EX-99.1 2 secreferenceform-iuhv12.htm EX-99.1 secreferenceform-iuhv12
2024 REFERENCE FORM 2024 Itaú Unibanco Holding S.A.


 
Itaú Unibanco Holding S.A. REFERENCE FORM Base Date: 12.31.2024 (in accordance with Attachment C to CVM Resolution No 80 of March 29, 2022 “CVM Resolution No 80”) Identification ltaú Unibanco Holding S.A., a corporation enrolled under the National Register of Legal Entities/Ministry of Finance (CNPJ/MF) under No. 60.872.504/0001-23, with its Articles of lncorporation registered with the Trade Board of the State of São Paulo under NlRE No. 35.3.0001023-0, and registered as a publicly-held company with the Brazilian Securities and Exchange Commission ("CVM") under No. 19348 ("Bank" or "lssuer"). Head Office The lssuer's head office is located at Praça Alfredo Egydio de Souza Aranha, 100, Torre Olavo Setubal, Parque Jabaquara, in the City and State of São Paulo, Brazil, Zip Code 04344-902. Investor Relations Office The lnvestor Relations department is located at Praça Alfredo Egydio de Souza Aranha, 100, Torre Conceição, 12º andar, Parque Jabaquara, in the City and State of São Paulo, Brazil, Zip Code 04344-902. The Group Head of lnvestor Relations is Mr. Gustavo Lopes Rodrigues. The lnvestor Relations Department's telephone number is +5511 2794-3547, fax number is +55 11 5019-8717, and email is ri@itau-unibanco.com.br. lndependent Auditors Firm PricewaterhouseCoopers Auditores Independentes Ltda. for the years ended 12/31/2024, 12/31/2023 and 12/31/2022. Bookkeeping Agent Itaú Corretora de Valores S.A. Stockholders Service The lssuer's stockholders' service is carried out at the branches of ltaú Unibanco S.A., the head office of which is located at Praça Alfredo Egydio de Souza Aranha, 100, Torre Walther Moreira Salles, Parque Jabaquara, in the City and State of São Paulo, Brazil, Zip Code 04344-902. Newspapers from which the Company discloses lnformation O Estado de São Paulo newspaper. Website The information contained on the Company's website is not an integral part of this Reference Form. https://www.itau.com.br/relacoes-com-investidores/en/ Last update of this Reference Form 02/04/2026


 
Historical resubmission Version Reasons for resubmission Date of update V2 Updated items: 7.1D, 7.3, 7.4 and 7.8 06/11/2025 V3 Updated items: 7.3, 7.4 and 7.8 06/24/2025 V4 Updated items: 3.1, 3.2 and 8.1 08/05/2025 V5 Updated items 4.4, 4.5, 4.7 and 12.7 08/14/2025 V6 Updated items 7.4, 7.8 and 12.7 09/03/2025 V7 Updated items 7.4, 7.8 and 12.7 10/20/2025 V8 Updated items 3.1, 3.2, 7.3 and 7.8 11/04/2025 V9 Updated items 4.4, 4.5, 4.7, 6.1/6.2, 6.3, 6.4, 6.5, 6.6, 7.3, 7.8, 12.1 and 12.9 12/11/2025 V10 Updated items 6.3 and 6.5 12/11/2025 V11 Updated items 6.1/6.2, 6.3, 6.4, 6.5, 6.6, 12.1 and 12.9 01/13/2026 V12 Updated items 3.1, 3.2, 6.3, 6.5, 6.6, 7.3 and 7.4 02/04/2026


 
3. Projections 3.1 Projections should identify: Information provided in this item on business prospects, projections and operational and financial targets is solely forecasts based on Management’s current expectations in relation to the future of the Bank. These prospects are highly dependent on market conditions and the general economic performance of Brazil, the sector, and international markets. Therefore, our actual results and performance may substantially differ from those stated in this forward-looking information. This item contains information that is or could be construed as forward-looking information based largely on our current expectations and projections with respect to future developments and financial trends that affect our activities. In view of these risks and uncertainties, the information, circumstances, and prospective facts mentioned in this item may not occur. Our actual results and performance may substantially differ from those stated in this forward-looking information. Words such as “believe”, “may”, “should”, “estimate”, “continue”, “anticipate”, “intend”, “expect” and the like are used to identify forward-looking statements, but are not the only way to identify such statements. a) subject matter of the projection These projections are calculated based on the financial statements under BRGAAP, based on: a.1) Accumulated variation in the 12-month period: Total loan portfolio, including financial guarantees provided and corporate securities; Financial margin with clients; Commissions and fees and result from insurance operations; and Non-interest expenses. a.2) Accumulated amount in the 12-month period: Financial margin with the market; and Cost of credit, composed of expected loss expenses, recovery of loans written off as losses, and discounts granted; a.3) Expected income tax and social contribution rate. b) projected period and the period for which the projection is valid Projected period: Fiscal year 2026; Project validity: This year or until Management states otherwise. c) assumptions considered, stating which ones may be influenced by the issuer´s management and those which are beyond its control c.1) Assumptions under the control of Management for fiscal year 2026 Guidance disclosed to the market is based on the assumed alignment with the bank’s projected budget for the year. The budgets for results and balances of loan operations balance and of equity accounts are evaluated to ensure this alignment. The range disclosed is defined according to management’s expectations. It is worth pointing out that regular analyzes are undertaken to check for the adherence between the guidance disclosed and possible budget revisions that may be carried out over the year due to changes in the


 
macroeconomic outlook and in the competitive or regulatory environments. Therefore, it is possible to assess the need for possible changes in public expectations. This guidance does not include any possible acquisitions and partnerships that may occur in the future. c.2) Assumptions beyond the control of Management for 2026 This looking-forward information is subject to uncertainties and assumptions, including, among other risk factors: • General economic, political, and business conditions in Brazil and changes in inflation, interest, and foreign exchange rates, as well as the performance of financial markets; • General economic and political conditions abroad, particularly in the countries where we operate; • Disruptions and volatility in the global financial markets; • Increases in compulsory deposits and reserve requirements; • Government regulations and tax laws, and respective amendments thereto; • Regulation and liquidation of our business on a consolidated basis; • Developments of high-profile investigations currently under way and the impact on clients and our fiscal exposure; • Holders of our shares and ADSs may face difficulties to receive dividends; • Failure or hacking of our security and operational infrastructure or systems; • Our ability to protect personal or other data; • Fiercer competition and consolidation of the sector; • Changes in our loan portfolios and the value of our securities and derivatives; • Losses associated with counterparty exposure; • Our exposure to the Brazilian public debt; • Inaccurate pricing methodologies for insurance, pension plan and premium bonds products, and understated reserves; • Efficiency of our risk management policies; • Damage to our reputation; • Ability of our controlling stockholder to run our business; • Difficulties to integrate new or merged business; • Impact of environmental and social issues; • The effects of pandemics and health crises may adversely affect the future results of our operations and impact the market price of our securities; and • The Company’s other risk factors are listed in item 4.1 Describe Risk Factors of this Reference Form. d) guidance information Projections for fiscal year 2026 The 2025 Income Statement to be compared with 2026 guidance is adjusted considering changes in managerial classifications and the consolidation of Avenue’s results, due to the control acquisition as of January 2026. The table below shows these adjustments:


 
The main reclassifications represent approximately 90% of total adjustments: (i) Expenses related to card network fee: from Non-interest Expenses to Commissions. (ii) Net margin from receivables discounting and cost of funding of automatic receivables discounting of the acquiring business: from Financial Margin with Clients (NII) to Commissions. (iii) Discount on loans in arrears up to 90 days overdue: from Financial Margin with Clients (NII) to Cost of Credit. The 2025 Adjusted Income Statement spreadsheet is available for download at the Investors Relations website. Click here to access it. The table below presents the projections for fiscal year 2026, according to the Material Fact disclosed on February 4th, 2026. (1) Includes financial guarantees provided and private securities; (2) Composed of Expected Loss Expenses, discounts granted and Recovery of loans Written of as Losses; (3) Commissions and fees (+) income from insurance, pension plan and premium bonds operations (-) expenses for claims (-) insurance, pension plan and premium bonds selling expenses. It is important to mention that the company considers a cost of capital of around 15.0% p.y. in the management of its businesses.


 
3.2 If the issuer has disclosed projections over the last three fiscal years: a) Inform which ones are being replaced by new projections included in the form and which ones are the same in the form For the 2026 projections, indicators presented and monitored are: (i) total loan portfolio, (ii) financial margin with clients, (iii) financial margin with the market, (iv) cost of credit, (v) commissions and fees and result from insurance operations, (vi) non-interest expenses, and (vii) effective income and social contribution tax rate. In comparison with 2025, the perspectives presented remain the same. b) with respect to projections related to periods already elapsed, compare the data projected with the effective performance of indicators, clearly stating the reason for any deviations from projections The table below shows the Projections made for the 2025 fiscal year. 2025 Projections (1) Includes financial guarantees provided and private securities; (2) Composed of Expected Loss Expenses, discounts granted and Recovery of Losses Written of as Losses; (3) Commissions and fees (+) income from insurance, pension plan and premium bonds operations (-) expenses for claims (-) insurance, pension plan and premium bonds selling expenses. Projections for fiscal year 2024 The table below indicates the Projections made for the fiscal year 2024.


 
(1) Includes financial guarantees provided and corporate securities; (2) Composed of results from loan losses, impairment and discounts granted; (3) Commissions and fees (+) income from insurance, pension plan and premium bonds operations (-) expenses for claims (-) insurance, pension plan and premium bonds selling expenses. (4) Considers pro forma adjustments in 2023 of the sale of Banco Itaú Argentina. (5) Calculated based on Brazil core expenses. Reasons for deviations: Loan portfolio: the higher-than-expected growth is mainly due to fx variation on the loan book in foreign currency. Projections for fiscal year 2023 As Material Fact disclosed on November 6th, 2023, the Company decided to reaffirm and normalize the projection released to the market due to the sale of the operations of Bank Itaú Argentina S.A. Excluding the impacts of the sale of the operations in Argentina from the projections, the projections previously disclosed was reaffirmed.


 
(1) Includes financial guarantees provided and corporate securities; (2) Composed of results from loan losses, impairment and discounts granted; (3) Commissions and fees (+) income from insurance, pension plan and premium bonds operations (-) expenses for claims (-) insurance, pension plan and premium bonds selling expenses. Reasons for deviations: Loan portfolio: the lower-than-expected growth is mainly due to fx variation on the loan book in foreign currency, lower-than-expected demand for corporates in Brazil in the first half of the year, and lower-than-expected growth of the payroll loans. c) with respect to the current period projections, state whether the projections are still valid on the date the form is submitted and, when applicable, explain why they were abandoned or replaced The Projections remain valid.


 
6.3. - Distribution of Capital Date of last general stockholders' meeting/ Date of last update 04/17/2025 Number of stockholders - individuals (units) 512,628 Number of stockholders - companies (units) 12,896 Number of institutional investors (units) 1,382 Outstanding shares Outstanding shares correspond to the lssuer's total shares, except for those held by the parent company, the people related to the latter, the lssuer's management members, and treasury shares. Number of common shares (units) 456,130,473 8.119% Number of preferred shares (units) 5,349,695,485 98.901% Total 5,805,825,958 52.652%


 
6.5 Insert the issuer's shareholder organization chart and the economic group to which it belongs. indicating: a. all direct and indirect controlling shareholders and. if the issuer wishes. the shareholders with participation equal to or greater than 5% of a class or type of shares Itaú U nibanco Holdin g S.A. IU PAR - Itaú U nibanco Participações Itaúsa S.A. 39.21% ON 19.83% Total 51.71% ON 26.15% Total 50.00% ON 100.00% PN 66.53% Total Free Float (*) Cia. E . Johnston de Participações 8.12% ON 98.90% PN 52.65% Total 50.00 % ON 33.47% Total Family Egydio de Souza Aranha Free Float (*)Family Moreira Salles 100.00% Total 63.66% ON 17.89% PN 33.62% Total 36.07% ON 81.12% PN 65.64% Total Banco Itaucard S.A.Itaú U nibanco S.A. Itaú Consultoria de Valores Mobiliários e Participações S.A. OCA S.A. Itaú Corretora de Valores S.A. Itaú BBA Assessoria Financeira S.A. Banco Itaú Uruguay S.A. 100.00% Total 100.00% Total 100.00% ON 100.00% PN 100.00%Total 99.99% ON 100.00% PN 99.99%Total 100.00% ON 100.00% PN 100.00%Total 99.95% ON 99.95% PN 99.95%Total 100.00% ON 100.00% PN 100.00%Total Itaú Chile Inversiones, Servicios Y Administracion S.A. 99.99% Total Banco Itaú Chile 26.30% Total IGA Participações S.A. 100.00% ON 100.00% PN 100.00%Total Itauseg Saúde S.A. Itaú Rent Administração e Participações Ltda. 14.17%Total ITB Holding Brasil Participações Ltda Banco Itaú Veículos S.A. Itaú U nibanco Veículos Administradora de Consórcios Ltda. Itauseg Participações S.A. Microinvest S.A. Sociedade de Crédito a Microempreendedor 100.00% Total 99.99% Total 26.42% Total 99.99% Total Redecard Instituição de Pagamento S.A. 19.38% Total Luizacred S.A. Soc. Crédito Financiamento Invest imento 50.00% Total 53.72% Total 0.000001% Total ON = common shares PN = preferred shares Base Date: 12.23.2025 Itaú Administradora de Consórcios Ltda. Itaú Seguros S.A. 0.00100% Total 0.00022% Total Albarus S.A. Itau BBA International Holdin g Cayman Ltd. 1.75% Total 100.00% Total


 
a) Direct and indirect controlling stockholders Direct controlling stockholders Itaúsa S.A. IUPAR - Itaú Unibanco Participações S.A. lndirect controlling stockholders Alfredo Egydio Arruda Villela Filho Alfredo Egydio Nugent Setubal Alfredo Egydio Setubal Ana Lúcia de Mattos Barretto Villela Beatriz de Mattos Setubal Bruno Rizzo Setubal Camila Setubal Lenz Cesar Carolina Marinho Lutz Setubal Cia. E. Jonhston de Participações Companhia ESA Fernando Roberto Moreira Salles Fernando Setubal Souza e Silva Gabriel de Mattos Setubal Guilherme Setubal Souza e Silva João Moreira Salles José Luiz Egydio Setubal Julia Guidon Setubal Luiza Rizzo Setubal Marcelo Ribeiro do Valle Setubal Mariana Lucas Setubal Marina Nugent Setubal Olavo Egydio Setubal Júnior Olavo Egydio Mutarelli Setubal Patrícia Ribeiro do Valle Setubal Paula Lucas Setubal Paulo Egydio Setubal Paulo Setubal Neto Pedro Moreira Salles Ricardo Egydio Setubal Ricardo Villela Marino Roberto Egydio Setubal Rodolfo Villela Marino Rodrigo Ribeiro do Valle Setubal Rudric ITH Participações Ltda. Tide Setubal Souza e Silva Nogueira


 
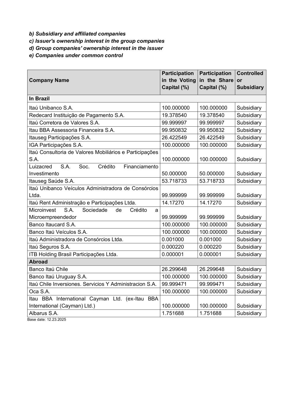
b) Subsidiary and affiliated companies c) Issuer's ownership interest in the group companies d) Group companies' ownership interest in the issuer e) Companies under common control Company Name Participation in the Voting Capital (%) Participation in the Share Capital (%) Controlled or Subsidiary In Brazil Itaú Unibanco S.A. 100.000000 100.000000 Subsidiary Redecard Instituição de Pagamento S.A. 19.378540 19.378540 Subsidiary Itaú Corretora de Valores S.A. 99.999997 99.999997 Subsidiary Itau BBA Assessoria Financeira S.A. 99.950832 99.950832 Subsidiary Itauseg Participações S.A. 26.422549 26.422549 Subsidiary IGA Participações S.A. 100.000000 100.000000 Subsidiary Itaú Consultoria de Valores Mobiliários e Participações S.A. 100.000000 100.000000 Subsidiary Luizacred S.A. Soc. Crédito Financiamento Investimento 50.000000 50.000000 Subsidiary Itauseg Saúde S.A. 53.718733 53.718733 Subsidiary Itaú Unibanco Veículos Administradora de Consórcios Ltda. 99.999999 99.999999 Subsidiary Itaú Rent Administração e Participações Ltda. 14.17270 14.17270 Subsidiary Microinvest S.A. Sociedade de Crédito a Microempreendedor 99.999999 99.999999 Subsidiary Banco Itaucard S.A. 100.000000 100.000000 Subsidiary Banco Itaú Veículos S.A. 100.000000 100.000000 Subsidiary Itaú Administradora de Consórcios Ltda. 0.001000 0.001000 Subsidiary Itaú Seguros S.A. 0.000220 0.000220 Subsidiary ITB Holding Brasil Participações Ltda. 0.000001 0.000001 Subsidiary Abroad Banco Itaú Chile 26.299648 26.299648 Subsidiary Banco Itaú Uruguay S.A. 100.000000 100.000000 Subsidiary Itaú Chile Inversiones. Servicios Y Administracion S.A. 99.999471 99.999471 Subsidiary Oca S.A. 100.000000 100.000000 Subsidiary Itau BBA International Cayman Ltd. (ex-Itau BBA International (Cayman) Ltd.) 100.000000 100.000000 Subsidiary Albarus S.A. 1.751688 1.751688 Subsidiary Base date: 12.23.2025


 
6.6. Supply other information that the issuer may deem relevant Additional information on items 6.1/6.2 a) Regarding the stockholding position of the stockholder BlackRock, Inc. (“BlackRock”), the Company informs that on March 3, 2011 it received the information, as provided for in Article 12 of CVM Resolution nº 44/2021, as amended by CVM Instruction nº 568/2015, that, as investment manager of some of its clients, BlackRock acquired 159,335,737 preferred shares issued by the Company. Taking into consideration the many corporate events that took place at the Company since the acquisition of this interest, we present below the changes in BlackRock’s stockholding position, which represents 7.221% of the preferred shares and 3.569% of the total capital held by BlackRock. Statement of Changes in Blackrock's Stockholding Position Date Event Opening balance Event Closing balance 03/30/201 1 Opening balance at 03.30.2011, as provided by BlacKrocK (*) 159,335,737 - 159,335,737 11/01/201 1 stock split/reverse split according to notice of 09.01.2011 159,335,737 159,335,700 159,335,700 04/19/201 3 10% Bonus Share (ASM of 04.19.2013) 159,335,700 15,933,570 175,269,270 06/11/201 4 10% Bonus Share (ASM of 04.23.2014) 175,269,270 17,526,927 192,796,197 07/31/201 5 10% Bonus Share (ASM of 04.29.2015) 192,796,197 19,279,620 212,075,817 10/21/201 6 10% Bonus Share (ASM of 09.14.2016) 212,075,817 21,207,581 233,283,398 11/26/201 8 stocK split/reverse split according to notice of 11.01.2018 (ASM of 07.27.2018) 233,283,398 116,641,699 349,925,097 03/17/202 5 10% Bonus Share (Board of Directors' meeting of 02.05.2025) 349,925,097 34,992,509 384,917,606 12/23/202 5 3% Bonus Share (Board of Directors' meeting of 12.18.2025) 384,917,606 11,547,528 396,465,134 (*) Ownership interest at base date 08.19.2010 provided by the Stockholder on March 30, 2011 b) With regard to the shareholding position of the shareholder GQG Partners LLC, on January 18, 2022, the company received information, in accordance with Article 12 of CVM Resolution 44/2021, that GQG Partners LLC now holds 253,506,105 preferred shares issued by the Company. Taking into consideration the many corporate events that took place at the Company since the acquisition of this interest, we present below the changes in GQG Partners LLC stockholding


 
position, which represents 5.001% of the preferred shares and 2.472% of the total capital held by GQG Partners LLC. Statement of Changes in GQG Partners LLC Stockholding Position Date Event Opening balance Event Closing balance 01/18/202 2 On 01/18/2022, according to correspondence from GQG Partners LLC (*) 253,506,105 - 253,506,105 04/25/202 4 On 04/25/2024, according to correspondence from GQG Partners LLC (**) 253,506,105 -14,600,821 238,905,284 08/29/202 4 On 08/29/2024, according to correspondence from GQG Partners LLC (***) 238,905,284 3,417,072 242,322,356 03/17/202 5 10% bonus in shares (Board of Directors' meeting of 02.05.2025) 242,322,356 24,232,235 266,554,591 12/23/202 5 3% Bonus Share (Board of Directors' meeting of 12.18.2025) 266,554,591 7,996,638 274,551,229 (*) Shareholding on the base date of 01/18/2022, provided by the shareholder on 01/18/2022. (**) Shareholding on the base date of 04/25/2024, provided by the shareholder on 04/26/2024. (***) Inserted in the Reference Form on 08/29/2024 due to a stake of more than 5%. c) On February 24, 2022, the capital of Cia. E. Johnston de Participações "EJ", previously distributed among the brothers Fernando Roberto Moreira Salles, Walther Moreira Salles Júnior, Pedro Moreira Salles and João Moreira Salles, was divided between Fernando Roberto Moreira Salles, holder of 50% of EJ's capital and Pedro Moreira Salles and his son, João Moreira Salles, holders, respectively, of 44% and 6% of EJ's capital. Pedro Moreira Salles and João Moreira Salles are also members of the Board of Directors of Itaú Unibanco Holding. The brothers Walther Moreira Salles Júnior and João Moreira Salles therefore ceased to be shareholders of EJ, transferring their respective holdings to the remaining shareholders, Fernando and Pedro, and to the new shareholder, João, in share purchase and sale transactions. There was no change in the stake held by EJ in the capital of IUPAR, parent company of Itaú Unibanco Holding. Control of IUPAR continues to be exercised in accordance with the shareholders' agreement in force and, consequently, the transactions described did not result in any change in the management or governance of Itaú Unibanco Holding. Additional information on item 6.3 The number of individual and corporate stockholders and institutional investors stated in item 6.3 of this Form refers to the April 17, 2025 base date. The number of outstanding shares reported in item 6.3 of this Form refers to the base date of December 23, 2025.


 
7.3 Composition and professional experience of the board of directors and fiscal council Administrator: Name: Taxpayer ID (CPF): ADRIANO CABRAL VOLPINI 162.572.558-21 Profession: Date of birth: Business Administrator 12/06/1972 Profissional experience: Adriano Cabral Volpini, a partner of Itaú Unibanco, has been the Corporate Security Officer and Chief Security Officer (CSO) at the Itaú Unibanco Group since 2012, with over 30 years of experience in the financial system, 25 of which focused on risk and security activities. He has held several positions at the Itaú Unibanco Group, including Superintendent of Prevention of Wrongful Acts from 2005 to 2012, Manager of Prevention of Wrongful Acts from 2004 to 2005, Inspection Manager in 2003, Inspector from 1998 to 2003, Auditor from 1996 to 1997, and he also holds management positions in several companies of the Itaú Unibanco Group. He serves as an effective Officer of the Cybersecurity Council as expert in cybersecurity and as a member of the Fraud Prevention Council at FEBRABAN. He was a panelist at the 33rd Edition of FEBRABAN TECH 2023 – The Technological innovations and the cyber resilience at the service of society. Mr. Volpini has also been a member of the Risk Committee of Banco Carrefour and a Statutory Officer specialized in security and operational risks. He has also been a statutory member of ToTvsTechfin, where he holds the position of effective member of the Audit Committee, aimed at supervising the Company’s operational and security risks. He holds a Bachelor’s degree in Accounting and Financial Administration from the Fundação Armando Álvares Penteado (FAAP), São Paulo, Brazil, and an MBA degree in Finance from the Instituto Brasileiro de Mercado de Capitais (IBMEC), Brazil. He has also attended to courses of Innovation from the Stanford University and of Strategy and Finance from the Harward University, both in the U.S. He holds a professional Certificate from the Association of Certified Fraud Examiner since December 2003. Management body: Management body: Nominated by the Controlling stockholder: Board of executive officers No Elective office held: Description of other positions held: Others Officers Officer Date of election: Date of investiture: Term of office: Date of beginning of first term: 04/30/2025 06/18/2025 Annual 12/12/2018


 
Conviction: Type of Conviction: Description of the conviction: n/a n/a Administrator: Name: Taxpayer ID (CPF): ALBANO MANOEL ALMEIDA 286.052.458-40 Profession: Date of birth: Engineer 09/15/1979 Profissional experience: Albano Manoel Almeida, a member of the Partner Program, has been an Officer at Itaú Unibanco Holding since October 2025. He is currently responsible for the CRM, Engagement, and Data. He has held several positions at the Itaú Unibanco Group, including Superintendent of CRM and Individual Engagement (2019 to 2025); Superintendent of Credit Products for Indivuals (2015 to 2019); Superintendent of Individual Checking Accounts and Projects (2014 to 2015); Customer Profitability Manager (2012 to 2014); Individual Tariffs and Checking Accounts Manager (2011 to 2012); Integrated Credit Offer Manager (2010 to 2011); Personnalité Studies and Models Manager (2009 to 2010); Individual Products Coordinator in the Customer Management Department (2008 to 2009); Coordinator of Special Studies for Individual Products (2007 to 2008); Analyst of Special Studies for Individual Products (2006 to 2007); and Trainee in Special Studies for Individual Products (2005 to 2006). He represents Itaú Unibanco in the Executive Commissions of Individual Products, with emphasis on topics such as Overdraft Self-Regulation, FIES Revision, and the New IN for Payroll Loans at Febraban. He worked as a Treasury Controller Trainee (2004 to 2005) at Banco Fibra. He holds a bachelor’s degree in Engineering from the Universidade of São Paulo (“USP”), São Paulo, Brazil, a CFM – Certificate in Financial Management from the Instituto de Ensino e Pesquisa (“INSPER”), São Paulo, Brazil, and completed the Program for Management Development at ISE Business School, São Paulo, Brazil. Management body: Management body: Nominated by the Controlling stockholder: Board of executive officers No Elective office held: Description of other positions held: Others Officers Officer


 
Date of election: Date of investiture: Term of office: Date of beginning of first term: 10/30/2025 12/10/2025 Annual 12/10/2025 Conviction: Type of Conviction: Description of the conviction: n/a n/a Administrator: Name: Taxpayer ID (CPF): ALFREDO EGYDIO SETUBAL 014.414.218-07 Profession: Date of birth: Business Administrator 09/01/1958 Profissional experience: Alfredo Egydio Setubal Position and term of office Non-executive Member of the Board of Directors since 2007. Experiences, skills and abilities Financial sector and capital markets At Itaúsa S.A., he has been CEO and Investor Relations Officer since 2015 and a Member of the Board of Directors since 2008. He has also been the Chairman of the Board of Directors of Dexco S.A. since 2021 and a Member of their Board since 2015. He has also been a Member of the Board of Directors of Alpargatas S.A. since 2017 and of Copa Energia since 2020. He served as Chairman of the National Association of Investment Banks (ANBID) between 2003 and 2008. He has been a Member of the Superior Committee for Guidance, Nomination and Ethics of the Brazilian Institute of Investor Relations (IBRI) since 2010, having been the Chairman of its Board of Directors between 2000 and 2003. He was also a Member of the Board of Directors of the Brazilian Association of Listed Companies (ABRASCA) between 1999 and 2017. He is currently the Chairman of the Environmental, Social and Climate Responsibility Committee and a Member of the Disclosure and Trading Committee, the Nomination and Corporate Governance Committee and the Personnel Committee of Itaú Unibanco. ESG He has been the Chairman of the Board of Trustees of the Itaú Foundation, institution responsible for social initiatives aimed at education (in partnership with UNICEF and other NGOs) and the democratization and appreciation of Brazilian culture and Chairman of the Decision-Making Council of the São Paulo Museum of Art (MASP) since 2015. He has been a Member of the Board of Directors of the São Paulo Biennial Foundation since 2009. He is also a Member of the Board of Directors of the São Paulo Museum of Modern Art (MAM) and of the Institute of Contemporary Art (IAC).


 
Academic background He holds Bachelor’s and Postgraduate degrees in Business Administration from Fundação Getulio Vargas (FGV), São Paulo, Brazil. Management body: Management body: Nominated by the Controlling stockholder: Board of Directors Yes Elective office held: Description of other positions held: Other Directors Non-Executive Director Date of election: Date of investiture: Term of office: Date of beginning of first term: 04/17/2025 06/10/2025 Annual 11/28/2008 Conviction: Type of Conviction: Description of the conviction: n/a n/a Administrator: Name: Taxpayer ID (CPF): ÁLVARO FELIPE RIZZI RODRIGUES 166.644.028-07 Profession: Date of birth: Lawyer 03/28/1977 Profissional experience: Álvaro Felipe Rizzi Rodrigues, a Member of the Partners Program, has been an Officer at the Itaú Unibanco Group since 2014. He is currently responsible for the following Legal Departments: Wholesale Banking and Companies Banking (responsible for legal issues related to investment banking, brokerage services, treasury, wealth management services – asset management, private banking, banking products for companies, allocated funds and onlending, international loans and foreign exchange), Civil Litigation, Proprietary M&A, National and International Corporate Affairs, Corporate Governance, Anti- Trust, as well as for the Ombudsman’s Office and Government Relations Department of Itaú Unibanco. Mr. Rodrigues had been previously responsible for the Legal Retail Banking Department (responsible for legal issues related to products and services for the individual customers’ segment – checking account, payment account, cards, acquiring services, payroll loans, real estate loans, vehicle financing, consortia, insurance, pension plans, capitalization operations, etc.). He has also been an Officer at the Fundação Itaú since 2019. He joined the Itaú Unibanco Group in 2005, serving as Legal Manager and,


 
after that, he served as Legal Superintendent (2005 to 2014). He also worked in the Corporate Law and Contract Law departments (1998 to 2005), at Tozzini Freire Advogados. He holds a Bachelor’s degree in Law from the Faculdade de Direito da Universidade de São Paulo (USP), São Paulo, Brazil. Mr. Rodrigues has also attended a specialization course in Corporate Law from the Pontifícia Universidade Católica de São Paulo (PUC-SP), São Paulo, Brazil. He holds a Master of Laws (L.L.M.) from the Columbia University Law School, New York, U.S. Management body: Management body: Nominated by the Controlling stockholder: Board of executive officers No Elective office held: Description of other positions held: Others Officers Officer Date of election: Date of investiture: Term of office: Date of beginning of first term: 04/30/2025 06/18/2025 Annual 04/13/2015 Conviction: Type of Conviction: Description of the conviction: n/a n/a Administrator: Name: Taxpayer ID (CPF): ANA LÚCIA DE MATTOS BARRETTO VILLELA 066.530.828-06 Profession: Date of birth: Pedagogic 10/25/1973 Profissional experience: Ana Lúcia de Mattos Barretto Villela (non-executive member) Position and term of office Non-executive Member of the Board of Directors since 2008. Experience, skills and abilities Financial sector, capital markets and other sectors She has held several positions at the Itaú Unibanco Group, including Member of the Board of Directors (1996 a 2001).


 
She also serves as Co-founder of MFF&CO, a global impact entertainment studio, with operations in São Paulo (Brazil), Los Angeles (United States) and London (United Kingdom), since May 2024; Co- Founder of Alana Down Syndrome Center at MIT since 2019; Alternate Member of the Board of Directors of IUPAR – Itaú Unibanco Participações S.A. since 2018; Member of Itaú’s Personnel Committee since 2018; Member of Itaú’s Nomination and Corporate Governance Committee since 2018; Vice Chairwoman of the Board of Directors (non-executive member) of Itaúsa S.A. since 2017; Member of the Advisory Board of Itaú Social since 2017; Co-founder of AlanaLab since 2014; Co- founder of Maria Farinha Filmes since 2009; Founding Chairwoman of the Alana Foundation since 2012; CEO of the Alana Institute since 2002; and Fellow Ashoka since 2010. ESG Member of the Environmental, Social and Climate Committee since 2019 (previously called Social Responsibility Committee); Member of Itaúsa’s Sustainability and Risks Committee since 2021; She has also been a member of the Stanford Down Syndrome Research Center Advisory Board since January 2022; Ms. Villela was a Board Member of Participant, a media and entertainment organization founded by the social entrepreneur Jeff Skoll, from March 2022 to July 2024; She was a member of the UCLA Lab School’s Board of Advisors from May 2022 to July 2024; She was a Member of the Advisory Board of the Akatu Institute (2013 to 2017); She was a Member of the Advisory Board of the Fairplay Organization (2015 to 2017); She was a Member of the Advisory Board of Conectas (2003 to 2018); She was a Member of the Sustainability Committee of Dexco (2015 to 2018); She was an Alternate Member of the Board of Directors of Dexco (2018 to 2020). Information technology and security Since 2018, she has been the first representative from Latin America on the Innovation Board of XPrize, a non-profit organization set up by Peter Diamandis, who designs and manages global competitions to encourage the development of new technologies that could help solve some of the major challenges of humankind. From 2019 to 2024, the Alana Foundation, which was co-founded by Ms. Villela, supported the XPrize Rainforest competition aimed at fostering the creation of new technologies able to map the biodiversity of tropical forests. Academic background She holds a Bachelor’s degree in Education with a qualification in School Administration and a Master’s degree in Educational Psychology, both from the Pontifícia Universidade Católica de São Paulo (PUC- SP), São Paulo, Brazil. She also took a graduate course in Business Administration at Fundação Armando Álvares Penteado (FAAP), São Paulo, Brazil (incomplete) and a postgraduate course in Third Sector Administration at Fundação Getulio Vargas (FGV), São Paulo Brazil (incomplete). Management body: Management body: Nominated by the Controlling stockholder: Board of Directors Yes Elective office held: Description of other positions held: Other Directors Non-Executive Director Date of election: Date of investiture: Term of office: Date of beginning of first term:


 
04/17/2025 06/10/2025 Annual 10/24/2018 Conviction: Type of Conviction: Description of the conviction: n/a n/a Administrator: Name: Taxpayer ID (CPF): ANDRE BALESTRIN CESTARE 213.634.648-25 Profession: Date of birth: Engineer 06/08/1978 Profissional experience: Andre Balestrin Cestare, a member of the Partners Program, has been our officer since 2017. He is currently responsible for the Retail Banking financial planning department and the Technology and Operations department. He has held several positions at the Itaú Unibanco Group, including Wholesale Banking financial planning officer from 2019 to 2022, Retail Banking financial planning officer from 2017 to 2019 and finance superintendent from 2010 to 2017. He holds a Bachelor’s degree in Mechanical Engineering from Escola Politécnica da Universidade de São Paulo (USP), São Paulo, Brazil; a postgraduate degree in business administration and a professional master’s degree in finance and economics, both from Fundação Getulio Vargas (FGV), São Paulo, Brazil. He also attended the Executive Qualification Program from the Fundação Dom Cabral, São Paulo, Brazil. Management body: Management body: Nominated by the Controlling stockholder: Board of executive officers No Elective office held: Description of other positions held: Others Officers Officer Date of election: Date of investiture: Term of office: Date of beginning of first term: 04/30/2025 06/18/2025 Annual 11/06/2017 Conviction: Type of Conviction: Description of the conviction:


 
n/a n/a Administrator: Name: Taxpayer ID (CPF): ANDRÉ LUÍS TEIXEIRA RODRIGUES 799.914.406-15 Profession: Date of birth: Engineer 08/11/1973 Profissional experience: André Luís Teixeira Rodrigues Position and term of office He has been a partner since 2010 and an Officer of the Executive Committee at the Itaú Unibanco Group since 2021. Experiences, skills and abilities Financial sector, capital markets and other sectors He is currently responsible for the Small and Middle-Market Companies of the Retail Banking segment, Acquiring Services (Rede), Product, Credit, CRM, Channels departments and related Digital Branches and Companies Strategy. Previously, he led for four years the Retail Banking, Individuals and Companies, which comprised all the segments of the Branches, Companies, Government and Payroll departments, in addition to the Insurance, Products and Strategic Planning, CRM, Digital Channels and UX departments. From 2003 to 2018, Mr. Rodrigues held several leadership positions at the Wholesale Banking and Itaú BBA, including the Middle Market, Commercial Banking segments and the products & services departments. He joined the Itaú Unibanco Group in 2000 and has been an Officer since 2005. He was an Executive Officer from 2008 to 2020, and in 2021 he joined Itaú Unibanco’s Executive Committee. He is a Member of the Board of Directors of Porto Seguro S.A. Academic background He holds a Bachelor’s degree in Mechanical Engineering with major in Automation and Systems ("Mechatronics") from Escola Politécnica da Universidade de São Paulo (USP), São Paulo, Brazil. Management body: Management body: Nominated by the Controlling stockholder: Board of executive officers No Elective office held: Description of other positions held: Others Officers Officer (member of the Executive Committee)


 
Date of election: Date of investiture: Term of office: Date of beginning of first term: 04/30/2025 06/18/2025 Annual 03/02/2021 Conviction: Type of Conviction: Description of the conviction: n/a n/a Administrator: Name: Taxpayer ID (CPF): ANDRÉ MAURICIO GERALDES MARTINS 276.540.908-03 Profession: Date of birth: Business Administrator 11/13/1976 Profissional experience: André Mauricio Geraldes Martins, a member of the Partners Program, has been an Officer at the Itaú Unibanco Group since January 2021. He is currently responsible for the Credit Risk and Retail Modeling departments. Mr. Martins has held several positions at the Itaú Unibanco Group, including Risk Superintendent (2017 a 2020) and Superintendent (2006 to 2013). He also served as Executive Finance Superintendent at Banco Pan/BTG (2013 to 2016). He started his telecom career at Vivo Telefônica S.A. (2002 to 2005). He holds an MBA in Business Management from the Fundação Dom Cabral, São Paulo, Brazil; a post- MBA from the Kellogg School of Management at Northwestern University, Illinois, U.S. and in Risk Management from The Wharton School, University of Pennsylvania, Philadelphia, U.S. Management body: Management body: Nominated by the Controlling stockholder: Board of executive officers No Elective office held: Description of other positions held: Others Officers Officer Date of election: Date of investiture: Term of office: Date of beginning of first term: 04/30/2025 06/18/2025 Annual 07/01/2024 Conviction:


 
Type of Conviction: Description of the conviction: n/a n/a Administrator: Name: Taxpayer ID (CPF): CANDIDO BOTELHO BRACHER 039.690.188-38 Profession: Date of birth: Business Administrator 12/05/1958 Profissional experience: Candido Botelho Bracher Position and term of office Independent Member of the Board of Directors since April 2024, having been Non-executive Member of the Board of Directors since 2003. Experiences, skills and abilities. Financial sector and capital markets He has held several positions at the Itaú Unibanco Group, including CEO between 2017 and 2021, Wholesale Banking Senior Vice President between 2015 and 2017 and Vice President between 2004 and 2015. He has been a member of the Board of Directors of Mastercard Incorporated since 2021. Mr. Bracher served as a member of the Board of Directors of B3 S.A. between 2009 and 2014 and of the Pão de Açúcar Group between 1999 and 2013. He was a founding partner of the corporate bank BBA Creditanstalt, a joint venture created in 1988. Risk management He was CEO of Itaú Unibanco Holding S.A. and, during that period, he was in charge of risk management at the executive level, chairing seven superior risk councils, such as the Superior Market and Liquidity Risk Management Council, the Superior Operational Risk Council and the Superior Credit Council. In these forums, he resolved upon corporate risk policies, risk management, risk appetite and the risk culture of the Organization. He is currently a Member of the Risk and Capital Management Committee, providing support in defining, reviewing and approving the risk appetite, strategies and institutional risk policies. ESG He is a Member of the Superior Bioeconomy Council of Fundação Getulio Vargas (FGV) and is highly involved in initiatives for the environmental protection of the Brazilian Pantanal biome. He is a Member of the Board of Directors of the Acaia Institute, which develops educational actions aimed at preserving the Pantanal biome. He also completed his training in Climate Change offered by the Brazilian Institute of Corporate Governance (IBGC) in 2021, by means of the Chapter Zero initiative, a global network for engaging Boards in climate challenges. He is also columnist for the Folha de São Paulo newspaper. Academic background He holds a Bachelor’s degree in Business Administration from Fundação Getulio Vargas (FGV), São Paulo, Brazil.


 
Management body: Management body: Nominated by the Controlling stockholder: Board of Directors Yes Elective office held: Description of other positions held: Independent Board of Directors (Effective) Date of election: Date of investiture: Term of office: Date of beginning of first term: 04/17/2025 06/10/2025 Annual 06/15/2021 Conviction: Type of Conviction: Description of the conviction: n/a n/a Administrator: Name: Taxpayer ID (CPF): CARLOS FERNANDO ROSSI CONSTANTINI 166.945.868-76 Profession: Date of birth: Engineer 05/02/1974 Profissional experience: Carlos Fernando Rossi Constantini Position and term of office He is a Member of the Partners Program, has been an Officer of the Executive Committee at the Itaú Unibanco Group since 2021. Experience, skills and abilities Financial sector, capital markets and other sectors He is currently responsible for the Wealth Management & Services division, which addresses clients’ investments, from offering and experience to fund distribution and management, having held the position of Executive Officer (2019 to 2021). In 2017, Mr. Constantini became the CEO of Itaú Unibanco in the United States and the Head of International Private Banking in Miami (2017 to 2018). He was the Vice President of Associação Brasileira das Entidades dos Mercados Financeiro e de Capitais (ANBIMA) from 2019 to 2022. He has held a number of positions at the Itaú Unibanco Group, including Officer (2009 to 2017), where he joined in 2007 as a Deputy Officer (2007 to 2009). Academic background


 
He holds a Bachelor’s degree in Production Engineering from the Escola Politécnica da Universidade de São Paulo (USP), São Paulo, Brazil. Management body: Management body: Nominated by the Controlling stockholder: Board of executive officers No Elective office held: Description of other positions held: Others Officers Officer (member of the Executive Committee) Date of election: Date of investiture: Term of office: Date of beginning of first term: 04/30/2025 06/18/2025 Annual 03/02/2021 Conviction: Type of Conviction: Description of the conviction: n/a n/a Administrator: Name: Taxpayer ID (CPF): CARLOS ORESTES VANZO 122.230.988-27 Profession: Date of birth: Bachelor of Laws 08/12/1971 Profissional experience: Carlos Orestes Vanzo Position and term of office He has been a partner and an Officer of the Executive Committee at the Itaú Unibanco Group since 2023. Experiences, skills and abilities Financial sector, capital markets and other sectors He is currently responsible for the Small and Middle-Market Companies of the Retail Banking segment, Acquiring Services (Rede), Product, Credit, Recovery, CRM, Channels and Digital Branches, and Companies Strategy departments of the Itaú Unibanco Group. Previously, he was responsible for the Retail Banking – Individuals, which comprised the segments of Physical and Digital Branches (lower, middle and upper-income segments – Itaú Branches, Uniclass and Personnalité), Insurance department, and the Strategy – Individuals department, which includes CRM, Planning, Projects,


 
Payroll, Government, and Credit and Recovery. He was an Executive Officer from 2019 to 2022, leading the Retail Business – Individuals, Companies Segment, and Corporate Loans. Between 2004 and 2018, Mr. Vanzo has held several leadership positions at Banco Itaú and Itaú BBA, and the highlights were the Corporate and Middle Market segments. He joined the Itaú Unibanco Group in 1997 and has been a member of the Executive Committee since 2023. Academic background He holds a Bachelor’s degree in Law from the Universidade Paulista, São Paulo, Brazil, a postgraduate degree in Business Administration from the Universidade de São Paulo (USP), São Paulo, Brazil, and an Executive MBA from the Massachusetts Institute of Technology (MIT), Cambridge, Massachusetts, U.S. Management body: Management body: Nominated by the Controlling stockholder: Board of executive officers No Elective office held: Description of other positions held: Others Officers Officer (member of the Executive Committee) Date of election: Date of investiture: Term of office: Date of beginning of first term: 04/30/2025 06/18/2025 Annual 06/01/2023 Conviction: Type of Conviction: Description of the conviction: n/a n/a Administrator: Name: Taxpayer ID (CPF): CESAR NIVALDO GON 154.974.508-57 Profession: Date of birth: Businessman 07/09/1971 Profissional experience: Cesar Nivaldo Gon Position and term of office An Independent Member of the Board of Directors since 2022. Experience, skills and abilities


 
Financial sector and capital markets He is a member of the Board of Directors of the Lean Enterprise Institute – LEI and was a member of the board of Raia Drogasil S.A. (2021 to 2023). An active investor in venture capital and startup funds, Mr. Gon led the IPO of CI&T Inc. on the New York Stock Exchange (NYSE) and is a member of the Board of Directors of Fundo Patrimonial Lumina Unicamp since 2020. He was named Entrepreneur of the Year in Brazil by EY (EY Entrepreneur Of The Year™) in 2019. Technology and information security He is the founder and CEO of CI&T (NYSE: CINT), a global company specializing in software engineering solutions, such as AI and Hyper Digital, modernization, cloud services, data analytics, cybersecurity and digital product design, since 1995. He is the chairman of the board of Sensedia, a leading company in the API Management market. He has a long history in the market as an important spokesperson on leadership development, digital transformation and artificial intelligence. He also worked as a Tech Advisor at the board of the Boticário Group from 2020 to 2023+. Academic background He holds a Bachelor's degree in Computer Engineering and a Master's degree in Computer Science, both from the Universidade Estadual de Campinas, Brazil. He has co-authored the book “Faster, Faster: The Dawn of Lean Digital” (2020) and is a MIT Sloan Management Review columnist. Management body: Management body: Nominated by the Controlling stockholder: Board of Directors Yes Elective office held: Description of other positions held: Independent Board of Directors (Effective) Date of election: Date of investiture: Term of office: Date of beginning of first term: 04/17/2025 06/10/2025 Annual 07/01/2022 Conviction: Type of Conviction: Description of the conviction: n/a n/a Administrator: Name: Taxpayer ID (CPF): CRISTIANO GUIMARÃES DUARTE 024.311.796-56 Profession: Date of birth:


 
Administrator 01/02/1976 Profissional experience: Cristiano Guimarães, a member of the Partners Program since 2009, has been an Officer at the Itaú Unibanco Group since 2015, and is currently responsible by the Corporate Banking for large companies and the Investment Banking (Corporate & Investment Banking). He is also responsible for Itaú BBA International, our bank in Europe. He has held several positions at the Itaú Unibanco Group, having served as Head and Managing Director of the Investment Banking in Brazil and Officer of the Corporate Banking, between 2008 and 2020. Mr. Guimarães was an Investment Banking Officer at Banco UBS Pactual from 2007 to 2008 and was previously a Managing Partner at KPMG, where he started his career. He holds a Bachelor’s degree in Business Administration from the Pontifícia Universidade Católica de Minas Gerais, Belo Horizonte, Minas Gerais, Brazil. Management body: Management body: Nominated by the Controlling stockholder: Board of executive officers No Elective office held: Description of other positions held: Others Officers Officer Date of election: Date of investiture: Term of office: Date of beginning of first term: 04/30/2025 06/18/2025 Annual 03/13/2024 Conviction: Type of Conviction: Description of the conviction: n/a n/a Administrator: Name: Taxpayer ID (CPF): CRISTINA FONTES DOHERTY 803.661.047-72 Profession: Date of birth: Economist 05/26/1965 Profissional experience:


 
Cristina Doherty has been an alternate member of the Fiscal Council at Itaú Unibanco Holding S.A. since April 2025. Has been an effective member of the Supervisory Council at Natura & Co (term of office from 2024 to 2025). She was an alternate member of the Supervisory Council at Gerdau Metalúrgica (2023 to 2024); an effective member of the Supervisory Council at Vale S.A. (2020 to 2022) and an alternate member of the Supervisory Council at Invepar S.A. (2019 to 2020).She has more than 25 years of experience at Vale S.A. in Corporate Finance, Business Development, Equity Management, Corporate Governance, Business Valuation, and Mergers, Acquisitions and Divestments. Ms. Doherty also served in joint bodies of the following organizations: as a member of the Board of Directors at Vale Omã Pellet Plant, at ThyssenKrupp Companhia Siderúrgica do Atlântico (TKCSA, current Ternium) and at Companhia Siderúrgica do Pecém (CSP), and as a member of the financial-operational Statutory Committee at California Steel Industries in California/U.S. (CSI). She holds a Bachelor’s degree in Economics from the Faculdade Candido Mendes, Rio de Janeiro/RJ, Brazil, an MBA in Strategic Business Management from the Universidade de São Paulo (USP), São Paulo, Brazil, and an MBA in Finance from the Instituto Brasileiro de Mercado de Capitais (IBMEC) Rio de Janeiro/RJ, Brazil. Ms. Doherty is certified by the Instituto Brasileiro de Governança Corporativa (IBGC) to work as a Board member. Management body: Management body: Nominated by the Controlling stockholder: Fiscal Council No Elective office held: Description of other positions held: Fiscal Council (Alternate) Elected by preferentialists Date of election: Date of investiture: Term of office: Date of beginning of first term: 04/17/2025 06/10/2025 Annual 06/10/2025 Conviction: Type of Conviction: Description of the conviction: n/a n/a Administrator: Name: Taxpayer ID (CPF): DANIEL MENEZES SANTANA 008.752.405-85 Profession: Date of birth: Systems Analyst 03/19/1983


 
Profissional experience: Daniel Menezes Santana, a member of the Partners Program, has been an Officer at Itaú Unibanco Holding since April 2025. He is currently responsible for the Information Security and Cybersecurity department. He has held a number of positions at the Itaú Unibanco Group, including Information Security Superintendent (2018 to 2025) and Information Security Manager (2014 to 2018). Mr. Santana has worked as Information Security Coordinator (2013 to 2014) at the Santander Brazil Group; Information Security Specialist (2010 to 2013) at R7.com – Rede Record; Information Security Consultant (2010) at Cipher – Consultoria em Segurança da Informação; Information Security Specialist/Project Manager (2007 to 2010) and Senior Information Security Analyst (2005 to 2007) at Proteus Information Security Services; and IT Security and Infrastructure Consultant (2001 to 2007). He holds a Bachelor’s degree in Computer Science and a postgraduate degree in Information Security Management. Management body: Management body: Nominated by the Controlling stockholder: Board of executive officers No Elective office held: Description of other positions held: Others Officers Officer Date of election: Date of investiture: Term of office: Date of beginning of first term: 04/30/2025 06/18/2025 Annual 06/18/2025 Conviction: Type of Conviction: Description of the conviction: n/a n/a Administrator: Name: Taxpayer ID (CPF): DANIEL SPOSITO PASTORE 283.484.258-29 Profession: Date of birth: Lawyer 10/07/1979 Profissional experience: Daniel Sposito Pastore, a Member of the Partners Program, has been an Officer at the Itaú Unibanco Group since 2020. He is currently responsible for the Health, Labor Relations, Jurimetrics and Labor Legal departments. He has held several positions at the Itaú Unibanco Group, including as Legal Superintendent working at the labor, criminal, union relations, higher courts, labor advisory and WMS


 
departments from 2012 to 2020, Legal Manager, WMS, working at the International, Asset and Brokerage departments from 2008 to 2011, Legal Lawyer, WMS from 2004 to 2008, Lawyer, Banking Law from 2002 to 2003, and Legal Assistant (M&A Legal) from 2000 to 2002. Mr. Pastore has been a member of the union negotiation committee at Federação Nacional dos Bancos (“FENABAN”) since 2019. Mr. Pastore served at Associação Brasileira das Entidades dos Mercados Financeiro e de Capitais (“ANBIMA”) as an effective member of the legal committee from2012 to 2016, and a vice president from 2015 to 2016. He was also coordinator and liaison on behalf of ANBIMA with the Comissão de Valores Mobiliários (“CVM”) from 2014 to 2016 for issuing and implementing new rules on suitability, asset management and trust management and investment funds, and coordinator of the revision of self-regulation codes for trust management, asset management and investment funds from 2015 to 2016. He has been a member of the legal labor committee since 2017, and a member of the union negotiation committee since 2020 at Federação Brasileira de Bancos (“FEBRABAN”). He holds a Bachelor’s degree in Law from the Universidade Presbiteriana Mackenzie, São Paulo, Brazil, and a postgraduate degree in Financial and Capital Markets Law from the Instituto de Ensino e Pesquisa (INSPER), São Paulo, Brazil. Management body: Management body: Nominated by the Controlling stockholder: Board of executive officers No Elective office held: Description of other positions held: Others Officers Officer Date of election: Date of investiture: Term of office: Date of beginning of first term: 04/30/2025 06/18/2025 Annual 12/31/2020 Conviction: Type of Conviction: Description of the conviction: n/a n/a Administrator: Name: Taxpayer ID (CPF): DANIELA PEREIRA BOTTAI 142.407.238-76 Profession: Date of birth: Administrator 06/12/1972 Profissional experience:


 
Daniela Bottai, a member of the Partners Program, has been an Audit Officer at the Itaú Unibanco Group since 2023, leading the Technology, Models, Risks, ESG and Foreign Units departments. With an experience of over 30 years in Risk, Compliance and Audit, focused on, among others, risk management, compliance management, regulatory strategy, anti-money laundering and counter terrorism financing, client conduct, customer experience, privacy, technology, financial and payment products, cybersecurity, ESG and corporate governance. Ms. Bottai has worked in Financial Institutions and Fintechs, such as PayPal, HSBC, RaboBank, Western Union, Creditas (Grana Aqui), GE Money, JP Morgan Chase, Bank Boston, ABN Amro and KPMG. She holds a Bachelor’s degree in Data Processing from Faculdade de Tecnologia da Universidade Estadual Paulista (FATEC/UNESP), São Paulo, Brazil and specialization in Business Administration and Integrated Systems from CEAG, Fundação Getulio Vargas, São Paulo, Brazil. She holds an MBA degree in Retail and Franchise from Fundação Instituto de Administração da Universidade de São Paulo (FIA-USP), São Paulo, Brazil. She is Certified in Executive Entrepreneurship by the Stanford Graduate School of Business, California, and Babson, Boston, U.S. She is also certified by the “Orchestrating a winning performance” program, offered by the Institute for Management Development (IMD), in Lausanne, Switzerland. Management body: Management body: Nominated by the Controlling stockholder: Board of executive officers No Elective office held: Description of other positions held: Others Officers Officer Date of election: Date of investiture: Term of office: Date of beginning of first term: 04/30/2025 06/18/2025 Annual 10/11/2023 Conviction: Type of Conviction: Description of the conviction: n/a n/a Administrator: Name: Taxpayer ID (CPF): EDUARDO HIROYUKI MIYAKI 159.822.728-92 Profession: Date of birth: Engineer Civil 06/11/1972 Profissional experience:


 
Eduardo Hiroyuki Miyaki has been a Member of the Fiscal Council at the Itaú Unibanco Group since 2022. He has held several positions at the Itaú Unibanco Group, including Internal Audit Officer from 2010 to 2017 and Operational Risk and Internal Control Officer from 2017 to 2021. He has previously served as Internal Audit Superintendent from 2005 to 2010 in the Risk Management, Capital Markets, Insurance, Pension Plan and Securities departments. He also worked in the commercial and retail departments, product development and Wholesale Banking processes. Mr. Miyaki was the supervisor responsible for the Internal Audit Department in the Asset Management and Treasury departments from 2003 to 2004 and Supervisor of the Anti-Money Laundering and Fraud Prevention Program from 1996 to 2003. He holds a Bachelor’s degree in Civil Engineering from Universidade de São Paulo (USP), São Paulo, Brazil, a Master’s degree in Sanitary Engineering and waste management from Gunma University, Japan, specialization in Business Administration from CEAG, Fundação Getulio Vargas (FGV), São Paulo, Brazil, and an MBA degree in International Finance and Business from Leonard N. Stern School of Business, New York University, New York, U.S. More recently, Mr. Miyaki participated in the program for members of the Audit, Inspection and Control Committee of the Brazilian Institute of Corporate Governance (IBGC) and in May 2024 he finished the Corporate Governance certification program from Columbia University, New York - USA. Management body: Management body: Nominated by the Controlling stockholder: Fiscal Council Yes Elective office held: Description of other positions held: Fiscal Council (Effective) Elected to Controller Date of election: Date of investiture: Term of office: Date of beginning of first term: 04/17/2025 06/10/2025 Annual 07/01/2022 Conviction: Type of Conviction: Description of the conviction: n/a n/a Administrator: Name: Taxpayer ID (CPF): EMERSON MACEDO BORTOLOTO 186.130.758-60 Profession: Date of birth: Technologist in Data Processing Technologist 07/25/1977 Profissional experience:


 
Emerson Macedo Bortoloto, a member of the Partners Program, has been an Officer at the Itaú Unibanco Group since 2011. He joined the Itaú Unibanco Group in 2003, taking over a number of positions in the Internal Audit department. He is currently the Internal Audit Officer, responsible for managing the Audit department, whose mission is to plan, carry out and report on audits in Itaú Unibanco Group’s Retail processes and business, as well as in planning processes and External Audit management and control. Mr. Bortoloto was responsible for evaluating processes related to Market, Credit and Operational Risks, in addition to Project Auditing and Continuous Auditing. At the Itaú Unibanco Group, he was also responsible for auditing the Information Technology and Retail Credit Analysis and Granting processes. He is a Member of the Audit Committees of Itaú Unibanco’s controlled companies and affiliates, such as Banco Itaú Paraguay, Banco Itaú Uruguay, Nuclea S.A., and Tecban - Tecnologia Bancária. Mr. Bortoloto had previously worked at Ernst & Young Auditores Independentes from 2001 to 2003 and Banco Bandeirantes from 1992 to 2001, being responsible for auditing IT and operational processes. He holds a Bachelor’s degree in Data Processing Technology, a Postgraduate degree in Auditing and Consulting in Information Security from Faculdades Associadas de São Paulo (FASP), São Paulo, Brazil, and an MBA degree in Internal Auditing from Fundação Instituto de Pesquisas Contábeis, Atuariais e Financeiras (FIPECAFI), Brazil. He also holds the following certifications: CISA-Certified Information System Auditor, issued by the Information Systems Audit and Control Association (ISACA), and CCoaud+ - Member of the Audit Committee with Experience, issued by IBGC." Management body: Management body: Nominated by the Controlling stockholder: Board of executive officers No Elective office held: Description of other positions held: Others Officers Officer Date of election: Date of investiture: Term of office: Date of beginning of first term: 04/30/2025 06/18/2025 Annual 11/01/2011 Conviction: Type of Conviction: Description of the conviction: n/a n/a Administrator: Name: Taxpayer ID (CPF): ERIC ANDRÉ ALTAFIM 273.383.788-51 Profession: Date of birth:


 
Business Administrator 06/12/1976 Profissional experience: Eric André Altafim, a member of the Partners Program, has been an Officer at the Itaú Unibanco Group since 2017. He is currently responsible for the Corporate Client, Foreign Exchange, Funding, Derivatives, Energy, Carbon Credit, and Digital Assets desks. He has held several positions at the Itaú Unibanco Group, including as Head of Client and Specialized Sales, Products and Planning of Markets Desks from 2015 to 2017, Head of Client and Specialized Sales – CIB (UL, Large and Corporate) Desks from 2012 a 2015, Head of Derivatives – Wholesale from 2008 to 2012, Senior Trader from 2005 to 2007, and Trader from 1999 to 2000. He has also served as Officer of the Brazilian Financial and Capital Markets Association (ANBIMA) since 2022 and has been a Member of the Products and Pricing Committee of B3 S.A. – Brasil, Bolsa, Balcão since 2021. He also served as a Relations and Desk Manager at Banco UBS Pactual from 2007 to 2008, Senior Trader at Banco HSBC from 2000 to 2005, Trainee from 1997 to 1999, and Junior Trader in 1999 at Banco CCF. He holds a Bachelor’s degree in Business Administration from Pontifícia Universidade Católica de São Paulo (PUC-SP), São Paulo, Brazil, and an MBA degree in Economics from Universidade de São Paulo (USP), São Paulo, Brazil. Management body: Management body: Nominated by the Controlling stockholder: Board of executive officers No Elective office held: Description of other positions held: Others Officers Officer Date of election: Date of investiture: Term of office: Date of beginning of first term: 04/30/2025 06/18/2025 Annual 10/03/2022 Conviction: Type of Conviction: Description of the conviction: n/a n/a Administrator: Name: Taxpayer ID (CPF): FABRICIO BLOISI ROCHA 263.679.838-21 Profession: Date of birth:


 
Businessman 05/09/1977 Profissional experience: Fabricio Bloisi Rocha Position and term of office An Independent Member of the Board of Directors since 2023. Experiences, skills and abilities Financial sector, capital markets and other sectors He has been CEO at Prosus, Chairman of the iFood’s Board of Directors, CEO at Naspers and founder of the Movile Group. He also serves as a member of the Innovation Board of XPrize. Social projects Mr. Rocha promotes educational projects through its Fundação 1Bi aimed at supporting education by means of technology. He also supports projects such as "Meu Diploma do Ensino Médio" (“My High School Diploma”) and "Movimento Tech" (“Tech Movement”), which foster the high school and technological education in Brazil through iFood. In 2023, he was appointed as a UN spokesperson for education on SDG 4 for Brazil and joined the Economic and Sustainable Development Council of the Presidency of the Republic. Academic background He holds a Bachelor’s degree in Computer Engineering (CoE) from the Universidade de Campinas (UNICAMP), Campinas, São Paulo, Brazil, and a Master’s degree in Business Administration from the Fundação Getulio Vargas (FGV), São Paulo, Brazil. In 2013, he has also attended the Executive Program for Growing Companies, Strategy, Finance, Leadership for companies in the growth stage at the Stanford Graduate School of Business, California, U.S. In 2022, Mr. Rocha completed the OPM (Owners/President Management, Business Administration and Management) program at the Harvard Business School, Massachusetts, U.S. Management body: Management body: Nominated by the Controlling stockholder: Board of Directors Yes Elective office held: Description of other positions held: Independent Board of Directors (Effective) Date of election: Date of investiture: Term of office: Date of beginning of first term: 04/17/2025 06/10/2025 Annual 05/17/2024 Conviction: Type of Conviction: Description of the conviction:


 
n/a n/a Administrator: Name: Taxpayer ID (CPF): FELIPE PICCOLI AVERSA 318.323.548-06 Profession: Date of birth: Economist 01/05/1984 Profissional experience: Felipe Piccoli Aversa, a member of the Partners Program, has been an Officer at the Itaú Unibanco Holding since 2025. He is currently responsible for the Financing and Limits – Cards and Bank Account Limits department. He has held several positions at the Itaú Unibanco Group, including Current Account and Leverage – Cards Officer (2022 to 2024), Products and Planning – Cards Superintendent (2017 to 2022), Collection Superintendent (2016 to 2017), Service Architecture Manager (2015 to 2016), Collection Policy Manager (2014 to 2015), Collection Policy Coordinator (2013 to 2014), Collection Operations Coordinator (2012 a 2013), Senior Product and Sales Strategy Analyst (2011 to 2012) and Institutional Trainee – Card Department (2010). Mr. Aversa also worked as Commercial Planning Coordinator at a Honda Dealership – Walk Motos (2007 to 2009) and as a Trainee at Ernst & Young (2006 to 2007). He holds a Bachelor’s degree in Economics from the Universidade Estadual Paulista (UNESP), Brazil, and a Certificate in Finance Management from Insper, Brazil. Management body: Management body: Nominated by the Controlling stockholder: Board of Directors No Elective office held: Description of other positions held: Others officers Officer Date of election: Date of investiture: Term of office: Date of beginning of first term: 04/30/2025 06/18/2025 Annual 03/14/2025 Conviction: Type of Conviction: Description of the conviction: n/a n/a Administrator:


 
Name: Taxpayer ID (CPF): FELIPE XAVIER MINHOTO TAMBELINI 325.271.438-81 Profession: Date of birth: Administrator 06/13/1989 Profissional experience: Felipe Xavier Minhoto Tambelini, a member of the Partners Program, has been an Officer at Itaú Unibanco Holding since April 2025. He is currently responsible for the Fraud Prevention department. He has held a number of positions at the Itaú Unibanco Group, including Head of Payments and Transfers (2023 to 2025); Product Superintendent - iti (2020 to 2023); Digital Product Manager - iti (2018 to 2020); Digital Payments Product Manager (2018); Digital Payments Product Coordinator (2016 to 2018); Analytics Coordinator (2016); Senior Digital Product Analyst (2015 to 2016); and Trainee (2014 to 2015). He also worked as a Product Intern (2011) at Banco ABC Brasil. He holds a Bachelor's degree in Business Administration from the Pontifícia Universidade Católica de São Paulo (PUC-SP), São Paulo, Brazil; an extension degree in Finance from the Fundação Instituto de Administração da Universidade de São Paulo (FIA-USP) and in People Management with emphasis on Organizational Leadership from the Fundação Dom Cabral, São Paulo, Brazil. Management body: Management body: Nominated by the Controlling stockholder: Board of executive officers No Elective office held: Description of other positions held: Others Officers Officer Date of election: Date of investiture: Term of office: Date of beginning of first term: 04/30/2025 06/18/2025 Annual 06/18/2025 Conviction: Type of Conviction: Description of the conviction: n/a n/a Administrator: Name: Taxpayer ID (CPF):


 
FLÁVIO AUGUSTO AGUIAR DE SOUZA 747.438.136-20 Profession: Date of birth: Business Administrator 03/27/1970 Profissional experience: Flávio Augusto Aguiar de Souza Position and term of office He is a member of the Partners Program, has been an Officer of the Executive Committee at the Itaú Unibanco Group and CEO of Banco Itaú BBA since 2021 Experiences, skills and abilities Financial sector, capital markets and other sectors Flávio Augusto Aguiar de Souza, a member of the Partners Program, has been an Officer of the Executive Committee at the Itaú Unibanco Group and CEO of Banco Itaú BBA since 2021, being responsible for the Corporate & Investment Banking, Commercial Banking, Distribution and Research departments, as well as for the credit analysis, granting, recovery and restructuring activities of the Wholesale Banking segment. He joined the Itaú Unibanco Group in 2009 and has held leadership positions in several departments of the conglomerate, having served as Executive Commercial Banking Officer, Global Head of Wealth Management & Services, Global Head of Private Banking, and CEO of Banco Itaú International in Miami, U.S. Mr. Souza was Vice President of Brazilian Financial and Capital Markets Association (ANBIMA) from 2015 to 2019, and Chairman of the Board of Directors of banks Itaú International (Miami, U.S.) and Itaú Suisse (Zurich, Switzerland) from 2015 to 2018. ESG Since the beginning of 2023, he has also taken on the responsibility, within the ESG agenda, for the activities of the climate finance department of the entire Conglomerate. Academic background He holds a Bachelor’s degree in Business Administration from Universidade Federal de Minas Gerais, Belo Horizonte, Minas Gerais, Brazil, and a Postgraduate degree in Finance from Fundação Dom Cabral, São Paulo, Brazil. Management body: Management body: Nominated by the Controlling stockholder: Board of executive officers No Elective office held: Description of other positions held: Others Officers Officer (member of the Executive Committee)


 
Date of election: Date of investiture: Term of office: Date of beginning of first term: 04/30/2025 06/18/2025 Annual 03/02/2021 Conviction: Type of Conviction: Description of the conviction: n/a n/a Administrator: Name: Taxpayer ID (CPF): FLAVIO RIBEIRO IGLESIAS 260.111.178-05 Profession: Date of birth: Engineer 01/22/1977 Profissional experience: Flavio Ribeiro Iglesias, a member of the Partner Program, has been an Officer since 2015, currently responsible for the Individual Strategy, Loans, and Asset Acquisition Directorate, which consolidates all initiatives focused on the integrated customer experience. He joined Itaú Unibanco in 2000 and has held several positions during this period, including Superintendent of Individual Products (2008 to 2012); Superintendent of Planning (2012 to 2015). He holds a bachelor’s degree in Civil Engineering from Instituto Tecnológico de Aeronáutica (ITA), São José dos Campos, São Paulo, Brazil, a specialization in Administration from Fundação Getulio Vargas (FGV), São Paulo, Brazil, and an MBA from Stanford University, California, USA. Management body: Management body: Nominated by the Controlling stockholder: Board of executive officers No Elective office held: Description of other positions held: Others Officers Officer Date of election: Date of investiture: Term of office: Date of beginning of first term: 10/30/2025 12/10/2025 Annual 12/10/2025


 
Conviction: Type of Conviction: Description of the conviction: n/a n/a Administrator: Name: Taxpayer ID (CPF): GABRIEL AMADO DE MOURA 247.648.348-63 Profession: Date of birth: Business Administrator 08/18/1975 Profissional experience: Gabriel Amado de Moura Position and term of office Member of the Partners Program since 2011, has been an Officer of the Executive Committee and CFO at the Itaú Unibanco Group since September 2024. Experiences, skills and abilities Financial sector, capital markets and other sectors He was appointed CEO of Banco Itaú Chile in January 2020, and has served as CFO at Itaú CorpBanca since April 2016. He joined Itaú Unibanco in 2000 and became a partner in 2017. He has over 24 years of experience in asset management, risk management and mergers and acquisitions. Mr. Moura held the position of investment manager for the pension fund, endowment and insurance business lines. He was also a risk manager in the Wealth Management department and has been a member of the board of directors of a number of companies of the Itaú Unibanco Conglomerate in Brazil and abroad. Before joining the bank, he worked at BBVA Asset Management and Itaú Bankers Trust. He has been the CEO since July 2024 and Chairman of the Board of Directors of Investimentos Bemge S.A. since September 2024 and Chairman of the Board of Directors of Dibens Leasing S.A. since July 2024. Academic background He holds an MBA degree from Wharton School, University of Pennsylvania, U.S. Management body: Management body: Nominated by the Controlling stockholder: Board of executive officers No Elective office held: Description of other positions held: Others Officers Officer (member of the Executive Committee)


 
Date of election: Date of investiture: Term of office: Date of beginning of first term: 04/30/2025 06/18/2025 Annual 10/24/2024 Conviction: Type of Conviction: Description of the conviction: n/a n/a Administrator: Name: Taxpayer ID (CPF): GILBERTO FRUSSA 127.235.568-32 Profession: Date of birth: Lawyer 10/20/1966 Profissional experience: Gilberto Frussa has been a Member of the Supervisory Council at the Itaú Unibanco Group since July 2022. He has held several positions at the Itaú Unibanco Group, including Officer of the Corporate Compliance Department from 2017 to 2021, Legal Officer of Products and Business – Retail Business from 2015 to 2017 and Legal Officer at Banco Itaú BBA S.A. from 2006 to 2015, where he also served as a lawyer from 1995 a 2006. He has been an External Member of the Risk and Solvency Committee at IRB – Brasil Resseguros S.A. since 2022. Mr. Frussa was a partner at Carvalho Pinto, Monteiro de Barros, Frussa & Bohlsen – Advogados, responsible for the banking law department from 1993 to 1995. He was also a Lawyer from 1989 to 1993 at Banco BBA-Creditanstalt S.A. and a Law trainee and legal assistant from 1986 to 1989 at Pinheiro Neto – Advogados. Mr. Frussa was also an Effective Director of the National Financial System Resources Council (CRSFN) from 2000 to 2003 and 2011 to 2013. He was Chairman of the Legal Affairs Committee of the Brazilian Financial and Capital Markets Association (ANBIMA) from 2012 to 2015. Additionally, he was a Director at Fundação Itaú Unibanco Previdência Complementar from 2017 to 2021. He has been an Alternate Member of the Committee for Evaluation and Selection (CAS) of the National Financial System Resources Council (CRSFN) since 2018, and an associate of the Brazilian Institute of Corporate Governance (IBGC) since 2021 where he attended courses for Board Members, Supervisory Council and Finance and Accounting for Directors. He has a certificate for the In Company course - Best Corporate Governance Practices from the Brazilian Institute of Corporate Governance (IBGC). He holds a Bachelor’s degree in Law from Universidade de São Paulo (USP), São Paulo, Brazil. Management body:


 
Management body: Nominated by the Controlling stockholder: Fiscal Council Yes Elective office held: Description of other positions held: President Fiscal Council Elect for Controller Date of election: Date of investiture: Term of office: Date of beginning of first term: 04/17/2025 06/10/2025 Annual 07/01/2022 Conviction: Type of Conviction: Description of the conviction: n/a n/a Administrator: Name: Taxpayer ID (CPF): GUILHERME BARROS LEITE DE ALBUQUERQUE MARANHÃO 223.105.878-26 Profession: Date of birth: Bank Clerk 10/17/1980 Profissional experience: Guilherme Barros Leite de Albuquerque Maranhão, member of the Partners Program, has been an Officer at the Itaú Unibanco Group since May 2024. He is currently responsible for the Debt Capital Market (DCM) for Corporate & Investment Banking (CIB) clients and Fixed-Income Structuring and Distribution departments. He has held several positions at the Itaú Unibanco Group, including Managing Director: Fixed-Income Sales, DCM and Structured Products (2015 to 2024); Vice President: Fixed- Income Credit Structuring (2011 to 2015); Vice President: Fixed-Income Corporate Sales (2007 to 2011). He also worked as Fixed-Income Sales Trader at Banco Santander S.A. (2002 to 2007). He holds a Bachelor’s degree in Law from Universidade Presbiteriana Mackenzie, São Paulo, Brazil, and in Business Administration from Fundação Getulio Vargas (FGV), São Paulo, Brazil, he also holds a Postgratuated degree in Financial Economics from CEAFE/FGV. Management body: Management body: Nominated by the Controlling stockholder: Board of executive officers No


 
Elective office held: Description of other positions held: Others Officers Officer Date of election: Date of investiture: Term of office: Date of beginning of first term: 04/30/2025 06/18/2025 Annual 07/01/2024 Conviction: Type of Conviction: Description of the conviction: n/a n/a Administrator: Name: Taxpayer ID (CPF): GUSTAVO LOPES RODRIGUES 219.738.878-94 Profession: Date of birth: Business Administrator 11/18/1980 Profissional experience: Gustavo Lopes Rodrigues Position and term of office Gustavo Lopes Rodrigues has been a partner since 2021, Investor Relations Officer and Chairman of the Disclosure and Trading Committee since August 2024 at the Itaú Unibanco Holding S.A. and has also served as Investor Relations Officer at Investimentos Bemge S.A. since June 2024 and at Dibens Leasing S.A. since August 2024. Experience, skills and abilities Financial sector, capital markets and other sectors He has more than 20 years of experience, has built his career in various areas within Finance and served as Superintendent of Investor Relations between 2017 and 2024. Academic background Bachelor’s degree in Business Administration. Management body: Management body: Nominated by the Controlling stockholder: Board of executive officers No Elective office held: Description of other positions held:


 
Others Officers Officer and Investor Relations Officer Date of election: Date of investiture: Term of office: Date of beginning of first term: 04/30/2025 06/18/2025 Annual 08/16/2024 Conviction: Type of Conviction: Description of the conviction: n/a n/a Administrator: Name: Taxpayer ID (CPF): JOÃO COSTA 476.511.728-68 Profession: Date of birth: Economist 08/10/1950 Profissional experience: João Costa has been an Alternate Member of the Supervisory Council at the Itaú Unibanco Group and an Effective Member of the Supervisory Council at the Itaúsa S.A. in 2023, having been an Alternate Member from 2009 to 2022. He was a member of the Supervisory Council of Alpargatas S.A. from 2017 to 2018, Dexco S.A. from 2018 to 2019, FEBRABAN, IBCB and the Banking Employers' Union of the São Paulo State from 1997 to 2008. He set up and chaired the Audit Committee of Liberty Seguros S.A. and Indiana Seguros S.A. from 2014 to 2015. At the Itaú Unibanco Conglomerate, he was an Effective Member of the Board of Directors of Itauleasing de Arrendamento Mercantil and Itaú Rent Administração e Participação S.A. He also worked at Itaú Unibanco as a General Audit Manager, creating and managing the Systems Audit, Tax Audit, Affiliate Audit, Central Administration Audit, and Foreign Branch Audit functions and planning for inspections at branches nationwide, having developed the inspection automation software that was qualified as "best practice" by the consultancy Arthur Andersen. Later in 1997, serving as a Managing Officer, he structured the Collection Coordination department, defining operational and fiscal procedures for the collection and renegotiation of defaulted payments. He has structured an own and outsourced collection call center and the management of outsourced collection agencies and the control of external lawyers in charge of judicial collections nationwide. He has promoted the first sale of distressed assets, in Brazil, to a foreign debt recovery company. He has played a strong role in the area of governance, creating the Internal Controls and Compliance department, and in particular implementing procedures required by the U.S. Sarbanes Oxley Act (SOX). He has commenced the work for compliance with the Central Bank provisions in connection with Operational Risk and Resolution nº 3380.


 
He holds a Bachelor’s degree in Economics from Faculdade de Economia São Luiz, São Paulo, Brazil, extension course in Business Administration from Faculdade de Economia, Administração, Contabilidade e Atuária da Universidade de São Paulo (FEA-USP), São Paulo, Brazil, and attended the Management Program for Executives from University of Pittsburgh, Pennsylvania, U.S. Management body: Management body: Nominated by the Controlling stockholder: Fiscal Council Yes Elective office held: Description of other positions held: Fiscal Council (Alternate) Elect for Controller Date of election: Date of investiture: Term of office: Date of beginning of first term: 04/17/2025 06/10/2025 Annual 07/10/2009 Conviction: Type of Conviction: Description of the conviction: n/a n/a Administrator: Name: Taxpayer ID (CPF): JOÃO FILIPE FERNANDES DA COSTA 235.622.618-45 Profession: Date of birth: Administrator 12/21/1985 Profissional experience: João Filipe Fernandes da Costa Araújo, a member of the Partners Program, has been an Officer at Itaú Unibanco Holding since March 2025, and is currently responsible for the Business, Platforms and Digital Experiences; Artificial Intelligence for Individuals department. He has held several positions at the Itaú Unibanco Group, including Officer of Business, Platforms and Digital Experiences (January 2023 to March 2025), Officer of iti Itaú (2020 to 2022), Superintendent and Head of Products and Business Strategy at iti Itaú (2018 to 2020), Digital Business Superintendent (2016 to 2018), Strategic Planning Superintendent at Itaú Personnalité (2015 to 2016), and Digital Solutions Manager at Itaú Personnalité (2012 to 2014). Mr. Araújo worked as an Associate Consultant (2007 to 2010) and Consultant (2010 to 2012) at The Boston Consulting Group, Lisbon, Portugal. He holds a Bachelor’s degree in Business Administration and Management from Universidade Católica Portuguesa, Lisbon, Portugal, an MBA from Harvard Business School, Boston, U.S., and attended


 
Executive Education programs from Stanford Graduate School of Business, U.S., and INSEAD, Fontainebleau, France. Management body: Management body: Nominated by the Controlling stockholder: Board of executive officers No Elective office held: Description of other positions held: Others Officers Officer Date of election: Date of investiture: Term of office: Date of beginning of first term: 04/30/2025 06/18/2025 Annual 05/02/2025 Conviction: Type of Conviction: Description of the conviction: n/a n/a Administrator: Name: Taxpayer ID (CPF): JOÃO MOREIRA SALLES 295.520.008-58 Profession: Date of birth: Economist 04/11/1981 Profissional experience: João Moreira Salles Position and term of office He has been a (non-executive) Member of the Board of Directors at the Itaú Unibanco Group since 2017. Experience, skills and abilities Financial sector, capital markets and other sectors He has held a number of positions at the Itaú Unibanco Group, including Officer at IUPAR – Itaú Unibanco Participações S.A. since 2018, having been a member of its Board of Directors (2015 to 2018). Mr. Moreira Salles is currently an Officer of Brasil Warrant Administração de Bens e Empresas S.A. (BWSA), and CEO of BW Gestão de Investimentos (BWGI). He has also been a member, since 2019, of the Board of Directors of Verallia, a glass packaging company listed in France, and of the board of


 
Alpargatas since 2022, where he was already a member of its Finance Committee. Before joining BW, he had been an Investment Banker at J. P. Morgan Chase, New York, U.S. Academic background He holds a Bachelor’s degree in Economics from the Instituto de Ensino e Pesquisa (INSPER), São Paulo, Brazil, a Master’s degree in Economics from the Columbia University, GSAS, New York, U.S., a Master’s degree in Finance from the Columbia University, GSB, New York, U.S., and a Ph.D. in Economic Theory from the Universidade de São Paulo (FEA-USP), São Paulo, Brazil. Management body: Management body: Nominated by the Controlling stockholder: Board of Directors Yes Elective office held: Description of other positions held: Other Directors Non-Executive Director Date of election: Date of investiture: Term of office: Date of beginning of first term: 04/17/2025 06/10/2025 Annual 06/01/2017 Conviction: Type of Conviction: Description of the conviction: n/a n/a Administrator: Name: Taxpayer ID (CPF): JOSÉ GERALDO FRANCO ORTIZ JUNIOR 290.270.568-97 Profession: Date of birth: Lawyer 11/23/1980 Profissional experience: José Geraldo Franco Ortiz Junior is the Civil Litigation Legal Officer at the Itaú Unibanco Group. He began his career at the Itaú Unibanco Group in 2003 as an intern in the Legal Department and in 2021 was elected Compliance Officer, where he worked until the end of 2024. He holds a Bachelor's degree in Law from the Faculdade de Direito da Universidade de São Paulo (USP), São Paulo, Brazil, and a Master of Laws (LL.M.) from Columbia University’s Law School, New York, U.S. Management body:


 
Management body: Nominated by the Controlling stockholder: Board of executive officers No Elective office held: Description of other positions held: Others Officers Officer Date of election: Date of investiture: Term of office: Date of beginning of first term: 04/30/2025 06/18/2025 Annual 03/02/2021 Conviction: Type of Conviction: Description of the conviction: n/a n/a Administrator: Name: Taxpayer ID (CPF): JOSÉ VIRGILIO VITA NETO 223.403.628-30 Profession: Date of birth: Lawyer 09/13/1978 Profissional experience: José Virgilio Vita Neto Position and term of office He is a member of the Partners Program, has been an Officer of the Executive Committee at the Itaú Unibanco Group since 2023, leading the Legal, Ombudsman’s, Governmental Relations and Sustainability departments. Experiences, skills and abilities Financial sector, capital markets and other sectors He started his career at the Itaú Unibanco Group in 2000 as a lawyer and was elected as Officer in 2011. He is also an Executive Officer at the Brazilian Federation of Banks (FEBRABAN). Academic background He holds a Bachelor’s degree in Law from Universidade de São Paulo (USP), São Paulo, Brazil; a Master’s degree in Contract Law from Universidad de Salamanca, Salamanca, Spain; a Ph.D. in Contract Law from Universidade de São Paulo (USP) São Paulo, Brazil, and has attended the Authentic Leadership Development Program from Harvard Business School, Boston, U.S.


 
Management body: Management body: Nominated by the Controlling stockholder: Board of executive officers No Elective office held: Description of other positions held: Others Officers Officer (member of the Executive Committee) Date of election: Date of investiture: Term of office: Date of beginning of first term: 04/30/2025 06/18/2025 Annual 04/13/2015 Conviction: Type of Conviction: Description of the conviction: n/a n/a Administrator: Name: Taxpayer ID (CPF): LENI BERNADETE TORRES DA SILVA SANSIVIERO 048.504.508-73 Profession: Date of birth: Administrator 08/11/1963 Profissional experience: Leni Bernadete Torres da Silva Sansiviero has been an alternate member of the Fiscal Council at Itaú Unibanco Holding S.A. since April 2025. She served as an alternate member of the Supervisory Council of LWSA S.A. (2021 to 2022) and as a member of the Balance Sheet Closing Committee at Itaúsa S.A. (2017 to 2018). She was the Controllership Superintendent at Itaú Unibanco S.A. (2008 to 2013), working in Controllership, Planning, M&A and Investor Relations, and was also the Executive Controllership Manager at Itaúsa S.A. (2013 to 2018), working in the structuring, implementation and management of the entire controllership department. She holds a Bachelor’s degree in Financial Administration and a Postgraduate degree in Systems Analysis from the Fundação Armando Álvares Penteado (FAAP), São Paulo, Brazil. She attended the Financial Specialization Course (CEFIN) from the Universidade de São Paulo (USP), São Paulo, Brazil. Management body: Management body: Nominated by the Controlling stockholder:


 
Fiscal Council No Elective office held: Description of other positions held: Fiscal Council (Alternate) Elect for Controller Date of election: Date of investiture: Term of office: Date of beginning of first term: 04/17/2025 06/10/2025 Annual 06/10/2025 Conviction: Type of Conviction: Description of the conviction: n/a n/a Administrator: Name: Taxpayer ID (CPF): LUÍS EDUARDO GROSS SIQUEIRA CUNHA 132.780.368-24 Profession: Date of birth: Administrator 07/17/1970 Profissional experience: Luis Eduardo Gross Siqueira Cunha, a member of the Partners Program, has been an Officer at Itaú Unibanco Holding since April 2025. He is currently responsible for the Operations, IGA and Client Service departments. He has held a number of positions at the Itaú Unibanco Group, including Officer since 2008 and Superintendent (1998 to 2017), after having joined the Group in 1993. He holds a Bachelor’s degree in Business Administration from Fundação Getulio Vargas (FGV), São Paulo, Brazil, has attended an Exchange Program at the University of Illinois, Chicago, U.S., and holds a master’s degree in Business Administration with major in Finance and Foreign Trade from the Leonard N. Stern School of Business, New York University, New York, U.S. Management body: Management body: Nominated by the Controlling stockholder: Board of executive officers No Elective office held: Description of other positions held: Others Officers Officer Date of election: Date of investiture: Term of office: Date of beginning of first term: 04/30/2025 06/18/2025 Annual 06/18/2025


 
Conviction: Type of Conviction: Description of the conviction: n/a n/a Administrator: Name: Taxpayer ID (CPF): LINEU CARLOS FERRAZ DE ANDRADE 105.260.778-08 Profession: Date of birth: Business Administrator 12/11/1972 Profissional experience: Lineu Carlos Ferraz de Andrade, a member of the Partners Program, has been an Officer at the Itaú Unibanco Group since 2014. He is currently responsible for the Consortium, Vehicle, Real Estate, Payroll Loans, Microcredit, Logistics, Credit Card and Insurance operations. Mr. Andrade has held several positions at the Itaú Unibanco Group, including as Head of Foreign Exchange and Foreign Trade Products from 2013 to 2014, Head of Credit Restructuring Policy and Strategy – Companies from 2011 to 2013, Head of Foreign Exchange and Foreign Trade Operations from 2005 to 2011, and Head of Foreign Exchange, Foreign Trade and Foreign Unit Systems from 2001 to 2004. He holds a Bachelor’s degree in Computer Sciences from Faculdades Associadas de São Paulo (FASP), São Paulo, Brazil, an MBA degree from Universidade de São Paulo (USP), São Paulo, Brazil, specialization in Foreign Trade and Banking from Fundação Getulio Vargas (FGV), São Paulo, Brazil, specialization in Strategic People Management from Fundação Dom Cabral, São Paulo, Brazil, and a Post-MBA certificate from Fundação Instituto de Administração (FIA), São Paulo, Brazil and Risk Management from University of Pennsylvania’s The Wharton School of the University, Philadelphia, U.S. Management body: Management body: Nominated by the Controlling stockholder: Board of executive officers No Elective office held: Description of other positions held: Others Officers Officer Date of election: Date of investiture: Term of office: Date of beginning of first term: 04/30/2025 06/18/2025 Annual 10/03/2022 Conviction:


 
Type of Conviction: Description of the conviction: n/a n/a Administrator: Name: Taxpayer ID (CPF): LUCIANA NICOLA 270.049.978-63 Profession: Date of birth: Bank Clerk 12/27/1977 Profissional experience: Luciana Nicola, a member of the Partners Program, has been an Officer at the Itaú Unibanco Group since 2022. She is currently responsible for the Institutional Relations and Sustainability department. She also serves as an Officer at Fundação Itaú para Educação e Cultura, as an Advisor at Fundação Itaú Unibanco Previdência Complementar, and as the CEO of Associação Itaú Viver Mais. She has held a number of positions at the Itaú Unibanco Group, including as Superintendent of Institutional Relations, Sustainability and New Business from 2018 to 2021 and Superintendent of Government and Institutional Relations from 2009 to 2018. She worked as a Social Responsibility Manager from 2004 to 2009 at Instituto Unibanco S.A. and at the Endomarketing department of Unibanco S.A. from 1997 to 2004. Ms. Nicola is currently a Member of the Board of Directors of Instituto do Pacto Global Brasil, a Member of the Strategic Group of Coalizão Brasil Clima, Florestas e Agricultura, member of Advisory Board of GFANZ Brasil, and a Member of the Board of Directors of CEBDS. She serves a Member on the ESG Committee of the Brazilian Federation of Banks (FEBRABAN). She was also a Member of the Steering Committee from 2005 to 2007 of the Junior Achievement Association of the State of São Paulo. She holds a bachelor’s degree in law from Universidade São Judas Tadeu, São Paulo, Brazil, and Postgraduate degrees in Semiotics from Pontifícia Universidade Católica de São Paulo (PUC-SP), São Paulo, Brazil, and in Leadership and Public Management from Centro de Liderança Pública – CLP at the Center on the Legal Profession of Harvard Business School, Cambridge, Massachusetts, U.S. She also completed her training in Climate Change offered by IBGC in 2021, through the Chapter Zero initiative, a global network for engaging boards in climate challenges. Management body: Management body: Nominated by the Controlling stockholder: Board of executive officers No Elective office held: Description of other positions held: Others Officers Officer Date of election: Date of investiture: Term of office: Date of beginning of first term: 04/30/2025 06/18/2025 Annual 03/25/2022


 
Conviction: Type of Conviction: Description of the conviction: n/a n/a Administrator: Name: Taxpayer ID (CPF): MAIRA BLINI DE CARVALHO 327.908.828-35 Profession: Date of birth: Lawyer 03/14//1984 Profissional experience: Maira Blini de Carvalho, a member of the Partners Program, has been an Officer at the Itaú Unibanco Group since 2022. She is currently responsible for the advisory legal service of the Retail Banking department, including current account, payment account, credit cards, Pix (instant electronic payment solution), issuer and acquirer-related payment arrangements, overdrafts, payroll loans, real estate loans, vehicle financing, consortia, insurance and pension plans, and the legal matters related to contracts, data, intellectual property, marketing, equity, government segment and third sector. She has held several positions at the Itaú Unibanco Group, including as Legal Superintendent from 2017 to 2022, Legal Manager from 2014 to 2017, Legal Coordinator from 2013 to 2014 and Legal Specialist Lawyer from 2012 to 2013. She also worked as a foreign associate in 2010 at White & Case LLP, in New York, in the M&A and securities practices; and as a lawyer at Grupo JBS from 2007 to 2009. She also worked as an intern at companies such as Nestlé Brasil Ltda. and Aon Holdings Consultores de Seguros e Benefícios from 2003 to 2007. She holds a Bachelor’s degree in law from the Universidade Presbiteriana Mackenzie, São Paulo, Brazil, and a Master’s degree in International Business and Economic Law from the Georgetown University Law Center, Washington, U.S. Management body: Management body: Nominated by the Controlling stockholder: Board of executive officers No Elective office held: Description of other positions held: Others Officers Officer Date of election: Date of investiture: Term of office: Date of beginning of first term: 04/30/2025 06/18/2025 Annual 03/15/2023


 
Conviction: Type of Conviction: Description of the conviction: n/a n/a Administrator: Name: Taxpayer ID (CPF): MARCELO MAIA TAVARES DE ARAÚJO 605.979.411-49 Profession: Date of birth: Engineer 04/27/1973 Profissional experience: Marcelo Maia Tavares de Araújo has been a Member of the Fiscal Council at Itaú Unibanco Holding S.A. since April 2025. Has been a member of the Board of Directors and a member of the Personnel and Compensation Committee (since 2021) at DIA Group – Supermercados DIA (Madrid/Spain); Chief Executive Officer (2020) and Country Advisor (2019) at DIA Brasil S.A.; a member of the Board of Directors and a member of the Audit Committee (since 2020) at Pacaembu Construtura S.A.; a member of the Board of Directors (since 2023); Institutional Officer (2021 to 2022); Financial Administrative Officer (2020); CEO and Executive Officer (2019) at ABF – Associação Brasileira de Franchising; a member of the Board of Directors and a member of the Expansion and M&A Committee (2020 to 2023) at Mundo Pet S.A.; National Secretary of Trade and Services (2015 a 2017) at MDIC – Ministry of Development, Industry, Trade and Services; a member of the Board of Directors (2015 to 2016), serving as a representative of the Federal Government with BNDESPar in the Brazilian Economic and Social Development Bank (BNDES); Founder and CEO (2013 to 2015) at L.M. Maia Participações e Administração Ltda., an investment company focused on Real Estate aimed at the Retail Industry in the Northeastern Region; Regional Officer (2010 to 2012) at Magazine Luiza S.A. being responsible for the integration of Lojas Maia’s operations; Officer and Chairman of the Board of Directors (2005 to 2010) at Móveis Aiam Indústria Ltda.; General Director and a member of the Board of Directors (2002 to 2010) at F.S. Vasconcelos e Cia. Ltda. (Lojas Maia); Financial and Planning Manager (2000 to 2002) at Brasil Telecom S.A.; Trainee (1999) at Bank Bear Stearns, San Francisco/California, U.S.; Planning Assistant (1996 to 1998) at Grupo Paranapanema S.A.; Trainee (1992 to 1995) at Construtora Tratex S.A. He holds a Bachelor’s degree in Civil Engineering from the Universidade Federal de Minas Gerais, Belo Horizonte/MG, Brazil, an MBA from the Instituto Brasileiro de Mercado de Capitais (IBMEC), Brazil, Certification in Finance and a BA from the University of California in Berkeley, U.S., Sloan Master MSc in Leadership and Strategy and Certification in Innovating in Digital World from the London Business School (LBS), United Kingdom, and Certification in Digital Transformation from the Massachusetts Institute of Technology (MIT), U.S. Mr. Araújo is certified by the Instituto Brasileiro de Governança Corporativa (IBGC) to work as a Board member. Management body: Management body: Nominated by the Controlling stockholder:


 
Fiscal Council No Elective office held: Description of other positions held: Fiscal Council (Effective) Elected by preferentialists Date of election: Date of investiture: Term of office: Date of beginning of first term: 04/17/2025 06/10/2025 Annual 06/10/2025 Conviction: Type of Conviction: Description of the conviction: n/a n/a Administrator: Name: Taxpayer ID (CPF): MARCIA KINSCH DE LIMA 956.038.326-49 Profession: Date of birth: Bachelor of Science Sciences 03/01/1973 Profissional experience: Marcia Kinsch de Lima, a member of the Partners Program, has been an Officer at the Itaú Unibanco Group since December 2023 and has been an Officer at Itaú Unibanco Holding since May 2024. She is currently responsible for the Credit Risk and Wholesale Modeling departments. She also held the position of Credit Risk Superintendent from 2017 to 2023 and Senior Credit Manager from 2006 to 2014 at the Itaú Unibanco Group. She also worked in the credit departments of Banco Bradesco from 2016 to 2017, HSBC from 2014 to 2016 and BankBoston from 1995 to 2006, having also worked in the commercial department at the latter. She holds a Bachelor's degree in Economics from Universidade Federal de Minas Gerais, a Postgraduate degree in Financial Administration from Fundação Dom Cabral and a Master’s degree in Business Administration from Boston School/Columbia University. Management body: Management body: Nominated by the Controlling stockholder: Board of executive officers No Elective office held: Description of other positions held:


 
Others Officers Officer Date of election: Date of investiture: Term of office: Date of beginning of first term: 04/30/2025 06/18/2025 Annual 07/01/2024 Conviction: Type of Conviction: Description of the conviction: n/a n/a Administrator: Name: Taxpayer ID (CPF): MARCOS MARINHO LUTZ 147.274.178-12 Profession: Date of birth: Naval Engineer 12/30/1969 Profissional experience: Marcos Marinho Lutz has been a member of the Board of Directors of Itaú Unibanco Holding S.A. since April 2025. Has served as the Chairman of the Board of Directors of Ultracargo Logística S.A., Companhia Ultragaz S.A. and Ultrapar Mobilidade S.A. since 2025 and of Hidrovias do Brasil S.A. since 2024. He has also been the Vice Chairman of the Board of Directors of Ultrapar Participações S.A. since 2023, having been its Board Member (2021 to 200). He has been a Member of the Board of Directors of Votorantim S.A. since 2020 and of Corteva Agrisciense since 2019, the Chief Executive Officer of Ultrapar Participações S.A. since 2022 and a Member of the People and Sustainability Committee and an Officer of Ultra S.A. Participações since 2021. Mr. Lutz served as Chairman of the Infrastructure Council of the Federação das Indústrias do Estado de São Paulo – FIESP (2015 to 2021); a Member of the Board of Directors (2008 to 2020), having been Chairman (July to December 2020) of Rumo Logística S.A., CEO of Cosan S.A. – Indústria e Comércio (2009 to 2020); a Board Member of Raizen S.A. (2013 to 2020), Comgás S.A. (2008 to 2020) and of Moove S.A. (2008 to 2020), and Member of the Board of Directors of Monsanto S.A. (2014 to 2018). He holds a Bachelor’s degree in Naval Engineering from the Escola Politécnica da Universidade de São Paulo (USP), São Paulo, Brazil, and a Master’s degree in Business Administration from the Northwestern University’s Kellogg School of Management, Illinois, U.S. Management body: Management body: Nominated by the Controlling stockholder: Board of Directors Yes Elective office held: Description of other positions held:


 
Independent Board of Directors (Effective) Date of election: Date of investiture: Term of office: Date of beginning of first term: 04/17/2025 06/10/2025 Annual 06/10/2025 Conviction: Type of Conviction: Description of the conviction: n/a n/a Administrator: Name: Taxpayer ID (CPF): MARIA HELENA DOS SANTOS FERNANDES DE SANTANA 036.221.618-50 Profession: Date of birth: Economist 06/23/1959 Profissional experience: Maria Helena dos Santos Fernandes de Santana Position and term of office Independent Member of the Board of Directors since 2021 and President of the Audit Committee since 2023 (independent member). Experiences, skills and abilities. Financial sector, capital markets and other sectors She has been an independent member of the Board of Directors since 2021 and an independent member of the Audit Committee since 2022, serving as President since April 2023. She also served as a member of the Audit Committee of Itaú Unibanco Holding from 2014 to 2020. She is a Member of the Board of Directors and Chairwoman of the Audit Committee of CI&T Inc. and a Member of the Board of Directors of Fortbras S.A. She was a Member of the Board of Directors and Chairwoman of the Audit Committee of XP Inc. between 2019 and 2021 and had previously served as Chairwoman of the Audit Committee of XP Investimentos S.A. between 2018 and 2019. She was a Member of the Board of Directors of Bolsas y Mercados Españoles (BME) between 2016 and 2020. She was also a Member of the Board of Trustees of the IFRS Foundation between 2014 and 2019. She was a Member of the Board of Directors and Coordinator of the Audit Committee of Totvs S.A. between 2013 and 2017, and a Member of the Board of Directors of CPFL Energia S.A. between 2013 and 2015. She also served as Chairwoman, between 2007 and 2012, and Commissioner, between 2006 and 2007, of the Brazilian Securities and Exchange Commission (CVM), representing CVM at the Financial Stability Board (FSB) between 2009 and 2012. She was the Chairwoman of the Executive Committee at the International Organization of Securities Commissions (IOSCO) between 2011 and 2012. ESG


 
Between 2011 and 2012, she was a Member of the International Integrated Reporting Council (IIRC), where she later also served as a Member of the Governance and Nominating Committee, until the creation of the Value Reporting Foundation. She worked at the São Paulo Stock Exchange (current B3 S.A.) between 1994 and 2006, where she was involved in the creation and was responsible for the implementation of the Novo Mercado and other corporate governance segments. She was Vice President of the Brazilian Institute of Corporate Governance (IBGC) between 2004 and 2006, having been a Member of its Board of Directors between 2001 and 2006. She has also been a Member of the Latin-American Roundtable on Corporate Governance (OECD) since 2000. She was a Member of the Board of Directors and Coordinator of the People, Appointments and Governance Committee at Oi S.A. between 2018 and 2023. She served as a Member of the Board of Directors and as Chairwoman of the Corporate Governance Committee of Companhia Brasileira de Distribuição S.A. between 2013 and 2017. She was acknowledged with the Excellence in Corporate Governance award by the ICGN – International Corporate Governance Network, in 2012. Academic background She holds a Bachelor’s degree in Economics from Faculdade de Economia, Administração, Contabilidade e Atuária da Universidade de São Paulo (FEA-USP), São Paulo, Brazil. Management body: Management body: Nominated by the Controlling stockholder: Board of Directors Yes Elective office held: Description of other positions held: Independent Board of Directors (Effective) Date of election: Date of investiture: Term of office: Date of beginning of first term: 04/17/2025 06/10/2025 Annual 06/15/2021 Conviction: Type of Conviction: Description of the conviction: n/a n/a Administrator: Name: Taxpayer ID (CPF): MÁRIO NEWTON NAZARETH MIGUEL 216.756.218-70 Profession: Date of birth: Business Administrator 12/22/1979 Profissional experience:


 
Mário Newton Nazareth Miguel, a member of the Partners Program, has been an Officer at the Itaú Unibanco Group since 2021. He is currently responsible for the Receivables Information System Department and the forwarding to the Central Bank of Brazil of information relating to amounts refundable to individuals and legal entities. He has held several positions at the Itaú Unibanco Group, including Digital Products Superintendent from 2017 to 2020; Digital Business Superintendent from 2016 to 2017; Digital Business Manager (Cards) from 2013 to 2016; Electronic and Physical Channels Manager (Cards) from 2010 to 2013 and Project Expert (Cards) from 2008 to 2010. He also worked as a Product Manager from 2007 to 2008 at Banco ABN AMRO Real; as a Marketing Expert from 2005 to 2007 and Client Relations Analyst from 2004 to 2005 at Claro S.A. and Business Analyst from 1998 to 2003 at Tess S.A. He holds a Bachelor’s degree in Business Administration from Universidade Paulista, São Paulo, Brazil; a Postgraduate degree in Economics from Universidade de Campinas, São Paulo, Brazil; an MBA degree in Business from Fundação Getulio Vargas (FGV), São Paulo, Brazil; an MBA degree (International Module) from Ohio University, Ohio, U.S.; he attended a specialization course in Executive Leadership from Fundação Dom Cabral, São Paulo, Brazil, and he holds a Postgraduate degree in Positive Psychology from Pontifícia Universidade Católica do Rio Grande do Sul (PUC-RS). Management body: Management body: Nominated by the Controlling stockholder: Board of executive officers No Elective office held: Description of other positions held: Others Officers Officer Date of election: Date of investiture: Term of office: Date of beginning of first term: 04/30/2025 06/18/2025 Annual 10/03/2022 Conviction: Type of Conviction: Description of the conviction: n/a n/a Administrator: Name: Taxpayer ID (CPF): MATIAS GRANATA 228.724.568-56 Profession: Date of birth: Economist 06/17/1974 Profissional experience:


 
Matias Granata Position and term of office Matias Granata, partner, has been an Officer of the Executive Committee at the Itaú Unibanco Group responsible for the risks department (CRO) since 2021. Experiences, skills and abilities Risk management He has held several positions at the Itaú Unibanco Group, including as Officer from 2014 to 2021, responsible for Credit Risk, Modeling, and Market and Liquidity Risks. Responsible for the risk structure, Mr. Granata is also in charge of the unit that integrates the climate risk into the institutions’ global risk management. Academic background He holds a Bachelor’s degree in Economics from the Universidad de Buenos Aires (UBA), Buenos Aires, Argentina, a postgraduate degree in Economics from the Universidad Torcuato Di Tella (UTDT), Buenos Aires, Argentina, and a Master’s degree in International Economic Policy from the University of Warwick, British Chevening Scholarship, London , United Kingdom. Management body: Management body: Nominated by the Controlling stockholder: Board of executive officers No Elective office held: Description of other positions held: Others Officers Officer (member of the Executive Committee) Date of election: Date of investiture: Term of office: Date of beginning of first term: 04/30/2025 06/18/2025 Annual 03/02/2021 Conviction: Type of Conviction: Description of the conviction: n/a n/a Administrator: Name: Taxpayer ID (CPF): MAYARA ARCI REZECK 079.433.926-39 Profession: Date of birth: Bank Clerk 07/05/1988


 
Profissional experience: Mayara Arci Rezeck, a member of the Partners Program, has been an Officer at Itaú Unibanco Holding since March 2025, and is currently responsible for the Vehicle Financing department. She has served in many positions at the Itaú Unibanco Group, having been Superintendent of Strategic Real Estate Planning, Vehicles and Consórcio (2023 to 2025), Commercial Superintendent (2020 to 2023), Product Manager (2017 to 2020), Credit Policy Coordinator (2016 to 2017), and Trainee (2013 to 2015). She holds a Bachelor's degree in Business Administration from the Universidade Federal de Itajubá, Minas Gerais, Brazil, and an MBA from INSEAD, Fontainebleau, France. Management body: Management body: Nominated by the Controlling stockholder: Board of executive officers No Elective office held: Description of other positions held: Others Officers Officer Date of election: Date of investiture: Term of office: Date of beginning of first term: 04/30/2025 06/18/2025 Annual 05/02/2025 Conviction: Type of Conviction: Description of the conviction: n/a n/a Administrator: Name: Taxpayer ID (CPF): MICHELE MARIA VITA 217.835.478-55 Profession: Date of birth: Business Administrator 09/03/1980 Profissional experience: Michele Maria Vita, a member of the Partners Program, has been an Officer at the Itaú Unibanco Group since September 2024, being responsible for the Itaú Shop, ICarros, Tag Itaú, and Rewards Loyalty Programs departments. Mr. Vita served as CEO of ICarros (2022 to 2024); Digital Business Superintendent (2017 to 2021); Business Superintendent – Credit Cards (2014 to 2017); Loyalty Superintendent – Credit Cards (2012 to 2014); Product Manager – Credit Cards (2011 to 2012); Portfolio and Debit Card Manager – Credit Cards (2010 to 2011); Summer Associate – Private Wealth Management (2009); Product Manager – Credit Cards (2005 to 2008) and Product Manager (2001 to 2005).


 
He holds a Bachelor’s degree in Business Administration from the Fundação Armando Álvares Penteado (FAAP), São Paulo, Brazil, and an MBA degree from the London Business School, London, United Kingdom. Management body: Management body: Nominated by the Controlling stockholder: Board of executive officers No Elective office held: Description of other positions held: Others Officers Officer Date of election: Date of investiture: Term of office: Date of beginning of first term: 04/30/2025 06/18/2025 Annual 10/24/2024 Conviction: Type of Conviction: Description of the conviction: n/a n/a Administrator: Name: Taxpayer ID (CPF): MILTON MALUHY FILHO 252.026.488-80 Profession: Date of birth: Business Administrator 06/08/1976 Profissional experience: Milton Maluhy Filho Position and term of office He is a partner, has been a chief executive officer since 2021. Experiences, skills and abilities Financial sector, capital markets and other sectors He has served as our CFO and a CRO. He has held several positions at the Itaú Unibanco Group, including vice president from 2019 to 2020, and CEO of Itaú CorpBanca (Chile) from 2016 to 2018, being responsible for the merger of two banks, CorpBanca and Banco Itaú Chile. He joined the Itaú Unibanco Group in 2002 and was elected officer in 2007. Academic background


 
He holds a bachelor’s degree in Business Administration. Management body: Management body: Nominated by the Controlling stockholder: Board of executive officers No Elective office held: Description of other positions held: Chief Executive Officer Date of election: Date of investiture: Term of office: Date of beginning of first term: 04/30/2025 06/18/2025 Annual 01/03/2019 Conviction: Type of Conviction: Description of the conviction: n/a n/a Administrator: Name: Taxpayer ID (CPF): PAULO ANTUNES VERAS 179.984.168-58 Profession: Date of birth: Engineer 09/01/1972 Profissional experience: Paulo Antunes Veras Position and term of office An Independent Member of the Board of Directors and a member of the Personnel Committee at Itaú Unibanco since 2023 Experience, skills and abilities Financial sector, capital markets and other sectors He is an investor in startups and an independent member of the Board of Directors of Localiza and a member of the Advisory Board of Boticário and Klubi. He was the founder and CEO of 99, the first Brazilian unicorn. He was an officer and board member at Endeavor, a high-impact entrepreneurship NGO. He was an independent member of the Board of Directors of B2W until 2021. Academic background


 
He holds a Bachelor’s degree in Mechatronics Engineering from the Escola Politécnica da Universidade de São Paulo (Poli-USP), Brazil. He holds an MBA degree from INSEAD. Management body: Management body: Nominated by the Controlling stockholder: Board of Directors Yes Elective office held: Description of other positions held: Independent Board of Directors (Effective) Date of election: Date of investiture: Term of office: Date of beginning of first term: 04/17/2025 06/10/2025 Annual 05/17/2024 Conviction: Type of Conviction: Description of the conviction: n/a n/a Administrator: Name: Taxpayer ID (CPF): PAULO SERGIO MIRON 076.444.278-30 Profession: Date of birth: Economist 07/26/1966 Profissional experience: Paulo Sergio Miron, a member of the Partners Program, has been the Officer responsible for internal audit (CAE – statutory audit committee) at the Itaú Unibanco Group since 2015. He has been an Officer at the Instituto Unibanco and the Fundação Itaú para Educação e Cultura, a member of the Fiscal Council at the Fundação Maria Cecilia Souto Vidigal, of the Supervisory Council at Instituto Lemann and of the Fiscal Council at the Fundação Nova Escola, Coordinator of the Audit Committee at Zup Tecnologia, and a member of the Audit Committee at Avenue. Mr. Miron has served as a financial specialist at the Audit Committee of Porto Seguro, do Banco Carrefour and XP. With over 28 years of experience in independent auditing, he was a partner at PricewaterhouseCoopers (PwC) - Brazil (1996 to 2014) responsible for the audit work at large Brazilian financial conglomerates, the Brasília office in the Federal District (DF), and both the government services and the banking departments. Instructor in the training course for members of the Audit, Supervisory and Control Committee of the Instituto Brasileiro de Governança Corporativa (IBGC). He is a speaker at many seminars on governance, auditing and financial market issues. Mr. Miron also coordinated the PwC Brazil’s


 
department of training at financial institutions for over ten years and worked as a college professor teaching financial market-related courses. He holds Bachelor’s degrees in Economics from the Universidade Presbiteriana Mackenzie, São Paulo, Brazil and in Accounting from the Universidade São Judas Tadeu, São Paulo, Brazil. Management body: Management body: Nominated by the Controlling stockholder: Board of executive officers No Elective office held: Description of other positions held: Others Officers Officer Date of election: Date of investiture: Term of office: Date of beginning of first term: 04/30/2025 06/18/2025 Annual 07/01/2015 Conviction: Type of Conviction: Description of the conviction: n/a n/a Administrator: Name: Taxpayer ID (CPF): PEDRO HENRIQUE MOREIRA RIBEIRO 287.908.168-89 Profession: Date of birth: Lawyer 02/15/1980 Profissional experience: Pedro Henrique Moreira Ribeiro, member of the Partners Program, has been an Officer at the Itaú Unibanco Group since May 2024 and he is currently responsible for the Tax and Legal Department (Advisory and Litigation). He worked as Tax and Legal Superintendent at the Itaú Unibanco Group (2013 to 2024). He has 24 years of experience in corporate and product taxation and tax advisory and litigation, having worked in several tax departments of financial institutions. At Citigroup, he worked as Deputy Tax Superintendent (2010 to 2013) and Tax Specialist (2006 to 2010). He started his career in the Tax Department of JP Morgan Chase as a trainee (1999 to 2002) and, subsequently, as a Tax Analyst (2002 to 2006).


 
He is the Vice Chairman of the Tax Committee of the Brazilian Association of Financial and Capital Market Entities (AMBIMA) and a Member of the Tax Committee of the Brazilian Federation of Banks (FEBRABAN). He holds a Bachelor’s degree in Law from Universidade Presbiteriana Mackenzie and attended a specialization course in Tax Law at Pontifícia Universidade Católica de São Paulo (PUC-SP). Management body: Management body: Nominated by the Controlling stockholder: Board of executive officers No Elective office held: Description of other positions held: Others Officers Officer Date of election: Date of investiture: Term of office: Date of beginning of first term: 04/30/2025 06/18/2025 Annual 07/02/2024 Conviction: Type of Conviction: Description of the conviction: n/a n/a Administrator: Name: Taxpayer ID (CPF): PEDRO LUIZ BODIN DE MORAES 548.346.867-87 Profession: Date of birth: Economist 07/13/1956 Profissional experience: Pedro Luiz Bodin de Moraes Position and term of office An Independent Member of the Board of Directors since 2008. Experience, skills and abilities Financial sector and capital markets He was a member of the Board of Directors of Unibanco – União de Bancos Brasileiros S.A. between 2003 and 2008. He has been a partner at Cambuhy Investimentos Ltda. since 2011 and at Ventor Investimentos Ltda. since 2009. He was a partner at Icatu Holding S.A. between 2005 and 2014. He was also a partner and Officer at Banco Icatu S.A. between 1993 and 2002. He was Vice President of


 
the Associação Nacional dos Bancos de Investimentos (ANBID) between 1994 and 2001, and a Professor in the Department of Economics at the Pontifícia Universidade Católica do Rio de Janeiro between 1985 and 1990. Risk management He is currently the Chairman of the Risk and Capital Management Committee of Itaú Unibanco, and his previous experience in risk management has fully entitled him to hold the chair of this Committee. His duties include supporting the Board of Directors in defining the institution’s risk appetite and supervising the risk and capital management and control activities, aimed at ensuring their adequacy to the risk levels assumed and complexity of the operations. He served as Officer of the Monetary Policy of the Central Bank of Brazil from 1991 to 1992. The duties related to this position included managing and enforcing monetary and foreign exchange policies, establishing technical guidelines for managing the Brazilian international reserves and defining policies for payment arrangements, clearing and settlement houses and other Financial Market infrastructures. ESG From 1990 to 1991 he was an Officer at Banco Nacional de Desenvolvimento Econômico e Social (BNDES), the main instrument for enforcing the Federal Government’s investment policy and whose mission is to promote the sustainable and competitive development of the Brazilian economy by generating jobs and reducing social and regional inequalities. Academic background He holds a Bachelor’s degree in Economic Sciences from the Pontifícia Universidade Católica do Rio de Janeiro (PUC-RJ), Brazil. He holds a Master’s degree in Economics from the Pontifícia Universidade Católica do Rio de Janeiro, Brazil. He is a Ph.D. in Economics from the Massachusetts Institute of Technology (MIT), Cambridge, Massachusetts, U.S. Management body: Management body: Nominated by the Controlling stockholder: Board of Directors Yes Elective office held: Description of other positions held: Independent Board of Directors (Effective) Date of election: Date of investiture: Term of office: Date of beginning of first term: 04/17/2025 06/10/2025 Annual 11/28/2008 Conviction: Type of Conviction: Description of the conviction: n/a n/a Administrator:


 
Name: Taxpayer ID (CPF): PEDRO MOREIRA SALLES 551.222.567-72 Profession: Date of birth: Banker 10/20/1959 Profissional experience: Pedro Moreira Salles Position and term of office Non-executive Co-Chairman of the Board of Directors since 2017. Experiences, skills and abilities Financial sector, capital markets and other sectors He is a Co-chairman of the Board of Directors of Itaú Unibanco Holding S.A. and was also the Chairman of this Board between 2009 and 2017. He was a Member of the Board of Directors of Unibanco in 1989 and was its chairman from 1997 to 2004. In 2004, he became CEO of Unibanco and remained in the position until 2008, the year of the merger with Banco Itaú. He is the Chairman of the Board of Directors of Companhia Brasileira de Metalurgia e Mineração (CBMM). He is also the Chairman of the Board of Directors of Companhia E. Johnston de Participações and the Chairman of the Board of Directors of IUPAR – Itaú Unibanco Participações S.A. He is Vice Chairman of the Board of Directors of Brasil Warrant and partner and joint CEO of Cambuhy Investimentos. He was a member of the Board of Directors of TOTVS and between 2017 and 2022 he was Chairman of the Board of Directors of the Brazilian Federation of Banks (FEBRABAN). ESG He is also the Chairman of the Board of Directors of the Unibanco Institute, an institution that works to improve public education in Brazil through education management. He is a Member of the Decision- Making Council and the Board of Associates of INSPER, a non-profit institution dedicated to education and research, and a Member of the Guidance Council of the Symphony Orchestra Foundation of the State of São Paulo (OSESP). He is also a Member of the Board of Directors of the Todos pela Saúde (All for Health) Institute, which combats sanitary emergencies in Brazil, and a Member of the Board of Directors of the Moreira Salles Institute, which is dedicated to promote and preserve cultural heritage. Academic background He holds a Bachelor’s degree, magna cum laude, in Economics and History from the University of California, Los Angeles, U.S. He attended the Owner/President Management (OPM) program at Harvard University in the U.S. Management body: Management body: Nominated by the Controlling stockholder: Board of Directors Yes Elective office held: Description of other positions held:


 
Other Directors Non-executive Co-Chairman Date of election: Date of investiture: Term of office: Date of beginning of first term: 04/17/2025 06/10/2025 Annual 11/28/2008 Conviction: Type of Conviction: Description of the conviction: n/a n/a Administrator: Name: Taxpayer ID (CPF): PEDRO PAULO GIUBBINA LORENZINI 103.594.548-79 Profession: Date of birth: Business Administrator 04/02/1968 Profissional experience: Pedro Paulo Giubbina Lorenzini Position and term of office He is a member of the Partners Program, has been an Officer of the Executive Committee at the Itaú Unibanco Group since 2021. Experiences, skills and abilities Financial sector, capital markets and other sectors He is currently responsible for the Treasury, Client and Product Desks, and Macroeconomics Department and for the Latin America (LATAM) Department, which also includes the operations in South America (Argentina, Paraguay, Uruguay, Chile and Colombia). He is a Member of the Board of Directors and a Member of the Risk and Financial Committee at B3 S.A. – Brasil, Bolsa, Balcão since 2021. Mr. Lorenzini served as a Member of the Executive Committee, responsible for the Global Markets and Securities Services at Citibank Brasil from 2008 to 2021, after having built his career at the institution since 1989, with experience in the Structuring, ALM Management, Trading, Sales, Product Management and Controllership departments. He was Chairman of the Treasury Committee from 2010 to 2013 and a Citibank representative at the Board of Executive Officers of the Brazilian Federation of Banks (FEBRABAN) from 2013 to 2021. He was Chairman of the Treasury Committee from 2010 to 2012 and Vice President of the Brazilian Association of Financial and Capital Market Entities (ANBIMA) from 2010 to 2021. Academic background


 
He holds a Bachelor’s degree in Economics Business Administration from Pontifícia Universidade Católica de São Paulo (PUC-SP), São Paulo, Brazil. Management body: Management body: Nominated by the Controlling stockholder: Board of executive officers No Elective office held: Description of other positions held: Others Officers Officer (member of the Executive Committee) Date of election: Date of investiture: Term of office: Date of beginning of first term: 04/30/2025 06/18/2025 Annual 05/03/2021 Conviction: Type of Conviction: Description of the conviction: n/a n/a Administrator: Name: Taxpayer ID (CPF): RAFAEL VIETTI DA FONSECA 223.949.378-07 Profession: Date of birth: Lawyer 11/25/1983 Profissional experience: Rafael Vietti da Fonseca, member of the Partners Program, has been an Officer at the Itaú Unibanco Group since May 2024 and he is currently responsible for the legal service activities at Itaú BBA, Itaú Corretora and the Corporate Business Unit. In this capacity, he is responsible for the legal advisory services on capital market operations (IBD, M&A Advisory, ECM and DCM), research, banking products for small, middle-market and large companies, financial advisory and credit recovery (special situation, judicial and extrajudicial recovery, bankruptcy and collection). He also currently works on institutional topics, including environmental and social issues and responsible businesses. He has been at the Itaú Unibanco Group since 2006, having previously held many positions, such as: Legal Superintendent responsible for the Investment Banking Department and other departments, Legal Manager responsible for the Proprietary M&A Department and Chief Attorney at Itaú USA Asset Management in New York. Before joining the Itaú Unibanco Group, he worked at the São Paulo State Attorney’s General Office between 2004 and 2006.


 
He holds a Bachelor's degree in Law from Universidade Presbiteriana Mackenzie and attended specialization courses in Accounting at Fundação Getulio Vargas and Corporate Finance at Fundação Instituto de Admnistração (FIA). He also holds a LL.M degree from University of Virginia. Management body: Management body: Nominated by the Controlling stockholder: Board of executive officers No Elective office held: Description of other positions held: Others Officers Officer Date of election: Date of investiture: Term of office: Date of beginning of first term: 04/30/2025 06/18/2025 Annual 07/01/2024 Conviction: Type of Conviction: Description of the conviction: n/a n/a Administrator: Name: Taxpayer ID (CPF): RENATO BARBOSA DO NASCIMENTO 161.373.518-90 Profession: Date of birth: Accountant 10/28/1971 Profissional experience: Renato Barbosa do Nascimento, a member of the Partners Program, has been an Officer at the Itaú Unibanco Group since 2017, responsible for the internal audit function of the investment banking, Wealth Management, Brokerage services, Private Banking, M&A, Treasury, Risks, Accounting, Fiscal, Finance departments and the entire ecosystem that serves companies and payment means. Between 2018 and the first half of 2023, he led the internal audit work covering the whole ESG scope, with outstanding assessment of the commitments made with external agents, ensuring compliance with rules and regulation and ultimately the audit of the Conglomerate’s ESG governance pillars. Also against this backdrop, Mr. Nascimento engaged in the Mentoring Program for Black Women sponsored by Itaú Unibanco throughout 2023. He has been a member of audit councils and committees of Itaú Unibanco’s investees aiming at maintaining the high governance standards required by the Conglomerate, and a Fiscal Advisor at the Conselho Empresarial Brasileiro para o Desenvolvimento Sustentável (CEBDS).


 
He has held several positions in his over 26-year professional journey at PricewaterhouseCoopers Auditores Independentes (PwC), including Audit Partner from 2009 to 2017. His main responsibility as Audit Partner was to lead external audits in entities of the financial industry in Brazil and abroad. Between 2014 and 2017, he took part in a three-year professional exchange program at PwC in Mexico City, Mexico, as audit partner leading external audits in subsidiaries of international entities of the financial industry in Mexico. From 2009 and 2014, Mr. Nascimento was responsible for monitoring external audits carried out by the PwC teams of the United States, United Kingdom, Switzerland, Portugal, Chile, Argentina, Paraguay and Uruguay in subsidiaries of Brazilian financial institutions in these countries. Between 2006 and 2008, he took part in a two-year professional exchange program at PwC in London, United Kingdom, and his main responsibilities were managing external audits of British financial institutions in England, managing external audits of subsidiaries of international banks, as well as the resulting development of knowledge on the application of the International Financial Reporting Standards (IFRS), Sarbanes Oxley (SOx) rules and policies issued by the Public Company Accounting Oversight Board (PCAOB). Additionally, he took part in a two-year professional exchange program at PwC in Montevideo, Uruguay, managing external audits of local banks, international institutions, and offshore entities, among others. He holds Bachelor’s degrees in Accounting and in Business Administration, both from the Universidade Paulista, São Paulo, Brazil, and Master’s degree in Business Administration (MBA) from the Fundação Getulio Vargas (FGV), São Paulo, Brazil. He periodically attends international training courses and events, such as the Innovation Program – Singularity University in Palo Alto, Fintech Revolution – Wharton School of the University of Pennsylvania, SXSW, the IIA Conference and the Gartner IT Symposium. Management body: Management body: Nominated by the Controlling stockholder: Board of executive officers No Elective office held: Description of other positions held: Others Officers Officer Date of election: Date of investiture: Term of office: Date of beginning of first term: 04/30/2025 06/18/2025 Annual 11/06/2017 Conviction: Type of Conviction: Description of the conviction: n/a n/a Administrator:


 
Name: Taxpayer ID (CPF): RENATO DA SILVA CARVALHO 033.810.967-61 Profession: Date of birth: Production Engineer 11/02/1974 Profissional experience: Renato da Silva Carvalho, a member of the Partners Program, has been an Officer at the Itaú Unibanco Group since 2020. He is currently responsible for the Wholesale Banking’s Financial Planning department. In this position, he is responsible for determining the financial results of the Wholesale Banking, including monitoring ESG products and services that generate positive impact. Mr. Carvalho has held several positions at the Itaú Unibanco Group, including Financial Planning Officer - Retail Banking, Finance Superintendent, Wholesale Banking from 2017 to 2020 and Market and Liquidity Risk Superintendent/Manager from 2010 to 2017. He worked as Investment Market Risk Associate Director from 2008 to 2010 at Fidelity International LTD (London, United Kingdom), Market Risk Associate Director from 2006 to 2008 at Mizuho International LTD (London, United Kingdom), and Market and Liquidity Risk Analyst from 1998 to 2006 at Banco Brascan S.A. (Rio de Janeiro, Brazil). He holds a Bachelor’s degree in Production Engineering from Universidade Federal do Rio de Janeiro (UFRJ), Rio de Janeiro, Brazil, an Executive MBA degree in Finance from Instituto Brasileiro de Mercado de Capitais (IBMEC), Brazil, an MBA degree in System Analysis, Project and Management from Pontifícia Universidade Católica do Rio de Janeiro (PUC-RJ), Rio de Janeiro, Brazil, and a M.Sc.in Production Engineering from Universidade Federal do Rio de Janeiro (UFRJ), Rio de Janeiro, Brazil, and has attended the Executive Program from Fundação Dom Cabral, Minas Gerais, Brazil. He is a certified Professional Risk Manager (PRM) by the Professional Risk Management International Association (PRMIA) and a Financial Risk Manager (FRM) by the Global Association of Risk Professionals (GARP). Management body: Management body: Nominated by the Controlling stockholder: Board of executive officers No Elective office held: Description of other positions held: Others Officers Officer Date of election: Date of investiture: Term of office: Date of beginning of first term: 04/30/2025 06/18/2025 Annual 10/01/2020 Conviction: Type of Conviction: Description of the conviction:


 
n/a n/a Administrator: Name: Taxpayer ID (CPF): RENATO LULIA JACOB 118.058.578-00 Profession: Date of birth: Bank Clerk 05/10/1974 Profissional experience: Renato Lulia Jacob has been a partner and an Officer at the Itaú Unibanco Group where he has been responsible since April 2024 for the Corporate Strategy, Investor Relations and Corporate Development and has been a member of the Disclosure and Trading Committee since 2019. He served as Group Head of Investor Relations and Market Intelligence and Chairman of the Disclosure and Trading Committee (2020 to 2024). Mr. Jacob has been at the Itaú Unibanco Group for 23 years, having held several positions, including CEO and Member of the Board of Directors at Itau BBA International plc, in the United Kingdom, and Member of the Boards of Directors at Itau International, in the U.S., and Itau Suisse, in Switzerland from 2016 to 2020, a Managing Director of Banco Itau Argentina S.A. from 2006 to 2010 and a Managing Director, Head of CIB Europe from 2011 to 2015. He has been an Independent Member of the Board of the Royal Institution of Great Britain, in the United Kingdom. He was an Independent Member of the Board of the Fight for Peace International from 2017 to 2022 and fellow of the Institute of Directors from 2015 to 2017. He holds a Bachelor’s degree in Civil Engineering from Universidade de São Paulo (USP), São Paulo, Brazil, and has attended the Advanced Management Program and taken part in the CEO Academy, both from the Wharton School of the University of Pennsylvania, Philadelphia, U.S. Management body: Management body: Nominated by the Controlling stockholder: Board of executive officers No Elective office held: Description of other positions held: Others Officers Officer Date of election: Date of investiture: Term of office: Date of beginning of first term: 04/30/2025 06/18/2025 Annual 12/14/2020 Conviction: Type of Conviction: Description of the conviction:


 
n/a n/a Administrator: Name: Taxpayer ID (CPF): RICARDO NUNO DELGADO GONÇALVES 251.863.858-08 Profession: Date of birth: Administrator 06/30/1976 Profissional experience: Ricardo Nuno Delgado Gonçalves, a member of the Partners Program, has been an Officer at Itaú Unibanco Holding since April 2025. He has held the position of Treasury Trading Officer since 2020 and was the Treasury Banking Officer from 2014 to 2020 and the Banking and External Treasuries Superintendent from 2011 to 2014. Mr. Gonçalves was also Funding and Structured Operations Superintendent from 2009 to 2011, Chief Operator and International Banking Superintendent from 2003 to 2009, Trader from 1997 to 2003, and Controller from 1995 to 1997. He holds a Bachelor’s degree in Business Administration from the Universidade de São Paulo (FEA- USP), São Paulo, Brazil. Management body: Management body: Nominated by the Controlling stockholder: Board of executive officers No Elective office held: Description of other positions held: Others Officers Officer Date of election: Date of investiture: Term of office: Date of beginning of first term: 04/30/2025 06/18/2025 Annual 06/18/2025 Conviction: Type of Conviction: Description of the conviction: n/a n/a Administrator: Name: Taxpayer ID (CPF): RICARDO RIBEIRO MANDACARU GUERRA 176.040.328-85


 
Profession: Date of birth: Engineer 08/28/1970 Profissional experience: Ricardo Ribeiro Mandacaru Guerra Position and term of office He is a Member of the Partners Program, has been an Officer of the Executive Committee at the Itaú Unibanco Group since 2021. Experience, skills and abilities Financial sector He has held a number of positions at the Itaú Unibanco Group, including Executive Officer (2014 to 2021), Channels Officer (2008 to 2014), Financing Products Superintendent - Individuals (2007 to 2008), Credit Policies Superintendent (2006 to 2007), Electronic Channels Management Superintendent (2002 to 2006), and Internet Project Leader (1996 to 2000). He joined the Itaú Unibanco Group in 1993 as a Systems Analyst. Technology, operations and information security He is responsible for the technology, operations, service, data and CX departments, serving as CIO since 2015. Since September 2024 he has been responsible for the Operations, IGA and Service departments. He has extensive experience in digital transformation, large-scale platform management, including everything from management and governance processes to technical engineering and cybersecurity knowledge. He leads a broad technology team, focused on deep technical excellence, talent training and diversity. Academic background He holds Bachelor’s degrees in Civil Engineering from Escola Politécnica da Universidade de São Paulo (USP), São Paulo, Brazil, and in Business Administration from Faculdade de Economia, Administração, Contabilidade e Atuária da Universidade de São Paulo (FEA-USP), São Paulo, Brazil, and also an MBA from Kellogg School of Management at Northwestern University, Illinois, U.S. Management body: Management body: Nominated by the Controlling stockholder: Board of executive officers No Elective office held: Description of other positions held: Others Officers Officer (member of the Executive Committee) Date of election: Date of investiture: Term of office: Date of beginning of first term: 04/30/2025 06/18/2025 Annual 03/02/2021 Conviction:


 
Type of Conviction: Description of the conviction: n/a n/a Administrator: Name: Taxpayer ID (CPF): RICARDO VILLELA MARINO 252.398.288-90 Profession: Date of birth: Engineer 01/28/1974 Profissional experience: Ricardo Villela Marino Position and term of office Non-Executive Vice Chairman of the Board of Directors since 2020. Experience, skills and abilities Financial sector and capital markets He has been the Chairman of the Latin America Strategic Council since 2018, leading the innovation and exploration of growth opportunities throughout the region, and is the Chairman of Banco Itaú Chile. He has held a number of positions at the Itaú Unibanco Group since 2002, including Vice President between 2010 and 2018, and CEO for Itaú Latam operations (Argentina, Chile, Paraguay and Uruguay). He started his career at Banco Credit Commercial de France (CCF), worked with fixed income and stock market at Banco de Investimentos Garantia (CSFB) and at Goldman Sachs Asset Management in New York and London, where he was a portfolio manager for Emerging Markets. He served as the Chairman of the Federation of Latin American Banks (FELABAN) and was named a Young Global Leader by the World Economic Forum (WEF). He has been an alternate member of the Board of Directors since 2011. Financial inclusion and entrepreneurship He is responsible for creating business models to the crypto market contributing to financial inclusion through digital assets. He currently serves as Vice Chairman of Humanitas 360, a non-profit organization focused on catalyzing social and civic entrepreneurship among young people. He is the Chairman of Instituto PDR, an organization aimed at investing and preparing new entrepreneurs with a focus on social academic transformation. He is also a member of the Advisory Board of Visa Latin America and of the MIT Sloan School of Management. Academic background He holds a Bachelor’s degree in Mechanic Engineering from the Escola Politécnica da Universidade de São Paulo (USP), São Paulo, Brazil. He holds a Master’s degree in Business Administration from the MIT Sloan School of Management, Cambridge, Massachussets, U.S. Management body:


 
Management body: Nominated by the Controlling stockholder: Board of Directors Yes Elective office held: Description of other positions held: Non-executive Vice President of the Board of Directors Date of election: Date of investiture: Term of office: Date of beginning of first term: 04/17/2025 06/10/2025 Annual 11/28/2008 Conviction: Type of Conviction: Description of the conviction: n/a n/a Administrator: Name: Taxpayer ID (CPF): RITA RODRIGUES FERREIRA CARVALHO 037.511.527-76 Profession: Date of birth: Actuarial 08/30/1973 Profissional experience: Rita Rodrigues Ferreira Carvalho, a member of the Partners Program, has been an Officer at Itaú Unibanco Holding since April 2025. She is currently responsible for the Compliance and Operational Risks department. She has held a number of positions at the Itaú Unibanco Group, including Officer since 2021, Superintendent for Business Management, Quant Solutions and Global Markets & Treasury Control (2017 to 2021), and Internal Control and Compliance Superintendent (2012 to 2017). Ms. Carvalho had previously worked at BNY Mellon, in Brazil and in the United Kingdom, in the Risk and Compliance departments for 13 years. She holds a Bachelor’s degree in Actuarial Sciences and a master’s (MSc) degree in Statistics, both from Universidade Federal do Rio de Janeiro, Rio de Janeiro, Brazil. Management body: Management body: Nominated by the Controlling stockholder: Board of executive officers No Elective office held: Description of other positions held:


 
Others Officers Officer Date of election: Date of investiture: Term of office: Date of beginning of first term: 04/30/2025 06/18/2025 Annual 06/18/2025 Conviction: Type of Conviction: Description of the conviction: n/a n/a Administrator: Name: Taxpayer ID (CPF): ROBERTO EGYDIO SETUBAL 007.738.228-52 Profession: Date of birth: Engineer 10/13/1954 Profissional experience: Roberto Egydio Setubal Position and term of office Non-executive Co-Chairman of the Board of Directors since 2017. Experiences, skills and abilities Financial sector, capital markets and other sectors He started his career at Banco Itaú in 1980, having held several positions before he was appointed as CEO in 1994, a position he held until April 2008. In that year, after the merger between the banks Itaú and Unibanco, he became CEO of Itaú Unibanco Holding S.A. and held that position until 2017. He has been a Member of the Board of Directors of Itaúsa S.A. since 2021 and is currently the Vice Chairman. He is also a Member of the Board of Directors of CCR S.A. He was a Member of the Board of Directors of Petrobras between 2000 and 2002 and a Member of the Board of Directors of Shell Plc. between 2017 and 2020. He was a member of the International Monetary Conference (IMC) between 1994 and 2020, and the Chairman in 2015. He was the Chairman of the Brazilian Federation of Banks (FEBRABAN) between 1997 and 2000 and the Chairman of the Board of this institution between 2011 and 2017. He was a Member of the Board of Directors of the Institute of International Finance (IIF), having served as Vice Chairman between 2003 and 2014, and he was a Member of the International Advisory Committee of the Federal Reserve Bank of New York between 2002 and 2008. In 2011, he was named Banker of the Year by Euromoney magazine, and in 2015 he was elected, for the second time, the best executive in Brazil. Risk management During his term as CEO of Itaú Unibanco Holding S.A., until 2017, he oversaw risk management at the executive level, chairing seven superior risk councils, such as the Superior Audit and Operational Risk Management Council, the Superior Credit Council and the Superior Risk Policy Council, where he


 
addressed corporate risk policies, risk management, risk appetite and the risk culture of the company. He is currently a Member of the Risk and Capital Management Committee, providing support in defining, reviewing and approving the risk appetite, strategies and institutional risk policies. ESG He is also a Member of the Board of Directors of Centro de Liderança Pública (CLP), a cross-party organization that seeks to engage society and develop public leaders to face urgent problems in Brazil. In 2003, he was appointed as a Member of the Economic and Social Development Council (CDES) and holds this position to date. Academic background He holds a Bachelor’s degree in Production Engineering from Escola Politécnica da Universidade de São Paulo (USP), São Paulo, Brazil. He also holds a Master’s degree in Engineering Science from Stanford University, California, U.S. Management body: Management body: Nominated by the Controlling stockholder: Board of Directors Yes Elective office held: Description of other positions held: Other Directors Non-executive Co-Chairman Date of election: Date of investiture: Term of office: Date of beginning of first term: 04/17/2025 06/10/2025 Annual 11/28/2008 Conviction: Type of Conviction: Description of the conviction: n/a n/a Administrator: Name: Taxpayer ID (CPF): RODRIGO ANDRE LEIRAS CARNEIRO 070.227.907-28 Profession: Date of birth: Economist 11/13/1975 Profissional experience:


 
Rodrigo Andre Leiras Carneiro, a member of the Partners Program, has been an Officer at the Itaú Unibanco Holding since 2025. He is currently responsible for the Credit Card Business – Individuals department, serving as an Officer since 2022. He has held several positions at the Itaú Unibanco Group, including Product Officer at Redecard (2018 to 2022), Card Portfolio Superintendent (2013 to 2017), Card Manager – High Income Segment (2012 to 2013), Business and Planning Manager (2008 to 2012), Credit Policy Manager – Unicard and Hipercard (2003 to 2008). Mr. Carneiro also worked as Credit and Collection Coordinator (2001 to 2002), Marketing and Product Analyst (2000 to 2001) and Finance Analyst (1998 to 2000) at Fininvest. He holds a Bachelor’s degree in Economics from the Universidade Federal do Rio de Janeiro (UFRJ), Brazil and an Executive MBA (Coppead). Management body: Management body: Nominated by the Controlling stockholder: Board of Directors No Elective office held: Description of other positions held: Others officers Officer Date of election: Date of investiture: Term of office: Date of beginning of first term: 04/30/2025 06/18/2025 Annual 03/14/2025 Conviction: Type of Conviction: Description of the conviction: n/a n/a Administrator: Name: Taxpayer ID (CPF): RUBENS FOGLI NETTO 255.989.658-36 Profession: Date of birth: Business Administrator 06/26/1978 Profissional experience: Rubens Fogli, a member of the Partners Program, has been an Officer at the Itaú Unibanco Group since 2015, and is currently responsible for the Card Products and Requirements, Payment, Collection and Account Management Office. He has held several positions at the Itaú Unibanco Group, including Officer of Card Products, Digital Business, Cards and Acquiring Services and Joint Ventures with Retailers.


 
Mr. Fogli Neto has also been a member of the Board of Directors at several companies of the Itaú Unibanco Group. He worked at important companies in the markets they operate, such as Citibank, Credicard, and Banco CCF Brasil. He holds a Bachelor’s degree in Business Administration from Pontifícia Universidade Católica de São Paulo (PUC-SP), São Paulo, Brazil, an Executive MBA degree from Instituto Brasileiro de Mercado de Capitais (IBMEC), São Paulo, Brazil, and attended the Leadership Transition program from INSEAD, Fontainebleau, France, and the Leading Organizations and Change course from MIT Sloan School of Management, Cambridge, Massachusetts, U.S. Management body: Management body: Nominated by the Controlling stockholder: Board of executive officers No Elective office held: Description of other positions held: Others Officers Officer Date of election: Date of investiture: Term of office: Date of beginning of first term: 04/30/2025 06/18/2025 Annual 10/03/2022 Conviction: Type of Conviction: Description of the conviction: n/a n/a Administrator: Name: Taxpayer ID (CPF): SERGIO GUILLINET FAJERMAN 018.518.957-10 Profession: Date of birth: Economist 03/26/1972 Profissional experience: Sergio Guillinet Fajerman Position and term of office A member of the Partners Program, Mr. Fajerman has been an Officer of the Executive Committee at the Itaú Unibanco Group since 2021. Experience, skills and abilities


 
Financial sector, capital markets and other sectors He is currently responsible for the Personnel, Marketing and Communications department. He has held a number of positions at the Itaú Unibanco Group, including as Executive Officer (2017 to 2021) and Corporate Personnel Management Officer and Personnel Officer at the General Wholesale Banking Office (2010 to 2017). Academic background He holds a Bachelor’s degree in Economics from the Universidade Federal do Rio de Janeiro (UFRJ), Rio de Janeiro, Brazil, an MBA in Corporate Finance from the Brazilian Institute of Capital Markets (IBMEC), Brazil, an MBA from INSEAD, Fontainebleau, France, and has attended the Advanced HR Executive Program from the University of Michigan, Michigan, U.S. Management body: Management body: Nominated by the Controlling stockholder: Board of executive officers No Elective office held: Description of other positions held: Others Officers Officer (member of the Executive Committee) Date of election: Date of investiture: Term of office: Date of beginning of first term: 04/30/2025 06/18/2025 Annual 03/02/2021 Conviction: Type of Conviction: Description of the conviction: n/a n/a Administrator: Name: Taxpayer ID (CPF): TATIANA GRECCO 167.629.258-63 Profession: Date of birth: Technologist in Civil Engineering 08/31/1973 Profissional experience: Tatiana Grecco, a member of the Partners Program, has been an Officer at the Itaú Unibanco Group since 2017. She is currently responsible for the Capital and Market and Liquidity Risk department. She has worked at the financial and capital markets since 1994, when she joined the Capital Markets Department. She has built a consistent and successful career over the years within the firm, starting as a Back-Office Analyst of institutional and private banking investors’ portfolios. In 1998, she became a


 
Fund Portfolio Manager at Itaú Asset Management. After that, she worked as a Senior Portfolio Manager of fixed income and technical provision portfolios for five years and later became the Superintendent of Technical Provision Portfolio Management. In 2009, Ms. Grecco commenced the indexed fund business at Itaú Asset Management, through mutual funds and ETFs – Exchange Traded Funds. In 2014, she also became the Superintendent of Solutions for Asset Allocation and Quantitative Funds. She has coordinated the ETF Committee and the ESG Workgroup at the Brazilian Financial and Capital Markets Association (ANBIMA) for several years. She was also Vice President of the Fixed Income and Multimarket Funds Committee at the same Association, contributing to the development of Brazilian Mutual Funds. Since 2017, she has been responsible for the market and liquidity risk control at the Itaú Unibanco, Itaú Asset Management and Itaú Corretora de Valores units. Since 2020, she has also been responsible for the capital management of the Conglomerate. She holds a Bachelor’s degree in Civil Construction from Universidade Estadual Paulista (UNESP), São Paulo, Brazil, a Postgraduate degree in Finance from Instituto Brasileiro de Mercado de Capitais (IBMEC), Brazil, a Master’s degree in Business Administration from Fundação Getulio Vargas (FGV), São Paulo, Brazil, and is certified by the Executive Education Program on Asset Management from Yale University, Connecticut, U.S. She has also been a Certified Financial Planner (CFP) since 2009 and is Asset Manager certified (CGA) by ANBIMA. Ms. executives who founded the Bloomberg Women’s Buy- Side Network in Brazil and is a member of the global communities 100 Women in Finance and Women in ETFs. Management body: Management body: Nominated by the Controlling stockholder: Board of executive officers No Elective office held: Description of other positions held: Others Officers Officer Date of election: Date of investiture: Term of office: Date of beginning of first term: 04/30/2025 06/18/2025 Annual 06/01/2017 Conviction: Type of Conviction: Description of the conviction: n/a n/a Administrator: Name: Taxpayer ID (CPF):


 
VINICIUS SANTANA 286.045.658-92 Profession: Date of birth: Mathematician 03/23/1978 Profissional experience: Vinícius Santana has been an Officer at the Itaú Unibanco Group since 2023. He is currently responsible for the Anti-Money Laundering/Counter Terrorism Financing Department (AML/CFT). He has been working without interruption on anti-money laundering and counter terrorism financing (AML/CFT) since 2002 and has held important positions in the public and private sectors. A Country Appraiser at the Financial Action Task Force (FATF/GAFI), Mr. Santana has worked for 11 years at COAF (Council for Financial Activities Control), nine of which as a Supervisor, including as an Alternate Officer of this body, and he held the positions of Head of AML/CFT at the Santander and Banco do Brasil Conglomerates from 2017 to 2023. He has already served as a Data Protection Officer (DPO) at Banco do Brasil, where he also served in many positions in the Commercial and AML/CFT departments. In 2006, he joined the Council for Financial Activities Control (COAF), and rejoined Banco do Brasil in 2017. He was an Effective Member of ENCCLA – National Anti-Corruption and Anti-Money Laundering Strategy from 2006 to 2021. At COAF, between 2010 and 2017, he was a member of many federal councils in Brazil, notably the National Council for Anti-Drug Policy and the Brazilian Intelligence System. Mr. Santana holds a Bachelor’s degree in Mathematical Sciences from Universidade Estadual do Norte do Paraná (UENP), Paraná, Brazil; a Bachelor’s degree in Law from Centro Universitário de Brasília (UniCEUB), Brasília, Brazil; a Postgraduate degree in Advanced Defense Studies from Escola Superior de Guerra (ESG); Specialist, AML/CFT from the U.S. Department of the Treasury; a Postgraduate degree in Money Laundering, Criminal Procedure; an MBA degree in Strategic Management, Business Administration from UNIFAEL; and an MBA degree in Risks and Compliance from Trevisan/Exame. Mr. Santana has been certified by many national and international bodies, notably the FBI, IMF, FINCEN, COAF, GAFI, GAFI Latin America, the World Bank, DEA, U.S. Department of Justice, ESG, ABIN (Brazilian Intelligence Agency), Armed Forces, among others. He was awarded the most prominent AML/CFT award in Brazil, the COAF Merit Diploma, in 2021, and has earned six military commendations. Management body: Management body: Nominated by the Controlling stockholder: Board of executive officers No Elective office held: Description of other positions held: Others Officers Officer Date of election: Date of investiture: Term of office: Date of beginning of first term: 04/30/2025 06/18/2025 Annual 10/11/2023


 
Conviction: Type of Conviction: Description of the conviction: n/a n/a


 
7.4 Composition of committees Administrator Name: Taxpayer ID (CPF): ALEXANDRE DE BARROS 040.036.688-63 Profession: Date of birth: Engineer 09/06/1956 Profissional experience: Alexandre de Barros (Independent Member) has been a Member of the Audit Committee at the Itaú Unibanco Group since 2021. He has held several positions at the Itaú Unibanco Group, including as Executive Vice President of the Technology department from 2011 to 2015, Executive Officer from 2005 to 2010, Senior Managing Officer from 2004 to 2005 and Managing Officer from 1994 to 2004. Mr. de Barros served as a Member of the Board of Directors of Serasa S.A. from 2003 to 2007, having acted as its Chairman from 2006 to 2007, as a Member of the Board of Directors of Diagnósticos da América S.A. (DASA) from 2015 to 2023. He was also as member of Dexcos' Board of Directors from 2020 to 2024 and the IT and Digital Inbovation Committee from 2017 to 2024. He holds a Bachelor’s degree in Aeronautics Infrastructure Engineering from Instituto Tecnológico de Aeronáutica (ITA), São José dos Campos, São Paulo, Brazil, a specialization in Risk Management from INSEAD, Fontainebleau, France, and an MBA degree from New York University, New York, U.S. Committees Type of committee: Type of audit: Nominated by the Controlling stockholder: Audit Committee Audit Committee A Statutory Audit Committee non adherent to CVM Instruction nº 23/21 No Position held: Description of other position held: Member of the Committee (Efective) Date of election: Date of investiture: Term of office: Date of beginning of first term: 04/30/2025 06/18/2025 Annual 06/16/2021 Conviction Type of Conviction: Description of the conviction: n/a n/a Administrator


 
Name: Taxpayer ID (CPF): ALFREDO EGYDIO SETUBAL 014.414.218-07 Profession: Date of birth: Business Administrator 09/01/1958 Profissional experience: Alfredo Egydio Setubal Position and term of office Non-executive Member of the Board of Directors since 2007. Experiences, skills and abilities Financial sector and capital markets At Itaúsa S.A., he has been CEO and Investor Relations Officer since 2015 and a Member of the Board of Directors since 2008. He has also been the Chairman of the Board of Directors of Dexco S.A. since 2021 and a Member of their Board since 2015. He has also been a Member of the Board of Directors of Alpargatas S.A. since 2017 and of Copa Energia since 2020. He served as Chairman of the National Association of Investment Banks (ANBID) between 2003 and 2008. He has been a Member of the Superior Committee for Guidance, Nomination and Ethics of the Brazilian Institute of Investor Relations (IBRI) since 2010, having been the Chairman of its Board of Directors between 2000 and 2003. He was also a Member of the Board of Directors of the Brazilian Association of Listed Companies (ABRASCA) between 1999 and 2017. He is currently the Chairman of the Environmental, Social and Climate Responsibility Committee and a Member of the Disclosure and Trading Committee, the Nomination and Corporate Governance Committee and the Personnel Committee of Itaú Unibanco. ESG He has been the Chairman of the Board of Trustees of the Itaú Foundation, institution responsible for social initiatives aimed at education (in partnership with UNICEF and other NGOs) and the democratization and appreciation of Brazilian culture and Chairman of the Decision-Making Council of the São Paulo Museum of Art (MASP) since 2015. He has been a Member of the Board of Directors of the São Paulo Biennial Foundation since 2009. He is also a Member of the Board of Directors of the São Paulo Museum of Modern Art (MAM) and of the Institute of Contemporary Art (IAC). Academic background He holds Bachelor’s and Postgraduate degrees in Business Administration from Fundação Getulio Vargas (FGV), São Paulo, Brazil. Committees Type of committee: Type of audit: Nominated by the Controlling stockholder: Other Committees No Position held: Description of other position held: Committee member (effective) Member of the Disclosure and Trading Committee


 
Date of election: Date of investiture: Term of office: Date of beginning of first term: 04/30/2025 04/30/2025 Annual 04/24/2009 Type of committee: Type of audit: Nominated by the Controlling stockholder: Other Committees No Position held: Description of other position held: Committee member (effective) Member of the Personnel Committee Date of election: Date of investiture: Term of office: Date of beginning of first term: 04/30/2025 04/30/2025 Annual 04/29/2015 Type of committee: Type of audit: Nominated by the Controlling stockholder: Other Committees No Position held: Description of other position held: Committee member (effective) Member of the Nomination and Corporate Governance Committee Date of election: Date of investiture: Term of office: Date of beginning of first term: 04/30/2025 04/30/2025 Annual 06/24/2009 Type of committee: Type of audit: Nominated by the Controlling stockholder: Other Committees No Position held: Description of other position held: Committee member (effective) Chairman of the Environmental, Social and Climate Responsibility Committee Date of election: Date of investiture: Term of office: Date of beginning of first term: 04/30/2025 04/30/2025 Annual 01/31/2019 Conviction Type of Conviction: Description of the conviction:


 
n/a n/a Administrator Name: Taxpayer ID (CPF): ÁLVARO FELIPE RIZZI RODRIGUES 166.644.028-07 Profession: Date of birth: Lawyer 03/28/1977 Profissional experience: Álvaro Felipe Rizzi Rodrigues, a Member of the Partners Program, has been an Officer at the Itaú Unibanco Group since 2014. He is currently responsible for the following Legal Departments: Wholesale Banking and Companies Banking (responsible for legal issues related to investment banking, brokerage services, treasury, wealth management services – asset management, private banking, banking products for companies, allocated funds and onlending, international loans and foreign exchange), Civil Litigation, Proprietary M&A, National and International Corporate Affairs, Corporate Governance, Anti- Trust, as well as for the Ombudsman’s Office and Government Relations Department of Itaú Unibanco. Mr. Rodrigues had been previously responsible for the Legal Retail Banking Department (responsible for legal issues related to products and services for the individual customers’ segment – checking account, payment account, cards, acquiring services, payroll loans, real estate loans, vehicle financing, consortia, insurance, pension plans, capitalization operations, etc.). He has also been an Officer at the Fundação Itaú since 2019. He joined the Itaú Unibanco Group in 2005, serving as Legal Manager and, after that, he served as Legal Superintendent (2005 to 2014). He also worked in the Corporate Law and Contract Law departments (1998 to 2005), at Tozzini Freire Advogados. He holds a Bachelor’s degree in Law from the Faculdade de Direito da Universidade de São Paulo (USP), São Paulo, Brazil. Mr. Rodrigues has also attended a specialization course in Corporate Law from the Pontifícia Universidade Católica de São Paulo (PUC-SP), São Paulo, Brazil. He holds a Master of Laws (L.L.M.) from the Columbia University Law School, New York, U.S. Committees Type of committee: Type of audit: Nominated by the Controlling stockholder: Other Committees No Position held: Description of other position held: Committee member (effective) Member of the Disclosure and Trading Committee Date of election: Date of investiture: Term of office: Date of beginning of first term: 04/30/2025 04/30/2025 Annual 04/28/2022


 
Conviction Type of Conviction: Description of the conviction: n/a n/a Administrator Name: Taxpayer ID (CPF): ANA LÚCIA DE MATTOS BARRETTO VILLELA 066.530.828-06 Profession: Date of birth: Pedagogic 10/25/1973 Profissional experience: Ana Lúcia de Mattos Barretto Villela (non-executive member) Position and term of office Non-executive Member of the Board of Directors since 2008. Experience, skills and abilities Financial sector, capital markets and other sectors She has held several positions at the Itaú Unibanco Group, including Member of the Board of Directors (1996 a 2001). She also serves as Co-founder of MFF&CO, a global impact entertainment studio, with operations in São Paulo (Brazil), Los Angeles (United States) and London (United Kingdom), since May 2024; Co- Founder of Alana Down Syndrome Center at MIT since 2019; Alternate Member of the Board of Directors of IUPAR – Itaú Unibanco Participações S.A. since 2018; Member of Itaú’s Personnel Committee since 2018; Member of Itaú’s Nomination and Corporate Governance Committee since 2018; Vice Chairwoman of the Board of Directors (non-executive member) of Itaúsa S.A. since 2017; Member of the Advisory Board of Itaú Social since 2017; Co-founder of AlanaLab since 2014; Co- founder of Maria Farinha Filmes since 2009; Founding Chairwoman of the Alana Foundation since 2012; CEO of the Alana Institute since 2002; and Fellow Ashoka since 2010. ESG Member of the Environmental, Social and Climate Committee since 2019 (previously called Social Responsibility Committee); Member of Itaúsa’s Sustainability and Risks Committee since 2021; She has also been a member of the Stanford Down Syndrome Research Center Advisory Board since January 2022; Ms. Villela was a Board Member of Participant, a media and entertainment organization founded by the social entrepreneur Jeff Skoll, from March 2022 to July 2024; She was a member of the UCLA Lab School’s Board of Advisors from May 2022 to July 2024; She was a Member of the Advisory Board of the Akatu Institute (2013 to 2017); She was a Member of the Advisory Board of the Fairplay Organization (2015 to 2017); She was a Member of the Advisory Board of Conectas (2003 to 2018); She was a Member of the Sustainability Committee of Dexco (2015 to 2018); She was an Alternate Member of the Board of Directors of Dexco (2018 to 2020). Information technology and security


 
Since 2018, she has been the first representative from Latin America on the Innovation Board of XPrize, a non-profit organization set up by Peter Diamandis, who designs and manages global competitions to encourage the development of new technologies that could help solve some of the major challenges of humankind. From 2019 to 2024, the Alana Foundation, which was co-founded by Ms. Villela, supported the XPrize Rainforest competition aimed at fostering the creation of new technologies able to map the biodiversity of tropical forests. Academic background She holds a Bachelor’s degree in Education with a qualification in School Administration and a Master’s degree in Educational Psychology, both from the Pontifícia Universidade Católica de São Paulo (PUC- SP), São Paulo, Brazil. She also took a graduate course in Business Administration at Fundação Armando Álvares Penteado (FAAP), São Paulo, Brazil (incomplete) and a postgraduate course in Third Sector Administration at Fundação Getulio Vargas (FGV), São Paulo Brazil (incomplete). Committees Type of committee: Type of audit: Nominated by the Controlling stockholder: Other Committees No Position held: Description of other position held: Committee member (effective) Member of the Personnel Committee Date of election: Date of investiture: Term of office: Date of beginning of first term: 04/30/2025 04/30/2025 Annual 04/26/2018 Type of committee: Type of audit: Nominated by the Controlling stockholder: Other Committees n/a No Position held: Description of other position held: Committee member (effective) Member of the Nomination and Corporate Governance Committee Date of election: Date of investiture: Term of office: Date of beginning of first term: 04/30/2025 04/30/2025 Annual 04/26/2018 Type of committee: Type of audit: Nominated by the Controlling stockholder: Other Committees No Position held: Description of other position held:


 
Committee member (effective) Member of the Environmental, Social and Climate Responsibility Committee Date of election: Date of investiture: Term of office: Date of beginning of first term: 04/30/2025 04/30/2025 Annual 01/31/2019 Conviction Type of Conviction: Description of the conviction: n/a n/a Administrator: Name: Taxpayer ID (CPF): ANDRE BALESTRIN CESTARE 213.634.648-25 Profession: Date of birth: Engineer 06/08/1978 Profissional experience: Andre Balestrin Cestare, a member of the Partners Program, has been our officer since 2017. He is currently responsible for the Retail Banking financial planning department and the Technology and Operations department. He has held several positions at the Itaú Unibanco Group, including Wholesale Banking financial planning officer from 2019 to 2022, Retail Banking financial planning officer from 2017 to 2019 and finance superintendent from 2010 to 2017. He holds a Bachelor’s degree in Mechanical Engineering from Escola Politécnica da Universidade de São Paulo (USP), São Paulo, Brazil; a postgraduate degree in business administration and a professional master’s degree in finance and economics, both from Fundação Getulio Vargas (FGV), São Paulo, Brazil. He also attended the Executive Qualification Program from the Fundação Dom Cabral, São Paulo, Brazil. Management body: Type of committee: Type of audit: Other Committees Position held: Description of other position held: Committee member (effective) Member of the Disclosure and Trading Committee Date of election: Date of investiture: Term of office: Date of beginning of first term: 01/29/2026 01/29/2026 Annual 01/29/2026


 
Conviction: Type of Conviction: Description of the conviction: n/a n/a Administrator Name: Taxpayer ID (CPF): CANDIDO BOTELHO BRACHER 039.690.188-38 Profession: Date of birth: Business Administrator 12/05/1958 Profissional experience: Candido Botelho Bracher Position and term of office Independent Member of the Board of Directors since April 2024, having been Non-executive Member of the Board of Directors since 2003. Experiences, skills and abilities. Financial sector and capital markets He has held several positions at the Itaú Unibanco Group, including CEO between 2017 and 2021, Wholesale Banking Senior Vice President between 2015 and 2017 and Vice President between 2004 and 2015. He has been a member of the Board of Directors of Mastercard Incorporated since 2021. Mr. Bracher served as a member of the Board of Directors of B3 S.A. between 2009 and 2014 and of the Pão de Açúcar Group between 1999 and 2013. He was a founding partner of the corporate bank BBA Creditanstalt, a joint venture created in 1988. Risk management He was CEO of Itaú Unibanco Holding S.A. and, during that period, he was in charge of risk management at the executive level, chairing seven superior risk councils, such as the Superior Market and Liquidity Risk Management Council, the Superior Operational Risk Council and the Superior Credit Council. In these forums, he resolved upon corporate risk policies, risk management, risk appetite and the risk culture of the Organization. He is currently a Member of the Risk and Capital Management Committee, providing support in defining, reviewing and approving the risk appetite, strategies and institutional risk policies. ESG He is a Member of the Superior Bioeconomy Council of Fundação Getulio Vargas (FGV) and is highly involved in initiatives for the environmental protection of the Brazilian Pantanal biome. He is a Member of the Board of Directors of the Acaia Institute, which develops educational actions aimed at preserving the Pantanal biome. He also completed his training in Climate Change offered by the Brazilian Institute of Corporate Governance (IBGC) in 2021, by means of the Chapter Zero initiative, a global network for engaging Boards in climate challenges. He is also columnist for the Folha de São Paulo newspaper. Academic background


 
He holds a Bachelor’s degree in Business Administration from Fundação Getulio Vargas (FGV), São Paulo, Brazil. Committees Type of committee: Type of audit: Nominated by the Controlling stockholder: Other Committees No Position held: Description of other position held: Committee member (effective) Chairman of the Nomination and Corporate Governance Committee Date of election: Date of investiture: Term of office: Date of beginning of first term: 04/30/2025 04/30/2025 Annual 09/29/2022 Type of committee: Type of audit: Nominated by the Controlling stockholder: Other Committees No Position held: Description of other position held: Committee member (effective) Member of the Capital and Risk Management Committee Date of election: Date of investiture: Term of office: Date of beginning of first term: 04/30/2025 04/30/2025 Annual 04/29/2021 Type of committee: Type of audit: Nominated by the Controlling stockholder: Compensation Committee No Position held: Description of other position held: Committee member (effective) Date of election: Date of investiture: Term of office: Date of beginning of first term: 04/30/2025 04/30/2025 Annual 04/29/2021 Type of committee: Type of audit: Nominated by the Controlling stockholder:


 
Other Committees No Position held: Description of other position held: Committee member (effective) Member of the Environmental, Social and Climate Responsibility Committee Date of election: Date of investiture: Term of office: Date of beginning of first term: 04/30/2025 04/30/2025 Annual 01/31/2019 Type of committee: Type of audit: Nominated by the Controlling stockholder: Other Committees No Position held: Description of other position held: Committee member (effective) Member of the Personnel Committee Date of election: Date of investiture: Term of office: Date of beginning of first term: 01/29/2026 01/29/2026 Annual 01/29/2026 Type of committee: Type of audit: Nominated by the Controlling stockholder: Other Committees No Position held: Description of other position held: Committee member (effective) Member of the Related Parties Committee Date of election: Date of investiture: Term of office: Date of beginning of first term: 04/30/2025 04/30/2025 Annual 04/30/2025 Conviction Type of Conviction: Description of the conviction: n/a n/a Administrator: Name: Taxpayer ID (CPF): CESAR NIVALDO GON 154.974.508-57 Profession: Date of birth:


 
Businessman 07/09/1971 Profissional experience: Cesar Nivaldo Gon Position and term of office An Independent Member of the Board of Directors since 2022. Experience, skills and abilities Financial sector and capital markets He is a member of the Board of Directors of the Lean Enterprise Institute – LEI and was a member of the board of Raia Drogasil S.A. (2021 to 2023). An active investor in venture capital and startup funds, Mr. Gon led the IPO of CI&T Inc. on the New York Stock Exchange (NYSE), and is a member of the Board of Directors of Fundo Patrimonial Lumina Unicamp since 2020. He was named Entrepreneur of the Year in Brazil by EY (EY Entrepreneur Of The Year™) in 2019. Technology and information security He is the founder and CEO of CI&T (NYSE: CINT), a global company specialized in software engineering solutions, such as AI and Hyper Digital, modernization, cloud services, data analytics, cybersecurity and digital product design, since 1995. He is the chairman of the board of Sensedia, a leading company in the API Management market. He has a long history in the market as an important spokesperson on leadership development, digital transformation and artificial intelligence. He also worked as a Tech Advisor at the board of the Boticário Group from 2020 to 2023+. Academic background He holds a Bachelor's degree in Computer Engineering and a Master's degree in Computer Science, both from the Universidade Estadual de Campinas, Brazil. He has co-authored the book “Faster, Faster: The Dawn of Lean Digital” (2020) and is a MIT Sloan Management Review columnist. Committees: Type of committee: Type of audit: Nominated by the Controlling stockholder: Other Committees No Position held: Description of other position held: Chairman of the committee Chairman of the Customer Experience Committee Date of election: Date of investiture: Term of office: Date of beginning of first term: 04/30/2025 04/30/2025 Annual 06/27/2024 Type of committee: Type of audit: Nominated by the Controlling stockholder: Other Committees No


 
Position held: Description of other position held: Committee member (effective) Member of the Personnel Committee Date of election: Date of investiture: Term of office: Date of beginning of first term: 04/30/2025 04/30/2025 Annual 04/30/2025 Conviction: Type of Conviction: Description of the conviction: n/a n/a Administrator: Name: Taxpayer ID (CPF): FABRICIO BLOISI ROCHA 263.679.838-21 Profession: Date of birth: Businessman 05/09/1977 Profissional experience: Fabricio Bloisi Rocha Position and term of office An Independent Member of the Board of Directors since 2023. Experiences, skills and abilities Financial sector, capital markets and other sectors He has been CEO at Prosus, Chairman of the iFood’s Board of Directors, CEO at Naspers and founder of the Movile Group. He also serves as a member of the Innovation Board of XPrize. Social projects Mr. Rocha promotes educational projects through its Fundação 1Bi aimed at supporting education by means of technology. He also supports projects such as "Meu Diploma do Ensino Médio" (“My High School Diploma”) and "Movimento Tech" (“Tech Movement”), which foster the high school and technological education in Brazil through iFood. In 2023, he was appointed as a UN spokesperson for education on SDG 4 for Brazil and joined the Economic and Sustainable Development Council of the Presidency of the Republic. Academic background He holds a Bachelor’s degree in Computer Engineering (CoE) from the Universidade de Campinas (UNICAMP), Campinas, São Paulo, Brazil, and a Master’s degree in Business Administration from the Fundação Getulio Vargas (FGV), São Paulo, Brazil. In 2013, he has also attended the Executive Program for Growing Companies, Strategy, Finance, Leadership for companies in the growth stage at the Stanford Graduate School of Business, California, U.S. In 2022, Mr. Rocha completed the OPM


 
(Owners/President Management, Business Administration and Management) program at the Harvard Business School, Massachusetts, U.S. Committees: Type of committee: Type of audit: Nominated by the Controlling stockholder: Other Committees No Position held: Description of other position held: Committee member (effective) Member of the Customer Experience Committee Date of election: Date of investiture: Term of office: Date of beginning of first term: 04/30/2025 04/30/2025 Annual 06/27/2024 Conviction: Type of Conviction: Description of the conviction: n/a n/a Administrator Name: Taxpayer ID (CPF): FERNANDO BARÇANTE TOSTES MALTA 992.648.037-34 Profession: Date of birth: Systems Analyst 04/14/1968 Profissional experience: Fernando Barçante Tostes Malta (independent member) born on April 14, 1968, has been a member of the Audit Committee at the Itaú Unibanco Group since 2023. He has held several positions at the Itaú Unibanco Group, including executive officer from 2015 to 2021. He also served in the Internal Controls and Compliance Office from 2016 to 2021, where he oversaw the group’s non-financial risks, the E&S Risk Department, operational risks and compliance from 2017 to 2021, information security, anti money laundering (AML) and fraud prevention, and the coordination of the operational risk control at foreign units. He served as Officer of Card Operations, Redecard, Real Estate Loans, Vehicle Financing, Consortia, Collection, Legal Operations, and all active customer services from 2015 to 2016. Mr. Malta was also an Officer of the Customer Service, Card Operations and Services, Real Estate Loans, Vehicle Financing, Consortia and Insurance and Capitalization Operations departments from 2013 to 2015. He was an Officer of the Customer Service, Operations and Services of the Consumer Credit department (cards and financing companies) from 2011 to 2013, a Customer Service Officer of the Consumer Credit department (cards and financing companies) from 2009 to 2011, and Channels and CRM Officer (Unibanco, before the merger) from 2004 to 2009. He started his career in 1988, having held several positions. He also worked in the management of the Channels, Branches and Institutional Portfolio departments and engaged in several projects and initiatives from 1995 to 2008.


 
He was also an Alternate member of the board of directors of Tecnologia Bancária S.A., a Deputy member of the board of directors of Luizacred S.A. Sociedade de Crédito, Financiamento e Investimento, and an Alternate member of the board of directors of Financeira Itaú CBD Crédito, Financiamento e Investimento and of Banco Carrefour S.A., a member of the board of directors of Itaú BBA International PLC and Itaú BBA USA Securities Inc. Mr. Malta was an Officer of the Anti-Money Laundering Council of the Brazilian Federation of Banks (FEBRABAN) in 2021. He holds a bachelor’s degree in information technology from PUC-RJ, Rio de Janeiro, Brazil, an MBA degree from Fundação Dom Cabral, São Paulo, Brazil, extension course in Strategy from the Kellogg School of Management at Northwestern University, Illinois, U.S., and extension course in Bank Management from Swiss Finance Institute (SFI), Zurich, Switzerland. Committees Type of committee: Type of audit: Nominated by the Controlling stockholder: Audit Committee Audit Committee A Statutory Audit Committee non adherent to CVM Instruction nº 23/21 No Position held: Description of other position held: Committee member (effective) Date of election: Date of investiture: Term of office: Date of beginning of first term: 04/30/2025 06/18/2025 Annual 06/01/2023 Conviction Type of Conviction: Description of the conviction: n/a n/a Administrator: Name: Taxpayer ID (CPF): GABRIEL AMADO DE MOURA 247.648.348-63 Profession: Date of birth: Business Administrator 08/18/1975 Profissional experience: Gabriel Amado de Moura Position and term of office


 
Member of the Partners Program since 2011, has been an Officer of the Executive Committee and CFO at the Itaú Unibanco Group since September 2024. Experiences, skills and abilities Financial sector, capital markets and other sectors He was appointed CEO of Banco Itaú Chile in January 2020, and has served as CFO at Itaú CorpBanca since April 2016. He joined Itaú Unibanco in 2000 and became a partner in 2017. He has over 24 years of experience in asset management, risk management and mergers and acquisitions. Mr. Moura held the position of investment manager for the pension fund, endowment and insurance business lines. He was also a risk manager in the Wealth Management department and has been a member of the board of directors of a number of companies of the Itaú Unibanco Conglomerate in Brazil and abroad. Before joining the bank, he worked at BBVA Asset Management and Itaú Bankers Trust. He has been the CEO since July 2024 and Chairman of the Board of Directors of Investimentos Bemge S.A. since September 2024 and Chairman of the Board of Directors of Dibens Leasing S.A. since July 2024. Academic background He holds an MBA degree from Wharton School, University of Pennsylvania, U.S. Management body: Type of committee: Type of audit: Nominated by the Controlling stockholder: Other Committees No Position held: Description of other position held: Chairman of the Committee Member of the Disclosure and Trading Committee Date of election: Date of investiture: Term of office: Date of beginning of first term: 04/30/2025 04/30/2025 Annual 10/22/2024 Conviction: Type of Conviction: Description of the conviction: n/a n/a Administrator Name: Taxpayer ID (CPF): GERALDO JOSÉ CARBONE 952.589.818-00 Profession: Date of birth: Economist 08/02/1956


 
Profissional experience: Geraldo José Carbone (Non-Management Member) has been a Member of the Compensation Committee at the Itaú Unibanco Group since 2019. He has held several positions at the Itaú Unibanco Group, including Director Vice President from 2008 to 2011 and Member of Board of Directors from 2006 to 2008 and from 2017 to 2018. He has been a Managing Partner at G/xtrat Consultoria Econômica Ltda. and at GC/Capital Empreendimentos e Participações Ltda. since 2011. Mr. Carbone was the CEO from 1997 to 2006, Vice Chairman of the Asset Management Division from 1994 to 1997 and Officer at the Economics Department and the Investment Research Unit in Brazil from 1991 to 1994 of Bank Boston, as well as Chief Economist at Bunge y Born from 1982 to 1987. He holds a Bachelor’s degree in Economics from Universidade de São Paulo, São Paulo, Brazil. Committees Type of committee: Type of audit: Nominated by the Controlling stockholder: Compensation Committee No Position held: Description of other position held: Committee member (effective) Date of election: Date of investiture: Term of office: Date of beginning of first term: 04/30/2025 04/30/2025 Annual 01/31/2019 Conviction Type of Conviction: Description of the conviction: n/a n/a Administrator: Name: Taxpayer ID (CPF): GUSTAVO LOPES RODRIGUES 219.738.878-94 Profession: Date of birth: Business Administrator 11/18/1980 Profissional experience: Gustavo Lopes Rodrigues Position and term of office


 
Gustavo Lopes Rodrigues has been a partner since 2021, Investor Relations Officer and Chairman of the Disclosure and Trading Committee since August 2024 at the Itaú Unibanco Holding S.A. and has also served as Investor Relations Officer at Investimentos Bemge S.A. since June 2024 and at Dibens Leasing S.A. since August 2024. Experience, skills and abilities Financial sector, capital markets and other sectors He has more than 20 years of experience, has built his career in various areas within Finance and served as Superintendent of Investor Relations between 2017 and 2024. Academic background Bachelor’s degree in Business Administration. Management body: Type of committee: Type of audit: Nominated by the Controlling stockholder: Other Committees No Position held: Description of other position held: Chairman of the Committee Chairman of the Disclosure and Trading Committee Date of election: Date of investiture: Term of office: Date of beginning of first term: 04/30/2025 04/30/2025 Annual 08/16/2024 Conviction: Type of Conviction: Description of the conviction: n/a n/a Administrator Name: Taxpayer ID (CPF): JOÃO MOREIRA SALLES 295.520.008-58 Profession: Date of birth: Economist 04/11/1981 Profissional experience: João Moreira Salles Position and term of office


 
He has been a (non-executive) Member of the Board of Directors at the Itaú Unibanco Group since 2017. Experience, skills and abilities Financial sector, capital markets and other sectors He has held a number of positions at the Itaú Unibanco Group, including Officer at IUPAR – Itaú Unibanco Participações S.A. since 2018, having been a member of its Board of Directors (2015 to 2018). Mr. Moreira Salles is currently an Officer of Brasil Warrant Administração de Bens e Empresas S.A. (BWSA), and CEO of BW Gestão de Investimentos (BWGI). He has also been a member, since 2019, of the Board of Directors of Verallia, a glass packaging company listed in France, and of the board of Alpargatas since 2022, where he was already a member of its Finance Committee. Before joining BW, he had been an Investment Banker at J. P. Morgan Chase, New York, U.S. Academic background He holds a Bachelor’s degree in Economics from the Instituto de Ensino e Pesquisa (INSPER), São Paulo, Brazil, a Master’s degree in Economics from the Columbia University, GSAS, New York, U.S., a Master’s degree in Finance from the Columbia University, GSB, New York, U.S., and a Ph.D. in Economic Theory from the Universidade de São Paulo (FEA-USP), São Paulo, Brazil. Committees Type of committee: Type of audit: Nominated by the Controlling stockholder: Other Committees No Position held: Description of other position held: Member of the committee (effective) Strategy Committee Date of election: Date of investiture: Term of office: Date of beginning of first term: 04/30/2025 04/30/2025 Annual 05/25/2017 Type of committee: Type of audit: Nominated by the Controlling stockholder: Other Committees No Position held: Description of other position held: Member of the committee (effective) Member of the Nomination and Corporate Governance Committee Date of election: Date of investiture: Term of office: Date of beginning of first term:


 
01/29/2026 01/29/2026 Annual 01/29/2026 Type of committee: Type of audit: Nominated by the Controlling stockholder: Compensation Committee No Position held: Description of other position held: Committee member (effective) Date of election: Date of investiture: Term of office: Date of beginning of first term: 04/30/2025 04/30/2025 Annual 04/29/2021 Conviction Type of Conviction: Description of the conviction: n/a n/a Administrator Name: Taxpayer ID (CPF): JOSÉ VIRGILIO VITA NETO 223.403.628-30 Profession: Date of birth: Lawyer 09/13/1978 Profissional experience: José Virgilio Vita Neto Position and term of office He is a member of the Partners Program, has been an Officer of the Executive Committee at the Itaú Unibanco Group since 2023, leading the Legal, Ombudsman’s, Governmental Relations and Sustainability departments. Experiences, skills and abilities Financial sector, capital markets and other sectors He started his career at the Itaú Unibanco Group in 2000 as a lawyer and was elected as Officer in 2011. He is also an Executive Officer at the Brazilian Federation of Banks (FEBRABAN). Academic background He holds a Bachelor’s degree in Law from Universidade de São Paulo (USP), São Paulo, Brazil; a Master’s degree in Contract Law from Universidad de Salamanca, Salamanca, Spain; a Ph.D. in


 
Contract Law from Universidade de São Paulo (USP) São Paulo, Brazil, and has attended the Authentic Leadership Development Program from Harvard Business School, Boston, U.S. Committees Type of committee: Type of audit: Nominated by the Controlling stockholder: Other Committees No Position held: Description of other position held: Committee member (effective) Member of the Disclosure and Trading Committee Date of election: Date of investiture: Term of office: Date of beginning of first term: 04/30/2025 04/30/2025 Annual 01/18/2021 Conviction Type of Conviction: Description of the conviction: n/a n/a Administrator Name: Taxpayer ID (CPF): LUCIANA PIRES DIAS 251.151.348-02 Profession: Date of birth: Lawyer 01/13/1976 Profissional experience: Luciana Pires Dias (Independent Member) has been a Member of the Audit Committee at the Itaú Unibanco Group since 2020. She has been a partner at L. Dias Advogados since 2016, where she serves as an Advisor, Arbitrator and Opinion Giver in financial and capital market issues. She has been a Professor at Escola de Direito da Fundação Getulio Vargas (FGV) since 2008. She has been a Member of the Board of Directors of AMBEV S.A. since 2023. She was an Officer from 2011 to 2015 and Market Development Superintendent at Brazilian Exchange and Securities Commission (CVM) from 2007 to 2010. Ms. Dias was a representative of CVM at the Corporate Governance Committee of the Organization for Economic Co-operation and Development (OCDE) from 2011 to 2015 and at the Latin-American Roundtable on Corporate Governance organized by OCDE from 2009 to 2015. She served in law firms in São Paulo and Rio de Janeiro, Brazil, and in New York, U.S. from 1998 to 2006.


 
She holds Bachelor’s and Master’s degrees and a Ph.D. in Business Law from Escola de Direito da Universidade de São Paulo (USP), São Paulo, Brazil, and a Master of the Science of Law (J.S.M) from Stanford Law School, Stanford University, California, U.S. Committees Type of committee: Type of audit: Nominated by the Controlling stockholder: Audit Committee Audit Committee A Statutory Audit Committee non adherent to CVM Instruction nº 23/21 No Position held: Description of other position held: Committee member (effective) Date of election: Date of investiture: Term of office: Date of beginning of first term: 04/30/2025 06/18/2025 Annual 08/07/2020 Conviction Type of Conviction: Description of the conviction: n/a n/a Administrator Name: Taxpayer ID (CPF): MARCOS MARINHO LUTZ 147.274.178-12 Profession: Date of birth: Naval Engineer 12/30/1969 Profissional experience: Marcos Marinho Lutz has been a member of the Board of Directors of Itaú Unibanco Holding S.A. since April 2025. Has served as the Chairman of the Board of Directors of Ultracargo Logística S.A., Companhia Ultragaz S.A. and Ultrapar Mobilidade S.A. since 2025 and of Hidrovias do Brasil S.A. since 2024. He has also been the Vice Chairman of the Board of Directors of Ultrapar Participações S.A. since 2023, having been its Board Member (2021 to 200). He has been a Member of the Board of Directors of Votorantim S.A. since 2020 and of Corteva Agrisciense since 2019, the Chief Executive Officer of Ultrapar Participações S.A. since 2022 and a Member of the People and Sustainability Committee and an Officer of Ultra S.A. Participações since 2021. Mr. Lutz served as Chairman of the Infrastructure Council of the Federação das Indústrias do Estado de São Paulo – FIESP (2015 to 2021); a Member of the Board of Directors (2008 to 2020), having been


 
Chairman (July to December 2020) of Rumo Logística S.A., CEO of Cosan S.A. – Indústria e Comércio (2009 to 2020); a Board Member of Raizen S.A. (2013 to 2020), Comgás S.A. (2008 to 2020) and of Moove S.A. (2008 to 2020), and Member of the Board of Directors of Monsanto S.A. (2014 to 2018). He holds a Bachelor’s degree in Naval Engineering from the Escola Politécnica da Universidade de São Paulo (USP), São Paulo, Brazil, and a Master’s degree in Business Administration from the Northwestern University’s Kellogg School of Management, Illinois, U.S. Committees Type of committee: Type of audit: Nominated by the Controlling stockholder: Other Committees No Position held: Description of other position held: Committee member (effective) Member of the Strategy Committee Date of election: Date of investiture: Term of office: Date of beginning of first term: 04/30/2025 04/30/2025 Annual 04/30/2025 Conviction Type of Conviction: Description of the conviction: n/a n/a Administrator Name: Taxpayer ID (CPF): MARIA ELENA CARDOSO FIGUEIRA 013.908.247-64 Profession: Date of birth: Economist 11/29/1965 Profissional experience: Maria Elena Cardoso Figueira (Independent Member and Financial Specialist) has been a Member of the Audit Committee at Itaú Unibanco Group since October 2025. She has served as partner and owner of Figueira Consultoria Econômica Eireli – EPP since December 2014. She has been a Fiscal Council Member at Camil Alimentos S.A. since May 2020, and served as President from May 2022 to July 2025; a Member of the Audit and Risk Committee at Hospital Sírio Libanês since July 2021 and its Coordinator since April 2024; a Fiscal Council Member at the Brazilian Business Council for Sustainable Development – CEBDS since June 2023; an Independent Member of the Audit Committee at HOB Eventos, Treinamento e Publicações Ltda. since August 2024; an Alternate Member of the Fiscal Council at Enercan – Campos Novos Energia S.A. (Votorantim Group) since May 2025.


 
She also served as an Independent Member of the Audit Committee (2018 to 2025) and Financial Specialist (2021 to 2025) at Banco Santander (Brasil) S.A.; an Independent Member of the Audit Committee (2022 to 2023) at BR Properties S.A.; Fiscal Council Member (2022 to 2023) and Alternate Member of the Fiscal Council (2021 to 2022) at B3 S.A.; Independent Member of the Audit Committee (2020 to 2021) at Lojas Americanas S.A.; Alternate Member of the Fiscal Council (2019 to 2020) at CCR S.A.; Independent Member and President of the Advisory Committee (2017 to 2018) at HSBC Brasil S.A. – Banco de Investimento; President and Independent Member of the Advisory Board and Audit and Risk Committee (2014 to 2016) at HSBC Bank Brasil S.A. – Banco Múltiplo; Project Director (2012 to 2014) at Banco Santander, S.A. – Spain; Coordinator and Independent Member of the Audit Committee (2004 to 2012) and Financial Specialist (2011 to 2012) at Banco Santander (Brasil) S.A.; Director of Tax Consulting for Financial Institutions and International Taxation (2003 to 2004) at KPMG Corporate Finance; Director of Accounting and Financial Control (2001 to 2002) at Banco Bilbao Vizcaya Argentaria Brasil S.A.; Deputy Director of Tax Planning (1999 to 2001) at Banco Santander Brasil S.A.; Tax Manager (1991 to 1999) at Arthur Andersen Consultoria Fiscal-Financeira S/C Ltda. She holds a Bachelor's degree in Economics from the Pontifical Catholic University of Rio de Janeiro (PUC-RJ), Rio de Janeiro, Brazil. She completed the Senior Executive Management Program (SEMP) at IESE/University of Navarra, Spain, and MBA in Luxury Management from Fundação Armando Alvares Penteado (FAAP). Committees Type of committee: Type of audit: Nominated by the Controlling stockholder: Audit Committee Audit Committee A Statutory Audit Committee non adherent to CVM Instruction nº 23/21 No Position held: Description of other position held: Member of the Committee Date of election: Date of investiture: Term of office: Date of beginning of first term: 08/28/2025 10/09/2025 Annual 10/09/2025 Conviction Type of Conviction: Description of the conviction: n/a n/a Administrator Name: Taxpayer ID (CPF): MARIA HELENA DOS SANTOS FERNANDES DE SANTANA 036.221.618-50


 
Profession: Date of birth: Economist 06/23/1959 Profissional experience: Maria Helena dos Santos Fernandes de Santana Position and term of office Independent Member of the Board of Directors since 2021 and President of the Audit Committee since 2023 (independent member). Experiences, skills and abilities. Financial sector, capital markets and other sectors She has been an independent member of the Board of Directors since 2021 and an independent member of the Audit Committee since 2022, serving as President since April 2023. She also served as a member of the Audit Committee of Itaú Unibanco Holding from 2014 to 2020. She is a Member of the Board of Directors and Chairwoman of the Audit Committee of CI&T Inc. and a Member of the Board of Directors of Fortbras S.A. She was a Member of the Board of Directors and Chairwoman of the Audit Committee of XP Inc. between 2019 and 2021 and had previously served as Chairwoman of the Audit Committee of XP Investimentos S.A. between 2018 and 2019. She was a Member of the Board of Directors of Bolsas y Mercados Españoles (BME) between 2016 and 2020. She was also a Member of the Board of Trustees of the IFRS Foundation between 2014 and 2019. She was a Member of the Board of Directors and Coordinator of the Audit Committee of Totvs S.A. between 2013 and 2017, and a Member of the Board of Directors of CPFL Energia S.A. between 2013 and 2015. She also served as Chairwoman, between 2007 and 2012, and Commissioner, between 2006 and 2007, of the Brazilian Securities and Exchange Commission (CVM), representing CVM at the Financial Stability Board (FSB) between 2009 and 2012. She was the Chairwoman of the Executive Committee at the International Organization of Securities Commissions (IOSCO) between 2011 and 2012. ESG Between 2011 and 2012, she was a Member of the International Integrated Reporting Council (IIRC), where she later also served as a Member of the Governance and Nominating Committee, until the creation of the Value Reporting Foundation. She worked at the São Paulo Stock Exchange (current B3 S.A.) between 1994 and 2006, where she was involved in the creation and was responsible for the implementation of the Novo Mercado and other corporate governance segments. She was Vice President of the Brazilian Institute of Corporate Governance (IBGC) between 2004 and 2006, having been a Member of its Board of Directors between 2001 and 2006. She has also been a Member of the Latin-American Roundtable on Corporate Governance (OECD) since 2000. She was a Member of the Board of Directors and Coordinator of the People, Appointments and Governance Committee at Oi S.A. between 2018 and 2023. She served as a Member of the Board of Directors and as Chairwoman of the Corporate Governance Committee of Companhia Brasileira de Distribuição S.A. between 2013 and 2017. She was acknowledged with the Excellence in Corporate Governance award by the ICGN – International Corporate Governance Network, in 2012. Academic background She holds a Bachelor’s degree in Economics from Faculdade de Economia, Administração, Contabilidade e Atuária da Universidade de São Paulo (FEA-USP), São Paulo, Brazil.


 
Committees Type of committee: Type of audit: Nominated by the Controlling stockholder: Audit Committee Audit Committee A Statutory Audit Committee non adherent to CVM Instruction nº 23/21 No Position held: Description of other position held: Chairman of the Committee Date of election: Date of investiture: Term of office: Date of beginning of first term: 04/30/2025 06/18/2025 Annual 01/02/2023 Type of committee: Type of audit: Nominated by the Controlling stockholder: Other Committees No Position held: Description of other position held: Committee member (effective) Chairman of the Related Parties Committee Date of election: Date of investiture: Term of office: Date of beginning of first term: 04/30/2025 04/30/2025 Annual 04/29/2021 Conviction Type of Conviction: Description of the conviction: n/a n/a Administrator: Name: Taxpayer ID (CPF): MILTON MALUHY FILHO 252.026.488-80 Profession: Date of birth: Business Administrator 06/08/1976 Profissional experience: Milton Maluhy Filho Position and term of office


 
He is a partner, has been a chief executive officer since 2021. Experiences, skills and abilities Financial sector, capital markets and other sectors He has served as our CFO and a CRO. He has held several positions at the Itaú Unibanco Group, including vice president from 2019 to 2020, and CEO of Itaú CorpBanca (Chile) from 2016 to 2018, being responsible for the merger of two banks, CorpBanca and Banco Itaú Chile. He joined the Itaú Unibanco Group in 2002 and was elected officer in 2007. Academic background He holds a bachelor’s degree in Business Administration. Committees: Type of committee: Type of audit: Nominated by the Controlling stockholder: Other Committees No Position held: Description of other position held: Committee member (effective) Member of the Customer Experience Committee Date of election: Date of investiture: Term of office: Date of beginning of first term: 04/30/2025 04/30/2025 Annual 06/27/2024 Conviction: Type of Conviction: Description of the conviction: n/a n/a Administrator: Name: Taxpayer ID (CPF): PAULO ANTUNES VERAS 179.984.168-58 Profession: Date of birth: Engineer 09/01/1972 Profissional experience: Paulo Antunes Veras Position and term of office An Independent Member of the Board of Directors and a member of the Personnel Committee at Itaú Unibanco since 2023


 
Experience, skills and abilities Financial sector, capital markets and other sectors He is an investor in startups and an independent member of the Board of Directors of Localiza and a member of the Advisory Board of Boticário and Klubi. He was the founder and CEO of 99, the first Brazilian unicorn. He was an officer and board member at Endeavor, a high-impact entrepreneurship NGO. He was an independent member of the Board of Directors of B2W until 2021. Academic background He holds a Bachelor’s degree in Mechatronics Engineering from the Escola Politécnica da Universidade de São Paulo (Poli-USP), Brazil. He holds an MBA degree from INSEAD. Committees Type of committee: Type of audit: Nominated by the Controlling stockholder: Other Committees No Position held: Description of other position held: Committee member (effective) Chairman of the Personnel Committee Date of election: Date of investiture: Term of office: Date of beginning of first term: 04/30/2025 04/30/2025 Annual 04/25/2024 Type of committee: Type of audit: Nominated by the Controlling stockholder: Other Committees No Position held: Description of other position held: Committee member (effective) Member of the Customer Experience Committee Date of election: Date of investiture: Term of office: Date of beginning of first term: 04/30/2025 04/30/2025 Annual 06/27/2024 Type of committee: Type of audit: Nominated by the Controlling stockholder: Other Committees No Position held: Description of other position held:


 
Committee member (effective) Member of the Environmental, Social and Climate Responsibility Committee Date of election: Date of investiture: Term of office: Date of beginning of first term: 04/30/2025 04/30/2025 Annual 04/30/2025 Conviction: Type of Conviction: Description of the conviction: n/a n/a Administrator Name: Taxpayer ID (CPF): PEDRO LUIZ BODIN DE MORAES 548.346.867-87 Profession: Date of birth: Economist 07/13/1956 Profissional experience: Pedro Luiz Bodin de Moraes Position and term of office An Independent Member of the Board of Directors since 2008. Experience, skills and abilities Financial sector and capital markets He was a member of the Board of Directors of Unibanco – União de Bancos Brasileiros S.A. between 2003 and 2008. He has been a partner at Cambuhy Investimentos Ltda. since 2011 and at Ventor Investimentos Ltda. since 2009. He was a partner at Icatu Holding S.A. between 2005 and 2014. He was also a partner and Officer at Banco Icatu S.A. between 1993 and 2002. He was Vice President of the Associação Nacional dos Bancos de Investimentos (ANBID) between 1994 and 2001, and a Professor in the Department of Economics at the Pontifícia Universidade Católica do Rio de Janeiro between 1985 and 1990. Risk management He is currently the Chairman of the Risk and Capital Management Committee of Itaú Unibanco, and his previous experience in risk management has fully entitled him to hold the chair of this Committee. His duties include supporting the Board of Directors in defining the institution’s risk appetite and supervising the risk and capital management and control activities, aimed at ensuring their adequacy to the risk levels assumed and complexity of the operations. He served as Officer of the Monetary Policy of the Central Bank of Brazil from 1991 to 1992. The duties related to this position included managing and enforcing monetary and foreign exchange policies, establishing technical guidelines for managing the


 
Brazilian international reserves and defining policies for payment arrangements, clearing and settlement houses and other Financial Market infrastructures. ESG From 1990 to 1991 he was an Officer at Banco Nacional de Desenvolvimento Econômico e Social (BNDES), the main instrument for enforcing the Federal Government’s investment policy and whose mission is to promote the sustainable and competitive development of the Brazilian economy by generating jobs and reducing social and regional inequalities. Academic background He holds a Bachelor’s degree in Economic Sciences from the Pontifícia Universidade Católica do Rio de Janeiro (PUC-RJ), Brazil. He holds a Master’s degree in Economics from the Pontifícia Universidade Católica do Rio de Janeiro, Brazil. He is a Ph.D. in Economics from the Massachusetts Institute of Technology (MIT), Cambridge, Massachusetts, U.S. Committees Type of committee: Type of audit: Nominated by the Controlling stockholder: Other Committees No Position held: Description of other position held: Chairman of the Committee Chairman of the Capital and Risk Management Committee Date of election: Date of investiture: Term of office: Date of beginning of first term: 04/30/2025 04/30/2025 Annual 06/24/2009 Type of committee: Type of audit: Nominated by the Controlling stockholder: Other Committees No Position held: Description of other position held: Committee member (effective) Member of the Related Parties Committee Date of election: Date of investiture: Term of office: Date of beginning of first term: 04/30/2025 04/30/2025 Annual 04/25/2013 Type of committee: Type of audit: Nominated by the Controlling stockholder: Other Committees No


 
Position held: Description of other position held: Committee member (effective) Member of the Nomination and Corporate Governance Committee Date of election: Date of investiture: Term of office: Date of beginning of first term: 04/30/2025 04/30/2025 Annual 04/30/2025 Conviction Type of Conviction: Description of the conviction: n/a n/a Administrator Name: Taxpayer ID (CPF): RENATO LULIA JACOB 118.058.578-00 Profession: Date of birth: Bank Clerk 05/10/1974 Profissional experience: Renato Lulia Jacob has been a partner and an Officer at the Itaú Unibanco Group where he has been responsible since April 2024 for the Corporate Strategy, Investor Relations and Corporate Development and has been a member of the Disclosure and Trading Committee since 2019. He served as Group Head of Investor Relations and Market Intelligence and Chairman of the Disclosure and Trading Committee (2020 to 2024). Mr. Jacob has been at the Itaú Unibanco Group for 23 years, having held several positions, including CEO and Member of the Board of Directors at Itau BBA International plc, in the United Kingdom, and Member of the Boards of Directors at Itau International, in the U.S., and Itau Suisse, in Switzerland from 2016 to 2020, a Managing Director of Banco Itau Argentina S.A. from 2006 to 2010 and a Managing Director, Head of CIB Europe from 2011 to 2015. He has been an Independent Member of the Board of the Royal Institution of Great Britain, in the United Kingdom. He was an Independent Member of the Board of the Fight for Peace International from 2017 to 2022 and fellow of the Institute of Directors from 2015 to 2017. He holds a Bachelor’s degree in Civil Engineering from Universidade de São Paulo (USP), São Paulo, Brazil, and has attended the Advanced Management Program and taken part in the CEO Academy, both from the Wharton School of the University of Pennsylvania, Philadelphia, U.S. Committees Type of committee: Type of audit: Nominated by the Controlling stockholder:


 
Other Committees No Position held: Description of other position held: Committee member (effective) Member of the Disclosure and Trading Committee Date of election: Date of investiture: Term of office: Date of beginning of first term: 04/30/2025 04/30/2025 Annual 04/25/2019 Conviction Type of Conviction: Description of the conviction: n/a n/a Administrator Name: Taxpayer ID (CPF): RICARDO VILLELA MARINO 252.398.288-90 Profession: Date of birth: Engineer 01/28/1974 Profissional experience: Ricardo Villela Marino Position and term of office Non-Executive Vice Chairman of the Board of Directors since 2020. Experience, skills and abilities Financial sector and capital markets He has been the Chairman of the Latin America Strategic Council since 2018, leading the innovation and exploration of growth opportunities throughout the region, and is the Chairman of Banco Itaú Chile. He has held a number of positions at the Itaú Unibanco Group since 2002, including Vice President between 2010 and 2018, and CEO for Itaú Latam operations (Argentina, Chile, Paraguay and Uruguay). He started his career at Banco Credit Commercial de France (CCF), worked with fixed income and stock market at Banco de Investimentos Garantia (CSFB) and at Goldman Sachs Asset Management in New York and London, where he was a portfolio manager for Emerging Markets. He served as the Chairman of the Federation of Latin American Banks (FELABAN) and was named a Young Global Leader by the World Economic Forum (WEF). He has been an alternate member of the Board of Directors since 2011. Financial inclusion and entrepreneurship He is responsible for creating business models to the crypto market contributing to financial inclusion through digital assets. He currently serves as Vice Chairman of Humanitas 360, a non-profit organization focused on catalyzing social and civic entrepreneurship among young people. He is the Chairman of Instituto PDR, an organization aimed at investing and preparing new entrepreneurs with a


 
focus on social academic transformation. He is also a member of the Advisory Board of Visa Latin America and of the MIT Sloan School of Management. Academic background He holds a Bachelor’s degree in Mechanic Engineering from the Escola Politécnica da Universidade de São Paulo (USP), São Paulo, Brazil. He holds a Master’s degree in Business Administration from the MIT Sloan School of Management, Cambridge, Massachussets, U.S. Committees Type of committee: Type of audit: Nominated by the Controlling stockholder: Other Committees No Position held: Description of other position held: Committee member (effective) Member of the Strategy Committee Date of election: Date of investiture: Term of office: Date of beginning of first term: 04/30/2025 04/30/2025 Annual 05/03/2010 Conviction Type of Conviction: Description of the conviction: n/a n/a Administrator Name: Taxpayer ID (CPF): ROBERTO EGYDIO SETUBAL 007.738.228-52 Profession: Date of birth: Engineer 10/13/1954 Profissional experience: Roberto Egydio Setubal Position and term of office Non-executive Co-Chairman of the Board of Directors since 2017. Experiences, skills and abilities Financial sector, capital markets and other sectors He started his career at Banco Itaú in 1980, having held several positions before he was appointed as CEO in 1994, a position he held until April 2008. In that year, after the merger between the banks Itaú


 
and Unibanco, he became CEO of Itaú Unibanco Holding S.A. and held that position until 2017. He has been a Member of the Board of Directors of Itaúsa S.A. since 2021 and is currently the Vice Chairman. He is also a Member of the Board of Directors of CCR S.A. He was a Member of the Board of Directors of Petrobras between 2000 and 2002 and a Member of the Board of Directors of Shell Plc. between 2017 and 2020. He was a member of the International Monetary Conference (IMC) between 1994 and 2020, and the Chairman in 2015. He was the Chairman of the Brazilian Federation of Banks (FEBRABAN) between 1997 and 2000 and the Chairman of the Board of this institution between 2011 and 2017. He was a Member of the Board of Directors of the Institute of International Finance (IIF), having served as Vice Chairman between 2003 and 2014, and he was a Member of the International Advisory Committee of the Federal Reserve Bank of New York between 2002 and 2008. In 2011, he was named Banker of the Year by Euromoney magazine, and in 2015 he was elected, for the second time, the best executive in Brazil. Risk management During his term as CEO of Itaú Unibanco Holding S.A., until 2017, he oversaw risk management at the executive level, chairing seven superior risk councils, such as the Superior Audit and Operational Risk Management Council, the Superior Credit Council and the Superior Risk Policy Council, where he addressed corporate risk policies, risk management, risk appetite and the risk culture of the company. He is currently a Member of the Risk and Capital Management Committee, providing support in defining, reviewing and approving the risk appetite, strategies and institutional risk policies. ESG He is also a Member of the Board of Directors of Centro de Liderança Pública (CLP), a cross-party organization that seeks to engage society and develop public leaders to face urgent problems in Brazil. In 2003, he was appointed as a Member of the Economic and Social Development Council (CDES) and holds this position to date. Academic background He holds a Bachelor’s degree in Production Engineering from Escola Politécnica da Universidade de São Paulo (USP), São Paulo, Brazil. He also holds a Master’s degree in Engineering Science from Stanford University, California, U.S. Committees Type of committee: Type of audit: Nominated by the Controlling stockholder: Compensation Committee No Position held: Description of other position held: Chairman of the Committee Date of election: Date of investiture: Term of office: Date of beginning of first term: 04/30/2025 04/30/2025 Annual 05/25/2017


 
Type of committee: Type of audit: Nominated by the Controlling stockholder: Other Committees No Position held: Description of other position held: Committee member (effective) Member of the Capital and Risk Management Committee Date of election: Date of investiture: Term of office: Date of beginning of first term: 04/30/2025 04/30/2025 Annual 06/24/2009 Type of committee: Type of audit: Nominated by the Controlling stockholder: Other Committees No Position held: Description of other position held: Committee member (effective) Chairman of the Strategy Committee Date of election: Date of investiture: Term of office: Date of beginning of first term: 04/30/2025 04/30/2025 Annual 06/24/2009 Type of committee: Type of audit: Nominated by the Controlling stockholder: Other Committees No Position held: Description of other position held: Committee member (effective) Member of the Customer Experience Committee Date of election: Date of investiture: Term of office: Date of beginning of first term: 04/30/2025 04/30/2025 Annual 06/27/2024 Conviction Type of Conviction: Description of the conviction: n/a n/a Administrator Name: Taxpayer ID (CPF):


 
ROGÉRIO CARVALHO BRAGA 625.816.948-15 Profession: Date of birth: Lawyer 01/30/1956 Profissional experience: Rogério Carvalho Braga (Independent Member) has been a Member of the Audit Committee of the Itaú Unibanco Group since 2021 and is a Member of the Board of Directors of Banco Itaú Chile (formerly named Itaú CorpBanca). He has held several positions at the Itaú Unibanco Group, including Officer in 2020 and Corporate Manager of Marketing, Franchise and Products at Itaú CorpBanca from 2016 to 2018. He joined the Itaú Unibanco Group in 1999 and was elected Officer in 2000. He holds a Bachelor’s degree in Law from Pontifícia Universidade Católica de São Paulo (PUC-SP), São Paulo, Brazil, and an MBA degree from Pepperdine University, Malibu, California, U.S. Committees Type of committee: Type of audit: Nominated by the Controlling stockholder: Audit Committee Audit Committee A Statutory Audit Committee non adherent to CVM Instruction nº 23/21 No Position held: Description of other position held: Committee member (effective) Date of election: Date of investiture: Term of office: Date of beginning of first term: 04/30/2025 06/18/2025 Annual 06/16/2021 Conviction Type of Conviction: Description of the conviction: n/a n/a