6-K 1 sbs20240904_6k.htm 6-K
 
SECURITIES AND EXCHANGE COMMISSION
Washington, DC 20549
 

 
FORM 6-K
 
REPORT OF FOREIGN ISSUER
PURSUANT TO RULE 13a-16 OR 15d-16 OF THE
SECURITIES EXCHANGE ACT OF 1934
 
For September, 2024
(Commission File No. 1-31317)
 

 
Companhia de Saneamento Básico do Estado de São Paulo - SABESP
(Exact name of registrant as specified in its charter)
 
Basic Sanitation Company of the State of Sao Paulo - SABESP
(Translation of Registrant's name into English)
 


Rua Costa Carvalho, 300
São Paulo, S.P., 05429-900
Federative Republic of Brazil
(Address of Registrant's principal executive offices)



Indicate by check mark whether the registrant files or will file
annual reports under cover Form 20-F or Form 40-F.

Form 20-F ___X___ Form 40-F ______
Indicate by check mark if the registrant is submitting the Form 6-K
in paper as permitted by Regulation S-T Rule 101(b)(1)__.
Indicate by check mark if the registrant is submitting the Form 6-K
in paper as permitted by Regulation S-T Rule 101(b)(7)__.

Indicate by check mark whether the registrant by furnishing the
information contained in this Form is also thereby furnishing the
information to the Commission pursuant to Rule 12g3-2(b) under
the Securities Exchange Act of 1934.

Yes ______ No ___X___

If "Yes" is marked, indicated below the file number assigned to the
registrant in connection with Rule 12g3-2(b):
 
 

 

 

Sabesp90_10

 

 

MANAGEMENT PROPOSAL

Extraordinary Shareholders’ Meeting to be held on September 27, 2024, at 11 a.m.

 

 

 

 
 

 

Content 

I. ELECT THE MEMBERS OF THE COMPANY’S BOARD OF DIRECTORS, ACCORDING TO ARTICLE 12 OF THE BYLAWS, FOR A UNIFIED TERM OF OFFICE OF 2 (TWO) YEARS FROM THE DATE OF ELECTION 5
     
II.  RESOLVE ON THE ELIGIBILITY OF THE INDEPENDENT MEMBERS OF THE BOARD OF DIRECTORS REGARDING THE RULES ESTABLISHED IN THE NOVO MERCADO REGULATIONS OF B3 S.A. – BRASIL, BOLSA, BALCÃO, AND CVM RESOLUTION 80/2022 7
     
III. ELECT THE MEMBERS OF THE COMPANY’S FISCAL COUNCIL, ACCORDING TO ARTICLE 26 OF THE BYLAWS, FOR A TERM OF OFFICE UNTIL THE ANNUAL SHAREHOLDERS’ MEETING TO BE HELD IN 2025. 8
     
EXHIBIT I: INFORMATION RELATED TO ITEMS 7.3 TO 7.6 OF THE REFERENCE FORM 10

 

 
 

 

Management Proposal for the Extraordinary Shareholders’ Meeting to be held on September 27, 2024, at 11 a.m.

The Management of Companhia de Saneamento Básico do Estado de São Paulo – SABESP (“Company” or “Sabesp”) presents to the Shareholders this proposal containing the information required by Resolution 81 of the Brazilian Securities and Exchange Commission (“CVM”), of March 22, 2022, as amended (“CVM Resolution 81/22”), related to the Company’s Extraordinary Shareholders’ Meeting to be held on September 27, 2024, at 11 a.m. (“ESM”), exclusively in digital format, via the Ten Meetings Platform.

As provided for in the Call Notice for the ESM disclosed today, the following matters will be resolved at the ESM:

 

I.Elect the members of the Company’s Board of Directors, according to Article 12 of the Bylaws, for a unified term of office of 2 (two) years from the date of election.

 

 

II.Resolve on the eligibility of the independent members of the Board of Directors regarding the rules established in the Novo Mercado Regulations of B3 S.A. – Brasil, Bolsa, Balcão, and CVM Resolution 80/2022.

 

 

III.Elect the members of the Company’s Fiscal Council, according to Article 26 of the Bylaws, for a term of office until the Annual Shareholders’ Meeting to be held in 2025.

 

 

 
 

 

MANAGEMENT PROPOSAL REGARDING THE MATTERS ON THE AGENDA OF THE ESM

 

To install the Extraordinary Shareholders’ Meeting on a first call, the presence of shareholders representing at least 1/4 (one-quarter) of the total votes granted by the Company’s shares with voting rights will be necessary. If such quorum is not reached, the Meeting will be reconvened so that, on a second call, the matters can be resolved. On that occasion, it can be installed with the presence of any number of shareholders.

 

Shareholders can participate in the ESM through:

 

·Remote voting form (“BVD”), under CVM Resolution 81/22, to be sent to their respective custody agent, the Company’s bookkeeping bank, or directly to the Company via mail or e-mail to the addresses indicated in the BVD; or

 

·Ten Meetings Plataform, in person or through a duly constituted proxy, under Paragraphs 2, 3, and 5 of Article 28 of CVM Resolution 81/22. Shareholders who send the BVD may participate in the ESM remotely via electronic means. However, should they exercise their voting right at the respective meeting, their BVD will be fully disregarded and the votes cast in real time will be considered valid.

 

More information regarding participation in the ESM can be found in the Manual for Participation.

 

Shareholders can find below Management’s considerations regarding the matters on the ESM Agenda. The relevant documents for the discussion of these matters can be found in the exhibits hereto.

 

 
 

 

I.       ELECT THE MEMBERS OF THE COMPANY’S BOARD OF DIRECTORS, ACCORDING TO ARTICLE 12 OF THE BYLAWS, FOR A UNIFIED TERM OF OFFICE OF 2 (TWO) YEARS FROM THE DATE OF ELECTION

Under Article 12 of the current version of the Company’s Bylaws, which came into effect after the Company’s privatization, as approved at the Extraordinary Shareholders’ Meeting held on May 27, 2024, the Board of Directors shall be composed of 9 (nine) sitting members, elected by the General Meeting and removable from office by it at any time, with a unified term of office of 2 (two) years, with reelection permitted.

Also, under Paragraph 2 of Article 13 of the Bylaws, the election of the Board of Directors members shall be by slate system, with the possibility of election through the cumulative voting procedure, under Article 141 of Brazilian Corporation Law, if requested.

In this regard, and in compliance with applicable law, the Company’s Management received from the current Board of Directors members the intention to resign from their respective positions by the date of the General Meeting, which becomes effective subject to the election of new members. The Company will keep the market informed as soon as the resignations are formalized, following current regulations and the Company’s Material Acts and Facts and Trading Policy.

Based on the appointment of candidates by the signatory shareholders of the Investment Agreement, Lock-UP, and Other Agreements of Companhia de Saneamento Básico do Estado de São Paulo – SABESP, executed between the São Paulo State Government and companies of Grupo Equatorial, as the Reference Investor, dated July 18, 2024 (“Investment Agreement”), the Company’s Management proposes the election of the slate composed of the following candidates for the positions of members of the Board of Directors for a new unified term of office of 2 (two) years, starting from the date of the ESM (i.e., September 27, 2024), and ending on September 27, 2026. Nonetheless, under Article 47 of the Company’s Bylaws, the term of office of the members of statutory bodies is automatically extended until the investiture of the respective replacements:

Name Position
Anderson Marcio de Oliveira Board Member
Augusto Miranda da Paz Júnior Board Member
Claudia Polto da Cunha Board Member
Karla Bertocco Trindade Board Member
Tiago de Almeida Noel Board Member
Tinn Freire Amado Board Member
Alexandre Gonçalves Silva Independent Board Member
Gustavo Rocha Gattass Independent Board Member
Mateus Affonso Bandeira Independent Board Member
 
 

 

The aforementioned shareholders presented to the Company the necessary information to evaluate the profile of the candidates appointed for the positions of members of the Board of Directors. According to the minutes of the 37th and 38th Eligibility and Compensation Committee meetings, held on August 22 and 23, 2024, respectively, the nomination process for the candidates complies with Brazilian Corporation Law and the Company’s Bylaws, and the candidates’ profiles align with the Company’s Institutional Nomination Policy, where applicable, considering the Company’s current legal structure. The nomination of candidates also adheres to the rules of the New York Stock Exchange and Securities and Exchange Commission (SEC) applicable to foreign private issuers, such as the Company. The Company’s Board of Directors has also positively endorsed the alignment of the candidates’ profiles with the applicable nomination rules mentioned above.

 

The information required by Article 11 of CVM Resolution 81/22 regarding the candidates for the Board of Directors is included in Exhibit I hereto.

Shareholders or groups of shareholders who wish to propose other slates, each composed of 9 (nine) members, to compete in the election for the Board of Directors may do so before or at the general meeting, under current regulations, by presenting nominations accompanied by the résumés and declarations required by applicable legislation and regulations.

The election of the Board of Directors members will be conducted by a majority vote of the slates or by the cumulative voting process, if requested, without separate election of members, as detailed below.

Cumulative Vote

Considering the Company’s share capital of R$15,000,000,000.00 (fifteen billion reais), under Article 141 of Brazilian Corporation Law and CVM Resolution 70, of March 22, 2022, the Company’s shareholders representing at least 5% (five percent) of the Company’s share capital may request, in writing, the adoption of the cumulative voting process.

Shareholders intending to request the adoption of the cumulative voting process must do so, in writing, to the Company, at least 48 hours before the ESM, by mail delivered to the Company’s headquarters, at Rua Costa Carvalho, 300 – São Paulo – SP – CEP 05429-900, to the attention of the Investor Relations Department, or by email to sabesp.ri@sabesp.com.br.

If the adoption of the cumulative voting process is validly requested, each share will be entitled to as many votes as there are positions to be filed on the Board of Directors, and shareholders can cumulate votes on a single candidate or distribute them among various candidates, as provided for in Article 141 of Brazilian Corporation Law.

In this scenario, the votes cast by shareholders who, via remote voting form, have chosen to “ABSTAIN” in the item on the prior distribution of votes among the candidates listed on the form will be considered as abstentions in the respective Meeting resolution. Thus, the votes of such shareholders will not be counted in the resolution quorum and, therefore, these shareholders will not participate in the election of the Board of Directors members.

 
 

The ESM’s presiding Board, based on the information in the “Attendance Book”, under Paragraph 1 of Article 141, in fine, of Brazilian Corporation Law, will inform the number of votes necessary to elect 1 (one) member of the Board of Directors under the cumulative voting process.

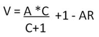
To calculate the number of votes necessary to elect 1 (one) member of the Board of Directors, the presiding Board will use the following formula:

Where:

V” is the number of votes required to elect 1 (one) member of the Board of Directors under any scenario;

A” is the number of shares eligible to participate in the cumulative voting process held by the attending shareholders;

C” is the number of positions on the Board of Directors to be filled through cumulative votes; and

AR” represents rounding (the fraction to be discarded).

 

Since SABESP no longer has a defined controlling shareholder after the privatization, the separate voting procedure under Paragraph 4 of Article 141 of Brazilian Corporation Law is no longer applicable to the Company. Consequently, all Board of Directors members will be elected by the general body of shareholders.

It is also worth noting that there will no longer be a designated position on the Board of Directors for a representative of employees given that SABESP is no longer a government-controlled company and its Bylaws no longer provide for this. Under Paragraph 1 of Article 34 of the Bylaws, one member of the Sustainability and Corporate Responsibility Committee must be elected by employee vote in a direct election.

II. RESOLVE ON THE ELIGIBILITY OF THE INDEPENDENT MEMBERS OF THE BOARD OF DIRECTORS REGARDING THE RULES ESTABLISHED IN THE NOVO MERCADO REGULATIONS OF B3 S.A. – BRASIL, BOLSA, BALCÃO, AND CVM RESOLUTION 80/2022

Based on the individual independence declarations provided by Messrs. Alexandre Gonçalves Silva, Gustavo Rocha Gattass, and Mateus Affonso Bandeira, the Company’s Board of Directors, at a meeting held on August 26, 2024, endorsed the classification of the aforementioned candidates as independent Board members, under Article 7 of Exhibit K of CVM Resolution 80/22 and Article 16 of the Novo Mercado Regulations of B3 S.A. – Brasil, Bolsa, Balcão, and proposes the election of the aforementioned candidates to the positions of independent Board members, under Article 13 of the Bylaws.

 
 

The information required by Article 11 of CVM Resolution 81/22 regarding the candidates for the Board of Directors is included in Exhibit I hereto.

III.ELECT THE MEMBERS OF THE COMPANY’S FISCAL COUNCIL, ACCORDING TO ARTICLE 26 OF THE BYLAWS, FOR A TERM OF OFFICE UNTIL THE ANNUAL SHAREHOLDERS’ MEETING TO BE HELD IN 2025.

 

In compliance with applicable law, the Company’s Management received from the current Fiscal Council members the intention to resign from their respective positions by the date of the General Meeting, which becomes effective subject to the election of new members. The Company will keep the market informed as soon as the resignations are formalized, following current regulations and the Company’s Material Acts and Facts and Trading Policy.

Based on the appointments of the shareholders who are signatories to the Investment Agreement, the Company’s Management proposes the election of the following sitting candidates and their respective alternates to the positions of Fiscal Council members for a term of office until the subsequent Annual Shareholders’ Meeting following their election, to be held in 2025 (i.e., the Annual Shareholders’ Meeting that resolves on the financial statements for the fiscal year to end on December 31, 2024). Nonetheless, under Article 47 of the Company’s Bylaws, the term of office of the members of statutory bodies is automatically extended until the investiture of the respective replacements:

Sitting Fiscal Council Member Alternate Fiscal Council Member
Aristóteles Nogueira Filho Vanderlei Dominguez da Rosa  
Maria Salete Garcia Pinheiro Adilson Celestino de Lima
Hamilton Valente da Silva Junior Dorgival Soares da Silva
David Polessi de Moraes Camila Rocha Cunha Viana
Gisomar Francisco de Bittencourt Marinho Saulo de Tarso Alves de Lara

 

The Shareholders presented to the Company the necessary information to evaluate the profile of the candidates appointed for the positions of members of the Fiscal Council. According to the minutes of the 39th Eligibility and Compensation Committee meeting, held on August 23, 2024, the nomination process for the candidates complies with Brazilian Corporation Law and the Company’s Bylaws, and the candidates’ profiles align with the Company’s Institutional Nomination Policy, where applicable, considering the Company’s current legal structure. The Company’s Board of Directors has also positively endorsed the alignment of the candidates’ profiles with the applicable nomination rules mentioned above.

The information required by item I of Article 11 of CVM Resolution 81/22 regarding the candidates is included in Exhibit I hereto.

 
 

 

EXHIBIT I: INFORMATION RELATED TO ITEMS 7.3 TO 7.6 OF THE REFERENCE FORM

 

 

7.3.Composition and professional experience of the Management and Fiscal Council
BOARD OF DIRECTORS
Name Anderson Marcio de Oliveira
Date of Birth 02/24/1982
Occupation Lawyer
Individual taxpayer’s ID (CPF) or passport 009.741.924-90
Elective position held Board Member (Sitting)
Election date 09/27/2024
Investiture date 10/01/2024
End of the term of office 09/27/2026
Whether elected by the controlling shareholder No
Whether independent member, under the specific regulation applicable to the matter The member is not independent, under the Novo Mercado Regulations and Exhibit K to CVM Resolution 80.
If the administrator or Fiscal Council member has been serving consecutive terms of office, the start date of the first term of office 05/08/2023
Main professional experience over the last five years, highlighting, where applicable, positions and functions exercised in (i) the issuer and companies within its economic group; and (ii) companies controlled by a shareholder of the issuer holding, directly or indirectly, 5% or more of any class or type of security of the issuer. Mr. Oliveira holds a bachelor’s degree in Law from the Catholic University of Pernambuco, a master's degree in Public Law from the Federal University of Pernambuco, a master's degree in Regulatory Law from Fundação Getúlio Vargas, and a LLM in State Law and Regulation from Fundação Getúlio Vargas. He also has training from Harvard Kennedy School in "Creating Collaborative Solutions: Governance Innovation" and in "Infrastructure in a Market Economy: Public-Private Partnership in a Changing World”. Mr. Oliveira is currently Executive Secretary at the Environment, Infrastructure, and Logistics Secretariat of the São Paulo State. He was a Fiscal Council member of Nuclebrás (2021 to 2023) and Santos Port Authority (2022 to 2023), Program Director at the Ministry of Mines and Energy, where he coordinated actions in the electricity, oil, gas, and mining sectors, among which the capitalization of Eletrobras (2019 to 2023), Program Director of Investment Partnerships of the Office of Brazil’s President, monitoring and structuring projects in the electricity sector in the generation, transmission, and distribution segments (2016 to 2019). Mr. Oliveira also worked as a lawyer at the Brazilian Development Bank (2010 to 2016). He is currently a member of the Board of Directors of Sabesp (since 2023) and the Metropolitan Water and Energy Company (EMAE).
 
 

 

Description of any of the following events that have occurred in the last five years:

i. criminal conviction

ii. conviction in administrative proceedings by CVM, Central Bank of Brazil, or Superintendence of Private Insurance, and the penalties imposed

iii. final and unappealable conviction, at the judicial level or subject to a final administrative decision, which has suspended or prohibited them from practicing any professional or commercial activity

In the last five years, there have been no criminal convictions, even if there is no final and unappealable decision, nor any convictions in administrative proceedings by CVM, the Central Bank of Brazil, or the Superintendence of Private Insurance, even if there is no final and unappealable decision, or any other final and unappealable conviction at the judicial level or subject to a final administrative decision, which has suspended or prohibited them from practicing any professional or commercial activity.  

 

BOARD OF DIRECTORS
Name Augusto Miranda da Paz Júnior
Date of Birth 04/10/1958
Occupation Electrical Engineer
Individual taxpayer’s ID (CPF) or passport 197.053.015-49
Elective position held Board Member (Sitting)
Election date 09/27/2024
Investiture date 10/01/2024
End of the term of office 09/27/2026
Whether elected by the controlling shareholder No
Whether independent member, under the specific regulation applicable to the matter The member is not independent, under the Novo Mercado Regulations and Exhibit K to CVM Resolution 80.
If the administrator or Fiscal Council member has been serving consecutive terms of office, the start date of the first term of office Not applicable
 
 

 

Main professional experience over the last five years, highlighting, where applicable, positions and functions exercised in (i) the issuer and companies within its economic group; and (ii) companies controlled by a shareholder of the issuer holding, directly or indirectly, 5% or more of any class or type of security of the issuer.

Mr. Miranda da Paz Junior has had a sustainable career in the multi-utilities sector. Since 2013, he has served as CEO of Grupo Equatorial, a Holding Company operating in the Energy Distribution, Sanitation, and Transmission, Telecom, Services, Distributed Generation, and Renewable Energy segments. Mr. Miranda earned a bachelor’s degree in Electrical Engineering from the Federal University of Bahia, with a Specialization degree in Maintenance Management from Eletrobrás in partnership with PUC/RJ and the Federal School of Engineering of Itajubá/MG, and an MBA in Management of Electric Power Companies from FGV/SP.

Before joining CEMAR (currently Equatorial Maranhão), he held several positions in the Electric System Management at COELBA. He joined Grupo Equatorial in 2004, as the Director of Engineering at CEMAR. From 2007, he served as Vice President of Operations until 2010, when he became the CEO of the Company and, in 2013, he became the CEO of Grupo Equatorial. He held the planning, acquisition, and turnaround of companies from various segments. Focused on results, team building, conflict management, knowledge of multi-utility market management, and a willingness to take risks and handle pressure.

Description of any of the following events that have occurred in the last five years:

i. criminal conviction

ii. conviction in administrative proceedings by CVM, Central Bank of Brazil, or Superintendence of Private Insurance, and the penalties imposed

iii. final and unappealable conviction, at the judicial level or subject to a final administrative decision, which has suspended or prohibited them from practicing any professional or commercial activity

In the last five years, there have been no criminal convictions, even if there is no final and unappealable decision, nor any convictions in administrative proceedings by CVM, the Central Bank of Brazil, or the Superintendence of Private Insurance, even if there is no final and unappealable decision, or any other final and unappealable conviction at the judicial level or subject to a final administrative decision, which has suspended or prohibited them from practicing any professional or commercial activity.  

 

BOARD OF DIRECTORS
Name Claudia Polto da Cunha
Date of Birth 06/29/1967
Occupation Lawyer - State Attorney
Individual taxpayer’s ID (CPF) or passport 127.276.788-43
Elective position held Board Member (Sitting)
Election date 09/27/2024
Investiture date 10/01/2024
End of the term of office 09/27/2026
Whether elected by the controlling shareholder No
Whether independent member, under the specific regulation applicable to the matter The member is not independent, under the Novo Mercado Regulations and Exhibit K to CVM Resolution 80.
If the administrator or Fiscal Council member has been serving consecutive terms of office, the start date of the first term of office Not applicable
 
 

 

Main professional experience over the last five years, highlighting, where applicable, positions and functions exercised in (i) the issuer and companies within its economic group; and (ii) companies controlled by a shareholder of the issuer holding, directly or indirectly, 5% or more of any class or type of security of the issuer.  Ms. Polto earned a bachelor’s degree in Law from the University of São Paulo and a master’s degree from the same institution. She is currently the State Attorney and Advisor to the Office of the General Counsel of the State, responsible for the coordination of state-owned companies, and a member of the Board of Directors of EMAE. Ms. Cunha was Director of Corporate Affairs at Companhia Paulista de Parcerias from 2006 to 2016, Deputy Attorney General from 2020 to 2022, and a member of several Board of Directors, such as Sabesp, from 2014 to 2016, and from 2020 to 2023; Chair of the Board of Directors of Companhia Paulista de Securitização; member of the Board of Directors of Metrô and EMTU, and is currently a member of the Board of Directors of EMAE. Ms. Polto is a certified Board member by IBGC and has extensive experience in infrastructure, regulated sectors, corporate governance, and public corporate law.

Description of any of the following events that have occurred in the last five years:

i. criminal conviction

ii. conviction in administrative proceedings by CVM, Central Bank of Brazil, or Superintendence of Private Insurance, and the penalties imposed

iii. final and unappealable conviction, at the judicial level or subject to a final administrative decision, which has suspended or prohibited them from practicing any professional or commercial activity

In the last five years, there have been no criminal convictions, even if there is no final and unappealable decision, nor any convictions in administrative proceedings by CVM, the Central Bank of Brazil, or the Superintendence of Private Insurance, even if there is no final and unappealable decision, or any other final and unappealable conviction at the judicial level or subject to a final administrative decision, which has suspended or prohibited them from practicing any professional or commercial activity.  

 

BOARD OF DIRECTORS
Name Karla Bertocco Trindade
Date of Birth 11/20/1976
Occupation Administrator and Lawyer
Individual taxpayer’s ID (CPF) or passport 260.211.228-36
Elective position held Board Member (Sitting)
Election date 09/27/2024
Investiture date 10/01/2024
End of the term of office 09/27/2026
Whether elected by the controlling shareholder No
Whether independent member, under the specific regulation applicable to the matter The member is not independent, under the Novo Mercado Regulations and Exhibit K to CVM Resolution 80.
If the administrator or Fiscal Council member has been serving consecutive terms of office, the start date of the first term of office 05/04/2023
 
 

 

Main professional experience over the last five years, highlighting, where applicable, positions and functions exercised in (i) the issuer and companies within its economic group; and (ii) companies controlled by a shareholder of the issuer holding, directly or indirectly, 5% or more of any class or type of security of the issuer. Ms. Bertocco earned bachelor’s degrees in Public Administration from Fundação Getúlio Vargas and Law from the Pontifical Catholic University of São Paulo, a graduate degree in Administrative Law from the Law School of Fundação Getúlio Vargas, and participated in the Diversity Program in Boards of Directors from the Brazilian Corporate Governance Institute. She is currently the Chair of the Board of Directors of Sabesp (since 2023) and a member of the Statutory Audit Committee (since April 2024). She is currently a partner at Jive (former Mauá Capital) Investimentos (since 2020) and an independent Board of Directors member and coordinator of the Audit Committee of Orizon Valorização de Resíduos (since 2020). Ms. Bertocco was an advisor to the CEO’s Office of Sabesp (2003 to 2006) and State Coordinator of Sanitation (2007). Mrs. Bertocco served as a Director of Institutional Relations at the São Paulo State Utility Services Regulatory Agency (ARSESP - 2008 to 2010), General Director of the São Paulo State Regulatory Agency for Delegated Public Transport Services (ARTESP - 2011 to 2015), Undersecretary of Partnerships and Innovation (2015 to 2018), CEO of Sabesp (2018), Director of Government and Infrastructure at BNDES (2019). She also served as a member of the Board of Directors and Regulatory and Operational Committee of Equatorial Energia (2022 to 2023), a member of the Board of Directors of Companhia Riograndense de Saneamento (2020 to 2022), where she was also the Coordinator of the Innovation and Sustainability Committee.

Description of any of the following events that have occurred in the last five years:

i. criminal conviction

ii. conviction in administrative proceedings by CVM, Central Bank of Brazil, or Superintendence of Private Insurance, and the penalties imposed

iii. final and unappealable conviction, at the judicial level or subject to a final administrative decision, which has suspended or prohibited them from practicing any professional or commercial activity

In the last five years, there have been no criminal convictions, even if there is no final and unappealable decision, nor any convictions in administrative proceedings by CVM, the Central Bank of Brazil, or the Superintendence of Private Insurance, even if there is no final and unappealable decision, or any other final and unappealable conviction at the judicial level or subject to a final administrative decision, which has suspended or prohibited them from practicing any professional or commercial activity.  

 

BOARD OF DIRECTORS
Name Tiago de Almeida Noel
Date of Birth 09/19/1990
Occupation Economist
Individual taxpayer’s ID (CPF) or passport 140.581.217-69
Elective position held Board Member (Sitting)
Election date 09/27/2024
Investiture date 10/01/2024
End of the term of office 09/27/2026
Whether elected by the controlling shareholder No
Whether independent member, under the specific regulation applicable to the matter The member is not independent, under the Novo Mercado Regulations and Exhibit K to CVM Resolution 80.
If the administrator or Fiscal Council member has been serving consecutive terms of office, the start date of the first term of office Not applicable
 
 

 

Main professional experience over the last five years, highlighting, where applicable, positions and functions exercised in (i) the issuer and companies within its economic group; and (ii) companies controlled by a shareholder of the issuer holding, directly or indirectly, 5% or more of any class or type of security of the issuer. Mr. Noel earned a bachelor’s degree in Economics. He is a partner at Opportunity, where he has been an Investment Committee member since 2020. Before that, he was a partner at Athena Capital from 2014 to 2020. He has been a member of the Board of Directors of Equatorial Energia since 2021, serving as the Coordinator of the Strategy and New Businesses Committee. He is a member of the Strategy and Innovation Committee, the Operational Committee, and the Statutory Audit Committee. He was a member of the Board of Directors of Echoenergia Participações from 2022 to 2024.

Description of any of the following events that have occurred in the last five years:

i. criminal conviction

ii. conviction in administrative proceedings by CVM, Central Bank of Brazil, or Superintendence of Private Insurance, and the penalties imposed

iii. final and unappealable conviction, at the judicial level or subject to a final administrative decision, which has suspended or prohibited them from practicing any professional or commercial activity

In the last five years, there have been no criminal convictions, even if there is no final and unappealable decision, nor any convictions in administrative proceedings by CVM, the Central Bank of Brazil, or the Superintendence of Private Insurance, even if there is no final and unappealable decision, or any other final and unappealable conviction at the judicial level or subject to a final administrative decision, which has suspended or prohibited them from practicing any professional or commercial activity.  

 

BOARD OF DIRECTORS
Name Tinn Freire Amado
Date of Birth 12/20/1976
Occupation Electrical Engineer
Individual taxpayer’s ID (CPF) or passport 033.589.836-09
Elective position held Board Member (Sitting)
Election date 09/27/2024
Investiture date 10/01/2024
End of the term of office 09/27/2026
Whether elected by the controlling shareholder No
Whether independent member, under the specific regulation applicable to the matter The member is not independent, under the Novo Mercado Regulations and Exhibit K to CVM Resolution 80.
If the administrator or Fiscal Council member has been serving consecutive terms of office, the start date of the first term of office Not applicable
Main professional experience over the last five years, highlighting, where applicable, positions and functions exercised in (i) the issuer and companies within its economic group; and (ii) companies controlled by a shareholder of the issuer holding, directly or indirectly, 5% or more of any class or type of security of the issuer.  Mr. Amado earned a bachelor’s degree in Electrical Engineering from the Federal School of Engineering of Itajubá and a master’s degree in Regulation Economics and Competition Defense from the University of Brasília. He currently serves as Executive Director of Equatorial Energia. Mr. Amado was the CEO of Echoenergia from 2022 to 2024, and Director of Regulation and New Businesses at Equatorial Energia from 2008 to 2022. He also serves as a Board member of several subsidiaries of Equatorial Energia.
 
 

 

Description of any of the following events that have occurred in the last five years:

i. criminal conviction

ii. conviction in administrative proceedings by CVM, Central Bank of Brazil, or Superintendence of Private Insurance, and the penalties imposed

iii. final and unappealable conviction, at the judicial level or subject to a final administrative decision, which has suspended or prohibited them from practicing any professional or commercial activity

In the last five years, there have been no criminal convictions, even if there is no final and unappealable decision, nor any convictions in administrative proceedings by CVM, the Central Bank of Brazil, or the Superintendence of Private Insurance, even if there is no final and unappealable decision, or any other final and unappealable conviction at the judicial level or subject to a final administrative decision, which has suspended or prohibited them from practicing any professional or commercial activity.  

 

BOARD OF DIRECTORS
Name Alexandre Gonçalves Silva
Date of Birth 03/06/1945
Occupation Mechanical Engineer
Individual taxpayer’s ID (CPF) or passport 022.153.817-87
Elective position held Board Member (Sitting)
Election date 09/27/2024
Investiture date 10/01/2024
End of the term of office 09/27/2026
Whether elected by the controlling shareholder No
Whether independent member, under the specific regulation applicable to the matter The member is independent, under the Novo Mercado Regulations and Exhibit K to CVM Resolution 80.
If the administrator or Fiscal Council member has been serving consecutive terms of office, the start date of the first term of office Not applicable
Main professional experience over the last five years, highlighting, where applicable, positions and functions exercised in (i) the issuer and companies within its economic group; and (ii) companies controlled by a shareholder of the issuer holding, directly or indirectly, 5% or more of any class or type of security of the issuer. Mr. Silva earned a bachelor’s degree in Mechanical Engineering from the Pontifical Catholic University of Rio de Janeiro. He is currently the Chair of the Board of Directors of EMBRAER (since 2012) and has been a Board member of the same company since 2011. Mr. Silva was the CEO of GE Brazil from 2001 to 2007, CEO of GE CELMA from 1989 to 2001, an Engineer at CTA from 1974 to 1976, a Manager at Motortec from 1976 to 1989, and an Engineer at VARIG from 1968 to 1974.

Description of any of the following events that have occurred in the last five years:

i. criminal conviction

ii. conviction in administrative proceedings by CVM, Central Bank of Brazil, or Superintendence of Private Insurance, and the penalties imposed

iii. final and unappealable conviction, at the judicial level or subject to a final administrative decision, which has suspended or prohibited them from practicing any professional or commercial activity

In the last five years, there have been no criminal convictions, even if there is no final and unappealable decision, nor any convictions in administrative proceedings by CVM, the Central Bank of Brazil, or the Superintendence of Private Insurance, even if there is no final and unappealable decision, or any other final and unappealable conviction at the judicial level or subject to a final administrative decision, which has suspended or prohibited them from practicing any professional or commercial activity.  

 

 

 
 

 

BOARD OF DIRECTORS
Name Gustavo Rocha Gattass
Date of Birth 09/14/1975
Occupation Company Analyst
Individual taxpayer’s ID (CPF) or passport 070.302.477-95
Elective position held Board Member (Sitting)
Election date 09/27/2024
Investiture date 10/01/2024
End of the term of office 09/27/2026
Whether elected by the controlling shareholder No
Whether independent member, under the specific regulation applicable to the matter The member is independent, under the Novo Mercado Regulations and Exhibit K to CVM Resolution 80.
If the administrator or Fiscal Council member has been serving consecutive terms of office, the start date of the first term of office 04/26/2024
Main professional experience over the last five years, highlighting, where applicable, positions and functions exercised in (i) the issuer and companies within its economic group; and (ii) companies controlled by a shareholder of the issuer holding, directly or indirectly, 5% or more of any class or type of security of the issuer. Mr. Gattass earned a bachelor’s degree in Economics from PUC-Rio. He is currently a member of the Board of Directors of Sabesp, PRIO S.A., Serena Energia S.A., and Canacol Energy LTD. Mr. Gattass was a Board member of Copasa S.A. (2017-2023), BR Distribuidora (2015-2016), and Alternate Board member of Petrobras S.A. (2015-2016) and Sanepar (2017). He was Head of the Company Analysis Department at Banco BTG Pactual from 2009 to 2015. From 1997 to 2015, he worked as a Company Analyst in the Oil & Gas, Energy, and Sanitation sectors at Icatu (1997-1998), UBS (1998-2009), and BTG Pactual (2009-2015).

Description of any of the following events that have occurred in the last five years:

i. criminal conviction

ii. conviction in administrative proceedings by CVM, Central Bank of Brazil, or Superintendence of Private Insurance, and the penalties imposed

iii. final and unappealable conviction, at the judicial level or subject to a final administrative decision, which has suspended or prohibited them from practicing any professional or commercial activity

In the last five years, there have been no criminal convictions, even if there is no final and unappealable decision, nor any convictions in administrative proceedings by CVM, the Central Bank of Brazil, or the Superintendence of Private Insurance, even if there is no final and unappealable decision, or any other final and unappealable conviction at the judicial level or subject to a final administrative decision, which has suspended or prohibited them from practicing any professional or commercial activity.  

 

BOARD OF DIRECTORS
Name Mateus Affonso Bandeira
Date of Birth 06/07/1969
Occupation Business Administrator
Individual taxpayer’s ID (CPF) or passport 572.483.970-91
Elective position held Board Member (Sitting)
 
 

 

Election date 09/27/2024
Investiture date 10/01/2024
End of the term of office 09/27/2026
Whether elected by the controlling shareholder No
Whether independent member, under the specific regulation applicable to the matter The member is independent, under the Novo Mercado Regulations and Exhibit K to CVM Resolution 80.
If the administrator or Fiscal Council member has been serving consecutive terms of office, the start date of the first term of office Not applicable
Main professional experience over the last five years, highlighting, where applicable, positions and functions exercised in (i) the issuer and companies within its economic group; and (ii) companies controlled by a shareholder of the issuer holding, directly or indirectly, 5% or more of any class or type of security of the issuer. Mr. Bandeira earned a bachelor’s degree in Computer Science from the Catholic University of Pelotas, a graduate degree in Finance and Management from FGV and UFRGS, an MBA from The Wharton School – University of Pennsylvania, and concluded the executive Owner and President Management Program (OPM) at Harvard Business School. He has been a Board member of Oi S/A since 2020. He was the CEO and Managing Partner at Falconi, a management consulting firm, from January 2011 to March 2017, leading the partnership model implementation and internal expansion with companies opening in the USA and Mexico. He was also a Secretary of State for Planning and Management from July 2008 to March 2010, among other public roles. He was a systems analyst, IT manager, and CIO. He became a public servant in 1993 at the Secretariat of Finance of Rio Grande do Sul. After working at the Ministry of Finance and Federal Senate, he led the Rio Grande do Sul State Treasury in 2007 and was appointed Secretary of Planning and Management in 2008. In 2010, he became the President of Banrisul (Board member since 2008). He resigned in 2011.

Description of any of the following events that have occurred in the last five years:

i. criminal conviction

ii. conviction in administrative proceedings by CVM, Central Bank of Brazil, or Superintendence of Private Insurance, and the penalties imposed

iii. final and unappealable conviction, at the judicial level or subject to a final administrative decision, which has suspended or prohibited them from practicing any professional or commercial activity

In the last five years, there have been no criminal convictions, even if there is no final and unappealable decision, nor any convictions in administrative proceedings by CVM, the Central Bank of Brazil, or the Superintendence of Private Insurance, even if there is no final and unappealable decision, or any other final and unappealable conviction at the judicial level or subject to a final administrative decision, which has suspended or prohibited them from practicing any professional or commercial activity.  

 

FISCAL COUNCIL
Name Aristóteles Nogueira Filho
Date of Birth 08/12/1985
Occupation Engineer
Individual taxpayer’s ID (CPF) or passport 109.345.067-36
 
 

 

Elective position held Fiscal Council Member (Sitting)
Election date 09/27/2024
Investiture date 10/01/2024
End of the term of office Until the Annual Shareholders’ Meeting of 2025
Whether elected by the controlling shareholder No
Whether independent member, under the specific regulation applicable to the matter Not applicable
If the administrator or Fiscal Council member has been serving consecutive terms of office, the start date of the first term of office Not applicable
Main professional experience over the last five years, highlighting, where applicable, positions and functions exercised in (i) the issuer and companies within its economic group; and (ii) companies controlled by a shareholder of the issuer holding, directly or indirectly, 5% or more of any class or type of security of the issuer. Mr. Nogueira Filho has extensive professional experience in finance, with expertise in several sectors, including oil and gas, commodities, and consumer goods. He started his career in the financial market in 2006, working at Santander, Societé Generale, and Safra. More recently, he held positions at major Brazilian investment firms such as Opportunity, Truxt, and XP, focusing on equity analysis and portfolio management. He earned a bachelor’s degree in Engineering from the State University of Campinas (UNICAMP) and a specialization degree in Mechatronic Engineering from École Nationale Supérieure d'Arts et Métiers (ENSAM). He has several certifications, such as CFA, CGA, CPA-20, and CNPI, and has completed courses in business analysis (Massachusetts Institute of Technology), corporate law (Fundação Getulio Vargas), Board development (Fundação Dom Cabral), and Fiscal Council (IBGC). Mr. Nogueira Filho served as a Fiscal Council member at CELPE and is a Board member of Instituto Ponte, an NGO focused on education.

Description of any of the following events that have occurred in the last five years:

i. criminal conviction

ii. conviction in administrative proceedings by CVM, Central Bank of Brazil, or Superintendence of Private Insurance, and the penalties imposed

iii. final and unappealable conviction, at the judicial level or subject to a final administrative decision, which has suspended or prohibited them from practicing any professional or commercial activity

In the last five years, there have been no criminal convictions, even if there is no final and unappealable decision, nor any convictions in administrative proceedings by CVM, the Central Bank of Brazil, or the Superintendence of Private Insurance, even if there is no final and unappealable decision, or any other final and unappealable conviction at the judicial level or subject to a final administrative decision, which has suspended or prohibited them from practicing any professional or commercial activity.  

 

FISCAL COUNCIL
Name Gisomar Francisco de Bittencourt Marinho
Date of Birth 12/06/1964
Occupation Economist
Individual taxpayer’s ID (CPF) or passport 804.095.557-20
Elective position held Fiscal Council Member (Sitting)
 
 

 

Election date 09/27/2024
Investiture date 10/01/2024
End of the term of office Until the Annual Shareholders’ Meeting of 2025
Whether elected by the controlling shareholder No
Whether independent member, under the specific regulation applicable to the matter Not applicable
If the administrator or Fiscal Council member has been serving consecutive terms of office, the start date of the first term of office 04/26/2024
Main professional experience over the last five years, highlighting, where applicable, positions and functions exercised in (i) the issuer and companies within its economic group; and (ii) companies controlled by a shareholder of the issuer holding, directly or indirectly, 5% or more of any class or type of security of the issuer. Mr. Marinho earned a bachelor’s degree in Economics from the Federal University of Rio de Janeiro (UFRJ), a graduate degree in Economic Engineering and Industrial Management (UFRJ); a master’s degree in Business Administration (COPPEAD/UFRJ), and an MBA in Electric Power Business Management (FGV). He is currently a Consultant – Project Director at Galeazzi & Associados - and serves as a Sitting Fiscal Council member at Eletrobras and SABESP. Mr. Marinho was the Administrative and Financial Director and Investor Relations Officer at Light S.A. from 2021 to 2022. He also served as Financial Director and Investor Relations Officer at Log-In Logística Intermodal S.A. from 2018 to 2020, and as Financial Director and Investor Relations Officer at UNIDAS S.A. from 2011 to 2018.

Description of any of the following events that have occurred in the last five years:

i. criminal conviction

ii. conviction in administrative proceedings by CVM, Central Bank of Brazil, or Superintendence of Private Insurance, and the penalties imposed

iii. final and unappealable conviction, at the judicial level or subject to a final administrative decision, which has suspended or prohibited them from practicing any professional or commercial activity

In the last five years, there have been no criminal convictions, even if there is no final and unappealable decision, nor any convictions in administrative proceedings by CVM, the Central Bank of Brazil, or the Superintendence of Private Insurance, even if there is no final and unappealable decision, or any other final and unappealable conviction at the judicial level or subject to a final administrative decision, which has suspended or prohibited them from practicing any professional or commercial activity.  

 

FISCAL COUNCIL
Name Hamilton Valente da Silva Junior
Date of Birth 10/30/1976
Occupation Engineer
Individual taxpayer’s ID (CPF) or passport 073.700.267-01
Elective position held Fiscal Council Member (Sitting)
Election date 09/27/2024
Investiture date 10/01/2024
End of the term of office Until the Annual Shareholders’ Meeting of 2025
 
 

 

Whether elected by the controlling shareholder No
Whether independent member, under the specific regulation applicable to the matter Not applicable
If the administrator or Fiscal Council member has been serving consecutive terms of office, the start date of the first term of office Not applicable
Main professional experience over the last five years, highlighting, where applicable, positions and functions exercised in (i) the issuer and companies within its economic group; and (ii) companies controlled by a shareholder of the issuer holding, directly or indirectly, 5% or more of any class or type of security of the issuer. Mr. Valente earned a bachelor’s degree in Engineering from the Military Institute of Engineering, with experience at École Supérieure d'Électricité (Supélec), and holds an Executive MBA from COPPEAD/UFRJ. He is currently a manager at Opportunity. Mr. Valente was Director of Operations at Empresa Gestora de Ativos S/A (EMGEA) from October 2022 to May 2023, an Advisor to the CEO’s Office at the Brazilian Development Bank (BNDES) from April 2020 to October 2022, a Director of the Secretariat of the Federal Government’s Assets (SPU) from April 2019 to April 2020, and a Board member at Empresa de Pesquisa Energética (EPE) from December 2019 to April 2020. Before that, he contributed to companies such as CR2 Empreendimentos, Alcatel-Lucent, and Accenture, and co-founded companies in the real estate market.

Description of any of the following events that have occurred in the last five years:

i. criminal conviction

ii. conviction in administrative proceedings by CVM, Central Bank of Brazil, or Superintendence of Private Insurance, and the penalties imposed

iii. final and unappealable conviction, at the judicial level or subject to a final administrative decision, which has suspended or prohibited them from practicing any professional or commercial activity

In the last five years, there have been no criminal convictions, even if there is no final and unappealable decision, nor any convictions in administrative proceedings by CVM, the Central Bank of Brazil, or the Superintendence of Private Insurance, even if there is no final and unappealable decision, or any other final and unappealable conviction at the judicial level or subject to a final administrative decision, which has suspended or prohibited them from practicing any professional or commercial activity.  

 

FISCAL COUNCIL
Name Maria Salete Garcia Pinheiro
Date of Birth 03/23/1955
Occupation Accountant
Individual taxpayer’s ID (CPF) or passport 299.484.367-68
Elective position held Fiscal Council Member (Sitting)
Election date 09/27/2024
Investiture date 10/01/2024
End of the term of office Until the Annual Shareholders’ Meeting of 2025
Whether elected by the controlling shareholder No
Whether independent member, under the specific regulation applicable to the matter Not applicable
 
 

 

If the administrator or Fiscal Council member has been serving consecutive terms of office, the start date of the first term of office Not applicable
Main professional experience over the last five years, highlighting, where applicable, positions and functions exercised in (i) the issuer and companies within its economic group; and (ii) companies controlled by a shareholder of the issuer holding, directly or indirectly, 5% or more of any class or type of security of the issuer. Ms. Pinheiro is certified by IBGC to serve on Boards of Directors and Fiscal Councils. She earned a bachelor’s degree in Accounting and an MBA in Finance from IBMEC (2001) and completed a Business Training Program at the University of Ontario, Canada. She currently serves as a sitting Fiscal Council member at Equatorial Energia S.A., Equatorial Pará Distribuidora de Energia S.A., and, since 2023, at Companhia Estadual de Distribuição de Energia Elétrica (CEEE-D), which also belongs to Grupo Equatorial. She has been the Coordinator of the Audit Committee of HDI Seguros S.A. and Icatu Seguros S.A. since 2020.

Description of any of the following events that have occurred in the last five years:

i. criminal conviction

ii. conviction in administrative proceedings by CVM, Central Bank of Brazil, or Superintendence of Private Insurance, and the penalties imposed

iii. final and unappealable conviction, at the judicial level or subject to a final administrative decision, which has suspended or prohibited them from practicing any professional or commercial activity

In the last five years, there have been no criminal convictions, even if there is no final and unappealable decision, nor any convictions in administrative proceedings by CVM, the Central Bank of Brazil, or the Superintendence of Private Insurance, even if there is no final and unappealable decision, or any other final and unappealable conviction at the judicial level or subject to a final administrative decision, which has suspended or prohibited them from practicing any professional or commercial activity.  

 

FISCAL COUNCIL
Name Adilson Celestino de Lima
Date of Birth 11/07/1963
Occupation Accountant
Individual taxpayer’s ID (CPF) or passport 303.968.164-87
Elective position held Fiscal Council Member (Alternate)
Election date 09/27/2024
Investiture date 10/01/2024
End of the term of office Until the Annual Shareholders’ Meeting of 2025
Whether elected by the controlling shareholder No
Whether independent member, under the specific regulation applicable to the matter Not applicable
If the administrator or Fiscal Council member has been serving consecutive terms of office, the start date of the first term of office Not applicable
 
 

 

Main professional experience over the last five years, highlighting, where applicable, positions and functions exercised in (i) the issuer and companies within its economic group; and (ii) companies controlled by a shareholder of the issuer holding, directly or indirectly, 5% or more of any class or type of security of the issuer. Mr. Celestino earned a bachelor’s degree in Accounting from the Catholic University of Pernambuco, with a specialization degree, master’s degree, and Ph.D. in Administration/Finance from the University of Pernambuco, Federal University of Paraíba, and Federal University of Pernambuco. He is currently an Associate Professor at Universidade Federal Rural de Pernambuco and a consultant in Valuation and M&A. Mr. Celestino has taught at undergraduate and graduate levels, and served as a Director of Planning and Operations, and Controllership at Guaraves S/A from 2017 to 2022. He was Technical Director at MTA Consultoria e Treinamento from 2010 to 2017. He also taught at the Catholic University of Pernambuco from 2000 to 2015. He worked at companies such as J. Macedo Alimentos, Elekeiroz Indústria Química, White Martins, and Ernest Young, among others.

Description of any of the following events that have occurred in the last five years:

i. criminal conviction

ii. conviction in administrative proceedings by CVM, Central Bank of Brazil, or Superintendence of Private Insurance, and the penalties imposed

iii. final and unappealable conviction, at the judicial level or subject to a final administrative decision, which has suspended or prohibited them from practicing any professional or commercial activity

In the last five years, there have been no criminal convictions, even if there is no final and unappealable decision, nor any convictions in administrative proceedings by CVM, the Central Bank of Brazil, or the Superintendence of Private Insurance, even if there is no final and unappealable decision, or any other final and unappealable conviction at the judicial level or subject to a final administrative decision, which has suspended or prohibited them from practicing any professional or commercial activity.  

 

FISCAL COUNCIL
Name Dorgival Soares Da Silva
Date of Birth 06/02/1956
Occupation Administrator
Individual taxpayer’s ID (CPF) or passport 101.890.684-34
Elective position held Fiscal Council Member (Alternate)
Election date 09/27/2024
Investiture date 10/01/2024
End of the term of office Until the Annual Shareholders’ Meeting of 2025
Whether elected by the controlling shareholder No
Whether independent member, under the specific regulation applicable to the matter Not applicable
If the administrator or Fiscal Council member has been serving consecutive terms of office, the start date of the first term of office Not applicable
 
 

 

Main professional experience over the last five years, highlighting, where applicable, positions and functions exercised in (i) the issuer and companies within its economic group; and (ii) companies controlled by a shareholder of the issuer holding, directly or indirectly, 5% or more of any class or type of security of the issuer. Mr. Soares da Silva earned a bachelor’s degree in Business Administration from the University of Pernambuco (1981), a graduate degree in Financial Administration (University of Pernambuco, 1983), an International Executive MBA (FIA-USP, 1999), an Executive MBA in Finance (IBMEC / INSPER -SP, 1995), a specialization degree in Mergers and Acquisitions (INSPER – SP, 2016), a specialization degree in Judicial Reorganization of Companies (INSPER - SP, 2016), a specialization degree in Corporate Governance (Fundação Dom Cabral, 2015), a specialization degree in Logistics (FGV-SP – 2000), and a specialization degree in e-Business (Asit Coppe-UFRJ, 2000).

Description of any of the following events that have occurred in the last five years:

i. criminal conviction

ii. conviction in administrative proceedings by CVM, Central Bank of Brazil, or Superintendence of Private Insurance, and the penalties imposed

iii. final and unappealable conviction, at the judicial level or subject to a final administrative decision, which has suspended or prohibited them from practicing any professional or commercial activity

In the last five years, there have been no criminal convictions, even if there is no final and unappealable decision, nor any convictions in administrative proceedings by CVM, the Central Bank of Brazil, or the Superintendence of Private Insurance, even if there is no final and unappealable decision, or any other final and unappealable conviction at the judicial level or subject to a final administrative decision, which has suspended or prohibited them from practicing any professional or commercial activity.  

 

FISCAL COUNCIL
Name Saulo de Tarso Alves de Lara
Date of Birth 01/27/1954
Occupation Administrator and Accountant
Individual taxpayer’s ID (CPF) or passport 678.691.498-53
Elective position held Fiscal Council Member (Alternate)
Election date 09/27/2024
Investiture date 10/01/2024
End of the term of office Until the Annual Shareholders’ Meeting of 2025
Whether elected by the controlling shareholder No
Whether independent member, under the specific regulation applicable to the matter Not applicable
If the administrator or Fiscal Council member has been serving consecutive terms of office, the start date of the first term of office Not applicable
 
 

 

Main professional experience over the last five years, highlighting, where applicable, positions and functions exercised in (i) the issuer and companies within its economic group; and (ii) companies controlled by a shareholder of the issuer holding, directly or indirectly, 5% or more of any class or type of security of the issuer. Mr. Lara earned a bachelor’s degree in Business Administration from Fundação Getúlio Vargas and in Accounting from Faculdade Paulo Eiró. He also earned a graduate degree in Control and Finance from IMD - International Management Development. He started at Arthur Andersen as an external auditor and later worked in construction and the cement industry. In 1996, he became CFO at an American packaging company and, in 1998, he served as Director of Planning and Control at Cyrela Brazil Realty, where remained until 2010, when he took office as Director of Controllership at PDG Realty. He served as CFO at Greenwood Resource Brazil from 2013 to 2022 and is currently a member of the Advisory Council of Global Timber Resources and Greenwood Brasil. He is also a Fiscal Council member at Equatorial Energia, Equatorial Maranhão, Equatorial Pará, and CEEE-RS.

Description of any of the following events that have occurred in the last five years:

i. criminal conviction

ii. conviction in administrative proceedings by CVM, Central Bank of Brazil, or Superintendence of Private Insurance, and the penalties imposed

iii. final and unappealable conviction, at the judicial level or subject to a final administrative decision, which has suspended or prohibited them from practicing any professional or commercial activity

In the last five years, there have been no criminal convictions, even if there is no final and unappealable decision, nor any convictions in administrative proceedings by CVM, the Central Bank of Brazil, or the Superintendence of Private Insurance, even if there is no final and unappealable decision, or any other final and unappealable conviction at the judicial level or subject to a final administrative decision, which has suspended or prohibited them from practicing any professional or commercial activity.  

 

FISCAL COUNCIL
Name Vanderlei Dominguez da Rosa
Date of Birth 09/09/1963
Occupation Accountant
Individual taxpayer’s ID (CPF) or passport 422.881.180-91
Elective position held Fiscal Council Member (Alternate)
Election date 09/27/2024
Investiture date 10/01/2024
End of the term of office Until the Annual Shareholders’ Meeting of 2025
Whether elected by the controlling shareholder No
Whether independent member, under the specific regulation applicable to the matter Not applicable
If the administrator or Fiscal Council member has been serving consecutive terms of office, the start date of the first term of office Not applicable
 
 

 

Main professional experience over the last five years, highlighting, where applicable, positions and functions exercised in (i) the issuer and companies within its economic group; and (ii) companies controlled by a shareholder of the issuer holding, directly or indirectly, 5% or more of any class or type of security of the issuer. Mr. Dominguez earned a bachelor’s degree in Accounting from the Federal University of Rio Grande do Sul (UFRGS) in January 1990, and has been registered with the Regional Accounting Council of Rio Grande do Sul State under number 45.758/O-1. He worked as an independent auditor from August 1988 to June 2016 and was a partner at HB Audit – Auditores Independentes from February 1994 to June 2016. He has been a member of Fiscal Councils since April 2000 in several publicly-held companies. He is currently a member of the Fiscal Councils of (i) Odontoprev S.A. – since April 2007 (Sitting member); (ii) WEG S.A. – since April 2014 (Sitting member) and from April 2013 to April 2014 (Alternate member); (iii) EQUATORIAL ENERGIA S.A. – since April 2015 (Sitting member); (iv) Equatorial Pará Distribuidora de Energia S.A. – since April 2015 (Sitting member); (v) Equatorial Maranhão Distribuidora de Energia S.A. – since April 2015 (Sitting member); (vi) Valid Soluções S.A.– since April 2016 (Sitting member) and from April 2015 to April 2016 (Alternate member); (vii) Triunfo Participações e Investimentos S.A. – since April 2018 (Sitting  member) and from April 2011 to April 2014 (Sitting member); (viii) CEEE-D – since July 2021 (Sitting member); (ix) Lojas Renner S.A. – since October 2020 (Sitting member); and (x) Petróleo Brasileiro S.A. – since April 2024 (Sitting member).

Description of any of the following events that have occurred in the last five years:

i. criminal conviction

ii. conviction in administrative proceedings by CVM, Central Bank of Brazil, or Superintendence of Private Insurance, and the penalties imposed

iii. final and unappealable conviction, at the judicial level or subject to a final administrative decision, which has suspended or prohibited them from practicing any professional or commercial activity

In the last five years, there have been no criminal convictions, even if there is no final and unappealable decision, nor any convictions in administrative proceedings by CVM, the Central Bank of Brazil, or the Superintendence of Private Insurance, even if there is no final and unappealable decision, or any other final and unappealable conviction at the judicial level or subject to a final administrative decision, which has suspended or prohibited them from practicing any professional or commercial activity.  

 

FISCAL COUNCIL
Name David Polessi de Moraes
Date of Birth 08/07/1977
Occupation Economist
Individual taxpayer’s ID (CPF) or passport 262.325.938-04
Elective position held Fiscal Council Member (Sitting)
Election date 09/27/2024
Investiture date 10/01/2024
End of the term of office Until the Annual Shareholders’ Meeting of 2025
Whether elected by the controlling shareholder No
Whether independent member, under the specific regulation applicable to the matter Not applicable
If the administrator or Fiscal Council member has been serving consecutive terms of office, the start date of the first term of office Not applicable
 
 

 

Main professional experience over the last five years, highlighting, where applicable, positions and functions exercised in (i) the issuer and companies within its economic group; and (ii) companies controlled by a shareholder of the issuer holding, directly or indirectly, 5% or more of any class or type of security of the issuer. Mr. Moraes earned a bachelor’s degree in Economics from the School of Economics, Administration, and Accounting from the University of São Paulo (FEA), a bachelor’s degree in Accounting from Fundação Instituto de Pesquisas Contábeis, Atuariais e Financeiras (Fipecafi), and a specialization degree in Public Management from the School of Arts, Sciences, and Humanities from the University of São Paulo (EACH). He currently serves as the Coordinator of Special Projects at the Investment Partnerships Secretariat. He has over four years of experience in concessions and Public-Private Partnerships, including recent privatizations in the São Paulo State. He worked as a Fiscal Council member at the Metropolitan Water and Energy Company (EMAE), the São Paulo State Insurance Company (COSESP), and the São Paulo Development Agency (Prevcom).

Description of any of the following events that have occurred in the last five years:

i. criminal conviction

ii. conviction in administrative proceedings by CVM, Central Bank of Brazil, or Superintendence of Private Insurance, and the penalties imposed

iii. final and unappealable conviction, at the judicial level or subject to a final administrative decision, which has suspended or prohibited them from practicing any professional or commercial activity

In the last five years, there have been no criminal convictions, even if there is no final and unappealable decision, nor any convictions in administrative proceedings by CVM, the Central Bank of Brazil, or the Superintendence of Private Insurance, even if there is no final and unappealable decision, or any other final and unappealable conviction at the judicial level or subject to a final administrative decision, which has suspended or prohibited them from practicing any professional or commercial activity.  

 

FISCAL COUNCIL
Name Camila Rocha Cunha Viana
Date of Birth 03/10/1988
Occupation Lawyer (State Attorney)
Individual taxpayer’s ID (CPF) or passport 119.698.767-00
Elective position held Fiscal Council Member (Alternate)
Election date 09/27/2024
Investiture date 10/01/2024
End of the term of office Until the Annual Shareholders’ Meeting of 2025
Whether elected by the controlling shareholder No
Whether independent member, under the specific regulation applicable to the matter Not applicable
If the administrator or Fiscal Council member has been serving consecutive terms of office, the start date of the first term of office Not applicable
Main professional experience over the last five years, highlighting, where applicable, positions and functions exercised in (i) the issuer and companies within its economic group; and (ii) companies controlled by a shareholder of the issuer holding, directly or indirectly, 5% or more of any class or type of security of the issuer. Ms. Viana earned a bachelor’s degree in Law from UERJ and master’s degrees in Administrative Law from USP and in Economics from FGV-EESP. She currently serves as the Undersecretary of Basic Sanitation and Water Resources at the Environment, Infrastructure, and Logistics Secretariat (SEMIL). Ms. Viana was the Deputy Head of the Legal Consultancy at SEMIL (2023/2024) and the Head of the Legal Advisory Office (2022), where she worked from 2019 to 2023.
 
 

 

Description of any of the following events that have occurred in the last five years:

i. criminal conviction

ii. conviction in administrative proceedings by CVM, Central Bank of Brazil, or Superintendence of Private Insurance, and the penalties imposed

iii. final and unappealable conviction, at the judicial level or subject to a final administrative decision, which has suspended or prohibited them from practicing any professional or commercial activity

In the last five years, there have been no criminal convictions, even if there is no final and unappealable decision, nor any convictions in administrative proceedings by CVM, the Central Bank of Brazil, or the Superintendence of Private Insurance, even if there is no final and unappealable decision, or any other final and unappealable conviction at the judicial level or subject to a final administrative decision, which has suspended or prohibited them from practicing any professional or commercial activity.  

 

 

7.5.Family relationships

Justification for not filling out the chart:

 

This item is not applicable since there are no marital relationships, common law partnerships, or second-degree family relationships between a) the Company’s administrators; b) the Company’s administrators and administrators of direct or indirect subsidiaries; c) the Company’s administrators or the administrators of its direct or indirect subsidiaries and the Company’s direct or indirect controllers; and d) the Company’s administrators and administrators of the Company’s direct and indirect subsidiaries.

 

 

7.6.Relationships of subordination, service provision, or control

Justification for not filling out the chart:

 

This item is not applicable given that there are no relationships of subordination, service provision, or control maintained in the last three fiscal years between the issuer’s administrators and (a) a company directly or indirectly controlled by the issuer, except for those in which the issuer holds, directly or indirectly, 99% (ninety-nine percent) or more of the share capital, (b) a direct or indirect controller of the issuer, and (c) if relevant, a supplier, customer, debtor, or creditor of the issuer, its subsidiary or subsidiaries or the subsidiaries of any of these entities.

 

 
 

SIGNATURE  
 
Pursuant to the requirements of the Securities Exchange Act of 1934, the registrant has duly caused this report to be signed on its behalf by the undersigned, thereunto duly authorized, in the city São Paulo, Brazil.
Date: September 4, 2024
 
Companhia de Saneamento Básico do Estado de São Paulo - SABESP
By: /s/  Catia Cristina Teixeira Pereira    
 
Name: Catia Cristina Teixeira Pereira
Title: Chief Financial Officer and Investor Relations Officer
 

 

 
FORWARD-LOOKING STATEMENTS

This press release may contain forward-looking statements. These statements are statements that are not historical facts, and are based on management's current view and estimates of future economic circumstances, industry conditions, company performance and financial results. The words "anticipates", "believes", "estimates", "expects", "plans" and similar expressions, as they relate to the company, are intended to identify forward-looking statements. Statements regarding the declaration or payment of dividends, the implementation of principal operating and financing strategies and capital expenditure plans, the direction of future operations and the factors or trends affecting financial condition, liquidity or results of operations are examples of forward-looking statements. Such statements reflect the current views of management and are subject to a number of risks and uncertainties. There is no guarantee that the expected events, trends or results will actually occur. The statements are based on many assumptions and factors, including general economic and market conditions, industry conditions, and operating factors. Any changes in such assumptions or factors could cause actual results to differ materially from current expectations.