EX-99.1 2 referenceform-iuhv10sec.htm EX-99.1 referenceform-iuhv10sec
2024 REFERENCE FORM 2024 Itaú Unibanco Holding S.A.


 
Itaú Unibanco Holding S.A. REFERENCE FORM Base Date: 12.31.2024 (in accordance with Attachment C to CVM Resolution No 80 of March 29, 2022 “CVM Resolution No 80”) Identification ltaú Unibanco Holding S.A., a corporation enrolled under the National Register of Legal Entities/Ministry of Finance (CNPJ/MF) under No. 60.872.504/0001-23, with its Articles of lncorporation registered with the Trade Board of the State of São Paulo under NlRE No. 35.3.0001023-0, and registered as a publicly-held company with the Brazilian Securities and Exchange Commission ("CVM") under No. 19348 ("Bank" or "lssuer"). Head Office The lssuer's head office is located at Praça Alfredo Egydio de Souza Aranha, 100, Torre Olavo Setubal, Parque Jabaquara, in the City and State of São Paulo, Brazil, Zip Code 04344-902. Investor Relations Office The lnvestor Relations department is located at Praça Alfredo Egydio de Souza Aranha, 100, Torre Conceição, 12º andar, Parque Jabaquara, in the City and State of São Paulo, Brazil, Zip Code 04344-902. The Group Head of lnvestor Relations is Mr. Gustavo Lopes Rodrigues. The lnvestor Relations Department's telephone number is +5511 2794-3547, fax number is +55 11 5019-8717, and email is ri@itau-unibanco.com.br. lndependent Auditors Firm PricewaterhouseCoopers Auditores Independentes Ltda. for the years ended 12/31/2024, 12/31/2023 and 12/31/2022. Bookkeeping Agent Itaú Corretora de Valores S.A. Stockholders Service The lssuer's stockholders' service is carried out at the branches of ltaú Unibanco S.A., the head office of which is located at Praça Alfredo Egydio de Souza Aranha, 100, Torre Walther Moreira Salles, Parque Jabaquara, in the City and State of São Paulo, Brazil, Zip Code 04344-902. Newspapers from which the Company discloses lnformation O Estado de São Paulo newspaper. Website The information contained on the Company's website is not an integral part of this Reference Form. https://www.itau.com.br/relacoes-com-investidores/en/ Last update of this Reference Form 12/11/2025


 
Historical resubmission Version Reasons for resubmission Date of update V2 Updated items: 7.1D, 7.3, 7.4 and 7.8 06/11/2025 V3 Updated items: 7.3, 7.4 and 7.8 06/24/2025 V4 Updated items: 3.1, 3.2 and 8.1 08/05/2025 V5 Updated items 4.4, 4.5, 4.7 and 12.7 08/14/2025 V6 Updated items 7.4, 7.8 and 12.7 09/03/2025 V7 Updated items 7.4, 7.8 and 12.7 10/20/2025 V8 Updated items 3.1, 3.2, 7.3 and 7.8 11/04/2025 V9 Updated items 4.4, 4.5, 4.7, 6.1/6.2, 6.3, 6.4, 6.5, 6.6, 7.3, 7.8, 12.1 and 12.9 12/11/2025 V10 Updated items 6.3 and 6.5 12/11/2025


 
4.4. Describe any judicial, administrative or arbitration proceedings to which the issuer or its controlled companies are a party, specifying labor, tax, civil, environmental and other cases: (i) that are not confidential, and (ii) that are material for the business of the issuer or its controlled companies, stating: a. court b. jurisdiction c. filing date d. parties to the proceedings e. amounts, assets or rights involved f. main facts g. summary of decisions on the merits issued h. case status i. if the chance of loss is: i. probable ii. possible iii. remote j. reason why this case is deemed material k. analysis of the impact in the event of an unfavorable decision For purposes of this item, we adopted as a materiality criterion operations involving amounts higher than R$1,124 million, which accounts for 0.5% of Itaú Unibanco Holding’s Equity under IFRS as of September 30, 2025. Civil, tax and labor contingencies are the subject-matter of a provision whenever loss is assessed as probable. Provisions are also recognized, irrespective of the event of an unfavorable outcome to the company, for tax contingencies in which the outcome of the case depends on the recognition of unconstitutionality of legislation in force. Management believes that the provisions for judicial and administrative contingencies recognized are sufficient to cover probable losses that may be reasonably estimated. We believe that any losses arising from other administrative or judicial contingencies will have no adverse material effect on our business, financial position or results of operations. Civil Proceedings Case No. 0003056-02.2003.8.26.0200 a. Court: 2nd Civil Lower Court of Itapira (State of São Paulo). b. Jurisdiction: Superior Court of Justice (STJ) c. Filing date:08.06.2003 d. Parties to the proceedings: KVA Engenharia Elétrica Ltda. vs. Itaú Unibanco S.A. e. Amounts, assets or rights involved: R$13,854,927,675.13 (September/2025).


 
f. Main facts: This is a lawsuit to review current account, loan and renegotiation agreements, in which the bank was ordered, by a final and unappealable decision (December 12, 2007), to exclude interest capitalization and refund overpaid amounts, adjusted to include interest in the same proportion as it had been charged by the bank. Upon calculation of the liquid amount, the lower court, based on the capitalized interest criterion and with 2,400.64% of compensatory interest incurred from 2003 to 2007, approved the amount of approximately R$7.6 billion to be refunded to the plaintiff (May 21, 2018). The Appellate Court of the State of São Paulo (TJSP) overturned this judgment to exclude capitalization and charge simple interest as of the date of summons (2003), reducing the award amount to approximately R$3.5 million (May 2, 2019). Itaú made a judicial deposit of the adjusted awards amount (R$5.9 million in August 2019). Plaintiff filed a motion for clarification, which was denied (November 4, 2019). Plaintiff and former lawyer filed special appeals, which were granted by the TJSP (April 20, 2021) and the case is to be held by the judge under advisement at the Superior Court of Justice (STJ). g. Summary of decisions on the merits issued: The decision issued at the cognizance phase, which is final and unappealable, has ruled that the bank review the contracts and exclude the capitalization amount, as well as refund twice the overstated amounts charged, adjusted to include interest earned at the same rates charged by the bank. Upon calculation of the liquid amount, a decision was issued approving the expert evidence in the amount of R$7.6 billion, with the following assumptions: capitalized interest and 2,400.64% of compensation interest from 2003 to 2007. The Appellate Court partially overruled this decision, reducing the amount in dispute to R$3.5 million by excluding capitalization and determining the inclusion of simple interest from the date of summons. h. Case status: The special appeals filed by the Plaintiff and former lawyer before the STJ against the appellate decision issued by the TJSP on April 22, 2019 are pending trial. i. Chance of loss: Remote. j. Reason why this case is deemed material: Amount in dispute. k. Analysis of the impact in the event of an unfavorable decision: In August 2019, the bank paid the award in effect in the amount of R$5.9 million. The remaining remote risk of loss is R$13.8 billion. Cases No. 0012488-09.2002.8.14.0301 and No. 0035211-78.2002.8.14.0301 a. Court: 5th Civil Lower Court of Belém (State of Pará). b. Jurisdiction: Appellate Court of the State of Pará (TJPA) c. Filing date: 03.18.2002 and 10.14.2002 d. Parties to the proceedings: Rondhevea Administração e Participações Ltda. vs. Itaú Unibanco S.A. and Itaú Corretora de Valores Mobiliários e Câmbio. e. Amounts, assets or rights involved: R$7,727,062,162.90 (September/2025). f. Main facts: Itaú is a defendant in two lawsuits filed by Mr. Antonio Cabral (later succeeded by Rondhvea Adm. e Participações). Itaú allegedly would have sold 6,360 shares issued by Itaú and 5,000 shares issued by Banco União Comercial (succeeded by Itaú) in 1985, without the plaintiff’s authorization. In a final and unappealable decision, Itaú was ordered to award the plaintiff an amount corresponding to the share value and respective accessory obligations. Upon calculating the number of shares, under calculation of the liquid amount, the expert


 
appraiser disregarded the reverse split of shares as set forth by CVM Instruction No. 56/87, which took place in March 1987, at 1,000 for 1 share, and thus determined the amount of R$4 billion (expert opinion of August 30, 2017). These expert opinions were approved by the lower court judge (September 18, 2020), thus prompting Itaú to file the proper appeals, which were both granted with suspensive effect. One of the bank's appeals has already been adjudicated and granted, annulling the homologation decision due to lack of reasoning; a new judgment at the first instance is pending. The other appeal is still pending trial. Itaú had also filed complaints with the Disciplinary Board of Courts and the National Justice Board (CNJ), which were dismissed as the judge in charge had passed away. Itaú made a judicial deposit of the amount it understands as effectively due, which corresponds to the price of shares and accessory obligations based on the reverse split carried out in March 1987 (R$895,004.60 – October 2020). g. Summary of decisions on the merits issued: At the cognizance phase, the bank was ordered to pay plaintiff the amount corresponding to the shares sold without evidence of plaintiff’s authorization, as well as corresponding earnings. Upon calculation of the liquid amount, the lower court judge approved the expert witness report (September 18, 2020), and stated, in both lawsuits, that the bank owed about R$4 billion. An appellate decision has already been handed down in one of the lawsuits, granting the appeal filed by the bank to annul the judgment of ratification due to lack of statement of reasons (ruling on May 15, 2023). h. Case status: In one of the cases, the motion for clarification was tried in February 2025 and the records are awaiting new decision in respect to liquidation issued at the lower court level. In the other, the appeal filed by the bank is pending trial by the TJPA. i. Chance of loss: Remote j. Reason why this case is deemed material: Amount in dispute. k. Analysis of the impact in the event of an unfavorable decision: Pay award corresponding to the value of shares and respective accessory obligations. Tax Claims Case No.16327.720661/2021-45 a. Court: Administrative appellate court - Administrative Board of Tax Appeals (CARF). b. Jurisdiction: Administrative appellate court (CARF). c. Filing date: 09.22.2021 d. Parties to the proceedings: Federal Government (National Treasury) vs. Banco Itaucard S.A. e. Amounts, assets or rights involved: R$1,231,917,544.38 (September/2025). f. Main facts: On September 22, 2021, a tax assessment notice was received aimed at the collection of social contribution (CSLL) on the grounds of alleged lack of addition, in Part A of LACS book, of debit balances related to counterparts of surplus and deficit of depreciation in 2017, as tax authorities consider them nondeductible. This assessment notice was upheld by the Federal Revenue Service Judgment Office (DRJ) at the trial of the objection filed, and a voluntary appeal was filed. O This voluntary appeal started to be tried at CARF, where, instead of entering judgment, the judge ordered the production of more evidence.


 
g. Summary of decisions on the merits issued: DRJ justified its decision on the grounds that the adjustments arising from surplus and deficit of depreciation cause no tax effects on CSLL, and should be neutralized off books by excluding or adding any corresponding revenues or expenses in the calculation of the contribution calculation basis. h. Case status: Appellate decision by DRJ: 09.23.2022; Voluntary Appeal filed before CARF is pending trial. i. Chance of loss: Possible. j. Reason why this case is deemed material: Amount in dispute. k. Analysis of the impact in the event of an unfavorable decision: In the event of an unfavorable outcome at administrative level, the case will be taken to the judicial courts, with possible pledge of guarantee required. Case No. 16327.721240/2019-17 a. Court: Administrative Board of Tax Appeals (CARF). b. Jurisdiction: Administrative appellate court (CARF). c. Filing date: 12.30.2019 d. Parties to the proceedings: Federal Government (National Treasury) vs. Banco Itaucard S.A. e. Amounts, assets or rights involved: R$1,527,876,792.80 (September/2025). f. Main facts: Tax assessment notices levied aimed at the collection of PIS/Cofins on the grounds of alleged failure to submit for taxation the economic-financial result of leasing operations carried out, with a 150% fine levied. Lawsuit attached to Case No. 16327.721239/2019-92 about the same subject matter challenged. On May 25, 2020, the administrative lower court handed down a ruling to uphold the tax assessment, with the company thus filing a voluntary appeal. The voluntary appeal started to be tried at CARF, where, instead of entering judgment, the judge ordered the production of more evidence. g. Summary of decisions on the merits issued: DRJ stated the reasons for upholding the tax assessment notice on the grounds that, during the contract term, the Bank accurately calculated the PIS/COFINS basis but had unduly reversed the depreciation surplus amounts at the end of each contract. h. Case status: Appellate decision by DRJ: 05.25.2020; Voluntary Appeal filed before CARF is pending trial. i. Chance of loss: Possible (R$168,527,410.14) and Remote (R$1,359,349,382.66). j. Reason why this case is deemed material: Amount in dispute.


 
k. Analysis of the impact in the event of an unfavorable decision: In the event of an unfavorable outcome at administrative level, the case will be taken to the judicial courts, with possible pledge of guarantee required. Case No. 16327.720188/2019-81 a. Court: Administrative Board of Tax Appeals (CARF). b. Jurisdiction: Administrative appellate court (CARF). c. Filing date: 02.27.2019 d. Parties to the proceedings: Federal Government (National Treasury) vs. Itaú Unibanco S.A. e. Amounts, assets or rights involved: R$1.561.558.885,86 (September/2025). f. Main facts: Tax assessment notice levied aimed at the collection of social security tax due on payments of employee and management profit sharing, meal voucher and food allowance paid in tickets and hiring bonus in 2014 On February 11, 2021, the administrative lower court handed down a ruling to partially uphold the tax assessment, with the company thus filing a voluntary appeal. On November 7, 2023, CARF ruled to grant the voluntary appeal to fully cancel the tax assessment. The Office of the General Counsel to the National Treasury (PGFN) filed a motion for clarification, which was granted but had no modificatory character, as it was handed down to merely correct clerical mistakes in the appellate decision document. A Special Appeal was filed by the PGFN, which is awaiting admissibility g. Summary of decisions on the merits issued: DRJ cancelled part of the tax assessment, which had been subject to review at the evidentiary remedy stage, during which an error in the assessed calculation was identified. With respect to the other cases presented by the defense, DRJ just upheld the tax assessment filed. Upon the trial of the Voluntary appeal filed, CARF ruled to cancel the tax assessment in full due to its groundlessness regarding the meal voucher and food allowance paid in tickets and hiring bonus, as well as to declare the tax assessment in connection with employee profit sharing null and void, in addition to dismissing the fine on assessment levied on debits on management profit sharing, considering that the amount due has been suspended at the judicial level. h. Case status: Appellate decision by DRJ: 02.11.2021; Appellate decision by CARF: 11.07.2023; Appellate decision by CARF on Motions for Clarification: 10.01.2024; Awaiting to be notified and a possible filing of a Special Appeal by the PGFN. i. Chance of loss: Possible (R$737,917,151.04) and Remote (R$823,641,734.82). j. Reason why this case is deemed material: Amount in dispute. k. Analysis of the impact in the event of an unfavorable decision: In the event of an unfavorable outcome at administrative level, the case will be taken to the judicial courts, with possible pledge of guarantee required.


 
Case No.5015701-60.2019.4.03.6100 a. Court: 10th Civil Lower Court of the Judiciary District of São Paulo (State of São Paulo). b. Jurisdiction: Lower court – Federal Courts of the State of São Paulo (JFSP). c. Filing date: 12.22.2015 d. Parties to the proceedings: Itaú Unibanco S.A. vs. Federal Government (National Treasury). e. Amounts, assets or rights involved: R$1,578,740,363.77 (September/2025). f. Main facts: Action for annulment filed on August 27, 2019 aimed to cancel the tax assessment notice levied for collection of Corporate Income Tax (IRPJ) and Social Contribution (CSLL) for calendar years 2010, 2011 and 2012, on the grounds of disallowance of operating expenses (expenses on interbank deposits related to investments in ID/Fixed rate funds made by Unibanco, whose invested funds derived from the full subscription of capital increase carried out by Itaú). On October 3, 2020, the interlocutory relief was granted to suspend the enforceability of the tax credit. On April 7, 2025, a judgment was rendered granting the plaintiff's claims. The Bank subsequently filed a Motion for Clarification (“Embargos de Declaração”) seeking the correction of a material error in the judgment, which remains pending adjudication. g. Summary of decisions on the merits issued: Judgment rendered granting the claim, thereby annulling the tax assessment. h. Case status: Judgment Date: April 7, 2025; Awaiting adjudication of the Bank’s Motion for Clarification. i. Chance of loss: Remote. j. Reason why this case is deemed material: Amount in dispute. k. Analysis of the impact in the event of an unfavorable decision: Loss of the amount challenged. Case No.5000150-69.2021.403.6100 a. Court: Federal Regional Court (TRF) of the 3rd Region b. Jurisdiction: Appellate court (TRF3). c. Filing date: 01.06.2021 d. Parties to the proceedings: Itaú Unibanco S.A. vs. Federal Government (National Treasury). e. Amounts, assets or rights involved: R$1,562,663,050.86 (September/2025). f. Main facts: Writ of mandamus filed aimed to cancel the tax assessment notice levied aimed at the collection of social security contribution on payments made as profit sharing in 2009 and 2010 (originally the tax assessment notice also comprised taxation on the hiring bonus, which is being challenged under Action for Annulment No. 5010871-512019.403.6100, with a judgment for plaintiff, which is currently awaiting trial of the appeal filed by the Federal


 
Government). In the records of the writ of mandamus, on January 12, 2021, a preliminary injunction was granted to suspend the enforceability of the tax credit related to the collection of social security contribution on profit sharing. On July 16, 2021 the judgment that partially granted the preliminary injunction was rendered. On October 10, 2022, the TRF of 3rd Region handed down the appellate decision that upheld the judgment. The parties filed Special Appeals and the PGFN otherwise filed an Extraordinary Appeal, with the former being denied and the latter being not entertained. The interlocutory appeals filed by the parties are pending trial. The Special Appeal interlocutory motions were acknowledged by the Superior Court of Justice (STJ), and the Special Appeals were denied. The case is currently awaiting the potential filing of Internal Appeals by the parties. Internal Appeals were filed by the parties, pending judgment. g. Summary of decisions on the merits issued: Preliminary injunction and writ of mandamus were partially granted to dismiss the assessed portion calculated on a portion of profit sharing (the one meeting the legal frequency limits) which, therefore, is excluded from taxation. Furthermore, the part of the initial pleading intended to avert the entire original assessment (portion already paid, which we asked for refund only) was dismissed. The appellate decision on this appeal upheld the judgment, on the grounds that the defect of part of the profit sharing payments regarding the frequency does not apply to the entire profit sharing. h. Case status: Preliminary injunction: 01.12.2021; Judgment: 07.16.2021; Ruling on motion for clarification: 09.21.2021; Appellate decision on appeal and official review: 10.10.2022; Appellate decision on first motion for clarification: 03.14.2023; Appellate decision on second motion for clarification: 07.10.2023; Special appeals denied and extraordinary appeal not being entertained: 06.10.2024; Decisions denying the Special Appeals: 07.02.2025; Awaiting judgment of Internal Appeals by the parties. i. Chance of loss: Remote. j. Reason why this case is deemed material: Amount in dispute. k. Analysis of the impact in the event of an unfavorable decision: Loss of the amount challenged. Case No. 5026711-91.2025.4.03.6100 a. Court: 9th Federal Civil Court, São Paulo, State of São Paulo. b. Jurisdiction: Lower court – Federal Courts of the State of São Paulo (JFSP). c. Filing date: 01.18.2018 d. Parties to the proceedings: Federal Government (National Treasury) vs. Banco Itaucard S.A. e. Amounts, assets or rights involved: R$1,532,722,984.63 (September/2025).


 
f. Main facts: Annulment action seeking to invalidate Tax Assessment Notice No. 16327.720004/2018-01, issued in connection with the assessment of PIS and COFINS contributions, based on the alleged failure to subject the economic and financial results of leasing transactions to taxation. g. Summary of decisions on the merits issued: To date, no judicial decision on the merits has been rendered in this proceeding. h. Case status: Pending adjudication at the lower court level. i. Chance of loss: Possible. j. Reason why this case is deemed material: Amount in dispute. k. Analysis of the impact in the event of an unfavorable decision: Loss of the amount under dispute. Case No. 16327.720774/2018-45 a. Court: Administrative Board of Tax Appeals (CARF). b. Jurisdiction: Administrative appellate court (CARF). c. Filing date: 10.26.2018 d. Parties to the proceedings: Federal Government (National Treasury) vs. Itaú Unibanco S.A. e. Amounts, assets or rights involved: R$3,847,460,990.80 (September/2025). f. Main facts: Tax assessment notice for the collection of corporate income tax (IRPJ), social contribution (CSLL), PIS and COFINS (taxes on income) and fines (2012 to 2013) arising from disallowance of operating expenses (interbank deposits) related to funds capitalized among Group companies. DRJ dismissed the appeal filed. Meanwhile, CARF granted part of the voluntary appeal. A motion for clarification was filed by the company, and a special appeal was filed by the Federal Government. As the motion for clarification filed by the Taxpayer was denied, the company filed a special appeal on December 23, 2024. The special appeals filed by both the Taxpayer and the Federal Government are pending trial. g. Summary of decisions on the merits issued: DRJ upheld the assessment notice as it understood that these transactions had no business intent. CARF, on merits and by the casting vote, upheld this understanding, but averted the aggravation of the fine on assessment and recognized the partial preemption of the IPJ and CSLL taxable events. h. Case status: Appellate decision by DRJ: 06.11.2019; Appellate decision by CARF: 05.29.2023; Special appeals filed by both the Federal Government and the Bank are pending trial. i. Chance of loss: Possible (R$1,297,789,504.42) and Remote (R$2,549,671,486.38). j. Reason why this case is deemed material: Amount in dispute.


 
k. Analysis of the impact in the event of an unfavorable decision: In the event of an unfavorable outcome at administrative level, the case will be taken to the judicial courts, with possible pledge of guarantee required. Case No.5026528-67.2018.4.03.6100 a. Court: Federal Regional Court (TRF) of the 3rd Region b. Jurisdiction: Appellate court (TRF3). c. Filing date: 11.14.2013 d. Parties to the proceedings: Itaú Unibanco S.A. vs. Federal Government (National Treasury). e. Amounts, assets or rights involved: R$3,712,419,635.75 (September/2025). f. Main facts: Tax assessment notice for the collection of corporate income tax (IRPJ) and social contribution (CSLL) on the grounds of alleged capital gain arising from the association between the Itaú and Unibanco conglomerates, assigned to E. Johnston Representação e Participações. A voluntary appeal was filed by the taxpayer, which was dismissed by CARF. The case was terminated with an unfavorable decision rendered by CSRF on September 28, 2018. Therefore, on October 22, 2018, the company filed Action for Annulment No. 5026528- 67.2018.4.03.6100, which is currently pending at the Federal Courts of São Paulo. Interlocutory relief was granted in connection with this action on October 26, 2018, with the claim granted on October 2, 2020. The appeal filed by the Federal Government is currently pending trial. g. Summary of decisions on the merits issued: Favorable judgment at trial court fully granted the claim to nullify the tax assessment notice. h. Case status: Interlocutory relief: 10.26.2018; Judgment: 10.02.2020; The appeal filed before the TRF3 is pending trial. i. Chance of loss: Remote. j. Reason why this case is deemed material: Amount in dispute. k. Analysis of the impact in the event of an unfavorable decision: Loss of the amount challenged. Case No. 0204699-55.0500.8.26.0090 (204.699/05) a. Court: Municipal Tax Foreclosure Court of São Paulo (state of São Paulo). b. Jurisdiction: Lower court – Municipal Tax Foreclosure Court of São Paulo. c. Assignment date: 11.30.2005 d. Parties to the proceedings: Municipality of São Paulo vs. Banco Itauleasing S.A. (formerly Cia Itauleasing de Arrendamento Mercantil).


 
e. Amounts, assets or rights involved: R$5,209,807,835.92 (September/2025). f. Main facts: Tax foreclosure filed by the Municipality of São Paulo to collect service tax (ISS) on leasing operations on the grounds that such amounts were unduly paid to the Municipality of Poá. A motion to stay execution is pending trial. g. Summary of decisions on the merits issued: Judgment for defendant on motion to stay execution was rendered, which was later rendered null and void by means of the appeal filed by the Appellate Court of the State of São Paulo, h. Case status: Lower court ruling is pending. (previous judgment- nullified: August 20, 2008; appellate decision by the TJSP that rendered the previous judgment null and void: 02.27.2014) i. Chance of loss: Remote. j. reason why this case is deemed material: Amount in dispute. k. Analysis of the impact in the event of an unfavorable decision: Loss of the amount challenged. Case No. 1000510-36.2021.8.26.0462 a. Court: 2nd Civil Lower Court of Poá (State of São Paulo). b. Jurisdiction: Lower court (Poá/state of São Paulo). c. Filing date: 02.22.2021 d. Parties to the proceedings: Banco Itaucard S.A. vs. Municipality of São Paulo vs. Municipality of Poá e. Amounts, assets or rights involved: R$8,636,738,798.22 (September/2025). f. Main facts: Tax assessment notices levied by the Municipality of São Paulo to challenge the place of payment of service tax (ISS) on credit card and leasing operations, on the grounds that these payments were unduly made to the Municipality of Poá. After unfavorable decisions at the administrative level, the company filed a lawsuit to obtain a statement of existence of a legal tax relationship between Banco Itaucard and the Municipality of Poá and the resulting cancellation of the charges made by the Municipality of São Paulo or the recovery of the undue payment made to the Municipality of Poá. g. Summary of decisions on the merits issued: Decisions on the merits for this case have not yet been rendered. h. Case status: Awaiting judgment to be rendered. i. Chance of loss: Possible (R$4,317,746,118.99) and Remote (R$4,318,992,679.23). j. Reason why this case is deemed material: Amount in dispute. k. Analysis of the impact in the event of an unfavorable decision: Loss of the amount challenged.


 
Case No. 16561.720011/2020-46 a. Court: Administrative Board of Tax Appeals (CARF). b. Jurisdiction: Administrative appellate court (CARF). c. Filing date: 04.15.2020 d. Parties to the proceedings: Federal Government (National Treasury) vs. Redecard S.A. and Others. e. Amounts, assets or rights involved: R$6,972,830,530.07 (September/2025). f. Main facts: Tax assessment notice levied on Redecard arising from disallowance of goodwill on acquisition of Redecard’s shares by Banestado through a public offering of shares, and a 150% fine and a separate fine were levied on the alleged non-payment of monthly estimates. Objection was filed and partially granted at the Federal Revenue Service Judgment Office (DRJ) to exclude the aggravated fine and the presumed joint and several liability. A voluntary appeal and a mandatory review were filed. On February 20, 2024, CARF upheld the exclusion of the aggravated fine and joint and several liability, as well as granting part the voluntary appeal filed by the Taxpayer. The Federal Government filed a special appeal, whereas the Taxpayer filed a motion for clarification, and both are pending trial. g. Summary of decisions on the merits issued: DRJ rendered a partially favorable decision to exclude the aggravated fine and the joint and several liability. CARF’s decisions on the appeals were as follows: (i) denied the aggravated fine and joint and several liability; (ii) denied the collection of the portion of goodwill related to interests acquired from Itaú Group’s non-related parties; (iii) upheld the assessment notice of the portion of goodwill related to interests acquired from Itaú Group’s related parties; and (iv) upheld the levy of the separate fine. h. Case status: Appellate decision by DRJ: 12.07.2020; Appellate decision by CARF: 02.20.2024; The Federal Government filed a special appeal, whereas the Taxpayer filed a motion for clarification, and both are pending trial. i. Chance of loss: Remote. j. Reason why this case is deemed material: Amount in dispute. k. Analysis of the impact in the event of an unfavorable decision: In the event of an unfavorable outcome at administrative level, the case will be taken to the judicial courts, with possible pledge of guarantee required.


 
Case No. 16561.720086/2018-11 a. Court: Administrative Board of Tax Appeals (CARF). b. Jurisdiction: Administrative appellate court (CARF). c. Filing date: 11.14.2018 d. Parties to the proceedings: Federal Government (National Treasury) vs. Redecard S.A. e. Amounts, assets or rights involved: R$7,160,978,926.36 (September/2025). f. Main facts: Tax assessment notice levied on Redecard arising from disallowance of goodwill on acquisition of Redecard’s shares by Banestado through a public offering of shares, and a 150% fine and a separate fine were levied on the grounds of non-payment of monthly estimates for the 2013-2015 period. The administrative lower court has partially granted the objection filed to avert the aggravated fine. A voluntary appeal and a mandatory review were filed. On February 20, 2024, CARF upheld the exclusion of the aggravated fine and joint and several liability, as well as it partially granted the voluntary appeal filed by the Taxpayer. Both the Federal Government and the Taxpayer filed special appeals, which are pending trial. g. Summary of decisions on the merits issued: DRJ rendered a partially favorable decision to exclude the aggravated fine and the joint and several liability. CARF’s decisions on the appeals were as follows: (i) denied the aggravated fine and joint and several liability; (ii) denied the collection of the portion of goodwill related to interests acquired from Itaú Group’s non-related parties; (iii) upheld the assessment notice of the portion of goodwill related to interests acquired from Itaú Group’s related parties; and (iv) upheld the levy of the separate fine. h. Case status: Appellate decision by DRJ: 07.04.2019; Appellate decision by CARF: 02.20.2024; Special appeals filed by both the Federal Government and the Taxpayer are pending trial. i. Chance of loss: Remote. j. Reason why this case is deemed material: Amount in dispute. k. Analysis of the impact in the event of an unfavorable decision: In the event of an unfavorable outcome at administrative level, the case will be taken to the judicial courts, with possible pledge of guarantee required. Case No. 16327.720946/2018-81 a. Court: Administrative Board of Tax Appeals (CARF). b. Jurisdiction: Administrative appellate court (CARF).


 
c. Filing date: 12.21.2018 d. Parties to the proceedings: Federal Government (National Treasury) vs. Banco Itaucard S.A. e. Amounts, assets or rights involved: R$15,564,999,972.20 (September/2025). f. Main facts: Tax assessment notice for collection of corporate income tax (IRPJ), social contribution (CSLL), PIS and COFINS (taxes on income) and fines (2012 to 2015) arising from disallowance of operating expenses (interbank deposits) related to funds capitalized among Group companies. DRJ dismissed the appeal filed. A voluntary appeal was lodged and partially upheld; service of the CARF ruling remains pending. g. Summary of decisions on the merits issued: DRJ upheld the assessment notice as it understood that these transactions had no business intent. CARF adjudicated the voluntary appeal as follows: (i) by casting vote, sustained the disallowance of IRPJ/CSLL deductions and the isolated fine; and (ii) unanimously, set aside the aggravated penalty and annulled the periods barred by prescription. h. Case status: Appellate decision by DRJ: 05.31.2019. CARF appellate decision: 08.26.2025 Waiting service for CARF appellate decision. i. Chance of loss: Possible (R$4,398,881,115.49) and Remote (R$11,166,118,856.71). j. Reason why this case is deemed material: Amount in dispute. k. Analysis of the impact in the event of an unfavorable decision: In the event of an unfavorable outcome at administrative level, the case will be taken to the judicial courts, with possible pledge of guarantee required. Case No.16327.720680/2013-61 a. Court: Administrative Board of Tax Appeals (CARF). b. Jurisdiction: Administrative higher court (Higher Chamber of Tax Appeals (CSRF). c. Filing date: 06.25.2013 d. Parties to the proceedings: Federal Revenue Service vs. Itaú Unibanco Holding S.A. e. Amounts, assets or rights involved: R$36,528,121,217.03 (September/2025). f. Main facts: Tax assessment notice for collection of corporate income tax (IRPJ) and social contribution (CSLL) for fiscal year 2008, arising from the transaction that led to the association between Itaú Holding and Unibanco Holding S.A. On April 10, 2017, CARF rendered a decision for the Company by cancelling the tax assessment notice. The special appeal filed by the Federal Revenue Service was suspended by CARF until the final trial of Writ of Mandamus No.


 
1017987-56.2017.4.01.3400 filed against the admissibility of the special appeal lodged by the Federal Government, with the appeal filed by the Federal Government pending trial. g. Summary of decisions on the merits issued: PA 16327.720680/2013-61: On majority of votes. The voluntary appeal to cancel the assessment in full was granted at CARF. Writ of mandamus (MS) 1017987-56.2017.4.01.3400: preliminary injunction and writ of mandamus were granted to dismiss the admissibility of the special appeal filed by the Federal Government, thus rendering a final and unappealable decision at the administrative level for the company. On October 11, 2021 the appeal filed by the Federal Government was dismissed by majority of votes (2x1), with the resulting suspension of the trial so that a broader trial is held in accordance with Article 942 of the Code of Civil Procedure (CPC). h. Case status: Administrative level: Appellate decision by CARF: 04.10.2017; Special appeal filed by the Federal Government (National Treasury) suspended and awaiting the termination of MS 017987.56.2017.4.01.3400. At judicial level: Preliminary injunction: 12.14.2017; Judgment: 07.18.2018; Awaiting the broader trial on the appeal filed by the Federal Government, which has already been denied by majority of votes. i. Chance of loss: Remote. j. Reason why this case is deemed material: Amount in dispute. k. Analysis of the impact in the event of an unfavorable decision: In the event of an unfavorable outcome at administrative level, the case will be taken to the judicial courts, with possible pledge of guarantee required. Case No.16327.720021/2024-88 (Partial Adhesion to the PTI) a. Court: Federal Revenue Service (Federal Revenue Service Judgment Office (DRJ). b. Jurisdiction: Administrative lower court (DRJ). c. Filing date: 12.04.2024 d. Parties to the proceedings: Federal Government (National Treasury) vs. Itaú Unibanco S.A. e. Amounts, assets or rights involved: R$4,007,712,242.43 (September/2025). f. Main facts: Tax assessment notice aimed to the collection of income tax (IRPJ) and social contribution (CSLL) on the grounds of alleged insufficient balance of Income tax and social contribution loss carryforwards offset in 2019. The Federal Revenue Service understands that a number of lawsuits and administrative proceedings, which have not yet become final and unappealable, definitively impact balances. An objection was filed, which is pending trial, In respect of the outstanding installment under the PTI.


 
g. Summary of decisions on the merits issued: Decisions on the merits for this case have not yet been rendered. h. Case status: Objection filed at DRJ is pending trial. i. Chance of loss: Possible. j. Reason why this case is deemed material: Amount in dispute. k. Analysis of the impact in the event of an unfavorable decision: In the event of an unfavorable outcome at administrative level, the case will be taken to the judicial courts, with possible pledge of guarantee required. Case No. 16327.986118/2025-32 a. Court: Federal Revenue Secretariat of Brazil (Tax Appeals Office – DRJ) b. Jurisdiction: First-Level Administrative Instance (Tax Appeals Office – DRJ) c. Filing date:06.10.2025 d. Parties to the proceedings: Union (National Treasury) v. Itaú Unibanco S.A. e. Amounts, assets or rights involved: R$2,678,507,970.33 (September/2025). f. Main facts: Denial of offsetting a negative IRPJ balance in 2019, resulting from the disallowance of a tax credit generated between 2013 and 2017. The primary ground for the denial was the interpretation that the utilization of such tax credits in subsequent years is conditional upon the existence of tax losses in the original periods — an understanding that lacks legal basis and is subject to strong legal arguments for its dismissal. A Statement of Nonconformity has been submitted. g. Summary of decisions on the merits issued: No decisions on the merits have yet been rendered in this case. h. Case status: Awaiting adjudication of the Notice of Nonconformity before the Tax Appeals Office (DRJ). i. Chance of loss: Remote j. Reason why this case is deemed material: Amount of the contingency involved. k. Analysis of the impact in the event of an unfavorable decision: In the event of an unfavorable outcome at the administrative level, the debt will be challenged in the judicial sphere, with the potential submission of a guarantee. Labor Claims No labor claims in the period, under the materiality criteria set for this document. Administrative Proceeding Case No.08700.008182/2016-57 a. Court: Brazilian antitrust agency (CADE). b. Jurisdiction: Administrative lower court – General Superintendency of the Brazilian antitrust agency (CADE). c. Filing date: Published in the Official Gazette of the Federal Government on December 8, 2016. d. Parties to the proceedings: CADE ex officio vs. Banco Itaú BBA S.A and Others.


 
e. Amounts, assets or rights involved: In accordance with Law No. 12529/11, Article 37, item I, any violation of the economic order subjects the company to a fine ranging from one- tenth percent (0.1%) to twenty percent (20%) of the gross revenue of such company, group or conglomerate, earned in the last year prior to the filing of the administrative proceeding, in the business field in which the alleged violation was committed, which will never be lower than the alleged advantage gained whenever such calculation is possible. On the grounds of lack of definition of the calculation basis to be applicable, as well as the significant wide range of percentages applicable, it is not possible to estimate the fine amounts in the event of an unfavorable decision. f. Main facts: This is an administrative proceeding filed to investigate alleged cartel in the Brazilian onshore foreign exchange market involving the Brazilian currency (Brazilian real). These presumed antitrust conducts would have been engaged mainly in the FX spot and futures (derivatives) markets. These practices under investigation would have been engaged in Brazil by certain financial institutions (Banco Itaú BBA S.A., among them) and individuals located in the Brazilian territory. The defense was timely filed on January 8, 2018. No material developments occurred, even though settlements were signed with CADE, notably by Citibank. g. Summary of decisions on the merits issued: No decisions on merits have been issued yet. h. Case status: Still under review by the General Superintendency of CADE. i. Chance of loss: Possible. j. Reason why this case is deemed material: Image risk. k. Analysis of the impact in the event of an unfavorable decision: payment of a fine. Case No.08700.002066/2019-77 a. Court: Brazilian antitrust agency (CADE). b. Jurisdiction: Administrative appellate court. c. Filing date: April 18, 2019 (start of investigation) d. Parties to the proceedings: CADE ex officio vs. Itaú Unibanco S.A and Redecard S.A. e. Amounts, assets or rights involved: Not applicable. f. Main facts: In April 2019, the General Superintendency of CADE filed an administrative proceeding against Itaú Unibanco and Redecard to investigate an alleged antitrust practice in the credit card receivables market. Redecard had launched a program under which it would settle/clear credit card receivables in an account held at Itaú Unibanco in mere two days. CADE filed a preliminary injunction requesting the program to be suspended, which was dismissed as the program was upheld by virtue of a preliminary decision issued by the Federal Courts. In December 2019, Redecard decided to clear all bank accounts within two days, regardless of whether they were held at Itaú Unibanco, and as a result the lawsuit that upheld the program lost its purpose. Redecard and Itaú Unibanco filed their defenses, including legal and economic opinions, to evidence the inexistence of antitrust practices. The case was granted a favorable decision by the General Superintendency of CADE and the Department of Economic Studies, which understood there was no antitrust conduct in the case in question. Case currently pending at the Appellate Court (Member Camila Alves, after the vote cast by Member Victor


 
Fernandes to dismiss the case. The latter subsequently voted, after having requested to see the records, on the adverse vote of Member Gustavo Augusto who did not levied a fine to the defendants). Member Gustavo Augusto had determined the testimony of the Federal Public Prosecution Office and the Counsel to CADE, who also expressed their opinions for the termination of the case. Three court members (José Levi, Charles Jaques, and Camila Alves) still need to vote. Members Diogo Thompson and Alexandre Cordeiro were disqualified from voting. That is the appellate court who will decide either against the defendants or to terminate the case. g. Summary of decisions on the merits issued: The General Superintendency of CADE and the Department of Economic Studies, Federal Public Prosecution Office, and Member Victor Fernandes have issued a technical note, in the first case, and cast a vote, in the later, understanding that there was no antitrust conduct in D+2. h. Case status: Currently pending at the CADE, with records to be seen by Member Camila Alves, who notified the Central Bank of Brazil as BACEN to provide information on the receivables market. In its response, the Central Bank has not provided significant information to the case. Member Camila Alves has set a ten-day period (counting from 4.7) for a statement to be expressed on Central Bank’s response. Case may be included in the Appellate Court’s agenda for a final decision to be rendered (if no other requests to see the records are made) by the end of the second half of 2025. i. Chance of loss: Possible. j. Reason why this case is deemed material: Image risk. k. Analysis of the impact in the event of an unfavorable decision: Administrative fine (not possible to estimate) and reputational damage. Arbitration Proceedings The Issuer is not a party to any arbitration proceeding pending on September 30, 2025 that is material in terms of the matter or amount involved. Environmental Proceedings No environmental proceeding was filed in the period, in accordance with the materiality criteria set for this document.


 
4.5. State the total amount of provision, if any, for the proceedings described in item 4.4 The total amount provided for the claims described in 4.4. is R$1.27 million for civil proceedings, in base-date: 09.30.2025.


 
4.7. Describe other material contingencies not included in the previous items The amounts involved in the main tax and social security proceedings whose chance of loss is possible, which are not described in item 4.4, total R$26,584 million, as described below: R$ million Tax Issue Amount INSS INSS - Non-compensatory amounts: we defend the non-levy of non-compensatory amounts, profit sharing and stock option grant plan. 4,962 ISS Banking activities: We challenge the levy and/or place of payment of ISS for certain banking revenues. 3,590 IRPJ/CSLL/PIS/COFINS Request for offset rejected: cases in which liquidity and certainty of offset credit are analyzed. 2,435 IRPJ and CSLL Goodwill - Deduction: we challenge the deductibility of goodwill on acquisition of investments with expected future profitability. 2,368 IRPJ/CSLL Deductibility of losses in loan operations: we challenge tax assessment notices aimed at the collection of IRPJ and CSLL amounts due to alleged non-compliance with legal criteria for the deduction of losses on receipt of credits. 2,032 IRPJ and CSLL Disallowance of losses: We challenge the amount of tax loss and/or tax loss carryforwards used by the Federal Revenue Service in tax assessment notices, which are still pending a final decision. 1,703 PIS and COFINS Reversal of revenues from excess depreciation: we challenge the accounting and tax treatment granted to PIS and COFINS upon settlement of lease operations. 1,195 Total 18,285 Base date: 09.30.2025


 
6.1/6.2 - STOCKHOLDING POSITION BASE DATE 11.27.2025 Itaú Unibanco Holding S.A. Ordinary Shares % Preferrend Shares % Total % IUPAR - Itaú Unibanco Participações S.A. 2,820,492,844 51.713% - - 2,820,492,844 26.346% Nationality: Brasileira CNPJ (**) 04.676.564/0001-08 Itaúsa S.A. 2,138,297,234 39.205% 186,255 0.004% 2,138,483,489 19.975% Nationality: Brasileira CNPJ (**) 61.532.644/0001-15 BlackRock, INC - - 384,917,606 7.330% 384,917,606 3.595% Nationality: American CNPJ (**) n/a GQG Partners LLC - - 266,554,591 5.076% 266,554,591 2.490% Nationality: American CNPJ (**) n/a Treasury - - 334,624 0.006% 334,624 0.003% Others 495,329,317 9.082% 4,599,585,774 87.585% 5,094,915,091 47.591% Total 5,454,119,395 100.000% 5,251,578,850 100.000% 10,705,698,245 100.000% (*) Individual Taxpayer’s Registry (CPF) (**) National Register of Legal Entity (CNPJ) BASE DATE 12.31.2024 IUPAR - Itaú Unibanco Part. S.A. Ordinary Shares % Preferrend Shares % Total % Itaúsa S.A. 355,227,092 50.000% 350,942,273 100.000% 706,169,365 66.532% Nationality: Brasileira CNPJ (**) 61.532.644/0001-15 Cia. E. Johnston de Participações 355,227,092 50.000% - - 355,227,092 33.468% Nationality: Brasileira CNPJ (**) 04.679.283/0001-09 Total 710,454,184 100.000% 350,942,273 100.000% 1,061,396,457 100.000% BASE DATE 12.31.2024 Cia. E. Johnston de Part. Ordinary Shares % Preferrend Shares % Total % Fernando Roberto Moreira Salles 3,274,000 50.000% 6,548,000 50.000% 9,822,000 50.000% Nationality: Brasileira CPF (*) 002.938.068-53 Pedro Moreira Salles 2,881,120 44.000% 5,762,240 44.000% 8,643,360 44.000% Nationality: Brasileira CPF (*) 551.222.567-72 João Moreira Salles 392,880 6.000% 785,760 6.000% 1,178,640 6.000% Nationality: Brasileira CPF (*) 295.520.008-58 Total 6,548,000 100.000% 13,096,000 100.000% 19,644,000 100.000%


 
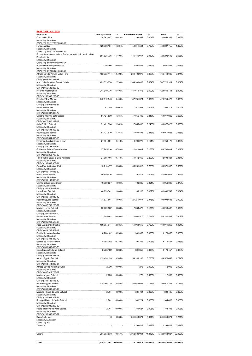
BASE DATE 10.31.2025 Itaúsa S.A. Ordinary Shares % Preferrend Shares % Total % Companhia ESA 34,363,487 0.910% 292,862 0.004% 34,656,349 0.315% Nationality: Brasileira CNPJ (**) 52.117.397/0001-08 Fundação Itaú 429,996,161 11.381% 52,811,594 0.732% 482,807,755 4.392% Nationality: Brasileira CNPJ (**) 59.573.030/0001-30 Fundação Antonio e Helena Zerrenner Instituição Nacional de Beneficência 581,825,725 15.400% 146,466,917 2.030% 728,292,642 6.625% Nationality: Brasileira CNPJ (**) 60.480.480/0001-67 Rudric ITH Participações Ltda. 3,156,066 0.084% 2,501,468 0.035% 5,657,534 0.051% Nationality: Brasileira CNPJ (**) 67.569.061/0001-45 Alfredo Egydio Arruda Villela Filho 483,333,114 12.793% 283,409,975 3.928% 766,743,089 6.974% Nationality: Brasileira CPF (*) 066.530.838-88 Ana Lúcia de Mattos Barreto Villela 483,333,078 12.793% 264,393,833 3.664% 747,726,911 6.801% Nationality: Brasileira CPF (*) 066.530.828-06 Ricardo Villela Marino 241,940,736 6.404% 187,614,375 2.600% 429,555,111 3.907% Nationality: Brasileira CPF (*) 252.398.288-90 Rodolfo Villela Marino 242,012,549 6.406% 187,731,924 2.602% 429,744,473 3.909% Nationality: Brasileira CPF (*) 271.943.018-81 Paulo Setubal Neto 41,295 0.001% 517,984 0.007% 559,279 0.005% Nationality: Brasileira CPF (*) 638.097.888-72 Carolina Marinho Lutz Setubal 51,421,530 1.361% 17,655,492 0.245% 69,077,022 0.628% Nationality: Brasileira CPF (*) 077.540.228-18 Julia Guidon Setubal 51,421,530 1.361% 17,655,492 0.245% 69,077,022 0.628% Nationality: Brasileira CPF (*) 336.694.358-08 Paulo Egydio Setubal 51,421,530 1.361% 17,655,492 0.245% 69,077,022 0.628% Nationality: Brasileira CPF (*) 336.694.318-10 Fernando Setubal Souza e Silva 27,964,891 0.740% 13,794,279 0.191% 41,759,170 0.380% Nationality: Brasileira CPF (*) 311.798.878-59 Guilherme Setubal Souza e Silva 27,965,030 0.740% 12,818,604 0.178% 40,783,634 0.371% Nationality: Brasileira CPF (*) 269.253.728-92 Tide Setubal Souza e Silva Nogueira 27,965,465 0.740% 14,542,859 0.202% 42,508,324 0.387% Nationality: Brasileira CPF (*) 296.682.978-81 Olavo Egydio Setubal Júnior 13,710,477 0.363% 55,261,510 0.766% 68,971,987 0.627% Nationality: Brasileira CPF (*) 006.447.048-29 Bruno Rizzo Setubal 40,959,536 1.084% 97,472 0.001% 41,057,008 0.373% Nationality: Brasileira CPF (*) 299.133.368-56 Camila Setubal Lenz Cesar 40,959,537 1.084% 100,349 0.001% 41,059,886 0.373% Nationality: Brasileira CPF (*) 350.572.098-41 Luiza Rizzo Setubal 40,959,542 1.084% 109,200 0.002% 41,068,742 0.374% Nationality: Brasileira CPF (*) 323.461.948-40 Roberto Egydio Setubal 71,637,561 1.896% 27,271,077 0.378% 98,908,638 0.900% Nationality: Brasileira CPF (*) 007.738.228-52 Mariana Lucas Setubal 32,209,962 0.853% 12,030,570 0.167% 44,240,532 0.402% Nationality: Brasileira CPF (*) 227.809.998-10 Paula Lucas Setubal 32,209,962 0.853% 12,030,570 0.167% 44,240,532 0.402% Nationality: Brasileira CPF (*) 295.243.528-69 José Luiz Egydio Setubal 109,007,641 2.885% 51,963,619 0.720% 160,971,260 1.464% Nationality: Brasileira CPF (*) 011.785.508-18 Beatriz de Mattos Setubal 8,788,102 0.233% 391,355 0.005% 9,179,457 0.083% Nationality: Brasileira CPF (*) 316.394.318-70 Gabriel de Mattos Setubal 8,788,102 0.233% 391,355 0.005% 9,179,457 0.083% Nationality: Brasileira CPF (*) 348.338.808-73 Olavo Egydio Mutarelli Setubal 8,788,102 0.233% 391,355 0.005% 9,179,457 0.083% Nationality: Brasileira CPF (*) 394.635.348-73 Alfredo Egydio Setubal 135,428,159 3.585% 54,148,287 0.750% 189,576,446 1.724% Nationality: Brasileira CPF (*) 014.414.218-07 Alfredo Egydio Nugent Setubal 2,720 0.000% 276 0.000% 2,996 0.000% Nationality: Brasileira CPF (*) 407.919.708-09 Marina Nugent Setubal 2,720 0.000% 276 0.000% 2,996 0.000% Nationality: Brasileira CPF (*) 384.422.518-80 Ricardo Egydio Setubal 135,366,135 3.583% 54,644,088 0.757% 190,010,223 1.728% Nationality: Brasileira CPF (*) 033.033.518-99 Marcelo Ribeiro do Valle Setubal 2,761 0.000% 381,724 0.005% 384,485 0.003% Nationality: Brasileira CPF (*) 230.936.378-21 Rodrigo Ribeiro do Valle Setubal 2,761 0.000% 381,724 0.005% 384,485 0.003% Nationality: Brasileira CPF (*) 230.936.298-02 Patricia Ribeiro do Valle Setubal 2,761 0.000% 355,627 0.005% 358,388 0.003% Nationality: Brasileira CPF (*) 230.936.328-62 BlackRock, Inc 0 0.000% 361,049,971 5.004% 361,049,971 3.284% Nationality: American CNPJ (**) n/a Treasury - - 2,294,423 0.032% 2,294,423 0.021% Others 361,083,833 9.557% 5,362,580,094 74.318% 5,723,663,927 52.063% Total 3,778,072,561 100.000% 7,215,738,072 100.000% 10,993,810,633 100.000%


 
BASE DATE 09.11.2025 Companhia ESA Ordinary Shares % Total % Rudric ITH Participações Ltda. 3,156,066 0.133% 3,156,066 0.133% Nationality: Brasileira CNPJ (**) 67.569.061/0001-45 Alfredo Egydio Arruda Villela Filho 483,333,114 20.387% 483,333,114 20.387% Nationality: Brasileira CPF (*) 066.530.838-88 Ana Lúcia de Mattos Barreto Villela 483,333,078 20.387% 483,333,078 20.387% Nationality: Brasileira CPF (*) 066.530.828-06 Ricardo Villela Marino 241,940,736 10.205% 241,940,736 10.205% Nationality: Brasileira CPF (*) 252.398.288-90 Rodolfo Villela Marino 242,012,549 10.208% 242,012,549 10.208% Nationality: Brasileira CPF (*) 271.943.018-81 Paulo Setubal Neto 41,295 0.002% 41,295 0.002% Nationality: Brasileira CPF (*) 638.097.888-72 Carolina Marinho Lutz Setubal 51,421,530 2.169% 51,421,530 2.169% Nationality: Brasileira CPF (*) 077.540.228-18 Julia Guidon Setubal Winandy 51,421,530 2.169% 51,421,530 2.169% Nationality: Brasileira CPF (*) 336.694.358-08 Paulo Egydio Setubal 51,421,530 2.169% 51,421,530 2.169% Nationality: Brasileira CPF (*) 336.694.318-10 Fernando Setubal Souza e Silva 27,964,891 1.180% 27,964,891 1.180% Nationality: Brasileira CPF (*) 311.798.878-59 Guilherme Setubal Souza e Silva 27,965,030 1.180% 27,965,030 1.180% Nationality: Brasileira CPF (*) 269.253.728-92 Tide Setubal Souza e Silva Nogueira 27,965,465 1.180% 27,965,465 1.180% Nationality: Brasileira CPF (*) 296.682.978-81 Olavo Egydio Setubal Júnior 13,710,477 0.578% 13,710,477 0.578% Nationality: Brasileira CPF (*) 006.447.048-29 Bruno Rizzo Setubal 40,959,536 1.728% 40,959,536 1.728% Nationality: Brasileira CPF (*) 299.133.368-56 Camila Setubal Lenz Cesar 40,959,537 1.728% 40,959,537 1.728% Nationality: Brasileira CPF (*) 350.572.098-41 Luiza Rizzo Setubal Kairalla 40,959,542 1.728% 40,959,542 1.728% Nationality: Brasileira CPF (*) 323.461.948-40 Roberto Egydio Setubal 71,637,561 3.022% 71,637,561 3.022% Nationality: Brasileira CPF (*) 007.738.228-52 Mariana Lucas Setubal 32,209,962 1.359% 32,209,962 1.359% Nationality: Brasileira CPF (*) 227.809.998-10 Paula Lucas Setubal 32,209,962 1.359% 32,209,962 1.359% Nationality: Brasileira CPF (*) 295.243.528-69 José Luiz Egydio Setubal 109,007,641 4.598% 109,007,641 4.598% Nationality: Brasileira CPF (*) 011.785.508-18 Beatriz de Mattos Setubal 8,788,102 0.371% 8,788,102 0.371% Nationality: Brasileira CPF (*) 316.394.318-70 Gabriel de Mattos Setubal 8,788,102 0.371% 8,788,102 0.371% Nationality: Brasileira CPF (*) 348.338.808-73 Olavo Egydio Mutarelli Setubal 8,788,102 0.371% 8,788,102 0.371% Nationality: Brasileira CPF (*) 394.635.348-73 Alfredo Egydio Setubal 135,428,159 5.712% 135,428,159 5.712% Nationality: Brasileira CPF (*) 014.414.218-07 Alfredo Egydio Nugent Setubal 2,720 0.000% 2,720 0.000% Nationality: Brasileira CPF (*) 407.919.708-09 Marina Nugent Setubal 2,720 0.000% 2,720 0.000% Nationality: Brasileira CPF (*) 384.422.518-80 Ricardo Egydio Setubal 135,366,135 5.710% 135,366,135 5.710% Nationality: Brasileira CPF (*) 033.033.518-99 Marcelo Ribeiro do Valle Setubal 2,761 0.000% 2,761 0.000% Nationality: Brasileira CPF (*) 230.936.378-21 Patricia Ribeiro do Valle Setubal 2,761 0.000% 2,761 0.000% Nationality: Brasileira CPF (*) 230.936.328-62 Rodrigo Ribeiro do Valle Setubal 2,761 0.000% 2,761 0.000% Nationality: Brasileira CPF (*) 230.936.298-02 Total 2,370,803,355 100.000% 2,370,803,355 100.000%


 
BASE DATE 12.31.2024 Rudric ITH Participações Ltda. Ordinary Shares % Total % Ricardo Villela Marino 37,507,724 50.000% 37,507,724 50.000% Nationality: Brasileira CPF (*) 252.398.288-90 Rodolfo Villela Marino 37,507,724 50.000% 37,507,724 50.000% Nationality: Brasileira CPF (*) 271.943.018-81 Total 75,015,448 100.000% 75,015,448 100.000%


 
6.3. - Distribution of Capital Date of last general stockholders' meeting/ Date of last update 04/17/2025 Number of stockholders - individuals (units) 512,628 Number of stockholders - companies (units) 12,896 Number of institutional investors (units) 1,382 Outstanding shares Outstanding shares correspond to the lssuer's total shares, except for those held by the parent company, the people related to the latter, the lssuer's management members, and treasury shares. Number of common shares (units) 442,831,339 8.119% Number of preferred shares (units) 5,194,426,579 98.912% Total 5,637,257,918 52.657%


 
6.4. Relevant companies in which the issuer has an interest Social Denomination Corporate Taxpayer ID (CNPJ) Issuer´s participation (%) Banco Itaú Uruguay S.A. 11.929.613/0001-24 100.000000 Banco Itaucard S.A. 17.192.451/0001-70 100.000000 Itaú Chile Inversiones, Servicios Y Administracion S.A. 08.988.150/0001-67 99.999470 IGA Participações S.A. 04.238.150/0001-99 100.000000 Itaú Consultoria de Valores Mobiliários e Participações S.A. 58.851.775/0001-50 100.000000 Banco Itaú Chile 12.262.596/0001-87 26.299650 Itaú Corretora de Valores S.A. 61.194.353/0001-64 99.999990 Itaú Rent Administração e Participações Ltda. 02.180.133/0001-12 14.17270 Itaú Seguros S.A. 61.557.039/0001-07 0.000220 Itaú Unibanco S.A. 60.701.190/0001-04 100.000000 ITB Holding Brasil Participações Ltda. 04.274.016/0001-43 0.000001 Oca S.A. 08.988.128/0001-17 100.000000 Redecard Instituição de Pagamento S.A. 01.425.787/0001-04 19.378540 Itauseg Participações S.A. 07.256.507/0001-50 26.422550 Luizacred S.A. Soc. Crédito Financiamento Investimento 02.206.577/0001-80 50.000000 Itaú Unibanco Veículos Administradora de Consórcios Ltda. 42.421.776/0001-25 99.999990 Microinvest S.A. Sociedade de Crédito a Microempreendedor 05.076.239/0001-69 99.999990 Banco Itaú Veículos S.A. 61.190.658/0001-06 100.000000 Itauseg Saúde S.A. 04.463.083/0001-06 53.71873 Albarus S.A. 05.786.118/0001-00 1.751690 Itaú Administradora de Consórcios Ltda. 00.000.776/0001-01 0.001000 Itau BBA Assessoria Financeira S.A. 04.845.753/0001-59 99.950830 Itaú International Holding (Cayman) Ltd. 05.706.252/0001-54 100.000000


 
6.5 Insert the issuer's shareholder organization chart and the economic group to which it belongs. indicating: a. all direct and indirect controlling shareholders and. if the issuer wishes. the shareholders with participation equal to or greater than 5% of a class or type of shares Itaú U nibanco Holdin g S.A. IU PAR - Itaú U nibanco Participações Itaúsa S.A. 39.21% ON 19.83% Total 51.71% ON 26.15% Total 50.00% ON 100.00% PN 66.53% Total Free Float (*) (1) Cia. E . Johnston de Participações 8.12% ON 98.91% PN 52.66% Total 50.00 % ON 33.47% Total Family Egydio de Souza Aranha Free Float (*)(2)Family Moreira Salles 100.00% Total 63.52% ON 17.84% PN 33.54% Total 36.22% ON 81.17% PN 65.72% Total Banco Itaucard S.A.Itaú U nibanco S.A. Itaú Consultoria de Valores Mobiliários e Participações S.A. OCA S.A. Itaú Corretora de Valores S.A. Itaú BBA Assessoria Financeira S.A. Banco Itaú Uruguay S.A. 100.00% Total 100.00% Total 100.00% ON 100.00% PN 100.00%Total 99.99% ON 100.00% PN 99.99%Total 100.00% ON 100.00% PN 100.00%Total 99.95% ON 99.95% PN 99.95%Total 100.00% ON 100.00% PN 100.00%Total Itaú Chile Inversiones, Servicios Y Administracion S.A. 99.99% Total Banco Itaú Chile 26.30% Total IGA Participações S.A. 100.00% ON 100.00% PN 100.00%Total Itauseg Saúde S.A. Itaú Rent Administração e Participações Ltda. 14.17%Total ITB Holding Brasil Participações Ltda Banco Itaú Veículos S.A. Itaú U nibanco Veículos Administradora de Consórcios Ltda. Itauseg Participações S.A. Microinvest S.A. Sociedade de Crédito a Microempreendedor 100.00% Total 99.99% Total 26.42% Total 99.99% Total Redecard Instituição de Pagamento S.A. 19.38% Total Luizacred S.A. Soc. Crédito Financiamento Invest imento 50.00% Total 53.72% Total 0.000001% Total ON = common shares PN = preferred shares Base Date: 11.27.2025 (1) Base Date: 11.27.2025 Itaú Administradora de Consórcios Ltda. Itaú Seguros S.A. 0.001000% Total 0.000220% Total Albarus S.A. Itau BBA International Holdin g Cayman Ltd. 1.75% Total 100.00% Total


 
a) Direct and indirect controlling stockholders Direct controlling stockholders Itaúsa S.A. IUPAR - Itaú Unibanco Participações S.A. lndirect controlling stockholders Alfredo Egydio Arruda Villela Filho Alfredo Egydio Nugent Setubal Alfredo Egydio Setubal Ana Lúcia de Mattos Barretto Villela Beatriz de Mattos Setubal Bruno Rizzo Setubal Camila Setubal Lenz Cesar Carolina Marinho Lutz Setubal Cia. E. Jonhston de Participações Companhia ESA Fernando Roberto Moreira Salles Fernando Setubal Souza e Silva Gabriel de Mattos Setubal Guilherme Setubal Souza e Silva João Moreira Salles José Luiz Egydio Setubal Julia Guidon Setubal Luiza Rizzo Setubal Marcelo Ribeiro do Valle Setubal Mariana Lucas Setubal Marina Nugent Setubal Olavo Egydio Setubal Júnior Olavo Egydio Mutarelli Setubal Patrícia Ribeiro do Valle Setubal Paula Lucas Setubal Paulo Egydio Setubal Paulo Setubal Neto Pedro Moreira Salles Ricardo Egydio Setubal Ricardo Villela Marino Roberto Egydio Setubal Rodolfo Villela Marino Rodrigo Ribeiro do Valle Setubal Rudric ITH Participações Ltda. Tide Setubal Souza e Silva Nogueira


 
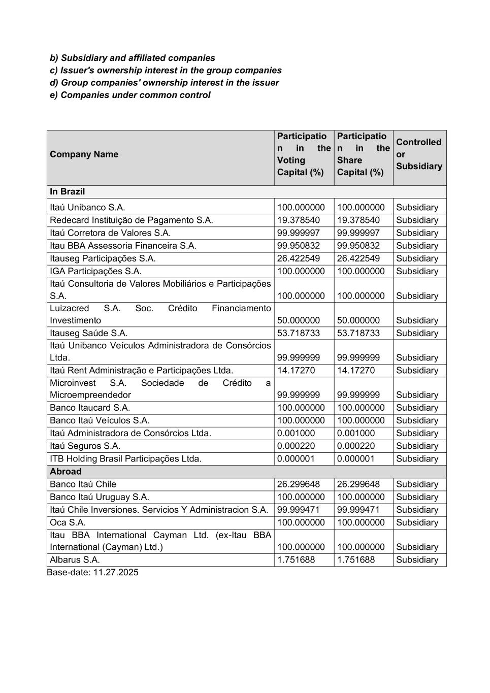
b) Subsidiary and affiliated companies c) Issuer's ownership interest in the group companies d) Group companies' ownership interest in the issuer e) Companies under common control Company Name Participatio n in the Voting Capital (%) Participatio n in the Share Capital (%) Controlled or Subsidiary In Brazil Itaú Unibanco S.A. 100.000000 100.000000 Subsidiary Redecard Instituição de Pagamento S.A. 19.378540 19.378540 Subsidiary Itaú Corretora de Valores S.A. 99.999997 99.999997 Subsidiary Itau BBA Assessoria Financeira S.A. 99.950832 99.950832 Subsidiary Itauseg Participações S.A. 26.422549 26.422549 Subsidiary IGA Participações S.A. 100.000000 100.000000 Subsidiary Itaú Consultoria de Valores Mobiliários e Participações S.A. 100.000000 100.000000 Subsidiary Luizacred S.A. Soc. Crédito Financiamento Investimento 50.000000 50.000000 Subsidiary Itauseg Saúde S.A. 53.718733 53.718733 Subsidiary Itaú Unibanco Veículos Administradora de Consórcios Ltda. 99.999999 99.999999 Subsidiary Itaú Rent Administração e Participações Ltda. 14.17270 14.17270 Subsidiary Microinvest S.A. Sociedade de Crédito a Microempreendedor 99.999999 99.999999 Subsidiary Banco Itaucard S.A. 100.000000 100.000000 Subsidiary Banco Itaú Veículos S.A. 100.000000 100.000000 Subsidiary Itaú Administradora de Consórcios Ltda. 0.001000 0.001000 Subsidiary Itaú Seguros S.A. 0.000220 0.000220 Subsidiary ITB Holding Brasil Participações Ltda. 0.000001 0.000001 Subsidiary Abroad Banco Itaú Chile 26.299648 26.299648 Subsidiary Banco Itaú Uruguay S.A. 100.000000 100.000000 Subsidiary Itaú Chile Inversiones. Servicios Y Administracion S.A. 99.999471 99.999471 Subsidiary Oca S.A. 100.000000 100.000000 Subsidiary Itau BBA International Cayman Ltd. (ex-Itau BBA International (Cayman) Ltd.) 100.000000 100.000000 Subsidiary Albarus S.A. 1.751688 1.751688 Subsidiary Base-date: 11.27.2025


 
6.6. Supply other information that the issuer may deem relevant Additional information on items 6.1/6.2 a) Regarding the stockholding position of the stockholder BlackRock, Inc. (“BlackRock”), the Company informs that on March 3, 2011 it received the information, as provided for in Article 12 of CVM Resolution nº 44/2021, as amended by CVM Instruction nº 568/2015, that, as investment manager of some of its clients, BlackRock acquired 159,335,737 preferred shares issued by the Company. Taking into consideration the many corporate events that took place at the Company since the acquisition of this interest, we present below the changes in BlackRock’s stockholding position, which represents 7.221% of the preferred shares and 3.569% of the total capital held by BlackRock. Statement of Changes in Blackrock's Stockholding Position Date Event Opening balance Event Closing balance 03/30/201 1 Opening balance at 03.30.2011, as provided by BlacKrocK (*) 159,335,737 - 159,335,737 11/01/201 1 stock split/reverse split according to notice of 09.01.2011 159,335,737 159,335,700 159,335,700 04/19/201 3 10% Bonus Share (ASM of 04.19.2013) 159,335,700 15,933,570 175,269,270 06/11/201 4 10% Bonus Share (ASM of 04.23.2014) 175,269,270 17,526,927 192,796,197 07/31/201 5 10% Bonus Share (ASM of 04.29.2015) 192,796,197 19,279,620 212,075,817 10/21/201 6 10% Bonus Share (ASM of 09.14.2016) 212,075,817 21,207,581 233,283,398 11/26/201 8 stocK split/reverse split according to notice of 11.01.2018 (ASM of 07.27.2018) 233,283,398 116,641,699 349,925,097 03/17/202 5 10% Bonus Share (Board of Directors' meeting of 02.05.2025) 349,925,097 34,992,509 384,917,606 (*) Ownership interest at base date 08.19.2010 provided by the Stockholder on March 30, 2011 b) With regard to the shareholding position of the shareholder GQG Partners LLC, on January 18, 2022, the company received information, in accordance with Article 12 of CVM Resolution 44/2021, that GQG Partners LLC now holds 253,506,105 preferred shares issued by the Company. Taking into consideration the many corporate events that took place at the Company since the acquisition of this interest, we present below the changes in GQG Partners LLC stockholding position, which represents 5.001% of the preferred shares and 2.472% of the total capital held by GQG Partners LLC.


 
Statement of Changes in GQG Partners LLC Stockholding Position Date Event Opening balance Event Closing balance 01/18/202 2 On 01/18/2022, according to correspondence from GQG Partners LLC (*) 253,506,105 - 253,506,105 04/25/202 4 On 04/25/2024, according to correspondence from GQG Partners LLC (**) 253,506,105 -14,600,821 238,905,284 08/29/202 4 On 08/29/2024, according to correspondence from GQG Partners LLC (***) 238,905,284 3,417,072 242,322,356 03/17/202 5 10% bonus in shares (Board of Directors' meeting of 02.05.2025) 242,322,356 24,232,235 266,554,591 (*) Shareholding on the base date of 01/18/2022, provided by the shareholder on 01/18/2022. (**) Shareholding on the base date of 04/25/2024, provided by the shareholder on 04/26/2024. (***) Inserted in the Reference Form on 08/29/2024 due to a stake of more than 5%. c) On February 24, 2022, the capital of Cia. E. Johnston de Participações "EJ", previously distributed among the brothers Fernando Roberto Moreira Salles, Walther Moreira Salles Júnior, Pedro Moreira Salles and João Moreira Salles, was divided between Fernando Roberto Moreira Salles, holder of 50% of EJ's capital and Pedro Moreira Salles and his son, João Moreira Salles, holders, respectively, of 44% and 6% of EJ's capital. Pedro Moreira Salles and João Moreira Salles are also members of the Board of Directors of Itaú Unibanco Holding. The brothers Walther Moreira Salles Júnior and João Moreira Salles therefore ceased to be shareholders of EJ, transferring their respective holdings to the remaining shareholders, Fernando and Pedro, and to the new shareholder, João, in share purchase and sale transactions. There was no change in the stake held by EJ in the capital of IUPAR, parent company of Itaú Unibanco Holding. Control of IUPAR continues to be exercised in accordance with the shareholders' agreement in force and, consequently, the transactions described did not result in any change in the management or governance of Itaú Unibanco Holding. Additional information on item 6.3 The number of individual and corporate stockholders and institutional investors stated in item 6.3 of this Form refers to the April 17, 2025 base date. The number of outstanding shares informed in item 6.3 of this Form refers to the November 27, 2025 base date.


 
7.3 Composition and professional experience of the board of directors and fiscal council Administrator: Name: Taxpayer ID (CPF): ADRIANO CABRAL VOLPINI 162.572.558-21 Profession: Date of birth: Business Administrator 12/06/1972 Profissional experience: Adriano Cabral Volpini, a partner of Itaú Unibanco, has been the Corporate Security Officer and Chief Security Officer (CSO) at the Itaú Unibanco Group since 2012, with over 30 years of experience in the financial system, 25 of which focused on risk and security activities. He has held several positions at the Itaú Unibanco Group, including Superintendent of Prevention of Wrongful Acts from 2005 to 2012, Manager of Prevention of Wrongful Acts from 2004 to 2005, Inspection Manager in 2003, Inspector from 1998 to 2003, Auditor from 1996 to 1997, and he also holds management positions in several companies of the Itaú Unibanco Group. He serves as an effective Officer of the Cybersecurity Council as expert in cybersecurity and as a member of the Fraud Prevention Council at FEBRABAN. He was a panelist at the 33rd Edition of FEBRABAN TECH 2023 – The Technological innovations and the cyber resilience at the service of society. Mr. Volpini has also been a member of the Risk Committee of Banco Carrefour and a Statutory Officer specialized in security and operational risks. He has also been a statutory member of ToTvsTechfin, where he holds the position of effective member of the Audit Committee, aimed at supervising the Company’s operational and security risks. He holds a Bachelor’s degree in Accounting and Financial Administration from the Fundação Armando Álvares Penteado (FAAP), São Paulo, Brazil, and an MBA degree in Finance from the Instituto Brasileiro de Mercado de Capitais (IBMEC), Brazil. He has also attended to courses of Innovation from the Stanford University and of Strategy and Finance from the Harward University, both in the U.S. He holds a professional Certificate from the Association of Certified Fraud Examiner since December 2003. Management body: Management body: Nominated by the Controlling stockholder: Board of executive officers No Elective office held: Description of other positions held: Others Officers Officer Date of election: Date of investiture: Term of office: Date of beginning of first term: 04/30/2025 06/18/2025 Annual 12/12/2018 Conviction:


 
Type of Conviction: Description of the conviction: n/a n/a Administrator: Name: Taxpayer ID (CPF): ALBANO MANOEL ALMEIDA 286.052.458-40 Profession: Date of birth: Engineer 09/15/1979 Profissional experience: Albano Manoel Almeida, a member of the Partner Program, has been an Officer at Itaú Unibanco Holding since October 2025. He is currently responsible for the CRM, Engagement, and Data. He has held several positions at the Itaú Unibanco Group, including Superintendent of CRM and Individual Engagement (2019 to 2025); Superintendent of Credit Products for Indivuals (2015 to 2019); Superintendent of Individual Checking Accounts and Projects (2014 to 2015); Customer Profitability Manager (2012 to 2014); Individual Tariffs and Checking Accounts Manager (2011 to 2012); Integrated Credit Offer Manager (2010 to 2011); Personnalité Studies and Models Manager (2009 to 2010); Individual Products Coordinator in the Customer Management Department (2008 to 2009); Coordinator of Special Studies for Individual Products (2007 to 2008); Analyst of Special Studies for Individual Products (2006 to 2007); and Trainee in Special Studies for Individual Products (2005 to 2006). He represents Itaú Unibanco in the Executive Commissions of Individual Products, with emphasis on topics such as Overdraft Self-Regulation, FIES Revision, and the New IN for Payroll Loans at Febraban. He worked as a Treasury Controller Trainee (2004 to 2005) at Banco Fibra. He holds a bachelor’s degree in Engineering from the Universidade of São Paulo (“USP”), São Paulo, Brazil, a CFM – Certificate in Financial Management from the Instituto de Ensino e Pesquisa (“INSPER”), São Paulo, Brazil, and completed the Program for Management Development at ISE Business School, São Paulo, Brazil. Management body: Management body: Nominated by the Controlling stockholder: Board of executive officers No Elective office held: Description of other positions held: Others Officers Officer


 
Date of election: Date of investiture: Term of office: Date of beginning of first term: 10/30/2025 12/10/2025 Annual 12/10/2025 Conviction: Type of Conviction: Description of the conviction: n/a n/a Administrator: Name: Taxpayer ID (CPF): ALFREDO EGYDIO SETUBAL 014.414.218-07 Profession: Date of birth: Business Administrator 09/01/1958 Profissional experience: Alfredo Egydio Setubal Position and term of office Non-executive Member of the Board of Directors since 2007. Experiences, skills and abilities Financial sector and capital markets At Itaúsa S.A., he has been CEO and Investor Relations Officer since 2015 and a Member of the Board of Directors since 2008. He has also been the Chairman of the Board of Directors of Dexco S.A. since 2021 and a Member of their Board since 2015. He has also been a Member of the Board of Directors of Alpargatas S.A. since 2017 and of Copa Energia since 2020. He served as Chairman of the National Association of Investment Banks (ANBID) between 2003 and 2008. He has been a Member of the Superior Committee for Guidance, Nomination and Ethics of the Brazilian Institute of Investor Relations (IBRI) since 2010, having been the Chairman of its Board of Directors between 2000 and 2003. He was also a Member of the Board of Directors of the Brazilian Association of Listed Companies (ABRASCA) between 1999 and 2017. He is currently the Chairman of the Environmental, Social and Climate Responsibility Committee and a Member of the Disclosure and Trading Committee, the Nomination and Corporate Governance Committee and the Personnel Committee of Itaú Unibanco. ESG He has been the Chairman of the Board of Trustees of the Itaú Foundation, institution responsible for social initiatives aimed at education (in partnership with UNICEF and other NGOs) and the democratization and appreciation of Brazilian culture and Chairman of the Decision-Making Council of the São Paulo Museum of Art (MASP) since 2015. He has been a Member of the Board of Directors of the São Paulo Biennial Foundation since 2009. He is also a Member of the Board of Directors of the São Paulo Museum of Modern Art (MAM) and of the Institute of Contemporary Art (IAC).


 
Academic background He holds Bachelor’s and Postgraduate degrees in Business Administration from Fundação Getulio Vargas (FGV), São Paulo, Brazil. Management body: Management body: Nominated by the Controlling stockholder: Board of Directors Yes Elective office held: Description of other positions held: Other Directors Non-Executive Director Date of election: Date of investiture: Term of office: Date of beginning of first term: 04/17/2025 06/10/2025 Annual 11/28/2008 Conviction: Type of Conviction: Description of the conviction: n/a n/a Administrator: Name: Taxpayer ID (CPF): ÁLVARO FELIPE RIZZI RODRIGUES 166.644.028-07 Profession: Date of birth: Lawyer 03/28/1977 Profissional experience: Álvaro Felipe Rizzi Rodrigues, a Member of the Partners Program, has been an Officer at the Itaú Unibanco Group since 2014. He is currently responsible for the following Legal Departments: Wholesale Banking and Companies Banking (responsible for legal issues related to investment banking, brokerage services, treasury, wealth management services – asset management, private banking, banking products for companies, allocated funds and onlending, international loans and foreign exchange), Civil Litigation, Proprietary M&A, National and International Corporate Affairs, Corporate Governance, Anti-Trust, as well as for the Ombudsman’s Office and Government Relations Department of Itaú Unibanco. Mr. Rodrigues had been previously responsible for the Legal Retail Banking Department (responsible for legal issues related to products and services for the individual customers’ segment – checking account, payment account, cards, acquiring services, payroll loans, real estate loans, vehicle financing, consortia, insurance, pension plans, capitalization operations, etc.). He has also been an Officer at the Fundação Itaú since 2019. He joined the Itaú Unibanco Group in 2005, serving as Legal Manager and, after that, he served


 
as Legal Superintendent (2005 to 2014). He also worked in the Corporate Law and Contract Law departments (1998 to 2005), at Tozzini Freire Advogados. He holds a Bachelor’s degree in Law from the Faculdade de Direito da Universidade de São Paulo (USP), São Paulo, Brazil. Mr. Rodrigues has also attended a specialization course in Corporate Law from the Pontifícia Universidade Católica de São Paulo (PUC-SP), São Paulo, Brazil. He holds a Master of Laws (L.L.M.) from the Columbia University Law School, New York, U.S. Management body: Management body: Nominated by the Controlling stockholder: Board of executive officers No Elective office held: Description of other positions held: Others Officers Officer Date of election: Date of investiture: Term of office: Date of beginning of first term: 04/30/2025 06/18/2025 Annual 04/13/2015 Conviction: Type of Conviction: Description of the conviction: n/a n/a Administrator: Name: Taxpayer ID (CPF): ANA LÚCIA DE MATTOS BARRETTO VILLELA 066.530.828-06 Profession: Date of birth: Pedagogic 10/25/1973 Profissional experience: Ana Lúcia de Mattos Barretto Villela (non-executive member) Position and term of office Non-executive Member of the Board of Directors since 2008. Experience, skills and abilities Financial sector, capital markets and other sectors


 
She has held several positions at the Itaú Unibanco Group, including Member of the Board of Directors (1996 a 2001). She also serves as Co-founder of MFF&CO, a global impact entertainment studio, with operations in São Paulo (Brazil), Los Angeles (United States) and London (United Kingdom), since May 2024; Co-Founder of Alana Down Syndrome Center at MIT since 2019; Alternate Member of the Board of Directors of IUPAR – Itaú Unibanco Participações S.A. since 2018; Member of Itaú’s Personnel Committee since 2018; Member of Itaú’s Nomination and Corporate Governance Committee since 2018; Vice Chairwoman of the Board of Directors (non-executive member) of Itaúsa S.A. since 2017; Member of the Advisory Board of Itaú Social since 2017; Co-founder of AlanaLab since 2014; Co-founder of Maria Farinha Filmes since 2009; Founding Chairwoman of the Alana Foundation since 2012; CEO of the Alana Institute since 2002; and Fellow Ashoka since 2010. ESG Member of the Environmental, Social and Climate Committee since 2019 (previously called Social Responsibility Committee); Member of Itaúsa’s Sustainability and Risks Committee since 2021; She has also been a member of the Stanford Down Syndrome Research Center Advisory Board since January 2022; Ms. Villela was a Board Member of Participant, a media and entertainment organization founded by the social entrepreneur Jeff Skoll, from March 2022 to July 2024; She was a member of the UCLA Lab School’s Board of Advisors from May 2022 to July 2024; She was a Member of the Advisory Board of the Akatu Institute (2013 to 2017); She was a Member of the Advisory Board of the Fairplay Organization (2015 to 2017); She was a Member of the Advisory Board of Conectas (2003 to 2018); She was a Member of the Sustainability Committee of Dexco (2015 to 2018); She was an Alternate Member of the Board of Directors of Dexco (2018 to 2020). Information technology and security Since 2018, she has been the first representative from Latin America on the Innovation Board of XPrize, a non-profit organization set up by Peter Diamandis, who designs and manages global competitions to encourage the development of new technologies that could help solve some of the major challenges of humankind. From 2019 to 2024, the Alana Foundation, which was co-founded by Ms. Villela, supported the XPrize Rainforest competition aimed at fostering the creation of new technologies able to map the biodiversity of tropical forests. Academic background She holds a Bachelor’s degree in Education with a qualification in School Administration and a Master’s degree in Educational Psychology, both from the Pontifícia Universidade Católica de São Paulo (PUC- SP), São Paulo, Brazil. She also took a graduate course in Business Administration at Fundação Armando Álvares Penteado (FAAP), São Paulo, Brazil (incomplete) and a postgraduate course in Third Sector Administration at Fundação Getulio Vargas (FGV), São Paulo Brazil (incomplete). Management body: Management body: Nominated by the Controlling stockholder: Board of Directors Yes Elective office held: Description of other positions held:


 
Other Directors Non-Executive Director Date of election: Date of investiture: Term of office: Date of beginning of first term: 04/17/2025 06/10/2025 Annual 10/24/2018 Conviction: Type of Conviction: Description of the conviction: n/a n/a Administrator: Name: Taxpayer ID (CPF): ANDRE BALESTRIN CESTARE 213.634.648-25 Profession: Date of birth: Engineer 06/08/1978 Profissional experience: Andre Balestrin Cestare, a member of the Partners Program, has been our officer since 2017. He is currently responsible for the Retail Banking financial planning department and the Technology and Operations department. He has held several positions at the Itaú Unibanco Group, including Wholesale Banking financial planning officer from 2019 to 2022, Retail Banking financial planning officer from 2017 to 2019 and finance superintendent from 2010 to 2017. He holds a Bachelor’s degree in Mechanical Engineering from Escola Politécnica da Universidade de São Paulo (USP), São Paulo, Brazil; a postgraduate degree in business administration and a professional master’s degree in finance and economics, both from Fundação Getulio Vargas (FGV), São Paulo, Brazil. He also attended the Executive Qualification Program from the Fundação Dom Cabral, São Paulo, Brazil. Management body: Management body: Nominated by the Controlling stockholder: Board of executive officers No Elective office held: Description of other positions held: Others Officers Officer Date of election: Date of investiture: Term of office: Date of beginning of first term: 04/30/2025 06/18/2025 Annual 11/06/2017


 
Conviction: Type of Conviction: Description of the conviction: n/a n/a Administrator: Name: Taxpayer ID (CPF): ANDRÉ LUÍS TEIXEIRA RODRIGUES 799.914.406-15 Profession: Date of birth: Engineer 08/11/1973 Profissional experience: André Luís Teixeira Rodrigues Position and term of office He has been a partner since 2010 and an Officer of the Executive Committee at the Itaú Unibanco Group since 2021. Experiences, skills and abilities Financial sector, capital markets and other sectors He is currently responsible for the Small and Middle-Market Companies of the Retail Banking segment, Acquiring Services (Rede), Product, Credit, CRM, Channels departments and related Digital Branches and Companies Strategy. Previously, he led for four years the Retail Banking, Individuals and Companies, which comprised all the segments of the Branches, Companies, Government and Payroll departments, in addition to the Insurance, Products and Strategic Planning, CRM, Digital Channels and UX departments. From 2003 to 2018, Mr. Rodrigues held several leadership positions at the Wholesale Banking and Itaú BBA, including the Middle Market, Commercial Banking segments and the products & services departments. He joined the Itaú Unibanco Group in 2000 and has been an Officer since 2005. He was an Executive Officer from 2008 to 2020, and in 2021 he joined Itaú Unibanco’s Executive Committee. He is a Member of the Board of Directors of Porto Seguro S.A. Academic background He holds a Bachelor’s degree in Mechanical Engineering with major in Automation and Systems ("Mechatronics") from Escola Politécnica da Universidade de São Paulo (USP), São Paulo, Brazil. Management body: Management body: Nominated by the Controlling stockholder: Board of executive officers No


 
Elective office held: Description of other positions held: Others Officers Officer (member of the Executive Committee) Date of election: Date of investiture: Term of office: Date of beginning of first term: 04/30/2025 06/18/2025 Annual 03/02/2021 Conviction: Type of Conviction: Description of the conviction: n/a n/a Administrator: Name: Taxpayer ID (CPF): ANDRÉ MAURICIO GERALDES MARTINS 276.540.908-03 Profession: Date of birth: Business Administrator 11/13/1976 Profissional experience: André Mauricio Geraldes Martins, a member of the Partners Program, has been an Officer at the Itaú Unibanco Group since January 2021. He is currently responsible for the Credit Risk and Retail Modeling departments. Mr. Martins has held several positions at the Itaú Unibanco Group, including Risk Superintendent (2017 a 2020) and Superintendent (2006 to 2013). He also served as Executive Finance Superintendent at Banco Pan/BTG (2013 to 2016). He started his telecom career at Vivo Telefônica S.A. (2002 to 2005). He holds an MBA in Business Management from the Fundação Dom Cabral, São Paulo, Brazil; a post- MBA from the Kellogg School of Management at Northwestern University, Illinois, U.S. and in Risk Management from The Wharton School, University of Pennsylvania, Philadelphia, U.S. Management body: Management body: Nominated by the Controlling stockholder: Board of executive officers No Elective office held: Description of other positions held: Others Officers Officer Date of election: Date of investiture: Term of office: Date of beginning of first term:


 
04/30/2025 06/18/2025 Annual 07/01/2024 Conviction: Type of Conviction: Description of the conviction: n/a n/a Administrator: Name: Taxpayer ID (CPF): CANDIDO BOTELHO BRACHER 039.690.188-38 Profession: Date of birth: Business Administrator 12/05/1958 Profissional experience: Candido Botelho Bracher Position and term of office Independent Member of the Board of Directors since April 2024, having been Non-executive Member of the Board of Directors since 2003. Experiences, skills and abilities. Financial sector and capital markets He has held several positions at the Itaú Unibanco Group, including CEO between 2017 and 2021, Wholesale Banking Senior Vice President between 2015 and 2017 and Vice President between 2004 and 2015. He has been a member of the Board of Directors of Mastercard Incorporated since 2021. Mr. Bracher served as a member of the Board of Directors of B3 S.A. between 2009 and 2014 and of the Pão de Açúcar Group between 1999 and 2013. He was a founding partner of the corporate bank BBA Creditanstalt, a joint venture created in 1988. Risk management He was CEO of Itaú Unibanco Holding S.A. and, during that period, he was in charge of risk management at the executive level, chairing seven superior risk councils, such as the Superior Market and Liquidity Risk Management Council, the Superior Operational Risk Council and the Superior Credit Council. In these forums, he resolved upon corporate risk policies, risk management, risk appetite and the risk culture of the Organization. He is currently a Member of the Risk and Capital Management Committee, providing support in defining, reviewing and approving the risk appetite, strategies and institutional risk policies. ESG He is a Member of the Superior Bioeconomy Council of Fundação Getulio Vargas (FGV) and is highly involved in initiatives for the environmental protection of the Brazilian Pantanal biome. He is a Member of the Board of Directors of the Acaia Institute, which develops educational actions aimed at preserving the Pantanal biome. He also completed his training in Climate Change offered by the Brazilian Institute of Corporate Governance (IBGC) in 2021, by means of the Chapter Zero initiative, a global network for engaging Boards in climate challenges. He is also columnist for the Folha de São Paulo newspaper.


 
Academic background He holds a Bachelor’s degree in Business Administration from Fundação Getulio Vargas (FGV), São Paulo, Brazil. Management body: Management body: Nominated by the Controlling stockholder: Board of Directors Yes Elective office held: Description of other positions held: Independent Board of Directors (Effective) Date of election: Date of investiture: Term of office: Date of beginning of first term: 04/17/2025 06/10/2025 Annual 06/15/2021 Conviction: Type of Conviction: Description of the conviction: n/a n/a Administrator: Name: Taxpayer ID (CPF): CARLOS FERNANDO ROSSI CONSTANTINI 166.945.868-76 Profession: Date of birth: Engineer 05/02/1974 Profissional experience: Carlos Fernando Rossi Constantini Position and term of office He is a Member of the Partners Program, has been an Officer of the Executive Committee at the Itaú Unibanco Group since 2021. Experience, skills and abilities Financial sector, capital markets and other sectors He is currently responsible for the Wealth Management & Services division, which addresses clients’ investments, from offering and experience to fund distribution and management, having held the position of Executive Officer (2019 to 2021). In 2017, Mr. Constantini became the CEO of Itaú Unibanco in the United States and the Head of International Private Banking in Miami (2017 to 2018). He was the Vice


 
President of Associação Brasileira das Entidades dos Mercados Financeiro e de Capitais (ANBIMA) from 2019 to 2022. He has held a number of positions at the Itaú Unibanco Group, including Officer (2009 to 2017), where he joined in 2007 as a Deputy Officer (2007 to 2009). Academic background He holds a Bachelor’s degree in Production Engineering from the Escola Politécnica da Universidade de São Paulo (USP), São Paulo, Brazil. Management body: Management body: Nominated by the Controlling stockholder: Board of executive officers No Elective office held: Description of other positions held: Others Officers Officer (member of the Executive Committee) Date of election: Date of investiture: Term of office: Date of beginning of first term: 04/30/2025 06/18/2025 Annual 03/02/2021 Conviction: Type of Conviction: Description of the conviction: n/a n/a Administrator: Name: Taxpayer ID (CPF): CARLOS ORESTES VANZO 122.230.988-27 Profession: Date of birth: Bachelor of Laws 08/12/1971 Profissional experience: Carlos Orestes Vanzo Position and term of office He has been a partner and an Officer of the Executive Committee at the Itaú Unibanco Group since 2023. Experiences, skills and abilities Financial sector, capital markets and other sectors


 
He is currently responsible for the Small and Middle-Market Companies of the Retail Banking segment, Acquiring Services (Rede), Product, Credit, Recovery, CRM, Channels and Digital Branches, and Companies Strategy departments of the Itaú Unibanco Group. Previously, he was responsible for the Retail Banking – Individuals, which comprised the segments of Physical and Digital Branches (lower, middle and upper-income segments – Itaú Branches, Uniclass and Personnalité), Insurance department, and the Strategy – Individuals department, which includes CRM, Planning, Projects, Payroll, Government, and Credit and Recovery. He was an Executive Officer from 2019 to 2022, leading the Retail Business – Individuals, Companies Segment, and Corporate Loans. Between 2004 and 2018, Mr. Vanzo has held several leadership positions at Banco Itaú and Itaú BBA, and the highlights were the Corporate and Middle Market segments. He joined the Itaú Unibanco Group in 1997 and has been a member of the Executive Committee since 2023. Academic background He holds a Bachelor’s degree in Law from the Universidade Paulista, São Paulo, Brazil, a postgraduate degree in Business Administration from the Universidade de São Paulo (USP), São Paulo, Brazil, and an Executive MBA from the Massachusetts Institute of Technology (MIT), Cambridge, Massachusetts, U.S. Management body: Management body: Nominated by the Controlling stockholder: Board of executive officers No Elective office held: Description of other positions held: Others Officers Officer (member of the Executive Committee) Date of election: Date of investiture: Term of office: Date of beginning of first term: 04/30/2025 06/18/2025 Annual 06/01/2023 Conviction: Type of Conviction: Description of the conviction: n/a n/a Administrator: Name: Taxpayer ID (CPF): CESAR NIVALDO GON 154.974.508-57 Profession: Date of birth: Businessman 07/09/1971 Profissional experience:


 
Cesar Nivaldo Gon Position and term of office An Independent Member of the Board of Directors since 2022. Experience, skills and abilities Financial sector and capital markets He is a member of the Board of Directors of the Lean Enterprise Institute – LEI and was a member of the board of Raia Drogasil S.A. (2021 to 2023). An active investor in venture capital and startup funds, Mr. Gon led the IPO of CI&T Inc. on the New York Stock Exchange (NYSE) and is a member of the Board of Directors of Fundo Patrimonial Lumina Unicamp since 2020. He was named Entrepreneur of the Year in Brazil by EY (EY Entrepreneur Of The Year™) in 2019. Technology and information security He is the founder and CEO of CI&T (NYSE: CINT), a global company specializing in software engineering solutions, such as AI and Hyper Digital, modernization, cloud services, data analytics, cybersecurity and digital product design, since 1995. He is the chairman of the board of Sensedia, a leading company in the API Management market. He has a long history in the market as an important spokesperson on leadership development, digital transformation and artificial intelligence. He also worked as a Tech Advisor at the board of the Boticário Group from 2020 to 2023+. Academic background He holds a Bachelor's degree in Computer Engineering and a Master's degree in Computer Science, both from the Universidade Estadual de Campinas, Brazil. He has co-authored the book “Faster, Faster: The Dawn of Lean Digital” (2020) and is a MIT Sloan Management Review columnist. Management body: Management body: Nominated by the Controlling stockholder: Board of Directors Yes Elective office held: Description of other positions held: Independent Board of Directors (Effective) Date of election: Date of investiture: Term of office: Date of beginning of first term: 04/17/2025 06/10/2025 Annual 07/01/2022 Conviction: Type of Conviction: Description of the conviction: n/a n/a


 
Administrator: Name: Taxpayer ID (CPF): CRISTIANO GUIMARÃES DUARTE 024.311.796-56 Profession: Date of birth: Administrator 01/02/1976 Profissional experience: Cristiano Guimarães, a member of the Partners Program since 2009, has been an Officer at the Itaú Unibanco Group since 2015, and is currently responsible by the Corporate Banking for large companies and the Investment Banking (Corporate & Investment Banking). He is also responsible for Itaú BBA International, our bank in Europe. He has held several positions at the Itaú Unibanco Group, having served as Head and Managing Director of the Investment Banking in Brazil and Officer of the Corporate Banking, between 2008 and 2020. Mr. Guimarães was an Investment Banking Officer at Banco UBS Pactual from 2007 to 2008 and was previously a Managing Partner at KPMG, where he started his career. He holds a Bachelor’s degree in Business Administration from the Pontifícia Universidade Católica de Minas Gerais, Belo Horizonte, Minas Gerais, Brazil. Management body: Management body: Nominated by the Controlling stockholder: Board of executive officers No Elective office held: Description of other positions held: Others Officers Officer Date of election: Date of investiture: Term of office: Date of beginning of first term: 04/30/2025 06/18/2025 Annual 03/13/2024 Conviction: Type of Conviction: Description of the conviction: n/a n/a Administrator: Name: Taxpayer ID (CPF): CRISTINA FONTES DOHERTY 803.661.047-72


 
Profession: Date of birth: Economist 05/26/1965 Profissional experience: Cristina Doherty has been an alternate member of the Fiscal Council at Itaú Unibanco Holding S.A. since April 2025. Has been an effective member of the Supervisory Council at Natura & Co (term of office from 2024 to 2025). She was an alternate member of the Supervisory Council at Gerdau Metalúrgica (2023 to 2024); an effective member of the Supervisory Council at Vale S.A. (2020 to 2022) and an alternate member of the Supervisory Council at Invepar S.A. (2019 to 2020).She has more than 25 years of experience at Vale S.A. in Corporate Finance, Business Development, Equity Management, Corporate Governance, Business Valuation, and Mergers, Acquisitions and Divestments. Ms. Doherty also served in joint bodies of the following organizations: as a member of the Board of Directors at Vale Omã Pellet Plant, at ThyssenKrupp Companhia Siderúrgica do Atlântico (TKCSA, current Ternium) and at Companhia Siderúrgica do Pecém (CSP), and as a member of the financial-operational Statutory Committee at California Steel Industries in California/U.S. (CSI). She holds a Bachelor’s degree in Economics from the Faculdade Candido Mendes, Rio de Janeiro/RJ, Brazil, an MBA in Strategic Business Management from the Universidade de São Paulo (USP), São Paulo, Brazil, and an MBA in Finance from the Instituto Brasileiro de Mercado de Capitais (IBMEC) Rio de Janeiro/RJ, Brazil. Ms. Doherty is certified by the Instituto Brasileiro de Governança Corporativa (IBGC) to work as a Board member. Management body: Management body: Nominated by the Controlling stockholder: Fiscal Council No Elective office held: Description of other positions held: Fiscal Council (Alternate) Elected by preferentialists Date of election: Date of investiture: Term of office: Date of beginning of first term: 04/17/2025 06/10/2025 Annual 06/10/2025 Conviction: Type of Conviction: Description of the conviction: n/a n/a Administrator:


 
Name: Taxpayer ID (CPF): DANIEL MENEZES SANTANA 008.752.405-85 Profession: Date of birth: Systems Analyst 03/19/1983 Profissional experience: Daniel Menezes Santana, a member of the Partners Program, has been an Officer at Itaú Unibanco Holding since April 2025. He is currently responsible for the Information Security and Cybersecurity department. He has held a number of positions at the Itaú Unibanco Group, including Information Security Superintendent (2018 to 2025) and Information Security Manager (2014 to 2018). Mr. Santana has worked as Information Security Coordinator (2013 to 2014) at the Santander Brazil Group; Information Security Specialist (2010 to 2013) at R7.com – Rede Record; Information Security Consultant (2010) at Cipher – Consultoria em Segurança da Informação; Information Security Specialist/Project Manager (2007 to 2010) and Senior Information Security Analyst (2005 to 2007) at Proteus Information Security Services; and IT Security and Infrastructure Consultant (2001 to 2007). He holds a Bachelor’s degree in Computer Science and a postgraduate degree in Information Security Management. Management body: Management body: Nominated by the Controlling stockholder: Board of executive officers No Elective office held: Description of other positions held: Others Officers Officer Date of election: Date of investiture: Term of office: Date of beginning of first term: 04/30/2025 06/18/2025 Annual 06/18/2025 Conviction: Type of Conviction: Description of the conviction: n/a n/a Administrator: Name: Taxpayer ID (CPF): DANIEL SPOSITO PASTORE 283.484.258-29


 
Profession: Date of birth: Lawyer 10/07/1979 Profissional experience: Daniel Sposito Pastore, a Member of the Partners Program, has been an Officer at the Itaú Unibanco Group since 2020. He is currently responsible for the Health, Labor Relations, Jurimetrics and Labor Legal departments. He has held several positions at the Itaú Unibanco Group, including as Legal Superintendent working at the labor, criminal, union relations, higher courts, labor advisory and WMS departments from 2012 to 2020, Legal Manager, WMS, working at the International, Asset and Brokerage departments from 2008 to 2011, Legal Lawyer, WMS from 2004 to 2008, Lawyer, Banking Law from 2002 to 2003, and Legal Assistant (M&A Legal) from 2000 to 2002. Mr. Pastore has been a member of the union negotiation committee at Federação Nacional dos Bancos (“FENABAN”) since 2019. Mr. Pastore served at Associação Brasileira das Entidades dos Mercados Financeiro e de Capitais (“ANBIMA”) as an effective member of the legal committee from2012 to 2016, and a vice president from 2015 to 2016. He was also coordinator and liaison on behalf of ANBIMA with the Comissão de Valores Mobiliários (“CVM”) from 2014 to 2016 for issuing and implementing new rules on suitability, asset management and trust management and investment funds, and coordinator of the revision of self-regulation codes for trust management, asset management and investment funds from 2015 to 2016. He has been a member of the legal labor committee since 2017, and a member of the union negotiation committee since 2020 at Federação Brasileira de Bancos (“FEBRABAN”). He holds a Bachelor’s degree in Law from the Universidade Presbiteriana Mackenzie, São Paulo, Brazil, and a postgraduate degree in Financial and Capital Markets Law from the Instituto de Ensino e Pesquisa (INSPER), São Paulo, Brazil. Management body: Management body: Nominated by the Controlling stockholder: Board of executive officers No Elective office held: Description of other positions held: Others Officers Officer Date of election: Date of investiture: Term of office: Date of beginning of first term: 04/30/2025 06/18/2025 Annual 12/31/2020 Conviction: Type of Conviction: Description of the conviction: n/a n/a Administrator:


 
Name: Taxpayer ID (CPF): DANIELA PEREIRA BOTTAI 142.407.238-76 Profession: Date of birth: Administrator 06/12/1972 Profissional experience: Daniela Bottai, a member of the Partners Program, has been an Audit Officer at the Itaú Unibanco Group since 2023, leading the Technology, Models, Risks, ESG and Foreign Units departments. With an experience of over 30 years in Risk, Compliance and Audit, focused on, among others, risk management, compliance management, regulatory strategy, anti-money laundering and counter terrorism financing, client conduct, customer experience, privacy, technology, financial and payment products, cybersecurity, ESG and corporate governance. Ms. Bottai has worked in Financial Institutions and Fintechs, such as PayPal, HSBC, RaboBank, Western Union, Creditas (Grana Aqui), GE Money, JP Morgan Chase, Bank Boston, ABN Amro and KPMG. She holds a Bachelor’s degree in Data Processing from Faculdade de Tecnologia da Universidade Estadual Paulista (FATEC/UNESP), São Paulo, Brazil and specialization in Business Administration and Integrated Systems from CEAG, Fundação Getulio Vargas, São Paulo, Brazil. She holds an MBA degree in Retail and Franchise from Fundação Instituto de Administração da Universidade de São Paulo (FIA- USP), São Paulo, Brazil. She is Certified in Executive Entrepreneurship by the Stanford Graduate School of Business, California, and Babson, Boston, U.S. She is also certified by the “Orchestrating a winning performance” program, offered by the Institute for Management Development (IMD), in Lausanne, Switzerland. Management body: Management body: Nominated by the Controlling stockholder: Board of executive officers No Elective office held: Description of other positions held: Others Officers Officer Date of election: Date of investiture: Term of office: Date of beginning of first term: 04/30/2025 06/18/2025 Annual 10/11/2023 Conviction: Type of Conviction: Description of the conviction: n/a n/a Administrator:


 
Name: Taxpayer ID (CPF): EDUARDO HIROYUKI MIYAKI 159.822.728-92 Profession: Date of birth: Engineer Civil 06/11/1972 Profissional experience: Eduardo Hiroyuki Miyaki has been a Member of the Fiscal Council at the Itaú Unibanco Group since 2022. He has held several positions at the Itaú Unibanco Group, including Internal Audit Officer from 2010 to 2017 and Operational Risk and Internal Control Officer from 2017 to 2021. He has previously served as Internal Audit Superintendent from 2005 to 2010 in the Risk Management, Capital Markets, Insurance, Pension Plan and Securities departments. He also worked in the commercial and retail departments, product development and Wholesale Banking processes. Mr. Miyaki was the supervisor responsible for the Internal Audit Department in the Asset Management and Treasury departments from 2003 to 2004 and Supervisor of the Anti-Money Laundering and Fraud Prevention Program from 1996 to 2003. He holds a Bachelor’s degree in Civil Engineering from Universidade de São Paulo (USP), São Paulo, Brazil, a Master’s degree in Sanitary Engineering and waste management from Gunma University, Japan, specialization in Business Administration from CEAG, Fundação Getulio Vargas (FGV), São Paulo, Brazil, and an MBA degree in International Finance and Business from Leonard N. Stern School of Business, New York University, New York, U.S. More recently, Mr. Miyaki participated in the program for members of the Audit, Inspection and Control Committee of the Brazilian Institute of Corporate Governance (IBGC) and in May 2024 he finished the Corporate Governance certification program from Columbia University, New York - USA. Management body: Management body: Nominated by the Controlling stockholder: Fiscal Council Yes Elective office held: Description of other positions held: Fiscal Council (Effective) Elected to Controller Date of election: Date of investiture: Term of office: Date of beginning of first term: 04/17/2025 06/10/2025 Annual 07/01/2022 Conviction: Type of Conviction: Description of the conviction: n/a n/a Administrator:


 
Name: Taxpayer ID (CPF): EMERSON MACEDO BORTOLOTO 186.130.758-60 Profession: Date of birth: Technologist in Data Processing Technologist 07/25/1977 Profissional experience: Emerson Macedo Bortoloto, a member of the Partners Program, has been an Officer at the Itaú Unibanco Group since 2011. He joined the Itaú Unibanco Group in 2003, taking over a number of positions in the Internal Audit department. He is currently the Internal Audit Officer, responsible for managing the Audit department, whose mission is to plan, carry out and report on audits in Itaú Unibanco Group’s Retail processes and business, as well as in planning processes and External Audit management and control. Mr. Bortoloto was responsible for evaluating processes related to Market, Credit and Operational Risks, in addition to Project Auditing and Continuous Auditing. At the Itaú Unibanco Group, he was also responsible for auditing the Information Technology and Retail Credit Analysis and Granting processes. He is a Member of the Audit Committees of Itaú Unibanco’s controlled companies and affiliates, such as Banco Itaú Paraguay, Banco Itaú Uruguay, Nuclea S.A., and Tecban - Tecnologia Bancária. Mr. Bortoloto had previously worked at Ernst & Young Auditores Independentes from 2001 to 2003 and Banco Bandeirantes from 1992 to 2001, being responsible for auditing IT and operational processes. He holds a Bachelor’s degree in Data Processing Technology, a Postgraduate degree in Auditing and Consulting in Information Security from Faculdades Associadas de São Paulo (FASP), São Paulo, Brazil, and an MBA degree in Internal Auditing from Fundação Instituto de Pesquisas Contábeis, Atuariais e Financeiras (FIPECAFI), Brazil. He also holds the following certifications: CISA-Certified Information System Auditor, issued by the Information Systems Audit and Control Association (ISACA), and CCoaud+ - Member of the Audit Committee with Experience, issued by IBGC." Management body: Management body: Nominated by the Controlling stockholder: Board of executive officers No Elective office held: Description of other positions held: Others Officers Officer Date of election: Date of investiture: Term of office: Date of beginning of first term: 04/30/2025 06/18/2025 Annual 11/01/2011 Conviction: Type of Conviction: Description of the conviction: n/a n/a


 
Administrator: Name: Taxpayer ID (CPF): ERIC ANDRÉ ALTAFIM 273.383.788-51 Profession: Date of birth: Business Administrator 06/12/1976 Profissional experience: Eric André Altafim, a member of the Partners Program, has been an Officer at the Itaú Unibanco Group since 2017. He is currently responsible for the Corporate Client, Foreign Exchange, Funding, Derivatives, Energy, Carbon Credit, and Digital Assets desks. He has held several positions at the Itaú Unibanco Group, including as Head of Client and Specialized Sales, Products and Planning of Markets Desks from 2015 to 2017, Head of Client and Specialized Sales – CIB (UL, Large and Corporate) Desks from 2012 a 2015, Head of Derivatives – Wholesale from 2008 to 2012, Senior Trader from 2005 to 2007, and Trader from 1999 to 2000. He has also served as Officer of the Brazilian Financial and Capital Markets Association (ANBIMA) since 2022 and has been a Member of the Products and Pricing Committee of B3 S.A. – Brasil, Bolsa, Balcão since 2021. He also served as a Relations and Desk Manager at Banco UBS Pactual from 2007 to 2008, Senior Trader at Banco HSBC from 2000 to 2005, Trainee from 1997 to 1999, and Junior Trader in 1999 at Banco CCF. He holds a Bachelor’s degree in Business Administration from Pontifícia Universidade Católica de São Paulo (PUC-SP), São Paulo, Brazil, and an MBA degree in Economics from Universidade de São Paulo (USP), São Paulo, Brazil. Management body: Management body: Nominated by the Controlling stockholder: Board of executive officers No Elective office held: Description of other positions held: Others Officers Officer Date of election: Date of investiture: Term of office: Date of beginning of first term: 04/30/2025 06/18/2025 Annual 10/03/2022 Conviction: Type of Conviction: Description of the conviction:


 
n/a n/a Administrator: Name: Taxpayer ID (CPF): FABRICIO BLOISI ROCHA 263.679.838-21 Profession: Date of birth: Businessman 05/09/1977 Profissional experience: Fabricio Bloisi Rocha Position and term of office An Independent Member of the Board of Directors since 2023. Experiences, skills and abilities Financial sector, capital markets and other sectors He has been CEO at Prosus, Chairman of the iFood’s Board of Directors, CEO at Naspers and founder of the Movile Group. He also serves as a member of the Innovation Board of XPrize. Social projects Mr. Rocha promotes educational projects through its Fundação 1Bi aimed at supporting education by means of technology. He also supports projects such as "Meu Diploma do Ensino Médio" (“My High School Diploma”) and "Movimento Tech" (“Tech Movement”), which foster the high school and technological education in Brazil through iFood. In 2023, he was appointed as a UN spokesperson for education on SDG 4 for Brazil and joined the Economic and Sustainable Development Council of the Presidency of the Republic. Academic background He holds a Bachelor’s degree in Computer Engineering (CoE) from the Universidade de Campinas (UNICAMP), Campinas, São Paulo, Brazil, and a Master’s degree in Business Administration from the Fundação Getulio Vargas (FGV), São Paulo, Brazil. In 2013, he has also attended the Executive Program for Growing Companies, Strategy, Finance, Leadership for companies in the growth stage at the Stanford Graduate School of Business, California, U.S. In 2022, Mr. Rocha completed the OPM (Owners/President Management, Business Administration and Management) program at the Harvard Business School, Massachusetts, U.S. Management body: Management body: Nominated by the Controlling stockholder: Board of Directors Yes Elective office held: Description of other positions held:


 
Independent Board of Directors (Effective) Date of election: Date of investiture: Term of office: Date of beginning of first term: 04/17/2025 06/10/2025 Annual 05/17/2024 Conviction: Type of Conviction: Description of the conviction: n/a n/a Administrator: Name: Taxpayer ID (CPF): FELIPE PICCOLI AVERSA 318.323.548-06 Profession: Date of birth: Economist 01/05/1984 Profissional experience: Felipe Piccoli Aversa, a member of the Partners Program, has been an Officer at the Itaú Unibanco Holding since 2025. He is currently responsible for the Financing and Limits – Cards and Bank Account Limits department. He has held several positions at the Itaú Unibanco Group, including Current Account and Leverage – Cards Officer (2022 to 2024), Products and Planning – Cards Superintendent (2017 to 2022), Collection Superintendent (2016 to 2017), Service Architecture Manager (2015 to 2016), Collection Policy Manager (2014 to 2015), Collection Policy Coordinator (2013 to 2014), Collection Operations Coordinator (2012 a 2013), Senior Product and Sales Strategy Analyst (2011 to 2012) and Institutional Trainee – Card Department (2010). Mr. Aversa also worked as Commercial Planning Coordinator at a Honda Dealership – Walk Motos (2007 to 2009) and as a Trainee at Ernst & Young (2006 to 2007). He holds a Bachelor’s degree in Economics from the Universidade Estadual Paulista (UNESP), Brazil, and a Certificate in Finance Management from Insper, Brazil. Management body: Management body: Nominated by the Controlling stockholder: Board of Directors No Elective office held: Description of other positions held: Others officers Officer


 
Date of election: Date of investiture: Term of office: Date of beginning of first term: 04/30/2025 06/18/2025 Annual 03/14/2025 Conviction: Type of Conviction: Description of the conviction: n/a n/a Administrator: Name: Taxpayer ID (CPF): FELIPE XAVIER MINHOTO TAMBELINI 325.271.438-81 Profession: Date of birth: Administrator 06/13/1989 Profissional experience: Felipe Xavier Minhoto Tambelini, a member of the Partners Program, has been an Officer at Itaú Unibanco Holding since April 2025. He is currently responsible for the Fraud Prevention department. He has held a number of positions at the Itaú Unibanco Group, including Head of Payments and Transfers (2023 to 2025); Product Superintendent - iti (2020 to 2023); Digital Product Manager - iti (2018 to 2020); Digital Payments Product Manager (2018); Digital Payments Product Coordinator (2016 to 2018); Analytics Coordinator (2016); Senior Digital Product Analyst (2015 to 2016); and Trainee (2014 to 2015). He also worked as a Product Intern (2011) at Banco ABC Brasil. He holds a Bachelor's degree in Business Administration from the Pontifícia Universidade Católica de São Paulo (PUC-SP), São Paulo, Brazil; an extension degree in Finance from the Fundação Instituto de Administração da Universidade de São Paulo (FIA-USP) and in People Management with emphasis on Organizational Leadership from the Fundação Dom Cabral, São Paulo, Brazil. Management body: Management body: Nominated by the Controlling stockholder: Board of executive officers No Elective office held: Description of other positions held: Others Officers Officer Date of election: Date of investiture: Term of office: Date of beginning of first term: 04/30/2025 06/18/2025 Annual 06/18/2025


 
Conviction: Type of Conviction: Description of the conviction: n/a n/a Administrator: Name: Taxpayer ID (CPF): FLÁVIO AUGUSTO AGUIAR DE SOUZA 747.438.136-20 Profession: Date of birth: Business Administrator 03/27/1970 Profissional experience: Flávio Augusto Aguiar de Souza Position and term of office He is a member of the Partners Program, has been an Officer of the Executive Committee at the Itaú Unibanco Group and CEO of Banco Itaú BBA since 2021 Experiences, skills and abilities Financial sector, capital markets and other sectors Flávio Augusto Aguiar de Souza, a member of the Partners Program, has been an Officer of the Executive Committee at the Itaú Unibanco Group and CEO of Banco Itaú BBA since 2021, being responsible for the Corporate & Investment Banking, Commercial Banking, Distribution and Research departments, as well as for the credit analysis, granting, recovery and restructuring activities of the Wholesale Banking segment. He joined the Itaú Unibanco Group in 2009 and has held leadership positions in several departments of the conglomerate, having served as Executive Commercial Banking Officer, Global Head of Wealth Management & Services, Global Head of Private Banking, and CEO of Banco Itaú International in Miami, U.S. Mr. Souza was Vice President of Brazilian Financial and Capital Markets Association (ANBIMA) from 2015 to 2019, and Chairman of the Board of Directors of banks Itaú International (Miami, U.S.) and Itaú Suisse (Zurich, Switzerland) from 2015 to 2018. ESG Since the beginning of 2023, he has also taken on the responsibility, within the ESG agenda, for the activities of the climate finance department of the entire Conglomerate. Academic background


 
He holds a Bachelor’s degree in Business Administration from Universidade Federal de Minas Gerais, Belo Horizonte, Minas Gerais, Brazil, and a Postgraduate degree in Finance from Fundação Dom Cabral, São Paulo, Brazil. Management body: Management body: Nominated by the Controlling stockholder: Board of executive officers No Elective office held: Description of other positions held: Others Officers Officer (member of the Executive Committee) Date of election: Date of investiture: Term of office: Date of beginning of first term: 04/30/2025 06/18/2025 Annual 03/02/2021 Conviction: Type of Conviction: Description of the conviction: n/a n/a Administrator: Name: Taxpayer ID (CPF): FLAVIO RIBEIRO IGLESIAS 260.111.178-05 Profession: Date of birth: Engineer 01/22/1977 Profissional experience: Flavio Ribeiro Iglesias, a member of the Partner Program, has been an Officer since 2015, currently responsible for the Individual Strategy, Loans, and Asset Acquisition Directorate, which consolidates all initiatives focused on the integrated customer experience. He joined Itaú Unibanco in 2000 and has held several positions during this period, including Superintendent of Individual Products (2008 to 2012); Superintendent of Planning (2012 to 2015). He holds a bachelor’s degree in Civil Engineering from Instituto Tecnológico de Aeronáutica (ITA), São José dos Campos, São Paulo, Brazil, a specialization in Administration from Fundação Getulio Vargas (FGV), São Paulo, Brazil, and an MBA from Stanford University, California, USA.


 
Management body: Management body: Nominated by the Controlling stockholder: Board of executive officers No Elective office held: Description of other positions held: Others Officers Officer Date of election: Date of investiture: Term of office: Date of beginning of first term: 10/30/2025 12/10/2025 Annual 12/10/2025 Conviction: Type of Conviction: Description of the conviction: n/a n/a Administrator: Name: Taxpayer ID (CPF): GABRIEL AMADO DE MOURA 247.648.348-63 Profession: Date of birth: Business Administrator 08/18/1975 Profissional experience: Gabriel Amado de Moura Position and term of office Member of the Partners Program since 2011, has been an Officer of the Executive Committee and CFO at the Itaú Unibanco Group since September 2024. Experiences, skills and abilities Financial sector, capital markets and other sectors He was appointed CEO of Banco Itaú Chile in January 2020, and has served as CFO at Itaú CorpBanca since April 2016. He joined Itaú Unibanco in 2000 and became a partner in 2017. He has over 24 years of experience in asset management, risk management and mergers and acquisitions. Mr. Moura held the position of investment manager for the pension fund, endowment and insurance business lines. He was also a risk manager in the Wealth Management department and has been a member of the board of


 
directors of a number of companies of the Itaú Unibanco Conglomerate in Brazil and abroad. Before joining the bank, he worked at BBVA Asset Management and Itaú Bankers Trust. He has been the CEO since July 2024 and Chairman of the Board of Directors of Investimentos Bemge S.A. since September 2024 and Chairman of the Board of Directors of Dibens Leasing S.A. since July 2024. Academic background He holds an MBA degree from Wharton School, University of Pennsylvania, U.S. Management body: Management body: Nominated by the Controlling stockholder: Board of executive officers No Elective office held: Description of other positions held: Others Officers Officer (member of the Executive Committee) Date of election: Date of investiture: Term of office: Date of beginning of first term: 04/30/2025 06/18/2025 Annual 10/24/2024 Conviction: Type of Conviction: Description of the conviction: n/a n/a Administrator: Name: Taxpayer ID (CPF): GILBERTO FRUSSA 127.235.568-32 Profession: Date of birth: Lawyer 10/20/1966 Profissional experience: Gilberto Frussa has been a Member of the Supervisory Council at the Itaú Unibanco Group since July 2022. He has held several positions at the Itaú Unibanco Group, including Officer of the Corporate Compliance Department from 2017 to 2021, Legal Officer of Products and Business – Retail Business from 2015 to 2017 and Legal Officer at Banco Itaú BBA S.A. from 2006 to 2015, where he also served as a lawyer from 1995 a 2006. He has been an External Member of the Risk and Solvency Committee at IRB – Brasil Resseguros S.A. since 2022.


 
Mr. Frussa was a partner at Carvalho Pinto, Monteiro de Barros, Frussa & Bohlsen – Advogados, responsible for the banking law department from 1993 to 1995. He was also a Lawyer from 1989 to 1993 at Banco BBA-Creditanstalt S.A. and a Law trainee and legal assistant from 1986 to 1989 at Pinheiro Neto – Advogados. Mr. Frussa was also an Effective Director of the National Financial System Resources Council (CRSFN) from 2000 to 2003 and 2011 to 2013. He was Chairman of the Legal Affairs Committee of the Brazilian Financial and Capital Markets Association (ANBIMA) from 2012 to 2015. Additionally, he was a Director at Fundação Itaú Unibanco Previdência Complementar from 2017 to 2021. He has been an Alternate Member of the Committee for Evaluation and Selection (CAS) of the National Financial System Resources Council (CRSFN) since 2018, and an associate of the Brazilian Institute of Corporate Governance (IBGC) since 2021 where he attended courses for Board Members, Supervisory Council and Finance and Accounting for Directors. He has a certificate for the In Company course - Best Corporate Governance Practices from the Brazilian Institute of Corporate Governance (IBGC). He holds a Bachelor’s degree in Law from Universidade de São Paulo (USP), São Paulo, Brazil. Management body: Management body: Nominated by the Controlling stockholder: Fiscal Council Yes Elective office held: Description of other positions held: President Fiscal Council Elect for Controller Date of election: Date of investiture: Term of office: Date of beginning of first term: 04/17/2025 06/10/2025 Annual 07/01/2022 Conviction: Type of Conviction: Description of the conviction: n/a n/a Administrator: Name: Taxpayer ID (CPF): GUILHERME BARROS LEITE DE ALBUQUERQUE MARANHÃO 223.105.878-26 Profession: Date of birth: Bank Clerk 10/17/1980 Profissional experience:


 
Guilherme Barros Leite de Albuquerque Maranhão, member of the Partners Program, has been an Officer at the Itaú Unibanco Group since May 2024. He is currently responsible for the Debt Capital Market (DCM) for Corporate & Investment Banking (CIB) clients and Fixed-Income Structuring and Distribution departments. He has held several positions at the Itaú Unibanco Group, including Managing Director: Fixed-Income Sales, DCM and Structured Products (2015 to 2024); Vice President: Fixed-Income Credit Structuring (2011 to 2015); Vice President: Fixed-Income Corporate Sales (2007 to 2011). He also worked as Fixed-Income Sales Trader at Banco Santander S.A. (2002 to 2007). He holds a Bachelor’s degree in Law from Universidade Presbiteriana Mackenzie, São Paulo, Brazil, and in Business Administration from Fundação Getulio Vargas (FGV), São Paulo, Brazil, he also holds a Postgratuated degree in Financial Economics from CEAFE/FGV. Management body: Management body: Nominated by the Controlling stockholder: Board of executive officers No Elective office held: Description of other positions held: Others Officers Officer Date of election: Date of investiture: Term of office: Date of beginning of first term: 04/30/2025 06/18/2025 Annual 07/01/2024 Conviction: Type of Conviction: Description of the conviction: n/a n/a Administrator: Name: Taxpayer ID (CPF): GUSTAVO LOPES RODRIGUES 219.738.878-94 Profession: Date of birth: Business Administrator 11/18/1980 Profissional experience: Gustavo Lopes Rodrigues Position and term of office Gustavo Lopes Rodrigues has been a partner since 2021, Investor Relations Officer and Chairman of the Disclosure and Trading Committee since August 2024 at the Itaú Unibanco Holding S.A. and has also


 
served as Investor Relations Officer at Investimentos Bemge S.A. since June 2024 and at Dibens Leasing S.A. since August 2024. Experience, skills and abilities Financial sector, capital markets and other sectors He has more than 20 years of experience, has built his career in various areas within Finance and served as Superintendent of Investor Relations between 2017 and 2024. Academic background Bachelor’s degree in Business Administration. Management body: Management body: Nominated by the Controlling stockholder: Board of executive officers No Elective office held: Description of other positions held: Others Officers Officer and Investor Relations Officer Date of election: Date of investiture: Term of office: Date of beginning of first term: 04/30/2025 06/18/2025 Annual 08/16/2024 Conviction: Type of Conviction: Description of the conviction: n/a n/a Administrator: Name: Taxpayer ID (CPF): JOÃO COSTA 476.511.728-68 Profession: Date of birth: Economist 08/10/1950 Profissional experience: João Costa has been an Alternate Member of the Supervisory Council at the Itaú Unibanco Group and an Effective Member of the Supervisory Council at the Itaúsa S.A. in 2023, having been an Alternate Member from 2009 to 2022.


 
He was a member of the Supervisory Council of Alpargatas S.A. from 2017 to 2018, Dexco S.A. from 2018 to 2019, FEBRABAN, IBCB and the Banking Employers' Union of the São Paulo State from 1997 to 2008. He set up and chaired the Audit Committee of Liberty Seguros S.A. and Indiana Seguros S.A. from 2014 to 2015. At the Itaú Unibanco Conglomerate, he was an Effective Member of the Board of Directors of Itauleasing de Arrendamento Mercantil and Itaú Rent Administração e Participação S.A. He also worked at Itaú Unibanco as a General Audit Manager, creating and managing the Systems Audit, Tax Audit, Affiliate Audit, Central Administration Audit, and Foreign Branch Audit functions and planning for inspections at branches nationwide, having developed the inspection automation software that was qualified as "best practice" by the consultancy Arthur Andersen. Later in 1997, serving as a Managing Officer, he structured the Collection Coordination department, defining operational and fiscal procedures for the collection and renegotiation of defaulted payments. He has structured an own and outsourced collection call center and the management of outsourced collection agencies and the control of external lawyers in charge of judicial collections nationwide. He has promoted the first sale of distressed assets, in Brazil, to a foreign debt recovery company. He has played a strong role in the area of governance, creating the Internal Controls and Compliance department, and in particular implementing procedures required by the U.S. Sarbanes Oxley Act (SOX). He has commenced the work for compliance with the Central Bank provisions in connection with Operational Risk and Resolution nº 3380. He holds a Bachelor’s degree in Economics from Faculdade de Economia São Luiz, São Paulo, Brazil, extension course in Business Administration from Faculdade de Economia, Administração, Contabilidade e Atuária da Universidade de São Paulo (FEA-USP), São Paulo, Brazil, and attended the Management Program for Executives from University of Pittsburgh, Pennsylvania, U.S. Management body: Management body: Nominated by the Controlling stockholder: Fiscal Council Yes Elective office held: Description of other positions held: Fiscal Council (Alternate) Elect for Controller Date of election: Date of investiture: Term of office: Date of beginning of first term: 04/17/2025 06/10/2025 Annual 07/10/2009 Conviction: Type of Conviction: Description of the conviction: n/a n/a


 
Administrator: Name: Taxpayer ID (CPF): JOÃO FILIPE FERNANDES DA COSTA 235.622.618-45 Profession: Date of birth: Administrator 12/21/1985 Profissional experience: João Filipe Fernandes da Costa Araújo, a member of the Partners Program, has been an Officer at Itaú Unibanco Holding since March 2025, and is currently responsible for the Business, Platforms and Digital Experiences; Artificial Intelligence for Individuals department. He has held several positions at the Itaú Unibanco Group, including Officer of Business, Platforms and Digital Experiences (January 2023 to March 2025), Officer of iti Itaú (2020 to 2022), Superintendent and Head of Products and Business Strategy at iti Itaú (2018 to 2020), Digital Business Superintendent (2016 to 2018), Strategic Planning Superintendent at Itaú Personnalité (2015 to 2016), and Digital Solutions Manager at Itaú Personnalité (2012 to 2014). Mr. Araújo worked as an Associate Consultant (2007 to 2010) and Consultant (2010 to 2012) at The Boston Consulting Group, Lisbon, Portugal. He holds a Bachelor’s degree in Business Administration and Management from Universidade Católica Portuguesa, Lisbon, Portugal, an MBA from Harvard Business School, Boston, U.S., and attended Executive Education programs from Stanford Graduate School of Business, U.S., and INSEAD, Fontainebleau, France. Management body: Management body: Nominated by the Controlling stockholder: Board of executive officers No Elective office held: Description of other positions held: Others Officers Officer Date of election: Date of investiture: Term of office: Date of beginning of first term: 04/30/2025 06/18/2025 Annual 05/02/2025 Conviction: Type of Conviction: Description of the conviction: n/a n/a Administrator:


 
Name: Taxpayer ID (CPF): JOÃO MOREIRA SALLES 295.520.008-58 Profession: Date of birth: Economist 04/11/1981 Profissional experience: João Moreira Salles Position and term of office He has been a (non-executive) Member of the Board of Directors at the Itaú Unibanco Group since 2017. Experience, skills and abilities Financial sector, capital markets and other sectors He has held a number of positions at the Itaú Unibanco Group, including Officer at IUPAR – Itaú Unibanco Participações S.A. since 2018, having been a member of its Board of Directors (2015 to 2018). Mr. Moreira Salles is currently an Officer of Brasil Warrant Administração de Bens e Empresas S.A. (BWSA), and CEO of BW Gestão de Investimentos (BWGI). He has also been a member, since 2019, of the Board of Directors of Verallia, a glass packaging company listed in France, and of the board of Alpargatas since 2022, where he was already a member of its Finance Committee. Before joining BW, he had been an Investment Banker at J. P. Morgan Chase, New York, U.S. Academic background He holds a Bachelor’s degree in Economics from the Instituto de Ensino e Pesquisa (INSPER), São Paulo, Brazil, a Master’s degree in Economics from the Columbia University, GSAS, New York, U.S., a Master’s degree in Finance from the Columbia University, GSB, New York, U.S., and a Ph.D. in Economic Theory from the Universidade de São Paulo (FEA-USP), São Paulo, Brazil. Management body: Management body: Nominated by the Controlling stockholder: Board of Directors Yes Elective office held: Description of other positions held: Other Directors Non-Executive Director Date of election: Date of investiture: Term of office: Date of beginning of first term: 04/17/2025 06/10/2025 Annual 06/01/2017 Conviction: Type of Conviction: Description of the conviction:


 
n/a n/a Administrator: Name: Taxpayer ID (CPF): JOSÉ GERALDO FRANCO ORTIZ JUNIOR 290.270.568-97 Profession: Date of birth: Lawyer 11/23/1980 Profissional experience: José Geraldo Franco Ortiz Junior is the Civil Litigation Legal Officer at the Itaú Unibanco Group. He began his career at the Itaú Unibanco Group in 2003 as an intern in the Legal Department and in 2021 was elected Compliance Officer, where he worked until the end of 2024. He holds a Bachelor's degree in Law from the Faculdade de Direito da Universidade de São Paulo (USP), São Paulo, Brazil, and a Master of Laws (LL.M.) from Columbia University’s Law School, New York, U.S. Management body: Management body: Nominated by the Controlling stockholder: Board of executive officers No Elective office held: Description of other positions held: Others Officers Officer Date of election: Date of investiture: Term of office: Date of beginning of first term: 04/30/2025 06/18/2025 Annual 03/02/2021 Conviction: Type of Conviction: Description of the conviction: n/a n/a Administrator: Name: Taxpayer ID (CPF): JOSÉ VIRGILIO VITA NETO 223.403.628-30 Profession: Date of birth: Lawyer 09/13/1978


 
Profissional experience: José Virgilio Vita Neto Position and term of office He is a member of the Partners Program, has been an Officer of the Executive Committee at the Itaú Unibanco Group since 2023, leading the Legal, Ombudsman’s, Governmental Relations and Sustainability departments. Experiences, skills and abilities Financial sector, capital markets and other sectors He started his career at the Itaú Unibanco Group in 2000 as a lawyer and was elected as Officer in 2011. He is also an Executive Officer at the Brazilian Federation of Banks (FEBRABAN). Academic background He holds a Bachelor’s degree in Law from Universidade de São Paulo (USP), São Paulo, Brazil; a Master’s degree in Contract Law from Universidad de Salamanca, Salamanca, Spain; a Ph.D. in Contract Law from Universidade de São Paulo (USP) São Paulo, Brazil, and has attended the Authentic Leadership Development Program from Harvard Business School, Boston, U.S. Management body: Management body: Nominated by the Controlling stockholder: Board of executive officers No Elective office held: Description of other positions held: Others Officers Officer (member of the Executive Committee) Date of election: Date of investiture: Term of office: Date of beginning of first term: 04/30/2025 06/18/2025 Annual 04/13/2015 Conviction: Type of Conviction: Description of the conviction: n/a n/a Administrator: Name: Taxpayer ID (CPF): LENI BERNADETE TORRES DA SILVA SANSIVIERO 048.504.508-73 Profession: Date of birth:


 
Administrator 08/11/1963 Profissional experience: Leni Bernadete Torres da Silva Sansiviero has been an alternate member of the Fiscal Council at Itaú Unibanco Holding S.A. since April 2025. She served as an alternate member of the Supervisory Council of LWSA S.A. (2021 to 2022) and as a member of the Balance Sheet Closing Committee at Itaúsa S.A. (2017 to 2018). She was the Controllership Superintendent at Itaú Unibanco S.A. (2008 to 2013), working in Controllership, Planning, M&A and Investor Relations, and was also the Executive Controllership Manager at Itaúsa S.A. (2013 to 2018), working in the structuring, implementation and management of the entire controllership department. She holds a Bachelor’s degree in Financial Administration and a Postgraduate degree in Systems Analysis from the Fundação Armando Álvares Penteado (FAAP), São Paulo, Brazil. She attended the Financial Specialization Course (CEFIN) from the Universidade de São Paulo (USP), São Paulo, Brazil. Management body: Management body: Nominated by the Controlling stockholder: Fiscal Council No Elective office held: Description of other positions held: Fiscal Council (Alternate) Elect for Controller Date of election: Date of investiture: Term of office: Date of beginning of first term: 04/17/2025 06/10/2025 Annual 06/10/2025 Conviction: Type of Conviction: Description of the conviction: n/a n/a Administrator: Name: Taxpayer ID (CPF): LUÍS EDUARDO GROSS SIQUEIRA CUNHA 132.780.368-24 Profession: Date of birth: Administrator 07/17/1970 Profissional experience:


 
Luis Eduardo Gross Siqueira Cunha, a member of the Partners Program, has been an Officer at Itaú Unibanco Holding since April 2025. He is currently responsible for the Operations, IGA and Client Service departments. He has held a number of positions at the Itaú Unibanco Group, including Officer since 2008 and Superintendent (1998 to 2017), after having joined the Group in 1993. He holds a Bachelor’s degree in Business Administration from Fundação Getulio Vargas (FGV), São Paulo, Brazil, has attended an Exchange Program at the University of Illinois, Chicago, U.S., and holds a master’s degree in Business Administration with major in Finance and Foreign Trade from the Leonard N. Stern School of Business, New York University, New York, U.S. Management body: Management body: Nominated by the Controlling stockholder: Board of executive officers No Elective office held: Description of other positions held: Others Officers Officer Date of election: Date of investiture: Term of office: Date of beginning of first term: 04/30/2025 06/18/2025 Annual 06/18/2025 Conviction: Type of Conviction: Description of the conviction: n/a n/a Administrator: Name: Taxpayer ID (CPF): LINEU CARLOS FERRAZ DE ANDRADE 105.260.778-08 Profession: Date of birth: Business Administrator 12/11/1972 Profissional experience: Lineu Carlos Ferraz de Andrade, a member of the Partners Program, has been an Officer at the Itaú Unibanco Group since 2014. He is currently responsible for the Consortium, Vehicle, Real Estate, Payroll Loans, Microcredit, Logistics, Credit Card and Insurance operations. Mr. Andrade has held several positions at the Itaú Unibanco Group, including as Head of Foreign Exchange and Foreign Trade Products from 2013 to 2014, Head of Credit Restructuring Policy and Strategy – Companies from 2011 to 2013, Head of Foreign Exchange and Foreign Trade Operations from 2005 to 2011, and Head of Foreign Exchange, Foreign Trade and Foreign Unit Systems from 2001 to 2004.


 
He holds a Bachelor’s degree in Computer Sciences from Faculdades Associadas de São Paulo (FASP), São Paulo, Brazil, an MBA degree from Universidade de São Paulo (USP), São Paulo, Brazil, specialization in Foreign Trade and Banking from Fundação Getulio Vargas (FGV), São Paulo, Brazil, specialization in Strategic People Management from Fundação Dom Cabral, São Paulo, Brazil, and a Post-MBA certificate from Fundação Instituto de Administração (FIA), São Paulo, Brazil and Risk Management from University of Pennsylvania’s The Wharton School of the University, Philadelphia, U.S. Management body: Management body: Nominated by the Controlling stockholder: Board of executive officers No Elective office held: Description of other positions held: Others Officers Officer Date of election: Date of investiture: Term of office: Date of beginning of first term: 04/30/2025 06/18/2025 Annual 10/03/2022 Conviction: Type of Conviction: Description of the conviction: n/a n/a Administrator: Name: Taxpayer ID (CPF): LUCIANA NICOLA 270.049.978-63 Profession: Date of birth: Bank Clerk 12/27/1977 Profissional experience: Luciana Nicola, a member of the Partners Program, has been an Officer at the Itaú Unibanco Group since 2022. She is currently responsible for the Institutional Relations and Sustainability department. She also serves as an Officer at Fundação Itaú para Educação e Cultura, as an Advisor at Fundação Itaú Unibanco Previdência Complementar, and as the CEO of Associação Itaú Viver Mais. She has held a number of positions at the Itaú Unibanco Group, including as Superintendent of Institutional Relations, Sustainability and New Business from 2018 to 2021 and Superintendent of Government and Institutional Relations from 2009 to 2018. She worked as a Social Responsibility Manager from 2004 to 2009 at Instituto Unibanco S.A. and at the Endomarketing department of Unibanco S.A. from 1997 to 2004. Ms. Nicola is currently a Member of the Board of Directors of Instituto do Pacto Global Brasil, a Member of the Strategic Group of Coalizão Brasil Clima, Florestas e Agricultura, member of Advisory Board of


 
GFANZ Brasil, and a Member of the Board of Directors of CEBDS. She serves a Member on the ESG Committee of the Brazilian Federation of Banks (FEBRABAN). She was also a Member of the Steering Committee from 2005 to 2007 of the Junior Achievement Association of the State of São Paulo. She holds a bachelor’s degree in law from Universidade São Judas Tadeu, São Paulo, Brazil, and Postgraduate degrees in Semiotics from Pontifícia Universidade Católica de São Paulo (PUC-SP), São Paulo, Brazil, and in Leadership and Public Management from Centro de Liderança Pública – CLP at the Center on the Legal Profession of Harvard Business School, Cambridge, Massachusetts, U.S. She also completed her training in Climate Change offered by IBGC in 2021, through the Chapter Zero initiative, a global network for engaging boards in climate challenges. Management body: Management body: Nominated by the Controlling stockholder: Board of executive officers No Elective office held: Description of other positions held: Others Officers Officer Date of election: Date of investiture: Term of office: Date of beginning of first term: 04/30/2025 06/18/2025 Annual 03/25/2022 Conviction: Type of Conviction: Description of the conviction: n/a n/a Administrator: Name: Taxpayer ID (CPF): MAIRA BLINI DE CARVALHO 327.908.828-35 Profession: Date of birth: Lawyer 03/14//1984 Profissional experience: Maira Blini de Carvalho, a member of the Partners Program, has been an Officer at the Itaú Unibanco Group since 2022. She is currently responsible for the advisory legal service of the Retail Banking department, including current account, payment account, credit cards, Pix (instant electronic payment solution), issuer and acquirer-related payment arrangements, overdrafts, payroll loans, real estate loans, vehicle financing, consortia, insurance and pension plans, and the legal matters related to contracts, data, intellectual property, marketing, equity, government segment and third sector. She has held several positions at the Itaú Unibanco Group, including as Legal Superintendent from 2017 to 2022, Legal


 
Manager from 2014 to 2017, Legal Coordinator from 2013 to 2014 and Legal Specialist Lawyer from 2012 to 2013. She also worked as a foreign associate in 2010 at White & Case LLP, in New York, in the M&A and securities practices; and as a lawyer at Grupo JBS from 2007 to 2009. She also worked as an intern at companies such as Nestlé Brasil Ltda. and Aon Holdings Consultores de Seguros e Benefícios from 2003 to 2007. She holds a Bachelor’s degree in law from the Universidade Presbiteriana Mackenzie, São Paulo, Brazil, and a Master’s degree in International Business and Economic Law from the Georgetown University Law Center, Washington, U.S. Management body: Management body: Nominated by the Controlling stockholder: Board of executive officers No Elective office held: Description of other positions held: Others Officers Officer Date of election: Date of investiture: Term of office: Date of beginning of first term: 04/30/2025 06/18/2025 Annual 03/15/2023 Conviction: Type of Conviction: Description of the conviction: n/a n/a Administrator: Name: Taxpayer ID (CPF): MARCELO MAIA TAVARES DE ARAÚJO 605.979.411-49 Profession: Date of birth: Engineer 04/27/1973 Profissional experience: Marcelo Maia Tavares de Araújo has been a Member of the Fiscal Council at Itaú Unibanco Holding S.A. since April 2025. Has been a member of the Board of Directors and a member of the Personnel and Compensation Committee (since 2021) at DIA Group – Supermercados DIA (Madrid/Spain); Chief Executive Officer (2020) and Country Advisor (2019) at DIA Brasil S.A.; a member of the Board of Directors and a member of the Audit Committee (since 2020) at Pacaembu Construtura S.A.; a member of the Board of Directors (since 2023); Institutional Officer (2021 to 2022); Financial Administrative Officer


 
(2020); CEO and Executive Officer (2019) at ABF – Associação Brasileira de Franchising; a member of the Board of Directors and a member of the Expansion and M&A Committee (2020 to 2023) at Mundo Pet S.A.; National Secretary of Trade and Services (2015 a 2017) at MDIC – Ministry of Development, Industry, Trade and Services; a member of the Board of Directors (2015 to 2016), serving as a representative of the Federal Government with BNDESPar in the Brazilian Economic and Social Development Bank (BNDES); Founder and CEO (2013 to 2015) at L.M. Maia Participações e Administração Ltda., an investment company focused on Real Estate aimed at the Retail Industry in the Northeastern Region; Regional Officer (2010 to 2012) at Magazine Luiza S.A. being responsible for the integration of Lojas Maia’s operations; Officer and Chairman of the Board of Directors (2005 to 2010) at Móveis Aiam Indústria Ltda.; General Director and a member of the Board of Directors (2002 to 2010) at F.S. Vasconcelos e Cia. Ltda. (Lojas Maia); Financial and Planning Manager (2000 to 2002) at Brasil Telecom S.A.; Trainee (1999) at Bank Bear Stearns, San Francisco/California, U.S.; Planning Assistant (1996 to 1998) at Grupo Paranapanema S.A.; Trainee (1992 to 1995) at Construtora Tratex S.A. He holds a Bachelor’s degree in Civil Engineering from the Universidade Federal de Minas Gerais, Belo Horizonte/MG, Brazil, an MBA from the Instituto Brasileiro de Mercado de Capitais (IBMEC), Brazil, Certification in Finance and a BA from the University of California in Berkeley, U.S., Sloan Master MSc in Leadership and Strategy and Certification in Innovating in Digital World from the London Business School (LBS), United Kingdom, and Certification in Digital Transformation from the Massachusetts Institute of Technology (MIT), U.S. Mr. Araújo is certified by the Instituto Brasileiro de Governança Corporativa (IBGC) to work as a Board member. Management body: Management body: Nominated by the Controlling stockholder: Fiscal Council No Elective office held: Description of other positions held: Fiscal Council (Effective) Elected by preferentialists Date of election: Date of investiture: Term of office: Date of beginning of first term: 04/17/2025 06/10/2025 Annual 06/10/2025 Conviction: Type of Conviction: Description of the conviction: n/a n/a Administrator: Name: Taxpayer ID (CPF):


 
MARCIA KINSCH DE LIMA 956.038.326-49 Profession: Date of birth: Bachelor of Science Sciences 03/01/1973 Profissional experience: Marcia Kinsch de Lima, a member of the Partners Program, has been an Officer at the Itaú Unibanco Group since December 2023 and has been an Officer at Itaú Unibanco Holding since May 2024. She is currently responsible for the Credit Risk and Wholesale Modeling departments. She also held the position of Credit Risk Superintendent from 2017 to 2023 and Senior Credit Manager from 2006 to 2014 at the Itaú Unibanco Group. She also worked in the credit departments of Banco Bradesco from 2016 to 2017, HSBC from 2014 to 2016 and BankBoston from 1995 to 2006, having also worked in the commercial department at the latter. She holds a Bachelor's degree in Economics from Universidade Federal de Minas Gerais, a Postgraduate degree in Financial Administration from Fundação Dom Cabral and a Master’s degree in Business Administration from Boston School/Columbia University. Management body: Management body: Nominated by the Controlling stockholder: Board of executive officers No Elective office held: Description of other positions held: Others Officers Officer Date of election: Date of investiture: Term of office: Date of beginning of first term: 04/30/2025 06/18/2025 Annual 07/01/2024 Conviction: Type of Conviction: Description of the conviction: n/a n/a Administrator: Name: Taxpayer ID (CPF): MARCOS MARINHO LUTZ 147.274.178-12 Profession: Date of birth: Naval Engineer 12/30/1969


 
Profissional experience: Marcos Marinho Lutz has been a member of the Board of Directors of Itaú Unibanco Holding S.A. since April 2025. Has served as the Chairman of the Board of Directors of Ultracargo Logística S.A., Companhia Ultragaz S.A. and Ultrapar Mobilidade S.A. since 2025 and of Hidrovias do Brasil S.A. since 2024. He has also been the Vice Chairman of the Board of Directors of Ultrapar Participações S.A. since 2023, having been its Board Member (2021 to 200). He has been a Member of the Board of Directors of Votorantim S.A. since 2020 and of Corteva Agrisciense since 2019, the Chief Executive Officer of Ultrapar Participações S.A. since 2022 and a Member of the People and Sustainability Committee and an Officer of Ultra S.A. Participações since 2021. Mr. Lutz served as Chairman of the Infrastructure Council of the Federação das Indústrias do Estado de São Paulo – FIESP (2015 to 2021); a Member of the Board of Directors (2008 to 2020), having been Chairman (July to December 2020) of Rumo Logística S.A., CEO of Cosan S.A. – Indústria e Comércio (2009 to 2020); a Board Member of Raizen S.A. (2013 to 2020), Comgás S.A. (2008 to 2020) and of Moove S.A. (2008 to 2020), and Member of the Board of Directors of Monsanto S.A. (2014 to 2018). He holds a Bachelor’s degree in Naval Engineering from the Escola Politécnica da Universidade de São Paulo (USP), São Paulo, Brazil, and a Master’s degree in Business Administration from the Northwestern University’s Kellogg School of Management, Illinois, U.S. Management body: Management body: Nominated by the Controlling stockholder: Board of Directors Yes Elective office held: Description of other positions held: Independent Board of Directors (Effective) Date of election: Date of investiture: Term of office: Date of beginning of first term: 04/17/2025 06/10/2025 Annual 06/10/2025 Conviction: Type of Conviction: Description of the conviction: n/a n/a Administrator: Name: Taxpayer ID (CPF): MARIA HELENA DOS SANTOS FERNANDES DE SANTANA 036.221.618-50 Profession: Date of birth:


 
Economist 06/23/1959 Profissional experience: Maria Helena dos Santos Fernandes de Santana Position and term of office Independent Member of the Board of Directors since 2021 and President of the Audit Committee since 2023 (independent member). Experiences, skills and abilities. Financial sector, capital markets and other sectors She has been an independent member of the Board of Directors since 2021 and an independent member of the Audit Committee since 2022, serving as President since April 2023. She also served as a member of the Audit Committee of Itaú Unibanco Holding from 2014 to 2020. She is a Member of the Board of Directors and Chairwoman of the Audit Committee of CI&T Inc. and a Member of the Board of Directors of Fortbras S.A. She was a Member of the Board of Directors and Chairwoman of the Audit Committee of XP Inc. between 2019 and 2021 and had previously served as Chairwoman of the Audit Committee of XP Investimentos S.A. between 2018 and 2019. She was a Member of the Board of Directors of Bolsas y Mercados Españoles (BME) between 2016 and 2020. She was also a Member of the Board of Trustees of the IFRS Foundation between 2014 and 2019. She was a Member of the Board of Directors and Coordinator of the Audit Committee of Totvs S.A. between 2013 and 2017, and a Member of the Board of Directors of CPFL Energia S.A. between 2013 and 2015. She also served as Chairwoman, between 2007 and 2012, and Commissioner, between 2006 and 2007, of the Brazilian Securities and Exchange Commission (CVM), representing CVM at the Financial Stability Board (FSB) between 2009 and 2012. She was the Chairwoman of the Executive Committee at the International Organization of Securities Commissions (IOSCO) between 2011 and 2012. ESG Between 2011 and 2012, she was a Member of the International Integrated Reporting Council (IIRC), where she later also served as a Member of the Governance and Nominating Committee, until the creation of the Value Reporting Foundation. She worked at the São Paulo Stock Exchange (current B3 S.A.) between 1994 and 2006, where she was involved in the creation and was responsible for the implementation of the Novo Mercado and other corporate governance segments. She was Vice President of the Brazilian Institute of Corporate Governance (IBGC) between 2004 and 2006, having been a Member of its Board of Directors between 2001 and 2006. She has also been a Member of the Latin- American Roundtable on Corporate Governance (OECD) since 2000. She was a Member of the Board of Directors and Coordinator of the People, Appointments and Governance Committee at Oi S.A. between 2018 and 2023. She served as a Member of the Board of Directors and as Chairwoman of the Corporate Governance Committee of Companhia Brasileira de Distribuição S.A. between 2013 and 2017. She was acknowledged with the Excellence in Corporate Governance award by the ICGN – International Corporate Governance Network, in 2012. Academic background She holds a Bachelor’s degree in Economics from Faculdade de Economia, Administração, Contabilidade e Atuária da Universidade de São Paulo (FEA-USP), São Paulo, Brazil. Management body:


 
Management body: Nominated by the Controlling stockholder: Board of Directors Yes Elective office held: Description of other positions held: Independent Board of Directors (Effective) Date of election: Date of investiture: Term of office: Date of beginning of first term: 04/17/2025 06/10/2025 Annual 06/15/2021 Conviction: Type of Conviction: Description of the conviction: n/a n/a Administrator: Name: Taxpayer ID (CPF): MÁRIO NEWTON NAZARETH MIGUEL 216.756.218-70 Profession: Date of birth: Business Administrator 12/22/1979 Profissional experience: Mário Newton Nazareth Miguel, a member of the Partners Program, has been an Officer at the Itaú Unibanco Group since 2021. He is currently responsible for the Receivables Information System Department and the forwarding to the Central Bank of Brazil of information relating to amounts refundable to individuals and legal entities. He has held several positions at the Itaú Unibanco Group, including Digital Products Superintendent from 2017 to 2020; Digital Business Superintendent from 2016 to 2017; Digital Business Manager (Cards) from 2013 to 2016; Electronic and Physical Channels Manager (Cards) from 2010 to 2013 and Project Expert (Cards) from 2008 to 2010. He also worked as a Product Manager from 2007 to 2008 at Banco ABN AMRO Real; as a Marketing Expert from 2005 to 2007 and Client Relations Analyst from 2004 to 2005 at Claro S.A. and Business Analyst from 1998 to 2003 at Tess S.A. He holds a Bachelor’s degree in Business Administration from Universidade Paulista, São Paulo, Brazil; a Postgraduate degree in Economics from Universidade de Campinas, São Paulo, Brazil; an MBA degree in Business from Fundação Getulio Vargas (FGV), São Paulo, Brazil; an MBA degree (International Module) from Ohio University, Ohio, U.S.; he attended a specialization course in Executive Leadership from Fundação Dom Cabral, São Paulo, Brazil, and he holds a Postgraduate degree in Positive Psychology from Pontifícia Universidade Católica do Rio Grande do Sul (PUC-RS). Management body:


 
Management body: Nominated by the Controlling stockholder: Board of executive officers No Elective office held: Description of other positions held: Others Officers Officer Date of election: Date of investiture: Term of office: Date of beginning of first term: 04/30/2025 06/18/2025 Annual 10/03/2022 Conviction: Type of Conviction: Description of the conviction: n/a n/a Administrator: Name: Taxpayer ID (CPF): MATIAS GRANATA 228.724.568-56 Profession: Date of birth: Economist 06/17/1974 Profissional experience: Matias Granata Position and term of office Matias Granata, partner, has been an Officer of the Executive Committee at the Itaú Unibanco Group responsible for the risks department (CRO) since 2021. Experiences, skills and abilities Risk management He has held several positions at the Itaú Unibanco Group, including as Officer from 2014 to 2021, responsible for Credit Risk, Modeling, and Market and Liquidity Risks. Responsible for the risk structure, Mr. Granata is also in charge of the unit that integrates the climate risk into the institutions’ global risk management. Academic background He holds a Bachelor’s degree in Economics from the Universidad de Buenos Aires (UBA), Buenos Aires, Argentina, a postgraduate degree in Economics from the Universidad Torcuato Di Tella (UTDT), Buenos Aires, Argentina, and a Master’s degree in International Economic Policy from the University of Warwick, British Chevening Scholarship, London , United Kingdom.


 
Management body: Management body: Nominated by the Controlling stockholder: Board of executive officers No Elective office held: Description of other positions held: Others Officers Officer (member of the Executive Committee) Date of election: Date of investiture: Term of office: Date of beginning of first term: 04/30/2025 06/18/2025 Annual 03/02/2021 Conviction: Type of Conviction: Description of the conviction: n/a n/a Administrator: Name: Taxpayer ID (CPF): MAYARA ARCI REZECK 079.433.926-39 Profession: Date of birth: Bank Clerk 07/05/1988 Profissional experience: Mayara Arci Rezeck, a member of the Partners Program, has been an Officer at Itaú Unibanco Holding since March 2025, and is currently responsible for the Vehicle Financing department. She has served in many positions at the Itaú Unibanco Group, having been Superintendent of Strategic Real Estate Planning, Vehicles and Consórcio (2023 to 2025), Commercial Superintendent (2020 to 2023), Product Manager (2017 to 2020), Credit Policy Coordinator (2016 to 2017), and Trainee (2013 to 2015). She holds a Bachelor's degree in Business Administration from the Universidade Federal de Itajubá, Minas Gerais, Brazil, and an MBA from INSEAD, Fontainebleau, France. Management body: Management body: Nominated by the Controlling stockholder: Board of executive officers No Elective office held: Description of other positions held: Others Officers Officer


 
Date of election: Date of investiture: Term of office: Date of beginning of first term: 04/30/2025 06/18/2025 Annual 05/02/2025 Conviction: Type of Conviction: Description of the conviction: n/a n/a Administrator: Name: Taxpayer ID (CPF): MICHELE MARIA VITA 217.835.478-55 Profession: Date of birth: Business Administrator 09/03/1980 Profissional experience: Michele Maria Vita, a member of the Partners Program, has been an Officer at the Itaú Unibanco Group since September 2024, being responsible for the Itaú Shop, ICarros, Tag Itaú, and Rewards Loyalty Programs departments. Mr. Vita served as CEO of ICarros (2022 to 2024); Digital Business Superintendent (2017 to 2021); Business Superintendent – Credit Cards (2014 to 2017); Loyalty Superintendent – Credit Cards (2012 to 2014); Product Manager – Credit Cards (2011 to 2012); Portfolio and Debit Card Manager – Credit Cards (2010 to 2011); Summer Associate – Private Wealth Management (2009); Product Manager – Credit Cards (2005 to 2008) and Product Manager (2001 to 2005). He holds a Bachelor’s degree in Business Administration from the Fundação Armando Álvares Penteado (FAAP), São Paulo, Brazil, and an MBA degree from the London Business School, London, United Kingdom. Management body: Management body: Nominated by the Controlling stockholder: Board of executive officers No Elective office held: Description of other positions held: Others Officers Officer Date of election: Date of investiture: Term of office: Date of beginning of first term: 04/30/2025 06/18/2025 Annual 10/24/2024


 
Conviction: Type of Conviction: Description of the conviction: n/a n/a Administrator: Name: Taxpayer ID (CPF): MILTON MALUHY FILHO 252.026.488-80 Profession: Date of birth: Business Administrator 06/08/1976 Profissional experience: Milton Maluhy Filho Position and term of office He is a partner, has been a chief executive officer since 2021. Experiences, skills and abilities Financial sector, capital markets and other sectors He has served as our CFO and a CRO. He has held several positions at the Itaú Unibanco Group, including vice president from 2019 to 2020, and CEO of Itaú CorpBanca (Chile) from 2016 to 2018, being responsible for the merger of two banks, CorpBanca and Banco Itaú Chile. He joined the Itaú Unibanco Group in 2002 and was elected officer in 2007. Academic background He holds a bachelor’s degree in Business Administration. Management body: Management body: Nominated by the Controlling stockholder: Board of executive officers No Elective office held: Description of other positions held: Chief Executive Officer Date of election: Date of investiture: Term of office: Date of beginning of first term: 04/30/2025 06/18/2025 Annual 01/03/2019 Conviction:


 
Type of Conviction: Description of the conviction: n/a n/a Administrator: Name: Taxpayer ID (CPF): PAULO ANTUNES VERAS 179.984.168-58 Profession: Date of birth: Engineer 09/01/1972 Profissional experience: Paulo Antunes Veras Position and term of office An Independent Member of the Board of Directors and a member of the Personnel Committee at Itaú Unibanco since 2023 Experience, skills and abilities Financial sector, capital markets and other sectors He is an investor in startups and an independent member of the Board of Directors of Localiza and a member of the Advisory Board of Boticário and Klubi. He was the founder and CEO of 99, the first Brazilian unicorn. He was an officer and board member at Endeavor, a high-impact entrepreneurship NGO. He was an independent member of the Board of Directors of B2W until 2021. Academic background He holds a Bachelor’s degree in Mechatronics Engineering from the Escola Politécnica da Universidade de São Paulo (Poli-USP), Brazil. He holds an MBA degree from INSEAD. Management body: Management body: Nominated by the Controlling stockholder: Board of Directors Yes Elective office held: Description of other positions held: Independent Board of Directors (Effective) Date of election: Date of investiture: Term of office: Date of beginning of first term: 04/17/2025 06/10/2025 Annual 05/17/2024


 
Conviction: Type of Conviction: Description of the conviction: n/a n/a Administrator: Name: Taxpayer ID (CPF): PAULO SERGIO MIRON 076.444.278-30 Profession: Date of birth: Economist 07/26/1966 Profissional experience: Paulo Sergio Miron, a member of the Partners Program, has been the Officer responsible for internal audit (CAE – statutory audit committee) at the Itaú Unibanco Group since 2015. He has been an Officer at the Instituto Unibanco and the Fundação Itaú para Educação e Cultura, a member of the Fiscal Council at the Fundação Maria Cecilia Souto Vidigal, of the Supervisory Council at Instituto Lemann and of the Fiscal Council at the Fundação Nova Escola, Coordinator of the Audit Committee at Zup Tecnologia, and a member of the Audit Committee at Avenue. Mr. Miron has served as a financial specialist at the Audit Committee of Porto Seguro, do Banco Carrefour and XP. With over 28 years of experience in independent auditing, he was a partner at PricewaterhouseCoopers (PwC) - Brazil (1996 to 2014) responsible for the audit work at large Brazilian financial conglomerates, the Brasília office in the Federal District (DF), and both the government services and the banking departments. Instructor in the training course for members of the Audit, Supervisory and Control Committee of the Instituto Brasileiro de Governança Corporativa (IBGC). He is a speaker at many seminars on governance, auditing and financial market issues. Mr. Miron also coordinated the PwC Brazil’s department of training at financial institutions for over ten years and worked as a college professor teaching financial market- related courses. He holds Bachelor’s degrees in Economics from the Universidade Presbiteriana Mackenzie, São Paulo, Brazil and in Accounting from the Universidade São Judas Tadeu, São Paulo, Brazil. Management body: Management body: Nominated by the Controlling stockholder: Board of executive officers No Elective office held: Description of other positions held: Others Officers Officer


 
Date of election: Date of investiture: Term of office: Date of beginning of first term: 04/30/2025 06/18/2025 Annual 07/01/2015 Conviction: Type of Conviction: Description of the conviction: n/a n/a Administrator: Name: Taxpayer ID (CPF): PEDRO HENRIQUE MOREIRA RIBEIRO 287.908.168-89 Profession: Date of birth: Lawyer 02/15/1980 Profissional experience: Pedro Henrique Moreira Ribeiro, member of the Partners Program, has been an Officer at the Itaú Unibanco Group since May 2024 and he is currently responsible for the Tax and Legal Department (Advisory and Litigation). He worked as Tax and Legal Superintendent at the Itaú Unibanco Group (2013 to 2024). He has 24 years of experience in corporate and product taxation and tax advisory and litigation, having worked in several tax departments of financial institutions. At Citigroup, he worked as Deputy Tax Superintendent (2010 to 2013) and Tax Specialist (2006 to 2010). He started his career in the Tax Department of JP Morgan Chase as a trainee (1999 to 2002) and, subsequently, as a Tax Analyst (2002 to 2006). He is the Vice Chairman of the Tax Committee of the Brazilian Association of Financial and Capital Market Entities (AMBIMA) and a Member of the Tax Committee of the Brazilian Federation of Banks (FEBRABAN). He holds a Bachelor’s degree in Law from Universidade Presbiteriana Mackenzie and attended a specialization course in Tax Law at Pontifícia Universidade Católica de São Paulo (PUC-SP). Management body: Management body: Nominated by the Controlling stockholder: Board of executive officers No Elective office held: Description of other positions held: Others Officers Officer


 
Date of election: Date of investiture: Term of office: Date of beginning of first term: 04/30/2025 06/18/2025 Annual 07/02/2024 Conviction: Type of Conviction: Description of the conviction: n/a n/a Administrator: Name: Taxpayer ID (CPF): PEDRO LUIZ BODIN DE MORAES 548.346.867-87 Profession: Date of birth: Economist 07/13/1956 Profissional experience: Pedro Luiz Bodin de Moraes Position and term of office An Independent Member of the Board of Directors since 2008. Experience, skills and abilities Financial sector and capital markets He was a member of the Board of Directors of Unibanco – União de Bancos Brasileiros S.A. between 2003 and 2008. He has been a partner at Cambuhy Investimentos Ltda. since 2011 and at Ventor Investimentos Ltda. since 2009. He was a partner at Icatu Holding S.A. between 2005 and 2014. He was also a partner and Officer at Banco Icatu S.A. between 1993 and 2002. He was Vice President of the Associação Nacional dos Bancos de Investimentos (ANBID) between 1994 and 2001, and a Professor in the Department of Economics at the Pontifícia Universidade Católica do Rio de Janeiro between 1985 and 1990. Risk management He is currently the Chairman of the Risk and Capital Management Committee of Itaú Unibanco, and his previous experience in risk management has fully entitled him to hold the chair of this Committee. His duties include supporting the Board of Directors in defining the institution’s risk appetite and supervising the risk and capital management and control activities, aimed at ensuring their adequacy to the risk levels assumed and complexity of the operations. He served as Officer of the Monetary Policy of the Central Bank of Brazil from 1991 to 1992. The duties related to this position included managing and enforcing monetary and foreign exchange policies, establishing technical guidelines for managing the Brazilian international reserves and defining policies for payment arrangements, clearing and settlement houses and other Financial Market infrastructures.


 
ESG From 1990 to 1991 he was an Officer at Banco Nacional de Desenvolvimento Econômico e Social (BNDES), the main instrument for enforcing the Federal Government’s investment policy and whose mission is to promote the sustainable and competitive development of the Brazilian economy by generating jobs and reducing social and regional inequalities. Academic background He holds a Bachelor’s degree in Economic Sciences from the Pontifícia Universidade Católica do Rio de Janeiro (PUC-RJ), Brazil. He holds a Master’s degree in Economics from the Pontifícia Universidade Católica do Rio de Janeiro, Brazil. He is a Ph.D. in Economics from the Massachusetts Institute of Technology (MIT), Cambridge, Massachusetts, U.S. Management body: Management body: Nominated by the Controlling stockholder: Board of Directors Yes Elective office held: Description of other positions held: Independent Board of Directors (Effective) Date of election: Date of investiture: Term of office: Date of beginning of first term: 04/17/2025 06/10/2025 Annual 11/28/2008 Conviction: Type of Conviction: Description of the conviction: n/a n/a Administrator: Name: Taxpayer ID (CPF): PEDRO MOREIRA SALLES 551.222.567-72 Profession: Date of birth: Banker 10/20/1959 Profissional experience: Pedro Moreira Salles Position and term of office Non-executive Co-Chairman of the Board of Directors since 2017.


 
Experiences, skills and abilities Financial sector, capital markets and other sectors He is a Co-chairman of the Board of Directors of Itaú Unibanco Holding S.A. and was also the Chairman of this Board between 2009 and 2017. He was a Member of the Board of Directors of Unibanco in 1989 and was its chairman from 1997 to 2004. In 2004, he became CEO of Unibanco and remained in the position until 2008, the year of the merger with Banco Itaú. He is the Chairman of the Board of Directors of Companhia Brasileira de Metalurgia e Mineração (CBMM) and the Chairman of the Board of Directors of Alpargatas S.A. He is also the Chairman of the Board of Directors of Companhia E. Johnston de Participações and the Chairman of the Board of Directors of IUPAR – Itaú Unibanco Participações S.A. He is Vice Chairman of the Board of Directors of Brasil Warrant and partner and joint CEO of Cambuhy Investimentos. He was a member of the Board of Directors of TOTVS and between 2017 and 2022 he was Chairman of the Board of Directors of the Brazilian Federation of Banks (FEBRABAN). ESG He is also the Chairman of the Board of Directors of the Unibanco Institute, an institution that works to improve public education in Brazil through education management. He is a Member of the Decision- Making Council and the Board of Associates of INSPER, a non-profit institution dedicated to education and research, and a Member of the Guidance Council of the Symphony Orchestra Foundation of the State of São Paulo (OSESP). He is also a Member of the Board of Directors of the Todos pela Saúde (All for Health) Institute, which combats sanitary emergencies in Brazil, and a Member of the Board of Directors of the Moreira Salles Institute, which is dedicated to promote and preserve cultural heritage. Academic background He holds a Bachelor’s degree, magna cum laude, in Economics and History from the University of California, Los Angeles, U.S. He attended the Owner/President Management (OPM) program at Harvard University in the U.S. Management body: Management body: Nominated by the Controlling stockholder: Board of Directors Yes Elective office held: Description of other positions held: Other Directors Non-executive Co-Chairman Date of election: Date of investiture: Term of office: Date of beginning of first term: 04/17/2025 06/10/2025 Annual 11/28/2008 Conviction: Type of Conviction: Description of the conviction: n/a n/a


 
Administrator: Name: Taxpayer ID (CPF): PEDRO PAULO GIUBBINA LORENZINI 103.594.548-79 Profession: Date of birth: Business Administrator 04/02/1968 Profissional experience: Pedro Paulo Giubbina Lorenzini Position and term of office He is a member of the Partners Program, has been an Officer of the Executive Committee at the Itaú Unibanco Group since 2021. Experiences, skills and abilities Financial sector, capital markets and other sectors He is currently responsible for the Treasury, Client and Product Desks, and Macroeconomics Department and for the Latin America (LATAM) Department, which also includes the operations in South America (Argentina, Paraguay, Uruguay, Chile and Colombia). He is a Member of the Board of Directors and a Member of the Risk and Financial Committee at B3 S.A. – Brasil, Bolsa, Balcão since 2021. Mr. Lorenzini served as a Member of the Executive Committee, responsible for the Global Markets and Securities Services at Citibank Brasil from 2008 to 2021, after having built his career at the institution since 1989, with experience in the Structuring, ALM Management, Trading, Sales, Product Management and Controllership departments. He was Chairman of the Treasury Committee from 2010 to 2013 and a Citibank representative at the Board of Executive Officers of the Brazilian Federation of Banks (FEBRABAN) from 2013 to 2021. He was Chairman of the Treasury Committee from 2010 to 2012 and Vice President of the Brazilian Association of Financial and Capital Market Entities (ANBIMA) from 2010 to 2021. Academic background He holds a Bachelor’s degree in Economics Business Administration from Pontifícia Universidade Católica de São Paulo (PUC-SP), São Paulo, Brazil. Management body: Management body: Nominated by the Controlling stockholder: Board of executive officers No Elective office held: Description of other positions held:


 
Others Officers Officer (member of the Executive Committee) Date of election: Date of investiture: Term of office: Date of beginning of first term: 04/30/2025 06/18/2025 Annual 05/03/2021 Conviction: Type of Conviction: Description of the conviction: n/a n/a Administrator: Name: Taxpayer ID (CPF): RAFAEL VIETTI DA FONSECA 223.949.378-07 Profession: Date of birth: Lawyer 11/25/1983 Profissional experience: Rafael Vietti da Fonseca, member of the Partners Program, has been an Officer at the Itaú Unibanco Group since May 2024 and he is currently responsible for the legal service activities at Itaú BBA, Itaú Corretora and the Corporate Business Unit. In this capacity, he is responsible for the legal advisory services on capital market operations (IBD, M&A Advisory, ECM and DCM), research, banking products for small, middle-market and large companies, financial advisory and credit recovery (special situation, judicial and extrajudicial recovery, bankruptcy and collection). He also currently works on institutional topics, including environmental and social issues and responsible businesses. He has been at the Itaú Unibanco Group since 2006, having previously held many positions, such as: Legal Superintendent responsible for the Investment Banking Department and other departments, Legal Manager responsible for the Proprietary M&A Department and Chief Attorney at Itaú USA Asset Management in New York. Before joining the Itaú Unibanco Group, he worked at the São Paulo State Attorney’s General Office between 2004 and 2006. He holds a Bachelor's degree in Law from Universidade Presbiteriana Mackenzie and attended specialization courses in Accounting at Fundação Getulio Vargas and Corporate Finance at Fundação Instituto de Admnistração (FIA). He also holds a LL.M degree from University of Virginia. Management body: Management body: Nominated by the Controlling stockholder: Board of executive officers No Elective office held: Description of other positions held:


 
Others Officers Officer Date of election: Date of investiture: Term of office: Date of beginning of first term: 04/30/2025 06/18/2025 Annual 07/01/2024 Conviction: Type of Conviction: Description of the conviction: n/a n/a Administrator: Name: Taxpayer ID (CPF): RENATO BARBOSA DO NASCIMENTO 161.373.518-90 Profession: Date of birth: Accountant 10/28/1971 Profissional experience: Renato Barbosa do Nascimento, a member of the Partners Program, has been an Officer at the Itaú Unibanco Group since 2017, responsible for the internal audit function of the investment banking, Wealth Management, Brokerage services, Private Banking, M&A, Treasury, Risks, Accounting, Fiscal, Finance departments and the entire ecosystem that serves companies and payment means. Between 2018 and the first half of 2023, he led the internal audit work covering the whole ESG scope, with outstanding assessment of the commitments made with external agents, ensuring compliance with rules and regulation and ultimately the audit of the Conglomerate’s ESG governance pillars. Also against this backdrop, Mr. Nascimento engaged in the Mentoring Program for Black Women sponsored by Itaú Unibanco throughout 2023. He has been a member of audit councils and committees of Itaú Unibanco’s investees aiming at maintaining the high governance standards required by the Conglomerate, and a Fiscal Advisor at the Conselho Empresarial Brasileiro para o Desenvolvimento Sustentável (CEBDS). He has held several positions in his over 26-year professional journey at PricewaterhouseCoopers Auditores Independentes (PwC), including Audit Partner from 2009 to 2017. His main responsibility as Audit Partner was to lead external audits in entities of the financial industry in Brazil and abroad. Between 2014 and 2017, he took part in a three-year professional exchange program at PwC in Mexico City, Mexico, as audit partner leading external audits in subsidiaries of international entities of the financial industry in Mexico. From 2009 and 2014, Mr. Nascimento was responsible for monitoring external audits carried out by the PwC teams of the United States, United Kingdom, Switzerland, Portugal, Chile, Argentina, Paraguay and Uruguay in subsidiaries of Brazilian financial institutions in these countries. Between 2006 and 2008, he took part in a two-year professional exchange program at PwC in London, United Kingdom, and his main responsibilities were managing external audits of British financial institutions in England, managing external audits of subsidiaries of international banks, as well as the resulting development of knowledge on the application of the International Financial Reporting Standards


 
(IFRS), Sarbanes Oxley (SOx) rules and policies issued by the Public Company Accounting Oversight Board (PCAOB). Additionally, he took part in a two-year professional exchange program at PwC in Montevideo, Uruguay, managing external audits of local banks, international institutions, and offshore entities, among others. He holds Bachelor’s degrees in Accounting and in Business Administration, both from the Universidade Paulista, São Paulo, Brazil, and Master’s degree in Business Administration (MBA) from the Fundação Getulio Vargas (FGV), São Paulo, Brazil. He periodically attends international training courses and events, such as the Innovation Program – Singularity University in Palo Alto, Fintech Revolution – Wharton School of the University of Pennsylvania, SXSW, the IIA Conference and the Gartner IT Symposium. Management body: Management body: Nominated by the Controlling stockholder: Board of executive officers No Elective office held: Description of other positions held: Others Officers Officer Date of election: Date of investiture: Term of office: Date of beginning of first term: 04/30/2025 06/18/2025 Annual 11/06/2017 Conviction: Type of Conviction: Description of the conviction: n/a n/a Administrator: Name: Taxpayer ID (CPF): RENATO DA SILVA CARVALHO 033.810.967-61 Profession: Date of birth: Production Engineer 11/02/1974 Profissional experience: Renato da Silva Carvalho, a member of the Partners Program, has been an Officer at the Itaú Unibanco Group since 2020. He is currently responsible for the Wholesale Banking’s Financial Planning department. In this position, he is responsible for determining the financial results of the Wholesale Banking, including monitoring ESG products and services that generate positive impact. Mr. Carvalho has held several positions at the Itaú Unibanco Group, including Financial Planning Officer - Retail Banking,


 
Finance Superintendent, Wholesale Banking from 2017 to 2020 and Market and Liquidity Risk Superintendent/Manager from 2010 to 2017. He worked as Investment Market Risk Associate Director from 2008 to 2010 at Fidelity International LTD (London, United Kingdom), Market Risk Associate Director from 2006 to 2008 at Mizuho International LTD (London, United Kingdom), and Market and Liquidity Risk Analyst from 1998 to 2006 at Banco Brascan S.A. (Rio de Janeiro, Brazil). He holds a Bachelor’s degree in Production Engineering from Universidade Federal do Rio de Janeiro (UFRJ), Rio de Janeiro, Brazil, an Executive MBA degree in Finance from Instituto Brasileiro de Mercado de Capitais (IBMEC), Brazil, an MBA degree in System Analysis, Project and Management from Pontifícia Universidade Católica do Rio de Janeiro (PUC-RJ), Rio de Janeiro, Brazil, and a M.Sc.in Production Engineering from Universidade Federal do Rio de Janeiro (UFRJ), Rio de Janeiro, Brazil, and has attended the Executive Program from Fundação Dom Cabral, Minas Gerais, Brazil. He is a certified Professional Risk Manager (PRM) by the Professional Risk Management International Association (PRMIA) and a Financial Risk Manager (FRM) by the Global Association of Risk Professionals (GARP). Management body: Management body: Nominated by the Controlling stockholder: Board of executive officers No Elective office held: Description of other positions held: Others Officers Officer Date of election: Date of investiture: Term of office: Date of beginning of first term: 04/30/2025 06/18/2025 Annual 10/01/2020 Conviction: Type of Conviction: Description of the conviction: n/a n/a Administrator: Name: Taxpayer ID (CPF): RENATO LULIA JACOB 118.058.578-00 Profession: Date of birth: Bank Clerk 05/10/1974 Profissional experience:


 
Renato Lulia Jacob has been a partner and an Officer at the Itaú Unibanco Group where he has been responsible since April 2024 for the Corporate Strategy, Investor Relations and Corporate Development and has been a member of the Disclosure and Trading Committee since 2019. He served as Group Head of Investor Relations and Market Intelligence and Chairman of the Disclosure and Trading Committee (2020 to 2024). Mr. Jacob has been at the Itaú Unibanco Group for 23 years, having held several positions, including CEO and Member of the Board of Directors at Itau BBA International plc, in the United Kingdom, and Member of the Boards of Directors at Itau International, in the U.S., and Itau Suisse, in Switzerland from 2016 to 2020, a Managing Director of Banco Itau Argentina S.A. from 2006 to 2010 and a Managing Director, Head of CIB Europe from 2011 to 2015. He has been an Independent Member of the Board of the Royal Institution of Great Britain, in the United Kingdom. He was an Independent Member of the Board of the Fight for Peace International from 2017 to 2022 and fellow of the Institute of Directors from 2015 to 2017. He holds a Bachelor’s degree in Civil Engineering from Universidade de São Paulo (USP), São Paulo, Brazil, and has attended the Advanced Management Program and taken part in the CEO Academy, both from the Wharton School of the University of Pennsylvania, Philadelphia, U.S. Management body: Management body: Nominated by the Controlling stockholder: Board of executive officers No Elective office held: Description of other positions held: Others Officers Officer Date of election: Date of investiture: Term of office: Date of beginning of first term: 04/30/2025 06/18/2025 Annual 12/14/2020 Conviction: Type of Conviction: Description of the conviction: n/a n/a Administrator: Name: Taxpayer ID (CPF): RICARDO NUNO DELGADO GONÇALVES 251.863.858-08 Profession: Date of birth: Administrator 06/30/1976


 
Profissional experience: Ricardo Nuno Delgado Gonçalves, a member of the Partners Program, has been an Officer at Itaú Unibanco Holding since April 2025. He has held the position of Treasury Trading Officer since 2020 and was the Treasury Banking Officer from 2014 to 2020 and the Banking and External Treasuries Superintendent from 2011 to 2014. Mr. Gonçalves was also Funding and Structured Operations Superintendent from 2009 to 2011, Chief Operator and International Banking Superintendent from 2003 to 2009, Trader from 1997 to 2003, and Controller from 1995 to 1997. He holds a Bachelor’s degree in Business Administration from the Universidade de São Paulo (FEA- USP), São Paulo, Brazil. Management body: Management body: Nominated by the Controlling stockholder: Board of executive officers No Elective office held: Description of other positions held: Others Officers Officer Date of election: Date of investiture: Term of office: Date of beginning of first term: 04/30/2025 06/18/2025 Annual 06/18/2025 Conviction: Type of Conviction: Description of the conviction: n/a n/a Administrator: Name: Taxpayer ID (CPF): RICARDO RIBEIRO MANDACARU GUERRA 176.040.328-85 Profession: Date of birth: Engineer 08/28/1970 Profissional experience: Ricardo Ribeiro Mandacaru Guerra Position and term of office He is a Member of the Partners Program, has been an Officer of the Executive Committee at the Itaú Unibanco Group since 2021.


 
Experience, skills and abilities Financial sector He has held a number of positions at the Itaú Unibanco Group, including Executive Officer (2014 to 2021), Channels Officer (2008 to 2014), Financing Products Superintendent - Individuals (2007 to 2008), Credit Policies Superintendent (2006 to 2007), Electronic Channels Management Superintendent (2002 to 2006), and Internet Project Leader (1996 to 2000). He joined the Itaú Unibanco Group in 1993 as a Systems Analyst. Technology, operations and information security He is responsible for the technology, operations, service, data and CX departments, serving as CIO since 2015. Since September 2024 he has been responsible for the Operations, IGA and Service departments. He has extensive experience in digital transformation, large-scale platform management, including everything from management and governance processes to technical engineering and cybersecurity knowledge. He leads a broad technology team, focused on deep technical excellence, talent training and diversity. Academic background He holds Bachelor’s degrees in Civil Engineering from Escola Politécnica da Universidade de São Paulo (USP), São Paulo, Brazil, and in Business Administration from Faculdade de Economia, Administração, Contabilidade e Atuária da Universidade de São Paulo (FEA-USP), São Paulo, Brazil, and also an MBA from Kellogg School of Management at Northwestern University, Illinois, U.S. Management body: Management body: Nominated by the Controlling stockholder: Board of executive officers No Elective office held: Description of other positions held: Others Officers Officer (member of the Executive Committee) Date of election: Date of investiture: Term of office: Date of beginning of first term: 04/30/2025 06/18/2025 Annual 03/02/2021 Conviction: Type of Conviction: Description of the conviction: n/a n/a Administrator: Name: Taxpayer ID (CPF):


 
RICARDO VILLELA MARINO 252.398.288-90 Profession: Date of birth: Engineer 01/28/1974 Profissional experience: Ricardo Villela Marino Position and term of office Non-Executive Vice Chairman of the Board of Directors since 2020. Experience, skills and abilities Financial sector and capital markets He has been the Chairman of the Latin America Strategic Council since 2018, leading the innovation and exploration of growth opportunities throughout the region, and is the Chairman of Banco Itaú Chile. He has held a number of positions at the Itaú Unibanco Group since 2002, including Vice President between 2010 and 2018, and CEO for Itaú Latam operations (Argentina, Chile, Paraguay and Uruguay). He started his career at Banco Credit Commercial de France (CCF), worked with fixed income and stock market at Banco de Investimentos Garantia (CSFB) and at Goldman Sachs Asset Management in New York and London, where he was a portfolio manager for Emerging Markets. He served as the Chairman of the Federation of Latin American Banks (FELABAN) and was named a Young Global Leader by the World Economic Forum (WEF). He has been an alternate member of the Board of Directors since 2011. Financial inclusion and entrepreneurship He is responsible for creating business models to the crypto market contributing to financial inclusion through digital assets. He currently serves as Vice Chairman of Humanitas 360, a non-profit organization focused on catalyzing social and civic entrepreneurship among young people. He is the Chairman of Instituto PDR, an organization aimed at investing and preparing new entrepreneurs with a focus on social academic transformation. He is also a member of the Advisory Board of Visa Latin America and of the MIT Sloan School of Management. Academic background He holds a Bachelor’s degree in Mechanic Engineering from the Escola Politécnica da Universidade de São Paulo (USP), São Paulo, Brazil. He holds a Master’s degree in Business Administration from the MIT Sloan School of Management, Cambridge, Massachussets, U.S. Management body: Management body: Nominated by the Controlling stockholder: Board of Directors Yes Elective office held: Description of other positions held: Non-executive Vice President of the Board of Directors


 
Date of election: Date of investiture: Term of office: Date of beginning of first term: 04/17/2025 06/10/2025 Annual 11/28/2008 Conviction: Type of Conviction: Description of the conviction: n/a n/a Administrator: Name: Taxpayer ID (CPF): RITA RODRIGUES FERREIRA CARVALHO 037.511.527-76 Profession: Date of birth: Actuarial 08/30/1973 Profissional experience: Rita Rodrigues Ferreira Carvalho, a member of the Partners Program, has been an Officer at Itaú Unibanco Holding since April 2025. She is currently responsible for the Compliance and Operational Risks department. She has held a number of positions at the Itaú Unibanco Group, including Officer since 2021, Superintendent for Business Management, Quant Solutions and Global Markets & Treasury Control (2017 to 2021), and Internal Control and Compliance Superintendent (2012 to 2017). Ms. Carvalho had previously worked at a global bank, in Brazil and in the United Kingdom, in the Risk and Compliance departments for 13 years. She holds a Bachelor’s degree in Actuarial Sciences and a master’s (MSc) degree in Statistics, both from Universidade Federal do Rio de Janeiro, Rio de Janeiro, Brazil. Management body: Management body: Nominated by the Controlling stockholder: Board of executive officers No Elective office held: Description of other positions held: Others Officers Officer Date of election: Date of investiture: Term of office: Date of beginning of first term: 04/30/2025 06/18/2025 Annual 06/18/2025 Conviction:


 
Type of Conviction: Description of the conviction: n/a n/a Administrator: Name: Taxpayer ID (CPF): ROBERTO EGYDIO SETUBAL 007.738.228-52 Profession: Date of birth: Engineer 10/13/1954 Profissional experience: Roberto Egydio Setubal Position and term of office Non-executive Co-Chairman of the Board of Directors since 2017. Experiences, skills and abilities Financial sector, capital markets and other sectors He started his career at Banco Itaú in 1980, having held several positions before he was appointed as CEO in 1994, a position he held until April 2008. In that year, after the merger between the banks Itaú and Unibanco, he became CEO of Itaú Unibanco Holding S.A. and held that position until 2017. He has been a Member of the Board of Directors of Itaúsa S.A. since 2021 and is currently the Vice Chairman. He is also a Member of the Board of Directors of CCR S.A. He was a Member of the Board of Directors of Petrobras between 2000 and 2002 and a Member of the Board of Directors of Shell Plc. between 2017 and 2020. He was a member of the International Monetary Conference (IMC) between 1994 and 2020, and the Chairman in 2015. He was the Chairman of the Brazilian Federation of Banks (FEBRABAN) between 1997 and 2000 and the Chairman of the Board of this institution between 2011 and 2017. He was a Member of the Board of Directors of the Institute of International Finance (IIF), having served as Vice Chairman between 2003 and 2014, and he was a Member of the International Advisory Committee of the Federal Reserve Bank of New York between 2002 and 2008. In 2011, he was named Banker of the Year by Euromoney magazine, and in 2015 he was elected, for the second time, the best executive in Brazil. Risk management During his term as CEO of Itaú Unibanco Holding S.A., until 2017, he oversaw risk management at the executive level, chairing seven superior risk councils, such as the Superior Audit and Operational Risk Management Council, the Superior Credit Council and the Superior Risk Policy Council, where he addressed corporate risk policies, risk management, risk appetite and the risk culture of the company. He is currently a Member of the Risk and Capital Management Committee, providing support in defining, reviewing and approving the risk appetite, strategies and institutional risk policies. ESG He is also a Member of the Board of Directors of Centro de Liderança Pública (CLP), a cross-party organization that seeks to engage society and develop public leaders to face urgent problems in Brazil.


 
In 2003, he was appointed as a Member of the Economic and Social Development Council (CDES) and holds this position to date. Academic background He holds a Bachelor’s degree in Production Engineering from Escola Politécnica da Universidade de São Paulo (USP), São Paulo, Brazil. He also holds a Master’s degree in Engineering Science from Stanford University, California, U.S. Management body: Management body: Nominated by the Controlling stockholder: Board of Directors Yes Elective office held: Description of other positions held: Other Directors Non-executive Co-Chairman Date of election: Date of investiture: Term of office: Date of beginning of first term: 04/17/2025 06/10/2025 Annual 11/28/2008 Conviction: Type of Conviction: Description of the conviction: n/a n/a Administrator: Name: Taxpayer ID (CPF): RODRIGO ANDRE LEIRAS CARNEIRO 070.227.907-28 Profession: Date of birth: Economist 11/13/1975 Profissional experience: Rodrigo Andre Leiras Carneiro, a member of the Partners Program, has been an Officer at the Itaú Unibanco Holding since 2025. He is currently responsible for the Credit Card Business – Individuals department, serving as an Officer since 2022. He has held several positions at the Itaú Unibanco Group, including Product Officer at Redecard (2018 to 2022), Card Portfolio Superintendent (2013 to 2017), Card Manager – High Income Segment (2012 to 2013), Business and Planning Manager (2008 to 2012), Credit Policy Manager – Unicard and Hipercard (2003 to 2008). Mr. Carneiro also worked as Credit and


 
Collection Coordinator (2001 to 2002), Marketing and Product Analyst (2000 to 2001) and Finance Analyst (1998 to 2000) at Fininvest. He holds a Bachelor’s degree in Economics from the Universidade Federal do Rio de Janeiro (UFRJ), Brazil and an Executive MBA (Coppead). Management body: Management body: Nominated by the Controlling stockholder: Board of Directors No Elective office held: Description of other positions held: Others officers Officer Date of election: Date of investiture: Term of office: Date of beginning of first term: 04/30/2025 06/18/2025 Annual 03/14/2025 Conviction: Type of Conviction: Description of the conviction: n/a n/a Administrator: Name: Taxpayer ID (CPF): RUBENS FOGLI NETTO 255.989.658-36 Profession: Date of birth: Business Administrator 06/26/1978 Profissional experience: Rubens Fogli, a member of the Partners Program, has been an Officer at the Itaú Unibanco Group since 2015, and is currently responsible for the Card Products and Requirements, Payment, Collection and Account Management Office. He has held several positions at the Itaú Unibanco Group, including Officer of Card Products, Digital Business, Cards and Acquiring Services and Joint Ventures with Retailers. Mr. Fogli Neto has also been a member of the Board of Directors at several companies of the Itaú Unibanco Group. He worked at important companies in the markets they operate, such as Citibank, Credicard, and Banco CCF Brasil. He holds a Bachelor’s degree in Business Administration from Pontifícia Universidade Católica de São Paulo (PUC-SP), São Paulo, Brazil, an Executive MBA degree from Instituto Brasileiro de Mercado de


 
Capitais (IBMEC), São Paulo, Brazil, and attended the Leadership Transition program from INSEAD, Fontainebleau, France, and the Leading Organizations and Change course from MIT Sloan School of Management, Cambridge, Massachusetts, U.S. Management body: Management body: Nominated by the Controlling stockholder: Board of executive officers No Elective office held: Description of other positions held: Others Officers Officer Date of election: Date of investiture: Term of office: Date of beginning of first term: 04/30/2025 06/18/2025 Annual 10/03/2022 Conviction: Type of Conviction: Description of the conviction: n/a n/a Administrator: Name: Taxpayer ID (CPF): SERGIO GUILLINET FAJERMAN 018.518.957-10 Profession: Date of birth: Economist 03/26/1972 Profissional experience: Sergio Guillinet Fajerman Position and term of office A member of the Partners Program, Mr. Fajerman has been an Officer of the Executive Committee at the Itaú Unibanco Group since 2021. Experience, skills and abilities Financial sector, capital markets and other sectors He is currently responsible for the Personnel, Marketing and Communications department. He has held a number of positions at the Itaú Unibanco Group, including as Executive Officer (2017 to 2021) and Corporate Personnel Management Officer and Personnel Officer at the General Wholesale Banking Office (2010 to 2017).


 
Academic background He holds a Bachelor’s degree in Economics from the Universidade Federal do Rio de Janeiro (UFRJ), Rio de Janeiro, Brazil, an MBA in Corporate Finance from the Brazilian Institute of Capital Markets (IBMEC), Brazil, an MBA from INSEAD, Fontainebleau, France, and has attended the Advanced HR Executive Program from the University of Michigan, Michigan, U.S. Management body: Management body: Nominated by the Controlling stockholder: Board of executive officers No Elective office held: Description of other positions held: Others Officers Officer (member of the Executive Committee) Date of election: Date of investiture: Term of office: Date of beginning of first term: 04/30/2025 06/18/2025 Annual 03/02/2021 Conviction: Type of Conviction: Description of the conviction: n/a n/a Administrator: Name: Taxpayer ID (CPF): TATIANA GRECCO 167.629.258-63 Profession: Date of birth: Technologist in Civil Engineering 08/31/1973 Profissional experience: Tatiana Grecco, a member of the Partners Program, has been an Officer at the Itaú Unibanco Group since 2017. She is currently responsible for the Capital and Market and Liquidity Risk department. She has worked at the financial and capital markets since 1994, when she joined the Capital Markets Department. She has built a consistent and successful career over the years within the firm, starting as a Back-Office Analyst of institutional and private banking investors’ portfolios. In 1998, she became a Fund Portfolio Manager at Itaú Asset Management. After that, she worked as a Senior Portfolio Manager of fixed income and technical provision portfolios for five years and later became the Superintendent of Technical Provision Portfolio Management.


 
In 2009, Ms. Grecco commenced the indexed fund business at Itaú Asset Management, through mutual funds and ETFs – Exchange Traded Funds. In 2014, she also became the Superintendent of Solutions for Asset Allocation and Quantitative Funds. She has coordinated the ETF Committee and the ESG Workgroup at the Brazilian Financial and Capital Markets Association (ANBIMA) for several years. She was also Vice President of the Fixed Income and Multimarket Funds Committee at the same Association, contributing to the development of Brazilian Mutual Funds. Since 2017, she has been responsible for the market and liquidity risk control at the Itaú Unibanco, Itaú Asset Management and Itaú Corretora de Valores units. Since 2020, she has also been responsible for the capital management of the Conglomerate. She holds a Bachelor’s degree in Civil Construction from Universidade Estadual Paulista (UNESP), São Paulo, Brazil, a Postgraduate degree in Finance from Instituto Brasileiro de Mercado de Capitais (IBMEC), Brazil, a Master’s degree in Business Administration from Fundação Getulio Vargas (FGV), São Paulo, Brazil, and is certified by the Executive Education Program on Asset Management from Yale University, Connecticut, U.S. She has also been a Certified Financial Planner (CFP) since 2009 and is Asset Manager certified (CGA) by ANBIMA. Ms. executives who founded the Bloomberg Women’s Buy-Side Network in Brazil and is a member of the global communities 100 Women in Finance and Women in ETFs. Management body: Management body: Nominated by the Controlling stockholder: Board of executive officers No Elective office held: Description of other positions held: Others Officers Officer Date of election: Date of investiture: Term of office: Date of beginning of first term: 04/30/2025 06/18/2025 Annual 06/01/2017 Conviction: Type of Conviction: Description of the conviction: n/a n/a Administrator: Name: Taxpayer ID (CPF): VINICIUS SANTANA 286.045.658-92 Profession: Date of birth:


 
Mathematician 03/23/1978 Profissional experience: Vinícius Santana has been an Officer at the Itaú Unibanco Group since 2023. He is currently responsible for the Anti-Money Laundering/Counter Terrorism Financing Department (AML/CFT). He has been working without interruption on anti-money laundering and counter terrorism financing (AML/CFT) since 2002 and has held important positions in the public and private sectors. A Country Appraiser at the Financial Action Task Force (FATF/GAFI), Mr. Santana has worked for 11 years at COAF (Council for Financial Activities Control), nine of which as a Supervisor, including as an Alternate Officer of this body, and he held the positions of Head of AML/CFT at the Santander and Banco do Brasil Conglomerates from 2017 to 2023. He has already served as a Data Protection Officer (DPO) at Banco do Brasil, where he also served in many positions in the Commercial and AML/CFT departments. In 2006, he joined the Council for Financial Activities Control (COAF), and rejoined Banco do Brasil in 2017. He was an Effective Member of ENCCLA – National Anti-Corruption and Anti-Money Laundering Strategy from 2006 to 2021. At COAF, between 2010 and 2017, he was a member of many federal councils in Brazil, notably the National Council for Anti-Drug Policy and the Brazilian Intelligence System. Mr. Santana holds a Bachelor’s degree in Mathematical Sciences from Universidade Estadual do Norte do Paraná (UENP), Paraná, Brazil; a Bachelor’s degree in Law from Centro Universitário de Brasília (UniCEUB), Brasília, Brazil; a Postgraduate degree in Advanced Defense Studies from Escola Superior de Guerra (ESG); Specialist, AML/CFT from the U.S. Department of the Treasury; a Postgraduate degree in Money Laundering, Criminal Procedure; an MBA degree in Strategic Management, Business Administration from UNIFAEL; and an MBA degree in Risks and Compliance from Trevisan/Exame. Mr. Santana has been certified by many national and international bodies, notably the FBI, IMF, FINCEN, COAF, GAFI, GAFI Latin America, the World Bank, DEA, U.S. Department of Justice, ESG, ABIN (Brazilian Intelligence Agency), Armed Forces, among others. He was awarded the most prominent AML/CFT award in Brazil, the COAF Merit Diploma, in 2021, and has earned six military commendations. Management body: Management body: Nominated by the Controlling stockholder: Board of executive officers No Elective office held: Description of other positions held: Others Officers Officer Date of election: Date of investiture: Term of office: Date of beginning of first term: 04/30/2025 06/18/2025 Annual 10/11/2023 Conviction: Type of Conviction: Description of the conviction:


 
n/a n/a


 
7.8. Provide other information that the issuer deems relevant Additional information on item 7.1 In accordance with items 7.1 “a”, ‘d’ and “e”, we confirm compliance with the measures set out in Annex B of the B3 Issuers Regulations relating to Environmental, Social and Corporate Governance (ESG) issues. Additional information on item 7.1 “d” Please note that the answers mentioned in item 7.1. “d” is based on self-declaration. The data provided considers the members of the Board of Directors and Fiscal Counsil elected in April 2025. The data provided considers the members of the Executive Board elected until March 31, 2025. With regard to item 7.1. d) i. total number of members, grouped by self-declared gender identity: the category “prefer not to answer” includes employees who did not answer the self-declaration and those who answered the option “prefer not to answer”. With regard to item 7.1. d) iii. total number of people with disabilities, characterized under the terms of the applicable legislation: the category “prefer not to answer” includes employees who did not answer the self-declaration and those who answered the option “prefer not to answer”. With regard to item 7.1. d) iv. total number of members grouped by other diversity attributes that the issuer deems relevant: we inform you that there is no data on other relevant diversity attributes, but due to system limitations there is no specific field for including this information. Additional information on item 7.3 1. Total number of meetings held per body in 2024: Body Meetings Board of Directors 18 Fiscal Council 6 Audit Committee 65* Disclosure and Trading Committee 4 Strategy Committee 5 Capital and Risk Management Committee 12 Nomination and Corporate Governance Committee 3 Related Parties Committee 11


 
Personnel Committee 4 Compensation Committee 6 Customer Experience Committee 3 Environmental, Social and Climate Responsibility Committee 3 (*) The Audit Committee met on 65 days and held a total of 324 meetings in 2024. 2. Independence criterion for the Members of the Board of Directors and Audit Committee: The members of the Board of Directors Candido Botelho Bracher, Cesar Nivaldo Gon, Fabricio Bloisi Rocha, Marcos Marinho Lutz, Maria Helena dos Santos Fernandes de Santana, Paulo Antunes Veras e Pedro Luiz Bodin de Moraes are deemed independent in accordance with Article 140, paragraph 2 of Brazilian Corporate Law, and Article 5 and subsequent articles of Attachment K of Resolution nº 80/22 of the Brazilian Securities and Exchange Commission (CVM). All members of the Audit Committee are deemed independent, in accordance with the applicable regulation and under the terms and conditions provided for in the Bylaws and they may not: a) be, or have been, in the past (12) twelve months: (i) an officer of the Company, its controlling company or associates, controlled or jointly-controlled companies, directly or indirectly; (ii) an employee of the Company, its controlling company or associates, controlled or jointly-controlled companies, directly or indirectly; (iii) a responsible technician, officer, manager, supervisor or any other member, with management duties, of the team involved in the audit work at the Company; or (iv) a member of the fiscal council of the Company, its controlling company or associates, controlled or jointly-controlled companies, directly or indirectly; b) be a spouse, a partner or relative in a direct or a collateral line or by affinity, up to twice removed, of the persons mentioned in items “a”, “(i)” and “(iii)”; and c) hold positions, in particular in advisory councils, boards of directors or fiscal councils in companies that may be considered competitors in the market or generate a conflict of interest. 3. Type of Audit Committee: We clarify that, in accordance with Article 22, paragraph 2, of Law nº 6,385/76, the Audit Committee complies with Resolution nº 4,910/21 of the National Monetary Council, which is why it is not compliant with CVM Resolution nº 23/21 (former CVM Instruction nº 308/99). 4. Politically exposed persons: With regard to the members of the Board of Directors, the Executive Board, the Fiscal Council and other Committees, only Alexandre de Barros, a member of the Audit Committee, was identified as a Related PEP, due to his partnership with Jose Henrique Marques da Cruz, director of Caixa Econômica Federal, in the company Black Wheels Insurance One Participações Ltda.


 
5. Additional Information: We inform those elected at the Ordinary General Meeting on April 17, 2025 took office on June 10, 2025, and those elected at the Board of Directors’ Meeting on April 30, 2025 took office on June 18, 2025. We inform those elected at the Board of Directors’ Meeting on August 28, 2025 took office on October 09, 2025. At the Board of Directors Meeting held on October 30, 2025, Albano Manoel Almeida and Flavio Ribeiro Iglesias were elected as officers. At the same meeting, it was decided to remove officer Thales Ferreira Silva, with immediate effect, and João Filipe Fernandes da Costa Araújo, who will remain in office until Albano Manoel Almeida takes office. We inform those elected at the Board of Director’s Meeting on October 30, 2025 took office on 12.10.2025, from this date on João Filipe Fernandes da Costa Araújo no longer hold the position. 6. We present below the hierarchical relationship between the above-mentioned Bodies: Additional Information to item 7.5 7.5 Inform the existence of a marital relationship, stable union or kinship up to the second degree between: a) Issuer's management:


 
• Alfredo Egydio Setubal (Member of the Board of Directors) is Roberto Egydio Setubal´s brother (Co-chairman of the Board of Directors). • João Moreira Salles (Member of the Board of Directors) is Pedro Moreira Salles’ son (Co-chairman of the Board of Directors); and • Ana Lúcia de Mattos Barretto Villela (Member of the Board of Directors) is Ricardo Villela Marino’s cousin (Vice Chairman of the Board of Directors). b) (i) Management members of the issuer and (ii) management members of direct or indirect subsidiaries of the issuer: Ana Lúcia de Mattos Barretto Villela (Member of the Board of Directors) is Ricardo Villela Marino’s cousin (Vice Chairman of the Board of Directors), is in the management of subsidiaries. c) (i) Management members of the issuer or its direct or indirect subsidiaries and (ii) direct or indirect controlling shareholders of the issuer: • Pedro Moreira Salles (Co-chairman of the Board of Directors), together with his son, João Moreira Salles (Member of the Board of Directors), and his brother Fernando Roberto Moreira Salles, is in the Issuer’s controlling group; • Brothers Roberto Egydio Setubal (Co-chairman of the Board of Directors) and Alfredo Egydio Setubal (Member of the Board of Directors), together with their siblings José Luiz Egydio Setubal, Olavo Egydio Setubal Júnior, Paulo Setubal Neto and Ricardo Egydio Setubal, are in the Issuer’s controlling group; • Ricardo Villela Marino (Vice Chairman of the Board of Directors), together with his brother Rodolfo Villela Marino, is in the Issuer’s controlling group; and • Ana Lúcia de Mattos Barretto Villela (Member of the Board of Directors), together with her brother Alfredo Egydio Arruda Villela Filho, as well as her cousins Ricardo Villela Marino and Rodolfo Villela Marino, are members of the issuer's controlling group. d) (i) issuer's managers and (ii) managers of the issuer's direct and indirect parent companies: • Pedro Moreira Salles (Co-Chairman of the Board of Directors) together with his son, João Moreira Salles, and his brother Fernando Roberto Moreira Salles, participate in the management of the parent companies IUPAR - Itaú Unibanco Participações S.A. and Cia. E. Johnston de Participações; • Brothers Roberto Egydio Setubal (Co-chairman of the Board of Directors) and Alfredo Egydio Setubal (Member of the Board of Directors), together with their brother Ricardo Egydio Setubal, are in the management of parent companies IUPAR – Itaú Unibanco Participações S.A. and Itaúsa S.A.; • Ana Lúcia de Mattos Barretto Villela (Member of the Board of Directors) together with her brother Alfredo Egydio Arruda Villela Filho, and her cousins Ricardo Villela Marino and Rodolfo Villela Marino participate in the management of the controlling companies IUPAR - Itaú Unibanco Participações S.A. and Itaúsa S.A.;


 
• Ricardo Villela Marino (Vice Chairman of the Board of Directors), together with his mother Maria de Lourdes Egydio Villela and brother Rodolfo Villela Marino, is in the management of parent company Rudric Ith Participações Ltda., and Rodolfo Villela Marino, together with his cousin Ana Lúcia de Mattos Barretto Villela is also in the management of the controlling company Companhia ESA; and • Alfredo Egydio Setubal (Member of the Board of Directors), together with brother Ricardo Egydio Setubal, is in the management of the parent company Companhia ESA. Additional Information to item 7.6 7.6 Inform the relations of subordination, provision of services or control maintained in the past three fiscal years between the issuer's administrators and: a) Company controlled, directly or indirectly, by the issuer, except those in which the issuer holds, directly or indirectly, participation equal or superior to 99% (ninety-nine percent) of the capital stock: Management member Ricardo Villela Marino holds a management position in subsidiaries. b) Direct or indirect controller of the issuer: Management members Alfredo Egydio Setubal, Ana Lúcia de Mattos Barretto Villela, João Moreira Salles, Pedro Moreira Salles, Ricardo Villela Marino and Roberto Egydio Setubal are part of the controlling group of Itaú Unibanco. c) If relevant, supplier, client, debtor or creditor of the issuer, its subsidiary or parent companies or subsidiaries of any of these people: None. Other additional information: a) With respect to the general stockholder’s meetings held over the past three (3) years, we inform: Year Types of Meetings Date/Time Quorum 2025 Annual April 17, 2024 – 10 a.m. 92.18% of the common shares and 50.40% of the preferred shares 2025 Extraordinary April 17, 2024 – - 10:10 a.m. 92.19% of the common shares 2024 Extraordinary October 31, 2024 – 15 p.m. 92.12% of the common shares 2024 Extraordinary June 26, 2024 – 16 p.m. 92.13% of the common shares 2024 Annual April 23, 2024 – 11 a.m. 92.18% of the common shares and 46.93% of the preferred shares


 
2024 Extraordinary April 23, 2024 – - 11:10 a.m. 92.18% of the common shares 2023 Annual April 25, 2023 – 11 a.m. 92.14% of the common shares and 42.87% of the preferred shares 2022 Annual April 26, 2022 – 11 a.m. 92.09% of the common shares and 41.35% of the preferred shares 2022 Extraordinary April 26, 2022 – 11:10 a.m. 92.09% of the common shares and 41.35% of the preferred shares b) Audit Committee: The Audit Committee has autonomy to define and contract training activities. The Audit Committee periodically defines the training needs that identify as relevant to the execution of its activities and/or fulfillment of its responsibilities. Once identified, it contracts training to meet the specific needs of the board or its members. Another component of the Audit Committee's training, for matters under its responsibility that it considers to be relevant, is the performance of benchmarks, including abroad, with other organizations or with the best practices identified by consultants. c) Relationship between the Audit Committee, Executive Board of Officers and the Co-Chairpersons of the Board of Directors Based on the responsibilities set out in its Regulations and the assessment of main risks of the Itaú Unibanco Conglomerate, the Audit Committee annually defines its meeting schedule, including with the Board of Officers. This annual planning is continuously revised by the Audit Committee, which may change its meeting planning at any time. Throughout 2022, 2023 and 2024, the Audit Committee held meetings at least once a month with the executives responsible for the Internal Audit areas; every two months with the Chief Risk Officer of Itaú Unibanco; every three months with the Risk Areas (Compliance, Operational Risk, Money Laundering Prevention; Fraud Prevention and Information Security); periodic meetings to monitor the results of the work carried out by the Internal Audit, Risk and Independent Audit areas); half-yearly meetings to monitor the operations of Itaú Chile and its branches; and meetings at least once a year with the Chief Executive Officer, Head of Internal Audit, Chief Risk Officer and President of the Audit Committee of the International Units to monitor the other units abroad. Also, during these years, the Audit Committee held frequent meetings with the Executive Board (Finance, Human Resources, Legal, Corporate Business Unit, Itaú BBA; Technology, Operations and Service, Global Markets & Treasury and Latam, Wealth Management Services, Individual Needs, Individual Business and Clients), other risk areas (Credit, Modeling, Capital, Market and Liquidity), other areas (Ombudsman and Ombudsman), as well as with those responsible for various businesses of the Itaú Unibanco Conglomerate, including abroad, covering Itaú Unibanco units in Latin America and the Northern Hemisphere (United States of America, Caribbean and Europe).


 
Since 2021 the Audit Committee has held private meetings at least on a quarterly basis with the CEO of Itaú Unibanco Holding S.A. It has continued to hold, likewise for a number of years, joint meetings with the Co-chairpersons of the Board of Directors and the CEO of Itaú Unibanco Holding S.A., in which it submits its findings and recommendations and monitors the follow-up of previously submitted recommendations. d) Relationship between the Audit Committee, the Board of Directors and the Fiscal Council The Audit Committee is linked to the Board of Directors of Itaú Unibanco Holding S.A. Every quarter, the Chairman of the Audit Committee presents to the Board of Directors a report on the most relevant topics discussed and monitored in the meetings held during the period. Every six months, the Chairman presents the Audit Committee's recommendations on the financial statements and, annually, the Chairman presents the results of the assessment of the external auditor, the internal auditor and the risk areas, as well as the results of the overall negotiation of the independent auditor's fees. The Audit Committee holds meetings at least on a quarterly basis with the members of the Fiscal Council of Itaú Unibanco Holding SA., in which it submits its findings on the consolidated financial statements of Itaú Unibanco Holding S.A., for the year ended in December of each fiscal year or other topics of interest to the Fiscal Council. e) Relationship between the Board of Directors and the Fiscal Council The Fiscal Council attends the Board of Directors' meeting in which the Issuer's annual financial statements are examined (therefore, once a year). f) Relationship between the Fiscal Council and the Board of Officers The Fiscal Council meets the Board of Officers of Itaú Unibanco Holding S.A., when the Issuer’s financial statements are submitted (therefore, four times a year). g) Relationship between the Board of Directors and the Investor Relations Office The main channel between the Board of Directors and the Investor Relations Officer is the Disclosure and Trading Committee. This committee meets every quarter on a mandatory basis, in addition to approving Material Facts and Announcements to the Market, among other materials, on a timely basis. The composition of the Disclosure and Trading Committee strengthens the relationship with the Board of Directors, as it is composed of members of the Board of Directors, Executive Committee and the Board of Officers. Noteworthy is that the topics included in the agenda of the Disclosure and Trading Committee's meetings may be directly related to the Board of Directors or the Statutory Committees reporting to the latter, such as: • Management Report, Form 20-F, Reference Form and Integrated Annual Report; • Amendments to and creation of new policies; • Opinions on the performance of marketable securities of Itaú Unibanco and best practices from market players, including investors, credit and ESG* rating agencies, corporate governance, analysts and trade associations. • Corporate events such as bonuses, groupings, share splits, etc; • Analysis of the trading of those adhering to the Securities Trading Policy.


 
The Itaú Unibanco’s Investor Relations Officer also prepares materials to the Board of Directors, comparing the financial performance of Company with that of its main competitors, in addition to calculating the market share of the key products of the Bank and its controlled companies. * Environmental, Social and Corporate Governance h) In 2024, we developed the following training programs: As of December, 99% of employees and administrators were up to date with the Integrity Program training and 97% signed the Integrity Policy adherence agreement. The members of the Board of Directors were trained on the topics of Money Laundering Prevention, Terrorism Financing, the Proliferation of Weapons of Mass Destruction, and Corruption. In addition, the content of the Integrity and Ethics Program training was reviewed and updated, and the following topics are covered in these training courses: 1) Ethics and Compliance: Provides guidance on principles and conduct for business, relationships and the work environment, establishing practices that must be followed to comply with standards and laws, aiming at adequate governance and the prevention of conflicts of interest. 2) Anti-corruption: It establishes the standards of conduct in business with public and private bodies, the whistleblowing channel, and alerts them to the risks and consequences of this wrongdoing. 3) Client relations: It outlines the responsibilities of the departments in client and user relations to do business based on good corporate conduct and the Bank’s sustainable development. 4) Anti-Money Laundering: It outlines suspicious acts and situations that may characterize money laundering and terrorism financing, and the actions required to prevent this risk. 5) Information Security: Provides information security tips for employees’ work, highlighting risk situations. 6) Supplier relations: It outlines the organizational principles and values guiding supplier relations and shows the responsibilities of employees in these relations. 7) General Personal Data Protection Law (LGPD): It presents the principles of General Data Protection Law and situations in which these guidelines should be taken into consideration in the employee's daily routine. Thematic training courses were also launched addressing sexual harassment, moral harassment and discrimination, as well as three training courses on the topic of corruption prevention for sensitive areas. Finally, awareness and communication campaigns were carried out that addressed, among others, the topics of Reporting Channels, Reporting Channel, relationships with public entities and examples of conflict-of-interest situations.


 
i) Ombudsman’s: In 2024, the volume of grievances received by the Internal Ombudsman’s Office remained at the same level as 2023, consolidating in relation to previous years: In the year, occurrences increased 31% (a 17% growth in guidance and a 40% growth in complaints) compared to 2022. This context reinforces a scenario in which employees are increasingly at ease expressing themselves, showing an environment based on greater psychological safety and alignment with our culture. j) Supporting documentation for meetings of the Board of Directors: The members of the Board of Directors receive, at least five (5) days before the meeting whenever possible, supporting documents for the topics that will be discussed, so that each Member may be properly aware of these topics and be prepared for a productive cooperation in these debates. k) Information related to the evaluation process of the Board of Directors, Committees and Board of Officers is described in item 7.1b.


 
12.1 Information on share capital 11/27/2025 n/a 124,063,060,190.00 5,454,119,395 5,251,578,850 10,705,698,245 11/27/2025 n/a 124,063,060,190.00 5,454,119,395 5,251,578,850 10,705,698,245 11/27/2025 n/a 124,063,060,190.00 5,454,119,395 5,251,578,850 10,705,698,245 07/27/2018 n/a 0.00 1,134,330,605 1,336,871,150 2,471,201,755 Date of authorization or approval Term for Payment Capital Value R$ Number of common shares Number of preferred shares Total number of shares Number of common shares Number of preferred shares Total number of shares Type of capital Authorized Capital Type of capital Paid up Capital Date of authorization or approval Term for Payment Capital Value R$ Date of authorization or approval Term for Payment Capital Value R$ Number of common shares Number of preferred shares Total number of shares Total number of shares Capital Issued Capital Value R$ Type of capital Subscribed Capital Date of authorization or approval Term for Payment Number of common shares Number of preferred shares Type of capital


 
12.9. Supply other information that the issuer may deem relevant Information from item 12.1 On February 5, 2025, the Company’s Board of Directors deliberated to increase the social and paid-up capital within the limit of the authorized capital predicted on our Bylaws in the value of R$33,334,060,190.00 increasing it from R$ 90,729,000,000.00 to R$ 124,063,060,190.00. This increase was carried out through a share bonus, with the issuance of 980,413,535 new book- entry shares, with no par value, of which 495,829,036 are common shares and 484,584,499 are preferred shares, with the base date of this bonus being the shareholding position at the end of March 17, 2025. On November 27, 2025, the Company’s Board of Directors resolved to approve the cancellation of 78,850,638 book-entry preferred shares held in treasury, which had been acquired by the Company through the share repurchase program authorized by this Board of Directors at its meeting on February 5, 2025, pursuant to CVM Resolution No. 77/22. As a result of this cancellation, the share capital in the amount of BRL 124,063,060,190.00 shall henceforth be represented by 10,705,698,245 book-entry shares without par value, of which 5,454,119,395 are common shares and 5,251,578,850 are preferred shares, and the corresponding amendment to the bylaws will be resolved at the next General Meeting of Shareholders. Information from item 12.6 12.6. With respect to each type and class of security admitted for trading in foreign markets, please indicate: In the United States Our preferred shares have been traded on the NYSE, as ADSs (one ADS represents one preferred share) since February 21, 2002, in compliance with the NYSE and SEC requirements. These requirements include the disclosure of financial statements under the IFRS as of 2011, ITUB (ADS - American Depositary Share ) a. country United States of America b. market New York Stock Exchange c. administrative entity of the market in which the securities are admitted for trading U.S. Securities and Exchange Commission d.  date of admission for trading May 31, 2001 e. if applicable, please indicate the trading segment Level II f.  date on which the securities were first listed in the trading segment February 21, 2002 g.  percentage of trading volume abroad in relation to the total trading volume of each class and type in the previous year (¹) 48.3% (¹) h. if applicable, the proportion of deposit certificates abroad in relation to each class and type of shares (²) 20.3% (²) i.  if applicable, depository bank (3) JPMorgan Chase Bank j.  if applicable, custodian institution (3) Itaú Unibanco Holding S.A. (1) Total volume of ADSs traded in relation to the total volume of preferred shares traded in 2024. Source: Economática. (2) Balance of outstanding ADSs in relation to the preferred shares of the capital stock outstanding on December 31, 2024. Medium-Term Note Programme Euro MTF Depending on the issue N/A N/A JPMorgan Chase Bank JPMorgan Chase Bank Grand Duchy of Luxembourg Luxembourg Stock Exchange Commission de Surveillance du Secteur Financier Depending on the issue


 
and compliance with U.S. legislation requirements, including the Securities Exchange Act of 1934 and the Sarbanes-Oxley Act of 2002. Our ADSs are issued by the JPMORGAN CHASE BANK, with principal executive office located at 383 Madison Avenue, 11thFloor, New York, New York 10179. ADS holders do not have the same rights as stockholders, which are governed by the Brazilian Corporate Law. The depositary is the holder of the preferred shares underlying the ADSs. ADS holders have ADS holder rights. Investors may hold ADSs directly, registered in their name, or indirectly, through a brokerage or other financial institution. ADS holders do not have the same rights as stockholders, depositaries and holders of the corresponding shares in Brazil. The deposit agreement sets forth the rights and obligations of ADS holders and is governed by New York legislation. In the event of a capital increase that maintains or increases the proportion of the capital represented by preferred shares, the ADS holders, except as described above, have the preemptive right to subscribe only to newly issued preferred shares. In the event of a capital increase that reduces the proportion of capital represented by the preferred shares, the ADS holders, except as described above, have the preemptive right to subscribe to preferred shares in proportion to their interests, and to common shares only up to the extent necessary to prevent the dilation of their interests. Information from item 12.7 12.7. Describe securities issued abroad, when relevant, indicating, if applicable: a) identification of the security, indicating the jurisdiction; b) number; c) total face value; d) issue date; f) restrictions on trading; g) convertibility into shares or concession of right to subscribe or purchase the issuer’s shares, indicating: i. conditions; ii. effects on capital; h) possibility of redemption, indicating: i. cases for redemption; ii. formula for calculating the redemption amount; i) when the securities are debt-related, please indicate: i. maturity, including early maturity conditions; ii. interest; iii. the guarantee and, if secured, a description of the asset that is the subject matter of the guarantee


 
iv. in the absence of a guarantee, whether the credit is unsecured or subordinated v. any restrictions imposed on the issuer with respect to: • the distribution of dividends; • the disposal of certain assets; • the contracting of new debts; • the issue of new securities; • corporate transactions carried out, involving the issuer, its controlling stockholders or subsidiaries. j) any conditions for changing the rights assured by such securities; k) other relevant characteristics. On March 29, 2010, the Medium-Term Note Program (“Program”) of Itaú Unibanco Holding S.A., operating through its head office in Brazil or by means of its branch in the Cayman Islands (“Issuer”), was launched. A list of the issues already settled is presented below: Issue Date Issue Liquidation First Issue 04.15.2010 04.15.2020 Second Issue 09.23.2010 01.22.2021 Reopening of the Second Issue 01.31.2011 01.22.2021 Fourth Issue 06.21.2011 12.21.2021 Reopening of the Fourth Issue 01.24.2012 12.21.2021 Fifth Issue 03.19.2012 03.19.2022 Sixth Issue 08.06.2012 08.06.2022 Seventh Issue 11.13.2012 05.13.2023 Eighth Issue 05.26.2015 05.26.2018 Ninth issue 12.12.2017 12.12.2024 Tenth Issue 03.19.2018 09.19.2025 Eleventh Issue 11.21.2019 11.21.2024 Twelfth Issue 01.24.2020 01.24.2023 Thirteenth Issue 01.24.2020 01.24.2025 Fourteenth Issue 02.27.2020 08.27.2025


 
Below are descriptions of the issues. Fifteenth Issue a. Identification of the security, indicating the jurisdiction: Tier II Subordinated Notes (“Notes”). The Notes and all documents referring to the Program will be governed by the English laws and the courts of England will be responsible for settling any disputes arising from the Program and the Notes issued within its scope. b. Number: 02 Global Notes in the Global Nominal Value indicated in item (c) below, which may be split into minimum denominations of US$ 200,000.00 and whole multiples of US$ 1,000.00 onwards. c. Total face value: US$500,000,000.00. d. Issue date: January 15, 2021. e. Debt balance on June 30, 2025: R$2,737,872,402.64 f. Restrictions on outstanding securities: The Notes are offered solely under the terms of Rule 144A of the United States Securities Act of 1933 (“Rule 144A” and the “Securities Act”) and of Regulation S of the Securities Act (“Regulation S”), so that the buyers of the Notes must declare certain conditions, including, but not limited to, the declarations that they are Qualified Institutional Buyers under Rule 144A or Non-US Persons under Regulation S, and that they understand that the Notes have not been registered under the terms of the Securities Act. The secondary trading of the Notes, or of any right related to them, will depend on the delivery, by the seller, of a declaration to the transfer agent of compliance with legislation applicable to the Notes. g. Convertibility into shares: Not applicable. h. Possibility of redemption: Yes, as follows. Cases for redemption: Early redemption of Notes at the issuer’s discretion: As from the fifth anniversary of the issue date (inclusive) until April 15, 2026, subject to prior authorization by the Central Bank of Brazil, the Issuer may redeem the Notes, always in their totality. Early redemption of Notes for tax reasons: As from the fifth anniversary of the issue date, subject to prior authorization by the Central Bank of Brazil (if required at the time of redemption), the Notes will be redeemed at the Issuer`s discretion, always in their totality, upon prior notice to the holders of the Notes and subject to certain tax conditions. Early redemption of Notes by virtue of a regulatory event: Subject to prior authorization by the Central Bank of Brazil (if required at the time of redemption), the Issuer may redeem the Notes should there be a regulatory event. A regulatory event is defined as a written notice from the Central Bank of Brazil or any other Brazilian regulatory authority, establishing that the Notes are not classified as falling into Tier II of the Referential Equity or they fall into it in lower proportion than that provided for in the regulation in effect on the issue date. The Notes may not be early redeemed at the holders’ discretion.


 
The Notes will be cancelled in all the aforementioned cases. Formula for calculating the redemption amount: Early redemption of Notes at the issuer’s discretion: 100% of the denominated value of US$1,000.00. Early redemption of Notes for tax reasons: 100% of the denominated value of US$1,000.00. Early redemption of Notes by virtue of a regulatory event: 100% of the denominated value of US$1,000.00. i. When the securities are debt-related, please indicate: i. Maturity, including early maturity conditions The maturity date of the Notes is April 15, 2031. If any of the following events occur (each one, an “Event of Default”) and such occurrence survives time, the Trustee of the holders of the Notes, if so instructed by at least one-third (1/3) of the holders – computed at the face value of the Notes – or if so instructed by a special resolution of the holders of the Notes, will inform the Issuer of the accelerated maturity of the Notes, and the payment for which will become immediately enforceable, subject to the terms governing the calculation of the Early Redemption Amount. If (i) the Issuer is dissolved (except in connection with a merger or corporate restructuring not involving bankruptcy or insolvency and provided that the Issuer’s legal successor assumes the obligation arising from the Notes); (ii) it suspends the payment or is unable to honor the payment of its debts; (iii) it submits a court-supervised reorganization or bankruptcy plan or takes any other action that implies a change in the payment conditions of its debts; or (iv) bankruptcy proceedings are filed by third parties against the Issuer, and provided that these actions are not suspended within sixty (60) days from their submission. The Issuer, however, will only be required to pay the amounts due if it is declared bankrupted, has been dissolved or is unable to make the payment of the totality or a substantial portion of its liabilities, it being clear that the payment of the Notes should observe the terms of subordination. ii.Interest: These are fixed-rate Subordinated Notes, of which interest rate is 3.875% per year by April 15, 2026. The offer price of the Notes was 99.671%, resulting in a yield to investors of 3.95%. After April 15, 2026, interest rate will be recalculated based on the interest rate in force for 5-year U.S. Treasury Bonds plus Credit Spread (equal to 3.446%). Credit Spread (3.446% per year) is defined as the difference in yield between the rate for the issue of the Notes (3.95% per year) and the interest rate in force for the 5-year U.S. Treasury Bonds upon issue (0.504% per year). The payments of principal and interest will be made by The Bank of New York Mellon, London and New York branches, and The Bank of New York Mellon (Luxembourg) S.A. Interest will be levied on the face value of each Note, from the issue date of the Notes, and it will be due every six months on April 15 and October 15, beginning April 15, 2021. The first interest period will be shorter, corresponding to the period from January 15, 2021 (inclusive) to April 15, 2021. iii.Guarantees:


 
Not applicable.Subordinated Notes. In the event of winding up, the holders of the Notes will be repaid after all the other special creditors with secured guarantee and after all the other unsecured creditors have been satisfied. iv.Type: Subordinated. Please see item “vii – Other relevant characteristics”. v.Any restrictions imposed on the issuer with respect to: the distribution of dividends: Not applicable. the disposal of certain assets: Not applicable. the contracting of new debts: Not applicable. the issue of new securities: Not applicable. corporate transactions carried out, involving the issuer, its controlling stockholders or controlled companies: Any corporate restructuring of the Issuer is permitted, provided that (a) the resulting entity that assumes substantially all of the Issuer’s assets effectively assumes all obligations under the Note; (b) no Event of Default had occurred after the restructuring; (c) the Issuer certifies that it has complied with these conditions and presents an independent legal opinion that certifies that the resulting entity has legally assumed all the obligations under the Notes. vi.Conditions for changing the rights assured by such securities: Some changes can be made to the terms and conditions of the Notes, without the consent of their holders, such as changes: (i) that are minor corrections; (ii) that are merely of form or of a technical nature; (iii) that are made to correct a patent error; (iv) that are made to correct an ambiguity or inconsistency; (v) that are made in conformity with a permitted corporate restructuring process; (vi) that are made for any other modification that does not substantially affect the rights of the holders of the Notes. The changes will be communicated to the holders of the Notes by the Trustee as soon as possible. Additionally, the Issuer may change the terms and conditions applicable to the Notes, once for each series, solely to meet a requirement imposed by the Central Bank of Brazil, so that the Notes may be considered as included in Tier II of the Referential Equity, in accordance with CMN Resolution nº 4,955, of October 21, 2021 (“Resolution nº 4,955”), as amended from time to time.The Issuer may not make any change that implies modification, at any level, to the interest rate of the Notes, the amount of the outstanding Notes, the payment dates of interest and its exponential levying, the maturity date originally agreed upon, and the subordination of these Notes. vii.Other relevant characteristics: The Notes are direct, unsecured and subordinated obligations of the Issuer and they will be subordinated in payment preference to all of the other liabilities of the Issuer (except for the tier 1 debt obligations to stockholders). The Notes will be ranked equally at any time, with no preference, and they will have, at any time and considering some exceptions that may be provided for in legislation, the same payment preference as all current and future subordinated obligations, with no guarantee of the Issuer, in accordance with Resolution nº 4,955. The Subordinated Notes were established by an Amended and Restated Trust Deed dated August 4, 2016, entered into by the Issuer and The Bank of New York Mellon, as the Trustee of the holders of the Subordinated Notes, as amended from time to time.Each issue of Notes will be


 
supplemented by the issue of the Final Terms, following the model agreed upon between the Issuer and the Trustee. The Subordinated Notes are issued solely as book-entry notes. The Subordinated Notes were offered by a syndicate of Dealers of the operation, under an Amended and Restated Dealer Agreement dated August 4, 2016, as amended from time to time. The Dealers of this issue are Itau BBA USA Securities, Inc; Banco BTG Pactual S.A., Cayman Branch; J.P. Morgan Securities LLC; Goldman Sachs & Co. LLC; Credit Agricole Securities (USA) Inc. and Citigroup Global Markets Inc.An authorization of the Luxembourg Stock Exchange was obtained for the Notes issued under the scope of the Program to be admitted for trading on the Euro MTF market, managed by that stock exchange. The first day of listing of the Notes was January 15, 2021. The Notes were not subject to registration under the Securities Act, and they were offered solely: (i) in the United States of America to Qualified Institutional Buyers, as defined in Rule 144A; and (ii) in any other country to Non-US Persons, in accordance with the definition of the Regulation S of the Securities Act. Please see item “f – Restrictions on outstanding securities”. There has not been and there will not be any effort for a public distribution of the Notes, and therefore no public offering has been registered with the Brazilian Securities and Exchange Commission, or with any other similar body in any other country. The Notes will not be issued, placed, distributed, offered or traded in the Brazilian capital markets. Subject to authorization of the Central Bank of Brazil and compliance with the operational and capital limits set forth in the item below, the Issuer (or any of its subsidiaries) may, at any time and for any price, repurchase the Notes in the secondary market or in any other way, provided that it is in compliance with the terms of subordination. The Notes purchased will neither entitle the Issuer to attend the annual meeting of the holders of Notes nor be computed for quorum purposes in these meetings. The Issuer intends to use the net amount arising from the issue of Subordinated Notes to partially or fully finance and/or refinance existing or future social and/or green projects, as described in the Final Terms of this issue. Twentieth Issue a. Identification of the security, indicating the jurisdiction: Senior Notes (“Notes”). The Notes and all documents referring to the Program will be governed by the English laws and the courts of England will be responsible for settling any disputes arising from the Program and the Notes issued within its scope. b. Number: 02 Global Notes in the Global Nominal Value indicated in item (c) below, which may be split into minimum denominations of US$ 200,000.00 and whole multiples of US$ 1,000.00 onwards. c. Total face value: US$1,000,000,000.00. d. Issue date: February 24, 2025.


 
e. Debt balance on June 30, 2025: R$5,484,147,345.52 f. Restrictions on outstanding securities: The Notes are offered solely under the terms of Rule 144A of the United States Securities Act of 1933 (“Rule 144A” and the “Securities Act”) and of Regulation S of the Securities Act (“Regulation S”), so that the buyers of the Notes must declare certain conditions, including, but not limited to, the declarations that they are Qualified Institutional Buyers under Rule 144A or Non-US Persons under Regulation S, and that they understand that the Notes have not been registered under the terms of the Securities Act. The secondary trading of the Notes, or of any right related to them, will depend on the delivery, by the seller, of a declaration to the transfer agent of compliance with legislation applicable to the Notes. g. Convertibility into shares: Not applicable. h. Possibility of redemption: Yes, as follows. Cases for redemption: The Notes may not be early redeemed at the holders’ discretion. Early redemption of Notes for tax reasons: The Notes will be redeemed at the Issuer’s discretion, always in their totality at any time, upon prior notice to the holders of the Notes and subject to certain conditions of tax nature. The notes can be fully or partially redeemed at the Issuer’s discretion, provided that a prior notice is provided at least 15 days and at most 30 days in advance. In the event above, the Notes will be cancelled. Formula for calculating the redemption amount: Early redemption of Notes for tax reasons: 100% of the denominated value of US$1,000.00. i. When the securities are debt-related, please indicate: Maturity, including early maturity conditions The maturity date of the Notes is February 27, 2027. If any of the following events occur (each one, an “Event of Default”) and such occurrence survives time, the Trustee of the holders of the Notes, if so instructed by at least one-third (1/3) of the holders – computed at the face value of the Notes – or if so instructed by a special resolution of the holders of the Notes, will inform the Issuer of the accelerated maturity of the Notes, and the payment for which will become immediately enforceable, subject to the terms governing the calculation of the Early Redemption Amount. Should the Issuer (a) suspend payment of the principal value and/or interest in relation to the Notes on the dates on which such principal value and/or interest became due, except, in the case of principal values, if this non-payment event persists for a period of three days and, in the case of interest, for a period of ten days, (b) fail to comply with one or more of its other material obligations as defined for the respective series or in accordance with the Trust Deed and this non-performance persists for a period of 30 days after receiving written notice of this non-compliance from the Trustee, (c) (i) elect the early maturity of any debt or the debt of any one of its material subsidiaries and this early maturity be overdue at least two business days, or (ii) fail to make payment of values


 
relating to its debt and the duration of the non-payment event be at least two business days, (d) (i) be wound up (except when related to a merger or corporate reorganization not involving bankruptcy or insolvency and conditional on the legal successor of the Issuer assuming the obligations pertaining to the Notes), (ii) suspend the payment or be unable to honor payments of its debts, (iii) propose a court-supervised reorganization or bankruptcy plan or promote any other action which implies a change to the payment conditions of its debts, or (iv) should bankruptcy proceedings be proposed by third parties against the Issuer, conditional on these actions not being suspended within sixty (60) days of their submission. In case of any of the events (a), (b) and (c) above, an event of default will occur only if the aggregate amount of the Debt with respect to which any of the events mentioned in the above items has occurred is equal to or higher than the amount equivalent to 0.8% of the Issuer’s reference equity for the most recent fiscal quarter. Holders of Notes representing two-thirds of the total face value of the Notes affected by the above events may revoke the early maturity following notification of this early maturity. Interest: These are fixed-rate Notes and the interest rate of which is 6.000% per year. Interest will be levied on the face value of each Note, from the issue date of the Notes, and will be due every six months on February 27 and August 27, beginning August 27, 2025. Guarantees: Not applicable. Type: Unsecured Any restrictions imposed on the issuer with respect to: the distribution of dividends: Not applicable. the disposal of certain assets: Not applicable. the contracting of new debts: Not applicable. the issue of new securities: Not applicable. corporate transactions carried out, involving the issuer, its controlling stockholders or controlled companies: Any corporate restructuring of the Issuer is permitted, provided that (a) the resulting entity that assumes substantially all of the Issuer’s assets effectively assumes all obligations under the Note; (b) no Event of Default had occurred after the restructuring process; (c) the Issuer certifies that it has complied with these conditions and presents an independent legal opinion that certifies that the resulting entity has legally assumed all the obligations under the Notes. Conditions for changing the rights assured by such securities: Some changes can be made to the terms and conditions of the Notes, without the consent of their holders, such as changes: (i) that are minor corrections; (ii) that are merely of form or of a technical nature; (iii) that are made to correct a patent error; (iv) that are made to correct an ambiguity or inconsistency; (v) to add obligations to the Issuer, for the benefit of the holders of the Notes, or withdraw some right or power granted to the Issuer; (vi) to add guarantees to the Notes; (vii) that are made in conformity with a permitted corporate restructuring process; (viii) that are made for any other modification that does not substantially affect the rights of the holders of the Notes. The changes will be communicated to the holders of the Notes by the Trustee as soon as possible.


 
Other relevant characteristics: The Notes will be ranked equally at any time, with no preference, and they will have, at any time and considering certain exceptions possibly set forth in legislation, the same payment preferences as all the Issuer’s current and future unsecured obligations. The Notes were established by an Amended and Restated Trust Deed dated August 4, 2016, entered into by the Issuer and The Bank of New York Mellon, in the capacity of Trustee of the holders of the Notes, as amended from time to time and supplemented by the Final Terms issued on February 27, 2025. The Notes are issued solely as book-entry notes. The Notes were offered by a syndicate of Dealers of the operation, under an Amended and Restated Dealer Agreement dated August 4, 2016, as amended from time to time. The Dealers of this issue are Bofa Securities, Citigroup, Itaú BBA, J.P. Morgan and UBS Investment Bank. An authorization of the Luxembourg Stock Exchange was obtained for the Notes issued under the scope of the Program to be admitted for trading on the Euro MTF market, managed by that stock exchange. The first day of listing of the Notes of the sixteenth series was February 27, 2025. The Notes were not subject to registration under the Securities Act, and they were offered solely: (i) in the United States of America to Qualified Institutional Buyers, as defined in Rule 144A; and (ii) in any other country to Non-US Persons, in accordance with the definition of the Regulation S of the Securities Act. Please see item “f - Restrictions on outstanding securities”. There has not been and there will not be any effort for a public distribution of the Notes, and therefore no public offering has been registered with the Brazilian Securities and Exchange Commission, or with any other similar body in any other country. The Notes will not be issued, placed, distributed, offered or traded in the Brazilian capital markets.