EX-99.1 2 drr0669_ex99-1.htm EXHIBIT 99.1

Exhibit 99.1

 

 

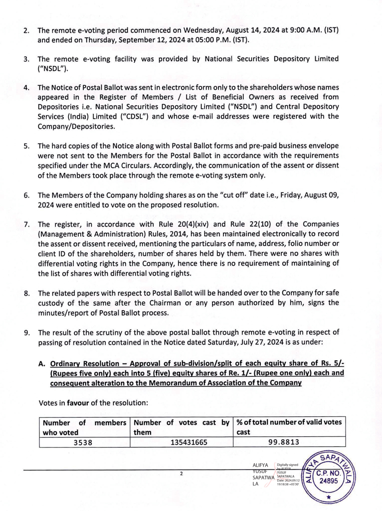
Dr. Reddy’s Laboratories Ltd.

8-2-337, Road No. 3, Banjara Hills,

Hyderabad - 500 034, Telangana,

India.

CIN : L85195TG1984PLC004507

 

Tel      : +91 40 4900 2900

Fax     : +91 40 4900 2999

Email : mail@drreddys.com

www.drreddys.com

 

September 12, 2024

 

National Stock Exchange of India Ltd. (Stock Code: DRREDDY-EQ)

BSE Limited (Stock Code: 500124)

New York Stock Exchange Inc. (Stock Code: RDY)

NSE IFSC Ltd. (Stock Code: DRREDDY)

 

Dear Sir/Madam,

 

Sub:Results of voting through Postal Ballot (remote e-voting) pursuant to Regulation 44(3) of the SEBI (Listing Obligations and Disclosure Requirements) Regulations, 2015

 

This is in furtherance to our letter dated August 13, 2024 enclosing therein Notice of Postal Ballot seeking approval of Members of the Company for sub-division/ split of each equity share of the Company having face value of Rs. 5/- (Rupees five only) each, fully paid-up, into 5 (Five) equity shares having face value of Re. 1/- (Rupee one only) each, fully paid up, and consequent alteration of the Capital Clause of the Memorandum of Association of the Company, by way of ordinary resolution through remote e-voting.

 

We would like to inform that the ordinary resolution as set out in the said Postal Ballot Notice has been approved by the Members of the Company with requisite majority.

 

In accordance with Regulation 44(3) of the SEBI (Listing Obligations and Disclosure Requirements) Regulations, 2015, the summarized voting result of the remote e-voting , in the prescribed format, along with a copy of the Scrutinizer’s Report are enclosed herewith, for your information and records. The same is also being made available on the Company’s website, www.drreddys.com.

 

This is for your information and records.

 

Thanking you.

 

Yours faithfully,

For Dr. Reddy’s Laboratories Limited

 

 

K Randhir Singh

Company Secretary, Compliance Officer & Head-CSR

 

Encl: as above

 

CC: National Securities Depositary Limited (NSDL)

 

 

 

 

 

 

 

 

 

 

 

 

 

 

 

 

 

 

 

General information about company
Scrip code 500124
NSE Symbol DRREDDY
MSEI Symbol NOTLISTED
ISIN INE089A01023
Name of the company Dr. Reddy's Laboratories Limited
Type of meeting Postal Ballot
Date of the meeting / last day of receipt of postal ballot forms (in case of Postal Ballot) 12-09-2024
Start time of the meeting  
End time of the meeting  

 

 

Scrutinizer Details
Name of the Scrutinizer Alifya Sapatwala
Firms Name Mehta & Mehta
Qualification CS
Membership Number 24091
Date of Board Meeting in which appointed 27-07-2024
Date of Issuance of Report to the company 12-09-2024

 

Voting results
Record date 09-08-2024
Total number of shareholders on record date 284425
No. of shareholders present in the meeting either in person or through proxy
a) Promoters and Promoter group  
b) Public  
No. of shareholders attended the meeting through video conferencing
a) Promoters and Promoter group  
b) Public  
No. of resolution passed in the meeting 1

 

 

 

 

 

Resolution (1)
Resolution required: (Ordinary / Special) Ordinary
Whether promoter/promoter group are interested in the agenda/resolution? No
Description of resolution considered Approval of sub-division/split of each equity share of Rs. 5/- (Rupees five only) each into 5 (five) equity shares of Re. 1/- (Rupee one only) each and consequent alteration to the Memorandum of Association of the Company

 

Category  Mode of
voting
  No. of
shares
held
   No. of
votes
polled
   % of Votes
polled on
outstanding
shares
   No. of
votes – in
favour
   No. of
votes –
against
   % of votes in
favour on votes
polled
   % of Votes
against on votes
polled
 
   (1)   (2)   (3)=[(2)/(1)]*100   (4)   (5)   (6)=[(4)/(2)]*100   (7)=[(5)/(2)]*100 
Promoter and Promoter Group  E-Voting        44461128    100.0000    44461128    0    100.0000    0.0000 
  Poll   44461128    0    0.0000    0    0    0    0 
  Postal Ballot (if applicable)        0    0.0000    0    0    0    0 
  Total   44461128    44461128    100.0000    44461128    0    100.0000    0.0000 
                                       
Public- Institutions  E-Voting        90885450    84.7784    90726574    158876    99.8252    0.1748 
  Poll   107203568    0    0.0000    0    0    0    0 
  Postal Ballot (if applicable)        0    0.0000    0    0    0    0 
  Total   107203568    90885450    84.7784    90726574    158876    99.8252    0.1748 
                                       
Public- Non Institutions  E-Voting        245993    1.6221    243963    2030    99.1748    0.8252 
  Poll   15165005    0    0.0000    0    0    0    0 
  Postal Ballot (if applicable)        0    0.0000    0    0    0    0 
  Total   15165005    245993    1.6221    243963    2030    99.1748    0.8252 
  Total   166829701    135592571    81.2760    135431665    160906    99.8813    0.1187 
Whether resolution is Pass or Not.Yes 

 

Details of Invalid Votes
Category  No. of Votes 
Promoter and Promoter Group   0 
Public Institutions   0 
Public - Non Institutions   0