply with applicable law and will be detailed in specific Internal Regulations, which must be approved by the Board of Directors. Art. 65 Its duties, operations, procedures, and composition shall comply with applicable law and will be detailed in specific Internal Regulations, which must be approved by the Board of Directors. Keep unchanged. § 1 The People Committee shall assist the Board of Directors in the development and monitoring of the succession plan, in the evaluation and strategy for the compensation of officers, members of advisory committees, and members of the Supervisory Board, as well as in proposals and other matters related to the personnel policy. §1 The People Committee shall assist the Board of Directors in the development and monitoring of the succession plan, in the evaluation of the Board of Directors, of the Statutory Committees and of the Executive Board; as well as in the strategy for compensation of the Statutory Bodies officers, members of advisory committees and members of the Supervisory Board, as well as in proposals and other matters related to the personnel policy. Text adjustment, no change in meaning. Bylaws Copel Holding – Comparative table of changes - 18/8/2025 – pg. 58/81 BYLAWS COPEL (HOLDING) COMPARATIVE TABLE OF CHANGES Current Article Last amendment to the 211th EGM, dated 10/30/2024 Proposed bylaws Rationale § 2 The People Committee shall monitor the eligibility process for officers, members of the Supervisory Board and members of Statutory Committees, in accordance with legal and bylaw provisions and taking into account the rules established in internal regulations. § 2 The Committee of People shall monitor the eligibility process for officers, Fiscal Council members, and members of Statutory Committees, in accordance with legal and bylaw provisions and taking into account the rules established in internal regulations. Adjustment of text, in order to clarify the duties of the People Committee. § 3 The Coordinator of the People Committee shall be elected by the Board of Directors from among its members, and shall be responsible for carrying out the Committee’s resolutions. § 3 The Coordinator of the People Committee shall be elected by the Board of Directors from among its members, and shall be responsible for carrying out the Committee’s resolutions. Keep unchanged. § 4 The People Committee shall be composed of three (3) members, elected and removable by the Board of Directors, all with a unified term of office of two (2) years, with reelection permitted, subject to the following parameters: § 4 The People Committee shall be composed by of three (3) members, elected and removed removable by the Board of Directors, all with a unified term of office of two (2) years, with reelection permitted, subject to the following parameters: Text adjustment, no change in meaning. I up to three (3) members of the Board of Directors; and I up to three (3) members of the Board of Directors; and Keep unchanged. II up to one (1) external member with recognized professional experience in matters falling within the Committee’s responsibilities. II up to one (1) external member with recognized professional experience in matters falling within the Committee’s responsibilities. Keep unchanged. § 5 The President of the Company shall serve on the People Committee without voting rights; and § 5 The President of the Company shall serve on the People Committee without voting rights; and. Text adjustment, no change in meaning. § 6 The People Committee shall meet periodically, deciding by majority vote, with all resolutions, including dissents and protests, recorded in minutes, as provided in its Internal Regulations. § 6 The People Committee shall meet periodically, deciding by majority vote, with all resolutions, including dissents and protests, recorded in minutes, as provided in its Internal Regulations. Keep unchanged. Art. 66 The People Committee shall be granted operational autonomy and an annual or project-based budget, within the limits approved by the Board of Directors, to carry out its Art. 66 The People Committee shall be granted operational autonomy and an annual or project-based budget, within the limits approved by the Board of Adjustment of text, in order to clarify the autonomy of the People Committee. Bylaws Copel Holding – Comparative table of changes - 18/8/2025 – pg. 59/81 BYLAWS COPEL (HOLDING) COMPARATIVE TABLE OF CHANGES Current Article Last amendment to the 211th EGM, dated 10/30/2024 Proposed bylaws Rationale activities within its scope, including the hiring and use of independent external specialists. Directors, to carry out its activities within its scope, including the hiring and use of independent external specialists. CHAPTER VI - SUPERVISORY BOARD (SB) CHAPTER VI - SUPERVISORY BOARD (SB) Keep unchanged. Art. 67 The Company shall have a non-permanent Supervisory Board responsible for oversight, acting both collectively and individually, with the powers and duties set forth in Federal Law No. 6,404/1976 and other applicable legal provisions. Art. 67 The Company shall have a non-permanent Supervisory Board responsible for oversight, acting both collectively and individually, with the powers and duties set forth in Federal Law No. 6,404/1976 and other applicable legal provisions. Keep unchanged. Art. 68 If installed, the Supervisory Board shall meet as provided in its Internal Regulations, with minutes recorded in a specific book. Art. 68 If installed, the Supervisory Board shall meet as provided in its Internal Regulations, with minutes recorded in a specific book. Keep unchanged. Composition and Operation Composition and Operation Keep unchanged. Art. 69 The Supervisory Board, with non-permanent operation, if installed, shall be composed of three (3) sitting members and an equal number of alternates, elected at the General Shareholders’ Meeting, pursuant to Law No. 6,404/1976, with a unified term of one (1) year from the date of their election, with reelection permitted. Art. 69 The Supervisory Board, with non-permanent operation, if installed, shall be composed of three (3) sitting members and an equal number of alternates, elected at the General Shareholders’ Meeting, pursuant to Law No. 6,404/1976, with a unified term of one (1) year from the date of their election, with reelection permitted. The Supervisory Board, when installed, will operate until the first Ordinary General Meeting that takes place after its installation. Adjustment of text, in line with art. 161 of the Corporations Act. § 1 The chair of the Supervisory Board, if installed, shall be elected by its peers at the first meeting following the election of its members, and it shall be the responsibility of the chair to carry out the decisions of the body. § 1 The chair of the Supervisory Board, if installed, shall be elected by its peers at the first meeting following the election of its members, and it shall be the responsibility of the chair to carry out the decisions of the body. Keep unchanged. Bylaws Copel Holding – Comparative table of changes - 18/8/2025 – pg. 60/81 BYLAWS COPEL (HOLDING) COMPARATIVE TABLE OF CHANGES Current Article Last amendment to the 211th EGM, dated 10/30/2024 Proposed bylaws Rationale § 2 Individuals who are natural persons, residing in Brazil, and who possess academic qualifications compatible with the exercise of the position may serve as members of the Supervisory Board, if installed. §2 Individuals who are natural persons, residing in Brazil, and who possess academic qualifications compatible with the exercise of the position may serve as members of the Supervisory Board, if installed, as per the terms of applicable legislation. Text adjustment, no change in meaning. Art. 70 If the Supervisory Board is installed, its powers, operation, and procedures shall comply with the applicable legislation and shall be detailed in specific internal regulations, which shall be approved by the Board itself. Art. 70 If the Supervisory Board is installed, its powers, operation, and procedures shall comply with the applicable legislation and shall be detailed in specific internal regulations, which shall be approved by the Board itself. Keep unchanged. §1 The position of member of the Supervisory Board is non-delegable. §1 The position of member of the Supervisory Board is non-delegable. Keep unchanged. § 2 The members of the Supervisory Board have the same duties as the members of Management, as provided in Articles 153 to 156 of Federal Law No. 6,404/1976, and shall be liable for damages resulting from any failure to perform their duties, or from acts carried out with negligence or willful misconduct, or in violation of the law or the Bylaws. § 2 The members of the Supervisory Board have the same duties as the members of Management, as provided in Articles 153 to 156 of Federal Law No. 6,404/1976, and shall be liable for damages resulting from any failure to perform their duties, or from acts carried out with negligence or willful misconduct, or in violation of the law or the Bylaws. Keep unchanged. Vacancy and Substitutions Vacancy and Substitutions Keep unchanged. Art. 71 If the Supervisory Board is installed, in the event of a vacancy, resignation, or removal of a sitting member, such member shall be replaced by their respective alternate, until a new board member is elected to complete the term. Art. 71 If the Supervisory Board is installed, in the event of a vacancy, resignation, or removal of a sitting member, such member shall be replaced by their respective alternate, until a new board member is elected to complete the term. Keep unchanged. Representation and Opinions Representation and Opinions Keep unchanged. Bylaws Copel Holding – Comparative table of changes - 18/8/2025 – pg. 61/81 BYLAWS COPEL (HOLDING) COMPARATIVE TABLE OF CHANGES Current Article Last amendment to the 211th EGM, dated 10/30/2024 Proposed bylaws Rationale Art. 72 If the Supervisory Board is installed, the chair of the Supervisory Board, or at least one of its members, shall attend the meetings of the General Shareholders’ Meeting and respond to requests for information made by the shareholders. Art. 72 If the Supervisory Board is installed, the chair of the Supervisory Board, or at least one of its members, shall attend the meetings of the General Shareholders’ Meeting and respond to requests for information made by the shareholders. Text adjustment, no change in meaning. Sole Paragraph. The opinions and representations of the Supervisory Board, if installed, or of any of its members, may be submitted and read at the General Shareholders’ Meeting, regardless of publication and even if the subject matter is not included on the agenda. Sole Paragraph. The opinions and representations of the Fiscal Council Supervisory Board, if installed, or of any of its members, may be submitted and read at the General Shareholders’ Meeting, regardless of publication and even if the subject matter is not included on the agenda. Text adjustment, no change in meaning. CHAPTER VII - COMMON RULES APPLICABLE TO THE STATUTORY BODIES CHAPTER VII - COMMON RULES APPLICABLE TO THE STATUTORY BODIES Keep unchanged. Investiture, Impediments, and Restrictions Investiture, Impediments, and Restrictions Keep unchanged. Art. 73 For their investiture in office, the members of the statutory bodies shall meet the minimum requirements set forth in Federal Law No. 6,404/1976, and shall also comply with the procedures established in the Nomination Policy. Art. 73 For their investiture in office, the members of the statutory bodies Statutory Bodies shall meet the minimum requirements set forth in Federal Law No. 6,404/1976, and shall also comply with the procedures established in the Nomination Policy. Text adjustment, no change in meaning. Sole Paragraph - Due to incompatibility, the following individuals are prohibited from serving on the Board of Directors, advisory committees, Executive Board, or Fiscal Council of Copel, if installed, and its Wholly-Owned Subsidiaries: Sole Paragraph - Due to incompatibility, the following individuals are prohibited from serving on the Board of Directors, advisory committees, Executive Board and Supervisory Board the Statutory Bodies and advisory committees of Copel, if installed, and its Wholly-Owned Subsidiaries: Adjustment of text, in order to clarify the restrictions for investiture in Statutory Bodies and advisory committees. I - representatives of the regulatory agency overseeing the Company; Ministers of State; State or Municipal Secretaries; holders of temporary positions in public administration classified as superior, special, directive, or advisory; statutory I - representatives of the regulatory agency overseeing the Company; Ministers of State; State or Municipal Secretaries; holders of temporary positions in public administration classified as superior, special, directive, or Keep unchanged. Bylaws Copel Holding – Comparative table of changes - 18/8/2025 – pg. 62/81 BYLAWS COPEL (HOLDING) COMPARATIVE TABLE OF CHANGES Current Article Last amendment to the 211th EGM, dated 10/30/2024 Proposed bylaws Rationale officers of political parties; and holders of elected office in the Legislative Branch at any level of government, even if on leave from their positions; and advisory; statutory officers of political parties; and holders of elected office in the Legislative Branch at any level of government, even if on leave from their positions; and II - individuals who, within the past thirty-six (36) months, have served in the decision-making structure of a political party or have held a position in a labor union organization. II - individuals who, within the past thirty-six (36) months, have served in the decision-making structure of a political party or have held a position in a labor union organization. Keep unchanged. Art. 74 The members of the statutory bodies shall take office upon signing a term of investiture, recorded in the respective minutes book. Art. 74 The members of the statutory bodies Statutory Bodies shall take office upon signing a term of investiture, recorded in the respective minutes book, subjecting themselves to the arbitration clause referenced in article 98. Adjustment made to reflect the mandatory devices of the Novo Mercado § 1 The term of investiture must be signed within thirty (30) days following election or appointment, under penalty of ineffectiveness, unless justification is accepted by the body to which the member was elected. The term shall indicate at least one (1) domicile for the service of process and notices in administrative or judicial proceedings related to acts performed during the member’s term of office, and any change to the designated domicile shall only be effective upon written notice to the Company. § 1 The term of investiture must be signed within thirty (30) days following election or appointment, under penalty of ineffectiveness, unless justification is accepted by the body to which the member was elected. The term shall indicate at least one (1) domicile for the service of process and notices in administrative or judicial proceedings related to acts performed during the member’s term of office, and any change to the designated domicile shall only be effective upon written notice to the Company. Keep unchanged. § 2 Investiture shall be subject to the submission of a statement of assets and liabilities, in accordance with applicable law, which must be updated annually and upon the conclusion of the term of office. § 2 Investiture shall be subject to the submission of a statement of assets and liabilities, in accordance with applicable law, which must be updated annually and upon the conclusion of the term of office. Keep unchanged. Art. 75 The investiture of the members of the Board of Directors and the Executive Board shall be conditioned upon the prior execution of the Directors’ Statement of Consent, and the investiture of the members of the Supervisory Board, Art. 75 The investiture of the members of the Board of Directors and the Executive Board shall be conditioned upon the prior execution of the Directors’ Statement of Consent, and the investiture of the members of the Excluded, in alignment with the Novo Mercado Regulation. Bylaws Copel Holding – Comparative table of changes - 18/8/2025 – pg. 63/81 BYLAWS COPEL (HOLDING) COMPARATIVE TABLE OF CHANGES Current Article Last amendment to the 211th EGM, dated 10/30/2024 Proposed bylaws Rationale if installed, shall be conditioned upon the prior execution of the Statement of Consent of the Members of the Supervisory Board, pursuant to the Level 2 Listing Rules of B3, as well as compliance with applicable legal requirements. Supervisory Board, if installed, shall be conditioned upon the prior execution of the Statement of Consent of the Members of the Supervisory Board, pursuant to the Level 2 Listing Rules of B3, as well as compliance with applicable legal requirements. Art. 76 The Company’s directors, the members of the Supervisory Board, if installed, and the members of the Statutory Committees_shall adhere to the policy on trading in securities issued by the Company and the policy on disclosure of material information and facts, in compliance with the regulations of the Brazilian Securities and Exchange Commission, by signing the respective statements of adherence. Art. 76 75 The Company’s directors, the members of the Supervisory Board, if installed, and the members of the Statutory Bodies Committees shall adhere to the policy on trading in securities issued by the Company and the policy on disclosure of material information and facts, in compliance with the normative regulations of the Brazilian Securities and Exchange Commission, by signing the respective statements of adherence. Renumbered with text adjustment, in order to meet the requirements of the Novo Mercado. Art. 77 The shareholders and the members of the Executive Board, Board of Directors, Supervory Board, and Statutory Committees who, for any reason, have a direct, indirect, or conflicting personal interest with that of the Company in a given resolution must refrain from participating in the discussion and voting on such matter, even as representatives of third parties, with the reason for the abstention and the nature and extent of their interest to be recorded in the minutes. Art. 77 76 The shareholder and the members of the Executive Board, Board of Directors, Fiscal Council, and Statutory Bodies who, for any reason, have a direct, indirect, or conflicting personal interest with that of the Company in a given resolution must refrain from participating in the discussion and voting on such matter, even as representatives of third parties, with the reason for the abstention and the nature and extent of their interest to be recorded in the minutes. Renumbered with text adjustment without changing the direction of the article. Art. 78 The members of the statutory bodies shall be removed upon voluntary resignation or dismissal at any time, in accordance with applicable law and these Bylaws. Art. 78 The members of the statutory bodies shall be removed upon voluntary resignation or dismissal at any time, in accordance with applicable law and these Bylaws. Deleted, for the purpose of text simplification, in compliance with the provisions of the Corporate Law. Art. 79 Except in the event of resignation or dismissal, the term of office of the members of the statutory bodies shall be automatically extended until the investiture of their successors. Art. 79 Except in the event of resignation or dismissal, the term of office of the members of the statutory bodies shall be automatically extended until the investiture of their successors. Deleted, article content contained in article 18 sole paragraph. Bylaws Copel Holding – Comparative table of changes - 18/8/2025 – pg. 64/81 BYLAWS COPEL (HOLDING) COMPARATIVE TABLE OF CHANGES Current Article Last amendment to the 211th EGM, dated 10/30/2024 Proposed bylaws Rationale Art. 80 In addition to the cases provided for by law, a vacancy shall occur when: Art. 80 77 In addition to the cases provided for by law, a vacancy shall occur when: Renumbering of the article in view of other adjustments proposed in this Statute. I the member of the Board of Directors or Supervisory Board, or of the Statutory Committees fails to attend two (2) consecutive meetings or three (3) non-consecutive meetings out of the last twelve (12) meetings, without justification; and I a member of the Board of Directors or, Supervisory Board or of the Statutory Committees fails to attend two (2) consecutive meetings or three (3) non-consecutive meetings out of the last twelve (12) meetings, without justification; and Text adjustment, no change in meaning. II the member of the Executive Board is absent from the performance of their duties for more than thirty (30) consecutive days, except in the case of those events authorized by the Board of Directors. II the member of the Executive Board is absent from the performance of their duties for more than thirty (30) consecutive days, except in the case of those events authorized by the Board of Directors. Keep unchanged. Art. 81 An annual performance evaluation shall be conducted, individually and collectively, on the members of the Board of Directors, the Statutory Committees, the Executive Board, and the Supervisory Board of the Company, if installed, as well as of their respective Wholly-Owned Subsidiaries. Such evaluation may be carried out with the assistance of an independent institution, in accordance with a previously defined procedure and in compliance with the Evaluation Policy. Art. 81 78 An annual performance evaluation shall be conducted by the Board of Directors, individually and collectively, of the members of the Board of Directors, the Statutory- Committees, and -the Executive Board and the Fiscal Council of the Company, if installed, as well as of their respective Wholly-Owned Subsidiaries. Such evaluation may be carried out with the assistance of an independent institution, in accordance with a previously defined procedure and in compliance with the Evaluation Policy. Text adjustment, in order to clarify the process of assessing organ performance. Art. 82 The statutory bodies shall meet validly with the presence of the majority of their members and shall adopt resolutions by a majority vote of those present, with minutes recorded in the corresponding minutes book, which may be drawn up in summary form. Art. 82 79 The statutory bodies Statutory Bodies shall meet validly with the presence of the majority of their members and shall adopt resolutions by a majority vote of those present, with minutes recorded in the corresponding minutes book, which may be drawn up in summary form. Adjustment of text, with no change in meaning and renumbering of the article in view of other adjustments proposed in this Statute. § 1 In the event of a non-unanimous decision, a justification for the dissenting vote may be recorded, and a dissenting member shall be exempt from liability if their dissent is registered in the minutes of the meeting or, if that § 1 In the event of a non-unanimous decision, a justification for the dissenting vote may be recorded, and a dissenting member shall be exempt from liability if their dissent is registered in the minutes of the meeting or, if Keep unchanged. Bylaws Copel Holding – Comparative table of changes - 18/8/2025 – pg. 65/81 BYLAWS COPEL (HOLDING) COMPARATIVE TABLE OF CHANGES Current Article Last amendment to the 211th EGM, dated 10/30/2024 Proposed bylaws Rationale is not possible, if they immediately provide written notice of their position. that is not possible, if they immediately provide written notice of their position. § 2 In joint deliberations of the Board of Directors and the Executive Board, the member presiding over the meeting shall have the casting vote, in addition to their personal vote. § 2 In joint deliberations of the Board of Directors and the Executive Board, the member presiding over the meeting shall have the casting vote, in addition to their personal vote. Keep unchanged. Art. 83 Members of a statutory body may attend the meetings of other bodies when invited, without voting rights. Art. 83 80 Members of a statutory body Statutory Body, may attend the meetings of other bodies when invited, without voting rights. Adjustment of text, with no change in meaning and renumbering of the article in view of other adjustments proposed in this Statute. Art. 84 Meetings of the statutory bodies may be held in person, by teleconference, or by videoconference, in accordance with these Bylaws and the respective Internal Regulations. Art. 84 81 Meetings of the statutory bodies Statutory Bodies may be held in person, by teleconference, or by videoconference, in accordance with these Bylaws and the respective Internal Regulations. Renumbered with adjustment of text, with no change in meaning and renumbering of the article in view of other adjustments proposed in this Statute. Compensation Compensation Keep unchanged. Art. 85 The compensation of the members of the Statutory Bodies shall be set annually by the General Shareholders’ Meeting, and no accumulation of compensation or any other benefits shall be allowed as a result of substitutions arising from vacancies, absences, or temporary impediments, in accordance with these Bylaws. Art. 85 82 Compensation for the members of the Statutory Bodies shall be set annually by the General Shareholders’ Meeting, and no accumulation of compensation or any other benefits shall be allowed as a result of substitutions arising from vacancies, absences, or temporary impediments, in accordance with these Bylaws. Renumbered with adjustment of text, with no change in meaning and renumbering of the article in view of other adjustments proposed in this Statute. § 1 Compensation of the members of the Supervisory Board, if installed, as set by the General Shareholders’ Meeting that elects them, shall observe the minimum amount established by law, in addition to the mandatory reimbursement of travel and lodging expenses necessary for the performance of their duties. § 1 Compensation of the members of the Supervisory Board, if installed, as set by the General Shareholders’ Meeting that elects them, shall observe the minimum amount established by law, in addition to the mandatory reimbursement of travel and lodging expenses necessary for the performance of their duties. Keep unchanged. Bylaws Copel Holding – Comparative table of changes - 18/8/2025 – pg. 66/81 BYLAWS COPEL (HOLDING) COMPARATIVE TABLE OF CHANGES Current Article Last amendment to the 211th EGM, dated 10/30/2024 Proposed bylaws Rationale § 2 The President of the Company, in his or her capacity as a member of the Board of Directors, shall not receive compensation. § 2 The If Company's President, as a is elected as a member of the Board of Directors, will not be remunerated. he or she will not receive additional compensation for the position of member of the Board of Directors. Text adjustment, no change in meaning. CHAPTER VIII - FISCAL YEAR, FINANCIAL STATEMENTS, PROFITS, RESERVES, AND DISTRIBUTION OF RESULTS CHAPTER VIII - FISCAL YEAR, FINANCIAL STATEMENTS, PROFITS, RESERVES, AND DISTRIBUTION OF RESULTS Keep unchanged. Art. 86 The fiscal year shall coincide with the calendar year, and at the end of each fiscal year, financial statements shall be prepared in accordance with the provisions of Federal Law No. 6,404/1976 and the regulations of the Brazilian Securities and Exchange Commission, including the requirement of an independent audit conducted by an auditor registered with such authority. Art. 86 83 The fiscal year shall coincide with the calendar year, and at the end of each fiscal year, financial statements shall be prepared in accordance with the provisions of Federal Law No. 6,404/1976 and the regulations of the Brazilian Securities and Exchange Commission, including the requirement of an independent audit conducted by an auditor registered with such authority. Renumbering of the article in view of other adjustments proposed in this Statute. § 1 The Company shall prepare quarterly financial statements and disclose them on its website. § 1 The Company shall prepare quarterly financial information statements and disclose them on its website. Adjustment of text, in order to clarify the disclosure of Quarterly Results Information. § 2 At the end of each fiscal year, the Executive Board shall prepare the financial statements required by law, and the following rules shall be observed with respect to results: § 2 At the end of each fiscal year, the Executive Board shall prepare the financial statements required by law, and the following rules shall be observed with respect to results: Keep unchanged. I accumulated losses and the provision for income tax shall be deducted from the results for the fiscal year before any allocation of profits; I accumulated losses and the provision for income tax shall be deducted from the results for the fiscal year before any allocation of profits; Keep unchanged. II five percent (5%) of the net income for the fiscal year shall be allocated to the legal reserve, which shall not exceed twenty percent (20%) of the share capital; II five percent (5%) of the net income for the fiscal year shall be allocated to the legal reserve, which shall not exceed twenty percent (20%) of the share capital; Keep unchanged. Bylaws Copel Holding – Comparative table of changes - 18/8/2025 – pg. 67/81 BYLAWS COPEL (HOLDING) COMPARATIVE TABLE OF CHANGES Current Article Last amendment to the 211th EGM, dated 10/30/2024 Proposed bylaws Rationale III the Company may record, as a reserve, interest on investments made using its own capital on those works in progress; and III the Company may record, as a reserve, interest on investments made using its own capital on those works in progress; and Keep unchanged. IV other reserves may be established by the Company, in accordance with applicable law and subject to legal limits. IV other reserves may be established by the Company, in accordance with applicable law and subject to legal limits. Keep unchanged. Art. 87 Shareholders shall be entitled, each fiscal year, to receive dividends and/or interest on equity, which shall not be less than twenty-five percent (25%) of the adjusted net income, in accordance with Federal Law No. 6,404/1976. Art. 87 84 Shareholders shall be entitled, each fiscal year, to receive dividends and/or interest on equity, which shall not be less than twenty-five percent (25%) of the adjusted net income, in accordance with Federal Law No. 6,404/1976. Renumbering of the article in view of other adjustments proposed in this Statute. § 1 Based on retained earnings, profit reserves, and the net income for the current fiscal year, as recorded in semiannual or quarterly interim financial statements, the Board of Directors may resolve to distribute interim dividends out of profit reserves, interim dividends based on interim financial statements, or pay interest on equity, provided that such distribution complies with the dividend policy and is subject to subsequent ratification by the General Shareholders’ Meeting. § 1º § 1 The Company may raise interim, semi- annual, quarterly or shorter financial statements and balance sheets. Based on retained earnings, profit reserves, and the net income for the current fiscal year, as recorded in annual financial accounting statements or semestral or quarterly interim financial statements, the Board of Directors may resolve to distribute interim dividends out of profit reserves, interim dividends based on interim financial statements, or pay interest on equity, provided that such distribution complies with applicable legislation and the dividend policy and is subject to subsequent ratification by the General Shareholders’ Meeting. Adjustment of text, aiming to clarify the competence of the Board of Directors to approve and distribute intermediate or interim dividends. § 2 Interim dividends out of profit reserves, interim dividends based on interim financial statements, and interest on equity distributed pursuant to paragraph 1 shall be credited against the mandatory dividend for the fiscal year in which they are declared, in accordance with applicable law. § 2 Interim dividends out of profit reserves, interim dividends based on interim financial statements, and interest on equity distributed pursuant to paragraph 1 shall be credited against the mandatory dividend for the fiscal year in which they are declared, in accordance with applicable law. Keep unchanged. §3 The dividend shall not be mandatory in any fiscal year in which the Board of Directors, with the opinion of the §3 The dividend shall not be mandatory in any fiscal year in which the Board of Directors, with the opinion of the Supervisory Board, if installed, advises the Ordinary Keep unchanged. Bylaws Copel Holding – Comparative table of changes - 18/8/2025 – pg. 68/81 BYLAWS COPEL (HOLDING) COMPARATIVE TABLE OF CHANGES Current Article Last amendment to the 211th EGM, dated 10/30/2024 Proposed bylaws Rationale Supervisory Board, if installed, advises the Ordinary General Shareholders’ Meeting that such distribution would be incompatible with the Company’s financial condition. General Shareholders’ Meeting that such distribution would be incompatible with the Company’s financial condition. § 4 Profits not distributed under the terms of paragraph 3 shall be allocated to a special reserve and, if not absorbed by losses in subsequent fiscal years, shall be distributed as soon as the Company’s financial condition permits. § 4 Profits not distributed under the terms of paragraph 3 shall be allocated to a special reserve and, if not absorbed by losses in subsequent fiscal years, shall be distributed as soon as the Company’s financial condition permits. Keep unchanged. § 5 For calculating the mandatory distribution percentage set forth above, amounts distributed as interest on equity shall be considered net of applicable taxes, in accordance with applicable law. § 5 For calculating the mandatory distribution percentage set forth above, amounts distributed as interest on equity shall be considered net of applicable taxes, in accordance with applicable law. Keep unchanged. Art. 88 Subject to the limits and provisions set forth in Federal Law No. 6,404/1976, in fiscal years in which the mandatory dividend is paid, the General Shareholders’ Meeting shall annually establish the limits for the participation of the Executive Board in the Company’s profits. Art. 88 85 Subject to the limits and provisions set forth in Federal Law No. 6,404/1976, in fiscal years in which the mandatory dividend is paid, the General Shareholders’ Meeting shall annually establish the limits for the participation of the Executive Board in the Company’s profits. Renumbering of the article in view of other adjustments proposed in this Statute. CHAPTER IX - DISSOLUTION AND LIQUIDATION CHAPTER IX - DISSOLUTION AND LIQUIDATION Keep unchanged. Art. 89 The Company shall be dissolved and placed into liquidation in the cases provided for by law, and the General Shareholders’ Meeting shall determine the method of liquidation and elect the liquidator or liquidators, as well as the Supervisory Board, if installed, if its operation is requested by shareholders representing the quorum established by law or by regulations issued by the Brazilian Securities and Exchange Commission, subject to the applicable legal formalities, and shall establish their powers and compensation. Art. 89 86 The Company shall be dissolved and placed into liquidation in the cases provided for by law, and the General Shareholders’ Meeting shall determine the method of liquidation and elect the liquidator or liquidators, as well as the Supervisory Board, if installed, if its operation is requested by shareholders representing the quorum established by law or by regulations issued by the Brazilian Securities and Exchange Commission, subject to the applicable legal formalities, and shall establish their powers and compensation. Renumbering of the article in view of other adjustments proposed in this Statute. Bylaws Copel Holding – Comparative table of changes - 18/8/2025 – pg. 69/81 BYLAWS COPEL (HOLDING) COMPARATIVE TABLE OF CHANGES Current Article Last amendment to the 211th EGM, dated 10/30/2024 Proposed bylaws Rationale CHAPTER X - DEFENSE MECHANISMS CHAPTER X - DEFENSE MECHANISMS Keep unchanged. Art. 90 The members of the Executive Board, of the Board of Directors, of the Supervisory Board, if installed, and the statutory committees shall be liable for losses or damages caused in the performance of their duties, in the cases provided for by law. Art. 90 87 The members of the Executive Board, of the Board of Directors, of the Fiscal Council, if installed, and of the statutory committees Statutory Committees shall be liable for losses or damages caused in the performance of their duties, in the cases provided for by law. Renumbering of the article in view of other adjustments proposed in this Statute. Art. 91 The Company shall ensure legal defense, where there is no conflict with its own interests, in judicial and administrative proceedings brought by third parties against current or former members of the statutory bodies, during or after their respective terms of office, for acts performed in the exercise of their positions or duties. Art. 91 88 The Company shall ensure legal defense, where there is no conflict with its own interests, in judicial and administrative proceedings brought by third parties against current or former members of the statutory bodies, during or after their respective terms of office, for acts performed in the exercise of their positions or duties. Renumbering of the article in view of other adjustments proposed in this Statute. §1 The same protection set forth in the caput above shall be extended to employees, agents, and attorneys-in-fact of the Company who are named as defendants in judicial and/or administrative proceedings exclusively as a result of acts performed pursuant to mandate granted by the Company or in the exercise of powers delegated by the directors. §1 The same protection set forth in the caput above shall be extended to employees, agents, and attorneys-in- fact of the Company who are named as defendants in judicial and/or administrative proceedings exclusively as a result of acts performed pursuant to mandate granted by the Company or in the exercise of powers delegated by the directors. Keep unchanged. § 2º Legal defense shall be provided either through the Company’s internal legal department, by contracting insurance, or, if that is not possible, by retaining an external law firm, at the Company’s discretion. § 2º Legal defense shall be provided either through the Company’s internal legal department, by contracting insurance, or, if that is not possible, by retaining an external law firm, at the Company’s discretion. Keep unchanged. § 3 If, after a formal request by the interested party, the Company fails to provide defense as set forth in paragraph 2, the individual may retain legal counsel of their choice at their own expense and shall be entitled to reimbursement of reasonable attorneys’ fees and costs, provided that the § 3º If, after a formal request by the interested party, the Company fails to provide defense as set forth in paragraph 2, the individual may retain legal counsel of their choice at their own expense and shall be entitled to reimbursement of reasonable attorneys’ fees and costs, Text adjustment, no change in meaning. Bylaws Copel Holding – Comparative table of changes - 18/8/2025 – pg. 70/81 BYLAWS COPEL (HOLDING) COMPARATIVE TABLE OF CHANGES Current Article Last amendment to the 211th EGM, dated 10/30/2024 Proposed bylaws Rationale amounts are proposed within the parameters and conditions then prevailing in the market for the defense of said specific case, approved by the Board of Directors, and provided further that the individual is ultimately acquitted or discharged from liability. provided that the amounts are proposed within the parameters and conditions then prevailing in the market for the defense of said specific case, approved by the Board of Directors, and provided further that the individual is ultimately acquitted or discharged from liability. § 4 The Board of Directors may resolve to advance attorneys’ fees in the case referred to in paragraph 3. § 4 The Board of Directors may resolve to advance attorneys’ fees in the case referred to in paragraph 3. Keep unchanged. Art. 92 The Company may enter into indemnity agreements, subject to applicable law and the guidelines established in the Indemnity Policy. Art. 92 89 The Company may enter into indemnity agreements, subject to applicable law and the guidelines established in the Indemnity Policy. Renumbering of the article in view of other adjustments proposed in this Statute. § 1 The agreements referred to in the caput of this article shall not provide indemnification for acts performed: § 1 The agreements referred to in the caput of this article shall not provide indemnification for acts performed: Keep unchanged. I outside the scope of the duties or authority of their signatories; I outside the scope of the duties or authority of their signatories; Keep unchanged. II in bad faith, with willful misconduct, gross negligence, or fraud; II in bad faith, with willful misconduct, gross negligence, or fraud; Keep unchanged. III in the interest of the individual or of third parties to the detriment of the Company’s corporate interest; and III in the interest of the individual or of third parties to the detriment of the Company’s corporate interest; and Text adjustment, no change in meaning. IV in any other cases provided for in the policy and the respective indemnity agreement. IV in any other cases provided for in the policy and the respective indemnity agreement. Keep unchanged. § 2º The coverage provided under the indemnity agreement shall apply if there is no civil liability insurance coverage available, as provided for in Article 95 of these Bylaws. § 2º The coverage provided under the indemnity agreement shall apply if there is no civil liability insurance coverage available, as provided for in Article 95 92 of these Bylaws. Text adjustment, no change in meaning. Bylaws Copel Holding – Comparative table of changes - 18/8/2025 – pg. 71/81 BYLAWS COPEL (HOLDING) COMPARATIVE TABLE OF CHANGES Current Article Last amendment to the 211th EGM, dated 10/30/2024 Proposed bylaws Rationale Art. 93 The Company shall ensure timely access to all documentation necessary for legal defense. Additionally, the Company shall bear court costs, fees of any kind, administrative expenses, and deposits required to secure appeals when the defense is conducted by the internal legal department. Art. 93 90 The Company shall ensure timely access to all documentation necessary for legal defense. Additionally, the Company shall bear court costs, fees of any kind, administrative expenses, and deposits required to secure instance guarantee when the defense is conducted by the internal legal department. Renumbering of the article in view of other adjustments proposed in this Statute. Art. 94 If any person entitled to legal defense, among those referred to in Article 91 of these Bylaws, is found liable or convicted by a final and unappealable judgment, based on a violation of law or of the Bylaws, or arising from willful misconduct or negligence, such person shall be required to reimburse the Company for all amounts actually disbursed in connection with the legal defense, as well as for any losses caused. Art. 94 91 If any person entitled to legal defense, among those referred to in Article 91 88 of these Bylaws, is found liable or convicted by a final and unappealable judgment, based on a violation of law or of the Bylaws, or arising from willful misconduct or negligence, such person shall be required to reimburse the Company for all amounts actually disbursed in connection with the legal defense, as well as for any losses caused. Adjustment of text, with no change in meaning and renumbering of the article in view of other adjustments proposed in this Statute. Art. 95 The Company may maintain a permanent civil liability insurance policy in favor of the persons referred to in Article 91 of these Bylaws, in the form and scope defined by the Board of Directors and set forth in the applicable policy, to cover court costs and attorneys’ fees arising from judicial and administrative proceedings brought against them, in order to protect them from liabilities resulting from acts performed in the exercise of their positions or duties, covering the entire term of their respective mandates. Art. 95 92 The Company may maintain a permanent civil liability insurance policy in favor of the persons referred to in Article 91 88 of these Bylaws, in the form and scope defined by the Board of Directors and set forth in the applicable policy, to cover court costs and attorneys’ fees arising from judicial and administrative proceedings brought against them, in order to protect them from liabilities resulting from acts performed in the exercise of their positions or duties, covering the entire term of their respective mandates. Adjustment of text, with no change in meaning and renumbering of the article in view of other adjustments proposed in this Statute. CHAPTER XI - TRANSFER OF CONTROL CHAPTER XI - TRANSFER OF CONTROL AND EXIT FROM THE NOVO MERCADO Adjusted for migration to Novo Mercado Art. 96 The transfer of control of the Company, if applicable, whether through a single transaction or successive Art. 96 93 The direct or indirect transfer of control of the Company, if applicable, whether through a single Adjusted in view of migration to the Novo Mercado and renumbering of the article in Bylaws Copel Holding – Comparative table of changes - 18/8/2025 – pg. 72/81 BYLAWS COPEL (HOLDING) COMPARATIVE TABLE OF CHANGES Current Article Last amendment to the 211th EGM, dated 10/30/2024 Proposed bylaws Rationale transactions, shall be contracted subject to a suspensive or resolutory condition that the acquirer undertakes to launch a public tender offer for the shares held by the other shareholders of the Company, in accordance with the conditions and timeframes set forth in applicable law and in the Level 2 Corporate Governance Rules of B3, so as to ensure that they receive treatment equal to that afforded to the transferring controlling shareholder. transaction or successive transactions, shall be contracted subject to a suspensive or resolutory condition that the acquirer undertakes to launch a public tender offer for the shares held by the other shareholders of the Company, in accordance with the conditions and timeframes set forth in applicable law and current regulations and with the Level 2 Corporate Governance Rules of B3 Novo Mercado, so as to ensure that they receive treatment equal to that afforded to the transferring controlling shareholder. view of other adjustments proposed in this Statute. Sole Paragraph. The public tender offer referred to in this article shall also be required: (i) in the event of a compensated assignment of subscription rights to shares or of other securities or rights related to securities convertible into shares, that results in the transfer of control of the Company; or (ii) in the event of the transfer of control of a company that holds the controlling interest in the Company, in which case the transferring controlling shareholder shall be required to declare to B3 the value attributed to the Company in such transfer, attaching supporting documentation evidencing such value. Sole Paragraph. The public tender offer referred to in this article shall also be required: (i) in the event of a compensated assignment of subscription rights to shares or of other securities or rights related to securities convertible into shares, that results in the transfer of control of the Company; or (ii) in the event of the transfer of control of a company that holds the controlling interest in the Company, in which case the transferring controlling shareholder shall be required to declare to B3 the value attributed to the Company in such transfer, attaching supporting documentation evidencing such value. Adjusted for migration to the Novo Mercado NEW Art. 94Without prejudice to the provisions of the Novo Mercado Regulation, the voluntary exit from the Novo Mercado must be preceded by a public offer to acquire shares that observes the procedures provided for in the regulations issued by the Securities and Exchange Commission on public offers to acquire shares to cancel the registration of a publicly traded company and the following requirements: New, in light of the migration to the Novo Mercado Bylaws Copel Holding – Comparative table of changes - 18/8/2025 – pg. 73/81 BYLAWS COPEL (HOLDING) COMPARATIVE TABLE OF CHANGES Current Article Last amendment to the 211th EGM, dated 10/30/2024 Proposed bylaws Rationale NEW (i) the price offered must be fair, and it is possible to request a new evaluation of the Company in the manner established in Federal Law No. 6,404/1976; New, in light of the migration to the Novo Mercado NEW (ii) shareholders holding more than 1/3 of the outstanding shares shall accept the public offer to acquire shares or expressly agree to the exit of the aforementioned segment without the effect of disposal of the shares. New, in light of the migration to the Novo Mercado NEW Sole Paragraph. The voluntary departure from the Novo Mercado may occur regardless of the public offer mentioned in this Article, in the event of dismissal approved at the General Meeting, pursuant to the terms of the Novo Mercado Regulation. Adjusted for migration to the Novo Mercado Sole Paragraph. The public tender offer referred to in this article shall also be required: (i) in the event of a compensated assignment of subscription rights to shares or of other securities or rights related to securities convertible into shares, that results in the transfer of control of the Company; or (ii) in the event of the transfer of control of a company that holds the controlling interest in the Company, in which case the transferring controlling shareholder shall be required to declare to B3 the value attributed to the Company in such transfer, attaching supporting documentation evidencing such value. Sole Paragraph.The public tender offer referred to in this article shall also be required: (i) in the event of a compensated assignment of subscription rights to shares or of other securities or rights related to securities convertible into shares, that results in the transfer of control of the Company; or (ii) in the event of the transfer of control of a company that holds the controlling interest in the Company, in which case the transferring controlling shareholder shall be required to declare to B3 the value attributed to the Company in such transfer, attaching supporting documentation evidencing such value. Exlcuded in light of the migration to the Novo Mercado Art. 97 Any person who acquires control by entering into a private share purchase agreement with the controlling shareholder, involving any number of shares, shall be required to: (i) conduct the public tender offer referred to in Article 96 above; and (ii) pay, under the terms set forth below, an amount equivalent to the difference between the public Art. 97 Any person who acquires control by entering into a private share purchase agreement with the controlling shareholder, involving any number of shares, shall be required to: (i) conduct the public tender offer referred to in Article 96 above; and (ii) pay, under the terms set forth below, an amount equivalent to the difference between Exlcuded in light of the migration to the Novo Mercado Bylaws Copel Holding – Comparative table of changes - 18/8/2025 – pg. 74/81 BYLAWS COPEL (HOLDING) COMPARATIVE TABLE OF CHANGES Current Article Last amendment to the 211th EGM, dated 10/30/2024 Proposed bylaws Rationale tender offer price and the price paid per share for any shares acquired on the stock exchange within the six (6) months preceding the acquisition of control, adjusted for inflation through the date of payment. The aforementioned amount shall be distributed among all persons who sold shares of the Company on the trading sessions in which the acquirer made purchases, in proportion to each seller’s net daily selling balance, with B3 responsible for carrying out the distribution in accordance with its regulations. the public tender offer price and the price paid per share for any shares acquired on the stock exchange within the six (6) months preceding the acquisition of control, adjusted for inflation through the date of payment. The aforementioned amount shall be distributed among all persons who sold shares of the Company on the trading sessions in which the acquirer made purchases, in proportion to each seller’s net daily selling balance, with B3 responsible for carrying out the distribution in accordance with its regulations. Art. 98 The Company shall not register any transfer of shares to the acquirer or to any person or entity that comes to hold the controlling interest until such person or entity executes the Controlling Shareholders’ Statement of Consent referred to in the Level 2 Corporate Governance Rules of B3. Art. 98 The Company shall not register any transfer of shares to the acquirer or to any person or entity that comes to hold the controlling interest until such person or entity executes the Controlling Shareholders’ Statement of Consent referred to in the Level 2 Corporate Governance Rules of B3. Excluded in light of the migration to the Novo Mercado. Art. 99 No shareholders’ agreement governing the exercise of control shall be recorded at the Company’s headquarters unless its signatories have executed the Controlling Shareholders’ Statement of Consent referred to in the Level 2 Corporate Governance Rules of B3. Art. 99 No shareholders’ agreement governing the exercise of control shall be recorded at the Company’s headquarters unless its signatories have executed the Controlling Shareholders’ Statement of Consent referred to in the Level 2 Corporate Governance Rules of B3. Excluded in light of the migration to the Novo Mercado. Art. 100 In the public tender offer for the acquisition of shares, to be made by the controlling shareholder or by the Company for the purpose of deregistration as a publicly held company, the minimum offer price shall correspond to the economic value determined in the valuation report prepared in accordance with paragraphs 1 and 2 of this article, subject to applicable legal and regulatory requirements. Art. 100 In the public tender offer for the acquisition of shares, to be made by the controlling shareholder or by the Company for the purpose of deregistration as a publicly held company, the minimum offer price shall correspond to the economic value determined in the valuation report prepared in accordance with paragraphs 1 and 2 of this article, subject to applicable legal and regulatory requirements. Excluded in light of the migration to the Novo Mercado. Bylaws Copel Holding – Comparative table of changes - 18/8/2025 – pg. 75/81 BYLAWS COPEL (HOLDING) COMPARATIVE TABLE OF CHANGES Current Article Last amendment to the 211th EGM, dated 10/30/2024 Proposed bylaws Rationale § 1 The valuation report referred to in the caput of this article shall be prepared by an institution or specialized company with proven experience and independence from the Company’s decision-making authority, its management, and/or its controlling shareholder(s), and shall comply with the requirements set forth in paragraph 1 of Article 8 of Federal Law No. 6,404/1976, as well as include the liability provisions set forth in paragraph 6 of the same article. § 1 The valuation report referred to in the caput of this article shall be prepared by an institution or specialized company with proven experience and independence from the Company’s decision-making authority, its management, and/or its controlling shareholder(s), and shall comply with the requirements set forth in paragraph 1 of Article 8 of Federal Law No. 6,404/1976, as well as include the liability provisions set forth in paragraph 6 of the same article. Excluded in light of the migration to the Novo Mercado. § 2 The selection of the institution or specialized firm responsible for determining the Company’s economic value shall be the exclusive responsibility of the General Shareholders’ Meeting, based on a list of three candidates submitted by the Board of Directors. The resolution, with blank votes not counted and with each share entitled to one vote regardless of its type or class, shall be adopted by a majority of the votes cast by shareholders holding outstanding shares present at the meeting. If convened on first call, the meeting must have shareholders representing at least twenty percent (20%) of the total outstanding shares; if convened on second call, the meeting may be held with the presence of any number of shareholders holding outstanding shares. § 2 The selection of the institution or specialized firm responsible for determining the Company’s economic value shall be the exclusive responsibility of the General Shareholders’ Meeting, based on a list of three candidates submitted by the Board of Directors. The resolution, with blank votes not counted and with each share entitled to one vote regardless of its type or class, shall be adopted by a majority of the votes cast by shareholders holding outstanding shares present at the meeting. If convened on first call, the meeting must have shareholders representing at least twenty percent (20%) of the total outstanding shares; if convened on second call, the meeting may be held with the presence of any number of shareholders holding outstanding shares. Excluded in light of the migration to the Novo Mercado. CHAPTER XII - WITHDRAWAL FROM B3’S LEVEL 2 CORPORATE GOVERNANCE CHAPTER XII - WITHDRAWAL FROM B3’S LEVEL 2 CORPORATE GOVERNANCE Excluded in light of the migration to the Novo Mercado. Art. 101 If it is resolved that the Company will withdraw from Level 2 Corporate Governance, either to allow its securities to be registered for trading outside Level 2 Corporate Governance or as a result of a corporate reorganization in Art. 101 If it is resolved that the Company will withdraw from Level 2 Corporate Governance, either to allow its securities to be registered for trading outside Level 2 Corporate Governance or as a result of a corporate Excluded in light of the migration to the Novo Mercado. Bylaws Copel Holding – Comparative table of changes - 18/8/2025 – pg. 76/81 BYLAWS COPEL (HOLDING) COMPARATIVE TABLE OF CHANGES Current Article Last amendment to the 211th EGM, dated 10/30/2024 Proposed bylaws Rationale which the resulting company does not have its securities admitted for trading on Level 2 Corporate Governance within one hundred and twenty (120) days from the date of the General Shareholders’ Meeting that approved the transaction, the controlling shareholder shall conduct a public tender offer to acquire the shares held by the other shareholders of the Company at a price of no less than the economic value determined in a valuation report prepared in accordance with paragraphs 1 and 2 of Article 100, subject to applicable legal and regulatory requirements. reorganization in which the resulting company does not have its securities admitted for trading on Level 2 Corporate Governance within one hundred and twenty (120) days from the date of the General Shareholders’ Meeting that approved the transaction, the controlling shareholder shall conduct a public tender offer to acquire the shares held by the other shareholders of the Company at a price of no less than the economic value determined in a valuation report prepared in accordance with paragraphs 1 and 2 of Article 100, subject to applicable legal and regulatory requirements. Sole Paragraph. The controlling shareholder shall be exempt from conducting the public tender offer referred to in the head paragraph of this article if the Company withdraws from Level 2 Corporate Governance as a result of entering into a participation agreement for admission to the special B3 listing segment known as the Novo Mercado, or if the company resulting from a corporate reorganization obtains authorization to trade its securities on the Novo Mercado within one hundred and twenty (120) days from the date of the General Shareholders’ Meeting that approved the transaction. Sole Paragraph.The controlling shareholder shall be exempt from conducting the public tender offer referred to in the head paragraph of this article if the Company withdraws from Level 2 Corporate Governance as a result of entering into a participation agreement for admission to the special B3 listing segment known as the Novo Mercado, or if the company resulting from a corporate reorganization obtains authorization to trade its securities on the Novo Mercado within one hundred and twenty (120) days from the date of the General Shareholders’ Meeting that approved the transaction. Excluded in light of the migration to the Novo Mercado. Art. 102 In the event there is no controlling shareholder, if it is resolved that the Company will withdraw from Level 2 Corporate Governance in order for its securities to be registered for trading outside Level 2 Corporate Governance, or as a result of a corporate reorganization in which the resulting company does not have its securities admitted for trading on either Level 2 Corporate Governance or the Novo Mercado within one hundred and twenty (120) days from the Art. 102 In the event there is no controlling shareholder, if it is resolved that the Company will withdraw from Level 2 Corporate Governance in order for its securities to be registered for trading outside Level 2 Corporate Governance, or as a result of a corporate reorganization in which the resulting company does not have its securities admitted for trading on either Level 2 Corporate Governance or the Novo Mercado within one hundred and Excluded in light of the migration to the Novo Mercado. Bylaws Copel Holding – Comparative table of changes - 18/8/2025 – pg. 77/81 BYLAWS COPEL (HOLDING) COMPARATIVE TABLE OF CHANGES Current Article Last amendment to the 211th EGM, dated 10/30/2024 Proposed bylaws Rationale date of the General Shareholders’ Meeting that approved the transaction, such withdrawal shall be subject to the completion of a public tender offer for the acquisition of shares under the same conditions set forth in the preceding article. twenty (120) days from the date of the General Shareholders’ Meeting that approved the transaction, such withdrawal shall be subject to the completion of a public tender offer for the acquisition of shares under the same conditions set forth in the preceding article. § 1 The General Shareholders’ Meeting shall determine the person(s) responsible for conducting the public tender offer for the acquisition of shares, who, if present at the meeting, must expressly assume the obligation to carry out the offer. § 1 The General Shareholders’ Meeting shall determine the person(s) responsible for conducting the public tender offer for the acquisition of shares, who, if present at the meeting, must expressly assume the obligation to carry out the offer. Excluded in light of the migration to the Novo Mercado. § 2In the absence of a definition of the responsible party for conducting the public tender offer for the acquisition of shares, in the case of a corporate reorganization in which the company resulting from such reorganization does not have its securities admitted for trading on Level 2 Corporate Governance, the obligation to carry out the offer shall fall on the shareholders who voted in favor of the reorganization. § 2 In the absence of a definition of the responsible party for conducting the public tender offer for the acquisition of shares, in the case of a corporate reorganization in which the company resulting from such reorganization does not have its securities admitted for trading on Level 2 Corporate Governance, the obligation to carry out the offer shall fall on the shareholders who voted in favor of the reorganization. Excluded in light of the migration to the Novo Mercado. Art. 103 The withdrawal of the Company from Level 2 Corporate Governance of B3 due to a breach of obligations set forth in the Level 2 Rules shall be subject to the completion of a public tender offer for the acquisition of shares at a price of no less than the economic value of the shares, as determined in the valuation report referred to in Article 100 of these Bylaws, subject to applicable legal and regulatory requirements. Art. 103 The withdrawal of the Company from Level 2 Corporate Governance of B3 due to a breach of obligations set forth in the Level 2 Rules shall be subject to the completion of a public tender offer for the acquisition of shares at a price of no less than the economic value of the shares, as determined in the valuation report referred to in Article 100 of these Bylaws, subject to applicable legal and regulatory requirements. Excluded in light of the migration to the Novo Mercado. § 1 The controlling shareholder shall conduct the public tender offer for the acquisition of shares referred to in the caput of this article. § 1 The controlling shareholder shall conduct the public tender offer for the acquisition of shares referred to in the caput of this article. Excluded in light of the migration to the Novo Mercado. Bylaws Copel Holding – Comparative table of changes - 18/8/2025 – pg. 78/81 BYLAWS COPEL (HOLDING) COMPARATIVE TABLE OF CHANGES Current Article Last amendment to the 211th EGM, dated 10/30/2024 Proposed bylaws Rationale § 2 In the event there is no controlling shareholder and the withdrawal from Level 2 Corporate Governance referred to in the caput results from a resolution of the General Shareholders’ Meeting, the shareholders who voted in favor of the resolution that gave rise to the breach shall conduct the public tender offer for the acquisition of shares referred to in the caput. § 2 In the event there is no controlling shareholder and the withdrawal from Level 2 Corporate Governance referred to in the caput results from a resolution of the General Shareholders’ Meeting, the shareholders who voted in favor of the resolution that gave rise to the breach shall conduct the public tender offer for the acquisition of shares referred to in the caput. Excluded in light of the migration to the Novo Mercado. § 3 In the event there is no controlling shareholder and the withdrawal from Level 2 Corporate Governance of B3 referred to in the caput results from an act or omission of the Company’s management, the Company’s administrators shall call a General Shareholders’ Meeting, with the agenda to resolve on how to remedy the breach of the obligations set forth in the Level 2 Rules or, if applicable, to resolve on the withdrawal of the Company from Level 2 Corporate Governance. § 3º In the event there is no controlling shareholder and the withdrawal from Level 2 Corporate Governance of B3 referred to in the head paragraph results from an act or omission of the Company’s management, the Company’s administrators shall call a General Shareholders’ Meeting, with the agenda to resolve on how to remedy the breach of the obligations set forth in the Level 2 Rules or, if applicable, to resolve on the withdrawal of the Company from Level 2 Corporate Governance. Excluded in light of the migration to the Novo Mercado. § 4 If the General Shareholders’ Meeting referred to in paragraph 3 resolves to withdraw the Company from Level 2 Corporate Governance of B3, it shall determine the person(s) responsible for conducting the public tender offer for the acquisition of shares referred to in the caput, who, if present at the meeting, must expressly assume the obligation to carry out the offer. § 4 If the General Shareholders’ Meeting referred to in paragraph 3 resolves to withdraw the Company from Level 2 Corporate Governance of B3, it shall determine the person(s) responsible for conducting the public tender offer for the acquisition of shares referred to in the head paragraph, who, if present at the meeting, must expressly assume the obligation to carry out the offer. Excluded in light of the migration to the Novo Mercado. CHAPTER XIII - PROTECTION OF PUBLIC FLOAT CHAPTER XIII XII - PROTECTION OF PUBLIC FLOAT Renumbered, considering the exclusion of the preceding Chapter. Art. 104 Any shareholder or group of shareholders who, directly or indirectly, acquires common shares representing more than twenty-five percent (25%) of Copel’s voting capital and does not reduce their holdings to below such threshold Art. 104 95 Any shareholder or group of shareholders who, directly or indirectly, acquires common shares representing more than twenty-five percent (25%) of Copel’s voting capital and does not reduce their holdings Renumbered, considering the exclusion of previous articles. Bylaws Copel Holding – Comparative table of changes - 18/8/2025 – pg. 79/81 BYLAWS COPEL (HOLDING) COMPARATIVE TABLE OF CHANGES Current Article Last amendment to the 211th EGM, dated 10/30/2024 Proposed bylaws Rationale within one hundred and twenty (120) days shall be required to conduct a public tender offer for the acquisition of all remaining common shares, at a price at least one hundred percent (100%) higher than the highest trading price of the common shares during the five hundred and four (504) trading sessions preceding the date on which the shareholder or group of shareholders exceeded the threshold set forth in this article, adjusted on a pro rata dies basis by the Special System for Settlement and Custody (SELIC, Sistema Especial de Liquidação e Custódia) rate. to below such threshold within one hundred and twenty (120) days shall be required to conduct a public tender offer for the acquisition of all remaining common shares, at a price at least one hundred percent (100%) higher than the highest trading price of the common shares during the five hundred and four (504) trading sessions preceding the date on which the shareholder or group of shareholders exceeded the threshold set forth in this article, adjusted on a pro rata die basis by the Special System for Settlement and Custody (SELIC, Sistema Especial de Liquidação e Custódia) rate. Sole Paragraph. The obligation to conduct a public tender offer shall not apply to shareholders who, as of the effective date of this provision, already hold a direct or indirect interest exceeding the threshold set forth in the head paragraph, but shall apply if: (1) following a reduction in their holdings, their interest subsequently increases and again exceeds twenty- five percent (25%) of the Company’s voting capital; or (2) without having reduced their holdings below the threshold set forth in the head paragraph, they acquire any additional interest that is not divested within the period provided for in this article. Sole Paragraph. The obligation to conduct a public tender offer shall not apply to shareholders who, as of the effective date of this provision, already hold a direct or indirect interest exceeding the threshold set forth in the head paragraph, but shall apply if: (1) following a reduction in their holdings, their interest subsequently increases and again exceeds twenty-five percent (25%) of the Company’s voting capital; or (2) without having reduced their holdings below the threshold set forth in the head paragraph, they acquire any additional interest that is not divested within the period provided for in this article. Keep unchanged. Art. 105 Any shareholder or group of shareholders who, directly or indirectly, acquires common shares representing, altogether, more than fifty percent (50%) of Copel’s voting capital and do not reduce their holdings to below such threshold within one hundred and twenty (120) days shall be required to conduct a public tender offer for the acquisition of all remaining common shares, at a price at least two hundred percent (200%) higher than the highest trading price Art. 105 96 Any shareholder or group of shareholders who, directly or indirectly, acquires common shares representing more than fifty percent (50%) of Copel’s voting capital and does not reduce their holdings to below such threshold within one hundred and twenty (120) days shall be required to conduct a public tender offer for the acquisition of all remaining common shares, at a price at least two hundred percent (200%) higher than the highest Renumbered, considering the exclusion of previous articles. Bylaws Copel Holding – Comparative table of changes - 18/8/2025 – pg. 80/81 BYLAWS COPEL (HOLDING) COMPARATIVE TABLE OF CHANGES Current Article Last amendment to the 211th EGM, dated 10/30/2024 Proposed bylaws Rationale of the common shares during the five hundred and four (504) trading sessions preceding the date on which the shareholder or group of shareholders exceeded the threshold set forth in this article, adjusted on a pro rata dies basis by the Special System for Settlement and Custody (SELIC) rate. trading price of the common shares during the five hundred and four (504) trading sessions preceding the date on which the shareholder or group of shareholders exceeded the threshold set forth in this article, adjusted on a pro rata die basis by the Special System for Settlement and Custody (SELIC) rate. CHAPTER XIV - CONFLICT RESOLUTION CHAPTER XIV XIII - CONFLICT RESOLUTION Renumbered, considering the exclusion of the preceding Chapter. Art. 106 The Company, its shareholders, its management, and the members of the Supervisory Board, if installed, agree to resolve, through arbitration before the Market Arbitration Chamber, any and all disputes or controversies that may arise among them, relating to or arising from, in particular, the application, validity, effectiveness, interpretation, breach, and effects of the provisions of Federal Law No. 6,404/1976, as amended, these Bylaws, the regulations issued by the National Monetary Council, the Central Bank of Brazil, and the Brazilian Securities and Exchange Commission, as well as other applicable rules governing the functioning of the capital markets in general, including the Level 2 Rules, the Arbitration Rules, the Sanctions Rules, and the Participation Agreement for Level 2 Corporate Governance of B3. Art. 106 97 The Company, its shareholders, administrators and members of the Audit Committee, if installed, and alternates, are forced to solve, through arbitration, before the Market Arbitration Chamber, in the form of its regulation, any and all disputes or controversies that may arise between them, related to or arising from their status as an issuer, shareholders, administrators, members of the supervisory board, members of Statutory Committees and, in particular, arising from how much application, validity, efficacy, interpretation, violation and its effects, of the provisions contained in Federal Law No. 6,404/1976, in Federal Law No. 6,385/76, and subsequent changes, in these Bylaws, in the standards edited by the National Monetary Council, by the Central Bank of Brazil and the Securities and Exchange Commission, as well as other standards applicable to the operation of the capital market in general, in addition to those contained in the Novo Mercado Regulation, the other regulations of B3 and the participation agreement in the Novo Mercado Level 2 New Market Share Agreement, of the Arbitration Regulation, Sanctions Regulation and Corporate Governance Level 2 Participation Agreement. Renumbered with text adjustment, in order to reflect the mandatory provisions of the Novo Mercado and text adjustment, without change in meaning. Bylaws Copel Holding – Comparative table of changes - 18/8/2025 – pg. 81/81 BYLAWS COPEL (HOLDING) COMPARATIVE TABLE OF CHANGES Current Article Last amendment to the 211th EGM, dated 10/30/2024 Proposed bylaws Rationale CHAPTER XV - GENERAL PROVISIONS CHAPTER XVI XIV - GENERAL PROVISIONS Renumbered, considering the exclusion of the preceding Chapter. Art. 107 In the event of a shareholder withdrawal, the amount to be paid by the Company as reimbursement for the shares held by shareholders who have exercised their right of withdrawal, in cases authorized by law, shall correspond to the book value per share, determined based on the most recent set of financial statements approved by the General Shareholders’ Meeting, without prejudice to the shareholder’s right to request the preparation of a special balance sheet in the cases provided for in Article 45 of Federal Law No. 6,404/1976. Art. 107 98 In the event of a shareholder withdrawal, the amount to be paid by the Company as reimbursement for the shares held by shareholders who have exercised their right of withdrawal, in cases authorized by law, shall correspond to the book value per share, determined based on the most recent set of financial statements approved by the General Shareholders’ Meeting, without prejudice to the shareholder’s right to request the preparation of a special balance sheet in the cases provided for in Article 45 of Federal Law No. 6,404/1976. Renumbered, considering the exclusion of previous articles. Art. 108 The Company shall comply not only with the shareholders’ agreement but also with the guidelines and procedures set forth in federal, state, and municipal legislation, as well as regulatory and normative rules issued by state and federal authorities. Art. 108 99 The Company shall comply not only with the shareholders’ agreement but also with the guidelines and procedures set forth in federal, state, and municipal legislation, as well as regulatory and normative rules issued by state and federal authorities. Renumbered, considering the exclusion of previous articles. Art. 109 The representative of the Company`s employees, elected at the 68th Annual General Shareholders’ Meeting, held on 04/28/2023, as a member of the Board of Directors, shall remain in office until the end of their term, which shall conclude at the Annual General Shareholders’ Meeting to be held in 2025. Art. 109 The representative of the Company`s employees, elected at the 68th Annual General Shareholders’ Meeting, held on 04/28/2023, as a member of the Board of Directors, shall remain in office until the end of their term, which shall conclude at the Annual General Shareholders’ Meeting to be held in 2025. Excluded, considering the holding of the Ordinary General Meeting on April 24, 2025. NEW Art. 100 The provision contained in Article 5, Paragraph 1 shall cease to be in force with the start of trading of the Company's common shares in the Novo Mercado segment. New, aiming to clarify the transitional rule for equity issuances until migration to the Novo Mercado. BYLAWS FOR THE COMPANHIA PARANAENSE DE ENERGIA Approved and consolidated by the 212th Extraordinary Shareholders’ meeting of August 22 2025. CNPJ (National Registry of Legal Entities): 76.483.817/0001-20 NIRE (Company Register Identification Number): 41300036535 CVM (Brazilian Securities and Exchange Commission) Registration: 1431-1 Rua José Izidoro Biazetto, 158, Bloco A Curitiba - Paraná - Brazil Postal Code: 81200-240 email: copel@copel.com Website: http://www.copel.com Phone: (41) 3310-5050 Fax: (41) 3331-4145 Copel Bylaws – pg. 1/40 SUMMARY CHAPTER I CORPORATE NAME, DURATION, HEADQUARTERS AND CORPORATE PURPOSE ............................................................................03 CHAPTER II SHARE CAPITAL AND SHARES ................................................................04 CHAPTER III GENERAL SHAREHOLDERS’ MEETING - GM .........................................07 CHAPTER IV MANAGEMENT OF THE COMPANY ..........................................................08 SECTION I…BOARD OF DIRECTORS - BD ..............................................08 Composition, Investiture, and Term of Office ...............................................09 Vacancy and Substitutions............................................................................09 Functioning ....................................................................................................10 Powers and Duties ........................................................................................10 SECTION II EXECUTIVE BOARD ...............................................................14 Composition, Term, and Investiture ..............................................................14 Powers and Duties ........................................................................................15 Representation of the Company ...................................................................16 Vacancy and Substitutions............................................................................17 SECTION III…EXECUTIVE BOARD MEETING - REDIR ...........................17 Operations ....................................................................................................17 Powers and Duties ........................................................................................18 CHAPTER V STATUTORY COMMITTEES .......................................................................20 SECTION I STATUTORY AUDIT COMMITTEE - SAC ...............................21 SECTION II INVESTMENT AND INNOVATION COMMITTEE - IIC ............23 SECTION III…SUSTAINABLE DEVELOPMENTC OMMITTEE - SDC ......23 SECTION IV…PEOPLE COMMITTEE - PC ................................................24 CHAPTER VI SUPERVISORY BOARD - SB .....................................................................25 Composition and Operation ..........................................................................25 Vacancy and Substitutions............................................................................25 Representation and Opinions .......................................................................25 CHAPTER VI RULES COMMON TO STATUTORY BODIES ............................................26 Investiture, Impediments, and Restrictions ...................................................26 Compensation ...............................................................................................27 CHAPTER VIII FISCAL YEAR, FINANCIAL STATEMENTS, EARNINGS, RESERVES AND DISTRIBUTION OF RESULTS .................27 CHAPTER IX DISSOLUTION AND LIQUIDATION ............................................................28 CHAPTER X DEFENSE MECHANISMS ...........................................................................28 CHAPTER XI TRANSFER OF CONTROL AND EXIT FROM THE NOVO MERCADO ....30 CHAPTER XII PROTECTION OF PUBLIC FLOAT .............................................................30 CHAPTER XIII CONFLICT RESOLUTION ...........................................................................31 CHAPTER XIV GENERAL PROVISIONS .............................................................................31 ANNEXES: I AMENDMENTS TO THE BYLAWS .............................................................32 II EVOLUTION OF SHARE CAPITAL .............................................................34 Copel Bylaws – pg. 2/40 DEFINITIONS: GM: GENERAL SHAREHOLDERS’ MEETING EGM: EXTRAORDINARY SHAREHOLDERS’ MEETING JUCEPAR: COMMERCIAL REGISTRY OF THE STATE OF PARANÁ (JUNTA COMERCIAL DO ESTADO DO PARANÁ) DOE PR: OFFICIAL GAZETTE OF THE STATE OF PARANÁ (DIÁRIO OFICIAL DO ESTADO DO PARANÁ) Note: The original text was filed with JUCEPAR under No. 17,340 (now 41300036535) on 06/16/1955 and published in the DOE PR dated 06/25/1955. Copel Bylaws – pg. 3/40 CHAPTER I - CHAPTER I - CORPORATE NAME, DURATION, HEADQUARTERS AND CORPORATE PURPOSE Art. 1 Companhia Paranaense de Energia – Copel, hereinafter referred to as “Copel” or the “Company,” is a publicly held corporation, endowed with legal personality under private law, governed by these Bylaws and by the applicable legislation. §1 The Company’s corporate name may not be altered. §2 With the Company's entry into the Novo Mercado da B3 S.A. – Brazil, Bolsa, Balcão ("B3"), the Company, its shareholders, including controlling shareholders, administrators and members of the supervisory board, when installed, are subject to the provisions of the Novo Mercado Regulation. Art. 2 The Company’s duration is indefinite. Art. 3 The Company has its principal place of business and legal venue in the City of Curitiba, State of Paraná, Brazil, and may establish, in Brazil and abroad, branches, agencies, subsidiaries, and offices. Art. 4 The corporate purpose of the Company is to: I research and study, from technical and economic perspectives, any sources of energy, providing solutions for sustainable development; II research, study, plan, construct, and operate the production, transformation, transportation, storage, distribution, and trading of energy in any of its forms, principally electrical energy, fuels, and energy raw materials; III study, plan, design, construct, and operate dams and their reservoirs, as well as other projects aimed at the multiple use of water resources; IV provide services in the fields of energy business, energy infrastructure, information, and technical assistance regarding the rational use of energy and business initiatives aimed at the implementation and development of economic activities, provided that such activities are previously authorized by the Board of Directors; and V carry out activities in the fields of energy generation, electronic information transmission, communications and electronic controls, cellular telephony, and other activities of interest to Copel, being authorized, for these purposes and subject to prior authorization by the Board of Directors, to participate, preferably with a majority interest or a controlling interest, in consortia, companies, public bidding processes for new concessions, and/or existing companies established to operate existing concessions, taking into account, in addition to the general characteristics of the projects, the respective social and environmental impacts. §1 The Company may, for the purpose of pursuing its corporate purpose, form subsidiaries, assume corporate control, and participate in the share capital of other companies or entities, provided that prior authorization is obtained from the Board of Directors. §2 For the purpose of pursuing its corporate purpose and within its scope of operations, the Company may open, establish, maintain, transfer, or close branches, offices, agencies, representations, or any other establishments, or appoint representatives, subject to applicable legal and regulatory provisions. Copel Bylaws – pg. 4/40 CHAPTER II - SHARE CAPITAL AND SHARES Art. 5 The Company's share capital is BRL 12,831,618,938.25 (twelve billion, eight hundred and thirty-one million, six hundred and eighteen thousand, nine hundred and thirty-eight reals and twenty-five cents), fully subscribed and paid-in, divided into 2,982,810,590 (two billion, nine hundred and eighty-two million, eight hundred and ten thousand five hundred and ninety) common, nominative, bookkeeping shares and without nominal value and in 1 (one) special class preferred share held exclusively by the State of Paraná. §1 Having observed the provisions of Article 100, the Company may, by resolution of the General Meeting, issue preferential, nominative and no nominal value shares, which will have the following characteristics, rights and advantages: I except for the provisions of the Level 2 Regulation until migration to the Novo Mercado, they do not grant the holder the right to vote in the resolutions of the General Meeting, nor will they acquire the right to vote in full in the event of non-declaration or payment of the proceeds to which they are entitled; II confer priority of capital reimbursement in the event of liquidation of the Company's assets, without premium, in the amount corresponding to the percentage of the share capital represented by such share; III are automatically and compulsorily redeemable immediately upon issuance, without the need for a special meeting of shareholders holding preferred shares, the amount to be defined at the time of its issuance, to be paid in national currency on the date of redemption, the Company is permitted to withhold amounts for tax payment purposes, taxes, fees and expenses for which, by law, the Company is responsible for carrying out the collection at the source in the name and on behalf of the shareholder; IV confer the right to receive proceeds on equal terms with the common shares issued by the Company; and V confer the right to be included in a public offer of transfer of control, on equal terms with common shares. §2 The share capital may be increased, by resolution of the Board of Directors, after consulting the Supervisory Board, if installed, pursuant to applicable law and without the need for an amendment to the Bylaws, up to the limit of 4,000,000,000 (four billion) shares for the following purposes: I capitalization of profits and reserves; II in the event the General Shareholders’ Meeting resolves to issue subscription warrants, debentures convertible into shares, or, pursuant to a plan approved by the General Shareholders’ Meeting, to grant stock options to officers and employees, the exercise of the respective conversion or subscription rights; or III placement, through sale on the stock exchange or public subscription of new common shares. §3 The shares are registered, book-entry shares, and are maintained in deposit accounts with a duly authorized financial institution. §4 The Company is authorized to select the financial institution, by resolution of the Board of Directors, to maintain the book-entry shares in deposit accounts. §5 The Company may, with authorization from the Board of Directors, acquire its own shares, subject to the rules established by the Brazilian Securities and Exchange Commission. Copel Bylaws – pg. 5/40 §6 The special class preferred share, held exclusively by the State of Paraná, may only be redeemed with legal authorization and upon resolution by an Extraordinary General Shareholders’ Meeting. §7 The special class preferred share held by the State of Paraná shall confer upon the State of Paraná priority in the reimbursement of capital, without premium, in the event of the Company’s liquidation, corresponding to the percentage that such share represents of the share capital, and the power to veto resolutions at the general shareholders’ meeting: a) that authorize the officers to approve and execute the Annual Investment Plan of Copel Distribuição S.A. in the event that the investments, as from the 2021/2025 rate cycle, deemed prudent by ANEEL (Agência Nacional de Energia Elétrica [National Agency for Electricity]), do not reach, at a minimum, 2.0 times the Regulatory Depreciation Quota (QRR, Quota de Reintegração Regulatória) for that same Ordinary Rate Review cycle and/or on an accumulated basis by the end of the concession; b) that aim to amend the Bylaws in order to remove or modify: 1. the obligation to maintain the Company’s current corporate name; 2. the obligation to maintain the Company’s headquarters in the State of Paraná; 3. the prohibition against any shareholder or group of shareholders exercising voting rights in a number exceeding 10% (ten percent) of the shares into which Copel’s voting share capital is divided; 4. the prohibition against the execution, filing, and registration of shareholders’ agreements for the exercise of voting rights, except for the formation of voting blocs with a number of votes below the limit set forth in these Bylaws; and 5. the exclusive authority of the general shareholders’ meeting to authorize the administrators to approve and execute the Copel Distribuição S.A. Annual Investment Plan if the investments, starting from the 2021/2025 rate cycle, deemed prudent by ANEEL, do not reach at least 2.0x the Regulatory Depreciation Quota (QRR) for that same Ordinary Rate Review cycle and/or, in the aggregate, by the end of the concession term. §8 Subject to the veto power provided for in paragraph 7 of this article, the special class preferred share held by the State of Paraná shall not carry voting rights, nor shall it acquire voting rights in the event of nonpayment of the distributions to which it is entitled. §9 The veto power provided for in paragraph 7 of this article may only be exercised in accordance with the terms of State of Paraná Law No. 21,272/2022 and applicable legislation. §10 The issuances of shares, subscription warrants, convertible debentures, or other securities, up to the limit of the authorized capital, the placement of which occurs through sale on a stock exchange or public offering, may be approved with the exclusion of preemptive rights or reduction of the term for their exercise, in accordance with Federal Law No. 6,404/1976 and subsequent amendments. §11 The debentures may be either non-convertible or convertible into shares, in accordance with Federal Law No. 6,404/1976 and subsequent amendments. Art. 6 No shareholder or group of shareholders, whether Brazilian or foreign, public or private, shall be permitted to exercise voting rights in excess of 10% (ten percent) of the total number of shares comprising Copel’s voting capital, regardless of their ownership interest in the share capital. Copel Bylaws – pg. 6/40 Art. 7 The execution of shareholders’ agreements aimed at regulating the exercise of voting rights in a number exceeding 10% (ten percent) of the total number of shares comprising Copel’s voting capital shall be prohibited. §1 The Company shall not file any shareholders’ agreement regarding the exercise of voting rights that conflicts with the provisions of these Bylaws. §2 The chair of the Copel General Shareholders’ Meeting shall not count votes cast in violation of the rules set forth in Articles 6 and 7 of these Bylaws, without prejudice to the exercise of the State of Paraná’s right of vetxo, pursuant to Article 5 of these Bylaws. Art. 8 For purposes of these Bylaws, a group of shareholders shall be deemed to mean two (2) or more shareholders of the Company: I Who are parties to a voting agreement, either directly or through controlled companies, controlling companies, or companies under common control; II If one is, directly or indirectly, the controlling shareholder or controlling company of the other or of the others; III Who are companies directly or indirectly controlled by the same individual or entity, or group of individuals or entities, whether shareholders or not; or IV Who are companies, associations, foundations, cooperatives and trusts, investment funds or portfolios, universality of rights, or any other form of organization or enterprise with the same administrators or managers, or whose administrators or managers are companies directly or indirectly controlled by the same individual or entity, or group of individuals or entities, whether shareholders or not. §1 In the case of investment funds with a common administrator or manager, they shall only be considered a group of shareholders if the investment policy and the policy for exercising voting rights at shareholders’ meetings, as provided in their respective regulations, are the responsibility of the administrator or manager, as the case may be, on a discretionary basis. §2 In addition to the provisions of the caput and preceding paragraphs of this article, any shareholders represented by the same attorney-in-fact, administrator, or representative in any capacity shall also be deemed part of the same group of shareholders, except in the case of holders of securities issued under the Company’s Depositary Receipts program when represented by the respective depositary bank, provided that they do not fall within any of the other situations set forth in the caput or paragraph 1 of this article. §3 In the case of shareholders’ agreements governing the exercise of voting rights, all signatories thereto shall be deemed, for purposes of this article, to be part of a group of shareholders for the application of the voting limit set forth in Articles 6 and 7. §4 Shareholders must keep Copel informed of their membership in a group of shareholders pursuant to these Bylaws if such group of shareholders holds, in the aggregate, shares representing 10% (ten percent) or more of Copel’s voting capital. §5 The members of the board of shareholders’ meetings may request documents and information from shareholders, as they deem necessary, in order to verify whether a shareholder belongs to a group of shareholders that may hold 10% (ten percent) or more of Copel’s voting capital. Copel Bylaws – pg. 7/40 CHAPTER III – GENERAL SHAREHOLDERS’ MEETING (GM) Art. 9 The General Shareholders’ Meeting is the Company’s highest authority, vested with powers to deliberate on all matters related to its corporate purpose, and shall be governed by applicable law. Art. 10 The General Shareholders’ Meeting shall be called by the Board of Directors or, in the cases permitted by law, by the Executive Board, the Supervisory Board, if installed, or by the shareholders. Art. 11 The notice of the call shall be made in accordance with applicable law, and the documents related to the respective agenda shall be made available on the same date as the call notice, in an accessible manner, including electronically. Sole Paragraph. At the General Shareholders’ Meetings, only matters included in the notice of the call shall be addressed, and the inclusion of general matters in the Meeting’s agenda shall not be permitted. Art. 12 The General Shareholders’ Meeting shall be convened and chaired by the Chairman of the Board of Directors or by a substitute appointed by the Chairman and, in the absence of both, by one (1) shareholder chosen at the time by the shareholders present. §1 The quorum for convening General Shareholders’ Meetings, as well as for passing resolutions, shall be that determined by applicable law. §2 The Chairman of the General Meeting shall choose one (1) secretary from among those present. Art. 13 The General Shareholders’ Meeting shall be held ordinarily within the first four (4) months following the end of the fiscal year to deliberate on the matters provided for by law, and extraordinarily whenever necessary. Sole Paragraph. The Ordinary General Shareholders’ Meeting and the Extraordinary General Shareholders’ Meeting may be convened and held cumulatively, at the same place, date, and time, and recorded in a single set of minutes. Art. 14 Each common share in the deliberation of the General Shareholders’ Meeting shall confer one (1) vote, subject to the voting limits applicable to each shareholder and group of shareholders, pursuant to Articles 6 and 7 of these Bylaws. Art. 15 A shareholder may participate in and be represented by a proxy at the General Shareholders’ Meetings, upon presentation, at the time of the meeting or beforehand, of documents and a power of attorney granting specific powers, as provided by law. Art. 16 The minutes of the General Shareholders’ Meeting shall be drawn up as a summary of the events that occurred, including any dissents and protests, and shall record only the resolutions passed, pursuant to Paragraph 1 of Article 130 of Law No. 6,404 of 1976, and its publication is aurthorized with the omission of the shareholders’ signatures, pursuant to Paragraph 2 of Article 130 of Law No. 6,404 of 1976. Art. 17 The General Shareholders’ Meeting, in addition to other cases provided by law, shall meet to resolve on: I the increase of share capital beyond the limit authorized in the Bylaws; II the appraisal of assets contributed by shareholders for the formation of share capital; III the transformation, merger, consolidation, spin-off, dissolution, and liquidation of the Company; IV the amendment of these Bylaws; Copel Bylaws – pg. 8/40 V the election and removal, at any time, of the members of the Board of Directors, the Supervisory Board, if installed, and their respective alternates; VI setting the overall compensation of officers and supervisory board members; VII the approval of the financial statements, of the management’s accounts, the allocation of the results for the fiscal year, and the distribution of dividends, in accordance with the dividend policy; VIII the authorization for the Company to bring a civil liability suit against officers for losses caused to its assets; IX the disposal of real estate assets directly linked to the provision of services and the creation of security interests over them; X the exchange of shares or other securities; XI the issuance of debentures convertible into shares beyond the limit of the authorized capital set forth in these Bylaws; XII the issuance of any other securities or financial instruments convertible into shares, whether in Brazil or abroad, beyond the limit of the authorized capital set forth in these Bylaws; XIII the election and removal, at any time, of liquidators, and the review of their accounts; XIV authorization for the officers to approve and execute the Annual Investment Plan of Copel Distribuição S.A. if, beginning with the 2021–2025 rate cycle, the investments deemed prudent by ANEEL do not reach at least 2.0 times the Regulatory Reintegration Quota (QRR) for that same Ordinary Rate Review cycle and/or, on a cumulative basis, through the end of the concession; XV the suspension of the exercise of shareholders’ rights, pursuant to Article 120 of Law No. 6,404/76; and XVI approving, pursuant to the terms of the Novo Mercado Regulation, the waiving of a Public Offer to Purchase Shares in the event of voluntary exit from the Novo Mercado. Sole Paragraph. Subject to the exclusive powers assigned by law, the General Shareholders’ Meeting may deliberate on all businesses related to the Company’s corporate purpose and on any matters submitted to it by the Board of Directors. CHAPTER IV - COMPANY MANAGEMENT Art. 18 The Company shall be managed by the Board of Directors and by the Executive Board. Sole Paragraph. The term for the members of the Board of Directors or the Executive Board extends until the investiture of the newly elected directors. SECTION I - BOARD OF DIRECTORS (BD) Art. 19 The Board of Directors is a strategic and collegiate decision-making body responsible for the Company’s overall guidance. Composition, Investiture, and Term of Office Copel Bylaws – pg. 9/40 Art. 20 The Board of Directors shall be composed of, at least, seven (7) and no more than nine (9) full members, elected and subject to removal by the General Shareholders’ Meeting, all serving a unified term of two (2) years, with reelection permitted as provided under Federal Law No. 6,404/1976 and other applicable regulations. §1 Subject to the provisions of Federal Law No. 6,404/1976, the Internal Regulations of the Board of Directors shall establish the rules for nominating candidates and the election procedures to be adopted for filling the positions of members of the board. §2 The positions of Chair of the Board of Directors and President or chief executive officer of the Company may not be held by the same person. §3 The Board of Directors shall elect its Chair from among its members, and such election must take place at the first meeting following the assumption of office by the Directors or at the first meeting held after a vacancy occurs in such position. §4 Nominations to the Board of Directors must comply with the requirements and prohibitions set forth in Federal Law No. 6,404/1976, and the policy and rules on the nomination of members to statutory bodies, and must also meet the following parameters: I have a majority of independent directors, in accordance with the B3 Novo Mercado Regulation and other applicable national and international regulations. The classification of the nominees as independent must be resolved at the General Shareholders’ Meeting that elects them; and II as a result of the calculation of independent members referred to in the item above, the result generates a fractional number, the Company must round up to the immediately higher whole number. Art. 21 The assumption of office by members of the Board of Directors shall comply with the conditions established in Federal Law No. 6,404/1976 and other applicable legal provisions. Vacancy and Substitutions Art. 22 In the event of the permanent vacancy of a member of the Board of Directors before the expiration of his or her term, the Board of Directors shall convene a General Shareholders’ Meeting to elect a replacement to complete the term. §1 Subject to the applicable legal requirements and prohibitions, the remaining directors shall appoint a substitute for the vacant position until the first General Shareholders’ Meeting, in accordance with Federal Law No. 6,404/1976. §2 In the event of a vacancy of all positions on the Board of Directors, it shall be the responsibility of the Executive Officers to convene the General Shareholders’ Meeting. §3 In the event of a vacancy in a position on the Board of Directors filled through the multiple voting system, the General Shareholders’ Meeting shall be convened to elect all positions filled through that system to complete the terms. Art. 23 The position of director of the board is personal and no alternates shall be permitted. Copel Bylaws – pg. 10/40 Functioning Art. 24 The Board of Directors shall meet ordinarily at least 09 (nine) times a year, and extraordinarily whenever necessary, as provided in Article 27 of these Bylaws. Art. 25 Meetings of the Board of Directors shall be called by its Chair, or by the majority of the sitting directors, by means of physical or electronic correspondence sent to all directors, indicating the matters to be addressed. §1 Notices sent to the physical or electronic address provided by the director shall be deemed valid, and it shall be the director’s responsibility to keep their information updated with the Company. §2 Regular meetings must be called at least seven (7) days prior to the scheduled date. §3 Call procedures are waived when all current directors are present at the meeting. §4 Meetings of the Board of Directors shall be convened with the presence of the majority of its sitting members, and shall be presided over by the Chair of the Board of Directors or, in his or her absence, by the director chosen by the majority of those present. Art. 26 If necessary, directors may participate remotely in meetings, via teleconference or videoconference, provided that effective participation and the authenticity of their vote can be ensured. In such cases, the director shall be deemed present at the meeting, and their vote shall be considered valid for all legal purposes and shall be incorporated into the minutes of said meeting. Art. 27 When there is an urgent reason, formally justified to the members of the Board of Directors, the Chair of the Board may call extraordinary meetings at any time, provided that at least forty-eight (48) hours’ notice is given prior to the meeting, by sending correspondence via physical or electronic means or through another form of communication to all directors. Participation via teleconference, videoconference, or any other reliable means of expressing the absent director’s will shall be permitted, and the director’s vote shall be considered valid for all purposes, without prejudice to the subsequent preparation and signing of the corresponding minutes. Art. 28 The Board of Directors shall resolve matters by a majority of the votes of the members present at the meeting, and in the event of a tie, the proposal supported by the director presiding over the meeting shall prevail. Art. 29 The meetings of the Board of Directors shall be recorded by a secretary appointed by the Chair, and all resolutions shall be recorded in minutes entered into the appropriate book, in accordance with the provisions of its Internal Regulations. Sole Paragraph. Whenever the minutes contain resolutions intended to produce effects with respect to third parties, a summary thereof shall be filed with the commercial registry and published in accordance with the applicable legislation, except for confidential matters, which shall be recorded in a separate document and shall not be made public. Powers and Duties Art. 30 Without prejudice to the powers provided for by law, it is the responsibility of the Board of Directors to: I set the general direction of the Company’s business, including approving and monitoring the business plan, strategic planning, and investments, seeking development with sustainability; Copel Bylaws – pg. 11/40 II elect, remove, acknowledge the resignation of, and replace the Company’s officers, assigning their powers and duties and supervising their management, as well as: a) examine at any time the Company’s books and records, contracts, or any other acts; b) approve and monitor the fulfillment of the goals and specific results to be achieved by the members of the Executive Board; and c) annually evaluate the implementation of the Company’s long-term strategy; III issue an opinion on the management report and the Executive Board’s accounts; IV convene the General Shareholders’ Meeting when deemed convenient or in the cases provided for under applicable law; V approve and monitor annual and multi-year plans and programs, including the corporate budget for expenditures and investments of the Company and its Wholly-Owned Subsidiaries, with an indication of the sources and uses of funds; VI authorize the engagement of the independent auditor, as well as the termination of the respective agreement, upon recommendation by the Statutory Audit Committee, including the hiring of other services from its independent auditors when the global compensation for such other services exceeds 5% (five percent) of the compensation for the independent auditing services, also upon recommendation by the Statutory Audit Committee; VII approve the annual internal audit work plan and discuss the external auditor’s work plan, with the support of the Statutory Audit Committee; VIII appoint and remove the Head of Internal Audit, following a recommendation from the Statutory Audit Committee; IX periodically monitor, with the support of the Statutory Audit Committee, the effectiveness of the risk management and internal control systems established for the prevention and mitigation of the main risks to which the Company is exposed, including risks related to the integrity of accounting and financial information and those related to the occurrence of corruption and fraud; X approve Copel’s Code of Conduct and Integrity Program, monitoring decisions involving corporate governance practices and relations with stakeholders; XI review, based on a direct report from the officer responsible for governance, risk, and compliance, situations where there is suspicion of involvement by the President of the Company in irregularities, or where the President of the Company fails to take necessary measures regarding a situation reported to him; XII establish guidelines for human resources management; XIII conduct an annual evaluation, both individual and collective, of its own performance and that of the other members of the statutory bodies and Executive Board; XIV approve related-party transactions, within the criteria and approval thresholds established by the Company, in accordance with the specific policy and with the support of the Statutory Audit Committee, except when the matter is of the competence of the General Meeting, as per the law; XV establish, install, and dissolve non-compensated advisory committees to the Board of Directors, appoint and remove their members, as well as appoint and Copel Bylaws – pg. 12/40 remove the members of the statutory advisory committees to the Board of Directors, except as otherwise provided in these Bylaws; XVI approve the internal regulations of the Board of Directors, the Executive Board, and the Advisory Committees, both statutory and non-statutory, as well as any amendments thereto; XVII approve and monitor the Company’s general policies and any amendments thereto, including the following matters: a) risk management; b) integrity; c) related party transactions; d) corporate governance; e) sustainability; f) climate change; g) equity interests; h) people management; i) occupational health and safety; j) annual performance evaluation of the Board of Directors, its Statutory Committees and Executive Board; k) communication and spokespersons; l) trading of the Company’s own shares; m) dividends; n) donations and sponsorships; o) disclosure of information and material facts; p) investor relations; q) remuneration of Statutory Bodies; and r) referral policy. XVIII set the Company’s maximum debt limit, and may establish a deadline for compliance, subject to the covenants set forth in existing contracts; XIX based on a proposal from the Executive Officers, authorize, when the transaction amount exceeds 2% (two percent) of the Company’s shareholders’ equity, accounting provisions and, in advance, the execution of any legal transactions, including the acquisition, sale, or encumbrance of assets, the loan of fixed assets, the creation of security interests, the provision of guarantees, the assumption of obligations in general, waivers, settlements, and also the formation of associations with other legal entities; XX establish the matters and amounts subject to its decision-making authority and that of the Executive Board, including the ability to delegate the approval of legal transactions within a defined authority limit, subject to the exclusive authority established by law; XXI deliberate on the proposed allocation of earnings to be submitted to the General Shareholders’ Meeting, in accordance with the provisions of the dividend policy; XXII deliberate on the distribution of intermediate dividends and interest on equity based on the accumulated profit account or reserve of existing profits recorded in the last annual or semi-annual balance sheet, or the distribution Copel Bylaws – pg. 13/40 of interim dividends and interest on equity based on net profit for the current fiscal year, calculated in semi-annual balance sheets, or quarterly or in shorter periods, provided that the provisions of the legislation are observed, in these Bylaws and in the Company's dividend policy; XXIII within the limit of the authorized share capital: (i) resolve on the increase of the share capital, setting the respective conditions for subscription and payment; (ii) resolve on the issuance of subscription warrants; (iii) in accordance with a plan approved by the General Shareholders’ Meeting, grant stock options to officers and employees of the Company or its controlled companies, or to natural persons providing services thereto, without preemptive rights being granted to shareholders with respect to the granting or subscription of such shares; (iv) approve an increase in share capital through the capitalization of profits or reserves, with or without bonus shares; and (v) resolve on the issuance of convertible debentures; XXIV authorize the issuance and approve the subscription of new shares, as provided for in these Bylaws, setting all conditions of issuance; XXV authorize the issuance of securities, on the domestic or external market, for raising funds, in the form of debentures, promissory notes, commercial papers, bonds and others, including for public offer of distribution, in the form of the law, observing that, in the case of debentures not convertible into shares, the Board of Directors may even delegate this approval of its competence at the limit of authority it defines in the Board of Directors Meeting; XXVI approve capital contributions to equity investments that result in an increase in the equity of holdings, and may, including, delegate this approval within a decision-making threshold to be defined; XXVII deliberate on investment projects and participation in new businesses, other companies, consortia, joint ventures, Wholly-Owned Subsidiaries, and other forms of association and ventures, as well as approve the formation, dissolution, or amendment of any companies, consortia, or ventures; XXVIII deliberate on matters that, by legal provision or determination of the General Shareholders’ Meeting, fall within its competence, including approving the Integrated or Sustainability Report and environmental, social, and governance indicators, the Reference Form, and the Form 20-F; XXIX ensure compliance with current regulations issued by the Agência Nacional de Energia Elétrica (ANEEL), through regulatory acts as well as through the regulatory clauses contained in the concession agreement to which Copel Distribuição S.A. is a signatory, ensuring the full application, on the respective base dates, of the rate values established by the granting authority; XXX approve the procurement of civil liability insurance on behalf of the members of the statutory bodies, employees, agents, and representatives of the Company, as well as the execution of indemnity agreements, in accordance with the indemnity policy and the general conditions of the indemnity agreements; XXXI exercise the regulatory functions of the Company's activities, being authorized to assume any matter that does not fall within the exclusive authority of the General Shareholders’ Meeting or the Executive Board, and to deliberate on any omissions in these Bylaws; XXXII elaborate and disclose a substantiated opinion, favorable or otherwise, regarding any public offer to acquire shares that have as its object the shares issued by the Company, within fifteen (15) days of publication of the public offer to acquire shares, that should address, at a minimum: (i) the Copel Bylaws – pg. 14/40 convenience and opportunity of the public offer to acquire shares in the interest of the Company and the group of shareholders, including in relation to the price and potential impacts to the liquidity of the shares; (ii) the strategic plans disclosed by the offeror in relation to the Company; (iii) alternatives to the acceptance of the public offer to acquire shares available in the market; XXXIII set the individual remuneration to be allocated to the members of the Statutory Bodies, observing the overall amount established by the General Meeting; XXXIV grant leave to the President of the Company and to the Chair of the Board of Directors; and XXXV approve changes to the Company’s full address, within the headquarters’ municipality, as defined in Article 3. Art. 31 The Chair of the Board of Directors shall be responsible, in addition to the duties set forth in the Internal Regulations, for granting leave to its members, presiding over meetings, directing the proceedings, and coordinating the process for the individual and collective annual performance evaluation of the officers and members of the Statutory Committees, pursuant to these Bylaws. SECTION II - EXECUTIVE BOARD Art. 32 The Executive Board is the executive management entity and representative body, responsible for ensuring the regular operation of the Company in accordance with the general guidelines established by the Board of Directors. Composition, Term, and Investiture Art. 33 The Executive Board shall be elected by the Board of Directors and may be removed at any time by such body. It shall be composed of up to nine (9) members, one of whom shall be the President, and up to eight (8) Vice Presidents, all residing in the country, with a unified term of office of two (2) years, subject to reelection, and with a minimum of three (3) members. The Company may also have up to four (4) Officers, whose duties shall be defined by the Board of Directors, based on a proposal from the President of the Company. §1 Nominations for the Executive Board must comply with the requirements and prohibitions set forth in Federal Law No. 6,404/1976 and the Company’s internal policies for the nominations. §2 When nominating the President of the Company, the Board of Directors must consider the candidate’s professional capacity, recognized expertise, specialization, and professional profile necessary for the duties of the position. §3 The members of the Executive Board shall perform their duties on a full-time basis and with exclusive dedication to Copel’s activities, although they may simultaneously hold administrative positions in subsidiaries, controlled companies, or other equity interests of the Company. In order to serve in administrative positions of other companies and/or associations, prior approval by the Board of Directors shall be required, except for those sectoral entities already provided for in the Internal Regulations of the Executive Boards. Art. 34 As a condition for taking office in an executive position at the Company, the individual must commit to specific goals and results to be achieved, which must be approved by the Board of Directors, which shall be responsible for monitoring compliance therewith. Copel Bylaws – pg. 15/40 Powers and Duties Art. 35 The Executive Board shall have the authority to perform all acts necessary for the regular operation of the Company and the fulfillment of its corporate purpose, subject to the applicable legal and statutory provisions and the provisions of its Internal Regulations. Sole Paragraph.Without prejudice to the provisions of Article 48, it shall be the responsibility of the Executive Board to manage and conduct the Company’s business in a sustainable manner, and it must submit, by the last ordinary meeting of the Board of Directors of the preceding year: I the business plan for the following fiscal year; II the bases, guidelines, and long-term strategies for the preparation of the strategic plan, as well as the annual and multiannual plans and programs, including the analysis of risks and opportunities for a minimum horizon defined in the Internal Regulations of the Executive Boards; and III the operating and capital investment budgets of the Company for the following fiscal year, aimed at achieving the corporate strategies. Art. 36 The President of the Company shall be responsible for: I leading and coordinating the Company; II representing the Company, both actively and passively, in court or outside of it, and for this purpose, may appoint an attorney-in-fact with special powers, including powers to receive service of process and notifications, subject to Article 40 and following articles of these Bylaws; III promoting the development of the Company’s corporate strategy and submitting it to the Board of Directors, as well as ensuring its execution; IV ensuring the achievement of the Company’s goals, as established in accordance with the general guidelines set by the General Shareholders’ Meeting and the Board of Directors; V submitting the Company’s annual business report to the Ordinary General Shareholders’ Meeting, after consultation with the Board of Directors; VI leading and coordinating the work of the Executive Board; VII convening and presiding over the meetings of the Executive Board; VIII granting leave to the other members of the Executive Board and appointing a substitute in cases of absence or temporary impediment; IX resolving issues involving conflicts of interest or conflicts of authority between the Executive Officers; X proposing to the Board of Directors the appointment of members of the Executive Board, in compliance with the requirements and restrictions established in internal policies and regulations, and also propose their removal to the Board of Directors at any time; XI deciding on the adhesion to and continued participation in voluntary commitments assumed by Copel Holding and its Wholly-Owned Subsidiaries; and XII exercising other duties assigned to the President by the Board of Directors, in accordance with applicable law and these Bylaws. Art. 37 The Vice Presidents shall have the following power and duties: Copel Bylaws – pg. 16/40 I manage the activities within their respective areas of responsibility, as established in the Internal Regulations of the Executive Board; II participate in meetings of the Executive Board, contributing to the definition and implementation of the policies to be followed by the Company, and reporting on relevant matters within their respective areas of responsibility; and III comply with and ensure compliance with the general business guidelines of the Company, as established by the Board of Directors, with respect to the management of their specific areas of responsibility. §1 The other individual duties of the Officers shall be detailed in the Internal Regulations of the Executive Board. §2 In addition to the duties established in these Bylaws, the Vice Presidents and Officers shall assist and support the President of the Company in the management of the Company’s business, as well as ensure cooperation and support to the other Officers within their respective areas of responsibility, aiming at achieving the Company’s objectives and interests. §3 The Vice Presidents and Officers shall perform their duties within the Company, and may simultaneously and without remuneration hold management positions in the Wholly-Owned Subsidiaries. Art. 38 The Executive Board responsible for governance, risk, and compliance shall be tasked with verifying the fulfillment of obligations and risk management, with duties relating to corporate risk management and internal controls, compliance, integrity, the Code of Conduct, and the integrity program, among others defined in the Internal Regulations of the Executive Board. §1 The Officer responsible for governance, risk, and compliance may report directly to the Board of Directors in situations where there is suspected involvement of the President of the Company in irregularities or where the President of the Company fails to adopt the necessary measures regarding a situation reported to him. §2 For the performance of its duties, the Executive Board shall be guaranteed independent action and access to all necessary information and documents. Art. 39 The Vice President responsible for finance and investor relations shall be tasked with providing information to the investing public, the Brazilian Securities and Exchange Commission, the United States Securities and Exchange Commission, and the stock exchanges where the Company is listed, and with keeping the Company’s registration as a publicly held company up to date, in compliance with all applicable laws and regulations. Representation of the Company Art. 40 The Company shall be bound before third parties: I by the signature of two (2) members of the Executive Board, one (1) of whom must necessarily be the President of the Company or the Vice President responsible for finance and investor relations, and the other a member of the Executive Board with duties related to the specific area to which the matter pertains; II by the signature of one (1) Vice President and one (1) attorney-in-fact, pursuant to the powers granted in the respective power of attorney; III by the signature of two (2) attorneys-in-fact, pursuant to the powers granted in the respective power of attorney; Copel Bylaws – pg. 17/40 IV by the signature of one (1) attorney-in-fact, pursuant to the powers granted in the respective power of attorney, in which case exclusively for the performance of specific acts. Sole Paragraph. The Vice President responsible for finance and investor relations may, individually, represent the Company before the Brazilian Securities and Exchange Commission, the United States Securities and Exchange Commission, the B3, the financial institution providing share bookkeeping services for the Company, and the administrators of organized markets where the Company’s securities are admitted for trading. Art. 41 The members of the Executive Board may appoint attorneys-in-fact for the Company, specifying in the instrument of appointment the acts or transactions that they may perform and the duration of the power of attorney, provided that only powers of attorney granted for judicial representation in general shall have an indefinite term. §1 Powers of attorney granted by the Company must be signed jointly by two (2) directors, specifying the powers granted and establishing a maximum term of one (1) year. §2 The powers of attorney shall expressly specify the special powers acts or operations granted, within the limits of the powers held by the members of the Executive Board granting them, as well as the duration of the mandate, which must have a fixed term. Subdelegation shall be prohibited, except in the case of a power of attorney for the Company’s legal representation, which may be granted for an indefinite term and may allow subdelegation under the conditions set forth in the respective instrument. Art. 42 Any member of the Executive Board may individually represent the Company when the act to be performed requires individual representation or in cases where the use of an electronic signature makes it impossible for two or more individuals to sign the same document, subject to authorization from the Executive Board in session. Vacancy and Substitution Art. 43 In the event of vacancies, absences, or temporary impediments of any member of Executive Board, the President of the Company shall designate another member of the Executive Board to assume the functions on an interim basis. §1 In the President’s own absences or temporary impediments, he or she shall be replaced by the Vice President designated by him or her, and if no designation is made, the other Vice Presidents shall elect a substitute at that time. §2 The members of the Executive Board may not be absent from office for more than thirty (30) consecutive days, except in cases of medical leave or in situations authorized by the Board of Directors. Art, 44 In the event of death, resignation, or permanent impediment of any member of the Executive Board, the President of the Company shall nominate a substitute to the Board of Directors within thirty (30) days of the vacancy, and the Board shall be responsible for electing the nominated member, who shall complete the term of the replaced officer. Sole Paragraph. Until the election is held, the Executive Board may appoint one (1) provisional substitute. However, the election may be waived if the vacancy occurs in the year in which the term of the current Executive Board is set to expire. SECTION III - EXECUTIVE BOARD MEETING (REDIR) Functioning Copel Bylaws – pg. 18/40 Art. 45 The Executive Board shall meet ordinarily on a monthly basis, and extraordinarily whenever necessary, upon the call of the President of the Company or of any other two (2) Vice Presidents. §1 Meetings of the Executive Board shall be convened with the presence of the majority of the acting members, considering the President and Vice Presidents, and matters shall be approved by a simple majority of those present. In the event of a tie, the proposal supported by the President of the Company shall prevail. §2 The right to vote at Executive Board Meetings is granted to the President and the Vice Presidents, and the accumulation of votes in the event of replacement is not permitted. Voting by proxy shall not be permitted. §3 The resolutions of the Executive Board shall be recorded in minutes entered into the appropriate book and signed by all those present. §4 The duties of Directors, if elected by the Board of Directors, shall be defined in the Internal Regulations of the Boards, and such position shall not confer voting rights. Art. 46 Remote participation of members of the Executive Board in ordinary and extraordinary meetings shall be permitted, when necessary, by means of teleconference or videoconference, provided that effective participation and the authenticity of their votes are ensured. In such case, the member of the Executive Board participating remotely shall be deemed present at the meeting, and their vote shall be valid for all legal purposes and incorporated into the minutes of the respective meeting. Art. 47 The meetings of the Executive Board shall be recorded by a secretary appointed by its President, and all resolutions shall be entered into minutes and recorded in the appropriate book. Powers and Duties Art. 48 Without prejudice to the powers and duties established by law and by the Internal Regulations of the Boards, it is the responsibility of the Executive Board Meeting to: I resolve on the Company’s business activities in a sustainable manner, considering its corporate purpose, as well as economic, social, environmental, climate change, and corporate governance factors, along with risks and opportunities; II comply with and enforce compliance with the applicable law, the Bylaws, the Company’s internal policies and rules, and the resolutions of the General Shareholders’ Meeting and the Board of Directors; III prepare and submit for the approval of the Board of Directors, after prior review: a) the annual and multi-year plans and programs, aligning investment expenditures with the respective projects, including a risk and opportunity analysis for a minimum horizon defined in the Internal Regulations of the Boards; b) the Company’s budget, indicating the sources and uses of funds, as well as any amendments thereto; c) investment projects, investments in new businesses, other companies, consortia, joint ventures, Wholly-Owned Subsidiaries, and other forms of association and enterprises, as well as the incorporation, dissolution, or amendment of any companies, enterprises, or consortia; d) the performance results of the Company’s activities; Copel Bylaws – pg. 19/40 e) the Company’s quarterly reports, accompanied by the financial statements; f) the Management Report, accompanied by the financial statements and respective notes, the opinion of the independent auditors, and the proposal for allocation of the net income for the fiscal year; g) the Company’s Integrated Report or Sustainability Report and other corporate reports to be signed by the Board of Directors; h) the Boards’ Internal Regiments and the Company’s general regulations and policies. i) the revisions to the Company’s Code of Conduct and Integrity Program, in accordance with applicable law; j) related-party transactions, within the criteria and limits defined by the Company. IV approve: a) the technical and economic evaluation criteria for investment projects, together with the respective delegation plans for their implementation and execution; b) the accounting chart of accounts; c) the Company’s annual insurance plan; d) residually, within the statutory and regulatory limits, all matters related to the Company’s activities that are not within the exclusive authority of the President of the Company, the Board of Directors, or the General Shareholders’ Meeting; e) the appointment of the Company’s representatives to the statutory bodies of companies in which it or its Wholly-Owned Subsidiaries hold or may come to hold a direct or indirect interest; f) corporate participation in trade associations and non-governmental entities; g) proposals related to personnel policy; and h) the internal procurement and contracting regulations. V authorize, subject to the limits and guidelines set forth by law and by the Board of Directors, and the approval thresholds established in internal regulations and in the Executive Board’s Internal Regulations: a) acts of waiver or judicial or extrajudicial settlement to resolve disputes or claims, with authority to set value limits for delegating the performance of such acts to the President of the Company or any other officer; b) the execution of any legal transactions when the transaction amount does not exceed two percent (2%) of the Company’s net worth, without prejudice to the authority granted by the Bylaws to the Board of Directors, including the acquisition, disposal, or encumbrance of assets, the obtaining of loans and financing, the assumption of obligations in general, and association with other legal entities; and c) the issuance of non-convertible debentures into shares, observing the limits and guidelines set by the Board of Directors. VI to establish the guidelines and approve the creation of the organizational structures of the Company and its Wholly-Owned Subsidiaries; VII to negotiate and execute management instruments between the Company, its Wholly-Owned Subsidiaries, and Wholly-Owned Special Purpose Entities; Copel Bylaws – pg. 20/40 VIII to establish and monitor governance practices, internal controls, guidelines, and policies for its Wholly-Owned Subsidiaries, in directly or indirectly controlled companies, and, in the case of direct or indirect minority interests, proportional to the relevance, materiality, and risks of the business in which they participate; IX authorize the opening, establishment, transfer, and closure of branches, offices, agencies, representations, or any other establishments; X designate, if it so decides, the Wholly-Owned Subsidiary responsible for carrying out activities related to the management of companies in which the Company and its Wholly-Owned Subsidiaries hold an equity interest, observing their duty to supervise based on governance and control practices proportional to the relevance, materiality, and risks of the business in which they participate; and XI direct the vote to be cast by the Company at the General Shareholders’ Meetings of the Wholly-Owned Subsidiaries and other companies and associations in which the Company holds a direct interest. §1 The Executive Board may appoint agents or grant powers to other management levels of the Company and of the shared structure in which it participates, through internal rules or an appropriate instrument, including jointly with the Wholly-Owned Subsidiaries, within the individual limits and authority assigned to the officers, for purposes such as executing contracts, agreements, cooperation terms, and other instruments that create obligations for the Company or its Wholly-Owned Subsidiaries, except for acts that are non-delegable by law, provided that they are previously approved within the limits established herein. §2 When the cumulative value of the acquisition, disposal, or encumbrance of assets, the obtaining of loans and financing, the assumption of obligations in general, and association with other legal entities reaches five percent (5%) of the Company’s Net Worth during the fiscal year, a report shall be submitted for resolution by the Board of Directors. Said report shall, for the purposes of this determination, consider the consolidated financial statements of the Company in relation to the last fiscal year. Art. 49 The Boards’ Internal Regulations shall detail the individual duties of each officer and may also require that the performance of certain acts within their specific areas of authority be subject to prior authorization by the Executive Board Meeting. CHAPTER V - STATUTORY COMMITTEES Art. 50 The Company will have the following statutory committees: (i) Statutory Audit Committee, (ii) the Investment and Innovation Committee, (iii) Sustainable Development Committee; and (iv) People Committee (collectively “Statutory Committees). §1 The Statutory Committees shall be remunerated, and their creation shall require an amendment to the Bylaws by resolution of the General Shareholders’ Meeting. §2 The Board of Directors may establish additional committees to assist the Company’s Management, with specific and restricted objectives and a defined term of duration, appointing their respective members. §3 The operation, compensation of the members, and duties of the committees referred to in this article shall be governed by the Board of Directors through their respective Internal Regulations, in accordance with what is set forth in these Bylaws. Copel Bylaws – pg. 21/40 SECTION I - STATUTORY AUDIT COMMITTEE (SAC) Art. 51 The Statutory Audit Committee is an independent, advisory, and permanent body that assists and is connected to the Board of Directors. Art. 52 The Statutory Audit Committee shall be unified for the Company and its Wholly-Owned Subsidiaries, exercising its duties and responsibilities with respect to the entities directly or indirectly controlled by the Company, as determined by the Board of Directors. Art. 53 The duties, operation, procedures, and composition of the Statutory Audit Committee shall comply with applicable laws and regulations and shall be detailed in a specific internal regulation, which shall be approved by the Board of Directors, which will also define the activities of the Coordinator of the Statutory Audit Committee. §1 The Coordinator of the Statutory Audit Committee shall be elected by the Board of Directors from among its independent members and shall be responsible for implementing the Committee’s decisions, with records entered in the appropriate minutes book. §2 The Statutory Audit Committee shall be composed of three (3) members, elected and removable by the Board of Directors, all with a unified term of office of two (2) years, with reelection permitted, subject to the following parameters: I having a majority of independent members, as defined by applicable laws and regulations; II at least 01 (one) member with recognized professional experience in corporate accounting, auditing and finance matters, pursuant to the regulations issued by the Securities and Exchange Commission that provides for the registration and exercise of independent auditing activity within the securities market; III at least 01 (one) of the members of the Statutory Audit Committee shall be an independent member of the Board of Directors; IV at least one (1) of the Statutory Audit Committee members must not be a member of the Board of Directors and must be selected from the market among individuals with well-known experience and technical expertise; V the maximum term for serving on the Committee is ten (10) years; and VI officers of the Company, its subsidiaries, parent company, affiliates, or entities under common control, whether direct or indirect, are prohibited from serving on the Committee. §3 The same member of the Statutory Audit Committee may accumulate the characteristics provided for in § 2, II and III, above. §4 The Statutory Audit Committee will meet ordinarily at least 09 (nine) times per year and extraordinarily, whenever necessary, observing the minimum periodicity required by the regulations issued by the Securities and Exchange Commission that govern the registration and exercise of the independent audit activity within the scope of the securities market, deciding by majority votes, with record minutes, in accordance with its Internal Regulations. §5 The Internal Audit Department shall be functionally linked to the Board of Directors through the Statutory Audit Committee. Art. 54 The Statutory Audit Committee is granted operational autonomy and an annual or project-based budget allocation, within limits approved by the Board of Directors, to conduct or determine consultations, assessments, and investigations within the scope of its activities, including the hiring and use of independent external specialists. Copel Bylaws – pg. 22/40 Sole Paragraph. Without prejudice to the other duties established in the applicable rules and the Internal Regulations, the Statutory Audit Committee is responsible for: I opine on the hiring and removal of independent audit services for the preparation of an independent external audit or for any other service; II evaluate quarterly information, interim statements and financial statements; III monitor the activities of the Internal Audit and the Company's internal controls area; IV assess and monitor the Company's risk exposures; V evaluate, monitor, and recommend to management the correction or improvement of the Company's internal policies, including the policy of transactions between related parties; VI have means for receiving and processing information about non-compliance with legal and regulatory provisions applicable to the Company, in addition to internal regulations and codes, including with provision of specific procedures for protecting the provider and the confidentiality of the information; VII prepare an annual summary report, to be presented together with the financial statements, containing the description of: (a) meetings held, its activities, the main matters discussed, the results and conclusions reached and the recommendations made; and (b) any situations in which there is significant discrepancy between the Company's management, the independent auditors and the Statutory Audit Committee in relation to the Company's financial statements; VIII have means to receive complaints, including confidential ones, both internal and external to the company, in matters related to the scope of its activities; IX supervise the activities (a) of the independent auditors, in order to evaluate their independence, the quality of the services provided; and the adequacy of the services provided to the Company's needs; (b) the Company's internal controls area; (c) the Company's Internal Audit area; and (d) the drafting area of the Company's financial statements; X monitor the quality and integrity of: (a) internal control mechanisms; (b) quarterly information, interim statements and financial statements of the Company; and (c) information and measurements disclosed based on adjusted accounting data and non-accounting data that add elements not provided for in the structure of the usual reports of the financial statements; XI evaluate and monitor the Company's risk exposures, and even require detailed information on policies and procedures related to: (a) the remuneration of management; (b) the use of Company assets; and (c) expenses incurred on behalf of the Company; XII evaluate and monitor, together with management and the Internal Audit area, the adequacy of transactions with related parties carried out by the Company and their respective evidence; and XIII assess, at least annually, whether the Internal Audit department has a structure and budgets considered sufficient for the performance of its functions. SECTION II - INVESTMENT AND INNOVATION COMMITTEE (IIC) Art. 55 The Investment and Innovation Committee is an independent, advisory, and permanent body that provides support to the Board of Directors. Copel Bylaws – pg. 23/40 Art. 56 The Investment and Innovation Committee shall be a single committee for the Company and its Wholly-Owned Subsidiaries, and may perform its duties and responsibilities with respect to companies directly or indirectly controlled by the Company, by resolution of the Board of Directors. Art. 57 Its duties, operations, procedures, and composition shall comply with applicable law and will be detailed in specific Internal Regulations, which must be approved by the Board of Directors. §1 The Coordinator of the Investment and Innovation Committee shall be elected by the Board of Directors from among its members and shall be responsible for carrying out the resolutions of the Committee, which must be recorded in the appropriate minutes book. §2 The Investment and Innovation Committee shall be composed of three (3) members of the Board of Directors, elected and removable by that body, all with a unified term of office of two (2) years, with reelection permitted. §3 The President of the Company shall be a member of the Investment and Innovation Committee without voting rights. §4 The Investment and Innovation Committee shall meet periodically and shall make decisions by majority vote, including dissents and protests, as provided for in its Internal Regulations. Art. 58 The Investment and Innovation Committee shall have operational autonomy to carry out its activities within its scope, including the engagement and use of independent external specialists. SECTION III - SUSTAINABLE DEVELOPMENT COMMITTEE (SDC) Art. 59 The Sustainable Development Committee is an independent, consultative, and permanent body that advises the Board of Directors. Art. 60 The Sustainable Development Committee shall be the sole committee for the Company and its Wholly-Owned Subsidiaries, and may exercise its duties and responsibilities in relation to companies directly or indirectly controlled by the Company, as determined by the Board of Directors. Art. 61 Its duties, operations, procedures, and composition shall comply with applicable law and will be detailed in specific Internal Regulations, which must be approved by the Board of Directors. §1 The Coordinator of the Sustainable Development Committee shall be elected by the Board of Directors and shall be responsible for implementing the decisions of the body. §2 The Sustainable Development Committee shall be composed of three (3) members, elected and subject to removal by the Board of Directors, all serving a unified term of two (2) years, with reelection permitted, subject to the following parameters: I up to three (3) members of the Board of Directors; and II up to one (1) external member with recognized professional experience in matters falling within the Sustainable Development Committee’s responsibilities. §3 The President of the Company shall serve on the Sustainable Development Committee without voting rights; and §4 The Sustainable Development Committee shall meet periodically, making decisions by majority vote, with minutes recorded, including any dissents and protests, as provided for in its Internal Regulations. Copel Bylaws – pg. 24/40 Art. 62 The Sustainable Develpment Committee shall have operational autonomy to carry out its activities within its scope, including the engagement and use of independent external specialists. SECTION IV - PEOPLE COMMITTEE (PC) Art. 63 The People Committee is an independent, consultative, and permanent body that advises the Board of Directors. Art. 64 The People Committee shall be a single committee serving the Company and its Wholly-Owned Subsidiaries, and may exercise its duties and responsibilities with respect to companies directly or indirectly controlled by the Company, as determined by the Board of Directors. Art. 65 Its duties, operations, procedures, and composition shall comply with applicable law and will be detailed in specific Internal Regulations, which must be approved by the Board of Directors. §1 The People Committee shall assist the Board of Directors in the development and monitoring of the succession plan, in the evaluation of the Board of Directors, of the Statutory Committees and of the Executive Board; as well as the strategy for compensation of the Bodies as well as in proposals and other matters related to the personnel policy. §2 The People Committee shall monitor the eligibility process for officers, and members of the Statutory Committees, in accordance with legal and bylaw provisions and taking into account the rules established in internal regulations. §3 The Coordinator of the People Committee shall be elected by the Board of Directors from among its members and shall be responsible for carrying out the Committee’s resolutions. §4 The People Committee shall be composed of three (3) members, elected and removable by the Board of Directors, all with a unified term of office of two (2) years, with reelection permitted, subject to the following parameters: I up to three (3) members of the Board of Directors; and II up to one (1) external member with recognized professional experience in matters falling within the Committee’s responsibilities. §5 The President of the Company shall serve on the People Committee without voting rights. §6 The People Committee shall meet periodically, deciding by majority vote, with all resolutions, including dissents and protests, recorded in minutes, as provided in its Internal Regulations. Art. 66 The People Committee shall have operational autonomy to carry out its activities within its scope, including the engagement and use of independent external specialists. CHAPTER VI - SUPERVISORY BOARD (SB) Art. 67 The Company shall have a non-permanent Supervisory Board responsible for oversight, with the powers and duties set forth in Federal Law No. 6,404/1976 and other applicable legal provisions. Art. 68 If installed, the Supervisory Board shall meet as provided in its Internal Regulations, with minutes recorded in a specific book. Composition and Operation Copel Bylaws – pg. 25/40 Art. 69 The Supervisory Board, if installed, shall be composed of 03 (three) full members and an equal number of alternates, elected at the General Meeting, pursuant to Law No. 6,404/1976. The Supervisory Board, when installed, will operate until the first Ordinary General Meeting that takes place after its installation. §1 The chair of the Supervisory Council, if installed, shall be elected by its peers at the first meeting following the election of its members, and it shall be the responsibility of the chair to carry out the decisions of the body. §2 Individuals who are natural persons, residing in Brazil, and who possess academic qualifications compatible with the exercise of the position may serve as members of the Supervisory Board, according to the applicable law. Art. 70 If the Supervisory Board is installed, its powers, operation, and procedures shall comply with the applicable legislation and shall be detailed in specific internal regulations, which shall be approved by the Council itself. §1 The position of member of the Supervisory Board is non-delegable. §2 The members of the Supervisory Board have the same duties as the members of Management, as provided in Articles 153 to 156 of Federal Law No. 6,404/1976, and shall be liable for damages resulting from any failure to perform their duties, or from acts carried out with negligence or willful misconduct, or in violation of the law or the Bylaws Vacancy and Substitutions Art. 71 If the Supervisory Board is installed, in the event of a vacancy, resignation, or removal of a sitting member, such member shall be replaced by their respective alternate, until a new council member is elected to complete the term. Representation and Opinions Art. 72 If the Supervisory Board is installed, the chair of the Supervisory Board, or at least one of its members, shall attend the meetings of the General Shareholders’ Meeting and respond to requests for information made by the shareholders. Sole Paragraph. The opinions and representations of the Supervisory Board, if installed, or of any of its members, may be submitted and read at the General Shareholders’ Meeting, regardless of publication and even if the subject matter is not included on the agenda. CHAPTER VII - COMMON RULES APPLICABLE TO THE STATUTORY BODIES Investiture, Impediments, and Restrictions Art. 73 For their investiture in office, the members of the statutory bodies shall meet the minimum requirements set forth in Federal Law No. 6,404/1976, and shall also comply with the procedures established in the Nomination Policy. Sole Paragraph - Due to incompatibility, the following are prohibited for the Statutory Bodies and advisory committees of Copel and its Whole Subsidiaries: I representatives of the regulatory agency overseeing the Company; Ministers of State; State or Municipal Secretaries; holders of temporary positions in the public administration classified as special, directive, or advisory; officers of political parties; and holders of elected office in the Legislative Branch at any level of government, even if on leave from their positions; and Copel Bylaws – pg. 26/40 II individuals who, within the past thirty-six (36) months, have served in the decision-making structure of a political party or have held a position in a labor union organization. Art. 74 The members of the Statutory Bodies shall take office upon signing a term of investiture, recorded in the respective minutes book, subjecting themselves to the arbitration clause referenced in article 97. §1 The term of investiture must be signed within thirty (30) days following election or appointment, under penalty of ineffectiveness, unless justification is accepted by the body to which the member was elected. The term shall indicate at least one (1) domicile for the service of process and notices in administrative or judicial proceedings related to acts performed during the member’s term of office, and any change to the designated domicile shall only be effective upon written notice to the Company. §2 Investiture shall be subject to the submission of a statement of assets and liabilities, in accordance with applicable law, which must be updated annually and upon the conclusion of the term of office. Art. 75 The members of the Statutory Bodies shall adhere to the policy on trading in securities issued by the Company and the policy on disclosure of material information and facts, in compliance with the regulations of the Brazilian Securities and Exchange Commission, by signing the respective statements of adherence. Art. 76 Shareholders and the members of the Statutory Bodies who, for any reason, have a direct, indirect, or conflicting personal interest with that of the Company in a given resolution must refrain from participating in the discussion and voting on such matter, even as representatives of third parties, with the reason for the abstention and the nature and extent of their interest to be recorded in the minutes. Art. 77 In addition to the cases provided for by law, a vacancy shall occur when: I a member of the Board of Directors, Supervisory Board, or of the Statutory Committees fails to attend two (2) consecutive meetings or three (3) non-consecutive meetings out of the last twelve (12) meetings, without justification; and II a member of the Executive Board is absent from the performance of their duties for more than thirty (30) consecutive days, except in the case of leave of absence or in situations authorized by the Board of Directors. Art. 78 An annual performance evaluation shall be conducted, individually and collectively, by the members of the Board of Directors, of the members of the Board of Directors, of the Statutory Committees, and of the Executive Board and its Wholly-Owned Subsidiaries. Such evaluation may be carried out with the assistance of an independent institution, in accordance with a previously defined procedure and in compliance with the Evaluation Policy. Art. 79 The Statutory Bodies shall meet validly with the presence of the majority of their members and shall adopt resolutions by a majority vote of those present, with minutes recorded in the corresponding minutes book, which may be drawn up in summary form. §1 In the event of a non-unanimous decision, a justification for the dissenting vote may be recorded, and a dissenting member shall be exempt from liability if their dissent is registered in the minutes of the meeting or, if that is not possible, if they immediately provide written notice of their position. §2 In joint deliberations of the Board of Directors and the Executive Board, the member presiding over the meeting shall have the casting vote, in addition to their personal vote. Copel Bylaws – pg. 27/40 Art. 80 Members of one Statutory Body may attend the meetings of other bodies when invited, without voting rights. Art. 81 Meetings of the Statutory Bodies may be held in person, by teleconference, or by videoconference, in accordance with these Bylaws and the respective Internal Regulations. Compensation Art. 82 Compensation for the members of the Statutory Bodies shall be set annually by the General Shareholders’ Meeting, and no accumulation of compensation or any other benefits shall be allowed as a result of substitutions arising from vacancies, absences, or temporary impediments, in accordance with these Bylaws. §1 Compensation of the members of the Supervisory Board, if installed, as set by the General Shareholders’ Meeting that elects them, shall observe the minimum amount established by law, in addition to the mandatory reimbursement of travel and lodging expenses necessary for the performance of their duties. §2 If the President of the Company is elected as a member of the Board of Directors, he/she will not receive additional compensation for the position of member of the Board of Directors. CHAPTER VIII - FISCAL YEAR, FINANCIAL STATEMENTS, PROFITS, RESERVES AND DISTRIBUTION OF RESULTS Art. 83 The fiscal year shall coincide with the calendar year, and at the end of each fiscal year, financial statements shall be prepared in accordance with the provisions of Federal Law No. 6,404/1976 and the regulations of the Brazilian Securities and Exchange Commission, including the requirement of an independent audit conducted by an auditor registered with such authority. §1 The Company shall prepare quarterly financial statements and disclose them on its website. §2 At the end of each fiscal year, the Executive Board shall prepare the financial statements required by law, and the following rules shall be observed with respect to results: I accumulated losses and the provision for income tax shall be deducted from the results for the fiscal year before any allocation of profits; II five percent (5%) of the net income for the fiscal year shall be allocated to the legal reserve, which shall not exceed twenty percent (20%) of the share capital; III the Company may record, as a reserve, interest on investments made using its own capital in construction in progress; and IV other reserves may be established by the Company, in accordance with applicable law and subject to legal limits. Art. 84 Shareholders shall be entitled, each fiscal year, to receive dividends and/or interest on equity, which shall not be less than twenty-five percent (25%) of the adjusted net income, in accordance with Federal Law No. 6,404/1976. §1 The Company may raise interim, semi-annual, quarterly or shorter financial statements and balance sheets. Based on retained earnings, profit reserves, and the net income for the current fiscal year, as recorded in semiannual or quarterly interim financial statements, the Board of Directors may resolve to Copel Bylaws – pg. 28/40 distribute interim dividends out of profit reserves, interim dividends based on interim financial statements, or pay interest on equity, provided that such distribution complies with applicable legislation and the dividend policy. §2 Interim dividends and interest on equity distributed pursuant to the terms of paragraph 1 shall be credited against the mandatory dividend for the fiscal year in which they are declared, in accordance with applicable law. §3 The Company shall not be required to distribute dividends in any fiscal year in which the Board of Directors, with the opinion of the Supervisory Board, if installed, advises the Annual General Shareholders’ Meeting that such distribution would be incompatible with the Company’s financial condition. §4 Profits not distributed under paragraph 3 shall be allocated to a special reserve and, if not absorbed by losses in subsequent fiscal years, shall be distributed as soon as the Company’s financial condition permits. §5 For purposes of calculating the mandatory distribution percentage set forth above, amounts distributed as interest on equity shall be considered net of applicable taxes, in accordance with applicable law. Art. 85 Subject to the limits and provisions set forth in Federal Law No. 6,404/1976, in fiscal years in which the mandatory dividend is paid, the General Shareholders’ Meeting shall annually establish the limits for participation of the Executive Board in the Company’s profits. CHAPTER IX - DISSOLUTION AND LIQUIDATION Art. 86 The Company shall be dissolved and placed into liquidation in the cases provided for by law, and the General Shareholders’ Meeting shall determine the method of liquidation and elect the liquidator or liquidators, as well as the Supervisory Board, if installed, if its functioning is requested by shareholders representing the quorum established by law or by regulations issued by the Brazilian Securities and Exchange Commission, subject to the applicable legal formalities, and shall establish their powers and compensation. CHAPTER X - DEFENSE MECHANISMS Art. 87 The members of the Statutory Bodies are responsible for the losses or damages caused in the exercise of their duties, in the cases provided for by law. Art. 88 The Company shall ensure legal defense, where there is no conflict with its own interests, in judicial and administrative proceedings brought by third parties against current or former members of the statutory bodies, during or after their respective terms of office, for acts performed in the exercise of their positions or duties. §1 The same protection set forth above shall be extended to employees, agents, and attorneys-in-fact of the Company who are named as defendants in judicial and/or administrative proceedings exclusively as a result of acts performed pursuant to authority granted by the Company or in the exercise of powers delegated by the directors. §2 Legal defense shall be provided either through the Company’s internal legal department, by contracting insurance, or, if that is not possible, by retaining an external law firm, at the Company’s discretion. §3 If, after a formal request by the interested party, the Company fails to provide defense as set forth in paragraph 2, the individual may retain legal counsel of their choice at their own expense and shall be entitled to reimbursement of reasonable attorneys’ fees and costs, provided that the amounts are proposed Copel Bylaws – pg. 29/40 within the parameters and conditions then prevailing in the market for the defense of such specific case, approved by the Board of Directors, and provided further that the individual is ultimately acquitted or discharged from liability. §4 The Board of Directors may resolve to advance attorneys’ fees in the case referred to in paragraph 3. Art. 89 The Company may enter into indemnity agreements, subject to applicable law and the guidelines established in the Indemnity Policy. §1 The agreements referred to in the head paragraph of this article shall not provide indemnification for acts performed: I outside the scope of the duties or authority of their signatories; II in bad faith, with willful misconduct, gross negligence, or fraud; III in the interest of the individual or of third parties to the detriment of the Company’s corporate interest; and IV in any other cases provided for in the Indemnity Policy or the respective indemnity agreement. §2 The coverage provided under the indemnity agreement shall apply only if there is no civil liability insurance coverage available, as provided for in Article 95 of these Bylaws. Art. 90 The Company shall ensure timely access to all documentation necessary for legal defense. Additionally, the Company shall bear court costs, fees of any kind, administrative expenses, and deposits required to secure appeals when the defense is conducted by the internal legal department. Art. 91 If any person entitled to legal defense, among those referred to in Article 88 of these Bylaws, is found liable or convicted by a final and unappealable judgment, based on a violation of law or of the Bylaws, or arising from willful misconduct or negligence, such person shall be required to reimburse the Company for all amounts actually disbursed in connection with the legal defense, as well as for any losses caused. Art. 92 The Company may maintain a permanent civil liability insurance policy in favor of the persons referred to in Article 88 of these Bylaws, in the form and scope defined by the Board of Directors and set forth in the applicable policy, to cover court costs and attorneys’ fees arising from judicial and administrative proceedings brought against them, in order to protect them from liabilities resulting from acts performed in the exercise of their positions or duties, covering the entire term of their respective mandates. CHAPTER XI - TRANSFER OF CONTROL AND EXIT FROM THE NOVO MERCADO Art. 93 The transfer of control of the Company, whether through a single transaction or successive transactions, shall be contracted subject to a precedent o suspensive condition that the acquirer undertakes to launch a public tender offer for the shares held by the other shareholders of the Company, in accordance with the conditions and timeframes set forth in applicable law and in the Regulation of the Novo Mercado, so as to ensure that they receive treatment equal to that afforded to the transferring controlling shareholder. Art. 94 Without prejudice to the provisions of the Novo Mercado, the voluntary exit from the Novo Mercado must be preceded by a public offer to acquire shares that observes Copel Bylaws – pg. 30/40 the procedures provided for in the regulations issued by the Securities and Exchange Commission on public offers to acquire shares to cancel the registration of a publicly traded company and the following requirements: I the price offered must be fair, and it is possible to request a new evaluation of the Company in the manner established in Federal Law No. 6,404/1976; and II shareholders holding more than 1/3 of the outstanding shares must accept the public offer to acquire shares or expressly agree to the exit of the aforementioned segment without the effect of disposal of the shares. Sole Paragraph - Voluntary departure from the Novo Mercado may occur regardless of the public offer mentioned in this Article, in the event of dismissal approved at the General Meeting, pursuant to the terms of the Novo Mercado Regulation. CHAPTER XII - PROTECTION OF PUBLIC FLOAT Art. 95 Any shareholder or group of shareholders who, directly or indirectly, acquires common shares that, altogether, represent more than twenty-five percent (25%) of Copel’s voting capital and does not reduce their holdings to below such threshold within one hundred and twenty (120) days shall be required to conduct a public tender offer for the acquisition of all remaining common shares, at a price at least one hundred percent (100%) higher than the highest trading price for the common shares during the last five hundred and four (504) trading sessions preceding the date on which the shareholder or group of shareholders exceeded the threshold set forth in this article, adjusted on a pro rata dies basis by the Special System for Settlement and Custody (SELIC, Sistema Especial de Liquidação e Custódia) rate. Sole Paragraph. The obligation to conduct a public tender offer shall not apply to shareholders who, as of the effective date of this provision, already hold a direct or indirect interest exceeding the threshold set forth in the head paragraph, but shall apply if: (1) following a reduction in their holdings, their interest subsequently increases and again exceeds twenty-five percent (25%) of the Company’s voting capital; or (2) without having reduced their holdings below the threshold set forth in the head paragraph, they acquire any additional interest that is not divested within the period provided for in this article. Art. 96 Any shareholder or group of shareholders who, directly or indirectly, acquires common shares representing, altogether, more than fifty percent (50%) of Copel’s voting capital and do not reduce their holdings to below such threshold within one hundred and twenty (120) days shall be required to conduct a public tender offer for the acquisition of all remaining common shares, at a price at least two hundred percent (200%) higher than the highest trading price of the common shares during the five hundred and four (504) trading sessions preceding the date on which the shareholder or group of shareholders exceeded the threshold set forth in this article, adjusted on a pro rata dies basis by the Special System for Settlement and Custody (SELIC) rate. CHAPTER XIII - CONFLICT RESOLUTION Art. 97 The Company, its shareholders, administrators and members of the Audit Committee, if installed, and alternates, commit to resolve, through arbitration, before the Market Arbitration Chamber, in the form of its regulation, any and all disputes or controversies that may arise between them, related to or arising from its status as an issuer, shareholders, administrators, members of the Audit Committee, members of Statutory Committees and, in particular, arising from the provisions contained in Federal Law No. 6,404/1976, in Federal Law No. 6,385/1976, in these Bylaws, in the standards edited by the National Monetary Council, by the Central Bank of Brazil and Copel Bylaws – pg. 31/40 the Securities and Exchange Commission, as well as in the other standards applicable to the operation of the capital market in general, in addition to those contained in the Novo Mercado Regulation, the other regulations of B3 and the Novo Mercado Share Agreement. CHAPTER XIV - GENERAL PROVISIONS Art. 98 In the event of the withdrawal of shareholders, the amount to be paid by the Company as reimbursement for the shares held by shareholders who have exercised their right of withdrawal, in cases authorized by law, shall correspond to the book value per share, determined based on the most recent set of financial statements approved by the General Shareholders’ Meeting, without prejudice to the shareholder’s right to request the preparation of a special balance sheet in the cases provided for in Article 45 of Federal Law No. 6,404/1976. Art. 99 The Company shall comply not only with the shareholders’ agreement but also with the guidelines and procedures set forth in federal, state, and municipal legislation, as well as regulatory and normative rules issued by state and federal authorities. Art. 100 The provision contained in Article 5, Paragraph 1 shall cease to be in force with the start of trading of the Company's common shares in the Novo Mercado segment. Copel Bylaws – pg. 32/40 ANNEX I – AMENDMENTS TO THE BYLAWS The original text of Copel’s Bylaws (filed with Jucepar under No. 17,340 on 06/16/1955, and published in the DOE PR on 06/25/1955) has been subject to amendments, with references listed below: Minutes of GSM JUCEPAR Published in DOE PR Filing No. Date 09/09/1969 83,759 10/01/1969 10/08/1969 08/21/1970 88,256 09/04/1970 09/14/1970 10/22/1970 88,878 11/05/1970 11/16/1970 04/28/1972 95,513 05/24/1972 05/30/1972 04/30/1973 101,449 08/15/1973 08/28/1973 05/06/1974 104,755 05/21/1974 06/05/1974 12/28/1974 108,364 02/07/1975 02/21/1975 04/30/1975 110,111 06/03/1975 06/18/1975 03/26/1976 114,535 04/29/1976 05/10/1976 02/15/1978 123,530 02/28/1978 03/08/1978 08/14/1979 130,981 11/09/1979 11/20/1979 02/26/1980 132,253 03/25/1980 04/16/1980 10/30/1981 139,832 12/01/1981 12/18/1981 05/02/1983 146,251 05/31/1983 06/14/1983 05/23/1984 150,596 07/26/1984 08/28/1984 12/17/1984 160,881 01/17/1985 02/11/1985 06/11/1985 162,212 07/01/1985 07/18/1985 01/12/1987 166,674 02/13/1987 02/26/1987 03/18/1987 166,903 04/07/1987 05/08/1987 06/19/1987 167,914 07/02/1987 07/14/1987 02/22/1994 18444.7 02/28/1994 03/17/1994 08/22/1994 309.0 09/20/1994 10/06/1994 02/15/1996 960275860 02/27/1996 03/06/1996 10/18/1996 961839597 10/29/1996 11/06/1996 07/10/1997 971614148 07/18/1997 07/22/1997 03/12/1998 980428793 04/01/1998 04/07/1998 04/30/1998 981597050 05/0601998 05/12/1998 05/25/1998 981780954 05/28/1998 06/02/1998 01/26/1999 990171175 02/05/1999 02/11/1999 03/25/1999 990646483 04/14/1999 04/23//1999 03/27/2000 000633666 03/30/2000 04/07/2000 08/07/2001 20011994770 08/14/2001 08/27/2001 12/26/2002 20030096413 01/29/2003 02/10/2003 02/19/2004 20040836223 03/08/2004 03/19/2004 06/17/2005 20052144879 06/23/2005 07/05/2005 01/11/2006 20060050632 01/20/2006 01/25/2006 Cont.... Copel Bylaws – pg. 33/40 ANNEX I – AMENDMENTS TO THE BYLAWS Continued... Minutes of GSM JUCEPAR Published in DOE PR Filing No. Date 04/28/2006 20063253062 08/30/2006 09/11/2006 07/02/2007 20072743441 07/04/2007 07/27/2007 04/18/2008 20081683790 04/25/2008 05/27/2008 03/13/2009 20091201500 03/13/2009 03/31/2009 07/08/2010 20106612077 07/20/2010 08/04/2010 04/28/2011 20111122929 05/10/2011 06/07/2011 04/26/2012 20123192609 05/09/2012 05/15/2012 04/25/2013 20132186560 05/07/2013 05/20/2013 07/25/2013 20134231198 07/30/2013 08/08/2013 10/10/2013 20135861330 10/15/2013 10/25/2013 04/24/2014 20142274046 04/29/2014 05/05/2014 04/23/2015 20152615962 05/04/2015 05/06/2015 12/22/2016 20167724827 01/04/2017 01/06/2017 06/07/2017 20173251129 06/12/2017 06/19/2017 06/28/2018 20183296796 07/11/2018 07/17/2018 04/29/2019 20192743090 05/07/2019 05/10/2019 12/02/2019 20197383041 12/17/2019 12/19/2019 03/11/2021 20211660922 03/25/2021 04/06/2021 09/27/2021 20216601347 09/30/2021 10/18/2021 Minutes of GSM of JUCEPAR Statement published in the newspaper Valor Econômico Filing No. Date 04/28/2023 20233084983 05/08/2023 05/12/2023 07/10/2023* 20234989270 07/25/2023 07/28/2023 10/30/2024 20248270168 11/08/2024 11/13/2024 *By virtue of the condition set forth at the 207th Extraordinary General Shareholders’ Meeting, held on 07/10/2023, Copel’s Bylaws as a Corporation came into force on 08/11/2023, with the settlement of the Company’s public tender offer on B3. Copel Bylaws – pg. 34/40 ANNEX II – EVOLUTION OF SHARE CAPITAL (ART. 5) Initial Capital on 03/28/1955: Cr$ 800,000,000.00 Minutes of GSM New Approved Capital JUCEPAR Published in DOE PR Filing No. Date Cr$ 10/01/1960 1,400,000,000.00 26,350 10/13/1960 10/14/1960 04/16/1962 4,200,000,000.00 31,036 05/0301962 05/26/1962 11/11/1963 8,000,000,000.00 37,291 11/28/1963 12/02/1963 10/13/1964 16,000,000,000.00 50,478 10/23/1964 10/31/1964 09/24/1965 20,829,538,000.00 65,280 10/15/1965 10/18/1965 10/29/1965 40,000,000,000.00 65,528 11/12/1965 11/18/1965 09/20/1966 70,000,000,000.00 70,003 10/11/1966 10/18/19661 NCr$ 10/31/1967 125,000,000.00 74,817 12/01/1967 12/07/1967 06/17/1968 138,660,523.00 77,455 06/27/1968 07/13/1968 11/27/1968 180,000,000.00 79,509 12/10/1968 12/20/1968 06/06/1969 210,000,000.00 82,397 07/11/1969 08/05/1969 10/13/1969 300,000,000.00 84,131 10/30/1969 11/03/1969 12/03/1969 300,005,632.00 84,552 12/16/1969 12/30/1969 04/06/1970 332,111,886.00 86,263 05/14/1970 06/09/1970 Cr$ 11/24/1970 425,000,000.00 89,182 12/11/1970 12/18/1970 12/18/1970 500,178,028.00 89,606 02/04/1971 02/17/1971 07/31/1972 866,000,000.00 97,374 09/21/1972 10/04/1972 04/30/19732 867,934,700.00 101,449 08/15/1973 08/28/1973 08/31/1973 877,000,000.00 102,508 11/09/1973 11/21/1973 10/30/19733 1,023,000,000.00 103,387 01/25/1974 02/11/1974 05/30/1974 1,023,000,010.00 105,402 06/21/1974 06/27/1974 12/27/1974 1,300,000,000.00 108,364 02/07/1975 02/21/1975 04/30/1975 1,302,795,500.00 110,111 06/13/1975 06/18/1975 12/22/1975 1,600,000,000.00 113,204 01/15/1976 02/13/1976 03/26/1976 1,609,502,248.00 114,535 04/29/1976 05/10/1976 12/17/1976 2,100,000,000.00 118,441 01/14/1977 02/04/1977 08/29/1977 3,000,000,000.00 122,059 10/14/1977 10/25/1977 11/16/1977 3,330,000,000.00 122,721 12/13/1977 01/12/1978 04/28/1978 3,371,203,080.00 125,237 07/06/1978 07/20/1978 Cont.... 1 Corrected in DOE PR dated 06/05/1967. 2 Ratified in the EGSM dated 08/07/1973, published in DOE PR dated 08/23/1973. 3 Ratified in the EGSM dated 12/21/1973, published in DOE PR dated 02/01/1974. Copel Bylaws – pg. 35/40 ANNEX II – EVOLUTION OF SHARE CAPITAL (ART. 5) Continued... Minutes of GSM New Approved Capital JUCEPAR Published in DOE PR Filing No. Date Cr$ 12/14/1978 4,500,000,000.00 127,671 01/19/1979 03/06/1979 03/05/1979 5,656,487,659.00 128,568 05/04/1979 05/17/1979 04/30/1979 5,701,671,254.00 129,780 07/24/1979 08/14/1979 09/24/1979 8,000,000,000.00 130,933 11/05/1979 11/23/1979 CR$ 03/27/1980 10,660,296,621.00 133,273 06/17/1980 06/27/1980 04/29/1980 10,729,574,412.00 133,451 06/27/1980 07/16/1980 10/16/1980 11,600,000,000.00 135,337 12/02/1980 01/20/1981 04/30/1981 20,000,000,000.00 137,187 05/19/1981 05/29/1981 10/30/1981 20,032,016,471.00 139,832 12/01/1981 12/18/1981 04/30/1982 37,073,740,000.00 141,852 06/01/1982 06/17/1982 10/29/1982 39,342,000,000.00 144,227 12/14/1982 12/29/1982 03/14/1983 75,516,075,768.00 145,422 04/12/1983 05/10/1983 05/02/1983 80,867,000,000.00 146,251 05/31/1983 06/14/1983 09/01/1983 83,198,000,000.00 148,265 10/25/1983 12/09/1983 04/10/1984 205,139,191,167.00 150,217 06/15/1984 07/17/1984 04/10/1984 215,182,000,000.00 150,217 06/15/1984 07/17/1984 10/05/1984 220,467,480,000.00 160,412 11/08/1984 11/27/1984 03/25/1985 672,870,475,837.00 161,756 05/21/1985 06/11/1985 03/25/1985 698,633,200,000.00 161,756 05/21/1985 06/11/1985 09/18/1985 719,093,107,000.00 163,280 11/14/1985 11/27/1985 Cz$ 04/25/1986 2,421,432,629.00 164,815 06/11/1986 06/30/1986 10/23/1986 2,472,080,064.00 166,138 11/06/1986 11/14/1986 03/18/1987 4,038,049,401.49 166,903 04/07/1987 05/08/1987 03/18/1987 4,516,311,449.87 166,903 04/07/1987 05/08/1987 09/18/1987 4,682,539,091.91 168,598 10/06/1987 10/16/1987 04/14/1988 18,772,211,552.10 170,034 05/06/1988 05/25/19884 04/14/1988 19,335,359,578.00 170,034 05/06/1988 05/25/1988 06/14/1988 19,646,159,544.00 170,727 07/11/1988 07/20/1988 04/25/1989 174,443,702,532.00 172,902 05/26/1989 07/06/1989 NCz$ 04/25/1989 182,848,503.53 172,902 05/26/1989 07/06/1989 06/26/1989 184,240,565.60 17,337.4 07/12/1989 07/21/1989 Cont.... 4 Correction in DOE No. 2780, dated 05/27/1988. Copel Bylaws – pg. 36/40 ANNEX II – EVOLUTION OF SHARE CAPITAL (ART. 5) Continued... Minutes of GSM New Approved Capital JUCEPAR Published in DOE PR Filing No. Date Cr$ 03/30/1990 2,902,464,247.10 175,349 05/02/1990 05/09/1990 03/30/1990 3,113,825,643.60 175,349 05/02/1990 05/09/1990 05/25/1990 3,126,790,072.52 176,016 07/10/1990 08/09/1990 03/25/1991 28,224,866,486.42 17,780.9 04/26/1991 05/23/1991 03/25/1991 30,490,956,176.38 17,780.9 04/26/1991 05/23/1991 05/23/1991 30,710,162,747.26 17,833.7 06/18/1991 06/27/1991 04/28/1992 337,561,908,212.47 18,061.7 06/08/1992 07/06/1992 04/28/1992 367,257,139,084.96 18,061.7 06/08/1992 07/06/1992 06/25/1992 369,418,108,461.33 18,089.9 07/09/1992 07/17/1992 04/01/1993 4,523,333,257,454.10 18,255.3 04/29/1993 05/20/1993 04/01/1993 4,814,158,615,553.95 18,255.3 04/29/1993 05/20/1993 06/15/1993 4,928,475,489,940.955 18,313.9 07/13/1993 08/24/1993 CR$ 04/26/1994 122,158,200,809.226 1847810 05/10/1994 06/08/1994 R$ 04/25/1995 446,545,229.15 950696471 05/18/1995 06/19/1995 04/23/1996 546,847,990.88 960710000 05/07/1996 05/15/1996 07/29/1997 1,087,959,086.89 971614130 07/30/1997 08/01/1997 08/07/1997 1,169,125,740.577 971761671 08/12/1997 08/15/1997 03/12/1998 1,225,351,436.59 980428793 04/01/1998 04/07/1998 03/25/1999 1,620,246,833.38 990646483 04/14/1999 04/23/1999 12/26/2002 2,900,000,000.00 20030096413 01/29/2003 02/10/2003 04/29/2004 3,480,000,000.00 20041866290 06/07/2004 06/18/2004 04/27/2006 3,875,000,000.00 20061227897 05/09/2006 05/24/2006 04/27/2007 4,460,000,000.00 20071761462 05/05/2007 05/29/2007 04/27/2010 6,910,000,000.00 20105343960 05/06/2010 05/13/2010 12/22/2016 7,910,000,000.00 20167724827 01/04/2017 01/06/2017 04/29/2019 10,800,000,000.00 20192743090 05/07/2019 05/10/2019 Minutes New Approved Capital JUCEPAR Published in DOE PR Filing No. Date R$ BOD - 09/06/2023 12,831,618,938.25 20237759918 10/31/2023 11/13/2024 5 Due to Provisional Measure No. 336 of 07/28/1993, which changed the national currency, the Company’s share capital, as of 08/01/1993, began to be recorded in “cruzeiros reais” (CR$ 4,928,475,475.41 as of that date). 6 Due to Provisional Measure No. 542 of 06/30/1994, which changed the national currency, the Company’s share capital, as of 07/01/1994, began to be recorded in “reais” (R$ 44,421,146.54 as of that date). 7 Share capital increase authorized by the Board of Directors. Appendix V INFORMATION REGARDING THE CREATION OF A NEW PREFERRED SHARE CLASS (PNC), ACCORDING TO ART. 18 RCVM 81 1. If Preferred Stock or New Preferred Stock Class is Created a) Present rationale, in detail, for the proposal to create shares The proposal to create the new compulsorily redeemable PNC shares falls within the context of the Company's migration to the Novo Mercado. Due to the requirements set forth in the Novo Mercado Regulation, especially the one set forth in Art. 8, the Company's share capital must be exclusively composed of voting shares, which will require the conversion of preferred shares ("PN"). In order to promote adhesion and stimulate approval of the operation by shareholders, particularly the current holders of PN shares, the Company's management proposes that the PN Conversion (as detailed in item 6 of this Proposal) include, in addition to the delivery of the corresponding number of common shares (in the proportion of 1 common share for each PN share), also the delivery of 1 compulsorily redeemable PNC share. The creation and granting of compulsorily redeemable PNC shares to the holders of PN shares may contribute to the execution of the operation, insofar as it is predicted that, immediately after the PN Conversion, the compulsory redemption of such PNC shares will occur at the amount of R$ 0.7749 per PNC share redeemed. Thus, at the end, by virtue of the PN Conversion, the holders of PN shares would receive, in return, 1 common share for each PN share as well as the amount corresponding to R$ 0.7749 per share. It should be noted that, pursuant to Articles 5 and 100 of the amended Bylaws as proposed to the Extraordinary General Meeting scheduled to be held, on the first call, on August 22, 2025, the statutory authorization for the creation of the PNC shares will no longer in force with the admission and effective trading of the shares issued by the Company in the Novo Mercado. b) Describe, in detail, the rights, advantages and restrictions to be attributed to the shares to be created, in particular: i. Increased dividends in comparison to common shares ii. Fixed or minimum dividends iii. Possible cumulative nature of dividends iv. Right to participate in remaining profits v. Right to receive dividend to the capital reserve account vi. Capital reimbursement priority vii. Equity Reimbursement Premium viii. Voting right ix. Statutory right to elect board members by separate vote x. Right to be included in the public offer to acquire shares in the event of disposal of control provided for in art. 254-A of Law No. 6.404, of 1976 xi. Right to veto in relation to statutory amendments xii. Redemption Terms and Conditions xiii. Amortization Terms and Conditions Under the terms described in this Proposal, the PNC shares to be issued would be compulsorily redeemed, immediately after the PN Conversion, upon payment of the amount of R$ 0.7749 per PNC share redeemed. As provided for in Art. 5 of the draft Bylaws submitted for EGM approval, the PNC shares to be issued – and compulsorily redeemed – would have the following characteristics, rights and advantages: (i) except for the provisions of the Level 2 Regulation until migration to the Novo Mercado, they do not grant the holder the right to vote in the resolutions of the General Meeting, nor will they acquire the right to vote fully in the event of non-declaration or payment of the proceeds to which they are entitled; (ii) they grant the priority of capital reimbursement in the event of liquidation of the Company's assets, without premium, in the amount corresponding to the percentage of the share capital represented by such share; (iii) they are automatically and compulsorily redeemable immediately upon issuance, without the need for a special meeting of shareholders holding preferred shares, the amount to be defined at the time of its issuance, to be paid in national currency on the date of redemption, with the Company being permitted to withhold amounts for the purpose of paying taxes, fees and expenses for which, by law, the Company is responsible for withholding at the source on behalf of the shareholder; (iv) they grant the right to receive proceeds on equal terms with the common shares issued by the Company; and (v) they confer the right to be included in any public offer of disposal of control, on equal terms with common shares. c) Provide detailed analysis of the impact of the creation of shares on the rights of holders of other types and classes of shares of the company Under the terms described in item 1(a) above, the management clarifies that the creation of PNC shares falls within the context of the Migration to the Novo Mercado, having been structured in order to promote and stimulate the adhesion and approval of the operation by the Company's shareholders, especially by the holders of PN shares – who would receive PNC shares in the context of the PN Conversion. In this sense, considering that the PNC shares would be compulsory and immediately redeemed shortly after the PN Conversion, the management does not envision relevant impacts for the other shareholders of the Company. 2. If preferences, advantages or conditions for redemption or amortization of preferred shares change a) Describe in detail the proposed changes b) Rationale, in detail, the proposed changes c) Provide detailed analysis of the impact of the proposed changes on the holders of the shares subject to the change d) Provide detailed analysis of the impact of proposed changes on the rights of holders of other species and share classes of the company As highlighted above, PNC shares would be issued only in the context of the PN Conversion of PN shares. In this context, if the issuance of the PNC shares, the PN Conversion and the respective Redemption are approved, the PN shares would be extinguished - consedering that their holders would receive common shares and compulsorily redeemable PNC shares - observing the proportion of 1 common share and 1 PNC share for each 1 PN share. Appendix VI INFORMATION RELATING TO THE RIGHT OF WITHDRAWAL, IN ACCORDANCE WITH ART. 21 OF COVM 81 (ANNEX H OF COVM 81) 1. Describe the event that gave or will give rise to the withdrawal and its legal basis Pursuant to this Proposal, with the objective of enabling the migration of the Company to the Novo Mercado segment of B3, the Company's management proposed to its shareholders, among other matters: (a) the creation of the new PNC preferred share class, compulsorily redeemable; and (b) the mandatory conversion of all PN preferred shares (already considering the PN Unification) into common shares and PNC shares – observing the proportion of 1 common share and 1 PNC share for each 1 PN share (“PN Conversion”). It should be emphasized that, pursuant to the terms of art. 136, I and II, of the Brazilian Corporate Law, the structure proposed above, with the creation of redeemable PNC shares, and the PN Conversion, involves matters that, under the terms of the Brazilian Corporate Law (art. 137, I), confer the right of withdrawal to the current holders of the PNA and PNB shares – which, under the terms of the PN Unification, if approved, will become holders of PN shares. Accordingly, the PN Conversion is subject to the implementation of the Suspending Conditions detailed in item 6 of this Proposal, which include ratification, by more than half of the holders of PNA and PNB shares gathered at a special meeting ("AGESP PN"), pursuant to Art. 136, §1, of the Brazilian Corporate Law ("PN Classification"). Thus, in the context of the adoption of the measures for the implementation of the Migration to the Novo Mercado, the Company's management will timely provide for the convening of AGESP PN for the holders of PN shares to decide on the matter. Holders of PN shares who do not approve the PN Conversion in the aforementioned AGESP PN - whether by dissension, abstention or absence - will have the right to withdraw from the Company, upon reimbursement of the shares of which they are proven to be uninterrupted holders between the date of the material fact that announced the PN Conversion, on June 23, 2025, and the date of effective exercise of the right of withdrawal, pursuant to Art. 137, § 1, of the Brazilian Corporation Law. The criteria for calculating the reimbursement amount in the event of any exercise of the right of withdrawal are provided for in item 5 below. Finally, the Company notes that it reserves the right to convene a general meeting to ratify or reconsider the resolution, if the administrators believe that payment of the price of reimbursement of the PN shares to the dissenting shareholders who exercised the right of withdrawal will put the financial stability of the Company at risk, pursuant to Art. 137, §3, of the Brazilian Corporate Law. 2. Report the shares and classes to which the withdrawal applies The right of withdrawal will be applicable to shareholders holding PN shares who do not approve the PN Conversion in AGESP PN—whether by dissention, abstention or absence. 3. Inform the date of the first publication of the call notice of the meeting, as well as the date of communication of the relevant fact regarding the decision that gave or will give rise to the withdrawal The first Material Fact referring to the proposals that will give rise to the right of withdrawal was disclosed by the Company on June 23, 2025. The call notice of this Meeting was published, for the first time, on June 24, 2025. 4. Inform the deadline for exercising the right of withdrawal and the date that will be considered for the purpose of determining the holders of the shares that may exercise the right of withdrawal Uninterruptible holders of PN shares between the date of disclosure of the first Material Fact on the proposal of the PN Conversion (June 23, 2025), and the date of effective exercise of the right of withdrawal, pursuant to Art. 137, § 1, of the Corporations Act. Among such shareholders, holders of PN shares who do not vote favorably for the PN Conversion in the AGESP PN—whether by dissention, abstention or absence, may exercise the right to withdraw Pursuant to Art. 137 of the Corporations Law, the deadline for exercising the right of withdrawal, under penalty of forfeiture, will be up to 30 days from the date of publication of the minutes of the special meeting. 5. Report the amount of reimbursement per share or, if it is not possible to determine it in advance, the management estimate of this amount Pursuant to Article 107 of the Company's Bylaws, in the event of exercise of the right of withdrawal by shareholders holding PN shares, the reimbursement amount will correspond to the book equity value of the share, calculated based on the net equity contained in the last financial statements approved by the general meeting, ensuring the right to draw up the special balance sheet provided for in Art. 45 of the Corporation Law. Based on this criterion, the equity value of the Company's shares calculated based on the financial statements for the fiscal year ended December 31, 2024, adjusted based on the Net Equity divided by the number of outstanding shares, excluding shares in treasury, would correspond to R$ 8.6467556201 per share. 6. Inform how reimbursement is to be calculated The amount of the reimbursement will correspond to the book equity value of the share, calculated based on the net equity contained in the last financial statements approved by the general meeting, observing the provisions of item 5 above. 7. Inform whether shareholders will be entitled to request the withdrawal of the special balance sheet The right to draw up the special balance sheet provided for in art. 45 of the Brazilian Corporate Law will be guaranteed, in compliance with the provisions of item 5 above. 8. If reimbursement amount is determined by evaluation, list experts or specialist companies recommended by management Not applicable. 9. In the event of incorporation, incorporation of shares or merger involving controlling and controlled companies or under common control a) Calculate stock replacement relationships based on equity value at market prices or other criteria accepted by CVM b) Inform whether the relationships of substitution of the shares provided for in the operation protocol are less advantageous than those calculated in accordance with item 9 (a) above c) Report the reimbursement amount calculated based on the value of the equity at market prices or other criteria accepted by the CVM Not applicable. 10. Report the equity value of each share calculated according to the last approved balance sheet The equity value of the Company's shares calculated based on the financial statements for the fiscal year ended December 31, 2024, adjusted based on the Net Equity divided by the number of shares outstanding, excluding shares in treasury, would correspond to R$ 8.6467556201 per share.

 

 
 

 
 

 
 

 
 

 
 

 
 

 
 

 
 

 
 

 
 

 
 

 
 

 
 

 
 

 
 

 
 

 
 

 
 

 
 

 
 

 
 

 
 

 
 

 
 

 
 

 
 

 
 

 
 

 
 

 
 

 
 

 
 

 
 

 
 

 
 

 
 

 
 

 
 

 
 

 
 

 
 

 
 

 
 

 
 

 
 

 
 

 
 

 
 

 
 

 
 

 
 

 
 

 
 

 
 

 
 

 
 

 
 

 
 

 
 

 
 

 
 

 
 

 
 

 
 

 
 

 
 

 
 

 
 

 
 

 
 

 
 

 
 

 
 

 
 

 
 

 
 

 
 

 
 

 
 

 
 

 

 
 

 
 

 
 

 
 

 
 

 
 

 
 

 
 

 
 

 
 

 

 
 

 
 

 
 

 
 

 
 

 
 

 
 

 
 

 
 

 
 

 
 

 
 

 
 

 
 

 
 

 
 

 
 

 
 

 
 

 
 

 
 

 
 

 
 

 
 

 
 

 
 

 
 

 
 

 
 

 
 

 
 

 
 

 
 

 
 

 
 

 
 

 
 

 
 

 
 

 
 

 
 

 
 

 
 

 
 

 
 

 
 

 
 

 
 

 
 

 
 

 
 

 
 

 
 

 
 

 
 

 
 

 
 

 
 

 
 

 
 

 
 

 
 

 
 

 
 

 
 

 
 

 
 

 
 

 
 

 
 

 
 

 
 

 
 

 
 

 
 

 
 

 
 

 
 

 
 

 
 

 
 

 
 

 
 

 
 

 
 

 
 

 
 

 
 

 
 

 
 

 
 

 
 

 
 

 
 

 
 

 
 

 
 

 
 

 
 

 
 

 
 

 
 

 
 

 
 

 
 

 

 
 

 

SIGNATURE

 

 

Pursuant to the requirements of the Securities Exchange Act of 1934, the registrant has duly caused this report to be signed on its behalf by the undersigned, thereunto duly authorized.

Date August 18, 2025

 

COMPANHIA PARANAENSE DE ENERGIA – COPEL
     
By:

/S/  Daniel Pimentel Slaviero


 
  Daniel Pimentel Slaviero
Chief Executive Officer
 

 

 

FORWARD-LOOKING STATEMENTS

 

This press release may contain forward-looking statements. These statements are statements that are not historical facts, and are based on management's current view and estimates of future economic circumstances, industry conditions, company performance and financial results. The words "anticipates", "believes", "estimates", "expects", "plans" and similar expressions, as they relate to the company, are intended to identify forward-looking statements. Statements regarding the declaration or payment of dividends, the implementation of principal operating and financing strategies and capital expenditure plans, the direction of future operations and the factors or trends affecting financial condition, liquidity or results of operations are examples of forward-looking statements. Such statements reflect the current views of management and are subject to a number of risks and uncertainties. There is no guarantee that the expected events, trends or results will actually occur. The statements are based on many assumptions and factors, including general economic and market conditions, industry conditions, and operating factors. Any changes in such assumptions or factors could cause actual results to differ materially from current expectations.