EX-99.1 2 westfraser-amendedandres.htm EX-99.1 westfraser-amendedandres
Exhibit 99.1


 
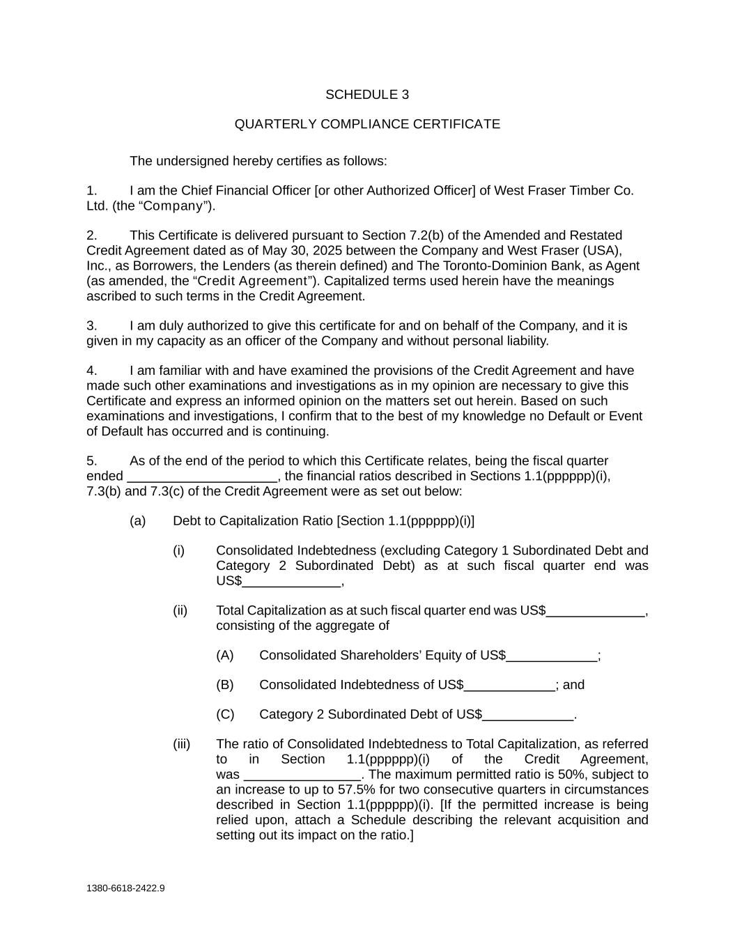
1380-6618-2422.9 TABLE OF CONTENTS Page ARTICLE 1 INTERPRETATION ................................................................................................. 1 1.1 Defined Terms. ........................................................................................................... 1 1.2 Computation of Time. ................................................................................................38 1.3 Accounting Terms. .....................................................................................................38 1.4 Gender; Singular, Plural, etc. .....................................................................................39 1.5 Use of Inclusive Words. .............................................................................................39 1.6 Successors, etc. ........................................................................................................39 1.7 Designation of Subsidiaries. ......................................................................................39 1.8 Interpretation not Affected by Headings. ....................................................................40 1.9 General Provisions as to Certificates and Opinions. ..................................................40 1.10 Incorporation of Appendix and Schedules. .................................................................40 1.11 Transition from Existing Credit Agreement. ................................................................40 1.12 Joint and Several Liability. .........................................................................................40 ARTICLE 2 CREDIT FACILITIES ..............................................................................................41 2.1 Credit Facilities. .........................................................................................................41 2.2 Accordion. .................................................................................................................41 2.3 Purpose. ....................................................................................................................41 2.4 Availability. ................................................................................................................41 2.5 Lenders’ Commitments. .............................................................................................42 2.6 Lending Offices. .........................................................................................................42 2.7 Revolving/Non-Revolving Nature of Credit Facilities. .................................................42 2.8 Revolver Facility Borrowing Options. .........................................................................42 2.9 Term Facility Borrowing Options. ...............................................................................43 2.10 Swingline Advances...................................................................................................43 2.11 Available Amount of the Credit Facilities. ...................................................................43 2.12 Repayment of Revolver Facility. ................................................................................44 2.13 Repayment of Term Facility. ......................................................................................44 2.14 Optional Repayment. .................................................................................................44 2.15 Optional Reduction of Commitments. ........................................................................44 2.16 Repayment of Principal Outstanding to Reflect Commitments. ..................................44 2.17 General Interest Provisions. .......................................................................................44 2.18 Payments. .................................................................................................................45 2.19 Business Day Payments. ...........................................................................................46 2.20 Interest on Overdue Amounts. ...................................................................................46


 
ii 1380-6618-2422.9 2.21 Breakage Costs. ........................................................................................................47 2.22 Borrowers’ Failure to Pay...........................................................................................47 2.23 Application of Payments. ...........................................................................................48 2.24 Conditions Solely for the Benefit of the Lenders. .......................................................48 2.25 No Waiver. .................................................................................................................48 2.26 Authorized Debit. .......................................................................................................48 2.27 Payment to Agent. .....................................................................................................48 2.28 Standby Fees. ...........................................................................................................49 2.29 Agent’s Fee. ..............................................................................................................49 2.30 Agent’s Discretion on Allocation. ...............................................................................50 2.31 Rollovers and Conversions. .......................................................................................50 2.32 Reallocation of Canadian Lender and US Lender Revolver Commitments. ...............50 ARTICLE 3 ADVANCES ...........................................................................................................51 3.1 Advances. ..................................................................................................................51 3.2 Minimum Advances. ..................................................................................................51 3.3 Notice Requirements for Advances. ...........................................................................51 3.4 Payment of Advances to Agent. .................................................................................52 3.5 Notices Irrevocable. ...................................................................................................52 3.6 Election of Interest Rates and Currencies. .................................................................52 3.7 Continuation of Term SOFR Advances and Term CORRA Advances. .......................52 3.8 Conversion of Advances. ...........................................................................................53 3.9 Automatic Conversion of Term SOFR Advances. ......................................................55 3.10 Automatic Conversion of Term CORRA Advances. ...................................................55 3.11 Interest on Term SOFR Advances. ............................................................................55 3.12 Interest on CORRA Advances. ..................................................................................56 3.13 Interest on Prime Rate, NY Prime Rate, US Base Rate and Daily Simple SOFR Advances. .............................................................................................................................56 3.14 Interest Rates; Benchmark Notification. .....................................................................56 3.15 Conforming Changes. ................................................................................................57 ARTICLE 4 LETTERS OF CREDIT ...........................................................................................57 4.1 Commitment. .............................................................................................................57 4.2 POA Letters of Credit. ................................................................................................58 4.3 Fronted Letters of Credit. ...........................................................................................60 4.4 Notice of Issuance. ....................................................................................................61 4.5 Form of Letter of Credit. .............................................................................................61 4.6 Procedure for Issuance of Letters of Credit. ...............................................................61


 
iii 1380-6618-2422.9 4.7 Fees. .........................................................................................................................62 4.8 Obligations Absolute. .................................................................................................62 4.9 Indemnification; Nature of Lenders’ Duties. ...............................................................63 4.10 Default, Maturity, etc. .................................................................................................64 ARTICLE 5 CLOSING CONDITIONS ........................................................................................65 5.1 Closing Conditions. ....................................................................................................65 5.2 Conditions Precedent to Subsequent Borrowings. .....................................................66 ARTICLE 6 REPRESENTATIONS AND WARRANTIES ...........................................................67 6.1 Representations and Warranties by the Borrowers. ...................................................67 6.2 Reaffirmation of Representations and Warranties. .....................................................72 ARTICLE 7 COVENANTS OF THE BORROWERS ..................................................................73 7.1 Positive Covenants. ...................................................................................................73 7.2 Reporting Requirements. ...........................................................................................75 7.3 Financial Covenants. .................................................................................................78 7.4 Negative Covenants. .................................................................................................78 7.5 Asset Dispositions. ....................................................................................................81 7.6 Reduction in Consolidated Net Tangible Assets. .......................................................81 ARTICLE 8 EVENTS OF DEFAULT ..........................................................................................81 8.1 Events of Default. ......................................................................................................81 8.2 Cancellation and Acceleration. ..................................................................................84 8.3 Insolvency Default. ....................................................................................................85 8.4 Enforcement. .............................................................................................................85 8.5 Right of Set-Off. .........................................................................................................85 8.6 Currency Conversion After Acceleration. ...................................................................86 ARTICLE 9 CHANGES IN CIRCUMSTANCES; TAXES ...........................................................86 9.1 Illegality. ....................................................................................................................86 9.2 Suspension of US Base Rate Advances. ...................................................................86 9.3 Temporary Market Disruption. ...................................................................................86 9.4 Benchmark Replacement Setting...............................................................................88 9.5 Funding Indemnity. ....................................................................................................90 9.6 Increased Costs. ........................................................................................................90 9.7 Taxes. .......................................................................................................................91 ARTICLE 10 THE ADMINISTRATION AGENT .........................................................................92 10.1 Appointment and Authority.........................................................................................92 10.2 Exclusionary Provisions. ............................................................................................93 10.3 Agent’s Reliance. .......................................................................................................94


 
iv 1380-6618-2422.9 10.4 Agent as Lender. .......................................................................................................95 10.5 Lender Credit Decisions. ...........................................................................................95 10.6 Funds Held by Agent. ................................................................................................96 10.7 Application of Payments after Acceleration. ...............................................................96 10.8 Indemnification. .........................................................................................................96 10.9 Accommodations under the Credit Facilities. .............................................................96 10.10 Successor Agent. ...................................................................................................97 ARTICLE 11 MISCELLANEOUS ...............................................................................................97 11.1 Records. ....................................................................................................................97 11.2 Amendments. ............................................................................................................97 11.3 Notices. .....................................................................................................................99 11.4 Electronic Communications. .................................................................................... 100 11.5 No Waiver; Remedies. ............................................................................................. 100 11.6 Expenses. ................................................................................................................ 101 11.7 Sharing of Payments; Swingline and Fronting Lenders. ........................................... 101 11.8 Sharing Generally. ................................................................................................... 103 11.9 Erroneous Payments. .............................................................................................. 104 11.10 Environmental Indemnity. .................................................................................... 108 11.11 Judgment Currency. ............................................................................................ 109 11.12 Governing Law..................................................................................................... 109 11.13 Consent to Jurisdiction. ........................................................................................ 109 11.14 Lenders’ Several Liability. .................................................................................... 109 11.15 Successors and Assigns. ..................................................................................... 110 11.16 Assignment. ......................................................................................................... 110 11.17 Participation. ........................................................................................................ 111 11.18 Limitations upon Participant Rights. ..................................................................... 111 11.19 Designation by or Replacement of Lenders ......................................................... 112 11.20 Severability. ......................................................................................................... 113 11.21 Prior Understandings. .......................................................................................... 113 11.22 Time of Essence. ................................................................................................. 113 11.23 Counterparts. ....................................................................................................... 113 11.24 Patriot Act. ........................................................................................................... 113 11.25 FATCA. ................................................................................................................ 113 11.26 Acknowledgment Regarding any Supported QFCs. ............................................. 114 11.27 Waiver of Jury Trial. ............................................................................................. 115


 
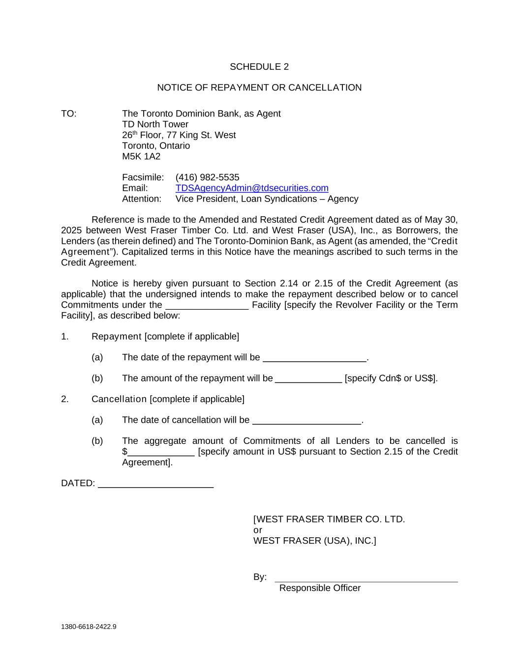
v 1380-6618-2422.9 Appendix A - Lenders and Lenders’ Commitments Lending Offices Schedule 1 - Borrowing Notice for WFT Schedule 1A - Borrowing Notice for WFUS Schedule 2 - Notice of Repayment or Cancellation Schedule 3 - Quarterly Compliance Certificate Schedule 4 - Material Subsidiaries Schedule 5 - Lender Assignment Agreement Schedule 6 - POA Letter of Credit Schedule 7 - Power of Attorney


 
1380-6618-2422.9 AMENDED AND RESTATED 2025 CREDIT AGREEMENT THIS AMENDED AND RESTATED CREDIT AGREEMENT dated as of the 30th day of May, 2025 BETWEEN: WEST FRASER TIMBER CO. LTD., a company formed by amalgamation under the laws of the Province of British Columbia, and WEST FRASER (USA), INC., a corporation incorporated under the laws of the State of Delaware as Borrowers AND: THOSE INSTITUTIONS WHOSE NAMES ARE SET FORTH ON THE EXECUTION PAGES HEREOF UNDER THE HEADINGS “CANADIAN LENDERS”, “US LENDERS” AND “TERM LENDERS”, as Lenders AND: THE TORONTO-DOMINION BANK, in its capacity as Administration Agent WHEREAS the parties are party to a 2023 credit agreement dated for reference July 25, 2023 (the “Existing Credit Agreement”), and the parties have now agreed to certain amendments thereto and in that regard have agreed that the Existing Credit Agreement will be amended and restated by this Agreement effective on the Closing Date; NOW THEREFORE in consideration of the mutual covenants and agreements herein set forth and other good and valuable consideration, the receipt and sufficiency whereof is hereby acknowledged, the parties agree as follows: ARTICLE 1 INTERPRETATION 1.1 Defined Terms. As used in this Agreement, the following terms have the following meanings: (a) “Accommodation” means the making of any Advance by a Lender and the issuance of a Fronted Letter of Credit by the Fronting Lender or a POA Letter of Credit by the Agent, and includes an Advance resulting from a Rollover or Conversion (whether requested or deemed to have been requested hereunder).


 
- 2 - 1380-6618-2422.9 (b) “Adjusted Daily Compounded CORRA” means, for purposes of any calculation, the rate per annum equal to: (i) Daily Compounded CORRA for such calculation plus (ii) the CORRA Adjustment, provided that, if Adjusted Daily Compounded CORRA as so determined for any day shall be less than the Floor, then Adjusted Daily Compounded CORRA shall be deemed to be the Floor for such day. (c) “Adjusted Daily Simple SOFR” means, for purposes of any calculation, the rate per annum equal to: (i) Daily Simple SOFR for such calculation plus (ii) the Daily Simple SOFR Adjustment, provided that, if the Adjusted Daily Simple SOFR as so determined shall ever be less than the Floor, then the Adjusted Daily Simple SOFR shall be deemed to be the Floor. (d) “Adjusted Term CORRA” means, for purposes of any calculation, the rate per annum equal to: (i) Term CORRA for such calculation plus (ii) the CORRA Adjustment, provided that, if the Interest Period with respect to the applicable Term CORRA Advance is a Non-Standard Interest Period, then Adjusted Term CORRA shall be the CORRA Interpolated Rate; and provided further that, if Adjusted Term CORRA as so determined for any day shall be less than the Floor, then Adjusted Term CORRA shall be deemed to be the Floor for such day. (e) “Adjusted Term SOFR” means, for purposes of any calculation, the rate per annum equal to: (i) Term SOFR for such calculation plus (ii) the Term SOFR Adjustment,


 


 
- 4 - 1380-6618-2422.9 For the purposes of determining the Applicable Margin at any time, the following shall apply: (i) If, excluding any Disregarded Ratings, there are two Credit Ratings assigned at such time and such Credit Ratings differ by one level, the highest such Credit Rating will apply. (ii) If, excluding any Disregarded Ratings, there are two Credit Ratings assigned at such time and such Credit Ratings differ by more than one level, the average of the two such Credit Rating levels will apply. (iii) If there is only one Credit Rating assigned at such time, then such Credit Rating will apply. (iv) If there are no Credit Ratings assigned at such time, the lowest such Credit Rating set forth in the pricing grid above will apply. (v) The Applicable Margin shall be determined from time to time by the Agent based upon the Credit Ratings, or a change in the Credit Ratings, provided by the Credit Rating Agencies. For greater certainty, the Agent shall only be required to redetermine the Applicable Margin if it receives notice of a change in a Credit Rating from WFT or the absence of a Credit Rating pursuant to Section 7.2(f), and shall be entitled to rely on any such notice. A determination or redetermination of the Applicable Margin by the Agent shall be conclusive and binding for all purposes hereof, absent demonstrable error. The Agent shall provide notice to the Borrowers and the Lenders of any change in the Applicable Margin as so determined or redetermined by it. (vi) A change in the Applicable Margin necessitated by a change in, or the absence of, Credit Ratings shall have effect as regards Prime Rate Advances, NY Prime Rate Advances, US Base Rate Advances, SOFR Advances and CORRA Advances, then outstanding on the effective day of such change (the “change effective day”), shall have effect as regards Letter of Credit Fees and Standby Fees on the change effective day, and shall have effect as regards fresh Accommodations on or after the change effective day. (k) “Asset Disposition” means any sale, lease, transfer or other disposition (or series of related sales, leases, transfers or dispositions) of property or assets by or on behalf of WFT or any of its Restricted Subsidiaries (including any such sale, lease, transfer or other disposition by means of an amalgamation, merger, consolidation or similar transaction), but for greater certainty excludes the granting of a mortgage and a lease of property or assets for a period which would not constitute a disposition under GAAP.


 
- 5 - 1380-6618-2422.9 (l) “Assignee” means a Person to whom an assignment of all or any part of a Lender’s interest in a Credit Facility is made in accordance with Section 4.9(b). (m) “Attributable Indebtedness” in respect of a Sale-Leaseback Transaction or a Lease-Leaseback Transaction means, as at the time of determination, the amount of Capital Lease Obligations under such lease as reflected on the balance sheet of the lessee (in the case of a Sale-Leaseback Transaction) or sublessee (in the case of a Lease-Leaseback Transaction). (n) “Authorized Officer” means, in respect of a Person, the chair, the president, the chief executive officer, the chief financial officer, the chief legal officer, the secretary or the treasurer of such Person or, in the case of WFUS, a Person designated in writing by the president of WFUS for purposes of this Agreement. (o) “Available Tenor” means, as of any date of determination and with respect to any then-current Benchmark, as applicable, (x) if such Benchmark is a term rate, any tenor for such Benchmark (or component thereof) or payment period for interest calculated with reference to such Benchmark, as applicable, that is or may be used for determining the length of an Interest Period pursuant to this Agreement as of such date or (y) otherwise, any payment period for interest calculated with reference to such Benchmark (or component thereof) that is or may be used for determining any frequency of making payments of interest calculated with reference to such Benchmark, in each case, as of such date, and not including, for the avoidance of doubt, any tenor for such Benchmark that is then-removed as an available tenor pursuant to Section 9.4(d). (p) “basis point” and “bps” each mean one one-hundredth of one percent, or 0.01%. (q) “Benchmark” means, initially, (a) in respect of any SOFR Advance, the Term SOFR Reference Rate, (b) in respect of any Term CORRA Advance, the Term CORRA Reference Rate and (c) in respect of any Daily Compounded CORRA Advance, CORRA; provided in each case that if a Benchmark Transition Event has occurred with respect to any then-current Benchmark, then “Benchmark” means the applicable Benchmark Replacement to the extent that such Benchmark Replacement has replaced such prior benchmark rate pursuant to Section 9.4(a). (r) “Benchmark Advance” means any Advance that bears interest with reference to any Benchmark (or any Benchmark Replacement thereof). (s) “Benchmark Fallback Advances” means (a) in respect of any SOFR Advance, NY Prime Rate Advances, (b) in respect of any Term CORRA Advance, Daily Compounded CORRA Advance, and (c) in respect of any Daily Compounded CORRA Advance, Prime Rate Advance. (t) “Benchmark Replacement” means, with respect to any Benchmark Transition Event for any then-current Benchmark: (i) with respect to obligations, interest, fees, commissions or other amounts calculated with respect to the Term SOFR Reference Rate (or any Benchmark replacing the Term SOFR Reference Rate), the first alternative


 
- 6 - 1380-6618-2422.9 set forth in the order below that can be determined by the Agent for the applicable Benchmark Replacement Date: (A) Adjusted Daily Simple SOFR; or (B) the sum of: (A) the alternate benchmark rate that has been selected by the Agent and the applicable Borrower giving due consideration to (I) any selection or recommendation of a replacement benchmark rate or the mechanism for determining such a rate by the Relevant Governmental Body or (II) any evolving or then-prevailing market convention for determining a benchmark rate as a replacement to the then-current Benchmark for US Dollar-denominated syndicated credit facilities at such time and (B) the related Benchmark Replacement Adjustment; (ii) with respect to obligations, interest, fees, commissions or other amounts calculated with respect to the Term CORRA Reference Rate (or any Benchmark replacing the Term CORRA Reference Rate), the first alternative set forth in the order below that can be determined by the Agent for the applicable Benchmark Replacement Date: (A) Adjusted Daily Compounded CORRA: or (B) the sum of: (A) the alternate benchmark rate that has been selected by the Agent and the applicable Borrower giving due consideration to (I) any selection or recommendation of a replacement benchmark rate or the mechanism for determining such a rate by the Relevant Governmental Body or (II) any evolving or then-prevailing market convention for determining a benchmark rate as a replacement to the then-current Benchmark for Canadian Dollar-denominated syndicated credit facilities and (B) the related Benchmark Replacement Adjustment; and (iii) with respect to obligations, interest, fees, commissions or other amounts calculated with respect to CORRA (or any Benchmark replacing CORRA), the sum of: (i) the alternate benchmark rate that has been selected by the Agent and the applicable Borrower giving due consideration to (A) any selection or recommendation of a replacement benchmark rate or the mechanism for determining such a rate by the Relevant Governmental Body or (B) any evolving or then prevailing market convention for determining a benchmark rate as a replacement to the then-current Benchmark for Canadian Dollar-denominated syndicated credit facilities and (ii) the related Benchmark Replacement Adjustment; provided that, if the Benchmark Replacement as so determined above would be less than the Floor, the Benchmark Replacement shall be deemed to be the Floor for the purposes of this Agreement and the other Credit Facility Documents. (u) “Benchmark Replacement Adjustment” means, with respect to any replacement of the then-current Benchmark with an Unadjusted Benchmark Replacement the spread adjustment, or method for calculating or determining such spread


 
- 7 - 1380-6618-2422.9 adjustment, (which may be a positive or negative value or zero) that has been selected by the Agent and applicable Borrower giving due consideration to (i) any selection or recommendation of a spread adjustment, or method for calculating or determining such spread adjustment, for the replacement of such Benchmark with the applicable Unadjusted Benchmark Replacement by the Relevant Governmental Body and/or (ii) any evolving or then-prevailing market convention for determining a spread adjustment, or method for calculating or determining such spread adjustment, for the replacement of such Benchmark with the applicable Unadjusted Benchmark Replacement for US Dollar or Canadian Dollar denominated syndicated credit facilities at such time. (v) “Benchmark Replacement Date” means, with respect to any Benchmark, the earliest to occur of the following events with respect to any then-current Benchmark: (i) in the case of clause (i) or (ii) of the definition of “Benchmark Transition Event”, the later of (i) the date of the public statement or publication of information referenced therein and (ii) the date on which the administrator of such Benchmark (or the published component used in the calculation thereof) permanently or indefinitely ceases to provide all Available Tenors of such Benchmark (or such component thereof); or (ii) in the case of clause (iii) of the definition of “Benchmark Transition Event”, the first date on which all Available Tenors of such Benchmark (or the published component used in the calculation thereof) have been determined and announced by or on behalf of the administrator of such Benchmark (or such component thereof) or the regulatory supervisor for the administrator of such Benchmark (or such component thereof) to be non-representative; provided, that such non-representativeness will be determined by reference to the most recent statement or publication referenced in such clause (iii) and even if any Available Tenor of such Benchmark (or such component thereof) continues to be provided on such date. For the avoidance of doubt, the “Benchmark Replacement Date” will be deemed to have occurred in the case of clause (i) or (ii) with respect to any Benchmark upon the occurrence of the applicable event or events set forth therein with respect to all then-current Available Tenors of such Benchmark (or the published component used in the calculation thereof). (w) “Benchmark Transition Event” means, with respect to any Benchmark, the occurrence of one or more of the following events with respect to any then-current Benchmark: (i) a public statement or publication of information by or on behalf of the administrator of such Benchmark (or the published component used in the calculation thereof) announcing that such administrator has ceased or will cease to provide all Available Tenors of such Benchmark (or such component thereof), permanently or indefinitely, provided that, at the time of such statement or publication, there is no successor administrator that


 
- 8 - 1380-6618-2422.9 will continue to provide any Available Tenor of such Benchmark (or such component thereof); (ii) a public statement or publication of information by the regulatory supervisor for the administrator of such Benchmark (or the published component used in the calculation thereof), the Board of Governors of the Federal Reserve System, the Federal Reserve Bank of New York, the Term SOFR Administrator, the Bank of Canada, an insolvency official with jurisdiction over the administrator for such Benchmark (or such component thereof), a resolution authority with jurisdiction over the administrator for such Benchmark (or such component) or a court or an entity with similar insolvency or resolution authority over the administrator for such Benchmark (or such component thereof), in each case, which states that the administrator of such Benchmark (or such component thereof) has ceased or will cease to provide all Available Tenors of such Benchmark (or such component thereof) permanently or indefinitely, provided that, at the time of such statement or publication, there is no successor administrator that will continue to provide any Available Tenor of such Benchmark (or such component thereof); or (iii) a public statement or publication of information by or on behalf of the administrator of such Benchmark (or the published component used in the calculation thereof) or the regulatory supervisor for the administrator of such Benchmark (or the published component used in the calculation thereof) announcing that all Available Tenors of such Benchmark (or such component thereof) are no longer, or as of a specified future date will no longer be, representative. For the avoidance of doubt, a “Benchmark Transition Event” will be deemed to have occurred with respect to any Benchmark if a public statement or publication of information set forth above has occurred with respect to each then-current Available Tenor of such Benchmark (or the published component used in the calculation thereof). (x) “Benchmark Unavailability Period” means, in respect of any Benchmark, the period (if any) (x) beginning at the time that a Benchmark Replacement Date has occurred in respect of such Benchmark, if, at such time, no Benchmark Replacement has replaced such then-current Benchmark for all purposes hereunder and under any other Credit Facility Document in accordance with Section 9.4(a) and (y) ending at the time that a Benchmark Replacement has replaced such then-current Benchmark for all purposes hereunder and under any other Credit Facility Documents in accordance with Section 9.4. (y) “Beneficiary” means, in respect of any Letter of Credit, the beneficiary specified therein or any other Person to whom payments may be required to be made pursuant to such Letter of Credit. (z) “Borrowers” means WFT and WFUS, and “Borrower” means either of them. (aa) “Borrowing” means a utilization by a Borrower of a Credit Facility by way of Prime Rate Advances, NY Prime Rate Advances, US Base Rate Advances, SOFR


 
- 9 - 1380-6618-2422.9 Advances, CORRA Advances or Letters of Credit, and “Borrowings” means the aggregate of such utilizations. (bb) “Borrowing Notice” means a notice by WFT to the Agent substantially in the form attached as Schedule 1 hereto if WFT is the applicable Borrower, or a notice by WFUS to the Agent substantially in the form attached as Schedule 1A hereto if WFUS is the applicable Borrower, in each case signed by a Responsible Officer of such Borrower. (cc) “Business Day” means any day other than a Saturday or a Sunday or a legal holiday on which commercial banks are authorized or required by law to be closed for business in Vancouver, British Columbia, Montréal, Québec, Toronto, Ontario or New York, New York; provided, that, when used in connection with a SOFR Advance, or any other calculation or determination involving SOFR, the term “Business Day” means any such day that is also a US Government Securities Business Day; (dd) “Canadian Dollar Equivalent” means, on any date in respect of an amount in US Dollars, the amount obtained by converting the relevant US Dollar amount into the Equivalent Amount in Canadian Dollars. (ee) “Canadian Dollars” and “Cdn$” each mean lawful money of Canada. (ff) “Canadian Lender Revolver Commitment” means, as to any Canadian Lender, the obligation of that Canadian Lender to make Accommodations to WFT under the Revolver Facility in an aggregate principal amount not exceeding the applicable amount set forth opposite such Canadian Lenders’ name on Part 1 of Appendix A to this Agreement, as such amounts may be reduced or reallocated from time to time in accordance with the provisions of this Agreement. (gg) “Canadian Lenders” means those financial institutions whose names are set forth on the execution pages hereof under the heading “Canadian Lenders” and their respective successors and assigns. (hh) “Canadian Lending Office” means, as to each Canadian Lender and Term Lender, the office of such Lender specified as its Canadian Lending Office in Appendix A, or such other office in Canada as such Lender may from time to time designate as its Canadian Lending Office by notice to the Agent. (ii) “Capital Lease” means a lease of (or other agreement conveying the right to use) real or personal property, which lease is required to be classified and accounted for as a capital lease on a balance sheet of the lessee under GAAP. (jj) “Capital Lease Obligations” means, as to any Person, the obligations of such Person to pay rent or other amounts under a Capital Lease and, for purposes of this Agreement, the amount of such obligations shall be the capitalized amount thereof determined in accordance with GAAP on or as of the date of this Agreement regardless of any change in GAAP since that date. (kk) “Cash Equivalents” means:


 
- 10 - 1380-6618-2422.9 (i) marketable securities issued, or directly and fully guaranteed by, the Canadian or United States government or any agency or instrumentality of the Canadian or United States government (provided that the full faith and credit of Canada or the United States, respectively, is pledged in support of those securities) maturing within 365 days from the date of acquisition; (ii) commercial paper maturing within 180 days from the date of acquisition, and rated: (A) in Canada, A-1 (Low) or better by S&P or R-1 (low) or better by DBRS; or (B) in the United States, P-2 or better by Moody’s or A-2 or better by S&P; and (iii) certificates of deposit or other obligations maturing within 365 days of the date of acquisition, in each case issued or accepted by a bank that is organized under the laws of Canada or the laws of the United States or any state thereof, and which bank has, or the obligations of which bank are guaranteed by a Person that has, combined capital, surplus and undistributed profits of at least US$2 billion (or the foreign currency equivalent thereof) and has outstanding debt which is rated “A” (or similar equivalent rating) or higher by at least one of S&P, Moody’s or DBRS. (ll) “Category 1 Subordinated Debt” means Subordinated Debt that has the following features: (i) such Subordinated Debt matures no earlier than the date (in this provision, the “permitted date”) which is three months following the Revolver Maturity Date, and no payments or prepayments of principal (whether in cash or other property) may be made prior to the permitted date unless such payment or prepayment is made by delivery of common shares of WFT or preferred shares of WFT that are not redeemable prior to the permitted date; (ii) interest on such Subordinated Debt may be paid in arrears by delivery of common shares of WFT or preferred shares of WFT that are not redeemable prior to the permitted date described in (i) above or, subject to clause (iii) below, in cash; (iii) the applicable WF Party will not make any payment on or in respect of such Subordinated Debt, and the holders of such Subordinated Debt will not be entitled to demand, institute proceedings for the collection of, or receive any payment or benefit (including without limitation by set-off, combination of accounts or otherwise in any manner whatsoever) on account of such Subordinated Debt (a) at any time when a Default or Event of Default has occurred and is continuing under this Agreement, as amended, restated or replaced from time to time, or under a Hedge Obligation to any Lender party to this Agreement from time to time or one of its Affiliates, or (b) at any time when a default with respect to any Senior Debt permitting the holders thereof to accelerate the maturity thereof has occurred and is continuing


 
- 11 - 1380-6618-2422.9 and notice of such default has been given by or on behalf of the holders of such Senior Debt to WFT or the applicable WF Party, unless such Senior Debt has been repaid in full; (iv) the holders of such Subordinated Debt shall, by the terms thereof, not be entitled to commence any Enforcement Action against any WF Party in respect of such Subordinated Debt until the expiry of the period of 90 days after the date that the Agent has received a validly issued Notice of Default from the holder or holders of such Subordinated Debt; (v) such Subordinated Debt provides, by its terms, that in the event of any insolvency or bankruptcy proceedings, or any receivership, liquidation, reorganization or other similar proceedings relative to WFT or WFUS, or to its respective property or assets, or in the event of any proceedings for voluntary liquidation, dissolution or other winding-up of WFT or WFUS, whether or not involving insolvency or bankruptcy, then the holders of Senior Debt will receive payment in full before the holders of such Subordinated Debt will be entitled to receive any payment or distribution of any kind or character, whether in cash, property or securities, which may be payable or deliverable in any such event in respect of such Subordinated Debt or any unpaid interest accrued thereon; (vi) in the event that the terms of such Subordinated Debt include financial covenants, then (a) any debt to capitalization covenant that is substantially similar to the covenant in Section 7.3(a) of this Agreement shall not require the ratio of Consolidated Indebtedness to Total Capitalization to be less than or equal to 57.5%; (b) any debt to capitalization covenant that is substantially similar to the covenant in Section 7.3(c) of this Agreement shall not require the ratio of (x) Consolidated Indebtedness plus Category 1 Subordinated Debt plus Category 2 Subordinated Debt to (y) Total Capitalization to be less than 65%; (c) any interest coverage covenant that is substantially similar to the covenant in Section 7.3(b) of this Agreement shall not require the ratio of EBITDA to Interest Expense to be greater than 1.5 to 1; and (d) such Subordinated Debt shall contain no other financial or financial ratio covenants unless the Agent is satisfied that they are materially less onerous to the Borrowers than the financial covenants contained in this Agreement (as amended from time to time), and in any event the Agent may require that any such financial or financial ratio covenant be included in this Agreement. (mm) “Category 2 Subordinated Debt” means Subordinated Debt that has all the features of Category 1 Subordinated Debt, except that the holder or holders of such Subordinated Debt shall, by the terms thereof, not be entitled to commence any Enforcement Action against any WF Party in respect of such Subordinated Debt until all obligations of the Borrowers under this Agreement have been fully and indefeasibly paid and satisfied. (nn) “CERCLA” means the Comprehensive Environmental Response, Compensation and Liability Act (United States).


 
- 12 - 1380-6618-2422.9 (oo) “Change of Control” means the acquisition by any Person or combination of Persons acting jointly or in concert of shares of WFT entitling the holders of such shares to cast more than 50% of the votes carried by all shares of WFT having the right to vote (not dependent on any contingency) for the election of directors of WFT. (pp) “Change of Law” means the occurrence, after the date of this Agreement, of: (i) the adoption or taking effect of any Law; (ii) any change in any Law or in the administration, interpretation, implementation or application thereof by any Governmental Authority; or (iii) the making or issuance of any request, rule, guideline or directive (whether or not having the force of law) by any Governmental Authority; provided that notwithstanding anything herein to the contrary, (iv) the Dodd-Frank Wall Street Reform and Consumer Protection Act (United States) and all requests, rules, guidelines or directives thereunder or issued in connection therewith; and (v) all requests, rules, guidelines or directives promulgated by the Bank for International Settlements, the Basel Committee on Banking Supervision (or any successor or similar authority) or the United States or foreign regulatory authorities, in each case pursuant to Basel III, shall in each case be deemed to be a Change of Law, regardless of the date enacted, adopted or issued. (qq) “Closing Date” means May 30, 2025 and “Closing” means the fulfillment of the conditions set out in Section 5.1. (rr) “Commitment” means, as to any Lender in respect of a Credit Facility, the obligation of that Lender to make Accommodations to a Borrower under the Credit Facility in an aggregate principal amount not exceeding the applicable amount set forth opposite such Lender’ s name on Appendix A to this Agreement in respect of such Credit Facility, as such amounts may be reduced or reallocated from time to time in accordance with the provisions of this Agreement. (ss) “Commodity Swap Agreement” means any contract for sale, purchase or exchange or for future delivery of commodities (whether or not the subject commodities are to be delivered, and whether a “put” or a “call”), hedging contract, forward contract, swap agreement, futures contract, option contract, cap or collar agreement or other commodity pricing protection agreement or option with respect to any such transaction (or any combination of the foregoing, or any derivative thereof), designed to hedge against fluctuations in prices of the subject commodities. (tt) “Compensation” has the meaning ascribed to that term in Section 9.6.


 
- 13 - 1380-6618-2422.9 (uu) “Conforming Changes” means, with respect to either the use or administration of the Term CORRA, Daily Compounded CORRA, Term SOFR or Daily Simple SOFR or the use, administration, adoption or implementation of any Benchmark Replacement under 9.4, any technical, administrative or operational changes (including changes to the definition of “Prime Rate”, the definition of “NY Prime Rate”, the definition of “US Base Rate”, the definition of “Business Day”, the definition of “US Government Securities Business Day”, the definition of “Interest Period”, or any similar or analogous definition (or the addition of a concept of “interest period”), timing and frequency of determining rates and making payments of interest, timing of borrowing requests or prepayment, conversion or continuation notices, the applicability and length of lookback periods, the applicability of breakage provisions, and other technical, administrative or operational matters) that the Agent decides, acting reasonably, may be appropriate to reflect the adoption and implementation of any such rate and to permit the use and administration thereof by the Agent in a manner substantially consistent with market practice (or, if the Agent decides that adoption of any portion of such market practice is not administratively feasible or if the Agent determines that no market practice for the administration of any such rate exists, in such other manner of administration as the Agent decides, acting reasonably, is necessary in connection with the administration of this Agreement and the other Credit Facility Documents). (vv) “Consolidated Indebtedness” means, at any time, Indebtedness of WFT and its Restricted Subsidiaries at such time, determined on a consolidated basis in accordance with GAAP, but excluding Category 1 Subordinated Debt and Category 2 Subordinated Debt. (ww) “Consolidated Net Income” means, for any period, the net income of WFT and its Restricted Subsidiaries for that period determined on a consolidated basis in accordance with GAAP. (xx) “Consolidated Net Tangible Assets” means, as at any date, the aggregate amount of the consolidated assets of WFT and its Subsidiaries after deducting therefrom: (1) all consolidated current liabilities (other than current maturities with respect to debt), (2) all goodwill, trade names, trademarks, patents, unamortized debt discount and expense and other like intangibles, and (3) appropriate adjustments on account of minority interests of other persons holding shares of WFT’s Subsidiaries, all as set forth in the most recent balance sheet of WFT in the then latest annual or interim report to the shareholders of WFT and computed in accordance with GAAP. For purposes of clause (2) above, timber tenures or rights including but not limited to any lease, licence, permit, quota or similar agreement (which were not treated as intangibles in accordance with GAAP on or as of October 15, 2004) will not be deducted pursuant to clause (2), regardless of any change in GAAP since October 15, 2004 that would require such timber tenures or rights to be accounted for as intangibles, and will be accounted for (for the purpose of this calculation) in accordance with GAAP on or as of October 15, 2004, and power purchase agreements shall not be accounted for as intangibles notwithstanding any other treatment under GAAP. (yy) “Consolidated Shareholders’ Equity” means, as of the date of any determination thereof, the consolidated shareholders’ equity of WFT and its Restricted


 
- 14 - 1380-6618-2422.9 Subsidiaries as at the end of the most recent fiscal quarter of WFT, determined in accordance with GAAP. (zz) “Control” means the possession, directly or indirectly, of the power to direct or cause the direction of the management or policies of a Person, whether through the ability to exercise voting power, by contract or otherwise, and “Controlling” and “Controlled” have corresponding meanings. (aaa) “Conversion” means, in respect of any type of Advance, the conversion of the method for calculating interest or fees thereon from one method to another pursuant to Sections 3.8. In addition, the repayment in full by the Borrowers of the amount outstanding under an Accommodation in one currency and the concurrent making of an Accommodation in another currency, whereby the aggregate Principal Outstanding in Canadian Dollars (with Principal Outstanding in US Dollars deemed to be the Canadian Dollar Equivalent) remains the same before and after such transactions, shall also be considered to be a Conversion for the purposes of this Agreement. (bbb) “Core Business” means the forest products businesses now or hereafter carried on by WFT and its Restricted Subsidiaries, including timberlands, lumber, panels, pulp, paper, wood chips, energy and ancillary or complementary businesses. (ccc) “corporation” includes a company incorporated under the Business Corporations Act (British Columbia) or a corporation incorporated under the Canada Business Corporations Act, and any other corporation wherever or however incorporated. (ddd) “CORRA” means the Canadian Overnight Repo Rate Average administered and published by the Bank of Canada (or any successor administrator); (eee) “CORRA Adjustment” means, with respect to Term CORRA or Daily Compounded CORRA (a) 0.29547% (29.547 basis points) per annum for an Available Tenor of one-month’s duration and (b) 0.32138% (32.138 basis points) per annum for an Available Tenor of three-months’ duration. (fff) “CORRA Advances” means, collectively, Term CORRA Advances and Daily Compounded CORRA Advances. (ggg) “CORRA Interest Date” means the date falling on the last day of each Interest Period in respect of a CORRA Advance. (hhh) “CORRA Interpolated Rate” means, for any Term CORRA Advance for a Non- Standard Interest Period, the rate per annum determined by the Agent making such Term CORRA Advance (which determination shall be conclusive and binding absent manifest error) to be equal to the rate that results from interpolating on a linear basis between: (a) Adjusted Term CORRA for the longest Interest Period that is not a Non-Standard Interest Period for which Adjusted Term CORRA is available that is shorter than the Non-Standard Interest Period of such Term CORRA Advance and (b) Adjusted Term CORRA for the shortest Interest Period that is not a Non-Standard Interest Period for which Adjusted Term CORRA is available that exceeds the Non-Standard Interest Period of such Term CORRA Advance, at such time; provided that when determining the CORRA Interpolated


 
- 15 - 1380-6618-2422.9 Rate for a Non-Standard Interest Period which is less than one month, the CORRA Interpolated Rate shall be deemed to be Adjusted Term CORRA for an Interest Period of one month’s duration. (iii) “CPA Handbook” means the CPA Canada Handbook - Accounting. (jjj) “Credit Facilities” means the Revolver Facility and the Term Facility, and “Credit Facility” means either one of them. (kkk) “Credit Facility Documents” means this Agreement, Letters of Credit and all other documents necessary to implement the financing contemplated under this Agreement. (lll) “Credit Rating” means, at any time, the issuer rating assigned to WFT by any Credit Rating Agency, and “Credit Ratings” means two, three or four such issuer ratings, as the case may be. (mmm) “Credit Rating Agency” means, at any time, any of S&P, DBRS, Fitch and Moody’s (or such other internationally recognized credit rating agency acceptable to the Majority Lenders) if, at such time, it has assigned a Credit Rating to WFT, and “Credit Rating Agencies” means two, three or four such credit rating agencies, as the case may be. (nnn) “Daily Compounded CORRA” means, for any day, in an Interest Period, CORRA with interest accruing on a compounded daily basis, with the methodology and conventions for this rate (which will include compounding in arrears with a five (5) Business Day lookback period without observational shift) being established by the Agent in accordance with the methodology and conventions for this rate selected or recommended by the Relevant Governmental Body for determining compounded CORRA for business loans; provided that if the Agent decides that any such methodology or convention is not administratively feasible for the Agent, then the Agent may establish another methodology or convention in its discretion, acting reasonably; and provided that if the administrator has not provided or published CORRA and a Benchmark Transition Event with respect to CORRA has not occurred, then, in respect of any day for which CORRA is required, references to CORRA will be deemed to be references to the last provided or published CORRA. (ooo) “Daily Compounded CORRA Advance” means a Advance that bears interest at a rate based on Adjusted Daily Compounded CORRA. (ppp) “Daily Simple SOFR” means, for any day (a “SOFR Rate Day”), a rate per annum equal to SOFR for the day (such day, the “SOFR Determination Date”) that is five US Government Securities Business Days prior to: (i) if such SOFR Rate Day is a US Government Securities Business Day, such SOFR Rate Day; or (ii) if such SOFR Rate Day is not a US Government Securities Business Day, the US Government Securities Business Day immediately preceding such


 
- 16 - 1380-6618-2422.9 SOFR Rate Day, in each case as such SOFR is published by the SOFR Administrator on the SOFR Administrator’s Website, provided that any change in Daily Simple SOFR due to a change in SOFR shall be effective from and including the effective date of such change in SOFR without notice to the Borrowers. (qqq) “Daily Simple SOFR Adjustment” means, with respect to Daily Simple SOFR, 10 basis points. (rrr) “Daily Simple SOFR Advances” means Advances on which interest is determined by reference to the Adjusted Daily Simple SOFR in effect from time to time. (sss) “DBRS” means DBRS Limited, and its successors. (ttt) “Default” means an event which, with the giving of notice or passage of time, or both, would constitute an Event of Default. (uuu) “Disregarded Rating” means, if there are Credit Ratings assigned by three Credit Rating Agencies and not all are the same, the lowest such Credit Rating; provided that if there are two such Credit Ratings that are the same and are lower than the third such Credit Rating, the one such lower Credit Rating so designated by the Agent shall be the Disregarded Rating; and “Disregarded Ratings” means, if there are Credit Ratings assigned by four Credit Rating Agencies and not all are the same, the two lowest such Credit Ratings; provided that, (x) if there are three such Credit Ratings that are the same and are lower than the fourth, the two such lower Credit Ratings so designated by the Agent shall be the Disregarded Ratings, or (y) if there are two such Credit Ratings that are the same and are higher than the third such Credit Rating and lower than the fourth such Credit Rating, one of the two such Credit Ratings so designated by the Agent, together with the lowest such Credit Rating shall be the Disregarded Ratings. (vvv) “Distribution” by a Person means: (i) any dividend or distribution on or in respect of the shares of such Person (including any payment in connection with any merger or consolidation) to the direct or indirect holders of its shares (except dividends or distributions payable solely in shares or in options, warrants or other rights to purchase shares, and except dividends or distributions payable by a Restricted Subsidiary to WFT or another Restricted Subsidiary); and (ii) any purchase, redemption, acquisition or retirement for value with respect to any shares of such Person or any direct or indirect holding body of such Person (except purchases, redemptions, acquisitions or retirements for value with respect to any shares of a Restricted Subsidiary). (www) “EBITDA” means, for any particular period, Consolidated Net Income for such period, (i) plus, to the extent deducted in calculating Consolidated Net Income for such period:


 
- 17 - 1380-6618-2422.9 (A) the amount of all Interest Expense, depreciation, amortization (including amortization of goodwill), non-cash items in respect of (i) the closure, restructuring, conversion, sale, abandonment or other disposition of property, plant and equipment and (ii) write-downs of property, plant, equipment, timberlands and goodwill, equity-based compensation expense and income taxes for such period; (B) all extraordinary losses for such period determined in accordance with GAAP; (C) any loss resulting from a change in the exchange rate at which Indebtedness of WFT or any Restricted Subsidiary denominated in a foreign currency is translated into US Dollars and exchange loss recognized through earnings on intercompany financing arrangements not considered part of WFT’s permanent investment in any Subsidiary formed in the United States; (D) any loss resulting from a “mark to market” or other determination of the fair value of a financial asset or financial liability associated with an unterminated financial instrument (as that term is defined and used in the CPA Handbook from time to time) of WFT or a Restricted Subsidiary; and (E) any amortization or depreciation included in the income statement relating to joint ventures of WFT that use the equity method of accounting under GAAP instead of the proportional consolidation method of accounting; (ii) less, to the extent added in calculating Consolidated Net Income for such period: (A) all extraordinary gains for such period determined in accordance with GAAP; (B) any gain resulting from a change in the exchange rate at which Indebtedness of WFT or any Restricted Subsidiary denominated in a foreign currency is translated into US Dollars and exchange gain recognized through earnings on intercompany financing arrangements not considered part of WFT’s permanent investment in any Subsidiary formed in the United States; and (C) any gain resulting from a “mark to market” or other determination of the fair value of a financial asset or financial liability associated with an unterminated financial instrument (as that term is defined and used in the CPA Handbook from time to time) of WFT or a Restricted Subsidiary. (xxx) “Enforcement Action” means, in respect of Subordinated Debt, any action taken by or on behalf of the holder or holders of such Subordinated Debt to accelerate, sue in respect of, or realize, exercise or enforce any right, entitlement, power or


 
- 18 - 1380-6618-2422.9 remedy under or in respect of such Subordinated Debt, including without limitation the appointment of a receiver, receiver-manager or similar official. (yyy) “Environmental Laws” means all applicable Laws and Governmental Approvals (whether or not having the force of Law, and including consent decrees as to which WFT or any of its Subsidiaries is a party or otherwise subject, and administrative orders which may affect WFT or any Subsidiary) relating to public or worker health and safety, protection of the environment or the release of Hazardous Materials. (zzz) “Equity Securities” means “equity securities” and “voting securities”, each as defined in the Securities Act (British Columbia). (aaaa) “Equivalent Amount” means, unless another method of calculation is set out in this Agreement, on a particular date in respect of any amount expressed in a particular currency (the “first currency”), the equivalent amount expressed in a second designated currency (the “second currency”) determined by reference to the spot rate of exchange for such conversion as quoted by the Bank of Canada at the close of business on the Business Day that such conversion is to be made (or, if such conversion is to be made before close of business on such Business Day, then at close of business on the immediately preceding Business Day) at which the first currency may be exchanged into the second currency as published on the Reuters Screen page BOFC. In the event that such rate does not appear on such Reuters Screen page, such rate shall be ascertained by reference to any other means (as selected by the Agent) by which such rate is quoted or published from time to time by the Bank of Canada; provided that if, at the time of any such determination, for any reason, no such exchange rate is being quoted or published, the Agent may use such reasonable method as it considers appropriate to ascertain such rate, and the resulting determination shall be conclusive absent demonstrable error. (bbbb) “ERISA” means the Employee Retirement Income Security Act of 1974 (United States). (cccc) “ERISA Affiliate” means a member of a group of corporations or member of a group of trades or businesses (whether or not incorporated) under common control which, together with a Borrower, is treated as a single employer under Section 414(b), (c), (m) or (o) of the IRC or Section 4001(b) of ERISA. (dddd) “ERISA Plan” means any “employee benefit plan” as such term is defined in Section 3(3) of ERISA (other than a Multiemployer Plan), which a Borrower maintains, sponsors or contributes to, or, in the case of an employee benefit plan which is subject to Section 412 of the IRC or Title IV of ERISA, to which a Borrower or any ERISA Affiliate may have any liability, including any liability by reason of having been a substantial employer within the meaning of Section 4063 of ERISA at any time during the preceding five years, or by reason of being deemed to be a contributing sponsor under Section 4069 of ERISA. (eeee) “Erroneous Payment Subrogation Rights” has the meaning given in Section 11.9(f)(i). (ffff) “Event of Default” means any of the events specified in Section 8.1.


 
- 19 - 1380-6618-2422.9 (gggg) “Exchange Rate Swap Agreement” means any contract for sale, purchase, or exchange or for future delivery of foreign currency (whether or not the subject currency is to be delivered or exchanged), hedging contract, forward contract, swap agreement, futures contract, or other foreign exchange protection agreement or option with respect to any such transaction (or any combination of the foregoing or any derivative thereof), designed to hedge against fluctuations in foreign exchange rates. (hhhh) “Excluded Taxes” means, with respect to the Agent or any Lender: (i) taxes imposed on or measured by overall net income or capital of the Agent or such Lender (however denominated), and franchise taxes imposed on it (in lieu of net income taxes), by the jurisdiction (or any political subdivision thereof) under the laws of which the Agent or such Lender is organized or in which its principal office is located or in which its applicable lending office is located; (ii) any branch profits taxes or any similar tax imposed by any jurisdiction in which a Borrower is located; and (iii) U.S. federal withholding taxes imposed pursuant to FATCA. (iiii) “Existing Credit Agreement” has the meaning set forth in the first recital hereto. (jjjj) “Face Amount” means, in respect of a Letter of Credit, the maximum amount payable to the Beneficiary, provided that for the purposes of the definition of “Principal Outstanding” and Section 2.12, the Face Amount of any Letter of Credit shall include any unreimbursed amount in respect of a drawing under such Letter of Credit. (kkkk) “FATCA” means sections 1471 through 1474 of the IRC, as of the date of this Agreement (or any amended or successor version), any current or future regulations or official interpretations thereof and any agreements entered into pursuant to Section 1471(b)(1) of the IRC. (llll) “Federal Funds Rate” means, for any day, an interest rate per annum expressed on the basis of a 360 day year equal to the weighted average (rounded upwards if necessary to the next 0.01%) of the rates on overnight federal funds transactions with members of the United States Federal Reserve System arranged by federal funds brokers on such day, as published for such day (or, if such day is not a Business Day, for the immediately preceding Business Day) by the Federal Reserve Bank of New York; or, if such rate is not so published for any day which is a Business Day, the average (rounded upwards if necessary to the next 0.01%) of the quotations at approximately 11:00 a.m. (New York time) for such day for such transactions received by the Agent from three federal funds brokers of recognized standing selected by the Agent in its sole discretion, provided that if such rate so determined for any purpose shall, at any time, be less than the Floor, such rate shall be deemed to be the Floor for all purposes herein. (mmmm) “Fitch” means Fitch Ratings, Inc., and its successors.


 
- 20 - 1380-6618-2422.9 (nnnn) “Floor” means a rate of interest equal to 0.00% per annum. (oooo) “Foreign Lender” means: (i) in respect of the Canadian Lenders under the Revolver Facility and the Term Lenders, any Lender that is not organized under the laws of Canada and that is not otherwise considered or deemed in respect of any amount payable to it in respect of such Credit Facilities to be resident for income tax or withholding tax purposes in Canada by application of the laws of Canada; and (ii) in respect of the US Lenders under the Revolver Facility, any Lender that is not organized under the laws of the United States and that is not otherwise considered or deemed in respect of any amount payable to it in respect of such Credit Facility to be resident for income tax or withholding tax purposes in the United States by application of the laws of the United States. For purposes of this definition “Canada” includes each Province and Territory thereof and shall be deemed to constitute a single jurisdiction and “United States” includes the United States of America, each State thereof and the District of Columbia and shall be deemed to constitute a single jurisdiction. (pppp) “Fronted Letter of Credit” means a Letter of Credit issued by the Fronting Lender as contemplated by Article 4. (qqqq) “Fronting Lender” means TD Bank in its capacity as the issuer of Fronted Letters of Credit. (rrrr) “GAAP” means, in relation to any Person at any time (but subject to Section 1.3), accounting principles generally accepted in Canada as recommended in the CPA Handbook or IFRS, in each case applied on a basis consistent with the most recent audited financial statements of such Person and, if applicable, its consolidated Subsidiaries (except for changes disclosed in the notes to such financial statements). (ssss) “Governmental Approval” means any permit, licence, approval, consent, order, right, certificate, judgment, writ, injunction, award, determination, direction, decree, authorization, franchise, privilege, grant, waiver, exemption and other similar concession or by-law, rule or regulation, whether or not having the force of Law, of, by or from any Governmental Authority. (tttt) “Governmental Authority” means the government of Canada, the United States or any other nation, or of any political subdivision thereof, whether provincial, state or local, and any agency, authority, instrumentality, regulatory body, court, central bank or other entity exercising executive, legislative, judicial, taxing, regulatory or administrative powers or functions of or pertaining to government, including any supra-national bodies such as the European Union or the European Central Bank and including a minister of the Crown, the Superintendent of Financial Institutions or other comparable authority or agency.


 
- 21 - 1380-6618-2422.9 (uuuu) “Guarantee” means, with respect to any Person, any obligation (except the endorsement in the ordinary course of business of negotiable instruments for deposit or collection) of such Person guaranteeing or in effect guaranteeing any Indebtedness, dividend or other financial obligation of any other Person in any manner, whether directly or indirectly, including (without limitation) obligations incurred through an agreement, contingent or otherwise, by such Person: (i) to purchase such Indebtedness or any property constituting security therefor; (ii) to advance or supply funds for the purchase or payment of such Indebtedness or to maintain any working capital or other balance sheet condition or any income statement condition of any other Person or otherwise to advance or make available funds for the purchase or payment of such Indebtedness; (iii) to lease properties or to purchase properties or services primarily for the purpose of assuring the owner of such Indebtedness of the ability of any other Person to make payment of the Indebtedness; or (iv) otherwise to assure the owner of such Indebtedness against loss in respect of payment thereof; and in any computation of the Indebtedness or other liabilities of the obligor under any Guarantee, the Indebtedness or other financial obligations that are the subject of such Guarantee shall be assumed to be direct obligations of such obligor and the principal amount thereof and any other sums then due and owing shall be used in such computation. (vvvv) “Hazardous Materials” means: (i) any oil (including petroleum and petroleum products, including crude oil and any fraction thereof), flammable substances, explosives, radioactive materials, hazardous wastes or substances, toxic wastes or substances or any other wastes, contaminates, materials or pollutants which: (A) pose a hazard to any real property, the environment or to Persons on or about any real property; or (B) cause any real property to be in violation of any Law; (ii) asbestos in any form which is or could become friable, urea formaldehyde foam insulation, transformers or other equipment which contain dielectric fluid containing levels of polychlorinated biphenyls in excess of limits prescribed by Law, or radon gas; (iii) any chemical, material or substance defined as or included in the definition of “dangerous goods”, “deleterious substance”, “hazardous substances”, “hazardous wastes”, “hazardous materials”, “extremely hazardous wastes”, “restricted hazardous waste”, “toxic substances”, “waste” or words of similar import under any Law, including the Canadian Environmental


 
- 22 - 1380-6618-2422.9 Protection Act (Canada), Fisheries Act (Canada), Transportation of Dangerous Goods Act (Canada), Canada Water Act (Canada), CERCLA, Hazardous Materials Transportation Act (United States), Atomic Energy Act (United States), Federal Insecticide, Fungicide, and Rodenticide Act (United States) and any applicable legislation of any province, state or other jurisdiction (whether within or outside Canada or the United States); and (iv) any other chemical, material or substance, exposure to which is prohibited, limited or regulated by any Governmental Authority or which may or could pose a hazard to the environment, to the occupants of any real property or to any other Person coming upon any real property or adjacent or surrounding property; and references to a “release” of Hazardous Materials include spilling, leaking, pumping, pouring, emitting, emptying, discharging, injecting, escaping, leaching, disposing, dumping or other form of release, or permitting any of the foregoing to occur. (wwww) “Hedge Agreement” means (i) any Commodity Swap Agreement, (ii) any Interest Rate Swap Agreement, or (iii) any Exchange Rate Swap Agreement. (xxxx) “Hedge Obligation” means any indebtedness, liabilities and obligations (including all contingent obligations) of WFT or any of its Subsidiaries under a Hedge Agreement. (yyyy) “IFRS” means the International Financial Reporting Standards issued by the International Accounting Standards Board and rules and interpretations promulgated thereunder. (zzzz) “Indebtedness” means, with respect to any Person at any date, without duplication: (i) all indebtedness for borrowed money of such Person, including purchase money obligations; (ii) all deferred purchase price obligations of such Person and all liabilities created or arising under any conditional sale or other title retention agreement with respect to any property of such Person; (iii) all Capital Lease Obligations of such Person; (iv) the face amount of all outstanding letters of credit issued for the account of such Person (other than letters of credit relating to obligations included in Indebtedness of such Person pursuant to another clause of this definition) and, without duplication, the unreimbursed amount of all drawings thereunder; (v) indebtedness secured by any Lien on property or assets of such Person, whether or not assumed (but in any event not exceeding the fair market value of the property or asset);


 
- 23 - 1380-6618-2422.9 (vi) all termination liabilities of such Person under Hedge Agreements with an original term to maturity exceeding six months, determined on a net mark- to-market basis as if such Hedge Agreements were terminated on such date, provided that if the net mark-to-market position reflects an amount receivable by such Person (rather than an amount payable) the amount receivable will not reduce other Indebtedness; (vii) the redemption obligations of such Person in respect of Putable Securities; and (viii) any Guarantee by such Person of any obligation set forth in paragraphs (i) through (vii) above of any other Person, but in any event excluding trade payables incurred in the ordinary course of business and excluding obligations under leases that constitute operating leases under GAAP. (aaaaa) “Indemnified Taxes” means Taxes other than Excluded Taxes. (bbbbb) “Interest Expense” means, for any period, without duplication, all amounts that would, in accordance with GAAP, be deducted in computing Consolidated Net Income on account of interest or financing charges on Consolidated Indebtedness for that period or on account of asset securitization charges, including commitment fees, standby fees, imputed interest in respect of Capital Leases and amortization of debt discount, but excluding underwriting or arrangement fees. (ccccc) “Interest Period” means: (i) in respect of each SOFR Advance, a period of one, three or six months or such shorter period as may be agreed to by all of the US Lenders (in each case, subject to the market availability thereof), with respect to such SOFR Advance; and (ii) in respect of each CORRA Advance, a period of one or three months or such shorter period as may be agreed to by all of the Canadian Lenders (in each case, subject to the market availability thereof), with respect to such CORRA Advance; provided that (i) the Interest Period shall commence on the date of an Advance of or a Conversion to a Benchmark Advance and, in the case of immediately successive Interest Periods, each successive Interest Period shall commence on the date on which the next preceding Interest Period expires; (ii) if any Interest Period would otherwise expire on a day that is not a Business Day, such Interest Period shall expire on the next succeeding Business Day; provided, that if any Interest Period with respect to a Benchmark Advance would otherwise expire on a day that is not a Business Day but is a day of the month after which no further Business Day occurs in such month, such Interest Period shall expire on the next preceding Business Day; (iii) any Interest Period with respect to a Benchmark Advance that begins on the last Business Day of a calendar month (or on a day for which there is not numerically corresponding day in the calendar month at the end of such Interest Period) shall end on the last Business Day of the relevant calendar month at the end of such Interest Period; (iv) no Interest Period for such an Advance under the Revolver Facility shall extend beyond the Revolver Maturity


 
- 24 - 1380-6618-2422.9 Date or for such an Advance under the Term Facility shall extend beyond the Term Maturity Date; and (v) no tenor that has been removed from this definition pursuant to Section 9.4 shall be available for specification in such notice of Borrowing, Conversion or Rollover, as applicable, or interest election. (ddddd) “Interest Rate Swap Agreement” means any rate swap, rate cap, rate floor, rate collar, forward rate agreement, futures or other rate protection agreement or option with respect to any such transaction (or any combination of the foregoing, or any derivative thereof), designed to hedge against fluctuations in interest rates. (eeeee) “Investment” means any investment, in cash or by delivery of property, made directly or indirectly in any Person whether by acquisition of securities, Indebtedness or other obligations or by loan, advance, capital contribution, granting of financial assistance (including, for greater certainty, a Guarantee of Indebtedness of such Person) or otherwise; provided, however, that “Investment” shall not include a routine investment in property to be used or consumed in the ordinary course of business. (fffff) “IRC” means the Internal Revenue Code of 1986 (United States). (ggggg) “Judgment Currency” means the currency in which a court of competent jurisdiction may render judgment in connection with any litigation relating to the payment or repayment of Obligations under this Agreement. (hhhhh) “Law” means any law (including common law and equity), constitution, statute, order, treaty, regulation or rule having the force of law of any Governmental Authority. (iiiii) “Lease-Leaseback Transaction” means an arrangement under which any property or asset is leased by WFT or any Restricted Subsidiary to a Person other than WFT or a Restricted Subsidiary, which (for consideration) leases or otherwise gives or grants the right to use such property or asset to WFT or any Restricted Subsidiary, regardless of the accounting treatment of such arrangement. (jjjjj) “Lender Assignment Agreement” means an agreement substantially in the form attached as Schedule 5. (kkkkk) “Lenders” means, collectively, the Canadian Lenders, the US Lenders and the Term Lenders, and “Lender” means any one Canadian Lender, US Lender or Term Lender. (lllll) “Lenders’ Counsel” means Farris LLP or such other law firm or firms as may from time to time be chosen by the Lenders to act on their behalf in connection with this Agreement. (mmmmm) “Letters of Credit” means letters of credit or letters of guarantee issued by the Fronting Lender or the Agent pursuant to Article 4, which may be either performance Letters of Credit or financial Letters of Credit.


 
- 25 - 1380-6618-2422.9 (nnnnn) “Letter of Credit Fee” means the fee payable in respect of the issuance of a Letter of Credit pursuant to Section 4.7(a). (ooooo) “Lien” means any mortgage, pledge, lien, charge, hypothecation, security interest or other encumbrance, or any interest or title of any vendor or lessor under any conditional sale or other title retention agreement or Capital Lease, or any deposit of moneys or other property under any agreement under which such moneys or other property may be withdrawn only upon fulfilment of any condition as to the discharge of any Indebtedness or other obligation to any creditor. (ppppp) “Majority Lenders” means, at any time, Lenders whose respective individual Commitments aggregate at least 50.1% of the total Commitments of all Lenders at such time, provided that, for purposes of declaring the Obligations to be due and payable pursuant to Section 8.2, and for all purposes after the Obligations become due and payable pursuant to Section 8.2 or Section 8.3 or the Commitments expire or terminate, “Majority Lenders” shall mean Lenders whose respective Principal Outstanding aggregates at least 50.1% of the total Principal Outstanding of all Lenders at such time. (qqqqq) “Material Adverse Effect” means: (i) any material adverse change in the assets, properties, operations, financial condition, business or prospects of WFT and its Restricted Subsidiaries, taken as a whole; (ii) any material impairment or reduction in the ability (financial or otherwise) of WFT or WFUS to fulfil their respective obligations under this Agreement; or (iii) any adverse effect on the validity or enforceability of any material provision of this Agreement. (rrrrr) “Material Restricted Subsidiary” means a Material Subsidiary that is also a Restricted Subsidiary. (sssss) “Material Subsidiary” means, at any time, any Subsidiary whose total assets (on a consolidated basis if such Subsidiary itself has Subsidiaries) determined in accordance with GAAP, represent, when multiplied by a fraction representing the proportionate ownership of such Subsidiary, more than 5% of the then Consolidated Net Tangible Assets. (ttttt) “Moody’s” means Moody’s Investors Service, Inc., and its successors. (uuuuu) “Multiemployer Plan” means a multiemployer plan as defined in Section 4001(a)(3) of ERISA to which a Borrower or any ERISA Affiliate may have any liability. (vvvvv) “Non-Standard Interest Period” means, (a) with respect to a SOFR Advance, an Interest Period which is for a term other than one, three or six months and (b) with respect to a Term CORRA Advance, an Interest Period which is for a term other than one or three months.


 
- 26 - 1380-6618-2422.9 (wwwww) “Norbord” means Norbord Inc., a corporation amalgamated under the laws of Canada. (xxxxx) “Notice of Default” means, in respect of Subordinated Debt, a notice from or on behalf of the holder or holders of such Subordinated Debt to the applicable WF Party and the Agent of the occurrence of a default or event of default (however defined) under the terms of such Subordinated Debt, entitling the holder or holders to demand or accelerate payment of such Subordinated Debt either immediately or after the lapse of a cure period. (yyyyy) “Notice of Repayment or Cancellation” means a notice substantially in the form attached as Schedule 2, signed by a Responsible Officer of the relevant Borrower. (zzzzz) “NY Prime Rate” means, for any day, a fluctuating rate per annum equal to the greater of: (i) the rate in effect for such day as announced by the Agent from time to time and used by it as a reference rate for commercial loans made by it in the United States and denominated in US Dollars; and (ii) the sum of the Federal Funds Rate plus 100 basis points per annum. provided that each change in the NY Prime Rate shall be effective from and including the date such change is made without any requirement of notification to WFUS or any other Person, and provided further that, to the extent that such greater rate as calculated above shall, at any time, be less than the Floor, such rate shall be deemed to be the Floor for all purposes herein. (aaaaaa) “NY Prime Rate Advances” means Advances on which interest is determined by reference to the NY Prime Rate in effect from time to time. (bbbbbb) “Obligations” means, at any time, the amount equal to the sum of: (i) the Principal Outstanding under the Credit Facilities; (ii) all accrued and unpaid interest thereon and all interest on accrued and unpaid interest; and (iii) all accrued and unpaid fees, expenses, costs, indemnities, Compensation and other amounts payable to the Lenders, the Agent pursuant to the provisions of any Credit Facility Document or otherwise in respect of the Credit Facilities. (cccccc) “Original Currency” means the currency in respect of which any Obligations are owed by a Borrower to a Lender in accordance with the provisions of this Agreement. (dddddd) “Other Taxes” means all present or future stamp or documentary taxes or any other excise or property taxes, charges or similar levies arising from any payment made hereunder or under any other Credit Facility Document or from the


 


 
- 28 - 1380-6618-2422.9 (llllll) “Permitted Liens” means, with respect to any Person: (i) Liens imposed by law, such as carriers’, warehousemen’s and builders’ liens or other Liens arising out of judgments or awards against such Person with respect to which such Person shall then be prosecuting an appeal or other proceedings for review (and as to which any enforcement proceedings shall have been effectively stayed); (ii) Liens or trusts for taxes, assessments and other governmental charges not yet due and payable or which are being contested in good faith and by appropriate proceedings (and as to which any enforcement proceedings shall have been effectively stayed); (iii) pledges or deposits made by such Person under workers’ compensation laws, unemployment insurance laws or similar social security legislation or good faith deposits or bonds or similar instruments in connection with bids, tenders, leases, contracts (other than for the payment of Indebtedness) or expropriation proceedings, or deposits to secure surety and appeal bonds or deposits as security for contested taxes or import duties; (iv) undetermined or inchoate liens, trusts, privileges and charges incidental to current operations which have not at such time been filed pursuant to law against the Person or which relate to obligations not due or delinquent; (v) the right reserved to or vested in any municipality or governmental or other public authority by the terms of any lease, licence, franchise, grant or permit acquired by such Person, or by any statutory provision, to terminate any such lease, licence, franchise, grant or permit, or to require annual or other periodic payments as a condition of the continuance thereof; (vi) security given by such Person to a public utility or to any municipal, governmental or other public authority when required by such authority in connection with the operations of the Person in the ordinary course of its business; (vii) the reservations, limitations, provisos and conditions, if any, expressed in any original or subsequent grants from the Crown; (viii) subdivision agreements, site plan control agreements, development agreements, servicing agreements and other similar agreements with municipal and other governmental authorities affecting the development, servicing or use of real property; (ix) minor survey exceptions, minor encumbrances, easements or reservations of or rights of others for rights of way, sewers, electric lines, telegraph and telephone lines and other similar purposes, title defects or irregularities, zoning, land use and building restrictions, by-laws, regulations and ordinances of federal, provincial, state, municipal or other governmental bodies or regulatory authorities, including municipal by-laws and regulations, airport zoning regulations, restrictive covenants and other land use limitations, public or private, by-laws and regulations and other


 
- 29 - 1380-6618-2422.9 restrictions as to the use of real properties and timberlands or Liens incidental to the conduct of the business of such Person or the ownership of its properties which were not incurred in connection with Indebtedness or other extensions of credit and which do not in the aggregate materially detract from the value of such properties or materially impair their use in the operation of the business of such Person; (x) any Lien created by or related to legal proceedings so long as that Lien is discharged, vacated, bonded or otherwise provided for within 30 days of attachment; (xi) Liens upon or with respect to any property of a Restricted Subsidiary of WFT securing Indebtedness of such Restricted Subsidiary to WFT or another Restricted Subsidiary; (xii) Liens granted by WFT or any of its Subsidiaries in connection with participation in an unincorporated joint venture in favour of the other participants in such joint venture, provided (i) such Liens are limited to the interest of WFT or such Subsidiary, as the case may be, in the assets or products of such joint venture and (ii) each other participant in such joint venture has given a corresponding Lien on its interest in the joint venture in favour of WFT or such Subsidiary, as the case may be; (xiii) any Liens whenever incurred in respect of ANC and limited to the assets of ANC and any related or affiliated operations or ventures of ANC, to the extent that each such Lien arises pursuant to an instrument, the terms of which provide that, in the event of any default by ANC, no recourse for the payment of the principal of, premium, if any, or interest on such Indebtedness may be had against any assets of ANC other than the assets covered by such Lien; provided that if an Event of Default has occurred and is continuing, no further Permitted Liens as defined in this paragraph may be incurred or entered into except that WFT or a Subsidiary may grant a Permitted Lien as defined in this paragraph if WFT or such Subsidiary had committed to do so before the occurrence of such Event of Default; (xiv) bankers’ liens, rights of set-off and other similar Liens existing solely with respect to cash or Cash Equivalents on deposit in one or more accounts maintained by a Borrower or a Subsidiary, in each case granted in the ordinary course of business in favour of the bank or banks with which such accounts are maintained, securing amounts owing to such bank with respect to cash management and operating account arrangements, including those involving pooled accounts and netting arrangements; provided that in no case shall any such Liens secure (either directly or indirectly) the repayment of any other Indebtedness; (xv) Liens existing or deemed to exist in connection with contractual or other set-off rights in the ordinary course of business, but excluding any contractual right of set-off in connection with Indebtedness;


 
- 30 - 1380-6618-2422.9 (xvi) the filing of financing statements in connection with operating leases, consignments of goods or absolute transfers of accounts receivable not restricted by this Agreement; and (xvii) any other Liens which are not otherwise Permitted Liens, not to exceed at any time in aggregate an amount equal to 5% of Consolidated Net Tangible Assets, as determined as at the end of the most recent fiscal quarter of WFT occurring prior to the time the relevant Lien is incurred. (mmmmmm) “Permitted Subsidiary Unsecured Indebtedness” means: (i) Indebtedness of a Restricted Subsidiary of WFT to WFT or to another wholly-owned Restricted Subsidiary of WFT; (ii) Indebtedness of West Fraser Europe Limited to any Person other than WFT or to another wholly-owned Restricted Subsidiary of WFT up to US$50,000,000; (iii) Indebtedness of a Restricted Subsidiary to any Person other than WFT or to another wholly-owned Restricted Subsidiary of WFT up to US$25,000,000 in aggregate for all such Indebtedness; and (iv) a Guarantee by any Subsidiary of the obligations of WFT or WFUS under this Agreement, or a Guarantee of the obligations of any other guarantor under its respective Guarantee. (nnnnnn) “Person” means any natural person, corporation, limited liability company, trust, joint venture, association, company, partnership, Governmental Authority or other entity. (oooooo) “POA Letter of Credit” means a Letter of Credit issued by the Agent as attorney for all Canadian Lenders pursuant to Article 4. (pppppp) “Prime Rate” means the greater of: (i) the annual rate of interest (expressed as a rate per annum) announced from time to time by the Administration Agent as being its reference rate then in effect for determining interest rates on Canadian Dollar denominated commercial loans made by the Administration Agent in Canada and which it designates as its prime rate; and (ii) the annual rate of interest equal to Adjusted Term CORRA for an Interest Period of one month in effect on such day plus 1.00%; provided that, if the rates of interest in (i) and (ii) above are equal, then the “Prime Rate” shall be the rate specified in (i) above and if the rate determined pursuant to (i) or (ii) above shall ever be less than the Floor, such rate shall be deemed to be the Floor for all purposes herein. (qqqqqq) “Prime Rate Advances” means Advances on which interest is determined by reference to the Prime Rate in effect from time to time.


 
- 31 - 1380-6618-2422.9 (rrrrrr) “Principal Outstanding” means, at any time, the amount equal to: (i) when used in a context pertaining to Accommodations made by a single Lender, the sum of: (A) the aggregate principal amount of all Advances then outstanding made by such Lender; and (B) the Face Amount of all Accommodations then outstanding made by such Lender by way of Letters of Credit (including such Lender’s pro rata interest in Letters of Credit issued by the Fronting Lender); and (ii) when used elsewhere in this Agreement, the sum of: (A) the aggregate principal amount of all Advances then outstanding made by the Lenders; and (B) the Face Amount of all Accommodations then outstanding made by the Lenders by way of Letters of Credit. (ssssss) “Proportionate Share” means, at any time in respect of a particular Lender, the proportion that the aggregate of the Canadian Lender Revolver Commitment and the US Lender Revolver Commitment of the applicable Canadian Lender and US Lender, respectively, under the Revolver Facility (excluding the Swingline Commitments in the case of the Swingline Lenders) at such time bears to the total Commitments of all Lenders under the Revolver Facility (excluding the Swingline Commitments) at such time. (tttttt) “Putable Securities” means preferred shares which are redeemable on a mandatory basis or at the option of the holder. (uuuuuu) “Quarterly Compliance Certificate” means the certificate of the chief financial officer or other Authorized Officer of WFT required to be delivered to the Lenders following each fiscal quarter of WFT pursuant to Section 7.2(b), substantially in the form attached as Schedule 3. (vvvvvv) “Relevant Governmental Body” means: (i) in respect of any SOFR Advance (or any Benchmark Replacement thereof), the Federal Reserve Board or the Federal Reserve Bank of New York, or a committee officially endorsed or convened by the Federal Reserve Board or the Federal Reserve Bank of New York, or any successor thereto; and (ii) in respect of any CORRA Advance (or any Benchmark Replacement thereof), the Bank of Canada, or a committee officially endorsed or convened by the Bank of Canada, or any successor thereto. (wwwwww) “Reporting Issuer” means “reporting issuer” as defined in the Securities Act (British Columbia) or a Person having similar status under the securities


 
- 32 - 1380-6618-2422.9 legislation of any other jurisdiction, but does not include WFT or any Affiliate of WFT. (xxxxxx) “Responsible Officer” means, as to a Borrower, any Authorized Officer of such Borrower, any vice president or controller of such Borrower, the General Manager, Treasury of such Borrower and any other person as may from time to time be designated in writing to the Agent, by the president, the chief executive officer or the chief financial officer of such Borrower. (yyyyyy) “Restricted Subsidiary” means, at any time, any direct or indirect Subsidiary of WFT that is not at that time an Unrestricted Subsidiary. (zzzzzz) “Revolver Facility” means the Credit Facility described in Section 2.1(a). (aaaaaaa) “Revolver Maturity Date” means May 30, 2030. (bbbbbbb) “Rollover” means the continuation of a SOFR Advance or a CORRA Advance for a further Interest Period without increasing the principal amount thereof. (ccccccc) “S&P” means Standard & Poor’s Ratings Services, a division of The McGraw Hill Companies, Inc., and its successors. (ddddddd) “Sale-Leaseback Transaction” means an arrangement under which title to any property or asset, or an interest therein, is transferred by WFT or any Restricted Subsidiary to a Person other than WFT or a Restricted Subsidiary, which (for consideration) leases or otherwise gives or grants the right to use such property or asset or interest therein to WFT or any Restricted Subsidiary, whether or not in connection therewith the transferor also acquires a right or is subject to an obligation to re-acquire the property, asset or interest, and regardless of the accounting treatment of such arrangement. (eeeeeee) “Senior Debt” of a WF Party means the principal of and premium (if any) and interest on and other amounts in respect of all Indebtedness of such WF Party (including without limitation any Indebtedness of such WF Party under this Agreement, as from time to time amended or restated, or any Guarantee delivered by such WF Party pursuant to this Agreement), other than Subordinated Debt and existing or future Indebtedness of such WF Party which, by the terms of the instrument creating or evidencing such other Indebtedness, is expressed to be pari passu with, or subordinate in right of payment to, other Indebtedness of such WF Party that is Subordinated Debt. (fffffff) “SOFR” means a rate per annum equal to the secured overnight financing rate as administered by the SOFR Administrator. (ggggggg) “SOFR Administrator” means the Federal Reserve Bank of New York (or a successor administrator of the secured overnight financing rate). (hhhhhhh) “SOFR Administrator’s Website” means the website of the Federal Reserve Bank of New York, currently at http://www.newyorkfed.org, or any


 
- 33 - 1380-6618-2422.9 successor source for the secured overnight financing rate identified as such by the SOFR Administrator from time to time. (iiiiiii) “SOFR Determination Date” has the meaning specified in the definition of “Daily Simple SOFR”. (jjjjjjj) “SOFR Interest Date” means the date falling on the last day of each Interest Period in respect of a SOFR Advance; provided that if the Borrower selects an Interest Period for a period longer than 3 months, the SOFR Interest Date shall be each date falling every 3 months after the beginning of such Interest Period and the date falling on the last day of such Interest Period. (kkkkkkk) “SOFR Interpolated Rate” means, for any SOFR Advance for a Non- Standard Interest Period, the rate per annum determined by the applicable US Lender making such SOFR Advance (which determination shall be conclusive and binding absent manifest error) to be equal to the rate that results from interpolating on a linear basis between: (a) Adjusted Term SOFR for the longest Interest Period that is not a Non-Standard Interest Period for which Adjusted Term SOFR is available that is shorter than the Non-Standard Interest Period of such SOFR Advance and (b) Adjusted Term SOFR for the shortest Interest Period that is not a Non-Standard Interest Period for which Adjusted Term SOFR is available that exceeds the Non-Standard Interest Period of such SOFR Advance, at such time; provided that when determining the SOFR Interpolated Rate for a Non-Standard Interest Period which is less than one month, the SOFR Interpolated Rate shall be deemed to be Adjusted Term SOFR for an Interest Period of one month’s duration. (lllllll) “SOFR Rate Day” has the meaning specified in the definition of “Daily Simple SOFR”. (mmmmmmm) “Standby Fees” means the fees described in Section 2.28. (nnnnnnn) “Subordinated Debt” means unsecured Indebtedness of a WF Party that is either issued under a Subordinated Debt Indenture or is the subject of a Subordinated Debt Agreement. (ooooooo) “Subordinated Debt Agreement” means an agreement among a WF Party (the “WF Debtor”) that has incurred or intends to incur Subordinated Debt, the creditor or creditors in respect of such Indebtedness (in this definition, the “Creditor”) and the Agent on behalf of the Lenders, under which the WF Debtor and the Creditor agree with the Agent on behalf of the Lenders that the Indebtedness that is the subject of such agreement will be subordinated in right of payment to the prior payment in full of all Senior Debt of such WF Party on terms satisfactory to the Agent. (ppppppp) “Subordinated Debt Indenture” means a trust indenture between a WF Party and an indenture trustee providing for the issuance of unsecured debt securities that are, by the express terms of such indenture, subordinated in right of payment to the prior payment in full of all Senior Debt of such WF Party. (qqqqqqq) “Subsidiary” means at any time, as to any Person:


 
- 34 - 1380-6618-2422.9 (i) any corporation of which shares (other than directors’ qualifying shares) entitling the holder or holders of such shares to cast more than 50% of the votes carried by all shares of such corporation having the right to vote (not dependent on any contingency) for the election of directors of such corporation, are at the time owned by such Person, or by any one or more Subsidiaries of such Person, or by such Person and one or more Subsidiaries of such Person; (ii) any limited partnership of which such Person is a general partner, or any other partnership of which more than 50% of the outstanding partnership interests are at the time owned by such Person, or by one or more Subsidiaries of such Person, or by such Person and one or more Subsidiaries of such Person; and (iii) any other entity which is directly or indirectly Controlled by such Person, or by one or more Subsidiaries of such Person or by such Person and one or more of its Subsidiaries; and any reference in this Agreement to a Subsidiary means a Subsidiary of WFT, unless otherwise indicated. (rrrrrrr) “Swingline Advances” means Advances under the WFT Swingline and the WFUS Swingline. (sssssss) “Swingline Commitments” means the WFT Swingline Commitment and the WFUS Swingline Commitment. (ttttttt) “Swingline Lenders” means the WFT Swingline Lender and the WFUS Swingline Lender. (uuuuuuu) “Takeover Bid” means any offer to acquire outstanding Equity Securities (which shall include an offer to purchase Equity Securities, solicitation of an offer to sell Equity Securities, acceptance of an offer to sell Equity Securities whether or not the offer to sell was solicited, or any combination of the foregoing) of any Reporting Issuer (the “Target”) where, as of the date of the offer to acquire, the Equity Securities that are subject to the offer to acquire, together with the Equity Securities of the Target that are beneficially owned, or over which control or direction is exercised, by WFT and its Affiliates and any Person acting jointly or in concert with any thereof on the date that the offer to acquire is made, constitute in the aggregate the lesser of such percentage of outstanding Equity Securities as is considered to be a “takeover bid” under any law or regulation applicable to the Target and 10% or more of all of the outstanding Equity Securities of that class of Equity Securities of the Target; and “Hostile Takeover Bid” means a Takeover Bid that the board of directors or like body of the Target has not approved or recommended be accepted by security holders of the Target, in circumstances where such board or like body is required, under any law or regulation applicable to the Target, to prepare a directors’ circular or like document that includes either a recommendation to accept or to reject the Takeover Bid or a statement that they are unable to make or are not making a recommendation.


 
- 35 - 1380-6618-2422.9 (vvvvvvv) “Taxes” means all present or future taxes, levies, imposts, duties, deductions, withholdings, assessments, fees or other charges imposed by any Governmental Authority, including any interest, additions to tax or penalties applicable thereto. (wwwwwww) “TD Bank” means The Toronto-Dominion Bank or any successor. (xxxxxxx) “Term CORRA” means, for any calculation with respect to a Term CORRA Advance or a Prime Rate Advance, the Term CORRA Reference Rate for a tenor comparable to the applicable Interest Period on the day (such day, the “Periodic Term CORRA Determination Day”) that is two (2) Business Days prior to the first day of such Interest Period, as such rate is published by the Term CORRA Administrator; provided, however, that if as of 1:00 p.m. (Toronto time) on any Periodic Term CORRA Determination Day the Term CORRA Reference Rate for the applicable tenor has not been published by the Term CORRA Administrator and a Benchmark Replacement Date with respect to the Term CORRA Reference Rate has not occurred, then Term CORRA will be the Term CORRA Reference Rate for such tenor as published by the Term CORRA Administrator on the first preceding Business Day for which such Term CORRA Reference Rate for such tenor was published by the Term CORRA Administrator so long as such first preceding Business Day is not more than three (3) Business Days prior to such Periodic Term CORRA Determination Day. If such first preceding Business Day is more than three (3) Business Days prior to such Periodic Term CORRA Determination Day, Section 9.4 will apply. (yyyyyyy) “Term CORRA Administrator” means Candeal Benchmark Administration Services Inc., TSX Inc., or any successor administrator. (zzzzzzz) “Term CORRA Advance” means an Advance that bears interest at a rate based on Adjusted Term CORRA, other than pursuant to clause (ii) of the definition of “Prime Rate”. (aaaaaaaa) “Term CORRA Reference Rate” means the forward-looking term rate based on CORRA. (bbbbbbbb) “Term Facility” means the Credit Facility described in Section 2.1(b). (cccccccc) “Term Lenders” means those financial institutions whose names are set forth on the execution pages hereof under the heading “Term Lenders” and their respective successors and assigns. (dddddddd) “Term Maturity Date” means May 30, 2028. (eeeeeeee) “Term SOFR” means, for any Interest Period for a Term SOFR Advance, or for a one month period for the purposes of paragraph (iii) of the definition of “US Base Rate”, the Term SOFR Reference Rate (rounded upward to the nearest fifth decimal place, if necessary) for a tenor comparable to the applicable Interest Period on the day (the “Term SOFR Determination Day”) that is two US Government Securities Business Days prior to the first day of such Interest Period, as such rate is published by the Term SOFR Administrator; provided, however, that if as of 5:00p.m. (New York City time) on any Term SOFR Determination Day


 
- 36 - 1380-6618-2422.9 the Term SOFR Reference Rate for the applicable tenor has not been published by the Term SOFR Administrator and a Benchmark Replacement Date with respect to the Term SOFR Reference Rate has not occurred, then Term SOFR will be the Term SOFR Reference Rate for such tenor as published by the Term SOFR Administrator on the first preceding US Government Securities Business Day for which such Term SOFR Reference Rate for such tenor was published by the Term SOFR Administrator so long as such first preceding US Government Securities Business Day is not more than three US Government Securities Business Days prior to such Term SOFR Determination Day. (ffffffff) “Term SOFR Adjustment” means, with respect to Term SOFR, 10 basis points. (gggggggg) “Term SOFR Administrator” means CME Group Benchmark Administration Limited (CBA) (or a successor administrator of the Term SOFR Reference Rate selected by the Agent in its discretion, acting reasonably). (hhhhhhhh) “Term SOFR Advances” means Advances on which interest is determined by reference to the Adjusted Term SOFR in effect from time to time, other than pursuant to paragraph (iii) of the definition of “US Base Rate”. (iiiiiiii) “Term SOFR Determination Day” has the meaning assigned to it under the definition of Term SOFR. (jjjjjjjj) “Term SOFR Reference Rate” means the forward-looking term rate based on SOFR. (kkkkkkkk) “this Agreement”, “herein”, “hereof”, “hereto” and “hereunder” and similar expressions mean and refer to this Agreement as supplemented or amended and not to any particular Article, Section, Schedule or other portion hereof, and the expressions “Article”, “Section” and “Schedule” followed by a number mean and refer to the specified Article, Section or Schedule of this Agreement. (llllllll) “Total Capitalization” means, at any time, the aggregate of Consolidated Shareholders’ Equity, Consolidated Indebtedness and Category 2 Subordinated Debt at such time. (mmmmmmmm) “Unadjusted Benchmark Replacement” means the applicable Benchmark Replacement excluding the related Benchmark Replacement Adjustment. (nnnnnnnn) “Uniform Customs” means the Uniform Customs and Practice for Documentary Credits, as published by the International Chamber of Commerce and in effect from time to time. (oooooooo) “Unrestricted Subsidiary” means, at any time, any direct or indirect Subsidiary of WFT that has been and continues to be designated as an Unrestricted Subsidiary by WFT pursuant to Section 1.7. (pppppppp) “US Base Rate” means, for any day, a rate per annum equal to the greatest of:


 
- 37 - 1380-6618-2422.9 (i) the annual rate of interest announced from time to time by TD Bank as being its reference rate then in effect for determining interest rates on United States Dollar demand loans made by TD Bank in Canada in effect on such day; (ii) the Federal Funds Rate in effect on such day plus 1.00%; and (iii) Adjusted Term SOFR for a one-month tenor in effect for such day plus 1.00%, provided that each change in the US Base Rate shall be effective from and including the date such change is made without any requirement of notification to the Borrowers or any other Person, and provided further that to the extent such highest rate as calculated above shall, at any time, be less than the Floor, such rate shall be deemed to be Floor for all purposes herein. (qqqqqqqq) “US Base Rate Advances” means Advances on which interest is determined by reference to the US Base Rate in effect from time to time. (rrrrrrrr) “US Dollar Equivalent” means, on any date in respect of an amount in Canadian Dollars, the amount obtained by converting the relevant Canadian Dollar amount into the Equivalent Amount in US Dollars. (ssssssss) “US Dollars” and “US$” each mean lawful money of the United States of America. (tttttttt) “US Government Securities Business Day” means any day except for (i) a Saturday, (ii) a Sunday or (iii) a day on which the Securities Industry and Financial Markets Association recommends that the fixed income departments of its members be closed for the entire day for purposes of trading in United States government securities. (uuuuuuuu) “US Lender Revolver Commitment” means, as to any US Lender, the obligation of that US Lender to make Accommodations to WFUS under the Revolver Facility in an aggregate principal amount not exceeding the applicable amount set forth opposite such US Lenders’ name on Part 1 of Appendix A to this Agreement, as such amounts may be reduced or reallocated from time to time in accordance with the provisions of this Agreement. (vvvvvvvv) “US Lenders” means those financial institutions whose names are set forth on the execution pages hereof under the heading “US Lenders” and their respective successors and assigns. (wwwwwwww) “US Lending Office” means, as to each US Lender, the office of such Lender specified as the US Lending Office of such Lender in Appendix A, or such other office as such Lender may from time to time designate as its US Lending Office by notice to the Agent. (xxxxxxxx) “WF Mills” means West Fraser Mills Ltd., a company formed by amalgamation under the laws of the Province of British Columbia.


 
- 38 - 1380-6618-2422.9 (yyyyyyyy) “WF Party” means WFT, WFUS and any other Subsidiary of WFT. (zzzzzzzz) “WFT” means West Fraser Timber Co. Ltd., a company formed by amalgamation under the laws of the Province of British Columbia. (aaaaaaaaa) “WFT Swingline” means that portion of the Revolver Facility to be made available by the WFT Swingline Lender to WFT as described in Section 2.10 (whether in Canadian Dollars or US Dollars) and “WFT Swingline Advance” means an Advance under the WFT Swingline. (bbbbbbbbb) “WFT Swingline Commitment” means US$50,000,000 (or the Canadian Dollar Equivalent) to the extent not permanently reduced, cancelled or terminated pursuant to this Agreement. (ccccccccc) “WFT Swingline Lender” means TD Bank acting in its capacity as the Lender of WFT Swingline Advances under Section 2.10. (ddddddddd) “WFUS” means West Fraser (USA), Inc., a corporation incorporated under the laws of the State of Delaware. (eeeeeeeee) “WFUS Swingline” means that portion of the Revolver Facility to be made available by the WFUS Swingline Lender to WFUS as described in Section 2.10 (in US Dollars), and “WFUS Swingline Advance” means an Advance under the WFUS Swingline. (fffffffff) “WFUS Swingline Commitment” means US$15,000,000 to the extent not permanently reduced, cancelled or terminated pursuant to this Agreement. (ggggggggg) “WFUS Swingline Lender” means Wells Fargo Bank, National Association (or such other US Lenders as may be so designated by WFUS from time to time) acting in its capacity as the Lender of WFUS Swingline Advances under Section 2.10. 1.2 Computation of Time. Where, in this Agreement, a notice must be given a number of days prior to a specified action, the day on which such notice is given shall be included and the day of the specified action shall be excluded. If on any date local time in Toronto is not the same as local time in New York City, the time for any notice in respect of an Advance in US Dollars or any payment or other matter in respect of an Advance in US Dollars shall be deemed to be the earlier of the two times. 1.3 Accounting Terms. (a) All accounting terms not otherwise defined herein have the meanings assigned to them in accordance with GAAP. Where the character or amount of any asset or liability or item of revenue or expense is required to be determined, or any consolidation or other accounting computation is required to be made for the purpose of this Agreement, such determination or calculation shall, to the extent applicable and except as otherwise specified herein or as otherwise agreed in writing by the parties, be made in accordance with GAAP applied on a basis consistent with those principles as of January 1, 2021.


 
- 39 - 1380-6618-2422.9 (b) Notwithstanding GAAP, whenever this Agreement makes reference to any financial term of WFT and the Restricted Subsidiaries on a consolidated basis, such consolidation shall not include Unrestricted Subsidiaries. 1.4 Gender; Singular, Plural, etc. As used herein, each gender shall include all genders, and the singular shall include the plural and the plural the singular, as the context shall require. 1.5 Use of Inclusive Words. The words “including” and “includes”, when either follows any general term or statement, are not to be construed as limiting the general term or statement to the specific terms or matters set forth immediately following such word or to similar items or matters, but rather as referring to all other items or matters that could reasonably fall within the broadest possible scope of the general term or statement. 1.6 Successors, etc. In this Agreement: (a) reference to any body corporate shall include successors thereto, whether by way of amalgamation or otherwise; (b) references to any statute, enactment or legislation or to any section or provision thereof shall include a reference to any order, ordinance, regulation, rule or by-law or proclamation made under or pursuant to that statute, enactment or legislation and all amendments, modifications, consolidations, re-enactments or replacements thereof or substitutions therefor from time to time; and (c) reference to any agreement, instrument, Governmental Approval or other document shall include reference to such agreement, instrument, Governmental Approval or other document as the same may have been or may from time to time hereafter be amended, supplemented, replaced or restated. 1.7 Designation of Subsidiaries. WFT may from time to time designate a Subsidiary (other than WF Mills, WFUS or Norbord) as an Unrestricted Subsidiary, or designate an Unrestricted Subsidiary as a Restricted Subsidiary, by delivery to the Agent of: (a) a written notice of such designation; and (b) a certificate of an Authorized Officer of WFT (together with such other documentation as the Agent may reasonably require) that (i) such designation shall not cause a Default or Event of Default, and (ii) the financial covenants in Sections 7.3(a), 7.3(b) and 7.3(c) would have been satisfied on a pro forma basis as at the end of the most recent fiscal quarter if the designation had occurred on such fiscal quarter end (in the case of Sections 7.3(a) and 7.3(c)) or on the first day of the period of four fiscal quarters ending on such fiscal quarter end (in the case of Section 7.3(b)).


 
- 40 - 1380-6618-2422.9 1.8 Interpretation not Affected by Headings. The division of this Agreement into Articles and Sections and the insertion of headings are for convenience of reference only and shall not affect the construction or interpretation of this Agreement. 1.9 General Provisions as to Certificates and Opinions. Whenever the delivery of a certificate is a condition precedent to the taking of any action by the Agent or any Lender under this Agreement, the truth and accuracy of the facts and the diligent and good faith determination of the opinions stated in such certificate shall in each case be conditions precedent to the right of the relevant Borrower to have such action taken, and any certificate executed by the relevant Borrower shall be deemed to represent and warrant that the facts stated in such certificate are true, accurate and complete. 1.10 Incorporation of Appendix and Schedules. The following Appendix and Schedules to this Agreement shall, for all purposes hereof, form an integral part of this Agreement: Appendix A - Lenders and Lenders’ Commitments Lending Offices Schedule 1 - Borrowing Notice for WFT Schedule 1A - Borrowing Notice for WFUS Schedule 2 - Notice of Repayment or Cancellation Schedule 3 - Quarterly Compliance Certificate Schedule 4 - Material Subsidiaries Schedule 5 - Lender Assignment Agreement Schedule 6 - POA Letter of Credit Schedule 7 - Power of Attorney 1.11 Transition from Existing Credit Agreement. Upon satisfaction of the conditions set forth in Section 5.1 of this Agreement, each Accommodation under or in connection with the Existing Credit Agreement (including the outstanding amount of the Term Facility) shall be considered to be continuing as an Accommodation to the applicable Borrower (in each case, of the same nature and with the same Lender) under this Agreement. 1.12 Joint and Several Liability. Each Borrower acknowledges and agrees that it is jointly and severally liable for, and absolutely and unconditionally guarantees, the repayment of the Obligations of the other Borrower under this Agreement and that, in the event the Obligations of the other Borrower remain unpaid, the Agent may demand payment thereof in accordance with the provisions of this Agreement from both Borrowers as if they are each in default under this Agreement. For the purpose of determining


 
- 41 - 1380-6618-2422.9 whether or not there has been Default or an Event of Default, default by one Borrower shall be deemed to be a default by the other Borrower. ARTICLE 2 CREDIT FACILITIES 2.1 Credit Facilities. The Credit Facilities to be made available under this Agreement consist of: (a) a revolving term facility in the maximum principal amount (subject to Section 2.2) of US$1,000,000,000 (or the Canadian Dollar Equivalent), to be made available to the Borrowers by the Canadian Lenders and the US Lenders (the “Revolver Facility”); and (b) a non-revolving term loan (the “Term Facility”) in the maximum principal amount of US$300,000,000, to be made available to WFT by the Term Lenders (the “Term Facility”). 2.2 Accordion. The Borrowers may, by one or more notices (each, an “Accordion Notice”) to the Agent, increase the Revolver Facility from a maximum amount of US$1,000,000,000 to a maximum amount of up to but not more than US$1,150,000,000. No Lender will be deemed to have agreed to increase its Commitment by virtue of its execution of this Agreement, nor will any Lender be obligated to increase its Commitment in connection with any increase in the Revolver Facility by virtue of the giving of an Accordion Notice. It will be the responsibility of the Borrowers to arrange for Commitments from existing or new Lenders in connection with any increase in the Revolver Facility provided for in an Accordion Notice. Any proposed new Lender will be subject to the approval of the Agent, the Swingline Lenders and the Fronting Lender, such approval in each case not to be unreasonably withheld. In addition, any such proposed new Lender shall, as a condition to becoming a Lender, execute and deliver such accession or similar agreements as Lenders’ Counsel may advise are necessary or desirable in order for the new Lender to become bound by the terms and conditions of this Agreement. 2.3 Purpose. The Revolver Facility will be made available to the Borrowers for general corporate purposes, but excluding Hostile Takeover Bids. 2.4 Availability. (a) Subject to the provisions of Article 5, the Revolver Facility will be available for drawdown commencing on the Closing Date and terminating on the Business Day immediately preceding the Revolver Maturity Date: (b) US$200,000,000 of the Term Facility was drawn prior to the Closing Date under the Existing Credit Agreement and, subject to the provisions of Article 5, the balance of US$100,000,000 of the Term Facility will be available for drawdown on the Closing Date.


 
- 42 - 1380-6618-2422.9 Notwithstanding anything to the contrary herein, any portion of the Term Facility that remains undrawn as of the Closing Date shall be automatically and permanently cancelled, and the Commitments of the Term Lenders in respect of such undrawn amount shall be reduced to zero without any further action by any party. 2.5 Lenders’ Commitments. Subject to the terms and conditions set forth in this Agreement, each Lender shall make Accommodations available under each Credit Facility pro rata on the basis of such Lender’s Commitment in respect of the relevant Credit Facility. The Commitments of the Lenders as at the Closing Date are set forth in Appendix A. In no event shall a Lender be obligated to make Accommodations available under a Credit Facility if after making such Accommodations the Principal Outstanding (calculated in US Dollars) of that Lender’s Accommodations under such Credit Facility would exceed that Lender’s Commitment in respect of such Credit Facility. 2.6 Lending Offices. Accommodations under the Credit Facilities will be made: (a) to WFT, by each Canadian Lender or Term Lender, as the case may be, through its Canadian Lending Office; or (b) to WFUS, by each US Lender through its US Lending Office. 2.7 Revolving/Non-Revolving Nature of Credit Facilities. The Revolver Facility will be a revolving facility and any amounts borrowed thereunder and repaid may, subject to the terms and conditions of this Agreement, be borrowed again, provided that any such reborrowing would not result in the Principal Outstanding under the Revolver Facility exceeding the then applicable aggregate Commitments of the Lenders in respect of the Revolver Facility. The Term Facility shall not revolve, and any amount borrowed thereunder and repaid (excluding Rollovers and Conversions as permitted by Section 2.31) shall constitute a permanent repayment and reduction of the Commitments of the Lenders in respect of the Term Facility and may not be redrawn. 2.8 Revolver Facility Borrowing Options. Subject to the provisions of this Agreement, WFT may, at its option, utilize the Revolver Facility by way of: (a) Prime Rate Advances and CORRA Advances in Canadian Dollars, US Base Rate Advances in US Dollars or SOFR Advances in US Dollars pursuant to Article 3 hereof; and (b) Letters of Credit in Canadian Dollars or US Dollars under the Revolver Facility, to a maximum aggregate Face Amount of US$75,000,000 (or the Canadian Dollar Equivalent) outstanding at any time, issued as POA Letters of Credit by the Agent


 
- 43 - 1380-6618-2422.9 or as Fronted Letters of Credit by the Fronting Lender, in each case pursuant to Article 4 hereof. Subject to the provisions of this Agreement, WFUS may, at its option, utilize the Revolver Facility by way of NY Prime Rate Advances in US Dollars or SOFR Advances in US Dollars pursuant to Article 3 hereof 2.9 Term Facility Borrowing Options. Subject to the provisions of this Agreement, WFT may, at its option, utilize the Term Facility by way of US Base Rate Advances or SOFR Advances pursuant to Article 3 hereof. 2.10 Swingline Advances. The WFT Swingline Lender will make available to WFT a revolving operating credit facility as part of the Revolver Facility, up to the WFT Swingline Commitment, to finance the day-to-day requirements of WFT for general corporate purposes. The WFUS Swingline Lender will make available to WFUS a revolving operating credit facility as part of the Revolver Facility, up to the WFUS Swingline Commitment, to finance the day-to-day requirements of WFUS for general corporate purposes. Each WFT Swingline Advance shall be made by the WFT Swingline Lender by way of a Prime Rate Advance (if requested in Canadian Dollars) or a US Base Rate Advance (if requested in US Dollars) on the same day’s notice if given to the WFT Swingline Lender before noon (Toronto time) or, if requested by WFT, on an overdraft basis by debiting such account of WFT as shall be established by agreement of WFT and the WFT Swingline Lender. The amount of any such overdraft from time to time shall be deemed to be a Prime Rate Advance (to the extent of such debit balance in Canadian Dollars) or a US Base Rate Advance (to the extent of such debit balance in US Dollars). WFT shall ensure that the aggregate Principal Outstanding of all WFT Swingline Advances (calculated in US Dollars) does not exceed the WFT Swingline Commitment at any time. Each WFUS Swingline Advance shall be made by the WFUS Swingline Lender by way of a NY Prime Rate Advance, on the same day’s notice if given to the WFUS Swingline Lender before noon (New York City time) or, if requested by WFUS, on an overdraft basis by debiting such account of WFUS as shall be established by agreement of WFUS and the WFUS Swingline Lender. The amount of any such overdraft from time to time shall be deemed to be a NY Prime Rate Advance. WFUS shall ensure that the aggregate Principal Outstanding of all WFUS Swingline Advances (calculated in US Dollars) does not exceed the WFUS Swingline Commitment at any time. 2.11 Available Amount of the Credit Facilities. The available amount of each Credit Facility shall be determined in US Dollars, with Borrowings by way of Canadian Dollars converted to US Dollars by determining the US Dollar Equivalent thereof. Any repayment of a Borrowing by a Borrower shall be in the currency of such Borrowing.


 
- 44 - 1380-6618-2422.9 2.12 Repayment of Revolver Facility. Subject to Section 1.12, the applicable Borrower shall pay that portion of the Principal Outstanding that has been borrowed by it under the Revolver Facility, together with all unpaid interest, fees and other amounts owing to the Canadian Lenders and the US Lenders under or in respect of this Agreement then outstanding, to, as the case may be, the Agent on the Revolver Maturity Date, for the account of the Canadian Lenders and the US Lenders, and the Commitments of the Canadian Lenders and the US Lenders shall be reduced to nil. 2.13 Repayment of Term Facility. Subject to Section 1.12, WFT shall pay all Principal Outstanding under the Term Facility, together with all unpaid interest, fees and other amounts owing to the Term Lenders under or in respect of this Agreement then outstanding, to the Agent on the Term Maturity Date, for the account of the Term Lenders, and the Commitments of the Term Lenders shall be reduced to nil. 2.14 Optional Repayment. Each of the Borrowers may at any time, on three Business Days’ notice to the Agent by way of a Notice of Repayment or Cancellation, repay all or any part of the amount outstanding under either Credit Facility, together with interest thereon, without penalty, bonus or premium, provided that, for any repayments under the Term Facility, the aggregate commitments of the Term Lenders in respect of the Term Facility shall be permanently reduced by the amount of such repayment. Subject to Section 2.21, no repayment may be made in respect of (a) a Term SOFR Advance on a day other than the last day of an Interest Period applicable to such Term SOFR Advance, or (b) a Term CORRA Advance on a day other than the last day of an Interest Period applicable to such Term CORRA Advance. 2.15 Optional Reduction of Commitments. Each of the Borrowers may at any time, on three Business Days’ notice to the Agent by way of a Notice of Repayment or Cancellation, permanently reduce the unused portions of the Commitments of the Lenders under the applicable Credit Facility, rateably among such Lenders, without penalty, bonus or premium. Each partial reduction shall be not less than an aggregate of US$10,000,000 and in integral multiples of US$1,000,000. 2.16 Repayment of Principal Outstanding to Reflect Commitments. If on any date the Principal Outstanding in respect of either Credit Facility (calculated in US Dollars) exceeds the then prevailing total Commitments for such Credit Facility, the Borrowers shall at the request of the Agent forthwith repay such amount, on account of such Accommodations as the Borrowers shall designate, as will result in the Principal Outstanding in respect of such Credit Facility being less than or equal to the total Commitments for such Credit Facility. 2.17 General Interest Provisions. The parties agree that the following provisions shall apply in respect of interest payable under this Agreement:


 
- 45 - 1380-6618-2422.9 (a) in the event of any dispute, disagreement or adjudication involving or pertaining to the determination of Prime Rate, NY Prime Rate, US Base Rate, Federal Funds Rate, Adjusted Term SOFR or Adjusted Daily Simple SOFR in effect at any time, the certificate of the Agent as to such rate shall be accepted, in the absence of demonstrable error, as prima facie evidence thereof for all purposes of this Agreement; (b) each determination by the Agent of the amount of interest, Standby Fees or other amounts due from a Borrower hereunder shall, in the absence of demonstrable error, be prima facie evidence of the accuracy of such determination; (c) all interest and other amounts payable shall accrue daily, be computed as described herein, and be payable both before and after demand, maturity, default and judgment; (d) to the maximum extent permitted by law, the covenant of a Borrower to pay interest at rates provided herein shall not merge in any judgment relating to any obligation of such Borrower to the Lenders or the Agent; (e) in no event shall any interest, fees or other amounts payable hereunder exceed the maximum permitted by law; in the event any such interest or fee exceeds such maximum rate, such interest or fee shall be reduced to the maximum rate recoverable under law and the Lenders and the Borrowers shall be deemed to have agreed to such amount by contract; (f) for the purposes of the Interest Act (Canada): (i) the annual rate of interest which is equivalent to the interest rate determined by reference to Adjusted Term SOFR or Adjusted Daily Simple SOFR shall be the determined rate multiplied by a fraction, the numerator of which is the total number of days in such year and the denominator of which is 360; (ii) unless otherwise stated, the rates of interest or Standby Fees specified in this Agreement are to be calculated on the basis of a year of 365 days and the annual rate of interest or Standby Fee which is equivalent to the interest rate or fee determined by reference to such 365 day period hereunder shall be the determined rate or fee multiplied by a fraction, the numerator of which is the total number of days in such year and the denominator of which is 365; (iii) the principle of deemed reinvestment of interest shall not apply to any interest calculation under this Agreement; and (iv) the rates of interest specified in this Agreement are intended to be nominal rates and not effective rates. 2.18 Payments. The following provisions shall apply to payments required to be made by the Borrowers under this Agreement:


 
- 46 - 1380-6618-2422.9 (a) WFT shall make each payment required to be made by it not later than 2:00 p.m. (Toronto time) in the currency of the Accommodation or other obligation in respect of which such payment is made (either Canadian Dollars or US Dollars) on the day (subject to Section 2.19) when due, in same day funds, by deposit of such funds to the applicable Payment Account. (b) WFUS shall make each payment required to be made by it not later than 2:00 p.m. (New York City time) in US Dollars on the day (subject to Section 2.19) when due, in same day funds, by deposit of such funds to the Payment Account. (c) All payments of principal, interest and fees, unless otherwise expressly stipulated, shall be made for the account of, and distributed by the Agent to, the Lenders entitled thereto pro rata on the basis of their respective Commitments under the applicable Credit Facility; provided that, in the event that certain Lenders under such Credit Facility have received payment of interest as accrued up to a certain date, and other Lenders under such Credit Facility have only received payment as accrued up to an earlier date, any amounts required to be applied to interest hereunder shall first be paid to such other Lenders, until all Lenders under such Credit Facility have received payment of interest as accrued up to the same date, and thenceforth to all Lenders under such Credit Facility as otherwise required by this Agreement. (d) If on any date liquidated amounts (other than interest and fees) would be payable under this Agreement in the same currency by a Borrower to certain Lenders and by such Lenders to that Borrower, then on such date, at the election of and upon notice from the Agent stating that netting is to apply to such payments, each such party’s obligations to make payment of any such amount will be automatically satisfied and discharged and, if the aggregate amount that would otherwise have been payable by such Borrower to such Lenders exceeds the aggregate amount that would otherwise have been payable by such Lenders to such Borrower or vice versa, such obligations shall be replaced by an obligation upon such Borrower or such Lenders by whom the larger aggregate amount would have been payable to pay to the other the excess of the larger aggregate amount over the smaller aggregate amount. (e) Except as set forth in paragraph (d) above, each payment made by a Borrower under this Agreement shall be made without set-off or counterclaim. 2.19 Business Day Payments. Except as otherwise provided herein in the case of a SOFR Advance, whenever any payment hereunder shall be stated to be due on a day other than a Business Day, such payment shall be made on the next succeeding Business Day, and such extension of time shall in such case be included in the computation of interest or fees, as the case may be. 2.20 Interest on Overdue Amounts. If all or a portion of the principal amount of any Advance, any interest payable thereon, Letter of Credit Fee, Standby Fee or other fee or any other amount payable by a Borrower hereunder shall not be paid when due (whether at stated maturity, by acceleration or otherwise), such overdue amount shall bear interest at a rate per annum equal to the Prime Rate plus 2.0%


 
- 47 - 1380-6618-2422.9 in the case of any overdue amount in Canadian Dollars, at the US Base Rate plus 2.0% in the case of any overdue amount payable by WFT in US Dollars and at the NY Prime Rate plus 2.0% in the case of any overdue amount payable by WFUS in US Dollars. Interest on any such overdue amount shall be computed from and including the date on which such amount becomes due to the date such amount is paid, and shall be compounded monthly and be paid on demand both before and after maturity, default and judgment. 2.21 Breakage Costs. Each Borrower shall promptly pay to each Lender any amounts required to compensate such Lender for any loss, cost of redeploying funds or other cost or expense suffered or incurred by such Lender as a result of: (a) any payment being made by such Borrower in respect of a Term SOFR Advance or a Term CORRA Advance (due to acceleration of the maturity of the Advance hereunder, an optional prepayment of principal or for any other reason) on a day other than the last day of an Interest Period applicable thereto; (b) the failure of such Borrower to give notice in the manner and at the times required hereunder; (c) the failure of such Borrower to accept an Advance after delivery of a Borrowing Notice in the manner and at the time specified in such Borrowing Notice; or (d) the failure of such Borrower to make a payment or a prepayment to the Agent in the manner and at the time specified in a notice given to the Agent. A certificate of such Lender, which may be submitted by the Agent on such Lender’s behalf, as to the amount necessary so to compensate such Lender shall be prima facie evidence, absent demonstrable error, of the amount due from the applicable Borrower to such Lender. 2.22 Borrowers’ Failure to Pay. Unless the Agent has been notified in writing by the Borrowers under a Credit Facility at least one Business Day prior to the date on which any payment to be made by the Borrowers under such Credit Facility is due that the Borrowers do not intend to remit such payment, the Agent may, in its discretion, assume that the Borrowers have remitted such payment when so due and, in its discretion and reliance upon such assumption, make available to each Lender under the applicable Credit Facility on such payment date an amount equal to the portion of such payment which is due to such Lender pursuant to this Agreement. If the Borrowers do not in fact remit such payment to the Agent, the Agent (without prejudice to any rights or remedies of the Lenders against the Borrowers) shall promptly notify each relevant Lender and each such Lender shall forthwith on demand repay to the Agent an amount equal to the portion of such assumed payment made available to such Lender, together with interest thereon until the date of repayment thereof at a rate determined by the Agent (such rate to be conclusive and binding on such Lender) in accordance with the usual banking practice of the Agent for similar advances to financial institutions of like standing as such Lender, but in no event greater than the Prime Rate (for amounts in Canadian Dollars) or the US Base Rate or the NY Prime Rate, as determined by the Agent (for amounts in US Dollars).


 
- 48 - 1380-6618-2422.9 2.23 Application of Payments. So long as no Event of Default has occurred and is continuing, all amounts received by the Lenders from or on behalf of a Borrower and not previously applied in another manner in accordance with this Agreement shall be applied by the Lenders as follows: (a) first, to fulfil such Borrower’s obligation to pay accrued and unpaid interest due and owing on the principal amount of Advances; (b) second, to fulfil such Borrower’s obligation to pay any other fees which are due and owing, and any accrued and unpaid costs and expenses of the Lenders in connection with any of the Credit Facility Documents; (c) third, to fulfil such Borrower’s obligation to pay any amounts due and owing on account of the unpaid principal amount of Borrowings; and (d) fourth, to fulfil any other obligation of such Borrower under this Agreement. After the occurrence of an Event of Default, unless such Event of Default is waived by the Lenders or is cured, payments received by the Lenders from or on behalf of a Borrower shall be applied to such Borrower’s obligations as the Lenders see fit. 2.24 Conditions Solely for the Benefit of the Lenders. All conditions to the obligations of the Lenders to make any Accommodation under the Credit Facilities are solely for the benefit of the Lenders, and no other Person shall have standing to require satisfaction of any condition and no other Person shall be deemed to be a beneficiary of any such condition, any and all of which may be freely waived in whole or in part by the Lenders at any time. 2.25 No Waiver. The making of an Accommodation without fulfilment of one or more of the conditions set forth in this Agreement shall not constitute a waiver by the Lenders of any such condition, and the Lenders reserve the right to require the fulfilment of each condition prior to the making of any subsequent Accommodation. 2.26 Authorized Debit. Each Borrower authorizes the Agent to debit such Borrower’s accounts with the amounts required to pay principal, interest, Standby Fees, Letter of Credit Fees and other amounts required to be paid by such Borrower under this Agreement. 2.27 Payment to Agent. A Borrower’s obligation to pay any amount to a Lender under this Agreement shall be deemed to be satisfied if such amount is paid to the Agent for the account of such Lender.


 
- 49 - 1380-6618-2422.9 2.28 Standby Fees. WFT shall pay: (a) to the Agent, for the account of each Canadian Lender under the Revolver Facility, a Standby Fee from and after the date of this Agreement payable in US Dollars quarterly in arrears on the fifth Business Day of the first month following the end of each fiscal quarter of WFT, and on the Revolver Maturity Date, calculated on a daily basis on the difference between the Canadian Lender Revolver Commitment of such Lender (excluding the Swingline Commitments in the case of the Swingline Lenders) and the aggregate Principal Outstanding under the Revolver Facility owed to such Lender from the Borrowers (excluding, in the case of the Swingline Lenders, any outstanding Swingline Advances), at the applicable rate per annum set forth under the heading “Standby Fees” in the definition of Applicable Margin; and (b) to the Agent, for the account of each US Lender under the Revolver Facility, a Standby Fee from and after the date of this Agreement payable in US Dollars quarterly in arrears on the fifth Business Day of the first month following the end of each fiscal quarter of WFT, and on the Revolver Maturity Date, calculated on a daily basis on the difference between the US Lender Revolver Commitment of such Lender and the aggregate Principal Outstanding under the Revolver Facility owed to such Lender from the Borrowers, at the applicable rate per annum set forth under the heading “Standby Fees” in the definition of Applicable Margin, and, for the purposes of the foregoing calculations, Principal Outstanding in Canadian Dollars on each day during the fiscal quarter shall be converted into the US Dollar Equivalent by applying the monthly average Bank of Canada rate posted on the last Business Day of the applicable month during such fiscal quarter. Payment of a Standby Fee on the unutilized portion of the: (c) WFT Swingline Commitment will be calculated at the applicable rate described above and be paid by WFT to the WFT Swingline Lender quarterly in arrears on the fifth Business Day of the first month following the end of each fiscal quarter of WFT; and (d) WFUS Swingline Commitment will be calculated at the applicable rate described above and be paid by WFUS to the WFUS Swingline Lender quarterly in arrears on the fifth Business Day of the first month following the end of each fiscal quarter of WFT. 2.29 Agent’s Fee. The Borrowers shall pay the Agent annually in advance, commencing on the Closing Date and thereafter on each anniversary of the Closing Date, an agent’s fee separately agreed upon by the Agent and the Borrowers.


 
- 50 - 1380-6618-2422.9 2.30 Agent’s Discretion on Allocation. In the event that it is not practicable to allocate to each Lender its rateable portion of an Accommodation in accordance with Section 3.4 by reason of the occurrence of circumstances described in Article 9, the Agent is authorized by the relevant Borrower and each relevant Lender to make such allocation as the Agent determines in its discretion may be equitable in the circumstances. All fees in respect of and repayments in connection with any such Accommodation, as well as future Accommodations, shall be adjusted as among the relevant Lenders by the Agent. 2.31 Rollovers and Conversions. (a) Subject to the terms and conditions of this Agreement, a Borrower may from time to time request that any type of Borrowing or any portion thereof be rolled over or converted in accordance with the provisions hereof. No Borrower may request a Conversion into a type of Borrowing which is not available to such Borrower under Section 2.8 or 2.9, as the case may be. (b) A Rollover or Conversion shall not constitute a repayment of the relevant Accommodation or a re-borrowing by the applicable Borrower but shall result in a change in the basis of calculation of interest, discounts or fees (as the case may be) for, or currency of, such Accommodation. Where a Conversion takes place from a US Dollar Advance to a Canadian Dollar Advance, or vice versa, the Conversion may be effected only by the applicable Borrower repaying the entire Principal Outstanding under the existing Advance (together with all accrued and unpaid interest thereon), in the currency of such existing Advance, and receiving the proceeds of the new Advance in the currency of such new Advance. (c) Notwithstanding any other provision of this Agreement, at no time shall there be more than 20 separate maturity dates, in aggregate, for all Term SOFR Advances and CORRA Advances outstanding under the Credit Facilities. 2.32 Reallocation of Canadian Lender and US Lender Revolver Commitments. (a) WFT may, at any time on no less than 30 days’ prior written notice, require that the Agent reallocate, amongst the Canadian Lenders and the US Lenders, the Canadian Lender Revolver Commitments and the US Lender Revolver Commitments, provided that, as the case may be, any increase in a Canadian Lender Revolver Commitment for a Canadian Lender must have a corresponding decrease in the US Lender Revolver Commitment for the corresponding US Lender or any increase in a US Lender Revolver Commitment for a US Lender must have a corresponding decrease in the Canadian Lender Revolver Commitment for the corresponding Canadian Lender. (b) Application of any such reallocation request shall be subject to there being no outstanding Borrowings under the Revolver Facility that would result in the Borrowings exceeding the reallocated Commitments as at the effective date of such reallocation, provided that, on the request of the Borrowers, the Agent and the Lenders may terminate any outstanding Term SOFR Advances or Term CORRA Advances as may be necessary to permit such a reallocation request in accordance with the foregoing.


 
- 51 - 1380-6618-2422.9 (c) Following such reallocation, the Agent shall make such changes as are necessary to Part 1 of Appendix A to this Agreement to reflect such reallocation. ARTICLE 3 ADVANCES 3.1 Advances. Each Canadian Lender agrees (on a several basis with the other Canadian Lenders, up to the amount of such Lender’s Commitment under the Revolver Facility), on the terms and conditions herein set forth, from time to time on any Business Day, to make Prime Rate Advances, CORRA Advances, US Base Rate Advances and SOFR Advances to WFT under the Revolver Facility prior to the cancellation or termination thereof. Each US Lender agrees (on a several basis with the other US Lenders, up to the amount of such Lender’s Commitment under the Revolver Facility), on the terms and conditions herein set forth, from time to time on any Business Day, to make NY Prime Rate Advances and SOFR Advances to WFUS under the Revolver Facility prior to the cancellation or termination thereof. Each Term Lender agrees (on a several basis with the other Term Lenders, up to the amount of such Lender’s Commitment under the Term Facility), on the terms and conditions herein set forth, from time to time on any Business Day, to make US Base Rate Advances and SOFR Advances to WFT under the Term Facility prior to the cancellation or termination thereof 3.2 Minimum Advances. Each Prime Rate Advance (other than a Swingline Advance) shall be in an aggregate amount (as to all relevant Lenders) of not less than Cdn$10,000,000, and each US Base Rate Advance (other than a Swingline Advance) shall be in an aggregate amount (as to all relevant Lenders) of not less than US$10,000,000. Each NY Prime Rate Advance shall be in an aggregate amount (as to all relevant Lenders) of not less than US$5,000,000. Each SOFR Advance shall be in an aggregate amount (as to all relevant Lenders) of not less than US$5,000,000 and in an integral multiple of US$100,000. Each CORRA Advance shall be in an aggregate amount (to all relevant Lenders) of Cdn.$5,000,000 and in an integral multiple of Cdn.$1,000,000. 3.3 Notice Requirements for Advances. Each Advance shall be made: (a) on at least two Business Days’ prior written notice, in the case of Prime Rate Advances, NY Prime Rate Advances or US Base Rate Advances; and (b) on at least three Business Days’ prior written notice, in the case of a SOFR Advance, Term CORRA Advance or a Daily Compounded CORRA Advance. If WFT is the Borrower, notice shall be given not later than 11:30 a.m. (Toronto time) by WFT to the Agent by way of a Borrowing Notice. If WFUS is the Borrower, notice shall be given not later than 11:30 a.m. (New York City time) by WFUS to the Agent by way of a Borrowing Notice. The Agent shall give each relevant Lender prompt notice thereof and of such Lender’s rateable portion of such Advance.


 
- 52 - 1380-6618-2422.9 3.4 Payment of Advances to Agent. In the case of an Advance requested by WFT under the Revolver Facility, each Canadian Lender shall, before 2:00 p.m. (Toronto time) on the date of the requested Advance, deposit to the relevant Payment Account in same day funds such Lender’s rateable portion of such Advance in: (a) Canadian Dollars, in the case of a Prime Rate Advance or CORRA Advance; or (b) US Dollars, in the case of a US Base Rate Advance or a SOFR Advance. In the case of an Advance requested by WFUS under the Revolver Facility, each US Lender shall, before 2:00 p.m. (New York City time) on the date of the requested Advance, deposit to the Payment Account in same day funds such Lender’s rateable portion of such Advance in US Dollars. In the case of an Advance requested under the Term Facility, each Term Lender shall, before 2:00 p.m. (Toronto time) on the date of the requested Advance, deposit to the Payment Account in same day funds such Lender’s rateable portion of such Advance in US Dollars. Promptly upon receipt by the Agent of such funds, and subject to the provisions of this Agreement, the Agent will make such funds available to the applicable Borrower. 3.5 Notices Irrevocable. Each Borrowing Notice shall be irrevocable and binding on the applicable Borrower. Such Borrower shall indemnify the relevant Lenders against any loss or expense (excluding loss of profit or other consequential losses) incurred by such Lenders in reliance on a Borrowing Notice as a result of any failure by such Borrower to fulfil or honour the provisions of this Agreement if an Advance, as a result of such failure, is not made or a SOFR Advance or CORRA Advance is not continued on the date specified in any Borrowing Notice. 3.6 Election of Interest Rates and Currencies. Each Advance shall be the Type of Advance specified in the applicable Borrowing Notice and shall bear interest at the rate applicable to such Type of Advance, determined in accordance with the provisions of this Agreement, until: (a) in the case of a Term SOFR Advance or Term CORRA Advance, the end of the initial Interest Period applicable thereto as specified in the applicable Borrowing Notice; or (b) in the case of a Prime Rate Advance, NY Prime Rate Advance, US Base Rate Advance, Daily Compounded CORRA Advance, Daily Simple SOFR Advance, the date on which such Advance is repaid in full. 3.7 Continuation of Term SOFR Advances and Term CORRA Advances. A Borrower may from time to time, by delivering a Borrowing Notice, elect to continue a Term SOFR Advance or Term CORRA Advance by way of a Rollover for an additional Interest Period beginning on the last day of the then current Interest Period applicable to such Term SOFR


 
- 53 - 1380-6618-2422.9 Advance or Term CORRA Advance. Each such election shall be made on at least three Business Days’ prior written notice given not later than 11:30 a.m. (Toronto time or New York City time, as applicable) by such Borrower to the Agent. Each Borrowing Notice delivered pursuant to this Section shall specify the duration of the additional Interest Period and the date on which such Interest Period is to begin. 3.8 Conversion of Advances. (a) WFT may from time to time, by delivering a Borrowing Notice to the Agent, elect to make a Conversion of any outstanding Term CORRA Advance, Daily Compounded CORRA Advance, Prime Rate Advance, Term SOFR Advance, Daily Simple SOFR Advance or US Base Rate Advance under the Revolver Facility, as follows: (i) if such Advance is a Term SOFR Advance, WFT may elect to convert such Term SOFR Advance in whole or in part to a US Base Rate Advance or a Daily Simple SOFR Advance beginning on the last day of the then current Interest Period applicable to such Term SOFR Advance; (ii) if such Advance is a Daily Simple SOFR Advance, WFT may elect to convert such Daily Simple SOFR Advance in whole or in part to a Term SOFR Advance or a US Base Rate Advance; (iii) if such Advance is a US Base Rate Advance, WFT may elect to convert such US Base Rate Advance in whole or in part to a Term SOFR Advance or a Daily Simple SOFR Advance; (iv) if such Advance is a Term CORRA Advance, WFT may elect to convert such Term CORRA Advance in whole or in part to a Prime Rate Advance or a Daily Compounded CORRA Advance beginning on the last day of the then current Interest Period applicable to such Term CORRA Advance; (v) if such Advance is a Daily Compounded CORRA Advance, WFT may elect to convert such Daily Compounded CORRA Advance in whole or in part to a Term CORRA Advance or a Prime Rate Advance; and (vi) if such Advance is a Prime Rate Advance, WFT may elect to convert such Prime Rate Advance in whole or in part to a Term CORRA Advance or a Daily Compounded CORRA Advance. (b) WFUS may, from time to time, by delivering a Borrowing Notice to the Agent, elect to make a Conversion of any outstanding Advance under the Revolver Facility, as follows: (i) if such Advance is a Term SOFR Advance, WFUS may elect to convert such Term SOFR Advance in whole or in part to a NY Prime Rate Advance or a Daily Simple SOFR Advance beginning on the last day of the then current Interest Period applicable to such Term SOFR Advance;


 
- 54 - 1380-6618-2422.9 (ii) if such Advance is a Daily Simple SOFR Advance, WFUS may elect to convert such Daily Simple SOFR Advance in whole or in part to a Term SOFR Advance or a NY Prime Rate Advance; and (iii) if such Advance is a NY Prime Rate Advance, WFUS may elect to convert such NY Prime Rate Advance in whole or in part to a Term SOFR Advance or a Daily Simple SOFR Advance; (iv) if such Advance is a Term CORRA Advance, WFUS may elect to convert such Term CORRA Advance in whole or in part to a Prime Rate Advance or a Daily Compounded CORRA Advance beginning on the last day of the then current Interest Period applicable to such Term CORRA Advance; (v) if such Advance is a Daily Compounded CORRA Advance, WFUS may elect to convert such Daily Compounded CORRA Advance in whole or in part to a Term CORRA Advance or a Prime Rate Advance; and (vi) if such Advance is a Prime Rate Advance, WFUS may elect to convert such Prime Rate Advance in whole or in part to a Term CORRA Advance or a Daily Compounded CORRA Advance. (c) WFT may from time to time, by delivering a Borrowing Notice to the Agent, elect to make a Conversion of any outstanding Advance under the Term Facility, as follows: (i) if such Advance is a Term SOFR Advance, WFT may elect to convert such Term SOFR Advance in whole or in part to a US Base Rate Advance or a Daily Simple SOFR Advance beginning on the last day of the then current Interest Period applicable to such Term SOFR Advance; (ii) if such Advance is a Daily Simple SOFR Advance, WFT may elect to convert such Daily Simple SOFR Advance in whole or in part to a Term SOFR Advance or a US Base Rate Advance; and (iii) if such Advance is a US Base Rate Advance, WFT may elect to convert such US Base Rate Advance in whole or in part to a Term SOFR Advance or a Daily Simple SOFR Advance. (d) Each such election shall be made on at least three Business Days’ prior written notice for a Conversion into a Term SOFR Advance, Daily Simple SOFR Advance, Term CORRA Advance or Daily Compounded CORRA Advance and on at least two Business Days’ notice in any other case, given not later than 1:30 p.m. (Toronto time), by the applicable Borrower to the Agent. (e) Each Borrowing Notice delivered pursuant to this Section shall specify the new Type of Advance selected, the date on which the requested Conversion is to be made, the currency (if changed) and, if the new Type of Advance is a Term SOFR Advance, the duration of the initial Interest Period applicable thereto.


 
- 55 - 1380-6618-2422.9 3.9 Automatic Conversion of Term SOFR Advances. If a Borrower fails, in the manner required herein, to give to the Agent in respect of all or any part of a Term SOFR Advance made to such Borrower: (a) a Borrowing Notice continuing such Term SOFR Advance by way of a Rollover for a further Interest Period pursuant to Section 3.7; or (b) a Borrowing Notice converting such Term SOFR Advance into a different Type of Advance pursuant to Section 3.8; or (c) a Notice of Repayment or Cancellation; then any such Term SOFR Advance, or part thereof, shall if made to WFT under the Revolver Facility or Term Facility, as applicable, become a US Base Rate Advance on the last day of the Interest Period applicable thereto and bear interest at the rate otherwise applicable to US Base Rate Advances, and if made to WFUS under the Revolver Facility shall become a NY Prime Rate Advance under the Revolver Facility on the last day of the Interest Period applicable thereto and bear interest at the rate otherwise applicable to NY Prime Rate Advances. The Borrowers shall also promptly pay to each relevant Lender any amounts required to compensate such Lender for any loss, cost or expense (excluding loss of profit or other consequential loss) suffered or incurred by such Lender as a result of any Borrower’ s failure to give to the Agent any of the notices described in this Section. 3.10 Automatic Conversion of Term CORRA Advances. If a Borrower fails, in the manner required herein, to give to the Agent in respect of all or any part of a Term CORRA Advance made to such Borrower: (a) a Borrowing Notice continuing such Term CORRA Advance by way of a Rollover for a further Interest Period pursuant to Section 3.7; or (b) a Borrowing Notice converting such Term CORRA Advance into a different Type of Advance pursuant to Section 3.8; or (c) a Notice of Repayment or Cancellation; then any such Term CORRA Advance, or part thereof, shall if made to WFT under the Revolver Facility, become a Prime Rate Advance on the last day of the Interest Period applicable thereto and bear interest at the rate otherwise applicable to Prime Rate Advances, and if made to WFUS under the Revolver Facility shall become a Prime Rate Advance under the Revolver Facility on the last day of the Interest Period applicable thereto and bear interest at the rate otherwise applicable to Prime Rate Advances. The Borrowers shall also promptly pay to each relevant Lender any amounts required to compensate such Lender for any loss, cost or expense (excluding loss of profit or other consequential loss) suffered or incurred by such Lender as a result of any Borrower’s failure to give to the Agent any of the notices described in this Section. 3.11 Interest on Term SOFR Advances. The applicable Borrower shall pay interest on the principal amount of each Term SOFR Advance from and including the date such Term SOFR Advance is made to but excluding the


 
- 56 - 1380-6618-2422.9 date on which such Term SOFR Advance is repaid in full, at a rate per annum equal to Adjusted Term SOFR for each Interest Period applicable to such Term SOFR Advance plus the Applicable Margin in effect on the first day of such Interest Period (but subject to any increase or decrease in the Applicable Margin during such Interest Period as a result of a change in a Credit Rating). Interest on each Term SOFR Advance shall be computed on the basis of the actual number of days elapsed divided by 360. Interest on Term SOFR Advances shall be calculated and payable at the end of the applicable Interest Period except where the Interest Period exceeds three months in duration, in which case such interest shall be calculated and payable at the end of each successive three month portion thereof (determined with reference to the commencement of the Interest Period) and, finally, at the end of such Interest Period. 3.12 Interest on CORRA Advances. The applicable Borrower shall pay interest in Canadian Dollars, on each CORRA Advance, for the period commencing on and including the first day of the Interest Period applicable to such CORRA Advance up to but not including the last day of such Interest Period at a rate per 365 day period equal to the sum of (a) in the case of a Daily Compounded CORRA Advance, Adjusted Daily Compounded CORRA plus the Applicable Margin applicable to such Daily Compounded CORRA Advance and (b) in the case of a Term CORRA Advance, Adjusted Term CORRA plus the Applicable Margin applicable to such Term CORRA Advance. A change in the Applicable Margin will simultaneously cause a corresponding change in the interest payable for a CORRA Advance. Such interest shall be payable on each CORRA Interest Date applicable to such Interest Period and shall be calculated on a daily basis and on the basis of the actual number of days elapsed in the period for which such interest is payable (including the first day of such period but excluding the date on which such interest is payable) divided by 365. The annual rates of interest to which the rates determined in accordance with the foregoing provisions of this Section 3.12 are equivalent, are the rates so determined multiplied by the actual number of days in a period of 1 year commencing on the first day of the period for which such interest is payable and divided by 365. 3.13 Interest on Prime Rate, NY Prime Rate, US Base Rate and Daily Simple SOFR Advances. The applicable Borrower shall pay interest on the daily unpaid principal amount of each Prime Rate Advance, NY Prime Rate Advance, US Base Rate Advance or Daily Simple SOFR Advance from the date of such Advance until such principal amount is repaid in full, at the annual rate applicable to each of such days which corresponds to the Prime Rate, the NY Prime Rate, the US Base Rate or the Adjusted Daily Simple SOFR, as the case may be, at the close of business on each of such days, plus the Applicable Margin. Interest on Prime Rate Advances, NY Prime Rate Advances, US Base Rate Advances and Daily Simple SOFR Advances shall be calculated on the daily balance up to and including the last day of each month, and shall be payable monthly in arrears on the fifth Business Day of each month. 3.14 Interest Rates; Benchmark Notification. The interest rate on a Borrowing may be derived from an interest rate benchmark that may be discontinued or is, or may in the future become, the subject of regulatory reform. Upon the occurrence of a Benchmark Transition Event in respect of any Benchmark, this Agreement provides a mechanism for determining an alternative rate of interest. No Lender warrants or accepts any responsibility for, and shall not have any liability with respect to (a) the continuation of, the administration of, submission of, calculation of, performance of or any other matter related


 
- 57 - 1380-6618-2422.9 to any interest rate used in this Agreement (including the Prime Rate, the US Base Rate, NY Prime Rate, Daily Simple SOFR, Adjusted Daily Simple SOFR, SOFR, the Term SOFR Reference Rate, Adjusted Term SOFR, Term SOFR, CORRA, Term CORRA, the Term CORRA Reference Rate, Adjusted Term CORRA, Adjusted Daily Compounded CORRA or Daily Compounded CORRA) or any component definition thereof or rates referred to in the definition thereof, or with respect to any alternative or successor rate thereto, or replacement rate thereof (including any Benchmark Replacement), including whether the composition or characteristics of any such alternative, successor or replacement rate (including any Benchmark Replacement) will be similar to, or produce the same value or economic equivalence of, or have the same volume or liquidity as, the Prime Rate, the US Base Rate, Daily Simple SOFR, Adjusted Daily Simple SOFR, SOFR, Term SOFR Reference Rate, Adjusted Term SOFR, Term SOFR, CORRA, Term CORRA, the Term CORRA Reference Rate, Adjusted Term CORRA, Adjusted Daily Compounded CORRA or Daily Compounded CORRA or any other Benchmark (or any component thereof) prior to its discontinuance or unavailability or (b) the effect, implementation or composition of any Conforming Changes. The Agent, no Lender, nor any of their affiliates and/or other related entities may engage in transactions that affect the calculation of any interest rate (or component thereof) used in this Agreement or any alternative, successor or replacement rate (including any Benchmark Replacement) and/or any relevant adjustments thereto, in each case, in a manner adverse to the applicable Borrower. The Agent may select information sources or services in its discretion, acting reasonably, to ascertain any interest rate used in this Agreement, any component thereof, or rates referred to in the definition thereof or rates referred to in the definition thereof or any other Benchmark, in each case pursuant to and in accordance with the terms of this Agreement, and shall have no liability to the applicable Borrower, the Agent, any Lender or any other Person for damages of any kind, including direct or indirect, special, punitive, incidental or consequential damages, costs, losses or expenses (whether in tort, contract or otherwise and whether at law or in equity), for any error or calculation of any such rate (or component thereof) provided by any such information source or service. 3.15 Conforming Changes. In connection with the use or administration of SOFR, Term SOFR, Daily Simple SOFR, CORRA, Term CORRA or Daily Compounded CORRA, the Agent will have the right to make Conforming Changes from time to time and, notwithstanding anything to the contrary herein or in any other Credit Facility Document, any amendments implementing such Conforming Changes will become effective without any further action or consent of any other party to this Agreement or any other Credit Facility Document. The Agent will promptly notify the Borrowers and the Lenders of the effectiveness of any Conforming Changes in connection with the use or administration of SOFR, Term SOFR, Daily Simple SOFR, CORRA, Term CORRA or Daily Compounded CORRA, as applicable. ARTICLE 4 LETTERS OF CREDIT 4.1 Commitment. Each Canadian Lender agrees, on a several basis with the other Canadian Lenders: (a) to issue POA Letters of Credit under the Revolver Facility through the Agent as attorney for all Canadian Lenders; and


 
- 58 - 1380-6618-2422.9 (b) to the issue of Fronted Letters of Credit under the Revolver Facility by the Fronting Lender on behalf of all Canadian Lenders, in each case at the request of WFT and subject to the terms and conditions of this Agreement. References in this Article 4 to “Lender” or “Lenders” shall mean “Canadian Lender” and “Canadian Lenders”, respectively. 4.2 POA Letters of Credit. The following provisions shall apply to POA Letters of Credit: (a) Issuance on behalf of Lenders. Each POA Letter of Credit shall be issued by the Agent on behalf of all Lenders as a single multi-Lender Letter of Credit, but the obligation of each Lender thereunder shall be several, and not joint, based upon its Proportionate Share in effect on the date of issuance of such POA Letter of Credit, subject to any changes resulting from a change in its Proportionate Share after the date of issuance of the POA Letter of Credit that are effected in accordance with the terms of the POA Letter of Credit. Each POA Letter of Credit shall include the provisions contained in, and shall be substantially in the form of, Schedule 6, and shall otherwise be in a form satisfactory to the Agent. Without the unanimous consent of the Lenders, no POA Letter of Credit shall be issued which varies the several and not joint nature of the liability of each Lender thereunder. (b) Agent as Agent and Attorney. Each POA Letter of Credit shall be executed and delivered by the Agent in the name and on behalf of, and as attorney-in-fact for, each Lender party to such Letter of Credit. The Agent shall act under each POA Letter of Credit as the agent of each Lender to: (i) receive documents presented by the Beneficiary under such POA Letter of Credit; (ii) determine whether such documents are in compliance with the terms and conditions of such POA Letter of Credit; and (iii) notify such Lender and WFT that a valid drawing has been made and the date that the related payment under such POA Letter of Credit is to be made; provided that the Agent (in such capacity) shall have no obligation or liability for any payment to be made under any POA Letter of Credit and each POA Letter of Credit shall expressly so provide. (c) Power of Attorney. Each Lender hereby appoints and designates the Agent as its attorney-in-fact, acting through any duly authorized officer of the Agent, to execute and deliver each POA Letter of Credit to be issued by such Lender hereunder in the name and on behalf of such Lender. Each Lender shall furnish to the Agent a power of attorney in the form attached as Schedule 7, which may be presented as evidence of the Agent’s power to act but which shall not, as between the Lender and the Agent, vary the power of the Agent as established in this Agreement. In addition, promptly upon the request of the Agent, each Lender will furnish to the Agent such other evidence as any Beneficiary of any POA Letter of Credit may reasonably request in order to demonstrate that the Agent has the power to act as attorney-in-fact for such Lender to execute and deliver such POA Letter of Credit.


 
- 59 - 1380-6618-2422.9 WFT and the Lenders agree that each POA Letter of Credit shall provide that all documents presented thereunder shall be delivered to the Agent and that all payments thereunder shall be made by the Lenders obligated thereon through the Agent. Each Lender shall be severally liable under each POA Letter of Credit in proportion to its Proportionate Share on the date of issuance of such POA Letter of Credit and each POA Letter of Credit shall specify each Lender’s share of the amount payable thereunder. (d) Documents and Payment Demands. WFT and each Lender hereby authorize the Agent to review on behalf of each Lender each document presented under each POA Letter of Credit. The determination of the Agent as to the conformity of any documents presented under a POA Letter of Credit to the requirements of such POA Letter of Credit shall be conclusive and binding on WFT and each Lender, provided the Agent acts in accordance with the standards of reasonable care specified in the Uniform Customs. The Agent shall, within a reasonable time following its receipt thereof, examine all documents purporting to represent a demand for payment under any POA Letter of Credit. The Agent shall promptly after such examination: (i) notify each of the Lenders obligated under such POA Letter of Credit and WFT by telephone (confirmed in writing) of such demand for payment and of each Lender’s share of such payment; (ii) deliver to each Lender and WFT a copy of each document purporting to represent a demand for payment under such POA Letter of Credit; and (iii) notify each Lender and WFT whether the demand for payment was properly made under such POA Letter of Credit. (e) Drawings. With respect to any drawing determined by the Agent to have been properly made under a POA Letter of Credit, each Lender will make a payment under the POA Letter of Credit in accordance with its liability under the POA Letter of Credit and this Agreement. The payment shall be made to the relevant Payment Account or such other account as the Agent designates by notice to the Lenders. The Agent will promptly make any such payment available to the Beneficiary of such POA Letter of Credit. Promptly following any payment by any Lender in respect of any POA Letter of Credit, the Agent will notify WFT of such payment, but any failure to give or delay in giving such notice shall not relieve WFT of its obligation to reimburse the Lenders with respect to any such payment. The responsibility of the Agent and the Lenders in connection with any document presented for payment under any POA Letter of Credit shall, in addition to any payment obligation expressly provided in such POA Letter of Credit, be limited to determining that the documents delivered under such Letter of Credit in connection with such presentment are in conformity with such POA Letter of Credit. The Agent shall not be required to make any payment under a POA Letter of Credit in excess of the amount received by it from the Lenders for such payment. (f) Reimbursement by WFT. WFT shall pay to the Agent (for the account of the Lenders) the amount paid to a Beneficiary upon a drawing under a POA Letter of Credit (the “drawn amount”) on the date of such drawing. The Agent, on behalf of the Lenders, shall be entitled to receive interest on the drawn amount at the rate


 
- 60 - 1380-6618-2422.9 applicable to Prime Rate Advances (if the drawn amount was in Canadian Dollars) or the rate applicable to US Base Rate Advances (if the drawn amount was in US Dollars) for the period from and including the date the drawn amount was paid to a Beneficiary pursuant to the drawing to but excluding the date on which such payment (including interest) is made to Agent. (g) Notice regarding Potential Automatic Renewal. Without limiting the other provisions of this Agreement, if a Default or an Event of Default has then occurred and is continuing, the Agent shall notify the Lenders 30 days before any applicable deadline for notifying the Beneficiary of a POA Letter of Credit that it will not be renewed, in order to avoid automatic renewal in accordance with the terms of the POA Letter of Credit. 4.3 Fronted Letters of Credit. The following provisions shall apply to Fronted Letters of Credit: (a) Issuance on behalf of Lenders. Each Fronted Letter of Credit shall be issued by the Fronting Lender on behalf of all Lenders. The Principal Outstanding in respect of a Fronted Letter of Credit shall be allocated among the Lenders based on their respective Proportionate Share. Each Lender is liable to, and by entering into this Agreement agrees to, indemnify and hold harmless the Fronting Lender in relation to the Fronting Lender’s liability as issuer of a Fronted Letter of Credit to the extent of such Lender’s Proportionate Share of such liability. The Principal Outstanding under the Revolver Facility shall be adjusted in the circumstances and in the manner contemplated by Section 11.7 in order to reflect the issuance of Fronted Letters of Credit by the Fronting Lender on behalf of the Lenders. (b) Documents and Payment Demands. WFT and each Lender hereby authorize the Fronting Lender to review on behalf of each Lender each document presented under a Fronted Letter of Credit. The determination of the Fronting Lender as to the conformity of any document presented under a Fronted Letter of Credit to the requirements of such Fronted Letter of Credit shall be conclusive and binding on WFT and each Lender, provided the Fronting Lender acts in accordance with the standards of reasonable care specified in the Uniform Customs. The Fronting Lender shall, within a reasonable time after its receipt thereof, examine all documents purporting to represent a demand for payment under any Fronted Letter of Credit. (c) Payment of Amounts Drawn under Fronted Letter of Credit. WFT shall reimburse the Fronting Lender on demand for any amount paid by the Fronting Lender upon a drawing under a Fronted Letter of Credit (the “drawn amount”). The amount so payable by WFT shall include interest on the drawn amount at the rate per annum applicable to Prime Rate Advances (if the drawn amount was in Canadian Dollars) or the rate per annum applicable to US Base Rate Advances (if the drawn amount was in US Dollars), for the period from and including the date the drawn amount was paid by the Fronting Lender to but excluding the date of reimbursement of the drawn amount (together with interest) by WFT. If WFT has failed to reimburse the Fronting Lender for a drawn amount (together with interest) by 1:00 p.m. (Toronto time) on the second Business Day following the date of demand by the Fronting Lender (the “demand date”), then:


 
- 61 - 1380-6618-2422.9 (i) WFT shall be deemed to have given a Borrowing Notice to the Agent requesting the Lenders to make a Prime Rate Advance (if the drawn amount was in Canadian Dollars) or a US Base Rate Advance (if the drawn amount was in US Dollars) on the fourth Business Day after the demand date in an amount equal to the drawn amount plus interest, calculated as herein provided for the period from and including the date the drawn amount was paid by the Fronting Lender to but excluding the date on which the Prime Rate Advance or the US Base Rate Advance (as the case may be) is made; and (ii) the Lenders shall, on the fourth Business Day following the demand date, make such Advance in accordance with Article 3 and the Agent shall apply the proceeds thereof to the reimbursement of the Fronting Lender for the drawn amount together with interest. 4.4 Notice of Issuance. Each Letter of Credit shall be issued on three Business Days’ prior written notice given by WFT to the Agent (in the case of a POA Letter of Credit) or to the Agent and the Fronting Lender (in the case of a Fronted Letter of Credit) given not later than 11:30 a.m. (Toronto time) in the form of a Borrowing Notice. Each such notice shall specify whether the Letter of Credit is to be a POA Letter of Credit or a Fronted Letter of Credit. In addition, WFT shall execute and deliver the customary form of letter of credit indemnity agreement of the Agent or the Fronting Lender, as the case may be; provided that if there is any inconsistency between the terms of this Agreement and the terms of such customary form of indemnity agreement, the terms of this Agreement shall prevail. 4.5 Form of Letter of Credit. Each Letter of Credit to be issued hereunder shall: (a) be dated as of the date of issue; (b) have an expiration date on a Business Day which occurs no more than 365 days after the date of issue, provided that no Letter of Credit may have an expiration date later than the Revolver Maturity Date; and (c) otherwise be satisfactory in form and substance to the Agent or the Fronting Lender, as the case may be. Except to the extent otherwise expressly provided herein or in another Credit Facility Document, the Uniform Customs shall apply to and govern each Letter of Credit. 4.6 Procedure for Issuance of Letters of Credit. (a) Issue. On the issue date, the Agent or the Fronting Lender will complete and issue a Letter of Credit in favour of the Beneficiary as specified by WFT in its Borrowing Notice, subject to the terms and conditions of this Agreement. (b) Time for Honour. No Letter of Credit shall require payment against a conforming draft to be made thereunder on the same Business Day upon which such draft is


 
- 62 - 1380-6618-2422.9 presented, if such presentation is made after 11:00 a.m. (Toronto time) on such Business Day. (c) Text. Prior to the issue date, WFT shall specify a precise description of the documents and the verbatim text of any certificate to be presented by the Beneficiary prior to payment under the Letter of Credit. The Agent or Fronting Lender may require changes in any such documents or certificate, acting reasonably. 4.7 Fees. (a) Issue Fee. WFT shall, on the fifth Business Day following the end of each fiscal quarter of WFT and on the Revolver Maturity Date, pay to the Agent in relation to each Letter of Credit, for the account of the Lenders, a fee (the “Letter of Credit Fee”) equal to the aggregate of a fee in Canadian Dollars in respect of each Letter of Credit in Canadian Dollars outstanding during any portion of such fiscal quarter, and a fee in US Dollars in respect of each Letter of Credit in US Dollars outstanding during any portion of such fiscal quarter, in each case calculated on a daily basis on the undrawn portion of the Face Amount of each such Letter of Credit at the applicable rate per annum specified under the heading “Financial Letter of Credit Fees” or “Performance Letter of Credit Fees”, as applicable, in the definition of Applicable Margin. (b) Fronting Fee. In addition, WFT shall, on the fifth Business Day following the end of each fiscal quarter of WFT and on the Revolver Maturity Date, pay to the Agent for the account of the Fronting Lender a fronting fee equal to the aggregate of a fee in Canadian Dollars in respect of each Fronted Letter of Credit in Canadian Dollars outstanding during any portion of such fiscal quarter, and a fee in US Dollars in respect of each Fronted Letter of Credit in US Dollars outstanding during any portion of such fiscal quarter, in each case calculated on a daily basis on the undrawn portion of the Face Amount of each such Fronted Letter of Credit at the rate of 10 basis points per annum. (c) Administration Fee. WFT shall pay to the Agent or the Fronting Lender, as the case may be, upon the issuance, amendment or transfer of each Letter of Credit, the standard documentary and administrative charges of the Agent or the Fronting Lender for issuing, amending or transferring standby or commercial letters of credit or letters of guarantee of a similar amount, term and risk. 4.8 Obligations Absolute. The obligation of the Borrowers to reimburse the Lenders for any drawing under a POA Letter of Credit or the Fronting Lender for any drawing made under a Fronted Letter of Credit shall be unconditional and irrevocable and shall be fulfilled strictly in accordance with the terms of this Agreement under all circumstances, including: (a) any lack of validity or enforceability of any Letter of Credit; (b) the existence of any claim, set-off, defence or other right which any of the Borrowers may have at any time against a Beneficiary or any transferee of any Letter of Credit (or any Persons for whom any such transferee may be acting), the


 
- 63 - 1380-6618-2422.9 Agent, the Fronting Lender, any other Lender or any other Person, whether in connection with this Agreement, the Credit Facility Documents, the transactions contemplated herein and therein or any unrelated transaction (including any underlying transaction between any of the Borrowers or an affiliate and the Beneficiary of such Letter of Credit); (c) any draft, demand, certificate or other document presented under any Letter of Credit proving to be forged, fraudulent or invalid in any respect or any statement therein being untrue or inaccurate in any respect; (d) payment by the Agent or the Fronting Lender under any Letter of Credit against presentation of a demand, draft or certificate or other document which does not comply with the terms of such Letter of Credit (provided that such payment does not breach the standards of reasonable care specified in the Uniform Customs); or (e) the fact that a Default or an Event of Default shall have occurred and be continuing. 4.9 Indemnification; Nature of Lenders’ Duties. (a) Indemnity. In addition to amounts payable as elsewhere provided in this Article, WFT hereby agrees to protect, indemnify, pay and save the Agent, the Fronting Lender and each other Lender and their respective directors, officers, employees, agents and representatives harmless from and against any and all claims, demands, liabilities, damages, losses, costs, charges and expenses (including legal fees and expenses) which the indemnitee may incur or be subject to as a consequence, direct or indirect, of the issuance of any Letter of Credit, or the failure of the indemnitee to honour a drawing under any Letter of Credit as a result of any act or omission, whether rightful or wrongful, of any present or future de jure or de facto Governmental Authority (all such acts or omissions called in this Section, “Government Acts”). (b) Risk. As between WFT, on the one hand, and the Agent, the Fronting Lender and the other Lenders, on the other hand, and subject to the final sentence in this paragraph (b), WFT assumes all risks of the acts and omissions of, or misuse of Letters of Credit by, the respective Beneficiaries of such Letters of Credit and, without limitation of the foregoing, neither the Agent, the Fronting Lender nor any other Lender shall be responsible for: (i) the form, validity, accuracy, genuineness or legal effect of any document submitted by any Person in connection with the application for and issuance of such Letters of Credit, even if it should in fact prove to be in any or all respects invalid, inaccurate, fraudulent or forged; (ii) the invalidity or insufficiency of any instrument transferring or assigning or purporting to transfer or assign any such Letter of Credit or the rights or benefits thereunder or proceeds thereof, in whole or in part, which may prove to be invalid or ineffective for any reason; (iii) errors, omissions, interruptions or delays in transmission or delivery of any messages, by fax, electronic transmission, mail, cable, telegraph, telex or otherwise;


 
- 64 - 1380-6618-2422.9 (iv) errors in interpretation of technical terms; (v) any loss or delay in the transmission or otherwise of any document required in order to make a drawing under any such Letter of Credit or of the proceeds thereof; (vi) the misapplication by the Beneficiary of any such Letter of Credit of the proceeds of any drawing under such Letter of Credit; or (vii) any consequences arising from causes beyond the control of the Agent, the Fronting Lender or any other Lender, including any Government Acts. None of the foregoing shall affect, impair or prevent the vesting of any of the Lenders’ rights or powers hereunder. No action taken or omitted by the Agent, the Fronting Lender or any other Lender under or in connection with any Letter of Credit issued by it or the related certificates, if taken or omitted in good faith, shall put the Agent, the Fronting Lender or any other Lender under any resulting liability to WFT (provided that the Agent or the Fronting Lender, as the case may be, acts in accordance with the standards of reasonable care specified in the Uniform Customs). 4.10 Default, Maturity, etc. Upon the earlier of: (a) the Revolver Maturity Date; and (b) the Agent declaring the Obligations to be due and payable pursuant to Section 8.2 or the Obligations otherwise becoming due and payable under Section 8.3, then, notwithstanding the expiration date of any outstanding Letters of Credit, an amount equal to the Face Amount of all outstanding Letters of Credit and all accrued and unpaid fees owing by WFT in respect of such Letters of Credit pursuant to Section 4.7, if any, shall thereupon forthwith be paid by WFT to the Agent and, except for any amount payable in respect of unpaid fees as aforesaid, such amount shall be held in a cash collateral account by the Agent and invested in Cash Equivalents as security to provide for or to secure payment of the amounts payable under such Letters of Credit in respect of any drawing thereunder. If the Borrowers are required under the terms of this Agreement to make a repayment in respect of the Revolver Facility and the amount of the required repayment is such that all or a portion of the outstanding Letters of Credit under such Credit Facility would need to be repaid, then an amount equal to all or the required portion (as applicable) of the Face Amount of such Letters of Credit shall be paid by the Borrowers to the Agent to be held in a cash collateral account by the Agent and invested in Cash Equivalents as security to provide for or to secure payment of the amounts payable under the applicable Letters of Credit in respect of any drawing thereunder. The Borrowers shall pay to the Agent such amount in respect of both any Letter of Credit outstanding hereunder and any Letter of Credit which is the subject matter of any order, judgment, injunction or other such determination (in this Section, a “Judicial Order”) restricting payment by any Lender under and in accordance with such Letter of Credit or extending any Lender’s liability under such Letter of Credit beyond the expiration date stated therein. Payment in respect of each


 
- 65 - 1380-6618-2422.9 such Letter of Credit shall be due in the currency in which such Letter of Credit is stated to be payable. Subject to Section 2.23, the Agent shall with respect to each such Letter of Credit, upon the later of: (a) the date on which any final and non-appealable order, judgment or other such determination has been rendered or issued either terminating the applicable Judicial Order or permanently enjoining such Lender from paying under such Letter of Credit; and (b) the earlier of: (i) the date on which either the original counterpart of the Letter of Credit is delivered to the Agent for cancellation or such Lender is released by the Beneficiary from any further obligations in respect thereof; and (ii) the expiry (to the extent permitted by any applicable Law) of such Letter of Credit; pay to WFT an amount equal to the difference between the amount paid to the Agent by WFT pursuant to this Section and the aggregate amount paid by such Lender under such Letter of Credit. ARTICLE 5 CLOSING CONDITIONS 5.1 Closing Conditions. The obligation of the Lenders to continue the Credit Facilities extended to the Borrowers under the Existing Credit Agreement, as amended and restated in accordance with the terms of this Agreement, and to advance the remaining balance of the Term Facility, is subject to the fulfilment of the following conditions on the Closing Date, to the reasonable satisfaction of the Lenders: (a) Credit Facility Documents. This Agreement shall have been executed and delivered by the Borrowers. (b) Representations and Warranties. All of the representations and warranties made by the Borrowers in this Agreement shall be true and correct in all material respects as of the Closing Date as though made on and as of such date, except for those representations and warranties that are qualified by materiality, which shall be true and correct in all respects, and WFT shall have delivered to the Agent a certificate executed by an Authorized Officer of WFT to that effect. (c) No Default. No event shall have occurred and be continuing which constitutes a Default or an Event of Default, and WFT shall have delivered to the Agent a certificate executed by an Authorized Officer of WFT to that effect. (d) Constating Documents and Resolutions. The Agent shall have received copies certified by the Secretary, an Assistant Secretary or another Authorized Officer of


 
- 66 - 1380-6618-2422.9 each Borrower of its respective charter documents (or confirmation that there have been no changes since the last certified copies of such charter documents provided to the Agent pursuant to the Existing Credit Agreement), resolutions of its board of directors approving the Credit Facility Documents to which it is a party (or confirmation that the resolutions provided to the Agent pursuant to the Existing Credit Agreement remain in full force and affect), and all documents evidencing any other necessary corporate action of it with respect to the Credit Facility Documents. (e) Incumbency Certificate. The Agent shall have received a certificate of the Secretary, an Assistant Secretary or another Authorized Officer of each Borrower certifying the names and true signatures of its officers authorized to sign the Credit Facility Documents to which it is a party and any other documents to be delivered by it hereunder. (f) Good Standing. The Agent shall have received a recently-dated certificate of good standing or like certificate of each Borrower issued by appropriate government officials of the jurisdiction of its incorporation. (g) Legal Opinions. The Agent shall have received a legal opinion from counsel to the Borrowers, in respect of each Borrower, in substantially the same form previously delivered to the Agent and otherwise satisfactory to the Agent, acting reasonably. (h) Payment of Fees. All fees or reimbursable expenses required to be paid by the Borrowers on or before the Closing Date shall have been paid, including all fees payable to the Agent or the Lenders in connection with the negotiation, preparation and execution of this Agreement. (i) Know your Customer. The Lenders shall have received, at least ten days before the Closing Date, all documentation and other information required by regulatory authorities under applicable “know your customer”, anti-terrorist and anti-money laundering rules and regulations, including the Patriot Act. (j) Other. The Agent shall have received such other certificates and documentation as the Agent may reasonably request. If all of the conditions set forth above have not been satisfied by the Borrowers or waived by the Lenders on or before the Closing Date, the obligations of the Lenders to make any Advance or any other Accommodation and all other obligations of the Lenders hereunder shall, at the option of the Lenders, terminate without prejudice to any rights or remedies available to the Lenders under this Agreement or otherwise. 5.2 Conditions Precedent to Subsequent Borrowings. It shall be a condition of each Borrowing (other than an Advance under Section 4.3(c) or Section 11.7, a Rollover or Conversion) that the representations and warranties contained in Article 6 hereof shall be true in all material respects on and as of the date of each such Borrowing, except where such representations and warranties were expressed to be made as of a specified date. It shall be a condition of each Borrowing (including a Rollover or Conversion but excluding an Advance under Section 4.3(c) or Section 11.7) that no Default or Event of Default shall exist


 
- 67 - 1380-6618-2422.9 on the date of the Borrowing or be created by such Borrowing. Each Borrower will, at the request of the Agent, deliver to the Agent a certificate or certificates of an Authorized Officer of such Borrower to that effect. ARTICLE 6 REPRESENTATIONS AND WARRANTIES 6.1 Representations and Warranties by the Borrowers. Each Borrower represents and warrants to the Lenders as set forth in this Article 6 and acknowledges that the Lenders are relying thereon without independent inquiry in entering into this Agreement and providing Accommodations from time to time; provided that WFUS shall so represent and warrant only as to matters pertaining to itself and its respective Subsidiaries. (a) Existence and Authority. Each Borrower is a corporation duly incorporated and validly existing, each Material Subsidiary is a corporation or partnership duly incorporated or otherwise formed and validly existing, and each Borrower and each Material Subsidiary has all necessary corporate or partnership power, capacity and authority to own its property and assets and to carry on its business and is duly qualified, licensed, registered or otherwise authorized to own property or conduct business in all jurisdictions where the character of the property or assets owned by it or the nature of the business conducted by it make such qualification, licensing, registration or other authorization necessary. (b) Corporate Power. Each Borrower has full corporate power, capacity and authority to enter into and perform its obligations under this Agreement and the other Credit Facility Documents to which it is a party. (c) Material Subsidiaries. The only Material Subsidiaries are those specified in Schedule 4 hereto, and Schedule 4 also sets out the jurisdiction of incorporation and ownership of shares of each such Material Subsidiary. (d) Absence of Conflict. The execution and delivery by each Borrower of this Agreement and the other Credit Facility Documents to which it is or will be a party and the performance by each Borrower of its obligations thereunder do not and will not: (i) conflict with or result in a breach of any of the terms, conditions or provisions of or require any consent under: (A) the articles, notice of articles or other charter documents of any Borrower; (B) any Governmental Approval applicable to any Borrower or any other Material Subsidiary; (C) any material contractual restriction binding on or affecting any Borrower or any other Material Subsidiary or any of their respective properties or assets; or


 
- 68 - 1380-6618-2422.9 (D) any judgment, order, injunction, determination or award which is binding on any Borrower or any other Material Subsidiary; or (ii) result in, require or permit: (A) the imposition of any Lien; or (B) the acceleration of the maturity of any Indebtedness of any Borrower or any other Material Subsidiary. (e) Consents and Approvals. No consent, approval, authorization, determination, registration, filing or other action, including without limitation the obtaining of any Governmental Approval, is necessary in connection with the execution and delivery by any Borrower of this Agreement or the other Credit Facility Documents to which it is a party or the performance by any Borrower of its obligations thereunder. (f) Due Authorization and Execution. This Agreement and the other Credit Facility Documents have been duly authorized, executed and delivered by each Borrower. (g) Validity and Enforceability. This Agreement and each of the other Credit Facility Documents constitutes a legal, valid and binding obligation of each Borrower, enforceable in accordance with its terms, subject in each case to the following qualifications as to enforceability: (i) applicable bankruptcy, insolvency, moratorium, reorganization and similar laws at the time in effect affecting the rights of creditors generally; (ii) equitable principles which may limit the availability of certain remedies, including the remedy of specific performance; (iii) the inability of the courts of Canada to give judgment for payment in foreign currencies; and (iv) such other customary qualifications as are contained in the opinion of the Borrowers’ counsel delivered pursuant to the Existing Credit Agreement. (h) Licences and Permits. All Governmental Approvals which are necessary in connection with the business, properties or assets of any Borrower or any other Material Subsidiary have been issued and are in full force and effect, except where the failure to possess any such Governmental Approval could not in the aggregate reasonably be expected to result in a Material Adverse Effect. There is no default under or any failure to observe or perform any condition of any such Governmental Approval, and no action is pending or, to the knowledge of any Borrower, threatened which has as its object the revocation, termination or amendment of any such Governmental Approval, which in any such case could reasonably be expected to result in a Material Adverse Effect. (i) Title to Assets. Each Borrower and each other Material Subsidiary has good and marketable title to or the right to use of the property and assets necessary for the operation of its respective business, free and clear of all Liens except Permitted


 
- 69 - 1380-6618-2422.9 Liens, and no Person has any agreement or right to acquire any of such properties or assets out of the ordinary course of business. (j) No Material Litigation or Proceedings. There are no actions, suits, claims, proceedings or investigations pending or, to the knowledge of any Borrower, threatened against such Borrower or any of its Subsidiaries, before or by any court or other judicial authority or arbitrator or any Governmental Authority, which if adversely determined could reasonably be expected to result in a Material Adverse Effect. (k) Environmental Compliance. Without limiting the generality of paragraph (j) above, no Borrower nor any of its Subsidiaries: (i) is in violation of, or has any liability under, any Environmental Law applicable to such Borrower or such Subsidiary; (ii) knows of the presence, release or disposal of any Hazardous Materials at any of its prior or currently owned, leased or operated properties; (iii) is subject to any litigation, investigation, order or proceeding in connection with any Hazardous Materials or Environmental Law; (iv) previously or currently owns, leases or operates real property that is listed or, to the knowledge of any Borrower or any of its respective Subsidiaries proposed for listing, on the National Priorities List under CERCLA or any state or local counterpart thereof; (v) has received, or to the knowledge of any Borrower or any of its respective Subsidiaries reasonably expects to receive, notice of potential responsibility or letter of inquiry from any private party or Governmental Authority for any off-site facility or any of its previously or currently owned, leased or operated property under CERCLA or any state or local counterpart thereof; or (vi) is subject to any environmental, health or safety condition, which individually or in the aggregate could reasonably be expected to result in a Material Adverse Effect. (l) No Defaults. No event has occurred and no condition exists which would constitute a Default or an Event of Default, and no Borrower nor any of its Subsidiaries is in breach of or default under, nor is there in existence any event which with the giving of notice or passage of time would be a breach of or default under, any Law, material agreement or other material instrument (including without limitation any agreement or instrument relating to Indebtedness) which breach or default, individually or in the aggregate, could reasonably be expected to result in a Material Adverse Effect. (m) Tax Filings and Payments. Each Borrower and each Material Subsidiary has filed all material Tax returns which are required to have been filed in any jurisdiction. Each Borrower has, and each Material Subsidiary has, paid all material Taxes


 
- 70 - 1380-6618-2422.9 shown to be due and payable on any Tax return filed by it and all other material Taxes and assessments payable by it, to the extent the same have become due and payable and before they have become delinquent, except for any material Taxes, or material existing or known proposed assessments or reassessments in respect of which all of the following conditions are met: (i) the amount, applicability or validity thereof is currently being contested (or will be protested once initiated) in good faith by appropriate proceedings; (ii) the execution of any judgment with respect thereto has been stayed; (iii) each Borrower or relevant Material Subsidiary has set aside on its books reserves with respect thereto (segregated to the extent required by GAAP) deemed by it to be adequate; and (iv) notice has been provided to the Agent pursuant to Section 7.2(h)(iii) if the amount thereof exceeds or could reasonably be expected to exceed US$20,000,000 (or the Equivalent Amount in any other currency). (n) Statutory Remittances. Each Borrower and each Material Subsidiary has remitted all material amounts required to be remitted by it to any Governmental Authority, including without limitation all material employee source deductions for income taxes, unemployment insurance and Canada Pension Plan remittances, sales taxes, excise taxes, goods and services taxes, payroll taxes, workers’ compensation assessments and stumpage fees. (o) Annual Financial Statements. The audited consolidated financial statements of WFT for the year ended December 31, 2024 have been prepared in accordance with GAAP applied on a consistent basis, except as stated therein or in the notes thereto, the consolidated balance sheet contained therein presents fairly in all material respects the financial position of WFT and its Subsidiaries as at the date thereof, and the consolidated statements of earnings, retained earnings and cash flows contained therein present fairly in all material respects the results of operations of WFT and its Subsidiaries on a consolidated basis for the period indicated. (p) Subsequent Financial Statements. Any financial statements of WFT subsequently delivered to the Lenders pursuant to this Agreement (including in each case any related schedules and notes) will have been prepared in accordance with GAAP consistently applied through the period involved (except as stated in the notes to such financial statements and, in the case of quarterly financial statements, subject to year-end audit adjustments and the absence of note disclosure for such items as are consistent with the most recent audited consolidated financial statements of WFT), and such financial statements will present fairly in all material respects the financial position and results of operations of WFT and its Subsidiaries on a consolidated basis as at and for the period indicated. (q) Material Adverse Change. Since December 31, 2024:


 
- 71 - 1380-6618-2422.9 (i) there has been no material adverse change in the consolidated financial condition of WFT from that shown on the consolidated balance sheet of WFT as at that date; and (ii) no event or circumstance has occurred which has had a Material Adverse Effect or which could reasonably be expected to have a Material Adverse Effect. (r) Compliance with Regulations T, U and X. None of WFT, WFUS nor any of their Subsidiaries is engaged principally in or has as one of its important activities the business of extending credit for the purpose of purchasing or carrying any “margin security” or “margin stock” as defined in Regulations T, U, and X (12 C.F.R. Parts 221 and 224) of the Board of Governors of the Federal Reserve System, and neither the making of any Accommodation nor the use of proceeds thereof will violate the provisions of such Regulation T, U, or X. (s) ERISA Compliance. (i) Each ERISA Plan (and the related trusts and funding agreements) complies in form and in operation with, has been administered in compliance with, and its terms satisfy, the applicable requirements of ERISA and the IRC in all material respects. Each ERISA Plan which is intended to be qualified under Section 401(a) of the IRC has received a favourable determination letter from the United States Internal Revenue Service or includes, or has been timely amended to include, all provisions required by Section 401(a) of the IRC. No Borrower nor any ERISA Affiliate has incurred liability for any material excise tax under any of Sections 4971 through 5000 of the IRC. (ii) No condition exists or event or transaction has occurred with respect to any Pension Plan, including but not limited to the termination of a Pension Plan or failure to make contributions to a Pension Plan, which could result in the incurrence by a Borrower or any ERISA Affiliate of any material liability, fine or penalty. No Borrower nor any ERISA Affiliate has incurred any liability to the PBGC (other than for current premiums) with respect to any Pension Plan. All material contributions have been made on a timely basis to any Multiemployer Plan that are required to be made by any Borrower or any ERISA Affiliate under the terms of the plan or any collective bargaining agreement or applicable law. No condition exists or event or transaction has occurred with respect to a Multiemployer Plan, including, but not limited to, the withdrawal or partial withdrawal from any Multiemployer Plan which could result in a material liability to any Borrower or any ERISA Affiliate. No condition has occurred which, if continued, could result in a withdrawal or partial withdrawal from any Multiemployer Plan, and no Borrower nor any ERISA Affiliate has received any notice that any Multiemployer Plan is in reorganization, that increased contributions may be required to avoid a reduction in benefits or the imposition of any excise tax, that any such plan is or has been funded at a rate less than that required under Section 412 of the IRC, that any such plan may be terminated, or that any such plan is or may become insolvent.


 
- 72 - 1380-6618-2422.9 (t) Governmental Regulation. None of WFT, WFUS nor any of their Subsidiaries is subject to regulation under the Federal Power Act (United States) or the Investment Company Act of 1940 (United States) or under any other United States federal or state statute or regulation which limits its ability to incur Indebtedness or which otherwise renders all or any portion of the Obligations unenforceable. None of WFT, WFUS nor any of their Subsidiaries is a “registered investment company” or a company “controlled” by a “registered investment company” or a “principal underwriter” of a “registered investment company” as such terms are defined in the Investment Company Act of 1940 (United States). (u) Patriot Act. To the extent applicable, each of WFT, WFUS and each of their Subsidiaries is in compliance, in all material respects, with (i) the Trading with the Enemy Act (United States), and each of the foreign assets control regulations of the United States Treasury Department (31 CFR, Subtitle B, Chapter V, as amended) and any other enabling legislation or executive order relating thereto, and (ii) the Patriot Act. No part of the proceeds of any Accommodation will be used, directly or indirectly, for any payments to any governmental official or employee, political party, official of a political party, candidate for political office, or anyone else acting in an official capacity, in order to obtain, retain or direct business or obtain any improper advantage, in violation of the Foreign Corrupt Practices Act of 1977 (United States). (v) Sanctioned Persons. None of WFT, WFUS nor any of their Subsidiaries appears on the list of Specially Designated Nationals and Blocked Persons published by the Office of Foreign Assets Control (“OFAC”) of the U.S. Treasury Department or the U.S. Department of State, or any other similar list of sanctioned persons maintained by the Canadian government or the United States government or any governmental institutions, departments and agencies thereof, and the Borrowers will not use the proceeds of the Accommodations in any manner that will result in a violation by any Lender of any sanctions administered by the Canadian government or the United States government or any governmental institutions, departments or agencies thereof, including OFAC or the U.S. Department of State. (w) Disclosure. All information supplied to the Agent and the Lenders by or on behalf of any Borrower on or before the date of this Agreement, except to the extent superseded or clarified by more recent information provided to the Agent and the Lenders on or before the date of this Agreement, is with respect to factual matters true and correct in all material respects and is, with respect to projections, forecasts and other matters being the subject of opinion, believed on reasonable grounds to be true and correct in all material respects and, to the extent based upon assumptions, such assumptions are believed to be reasonable in the circumstances. 6.2 Reaffirmation of Representations and Warranties. The representations and warranties of the Borrowers set out in Section 6.1 shall be deemed to be reaffirmed on the date any Accommodation (other than a Rollover or Conversion) is made by a Lender under this Agreement as if made on and as of each such date.


 
- 73 - 1380-6618-2422.9 ARTICLE 7 COVENANTS OF THE BORROWERS 7.1 Positive Covenants. Each Borrower covenants and agrees to and with each of the Lenders that so long as an Advance or other obligation of the Borrowers under this Agreement is outstanding or the Commitment of any of the Lenders has not been wholly terminated: (a) Payment when Due. Such Borrower will duly and punctually pay or cause to be paid all amounts required to be paid by it to the relevant Lenders pursuant to this Agreement or any of the other Credit Facility Documents, including principal, interest, Letter of Credit Fees, Standby Fees, other fees and expenses and any other amounts, at the times, in the currencies and in the manner set forth herein or therein. (b) Use of Proceeds. All Borrowings by such Borrower under the Revolver Facility will be used for the purposes described in Section 2.3. (c) Observance of Covenants. Such Borrower will observe and perform all of the covenants, agreements, terms and conditions to be observed and performed by such Borrower in this Agreement and the other Credit Facility Documents to which such Borrower is a party. (d) Maintenance of Business and Properties. Such Borrower will keep, and will cause its Material Subsidiaries to keep, all of their material assets in a good state of repair and in proper condition in accordance with forest products industry standards, reasonable wear and tear excepted. (e) Maintenance of Corporate Existence. Such Borrower will, and will cause each Material Subsidiary to, maintain its respective corporate existence and maintain all registrations in those jurisdictions in which it carries on business where the nature of its business or the title to its properties makes such registration necessary. (f) Maintenance of Governmental Approvals. Such Borrower will possess and maintain, and will cause its Subsidiaries to possess and maintain, all Governmental Approvals required to carry on their business, except where the failure to possess or maintain any such Governmental Approvals could not in the aggregate reasonably be expected to result in a Material Adverse Effect. (g) Maintenance of Material Contracts. Such Borrower will maintain, comply with and diligently enforce, and will cause its Subsidiaries to maintain, comply with and diligently enforce, all material obligations under material contracts, save where failure to do so neither has, nor could reasonably be expected to have, a Material Adverse Effect. (h) Defend Legal Proceedings. Such Borrower will actively and diligently contest or cause to be contested in good faith, by appropriate and timely proceedings, or effect a timely and provident settlement of, any action, suit, litigation or other proceeding the result of which could reasonably be expected to have a Material Adverse Effect.


 
- 74 - 1380-6618-2422.9 (i) Settlement or Stay of Execution. Such Borrower will effect, and will cause each of its Material Subsidiaries to effect, a timely and provident settlement of or bring an application to stay any writ of execution, attachment or similar process issued or levied against all, or a substantial portion of, its property in connection with any judgment against it. (j) Compliance with Laws. Such Borrower will observe and comply, and will cause its Subsidiaries to observe and comply, with all applicable Laws (including Environmental Laws) and duly observe all valid requirements of any Governmental Authority (including those requirements respecting the protection of the environment, Hazardous Materials, and worker or public health and safety), except to the extent that failure to do so has not had, and would not reasonably be expected to have, a Material Adverse Effect. (k) Maintenance of Insurance. Such Borrower will insure and keep insured, and will cause its Material Subsidiaries to insure and keep insured, the property of such Borrower and its Material Subsidiaries which is of an insurable nature, against such risks, in such amount and in such manner as is customary and prudent in the case of corporations similarly situated and operating generally similar property, and with such reputable insurance companies or associations as it may select. (l) Payment of Taxes. Such Borrower will from time to time pay, and will cause its Subsidiaries to pay, all material rents, Taxes, rates, levies or assessments, ordinary or extraordinary, and all material governmental fees, charges or dues levied, assessed or imposed upon such Borrower, its Subsidiaries or their assets capable of forming a Lien (other than a Permitted Lien) on any of the assets of such Borrower or any of its Subsidiaries, as and when the same become due and payable, unless the validity thereof is disputed in good faith by such Borrower or such Subsidiary and such Borrower or such Subsidiary has taken an appropriate reserve in accordance with GAAP. (m) Keeping of Books. Such Borrower will keep, and will cause its Subsidiaries to keep, proper books of record and account, in which full and correct entries shall be made of all financial transactions and its assets and business. (n) Inspection of Properties and Books. Such Borrower will provide, and will cause its Subsidiaries to provide, access to the Lenders and the Agent to visit and inspect any of the properties of such Borrower and its Subsidiaries and to discuss the affairs, finances and accounts of such Borrower and its Subsidiaries with, and to be advised as to the same by, the officers of such Borrower and its Subsidiaries, all upon reasonable notice and at such reasonable times and intervals and to such reasonable extent as the Lenders or the Agent may desire. The Lenders and the Agent shall have the right to examine the books of account and records of such Borrower and its Subsidiaries and to make or be provided with extracts therefrom, upon reasonable notice to such Borrower. Such Borrower agrees to pay all out-of- pocket expenses incurred by any Lender or the Agent in connection with the exercise of rights pursuant to this paragraph at any time when a Default or Event of Default has occurred and is continuing. (o) Further Assurances. Such Borrower will, at its cost and expense, upon request of the Agent, duly execute and deliver, or cause to be duly executed and delivered,


 
- 75 - 1380-6618-2422.9 to the Agent such further instruments and do and cause to be done such further acts as may be necessary or proper in the reasonable opinion of the Agent to carry out more effectually, and consistent with, the provisions and purposes of this Agreement and the other Credit Facility Documents. 7.2 Reporting Requirements. WFT covenants and agrees to and with each of the Lenders that, unless the Lenders consent in writing, so long as an Advance or other obligation of the Borrowers is outstanding or the Commitment of any of the Lenders has not been wholly terminated: (a) Financial Statements. (i) WFT shall furnish to the Agent, for delivery to the Lenders: (A) as soon as available and in any event within 90 days after the end of each fiscal year of WFT, copies of the annual audited consolidated financial statements of WFT prepared in accordance with GAAP; and (B) as soon as available and in any event within 45 days after the end of each of the first, second and third fiscal quarters in each fiscal year of WFT, copies of the unaudited consolidated financial statements of WFT prepared in accordance with GAAP (subject to year-end audit adjustments and the absence of note disclosure for such items as are consistent with the most recent audited financial statements of WFT), certified by the chief financial officer or other Authorized Officer of WFT. (ii) If requested by the Agent, WFT shall furnish to the Agent, for delivery to the Lenders, for each Material Subsidiary whose total assets (on a consolidated basis if such Material Subsidiary itself has Subsidiaries) determined in accordance with GAAP represent more than 10% of the then Consolidated Net Tangible Assets: (A) as soon as available and in any event within 90 days after the end of each fiscal year of such Material Subsidiary, copies of the audited annual financial statements, if available, or, if not available, unaudited annual financial statements including profit and loss statement and balance sheet of such Material Subsidiary prepared in accordance with GAAP; and (B) as soon as available and in any event within 60 days after the end of each of the first, second and third fiscal quarters in each fiscal year of such Material Subsidiary, copies of the unaudited financial statements of such Material Subsidiary prepared in accordance with GAAP (subject to year-end audit adjustments, if available, and the absence of note disclosure for such items as are consistent with the most recent audited or unaudited, as applicable, financial statements of such Material Subsidiary), certified by the chief


 
- 76 - 1380-6618-2422.9 financial officer or other Authorized Officer of such Material Subsidiary. (b) Quarterly Compliance Certificate. Concurrently with the financial statements furnished pursuant to paragraph (a)(i) above, WFT shall furnish to the Agent, for delivery to the Lenders, a Quarterly Compliance Certificate substantially in the form attached as Schedule 3, duly executed by the chief financial officer or other Authorized Officer of WFT. The Quarterly Compliance Certificate shall also set out in reasonable detail and with appropriate supporting schedules, in form satisfactory to the Agent, all adjustments to the consolidated financial statements necessary to calculate any amount which under this Agreement is to be calculated for WFT and its Restricted Subsidiaries (including a balance sheet, income statement and statement of changes in financial position for WFT and its Restricted Subsidiaries prepared in accordance with GAAP, subject, in the case of the first, second and third fiscal quarters in each fiscal year, to year-end audit adjustments and the absence of note disclosure for such items as are consistent with the most recent audited financial statements of WFT). (c) Financial Forecast. WFT will provide the Agent with a rolling two year consolidated financial forecast for WFT and its Restricted Subsidiaries within 30 days of each fiscal year end of WFT, including material assumptions, operating and capital expenditure budgets and financing plans, for delivery by the Agent to the Lenders. (d) Notice of Default or Event of Default. WFT will promptly, and in any event within three Business Days after a Responsible Officer of WFT becomes aware of the existence of a Default or Event of Default, deliver to the Agent a certificate duly executed by an Authorized Officer of WFT specifying the nature and period of existence thereof and what action WFT has taken, is taking or proposes to take with respect thereto. (e) Notice of Environmental Events. WFT will, and will cause each of the Subsidiaries to, as soon as practicable after it becomes aware thereof, provide the Agent with prompt notice of: (i) any material spills or releases of Hazardous Materials which are required to be reported to any Governmental Authority; and (ii) any material enforcement actions, special investigations, control orders, stop orders, injunctions, prosecutions or civil proceedings under any Environmental Law or based on any allegation of material environmental damage or material release of Hazardous Materials. (f) Notice of Change in Credit Rating. WFT will promptly provide the Agent with written notice of any change in a Credit Rating or of any announcement by a Credit Rating Agency of the placement of WFT on credit watch or similar status or an adverse change in the credit outlook for WFT or in the event WFT no longer has or maintains a Credit Rating. (g) Notice of ERISA Events. WFT will promptly, upon any officer of a Borrower or any ERISA Affiliate obtaining knowledge of any of the following, provide the Agent


 
- 77 - 1380-6618-2422.9 with a certificate of a Responsible Officer of WFT specifying the nature and period of existence of any such condition or event, or specifying the notice given or action taken by such Person, and what action the applicable Borrower or ERISA Affiliate has taken, is taking or proposes to take with respect thereto: (i) the institution of any steps by a Borrower or any ERISA Affiliate or any other Person to terminate any Pension Plan; (ii) the failure of a Borrower or any ERISA Affiliate to make a required contribution on a timely basis to any ERISA Plan or any Multiemployer Plan; (iii) the taking of any action with respect to a Pension Plan that results in the requirement that a Borrower or ERISA Affiliate furnish a bond or other security to the PBGC or such Pension Plan; (iv) the occurrence of a reportable event under Section 4043 of ERISA (for which a reporting requirement is not waived) with respect to any Pension Plan; (v) any material increase in the liability or contingent liability of a Borrower or any ERISA Affiliate with respect to any post-retirement welfare plan benefit; or (vi) the receipt by a Borrower or any ERISA Affiliate of any notice that any Multiemployer Plan is in reorganization, that increased contributions may be required to avoid a reduction in plan benefits or the imposition of any excise tax, that any such plan is or may be terminated, or that any such plan is or may become insolvent. (h) Other Information. WFT will promptly provide the Agent with: (i) written notice of the occurrence of any material default or event of default under any other Indebtedness of WFT or a Material Subsidiary, or under any material contract to which WFT or a Material Subsidiary is a party; (ii) written notice of any actual or probable material litigation or other material legal proceeding affecting any Borrower or any of the Material Subsidiaries (including any proceeding before an arbitrator, quasi-judicial tribunal or other Governmental Authority), including copies of relevant legal documentation; (iii) written notice of any Taxes or other amounts the validity of which is disputed by any Borrower or a Subsidiary pursuant to Section 7.1(l), or any other claim or matter in respect of which a Borrower or a Subsidiary would be required to reserve an amount in accordance with GAAP, if the amount of such Taxes or other claim or matter exceeds or could reasonably be expected to exceed US$50,000,000 (or the Equivalent Amount in any other currency); and


 
- 78 - 1380-6618-2422.9 (iv) written notice of any other event which could reasonably be expected to result in a Material Adverse Effect; and (v) such other information, including financial statements and computations, relating to the performance of the provisions of this Agreement and the affairs of the Borrowers and the Subsidiaries as the Agent or the Lenders may from time to time reasonably request. 7.3 Financial Covenants. WFT covenants and agrees to and with each of the Lenders that, unless the Lenders consent in writing, so long as an Advance or other obligation of the Borrowers is outstanding or the Commitment of any of the Lenders has not been wholly terminated: (a) Debt to Capitalization Ratio. WFT will not at any time permit the ratio of Consolidated Indebtedness to Total Capitalization (the “leverage ratio”) to exceed 50%, provided that the leverage ratio may increase to up to 57.5% for two consecutive fiscal quarters of WFT if such increase is attributable to an acquisition by WFT or any of its Subsidiaries occurring in the first quarter of such two consecutive quarters, but no such increase will be permitted unless the first day of the relevant two fiscal quarters is at least 18 months after the first day of the then most recent period during which the leverage ratio exceeded 50% as permitted hereby. (b) Interest Coverage Ratio. If, as at the end of any fiscal quarter of WFT, the ratio of Consolidated Indebtedness to Total Capitalization is greater than or equal to 42.5%, then, for the period of four fiscal quarters of WFT ending on that same fiscal quarter end, the ratio of EBITDA to Interest Expense must not be less than 2.0 to 1. (c) Capitalization Ratio. WFT will not at any time permit the ratio of (x) Consolidated Indebtedness plus Category 1 Subordinated Debt plus Category 2 Subordinated Debt to (y) Total Capitalization to exceed 60%. 7.4 Negative Covenants. Each Borrower covenants and agrees to and with each of the Lenders (except that paragraphs (d) and (g) shall be covenants of WFT only) that, unless the Lenders consent in writing, so long as an Advance or other obligation of the Borrowers is outstanding or the Commitment of any of the Lenders has not been wholly terminated: (a) Restriction on Liens. Such Borrower will not, and will not permit any of its Restricted Subsidiaries to, create, incur, assume or otherwise permit to exist any Lien on any of its property or assets, other than Permitted Liens, provided that such Borrower may, or may permit any Restricted Subsidiary to, create, incur or assume any Lien on any of its respective property or assets, which is not a Permitted Lien, to secure Indebtedness of such Borrower or such Restricted Subsidiary (“Separate Indebtedness”) if such Borrower or such Restricted Subsidiary makes provision, satisfactory to the Lenders, to secure all Indebtedness and obligations of such Borrower under this Agreement (together with, if and to the extent such Borrower shall so determine, any other Indebtedness then existing or


 
- 79 - 1380-6618-2422.9 thereafter incurred) equally and rateably with (or prior to) the Separate Indebtedness, for so long as the Separate Indebtedness shall be so secured. (b) Restriction on Mergers. Such Borrower will not, and will not permit any Restricted Subsidiary to, amalgamate, merge or consolidate with or into any other Person, or sell, convey, transfer, lease or otherwise dispose of (in one transaction or a series of transactions) all or substantially all of its assets to any other Person (any such amalgamation, merger or consolidation and any such sale, conveyance, transfer, lease or other disposition of all or substantially all of the assets of the relevant Person being herein called a “Reorganization Transaction”, and the Person resulting from any such amalgamation, merger or consolidation or to which a sale, conveyance, transfer, lease or other disposition of all or substantially all of the assets of another Person is made being herein called the “Successor Entity”), except that: (i) WFT may amalgamate with any Restricted Subsidiary; (ii) WFT may enter into a Reorganization Transaction with any other Person, provided that: (A) the Successor Entity is a corporation incorporated under the laws of Canada or any province of Canada; (B) the Successor Entity assumes and agrees to observe and perform, in a manner satisfactory to the Lenders, all payment and other obligations of WFT under this Agreement; and (C) prior to the date of such amalgamation or merger, WFT shall have received written confirmation from Moody’s and S&P that the senior unsecured debt obligations of the Successor Entity will be rated, or the Successor Entity will be assigned an issuer rating, in either case, no lower than, Baa3 and BBB-, respectively, or WFT shall have provided a certificate of a senior officer of WFT to the effect that WFT reasonably believes, based on its discussions with Moody’s and S&P, that the senior unsecured debt obligations of the Successor Entity will be rated, or the Successor Entity will be assigned an issuer rating, in either case, no lower than Baa3 by Moody’s and BBB- by S&P; and (iii) any Restricted Subsidiary may enter into a Reorganization Transaction with any other Person, provided that: (A) the Successor Entity is, upon the completion of such Reorganization Transaction, a Restricted Subsidiary; and (B) the financial covenants in Sections 7.3(a), 7.3(b) and 7.3(c) would have been satisfied on a pro forma basis as at the end of the most recent fiscal quarter if the Successor Entity had been a Restricted Subsidiary on such fiscal quarter end (in the case of Sections 7.3(a) and 7.3(c)) or on the first day of the period of four fiscal quarters ending on such fiscal quarter end (in the case of Section 7.3(b)),


 
- 80 - 1380-6618-2422.9 provided that in any such case no Default or Event of Default exists at the time of any such transaction or would result from such transaction (including, without limitation, the existence of Liens in excess of 5% of Consolidated Net Tangible Assets if such Liens would be Permitted Liens only by virtue of paragraph (xvii) of the definition of Permitted Liens). (c) Restriction on Distributions. Such Borrower will not, and will not permit any Restricted Subsidiary to, make any Distribution if a Default or Event of Default exists at the time of such Distribution or would occur as a result of the making of such Distribution. (d) Restriction on Investments. WFT will not, and will not permit any Restricted Subsidiary to, make any Investment (other than a Permitted Investment) unless at the time such Investment is made the aggregate amount of all such Investments (excluding Permitted Investments) made by WFT and its Restricted Subsidiaries on or after the date of this Agreement is not more than the lesser of (i) US$800,000,000, and (ii) 15% of the Consolidated Net Tangible Assets as at the end of the most recent fiscal quarter prior to such Investment. (e) Restriction on Affiliate Transactions. Such Borrower will not, and will not permit any Restricted Subsidiary to, enter into any transaction with a Subsidiary or Affiliate of WFT (the “Counterparty”) except in the ordinary course of business and on fair and reasonable terms (which terms shall be no more favourable to the Counterparty than the terms of similar arrangements with unrelated arm’s length parties); provided that this provision shall not apply to transactions between WFT and wholly-owned Restricted Subsidiaries of WFT or between wholly-owned Restricted Subsidiaries of WFT. (f) Restriction on Leasebacks. Such Borrower will not, and will not permit any Restricted Subsidiary to, enter into any Sale-Leaseback Transaction or Lease- Leaseback Transaction unless the incurrence of the related Attributable Indebtedness would not result in a Default or Event of Default. (g) Restriction on Unsecured Subsidiary Indebtedness. WFT will not permit any Restricted Subsidiary that is not a Borrower hereunder to create, incur or otherwise be obligated in respect of any unsecured Indebtedness (other than Permitted Subsidiary Unsecured Indebtedness) if the result would be that the aggregate principal amount of all unsecured Indebtedness of all Restricted Subsidiaries that are not Borrowers hereunder (excluding Permitted Subsidiary Unsecured Indebtedness) would exceed US$50,000,000 (or the Equivalent Amount in other currencies); provided that if such a Restricted Subsidiary has delivered to the Agent, for and on behalf of the Lenders, (i) an absolute and unconditional guarantee of the obligations of the Borrowers under this Agreement in such form as may be approved by Lenders’ Counsel, and (ii) an opinion of counsel for the Borrowers as to due authorization, execution and delivery and as to enforceability of such guarantee and such further matters as may reasonably be requested by the Agent, in form reasonably satisfactory to Lenders’ Counsel, then the unsecured Indebtedness of such Restricted Subsidiary shall not be included in determining the aggregate principal amount of all unsecured Indebtedness of all such Restricted Subsidiaries for the purpose of this paragraph (g).


 
- 81 - 1380-6618-2422.9 (h) Ceasing to be Restricted Subsidiary. None of WFUS, Norbord or WF Mills, nor any of their respective successors, shall cease to be a Restricted Subsidiary. 7.5 Asset Dispositions. WFT and any Restricted Subsidiary may directly or indirectly consummate any Asset Disposition that is: (a) an Asset Disposition by WFT to a Restricted Subsidiary, by a Restricted Subsidiary to WFT, or by one Restricted Subsidiary to another Restricted Subsidiary; (b) a disposition of inventory, consumables or other similar assets in the ordinary course of business; (c) a disposition of equipment or other assets that are obsolete, redundant or surplus for fair market value in the ordinary course of business; (d) an Asset Disposition that is not a disposition described in paragraph (a), (b) or (c) above. 7.6 Reduction in Consolidated Net Tangible Assets. If, as a result of the consummation of Asset Dispositions by WFT and its Subsidiaries (including, for greater certainty, Asset Dispositions of acquired assets), Consolidated Net Tangible Assets are at any time less than 50% of Consolidated Net Tangible Assets as at December 31, 2024, the full amount outstanding under the Credit Facilities shall become immediately due and payable and the Commitments of the Lenders in respect of the Credit Facilities shall be cancelled. Nothing in this Section shall affect any required application of net cash proceeds to prepayment of the Term Facility pursuant to Section 7.5. ARTICLE 8 EVENTS OF DEFAULT 8.1 Events of Default. An Event of Default shall have occurred and be continuing (whatever the reason for such Event of Default and whether it shall be voluntary or involuntary or by operation of law or otherwise) if: (a) Payment of Principal, Interest and Other Amounts. A Borrower fails to pay all or any part of any Borrowing, interest, Letter of Credit Fee or any other amount due under this Agreement as and when the same shall become due and payable, and such default shall have continued for a period of three Business Days; (b) Failure to Observe Financial Covenants. The financial covenants set out in any one or more of Sections 7.3(a), 7.3(b) or 7.3(c) are not complied with; (c) Failure to Observe Other Covenants. A Borrower fails to perform or observe any of its other obligations under this Agreement or any of the other Credit Facility Documents, or there is a breach or non-performance or non-observance of any


 
- 82 - 1380-6618-2422.9 other term or condition of this Agreement or any of the other Credit Facility Documents, and such default shall have continued for a period of 30 days; (d) Incorrect Representation or Warranty. Any representation or warranty made by a Borrower in this Agreement or any other Credit Facility Document or in any certificate or other instrument delivered hereunder or pursuant hereto or in connection with any provision hereof shall prove to be false or incorrect in any materially adverse respect on the date as of which made, unless within 30 days after such date the applicable Borrower shall have reconfirmed such representation or warranty as being true and correct as of the date of such reconfirmation and such representation or warranty is in fact true and correct as of such date; (e) Cross-Default. Any event shall have occurred and is continuing in respect of any Indebtedness of WFT or any of its Restricted Subsidiaries that is outstanding in a principal amount of at least US$50,000,000 in the aggregate (or the Equivalent Amount thereof, as of any date of determination, in any other currency), or under any evidence of any such Indebtedness or under any mortgage, indenture or other agreement relating thereto, the effect of which is to cause, or permit any holder of such Indebtedness or a trustee to cause, the acceleration of the maturity of such Indebtedness or to require the repayment or repurchase of such Indebtedness, or any such Indebtedness shall not have been paid at the final maturity thereof; (f) Dissolution Proceedings. Proceedings are commenced for the dissolution, liquidation or winding-up of a Borrower or any Material Restricted Subsidiary, or of any other Restricted Subsidiaries which collectively have assets exceeding 5% of Consolidated Net Tangible Assets (other than proceedings relating to a Material Restricted Subsidiary or other Restricted Subsidiaries which are commenced by WFT), unless such proceedings are being actively and diligently contested in good faith by such Borrower or Material Restricted Subsidiary or such other Restricted Subsidiaries and such proceedings are discharged or stayed within 60 days of being commenced; (g) Bankruptcy or Insolvency of Borrower or Material Subsidiary. A Borrower or any Material Restricted Subsidiary is adjudged or declared bankrupt or becomes insolvent or makes an assignment for the benefit of creditors, or admits in writing its inability to pay its debts generally as they become due, or petitions or applies to any tribunal for the appointment of a receiver or trustee for it or for any substantial part of its property, or commences any proceedings relating to it under any reorganization, arrangement, readjustment of debt, dissolution or liquidation law or statute of any jurisdiction whether now or hereafter in effect, or by any act indicates its consent to, approval of, or acquiescence in, any such proceeding for it or for any substantial part of its property; (h) Bankruptcy or Insolvency of other Subsidiaries. Restricted Subsidiaries of WFT which collectively have assets exceeding 5% of Consolidated Net Tangible Assets are adjudged or declared bankrupt or become insolvent or make an assignment for the benefit of creditors, or admit in writing their inability to pay their respective debts generally as they become due, or petition or apply to any tribunal for the appointment of a receiver(s) or trustee(s) for such Restricted Subsidiaries or for any substantial part of their respective property, or commence any


 
- 83 - 1380-6618-2422.9 proceedings relating to such Restricted Subsidiaries under any reorganization, arrangement, readjustment of debt, dissolution or liquidation law or statute of any jurisdiction whether now or hereafter in effect, or by any act indicate their consent to, approval of, or acquiescence in, any such proceeding for such Restricted Subsidiaries or for any substantial part of their respective property; (i) Third Party Insolvency Proceedings. A court or other Governmental Authority having jurisdiction issues a decree or order for the winding up, liquidation or dissolution of a Borrower or any Material Restricted Subsidiary, or of any other Restricted Subsidiaries which collectively have assets exceeding 5% of Consolidated Net Tangible Assets, or adjudging a Borrower or any Material Restricted Subsidiary or such other Restricted Subsidiaries to be insolvent, or any court or other Governmental Authority having jurisdiction issues a decree or order granting any relief or remedy sought in any petition or other legal proceeding for the reorganization, readjustment of debt, arrangement, composition or similar relief in respect of a Borrower or any Material Restricted Subsidiary or such other Restricted Subsidiaries under any law or statute of any jurisdiction whether now or hereafter in effect, or any receiver, receiver and manager, custodian, liquidator, trustee in bankruptcy (or any person with similar powers) is appointed for all or any material part of the property of a Borrower or any Material Restricted Subsidiary or all or any material part of the property of such other Restricted Subsidiaries; (j) Issuance of Execution. Execution or attachment or similar process is issued or levied against all or any material portion of the property of a Borrower or any Material Restricted Subsidiary, or of any other Restricted Subsidiaries which collectively have assets exceeding 5% of Consolidated Net Tangible Assets, in connection with any judgment in an amount in excess of US$50,000,000 against a Borrower or such Material Restricted Subsidiary or such other Restricted Subsidiaries, and such execution, attachment or similar process is not released, bonded, satisfied, discharged, vacated or stayed within 30 days after its entry, commencement or levy; (k) Expropriation. An order is made or legislation enacted by any competent body having authority for the expropriation, confiscation, forfeiture, escheating, other taking or compulsory divestiture, whether or not with compensation, of all or a material portion of the assets of WFT and its Restricted Subsidiaries on a consolidated basis, and such order or legislation remains in effect and has not been stayed by a court of competent jurisdiction within 30 days after the date of pronouncement of the order or enactment of the legislation, as the case may be; (l) Unsatisfied Judgments or Tax Assessments. Judgment in excess of US$50,000,000 (or the Equivalent Amount thereof in any other currency) is rendered against a Borrower or any Material Restricted Subsidiary, or against any other Restricted Subsidiaries which collectively have assets exceeding 5% of Consolidated Net Tangible Assets, in respect of which a Borrower or any Material Restricted Subsidiary or such other Restricted Subsidiaries does or do not have insurance coverage or any income tax reassessment in excess of US$50,000,000 (or the Equivalent Amount thereof in any other currency) is made against such Borrower or such Material Restricted Subsidiary or such other Restricted Subsidiaries, and any such judgment or tax reassessment remains undischarged or unsatisfied after the time for appeal has expired without such Borrower or such


 
- 84 - 1380-6618-2422.9 Material Restricted Subsidiary or such other Restricted Subsidiaries either having appealed the judgment and obtained a stay of execution of the judgment or filing a notice of objection to and/or appealing the reassessment; (m) Unenforceable Obligation. Any material obligation of a Borrower in this Agreement or any of the other Credit Facility Documents ceases to be or is declared by a court of competent jurisdiction not to be a legally binding or enforceable obligation of such Borrower; (n) Illegality. It shall become illegal or unlawful for a Borrower or any Material Restricted Subsidiary to carry on its business or for a Borrower to perform in any material way its obligations under this Agreement or any of the other Credit Facility Documents; (o) Change of Control. A Change of Control occurs, unless the senior unsecured obligations of WFT are, for a period of at least six months following the Change of Control, rated no lower than Baa3 by Moody’s and BBB- by S&P; or (p) ERISA Events. (i) Any Person terminates a Pension Plan, if as a result of such termination a Borrower or a Material Restricted Subsidiary, or other Restricted Subsidiaries which collectively have assets exceeding 5% of Consolidated Net Tangible Assets, is or are required to make a contribution to such Pension Plan, or incurs or incur a liability or obligation to such Pension Plan, in excess of US$50,000,000 (or the Equivalent Amount thereof in any other currency), and such termination is not reversed or stayed within 30 days; (ii) a Borrower or a Material Restricted Subsidiary, or other Restricted Subsidiaries which collectively have assets exceeding 5% of Consolidated Net Tangible Assets, fails or fail to make a contribution with respect to a Pension Plan sufficient to give rise to a lien under Section 302(f) of ERISA, and such failure shall have continued for a period of 30 days; or (iii) a Borrower or a Material Restricted Subsidiary, or other Restricted Subsidiaries which collectively have assets exceeding 5% of Consolidated Net Tangible Assets, withdraws or withdraw, or partially withdraws or withdraw, from a Multiemployer Plan and the withdrawal liability to Multiemployer Plans as a result of such withdrawal or withdrawals (including any outstanding withdrawal liability that the Borrowers or other applicable Restricted Subsidiary or Restricted Subsidiaries have incurred on the date of such withdrawal) exceeds US$50,000,000 (or the Equivalent Amount thereof in any other currency). 8.2 Cancellation and Acceleration. Upon the occurrence of an Event of Default and for so long as such Event of Default shall continue, the Agent shall, at the request of the Majority Lenders, by notice to the Borrowers:


 
- 85 - 1380-6618-2422.9 (a) cancel the Credit Facilities and terminate the obligations of the Lenders to make any further Accommodations; and (b) declare the principal amount of all outstanding Accommodations made to the Borrowers and all interest and fees accrued thereon and all other Obligations under this Agreement and the other Credit Facility Documents to be forthwith due and payable, without presentment, demand, protest or further notice of any kind, all of which are hereby expressly waived by the Borrowers. 8.3 Insolvency Default. If any Event of Default specified in Section 8.1(g) or Section 8.1(i) shall occur, then all Commitments of the Lenders shall be automatically cancelled and the principal amount of all outstanding Accommodations and all interest and fees accrued thereon and all other Obligations of the Borrowers under this Agreement and the other Credit Facility Documents shall forthwith become due and payable, without the need for any declaration or notice under Section 8.2 or any other action by the Agent or any Lender. 8.4 Enforcement. Upon the occurrence of an Event of Default and the Obligations becoming due and payable pursuant to Section 8.2 or Section 8.3, the Agent may, and shall at the request of the Majority Lenders, commence such legal action or proceedings as it may deem expedient, without any notice to the Borrowers. It is expressly understood and agreed that the respective rights and remedies of the Agent and the Lenders under this Agreement are cumulative and are in addition to and not in substitution for any rights or remedies provided by law or by equity; and any single or partial exercise by the Agent or the Lenders of any right or remedy for a default or breach of any term, covenant, condition or agreement contained in this Agreement shall not be deemed to be a waiver of or to alter, affect or prejudice any other right or remedy to which the Agent or the Lenders may be lawfully entitled for such default or breach. 8.5 Right of Set-Off. In addition to any rights now or hereafter granted under applicable Law and not by way of limitation of any such rights, after the occurrence of an Event of Default and the Obligations becoming due and payable, except where there is an agreement to the contrary, each Lender is hereby authorized by each Borrower at any time or from time to time without notice to such Borrower or to any other person, any such notice being hereby expressly waived to the extent permitted by Law, to set off and to appropriate and to apply any and all deposits (general or special), time or demand, in each case whether matured or unmatured (and any other indebtedness) at any time held or owing by such Lender to or for the credit or account of such Borrower against and on account of the obligations of such Borrower to such Lender, including all claims of any nature or description arising out of or connected with this Agreement or any of the other Credit Facility Documents, and although such obligations and liabilities or any of them shall be contingent and unmatured. For greater certainty, the right of set-off conferred upon the Lenders under this Section shall not constitute a security interest in respect of any property of any Borrower.


 
- 86 - 1380-6618-2422.9 8.6 Currency Conversion After Acceleration. At any time following the occurrence of an Event of Default and the Obligations becoming due and payable, each Lender shall be entitled to convert, with two Business Days’ prior notice to the Borrowers, its unpaid and outstanding US Dollar Advances, or any of them, to Prime Rate Advances. Any such conversion shall be calculated so that the resulting Prime Rate Advances shall be the Canadian Dollar Equivalent on the date of conversion of the amount of US Dollars so converted. Any accrued and unpaid interest denominated in US Dollars at the time of any such conversion shall be similarly converted to Canadian Dollars, and such Prime Rate Advances and accrued and unpaid interest thereon shall thereafter bear interest in accordance with Article 3. ARTICLE 9 CHANGES IN CIRCUMSTANCES; TAXES 9.1 Illegality. If any Lender determines that any Law has made it unlawful, or that any Governmental Authority has asserted that it is unlawful, for any Lender or its applicable lending office to make, maintain or fund Accommodations whose interest is determined by reference to any Benchmark, or to determine or charge interest rates based upon any Benchmark, then, upon notice thereof by such Lender to the applicable Borrower (an “Illegality Notice”), (i) any obligation of such Lender to make or continue such Accommodation, or to effect a Rollover of or a Conversion into a Benchmark Advance shall be suspended, and (ii) if such notice asserts the illegality of such Lender making or maintaining US Base Rate Advances or Prime Rate Advances, the interest rate on which is determined by reference to the Term SOFR component of the US Base Rate, or the Adjusted Term CORRA component of the Prime Rate, as applicable, the interest rate on which US Base Rate Advances or Prime Rate Advances, as applicable, of such Lender shall, if necessary to avoid such illegality, be determined by the Agent and the applicable Borrower without reference to the Term SOFR component of the US Base Rate or the Adjusted Term CORRA component of the Prime Rate, as applicable, in each case until such Lender notifies the Agent and the applicable Borrower that the circumstances giving rise to such determination no longer exist. Upon receipt of an Illegality Notice, the applicable Borrower or Borrowers shall, upon demand from such Lender (with a copy to the Agent), prepay or, if applicable, convert each affected Benchmark Advance of such Lender to an applicable Benchmark Fallback Advance, either on the last day of the Interest Period therefor, if such Lender may lawfully continue to maintain such Benchmark Advances to such day, or immediately, if such Lender may not lawfully continue to maintain such Benchmark Advances. Upon any such prepayment or Conversion, the applicable Borrower or Borrowers shall also pay accrued interest on the amount so prepaid or converted, together with any additional amounts required pursuant to this Agreement. 9.2 Suspension of US Base Rate Advances. If a Canadian Lender or an Term Lender determines in good faith, and notifies the Agent in writing, that by reason of circumstances affecting financial markets inside or outside Canada, such Lender is unable to fund US Dollar Advances in Canada, then it shall so notify WFT and all Canadian Lenders and Term Lenders, and the right of WFT to request US Base Rate Advances shall be suspended. 9.3 Temporary Market Disruption. (a) Subject to Section 9.1, if prior to the commencement of an Interest Period:


 
- 87 - 1380-6618-2422.9 (i) the Agent determines acting reasonably (which determination shall be conclusive and binding absent manifest error) that any Benchmark, cannot be determined pursuant to the definition thereof; or (ii) a Lender determines, acting reasonably (which determination will be conclusive and binding absent manifest error on the applicable Borrower), and gives written notice to the applicable Borrower and the other Lenders that: (A) Term CORRA for an existing CORRA Advance does not adequately reflect the effective cost to such Lender of maintaining such CORRA Advance; (B) Term SOFR for an existing SOFR Advance does not adequately reflect the effective cost to such Lender of maintaining such SOFR Advance; (C) by reason of circumstances affecting financial markets inside or outside Canada, it cannot readily retain funds in the applicable market in order to maintain any CORRA Advance for the balance of the applicable Interest Period or cannot otherwise perform its obligations hereunder with respect to any CORRA Advance for the balance of the applicable Interest Period; or (D) by reason of circumstances affecting financial markets inside or outside Canada, it cannot readily retain funds in the applicable market in order to maintain any SOFR Advance for the balance of the applicable Interest Period or cannot otherwise perform its obligations hereunder with respect to any SOFR Advance for the balance of the applicable Interest Period, the Agent will promptly so notify the applicable Borrowers and each Lender. (iii) in respect of any affected SOFR Advances, (A) the applicable Borrower may revoke any pending request for a Borrowing of, Conversion to or Rollover of such SOFR Advances (to the extent of the affected SOFR Advances or affected Interest Periods) or, failing such revocation, the applicable Borrower will be deemed to have converted any such request into a request for a Borrowing of or Conversion to US Base Rate Advances in the amount specified therein and (B) any such outstanding affected SOFR Advances will be deemed to have been converted into US Base Rate Advances at the end of the applicable Interest Period; and (iv) in respect of any affected CORRA Advances, (A)(1) the applicable Borrower may revoke any pending request for a Borrowing of, Conversion to or Rollover of such CORRA Advances (to the extent of such affected CORRA Advances or affected Interest Periods), (2) in respect of any Term CORRA Advances, the applicable Borrower may elect to convert any such request into a request for a Borrowing of or Conversion to, Daily Compounded CORRA Advances or, failing such revocation or election and (3) the applicable Borrower will be deemed to have converted any such


 
- 88 - 1380-6618-2422.9 request into a request for a Borrowing of or Conversion to Prime Rate Advances in the amount specified therein and (B)(1) in respect of Term CORRA Advances, the applicable Borrower may elect to convert any outstanding affected Term CORRA Advances at the end of the applicable Interest Period into Daily Compounded CORRA Advances, and (2) otherwise, or failing such election, any outstanding affected CORRA Advances will be deemed to have been converted into Prime Rate Advances at the end of the applicable Interest Period, and in each case, upon any such Conversion, the applicable Borrower shall also pay accrued interest on the amount so converted, together with any additional amounts required pursuant to Section 9.5. Subject to Section 9.4, if the Agent determines (which determination shall be conclusive and binding absent manifest error) that any Benchmark cannot be determined pursuant to the definition thereof on any given day, the interest rate on US Base Rate Advances or Prime Rate Advances, as applicable, shall be determined by the Agent without reference to clause (iii) of the definition of “US Base Rate” or clause (ii) of the definition of “Prime Rate” until the Agent revokes such determination. 9.4 Benchmark Replacement Setting. (a) Benchmark Replacement. (i) Notwithstanding anything to the contrary herein or in any other Credit Facility Document (and any Hedge Agreement shall be deemed not to be a “Credit Facility Document” for purposes of this Section 9.4), if a Benchmark Transition Event and its related Benchmark Replacement Date have occurred prior to any setting of the then-current Benchmark, then (x) if a Benchmark Replacement is determined in accordance with clause (i)(A) or (ii)(A) of the definition of “Benchmark Replacement” for such Benchmark Replacement Date, such Benchmark Replacement will replace such Benchmark for all purposes hereunder and under any Credit Facility Document in respect of such Benchmark setting and subsequent Benchmark settings without any amendment to, or further action or consent of any other party to, this Agreement or any other Credit Facility Document and (y) if a Benchmark Replacement is determined in accordance with clause (ii)(A) or (ii)(B) or (iii) of the definition of “Benchmark Replacement” for such Benchmark Replacement Date, such Benchmark Replacement will replace such Benchmark for all purposes hereunder and under any Credit Facility Document in respect of any Benchmark setting at or after 5:00 p.m. (Toronto time) on the fifth (5th) Business Day after the date notice of such Benchmark Replacement is provided to the Lenders without any amendment to, or further action or consent of any other party to, this Agreement or any other Credit Facility Document. (ii) If the Benchmark Replacement is based upon Daily Simple SOFR, all interest payments on Benchmark Advances which bear interest with reference to such rate will be payable on a monthly basis. If the Benchmark Replacement is based upon Daily Compounded CORRA, all Benchmark Advances which bear interest with reference to such rate will have interest periods of 1 or 3 months and interest will be payable at the end of the


 
- 89 - 1380-6618-2422.9 applicable interest period and on any amount being repaid prior to the term selected. (b) Benchmark Replacement Conforming Changes. In connection with the use, administration, adoption or implementation of a Benchmark Replacement, the Agent and any Lender, with the approval of the Agent, will have the right to make Conforming Changes from time to time and, notwithstanding anything to the contrary herein or in any other Credit Facility Document (and any Hedge Agreement shall be deemed not to be a “Credit Facility Document” for purposes of this Section), any amendments implementing such Conforming Changes will become effective without any further action or consent of any other party to this Agreement or any other Credit Facility Document. (c) Notices; Standards for Decisions and Determinations. Notwithstanding anything to the contrary herein or in any other Credit Facility Document (and any Hedge Agreement shall be deemed not to be a “Credit Facility Document” for purposes of this section), the Agent will promptly notify the Borrowers and Lenders of (i) the implementation of any Benchmark Replacement and (ii) the effectiveness of any Conforming Changes in connection with the use, administration, adoption or implementation of a Benchmark Replacement. The Agent will promptly notify the Borrowers of (A) the removal or reinstatement of any tenor of a Benchmark pursuant to Section 9.4(d) and (B) the commencement of any Benchmark Unavailability Period. Any determination, decision or election that may be made by the Agent, if applicable, any Lender or group of Lenders pursuant to this Section 9.4 including any determination with respect to a tenor, rate or adjustment or of the occurrence or non-occurrence of an event, circumstance or date and any decision to take or refrain from taking any action or any selection, will be conclusive and binding absent manifest error and may be made in its or their sole discretion and without consent from any other party to this Agreement or any other Credit Facility Document, except, in each case, as expressly required pursuant to this Section 9.4. (d) Unavailability of Tenor of Benchmark. Notwithstanding anything to the contrary herein or in any other Credit Facility Document (and any Hedge Agreement shall be deemed not to be a “Credit Facility Document” for purposes of this Section), at any time (including in connection with the implementation of any Benchmark Replacement), (i) if any then-current Benchmark is based upon a term rate (including the Term SOFR Reference Rate or the Term CORRA Reference Rate) and either (A) any tenor for such Benchmark is not displayed on a screen or other information service that publishes such rate from time to time as selected by the Agent in its discretion, acting reasonably, or (B) the administrator of such Benchmark or the regulatory supervisor for the administrator of such Benchmark has provided a public statement or publication of information announcing that any tenor for such Benchmark is not or will not be representative, then the Agent or such Lender, with the consent of the Agent, may modify the definition of “Interest Period” (or any similar or analogous definition) for any Benchmark settings at or after such time to remove such unavailable, non-representative, non-compliant or non-aligned tenor and (ii) if a tenor that was removed pursuant to clause (i) above either (A) is subsequently displayed on a screen or information service for a Benchmark (including a Benchmark Replacement) or (B) is not, or is no longer, subject to an announcement that it is not or will not be representative for a


 
- 90 - 1380-6618-2422.9 Benchmark (including a Benchmark Replacement), then the Agent or any Lender, with the consent of the Agent, may modify the definition of “Interest Period” (or any similar or analogous definition) for all Benchmark settings at or after such time to reinstate such previously removed tenor. (e) Benchmark Unavailability Period. Notwithstanding anything to the contrary herein or in any other Credit Facility Document (and any Hedge Agreement shall be deemed not to be a “Credit Facility Document” for purposes of this Section), upon the Borrowers’ receipt of notice of the commencement of a Benchmark Unavailability Period, (i) the applicable Borrower may revoke any pending request for a Borrowing of, Conversion to or Rollover of any Benchmark Advance to be made, converted or rolled over during any Benchmark Unavailability Period and, failing that, the Borrower will be deemed to have converted any such request into a request for a Borrowing of or Conversion to the applicable Benchmark Fallback Advances and (ii) any outstanding affected Benchmark Advances will be deemed to have been converted to the applicable Benchmark Fallback Advances at the end of the applicable Interest Period. During any Benchmark Unavailability Period for any then-current Benchmark or at any time that a tenor for any then-current Benchmark is not an Available Tenor, the component of US Base Rate or the Prime Rate, as applicable, based upon such Benchmark or such tenor for such Benchmark, as applicable, will not be used in any determination of the US Base Rate or the Prime Rate, as applicable. 9.5 Funding Indemnity. If, for any reason whatsoever and whether or not required or permitted pursuant to the provisions of this Agreement, the applicable Borrower repays, prepays, converts or cancels a SOFR Advance or a CORRA Advance other than on the last day of an Interest Period applicable to such SOFR Advance or CORRA Advance, the Borrower shall indemnify the Agent and the applicable Lender for any loss or expense incurred by the Agent, and such applicable Lender including any expenses such applicable Lender incurs by reason of the liquidation or reemployment of deposits or other funds acquired by such Lender to maintain the SOFR Advance or CORRA Advance, as applicable, or any increased interest or other charges payable to lenders of funds borrowed in order to maintain such SOFR Advance or CORRA Advance, together with any other out-of-pocket charges, costs or expenses incurred by such applicable Lender relative thereto. A certificate of such applicable Lender setting out the basis for the determination of the amount necessary to indemnify such applicable Lender shall be, in the absence of manifest error, conclusive evidence thereof. 9.6 Increased Costs. If a Change of Law: (a) subjects any of the Lenders to any tax, or causes the withdrawal or termination of a previously granted exemption with respect to any tax, or changes the basis of taxation of payments due to any of the Lenders, or increases any existing tax on payments of principal, interest or other amounts payable by a Borrower to any of the Lenders under this Agreement (other than taxes of application to the general income of the Lenders);


 
- 91 - 1380-6618-2422.9 (b) imposes, modifies or deems applicable any reserve, special deposit, regulatory or similar requirement against assets held by, or deposits in or for the account of, or loans by, or any other acquisition of funds for loans made by any of the Lenders; or (c) imposes on any of the Lenders or expects there to be maintained by any of the Lenders any capital adequacy or additional capital requirement or liquidity requirement (including, without limiting the generality of the foregoing, a requirement which affects such Lender’s allocation of capital resources to its obligations) in respect of the obligations of such Lender hereunder or, without limiting the generality of the foregoing, imposes any other condition or requirement with respect to this Agreement or other Accommodations made by such Lender pursuant to this Agreement, and the result of such Change of Law is, in the sole determination of such Lender, to increase the cost to the Lender or to reduce the income received by such Lender in respect of any portion of the Advances or other Accommodations, WFT shall pay to the Lender (if such Lender is a Canadian Lender or Term Lender), or WFUS shall pay to such Lender (if such Lender is a US Lender) that amount which such Lender estimates will compensate it for such additional cost or reduction in income (the “Compensation”). Upon a Lender having determined that it is entitled to Compensation, the Agent shall promptly notify the relevant Borrower and shall provide such Borrower with a certificate of the Lender setting forth the amount of the Compensation and the basis for it. In preparing such certificate the Lender shall not be required to “match” or isolate particular transactions or credit facilities, shall be entitled to use estimates and averages and shall act in a commercially reasonable manner. Absent demonstrable error such certificate shall be conclusive and binding, and if the amount of Compensation set forth therein shall not be paid by the relevant Borrower to the Lender within seven Business Days after notice thereof, such amount shall be deemed to be a Prime Rate Advance to WFT (if the applicable Lender is a Canadian Lender), a NY Prime Rate Advance to WFUS (if the applicable Lender is a US Lender) or a US Base Rate Advance to WFT (if the applicable Lender is an Term Lender) and shall bear interest calculated and payable as provided in this Agreement. 9.7 Taxes. (a) Payments Free of Taxes. Any and all payments by or on account of any obligation of the Borrowers hereunder or under any other Credit Facility Document shall be made free and clear of and without deduction or withholding for any Indemnified Taxes or Other Taxes, except that if a Borrower, the Agent or any Lender is required by applicable Law to deduct or pay any Indemnified Taxes (including any Other Taxes) in respect of such payments, then (i) the sum payable shall be increased when payable as necessary so that after making or allowing for all required deductions and payments (including deductions and payments applicable to additional sums payable under this Section) the Agent or Lender, as the case may be, receives an amount equal to the sum it would have received had no such deductions or payments been required, (ii) such Borrower shall make any such deductions required to be made by it under applicable Law and (iii) such Borrower shall pay the full amount required to be deducted to the relevant Governmental Authority in accordance with applicable Law.


 
- 92 - 1380-6618-2422.9 (b) Payment of Other Taxes by the Borrowers. Without limiting the provisions of paragraph (a) above, each Borrower shall timely pay any Other Taxes to the relevant Governmental Authority in accordance with applicable Law. (c) Indemnification by the Borrowers. The applicable Borrower shall indemnify the Agent and each Lender, within 10 days after demand therefor, for the full amount of any Indemnified Taxes or Other Taxes (including Indemnified Taxes or Other Taxes imposed or asserted on or attributable to amounts payable under this Section) paid by the Agent or such Lender and any penalties, interest and reasonable expenses arising therefrom or with respect thereto, whether or not such Indemnified Taxes or Other Taxes were correctly or legally imposed or asserted by the relevant Governmental Authority. A certificate as to the amount of such payment or liability delivered to such Borrower by a Lender (with a copy to the Agent), or by the Agent on its own behalf or on behalf of a Lender, shall be conclusive absent demonstrable error. (d) Evidence of Payments. As soon as practicable after any payment of Indemnified Taxes or Other Taxes by a Borrower to a Governmental Authority, such Borrower shall deliver to the Agent, the original or a certified copy of a receipt issued by such Governmental Authority evidencing such payment, a copy of the return reporting such payment or other evidence of such payment reasonably satisfactory to the Agent. (e) Status of Lenders. Any Foreign Lender that is entitled to an exemption from or reduction of withholding tax under the laws of Canada or the United States, as applicable, or any treaty to which Canada or the United States is a party, with respect to payments hereunder or under any other Credit Facility Document shall, at the request of WFT or WFUS, deliver to WFT or WFUS (with a copy to the Agent), at the time or times prescribed by applicable Law or reasonably requested by WFT, WFUS or the Agent, such properly completed and executed documentation prescribed by applicable Law as will permit such payments to be made without withholding or at a reduced rate of withholding. In addition, any Lender, if requested by WFT, WFUS or the Agent, shall deliver such other documentation prescribed by applicable Law or reasonably requested by WFT, WFUS or the Agent as will enable WFT, WFUS or the Agent to determine whether or not such Lender is subject to withholding or information reporting requirements. The obligations of the Borrowers under this Section shall survive the termination of this Agreement. ARTICLE 10 THE ADMINISTRATION AGENT 10.1 Appointment and Authority. Each Lender hereby appoints the Agent to act on its behalf as the administration agent under this Agreement and the other Credit Facility Documents and authorizes the Agent to take such actions on its behalf and to exercise such powers under this Agreement and the other Credit Facility Documents as are delegated to the Agent by their respective terms, together with such actions and powers as are reasonably incidental thereto. Each US Lender hereby appoints the Agent to act as its administration agent in respect of all matters pertaining to the Revolver Facility


 
- 93 - 1380-6618-2422.9 and authorizes the Agent to take such actions on its behalf and to exercise such powers under this Agreement and the other Credit Facility Documents as are delegated to the Agent by their respective terms, together with such actions and powers as are reasonably incidental thereto. The provisions of this Article are solely for the benefit of the Agent and the Lenders, and no Borrower shall have rights as a third party beneficiary of any of such provisions. 10.2 Exclusionary Provisions. (a) The Agent shall not have any duties or obligations except those expressly set forth in this Agreement and in the other Credit Facility Documents. Without limiting the generality of the foregoing, the Agent: (i) shall not be subject to any fiduciary or other implied duties, regardless of whether a Default or Event of Default has occurred and is continuing; (ii) shall not have any duty to take any discretionary action or exercise any discretionary powers, except discretionary rights and powers expressly contemplated hereby or by the other Credit Facility Documents that the Agent is required to exercise as directed in writing by the Majority Lenders (or such other number or percentage of the Lenders as shall be expressly provided for in the Credit Facility Documents), but the Agent shall not be required to take any action that, in its opinion or the opinion of its counsel, may expose the Agent to liability or that is contrary to any Credit Facility Document or to applicable Law; and (iii) shall not, except as expressly set forth herein and in the other Credit Facility Documents, have any duty to disclose, and shall not be liable for the failure to disclose, any information relating to the Borrowers or any of their Affiliates that is communicated to or obtained by the Agent or any of its Affiliates in any capacity. (b) Neither the Agent nor any of its respective directors, officers, agents or employees shall be liable for any action taken or not taken by the Agent (i) with the consent or at the request of the Majority Lenders (or such other number or percentage of the Lenders as is necessary, or as the Agent believes in good faith is necessary, under the provisions of the Credit Facility Documents), or (ii) in the absence of gross negligence or wilful misconduct on the part of the Agent. The Agent shall be deemed not to have knowledge of any Default or Event of Default unless and until notice describing the Default or Event of Default is given to the Agent by a Borrower or a Lender, and the Agent shall be deemed not to have knowledge of any Default or Event of Default unless and until notice describing the Default or Event of Default is given to the Agent by a Borrower or a Lender. (c) Except as otherwise expressly specified in this Agreement, the Agent shall not be responsible for or have any duty to ascertain or inquire into (i) the accuracy or completeness of any information or data made available to the Lenders in connection with the negotiation of this Agreement, (ii) any statement, warranty or representation made in or in connection with this Agreement or any other Credit Facility Document, (iii) the contents of any certificate, report or other document delivered under or in connection with this Agreement or any other Credit Facility


 
- 94 - 1380-6618-2422.9 Document, (iv) the performance or observance of any of the covenants, agreements or other terms or conditions set forth in this Agreement or in any other Credit Facility Document or the occurrence of any Default or Event of Default, (v) the due execution, legality, validity, enforceability, effectiveness or genuineness of this Agreement, any other Credit Facility Document or any other agreement, instrument or document, or (vi) the satisfaction of any condition specified in this Agreement, other than to confirm receipt of items expressly required to be delivered to the Agent. The Agent shall also not have any duty to inspect the books and records or any other property of any Borrower. (d) The interest rate on an Advance denominated in US Dollars may be derived from an interest rate benchmark that may be discontinued or is, or may in the future become, the subject of regulatory reform. Upon the occurrence of a Benchmark Transition Event, Section 9.4 provides a mechanism for determining an alternative rate of interest. The Agent does not warrant or accept any responsibility for, and shall not have any liability with respect to the continuation of, the administration of, submission of, calculation of, performance of or any other matter related to any interest rate used in this Agreement (including, without limitation, the US Base Rate, Daily Simple SOFR, Adjusted Daily Simple SOFR, SOFR, the Term SOFR Reference Rate, Adjusted Term SOFR or Term SOFR) or any component definition thereof or rates referred to in the definition thereof, or with respect to any alternative or successor rate thereto, or replacement rate thereof (including any Benchmark Replacement), including without limitation, whether the composition or characteristics of any such alternative, successor or replacement reference rate will be similar to, or produce the same value or economic equivalence of, or have the same value or economic equivalence of as the existing interest rate (or any component thereof) being replaced or have the same volume or liquidity as did any existing interest rate (or any component thereof) prior to its discontinuance or unavailability. The Agent and its affiliates and/or other related entities may engage in transactions that affect the calculation of any interest rate (or component thereof) used in this Agreement or any alternative, successor or alternative rate (including any Benchmark Replacement) and/or any relevant adjustments thereto, in each case, in a manner adverse to the Borrowers. The Agent may select information sources or services in its reasonable discretion to ascertain any interest rate used in this Agreement, any component thereof, or rates referred to in the definition thereof, in each case pursuant to the terms of this Agreement, and shall have no liability to the Borrowers, any Lender or any other person or entity for damages of any kind, including direct or indirect, special, punitive, incidental or consequential damages, costs, losses or expenses (whether in tort, contract or otherwise and whether at law or in equity), for any error or calculation of any such rate (or component thereof) provided by any such information source or service. 10.3 Agent’s Reliance. Without limiting the generality of Section 10.2, the Agent: (a) may treat any Lender as the payee of amounts attributable to the relevant Commitment of such Lender unless and until the Agent, receives written notice of the assignment thereof signed by such Lender, such assignment has been approved as required under Section (b) and the Agent receives the written agreement of the Assignee that such Assignee is bound hereby as it would have


 
- 95 - 1380-6618-2422.9 been if it had been an original Lender hereunder, in each case in form satisfactory to the Agent; (b) may consult with legal counsel (including legal counsel for the Borrowers), independent accountants and other experts selected by it and shall not be liable for any action taken or omitted to be taken in good faith by it in accordance with the advice of such counsel, accountants or experts. The Agent will provide the Lenders with copies of any reports or other materials it may receive as a result of such consultations. The Agent shall take reasonable steps to preserve confidentiality or, where applicable, legal privilege in connection with any such consultations or the provision of related reports or materials to the Lenders; and (c) shall incur no liability under or in respect of this Agreement by acting upon any notice, consent, certificate or other instrument or writing (which may be by facsimile transmission, by electronic transmission or by hand) believed by it to be genuine and signed or sent by the proper party or parties or by acting upon any representation or warranty of a Borrower made or deemed to be made hereunder. 10.4 Agent as Lender. With respect to its Commitment and the Accommodations made by it, the Agent which is also a Lender shall have the same rights and powers under this Agreement as any other Lender hereunder and may exercise the same as though it were not the Agent; and the term “Lender” or “Lenders” shall, unless otherwise expressly indicated, include the Agent in its capacity as Lender. The Agent and its respective Affiliates may accept deposits from, lend money to, act as trustee under indentures of, and generally engage in any kind of business with, the Borrowers or their Affiliates or any corporation or other entity owned or controlled by a Borrower or any Person who may do business with or own securities of a Borrower, all as if it were not the Agent and without any duty to account therefor to the Lenders. 10.5 Lender Credit Decisions. Each Lender acknowledges that it has, independently and without reliance upon the Agent and based on such documents and information as it has deemed appropriate, made its own credit analysis and decision to enter into this Agreement. Accordingly, and without limiting the generality of the foregoing, each Lender confirms to the Agent that it has not relied, and will not hereafter rely, on the Agent to check or inquire on its behalf into the adequacy, accuracy or completeness of any documents, including without limitation the Credit Facility Documents, provided by a Borrower under or in connection with this Agreement (whether or not such documents have been or are hereafter distributed to such Lender by the Agent). Each Lender also acknowledges that it will, independently and without reliance upon the Agent and based on such documents and information as it shall deem appropriate at the time, continue to make its own credit decisions in taking or not taking action under this Agreement. Each Lender acknowledges that a copy of this Agreement and the other Credit Facility Documents have been made available to it for review and each Lender acknowledges that it is satisfied with the form and substance of this Agreement and the other Credit Facility Documents.


 
- 96 - 1380-6618-2422.9 10.6 Funds Held by Agent. All funds held by the Agent under this Agreement for payment to a Borrower or to any Lenders shall be deemed to be held in trust by the Agent, to be applied in accordance with this Agreement. 10.7 Application of Payments after Acceleration. Any sum received by the Agent at any time after a declaration of acceleration under Section 8.2 or the Obligations becoming due and payable under Section 8.3 shall, notwithstanding Section 2.23, be applied first to pay any fees or expenses incurred by the Agent in connection with the administration and enforcement of this Agreement. 10.8 Indemnification. Each Lender agrees to indemnify the Agent (to the extent not reimbursed by the Borrowers) rateably (according to the proportion its Commitments bear to the Commitments of all the Lenders) from and against any and all liabilities, obligations, losses, damages, penalties, actions, judgments, suits, costs, expenses or disbursements of any kind or nature whatsoever which may be imposed on, incurred by, or asserted against the Agent in any way relating to or arising out of the Credit Facility Documents or any action taken or omitted by the Agent under the Credit Facility Documents, provided that no Lender shall be liable for any portion of such liabilities, obligations, losses, damages, penalties, actions, judgments, suits, costs, expenses or disbursements resulting from the gross negligence or wilful misconduct of the Agent in its capacity as Agent as determined by a court of competent jurisdiction. Without limiting the foregoing, each Lender agrees to reimburse the Agent promptly upon demand for its rateable share of any out-of- pocket expenses (including counsel fees and disbursements) incurred by the Agent in connection with the preparation, execution, administration or enforcement of this Agreement or legal advice in respect of rights or responsibilities hereunder or the other Credit Facility Documents, to the extent that the Agent is not reimbursed for such expenses by the Borrowers. 10.9 Accommodations under the Credit Facilities. Unless the Agent shall have received notice from a Lender prior to the relevant date that such Lender will not make available to the Agent the amount required to be made available by such Lender in respect of an Advance, the Agent may assume that such Lender has made such amount available to the Agent on such date in accordance with this Agreement and the Agent may, in reliance upon such assumption, make available to the applicable Borrower on such date a corresponding amount. If and to the extent such Lender shall not have so made such amount available to the Agent, such Lender shall pay such corresponding amount to the Agent, forthwith on demand. If such Lender shall pay such corresponding amount to the Agent, the amount so paid shall constitute such Lender’s share of the relevant Accommodation. If such Lender shall not pay such corresponding amount to the Agent forthwith on demand, the applicable Borrower shall pay such corresponding amount to the Agent forthwith on demand and each Borrower hereby agrees and acknowledges that any such amount received and so reimbursed would not and will not constitute an Accommodation hereunder. The Agent shall also be entitled to recover from such Lender, or if such Lender fails to make payment, the applicable Borrower, interest (without duplication of interest otherwise payable hereunder) on such corresponding amount, for each day from the date such amount is made available to such Borrower until the date such amount is paid to the Agent, in the case of a repayment by the Lender, at a rate determined by the Agent (such rate to be conclusive and binding on such Lender) in accordance with such Agent’s usual banking


 
- 97 - 1380-6618-2422.9 practice for such advances to financial institutions of like standing to such Lender, but in any event at a rate no greater than the usual interbank rate for the sale of deposits in the applicable currency and, in the case of repayment by the applicable Borrower, at a rate equal to the effective rate of interest being paid by such Borrower on such amount. 10.10 Successor Agent. The Agent may resign at any time by giving 30 days’ written notice thereof to the Lenders and the Borrowers. Upon receipt of any such notice of resignation, the Lenders shall have the right to appoint a successor Agent. A successor Agent shall be a Canadian chartered bank approved by the Borrowers (such approval not to be unreasonably withheld). If no successor Agent shall have been so appointed by the Lenders and shall have accepted such appointment within 30 days after delivery of the notice of resignation of the retiring Agent, the retiring Agent, on behalf of the Lenders, shall use reasonable commercial efforts to appoint a successor Agent, which shall be a Lender (or an affiliate of a Lender) approved by the Borrowers (such approval not to be unreasonably withheld). Upon the acceptance of any appointment as Agent hereunder by a successor Agent, such successor Agent shall thereupon succeed to and become vested with all the rights, powers, privileges and duties of the retiring Agent, the retiring Agent shall be discharged from its duties and obligations under this Agreement, and the Lender which is such successor Agent shall thereupon become the Issuing Lender hereunder. After any resignation or removal of the Agent, the provisions of this Article shall inure to its benefit as to any actions taken or omitted to be taken by it while it was Agent under this Agreement. ARTICLE 11 MISCELLANEOUS 11.1 Records. The unpaid principal amount of the Accommodations, the unpaid interest accrued thereon, the interest rate or rates applicable to any unpaid principal amounts, the duration of such applicability, the date of any Advance or repayment, the date of issue, the Face Amount of any Letter of Credit and the amount of the Commitments under the Credit Facilities shall at all times be ascertained from the records of the Agent, which shall be conclusive absent demonstrable error, fraud, dishonesty or improper conduct, and a certificate of any officer of the Agent, as to such records shall be prima facie evidence of such records. 11.2 Amendments. (a) Any amendment or waiver of any provision of this Agreement or of any of the other Credit Facility Documents, any consent to any departure by a Borrower therefrom, and any consent or approval contemplated to be given by the Lenders under this Agreement, shall be effective and binding on the Lenders only if in writing and signed by the Majority Lenders (or by the Agent with the consent of the Majority Lenders), except as provided in paragraph (g) below. Notwithstanding the foregoing, no amendment, waiver or consent shall, unless in writing and signed by all the Lenders (or by the Agent with the consent of all the Lenders): (i) waive any of the conditions specified in Article 5; (ii) reduce the principal of, or interest on or discount rate applicable to, the Accommodations or any fees hereunder;


 
- 98 - 1380-6618-2422.9 (iii) amend the Revolver Maturity Date or the Term Maturity Date or otherwise postpone any date fixed for any payment of principal of, or interest on, the Advances or any fees hereunder or subordinate any obligation of a Borrower hereunder to any other Indebtedness; (iv) amend the definition of Majority Lenders; or (v) amend this Section 11.2. (b) No amendment, waiver or consent shall, unless in writing and signed by the Agent in addition to the Majority Lenders, affect the rights or duties of the Agent hereunder or the rights of the Agent to the indemnity under Section 10.8. (c) No amendment, waiver or consent shall, unless approved by the Fronting Lender, affect the rights or obligations of the Fronting Lender with respect to Letters of Credit. (d) No amendment, waiver or consent shall, unless approved by the WFT Swingline Lender, affect the rights or obligations of the WFT Swingline Lender with respect to WFT Swingline Advances. No amendment, waiver or consent shall, unless approved by the WFUS Swingline Lender, affect the rights or obligations of the WFUS Swingline Lender with respect to WFUS Swingline Advances. (e) No amendment, waiver or consent shall increase the Commitment of any Lender or subject any Lender to any additional obligation unless approved by the affected Lender. (f) For greater certainty, any approval of a Person specifically required by any of paragraphs (b) to (e), inclusive, shall be in addition to any other approval required by this Agreement. (g) From time to time, the Agent may execute and deliver agreements or instruments supplemental hereto for the purposes of: (i) adding to the provisions of this Agreement such additional covenants and enforcement provisions as are, in the opinion of the Agent, necessary or desirable and not prejudicial to the interests of any of the Lenders; (ii) making such provisions not inconsistent with this Agreement as may be necessary or desirable and not prejudicial to the interests of any of the Lenders with respect to matters or questions arising hereunder; and (iii) for any other purpose not inconsistent with the terms of this Agreement including, without limitation, the correction or rectification of any ambiguities, defective or inconsistent provisions, errors, mistakes or omissions herein provided where, in the opinion of the Agent and its counsel, the rights of the Agent and the Lenders are not in any way prejudiced thereby.


 
- 99 - 1380-6618-2422.9 11.3 Notices. All notices and other communications provided to be given to a Borrower, the Agent under this Agreement or any other Credit Facility Document shall, except as otherwise permitted herein, be in writing personally delivered: (a) if to WFT: West Fraser Timber Co. Ltd. Suite 1500, 885 West Georgia Street Vancouver, British Columbia V5C 3E8 Attention: Treasury Manager Copy to: Treasurer (b) if to WFUS: 57 Germantown Court Suite 300 Cordova, TN USA 38018-4274 Attention: President Copy to: WFT (as provided in Section 11.3(a)) (c) if to the Agent: (i) for Borrowing Notices and Notices of Repayment or Cancellation: The Toronto-Dominion Bank, as Agent TD North Tower 26th Floor, 77 King St. West Toronto, Ontario M5K 1A2 Facsimile: (416) 982-5535 Email: TDSAgencyAdmin@tdsecurities.com Attention: Vice President, Loan Syndications - Agency (ii) for all other notices: The Toronto-Dominion Bank, as Agent 66 Wellington Street, 9th Floor Toronto, Ontario M5K 1A2 Email: TDSAgencyAdmin@tdsecurities.com Attention: Director, Loan Syndications - Agency


 
- 100 - 1380-6618-2422.9 or sent by facsimile transmission or similar means of recorded communication to the applicable address or to such other address as the relevant Borrower or the Agent (as the case may be) may from time to time designate to the other in such manner, or as otherwise contemplated by Section 11.4. All such notices and communications shall, when required or permitted to be delivered or confirmed hereunder by facsimile transmission or otherwise in accordance with Section 11.4, be effective when so delivered or confirmed. All deliveries of financial statements and other documents to be made by the Borrowers to the Lenders hereunder shall be made by making delivery of such financial statements and documents to the Agent, in sufficient copies for each Lender, at the address specified above or to such other address as the Agent may from time to time notify to the Borrowers. All such deliveries shall be effective only upon actual receipt. 11.4 Electronic Communications. Notices and other communications to the Lenders may be delivered or furnished by electronic communication (including e-mail and Internet or intranet websites) pursuant to procedures approved by the Agent, provided that this shall not apply to notices to any Lender of Accommodations to be made if such Lender has notified the Agent that it is incapable of receiving notices for such purposes by electronic communication. The Agent and either or both Borrowers may, in their respective discretion, agree to accept notices and other communications under this Agreement by electronic communications pursuant to procedures approved by the applicable recipient, provided that approval of such procedures may be limited to particular notices or communications. Unless the Agent otherwise prescribes: (a) notices and other communications sent to an e-mail address shall be deemed received upon the sender’s receipt of an acknowledgement from the intended recipient (such as by the “return receipt requested” function, as available, return email or other written acknowledgement), provided that if such notice or other communication is not sent during the normal business hours of the recipient, such notice or communication shall be deemed to have been sent at the opening of business on the next business day for the recipient; and (b) notices or communications posted to an Internet or intranet website shall be deemed received upon the deemed receipt by the intended recipient at its e-mail address as described in paragraph (a) above of notification that such notice or communication is available and identifying the applicable Internet or intranet website address. 11.5 No Waiver; Remedies. No failure on the part of any Lender, the Agent or a Borrower to exercise, and no delay in exercising, any right under any of the Credit Facility Documents shall operate as a waiver thereof; nor shall any single or partial exercise of any right under any of the Credit Facility Documents preclude any other or further exercise thereof or the exercise of any other right. The remedies herein provided are cumulative and not exclusive of any remedies provided by Law.


 
- 101 - 1380-6618-2422.9 11.6 Expenses. The Borrowers shall promptly pay all reasonable costs and expenses of the Agent and the Lenders, including without limitation all reasonable out-of-pocket expenses and disbursements of the Agent and the Lenders and the reasonable fees and expenses of counsel for the Agent or the Lenders, incurred in connection with the preparation, negotiation, execution, registration and administration of this Agreement, the other Credit Facility Documents or any agreement or instrument contemplated hereby or thereby and the carrying out of due diligence in connection with the transactions contemplated hereby, whether or not the transactions contemplated hereunder are completed or any Accommodations are made, or in connection with any requested amendments, waivers or consents or matters initiated by any Borrower pursuant to or in respect of the provisions hereof. The Borrowers shall, subject to applicable Law, promptly pay all costs and expenses of the Agent and the Lenders, including without limitation all out-of-pocket expenses and disbursements of the Agent and the Lenders and the fees and expenses of counsel for the Agent or the Lenders (on a solicitor and client basis), incurred in connection with the enforcement or preservation of rights under this Agreement, the other Credit Facility Documents or any agreement or instrument contemplated hereby or thereby or the collection of Borrowings or any litigation, proceeding or dispute to which the Agent or a Lender is a named party in any way relating to Borrowings. The Borrowers shall pay interest on any amount due under this Section that remains unpaid more than two Business Days after the Agent notifies the Borrowers of such amount, at the Prime Rate plus 2.0% per annum (in the case of an amount in Canadian Dollars) or at the US Base Rate plus 2.0% per annum (in the case of an amount in US Dollars), until such amount is paid. 11.7 Sharing of Payments; Swingline and Fronting Lenders. Upon the occurrence of an Event of Default, adjustments shall be made among the Lenders as set forth below: (a) Unless the Swingline Lenders and the Majority Lenders agree otherwise, if an Event of Default occurs, then each of the Swingline Lenders will promptly request the Agent on behalf of WFT and WFUS, as applicable (and for this purpose the Swingline Lenders are irrevocably authorized by WFT and WFUS respectively to do so) for an Advance: (i) by way of a Prime Rate Advance or a US Base Rate Advance from the Canadian Lenders pursuant to Article 3 to repay to the WFT Swingline Lender the applicable outstanding WFT Swingline Advances; and (ii) by way of a NY Prime Rate Advance from the US Lenders pursuant to Article 3 to repay to the WFUS Swingline Lender the applicable outstanding WFUS Swingline Advances. The Canadian Lenders are irrevocably directed by WFT or WFUS, as applicable, to make any Prime Rate Advance, US Base Rate Advance or NY Prime Rate Advance (as applicable) if so requested by such Swingline Lender and pay the proceeds thereof directly to the Agent, for the account of such Swingline Lender. At all times thereafter the Commitment of such Swingline Lender to make Swingline Advances under Section 2.10 shall be terminated and the Canadian Lenders or the US Lenders, as the case shall be, shall make such adjusting payments amongst themselves in the manner contemplated by Section 11.8 as


 
- 102 - 1380-6618-2422.9 may be required to ensure their respective participations in outstanding Advances under the Revolver Facility reflect their respective Commitments under such Credit Facility. If, after the occurrence of an Event of Default, any Letter of Credit is drawn upon which results in a payment by the Fronting Lender thereunder (in this Section, an “LC Payment”), the Fronting Lender will promptly request the Agent on behalf of WFT (and for this purpose the Fronting Lender is irrevocably authorized by WFT to do so) for an Advance by way of a Prime Rate Advance or US Base Rate Advance (as applicable) from the Canadian Lenders pursuant to Article 3 to reimburse the Fronting Lender for such LC Payment and the foregoing provisions of this paragraph (a) shall equally apply to each such further Advance. Each Canadian Lender agrees to pay to the Agent for the account of the WFT Swingline Lender such Canadian Lender’s rateable portion of each Advance requested by the WFT Swingline Lender on behalf of WFT to repay WFT Swingline Advances made by the WFT Swingline Lender. Each US Lender agrees to pay to the Agent for the account of the WFUS Swingline Lender such US Lender’s rateable portion of each Advance requested by the WFUS Swingline Lender on behalf of WFUS to repay WFUS Swingline Advances made by the WFUS Swingline Lender. Each Canadian Lender agrees to pay to the Agent for the account of the Fronting Lender such Canadian Lender’s rateable portion of each Advance requested by the Agent on behalf of WFT to repay LC Payments made by the Fronting Lender. (b) Except as provided in paragraph (c) below, the obligations of each Lender under paragraph (a) are unconditional, shall not be subject to any qualification or exception whatsoever and shall be performed in accordance with the terms and conditions of this Agreement under all circumstances, including: (i) any lack of validity or enforceability of the obligations of WFT; (ii) the occurrence of any Default or Event of Default or the exercise of any rights by the Agent under Section 8.2; and (iii) the absence of any demand for payment being made, any proof of claim being filed, any proceeding being commenced or any judgment being obtained by the Swingline Lender or the Fronting Lender against WFT or WFUS, as applicable. (c) If a Lender (a “Defaulting Lender”) fails to make payment on the due date therefor of any amount due from it for the account of the Swingline Lender or the Fronting Lender pursuant to paragraph (a) above (the balance thereof for the time being unpaid being referred to in this paragraph (c) as an “overdue amount”) then, until the Swingline Lender or the Fronting Lender has received payment of that amount (plus interest as provided below) in full (and without in any way limiting the rights of the Swingline Lender or the Fronting Lender in respect of such failure): (i) the Swingline Lender or the Fronting Lender shall be entitled to receive any payment which the Defaulting Lender would otherwise have been entitled to receive in respect of the Revolver Facility or otherwise in respect of any Credit Facility Document; and (ii) the overdue amount shall bear interest payable by the Defaulting Lender to the Swingline Lender or the Fronting Lender at the rate payable by WFT


 
- 103 - 1380-6618-2422.9 or WFUS in respect of the Accommodations which gave rise to such overdue amount. (d) If for any reason an Advance may not be made pursuant to paragraph (a) to reimburse the Swingline Lender or the Fronting Lender as contemplated thereby, then promptly upon receipt of notification of such fact from the Agent, each Canadian Lender or US Lender, as applicable, shall deliver to the Agent for the account of the Swingline Lender or the Fronting Lender in immediately available funds the purchase price for such Canadian Lender’s or US Lender’s participation interest in the unreimbursed Swingline Advances or LC Payments (including interest then accrued thereon and unpaid by WFT or WFUS, as the case may be). Without duplication, each Canadian Lender or US Lender, as applicable, shall, upon demand by the Swingline Lender or the Fronting Lender made to the Agent, deliver to the Agent for the account of the applicable Swingline Lender or the Fronting Lender interest on such Canadian Lender’s or US Lender’s rateable portion from the date of payment by the Swingline Lender or the Fronting Lender of such unreimbursed Swingline Advances or LC Payments until the date of delivery of such funds to the Swingline Lender or the Fronting Lender by such Canadian Lender or US Lender at a rate per annum equal to the Federal Funds Rate (if reimbursement is to be made in US Dollars) or one month Term CORRA (if reimbursement is to be made in Canadian Dollars) for such period. Such payment shall only, however, be made by the relevant Canadian Lenders or US Lenders in the event and to the extent the Swingline Lender or the Fronting Lender has not been reimbursed in full by WFT or WFUS, as applicable, for interest on the amount of such unreimbursed Swingline Advances or LC Payments. (e) The Swingline Lender or the Fronting Lender shall, forthwith upon its receipt of any reimbursement (in whole or in part) by WFT or WFUS, as applicable, for any unreimbursed Swingline Advances or LC Payments in relation to which other Canadian Lenders or US Lenders, as applicable, have purchased a participation interest pursuant to paragraph (d), or of any other amount from WFT or WFUS or any other person in respect of such payment (other than pursuant to Section 2.14), transfer to such other Canadian Lender or US Lender such other Canadian Lender’s or US Lender’s rateable share of such reimbursement or other amount. In the event that any receipt by a Swingline Lender or the Fronting Lender of any reimbursement or other amount from WFT or WFUS is found to have been a transfer in fraud of creditors or a preferential payment under any applicable insolvency legislation or is otherwise required to be returned, such Canadian Lender or US Lender shall promptly return to the Swingline Lender or the Fronting Lender any portion of such reimbursement or other amount previously transferred to it by the Swingline Lender or the Fronting Lender, without interest to the extent that interest is not payable by the Swingline Lender or the Fronting Lender in connection therewith. 11.8 Sharing Generally. In the event that: (a) any Lender shall obtain any payment (whether voluntary, involuntary, through the exercise of any right of set-off pursuant to Section 8.5 or at law or equity, or otherwise) on account of any Accommodation made by it under a Credit Facility


 
- 104 - 1380-6618-2422.9 (other than Compensation paid to it) in excess of its rateable share of payments on account of such Accommodation; or (b) without regard to outstanding Compensation, any Lender shall at the time of acceleration of the outstanding Accommodations have outstanding Accommodations under a Credit Facility which are less than its rateable share of all outstanding Accommodations under such Credit Facility; then such Lender shall forthwith purchase from the other Lenders under such Credit Facility such participations in the Accommodations made by such other Lenders as shall be necessary to cause such purchasing Lender to share the excess payment or be owed the outstanding Accommodations rateably with such other Lenders. In the case of paragraph (a) of this Section, if all or any portion of such excess payment is thereafter recovered from such purchasing Lender, such purchase from each other Lender shall be rescinded and each relevant Lender shall repay to the purchasing Lender the purchase price to the extent of such recovery together with an amount equal to such other Lender’s rateable share (according to the proportion that the amount such other Lender’s required repayment bears to the total amount so recovered from the purchasing Lender) of any interest or other amount paid or payable by the purchasing Lender in respect of the total amount so recovered. Any Lender purchasing a participation from another Lender pursuant to this Section may, to the fullest extent permitted by Law, exercise all its rights of payment (including the right of set- off) with respect to such participation as fully as if such Lender were a direct creditor of the Borrowers in the amount of such participation. 11.9 Erroneous Payments. (a) If the Agent: (i) notifies a Lender or any Person who has received funds on behalf of a Lender (any such Lender or other recipient (and each of their respective successors and assigns), a “Payment Recipient”) that the Agent, has determined in its sole discretion (whether or not after receipt of any notice under Section 11.9(b)) that any funds (as set forth in such notice) received by such Payment Recipient from the Agent or any of its respective Affiliates were erroneously or mistakenly transmitted to, or otherwise erroneously or mistakenly received by, such Payment Recipient (whether or not known to such Lender or other Payment Recipient on its behalf) (any such funds, whether transmitted or received as a payment, prepayment or repayment of principal, interest, fees, distribution or otherwise, individually and collectively, an “Erroneous Payment”); and (ii) demands in writing the return of such Erroneous Payment (or a portion thereof), such Erroneous Payment shall at all times remain the property of the Agent, pending its return or repayment as contemplated in this Section 11.9 and held in trust for the benefit of the Agent, and such Lender shall (or, with respect to any Payment Recipient who received such funds on its behalf, shall cause such Payment Recipient to) promptly, but in no event later than two Business Days


 
- 105 - 1380-6618-2422.9 thereafter (or such later date as the Agent may, in its sole discretion, specify in writing), return to the Agent, the amount of any such Erroneous Payment (or portion thereof) as to which such a demand was made, in same day funds (in the currency so received), together with interest thereon (except to the extent waived in writing by the Agent) in respect of each day from and including the date such Erroneous Payment (or portion thereof) was received by such Payment Recipient to the date such amount is repaid to the Agent in same day funds at the greater of: (iii) in respect of an Erroneous Payment in US Dollars, the Federal Funds Rate, and in respect of an Erroneous Payment in Canadian Dollars or any other currency at a fluctuating rate per annum equal to the overnight rate at which Canadian Dollars or funds in the currency of such Erroneous Payment, as the case may be, may be borrowed by the Agent, in the interbank market in an amount comparable to such Erroneous Payment (as determined by the Agent); and (iv) a rate determined by the Agent in accordance with banking industry rules on interbank compensation from time to time in effect. A notice of the Agent to any Payment Recipient under this Section 11.9(a) shall be conclusive, absent manifest error. (b) Without limiting Section 11.9(a), each Payment Recipient hereby further agrees that if it receives a payment, prepayment or repayment (whether received as a payment, prepayment or repayment of principal, interest, fees, distribution or otherwise) from the Agent (or any of its respective Affiliates): (i) that is in a different amount than, or on a different date from, that specified in this Agreement or in a notice of payment, prepayment or repayment sent by the Agent (or any of its respective Affiliates) with respect to such payment, prepayment or repayment; (ii) that was not preceded or accompanied by a notice of payment, prepayment or repayment sent by the Agent (or any of its respective Affiliates); or (iii) that such Payment Recipient otherwise becomes aware was transmitted, or received, in error or by mistake (in whole or in part) in each case, then in each such case: (iv) such Payment Recipient acknowledges and agrees that an error and mistake shall be presumed to have been made (absent written confirmation from the Agent to the contrary) (in the case of paragraphs (i) and (ii) above), or an error and mistake has been made (in the case of paragraph (iii) above), in each case, with respect to such payment, prepayment or repayment; and (v) such Lender shall (and shall cause any other Payment Recipient that receives funds on its behalf to) promptly (and, in all events, within one Business Day of its knowledge of the occurrence of any of the circumstances described in paragraphs (i), (ii) and (iii) above) notify the


 
- 106 - 1380-6618-2422.9 Agent, of its receipt of such payment, prepayment or repayment, the details thereof (in reasonable detail) and that it is so notifying the Agent pursuant to this Section 11.9(b). For the avoidance of doubt, the failure to deliver a notice to the Agent pursuant to this Section 11.9(b) shall not have any effect on a Payment Recipient’s obligations pursuant to Section 11.9(a) or on whether or not an Erroneous Payment has been made. (c) Each Lender hereby authorizes the Agent, to set off, net and apply any and all amounts at any time owing to such Lender under any Credit Facility Document, or otherwise payable or distributable by the Agent to such Lender under any Credit Facility Document with respect to any payment of principal, interest, fees or other amounts, against any amount that the Agent has demanded to be returned under Section 11.9(a). (d) In the event that an Erroneous Payment (or portion thereof) is not recovered (such unrecovered amount, an “Erroneous Payment Return Deficiency”) by the Agent for any reason, after demand therefor in accordance with Section 11.9(a), from any Lender that has received such Erroneous Payment Return Deficiency (and/or from any Payment Recipient who received such Erroneous Payment Return Deficiency on its respective behalf), upon notice from the Agent to such Lender at any time, then effective immediately (with the consideration therefor being acknowledged by the parties hereto): (i) such Lender shall be deemed to have assigned (the “Erroneous Payment Deficiency Assignment”) its outstanding Accommodations (but not its Commitments) of the relevant type(s) with respect to which such Erroneous Payment was made in an amount equal to the Erroneous Payment Return Deficiency (or such lesser amount as the Agent may specify) on a cashless basis and such amount calculated at par plus any accrued and unpaid interest (with the assignment fee to be waived by the Agent in such instance), and is hereby (together with the Borrowers) deemed to execute and deliver a Lender Assignment Agreement (or, to the extent applicable, an agreement incorporating a Lender Assignment Agreement by reference pursuant to an approved electronic platform as to which the Agent and such parties are participants) with respect to such Erroneous Payment Deficiency Assignment; (ii) the Agent, as the assignee Lender, shall be deemed to acquire the Erroneous Payment Deficiency Assignment; (iii) upon such deemed acquisition, the Agent, as the assignee Lender shall become a Lender, as applicable, hereunder with respect to such Erroneous Payment Deficiency Assignment and the assigning Lender shall cease to be a Lender, as applicable, hereunder with respect to such Erroneous Payment Deficiency Assignment, excluding, for the avoidance of doubt, such Lender’s obligations under the indemnification provisions of this Agreement and its applicable Commitment which shall survive as to such assigning Lender;


 
- 107 - 1380-6618-2422.9 (iv) the Agent and the Borrowers shall each be deemed to have waived any consents required under this Agreement to any such Erroneous Payment Deficiency Assignment; and (v) the Agent will reflect in its records its ownership interest in the outstanding Accommodations subject to the Erroneous Payment Deficiency Assignment. For the avoidance of doubt, no Erroneous Payment Deficiency Assignment will reduce the Commitments of any Lender and such Commitments shall remain available in accordance with the terms of this Agreement. (e) Subject to Sections 11.16, 11.17 and 11.18 (but excluding, in all events, any assignment consent or approval requirements (whether from the Borrowers or otherwise)), the Agent may, in its discretion, sell any Accommodations acquired pursuant to an Erroneous Payment Deficiency Assignment and upon receipt of the proceeds of such sale, the Erroneous Payment Return Deficiency owing by the applicable Lender shall be reduced by the net proceeds of the sale of such Accommodations (or portion thereof), and the Agent, shall retain all other rights, remedies and claims against such Lender (and/or against any Payment Recipient that receives funds on its respective behalf). In addition, an Erroneous Payment Return Deficiency owing by the applicable Lender: (i) shall be reduced by the proceeds of prepayments or repayments of principal and interest, or other distribution in respect of principal and interest, received by the Agent on or with respect to any such Accommodations acquired from such Lender pursuant to an Erroneous Payment Deficiency Assignment (to the extent that any such Accommodations are then owned by the Agent); and (ii) may, in the sole discretion of the Agent, be reduced by any amount specified by the Agent in writing to the applicable Lender from time to time. (f) The parties hereto agree that: (i) irrespective of whether the Agent may be equitably subrogated, in the event that an Erroneous Payment (or portion thereof) is not recovered from any Payment Recipient that has received such Erroneous Payment (or portion thereof) for any reason, the Agent, shall be subrogated to all the rights and interests of such Payment Recipient (and, in the case of any Payment Recipient who has received funds on behalf of a Lender, to the rights and interests of such Lender) under the Credit Facility Documents with respect to such amount (the “Erroneous Payment Subrogation Rights”) (provided that the Borrowers’ Obligations under the Credit Facility Documents in respect of the Erroneous Payment Subrogation Rights shall not be duplicative of such Obligations in respect of Accommodations that have been assigned to the Agent under an Erroneous Payment Deficiency Assignment); and (ii) an Erroneous Payment shall not pay, prepay, repay, discharge or otherwise satisfy any Obligations owed by the Borrowers; provided that this Section


 
- 108 - 1380-6618-2422.9 11.9 shall not be interpreted to increase (or accelerate the due date for), or have the effect of increasing (or accelerating the due date for), the Obligations of the Borrowers relative to the amount (and/or timing for payment) of the Obligations that would have been payable had such Erroneous Payment not been made by the Agent, provided, further, that for the avoidance of doubt, paragraphs (i) and (ii) above shall not apply to the extent any such Erroneous Payment is, and solely with respect to the amount of such Erroneous Payment that is, comprised of funds received by the Agent from a Borrower for the purpose of making such Erroneous Payment. (g) To the extent permitted by applicable law, no Payment Recipient shall assert any right or claim to an Erroneous Payment, and hereby waives, and is deemed to waive, any claim, counterclaim, defense or right of set-off or recoupment with respect to any demand, claim or counterclaim by the Agent for the return of any Erroneous Payment received, including, without limitation, any defense based on “discharge for value” or any similar doctrine. (h) Each party’s obligations, agreements and waivers under this Section shall survive the resignation or replacement of the Agent, any transfer of rights or obligations by, or the replacement of, a Lender, the termination of the Commitments and/or the repayment, satisfaction or discharge of all Obligations (or any portion thereof) under any Credit Facility Document. 11.10 Environmental Indemnity. Each Borrower will protect, indemnify and hold the Agent and the Lenders and all directors, officers, employees and agents of the Agent or the Lenders harmless from and against any and all actual or potential claims, liabilities, damages (including punitive and consequential damages), losses, fines, penalties, sanctions, judgments, awards, costs and expenses whatsoever (including, without limitation, costs and expenses of investigating, denying or defending any of the foregoing and costs and expenses for preparing any necessary environmental assessment report or other such reports) which arise out of or relate in any way to: (a) the presence, use, handling, production, transportation, storage, release, deposit, discharge or disposal of any Hazardous Materials in, on or about any properties or assets owned, operated or occupied by such Borrower and its Subsidiaries, whether by such Borrower, its Subsidiaries or any other Person; (b) any remedial action taken by the Agent or any Lender in connection with any matter referred to in paragraph (a), including without limitation any repair, clean-up, remediation or detoxification of any of such properties or assets and the preparation of any closure or other required plans; and (c) any breach by such Borrower or any of its Subsidiaries of any Environmental Law. The indemnity provisions set forth above in this Section shall not apply in respect of claims occurring by reason of any trustee in bankruptcy having failed to comply with any Law (including any Environmental Law) in respect of any property, and are not intended to indemnify any indemnified party for its own gross negligence or wilful misconduct.


 
- 109 - 1380-6618-2422.9 Each Borrower understands and agrees that its liability to the indemnified parties under this Section will survive the full payment and satisfaction of all amounts owing under this Agreement as if this indemnity were separate and distinct from this Agreement. 11.11 Judgment Currency. If, for the purposes of obtaining judgment in any court, it is necessary to convert a sum due hereunder to a Lender from the Original Currency into the Judgment Currency, the parties hereto agree, to the fullest extent that they may effectively do so, that the rate of exchange used shall be that at which in accordance with normal banking procedures the Lender could purchase the Original Currency with the Judgment Currency on the Business Day preceding that on which final judgment is paid or satisfied. The obligations of the Borrowers in respect of any sum due in the Original Currency to the Lender under any of the Credit Facility Documents shall, notwithstanding any judgment in any Judgment Currency, be discharged only to the extent that on the Business Day following receipt by the Lender of any sum adjudged to be so due in such Judgment Currency, the Lender may in accordance with normal banking procedures purchase the Original Currency with such Judgment Currency. If the amount of the Original Currency so purchased is less than the sum originally due to the Lender in the Original Currency, the applicable Borrower shall, as a separate obligation and notwithstanding any such judgment, indemnify the Lender against such loss, and if the amount of the Original Currency so purchased exceeds the sum originally due to the Lender in the Original Currency the Lender agrees to remit such excess to the applicable Borrower. 11.12 Governing Law. This Agreement and the Credit Facility Documents shall be governed by, and construed in accordance with, the laws of the Province of British Columbia and of Canada applicable therein and shall be treated in all respects as British Columbia contracts. 11.13 Consent to Jurisdiction. The Borrowers, the Lenders, the Agent hereby irrevocably submit to the jurisdiction of any British Columbia court sitting in Vancouver, British Columbia, in any action or proceeding arising out of or relating to this Agreement or any other Credit Facility Document, and each of them hereby irrevocably agrees that all claims in respect of any such action or proceeding may be heard and determined in such British Columbia court. Each of them hereby irrevocably waives, to the fullest extent each may effectively do so, the defence of an inconvenient forum to the maintenance of such action or proceeding. Nothing in this Section shall affect the right of any Lender, the Agent to serve legal process in any other manner permitted by Law or the right of any Lender, the Agent to bring any action or proceeding against any Borrower or its property in the courts of other jurisdictions. 11.14 Lenders’ Several Liability. The obligations of the Lenders hereunder are several and not joint. No Lender shall be responsible for the failure of any other Lender to make an Advance or perform any other obligation hereunder, and the failure of any Lender to make any Advance or perform any other obligation shall not relieve any other Lender of its obligations hereunder.


 
- 110 - 1380-6618-2422.9 11.15 Successors and Assigns. This Agreement shall become effective when it has been executed by the Borrowers, the Agent and the Lenders and thereafter shall be binding upon and enure to the benefit of the Borrowers, the Agent, the Lenders and their respective successors and permitted assigns. No Borrower shall have the right to assign its rights or obligations hereunder or any interest herein without the prior consent of the Lenders. 11.16 Assignment. Any Lender may assign all or any part of its Commitment under one or more of the Credit Facilities and its interest in the outstanding Accommodations under such Credit Facility or Credit Facilities to one or more Assignees in respect of an assigned Commitment amount of not less than US$5,000,000 under each Credit Facility for each such Assignee, upon payment by the assigning Lender to the Agent of a fee of US$5,000 for each occurrence. Any such assignment shall be subject to: (a) the approval of the Borrowers (such approval not to be unreasonably withheld or delayed), provided that no such approval of the Borrowers shall be required during the continuance of a Default or an Event of Default, and provided further that the Borrowers shall be deemed to have approved any proposed assignment if the Borrowers fail to either approve or decline to approve such assignment in response to any request for such approval within five Business Days after receipt of such request; (b) the approval of the Agent (such approval not to be unreasonably withheld or delayed); (c) in the case of an assignment by a US Lender, to the approval of the Agent (such approval not to be unreasonably withheld or delayed); and (d) in the case of an assignment in respect of the Revolver Facility, the approval of the WFT Swingline Lender, the WFUS Swingline Lender and the Fronting Lender (each such approval not to be unreasonably withheld or delayed). Such Lender shall deliver to the Borrowers and the Agent (and, in the case of an assignment by a US Lender, the Agent) a Lender Assignment Agreement executed by the Assignee, the Borrowers and the Agent, under which the Assignee assumes the obligations and agrees to be bound by all the terms and conditions of this Agreement, all as if such Assignee had been an original party hereto, and agrees to make Accommodations in respect of the Credit Facilities so assigned through a lending office in Canada, in the case of an assignment by a Canadian Lender or an Term Lender. Upon any such assignment and such assumption of the obligations of the Lender by an Assignee, the assigning Lender and the Borrowers shall be mutually released from their respective obligations hereunder to the extent of such assignment and assumption and shall thenceforth have no liability or obligations to each other to such extent, except in respect of matters which have arisen prior to such assignment. A Lender may, on notice to the Borrowers as to the recipient, deliver a copy of any financial statement or any other information relating to the business, assets or condition (financial or otherwise) of the Borrowers which may be furnished to it under this Agreement or otherwise to any Assignee or any prospective Assignee to the extent reasonably required by such Assignee in connection with its


 
- 111 - 1380-6618-2422.9 interest or the proposed acquisition of an interest in the Credit Facilities. All such Assignees or prospective Assignees shall agree to maintain the confidential nature of such information. 11.17 Participation. Any Lender may at any time, without the consent of, or notice to, the Borrowers, the Agent or any other Lender, sell participations to any Person (other than a natural Person, a Borrower or any Affiliate of a Borrower) (each, a “Participant”) in all or a portion of such Lender’s rights and/or obligations under this Agreement (including all or a portion of its Commitment and/or its interest in the outstanding Accommodations); provided that (i) such Lender’s obligations under this Agreement shall remain unchanged, (ii) such Lender shall remain solely responsible to the other parties hereto for the performance of such obligations, and (iii) the Borrowers, the Agent and the other Lenders shall continue to deal solely and directly with such Lender in connection with such Lender’s rights and obligations under this Agreement. Any payment by a Participant to a Lender in connection with a sale of a participation shall not be or be deemed to be a repayment by a Borrower or a new Accommodation to a Borrower. Subject to Section 11.18, the Borrowers agree that each Participant shall be entitled to the benefits of Sections 9.6 and 9.7 to the same extent as if the Participant were a Lender and had acquired its interest by assignment pursuant to Section 11.16, provided such Participant: (a) in the case of a participation as a Canadian Lender and/or in the Term Facility: (i) is organized under the laws of Canada (or any province or territory of Canada), is an authorized foreign bank under the Bank Act (Canada), or is otherwise considered or deemed to be resident for income tax or withholding tax purposes in Canada; and (ii) agrees that any contribution to Accommodations to WFT in respect of the Revolver Facility and/or the Term Facility will be made by such Participant through a lending office in Canada; or (b) in the case of a participation as a US Lender, is organized under the laws of the United States (or any state of the United States or the District of Columbia) or is otherwise considered or deemed to be resident for income tax or withholding tax purposes in the United States. To the extent permitted by law, each Participant also shall be entitled to the benefits of Section 8.5 as though it were a Lender, provided such Participant agrees to be subject to Section 11.8 as though it were a Lender. 11.18 Limitations upon Participant Rights. A Participant shall not be entitled to receive any greater payment under Section 9.6 or 9.7 than the applicable Lender would have been entitled to receive with respect to the participation sold to such Participant, unless the sale of the participation to such Participant is made with the Borrowers’ prior written consent. In addition:


 
- 112 - 1380-6618-2422.9 (a) a Participant as a Canadian Lender in the Revolver Facility or the Term Facility that would be a Foreign Lender if it were a Canadian Lender or Term Lender, as applicable, shall not be entitled to the benefits of Section 9.7 unless the Borrowers are notified of the participation sold to such Participant and such Participant agrees, for the benefit of the Borrowers, to comply with Section 9.7(e) as though it were a Canadian Lender or Term Lender, as the case may be; and (b) a Participant as a US Lender in the Revolver Facility that would be a Foreign Lender if it were a US Lender shall not be entitled to the benefits of Section 9.7 unless the Borrowers are notified of the participation sold to such Participant and such Participant agrees, for the benefit of the Borrowers, to comply with Section 9.7(e) as though it were a US Lender. 11.19 Designation by or Replacement of Lenders (a) If any Lender requests Compensation pursuant to Section 9.6, or requires the Borrowers to pay any additional amount to such Lender or any Governmental Authority for the account of such Lender pursuant to Section 9.7, then such Lender shall use reasonable efforts to designate a different lending office for funding or booking its Commitments under the Credit Facilities hereunder or to assign its rights and obligations hereunder to another of its offices, branches or affiliates if, in the judgement of such Lender, such designation or assignment would (i) eliminate or reduce amounts payable pursuant to Section 9.6 or 9.7, as the case may be, in the future, and (ii) would not subject such Lender to any unreimbursed cost or expense and would not otherwise be disadvantageous to such Lender. The Borrowers hereby agree to pay all reasonable costs and expenses incurred by any Lender in connection with any such designation or assignment. (b) In the event that: (i) any Lender requests Compensation pursuant to Section 9.6 or requires the Borrowers to pay any additional amount to such Lender or any Governmental Authority for the account of any Lender pursuant to Section 9.7; (ii) any Lender’s obligations are suspended pursuant to Section 9.1; or (iii) any Lender defaults in its obligation to fund Accommodations hereunder, then a Borrower may, at its sole effort and expense (including any assignment fee payable to the Agent under Section 11.16), upon 10 days’ notice to such Lender and the Agent (and the Agent if such Lender is a US Lender), and provided the circumstance giving rise to such Compensation or payment, such suspension or such default, as the case may be, is then continuing, require such Lender to assign and delegate, without recourse (in accordance with and subject to the restrictions contained in, and consents required by, Section 11.16), all of such Lender’s interests, rights and obligations under this Agreement and the related Credit Facility Documents to an assignee (which may be another Lender) that shall assume such obligations, provided that:


 
- 113 - 1380-6618-2422.9 (iv) the assigning Lender receives payment of an amount equal to its share of all outstanding Obligations (including any breakage costs and amounts required to be paid under this Agreement as a result of prepayment to a Lender) from the assignee (to the extent of outstanding principal, accrued interest and fees) or the Borrowers (in the case of all other amounts); (v) in the case of any such assignment resulting from the circumstances described in paragraph (i) above, such assignment will result in a reduction in such Compensation or payments thereafter; and (vi) such assignment does not conflict with any applicable Law. 11.20 Severability. The provisions of this Agreement are intended to be severable. If any provision of this Agreement shall be held invalid or unenforceable in whole or in part in any jurisdiction, such provision shall, as to such jurisdiction, be ineffective to the extent of such invalidity or unenforceability without in any manner affecting the validity or enforceability thereof in any other jurisdiction or the remaining provisions hereof in any jurisdiction. 11.21 Prior Understandings. This Agreement supersedes all other understandings and agreements, whether written or oral, among the parties hereto relating to the transactions provided for herein. 11.22 Time of Essence. Time shall be of the essence hereof 11.23 Counterparts. This agreement, and all documents to be delivered on or before the Closing Date hereunder, may be executed electronically and in counterparts, each of which shall be deemed an original and which, taken together, shall constitute one and the same instrument, and any executed counterpart may be delivered by facsimile, by transmission of a pdf or scanned copy or by similar means of recorded communication. 11.24 Patriot Act. Each Lender that is subject to the requirements of the Patriot Act hereby notifies the Borrowers and their Subsidiaries that, pursuant to the requirements of the Patriot Act, it is required to obtain, verify and record information that identifies the Borrowers and their Subsidiaries, which information includes the name and address of the Borrowers and their Subsidiaries and other information that will allow such Lender to identify the Borrowers and their Subsidiaries in accordance with the Patriot Act. 11.25 FATCA. (a) Each Lender shall, at such times as are reasonably requested by a Borrower or the Agent, provide the Borrowers and the Agent with any properly completed and executed documentation prescribed by applicable Law, or reasonably requested


 
- 114 - 1380-6618-2422.9 by a Borrower or the Agent, certifying as to any entitlement of such Lender to an exemption from, or reduction in, any withholding Tax with respect to any payments to be made to such Lender under the Credit Facility Documents (including any documentation necessary to establish an exemption from, or reduction of, any Taxes that may be imposed under FATCA). Each such Lender shall, whenever a lapse in time or change in circumstances renders such documentation expired, obsolete or inaccurate in any respect, deliver promptly to the Borrowers and the Agent updated or other appropriate documentation (including any new documentation reasonably requested by the applicable withholding agent) or promptly notify the Borrowers and the Agent of its inability to do so. In addition, any Lender, if reasonably requested by a Borrower or the Agent, shall deliver such other documentation prescribed by applicable Law or reasonably requested by a Borrower or the Agent as will enable the Borrowers or the Agent to determine whether or not such Lender is subject to backup withholding or information reporting requirements. (b) Notwithstanding anything to the contrary in Section 11.25(a), the completion, execution and submission of such documentation (other than such documentation set forth in Section 11.25(c)) shall not be required if in the Lender’s reasonable judgment such completion, execution or submission would subject such Lender to any material unreimbursed cost or expense or would materially prejudice the legal or commercial position of such Lender. (c) If a payment made to a Lender under any Credit Facility Document would be subject to U.S. federal withholding Tax imposed by FATCA if such Lender were to fail to comply with the applicable reporting requirements of FATCA (including those contained in Section 1471(b) or 1472(b) of the IRC, as applicable), such Lender shall deliver to the Borrowers and the Agent at the time or times prescribed by law and at such time or times reasonably requested by a Borrower or the Agent such documentation prescribed by applicable law (including as prescribed by Section 1471(b)(3)(C)(i) of the IRC) and such additional documentation reasonably requested by a Borrower or the Agent as may be necessary for the Borrowers and the Agent to comply with their obligations under FATCA and to determine that such Lender has complied with such Lender’s obligations under FATCA or to determine the amount to deduct and withhold from such payment. 11.26 Acknowledgment Regarding any Supported QFCs. (a) As used in this Section 11.26, the following terms have the following meanings: (i) “BHC Act Affiliate” of a party means an “affiliate” (as such term is defined under, and interpreted in accordance with, 12 U. S.C. 1841(k)) of such party; (ii) “Covered Entity” means any of the following: (A) a “covered entity” as that term is defined in, and interpreted in accordance with, 12 C.F.R. § 252.82(b); (B) a “covered bank” as that term is defined in, and interpreted in accordance with, 12 C.F.R. § 47.3(b); or


 
- 115 - 1380-6618-2422.9 (C) a “covered FSI” as that term is defined in, and interpreted in accordance with, 12 C.F.R. § 382.2(b); (iii) “Default Right” has the meaning assigned to that term in, and shall be interpreted in accordance with, 12 C.F.R. §§ 252.81, 47.2 or 382.1, as applicable; and (iv) “QFC” has the meaning assigned to the term “qualified financial contract” in, and shall be interpreted in accordance with, 12 U.S.C. § 5390(c)(8)(D). (b) To the extent that the Credit Facility Documents provide support, through a guarantee or otherwise, for Hedge Agreements or any other agreement or instrument that is a QFC (such support, “QFC Credit Support” and each such QFC a “Supported QFC”), the parties acknowledge and agree as follows with respect to the resolution power of the Federal Deposit Insurance Corporation under the Federal Deposit Insurance Act (United States) and Title II of the Dodd- Frank Wall Street Reform and Consumer Protection Act (United States) (together with the regulations promulgated thereunder, the “US Special Resolution Regimes”) in respect of such Supported QFC and QFC Credit Support (with the provisions below applicable notwithstanding that the Credit Facility Documents and any Supported QFC may in fact be stated to be governed by the laws of the State of New York and/or of the United States or any other state of the United States): (i) In the event a Covered Entity that is party to a Supported QFC (each, a “Covered Party”) becomes subject to a proceeding under a US Special Resolution Regime, the transfer of such Supported QFC and the benefit of such QFC Credit Support (and any interest and obligation in or under such Supported QFC and such QFC Credit Support, and any rights in property securing such Supported QFC or such QFC Credit Support) from such Covered Party will be effective to the same extent as the transfer would be effective under the US Special Resolution Regime if the Supported QFC and such QFC Credit Support (and any such interest, obligation and rights in property) were governed by the laws of the United States or a state of the United States. (ii) In the event a Covered Party or a BHC Act Affiliate of a Covered Party becomes subject to a proceeding under a US Special Resolution Regime, Default Rights under the Credit Facility Documents that might otherwise apply to such Supported QFC or any QFC Credit Support that may be exercised against such Covered Party are permitted to be exercised to no greater extent than such Default Rights could be exercised under the US Special Resolution Regime if the Supported QFC and the Credit Facility Documents were governed by the laws of the United States or a state of the United States. 11.27 Waiver of Jury Trial. EACH PARTY HERETO HEREBY IRREVOCABLY WAIVES, TO THE FULLEST EXTENT PERMITTED BY APPLICABLE LAW, ANY RIGHT IT MAY HAVE TO A TRIAL BY JURY IN ANY LEGAL PROCEEDING DIRECTLY OR INDIRECTLY ARISING OUT OF OR RELATING TO THIS


 
- 116 - 1380-6618-2422.9 AGREEMENT OR ANY OTHER CREDIT FACILITY DOCUMENT OR THE TRANSACTIONS CONTEMPLATED HEREBY OR THEREBY (WHETHER BASED ON CONTRACT, TORT OR ANY OTHER THEORY). EACH PARTY HERETO (A) CERTIFIES THAT NO REPRESENTATIVE, AGENT OR ATTORNEY OF ANY OTHER PERSON HAS REPRESENTED, EXPRESSLY OR OTHERWISE, THAT SUCH OTHER PERSON WOULD NOT, IN THE EVENT OF LITIGATION, SEEK TO ENFORCE THE FOREGOING WAIVER, AND (B) ACKNOWLEDGES THAT IT AND THE OTHER PARTIES HERETO HAVE BEEN INDUCED TO ENTER INTO THIS AGREEMENT AND THE OTHER CREDIT FACILITY DOCUMENTS BY, AMONG OTHER THINGS, THE MUTUAL WAIVERS AND CERTIFICATIONS IN THIS SECTION.


 
1380-6618-2422.9 IN WITNESS WHEREOF, the parties hereto have caused this Agreement to be executed by their respective authorized officers, as of the date first above written. WEST FRASER TIMBER CO. LTD. By: /s/ Christopher A. Virostek Name: Christopher A. Virostek Title: SVP, Finance and Chief Financial Officer By: /s/ James W. Gorman Name: James W. Gorman Title: SVP, Corporate Services WEST FRASER (USA), INC. By: /s/ Kevin J. Burke Name: Kevin J. Burke Title: President By: /s/ Charles H. Watkins Name: Charles H. Watkins Title: Vice-President


 
1380-6618-2422.9 THE TORONTO-DOMINION BANK, as Administration Agent By: Name: Title: Director and Head Loan Syndications Agency [Redacted: Signatory names]


 
1380-6618-2422.9 CANADIAN LENDERS AND TERM LENDERS THE TORONTO-DOMINION BANK as Canadian Lender, Term Lender and WFT Swingline Lender Per: Name: Title: Managing Director Per: Name: Title: Director ROYAL BANK OF CANADA Per: Name: Title: Authorized Signatory Per: Name: Title: BANK OF MONTREAL Per: Name: Title: Managing Director THE BANK OF NOVA SCOTIA Per: Name: Title: Director Per: Name: Title: Associate [Redacted: Signatory names]


 
[Redacted: Signatory names]


 
1380-6618-2422.9 FÉDÉRATION DES CAISSES DESJARDINS DU QUÉBEC Per: Name: Title: Managing Director Per: Name: Title: Managing Director CANADIAN LENDERS WELLS FARGO BANK, N.A., CANADIAN BRANCH Per: Name: Title: Executive Director Per: Name: Title: COMERICA BANK Per: Name: Title: VP Per: Name: Title: [Redacted: Signatory names]


 
[Redacted: Signatory names]


 
1380-6618-2422.9 CANADIAN IMPERIAL BANK OF COMMERCE Per: Name: Title: Authorized Signatory Per: Name: Title: Authorized Signatory JPMORGAN CHASE BANK, N.A. Per: Name: Title: Vice President NATIONAL BANK OF CANADA Per: Name: Title: Managing Director Per: Name: Title: Managing Director & Head ATB FINANCIAL Per: Name: Title: Managing Director, Credit Portfolio Per: Name: Title: Director, Credit Structuring and Execution [Redacted: Signatory names]


 
[Redacted: Signatory names]


 
1380-6618-2422.9 PNC BANK, NATIONAL ASSOCIATION Per: Name: Title: Senior Vice President Per: Name: Title: WELLS FARGO BANK, NATIONAL ASSOCIATION, as WFUS Swingline Lender Per: Name: Title: Executive Director Per: Name: Title: [Redacted: Signatory names]


 
[Redacted: Commitment amounts]


 
- 2 - 1380-6618-2422.9 PART 2 – LENDER AND LENDERS’ COMMITMENTS – TERM FACILITY Lenders Commitment under Term Facility The Toronto-Dominion Bank Royal Bank of Canada Bank of Montreal The Bank of Nova Scotia Canadian Imperial Bank of Commerce JPMorgan Chase Bank, N.A., Toronto Branch National Bank of Canada ATB Financial Fédération des caisses Desjardins du Québec Comerica Bank PNC Bank, National Association Wells Fargo Bank, N.A., Canadian Branch Wells Fargo Bank, National Association Total [Redacted: Commitment amounts]


 
- 3 - PART 3 - SUMMARY OF LENDERS' COMMITMENTS Lenders Total Revolver Facility Total Term Facility Commitment Commitment • I • I The Toronto-Dominion Bank - Ill - Ill Royal Bank of Canada - Ill - Ill Bank of Montreal/ - Ill - Ill Bank of Montreal, Chicago Branch The Bank of Nova Scotia - Ill - Ill Canadian Imperial Bank of Commerce - - - Ill JPMorgan Chase Bank, N.A., Toronto Branch/ - - - - JPMorgan Chase Bank, N.A. Federation des caisses Desjardins - - - - du Quebec National Bank of Canada - - - - Wells Fargo Bank, N.A., Canadian Branch - - - - Wells Fargo Bank, National Association A TB Financial - - - - Comerica Bank - - - - PNC Bank, National Association - - - - Total: - 1111 - 1111 1380-6618-2422.9 [Redacted: Commitment amounts]


 
- 4 - 1380-6618-2422.9 PART 4 – LENDING OFFICES Canadian Lender and Term Lender Canadian Lending Office US Lender US Lending Office The Toronto-Dominion Bank 700 West Georgia Street Suite 1700 Vancouver, British Columbia V7Y 1B6 The Toronto-Dominion Bank 700 West Georgia Street Suite 1700 Vancouver, British Columbia V7Y 1B6 The Bank of Nova Scotia 720 King Street West 2nd Floor Toronto, Ontario M5V 2T3 The Bank of Nova Scotia 720 King Street West 2nd Floor Toronto, Ontario M5V 2T3 Bank of Montreal 885 West Georgia Street Suite 1700 Vancouver, BC V6C 3E8 Bank of Montreal, Chicago Branch 111 West Monroe, 23W Chicago, IL 60603 Canadian Imperial Bank of Commerce 400 Burrard Street 7th Floor Vancouver, BC V6C 3A6 Canadian Imperial Bank of Commerce 400 Burrard Street 7th Floor Vancouver, BC V6C 3A6 Royal Bank of Canada 20 King Street West 7th Floor Toronto, Ontario M5H 1C4 Royal Bank of Canada 3 World Financial Center 200 Vesey Street New York, NY 10281-8098 JPMorgan Chase Bank, N.A., Toronto Branch 66 Wellington Street West Suite 4500 TD Bank Tower Toronto, Ontario M5K 1E7 JP Morgan Chase Bank, N.A. 10 S. Dearborn 9th Floor, Suite IL1-0364 Chicago, IL 60603 ATB Financial 3rd Floor, 239 - 8th Ave. S.W. Calgary, Alberta T2P 1B9 ATB Financial 3rd Floor, 239 - 8th Ave. S.W. Calgary, Alberta T2P 1B9


 
- 5 - 1380-6618-2422.9 Canadian Lender and Term Lender Canadian Lending Office US Lender US Lending Office Fédération des caisses Desjardins du Québec 1170 Peel St, Suite 600 Montreal, Quebec H3B 0B1 Fédération des caisses Desjardins du Québec 1170 Peel St, Suite 600 Montreal, Quebec H3B 0B1 National Bank of Canada Suite 100, 12230 Jasper Avenue Edmonton, Alberta T5N 3K3 National Bank of Canada Suite 100, 12230 Jasper Avenue Edmonton, Alberta T5N 3K3 Wells Fargo Bank, N.A., Canadian Branch 22 Adelaide Street West, Suite 2200 Toronto, Ontario M5H 4E3 Wells Fargo Bank, N.A., Canadian Branch 22 Adelaide Street West Suite 2200 Toronto, Ontario M5H 4E3 Comerica Bank Suite 2210, South Tower, Royal Bank Plaza, 200 Bay Street Toronto, Ontario M5J 2J2 Comerica Bank 411 West Lafayette, 5th Floor, MC 3324 Detroit, MI 48226 PNC Bank, Canada Branch Floor 10, 888 3rd St SW Banker’s Hall, West Tower Calgary AB, T2P 5C5 PNC Bank, National Association PNC Financial Services Group, Inc. 10500 NE 8th Street, 20th Floor Bellevue, WA 98004 WFUS Swingline Lender US Lending Office Wells Fargo Bank, National Association 7711 Plantation Road Roanoke, VA 24019


 
1380-6618-2422.9 SCHEDULE 1 BORROWING NOTICE (West Fraser Timber Co. Ltd.) TO: The Toronto-Dominion Bank, as Administration Agent TD North Tower 26th Floor, 77 King St. West Toronto, Ontario M5K 1A2 Facsimile: (416) 982-5535 Email: TDSAgencyAdmin@tdsecurities.com Attention: Vice President, Loan Syndications – Agency Reference is made to the Amended and Restated Credit Agreement dated as of May 30, 2025 between West Fraser Timber Co. Ltd. and West Fraser (USA), Inc., as Borrowers, the Lenders (as therein defined) and The Toronto-Dominion Bank, as Agent (as amended, the “Credit Agreement”). Capitalized terms in this Borrowing Notice have the meanings ascribed to such terms in the Credit Agreement. Notice is hereby given pursuant to Section 3.3, 3.7, 3.8, or 4.4 of the Credit Agreement (as applicable) that West Fraser Timber Co. Ltd. requests an Advance, a change in the Type of an Advance, the continuation of a Term SOFR Advance or Term CORRA Advance for an additional Interest Period, on the following basis: 1. Advance [complete only if applicable] (a) The Advance will be under the Facility [specify the Revolver Facility or the Term Facility]. (b) The date of the Advance will be . (c) The Type of Advance will be [specify Prime Rate Advance, Term SOFR Advance, Daily Simple SOFR Advance, Term CORRA Advance, Daily Compounded CORRA Advance or US Base Rate Advance]. (d) The principal amount of the Advance will be $ [Canadian Dollars unless otherwise specified for Revolver Facility, US Dollars for Term Facility]. (e) If the Advance is a [Term SOFR Advance or Term CORRA Advance], the initial Interest Period applicable to the Advance will be [specify period pursuant to Section 3.6]. 2. Change in Type of Advance [complete only if applicable] (a) The relevant Advance is currently outstanding as a [specify one of US Base Rate Advance, Term SOFR Advance, Term CORRA Advance or Daily Simple SOFR Advance] under the Facility [specify the Revolver Facility or the Term Facility].


 
- 2 - 1380-6618-2422.9 (b) The principal amount of US$ of such Advance is to be changed into a [specify one of US Base Rate Advance, Term SOFR Advance or Daily Simple SOFR Advance] in the principal amount of US$ . (c) The date of the change will be . (d) If the relevant Advance is to be changed to a [Term SOFR Advance or Term CORRA Advance], the initial Interest Period applicable to such Term SOFR Advance will be [specify period pursuant to Section 3.8]. 3. Continuation of Term SOFR Advance or Term CORRA Advance [complete only if applicable] (a) The relevant Advance is currently outstanding as a [Term SOFR Advance or Term CORRA Advance] in the amount of [US]$ under the Facility [specify the Revolver Facility or the Term Facility]. (b) The last day of the Interest Period applicable to the relevant Term SOFR Advance is . (c) The principal amount of [US]$ of such [Term SOFR Advance or Term CORRA Advance] is to continue as such for a further period of [specify period pursuant to Section 3.7]. 4. Conversion of Prime Rate Advance to CORRA Advances [complete only if applicable] (a) The relevant Advance is currently outstanding as a Prime Rate Advance under the Revolver Facility. (b) The date of the change will be . 5. Conversion of CORRA Advances to Prime Rate Advances [complete only if applicable] (a) The principal amount of $ of CORRA Advance is to be changed into a Prime Rate Advance in the principal amount of $ . 6. Issue of Letter of Credit [complete only if applicable]. (a) The Letter of Credit will be issued under the Revolver Facility: ☐ as a POA Letter of Credit, or ☐ as a Fronted Letter of Credit. (b) The date of issue, expiration date, Face Amount, Beneficiary and other relevant information for such Letter of Credit are as follows: [insert or attach schedule] (c) The Letter of Credit will be a:


 
- 3 - 1380-6618-2422.9 ☐ performance Letter of Credit ☐ as a Fronted Letter of Credit.


 
- 4 - 1380-6618-2422.9 The undersigned confirms that the conditions to the availability of Accommodations set forth in Section 5.1 or Section 5.2 of the Credit Agreement, as applicable, have been complied with or satisfied at the date hereof. DATED: WEST FRASER TIMBER CO. LTD. By: Title: By: Title:


 
1380-6618-2422.9 SCHEDULE 1A BORROWING NOTICE (West Fraser (USA), Inc.) TO: The Toronto Dominion Bank, as Agent TD North Tower 26th Floor, 77 King St. West Toronto, Ontario M5K 1A2 Facsimile: (416) 982-5535 Email: TDSAgencyAdmin@tdsecurities.com Attention: Vice President, Loan Syndications – Agency Reference is made to the Amended and Restated Credit Agreement dated as of May 30, 2025 between West Fraser Timber Co. Ltd. and West Fraser (USA), Inc., as Borrowers, the Lenders (as therein defined) and The Toronto-Dominion Bank, as Agent (as amended, the “Credit Agreement”). Capitalized terms in this Borrowing Notice have the meanings ascribed to such terms in the Credit Agreement. Notice is hereby given pursuant to Section 3.3, 3.7 or 3.8 of the Credit Agreement (as applicable) that West Fraser (USA), Inc. requests an Advance, a change in the Type of an Advance or the continuation of a Term SOFR Advance for an additional Interest Period, in each case under the Revolver Facility, on the following basis: 1. Advance [complete only if applicable] (a) The date of the Advance will be . (b) The Type of Advance will be [specify NY Prime Rate Advance, Term SOFR Advance or Daily Simple SOFR Advance]. (c) The principal amount of the Advance will be US$ . (d) If the Advance is a Term SOFR Advance, the initial Interest Period applicable to the Advance will be [specify period pursuant to Section 3.6]. 2. Change in Type of Advance [complete only if applicable] (a) The relevant Advance is currently outstanding as a [specify one of NY Prime Rate Advance, Term SOFR Advance or Daily Simple SOFR Advance]. (b) The principal amount of US$ of such Advance is to be changed into a [specify one of NY Prime Rate Advance, Term SOFR Advance or Daily Simple SOFR Advance] in the principal amount of US$ . (c) The date of the change will be .


 
- 2 - 1380-6618-2422.9 (d) If the relevant Advance is to be changed to a Term SOFR Advance, the initial Interest Period applicable to such Term SOFR Advance will be [specify period pursuant to Section 3.8]. 3. Continuation of Term SOFR Advance [complete only if applicable] (a) The relevant Advance is currently outstanding as a Term SOFR Advance in the amount of US$ . (b) The last day of the Interest Period applicable to the relevant Term SOFR Advance is . (c) The principal amount of US$ of such Term SOFR Advance is to continue as such for a further period of [specify period pursuant to Section 3.7]. The undersigned confirms that the conditions to the availability of Accommodations set forth in Section 5.1 or Section 5.2 of the Credit Agreement, as applicable, have been complied with or satisfied at the date hereof. DATED: WEST FRASER (USA), INC. By: Title: By: Title:


 
1380-6618-2422.9 SCHEDULE 2 NOTICE OF REPAYMENT OR CANCELLATION TO: The Toronto Dominion Bank, as Agent TD North Tower 26th Floor, 77 King St. West Toronto, Ontario M5K 1A2 Facsimile: (416) 982-5535 Email: TDSAgencyAdmin@tdsecurities.com Attention: Vice President, Loan Syndications – Agency Reference is made to the Amended and Restated Credit Agreement dated as of May 30, 2025 between West Fraser Timber Co. Ltd. and West Fraser (USA), Inc., as Borrowers, the Lenders (as therein defined) and The Toronto-Dominion Bank, as Agent (as amended, the “Credit Agreement”). Capitalized terms in this Notice have the meanings ascribed to such terms in the Credit Agreement. Notice is hereby given pursuant to Section 2.14 or 2.15 of the Credit Agreement (as applicable) that the undersigned intends to make the repayment described below or to cancel Commitments under the ________________ Facility [specify the Revolver Facility or the Term Facility], as described below: 1. Repayment [complete if applicable] (a) The date of the repayment will be . (b) The amount of the repayment will be [specify Cdn$ or US$]. 2. Cancellation [complete if applicable] (a) The date of cancellation will be . (b) The aggregate amount of Commitments of all Lenders to be cancelled is $ [specify amount in US$ pursuant to Section 2.15 of the Credit Agreement]. DATED: [WEST FRASER TIMBER CO. LTD. or WEST FRASER (USA), INC.] By: Responsible Officer


 
1380-6618-2422.9 SCHEDULE 3 QUARTERLY COMPLIANCE CERTIFICATE The undersigned hereby certifies as follows: 1. I am the Chief Financial Officer [or other Authorized Officer] of West Fraser Timber Co. Ltd. (the “Company”). 2. This Certificate is delivered pursuant to Section 7.2(b) of the Amended and Restated Credit Agreement dated as of May 30, 2025 between the Company and West Fraser (USA), Inc., as Borrowers, the Lenders (as therein defined) and The Toronto-Dominion Bank, as Agent (as amended, the “Credit Agreement”). Capitalized terms used herein have the meanings ascribed to such terms in the Credit Agreement. 3. I am duly authorized to give this certificate for and on behalf of the Company, and it is given in my capacity as an officer of the Company and without personal liability. 4. I am familiar with and have examined the provisions of the Credit Agreement and have made such other examinations and investigations as in my opinion are necessary to give this Certificate and express an informed opinion on the matters set out herein. Based on such examinations and investigations, I confirm that to the best of my knowledge no Default or Event of Default has occurred and is continuing. 5. As of the end of the period to which this Certificate relates, being the fiscal quarter ended , the financial ratios described in Sections 1.1(pppppp)(i), 7.3(b) and 7.3(c) of the Credit Agreement were as set out below: (a) Debt to Capitalization Ratio [Section 1.1(pppppp)(i)] (i) Consolidated Indebtedness (excluding Category 1 Subordinated Debt and Category 2 Subordinated Debt) as at such fiscal quarter end was US$ , (ii) Total Capitalization as at such fiscal quarter end was US$ , consisting of the aggregate of (A) Consolidated Shareholders’ Equity of US$ ; (B) Consolidated Indebtedness of US$ ; and (C) Category 2 Subordinated Debt of US$ . (iii) The ratio of Consolidated Indebtedness to Total Capitalization, as referred to in Section 1.1(pppppp)(i) of the Credit Agreement, was . The maximum permitted ratio is 50%, subject to an increase to up to 57.5% for two consecutive quarters in circumstances described in Section 1.1(pppppp)(i). [If the permitted increase is being relied upon, attach a Schedule describing the relevant acquisition and setting out its impact on the ratio.]


 
- 2 - 1380-6618-2422.9 (b) Interest Coverage Ratio [Section 7.3(b)] (i) EBITDA for the four fiscal quarters ended on such fiscal quarter end was US$ . (ii) Interest Expense for the four fiscal quarters ended on such fiscal quarter end was US$ . (iii) The ratio of EBITDA to Interest Expense, as referred to in Section 7.3(b) of the Credit Agreement, was . If the ratio of Consolidated Indebtedness to Total Capitalization is greater than or equal to 42.5% for the four fiscal quarters ended on such fiscal quarter end, the ratio of EBITDA to Interest Expense must not be less than 2.0 to 1. (c) Capitalization Ratio [Section 7.3(c)] (i) Consolidated Indebtedness plus Category 1 Subordinated Debt plus Category 2 Subordinated Debt as at such fiscal quarter end was US$ . (ii) Total Capitalization as at such fiscal quarter end was US$ . (iii) The ratio of (x) Consolidated Indebtedness plus Category 1 Subordinated Debt plus Category 2 Subordinated Debt to (y) Total Capitalization as at such fiscal quarter end was . The maximum permitted ratio is 60%. 6. The foregoing calculations are correct and accurate. 7. Attached hereto are schedules setting forth the foregoing calculations in reasonable detail, including all adjustments to the consolidated financial statements necessary to calculate any amount which under the Credit Agreement is to be calculated for WFT and its Restricted Subsidiaries. I am aware that the Lenders are entitled to rely upon the accuracy of the information herein contained. DATED: WEST FRASER TIMBER CO. LTD. By: Title: By:


 
- 3 - 1380-6618-2422.9 Title:


 
1380-6618-2422.9 SCHEDULE 4 MATERIAL SUBSIDIARIES Name Jurisdiction of Incorporation Number of Shares Outstanding Holder of Outstanding Shares West Fraser Mills Ltd. British Columbia 213,075,147 Class A Common shares 100,000 Class C Preference shares 32,412,987 Class F Preference Shares 4 Class G Preference Shares 70,000 Class H Preference shares 7,700 Class I Preference shares Class A Common shares, Class C Preference shares, Class F Preference shares and Class H Preference shares all held by West Fraser Timber Co. Ltd. Class G Preference shares all held by West Fraser Building Supplies Ltd. Class I Preference shares all held by Blue Ridge Lumber Inc. Norbord Inc. Canada (Federal) 80,719,544 Common shares All held by West Fraser Timber Co. Ltd. Norbord (Ontario) Inc. Ontario 73,017 Common shares All held by Norbord Inc. West Fraser (USA), Inc. Delaware 36,786 Common shares 23,450 Series A Preferred shares All held by Norbord (Ontario) Inc. West Fraser, Inc. Delaware 49,814 Common shares 16,450 Series A Preferred shares All held by West Fraser (USA), Inc. West Fraser US EWP LLC Delaware 1,000 Units All held by West Fraser, Inc. West Fraser Wood Products LLC Delaware 200 Common shares All held by West Fraser, Inc. Norbord S.a.r.l. Luxembourg 217,398,757 Common shares All held by Norbord (Ontario) Inc. West Fraser Holdco Ltd. Scotland 64,981,987 ordinary shares of £1 each All held by Norbord S.a.r.l. West Fraser Europe Limited United Kingdom 61,540,618 ordinary shares of £1 each All held by West Fraser Holdco Ltd.


 
1380-6618-2422.9 SCHEDULE 5 LENDER ASSIGNMENT AGREEMENT THIS AGREEMENT dated the day of , . AMONG: [INSERT NAME OF ASSIGNING LENDER] (the “Assignor”) AND: [INSERT NAME OF ASSIGNEE] (the “Assignee”) AND: THE TORONTO-DOMINION BANK, in its capacity as Agent under the Credit Agreement (as herein defined) (the “Agent”) AND: WEST FRASER TIMBER CO. LTD., a company formed by amalgamation under the laws of the Province of British Columbia, and WEST FRASER (USA), INC., a corporation incorporated under the laws of the State of Delaware, (the “Borrowers”) WHEREAS the Borrowers entered into an amended and restated credit agreement dated as of May 30, 2025 (as amended, the “Credit Agreement”) with the Lenders and the Agent (each as therein defined); AND WHEREAS the Assignor, as a Lender under the Credit Agreement, wishes to assign and transfer to the Assignee and the Assignee wishes to acquire and assume the rights and obligations of the Assignor under the Credit Agreement, to the extent set forth in this Agreement. NOW THEREFORE in consideration of the mutual covenants and agreements contained herein, it is agreed by the parties hereto as follows: 1. Defined Terms. Unless otherwise defined in this Agreement, capitalized terms used in this Agreement have the meanings ascribed to such terms in the Credit Agreement.


 
- 2 - 1380-6618-2422.9 2. Assignment. The Assignor hereby assigns and transfers to the Assignee, and the Assignee hereby accepts from the Assignor, all of the Assignor’s rights and obligations in respect of: (a) US$ of the Assignor’s Commitment in respect of the Revolver Facility; and [OR] (b) US$ of the Assignor’s Commitment in respect of the Term Facility, (the “Assigned Credit [Facility/Facilities]”), including all proportionate rights of the Assignor to amounts now or hereafter payable by the Borrowers under the Assigned Credit [Facility/Facilities], with effect from and after (the “Effective Date”). The Assignee acknowledges that it is not entitled to any portion of amounts paid to the Assignor (or to the Agent for the account of the Assignor) prior to the Effective Date. 3. Assumption. The Assignee hereby agrees with the Assignor and the Agent (on behalf of all Lenders under the Credit Agreement) and the Borrowers to be bound by all of the terms and provisions of the Credit Agreement and the Credit Facility Documents and, to the extent of the Commitment assigned to it, assumes and agrees to observe and perform all of the obligations (the “Assigned Obligations”) of the Assignor to the Borrowers, the Agent and the other Lenders from and after the Effective Date. 4. Lending Office. The Assignee hereby covenants and agrees that all Accommodations under the Assigned Credit [Facility/Facilities] will be made by the Assignee through the following [Canadian/US] Lending Office: _____________________________________ . 5. Settlement. The Assignor and the Assignee acknowledge and agree that all payments under the Credit Agreement in respect of the interest assigned to the Assignee which are received by the Agent on or after the Effective Date will be the property of the Assignee, and the Agent will be entitled to treat the Assignee as solely entitled thereto. The Assignor and the Assignee represent and warrant to the Agent that the Assignor and the Assignee have made satisfactory arrangements for the settlement of any amounts owing or which may become owing by one to the other in connection with this Agreement without any action on the part of the Agent. 6. No Representations by Assignor. The Assignee acknowledges and confirms that it has not relied upon, and that the Agent and the Assignor has not made, any representation or warranty whatsoever as to the due execution, legality, effectiveness, validity or enforceability of the Credit Agreement or any other Credit Facility Document, as to any other documentation or information delivered by the Agent or the Assignor to the Assignee in connection therewith, as to the performance thereof by any party thereto, as to the performance of any obligation by the Borrowers or any of their respective Subsidiaries or as to the financial condition of the Borrowers or any of their respective Subsidiaries. 7. Representations and Agreement by Assignee. The Assignee represents and warrants that it has itself been, and will continue to be, solely responsible for making its own independent appraisal of and investigation into the financial condition, creditworthiness, affairs and status of the Borrowers or any of their respective Subsidiaries and that it has


 
- 3 - 1380-6618-2422.9 not relied, and will not hereafter rely, on the Agent or the Assignor to appraise, or keep under review on its behalf, the financial condition, creditworthiness, affairs and status of the Borrowers or any of their respective Subsidiaries. The Assignee acknowledges that a copy of the Credit Agreement has been made available to it for review and the Assignee acknowledges that it is satisfied with the form and substance of the Credit Agreement. The Assignee hereby covenants and agrees that, except as specifically contemplated by the Credit Agreement, it has not heretofore and shall not hereafter take any security interest for any Indebtedness owing under the Credit Agreement and that it will not make any arrangements with any Borrower for the satisfaction of any such outstanding Indebtedness without the prior consent of all other Lenders. 8. Mutual Representations. Each of the Assignor and the Assignee represents and warrants to the other, the Agent and the other Lenders that it has the capacity and power to enter into this Agreement, to observe and perform its obligations under this Agreement and under the Credit Agreement, and that all action required to authorize the execution and delivery of this Agreement and the performance of such obligations has been duly taken. 9. Acknowledgement of Borrowers. The Borrowers acknowledge the assignment described above to the Assignee, and agree to recognize the Assignee as a Lender under the Credit Agreement as fully as if the Assignee had been an original party to the Credit Agreement. The Borrowers agree that from and after the Effective Date the Assignor shall have no further liability or obligation in respect of the Assigned Obligations, except in respect of liabilities or obligations arising or incurred prior to the Effective Date. 10. Notices. All notices and other communications provided for under the Credit Agreement or any other Credit Facility Document may be given to the Assignee at the following address in accordance with the Credit Agreement: [Insert address and facsimile number for Assignee] 11. Governing Law. This Agreement shall be governed by and construed in accordance with the laws of the Province of British Columbia. 12. Further Assurances. The parties hereto will from time to time do all such acts and things and execute all such additional deeds, transfers and instruments as may reasonably be necessary or desirable to give effect to this Agreement.


 
- 4 - 1380-6618-2422.9 IN WITNESS WHEREOF this Agreement has been executed by the parties hereto. [INSERT NAME OF ASSIGNOR] By: Title: [INSERT NAME OF ASSIGNOR] By: Title: THE TORONTO-DOMINION BANK as Agent By: Title: WEST FRASER TIMBER CO. LTD. By: Title: By: Title: WEST FRASER (USA), INC. By: Title: By: Title:


 
1380-6618-2422.9 SCHEDULE 6 FORM OF POA LETTER OF CREDIT [Letterhead of The Toronto-Dominion Bank or Form for Letters of Credit] Irrevocable Letter of Credit No.: Date of Issue: Expiry Date: Place of Expiry: Amount: Beneficiary: Name: Applicant: Name: Address: Address Attn: Attn: Fax No.: The banks and other financial institutions named under the heading “Issuing Lenders” on the signature pages (collectively, the “Issuing Lenders” and, individually, an “Issuing Lender”) hereby establish this irrevocable Letter of Credit in your favour as beneficiary for drawings up to [Canadian Dollars or US Dollars] in aggregate amount. This Letter of Credit is issued, presentable and payable at our office at [address], or other address of which notice is given as described below, and expires at our close of business 5:00 PM (local time) on (the “Expiry Date”). The aggregate amount available under this Letter of Credit shall be reduced immediately following the honouring of any draft drawn hereunder in an amount equal to the amount of such draft. This Letter of Credit cannot be modified or revoked without your consent. The Toronto-Dominion Bank, in addition to acting in its individual capacity as an Issuing Lender hereunder, is acting as an agent for the other Issuing Lenders hereunder (in such capacity, together with its successors in such capacity, the “Agent”). Funds shall be available under this Letter of Credit upon presentation to the Agent of a draft substantially in the form of Exhibit A attached hereto, the original of this Letter of Credit and the following: [describe any other requirements for a drawing]. Each Issuing Lender hereby undertakes, severally according to the percentage set forth next to its signature below (such Issuing Lender’s “Applicable Percentage”) and not jointly or jointly and severally with any other Issuing Lender, that drafts drawn under and in strict compliance with the terms of this Letter of Credit will be duly honoured by paying to the Agent such Issuing Lender’s share (according to its Applicable Percentage) of the amount of such draft. The Agent hereby undertakes that any amount so received by it will be made available to you promptly by remitting the payment so received, in like funds, in accordance with your instructions. The obligation of each Issuing Lender under this Letter of Credit is several and not joint or joint and several and shall at all times be an amount equal to such Issuing Lender’s Applicable Percentage of the aggregate undrawn amount of this Letter of Credit (and of each drawing under this Letter of Credit).


 
- 2 - 1380-6618-2422.9 This Letter of Credit has been executed and delivered by the Agent in the name and on behalf of, and as attorney-in-fact for, each Issuing Lender. The Agent is authorized to act under this Letter of Credit as the agent of each Issuing Lender in order to: (a) receive drafts, other demands for payment and other documents presented by you under this Letter of Credit; (b) determine whether such drafts, demands and documents are in compliance with the terms and conditions of this Letter of Credit; (c) notify such Issuing Lender and the applicant that a valid drawing has been made and the date that the related disbursement is to be made; (d) notify you that this Letter of Credit will not be renewed. [Note: insert this clause only if the Letter of Credit provides that it will be renewed automatically unless notice to the contrary is given] The Agent undertakes that it will promptly notify each Issuing Lender and the applicant of any valid drawing under this Letter of Credit. You agree that the Agent shall have no obligation or liability to honour any drawing under this Letter of Credit (subject to the liability of The Toronto-Dominion Bank in its capacity as an Issuing Lender and the obligation of the Agent to remit funds paid to the Agent from an Issuing Lender, as set forth above) and that neither any Issuing Lender nor the Agent shall be responsible for the failure of any other Issuing Lender to make a payment to be made by such other Issuing Lender hereunder. This Letter of Credit sets forth in full the terms of our and each Issuing Lender’s undertaking, and such undertaking is not subject to any agreement, requirement or qualification and shall not in any way be amended, modified, amplified or limited by reference to any document, instrument or agreement referred to herein or in which this Letter of Credit is referred to or to which this Letter of Credit relates (other than the annexes attached hereto, if any), and any such reference shall not be deemed to incorporate herein by reference any document, instrument or agreement. The obligation of each Issuing Lender under this Letter of Credit is the individual obligation of such Issuing Lender and is in no way contingent upon reimbursement of any drawing hereunder or upon any Issuing Lender’s ability to perfect a lien or security interest. Each Issuing Lender’s obligation to pay is irrevocable and, subject to compliance with the requirements hereof, unconditional and, in furtherance and support thereof and without limiting the irrevocable and unconditional nature of each Issuing Lender’s obligations to the beneficiary hereunder, any demand by the beneficiary shall be honoured without any inquiry as to the rights, claims or defences (legal or equitable) of the applicant against the beneficiary and without regard to any other defence to the beneficiary’s demand for payment, arising as a result of any dispute between the beneficiary and the applicant or between the applicant and the Issuing Lenders. This Letter of Credit shall be governed by and construed in accordance with the law of the Province of British Columbia (without reference to choice of law doctrine) and is subject to the Uniform Customs and Practice for Documentary Credits (2007 Revision), ICC Publication No. 600 (the “Uniform Customs”). In the event of any conflict between the law of the Province of British Columbia and the Uniform Customs, the Uniform Customs shall control. Notwithstanding Article 17 of the Uniform Customs, if this Letter of Credit expires during an interruption of business as


 
- 3 - 1380-6618-2422.9 described in said Article 17, each Issuing Lender agrees to effect payment if this Letter of Credit is drawn against within 30 days after the resumption of business by the Agent. [insert the immediately preceding sentence, if and as applicable] This Letter of Credit [may not be assigned or transferred, except that it] [insert the immediately preceding clause, if and as applicable] shall inure to the benefit of any successor by operation of law of the named beneficiary hereof, including, without limitation, any liquidator, receiver or trustee for such named beneficiary. All communications regarding this Letter of Credit should be addressed to The Toronto-Dominion Bank, [address], Attention: , referencing Irrevocable Letter of Credit No. . Upon or in anticipation of closure of the place where this Letter of Credit is presentable and payable, the Agent may give notice to the beneficiary, not less than 30 days before the Expiry Date, of another reasonable place where this Letter of Credit shall be presentable and payable, and if the Agent does so then this Letter of Credit shall be presentable and payable at that place and not any previously designated place. An Issuing Lender may, subject to the replacement thereof with a new Lender having the minimum credit rating set forth below or with your consent (as applicable), cease to be a party to, and a new Lender may become a party to, this Letter of Credit, and the Applicable Percentage of an Issuing Lender may change, but no such event will reduce the then available amount under this Letter of Credit. Upon the occurrence of any such event, the Agent will provide prompt notice to you of such event, including any change in the identities of the Issuing Lenders severally but not jointly or jointly and severally liable in respect of the aggregate undrawn amount of this Letter of Credit (based upon their respective Applicable Percentages thereof) and any change in such Applicable Percentages. If a new Lender becomes a party to this Letter of Credit and the credit rating of such new Lender (or its parent) is lower than A minus (A-) as rated by Standard & Poor’s Rating Group or the equivalent by any other nationally recognized rating agency, the consent of the beneficiary to such change shall be required. A change in Applicable Percentages or Issuing Lenders shall be documented by an amendment of this Letter of Credit substantially in the form attached as Exhibit B. Very truly yours, THE TORONTO-DOMINION BANK as Agent By: Name: Title:


 
- 4 - 1380-6618-2422.9 Applicable Percentage: ______ % ISSUING LENDERS: THE TORONTO-DOMINION BANK By: Name: Title: ______ % [NAME OF LENDER] By The Toronto-Dominion Bank, as Attorney-in-Fact By: Name: Title: ______ % [NAME OF LENDER] By The Toronto-Dominion Bank, as Attorney-in-Fact By: Name: Title: ______ % [NAME OF LENDER] By The Toronto-Dominion Bank, as Attorney-in-Fact By: Name: Title: ______ % [NAME OF LENDER] By The Toronto-Dominion Bank, as Attorney-in-Fact By: Name: Title:


 
1380-6618-2422.9 EXHIBIT A TO FORM OF POA LETTER OF CREDIT FORM OF DRAFT [Date, place] At sight pay to the order of the sum of [Canadian Dollars] [United States Dollars] To The Toronto-Dominion Bank (insert address) as Agent for the financial institutions listed immediately below (“Issuing Lenders”), each severally and not jointly or jointly and severally and each with respect to only the percentage of the amount drawn herein set out opposite its name: % [name of Issuing Lender] % [name of Issuing Lender] % [name of Issuing Lender] % [name of Issuing Lender] Except in its individual capacity as an Issuing Lender, the Agent shall have no obligation or liability hereunder. Drawn under letter of credit no. . [Beneficiary] (signature)


 
1380-6618-2422.9 EXHIBIT B TO FORM OF POA LETTER OF CREDIT FORM OF AMENDMENT Irrevocable Letter of Credit No.: Date of Issue: Expiry Date: Place of Expiry: Amount: Beneficiary: Name: Applicant: Name: Address: Address: Attn: Attn: Fax No.: Reference is made to the above-noted letter of credit (the “Letter of Credit”). Please be advised that the Letter of Credit is hereby amended in accordance with the final paragraph thereof, as follows: 1. Change of Issuing Lenders [Insert if applicable] [Insert name of financial institution], which has a credit rating of [insert rating and rating agency], has become a party to the Letter of Credit and an Issuing Lender. The following banks and financial institutions have ceased to be parties to the Letter of Credit and are no longer Issuing Lenders: [Insert names] 2. Change in Applicable Percentages As of the date of this amendment, the Issuing Lenders and their respective Applicable Percentages are as set out below. All other terms and conditions of the Letter of Credit remain unchanged. Kindly return the duplicate copy of this letter to acknowledge your receipt of this amendment. Very truly yours, Receipt acknowledged by: THE TORONTO-DOMINION BANK as Agent Name: By: Title: Name:


 
- 2 - 1380-6618-2422.9 Date: Title: Applicable Percentage: ______ % ISSUING LENDERS: THE TORONTO-DOMINION BANK By: Name: Title: ______ % [NAME OF LENDER] By The Toronto-Dominion Bank, as Attorney-in-Fact By: Name: Title: ______ % [NAME OF LENDER] By The Toronto-Dominion Bank, as Attorney-in-Fact By: Name: Title: ______ % [NAME OF LENDER] By The Toronto-Dominion Bank, as Attorney-in-Fact By: Name: Title: ______ % [NAME OF LENDER] By The Toronto-Dominion Bank, as Attorney-in-Fact By: Name: Title:


 
1380-6618-2422.9 SCHEDULE 7 FORM OF POWER OF ATTORNEY FOR POA LETTERS OF CREDIT RECITALS: (A) The undersigned (the “Issuing Lender”) is party to an amended and restated credit agreement dated as of May 30, 2025 between West Fraser Timber Co. Ltd., West Fraser (USA), Inc., the Lenders from time to time party thereto and The Toronto-Dominion Bank in its capacity as Agent (the “Agent”) (as amended, supplemented, restated and replaced from time to time, the “Credit Agreement”). (B) Capitalized terms used in this agreement and not otherwise defined have the meanings defined in the Credit Agreement. (C) The Issuing Lender has agreed, pursuant to Section 4.2(c) of the Credit Agreement, to appoint the Agent, acting through any duly authorized officer of the Agent, as its attorney-in-fact to execute and deliver certain letters of credit to be issued by the Issuing Lender under the Credit Agreement in the name of and on behalf of the Issuing Lender. THEREFORE, for good and valuable consideration, the receipt and sufficiency of which are hereby acknowledged, the parties hereto agree as follows: 1. APPOINTMENT The Issuing Lender hereby appoints the Agent (the “Attorney”) as its attorney-in-fact, acting through any duly authorized officer of the Attorney, with full authority to execute and deliver letters of credit applied for by West Fraser Timber Co. Ltd. under the Credit Agreement, and to do such other things relating to the administration and payment of such letters of credit as may be specified in them or incidental thereto. 2. INTERPRETATION This power of attorney for property shall be read with such changes of gender or number as the context may require. 3. EFFECTIVE IMMEDIATELY This power of attorney becomes effective on the date of execution specified below. 4. PROOF OF ATTORNEY’S AUTHORITY The presentation of this power of attorney, or of a notarial copy of this power, by an officer of the Agent is sufficient proof to a person to whom such power or notarial copy is presented, without further investigation by such person, of the Attorney’s authority to act. The Attorney’s assertion, whether in speech or writing, that any document executed by the Attorney or any act taken by the Attorney is authorized by this power of attorney, shall be sufficient proof to a person to whom such assertion is made, without further investigation by such person, of the Attorney’s authority to execute such document or perform such act.


 
- 2 - 1380-6618-2422.9 IN WITNESS WHEREOF the Issuing Lender has on [date] signed this power of attorney written on this and the preceding page and confirms that it has the authority to make this power of attorney, and that all acts taken hereunder by the Attorney are binding on the Issuing Lender. [NAME OF LENDER] By: Name: Title: