EX-99.1 2 manualfortheannualgenera.htm EX-99.1 manualfortheannualgenera


 
Index 01 | Message from the Management 02 | Introduction 03 | Executive Officers' Comments 04 | Information about the Annual and Extraordinary General Stockholders’ Meeting 05 | Call Notice 06 | Annual and Extraordinary General Stockholders’ Meeting Attachment I - Allocation of Profit (Attachment A of CVM Resolution No. 81/22) Attachment II - Executive Officers' Comments (Item 2 of Attachment C of CVM Resolution No. 80/22) Attachment III - Board of Directors Candidates’ Résumés (Items 7.3 and 7.6 of Attachment C of CVM Resolution No. 80/22) Attachment IV - Management Members’ Compensation (Item 8 of Attachment C of CVM Resolution No. 80/22) Attachment V - Attachment I of CVM Resolution No. 81/22 Attachment VIII - Powers of Attorney A - Proxy Template for Holders of Common Shares B - Proxy Template for Holders of Preferred Shares C - Proxy Template for proxies Provided by the Company (for Holders of Common Shares) D - Proxy Template for proxies Provided by the Company (for Holders of Preferred Shares) E - Information from Attachment Q of CVM Resolution No. 81/22 03 04 04 04 07 09 14 20 56 81 124 160 165 180 185 186 191 Attachment VI - Attachment L of CVM Resolution No. 81/22 Attachment VII - Bylaws (Article 12 of CVM Resolution No. 81/22) 192


 
São Paulo, March 27, 2026. Dear stockholder, We invite you to read this shareholder’s manual, which details the matters proposed at the Annual and Extraordinary General Stockholders’ Meeting of Itaú Unibanco Holding, scheduled for April 28 at 11 a.m. The Annual General Stockholders’ Meeting will address the Financial Statements for the year of 2025, the net income allocation, the election of the members of the Board of Directors and the Fiscal Council, the overall compensation of the members of the Board of Officers and the Board of Directors and the compensation of the members of the Fiscal Council. The Extraordinary General Stockholders’ Meeting will address the corporate restructuring to merger Banco Itaucard S.A. into Itaú Unibanco Holding S.A., andalso the amendments to the Bylaws proposed by Management. The documents to be examined at the Meeting are available to stockholders on the Company’s Investor Relations website (https://www.itau.com.br/ relacoes-com-investidores/en), as well as on the websites of the Brazilian Securities and Exchange Commission – CVM (https://www.cvm.gov.br) and of B3 – Brasil, Bolsa, Balcão (https://www.b3.com.br). The Meeting will be held online, and stockholders may once again cast their votes remotely – the procedures are detailed in this document. We wish you enjoy the reading. Sincerely yours, The Management Itaú Unibanco Holding S.A. 1. Message from the Management 3


 
General Stockholders’ Meetings are important tools for stockholder’ participation in decisions that set, among other things, the management of Itaú Unibanco Holding S.A. (“Itaú Unibanco”, the “Company”, “Issuer”, “Corporation” or “Organization”) and, therefore, how the business of the Company and its controlled companies is managed. On April 28, 2026, stockholders will be able to vote on fundamental issues affecting the Organization. The holders of ITUB3 shares (common stock) will be able to vote, among other matters, on the election of members of the Company's Board of Directors and Fiscal Council, and the allocation of net income earned in 2025. The holders of ITUB4 shares (preferred stock) will be able to vote on the election of members of the Fiscal Council nominated by preferred stockholders. The call notice included in item 5 of this document describes the matters that will be deliberated at the Annual and Extraordinary General Stockholders’ Meetings to be held sequentially on April 28, 2026 (“Meetings”). Item 4 of this manual provides detailed information regarding stockholder participation and voting at stockholder meetings. For additional information about the Company and its controlled companies, please visit Itaú Unibanco’s Investor Relations website (https://www.itau.com.br/ relacoes-com-investidores/en/). The Executive Officers' Comments, as specified in Item 2 of Attachment C of Brazilian Securities and Exchange Commission (“CVM”) Resolution No. 80/22, are included as Attachment II to this document. Date This year, Itaú Unibanco's Annual General Stockholder’s Meeting will be held on April 28, 2026, at 11:00 a.m., followed by an Extraordinary General Stockholders’ Meeting at 11:10 a.m. Opening Quorum Itaú Unibanco's Annual General Stockholder’s Meeting will be held on first call, with the attendance of stockholders representing at least one-fourth (1/4) of the voting capital (common shares), in accordance with article 125, caput, of Law No. 6,404/76, as amended (“Brazilian Corporate Law”). The Extraordinary General Stockholders’ Meeting will be held, on first call, with the attendance of stockholders representing at least two-thirds (2/3) of the voting capital (common shares ), in accordance with Article 135, caput, of the Brazilian Corporate Law. We clarify that in the case of insufficient quorum to hold the aforementioned Annual and Extraordinary General Stockholders’ Meetings on first call, a new call will be made by means of a notice to be published in due course, and the Meetings will be held at least eight (8) days after such new call notice is published, in accordance with article 124, paragraph 1, II, of Brazilian Corporate Law. On second call, the Meetings will be convened with any number of stockholders holding common shares . Venue The Annual General Stockholders’ Meeting and the Extraordinary General Stockholders’ Meeting will be held exclusively in a digital and remote environment, with the aim of facilitating the participation of stockholders, wherever they may be. The link and access instructions will be provided by the Company to stockholders who send the following documents to the email address ri@itau- unibanco.com.br by April 24, 2026: a) Legal entities: notarized copy of the articles of association/bylaws and proof of election of the management members, duly registered with the competent commercial registry. b) Individuals: a digital copy of the ID document bearing the stockholder’s picture Call Notice The Call Notice included in item 5 of this document will be published on March 28, 30, and 31, 2026, in the newspaper O Estado de S. Paulo, and will also be 2. Introduction 3. Executive Officers ' Comments 4. Information about the Annual and Extraordinary General Stockholders’ Meeting 4


 
available on the Company's Investor Relations website (www.itau.com.br/relacoes-com-investidores/en/). Documents available to stockholders The Management Report on the Company's business and the main administrative events of the fiscal year, a copy of the financial statements, the Independent Auditors' report, the opinion of the Fiscal Council , and a copy of the summary of the Audit Committee's report were published on February 19, 2026, in the newspaper O Estado de S. Paulo (printed version: pages B13 to B15 and digital version: pages 1 to 5 of the Investor Relations Section) and were also made available by the Company on February 4, 2026, on the CVM website and on its Investor Relations website (www.itau.com.br/relacoes-com-investidores/en/). In order to provide guidance on the matters to be discussed, the information listed in article 10 of CVM Resolution No. 81/22 is also made available by the Company on the CVM website and on its Investor Relations website (www.itau.com.br/relacoes-com- investidores/en/) under “Corporate Governance” > “General Stockholders’ Meetings ”. Proxies To assist stockholders who decide to participate in the Annual and Extraordinary General Stockholders’ Meetings through proxies, we provide the following attachments: VIII - A “Proxy template for holders of common shares”; and VIII – B “Proxy Template for holders of preferred shares”. Alternatively, the Company will provide three (3) duly authorized proxies to represent the stockholder at the Meetings, who will vote in strict accordance with the voting instructions presented by the stockholder, as per Attachment VIII - C “Proxy Template for proxies Provided by the Company (holders of common shares)” and Attachment VIII – D “Proxy Template for proxies Provided by the Company (holders of preferred shares)”. Information regarding proxy requests, as per Attachment Q of CVM Resolution No. 81/22, can be found in Attachment VIII – E of this document. In order to facilitate the work at the General Stockholders’ Meetings, the Company suggests that stockholders represented by proxies send, by April 24, 2026, a copy of the proxy and other documents listed in the Call Notice to the email address: ri@itau- unibanco.com.br. Remote voting form Accordingly, stockholders willing to vote by means of a remote voting form, in accordance with the provisions of CVM Resolution No. 81/22, may forward their voting instructions concerning the matters to be voted on at the Meetings: • by remote voting form sent directly to the Company; or • by transmitting instructions for completing the remote voting form to service providers, namely: a) to the stockholder's custodian, if the shares are deposited with a central depository; or b) to Itaú Corretora de Valores S.A., as the financial institution contracted by the Company to provide marketable securities bookkeeping services. Stockholders forwarding the voting form directly to the Company Stockholders who choose to exercise their right to vote remotely may do so directly with the Company, and must send the following documents to ri@itau- unibanco.com.br by April 24, 2026: (i) the voting form duly completed, initialed and signed (no need for notarization, consular legalization or sworn translation for documents in a foreign language); and (ii) identification document - for Legal Entities: a notarized copy of the articles of incorporation/bylaws, proof of election of management members and notarized copy of the power of attorney containing specific powers to sign the remote voting form on behalf of the Legal Entity, when applicable, and the identity document of these representatives; and for Natural Persons: a notarized copy of the stockholder's photo ID. We request that documents produced abroad be consularized or apostilled and accompanied by the respective sworn translation. Once the documents referred to in (i) and (ii) above have been received, the Company will notify the stockholder of their receipt and acceptance. This information will be sent to the Stockholder via the email address indicated on the voting form. Stockholders forwarding the voting form to service providers Otherwise, the stockholder may choose to exercise their voting rights remotely through service providers, transmitting their voting instructions to their custodians or registrar, in accordance with the 5


 
rules established by them. The stockholder should contact the custodian or registrar to verify the procedures established by them, as well as the required documents. Itaú Corretora de Valores S.A., the bookkeeper for the Company’s shares, has created the Digital Meeting website, a secure platform for casting votes remotely. To vote via the website, registration and a digital certificate are required. Information about registration and the step-by-step process for obtaining a digital certificate are described on the website: https:// assembleiadigital.certificadodigital.com/ itausecuritiesservices/artigo/home/assembleia-digital ITAÚ CORRETORA DE VALORES S.A. 3003-9285 (capital cities and metropolitan areas) 0800 7209285 (other locations) Opening hours: weekdays from 9 a.m. to 6 p.m. Email: atendimentoescrituracao@itau-unibanco.com.br The stockholder should forward the instructions for completing the form to the service providers by April 24, 2026, unless a different and more favorable deadline is established by them. Information regarding the election of members to the Board of Directors. According to the Brazilian Corporate Law, the election of members to the Board of Directors can be carried out by majority of votes, multiple voting, or separate voting processes. Since the various voting procedures can impact the number of members on the Board of Directors, for a better understanding of the dynamics of this election, the voting processes are detailed below: i) Multiple Voting In view of the provisions of CVM Resolution No. 70/22, in order to request the adoption of multiple voting for the election of members of the Company's Board of Directors, the requesting stockholders must represent at least five percent (5%) of the voting capital. According to article 141, paragraph 1, of the Brazilian Corporate Law, the right to request the adoption of multiple voting rights must be exercised by stockholders at least forty-eight (48) hours before the General Stockholders’ Meeting, and the presiding officer of the General Stockholders’ Meeting must inform the stockholders in advance, based on the "Attendance Book," of the number of votes required for the election of each member of the Board of Directors. In any case, it is important that requests for multiple voting rights be made as far in advance as possible, in order to facilitate their processing by the Company and the participation of stockholders. Once the multiple voting process for electing members of the Board of Directors is adopted, votes cast by stockholders who, via remote voting form, have chosen to "ABSTAIN" on the item of prior distribution of votes among the candidates listed on the form, will be considered as abstentions in the respective deliberation of the Meeting, so that the votes of such stockholders will not be counted in the quorum for deliberation and, therefore, these stockholders do not participate in the election of the members of the Board of Directors. ii) Separate Voting Article 141, paragraph 4, of the Brazilian Corporate Law guarantees the right to elect, in a separate vote, one (1) member of the Board of Directors to the following groups of stockholders (excluding controlling stockholders): (a) holders of at least 15% of the total shares with voting rights, as per article 141, paragraph 4, I; (b) holders of preferred shares, without voting rights, representing at least 10% of the share capital, as per article 141, paragraph 4, II; or (c) if the previous quorums are not obtained, minority stockholders, common and preferred stockholders, who, adding their holdings, have at least 10% of the share capital, as per article 141, paragraph 5, of the Brazilian Corporate Law. Only stockholders who have held the required shareholding uninterruptedly for a period of at least 3 (three) months immediately prior to the date of the General Stockholders’ Meeting may exercise the right to vote separately, pursuant to article 141, paragraph 6, of the Brazilian Corporate Law. Information regarding the election of members to the Fiscal Council. Article 161, paragraph 4 of Brazilian Corporate Law, a) guarantees to holders of non-voting preferred shares, or shares with restricted voting rights, the right to elect, in a separate vote, 1 (one) member and respective alternate for the Fiscal Council; minority stockholders will have the same right, provided that they represent, together, 10% (ten percent) or more of the shares with voting rights. Notwithstanding the right of preferred stockholders and minority stockholders to separately elect members to the Fiscal Council as described above, the remaining stockholders with voting rights may elect new effective and alternate members who, in any 6


 
case, will be equal in number to those elected under the terms above, plus one. Eligibility requirements for Nominated Candidates Stockholders willing to nominate candidates to serve on the Board of Directors or the Fiscal Council must submit, at the Annual General Stockholders’ Meeting, the necessary proof of meeting the minimum eligibility requirements applicable to the mandate, as provided for in the Brazilian Corporate Law, National Monetary Council (“CMN”) Resolution No. 4,970/21 and the CVM Resolution No. 80/22. To better organize the work of the General Stockholders’ Meeting and to allow for a preliminary analysis of the eligibility requirements of these candidates, we suggest that the documents be submitted to the Company by April 21, 2026. Conflict of Interests During the General Stockholders’ Meeting, as well as in meetings of the Company's administrative and supervisory bodies, stockholders present must express their views regarding any potential conflict of interest in any matters under discussion or deliberation, in which their independence may be compromised. Any stockholder present who is aware of a conflict of interest involving another stockholder and the subject matter of the deliberation must also express their views. When a conflict of interest is identified, the conflicted stockholder must abstain from deliberating on that matter. If the conflicted stockholder refuses to abstain from deliberations, the Chairperson of the General Stockholders’ Meeting must order the annulment of the conflicted votes cast, even if after the meeting. Communication Channel with the Board of Directors Finally, we would like to emphasize that stockholders can send suggestions, criticisms or questions directly to the Board of Directors via the link https:// www.itau.com.br/relacoes-com-investidores/en/ investor-services/contact-ir/ by selecting the "Send email" option and then, in the Subject field, selecting “Recommendations for the Board of Directors for the General Meeting”. Annual General Stockholders’ Meeting and Extraordinary General Stockholders’ Meeting The stockholders of ITAÚ UNIBANCO HOLDING S.A. (“Company”) are invited by the Board of Directors to attend the Annual General Stockholders’ Meeting and the Extraordinary General Stockholders’ Meeting, to be held on April 28, 2026, at 11:00 a.m. and 11:10 a.m., respectively. The meetings will be held exclusively remotely and digitally in order to facilitate the participation of stockholders from wherever they may be and will address the matters listed below. Annual General Stockholders’ Meeting – 11:00 a.m. 1. Take cognizance of the Management Report and the Independent Auditors' Report, the Opinion of the Fiscal Council and the Summary of the Audit Committee's Report, and examine for resolving upon the management accounts and the Financial Statements for the fiscal year ended December 31, 2025; 2. Resolve on the allocation of profit for the fiscal year; 3. Establish the number of members that will compose the Board of Directors and elect its members for the next annual term, including the co-chairmen, the vice- chairman, and the independent members. In view of the provisions of Resolution No. 70/22 of the Securities and Exchange Commission (“CVM”), it is stipulated that, to request the adoption of multiple voting in the election of members of the Board of Directors, the applicants must represent at least 5% of the voting capital; 4. Elect the effective and alternate members of the Fiscal Council for the next annual term; and 5. Resolve upon the amount of funds allocated for the overall compensation of the members of the Board of Officers and the Board of Directors, as well as the compensation of the members of the Fiscal Council. Extraordinary General Stockholders’ Meeting – 11:10 a.m. 1. Resolve upon the “Protocol and Justification” which establishes the terms and conditions for the merger of Banco Itaucard S.A. into the Company, with a base date of December 31, 2025; 5. Call Notice 7


 
2. Ratify the appointment and engagement of PricewaterhouseCoopers Auditores Independentes Ltda. - PwC as the specialized firm responsible for preparing the appraisal report on the book net worth of Banco Itaucard S.A., to be merged into the Company; 3. Resolve upon the appraisal report, based on the balance sheet of Banco Itaucard S.A., as of December 31, 2025; 4. Resolve upon the merger of Banco Itaucard S.A. into the Company, without an increase in the Company's capital stock, in accordance with the "Protocol and Justification"; 5. Authorize the Company's management members, as provided for in its Bylaws, to perform all acts and sign all documents necessary for the implementation and formalization of the approved resolutions; 6. Amend the wording of article 3, caput, of the Bylaws to reflect the new composition of the subscribed and paid-in capital, following resolutions by the Board of Directors on November 27, 2025 and December 18, 2025 regarding the cancellation of shares and the increase of capital within the limit of the authorized capital; 7. Amend the wording of item 9.1 of article 9 of the Bylaws to modify the maximum number of members of the Board of Officers, so that it is now composed of five (5) to sixty (60) members; and 8. Consolidate the Bylaws, with the changes mentioned above. A consolidated description of the proposed topics, as well as their justification, can be found in the Meeting Manual. The documents to be analyzed at the Meeting are available to stockholders on the Company's Investor Relations website (www.itau.com.br/relacoes-com- investidores/en/), as well as on the CVM website (www.cvm.gov.br) and the B3 – Brasil, Bolsa, Balcão website (www.b3.com.br). Stockholders may also request copies of these documents by email at ri@itau-unibanco.com.br. The Meetings will be held through an electronic system with a link and access instructions to be provided by the Company to stockholders who send the following documents to the email address ri@itau-unibanco.com.br by April 24, 2026: a) Legal entities: a notarized copy of the articles of incorporation/bylaws and proof of election of the management members, duly registered with the competent commercial registry. b) Individuals: a scanned copy of a valid photo ID of the stockholder. Stockholders may be represented at Meetings by proxy, pursuant to article 126 of Law No. 6,404/76, provided that the proxy submits their identity document and the documents listed below proving the validity of their power of attorney (we request that documents produced abroad be consularized or apostilled and accompanied by the respective sworn translation). We clarify that the representative of a corporate stockholder does not need to be a stockholder, company director, or lawyer. a) Legal Entities: a notarized copy of the articles of incorporation/bylaws of the represented legal entity, proof of election of the management members and the corresponding power of attorney, with signature authenticated by a notary public. b) Individuals: power of attorney with signature authenticated by a notary public. In order to facilitate the work at the Meetings, the Company suggests that stockholders represented by proxies send, by April 24, 2026, a copy of the documents listed above to the email address ri@itau- unibanco.com.br. The Company has implemented a remote voting system, pursuant to CVM Resolution No. 81/22, as amended, enabling its stockholders to send remote voting forms (i) directly to the Company, (ii) to their respective custodian agents, if the shares are deposited with a central depository, or (iii) to Itaú Corretora de Valores S.A., a financial institution engaged by the Company to provide stockholder registration services, in accordance with the procedures described in the stockholders' Meeting Manual. São Paulo (SP), March 27, 2026. Gustavo Lopes Rodrigues Investor Relations Officer 8


 
(a) R$ 2,282,968,381.24 for the Legal Reserve account; and (b) R$ 33,703,674,403.32, gross, for the payment of dividends and interest on capital, as provided for in article 9 of Law No. 9,249/95, it being noted that the payment of such amount has already been made in full. It is also proposed to allocate R$ 9,672,724,840.14 and R$ 38,378,481.19 to the Statutory Profit Reserves, relating to the net income for the fiscal year and to dividends and interest on capital accrued during the fiscal year, respectively. The allocation of profit, as specified in Attachment A of CVM Resolution No. 81/22, is included as Attachment I of this document. III. Establish the number of members that will compose the Board of Directors and electing the members of the Board of Directors and the Fiscal Council for the next annual term. The majority stockholder proposes the filling of 13 (thirteen) positions on the Company's Board of Directors for the next annual term, with up to 1 (one) additional mandate possibly being filled by separate vote, pursuant to article 141, paragraph 4, of the Brazilian Corporate Law. In light of the evaluation by the collegiate body and its members individually, the good performance during the period and the attendance of its members at meetings, and also the adherence to the eligibility requirements of the Company and its Policy for the Nomination of Directors, the following members are proposed for re-election individually: Pedro Moreira Salles and Roberto Egydio Setubal as Co-Chairmen; Ricardo Villela Marino as Vice-Chairman; Alfredo Egydio Setubal, Ana Lúcia de Mattos Barretto Villela and João Moreira Salles, as members; and Candido Botelho Bracher, Cesar Nivaldo Gon, Fabricio Bloisi Rocha, Marcos Marinho Lutz, Maria Helena dos Santos Fernandes de Santana, Paulo Antunes Veras and Pedro Luiz Bodin de Moraes, as independent members. Pursuant to article 140, paragraph 2 of the Brazilian Corporate Law, as well as Article 5 of Attachment K of CVM Resolution No. 80/22, and in accordance with self-declaration and assessment by the Board of Directors, the following are considered independent members: Candido Botelho Bracher, Cesar Nivaldo Gon, Fabricio Bloisi Rocha, Marcos Marinho Lutz, Maria Helena dos Santos Fernandes de Santana, Paulo Antunes Veras, and Pedro Luiz Bodin de Moraes. The table below details the compliance with independence requirements for each of the board members considered independent: 6. Annual General Stockholders’ Meeting and Extraordinary General Stockholders’ Meeting At the Annual General Stockholders’ Meeting I. Management Accounts, Balance Sheets, other Financial Statements and Explanatory Notes, relating to the fiscal year ended December 31, 2025. The Management Report was made available along with the Financial Statements, having been approved by the Board of Directors at a meeting on February 4, 2026, and made available on that date on the CVM website and on the Company's Investor Relations website (www.itau.com.br/relacoes-com- investidores/en/). In addition, that document was published on February 19, 2026, in the newspaper O Estado de S. Paulo (printed version: pages B13 to B15 and digital version: pages 1 to 5 of the Investor Relations Section). The Company's management proposes to the Meeting the approval of the Management Accounts, Balance Sheets, other Financial Statements and Explanatory Notes, relating to the fiscal year ended December 31, 2025. II. Allocation of profit for the fiscal year 2025. The Company reported profit for the fiscal year 2025 in the amount of Brazilian Reais (R$) 45,659,367,624.70, as per the income statement made available on February 4, 2026 on the CVM website and on the Company's Investor Relations website (https://www.itau.com.br/relacoes-com- investidores/en/), published together with the Financial Statements on February 19, 2026, in the newspaper O Estado de S. Paulo (printed version: pages B13 to B15 and digital version: pages 1 to 5 of the Investor Relations Section). In view of the determination of said Profit, as evidenced in the Financial Statements, it is proposed to allocate it as follows: 9


 
Regarding the Fiscal Council, the majority stockholder proposes the election of Cláudio José Coutinho Arromatte, as an effective member, and the reelection of Eduardo Hiroyuki Miyaki, as an effective member, and João Costa and Leni Bernadete Torres da Silva Sansiviero as alternate members, all of whom meet, as of the date of the election, the eligibility requirements set forth in Article 162 of the Brazilian Corporate Law1. The stockholder Caixa de Previdência dos Funcionários do Banco do Brasil – PREVI, as holder of preferred shares, announced the nomination of two more candidates for the Company's Fiscal Council for election: Marcelo Maia Tavares de Araújo as an effective member and Haroldo do Rosario Vieira as an alternate member, both of whom also meet the eligibility requirements of article 162 of the Brazilian Corporate Law. Detailed résumés, as well as other information required by items 7.3 to 7.6 of Attachment C of CVM Resolution No. 80/22, are included in Attachment III of this document. IV. Setting the amount allocated for the overall compensation of the members of the Board of Officers and the Board of Directors, as well as the compensation of the members of the Company's Fiscal Council . With regard to the fiscal year 2026, regardless of the year in which the amounts are actually allocated, paid or recognized in the Company's financial statements, it is proposed that the General Stockholders’ Meeting approve the total amount of R$ 938 million for the compensation of the Company's management members (members of the Board of Officers and the Board of Directors). The proposed aggregate compensation amount primarily results from the the expansion of the 1 The candidate Cláudio José Coutinho Arromatte currently serves as an officer of companies within the Itaú Unibanco conglomerate. However, he will resign from those positions on March 31, 2026, and, as a result, at the time of his election to the Fiscal Council, he will have met all eligibility requirements provided for by law. Independence requirements Candido Botelho Bracher Cesar Nivaldo Gon Fabrício Bloisi Rocha Marcos Marinho Lutz Maria Helena Santana Paulo Antunes Veras Pedro Bodin He is not the controlling stockholder of the Company. Their voting rights at Board of Directors meetings are not bound by a stockholders' agreement concerning matters related to the Company. Not the spouse, partner, or relative, in a direct or collateral line, up to the second degree, of the controlling stockholder, of a director of the Company, or of a director of the controlling stockholder. He/She is not, and has not been in the last 3 (three) years, an employee or director of the Company or its controlling stockholder. 10


 
Company’s activities (with a positive evolution of its financial performance) and the consequent increase in operational complexity, which required an expansion in the number of members of the Board of Officers since the last aggregate compensation proposal disclosed to the market and approved at the Annual General Meeting held on April 17, 2025. For the members of the Fiscal Council, it is proposed that the General Stockholders’ Meeting approve an individual monthly compensation of R$ 22,000 for effective members and R$ 9,000 for alternate members. The compensation of the members of the Fiscal Council will be valid until the Annual General Stockholders’ Meeting of 2027. Compensation may be paid in Brazilian currency or in company shares. Our compensation policy aims to attract, retain, and reward management members based on merit, as well as encourage them to maintain prudent levels of risk exposure in their short, medium, and long-term business strategies, in line with stockholder interests and the Organization's culture, enabling the company to achieve sustainable results. The following instruments are considered in determining the overall compensation to be approved at the stockholders' Meeting: Fiscal Council Fixed monthly compensation: monetary fee. According to applicable legislation, the compensation of each active member cannot be less than 10% of the fixed compensation attributed to each director (i.e., excluding benefits, representation allowances, and profit sharing). Board of Directors Fixed monthly compensation: a monetary fee, aligned with market practices and reviewed as frequently as necessary to attract qualified professionals. Annual fixed compensation in shares: fee in preferred shares of the Issuer. Until 2024, the number of shares was determined and granted every three years, with the delivery of shares being proportional to the number of mandates fulfilled in the period. From 2025 onwards, the granting has been carried out annually, with payments of one-third each year. Annual variable compensation in shares: compensation in shares approved only in case of deliberation by the Compensation Committee, subject to the guidelines of CMN Resolution No. 5,177/24, with annual grants deferred for a minimum of 3 (three) years, being made in annual installments proportional to the deferral period. Board of Officers Fixed monthly compensation: a fixed monetary fee, established according to the function performed and based on internal equity, also allowing for mobility within our various businesses. The determination of the amounts takes into account competitiveness in the market. Benefits: Includes medical and dental plans, check- ups, supplementary pension plan, parking, and life insurance. Annual variable compensation: statutory profit sharing and fees (in cash and in shares or stock-based instruments) approved by the Compensation Committee. In line with the provisions of CMN Resolution No. 5,177/24 (“compensation Resolution”), variable compensation is compatible with the risk management policies of the Company and its controlled companies, with at least 70% of this variable compensation being converted into preferred shares of the Issuer or instruments based on such shares, the transfer of which to the management members is deferred for at least 3 (three) years, being carried out in annual installments proportional to the deferral period. Additionally, the Issuer has an institutional program called the Partners Program, which aims to align risk management in the short, medium, and long term, as well as align the interests of program participants with those of our stockholders, benefiting them in proportion to the gains obtained by the Issuer and its stockholders. In this program, management members with a history of significant contributions and outstanding performance must allocate a portion or all of their annual variable compensation to the acquisition of preferred shares of the Issuer (“Treasury Shares”). By maintaining ownership of the Treasury Shares without any encumbrances or liens and fulfilling the other suspensive conditions stipulated in the Program Regulations for periods of 3 (three) and 5 (five) years from the initial investment, there will be a return on investment through the receipt of consideration in preferred shares of the Issuer (“Partners' Shares”) also within periods of 3 (three) and 5 (five) years. Shares received as 11


 
consideration are unavailable for sale until the 5th (fifth) year from the date of each investment made. For the purposes of calculating the total amount of compensation paid in shares, the criterion for calculation will be the value of the Company's preferred shares on B3 S.A. – Brasil, Bolsa, Balcão in 2026, the year in which the compensation is effectively granted, regardless of the year in which it is effectively paid or recognized in the Company's financial statements. Taking into account the deferral structure of the Company's variable compensation forms, the amounts for variable compensation converted into shares or share-based instruments relating to the fiscal year 2025, to be effectively allocated in 2026, will be transferred over a total deferral period of at least 3 (three) and at most 5 (five) years. Deferred amounts may be reduced or not paid due to a possible reduction in the recurring net income of the Company or the applicable business area during the deferral period, except when the reduction or negative result arises from extraordinary, unforeseeable events external to the Itaú Unibanco Group, which also affect other financial institutions and are not related to actions or omissions of the management members. The Compensation Committee may decide to apply the malus even in these cases. Furthermore, the Company has a Clawback policy, which consists of recovering compensation amounts granted or paid in excess to the target Executive Officers in Annex I of the Directors' Compensation Policy, in the event of restatement of the Company's Financial Statements. In addition to the amounts established by the General Stockholders’ Meeting, the management members may receive a share in the Company's profits, which, pursuant to article 152, paragraph 1, of the Brazilian Corporate Law, shall be limited to the management members ' annual compensation or 10% (ten percent) of the Company's profit, whichever is lower. The proposed compensation for directors, as specified in Item 8 of Attachment C of CVM Resolution No. 80/22, is included as Attachment IV to this document. Finally, in compliance with Law No. 15.177/25, which amended the Law of Brazilian Corporate, and continuing the information published in the Management Report released on February 19, 2026, we present below the total number of employees, as well as the ratio between the compensation of men and women, at the end of the fiscal year, segregated by hierarchical level. Position level Total Board of Directors Officers Superintendents Managers and Coordinators Analysts 2025 2024 2025 2024 2025 2024 2025 2024 2025 2024 2025 2024 Number of women hired (admitted in the year) 4,043 5,775 0 0 2 0 12 6 166 206 3,863 5,563 Number of women in management positions (in December of each year) 32 23 2 2 30 21 - - - - - - Number of women (in December of each year) 42,783 44,761 2 2 30 21 208 194 6,396 6,341 36,147 38,203 Percentage of women represented by grouping 53.6% 53.7% 15.4% 15.4% 21.3% 16.2% 28.5% 27.9% 47.2% 47.5% 55.3% 55.2% Percentage of women's pay relative to men's pay. 99.35% 99.33% 100% 100% 93.19% 95.73% 97.95% 106.14% 98.66% 99.59% 99.36% 99.33% Notes: - Women: Considered the biological sex. - The values presented in the report only consider comparable groups, that is, for each woman, men with the following characteristics are compared: same employer CNPJ (Brazilian tax ID), same mandate title, difference in length of service of less than or equal to 48 months, and difference in time in the role of less than or equal to 24 months. - Compensation: Includes fixed, variable, and occasional compensation. 12


 
At the Extraordinary General Stockholders’ Meeting I. Corporate Reorganization in the Itaú Unibanco Conglomerate The Itaú Unibanco Conglomerate has been consistently seeking to rationalize the use of its resources and optimize its structures and businesses, with a view to providing greater efficiency and return on invested capital. In this regard, the Board of Directors approved the proposal for corporate reorganization in connection with the merger, into the the Company, of Banco Itaucard S.A. (“Itaucard”), a company wholly owned by the Company (“Transaction” or “Merger”). Currently, Itaucard has no operational activities, and the activities previously carried out by this entity have already been transferred to the Company and other group companies in previous corporate reorganizations. Therefore, the purpose of the Transaction will be to extinguish Itaucard. The terms and conditions of the Merger are detailed in the “Protocol and Justification” and the “Appraisal Report”. This manual contains all the necessary documents for stockholders to deliberate on the Management Proposal. The “Protocol and Justification” establishes the terms and conditions of the Merger. The Appraisal Report, based on the balance sheet as of December 31, 2025 of Itaucard and the Company, was prepared by the specialized firm PricewaterhouseCoopers Auditores Independentes Ltda. – PwC. These documents are included in Attachment V, corresponding to the content of Attachment I of CVM Resolution 81/22. Attachment VI contains the Information on Appraisers, as required by Attachment L of CVM Resolution 81/22. II. Amendment to the Company's Bylaws Considering that (i) on November 27, 2025, the Company's Board of Directors resolved to cancel 78,850,638 book-entry preferred shares held in treasury, which were acquired by the Company through the share buyback program authorized by the Board of Directors at a meeting held on February 5, 2025, pursuant to CVM Resolution 77/22; (ii) on December 18, 2025, the Company's Board of Directors approved an increase in the Company's subscribed and paid-in capital stock, within the limit of the authorized capital provided for in the Articles of Association, in the amount of R$ 12,846,837,880.00 (twelve billion, eight hundred and forty-six million, eight hundred and thirty-seven thousand, eight hundred and eighty reais), increasing it from R$ 124,063,060,190.00 (one hundred and twenty-four billion, sixty-three million, sixty thousand, one hundred and ninety reais) to R$ 136,909,898,070.00 (one hundred and thirty-six billion, nine hundred and nine million, eight hundred and ninety-eight thousand and seventy reais) through the capitalization of amounts recorded in the Company's Profit Reserves and the issuance of 321,170,947 (three hundred and twenty-one million, one hundred and seventy thousand, nine hundred and forty-seven) new book- entry shares, without par value, being 163,623,582 (one hundred and sixty-three million, six hundred and twenty-three thousand, five hundred and eighty-two) common shares and 157,547,365 (one hundred and fifty-seven million, five hundred and forty-seven thousand, three hundred and sixty-five) preferred shares, the Company's management proposes to the Extraordinary General Stockholders’ Meeting the amendment of the Bylaws to: a) reflect the new composition of the share capital, resulting from the cancellation of preferred shares and the increase in share capital within the limit of the authorized capital, as per resolutions of the Board of Directors taken at meetings held on November 27, 2025 and December 18, 2025, respectively. Therefore, it is proposed that article 3, caput, of the Company's Bylaws be amended; and b) amend item 9.1 of article 9 of the Bylaws to modify the maximum number of members of the Board of Officers of Directors, so that it is composed of 5 (five) to 60 (sixty) members. III. Consolidation of the Bylaws, with the amendments mentioned in item “II” above. Attachment VII contains a consolidated copy of the Bylaws, highlighting the proposed amendments, as well as a report detailing the origin and justification of these amendments and analyzing their legal and economic effects, pursuant to Article 12 of CVM Resolution No. 81/22. 13


 
ATTACHMENT I ATTACHMENT I "A" OF CVM RESOLUTION No. 81/22 Allocation of Net Profit It is proposed that the net profit for the fiscal year as reflected in the financial statements as of December 31, 2025, prepared in accordance with accounting practices adopted in Brazil applicable to institutions authorized to operate by the Central Bank of Brazil (BACEN), amounting to R$45,659,367,624.70, be allocated as follows: (a) R$2,282,968,381.24 to the Legal Reserve; (b) R$33,703,674,403.32 to the payment of dividends and interest on capital, as permitted by Article 9 of Law No. 9,249/95; and (c) R$9,672,724,840.14 to the Statutory Revenue Reserve. It is further proposed that R$38,378,481.19 be allocated to the Statutory Revenue Reserves, relating to dividends and interest on capital accrued during the fiscal year. Please note that all data presented, unless otherwise indicated, refers to the individual data of Itaú Unibanco Holding. We make monthly payments of dividend and/or interest on capital based on the stockholding position on the last business day of the previous month, with payment due on the first business day of the following month. and occasionally, at the discretion of the Board of Directors, we may make supplementary (semi-annual) payments, for which the Board of Directors determines the base date for the stockholding position and the payment date. Regarding the semi-annual payments, management verifies the existing profit, determines the amount of dividends that should be distributed as mandatory, calculates the monthly amount already declared, and finally determines how much is needed to complete the payment of the minimum mandatory dividend. Interest on capital may be paid by resolution of the Board of Directors, with the value of the interest paid or credited being applied to the value of the mandatory dividend, based on Article 9, paragraph 7, of Law No. 9,249/95. For more information, see the following items, which were prepared in accordance with the requirements of Attachment A of CVM Resolution No. 81/22. 1. Report the Net Profit for the fiscal year. R$45,659,367,624.70. 2. Report the total amount and value per share of dividends, including anticipated dividends and interest on capital already declared. The total amount distributed as dividends and interest on capital was R$33,703,674,403.32 (gross), of which R$31,771,022,418.40 was net of taxes. The total amount corresponds to the percentage of net profit indicated in item 3 below. Therefore, the ratification of the declarations and distributions already made will be proposed to the General Meeting, and no new declarations will be proposed. Net amount per share: R$2.9553855. The payment, crediting, use, or delivery of profits and dividends to individuals resident in Brazil by the same legal entity, exceeding R$50,000 per month, is subject to withholding tax at a rate of 10% on the total amount of the profits or dividends. Profits or dividends paid, credited, delivered, used, or remitted to a beneficiary abroad are subject to withholding tax at a rate of 10%, regardless of the amount, except when the beneficiary is (i) a foreign government and there is reciprocal treatment with the Brazilian government, or (ii) a sovereign wealth fund, pursuant to Article 3, paragraph 5, of Law 11,312/2006, or (iii) a foreign pension fund, in accordance with the regulations of the Special Secretariat of the Federal Revenue of Brazil. Profits or dividends related to results accrued up to the calendar year 2025, whose distribution has been approved by December 31, 2025, are not subject to income tax, provided that their payment, credit, use, or delivery occurs under the terms originally stipulated in the approval act. The payment of interest on capital to stockholders, including holders of ADRs, whether Brazilian residents or not, is subject to withholding income tax in Brazil at a rate of 17.5% or 25% for stockholders resident or domiciled in a tax haven or privileged tax regime. Stockholders who are demonstrably immune or exempt are exempt from this withholding. 3. State the percentage of net profit for the year distributed. The net amount distributed as dividends and interest on capital corresponds to 73% of the net profit for the year, adjusted for the amount allocated to the legal reserve. 14


 
4. Report the total amount and value per share of dividends distributed based on profits from previous fiscal years. Not applicable 5. Report, after deducting anticipated dividends and interest on capital already declared: a. The gross value of dividends and interest on capital, broken down per share of each type and class. There is not. b. The form and timing of payment of dividends and interest on capital. There is not. c. Possible application of adjustments and interest on dividends and interest on capital. There is not. d. Date of the declaration of payment of dividends and interest on capital considered for identifying the stockholders who will be entitled to receive them. There is not. 15


 
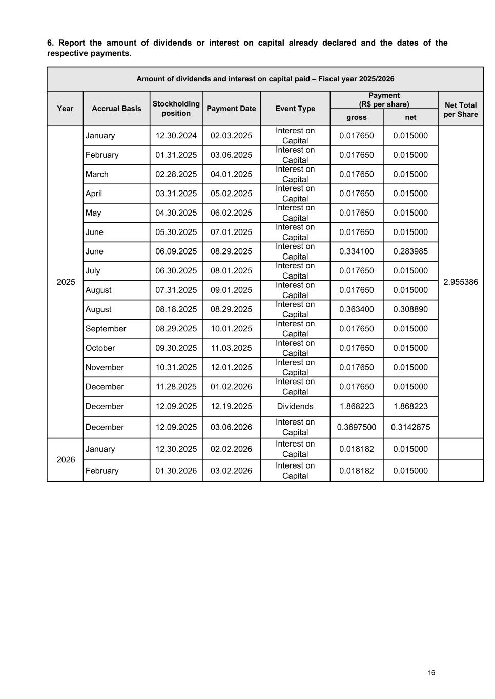
6. Report the amount of dividends or interest on capital already declared and the dates of the respective payments. Amount of dividends and interest on capital paid – Fiscal year 2025/2026 Year Accrual Basis Stockholding position Payment Date Event Type Payment (R$ per share) Net Total per Sharegross net 2025 January 12.30.2024 02.03.2025 Interest on Capital 0.017650 0.015000 2.955386 February 01.31.2025 03.06.2025 Interest on Capital 0.017650 0.015000 March 02.28.2025 04.01.2025 Interest on Capital 0.017650 0.015000 April 03.31.2025 05.02.2025 Interest on Capital 0.017650 0.015000 May 04.30.2025 06.02.2025 Interest on Capital 0.017650 0.015000 June 05.30.2025 07.01.2025 Interest on Capital 0.017650 0.015000 June 06.09.2025 08.29.2025 Interest on Capital 0.334100 0.283985 July 06.30.2025 08.01.2025 Interest on Capital 0.017650 0.015000 August 07.31.2025 09.01.2025 Interest on Capital 0.017650 0.015000 August 08.18.2025 08.29.2025 Interest on Capital 0.363400 0.308890 September 08.29.2025 10.01.2025 Interest on Capital 0.017650 0.015000 October 09.30.2025 11.03.2025 Interest on Capital 0.017650 0.015000 November 10.31.2025 12.01.2025 Interest on Capital 0.017650 0.015000 December 11.28.2025 01.02.2026 Interest on Capital 0.017650 0.015000 December 12.09.2025 12.19.2025 Dividends 1.868223 1.868223 December 12.09.2025 03.06.2026 Interest on Capital 0.3697500 0.3142875 2026 January 12.30.2025 02.02.2026 Interest on Capital 0.018182 0.015000 February 01.30.2026 03.02.2026 Interest on Capital 0.018182 0.015000 16


 
Dividend and interest payments on equity projected for 2026 Year Accrual Basis Stockholding Position Payment Date Event Type Payment (R$ per share) gross net 2026 March 02.27.2026 04.01.2026 Interest on Capital 0.018182 0.015000 March 03.19.2026 until 08.31.2026 Interest on Capital 0.348880 0.287826 April 03.31.2026 05.04.2026 Interest on Capital 0.018182 0.015000 May 04.30.2026 06.01.2026 Interest on Capital 0.018182 0.015000 June 05.29.2026 07.01.2026 Interest on Capital 0.018182 0.015000 July 06.30.2026 08.03.2026 Interest on Capital 0.018182 0.015000 August 07.31.2026 09.01.2026 Interest on Capital 0.018182 0.015000 September 08.31.2026 10.01.2026 Interest on Capital 0.018182 0.015000 October 09.30.2026 11.03.2026 Interest on Capital 0.018182 0.015000 November 10.30.2026 12.01.2026 Interest on Capital 0.018182 0.015000 December 11.30.2026 01.04.2027 Interest on Capital 0.018182 0.015000 7. Provide a comparative table indicating the following values for each species and class of action: a. Net profit for the current year and the 3 (three) previous years R$ 2025 2024 2023 Net profit 45,659,367,624.70 37,317,701,999.57 33,388,878,797.32 Net income per share 4.12 3.81 3.41 To calculate net income per share, net income is divided by the weighted average number of shares outstanding during the fiscal year. b. Dividends and interest on capital distributed in the previous 3 (three) fiscal years R$ 2025 2024 2023 Common shares 2.9554 2.6292 2.1932 Preferred shares 2.9554 2.6292 2.1932 To calculate the dividend/interest on capital per share, the dividend/interest on capital is divided by the number of shares outstanding in the stockholding position determined for each payment. 8. If profits are allocated to the legal reserve a. Identify the amount allocated to the legal reserve. R$2,282,968,381.24. b. Detail the method for calculating the legal reserve. Pursuant to Article 193 of the Corporations Law and item 13.1 of our Bylaws, 5% (five percent) of the net profit for the fiscal year must be allocated to the Legal Reserve, provided that it does not exceed 20% (twenty percent) of the share capital. 17


 
9. If the company has preferred shares with the right to fixed or minimum dividends. a. Describe how fixed or minimum dividends are calculated. Minimum annual dividend of R$0.022 per share. b. State whether the profit for the year is sufficient to pay all fixed or minimum dividends. The profit for the year was sufficient to cover the full payment of the minimum dividends. c. Identify if any unpaid installment is cumulative. The minimum dividend is not cumulative. d. Identify the total value of fixed or minimum dividends paid to each class of preferred shares. We do not have distinct classes of preferred shares. The total value of the minimum dividends established by statute for our preferred shares was R$120,118,385.86. e. Identify the fixed or minimum dividends paid per preferred share of each class. We do not have distinct classes of preferred shares. 10. Regarding the mandatory dividend a. Describe the calculation method stipulated in the statute. Stockholders are entitled to receive as mandatory dividends, in each fiscal year, an amount not less than 25% (twenty-five percent) of the net profit determined in the same fiscal year, adjusted for the decrease or increase of the amounts specified in letters "a" and "b" of item I of article 202 of the Corporations Law and observing items II and III of the same legal provision. b. Inform whether he is being paid in full. The mandatory dividend were fully paid, in accordance with item 6 above. c. State the amount that may have been withheld. No funds were withheld. 11. If the mandatory dividend is withheld due to the company's financial situation. There was no mandatory dividend withholding. 12. If proceeds are allocated to a contingency reserve. No funds were allocated to the contingency reserve. 13. If proceeds are allocated to a reserve for unrealized profits No profit was allocated to the unrealized profit reserve. 14. If profits are allocated to statutory reserves a. Describe the statutory clauses that establish the reserve. Upon proposal by the Board of Directors, the General Meeting may resolve to establish a Statutory Revenue Reserve, which will be limited to 100% of the value of the share capital and will aim to guarantee resources for the payment of dividends, including in the form of interest on capital, or their anticipation, in order to maintain the flow of remuneration to stockholders, and its balance may also be used: (i) in redemption, reimbursement or acquisition operations of own shares, in accordance with current legislation; and (ii) in incorporation into the share capital, including through bonuses in new shares. The Reserve will be formed with resources: a) equivalent to up to 100% of the net profit for the fiscal year, adjusted as per article 202 of Law No. 6,404/76, always respecting the stockholders' right to receive mandatory dividends; b) equivalent to up to 100% of the realized portion of Revaluation Reserves, recorded in retained earnings; c) equivalent to up to 100% of the amount of adjustments from prior fiscal years, recorded in retained earnings; and d) resulting from the credit corresponding to dividend advances. 18


 
The balance of this reserve, added to that of the Legal Reserve, may not exceed the share capital, in accordance with article 199 of Law No. 6,404/76. b. Amount allocated to statutory reserves Allocation to Statutory Revenue Reserves, being: (i) relating to the net profit for the year, in the amount of R$9,672,724,840.14 and (ii) relating to dividends and interest on capital accrued during the year, in the amount of R$38,378,481.19. c. Method of calculating the amount allocated to the reserve. The calculation method follows the provisions of the Bylaws, using up to 100% of the net profit for the fiscal year, adjusted as per article 202 of Law No. 6,404/76, always respecting the stockholders' right to receive mandatory dividends. 15. If profit retention is foreseen in the capital budget There was no retention of profits. 16. If proceeds are allocated to a reserve for tax incentives No funds were allocated to the tax incentive reserve. 19


 
ATTACHMENT II ITEM 2 OF ATTACHMENT "C" OF CVM RESOLUTION No. 80/22 2.1. Executive officers should comment on: a) Financial and equity positions in general The financial information found in item 2 (Executive Officers’ Comments) has been prepared in accordance with the International Financial Reporting Standards (IFRS), as issued by the International Accounting Standards Board (IASB), and applicable to operations and business. Balance Sheet The table below sets forth our summarized balance sheet as of December 31, 2025 and December 31, 2024. Please see our consolidated financial statements for further details about our Consolidated Balance Sheet. December 31, 2025, compared to December 31, 2024 Total assets increased by R$211,694 million, as of December 31, 2025, compared to December 31, 2024, mainly due to an increase in financial assets at amortized cost, financial assets at fair value through profit or loss and financial assets at fair value through other comprehensive income. This result is further described below: Financial assets at amortized cost increased by R$129,984 million, or 6.8%, as of December 31, 2025, compared to December 31, 2024, mainly due to increases in (i) loan and lease operations; (ii) interbank deposits, securities purchased under agreements to resell and securities at amortized cost; and (iii) other financial assets. Interbank deposits, securities purchased under agreements to resell, securities at amortized cost increased by R$39,097 million, or 6.1%, as of December 31, 2025 compared to December 31, 2024, mainly due to an increase of R$37,375 million in securities purchased under agreements to resell. Please see “Note 4 - Interbank Deposits and Securities Purchased under Agreements to Resell”, “Note 9 - Financial assets at amortized cost – Securities” to our consolidated financial statements in IFRS for further details. Loan and lease operations increased by R$58,305 million, or 5.7%, as of December 31, 2025, compared to December 31, 2024, mainly due to the increases of: (i) R$27,652 million in our individuals loan portfolio, especially due to increases of (a) R$16,319 million in mortgage loans; and (b) R$10,478 million in credit card loans; (ii) R$16,329 million in loans to micro/small and medium companies, mainly in agribusiness and government programs; (iii) R$7,998 million in 20


 
foreign loans – Latin America, as a result of the impact of foreign exchange variations; and (iv) R$6,326 million in loans to large companies. Please see “Note 10 – Loan and Lease Operations” to our consolidated financial statements in IFRS for further details. Financial assets at fair value through other comprehensive income increased by R$26,170 million, or 24.6%, as of December 31, 2025, compared to December 31, 2024, due to an increase in securities, with the majority being government securities. Please see "Note 8 - Securities at fair value through other comprehensive income (FVOCI)" to our consolidated financial statements in IFRS for further details. Financial assets at fair value through profit or loss increased by R$51,056 million, or 7.8%, as of December 31, 2025, compared to December 31, 2024, mainly due to an increase in securities, with the majority being government securities in Brazil and corporate securities, especially debentures. Please see "Note 5 - Securities at fair value through profit or loss (FVPL)" to our consolidated financial statements in IFRS for further details. The table below sets forth our summarized balance sheet – liabilities and stockholders’ equity as of December 31, 2025 and December 31, 2024. Please see our consolidated financial statements in IFRS for further details about our Consolidated Balance Sheet. 21


 
Total liabilities and stockholders’ equity increased by R$211,694 million, as of December 31, 2025, compared to December 31, 2024, mainly due to an increase in financial liabilities at amortized cost. These results are detailed as follows: Financial liabilities at amortized cost increased by R$202,125 million, or 9.4%, as of December 31, 2025, compared to December 31, 2024, mainly due to increases in (i) interbank market funds, Institutional market funds and other financial liabilities; (ii) deposits; and (iii) securities sold under repurchase agreements. Deposits increased by R$59,741 million, or 5.7%, as of December 31, 2025, compared to December 31, 2024, mainly due to an increase of R$54,267 million in time deposits, as a result of the higher demand for fixed income products and other products. Please see “Note 15 – Deposits” to our consolidated financial statements in IFRS for further details. Securities sold under repurchase agreements increased by R$45,820 million, or 11.8%, as of December 31, 2025 compared to December 31, 2024, mainly due to an increase of: (i) R$45,580 million in assets received as collateral; and (ii) R$22,783 million in assets pledged as collateral, especially with foreign securities and corporate securities. These increases were partially offset by a decrease of R$22,543 million in right to sell or repledge the collateral. Please see “Note 17 – Securities Sold under Repurchase Agreements and Interbank and Institutional Market Funds” to our consolidated financial statements in IFRS for further details. Interbank market funds, institutional market funds and other financial liabilities increased by R$96,564 million, or 13.7%, as of December 31, 2025 compared to December 31, 2024, mainly due to increases of (i) R$49,041 million in other financial liabilities, especially with credit card operations and trading and intermediation of securities; (ii) R$33,876 million in interbank market funds, especially in real estate and rural credit bills and onlending domestic; and (ii) R$13,647 million in institutional market funds, especially in funding from structured operations certificates, debentures and subordinated debt. Please see “Note 17 – Securities Sold under Repurchase Agreements and Interbank and Institutional Market Funds” and “Note 18 – Other assets and liabilities” to our consolidated financial statements in IFRS for further details. 22


 
Insurance contracts and private pension increased by R$46,354 million, or 15.1%, as of December 31, 2025 compared to December 31, 2024, mainly due to the update of private pension contracts known as Free Benefit Generating Plan (PGBL) and Free Benefit Generating Life Plan (VGBL), as a result of the performance of the funds due to the increase in the index used to adjust private pension contracts and the higher portability volume. Please see "Note 27 - Insurance Contracts and Private Pension" to our consolidated financial statements in IFRS for more information. b. Capital structure As of December 31, 2025, the capital stock is represented by 11,026,869,192 book-entry shares without par value, comprising 5,617,742,977 common shares and 5,409,126,215 preferred shares without voting rights, but with the right to be included in a public offering for the acquisition of shares, in the event of a change of control, in order to guarantee them a price equal to 80% (eighty percent) of the value paid per share with voting rights, forming part of the controlling block, ensuring a dividend at least equal to that of the common shares. The total share capital amounts to R$136,910 million as of December 31, 2025 (R$90,729 million as of December 31, 2024). Over the last two fiscal years, Itaú Unibanco has maintained the representation of third-party capital at levels it considers adequate, as detailed below: In (R$) millions 12/31/2025 % of Total liabilities and stockholders' equity 12/31/2024 % of Total liabilities and stockholders' equity Net worth (1) 215,076 7.0 % 221,284 7.8 % Third-party capital (2) 2,851,093 93.0 % 2,633,191 92.2 % Total Liabilities 3,066,169 100.0 % 2,854,475 100.0 % (1) Includes Non-Controlling Stockholder Interests (2) Total Liabilities excluding Equity Capital ratio and risk weighted assets As of December 31, 2025, our Total Capital¹ reached R$228,589 million, an increase of R$987 million compared to December 31, 2024. Our Basel Ratio (calculated as the ratio between our Total Capital and the total risk-weighted assets (RWA)) reached 15.2%, as of December 31, 2025, reflecting a reduction of 130 basis points compared to 16.5% as of December 31, 2024. This change was driven by the payment of interest on capital and additional dividends, share repurchases, and growth in risk-weighted assets, partially offset by the positive impact of the results for the period. Additionally, the Fixed Assets Ratio (Índice de Imobilização) indicates the level of total capital committed to adjusted permanent assets. Itaú Unibanco Holding is within the maximum limit of 50% of the adjusted total capital, as established by the Brazilian Central Bank. As of December 31, 2025, our Fixed Assets Ratio reached 19.4%, which presents a buffer of R$69,887 million. 23


 
(1) Includes Prudential and Equity adjustments. (2) The issuance of the Perpetual Subordinated Financial Bills described in the announcement to the market dated October 8, 2025, take the AT1 to 1.5%. As of December 31, 2025, our Tier I Capital Ratio reached 13.8%, comprising 12.3% of Common Equity Tier I and 1.5% Additional Tier I. Our Tier I Capital ratio decreased by 120 basis points compared to September 30, 2025, mainly due to the payment of dividends and interest on capital , stock buyback and growth in risk-weighted assets (RWA), partially offset by the positive net income of the period. Please see “Note 32 – Risk and Capital Management” to our consolidated financial statements in IFRS for further details about regulatory capital. ¹ The Total Capital consists of the sum of three items, named: (i) Core Capital: the sum of capital stock, reserves and retained earnings, less deductions and prudential adjustments; (ii) Additional Capital: composed of perpetual instruments that meet eligibility requirements. Added to Core Principal, it makes up Tier I; and (iii) Tier II: composed of subordinated debt instruments with defined maturity that meet eligibility requirements. Added to Core Capital and Additional Capital, it makes up Total Capital. c. Payment capacity in relation to financial commitments undertaken We guarantee full repayment capacity in relation to our financial commitments assumed and manage our liquidity reserves through estimates of the resources that will be available for investment, considering the continuity of business under normal conditions. Liquidity risk control is performed by an area independent of the business areas and is responsible for defining the composition of the reserve, estimating cash flow and exposure to liquidity risk over different time horizons, and monitoring minimum limits to absorb losses in stress scenarios for each country where Itaú Unibanco Holding operates. All activities are subject to verification by independent validation, internal controls, and audit areas. Liquidity management policies and related limits are established based on forward-looking scenarios and senior management decisions. These scenarios are periodically reviewed through of analysis of cash needs, due to atypical market conditions or resulting from strategic decisions by Itaú Unibanco Holding. Itaú Unibanco Holding manages and controls liquidity risk daily through governance approved by senior committees, which includes, among other activities, the adoption of minimum liquidity limits sufficient to absorb potential cash outflows under stress scenarios, measured through internal methodologies and also by regulatory methodology. The main regulatory liquidity indicators are detailed below, in item “e”. d) Sources of funding used for working capital and investments in non-current assets The following table shows our average deposits and loans for the twelve-month periods ending December 31, 2025 and 2024: 24


 
Liabilities Fiscal year ended December, 31 2025 2024 Average balance Average yield/ rate Average balance Average yield/ rate (In millions of R$, except percentages) Interest-bearing liabilities 2,398,104 10.9% 2,218,722 8.6% Interest-bearing deposits 918,264 10.8% 876,696 7.8% Savings deposits 173,716 6.4% 176,347 6.9% Deposits from banks and time deposits 744,548 11.8% 700,349 8.1% Securities sold under repurchase agreements 410,757 13.9% 394,346 9.2% Interbank market debt and Institutional market debt 524,235 11.7% 475,118 13.1% Interbank market debt 376,123 12.8% 342,643 15.1% Institutional market debt 148,112 8.9% 132,475 8.0% Reserves for insurance and private pension and Liabilities for capitalization plans 335,378 12.6% 293,343 8.1% Other interest-bearing liabilities 209,470 0.7% 179,219 0.2% Non-interest bearing liabilities 299,611 282,320 Non-interest bearing deposits 125,246 121,400 Other non-interest-bearing liabilities 174,365 160,920 Total stockholders’ equity attributed to the owners of the parent company 208,626 196,171 Non-controlling interests 9,434 9,181 Total 2,915,775 2,706,394 Our main sources of funding are: interest-bearing deposits, deposits received under repurchase agreements, disbursements from government financial institutions, credit lines with foreign banks, and the issuance of debt securities abroad. Please refer to “Note 15 – Deposits”, "Note 17 - Securities sold under repurchase agreements and interbank and institutional market funds" and "Note 18 - Other assets and liabilities" in our consolidated financial statements audited under IFRS for more information on sources of financing. We may occasionally attempt to settle or purchase our outstanding indebtness, including subordinated notes (subject to approval by the Brazilian Central Bank) and senior notes, through open-market repurchases, privately negotiated transactions, or otherwise. Any repurchases will depend on prevailing market conditions, our liquidity requirements, contractual restrictions, and other factors. Repurchased notes may be held, cancelled, or resold, and any resale must comply with applicable requirements or exemptions under the respective securities laws. Part of our long-term debt provides for the early repayment of the outstanding principal balance upon the occurrence of certain events, as is standard practice in long-term financing contracts. As of December 31, 2025, none of these events had occurred, including defaults or breaches of financial clauses. According to Brazilian law, dividends in kind can only be paid if the subsidiary distributing them has recorded a profit in its financial statements. Furthermore, subsidiaries considered financial institutions are prohibited from making loans to Itaú Unibanco Holding, but they can make deposits in Itaú Unibanco Holding, which represent interbank deposit certificates (CDI). These restrictions have not had, nor are they expected to have, a significant impact on our ability to meet our cash obligations. The following table details our consolidated sources of funds as of December 31, 2025 and 2024: 25


 
Breakdown of the main sources of funds 2025 % of total funding 2024 % of total funding (In millions of R$, excluding percentages) Deposits 1,114,482 52.8 % 1,054,741 53.9 % Demand deposits 135,383 6.4 % 124,920 6.4 % Savings deposits 177,305 8.4 % 180,730 9.2 % Time deposits 789,643 37.4 % 735,376 37.6 % Interbank deposits 11,530 0.5 % 7,224 0.4 % Other deposits 621 — % 6,491 0.3 % Securities sold under repurchase agreements 434,607 20.6 % 388,787 19.9 % Interbank market funds 406,170 19.3 % 372,294 19.0 % Real estate credit bills 71,121 3.4 % 52,112 2.7 % Rural credit bills 64,644 3.1 % 49,744 2.5 % Financial bills 61,161 2.9 % 70,083 3.6 % Guaranteed real estate bills 64,438 3.1 % 64,491 3.3 % Import and export financing 114,138 5.4 % 117,921 6.0 % On-lending-domestic 30,668 1.5 % 17,943 0.9 % Institutional market funds 154,194 7.3 % 140,547 7.2 % Subordinated debt 48,147 2.3 % 45,224 2.3 % Debentures 4,122 0.2 % 0 — % Foreign loans through securities 76,348 3.6 % 75,912 3.9 % Funding from structured operations certificates 25,577 1.2 % 19,411 1.0 % Total 2,109,453 100.0 % 1,956,369 100.0 % e. Sources of funding for working capital and investments in noncurrent assets intended to be used to cover liquidity deficiencies Our Board of Directors determines our policy regarding liquidity risk management and establishes broad quantitative liquidity risk management limits in line with our risk appetite. The Superior Commission to Market Risk and Liquidity (CSRML), composed of members of senior management, is responsible for strategic liquidity risk management in line with the board-approved liquidity risk framework and risk appetite. In establishing our guidelines, the CSRML considers the liquidity implications of each market segment and product. Our institutional treasury unit is responsible for the day-to-day management of the Itaú Unibanco Group’s liquidity profile, within the parameters set by our managing body and the CSRML. This includes an oversight responsibility with respect to all business units operating outside of Brazil. We maintain separate liquidity pools at our Brazilian operations and at each of our subsidiaries outside Brazil. Our Brazilian operations include financial institutions in Brazil and the entities used by the Brazilian operations for funding and serving their clients abroad. Each of our subsidiary has its own treasury function with appropriate autonomy to manage liquidity according to local needs and regulations, while remaining in compliance with the liquidity limits established by our senior management. In general, there are rarely liquidity transfers between subsidiaries or between the head office and a subsidiary, except under very specific circumstances (e.g., targeted capital increases). CMN regulations establish capital conservation and countercyclical buffers for Brazilian financial institutions such as us, and determines their minimum percentages as well as which sanctions and limitations will apply in case of non-compliance with such additional requirements. We define our consolidated group operational liquidity reserve as the total amount of assets that can be rapidly turned into cash, based on local market practices and legal restrictions. The 26


 
operational liquidity reserve generally includes cash and deposits on demand, funded positions of securities purchased under agreements to resell and unencumbered government securities. The following table presents our operational liquidity reserve as of December 31, 2025 and 2024: Operating liquidity reserve As of December 31, 2025 Average Balance (1)2025 2024 (In millions of R$) Cash 37,144 36,127 35,742 Securities purchased under agreements to resell - Funded Position (2) 80,339 50,461 104,580 Unencumbered government securities (3) 263,915 154,526 212,220 Operational Reserve 381,398 241,114 352,542 (1) Average for the twelve-month period calculated based on consolidated financial statements (2) Net of R$19,306 (R$7,038 on 12/31/2024), which securities are restricted to the guarantee transactions at B3 S.A. - Brasil, Bolsa, Balcão (B3) and the Brazilian Central Bank. (3) Present values are included, as a result of the change in the reporting of future flows of assets that are now reported at future value as of September 2016. Our management controls our liquidity reserves by projecting the resources that will be available for investment by our treasury department. The technique we employ involves the statistical projection of scenarios for our assets and liabilities, considering the liquidity profiles of our counterparties. Short-term minimum liquidity limits are defined according to guidelines set by the CSRML. These limits aim to ensure that the Itaú Unibanco Group always has sufficient liquidity available to cover unforeseen market events. These limits are revised periodically, based on the projection of cash needs in atypical market situations (i.e., stress scenarios). Management of liquidity makes it possible for us to simultaneously meet our operating requirements, protect our capital and exploit market opportunities. Our strategy is to maintain adequate liquidity to meet our present and future financial obligations and to capitalize on business opportunities as they arise. We are exposed to effects of the disruptions and volatility in the global financial markets and the economies in those countries where we do business, especially Brazil. However, due to our stable sources of funding, which include a large deposit base, the large number of correspondent banks with which we have long-standing relationships, as well as facilities in place which enable us to access further funding when required, we have not historically experienced liquidity challenges, even during periods of disruption in the international financial markets. Liquidity Ratios The Basel III Framework introduced global liquidity standards, providing for minimum liquidity requirements and aims at ensuring that banks can rely on their own sources of liquidity, leaving central banks as a lender of last resort. Basel III provides for two liquidity ratios to ensure that financial institutions have sufficient liquidity to meet their short-term and long-term obligations: (i) LCR, and (ii) NSFR. We believe that the LCR and NSFR provide more relevant information than an analysis of summarized cash flows. Set forth below is a discussion of our LCR for the three-month periods ended on December 31, 2025 and 2024 and our NSFR as of December 31, 2025 and 2024. Liquidity Coverage Ratio 27


 
The LCR measures the short-term resistance of a bank’s liquidity risk profile. It is the ratio of the stock of high quality liquid assets to expected net cash outflows over the next 30 days, assuming a scenario of idiosyncratic or systemic liquidity stress. We calculate our LCR according to the methodology established in Brazilian Central Bank Circular No. 3,749/2015. We measure our total high liquidity assets for the end of each period to cash outflows and inflows as the daily average value for each period. Pursuant to Brazilian Central Bank regulations, effective as of January 1, 2019, the minimum LCR is 100%. Three-month period ended Short-Term Liquidity Ratio (LCR) December 31, 2025 December 31, 2024 Total Weighted Value (average) (In millions of BRL) Total highly liquid assets¹ 389,723 362,609 Cash outflows² 440,453 409,051 Cash inflows³ 259,163 245,188 Total net cash outflows 181,290 163,863 LCR % 215.0 % 221.3 % (1) High Quality Liquidity Assets correspond to inventories, in some cases weighted by a discount factor, of assets that remain liquid in the market even in periods of stress, that can easily be converted into cash and that are classified as low risk. (2) Outflows — total potential cash outflows for a 30-day horizon, calculated for a standard stress scenario as defined by BACEN Circular 3,749. (3) Inflows — total potential cash inflows for a 30-day horizon, calculated for a standard stress scenario as defined by BACEN Circular 3,749. Our average LCR for the three-month period ended December 31, 2025 was 215.0%, which is above the Brazilian Central Bank’s requirements. Net Stable Funding Ratio The NSFR measures long-term liquidity risk. It is the ratio of available stable funding to required stable funding over a one-year time period, assuming a stressed scenario. We calculate our NSFR according to the methodology established in Brazilian Central Bank Circular No. 3,869/2017. The NSFR corresponds to the ratio of our available stable funds (ASF) for the end of each period to our required stable funds (RSF) for the end of each period. Pursuant to Brazilian Central Bank regulations, effective as of October 1, 2018, the minimum NSFR is 100%. On December 31st Long-Term Liquidity Ratio (NSFR) 2025 2024 Adjusted Total Value (In millions of BRL) Total Available Stable Resources (ASF)¹ 1,499,680 1,375,854 Total Stable Resources Required (SRR)² 1,202,060 1,127,870 NSFR % 124.8 % 122.0 % (1) ASF – Available Stable Funding – refers to liabilities and equity weighted by a discount factor according to their stability, pursuant to Central Bank Circular 3,869/2017. (2) RSF – Required Stable Funding – refers to assets and off-balance exposures weighted by a discount factor to their necessity, pursuant to Central Bank Circular 3,869/2017. 28


 
As of December 31, 2025, our ASF totaled R$1,499.7 billion, mainly due to capital and Retail and Wholesale Businesses funding, and our RSF totaled R$1,202.1 billion, particularly due to loans and financing with Wholesale and Retail Businesses customers, central governments and transactions with central banks. As of December 31, 2025, our NSFR was 124.8% and, accordingly, above Brazilian Central Bank requirements. f. Indebtedness ratios and characteristics of such debts, further describing: I - Relevant loan and financing agreements There are no loan agreements or other debt instruments that our management considers relevant to us, except for the debt securities we issue described in item 12.7. II - Other long-term relationships with financial institutions The Issuer's main sources of funding include raising capital and fulfilling obligations through loans and on-lending, with a significant portion coming from the retail segment. Total customer resources reached R$1,674.8 billion (R$1,567.6 billion as of December 31, 2024), with a notable contribution from term deposits. Of total customer resources, 77.4%, or R$1,297.0 billion, is immediately available to the customer. However, the historical behavior of the accumulated balance of the two largest items – time deposits and interbank market funding – is relatively consistent: the sum of their balances grows over time, and there is an excess of cash inflows over outflows when comparing the monthly averages of the flows. Below is a table showing the opening dates for fundraising with maturities up to 30 days and the total amount of client funds. R$ million III - Level of subordination between debts In the event of judicial or extrajudicial liquidation of the Issuer, there is an order of preference regarding the payment of the various creditors of the estate. Specifically with regard to the debts that make up the Issuer's indebtedness, the following order of payment must be observed: debts with real guarantees, unsecured debts, subordinated debts eligible to form part of Tier II of the Issuer's Reference Equity, and subordinated debts eligible to form part of Tier I of the Issuer's Reference Equity. It is worth noting that, with regard to debts with real guarantees, creditors have priority over others up to the limit of the asset given as collateral, being considered unsecured creditors in relation to the amount exceeding this limit. There is no degree of subordination among the various unsecured creditors, just as there is no degree of subordination among creditors of the same class of subordinated debt; however, creditors of subordinated debt eligible to comprise Tier II of the Issuer's Reference Equity are preferred over creditors of subordinated debt eligible to comprise Tier I of the Issuer's Reference Equity. The funds raised through the issuance of subordinated debt securities are presented below: 29


 
IV – Any restrictions applicable to the issuer, in particular, regarding debt limits and the contracting of new debt, the distribution of dividends, the sale of assets, the issuance of new securities, and the sale of corporate control, as well as whether the issuer has been complying with these restrictions. In March 2010, Itaú Unibanco Holding S.A. ("Issuer") established a program for the issuance and distribution of notes with certain financial intermediaries ("Program"). The Program, under its 30


 
current terms, provides that Itaú Unibanco Holding S.A. or its Cayman Islands branch may issue senior or subordinated notes, the latter being eligible, according to its terms, to comprise Tier I or Tier II of the Issuer's Reference Equity ("Notes"), up to a limit of US$100,000,000,000.00 (one hundred billion US dollars). The Program provides for the acceleration of the maturity of the outstanding balance of the Notes upon the occurrence of certain events defined in the Program's financial clauses, also referred to as "Default Events," as is customary in long-term financing contracts. The Default Events applicable to Senior Notes issued under the Program are: (i) non-payment of financial obligations (principal and interest) due under the respective Note (Non-payment); (ii) breach of other material obligations assumed under the respective Note other than obligations to pay amounts due under the Notes (Breach of other Obligations); (iii) default on other debts assumed by Itaú Unibanco Holding S.A. or acceleration of other debts assumed by Itaú Unibanco Holding S.A. or its relevant subsidiaries (understood as those representing 10% or more of the total consolidated assets disclosed in the last annual balance sheet), in an amount equal to or greater than 0.8% of the regulatory capital of Itaú Unibanco Holding S.A. (Cross Default); (iv) dissolution (provided that it is not related to a corporate transaction in which all obligations of Itaú Unibanco Holding S.A. under the senior notes are assumed by the successor entity), insolvency or bankruptcy of Itaú Unibanco Holding S.A. (Dissolution and Insolvency); and (v) events that, under Brazilian law, have effects analogous to those described in item (iv). On August 4, 2016, the terms of the Program were amended to conform to the provisions of Resolution No. 4,192 of the National Monetary Council, dated March 1, 2013 (revoked and replaced, as of January 2, 2022, by Resolution No. 4,955 of the National Monetary Council, dated October 21, 2021, but without impacting the terms of the Program described below). Subordinated Notes issued after this date are subject to permanent extinction in the event that (i) the Issuer discloses that its Core Capital is below 5.125% (in the case of Subordinated Notes eligible to comprise Tier I of the Issuer's Reference Equity) or 4.5% (in the case of Subordinated Notes eligible to comprise Tier II of the Issuer's Reference Equity) of its risk-weighted assets (RWA); (ii) signing of a commitment to contribute to the Issuer, if the exception provided for in the heading of article 28 of Complementary Law No. 101, of May 4, 2000, is configured; (iii) decree, by the Central Bank of Brazil, of a temporary special administration regime or intervention in the Issuer; or (iv) determination, by the Central Bank of Brazil, of the extinction of the Subordinated Notes, according to criteria established by the National Monetary Council. Additionally, the Subordinated Notes eligible to comprise Tier I of the Issuer's Reference Equity provide for: (i) the payment of related interest earned only with resources from revenue and profit reserves eligible for distribution in the last assessment period; and (ii) the suspension of the payment of related interest earned: (a) that exceeds the resources available for this purpose; (b) in the same proportion as the restriction imposed by the Central Bank of Brazil on the distribution of dividends or other results related to shares eligible for the Issuer's Core Capital; (c) in the same retention percentages as the amount to be paid or distributed as (x) variable remuneration to management members; and (y) dividends and interest on capital , due to the insufficiency of the Additional Principal Capital. The remuneration whose payment is suspended, in the aforementioned cases, will be considered extinguished. The occurrence of any of the situations described herein will not be considered as a Default Event or other factor that generates the acceleration of the debt's maturity in any legal transaction in which the Issuer participates. The Default Events applicable to Subordinated Notes eligible to form part of the Issuer's Reference Equity issued after August 4, 2016 are: (i) non-payment of financial obligations, although such occurrence does not cause the acceleration of the maturity of the outstanding balance of these Notes; (ii) dissolution (provided that it is not related to a corporate transaction in which all obligations of Itaú Unibanco Holding S.A. under the Subordinated Notes are assumed by the successor entity), insolvency or bankruptcy of Itaú Unibanco Holding S.A. (Dissolution and Insolvency); and (iii) events that, under Brazilian law, have effects analogous to item (ii). 31


 
Up to December 31, 2025, there had been no breach of the financial clauses described above or of any financial obligation assumed under the Program. The Program and the broadcasts made under the Program impose certain conditions and limitations on the Broadcaster, as detailed below: Merger, Acquisition or Sale of Assets. The Issuer is permitted to sell all or a substantial part of its assets, including through corporate reorganizations (such as acquisitions, mergers and spin-offs) without the consent of the Noteholders, provided that: (i) the entity that receives the assets or succeeds the Issuer undertakes to fulfill all principal and interest payment obligations for all Notes issued under the Program, as well as undertakes to assume all other Program obligations imposed on the Issuer; (ii) a Default Event does not occur as a result of carrying out such operations; and (iii) From any public announcement regarding the transaction and before its completion, the Issuer shall provide the Program Trustee with a statement signed by legal representatives that the asset disposal transaction complies with the above conditions and restrictions, together with a legal opinion issued by an independent legal advisor, declaring the legality, validity and enforcement of the assumption of obligations arising from the Program by the new entity that assumes the assets or succeeds the Issuer. As described above, Senior Notes may be subject to early maturity in the event of default on other debts assumed by Itaú Unibanco Holding S.A. (cross default) or acceleration of other debts assumed by Itaú Unibanco Holding S.A. or its relevant subsidiaries (cross acceleration), in an amount equal to or greater than 0.8% of the regulatory capital of Itaú Unibanco Holding S.A. Considering the Senior Notes issued and not settled, the percentage of its financial indebtedness that is subject to cross-acceleration is 0.3%.1 g. Limits on financing raised and percentages already used Itaú Unibanco Holding is subject to the parameters required by monetary authorities, in accordance with the Basel principles. Management considers the current Basel ratio level adequate (15.2% based on the Consolidated Prudential, with 13.8% Tier I and 1.4% Tier II). Furthermore, Itaú Unibanco Holding has sufficient margin in relation to the minimum required Reference Equity of R$108,151 million (R$117,278 million as of 12/31/2024), exceeding the Additional Core Capital (ACP) of R$53,686 million (R$49,049 million as of 12/31/2024), which is amply covered by available capital. h. Significant changes in each item of the statements of income and of cash flows The analysis of the income statement and cash flow statement is described in items 2.2 a) and 2.1 e), respectively, of this form. 1The debt ratio was calculated considering the outstanding Senior Notes issued under the Twentieth Issuance of the Program, amounting to US$1,000,000,000.00, equivalent to R$5,501,800,000.00, divided by the total Fundraising and Liabilities from Loans and Transfers amounting to R$2,133,434,000,000.00 (Explanatory Note 16 of the Financial Statement in BRGAAP), totaling 0.3%. The exchange rate considered was R$5.5018 on December 30, 2025. 32


 
2.2. Executive officers should comment on: a. Results of operations, in particular: I - Description of any important components of revenue II - Factors that materially affected operating income and expenses Results of Operations for the Fiscal Years Ended December 31, 2025 and 2024 Highlights The table below presents our summarized consolidated statement of income for the years ended December 31, 2025 and 2024. Please see our consolidated financial statements in IFRS for further details about our Consolidated Statement of Income. 2025 compared to 2024 Net income attributable to owners of the parent company increased by 9.2% to R$44,857 million for the year ended December 31, 2025, from R$41,085 million for the same period of 2024. This is mainly due to a 8.5%, or R$8,876 million increase in net interest income, a 10.8%, or R$3,478 million decrease in expected credit loss from financial assets and a 18.9%, or R$1,027 million decrease in current and deferred income and social contribution taxes, partially offset by a 14.2%, or R$9,146 million, decrease in non-interest income. These line items are further described below: • Net interest income increased by R$8,876 million, or 8.5%, for the year ended December 31, 2025, compared to the same period of 2024, mainly due to increases in the following line items (i) R$26,043 million in income of financial assets and liabilities at fair value through profit or loss; (ii) R$22,361 million in foreign exchange results and exchange variations in foreign transactions; and (iii) R$12,532 million in interest and similar income. These increases were partially offset by an increase of R$52,060 million in interest and similar expenses. • Interest and similar income increased by 5.2% for the year ended December 31, 2025, compared to the same period of 2024, mainly due to increases of (i) R$15,845 million in loan operations income, as a result of an increase in the volume of loan and lease operations; and (ii) R$13,982 million in financial assets at amortized cost. These increases were partially offset by decreases of: (i) R$21,295 million in interest and similar income from financial assets at fair value through other comprehensive income, mainly due to a decrease in the average portfolio balance during the period; and (ii) R$2,555 million in interbank deposits. 33


 
• Interest and similar expenses increased by 31.1% for the year ended December 31, 2025 compared to the same period of 2024, due to increases of R$30,833 million in expenses from deposits and R$20,865 million in expenses from securities sold under repurchase agreements, both mainly due to an increase in the volume of our operations. Please see “Note 21 – Interest and similar income and expenses and income of financial assets and liabilities at fair value through profit or loss” to our consolidated financial statements in IFRS for further details on interest and similar income and expenses. The managerial adjustments of tax effects represented R$7,316 million of our net interest income for the year ended December 31, 2025, compared to R$6,694 million for the same period of 2024. Considering this managerial adjustment, net interest income was R$120,040 million, an increase of R$9,498 million, for the year ended December 31, 2025, compared to the same period of 2024. • Non-interest income decreased by 14.2%, or R$9,146 million for the year ended December 31, 2025 compared to the same period of 2024. This decrease was mainly due to a 106.6%, or R$10,821 million, decrease in other income, mainly due to the adherence to a new tax-settlement initiative launched by the Brazilian Ministry of Finance (the “Comprehensive Transaction Program”, or Programa de Transação Integral). Our income from insurance contracts and private pension increased by 25.1%, or R$1,749 million, as a result of the higher financial result for the period and higher insurance sales, mainly related to life and credit life products. The following chart shows the main components of our banking service fees for the years ended December 31, 2025 and 2024: Please see “Note 22 – Commissions and Banking Fees” to our consolidated financial statements in IFRS for further details on banking service fees. • Expected Credit Loss from Financial Assets: Our expected credit loss from financial assets decreased by R$3,478 million, or 10.8%, for the year ended December 31, 2025, compared to the same period of 2024, mainly due to an decrease in expected credit loss with other financial assets of R$6,627 million for year ended December 31, 2025, compared to the same period of 2024, partially offset by an increase of R$3,149 million in expected credit loss with loan and lease operations, as a result of an increase in the volume of loan and lease operations of 5.7%. Please see “Note 10 — Loan and Lease operations” to our consolidated financial statements in IFRS for further details on our loan and lease operations. 34


 
• Non-performing loans: We calculate our 90-day non-performing loan, or NPL ratio, as the value of our 90-day non-performing loans to our loan portfolio. As of December 31, 2025, our 90-day NPL ratio was 2.3%, a decrease of 30 basis points compared to December 31, 2024. This decrease was due to a decrease of 60 basis points in the 90-day NPL ratio in respect of our individuals loan portfolio, due to the reductions in personal loan and vehicle financing ratios. The NPL ratio of our companies loan portfolio remained stable at 1.1%, compared to December 31, 2024. We calculate our 15 to 90 days non-performing loan ratio as the value of our 15 to 90 days NPL to our loan portfolio. The 15 to 90 days NPL ratio is an indicator of early delinquency. As of December 31, 2025, our 15 to 90 days NPL ratio was 2.0%, remaining stable when compared to December 31, 2024. During this period our 15 to 90-day NPL ratio decreased by 10 basis points in the 15 to 90-day NPL ratio of our individuals loan portfolio. Additionally, the NPL ratio of our companies loan portfolio increased by 10 basis points as of December 31, 2025 compared to December 31, 2024. The chart below shows a comparison of both NPL ratios for each quarter as of December 31, 2024, through December 31, 2025: 35


 
• Other Operating Income / (Expenses) increased by 0.6% to an expense of R$88,697 million for the year ended December 31, 2025, from an expense of R$88,183 million for the same period of 2024. This increase was mainly due to the R$1,124 million, or 11.5%, increase in tax expenses (Social Integration Program Contribution, Contribution for the Financing of Social Security and Service Tax), primarily due to a larger taxable base resulting from higher net interest income, commissions and banking fees and income from insurance contracts and private pension. Our general and administrative expenses for the year ended December 31, 2025 decreased by 0.3%, due to lower expenses from provision for tax and social security lawsuits and other risks, partially offset by an increase in personnel expenses, due to the effects of our annual collective wage agreement, which includes a 5.68% adjustment on salaries and benefits from September 2025 onwards (and of 4.64% on salaries and benefits from September 2024). Please see “Note 23 – General and Administrative Expenses” to our consolidated financial statements in IFRS for further details. • Current and deferred income and social contribution taxes amounted to an expense of R$4,401 million for the year ended December 31, 2025, from an expense of R$5,428 million in the same period of 2024, mainly driven by our adherence to the Comprehensive Transaction Program. The managerial adjustments of tax effects, as mentioned in “net interest income,” amounted to R$7,080 million in current and deferred income and social contribution taxes for the year ended December 31, 2025, compared to R$5,781 million for the same period of 2024. Considering this fiscal effect, current and deferred income and social contribution taxes were R$11,481 million, a decrease of R$272 million during this period. Please see “Note 24 – Taxes” to our consolidated financial statements in IFRS for further details. b. Material changes in revenue arising from introduction of new products and services, changes in volumes and prices, foreign exchange rates and inflation Our operations depend on the performance of the economies of the countries where we do business, mainly the Brazilian economy. The demand for credit, financial services and our client’s creditworthiness are directly impacted by macroeconomic variables, such as the economic activity, income, unemployment, inflation, and fluctuations in interest and foreign exchange rates. Fluctuations in interest rates may significantly affect our net margins since they impact funding and lending costs. Main changes in revenue are outlined in item 2.2a of this Manual. c. Impact of inflation, changes in the prices of main inputs and products, foreign exchange rates and interest rates on operating and finance result of the issuer, if material 36


 
We conducted a sensitivity analysis for relevant market risk factors. The largest resulting losses, by risk factor, in each scenario, are presented with their impact on earnings, net of tax effects, providing insight into our exposure in exceptional scenarios. The market risk structure segregates its operations into a Trading Portfolio and a Banking Portfolio, in accordance with the general criteria established by Resolution No. 4,557, of February 23, 2017, of the National Monetary Council (CMN) and Resolution No. 111, of July 6, 2021, of the Brazilian Central Bank. The sensitivity analyses of the Trading and Banking Portfolios presented here are a static assessment of portfolio exposure and, therefore, do not consider the dynamic reaction capacity of management (treasury and control areas) that triggers risk mitigation measures whenever a situation of loss or high risk is identified, minimizing the possibility of significant losses. Additionally, it should be noted that the results presented do not necessarily translate into accounting results, as the study has the sole purpose of disclosing risk exposure and the respective hedging actions considering the fair value of the financial instruments, dissociated from any accounting practices adopted by the Company. The trading portfolio consists of all transactions involving financial instruments and commodities, including derivatives, carried out with the intention of trading. Trading Portfolio (*) Exposures Trading Portfolio (*) Trading Portfolio (*) Trading Portfolio (*) December 31, 2025 December 31, 2024 December 31, 2023 Risk Factors Risk of Variation in: Scenarios Scenarios Scenarios I II III I II III I II III Interest Rate Fixed Income Interest Rates in reais (0.9) (238.0) (433.8) (0.3) (26.8) (129.3) (0.4) (103.1) (209.8) Foreign Exchange Linked Foreign Exchange Linked Interest Rates (0.2) (62.5) (123.7) 0.2 (200.9) (381.1) — (40.0) (81.7) Foreign Exchange Rates Prices of Foreign Currencies (6.0) (243.4) (367.2) (2.5) 33.2 22.6 — (77.0) (33.2) Price Index Linked Interest of Inflation coupon (0.2) (32.1) (71.6) — (8.3) (21.6) — 1.5 1.2 TR TR Linked Interest Rates — — — — — — — — — Equities Prices of Equities 0.3 187.1 284.4 2.3 174.3 332.4 0.9 196.3 250.2 Other Exposures that do not fall under the definitions above 0.3 (9.6) 18.3 — (40.1) (85.3) 0.2 (24.2) (70.4) Total (6.7) (398.5) (693.6) (0.30) (68.60) (262.30) 0.70 (46.50) (143.70) (*) Net amount after tax effects. 37


 
Trading and Banking Portfolio Exposures Trading and Banking Portfolio (*) Trading and Banking Portfolio Trading and Banking Portfolio December 31, 2025 December 31, 2024 December 31, 2023 Risk Factors Risk of Variation in: Scenarios Scenarios Scenarios I II III I II III I II III Interest Rate Fixed Income Interest Rates in reais (16.6) (5,103.1) (9,717.4) (12.9) (4,673.9) (8,996.3) (13.4) (3,253.4) (6,285.7) Foreign Exchange Linked Foreign Exchange Linked Interest Rates (2.7) (498.1) (969.5) (1.4) (435.5) (831.1) (0.9) (267.0) (499.3) Foreign Exchange Rates Prices of Foreign Currencies 0.3 (326.0) (648.7) 4.2 (29.2) (0.9) 0.9 (78.5) (30.0) Price Index Linked Interest of Inflation coupon (3.9) (536.5) (1,030.4) 0.7 (71.9) (183.4) (0.8) (92.0) (226.5) TR TR Linked Interest Rates (0.3) (103.0) (220.5) (1.1) (353.9) (671.6) 0.2 (61.0) (174.9) Equities Prices of Equities 3.8 95.1 89.5 5.1 104.1 192.0 5.6 90.5 41.8 Other Exposures that do not fall under the definitions above 0.2 (12.0) 15.1 — (40.1) (85.3) 0.1 (26.0) (73.9) Total (19.2) (6,483.6) (12,481.9) (5.4) (5,500.4) (10,576.6) (8.3) (3,687.4) (7,248.5) (*) Net amount after tax effects. To measure these sensitivities, the following scenarios are used, and the impact is estimated for each risk factor in isolation without considering any compensating or exacerbating effects among the various factors: Scenario 1: An increase of 1 basis point in fixed interest rates, currency coupons, inflation, and the interest rate index, and 1 percentage point in currency and stock prices; Scenario II: Application of 25% shocks to the interest rate curves for fixed-rate loans, currency coupons, inflation, interest rate indices, and currency and stock prices, both growth and decline, considering the largest resulting losses per risk factor; Scenario III: Application of 50% shocks to the interest rate curves for pre-fixed rates, currency coupons, inflation, and interest rate indices, as well as to currency and stock prices, both growth and decline, considering the largest resulting losses per risk factor. Our Consolidated Value at Risk (VaR) is calculated using the Historical Simulation methodology. This methodology fully reprices all positions, using the actual historical distribution of assets. From January 1 to December 31, 2025, the Average Total VaR in historical simulation was R$1,085 million or 0.5% of total equity (for the entire year of 2024 it was R$939 million or 0.5% of total equity). The structural gap, comprised of commercial operations and their associated financial instruments, has historically remained stable with only minor fluctuations, primarily because it consists of the assets and liabilities of our retail activities and derivatives used as a hedge against the market risk of these operations. 38


 
Most of our operations are expressed in Brazilian reais or indexed to that currency. We also have assets and liabilities expressed in foreign currencies, mainly US dollars, as well as assets and liabilities that, although expressed in reais, are indexed to the dollar and therefore expose us to exchange rate risk. The Brazilian Central Bank regulates our foreign currency positions. See the “Currency Risk” section of our consolidated financial statements audited under IFRS, Note 32 – Risk and Capital Management for further information. CSRML's gap management policy takes into account the tax effects related to our foreign exchange positions. Since income from exchange rate variations on foreign investments is treated specifically, we have established a hedge (a liability in foreign currency derivative instruments) in an amount sufficient to ensure that our total foreign currency exposure, net of tax effects, is consistent with our low-risk exposure strategy. Our foreign exchange position, on the liabilities side, is composed of various elements such as the issuance of bonds and securities in international capital markets; credit from foreign banks to finance imports and exports; dollar-linked transfers from government financial institutions; and deposits in the currencies of Latin American countries. The proceeds from these financial operations are generally applied to credit operations and the purchase of dollar-linked bonds and securities. 39


 
The following information has been prepared on a consolidated basis, eliminating transactions between related parties. Our foreign investments, eliminated in the consolidation process, totaled R$107.9 billion as of December 31, 2025, under the gap management policy adopted, as mentioned above. We emphasize that the bank applies both economic and accounting hedging to its net foreign investments. Millions of R$ 40


 
Exchange Rate Sensitivity December 31, 2025 Brazilian currency Denominate d in foreign currency (1) Total % of amounts denominate d in currency of total (In millions of reais, excluding percentages) Assets 2,493,597 572,572 3,066,169 18.7 Cash 7,694 29,450 37,144 79.3 At Amortized Cost 1,621,857 420,931 2,042,788 20.6 Deposits in the Central Bank of Brazil 167,275 - 167,275 - Interbank deposits 26,399 39,796 66,195 60.1 Securities purchased under agreements to resell 277,939 2,656 280,595 0.9 Securities 309,311 20,654 329,965 6.3 Loan operations and lease operations portfolio 743,262 340,536 1,083,798 31.4 Other financial assets 139,618 24,411 164,029 14.9 (-) Provision for Expected Loss (41,947) (7,122) (49,069) 14.5 At Fair Value Through Other Comprehensive Income 61,368 71,105 132,473 53.7 Securities 61,368 71,105 132,473 53.7 At Fair Value Through Profit or Loss 665,864 39,386 705,250 5.6 Securities 603,439 25,335 628,774 4.0 Derivatives 59,333 14,051 73,384 19.1 Other financial assets 3,092 - 3,092 - Insurance contracts 212 - 212 - Investments in associates and joint ventures 10,834 6 10,840 0.1 Fixed assets, net 12,033 602 12,635 4.8 Goodwill and Intangible assets, net 22,493 1,606 24,099 6.7 Tax assets 74,536 4,567 79,103 5.8 Other assets 16,708 4,917 21,625 22.7 Percentage of total assets 81.3 18.7 - Liabilities and Stockholders’ Equity 2,504,937 561,232 3,066,169 18.3 At Amortized Cost 1,818,614 532,287 2,350,901 22.6 Deposits 801,146 313,336 1,114,482 28.1 Securities sold under repurchase agreements 401,623 32,984 434,607 7.6 Interbank market debt 314,271 91,899 406,170 22.6 Institutional market debt 76,909 77,285 154,194 50.1 Other financial liabilities 224,665 16,783 241,448 7.0 At Fair Value Through Profit or Loss 55,423 16,004 71,427 22.4 Derivatives 53,794 15,947 69,741 22.9 Structured notes - 57 57 100.0 Other financial liabilities 1,629 - 1,629 - Provision for financial guarantees, credit commitments and credits to be released 1,607 186 1,793 10.4 Insurance contracts and private pension 353,123 130 353,253 - Provisions 17,691 100 17,791 0.6 Tax liabilities 9,501 2,081 11,582 18.0 Other liabilities 33,901 10,445 44,346 23.6 Non-controlling interests 10,575 - 10,575 - Total stockholders’ equity attributed to the owners of the parent company 204,501 - 204,501 - Percentage of total liabilities and stockholders’ equity 81.7 18.3 100.0 1) Predominantly U.S. dollar. 41


 
2.3. Executive officers should comment on: a. changes in accounting policies that have resulted in significant effects on the information in items 2.1 and 2.2 In 2025 and 2024 there were no significant changes to accounting policies. b. Modified opinions and emphases present in the auditor's report There were no reservations or emphases in the auditor's reports for the years 2025 and 2024. 42


 
2.4. Executive officers should comment on the material effects that the events below may have caused or may cause in the future on the issuer’s financial statements and results: a) Introduction or disposal of operating segments Disclosure of Results per segment The current business segments of Itaú Unibanco are described below: Retail Business: Retail business products and services offered to both current account and non- current account holders include: personal loans, mortgage loans, payroll loans, credit cards, acquiring services, vehicle financing, investment, insurance, pension plans and premium bond products, among others. Current account holders are segmented into: (i) Retail; (ii) Uniclass; (iii) Personnalité; and (iv) Very Small and Small Companies. Wholesale Business: Wholesale Business comprises: (i) the activities of Itaú BBA, the unit responsible for commercial operations with large companies and for investment banking services; (ii) the activities of our units abroad; (iii) the products and services offered to high-net-worth clients (Private Banking), in addition to middle market companies and institutional clients. Activities with the Market + Corporation: It includes: (i) results of the capital surplus, excess subordinated debt and the net balance of tax assets and liabilities; (ii) financial margin with the market; (iii) costs of Treasury operations; and (iv) equity pickup from companies not linked to any segment. b. incorporation, acquisition or disposal of a ownership interest Avenue On July 8, 2022, we announced that we entered into a share purchase and sale agreement with Avenue Controle Cayman Ltd, and certain other selling stockholders, for the acquisition of the controlling interest of Avenue Holding Cayman Ltd. (“Avenue”). The transaction was consummated in two phases. In the first phase, which closed on November 30, 2023, we purchased 35% of Avenue’s total and voting capital stock, through a primary capital contribution and a secondary acquisition of shares totaling approximately R$540 million. In the second phase, which closed on January 30, 2026, also through a primary capital contribution and a secondary acquisition of shares totaling approximately R$735 million, we acquired control of Avenue and, as of the date of this annual report, hold 50.1% of its total and voting capital stock. Five years after the closing date of the first phase, we will be entitled to exercise a call option to acquire the remaining interest held by the current stockholders of Avenue. Ideal On January 13, 2022, we announced that we entered into an agreement for the investment, purchase and sale of shares and other covenants with José Carlos Benfati, Vinicius Gonçalves Dalessandro, Gregorio Lara dos Santos Matai, Leandro Bolsoni, Lucas Namo Cury, among others (the “Sellers”) for the acquisition of the controlling interest in Ideal Holding Financeira S.A. and, indirectly, its wholly owned subsidiary, Ideal Corretora de Títulos e Valores Mobiliários S.A. (“Ideal”). This transaction will be carried out in two phases over five years. In the first phase, closed on March 31, 2023, we purchased 50.1% of Ideal’s total voting capital stock, by means of a primary capital contribution and a secondary acquisition of shares totaling approximately R$650 million, (adjusted by CDI from signing to closing date), and as result became the controlling stockholder of Ideal. In the second phase, expected to occur five years after consummation of the first phase, we will be entitled to exercise the right to buy the remaining share (49.9%) of Ideal’s capital stock. FIC and Investcred 43


 
On December 5, 2025, we entered into an agreement with Companhia Brasileira de Distribuição (“GPA”), Lake Niassa Empreendimentos e Participações Ltda. (“GCB”) and Sendas Distribuidora S.A. (“Assaí”), among others, pursuant to which we expect to acquire, for R$786 million, subject to customary contractual price adjustments: (i) the equity interests currently held, directly or indirectly, by GPA and GCB in Financeira Itaú CBD S.A. – Crédito, Financiamento e Investimento (“FIC”); (ii) the equity interests currently held, directly or indirectly, by GCB in Banco Investcred Unibanco S.A. (“Investcred”); and (iii) the equity interest indirectly held by Assaí in FIC, on the second anniversary of the closing date of the transaction. The transaction was approved by CADE on January 5, 2026, and the closing of the transaction is still subject to the approval by the Brazilian Central Bank and other customary conditions precedent. Upon completion of all steps of the transaction, we intend to hold 100% of the total capital stock of each of FIC and Investcred. Sale of Assets and Liabilities in Colombia On December 12, 2025, we entered into an agreement with Banco de Bogotá S.A. and Banco de Bogotá (Panamá) S.A., pursuant to which we will assign and transfer certain assets and liabilities related to our retail operations in Colombia and Panama. The purchase price will be determined at closing based on the book value of such assets and liabilities, subject to customary contractual price adjustments. The closing of the transaction is subject to customary conditions precedent, including the receipt of all applicable regulatory approvals. c. unusual events or operations In addition to the items highlighted in section 2.4 b of this document, we highlight the following as unusual events: In line with IFRS accounting standards, no unusual events occurred in 2025. In line with BRGAAP accounting standards, the net non-recurring regulatory effects, after tax effects, were: In 2025: (i) impairment of internally developed software of R$(317) million; (ii) provision for restructuring of R$(676) million; and (iii) tax transactions of R$550 million. 44


 
2.5. If the issuer disclosed in the previous year or if it wishes to disclose in this form any non-accounting measures, such as EBITDA (earnings before interest, taxes, depreciation and amortization) or EBIT (earnings before interest and taxes), the issuer should: a. inform the amount of non-accounting measures There was no disclosure of non-accounting measurements in our IFRS Financial Statements for the last fiscal year. b. perform a reconciliation between the amounts disclosed and the amounts in the audited financial statements There is no. c. explain why it believes that such measurement is the most appropriate for the correct understanding of its financial position and the results of its operations The non-accounting measurements presented in point “a” of this item are appropriate for decision- making by the company's senior management and administration. 45


 
2.6. Identify and comment on any event subsequent to the most recent financial statements for the year that might significantly change them On January 30, 2026, through our subsidiary ITB Holding Brasil Participações Ltda., we acquired an additional 17.2% stake in Avenue Holding Cayman Ltd., bringing our controlling interest to 50.1% of the total share capital. The acquisition stems from the second stage of the share purchase agreement signed in July 2022. The actual acquisitions and financial settlements occurred after the necessary regulatory approvals. 46


 
2.7. Executive officers should comment on allocation of profit, indicating: The Board of Directors presents to the Ordinary General Meeting, together with the financial statements, a proposal regarding the allocation of the net profit for the fiscal year, the main allocations being: (i) legal reserve: 5% for the legal reserve, which shall not exceed 20% of the value of the share capital; (ii) distribution of dividends to stockholders (see items “b” and “c” below); and (iii) establishment of the Statutory Reserve, which aims to guarantee resources for the payment of dividends, including in the form of interest on capital , or their advance payments, in order to maintain the flow of remuneration to stockholders, and its balance may also be used: (i) in redemption, reimbursement or acquisition operations of own shares, under the terms of the legislation in force; and (ii) in incorporation into share capital, including through bonuses in new shares. The Statutory Reserve will be formed with resources: a) equivalent to up to 100% of the net profit for the fiscal year, adjusted as per article 202 of Law No. 6,404/76, always respecting the stockholders' right to receive mandatory dividends, under the terms of these bylaws and the law; b) equivalent to up to 100% of the realized portion of Revaluation Reserves, allocated to retained earnings; c) equivalent to up to 100% of the amount of adjustments from prior periods, recorded in retained earnings; and d) arising from the credit corresponding to dividend advances. The balance of this reserve, added to that of the Legal Reserve, may not exceed the share capital, pursuant to article 199 of Law No. 6,404/76. Year 2025 a. Rules on profit retention There were no changes to the rules. a.i. Values of Retained Earnings There was no retention of earnings. a.ii. Percentages in relation to total declared profits There is no b. Rules on dividend distribution An amount not less than 25% of the net profit reported in the fiscal year. Stockholders are entitled to receive as a mandatory dividend, in each fiscal year, an amount not less than 25% of the net profit determined in the same fiscal year, adjusted for the decrease or increase of the amounts specified in letters "a" and "b" of item I of article 202 of the Corporations Law, and observing items II and III of the same legal provision. c. Frequency of dividend distributions Monthly – mandatory Semiannual – supplementary 47


 
d. Any restrictions on dividend distribution imposed by legislation or special regulations applicable to the issuer, as well as contracts, judicial, administrative or arbitration decisions. There is no. e. If the issuer has a formally approved policy for the allocation of profits, indicating the body responsible for approval, the date of approval and, if the issuer discloses the policy, locations on the World Wide Web where the document can be consulted. Stockholder Remuneration Policy (Dividends and interest on capital ), which was approved by the Board of Directors at its meeting on January 26, 2026, and which can be consulted on the CVM website (http://www.cvm.gov.br/ > Companies > Periodic and Occasional Company Information > Itaú Unibanco > Dividend Policy) and on the Investor Relations website (www.itau.com.br/ relacoes-com-investidores/en > Itaú Unibanco > Corporate Governance > Policies) a. rules on retention of earnings There were no changes to the rules regarding profit retention in the last fiscal year. Under the Brazilian Corporations Law, stockholders may resolve, at a General Meeting and upon a proposal from management, to retain part of the net profit for the fiscal year that is included in a previously approved capital budget. Furthermore, the mandatory dividend may not be paid in the fiscal year in which management informs the Ordinary General Meeting that it is incompatible with the Issuer's financial situation. a.i.) Values of Retained Earnings In 2025, there was no retention of profits, with the Issuer paying a dividend amount exceeding the minimum mandatory dividend. b. rules on distribution of dividends Stockholders are entitled to receive as a mandatory dividend, in each fiscal year, an amount not less than 25% of the net profit determined in the same fiscal year, adjusted for the decrease or increase of the amounts specified in letters "a" and "b" of item I of article 202 of the Corporations Law, and observing items II and III of the same legal provision. By resolution of the Board of Directors, interest may be paid on equity, with the value of the interest paid or credited being applied to the mandatory dividend, based on Article 9, paragraph 7, of Law No. 9,249/95. Preferred shares entitle their holders, as a priority, to the payment of a minimum annual dividend of R$0.022 per share, non-cumulative and adjusted in cases of stock splits or reverse stock splits. After the payment of the priority dividend due to preferred shares, a dividend of R$0.022 per share will be paid to common shares, non-cumulative and adjusted in cases of stock splits or reverse stock splits. Capital Management and Profit Distribution In order to guarantee our solidity and availability of capital to support the growth of our business, regulatory capital levels have been maintained above those required by the Central Bank of Brazil (BACEN), as evidenced by the Tier 1 Capital, Common Equity, and BIS ratios. The total amount to be distributed each year will be determined by the Board of Directors, taking into account, among other things: 1. the company's capitalization level, according to rules defined by the Central Bank of Brazil; 2. the minimum level established by the Board of Directors of 12% Tier 1 Capital; 48


 
3. profitability for the year; 4. the prospects for capital utilization based on expected business growth, share buyback programs, mergers and acquisitions, and regulatory changes that may alter capital requirements; and 5. changes in tax legislation. Thus, the percentage to be distributed may fluctuate from year to year depending on the profitability and capital requirements of the Company, always considering the minimum set forth in the Bylaws. Within the scope of implementing the minimum capital requirements established by Basel III standards, CMN Resolution No. 4,958 stipulates that, if the financial institution does not meet the requirements of the core capital buffers, required in their entirety from 2019 onwards, dividends may not be paid. This restriction on dividend payments will be applied progressively, according to the extent of non- compliance with the core capital buffer requirements. • If a financial institution's core capital buffers are less than 25% of the amount established by the CMN (National Monetary Council) for the year, there will be no distribution of dividends or interest on capital . • If the core capital buffers are between 25% and 50% of the required amount, 80% of the intended dividends and interest on capital will not be distributed. • If the core capital buffers are between 50% and 75% of the required amount, 60% of the intended dividends and interest on capital will not be distributed. • If the core capital buffers are between 75% and 100% of the required amount, 40% of the intended dividends and interest on capital will not be distributed. At the end of December 2025, the BIS ratio reached 15.2%, being: (i) 13.8% relating to Tier 1 Capital, which consists of the sum of Core Capital and Supplementary Capital; and (ii) Tier I Capital and Tier II Capital amounts were R$208.2 billion and R$20.4 billion, respectively, as of December 31, 2025. These indicators demonstrate our effective ability to absorb unexpected losses. For more information, please consult the report “Risk and Capital Management – Pillar 3” on our Investor Relations website www.itau.com.br/relacoes-com-investidores/en/ > Results and Reports > Regulatory Documents > Pillar 3 > Risk and Capital Management – Pillar 3. c. frequency of distributions of dividends Since July 1980, the Issuer has been remunerating its stockholders through monthly and supplementary payments (dividends and/or interest on capital ), which are equally distributed to common and preferred stockholders. With regard to the last three fiscal years, monthly payments of interest on capital (JCP) were made, as established in our Stockholder Remuneration Policy, approved by the Board of Directors. This policy establishes a net amount of R$0.015 per share, as an advance payment. In the last three fiscal years, dividends/interest on capital were paid in addition to the monthly payments, for which the Board of Directors determines the record date for the stockholding position and the payment date. In these payments, the administration verifies the existing earnings, to determine the amount of dividends/interest on capital that must be distributed as a mandatory minimum (see item “a” above). From this mandatory minimum amount, the monthly amount that 49


 
has already been paid is deducted, and the difference determines the supplementary dividend/ interest on capital that must be paid to meet the mandatory minimum for the fiscal year. The Stockholder Remuneration Policy is available on our Investor Relations website www.itau.com.br/relacoes-com-investidores/en/ > Itaú Unibanco > Corporate Governance > Policies. To view the Issuer's dividend history, please visit the Investor Relations website: http:// www.itau.com.br/relacoes-com-investidores/en/ > Itaú Unibanco > Market Information > Dividends and interest on capital. 50


 
2.8. The directors should describe the relevant items not disclosed in the issuer's financial statements, indicating: a. assets and liabilities held by the issuer, directly or indirectly, that do not appear on its balance sheet (off-balance sheet items), such as: i. written-off portfolios of receivables for which the entity has not retained or transferred any risks and benefits of ownership of the transferred asset, indicating related liabilities There is nothing further beyond what has already been disclosed in the audited Consolidated Financial Statements under IFRS. ii. agreements for the future purchase and sale of products or services There is nothing further beyond what has already been disclosed in the audited Consolidated Financial Statements under IFRS. iii. agreements for construction in progress (CIP) There is nothing further beyond what has already been disclosed in the audited IFRS Consolidated Financial Statements. iv. agreements for future receipts of financing There is nothing further beyond what has already been disclosed in the IFRS Financial Statements. b. other items not disclosed in the financial statements In Note 32 (Risk and Capital Management) of our audited Consolidated Financial Statements, we disclosed the following off-balance sheet commitments: Millions of R$ Off Balance Commitments December 31, 2025 0 - 30 31 - 365 366 - 720 Over 720 days Total Financial Guarantees 4,170 49,367 25,903 54,665 134,105 Credit Commitments and Credits to be Released 274,961 60,573 17,518 228,712 581,764 Contractual Commitments - fixed assets and Intangible Assets 0 0 0 1 1 Total 279,131 109,940 43,421 283,378 715,870 51


 
2.9. Regarding each of the items not shown in the financial statements indicated in item 2.8, the executive officers should comment: a. how such items alter or may alter the issuer's revenues, expenses, operating income, expenses, finance costs, or other items in its financial statements. There is no. b. nature and purpose of the operation There is no. c. nature and amount of the liabilities assumed and the rights generated in favor of the issuer as a result of the operation There is no. 52


 
2.10. Executive officers should indicate and comment on the main elements of the issuer's business plan, specifically exploring the following topics: a. investments, including: i. quantitative and qualitative description of the investments in progress and expected investments ii. sources of investment funding iii. relevant divestitures in progress and expected divestitures Investments and divestments in 2025 and those projected are described in item 2.4b. There was an 84% increase in the volume of generative artificial intelligence initiatives and a 34% increase in the volume of traditional machine learning models. Furthermore, there was a migration of 15 million customers to the Super App by 2025, a single platform for products and services for our customers. The optimization of our branch network occurs based on the behavior and needs of our customers, always taking into account the availability of physical locations and digital channels, according to demand and following our phygital strategy. We closely evaluate the performance of our branches, monitoring customer flow and new business generation, as well as the ability to retain and keep our active customers satisfied and engaged with the bank. In this context, we have had an annual reduction of 14.0% in physical branches in Brazil, totaling 1,953 in 2025. b. provided that it has already been disclosed, indicate the acquisition of plants, equipment, patents or other assets that are expected to have a material impact on the issuer’s production capacity Not applicable, as there was no acquisition of plants, equipment, patents, or other assets that are expected to have a material influence the issuer's productive capacity. c. new products and services, indicating: i. Description of ongoing research already disclosed ii. total amounts spent by the issuer in research for the development of new products or services iii. projects under development already disclosed iv. total amounts spent by the issuer on the development of new products or services This does not apply, as there were no acquisitions of new products or services. d. ESG opportunities included in the issuer’s business plan We aim to be leaders in sustainable performance and customer satisfaction, through the generation of shared value among all stakeholders, clear action to ensure business continuity, and compliance with laws and regulations. We consider ESG issues in the integration of risks and opportunities across the institution's various departments, with guidelines incorporated into the Social, Environmental and Climate Responsibility Policy (PRSAC). The strategy for opportunities related to ESG issues includes the following topics: I. Description of sustainability and transparency objectives with quantitative or qualitative data on strategic ambition; 53


 
II. Description of the range of products and services offered by the institution that contribute positively to social, environmental, or climate-related aspects; III. Volume of capital mobilized for sustainable finance. IV. Alignment with the climate strategy, contributing to the transition of clients to a low-carbon economy aligned with the NetZero 2050 strategy. V. Update of the ESG Strategy and disclosure to the market. We promote the integration of ESG themes into business strategies through studies, advocacy, development of sustainable products and services, and customer engagement, focusing on new opportunities for the sustainable economy, which can be seen on the website https://https:// www.itau.com.br/sustentabilidade/en/ and in the ESG Report. We are committed to mobilizing R$1 trillion by the end of 2030 in sustainable finance, through ESG operations and the financing of green projects aligned with Febraban's Green Taxonomy. In 2025, we were selected for the Eco Invest Brasil Program, an initiative focused on financing projects with socio-environmental benefits and attracting foreign capital to the country. We participated in the program's auctions, securing resources and disbursing funds for projects in the areas of bioeconomy, agri-food systems, green infrastructure, circular economy, and energy transition. We also stood out for supporting initiatives to recover degraded areas, reaffirming our commitment to sustainable development. In our climate transition strategy, we aim to achieve net zero by 2050 in our businesses and have established decarbonization targets aligned with scientific scenarios, considering the stage of development of the Brazilian economy and the maturity of our clients in different sectors and segments. We have set targets for carbon-intensive sectors present in our credit portfolio such as Electricity Generation, Steel, Aluminum and Cement Production, Agriculture and Transportation. Furthermore, we have committed to a gradual exit from the Coal sector by 2030 and have published institutional positions, based on the economic scenarios of our region, for the Oil and Gas and Real Estate sectors. 54


 
2.11. Comment on other factors that significantly influenced operational performance and that have not been identified or discussed in the other items of this section. The consolidated financial statements audited in accordance with IFRS, for the year 2025, are available on our website: www.itau.com.br/relacoes-com-investidores/en > Results and Reports > Results Center > Complete financial statements in IFRS - 4Q25. Other factors influencing operational performance (not mentioned in other items in this section) The marketing area is responsible for defining and managing Itaú Unibanco's marketing strategy, both domestically and internationally, targeting the market, clients, partners, suppliers, and employees. Annually, commercial and institutional priorities are defined, as well as the total marketing budget for the year. Financial sponsorships are carried out in accordance with Itaú Unibanco's internal policy, which establishes the rules, procedures, and responsibilities of the bank's internal areas in the execution of sponsorships. As disclosed in our consolidated financial statements audited under IFRS (Note 23 – General and Administrative Expenses), expenses for Advertising, Promotions and Publications totaled R$1,740 million in 2025 and R$1,976 million in 2024. 55


 
With respect to each Member of the Issuer’s Board of Directors, whose reelection will be proposed by the controlling stockholder, see the following information: PEDRO MOREIRA SALLES ROBERTO EGYDIO SETUBAL RICARDO VILLELA MARINO 10.20.1959 10.13.1954 01.28.1974 Banker Engineer Engineer 551.222.567-72 007.738.228-52 252.398.288-90 yes yes yes no no no no no no Co-chairman of the Board of Directors (Non- executive member) Vice Chairman of the Board of Directors (Non- executive member) Chairman of the Compensation Committee Member of the Capital and Risk Management Committee Chairman of the Strategy Committee Member of the Customer Experience Committee Office held Member Member Member Date of election 04.28.2026 04.28.2026 04.28.2026 Date of investiture Term of office Annual Annual Annual Date of beginning of first term 11.28.2008 11.28.2008 11.28.2008 Office held Chairman Date of election 04.30.2025 Date of investiture 04.30.2025 Term of office Annual Date of beginning of first term 05.25.2017 Office held Chairman Member Date of election 04.30.2025 04.30.2025 Date of investiture 04.30.2025 04.30.2025 Term of office Annual Annual Date of beginning of first term 06.24.2009 05.03.2010 Office held Member Date of election 04.30.2025 Date of investiture 04.30.2025 Term of office Annual Date of beginning of first term 06.24.2009 Office held Member Date of election 04.30.2025 Date of investiture 04.30.2025 Term of office Annual Date of beginning of first term 06.27.2024 (2) The Committee also has the participation of Milton Maluhy Filho as a member; (3) The Committee also has the participation of Geraldo Carbone as a non‐management member. (1) An independent member is characterized by one that has neither a commercial relationship nor one of any other nature with the company, with a company under the same control, with a controlling stockholder or with a member of the management body which could (i) result in a conflict of interests; or (ii) affect their capacity and impartiality of analysis and point of view; Capital and Risk Management Committee ATTACHMENT III ITEMS 7.3 TO 7.6 OF ATTACHMENT "C" OF CVM RESOLUTION No. 80/22 Independent Member (1) Description of any of the following events that may have taken place over the past five years: i - any criminal conviction; ii. any conviction in an administrative proceeding of CVM, the Brazilian Central Bank or the Superintendency of Private Insurance, and the punishments applied; iii. any conviction ruled final and unappealable at the legal or administrative levels that have suspended or disqualified them for the performance of any professional or commercial activity. Other positions held or roles currently performed at the Issuer 7.3 and 7.4 (except for item 7.3 "l") Name Date of birth Profession Individual Taxpayer’s Registry (CPF) number Elected by the controlling stockholder Co-chairman of the Board of Directors (Non- executive member) Member of the Strategy Committee Customer Experience Committee (2) Board of Directors Compensation Committee (3) Strategy Committee 56


 
ALFREDO EGYDIO SETUBAL ANA LÚCIA DE MATTOS BARRETTO VILLELA CANDIDO BOTELHO BRACHER 09.01.1958 10.25.1973 12.05.1958 Business administrator Pedagogic professional Business administrator 014.414.218-07 066.530.828-06 039.690.188-38 yes yes yes no no yes no no no Member of the Board of Directors (non-executive member) Member of the Board of Directors (non-executive member) Member of the Board of Directors (non-executive member) Member of the Disclosure and Trading Committee Member of the Nomination and Corporate Governance Committee Member of the Environmental, Social and Climate Responsibility Committee Member of the Nomination and Corporate Governance Committee Member of the Personnel Committee Member of the Capital and Risk Management Committee Member of the Personnel Committee Member of the Compensation Committee Chairman of the Nomination and Corporate Governance Committee Member of the Personnel Committee Member of the Related Parties Committee Office held Member Member Member Date of election 04.28.2026 04.28.2026 04.28.2026 Date of investiture Term of office Annual Annual Annual Date of beginning of first term 11.28.2008 10.24.2018 06.15.2021 Office held Member Member Chairman Date of election 04.30.2025 04.30.2025 04.30.2025 Date of investiture 04.30.2025 04.30.2025 04.30.2025 Term of office Annual Annual Annual Date of beginning of first term 06.24.2009 04.26.2018 09.29.2022 Office held Member Member Member Date of election 04.30.2025 04.30.2025 01.29.2026 Date of investiture 04.30.2025 04.30.2025 01.29.2026 Term of office Annual Annual Annual Date of beginning of first term 04.29.2015 04.26.2018 01.29.2026 Office held Chairman Member Member Date of election 04.30.2025 04.30.2025 04.30.2025 Date of investiture 04.30.2025 04.30.2025 04.30.2025 Term of office Annual Annual Annual Date of beginning of first term 01.31.2019 01.31.2019 01.31.2019 Office held Member Date of election 04.30.2025 Date of investiture 04.30.2025 Term of office Annual Date of beginning of first term 04.29.2021 Office held Member Date of election 04.30.2025 Date of investiture 04.30.2025 Term of office Annual Date of beginning of first term 04.29.2021 Office held Member Date of election 04.30.2025 Date of investiture 04.30.2025 Term of office Annual Date of beginning of first term 04.30.2025 (3) The Committee also has the participation of Geraldo Carbone as a non‐management member. (1) An independent member is characterized by one that has neither a commercial relationship nor one of any other nature with the company, with a company under the same control, with a controlling stockholder or with a member of the management body which could (i) result in a conflict of interests; or (ii) affect their capacity and impartiality of analysis and point of view; Environmental, Social and Climate Responsibility Committee Capital and Risk Management Committee Compensation Committee (3) Related Parties Committee Personnel Committee 7.3 and 7.4 (except for item 7.3 "l") Elected by the controlling stockholder Name Date of birth Profession Individual Taxpayer’s Registry (CPF) number Chairman of the Environmental, Social and Climate Responsibility Committee Member of the Environmental, Social and Climate Responsibility Committee Independent Member (1) Description of any of the following events that may have taken place over the past five years: i - any criminal conviction; ii. any conviction in an administrative proceeding of CVM, the Brazilian Central Bank or the Superintendency of Private Insurance, and the punishments applied; iii. any conviction ruled final and unappealable at the legal or administrative levels that have suspended or disqualified them for the performance of any professional or commercial activity. Board of Directors Nomination and Corporate Governance Committee Other positions held or roles currently performed at the Issuer 57


 
CESAR NIVALDO GON FABRICIO BLOISI ROCHA JOÃO MOREIRA SALLES 07.09.1971 05.09.1977 04.11.1981 Businessman Businessman Economist 154.974.508-57 263.679.838-21 295.520.008-58 yes Yes yes yes Yes no no no no Member of the Board of Directors (independent member) Member of the Board of Directors (independent member) Member of the Board of Directors (non-executive member) Member of the Personnel Committee Member of the Strategy Committee Member of the Compensation Committee Member of the Nomination and Corporate Governance Committee Office held Member Member Member Date of election 04.28.2026 04.28.2026 04.28.2026 Date of investiture Term of office Annual Annual Annual Date of beginning of first term 07.01.2022 05.17.2024 06.01.2017 Office held Chairman Member Date of election 04.30.2025 04.30.2025 Date of investiture 04.30.2025 04.30.2025 Term of office Annual Annual Date of beginning of first term 06.27.2024 06.27.2024 Office held Member Date of election 04.30.2025 Date of investiture 04.30.2025 Term of office Annual Date of beginning of first term 05.25.2017 Office held Member Date of election 04.30.2025 Date of investiture 04.30.2025 Term of office Annual Date of beginning of first term 04.29.2021 Office held Member Date of election 04.30.2025 Date of investiture 04.30.2025 Term of office Annual Date of beginning of first term 04.30.2025 Office held Member Date of election 01.29.2026 Date of investiture 01.29.2026 Term of office Annual Date of beginning of first term 01.29.2026 (2) The Committee also has the participation of Milton Maluhy Filho as a member; (3) The Committee also has the participation of Geraldo Carbone as a non‐management member. (1) An independent member is characterized by one that has neither a commercial relationship nor one of any other nature with the company, with a company under the same control, with a controlling stockholder or with a member of the management body which could (i) result in a conflict of interests; or (ii) affect their capacity and impartiality of analysis and point of view; Compensation Committee (3) Customer Experience Committee (2) Strategy Committee Personnel Committee Nomination and Corporate Governance Committee Name Date of birth Profession Individual Taxpayer’s Registry (CPF) number 7.3 and 7.4 (except for item 7.3 "l") Member of the Customer Experience Committee Elected by the controlling stockholder Independent Member (1) Description of any of the following events that may have taken place over the past five years: i - any criminal conviction; ii. any conviction in an administrative proceeding of CVM, the Brazilian Central Bank or the Superintendency of Private Insurance, and the punishments applied; iii. any conviction ruled final and unappealable at the legal or administrative levels that have suspended or disqualified them for the performance of any professional or commercial activity. Other positions held or roles currently performed at the Issuer Board of Directors Chairman of the Customer Experience Committee 58


 
MARCOS MARINHO LUTZ MARIA HELENA DOS SANTOS FERNANDES DE SANTANA PAULO ANTUNES VERAS 12.30.1969 06.23.1959 09.01.1972 Naval Engineer Economist Engineer 147.274.178-12 036.221.618-50 179.984.168-58 yes yes yes yes yes yes no no no Member of the Board of Directors (independent member) Member of the Board of Directors (independent member) Member of the Board of Directors (independent member) Chairman of the Audit Committee Member of the Customer Experience Committee Chairman of the Personnel Committee Member of the Environmental, Social and Climate Responsibility Committee Office held Member Member Member Date of election 04.28.2026 04.28.2026 04.28.2026 Date of investiture Term of office Annual Annual Annual Date of beginning of first term 06.10.2025 06.15.2021 05.17.2024 Office held Member Date of election 04.30.2025 Date of investiture 04.30.2025 Term of office Annual Date of beginning of first term 04.30.2025 Office held Member Date of election 04.30.2025 Date of investiture 04.30.2025 Term of office Annual Date of beginning of first term 04.30.2025 Office held Chairman Date of election 04.30.2025 Date of investiture 04.30.2025 Term of office Annual Date of beginning of first term 04.29.2021 Office held Chairman Date of election 04.30.2025 Date of investiture 04.30.2025 Term of office Annual Date of beginning of first term 04.25.2024 Office held Member Date of election 04.30.2025 Date of investiture 04.30.2025 Term of office Annual Date of beginning of first term 06.27.2024 (2) The Committee also has the participation of Milton Maluhy Filho as a member. Elected by the controlling stockholder Name Date of birth Profession Individual Taxpayer’s Registry (CPF) number 7.3 and 7.4 (except for item 7.3 "l") (1) An independent member is characterized by one that has neither a commercial relationship nor one of any other nature with the company, with a company under the same control, with a controlling stockholder or with a member of the management body which could (i) result in a conflict of interests; or (ii) affect their capacity and impartiality of analysis and point of view; Personnel Committee Customer Experience Committee (2) Related Parties Committee Independent Member (1) Description of any of the following events that may have taken place over the past five years: i - any criminal conviction; ii. any conviction in an administrative proceeding of CVM, the Brazilian Central Bank or the Superintendency of Private Insurance, and the punishments applied; iii. any conviction ruled final and unappealable at the legal or administrative levels that have suspended or disqualified them for the performance of any professional or commercial activity. Board of Directors Environmental, Social and Climate Responsibility Committee Strategy Committee Chairman of the Related Parties Committee Member of the Strategy Committee Other offices or functions held at the issuer 59


 
PEDRO LUIZ BODIN DE MORAES 07.13.1956 Economist 548.346.867-87 yes yes no Member of the Board of Directors (independent member) Chairman of the Capital and Risk Management Committee Member of the Nomination and Corporate Governance Committee Member of the Related Parties Committee Office held Member Date of election 04.28.2026 Date of investiture Term of office Annual Date of beginning of first term 11.28.2008 Office held Chairman Date of election 04.30.2025 Date of investiture 04.30.2025 Term of office Annual Date of beginning of first term 06.24.2009 Office held Member Date of election 04.30.2025 Date of investiture 04.30.2025 Term of office Annual Date of beginning of first term 04.30.2025 Office held Member Date of election 04.30.2025 Date of investiture 04.30.2025 Term of office Annual Date of beginning of first term 04.25.2013 (1) An independent member is characterized by one that has neither a commercial relationship nor one of any other nature with the company, with a company under the same control, with a controlling stockholder or with a member of the management body which could (i) result in a conflict of interests; or (ii) affect their capacity and impartiality of analysis and point of view. Board of Directors Individual Taxpayer’s Registry (CPF) number Other offices or functions held at the issuer Capital and Risk Management Committee Nomination and Corporate Governance Committee Elected by the controlling stockholder Independent Member (1) Description of any of the following events that may have taken place over the past five years: i - any criminal conviction; ii. any conviction in an administrative proceeding of CVM, the Brazilian Central Bank or the Superintendency of Private Insurance, and the punishments applied; iii. any conviction ruled final and unappealable at the legal or administrative levels that have suspended or disqualified them for the performance of any professional or commercial activity. Related Parties Committee Name Date of birth Profession 7.3 and 7.4 (except for item 7.3 "l") 60


 
CLÁUDIO JOSÉ COUTINHO ARROMATTE EDUARDO HIROYUKI MIYAKI MARCELO MAIA TAVARES DE ARAÚJO 02.15.1966 06.11.1972 04.27.1973 Eletric Engineer Civil Engineer Engineer 991.173.127-87 159.822.728-92 605.979.411-49 yes yes no (nominated by Caixa de Previdência dos Funcionários do Banco do Brasil – PREVI, holder of preferred shares) Not applicable Not applicable Not applicable no no no Effective Member of the Fiscal Council Effective Member of the Fiscal Council Effective Member of the Fiscal Council Elective position held Member Member Member Date of election 04.28.2026 04.28.2026 04.28.2026 Date of investiture Term of office Annual Annual Annual Date of beginning of first term (6) 07.01.2022 06.10.2025 LENI BERNADETE TORRES DA SILVA SANSIVIERO JOÃO COSTA HAROLDO DO ROSÁRIO VIEIRA 08.11.1963 08.10.1950 06.15.1956 Business Administrator Economist Civil Engineer 048.504.508-73 476.511.728-68 055.748.382-49 yes yes no (nominated by Caixa de Previdência dos Funcionários do Banco do Brasil – PREVI, holder of preferred shares) Not applicable Not applicable Not applicable no no no Alternate Member of the Fiscal Council Alternate Member of the Fiscal Council Alternate Member of the Fiscal Council Elective position held Member Member Member Date of election 04.28.2026 04.28.2026 04.28.2026 Date of investiture Term of office Annual Annual Annual Date of beginning of first term 06.10.2025 07.10.2009 (6) (6) not applicable as it involves the election of a member of the Fiscal Council. Independent Member (1) Description of any of the following events that may have taken place over the past five years: i - any criminal conviction; ii. any conviction in an administrative proceeding of CVM, the Brazilian Central Bank or the Superintendency of Private Insurance, and the punishments applied; iii. any conviction ruled final and unappealable at the legal or administrative levels that have suspended or disqualified them for the performance of any professional or commercial activity. Other offices or functions held at the issuer Fiscal Council (1) An independent member is characterized by one that has neither a commercial relationship nor one of any other nature with the company, with a company under the same control, with a controlling stockholder or with a member of the management body which could (i) result in a conflict of interests; or (ii) affect their capacity and impartiality of analysis and point of view; Individual Taxpayer’s Registry (CPF) number Date of birth Profession Individual Taxpayer’s Registry (CPF) number Elected by the controlling stockholder Elected by the controlling stockholder Independent Member (1) Description of any of the following events that may have taken place over the past five years: i - any criminal conviction; ii. any conviction in an administrative proceeding of CVM, the Brazilian Central Bank or the Superintendency of Private Insurance, and the punishments applied; iii. any conviction ruled final and unappealable at the legal or administrative levels that have suspended or disqualified them for the performance of any professional or commercial activity. Other offices or functions held at the issuer Fiscal Council Name Name Date of birth Profession With respect to each member of the issuer’s Fiscal Council, whose election and reelection will be proposed by the controlling stockholder and the preferred stockholder (Caixa de Previdência dos Funcionários do Banco do Brasil - PREVI), information is as follows: 7.3 and 7.4 (except for item 7.3 "l") 61


 
MARIA HELENA DOS SANTOS FERNANDES DE SANTANA ALEXANDRE DE BARROS FERNANDO BARÇANTE TOSTES MALTA 06.23.1959 09.06.1956 04.14.1968 Economist Engineer Systems Analyst 036.221.618-50 040.036.688-63 992.648.037-34 Not applicable Not applicable Not applicable yes yes yes no no no Member of the Board of Directors (independent member) Chairman of the Audit Committee Chairman of the Related Parties Committee Office held Chairman Member Member Date of election 04.30.2025 04.30.2025 04.30.2025 Date of investiture 06.18.2025 06.18.2025 06.18.2025 Term of office Annual Annual Annual Date of beginning of first term 01.02.2023 06.16.2021 06.01.2023 MARIA ELENA CARDOSO FIGUEIRA LUCIANA PIRES DIAS ROGÉRIO CARVALHO BRAGA 11.29.1965 01.13.1976 01.30.1956 Economist Lawyer Lawyer 013.908.247-64 251.151.348-02 625.816.948-15 Not applicable Not applicable Not applicable yes yes yes no no no Effective member of the Audit Committee Effective member of the Audit Committee Effective member of the Audit Committee Office held Member Member Member Date of election 08.28.2025 04.30.2025 04.30.2025 Date of investiture 10.09.2025 06.18.2025 06.18.2025 Term of office Annual Annual Annual Date of beginning of first term 10.09.2025 08.07.2020 06.16.2021 (4) All members of the Audit Committee are considered independent, in conformity with the applicable regulation and under the terms and conditions of the Audit Committee Regulation, and may not be, or may not have been, in the past twelve months (i) an officer of Itaú Unibanco or its controlled and affiliated companies; (ii) an employee of Itaú Unibanco or its controlled and affiliated companies; (iii) a responsible technician, an officer, a manager, a supervisor or any other member of staff, with a managerial function, of the team involved in external audit work for Itaú Unibanco or its controlled and affiliated companies; (iv) a member of the Fiscal Council of Itaú Unibanco or its controlled and affiliated companies; (v) a controlling stockholder of Itaú Unibanco or its controlled and affiliated companies; or (vi) a natural person, holder of a direct or indirect interest of over 10 percent of the voting stock of Itaú Unibanco or its controlled and affiliated companies. With respect to the composition of the Audit Committee(*), information is as follows: (*) The bank strictly follows/complies with the rules set forth by CMN Resolution No. 3,198/2004 to determine the term and renewal of the term of office of Audit Committee members. Audit Committee Profession Individual Taxpayer’s Registry (CPF) number Elected by the controlling stockholder Independent Member (4) Description of any of the following events that may have taken place over the past five years: i - any criminal conviction; ii. any conviction in an administrative proceeding of CVM, the Brazilian Central Bank or the Superintendency of Private Insurance, and the punishments applied; iii. any conviction ruled final and unappealable at the legal or administrative levels that have suspended or disqualified them for the performance of any professional or commercial activity. Other offices or functions held at the issuer Date of birth Name Date of birth Profession 7.3 and 7.4 (except for item 7.3 "l") Individual Taxpayer’s Registry (CPF) number Effective member of the Audit Committee Effective member of the Audit Committee Name Elected by the controlling stockholder Independent Member (4) Description of any of the following events that may have taken place over the past five years: i - any criminal conviction; ii. any conviction in an administrative proceeding of CVM, the Brazilian Central Bank or the Superintendency of Private Insurance, and the punishments applied; iii. any conviction ruled final and unappealable at the legal or administrative levels that have suspended or disqualified them for the performance of any professional or commercial activity. Audit Committee Other offices or functions held at the issuer 62


 
GUSTAVO LOPES RODRIGUES ALFREDO EGYDIO SETUBAL ÁLVARO FELIPE RIZZI RODRIGUES 11.18.1980 09.01.1958 03.28.1977 Business Administrator Business Administrator Lawyer 219.738.878-94 014.414.218-07 166.644.028-07 Not applicable Not applicable Not applicable Not applicable Not applicable Not applicable no no no Chairman of the Disclosure and Trading Committee Member of the Board of Directors (Non‐ executive member) Member of the Disclosure and Trading Committee Member of the Disclosure and Trading Committee Member of the Nomination and Corporate Governance Committee Member of the Personnel Committee Chairman of the Environmental, Social and Climate Responsibility Committee Office held Chairman Member Member Date of election (5) 04.30.2025 04.30.2025 04.30.2025 Date of investiture (5) 04.30.2025 04.30.2025 04.30.2025 Term of office Annual Annual Annual Date of beginning of first term 08.16.2024 04.24.2009 04.28.2022 ANDRE BALESTRIN CESTARE GABRIEL AMADO DE MOURA JOSÉ VIRGÍLIO VITA NETO 06.08.1978 08.18.1975 09.13.1978 Engineer Business Administrator Lawyer 213.634.648-25 247.648.348-63 223.403.628-30 Not applicable Not applicable Not applicable Not applicable Not applicable Not applicable no no no Member of the Disclosure and Trading Committee Member of the Disclosure and Trading Committee Member of the Disclosure and Trading Committee Officer Officer (member of Executive Committee) Officer (member of Executive Committee) Office held Member Member Member Date of election (5) 01.23.2026 04.30.2025 04.30.2025 Date of investiture (5) 01.23.2026 04.30.2025 04.30.2025 Term of office Annual Annual Annual Date of beginning of first term 01.23.2026 10.22.2024 01.18.2021 Elected by the controlling stockholder Independent Member (1) Description of any of the following events that may have taken place over the past five years: i - any criminal conviction; ii. any conviction in an administrative proceeding of CVM, the Brazilian Central Bank or the Superintendency of Private Insurance, and the punishments applied; iii. any conviction ruled final and unappealable at the legal or administrative levels that have suspended or disqualified them for the performance of any professional or commercial activity. Other positions held or roles currently performed at the Issuer OfficerInvestor Relations Officer With respect to each member of the Issuer’s Disclosure and Trading Committee, see the following information: Name Date of Birth Profession 12.5 to 12.8 (except for item 12.5 "m") 7.3 and 7.4 (except for item 7.3 "l") Description of any of the following events that may have taken place over the past five years: i - any criminal conviction; ii. any conviction in an administrative proceeding of CVM, the Brazilian Central Bank or the Superintendency of Private Insurance, and the punishments applied; iii. any conviction ruled final and unappealable at the legal or administrative levels that have suspended or disqualified them for the performance of any professional or commercial activity. Other positions held or roles currently performed at the Issuer Profession (5) There is no election and investiture formally established for this Committee (non‐statutory). (1) An independent member is characterized by one that has neither a commercial relationship nor one of any other nature with the company, with a company under the same control, with a controlling stockholder or with a member of the management body which could (i) result in a conflict of interests; or (ii) affect their capacity and impartiality of analysis and point of view; Disclosure and Trading Committee Individual Taxpayer’s Registry (CPF) number Name Date of Birth Elected by the controlling stockholder Independent Member (1) Disclosure and Trading Committee 63


 
RENATO LULIA JACOB 05.10.1974 Bank clerk 118.058.578-00 Not applicable Not applicable no Member of the Disclosure and Trading Committee Officer Office held Member Date of election (5) 04.30.2025 Date of investiture (5) 04.30.2025 Term of office Annual Date of beginning of first term 04.25.2019 (5) There is no election and investiture formally established for this Committee (non‐statutory). (1) An independent member is characterized by one that has neither a commercial relationship nor one of any other nature with the company, with a company under the same control, with a controlling stockholder or with a member of the management body which could (i) result in a conflict of interests; or (ii) affect their capacity and impartiality of analysis and point of view; Disclosure and Trading Committee Elected by the controlling stockholder Independent Member (1) Description of any of the following events that may have taken place over the past five years: i - any criminal conviction; ii. any conviction in an administrative proceeding of CVM, the Brazilian Central Bank or the Superintendency of Private Insurance, and the punishments applied; iii. any conviction ruled final and unappealable at the legal or administrative levels that have suspended or disqualified them for the performance of any professional or commercial activity. Other positions held or roles currently performed at the Issuer 12.5 to 12.8 (except for item 12.5 "m") With respect to each member of the Issuer’s Disclosure and Trading Committee, see the following information: 7.3 and 7.4 (except for item 7.3 "l") Name Date of Birth Profession 64


 
GERALDO JOSÉ CARBONE MILTON MALUHY FILHO 08.02.1956 06.08.1976 Economist Business Administrator 952.589.818-00 252.026.488-80 Not applicable Not applicable yes no no no Chief Executive Officer Member of the Customer Experience Committee Office held Member Date of election 04.30.2025 Date of investiture 04.30.2025 Term of office Annual Date of beginning of first term 01.31.2019 Office held Member Date of election 04.30.2025 Date of investiture 04.30.2025 Term of office Annual Date of beginning of first term 06.27.2024 (2) The Committee also has the participation of Milton Maluhy Filho as a member; (3) The Committee also has the participation of Geraldo Carbone as a non‐management member. Customer Experience Committee (2) (1) An independent member is characterized by one that has neither a commercial relationship nor one of any other nature with the company, with a company under the same control, with a controlling stockholder or with a member of the management body which could (i) result in a conflict of interests; or (ii) affect their capacity and impartiality of analysis and point of view; Name Member of the Compensation CommitteeOther positions held or roles currently performed at the Issuer With respect to the composition of the issuer's Remuneration and Customer Experience Committees, the following information is provided: Independent Member (1) Description of any of the following events that may have taken place over the past five years: i - any criminal conviction; ii. any conviction in an administrative proceeding of CVM, the Brazilian Central Bank or the Superintendency of Private Insurance, and the punishments applied; iii. any conviction ruled final and unappealable at the legal or administrative levels that have suspended or disqualified them for the performance of any professional or commercial activity. Compensation Committee (3) Date of birth Profession Elected by the controlling stockholder Individual Taxpayer’s Registry (CPF) number 7.3 and 7.4 (except for item 7.3 "l") 65


 
With respect to each member, please see below the information on item 7.3 "l": 7.3 "l" - Main professional experiences during the last 5 years, highlighting, if applicable, positions and functions exercised: (i) in the issuer and in companies of its economic group; and (ii) companies controlled by a shareholder of the issuer that holds direct or indirect interest, equal or superior to 5% of the same class or type of security of the issuer. BOARD OF DIRECTORS Pedro Moreira Salles (Non-Executive Co-Chairman) Position and Term of Office He has been a non-executive co-chairman of our board of directors since 2017. Experiences, Skills and Abilities Financial sector, capital markets and other sectors He has been a co-chairman of our board of directors since 2017 and was also the chairman of this board from 2009 to 2017. He was a member of the board of directors of Unibanco in 1989 and was chairman from 1997 to 2004. In 2004, he became CEO of Unibanco and remained in the position until 2008, the year of the merger with Banco Itaú. He is the chairman of the board of directors of Companhia E. Johnston de Participações; and IUPAR – Itaú Unibanco Participações S.A. He is vice chairman of the board of directors of Brasil Warrant and a partner and Co-CEO at Cambuhy Investimentos. He was a member of the board of directors of TOTVS, and between 2017 and 2022, he was chairman of the board of directors of the Brazilian Federation of Banks (“FEBRABAN”). ESG He is also the chairman of the board of directors of the Instituto Unibanco, an institution that aims to improve public education in Brazil through management of the education system. He is a member of the Decision- Making Council and the General Assembly of Associates of Insper Institute of Education and Research, – a non-profit educational and research institution, and a member of the Advisory Council of the Symphony Orchestra Foundation of the State of São Paulo (“OSESP”). He is also a member of the board of directors of the Todos pela Saúde (“All for Health”) Institute, which combats public health emergencies in Brazil, and a member of the board of directors of Instituto Moreira Salles, which is dedicated to promoting and preserving cultural heritage. Academic Background He holds a bachelor’s degree magna cum laude in economics and history from the University of California, Los Angeles (“UCLA”), United States. He completed the President and CEO Management Program at Harvard University in the United States. Roberto Egydio Setubal (Non-Executive Co-Chairman) Position and Term of Office He has been a co-chairman of our board of directors since 2017. Experiences, Skills and Abilities Financial sector, capital markets and other sectors He started his career at Banco Itaú in 1980, holding several positions until being appointed in 1994 as CEO, a position he held until April 2008. In that year, after the merger of Banco Itaú and Unibanco, he became CEO of Itaú Unibanco Holding S.A., remaining in that role until 2017. He has been a member of the board of directors of Itaúsa S.A. since 2021 and is currently its vice chairman. He is also a member of the board of directors of CCR S.A. He was a member of the board of directors of Petrobras from 2000 to 2002 and of Shell Plc from 2017 to 2020. He was a member of the International Monetary Conference (“IMC”) from 1994 to 2020, serving as its chairman in 2015. From 1997 to 2000 he was chairman of Federação Brasileira de Bancos (“FEBRABAN”) and later chaired its board of directors from 2011 to 2017. He was a member of the board of directors of the Institute of International Finance (“IIF”), serving as vice chairman from 2003 to 2014. Between 2002 and 2008, he was a member of the International Advisory Committee of the Federal Reserve Bank of New York. In 2011, he was named Banker of the Year by Euromoney magazine, and in 2015 he was elected, for the second time, the best executive in Brazil. Risk Management During his term as CEO of Itaú Unibanco Holding S.A. until 2017, he oversaw risk management at the executive level, chairing seven superior risk committees such as the Superior Audit and Operational Risk 66


 
Management Committee, the Superior Credit Committee, and the Superior Risk Policy Committee, where he addressed corporate risk policies, risk management, risk appetite, and the company’s risk culture. He is currently a member of the Risk and Capital Management Committee, contributing to the definition, review and approval of risk appetite, strategies, and institutional risk policies. ESG He is also a member of the board of directors of Centro de Liderança Pública (“CLP”), a multi-party organization aimed at engaging society and developing public leaders to tackle Brazil’s urgent problems. In 2003, he was appointed as a member of the Economic and Social Development Council (Conselho de Desenvolvimento Econômico e Social, or “CDES”), a position he holds to date. Academic Background He holds a bachelor’s degree in production engineering from the Polytechnic School of the University of São Paulo (“USP”), São Paulo, Brazil. He also holds a master’s degree in engineering science from Stanford University, California, United States. Ricardo Villela Marino (Non-Executive Vice-Chairman) Position and Term of Office He has been a vice chairman of our board of directors since 2020. Experiences, Skills and Abilities Financial sector and capital markets He has been the chairman of the Latin America Strategic Council since 2018, leading the innovation and exploration of growth opportunities across the region. He is also the chairman of the board of directors of Itaú Chile. He has held several positions at Itaú Unibanco Group since 2002, including serving as a vice president from 2010 to 2018 and as CEO of Itaú’s Latin America operations (Argentina, Chile, Paraguay and Uruguay). He started his career at Banque Credit Commercial de France (“CCF”) and worked in fixed income and equities at Banco Garantia/CSFB and at Goldman Sachs Asset Management in New York and London, where he was a portfolio manager for emerging markets. He served as chairman of the Latin American Bank Federation (“FELABAN”) and was named a Young Global Leader by the World Economic Forum (“WEF”). He has been an alternate member of our board of directors since 2011. Financial Inclusion and Entrepreneurship He is currently vice chairman of Humanitas 360, a non-profit organization focused on catalyzing social and civic entrepreneurship among young people. He is the chairman of Instituto PDR, an organization aimed at investing in and preparing new entrepreneurs with a focus on social academic transformation. Academic Background He holds a bachelor’s degree in mechanical engineering from the University of São Paulo (“USP”), São Paulo, Brazil. He hold´s a master’s degree in business administration from the Massachusetts Institute of Technology (“MIT”) Sloan School of Management, Massachusetts, United States. Alfredo Egydio Setubal (Non-Executive Member) Position and Term of Office He has been a non-executive member of our board of directors since 2007. Experiences, Skills and Abilities Financial sector and capital markets At Itaúsa S.A., he has been serving as CEO and investor relations officer since 2015 and has been a member of the board of directors since 2008. He also has been the chairman of the board of directors of Dexco S.A. since 2021 and board member since 2015; a member of the board of directors of Alpargatas S.A. since 2017 and of Copa Energia since 2020. He was chairman of the National Association of Investment Banks (“ANBID”) from 2003 to 2008; and he has been a member of the Superior Guidance, Nomination and Ethics Committee of the Brazilian Institute of Investor Relations (“IBRI”) since 2010, having chaired IBRI’s board of directors from 2000 to 2003. He was also a member of the board of directors of the Brazilian Association of Publicly-Held Companies (“ABRASCA”) from 1999 to 2017. He is currently the chairman of the Environmental, Social and Climate Responsibility Committee and a member of the Disclosure and Trading Committee, the Nomination and Corporate Governance Committee, and the Personnel Committee of Itaú Unibanco. ESG He has been the chairman of the Board of Trustees of the Fundação Itaú, an institution responsible for social initiatives focused on education (in partnership with UNICEF and other NGOs) and the 67


 
democratization and promotion of Brazilian culture, and the Chairman of the Decision-Making Council of the São Paulo Museum of Art (“MASP”) since 2015. He has been a member of the board of directors of the São Paulo Biennial Foundation since 2009. He is also a member of the Boards of the Museum of Modern Art of São Paulo (“MAM”) and the Institute of Contemporary Art (“IAC”). Academic Background He holds both bachelor’s and postgraduate degrees in business administration from Fundação Getúlio Vargas (“FGV”), São Paulo, Brazil. Ana Lúcia de Mattos Barretto Villela (Non-Executive Member) Position and Term of Office She has been a non-executive member of our board of directors since 2018. Experiences, Skills and Abilities Financial sector, capital markets, and other sectors She has held several positions at the Itaú Unibanco Group, including serving as a member of our board of directors from 1996 to 2001. She is co-founder of MFF&CO, a global impact entertainment studio operating in São Paulo (Brazil), Los Angeles (United States), and London (United Kingdom) since May 2024; co- founder of the Alana Down Syndrome Center at MIT since 2019; alternate member of the board of directors of IUPAR – Itaú Unibanco Participações S.A. since 2018; member of Itaú’s Personnel Committee since 2018; member of Itaú’s Nomination and Corporate Governance Committee since 2018; vice-chair of the board of directors (non-executive member) of Itaúsa S.A. since 2017; member of the Advisory Board of Itaú Social since 2017; co-founder of AlanaLab since 2014; co-founder of Maria Farinha Filmes since 2009; founding chairwoman of the Alana Foundation since 2012; CEO of Instituto Alana since 2002; and Ashoka Fellow since 2010. ESG She has been a member of the Social, Environmental, and Climate Responsibility Committee since 2019 (formerly the Social Responsibility Committee); member of Itaúsa’s Sustainability and Risk Committee since 2021. Also she has been member of the Advisory Board of the Stanford Down Syndrome Research Center since January 2022. Previously served on the board of Participant, a media and entertainment organization founded by social entrepreneur Jeff Skoll, from March 2022 to July 2024; member of the Advisory Board of UCLA Lab School from May 2022 to July 2024; member of the Advisory Board of Instituto Akatu from 2013 to 2017; member of the Advisory Board of Fairplay Organization from 2015 to 2017; member of the Advisory Board of Conectas from 2003 to 2018; member of Dexco’s Sustainability Committee from 2015 to 2018; and alternate member of Dexco’s board of directors from 2018 to 2020. Technology and Information Security Since 2018, she has been the first Latin American representative on the XPRIZE Innovation Board, a nonprofit organization founded by Peter Diamandis that designs and manages global competitions to foster the development of breakthrough technologies addressing humanity’s greatest challenges. From 2019 to 2024, Alana Foundation, co-founded by Villela, supported the XPRIZE Rainforest competition, aimed at accelerating the creation of technologies capable of mapping tropical forest biodiversity. Academic Background Holds a bachelor’s degree in education with a specialization in school administration and a master’s degree in educational psychology, both from Pontifícia Universidade Católica de São Paulo (“PUC-SP”), São Paulo, Brazil. Studied business administration at Fundação Armando Álvares Penteado (“FAAP”), São Paulo, Brazil (incomplete), and attended a postgraduate program in third sector management at Fundação Getulio Vargas (“FGV”), São Paulo, Brazil (incomplete). Candido Botelho Bracher (Independent Member) Position and Term of Office He has been an independent member of our board of directors since April 2024, and a non-executive member of our board of directors since 2021. Experiences, Skills and Abilities Financial sector and capital markets He has held several positions at Itaú Unibanco Group, including serving as CEO from 2017 to 2021, senior vice president of wholesale banking from 2015 to 2017, and vice president from 2004 to 2015. He has been a member of the board of directors of Mastercard Incorporated since 2021 and was a member of the board of directors of Banco Itaú BBA S.A. from 2003 to 2017, of B3 S.A. from 2009 to 2014, and of Grupo Pão de 68


 
Açúcar from 1999 to 2013. He was a founding partner of investment bank BBA Creditanstalt, a joint venture established in 1988. Risk Management He served as CEO of Itaú Unibanco Holding S.A., during which time he was in charge of risk management at the executive level, chairing seven superior risk committees, such as the Superior Market and Liquidity Risk Committee, the Superior Operational Risk Committee, and the Superior Credit Committee. In these forums, he deliberated on corporate risk policies, risk management processes, risk appetite, and the organization’s risk culture. He is currently a member of the Risk and Capital Management Committee, contributing to the definition, review and approval of risk appetite, strategies, and institutional risk policies. ESG He is a member of FGV’s Superior Council for the Bioeconomy and is deeply engaged in initiatives to protect the Pantanal biome in Brazil. He is a member of the board of directors of Instituto Acaia, which develops educational programs aimed at preserving the Pantanal biome. He also completed a Climate Change training program in 2021 offered by the Brazilian Institute of Corporate Governance (“IBGC”) through the Chapter Zero initiative, a global network to engage board members in climate challenges. He is also a columnist for the Brazilian newspaper Folha de São Paulo. Academic Background He holds a bachelor’s degree in business administration from Fundação Getulio Vargas (“FGV”), São Paulo, Brazil. Cesar Nivaldo Gon (Independent Member) Position and Term of Office He has been an independent member of our board of directors since 2022. Experiences, Skills and Abilities Financial sector and capital markets He is a member of the board of directors of the Lean Enterprise Institute (“LEI”) and was a member of the board of directors of Raia Drogasil S.A. from 2021 to 2023. An active venture capital and startup investor, Mr. Gon led the IPO of CI&T Inc. on the New York Stock Exchange (“NYSE”) and has been a member of the board of directors of the Lumina Unicamp Endowment Fund since 2020. He was recognized as Entrepreneur of the Year in Brazil by EY (EY Entrepreneur of The Year™) in 2019. Technology and Information Security He is the founder and CEO of CI&T (NYSE: CINT), a global company specialized in software engineering solutions – including AI and hyper-digital platforms, modernization, cloud services, data analytics, cybersecurity, and digital product design – since 1995. He is the Chairman of the Board of Sensedia, a leading company in the API Management market. He has a long-standing career as an important voice in leadership development, digital transformation, and artificial intelligence. He also served as a Technology Advisor on the Board of Grupo Boticário from 2020 to 2023. Academic Background He holds a bachelor’s degree in computer engineering and a master’s degree in computer science, both from the University of Campinas (“UNICAMP”), São Paulo, Brazil. He is the co-author of the book “Faster, Faster: The Dawn of Lean Digital” (2020) and a columnist for the MIT Sloan Management Review. 69


 
Fabricio Bloisi Rocha (Independent Member) Position and Term of Office He has been an independent member of our board of directors since 2024. Experiences, Skills and Abilities Financial sector, capital markets, and other industries He is the CEO of Prosus, Chairman of the board of directors at iFood, CEO of Naspers, and founder of Movile Group. He is also a member of the XPrize Innovation Board. ESG He promotes educational projects through his 1Bi Foundation, an institution focused on supporting education through technology. He also supports initiatives such as “Meu Diploma do Ensino Médio” and “Movimento Tech”, which foster high school and technology education in Brazil through iFood. In 2023, he was appointed as the UN spokesperson for education on SDG 4 in Brazil and joined the economic and Sustainable Development Council of the Presidency of the Republic. Academic Background He holds a bachelor' s degree in computer engineering from the State University of Campinas (“UNICAMP”), Campinas, São Paulo, Brazil, and a master’s degree in business administration from Fundação Getulio Vargas ("FGV"), São Paulo, Brazil. In 2013, he attended the Executive Program for Growing Companies - Strategy, Finance, and Leadership for companies in the growth-stage at the Stanford Graduate School of Business, California, USA. In 2022, he completed the Owner/President Management Program at Harvard University, Massachusetts, USA. João Moreira Salles (Non-Executive Member) Position and Term of Office He has been a non-executive member of our board of directors since 2017. Experiences, Skills and Abilities Financial sector, capital markets and other sectors He currently holds the following positions: (i) CEO of Itaú Unibanco Participações S.A. (“IUPAR”) since 2026, and he has been director since 2023; (ii) member of the board of directors of IUPAR since 2015; (iii) member of the board of directors and CEO of E. Johnston Participações since 2024; (iv) director of Brasil Warrant Administração de Bens e Empresas S.A. (“BWSA”) since 2017; (v) CEO of BW Gestão de Investimentos Ltda. (“BWGI”) since 2022; (vi) board member, since 2019, of Verallia, a glass packaging company with shares on the French Stock Exchange; (vii) chairman of the board of directors of Alpargatas since 2026, and member of the board of directors since 2022; (viii) member of the Strategy and People Committees of Alpargatas since 2022. Furthermore, before joining BWSA, he worked as an investment banker at J. P. Morgan Chase, New York, USA. Academic Background He holds a bachelor's degree in economics from the Institute of Education and Research (“INSPER”), São Paulo, Brazil; Master's degree in economics from Columbia University GSAS, New York, USA; Master's degree in finance from Columbia University GSB, New York, USA; and PhD in economic theory from the University of São Paulo (“USP”), São Paulo, Brazil. Marcos Marinho Lutz (Independent Member) Position and Term of Office He has been an independent member of our board of directors since 2025. Experiences, Skills and Abilities Financial sector, capital markets and other sectors He has been serving as the Chairman of the board of directors of Ultracargo Logística S.A., Ultrapar Participações S.A., Companhia Ultragaz S.A., and Ultrapar Mobilidade S.A. since 2025, and of Hidrovias do Brasil S.A. since 2024. He has been a member of the board of directors of Corteva Agriscience since 2019. He has been the CEO of Ultrapar Participações S.A. since 2022 and a member of the People and Sustainability Committee and an officer of Ultra S.A. Participações since 2021. Mr. Lutz was Chairman of the Infrastructure Council of the São Paulo State Industry Federation (“FIESP”) from 2015 to 2021; a member of the board of directors of Rumo Logística S.A. from 2008 to 2020 and its Chairman from July to December 2020; CEO of Cosan S.A. – Indústria e Comércio from 2009 to 2020; a board member of Raízen 70


 
S.A. from 2013 to 2020, Comgás S.A. from 2008 to 2020 and Moove S.A. from 2008 to 2020; and a member of the board of directors of Monsanto S.A. from 2014 to 2018. Academic Background He holds a bachelor’s degree in naval engineering from the Polytechnic School of the University of São Paulo (“USP”), São Paulo, Brazil, and a master’s degree in business administration from the Kellogg School of Management at Northwestern University, Illinois, United States. Maria Helena dos Santos Fernandes de Santana (Independent Member) Position and Term of Office She has been an independent member of our board of directors since 2021 and Chair of the Audit Committee since 2023. Experiences, Skills and Abilities Financial sector, capital markets and other sectors She has been an independent member of our board of directors since 2021 and an independent member of the Audit Committee since 2022, serving as its Chair since April 2023. She also served as a member of the Audit Committee of Itaú Unibanco Holding from 2014 to 2020. She is a member of the board of directors and Chairwoman of the Audit Committee of CI&T Inc., and a member of the board of directors of Fortbras S.A. She served as a member of the board of directors and Chairwoman of the Audit Committee of XP Inc. from 2019 to 2021; Chairwoman of the Audit Committee of XP Investimentos S.A. from 2018 to 2019; a member of the board of directors of Bolsas y Mercados Españoles (“BME”) from 2016 to 2020; a Trustee of the IFRS Foundation from 2014 to 2019; a member of the board of directors and Coordinator of the Audit Committee of Totvs S.A. from 2013 to 2017; and a member of the board of directors of CPFL Energia S.A. from 2013 to 2015. She was also Chair of the Brazilian Securities and Exchange Commission (“CVM”) from 2007 to 2012 (having been a Commissioner from 2006 to 2007), representing CVM on the Financial Stability Board (FSB) from 2009 to 2012, and served as Chair of the Executive Committee of the International Organization of Securities Commissions (“IOSCO”) from 2011 to 2012. ESG Between 2011 and 2012, she was a member of the International Integrated Reporting Council (“IIRC”), where she later served on the Governance and Nominating Committee until the creation of the Value Reporting Foundation. She worked at the São Paulo Stock Exchange (now B3 S.A.) from 1994 to 2006, where she was involved in the creation and was responsible for the implementation of the Novo Mercado and other corporate governance segments. She was vice president of the Brazilian Institute of Corporate Governance (“IBGC”) from 2004 to 2006, having been a member of its board of directors from 2001 to 2006. She has also been a member of the Latin American Corporate Governance Roundtable (“OECD”) since 2000. She was a member of the board of directors and Coordinator of the People, Appointments and Governance Committee at Oi S.A. from 2018 to 2023. She served as a member of the board of directors and Chairwoman of the Corporate Governance Committee of Companhia Brasileira de Distribuição S.A. from 2013 to 2017. She was honored with the Excellence in Corporate Governance Award by the International Corporate Governance Network (“ICGN”) in 2012. Academic Background She holds a bachelor’s degree in economics from the University of São Paulo (“USP”), São Paulo, Brazil. Paulo Antunes Veras (Independent Member) Position and Term of Office He has been an independent member of board of directors since 2024 and president of the Personnel Committee since 2026, he was a member of the Personnel Committee from 2024 to 2026. Experiences, Skills and Abilities Financial sector, capital markets and other sectors He is a startup investor, an independent member of the board of directors of Localiza, and a member of the Advisory Board of Grupo Boticário. He was the founder and CEO of 99, the first Brazilian “unicorn” startup, prior to the sale of the company in 2018. He was Managing Director and a board member at Endeavor, a high-impact entrepreneurship NGO. Academic Background He holds a bachelor’s degree in mechatronics engineering from the University of São Paulo (“USP”), São Paulo, Brazil, and an MBA from INSEAD. 71


 
Pedro Luiz Bodin de Moraes (Independent Member) Position and Term of Office He has been an independent member of our board of directors since 2008. Experiences, Skills and Abilities Financial sector and capital markets He was a member of the board of directors of Unibanco – União de Bancos Brasileiros S.A. from 2003 to 2008. He has been a partner at Cambuhy Investimentos Ltda. since 2011 and at Ventor Investimentos Ltda. since 2009. He was a partner at Icatu Holding S.A. from 2005 to 2014, and a partner and officer at Banco Icatu S.A. from 1993 to 2002. He was vice president of National Association of Investment Banks (“ANBID”) from 1994 to 2001, and a professor in the Department of Economics at the Pontifical Catholic University of Rio de Janeiro (“PUC-RJ”) from 1985 to 1990. Risk Management He is currently the chairman of our Risk and Capital Management Committee, and his prior experience in risk management has well-qualified him for this role. His responsibilities include supporting the board of directors in defining the institution’s risk appetite and overseeing the management and control of risk and capital, to ensure they are adequate for the risk levels assumed and the complexity of operations. He served as director of monetary policy at the Central Bank of Brazil from 1991 to 1992. In that capacity, his duties included managing and executing monetary and foreign exchange policy, setting technical guidelines for managing Brazil’s international reserves, and formulating policies for payment arrangements, clearinghouses, settlement systems, and other financial market infrastructures. ESG He was an Officer at National Bank for Economic and Social Development (“BNDES”) from 1990 to 1991, which is the Federal Government’s main investment promotion instrument, with a mission to foster the sustainable and competitive development of the Brazilian economy through job creation and the reduction of social and regional inequalities. Academic Background He holds a bachelor’s degree and a postgraduate diploma in economics from Pontificia Universidade Católica do Rio de Janeiro (“PUC-RJ”), Rio de Janeiro, Brazil, and a Ph.D. in economics from the Massachusetts Institute of Technology (“MIT”), Massachusetts, United States. FISCAL COUNCIL Cláudio José Coutinho Arromatte (Effective Member) a member of the Partners Program, has been an Officer at Grupo Itaú Unibanco since 2004. He has held various positions within Grupo Itaú Unibanco, including General Officer of IGA Itaú Asset Management, a subsidiary of Itaú Unibanco that provides efficiency services in Strategic Sourcing and indirect cost reduction for the bank and its clients (2023 to 2025); Purchasing and Assets Officer (2016 to 2022); Officer of Operational Risk, Internal Controls, and Compliance (2010 to 2016); and Officer of Operations and Retail Service, Purchasing, and Assets (2004 to 2008). He has served as Executive Officer of Instituto Unibanco for the past 10 years, as well as Alternate President of Fundação Itaú Unibanco de Previdência for the past 5 years. He began his career in 1986, working at companies such as White Martins Gases Industriais S.A., Ambev, Rio de Janeiro Refrescos Ltda., and Casas Sendas Comércio e Indústria. He holds a bachelor's degree in Electrical Engineering and a master's degree in Control and Systems Optimization, both from the Pontifical Catholic University of Rio de Janeiro (PUC-RJ), Rio de Janeiro, Brazil. Eduardo Hiroyuki Miyaki (Effective Member) has been a member of the fiscal council at Itaú Unibanco Group since 2022. He has held several positions at Itaú Unibanco Group, including internal audit officer from 2010 to 2017 and operational risk and internal control officer from 2017 to 2021. He previously served as internal audit superintendent from 2005 to 2010 in the Risk Management, Capital Markets, Insurance, Pension Plan and Securities Departments. He also worked in the Commercial and Retail Departments, product development and wholesale banking processes. Mr. Miyaki was the supervisor responsible for the 72


 
Internal Audit Department in the Asset Management and Treasury Departments from 2003 to 2004 and supervisor of the Anti-Money Laundering and Fraud Prevention Program from 1996 to 2003. He holds a bachelor’s degree in civil engineering from the University of São Paulo (“USP”), São Paulo, Brazil; completed a specialization in sanitary engineering and waste treatment at the Federal University of Gunma, Japan; earned a specialization in business administration from CEAG at Fundação Getulio Vargas (“FGV”), São Paulo, Brazil; and an MBA in Finance and International Business from the Leonard Stern School of Business at New York University, New York, USA. Participated in the Audit Committee, Oversight, and Controls program at the Brazilian Institute of Corporate Governance (“IBGC”) in 2022. In May 2024, completed the Corporate Governance Certification Program at Columbia University, New York, USA. Marcelo Maia Tavares de Araújo (Effective Member) has been a member of the fiscal council of Itaú Unibanco Holding S.A. since April 2025. He has been a member of the board of directors and Personnel and Compensation Committee since 2021 of Grupo DIA – Distribuidora Internacional de Alimentación, Madrid, Spain; was chief executive officer in 2020 and country advisor in 2019 at DIA Brasil S.A.; member of the board of directors and Audit Committee since 2020 of Pacaembu Construtora S.A.; member of the board of directors since 2023, Institutional Officer from 2021 to 2022, CFO and Administrative Officer in 2020, and CEO in 2019 of the Brazilian Franchising Association ("ABF"); member of the board of directors and Expansion & M&A Committee from 2020 to 2023 of Mundo Pet S.A.; National Secretary of Commerce and Services from 2015 to 2017 at the Ministry of Development, Industry, and Trade ("MDIC"); Board member from 2015 to 2016 representing the Federal Government at BNDESPAR on the Board of BNDES; Founder and CEO from 2013 to 2015 of L.M. Maia Participações e Administração Ltda., an investment company focusing on retail real estate in Northeast Brazil; Regional officer from 2010 to 2012 at Magazine Luiza S.A., responsible for integrating Lojas Maia’s operations; officer and chairman of the Board from 2005 to 2010 of Móveis Maia Ltda.; General Director and Board member from 2002 to 2010 of F.S. Vasconcelos & Cia. Ltda. ("Lojas Maia department stores"); Financial and Planning Manager from 2000 to 2002 at Brasil Telecom S.A.; Trainee in 1999 at Bear Stearns Bank in San Francisco, USA; Planning Assistant from 1996 to 1998 at Grupo Paranapanema S.A.; and Trainee from 1992 to 1995 at Construtora Tratex S.A. He holds a bachelor’s degree in civil engineering from the Federal University of Minas Gerais (“UFMG”), Belo Horizonte, Brazil; an MBA from Brazilian Institute of Capital Markets IBMEC, Brazil; a Certificate in Finance and a B.A. from the University of California at Berkeley, United States; a Sloan Master’s MSc in Leadership and Strategy and a Certificate in “Innovating in a Digital World” from London Business School (“LBS”), United Kingdom; and a Certificate in Digital Transformation from Massachusetts Institute of Technology (“MIT”), United States. Mr. Tavares is certified by IBGC to serve as a Board member. João Costa (Alternate Member) he has been an alternate member of the Fiscal Council of Itaú Unibanco Group since 2009, and a regular member of the Fiscal Council of Itaúsa S.A. since 2023 (alternate from 2009 to 2022). He was a member of the Fiscal Council of Alpargatas S.A. from 2017 to 2018 and of Dexco S.A. from 2018 to 2019. He was also a board member of FEBRABAN, IBCB (Brazilian Institute of Banking Corporate Governance), and the São Paulo Banking Union from 1997 to 2008. He established and chaired the Audit Committee of Liberty Seguros S.A. and Indiana Seguros S.A. from 2014 to 2015. Within Itaú Unibanco Group, he was a regular member of the Boards of Directors of Itauleasing de Arrendamento Mercantil S.A. and Itaú Rent Administração e Participação S.A. At Itaú Unibanco, he served as General Audit Manager, creating and leading the IT Audit, Tax Audit, Affiliates Audit, Head Office Audit, and Branches Audit functions, and he developed software to automate branch inspections – recognized as a “best practice” by Arthur Andersen. In 1997, as Managing Director, he structured the Collections Coordination area, establishing operational and tax procedures for collections and renegotiations of delinquent accounts. He set up in-house and third-party collection call centers, managed third-party collection agencies and external legal collections across Brazil, and arranged the first- ever sale of distressed assets in Brazil to a foreign recovery firm. He played a significant role in governance by creating the Internal Controls and Compliance department and implementing procedures required by the U.S. Sarbanes-Oxley Act (SOX). He also initiated work to comply with Central Bank regulations on Operational Risk (Basel II) and Resolution 3380 (Internal Controls). He holds a bachelor’s degree in economics from Faculdade São Luiz, São Paulo, Brazil; completed an extension in business administration at the University of São Paulo (“FEA-USP”), São Paulo, Brazil; and completed the management program for executives at the University of Pittsburgh, Pennsylvania, United States. 73


 
Leni Bernadete Torres da Silva Sansiviero (Alternate Member) has been an alternate member of the Fiscal Council of Itaú Unibanco Holding S.A. since April 2025. She served as an alternate member of the Fiscal Council of Locaweb S.A. (“LWSA”) from 2021 to 2022, and as a member of the year-end Closing Committee at Itaúsa S.A. from 2017 to 2018. She was the Controllership Superintendent at Itaú Unibanco S.A. from 2008 to 2013, working in Controllership, Planning, M&A, and Investor Relations, and was the Controllership Executive Manager at Itaúsa S.A. from 2013 to 2018, where she structured, implemented, and managed the entire controllership function. She holds a bachelor’s degree in financial administration and a postgraduate degree in systems analysis from Fundação Armando Alvares Penteado (“FAAP”), São Paulo, Brazil, and a Certificate in Finance (“CEFIN”) from the University of São Paulo (“USP”), São Paulo, Brazil. Haroldo do Rosário Vieira (Alternate Member) has experience in collegiate bodies, serving as Fiscal Advisor at COSERN for the terms 2020/2021, 2021/2022, and 2025/2026; Administrative Advisor at Cooperforte for the terms 2017/2021, 2021/2025, and reappointed in 2025 (current); Fiscal Advisor at CELPE for the terms 2022/2023 and 2023/2024; Alternate Fiscal Advisor at Previ for the term 2018/2022; Fiscal Advisor at Paranapanema from April to July 2019; Deliberative Advisor at ANABB for the term 2021/2024; Administrative Advisor at Tupy S.A. for the term 2013/2017; Deliberative Advisor at PREVI – Caixa de Previdência dos Funcionários do Banco do Brasil and Coordinator of the Investment Committee from 2012 to 2016; Fiscal Advisor at Marisol S.A. from 2009 to 2011; Fiscal Advisor at Votorantim Celulose e Papel (FÍBRIA) from 2007 to 2009; Deliberative Advisor at FENABB – Federação Nacional das AABB for the term 2017/2020; Fiscal Advisor at Cooperforte from 2014 to 2017. He worked as Planning and Budget Manager from 1983 to 2003 at Banco do Brasil; Chairman of the Board of Directors from 2008 to 2014 and of the Deliberative Board from 2014/2020 and 2024/2028 at FENABB – Federação Nacional das AABB; Educational Tutor for the Distance Administration Course from 2004 to 2009 at AIEC – Associação Internacional de Educação Continuada; Vice President (2016/2021 management) and Deliberative Advisor (2021/2025) at ANABB – Associação Nacional de Funcionários do Banco do Brasil. He holds Certification in the Manager Identification and Development Program at Banco do Brasil – Business School of PUC – September 2000; Director Development Program – Corporate Governance – Banco do Brasil – Fundação Dom Cabral – August 2004; Administration Certification from ICSS – Instituto de Certificação Institucional e dos Profissionais de Seguridade Social – 2024/2027; Investment Certification from ICSS – Instituto de Certificação Institucional e dos Profissionais de Seguridade Social – 2024/2027; CEA Certification – Investment Specialist ANBIMA – June 2025; CPA 20 Certification – Professional Certification ANBIMA – October 2024; Administration Board Member Course – IBGC – November 2015; Practical Fiscal Advisor Course – IBGC – 2009. He holds a bachelor's degree in Civil Engineering from UFPA; an MBA in General Training for Senior Executives – FIA/USP; a postgraduate degree in Financial Management and Controllership – FGV; and an MBA in Banking for Credit Cooperatives – INEPAD. AUDIT COMMITTEE The résumé of Ms. Maria Helena dos Santos Fernandes Santana (Member of the board of directors) is detailed above, in the board of directors item. 74


 
Alexandre de Barros (Independent Member) has been a member of the Audit Committee of Itaú Unibanco Group since 2021. He held several positions at Itaú Unibanco Group, including Executive Vice President of Technology from 2011 to 2015; Executive Officer from 2005 to 2010; Senior Managing Officer from 2004 to 2005; and Managing Officer from 1994 to 2004. He served as a member of the board of directors of Serasa S.A. from 2003 to 2007, acting as its Chairman from 2006 to 2007, and as a member of the board of directors of Diagnósticos da América S.A. (“DASA”) from 2015 to 2023. He was also a member of the board of directors of Dexco S.A. from 2020 to 2024 and of its IT and Digital Innovation Committee from 2017 to 2024. He holds a bachelor’s degree in aeronautical infrastructure engineering from Instituto Tecnológico de Aeronáutica (“ITA”), São Paulo, Brazil; a specialization in risk management from INSEAD, Fontainebleau, France; and an MBA from New York University (“NYU”), New York, United States. Fernando Barçante Tostes Malta (Independent Member) has been a member of the Audit Committee of Itaú Unibanco Group and of Itaú Chile since 2023. He held several positions at Itaú Unibanco Group, including Executive Officer from 2015 to 2021. He also served in the Internal Controls and Compliance Office from 2016 to 2021, where he oversaw the Group’s non-financial risks, the Environmental & Social Risk department, operational risks and compliance from 2017 to 2021, information security, anti-money laundering and fraud prevention, as well as coordination of operational risk control for international units. He served as Officer of Card Operations, Redecard, Real Estate Loans, Vehicle Financing, Consortia, Collections, Legal Operations, and all active client services from 2015 to 2016. He was also an Officer overseeing Customer Service, Card Operations and Services, Real Estate Loans, Vehicle Financing, Consortia, and Insurance & Capitalization Operations from 2013 to 2015. He served as Customer Service and Operations Officer for Consumer Credit (cards and finance companies) from 2011 to 2013; Customer Service Officer for Consumer Credit (cards and finance companies) from 2009 to 2011; and Channels and CRM Officer at Unibanco (prior to the merger) from 2004 to 2009. He began his career in 1988, holding a variety of roles. He worked in the management of Channels, Branches and the Institutional Portfolio, and participated in several projects and initiatives from 1995 to 2008. He also held positions as alternate member of the board of directors of Tecnologia Bancária S.A.; deputy member of the board of directors of Luizacred S.A. – Crédito, Financiamento e Investimento; alternate member of the board of directors of Financeira Itaú CBD Crédito, Financiamento e Investimento and of Banco Carrefour S.A.; and member of the Boards of Directors of Itaú BBA International PLC and Itaú BBA USA Securities Inc. Mr. Malta was the Director of FEBRABAN’s Anti-Money Laundering Commission in 2021. He holds a bachelor’s degree in information technology from Pontifícia Universidade Católica do Rio de Janeiro (“PUC-RJ”), Rio de Janeiro, Brazil; an MBA from Fundação Dom Cabral, São Paulo, Brazil; an extension in strategy from the Kellogg School of Management at Northwestern University, Illinois, United States; and an extension in bank management from the Swiss Finance Institute (“SFI”), Zurich, Switzerland. Luciana Pires Dias (Independent Member) has been a member of the Audit Committee of Itaú Unibanco Group since 2020. She has been a partner at L. Dias Advogados since 2016, where she works as a consultant, arbitrator, and legal opinion writer on financial and capital markets matters. She has been a professor at Fundação Getulio Vargas ("FGV") since 2008, and she been a member of the board of directors of AMBEV S.A. since 2023. She was an Officer of the Brazilian Securities Commission (“CVM”) from 2011 to 2015 and Head of Market Development at CVM from 2007 to 2010. Ms. Dias was CVM’s representative on the OECD Corporate Governance Committee from 2011 to 2015 and at the Latin American Corporate Governance Roundtable organized by OECD from 2009 to 2015. She worked at law firms in São Paulo, Rio de Janeiro (Brazil), and New York (USA) from 1998 to 2006. She holds bachelor’s, master’s, and doctoral degrees in commercial law from the University of São Paulo (“USP”), São Paulo, Brazil, and a Master of the Science of Law (J.S.M.) from Stanford Law School, California, United States. 75


 
Maria Elena Cardoso Figueira (Independent Member and Financial Expert) she has been a Member of the Audit Committee at Itaú Unibanco Group since October 2025. She has been a partner and owner of Figueira Consultoria Econômica Eireli – EPP since December 2014. She has been a Fiscal Council Member at Camil Alimentos S.A. since May 2020, and served as President from May 2022 to July 2025; a Member of the Audit and Risk Committee at Hospital Sírio Libanês since July 2021 and its Coordinator since April 2024; a Fiscal Council Member at the Brazilian Business Council for Sustainable Development – CEBDS since June 2023; an Independent Member of the Audit Committee at HOB Eventos, Treinamento e Publicações Ltda. since August 2024; and an Alternate Member of the Fiscal Council at Enercan – Campos Novos Energia S.A. (Votorantim Group) since May 2025. She also served as an Independent Member of the Audit Committee from 2018 to 2025 and Financial Specialist at Banco Santander (Brasil) S.A. from 2021 to 2025; an Independent Member of the Audit Committee at BR Properties S.A. from 2022 to 2023; a Fiscal Council Member from 2022 to 2023 and Alternate Member of the Fiscal Council from 2021 to 2022 at B3 S.A.; an Independent Member of the Audit Committee at Lojas Americanas S.A. from 2020 to 2021; an Alternate Member of the Fiscal Council at CCR S.A. from 2019 to 2020; an Independent Member and President of the Advisory Committee at HSBC Brasil S.A. – Banco de Investimento from 2017 to 2018; President and Independent Member of the Advisory Board and Audit and Risk Committee at HSBC Bank Brasil S.A. – Banco Múltiplo from 2014 to 2016; Project Director at Banco Santander, S.A. – Spain from 2012 to 2014; Coordinator and Independent Member of the Audit Committee from 2004 to 2012 and Financial Specialist from 2011 to 2012 at Banco Santander (Brasil) S.A.; Director of Tax Consulting for Financial Institutions and International Taxation at KPMG Corporate Finance from 2003 to 2004; Director of Accounting and Financial Control at Banco Bilbao Vizcaya Argentaria Brasil S.A. from 2001 to 2002; Deputy Director of Tax Planning at Banco Santander Brasil S.A. from 1999 to 2001; Tax Manager at Arthur Andersen Consultoria Fiscal-Financeira S/C Ltda. from 1991 to 1999. She holds a bachelor’s degree in economics from Pontifícia Universidade Católica do Rio de Janeiro (“PUC- RJ”), Rio de Janeiro, Brazil. She completed the Senior Executive Management Program (“SEMP”) at IESE/University of Navarra, Spain, and MBA in Luxury Management from FAAP, São Paulo, Brazil. Rogério Carvalho Braga (Independent Member) has been a member of the Audit Committee of Itaú Unibanco Group since 2021 and a member of the board of directors of Banco Itaú Chile (formerly Itaú CorpBanca). He held several positions at Itaú Unibanco Group, including Officer in 2020 and Corporate Managing Director of Marketing, Franchise and Products at Itaú CorpBanca from 2016 to 2018. He joined Itaú Unibanco Group in 1999 and was elected Officer in 2000. He holds a bachelor’s degree in law from Pontifícia Universidade Católica de São Paulo (“PUC-SP”), São Paulo, Brazil, and an MBA from Pepperdine University, California, United States. DISCLOSURE AND TRADING COMMITTEE The résumé of Mr. Alfredo Egydio Setubal (Member of the Board of Directors) is detailed above, in the Board of Directors item. Gustavo Lopes Rodrigues (Chairman) Position and Term of Office Gustavo Lopes Rodrigues, a member of the Partners Program since 2021, has been investor relations officer and chairman of the Disclosure and Trading Committee at Itaú Unibanco Holding S.A. since August 2024, as well as Investor Relations Officer at Investimentos Bemge S.A. and Dibens Leasing S.A. since June 2024 and August 2024, respectively. Experiences, Skills and Abilities Financial sector, capital markets and other sectors He has 25 years of experience in the financial sector, having built his career across several areas in Finance. He served as investor relations superintendent from 2017 to 2024. Academic Background He holds a bachelor’s degree in business administration. Álvaro Felipe Rizzi Rodrigues (member) member of the Partners Program, has been an officer at Itaú Unibanco Group since 2014. He is currently responsible for the following legal departments: Wholesale 76


 
Banking and Corporate Banking (covering legal matters related to investment banking, brokerage, treasury, asset management and other wealth management services, private banking, banking products for large, medium and small companies, directed credit and on-lending, international loans and foreign exchange); Civil Litigation; Proprietary M&A; National and International Corporate Affairs; Corporate Governance (Legal); Antitrust; as well as the Ombudsman’s Office and Government Relations departments of Itaú Unibanco. He previously led the Retail Banking Legal department (handling legal issues related to products and services for individual customers – checking accounts, payment accounts, credit cards, merchant acquiring, payroll loans, mortgage loans, vehicle financing, consortia, insurance, private pension plans, capitalization products, etc.). He has also served as a Director of Fundação Itaú (Itaú Foundation) since 2019. He joined Itaú Unibanco Group in 2005, serving as Legal Manager and later as Legal Superintendent from 2005 to 2014. He also worked in the Corporate Law and Contract Law departments at Tozzini Freire Advogados from 1998 to 2005. He holds a bachelor’s degree in law from the University of São Paulo (“USP”), São Paulo, Brazil, and completed a specialization course in corporate law at Pontifícia Universidade Católica de São Paulo (“PUC- SP”), São Paulo, Brazil. He holds a Master of Laws (LL.M.) from Columbia Law School, New York, United States. Andre Balestrin Cestare (member) member of the Partners Program, has been an officer since 2017. He is currently responsible for Retail Banking Financial Planning and for Technology and Operations. He has held several positions at Itaú Unibanco Group, including Wholesale Banking Financial Planning Officer from 2019 to 2022, Retail Banking Financial Planning Officer from 2017 to 2019, and Finance Superintendent from 2010 to 2017. He holds a bachelor’s degree in mechanical engineering from the University of São Paulo (“USP”), São Paulo, Brazil; a postgraduate degree in business administration and a professional master’s degree in finance and economics, both from Fundação Getulio Vargas (“FGV”), São Paulo, Brazil. He also attended the Executive Management Training Program at Fundação Dom Cabral, São Paulo, Brazil. Gabriel Amado de Moura (member) Position and Term of Office Member of the Partners Program and member of the Executive Committee, Chief Financial Officer (“CFO”) of Itaú Unibanco Group since October 2024. Experiences, Skills and Abilities Financial sector, capital markets and other sectors He was appointed CEO of Banco Itaú Chile in January 2020, after serving as the bank’s CFO from 2016. He joined Itaú Unibanco in 2000 and became a member of the Partners Program in 2011. He has over 25 years of experience in investment management, financial management, risk management, and mergers and acquisitions. He previously served as Risk and Finance Director for the Wealth Management & Services division and was responsible for investment management for the Insurance & Pensions and Foundation & Endowment businesses of Itaú Unibanco. He also worked in proprietary mergers and acquisitions and serves as a member of the Boards of Directors of several companies within the Itaú Unibanco conglomerate in Brazil and abroad. Academic Background He holds an MBA from The Wharton School, University of Pennsylvania, United States. José Virgilio Vita Neto (member) Position and Term of Office Member of the Partners Program; Officer, member of the Executive Committee of Itaú Unibanco Group since 2023, leading the Legal, Ombudsman’s Office, Government Relations and Sustainability departments. Experiences, Skills and Abilities Financial sector, capital markets and other sectors He began his career at Itaú Unibanco Group in 2000 as an attorney and was elected Officer in 2011. He also serves as an Executive Officer at Brazilian Banking Federation (“FEBRABAN”). Academic Background He holds a bachelor’s degree in law from the University of São Paulo (“USP”), São Paulo, Brazil; a master’s degree in contract law from the University of Salamanca, Castilla y León, Spain; a Ph.D. in contract law 77


 
from University of São Paulo (“USP”), São Paulo, Brazil; and has completed the authentic leadership development program at Harvard Business School, Massachusetts, United States. Renato Lulia Jacob (member) member of the partners program, has been an officer at Itaú Unibanco where he has been responsible for Corporate Strategy, Investor Relations, and Corporate Development since April 2024. He has also been a member of the Disclosure and Trading Committee since 2019. He served as director of investor relations and market intelligence and Chairman of the Disclosure and Trading Committee from 2020 to 2024. Mr. Jacob has been with Itaú Unibanco Group for 24 years and has held several roles, including CEO and Board member of Itaú BBA International plc in the UK; Board member of Itaú International (USA) and Itaú Suisse (Switzerland) from 2016 to 2020; Managing Director of Banco Itaú Argentina S.A. from 2006 to 2010; and Managing Director, Head of CIB Europe from 2011 to 2015. He is an independent member of the board of the Royal Institution of Great Britain (UK) and served as an independent board member of Fight for Peace International from 2017 to 2022. He was a Fellow of the Institute of Directors (UK) from 2015 to 2017. He holds a bachelor's degree in civil engineering from the University of São Paulo (“USP”), São Paulo, Brazil, and has completed the advanced management program and participated in the CEO Academy, both at The Wharton School of the University of Pennsylvania, United States. COMPENSATION COMMITTEE The résumés of Candido Botelho Bracher, João Moreira Salles and Roberto Egydio Setubal (Members of the Board of Directors) are detailed above, in the Board of Directors item. Geraldo José Carbone (Non‑Administrative Member) he has been a member of the Compensation Committee since 2019. He has held several positions within Itaú Unibanco Group, including Executive Vice President from 2008 to 2011 and member of the board of directors from 2006 to 2008 and from 2017 to 2018. He has been a managing partner at G/xtrat Consultoria Econômica Ltda. and GC/Capital Empreendimentos e Participações Ltda. since 2011. Previously, he served as president from 1997 to 2006 at Bank Boston; vice president of the Asset Management Division from 1994 to 1997; and head of the economics Department and Investment Research Unit in Brazil from 1991 to 1994. He also worked as chief economist at Bunge y Born from 1982 to 1987. He holds a bachelor’s degree in Economics from the University of São Paulo (“USP”), São Paulo, Brazil. CUSTOMER EXPERIENCE COMMITTEE The résumés of Cesar Nivaldo Gon, Fabricio Bloisi Rocha, Paulo Antunes Veras, Pedro Moreira Salles and Roberto Egydio Setubal (Members of the Board of Directors) are detailed above, in the Board of Directors item. Milton Maluhy Filho (member) Position and Term of Office Member of the Partners Program, serving as Chief Executive Officer (CEO) since 2021. Experience, Competencies, and Skills Financial sector, capital markets, and other industries Held several positions at Itaú Unibanco, including vice president executive of finance and risks from 2019 to 2020 and CEO of Itaú CorpBanca (Chile) from 2016 to 2018, where he was responsible for the merger of two banks: CorpBanca and Banco Itaú Chile. Joined Itaú Unibanco Group in 2002 and was elected as an officer in 2007. Education He holds a bachelor's degree in business administration. 78


 
7.5 Inform the existence of a marital relationship, stable union or kinship up to the second degree between: a) Issuer's management: • Alfredo Egydio Setubal (Member of the Board of Directors) is Roberto Egydio Setubal´s brother (Co- chairman of the Board of Directors). • João Moreira Salles (Member of the Board of Directors) is Pedro Moreira Salles’ son (Co-chairman of the Board of Directors); and • Ana Lúcia de Mattos Barretto Villela (Member of the Board of Directors) is Ricardo Villela Marino’s cousin (Vice Chairman of the Board of Directors). b) (i) Management members of the issuer and (ii) management members of direct or indirect subsidiaries of the issuer: Ana Lúcia de Mattos Barretto Villela (Member of the Board of Directors) is Ricardo Villela Marino’s cousin (Vice Chairman of the Board of Directors), is in the management of subsidiaries. c) (i) Management members of the issuer or its direct or indirect subsidiaries and (ii) direct or indirect controlling shareholders of the issuer: • Pedro Moreira Salles (Co-chairman of the Board of Directors), together with his son, João Moreira Salles (Member of the Board of Directors), and his brother Fernando Roberto Moreira Salles, is in the Issuer’s controlling group; • Brothers Roberto Egydio Setubal (Co-chairman of the Board of Directors) and Alfredo Egydio Setubal (Member of the Board of Directors), together with their brothers José Luiz Egydio Setubal, Olavo Egydio Setubal Júnior, Paulo Setubal Neto and Ricardo Egydio Setubal, are in the Issuer’s controlling group; • Ricardo Villela Marino (Vice Chairman of the Board of Directors), together with his brother Rodolfo Villela Marino, is in the Issuer’s controlling group; and • Ana Lúcia de Mattos Barretto Villela (Member of the Board of Directors), together with her brother Alfredo Egydio Arruda Villela Filho, as well as her cousins Ricardo Villela Marino (Vice Chairman of the Board of Directors) and Rodolfo Villela Marino, are members of the issuer's controlling group. d) (i) issuer's managers and (ii) managers of the issuer's direct and indirect parent companies: • Pedro Moreira Salles (Co-Chairman of the Board of Directors) together with his son, João Moreira Salles, and his brother Fernando Roberto Moreira Salles, participate in the management of the parent companies IUPAR - Itaú Unibanco Participações S.A. and Cia. E. Johnston de Participações; • Brothers Roberto Egydio Setubal (Co-chairman of the Board of Directors) and Alfredo Egydio Setubal (Member of the Board of Directors), together with their brother Ricardo Egydio Setubal, are in the management of parent companies IUPAR – Itaú Unibanco Participações S.A. and Itaúsa S.A.; • Ana Lúcia de Mattos Barretto Villela (Member of the Board of Directors), together with her brother Alfredo Egydio Arruda Villela Filho, and her cousin Ricardo Villela Marino (Vice-Chairman of the Board of Directors), are involved in the management of the controlling company IUPAR - Itaú Unibanco Participações S.A. and, together with Rodolfo Villela Marino participate in the management of the controlling company Itaúsa S.A.; • Ricardo Villela Marino (Vice-Chairman of the Board of Directors), along with his mother, Maria de Lourdes Egydio Villela, and his brother, Rodolfo Villela Marino, are involved in the management of the controlling company Rudric Ith Participações Ltda., with Rodolfo Villela Marino together with his cousin Alfredo Egydio Arruda Villela Filho, participating in the management of the controlling company Companhia ESA; and 79


 
• Alfredo Egydio Setubal (Member of the Board of Directors), together with brother Ricardo Egydio Setubal, is in the management of parent company Companhia ESA. 7.6 Inform the relations of subordination, provision of services or control maintained in the past three fiscal years between the issuer's administrators and: a) Company controlled, directly or indirectly, by the issuer, except those in which the issuer holds, directly or indirectly, participation equal or superior to 99% (ninety-nine percent) of the capital stock: Management member Ricardo Villela Marino holds a management position in subsidiaries. b) Direct or indirect controller of the issuer: Management members Alfredo Egydio Setubal, Ana Lúcia de Mattos Barretto Villela, João Moreira Salles, Pedro Moreira Salles, Ricardo Villela Marino and Roberto Egydio Setubal are part of the controlling group of Itaú Unibanco. c) If relevant, supplier, client, debtor or creditor of the issuer, its subsidiary or parent companies or subsidiaries of any of these people: None. 80


 
ATTACHMENT IV ITEM 8 OF ATTACHMENT "C" OF CVM RESOLUTION No. 80/22 8.1. Describe the policy or practice for compensation of the board of directors, statutory and non- statutory board of officers, supervisory council, statutory committees and audit, risk, financial and compensation committees, addressing the following aspects: a. the objectives of the compensation policy or practice, stating whether the compensation policy was formally approved, the body responsible for its approval, approval date and, if the issuer discloses the policy, where this document can be found on the web Compensation governance Our compensation strategy adopts clear and transparent processes, aimed at complying with applicable regulation and the best local and international practices, as well as at ensuring consistency with our risk management policy. Formally approved on November 27, 2025 by the Board of Directors, our compensation policy is aimed at consolidating our compensation principles and practices to attract, reward, retain and motivate management members and employees in the sustainable running of the business in the short, medium and long term, subject to proper risk limits and always in line with the stockholders’ interests. As part of our commitment to corporate responsibility and prudent risk management, the Compensation Policy incorporates adjustment mechanisms such as malus and clawback, which allow for the reassessment or reversal of variable compensation in specific situations, ensuring alignment between performance, conduct, and the sustainability of results. The guidelines in the Compensation and Clawback Policy (“Compensation Policy”) also apply to the companies of the Itaú Unibanco Conglomerate abroad, adjusted to the specific local laws and markets, at the discretion of the Personnel Department. The Management Members' Compensation Policy is available on https://www.itau.com.br/investor-relations > Itaú Unibanco > Corporate Governance > Policies > Management Members’ Compensation and Clawback Policy. On October 31, 2024, the Extraordinary General Stockholders’ Meeting approved the update of the Stock Grant Plan (Stock Grant Plan) in order to consolidate general rules on long-term incentive programs involving stock grants to management members and employees of the Company and its direct and indirect controlled companies, in accordance with CVM Resolution No. 81/22. Among the programs mentioned in the Stock Grant Plan, managed by the Compensation Committee, we find the Variable Stock-Based Compensation (item 5.1.1. of the document), the Fixed Stock-Based Compensation (item 5.1.2 of the document, for members of the Board of Directors only), and the Partners Program (item 5.1.4 of the document), also included in the information provided in this item 8. The Stock Grant Plan is available on https://www.itau.com.br/investor-relations/ > Itaú Unibanco > Corporate Governance > Policies > Stock Grant Plan. Additionally, since 2019 the Compensation Committee determined that the Executive Committee members should retain the ownership of a minimum number of the Issuer’s shares equivalent to ten times the CEO’s annual fixed compensation and to five times the annual fixed compensation of other members, with a compliance period of up to five years after taking over their duties. This guideline, known as the Stock Ownership Requirement, reinforces the alignment of interests between executives and shareholders, promoting a long-term commitment to value creation. On December 31, 2025, all Executive Committee members complied with the minimum ownership requirement. The Issuer also has a Stock Option Granting Plan (“Stock Option Plan”) for its management members and employees, as well as for the management members and employees of its controlled companies, allowing the alignment of the interest of management members to those of the stockholders, as they share the same risks and gains provided by their share appreciation. No option has been granted under our Stock Option Plan since 2012. 81


 
For further information on the Stock Option Plan, please see subitems 8.4, 8.5, 8.6, 8.7 and 8.8. The Personnel Committee is responsible for making institutional decisions and supervising the implementation and operation of the Stock Option Plan. For further information on the responsibilities and duties of the Personnel Committee and the Compensation Committee, please see item 7.1 of the Reference Form available on the website https:// www.itau.com.br/investor-relations > Results and Reports > Regulatory Reports > Reference Form. For illustrative purposes, the year to which the compensation refers will be considered regardless of the year in which it was effectively assigned, paid or recognized in the financial statements. b. the practices and procedures adopted by the board of directors to determine the individual compensation of the board of directors and board of officers, indicating: i. the issuer’s bodies and committees that take part in the decision-making process, identifying how they do so We have a statutory Compensation Committee that reports to the Board of Directors, and its duties include: • To develop the compensation policy for management members, proposing to the Board of Directors the forms of fixed and variable compensation, benefits, and special recruitment and termination programs; • To discuss, analyze, and oversee the implementation and operation of existing compensation models, evaluating the general principles of employee compensation policy and recommending improvements to the Board of Directors in light of the policy principles; • To propose the total amount of remuneration for management members to be submitted to the Ordinary General Meeting; • Prepare the Compensation Committee Report annually. Another body involved in the governance of management members’ compensation is the Personnel Committee, which also reports to the Board of Directors and its main duties include: i.i. In relation to the Stock Option Plan: a. being responsible for institutional decisions and overseeing their implementation and operation; and b. approving grants of Simple Options. i.ii. In relation to the Partners Program: a. being responsible for the rules related to the appointment and removal of beneficiaries. Based on the proposal from the Advisory Committees (Compensation and Personnel), the Board of Directors analyzes and approves the total annual compensation of the management members and the Fiscal Council, submitting it to the deliberation of the Company's General Meeting. ii. the criteria and methodology used to determine individual compensation, indicating whether studies are used to check market practices and, if so, the comparison criteria and scope of these studies We adopt compensation and benefit strategies that vary according to the area of activity and market parameters. We periodically check these parameters through: · commissioning salary surveys conducted by specialized consultants, which must fully comply with the Antitrust Law; · participating in surveys conducted by other banks on an anonymous basis at all times and only through specialized companies, which must fully comply with the Antitrust Law; and 82


 
· participating in specialized forums, even alongside some competitors, aiming only to exchange administrative and operational experiences on the best market practices regarding compensation and benefits, and provided that no type of competitively sensitive information is disclosed at these forums by any participant, in any form or by any means (such as amounts, values, ranges, percentages, payment frequency, and benefits). iii. how often and how the board of directors assesses the adequacy of the issuer’s compensation policy The Compensation Committee previously assesses and proposes improvements to the compensation policy, if applicable. After this detailed analysis by the Compensation Committee, the policy is submitted to the Board of Directors for appreciation which decides on its suitability at least once a year. c. composition of compensation, indicating: i. description of the different compensation elements, including, in relation to each of them: 83


 
- objectives and alignment to the issuer’s short-, medium- and long-term interests Fixed Compensation: Composed of salaries or fees, it reflects the responsibility of the mandate and ensures competitiveness in the short term. Variable Compensation: aims to reinforce the alignment of executives with shareholder interests and the generation of sustainable value, encouraging business conduct focused on sustainability and risk management in the medium and long term. To achieve long-term objectives, compensation is granted 84


 
through Stock-Based Compensation Programs, Partner Programs, and Stock Options. Details on Long- Term Incentive Plans can be found in item 8.4 of this form. Benefits: offered in accordance with market practices, detailed throughout this section. - the proportion of each element to total compensation in the past three years Body Year Monthly Fixed Compensation Annual Fixed Compensation Annual Variable Compensation Benefits Termination of Position Board of Directors 2025 (1) 49% 48% 1% 2% 0% 2024 31% 24% 43% 2% 0% 2023 22% 16% 60% 1% 0% Board of Officers 2025 9% 0% 89% 2% 0.2% 2024 9% 0% 89% 1% 0% 2023 9% 0% 89% 1% 0% Fiscal Council 2025 100% 0% 0% 0% 0% 2024 100% 0% 0% 0% 0% 2023 100% 0% 0% 0% 0% Audit Committee 2025 83% 14% 0% 0% 3% 2024 85% 15% 0% 0% 0% 2023 100% 0% 0% 0% 0% (1) Starting in 2025, as approved by the Compensation Committee on October 28, 2024, and by the Board of Directors on October 31, 2024, the Annual Fixed Compensation of the members of the Board of Directors will be awarded annually, with payments of one-third each year. Payment of installments continues to be conditional upon members having served their full annual terms. - calculation and adjustment methodology The fixed compensation of members of the Board of Directors and Board of Officers, as well as the benefit plan granted to officers, is not impacted by performance indicators. The compensation to members of the Board of Directors is in line with market practices and takes into account the members’ curricula vitae, their history at the Issuer and the activities they carry out within the scope of the Board of Directors itself, their service as Chair of the Board and any other duties they may perform. Accordingly, different compensation may be paid to these members. This practice is in line with the Issuer’s purpose of attracting outstanding professionals from different fields with distinct expertise and professional experiences. Board of Directors: a. Monthly fixed compensation: it is in line with market practices and revised frequently enough to attract qualified professionals. b. Annual fixed stock-based compensation: the annual fixed compensation due to the members of the Board of Directors is paid in preferred shares of the Issuer. c. Annual variable stock-based compensation: for variable stock-based compensation paid to members of the Board of Directors, the compensation follows the same deferral terms, conditions and calculation of the value of the shares presented in item “b) ii” below, which describes the delivery of preferred shares of the annual variable compensation. To ensure its compatibility with value creation, this compensation takes into account Itaú Unibanco Holding’s results and may be adjusted by the Compensation Committee. Board of Officers: a. Monthly fixed compensation: it is established in accordance with the position held and based on the internal equality principle, also providing mobility across our different businesses. Fixed compensation amounts are defined taking into account market competition. 85


 
b. Annual variable compensation (1): (1) Within the limits established by legislation, the compensation of Officers in charge of internal controls, risk management, compliance and internal audit departments is not linked to the performance of the business areas they control and assess to avoid any conflicts of interest. However, even though compensation is not impacted by the results of business areas, it is still subject to the impact from the Company’s results. b. i. Distribution of annual variable compensation (2): (2) In accordance with Resolution No. 5,177 of the National Monetary Council (CMN), a portion of the variable compensation must be deferred. b. ii. Delivery of preferred shares related to the annual variable compensation of the Board of Officers: Of the total amount granted, one-third is delivered annually for a period of three years, starting the year following the year of the grant. These installments are subject to Malus, and may be reduced or not paid due to a significant reduction in our recurring net profit or negative result in the business area during the 86


 
deferral period, except when the reduction or negative result arises from extraordinary, unforeseeable events external to the Itaú Unibanco Conglomerate, which also affect other financial institutions and are not related to actions or omissions of the management members. Fiscal Council: Fiscal Council members are paid only a monthly fixed compensation amount and are not entitled to the benefit plan. In accordance with applicable legislation, compensation to each acting member of the Fiscal Council cannot be lower than 10% of the fixed compensation assigned to each officer (i.e., not including benefits, representation allowances and profit sharing). Audit Committee: Audit Committee members are paid only a monthly fixed compensation amount and may receive benefits and annual fixed compensation. For those Audit Committee members who are also members of the Board of Directors, the compensation policy of only one of the bodies is adopted. - main performance indicators taken into consideration, including ESG indicators, if applicable: i. Board of Directors The fixed compensation of the Board of Directors is not impacted by performance indicators. To ensure compatibility with long-term value creation, the payment of variable stock-based compensation to members of the Board of Directors takes into account Itaú Unibanco Holding’s results, and may be adjusted by the Compensation Committee. ii. Officers The fixed compensation of officers is not impacted by performance indicators. On the other hand, variable compensation is subject to a performance evaluation carried out by the supervisor based on the priorities for the year discussed together with the officer who is being evaluated. Performance evaluation considers corporate goals, functional goals, and individual/behavioral goals, with predefined weights. Environmental, social, and governance issues affect the variable compensation of management members involved in activities, businesses, and commitments related to the ESG agenda, through performance indicators, projects, and initiatives present in the individual performance criteria. Goal contracts are defined according to the scope of each area. The Itaú Unibanco Conglomerate's ESG strategy is underpinned by a solid foundation of governance and conduct, and reflects a commitment to responsible practices that guide the organization's actions in pursuit of more sustainable performance. Our executives are evaluated based on joint discussions (Evaluation Committees) that take into consideration the executives' deliverables (targets achieved), their compliance with our culture-based behaviors (Behavioral Evaluation), and on the inputs found in the reporting process as well: 87


 
c. ii - reasons that justify the composition of the compensation Based on best practices in corporate governance, the compensation structure is competitive with the market and reflects the impact of management members decisions on the organization's sustainable performance, with responsibility and transparency. • Fixed compensation: to ensure competitiveness and contribute to attracting and retaining qualified executives aligned with our strategic challenges. • Short-term variable compensation: to recognize performance during the fiscal year and promote engagement with operational and financial results. 88


 
• Long-term variable compensation: aligning the interests of management members with those of shareholders and the sustainability of the company. The compensation structure balances the focus on the short, medium, and long term, reflecting the Company's commitment to generating sustainable value and attracting and retaining strategic talent. Fixed compensation is structured based on market practices, seeking to ensure competitiveness and stability in the relationship with executives. Short-term incentives recognize annual performance, promoting engagement with operational and financial goals aligned with strategic planning. Long-term variable compensation, in turn, represents the most aggressive component of the compensation structure, both in terms of earning potential and strategic impact. It is designed to robustly align the interests of management members with those of shareholders, encouraging decisions that promote the appreciation of the Company and the sustainability of the business in the medium and long term. This component is structured with rigorous eligibility, performance, and retention criteria, and its value reflects the degree of responsibility and influence of the participants in value creation. By linking a significant portion of earnings to the appreciation of the Company and the delivery of sustainable results, the structure reinforces alignment with the principles of corporate governance, transparency, and accountability, while simultaneously positioning the organization competitively in the pursuit of highly qualified professionals. c. iii - the existence of members not compensated by the Issuer and the reason for this fact There are no members who are not compensated. d. the existence of compensation paid by direct or indirect subsidiaries, controlled companies or controlling stockholders The compensation of many members of the Board of Officers is paid by controlled companies (please see subitem 8.19), and the amounts indicated in this item 8 already include the total compensation paid by the Issuer and its controlled companies. e. the existence of any compensation or benefit related to the occurrence of a given corporate event, such as the disposal of the Issuer’s stockholding control There is no compensation or benefit related to the occurrence of a corporate event, even though it is possible at the Issuer’s discretion. 89


 
8.2. With respect to the compensation of the board of directors, board of statutory officers, and Fiscal Council the past three years and to that expected for the current year, please, prepare a table containing: Total compensation expected for the current fiscal year ending 12/31/2026 - Annual amounts Board of Directors Statutory Board of Officers Fiscal Council Total Total number of members 13.00 49.25 6.00 68.25 Number of members who are compensated 13.00 49.25 6.00 68.25 Annual fixed compensation Salary or management fees 27,511,619.00 91,664,094.00 1,200,000.00 120,375,713.00 Direct and indirect benefits 444,244.00 4,594,092.00 5,038,336.00 Compensation for participation in committees 0.00 Other 27,511,619.00 0.00 0.00 27,511,619.00 Description of other fixed compensation Refers to fixed stock-based fees and/or INSS amounts for the Board of Directors. - - - Variable compensation Bonus (1) (1) (1) (1) Profit sharing (2) (2) (2) (2) Compensation for attending meetings 0.00 0.00 0.00 0.00 Commissions 0.00 0.00 0.00 0.00 Other 0.00 0.00 0.00 0.00 Description of other variable compensation - - - - Post-employment benefits 866,816.00 10,199,930.00 0.00 11,066,746.00 Termination of mandate 0.00 0.00 0.00 0.00 Stock-based (including options) 665,702.00 774,541,884.00 0.00 775,207,586.00 Total compensation 57,000,000.00 881,000,000.00 1,200,000.00 939,200,000.00 Note Additional Information: It is proposed that the total amount of payments of R$938 million to the members of the administrative bodies be approved at the 2026 Ordinary General Meeting, regardless of the year in which the amounts are allocated or paid. For the Fiscal Council, the Annual General Meeting will approve an individual monthly remuneration of R$22,000 for permanent members and R$9,000 for alternate members. The approved fee amounts may be paid in national currency, in shares of the Issuer, or in another form that the administration deems appropriate, with the amounts estimated to be paid in the proportions described in the table above. In addition to the amounts approved by the Ordinary General Meeting, the members of the administrative bodies will receive a statutory share in the profits, pursuant to article 152, § 1 of the Corporations Law, limited to the annual remuneration of the management members approved at the Ordinary General Meeting or to 10% of the Issuer's profit, whichever is lower. Notes: 1. As mentioned in item 8.1 and shown in the table above, the annual variable compensation model should be reflected in the fields “Profit Sharing” (paid in cash) and “Share-Based” (paid in shares). Therefore, the bonus item is zero. 2. The amounts relating to "Profit Sharing" (paid in cash) are not included in the table above, which only reflects the estimated division of the amounts that make up the total remuneration approved by the shareholders at the Ordinary General Meeting. 3. We clarify that, according to the guidelines of the CIRCULAR LETTER/ANNUAL-2026-CVM/SEP, the values shown in the table above do not include amounts corresponding to INSS), as per specific notes. 90


 
Total compensation for fiscal year ended 12/31/2025 - Annual amounts Board of Directors Statutory Board of Officers Fiscal Council Total Total number of members 13.00 45.50 6.00 64.50 Number of members who are compensated 13.00 45.50 6.00 64.50 Annual fixed compensation Salary or management fees 24,367,500.00 75,942,489.00 1,116,000.00 101,425,989.00 Direct and indirect benefits 370,354.00 3,740,938.00 0.00 4,111,292.00 Compensation for participation in committees 0.00 0.00 0.00 0 Other 24,100,000.00 0.00 0.00 24,100,000.00 Description of other fixed compensation Refers to fixed stock-based fees and/or INSS amounts for the Board of Directors. Variable compensation Bonus 0.00 0.00 0.00 0.00 Profit sharing 0.00 113,542,548.00 0.00 113,542,548.00 Compensation for attending meetings 0.00 0.00 0.00 0.00 Commissions 0.00 0.00 0.00 0.00 Other 0.00 0.00 0.00 0.00 Description of other variable compensation Post-employment benefits 760,925.00 8,783,052.00 0.00 9,543,977.00 Termination of mandate 0.00 1,647,000.00 0.00 1,647,000.00 Stock-based (including options) 584,379.00 609,278,997.00 0.00 609,863,376.00 Total compensation 50,183,158.00 812,935,024.00 1,116,000.00 864,234,182.00 Note Other Information: The 2025 Annual General Stockholders’ Meeting approved an overall compensation amount of R$812 million for members of the Board of Directors and Statutory Board of Officers, regardless of the year in which these amounts were effectively attributed or paid. The Annual General Stockholders’ Meeting approved the monthly individual compensation of R$22,000 for effective members and R$9,000 for alternate members of the Supervisory Council. Approved compensation amounts may be paid either in local currency, Issuer’s shares or any other manner management finds convenient. Amounts will be paid in the proportions described in the table above. In addition to the amounts approved by the Annual General Stockholders’ Meeting, members of management bodies will receive statutory profit sharing, according to paragraph 1, Article 152, of Brazilian Corporate Law, limited to the annual compensation of management members approved at Annual General Stockholders’ Meeting or to 10% of the Issuer’s profit, whichever is lower. Notes: 1. As mentioned in item 8.1 and shown in the table above, the variable compensation model must be shown in “Profit sharing” (paid in cash) and “Stock- based compensation” (paid in shares). Therefore, the bonus item is zero. 2. Amounts related to “Profit sharing” (paid in cash) are not included in the table above, which only shows the estimated breakdown of the amounts that compose the overall compensation amount approved by stockholders at the Annual General Stockholders’ Meeting. 3. We clarify that, according to the guidance of CIRCULAR LETTER/ANNUAL-2026-CVM-SEP, the amounts presented in the table above do not include Social Security (INSS) amounts, according to specific notes. 4. Members of the Board of Directors who also hold executive positions at the Issuer and/or its controlled companies have their remuneration defined in accordance with the remuneration policy applicable to the Board of Officers. Therefore, the amounts relating to the remuneration of said members are fully included only in the table relating to the remuneration of the Board of Officers. This note applies to items 8.3, 8.5, 8.6, 8.7, 8.10, 8.13 and 8.15. 5. The remuneration of several members of the Board of Officers of Directors is borne by controlled companies (see sub-item 8.17), and the amounts indicated in sub-item 8.2 already include the total remuneration borne by the Issuer and its controlled companies. 6. The average remuneration per member was: R$3,860,243 for the Board of Directors and R$17,866,704 for the Board of Officers. For more information on the Membership Program, see item 8.1. 7. The number of members of each body is calculated based on the assumptions defined by the CIRCULAR LETTER/ANNUAL-2026-CVM/SEP. 91


 
Total compensation for fiscal year ended 12/31/2024 - Annual amounts Board of Directors Statutory Board of Officers Fiscal Council Total Total number of members 12.75 35.92 6.00 54.67 Number of members who are compensated 12.75 35.92 6.00 54.67 Annual fixed compensation Salary or management fees 14,809,333.00 60,603,448.00 1,116,000.00 76,528,781.00 Direct and indirect benefits 434,206.00 2,730,389.00 0.00 3,164,595.00 Compensation for participation in committees n/a n/a n/a n/a Other 11,400,000.00 0.00 0.00 11,400,000.00 Description of other fixed compensation Refers to fixed stock-based fees and/or INSS amounts for the Board of Directors. - - - Variable compensation Bonus 0.00 0.00 0.00 0.00 Profit sharing 0.00 91,174,963.00 0.00 91,174,963.00 Compensation for attending meetings n/a n/a n/a n/a Commissions n/a n/a n/a n/a Other n/a n/a n/a n/a Description of other variable compensation 0.00 0.00 0.00 0.00 Post-employment benefits 681,800.00 6,611,843.00 0.00 7,293,643.00 Termination of mandate n/a n/a n/a n/a Stock-based (including options) 20,265,000.00 489,084,909.00 0.00 509,349,909.00 Total compensation 47,590,339.00 650,205,552.00 1,116,000.00 698,911,891.00 Note Other Information: The 2024 Annual General Stockholders’ Meeting approved an overall compensation amount of R$680 million for members of the Board of Directors and Statutory Board of Officers, regardless of the year in which these amounts were effectively attributed or paid. The Annual General Stockholders’ Meeting approved the monthly individual compensation of R$22,000 for effective members and R$9,000 for alternate members of the Supervisory Council. Approved compensation amounts may be paid either in local currency, Issuer’s shares or any other manner management finds convenient. Amounts will be paid in the proportions described in the table above. In addition to the amounts approved by the Annual General Stockholders’ Meeting, members of management bodies will receive statutory profit sharing, according to paragraph 1, Article 152, of Brazilian Corporate Law, limited to the annual compensation of management members approved at Annual General Stockholders’ Meeting or to 10% of the Issuer’s profit, whichever is lower. Notes: 1. As mentioned in item 8.1 and shown in the table above, the variable compensation model must be shown in “Profit sharing” (paid in cash) and “Stock- based compensation” (paid in shares). Therefore, the bonus item is zero. 2. Portions in shares or stock-based instruments were shown in the “Stock-based compensation” line, and were not stated under “Variable compensation”. For illustrative purposes, this item will take into consideration the year to which the compensation refers, regardless of the year in which it is effectively attributed, paid or recognized in the financial statements. 3. We clarify that, according to the guidance of CIRCULAR LETTER/ANNUAL-2026-CVM-SEP, the amounts presented in the table above do not include Social Security (INSS) amounts, according to specific notes. 4. The compensation of the members of the Board of Directors who also perform executive duties in the Issuer and/or its controlled companies is defined according to the provisions of the compensation policy applicable to the Board of Officers. Accordingly, amounts relating to these members’ compensation are fully included only in the table related to the compensation of the Board of Officers. This note is applicable to items 8.3, 8.5, 8.6, 8.7, 8.10, 8.13, and 8.15. 5. The compensation of many members of the Board of Officers is paid by controlled companies (please see subitem 8.15), and the amounts indicated in subitem 8.2 already include the total compensation paid by the Issuer and its controlled companies. 6. Average compensation amount per member was: Board of Directors, R$3,732,576 and Board of Officers, R$18,103,171. For further information on the Partners Program, please see item 8.1. 7. The number of members of each body is calculated based on the assumptions defined by CIRCULAR LETTER/ANNUAL-2026-CVM-SEP. 92


 
Total compensation for fiscal year ended 12/31/2023 - Annual amounts Board of Directors Statutory Board of Officers Fiscal Council Total Total number of members 12.00 30.50 6.00 48.50 Number of members who are compensated 12.00 30.50 6.00 48.50 Annual fixed compensation Salary or management fees 15,572,500.00 51,888,881.00 1,116,733.00 68,578,114.00 Direct and indirect benefits 382,757.00 2,088,919.00 0.00 2,471,676.00 Compensation for participation in committees 0.00 0.00 0.00 0.00 Other 11,400,000.00 0.00 0.00 11,400,000.00 Description of other fixed compensation Refers to fixed stock-based fees and/or INSS amounts for the Board of Directors. - - - Variable compensation Bonus 0.00 0.00 0.00 0.00 Profit sharing 9,276,641.00 119,658,399.00 0.00 128,935,040.00 Compensation for attending meetings - - - - Commissions - - - - Other - - - - Description of other variable compensation - - - - Post-employment benefits 605,362.00 5,539,971.00 0.00 6,145,333.00 Termination of mandate 0.00 0.00 0.00 0.00 Stock-based (including options) 32,248,889.00 374,753,288.00 0.00 407,002,177.00 Total compensation 69,486,149.00 553,929,458.00 1,116,733.00 624,532,340.00 Note Other Information: The 2023 Annual General Stockholders’ Meeting approved an overall compensation amount of R$570 million for members of the Board of Directors and Statutory Board of Officers, regardless of the year in which these amounts were effectively attributed or paid. The Annual General Stockholders’ Meeting approved the monthly individual compensation of R$22,000 for effective members and R$9,000 for alternate members of the Supervisory Council. Approved compensation amounts may be paid either in local currency, Issuer’s shares or any other manner management finds convenient. Amounts will be paid in the proportions described in the table above. In addition to the amounts approved by the Annual General Stockholders’ Meeting, members of management bodies will receive statutory profit sharing, according to paragraph 1, Article 152, of Brazilian Corporate Law, limited to the annual compensation of management members approved at Annual General Stockholders’ Meeting or to 10% of the Issuer’s profit, whichever is lower. Notes: 1. As mentioned in item 8.1 and shown in the table above, the variable compensation model must be shown in “Profit sharing” (paid in cash) and “Stock- based compensation” (paid in shares). Therefore, the bonus item is zero. 2. Portions in shares or stock-based instruments were shown in the “Stock-based compensation” line and were not stated under “Variable compensation”. For illustrative purposes, this item will take into consideration the year to which the compensation refers, regardless of the year in which it is effectively attributed, paid or recognized in the financial statements. 3. We clarify that, according to the guidance of CIRCULAR LETTER/ANNUAL-2026-CVM-SEP, the amounts presented in the table above do not include Social Security (INSS) amounts, according to specific notes. 4. The compensation of the members of the Board of Directors who also perform executive duties in the Issuer and/or its controlled companies is defined according to the provisions of the compensation policy applicable to the Board of Officers. Accordingly, amounts relating to these members’ compensation are fully included only in the table related to the compensation of the Board of Officers. This note is applicable to items 8.3, 8.5, 8.6, 8.7, 8.10, 8.13, and 8.15. 5. The compensation of many members of the Board of Officers is paid by controlled companies (please see subitem 8.15), and the amounts indicated in subitem 8.2 already include the total compensation paid by the Issuer and its controlled companies. 6. Average compensation amount per member was: Board of Directors, R$5,790,512 and Board of Officers, R$18,161,622. For further information on the Partners Program, please see item 8.1. 7. The number of members of each body is calculated based on the assumptions defined by CIRCULAR LETTER/ANNUAL-2026-CVM-SEP. 93


 
8.3. With respect to the variable compensation of the board of directors, statutory board of officers and Fiscal Council for the past three years and that determined for the current year, please, prepare a table containing: R$, except if otherwise indicated Expected for fiscal year 2026 a) body Board of Directors Statutory Board of Officers Fiscal Council Total b) total number of members (people) 13.00 49.25 6.00 68.25 c) number of members who are compensated 13.00 49.25 6.00 68.25 d) With respect to bonuses: i)minimum amount provided for in the compensation plan 532,562.00 563,303,189.00 n/a 563,835,751.00 ii) maximum amount provided for in the compensation plan 665,702.00 774,541,884.00 n/a 775,207,586.00 iii) amount provided for in the compensation plan should the targets established be achieved 665,702.00 774,541,884.00 n/a 775,207,586.00 iv) amount effectively recognized in income or loss for the fiscal year n/a n/a n/a n/a e) With respect to profit sharing: i) minimum amount provided for in the compensation plan n/a n/a n/a n/a ii) maximum amount provided for in the compensation plan n/a n/a n/a n/a iii) amount provided for in the compensation plan should the targets established be achieved n/a n/a n/a n/a iv) amount effectively recognized in income or loss for the fiscal year n/a n/a n/a n/a Note: 1. “Profit sharing” amounts (paid in cash) are not included in the table above, which only shows the estimated breakdown of the overall compensation amounts to be approved by stockholders at the Annual General Stockholders’ Meeting. The variable compensation of the year includes: (i) 30% effectively paid in cash in the year following the related fiscal year (shown in field “e”); and (ii) 70% payable in shares in the following three years, counted from the date the cash portion was paid. In addition, it includes the Partners Shares to be delivered to the Partners of the Holding Company: 30% after three years and 70% after five years, and to Partners: 50% after three years and 50% after five years from the date the cash portion related to the fiscal year was paid. 94


 
R$, except if otherwise indicated Fiscal year ended 12/31/2025 a) body Board of Directors Statutory Board of Officers Fiscal Council Total b) total number of members (people) 13.00 45.50 6.00 64.50 c) number of members who are compensated 13.00 45.50 6.00 64.50 d) With respect to bonuses: i)minimum amount provided for in the compensation plan 749,173.00 537,637,076.00 n/a 538,386,249.00 ii) maximum amount provided for in the compensation plan 936,466.00 672,046,345.00 n/a 672,982,811.00 iii) amount provided for in the compensation plan should the targets established be achieved 936,466.00 672,046,345.00 n/a 672,982,811.00 iv) amount effectively recognized in income or loss for the fiscal year 584,379.00 609,278,997.00 n/a 609,863,376.00 e) With respect to profit sharing: i) minimum amount provided for in the compensation plan 0.00 90,834,039.00 n/a 90,834,039.00 ii) maximum amount provided for in the compensation plan 0.00 136,251,058.00 n/a 136,251,058.00 iii) amount provided for in the compensation plan should the targets established be achieved 0.00 113,542,548.00 n/a 113,542,548.00 iv) amount effectively recognized in income or loss for the fiscal year 0.00 113,542,548.00 n/a 113,542,548.00 Note: 1. “Profit sharing” amounts (paid in cash) are not included in the table above, which only shows the estimated breakdown of the overall compensation amounts to be approved by stockholders at the Annual General Stockholders’ Meeting. The variable compensation of the year includes: (i) 30% effectively paid in cash in the year following the related fiscal year (shown in field “e”); and (ii) 70% payable in shares in the following three years, counted from the date the cash portion was paid. In addition, it includes the Partners Shares to be delivered to the Partners of the Holding Company: 30% after three years and 70% after five years, and to Partners: 50% after three years and 50% after five years from the date the cash portion related to the fiscal year was paid. R$, except if otherwise indicated Fiscal year ended 12/31/2024 a) body Board of Directors Statutory Board of Officers Fiscal Council Total b) total number of members (people) 12.75 35.92 6 54.67 c) number of members who are compensated 12.75 35.92 6 54.67 d) With respect to bonuses: i) minimum amount provided for in the compensation plan 38,306,763.00 413,469,418.00 n/a 451,776,181.00 ii) maximum amount provided for in the compensation plan 47,883,453.00 516,836,773.00 n/a 564,720,226.00 iii) amount provided for in the compensation plan should the targets established be achieved 47,883,453.00 516,836,773.00 n/a 564,720,226.00 iv) amount effectively recognized in income or loss for the fiscal year 20,265,000.00 489,084,909.00 n/a 509,349,909.00 e) With respect to profit sharing: i) minimum amount provided for in the compensation plan - 72,939,970.00 n/a 72,939,970.00 ii) maximum amount provided for in the compensation plan - 109,409,955.00 n/a 109,409,955.00 iii) amount provided for in the compensation plan should the targets established be achieved - 91,174,963.00 n/a 91,174,963.00 iv) amount effectively recognized in income or loss for the fiscal year - 91,174,963.00 n/a 91,174,963.00 95


 
R$, except if otherwise indicated Fiscal year ended 12/31/2023 a) body Board of Directors Statutory Board of Officers Fiscal Council Total b) total number of members (people) 12 30.5 6 48.5 c) number of members who are compensated 12 30.5 6 48.5 d) With respect to bonuses: i) minimum amount provided for in the compensation plan 33,203,360.00 343,863,532.00 n/a 377,066,892.00 ii) maximum amount provided for in the compensation plan 41,504,200.00 429,829,415.00 n/a 471,333,615.00 iii) amount provided for in the compensation plan should the targets established be achieved 41,504,200.00 429,829,415.00 n/a 471,333,615.00 iv) amount effectively recognized in income or loss for the fiscal year 32,248,889.00 374,753,288.00 n/a 407,002,177.00 e) With respect to profit sharing: i) minimum amount provided for in the compensation plan 7,421,313.00 95,726,719.00 n/a 103,148,032.00 ii) maximum amount provided for in the compensation plan 11,131,969.00 143,590,079.00 n/a 154,722,048.00 iii) amount provided for in the compensation plan should the targets established be achieved 9,276,641.00 119,658,399.00 n/a 128,935,040.00 iv) amount effectively recognized in income or loss for the fiscal year 9,276,641.00 119,658,399.00 n/a 128,935,040.00 96


 
8.4. With respect to the stock-based compensation plan for the board of directors and statutory board of officers in effect last fiscal year and expected for the current year, please describe: a. General terms and conditions Clarifications– how to disclose the information For illustrative purposes, in this item we provide information about all stock-based compensation models, as follows: (1) shares or stock-based instruments delivered under the Compensation Policy; (2) shares or stock- based instruments delivered under the Partners Program; and (3) options granted under the Stock Option Granting Plan (“Stock Option Plan”), as described below: (1) Compensation Policy – stock-based compensation Annual fixed stock-based compensation: This compensation is paid to the members of the Board of Directors, provided they have fully completed their terms of office. The purpose is to reward the contribution made by each member to the Itaú Unibanco Conglomerate. The annual fixed compensation takes into account the history and curriculum vitae of members, in addition to market conditions and other factors that may be agreed upon between the members of the Board of Directors and the Itaú Unibanco Conglomerate. To calculate the value of the shares used to make up the stock-based compensation or stock-based instruments, we use the average closing price of Itaú Unibanco Holding’s preferred shares on B3 – Brasil, Bolsa, Balcão (“B3”) in the thirty (30) days prior to the calculation, which is to be carried out on the seventh (7th) business day prior to granting the shares (“Pricing Period”), adjusted to earnings distributed, but not earned by beneficiaries, from the Pricing Period to the expected grant date. Until 2024 the number of shares used to be calculated and granted every three years, and these shares were delivered proportionally to the number of terms of office completed in the period. Beginning in 2025, as approved by the Compensation Committee on October 28, 2024 and the Board of Directors on October 31, 2024, the Annual Fixed Compensation of the members of the Board of Directors will be granted on an annual basis, with payments of one third each year. The installments will continue to be paid subject to the full completion of the annual terms of office by members. Annual variable stock-based compensation: 97


 
(2) Partners Program Aimed at aligning the interests of our officers and employees with those of our stockholders, this program provides participants with the opportunity to invest in our preferred shares (ITUB4), sharing short, medium and long-term risks. This program is aimed at officers and employees who have a history of contribution, relevant work and also outstanding performance. It has two types of appointments: partners of the holding company and partners. The main differences are presented below: 98


 
99


 
(3) Stock Option Plan We have a Stock Option Plan through which our officers and employees with outstanding performance are entitled to receive stock options. These options enable them to share the risk of the price fluctuations of our preferred shares (ITUB4) with other stockholders and are intended to integrate participants of this program into the Conglomerate’s development process in the medium- and long-terms. Our Personnel Committee manages the Stock Option Plan, including aspects such as strike prices, vesting periods and terms of the options, in accordance with the rules provided for in the Plan. Options may only be granted to participants if profit is sufficient to be distributed as mandatory dividends. No option has been granted under our Stock Option Plan since 2012. For further information on the Stock Option Plan, please see the Investor Relations website: https:// www.itau.com.br/investor-relations/ > Itaú Unibanco > Corporate Governance > Policies > Stock Option Plan. b. Date of approval and body in charge The Company’s Stock Grant Plan is managed by the Compensation Committee and was reviewed and updated by Extraordinary General Stockholders’ Meeting of Itaú Unibanco Holding S.A. on October 31, 2024. 100


 
c. Maximum number of shares covered In order to limit the maximum dilution to which stockholders may be subject: the sum of (i) the shares to be used for compensation, in accordance with Resolution No. 5,177 of the National Monetary Council (CMN), including those related to the Partners Program and other stock-based compensation programs of the Issuer and its controlled companies; and (ii) the options to be granted every year may not exceed the limit of 0.5% of all of the Issuer’s shares that the stockholders hold at the balance sheet date of the same year In the event that the number of shares delivered and options granted, in any given year, is below the limit of 0.5% of the total shares as mentioned in the paragraph above, the resulting difference may be added for compensation or option granting purposes in any of the subsequent seven (7) fiscal years. d. Maximum number of options to be granted The same as item c) above. e. Conditions for the acquisition of shares Stock-based compensation: shares are acquired in the long-term, since out of the total annual variable compensation, 30% is paid in cash on demand and 70% is paid upon the delivery of the shares, deferred for payment within three years, in the proportion of 1/3 of the amount due per year. The right to shares is conditional upon fulfilling the program's waiting period, as well as adhering to the company's Code of Ethics and Conduct. In cases of termination, the retention of shares may occur depending on the type of departure, always subject to compliance with the program's rules. Partners Program: if they hold the ownership of these Own Shares, free of any liens or encumbrances or other suspensive conditions provided for in the Program Regulation for three and five-year terms as from the initial investment, the return on the investment will be through the receipt of Partners Shares also for three and five-year terms. The right to shares is conditional upon fulfilling the program's waiting period, as well as adhering to the company's Code of Ethics and Conduct. In cases of termination, the retention of shares may occur depending on the type of departure, always subject to compliance with the program's rules. Stock Option Plan: shares are acquired as a result of exercising an option granted in accordance with the rules of the Stock Option Plan, provided that the vesting period has elapsed (see sub item “g” below), upon the payment of the strike price (see sub item “f” below). Additionally, options may be terminated under certain circumstances, such as termination of relationship (statutory or contractual) between the Beneficiary and the Itaú Unibanco Conglomerate companies before the vesting period (see sub item “k” below). f. Criteria for setting the acquisition or strike price Stock-based compensation: to calculate the value of the shares used to make up the stock-based compensation or stock-based instruments, we use the average closing price of Itaú Unibanco Holding’s preferred shares on B3 – Brasil, Bolsa, Balcão (“B3”) in the thirty (30) days prior to the calculation, which is to be carried out on the seventh (7th) business day prior to granting the shares (“Pricing Period”), adjusted to earnings distributed, but not earned by beneficiaries, from the Pricing Period to the expected grant date. Partners Program: to calculate the acquisition price of Own Shares and of the Partners Shares received, we use the average closing price of Itaú Unibanco Holding’s preferred shares on B3 - Brasil, Bolsa Balcão (“B3”) in the thirty (30) days prior to calculation, which is to be carried out on the seventh (7th) business day prior to the expected acquisition date of Own Shares (“Pricing Period”), adjusted to earnings distributed, but not earned by beneficiaries, from the Pricing Period to the expected investment date. Stock Option Plan: acquisition and strike prices are se by the Personnel Committee upon the granting of the option and will be determined as follows: The option strike price is established based on the average price of the Issuer’s preferred shares at the trading sessions of B3 in the last three months of the year prior to the grant date. The prices thus established will be adjusted up to the last business day of the month prior to the exercise of the option based on the General 101


 
Market Price Index (IGP-M) or, in its absence, an index designated by the Personnel Committee, and they must be paid within a term equal to that in force for settling operations on B3. g. Criteria for setting the acquisition or exercise period Stock-based compensation: not applicable, since there is no exercise of options but rather a delivery of shares. Partners Program: not applicable, since there is no exercise of options, but rather a delivery of shares. Stock Option Plan: options may only be exercised after the vesting period and outside the lock-up periods established by the Personnel Committee. The vesting period of each series will be established by the Committee upon their issue and may last from one to seven years from the year of their issue. As a rule, the vesting period determined by the Committee is five (5) years. h. Settlement method Stock-based compensation: settlement occurs through the delivery of shares after the deferral periods. Partners Program: settlement occurs through the delivery of Partners Shares after the deferral periods provided for in the Program. Stock Option Plan: the Beneficiary will pay the strike price in cash to the Issuer, subject to the rules and conditions established by the Personnel Committee. i. Restrictions on the transfer of shares Stock-based compensation: after receiving the shares within one, two, or three years, there will be no restrictions on the transfer of shares. If the executive chooses to invest these shares in the Partners Program as Own Shares, these shares will become unavailable for three and five years from the investment date. The transfer of shares must comply with the lock-up periods and other conditions established in the Company's Securities Trading Policy. Partners Program: after receiving the Partners’ Shares within three and five years after the initial investment date, these shares will become unavailable for a period of five years from the initial investment date. The transfer of shares must comply with the lock-up periods and other conditions established in the Company's Securities Trading Policy. Stock Option Plan: the availability of shares subscribed by Beneficiaries by means of the exercise of the option may be subject to additional restrictions, according to resolutions to be adopted by the Personnel Committee when they are granted. Therefore, the percentage of shares that must remain unavailable, as well as the period of this unavailability, will be defined by this Committee. As a rule, the period of this unavailability defined by the Committee is two (2) years after the option is exercised. j. Criteria and events that, when verified, will cause the suspension, change, or termination of the plan Stock-based compensation: deferred shares may not be delivered in the event of a significant decrease in the realized recurring profit of the Issuer or a negative result of the applicable business area, except when the reduction or negative result arises from extraordinary and unpredictable events outside the Itaú Unibanco Conglomerate, which also affect other financial institutions and are not related to actions or omissions of management members. The Compensation Committee may decide to apply a malus even in these cases. Additionally, the compensation model may be amended upon approval by the Compensation Committee and the Board of Directors. Partners Program: Partners Shares yet to be received may not be delivered in the event of a significant decrease in the realized recurring profit of the Issuer or a negative result of the applicable business area, except when the reduction or negative result arises from extraordinary and unpredictable events outside the Itaú Unibanco Conglomerate, which also affect other financial institutions and are not related to actions or omissions of management members. The Compensation Committee may still decide to apply a malus even in these 102


 
cases. Additionally, the Partners Program may be amended upon the approval by the Compensation Committee or the Personnel Committee. Stock Option Plan: the Personnel Committee may suspend the exercise of the options under justifiable circumstances, such as significant market fluctuations or legal or regulatory restrictions. Additionally, the Stock Option Plan may only be amended or terminated if so, proposed by the Personnel Committee to the Board of Directors and subsequently approved at an Extraordinary General Stockholders’ Meeting. Additionally, in December 2023 the Company adopted the Clawback policy (as an attachment to the Management Members' Compensation Policy), which consists of recovering compensation amounts granted or paid in excess to Officers identified as the policy target audience in the event of any restatement of the financial results. The Clawback Policy applies to all Long-Term Incentive programs and is available on the Investor Relations website (www.itau.com.br/investor-relations > Itaú Unibanco > Corporate Governance > Policies > Management Members’ Compensation and Clawback Policy. k. Effects of the withdrawal of a management member from the issuer’s bodies on their rights provided for in the stock-based compensation plan Stock-based compensation: In the event of termination, the applicable rules for granted shares that have not yet been delivered will be observed. In the case of the extinction of undelivered granted shares, this will occur on the date on which they permanently leave the mandate. It will be the responsibility of the Committee in charge, observing the criteria established in the remuneration policy, to ensure compliance with the program rules. Partners Program: In the event of termination, the rules applicable to Shareholder Shares not yet delivered will be observed. In the case of extinction of Shareholder Shares not yet delivered, this will occur on the date on which they permanently leave the mandate. It will be the responsibility of the Committee in charge, observing the criteria established in the remuneration policy, to ensure compliance with the program rules. Stock Option Plan: the general rule is that any Beneficiaries of the Itaú Unibanco Conglomerate who resign or are removed from their position will have their options expired automatically. Management members’ stock options will expire on the date such members cease to exercise their position on a permanent basis. However, the aforementioned automatic expiry may not occur if, for example, this member is dismissed simultaneously to their election as a management member of the Itaú Unibanco Conglomerate or if they take up another statutory position at the Itaú Unibanco Conglomerate. Additionally, subject to the criteria established in the internal charter, the Personnel Committee may determine the non-expiration of the options. 103


 
8.5. With respect to the stock-based compensation as stock options of the board of directors and statutory board of officers recognized in profit or loss for the past three years and to that expected for the current year, please prepare a table containing: a. body b. total number of members c. number of members who are compensated d. weighted average strike price of each of the following option groups: i. outstanding at the beginning of the year ii. lost and expired during the year iii. exercised during the year e. potential dilution in the case of exercise of all outstanding options Granting of stock options is not scheduled nor any stock options were granted in the current year or in the past three years. The last granting of stock options was made in 2012, which were last exercised in 2019. Therefore, there were no stock options outstanding, lost and/or expired or exercised in the past three years. 104


 
8.6. With respect to each granting of stock options to the board of directors and the statutory board of officers for the past three years and to that expected for the current year, please prepare a table containing: a. body b. total number of members c. number of members who are compensated d. grant date e. number of options granted f. term for the options to become exercisable g. maximum term to exercise the options h. term of restriction on the transfer of shares received from the exercise of options i. fair value of the options on the grant date j. multiplication of the number of shares granted by the fair value of the options on the grant date No stock options were granted in the past three years and granting of stock options is not scheduled for the current year. The last granting of stock options was made in 2012. 105


 
8.7. With respect to the outstanding options of the board of directors and statutory board of officers at the end of the previous year, please prepare a table containing: a. body b. total number of members c. number of members who are compensated d. with respect to the options not yet exercisable: i. number; ii. date on which the options will become exercisable; iii. maximum term to exercise the options; iv. term of restriction on the transfer of shares; v. weighted average strike price for the year; vi. fair value of the options in the last day of the year e. with respect to the options exercisable: i. number; ii. maximum term to exercise the options; iii. term of restriction on the transfer of shares; iv. weighted average strike price for the year; v. fair value of the options in the last day of the year f. fair value of the total options in the last day of the year No stock options were outstanding in the past three years, since the last granting of stock options was made in 2012, which were last exercised and matured in 2019. 106


 
8.8. With respect to the options exercised relating to the stock-based compensation to the board of directors and the statutory board of officers for the past three years, please prepare a table containing: a. body b. total number of members c. number of members who are compensated d. number of shares e. weighted average strike price f. weighted average market price of shares relating to the options exercised g. multiplication of the total options exercised by the difference between the weighted average strike price and the weighted average market price of shares relating to the options exercised No stock options were exercised in the past three years, since the last granting of stock options was made in 2012, which were last exercised in 2019. 107


 
8.9. With respect to the stock-based compensation of the board of directors and statutory board of officers, as shares to be directly delivered to the beneficiaries, recognized in profit or loss for the past three years and to that expected for the current year, please prepare a table containing: There was no issue of new shares for delivery to beneficiaries in the last 3 fiscal years. 108


 
8.10. With respect to each granting of shares to the board of directors and the statutory board of officers for the past three years and to that expected for the current year, please prepare a table containing: Expected for the current fiscal year – Annual amounts Body Board of Directors Statutory Board of Officers total number of members 13.00 49.25 number of members who are compensated 13.00 49.25 grant date 4/17/2026 3/1/2027 3/1/2027 3/1/2027 number of shares granted 607,321 14,695 9,918,564 7,179,491 maximum term to deliver the shares 1/3 p.y. 1/3 p.y. (1) 1/3 p.y. period of restriction on the transfer of shares No restriction No restriction At the 5th year No restriction fair value of the shares on the grant date R$45.30 R$45.30 R$45.30 R$45.30 multiplication of the number of shares granted by the fair value of the shares on the grant date R$27,511,619.00 R$665,702.00 R$449,310,953.00 R$325,230,931.00 Notes: 1. Shareholder shares will be delivered to Holding Shareholders: 30% after three years and 70% after five years, and to Shareholders: 50% after three years and 50% after five years. 2. The restriction period for grants made until 2021 is 50% until the 5th year and 50% until the 8th year for Shareholders, or 70% and 30%, respectively, for Associates. 3. The fair value of the shares used in this table is the same grant price indicated in the table for the previous fiscal year, and the price will be updated when the planned grants are made. Fiscal year 2025 – Annual amounts Body Board of Directors Statutory Board of Officers total number of members 13.00 45.50 number of members who are compensated 13.00 45.50 grant date 04/25/2025 02/27/2026 02/27/2026 02/27/2026 number of shares granted 757,385 12,900 7,832,523 5,617,345 maximum term to deliver the shares 1/3 p.y. 1/3 p.y. (1) 1/3 p.y. period of restriction on the transfer of shares No restriction No restriction At the 5th year No restriction fair value of the shares on the grant date R$31,82 R$45,30 R$45,30 R$45,30 multiplication of the number of shares granted by the fair value of the shares on the grant date R$24,100,000.00 R$584,379.00 R$354,813,289.00 R$254,465,709.00 Notes: 1. Partners shares will be delivered to Partners of the Holding Company: 30% after three years and 70% after five years; and to Partners: 50% after three years and 50% after five years. 2. The term of restriction for grants provided by 2021 to Partners is 50% up to the 5th year and 50% up to the 8th year, and to associates is 70% and 30%, respectively. 3. The fair value of the shares used in this table is the same grant price indicated in the table for the previous fiscal year, and the price will be updated when the planned grants are made. 109


 
Fiscal year 2024 – Annual amounts Body Board of Directors Statutory Board of Officers total number of members 12.75 35.92 number of members who are compensated 12.75 35.92 grant date 04/24/2024 03/01/2025 03/01/2025 03/01/2025 number of shares granted 340,705 630,719 8,600,788 6,621,275 maximum term to deliver the shares 04/30/2025 1/3 p.y. (1) 1/3 p.y. period of restriction on the transfer of shares No restriction No restriction At the 5th year No restriction fair value of the shares on the grant date R$33.46 R$32.13 R$32.13 R$32.13 multiplication of the number of shares granted by the fair value of the shares on the grant date R$11,400,000.00 R$20,265,000.00 R$276,343,329.00 R$212,741,579.00 Notes: 1. Partners shares will be delivered to Partners of the Holding Company: 30% after three years and 70% after five years; and to Partners: 50% after three years and 50% after five years. 2. The term of restriction for grants provided by 2021 to Partners is 50% up to the 5th year and 50% up to the 8th year, and to associates is 70% and 30%, respectively. Fiscal year 2023 – Annual amounts Body Board of Directors Statutory Board of Officers total number of members 12.00 30.50 number of members who are compensated 12.00 30.50 grant date 05/04/2023 03/01/2024 03/01/2024 03/01/2024 number of shares granted 502,901 993,495 6.020.987 5.900.459 maximum term to deliver the shares 05/31/2024 1/3 p.y. (1) 1/3 p.y. period of restriction on the transfer of shares No restriction No restriction At the 5th year No restriction fair value of the shares on the grant date R$22.66 R$32.46 R$32.46 R$32.46 multiplication of the number of shares granted by the fair value of the shares on the grant date R$11,395,737.00 R$32,248,848.00 R$195,441,238.00 R$191,528,899.00 Notes: 1. Partners shares will be delivered to Partners of the Holding Company: 30% after three years and 70% after five years; and to Partners: 50% after three years and 50% after five years. 2. The term of restriction for grants provided by 2021 to Partners is 50% up to the 5th year and 50% up to the 8th year, and to associates is 70% and 30%, respectively. 3. The amounts are adjusted by the events that occurred in the period (reverse split, bonus, etc.). 110


 
8.11. With respect to the shares delivered relating to the stock-based compensation to the board of directors and the statutory board of officers for the past three years, please prepare a table containing: Fiscal Year ended 12/31/2025 Board of Directors Statutory Board of Officers Fiscal Council Total number of members 13.00 45.50 - Number of members who are compensated 13.00 45.50 - Number of shares 1,033,907 8,415,885 - Weighted average acquisition price R$32.45 R$32.45 - Weighted average market price of shares acquired R$32.64 R$31.94 - Multiplication of total shares acquired by the difference between the weighted average acquisition price and the weighted average market price of shares acquired -R$196,442.33 R$4,292,101.35 - Fiscal Year ended 12/31/2024 Board of Directors Statutory Board of Officers Fiscal Council Total number of members 12.75 35.92 - Number of members who are compensated 12.75 35.92 - Number of shares 1,114,915 5,832,981 - Weighted average acquisition price R$33.21 R$33.21 - Weighted average market price of shares acquired R$33.52 R$34.07 - Multiplication of total shares acquired by the difference between the weighted average acquisition price and the weighted average market price of shares acquired -R$345,623.65 -R$5,016,363.66 - Fiscal Year ended 12/31/2023 Board of Directors Statutory Board of Officers Fiscal Council Total number of members 12.00 30.50 - Number of members who are compensated 12.00 30.50 - Number of shares 1,326,606.00 4,578,337.00 - Weighted average acquisition price R$25.98 R$25.98 - Weighted average market price of shares acquired R$25.22 R$25.00 - Multiplication of total shares acquired by the difference between the weighted average acquisition price and the weighted average market price of shares acquired R$1,008,221 R$4,486,770 - 111


 
8.12. Provide a brief description of the information necessary for understanding the data disclosed in items 8.5 to 8.11, such as an explanation of the pricing model for the share and option price, indicating, at least: a. pricing model • Options: the Issuer adopts the Binomial model for option pricing. This model assumes that there are two possible paths for the performance of asset prices – upward or downward. A tree with price paths is built in order to determine the share value on a future date, based on the defined volatility and time interval between the tree steps from pricing to maturity. The pricing process of this model is carried out by adopting the “Backward Induction method”, from the knots of the maturity to the starting point. • Stock-based compensation: to calculate the value of the shares used to make up the compensation payable in shares or stock-based instruments, we use the average closing price of Itaú Unibanco Holding’s preferred shares on B3 – Brasil, Bolsa, Balcão (B3) in the thirty (30) days prior to the calculation, which will be carried out on the seventh (7th) business day prior to granting the shares (Pricing Period), adjusted for the earnings distributed, but not earned by beneficiaries, from the Pricing Period to the expected grant date. • Partners Program: to calculate the acquisition price of Own Shares, we use the average closing price of Itaú Unibanco Holding’s preferred shares on B3 - Bolsa, Brasil, Balcão (B3) in the thirty (30) days prior to calculation, which will be carried out in the seventh (7th) business day prior to the date expected for the acquisition of Own Shares (Pricing Period), adjusted for the earnings distributed, but not earned by beneficiaries, from the Pricing Period to the expected investment date. b. data and assumptions used in the pricing model, including the weighted average price of shares, strike price, expected volatility, term of the option, dividends expected and risk-free interest rate • Options: the Binomial pricing model used in the simple options plan takes into account the price assumptions relating to the underlying asset, strike price, volatility, dividend return rate, risk-free rate, vesting period and term of the option. The assumptions used are described as follows: • Price of the underlying asset: the price of the Issuer´s preferred shares used for the calculation is the closing price on B3 on the calculation base date; • Strike price: the strike price previously defined on the option issue, adjusted by the IGP-M variation, is adopted as the option strike price; • Expected volatility: calculated based on the standard deviation from the last 84 historical monthly returns of closing prices of the Issuer’s preferred share, released by B3, adjusted by the IGP-M variation; • Dividend rate: is the average annual return rate in the past three years of Paid Dividends, plus the Interest on Capital of the Issuer’s preferred share; • Risk-Free Interest Rate: the risk-free rate used is the IGP-M coupon rate, up to the option expiration date; • Option expiration date: it will be established by the Personnel Committee upon the option grant, and these options will automatically expire at the end of this term. The term of each stock option series will begin on the issue date and expire at the end of a period that may vary between the minimum of five years and the maximum of ten years; and 112


 
• Option vesting period: the vesting period of each stock option series will be established by the Personnel Committee on the issue date, and this period may vary from one to seven years as from the issue date. • Stock-based compensation: not applicable, since, unlike other models, the number of shares is fixed based on the compensation amount defined. After it is defined, the amount is converted into a number of shares, taking into account their market value. • Partners Program: not applicable, since, unlike other models, the number of shares is fixed based on the compensation amount defined. After it is defined, the amount is converted into a number of shares, taking into account their market value. c. method used and assumptions made to absorb the expected early exercise effects • Options: the option pricing uses the Binomial tree and takes into account the options vesting period. The vesting period of each series will be established by the Personnel Committee on the issue date, which may vary from one to seven years as from the grant date. As a rule, the vesting period determined by the Committee is five (5) years. After the end of the vesting period, the option can be exercised at any time until the option expiration date. • Variable stock-based compensation: not applicable because it is not an option and there is no early exercise. • Partners Program: not applicable because it is not an option and there is no early exercise. d. method to determine expected volatility • Options: expected volatility: calculated based on the standard deviation from the history of the last 84 monthly returns of the closing prices of the Issuer’s preferred share, adjusted by the IGP-M. • Variable stock-based compensation: not applicable because it is not an option and the market price is quoted at grant for the shares. • Partners Program: not applicable because it is not an option and the market price is quoted at grant for the shares. e. if any other characteristic of the option was included in its fair value measurement • Options: the historical series is adjusted for splits, bonuses and reverse splits, among others. • Variable stock-based compensation: not applicable because it is not an option. • Partners Program: not applicable because it is not an option. 113


 
8.13. Indicate the number of shares or quotas directly or indirectly held, in Brazil or abroad, and other securities convertible into shares or quotas, issued by the issuer, its direct or indirect controlling shareholders, controlled companies or companies under common control, by members of the board of directors, statutory officers, or the fiscal council, grouped by body, as of the closing date of the last fiscal year. Issuer Controlling Companies Under Common Control (5) Itaú Unibanco Holding S.A. Companhia E. Johnston de Participações Companhia ESA Itaúsa S.A. IUPAR - Itaú Unibanco Participações S.A. Alpargatas S.A. Dexco S.A. Controllers (1 and 4) Shares ON 5,161,612,504 6,548,000 2,418,219,408 2,453,270,164 710,454,184 148,274,505 371,397,000 PN 27,904,153 13,096,000 - 1,317,119,832 350,942,273 55,864,040 - Total 5,189,516,657 19,644,000 2,418,219,408 3,770,389,996 1,061,396,457 204,138,545 371,397,000 Board of Directors (2 and 4) Shares ON 14,180 - - 580 - - - PN 7,954,974 - - 6,875,373 - - - Total 7,969,154 - - 6,875,953 - - - Board of Officers (3 and 4) Shares ON - - - 129 - - - PN 23,309,799 - - 14,677 - - - Total 23,309,799 - - 14,806 - - - Fiscal Council (4) Shares ON 176,538 - - - - - - PN 2,904,397 - - 507,680 - - - Total 3,080,935 - - 507,680 - - - Audit Committee and Bodies with Technical or Advisory Functions (4) Shares ON - - - - - - - PN 1,485,860 - - 10,719 - - - Total 1,485,860 - - 10,719 - - - Base-date: 12/31/2025 Note: The shares are held directly. ON - Common Shares and PN - Preferred Shares (1) Item included for consistency with the information monthly forwarded by the Issuer and parent company Itaúsa- Investimentos Itaú S.A. to B3 S.A. – Brasil, Bolsa, Balcão to conform to sub item 7.1 of Corporate Governance Level 1 Listing Regulation and Article 11 of CVM Resolution No. 44/21; (2) except for those included in item “Parent Companies”; (3) except for those included in item “Parent Companies” and “Board of Directors”; (4) in addition to information on controlling stockholders and members of the Board of Directors, Board of Officers, Fiscal Council, Audit Committee and Bodies with Technical or Advisory Function, as applicable, it includes interests held by spouses, dependents included in annual income tax returns and companies directly or indirectly controlled by these parties; (5) Includes companies that are directly controlled by Itaúsa S.A., the Issuer's controlling shareholder. 114


 
8.14. With respect to the pension plans in effect granted to the members of the board of directors and statutory board of officers, please supply the following information in a table format: a) body Board of Directors Statutory Board of Officers b) number of members 3 1 1 12 9 26 c) number of members who are compensated 3 1 1 12 9 26 d) plan’s name Itaubanco CD Futuro Inteligente Flexprev PGBL Itaubanco CD Futuro Inteligente Flexprev PGBL e) number of management members who are eligible for retirement 3 1 1 8 4 9 f) conditions for early retirement 50 years old 50 years old 50 years old 50 years old 50 years old 50 years old g) adjusted amount of contributions accumulated in the pension plan by the end of last year, less the portion related to contributions made directly by management members R$69,580,008.00 R$7,491,679.00 R$1,596,419.00 R$57,422,075.00 R$57,223,761.00 R$30,038,806.00 h) total accumulated amount of contributions made last year, less the portion related to the contributions made directly by management members R$630,925.00 R$— R$130,000.00 R$2,023,818.00 R$2,800,858.00 R$3,651,210.00 i) whether there is the possibility of early redemption and what the conditions are No No No No No No Note: The number of members who are compensated by each body (letter "c") corresponds to the number of management members who are active participants of the pension plans. 115


 
8.15. In a table, please indicate, for the past three years, with respect to the board of directors, statutory board of officers and supervisory council: Annual amounts – R$ Statutory Board of Officers Board of Directors Fiscal Council 12/31/2025 12/31/2024 12/31/2023 12/31/2025 12/31/2024 12/31/2023 12/31/2025 12/31/2024 12/31/2023 Number of members 45.50 35.92 30.50 13.00 12.75 12.00 6.00 6.00 6.00 Number of members who are compensated 45.50 35.92 30.50 13.00 12.75 12.00 6.00 6.00 6.00 Amount of the highest compensation R$87,001,376.00 R$81,727,411.00 R$67,705,174.00 R$9,620,782.00 R$9,600,993.00 R$18,509,021.00 R$264,000.00 R$264,000.00 R$264,000.00 Amount of the lowest compensation R$2,623,383.00 R$3,277,133.00 R$3,305,003.00 R$2,600,000.00 R$2,280,000.00 R$2,522,283.00 R$108,000.00 R$108,000.00 R$108,000.00 Average amount of compensation R$17,866,704.00 R$18,103,171.00 R$18,161,622.00 R$3,860,243.00 R$3,732,576.00 R$5,790,512.00 R$186,000.00 R$186,000.00 R$186,122.00 Notes and clarifications Statutory Board of Officers Note Clarification 12/31/2025 For the calculation of the lowest individual annual remuneration, members who did not fully perform their duties during the 12 months of the fiscal year in question were disregarded. Members who presented the highest remuneration value in each of the bodies performed their duties throughout the 12 months of the fiscal year in question. 116


 
12/31/2024 For the annual amount of the lowest individual compensation, members who have not fully performed their duties in the 12 months of the relevant year were disregarded. Members who received the amount of the highest compensation in each body performed their duties during the 12 months of the relevant year. 12/31/2023 For the annual amount of the lowest individual compensation, members who have not fully performed their duties in the 12 months of the relevant year were disregarded. Members who received the amount of the highest compensation in each body performed their duties during the 12 months of the relevant year. Board of Directors Note Clarification 12/31/2025 For the calculation of the lowest individual annual remuneration, members who did not fully perform their duties during the 12 months of the fiscal year in question were disregarded. Members who presented the highest remuneration value in each of the bodies performed their duties throughout the 12 months of the fiscal year in question. 117


 
12/31/2024 For the annual amount of the lowest individual compensation, members who have not fully performed their duties in the 12 months of the relevant year were disregarded. Members who received the amount of the highest compensation in each body performed their duties during the 12 months of the relevant year. 12/31/2023 For the annual amount of the lowest individual compensation, members who have not fully performed their duties in the 12 months of the relevant year were disregarded. Members who received the amount of the highest compensation in each body performed their duties during the 12 months of the relevant year. Fiscal Council Note Clarification 12/31/2025 For the calculation of the lowest individual annual remuneration, members who did not fully perform their duties during the 12 months of the fiscal year in question were disregarded. Members who presented the highest remuneration value in each of the bodies performed their duties throughout the 12 months of the fiscal year in question. 12/31/2024 For the annual amount of the lowest individual compensation, members who have not fully performed their duties in the 12 months of the relevant year were disregarded. Members who received the amount of the highest compensation in each body performed their duties during the 12 months of the relevant year. 12/31/2023 For the annual amount of the lowest individual compensation, members who have not fully performed their duties in the 12 months of the relevant year were disregarded. Members who received the amount of the highest compensation in each body performed their duties during the 12 months of the relevant year. 118


 
8.16. Describe any contractual arrangements, insurance policies or other instruments that structure mechanisms for compensating or indemnifying management members in the event of removal from position or retirement, indicating the financial consequences to the issuer In addition to the possibility of maintaining deferred and unpaid portions of variable compensation, annual pro rata payments and the temporary continuation of certain benefits (such as health insurance), the Issuer has entered into contractual arrangements with certain officers that provide for the payment of compensation to the executive in consideration for restrictions on the performance of acts characterized as competition with the company. This mechanism is intended to mitigate the financial impacts on the executive arising from the restrictions imposed on his or her professional activities. Should any such payment become due, no material financial impacts on the Company are expected. 119


 
8.17. With respect to the past three years and to that expected for the current fiscal year, please indicate the percentage of total compensation of each body recognized in the issuer’s profit or loss related to members of the board of directors, statutory board of officers or Fiscal Council that are parties related to the direct or indirect controlling stockholders, as determined by the accounting rules that address this matter Year 2026 Body Board of Directors Statutory Board of Officers Fiscal Council Related parties 68% 0% 0% Year 2025 Body Board of Directors Statutory Board of Officers Fiscal Council Related parties 68% 0% 0% Year 2024 Body Board of Directors Statutory Board of Officers Fiscal Council Related parties 71% 0% 0% Year 2023 Body Board of Directors Statutory Board of Officers Fiscal Council Related parties 77% 0% 0% 120


 
8.18. With respect to the past three years and to that expected for the current fiscal year, please indicate the amounts recognized in the issuer’s profit or loss as compensation of the members of the board of directors, statutory board of officers or fiscal council, grouped by body, for any reason other than the position they hold, such as commissions and consulting or advisory services provided As mentioned in item 8.1 of this document, members of the Board of Directors, Statutory Board of Officers and Fiscal Council are not compensated for participating in statutory and non-statutory committees of controlled companies or affiliates. 121


 
8.19. With respect to the past three years and to that expected for the current fiscal year, please indicate the amounts recognized in profit or loss of the issuer’s direct or indirect controlling stockholders, jointly controlled companies and controlled companies, as compensation of the members of the issuer’s board of directors, statutory board of officers or fiscal council, grouped by body, specifying the reason such amounts were paid to these people The amounts specified in the tables below were attributed to fixed monthly compensation, benefits and annual variable compensation. Expected for the current fiscal year Compensation received due to the position held in the Issuer - R$ Board of Directors Statutory Board of Officers Fiscal Council Total Direct or indirect controlling stockholders 0.00 0.00 0.00 0.00 Issuer’s controlled companies 0.00 587,089,232.00 0.00 587,089,232.00 Jointly controlled companies 0.00 0.00 0.00 0.00 Year 2025 Compensation received due to the position held in the Issuer - R$ Board of Directors Statutory Board of Officers Fiscal Council Total Direct or indirect controlling stockholders 0.00 0.00 0.00 0.00 Issuer’s controlled companies 0.00 594,781,937.00 0.00 594,781,937.00 Jointly controlled companies 0.00 0.00 0.00 0.00 Year 2024 Compensation received due to the position held in the Issuer - R$ Board of Directors Statutory Board of Officers Fiscal Council Total Direct or indirect controlling stockholders 0.00 0.00 0.00 0.00 Issuer’s controlled companies 0.00 453,739,963.00 0.00 453,739,963.00 Jointly controlled companies 0.00 0.00 0.00 0.00 Year 2023 Compensation received due to the position held in the Issuer - R$ Board of Directors Statutory Board of Officers Fiscal Council Total Direct or indirect controlling stockholders 0.00 0.00 0.00 0.00 Issuer’s controlled companies 0.00 392,711,307.00 0.00 392,711,307.00 Jointly controlled companies 0.00 0.00 0.00 0.00 122


 
8.20. Supply other information that the issuer may deem relevant As provided in item 8.1 “c.i,” we confirm compliance with the measures set out in Annex B of the B3 Issuers’ Regulation related to Environmental, Social, and Corporate Governance (ESG) topics. 123


 
ATTACHMENT V ATTACHMENT I OF CVM RESOLUTION No. 81/22 1. Protocol and justification of the operation, pursuant to articles 224 and 225 of Law No. 6,404/76. 124


 
PROTOCOL AND JUSTIFICATION OF THE MERGER OF BANCO ITAUCARD S.A. INTO ITAÚ UNIBANCO HOLDING S.A. By this Merger Protocol and Justification ("Protocol and Justification"), entered into in accordance with the provisions of Articles 224 and 225 of Law No. 6,404, of December 15, 1976 ("Brazilian Corporate Law"), and other applicable legal provisions, and in the due form of law, the parties qualified below: 1. BANCO ITAUCARD S.A., headquartered in the City and State of São Paulo, at Praça Alfredo Egydio de Souza Aranha, 100, Torre Olavo Setubal, 7º andar, parte A, Parque Jabaquara, CEP 04344-902, enrolled with the Corporate Taxpayer’s Registry (CNPJ) under No. 17.192.451/0001-70 and the Company Registry Identification Number (NIRE) No. 35300176871 ("ITAUCARD"), herein represented by its undersigned Officers; 2. ITAÚ UNIBANCO HOLDING S.A., headquartered in the City and State of São Paulo, at Praça Alfredo Egydio de Souza Aranha, No. 100, Torre Olavo Setubal, Piso Itaú Unibanco, Parque Jabaquara, CEP 04344-902, enrolled with the Corporate Taxpayer’s Registry (CNPJ) under No. 60.872.504/0001-23 and with the Company Registry Identification Number (NIRE) No. 35300010230 ("ITAÚ UNIBANCO HOLDING"), herein represented by its undersigned Officers; ITAUCARD and ITAÚ UNIBANCO HOLDING, hereinafter jointly referred to as the "Companies" or the "Parties". WHEREAS: (i) Itaú Unibanco Conglomerate has continuously sought to rationalize the use of its resources and optimize its structures and businesses, with a view to providing greater efficiency and return on invested capital to its shareholders. Accordingly, on February 26, 2026, ITAÚ UNIBANCO HOLDING’s Board of Directors approved the proposal for a corporate restructuring for the merger of ITAUCARD into ITAÚ UNIBANCO HOLDING as further detailed below ("Merger" or "Transaction"). The purpose of the Merger is to transfer to ITAÚ UNIBANCO HOLDING the remaining assets and liabilities of ITAUCARD, which is no longer an operating company. (ii) (a) in 2022, most of the activities carried out by ITAUCARD were transferred to ITAÚ UNIBANCO HOLDING, and (b) in 2024, certain remaining activities ITAUCARD related to payment accounts were transferred to ITAÚ UNIBANCO S.A. Therefore, based on studies conducted, the definitive merger of ITAUCARD into ITAÚ UNIBANCO HOLDING is convenient and more efficient from a structural standpoint. (iii) currently ITAUCARD is fully directly held by ITAÚ UNIBANCO HOLDING. 125


 
THE PARTIES HERE TO AGREE to execute this Protocol and Statement of Reasons, which will be ruled by the following terms and conditions: 1. REASONS AND PURPOSES OF THE TRANSACTION AND THE COMPANIES’ INTEREST IN ITS IMPLEMENTATION 1.1. After studies about the convenience of the Transaction and based on the arguments included in the recitals above, the Companies’ management members have concluded that the restructuring will fully meet Itaú Unibanco Conglomerate’s interests. 1.2. The purpose of ITAUCARD Merger is to seek greater synergy among the companies and activities of the Itaú Unibanco Conglomerate for the purpose of streamlining costs and achieving more efficiency. 1.3. The Merger will result in the dissolution of ITAUCARD and the absorption of its assets by ITAÚ UNIBANCO HOLDING, leading to the reduction of its maintenance costs and thus providing the rationalization of its administrative and commercial activities and the improvement of the corporate structure to which the Companies are linked. 1.4. We take this opportunity to clarify that ITAÚ UNIBANCO HOLDING is a multiple bank authorized to operate by the Central Bank of Brazil (“BACEN”), the reason why it has a corporate purpose that is appropriate for carrying out the activities to be transferred by ITAUCARD. 2. APPRAISAL CRITERIA, BASE DATE AND TREATMENT GIVEN TO SUBSEQUENT CHANGES IN EQUITY 2.1. ITAUCARD’s equity to be merged into ITAÚ UNIBANCO HOLDING will be appraised at book net worth, based on ITAUCARD’s balance sheet as of December 31, 2025 (“Merger Base Date”). 2.2. Expert company PricewaterhouseCoopers Auditores Independentes Ltda. (“PWC”), headquartered in the City and State of São Paulo, at Avenida Brigadeiro Faria Lima, 3,732, 16º andar, partes 1 e 6, Adalmiro Dellape Baptista Building B32, Itaim Bibi, CEP 04538- 132, registered with the Corporate Taxpayer’s Registry (CNPJ) under No. 61.562.112/0001-20, Registered Accounting Council of the State of São Paulo under No. 2SP000160/O-5, has been hired to appraise ITAUCARD’s book net worth to be merged into ITAÚ UNIBANCO HOLDING, based on the balance sheet as of the Merger Base Date. The appraisal report on the book net worth (“Appraisal Report”) is an integral part of this Protocol and Justification, under the terms of Attachment I hereto, and the value specified in it will be submitted to the review and approval by the Companies’ stockholders, in accordance with the law. 126


 
2.3. ITAÚ UNIBANCO HOLDING will merge ITAUCARD’s equity, valued at fifty- one million, eight hundred fifty-six thousand, two hundred seventy-three reais and twenty- seven centavos (R$ 51,856,273.27). Accordingly, after the Merger, ITAÚ UNIBANCO HOLDING’s equity can be represented as follows: Descriptions of accounts Balance sheet as of December 31, 2025 Ammount merged from Itaucard Cancellation of the investment Balance sheet after the merger Capital 136.909.898.070,00 50.000.000,00 (50.000.000,00) 136.909.898.070,00 Capital Reserve 2.873.374.501,30 2.873.374.501,30 Retained Earnings 57.106.300.244,20 1.856.273,27 (1.856.273,27) 57.106.300.244,20 Other Comprehensive Income (897.140.697,93) (897.140.697,93) (Treasury Shares (12.731.328,95) (12.731.328,95) Total do Patrimônio Líquido 195.979.700.788,62 51.856.273,27 (51.856.273,27) 195.979.700.788,62 2.4. Taking into account that ITAUCARD is a wholly-owned subsidiary of ITAÚ UNIBANCO HOLDING, the Merger will not imply any capital increase or the issue of new shares of ITAÚ UNIBANCO HOLDING. 2.5. The Merger will (i) be carried out through an Extraordinary General Meeting of ITAUCARD, in which at least the following must be approved: this Protocol and Justification and the Merger, the appointment and hiring of PWC as the appraisal firm, the Appraisal Report prepared by PwC, with its management members being authorized to perform the acts necessary to implement the Merger; (ii) be carried out through an Extraordinary General Stockholders’ Meeting of ITAÚ UNIBANCO HOLDING, in which at least the following must be approved: this Protocol and Justification, the appointment and hiring of PwC as the appraisal firm, the Appraisal Report prepared by PwC and the Merger, with its management members being authorized to perform the acts necessary to implement the Transaction; and (iii) be subject to approval from the Central Bank of Brazil and shall become effective on the last day of the month in which said regulatory approval is obtained (“Effective Date”). 2.6. After the Transaction, ITAUCARD will be dissolved, and all of its assets will be transferred to ITAÚ UNIBANCO HOLDING, which, in accordance with the law, will succeed ITAUCARD in the effective or contingent rights and obligations, on a universal basis and for all legal purposes. 2.7. Any equity changes between the Merger Base Date and the Effective Date will be recognized by ITAUCARD and transferred to ITAÚ UNIBANCO HOLDING. 127


 
3. CAPITAL AND EXCHANGE RATIO 3.1. After the Merger, ITAUCARD will be dissolved, and all common and preferred shares it has issued will be cancelled. In accordance with item 2.4 above and considering that ITAUCARD is a wholly-owned subsidiary of ITAÚ UNIBANCO HOLDING, the Merger will not result in an increase or the issue of new shares of ITAÚ UNIBANCO HOLDING. Therefore, after the Merger is finalized, ITAÚ UNIBANCO HOLDING’s capital stock will remain being one hundred thirty-six billion, nine hundred nine million, eight hundred ninety-eight thousand and seventy reais (R$ 136,909,898,070.00) represented by for eleven billion, twenty-six million, eight hundred sixty-nine thousand, one hundred ninety-two (11,026,869,192) book-entry shares with no par value, of which five billion, six hundred seventeen million, seven hundred forty-two thousand, nine hundred seventy-seven (5,617,742,977) common shares and five billion, four hundred nine million, one hundred twenty-six thousand, two hundred fifteen (5,409,126,215) preferred shares. 3.1.1. Taking into account that the Merger will not give rise to a capital increase and/or the issue of new shares by ITAÚ UNIBANCO HOLDING, there is no need to set out criteria for an exchange ratio. 4. AMENDMENTS TO THE BYLAWS 4.1. This Transaction will not result in a capital increase and/or an amendment ITAÚ UNIBANCO HOLDING’s Bylaws. 5. OTHER CONSIDERATIONS 5.1. Once the Merger is effective, all assets, rights, properties, obligation, contingencies, and responsibilities of ITAUCARD will automatically be transferred, at book net worth, to ITAÚ UNIBANCO HOLDING’s assets, which will succeed ITAUCARD on a universal basis, regardless of any other formalities beyond those provided for by law. The costs and expenses arising from the implementation of the Merger will be the responsibility of ITAÚ UNIBANCO HOLDING. 5.2. As ITAÚ UNIBANCO HOLDING is the only stockholder of ITAUCARD and has already stated a favorable position for the Transaction, no share reimbursement amount has to be determined nor will the provisions of Article 264 of Brazilian Corporate Law apply. Likewise, nor will Articles 137 and 256 of the Brazilian Corporate Law be applicable, since ITAUCARD is a wholly-owned subsidiary of ITAÚ UNIBANCO HOLDING. 5.3. Taking into account that the Merger involves ITAUCARD and ITAÚ UNIBANCO HOLDING, and both companies are authorized to operate by the Central Bank of Brazil, 128


 
the Transaction will be submitted to approval from the latter, in accordance with applicable regulation. 5.4. The Companies have agreed to file and publish the Merger related acts, in accordance with applicable legislation, after the terms of the Transaction are approved by their proper bodies, under the terms of this Protocol and Justification, and after the review and approval from the Central Bank of Brazil. 5.5. This Protocol and Justification is entered into on an irrevocable and irreversible basis, binding the signatories hereto and their successors, and will be governed and construed in accordance with applicable legislation and rules. It is hereby appointed the venue of the judicial district of the City of São Paulo to settle any controversies arising from this Protocol and Justification IN WITNESS WHEREOF, the Parties hereby have executed this Protocol and Justification in four (4) copies of equal content, in the presence of the two (2) witnesses identified below. São Paulo (State of São Paulo), March 27, 2026. BANCO ITAUCARD S.A. ANDRÉ BALESTRIN CESTARE LINEU CARLOS FERRAZ DE ANDRADE Officer Officer ITAÚ UNIBANCO HOLDING S.A. ANDRÉ BALESTRIN CESTARE LINEU CARLOS FERRAZ DE ANDRADE Officer Officer Witnesses: 1._________________________________________ 2._____________________________________________ Name: DÁRIO BARGAS PASSOS Name: MARCOS LUIZ FERREIRA RG-SSP/SP 18.811.225 – CPF 080.496.398-35 RG-SSP/SP 25.575.317-2 - CPF 176.147.528-21 129


 
ATTACHMENT I TO THE PROTOCOL AND JUSTIFICATION OF THE MERGER OF BANCO ITAUCARD S.A. INTO ITAÚ UNIBANCO HOLDING S.A. APPRAISAL REPORT The appraisal report is presented in item 7 of this Attachment. 130


 
2. Other agreements, contracts, and pre-contracts regulating the exercise of voting rights or the transfer of shares issued by existing companies or those resulting from the transaction, filed at the company's headquarters or to which the company's controlling stockholder is a party. None. 3. Description of the operation, including: a. Terms and conditions This is a proposal for corporate restructuring aimed at merging Banco Itaucard S.A., a wholly-owned subsidiary of the Company and whose corporate purpose is (i) banking activities, in the types authorized for multiple banks, with investment, loan, financing and investment, and leasing portfolios; (ii) the issuance and administration of credit cards, its own or those of third parties, and the implementation of customer loyalty programs based on relationships with the Company; (iii) the establishment and management of payment arrangements; (iv) the implementation of customer loyalty programs based on relationships with other companies; (v) the development of partnerships to promote products and/or services through the provision of space on digital platforms, materials and media; and (vi) all other activities necessary and/or complementary to the achievement of its purposes. However, Banco Itaucard S.A. is currently non-operational. According to the Protocol and Justification, the corporate restructuring will result in the merger of all of Banco Itaucard S.A.'s assets into the Company, without increasing its capital stock or issuing new shares, since it involves the merger of a wholly-owned subsidiary. b. Obligations to indemnify: i. The management members of any of the companies involved ii. If the transaction is not completed The transaction does not entail any obligation to indemnify the management members of the companies involved, nor is there any obligation to indemnify for its non-completion. c. Comparative table of the rights, advantages, and restrictions of the shares of the companies involved or resulting from the transaction, before and after the operation. There are no changes to the rights, benefits, or restrictions of the shares of the companies involved in the transaction. d. Potential need for approval by debenture holders or other creditors. Not applicable. e. Assets and liabilities that will form each portion of the equity, in case of a spin-off. Not applicable. f. Intention of the resulting companies to register as a securities issuer. Not applicable. 4. Plans for conducting the company's business, particularly with regard to specific corporate events that are intended to be carried out. The social business operations will not undergo any changes, considering this to be an internal corporate restructuring. 5. Analysis of the following aspects of the transaction: a. Description of the main expected benefits1, including: i. Synergies ii. Tax benefits iii. Strategic advantages 1 Whenever benefits are measured by management members, the estimates should be disclosed. 131


 
The operation provides greater synergy in activities and rationalizes the use of resources within the Itaú Unibanco Conglomerate, optimizing structures, businesses and costs, aiming at increasing efficiency and return on invested amounts. b. Costs It is estimated that the costs involved in carrying out and implementing the transaction will be approximately R$100,000, including expenses for publishing corporate documents and fees for independent auditors, appraisers, lawyers, and other professionals hired to advise on the operation. c. Risk factors Considering that Itaú Unibanco Holding S.A. already owns 100% of the capital stock of Banco Itaucard S.A., the transaction refers to the merger of assets already held by the Company. Therefore, the transaction will not increase its risk exposure and will not impact its activities, the securities it issues, or the risks to which stockholders, investors, and stakeholders of the Company are exposed. Thus, the Company does not identify any risk factors that differ from those already described in "Section 4" of its Reference Form. The intended operation is subject to approval by the Central Bank of Brazil. d. In the case of a transaction with a related party, any alternatives that could have been used to achieve the same objectives, indicating the reasons why these alternatives were discarded.2 There is no alternative to carrying out the corporate restructuring, as it is an intra-group corporate restructuring aimed at promoting greater efficiency and optimization of the corporate structure of the companies involved. e. Exchange ratio The transaction will not involve the exchange of shares issued by Itaú Unibanco Holding S.A., as it concerns the merger of a wholly-owned subsidiary. Therefore, there will be no increase in the Company's capital stock, nor will any new shares of Itaú Unibanco Holding S.A. be issued. f. In transactions involving parent companies, controlled companies, or companies under common control. i. Share exchange ratio calculated in accordance with Article 264 of Law No. 6,404/76 Not applicable. ii. Detailed description of the negotiation process for the exchange ratio and other terms and conditions of the transaction. In the aforementioned transaction, the appraisal stipulated in Article 264 of Brazilian Corporate Law is not required, given the absence of minority stockholders in the acquired company and the lack of an exchange or capital increase relationship in Itaú Unibanco Holding S.A. iii. If the transaction was preceded, within the last twelve (12) months, by an acquisition of control or acquisition of a controlling stake: • Comparative analysis of the replacement ratio and the price paid in the acquisition of control Not applicable. Reasons that justify any differences in valuation in the different transactions. Not applicable. iv. Justification of why the exchange ratio is commutative, with a description of the procedures and criteria adopted to guarantee the commutative conditions of the transaction or, if the exchange ratio 2 In a transaction involving a controlled company, for example, it is necessary to explain why a purchase offer, share swap, or another type of corporate transaction was not chosen. 132


 
is not commutative, details of the payment or equivalent measures adopted to ensure adequate compensation. Not applicable. 6. Copies of the minutes from all meetings of the board of directors, fiscal council, and special committees in which the transaction was discussed, including any dissenting votes. 133


 
Excerpt from the Summarized Minutes of the Meeting of the Board of Directors DATE AND TIME: On February 26, 2026, at 9:00 a.m. Chair: Pedro Moreira Salles e Roberto Egydio Setubal – Co-chairmen. QUORUM: The majority of the members elected, with the participation of Board members as permitted by item 6.7.1. of the Bylaws. RESOLUTIONS UNANIMOUSLY ADOPTED: “(...) Lastly, the members of the Board of Directors approved (a) the Management’s Proposal for the Ordinary and Extraordinary General Meetings of April 28, 2026, with the purpose of (i) taking the accounts of the management and resolving on the allocation of net income for the 2025 fiscal year; (ii) setting the number of members of the Board of Directors and to elect the members of the Board of Directors and the Fiscal Council; (iii) resolving on the amount allocated for the total compensation of the members of the Executive Board and the Board of Directors, as well as the compensation of the members of the Fiscal Council; (iv) resolving on the merger of Banco Itaucard S.A. into the Company; and (v) resolving on the amendments to Articles 3 and 9 of the Company’s Bylaws; (...).” Closing: Once the work was completed, Álvaro Felipe Rizzi Rodrigues, secretary to the Board, drafted this minute, which, after being read and approved by all, was signed. São Paulo (SP), February 26, 2026. (aa) Pedro Moreira Salles and Roberto Egydio Setubal – Co-Chairmen; Ricardo Villela Marino – Vice-Chairmen; Alfredo Egydio Setubal, Ana Lúcia de Mattos Barretto Villela, Candido Botelho Bracher, Cesar Nivaldo Gon, João Moreira Salles, Marcos Marinho Lutz, Maria Helena dos Santos Fernandes de Santana, Paulo Antunes Veras and Pedro Luiz Bodin de Moraes – Board Members. Gustavo Lopes Rodrigues Investor Relations Officer 134


 
Summarized Minutes of the Meeting of the Fiscal Council DATE AND TIME: On February 23, 2026, at 4:30 p.m. Chair: Gilberto Frussa. QUORUM: The totality of the elected members, with the participation of the Councilors as permitted by item 4.6 of the Internal Charter of the Fiscal Council. RESOLUTIONS UNANIMOUSLY ADOPTED: 1. The members of the Fiscal Council met to review and provide their opinions on the following proposals to be submitted to the Company’s Extraordinary General Meeting: 1.1. To resolve on the “Protocol and Justification” setting forth the terms and conditions for the merger of Banco Itaucard S.A. (“Itaucard”) into the Company, with a base date of December 31, 2025 ( “Transaction”); 1.2. To ratify the appointment and engagement of PricewaterhouseCoopers Auditores Independentes – PwC as the specialized firm responsible for preparing the appraisal report on the book equity of Itaucard to be merged into the Company (“Appraisal Report”); 1.3. To resolve on the Appraisal Report, based on Itaucard’s balance sheet as of December 31, 2025; and 1.4. To resolve on the Transaction, without an increase in the Company’s capital stock. 2. After reviewing and discussing the proposals, the Board members resolved to issue the following opinion: “Having completed their review of the documents pertaining to the proposals to be submitted to the Extraordinary General Meeting, the regular members of the Fiscal Council of ITAÚ UNIBANCO HOLDING S.A. are of the opinion that these documents accurately reflect the Company’s financial position and financial condition, 135


 
Summarized Minutes of the Meeting of the Fiscal Council and that the merger of Banco Itaucard S.A. by the Company, as well as its legal implications, legitimately represent the interests of the Company’s shareholders, in compliance with applicable legal and statutory rules and procedures.” Closing: Once the work was completed, these minutes were signed after being drafted, read and approved by all. São Paulo (SP), February 23, 2026. (undersigned) Gilberto Frussa – Chairman of the Fiscal Council; Eduardo Hiroyuki Miyaki and Marcelo Maia Tavares de Araújo – Councilors. Gustavo Lopes Rodrigues Investor Relations Officer 136


 
7. Copies of studies, presentations, reports, opinions, assessments, or appraisal reports of the companies involved in the transaction, made available to the controlling stockholder at any stage of the transaction. 137


 
[ Itaú Unibanco Holding S.A. Appraisal report of the book value of shareholders’ equity determined based on the accounting records as of December 31, 2025 Docusign Envelope ID: BFE26141-35DA-4B54-84AC-39B293D49F40 138


 
www.pwc.com.br PricewaterhouseCoopers Auditores Independentes Ltda. Avenida Brigadeiro Faria Lima, 3732, Building B32, 16th São Paulo, SP, Brazil, 04538-132 T: +55 (11) 4004-8000 1 2 3 Appraisal report of the book value of shareholders’ equity determined based on the accounting records To the Board of Directors and Shareholders Itaú Unibanco Holding S.A. Audit Firm Data PricewaterhouseCoopers Auditores Independentes Ltda., a company of professionals established in the capital of São Paulo, State of São Paulo, at Avenida Brigadeiro Faria Lima, 3.732, 16th floor, parts 1 and 6, Edifício Adalmiro Dellape Baptista B32, Itaim Bibi, São Paulo, Postal Code 04538-132, registered in the National Registry of Legal Entities of the Finance Ministry under the number 61.562.112/0001-20, originally registered with the Regional Accounting Council of the State of São Paulo under the number 2SP000160/O-5, with its Social Contract of constitution registered in 4th Registry Office of Titles and Documents and Civil Entities of São Paulo - SP, on September 17, 1956, and subsequent changes registered in the 2nd Registry of Titles and Documents and Civil Entities of São Paulo - SP, the last of which, dated October 1, 2025, registered in the same 2nd Registry of Titles and Documents and Civil Entities of São Paulo – SP, under the microfilm number 172.383, on October 1, 2025, represented by its partner, Ms. Tatiana Fernandes Kagohara Gueorguiev, Brazilian, married, accountant, holder of identity card number 27.816.481-X, individual taxpayer identification number 249.758.218-18 and in the Regional Accounting Council of the State of São Paulo under the number 1SP245281/O-6, in the State of São Paulo with an office at the same address as the one represented above, appointed by the management of Itaú Unibanco Holding (“Bank”) to evaluate its shareholders’ equity determined based on the accounting records on December 31, 2025, summarized in the Annex I, in accordance with the accounting practices adopted in Brazil applicable to institutions authorized to operate by the Central Bank of Brazil, presents below the result of its work. Objective of the evaluation The valuation of the accounting shareholders’ equity of Itaú Unibanco Holding S.A. as of 31 December 2025, is intended to be part of the documentation of the corporate reorganization process of Itaú Unibanco Holding S.A. Conglomerate, through the incorporation of Banco Itaucard S.A. by Itaú Unibanco Holding S.A. to be resolved on April 28, 2026, to be effective after approval by the Central Bank of Brazil. Management's responsibility for the accounting information The Bank's management is responsible for the bookkeeping and preparation of accounting information in accordance with the accounting practices adopted in Brazil, applicable to institutions authorized to operate by the Central Bank of Brazil, as well as for the relevant internal controls that it has determined as necessary to allow the preparation of such financial information free of material misstatement, whether due to fraud or error. The summary of the main accounting policies adopted by the Bank is described in Annex II of the appraisal report. 2 of 9 Docusign Envelope ID: BFE26141-35DA-4B54-84AC-39B293D49F40 139


 
Itaú Unibanco Holding S.A. 3 of 9 Scope of the work and responsibility of the independent auditors 4 Our responsibility is to express a conclusion about the book value of the Bank's shareholders' equity as of December 31, 2025, based on the work conducted in accordance with Technical Release 03/2014 (R1) issued by IBRACON - Institute of Independent Auditors of Brazil, which provides for the application of audit examination procedures in the balance sheet, and CTG 2002, issued by the Brazilian Federal Accounting Council, which provides for the technical and professional standards to be observed by accountants for issuing appraisal reports. As such, we carried out the examination of the balance sheet of the Bank in accordance with Brazilian and International Auditing Standards, which require compliance with ethical requirements by the auditor and that the audit to be planned and executed in order to obtain reasonable assurance that the shareholders’ equity determined for the preparation of our appraisal report is free from material misstatement. 5 An audit involves the execution of selected procedures to obtain evidence regarding the amounts recorded. The procedures selected depend on the auditor's judgment, including the assessment of the risks of material misstatement in shareholders' equity, regardless of whether caused by fraud or error. In this risk assessment, the auditor considers the internal controls relevant to the preparation of the Bank's balance sheet to plan the audit procedures that are appropriate in the circumstances, but not for the purpose of expressing an opinion on the effectiveness of these internal controls of the Bank. An audit also includes the assessment of the adequacy of the accounting policies used and the reasonableness of the accounting estimates made by management. We believe that the audit evidence obtained is sufficient and appropriate to support our conclusion. Conclusion 6 Based on the work performed, we conclude that the amount of R$195,979,700,788.62 (one hundred and ninety-five billion, nine hundred and seventy-nine million, seven hundred thousand, seven hundred and eighty-eight reais and sixty-two cents), according to the balance sheet on December 31, 2025, recorded in the accounting records and summarized in Annex I, represents, in all material aspects, the shareholders’ equity of Itaú Unibanco Holding S.A., evaluated in accordance with the accounting practices adopted in Brazil applicable to institutions authorized to operate by the Central Bank of Brazil. São Paulo, March 27, 2026 Tatiana Fernandes Kagohara Georgiev CRC Counter 1SP245281/O-6 PricewaterhouseCoopers Auditores Independentes Ltda. CRC 2SP000160/O-5 Docusign Envelope ID: BFE26141-35DA-4B54-84AC-39B293D49F40 140


 
Annex I to the appraisal report of the book value of shareholders’ equity determined based in the accounting records issued on March 27, 2026 Itaú Unibanco Holding S.A. Summary balance sheet At December 31, 2025 This Annex is an integral and inseparable part of the appraisal report of the book value of shareholders’ equity determined based on the accounting records of Itaú Unibanco Holding S.A., issued by PricewaterhouseCoopers Auditores Independentes Ltda., dated March 27, 2026. 4 of 9 Assets In reais Current and non-current assets 278,360,429,316.09 Cash and cash equivalents 1,340,055,774.04 Interbank investments 31,319,078,960.28 Open Market Applications 22,486,410,046.35 Investments in Interbank Deposits 8,832,668,913.93 Securities 36,986,339,501.29 Own portfolio 36,986,339,501.29 Derivatives 7,557,275.97 Operations with credit granting characteristics 176,070,451,818.68 Credit, leases and other credits 189,740,299,555.77 (Provision for expected credit loss) (13,669,847,737.09) Interfinancial Relations and Interdependencies 2,092,583.02 Current and deferred tax assets 24,611,093,025.16 Current tax assets 5,682,745,717.37 Deferred tax assets 18,928,347,307.79 Other assets 8,023,760,377.65 Permanent assets 195,286,731,652.81 Investments 194,920,881,766.13 Investee Stakes 194,920,881,766.13 Fixed Assets 4,816,117.28 Real Estate 4,421,041.58 Other Immobilizations 93,309,485.99 (Accumulated depreciation) (92,914,410.29) Intangible 361,033,769.40 Intangible assets 3,098,295,054.27 (Accumulated amortizations) (2,737,261,284.87) Total assets 473,647,160,968.90 Docusign Envelope ID: BFE26141-35DA-4B54-84AC-39B293D49F40 141


 
Annex I to the appraisal report of the book value of shareholders’ equity determined based on the accounting records issued on March 27, 2026 Itaú Unibanco Holding S.A. Summary balance sheet At December 31, 2025 This Annex is an integral and inseparable part of the appraisal report of the book value of shareholders’ equity determined based on the accounting records of Itaú Unibanco Holding S.A., issued by PricewaterhouseCoopers Auditores Independentes Ltda., dated March 27, 2026. 5 of 9 Liabilities and Shareholders’ Equity Real Current and non-current liabilities 277,667,460,180.28 Deposits 99,439,495,115.58 Demand deposits 121,127,676.93 Interbank deposits 99,318,367,438.65 Debt instruments 49,607,595,072.37 Emissions Resources 1,485,859,109.90 Bonds for securities abroad 7,453,401,072.31 Funding by certificates of structured operations 40,668,334,890.16 Derivatives 233,836,411.18 Interfinancial relations and interdependencies 76,753,757,469.11 Provisions for Financial Guarantees 142,603,823.36 Other provisions 1,275,419,106.68 Current and deferred tax liabilities 1,917,526,469.74 Current tax liabilities 999,203,366.73 Deferred tax liabilities 918,323,103.01 Other liabilities 48,297,226,712.26 Shareholders’ equity 195,979,700,788.62 Capital 136,909,898,070.00 Capital reserves 2,873,374,501.30 Profit Reserves 57,106,300,244.20 Other comprehensive results (897,140,697.93) (Treasury Shares) (12,731,328.95) Total liabilities and shareholders' equity 473,647,160,968.90 * Docusign Envelope ID: BFE26141-35DA-4B54-84AC-39B293D49F40 142


 
Annex II to the appraisal report of the book value of shareholders’ equity determined based on the accounting records issued on March 27, 2026 Itaú Unibanco Holding S.A. Explanatory notes from the administration to the summary balance sheet, in Brazilian reais At December 31, 2025 1 2 General Information Itaú Unibanco Holding S.A. (“bank”) is a publicly held company, incorporated and existing under Brazilian law, with its head office located at Praça Alfredo Egydio de Souza Aranha, No. 100, in the city of São Paulo, State of São Paulo, Brazil. Itaú Unibanco Holding is present in 18 countries and territories and provides a wide range of financial products and services to individual and corporate clients, in Brazil and abroad— whether or not these clients are connected to Brazil—through its branches, subsidiaries, and international affiliates. It operates in all modalities of banking activities through its portfolios: commercial; investment; mortgage lending; credit, financing, and investment; leasing; and foreign exchange transactions. Itaú Unibanco Holding is a financial holding company controlled by Itaú Unibanco Participações S.A. (“IUPAR”), a holding company that owns 51.71% of its common shares and is jointly controlled by (i) Itaúsa S.A. (“ITAÚSA”), a holding company controlled by members of the Egydio de Souza Aranha family, and (ii) Companhia E. Johnston de Participações (“E. JOHNSTON”), a holding company controlled by the Moreira Salles family. Itaúsa also directly owns 39.21% of Itaú Unibanco Holding’s common shares. Basis for preparing the summary balance sheet and summary of the main accounting policies The summary balance sheet as of December 31, 2025, was prepared in accordance with accounting practices adopted in Brazil applicable to institutions authorized to operate by the Central Bank of Brazil, and is intended to form part of the documentation of the corporate reorganization process of the Itaú Unibanco Conglomerate. This corporate reorganization consists of the incorporation of the book value of shareholders’ equity of Banco Itaucard S.A. by Itaú Unibanco Holding S.A., to be resolved on April 28, 2026, to be effective after approval by the Central Bank of Brazil. The Bank's accounting information was prepared in accordance with the Brazilian Corporation Law, including the changes introduced by Law No. 11,638, of 12/28/2007, and Law No. 11,941, of 05/27/2009 in accordance, when applicable, with the regulations of the Central Bank of Brazil (BACEN) and the National Monetary Council (CMN). The main accounting policies applied in the preparation of the summary balance sheet are presented below. I - Functional Currency and Presentation Currency The summary balance sheet of Itaú Unibanco Holding S.A. are presented in Brazilian Reais, which is its functional and presentation currency. For each subsidiary, associate and joint This Annex is an integral and inseparable part of the appraisal report of the book value of shareholders’ equity determined based on the accounting records of Itaú Unibanco Holding S.A., issued by PricewaterhouseCoopers Auditores Independentes Ltda., dated March 27, 2026. 6 of 9 Docusign Envelope ID: BFE26141-35DA-4B54-84AC-39B293D49F40 143


 
Annex II to the appraisal report of the book value of shareholders’ equity determined based on the accounting records issued on March 27, 2026 Itaú Unibanco Holding S.A. Explanatory notes from the administration to the summary balance sheet, in Brazilian reais At December 31, 2025 This Annex is an integral and inseparable part of the appraisal report of the book value of shareholders’ equity determined based on the accounting records of Itaú Unibanco Holding S.A., issued by PricewaterhouseCoopers Auditores Independentes Ltda., dated March 27, 2026. 7 of 9 venture, Itaú Unibanco Holding exercised judgment to determine its functional currency, considering the currency of the primary economic environment in which the entity operates. Foreign currency operations are translated using the exchange rates prevailing on the dates of the transactions, and exchange gains and losses are recognized in the Statement of Income. II - Cash and Cash Equivalents They are defined as cash and cash equivalents, current accounts with banks and financial investments, which are promptly convertible into cash, this is, which original term is equal to or lower than 90 days and are subject to an insignificant risk of change in value, shown in the Summary Balance Sheet under the headings Cash, Interbank deposits and Securities purchased under agreements to resell (Collateral held). III - Financial Assets and Liabilities a) Classification of Financial Instruments Financial instruments are classified and subsequently measured in the following categories:  Amortized Cost (AC): used when financial assets are managed to obtain contractual cash flows, consisting only of principal and interest payments, mainly Investments and Funding.  Fair Value through Other Comprehensive Income (VJORA): used when financial assets are held both to obtain contractual cash flows, consisting only of principal and interest payments, and for sale shown in the Summary Balance Sheet in Securities.  Fair Value through Profit or Loss (VJR): used for financial assets that do not meet the criteria for classification at Amortized Cost and Fair Value through Other Comprehensive Income shown in the Summary Balance Sheet in Securities. b) Subsequent Measurement of Financial Instruments Fair Value of Financial Instruments: to measure fair value, assessment techniques applying information classified in three levels of hierarchy are used, prioritizing prices listed in active markets of the instruments. Expected Credit Loss: For the assessment of the expected credit loss associated with financial instruments (other than equity instruments, derivatives, government securities measured at fair value through profit or loss at level 1 of the fair value hierarchy) and non- cancellable credit and release commitments, the three-stage approach is applied to demonstrate changes in credit risk. • Stage 1 - considers default events possible within 12 months. Applicable to financial assets which are not credit impaired when purchased or originated or which credit risk has Docusign Envelope ID: BFE26141-35DA-4B54-84AC-39B293D49F40 144


 
Annex II to the appraisal report of the book value of shareholders’ equity determined based on the accounting records issued on March 27, 2026 Itaú Unibanco Holding S.A. Explanatory notes from the administration to the summary balance sheet, in Brazilian reais At December 31, 2025 This Annex is an integral and inseparable part of the appraisal report of the book value of shareholders’ equity determined based on the accounting records of Itaú Unibanco Holding S.A., issued by PricewaterhouseCoopers Auditores Independentes Ltda., dated March 27, 2026. 8 of 9 decreased significantly. • Stage 2 – considers all possible default events over the life of the financial instrument. Applicable to financial instruments which credit risk has increased significantly since the initial recognition or that no longer have credit recovery problems, but their credit risk has not decreased significantly. • Stage 3 – applicable to problem assets, for which a probability of default (PD) of 100% is considered. IV - Investments They are recognized at acquisition cost and evaluated by the equity method. Goodwill arising from the acquisition of investments is amortized based on the expectation of future profitability or by its realization, when applicable. The company's investments are represented by subsidiaries. V - Capital Transactions with Non-Controlling Shareholders Changes in interest in a subsidiary, which do not result in loss of control, are accounted for as capital transactions and any difference between the amount paid and the amount corresponding to non-controlling shareholders is recognized directly in Shareholders’ Equity. VI - Provisions, Contingent Assets and Contingent Liabilities Provisions and contingent liabilities are evaluated based on Management's best estimates, taking into account the opinion of legal advisors. The accounting treatment of provisions and contingent liabilities depends on the probability of the disbursement of financial resources to settle the obligations:  Probable: a provision is constituted.  Possible: No provision is recognised and contingent liabilities are disclosed in the Financial Statements.  Remote: No provision is recognized and contingent liabilities are not disclosed in the Financial Statements. The amount of judicial deposits is updated in accordance with current regulations Civil, labor, tax and social security provisions, guaranteed byindemnity clauses in privatization and other processes, in which there is liquidity, are recognized at the time of judicial notification, simultaneously with the amounts receivable,not generating an effect on the result. Docusign Envelope ID: BFE26141-35DA-4B54-84AC-39B293D49F40 145


 
Annex II to the appraisal report of the book value of shareholders’ equity determined based on the accounting records issued on March 27, 2026 Itaú Unibanco Holding S.A. Explanatory notes from the administration to the summary balance sheet, in Brazilian reais At December 31, 2025 This Annex is an integral and inseparable part of the appraisal report of the book value of shareholders’ equity determined based on the accounting records of Itaú Unibanco Holding S.A., issued by PricewaterhouseCoopers Auditores Independentes Ltda., dated March 27, 2026. 9 of 9 VII - Income Tax and Social Contribution The provision for Income Tax and Social Contribution: is composed of current taxes, which are recovered or paid in the applicable period, and deferred, represented by deferred tax assets and liabilities, resulting from differences between the accounting and tax calculation bases of assets and liabilities, at the end of each period. * * * Docusign Envelope ID: BFE26141-35DA-4B54-84AC-39B293D49F40 146


 
Certificate Of Completion Envelope Id: BFE26141-35DA-4B54-84AC-39B293D49F40 Status: Completed Subject: Complete with Docusign: ITAUHOLDING25LAUDO.DEZ_VF.pdf LoS / Área: Assurance (Audit, CMAAS) Tipo de Documento: Relatórios ou Deliverables Source Envelope: Document Pages: 9 Signatures: 1 Envelope Originator: Certificate Pages: 2 Initials: 0 Joao Baptista AutoNav: Enabled EnvelopeId Stamping: Enabled Time Zone: (UTC-03:00) Brasilia Avenida Brigadeiro Faria Lima, 3732, 16º e 17º andares, Edifício Adalmiro Dellape Baptista B32, Itai São Paulo, São Paulo 04538-132 joao.baptista@pwc.com IP Address: 34.100.9.85 Record Tracking Status: Original 26 March 2026 | 20:23 Holder: Joao Baptista joao.baptista@pwc.com Location: DocuSign Status: Original 27 March 2026 | 08:50 Holder: CEDOC Brasil BR_Sao-Paulo-Arquivo-Atendimento-Team @pwc.com Location: DocuSign Signer Events Signature Timestamp Tatiana Fernandes ID: 249.758.218-18 tatiana.fernandes@pwc.com Sócia PricewaterhouseCoopers Auditores Independentes Security Level: Email, Account Authentication (None), Digital Certificate Signature Provider Details: Signature Type: ICP-Brasil Issuer: AC SyngularID Multipla Signer CPF: 24975821818 Subject: CN=Tatiana Fernandes Kagohara Gueorguiev:24975821818 Signature Adoption: Pre-selected Style Using IP Address: 200.182.197.164 Certificate policy: [1]Certificate Policy: Policy Identifier=2.16.76.1.2.1.133 [1,1]Policy Qualifier Info: Policy Qualifier Id=CPS Qualifier: http://syngularid.com.br/repositorio/ac-syn gularid-multipla/dpc/dpc-ac-syngularID-multipla.pdf Sent: 27 March 2026 | 00:30 Resent: 27 March 2026 | 07:18 Viewed: 27 March 2026 | 08:50 Signed: 27 March 2026 | 08:50 Electronic Record and Signature Disclosure: Not Offered via Docusign In Person Signer Events Signature Timestamp Editor Delivery Events Status Timestamp Agent Delivery Events Status Timestamp Intermediary Delivery Events Status Timestamp Certified Delivery Events Status Timestamp Carbon Copy Events Status Timestamp Joao Baptista joao.baptista@pwc.com Security Level: Email, Account Authentication (None) Sent: 27 March 2026 | 08:50 Viewed: 27 March 2026 | 08:50 Signed: 27 March 2026 | 08:50 147


 
Carbon Copy Events Status Timestamp Electronic Record and Signature Disclosure: Not Offered via Docusign Witness Events Signature Timestamp Notary Events Signature Timestamp Envelope Summary Events Status Timestamps Envelope Sent Hashed/Encrypted 27 March 2026 | 00:30 Certified Delivered Security Checked 27 March 2026 | 08:50 Signing Complete Security Checked 27 March 2026 | 08:50 Completed Security Checked 27 March 2026 | 08:50 Payment Events Status Timestamps 148


 
Banco Itaucard S.A. Appraisal report of the book value of shareholders’ equity determined based on the accounting records as of December 31, 2025 Docusign Envelope ID: 859F7B52-0851-4C38-BA84-4C095177840E 149


 
www.pwc.com.br PricewaterhouseCoopers Auditores Independents Ltda. Avenida Brigadeiro Faria Lima, 3732, Building B32, 16th São Paulo, SP, Brazil, 04538-132 T: +55 (11) 4004-8000 1 2 3 Appraisal report of the book value of shareholders’ equity determined based on the accounting records To the Board of Directors and Shareholders Banco Itaucard S.A. Audit Firm Data PricewaterhouseCoopers Auditores Independents Ltda., a professional company established in the city of São Paulo, State of São Paulo, at Avenida Brigadeiro Faria Lima, 3.732, 16th floor, parts 1 and 6, Edifício Adalmiro Dellape Baptista B32, Itaim Bibi, São Paulo, CEP 04538-132, registered in the National Registry of Legal Entities of the Ministry of Finance under No. 61.562.112/0001-20, originally registered with the Regional Accounting Council of the State of São Paulo under No. 2SP000160/O-5, with its Articles of Association of incorporation registered at the 4th Registry of Deeds and Documents and Civil of Legal Entities of São Paulo - SP, on September 17, 1956, and subsequent amendments registered at the 2nd Registry of Deeds and Documents and Civil of Legal Entities of São Paulo - SP, the last of which is, dated October 1, 2025, registered at the same 2nd Registry of Deeds and Documents and Civil of Legal Entities of São Paulo – SP, electronically under No. 172.383, on October 1, 2025, represented by its undersigned partner, Ms. Tatiana Fernandes Kagohara Gueorguiev, Brazilian, married, accountant, bearer of Identity Card RG No. 27.816.481-X, registered with the CPF under No. 249.758.218-18 and with the Regional Accounting Council of the State of São Paulo under No. 1SP245281/O-6, resident and domiciled in the State of São Paulo with an office at the same address as the represented, appointed as an expert by the management of Banco Itaucard S.A. ("Bank") to proceed with the valuation of the shareholders' equity on December 31, 2025, summarized in Annex I, in accordance with the accounting practices adopted in Brazil applicable to institutions authorized to operate by the Central Bank of Brazil, presents below the result of its work. Objective of the evaluation The valuation of the accounting shareholders' equity of Banco Itaucard S.A., in December 31, 2025, has as its objective to be part of the documentation of the corporate reorganization process of the Itaú Unibanco Holding S.A. Conglomerate, through the incorporation of Banco Itaucard S.A. by Itaú Unibanco Holding S.A., to be resolved on April 28, 2026, subject to approval by the Central Bank of Brazil. Management's responsibility for the accounting information The Bank's management is responsible for maintaining the accounting records and for the preparation of the accounting information in accordance with the accounting practices adopted in Brazil applicable to institutions authorized to operate by the Central Bank of Brazil, as well as for the relevant internal controls that it has determined as necessary to allow the preparation of such 2 of 6 Docusign Envelope ID: 859F7B52-0851-4C38-BA84-4C095177840E 150


 
Banco Itaucard S.A. 3 of 6 accounting information free of material misstatement, regardless of whether caused by fraud or error. The summary of the main accounting practices adopted by the Bank is described in Annex II of the appraisal report. Scope of the work and responsibility of the independent auditors 4 Our responsibility is to express a conclusion on the book value of the Bank's shareholders' equity as of December 31, 2025, based on the work conducted in accordance with Technical Communiqué 03/2014 (R1), issued by IBRACON - Institute of Independent Auditors of Brazil, which provides for the application of audit examination procedures in the balance sheet, and CTG 2002, issued by the Federal Accounting Council, which provides for the technical and professional standards to be observed by accountants for the issuance of appraisal reports. Thus, we examine the Bank's balance sheet in accordance with Brazilian and international auditing standards, which require the auditor to comply with ethical requirements and that the audit be planned and executed with the objective of obtaining reasonable assurance that the shareholders’ equity calculated for the preparation of our appraisal report is free of material misstatement. 5 An audit involves the execution of selected procedures to obtain evidence regarding the amounts accounted for. The selected procedures depend on the auditor's judgment, including the assessment of the risks of material misstatement in equity, regardless of whether caused by fraud or error. In this risk assessment, the auditor considers the internal controls relevant to the Elaboration of the Bank's balance sheet to plan the audit procedures that are appropriate in the circumstances, but not for the purpose of expressing an opinion on the effectiveness of these internal controls of the Bank. An audit also includes the evaluation of the adequacy of the accounting policies used and the reasonableness of the accounting estimates made by management. We believe that the audit evidence obtained is sufficient and appropriate to support our conclusion. Conclusion 6 Based on the work carried out, we conclude that the amount of R$ 51,856,273.27 (fifty-one million, eight hundred and fifty-six thousand, two hundred and seventy-three reais and twenty-seven cents), according to the balance sheet on December 31, 2025, recorded in the accounting books and summarized in Annex I, represents, in all material aspects, the book value of shareholders' equity of Banco Itaucard S.A., evaluated in accordance with the accounting practices adopted in Brazil applicable to institutions authorized to operate by the Central Bank of Brazil. São Paulo, March 27, 2026 Tatiana Fernandes Kagohara Georgiev CRC Counter 1SP245281/O-6 PricewaterhouseCoopers Auditores Independentes Ltda. CRC 2SP000160/O-5 Docusign Envelope ID: 859F7B52-0851-4C38-BA84-4C095177840E 151


 
Annex I to the appraisal report of the book value of shareholders’ equity determined based on the accounting records issued on March 27, 2026 Banco Itaucard S.A. Summary balance sheet As at 31 December 2025 This Annex is an integral and inseparable part of the appraisal report of the book value of shareholders’ equity determined based on the accounting records of Banco Itaucard S.A., issued by PricewaterhouseCoopers Auditores Independents Ltda., dated March 27, 2026. 4 of 6 Assets Real Circulating and non-circulating 55,374,271.94 Availability 148,154.61 Interbank liquidity investments 54,538,892.95 Applications in Interbank Deposits 54,538,892.95 Other assets 687,224.38 Total assets 55,374,271.94 Liabilities and Shareholders' Equity Circulating and non-circulating 3,517,998.67 Current and deferred tax liabilities 2,757,172.65 Current tax liabilities 2,757,172.65 Other liabilities 760,826.02 Shareholders’ equity 51,856,273.27 Share capital 50,000,000.00 Profit Reserves 1,856,273.27 Total liabilities and stockholders' equity 55,374,271.94 * Docusign Envelope ID: 859F7B52-0851-4C38-BA84-4C095177840E 152


 
Annex II to the appraisal report ofthe book value of shareholders’ equity determined based on the accounting records Issued on March 27, 2026 Banco Itaucard S.A. Explanatory notes from the administration to the Summary balance sheet, in Brazilian reais As at December 31, 2025 This Annex is an integral and inseparable part of the appraisal report of the book value of shareholders’ equity determined based on the accounting records of Banco Itaucard S.A., issued by PricewaterhouseCoopers Auditores Independentes Ltda., dated March 27, 2026. 5 of 6 1 General Information Banco Itaucard S.A. ("Bank") has as its object the banking activity, including foreign exchange operations, in the modalities authorized for multiple banks, with commercial, investment, real estate credit, leasing and credit, financing and investment portfolios. The Bank's operations are conducted in the context of a group of institutions that operate in an integrated manner in the financial market, led by Itaú Unibanco Holding S.A. The benefits of the services provided between these institutions and the corresponding costs are absorbed according to the practicability and reasonableness of being attributed to them. 2 Basis for preparing the summary balance sheet and summary of the main accounting policies The summary balance sheet as of December 31, 2025, was prepared in accordance with the accounting practices adopted in Brazil applicable to institutions authorized to operate by the Central Bank of Brazil, and is intended to be part of the documentation of the corporate reorganization process of the Itaú Unibanco Holding S.A. Conglomerate. This corporate reorganization consists of the merger of the accounting shareholders' equity of Banco Itaucard S.A. by Itaú Unibanco Holding S.A., to be resolved on April 28, 2026, and to be effective after approval by the Central Bank of Brazil. The Bank's accounting information was prepared in accordance with the Brazilian Corporation Law, including the amendments introduced by Law No. 11,638, of 12/28/2007, and Law No. 11,941, of 05/27/2009, in consonance, when applicable, with the regulations of the Central Bank of Brazil (BACEN) and the National Monetary Council (CMN). The main accounting policies applied in the preparation of the summary balance sheet are presented below. (a) Cash and Cash equivalent Cash and cash equivalents are defined as checking accounts in banks and financial investments, which are readily convertible into cash, i.e., have an original term equal to or less than 90 days, and are subject to a negligible risk of change in value, considered in the Summary Balance Sheet, when applicable, under the headings Cash and Cash, Investments in Interbank Deposits and Investments in the Open Market (Bench Position). (b) Financial Assets and Liabilities i. Classification of financial instruments Financial instruments are classified and subsequently measured in the following categories: Docusign Envelope ID: 859F7B52-0851-4C38-BA84-4C095177840E 153


 
Annex II to the appraisal report of the book value of shareholders’ equity determined based on the accounting records Issued on March 27, 2026 Banco Itaucard S.A. Explanatory notes from the administration to the Summary balance sheet, in Brazilian reais As at December 31, 2025 This Annex is an integral and inseparable part of the appraisal report of the book value of shareholders’ equity determined based on the accounting records of Banco Itaucard S.A., issued by PricewaterhouseCoopers Auditores Independents Ltda., dated March 27, 2026. 6 of 6 • Amortized Cost (AC): used when financial assets are managed to obtain contractual cash flows, consisting only of principal and interest payments, mainly Investments and Funding. (c) Income Tax and Social Contribution The provision for Income Tax and Social Contribution is composed of current taxes, which are recovered or paid in the applicable period, and deferred, represented by deferred tax assets and liabilities, arising from differences between the accounting and tax calculation bases of assets and liabilities, at the end of each period. * * * Docusign Envelope ID: 859F7B52-0851-4C38-BA84-4C095177840E 154


 
Certificate Of Completion Envelope Id: 859F7B52-0851-4C38-BA84-4C095177840E Status: Completed Subject: Complete with Docusign: ITAUCARDING25LAUDO.DEZ_VF.pdf LoS / Área: Assurance (Audit, CMAAS) Tipo de Documento: Relatórios ou Deliverables Source Envelope: Document Pages: 6 Signatures: 1 Envelope Originator: Certificate Pages: 2 Initials: 0 Joao Baptista AutoNav: Enabled EnvelopeId Stamping: Enabled Time Zone: (UTC-03:00) Brasilia Avenida Brigadeiro Faria Lima, 3732, 16º e 17º andares, Edifício Adalmiro Dellape Baptista B32, Itai São Paulo, São Paulo 04538-132 joao.baptista@pwc.com IP Address: 34.100.9.85 Record Tracking Status: Original 26 March 2026 | 20:21 Holder: Joao Baptista joao.baptista@pwc.com Location: DocuSign Status: Original 27 March 2026 | 08:51 Holder: CEDOC Brasil BR_Sao-Paulo-Arquivo-Atendimento-Team @pwc.com Location: DocuSign Signer Events Signature Timestamp Tatiana Fernandes ID: 249.758.218-18 tatiana.fernandes@pwc.com Sócia PricewaterhouseCoopers Auditores Independentes Security Level: Email, Account Authentication (None), Digital Certificate Signature Provider Details: Signature Type: ICP-Brasil Issuer: AC SyngularID Multipla Signer CPF: 24975821818 Subject: CN=Tatiana Fernandes Kagohara Gueorguiev:24975821818 Signature Adoption: Pre-selected Style Using IP Address: 200.182.197.164 Certificate policy: [1]Certificate Policy: Policy Identifier=2.16.76.1.2.1.133 [1,1]Policy Qualifier Info: Policy Qualifier Id=CPS Qualifier: http://syngularid.com.br/repositorio/ac-syn gularid-multipla/dpc/dpc-ac-syngularID-multipla.pdf Sent: 27 March 2026 | 00:30 Resent: 27 March 2026 | 07:18 Viewed: 27 March 2026 | 08:51 Signed: 27 March 2026 | 08:51 Electronic Record and Signature Disclosure: Not Offered via Docusign In Person Signer Events Signature Timestamp Editor Delivery Events Status Timestamp Agent Delivery Events Status Timestamp Intermediary Delivery Events Status Timestamp Certified Delivery Events Status Timestamp Carbon Copy Events Status Timestamp Joao Baptista joao.baptista@pwc.com Security Level: Email, Account Authentication (None) Sent: 27 March 2026 | 08:51 Viewed: 27 March 2026 | 08:51 Signed: 27 March 2026 | 08:51 155


 
Carbon Copy Events Status Timestamp Electronic Record and Signature Disclosure: Not Offered via Docusign Witness Events Signature Timestamp Notary Events Signature Timestamp Envelope Summary Events Status Timestamps Envelope Sent Hashed/Encrypted 27 March 2026 | 00:30 Certified Delivered Security Checked 27 March 2026 | 08:51 Signing Complete Security Checked 27 March 2026 | 08:51 Completed Security Checked 27 March 2026 | 08:51 Payment Events Status Timestamps 156


 
8. Identification of potential conflicts of interest between the financial institutions, companies, and professionals who prepared the documents mentioned in item 7 and the companies involved in the transaction. There is no current or potential conflict or convergence of interests between the appraiser company and the companies involved in the transaction. 9. Draft articles of association or amendments to the articles of association of the companies resulting from the transaction. The transaction itself will not result in any change to the Bylaws of Itaú Unibanco Holding S.A. 10. Financial statements used for the purposes of the transaction, in accordance with the specific standard. The financial statements as of December 31, 2025, used for the purposes of this transaction, are included at the end of this document. 11. Pro forma financial statements prepared for the purposes of the transaction, in accordance with the specific standard. ITAÚ UNIBANCO HOLDING Pro Forma Balance Sheet (in millions of Brazilian reais) Assets Balance sheet 12/31/2025 Amount merged from Itaucard Cancellation of the investment and equity After the merger Current and non-current 278,360 55 — 278,415 Cash 1,340 — — 1,340 Interbank investments 31,319 54 — 31,373 Open Market Investments 22,486 — — 22,486 Interbank deposits 8,833 54 — 8,887 Securities 36,986 — — 36,986 Own portfolio 36,986 — — 36,986 Derivatives 8 — — 8 Operations with credit granting characteristics 176,070 — — 176,070 Loan, lease and other credit operations 189,740 — — 189,740 (Provision for expected credit loss) (13,670) — — (13,670) Interbank and interbranch accounts 2 — — 2 Current and deferred tax assets 24,611 — — 24,611 Current tax assets 5,683 — — 5,683 Deferred tax assets 18,928 — — 18,928 Other assets 8,024 1 — 8,025 Permanent assets 195,287 — (52) 195,235 Investments 194,921 — (52) 194,869 Controlled Companies 194,921 — (52) 194,869 Fixed assets 5 — — 5 Real estate 5 — — 5 Other fixed assets 93 — — 93 (Accumulated depreciation) (93) — — (93) Intangible assets 361 — — 361 Intangible assets 3,098 — — 3,098 (Accumulated amortization) (2,737) — — (2,737) Total assets 473,647 55 (52) 473,650 157


 
Liabilities and stockholders' equity Balance sheet 12/31/2025 Amount merged from Itaucard Cancellation of the investment and equity After the merger Current and non-current liabilities 277,667 3 — 277,670 Deposits 99,439 — — 99,439 Demand deposits 121 — — 121 Interbank deposits 99,318 — — 99,318 Debt instruments 49,608 — — 49,608 Funds from issues 1,486 — — 1,486 Foreign loans through securities 7,454 — — 7,454 Debt instruments with subordination clauses 40,668 — — 40,668 Derivatives 234 — — 234 Interbank and interbranch accounts 76,754 — — 76,754 Provisions for financial guarantees, credit commitments and credits to be released 142 — — 142 Other provisions 1,275 — — 1,275 Current and deferred tax liabilities 1,917 2 — 1,919 Current tax liabilities 999 2 — 1,001 Deferred tax liabilities 918 — — 918 Other liabilities 48,298 1 — 48,299 Equity 195,980 52 (52) 195,980 Capital 136,910 50 (50) 136,910 Capital reserve 2,873 — — 2,873 Revenue Reserve 57,107 2 (2) 57,107 Other comprehensive income (897) — — (897) (Treasury shares) (13) — — (13) Total liabilities and equity 473,647 55 (52) 473,650 12. Document containing information about the directly involved companies that are not publicly- held companies, including: a. Risk factors, as defined in items 4.1 to 4.3 of the reference form. b. Description of the main changes in risk factors that occurred in the previous year and expectations regarding the reduction or increase in risk exposure as a result of the operation. c. Description of your activities, in accordance with items 1.2 to 1.5 of the reference form. d. Description of the economic group, as per item 6 of the reference form. e. Description of the capital stock, as per item 12.1 of the reference form. This information is already included in the Company's Reference Form, considering that Banco Itaucard S.A. is its wholly-owned subsidiary. 13. Description of the capital and control structure after the transaction, as per item 6 of the reference form. The Company's capital and control structure will remain the same after the transaction, as per item 6 of the Reference Form. 14. Number, class, type, and kind of securities of each company involved in the transaction held by any other companies involved in the transaction, or by persons related to those companies, as defined by the rules governing public offerings for the acquisition of shares. The Company owns 100% of all outstanding shares of Banco Itaucard S.A. With regard to the Company, the controlling stockholders, management members and fiscal council members collectively hold 158


 
5,223,876,545 shares issued by the company (47.37%), of which 5,161,803,222 are common shares (91.88%) and 62,073,323 are preferred shares (1.15%) as of the record date of December 31, 2025. 15. Exposure of any of the companies involved in the transaction, or of persons related to them, as defined by the rules governing public offerings for the acquisition of shares, in derivatives backed by securities issued by the other companies involved in the transaction. Not applicable. 16. Report covering all transactions carried out in the last six (6) months by the persons indicated below with securities issued by the companies involved in the transaction: a. Companies involved in the transaction i. Private purchase transactions In the last six (6) months, no private purchase transactions have been carried out by the Company and Banco Itaucard S.A. ii. Private sales transactions In the last six (6) months, no private sale transactions have been carried out by the Company and Banco Itaucard S.A. iii. Purchase transactions in regulated markets In the last six (6) months, no purchase transactions have been carried out in markets regulated by the Company and Banco Itaucard S.A. iv. Sales transactions in regulated markets In the last six (6) months, no sales transactions have been carried out in markets regulated by the Company and Banco Itaucard S.A. b. Parties related to companies involved in the transaction i. Private purchase transactions ii. Private sales transactions iii. Purchase transactions in regulated markets iv. Sales transactions in regulated markets The transactions carried out were duly disclosed and are available on the websites of the CVM (www.cvm.gov.br) and B3 (www.b3.com.br), in accordance with Article 11 of CVM Resolution No. 44/21 and the B3 Corporate Governance Level 1 Listing Regulations. 17. Document through which the Independent Special Committee submitted its recommendations to the Board of Directors, if the transaction was negotiated under the terms of CVM Guidance Opinion No. 35 of 2008. Not applicable. 159


 
ATTACHMENT VI ATTACHMENT L OF CVM RESOLUTION No. 81/22 INFORMATION ON APPRAISERS 1. List the appraisers recommended by management: The management of Itaú Unibanco Holding S.A. (“Company”) has engaged PricewaterhouseCoopers Auditores Independentes Ltda., established in the city of São Paulo, State of São Paulo, at Avenida Brigadeiro Faria Lima, 3,732, 16th floor, sections 1 and 6, Edifício Adalmiro Dellape Baptista B32, Itaim Bibi, São Paulo, CEP 04538-132, enrolled with the Corporate Taxpayers’ Registry of the Ministry of Finance (CNPJ/MF) under no. 61.562.112/0001-20, registered with the Regional Accounting Council of the State of São Paulo under no. 2SP000160/O-5 (“PwC”), to prepare audit reports on the balance sheets and respective explanatory notes thereto, and appraisal reports of the net book equity determined based on the accounting books of the Company and Banco Itaucard S.A. 2. Describe the qualifications of the recommended appraisers: PwC is one of the four largest providers of professional audit and assurance services in the world, present in 157 territories, with more than 250,000 professionals dedicated to providing quality services. Present in the country since 1915, PwC Brazil has approximately 3,600 professionals distributed across 15 offices in all Brazilian regions. PwC is the company that audits the financial statements of the companies involved in the merger, which makes it better qualified to confirm the value of the net worth and ensures synergies between the recently conducted audits. 3. Provide a copy of the engagement proposals and fees to be paid to recommended appraisers. This information is contained in the PwC’s Engagement Proposals - SERVICE REQUEST No. 03/2026 ASSOCIATED WITH THE MASTER AGREEMENT (“AGREEMENT”) OF AUDIT AND RELATED SERVICES ENTERED INTO BETWEEN ITAÚ UNIBANCO CONGLOMERATE AND THE FIRM ENGAGED ON FEBRUARY 5, 2026. 4. Describe any material relationship existing in the last three (3) years between the recommended appraisers and the parties related to the company, as defined in the accounting standards that address this matter: PwC has provided audit and review services for the financial statements, review of Reference Forms, and other regulatory and recurring audits of the Company and its controlled companies over the past three (3) years, as well as audits of the financial statements of related party IUPAR. 160


 
SOLICITAÇÃO DE SERVIÇO Nº 03/2026 VINCULADA AO CONTRATO MASTER (“CONTRATO”) DE PRESTAÇÃO DE SERVIÇOS DE AUDITORIA E TRABALHOS RELACIONADOS CELEBRADO ENTRE CONGLOMERADO ITAÚ UNIBANCO E CONTRATADA EM 05/02/2026 O Itaú Unibanco Holding S.A., com base no Contrato acima identificado, solicita à Contratada a prestação dos serviços abaixo especificados, observadas as condições seguintes. 1. BENEFICIÁRIA DOS SERVIÇOS Itaú Unibanco Holding S.A. (“Banco”), inscrito no CNPJ n. 60.872.504/0001-23, com sede na Praça Alfredo Egydio de Souza Aranha, 100 – Parque Jabaquara - São Paulo/SP; Banco Itaucard S.A. (“Itaucard”), inscrita no CNPJ n. 17.192.451/0001-70, com sede na Praça Alfredo Egydio de Souza Aranha, 100 – Parque Jabaquara -- SãoPaulo/SP – que nesse instrumento foi estabelecido e acordado que são representados pelo ITAÚ UNIBANCO HOLDING S.A. ("CONTRATANTE"). 2. RESPONSÁVEL PELOS SERVIÇOS PRICEWATERHOUSECOOPERS AUDITORES INDEPENDENTES LTDA., com sede na capital do Estado de São Paulo, na Av. Brigadeiro Faria Lima 3732, 16o, partes 1 e 6, Edifício Adalmiro Dellape Baptista B32, inscrita no CNPJ/MF sob o no 61.562.112/0001- 20 (“CONTRATADA”). 3. OBJETIVOS Em sequência ao processo de restruturação societária do Grupo Itaú Unibanco, na data- base de 31 de dezembro de 2025, será realizada a incorporação da Itaucard pelo Itaú Unibanco Holding S.A. As operações de incorporação ocorrerão após aprovação de órgão competente, em data a definir, e posterior à aprovação do Banco Central do Brasil, com base nos saldos apurados nos balanços patrimoniais levantados em 31 de dezembro de 2025. Nossos serviços objetivam a emissão de: 1) laudo de avaliação do patrimônio líquido contábil apurado por meio dos livros contábeis do Itaú Unibanco Holding S.A.,em português e inglês, para a data-base de 31 de dezembro de 2025; 2) laudo de avaliação do patrimônio líquido contábil apurado por meio dos livros contábeis do Banco Itaucard S.A., em português e inglês, para a data-base de 31 de dezembro de 2025; Esses relatórios serão parte integrante da documentação a ser preparada pela Contratante para fins do processo de reorganização societária do Conglomerado Itaú Unibanco. Para emissão dos referidos laudos de avaliação do patrimônio líquido contábil, faz-se necessária além da emissão dos laudos de avaliação, a auditoria dos saldos patrimoniais das mencionadas entidades, na referida data-base. Sendo assim, os exames de auditoria das informações contábeis da Itaú Unibanco Holding S.A. e Banco Itaucard S.A, já foram Docusign Envelope ID: DCBD8E4D-E805-4EA2-9690-4F1651147D29 161


 
contratados através da TSS 02/2025, sendo necessário portanto apenas a contratação dos trabalhos relacionados à emissão dos laudos de avaliação dos patrimônios líquidos contábeis em 31 de dezembro de 2025, objeto da presente Solicitação de Serviços. 4. ESCOPO TÉCNICO E NORMAS APLICÁVEIS Nossos exames (Banco e Itaucard) serão conduzidos de acordo com as normas profissionais e éticas relativas à auditoria independente aplicáveis no Brasil, ou seja, aquelas emanadas das normas profissionais e técnicas do Conselho Federal de Contabilidade (CFC). Conforme solicitado pela administração, emitiremos os laudos de avaliação mencionados anteriormente, na data-base de 31 de dezembro de 2025, cujo conforto será obtido através da auditoria dos saldos patrimoniais da Itaucard. Os laudos de avaliação dos patrimônios líquidos contábeis das instituições serão apurados por meio dos livros contábeis para a data-base de 31 de dezembro de 2025 e seus correspondentes anexos, serão preparados de acordo com as práticas contábeis adotadas no Brasil, aplicáveis às instituições autorizadas a funcionar pelo Banco Central do Brasil. Nossos laudos serão fundamentados em procedimentos de auditoria aplicados sobre os saldos contábeis das instituições mencionadas anteriormente, com o objetivo de suportar as emissões dos laudos de avaliação dos patrimônios líquidos contábeis mencionados no item 3, nos termos das normas contábeis e profissionais aplicáveis e do Comunicado Técnico 03/2014 (R1), emitido pelo IBRACON - Instituto dos Auditores Independentes do Brasil, que prevê a aplicação de procedimentos de exame de auditoria no balanço patrimonial, e CTG 2002, emitido pelo Conselho Federal de Contabilidade, que dispõe sobre os padrões técnicos e profissionais a serem observados pelos contadores para emissão de laudos de avaliação. Os papéis de trabalho e arquivos por nós criados no decorrer de nossos exames, inclusive os documentos e arquivos eletrônicos, são propriedade exclusiva da CONTRATADA, consoante as normas que regulam o nosso exercício profissional. Todos os relatórios e pareceres e demais documentos criados, produzidos, desenvolvidos, customizados, atualizados e/ou fornecidos ao Contratante ou às Beneficiárias como resultado dos serviços pertencerão ao Contratante ou às Beneficiárias listadas nesta SOLICITAÇÃO DE SERVIÇO. A PricewaterhouseCoopers Auditores Independentes Ltda., por ser o auditor independente responsável pela auditoria externa das demonstrações contábeis consolidadas do Itaú Unibanco Holding S.A., está sujeita aos requisitos de independência estabelecidos pelas normas internacionais compatíveis com trabalhos de auditoria independente e pelos requisitos do Comitê de Auditoria do Itaú Unibanco Holding S.A., o qual deverá aprovar os serviços propostos. Portanto, entendemos que o referido trabalho não afeta a independência e objetividade necessárias ao desempenho dos serviços de auditoria externa prestados ao Conglomerado Itaú Unibanco. Docusign Envelope ID: DCBD8E4D-E805-4EA2-9690-4F1651147D29 162


 
5. ETAPAS E CRONOGRAMA DAS ATIVIDADES O cronograma de emissão dos laudos de avaliação dos patrimônios líquidos contábeis será discutido com a administração da Contratante, desde que os trabalhos de auditoria estejam concluídos e as informações contábeis sejam preparadas pela administração e disponibilizadas em forma final para nossos exames com, no mínimo, duas semanas de antecedência. Emitiremos nossos laudos de avaliação dos patrimônios líquidos contábeis em forma definitiva após recebermos a carta de representação da administração e a autorização para suas emissões em forma final. 6. DESCRIÇÃO DAS ENTREGAS Como resultado de nossos trabalhos, emitiremos: ● Laudo de avaliação do patrimônio líquido contábil apurado por meio dos livros contábeis do Itaú Unibanco Holding S.A., em português e inglês, para a data-base de 31 de dezembro de 2025; ● Laudo de avaliação do patrimônio líquido contábil apurado por meio dos livros contábeis do Banco Itaucard S.A., em português e inglês, para a data-base de 30 de junho de 2025; Será encaminhada ao CONTRATANTE, 1 via eletrônica dos referidos laudos de avaliação dos patrimônios líquidos contábeis. Caso seja necessário o envio das versões impressas dos laudos, estas deverão ser solicitadas ao CONTRATANTE. 7. HONORÁRIOS Nossos honorários são estimados com base no tempo gasto pelo pessoal alocado ao trabalho. As taxas horárias individuais variam de acordo com o nível de responsabilidade envolvido e a experiência e habilidade necessárias. Na hipótese de acontecimentos de fatos extraordinários ou imprevisíveis, tais como, redução dos prazos de entrega dos serviços a pedido do Contratante, comprovada ineficiência no atendimento do pessoal da Contratante, alteração ou criação de tributos ou requerimentos extras dos órgãos reguladores, de comprovada repercussão nos honorários contratados, a Contratada deverá comunicar ao Contratante, junto à área auditada, compras e a Unidade de Gestão da Auditoria Externa, mediante notificação escrita formalizada antes da execução dos trabalhos, para aprovação da alteração de honorários pelo Comitê de Auditoria, sob pena de inviabilizar-se eventual cobrança adicional. Estimamos que nossos honorários para este trabalho de auditoria totalizarão R$ 75.062,48 (setenta e cinco mil e sessenta e dois reais e quarenta e oito centavos), conforme apresentado no quadro detalhado a seguir: Docusign Envelope ID: DCBD8E4D-E805-4EA2-9690-4F1651147D29 163


 
Honorários Descrição Horas (Em Reais) Laudo de avaliação do patrimônio líquido contábil – Banco Itaucard 97 37.531,24 Laudo de avaliação do patrimônio líquido contábil – Itaú Unibanco Holding 97 37.531,24 Total 75.062,48 Os honorários acima apresentados já incluem os respectivos impostos aplicáveis. Estes, serão faturados após a assinatura desta Solicitação de Serviços pelas partes, considerando as condições previstas na cláusula 3.2.1 do CONTRATO. São Paulo, 12 de março de 2026 PricewaterhouseCoopers Tatiana Fernandes Kagohara Auditores Independentes Ltda. Contador CRC 1 SP245281/O-6 CRC 2SP000160/O-5 De acordo: _______________________ ITAÚ UNIBANCO HOLDING S.A. Nome: Cargo: _______________________ ITAÚ UNIBANCO HOLDING S.A. Nome: Cargo: Testemunhas: 1) _________________________ 2) _________________________ Nome: Nome: RG. RG.: Docusign Envelope ID: DCBD8E4D-E805-4EA2-9690-4F1651147D29 Marcos Trofino 46.534.531-147826964x Thais Yukie Iceri Consultora de Compras Nathalia clemente Gerente de Compras MARINA NUNES CEZAR CARLOS 164


 
ATTACHMENT VII REPORT ON THE ORIGIN AND JUSTIFICATION OF THE PROPOSAL TO AMEND THE COMPANY'S BYLAWS, PURSUANT TO ARTICLE 12 OF CVM RESOLUTION No. 81/22 Pursuant to Article 12, item II, of CVM Resolution No. 81/22, this report details the origin and justification, as well as analyzes the legal and economic effects of the amendment to article 3 and article 9, item 9.1, of the Bylaws, as proposed and approved by the Board of Directors, which will be subject to resolution by the Extraordinary General Meeting of the Company called for April 28, 2026. (I) INCREASE IN CAPITAL STOCK, CANCELLATION OF SHARES AND BONUS SHARES On (i) November 27, 2025, the Company's Board of Directors approved the cancellation of 78,850,638 book- entry preferred shares held in treasury, which were acquired by the Company through the share buyback program authorized by the Board of Directors at a meeting held on February 5, 2025, pursuant to CVM Resolution 77/22; and (ii) on December 18, 2025, the Company's Board of Directors resolved to approve the increase in the Company's subscribed and paid-in capital stock, within the limit of the authorized capital provided for in the Bylaws, in the amount of twelve billion, eight hundred and forty-six million, eight hundred and thirty-seven thousand, eight hundred and eighty reais (R$12,846,837,880.00), increasing it from one hundred and twenty-four billion, sixty-three million, sixty thousand, one hundred and ninety reais (R$124,063,060,190.00) to one hundred and thirty-six billion, nine hundred and nine million, eight hundred and ninety-eight thousand and seventy reais (R$136,909,898,070.00 ) through the capitalization of amounts recorded in the Company's Profit Reserves. This increase was carried out through a share bonus, with the issuance of three hundred and twenty-one million, one hundred and seventy thousand, nine hundred and forty-seven (321,170,947) new book-entry shares, without par value, being one hundred and sixty-three million, six hundred and twenty-three thousand, five hundred and eighty-two (163,623,582) common shares and one hundred and fifty-seven million, five hundred and forty-seven thousand, thirteen and sixty-five (157,547,365) preferred shares, which were allocated free of charge to stockholders, as a bonus, in the proportion of three (3) new shares for every one hundred (100) shares held, of the same type, and the shares held in treasury were also included as bonus shares. Therefore, in light of the two events mentioned above, it is proposed that Article 3, head provision, of the Bylaws be updated to reflect the new composition of the capital stock. Regarding the legal and economic effects, the Company's equity was divided into a larger number of shares, and the monthly dividends were maintained at R$0.015 per share. The total amounts paid monthly by the Company to Stockholders increased by three percent (3%) after the inclusion of the bonus shares in the stockholding position. With respect to Stockholders, in addition to the increase in the monthly dividend amount, the operation allows for trading at a more accessible level combined with a larger number of outstanding shares in circulation, potentially generating more business and a higher financial volume, which may result in value creation for Stockholders. The cost attributed to the bonus shares was R$40.00 per share, as stipulated in paragraph 1 of article 58 of Regulatory Instruction of the Brazilian Federal Revenue Service No. 1,585/15, as well as in paragraph 1 of article 843 of the Income Tax Regulations/18 and in paragraph 1 of article 10 of Law No. 9,249/95. (II) INCREASE IN THE NUMBER OF BOARD POSITIONS Considering the increasing complexity of the Company's activities, as well as the expansion and segmentation of its operations, the proposal is to modify the Bylaws of Itaú Unibanco Holding, in order to change the maximum number of officers, so that the Board of Officers is composed of five (5) to sixty (60) members, aimed to ensure a management structure compatible with the size, diversity and specialization of its business. (III) BYLAWS HIGHLIGHTING THE AMENDMENTS ABOVE (as per Article 12, item I, of CVM Resolution No. 81/22): 165


 
Current Wording Proposed Wording Article 1 – NAME, TERM AND HEADQUARTERS – The publicly-held joint stock company governed by these Bylaws and denominated ITAÚ UNIBANCO HOLDING S.A., incorporated with no final term, has its head office and address for legal purposes in the City of São Paulo, State of São Paulo. Unchanged. Article 2 - PURPOSE - The company has as its purpose (i) the banking activity in all its authorized forms, including foreign exchange transactions; (ii) the issuance and management of credit cards, and the implementation of customer loyalty programs by virtue of relationships with the Company; (iii) the implementation and management of payment arrangements; (iv) the implementation of customer loyalty programs by virtue of relationships with other companies; (v) the development of partnerships to promote products and/or services by providing a marketplace on digital platforms, dissemination materials and outlets; and (vi) all other activities required and/or complementary to achieve its purposes. Unchanged. Article 3 - CAPITAL AND SHARES - Subscribed and paid up capital is one hundred and twenty-four billion, sixty-three million, sixty thousand and one hundred and ninety Brazilian reais (124,063,060,190.00), represented by ten billion, seventy and eighty- four million, five hundred and forty-eight thousand and eight hundred and eighty-three (10,784,548,883) book-entry shares with no par value, of which five billion, four hundred and fifty-four million, one hundred and nineteen thousand and three hundred and ninety-five (5,454,119,395) are common shares and five billion, three hundred and thirty million, four hundred and twenty-nine thousand and four hundred and eighty-eight (5,330,429,488) are preferred shares, the latter having no voting rights but with the following advantages: I – priority in receiving the minimum non-cumulative annual dividend of R$0.022 per share, which shall be adjusted in the event of a stock split or reverse stock split; II – in the event of a sale of the company’s controlling stake, the right to be included in the public offering of shares, thus assuring such shares the right to a price equal to eighty percent (80%) of the value paid per voting share to the controlling block and guaranteeing a dividend at least equal to that of the common shares. Article 3 - CAPITAL AND SHARES - Subscribed and paid up capital is one hundred and thirty-six billion, nine hundred and nine million, eight hundred and ninety- eight thousand and seventy Brazilian reais (R$136,909,898,070.00), represented by eleven billion, twenty-six million, eight hundred and sixty-nine thousand and one hundred and ninety-two (11,026,869,192) book-entry shares with no par value, of which five billion, sic hundred and seventeen million, seven hundred and forty-two thousand and nine hundred and seventy-seven (5,617,742,977) are common shares and five billion, four hundred and nine million, one hundred and twenty-six thousand and two hundred and fifteen (5,409,126,215) are preferred shares, the latter having no voting rights but with the following advantages: I – priority in receiving the minimum non- cumulative annual dividend of R$0.022 per share, which shall be adjusted in the event of a stock split or reverse stock split; II – in the event of a sale of the company’s controlling stake, the right to be included in the public offering of shares, thus assuring such shares the right to a price equal to eighty percent (80%) of the value paid per voting share to the controlling block and guaranteeing a dividend at least equal to that of the common share. 166


 
3.1. Authorized Capital - By means of a resolution of the Board of Directors, the company is authorized to increase its capital stock, irrespective of any statutory reform, up to the limit of thirteen billion, one hundred and seventy-six million and nine hundred thousand (13,176,900,000) shares, of which six billion, five hundred and eighty-eight million and four hundred and fifty thousand (6,588,450,000) are common shares and six billion, five hundred and eighty-eight million and four hundred and fifty thousand (6,588,450,000) are preferred shares. The issues for sale on Stock Exchanges, public subscription and exchange of shares via a public offering for acquisition of control may be performed irrespective of the preemptive rights of preexisting stockholders (Article 172 of Law No. 6,404/76). Unchanged. 3.2. Purchase of Shares Option- Within the limit of the authorized capital and in accordance with the plan approved by the Stockholders’ General Meeting, call options may be granted to management members and employees of the company itself and of controlled companies. Unchanged. 3.3. Book-Entry Shares - Without any changes in the rights and restrictions that are inherent in them, under the provisions of this Article, all of the company’s shares shall be in book-entry form, being registered in deposit accounts at Itaú Corretora de Valores S.A., in the name of their holders, without the issue of share certificates, under the terms of Articles 34 and 35 of Law No. 6,404/76, for which a remuneration may be charged from stockholders in accordance with paragraph 3 of Article 35 of the above mentioned law . Unchanged. 3.4. Share Buybacks - The company may acquire its own shares, upon the authorization of the Board of Directors, for the purposes of cancellation, holding as treasury stock for subsequent sale or for use under the Stock Option Plan or the Stock Grant Plan. Unchanged. 3.5. Acquisition of Voting Rights by the Preferred Shares – The preferred shares will acquire the voting rights under the terms of the provisions of Article 111, paragraph 1, of Law No. 6,404/76, should the company fail to pay the priority dividend for three consecutive fiscal years. Unchanged. Article 4 - GENERAL MEETING - The General Stockholders’ Meeting shall meet annually within the four (4) months following the end of the fiscal year, in accordance with the legal requirements, and extraordinarily whenever corporate interests so require. Unchanged. 4.1. - The work of any General Stockholders’ Meeting shall be chaired by a management member nominated by the Meeting with a stockholder appointed by the chair as secretary. Unchanged. 4.2. - Each common share is entitled to one vote in the resolutions of the General Stockholders’ Meetings. Unchanged. 167


 
4.3. - The following is the exclusive prerogative of the General Stockholders’ Meeting: a) resolve upon the financial statements and on the distribution and allocation of profits; b) resolve upon the management report and the Board of Officers' accounts; c) establish the aggregate and annual compensation of the members of the Board of Directors and the Board of Officers; d) appoint, elect and remove members of the Board of Directors; (e) approve changes to the capital stock, with the proviso of the powers attributed to the Board of Directors by item 3.1 above, of mergers, amalgamations, spin-offs or any other forms of corporate restructuring involving the company; f) resolve upon retained profits or the recognition of reserves; and (g) resolve upon Stock Option Plans or Stock Grant Plans issued by the company or its controlled companies. Unchanged. Article 5 - MANAGEMENT - The company will be managed by a Board of Directors and a Board of Officers. As provided for in legislation and in these Bylaws, the Board of Directors will act in advisory, elective and supervisory roles and excluding operating and executive duties, which shall be within the powers of the Board of Officers. Unchanged. 5.1. Investiture – The directors and Officers will be invested in their positions upon the signing of their terms of office in the minute book of the Board of Directors or the Board of Officers, as the case may be, conditional on the prior signing of the members of management’s Instrument of Agreement, under the terms of the provision in Level 1 Corporate Governance Regulations of B3 SA – Brasil, Bolsa, Balcão (“B3”). Unchanged. 5.2. Management Compensation - Management members shall receive compensation and profit sharing, in accordance with the statutory limits. Payment of compensation shall be established by the General Stockholders’ Meeting in the form of an aggregate and annual amount. It is incumbent upon the Board of Directors to regulate the use of the amount set aside for compensation and apportionment of the profit sharing to the members of this Board of Directors and the Board of Officers. Unchanged. 168


 
5.3. Defense of management members - In addition to civil liability insurance, the company may enter into an indemnity contract in favor of its management members or management members of its controlled companies, to guarantee the payment of expenses due to claims, inquiries, investigations, arbitration, administrative or judicial procedures, in Brazil or any other jurisdiction, so as to hold them harmless against liability for acts carried out in the performance of their managerial duties, construed as those carried out diligently and in good faith, in the company’s interest and in the exercise of fiduciary duties of management members. The payment of expenses under the indemnity contract shall be subject to the company’s approval governance in order to ensure the independence of the decision-making process and prevent any conflicts of interest. 5.3.1. The benefit described in item 5.3 may be extended to employees who hold management position in the company or its controlled companies, as well as those individuals formally nominated by the company to hold management positions in other entities. Unchanged. Article 6 - BOARD OF DIRECTORS - The Board of Directors will be composed of natural persons, elected by the General Stockholders’ Meeting, and will have one (1) Chairman or two (2) Co-Chairmen and may have up to three (3) Vice-Chairmen chosen by the General Stockholders’ Meeting, at the occasion of the election of the Board of Directors’ members. Unchanged. 6.1. The positions of Chairman or Co- Chairmen of the Board of Directors and of Chief Executive Officer or principal executive of the company may not be held by the same person. Unchanged. 6.2. The Board of Directors shall have at least ten (10) and at most fourteen (14) members. Within these limitations, it is responsibility of the General Stockholders’ Meeting that elects the Board of Directors to initially establish the number of Directors who will compose this body for each term of office, provided that at least the majority shall be non-executive members and at least one third shall be independent members, in accordance with the concepts defined in the company’s Corporate Governance Policy. Unchanged. 6.3. The Co-Chairmen shall have identical prerogatives and duties and shall work together in the chair of the Board of Directors. Unchanged. 169


 
6.4. In case of any definitive vacancy or incapacity in office: (a) of one of the Co- Chairmen, the remaining Co-Chairman shall automatically take office as the Chairman of the Board of Directors; and (b) of the Chairman or both Co-Chairmen, the Board of Directors shall resolve upon the appointment of one of its members for the position of Chairman of the Board of Directors. Unchanged. 6.4.1. In case of temporary vacancy or incapacity in office: (a) of one Co-Chairman, the remaining Co-Chairman shall temporarily assume all the duties inherent in the position; and (b) of the Chairman or both Co-Chairmen, the Board of Directors shall appoint an acting deputy from among its members. Unchanged. 6.5. The unified term of office of a member of the Board of Directors is for one (1) year as from the date they are elected by the General Stockholders’’ Meeting, extendable until their successors take office. Unchanged. 6.6. No individual may be elected to the position of member of the Board of Directors who is (i) seventy-three (73) years old on the date of their election, to the position of Chairman or Co-Chairman; and (ii) seventy (70) years old on the date of their election, to the other positions of the company’s Board of Directors. Unchanged. 6.7. The Board of Directors, which is convened by the Chairman or any of the Co- Chairmen, will meet, ordinarily, eight (8) times a year and, extraordinarily, whenever corporate interests so require, and its resolutions will only be valid in the presence of at least an absolute majority of its acting members. Unchanged. 6.7.1. Any member of the Board of Directors may participate in the meetings via telephone call, videoconference, video presence, email, or any other communication means. In this case, the Member shall be deemed present at the meeting for purposes of confirming the opening or voting quorum, and their vote cast shall be deemed valid for all legal intents and purposes. Unchanged. 170


 
6.8. It is incumbent upon the Board of Directors to: I. establish the business guidelines of the company; II. elect and remove from office the company's officers and establish their duties; III. nominate officers to compose the Boards of Officers of the controlled companies as specified; IV. supervise the management of the officers of the company, examine, at any time company's accounts and documents, request information on contracts already executed or nearing the point of execution, and any other acts; V. call General Stockholders’ Meetings within at least twenty-one (21) days before the effective date, the number of days being counted from the notice of the first call; VI. express an opinion on the management report, the Board of Officers' accounts and the financial statements for each fiscal year to be submitted to the General Stockholders’ Meeting; VII. resolve upon budgets for results and investments and respective action plans; VIII. appoint and remove from office the independent auditors, without prejudice to the provision in Article 7; IX. resolve upon the distribution of interim dividends, including those made from retained earnings or revenue reserves contained in the most recent annual or semiannual balance sheet; X. resolve upon payment of interest on capital; XI. resolve upon buyback operations on a non-permanent basis, for treasury stock purposes, as well as resolve upon either cancellation or sale of these shares; XII. resolve upon the purchase and writing of put and call options supported by the shares issued by the company for the purposes of cancellation, holding as treasury stock or sale, in accordance with CVM Instruction No. 567, of September 17, 2015, as amendments; XIII. resolve upon the setting up of committees to handle specific issues within the scope of the Board of Directors; XIV. elect and remove the members of the Audit Committee and the Compensation Committee; Unchanged. 171


 
XV. approve the operational rules that the Audit and Compensation Committees may establish for their own operations and be aware of the Committees' activities through their reports; XVI. assess and disclose on an annual basis who the independent members of the Board of Directors are, as well as examine any circumstances that may compromise their independence; XVII. approve direct or indirect investments and divestments in corporate stakes for amounts higher than fifteen percent (15%) of the book value of the company as registered in the most recent audited balance sheet; XVIII. state a position on the public offerings of shares or other securities issued by the company; XIX. resolve upon, within the limits of the authorized capital, the increase of capital and issue of credit securities and other instruments convertible into shares, in accordance with item 3.1; and XX. examine transactions with related parties based on the materiality criteria provided for in its own policy, by itself or by one of its Committees, provided that a report is submitted to the Board of Directors in the latter scenario. Article 7 – AUDIT COMMITTEE - The supervision (i) of the internal controls and risk management; (ii) of activities of the internal audit; and (iii) of the activities of the independent audit shall be undertaken by the Audit Committee, upon which it shall be incumbent to recommend to the Board of Directors the choice and removal of the independent auditors. Unchanged. 7.1. The Audit Committee shall be composed of three (3) to seven (7) members, annually elected by the Board of Directors from among the members of the Board itself or professionals of recognized skills and outstanding knowledge, with at least one of the members of this Committee being designated Financial Expert, having proven knowledge of the accounting and audit fields. Unchanged. 172


 
7.1.1. The basic conditions for holding a position in the Audit Committee are: a) not to be, or not to have been, in the past (12) twelve months: (i) an officer of the Company, its controlling company or associates, controlled or jointly-controlled companies, directly or indirectly; (ii) an employee of the Company, its controlling company or associates, controlled or jointly-controlled companies, directly or indirectly; (iii) a responsible technician, officer, manager, supervisor or any other member, with management duties, of the team involved in the audit work at the Company; or (iv) a member of the Supervisory Council of the Company, its controlling company or associates, controlled or jointly-controlled companies, directly or indirectly; b) not to be a spouse, a partner or family member in a direct or a collateral line or by affinity, up to twice removed, of the said persons in sections “a”, “(i)” and “(iii)”; and c) not to hold positions, in particular in advisory boards, boards of directors or supervisory councils in companies that may be deemed as competitors in the market or where a conflict of interests may arise. Unchanged. 7.1.2. The Board of Directors shall terminate the term of office of any member of the Audit Committee if their independence had been affected by any conflict of interest or potential conflict of interest; Unchanged. 7.1.3. Members of the Audit Committee shall have a term of office of one (1) year, and they may be reelected for up to five (5) annual terms of office, after which they may only reoccupy a seat on the Committee at least three years following the expiry date of the last permitted reappointment; Unchanged. 7.1.4. Up to one third (1/3) of the Audit Committee members may have their term of office renewed, subject to the maximum number of up to ten consecutive years, and the time period set in item 7.1.3 is waived; Unchanged. 7.1.5. Under no circumstances may a member of the Audit Committee continue to hold office for a period longer than: (i) ten (10) consecutive years, for up to one third (1/3) of the members; and (ii) five (5) consecutive years for other members. Unchanged. 7.1.6. The Audit Committee members shall remain in their positions until their successors take office. Unchanged. 7.2. The Audit Committee shall meet on the convening of the Chairman and shall be responsible for: I) the quality and integrity of the financial statements; II) compliance with the prevailing legal and regulatory requirements; III) the activities, independence and quality of the work of the independent audit companies and the internal audit; and IV) the quality and effectiveness of the internal controls and risk management systems. Unchanged. 173


 
7.3. The Board of Directors shall establish the amount for compensating the Audit Committee members, based upon market parameters, as well as the budget for covering expenses for the Committee’s operation, including the hiring of specialists for assisting in fulfilling its responsibilities. Unchanged. 7.3.1. The Audit Committee member shall not receive any other type of compensation from the company or its associates unrelated to their duties as a member of the Audit Committee, except in those cases in which the member of the Audit Committee is also a member of the Board of Directors and opts to receive compensation for duties performed as a member of the latter body. Unchanged. 7.4. At the end of each fiscal year, the Audit Committee shall prepare a report on the monitoring of activities related to the independent and internal audits and the Internal Controls and Risk Management System, forwarding a copy to the Board of Directors and maintaining the said report on file and available to the Central Bank of Brazil and the Superintendence of Private Insurance for at least five years. Likewise, a semiannual report shall be prepared at the end of the first half of each fiscal year. Unchanged. 7.4.1. The summary of the Audit Committee's Report, highlighting the main data, shall be published together with the financial statements. Unchanged. Article 8 – COMPENSATION COMMITTEE – Compliance with the duties and responsibilities related to the compensation policy for the company’s management members shall be incumbent upon the Compensation Committee, which shall report directly to the Board of Directors. Unchanged. 8.1. The Compensation Committee shall be made up of three (3) to ten (10) members elected by the Board of Directors, one of its members being nominated to the position of Chairman. Unchanged. 8.1.1. The Compensation Committee shall be made up of (i) professionals with the qualifications and experience necessary to exercise proper and independent judgment on the Company’s compensation policy, including on the repercussions in the management of risks, and (ii) at least, one member who is not a management member; Unchanged. 8.1.2. The term of office of the members of the Compensation Committee shall be one (1) year as from the date of the Meeting of the Board of Directors that elects them and expires on the date on which their substitutes take office; Unchanged. 174


 
8.1.3. The members of the Compensation Committee may be reelected to the position, although remaining a member of the Compensation Committee for a period of more than ten (10) years shall not be permitted. Having reached this term, the member may only rejoin the Committee once a period of at least three (3) years has elapsed. Unchanged. 8.2. It is incumbent on the Compensation Committee to: I. prepare the compensation policy for the management members of the company, proposing to the Board of Directors the various forms of fixed and variable compensation in addition to benefits and special recruiting and severance programs; II. supervise the implementation and operation of the company’s management members’ compensation policy; III. annually review the company’s management members’ compensation policy, recommending its correction or improvement to the Board of Directors; IV. propose to the Board of Directors the amount of aggregate compensation of management members to be submitted to the General Stockholders’ Meeting; V. assess future internal and external scenarios and their possible impacts on the management compensation policy; VI. examine the company’s management members’ compensation policy in relation to market practices with a view to identifying significant discrepancies in relation to similar companies, proposing the necessary adjustments; and VII. ensure that the management members’ compensation policy is permanently compatible with the risk management policy, the targets and the current and expected financial position of the company and with the provision in the Regulation of the National Monetary Council. Unchanged. 8.3. The Board of Directors may assign powers to the Compensation Committee in addition to those provided for in these Bylaws. Unchanged. 8.4. The Board of Directors shall set an amount for compensating the members of the Compensation Committee, in accordance with market parameters, as well as the budget for covering the expenses for its operation. Unchanged. 8.5. At the end of each fiscal year, the Compensation Committee shall prepare a report on the activities undertaken within the scope of its duties, submitting a copy to the Board of Directors and maintaining said report at the disposal of the Central Bank of Brazil for a minimum term of five (5) years. Unchanged. 175


 
Article 9 - BOARD OF OFFICERS - The management and representation of the company is incumbent upon the Board of Officers, elected by the Board of Directors. Unchanged. 9.1. The Board of Officers shall have between five (5) and fifty (50) members, comprising the positions of Chief Executive Officer and Officer; 9.1. The Board of Officers shall have between five (5) to sixty (60) members, comprising the positions of Chief Executive Officer and Officer. 9.2. The Board of Directors will define the Officers who, in addition to the Chief Executive Officer, will compose the Executive Committee, the Company’s highest executive body; Unchanged. 9.3. In the case of absence or incapacity of any officer, the Board of Officers may choose the acting deputy from among its members. The Chief Executive Officer shall be substituted in their absence or incapacity by an Officer who is a member of the Executive Committee appointed by them; Unchanged. 9.4. Should any position become vacant, the Board of Directors may designate an officer to act as deputy in order to complete the term of office of the substituted officer; Unchanged. 9.5. The officers shall exercise their terms of office of one (1) year and are eligible for reelection and they shall remain in their positions until their successors take office; Unchanged. 9.6. A person is ineligible (i) to hold the position of Chief Executive Officer who is already sixty-two (62) years of age on the date of the election; and (ii) to hold other positions on the Board of Officers who are already sixty (60) years of age on the date of the election. Unchanged. Article 10 – REPRESENTATION OF THE COMPANY, RESPONSIBILITIES AND POWERS OF THE OFFICERS – The Company will be represented by two Officers together to: (i) assume obligations in any act, contract or document that gives rise to a liability, including by pledging guarantees on obligations of third parties; (ii) waive rights, encumber and dispose of permanent assets; (iii) appoint proxies to act; and (iv) decide on opening, closing or reorganizing branch offices. In situations when the amount involved exceeds R$500 million, at least one of the Officers must be either the Chief Executive Officer or another Officer who is a member of the Executive Committee. The Company may also be represented by one (01) Officer in situations that do not imply (a) the assumption of obligations in any act, contract or document that gives rise to a liability, including by pledging guarantees to Unchanged. 120 third parties; or (b) the waiver of rights, encumbrance and disposal of permanent assets. Unchanged. 10.1. In case of the head provision, except for the provision in items “(iii)” and “(iv)”, the company may also be represented jointly (i) by an officer and a proxy, or (ii) by two proxies. Unchanged. 176


 
10.1.1. Exceptionally, the Company may be represented by just one proxy: (i) in the case of any government body, direct or indirect, in acts which do not imply the assumption or waiver of rights and obligations; (ii) in proxy instruments with an “ad judicia” clause; and (iii) in general stockholders’ meetings, meetings of stockholders or unit holders of companies or investment funds in which the company holds investments. In the event of items (i) and (iii), the Company may also be represented by one officer only; Unchanged. 10.1.2. The Board of Directors may provide for or establish exceptions in addition to those provided for in subitem 10.1.1. Unchanged. 10.1.3. With the exception of those of a legal nature, proxy instruments shall have a mandatory term of no more than one year. Unchanged. 10.2. It is incumbent upon the Chief Executive Officer to convene and preside at meetings of the Board of Officers, supervise its activities, structure the services of the company, and establish the internal and operational norms. Unchanged. 10.3. The Officers are responsible for the activities assigned to them by the Board of Directors. Unchanged. Article 11 - SUPERVISORY COUNCIL - The company will have a Supervisory Council that shall operate on a permanent basis, comprising from three (3) to five (5) effective members and an equal number of alternate members. The election and operation of the Supervisory Council will be in accordance with the provisions of Articles 161 to 165 of Law No. 6,404/76. Unchanged. Article 12 - FISCAL YEAR - The fiscal year will end on December 31 of each year. Semiannual balance sheets will be prepared and, on a discretionary basis, interim balance sheets, at any date, including for the purposes of the payment of dividends, according to the legal provisions. Unchanged. Article 13 - ALLOCATION OF PROFIT - Together with the financial statements, the Board of Directors shall submit to the Annual General Stockholders’ Meeting a proposal for the allocation of profit for the year under the terms of Articles 186 and 191 to 199 of Law No. 6,404/76 and the following provisions: Unchanged. 13.1. Before any other distribution, five percent (5%) shall be allocated to the Legal Reserve, which may not exceed twenty percent (20%) of the capital stock; Unchanged. 177


 
13.2. The amount to be allocated to dividend payments to the stockholders will be specified in accordance with the provisions in Article 14 and the following rules: a) the preferred shares will be entitled to the priority minimum annual dividend (Article 3, item I); (b) the amount of the mandatory dividend that remains after the dividend payment in the previous subitem will be applied firstly to remunerating the common shares for a dividend that is equal to the priority dividend distributed to the preferred shares; and (c) the shares of both types will participate in the profits to be distributed under equal conditions once a dividend identical to the minimum on the preferred shares is also assured to the common shares. Unchanged. 13.3. The remaining balance will be allocated in accordance with what is proposed by the Board of Unchanged. 121 Directors, including the reserve referred to in Article 15, “ad referendum” of the General Stockholders’ Meeting. Unchanged. Article 14 - MANDATORY DIVIDEND - The stockholders are entitled to receive as a mandatory dividend for each fiscal year, an amount of not less than twenty-five percent (25%) of the profit recorded in the same fiscal year, adjusted according to the decrease or increase of the amounts specified in subitems “a” and “b” of item I of Article 202 of Law No. 6,404/76, and provided that items II and III of the same law are observed. Unchanged. 14.1. The portion of the mandatory dividend that may have been paid in advance as interim dividends to the Statutory Revenue Reserve account will be credited back to this same reserve account. Unchanged. 14.2. If so decided by the Board of Directors, interest on capital may be paid, offsetting its amount against the amount of the mandatory dividend according to Article 9, paragraph 7, of Law No. 9,249/95. Unchanged. Article 15 - STATUTORY RESERVE - According to the proposal of the Board of Directors, the General Stockholders’ Meeting may resolve upon the recognition of a Statutory Revenue Reserve, which will be limited to 100% of the capital stock, for the purpose of ensuring that there will be funds for the payment of dividends, including interest on capital (item 14.2), or interim payments, to keep the flow of remuneration to stockholders, and its balance can also be used in: (i) redemption, reimbursement or own shares buyback operations, as set forth by legislation in force; and (ii) capital increases, including by means of new bonus share. Unchanged. 178


 
15.1. The Reserve will be comprised of funds: a) equivalent to up to100% of profit for the fiscal year, adjusted according to Article 202 of Law No. 6,404/76, always respecting the stockholders’ right to receive mandatory dividends, under the terms of these Bylaws and applicable legislation; b) equivalent to up to 100% of the paid-up portion of the Revaluation Reserves, recorded as retained earnings; c) equivalent to up to 100% of the adjusted amounts for previous fiscal years, recorded as retained earnings; and d) originating from the credits corresponding to interim dividend payments (item 14.1). Unchanged. 15.2. The balance of this reserve, added to the Legal Reserve, may not exceed capital stock, in accordance with Article 199 of Law No. 6,404/76. Unchanged. 15.3. The reserve shall be separated into different subaccounts according to the fiscal years they were recognized, the profit allocated for its recognition and the Board of Directors shall specify the profits used in the distribution of interim dividends, which may be charged to different subaccounts, according to the category of the stockholders. Unchanged. Article 16 – BENEFICIAL OWNERS - The company is prohibited from issuing participation certificates of the Beneficial Owner type. Unchanged. Article 17 – LISTING SEGMENT - With the admission of the company to the special listing segment called Level 1 Corporate Governance of B3, the company, its stockholders, management members and members of the Supervisory Council, when installed, are subject to the provisions of the Listing Regulations for Level 1 Corporate Governance of B3 (“Level 1 Regulations”). Unchanged. 179


 
ATTACHMENT VIII A - PROXY TEMPLATE FOR HOLDERS OF COMMON SHARES By this proxy, [STOCKHOLDER], [NATIONALITY], [MARITAL STATUS], [OCCUPATION], bearer of the personal identification document No. (__), enrolled with the Individual Taxpayer’s Registry of the Ministry of Finance (CPF/MF) under the No. (___), with address at [FULL ADDRESS] (“Grantor”), appoints Mr./Ms. [PROXY], [NATIONALITY], [MARITAL STATUS], [OCCUPATION], bearer of the personal identification document No. (__), enrolled with the Individual Taxpayer’s Registry of the Ministry of Finance (CPF/MF) under the No. (__), with address at [FULL ADDRESS] as their proxy, with powers to represent them in the capacity of Stockholder of Itaú Unibanco Holding S.A. (“Company”) at the Company’s Annual General Stockholders’ Meeting and Extraordinary General Stockholders’ Meeting to be held on April 28, 2026, at 11:00 a.m. and 11:10 a.m., respectively, casting their vote in accordance with the voting instructions below. The proxy shall have restricted powers, namely to attend the General Stockholders’ Meetings and to cast a vote in accordance with the voting instructions below, having no right or obligation to take any further actions that are not required to be taken for full compliance with the voting instructions below. The proxy is hereby authorized to abstain from voting in any resolution or matter for which they have not received sufficiently specific voting instructions. This proxy is effective for [·] days starting on this date. [City], ___ of ___ of 2026. _______________________________ [STOCKHOLDER] (Notarized signature) ________________________________________________________________________ VOTING INSTRUCTIONS Annual General Stockholders’ Meeting - 11:00 a.m.: 1. Take cognizance of the Management Report and the Independent Auditors' Report, the Opinion of the Fiscal Council, and the Summary of the Audit Committee's Report, and examine for resolving upon the management accounts and the Financial Statements for the fiscal year ended December 31, 2025: APPROVE REJECT ABSTAIN 2. Resolve on Management’s proposal for allocation of profit for the fiscal year, as detailed in the General Stockholders’ Meeting Manual available at https://www.itau.com.br/relacoes-com-investidores/en/general- stockholders-meetings/: APPROVE REJECT ABSTAIN 3. Establish the number of members that will compose the Board of Directors at thirteen (13): APPROVE REJECT ABSTAIN 4. Elect the members of the Board of Directors for the next annual term of office, which shall expire on such date as the members elected at the Annual General Stockholders’ Meeting of 2027 take office: 180


 
Alfredo Egydio Setubal APPROVE REJECT ABSTAIN Ana Lúcia de Mattos Barretto Villela APPROVE REJECT ABSTAIN Candido Botelho Bracher (Independent Member) APPROVE REJECT ABSTAIN Cesar Nivaldo Gon (Independent Member) APPROVE REJECT ABSTAIN Fabricio Bloisi Rocha (Independent Member) APPROVE REJECT ABSTAIN João Moreira Salles APPROVE REJECT ABSTAIN Marcos Marinho Lutz (Independent Member) APPROVE REJECT ABSTAIN Maria Helena dos Santos Fernandes de Santana (Independent Member) APPROVE REJECT ABSTAIN Paulo Antunes Veras (Independent Member) APPROVE REJECT ABSTAIN Pedro Luiz Bodin de Moraes (Independent Member) 181


 
APPROVE REJECT ABSTAIN Pedro Moreira Salles (Co-Chairman) APPROVE REJECT ABSTAIN Ricardo Villela Marino (Vice-president) APPROVE REJECT ABSTAIN Roberto Egydio Setubal (Co-President) APPROVE REJECT ABSTAIN 5. Resolve upon the independence of the members classified as independent members: APPROVE REJECT ABSTAIN 6. Elect the members of the Fiscal Council for the next annual term of office, which shall expire on such date as the members elected at the Annual General Stockholders’ Meeting of 2027 take office: Eduardo Hiroyuki Miyaki (effective member) and João Costa (alternate member) APPROVE REJECT ABSTAIN Cláudio José Coutinho Arromatte (effective member) and Leni Bernadete Torres da Silva Sansiviero (alternate member) APPROVE REJECT ABSTAIN 7. Resolve upon the amount allocated to the overall compensation of the members of the Board of Officers and the Board of Directors, in the total amount of R$938,000,000.00: APPROVE REJECT ABSTAIN 8. Resolve upon the individual monthly compensation of R$22,000.00 to the effective members and of R$9,000.00 for the alternate members of the Fiscal Council: APPROVE REJECT ABSTAIN 182


 
Extraordinary General Stockholders’ Meeting - 11:10 a.m. 1. Resolve upon the “Protocol and Justification” which establishes the terms and conditions for the merger of Banco Itaucard S.A. into the Company, with the base date of December 31, 2025: APPROVE REJECT ABSTAIN 2. Ratify the appointment and engagement of PricewaterhouseCoopers Auditores Independentes Ltda. - PwC as the specialized firm responsible for preparing the Appraisal Report on the book net worth of Banco Itaucard S.A. to be merged into the Company: APPROVE REJECT ABSTAIN 3. Resolve upon the Appraisal Report, based on the balance sheet of Banco Itaucard S.A. as of December 31, 2025: APPROVE REJECT ABSTAIN 4. Resolve upon the merger of Banco Itaucard S.A. into the Company, with no increase in the Company's capital stock, in accordance with the "Protocol and Justification": APPROVE REJECT ABSTAIN 5. Authorize the Company's management members, as provided for in its Bylaws, to perform all acts and sign all documents required for the implementation and formalization of the approved resolutions: APPROVE REJECT ABSTAIN 6. Amend the wording of Article 3, caput, of the Bylaws, to reflect the new composition of the subscribed and paid-in capital, as resolved by the Board of Directors on November 27, 2025 and December 18, 2025 regarding the cancellation of shares and capital increase within the limit of the authorized capital: APPROVE REJECT ABSTAIN 7. Amend the wording of item 9.1 of Article 9 of the Bylaws to modify the maximum number of members of the Board of Officers, so that it is now composed of five (5) to sixty (60) members: APPROVE REJECT ABSTAIN 8. Consolidate the Bylaws to reflect the amendments mentioned in the preceding items: 183


 
APPROVE REJECT ABSTAIN 184


 
B - PROXY TEMPLATE FOR HOLDERS OF PREFERRED SHARES By this proxy, [STOCKHOLDER], [NATIONALITY], [MARITAL STATUS], [OCCUPATION], bearer of the personal identification document No. (__), enrolled with the Individual Taxpayer’s Registry of the Ministry of Finance (CPF/MF) under the No. (__), with address at [FULL ADDRESS] (“Grantor”), appoints Mr./Ms. [PROXY], [NATIONALITY], [MARITAL STATUS], [OCCUPATION], bearer of the personal identification document No. (__), enrolled with the Individual Taxpayer’s Registry of the Ministry of Finance (CPF/MF) under the No. (__), with address at [FULL ADDRESS] as their proxy, with powers to represent them in the capacity of Stockholder of Itaú Unibanco Holding S.A. (“Company”) at the Company’s Annual General Stockholders’ Meeting to be held on April 28, 2026, at 10:00 a.m., in a digital environment, casting their vote in accordance with the voting instructions below. The proxy shall have powers limited to attending the Meeting and casting a vote in accordance with the voting instructions below, having neither the right nor the obligation to take any other measures not necessary for the exact fulfillment of the voting instructions indicated below. The proxy is authorized to abstain from any resolution or matter for which they have not received sufficiently specific voting instructions. This proxy is effective for [•] days starting on this date. . [City], ___ of ___ of 2026. [STOCKHOLDER] (Notarized signature) VOTING INSTRUCTIONS 1. Elect the members of the Fiscal Council for the next annual term of office, which shall expire on such date as the members elected at the Annual General Stockholders’ Meeting of 2027 take office: Members appointed by the stockholder Caixa de Previdência dos Funcionários do Banco do Brasil – PREVI: Marcelo Maia Tavares de Araújo (effective member) and Haroldo do Rosario Vieira (alternate member) APPROVE REJECT ABSTAIN 185


 
C - PROXY TEMPLATE FOR PROXIES PROVIDED BY THE COMPANY FOR HOLDERS OF COMMON SHARES By this proxy, I, [STOCKHOLDER], [NATIONALITY], [MARITAL STATUS], [OCCUPATION], bearer of the personal identification document No. (__), enrolled with the Individual Taxpayer’s Registry of the Ministry of Finance (CPF/MF) under the No. (__), with address at [FULL ADDRESS] (“Grantor”), stockholder of Itaú Unibanco Holding S.A. (“Company”), appoint as my proxy(ies): • Karina Granucci Rodeguer Bugano Gomes, Brazilian, married, lawyer, bearer of the Brazilian Identification Card (RG-SSP/SP) No. 38.910.241-6, enrolled with the Individual Taxpayer’s Registry (CPF) under the No. 329.676.158-62, and with the State of São Paulo Bar Association (OAB/SP) under the No. 353.639, domiciled at Praça Alfredo Egydio de Souza Aranha, 100, Torre Conceição, 1o. andar, São Paulo, State of São Paulo (SP), with powers to represent me, in the capacity of lawyer of the Company, at the Annual General Stockholders’ Meeting and the Extraordinary General Stockholders’ Meeting of the Company, to be held on April 28, 2026, to vote IN FAVOR of the matters on the agenda, in accordance with the voting instructions below. • Fernanda Janotti de Oliveira, Brazilian, single, lawyer, bearer of the Brazilian Identification Card (RG-SSP/SP) No. 35.968.854-8, enrolled with the Individual Taxpayer’s Registry (CPF) under the No. 387.265.428-46, and with the State of São Paulo Bar Association (OAB/SP) under the No. 345.971, domiciled at Praça Alfredo Egydio de Souza Aranha, 100, Torre Conceição, 1o. andar, São Paulo, State of São Paulo, State of São Paulo (SP), with powers to represent me, in the capacity of as lawyer of the Company, at the Annual General Stockholders’ Meeting and the Extraordinary General Stockholders’ Meeting of the Company, to be held on April 28, 2026, to vote AGAINST the matters on the agenda, in accordance with the voting instructions below. • Marcos Luiz Ferreira, Brazilian, married, administrator, bearer of the Brazilian Identification Card (RG-SSP/SP) No. 25.575.317-2, enrolled with the Individual Taxpayer’s Registry (CPF) under the No. 176.147.528-21, domiciled at Praça Alfredo Egydio de Souza Aranha, 100, Torre Conceição, 1o. andar, São Paulo, State of São Paulo (SP), with powers to represent me, as a stockholder of the Company, at the Annual General Stockholders’ Meeting and the Extraordinary General Stockholders’ Meeting of the Company, to be held on April 28, 2026, to ABSTAIN from the matters on the agenda, in accordance with the voting instructions below. The proxy will have powers limited to attending the Extraordinary General Stockholders’ Meeting to cast a vote in accordance with the voting instructions below, and will have no right or obligation to take any other actions not necessary for the exact compliance with the voting instructions indicated below. The proxy is authorized to abstain from any resolution or matter for which they have not received sufficiently specific voting instructions and will vote according to the number of common shares held by the Grantor. This proxy shall be valid only for this Annual General Stockholders’ Meeting and the Extraordinary General Stockholders’ Meeting of the Company. São Paulo, ___ of ___ of 2026. _______________________________ [STOCKHOLDER] (Notarized signature) ________________________________________________________________________ VOTING INSTRUCTIONS Annual General Stockholders’ Meeting - 11:00 a.m.: 186


 
1. Take cognizance of the Management Report and the Independent Auditors' Report, the Opinion of the Fiscal Council, and the Summary of the Audit Committee's Report, and examine for resolving upon the management accounts and the Financial Statements for the fiscal year ended December 31, 2025: APPROVE REJECT ABSTAIN 2. Resolve upon the Management's proposal for allocation of profit for the fiscal year, as detailed in the General Stockholders’ Meeting Manual available at https://www.itau.com.br/relacoes-com-investidores/en/ general-stockholders-meetings/: APPROVE REJECT ABSTAIN 3. Establish the number of members that will compose the Board of Directors at thirteen (13): APPROVE REJECT ABSTAIN 4. Elect the members of the Board of Directors for the next annual term of office, which shall expire on such date as the members elected at the Annual General Stockholders’ Meeting of 2027 take office: Alfredo Egydio Setubal APPROVE REJECT ABSTAIN Ana Lúcia de Mattos Barretto Villela APPROVE REJECT ABSTAIN Candido Botelho Bracher (Independent Member) APPROVE REJECT ABSTAIN Cesar Nivaldo Gon (Independent Member) APPROVE REJECT ABSTAIN Fabricio Bloisi Rocha (Independent Member) APPROVE REJECT ABSTAIN 187


 
João Moreira Salles APPROVE REJECT ABSTAIN Marcos Marinho Lutz (Independent Member) APPROVE REJECT ABSTAIN Maria Helena dos Santos Fernandes de Santana (Independent Member) APPROVE REJECT ABSTAIN Paulo Antunes Veras (Independent Member) APPROVE REJECT ABSTAIN Pedro Luiz Bodin de Moraes (Independent Member) APPROVE REJECT ABSTAIN Pedro Moreira Salles (Co-Chairman) APPROVE REJECT ABSTAIN Ricardo Villela Marino (Vice-president) APPROVE REJECT ABSTAIN Roberto Egydio Setubal (Co-President) APPROVE REJECT ABSTAIN 5. Resolve upon the independence of the members classified as independent members: APPROVE REJECT ABSTAIN 6. Elect the members of the Fiscal Council for the next annual term of office, which shall expire on such date as the members elected at the Annual General Stockholders’ Meeting of 2027 take office: 188


 
Eduardo Hiroyuki Miyaki (effective member) and João Costa (alternate member) APPROVE REJECT ABSTAIN Cláudio José Coutinho Arromatte (effective member) and Leni Bernadete Torres da Silva Sansiviero (alternate member) APPROVE REJECT ABSTAIN 7. Resolve upon the amount allocated for the overall compensation of the members of the Board of Officers and the Board of Directors, totaling R$938,000,000.00: APPROVE REJECT ABSTAIN 8. Resolve upon the individual monthly compensation of R$22,000.00 for the effective members and R$9,000.00 for the alternate members of the Fiscal Council: APPROVE REJECT ABSTAIN Extraordinary General Stockholders’ Meeting - 11:10 a.m. 1. Resolve upon the “Protocol and Justification” which establishes the terms and conditions for the merger of Banco Itaucard S.A. into the Company, with the base date of December 31, 2025: APPROVE REJECT ABSTAIN 2. Ratify the appointment and engagement of PricewaterhouseCoopers Auditores Independentes Ltda. - PwC as the specialized firm responsible for preparing the Appraisal Report on the book net worth of Banco Itaucard S.A. to be merged into the Company: APPROVE REJECT ABSTAIN 3. Resolve upon the Appraisal Report, based on the balance sheet of Banco Itaucard S.A. as of December 31, 2025: APPROVE REJECT ABSTAIN 4. Resolve upon the merger of Banco Itaucard S.A. into the Company, with no increase in the Company's capital stock, in accordance with the "Protocol and Justification": APPROVE REJECT ABSTAIN 189


 
5. Authorize the Company's management members, as provided for in its Bylaws, to perform all acts and sign all documents required for the implementation and formalization of the approved resolutions: APPROVE REJECT ABSTAIN 6. Amend the wording of Article 3, caput, of the Bylaws, to reflect the new composition of the subscribed and paid-in capital, as resolved by the Board of Directors on November 27, 2025 and December 18, 2025 regarding the cancellation of shares and capital increase within the limit of the authorized capital: APPROVE REJECT ABSTAIN 7. Amend item 9.1 of Article 9 of the Bylaws to modify the maximum number of members of the Board of Directors, so that it is now composed of five (5) to sixty (60) members: APPROVE REJECT ABSTAIN 8. Consolidate the Bylaws to reflect the amendments mentioned in the preceding items: APPROVE REJECT ABSTAIN 190


 
D - PROXY TEMPLATE FOR PROXIES PROVIDED BY THE COMPANY FOR HOLDERS OF PREFERRED SHARES By this proxy, I, [STOCKHOLDER], [NATIONALITY], [MARITAL STATUS], [OCCUPATION], bearer of the Brazilian Identification Card No. (__), enrolled with the Individual Taxpayer’s Registry (CPF/MF) under No. (__), with address at [ADDRESS] (“Grantor”), stockholder of Itaú Unibanco Holding S.A. (“Company”), appoint as my proxy(ies): • Karina Granucci Rodeguer Bugano Gomes, Brazilian, married, lawyer, bearer of the Brazilian Identification Card (RG-SSP/SP) No. 38.910.241-6, enrolled with the Individual Taxpayer’s Registry (CPF) under No. 329.676.158-62, and with the State of São Paulo Bar Association (OAB/SP) under the No. 353.639, domiciled at Praça Alfredo Egydio de Souza Aranha, 100, Torre Conceição, 1o. andar, São Paulo, State of São Paulo (SP), with powers to represent me, in the capacity of the Company's lawyer, at the Company's Annual General Stockholders’ Meeting, to be held on April 28, 2026, to vote IN FAVOR on the matters on the agenda, in accordance with the voting instructions below. • Fernanda Janotti de Oliveira, Brazilian, single, lawyer, bearer of the Brazilian Identification Card (RG-SSP/SP) No. 35.968.854-8, enrolled with the Individual Taxpayer’s Registry (CPF) under No. 387.265.428-46, and with the State of São Paulo Bar Association (OAB/SP) under the No. 345.971, domiciled at Praça Alfredo Egydio de Souza Aranha, 100, Torre Conceição, 1o. andar, São Paulo, State of São Paulo (SP), with powers to represent me, in the capacity of the Company's lawyer, at the Company's Annual General Stockholders’ Meeting, to be held on April 28, 2026, to vote AGAINST the matters on the agenda, in accordance with the voting instructions below. • Marcos Luiz Ferreira, Brazilian, married, administrator, bearer of the Brazilian Identification Card (RG-SSP/SP) No. 25.575.317-2, enrolled with the Individual Taxpayer’s Registry (CPF) under No. 176.147.528-21, domiciled at Praça Alfredo Egydio de Souza Aranha, 100, Torre Conceição, 1o. andar, São Paulo, State of São Paulo (SP), with powers to represent me, as a stockholder of the Company, at the Company's Annual General Stockholders’ Meeting, to be held on April 28, 2026, to ABSTAIN from the matters on the agenda, in accordance with the voting instructions below. The proxy will have powers limited to attending the Annual General Stockholders’ Meeting to cast a vote in accordance with the voting instructions below, and will have no right or obligation to take any other actions not necessary for the exact compliance with the voting instructions indicated below. The proxy is authorized to abstain from any resolution or matter for which they have not received sufficiently specific voting instructions and will vote according to the number of preferred shares held by the Grantor. This proxy shall be valid only for this Annual General Stockholders’ Meeting of the Company. São Paulo, ___ of ___ of 2026. _______________________________ [STOCKHOLDER] (Notarized signature ________________________________________________________________________ VOTING INSTRUCTIONS 1. Elect the members of the Fiscal Council for the next annual term of office, which shall expire on such date as the members elected at the Annual General Stockholders’ Meeting of 2027 take office: Members appointed by the stockholder Caixa de Previdência dos Funcionários do Banco do Brasil – PREVI: Marcelo Maia Tavares de Araújo (effective member and Haroldo do Rosario Vieira (alternate member APPROVE REJECT ABSTAIN 191


 
E - INFORMATION OF ATTACHMENT Q OF CVM RESOLUTION No. 81/22 1. Inform the name of the company Itaú Unibanco Holding S.A. 2. Inform the matters for which the proxy is being requested Matters indicated in the Call Notice contained in this Manual. 3. Identify the individuals or legal entities that have promoted, organized or defrayed the cost of the request for a proxy, even if only partially, informing: a. Name and address Itaú Unibanco Holding S.A., with address at Praça Alfredo Egydio de Souza Aranha, 100, in the city of São Paulo, State of São Paulo, CEP 04344-902. b. Since when you have been a stockholder of the company Not applicable. c. Number and percentage of shares of each type and class that you own Not applicable. d. Number of shares borrowed Not applicable. e. Total exposure to derivatives denominated in shares in the company Not applicable. f. Relations of a corporate, business or family nature existing or maintained in the last three years with the company or with parties related to the company, as defined by the accounting rules that address this matter Not applicable. 4. Inform whether any of the parties mentioned in item 3, as well as any of their controlling companies, controlled companies, companies under joint control or associates, have a special interest in the approval of the matters for which the proxy is being requested, describing in detail the nature and extent of the interest in question Proxies are provided by the Company for the sole purpose of offering an additional mechanism to facilitate the Stockholder 's participation at the Meeting, with no special interest in the approval of the matters. 5. Inform the estimated cost of the requesting a proxy The cost of requesting a proxy is insignificant. 6. Inform whether (a) the company has defrayed the costs of requesting a proxy or (b) its requesters will seek to reimburse the costs from the company The cost of requesting a proxy was fully defrayed by the Company. 192


 
7. Inform: a) The address to which the proxy should be sent after it is signed In order to facilitate the work at the General Stockholders’ Meeting, the Company suggests that stockholders represented by proxies send a copy of the proxy and other documents listed in the Call Notice, by April 24, 2026 to the email address: ri@itau-unibanco.com.br. b) In the event the company accepts proxies via the World Wide Web, the instructions for granting the proxy The Company will adopt a remote voting system; therefore, Stockholders willing to vote through the remote voting form may forward their voting instructions concerning the matters to be voted on at the Meeting: • via a remote voting form sent directly to the Company; or • via the remote voting form completion instructions sent to service providers, as follows: a) to the stockholder's custodian, if the shares are deposited at a central depository; or b) to Itaú Corretora de Valores S.A., in the capacity of the financial institution engaged by the Company to provide marketable securities bookkeeping services. Stockholder forwarding the voting form directly to the Company Stockholders who choose to exercise their voting rights remotely may do so by forwarding the documentation below directly to the Company to the email address ri@itau-unibanco.com.br by April 24, 2026: • the voting form duly filled in, initialized and signed (no consularization or sworn translation is required for documents in a foreign language); and • ID document – for Legal Entities: a notarized copy of the articles of association/bylaws, proof of election of management members and a notarized copy of the proxy with specific powers to sign the remote voting form on behalf of the Legal Entity, when applicable, and the ID document of these representatives; and for Individuals: a notarized copy of the ID document bearing the stockholder’s picture. Documents issued abroad must be consularized or apostilled and be accompanied by the respective sworn translation. Once the documents referred to above are received, the Company will notify the stockholder of their receipt and acceptance. This information will be sent to the stockholder via the email address stated in the voting form. Stockholders forwarding the form to service providers Stockholders may otherwise choose to exercise their voting rights remotely through service providers, by forwarding their voting instructions to their custodians or bookkeeper, subject to the rules determined by these service providers. Stockholders should contact the custodian or bookkeeper to check the procedures established by these service providers, as well as the documents requested accordingly. Itaú Corretora de Valores S.A., the bookkeeper of the Company shares, has set up the Digital Meeting website, a safe solution for remote vote casting. To vote via the website you must register and have a digital certificate. Information about registration and the step-by-step process for obtaining a digital certificate is provided on the website: https://assembleiadigital.certificadodigital.com/itausecuritiesservices/artigo/home/ assembleia-digital/ ITAÚ CORRETORA DE VALORES S.A. +55 11 3003-9285 (capital cities and metropolitan areas) 0800 7209285 (other locations) Client service is available on business days from 9 a.m. to 6 p.m. 193


 
Email: atendimentoescrituracao@itau-unibanco.com.br Stockholders must forward the form completion instructions to the service providers by April 24, 2026, unless otherwise indicated by the latter. 194


 
4Q25 Itaú Unibanco Holding S.A. Complete Financial Statements in BRGAAP December 31, 2025 195


 
ITAÚ UNIBANCO HOLDING S.A. BOARD OF DIRECTORS BOARD OF EXECUTIVE OFFICERS Co-Chairmen Chief Executive Officer and Member of the Executive Committee Pedro Moreira Salles Milton Maluhy Filho Roberto Egydio Setubal Officers and Members of the Executive Committee Vice President André Luís Teixeira Rodrigues Ricardo Villela Marino Carlos Fernando Rossi Constantini Carlos Orestes Vanzo Members Flávio Augusto Aguiar de Souza Alfredo Egydio Setubal Gabriel Amado de Moura Ana Lúcia de Mattos Barretto Villela José Virgílio Vita Neto Candido Botelho Bracher Matias Granata Cesar Nivaldo Gon Pedro Paulo Giubbina Lorenzini Fabricio Bloisi Rocha Ricardo Ribeiro Mandacaru Guerra João Moreira Salles Sergio Guillinet Fajerman Marcos Marinho Lutz Maria Helena dos Santos Fernandes de Santana Paulo Antunes Veras Officers Pedro Luiz Bodin de Moraes Adriano Cabral Volpini Albano Manoel Almeida Álvaro Felipe Rizzi Rodrigues Andre Balestrin Cestare AUDIT COMMITTEE André Maurício Geraldes Martins Chairperson Cristiano Guimarães Duarte Maria Helena dos Santos Fernandes de Santana Daniel Menezes Santana Daniel Sposito Pastore Daniela Pereira Bottai Members Emerson Macedo Bortoloto Alexandre de Barros Eric André Altafim Fernando Barçante Tostes Malta Felipe Piccoli Aversa Luciana Pires Dias Felipe Xavier Minhoto Tambelini Maria Elena Cardoso Figueira Flavio Ribeiro Iglesias Rogério Carvalho Braga Guilherme Barros Leite de Albuquerque Maranhão Gustavo Lopes Rodrigues (1) José Geraldo Franco Ortiz Junior Lineu Carlos Ferraz de Andrade Luciana Nicola Luís Eduardo Gross Siqueira Cunha Maira Blini de Carvalho Marcia Kinsch de Lima FISCAL COUNCIL Mário Newton Nazareth Miguel Chairman Mayara Arci Rezeck Gilberto Frussa Michele Maria Vita Paulo Sergio Miron Members Pedro Henrique Moreira Ribeiro Eduardo Hiroyuki Miyaki Rafael Vietti da Fonseca Marcelo Maia Tavares de Araújo Renato Barbosa do Nascimento Renato da Silva Carvalho Renato Lulia Jacob Ricardo Nuno Delgado Gonçalves Rita Rodrigues Ferreira de Carvalho Rodrigo Andre Leiras Carneiro Rubens Fogli Netto Tatiana Grecco Vinícius Santana 1) Group Head of Investor Relations. Accountant Fabiana Palazzo Barbosa CRC 1SP251437/O-4 196


 
ITAÚ UNIBANCO S.A. Chief Executive Officer and Member of the Executive Committee Milton Maluhy Filho Officers (continued) Officers and Members of the Executive Committee Gabriela Figueiredo Denadai André Luís Teixeira Rodrigues Gabriela Rodrigues Ferreira Carlos Fernando Rossi Constantini Giovana Aparecida Braccialli Vinci Carlos Orestes Vanzo Guilherme Pessini Carvalho Flávio Augusto Aguiar de Souza Gustavo Andres Gabriel Amado de Moura Gustavo Lopes Rodrigues José Virgílio Vita Neto Gustavo Nobuaki Aoki Matias Granata Haroldo Coutinho de Lucena Neto Ricardo Ribeiro Mandacaru Guerra João Carlos do Amaral dos Santos Sergio Guillinet Fajerman João Filipe Fernandes da Costa Araújo José de Castro Araújo Rudge Filho José Geraldo Franco Ortiz Junior Officers Juliana Improta Cury Simon Adriana Maria dos Santos Laila Regina de Oliveira Pena de Antonio Adriano Cabral Volpini Leandro Alves Adriano Tchen Cardoso Alves Leandro Roberto Dominiquini Albano Manoel Almeida Leandro Rocha de Andrade Alessandro Anastasi Lineu Carlos Ferraz de Andrade Alexandre Borin Ribeiro Luciana Nicola Álvaro de Alvarenga Freire Pimentel Luís Eduardo Gross Siqueira Cunha Álvaro Felipe Rizzi Rodrigues Luiz Felipe Monteiro Arcuri Trevisan Ana Paula Nunes Cerchiari Almeida Maira Blini de Carvalho Andre Balestrin Cestare Marcelo Bevilacqua Gambarini Andre Barreto Palma (1) Marcia Kinsch de Lima André Mauricio Geraldes Martins Marcio Luís Domingues da Silva Andrea Carpes Blanco Marco Flavio Trajano Mattos Angelo Russomano Fernandes Marcos Paulo Coelho (1) Atilio Luiz Magila Albiero Junior Marcos Zani Della Manna Badi Maani Shaikhzadeh Marcus Viana de Gusmão Beatriz Couto Dellevedove Bernardi Maria Estela Castanheira Saab Caiuby Novaes Bruno Bianchi Mariana Mauriz Rodrigues Bruno Machado Ferreira Mário Lúcio Gurgel Pires Caio Barbosa LimaMoreno Mario Magalhães Carvalho Mesquita Carlos Augusto Salamonde Mário Newton Nazareth Miguel Carlos Eduardo de Almeida Mazzei Mayara Arci Rezeck Carlos Eduardo Mori Peyser Michel Cury Chain Carlos Henrique Donegá Aidar Michele Maria Vita Cassio Martini Martins Pereira (1) Milena de Castilho Lefon Martins Cintia Carbonieri Fleury de Camargo Nuno Filipe Bonito Monteiro (1) Cláudio José Coutinho Arromatte Pamela Vaiano Cristiano Guimarães Duarte Paola Archibusacci Sarkis Cristina Gouveia Aguiar Pedro Barros Barreto Fernandes Daniel Menezes Santana Pedro Campos Bias Fortes Daniel Moretto Bucheb (1) Pedro Henrique Moreira Ribeiro Daniel Nascimento Goretti Pedro Prates Rodrigues Daniel Sposito Pastore Priscilla Marques Dias Ciolli Davi Faleiros Franco da Rocha Rafael Bastos Heringer Eduardo Cardoso Armonia Rafael Burini Ohde Eduardo Corsetti Rafael Vietti da Fonseca Eduardo Coutinho de Oliveira Amorim Renata Cristina de Oliveira Eduardo Nogueira Domeque Renato Bereznjak Cunha Eric André Altafim Renato Cesar Mansur Estevão Carcioffi Lazanha Renato da Silva Carvalho Fabio Augusto Rodrigues Cintra Zagatti (1) Renato Giongo Vichi Fabio Horta Motta Marques da Costa Renato Lulia Jacob Fábio Napoli Ricardo Nuno Delgado Gonçalves Fábio Rodrigo Villa Rita Rodrigues Ferreira Carvalho Fabricio Dore de Magalhães Roberta Anchieta da Silva Felipe Piccoli Aversa Rodrigo Andre Leiras Carneiro Felipe Sampaio Nabuco Rodrigo Jorge Dantas de Oliveira Felipe Weil Wilberg Rodrigo Rodrigues Baia Felipe Xavier Minhoto Tambelini Rogerio Vasconcelos Costa Fernando Cesar Ferreira Campos (1) Rubens Fogli Netto Fernando Della Torre Chagas Sandra Cristina Mischiatti Lancellotti Fernando Kontopp de Oliveira Tatiana Grecco Fernando Mattar Beyruti Tatyana Montenegro Gil Fernando Silva Dias de Castro Thales Ferreira Silva Flávia Davoli Thiago Luiz Charnet Ellero Flavio Ribeiro Iglesias Tiago Augusto Morelli Francis Roberto Gallo Ullisses Christian Silva Assis Gabriel Brabo de Bernardes Valéria Aparecida Marretto Gabriel Guedes Pinto Teixeira Vinicius Santana 1) Elected at the Meeting of Board of Directors on 01/30/2026, in phase of approval by BACEN. 197


 
Itaú Unibanco Holding S.A. Consolidated Balance Sheet 1 (In millions of reais) Assets Note 12/31/2025 01/01/2025 Supplementary information (unaudited) Current and non-current assets 3,061,050 2,851,314 Cash 37,144 36,127 Interbank investments 2c IV, 4 340,388 302,560 Securities purchased under agreements to resell 269,780 233,209 Interbank deposits 65,544 66,752 Assets guaranteeing technical provisions 10b 5,093 2,626 (Provision for expected credit loss) (29) (27) Securities 2c IV, 5 925,416 835,714 Own portfolio 355,614 226,461 Restricted 215,242 301,936 Assets guaranteeing technical provisions 10b 355,296 308,623 (Provision for expected credit loss) (736) (1,306) Derivatives 2c IV, 6 73,311 96,488 Operations with credit granting characteristics 8 1,229,943 1,157,247 Loan, lease and other credit operations 2c IV, 2c VII 1,084,014 1,022,078 Securities 2c IV 197,424 188,540 (Provision for expected credit loss) 2c IV (51,495) (53,371) Interbank and interbranch accounts 282,008 246,261 Current and deferred tax assets 92,994 85,470 Current tax assets 18,669 16,735 Deferred tax assets 20b I 74,325 68,735 Other assets 9a 79,846 91,447 Permanent assets 35,227 34,793 Investments 2c VI 9,047 8,527 Associates and joint ventures 8,949 8,362 Other investments 98 165 Fixed assets 2c VIII, 2c X, 14 9,595 9,080 Real estate 9,941 6,932 Other fixed assets 16,299 18,137 (Accumulated depreciation) (16,645) (15,989) Goodwill and Intangible assets 2c IX, 2c X, 15 16,585 17,186 Goodwill 718 865 Intangible assets 52,697 47,755 (Accumulated amortization) (36,830) (31,434) Total assets 3,096,277 2,886,107 The accompanying notes are an integral part of these financial statements. 198


 
Itaú Unibanco Holding S.A. Consolidated Balance Sheet 1 (In millions of reais) Liabilities and stockholders' equity Note 12/31/2025 01/01/2025 Supplementary information (unaudited) Current and non-current liabilities 2,890,647 2,674,458 Deposits 2c IV, 16b 1,114,482 1,054,741 Demand deposits 135,383 124,920 Savings deposits 177,305 180,730 Interbank deposits 11,530 7,224 Time deposits 789,643 735,376 Other deposits 621 6,491 Securities sold under repurchase agreements 2c IV, 16c 456,158 409,656 Own portfolio 201,610 178,922 Third-party portfolio 176,043 129,536 Free portfolio 78,505 101,198 Debt instruments 2c IV, 16d 415,630 377,344 Funds from issues 265,486 236,430 Foreign loans through securities 76,420 76,279 Funding from structured operations certificates 25,577 19,411 Debt instruments with subordination clauses 16d III 48,147 45,224 Borrowing and onlending 2c IV, 16e 147,164 135,113 Borrowing 116,496 117,170 Onlending 30,668 17,943 Derivatives 2c IV, 6 69,899 96,611 Interbank and interbranch accounts 109,961 103,820 Provisions for financial guarantees, credit commitments and credits to be released 8a, 8c 1,794 1,153 Technical provision for insurance, pension plan and premium bonds 2c XI, 10a 360,617 311,812 Other provisions 2c XII, 11b 15,849 16,628 Current and deferred tax liabilities 23,941 22,988 Current tax liabilities 20c 15,327 14,255 Deferred tax liabilities 20b II 8,614 8,733 Other liabilities 9b 175,152 144,592 Total stockholders' equity of controlling shareholders 18 196,146 202,705 Capital 136,910 90,729 Capital reserves 2,873 2,729 Profit reserves 57,531 110,400 Other comprehensive income 2c IV (1,155) (244) (Treasury shares) (13) (909) Non-controlling interests 18e 9,484 8,944 Total stockholders' equity 205,630 211,649 Total liabilities and stockholders' equity 3,096,277 2,886,107 The accompanying notes are an integral part of these financial statements. 199


 
Itaú Unibanco Holding S.A. Consolidated Statement of Income 1 (In millions of reais, except for number of shares and earnings per share information) Note 07/01 to 12/31/2025 01/01 to 12/31/2025 Income related to financial operations 24 190,024 350,779 Operations with credit granting characteristics 86,887 171,746 Securities, derivatives and other 71,038 117,988 Financial income from assets guaranteeing technical provisions 22,740 43,764 Interbank investments and other 9,359 17,281 Expenses related to financial operations 24 (136,067) (241,395) Deposits and securities sold under repurchase agreements (107,637) (196,040) Debt instruments 483 (2,180) Borrowing and onlending (6,976) (890) Financial expenses on technical provisions for insurance, pension plan and premium bonds (21,937) (42,285) Income related to financial operations before expected credit loss 53,957 109,384 Result of expected credit loss 24 (13,077) (28,631) Expenses for provision for expected credit loss (15,730) (33,712) Income related to recovery of financial assets written off as loss 2,653 5,081 Gross income related to financial operations 40,880 80,753 Other operating revenues / (expenses) (11,272) (26,064) Commissions and banking fees 25 25,307 48,973 Result from insurance, pension plan and premium bonds operations 3,593 7,000 Personnel expenses 26 (17,458) (33,944) Other administrative expenses 26 (14,016) (27,423) Other provisions expenses 11b (2,489) (4,148) Provision for civil lawsuits (672) (1,228) Provision for labor claims (1,435) (3,334) Provision for tax and social security obligations and other risks (382) 414 Tax expenses 2c XIII, 20a II (5,316) (11,039) Equity in earnings of associates, joint ventures and other investments 723 1,417 Other operating revenues 4,009 3,582 Other operating expenses 26 (5,625) (10,482) Operating income 29,608 54,689 Non-operating income 289 455 Income before taxes on income and profit sharing 29,897 55,144 Income tax and social contribution 2c XIII, 20a I (5,544) (7,868) Due on operations for the period (6,267) (13,092) Related to temporary differences 723 5,224 Profit sharing, net of taxes – Management members - Statutory 19b (210) (476) Non-controlling interests 18e (645) (1,129) Net income 23,498 45,671 Earnings per share - Basic 21 Common 2.13 4.12 Preferred 2.13 4.12 Earnings per share - Diluted 21 Common 2.11 4.08 Preferred 2.11 4.08 Weighted average number of outstanding shares - Basic 21 Common 5,617,742,977 5,617,742,977 Preferred 5,437,532,545 5,459,926,630 Weighted average number of outstanding shares - Diluted 21 Common 5,617,742,977 5,617,742,977 Preferred 5,539,170,312 5,571,684,620 The accompanying notes are an integral part of these financial statements. 200


 
ITAÚ UNIBANCO HOLDING S.A. Consolidated Statement of Comprehensive Income (In millions of reais) Note 07/01 to 12/31/2025 01/01 to 12/31/2025 Consolidated net income 24,143 46,800 Financial assets at fair value through other comprehensive income 5c (361) 1,035 Change in fair value (3,834) (5,018) Tax effect 1,784 3,149 (Gains) / losses transferred to income 3,068 5,279 Tax effect (1,379) (2,375) Hedge (148) 1,003 Cash flow hedge 7b 99 197 Change in fair value 183 361 Tax effect (84) (164) Hedge of net investment in foreign operation 7c (247) 806 Change in fair value 824 2,855 Tax effect (1,071) (2,049) Remeasurements of liabilities for post-employment benefits (1) 4 (5) Remeasurements 22 8 (8) Tax effect (4) 3 Foreign exchange variation in foreign investments 2,008 (2,946) Other (7) 2 Other comprehensive income of non-controlling interests 295 44 Total consolidated other comprehensive income 1,791 (867) Total consolidated comprehensive income 25,934 45,933 Comprehensive income attributable to the owners of the parent company 24,994 44,760 Comprehensive income attributable to non-controlling interests 940 1,173 1) Amounts that will not be subsequently reclassified to income. The accompanying notes are an integral part of these financial statements. 201


 
ITAÚ UNIBANCO HOLDING S.A. Consolidated Statement of Changes in Stockholders’ Equity (In millions of reais) Note Attributed to owners of the parent company Total stockholders’ equity – owners of the parent company Total stockholders’ equity – non controlling interests Total Capital Treasury shares Capital reserves Profit reserves Other comprehensive income Retained earnings Fair value through other comprehensive income adjustments (1) Insurance contracts and private pension Remeasurements of liabilities of post- employment benefits Conversion adjustments of foreign investments Gains and losses – Hedge (2) Other Total - 07/01/2025 124,063 (18) 2,328 77,093 561 259 (1,968) 6,040 (7,552) 9 - 200,815 8,737 209,552 Transactions with owners 12,847 5 545 (15,847) - - - - - - - (2,450) - (2,450) Acquisition of treasury shares 18 - (3,002) - - - - - - - - - (3,002) - (3,002) Cancellation of treasury shares 18 - 3,000 - (3,000) - - - - - - - - - - Result of delivery of treasury shares 18 - 7 (1) - - - - - - - - 6 - 6 Recognition of share-based payment plans - - 546 - - - - - - - - 546 - 546 Capitalization by reserves 12,847 - - (12,847) - - - - - - - - - - Corporate reorganization 2c I, 3 - - - (61) - - - - - - - (61) - (61) Other - - - 314 - - - - - - - 314 - 314 Unclaimed dividends and Interest on capital - - - - - - - - - - 20 20 - 20 Total comprehensive income - - - - (361) - 4 2,008 (148) (7) 23,498 24,994 940 25,934 Consolidated net income - - - - - - - - - - 23,498 23,498 645 24,143 Other comprehensive income - - - - (361) - 4 2,008 (148) (7) - 1,496 295 1,791 Appropriations: Legal reserve - - - 1,170 - - - - - - (1,170) - - - Statutory reserves - - - (2,744) - - - - - - 2,744 - - - Dividends - - - - - - - - - - (20,000) (20,000) (193) (20,193) Interest on capital - - - (2,394) - - - - - - (5,092) (7,486) - (7,486) Total - 12/31/2025 18 136,910 (13) 2,873 57,531 200 259 (1,964) 8,048 (7,700) 2 - 196,146 9,484 205,630 Change in the period 12,847 5 545 (19,562) (361) - 4 2,008 (148) (7) - (4,669) 747 (3,922) Total - 01/01/2025 90,729 (909) 2,729 110,400 (835) 259 (1,959) 10,994 (8,703) - - 202,705 8,944 211,649 Transactions with owners 46,181 896 144 (49,181) - - - - - - - (1,960) - (1,960) Acquisition of treasury shares 18 - (3,085) - - - - - - - - - (3,085) - (3,085) Cancellation of treasury shares 18 - 3,000 - (3,000) - - - - - - - - - - Result of delivery of treasury shares 18 - 981 (10) - - - - - - - - 971 - 971 Recognition of share-based payment plans - - 154 - - - - - - - - 154 - 154 Capitalization by reserves 46,181 - - (46,181) - - - - - - - - - - Corporate reorganization 2c I, 3 - - - (4) - - - - - - - (4) - (4) Other - - - (200) - - - - - - - (200) - (200) Dividends - declared after previous period - - - (12,229) - - - - - - - (12,229) - (12,229) Interest on capital - declared after previous period - - - (3,260) - - - - - - - (3,260) - (3,260) Unclaimed dividends and Interest on capital - - - - - - - - - - 38 38 - 38 Total comprehensive income - - - - 1,035 - (5) (2,946) 1,003 2 45,671 44,760 1,173 45,933 Consolidated net income - - - - - - - - - - 45,671 45,671 1,129 46,800 Other comprehensive income - - - - 1,035 - (5) (2,946) 1,003 2 - (911) 44 (867) Appropriations: Legal reserve - - - 2,283 - - - - - - (2,283) - - - Statutory reserves - - - 9,722 - - - - - - (9,722) - - - Dividends - - - - - - - - - - (20,000) (20,000) (633) (20,633) Interest on capital - - - - - - - - - - (13,704) (13,704) - (13,704) Total - 12/31/2025 18 136,910 (13) 2,873 57,531 200 259 (1,964) 8,048 (7,700) 2 - 196,146 9,484 205,630 Change in the period 46,181 896 144 (52,869) 1,035 - (5) (2,946) 1,003 2 - (6,559) 540 (6,019) 1) Includes the share in Other Comprehensive Income of Investments in Associates and Joint Ventures related to Fair value through other comprehensive income. 2) Includes Cash flow hedge and hedge of net investment in foreign operation. The accompanying notes are an integral part of these financial statements. 202


 
Itaú Unibanco Holding S.A. Consolidated Statement of Cash Flows 1 (In millions of reais) Note 07/01 to 12/31/2025 01/01 to 12/31/2025 Adjusted net income 48,999 112,308 Net income 23,498 45,671 Adjustments to net income: 25,501 66,637 Share-based payment 546 178 Effects of changes in exchange rates on cash and cash equivalents (1,239) 3,791 Expected credit loss with financial instruments 24 15,730 33,712 Income from interest and foreign exchange variation from operations with subordinated debt 3,502 4,386 Change in technical provisions for insurance, pension plan and premium bonds 8,472 19,152 Depreciation and amortization 3,830 7,497 Expense from update / charges on the provisions for civil lawsuits, labor and tax claims and social security lawsuits and other risks 11b 479 1,622 Provisions for civil lawsuits, labor and tax claims and social security lawsuits and other risks 11b 2,431 3,633 Revenue from update / charges on deposits in guarantee (512) (957) Deferred taxes (excluding hedge tax effects) 2,826 2,092 Equity in earnings of associates, joint ventures and other investments (722) (1,416) Income from foreign exchange of financial assets and income related to fair value through other comprehensive income (8,086) (7,899) Income from foreign exchange and income related to amortized cost (5,044) (5,508) Income from financial assets at fair value through other comprehensive income 3,068 5,279 Income from sale of investments and fixed assets (227) (325) Income from non-controlling interests 18e 645 1,129 Other (198) 271 Change in assets and liabilities (17,822) (51,173) (Increase) / decrease in assets Interbank investments (93,604) (40,974) Securities 10,478 (76,227) Derivative (assets / liabilities) (4,025) (3,535) Operations with credit granting characteristics (98,319) (106,408) Central Bank of Brazil deposits (1,758) (6,577) Interbank and interbranch accounts (assets / liabilities) (32,659) (23,029) Tax assets (7,865) (9,616) Other assets 562 7,461 (Decrease) / increase in liabilities Deposits 94,722 59,741 Securities sold under repurchase agreements 23,296 46,502 Debt instruments 19,689 35,363 Borrowing and onlending 27,671 12,051 Technical provision for insurance, pension plan and premium bonds 15,773 29,653 Tax liabilities 7,117 10,675 Other provisions and other liabilities 24,996 23,469 Payment of income tax and social contribution (3,896) (9,722) Net cash provided by / (used in) operating activities 31,177 61,135 Dividends / Interest on capital received from associates and joint ventures 297 612 (Purchase) / Funds from sale of financial assets at fair value through other comprehensive income (9,917) (27,401) (Purchase) / Funds from sale of financial assets at amortized cost (5,448) 27,031 (Purchase) / Sale of investments (89) (111) (Purchase) / Sale of fixed assets (681) (1,176) (Purchase) / Sale and Termination of intangible asset agreements (2,919) (5,939) Net cash provided by / (used in) investing activities (18,757) (6,984) Raising of subordinated debt obligations 3,000 12,401 Redemption of subordinated debt obligations (13,031) (13,864) Change in non-controlling interests 295 44 Acquisition of treasury shares (3,002) (3,085) Result of delivery of treasury shares 6 947 Dividends / Interest on capital paid to non-controlling interests (193) (633) Dividends / Interest on capital paid (27,435) (48,299) Net cash provided by / (used in) financing activities (40,360) (52,489) Net increase / (decrease) in cash and cash equivalents (27,940) 1,662 Cash and cash equivalents at the beginning of the period 123,645 99,073 Effect of changes in exchange rates on cash and cash equivalents 1,239 (3,791) Cash and cash equivalents at the end of the period 2c III 96,944 96,944 Cash 37,144 Interbank deposits 46,065 Securities purchased under agreements to resell - Collateral held 13,735 The accompanying notes are an integral part of these financial statements. 203


 
ITAÚ UNIBANCO HOLDING S.A. Consolidated Statement of Added Value (In millions of reais) Note 07/01 to 12/31/2025 01/01 to 12/31/2025 Income 213,694 389,474 Financial operations 193,573 358,095 Commissions and banking fees 25 25,307 48,973 Income from insurance, pension plan and premium bonds operations 3,593 7,000 Expected credit loss with financial instruments 8 (13,077) (28,631) Other 4,298 4,037 Expenses (142,746) (252,691) Financial operations (136,067) (241,395) Other (6,679) (11,296) Inputs purchased from third parties (10,537) (20,500) Third-Party and financial system services, security, transportation and travel expenses 26 (4,455) (8,605) Other (6,082) (11,895) Data processing and telecommunications 26 (3,074) (5,921) Advertising, promotions and publication 26 (859) (1,741) Installations and materials (1,237) (2,444) Other (912) (1,789) Gross added value 60,411 116,283 Depreciation and amortization 26 (3,056) (5,986) Net added value produced by the company 57,355 110,297 Added value received through transfer - Result of equity method 723 1,417 Total added value to be distributed 58,078 111,714 Distribution of added value 58,078 111,714 Personnel 17,122 33,612 Direct compensation 13,498 26,400 Benefits 2,916 5,838 FGTS – government severance pay fund 708 1,374 Taxes, fees and contributions 16,390 30,365 Federal 15,449 28,524 Municipal 941 1,841 Return on third parties' capital - Rent 423 937 Return on capital 24,143 46,800 Dividends and interest on capital 25,092 33,704 Retained earnings attributable to owners of the parent company (1,594) 11,967 Retained earnings attributable to non-controlling interests 645 1,129 The accompanying notes are an integral part of these financial statements. 204


 
ITAÚ UNIBANCO HOLDING S.A. Balance Sheet (In millions of reais) Assets Note 12/31/2025 Current and non-current assets 278,360 Cash 1,340 Interbank investments 2c IV, 4 31,319 Securities purchased under agreements to resell 22,486 Interbank deposits 8,833 Securities 2c IV, 5 36,986 Own portfolio 36,986 Derivatives 2c IV, 6 8 Operations with credit granting characteristics 2c IV, 8 176,070 Loan, lease and other credit operations 189,740 (Provision for expected credit loss) (13,670) Interbank and interbranch accounts 2 Current and deferred tax assets 24,611 Current tax assets 5,683 Deferred tax assets 20b I 18,928 Other assets 2c V 8,024 Permanent assets 195,287 Investments 2c VI, 12 194,921 Subsidiaries 194,921 Fixed assets 2c VIII, 2c X 5 Real estate 5 Other fixed assets 93 (Accumulated depreciation) (93) Intangible assets 2c IX, 2c X 361 Intangible assets 3,098 (Accumulated amortization) (2,737) Total assets 473,647 Liabilities and stockholders' equity Current and non-current liabilities 277,667 Deposits 2c IV, 16b 99,439 Demand deposits 121 Interbank deposits 99,318 Debt instruments 2c IV, 16d III 49,608 Funds from issues 1,486 Foreign loans through securities 7,454 Debt instruments with subordination clauses 40,668 Derivatives 2c IV, 6 234 Interbank and interbranch accounts 76,754 Provisions for financial guarantees, credit commitments and credits to be released 8a, 8c 142 Other provisions 1,275 Current and deferred tax liabilities 1,917 Current tax liabilities 2c XII, 2c XIII, 20c 999 Deferred tax liabilities 20b II 918 Other liabilities 9b 48,298 Stockholders' equity 18 195,980 Capital 136,910 Capital reserves 2,873 Profit reserves 57,107 Other comprehensive income 2c IV (897) (Treasury shares) (13) Total liabilities and stockholders' equity 473,647 The accompanying notes are an integral part of these financial statements. 205


 
ITAÚ UNIBANCO HOLDING S.A. Statement of Income (In millions of reais, except for number of shares and earnings per share information) Note 07/01 to 12/31/2025 01/01 to 12/31/2025 Income related to financial operations 16,044 30,680 Operations with credit granting characteristics 11,233 21,935 Securities, derivatives and other 4,811 8,745 Expenses related to financial operations (10,531) (19,773) Deposits and securities sold under repurchase agreements (10,769) (17,592) Debt instruments 261 (2,080) Borrowing and onlending (23) (101) Income related to financial operations before expected credit loss 5,513 10,907 Result of expected credit loss (5,034) (10,591) Expenses for expected credit loss (5,901) (12,270) Income related to recovery of financial assets written off as loss 867 1,679 Gross income related to financial operations 479 316 Other operating revenues / (expenses) 20,888 41,677 Commissions and banking fees 25 7,066 13,227 Personnel expenses (220) (442) Other administrative expenses (2,939) (5,957) Other provisions expenses 96 102 Provision for civil lawsuits (99) (173) Provision for labor claims (18) (29) Provision for tax and social security obligations and other risks 213 304 Tax expenses 20a II (1,011) (2,179) Equity in earnings of subsidiaries 12 19,772 40,122 Other operating revenues / (expenses) (1,876) (3,196) Operating income 21,367 41,993 Non-operating income (2) (4) Income before taxes on income and profit sharing 21,365 41,989 Income tax and social contribution 2c XIII 2,058 3,711 Due on operations for the period 736 144 Related to temporary differences 1,322 3,567 Profit sharing, net of taxes – Management members - Statutory (15) (41) Net income 23,408 45,659 Earnings per share - Basic Common 2.12 4.12 Preferred 2.12 4.12 Earnings per share - Diluted Common 2.10 4.08 Preferred 2.10 4.08 Weighted average number of outstanding shares - Basic Common 5,617,742,977 5,617,742,977 Preferred 5,437,532,545 5,459,926,630 Weighted average number of outstanding shares - Diluted Common 5,617,742,977 5,617,742,977 Preferred 5,539,170,312 5,571,684,620 The accompanying notes are an integral part of these financial statements. 206


 
ITAÚ UNIBANCO HOLDING S.A. Statement of Comprehensive Income (In millions of reais) 07/01 to 12/31/2025 01/01 to 12/31/2025 Net income 23,408 45,659 Financial assets at fair value through other comprehensive income (220) 1,093 Change in fair value (10) (2) Tax effect 5 (1) Associates / Subsidiaries (215) 1,096 Hedge (140) 888 Cash flow hedge 107 82 Associates / Subsidiaries 107 82 Hedge of net investment in foreign operation (247) 806 Change in fair value 887 1,407 Tax effect (1,102) (1,379) Associates / Subsidiaries (32) 778 Remeasurements of liabilities for post-employment benefits (1) 4 (5) Remeasurements 7 7 Tax effect 3 3 Associates / Subsidiaries (6) (15) Foreign exchange variation in foreign investments 2,007 (2,946) Change in fair value 608 (168) Associates / Subsidiaries 1,399 (2,778) Other (7) 2 Total other comprehensive income 1,644 (968) Total comprehensive income 25,052 44,691 1) Amounts that will not be subsequently reclassified to income. The accompanying notes are an integral part of these financial statements. 207


 
ITAÚ UNIBANCO HOLDING S.A. Statement of Changes in Stockholders’ Equity (In millions of reais) Note Capital Treasury shares Capital reserves Profit reserves Other comprehensive income Retained earnings TotalFair value through other comprehensive income adjustments Insurance contracts and private pension Remeasurements of liabilities of post- employment benefits Conversion adjustments of foreign investments Gains and losses – Hedge (1) Other Total - 07/01/2025 124,063 (18) 2,328 76,982 (648) 259 (1,968) 4,803 (4,996) 9 - 200,814 Transactions with owners 12,847 5 545 (15,847) - - - - - - - (2,450) Acquisition of treasury shares 18 - (3,002) - - - - - - - - - (3,002) Cancellation of treasury shares 18 - 3,000 - (3,000) - - - - - - - - Result of delivery of treasury shares 18 - 7 (1) - - - - - - - - 6 Recognition of share-based payment plans - - 546 - - - - - - - - 546 Capitalization by reserves 12,847 - - (12,847) - - - - - - - - Corporate reorganization 3, 2c I - - - (61) - - - - - - - (61) Other - - - 91 - - - - - - - 91 Unclaimed dividends and Interest on capital - - - - - - - - - - 20 20 Total comprehensive income - - - - (220) - 4 2,007 (140) (7) 23,408 25,052 Net income - - - - - - - - - - 23,408 23,408 Other comprehensive income - - - - (5) - 10 608 (215) - - 398 Portion of other comprehensive income from investments in associates and subsidiaries - - - - (215) - (6) 1,399 75 (7) - 1,246 Appropriations: Legal reserve - - - 1,170 - - - - - - (1,170) - Statutory reserves - - - (2,834) - - - - - - 2,834 - Dividends - - - - - - - - - - (20,000) (20,000) Interest on capital - - - (2,394) - - - - - - (5,092) (7,486) Total - 12/31/2025 18 136,910 (13) 2,873 57,107 (868) 259 (1,964) 6,810 (5,136) 2 - 195,980 Change in the period 12,847 5 545 (19,875) (220) - 4 2,007 (140) (7) - (4,834) Total - 01/01/2025 90,729 (909) 2,729 109,902 (1,961) 259 (1,959) 9,756 (6,024) - - 202,522 Transactions with owners 46,181 896 144 (49,181) - - - - - - - (1,960) Acquisition of treasury shares 18 - (3,085) - - - - - - - - - (3,085) Cancellation of treasury shares 18 - 3,000 - (3,000) - - - - - - - - Result of delivery of treasury shares 18 - 981 (10) - - - - - - - - 971 Recognition of share-based payment plans - - 154 - - - - - - - - 154 Capitalization by reserves 46,181 - - (46,181) - - - - - - - - Corporate reorganization 3, 2c I - - - (4) - - - - - - - (4) Other - - - (114) - - - - - - - (114) Dividends - declared after previous period - - - (12,229) - - - - - - - (12,229) Interest on capital - declared after previous period - - - (3,260) - - - - - - - (3,260) Unclaimed dividends and Interest on capital - - - - - - - - - - 38 38 Total comprehensive income - - - - 1,093 - (5) (2,946) 888 2 45,659 44,691 Net income - - - - - - - - - - 45,659 45,659 Other comprehensive income - - - - (3) - 10 (168) 28 - - (133) Portion of other comprehensive income from investments in associates and subsidiaries - - - - 1,096 - (15) (2,778) 860 2 - (835) Appropriations: Legal reserve - - - 2,283 - - - - - - (2,283) - Statutory reserves - - - 9,710 - - - - - - (9,710) - Dividends - - - - - - - - - - (20,000) (20,000) Interest on capital - - - - - - - - - - (13,704) (13,704) Total - 12/31/2025 18 136,910 (13) 2,873 57,107 (868) 259 (1,964) 6,810 (5,136) 2 - 195,980 Change in the period 46,181 896 144 (52,795) 1,093 - (5) (2,946) 888 2 - (6,542) 1) Includes Cash flow hedge and hedge of net investment in foreign operation. The accompanying notes are an integral part of these financial statements. 208


 
ITAÚ UNIBANCO HOLDING S.A. Statement of Cash Flows (In millions of reais) Note 07/01 to 12/31/2025 01/01 to 12/31/2025 Adjusted net income 10,266 15,738 Net income 23,408 45,659 Adjustments to net income: (13,142) (29,921) Share-based payment 546 178 Expected credit loss 5,901 12,270 Income from interest and foreign exchange variation from operations with subordinated debt 3,101 4,045 Expense from update / charges on the provisions for civil lawsuits, labor and tax claims and social security lawsuits and other risks 13 32 Provisions for civil lawsuits, labor and tax claims and social security lawsuits and other risks 117 202 Revenue from update / charges on deposits in guarantee 86 (32) Deferred taxes (1,322) (3,567) Equity in earnings of subsidiaries 12 (19,772) (40,122) Amortization of goodwill 22 45 Income from interest and foreign exchange variation of securities at fair value through other comprehensive income (1,854) (2,782) Effect of changes in exchange rates on cash and cash equivalents 6 (218) Other 14 28 Change in assets and liabilities (1,917) (7,797) (Increase) / decrease in assets Interbank investments 3,296 11,216 Securities 3,350 (8,885) Derivatives (assets / liabilities) 718 89 Interbank and interbranch accounts (assets / liabilities) (5,864) 2,707 Operations with credit granting characteristics (16,190) (31,054) Tax assets (2,006) (3,495) Other assets 13,799 15,411 (Decrease) / increase in liabilities Deposits 1,937 7,810 Securities sold under repurchase agreements (838) (8,247) Debt Instruments 68 3,931 Tax liabilities (1,619) (571) Other provisions and other liabilities 1,610 3,469 Payment of income tax and social contribution (178) (178) Net cash provided by / (used in) operating activities 8,349 7,941 Dividends and interest on capital received 24,512 45,607 (Purchase) / funds from sale of securities at fair value through other comprehensive income (1,920) (11,659) (Purchase) / sale of investments (2,883) 894 Cash and cash equivalents, net of assets and liabilities arising from the incorporation of Banco Itaucard S.A. 1 1 (Purchase) / sale of intangible assets (4) (4) Net cash provided by / (used in) investing activities 19,706 34,839 Raising in subordinated debt obligations 3,000 12,400 Redemption of subordinated debt obligations (13,016) (13,584) Result of delivery of treasury shares 6 947 Acquisition of treasury shares (3,002) (3,085) Dividends and interest on capital paid (27,435) (48,299) Net cash provided by / (used in) financing activities (40,447) (51,621) Net increase / (decrease) in cash and cash equivalents (12,392) (8,841) Cash and cash equivalents at the beginning of the period 36,224 32,449 Effects of changes in exchange rates on cash and cash equivalents (6) 218 Cash and cash equivalents at the end of the period 2c III 23,826 23,826 Cash 1,340 Securities purchased under agreements to resell - Collateral held 22,486 The accompanying notes are an integral part of these financial statements. 209


 
ITAÚ UNIBANCO HOLDING S.A. Statement of Added Value (In millions of reais) Note 07/01 to 12/31/2025 01/01 to 12/31/2025 Income 19,167 36,512 Financial operations 16,044 30,680 Commissions and banking fees 7,066 13,227 Expected credit loss with financial instruments (5,034) (10,591) Other 1,091 3,196 Expenses (12,406) (23,129) Financial operations (10,531) (19,773) Other (1,875) (3,356) Inputs purchased from third parties (2,938) (5,956) Third-Party and financial system services, security, transportation and travel expenses (141) (294) Advertising, promotions and publication (55) (182) Other (2,742) (5,480) Gross added value 3,823 7,427 Depreciation and amortization (5) (10) Net added value produced by the company 3,818 7,417 Added value received through transfer - Result of equity method 12 19,772 40,122 Total added value to be distributed 23,590 47,539 Distribution of added value 23,590 47,539 Personnel 210 390 Direct compensation 193 356 Benefits 15 29 FGTS – government severance pay fund 2 5 Taxes, fees and contributions (28) 1,490 Federal (231) 1,108 Municipal 203 382 Return on capital 23,408 45,659 Dividends and interest on capital 25,092 33,704 Retained earnings to shareholders (1,684) 11,955 The accompanying notes are an integral part of these financial statements. 210


 
Itaú Unibanco Holding S.A. Notes to the Financial Statements At 12/31/2025 for balance sheet accounts and from 01/01 to 12/31 of 2025 for the statement of income (In millions of reais, except when indicated) Note 1 - Operations Itaú Unibanco Holding S.A. (ITAÚ UNIBANCO HOLDING) is a publicly held company, organized and existing under the laws of Brazil. The head office is located at Praça Alfredo Egydio de Souza Aranha, No.100, in the city of São Paulo, state of São Paulo, Brazil. ITAÚ UNIBANCO HOLDING has a presence in 18 countries and territories and offers a wide variety of financial products and services to personal and corporate customers in Brazil and abroad, not necessarily related to Brazil, through its branches, subsidiaries and international affiliates. It offers a full range of banking services, through its different portfolios: commercial banking; investment banking; real estate lending; loans, financing and investment; leasing and foreign exchange business. ITAÚ UNIBANCO HOLDING is a financial holding company controlled by Itaú Unibanco Participações S.A. (“IUPAR”), a holding company which owns 51.71% of ITAÚ UNIBANCO HOLDING's common shares, and which is jointly controlled by (i) Itaúsa S.A. (“ITAÚSA”), a holding company controlled by members of the Egydio de Souza Aranha family, and (ii) Companhia E. Johnston de Participações (“E. JOHNSTON”), a holding company controlled by the Moreira Salles family. Itaúsa also directly holds 39.21% of ITAÚ UNIBANCO HOLDING’s common shares. These individual and consolidated financial statements were approved by the Board of Directors on February 04, 2026. Note 2 - Material accounting policies a) Basis of preparation The financial statements of ITAÚ UNIBANCO HOLDING and its subsidiaries (ITAÚ UNIBANCO HOLDING CONSOLIDATED) have been prepared in accordance with the Brazilian Corporate Law, as amended by Laws 11,638, of December 28, 2007, and 11,941, of May 27, 2009, and in compliance, when applicable, with instructions issued by the National Monetary Council (CMN), the Central Bank of Brazil (BACEN), the Brazilian Securities Commission (CVM), the National Council of Private Insurance (CNSP) and the Superintendence of Private Insurance (SUSEP). The information in the financial statements and accompanying notes evidences all relevant information inherent in the financial statements, and only them, which is consistent with information used by management in its administration. ITAÚ UNIBANCO HOLDING adopted on January 1, 2025, CMN Resolution No. 4,966/21 that changes the accounting criteria applicable to financial instruments and opted for the exemption from presentation, in the Consolidated and Individual Financial Statements, of the comparative amounts related to previous periods, as set forth in Article 79 of this Resolution. In order to allow better understanding of these Consolidated and Individual Financial Statements, supplementary information was included in the Consolidated Balance Sheet and Consolidated and Individual Statement of Changes in Stockholders’ Equity, that corresponds to the balances on December, 31, 2024, adjusted with new concepts at the initial date of effectiveness of CMN Resolution No. 4,966/21. Further information on the effects of the regulatory transition is detailed in Note 2b I. The presentation of the Statements of Added Value is required by the Brazilian corporate legislation and by the accounting practices adopted in Brazil applicable to publicly-held companies. This Statement was prepared in accordance with the criteria established by Technical Pronouncement CPC 09 - Statement of Added Value. 211


 
b) Changes in new accounting standards and interpretations of existing standards I - Applicable for period ended December 31, 2025 • CMN Resolution No. 4,966/21 - Financial Instruments - Establishes the classification, measurement, recognition and write-off of financial instruments, recognition of a provision for expected credit loss associated with credit risk and designation and accounting recognition of hedge accounting. Adoption was prospective, with no material effects, as of January 1, 2025, with the exception of hedge accounting and adjustment to the present value of restructured financial instruments whose effectiveness will be on January 1, 2027. CMN Resolution No. 4,966/21 considers the following pillars: Classification and measurement of financial instruments: the Securities classification categories that where previously Held to Maturity, Available for Sale and Held for Trading and no longer exist, and three measurement categories are introduced for all financial assets: • Amortized cost (AC): used when financial assets are managed to obtain contractual cash flows, consisting only of principal and interest payments. A significant portion of the financial assets previously classified as Held to Maturity and Available for Sale has been accounted for in this category, in addition to Credit Operations and Other Credits. • Fair value through other comprehensive income (FVOCI): used when financial assets are held both to obtain contractual cash flows, consisting only of principal and interest payments, and for sale. The remaining portion of financial assets previously accounted for as Available for Sale was classified in this category. • Fair value through profit or loss (FVPL): used for financial assets that do not meet the criteria described above. Derivatives, financial assets Held for Trading and equity instruments were recorded in this category. Two criteria should be considered to determine the classification of the financial assets described above: • Business model definition: that reflects how financial instruments are managed to achieve a specific commercial objective and generate cash flows, not depending on the management’s intentions in relation to an individual instrument. • Characteristics of contractual cash flow: they are tested individually to validate whether they meet the criteria for payment of only principal and interest. In the initial adoption there were designation of equity instruments at fair value through other comprehensive income whose ITAÚ UNIBANCO HOLDING CONSOLIDATED’s objective is not to generate return from their sale, since they mainly refer to companies for the development of the market in which it operates. Additionally, with the objective of eliminating accounting asymmetries, there was a designation of financial assets at fair value through profit or loss that are part of the market risk management strategy. ITAÚ UNIBANCO HOLDING CONSOLIDATED kept the measurement of financial liabilities, which remains measured at amortized cost, except for Derivatives, which are measured at fair value through profit or loss. Financial instruments measured at AC and FVOCI use the effective interest method to calculate interest income or expense, considering the materiality aspects of transaction costs in origination. To calculate the effective interest rate of credit operations with credit granting characteristics classified in AC category, ITAÚ UNIBANCO HOLDING CONSOLIDATED adopted a differentiated methodology for recognition of revenues and expenses related to transaction costs. Provision for expected credit loss associated with credit risk: includes the use of prospective information and classification of financial instruments in three stages: 212


 
• Stage 1 - credit loss expected for the next 12 months. Applicable to financial instruments without significant increase in credit risk. ITAÚ UNIBANCO HOLDING CONSOLIDATED did not adopt the option to calculate the expected credit loss for the entire life of financial instruments at this stage. • Stage 2 - expected credit loss over the life of the financial instrument. Applicable to financial instruments with a significant increase in credit risk since their origination. • Stage 3 - expected credit loss over the life of the financial instrument. Applicable to assets with credit recovery problems (problem assets), evidenced by the delay over 90 days in the payment of principal or charges or by the indication that the respective obligation will not be fully honored. At this stage, the recognition of interest is on cash basis. A financial instrument will migrate of stage as its credit risk increases or decreases. ITAÚ UNIBANCO HOLDING CONSOLIDATED did not recognize the interest of the operations that, in the transition, were past due for over 60 days and were not characterized as problem assets. For comparability purposes, the balances as of December 31, 2024 are presented under the same headings as January 1, 2025, the effects did not change the amount Stockholders’ Equity. Following is a summary of the changes made to financial instruments starting January 1, 2025: Itaú Unibanco Holding S.A. Consolidated Balance Sheet at 01/01/2025 (In millions of Reais) Assets 12/31/2024 Transfers 12/31/2024 Remeasurements / Changes (2) 01/01/2025 Released balance Supplementary information balance (unaudited) (1) Classification Supplementary information balance (unaudited) Current and non-current assets 3,013,832 (159,212) 2,854,620 (3,306) 2,851,314 Cash 36,127 - 36,127 - 36,127 Interbank investments, net of provision for expected credit loss 302,587 - 302,587 (27) AC 302,560 Securities 1,020,761 (184,007) 836,754 (1,040) 835,714 Trading securities 536,294 (2,430) 533,864 266 FVPL 553,997 Available for sale securities 304,692 (135,019) 169,673 FVOCI 125,384 Held to maturity securities 179,775 (46,558) 133,217 AC 157,639 (Provision for expected credit loss) - - - (1,306) (1,306) Derivatives (Trading) (3) 94,180 1,786 95,966 522 FVPL 96,488 Operations with credit granting characteristics 974,715 181,817 1,156,532 715 1,157,247 Loan, lease and other credit operations 1,022,135 (57) 1,022,078 - AC 1,022,078 Available for sale securities - 135,019 135,019 5,036 140,055 Held to maturity securities - 47,031 47,031 1,454 48,485 (Provision for expected credit loss) (47,420) (176) (47,596) (5,775) (53,371) Interbank and interbranch accounts 246,261 - 246,261 - AC 246,261 Current and deferred tax assets 88,756 - 88,756 (3,286) 85,470 Other assets 250,445 (158,808) 91,637 (190) AC / FVPL 91,447 Investments, net 8,439 - 8,439 88 8,527 Fixed assets, net 9,080 - 9,080 - 9,080 Goodwill and intangible assets, net 17,186 - 17,186 - 17,186 Total assets 3,048,537 (159,212) 2,889,325 (3,218) 2,886,107 1) The amounts presented include transfers of balances. 2) Refer to expected credit loss and adjustment to fair value of financial assets reclassified between measurement categories in compliance with the requirements of CMN Resolution No. 4,966/21. 3) Includes foreign exchange operations. 213


 
Itaú Unibanco Holding S.A. Consolidated Balance Sheet at 01/01/2025 (In millions of Reais) Liabilities and Stockholders' Equity 12/31/2024 Transfers 12/31/2024 Remeasurements / Changes (2) 01/01/2025 Released balance Supplementary information balance (unaudited) (1) Classification Supplementary information balance (unaudited) Current and non-current liabilities 2.838.080 (159,212) 2,678,868 (4,410) 2,674,458 Deposits 1,054,741 - 1,054,741 - AC 1,054,741 Securities sold under repurchase agreements 409,656 - 409,656 - AC 409,656 Debt instruments 332,120 45,224 377,344 - AC 377,344 Borrowing and onlending 135,113 - 135,113 - AC 135,113 Derivatives (3) 87,175 9,446 96,621 (10) FVPL 96,611 Interbank and interbranch accounts 103,820 - 103,820 - AC 103,820 Provisions for financial guarantees, credit commitments and credits to be released 4,176 - 4,176 (3,023) AC 1,153 Technical provision for insurance, pension plan and premium bonds 311,812 - 311,812 - 311,812 Other provisions 16,628 - 16,628 - 16,628 Current and deferred tax liabilities 24,365 - 24,365 (1,377) 22,988 Other liabilities 358,474 (213,882) 144,592 - AC / FVPL 144,592 Total stockholders' equity of controlling shareholders 201,055 - 201,055 1,650 202,705 Non-controlling interests 9,402 - 9,402 (458) 8,944 Total stockholders' equity 210,457 - 210,457 1,192 211,649 Total liabilities and stockholders' equity 3,048,537 (159,212) 2,889,325 (3,218) 2,886,107 1) The amounts presented include transfers of balances. 2) Refer to the expected credit loss and adjustment to fair value of financial assets reclassified between measurement categories in accordance with the requirements of CMN Resolution No. 4,966/21. 3) Includes foreign exchange operations. In ITAÚ UNIBANCO HOLDING, the new classifications of financial instruments did not produce any effect on Stockholders’ equity in the initial adoption of CMN Resolution No. 4,966/21. The classification involved the transfer of financial assets previously classified as Available for sale securities at a Fair value through profit of loss in the amount of R$ 2. In relation to expected credit loss associated with credit risk, there was an increase in Assets of R$ 1,638, as a counterparty to Stockholders’ equity, which corresponds to R$ 652, net of tax effects. In addition, there were net reflective impacts of associates and subsidiaries on Stockholders’ equity of R$ (271). ITAÚ UNIBANCO HOLDING CONSOLIDATED would have recognized in Income or Other Comprehensive Income the amount of R$ 1,607 during the period from 01/01/2025 to 12/31/2025 if the financial instruments had not been reclassified of category. 12/31/2024 01/01/2025 01/01 to 12/31/2025 Gains/(Losses) of unrecognized fair value adjustment Fair value Classification Income Other comprehensive income Securities 840,986 AC - 1,607 FVOCI - - 214


 
Regarding the provisions for expected credit loss from financial instruments, ITAÚ UNIBANCO HOLDING CONSOLIDATED presents a summary of the changes made: Financial instruments 12/31/2024 01/01/2025 Rating Accounting balance Impairment Stage Gross accounting balance Provision for Expected credit loss Securities N/A 849,002 (616) 1 292,498 (110) 2 241 (1) 3 1,595 (1,195) N/A (1) 554,726 - Total 849,002 (616) 849,060 (1,306) AA 558,075 (1,720) A 262,116 (2,185) B 118,618 (3,257) C 32,559 (3,253) Credit operations D 8,600 (2,579) E 5,240 (2,620) F 6,331 (4,431) G 5,485 (5,452) H 25,054 (25,054) N/A 188,540 (3,549) 1 1,098,610 (9,958) 2 56,770 (13,068) 3 55,238 (30,345) Total (2) 1,210,618 (54,100) 1,210,618 (53,371) Financial guarantees, credit commitments and credits to be released (3) 1 611,267 (337) 623,730 (1,045) 2 8,509 (124) 3 3,954 (692) Total 623,730 (1,045) 623,730 (1,153) 1) Financial assets not subject to expected credit loss, composed of government securities classified in the FVPL category measured at level 1 of the fair value hierarchy and by equity instruments (FVPL or FVOCI). 2) On January 1, 2025, the provision for expected credit loss comprises R$ 47,983 relating to credit operations, lease and other credits with credit granting characteristics and R$ 5,388 related to securities with credit granting characteristics. 3) The amounts are recorded off-balance sheet. • CMN Resolution No. 4,975/21 - Lease - Receives the Accounting Pronouncement (CPC) 06 (R2) - Leases that eliminate the accounting of operating leases for the lessee, presenting a single lease model, which consists of: (a) initially recognize all leases as a right of use and the respective obligation at present value; and (b) recognize the depreciation of the right of use and the interest on the lease separately in income. Transition to CMN Resolution No. 4,975/21 ITAÚ UNIBANCO HOLDING has adopted the Accounting Pronouncement (CPC) 06 (R2) - Lease, prospectively, since January 1, 2025, using the following criteria: (1) unified discount rate, considering a portfolio of similar contracts; and (2) calculation of the Right-of-use asset and lease liability for new contracts signed in which ITAÚ UNIBANCO HOLDING appears as a lessee, as from the effectiveness of the standard. II - Applicable to future periods • CMN Resolution No. 4,966/21 - Financial instruments and related regulations - Establishes the designation and accounting recognition of hedge and adjustment to the present value of restructured financial instruments, being in force starting January 1, 2027. Possible impacts are being evaluated and will be completed by the date of the standard effectiveness. • CMN Resolution No. 5,252/21 - Sustainability assets and liabilities - Defines criteria for the measurement, recognition, write-off and disclosure of sustainability assets and liabilities. Changes will be prospectively applied as from 1 January 2027. Possible impacts are being assessed and will be completed until the beginning of the standard effectiveness. 215


 
c) Accounting policies, critical estimates and material judgments This note presents the main critical estimates and judgments used in the preparation and application of ITAÚ UNIBANCO HOLDING CONSOLIDATED’s specific accounting policies. These estimates and judgments present a material risk and may have a material impact on the values of assets and liabilities due to uncertainties and the high level of subjectivity involved in the recognition and measurement of certain items. Therefore, actual results may differ from those obtained by these estimates and judgments. I - Consolidation The consolidated financial statements of ITAÚ UNIBANCO HOLDING CONSOLIDATED comprise the transactions carried out by its branches and subsidiaries in Brazil and abroad, including investment funds, in which ITAÚ UNIBANCO HOLDING CONSOLIDATED holds either direct or indirect control. The main judgment exercised in the control assessment is the analysis of facts and circumstances that indicate whether ITAÚ UNIBANCO HOLDING CONSOLIDATED is exposed or is entitled to variable returns and has the ability to affect these returns through its influence over the entity on a continuous basis. The consolidated financial statements are prepared using consistent accounting policies. Intercompany asset and liability account balances, income accounts and transaction values have been eliminated. In ITAÚ UNIBANCO HOLDING, goodwill recorded in subsidiaries is amortized based on the expected future profitability and appraisal reports, or upon realization of the investment, according to the rules and guidance of CMN and BACEN. The difference in Net Income and Stockholders’ Equity between ITAÚ UNIBANCO HOLDING and ITAÚ UNIBANCO HOLDING CONSOLIDATED (Note 18d) results substantially from the adoption of different criteria for the amortization of goodwill originating from acquisitions of investments, for recognizing transactions with minority shareholders where there is no change in control, prior to January 1, 2022, and for recognizing foreign exchange differences, prior to January 1, 2017, on foreign investments and hedging these investments, which are denominated in currencies other than the functional currency of the parent company, net of the corresponding tax effects. The effects of foreign exchange differences on foreign investments are classified under the heading Income on Securities, Derivative Financial Instruments and Other in the Statement of Income for subsidiaries with the same functional currency as the parent company, and in Other Comprehensive Income for subsidiaries with a different functional currency. In conformity with CPC 23 - Accounting Policies, Changes in Accounting Estimates and Errors, and with the purpose of maintaining the quality and reliability of the financial statements, in addition to providing a more appropriate representation of the equity position, financial performance and cash flows, ITAÚ UNIBANCO HOLDING CONSOLIDATED adopted the accounting policy for correcting, starting July 1, 2023, the financial statements of its controlled companies located in hyperinflationary economies in accordance with CPC 42 - Financial Reporting in Hyperinflationary Economies. The following table shows the main consolidated companies, which together represent over 95% of total consolidated assets, as well as the interests of ITAÚ UNIBANCO HOLDING in their voting capital: 216


 
Functional currency (1) Incorporation Country Activity Interest in voting capital % Interest in total capital % 12/31/2025 12/31/2025 In Brazil Banco Itaú Consignado S.A. Real Brazil Financial institution 100.00% 100.00% Banco Itaucard S.A. Real Brazil Financial institution 100.00% 100.00% Cia. Itaú de Capitalização Real Brazil Premium Bonds 100.00% 100.00% Dibens Leasing S.A. - Arrendamento Mercantil Real Brazil Leasing 100.00% 100.00% Financeira Itaú CBD S.A. Crédito, Financiamento e Investimento Real Brazil Consumer Finance Credit 53.88% 53.88% Itaú Corretora de Valores S.A. Real Brazil Securities Broker 100.00% 100.00% Itaú Seguros S.A. Real Brazil Insurance 100.00% 100.00% Itaú Unibanco S.A. Real Brazil Financial institution 100.00% 100.00% Itaú Vida e Previdência S.A. Real Brazil Pension Plan 100.00% 100.00% Luizacred S.A. Sociedade de Crédito, Financiamento e Investimento Real Brazil Consumer Finance Credit 50.00% 50.00% Redecard Instituição de Pagamento S.A. Real Brazil Acquirer 100.00% 100.00% Foreign Banco Itaú Chile Chilean Peso Chile Financial institution 67.42% 67.42% Banco Itaú Paraguay S.A. Guarani Paraguay Financial institution 100.00% 100.00% Banco Itaú (Suisse) S.A. Swiss Franc Switzerland Financial institution 100.00% 100.00% Banco Itaú Uruguay S.A. Uruguayan Peso Uruguay Financial institution 100.00% 100.00% Itau Bank, Ltd. Real Cayman Islands Financial institution 100.00% 100.00% Itau BBA International plc US Dollar United Kingdom Financial institution 100.00% 100.00% Itau BBA USA Securities Inc. US Dollar United States Securities Broker 100.00% 100.00% Itaú Colombia S.A. Colombian Peso Colombia Financial institution 67.06% 67.06% 1) All overseas offices of ITAÚ UNIBANCO HOLDING CONSOLIDATED have the same functional currency as the parent company, except for Itaú Chile New York Branch and Itaú Unibanco S.A. Miami Branch, which functional currency is the US Dollar. 217


 
I.I - Business combinations When accounting for business combinations, ITAÚ UNIBANCO HOLDING CONSOLIDATED exercises judgments in the identification, recognition, and measurement of: price adjustments; contingent considerations; and options or obligations to buy or sell ownership interest of the acquired entity. Non-controlling shareholders’ ownership interest is measured on the date of acquisition according to the proportional interest in Stockholders’ equity of the acquired entity. I.II - Capital transactions with non-controlling stockholders Changes in an ownership interest in a subsidiary, which do not result in a loss of control, are accounted for as capital transactions and any difference between the amount paid and the carrying amount of non-controlling stockholders is recognized directly in Stockholders' equity. II - Functional and presentation currency The consolidated financial statements of ITAÚ UNIBANCO HOLDING CONSOLIDATED are presented in Brazilian Reais, which is its functional and presentation currency. For each subsidiary, associate and joint venture, ITAÚ UNIBANCO HOLDING CONSOLIDATED exercised judgment to determine its functional currency, considering the currency of the primary economic environment in which the entity operates. Foreign currency operations are translated using the exchange rates prevailing on the dates of the transactions, and exchange gains and losses are recognized in the Statement of Income. For conversion of the financial statements of foreign entities with a functional currency other than Reais, ITAÚ UNIBANCO HOLDING CONSOLIDATED uses the exchange rate on the closing date to convert assets and liabilities, and the average monthly exchange rate to convert income and expenses, except for foreign entities located in hyperinflationary economies. Exchange differences generated by this conversion are recognized in Other Comprehensive Income, net of tax effects, and reclassified, either in total or partially, to income when ITAÚ UNIBANCO HOLDING CONSOLIDATED loses control of the foreign entity. The ITAÚ UNIBANCO HOLDING CONSOLIDATED conducts hedge of net investment in foreign operation, whose effective portion is recognized in Stockholders’ Equity. III - Cash and cash equivalents They are defined as cash and cash equivalents, current accounts with banks and financial investments, which are promptly convertible into cash, this is, which original term is equal to or lower than 90 days and are subject to an insignificant risk of change in value, shown in the Balance Sheet under the headings Cash, Interbank deposits and Securities purchased under agreements to resell (Collateral held). IV - Financial assets and liabilities Financial assets and liabilities are initially recognized at fair value on the trading date. Financial assets are written off, if: • the contractual rights to the cash flows of the financial asset expire. • there are no reasonable expectations of its recovery. In this case, the write-off is carried out simultaneously with the use of the related provision for expected credit loss and collection procedures are maintained. Subsequent recoveries are accounted for as revenue as a counterparty to asset, with the constitution of their respective provision for expected credit loss. • ITAÚ UNIBANCO HOLDING CONSOLIDATED transfers substantially the risks and benefits of the financial asset. The main judgments exercised by ITAÚ UNIBANCO HOLDING CONSOLIDATED in the write-off of financial assets are: assessment of the time when contractual rights to cash flows of financial assets expire; reasonable expectation of recovery of the financial asset, and substantial transfer of risks and benefits or control. 218


 
When the contractual cash flow of a financial asset is renegotiated or otherwise modified, ITAÚ UNIBANCO HOLDING CONSOLIDATED evaluates whether the renegotiation event is characterized as a restructuring, this is, whether there has been a significant concession to the counterparty, due to the deterioration of the client’s credit quality. The gross book value of the renegotiated financial assets is recalculated with the new conditions agreed upon. Financial liabilities are written off when extinguished, this is, when the obligation specified in the contract is settled, canceled, matured or expired. IV.I - Classification of financial assets The classification and subsequent measurement of financial assets are detailed in Note 2b I . Hybrid contracts: to identify if a contract contains embedded derivatives, ITAÚ UNIBANCO HOLDING CONSOLIDATED considers especially if there is any indexing to different components of interest and uncertainty regarding the link with the final indexing. Hybrid contracts in which the main component is a financial asset are accounted for on a jointly basis, this is, the whole instrument (principal and derivative component) is measured at fair value through profit or loss. In other cases, embedded derivatives are treated as separate financial instruments if: their characteristics and economic risks are not closely related to those of the main component; the separate instrument meets the definition of a derivative; and the underlying instrument is not booked at fair value through profit or loss. Equity instruments: the shares and quotas are classified at fair value through profit or loss, except when the financial instrument is held with a purpose other than its trading, situation in which ITAÚ UNIBANCO HOLDING CONSOLIDATED designates it, on an irrevocable basis, at fair value through other comprehensive income. IV.II - Classification of financial liabilities Financial liabilities are subsequently measured at amortized cost, except for: • Financial liabilities at fair value through profit or loss: classification applied to derivatives and financial liabilities generated in loans or rental of financial assets. • Credit commitments and Credits to be released. • Financial guarantees: measured by the greater amount between (i) the provision for expected credit loss; and (ii) the balance of the service fee to be deferred in income, according to the contract term. IV.III - Subsequent measurement of financial instruments Fair value of financial instruments: to measure fair value, assessment techniques applying information classified in three levels of hierarchy are used, prioritizing prices listed in active markets of the instruments. ITAÚ UNIBANCO HOLDING CONSOLIDATED classifies this information according to the relevance of data observed in the fair value measurement process: Level 1: Observable inputs that reflect quoted prices (unadjusted) for identical assets or liabilities in active markets. An active market is a market in which transactions for the asset or liability being measured occur often enough and with sufficient volume to provide pricing information on an ongoing basis. Level 2: Inputs that are not observable for the asset or liability either directly or indirectly. Level 2 generally includes: (i) quoted prices for similar assets or liabilities in active markets; (ii) quoted prices for identical or similar assets or liabilities in markets that are not active, that is, markets in which there are few transactions for the asset or liability, the prices are not current, or quoted prices vary substantially either over time or among market makers, or in which little information is released publicly; (iii) inputs other than quoted prices that are observable for the asset or liability (for example, interest rates and yield curves observable at commonly quoted intervals, volatilities, etc.); (iv) inputs that are mainly derived from or corroborated by observable market data through correlation or by other means. 219


 
Level 3: Inputs that are not observable for the asset or liability allowing the use of internal models and techniques. The portion of the fair value variation resulting from changes in ITAÚ UNIBANCO HOLDING CONSOLIDATED own credit risk is recognized in other comprehensive income, for the net amount of tax effects. To determine the gains and losses realized in the disposal of financial assets at fair value, average cost is used, which are recorded in the Consolidated Statement of Income as Securities, Derivatives and Other and Financial Income from Assets Guaranteeing Technical Provisions. For financial instruments measured at fair value on a recurring basis, including derivatives, that are not traded in active markets, the fair value is calculated by using valuation techniques based on assumptions, that consider market information and conditions. The estimated fair value obtained through these techniques cannot be substantiated by comparison with independent markets and, in many cases, cannot be realized on immediate settlement of the instrument. The main assumptions considered to estimate the fair value are: historical database, information on similar transactions, discount rate and estimate of future cash flows. The main judgments applied in the calculation of the fair value of more complex financial instruments, or those that are not negotiated in active markets or do not have liquidity, are: determining the model used with the selection of specific inputs and, in certain cases, evaluation adjustments are applied to the model amount or price quoted for financial instruments that are not actively traded. The application of these judgments may result in a fair value that is not indicative of the net realizable value or future fair values. However, ITAÚ UNIBANCO HOLDING CONSOLIDATED believes that all the methodologies adopted are appropriate and consistent with other market participants. The fair value of financial instruments as well as the hierarchy of fair value are detailed in Note 17. Amortized cost: is the amount at which the financial asset or liability is measured at initial recognition, plus adjustments made under the effective interest rate method, less repayments of principal and interest, and any provision for expected credit loss. ITAÚ UNIBANCO HOLDING CONSOLIDATED uses the effective interest rate method to calculate interest income or expense for financial instruments at amortized cost and through other comprehensive income, which considers costs and fees directly attributable to the origination of the contract, such as commissions paid or received by the parties to the contract, transaction costs and other premiums and discounts when exceeding 1% of the instrument's total revenues or charges. Additionally, ITAÚ UNIBANCO HOLDING CONSOLIDATED adopted the differentiated methodology for financial assets with credit granting characteristic classified in the amortized cost category. For liabilities classified in the amortized cost category, incremental costs and revenues are deferred by the effective interest rate curve. ITAÚ UNIBANCO HOLDING CONSOLIDATED classifies financial instruments as problem assets if the payment of principal or interest is overdue for over 90 days or indicates that the obligation will not be honored under the conditions agreed. In this case, the appropriation of interest starts being recognized on the cash basis. Expected credit loss: The main judgments exercised of ITAÚ UNIBANCO HOLDING CONSOLIDATED to calculate the expected credit loss are: selection of quantitative models to assess the expected credit loss; determination of triggers to significantly increase or decrease credit risk; identification and grouping of portfolios with similar credit risk characteristics; establishment of the maximum contractual period for assets with no determined maturity; determination of prospective information, macroeconomic scenarios and probability-weighted scenarios. 220


 
For makes an assessment of the expected credit loss on financial instruments (except equity instrument, derivatives, government securities measured at fair value through profit or loss at level 1 of the hierarchy of fair value) and to credit commitments and non-cancellable credits to be released, applying a three-stage approach to demonstrate changes in credit risk. • Stage 1 – considers default events possible within 12 months. Applicable to financial assets which are not credit impaired when purchased or originated or which credit risk has decreased significantly. • Stage 2 – considers all possible default events over the life of the financial instrument. Applicable to financial instruments which credit risk has increased significantly since the initial recognition or that no longer have credit recovery problems, but their credit risk has not decreased significantly. • Stage 3 – applicable to problem assets, for which a probability of default (PD) of 100% is considered. The assessment of expected credit loss is detailed in Note 2b I. The measurement of expected credit loss requires the application of significant assumptions and use of quantitative models. Management exercises its judgment in the assessment of the adequacy of the expected loss amounts resulting from models and, according to its experience, makes adjustments that may result from certain clients' credit status or temporary adjustments resulting from situations or new circumstances that have not been reflected in the modeling yet. The main assumptions considered to estimate the expected credit loss are: • Determining criteria for significant increase or decrease in credit risk: ITAÚ UNIBANCO HOLDING CONSOLIDATED determines triggers (indicators) of significant increase in the credit risk of a financial asset since its initial recognition on an individual basis and, in the case of retail portfolios, collectively. For collective assessment purposes of retail portfolios, financial assets are grouped based on similar characteristics of shared credit risk, considering the type of instrument, credit risk classifications, initial recognition date, remaining term, guarantees, among other significant factors. For wholesale business portfolios, the assessment is conducted on an individual basis. The migration of the financial asset to an earlier stage occurs with a consistent reduction in credit risk, mainly characterized by the non-activation of credit deterioration triggers. • Maximum contractual period: ITAÚ UNIBANCO HOLDING CONSOLIDATED estimates the useful life of assets that do not have fixed maturity date based on the period of exposure to credit risk and contractual terms, including prepayment and rollover options. • Prospective information: ITAÚ UNIBANCO HOLDING CONSOLIDATED uses macroeconomic forecasts and public information with projections prepared internally to determine the impact of these estimates on the calculation of expected credit loss. The main prospective information used to determine the expected credit loss is projected default, which is related to projections of Selic Rate, Credit Default Swap (CDS), unemployment rate, Gross Domestic Product (GDP), wages, industrial production and expanded retail sales. The definition of Macroeconomic scenarios involves inherent risks, market uncertainties and other factors that may give rise to results different from those expected. ITAÚ UNIBANCO HOLDING CONSOLIDATED uses weighted scenarios to determine credit loss expected over a suitable observation horizon adequate to classification in stages, which are reassessed annually or when the market conditions so require. 221


 
ITAÚ UNIBANCO HOLDING CONSOLIDATED uses the option to measure the expected credit loss based on the delayed payment of principal or interest, the loss history and other relevant information for financial instruments recognized in the heading Other Assets. IV.IV - Derivatives and use of hedge accounting These are classified on the date of their acquisition, according to whether or not management intends to use them for hedging, in conformity with BACEN Circular 3,082, of January 30, 2002. Transactions involving financial instruments, carried out at a customer’s request, for the bank’s own account, or which do not comply with the hedging criteria (mainly derivatives used to manage overall risk exposure), are stated at fair value, including realized and unrealized gains and losses, which are recorded directly in the Statement of Income. Derivatives that are used for protection against risk exposure or to modify the characteristics of financial assets and liabilities, where changes in fair value are closely related to those of the items being protected at the beginning and throughout the duration of the contract, and which are considered to be effective in reducing the risk exposure in question, are classified as hedges of the following types: • Cash flow hedge: the effective portion of a hedge of financial assets and liabilities, and the related financial instruments, are booked at fair value plus realized and unrealized gains and losses, net of tax effects, when applicable, and recorded in a specific account in Stockholders’ Equity. The ineffective portion is recorded directly in the Statement of Income. • Market fair value: financial assets and liabilities, as well as their related financial instruments, are booked at fair value, plus realized and unrealized gains and losses, which are recorded directly in the Statement of Income. • Hedge of net investments in foreign operations: accounted for similarly to a cash flow hedge: the effective portion of gains or losses of hedging instrument is recognized directly in Stockholders’ Equity and reclassified to income for the period in the event of the disposal of the foreign operation. The ineffective portion is recognized in income for the period. V - Other non-financial assets Other non-financial assets are composed of Prepaid expenses, Encrypted digital assets, Assets held for sale, among others. Encrypted digital assets can be used as a means of exchange or value reserve and are acquired for trading. Recognition and measurement are carried at fair value and are classified in level 1 of the fair value hierarchy, since their values reflect quoted (unadjusted) prices available in active markets. Subsequent appreciation and depreciation are recognized in income for the period. Assets Held for Sale are registered upon their receipt in the settlement of financial assets or by the decision to sell own assets. These assets are initially accounted for at the lower of: (i) the fair value of the good less the estimated selling costs (ii) their book value. ITAÚ UNIBANCO HOLDING CONSOLIDATED exercises judgment when assessing the fair value of the asset, either upon the initial recognition or in the subsequent measurement, considering, when applicable, evaluation reports and the likelihood of definitive hindrance to sale. VI - Investments in associates and joint ventures Associates are companies in which ITAÚ UNIBANCO HOLDING CONSOLIDATED has significant influence, mainly represented by participation in the Board of Directors or Executive Board, and in the processes of development of operating and financial policies, including the distribution of dividends, provided that they are not considered rights to protect minority interest. 222


 
Joint ventures are arrangements in which the parties are entitled to the net assets of the business, which is jointly controlled, this is, decisions about the business are made unanimously between the parties, regardless of their percentage of interest. Investments in associates and joint ventures include goodwill identified in the acquisition, net of any accumulated impairment loss. They are recognized at acquisition cost and are accounted for under the equity method. VII - Lease operations (Lessee) To conduct its commercial activities, ITAÚ UNIBANCO HOLDING CONSOLIDATED is the lessee, mainly of real estate (underlying assets) in the execution of the contract; future rent payments are recognized at present value discounted by an average funding rate (incremental rate) in the heading Other liabilities and the financial expense is recognized in income. In counterparty to this financial liability, a right of use is recognized in the headings of Fixed Assets and/or Intangible Assets, depreciated under the straight-line method for the lease term and tested semiannually to identify possible impairment losses. In case the underlying asset is of low value (except real estate), payments are recognized in liabilities as a counterparty to expense, when due. To establish the lease period, ITAÚ UNIBANCO HOLDING CONSOLIDATED considers the non-cancellable period of the contract, the expectation of renewal, contractual termination, and the expected vacancy period, as the case may be. The main judgments exercised in lease operations are: determination of the discount rate that reflects the cost that would be incurred to buy the asset; establishment of low-value assets; and assessment of the expectation of contractual renewal. VIII - Fixed assets Fixed assets are booked at their acquisition cost less accumulated depreciation, and adjusted for impairment, if applicable. Depreciation is calculated under the straight-line method using rates based on the estimated useful lives of these assets. ITAÚ UNIBANCO HOLDING CONSOLIDATED recognizes in fixed assets expenses that increase (i) productivity, (ii) efficiency or (iii) the useful life of the asset for more than one fiscal year. The main judgements are about the definition of the residual values and useful life of assets. IX - Goodwill and intangible assets Goodwill is generated in business combinations and acquisitions of ownership interests in associates and joint ventures. It represents the future economic benefits expected from the transaction that are neither individually identified nor separately recognized, being amortized based on the expected future profitability. Intangible assets are immaterial goods acquired or internally developed, they include the Association for the promotion and offer of financial products and services, software, rights of use leases and rights for acquisition of payrolls. Intangible assets are measured at amortized cost in the initial recognition and amortized using the straight-line method over their estimated useful lives. X - Impairment of non-financial assets The recoverable amount of investments in associates and joint ventures, right-of-use assets, fixed assets, goodwill and intangible assets is assessed semiannually or when there is an indication of loss. The assessment is conducted individually by asset class whenever possible or by cash-generating unit (CGU). To assess the recoverable amount, ITAÚ UNIBANCO HOLDING CONSOLIDATED considers the materiality of the assets, except for goodwill, which is evaluated regardless of its amount. The main internal and external indications which can impact the recoverable amount are: business strategies established by management; obsolescence and/or disuse of software/hardware; and the macroeconomic, market and regulatory scenario. 223


 
Depending on the asset class, the recoverable amount is estimated using especially the methodologies: Discounted Cash Flow, Multiple and Dividend Flow, using a discount rate that in general reflects financial and economic variables, such as risk-free interest rate and a risk premium. The assessment of recoverable amount reflects Management’s best estimate for the expected future cash flows from individual assets or CGU, as the case may be. The main judgments exercised in the assessment of recoverable amount of non-financial assets are: the choice of the most appropriate methodology, the discount rate and assumptions for cash inflows and outflows. XI - Insurance, private pension and premium bonds operations Insurance contracts establish, for one of the parties, upon payment (premium) by the other party, the obligation to pay the latter a certain amount in the event of a claim. Insurance risk is defined as a future and uncertain event, of a sudden and unforeseeable nature, independent of the insured’s will, which may cause economic loss when it occurs. Once a contract is classified as an insurance contract, it remains as such until the end of its life, even if the insurance risk is significantly reduced during the period, unless all rights and obligations are extinguished or expired. Private pension plans refer to contracts that provide for retirement benefits after an accumulation period (known as PGBL, VGBL and FGB) provide a guarantee, at the commencement date of the contract, of the basis for calculating the retirement benefit (mortality table and minimum interest rates). The contracts specify the annuity rates and, therefore, the insurance risk is transferred to the issuer from the start. These contracts are classified as insurance contracts. Insurance premiums are accounted for over the term of the contracts in proportion to the amount of insurance coverage, through the establishment and reversal of a provision for unearned premiums and deferred selling expenses. Interest arising from fractioning of insurance premiums is accounted for as incurred. Revenues from pension contributions and the respective technical provisions are recognized upon receipt. The revenue arising from premium bonds quotas and raffles is recognized upon receipt, and the quota of carry after meeting the consideration. ITAÚ UNIBANCO HOLDING CONSOLIDATED recognizes, if there is any evidence of impairment losses with respect to receivables for insurance premiums, a sufficient provision to cover this loss, based on a risk analysis of realization of insurance premiums receivable with installments overdue. Reinsurance: in the ordinary course of business, ITAÚ UNIBANCO HOLDING CONSOLIDATED reinsures a portion of the risks underwritten, particularly property and casualty risks that exceed the maximum limits of responsibility that it determines to be appropriate for each segment and product (after a study which considers size, experience, special features, and the capital necessary to support these limits). These reinsurance agreements allow the recovery of a portion of losses from the reinsurer, although they do not release the insurer from the main obligation as direct insurer of the risks covered by the reinsurance. ITAÚ UNIBANCO HOLDING CONSOLIDATED exercises its judgment in assessing the recoverable amount of reinsurance receivables, based on its experience and reinsurers' rating. Technical provisions: are liabilities arising from obligations of ITAÚ UNIBANCO HOLDING CONSOLIDATED to its policyholders and participants. These obligations may be short term liabilities (property and casualty insurance) or medium and long term liabilities (life insurance and pension plans). The determination of the actuarial liability is subject to several uncertainties inherent in the coverage of insurance and pension contracts, such as assumptions of persistence, mortality, disability, life expectancy, morbidity, expenses, frequency and severity of claims, conversion of benefits into annuities, redemptions and return on assets. 224


 
The estimates for these assumptions are based on macroeconomic projections and the historical experience of ITAÚ UNIBANCO HOLDING CONSOLIDATED, benchmarks and the experience of the actuary, in order to comply with best market practices and constantly review of the actuarial liability. Liability adequacy test: ITAÚ UNIBANCO HOLDING CONSOLIDATED tests, semiannually, liability adequacy by adopting current actuarial assumptions for future cash flows of all insurance contracts and private pension plans in force on the test base date. Should the analysis show insufficiency, it will be accounted for in income for the period when arising from changes in the non-financial risk of insurance and in other comprehensive income, when arising from changes in the interest rate (ETTJ). XII - Provisions, contingent assets and contingent liabilities Provisions and contingent liabilities are assessed based on the Management’s best estimates considering the opinion of legal advisors. The accounting treatment of provisions and contingent liabilities depends on the likelihood of disbursing funds to settle obligations. According to the probability of loss they are classified as: (i) probable and are provisioned in the Financial Statements; (ii) possible, are not provisioned and are reported in the Notes; and (iii) remote: no provision is recognized, and contingent liabilities are not disclosed in the Financial Statements. Provisions and contingent liabilities are estimated in a mass or individualized basis: • Mass lawsuits: civil lawsuits and labor claims with similar characteristics, whose individual amounts are not relevant. The expected amount of the loss is estimated on a monthly basis, according to the statistical model. Civil and labor provision and contingencies are adjusted to the amount of the performance guarantee deposit when it is made. For civil lawsuits, their nature, and characteristics of the court in which they are being processed (Small claims court or ordinary court) is observed. For labor claims, the estimated amount is reassessed considering the court decisions rendered. • Individual lawsuits: civil lawsuits, labor claims, tax claims and social security lawsuits with peculiar characteristics or relevant amounts. For civil lawsuits and labor claims, the expected amount of the loss is periodically estimated, as the case may be, based on the determination of the amount claimed and the particularities of the lawsuits. The likelihood of loss is assessed according to the characteristics of facts and points of law regarding that lawsuit. Tax and social security lawsuits are assessed individually and are accounted for at the amount due. Assets pledged as guarantees of civil lawsuits, labor claims, tax claims and social security lawsuits should be conducted in court and are retained until a definitive court decision is made. Cash deposits, surety insurance, sureties and government securities are offered, and in case of unfavorable decision, the amount is paid to the counterparty. The amount of judicial deposits is updated in accordance with the regulations in force. Civil, labor, tax, and social security provisions, guaranteed by indemnity clauses in privatization and other procedures, in which there is liquidity, are recognized upon judicial notice, simultaneously with amounts receivable, not having effect on income. The main judgments exercised in the measurement of provisions and contingencies are: assessment of the probability of loss; aggregation of mass lawsuits; selection of the statistical model for loss assessment; and estimated provisions amount. Information on provisions and contingencies for legal proceedings are detailed in Note 11. XIII - Income tax and social contribution The provision for income tax and social contribution is composed for current taxes, which are recovered or paid during the reporting period, and deferred taxes, represented by deferred tax assets and liabilities, arising from the differences between the tax bases of assets and liabilities and the amounts reported at the end of each period. 225


 
Deferred tax assets may arise from: temporary differences, which may be deductible in future periods; and income tax losses and social contribution tax loss on net income, which may be offset in the future. The expected realization of deferred tax assets is estimated based on the projection of future taxable profits and other technical studies, observing the history of profitability for each subsidiary and for the consolidated taken as whole. The main assumptions considered in the projections of future taxable income are: macroeconomic variables, exchange rates, interest rates, volume of financial operations, service fees, internal business information, among others, which may present variations in relation to actual data and amounts. The main judgments that ITAÚ UNIBANCO HOLDING CONSOLIDATED exercises in recognition of deferred tax assets and liabilities are: identification of deductible and taxable temporary differences in future periods; and evaluation of the likelihood of the existence of future taxable profit against which the deferred tax assets may be used, considering the history of taxable income or income in at least three of the last five fiscal years. Tax rates, as well as their calculation bases, are detailed in Note 20. XIV - Post-employment benefits ITAÚ UNIBANCO HOLDING CONSOLIDATED sponsors post-employment benefit plans for employees in Defined Benefit, Defined Contribution and Variable Contribution modalities. The present value of obligations, net of fair value of assets, is recognized in the actuarial liabilities according to the characteristics of the plan and actuarial estimates. When the fair value of the plan assets exceeds the present value of obligations, an asset is recognized, limited to the rights of ITAÚ UNIBANCO HOLDING CONSOLIDATED. Actuarial estimates are based on assumptions of the following nature: (i) demographic: mainly the mortality table; and (ii) financial: the most relevant ones are the projection of inflation and the discount rate used to determine the present value of the obligations that considers the yields of government securities and the maturity of respective obligations. Annual remeasurements of the plans are recognized under Stockholders’ Equity, in Other Comprehensive Income. The main judgments exercised in calculating the obligation of post-employment benefit plans are: selection of the mortality table and the discount rate. XV - Commissions and banking fees Commissions and banking fees are recognized when ITAÚ UNIBANCO HOLDING CONSOLIDATED provides or offers services to customers, in an amount that reflects the consideration ITAÚ UNIBANCO HOLDING CONSOLIDATED expects to collect in exchange for those services. Incremental costs, when material, are recognized in assets and appropriated in income according to the expected term of the contract. Service revenues related to credit cards, debit, current account, payments and collections and economic, financial and brokerage advisory are recognized when said services are provided. Revenue from certain services, such as fees from funds management, collection and custody, are recognized over the life of the respective agreements, as services are provided. ITAÚ UNIBANCO HOLDING CONSOLIDATED exercises judgment to identify whether the performance obligation is satisfied over the life of the contract or at the time the service is provided. 226


 
Note 3 - Business development Zup I.T. Serviços em Tecnologia e Inovação S.A. On October 31, 2019, ITAÚ UNIBANCO HOLDING, through its subsidiary Redecard Instituição de Pagamento S.A. (REDE), entered into a purchase and sale agreement for 100% of Zup I.T. Serviços em Tecnologia e Inovação S.A.'s (ZUP) capital in three phases, and the first phase, performed in March 2020, granted control to ITAÚ UNIBANCO HOLDING. In 2023, ITAÚ UNIBANCO HOLDING increased its ownership interest by 20.57% (2,228,342 shares) for the amount of R$ 199, then holding 72.51%. In 2024, there was a dilution of 1.32% (issuance of 200,628 new shares) in the ownership interest of ITAÚ UNIBANCO HOLDING and the completion of the third stage, with the acquisition of the remaining ownership interest of 28.81% (3,178,623 shares) in the ZUP's capital for the amount of R$ 312. The effective acquisitions and financial settlements occurred on May 31, 2023, June 14, 2023 and March 28, 2024. Avenue Holding Cayman Ltd On July 08, 2022, ITAÚ UNIBANCO HOLDING entered into a share purchase agreement with Avenue Controle Cayman Ltd and other selling stockholders for the acquisition of control of Avenue Holding Cayman Ltd (AVENUE). The purchase occurs in three phases over five years. In the first phase, ITAÚ UNIBANCO HOLDING, through its subsidiary ITB Holding Brasil Participações Ltda., acquired 35% of AVENUE’s capital, which became a joint venture, for approximately R$ 563. In the second phase, ITAÚ UNIBANCO HOLDING acquired additional ownership equivalent to control with 50.1% of AVENUE’s capital (Note 28g). After five years of the first phase, ITAÚ UNIBANCO HOLDING may exercise a call option for the remaining ownership interest. AVENUE holds a U.S. digital securities broker aimed to democratize the access of Brazilian investors to the international market. Regulatory approvals were completed on October 31, 2023, and the process for the acquisition and financial settlement occurred on November 30, 2023. In August 2024, AVENUE issued new shares which resulted in the reduction of ITAÚ UNIBANCO HOLDING’s ownership interest to 33.6% in AVENUE’s capital. In addition, in July 2025, new shares were issued, resulting in the reduction of ITAÚ UNIBANCO HOLDING’s ownership interest to 32.9%. 227


 
Note 4 - Interbank investments The accounting policy on interbank investments is presented in Note 2c IV. 12/31/2025 Amortized Cost Securities purchased under agreements to resell 269,780 Collateral held 17,152 Collateral repledge 174,390 Assets received as collateral with right to sell or repledge 58,545 Assets received as collateral without right to sell or repledge 115,845 Collateral sold 78,238 Interbank deposits 65,544 Assets guaranteeing technical provisions 5,093 (Provision for expected credit loss) (29) Total 340,388 Current 333,330 Non-current 7,058 Interbank investments are classified in stage 1. In ITAÚ UNIBANCO HOLDING the portfolio is classified as amortized cost and composed of Securities purchased under agreements to resell – Collateral held in the amount of R$ 22,486, Interbank deposits in the amount of R$ 8,833, and the fair value of these investments totals R$ 31,319. 228


 
Note 5 - Securities The accounting policy on Securities is presented in Note 2c IV. a) Summary 12/31/2025 Note Gross book value Expected credit loss Fair value adjustment Accounting balance At amortized cost (AC) 5b 136,615 (154) - 136,461 At fair value through other comprehensive income (FVOCI) 5c 161,254 (479) (1,614) 159,161 Designated at fair value through other comprehensive income (Designated FVOCI) 5c 1,840 - (1,060) 780 At fair value through profit or loss (FVPL) 5d 607,392 (83) 217 607,526 Designated at fair value through profit or loss (Designated FVPL) 5d 21,455 (20) 53 21,488 Total 928,556 (736) (2,404) 925,416 Current 504,665 Non-current 420,751 ITAÚ UNIBANCO HOLDING CONSOLIDATED evaluates 24.9% of the portfolio as low credit risk, mainly Government securities - Brazil, and for this reason it does not recognizes a provision for expected credit loss. Securities are classified as: R$ 325,585 in stage 1, R$ 209 in stage 2 and R$ 1,161 in stage 3. Provisions for expected credit loss on securities are classified as: R$ (105) in stage 1, R$ (30) in stage 2 and R$ (601) in stage 3. Of the total balance of the stages, R$ 713 is from renegotiated operations, of which 100% refers to restructured operations. In the period, ITAÚ UNIBANCO HOLDING CONSOLIDATED recognized R$ 848 of exchange variation in income, without considering the effects of exchange rate hedging. Interest income on impaired assets not recognized during the period amounted toR$ 41. 229


 
12/31/2025 Note Own portfolio Restricted to Assets guaranteeing technical provisions Total (2) Repurchase agreements Pledged guarantees (1) Central Bank of Brazil Borrowing Note - Assets received as collateral without right to sell or repledge Assets received as collateral with right to sell or repledge 10b Government securities 279,240 102,479 43,622 34,174 17,306 - 19,588 496,409 Brazil 225,048 100,050 40,211 12,176 17,306 - 19,588 414,379 Latin America 38,867 2,429 2,298 9,009 - - - 52,603 Abroad 15,325 - 1,113 12,989 - - - 29,427 Corporate securities 31,526 2,150 1,492 9,435 - - 61 44,664 Rural product note 165 - - - - - - 165 Bank deposit certificates 272 36 - 2 - - - 310 Real estate receivables certificates 5,586 - - - - - - 5,586 Debentures 6,833 2,114 - - - - - 8,947 Eurobonds and other 9,931 - 1,492 9,433 - - - 20,856 Financial bills 770 - - - - - - 770 Promissory and commercial notes 19 - - - - - - 19 Other 7,950 - - - - - 61 8,011 Shares 17,679 - - 4,467 - 23 77 22,246 Investment Funds 27,169 - - 94 - - 90 27,353 Specially organized investment funds (PGBL/VGBL) - - - - - - 335,480 335,480 Total 355,614 104,629 45,114 48,170 17,306 23 355,296 926,152 AC 5b 82,342 3,126 17,775 22,749 4,008 - 6,615 136,615 FVOCI and Designated FVOCI 5c 96,934 21,515 10,804 8,978 13,298 - 8,891 160,420 FVPL and Designated FVPL 5d 176,338 79,988 16,535 16,443 - 23 339,790 629,117 1) Represent securities linked to balances in Post-employment benefits (Note 22b), stock exchanges and settlement and custody houses. 2) The balance does not comprises expect credit loss. 230


 
b) Securities at amortized cost (AC) 12/31/2025 Gross book value Government securities 93,503 Brazil 72,488 Latin America 5,974 Abroad 15,041 Corporate securities 43,112 Bank deposit certificates 63 Real estate receivables certificates 4,700 Fund quotas 19,334 Eurobonds and other 11,983 Financial bills 379 Other 6,653 Total 136,615 Expected credit loss (154) Amortized cost 136,461 Current 39,445 Non-current 97,016 c) Securities at fair value through other comprehensive income (FVOCI) 12/31/2025 Gross book value Fair value adjustment Fair value Government securities 149,831 (1,513) 148,318 Brazil 110,710 (1,519) 109,191 Latin America 25,173 (30) 25,143 Abroad 13,948 36 13,984 Corporate securities 11,423 (580) 10,843 Bank deposit certificates 168 (1) 167 Real estate receivables certificates 221 1 222 Debentures 4,603 (171) 4,432 Eurobonds and other 6,301 (410) 5,891 Financial bills 5 - 5 Other 125 1 126 Total 161,254 (2,093) 159,161 Shares (designated at FVOCI) 1,840 (1,060) 780 Total 163,094 (3,153) 159,941 Expected credit loss (Income) (479) Fair value adjustment (OCI) (2,674) Fair value 159,941 Current 39,775 Non-current 120,166 Regarding the shares designated to FVOCI, there was no receipt of dividends and sale of shares in the period. At ITAÚ UNIBANCO HOLDING, the portfolio is composed of Eurobonds and other in the amount of R$ 1,485 and Financial bills in the amount of R$ 26,097. 231


 
d) Securities at fair value through profit or loss (FVPL) 12/31/2025 Gross book value Fair value adjustment Fair value Government securities 233,082 (5) 233,077 Brazil 226,596 65 226,661 Latin America 6,085 (70) 6,015 Abroad 401 - 401 Corporate securities 9,600 (116) 9,484 Rural product note 165 - 165 Bank deposit certificates 80 - 80 Real estate receivables certificates 669 (10) 659 Debentures 4,422 (117) 4,305 Eurobonds and other 2,644 (5) 2,639 Financial bills 382 4 386 Promissory and commercial notes 19 - 19 Other 1,219 12 1,231 Shares 21,116 350 21,466 Investment funds 8,114 (95) 8,019 Specially organized investment funds (PGBL/VGBL) 335,480 - 335,480 Total 607,392 134 607,526 Government securities (Designated FVPL) 21,455 33 21,488 Total 628,847 167 629,014 Expected credit loss (Income) (103) Fair value adjustment (Income) 270 Fair value 629,014 Financial assets not subject to Expected credit loss 599,761 322 600,083 Financial assets subject to Expected credit loss 29,086 (155) 28,931 Current 425,446 Non-current 203,568 At ITAÚ UNIBANCO HOLDING, the portfolio is composed of Shares in the amount of R$ 12, Fixed-income fund quotas in the amount of R$ 8,003 and Eurobonds and other in the amount of R$ 1,389. 232


 
Note 6 - Derivatives The accounting policy on Derivatives is presented in Note 2c IV. ITAÚ UNIBANCO HOLDING CONSOLIDATED trades in derivatives with various counterparties to manage its overall exposure and to assist its customers in managing their own exposure. Futures - They are agreements to buy or sell financial or non-financial instruments on a future date at a fixed price. These contracts can be settled in cash or by physical delivery. The nominal value of these contracts represents the face value of the associated instrument. Forwards - They are forward contracts that involve the purchase or sale of financial and non-financial instruments on a future date, at a contracted price, and which are settled by delivering or not the underlying item against a financial amount. They include exchange contracts that are currency forwards. Options - They are contracts that allow the buyer, upon the payment of a fee, the right to buy or sell financial or non-financial instruments at a fixed price during a specified term. Swaps - They are contracts to settle in cash on a future date or dates, the difference between two specified financial indexes, applied over a notional principal amount. Credit derivatives - They are financial instruments which aim is to transfer credit risk: • Credit default swap (CDS): They are contracts whose amount depends on the credit risk of a financial asset (reference entity), allowing the buyer of the protection to transfer this risk to the seller of the protection. The seller, in exchange for a fee, assumes the obligation to make payments when a credit event occurs. • Total return swap (TRS): They are contracts in which the parties exchange the full return of an asset or basket of assets for periodic cash flows. Further information on parameters used to manage risks may be found in Note 27. 233


 
a) Derivatives by maturity date and counterparty By notional amount 12/31/2025 Futures Forward Options Swaps NDF Credit derivatives Other Total Maturity ranges 0 - 30 499,584 56,116 1,452,351 686,500 237,605 2,751 1,081 2,935,988 31 - 90 224,069 34,281 833,624 515,001 155,756 - 388 1,763,119 91 - 365 240,613 61,371 4,419,485 1,222,548 281,022 50,417 635 6,276,091 366 - 720 140,341 12,554 74,601 773,310 73,963 17,752 2,187 1,094,708 Over 720 days 212,304 6,037 44,141 1,406,264 45,741 44,352 6,954 1,765,793 Total 1,316,911 170,359 6,824,202 4,603,623 794,087 115,272 11,245 13,835,699 Counterparties Stock exchange 1,316,883 9,856 6,694,178 2,631,330 143,223 48,710 106 10,844,286 Over-the-counter market 28 160,503 130,024 1,972,293 650,864 66,562 11,139 2,991,413 Financial institutions 28 118,102 81,893 1,593,922 397,802 66,562 7,026 2,265,335 Companies - 42,356 44,662 341,383 250,286 - 4,113 682,800 Individuals - 45 3,469 36,988 2,776 - - 43,278 Total 1,316,911 170,359 6,824,202 4,603,623 794,087 115,272 11,245 13,835,699 By fair value - assets 12/31/2025 Futures Forward Options Swaps NDF Credit derivatives Other Total Maturity ranges 0 - 30 - 2,012 1,360 4,885 2,223 198 570 11,248 31 - 90 - 412 1,262 1,264 1,719 - 1 4,658 91 - 365 - 1,459 3,871 4,826 3,153 57 6 13,372 366 - 720 - 543 1,861 9,371 749 97 19 12,640 Over 720 days - 151 3,315 26,838 507 263 319 31,393 Total - 4,577 11,669 47,184 8,351 615 915 73,311 Counterparties Stock exchange - 418 7,996 20,217 1,138 163 590 30,522 Over-the-counter market - 4,159 3,673 26,967 7,213 452 325 42,789 Financial institutions - 3,076 2,153 18,975 4,153 452 294 29,103 Companies - 1,082 1,442 7,312 3,006 - 31 12,873 Individuals - 1 78 680 54 - - 813 Total - 4,577 11,669 47,184 8,351 615 915 73,311 By fair value - liabilities 12/31/2025 Futures Forward Options Swaps NDF Credit derivatives Other Total Maturity ranges 0 - 30 - (3,204) (499) (5,385) (2,574) - (40) (11,702) 31 - 90 - (621) (894) (1,397) (1,500) - (1) (4,413) 91 - 365 - (412) (2,922) (4,865) (4,399) (4) (37) (12,639) 366 - 720 - (119) (1,495) (8,601) (1,749) (52) (6) (12,022) Over 720 days - (26) (2,442) (25,512) (707) (311) (144) (29,142) Total - (4,382) (8,252) (45,760) (10,929) (367) (228) (69,918) Counterparties Stock exchange - (8) (3,920) (20,200) (1,556) (184) (63) (25,931) Over-the-counter market - (4,374) (4,332) (25,560) (9,373) (183) (165) (43,987) Financial institutions - (3,284) (2,271) (16,910) (4,318) (183) (97) (27,063) Companies - (1,047) (2,021) (6,065) (4,996) - (68) (14,197) Individuals - (43) (40) (2,585) (59) - - (2,727) Total - (4,382) (8,252) (45,760) (10,929) (367) (228) (69,918) Own credit risk (DVA) was R$ 19 and is composed of derivatives. The amount of the margins pledged in guarantee by ITAÚ UNIBANCO HOLDING was R$ 14,190, composed basically of cash, shares and government securities. 234


 
b) Derivatives by index 12/31/2025 Futures Forward Options Swaps NDF Credit derivatives Other Total Shares Notional amount 15,858 432 2,109,457 2,177 5 6,616 2,728 2,137,273 Fair value - asset - 418 7,247 559 - 132 6 8,362 Fair value - liability - - (5,163) (981) - (104) (27) (6,275) Commodities Notional amount 16,204 17 15,938 49 10,401 2 774 43,385 Fair value - asset - 17 1,274 - 253 - 20 1,564 Fair value - liability - (15) (526) (100) (442) - (20) (1,103) Interest Notional amount 1,229,993 2,202 4,538,680 4,568,007 - 108,642 7,499 10,455,023 Fair value - asset - 2,204 1,015 45,299 - 483 335 49,336 Fair value - liability - (2,204) (523) (44,081) - (263) (147) (47,218) Foreign currency Notional amount 54,856 167,708 160,127 33,390 783,681 12 244 1,200,018 Fair value - asset - 1,938 2,133 1,326 8,098 - 554 14,049 Fair value - liability - (2,163) (2,040) (598) (10,487) - (34) (15,322) c) Credit derivatives 12/31/2025 Received risk Transferred risk Net risk Credit derivatives CDS (34,559) 28,141 (6,418) TRS (52,573) - (52,573) Total (87,132) 28,141 (58,991) During the periods, there were no credit events relating to the taxable events provided for in the agreements of Credit derivatives. Note 7 - Hedge accounting The accounting policy on Hedge accounting is presented in Note 2c IV. ITAÚ UNIBANCO HOLDING CONSOLIDATED has a risk limits structure applied to each risk factor, which aims at improving the monitoring and understanding of risks, in addition to avoiding their concentration. In hedge accounting, the groups of risk factors comprise: • Interest Rate: Risk of loss in transactions subject to interest rate variations. • Currency: Risk of loss in transactions subject to foreign exchange variation. The structures designated for the risk factor groups are carried out considering the risks in their totality when there are compatible hedge instruments. In certain cases, management may decide to hedge a risk for the risk factor term and limit of the hedging instrument. The other risk factors hedged by the institution are presented in Note 27. To protect cash flows and fair value of instruments designated as hedged items, derivatives and financial assets are used. ITAÚ UNIBANCO HOLDING CONSOLIDATED manages risks through the economic relationship between hedging instruments and hedged items, where the expectation is that these instruments will move in opposite directions and in the same proportion, with the purpose of neutralizing risk factors. 235


 
For portfolio strategies, the coverage ratio is often re-established as both the protected item and instruments change over time, reflecting risk management guidelines approved by management. The designated coverage ratio is always 100% of the risk factor eligible for coverage. Sources of ineffectiveness are in general related to the counterparty’s credit risk and possible mismatches of terms between the hedging instrument and the hedged item. a) Summaries by instrument and hedge item, nominal amount and maturity 12/31/2025 Hedge instruments Hedged item Notional amount Fair value adjustment Gross book value Cash flow hedge 240,699 (112) 240,803 Hedge of assets transactions 2,609 - 2,590 Hedge of asset-backed securities under repurchase agreements 14,039 - 14,459 Hedge of assets denominated in Chilean unit of account 83,462 (126) 83,462 Hedge of loan operations 20,950 78 20,950 Hedge of deposits and repurchase agreements 85,676 - 85,403 Hedge of funding 32,753 (63) 32,753 Hedge of highly probable forecast transactions (1) 1,210 (1) 1,186 Hedge of net investment in foreign operations 29,033 41 27,551 Hedge of net investment in foreign operations 29,033 41 27,551 Fair value hedge 160,161 (665) 161,615 Hedge of securities at amortized cost 71,035 (778) 72,925 Hedge of securities at fair value through other comprehensive income 15,422 86 15,073 Hedge of loan operations 34,599 71 34,599 Hedge of funding 39,075 (44) 38,990 Hedge of firm commitments (1) 30 - 28 Total 429,893 (736) 429,969 1) Refer to amounts designated to registered hedge items Off-Balance sheet. 236


 
12/31/2025 0-1 year 1-2 years 2-3 years 3-4 years 4-5 years 5-10 years Over 10 years Total Cash flow hedge 151,954 40,224 17,515 11,116 13,883 6,007 - 240,699 Hedge of assets transactions - - 2,068 - 541 - - 2,609 Hedge of asset-backed securities under repurchase agreements - - 8,132 5,907 - - - 14,039 Hedge assets denominated in Chilean unit of account 73,095 10,367 - - - - - 83,462 Hedge of loan operations 11,276 2,029 804 1,647 5,194 - - 20,950 Hedge of deposits and repurchase agreements 51,197 20,191 3,579 2,835 2,032 5,842 - 85,676 Hedge of funding 15,176 7,637 2,932 727 6,116 165 - 32,753 Hedge of highly probable forecast transactions (1) 1,210 - - - - - - 1,210 Hedge of net investment in foreign operations 29,033 - - - - - - 29,033 Hedge of net investment in foreign operations (2) 29,033 - - - - - - 29,033 Fair value hedge 56,922 25,728 27,560 14,035 9,295 21,670 4,951 160,161 Hedge of securities at amortized cost 10,207 9,412 16,532 6,416 5,369 19,759 3,340 71,035 Hedge of securities at fair value through other comprehensive income 11,438 130 1,390 98 728 688 950 15,422 Hedge of loan operations 13,600 7,890 5,988 4,507 1,411 882 321 34,599 Hedge of funding 21,647 8,296 3,650 3,014 1,787 341 340 39,075 Hedge of firm commitments (1) 30 - - - - - - 30 Total 237,909 65,952 45,075 25,151 23,178 27,677 4,951 429,893 1) Refer to amounts designated to registered hedge items Off-Balance sheet. 2) Classified as current, since instruments are renewed often. b) Cash flow hedge Strategies are used to manage the variation: • In the cash flow of interest payment by using futures contracts: Hedge of asset transactions (DI); Hedge of asset repurchase agreements (Selic); Hedge of time deposits and repurchase agreements (DI). • In the cash flow of interest payment by using swap contracts: Hedge of assets denominated in Chilean unit of account (UF); Hedge of loan operations (Monetary policy rate - TPM); Hedge of funding (TPM). • In the amount of the commitments assumed, caused by variation in the exchange rates: Hedge of highly probable forecast transactions (foreign currency), not recognized in the balance sheet. 237


 
Strategies Heading 12/31/2025 Hedged item Hedge instrument Book value Variation in value recognized in other comprehensive income Cash flow hedge reserve Notional amount Variation in fair value used to calculate hedge ineffectivenessAssets Liabilities Interest rate risk Hedge of assets transactions Operations with credit granting characteristics 2,590 - 9 (5) 2,609 9 Hedge of asset-backed securities under repurchase agreements Securities purchased under agreements to resell 14,459 - (186) (875) 14,039 (187) Hedge of assets denominated in Chilean unit of account Securities 83,462 - 57 56 83,462 57 Hedge of loan operations Loan and lease operations 20,950 - 54 106 20,950 55 Hedge of deposits and repurchase agreements Securities sold under repurchase agreements and Deposits - 85,403 (273) (8) 85,676 (273) Hedge of funding Deposits - 30,935 (41) (65) 30,935 (41) Foreign exchange risk Hedge of funding Deposits - 1,818 28 28 1,818 28 Hedge of highly probable forecast transactions (1) 200 986 20 124 1,210 20 Total 121,661 119,142 (332) (639) 240,699 (332) 1) Refer to amounts designated to registered hedge items Off-balance sheet. Hedges of asset transactions, asset-backed securities under repurchase agreements and deposits and repurchase agreements to resell are portfolio strategies. Hedge instruments 12/31/2025 Notional amount Book value (1) Variations in fair value used to calculate hedge ineffectiveness Variation in value recognized in other comprehensive income Hedge ineffectiveness recognized in income Amount reclassified from cash flow hedge reserve to incomeAssets Liabilities Interest rate risk Futures 102,324 - - (450) (450) - (152) Forward 72,802 - 110 50 50 - (29) Swaps 62,545 141 69 21 21 - 18 Foreign exchange risk Futures 834 - - 23 23 - (2) Forward 2,194 - 74 24 24 - - Total 240,699 141 253 (332) (332) - (165) 1) Values recorded in the heading derivatives. 238


 
c) Hedge of net investment in foreign operations Strategies aim to reduce exposure to foreign exchange variation arising from foreign investments in a foreign currency other than the head office’s functional currency. Strategies 12/31/2025 Hedged item Hedge instrument Book value Variation in value recognized in other comprehensive income Foreign currency conversion reserve Notional amount Variation in fair value used to calculate hedge ineffectivenessAssets Liabilities Foreign exchange risk Hedge of net investment in foreign operations 27,551 - (13,583) (13,583) 29,033 (13,660) Total 27,551 - (13,583) (13,583) 29,033 (13,660) Hedge instruments 12/31/2025 Notional amount Book value (1) Variation in the amount used to calculate hedge ineffectiveness Variation in the amount recognized in other comprehensive income Hedge ineffectiveness recognized in income Amount reclassified from foreign currency conversion reserve into incomeAssets Liabilities Foreign exchange risk Future 12,285 - - (4,807) (4,766) (41) - Future / NDF 9,245 84 - (6,875) (6,774) (101) - Future / Financial assets 7,503 - 43 (1,978) (2,043) 65 - Total 29,033 84 43 (13,660) (13,583) (77) - 1) Recorded in the heading derivatives. d) Fair value hedge Strategies are used to mitigate exposure to fair value variation in interest receipts and future exchange rate fluctuations, attributable to changes in interest rates and exchange rates related to recognized assets and liabilities. ITAÚ UNIBANCO HOLDING CONSOLIDATED uses interest rate Swap contracts and currency futures to protect the variation in fair value on the receipt and payment of interest and the future exchange rate exposures. Hedged items are fixed assets and liabilities denominated in Chilean unit of account, fixed rate, in reais and/or foreign currencies. 239


 
Strategies 12/31/2025 Hedge Item Hedge Instruments Book value (1) Fair Value Variation in fair value recognized in income Notional amount Variation in fair value used to calculate hedge ineffectivenessAssets Liabilities Assets Liabilities Interest rate risk Hedge of securities at amortized cost 72,925 - 72,954 - 29 71,035 (29) Hedge of securities at fair value through other comprehensive income 15,073 - 15,017 - (56) 15,422 51 Hedge of loan operations 34,599 - 34,858 - 259 34,599 (264) Hedge of funding - 38,990 - 39,191 (201) 39,075 203 Foreign exchange risk Hedge of firm commitments - 28 - 38 (10) 30 10 Total 122,597 39,018 122,829 39,229 21 160,161 (29) 1) Values recorded in the heading deposits, securities and operations with credit granting characteristics. Hedges of loan operations are portfolio strategies. The remaining accumulated amount of fair value hedge adjustments for items that are no longer hedged is R$ 4,005, with effect on income of R$ 2,656. Hedge instruments 12/31/2025 Notional amount Book value (1) Variation in fair value used to calculate hedge ineffectiveness Hedge ineffectiveness recognized in incomeAssets Liabilities Interest rate risk Swaps 109,027 385 1,050 (395) (11) Futures 51,104 - - 356 3 Foreign exchange risk Futures 30 - - 10 - Total 160,161 385 1,050 (29) (8) 1) Recorded in the heading derivatives. 240


 
Note 8 - Operations with credit granting characteristics The accounting policy on operations with credit granting characteristics, which comprises credit operations, lease, other credits and securities, is presented in Note 2c IV. a) Breakdown of the portfolio of operations with credit granting characteristics and lease 12/31/2025 Gross book value Individuals 473,397 Credit card 153,527 Personal loan 66,499 Payroll loans 75,319 Vehicles 36,303 Mortgage loans 141,749 Companies 577,711 Large companies 335,095 Micro / small and medium companies 242,616 Foreign loans - Latin America 230,330 Total 1,281,438 Expected credit loss (53,289) Total 1,228,149 Current 677,067 Non-current 551,082 The provision for expected credit loss comprises R$ (1,794) for operations of financial guarantees, credit commitments and credits to be released. In the period, ITAÚ UNIBANCO HOLDING CONSOLIDATED recognized R$ (12,179) of exchange variation in income, without considering the effects of exchange rate hedging. ITAÚ UNIBANCO HOLDING 12/31/2025 Gross book value Individuals 166,306 Credit card 124,353 Personal loan 5,786 Vehicles 36,167 Companies 23,434 Corporate companies 479 Micro / small and medium companies 22,955 Total 189,740 Expected credit loss (13,812) Total 175,928 Current 141,122 Non-current 34,806 241


 
In ITAÚ UNIBANCO HOLDING, the provision for expected credit loss comprises expected credit loss for operations of financial guarantees, credit commitments and credits to be released of R$ (142). b) Gross book value by stages Stage 1 Balance at Transfer to Stage 2 Transfer to Stage 3 (1) Cure from Stage 2 Cure from Stage 3 Acquisition / (Settlement) Write-Off Balance at 01/01/2025 12/31/2025 Individuals 382,930 (30,707) (4,127) 11,195 407 51,279 - 410,977 Companies 514,435 (12,607) (2,325) 2,585 349 46,265 - 548,702 Foreign units Latin America 201,245 (9,631) (1,194) 5,508 594 14,470 - 210,992 Total 1,098,610 (52,945) (7,646) 19,288 1,350 112,014 - 1,170,671 Stage 2 Balance at Cure to Stage 1 Transfer to Stage 3 Transfer from Stage 1 Cure from Stage 3 Acquisition / (Settlement) Write-Off Balance at 01/01/2025 12/31/2025 Individuals 34,367 (11,195) (13,219) 30,707 3,161 (8,951) - 34,870 Companies 11,471 (2,585) (7,638) 12,607 585 (270) - 14,170 Foreign units Latin America 10,932 (5,508) (4,027) 9,631 1,085 (1,785) - 10,328 Total 56,770 (19,288) (24,884) 52,945 4,831 (11,006) - 59,368 Stage 3 Balance at Cure to Stage 1 Cure to Stage 2 Transfer from Stage 1 Transfer from Stage 2 Acquisition / (Settlement) Write-Off Balance at 01/01/2025 12/31/2025 Individuals 26,650 (407) (3,161) 4,127 13,219 14,051 (26,929) 27,550 Companies 18,812 (349) (585) 2,325 7,638 (7,382) (5,620) 14,839 Foreign units Latin America 9,776 (594) (1,085) 1,194 4,027 (1,156) (3,152) 9,010 Total 55,238 (1,350) (4,831) 7,646 24,884 5,513 (35,701) 51,399 1) In the movement of transfer of operations from stage 1 to stage 3 over the period, a representative part thereof have first gone through stage 2. Total of 3 Stages Balance at Acquisition / (Settlement) Write-Off Balance at 01/01/2025 12/31/2025 Individuals 443,947 56,379 (26,929) 473,397 Companies 544,718 38,613 (5,620) 577,711 Foreign units Latin America 221,953 11,529 (3,152) 230,330 Total 1,210,618 106,521 (35,701) 1,281,438 Of the total balance of the three stages, R$ 35,108 are from renegotiated operations, of which 52.1% refers to restructured operations. In the period, ITAÚ UNIBANCO HOLDING CONSOLIDATED renegotiated R$ 1,559 of financial assets previously written down, composed of R$ (1,559) of provision for expected credit loss. Interest income on impaired assets not recognized during the period amounted to R$ 9,895. ITAÚ UNIBANCO HOLDING - Stage 1 Balance at Transfer to Stage 2 Transfer to Stage 3 (1) Cure from Stage 2 Cure from Stage 2 Acquisition / (Settlement) Write-Off Balance at 01/01/2025 12/31/2025 Individuals 123,535 (11,125) (952) 3,754 54 27,960 - 143,226 Companies 22,547 (980) (139) 351 24 221 - 22,024 Total 146,082 (12,105) (1,091) 4,105 78 28,181 - 165,250 ITAÚ UNIBANCO HOLDING - Stage 2 Balance at Cure to Stage 1 Transfer to Stage 3 Transfer from Stage 1 Cure from Stage 3 Acquisition / (Settlement) Write-Off Balance at 01/01/2025 12/31/2025 Individuals 11,286 (3,754) (3,738) 11,125 1,147 (3,572) - 12,494 Companies 766 (351) (382) 980 28 (333) - 708 Total 12,052 (4,105) (4,120) 12,105 1,175 (3,905) - 13,202 ITAÚ UNIBANCO HOLDING - Stage 3 Balance at Cure to Stage 1 Cure to Stage 2 Transfer from Stage 1 Transfer from Stage 2 Acquisition / (Settlement) Write-Off Balance at 01/01/2025 12/31/2025 Individuals 8,990 (54) (1,147) 952 3,738 9,043 (10,936) 10,586 Companies 660 (24) (28) 139 382 81 (508) 702 Total 9,650 (78) (1,175) 1,091 4,120 9,124 (11,444) 11,288 1) In the movement of transfer of operations from stage 1 to stage 3 over the period, a representative part thereof have first gone through stage 2. ITAÚ UNIBANCO HOLDING - Total of 3 Stages Balance at Acquisition / (Settlement) Write-Off Balance at 01/01/2025 12/31/2025 Individuals 143,811 33,431 (10,936) 166,306 Companies 23,973 (31) (508) 23,434 Total 167,784 33,400 (11,444) 189,740 242


 
In ITAÚ UNIBANCO HOLDING, of the total balance of the three stages R$ 6,716 are from renegotiated operations, of which 65% refers to restructured operations. c) Expected credit loss by stages Stage 1 Balance at Transfer to stage 2 Transfer to stage 3 (1) Cure from stage 2 Cure from stage 3 (Increase) / Reversal Write-Off Balance at 01/01/2025 12/31/2025 Individuals (6,321) 1,792 207 (2,062) (122) 110 - (6,396) Companies (2,064) 519 43 (451) (28) 157 - (1,824) Foreign units Latin America (1,910) 399 95 (791) (200) 562 - (1,845) Total (10,295) 2,710 345 (3,304) (350) 829 - (10,065) Stage 2 Balance at Cure to stage 1 Transfer to stage 3 Transfer from stage 1 Cure from stage 3 (Increase) / Reversal Write-Off Balance at 01/01/2025 12/31/2025 Individuals (8,429) 2,062 5,977 (1,792) (1,689) (5,302) - (9,173) Companies (2,828) 451 2,661 (519) (389) (2,628) - (3,252) Foreign units Latin America (1,935) 791 955 (399) (222) (723) - (1,533) Total (13,192) 3,304 9,593 (2,710) (2,300) (8,653) - (13,958) Stage 3 Balance at Cure to stage 1 Cure to stage 2 Transfer from stage 1 Transfer from stage 2 (Increase) / Reversal Write-Off Balance at 01/01/2025 12/31/2025 Individuals (15,931) 122 1,689 (207) (5,977) (23,059) 26,929 (16,434) Companies (11,360) 28 389 (43) (2,661) (1,326) 5,620 (9,353) Foreign units Latin America (3,746) 200 222 (95) (955) (2,257) 3,152 (3,479) Total (31,037) 350 2,300 (345) (9,593) (26,642) 35,701 (29,266) 1) In the movement of transfer of operations from stage 1 to stage 3 over the period, a representative part thereof have first gone through stage 2. Total of 3 Stages Balance at (Increase) / Reversal Write-Off Balance at 01/01/2025 12/31/2025 Individuals (30,681) (28,251) 26,929 (32,003) Companies (16,252) (3,797) 5,620 (14,429) Foreign units Latin America (7,591) (2,418) 3,152 (6,857) Total (54,524) (34,466) 35,701 (53,289) The consolidated balance of the three stages comprise expected credit loss for operations of financial guarantees, credit commitments and credits to be released of R$ (1,794). ITAÚ UNIBANCO HOLDING - Stage 1 Balance at Transfer to stage 2 Transfer to stage 3 (1) Cure from stage 2 Cure from stage 3 Increase / (Reversal) Write-Off Balance at 01/01/2025 12/31/2025 Individuals (2,225) 656 46 (866) (27) (167) - (2,583) Companies (226) 49 5 (70) (6) 8 - (240) Total (2,451) 705 51 (936) (33) (159) - (2,823) ITAÚ UNIBANCO HOLDING - Stage 2 Balance at Cure to stage 1 Transfer to stage 3 Cure from stage 1 Cure from stage 3 Increase / (Reversal) Write-Off Balance at 01/01/2025 12/31/2025 Individuals (3,139) 866 1,358 (656) (608) (1,537) - (3,716) Companies (185) 70 110 (49) (20) (107) - (181) Total (3,324) 936 1,468 (705) (628) (1,644) - (3,897) ITAÚ UNIBANCO HOLDING - Stage 3 Balance at Cure to stage 1 Cure to stage 2 Transfer from stage 1 Transfer from stage 2 Increase / (Reversal) Write-Off Balance at 01/01/2025 12/31/2025 Individuals (5,514) 27 608 (46) (1,358) (11,315) 10,936 (6,662) Companies (389) 6 20 (5) (110) (460) 508 (430) Total (5,903) 33 628 (51) (1,468) (11,775) 11,444 (7,092) 1) In the movement of transfer of operations from stage 1 to stage 3 over the period, a representative part thereof have first gone through stage 2. ITAÚ UNIBANCO HOLDING - Total of 3 stages Balance at Increase / (Reversal) Write-Off Balance at 01/01/2025 12/31/2025 Individuals (10,878) (13,019) 10,936 (12,961) Companies (800) (559) 508 (851) Total (11,678) (13,578) 11,444 (13,812) 243


 
In ITAÚ UNIBANCO HOLDING, the consolidated balance of the three stages comprise expected credit loss for operations of financial guarantees, credit commitments and credits to be released of R$ (142). d) Repossessed assets The accounting policy on assets held for sale is presented in Note 2c V. The repossessed assets intended for sale comprise, mainly, real estate and their sale includes periodic auctions that are previously disclosed to the market. Total repossessed assets in the period were R$ 732. e) Restricted operations and transfer of financial assets Restricted and with co-obligation 12/31/2025 01/01 to 12/31/2025 Gross book value Income Assets Liabilities Restricted operations on assets 9,167 9,191 (26) Loan operations 9,167 - (621) Foreign borrowing through securities - 9,191 595 Transfer of financial assets 199 199 - Total 9,366 9,390 (26) Without co-obligation 01/01 to 12/31/2025 Portfolio transferred Income Loan operations and other credits 13,436 (215) Written off operations (WO) 10,567 283 Total 24,003 68 f) Rural credit requirements ITAÚ UNIBANCO HOLDING CONSOLIDATED performs the service of Rural Credit Requirements by means of loan operations, issuances of securities and investments in financial instruments, and the total balance of funds of R$ 15,273 at 12/31/2025 and the requirements of investment of R$ 14,975, which represents 102%. Costs for compliance with the regulations were R$ 182 in the period. g) Lease operations - Lessor Finance leases are composed of vehicles, machines, equipment and real estate in Brazil and abroad. The analysis of portfolio maturities is presented below: 12/31/2025 Payments receivable Future financial income Present value Current 2,618 (612) 2,006 Non-current 8,799 (2,420) 6,379 From 1 to 2 years 2,023 (484) 1,539 From 2 to 3 years 1,495 (371) 1,124 From 3 to 4 years 1,254 (288) 966 From 4 to 5 years 755 (223) 532 Over 5 years 3,272 (1,054) 2,218 Total 11,417 (3,032) 8,385 Revenues from finance leases were R$ 766 in the period. 244


 
Note 9 - Other assets and liabilities a) Other assets Note 12/31/2025 Financial 61,614 Trading and intermediation of securities 24,085 Deposits in guarantee - Contingent liabilities, provisions and legal obligations 11d 13,497 Operations without credit granting characteristics, net of provisions 11,683 Income receivable 4,206 Net amount receivables from reimbursement of provisions 11c 387 Receivables from insurance and reinsurance operations 3,188 Other financial assets 4,568 Non-financial 18,232 Sundry domestic 3,817 Sundry foreign 770 Prepaid expenses 5,740 Actuarial assets of post-employment benefit plans 22e 256 Other non-financial assets 6,533 Other 1,116 Total 79,846 Current 61,004 Non-current 18,842 b) Other liabilities Note 12/31/2025 Financial liabilities 135,418 Payment transactions 88,789 Trading and intermediation of securities 38,444 Lease liabilities 578 Transactions related to credit assignments 8e 199 Funds to be released 4,185 Other liabilities 3,223 Non-financial liabilities 39,734 Charging and collection of taxes and similar 590 Social and statutory 12,221 Sundry foreign 5,830 Sundry domestic 6,373 Personnel provision 2,892 Obligations on official agreements and rendering of payment services 2,455 Provisions for sundry payments 2,572 Liabilities of post-employment benefit plans 22e 2,273 Income receivable 3,231 Other non-financial liabilities 1,297 Total 175,152 Current 167,920 Non-current 7,232 In ITAÚ UNIBANCO HOLDING, other liabilities are mainly represented by amounts to be paid to related companies in the amount of R$ 39,330. 245


 
Note 10 - Insurance, private pension plan and premium bonds operations The accounting policy on insurance, private pension and premium bonds operations is presented in Note 2c XI. In ITAÚ UNIBANCO HOLDING CONSOLIDATED, technical provisions aim to reduce the risks involved in insurance contracts, private pension plans and premium bonds, and are calculated according to the technical notes approved by SUSEP. I - Insurance and private pension plan: • Provision for unearned premiums (PPNG) - recognized based on insurance premiums to cover amounts payable for future claims and expenses. In the calculation, the term to maturity of risks assumed and issued and risks in effect but not issued (PPNG-RVNE) in the policies or endorsements of contracts in force is taken pro rata on a daily basis. • Provision for unsettled claims (PSL) - recognized to cover expected amounts for reported claims, including accepted coinsurance operations, gross of reinsurance operations and net of assigned coinsurance operations, as applicable. It covers amounts related to indemnities and benefits, including monetary restatements, interest, exchange variations and contractual fines, in addition to estimated amounts related to lawsuits. When necessary, it must cover adjustments for IBNER (claims incurred but not sufficiently reported) for the total of claims reported but not yet paid, a total which may change during the process up to final settlement. • Provision for claims incurred and not reported (IBNR) - recognized for the coverage of expected amounts for settlement of claims incurred but not reported up to the calculation base date, including accepted coinsurance operations, gross of reinsurance operations and net of assigned coinsurance operations. It includes amounts related to indemnities, benefits and income considering the amounts referring to lawsuits. • Mathematical provisions for benefits to be granted (PMBAC) - recognized for the coverage of commitments assumed to participants or policyholders, based on the provisions of the contract, while the event that gives rise to the benefit and/or indemnity has not occurred. • Mathematical provisions for granted benefits (PMBC) - recognized for the coverage of commitments to pay indemnities and/or benefits to participants or insured parties, based on the provisions of the contract, after the event has occurred. • Provision for financial surplus (PEF) - recognized to guarantee amounts intended for the distribution of financial surplus, if provided for in the contract. Corresponds to the financial income exceeding the minimum return guaranteed in the product. • Supplemental coverage reserve (PCC) - recognized when technical reserves are found to be insufficient, as shown by the Liability Adequacy Test, as provided for in the regulations in force. • Provision for redemptions and other amounts to be regularized (PVR) - recognized for the coverage of amounts related to redemptions to be regularized, returned premiums, contributions or funds, portability to be regularized, premiums received and not quoted, past-due income and benefits to be regularized related to survival coverage. • Provision for Expenses Related to Structured Products in Simple Distribution Financial System (PDR) and Provision for Expenses Related to Structured Products in Capitalization Financial System or Capital Distribution by Coverage (PDC) - recognized to cover the expected amounts related to expenses referring to benefits and indemnities, due to events occurred and to occur, being segregated according to the product financial system. 246


 
II - Premium Bonds: • Mathematical provision for premium bonds (PMC) - recognized until the event triggering the benefit occurs and covers the portion of the amounts collected for premium bonds. • Provision for redemption (PR) - recognized from the date of the event triggering the redemption of the certificate and/or the event triggering the distribution of the bonus until the date of financial settlement, or the date on which the evidence of payment of the obligation is received. • Provision for prize draws to be held (PSR) - recognized for each bond for which prize draws have been funded, but which, on the recognition date, had not yet been held. • Provision for prize draws payable (PSP) - recognized from the date when a prize draw is held until the date of financial settlement, or the date when the evidence of payment of the obligation is received. • Supplementary provision for prize draws (PCS) - recognized to supplement the provision for prize draws to be held. Used for coverage of possible shortfall on the expected amount of prize draws to be held. 247


 
a) Technical provisions balances Insurance Pension plan Premium bonds Total 12/31/2025 12/31/2025 12/31/2025 12/31/2025 Unearned premiums (PPNG) 5,465 10 - 5,475 Mathematical provisions for benefits to be granted (PMBAC) and granted benefits (PMBC) 17 347,593 - 347,610 Redemptions and other unsettled amounts (PVR) 82 766 - 848 Financial surplus (PEF) - 669 - 669 Unsettled claims (PSL) 474 13 - 487 Claims / events incurred but not reported (IBNR) 425 24 - 449 Related expenses (PDR/PDC) 30 61 - 91 Mathematical provision for premium bonds (PMC) and redemption (PR) - - 4,828 4,828 Prize draws payable (PSP) and to be held (PSR) - - 10 10 Other provisions 150 - - 150 Total technical provisions (a) 6,643 349,136 4,838 360,617 Current 4,691 796 4,838 10,325 Non-current 1,952 348,340 - 350,292 b) Assets guaranteeing technical provisions Insurance Pension plan Premium bonds Total 12/31/2025 12/31/2025 12/31/2025 12/31/2025 Interbank investments 1,734 755 2,604 5,093 Securities and derivatives 2,786 349,737 2,773 355,296 PGBL / VGBL fund quotas (1) - 335,480 - 335,480 Other government securities and corporate securities 2,786 14,257 2,773 19,816 Receivables from insurance and reinsurance operations (2) 3,073 102 - 3,175 Credit rights 2,722 - - 2,722 Other credits 351 102 - 453 Total Guarantee Assets (b) 7,593 350,594 5,377 363,564 Total Excess Coverage (b-a) 950 1,458 539 2,947 1) The PGBL and VGBL plans securities portfolios, the ownership and involved risks of which are the customer’s responsibility, are recorded as Securities – FVPL, with a counterparty to liabilities in the heading Technical provision for pension plan (Note 10a). 2) Recorded under Other assets. 248


 
Note 11 - Provisions, contingent assets and contingent liabilities The accounting policy on provisions, contingent assets and contingent liabilities is presented in Note 2c XII. In the ordinary course of its business, ITAÚ UNIBANCO HOLDING CONSOLIDATED may be a party to legal proceedings of labor, civil and tax nature. The contingencies related to these lawsuits are classified as follows: a) Contingent assets There are no contingent assets recorded. b) Provisions and contingencies ITAÚ UNIBANCO HOLDING CONSOLIDATED’s provisions for judicial and administrative challenges are long-term, considering the time required for their questioning, and this prevents the disclosure of a deadline for their conclusion. The legal advisors believe that ITAÚ UNIBANCO HOLDING CONSOLIDATED is not a party to this or any other administrative proceedings or lawsuits, in addition to those highlighted throughout this note, that could significantly affect the results of its operations. Civil lawsuits In general, provisions and contingencies arise from claims related to the revision of contracts and compensation for material and moral damages. ITAÚ UNIBANCO HOLDING CONSOLIDATED, despite having complied with the rules in force at the time, is a defendant in lawsuits filed by individuals referring to payment of inflation adjustments to savings accounts resulting from economic plans implemented in the 1980s and the 1990s, as well as in collective lawsuits filed by: (i) consumer protection associations; and (ii) the Public Attorney’s Office, on behalf of the savings accounts holders. In relation to these lawsuits, ITAÚ UNIBANCO HOLDING CONSOLIDATED recognizes provisions upon receipt of summons, and when individuals demand the enforcement of a ruling handed down by the courts, using the same criteria as for provisions for individual lawsuits. In December 2017, through mediation of the Federal Attorney’s Office (AGU) and supervision of the BACEN, savers (represented by two civil associations, FEBRAPO and IDEC) and FEBRABAN entered into an instrument of agreement aiming at resolving lawsuits related to the economic plans, and ITAÚ UNIBANCO HOLDING CONSOLIDATED has already accepted its terms. Said agreement was approved on March 1, 2018, by the Plenary Session of the Federal Supreme Court (STF) and savers could adhere to its terms for a 24-month period. Due to the end of this term, the parties signed an amendment to the instrument of agreement to extend this period in order to contemplate a higher number of holders of savings accounts and, consequently, to extend the end of lawsuits. In May, 2020, the Federal Supreme Court (STF) approved this amendment and granted a 30-month term for new adhesions, and subsequently extended for another 30 months, subject to the reporting of the number of adhesions over the first period. In May 2025, the Federal Supreme Court (STF) unanimously declared the constitutionality of the economic plans Bresser (1987), Verão (1989), Collor I (1990) and Collor II (1991) and reaffirmed the approval of the collective bargaining agreement. As a result of this decision, the deadline for adhesion was extended by another 24 months. 249


 
Labor claims Provisions and contingencies arise from lawsuits in which labor rights provided for in labor legislation specific to the related profession are discussed, such as: overtime, salary equalization, reinstatement, transfer allowance, and pension plan supplement, among others. Other risks These are quantified and accrued on the basis of the amount of rural credit transactions with co-obligation and FCVS (salary variations compensation fund) credits assigned. I - Civil, labor and other risks provisions Below are the changes in civil, labor and other risks provisions: 01/01/2025 12/31/2025 01/01/2025 Civil Labor Other risks Total Opening balance - 01/01 3,207 8,213 1,066 12,486 (-) Provisions guaranteed by indemnity clause (169) (671) - (840) Subtotal 3,038 7,542 1,066 11,646 Adjustment / Interest 115 578 - 693 Changes in the period reflected in income 1,228 3,334 364 4,926 Increase 1,835 3,793 650 6,278 Reversal (607) (459) (286) (1,352) Payment / Transfer (1,426) (3,173) (37) (4,636) Subtotal 2,955 8,281 1,393 12,629 (+) Provisions guaranteed by indemnity clause 197 565 - 762 Closing balance 3,152 8,846 1,393 13,391 Current 1,434 3,176 687 5,297 Non-current 1,718 5,670 706 8,094 II - Tax and social security provisions Tax and social security provisions correspond to the principal amount of taxes involved in administrative or judicial tax lawsuits, subject to tax assessment notices, plus interest and, when applicable, fines and charges. The table below shows the change in the provisions: 01/01/2025 12/31/2025 01/01/2025 Legal obligation - Note Tax and social security obligations Total 20c Opening balance - 01/01 2,581 4,142 6,723 (-) Provisions guaranteed by indemnity clause - (83) (83) Subtotal 2,581 4,059 6,640 Adjustment / Interest 144 785 929 Changes in the period reflected in income (41) (1,252) (1,293) Increase 41 538 579 Reversal (82) (1,790) (1,872) Payment (742) (1,221) (1,963) Subtotal 1,942 2,371 4,313 (+) Provisions guaranteed by indemnity clause - 87 87 Closing balance 1,942 2,458 4,400 Current - - - Non-current 1,942 2,458 4,400 The main discussion related to tax and social security obligations is described below: • PIS and COFINS – Calculation basis – R$ 34: the levy of PIS and COFINS on revenue, a tax on revenue from the sales of assets and services is defended. The balance of the deposits in guarantee is R$ 10. During the period,ITAÚ UNIBANCO HOLDING CONSOLIDATED adhered to notices 25/2024 (deduction of tax amortization of goodwill in the calculation of IRPJ and CSLL), 27/2024 (levy of social security contributions on amounts paid as PLR to employees and individual taxpayers), 54/2025 (demutualization of the Stock Exchange) and 19/2025 (high economic impact judicial credits) of the Comprehensive Transaction Program instituted by the 250


 
Ministry of Finance. In addition, a provision was recognized for tax contingency. The net effect on income was R$ 550 (Note 28d). III - Contingencies not provided for in the balance sheet Amounts involved in administrative and judicial arguments with the risk of loss estimated as possible are not provided for. They are mainly composed of: Civil lawsuits and labor claims In civil lawsuits with possible loss, total estimated risk is R$ 4,043, and in this total there are no amounts arising from interests in joint ventures. For labor claims with possible loss, estimated risk is R$ 1,236. Tax and social security obligations Tax and social security obligations of possible loss totaled R$ 42,145, and the main cases are described below: • INSS – Non-compensatory amounts – R$ 2,412: defends the non-levy of this contribution on these amounts, among which are profit sharing and stock options. • ISS – Banking activities/Provider establishment – R$ 9,413: the levy and/or payment place of ISS for certain banking revenues are discussed. • IRPJ, CSLL, PIS and COFINS – Funding expenses – R$ 5,808: the deductibility of raising costs (Interbank deposits rates) for funds that were capitalized between Group companies is discussed. • IRPJ and CSLL – Goodwill – Deduction – R$ 1,690: the deductibility of goodwill for future expected profitability on the acquisition of investments is discussed. • PIS and COFINS - Reversal of revenues from depreciation in excess – R$ 3,646: the accounting and tax treatment of PIS and COFINS upon settlement of leasing operations is discussed. • IRPJ, CSLL, PIS and COFINS – Requests for offsetting dismissed - R$ 2,476: cases in which the liquidity and the certainty of credits offset are discussed. • IRPJ and CSLL – Disallowance of losses – R$ 5,848: discussion on the amount of tax loss (IRPJ) and/or social contribution (CSLL) tax loss carryforwards used by the Federal Revenue Service when drawing up tax assessment notes that are still pending a final decision. • IRPJ and CSLL - Deductibility of loss in loan operations - R$ 3,679: assessments drawn up for the requirement of IRPJ and CSLL due to the alleged noncompliance with legal criteria for deducting losses in receipt of loans. 251


 
c) Accounts receivable – Reimbursement of provisions The receivables balance arising from reimbursements of contingencies totals R$ 387 (Note 9a), arising mainly from the collateral established in 1997 the Banco Banerj S.A. privatization process, when the State of Rio de Janeiro created a fund to guarantee the equity recomposition in provisions for civil, labor and tax and social security claims. d) Guarantees of contingencies, provisions and legal obligations The guarantees related to legal proceedings involving ITAÚ UNIBANCO HOLDING CONSOLIDATED basically consist of: 12/31/2025 Note Civil Labor Tax Total Deposits in guarantee 9a 1,569 2,004 9,924 13,497 Investment fund quotas 260 62 - 322 Surety 78 14 5,418 5,510 Insurance bond 2,562 2,220 20,859 25,641 Guarantee by government securities - - 411 411 Total 4,469 4,300 36,612 45,381 252


 
Note 12 - Investments ITAÚ UNIBANCO HOLDING Balance at Changes from 01/01 to 12/31/2025 Balance at Companies Amortization of goodwill Dividends paid / accrued (2) Equity in earnings of subsidiaries Changes in exchange rates and Investment Hedge - Functional currency other than Real Adjustments in marketable securities of subsidiaries and other Corporate Events (3) 01/01/2025 Net Income / (Loss) Adjustments to investor criteria (1) Unrealized results and other Total 12/31/2025 (4) Subsidiaries In Brazil 191,211 - (41,711) 37,630 654 (23) 38,261 (2,027) 308 (3,743) 182,299 Itaú Unibanco S.A. 166,330 - (38,900) 32,993 584 (23) 33,554 (2,028) 307 - 159,263 Redecard Instituição de Pagamento S.A. 8,724 - (708) 721 2 - 723 - (3) (1,043) 7,693 Banco Itaucard S.A. 51 - - 1 - - 1 - - - 52 Itaú Corretora de Valores S.A. 3,295 - (294) 399 5 - 404 - (5) - 3,400 Itauseg Participações S.A. 2,545 - (169) 1,002 - - 1,002 1 43 - 3,422 Itaú Consultoria de Valores Mobiliários e Participações S.A. 1,213 - (52) 119 - - 119 - - - 1,280 Other interests 9,053 - (1,588) 2,395 63 - 2,458 - (34) (2,700) 7,189 Foreign 12,071 (45) (1,224) 1,861 - - 1,861 (110) 12 57 12,622 Banco Itaú Chile 5,715 (45) (179) 454 - - 454 (50) 13 - 5,908 Banco Itaú Uruguay S.A. 5,059 - (826) 1,167 - - 1,167 (3) (2) - 5,395 Other interests 1,297 - (219) 240 - - 240 (57) 1 57 1,319 Total 203,282 (45) (42,935) 39,491 654 (23) 40,122 (2,137) 320 (3,686) 194,921 1) Adjustment arising from the standardization of the investee’s financial statements according to the investor’s accounting policies. 2) Dividends approved and not paid are recorded as Income receivable. 3) Corporate events arising from acquisitions, disposals, spin-offs, merges, takeovers, and capital increases or reductions. 4) The balances presented do not consider capital reduction in the process of approval by BACEN and possible opposition from creditors, pursuant to article 174 of the Brazilian Corporate Law. Companies Capital Stockholders’ equity Net Income / (Loss) Number of shares / quotas owned by ITAÚ UNIBANCO HOLDING Equity share in capital (%) 12/31/2025 Common Preferred Quotas Voting Share In Brazil Itaú Unibanco S.A. 74,567 159,263 32,993 3,514,908,377 3,404,188,272 - 100.00% 100.00% Redecard Instituição de Pagamento S.A. 23,923 39,711 3,721 348,555,621 - - 19.37% 19.37% Banco Itaucard S.A. 50 52 1 2,531,224,947 13,593,462 - 100.00% 100.00% Itaú Corretora de Valores S.A. 1,650 3,401 399 32,882,585 970,956 - 100.00% 100.00% Itauseg Participações S.A. 6,965 12,947 3,791 1,583,854,716 - - 26.42% 26.42% Itaú Consultoria de Valores Mobiliários e Participações S.A. 645 1,280 119 548,954 1,097,907 - 100.00% 100.00% Foreign Banco Itaú Chile 17,641 22,463 1,725 56,896,856 - - 26.29% 26.29% Banco Itaú Uruguay S.A. 559 5,392 1,167 4,465,133,954 - - 100.00% 100.00% Itaú Unibanco Holding S.A. - Cayman Branch, consolidated in these financial statements, has its functional currency equal to that of the controlling company. The exchange variation of this investment is R$ 281 and is allocated in the heading Income on securities, derivatives and other in the Statement of Income. In Equity in earnings of subsidiaries, the exchange variation of indirect investments in functional currency equal to the controlling company corresponds to R$ (3,939). 253


 
The following table presents the summary of the financial information of the investments of ITAÚ UNIBANCO HOLDING. 12/31/2025 01/01 to 12/31/2025 Total assets Contingent liabilities Other liabilities Other comprehensive income Total comprehensive income In Brazil Itaú Unibanco S.A. 2,218,844 13,542 34,683 (3,515) 29,203 Redecard Instituição de Pagamento S.A. 159,478 95 84,614 (6) 3,715 Banco Itaucard S.A. 55 - 1 - 1 Itaú Corretora de Valores S.A. 8,946 18 5,173 1 400 Itauseg Participações S.A. 14,207 - 43 1,153 4,986 Itaú Consultoria de Valores Mobiliários e Participações S.A. 1,430 76 2 1 115 Foreign Banco Itaú Chile 209,744 55 9,848 3,869 5,594 Banco Itaú Uruguay S.A. 51,214 - 889 (143) 1,024 254


 
Note 13 - Lease Operations - Lessee The accounting policy on Lease operations (lessee) is presented in Note 2c VII. The total cash outflow with lease amounted to R$ 100 and lease agreements in the amount of R$ 520 were renewed. There are no relevant sublease agreements. Total liabilities in accordance with remaining contractual maturities, considering their undiscounted flows, are presented below: 12/31/2025 Up to 3 months 48 3 months to 1 year 135 From 1 to 5 years 511 Over 5 years 289 Total financial liability 983 Lease amounts recognized in the consolidated statement of income: 01/01 to 12/31/2025 Sublease revenues 39 Depreciation expenses (77) Interest expenses (44) Lease expenses for low value assets (98) Variable expenses not included in lease liabilities (42) Total (222) There was no impairment adjustment in the period. Note 14 - Fixed assets The accounting policies on fixed assets and impairment of non-financial assets are presented in Notes 2c VIII, 2c X. Fixed assets 12/31/2025 Annual depreciation rates Cost Depreciation Impairment Residual Real estate 10,375 (4,167) (434) 5,774 Land 1,912 - - 1,912 Buildings and improvements 4% to 10% 8,463 (4,167) (434) 3,862 Other fixed assets 16,367 (12,478) (68) 3,821 Installations and furniture 10% to 20% 3,638 (2,781) (17) 840 Data processing systems 20% to 50% 9,504 (8,231) (51) 1,222 Works of art 155 - - 155 Right of use 636 (75) - 561 Other (1) 10% to 20% 2,434 (1,391) - 1,043 Total 26,742 (16,645) (502) 9,595 1) Other refers to negotiations of Fixed assets in progress and other communication, security and transportation equipment. Contractual commitments for purchase of fixed assets total R$ 1, realizable until 2028. 255


 
Note 15 - Goodwill and Intangible assets The accounting policies on goodwill and intangible assets and impairment of non-financial assets are presented in Notes 2c IX, 2c X. Goodwill and intangible from incorporation Intangible assets TotalAssociation for the promotion and offer of financial products and services Software acquired Internally developed software Other intangible assets (1) Annual amortization rates Up to 20% 8% 20% 20% 10% to 20% Cost Balance at 01/01/2025 13,111 2,366 5,892 23,568 7,978 52,915 Acquisitions 60 - 789 4,556 807 6,212 Termination / write-offs - - (9) (261) (489) (759) Exchange variation (205) 41 (6) (28) (21) (219) Other - (16) 7 (7) - (16) Balance at 12/31/2025 12,966 2,391 6,673 27,828 8,275 58,133 Amortization Balance at 01/01/2025 (10,221) (1,378) (4,318) (11,557) (4,569) (32,043) Amortization expenses (719) (79) (509) (3,368) (1,247) (5,922) Termination / write-offs - - 5 - 486 491 Exchange variation 143 (16) (11) 8 19 143 Other 9 16 - - - 25 Balance at 12/31/2025 (10,788) (1,457) (4,833) (14,917) (5,311) (37,306) Impairment Balance at 01/01/2025 (1,357) (729) (174) (1,326) (100) (3,686) Increase - - - (558) - (558) Exchange variation 28 (26) - - - 2 Balance at 12/31/2025 (1,329) (755) (174) (1,884) (100) (4,242) Book value Balance at 12/31/2025 849 179 1,666 11,027 2,864 16,585 1) Includes amounts paid to the rights for acquisition of payrolls, proceeds, retirements and pension benefits and similar benefits. Amortization expense related to the rights for acquisition of payrolls and associations, in the amount of R$ (1,297), is disclosed under the heading expenses related to financial operations. Goodwill and Intangible assets from incorporation are mainly represented by Banco Itaú Chile’s goodwill in the amount of R$ 148. 256


 
Note 16 - Funding and borrowing and onlending The accounting policy on Securities sold under agreements to resell, funds from acceptance and issuance of securities, borrowing and onlending, and subordinated debt is presented in Note 2c IV. a) Summary Note 12/31/2025 Amortized cost Deposits 16b 1,114,482 Securities sold under repurchase agreements 16c 456,158 Debt instruments 16d 415,630 Borrowing and onlending 16e 147,164 Total 2,133,434 Current 1,139,283 Non-current 994,151 b) Deposits 12/31/2025 Amortized cost Interest-bearing deposits 978,478 Savings deposits 177,305 Interbank deposits 11,530 Time deposits 789,643 Non-interest bearing deposits 136,004 Demand deposits 135,383 Other deposits 621 Total 1,114,482 Current 527,366 Non-current 587,116 In ITAÚ UNIBANCO HOLDING, Deposits are mainly represented by Interbank deposits in the amount of R$ 99,318. c) Securities sold under repurchase agreements 12/31/2025 Amortized cost Own portfolio 201,610 Government securities 112,063 Corporate securities 56,586 Own issue 2 Securities abroad 32,959 Third-party portfolio 176,043 Free portfolio 78,505 Total 456,158 Current 384,859 Non-current 71,299 257


 
d) Debt instruments I - Debt instruments 12/31/2025 Amortized cost Emissions funds 265,486 Financial bills 61,161 Real estate credit bills 71,121 Rural credit bills 64,644 Guaranteed real estate bills 64,438 Debentures 4,122 Foreign loans through securities 76,420 Brazil risk note programme 13,171 Structure note issued 10,419 Bonds 40,282 Fixed rate notes 9,300 Eurobonds 79 Other 3,169 Structured operations certificates 25,577 Debt instruments with subordination clauses 48,147 Financial bills 37,900 Euronotes 2,755 Bonds 7,492 Total 415,630 Current 108,419 Non-current 307,211 II - Guaranteed real estate notes Guaranteed real estate bills (LIGs) are registered, transferable and free trade credit securities, which are guaranteed by asset portfolio of the issuer itself, submitted to the fiduciary system. The “Termo de emissão registrado”, which details the conditions of LIG transactions, is available on the website www.itau.com.br/relacoes-com-investidores/en, in the section Resultados e relatórios / Documentos regulatórios / Letra imobiliária garantida. Il.l – Breakdown of asset portfolio The asset portfolio linked to LIGs corresponds to 2.33% of ITAÚ UNIBANCO HOLDING CONSOLIDATED’s total assets. Its breakdown is presented in the table below. Further details are available in the "Demonstrativo de carteira de ativos (mensal)", in the section Resultados e relatórios / Documentos regulatórios / Letra imobiliária garantida. 12/31/2025 Real estate loans 67,801 Government securities - Brazil 4,496 Total asset portfolio 72,297 Total adjusted asset portfolio 72,297 Liabilities for issue of LIGs 64,438 Remuneration of the fiduciary agent 3 258


 
II.II - Requirements of asset portfolio 12/31/2025 Breakdown 93.8% Sufficiency Notional amount 112.2% Present value under stress 100.8% Weighted average term Of the asset portfolio 137.9 months Of outstanding LIGs 30.8 months Liquidity Net assets 10,313 259


 
III - Debt instruments with subordination clauses Name of security / currency Principal amount (original currency) Issue Maturity Return p.a. 12/31/2025 Subordinated financial bills - BRL 2,146 2019 Perpetual 114% of SELIC 1,320 935 2019 Perpetual SELIC + 1.17% to 1.19% 1,064 450 2020 2029 CDI + 1.85% - 106 2020 2030 IPCA + 4.64% 181 1,556 2020 2030 CDI + 2% - 5,488 2021 2031 CDI + 2% 9,843 1,005 2022 Perpetual CDI + 2.4% 1,035 1,161 2023 2034 102% of CDI 1,223 108 2023 2034 CDI + 0.2% 115 122 2023 2034 10.63% 127 700 2023 Perpetual CDI + 1.9% 715 107 2023 2034 IPCA + 5.48% 119 530 2024 2034 100% of CDI 550 3,100 2024 2034 CDI + 0.65% 3,711 1,000 2024 Perpetual CDI + 0.9% 1,018 2,830 2024 Perpetual CDI + 1.1% 2,832 470 2024 2039 102% of CDI 488 4,984 2025 Perpetual CDI + 1.25% 5,449 3,000 2025 Perpetual CDI + 1.15% 3,108 4,415 2025 Perpetual CDI + 1.35% 5,002 Total 37,900 Subordinated euronotes - USD 750 2018 Perpetual 7.86% - 700 2020 Perpetual 7.56% - 501 2021 2031 3.88% 2,755 Total 2,755 Subordinated bonds - CLP 180,351 2008 2033 3.50% to 4.92% 1,573 97,962 2009 2035 4.75% 1,256 1,060,250 2010 2032 4.35% 125 1,060,250 2010 2035 3.90% to 3.96% 289 1,060,250 2010 2036 4.48% 1,380 1,060,250 2010 2038 3.93% 1,005 1,060,250 2010 2040 4.15% to 4.29% 775 1,060,250 2010 2042 4.45% 378 57,168 2014 2034 3.80% 495 Total 7,276 Subordinated bonds - COP 146,000 2013 2028 IPC + 2% 216 Total 216 Subordinated bonds - USD 172 2025 2025 8.90% - 878 2024 2024 7.18% - 1 Total - Total 48,147 In ITAÚ UNIBANCO HOLDING, the portfolio is composed of Subordinated financial bills in the amount of R$ 37,899 and Subordinated euronotes in the amount of R$ 2,769. 260


 
e) Borrowing and onlending 12/31/2025 Amortized Cost Borrowing 116,496 In Brazil 10,616 Foreign (1) 105,880 Onlending - in Brazil – Official institutions 30,668 BNDES 12,908 FINAME 15,445 Other 2,315 Total 147,164 Current 118,637 Non-current 28,527 1) Foreign borrowing are basically represented by foreign exchange trade transactions relating to export pre-financing and import financing. Note 17 - Fair value The accounting policy on Fair value of financial instruments is presented in Note 2c IV. a) Financial assets and liabilities measured at fair value The assets and liabilities measured at fair value on a recurring basis are classified as follows: Level 1: Securities and non-financial assets with liquid prices available in an active market and derivatives traded on stock exchanges. This classification level includes most of the Brazilian government securities, government securities from Latin America, government securities from other countries, shares, debentures with price published by Associação Brasileira das Entidades dos Mercados Financeiros e de Capitais (ANBIMA) and other traded in an active market. Level 2: Securities, derivatives and others that do not have price information available and are priced based on conventional or internal models. The inputs used by these models are captured directly or built from observations of active markets. Most of derivatives, certain Brazilian government bonds, debentures and other corporate securities whose credit component effect is not considered relevant, are at this level. Level 3: Securities and derivatives for which pricing inputs are generated by statistical and mathematical models. Debentures and other corporate securities that do not fit into level 2 rule and derivatives with maturities greater than the last observable vertices of the discount curves are at this level. 261


 
I - Fair value of financial assets and liabilities 12/31/2025 Level 1 Level 2 Level 3 Fair value Financial assets 422,831 365,715 409 788,955 Financial assets at fair value through other comprehensive income 156,022 3,666 253 159,941 Government securities 148,318 - - 148,318 Brazil 109,191 - - 109,191 Latin America 25,143 - - 25,143 Abroad 13,984 - - 13,984 Corporate securities 6,986 3,606 251 10,843 Bank deposit certificate - 167 - 167 Real estate receivable certificate - 222 - 222 Debentures 2,265 1,916 251 4,432 Eurobonds and other 4,721 1,170 - 5,891 Financial bills - 5 - 5 Other - 126 - 126 Shares 718 60 2 780 Financial assets at fair value through profit or loss 266,809 362,049 156 629,014 Government securities 250,624 3,941 - 254,565 Brazil 228,766 3,938 - 232,704 Latin America 21,457 3 - 21,460 Abroad 401 - - 401 Corporate securities 5,988 3,444 52 9,484 Rural product note - 165 - 165 Bank deposit certificate - 80 - 80 Real estate receivable certificate 76 583 - 659 Debentures 2,760 1,495 50 4,305 Eurobonds and other 2,542 97 - 2,639 Financial bills - 386 - 386 Promissory notes - 19 - 19 Other 610 619 2 1,231 Shares 8,417 12,945 104 21,466 Investment funds 1,780 6,239 - 8,019 Specially organized investment funds (PGBL/ VGBL) - 335,480 - 335,480 Other financial assets - 3,092 - 3,092 Non-financial assets 4,139 - - 4,139 Other financial liabilities - (1,629) - (1,629) 262


 
The following table presents the breakdown of fair value hierarchy levels for derivative assets and liabilities. 12/31/2025 Level 1 Level 2 Level 3 Fair value Assets 21 72,909 381 73,311 Options - 11,650 19 11,669 Forward 4 4,556 17 4,577 Swaps - 46,839 345 47,184 NDF - 8,351 - 8,351 Credit derivatives - 615 - 615 Other 17 898 - 915 Liabilities (417) (67,919) (1,582) (69,918) Options (30) (8,200) (22) (8,252) Forward (337) (4,030) (15) (4,382) Swaps - (44,215) (1,545) (45,760) NDF - (10,929) - (10,929) Credit derivatives - (367) - (367) Other (50) (178) - (228) 263


 
II - Result of fair value adjustment of assets and liabilities 01/01 to 12/31/2025 Level 1 Level 2 Level 3 Adjustment to fair value Financial assets 7,380 2,419 (148) 9,651 Financial assets at fair value through other comprehensive income 1,213 98 (2) 1,309 Government securities 903 - - 903 Brazil 906 - - 906 Latin America (84) - - (84) Abroad 81 - - 81 Corporate securities (28) 89 (4) 57 Bank deposit certificates - (1) - (1) Real estate receivables certificates - 5 - 5 Debentures (8) 9 (4) (3) Eurobonds and other (20) 76 - 56 Shares 338 9 2 349 Financial assets at fair value through profit or loss 6,167 2,321 (146) 8,342 Government securities 5,475 58 - 5,533 Brazil 5,424 58 - 5,482 Latin America 33 - - 33 Abroad 18 - - 18 Corporate securities 97 145 10 252 Rural product note - 27 - 27 Real estate receivables certificates (1) 7 - 6 Debentures 83 82 10 175 Eurobonds and other 23 6 - 29 Financial bills - (3) - (3) Other (8) 26 - 18 Shares 532 1,736 (156) 2,112 Investment funds 63 382 - 445 Derivative - assets 657 (32,082) (464) (31,889) Options - (7,664) (53) (7,717) Forward 648 (8,473) - (7,825) Swaps - (15,214) (409) (15,623) NDF - Non deliverable forward (1) (313) - (314) Credit derivatives - 164 (2) 162 Other 10 (582) - (572) Derivative - liabilities (120) 25,866 (500) 25,246 Options (30) 5,461 38 5,469 Forward (111) 10,575 (13) 10,451 Swaps - 9,192 (525) 8,667 NDF - Non deliverable forward 12 (465) - (453) Credit derivatives - 1,184 - 1,184 Other 9 (81) - (72) 264


 
Governance of Level 3 recurring fair value measurement The departments in charge of defining and applying the pricing models are segregated from the business areas. The models are documented, submitted to validation by an independent area and approved by a specific committee. The daily processes of price capture, calculation and disclosure are periodically checked according to formally defined tests and criteria and the information is stored in a single corporate database. The most frequent cases of assets classified as Level 3 are justified by the discount factors used and corporate bonds whose credit component is relevant. Factors such as the fixed interest curve in Brazilian Reais and the TR coupon curve – and, as a result, their related factors – have inputs with terms shorter than the maturities of fixed- income assets. Changes in the fair value hierarchy In the periods, there were no material transfer between Level 1 and Level 2. The tables below show balance sheet changes for financial instruments classified by ITAÚ UNIBANCO HOLDING CONSOLIDATED in Level 3 of the fair value hierarchy. Derivatives classified in Level 3 correspond to swaps and options. Fair value at Total gains or losses (Realized / unrealized) Purchases Settlements Transfers in the hierarchy Fair value at Total gains or losses (Unrealized) 01/01/2025 Income Other comprehensive income 12/31/2025 Financial assets 378 18 3 66 (37) (19) 409 (143) At fair value through other comprehensive income 218 46 3 8 (22) - 253 (1) Corporate securities 218 46 1 8 (22) - 251 (2) Debentures 218 46 1 2 (16) - 251 (2) Financial bills - - - 6 (6) - - - Shares - - 2 - - - 2 1 At fair value through profit or loss 160 (28) - 58 (15) (19) 156 (142) Corporate securities 55 16 - 15 (15) (19) 52 14 Real estate receivable certificates 5 9 - 1 - (15) - - Debentures 50 6 - 3 (3) (6) 50 14 Eurobonds and other - 1 - 11 (12) - - - Other - - - - - 2 2 - Shares 105 (44) - 43 - - 104 (156) Derivatives - assets 367 (2) - 453 (185) (252) 381 (37) Forward 17 - - - - - 17 - Options 26 (6) - 108 (109) - 19 (37) Swaps 322 4 - 345 (74) (252) 345 - Credit derivatives 2 - - - (2) - - - Derivatives - liabilities (175) 60 - (1,954) 584 (97) (1,582) (6) Forward (15) - - (15) 15 - (15) - Options (8) (18) - (71) 74 1 (22) (6) Swaps (152) 78 - (1,868) 495 (98) (1,545) - 265


 
Sensitivity analysis of level 3 operations The fair value of financial instruments classified in Level 3 is measured through valuation techniques based on correlations and associated products traded in active markets, internal estimates and internal models. Material unobservable inputs used for measurement of the fair value of instruments classified in Level 3 are: interest rates, underlying asset prices and volatility. Material variations in any of these inputs separately may give rise to material changes in the fair value. The table below shows the sensitivity of these fair values in scenarios of changes of interest rates, in asset prices and in scenarios with varying shocks to prices and volatilities for nonlinear assets, considering: Interest rate: Shocks of 1, 25 and 50 basis points (scenarios I, II and III respectively) applied to the interest curves, both up and down, taking the largest losses resulting in each scenario. Commodities, index and shares: Shocks of 5 and 10 percentage points (scenarios I and II respectively) applied to asset prices, both up and down, taking the largest losses resulting in each scenario. Nonlinear: Scenario I: Shocks of 5 percentage points applied on prices and 25 percentage points on the volatility level, both up and down, taking the largest losses resulting in each scenario. Scenario II: Shocks of 10 percentage points applied on prices and 25 percentage points on the volatility level, both up and down, taking the largest losses resulting in each scenario. Sensitivity – Level 3 operations 12/31/2025 Market risk factor groups Scenarios Impacts Income Stockholders' equity Interest rate I (5.6) (0.1) II (142.1) (3.2) III (284.7) (6.4) Commodities, indexes and shares I (5.4) - II (10.8) - Nonlinear I (25.5) - II (40.8) - b) Financial assets and liabilities not measured at fair value 12/31/2025 Book value Fair value Financial assets at amortized cost (1) 2,084,466 2,083,607 Cash 37,144 37,144 Interbank investments 340,388 340,388 Securities 136,461 135,883 Interbank and interbranch accounts 282,008 282,008 Operations with credit granting characteristics 1,229,943 1,229,662 Other financial assets 58,522 58,522 Financial liabilities at amortized cost 2,377,184 2,380,433 Deposits 1,114,482 1,114,530 Securities sold under repurchase agreements 456,158 456,158 Debt instruments 415,630 419,130 Borrowing and onlending 147,164 146,865 Other financial liabilities 133,789 133,789 Interbank and interbranch accounts 109,961 109,961 1) Amounts presented net of the provision for expected loss. The methods used to estimate the fair value of financial instruments not measured at fair value are: • Interbank investments - The book value of Securities purchased under agreements to resell is close to their fair value and the fair value of Interbank deposits is calculated by discounting estimated cash flows at market interest rates. • Securities - Under normal conditions, the prices quoted in the market are the best indicators of the fair values of these financial instruments. However, not all instruments have liquidity or quoted market prices and, in such cases, are priced by conventional or internal models, with inputs captured directly, built based on observations of active markets, or generated by statistical and mathematical models. 266


 
• Operations with credit granting characteristics - Fair value of loan operations is estimated for groups of loans with similar financial and risk characteristics, using valuation models. The fair value of fixed-rate loans is determined by discounting estimated cash flows, at interest rates applicable to similar loans. For the majority of loans at floating rates, the book value is considered to be close to their fair value. The fair value of loan and lease operations not overdue is calculated by discounting the expected payments of principal and interest to maturity. The fair value of overdue loan and lease operations is based on the discount of estimated cash flows, using a rate proportional to the risk associated with the estimated cash flows, or on the underlying collateral. The assumptions for cash flows and discount rates rely on information available in the market and specific knowledge of the debtor. For the securities with credit granting characteristics, under normal conditions, quoted market prices are used, and for those that do not have liquidity or quotation, they are priced by conventional or internal models. • Deposits, debit instruments and borrowing and onlending - They are calculated by discounting estimated cash flows at market interest rates. • Securities sold under repurchase agreements - The book value for these instruments is close to their fair values. • Other financial assets / liabilities - Primarily composed for receivables from credit card issuers, deposits in guarantee for contingent liabilities, provisions and legal obligations and trading and intermediation of securities. The book value for these assets/liabilities substantially approximate to their fair values, since they principally represent amounts to be received in the short term from credit card holders and to be paid to credit card issuers, deposits demanded judicially (indexed to market rates) made by ITAÚ UNIBANCO HOLDING to secure lawsuits or very short-term receivables (generally with a maturity of approximately 5 business days). All of these items represent assets/liabilities without material market, credit or liquidity risks. Note 18 - Stockholders' equity a) Capital In a meeting held on February 5, 2025, the Board of Directors approved the increase in the subscribed and paid up capital in the amount of R$ 33,334, through capitalization of amounts recorded in Profit Reserves - Statutory Reserve, with a 10% bonus in shares. The bonus shares were issued and started to be traded as from March 20, 2025. Consequently, capital was increased by 980,413,535 shares. In a meeting held on November 27, 2025, the Board of directors approved cancellations of 78,850,638 of preferred shares of own issue and shares held in treasury, with no change in capital, upon capitalization of amounts recorded in Profit Reserves - Statutory Reserve. In a meeting held on December 18, 2025, the Board of Directors approved the increase in the subscribed and paid up capital in the amount of R$ 12,847, through capitalization of amounts recorded in Profit Reserves - Statutory Reserve, with a 3% bonus in shares. The bonus shares were issued and started to be traded as from December 30, 2025. Consequently, capital was increased by 321,170,947 shares. Capital is represented by 11,026,869,192 book-entry shares with no par value, of which 5,617,742,977 are common shares and 5,409,126,215 are preferred shares with no voting rights, but with tag-along rights in a public offering of shares, in a possible transfer of control, assuring them a price equal to eighty per cent (80%) of the amount paid per voting share in the controlling block, and a dividend at least equal to that of the common shares. The breakdown and change in shares of paid-in capital in the beginning and end of the period are shown below: 267


 
01/01/2025 12/31/2025 01/01/2025 Number Amount Common Preferred Total Residents in Brazil 01/01/2025 4,918,480,340 1,325,492,746 6,243,973,086 57,783 Residents abroad 01/01/2025 39,810,019 3,520,352,243 3,560,162,262 32,946 Shares of capital stock 01/01/2025 4,958,290,359 4,845,844,989 9,804,135,348 90,729 Bonus shares – Outstanding as from 03/20/2025 495,829,036 484,584,499 980,413,535 (-) Cancellation of Shares - Meeting of the Board of Diretors at 11/27/2025 - (78,850,638) (78,850,638) Bonus shares – Outstanding as from 12/30/2025 163,623,582 157,547,365 321,170,947 Shares of capital stock 12/31/2025 5,617,742,977 5,409,126,215 11,026,869,192 136,910 Residents in Brazil 12/31/2025 5,567,132,399 1,333,956,149 6,901,088,548 85,684 Residents abroad 12/31/2025 50,610,578 4,075,170,066 4,125,780,644 51,226 Treasury shares (1) 01/01/2025 - 28,030,833 28,030,833 (909) Acquisition of treasury shares - 81,312,040 81,312,040 (3,085) (-) Cancellation of Shares - Meeting of the Board of Diretors at 11/27/2025 - (78,850,638) (78,850,638) 3,000 Result of delivery of treasure shares - (30,244,329) (30,244,329) 981 Bonus shares – Treasury as from 03/20/2025 - 86,718 86,718 Bonus shares – Treasury as from 12/30/2025 - 10,038 10,038 Treasury shares (1) 12/31/2025 - 344,662 344,662 (13) Number of total shares at the end of the period (2) 12/31/2025 5,617,742,977 5,408,781,553 11,026,524,530 1) Own shares purchased based on authorization of the Board of Directors to be held in Treasury for subsequent cancellation or replacement in the market. 2) Shares representing total capital stock net of treasury shares. We detail below the cost of shares purchased in the period, as well the average cost of treasury shares and their market price at 12/31/2025: 12/31/2025 Cost / Market value Common Preferred Minimum - 32.81 Weighted average - 37.91 Maximum - 41.36 Treasury shares Average cost - 36.94 Market value on the last day of the base date 36.35 39.23 b) Dividends Shareholders are entitled to a mandatory minimum dividend in each fiscal year, corresponding to 25% of adjusted net income, as set forth in the Bylaws. Common and preferred shares participate equally in income distributed, after common shares have received dividends equal to the minimum annual priority dividend payable to preferred shares (R$ 0.022 non-cumulative per share). ITAÚ UNIBANCO HOLDING monthly advances the mandatory minimum dividend, using the share position of the last day of the previous month as the calculation basis, and the payment made on the first business day of the subsequent month in the amount of R$ 0.015 per share. 268


 
I - Breakdown of dividends and interest on capital 12/31/2025 Statutory individual net income 45,659 Adjustments: (-) Legal reserve - 5% (2,283) Dividend calculation basis 43,376 Minimum mandatory dividend - 25% 10,844 Dividends and Interest on Capital Paid / Accrued / Identified 31,647 II - Stockholders' yields Value per share (R$) Value WHT (With holding tax) Net Paid / Prepaid 29,556 (1,434) 28,122 Interest on capital - 11 monthly installment paid from February to December 2025 0.0150 2,038 (307) 1,731 Interest on capital - paid on 08/29/2025 0.5929 7,518 (1,127) 6,391 Dividends - paid on 12/19/2025 1.8682 20,000 - 20,000 Accrued (Recorded in Other liabilities – Social and statutory) 4,148 (623) 3,525 Interest on capital - 1 monthly installment paid on 01/02/2026 0.0150 190 (29) 161 Interest on capital - credited on 11/27/2025 to be paid until 04/30/2026 0.3143 3,958 (594) 3,364 Total - 01/01 to 12/31/2025 33,704 (2,057) 31,647 c) Capital reserves and profit reserves - ITAÚ UNIBANCO HOLDING 12/31/2025 Capital reserves 2,873 Premium on subscription of shares 284 Share-based payment 2,588 Reserves from tax incentives, restatement of equity securities and other 1 Profit reserves (1) 57,107 Legal (2) 20,429 Statutory (3) 36,678 1) Possible surplus of Profit reserves in relation to the Capital will be distributed or capitalized as required by the following Annual General Stockholders' Meeting/Extraordinary General Stockholders' Meeting. 2) Its purpose is to ensure the integrity of capital, compensate loss or increase capital. 3) Its main purpose is to ensure the remuneration flow to shareholders. d) Reconciliation of net income and stockholders’ equity (Note 2c I) Net income Stockholders’ equity 01/01 to 12/31/2025 12/31/2025 ITAÚ UNIBANCO HOLDING 45,659 195,980 Amortization of goodwill (3) 1 Hedge in foreign operations 570 (835) Other (555) 1,000 ITAÚ UNIBANCO HOLDING CONSOLIDATED 45,671 196,146 e) Non-controlling interests Stockholders’ equity Income 12/31/2025 01/01 to 12/31/2025 Banco Itaú Chile 7,314 (562) Itaú Colombia S.A. 22 - Financeira Itaú CBD S.A. Crédito, Financiamento e Investimento 692 (216) Luizacred S.A. Soc. de Crédito, Financiamento e Investimento 1,062 (257) Other 394 (94) Total 9,484 (1,129) 269


 
f) Share-based payment ITAÚ UNIBANCO HOLDING and its subsidiaries have share-based payment plans aimed at involving its management members and employees in the medium and long term corporate development process. The grant of these benefits is only made in years in which there are sufficient profits to permit the distribution of mandatory dividends, limiting dilution to 0.5% of the total shares held by the controlling and minority stockholders at the balance sheet date. These programs are settled through the delivery of ITUB4 treasury shares to stockholders. Expenses on share-based payment plans are presented in the table below: 01/01 to 12/31/2025 Partner plan (499) Share-based plan (608) Total (1,107) I - Partner plan The program enables employees and managers of ITAÚ UNIBANCO HOLDING to invest a percentage of their bonus to acquire shares and share-based instruments. There is a lockup period of from three to five years, counted from the initial investment date, and the shares are thus subject to market price variations. After complying with the preconditions outlined in the program, beneficiaries are entitled to receive shares as consideration, in accordance with the number of shares indicated in the program internal regulations. The acquisition price of shares and share-based instruments is established every six months as the average of the share price over the last 30 days, which is performed on the seventh business day prior to the compensation grant date. The fair value of the consideration in shares is the market price at the grant date, less expected dividends. Change in the Partner program 01/01 to 12/31/2025 Quantity Opening balance 84,186,167 New 33,444,044 Delivered (14,551,588) Cancelled (1,058,266) Closing balance 102,020,357 Weighted average of remaining contractual life (years) 2.11 Market value weighted average (R$) 21.24 270


 
II - Variable compensation In this plan, part of the administrators variable remuneration is paid in cash and part in shares during a period of three years. Shares are delivered on a deferred basis, of which one-third per year, upon compliance with the conditions provided for in internal regulation. The deferred unpaid portions may be reversed proportionally to a significant reduction in the recurring income realized or the negative income for the period. Management members become eligible for the receipt of these benefits according to individual performance, business performance or both. The benefit amount is established according to the activities of each management member who meets at least the performance and conduct requirements. The fair value of the share is the market price at its grant date, less expected dividends. Change in share-based variable compensation 01/01 to 12/31/2025 Quantity Opening balance 47,813,732 New 26,766,853 Delivered (24,312,818) Cancelled (466,053) Closing balance 49,801,714 Weighted average of remaining contractual life (years) 0.92 Market value weighted average (R$) 24.98 Note 19 - Related parties Transactions between related parties are carried out for amounts, terms and average rates in accordance with normal market practices during the period, and under reciprocal conditions. Transactions between companies and investment funds, included in consolidation (Note 2c I), have been eliminated and do not affect the consolidated statements. The principal unconsolidated related parties are as follows: • Parent companies: IUPAR, E. JOHNSTON and ITAÚSA. • Associates and joint ventures: of which stand out: Avenue Holding Cayman Ltd.; Biomas Serviços Ambientais, Restauração e Carbono S.A.; BSF Holding S.A.; Conectcar Instituição de Pagamento e Soluções de Mobilidade Eletrônica S.A.; Kinea Private Equity Investimentos S.A.; Olímpia Promoção e Serviços S.A.; Porto Seguro Itaú Unibanco Participações S.A.; Pravaler S.A. and Tecnologia Bancária S.A. • Other related parties: • Direct and indirect equity interests of ITAÚSA, in particular: Aegea Saneamento e Participações S.A.; Águas do Rio 1 SPE S.A., Águas do Rio 4 SPE S.A.; Alpargatas S.A.; Motiva Infraestrutura de Mobilidade S.A.; Concessionária Rota Sorocabana S.A.; Copa Energia Distribuidora de Gás S.A. and Dexco S.A. • Pension plans, in particular: Fundação Itaú Unibanco – Previdência Complementar and FUNBEP – Fundo de Pensão Multipatrocinado, closed-end supplementary pension entities, that administer retirement plans sponsored by ITAÚ UNIBANCO HOLDING CONSOLIDATED, created exclusively for employees. • Associations, in particular: Associação Cubo Coworking Itaú and Associação Itaú Viver Mais. 271


 
• Foundations and Institutes, in particular: Fundação Saúde Itaú; Instituto Itaú Ciência, Tecnologia e Inovação and Instituto Unibanco. a) Transactions with related parties ITAÚ UNIBANCO HOLDING CONSOLIDATED 12/31/2025 Parent companies Associates and joint ventures Other related parties Total Assets lnterbank investments - 1,328 - 1,328 Loan operations - 232 408 640 Securities and derivative (assets and liabilities) (1) - 795 3,380 4,175 Other assets - 406 301 707 Total assets - 2,761 4,089 6,850 Liabilities Deposits (47) (80) (1,159) (1,286) Securities sold under repurchase agreements - (287) (793) (1,080) Debt instruments - (84) (213) (297) lnterbank and interbranch accounts (assets and liabilities) - (290) - (290) Other liabilities - (200) (4,263) (4,463) Total liabilities (47) (941) (6,428) (7,416) 01/01 to 12/31/2025 Statement of lncome lncome related to financial operations 41 263 14 318 Expenses related to financial operations (5) (29) (230) (264) Other operating revenues / (expenses) 7 (261) (481) (735) lncome 43 (27) (697) (681) 1) Includes Securities with credit granting characteristics. ITAÚ UNIBANCO HOLDING 12/31/2025 Parent companies Subsidiaries (1) Associates and joint ventures Other related parties Total Assets lnterbank investments - 31,305 - - 31,305 Loan operations - 11 1 2 14 Securities and derivative (assets and liabilities) - 35,105 - 12 35,117 Other assets - 116 - - 116 Total assets - 66,537 1 14 66,552 Liabilities Deposits - (99,318) - - (99,318) Debt instruments - (81) - - (81) lnterbank and interbranch accounts (assets and liabilities) - (923) (290) - (1,213) Other liabilities - (39,449) - (130) (39,579) Total liabilities - (139,771) (290) (130) (140,191) 01/01 to 12/31/2025 Statement of lncome lncome related to financial operations - 9,713 - - 9,713 Expenses related to financial operations - (13,151) - - (13,151) Other operating revenues / (expenses) - (4,142) - (2) (4,144) lncome - (7,580) - (2) (7,582) 1) Companies related in Note 2c I. Operations with Key Management Personnel of ITAÚ UNIBANCO HOLDING CONSOLIDATED present Assets of R$ 213, Liabilities of R$ (11,290) and Result of R$ (44). 272


 
b) Compensation and benefits of key management personnel Compensation and benefits attributed to Management members, members of the Audit committee and the Board of directors of ITAÚ UNIBANCO HOLDING CONSOLIDATED in the period correspond to: 01/01 to 12/31/2025 Fees (851) Profit sharing (548) Post-employment benefits (10) Share-based payment plan (357) Total (1,766) Total amount related personnel expenses, to share-based payment plans, and post-employment benefits are detailed in Notes 26, 18f and 22, respectively. Note 20 - Taxes The accounting policy on income tax and social contribution is presented in Note 2c XIII. ITAÚ UNIBANCO HOLDING and each one of its subsidiaries calculate separately, in each fiscal year, Income tax and social contribution on net income. Taxes are calculated at the rates shown below and consider, for effects of respective calculation bases, the legislation in force applicable to each charge. Income tax 15.00% PIS (2) 0.65% Additional income tax 10.00% COFINS (2) 4.00% Social contribution on net income (1) 20.00% ISS up to 5.00% 1) For insurance, capitalization and other financial subsidiaries, the Social contribution on net income is 15% and for the non-financial ones it is 9%. 2) For non-financial subsidiaries that fall into the non-cumulative calculation system, the PIS rate is 1.65% and COFINS rate is 7.60%. a) Expenses for taxes and contributions I - Breakdown of income tax and social contribution calculation on net income Due on operations for the period 01/01 to 12/31/2025 Income before income tax and social contribution 55,144 Charges (income tax and social contribution) at the rates in effect (24,816) Increase / decrease in income tax and social contribution charges arising from: Equity income in associates and joint ventures 1,808 Interest on capital 7,626 Other non-deductible expenses net of non taxable income (1) 2,290 Income tax and social contribution expenses (13,092) Related to temporary differences Increase / (reversal) for the period 5,224 (Expenses) / income related to deferred taxes 5,224 Total income tax and social contribution expenses (7,868) 1) Includes temporary (additions) and exclusions. 273


 
II - Tax expenses 01/01 to 12/31/2025 PIS and COFINS (8,474) ISS (1,700) Other (865) Total (11,039) Tax expenses of ITAÚ UNIBANCO HOLDING amount to R$ (2,179) and are mainly composed of PIS, COFINS and ISS. III - Tax effects of foreign exchange management of investments abroad In order to minimize the effects on income of foreign exchange variations on investments abroad, net of the respective tax effects, ITAÚ UNIBANCO HOLDING CONSOLIDATED carries out derivative transactions in foreign currency (hedging), as mentioned in Note 28b. The result of these transactions is computed in the calculation of the tax bases, according to their nature and the tax legislation in force, as well as the foreign exchange variation of the portion of hedged investments abroad, according to regulations established by Law No. 14,031, of July 28, 2020. 274


 
b) Deferred taxes I - The deferred tax assets balance and its changes, segregated based on its origin and disbursements, are represented by: 01/01/2025 Deferred tax assets 01/01/2025 01/01/2025 Realization / reversal Increase 12/31/2025 Reflected in income 65,388 (18,875) 24,683 71,196 Provision for expected credit loss 45,144 (5,664) 13,575 53,055 Related to tax losses and social contribution loss carryforwards 2,029 (1,956) 22 95 Provision for profit sharing 3,258 (3,258) 3,623 3,623 Adjustments to fair value of financial assets at fair value through profit or loss and derivatives 337 (337) 226 226 Adjustments of operations carried out on the futures settlement market 883 (883) - - Goodwill on purchase of investments 74 (63) 4 15 Provisions 6,277 (3,406) 2,993 5,864 Civil lawsuits 1,239 (665) 641 1,215 Labor claims 3,174 (1,386) 1,755 3,543 Tax and social security obligations 1,864 (1,355) 597 1,106 Legal obligations 375 (135) 140 380 Provision related to health insurance operations 390 (49) 85 426 Other non-deductible provisions 6,621 (3,124) 4,015 7,512 Reflected in stockholders’ equity 3,347 (311) 93 3,129 Adjustments to fair value of financial assets at fair value through other comprehensive income 2,003 (299) 87 1,791 Cash flow hedge 434 (12) - 422 Post-employment benefits 910 - 6 916 Total (1,2) 68,735 (19,186) 24,776 74,325 1) Deferred tax assets are classified in their totality as non-current. 2) The balance of deferred tax assets includes the effects brought by Supplementary Law No. 224/25 (Note 28e), which increased the rate of CSLL of certain companies of ITAÚ UNIBANCO HOLDING CONSOLIDATED. This law will take effect in current tax as from April 1, 2026. In ITAÚ UNIBANCO HOLDING, Deferred tax assets totaled R$ 18,928 and are mainly represented by Tax losses and social contribution loss carryforwards of R$ 17, Provision for expected credit loss of R$ 16,660, Administrative provisions of R$ 203, Provisions for legal, tax and social security obligations of R$ 434, the realization of which is contingent upon the outcome of the respective lawsuits, Adjustments to fair value of securities at fair value through other comprehensive income of R$ 2, and Provision for reward program of R$ 741. 275


 
II - The deferred tax liabilities balance and its changes are represented by: [@d9] 01/01/2025 Realization / reversal Increase 12/31/2025 Reflected in income 5,427 (2,772) 5,702 8,357 Supervenience of depreciation of finance lease 107 (9) - 98 Adjustment of deposits in guarantee and provisions 1,763 (722) 657 1,698 Post-employment benefits 260 (37) 34 257 Adjustments of operations carried out on the futures settlement market - - 194 194 Adjustments to fair value of financial assets at fair value through profit or loss 1,697 (1,697) 4,180 4,180 Other 1,600 (307) 637 1,930 Reflected in stockholders’ equity 3,306 (3,067) 18 257 Adjustments to fair value of financial assets at fair value through other comprehensive income 3,302 (3,067) 15 250 Post-employment benefits 4 - 3 7 Total (1) 8,733 (5,839) 5,720 8,614 1) The balance of deferred tax liabilities includes the effects brought by Supplementary Law No. 224/25 (Note 28e), which increased the rate of CSLL of certain companies of ITAÚ UNIBANCO HOLDING CONSOLIDATED. This law will take effect in current tax as from April 1, 2026. In ITAÚ UNIBANCO HOLDING, Deferred tax liabilities totaled R$ 918 and are mainly represented by Update of deposits in guarantee and provisions of R$ 393, Adjustments to fair value of financial assets at fair value through other comprehensive income of R$ 111, Depreciation in excess of finance lease of R$ 95, and Temporary adjustments on differences between accounting practices in interest abroad of R$ 176. 276


 
III - The estimate of realization and present value of deferred tax assets and from the deferred tax liabilities are: Realization year Deferred tax assets Deferred tax liabilities % Net deferred taxes %Temporary differences % Tax loss/social contribution loss carryforwards % Total % 2026 17,889 24.1% 89 93.7% 17,978 24.2% (1,197) 13.9% 16,781 25.5% 2027 10,894 14.7% - - 10,894 14.7% (471) 5.5% 10,423 15.9% 2028 7,635 10.3% 1 1.1% 7,636 10.3% (513) 6.0% 7,123 10.8% 2029 6,004 8.1% 1 1.1% 6,005 8.1% (672) 7.8% 5,333 8.1% 2030 5,697 7.7% 2 2.1% 5,699 7.7% (427) 5.0% 5,272 8.0% After 2030 26,111 35.1% 2 2.0% 26,113 35.0% (5,334) 61.8% 20,779 31.7% Total 74,230 100.0% 95 100.0% 74,325 100.0% (8,614) 100.0% 65,711 100.0% Present value (1) 59,835 88 59,923 (6,354) 53,569 1) The average funding rate, net of tax effects, was used to determine the present value. Net income in the financial statements is not directly related to the taxable income for income tax and social contribution, due to differences between accounting criteria and the tax legislation, in addition to corporate aspects. Accordingly, it is recommended that changes in the realization of deferred tax assets presented above are not considered as an indication of future net income. IV - Deferred tax assets not accounted for At 12/31/2025, deferred tax assets not accounted for correspond to R$ 586 and result from Management’s evaluation of their perspectives of realization in the long term. c) Current tax liabilities Note 12/31/2025 Taxes and contributions on income payable 9,228 Other taxes and contributions payable 4,157 Legal obligations 11b II 1,942 Total 15,327 Current 12,521 Non-current 2,806 In ITAÚ UNIBANCO HOLDING, Current tax liabilities totaled R$ 999 and are represented by Legal obligations of R$ 296 and Taxes and contributions on income payable and Other taxes and contributions payable of R$ 703. 277


 
Note 21 - Earnings per share a) Basic earnings per share Net income attributable to ITAÚ UNIBANCO HOLDING CONSOLIDATED’s shareholders is divided by the average number of outstanding shares in the period, excluding treasury shares. 01/01 to 12/31/2025 Net income attributable to owners of the parent company 45,671 Minimum non-cumulative dividends on preferred shares (120) Retained earnings to be distributed to common equity owners in an amount per share equal to the minimum dividend payable to preferred equity owners (124) Retained earnings to be distributed, on a pro rata basis, to common and preferred equity owners: 45,427 Common 23,037 Preferred 22,390 Total net income available to equity owners: Common 23,161 Preferred 22,510 Weighted average number of outstanding shares Common 5,617,742,977 Preferred 5,459,926,630 Basic earnings per share – R$ Common 4.12 Preferred 4.12 b) Diluted earnings per share Calculated similarly to the basic earnings per share, however, it includes the conversion of all preferred shares potentially dilutable in the denominator. 01/01 to 12/31/2025 Net income available to preferred equity owners 22,510 Dividends on preferred shares after dilution effects 231 Net income available to preferred equity owners considering preferred shares after the dilution effect 22,741 Net income available to ordinary equity owners 23,161 Dividend on preferred shares after dilution effects (231) Net income available to ordinary equity owners considering preferred shares after the dilution effect 22,930 Adjusted weighted average of shares Common 5,617,742,977 Preferred 5,571,684,620 Preferred 5,459,926,630 Incremental as per share-based payment plans 111,757,990 Diluted earnings per share – R$ Common 4.08 Preferred 4.08 There was no potentially antidilutive effect of the shares in share-based payment plans. 278


 
Note 22 - Post-employment benefits The accounting policy on post-employment benefits is presented in Note 2c XIV. Retirement plans are managed by Closed-end Private Pension Entities (EFPC) and are closed to new adhesions. These entities have an independent structure and manage their plans according to the characteristics of their regulations. There are three types of retirement plans: • Defined benefit plans (BD): plans for which scheduled benefits have their value established in advance, based on salaries and/or length of service of employees, and the cost is actuarially determined. The plans classified in this category are: Plano de Aposentadoria Complementar; Plano de Aposentadoria Complementar Móvel Vitalícia; Plano de Benefício Franprev; Plano de Benefício 002; Plano de Benefícios Prebeg; Plano BD UBB PREV; Plano de Benefícios II; Plano Básico Itaulam; Plano BD Itaucard; Plano de Aposentadoria Principal Itaú Unibanco managed by Fundação Itaú Unibanco - Previdência Complementar (FIU); and Plano de Benefícios I, managed by Fundo de Pensão Multipatrocinado (FUNBEP). • Defined contribution plans (CD): plans for which scheduled benefits have their value permanently adjusted to the investments balance, kept in favor of the participant, including in the benefit concession phase, considering net proceedings of its investment, amounts contributed and benefits paid. Defined Contribution plans include pension funds consisting of the portions of sponsor's contributions not included in a participant's account balance due to loss of eligibility for the benefit, and of monies arising from the migration of retirement plans in defined benefit modality. These funds are used for future contributions to individual participant's accounts, according to the respective benefit plan regulations. The plans classified in this category are: Plano Itaubanco CD; Plano de Aposentadoria Itaubank; Plano de Previdência REDECARD managed by FIU. • Variable contribution plans (CV): in this type of plan, scheduled benefits present a combination of characteristics of defined contribution and defined benefit modalities, and the benefit is actuarially determined based on the investments balance accumulated by the participant on the retirement date. The plans classified in this category are: Plano de Previdência Unibanco Futuro Inteligente; Plano Suplementar Itaulam; Plano CV Itaucard; Plano de Aposentadoria Suplementar Itaú Unibanco managed by FIU and Plano de Benefícios II managed by FUNBEP. a) Main actuarial assumptions The table below shows the actuarial assumptions of demographic and financial nature used to calculate the defined benefit obligation: Type Assumption 12/31/2025 Demographic Mortality table (1) AT-2000 Financial Nominal discount rate (2) 11.70% a.a. Financial Inflation (3) 4.00% p.a. 1) Correspond to those disclosed by SOA - Society of Actuaries, with the general application of a 10% increase, according to the adherence to the plan's population, in the probability of survival in relation to the respesctive basic tables. 2) Considers the interest rates of the National Treasury Notes (NTN-B) with maturity dates near the terms of the respective obligations, compatible with the economic scenario observed on the balance sheet closing date, considering the volatility of interest market and models used. 3) Long-term inflation projected. Retirement plans sponsored by foreign subsidiaries - Banco Itaú (Suisse) S.A., Itaú Colombia S.A. and PROSERV - Promociones y Servicios S.A. de C.V. - are structured as Defined Benefit modality and adopt actuarial assumptions adequate to masses of participants and the economic scenario of each country. 279


 
b) Risk management The EFPCs sponsored by ITAÚ UNIBANCO HOLDING are regulated by the National Council for Complementary Pension (CNPC) and PREVIC, and have an Executive Board, Advisory and Tax Councils. Benefits offered have long-term characteristics and the main factors involved in the management and measurement of their risks are financial risk, inflation risk and demographic risk. • Financial risk - the actuarial liability of the plan is calculated by adopting a discount rate, which may differ from rates earned in investments. If real income from plan investments is lower than yield expected, this may give rise to a deficit. To mitigate this risk and assure the capacity to pay long-term benefits, the plans have a significant percentage of fixed-income securities pegged to the plan commitments, aiming at minimizing volatility and risk of mismatch between assets and liabilities. Additionally, adherence tests are carried out in financial assumptions to ensure their adequacy to obligations of respective plans. • Inflation risk - a large part of liabilities is pegged to inflation risk, making actuarial liabilities sensitive to increases in rates. To mitigate this risk, the same financial risks mitigation strategies are used. • Demographic risk - plans that have any obligation actuarially assessed are exposed to demographic risk. In the event the mortality tables used do not reflect actual conditions of the mass of plan participants, a deficit or surplus may arise in actuarial evaluation. To mitigate this risk, adherence tests to demographic assumptions are conducted to ensure their adequacy to liabilities of respective plans. For purposes of registering in the balance sheet of the EFPCs that manage them, actuarial liabilities of plans apply a discount rate adherent to their asset portfolio and income and expense flows, according to a study prepared by an independent actuarial consulting company. The actuarial method used is the aggregate method, through which the plan costing is defined by the difference between its equity coverage and the current value of its future liabilities, observing the methodology established in the respective actuarial technical note. When a deficit in the concession period above the legally defined limits is noted, debt agreements are entered into with the sponsor according to costing policies, which affect the future contributions of the plan, and a plan for solving such deficit is established respecting the guarantees set forth by the legislation in force. The plans that are in this situation are resolved through extraordinary contributions that affect the values of the future contribution of the plan. 280


 
c) Asset management The purpose of the management of funds is the long-term balance between pension assets and liabilities with payment of benefits by exceeding actuarial goals (discount rate plus benefit adjustment index, established in the plan regulations). Below is a table with the allocation of assets by category, segmented into Quoted in an active market and Not quoted in an active market: Types Fair value % Allocation 12/31/2025 12/31/2025 Fixed income securities 22,144 96.5% Quoted in an active market 21,481 93.6% Non quoted in an active market 663 2.9% Variable income securities 2 - Quoted in an active market 2 - Structured investments 125 0.5% Non quoted in an active market 125 0.5% Real estate 575 2.6% Loans to participants 91 0.4% Total 22,937 100.0% The defined benefit plan assets include shares of ITAÚ UNIBANCO HOLDING, its main parent company (ITAÚSA) and its subsidiaries, with a fair value of R$ 2, and real estate rented to group companies, with a fair value of R$ 508. d) Other post-employment benefits ITAÚ UNIBANCO HOLDING CONSOLIDATED does not have additional liabilities related to post-employment benefits, except in cases arising from maintenance commitments assumed in acquisition agreements which occurred over the years, as well as those benefits originated from court decision in the terms and conditions established, in which there is total or partial sponsorship of health care plans for a specific group of former employees and their beneficiaries. Its costing is actuarially determined so as to ensure coverage maintenance. These plans are closed to new applicants. Assumptions for discount rate, inflation, mortality table and actuarial method are the same as those used for retirement plans. ITAÚ UNIBANCO HOLDING CONSOLIDATED used the percentage of 4% p.a. for medical inflation, additionally considering, inflation rate of 4% p.a. Particularly in other post-employment benefits, there is medical inflation risk associated with above expectation increases in medical costs. To mitigate this risk, the same financial risk mitigation strategies are used. 281


 
e) Change in the net amount recognized in the balance sheet The net amount recognized in the Balance Sheet is limited by the asset ceiling and it is computed based on estimated future contributions to be realized by the sponsor, so that it represents the maximum reduction amount in the contributions to be made. 12/31/2025 BD and CV plans CD plans Other post- employment benefits Total Note Net assets Actuarial liabilities Asset ceiling Recognized amount Pension plan fund Asset ceiling Recognized amount Liabilities Recognized amount Amounts at the beginning of the period 21,490 (19,035) (4,237) (1,782) 365 (81) 284 (562) (2,060) Amounts recognized in income (1+2+3+4) 2,393 (2,108) (493) (208) (16) (10) (26) (61) (295) 1 - Cost of current service - (24) - (24) - - - - (24) 2 - Cost of past service - - - - - - - - - 3 - Net interest 2,393 (2,084) (493) (184) 50 (10) 40 (61) (205) 4 - Other revenues and expenses (1) - - - - (66) - (66) - (66) Amounts recognized in stockholders´ equity - other comprehensive income (5+6+7) 749 (445) (300) 4 (10) (5) (15) 14 3 5 - Effects on asset ceiling - - (300) (300) - (5) (5) - (305) 6 - Remeasurements 762 (451) - 311 (10) - (10) 14 315 Changes in demographic assumptions - 151 - 151 - - - - 151 Changes in financial assumptions - (384) - (384) - - - 4 (380) Experience of the plan (2) 762 (218) - 544 (10) - (10) 10 544 7 - Exchange variation (13) 6 - (7) - - - - (7) Other (8+9+10) (1,695) 1,947 - 252 - - - 83 335 8 - Receipt by destination of resources - - - - - - - - - 9 - Benefits paid (1,947) 1,947 - - - - - 83 83 10 - Contributions and investments from sponsor 252 - - 252 - - - - 252 Amounts at end of the period 22,937 (19,641) (5,030) (1,734) 339 (96) 243 (526) (2,017) Amount recognized in Assets 9a 13 243 - 256 Amount recognized in Liabilities 9b (1,747) - (526) (2,273) 1) Corresponds to the use of asset amounts allocated in pension funds of the defined contribution plans. 2) Correspond to the income obtained above/below the expected return and comprise the contributions made by participants. Net interest corresponds to the amount calculated on 01/01/2025 based on the initial amount (Net assets, Actuarial liabilities and Restriction of assets), deducting the estimated amount of payments/receipts of benefits/contributions, multiplied by the discount rate of 11.59% p.a. ITAÚ UNIBANCO HOLDING sponsors a Plano BD. The amount recognized in Liabilities is R$ 47, in Other Comprehensive Income is R$ 15 and in income/(expense) is R$ (6). 282


 
f) Defined benefit contributions Estimated contributions Contributions made 2026 01/01 to 12/31/2025 Retirement plan - FIU 21 69 Retirement plan - FUNBEP 129 147 Total (1) 150 216 1) Include extraordinary contributions agreed upon in deficit equation plans. g) Maturity profile of defined benefit liabilities Duration (1) 2026 2027 2028 2029 2030 2031 to 2035 Pension plan - FIU 7.95 1,219 1,263 1,305 1,345 1,383 7,381 Pension plan - FUNBEP 7.38 740 757 774 789 803 4,169 Other post-employment benefits 7.42 91 72 45 47 49 265 Total 2,050 2,092 2,124 2,181 2,235 11,815 1) Average duration of plan´s actuarial liabilities. h) Sensitivity analysis To measure the effects of changes in the key assumptions, sensitivity tests are conducted in actuarial liabilities annually. The sensitivity analysis considers a vision of the impacts caused by changes in assumptions, which could affect the income for the period and stockholders’ equity at the balance sheet date. This type of analysis is usually carried out under the ceteris paribus condition, in which the sensitivity of a system is measured when only one variable of interest is changed and all the others remain unchanged. The results obtained are shown in the table below: Main assumptions BD and CV plans Other post-employment benefits Present value of liability Income Stockholders´ equity (Other comprehensive income) (1) Present value of liability Income Stockholders´ equity (Other comprehensive income) (1) Discount rate Increase by 0.5 p.p. (669) - 236 (17) - 17 Decrease by 0.5 p.p. 716 - (252) 19 - (19) Mortality table Increase by 5% (234) - 79 (9) - 9 Decrease by 5% 245 - (82) 10 - (10) Medical inflation Increase by 1 p.p. - - - 40 - (40) Decrease by 1 p.p. - - - (35) - 35 1) Net of effects of asset ceiling. 283


 
Note 23 - Information on foreign subsidiaries ITAÚ UNIBANCO HOLDING CONSOLIDATED has subsidiaries abroad, subdivided into: Foreign branches: Itaú Unibanco S.A., Miami Branch; Itaú Unibanco S.A., Nassau Branch; Itaú Unibanco Holding S.A., Grand Cayman Branch and Itaú Chile New York Branch. Latin America consolidated: basically compose of subsidiaries Banco Itaú Uruguay S.A., Banco Itaú Paraguay S.A., Banco Itaú Chile and Itaú Colombia S.A. Other foreign companies: basically compose of subsidiaries Itaú Bank Ltd., ITB Holding Ltd. and Itaú BBA International Plc. Further information on the results of foreign units are available in the Management’s Discussion and Analysis Report. Net income / (Loss) 01/01 to 12/31/2025 Foreign branches 92 Latin America consolidated 3,605 Other foreign companies 1,313 Foreign consolidated 5,535 Note 24 - Income and expenses related to financial operations and result of expected credit loss 01/01 to 12/31/2025 Income related to financial operations Expenses related to financial operations Result of expected credit loss Gross income related to financial operations AC 240,316 (192,569) (29,749) 17,998 FVOCI 12,484 - 75 12,559 FVPL 95,909 (26) 17 95,900 Other 2,070 (48,800) 1,026 (45,704) Total 350,779 (241,395) (28,631) 80,753 Note 25 - Commissions and banking fees The accounting policy on commissions and banking fees is presented in Note 2c XV. The main services provided by ITAÚ UNIBANCO HOLDING CONSOLIDATED are: • Credit and debit cards: refer mainly to fees charged by card issuers and annuities charged for the availability and management of credit card. • Current account services: substantially composed of current account maintenance fees, according to each service package granted to the customer, withdrawals from demand deposit account and money order. • Funds management: refer to fees charged for the management and performance of investment funds and consortia administration. • Payments and collections: refer mainly to fees charged by acquirers for processing transactions carried out with cards, the rental of machines from Rede and transfers made through PIX in legal entity’s packages. • Economic, financial and brokerage advisory: refer mainly to financial transaction structuring services, placement of securities and intermediation of operations on stock exchanges. 284


 
01/01 to 12/31/2025 Credit and debit cards 16,743 Current account services 3,427 Asset management 8,900 Funds 6,982 Consortia 1,918 Credit operations and financial guarantees 2,604 Credit operations 855 Financial guarantees 1,749 Payments and collections 6,774 Economic, financial and brokerage advisory 5,160 Custody services 914 Other 4,451 Total 48,973 In ITAÚ UNIBANCO HOLDING, Revenues from Commissions and Bank fees are basically represented by Credit and Debit cards in the amount of R$ 11,467. Note 26 - Operating expenses 01/01 to 12/31/2025 Compensation, payroll charges, welfare benefits, dismissals and training (25,242) Employees’ profit sharing and share-based payment (8,702) Third-party and financial system services, security, transportation and travel expenses (8,605) Data processing and telecommunications (5,921) Installations and materials (3,381) Depreciation and amortization (5,986) Advertising, promotions and publicity (1,741) Selling - credit cards (5,610) Amortization of goodwill (393) Claims losses (517) Other (5,751) Total (71,849) Note 27 - Risk, capital management and fixed assets limits a) Corporate governance To undertake and manage risks is one of the activities of ITAÚ UNIBANCO HOLDING CONSOLIDATED. For this reason, the institution must have clearly established risk management objectives. In this context, the risk appetite articulates the set of guidelines of the Board of Directors on strategy and risk taking, defining the nature and level of risks acceptable for the institution, while the risk culture guides the attitudes required to manage them. ITAÚ UNIBANCO HOLDING CONSOLIDATED invests in robust risk management processes and capital management that permeate the whole institution and that are the basis for its strategic decisions to ensure business sustainability and maximize value creation for shareholders. Foremost among processes for proper risk and capital management are the implementation of a continuous and integrated risk management structure, of the Risk Appetite framework, which is composed of the Risk Appetite Statement (RAS) of the Board of Directors, risk appetite policy and the set of metrics for monitoring the main risks according to the limits established, the stress test program, the organization of a Risk Committee and the appointment, before BACEN, of the Chief Risk Officer (CRO), with assignment of roles, responsibilities, and independence requirements. 285


 
These processes are aligned with the guidelines of the Board of Directors and Executive which, through collegiate bodies, define the global objectives expressed as targets and limits for the business units that manage risk. Control and capital management units, in turn, support ITAÚ UNIBANCO HOLDING CONSOLIDATED’s management by monitoring and analyzing risk and capital. The principles that determine the risk management and the risk appetite foundations, as well as guidelines regarding the actions taken by ITAÚ UNIBANCO HOLDING CONSOLIDATED’s employees in their daily routines are as follows: • Sustainability and customer satisfaction: the vision of ITAÚ UNIBANCO HOLDING CONSOLIDATED is to be a leading bank in sustainable performance and customer satisfaction. For this reason the institution is concerned about creating shared values for employees, customers, shareholders and society to ensure the longevity of the business. ITAÚ UNIBANCO HOLDING CONSOLIDATED is concerned about doing business that is good for customers and for the institution. • Risk culture: the institution's risk culture goes beyond policies, procedures and processes. It strengths the individual and collective responsibility of all employees so that they will do the right thing at the right time and in the proper manner, respecting the ethical way of doing business. It is based on four principles (conscious risk taking, discussions and actions on the institution’s risks and everyone's responsibility for risk management), which encourage understanding and open discussion about risks, so that they are kept within the risk appetite levels established and so that each employee individually, regardless of their position, area or duties, may also assume responsibility for managing the risks of the business. • Risk pricing: ITAÚ UNIBANCO HOLDING CONSOLIDATED operates and assumes risks in business that its known and understood, avoiding risks about which there is no knowledge or do not provide competitive advantages, and carefully assesses risk-return ratios. • Diversification: the institution has a low appetite for volatility in its results, for this reason, accordingly it operates with a diversified base of customers, products and business, seeking the differentiation of risks, in addition to prioritizing less risky businesses. • Operational excellence: ITAÚ UNIBANCO HOLDING CONSOLIDATED intends to provide agility, as well as a robust and stable infrastructure, to offer high quality services. • Ethics and respect for regulations: at ITAÚ UNIBANCO HOLDING CONSOLIDATED, ethics is non- negotiable. For this reason the institution promotes an institutional environment of integrity, educating all employees to cultivate ethical relationships and businesses and as well as respecting the norms, and therefore looking after the institution’s reputation. The Board of Directors is the maximum body responsible for establishing guidelines, policies and approval levels for risk and capital management. The Capital and Risk Management Committee (CGRC), in turn, is responsible for supporting the Board of Directors in managing capital and risk. At the executive level, collegiate bodies, chaired by the Chief Executive Officer (CEO) of ITAÚ UNIBANCO HOLDING CONSOLIDATED, who are responsible for risks and capital management performing delegated duties on these topics and their decisions are monitored by the CGRC. To support this structure, the Risk Department has specialized officers to ensure, on an independent and centralized basis, that the institution’s risks and capital are managed in compliance with the established policies and procedures. ITAÚ UNIBANCO HOLDING CONSOLIDATED’s risk management organizational structure complies with Brazilian and international regulations in place. Locally, the Bank follows the standards established by the Central Bank of Brazil (Bacen), particularly Resolution 4,557/17, which sets forth the risk and capital management structure of financial institutions, by the Securities and Exchange Commission (CVM) and by the Superintendence of Private Insurance (SUSEP), among other regulators and applicable standards. At the international level, ITAÚ UNIBANCO HOLDING CONSOLIDATED follows the standards established by the Basel Committee for Banking Supervision, the Securities and Exchange Commission (SEC) of the United States and the local regulations of the countries 286


 
where it is present. In addition,ITAÚ UNIBANCO HOLDING CONSOLIDATED adheres to guidelines such as the Foreign Account Tax Compliance Act (FATCA), the Principles for Responsible Banking (PRB) of the United Nations Environment Programme - Finance Initiative and the Guidelines for Multinational Companies of the Organization for Economic Cooperation and Development (OECD), pointing out some representative examples. The Bank also adopts practices in line with International Financial Reporting Standards (IFRS) and best corporate governance practices that are globally recognized. Additionally, ITAÚ UNIBANCO HOLDING CONSOLIDATED also has governance to identify and monitor emerging risks, which are those newly identified with medium and long term impact, potentially material on business, but for which there are not sufficient elements yet for their full assessment, due to the number of factors and impacts not fully known yet, since they have no precedents and therefore have never been addressed in the past. Responsibilities for risk management at ITAÚ UNIBANCO HOLDING CONSOLIDATED are structured according to the concept of three lines of governance, namely: • 1st line of governance: business areas and corporate support areas are directly responsible for identifying, measuring, assessing, monitoring, reporting, controlling, and mitigating the risks arising therefrom. • 2nd line of governance: risk area aims at ensuring, independently and centrally, that the institution’s risks are managed in compliance with policies and procedures established, setting parameters for the risk management process and its supervision. Such control provides the Board of Directors and executives with a global overview of ITAÚ UNIBANCO HOLDING CONSOLIDATED’s exposure, to ensure correct and timely corporate decisions. • 3rd line of governance: internal audit, which is linked to the Board of Directors and provides an independent assessment of the institution’s activities, so that senior management can see that controls are adequate, risk management is effective and institutional standards and regulatory requirements are being complied with. ITAÚ UNIBANCO HOLDING CONSOLIDATED uses robust automated systems for compliance with capital regulations, as well as for measuring risks in accordance with the regulatory determinations and models in place. It also monitors adherence to the qualitative and quantitative regulators’ minimum capital and risk management requirements. Aiming at strengthening its values and aligning the behavior of its employees with risk management guidelines, ITAÚ UNIBANCO HOLDING CONSOLIDATED adopts several initiatives to disseminate and strengthen a risk culture based on four principles: conscious risk taking, discussions and actions on the institution’s risks and everyone's responsibility for risk management. These principles serve as a basis for ITAÚ UNIBANCO HOLDING CONSOLIDATED guidelines, helping employees to conscientiously understand, identify, measure, manage and mitigate risks. Other information on Risk and Capital Management can be viewed at www.itau.com.br/relacoes-com- investidores/en/, in the section Results and reports, Regulatory reports, Pillar 3. b) Risk management Risk appetite Risk appetite articulates the Board of Directors' set of guidelines about strategy and risk taking, defining the nature and level of risks acceptable to the organization, and considering management capacity on an effective and prudent way, the strategic objectives, the conditions of competitiveness and the regulatory environment. The Risk Appetite framework is composed of the Risk Appetite Statement (RAS) by the Board of Directors, the Risk Appetite policy, and the set of metrics for monitoring the main risks according to the limits established. 287


 
Considering the strategic guidelines of ITAÚ UNIBANCO HOLDING CONSOLIDATED, the Risk Appetite and its dimensions are based on the following Statement: “We are a universal bank, operating predominantly in Latin America. Supported by our risk culture, we operate based on rigorous ethical and regulatory compliance standards, seeking high and growing results, with low volatility, by means of the long-lasting relationship with clients, correctly pricing risks, well-distributed fund-raising and proper use of capital.” To make RAS tangible, Risk Appetite was segmented in six dimensions, each of which comprising a set of metrics associated with the key risks involved, combining complementary measurements, to get a comprehensive view of our exposures on acceptable risk types and levels: • Capitalization: reflects the Bank’s level of protection against significant losses that could lead to regulatory non-compliance or insolvency. Establishes that ITAÚ UNIBANCO HOLDING CONSOLIDATED should have sufficient capital to protect itself against a serious recession or stress events without the need to adjust its capital structure under adverse circumstances. It is monitored through following up the ITAÚ UNIBANCO HOLDING CONSOLIDATED’s capital ratios, in usual or stress situations, and the institution’s debt issue ratings. • Liquidity: reflects the Bank’s level of protection against a long period of funding stress that could lead to illiquidity and possible bankruptcy. Establishes that the ITAÚ UNIBANCO HOLDING CONSOLIDATED’s liquidity should be able to support long stress periods. It is monitored by following up on liquidity ratios. • Composition of results: the purpose is to ensure the stability and sustainability of results, restricting excessive volatility and avoiding portfolio concentrations and significant deviations in pricing and provisions. Establishes that business will mainly focus on Latin America, where ITAÚ UNIBANCO HOLDING CONSOLIDATED will have a diversified range of customers and products, with low appetite for results volatility and high risk. To do so, it monitors Credit risk indicators, including social, environmental and climate dimensions, Market, and Interest Rate Risk in the Banking Book (IRRBB), Underwriting and Business & Profitability. The metrics monitored by the bank seek to ensure, by means of exposure concentration limits such as, for example, industry sectors, quality of counterparties, countries and geographic regions and risk factors, a suitable composition of the bank’s portfolios, aiming at low volatility of results and business sustainability. • Operational risk: addresses operating risks that may jeopardize the Bank’s business and operation, focusing on controlling events that may negatively impact the business strategy and operation. • Reputation: deals with risks that may impact brand value and the institution’s reputation before its customers, employees, regulators, investors and the general public. In this dimension, risks are monitored through ethical behavior and conservative compliance with regulatory standards. • Customer: addresses risks that may compromise customer satisfaction and experience, and is monitored by tracking customer satisfaction, direct impacts on customers, and suitability indicators. The metrics translate the RAS and dimensions into monitorable indicators, which capture the main risks incurred by the institution. They are periodically monitored and reported to the executive level, the Risk and Capital Management Committee and the Board of Directors, which guides the taking of preventive measures to ensure that exposures are within limits established and aligned with our strategy. The Board of Directors is responsible for the establishment and approval risk appetite guidelines and limits, performing its activities with the support of the CGRC and the Chief Risk Officer (CRO). The governance of Risk Appetite is registered in internal policy, established, reviewed, and also approved by the Board of Directors. 288


 
I - Credit risk The possibility of losses arising from failure by a borrower, issuer or counterparty to meet their financial obligations, the impairment of a loan due to downgrading of the risk rating of the borrower, the issuer or the counterparty, a decrease in earnings or remuneration, advantages conceded on renegotiation or the costs of recovery. There is a credit risk control and management structure, centralized and independent from the business units, that provides for operating limits and risk mitigation mechanisms, and also establishes processes and tools to measure, monitor and control the credit risk inherent in all products, portfolio concentrations and impacts of potential changes in the economic environment. The credit policy of ITAÚ UNIBANCO HOLDING CONSOLIDATED is based on internal criteria such as: classification of customers, portfolio performance and changes, default levels, rate of return and economic capital allocated, among others, and also considers external factors such as interest rates, market default indicators, inflation, changes in consumption, among other. With respect to individuals, small and medium-size companies, retail public, the credit ratings are assigned based on statistical application models (in the early stages of relationship with a customer) and behavior score (used for customers with whom ITAÚ UNIBANCO HOLDING CONSOLIDATED already has a relationship). For wholesale public and agribusiness, the classification is based on information such as the counterparty’s economic and financial situation, its cash-generating capacity, and the business group to which it belongs, the current and prospective situation of the economic sector in which it operates, in accordance with the guidelines of the Sustainability and Social and Environmental Responsibility Policy (PRSA) and specific manuals and procedures of ITAÚ UNIBANCO HOLDING CONSOLIDATED. Credit proposals are analyzed on a case-by-case basis through an authority level mechanism. The concentrations are monitored continuously for economic sectors and largest debtors, allowing preventive measures to be taken to avoid the violation of the established limits. The rating models for large companies incorporate Report on Environmental, Social, and Climate Risks and Opportunities (GRSAC) through a questionnaire, which considers: • Social: events associated with the violation of fundamental rights and guarantees or acts detrimental to the common interest, such as inadequate working conditions and negative impacts on local communities. Management prioritizes the protection of human rights and the promotion of social welfare. • Environmental: events related to degradation of the environment, biodiversity and overuse of natural resources such as deforestation, pollution and depletion of water resources. The approach seeks environmental conservation, sustainable use of resources and promotion of ecological practices. • Climate: comprises (i) the transition to a low-carbon economy, aimed at reducing or offsetting greenhouse gas emissions and preserving natural mechanisms for capturing these gases, and (ii) adaptation to extreme climate events and long-term environmental changes, such as severe storms, prolonged droughts and sea level rise. Based on these definitions, clients are classified in a socio and environmental risk scale ranging from Low to Very High. This rating is used for possible penalties in the rating. This information works as support to the rating process, not directly affecting the calculation, except in cases of penalty. In compliance with CMN Resolution No. 4,557/17, the document “Public Access Report - Credit Risk Management and Control Policy”, which includes the guidelines established by our credit risk control policy, can be viewed at www.itau.com.br/relacoes-com-investidores/en, in the section Itaú Unibanco, under Corporate governance, Policies, Reports. 289


 
I.I - Collateral and policies for mitigating credit risk ITAÚ UNIBANCO HOLDING CONSOLIDATED uses guarantees to increase its capacity for recovery in operations exposed to credit risk. The guarantees may be personal, secured, legal structures with mitigating power and offset agreements. Managerially, for collateral to be considered instruments that mitigate credit risk, it must comply with the requirements and standards that regulate such instruments, both internal and external ones, and they must be legally valid (effective), enforceable, and assessed on a regular basis. ITAÚ UNIBANCO HOLDING CONSOLIDATED also uses credit derivatives, such as single-name CDS, to mitigate credit risk of its securities portfolios. These instruments are priced based on models that use the fair value of market inputs, such as credit spreads, recovery rates, correlations and interest rates. As a supplement to the credit risk mitigation policy, ITAÚ UNIBANCO HOLDING CONSOLIDATED carries out specific analyses on ESG (Environmental, Social and Governance) requirements for operations guaranteed by rural and urban properties for each type of guarantee. For rural guarantees, reports with detailed social and environmental criteria are considered, including verification of compliance of the property with environmental legislation, status of the Rural Environmental Registry, existence of environmental liabilities, overlaps with protected areas, indigenous and quilombolas territories, settlements, archaeological sites, mining areas, and also analysis of land use and environmental history. The report also includes information on geo-referencing, land tenure regularization and climate risk indicators, strengthening commitment to sustainable practices and the mitigation of social and environmental risks. For urban guarantees, the evaluation report includes technical inspection and survey of indications of contamination, analysis of the surrounding areas as to the existence of potentially polluting activities (plants, gas stations, workshops, waste deposits, among others), in addition to checking official public lists of contaminated areas. The urban environmental report also considers the current and past use of the property, available infrastructure, and market diagnosis, ensuring that the property does not pose relevant environmental risks and is in compliance with the urbanistic and environmental standards in force. This process strengthen the commitment of ITAÚ UNIBANCO HOLDING CONSOLIDATED to adopting responsible practices aligned with ESG principles, thus contributing to the sustainability of operations and mitigation of credit risks associated with environmental and social factors. I.II - Governance and measurement of expected credit loss Both the credit risk and the finance areas are responsible for defining the methods used to measure expected credit loss and for periodically assessing changes in the provision amounts. These areas monitor the trends observed in provisions for expected credit loss by business, in addition to establishing an initial understanding of the variables that may trigger changes in the allowance for loan losses, the probability of default (PD) or the loss given default (LGD), in which default is the moment when the contract becomes a problem asset. ITAÚ UNIBANCO HOLDING CONSOLIDATED calculates the expected credit loss for Retail and Wholesale portfolios by multiplying PD, LGD and EAD (Exposure at Default), considering the prospective macroeconomic information in PD and LGD. I.III - Classification of credit impairment stages The accounting policy on expected credit loss is presented in Note 2c IV. ITAÚ UNIBANCO HOLDING CONSOLIDATED uses customers’ internal information, statistic models, days of default and quantitative analysis in order to determine the credit risk of the financial assets. The rules of stage change consider for the Retail and Wholesale segments: • Stage 1 to stage 2: delay or assessment of probability of default (PD) triggers. 290


 
ITAÚ UNIBANCO HOLDING CONSOLIDATED migrates contracts overdue for over 30 days to stage 2, except real estate loans (overdue for 60 days), due to the operation risk. Regardless of the delay, migration to stage 2 occurs if the PD of the operation or the rating of the economic subgroup, as established for Retail and Wholesale, respectively, exceed the risk appetite approved by the Management of ITAÚ UNIBANCO HOLDING CONSOLIDATED. • Stage 3: indications are considered that the client will not honor the contracted conditions (problem asset), and the main ones are: 90 days overdue in the payment of principal and charges, debt restructuring, judicial measures, among others. The financial instrument, at any stage, may migrate to stage 3 when presenting indications of problem assets. For models that are not massified, in the event a financial instrument is allocated in stage 3, all financial instruments of the same economic subgroup/of the same counterparty are classified to stage 3, except for those whose nature and purpose do not indicate that the client will not honor the contracted conditions. Based on the classifications in stages, the measurement rules determined for expected credit loss are used, as described in Note 2c IV. I.IV - Maximum exposure of financial assets to credit risk 12/31/2025 Financial assets 2,569,058 Interbank investments 340,388 Securities purchased under agreements to resell 269,780 Interbank deposits 65,544 Assets guaranteeing technical provisions 5,093 (Provision for expected credit loss) (29) Securities 925,416 Own portfolio 355,614 Restricted 215,242 Assets guaranteeing technical provisions 355,296 (Provision for expected credit loss) (736) Derivatives 73,311 Operations with credit granting characteristics 1,229,943 Loan, lease and other credit operations 1,084,014 Securities 197,424 (Provision for expected credit loss) (51,495) Interbank and interbranch accounts 282,008 Other financial assets 61,614 Off-balance sheet 715,869 Financial guarantees 134,105 Credit commitments and credits to be released 581,764 Total 3,628,549 Amounts shown for credit risk exposure are based on gross book value and do not consider any collateral received or other added credit improvements. The contractual amounts of financial guarantees, credit commitments and credits to be released represent the maximum potential of credit risk in the event that a counterparty does not meet the terms of the agreement. The vast majority of credit commitments (mortgage loans, overdraft accounts and other pre-approved limits) mature without being drawn. As a result, the total contractual amount does not represent our real future exposure to credit risk or the liquidity needs arising from such commitments. 291


 
I.V – Homogeneous portfolio of risk The Retail segment includes the businesses of Bank for Individuals, Payroll Loans, Cards and Financial Institutions, Vehicles for Individuals, Mortgage Loans, Retail Companies and Vehicles for Companies. In Retail, ITAÚ UNIBANCO HOLDING CONSOLIDATED has 130 Homogeneous groups: 86 in Stage 1, 29 in Stage 2 and 15 in Stage 3.The average risk concentration of credit operations for homogeneous groups is 0.8%. The breakdown of the gross book value of Operations with credit granting characteristics by maturity is shown below: 12/31/2025 Overdue as from 1 day 24,241 Current up to 3 months 279,902 Current from 3 to 12 months 284,732 Current over 1 year 692,563 Total 1,281,438 II - Market risk It is the possibility of incurring financial losses from changes in the market value of positions held by a financial institution, including the risks of transactions subject to fluctuations in currency rates, interest rates, share prices, price indexes and commodity prices, as set forth by CMN. Price Indexes are also treated as a risk factor group. Market risk is controlled by an area independent from the business areas, which is responsible for the daily activities of (i) risk measurement and assessment, (ii) monitoring of stress scenarios, limits and alerts, (iii) application, analysis and testing of stress scenarios, (iv) risk reporting to those responsible within the business areas, in compliance with the governance of ITAÚ UNIBANCO HOLDING CONSOLIDATED, (v) monitoring of actions required to adjust positions and risk levels to make them realistic, and (vi) providing support for the safe launch of new financial products. The market risk structure categorizes transactions as part of either the banking portfolio or the trading portfolio, in accordance with general criteria established by CMN Resolution No. 4,557/17, and BCB Resolution No. 111/21, as amended. The trading portfolio consists of all transactions involving financial instruments and commodities, including derivatives, which are held for trading. The banking portfolio is basically characterized by transactions for the banking business, and transactions related to the management of the balance sheet of the institution, where there is no intention of sale and time horizons are medium and long term. Market risk management is based on the following metrics: • Value at risk (VaR): a statistical measure that estimates the expected maximum potential economic loss under normal market conditions, considering a certain time horizon and confidence level. • Losses in stress scenarios (Stress test): simulation technique to assess the behavior of assets, liabilities and derivatives of a portfolio when several risk factors are taken to extreme market situations (based on prospective and historical scenarios). • Stop loss/Max drawdown: metrics used to revise positions, should losses accumulated in a certain period reach a certain level. • Concentration: cumulative exposure of a certain financial instrument or risk factor, calculated at market value (MtM – Mark to Market). • Stressed VaR: statistical metric derived from the VaR calculation, with the purpose of simulating higher risk in the trading portfolio, taking returns that can be seen in past scenarios of extreme volatility. 292


 
Management of Interest Rate Risk in the Banking Book (IRRBB) is based on the following metrics: • ΔEVE (Delta economic value of equity): difference between the present value of the sum of repricing flows of instruments subject to IRRBB in a base scenario and the present value of the sum of repricing flows of these instruments in a scenario of shock in interest rates. • ΔNII (Delta net interest income): difference between the result of financial operations of instruments subject to IRRBB in a base scenario and the result of financial operations of these instruments in a scenario of shock in interest rates. In addition, sensitivity and loss control measures are also analyzed. They include: • Mismatching analysis (GAPS): accumulated exposure by risk factor of cash flows expressed at market value, allocated at the maturity dates. • Sensitivity (DV01- Delta variation): impact on the fair value of cash flows when a 1 basis point change is applied to current interest rates or on the index rates. • Sensitivity to sundry risk factors (Greeks): partial derivatives of an option portfolio in relation to the prices of underlying assets, implied volatilities, interest rates and time. In order to operate within the defined limits, ITAÚ UNIBANCO HOLDING CONSOLIDATED hedges transactions with customers and proprietary positions, including its foreign investments. Derivatives are commonly used for these hedging activities, which can be either accounting or economic hedges, both governed by the institutional policies of ITAÚ UNIBANCO HOLDING CONSOLIDATED. The structure of limits and alerts is aligned with the Board of Directors’ guidelines, and it is reviewed and approved on an annual basis. This structure has specific limits aimed at improving the process of monitoring and understanding risk, and at avoiding concentration. These limits are quantified by assessing the forecast balance sheet results, the size of stockholders’ equity, market liquidity, complexity and volatility, and ITAÚ UNIBANCO HOLDING CONSOLIDATED’s appetite for risk. The consumption of market risk limits is monitored and disclosed daily through exposure and sensitivity maps. The market risk area analyzes and controls the adherence of these exposures to limits and alerts and reports them in a timely manner to the Treasury desks and other structures foreseen in the governance. ITAÚ UNIBANCO HOLDING CONSOLIDATED uses proprietary systems to measure the consolidated market risk. The processing of these systems occurs in a high-availability access-controlled environment, which has data storage and recovery processes and an infrastructure that ensures business continuity in contingency (disaster recovery) situations. 293


 
II.I - VaR - Consolidated ITAÚ UNIBANCO HOLDING VaR is calculated by Historical Simulation, i.e., the expected distribution for profits and losses (P&L´s Profit and loss statement) of a portfolio overtime, which can be estimated from past behavior of returns of market risk factors forthis portfolio. VaR is calculated at a confidence level of 99%, a historicalperiod of 4 years (1,000 business days) and a holding period of one day. Inaddition, in a conservative approach, VaR is calculated daily, with and without volatility weighting, and the final VaR is the more restrictive of the values given by the two methods. VaR total (historical simulation) (1) 12/31/2025 Average Minimum Maximum Total VaR VaR by risk factor group Interest rates 1,303 1,028 1,974 1,376 Currencies 40 22 97 51 Shares 45 36 89 46 Commodities 30 10 67 40 Effect of diversification - - - (385) Total risk 1,085 777 1,744 1,128 1) VaR by risk factor group considers information from foreign units. The document "Public Access Report - Market and IRRBB Risk Management and Control Policy" which details the guidelines established by the institutional regulation for market risk control, which is not part of the financial statements, can be viewed on the website www.itau.com.br/relacoes-com-investidores/en/, in the section Itaú Unibanco, Corporate governance, Policies, Reports. 294


 
II.ll - Sensitivity analysis (trading and banking portfolios) ITAÚ UNIBANCO HOLDING CONSOLIDATED carried out a sensitivity analysis assessed by market risk factors considered relevant, according to the scenarios below: Scenario I: Addition of 1 base point in fixed interest rates, currency coupon, inflation and interest rate index, and 1 percentage point in currency and share prices. Scenario II: Shocks of 25% in fixed interest curves rates, currency coupon, inflation, interest rate indexes and currency and share prices, both up and down, taking the highest resulting losses per risk factor. Scenario III: Shocks of 50% in fixed interest curves rates, currency coupon, inflation, interest rate indexes and currency and share prices, both up and down, taking the highest resulting losses per risk factor. The biggest losses by risk factor, in each scenario, were stated together with their impact on the result, net of tax effects, providing an overview of ITAÚ UNIBANCO HOLDING CONSOLIDATED’s exposure under exceptional scenarios. The sensitivity analyses of the banking and the trading portfolio are statics and do not take into account management’s quick response capacity (treasury and control areas), which triggers risk mitigating measures whenever a situation of loss or high risk is identified, thus minimizing the possibility of material losses. In addition, the study's sole purpose is to show the exposure to risk and the respective protective actions, considering the fair value of financial instruments, irrespective of the accounting practices adopted by ITAÚ UNIBANCO HOLDING CONSOLIDATED. Trading portfolio Exposures 12/31/2025 Risk factors Risk of variations in: Scenarios (1) I II III Fixed interest rate Fixed interest rates in reais (0.9) (238.0) (433.8) Currency coupon Foreign exchange coupon rates (0.2) (62.5) (123.7) Foreign currency Foreign exchange rates (6.0) (243.4) (367.2) Price indices Inflation coupon rates (0.2) (32.1) (71.6) TR TR coupon rates - - - Shares Share prices 0.3 187.1 284.4 Other Exposures that do not fall under the definitions above 0.3 (9.6) 18.3 Total (6.7) (398.5) (693.6) 1) Amounts net of tax effects. Trading and banking portfolios Exposures 12/31/2025 Risk factors Risk of variations in: Scenarios (1) I II III Fixed interest rate Fixed interest rates in reais (16.6) (5,103.1) (9,717.4) Currency coupon Foreign exchange coupon rates (2.7) (498.1) (969.5) Foreign currency Foreign exchange rates 0.3 (326.0) (648.7) Price indices Inflation coupon rates (3.9) (536.5) (1,030.4) TR TR coupon rates (0.3) (103.0) (220.5) Shares Share prices 3.8 95.1 89.5 Other Exposures that do not fall under the definitions above 0.2 (12.0) 15.1 Total (19.2) (6,483.6) (12,481.9) 1) Amounts net of tax effects. III - Liquidity risk Defined as the possibility that the institution may be unable to efficiently meet its expected and unexpected obligations, both current and future, including those arising from guarantees issued, without affecting its daily operations and without incurring significant losses. Liquidity risk is controlled by an area independent from the business area and responsible for establishing the reserve composition, estimating the cash flow and exposure to liquidity risk in different time horizons, and for monitoring the minimum limits to absorb losses in stress scenarios for each country where ITAÚ UNIBANCO HOLDING CONSOLIDATED operates. All activities are subject to verification by independent validation, internal control and audit areas. Liquidity management policies and limits are based on prospective scenarios and senior management’s guidelines. These scenarios are reviewed on a periodic basis, by analyzing the need for cash due to atypical market conditions or strategic decisions by ITAÚ UNIBANCO HOLDING CONSOLIDATED. ITAÚ UNIBANCO HOLDING CONSOLIDATED manages and controls liquidity risk on a daily basis, using procedures approved in superior committees, including the adoption of liquidity minimum limits, sufficient to absorb possible cash losses in stress scenarios, measured with the use of internal and regulatory methods. 295


 
Among the main regulatory liquidity indicators, the following indicators stand out: Liquidity coverage ratio (LCR): can be defined as a sufficiency index over a 30-day horizon, measuring the available amount of assets available to honor potential liquid outflows in a stress scenario. Net stable funding ratio (NSFR): can be defined as an analysis of funding available for the financing of long- term assets. Both metrics are managed by the liquidity risk area and they have limits approved by superior committees, as well as governance of action plans in possible liquidity stress scenarios. Under the LCR metric, ITAÚ UNIBANCO HOLDING CONSOLIDATED has High-quality Liquid Assets (HQLA), mainly made up of sovereign securities, reserves in central banks and cash. Net cash outflows are mainly made up of retail, wholesale funds, additional requirements, contractual and contingent obligations, offset by cash inflows from loans and other expected cash inflows. When the LCR in the period is above the 100% threshold means that has sufficient stable funds available to support losses under the standardized stress scenario for LCR. From the NSFR perspective, ITAÚ UNIBANCO HOLDING CONSOLIDATED has Available Stable Funding (ASF), mainly made up of capital and wholesale funds. The required stable funding (RSF) are mainly made up of loans and financing granted to clients. As well as for LCR, when the NSFR is above the 100% threshold, the stable funds available are sufficient to support the stable funds required in the long term. Funding in accordance with maturities are presented below: 12/31/2025 Current Non-current Other debt instruments 108,419 307,211 Funds from issues 96,925 168,561 Financial bills 28,359 32,802 Real estate credit bills 30,005 41,116 Rural credit bills 29,641 35,003 Guaranteed real estate bills 8,920 55,518 Debentures - 4,122 Foreign loans through securities 8,736 67,684 Brazil risk note programme 423 12,748 Structure note issued 2,789 7,630 Bonds 5,067 35,215 Fixed rate notes - 9,300 Eurobonds 56 23 Other 401 2,768 Funding from structured operations certificates 2,758 22,819 Debt instruments with subordination clauses - 48,147 Financial bills - 37,900 Euronotes - 2,755 Bonds - 7,492 Borrowing and onlending 118,637 28,527 Borrowing 104,328 12,168 Onlending - in Brazil – Official institutions 14,309 16,359 Total 227,056 335,738 In the period, ITAÚ UNIBANCO HOLDING CONSOLIDATED holds R$ 167,275 in Central Bank of Brazil depoits comprised in the heading Interbank and interbranch accounts in the Balance Sheet. 296


 
The "Pillar 3", which details the Liquidity Ratios, can be viewed on the website www.itau.com.br/relacoes-com- investidores/en/, in the section Results and reports, Regulatory reports, Pillar 3. The document "Public Access Report – Liquidity Risk Management and Control Policy”, which details the guidelines established by the institutional regulation for liquidity risk control, which is not part of the financial statements, can be viewed on the website www.itau.com.br/relacoes-com-investidores/en/, in the section Itaú Unibanco, Corporate governance, Policies, Reports. IV - Operating risk Defined as the possibility of losses from failures, defects or shortcomings in internal processes, people or systems, or from external events impacting the realization of strategic, tactical or operational objectives. It includes the legal risk of inadequacies or defects in agreements signed by the institution, as well as sanctions for failing to comply with legal provisions and compensation to third parties for losses arising from the institution’s activities. The managers of the executive areas use corporate methods constructed and made available by the Compliance and Operational Risk area. As part of governance of the risk management process, consolidated reports on risk monitoring, controls, action plans and operating losses are periodically presented to the business areas’ executives. In line with the principles of CMN Resolution No. 4,557/17, the document entitled “Public Access Report – Integrated Operational Risk Management and Internal Controls”, a summarized version of the institutional operating risk management policy, may be viewed on the website www.itau.com.br/relacoes-com-investidores/en/, in the section Itaú Unibanco, Corporate governance, Policies, Reports. V - Insurance, private pension and premium bonds risks In addition to the risks inherent in financial instruments related to the Insurance, Private Pension and Premium Bonds portfolios, the operations carried out at ITAÚ UNIBANCO HOLDING CONSOLIDATED give rise to exposure to underwriting risk. Underwriting risk is the risk of significant deviations in the methodologies and/or assumptions used for pricing or provision of products, which can materialize in different ways, contrary to the expectations of the product offered: (i) Insurance: results from the change in risk behavior in relation to the increase in the frequency and/or severity of claims occurred, contrary to pricing estimates. (ii) Private pension: is observed in the increase in life expectancy or in deviation from the assumptions used in the technical reserves. (iii) Premium bonds: payment of premiums for securities drawn in series not paid in and/or administrative expenses higher than expected may materialize this risk. The measurement of underwriting risk exposure is based on the analysis of actuarial assumptions used in the recognition of liabilities and pricing of products through: i) monitoring of the evolution of equity necessary to mitigate insolvency or liquidity risk; ii) monitoring of portfolios, products and coverages, from the perspective of results, adherence to expected rates and expected behavior of loss ratio. Exposure to underwriting risk is managed and monitored according to the levels of risk appetite approved by Management and is controlled through indicators that allow the creation of stress scenarios and simulations of portfolio stress. VI - Emerging risks Defined as those newly identified with a potentially material impact on the business in the medium and long term, but for which there are not enough elements yet for their complete assessment, due to the number of factors and impacts not yet totally known, since they have no precedents and therefore have never been addressed in the past. Their causes may arise from external events and result in the emergence of new risks or in the intensification of risks already monitored by ITAÚ UNIBANCO HOLDING CONSOLIDATED. 297


 
Once identified, these risks are monitored and reassessed annually or on demand until they cease to pose a risk or until they can be adequately measured, in which case the other steps of risk management are then followed. This process is ensured by ITAÚ UNIBANCO HOLDING CONSOLIDATED’s governance, allowing these risks to be also incorporated into risk management procedures. Geopolitical, Climate and Cyber risks that have or have already had aspects considered as emerging risks can be given as examples. VII - Social, environmental and climate risks Social, environmental and climate risks are the possibility of losses due to exposure to social, environmental and/or climatic events related to the activities developed by ITAÚ UNIBANCO HOLDING CONSOLIDATED. Social, environmental and climatic factors are considered relevant to the business of ITAÚ UNIBANCO HOLDING CONSOLIDATED, since they may affect the creation of shared value in the short, medium and long term. The Policy of Social, Environmental and Climatic Risks (Risks SAC Policy) establishes the guidelines and underlying principles for social, environmental and climatic risk management, addressing the most significant risks for the institution’s operation through specific procedures. Actions to mitigate the Social, Environmental and Climatic Risks are taken based on the mapping of processes, risks and controls, monitoring of new standards related to the theme and recording of occurrence in internal systems. In addition to the identification, the phases of prioritization, response to risk, mitigation, monitoring and reporting of assessed risks supplement the management of these risks at ITAÚ UNIBANCO HOLDING CONSOLIDATED. In the management of Social, Environmental and Climatic Risks, business areas manage the risk in its daily activities, following the Risks SAC Policy guidelines and specific processes, with the support of specialized assessment from dedicated technical teams located in Credit, which serves the Wholesale segment, Credit Risk and Modeling, and Institutional Legal teams, that act on an integrated way in the management of all dimensions of the Social, Environmental and Climatic Risks related to the conglomerate’s activities. As an example of specific guidelines for the management of these risks, ITAÚ UNIBANCO HOLDING CONSOLIDATED has specific governance for granting and renewing credit in senior approval levels for clients in certain economic sectors, classified as Sensitive Sectors (Mining, Steel & Metallurgy, Oil & Gas, Textiles Industry and Retail Clothing, Paper & Pulp, Chemicals & Petrochemicals, Agribusiness - Meatpacking, Agribusiness - Crop Protection and Fertilizers, Wood, Energy, Rural Producers and Real Estate), for which there is an individualized analysis of Social, Environmental and Climate Risks. The institution also counts on specific procedures for the Institution’s operation (stockholders’ equity, branch infrastructure, technology and suppliers), credit, investments and key controls. SAC Risks area, Internal Controls and Compliance areas, in turn, support and ensure the governance of the activities of the business and credit areas that serves the business. The Internal Audit acts on an independent manner, assessing risk management, controls and governance. Governance also counts on the Social, Environmental and Climatic Risks Committee, whose main responsibility is to assess and deliberate about institutional and strategic matters, as well as to resolve on products, operations, services, among others involving the Social, Environmental and Climatic Risks. Climate Risk includes: (i) physical risks, arising from changes in weather patterns, such as increased rainfall, and temperature and extreme weather events, and (ii) transition risks, resulting from changes in the economy, as a result of climate actions, such as carbon pricing, climate regulation, market risks and reputational risks. Considering its relevance, climate risk has become one of the main priorities for ITAÚ UNIBANCO HOLDING CONSOLIDATED, which supports the Task Force on Climate-related Financial Disclosures (TCFD) and it is committed to maintaining a process of evolution and continuous improvement within the pillars recommended by the TCFD. With this purpose, ITAÚ UNIBANCO HOLDING CONSOLIDATED is strengthening the governance and strategy related to Climate Risk and developing tools and methodologies to assess and manage these risks. 298


 
ITAÚ UNIBANCO HOLDING CONSOLIDATED measures the sensitivity of the credit portfolio to climate risks by applying the Climate Risk Sensitivity Assessment Tool, developed by Febraban. The tool combines relevance and proportionality criteria to identify the sectors and clients within the portfolio that are more sensitive to climate risks, considering physical and transition risks. The sectors with the highest probability of suffering financial impacts from climate change, following the TCFD guidelines, are: energy, transport, materials and construction, agriculture, food and forestry products. c) Capital management governance ITAÚ UNIBANCO HOLDING CONSOLIDATED is subject to the regulations of BACEN, which determines minimum capital requirements, procedures to obtain information to assess the global systemic importance of banks, fixed asset limits, loan limits and accounting practices, and requires banks to conform to the regulations based on the Basel Accord for capital adequacy. Additionally, CNSP and SUSEP issue regulations on capital requirements that affect our insurance operations and private pension and premium bonds plans. The notes about capital were prepared in accordance with BACEN’s regulatory requirements and with internationally accepted minimum requirements according to the Bank for International Settlements (BIS). I - Composition and capital adequacy The Board of Directors is the body responsible for approving the institutional capital management policy and guidelines for the capitalization level of ITAÚ UNIBANCO HOLDING CONSOLIDATED. The Board is also responsible for the full approval of the ICAAP (Internal Capital Adequacy Assessment Process) report, the purpose of which is to assess the capital adequacy of ITAÚ UNIBANCO HOLDING CONSOLIDATED. The result of the last ICAAP, which comprises stress tests – which was dated December 2024 – indicated that ITAÚ UNIBANCO HOLDING CONSOLIDATED has, in addition to capital to cover all material risks, a significant capital surplus, thus assuring the solidity of the institution’s equity position. In order to ensure that ITAÚ UNIBANCO HOLDING CONSOLIDATED is sound and has the capital needed to support business growth, the institution maintains PR levels above the minimum level required to face risks, as demonstrated by the Common Equity Tier I, Tier I Capital and Total Capital ratios. 12/31/2025 Available capital (amounts) Common equity tier 1 (CET 1) 185,595 Tier 1 208,161 Total capital (PR) 228,589 Risk-weighted assets (amounts) Total risk-weighted assets (RWA) 1,505,475 Risk-based capital ratios as a percentage of RWA Common equity tier 1 ratio (%) 12.3% Tier 1 ratio (%) 13.8% Total capital ratio (%) 15.2% Additional CET1 buffer requirements as a percentage of RWA Capital conservation buffer requirement (%) 2.5% Countercyclical buffer requirement (%) 0.1% Bank G-SIB and/or D-SIB additional requirements (%) 1.0% Total of bank CET1 specific buffer requirements (%) 3.6% At 12/31/2025, the amount of perpetual subordinated debt that makes up Tier I capital is R$ 21,543 and the amount of subordinated debt that makes up Tier II capital is R$ 19,034. 299


 
The Basel Ratio reached 15.2% at 12/31/2025, a reduction of 1.3 p.p. in relation to that calculated at 12/31/2024. The variation reflects the effects of interest payments on capital and additional dividends, share repurchase and growth in risk-weighted assets, offset by the positive impact of income in the period. Additionally, ITAÚ UNIBANCO HOLDING CONSOLIDATED has a surplus over the required minimum Total Capital of R$ 108,151, well above the Capital Buffer requirement of R$ 53,686, widely covered by available capital. The fixed assets ratio indicates the commitment percentage of adjusted Total Capital with adjusted permanent assets ITAÚ UNIBANCO HOLDING CONSOLIDATED falls within the maximum limit of 50% of adjusted Total Capital, established by BACEN. At 12/31/2025, fixed assets ratio reached 19.4%, showing a surplus of R$ 69,887. Further details on Risk and Capital Management of ITAÚ UNIBANCO HOLDING CONSOLIDATED and indicators of the Global Systemic Importance Index, which are not included in the financial statements, can be viewed at www.itau.com.br/relacoes-com-investidores/en, in the section Results and reports, Regulatory reports, Pillar 3 and Global Systemically Important Banks. II - Risk-weighted assets (RWA) For calculating minimum capital requirements, RWA must be obtained by taking the sum of the following risk exposures: • RWACPAD = portion related to exposures to credit risk, calculated using standardized approach. • RWACIRB = portion related to exposures to credit risk, calculated according to internal credit risk rating systems (IRB - Internal Ratings-Based approaches), authorized by the Central Bank of Brazil. • RWAMPAD = portion related to the market risk capital requirement, calculated using standardized approach. • RWAMINT = portion related to the market risk capital requirement, calculated according to internal model approaches, authorized by the Central Bank of Brazil. • RWAOPAD = portion related to the operational risk capital requirement, calculated using standardized approach. RWA 12/31/2025 Credit risk (excluding counterparty credit risk) 1,199,103 Of which: standardized approach for credit risk 1,119,760 Of which: foundation internal rating-based approach (F-IRB) - Of which: advanced internal rating-based approach (A-IRB) 79,343 Counterparty credit risk (CCR) 29,789 Of which: standardized approach for counterparty credit risk (SA-CCR) 20,340 Of which: other CCR 9,449 Equity investments in funds - look-through approach 6,433 Equity investments in funds - mandate-based approach - Equity investments in funds - fall-back approach 1,109 Securitization exposures in banking book 12,838 Market Risk 50,248 Of which: standardized approach (RWAMPAD) 61,438 Of which: internal models approach (RWAMINT) 30,685 Operational Risk 143,006 Payment services risk (RWASP) NA Amounts below the thresholds for deduction 62,949 Total 1,505,475 300


 
III - Recovery plan In response to the latest international crises, the Central Bank published CMN Resolution No. 5,187/24, which requires the development of a Recovery and exit planning (PRSO) by financial institutions within Segment 1, with total exposure to GDP of more than 10%. This plan aims to reestablish adequate levels of capital and liquidity above regulatory operating limits in the face of severe systemic or idiosyncratic stress shocks. In this way, each institution could preserve its financial viability while also minimizing the impact on the National Financial System. IV - Stress testing The stress test is a process of simulating extreme economic and market conditions on ITAÚ UNIBANCO HOLDING CONSOLIDATED’s results, liquidity and capital. The institution has been carrying out this test in order to assess its solvency in plausible scenarios of crisis, as well as to identify areas that are more susceptible to the impact of stress that may be the subject of risk mitigation. For the purposes of the test, the economic research area estimates macroeconomic variables for each stress scenario. The elaboration of stress scenarios considers the qualitative analysis of the Brazilian and the global conjuncture, historical and hypothetical elements, short and long term risks, among other aspects, as defined in CMN Resolution No. 4,557/17. In this process, the main potential risks to the economy are assessed based on the judgment of the bank's team of economists, endorsed by the Chief Economist of ITAÚ UNIBANCO HOLDING CONSOLIDATED and approved by the Board of Directors. Projections for the macroeconomic variables (such as GDP, basic interest rate, exchange rates and inflation) and for variables in the credit market (such as raisings, lending, rates of default, spread and fees) used are based on exogenous shocks or through use of models validated by an independent area. Then, the stress scenarios adopted are used to influence the budgeted result and balance sheet. In addition to the scenario analysis methodology, sensitivity analysis and the Reverse Stress Test are also used. ITAÚ UNIBANCO HOLDING CONSOLIDATED uses the simulations to manage its portfolio risks, considering Brazil (segregated into wholesale and retail) and External Units, from which the risk-weighted assets and the capital and liquidity ratios are derived. The stress test is also an integral part of the ICAAP, the main purpose of which is to assess whether, even in severely adverse situations, the institution would have adequate levels of capital and liquidity, without any impact on the development of its activities. This information enables potential offenders to the business to be identified and provides support for the strategic decisions of the Board of Directors, the budgeting and risk management process, as well as serving as an input for the institution’s risk appetite metrics. V - Leverage ratio The Leverage Ratio is defined as the ratio between Tier I Capital and Total Exposure, calculated according to BACEN Circular 3,748, which minimum requirement is 3%. The ratio is intended to be a simple measure of non- risk-sensitive leverage, and so it does not take into account risk weights or risk mitigation. Note 28 - Supplementary Information a) Insurance policy ITAÚ UNIBANCO HOLDING CONSOLIDATED, despite the reduced risk exposure due to the low physical concentration of its assets, has a policy of insuring valuables and assets at amounts considered sufficient to cover possible losses. 301


 
b) Foreign currency Equity balances in Reais linked to the foreign currencies were as follows: 12/31/2025 Permanent foreign investments 107,907 Net balance of other assets and liabilities indexed to foreign currency, including derivatives (80,861) Net foreign exchange position 27,046 The net foreign exchange position, considering the tax effects on the net balance of other assets and liabilities indexed to foreign currencies, reflects the low exposure to exchange variations. c) Agreements for offsetting and settlement of liabilities within the scope of the National financial system Offset agreements are in force in relation to derivative contracts, as well as agreements for the offsetting and settlement of receivables and payables pursuant to CMN Resolution No. 3,263/05, the purpose of which is to enable the offsetting of credits and debits with the same counterparty, and where the maturity dates of receivables and payables can be brought forward to the date of an event of default by one of the parties or in the event of bankruptcy of the debtor. d) Regulatory non-recurring result Presentation of regulatory non-recurring result of ITAÚ UNIBANCO HOLDING and ITAÚ UNIBANCO HOLDING CONSOLIDATED, net of tax effects, in accordance with the criteria established by BCB Resolution No. 2/2020: 01/01 to 12/31/2025 Regulatory non-recurring results (431) Restructuring (676) Tax transactions 550 Impairment software developed internally (317) Other 12 e) Supplementary Law No. 224/25 Published on December 26, 2025, it establishes the increase of the rate of CSLL, producing effects as from April 1, 2026, as follows: • Payment Institutions - increase from 9% to 12% until December 31, 2027, and to 15% as from January 1, 2028. • Legal Entities of Capitalization and Credit, Financing and Investment Companies - increase from 15% to 17.5% until December 31, 2027 and to 20% as from January 1, 2028. This regulation brought effects in Deferred taxes in the Consolidated Financial Statements of ITAÚ UNIBANCO HOLDING CONSOLIDATED in the period ended December 31, 2025. f) Financeira Itaú CBD S.A. and Banco Investcred Unibanco S.A. On December 5, 2025, ITAÚ UNIBANCO HOLDING entered into an agreement for the purchase of ownership interest currently held, either directly or indirectly, by Companhia Brasileira de Distribuição and by Grupo Casas Bahia S.A. in the controlled company Financeira Itaú CBD S.A. - Crédito, Financiamento e Investimento, for approximately R$ 526. Two years from the closing of the agreement, ITAÚ UNIBANCO HOLDING will acquire the ownership interest indirectly held by Sendas Distribuidora S.A. in the controlled company Banco INVESTCRED Unibanco S.A., for approximately R$ 260, and will hold the investee’s total capital. 302


 
Effective acquisitions and financial settlements will occur after the necessary regulatory approvals. g) Subsequent event Avenue Holding Cayman Ltd On January 30, 2026, ITAÚ UNIBANCO HOLDING, through its subsidiary ITB Holding Brasil Participações Ltda., acquired an additional 17.2% ownership interest in Avenue Holding Cayman Ltd and started holding control of the company with a 50.1% ownership in total capital. The acquisition results from the second stage of the agreement for the purchase and sale of shares entered into in July 2022. Effective acquisitions and financial settlements occurred after the required regulatory approvals. 303


 
ITAÚ UNIBANCO HOLDING S.A. NIRE. 35300010230 A Publicly-Held Company CNPJ. 60.872.504/0001-23 SUMMARY OF THE AUDIT COMMITTEE REPORT SECOND HALF OF 2025 Regulations, Duties, and Responsibilities of the Committee The Audit Committee (“Committee”) is a statutory body reporting to the Board of Directors (“Board”) and operates in accordance with the provisions set forth in its Charter (available on the Investor Relations website). It is currently made up of six effective and independent members, one of whom is a Board member, all elected in accordance with the criteria established by the regulations of the National Monetary Council (“CMN”), the National Council for Private Insurance (“CNSP”), the Sarbanes-Oxley Act (“SOX”), and New York Stock Exchange (“NYSE”) rules, in the latter two cases as applicable to Foreign Private Issuers (“FPIs”). The Committee is a single body for the institutions authorized to operate by the Central Bank of Brazil (“BACEN”) and for the companies supervised by the Superintendence of Private Insurance (“SUSEP”) that are part of the Itaú Unibanco financial conglomerate, which encompasses Itaú Unibanco and its direct and indirect subsidiaries (“Conglomerate”). As it concerns its operations, the Committee complies with the applicable requirements of CMN, CNSP, the Brazilian Securities and Exchange Commission (“CVM”), BACEN, and SUSEP regulations, as well as those applicable to FPIs and the duties included in the Conglomerate’s internal regulations and policies. The Committee is responsible, prior to the disclosure of the financial statements, for overseeing the internal control and risk management processes and the activities of the Internal Audit (“IA”) and the Conglomerate’s independent auditing firms. Management is responsible for the preparation of the Conglomerate’s financial statements and for establishing the procedures required to ensure the quality of the processes that originate the information used in the preparation of the financial statements and financial reports. Management is also responsible for risk control and monitoring activities, overseeing corporate internal controls, and ensuring compliance with legal and regulatory rules. The Internal Audit’s mission is to ascertain the quality of and compliance with internal control, risk, and capital management systems, as well as compliance with defined policies and procedures, including those adopted in the preparation of accounting and financial reports. PricewaterhouseCoopers Auditores Independentes (“PwC”) is responsible for the independent audit of the parent company’s and consolidated financial statements of Itaú Unibanco Holding S.A., and must attest whether these statements present fairly, in all material respects, the individual and consolidated financial position of the Conglomerate and the individual and consolidated performance of its operations, in accordance with the accounting practices adopted in Brazil and the international accounting standards issued by the International Accounting Standards Board (“IASB”). PwC is also responsible for auditing the financial statements of the Prudential Conglomerate. These auditors must additionally issue an annual opinion on the quality and effectiveness of the internal controls related to financial reporting, in accordance with the Securities and Exchange Commission (“SEC”) rules. Ernst & Young Auditores Independentes (“EY”) is responsible for the audit of the financial statements of the Conglomerate group companies and the companies supervised by SUSEP (Insurance, Pension Plan, Premium Bonds, and Insurance Brokers), all of which are prepared in accordance with Brazilian accounting practices. During the period, no significant disagreements were identified between Management, the Independent Auditors, and the Audit Committee regarding the financial statements. Activities of the Committee The annual planning of the Committee is prepared at the end of the year prior to the current one, taking into account the main products and processes related to the Conglomerate’s business and support areas, as well as their potential impacts on the financial statements and on the internal control and risk management systems, and it is reviewed periodically as the Committee’s activities progress. 304


 
ITAÚ UNIBANCO HOLDING S.A. NIRE. 35300010230 A Publicly-Held Company CNPJ. 60.872.504/0001-23 SUMMARY OF THE AUDIT COMMITTEE REPORT SECOND HALF OF 2025 The Committee’s oversight process is based on information received from Management; presentations made by various business unit directors in Brazil and abroad and by support areas; and the results of work performed by the Independent Auditors, Internal Auditors, and those responsible for risk and capital management, internal controls, operational risk, and compliance. As part of its duties, the Committee approved the IA work plan for 2026 and conducted an evaluation, for the 2025 period, of the services performed by the IA, the Compliance & Operational Risk Office (“DCOR”), the Anti-Money Laundering Office (“DPLD”), and the Financial Crimes Prevention Office (“DPCF”). It also submitted quarterly reports on the Committee’s activities to the Board; maintained periodic meetings with the Co-Chairpersons of the Board and the Chief Executive Officer of Itaú Unibanco Holding S.A. to present its recommendations on the internal control systems, compliance policy, risk and capital management structures, and other subjects within its scope. The Committee additionally held quarterly meetings with the members of the Fiscal Council; reviewed certain corporate policies; and held semiannual meetings with supervisors from BACEN’s Banking Supervision Department (“DESUP”) and Conduct Supervision Department (“DECON”), to discuss regulators’ concerns and the main issues monitored by the Committee. The Committee issued recommendations to Management and to Internal Audit on key topics related to its activities. These recommendations, once discussed, were accepted and their implementation was monitored by the Committee. The Committee was informed by the Fraud Prevention Office (“FPF”) that no incidents of errors or fraud committed by members of the Board, statutory committees, the executive board, employees, or third parties were identified that met the materiality criteria defined in internal policy. Neither the Committee became aware of any incidents of fraud or non-compliance with legal or regulatory rules, nor of any errors in internal controls, accounting, or auditing that could jeopardize the Conglomerate’s continuity. To carry out the activities and procedures described above, the Committee held a total of 133 meetings over 32 days in the period from August 18, 2025 to January 27, 2026, with the attendance of Independent Auditors, Internal Auditors, managers responsible for corporate risks and Corporate Compliance, and executives from the Conglomerate’s administrative, financial, information technology, and business areas. In these meetings, held primarily on a quarterly and semiannual basis with various business and risk areas of the Conglomerate, relevant aspects were discussed relating to the quality and effectiveness of internal controls, risk management, business management, capital/market/liquidity risk, risk appetite monitoring, operational risk, legal contingencies, credit risk, model risk, information security/cybersecurity, fraud prevention, anti-money laundering, compliance, the performance of the Ombudsman’s office, socio- environmental and climate risks, as well as regulatory and technological matters. Noteworthy activities included monitoring strategic projects (IRB applications and the Organizational Resilience Program), regulatory initiatives (tax reform), the use of artificial intelligence, and audit activities, as well as participation in governance forums. In the same period, 11 meetings were held with the exclusive participation of Committee members, aimed at addressing matters such as work planning, handling emerging issues, preparation of reports required by regulators, review and approval of corporate policies, discussion of relevant topics, and other administrative activities. 305


 
ITAÚ UNIBANCO HOLDING S.A. NIRE. 35300010230 A Publicly-Held Company CNPJ. 60.872.504/0001-23 SUMMARY OF THE AUDIT COMMITTEE REPORT SECOND HALF OF 2025 Conclusions Having duly considered its responsibilities and the natural limitations inherent to the scope of its activities, and based on the activities carried out in the period, the Committee has concluded that for the year and six-month period ended December 31, 2025: • the internal control systems, the compliance policy, and the risk and capital management structures are appropriate for the size and complexity of the Conglomerate and the approved risk appetite, and compliance with the applicable regulations has been monitored, with evidence of the deficiencies detected and the actions adopted to remediate them; • the coverage and quality of the Internal Audit’s work are satisfactory, including the verification of compliance with legal and regulatory provisions and internal regulations and codes, with evidence of the deficiencies detected, and it operates with appropriate independence; • the significant accounting practices adopted by the Conglomerate are in line with those adopted in Brazil, including compliance with the rules issued by the CMN and BACEN, as well as with the international accounting standards issued by the IASB; and • the information provided by PwC is adequate, including as regards the verification of compliance with legal and regulatory provisions and internal regulations and codes, with evidence of deficiencies detected, on which the Committee bases its recommendation on the financial statements, and no situation has been identified that could impair the objectivity or independence of the Independent Auditor. Based on the work and assessments conducted, and considering the context and the limitations of its duties, the Committee recommends that the Board of Directors approve the consolidated financial statements of Itaú Unibanco Holding S.A. for the half-year and year ended December 31, 2025. São Paulo, February 4, 2026. Itaú Unibanco Holding’s Audit Committee Maria Helena dos Santos Fernandes de Santana – President Alexandre de Barros Fernando Barçante Tostes Malta Luciana Pires Dias Maria Elena Cardoso Figueira – Financial Expert Rogério Carvalho Braga 306


 
(A free translation of the original in Portuguese) Parent company and consolidated financial statements at December 31, 2025 and independent auditor's report 307


 
www.pwc.com.br PricewaterhouseCoopers Auditores Independentes Ltda. Avenida Brigadeiro Faria Lima, 3732, Edifício B32, 16o, São Paulo, SP, Brasil, 04538-132 T: +55 (11) 4004-8000 (A free translation of the original in Portuguese) Independent auditor's report To the Board of Directors and Stockholders Itaú Unibanco Holding S.A. Opinion We have audited the accompanying parent company financial statements of Itaú Unibanco Holding S.A. ("Bank"), which comprise the balance sheet as at December 31, 2025 and the statements of income, comprehensive income, changes in equity and cash flows for the year and six-month period then ended, as well as the accompanying consolidated financial statements of the Bank and its subsidiaries ("Consolidated"), which comprise the consolidated balance sheet as at December 31, 2025 and the consolidated statements of income, comprehensive income, changes in equity and cash flows for the year and six-month period then ended, and notes to the financial statements, including a summary of significant accounting policies. In our opinion, the financial statements referred to above were prepared, in all material respects, in accordance with accounting practices adopted in Brazil, applicable to institutions authorized to operate by the Brazilian Central Bank (BCB). Basis for opinion We conducted our audit in accordance with Brazilian and International Standards on Auditing. Our responsibilities under those standards are described in the "Auditor's responsibilities for the audit of the parent company and consolidated financial statements" section of our report. We are independent of the Bank and its subsidiaries in accordance with the ethical requirements established in the Code of Professional Ethics and Professional Standards issued by the Brazilian Federal Accounting Council, as applicable to audits of financial statements of public interest entities, and we have fulfilled our other ethical responsibilities in accordance with these requirements. We believe that the audit evidence we have obtained is sufficient and appropriate to provide a basis for our audit opinion. Emphasis of matter - Comparative figures We draw attention to Note 2(a) to the parent company consolidated financial statements, which describes that these statements were prepared in accordance with accounting practices adopted in Brazil, applicable to institutions authorized to operate by the Brazilian Central Bank, which consider the exemption from presenting comparative figures in the financial statements for the year ended December 31, 2025, as provided for in Resolution No. 4,966 of the National Monetary Council and in Resolution No. 352 of the Brazilian Central Bank. Our opinion is not qualified in respect of this matter. 308


 
Itaú Unibanco Holding S.A. Key Audit Matters Key Audit Matters are those matters that, in our professional judgment, were of most significance in our audit of the financial statements of the current year and six month period. These matters were addressed in the context of our audit of the parent company and consolidated condensed financial statements as a whole, and in forming our opinion thereon, and we do not provide a separate opinion on these matters. Why it is a Key Audit Matter How the matter was addressed in the audit Initial adoption of CMN Resolution No. 4,966/21 - Provision for Expected Credit Loss (Notes 2(b)I, 2(c)IV. III and 8) On January 1st, 2025, Itaú Unibanco Holding S.A. adopted CMN Resolution No. 4,966/21 ("Resolution"), which amends the accounting criteria applicable to financial instruments on a prospective basis. The adoption of this new accounting standard brought significant changes to the Bank and its subsidiaries, the main one being the change in the criteria for recognizing and measuring the provision for expected credit loss. The provision for expected loss was defined as a key audit matter, since its measurement involves management's judgment in evaluating forward- looking information and criteria for determining a significant increase or decrease in credit risk, among other aspects. We understood the process developed by management for recognizing and measuring the provision for expected credit loss in accordance with CMN Resolution No. 4,966/21, and performed certain audit procedures, with the assistance of our specialists, related to compliance with the requirements of the aforementioned standard. Regarding the methodology of the provision for expected loss, we applied certain audit procedures, substantially related to: (i) analyzing management's accounting policies in comparison with the requirements of the Resolution; (ii) understanding and testing of controls related to the measurement of the provision, which consider databases, models, assumptions, and judgments adopted by management; (iii) testing the models, including their approval process and validating the assumptions used to determine loss and recovery estimates. Additionally, we performed tests on management's documentation related to guarantees, credit renegotiations, counterparty risk assessment, delays, and other aspects that may result in a significant increase in credit risk, as well as the allocation of transactions to their respective Matters Why it is a Key Audit Matter How the matter was addressed 309


 
Itaú Unibanco Holding S.A. Why it is a Key Audit Matter How the matter was addressed in the audit stages in accordance with the Resolution's requirements; (iv) testing of data inputs to the models and, when available, comparing certain data and assumptions with market information; and (v) analyzing management's disclosures in the financial statements in compliance with the Resolution's requirements. We consider that the criteria and judgments adopted by management in determining and recording the provision for expected loss, as disclosed in the notes, are consistent with the information analyzed in our audit. Measurement of the fair value of financial instruments with low liquidity and/or without active market (Notes 2(c) IV.III and 17) The fair value measurement of financial instruments with low liquidity and/or without an active market involves subjectivity, since it depends on valuation techniques that are based on internal models that include Management's assumptions for their valuation. In addition, obtaining market data can be complex, especially during periods of high volatility, as well as in situations where observable prices or market parameters are not available. These financial instruments are substantially comprised of investments in securities issued by companies and derivative contracts. This continues as an area of focus of our audit since the utilization of different valuation techniques and assumptions could lead to materially different fair value estimates. Our audit procedures consider, among others: Tests of the design and the effectiveness of the main controls established for the valuation of these financial instruments, as well as the approval of models and required disclosures. With the support of our specialists, we analyzed the main methodologies used for valuing these financial instruments and the significant assumptions adopted by Management, by comparing them with independent methodologies and assumptions. We perform, on a sample basis, recalculation of the valuation of certain operations and compared the assumptions and methodologies used by Management with our knowledge about valuation practices commonly adopted as well as evaluated the consistency of these methodologies with the ones applied in prior periods. We consider that the criteria and assumptions adopted by Management to measure the fair value of these financial instruments are consistent with the information disclosed in the notes of the financial statements. 310


 
Itaú Unibanco Holding S.A. Why it is a Key Audit Matter How the matter was addressed in the audit Information technology environment The Bank and its subsidiaries rely on their technology structure to process their operations and prepare their parent company and consolidated financial statements. Technology represents a fundamental aspect on the evolution of the Bank and its subsidiaries' business, and over the last years, significant short and long- term investments have been made in the information technology systems and processes. The technology structure, therefore, is comprised of more than one environment with different processes and segregated controls. The lack of adequacy of the general controls of the technology environment and of the controls that depend on technology systems may result in the incorrect processing of critical information used to prepare the financial statements, as well as risks related to information security and cybersecurity. Accordingly, this continued as an area of focus in our audit. As part of our audit procedures, with the support of our specialists, we updated our assessment on the information technology environment, including the automated controls of the application systems that are significant for the preparation of the parent company and consolidated financial statements. Additionally, we performed procedures that involved a combination of tests of the design and effectiveness of the relevant controls, as well as tests related to information security, including the access management control, change management and monitoring the operating capacity of the technology infrastructure. The audit procedures applied resulted in appropriate evidence that was considered in determining the nature, timing, and extent of other audit procedures. Provisions and contingent liabilities (Notes 2(c) XII and 11) The Bank and its subsidiaries record and/or disclose provisions and contingent liabilities mainly arising from judicial and administrative proceedings, inherent to the normal course of their business, filed by third parties, former employees, and public agencies, involving civil, labor, tax, and social security matters. In general, the settlement of these proceedings takes a long time and involves not only discussions on the matter itself, but also complex process-related aspects, depending on the applicable legislation. Besides the subjective aspects in determining the possibility of loss attributed to each case, the evolution of case law on certain causes is not always uniform. Considering the relevance of the amounts and the uncertainties and judgments involved, as described above; in determining and establishing the provision and the required We confirmed our understanding and tested the design, and the effectiveness of the main controls used to identify, assess, monitor, measure, record, and disclose the provision and contingent liabilities, including the totality and the integrity of the database. We tested the models used to quantify judicial proceedings of civil and labor natures considered on a group basis. In our tests to assess the risk of individual legal proceedings, for a sample of items, we were supported by our specialists in the labor, legal, and fiscal areas, according to the nature of each proceeding. Also, on a sample basis, we performed external confirmation procedures with both internal and external lawyers responsible for the proceedings. We considered that the criteria and assumptions adopted by Management for determining and 311


 
Itaú Unibanco Holding S.A. Why it is a Key Audit Matter How the matter was addressed in the audit disclosures of provisions and contingent liabilities, we continue to consider this an area of audit focus. recording the provision for judicial and administrative proceedings disclosed in the financial statements are consistent with the information analyzed in our audit. Other matters - Supplementary information as of January 1st, 2025 As presented in Notes 2 (a) and (b) to these parent company and consolidated financial statements, unaudited supplementary information as of January 1st, 2025 was included in the consolidated balance sheet and in the parent company and consolidated statement of changes in equity. Other matters - Statements of Value Added The parent company and consolidated Statements of Value Added for the six-month period and year ended on December 31, 2025, prepared under the responsibility of the Bank's management and presented as supplementary information, were submitted to audit procedures performed in conjunction with the audit of the Bank's financial statements. For the purposes of forming our opinion, we evaluated whether these statements are reconciled with the financial statements and accounting records, as applicable, and if their form and content are in accordance with the criteria defined in Technical Pronouncement CPC 09 - "Statement of Value Added". In our opinion, these Statements of Value Added have been prepared, in all material respects, in accordance with the criteria established in the Technical Pronouncement, and are consistent with the parent company and consolidated financial statements taken as a whole. Other information accompanying the parent company and consolidated financial statements and the auditor's report The Institution's management is responsible for the other information that comprises the Management Report and the Management Discussion and Analysis Report. Our opinion on the parent company and consolidated financial statements does not cover the Management Report and the Management Discussion and Analysis Report, and we do not express any form of audit conclusion thereon. In connection with the audit of the parent company and consolidated financial statements, our responsibility is to read the Management Report and the Management Discussion and Analysis Report and, in doing so, consider whether this report is materially inconsistent with the financial statements or our knowledge obtained in the audit or otherwise appears to be materially misstated. If, based on the work we have performed, we conclude that there is a material misstatement in the Management Report, we are required to report that fact. We have nothing to report in this regard. 312


 
Itaú Unibanco Holding S.A. Responsibilities of management and those charged with governance for the parent company and consolidated financial statements The Bank's Management is responsible for the preparation of the parent company and consolidated financial statements in accordance with accounting practices adopted in Brazil, applicable to institutions authorized to operate by the Brazilian Central Bank (BCB), and for such internal control as management determines is necessary to enable the preparation of financial statements that are free from material misstatement, whether due to fraud or error. In preparing the parent company and consolidated financial statements, management is responsible for assessing the ability of the Bank and its subsidiaries, as a whole, to continue as a going concern, disclosing, as applicable, matters related to going concern and using the going concern basis of accounting unless management either intends to liquidate the Bank and its subsidiaries, as a whole, or to cease operations, or has no realistic alternative but to do so. Those charged with governance are responsible for overseeing the Bank's financial reporting process. Auditor's responsibilities for the audit of the parent company and consolidated financial statements Our objectives are to obtain reasonable assurance about whether the parent company and consolidated financial statements as a whole are free from material misstatement, whether due to fraud or error, and to issue an auditor's report that includes our opinion. Reasonable assurance is a high level of assurance, but is not a guarantee that an audit conducted in accordance with Brazilian and International Standards on Auditing will always detect a material misstatement when it exists. Misstatements can arise from fraud or error and are considered material if, individually or in the aggregate, they could reasonably be expected to influence the economic decisions of users taken on the basis of these financial statements. As part of an audit in accordance with Brazilian and International Standards on Auditing, we exercise professional judgment and maintain professional skepticism throughout the audit. We also: Identify and assess the risks of material misstatement of the parent company and consolidated financial statements, whether due to fraud or error, design and perform audit procedures responsive to those risks, and obtain audit evidence that is sufficient and appropriate to provide a basis for our opinion. The risk of not detecting a material misstatement resulting from fraud is higher than for one resulting from error, as fraud may involve collusion, forgery, intentional omissions, misrepresentations, or the override of internal control. Obtain an understanding of internal control relevant to the audit in order to design audit procedures that are appropriate in the circumstances, but not for the purpose of expressing an opinion on the effectiveness of the internal control of the Institution and its subsidiaries. Evaluate the appropriateness of accounting policies used and the reasonableness of accounting estimates and related disclosures made by management. 313


 
Itaú Unibanco Holding S.A. Conclude on the appropriateness of management's use of the going concern basis of accounting and, based on the audit evidence obtained, whether a material uncertainty exists related to events or conditions that may cast significant doubt on the ability of the Bank and its subsidiaries, as a whole, to continue as a going concern. If we conclude that a material uncertainty exists, we are required to draw attention in our auditor's report to the related disclosures in the parent company and consolidated financial statements or, if such disclosures are inadequate, to modify our opinion. Our conclusions are based on the audit evidence obtained up to the date of our auditor's report. However, future events or conditions may cause the Institution and its subsidiaries, as a whole, to cease to continue as a going concern. Plan and perform the group audit to obtain sufficient appropriate audit evidence regarding the financial information of the entities or business units within the Group as a basis for forming an opinion on the parent company and consolidated financial statements. We are responsible for the direction, supervision and review of the audit work performed for purposes of the group audit. We remain solely responsible for our audit opinion. We communicate with those charged with governance regarding, among other matters, the planned scope and timing of the audit and significant audit findings, including any significant deficiencies in internal control that we identify during our audit. We also provide those charged with governance with a statement that we have complied with relevant ethical requirements regarding independence, and to communicate with them all relationships and other matters that may reasonably be thought to bear on our independence, and where applicable, actions taken to eliminate threats to our independence or safeguards applied. From the matters communicated with those charged with governance, we determine those matters that were of most significance in the audit of the financial statements of the current year and six-month period and are therefore the Key Audit Matters. We describe these matters in our auditor's report unless law or regulation precludes public disclosure about the matter or when, in extremely rare circumstances, we determine that a matter should not be communicated in our report because the adverse consequences of doing so would reasonably be expected to outweigh the public interest benefits of such communication. São Paulo, February 4, 2026 PricewaterhouseCoopers Auditores Independentes Ltda. CRC 2SP000160/O-5 Tatiana Fernandes Kagohara Gueorguiev Contadora CRC 1SP245281/O-6 314


 
ITAÚ UNIBANCO HOLDING S.A. CNPJ. 60.872.504/0001-23 Listed Company NIRE. 35300010230 OPINION OF THE FISCAL COUNCIL The effective members of the Fiscal Council of ITAÚ UNIBANCO HOLDING S.A., after having examined the financial statements for the fiscal year ended December 31, 2025, and in view of the unqualified opinion of PricewaterhouseCoopers Auditores Independentes, understand that these documents adequately reflect the company’s capital structure, financial position and the activities conducted during the period, and they have the conditions to be submitted to the appreciation and approval of the Stockholders. São Paulo (SP), February 04, 2026. GILBERTO FRUSSA President EDUARDO HIROYUKI MIYAKI MARCELO MAIA TAVARES DE ARAUJO Member Member 315


 
Praça Alfredo Egydio de Souza Aranha nº 100, Parque Jabaquara, Zip Code 04344-902, São Paulo/SP - Brazil ITAÚ UNIBANCO HOLDING S.A. CNPJ 60.872.504/0001-23 A Publicly Listed Company NIRE 35300010230 Financial Statements in BRGAAP as of December 31, 2025. The Officers responsible for the preparation of the consolidated and individual financial statements, in compliance with the provisions of article 27 paragraph 1 of CVM Instruction No. 80/2022 and article 45, paragraph 3, item V of BCB Resolution No. 2/2020, represent that: a) they are responsible for the information included in this file; b) they have reviewed, discussed and agree with the opinions expressed in the report of independent auditors about these financial statements; c) they have reviewed, discussed and agree with the Company’s financial statements and d) are responsible for establishing and maintaining the appropriate internal control structure and evaluating the effectiveness of these structures for the preparation of financial statements. The statements referred to were disclosed on February 04, 2026, on the website of the Brazilian Securities Commission (CVM) and Investor Relations of this institution (www.itau.com.br/investor-relations). This file includes: . Management Report; . Balance Sheet; . Statement of Income; . Statement of Comprehensive Income; . Statement of Changes in Stockholders’ Equity; . Statement of Cash Flows; . Statement of Value Added; . Notes to the Financial Statements; . Summary of The Audit Committee Report; . Report of Independent Auditors; . Opinion of the Fiscal Council. Milton Maluhy Filho Gabriel Amado de Moura Chief Executive Officer Officer Maria Helena dos Santos Fernandes de Santana Chairperson of the Audit Committee Fabiana Palazzo Barbosa Accountant 316


 
Banco Itaucard S.A. Demonstrações contábeis em 31 de dezembro de 2025 e relatório do auditor independente 317


 
www.pwc.com.br PricewaterhouseCoopers Auditores Independentes Ltda. Avenida Brigadeiro Faria Lima, 3732, Edifício B32, 16o, São Paulo, SP, Brasil, 04538-132 T: +55 (11) 4004-8000 Relatório do auditor independente sobre as demonstrações contábeis Aos Administradores e Acionistas Banco Itaucard S.A. Opinião Examinamos as demonstrações contábeis do Banco Itaucard S.A. ("Banco"), que compreendem o balanço patrimonial em 31 de dezembro de 2025 e as respectivas demonstrações do resultado, do resultado abrangente, das mutações do patrimônio líquido e dos fluxos de caixa para o semestre e exercício findos nessa data, bem como as correspondentes notas explicativas, incluindo o resumo das principais políticas contábeis. Em nossa opinião, as demonstrações contábeis acima referidas foram elaboradas, em todos os aspectos relevantes, de acordo com as práticas contábeis adotadas no Brasil, aplicáveis às instituições autorizadas a funcionar pelo Banco Central do Brasil (BCB). Base para opinião Nossa auditoria foi conduzida de acordo com as normas brasileiras e internacionais de auditoria. Nossas responsabilidades, em conformidade com tais normas, estão descritas na seção intitulada "Responsabilidades do auditor pela auditoria das demonstrações contábeis". Somos independentes em relação ao Banco, de acordo com os princípios éticos relevantes previstos no Código de Ética Profissional do Contador e nas normas profissionais emitidas pelo Conselho Federal de Contabilidade, aplicáveis a auditorias de demonstrações contábeis de entidades de interesse público no Brasil, e cumprimos com as demais responsabilidades éticas conforme essas normas. Acreditamos que a evidência de auditoria obtida é suficiente e apropriada para fundamentar nossa opinião. Ênfase - Informações comparativas Chamamos a atenção para a Nota 2(a) às demonstrações contábeis que descreve que as referidas demonstrações foram elaboradas de acordo com as práticas contábeis adotadas no Brasil, aplicáveis às instituições autorizadas a funcionar pelo Banco Central do Brasil, considerando a dispensa de apresentação das cifras comparativas nas demonstrações contábeis do exercício findo em 31 de dezembro de 2025, conforme previsto na Resolução no 4.966 do Conselho Monetário Nacional (CMN) e na Resolução no 352 do Banco Central do Brasil (BCB). Nossa opinião não está ressalvada em relação a esse assunto. Responsabilidades da administração e da governança pelas demonstrações contábeis A administração do Banco é responsável pela elaboração das demonstrações contábeis de acordo com as práticas contábeis adotadas no Brasil, aplicáveis às instituições autorizadas a funcionar pelo Banco Central do Brasil (BCB) e pelos controles internos que ela determinou 318


 
Banco Itaucard S.A. como necessários para permitir a elaboração de demonstrações contábeis livres de distorção relevante, independentemente se causada por fraude ou erro. Na elaboração das demonstrações contábeis, a administração é responsável pela avaliação da capacidade de o Banco continuar operando, divulgando, quando aplicável, os assuntos relacionados com a sua continuidade operacional e o uso dessa base contábil na elaboração das demonstrações contábeis, a não ser que a administração pretenda liquidar o Banco ou cessar suas operações, ou não tenha nenhuma alternativa realista para evitar o encerramento das operações. Os responsáveis pela governança do Banco são aqueles com responsabilidade pela supervisão do processo de elaboração das demonstrações contábeis. Responsabilidades do auditor pela auditoria das demonstrações contábeis Nossos objetivos são obter segurança razoável de que as demonstrações contábeis, tomadas em conjunto, estão livres de distorção relevante, independentemente se causada por fraude ou erro, e emitir relatório de auditoria contendo nossa opinião. Segurança razoável é um alto nível de segurança, mas não uma garantia de que a auditoria realizada de acordo com as normas brasileiras e internacionais de auditoria sempre detectam as eventuais distorções relevantes existentes. As distorções podem ser decorrentes de fraude ou erro e são consideradas relevantes quando, individualmente ou em conjunto, possam influenciar, dentro de uma perspectiva razoável, as decisões econômicas dos usuários tomadas com base nas referidas demonstrações contábeis. Como parte de uma auditoria realizada de acordo com as normas brasileiras e internacionais de auditoria, exercemos julgamento profissional e mantemos ceticismo profissional ao longo da auditoria. Além disso: • Identificamos e avaliamos os riscos de distorção relevante nas demonstrações contábeis, independentemente se causada por fraude ou erro, planejamos e executamos procedimentos de auditoria em resposta a tais riscos, bem como obtemos evidência de auditoria apropriada e suficiente para fundamentar nossa opinião. O risco de não detecção de distorção relevante resultante de fraude é maior do que o proveniente de erro, já que a fraude pode envolver o ato de burlar os controles internos, conluio, falsificação, omissão ou representações falsas intencionais. • Obtemos entendimento dos controles internos relevantes para a auditoria para planejarmos procedimentos de auditoria apropriados às circunstâncias, mas não com o objetivo de expressarmos opinião sobre a eficácia dos controles internos do Banco. • Avaliamos a adequação das políticas contábeis utilizadas e a razoabilidade das estimativas contábeis e respectivas divulgações feitas pela administração. • Concluímos sobre a adequação do uso, pela administração, da base contábil de continuidade operacional e, com base nas evidências de auditoria obtidas, se existe incerteza relevante em relação a eventos ou condições que possam levantar dúvida significativa em relação à capacidade de continuidade operacional do Banco. Se concluirmos que existe incerteza relevante, devemos chamar atenção em nosso relatório de auditoria para as respectivas divulgações nas demonstrações contábeis ou 319


 
Banco Itaucard S.A. incluir modificação em nossa opinião, se as divulgações forem inadequadas. Nossas conclusões estão fundamentadas nas evidências de auditoria obtidas até a data de nosso relatório. Todavia, eventos ou condições futuras podem levar o Banco a não mais se manter em continuidade operacional. Comunicamo-nos com os responsáveis pela governança a respeito, entre outros aspectos, do alcance e da época dos trabalhos de auditoria planejados e das constatações significativas de auditoria, inclusive as deficiências significativas nos controles internos que, eventualmente, tenham sido identificadas durante nossos trabalhos. São Paulo, 4 de fevereiro de 2026 PricewaterhouseCoopers Auditores Independentes Ltda. CRC 2SP000160/O-5 Tatiana Fernandes Kagohara Gueorguiev Contadora CRC 1SP245281/O-6 320


 
Banco Itaucard S.A. Relatório da Administração Senhores Acionistas Apresentamos as Demonstrações Contábeis relativas a 31/12/2025 para contas patrimoniais e ao período de 01/01 a 31/12 de 2025 para resultado, as quais seguem os dispositivos estabelecidos pelo Banco Central do Brasil (BACEN) e do Conselho Monetário Nacional (CMN). São Paulo, 04 de fevereiro de 2026. A Administração 321


 
Banco Itaucard S.A. DIRETORIA Diretores Albano Manoel Almeida Álvaro Felipe Rizzi Rodrigues Andre Balestrin Cestare Badi Maani Shaikhzadeh Carlos Henrique Donegá Aidar Daniel Nascimento Goretti Eric André Altafim Estevão Carcioffi Lazanha Flavio Ribeiro Iglesias João Filipe Fernandes da Costa Araújo Leandro Alves Lineu Carlos Ferraz de Andrade Mário Newton Nazareth Miguel Mayara Arci Rezeck Rita Rodrigues Ferreira Carvalho Rodrigo Andre Leiras Carneiro Rubens Fogli Netto Tatiana Grecco Vinicius Santana Contador Fabiana Palazzo Barbosa CRC 1SP251437/O-4 Sede: Praça Alfredo Egydio de Souza Aranha, 100, Torre Olavo Setubal, 7º andar (parte), Parque Jabaquara - São Paulo - SP 322


 
Banco Itaucard S.A. Balanço Patrimonial (Em milhares de reais) 1 Ativo Nota 31/12/2025 Circulante e Não Circulante 55.374 Disponibilidades 148 Aplicações Interfinanceiras de Liquidez 2c II 54.539 Aplicações em Depósitos Interfinanceiros 54.539 Outros Ativos 687 Total do Ativo 55.374 As notas explicativas são parte integrante das demonstrações contábeis. Banco Itaucard S.A. Balanço Patrimonial (Em milhares de reais) 1 Passivo e Patrimônio Líquido Nota 31/12/2025 Circulante e Não Circulante 3.518 Obrigações Fiscais Correntes e Diferidas 2c III 2.757 Obrigações Fiscais Correntes 2.757 Obrigações Fiscais Diferidas - Outros Passivos 761 Patrimônio Líquido 4 51.856 Capital Social 50.000 Reservas de Lucros 1.856 Total do Passivo e do Patrimônio Líquido 55.374 As notas explicativas são parte integrante das demonstrações contábeis. 323


 
Banco Itaucard S.A. Demonstração do Resultado (Em milhares de reais) 1 Nota 01/07 a 31/12/2025 01/01 a 31/12/2025 Receitas da Intermediação Financeira 3.575 6.811 Resultado de Títulos e Valores Mobiliários e Outros 3.575 6.811 Resultado Bruto da Intermediação Financeira 3.575 6.811 Outras Receitas / (Despesas) Operacionais (577) (884) Outras Despesas Administrativas (158) (380) Despesas Tributárias 3a II (179) (333) Outras Receitas Operacionais - 69 Outras Despesas Operacionais (240) (240) Resultado Operacional 2.998 5.927 Resultado Antes da Tributação Sobre o Lucro 2.998 5.927 Imposto de Renda e Contribuição Social 2c III, 3a I (3.723) (5.029) Devidos sobre Operações do Período (3.723) (5.029) Lucro Líquido / (Prejuízo) (725) 898 Quantidade de Ações 4a 2.544.818.409 2.544.818.409 Lucro / (Prejuízo) por lote de mil Ações - R$ (0,28) 0,35 As notas explicativas são parte integrante das demonstrações contábeis. Banco Itaucard S.A. Demonstração do Resultado Abrangente (Em milhares de reais) 1 01/07 a 31/12/2025 01/01 a 31/12/2025 Lucro Líquido / (Prejuízo) (725) 898 Total de Outros Resultados Abrangentes 1 - - Total do Resultado Abrangente (725) 898 As notas explicativas são parte integrante das demonstrações contábeis. 324


 
Banco Itaucard S.A. Demonstração das Mutações do Patrimônio Líquido (Em milhares de reais) Nota Capital Social Reservas de Lucros Lucros / (Prejuízos) Acumulados Total Legal Estatutária Saldos em 01/07/2025 50.000 139 2.655 - 52.794 Total do Resultado Abrangente - - - (725) (725) Lucro Líquido / (Prejuízo) - - - (725) (725) Destinações: Reservas - (36) (902) 938 - Dividendos - - - (213) (213) Saldos em 31/12/2025 4 50.000 103 1.753 - 51.856 Mutações do Período - (36) (902) - (938) Saldos em 01/01/2025 50.000 58 1.113 - 51.171 Total do Resultado Abrangente - - - 898 898 Lucro Líquido / (Prejuízo) - - - 898 898 Destinações: Reservas - 45 640 (685) - Dividendos - - - (213) (213) Saldos em 31/12/2025 4 50.000 103 1.753 - 51.856 Mutações do Período - 45 640 - 685 As notas explicativas são parte integrante das demonstrações contábeis. 325


 
Banco Itaucard S.A. Demonstração dos Fluxos de Caixa (Em milhares de reais) Nota 01/07 a 31/12/2025 01/01 a 31/12/2025 Lucro Líquido / (Prejuízo) Ajustado (725) 898 Lucro Líquido / (Prejuízo) (725) 898 Variações de Ativos e Passivos 651 (974) (Aumento) / Redução em Ativos Aplicações Interfinanceiras de Liquidez (859) 1.311.781 Outros Ativos 27 (313) (Redução) / Aumento em Passivos Obrigações Fiscais 4.023 5.661 Demais Provisões e Outros Passivos 246 (1.314.320) Pagamento de Imposto de Renda e Contribuição Social (2.786) (3.783) Caixa Líquido Proveniente / (Aplicado) nas Atividades Operacionais (74) (76) Aumento / (Diminuição) Líquido em Caixa e Equivalentes de Caixa (74) (76) Caixa e Equivalentes de Caixa no Início do Período 222 224 Caixa e Equivalentes de Caixa no Final do Período 2c I 148 148 Disponibilidades 148 As notas explicativas são parte integrante das demonstrações contábeis. 326


 
Banco Itaucard S.A. Notas Explicativas às Demonstrações Contábeis Em 31/12/2025 para Contas Patrimoniais e de 01/01 a 31/12 de 2025 para Resultado (Em milhares de reais, exceto quando indicado) Nota 1 - Contexto Operacional O Banco Itaucard S.A. (ITAUCARD ou empresa) é uma sociedade anônima de capital fechado, que tem por objeto a atividade bancária, nas modalidades autorizadas para banco múltiplo, com carteiras de investimento, de crédito, financiamento e investimento e de arrendamento mercantil financeiro, bem como a emissão e administração de cartões de crédito, próprios ou de terceiros, a instituição e gestão de arranjos de pagamento e a administração de carteiras de valores mobiliários. As operações do ITAUCARD são conduzidas no contexto de um conjunto de instituições que atuam integradamente no mercado financeiro, lideradas pelo Itaú Unibanco Holding S.A. Os benefícios dos serviços prestados entre essas instituições e os custos correspondentes são absorvidos segundo a praticabilidade e razoabilidade de lhes serem atribuídos. Estas Demonstrações Contábeis foram aprovadas pela Diretoria em 04 de fevereiro de 2026. Nota 2 - Políticas Contábeis Materiais a) Base de Preparação As demonstrações contábeis da empresa foram elaboradas de acordo com a Lei das Sociedades por Ações, incluindo as alterações introduzidas pela Lei nº 11.638, de 28/12/2007, e Lei nº 11.941, de 27/05/2009 em consonância, quando aplicável, com os normativos do Banco Central do Brasil (BACEN) e do Conselho Monetário Nacional (CMN). As informações nas demonstrações contábeis e nas correspondentes notas explicativas evidenciam todas as informações relevantes inerentes às demonstrações contábeis, e somente elas, as quais estão consistentes com as informações utilizadas pela Administração na sua gestão. A empresa adotou em 1° de janeiro de 2025 a Resolução CMN n° 4.966/21 que altera os critérios contábeis aplicáveis aos instrumentos financeiros e optou pela dispensa da apresentação dos valores comparativos relativos aos períodos anteriores, conforme previsto no artigo 79 desta Resolução. Mais informações sobre os efeitos da transição normativa estão detalhadas na nota 2b I – Novas Normas, Alterações e Interpretações de Normas Existentes. b) Novas Normas, Alterações e Interpretações de Normas Existentes I - Aplicáveis para o Período Findo em 31 de dezembro de 2025 Resolução CMN n° 4.966/21 - Instrumentos Financeiros Estabelece a classificação, mensuração, reconhecimento e baixa de instrumentos financeiros, constituição de provisão para perda esperada associadas ao risco de crédito e designação e reconhecimento contábil da contabilidade de hedge. A adoção foi prospectiva, a partir de 1° de janeiro de 2025, com exceção da contabilidade de hedge e do ajuste ao valor presente de instrumentos financeiros reestruturados, cuja vigência será em 1° de janeiro de 2027. A empresa considera que as novas classificações de instrumentos financeiros e alteração do provisionamento de perda esperada associadas ao risco de crédito não produziram efeitos no Patrimônio Líquido. c) Políticas Contábeis, Estimativas Críticas e Julgamentos Materiais Esta nota apresenta as principais estimativas críticas e julgamentos utilizados na elaboração e aplicação das políticas contábeis específicas da empresa. Estas estimativas e julgamentos apresentam risco material e podem ter impacto relevante nos valores de ativos e passivos devido às incertezas e ao alto nível de subjetividade envolvido no reconhecimento e mensuração de determinados itens. Desta forma, os resultados reais podem ser diferentes daqueles obtidos pelas estimativas e julgamentos. 327


 
I - Caixa e Equivalentes de Caixa São definidas como caixa e equivalentes de caixa, as contas correntes em bancos e as aplicações financeiras, que são prontamente conversíveis em caixa, ou seja, possuem prazo original igual ou inferior a 90 dias, e estão sujeitas a um risco insignificante de alteração no valor, consideradas no Balanço Patrimonial, quando aplicável, nas rubricas Disponibilidades, Aplicações em Depósitos Interfinanceiros e Aplicações no Mercado Aberto (Posição Bancada). II - Ativos e Passivos Financeiros a) Classificação de Instrumentos Financeiros Os instrumentos financeiros são classificados e subsequentemente mensurados nas seguintes categorias: • Custo Amortizado (CA): utilizada quando os ativos financeiros são administrados para obter fluxos de caixa contratuais, constituídos apenas por pagamentos de principal e juros, principalmente Aplicações e Captações. III - Imposto de Renda e Contribuição Social A provisão para Imposto de Renda e Contribuição Social é composta por tributos correntes, os quais são recuperados ou pagos no período aplicável, e diferidos, representado pelos ativos e os passivos fiscais diferidos, decorrentes de diferenças entre as bases de cálculo contábil e tributária dos ativos e passivos, no final de cada período. Nota 3 - Tributos A política contábil sobre imposto de renda e contribuição social está apresentada na Nota 2c III. Os tributos são calculados pelas alíquotas abaixo demonstradas e consideram, para efeito das respectivas bases de cálculo, a legislação vigente pertinente a cada encargo. Imposto de Renda 15,00% PIS 0,65% Adicional de Imposto de Renda 10,00% COFINS 4,00% Contribuição Social sobre o Lucro Líquido 20,00% ISS até 5,00% a) Despesas com Impostos e Contribuições I - Demonstração do Cálculo com Imposto de Renda e Contribuição Social sobre o Lucro Líquido Devidos Sobre Operações do Período 01/01 a 31/12/2025 Resultado Antes da Tributação sobre o Lucro 5.927 Encargos (Imposto de Renda e Contribuição Social) às alíquotas vigentes (2.667) Acréscimos / Decréscimos aos encargos de Imposto de Renda e Contribuição Social decorrentes de: Outras Despesas Indedutíveis Líquidas de Receitas não Tributáveis (1) (2.362) Total de Imposto de Renda e Contribuição Social (5.029) 1) Contempla (Inclusões) e Exclusões Temporárias. II - Despesas Tributárias Estão representadas basicamente por PIS e COFINS. Nota 4 - Patrimônio Líquido a) Capital Social Está representado por 2.544.818.409 ações nominativas, sem valor nominal. b) Dividendos Aos acionistas são assegurados dividendos mínimos obrigatórios em cada exercício, correspondente a 25% do lucro líquido ajustado, conforme disposto no Estatuto Social. 328


 
Remuneração aos Acionistas 01/01 a 31/12/2025 Bruto IRRF Líquido Provisionados 213 - 213 Dividendos 213 - 213 Os dividendos provisionados, quando aplicável, são registrados na rubrica Outros Passivos. Nota 5 - Partes Relacionadas a) Transações com Partes Relacionadas As operações realizadas entre partes relacionadas são efetuadas a valores, prazos e taxas médias usuais de mercado, vigentes nas respectivas datas, e em condições de comutatividade. As principais partes relacionadas são: • Controladoras - acionista direto: Itaú Unibanco Holding S.A. e sua respectiva agência em Cayman e os indiretos: Itaú Unibanco Participações S.A., Companhia E. Johnston de Participações e Itaúsa S.A. • Empresas do Grupo - empresas e fundos de investimentos sob controle do Itaú Unibanco Holding S.A. 31/12/2025 Controladoras Empresas do Grupo Total Ativo - 54.539 54.539 Aplicações Interfinanceiras de Liquidez - 54.539 54.539 01/01 a 31/12/2025 Demonstração do Resultado - 7.085 7.085 Receitas da Intermediação Financeira - 7.085 7.085 Nota 6 - Informações Suplementares a) Gerenciamento de Riscos e Capital A gestão de riscos e capital é considerada um instrumento essencial para otimizar o uso de recursos e selecionar as melhores oportunidades de negócios, visando a obter a melhor relação Risco x Retorno. Os documentos “Relatório de Acesso Público", que detalham as diretrizes estabelecidas pelo normativo institucional de controle de risco do conglomerado, e não fazem parte das demonstrações contábeis, podem ser visualizados no site www.itau.com.br/relacoes-com-investidores, na seção Itaú Unibanco, Governança Corporativa, Políticas, Relatórios. 329