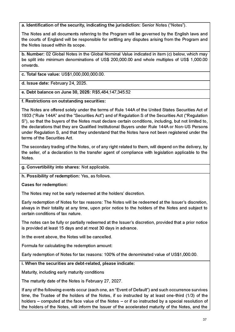
EX-99.1 2 ex99-1.htm EX-99.1

REFERENCE FORM 2024 Itaú Unibanco Holding S.A. Itaú Unibanco Holding S.A. REFERENCE FORM Base Date: 12.31.2024 (in accordance with Attachment C to CVM Resolution No 80 of March 29, 2022 “CVM Resolution No 80”) Identification ltaú Unibanco Holding S.A., a corporation enrolled under the National Register of Legal Entities/Ministry of Finance (CNPJ/MF) under No. 60.872.504/0001-23, with its Articles of lncorporation registered with the Trade Board of the State of São Paulo under NlRE No. 35.3.0001023-0, and registered as a publicly-held company with the Brazilian Securities and Exchange Commission ("CVM") under No. 19348 ("Bank" or "lssuer"). Head Office The lssuer's head office is located at Praça Alfredo Egydio de Souza Aranha, 100, Torre Olavo Setubal, Parque Jabaquara, in the City and State of São Paulo, Brazil, Zip Code 04344-902. Investor Relations Office The lnvestor Relations department is located at Praça Alfredo Egydio de Souza Aranha, 100, Torre Conceição, 12º andar, Parque Jabaquara, in the City and State of São Paulo, Brazil, Zip Code 04344-902. The Group Head of lnvestor Relations is Mr. Gustavo Lopes Rodrigues. The lnvestor Relations Department's telephone number is +5511 2794-3547, fax number is +55 11 5019-8717, and email is ri@itau-unibanco.com.br. lndependent Auditors Firm PricewaterhouseCoopers Auditores Independentes Ltda. for the years ended 12/31/2024, 12/31/2023 and 12/31/2022. Bookkeeping Agent Itaú Corretora de Valores S.A. Stockholders Service The lssuer's stockholders' service is carried out at the branches of ltaú Unibanco S.A., the head office of which is located at Praça Alfredo Egydio de Souza Aranha, 100, Torre Walther Moreira Salles, Parque Jabaquara, in the City and State of São Paulo, Brazil, Zip Code 04344-902. Newspapers from which the Company discloses lnformation O Estado de São Paulo newspaper. Website The information contained on the Company's website is not an integral part of this Reference Form. https://www.itau.com.br/relacoes-com-investidores/en/ Last update of this Reference Form 08/14/2025 2 Historical resubmission Version Reasons for resubmission Date of update V2 Updated items: 7.1D, 7.3, 7.4 and 7.8 06/11/2025 V3 Updated items: 7.3, 7.4 and 7.8 06/24/2025 V4 Updated items: 3.1, 3.2 and 8.1 08/05/2025 V5 Updated items 4.4, 4.5, 4.7 and 12.7 08/14/2025 3 4.4. Describe any judicial, administrative or arbitration proceedings to which the issuer or its controlled companies are a party, specifying labor, tax, civil, environmental and other cases: (i) that are not confidential, and (ii) that are material for the business of the issuer or its controlled companies, stating: a. court b. jurisdiction c. filing date d. parties to the proceedings e. amounts, assets or rights involved f. main facts g. summary of decisions on the merits issued h. case status i. if the chance of loss is: i. probable ii. possible iii. remote j. reason why this case is deemed material k. analysis of the impact in the event of an unfavorable decision For purposes of this item, we adopted as a materiality criterion operations involving amounts higher than R$1,092 million, which accounts for 0.5% of Itaú Unibanco Holding’s Equity under IFRS as of June 30, 2025. Civil, tax and labor contingencies are the subject-matter of a provision whenever loss is assessed as probable. Provisions are also recognized, irrespective of the event of an unfavorable outcome to the company, for tax contingencies in which the outcome of the case depends on the recognition of unconstitutionality of legislation in force. Management believes that the provisions for judicial and administrative contingencies recognized are sufficient to cover probable losses that may be reasonably estimated. We believe that any losses arising from other administrative or judicial contingencies will have no adverse material effect on our business, financial position or results of operations. Civil Proceedings Case No. 0003056-02.2003.8.26.0200 a. Court: 2nd Civil Lower Court of Itapira (State of São Paulo). b. Jurisdiction: Superior Court of Justice (STJ) c. Filing date:08.06.2003 d. Parties to the proceedings: KVA Engenharia Elétrica Ltda. vs. Itaú Unibanco S.A. e. Amounts, assets or rights involved: R$13,792,855,704.42 (June/2025). 4 f. Main facts: This is a lawsuit to review current account, loan and renegotiation agreements, in which the bank was ordered, by a final and unappealable decision (December 12, 2007), to exclude interest capitalization and refund overpaid amounts, adjusted to include interest in the same proportion as it had been charged by the bank. Upon calculation of the liquid amount, the lower court, based on the capitalized interest criterion and with 2,400.64% of compensatory interest incurred from 2003 to 2007, approved the amount of approximately R$7.6 billion to be refunded to the plaintiff (May 21, 2018). The Appellate Court of the State of São Paulo (TJSP) overturned this judgment to exclude capitalization and charge simple interest as of the date of summons (2003), reducing the award amount to approximately R$3.5 million (May 2, 2019). Itaú made a judicial deposit of the adjusted awards amount (R$5.9 million in August 2019). Plaintiff filed a motion for clarification, which was denied (November 4, 2019). Plaintif f and former lawyer filed special appeals, which were granted by the TJSP (April 20, 2021) and the case is to be held by the judge under advisement at the Superior Court of Justice (STJ). g. Summary of decisions on the merits issued: The decision issued at the cognizance phase, which is final and unappealable, has ruled that the bank review the contracts and exclude the capitalization amount, as well as refund twice the overstated amounts charged, adjusted to include interest earned at the same rates charged by the bank. Upon calculation of the liquid amount, a decision was issued approving the expert evidence in the amount of R$7.6 billion, with the following assumptions: capitalized interest and 2,400.64% of compensation interest from 2003 to 2007. The Appellate Court partially overruled this decision, reducing the amount in dispute to R$3.5 million by excluding capitalization and determining the inclusion of simple interest from the date of summons. h. Case status: The special appeals filed by the Plaintiff and former lawyer before the STJ against the appellate decision issued by the TJSP on April 22, 2019 are pending trial. i. Chance of loss: Remote. j. Reason why this case is deemed material: Amount in dispute. k. Analysis of the impact in the event of an unfavorable decision: In August 2019, the bank paid the award in effect in the amount of R$5.9 million. The remaining remote risk of loss is R$13.8 billion. Cases No. 0012488-09.2002.8.14.0301 and No. 0035211-78.2002.8.14.0301 a. Court: 5th Civil Lower Court of Belém (State of Pará). b. Jurisdiction: Appellate Court of the State of Pará (TJPA) c. Filing date: 03.18.2002 and 10.14.2002 d. Parties to the proceedings: Rondhevea Administração e Participações Ltda. vs. Itaú Unibanco S.A. and Itaú Corretora de Valores Mobiliários e Câmbio. e. Amounts, assets or rights involved: R$7,691,177,388.76 (June/2025). f. Main facts: Itaú is a defendant in two lawsuits filed by Mr. Antonio Cabral (later succeeded by Rondhvea Adm. e Participações). Itaú allegedly would have sold 6,360 shares issued by Itaú and 5,000 shares issued by Banco União Comercial (succeeded by Itaú) in 1985, without the plaintiff’s authorization. In a final and unappealable decision, Itaú was ordered to award the plaintiff an amount corresponding to the share value and respective accessory obligations. Upon calculating the number of shares, under calculation of the liquid amount, the expert appraiser disregarded the reverse split of shares as set forth by CVM Instruction No. 56/87, 5 which took place in March 1987, at 1,000 for 1 share, and thus determined the amount of R$4 billion (expert opinion of August 30, 2017). These expert opinions were approved by the lower court judge (September 18, 2020), thus prompting Itaú to file the proper appeals, which were both granted with suspensive effect. One of the bank's appeals has already been adjudicated and granted, annulling the homologation decision due to lack of reasoning; a new judgment at the first instance is pending. The other appeal is still pending trial. Itaú had also filed complaints with the Disciplinary Board of Courts and the National Justice Board (CNJ), which were dismissed as the judge in charge had passed away. Itaú made a judicial deposit of the amount it understands as effectively due, which corresponds to the price of shares and accessory obligations based on the reverse split carried out in March 1987 (R$895,004.60 – October 2020). g. Summary of decisions on the merits issued: At the cognizance phase, the bank was ordered to pay plaintiff the amount corresponding to the shares sold without evidence of plaintiff’s authorization, as well as corresponding earnings. Upon calculation of the liquid amount, the lower court judge approved the expert witness report (September 18, 2020), and stated, in both lawsuits, that the bank owed about R$4 billion. An appellate decision has already been handed down in one of the lawsuits, granting the appeal filed by the bank to annul the judgment of ratification due to lack of statement of reasons (ruling on May 15, 2023). h. Case status: In one of the cases, the motion for clarification was tried in February 2025 and the records are awaiting to be remanded to the lower court so that the action for damages can be retried. In the other, the appeal filed by the bank is pending trial by the TJPA. i. Chance of loss: Probable (R$1,266,478.93) and Remote (R$7,692,443,867.69) (June/2025). j. Reason why this case is deemed material: Amount in dispute. k. Analysis of the impact in the event of an unfavorable decision: Pay award corresponding to the value of shares and respective accessory obligations. Tax Claims Case No.16327.720661/2021-45 a. Court: Administrative appellate court - Administrative Board of Tax Appeals (CARF). b. Jurisdiction: Administrative appellate court (CARF). c. Filing date: 09.22.2021 d. Parties to the proceedings: Federal Government (National Treasury) vs. Banco Itaucard S.A. e. Amounts, assets or rights involved: R$1,203,538,703.28 (June/2025). f. Main facts: On September 22, 2021, a tax assessment notice was received aimed at the collection of social contribution (CSLL) on the grounds of alleged lack of addition, in Part A of LACS book, of debit balances related to counterparts of surplus and deficit of depreciation in 2017, as tax authorities consider them nondeductible. This assessment notice was upheld by the Federal Revenue Service Judgment Office (DRJ) at the trial of the objection filed, and a voluntary appeal was filed. O This voluntary appeal started to be tried at CARF, where, instead of entering judgment, the judge ordered the production of more evidence. 6 g. Summary of decisions on the merits issued: DRJ justified its decision on the grounds that the adjustments arising from surplus and deficit of depreciation cause no tax effects on CSLL, and should be neutralized off books by excluding or adding any corresponding revenues or expenses in the calculation of the contribution calculation basis. h. Case status: Appellate decision by DRJ: 09.23.2022; Voluntary Appeal filed before CARF is pending trial. i. Chance of loss: Possible. j. Reason why this case is deemed material: Amount in dispute. k. Analysis of the impact in the event of an unfavorable decision: In the event of an unfavorable outcome at administrative level, the case will be taken to the judicial courts, with possible pledge of guarantee required. Case No. 16327.721240/2019-17 a. Court: Administrative Board of Tax Appeals (CARF). b. Jurisdiction: Administrative appellate court (CARF). c. Filing date: 12.30.2019 d. Parties to the proceedings: Federal Government (National Treasury) vs. Banco Itaucard S.A. e. Amounts, assets or rights involved: R$1,496,352,086.79 (June/2025). f. Main facts: Tax assessment notices levied aimed at the collection of PIS/Cofins on the grounds of alleged failure to submit for taxation the economic-financial result of leasing operations carried out, with a 150% fine levied. Lawsuit attached to Case No. 16327.721239/2019-92 about the same subject matter challenged. On May 25, 2020, the administrative lower court handed down a ruling to uphold the tax assessment, with the company thus filing a voluntary appeal. The voluntary appeal started to be tried at CARF, where, instead of entering judgment, the judge ordered the production of more evidence. g. Summary of decisions on the merits issued: DRJ stated the reasons for upholding the tax assessment notice on the grounds that, during the contract term, the Bank accurately calculated the PIS/COFINS basis but had unduly reversed the depreciation surplus amounts at the end of each contract. h. Case status: Appellate decision by DRJ: 05.25.2020; Voluntary Appeal filed before CARF is pending trial. i. Chance of loss: Possible (R$165,170,879.85) and Remote (R$1,331,181,206.94). j. Reason why this case is deemed material: Amount in dispute. 7 k. Analysis of the impact in the event of an unfavorable decision: In the event of an unfavorable outcome at administrative level, the case will be taken to the judicial courts, with possible pledge of guarantee required. Case No. 16327.720188/2019-81 a. Court: Administrative Board of Tax Appeals (CARF). b. Jurisdiction: Administrative appellate court (CARF). c. Filing date: 02.27.2019 d. Parties to the proceedings: Federal Government (National Treasury) vs. Itaú Unibanco S.A. e. Amounts, assets or rights involved: R$1,531,349,969.48 (June/2025). f. Main facts: Tax assessment notice levied aimed at the collection of social security tax due on payments of employee and management profit sharing, meal voucher and food allowance paid in tickets and hiring bonus in 2014 On February 11, 2021, the administrative lower court handed down a ruling to partially uphold the tax assessment, with the company thus filing a voluntary appeal. On November 7, 2023, CARF ruled to grant the voluntary appeal to fully cancel the tax assessment. The Office of the General Counsel to the National Treasury (PGFN) filed a motion for clarification, which was granted but had no modificatory character, as it was handed down to merely correct clerical mistakes in the appellate decision document. g. Summary of decisions on the merits issued: DRJ cancelled part of the tax assessment, which had been subject to review at the evidentiary remedy stage, during which an error in the assessed calculation was identified. With respect to the other cases presented by the defense, DRJ just upheld the tax assessment filed. Upon the trial of the Voluntary appeal filed, CARF ruled to cancel the tax assessment in full due to its groundlessness regarding the meal voucher and food allowance paid in tickets and hiring bonus, as well as to declare the tax assessment in connection with employee profit sharing null and void, in addition to dismissing the fine on assessment levied on debits on management profit sharing, considering that the amount due has been suspended at the judicial level. h. Case status: Appellate decision by DRJ: 02.11.2021; Appellate decision by CARF: 11.07.2023; Appellate decision by CARF on Motions for Clarification: 10.01.2024; Awaiting to be notified and a possible filing of a Special Appeal by the PGFN. i. Chance of loss: Possible (R$723,750,279.11) and Remote (R$807,599,690.37). j. Reason why this case is deemed material: Amount in dispute. k. Analysis of the impact in the event of an unfavorable decision: In the event of an unfavorable outcome at administrative level, the case will be taken to the judicial courts, with possible pledge of guarantee required. 8 Case No.5015701-60.2019.4.03.6100 a. Court: 10th Civil Lower Court of the Judiciary District of São Paulo (State of São Paulo). b. Jurisdiction: Lower court – Federal Courts of the State of São Paulo (JFSP). c. Filing date: 12.22.2015 d. Parties to the proceedings: Itaú Unibanco S.A. vs. Federal Government (National Treasury). e. Amounts, assets or rights involved: R$1,551,449,608.21 (June/2025). f. Main facts: Action for annulment filed on August 27, 2019 aimed to cancel the tax assessment notice levied for collection of Corporate Income Tax (IRPJ) and Social Contribution (CSLL) for calendar years 2010, 2011 and 2012, on the grounds of disallowance of operating expenses (expenses on interbank deposits related to investments in ID/Fixed rate funds made by Unibanco, whose invested funds derived from the full subscription of capital increase carried out by Itaú). On October 3, 2020, the interlocutory relief was granted to suspend the enforceability of the tax credit. On April 7, 2025, a judgment was rendered granting the plaintiff's claims. The Bank subsequently filed a Motion for Clarification (“Embargos de Declaração”) seeking the correction of a material error in the judgment, which remains pending adjudication. g. Summary of decisions on the merits issued: Judgment rendered granting the claim, thereby annulling the tax assessment. h. Case status: Judgment Date: April 7, 2025; Awaiting adjudication of the Bank’s Motion for Clarification. i. Chance of loss: Remote. j. Reason why this case is deemed material: Amount in dispute. k. Analysis of the impact in the event of an unfavorable decision: Loss of the amount challenged. Case No.5000150-69.2021.403.6100 a. Court: Federal Regional Court (TRF) of the 3rd Region b. Jurisdiction: Appellate court (TRF3). c. Filing date: 01.06.2021 d. Parties to the proceedings: Itaú Unibanco S.A. vs. Federal Government (National Treasury). e. Amounts, assets or rights involved: R$1,538,112,869.44 (June/2025). f. Main facts: Writ of mandamus filed aimed to cancel the tax assessment notice levied aimed at the collection of social security contribution on payments made as profit sharing in 2009 and 2010 (originally the tax assessment notice also comprised taxation on the hiring bonus, which is being challenged under Action for Annulment No. 5010871-512019.403.6100, with a judgment for plaintiff, which is currently awaiting trial of the appeal filed by the Federal Government). In the records of the writ of mandamus, on January 12, 2021, a preliminary injunction was granted to suspend the enforceability of the tax credit related to the collection of social security contribution on profit sharing. On July 16, 2021 the judgment that partially 9 granted the preliminary injunction was rendered. On October 10, 2022, the TRF of 3rd Region handed down the appellate decision that upheld the judgment. The parties filed Special Appeals and the PGFN otherwise filed an Extraordinary Appeal, with the former being denied and the latter being not entertained. The interlocutory appeals filed by the parties are pending trial. The Special Appeal interlocutory motions were acknowledged by the Superior Court of Justice (STJ), and the Special Appeals were denied. The case is currently awaiting the potential filing of Internal Appeals by the parties. g. Summary of decisions on the merits issued: Preliminary injunction and writ of mandamus were partially granted to dismiss the assessed portion calculated on a portion of profit sharing (the one meeting the legal frequency limits) which, therefore, is excluded from taxation. Furthermore, the part of the initial pleading intended to avert the entire original assessment (portion already paid, which we asked for refund only) was dismissed. The appellate decision on this appeal upheld the judgment, on the grounds that the defect of part of the profit sharing payments regarding the frequency does not apply to the entire profit sharing. h. Case status: Preliminary injunction: 01.12.2021; Judgment: 07.16.2021; Ruling on motion for clarification: 09.21.2021; Appellate decision on appeal and official review: 10.10.2022; Appellate decision on first motion for clarification: 03.14.2023; Appellate decision on second motion for clarification: 07.10.2023; Special appeals denied and extraordinary appeal not being entertained: 06.10.2024; Decisions denying the Special Appeals: 07.02.2025; Awaiting potential filing of Internal Appeals by the parties. i. Chance of loss: Remote. j. Reason why this case is deemed material: Amount in dispute. k. Analysis of the impact in the event of an unfavorable decision: Loss of the amount challenged. Case No. 16327.720004/2018-01 a. Court: Administrative Board of Tax Appeals (CARF). b. Jurisdiction: Administrative higher court - Higher Chamber of Tax Appeals (CSRF). c. Filing date: 01.18.2018 d. Parties to the proceedings: Federal Government (National Treasury) vs. Banco Itaucard S.A. e. Amounts, assets or rights involved: R$1,504,221,504.08 (June/2025). f. Main facts: Tax assessment notices in connection with PIS/COFINS on the grounds of alleged failure to submit for taxation the economic-financial result of leasing operations carried 10 out, with a 150% fine levied. Partially favorable decision granted at DRJ. Partially favorable decision granted at CARF. Special appeals were filed by the Federal Government and the Bank. The special appeal by the Federal Government (on preemption) and the Bank (on merits) were not entertained by CSRF. The Union did not file an appeal, while the Bank submitted a Motion for Clarification, which was denied. The case is currently awaiting the filing of judicial measures. g. Summary of decisions on the merits issued: DRJ partially granted the defense, to recognize the fiscal authorities’ right to charge the January-November 2012 amounts was extinguished upon expiration of the preemptive period. The remainder of the assessment notice was upheld. CARF partially granted the voluntary appeal filed by the Bank to unanimously dismiss the charge of simulation and, consequently, the alleged aggravated fine of 150%, and to recognize that the right to collect the January-November 2012 amounts was extinguished upon the expiration of the preemptive period, therefore dismissing the mandatory review filed. A casting vote was used to uphold the remainder of the assessment notice. CSRF has not entertained the special appeals filed by the Federal Government (on preemption) and by the taxpayer (on merits). h. Case status: Appellate decision by DRJ: 08.31.2018; Appellate decision by CARF: 01.06.2020; Appellate decision by CSRF: 05.15.2024; CSRF Decision: 04.30.2025; Awaiting the filing of judicial measures. i. Chance of loss: Possible. j. Reason why this case is deemed material: Amount in dispute. k. Analysis of the impact in the event of an unfavorable decision: Loss of the amount under dispute. Case No. 16327.720774/2018-45 a. Court: Administrative Board of Tax Appeals (CARF). b. Jurisdiction: Administrative appellate court (CARF). c. Filing date: 10.26.2018 d. Parties to the proceedings: Federal Government (National Treasury) vs. Itaú Unibanco S.A. e. Amounts, assets or rights involved: R$3,770,225,168.19 (June/2025). f. Main facts: Tax assessment notice for the collection of corporate income tax (IRPJ), social contribution (CSLL), PIS and COFINS (taxes on income) and fines (2012 to 2013) arising from disallowance of operating expenses (interbank deposits) related to funds capitalized among Group companies. DRJ dismissed the appeal filed. Meanwhile, CARF granted part of the voluntary appeal. A motion for clarification was filed by the company, and a special appeal was filed by the Federal Government. As the motion for clarification filed by the Taxpayer was 11 denied, the company filed a special appeal on December 23, 2024. The special appeals filed by both the Taxpayer and the Federal Government are pending trial. g. Summary of decisions on the merits issued: DRJ upheld the assessment notice as it understood that these transactions had no business intent. CARF, on merits and by the casting vote, upheld this understanding, but averted the aggravation of the fine on assessment and recognized the partial preemption of the IPJ and CSLL taxable events. h. Case status: Appellate decision by DRJ: 06.11.2019; Appellate decision by CARF: 05.29.2023; Special appeals filed by both the Federal Government and the Bank are pending trial. i. Chance of loss: Possible (R$1,272,291,693.74) and Remote (R$2,497,933,474.45). j. Reason why this case is deemed material: Amount in dispute. k. Analysis of the impact in the event of an unfavorable decision: In the event of an unfavorable outcome at administrative level, the case will be taken to the judicial courts, with possible pledge of guarantee required. Case No.5026528-67.2018.4.03.6100 a. Court: Federal Regional Court (TRF) of the 3rd Region b. Jurisdiction: Appellate court (TRF3). c. Filing date: 11.14.2013 d. Parties to the proceedings: Itaú Unibanco S.A. vs. Federal Government (National Treasury). e. Amounts, assets or rights involved: R$3,654,997,985.41 (June/2025). f. Main facts: Tax assessment notice for the collection of corporate income tax (IRPJ) and social contribution (CSLL) on the grounds of alleged capital gain arising from the association between the Itaú and Unibanco conglomerates, assigned to E. Johnston Representação e Participações. A voluntary appeal was filed by the taxpayer, which was dismissed by CARF. The case was terminated with an unfavorable decision rendered by CSRF on September 28, 2018. Therefore, on October 22, 2018, the company filed Action for Annulment No. 5026528- 67.2018.4.03.6100, which is currently pending at the Federal Courts of São Paulo. Interlocutory relief was granted in connection with this action on October 26, 2018, with the claim granted on October 2, 2020. The appeal filed by the Federal Government is currently pending trial. g. Summary of decisions on the merits issued: Favorable judgment at trial court fully granted the claim to nullify the tax assessment notice. h. Case status: Interlocutory relief: 10.26.2018; Judgment: 10.02.2020; The appeal filed before the TRF3 is pending trial. 12 i. Chance of loss: Remote. j. Reason why this case is deemed material: Amount in dispute. k. Analysis of the impact in the event of an unfavorable decision: Loss of the amount challenged. Case No. 0204699-55.0500.8.26.0090 (204.699/05) a. Court: Municipal Tax Foreclosure Court of São Paulo (state of São Paulo). b. Jurisdiction: Lower court – Municipal Tax Foreclosure Court of São Paulo. c. Assignment date: 11.30.2005 d. Parties to the proceedings: Municipality of São Paulo vs. Banco Itauleasing S.A. (formerly Cia Itauleasing de Arrendamento Mercantil). e. Amounts, assets or rights involved: R$5,378,695,209.43 (June/2025). f. Main facts: Tax foreclosure filed by the Municipality of São Paulo to collect service tax (ISS) on leasing operations on the grounds that such amounts were unduly paid to the Municipality of Poá. A motion to stay execution is pending trial. g. Summary of decisions on the merits issued: Judgment for defendant on motion to stay execution was rendered, which was later rendered null and void by means of the appeal filed by the Appellate Court of the State of São Paulo, h. Case status: Lower court ruling is pending. (previous judgment- nullified: August 20, 2008; appellate decision by the TJSP that rendered the previous judgment null and void: 02.27.2014) i. Chance of loss: Remote. j. reason why this case is deemed material: Amount in dispute. k. Analysis of the impact in the event of an unfavorable decision: Loss of the amount challenged. Case No. 1000510-36.2021.8.26.0462 a. Court: 2nd Civil Lower Court of Poá (State of São Paulo). b. Jurisdiction: Lower court (Poá/state of São Paulo). c. Filing date: 02.22.2021 d. Parties to the proceedings: Banco Itaucard S.A. vs. Municipality of São Paulo vs. Municipality of Poá e. Amounts, assets or rights involved: R$8,109,202,932.97 (June/2025). f. Main facts: Tax assessment notices levied by the Municipality of São Paulo to challenge the place of payment of service tax (ISS) on credit card and leasing operations, on the grounds 13 that these payments were unduly made to the Municipality of Poá. After unfavorable decisions at the administrative level, the company filed a lawsuit to obtain a statement of existence of a legal tax relationship between Banco Itaucard and the Municipality of Poá and the resulting cancellation of the charges made by the Municipality of São Paulo or the recovery of the undue payment made to the Municipality of Poá. g. Summary of decisions on the merits issued: Decisions on the merits for this case have not yet been rendered. h. Case status: Awaiting judgment to be rendered. i. Chance of loss: Possible (R$4,053,785,339.64) and Remote (R$4,055,417,593.33). j. Reason why this case is deemed material: Amount in dispute. k. Analysis of the impact in the event of an unfavorable decision: Loss of the amount challenged. Case No. 16561.720011/2020-46 a. Court: Administrative Board of Tax Appeals (CARF). b. Jurisdiction: Administrative appellate court (CARF). c. Filing date: 04.15.2020 d. Parties to the proceedings: Federal Government (National Treasury) vs. Redecard S.A. and Others. e. Amounts, assets or rights involved: R$6,814,855,804.76 (June/2025). f. Main facts: Tax assessment notice levied on Redecard arising from disallowance of goodwill on acquisition of Redecard’s shares by Banestado through a public offering of shares, and a 150% fine and a separate fine were levied on the alleged non-payment of monthly estimates. Objection was filed and partially granted at the Federal Revenue Service Judgment Office (DRJ) to exclude the aggravated fine and the presumed joint and several liability. A voluntary appeal and a mandatory review were filed. On February 20, 2024, CARF upheld the exclusion of the aggravated fine and joint and several liability, as well as granting part the voluntary appeal filed by the Taxpayer. The Federal Government filed a special appeal, whereas the Taxpayer filed a motion for clarification, and both are pending trial. g. Summary of decisions on the merits issued: DRJ rendered a partially favorable decision to exclude the aggravated fine and the joint and several liability. CARF’s decisions on the appeals were as follows: (i) denied the aggravated fine and joint and several liability; (ii) denied the collection of the portion of goodwill related to interests acquired from Itaú Group’s non-related parties; (iii) upheld the assessment notice of the portion of goodwill related to interests acquired from Itaú Group’s related parties; and (iv) upheld the levy of the separate fine. 14 h. Case status: Appellate decision by DRJ: 12.07.2020; Appellate decision by CARF: 02.20.2024; The Federal Government filed a special appeal, whereas the Taxpayer filed a motion for clarification, and both are pending trial. i. Chance of loss: Remote. j. Reason why this case is deemed material: Amount in dispute. k. Analysis of the impact in the event of an unfavorable decision: In the event of an unfavorable outcome at administrative level, the case will be taken to the judicial courts, with possible pledge of guarantee required. Case No. 16561.720086/2018-11 a. Court: Administrative Board of Tax Appeals (CARF). b. Jurisdiction: Administrative appellate court (CARF). c. Filing date: 11.14.2018 d. Parties to the proceedings: Federal Government (National Treasury) vs. Redecard S.A. e. Amounts, assets or rights involved: R$7,017,471,695.10 (June/2025). f. Main facts: Tax assessment notice levied on Redecard arising from disallowance of goodwill on acquisition of Redecard’s shares by Banestado through a public offering of shares, and a 150% fine and a separate fine were levied on the grounds of non-payment of monthly estimates for the 2013-2015 period. The administrative lower court has partially granted the objection filed to avert the aggravated fine. A voluntary appeal and a mandatory review were filed. On February 20, 2024, CARF upheld the exclusion of the aggravated fine and joint and several liability, as well as it partially granted the voluntary appeal filed by the Taxpayer. Both the Federal Government and the Taxpayer filed special appeals, which are pending trial. g. Summary of decisions on the merits issued: DRJ rendered a partially favorable decision to exclude the aggravated fine and the joint and several liability. CARF’s decisions on the appeals were as follows: (i) denied the aggravated fine and joint and several liability; (ii) denied the collection of the portion of goodwill related to interests acquired from Itaú Group’s non-related parties; (iii) upheld the assessment notice of the portion of goodwill related to interests acquired from Itaú Group’s related parties; and (iv) upheld the levy of the separate fine. h. Case status: Appellate decision by DRJ: 07.04.2019; 15 Appellate decision by CARF: 02.20.2024; Special appeals filed by both the Federal Government and the Taxpayer are pending trial. i. Chance of loss: Remote. j. Reason why this case is deemed material: Amount in dispute. k. Analysis of the impact in the event of an unfavorable decision: In the event of an unfavorable outcome at administrative level, the case will be taken to the judicial courts, with possible pledge of guarantee required. Case No. 16327.720946/2018-81 a. Court: Administrative Board of Tax Appeals (CARF). b. Jurisdiction: Administrative appellate court (CARF). c. Filing date: 12.21.2018 d. Parties to the proceedings: Federal Government (National Treasury) vs. Banco Itaucard S.A. e. Amounts, assets or rights involved: R$15,249,456,470.21 (June/2025). f. Main facts: Tax assessment notice for collection of corporate income tax (IRPJ), social contribution (CSLL), PIS and COFINS (taxes on income) and fines (2012 to 2015) arising from disallowance of operating expenses (interbank deposits) related to funds capitalized among Group companies. DRJ dismissed the appeal filed. A voluntary appeal was filed, which is pending trial. g. Summary of decisions on the merits issued: DRJ upheld the assessment notice as it understood that these transactions had no business intent. h. Case status: Appellate decision by DRJ: 05.31.2019. Voluntary appeal filed is pending trial. i. Chance of loss: Possible (R$4,313,626,312.67) and Remote (R$10,935,830,157.54). j. Reason why this case is deemed material: Amount in dispute. k. Analysis of the impact in the event of an unfavorable decision: In the event of an unfavorable outcome at administrative level, the case will be taken to the judicial courts, with possible pledge of guarantee required. Case No.16327.720680/2013-61 a. Court: Administrative Board of Tax Appeals (CARF). b. Jurisdiction: Administrative higher court (Higher Chamber of Tax Appeals (CSRF). c. Filing date: 06.25.2013 d. Parties to the proceedings: Federal Revenue Service vs. Itaú Unibanco Holding S.A. 16 e. Amounts, assets or rights involved: R$35,968,880,833.83 (June/2025). f. Main facts: Tax assessment notice for collection of corporate income tax (IRPJ) and social contribution (CSLL) for fiscal year 2008, arising from the transaction that led to the association between Itaú Holding and Unibanco Holding S.A. On April 10, 2017, CARF rendered a decision for the Company by cancelling the tax assessment notice. The special appeal filed by the Federal Revenue Service was suspended by CARF until the final trial of Writ of Mandamus No. 1017987-56.2017.4.01.3400 filed against the admissibility of the special appeal lodged by the Federal Government, with the appeal filed by the Federal Government pending trial. g. Summary of decisions on the merits issued: PA 16327.720680/2013-61: On majority of votes. The voluntary appeal to cancel the assessment in full was granted at CARF. Writ of mandamus (MS) 1017987-56.2017.4.01.3400: preliminary injunction and writ of mandamus were granted to dismiss the admissibility of the special appeal filed by the Federal Government, thus rendering a final and unappealable decision at the administrative level for the company. On October 11, 2021 the appeal filed by the Federal Government was dismissed by majority of votes (2x1), with the resulting suspension of the trial so that a broader trial is held in accordance with Article 942 of the Code of Civil Procedure (CPC). h. Case status: Administrative level: Appellate decision by CARF: 04.10.2017; Special appeal filed by the Federal Government (National Treasury) suspended and awaiting the termination of MS 017987.56.2017.4.01.3400. At judicial level: Preliminary injunction: 12.14.2017; Judgment: 07.18.2018; Awaiting the broader trial on the appeal filed by the Federal Government, which has already been denied by majority of votes. i. Chance of loss: Remote. j. Reason why this case is deemed material: Amount in dispute. k. Analysis of the impact in the event of an unfavorable decision: In the event of an unfavorable outcome at administrative level, the case will be taken to the judicial courts, with possible pledge of guarantee required. Case No.16327.720021/2024-88 (Partial Adhesion to the PTI) a. Court: Federal Revenue Service (Federal Revenue Service Judgment Office (DRJ). b. Jurisdiction: Administrative lower court (DRJ). c. Filing date: 12.04.2024 d. Parties to the proceedings: Federal Government (National Treasury) vs. Itaú Unibanco S.A. e. Amounts, assets or rights involved: R$3,900,846,816.07 (June/2025). 17 f. Main facts: Tax assessment notice aimed to the collection of income tax (IRPJ) and social contribution (CSLL) on the grounds of alleged insufficient balance of Income tax and social contribution loss carryforwards offset in 2019. The Federal Revenue Service understands that a number of lawsuits and administrative proceedings, which have not yet become final and unappealable, definitively impact balances. An objection was filed, which is pending trial. g. Summary of decisions on the merits issued: Decisions on the merits for this case have not yet been rendered. h. Case status: Objection filed at DRJ is pending trial. i. Chance of loss: Possible. j. Reason why this case is deemed material: Amount in dispute. k. Analysis of the impact in the event of an unfavorable decision: In the event of an unfavorable outcome at administrative level, the case will be taken to the judicial courts, with possible pledge of guarantee required. Case No. 16327.986118/2025-32 a. Court: Federal Revenue Secretariat of Brazil (Tax Appeals Office – DRJ) b. Jurisdiction: First-Level Administrative Instance (Tax Appeals Office – DRJ) c. Filing date:06.10.2025 d. Parties to the proceedings: Union (National Treasury) v. Itaú Unibanco S.A. f. Main facts: Denial of offsetting a negative IRPJ balance in 2019, resulting from the disallowance of a tax credit generated between 2013 and 2017. The primary ground for the denial was the interpretation that the utilization of such tax credits in subsequent years is conditional upon the existence of tax losses in the original periods — an understanding that lacks legal basis and is subject to strong legal arguments for its dismissal. A Statement of Nonconformity has been submitted. g. Summary of decisions on the merits issued: No decisions on the merits have yet been rendered in this case. h. Case status: Awaiting adjudication of the Notice of Nonconformity before the Tax Appeals Office (DRJ). i. Chance of loss: Remote j. Reason why this case is deemed material: Amount of the contingency involved. k. Analysis of the impact in the event of an unfavorable decision: In the event of an unfavorable outcome at the administrative level, the debt will be challenged in the judicial sphere, with the potential submission of a guarantee. Labor Claims No labor claims in the period, under the materiality criteria set for this document. Administrative Proceeding Case No.08700.008182/2016-57 a. Court: Brazilian antitrust agency (CADE). b. Jurisdiction: Administrative lower court – General Superintendency of the Brazilian antitrust agency (CADE). 18 e. Amounts, assets or rights involved: R$2,622,200,994.01 (June/2025). c. Filing date: Published in the Official Gazette of the Federal Government on December 8, 2016. d. Parties to the proceedings: CADE ex officio vs. Banco Itaú BBA S.A and Others. e. Amounts, assets or rights involved: In accordance with Law No. 12529/11, Article 37, item I, any violation of the economic order subjects the company to a fine ranging from onetenth percent (0.1%) to twenty percent (20%) of the gross revenue of such company, group or conglomerate, earned in the last year prior to the filing of the administrative proceeding, in the business field in which the alleged violation was committed, which will never be lower than the alleged advantage gained whenever such calculation is possible. On the grounds of lack of definition of the calculation basis to be applicable, as well as the significant wide range of percentages applicable, it is not possible to estimate the fine amounts in the event of an unfavorable decision. f. Main facts: This is an administrative proceeding filed to investigate alleged cartel in the Brazilian onshore foreign exchange market involving the Brazilian currency (Brazilian real). These presumed antitrust conducts would have been engaged mainly in the FX spot and futures (derivatives) markets. These practices under investigation would have been engaged in Brazil by certain financial institutions (Banco Itaú BBA S.A., among them) and individuals located in the Brazilian territory. The defense was timely filed on January 8, 2018. No material developments occurred, even though settlements were signed with CADE, notably by Citibank. g. Summary of decisions on the merits issued: No decisions on merits have been issued yet. h. Case status: Still under review by the General Superintendency of CADE. i. Chance of loss: Possible. j. Reason why this case is deemed material: Image risk. k. Analysis of the impact in the event of an unfavorable decision: payment of a fine. Case No.08700.002066/2019-77 a. Court: Brazilian antitrust agency (CADE). b. Jurisdiction: Administrative appellate court. c. Filing date: April 18, 2019 (start of investigation) d. Parties to the proceedings: CADE ex officio vs. Itaú Unibanco S.A and Redecard S.A. e. Amounts, assets or rights involved: Not applicable. f. Main facts: In April 2019, the General Superintendency of CADE filed an administrative proceeding against Itaú Unibanco and Redecard to investigate an alleged antitrust practice in the credit card receivables market. Redecard had launched a program under which it would settle/clear credit card receivables in an account held at Itaú Unibanco in mere two days. CADE filed a preliminary injunction requesting the program to be suspended, which was dismissed as the program was upheld by virtue of a preliminary decision issued by the Federal Courts. In December 2019, Redecard decided to clear all bank accounts within two days, regardless of whether they were held at Itaú Unibanco, and as a result the lawsuit that upheld the program lost its purpose. Redecard and Itaú Unibanco filed their defenses, including legal and economic 19 opinions, to evidence the inexistence of antitrust practices. The case was granted a favorable decision by the General Superintendency of CADE and the Department of Economic Studies, which understood there was no antitrust conduct in the case in question. Case currently pending at the Appellate Court (Member Camila Alves, after the vote cast by Member Victor Fernandes to dismiss the case. The latter subsequently voted, after having requested to see the records, on the adverse vote of Member Gustavo Augusto who did not levied a fine to the defendants). Member Gustavo Augusto had determined the testimony of the Federal Public Prosecution Office and the Counsel to CADE, who also expressed their opinions for the termination of the case. Three court members (José Levi, Charles Jaques, and Camila Alves) still need to vote. Members Diogo Thompson and Alexandre Cordeiro were disqualified from voting. That is the appellate court who will decide either against the defendants or to terminate the case. g. Summary of decisions on the merits issued: The General Superintendency of CADE and the Department of Economic Studies, Federal Public Prosecution Office, and Member Victor Fernandes have issued a technical note, in the first case, and cast a vote, in the later, understanding that there was no antitrust conduct in D+2. h. Case status: Currently pending at the CADE, with records to be seen by Member Camila Alves, who notified the Central Bank of Brazil as BACEN to provide information on the receivables market. In its response, the Central Bank has not provided significant information to the case. Member Camila Alves has set a ten-day period (counting from 4.7) for a statement to be expressed on Central Bank’s response. Case may be included in the Appellate Court’s agenda for a final decision to be rendered (if no other requests to see the records are made) by the end of the first half of 2025. i. Chance of loss: Possible. j. Reason why this case is deemed material: Image risk. k. Analysis of the impact in the event of an unfavorable decision: Administrative fine (not possible to estimate) and reputational damage. Arbitration Proceedings The Issuer is not a party to any arbitration proceeding pending on June 30, 2025 that is material in terms of the matter or amount involved. Environmental Proceedings No environmental proceeding was filed in the period, in accordance with the materiality criteria set for this document. 20 4.5. State the total amount of provision, if any, for the proceedings described in item 4.4 The total amount provided for the claims described in 4.4. is R$1.27 million for civil proceedings, in base-date: 06.30.2025. 21 4.7. Describe other material contingencies not included in the previous items The amounts involved in the main tax and social security proceedings whose chance of loss is possible, which are not described in item 4.4, total R$26,584 million, as described below: R$ million Tax Issue Amount INSS INSS - Non-compensatory amounts: we defend the non-levy of non-compensatory amounts, profit sharing and stock option grant plan. 4,561 ISS Banking activities: We challenge the levy and/or place of payment of ISS for certain banking revenues. 3,501 IRPJ/CSLL/PIS/COFINS Request for offset rejected: cases in which liquidity and certainty of offset credit are analyzed. 2,397 IRPJ and CSLL Goodwill - Deduction: we challenge the deductibility of goodwill on acquisition of investments with expected future profitability. 2,320 IRPJ/CSLL Deductibility of losses in loan operations: we challenge tax assessment notices aimed at the collection of IRPJ and CSLL amounts due to alleged non-compliance with legal criteria for the deduction of losses on receipt of credits. 2,001 IRPJ and CSLL Disallowance of losses: We challenge the amount of tax loss and/or tax loss carryforwards used by the Federal Revenue Service in tax assessment notices, which are still pending a final decision. 1,950 PIS and COFINS Reversal of revenues from excess depreciation: we challenge the accounting and tax treatment granted to PIS and COFINS upon settlement of lease operations. 1,166 Total 17,896 Base date: 06.30.2025 22 12.9. Supply other information that the issuer may deem relevant Information from item 12.1 On February 5, 2025, the Company’s Board of Directors deliberated to increase the social and paid-up capital within the limit of the authorized capital predicted on our Bylaws in the value of R$33,334,060,190.00 increasing it from R$ 90,729,000,000.00 to R$ 124,063,060,190.00. This increase was carried out through a share bonus, with the issuance of 980,413,535 new bookentry shares, with no par value, of which 495,829,036 are common shares and 484,584,499 are preferred shares, with the base date of this bonus being the shareholding position at the end of March 17, 2025. Information from item 12.6 12.6. With respect to each type and class of security admitted for trading in foreign markets, please indicate: In the United States Our preferred shares have been traded on the NYSE, as ADSs (one ADS represents one preferred share) since February 21, 2002, in compliance with the NYSE and SEC requirements. These requirements include the disclosure of financial statements under the IFRS as of 2011, and compliance with U.S. legislation requirements, including the Securities Exchange Act of 1934 and the Sarbanes-Oxley Act of 2002. Our ADSs are issued by the JPMORGAN CHASE BANK, with principal executive office located at 383 Madison Avenue, 11thFloor, New York, New York 10179. ADS holders do not have the same rights as stockholders, which are governed by the Brazilian Corporate Law. The depositary is the holder of the preferred shares underlying the ADSs. ADS holders have ADS holder rights. ITUB (ADS - American Depositary Share ) a. country United States of America b. market New York Stock Exchange c. administrative entity of the market in which the securities are admitted for trading U.S. Securities and Exchange Commission d. date of admission for trading May 31, 2001 e. if applicable, please indicate the trading segment Level II f. date on which the securities were first listed in the trading segment February 21, 2002 g. percentage of trading volume abroad in relation to the total trading volume of each class and type in the previous year (¹) 48.3% (¹) h. if applicable, the proportion of deposit certificates abroad in relation to each class and type of shares (²) 20.3% (²) i. if applicable, depository bank (3) JPMorgan Chase Bank j. if applicable, custodian institution (3) Itaú Unibanco Holding S.A. (1) Total volume of ADSs traded in relation to the total volume of preferred shares traded in 2024. Source: Economática. (2) Balance of outstanding ADSs in relation to the preferred shares of the capital stock outstanding on December 31, 2024. Medium-Term Note Programme Euro MTF Depending on the issue N/A N/A JPMorgan Chase Bank JPMorgan Chase Bank Grand Duchy of Luxembourg Luxembourg Stock Exchange Commission de Surveillance du Secteur Financier Depending on the issue 23 Investors may hold ADSs directly, registered in their name, or indirectly, through a brokerage or other financial institution. ADS holders do not have the same rights as stockholders, depositaries and holders of the corresponding shares in Brazil. The deposit agreement sets forth the rights and obligations of ADS holders and is governed by New York legislation. In the event of a capital increase that maintains or increases the proportion of the capital represented by preferred shares, the ADS holders, except as described above, have the preemptive right to subscribe only to newly issued preferred shares. In the event of a capital increase that reduces the proportion of capital represented by the preferred shares, the ADS holders, except as described above, have the preemptive right to subscribe to preferred shares in proportion to their interests, and to common shares only up to the extent necessary to prevent the dilation of their interests. Information from item 12.7 12.7. Describe securities issued abroad, when relevant, indicating, if applicable: a) identification of the security, indicating the jurisdiction; b) number; c) total face value; d) issue date; f) restrictions on trading; g) convertibility into shares or concession of right to subscribe or purchase the issuer’s shares, indicating: i. conditions; ii. effects on capital; h) possibility of redemption, indicating: i. cases for redemption; ii. formula for calculating the redemption amount; i) when the securities are debt-related, please indicate: i. maturity, including early maturity conditions; ii. interest; iii. the guarantee and, if secured, a description of the asset that is the subject matter of the guarantee iv. in the absence of a guarantee, whether the credit is unsecured or subordinated v. any restrictions imposed on the issuer with respect to: • the distribution of dividends; • the disposal of certain assets; • the contracting of new debts; • the issue of new securities; 24 • corporate transactions carried out, involving the issuer, its controlling stockholders or subsidiaries. j) any conditions for changing the rights assured by such securities; k) other relevant characteristics. On March 29, 2010, the Medium-Term Note Program (“Program”) of Itaú Unibanco Holding S.A., operating through its head office in Brazil or by means of its branch in the Cayman Islands (“Issuer”), was launched. A list of the issues already settled is presented below: Issue Date Issue Liquidation First issue 04.15.2010 04.15.2020 Second Issue 09.23.2010 01.22.2021 Reopening of the Second Issue 01.31.2011 01.22.2021 Fourth Issue 06.21.2011 12.21.2021 Reopening of the Fourth Issue 01.24.2012 12.21.2021 Fifth Issue 03.19.2012 03.19.2022 Sixth Issue 08.06.2012 08.06.2022 Seventh Issue 11.13.2012 05.13.2023 Eighth Issue 05.26.2015 05.26.2018 Ninth issue 12.12.2017 12.12.2024 Eleventh issue 11.21.2019 11.21.2024 Twelfth issue 01.24.2020 01.24.2023 Thirteenth issue 01.24.2020 01.24.2025 Below are descriptions of the issues. Tenth Issue a. Identification of the security, indicating the jurisdiction: Tier 1 Subordinated Notes (“Notes”) The Notes and all documents referring to the Program will be governed by the English laws and the courts of England will be responsible for settling any disputes arising from the Program and the Notes issued within its scope. b. Number: 02 Global Notes in the total Global Nominal Value indicated in item (c) below, which may be split into minimum denominations of US$ 200,000.00 and whole multiples of US$ 1,000.00 onwards. c. Total face value: US$750,000,000.00 25 d. Issue date: March 19, 2018 e. Debt balance on June 30, 2025: R$4,182,030,848.28 f. Restrictions on outstanding securities: The Notes are offered solely under the terms of Rule 144A of the United States Securities Act of 1933 (“Rule 144A” and the “Securities Act”) and of Regulation S of the Securities Act (“Regulation S”), so that the buyers of the Notes must declare certain conditions, including, but not limited to, the declarations that they are Qualified Institutional Buyers under Rule 144A or Non-US Persons under Regulation S, and that they understand that the Notes have not been registered under the terms of the Securities Act. The secondary trading of the Notes, or of any right related to them, will depend on the delivery, by the seller, of a declaration to the transfer agent of compliance with legislation applicable to the Notes. g. Convertibility into shares: Not applicable. h. Possibility of redemption: Yes, as follows. Cases for redemption: Early redemption of Notes for tax reasons: As from the fifth anniversary of the issue date, subject to authorization by the Central Bank of Brazil (if required at the time of redemption), the Issuer may redeem the Notes, in their totality and as from the fifth anniversary of their issue, upon prior notice to the holders of the Notes and subject to certain tax conditions. Early redemption of Notes by virtue of a regulatory event: Subject to prior authorization by the Central Bank of Brazil (if required at the time of redemption), the Issuer may redeem the Notes in their totality, upon prior notice to the holders of the Notes, should there be a regulatory event. Early redemption of Notes at the issuer’s discretion: Subject to authorization by the Central Bank of Brazil (if required at the time of redemption), the Issuer may redeem the Notes in their totality and as from the fifth anniversary of their issue, upon prior notice to the holders of the Notes. The Notes may not be early redeemed at the holders’ discretion. The Notes will be cancelled in all the aforementioned cases. Formula for calculating the redemption amount: Early redemption of Notes for tax reasons: 100% of the denominated value of US$1,000.00. Early redemption of Notes by virtue of a regulatory event: 100% of the denominated value of US$1,000.00. Early redemption of Notes at the issuer’s discretion: 100% of the denominated value of US$1,000.00. The Issuer will exercise the option for early redemption of the Notes on September 19, 2025. i. When the securities are debt-related, please indicate: i. Maturity, including early maturity conditions Perpetual notes with no maturity date. Should the Issuer fail to pay any amount due on the Notes and this failure to pay continues for more than 15 days (unless this payment had been suspended or extinguished under the terms of the applicable regulation – see item “vii – Other relevant characteristics”), or should the Issuer fail 26 to pay the redemption amount of the Notes on the redemption date, the Trustee of the holders of the Notes, if so instructed by at least one third (1/3) – calculated at the face value of the Notes – of the holders of the Notes, subject to the provision of guarantees, reimbursement or advance of expenses, file legal proceedings in any court, but not be able to declare the early maturity of the Notes or any other legal remedy, including collection actions or execution actions for unpaid amounts. Should the Issuer be dissolved or wound up or should liquidation or bankruptcy proceedings be initiated, the Notes will be early matured to allow the liability arising from the Notes to be included in these proceedings, it being clear that the payment of the Notes should observe the terms of subordination.The early maturity provided for herein (i) will not be applicable in the event of the winding up of the Issuer in connection with a merger or corporate reorganization not involving bankruptcy or insolvency and provided that this operation is previously approved by the Central Bank of Brazil and the legal successor of the Issuer assumes the obligations arising from the Notes, and (ii) will not be considered a Event of Default and will not give rise to the early maturity of any other debt or financial instrument to which the Issuer is a party. Interest: The Notes were issued at an initial fixed interest rate of 6.50% per year, which is effective until the fifth anniversary of their issue. Every five years as from this date, the interest rate applicable to the Notes will be recalculated based on the interest rate of U.S. Treasury Bonds for the same period. As from March 19, 2023, the interest rate was recalculated to 7.859% per year, which is effective for five years. The payments of principal and interest will be made by The Bank of New York Mellon, London and New York branches, and The Bank of New York Mellon (Luxembourg) S.A. Interest will be levied on the face value of each Note, from the issue date of the Notes, and will be due every six months on March 19 and September 19, beginning September 19, 2018. Guarantees: Not applicable.Subordinated Notes. In the event of winding up, the holders of the Notes will be repaid after all the other special creditors with secured guarantee and after all the other unsecured creditors have been satisfied. Type: Subordinated.Please see item “vii – Other relevant characteristics”. Any restrictions imposed on the issuer with respect to: the distribution of dividends: Not applicable; however, the amounts due to the holders of the Notes should be paid with the funds available for the distribution of profit (including dividends) of the Issuer (see item “vii – Other relevant characteristics”). the disposal of certain assets: Not applicable. the contracting of new debts: Not applicable. the issue of new securities: Not applicable. corporate transactions carried out, involving the issuer, its controlling stockholders or controlled companies: Any corporate restructuring of the Issuer is permitted, provided that (a) the resulting entity that assumes substantially all of the Issuer’s assets effectively assumes all obligations under the Note; (b) no Event of Default had occurred after the restructuring process; (c) the Issuer 27 certifies that it has complied with these conditions and presents an independent legal opinion that certifies that the resulting entity has legally assumed all the obligations under the Notes. Conditions for changing the rights assured by such securities: Some changes can be made to the terms and conditions of the Notes, without the consent of their holders, such as changes: (i) that are minor corrections; (ii) that are merely of form or of a technical nature; (iii) that are made to correct a patent error; (iv) that are made to correct an ambiguity or inconsistency; (v) that are made in conformity with a permitted corporate restructuring process; (vi) that are made for any other modification that does not substantially affect the rights of the holders of the Notes. The changes will be communicated to the holders of the Notes by the Trustee at its discretion. Additionally, the Issuer may change the terms and conditions applicable to the Notes, once for each series, solely to meet a requirement imposed by the Central Bank of Brazil, so that the Notes may be considered as included in Tier I of the Referential Equity, in accordance with CMN Resolution nº 4.955, of October 21, 2021 (“Resolution nº 4,955”), as amended from time to time.The Issuer may not make any change that implies modification to the interest rate of the Notes, the amount of the outstanding Notes, the payment dates of interest and the subordination of these Notes. Other relevant characteristics: The Notes are direct, unsecured and subordinated obligations of the Issuer, and they will be subordinated in payment preference to all of the other liabilities of the Issuer (except for the obligations to stockholders). The Notes will be ranked equally at any time, with no preference, and they will have, at any time and considering some exceptions that may be provided for in legislation, the same payment preference as all current and future subordinated obligations that compose the Additional Tier I Capital of the Issuer and with no guarantee of the Issuer, in accordance with Resolution nº 4,955. The Notes were established by an Amended and Restated Trust Deed dated August 4, 2016, entered into by the Issuer and The Bank of New York Mellon, in the capacity of Trustee of the holders of the Notes, as amended from time to time. Each issue of Notes will be supplemented by the issue of the Final Terms, following the model agreed upon between the Issuer and the Trustee. The Notes are issued solely as book-entry notes. The Notes were offered by a syndicate of Dealers of the operation, under an Amended and Restated Dealer Agreement dated August 4, 2016, as amended from time to time. The Dealers of this issue are BB Securities Ltd., BNP Paribas Securities Corp., Merrill Lynch, Pierce, Fenner & Smith Inc., HSBC Securities (USA) Inc. and Itau BBA USA Securities, Inc.An authorization of the Luxembourg Stock Exchange was obtained for the Notes issued under the scope of the Program to be admitted for trading on the Euro MTF market, managed by that stock exchange. The first day of listing of the Notes was March 19, 2018. The Notes were not subject to registration under the Securities Act, and they were offered solely: (i) in the United States of America to Qualified Institutional Buyers, as defined in Rule 144A; and (ii) in any other country to Non-US Persons, in accordance with the definition of the Regulation S of the Securities Act. Please see item “f – Restrictions on outstanding securities”. There has not been and there will not be any effort for a public distribution of the Notes, and therefore no public offering has been registered with the Brazilian Securities and Exchange Commission, or with any other similar body in any other country. The Notes will not be issu ed, placed, distributed, offered or traded in the Brazilian capital markets. 28 Subject to authorization of the Central Bank of Brazil and compliance with the operational and capital limits set forth in the item below, the Issuer (or any of its subsidiaries) may, at any time and for any price, repurchase the Notes in the secondary market or in any other way, provided that it is in compliance with the terms of subordination. The Notes so purchased will neither entitle the Issuer to attend the annual meeting of the holders of Notes nor be computed for quorum purposes in these meetings. Any remuneration payment due to the holders of the Notes may be suspended: (i) in the event that the payment of this remuneration exceeds the funds available for this purpose; (ii) in the same proportion of the restriction imposed by the Central Bank of Br azil to the distribution of dividends or other results related to the Issuer’s shares, (iii) in the event the Issuer is unable to comply with given capital levels or the payment results in non-compliance with the minimum capital requirements of the regulation of the National Monetary Council. Any remuneration that is not paid as a result of this suspension will be deemed extinguished and this extinction will not be deemed a Event of Default or another factor that gives rise to debt acceleration in any legal business in which the Issuer takes part. The Notes may be permanently extinguished in the event that (i) some of the Issuer’s operational limits drop below the amount required by the regulation of the National Monetary Council; (ii) a commitment to allocate public resources to the Issuer is executed in accordance with applicable legislation, (iii) the Central Bank of Brazil determines either a special temporary administration system or intervention in the Issuer, or (iv) the Central Bank of Brazil determines the extinction of the Notes according to the criteria established in a specific regulation issued by the National Monetary Council.The extinction of the Notes will not be deemed a Event of Default or another factor that gives rise to debt acceleration in any legal business in which the Issuer takes part. Fourteenth Issue a. Identification of the security, indicating the jurisdiction: Tier 1 Subordinated Notes (“Notes”) The Notes and all documents referring to the Program will be governed by the English laws and the courts of England will be responsible for settling any disputes arising from the Program and the Notes issued within its scope. b. Number: 02 Global Notes in the total Global Nominal Value indicated in item (c) below, which may be divided into minimum denominations of US$ 200,000.00 and whole multiples of US$ 1,000.00 onwards. c. Total face value: US$700,000,000.00. d. Issue date: February 27, 2020. e. Debt balance on June 30, 2025: R$3,880,327,958.68 f. Restrictions on outstanding securities: The Notes are offered solely under the terms of Rule 144A of the United States Securities Act of 1933 (“Rule 144A” and the “Securities Act”) and of Regulation S of the Securities Act (“Regulation S”), so that the buyers of the Notes must declare certain conditions, including, but not limited to, the declarations that they are Qualified Institutional Buyers under Rule 144A or Non-US Persons under Regulation S, and that they understand that the Notes have not been registered under the terms of the Securities Act. 29 The secondary trading of the Notes, or of any right related to them, will depend on the delivery, by the seller, of a declaration to the transfer agent of compliance with legislation applicable to the Notes. g. Convertibility into shares: Not applicable. h. Possibility of redemption: Yes, as follows. Cases for redemption: Early redemption of Notes at the issuer’s discretion: On the fifth anniversary of the issue date or on any payment date of interest, as from the fifth anniversary of the issue date, subject to prior authorization by the Central Bank of Brazil, the Issuer may redeem the Notes, always in their totality Early redemption of Notes for tax reasons: As from the fifth anniversary of the issue date, subject to prior authorization by the Central Bank of Brazil (if required at the time of redemption), the Notes will be redeemed at the Issuer`s discretion, always in their totality, upon prior notice to the holders of the Notes and subject to certain tax conditions. Early redemption of Notes by virtue of a regulatory event: Subject to prior authorization by the Central Bank of Brazil (if required at the time of redemption), the Issuer may redeem the Notes, always in their totality, should there be a regulatory event. A regulatory event is defined as a written notice from the Central Bank of Brazil or any other Brazilian regulatory authority, establishing that the Notes are not classified as falling into Tier I of the Referential Equity or they fall into it in lower proportion than that provided for in the regulation in effect on the issue date. The Notes may not be early redeemed at the holders’ discretion. The Notes will be cancelled in all the aforementioned cases. Formula for calculating the redemption amount: Early redemption of Notes at the issuer’s discretion: 100% of the denominated value of US$1,000.00. Early redemption of Notes for tax reasons: 100% of the denominated value of US$1,000.00. Early redemption of Notes by virtue of a regulatory event: 100% of the denominated value of US$1,000.00. The Issuer will exercise the option for early redemption of the Notes on August 27, 2025. i. When the securities are debt-related, please indicate: Maturity, including early maturity conditions Perpetual notes with no maturity date. Should the Issuer fail to pay any amount due on the Notes and this failure to pay continues for more than 15 days (unless this payment had been suspended or extinguished under the terms of the applicable regulation – see item “vii – Other relevant characteristics”), or should the Issuer fail to pay the redemption amount of the Notes on the redemption date, the Trustee of the holders of the Notes, if so instructed by at least one third (1/3) – calculated at the face value of the Notes – of the holders of the Notes, subject to the provision of guarantees, reimbursement or advance of expenses, file legal proceedings in any court, but not be able to declare the early maturity of the Notes or any other legal remedy, including collection actions or execution actions for unpaid amounts. 30 Should the Issuer be dissolved or wound up or should liquidation or bankruptcy proceedings be initiated, the Notes will be early matured to allow the liability arising from the Notes to be included in these proceedings, it being clear that the payment of the Notes should observe the terms of subordination.The early maturity provided for herein (i) will not be applicable in the event of the winding up of the Issuer in connection with a merger or corporate reorganization not involving bankruptcy or insolvency and provided that this operation is previously approved by the Central Bank of Brazil and the legal successor of the Issuer assumes the obligations arising from the Notes, and (ii) will not be considered a Event of Default and will not give rise to the early maturity of any other debt or financial instrument to which the Issuer is a party. Interest: These are fixed-rate Subordinated Notes, of which interest rate is 4.625% per year until the 5th anniversary of the issue date. On the 5th anniversary of the issue date, the interest rate will be recalculated based on the prevailing interest rate on U.S. Treasury Bonds for the same period plus the Credit Spread (equal to 3.222%). The payments of principal and interest will be made by The Bank of New York Mellon, New York branch. Interest will be levied on the face value of each Note, from the issue date of the Notes, and it will be due every six months on February 27 and August 27, beginning August 27, 2020. Guarantees: Not applicable. Subordinated Notes. In the event of winding up, the holders of the Notes will be repaid after all the other special creditors with secured guarantee and after all the other unsecured creditors have been satisfied. Type: Subordinated.Please see item “vii – Other relevant characteristics”. Any restrictions imposed on the issuer with respect to: the distribution of dividends: Not applicable; however, the amounts due to the holders of the Notes should be paid with the funds available for the distribution of profit (including dividends) of the Issuer (see item “vii - Other relevant characteristics”). the disposal of certain assets: Not applicable. the contracting of new debts: Not applicable. the issue of new securities: Not applicable. corporate transactions carried out, involving the issuer, its controlling stockholders or controlled companies: Any corporate restructuring of the Issuer is permitted, provided that (a) the resulting entity that assumes substantially all of the Issuer’s assets effectively assumes all obligations under the Note; (b) no Event of Default had occurred after the restructuring; (c) the Issuer certifies that it has complied with these conditions and presents an independent legal opinion that certifies that the resulting entity has legally assumed all the obligations under the Notes. Conditions for changing the rights assured by such securities: Some changes can be made to the terms and conditions of the Notes, without the consent of their holders, such as changes: (i) that are minor corrections; (ii) that are merely of form or of a technical nature; (iii) that are made to correct a patent error; (iv) that are made to correct an ambiguity or inconsistency; (v) that are made in conformity with a permitted corporate restructuring process; (vi) that are made for any other modification that does not substantially affect the rights of the 31 holders of the Notes. The changes will be communicated to the holders of the Notes by the Trustee as soon as possible. Additionally, the Issuer may change the terms and conditions applicable to the Notes, once for each series, solely to meet a requirement imposed by the Central Bank of Brazil, so that the Notes may be considered as included in Tier I of the Referential Equity, in accordance with CMN Resolution nº 4.955, of October 21, 2021 (“Resolution nº 4,955”), as amended from time to time.The Issuer may not make any change that implies modification, at any level, to the interest rate of the Notes, the amount of the outstanding Notes, the payment dates of interest and its exponential levying, the maturity date originally agreed upon, and the subordination of these Notes. Other relevant characteristics: The Notes are direct, unsecured and subordinated obligations of the Issuer, and they will be subordinated in payment preference to all of the other liabilities of the Issuer (except for the obligations to stockholders). The Notes will be ranked equally at any time, with no preference, and they will have, at any time and considering some exceptions that may be provided for in legislation, the same payment preference as all current and future subordinated obligations that compose the Additional Tier I Capital of the Issuer and with no guarantee of the Issuer, in accordance with Resolution nº 4,955. The Subordinated Notes were established by an Amended and Restated Trust Deed dated August 4, 2016, entered into by the Issuer and The Bank of New York Mellon, as the Trustee of the holders of the Subordinated Notes, as amended from time to time. Each issue of Notes will be supplemented by the issue of the Final Terms, following the model agreed upon between the Issuer and the Trustee. The Subordinated Notes are issued solely as book-entry notes. The Subordinated Notes were offered by a syndicate of Dealers of the operation, under an Amended and Restated Dealer Agreement dated August 4, 2016, as amended from time to time. The Dealers of this issue are Itau BBA USA Securities, Inc, J.P.Morgan Securities LLC, Goldman Sachs & Co.LLC, BofA Securities, Inc and Banco BTG Pactual S.A.– Cayman Branch.An authorization of the Luxembourg Stock Exchange was obtained for the Notes issued under the scope of the Program to be admitted for trading on the Euro MTF market, managed by that stock exchange. The first day of listing of the Notes was February 27, 2020. The Notes were not subject to registration under the Securities Act, and they were offered solely: (i) in the United States of America to Qualified Institutional Buyers, as defined in Rule 144A; and (ii) in any other country to Non-US Persons, in accordance with the definition of the Regulation S of the Securities Act. Please see item “f – Restrictions on outstanding securities”. There has not been and there will not be any effort for a public distribution of the Notes, and therefore no public offering has been registered with the Brazilian Securities and Exchange Commission, or with any other similar body in any other country. The Notes will not be issued, placed, distributed, offered or traded in the Brazilian capital markets. Subject to authorization of the Central Bank of Brazil and compliance with the operational and capital limits set forth in the item below, the Issuer (or any of its subsidiaries) may, as from the fifth anniversary of the Issue date, including on the fifth anniversary date and for any price, repurchase the Notes in the secondary market or in any other way, provided that it is in compliance with the terms of subordination. The Notes purchased will neither entitle the Issuer to attend the annual meeting of the holders of Notes nor be computed for quorum purposes in these meetings. 32 Any remuneration payment due to the holders of the Notes may be suspended: (i) in the event that the payment of this remuneration exceeds the funds available for this purpose; (ii) in the same proportion of the restriction imposed by the Central Bank of Br azil to the distribution of dividends or other results related to the Issuer’s shares, (iii) in the event the Issuer is unable to comply with given capital levels or the payment results in non-compliance with the minimum capital requirements of the regulation of the National Monetary Council. Any remuneration that is not paid as a result of this suspension will be deemed extinguished and this extinction will not be deemed a Event of Default or another factor that gives rise to debt acceleration in any legal business in which the Issuer takes part. The Notes may be permanently extinguished in the event that (i) some of the Issuer’s operational limits drop below the amount required by the regulation of the National Monetary Council; (ii) a commitment to allocate public resources to the Issuer is executed in accordance with applicable legislation, (iii) the Central Bank of Brazil determines either a special temporary administration system or intervention in the Issuer, or (iv) the Central Bank of Brazil determines the extinction of the Notes according to the criteria established in a specific regulation issued by the National Monetary Council.The extinction of the Notes will not be deemed a Event of Default or another factor that gives rise to debt acceleration in any legal business in which the Issuer takes part. Fifteenth Issue a. Identification of the security, indicating the jurisdiction: Tier II Subordinated Notes (“Notes”). The Notes and all documents referring to the Program will be governed by the English laws and the courts of England will be responsible for settling any disputes arising from the Program and the Notes issued within its scope. b. Number: 02 Global Notes in the Global Nominal Value indicated in item (c) below, which may be split into minimum denominations of US$ 200,000.00 and whole multiples of US$ 1,000.00 onwards. c. Total face value: US$500,000,000.00. d. Issue date: January 15, 2021. e. Debt balance on June 30, 2025: R$2,737,872,402.64 f. Restrictions on outstanding securities: The Notes are offered solely under the terms of Rule 144A of the United States Securities Act of 1933 (“Rule 144A” and the “Securities Act”) and of Regulation S of the Securities Act (“Regulation S”), so that the buyers of the Notes must declare certain conditions, including, but not limited to, the declarations that they are Qualified Institutional Buyers under Rule 144A or Non-US Persons under Regulation S, and that they understand that the Notes have not been registered under the terms of the Securities Act. The secondary trading of the Notes, or of any right related to them, will depend on the delivery, by the seller, of a declaration to the transfer agent of compliance with legislation applicable to the Notes. g. Convertibility into shares: Not applicable. h. Possibility of redemption: Yes, as follows. 33 Cases for redemption: Early redemption of Notes at the issuer’s discretion: As from the fifth anniversary of the issue date (inclusive) until April 15, 2026, subject to prior authorization by the Central Bank of Brazil, the Issuer may redeem the Notes, always in their totality. Early redemption of Notes for tax reasons: As from the fifth anniversary of the issue date, subject to prior authorization by the Central Bank of Brazil (if required at the time of redemption), the Notes will be redeemed at the Issuer`s discretion, always in their totality, upon prior notice to the holders of the Notes and subject to certain tax conditions. Early redemption of Notes by virtue of a regulatory event: Subject to prior authorization by the Central Bank of Brazil (if required at the time of redemption), the Issuer may redeem the Notes should there be a regulatory event. A regulatory event is defined as a written notice from the Central Bank of Brazil or any other Brazilian regulatory authority, establishing that the Notes are not classified as falling into Tier II of the Referential Equity or they fall into it in lower proportion than that provided for in the regulation in effect on the issue date. The Notes may not be early redeemed at the holders’ discretion. The Notes will be cancelled in all the aforementioned cases. Formula for calculating the redemption amount: Early redemption of Notes at the issuer’s discretion: 100% of the denominated value of US$1,000.00. Early redemption of Notes for tax reasons: 100% of the denominated value of US$1,000.00. Early redemption of Notes by virtue of a regulatory event: 100% of the denominated value of US$1,000.00. i. When the securities are debt-related, please indicate: i. Maturity, including early maturity conditions The maturity date of the Notes is April 15, 2031. If any of the following events occur (each one, an “Event of Default”) and such occurrence survives time, the Trustee of the holders of the Notes, if so instructed by at least one-third (1/3) of the holders – computed at the face value of the Notes – or if so instructed by a special resolution of the holders of the Notes, will inform the Issuer of the accelerated maturity of the Notes, and the payment for which will become immediately enforceable, subject to the terms governing the calculation of the Early Redemption Amount. If (i) the Issuer is dissolved (except in connection with a merger or corporate restructuring not involving bankruptcy or insolvency and provided that the Issuer’s legal successor assumes the obligation arising from the Notes); (ii) it suspends the payment or is unable to honor the payment of its debts; (iii) it submits a court-supervised reorganization or bankruptcy plan or takes any other action that implies a change in the payment conditions of its debts; or (iv) bankruptcy proceedings are filed by third parties against the Issuer, and provided that these actions are not suspended within sixty (60) days from their submission. The Issuer, however, will only be required to pay the amounts due if it is declared bankrupted, has been dissolved or is unable to make the payment of the totality or a substantial portion of its liabilities, it being clear that the payment of the Notes should observe the terms of subordination. ii.Interest: 34 These are fixed-rate Subordinated Notes, of which interest rate is 3.875% per year by April 15, 2026. The offer price of the Notes was 99.671%, resulting in a yield to investors of 3.95%. After April 15, 2026, interest rate will be recalculated based on the interest rate in force for 5-year U.S. Treasury Bonds plus Credit Spread (equal to 3.446%). Credit Spread (3.446% per year) is defined as the difference in yield between the rate for the issue of the Notes (3.95% per year) and the interest rate in force for the 5-year U.S. Treasury Bonds upon issue (0.504% per year). The payments of principal and interest will be made by The Bank of New York Mellon, London and New York branches, and The Bank of New York Mellon (Luxembourg) S.A. Interest will be levied on the face value of each Note, from the issue date of the Notes, and it will be due every six months on April 15 and October 15, beginning April 15, 2021. The first interest period will be shorter, corresponding to the period from January 15, 2021 (inclusive) to April 15, 2021. iii.Guarantees: Not applicable.Subordinated Notes. In the event of winding up, the holders of the Notes will be repaid after all the other special creditors with secured guarantee and after all the other unsecured creditors have been satisfied. iv.Type: Subordinated. Please see item “vii – Other relevant characteristics”. v.Any restrictions imposed on the issuer with respect to: the distribution of dividends: Not applicable. the disposal of certain assets: Not applicable. the contracting of new debts: Not applicable. the issue of new securities: Not applicable. corporate transactions carried out, involving the issuer, its controlling stockholders or controlled companies: Any corporate restructuring of the Issuer is permitted, provided that (a) the resulting entity that assumes substantially all of the Issuer’s assets effectively assumes all obligations under the Note; (b) no Event of Default had occurred after the restructuring; (c) the Issuer certifies that it has complied with these conditions and presents an independent legal opinion that certifies that the resulting entity has legally assumed all the obligations under the Notes. vi.Conditions for changing the rights assured by such securities: Some changes can be made to the terms and conditions of the Notes, without the consent of their holders, such as changes: (i) that are minor corrections; (ii) that are merely of form or of a technical nature; (iii) that are made to correct a patent error; (iv) that are made to correct an ambiguity or inconsistency; (v) that are made in conformity with a permitted corporate restructuring process; (vi) that are made for any other modification that does not substantially affect the rights of the holders of the Notes. The changes will be communicated to the holders of the Notes by the Trustee as soon as possible. Additionally, the Issuer may change the terms and conditions applicable to the Notes, once for each series, solely to meet a requirement imposed by the Central Bank of Brazil, so that the Notes may be considered as included in Tier II of the Referential Equity, in accordance with CMN Resolution nº 4,955, of October 21, 2021 (“Resolution nº 4,955”), as amended from time to time.The Issuer may not make any change that implies modification, at any level, to the interest rate of the Notes, the amount of the outstanding Notes, the payment dates of interest and its 35 exponential levying, the maturity date originally agreed upon, and the subordination of these Notes. vii.Other relevant characteristics: The Notes are direct, unsecured and subordinated obligations of the Issuer and they will be subordinated in payment preference to all of the other liabilities of the Issuer (except for the tier 1 debt obligations to stockholders). The Notes will be ranked equally at any time, with no preference, and they will have, at any time and considering some exceptions that may be provided for in legislation, the same payment preference as all current and future subordinated obligations, with no guarantee of the Issuer, in accordance with Resolution nº 4,955. The Subordinated Notes were established by an Amended and Restated Trust Deed dated August 4, 2016, entered into by the Issuer and The Bank of New York Mellon, as the Trustee of the holders of the Subordinated Notes, as amended from time to time.Each issue of Notes will be supplemented by the issue of the Final Terms, following the model agreed upon between the Issuer and the Trustee. The Subordinated Notes are issued solely as book-entry notes. The Subordinated Notes were offered by a syndicate of Dealers of the operation, under an Amended and Restated Dealer Agreement dated August 4, 2016, as amended from time to time. The Dealers of this issue are Itau BBA USA Securities, Inc; Banco BTG Pactual S.A., Cayman Branch; J.P. Morgan Securities LLC; Goldman Sachs & Co. LLC; Credit Agricole Securities (USA) Inc. and Citigroup Global Markets Inc.An authorization of the Luxembourg Stock Exchange was obtained for the Notes issued under the scope of the Program to be admitted for trading on the Euro MTF market, managed by that stock exchange. The first day of listing of the Notes was January 15, 2021. The Notes were not subject to registration under the Securities Act, and they were offered solely: (i) in the United States of America to Qualified Institutional Buyers, as defined in Rule 144A; and (ii) in any other country to Non-US Persons, in accordance with the definition of the Regulation S of the Securities Act. Please see item “f – Restrictions on outstanding securities”. There has not been and there will not be any effort for a public distribution of the Notes, and therefore no public offering has been registered with the Brazilian Securities and Exchange Commission, or with any other similar body in any other country. The Notes will not be issued, placed, distributed, offered or traded in the Brazilian capital markets. Subject to authorization of the Central Bank of Brazil and compliance with the operational and capital limits set forth in the item below, the Issuer (or any of its subsidiaries) may, at any time and for any price, repurchase the Notes in the secondary market or in any other way, provided that it is in compliance with the terms of subordination. The Notes purchased will neither entitle the Issuer to attend the annual meeting of the holders of Notes nor be computed for quorum purposes in these meetings. The Issuer intends to use the net amount arising from the issue of Subordinated Notes to partially or fully finance and/or refinance existing or future social and/or green projects, as described in the Final Terms of this issue. Twentieth Issue 36 a. Identification of the security, indicating the jurisdiction: Senior Notes (“Notes”). The Notes and all documents referring to the Program will be governed by the English laws and the courts of England will be responsible for settling any disputes arising from the Program and the Notes issued within its scope. b. Number: 02 Global Notes in the Global Nominal Value indicated in item (c) below, which may be split into minimum denominations of US$ 200,000.00 and whole multiples of US$ 1,000.00 onwards. c. Total face value: US$1,000,000,000.00. d. Issue date: February 24, 2025. e. Debt balance on June 30, 2025: R$5,484,147,345.52 f. Restrictions on outstanding securities: The Notes are offered solely under the terms of Rule 144A of the United States Securities Act of 1933 (“Rule 144A” and the “Securities Act”) and of Regulation S of the Securities Act (“Regulation S”), so that the buyers of the Notes must declare certain conditions, including, but not limited to, the declarations that they are Qualified Institutional Buyers under Rule 144A or Non-US Persons under Regulation S, and that they understand that the Notes have not been registered under the terms of the Securities Act. The secondary trading of the Notes, or of any right related to them, will depend on the delivery, by the seller, of a declaration to the transfer agent of compliance with legislation applicable to the Notes. g. Convertibility into shares: Not applicable. h. Possibility of redemption: Yes, as follows. Cases for redemption: The Notes may not be early redeemed at the holders’ discretion. Early redemption of Notes for tax reasons: The Notes will be redeemed at the Issuer’s discretion, always in their totality at any time, upon prior notice to the holders of the Notes and subject to certain conditions of tax nature. The notes can be fully or partially redeemed at the Issuer’s discretion, provided that a prior notice is provided at least 15 days and at most 30 days in advance. In the event above, the Notes will be cancelled. Formula for calculating the redemption amount: Early redemption of Notes for tax reasons: 100% of the denominated value of US$1,000.00. i. When the securities are debt-related, please indicate: Maturity, including early maturity conditions The maturity date of the Notes is February 27, 2027. If any of the following events occur (each one, an “Event of Default”) and such occurrence survives time, the Trustee of the holders of the Notes, if so instructed by at least one-third (1/3) of the holders – computed at the face value of the Notes – or if so instructed by a special resolution of the holders of the Notes, will inform the Issuer of the accelerated maturity of the Notes, and the 37 payment for which will become immediately enforceable, subject to the terms governing the calculation of the Early Redemption Amount. Should the Issuer (a) suspend payment of the principal value and/or interest in relation to the Notes on the dates on which such principal value and/or interest became due, except, in the case of principal values, if this non-payment event persists for a period of three days and, in the case of interest, for a period of ten days, (b) fail to comply with one or more of its other material obligations as defined for the respective series or in accordance with the Trust Deed and this non-performance persists for a period of 30 days after receiving written notice of this non-compliance from the Trustee, (c) (i) elect the early maturity of any debt or the debt of any one of its material subsidiaries and this early maturity be overdue at least two business days, or (ii) fail to make payment of values relating to its debt and the duration of the non-payment event be at least two business days, (d) (i) be wound up (except when related to a merger or corporate reorganization not involving bankruptcy or insolvency and conditional on the legal successor of the Issuer assuming the obligations pertaining to the Notes), (ii) suspend the payment or be unable to honor payments of its debts, (iii) propose a court-supervised reorganization or bankruptcy plan or promote any other action which implies a change to the payment conditions of its debts, or (iv) should bankruptcy proceedings be proposed by third parties against the Issuer, conditional on these actions not being suspended within sixty (60) days of their submission. In case of any of the events (a), (b) and (c) above, an event of default will occur only if the aggregate amount of the Debt with respect to which any of the events mentioned in the above items has occurred is equal to or higher than the amount equivalent to 0.8% of the Issuer’s reference equity for the most recent fiscal quarter. Holders of Notes representing two-thirds of the total face value of the Notes affected by the above events may revoke the early maturity following notification of this early maturity. Interest: These are fixed-rate Notes and the interest rate of which is 6.000% per year. Interest will be levied on the face value of each Note, from the issue date of the Notes, and will be due every six months on February 27 and August 27, beginning August 27, 2025. Guarantees: Not applicable. Type: Unsecured Any restrictions imposed on the issuer with respect to: the distribution of dividends: Not applicable. the disposal of certain assets: Not applicable. the contracting of new debts: Not applicable. the issue of new securities: Not applicable. corporate transactions carried out, involving the issuer, its controlling stockholders or controlled companies: Any corporate restructuring of the Issuer is permitted, provided that (a) the resulting entity that assumes substantially all of the Issuer’s assets effectively assumes all obligations under the Note; (b) no Event of Default had occurred after the restructuring process; (c) the Issuer certifies that it has complied with these conditions and presents an independent legal opinion that certifies that the resulting entity has legally assumed all the obligations under the Notes. Conditions for changing the rights assured by such securities: 38 Some changes can be made to the terms and conditions of the Notes, without the consent of their holders, such as changes: (i) that are minor corrections; (ii) that are merely of form or of a technical nature; (iii) that are made to correct a patent error; (iv) that are made to correct an ambiguity or inconsistency; (v) to add obligations to the Issuer, for the benefit of the holders of the Notes, or withdraw some right or power granted to the Issuer; (vi) to add guarantees to the Notes; (vii) that are made in conformity with a permitted corporate restructuring process; (viii) that are made for any other modification that does not substantially affect the rights of the holders of the Notes. The changes will be communicated to the holders of the Notes by the Trustee as soon as possible. Other relevant characteristics: The Notes will be ranked equally at any time, with no preference, and they will have, at any time and considering certain exceptions possibly set forth in legislation, the same payment preferences as all the Issuer’s current and future unsecured obligations. The Notes were established by an Amended and Restated Trust Deed dated August 4, 2016, entered into by the Issuer and The Bank of New York Mellon, in the capacity of Trustee of the holders of the Notes, as amended from time to time and supplemented by the Final Terms issued on February 27, 2025. The Notes are issued solely as book-entry notes. The Notes were offered by a syndicate of Dealers of the operation, under an Amended and Restated Dealer Agreement dated August 4, 2016, as amended from time to time. The Dealers of this issue are Bofa Securities, Citigroup, Itaú BBA, J.P. Morgan and UBS Investment Bank. An authorization of the Luxembourg Stock Exchange was obtained for the Notes issued under the scope of the Program to be admitted for trading on the Euro MTF market, managed by that stock exchange. The first day of listing of the Notes of the sixteenth series was February 27, 2025. The Notes were not subject to registration under the Securities Act, and they were offered solely: (i) in the United States of America to Qualified Institutional Buyers, as defined in Rule 144A; and (ii) in any other country to Non-US Persons, in accordance with the definition of the Regulation S of the Securities Act. Please see item “f - Restrictions on outstanding securities”. There has not been and there will not be any effort for a public distribution of the Notes, and therefore no public offering has been registered with the Brazilian Securities and Exchange Commission, or with any other similar body in any other country. The Notes will not be issued, placed, distributed, offered or traded in the Brazilian capital markets. 39