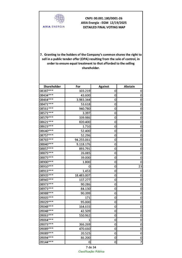
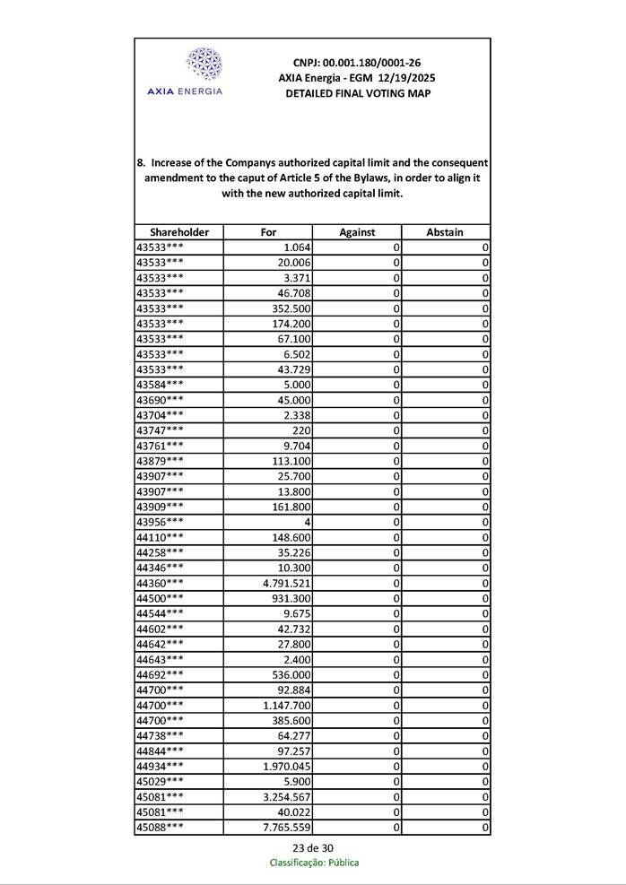
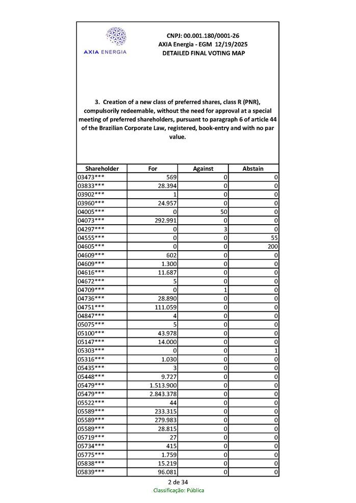
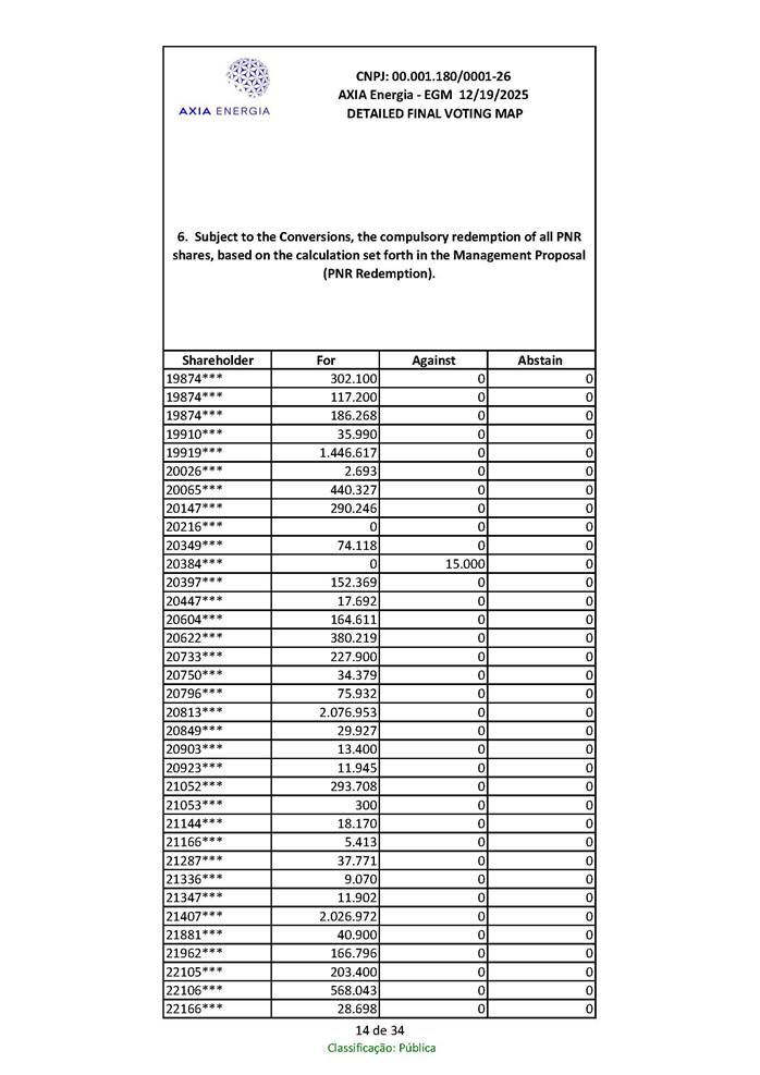
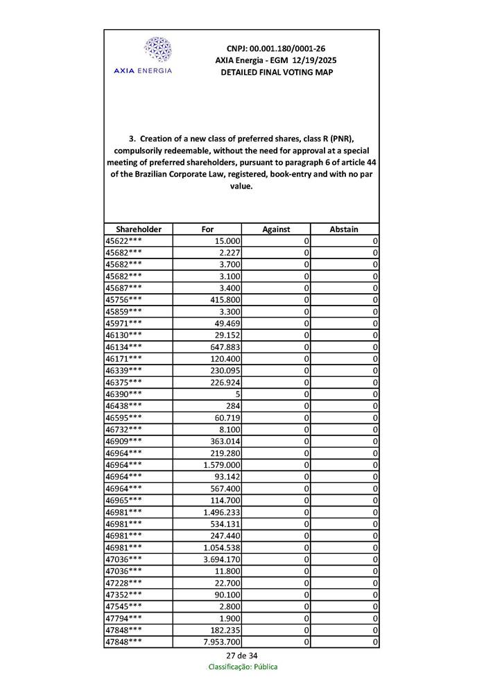
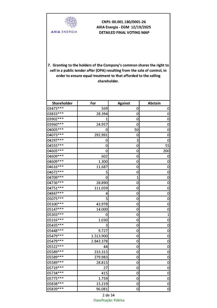
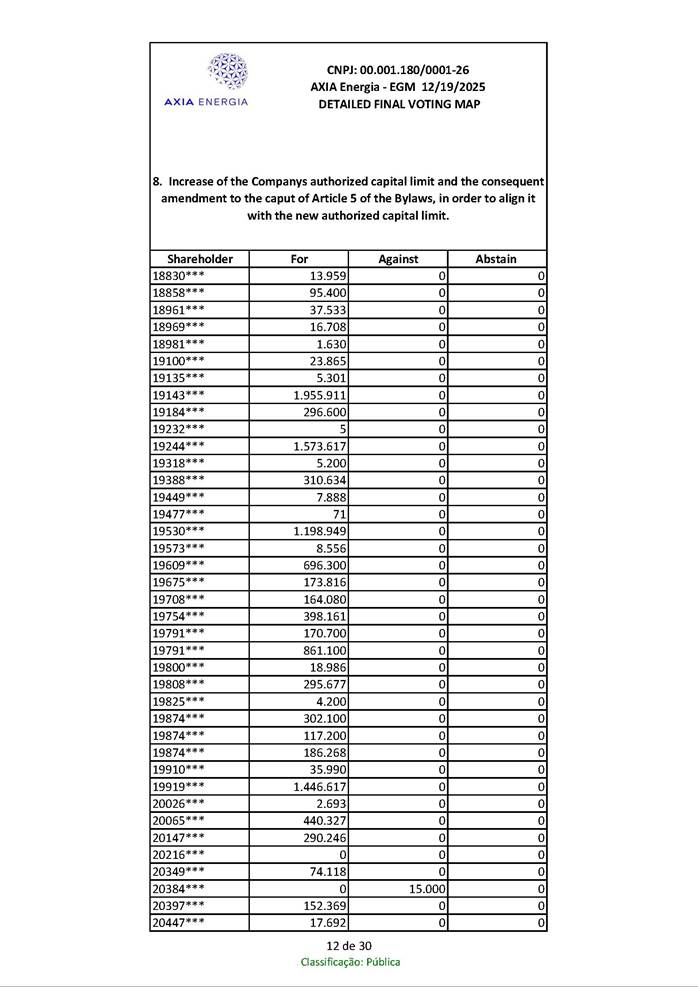
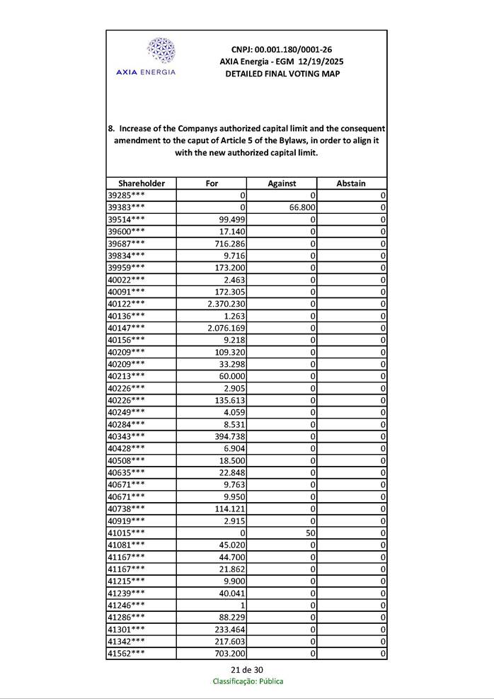
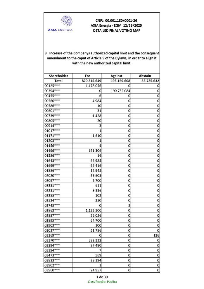
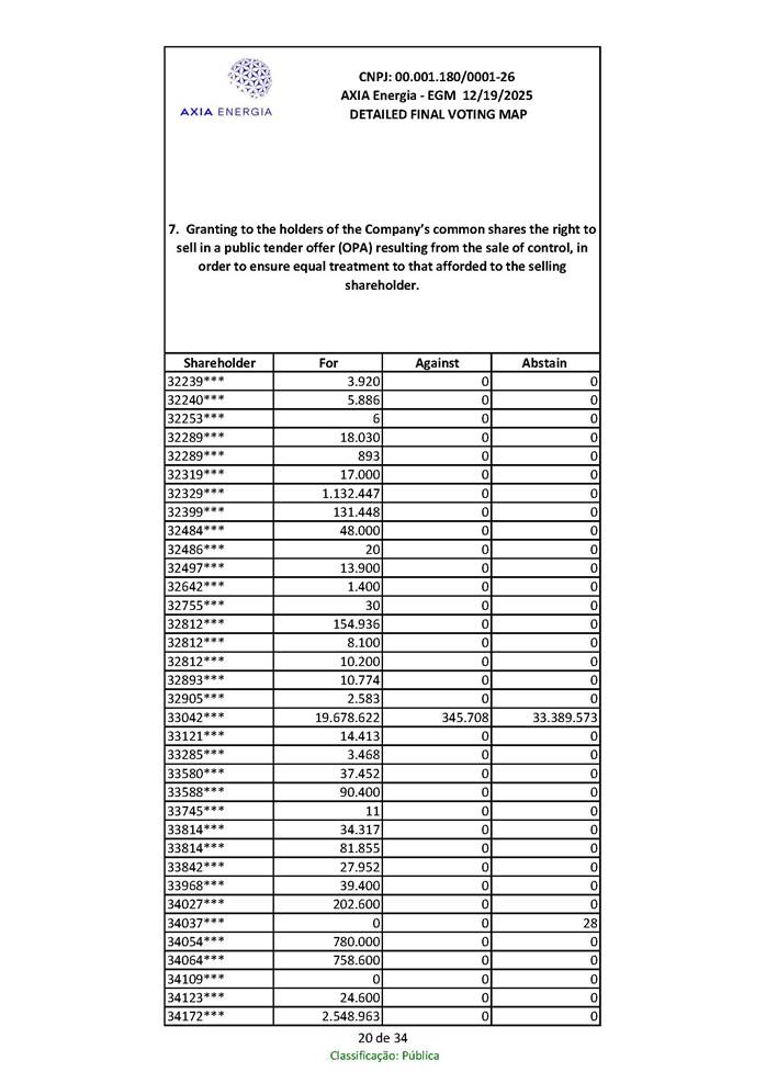
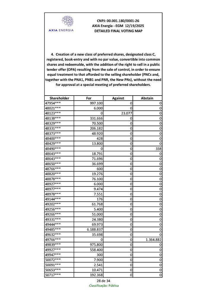
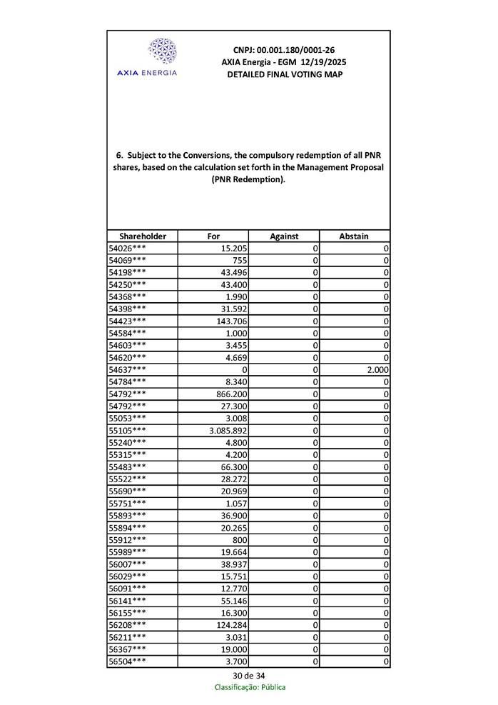
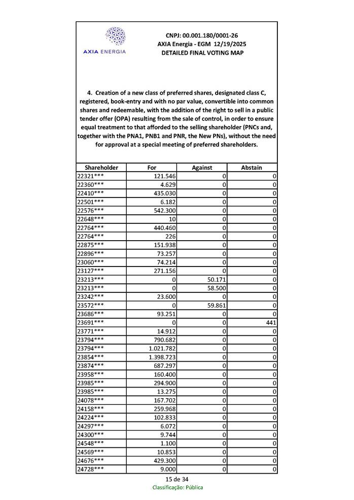
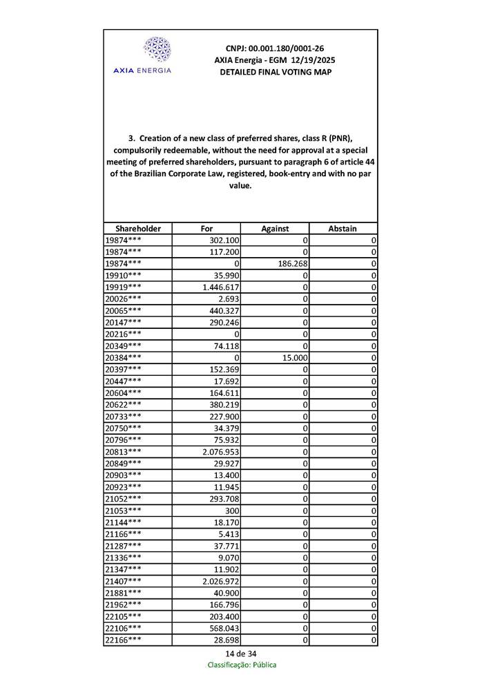
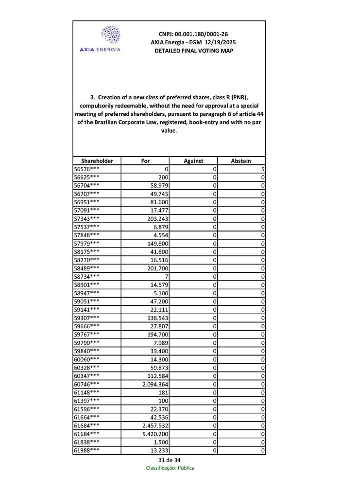
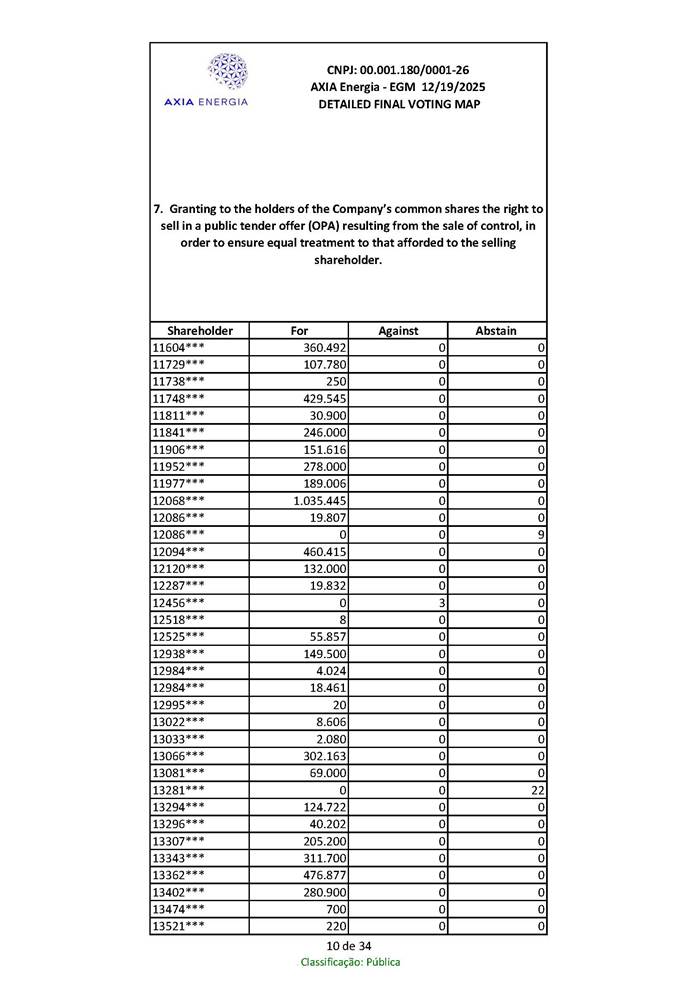
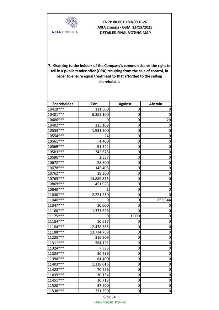
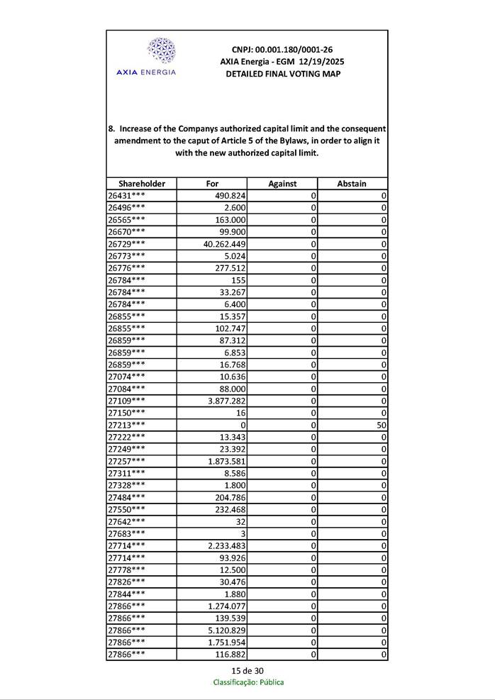
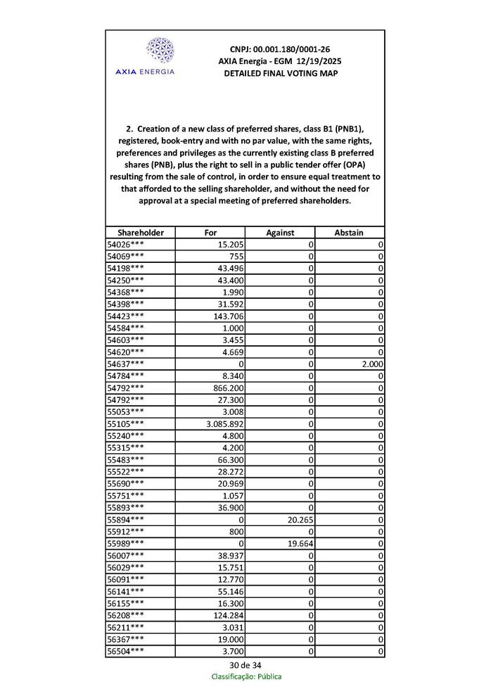
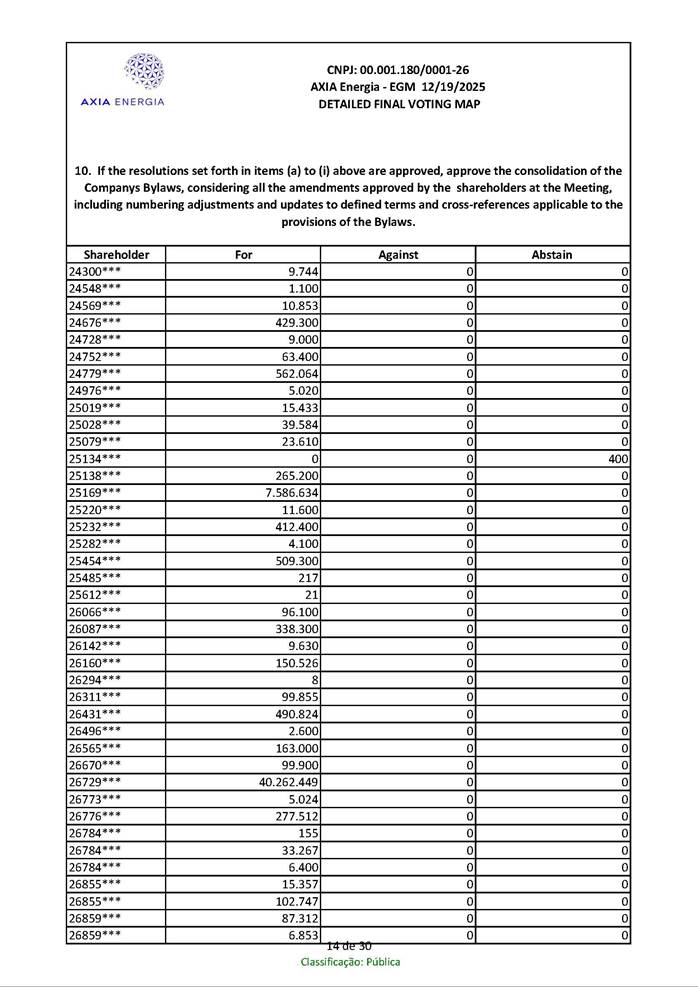
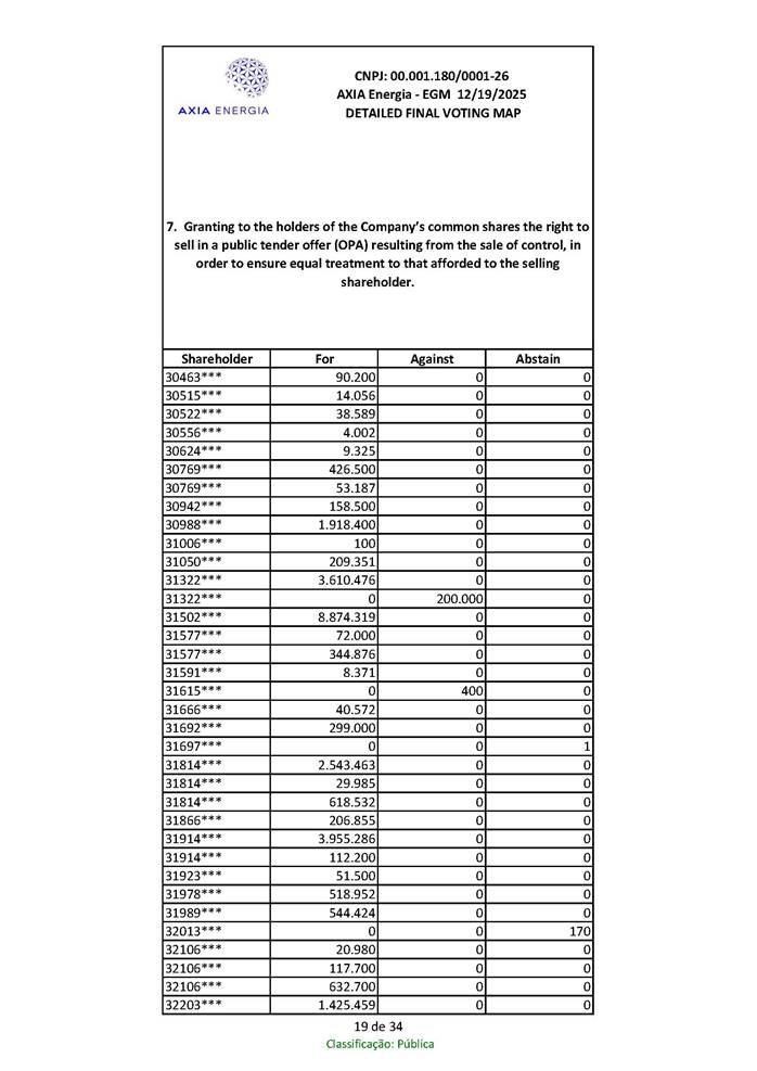
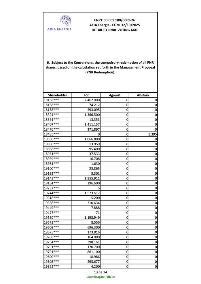
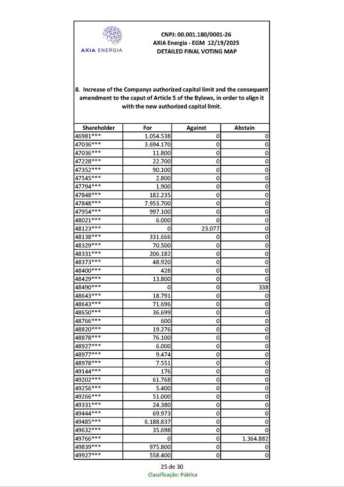
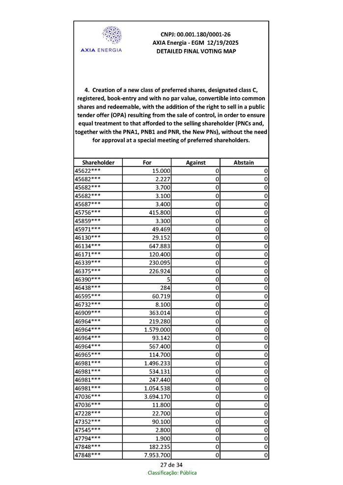
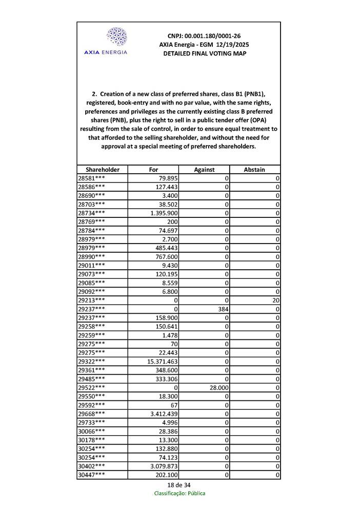
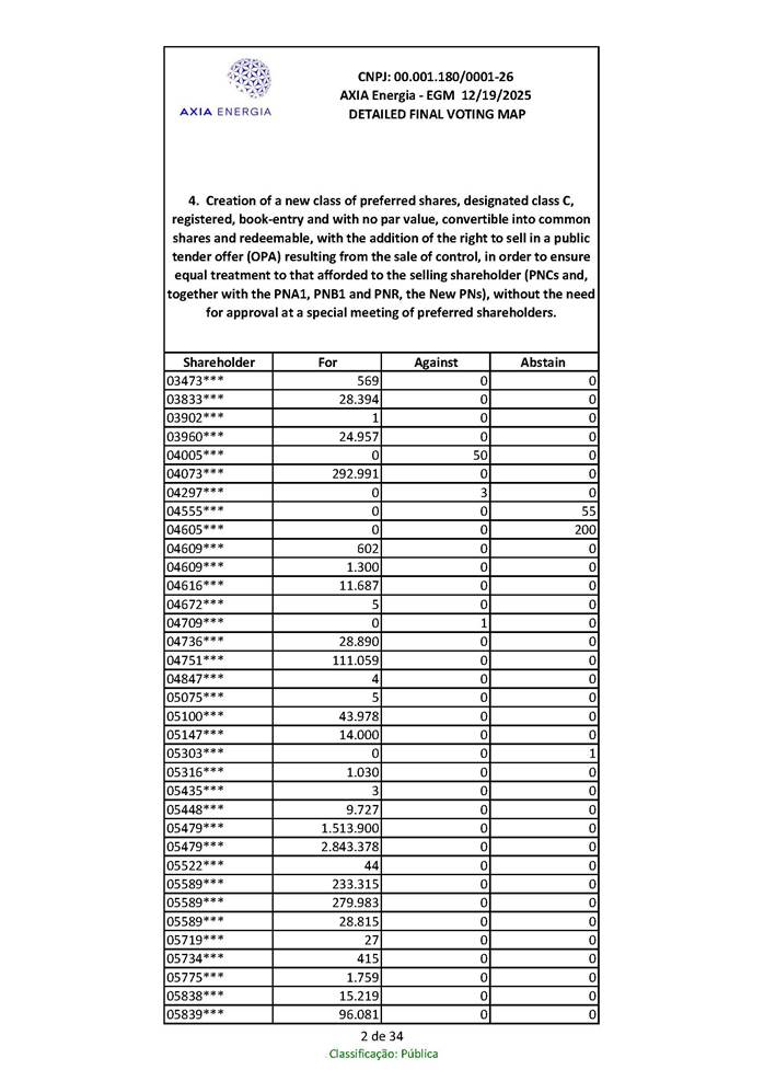
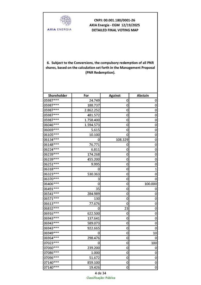
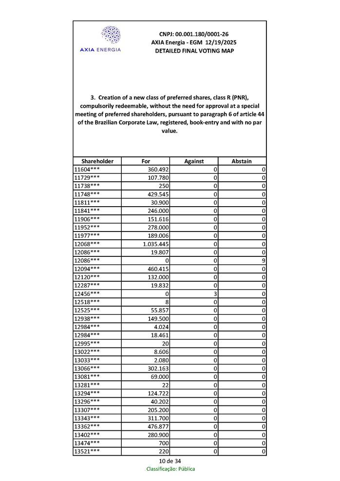
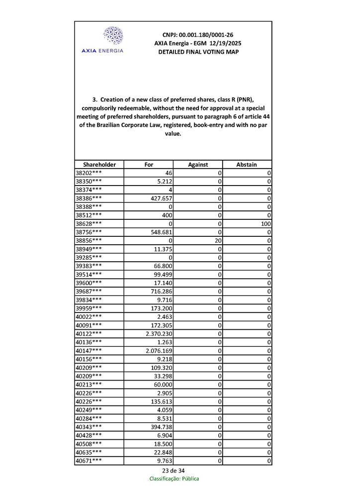
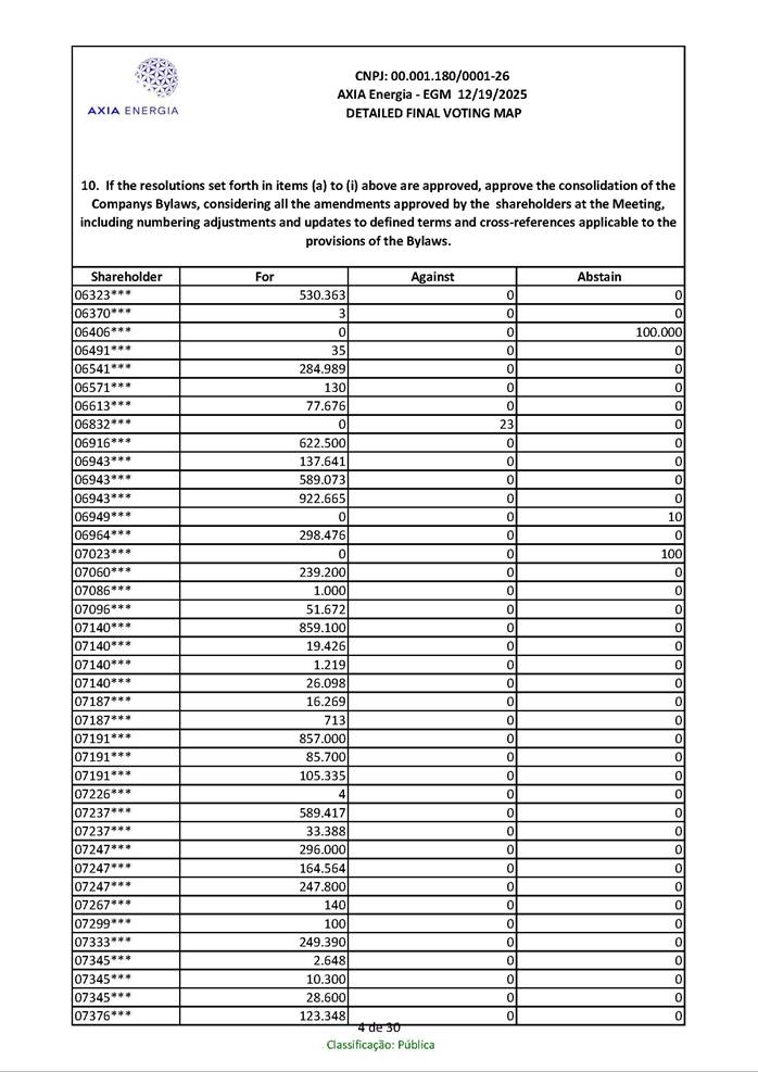
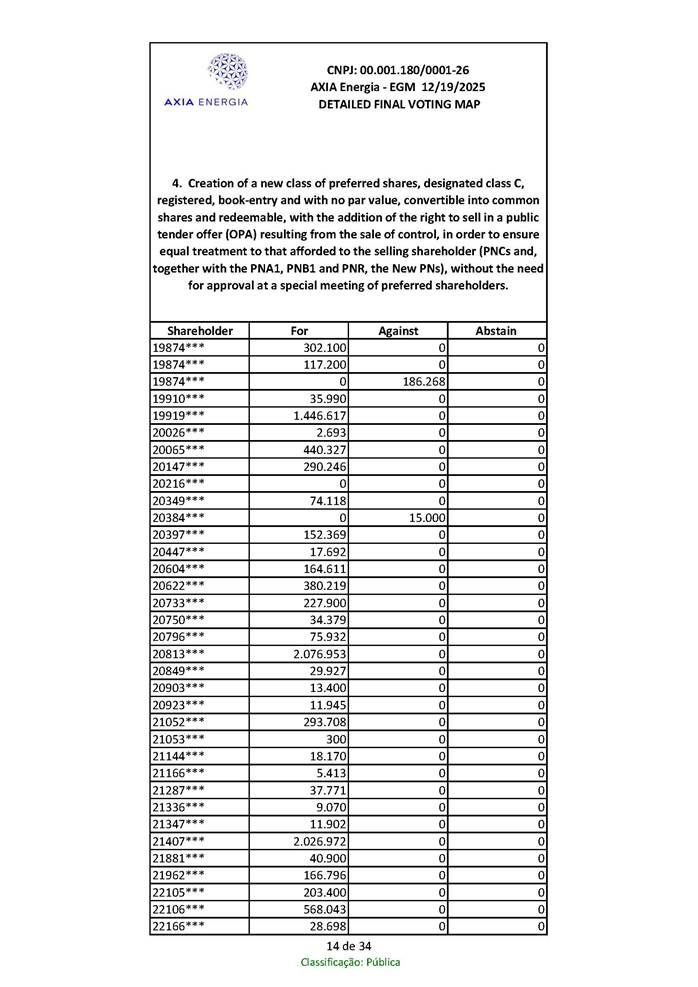
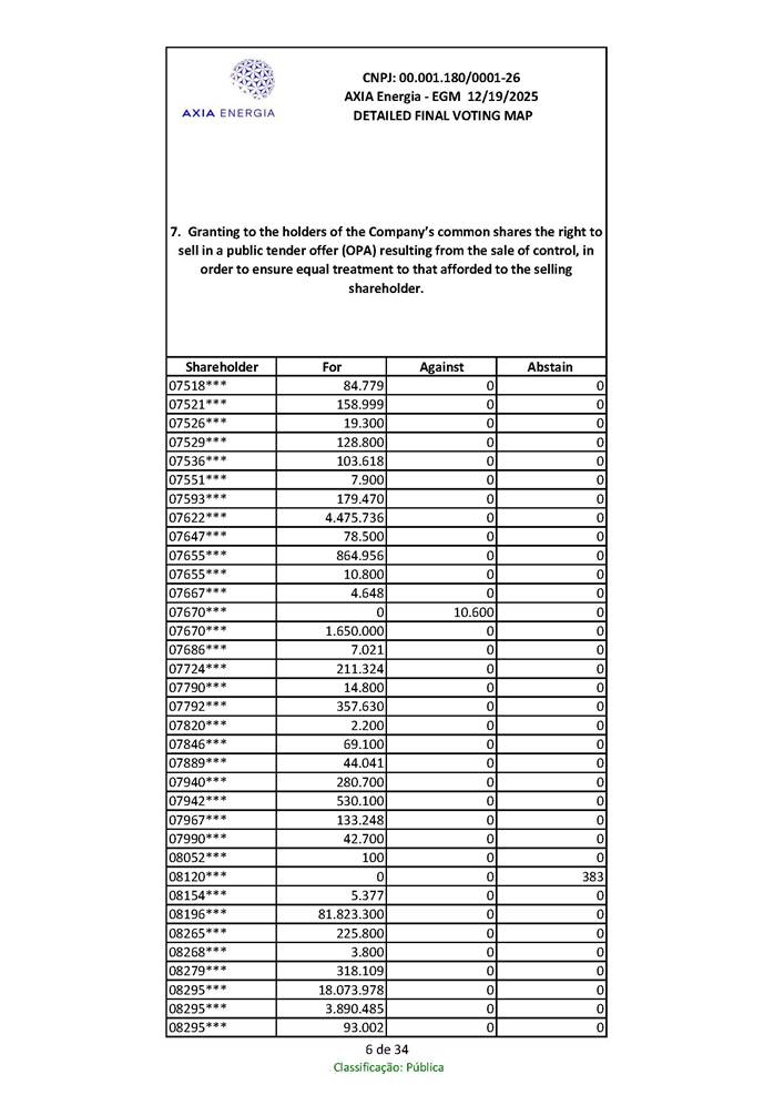
6-K 1 axia20251230_6k.htm 6-K

SECURITIES AND EXCHANGE COMMISSION

Washington, D.C. 20549

 


 

FORM 6-K

 

Report of Foreign Private Issuer
Pursuant to Rule 13a-16 or 15d-16 of the

Securities Exchange Act of 1934

 

For the month of December, 2025

 

Commission File Number 1-34129

 


 

CENTRAIS ELÉTRICAS BRASILEIRAS S.A. - ELETROBRÁS

(Exact name of registrant as specified in its charter)




BRAZILIAN ELECTRIC POWER COMPANY

(Translation of Registrant's name into English)




Rua da Quitanda, 196 – 24th floor,
Centro, CEP 20091-005,
Rio de Janeiro, RJ, Brazil

(Address of principal executive office)



Indicate by check mark whether the registrant files or will file annual reports under cover Form 20-F or Form 40-F. 

Form 20-F ___X___ Form 40-F _______

Indicate by check mark whether the registrant by furnishing the information contained in this Form is also thereby furnishing the information to the Commission pursuant to Rule 12g3-2(b) under the Securities Exchange Act of 1934.

Yes _______ No___X____

 
 

 Shareholder For Against Abstain Total 818.181.617 198.176.986 34.862.286 00125*** 1.178.056 0 0 00394*** 0 190.732.084 0 00455*** 6 0 0 00560*** 4.984 0 0 00586*** 10 0 0 00601*** 31 0 0 00739*** 1.428 0 0 00805*** 20 0 0 00914*** 3 0 0 01017*** 1 0 0 01171*** 1.610 0 0 01203*** 1 0 0 01456*** 4 0 0 01496*** 161.306 0 0 01586*** 16 0 0 01643*** 66.985 0 0 01699*** 96.416 0 0 01886*** 12.945 0 0 02020*** 53.603 0 0 02097*** 5.700 0 0 02231*** 611 0 0 02231*** 8.536 0 0 02285*** 102 0 0 02524*** 250 0 0 02745*** 0 5 0 02863*** 1.125.500 0 0 02887*** 26.056 0 0 02895*** 64.700 0 0 02903*** 100 0 0 03027*** 51.786 0 0 03369*** 0 0 136 03370*** 392.332 0 0 03394*** 87.480 0 0 03394*** 7 0 0 1. Creation of a new class of preferred shares, class A1 (PNA1), registered, book-entry and with no par value, with the same rights, preferences and privileges as the currently existing class A preferred shares (PNA), plus the right to sell in a public tender offer (OPA) resulting from the sale of control, in order to ensure equal treatment to that afforded to the selling shareholder, and without the need for approval at a special meeting of holders of preferred shares. CNPJ: 00.001.180/0001-26AXIA Energia - EGM 12/19/2025 DETAILED FINAL VOTING MAP 1 de 34 # Classificação: Pública Shareholder For Against Abstain 1. Creation of a new class of preferred shares, class A1 (PNA1), registered, book-entry and with no par value, with the same rights, preferences and privileges as the currently existing class A preferred shares (PNA), plus the right to sell in a public tender offer (OPA) resulting from the sale of control, in order to ensure equal treatment to that afforded to the selling shareholder, and without the need for approval at a special meeting of holders of preferred shares. CNPJ: 00.001.180/0001-26AXIA Energia - EGM 12/19/2025 DETAILED FINAL VOTING MAP 03473*** 569 0 0 03833*** 28.394 0 0 03902*** 1 0 0 03960*** 24.957 0 0 04005*** 0 50 0 04073*** 292.991 0 0 04297*** 3 0 0 04555*** 0 0 55 04605*** 0 0 200 04609*** 602 0 0 04609*** 1.300 0 0 04616*** 11.687 0 0 04672*** 5 0 0 04709*** 0 1 0 04736*** 28.890 0 0 04751*** 111.059 0 0 04847*** 4 0 0 05075*** 5 0 0 05100*** 43.978 0 0 05147*** 14.000 0 0 05303*** 0 0 1 05316*** 1.030 0 0 05435*** 3 0 0 05448*** 9.727 0 0 05479*** 1.513.900 0 0 05479*** 2.843.378 0 0 05522*** 44 0 0 05589*** 233.315 0 0 05589*** 279.983 0 0 05589*** 28.815 0 0 05719*** 27 0 0 05734*** 415 0 0 05775*** 1.759 0 0 05838*** 15.219 0 0 05839*** 96.081 0 0 2 de 34 # Classificação: Pública Shareholder For Against Abstain 1. Creation of a new class of preferred shares, class A1 (PNA1), registered, book-entry and with no par value, with the same rights, preferences and privileges as the currently existing class A preferred shares (PNA), plus the right to sell in a public tender offer (OPA) resulting from the sale of control, in order to ensure equal treatment to that afforded to the selling shareholder, and without the need for approval at a special meeting of holders of preferred shares. CNPJ: 00.001.180/0001-26AXIA Energia - EGM 12/19/2025 DETAILED FINAL VOTING MAP 05839*** 189.258 0 0 05839*** 718.804 0 0 05839*** 724 0 0 05839*** 775.653 0 0 05839*** 15.200 0 0 05839*** 9.200 0 0 05839*** 803.800 0 0 05839*** 158.291 0 0 05839*** 15.718 0 0 05839*** 0 1.111.508 0 05839*** 4.619.084 0 0 05839*** 226.872 0 0 05839*** 51.889 0 0 05840*** 188.253 0 0 05840*** 10.000 0 0 05840*** 32.547 0 0 05840*** 804.990 0 0 05840*** 4.858.301 0 0 05840*** 477.000 0 0 05840*** 2.199.143 0 0 05872*** 79.961 0 0 05901*** 1 0 0 05986*** 1.881.495 0 0 05986*** 2.673.143 0 0 05986*** 24.100 0 0 05986*** 2.155 0 0 05987*** 147.900 0 0 05987*** 129.553 0 0 05987*** 11.827 0 0 05987*** 2.020.100 0 0 05987*** 1.602.500 0 0 05987*** 5 0 0 05987*** 199.465 0 0 05987*** 13.400 0 0 05987*** 0 428.300 0 3 de 34 # Classificação: Pública Shareholder For Against Abstain 1. Creation of a new class of preferred shares, class A1 (PNA1), registered, book-entry and with no par value, with the same rights, preferences and privileges as the currently existing class A preferred shares (PNA), plus the right to sell in a public tender offer (OPA) resulting from the sale of control, in order to ensure equal treatment to that afforded to the selling shareholder, and without the need for approval at a special meeting of holders of preferred shares. CNPJ: 00.001.180/0001-26AXIA Energia - EGM 12/19/2025 DETAILED FINAL VOTING MAP 05987*** 24.749 0 0 05987*** 188.737 0 0 05987*** 2.862.252 0 0 05987*** 481.572 0 0 05987*** 1.758.400 0 0 06046*** 1.594.573 0 0 06069*** 5.615 0 0 06105*** 10.100 0 0 06134*** 0 108.329 0 06148*** 76.771 0 0 06224*** 6.811 0 0 06239*** 174.268 0 0 06239*** 455.200 0 0 06251*** 9.995 0 0 06318*** 0 0 1 06323*** 530.363 0 0 06370*** 3 0 0 06406*** 0 0 100.000 06491*** 35 0 0 06541*** 284.989 0 0 06571*** 130 0 0 06613*** 77.676 0 0 06832*** 0 23 0 06916*** 622.500 0 0 06943*** 137.641 0 0 06943*** 589.073 0 0 06943*** 922.665 0 0 06949*** 0 0 10 06964*** 298.476 0 0 07023*** 0 0 100 07060*** 239.200 0 0 07086*** 1.000 0 0 07096*** 51.672 0 0 07140*** 0 859.100 0 07140*** 19.426 0 0 4 de 34 # Classificação: Pública Shareholder For Against Abstain 1. Creation of a new class of preferred shares, class A1 (PNA1), registered, book-entry and with no par value, with the same rights, preferences and privileges as the currently existing class A preferred shares (PNA), plus the right to sell in a public tender offer (OPA) resulting from the sale of control, in order to ensure equal treatment to that afforded to the selling shareholder, and without the need for approval at a special meeting of holders of preferred shares. CNPJ: 00.001.180/0001-26AXIA Energia - EGM 12/19/2025 DETAILED FINAL VOTING MAP 07140*** 1.219 0 0 07140*** 26.098 0 0 07187*** 16.269 0 0 07187*** 713 0 0 07191*** 0 857.000 0 07191*** 85.700 0 0 07191*** 105.335 0 0 07226*** 0 0 4 07237*** 589.417 0 0 07237*** 33.388 0 0 07247*** 296.000 0 0 07247*** 164.564 0 0 07247*** 247.800 0 0 07267*** 140 0 0 07299*** 100 0 0 07333*** 249.390 0 0 07345*** 2.648 0 0 07345*** 10.300 0 0 07345*** 28.600 0 0 07376*** 123.348 0 0 07418*** 42.847 0 0 07418*** 1.247.100 0 0 07418*** 1.210.226 0 0 07463*** 0 0 4 07488*** 319.556 0 0 07496*** 1.568.008 0 0 07496*** 2.200 0 0 07496*** 60.415 0 0 07496*** 133.589 0 0 07506*** 4.230.427 0 0 07515*** 60 0 0 07516*** 10.567.600 0 0 07516*** 917.500 0 0 07516*** 35.520 0 0 07516*** 1.041.400 0 0 5 de 34 # Classificação: Pública Shareholder For Against Abstain 1. Creation of a new class of preferred shares, class A1 (PNA1), registered, book-entry and with no par value, with the same rights, preferences and privileges as the currently existing class A preferred shares (PNA), plus the right to sell in a public tender offer (OPA) resulting from the sale of control, in order to ensure equal treatment to that afforded to the selling shareholder, and without the need for approval at a special meeting of holders of preferred shares. CNPJ: 00.001.180/0001-26AXIA Energia - EGM 12/19/2025 DETAILED FINAL VOTING MAP 07518*** 84.779 0 0 07521*** 158.999 0 0 07526*** 19.300 0 0 07529*** 0 128.800 0 07536*** 103.618 0 0 07551*** 7.900 0 0 07593*** 179.470 0 0 07622*** 4.475.736 0 0 07647*** 78.500 0 0 07655*** 864.956 0 0 07655*** 10.800 0 0 07667*** 4.648 0 0 07670*** 0 10.600 0 07670*** 1.650.000 0 0 07686*** 7.021 0 0 07724*** 211.324 0 0 07790*** 0 14.800 0 07792*** 357.630 0 0 07820*** 2.200 0 0 07846*** 69.100 0 0 07889*** 44.041 0 0 07940*** 280.700 0 0 07942*** 530.100 0 0 07967*** 133.248 0 0 07990*** 42.700 0 0 08052*** 100 0 0 08120*** 0 0 383 08154*** 5.377 0 0 08196*** 81.823.300 0 0 08265*** 225.800 0 0 08268*** 3.800 0 0 08279*** 318.109 0 0 08295*** 18.073.978 0 0 08295*** 3.890.485 0 0 08295*** 93.002 0 0 6 de 34 # Classificação: Pública Shareholder For Against Abstain 1. Creation of a new class of preferred shares, class A1 (PNA1), registered, book-entry and with no par value, with the same rights, preferences and privileges as the currently existing class A preferred shares (PNA), plus the right to sell in a public tender offer (OPA) resulting from the sale of control, in order to ensure equal treatment to that afforded to the selling shareholder, and without the need for approval at a special meeting of holders of preferred shares. CNPJ: 00.001.180/0001-26AXIA Energia - EGM 12/19/2025 DETAILED FINAL VOTING MAP 08387*** 103.219 0 0 08434*** 43.600 0 0 08464*** 3.983.344 0 0 08471*** 53.618 0 0 08561*** 940.780 0 0 08571*** 3.397 0 0 08579*** 339.986 0 0 08621*** 820.400 0 0 08623*** 1.710 0 0 08640*** 52.400 0 0 08757*** 52.296 0 0 08765*** 94.255.061 0 0 08840*** 9.118.176 0 0 08857*** 893.791 0 0 08875*** 26.085 0 0 08875*** 39.000 0 0 08900*** 1.800 0 0 08910*** 0 0 23 08913*** 1.453 0 0 08935*** 18.483.007 0 0 08945*** 0 137.277 0 08973*** 90.286 0 0 08973*** 84.130 0 0 08988*** 90.399 0 0 09005*** 171 0 0 09029*** 95.000 0 0 09048*** 164.633 0 0 09048*** 42.509 0 0 09063*** 550.962 0 0 09064*** 1 0 0 09073*** 366.269 0 0 09089*** 470.660 0 0 09089*** 20.525 0 0 09094*** 86.200 0 0 09144*** 7 0 0 7 de 34 # Classificação: Pública Shareholder For Against Abstain 1. Creation of a new class of preferred shares, class A1 (PNA1), registered, book-entry and with no par value, with the same rights, preferences and privileges as the currently existing class A preferred shares (PNA), plus the right to sell in a public tender offer (OPA) resulting from the sale of control, in order to ensure equal treatment to that afforded to the selling shareholder, and without the need for approval at a special meeting of holders of preferred shares. CNPJ: 00.001.180/0001-26AXIA Energia - EGM 12/19/2025 DETAILED FINAL VOTING MAP 09145*** 13.516.396 0 0 09163*** 0 972.837 0 09241*** 20 0 0 09286*** 42.968 0 0 09294*** 230.978 0 0 09299*** 1.005.021 0 0 09323*** 25.786 0 0 09323*** 408.777 0 0 09330*** 114.300 0 0 09336*** 117.000 0 0 09411*** 0 36.133 0 09441*** 106.368 0 0 09470*** 270.100 0 0 09470*** 130.741 0 0 09559*** 823.023 0 0 09564*** 269.814 0 0 09567*** 147.940 0 0 09593*** 765.198 0 0 09620*** 372.512 0 0 09627*** 41.300 0 0 09701*** 220 0 0 09720*** 4.359.575 0 0 09838*** 20 0 0 10110*** 0 0 0 10205*** 1.098 0 0 10214*** 40.966 0 0 10243*** 45.400 0 0 10263*** 60.424 0 0 10263*** 335.431 0 0 10263*** 169.600 0 0 10307*** 0 500 0 10324*** 0 729.020 0 10392*** 311 0 0 10400*** 48.700 0 0 10418*** 47.304 0 0 8 de 34 # Classificação: Pública Shareholder For Against Abstain 1. Creation of a new class of preferred shares, class A1 (PNA1), registered, book-entry and with no par value, with the same rights, preferences and privileges as the currently existing class A preferred shares (PNA), plus the right to sell in a public tender offer (OPA) resulting from the sale of control, in order to ensure equal treatment to that afforded to the selling shareholder, and without the need for approval at a special meeting of holders of preferred shares. CNPJ: 00.001.180/0001-26AXIA Energia - EGM 12/19/2025 DETAILED FINAL VOTING MAP 10419*** 121.500 0 0 10481*** 6.385.100 0 0 10486*** 0 0 20 10492*** 225.108 0 0 10553*** 1.933.500 0 0 10554*** 24 0 0 10561*** 4.400 0 0 10569*** 91.542 0 0 10583*** 342.676 0 0 10596*** 2.537 0 0 10672*** 28.600 0 0 10678*** 145.406 0 0 10762*** 18.300 0 0 10765*** 14.889.875 0 0 10809*** 451.926 0 0 10840*** 0 1 0 11030*** 2.221.230 0 0 11046*** 0 869.344 0 11047*** 10.000 0 0 11100*** 1.373.626 0 0 11175*** 0 1.000 0 11184*** 10.637 0 0 11184*** 2.478.365 0 0 11188*** 13.734.739 0 0 11225*** 316.909 0 0 11311*** 564.121 0 0 11324*** 7.583 0 0 11324*** 30.286 0 0 11390*** 64.400 0 0 11403*** 1.338.015 0 0 11423*** 70.266 0 0 11435*** 0 30.154 0 11451*** 10.713 0 0 11520*** 47.400 0 0 11538*** 371.390 0 0 9 de 34 # Classificação: Pública Shareholder For Against Abstain 1. Creation of a new class of preferred shares, class A1 (PNA1), registered, book-entry and with no par value, with the same rights, preferences and privileges as the currently existing class A preferred shares (PNA), plus the right to sell in a public tender offer (OPA) resulting from the sale of control, in order to ensure equal treatment to that afforded to the selling shareholder, and without the need for approval at a special meeting of holders of preferred shares. CNPJ: 00.001.180/0001-26AXIA Energia - EGM 12/19/2025 DETAILED FINAL VOTING MAP 11604*** 360.492 0 0 11729*** 107.780 0 0 11738*** 250 0 0 11748*** 429.545 0 0 11811*** 30.900 0 0 11841*** 246.000 0 0 11906*** 151.616 0 0 11952*** 278.000 0 0 11977*** 189.006 0 0 12068*** 1.035.445 0 0 12086*** 19.807 0 0 12086*** 0 0 9 12094*** 460.415 0 0 12120*** 132.000 0 0 12287*** 19.832 0 0 12456*** 0 3 0 12518*** 8 0 0 12525*** 55.857 0 0 12938*** 149.500 0 0 12984*** 4.024 0 0 12984*** 18.461 0 0 12995*** 20 0 0 13022*** 8.606 0 0 13033*** 2.080 0 0 13066*** 302.163 0 0 13081*** 69.000 0 0 13281*** 22 0 0 13294*** 124.722 0 0 13296*** 40.202 0 0 13307*** 205.200 0 0 13343*** 311.700 0 0 13362*** 476.877 0 0 13402*** 280.900 0 0 13474*** 700 0 0 13521*** 220 0 0 10 de 34 # Classificação: Pública Shareholder For Against Abstain 1. Creation of a new class of preferred shares, class A1 (PNA1), registered, book-entry and with no par value, with the same rights, preferences and privileges as the currently existing class A preferred shares (PNA), plus the right to sell in a public tender offer (OPA) resulting from the sale of control, in order to ensure equal treatment to that afforded to the selling shareholder, and without the need for approval at a special meeting of holders of preferred shares. CNPJ: 00.001.180/0001-26AXIA Energia - EGM 12/19/2025 DETAILED FINAL VOTING MAP 13562*** 37.000 0 0 13562*** 548.300 0 0 13665*** 138.000 0 0 13725*** 84.512 0 0 13796*** 90.793 0 0 13834*** 233.763 0 0 13834*** 381.977 0 0 13909*** 167.488 0 0 13998*** 4.060 0 0 14012*** 1.407.965 0 0 14027*** 567.280 0 0 14138*** 920.375 0 0 14159*** 3 0 0 14180*** 368.100 0 0 14188*** 76.287 0 0 14220*** 11.200 0 0 14240*** 23.800 0 0 14366*** 28.010 0 0 14406*** 0 200 0 14416*** 326.295 0 0 14461*** 73.600 0 0 14476*** 131.958 0 0 14494*** 22.433 0 0 14507*** 735.071 0 0 14541*** 1.531.341 0 0 14549*** 25.453 0 0 14623*** 1.120.542 0 0 14623*** 184.100 0 0 14624*** 1.530.000 0 0 14628*** 17.094 0 0 14639*** 200.200 0 0 14791*** 47.100 0 0 14809*** 207.700 0 0 14879*** 12.400 0 0 14963*** 287.800 0 0 11 de 34 # Classificação: Pública Shareholder For Against Abstain 1. Creation of a new class of preferred shares, class A1 (PNA1), registered, book-entry and with no par value, with the same rights, preferences and privileges as the currently existing class A preferred shares (PNA), plus the right to sell in a public tender offer (OPA) resulting from the sale of control, in order to ensure equal treatment to that afforded to the selling shareholder, and without the need for approval at a special meeting of holders of preferred shares. CNPJ: 00.001.180/0001-26AXIA Energia - EGM 12/19/2025 DETAILED FINAL VOTING MAP 14988*** 710.784 0 0 15011*** 2 0 0 15036*** 0 0 85 15154*** 340.800 0 0 15265*** 177.240 0 0 15265*** 2.300 0 0 15323*** 34.929 0 0 15807*** 168.286 0 0 15816*** 2.609 0 0 16575*** 257.846 0 0 16617*** 37.100 0 0 16816*** 1.487.180 0 0 16816*** 1.355.134 0 0 16878*** 22.500 0 0 16939*** 728.084 0 0 16947*** 483.067 0 0 16947*** 5.856.571 0 0 16947*** 11.960.862 0 0 16947*** 1.630.350 0 0 17009*** 337.765 0 0 17021*** 47.483 0 0 17036*** 229.156 0 0 17138*** 7.891 0 0 17162*** 839.967 0 0 17284*** 475.000 0 0 17488*** 5.101 0 0 17500*** 13.991 0 0 17500*** 10.350 0 0 17578*** 0 5 0 17647*** 50.550 0 0 17718*** 376.076 0 0 17825*** 13.124 0 0 17891*** 258.489 0 0 17934*** 74.887 0 0 18030*** 22.616 0 0 12 de 34 # Classificação: Pública Shareholder For Against Abstain 1. Creation of a new class of preferred shares, class A1 (PNA1), registered, book-entry and with no par value, with the same rights, preferences and privileges as the currently existing class A preferred shares (PNA), plus the right to sell in a public tender offer (OPA) resulting from the sale of control, in order to ensure equal treatment to that afforded to the selling shareholder, and without the need for approval at a special meeting of holders of preferred shares. CNPJ: 00.001.180/0001-26AXIA Energia - EGM 12/19/2025 DETAILED FINAL VOTING MAP 18138*** 2.462.000 0 0 18138*** 74.212 0 0 18158*** 593.095 0 0 18324*** 1.366.500 0 0 18391*** 13.353 0 0 18407*** 1.411.157 0 0 18470*** 271.897 0 0 18485*** 0 0 1.395 18550*** 1.066.800 0 0 18830*** 13.959 0 0 18858*** 95.400 0 0 18961*** 37.533 0 0 18969*** 16.708 0 0 18981*** 1.630 0 0 19100*** 23.865 0 0 19135*** 5.301 0 0 19143*** 1.955.911 0 0 19184*** 296.600 0 0 19232*** 5 0 0 19244*** 1.573.617 0 0 19318*** 5.200 0 0 19388*** 310.634 0 0 19449*** 7.888 0 0 19477*** 71 0 0 19530*** 1.198.949 0 0 19573*** 8.556 0 0 19609*** 696.300 0 0 19675*** 173.816 0 0 19708*** 164.080 0 0 19754*** 398.161 0 0 19791*** 170.700 0 0 19791*** 861.100 0 0 19800*** 18.986 0 0 19808*** 295.677 0 0 19825*** 4.200 0 0 13 de 34 # Classificação: Pública Shareholder For Against Abstain 1. Creation of a new class of preferred shares, class A1 (PNA1), registered, book-entry and with no par value, with the same rights, preferences and privileges as the currently existing class A preferred shares (PNA), plus the right to sell in a public tender offer (OPA) resulting from the sale of control, in order to ensure equal treatment to that afforded to the selling shareholder, and without the need for approval at a special meeting of holders of preferred shares. CNPJ: 00.001.180/0001-26AXIA Energia - EGM 12/19/2025 DETAILED FINAL VOTING MAP 19874*** 302.100 0 0 19874*** 117.200 0 0 19874*** 0 186.268 0 19910*** 35.990 0 0 19919*** 1.446.617 0 0 20026*** 2.693 0 0 20065*** 440.327 0 0 20147*** 290.246 0 0 20216*** 0 0 0 20349*** 74.118 0 0 20384*** 0 15.000 0 20397*** 152.369 0 0 20447*** 17.692 0 0 20604*** 164.611 0 0 20622*** 380.219 0 0 20733*** 227.900 0 0 20750*** 34.379 0 0 20796*** 75.932 0 0 20813*** 2.076.953 0 0 20849*** 29.927 0 0 20903*** 13.400 0 0 20923*** 11.945 0 0 21052*** 293.708 0 0 21053*** 300 0 0 21144*** 18.170 0 0 21166*** 5.413 0 0 21287*** 37.771 0 0 21336*** 9.070 0 0 21347*** 11.902 0 0 21407*** 2.026.972 0 0 21881*** 40.900 0 0 21962*** 166.796 0 0 22105*** 203.400 0 0 22106*** 568.043 0 0 22166*** 28.698 0 0 14 de 34 # Classificação: Pública Shareholder For Against Abstain 1. Creation of a new class of preferred shares, class A1 (PNA1), registered, book-entry and with no par value, with the same rights, preferences and privileges as the currently existing class A preferred shares (PNA), plus the right to sell in a public tender offer (OPA) resulting from the sale of control, in order to ensure equal treatment to that afforded to the selling shareholder, and without the need for approval at a special meeting of holders of preferred shares. CNPJ: 00.001.180/0001-26AXIA Energia - EGM 12/19/2025 DETAILED FINAL VOTING MAP 22321*** 121.546 0 0 22360*** 4.629 0 0 22410*** 435.030 0 0 22501*** 6.182 0 0 22576*** 542.300 0 0 22648*** 10 0 0 22764*** 440.460 0 0 22764*** 226 0 0 22875*** 151.938 0 0 22896*** 73.257 0 0 23060*** 74.214 0 0 23127*** 271.156 0 0 23213*** 0 50.171 0 23213*** 0 58.500 0 23242*** 23.600 0 0 23572*** 0 59.861 0 23686*** 93.251 0 0 23691*** 0 0 441 23771*** 14.912 0 0 23794*** 790.682 0 0 23794*** 1.021.782 0 0 23854*** 1.398.723 0 0 23874*** 687.297 0 0 23958*** 160.400 0 0 23985*** 294.900 0 0 23985*** 13.275 0 0 24078*** 167.702 0 0 24158*** 259.968 0 0 24224*** 102.833 0 0 24297*** 6.072 0 0 24300*** 9.744 0 0 24548*** 1.100 0 0 24569*** 10.853 0 0 24676*** 429.300 0 0 24728*** 9.000 0 0 15 de 34 # Classificação: Pública Shareholder For Against Abstain 1. Creation of a new class of preferred shares, class A1 (PNA1), registered, book-entry and with no par value, with the same rights, preferences and privileges as the currently existing class A preferred shares (PNA), plus the right to sell in a public tender offer (OPA) resulting from the sale of control, in order to ensure equal treatment to that afforded to the selling shareholder, and without the need for approval at a special meeting of holders of preferred shares. CNPJ: 00.001.180/0001-26AXIA Energia - EGM 12/19/2025 DETAILED FINAL VOTING MAP 24752*** 63.400 0 0 24779*** 562.064 0 0 24976*** 5.020 0 0 25019*** 15.433 0 0 25028*** 39.584 0 0 25079*** 23.610 0 0 25134*** 0 0 400 25138*** 265.200 0 0 25169*** 7.586.634 0 0 25220*** 11.600 0 0 25232*** 412.400 0 0 25282*** 4.100 0 0 25454*** 509.300 0 0 25485*** 217 0 0 25612*** 21 0 0 26066*** 96.100 0 0 26087*** 338.300 0 0 26142*** 9.630 0 0 26160*** 150.526 0 0 26294*** 8 0 0 26311*** 99.855 0 0 26431*** 490.824 0 0 26496*** 2.600 0 0 26565*** 163.000 0 0 26670*** 99.900 0 0 26729*** 40.262.449 0 0 26773*** 5.024 0 0 26776*** 277.512 0 0 26784*** 155 0 0 26784*** 33.267 0 0 26784*** 6.400 0 0 26855*** 15.357 0 0 26855*** 102.747 0 0 26859*** 87.312 0 0 26859*** 6.853 0 0 16 de 34 # Classificação: Pública Shareholder For Against Abstain 1. Creation of a new class of preferred shares, class A1 (PNA1), registered, book-entry and with no par value, with the same rights, preferences and privileges as the currently existing class A preferred shares (PNA), plus the right to sell in a public tender offer (OPA) resulting from the sale of control, in order to ensure equal treatment to that afforded to the selling shareholder, and without the need for approval at a special meeting of holders of preferred shares. CNPJ: 00.001.180/0001-26AXIA Energia - EGM 12/19/2025 DETAILED FINAL VOTING MAP 26859*** 16.768 0 0 27074*** 10.636 0 0 27084*** 88.000 0 0 27109*** 3.877.282 0 0 27150*** 16 0 0 27213*** 0 0 50 27222*** 13.343 0 0 27249*** 23.392 0 0 27257*** 1.873.581 0 0 27311*** 8.586 0 0 27328*** 1.800 0 0 27484*** 204.786 0 0 27550*** 232.468 0 0 27642*** 32 0 0 27683*** 3 0 0 27714*** 2.233.483 0 0 27714*** 93.926 0 0 27778*** 12.500 0 0 27826*** 30.476 0 0 27844*** 1.880 0 0 27866*** 1.274.077 0 0 27866*** 139.539 0 0 27866*** 5.120.829 0 0 27866*** 1.751.954 0 0 27866*** 116.882 0 0 27880*** 134.667 0 0 27932*** 55.200 0 0 27995*** 0 0 42 28031*** 17 0 0 28072*** 61.816 0 0 28260*** 13.932.249 0 0 28271*** 7.300 0 0 28328*** 12.700 0 0 28394*** 186.900 0 0 28470*** 759.985 0 0 17 de 34 # Classificação: Pública Shareholder For Against Abstain 1. Creation of a new class of preferred shares, class A1 (PNA1), registered, book-entry and with no par value, with the same rights, preferences and privileges as the currently existing class A preferred shares (PNA), plus the right to sell in a public tender offer (OPA) resulting from the sale of control, in order to ensure equal treatment to that afforded to the selling shareholder, and without the need for approval at a special meeting of holders of preferred shares. CNPJ: 00.001.180/0001-26AXIA Energia - EGM 12/19/2025 DETAILED FINAL VOTING MAP 28581*** 79.895 0 0 28586*** 127.443 0 0 28690*** 3.400 0 0 28703*** 38.502 0 0 28734*** 1.395.900 0 0 28769*** 200 0 0 28784*** 74.697 0 0 28979*** 2.700 0 0 28979*** 485.443 0 0 28990*** 767.600 0 0 29011*** 9.430 0 0 29073*** 120.195 0 0 29085*** 8.559 0 0 29092*** 6.800 0 0 29213*** 0 0 20 29237*** 0 384 0 29237*** 158.900 0 0 29258*** 150.641 0 0 29259*** 1.478 0 0 29275*** 70 0 0 29275*** 22.443 0 0 29322*** 15.371.463 0 0 29361*** 348.600 0 0 29485*** 333.306 0 0 29522*** 0 28.000 0 29550*** 18.300 0 0 29592*** 67 0 0 29668*** 3.412.439 0 0 29733*** 4.996 0 0 30066*** 28.386 0 0 30178*** 13.300 0 0 30254*** 132.880 0 0 30254*** 74.123 0 0 30402*** 3.079.873 0 0 30447*** 202.100 0 0 18 de 34 # Classificação: Pública Shareholder For Against Abstain 1. Creation of a new class of preferred shares, class A1 (PNA1), registered, book-entry and with no par value, with the same rights, preferences and privileges as the currently existing class A preferred shares (PNA), plus the right to sell in a public tender offer (OPA) resulting from the sale of control, in order to ensure equal treatment to that afforded to the selling shareholder, and without the need for approval at a special meeting of holders of preferred shares. CNPJ: 00.001.180/0001-26AXIA Energia - EGM 12/19/2025 DETAILED FINAL VOTING MAP 30463*** 90.200 0 0 30515*** 14.056 0 0 30522*** 38.589 0 0 30556*** 4.002 0 0 30624*** 9.325 0 0 30769*** 426.500 0 0 30769*** 53.187 0 0 30942*** 158.500 0 0 30988*** 1.918.400 0 0 31006*** 100 0 0 31050*** 209.351 0 0 31322*** 3.610.476 0 0 31322*** 0 200.000 0 31502*** 8.874.319 0 0 31577*** 72.000 0 0 31577*** 344.876 0 0 31591*** 8.371 0 0 31615*** 0 400 0 31666*** 40.572 0 0 31692*** 299.000 0 0 31697*** 0 0 1 31814*** 2.543.463 0 0 31814*** 29.985 0 0 31814*** 618.532 0 0 31866*** 206.855 0 0 31914*** 3.955.286 0 0 31914*** 112.200 0 0 31923*** 51.500 0 0 31978*** 518.952 0 0 31989*** 544.424 0 0 32013*** 0 0 170 32106*** 20.980 0 0 32106*** 117.700 0 0 32106*** 632.700 0 0 32203*** 1.425.459 0 0 19 de 34 # Classificação: Pública Shareholder For Against Abstain 1. Creation of a new class of preferred shares, class A1 (PNA1), registered, book-entry and with no par value, with the same rights, preferences and privileges as the currently existing class A preferred shares (PNA), plus the right to sell in a public tender offer (OPA) resulting from the sale of control, in order to ensure equal treatment to that afforded to the selling shareholder, and without the need for approval at a special meeting of holders of preferred shares. CNPJ: 00.001.180/0001-26AXIA Energia - EGM 12/19/2025 DETAILED FINAL VOTING MAP 32239*** 3.920 0 0 32240*** 5.886 0 0 32253*** 6 0 0 32289*** 18.030 0 0 32289*** 893 0 0 32319*** 17.000 0 0 32329*** 1.132.447 0 0 32399*** 131.448 0 0 32484*** 48.000 0 0 32486*** 20 0 0 32497*** 13.900 0 0 32642*** 1.400 0 0 32755*** 30 0 0 32812*** 154.936 0 0 32812*** 8.100 0 0 32812*** 10.200 0 0 32893*** 10.774 0 0 32905*** 2.583 0 0 33042*** 20.011.815 12.451 33.389.637 33121*** 14.413 0 0 33285*** 3.468 0 0 33580*** 37.452 0 0 33588*** 90.400 0 0 33745*** 11 0 0 33814*** 34.317 0 0 33814*** 81.855 0 0 33842*** 27.952 0 0 33968*** 39.400 0 0 34027*** 202.600 0 0 34037*** 0 0 28 34054*** 780.000 0 0 34064*** 758.600 0 0 34109*** 0 0 0 34123*** 24.600 0 0 34172*** 2.548.963 0 0 20 de 34 # Classificação: Pública Shareholder For Against Abstain 1. Creation of a new class of preferred shares, class A1 (PNA1), registered, book-entry and with no par value, with the same rights, preferences and privileges as the currently existing class A preferred shares (PNA), plus the right to sell in a public tender offer (OPA) resulting from the sale of control, in order to ensure equal treatment to that afforded to the selling shareholder, and without the need for approval at a special meeting of holders of preferred shares. CNPJ: 00.001.180/0001-26AXIA Energia - EGM 12/19/2025 DETAILED FINAL VOTING MAP 34172*** 35.955 0 0 34218*** 3.525 0 0 34370*** 1.115 0 0 34448*** 85.700 0 0 34479*** 0 410 0 34546*** 35.100 0 0 34606*** 148.223 0 0 34723*** 1.190 0 0 34768*** 6.400 0 0 34791*** 75.763 0 0 34798*** 22.762 0 0 34825*** 14.742 0 0 34867*** 8.549 0 0 34900*** 152.347 0 0 35075*** 1.308 0 0 35088*** 2 0 0 35304*** 143.187 0 0 35376*** 10 0 0 35377*** 596 0 0 35492*** 46.000 0 0 35492*** 384.000 0 0 35495*** 76.536 0 0 35595*** 0 69.131 0 35637*** 200.749 0 0 35693*** 8.611.443 0 0 35712*** 118.145 0 0 35803*** 6.344.878 0 0 35845*** 17.870 0 0 35845*** 0 0 0 35859*** 306.197 0 0 35865*** 15.026 0 0 35916*** 57.000 0 0 35985*** 11.749 0 0 36034*** 5.400 0 0 36178*** 19.762 0 0 21 de 34 # Classificação: Pública Shareholder For Against Abstain 1. Creation of a new class of preferred shares, class A1 (PNA1), registered, book-entry and with no par value, with the same rights, preferences and privileges as the currently existing class A preferred shares (PNA), plus the right to sell in a public tender offer (OPA) resulting from the sale of control, in order to ensure equal treatment to that afforded to the selling shareholder, and without the need for approval at a special meeting of holders of preferred shares. CNPJ: 00.001.180/0001-26AXIA Energia - EGM 12/19/2025 DETAILED FINAL VOTING MAP 36215*** 245.500 0 0 36327*** 1.600 0 0 36352*** 953.996 0 0 36418*** 1.030 0 0 36518*** 224.991 0 0 36659*** 3.745 0 0 36719*** 45.500 0 0 36719*** 2.507 0 0 36741*** 24.778 0 0 36822*** 0 12 0 36913*** 186 0 0 36924*** 165.500 0 0 36970*** 5 0 0 36980*** 700 0 0 37092*** 29.660 0 0 37099*** 43.200 0 0 37204*** 4.690 0 0 37228*** 11.254 0 0 37236*** 265.165 0 0 37311*** 28.611 0 0 37339*** 3.287.299 0 0 37347*** 483.043 0 0 37355*** 9.500 0 0 37388*** 54.912 0 0 37555*** 8.233 0 0 37623*** 900 0 0 37715*** 93.097 0 0 37724*** 18.859 0 0 37806*** 4.742 0 0 37837*** 45 0 0 37844*** 208.900 0 0 37905*** 0 47.900 0 38100*** 410.500 0 0 38173*** 69.236 0 0 38195*** 2.785 0 0 22 de 34 # Classificação: Pública Shareholder For Against Abstain 1. Creation of a new class of preferred shares, class A1 (PNA1), registered, book-entry and with no par value, with the same rights, preferences and privileges as the currently existing class A preferred shares (PNA), plus the right to sell in a public tender offer (OPA) resulting from the sale of control, in order to ensure equal treatment to that afforded to the selling shareholder, and without the need for approval at a special meeting of holders of preferred shares. CNPJ: 00.001.180/0001-26AXIA Energia - EGM 12/19/2025 DETAILED FINAL VOTING MAP 38202*** 46 0 0 38350*** 5.212 0 0 38374*** 4 0 0 38386*** 427.657 0 0 38388*** 0 0 0 38512*** 400 0 0 38628*** 0 0 100 38756*** 548.681 0 0 38856*** 0 20 0 38949*** 11.375 0 0 39285*** 0 0 0 39383*** 66.800 0 0 39514*** 99.499 0 0 39600*** 17.140 0 0 39687*** 716.286 0 0 39834*** 9.716 0 0 39959*** 173.200 0 0 40022*** 2.463 0 0 40091*** 172.305 0 0 40122*** 2.370.230 0 0 40136*** 1.263 0 0 40147*** 2.076.169 0 0 40156*** 9.218 0 0 40209*** 109.320 0 0 40209*** 33.298 0 0 40213*** 60.000 0 0 40226*** 2.905 0 0 40226*** 135.613 0 0 40249*** 4.059 0 0 40284*** 8.531 0 0 40343*** 394.738 0 0 40428*** 6.904 0 0 40508*** 18.500 0 0 40635*** 22.848 0 0 40671*** 9.763 0 0 23 de 34 # Classificação: Pública Shareholder For Against Abstain 1. Creation of a new class of preferred shares, class A1 (PNA1), registered, book-entry and with no par value, with the same rights, preferences and privileges as the currently existing class A preferred shares (PNA), plus the right to sell in a public tender offer (OPA) resulting from the sale of control, in order to ensure equal treatment to that afforded to the selling shareholder, and without the need for approval at a special meeting of holders of preferred shares. CNPJ: 00.001.180/0001-26AXIA Energia - EGM 12/19/2025 DETAILED FINAL VOTING MAP 40671*** 9.950 0 0 40738*** 114.121 0 0 40919*** 2.915 0 0 41015*** 0 50 0 41081*** 45.020 0 0 41167*** 44.700 0 0 41167*** 0 21.862 0 41215*** 9.900 0 0 41239*** 0 40.041 0 41246*** 1 0 0 41286*** 88.229 0 0 41301*** 233.464 0 0 41342*** 217.603 0 0 41562*** 703.200 0 0 41610*** 6.403 0 0 41708*** 8.400 0 0 41727*** 1.084 0 0 41853*** 775.900 0 0 41881*** 92.100 0 0 41907*** 22.769 0 0 41941*** 14.062 0 0 41956*** 39.044 0 0 41956*** 154.415 0 0 42045*** 210.700 0 0 42133*** 105.301 0 0 42264*** 141.567 0 0 42332*** 51.304 0 0 42355*** 6.596 0 0 42355*** 71.010 0 0 42389*** 224.900 0 0 42390*** 2.000 0 0 42411*** 263.400 0 0 42469*** 30.510 0 0 42479*** 20.606 0 0 42479*** 926.900 0 0 24 de 34 # Classificação: Pública Shareholder For Against Abstain 1. Creation of a new class of preferred shares, class A1 (PNA1), registered, book-entry and with no par value, with the same rights, preferences and privileges as the currently existing class A preferred shares (PNA), plus the right to sell in a public tender offer (OPA) resulting from the sale of control, in order to ensure equal treatment to that afforded to the selling shareholder, and without the need for approval at a special meeting of holders of preferred shares. CNPJ: 00.001.180/0001-26AXIA Energia - EGM 12/19/2025 DETAILED FINAL VOTING MAP 42502*** 64.714 0 0 42519*** 578.953 0 0 42520*** 16.067.256 0 0 42538*** 16 0 0 42571*** 161.048 0 0 42645*** 372 0 0 42717*** 30.400 0 0 42717*** 51.300 0 0 42776*** 7.698 0 0 42777*** 77 0 0 42814*** 65.001 0 0 42865*** 17.773 0 0 42870*** 407.654 0 0 43103*** 780 0 0 43105*** 35.991 0 0 43210*** 25.222 0 0 43313*** 1.500 0 0 43427*** 1.639.944 0 0 43533*** 1.064 0 0 43533*** 20.006 0 0 43533*** 3.371 0 0 43533*** 46.708 0 0 43533*** 352.500 0 0 43533*** 174.200 0 0 43533*** 67.100 0 0 43533*** 6.502 0 0 43533*** 43.729 0 0 43584*** 5.000 0 0 43690*** 0 45.000 0 43704*** 2.338 0 0 43747*** 220 0 0 43761*** 9.704 0 0 43879*** 0 113.100 0 43907*** 25.700 0 0 43907*** 13.800 0 0 25 de 34 # Classificação: Pública Shareholder For Against Abstain 1. Creation of a new class of preferred shares, class A1 (PNA1), registered, book-entry and with no par value, with the same rights, preferences and privileges as the currently existing class A preferred shares (PNA), plus the right to sell in a public tender offer (OPA) resulting from the sale of control, in order to ensure equal treatment to that afforded to the selling shareholder, and without the need for approval at a special meeting of holders of preferred shares. CNPJ: 00.001.180/0001-26AXIA Energia - EGM 12/19/2025 DETAILED FINAL VOTING MAP 43909*** 161.800 0 0 43956*** 4 0 0 44110*** 148.600 0 0 44258*** 35.226 0 0 44346*** 10.300 0 0 44360*** 4.791.521 0 0 44500*** 931.300 0 0 44544*** 9.675 0 0 44602*** 42.732 0 0 44642*** 27.800 0 0 44643*** 2.400 0 0 44692*** 536.000 0 0 44700*** 92.884 0 0 44700*** 1.147.700 0 0 44700*** 385.600 0 0 44738*** 64.277 0 0 44844*** 97.257 0 0 44934*** 1.970.045 0 0 45029*** 5.900 0 0 45081*** 3.254.567 0 0 45081*** 40.022 0 0 45088*** 7.765.559 0 0 45120*** 194.468 0 0 45128*** 15.400 0 0 45128*** 299.000 0 0 45128*** 105.700 0 0 45128*** 60.100 0 0 45226*** 2.286.983 0 0 45245*** 150.700 0 0 45245*** 336.547 0 0 45261*** 8.786 0 0 45322*** 5.884.060 0 0 45512*** 4.500 0 0 45560*** 4.083.931 0 0 45605*** 0 64.500 0 26 de 34 # Classificação: Pública Shareholder For Against Abstain 1. Creation of a new class of preferred shares, class A1 (PNA1), registered, book-entry and with no par value, with the same rights, preferences and privileges as the currently existing class A preferred shares (PNA), plus the right to sell in a public tender offer (OPA) resulting from the sale of control, in order to ensure equal treatment to that afforded to the selling shareholder, and without the need for approval at a special meeting of holders of preferred shares. CNPJ: 00.001.180/0001-26AXIA Energia - EGM 12/19/2025 DETAILED FINAL VOTING MAP 45622*** 15.000 0 0 45682*** 2.227 0 0 45682*** 3.700 0 0 45682*** 3.100 0 0 45687*** 3.400 0 0 45756*** 415.800 0 0 45859*** 3.300 0 0 45971*** 49.469 0 0 46130*** 29.152 0 0 46134*** 647.883 0 0 46171*** 120.400 0 0 46339*** 230.095 0 0 46375*** 226.924 0 0 46390*** 5 0 0 46438*** 284 0 0 46595*** 60.719 0 0 46732*** 8.100 0 0 46909*** 363.014 0 0 46964*** 219.280 0 0 46964*** 1.579.000 0 0 46964*** 93.142 0 0 46964*** 567.400 0 0 46965*** 114.700 0 0 46981*** 1.496.233 0 0 46981*** 534.131 0 0 46981*** 247.440 0 0 46981*** 1.054.538 0 0 47036*** 3.694.170 0 0 47036*** 11.800 0 0 47228*** 22.700 0 0 47352*** 90.100 0 0 47545*** 2.800 0 0 47794*** 1.900 0 0 47848*** 182.235 0 0 47848*** 7.953.700 0 0 27 de 34 # Classificação: Pública Shareholder For Against Abstain 1. Creation of a new class of preferred shares, class A1 (PNA1), registered, book-entry and with no par value, with the same rights, preferences and privileges as the currently existing class A preferred shares (PNA), plus the right to sell in a public tender offer (OPA) resulting from the sale of control, in order to ensure equal treatment to that afforded to the selling shareholder, and without the need for approval at a special meeting of holders of preferred shares. CNPJ: 00.001.180/0001-26AXIA Energia - EGM 12/19/2025 DETAILED FINAL VOTING MAP 47954*** 997.100 0 0 48021*** 6.000 0 0 48123*** 0 23.077 0 48138*** 331.666 0 0 48329*** 70.500 0 0 48331*** 206.182 0 0 48373*** 48.920 0 0 48400*** 428 0 0 48429*** 13.800 0 0 48490*** 0 0 338 48643*** 18.791 0 0 48643*** 71.696 0 0 48650*** 36.699 0 0 48766*** 600 0 0 48820*** 19.276 0 0 48878*** 76.100 0 0 48927*** 6.000 0 0 48977*** 9.474 0 0 48978*** 7.551 0 0 49144*** 176 0 0 49202*** 61.768 0 0 49256*** 5.400 0 0 49266*** 51.000 0 0 49331*** 24.380 0 0 49444*** 69.973 0 0 49485*** 6.188.837 0 0 49632*** 35.698 0 0 49766*** 0 0 1.364.882 49839*** 975.800 0 0 49927*** 558.400 0 0 49947*** 300 0 0 50072*** 7.900 0 0 50091*** 2.541 0 0 50653*** 10.471 0 0 50717*** 192.368 0 0 28 de 34 # Classificação: Pública Shareholder For Against Abstain 1. Creation of a new class of preferred shares, class A1 (PNA1), registered, book-entry and with no par value, with the same rights, preferences and privileges as the currently existing class A preferred shares (PNA), plus the right to sell in a public tender offer (OPA) resulting from the sale of control, in order to ensure equal treatment to that afforded to the selling shareholder, and without the need for approval at a special meeting of holders of preferred shares. CNPJ: 00.001.180/0001-26AXIA Energia - EGM 12/19/2025 DETAILED FINAL VOTING MAP 50856*** 67.500 0 0 50958*** 25.900 0 0 51116*** 393.656 0 0 51116*** 9.600 0 0 51360*** 108.000 0 0 51473*** 3.000 0 0 51487*** 44.643 0 0 51490*** 0 0 200 51614*** 71 0 0 51817*** 23.503 0 0 51888*** 0 13.100 0 51990*** 997.693 0 0 52025*** 148.306 0 0 52070*** 90.731 0 0 52080*** 51.300 0 0 52083*** 40.718 0 0 52085*** 1.260.946 0 0 52182*** 79.900 0 0 52188*** 13.832 0 0 52203*** 6.778 0 0 52647*** 382.259 0 0 52694*** 320.153 0 0 52698*** 41.176 0 0 52800*** 17.473 0 0 52901*** 7.141 0 0 52950*** 1.584 0 0 53176*** 12.177 0 0 53304*** 2 0 0 53425*** 0 0 0 53529*** 0 0 238 53599*** 874.700 0 0 53780*** 39.870 0 0 53826*** 2.600 0 0 53829*** 1.300 0 0 53861*** 66.023 0 0 29 de 34 # Classificação: Pública Shareholder For Against Abstain 1. Creation of a new class of preferred shares, class A1 (PNA1), registered, book-entry and with no par value, with the same rights, preferences and privileges as the currently existing class A preferred shares (PNA), plus the right to sell in a public tender offer (OPA) resulting from the sale of control, in order to ensure equal treatment to that afforded to the selling shareholder, and without the need for approval at a special meeting of holders of preferred shares. CNPJ: 00.001.180/0001-26AXIA Energia - EGM 12/19/2025 DETAILED FINAL VOTING MAP 54026*** 15.205 0 0 54069*** 755 0 0 54198*** 43.496 0 0 54250*** 43.400 0 0 54368*** 1.990 0 0 54398*** 31.592 0 0 54423*** 143.706 0 0 54584*** 1.000 0 0 54603*** 3.455 0 0 54620*** 4.669 0 0 54637*** 0 0 2.000 54784*** 8.340 0 0 54792*** 866.200 0 0 54792*** 27.300 0 0 55053*** 3.008 0 0 55105*** 3.085.892 0 0 55240*** 4.800 0 0 55315*** 4.200 0 0 55483*** 66.300 0 0 55522*** 28.272 0 0 55690*** 20.969 0 0 55751*** 1.057 0 0 55893*** 36.900 0 0 55894*** 0 20.265 0 55912*** 800 0 0 55989*** 0 19.664 0 56007*** 38.937 0 0 56029*** 15.751 0 0 56091*** 12.770 0 0 56141*** 55.146 0 0 56155*** 16.300 0 0 56208*** 124.284 0 0 56211*** 3.031 0 0 56367*** 19.000 0 0 56504*** 3.700 0 0 30 de 34 # Classificação: Pública Shareholder For Against Abstain 1. Creation of a new class of preferred shares, class A1 (PNA1), registered, book-entry and with no par value, with the same rights, preferences and privileges as the currently existing class A preferred shares (PNA), plus the right to sell in a public tender offer (OPA) resulting from the sale of control, in order to ensure equal treatment to that afforded to the selling shareholder, and without the need for approval at a special meeting of holders of preferred shares. CNPJ: 00.001.180/0001-26AXIA Energia - EGM 12/19/2025 DETAILED FINAL VOTING MAP 56576*** 5 0 0 56625*** 200 0 0 56704*** 58.979 0 0 56707*** 49.745 0 0 56951*** 81.600 0 0 57091*** 17.477 0 0 57343*** 203.243 0 0 57537*** 6.879 0 0 57848*** 4.554 0 0 57979*** 149.800 0 0 58175*** 41.800 0 0 58270*** 16.516 0 0 58489*** 201.700 0 0 58734*** 7 0 0 58901*** 14.579 0 0 58947*** 5.100 0 0 59051*** 47.200 0 0 59141*** 22.111 0 0 59307*** 138.543 0 0 59666*** 27.807 0 0 59767*** 194.700 0 0 59790*** 7.989 0 0 59840*** 33.400 0 0 60060*** 14.300 0 0 60328*** 59.873 0 0 60347*** 112.584 0 0 60746*** 2.094.364 0 0 61148*** 181 0 0 61397*** 100 0 0 61596*** 22.370 0 0 61664*** 42.536 0 0 61684*** 2.457.532 0 0 61684*** 5.420.200 0 0 61838*** 1.500 0 0 61988*** 13.233 0 0 31 de 34 # Classificação: Pública Shareholder For Against Abstain 1. Creation of a new class of preferred shares, class A1 (PNA1), registered, book-entry and with no par value, with the same rights, preferences and privileges as the currently existing class A preferred shares (PNA), plus the right to sell in a public tender offer (OPA) resulting from the sale of control, in order to ensure equal treatment to that afforded to the selling shareholder, and without the need for approval at a special meeting of holders of preferred shares. CNPJ: 00.001.180/0001-26AXIA Energia - EGM 12/19/2025 DETAILED FINAL VOTING MAP 62569*** 4.957 0 0 62673*** 22.800 0 0 62673*** 72.700 0 0 62673*** 1.200 0 0 62913*** 29.220 0 0 63114*** 33.420 0 0 63135*** 14.100 0 0 63135*** 3.500 0 0 63291*** 32.499 0 0 63360*** 42.558 0 0 64491*** 316 0 0 66547*** 1.300 0 0 66744*** 192.519 0 0 67327*** 5 0 0 68559*** 3.840 0 0 69851*** 400 0 0 71861*** 1 0 0 73447*** 1.200 0 0 73933*** 10 0 0 74843*** 0 0 40 74927*** 580 0 0 76297*** 0 595 0 76908*** 21 0 0 77605*** 17.607 0 0 79238*** 0 256 0 79246*** 30.000 0 0 79720*** 200 0 0 80005*** 8 0 0 80663*** 24 0 0 83699*** 0 0 28 84876*** 0 0 120 85751*** 115 0 0 85751*** 300 0 0 85989*** 100 0 0 87737*** 103 0 0 32 de 34 # Classificação: Pública Shareholder For Against Abstain 1. Creation of a new class of preferred shares, class A1 (PNA1), registered, book-entry and with no par value, with the same rights, preferences and privileges as the currently existing class A preferred shares (PNA), plus the right to sell in a public tender offer (OPA) resulting from the sale of control, in order to ensure equal treatment to that afforded to the selling shareholder, and without the need for approval at a special meeting of holders of preferred shares. CNPJ: 00.001.180/0001-26AXIA Energia - EGM 12/19/2025 DETAILED FINAL VOTING MAP 88440*** 0 0 100 88962*** 0 0 12 89351*** 20 0 0 90243*** 0 20 0 90372*** 0 0 13 91890*** 20 0 0 91927*** 0 0 0 92273*** 15 0 0 92693*** 129.020 0 0 93577*** 200 0 0 93902*** 50 0 0 95687*** 0 0 1.000 97538*** 4.851.698 0 0 97538*** 49.089 0 0 97539*** 917.301 0 0 97539*** 22.778 0 0 97539*** 37.074 0 0 97539*** 19.345 0 0 97539*** 3.732.105 0 0 97539*** 4.800 0 0 97539*** 0 28.674 0 97539*** 0 31.200 0 97539*** 735.721 0 0 97539*** 42.800 0 0 97539*** 5.199.319 0 0 97539*** 2.389.760 0 0 97539*** 1.543.110 0 0 97539*** 3.445.396 0 0 97539*** 392.626 0 0 97539*** 996.896 0 0 97539*** 2.066.321 0 0 97539*** 197.838 0 0 97539*** 144.600 0 0 97539*** 22.250 0 0 97540*** 20.600 0 0 33 de 34 # Classificação: Pública Shareholder For Against Abstain 1. Creation of a new class of preferred shares, class A1 (PNA1), registered, book-entry and with no par value, with the same rights, preferences and privileges as the currently existing class A preferred shares (PNA), plus the right to sell in a public tender offer (OPA) resulting from the sale of control, in order to ensure equal treatment to that afforded to the selling shareholder, and without the need for approval at a special meeting of holders of preferred shares. CNPJ: 00.001.180/0001-26AXIA Energia - EGM 12/19/2025 DETAILED FINAL VOTING MAP 97540*** 3.753 0 0 97540*** 68.500 0 0 97540*** 104.726 0 0 97540*** 903.981 0 0 97540*** 72.665 0 0 97540*** 926.147 0 0 97540*** 1.598 0 0 97540*** 282.400 0 0 97540*** 1.796.898 0 0 97540*** 2.022.198 0 0 97540*** 10.823 0 0 97540*** 209.922 0 0 97540*** 16.335.023 0 0 98658*** 550 0 0 99169*** 100 0 0 34 de 34 # Classificação: Pública Shareholder For Against Abstain Total 818.181.481 198.177.074 34.862.334 00125*** 1.178.056 0 0 00394*** 0 190.732.084 0 00455*** 6 0 0 00560*** 4.984 0 0 00586*** 10 0 0 00601*** 31 0 0 00739*** 1.428 0 0 00805*** 20 0 0 00914*** 3 0 0 01017*** 1 0 0 01171*** 1.610 0 0 01203*** 1 0 0 01456*** 4 0 0 01496*** 161.306 0 0 01586*** 16 0 0 01643*** 66.985 0 0 01699*** 96.416 0 0 01886*** 12.945 0 0 02020*** 53.603 0 0 02097*** 5.700 0 0 02231*** 611 0 0 02231*** 8.536 0 0 02285*** 102 0 0 02524*** 250 0 0 02745*** 0 5 0 02863*** 1.125.500 0 0 02887*** 26.056 0 0 02895*** 64.700 0 0 02903*** 100 0 0 03027*** 51.786 0 0 03369*** 0 0 136 03370*** 392.332 0 0 03394*** 87.480 0 0 03394*** 7 0 0 CNPJ: 00.001.180/0001-26AXIA Energia - EGM 12/19/2025 DETAILED FINAL VOTING MAP 2. Creation of a new class of preferred shares, class B1 (PNB1), registered, book-entry and with no par value, with the same rights, preferences and privileges as the currently existing class B preferred shares (PNB), plus the right to sell in a public tender offer (OPA) resulting from the sale of control, in order to ensure equal treatment to that afforded to the selling shareholder, and without the need for approval at a special meeting of preferred shareholders. 1 de 34 # Classificação: Pública Shareholder For Against Abstain CNPJ: 00.001.180/0001-26AXIA Energia - EGM 12/19/2025 DETAILED FINAL VOTING MAP 2. Creation of a new class of preferred shares, class B1 (PNB1), registered, book-entry and with no par value, with the same rights, preferences and privileges as the currently existing class B preferred shares (PNB), plus the right to sell in a public tender offer (OPA) resulting from the sale of control, in order to ensure equal treatment to that afforded to the selling shareholder, and without the need for approval at a special meeting of preferred shareholders. 03473*** 569 0 0 03833*** 28.394 0 0 03902*** 1 0 0 03960*** 24.957 0 0 04005*** 0 50 0 04073*** 292.991 0 0 04297*** 3 0 0 04555*** 0 0 55 04605*** 0 0 200 04609*** 602 0 0 04609*** 1.300 0 0 04616*** 11.687 0 0 04672*** 5 0 0 04709*** 0 1 0 04736*** 28.890 0 0 04751*** 111.059 0 0 04847*** 4 0 0 05075*** 5 0 0 05100*** 43.978 0 0 05147*** 14.000 0 0 05303*** 0 0 1 05316*** 1.030 0 0 05435*** 3 0 0 05448*** 9.727 0 0 05479*** 1.513.900 0 0 05479*** 2.843.378 0 0 05522*** 44 0 0 05589*** 233.315 0 0 05589*** 279.983 0 0 05589*** 28.815 0 0 05719*** 27 0 0 05734*** 415 0 0 05775*** 1.759 0 0 05838*** 15.219 0 0 05839*** 96.081 0 0 2 de 34 # Classificação: Pública Shareholder For Against Abstain CNPJ: 00.001.180/0001-26AXIA Energia - EGM 12/19/2025 DETAILED FINAL VOTING MAP 2. Creation of a new class of preferred shares, class B1 (PNB1), registered, book-entry and with no par value, with the same rights, preferences and privileges as the currently existing class B preferred shares (PNB), plus the right to sell in a public tender offer (OPA) resulting from the sale of control, in order to ensure equal treatment to that afforded to the selling shareholder, and without the need for approval at a special meeting of preferred shareholders. 05839*** 189.258 0 0 05839*** 718.804 0 0 05839*** 724 0 0 05839*** 775.653 0 0 05839*** 15.200 0 0 05839*** 9.200 0 0 05839*** 803.800 0 0 05839*** 158.291 0 0 05839*** 15.718 0 0 05839*** 0 1.111.508 0 05839*** 4.619.084 0 0 05839*** 226.872 0 0 05839*** 51.889 0 0 05840*** 188.253 0 0 05840*** 10.000 0 0 05840*** 32.547 0 0 05840*** 804.990 0 0 05840*** 4.858.301 0 0 05840*** 477.000 0 0 05840*** 2.199.143 0 0 05872*** 79.961 0 0 05901*** 1 0 0 05986*** 1.881.495 0 0 05986*** 2.673.143 0 0 05986*** 24.100 0 0 05986*** 2.155 0 0 05987*** 147.900 0 0 05987*** 129.553 0 0 05987*** 11.827 0 0 05987*** 2.020.100 0 0 05987*** 1.602.500 0 0 05987*** 5 0 0 05987*** 199.465 0 0 05987*** 13.400 0 0 05987*** 0 428.300 0 3 de 34 # Classificação: Pública Shareholder For Against Abstain CNPJ: 00.001.180/0001-26AXIA Energia - EGM 12/19/2025 DETAILED FINAL VOTING MAP 2. Creation of a new class of preferred shares, class B1 (PNB1), registered, book-entry and with no par value, with the same rights, preferences and privileges as the currently existing class B preferred shares (PNB), plus the right to sell in a public tender offer (OPA) resulting from the sale of control, in order to ensure equal treatment to that afforded to the selling shareholder, and without the need for approval at a special meeting of preferred shareholders. 05987*** 24.749 0 0 05987*** 188.737 0 0 05987*** 2.862.252 0 0 05987*** 481.572 0 0 05987*** 1.758.400 0 0 06046*** 1.594.573 0 0 06069*** 5.615 0 0 06105*** 10.100 0 0 06134*** 0 108.329 0 06148*** 76.771 0 0 06224*** 6.811 0 0 06239*** 174.268 0 0 06239*** 455.200 0 0 06251*** 9.995 0 0 06318*** 0 0 1 06323*** 530.363 0 0 06370*** 3 0 0 06406*** 0 0 100.000 06491*** 35 0 0 06541*** 284.989 0 0 06571*** 130 0 0 06613*** 77.676 0 0 06832*** 0 23 0 06916*** 622.500 0 0 06943*** 137.641 0 0 06943*** 589.073 0 0 06943*** 922.665 0 0 06949*** 0 0 10 06964*** 298.476 0 0 07023*** 0 0 100 07060*** 239.200 0 0 07086*** 1.000 0 0 07096*** 51.672 0 0 07140*** 0 859.100 0 07140*** 19.426 0 0 4 de 34 # Classificação: Pública Shareholder For Against Abstain CNPJ: 00.001.180/0001-26AXIA Energia - EGM 12/19/2025 DETAILED FINAL VOTING MAP 2. Creation of a new class of preferred shares, class B1 (PNB1), registered, book-entry and with no par value, with the same rights, preferences and privileges as the currently existing class B preferred shares (PNB), plus the right to sell in a public tender offer (OPA) resulting from the sale of control, in order to ensure equal treatment to that afforded to the selling shareholder, and without the need for approval at a special meeting of preferred shareholders. 07140*** 1.219 0 0 07140*** 26.098 0 0 07187*** 16.269 0 0 07187*** 713 0 0 07191*** 0 857.000 0 07191*** 85.700 0 0 07191*** 105.335 0 0 07226*** 4 0 0 07237*** 589.417 0 0 07237*** 33.388 0 0 07247*** 296.000 0 0 07247*** 164.564 0 0 07247*** 247.800 0 0 07267*** 140 0 0 07299*** 100 0 0 07333*** 249.390 0 0 07345*** 2.648 0 0 07345*** 10.300 0 0 07345*** 28.600 0 0 07376*** 123.348 0 0 07418*** 42.847 0 0 07418*** 1.247.100 0 0 07418*** 1.210.226 0 0 07463*** 0 0 4 07488*** 319.556 0 0 07496*** 1.568.008 0 0 07496*** 2.200 0 0 07496*** 60.415 0 0 07496*** 133.589 0 0 07506*** 4.230.427 0 0 07515*** 60 0 0 07516*** 10.567.600 0 0 07516*** 917.500 0 0 07516*** 35.520 0 0 07516*** 1.041.400 0 0 5 de 34 # Classificação: Pública Shareholder For Against Abstain CNPJ: 00.001.180/0001-26AXIA Energia - EGM 12/19/2025 DETAILED FINAL VOTING MAP 2. Creation of a new class of preferred shares, class B1 (PNB1), registered, book-entry and with no par value, with the same rights, preferences and privileges as the currently existing class B preferred shares (PNB), plus the right to sell in a public tender offer (OPA) resulting from the sale of control, in order to ensure equal treatment to that afforded to the selling shareholder, and without the need for approval at a special meeting of preferred shareholders. 07518*** 84.779 0 0 07521*** 158.999 0 0 07526*** 19.300 0 0 07529*** 0 128.800 0 07536*** 103.618 0 0 07551*** 7.900 0 0 07593*** 179.470 0 0 07622*** 4.475.736 0 0 07647*** 78.500 0 0 07655*** 864.956 0 0 07655*** 10.800 0 0 07667*** 4.648 0 0 07670*** 0 10.600 0 07670*** 1.650.000 0 0 07686*** 7.021 0 0 07724*** 211.324 0 0 07790*** 0 14.800 0 07792*** 357.630 0 0 07820*** 2.200 0 0 07846*** 69.100 0 0 07889*** 44.041 0 0 07940*** 280.700 0 0 07942*** 530.100 0 0 07967*** 133.248 0 0 07990*** 42.700 0 0 08052*** 0 100 0 08120*** 0 0 383 08154*** 5.377 0 0 08196*** 81.823.300 0 0 08265*** 225.800 0 0 08268*** 3.800 0 0 08279*** 318.109 0 0 08295*** 18.073.978 0 0 08295*** 3.890.485 0 0 08295*** 93.002 0 0 6 de 34 # Classificação: Pública Shareholder For Against Abstain CNPJ: 00.001.180/0001-26AXIA Energia - EGM 12/19/2025 DETAILED FINAL VOTING MAP 2. Creation of a new class of preferred shares, class B1 (PNB1), registered, book-entry and with no par value, with the same rights, preferences and privileges as the currently existing class B preferred shares (PNB), plus the right to sell in a public tender offer (OPA) resulting from the sale of control, in order to ensure equal treatment to that afforded to the selling shareholder, and without the need for approval at a special meeting of preferred shareholders. 08387*** 103.219 0 0 08434*** 43.600 0 0 08464*** 3.983.344 0 0 08471*** 53.618 0 0 08561*** 940.780 0 0 08571*** 3.397 0 0 08579*** 339.986 0 0 08621*** 820.400 0 0 08623*** 1.710 0 0 08640*** 52.400 0 0 08757*** 52.296 0 0 08765*** 94.255.061 0 0 08840*** 9.118.176 0 0 08857*** 893.791 0 0 08875*** 26.085 0 0 08875*** 39.000 0 0 08900*** 1.800 0 0 08910*** 0 0 23 08913*** 1.453 0 0 08935*** 18.483.007 0 0 08945*** 0 137.277 0 08973*** 90.286 0 0 08973*** 84.130 0 0 08988*** 90.399 0 0 09005*** 171 0 0 09029*** 95.000 0 0 09048*** 164.633 0 0 09048*** 42.509 0 0 09063*** 550.962 0 0 09064*** 1 0 0 09073*** 366.269 0 0 09089*** 470.660 0 0 09089*** 20.525 0 0 09094*** 86.200 0 0 09144*** 0 0 7 7 de 34 # Classificação: Pública Shareholder For Against Abstain CNPJ: 00.001.180/0001-26AXIA Energia - EGM 12/19/2025 DETAILED FINAL VOTING MAP 2. Creation of a new class of preferred shares, class B1 (PNB1), registered, book-entry and with no par value, with the same rights, preferences and privileges as the currently existing class B preferred shares (PNB), plus the right to sell in a public tender offer (OPA) resulting from the sale of control, in order to ensure equal treatment to that afforded to the selling shareholder, and without the need for approval at a special meeting of preferred shareholders. 09145*** 13.516.396 0 0 09163*** 0 972.837 0 09241*** 20 0 0 09286*** 42.968 0 0 09294*** 230.978 0 0 09299*** 1.005.021 0 0 09323*** 25.786 0 0 09323*** 408.777 0 0 09330*** 114.300 0 0 09336*** 117.000 0 0 09411*** 0 36.133 0 09441*** 106.368 0 0 09470*** 270.100 0 0 09470*** 130.741 0 0 09559*** 823.023 0 0 09564*** 269.814 0 0 09567*** 147.940 0 0 09593*** 765.198 0 0 09620*** 372.512 0 0 09627*** 41.300 0 0 09701*** 220 0 0 09720*** 4.359.575 0 0 09838*** 20 0 0 10110*** 0 0 0 10205*** 1.098 0 0 10214*** 40.966 0 0 10243*** 45.400 0 0 10263*** 60.424 0 0 10263*** 335.431 0 0 10263*** 169.600 0 0 10307*** 0 500 0 10324*** 0 729.020 0 10392*** 311 0 0 10400*** 48.700 0 0 10418*** 47.304 0 0 8 de 34 # Classificação: Pública Shareholder For Against Abstain CNPJ: 00.001.180/0001-26AXIA Energia - EGM 12/19/2025 DETAILED FINAL VOTING MAP 2. Creation of a new class of preferred shares, class B1 (PNB1), registered, book-entry and with no par value, with the same rights, preferences and privileges as the currently existing class B preferred shares (PNB), plus the right to sell in a public tender offer (OPA) resulting from the sale of control, in order to ensure equal treatment to that afforded to the selling shareholder, and without the need for approval at a special meeting of preferred shareholders. 10419*** 121.500 0 0 10481*** 6.385.100 0 0 10486*** 0 0 20 10492*** 225.108 0 0 10553*** 1.933.500 0 0 10554*** 24 0 0 10561*** 4.400 0 0 10569*** 91.542 0 0 10583*** 342.676 0 0 10596*** 2.537 0 0 10672*** 28.600 0 0 10678*** 145.406 0 0 10762*** 18.300 0 0 10765*** 14.889.875 0 0 10809*** 451.926 0 0 10840*** 0 1 0 11030*** 2.221.230 0 0 11046*** 0 869.344 0 11047*** 10.000 0 0 11100*** 1.373.626 0 0 11175*** 0 1.000 0 11184*** 10.637 0 0 11184*** 2.478.365 0 0 11188*** 13.734.739 0 0 11225*** 316.909 0 0 11311*** 564.121 0 0 11324*** 7.583 0 0 11324*** 30.286 0 0 11390*** 64.400 0 0 11403*** 1.338.015 0 0 11423*** 70.266 0 0 11435*** 0 30.154 0 11451*** 10.713 0 0 11520*** 47.400 0 0 11538*** 371.390 0 0 9 de 34 # Classificação: Pública Shareholder For Against Abstain CNPJ: 00.001.180/0001-26AXIA Energia - EGM 12/19/2025 DETAILED FINAL VOTING MAP 2. Creation of a new class of preferred shares, class B1 (PNB1), registered, book-entry and with no par value, with the same rights, preferences and privileges as the currently existing class B preferred shares (PNB), plus the right to sell in a public tender offer (OPA) resulting from the sale of control, in order to ensure equal treatment to that afforded to the selling shareholder, and without the need for approval at a special meeting of preferred shareholders. 11604*** 360.492 0 0 11729*** 107.780 0 0 11738*** 250 0 0 11748*** 429.545 0 0 11811*** 30.900 0 0 11841*** 246.000 0 0 11906*** 151.616 0 0 11952*** 278.000 0 0 11977*** 189.006 0 0 12068*** 1.035.445 0 0 12086*** 19.807 0 0 12086*** 0 0 9 12094*** 460.415 0 0 12120*** 132.000 0 0 12287*** 19.832 0 0 12456*** 0 3 0 12518*** 8 0 0 12525*** 55.857 0 0 12938*** 149.500 0 0 12984*** 4.024 0 0 12984*** 18.461 0 0 12995*** 20 0 0 13022*** 8.606 0 0 13033*** 2.080 0 0 13066*** 302.163 0 0 13081*** 69.000 0 0 13281*** 22 0 0 13294*** 124.722 0 0 13296*** 40.202 0 0 13307*** 205.200 0 0 13343*** 311.700 0 0 13362*** 476.877 0 0 13402*** 280.900 0 0 13474*** 700 0 0 13521*** 220 0 0 10 de 34 # Classificação: Pública Shareholder For Against Abstain CNPJ: 00.001.180/0001-26AXIA Energia - EGM 12/19/2025 DETAILED FINAL VOTING MAP 2. Creation of a new class of preferred shares, class B1 (PNB1), registered, book-entry and with no par value, with the same rights, preferences and privileges as the currently existing class B preferred shares (PNB), plus the right to sell in a public tender offer (OPA) resulting from the sale of control, in order to ensure equal treatment to that afforded to the selling shareholder, and without the need for approval at a special meeting of preferred shareholders. 13562*** 37.000 0 0 13562*** 548.300 0 0 13665*** 138.000 0 0 13725*** 84.512 0 0 13796*** 90.793 0 0 13834*** 233.763 0 0 13834*** 381.977 0 0 13909*** 167.488 0 0 13998*** 4.060 0 0 14012*** 1.407.965 0 0 14027*** 567.280 0 0 14138*** 920.375 0 0 14159*** 3 0 0 14180*** 368.100 0 0 14188*** 76.287 0 0 14220*** 11.200 0 0 14240*** 23.800 0 0 14366*** 28.010 0 0 14406*** 0 200 0 14416*** 326.295 0 0 14461*** 73.600 0 0 14476*** 131.958 0 0 14494*** 22.433 0 0 14507*** 735.071 0 0 14541*** 1.531.341 0 0 14549*** 25.453 0 0 14623*** 1.120.542 0 0 14623*** 184.100 0 0 14624*** 1.530.000 0 0 14628*** 17.094 0 0 14639*** 200.200 0 0 14791*** 47.100 0 0 14809*** 207.700 0 0 14879*** 12.400 0 0 14963*** 287.800 0 0 11 de 34 # Classificação: Pública Shareholder For Against Abstain CNPJ: 00.001.180/0001-26AXIA Energia - EGM 12/19/2025 DETAILED FINAL VOTING MAP 2. Creation of a new class of preferred shares, class B1 (PNB1), registered, book-entry and with no par value, with the same rights, preferences and privileges as the currently existing class B preferred shares (PNB), plus the right to sell in a public tender offer (OPA) resulting from the sale of control, in order to ensure equal treatment to that afforded to the selling shareholder, and without the need for approval at a special meeting of preferred shareholders. 14988*** 710.784 0 0 15011*** 2 0 0 15036*** 0 0 85 15154*** 340.800 0 0 15265*** 177.240 0 0 15265*** 2.300 0 0 15323*** 34.929 0 0 15807*** 168.286 0 0 15816*** 2.609 0 0 16575*** 257.846 0 0 16617*** 37.100 0 0 16816*** 1.487.180 0 0 16816*** 1.355.134 0 0 16878*** 22.500 0 0 16939*** 728.084 0 0 16947*** 483.067 0 0 16947*** 5.856.571 0 0 16947*** 11.960.862 0 0 16947*** 1.630.350 0 0 17009*** 337.765 0 0 17021*** 47.483 0 0 17036*** 229.156 0 0 17138*** 7.891 0 0 17162*** 839.967 0 0 17284*** 475.000 0 0 17488*** 5.101 0 0 17500*** 13.991 0 0 17500*** 10.350 0 0 17578*** 0 5 0 17647*** 50.550 0 0 17718*** 376.076 0 0 17825*** 13.124 0 0 17891*** 258.489 0 0 17934*** 74.887 0 0 18030*** 22.616 0 0 12 de 34 # Classificação: Pública Shareholder For Against Abstain CNPJ: 00.001.180/0001-26AXIA Energia - EGM 12/19/2025 DETAILED FINAL VOTING MAP 2. Creation of a new class of preferred shares, class B1 (PNB1), registered, book-entry and with no par value, with the same rights, preferences and privileges as the currently existing class B preferred shares (PNB), plus the right to sell in a public tender offer (OPA) resulting from the sale of control, in order to ensure equal treatment to that afforded to the selling shareholder, and without the need for approval at a special meeting of preferred shareholders. 18138*** 2.462.000 0 0 18138*** 74.212 0 0 18158*** 593.095 0 0 18324*** 1.366.500 0 0 18391*** 13.353 0 0 18407*** 1.411.157 0 0 18470*** 271.897 0 0 18485*** 0 0 1.395 18550*** 1.066.800 0 0 18830*** 13.959 0 0 18858*** 95.400 0 0 18961*** 37.533 0 0 18969*** 16.708 0 0 18981*** 1.630 0 0 19100*** 23.865 0 0 19135*** 5.301 0 0 19143*** 1.955.911 0 0 19184*** 296.600 0 0 19232*** 5 0 0 19244*** 1.573.617 0 0 19318*** 5.200 0 0 19388*** 310.634 0 0 19449*** 7.888 0 0 19477*** 71 0 0 19530*** 1.198.949 0 0 19573*** 8.556 0 0 19609*** 696.300 0 0 19675*** 173.816 0 0 19708*** 164.080 0 0 19754*** 398.161 0 0 19791*** 170.700 0 0 19791*** 861.100 0 0 19800*** 18.986 0 0 19808*** 295.677 0 0 19825*** 4.200 0 0 13 de 34 # Classificação: Pública Shareholder For Against Abstain CNPJ: 00.001.180/0001-26AXIA Energia - EGM 12/19/2025 DETAILED FINAL VOTING MAP 2. Creation of a new class of preferred shares, class B1 (PNB1), registered, book-entry and with no par value, with the same rights, preferences and privileges as the currently existing class B preferred shares (PNB), plus the right to sell in a public tender offer (OPA) resulting from the sale of control, in order to ensure equal treatment to that afforded to the selling shareholder, and without the need for approval at a special meeting of preferred shareholders. 19874*** 302.100 0 0 19874*** 117.200 0 0 19874*** 0 186.268 0 19910*** 35.990 0 0 19919*** 1.446.617 0 0 20026*** 2.693 0 0 20065*** 440.327 0 0 20147*** 290.246 0 0 20216*** 0 0 0 20349*** 74.118 0 0 20384*** 0 15.000 0 20397*** 152.369 0 0 20447*** 17.692 0 0 20604*** 164.611 0 0 20622*** 380.219 0 0 20733*** 227.900 0 0 20750*** 34.379 0 0 20796*** 75.932 0 0 20813*** 2.076.953 0 0 20849*** 29.927 0 0 20903*** 13.400 0 0 20923*** 11.945 0 0 21052*** 293.708 0 0 21053*** 300 0 0 21144*** 18.170 0 0 21166*** 5.413 0 0 21287*** 37.771 0 0 21336*** 9.070 0 0 21347*** 11.902 0 0 21407*** 2.026.972 0 0 21881*** 40.900 0 0 21962*** 166.796 0 0 22105*** 203.400 0 0 22106*** 568.043 0 0 22166*** 28.698 0 0 14 de 34 # Classificação: Pública Shareholder For Against Abstain CNPJ: 00.001.180/0001-26AXIA Energia - EGM 12/19/2025 DETAILED FINAL VOTING MAP 2. Creation of a new class of preferred shares, class B1 (PNB1), registered, book-entry and with no par value, with the same rights, preferences and privileges as the currently existing class B preferred shares (PNB), plus the right to sell in a public tender offer (OPA) resulting from the sale of control, in order to ensure equal treatment to that afforded to the selling shareholder, and without the need for approval at a special meeting of preferred shareholders. 22321*** 121.546 0 0 22360*** 4.629 0 0 22410*** 435.030 0 0 22501*** 6.182 0 0 22576*** 542.300 0 0 22648*** 10 0 0 22764*** 440.460 0 0 22764*** 226 0 0 22875*** 151.938 0 0 22896*** 73.257 0 0 23060*** 74.214 0 0 23127*** 271.156 0 0 23213*** 0 50.171 0 23213*** 0 58.500 0 23242*** 23.600 0 0 23572*** 0 59.861 0 23686*** 93.251 0 0 23691*** 0 0 441 23771*** 14.912 0 0 23794*** 790.682 0 0 23794*** 1.021.782 0 0 23854*** 1.398.723 0 0 23874*** 687.297 0 0 23958*** 160.400 0 0 23985*** 294.900 0 0 23985*** 13.275 0 0 24078*** 167.702 0 0 24158*** 259.968 0 0 24224*** 102.833 0 0 24297*** 6.072 0 0 24300*** 9.744 0 0 24548*** 1.100 0 0 24569*** 10.853 0 0 24676*** 429.300 0 0 24728*** 9.000 0 0 15 de 34 # Classificação: Pública Shareholder For Against Abstain CNPJ: 00.001.180/0001-26AXIA Energia - EGM 12/19/2025 DETAILED FINAL VOTING MAP 2. Creation of a new class of preferred shares, class B1 (PNB1), registered, book-entry and with no par value, with the same rights, preferences and privileges as the currently existing class B preferred shares (PNB), plus the right to sell in a public tender offer (OPA) resulting from the sale of control, in order to ensure equal treatment to that afforded to the selling shareholder, and without the need for approval at a special meeting of preferred shareholders. 24752*** 63.400 0 0 24779*** 562.064 0 0 24976*** 5.020 0 0 25019*** 15.433 0 0 25028*** 39.584 0 0 25079*** 23.610 0 0 25134*** 0 0 400 25138*** 265.200 0 0 25169*** 7.586.634 0 0 25220*** 11.600 0 0 25232*** 412.400 0 0 25282*** 4.100 0 0 25454*** 509.300 0 0 25485*** 217 0 0 25612*** 21 0 0 26066*** 96.100 0 0 26087*** 338.300 0 0 26142*** 9.630 0 0 26160*** 150.526 0 0 26294*** 8 0 0 26311*** 99.855 0 0 26431*** 490.824 0 0 26496*** 2.600 0 0 26565*** 163.000 0 0 26670*** 99.900 0 0 26729*** 40.262.449 0 0 26773*** 5.024 0 0 26776*** 277.512 0 0 26784*** 155 0 0 26784*** 33.267 0 0 26784*** 6.400 0 0 26855*** 15.357 0 0 26855*** 102.747 0 0 26859*** 87.312 0 0 26859*** 6.853 0 0 16 de 34 # Classificação: Pública Shareholder For Against Abstain CNPJ: 00.001.180/0001-26AXIA Energia - EGM 12/19/2025 DETAILED FINAL VOTING MAP 2. Creation of a new class of preferred shares, class B1 (PNB1), registered, book-entry and with no par value, with the same rights, preferences and privileges as the currently existing class B preferred shares (PNB), plus the right to sell in a public tender offer (OPA) resulting from the sale of control, in order to ensure equal treatment to that afforded to the selling shareholder, and without the need for approval at a special meeting of preferred shareholders. 26859*** 16.768 0 0 27074*** 10.636 0 0 27084*** 88.000 0 0 27109*** 3.877.282 0 0 27150*** 16 0 0 27213*** 0 0 50 27222*** 13.343 0 0 27249*** 23.392 0 0 27257*** 1.873.581 0 0 27311*** 8.586 0 0 27328*** 1.800 0 0 27484*** 204.786 0 0 27550*** 232.468 0 0 27642*** 32 0 0 27683*** 3 0 0 27714*** 2.233.483 0 0 27714*** 93.926 0 0 27778*** 12.500 0 0 27826*** 30.476 0 0 27844*** 1.880 0 0 27866*** 1.274.077 0 0 27866*** 139.539 0 0 27866*** 5.120.829 0 0 27866*** 1.751.954 0 0 27866*** 116.882 0 0 27880*** 134.667 0 0 27932*** 55.200 0 0 27995*** 0 0 42 28031*** 17 0 0 28072*** 61.816 0 0 28260*** 13.932.249 0 0 28271*** 7.300 0 0 28328*** 12.700 0 0 28394*** 186.900 0 0 28470*** 759.985 0 0 17 de 34 # Classificação: Pública Shareholder For Against Abstain CNPJ: 00.001.180/0001-26AXIA Energia - EGM 12/19/2025 DETAILED FINAL VOTING MAP 2. Creation of a new class of preferred shares, class B1 (PNB1), registered, book-entry and with no par value, with the same rights, preferences and privileges as the currently existing class B preferred shares (PNB), plus the right to sell in a public tender offer (OPA) resulting from the sale of control, in order to ensure equal treatment to that afforded to the selling shareholder, and without the need for approval at a special meeting of preferred shareholders. 28581*** 79.895 0 0 28586*** 127.443 0 0 28690*** 3.400 0 0 28703*** 38.502 0 0 28734*** 1.395.900 0 0 28769*** 200 0 0 28784*** 74.697 0 0 28979*** 2.700 0 0 28979*** 485.443 0 0 28990*** 767.600 0 0 29011*** 9.430 0 0 29073*** 120.195 0 0 29085*** 8.559 0 0 29092*** 6.800 0 0 29213*** 0 0 20 29237*** 0 384 0 29237*** 158.900 0 0 29258*** 150.641 0 0 29259*** 1.478 0 0 29275*** 70 0 0 29275*** 22.443 0 0 29322*** 15.371.463 0 0 29361*** 348.600 0 0 29485*** 333.306 0 0 29522*** 0 28.000 0 29550*** 18.300 0 0 29592*** 67 0 0 29668*** 3.412.439 0 0 29733*** 4.996 0 0 30066*** 28.386 0 0 30178*** 13.300 0 0 30254*** 132.880 0 0 30254*** 74.123 0 0 30402*** 3.079.873 0 0 30447*** 202.100 0 0 18 de 34 # Classificação: Pública Shareholder For Against Abstain CNPJ: 00.001.180/0001-26AXIA Energia - EGM 12/19/2025 DETAILED FINAL VOTING MAP 2. Creation of a new class of preferred shares, class B1 (PNB1), registered, book-entry and with no par value, with the same rights, preferences and privileges as the currently existing class B preferred shares (PNB), plus the right to sell in a public tender offer (OPA) resulting from the sale of control, in order to ensure equal treatment to that afforded to the selling shareholder, and without the need for approval at a special meeting of preferred shareholders. 30463*** 90.200 0 0 30515*** 14.056 0 0 30522*** 38.589 0 0 30556*** 4.002 0 0 30624*** 9.325 0 0 30769*** 426.500 0 0 30769*** 53.187 0 0 30942*** 158.500 0 0 30988*** 1.918.400 0 0 31006*** 100 0 0 31050*** 209.351 0 0 31322*** 3.610.476 0 0 31322*** 0 200.000 0 31502*** 8.874.319 0 0 31577*** 72.000 0 0 31577*** 344.876 0 0 31591*** 8.371 0 0 31615*** 0 400 0 31666*** 40.572 0 0 31692*** 299.000 0 0 31697*** 0 0 1 31814*** 2.543.463 0 0 31814*** 29.985 0 0 31814*** 618.532 0 0 31866*** 206.855 0 0 31914*** 3.955.286 0 0 31914*** 112.200 0 0 31923*** 51.500 0 0 31978*** 518.952 0 0 31989*** 544.424 0 0 32013*** 0 0 170 32106*** 20.980 0 0 32106*** 117.700 0 0 32106*** 632.700 0 0 32203*** 1.425.459 0 0 19 de 34 # Classificação: Pública Shareholder For Against Abstain CNPJ: 00.001.180/0001-26AXIA Energia - EGM 12/19/2025 DETAILED FINAL VOTING MAP 2. Creation of a new class of preferred shares, class B1 (PNB1), registered, book-entry and with no par value, with the same rights, preferences and privileges as the currently existing class B preferred shares (PNB), plus the right to sell in a public tender offer (OPA) resulting from the sale of control, in order to ensure equal treatment to that afforded to the selling shareholder, and without the need for approval at a special meeting of preferred shareholders. 32239*** 3.920 0 0 32240*** 5.886 0 0 32253*** 6 0 0 32289*** 18.030 0 0 32289*** 893 0 0 32319*** 17.000 0 0 32329*** 1.132.447 0 0 32399*** 131.448 0 0 32484*** 48.000 0 0 32486*** 20 0 0 32497*** 13.900 0 0 32642*** 1.400 0 0 32755*** 0 0 30 32812*** 154.936 0 0 32812*** 8.100 0 0 32812*** 10.200 0 0 32893*** 10.774 0 0 32905*** 2.583 0 0 33042*** 20.011.827 12.439 33.389.637 33121*** 14.413 0 0 33285*** 3.468 0 0 33580*** 37.452 0 0 33588*** 90.400 0 0 33745*** 11 0 0 33814*** 34.317 0 0 33814*** 81.855 0 0 33842*** 27.952 0 0 33968*** 39.400 0 0 34027*** 202.600 0 0 34037*** 0 0 28 34054*** 780.000 0 0 34064*** 758.600 0 0 34109*** 0 0 0 34123*** 24.600 0 0 34172*** 2.548.963 0 0 20 de 34 # Classificação: Pública Shareholder For Against Abstain CNPJ: 00.001.180/0001-26AXIA Energia - EGM 12/19/2025 DETAILED FINAL VOTING MAP 2. Creation of a new class of preferred shares, class B1 (PNB1), registered, book-entry and with no par value, with the same rights, preferences and privileges as the currently existing class B preferred shares (PNB), plus the right to sell in a public tender offer (OPA) resulting from the sale of control, in order to ensure equal treatment to that afforded to the selling shareholder, and without the need for approval at a special meeting of preferred shareholders. 34172*** 35.955 0 0 34218*** 3.525 0 0 34370*** 1.115 0 0 34448*** 85.700 0 0 34479*** 0 410 0 34546*** 35.100 0 0 34606*** 148.223 0 0 34723*** 1.190 0 0 34768*** 6.400 0 0 34791*** 75.763 0 0 34798*** 22.762 0 0 34825*** 14.742 0 0 34867*** 8.549 0 0 34900*** 152.347 0 0 35075*** 1.308 0 0 35088*** 2 0 0 35304*** 143.187 0 0 35376*** 10 0 0 35377*** 596 0 0 35492*** 46.000 0 0 35492*** 384.000 0 0 35495*** 76.536 0 0 35595*** 0 69.131 0 35637*** 200.749 0 0 35693*** 8.611.443 0 0 35712*** 118.145 0 0 35803*** 6.344.878 0 0 35845*** 17.870 0 0 35845*** 0 0 0 35859*** 306.197 0 0 35865*** 15.026 0 0 35916*** 57.000 0 0 35985*** 11.749 0 0 36034*** 5.400 0 0 36178*** 19.762 0 0 21 de 34 # Classificação: Pública Shareholder For Against Abstain CNPJ: 00.001.180/0001-26AXIA Energia - EGM 12/19/2025 DETAILED FINAL VOTING MAP 2. Creation of a new class of preferred shares, class B1 (PNB1), registered, book-entry and with no par value, with the same rights, preferences and privileges as the currently existing class B preferred shares (PNB), plus the right to sell in a public tender offer (OPA) resulting from the sale of control, in order to ensure equal treatment to that afforded to the selling shareholder, and without the need for approval at a special meeting of preferred shareholders. 36215*** 245.500 0 0 36327*** 1.600 0 0 36352*** 953.996 0 0 36418*** 1.030 0 0 36518*** 224.991 0 0 36659*** 3.745 0 0 36719*** 45.500 0 0 36719*** 2.507 0 0 36741*** 24.778 0 0 36822*** 0 12 0 36913*** 186 0 0 36924*** 165.500 0 0 36970*** 0 0 5 36980*** 700 0 0 37092*** 29.660 0 0 37099*** 43.200 0 0 37204*** 4.690 0 0 37228*** 11.254 0 0 37236*** 265.165 0 0 37311*** 28.611 0 0 37339*** 3.287.299 0 0 37347*** 483.043 0 0 37355*** 9.500 0 0 37388*** 54.912 0 0 37555*** 8.233 0 0 37623*** 900 0 0 37715*** 93.097 0 0 37724*** 18.859 0 0 37806*** 4.742 0 0 37837*** 45 0 0 37844*** 208.900 0 0 37905*** 0 47.900 0 38100*** 410.500 0 0 38173*** 69.236 0 0 38195*** 2.785 0 0 22 de 34 # Classificação: Pública Shareholder For Against Abstain CNPJ: 00.001.180/0001-26AXIA Energia - EGM 12/19/2025 DETAILED FINAL VOTING MAP 2. Creation of a new class of preferred shares, class B1 (PNB1), registered, book-entry and with no par value, with the same rights, preferences and privileges as the currently existing class B preferred shares (PNB), plus the right to sell in a public tender offer (OPA) resulting from the sale of control, in order to ensure equal treatment to that afforded to the selling shareholder, and without the need for approval at a special meeting of preferred shareholders. 38202*** 46 0 0 38350*** 5.212 0 0 38374*** 4 0 0 38386*** 427.657 0 0 38388*** 0 0 0 38512*** 400 0 0 38628*** 0 0 100 38756*** 548.681 0 0 38856*** 0 20 0 38949*** 11.375 0 0 39285*** 0 0 0 39383*** 66.800 0 0 39514*** 99.499 0 0 39600*** 17.140 0 0 39687*** 716.286 0 0 39834*** 9.716 0 0 39959*** 173.200 0 0 40022*** 2.463 0 0 40091*** 172.305 0 0 40122*** 2.370.230 0 0 40136*** 1.263 0 0 40147*** 2.076.169 0 0 40156*** 9.218 0 0 40209*** 109.320 0 0 40209*** 33.298 0 0 40213*** 60.000 0 0 40226*** 2.905 0 0 40226*** 135.613 0 0 40249*** 4.059 0 0 40284*** 8.531 0 0 40343*** 394.738 0 0 40428*** 6.904 0 0 40508*** 18.500 0 0 40635*** 22.848 0 0 40671*** 9.763 0 0 23 de 34 # Classificação: Pública Shareholder For Against Abstain CNPJ: 00.001.180/0001-26AXIA Energia - EGM 12/19/2025 DETAILED FINAL VOTING MAP 2. Creation of a new class of preferred shares, class B1 (PNB1), registered, book-entry and with no par value, with the same rights, preferences and privileges as the currently existing class B preferred shares (PNB), plus the right to sell in a public tender offer (OPA) resulting from the sale of control, in order to ensure equal treatment to that afforded to the selling shareholder, and without the need for approval at a special meeting of preferred shareholders. 40671*** 9.950 0 0 40738*** 114.121 0 0 40919*** 2.915 0 0 41015*** 0 50 0 41081*** 45.020 0 0 41167*** 44.700 0 0 41167*** 0 21.862 0 41215*** 9.900 0 0 41239*** 0 40.041 0 41246*** 1 0 0 41286*** 88.229 0 0 41301*** 233.464 0 0 41342*** 217.603 0 0 41562*** 703.200 0 0 41610*** 6.403 0 0 41708*** 8.400 0 0 41727*** 1.084 0 0 41853*** 775.900 0 0 41881*** 92.100 0 0 41907*** 22.769 0 0 41941*** 14.062 0 0 41956*** 39.044 0 0 41956*** 154.415 0 0 42045*** 210.700 0 0 42133*** 105.301 0 0 42264*** 141.567 0 0 42332*** 51.304 0 0 42355*** 6.596 0 0 42355*** 71.010 0 0 42389*** 224.900 0 0 42390*** 2.000 0 0 42411*** 263.400 0 0 42469*** 30.510 0 0 42479*** 20.606 0 0 42479*** 926.900 0 0 24 de 34 # Classificação: Pública Shareholder For Against Abstain CNPJ: 00.001.180/0001-26AXIA Energia - EGM 12/19/2025 DETAILED FINAL VOTING MAP 2. Creation of a new class of preferred shares, class B1 (PNB1), registered, book-entry and with no par value, with the same rights, preferences and privileges as the currently existing class B preferred shares (PNB), plus the right to sell in a public tender offer (OPA) resulting from the sale of control, in order to ensure equal treatment to that afforded to the selling shareholder, and without the need for approval at a special meeting of preferred shareholders. 42502*** 64.714 0 0 42519*** 578.953 0 0 42520*** 16.067.256 0 0 42538*** 16 0 0 42571*** 161.048 0 0 42645*** 372 0 0 42717*** 30.400 0 0 42717*** 51.300 0 0 42776*** 7.698 0 0 42777*** 77 0 0 42814*** 65.001 0 0 42865*** 17.773 0 0 42870*** 407.654 0 0 43103*** 780 0 0 43105*** 35.991 0 0 43210*** 25.222 0 0 43313*** 1.500 0 0 43427*** 1.639.944 0 0 43533*** 1.064 0 0 43533*** 20.006 0 0 43533*** 3.371 0 0 43533*** 46.708 0 0 43533*** 352.500 0 0 43533*** 174.200 0 0 43533*** 67.100 0 0 43533*** 6.502 0 0 43533*** 43.729 0 0 43584*** 5.000 0 0 43690*** 0 45.000 0 43704*** 2.338 0 0 43747*** 220 0 0 43761*** 9.704 0 0 43879*** 0 113.100 0 43907*** 25.700 0 0 43907*** 13.800 0 0 25 de 34 # Classificação: Pública Shareholder For Against Abstain CNPJ: 00.001.180/0001-26AXIA Energia - EGM 12/19/2025 DETAILED FINAL VOTING MAP 2. Creation of a new class of preferred shares, class B1 (PNB1), registered, book-entry and with no par value, with the same rights, preferences and privileges as the currently existing class B preferred shares (PNB), plus the right to sell in a public tender offer (OPA) resulting from the sale of control, in order to ensure equal treatment to that afforded to the selling shareholder, and without the need for approval at a special meeting of preferred shareholders. 43909*** 161.800 0 0 43956*** 4 0 0 44110*** 148.600 0 0 44258*** 35.226 0 0 44346*** 10.300 0 0 44360*** 4.791.521 0 0 44500*** 931.300 0 0 44544*** 9.675 0 0 44602*** 42.732 0 0 44642*** 27.800 0 0 44643*** 2.400 0 0 44692*** 536.000 0 0 44700*** 92.884 0 0 44700*** 1.147.700 0 0 44700*** 385.600 0 0 44738*** 64.277 0 0 44844*** 97.257 0 0 44934*** 1.970.045 0 0 45029*** 5.900 0 0 45081*** 3.254.567 0 0 45081*** 40.022 0 0 45088*** 7.765.559 0 0 45120*** 194.468 0 0 45128*** 15.400 0 0 45128*** 299.000 0 0 45128*** 105.700 0 0 45128*** 60.100 0 0 45226*** 2.286.983 0 0 45245*** 150.700 0 0 45245*** 336.547 0 0 45261*** 8.786 0 0 45322*** 5.884.060 0 0 45512*** 4.500 0 0 45560*** 4.083.931 0 0 45605*** 0 64.500 0 26 de 34 # Classificação: Pública Shareholder For Against Abstain CNPJ: 00.001.180/0001-26AXIA Energia - EGM 12/19/2025 DETAILED FINAL VOTING MAP 2. Creation of a new class of preferred shares, class B1 (PNB1), registered, book-entry and with no par value, with the same rights, preferences and privileges as the currently existing class B preferred shares (PNB), plus the right to sell in a public tender offer (OPA) resulting from the sale of control, in order to ensure equal treatment to that afforded to the selling shareholder, and without the need for approval at a special meeting of preferred shareholders. 45622*** 15.000 0 0 45682*** 2.227 0 0 45682*** 3.700 0 0 45682*** 3.100 0 0 45687*** 3.400 0 0 45756*** 415.800 0 0 45859*** 3.300 0 0 45971*** 49.469 0 0 46130*** 29.152 0 0 46134*** 647.883 0 0 46171*** 120.400 0 0 46339*** 230.095 0 0 46375*** 226.924 0 0 46390*** 5 0 0 46438*** 284 0 0 46595*** 60.719 0 0 46732*** 8.100 0 0 46909*** 363.014 0 0 46964*** 219.280 0 0 46964*** 1.579.000 0 0 46964*** 93.142 0 0 46964*** 567.400 0 0 46965*** 114.700 0 0 46981*** 1.496.233 0 0 46981*** 534.131 0 0 46981*** 247.440 0 0 46981*** 1.054.538 0 0 47036*** 3.694.170 0 0 47036*** 11.800 0 0 47228*** 22.700 0 0 47352*** 90.100 0 0 47545*** 2.800 0 0 47794*** 1.900 0 0 47848*** 182.235 0 0 47848*** 7.953.700 0 0 27 de 34 # Classificação: Pública Shareholder For Against Abstain CNPJ: 00.001.180/0001-26AXIA Energia - EGM 12/19/2025 DETAILED FINAL VOTING MAP 2. Creation of a new class of preferred shares, class B1 (PNB1), registered, book-entry and with no par value, with the same rights, preferences and privileges as the currently existing class B preferred shares (PNB), plus the right to sell in a public tender offer (OPA) resulting from the sale of control, in order to ensure equal treatment to that afforded to the selling shareholder, and without the need for approval at a special meeting of preferred shareholders. 47954*** 997.100 0 0 48021*** 6.000 0 0 48123*** 0 23.077 0 48138*** 331.666 0 0 48329*** 70.500 0 0 48331*** 206.182 0 0 48373*** 48.920 0 0 48400*** 428 0 0 48429*** 13.800 0 0 48490*** 0 0 338 48643*** 18.791 0 0 48643*** 71.696 0 0 48650*** 36.699 0 0 48766*** 600 0 0 48820*** 19.276 0 0 48878*** 76.100 0 0 48927*** 6.000 0 0 48977*** 9.474 0 0 48978*** 7.551 0 0 49144*** 176 0 0 49202*** 61.768 0 0 49256*** 5.400 0 0 49266*** 51.000 0 0 49331*** 24.380 0 0 49444*** 69.973 0 0 49485*** 6.188.837 0 0 49632*** 35.698 0 0 49766*** 0 0 1.364.882 49839*** 975.800 0 0 49927*** 558.400 0 0 49947*** 300 0 0 50072*** 7.900 0 0 50091*** 2.541 0 0 50653*** 10.471 0 0 50717*** 192.368 0 0 28 de 34 # Classificação: Pública Shareholder For Against Abstain CNPJ: 00.001.180/0001-26AXIA Energia - EGM 12/19/2025 DETAILED FINAL VOTING MAP 2. Creation of a new class of preferred shares, class B1 (PNB1), registered, book-entry and with no par value, with the same rights, preferences and privileges as the currently existing class B preferred shares (PNB), plus the right to sell in a public tender offer (OPA) resulting from the sale of control, in order to ensure equal treatment to that afforded to the selling shareholder, and without the need for approval at a special meeting of preferred shareholders. 50856*** 67.500 0 0 50958*** 25.900 0 0 51116*** 393.656 0 0 51116*** 9.600 0 0 51360*** 108.000 0 0 51473*** 3.000 0 0 51487*** 44.643 0 0 51490*** 0 0 200 51614*** 71 0 0 51817*** 23.503 0 0 51888*** 0 13.100 0 51990*** 997.693 0 0 52025*** 148.306 0 0 52070*** 90.731 0 0 52080*** 51.300 0 0 52083*** 40.718 0 0 52085*** 1.260.946 0 0 52182*** 79.900 0 0 52188*** 13.832 0 0 52203*** 6.778 0 0 52647*** 382.259 0 0 52694*** 320.153 0 0 52698*** 41.176 0 0 52800*** 17.473 0 0 52901*** 7.141 0 0 52950*** 1.584 0 0 53176*** 12.177 0 0 53304*** 2 0 0 53425*** 0 0 0 53529*** 0 0 238 53599*** 874.700 0 0 53780*** 39.870 0 0 53826*** 2.600 0 0 53829*** 1.300 0 0 53861*** 66.023 0 0 29 de 34 # Classificação: Pública Shareholder For Against Abstain CNPJ: 00.001.180/0001-26AXIA Energia - EGM 12/19/2025 DETAILED FINAL VOTING MAP 2. Creation of a new class of preferred shares, class B1 (PNB1), registered, book-entry and with no par value, with the same rights, preferences and privileges as the currently existing class B preferred shares (PNB), plus the right to sell in a public tender offer (OPA) resulting from the sale of control, in order to ensure equal treatment to that afforded to the selling shareholder, and without the need for approval at a special meeting of preferred shareholders. 54026*** 15.205 0 0 54069*** 755 0 0 54198*** 43.496 0 0 54250*** 43.400 0 0 54368*** 1.990 0 0 54398*** 31.592 0 0 54423*** 143.706 0 0 54584*** 1.000 0 0 54603*** 3.455 0 0 54620*** 4.669 0 0 54637*** 0 0 2.000 54784*** 8.340 0 0 54792*** 866.200 0 0 54792*** 27.300 0 0 55053*** 3.008 0 0 55105*** 3.085.892 0 0 55240*** 4.800 0 0 55315*** 4.200 0 0 55483*** 66.300 0 0 55522*** 28.272 0 0 55690*** 20.969 0 0 55751*** 1.057 0 0 55893*** 36.900 0 0 55894*** 0 20.265 0 55912*** 800 0 0 55989*** 0 19.664 0 56007*** 38.937 0 0 56029*** 15.751 0 0 56091*** 12.770 0 0 56141*** 55.146 0 0 56155*** 16.300 0 0 56208*** 124.284 0 0 56211*** 3.031 0 0 56367*** 19.000 0 0 56504*** 3.700 0 0 30 de 34 # Classificação: Pública Shareholder For Against Abstain CNPJ: 00.001.180/0001-26AXIA Energia - EGM 12/19/2025 DETAILED FINAL VOTING MAP 2. Creation of a new class of preferred shares, class B1 (PNB1), registered, book-entry and with no par value, with the same rights, preferences and privileges as the currently existing class B preferred shares (PNB), plus the right to sell in a public tender offer (OPA) resulting from the sale of control, in order to ensure equal treatment to that afforded to the selling shareholder, and without the need for approval at a special meeting of preferred shareholders. 56576*** 0 0 5 56625*** 200 0 0 56704*** 58.979 0 0 56707*** 49.745 0 0 56951*** 81.600 0 0 57091*** 17.477 0 0 57343*** 203.243 0 0 57537*** 6.879 0 0 57848*** 4.554 0 0 57979*** 149.800 0 0 58175*** 41.800 0 0 58270*** 16.516 0 0 58489*** 201.700 0 0 58734*** 7 0 0 58901*** 14.579 0 0 58947*** 5.100 0 0 59051*** 47.200 0 0 59141*** 22.111 0 0 59307*** 138.543 0 0 59666*** 27.807 0 0 59767*** 194.700 0 0 59790*** 7.989 0 0 59840*** 33.400 0 0 60060*** 14.300 0 0 60328*** 59.873 0 0 60347*** 112.584 0 0 60746*** 2.094.364 0 0 61148*** 181 0 0 61397*** 100 0 0 61596*** 22.370 0 0 61664*** 42.536 0 0 61684*** 2.457.532 0 0 61684*** 5.420.200 0 0 61838*** 1.500 0 0 61988*** 13.233 0 0 31 de 34 # Classificação: Pública Shareholder For Against Abstain CNPJ: 00.001.180/0001-26AXIA Energia - EGM 12/19/2025 DETAILED FINAL VOTING MAP 2. Creation of a new class of preferred shares, class B1 (PNB1), registered, book-entry and with no par value, with the same rights, preferences and privileges as the currently existing class B preferred shares (PNB), plus the right to sell in a public tender offer (OPA) resulting from the sale of control, in order to ensure equal treatment to that afforded to the selling shareholder, and without the need for approval at a special meeting of preferred shareholders. 62569*** 4.957 0 0 62673*** 22.800 0 0 62673*** 72.700 0 0 62673*** 1.200 0 0 62913*** 29.220 0 0 63114*** 33.420 0 0 63135*** 14.100 0 0 63135*** 3.500 0 0 63291*** 32.499 0 0 63360*** 42.558 0 0 64491*** 316 0 0 66547*** 1.300 0 0 66744*** 192.519 0 0 67327*** 0 0 5 68559*** 3.840 0 0 69851*** 400 0 0 71861*** 1 0 0 73447*** 1.200 0 0 73933*** 10 0 0 74843*** 0 0 40 74927*** 580 0 0 76297*** 0 595 0 76908*** 21 0 0 77605*** 17.607 0 0 79238*** 0 256 0 79246*** 30.000 0 0 79720*** 200 0 0 80005*** 8 0 0 80663*** 24 0 0 83699*** 0 0 28 84876*** 0 0 120 85751*** 115 0 0 85751*** 300 0 0 85989*** 100 0 0 87737*** 103 0 0 32 de 34 # Classificação: Pública Shareholder For Against Abstain CNPJ: 00.001.180/0001-26AXIA Energia - EGM 12/19/2025 DETAILED FINAL VOTING MAP 2. Creation of a new class of preferred shares, class B1 (PNB1), registered, book-entry and with no par value, with the same rights, preferences and privileges as the currently existing class B preferred shares (PNB), plus the right to sell in a public tender offer (OPA) resulting from the sale of control, in order to ensure equal treatment to that afforded to the selling shareholder, and without the need for approval at a special meeting of preferred shareholders. 88440*** 0 0 100 88962*** 0 0 12 89351*** 20 0 0 90243*** 0 20 0 90372*** 0 0 13 91890*** 20 0 0 91927*** 0 0 0 92273*** 15 0 0 92693*** 129.020 0 0 93577*** 200 0 0 93902*** 50 0 0 95687*** 0 0 1.000 97538*** 4.851.698 0 0 97538*** 49.089 0 0 97539*** 917.301 0 0 97539*** 22.778 0 0 97539*** 37.074 0 0 97539*** 19.345 0 0 97539*** 3.732.105 0 0 97539*** 4.800 0 0 97539*** 0 28.674 0 97539*** 0 31.200 0 97539*** 735.721 0 0 97539*** 42.800 0 0 97539*** 5.199.319 0 0 97539*** 2.389.760 0 0 97539*** 1.543.110 0 0 97539*** 3.445.396 0 0 97539*** 392.626 0 0 97539*** 996.896 0 0 97539*** 2.066.321 0 0 97539*** 197.838 0 0 97539*** 144.600 0 0 97539*** 22.250 0 0 97540*** 20.600 0 0 33 de 34 # Classificação: Pública Shareholder For Against Abstain CNPJ: 00.001.180/0001-26AXIA Energia - EGM 12/19/2025 DETAILED FINAL VOTING MAP 2. Creation of a new class of preferred shares, class B1 (PNB1), registered, book-entry and with no par value, with the same rights, preferences and privileges as the currently existing class B preferred shares (PNB), plus the right to sell in a public tender offer (OPA) resulting from the sale of control, in order to ensure equal treatment to that afforded to the selling shareholder, and without the need for approval at a special meeting of preferred shareholders. 97540*** 3.753 0 0 97540*** 68.500 0 0 97540*** 104.726 0 0 97540*** 903.981 0 0 97540*** 72.665 0 0 97540*** 926.147 0 0 97540*** 1.598 0 0 97540*** 282.400 0 0 97540*** 1.796.898 0 0 97540*** 2.022.198 0 0 97540*** 10.823 0 0 97540*** 209.922 0 0 97540*** 16.335.023 0 0 98658*** 550 0 0 99169*** 100 0 0 34 de 34 # Classificação: Pública Shareholder For Against Abstain Total 818.177.405 198.181.087 34.862.397 00125*** 1.178.056 0 0 00394*** 0 190.732.084 0 00455*** 6 0 0 00560*** 4.984 0 0 00586*** 10 0 0 00601*** 31 0 0 00739*** 1.428 0 0 00805*** 20 0 0 00914*** 3 0 0 01017*** 1 0 0 01171*** 1.610 0 0 01203*** 1 0 0 01456*** 4 0 0 01496*** 161.306 0 0 01586*** 16 0 0 01643*** 66.985 0 0 01699*** 96.416 0 0 01886*** 12.945 0 0 02020*** 53.603 0 0 02097*** 5.700 0 0 02231*** 611 0 0 02231*** 8.536 0 0 02285*** 102 0 0 02524*** 250 0 0 02745*** 0 5 0 02863*** 1.125.500 0 0 02887*** 26.056 0 0 02895*** 64.700 0 0 02903*** 100 0 0 03027*** 51.786 0 0 03369*** 0 0 136 03370*** 392.332 0 0 03394*** 87.480 0 0 03394*** 7 0 0 CNPJ: 00.001.180/0001-26AXIA Energia - EGM 12/19/2025 DETAILED FINAL VOTING MAP 3. Creation of a new class of preferred shares, class R (PNR), compulsorily redeemable, without the need for approval at a special meeting of preferred shareholders, pursuant to paragraph 6 of article 44 of the Brazilian Corporate Law, registered, book-entry and with no par value. 1 de 34 # Classificação: Pública Shareholder For Against Abstain CNPJ: 00.001.180/0001-26AXIA Energia - EGM 12/19/2025 DETAILED FINAL VOTING MAP 3. Creation of a new class of preferred shares, class R (PNR), compulsorily redeemable, without the need for approval at a special meeting of preferred shareholders, pursuant to paragraph 6 of article 44 of the Brazilian Corporate Law, registered, book-entry and with no par value. 03473*** 569 0 0 03833*** 28.394 0 0 03902*** 1 0 0 03960*** 24.957 0 0 04005*** 0 50 0 04073*** 292.991 0 0 04297*** 0 3 0 04555*** 0 0 55 04605*** 0 0 200 04609*** 602 0 0 04609*** 1.300 0 0 04616*** 11.687 0 0 04672*** 5 0 0 04709*** 0 1 0 04736*** 28.890 0 0 04751*** 111.059 0 0 04847*** 4 0 0 05075*** 5 0 0 05100*** 43.978 0 0 05147*** 14.000 0 0 05303*** 0 0 1 05316*** 1.030 0 0 05435*** 3 0 0 05448*** 9.727 0 0 05479*** 1.513.900 0 0 05479*** 2.843.378 0 0 05522*** 44 0 0 05589*** 233.315 0 0 05589*** 279.983 0 0 05589*** 28.815 0 0 05719*** 27 0 0 05734*** 415 0 0 05775*** 1.759 0 0 05838*** 15.219 0 0 05839*** 96.081 0 0 2 de 34 # Classificação: Pública Shareholder For Against Abstain CNPJ: 00.001.180/0001-26AXIA Energia - EGM 12/19/2025 DETAILED FINAL VOTING MAP 3. Creation of a new class of preferred shares, class R (PNR), compulsorily redeemable, without the need for approval at a special meeting of preferred shareholders, pursuant to paragraph 6 of article 44 of the Brazilian Corporate Law, registered, book-entry and with no par value. 05839*** 189.258 0 0 05839*** 718.804 0 0 05839*** 724 0 0 05839*** 775.653 0 0 05839*** 15.200 0 0 05839*** 9.200 0 0 05839*** 803.800 0 0 05839*** 158.291 0 0 05839*** 15.718 0 0 05839*** 0 1.111.508 0 05839*** 4.619.084 0 0 05839*** 226.872 0 0 05839*** 51.889 0 0 05840*** 188.253 0 0 05840*** 10.000 0 0 05840*** 32.547 0 0 05840*** 804.990 0 0 05840*** 4.858.301 0 0 05840*** 477.000 0 0 05840*** 2.199.143 0 0 05872*** 79.961 0 0 05901*** 1 0 0 05986*** 1.881.495 0 0 05986*** 2.673.143 0 0 05986*** 24.100 0 0 05986*** 2.155 0 0 05987*** 147.900 0 0 05987*** 129.553 0 0 05987*** 11.827 0 0 05987*** 2.020.100 0 0 05987*** 1.602.500 0 0 05987*** 5 0 0 05987*** 199.465 0 0 05987*** 13.400 0 0 05987*** 0 428.300 0 3 de 34 # Classificação: Pública Shareholder For Against Abstain CNPJ: 00.001.180/0001-26AXIA Energia - EGM 12/19/2025 DETAILED FINAL VOTING MAP 3. Creation of a new class of preferred shares, class R (PNR), compulsorily redeemable, without the need for approval at a special meeting of preferred shareholders, pursuant to paragraph 6 of article 44 of the Brazilian Corporate Law, registered, book-entry and with no par value. 05987*** 24.749 0 0 05987*** 188.737 0 0 05987*** 2.862.252 0 0 05987*** 481.572 0 0 05987*** 1.758.400 0 0 06046*** 1.594.573 0 0 06069*** 5.615 0 0 06105*** 10.100 0 0 06134*** 0 108.329 0 06148*** 76.771 0 0 06224*** 6.811 0 0 06239*** 174.268 0 0 06239*** 455.200 0 0 06251*** 9.995 0 0 06318*** 0 0 1 06323*** 530.363 0 0 06370*** 3 0 0 06406*** 0 0 100.000 06491*** 35 0 0 06541*** 284.989 0 0 06571*** 130 0 0 06613*** 77.676 0 0 06832*** 0 23 0 06916*** 622.500 0 0 06943*** 137.641 0 0 06943*** 589.073 0 0 06943*** 922.665 0 0 06949*** 0 0 10 06964*** 298.476 0 0 07023*** 0 0 100 07060*** 239.200 0 0 07086*** 1.000 0 0 07096*** 51.672 0 0 07140*** 0 859.100 0 07140*** 19.426 0 0 4 de 34 # Classificação: Pública Shareholder For Against Abstain CNPJ: 00.001.180/0001-26AXIA Energia - EGM 12/19/2025 DETAILED FINAL VOTING MAP 3. Creation of a new class of preferred shares, class R (PNR), compulsorily redeemable, without the need for approval at a special meeting of preferred shareholders, pursuant to paragraph 6 of article 44 of the Brazilian Corporate Law, registered, book-entry and with no par value. 07140*** 1.219 0 0 07140*** 26.098 0 0 07187*** 16.269 0 0 07187*** 713 0 0 07191*** 0 857.000 0 07191*** 85.700 0 0 07191*** 105.335 0 0 07226*** 4 0 0 07237*** 589.417 0 0 07237*** 33.388 0 0 07247*** 296.000 0 0 07247*** 164.564 0 0 07247*** 247.800 0 0 07267*** 140 0 0 07299*** 100 0 0 07333*** 249.390 0 0 07345*** 2.648 0 0 07345*** 10.300 0 0 07345*** 28.600 0 0 07376*** 123.348 0 0 07418*** 42.847 0 0 07418*** 1.247.100 0 0 07418*** 1.210.226 0 0 07463*** 0 0 4 07488*** 319.556 0 0 07496*** 1.568.008 0 0 07496*** 2.200 0 0 07496*** 60.415 0 0 07496*** 133.589 0 0 07506*** 4.230.427 0 0 07515*** 60 0 0 07516*** 10.567.600 0 0 07516*** 917.500 0 0 07516*** 35.520 0 0 07516*** 1.041.400 0 0 5 de 34 # Classificação: Pública Shareholder For Against Abstain CNPJ: 00.001.180/0001-26AXIA Energia - EGM 12/19/2025 DETAILED FINAL VOTING MAP 3. Creation of a new class of preferred shares, class R (PNR), compulsorily redeemable, without the need for approval at a special meeting of preferred shareholders, pursuant to paragraph 6 of article 44 of the Brazilian Corporate Law, registered, book-entry and with no par value. 07518*** 84.779 0 0 07521*** 158.999 0 0 07526*** 19.300 0 0 07529*** 0 128.800 0 07536*** 103.618 0 0 07551*** 7.900 0 0 07593*** 179.470 0 0 07622*** 4.475.736 0 0 07647*** 78.500 0 0 07655*** 864.956 0 0 07655*** 10.800 0 0 07667*** 4.648 0 0 07670*** 0 10.600 0 07670*** 1.650.000 0 0 07686*** 7.021 0 0 07724*** 211.324 0 0 07790*** 0 14.800 0 07792*** 357.630 0 0 07820*** 2.200 0 0 07846*** 69.100 0 0 07889*** 44.041 0 0 07940*** 280.700 0 0 07942*** 530.100 0 0 07967*** 133.248 0 0 07990*** 42.700 0 0 08052*** 100 0 0 08120*** 0 0 383 08154*** 5.377 0 0 08196*** 81.823.300 0 0 08265*** 225.800 0 0 08268*** 3.800 0 0 08279*** 318.109 0 0 08295*** 18.073.978 0 0 08295*** 3.890.485 0 0 08295*** 93.002 0 0 6 de 34 # Classificação: Pública Shareholder For Against Abstain CNPJ: 00.001.180/0001-26AXIA Energia - EGM 12/19/2025 DETAILED FINAL VOTING MAP 3. Creation of a new class of preferred shares, class R (PNR), compulsorily redeemable, without the need for approval at a special meeting of preferred shareholders, pursuant to paragraph 6 of article 44 of the Brazilian Corporate Law, registered, book-entry and with no par value. 08387*** 103.219 0 0 08434*** 43.600 0 0 08464*** 3.983.344 0 0 08471*** 53.618 0 0 08561*** 940.780 0 0 08571*** 3.397 0 0 08579*** 339.986 0 0 08621*** 820.400 0 0 08623*** 1.710 0 0 08640*** 52.400 0 0 08757*** 52.296 0 0 08765*** 94.255.061 0 0 08840*** 9.118.176 0 0 08857*** 893.791 0 0 08875*** 26.085 0 0 08875*** 39.000 0 0 08900*** 1.800 0 0 08910*** 0 0 23 08913*** 1.453 0 0 08935*** 18.483.007 0 0 08945*** 0 137.277 0 08973*** 90.286 0 0 08973*** 84.130 0 0 08988*** 90.399 0 0 09005*** 171 0 0 09029*** 95.000 0 0 09048*** 164.633 0 0 09048*** 42.509 0 0 09063*** 550.962 0 0 09064*** 1 0 0 09073*** 366.269 0 0 09089*** 470.660 0 0 09089*** 20.525 0 0 09094*** 86.200 0 0 09144*** 7 0 0 7 de 34 # Classificação: Pública Shareholder For Against Abstain CNPJ: 00.001.180/0001-26AXIA Energia - EGM 12/19/2025 DETAILED FINAL VOTING MAP 3. Creation of a new class of preferred shares, class R (PNR), compulsorily redeemable, without the need for approval at a special meeting of preferred shareholders, pursuant to paragraph 6 of article 44 of the Brazilian Corporate Law, registered, book-entry and with no par value. 09145*** 13.516.396 0 0 09163*** 0 972.837 0 09241*** 20 0 0 09286*** 42.968 0 0 09294*** 230.978 0 0 09299*** 1.005.021 0 0 09323*** 25.786 0 0 09323*** 408.777 0 0 09330*** 114.300 0 0 09336*** 117.000 0 0 09411*** 0 36.133 0 09441*** 106.368 0 0 09470*** 270.100 0 0 09470*** 130.741 0 0 09559*** 823.023 0 0 09564*** 269.814 0 0 09567*** 147.940 0 0 09593*** 765.198 0 0 09620*** 372.512 0 0 09627*** 41.300 0 0 09701*** 220 0 0 09720*** 4.359.575 0 0 09838*** 20 0 0 10110*** 0 0 0 10205*** 1.098 0 0 10214*** 40.966 0 0 10243*** 45.400 0 0 10263*** 60.424 0 0 10263*** 335.431 0 0 10263*** 169.600 0 0 10307*** 0 500 0 10324*** 0 729.020 0 10392*** 311 0 0 10400*** 48.700 0 0 10418*** 47.304 0 0 8 de 34 # Classificação: Pública Shareholder For Against Abstain CNPJ: 00.001.180/0001-26AXIA Energia - EGM 12/19/2025 DETAILED FINAL VOTING MAP 3. Creation of a new class of preferred shares, class R (PNR), compulsorily redeemable, without the need for approval at a special meeting of preferred shareholders, pursuant to paragraph 6 of article 44 of the Brazilian Corporate Law, registered, book-entry and with no par value. 10419*** 121.500 0 0 10481*** 6.385.100 0 0 10486*** 0 0 20 10492*** 225.108 0 0 10553*** 1.933.500 0 0 10554*** 24 0 0 10561*** 4.400 0 0 10569*** 91.542 0 0 10583*** 342.676 0 0 10596*** 2.537 0 0 10672*** 28.600 0 0 10678*** 145.406 0 0 10762*** 18.300 0 0 10765*** 14.889.875 0 0 10809*** 451.926 0 0 10840*** 0 1 0 11030*** 2.221.230 0 0 11046*** 0 869.344 0 11047*** 10.000 0 0 11100*** 1.373.626 0 0 11175*** 0 1.000 0 11184*** 10.637 0 0 11184*** 2.478.365 0 0 11188*** 13.734.739 0 0 11225*** 316.909 0 0 11311*** 564.121 0 0 11324*** 7.583 0 0 11324*** 30.286 0 0 11390*** 64.400 0 0 11403*** 1.338.015 0 0 11423*** 70.266 0 0 11435*** 0 30.154 0 11451*** 10.713 0 0 11520*** 47.400 0 0 11538*** 371.390 0 0 9 de 34 # Classificação: Pública Shareholder For Against Abstain CNPJ: 00.001.180/0001-26AXIA Energia - EGM 12/19/2025 DETAILED FINAL VOTING MAP 3. Creation of a new class of preferred shares, class R (PNR), compulsorily redeemable, without the need for approval at a special meeting of preferred shareholders, pursuant to paragraph 6 of article 44 of the Brazilian Corporate Law, registered, book-entry and with no par value. 11604*** 360.492 0 0 11729*** 107.780 0 0 11738*** 250 0 0 11748*** 429.545 0 0 11811*** 30.900 0 0 11841*** 246.000 0 0 11906*** 151.616 0 0 11952*** 278.000 0 0 11977*** 189.006 0 0 12068*** 1.035.445 0 0 12086*** 19.807 0 0 12086*** 0 0 9 12094*** 460.415 0 0 12120*** 132.000 0 0 12287*** 19.832 0 0 12456*** 0 3 0 12518*** 8 0 0 12525*** 55.857 0 0 12938*** 149.500 0 0 12984*** 4.024 0 0 12984*** 18.461 0 0 12995*** 20 0 0 13022*** 8.606 0 0 13033*** 2.080 0 0 13066*** 302.163 0 0 13081*** 69.000 0 0 13281*** 22 0 0 13294*** 124.722 0 0 13296*** 40.202 0 0 13307*** 205.200 0 0 13343*** 311.700 0 0 13362*** 476.877 0 0 13402*** 280.900 0 0 13474*** 700 0 0 13521*** 220 0 0 10 de 34 # Classificação: Pública Shareholder For Against Abstain CNPJ: 00.001.180/0001-26AXIA Energia - EGM 12/19/2025 DETAILED FINAL VOTING MAP 3. Creation of a new class of preferred shares, class R (PNR), compulsorily redeemable, without the need for approval at a special meeting of preferred shareholders, pursuant to paragraph 6 of article 44 of the Brazilian Corporate Law, registered, book-entry and with no par value. 13562*** 37.000 0 0 13562*** 548.300 0 0 13665*** 138.000 0 0 13725*** 84.512 0 0 13796*** 90.793 0 0 13834*** 233.763 0 0 13834*** 381.977 0 0 13909*** 167.488 0 0 13998*** 4.060 0 0 14012*** 1.407.965 0 0 14027*** 567.280 0 0 14138*** 920.375 0 0 14159*** 3 0 0 14180*** 368.100 0 0 14188*** 76.287 0 0 14220*** 11.200 0 0 14240*** 23.800 0 0 14366*** 28.010 0 0 14406*** 0 200 0 14416*** 326.295 0 0 14461*** 73.600 0 0 14476*** 131.958 0 0 14494*** 22.433 0 0 14507*** 735.071 0 0 14541*** 1.531.341 0 0 14549*** 25.453 0 0 14623*** 1.120.542 0 0 14623*** 184.100 0 0 14624*** 1.530.000 0 0 14628*** 17.094 0 0 14639*** 200.200 0 0 14791*** 47.100 0 0 14809*** 207.700 0 0 14879*** 12.400 0 0 14963*** 287.800 0 0 11 de 34 # Classificação: Pública Shareholder For Against Abstain CNPJ: 00.001.180/0001-26AXIA Energia - EGM 12/19/2025 DETAILED FINAL VOTING MAP 3. Creation of a new class of preferred shares, class R (PNR), compulsorily redeemable, without the need for approval at a special meeting of preferred shareholders, pursuant to paragraph 6 of article 44 of the Brazilian Corporate Law, registered, book-entry and with no par value. 14988*** 710.784 0 0 15011*** 2 0 0 15036*** 0 0 85 15154*** 340.800 0 0 15265*** 177.240 0 0 15265*** 2.300 0 0 15323*** 34.929 0 0 15807*** 168.286 0 0 15816*** 2.609 0 0 16575*** 257.846 0 0 16617*** 37.100 0 0 16816*** 1.487.180 0 0 16816*** 1.355.134 0 0 16878*** 22.500 0 0 16939*** 728.084 0 0 16947*** 483.067 0 0 16947*** 5.856.571 0 0 16947*** 11.960.862 0 0 16947*** 1.630.350 0 0 17009*** 337.765 0 0 17021*** 47.483 0 0 17036*** 229.156 0 0 17138*** 7.891 0 0 17162*** 839.967 0 0 17284*** 475.000 0 0 17488*** 5.101 0 0 17500*** 13.991 0 0 17500*** 10.350 0 0 17578*** 0 5 0 17647*** 50.550 0 0 17718*** 376.076 0 0 17825*** 13.124 0 0 17891*** 258.489 0 0 17934*** 74.887 0 0 18030*** 22.616 0 0 12 de 34 # Classificação: Pública Shareholder For Against Abstain CNPJ: 00.001.180/0001-26AXIA Energia - EGM 12/19/2025 DETAILED FINAL VOTING MAP 3. Creation of a new class of preferred shares, class R (PNR), compulsorily redeemable, without the need for approval at a special meeting of preferred shareholders, pursuant to paragraph 6 of article 44 of the Brazilian Corporate Law, registered, book-entry and with no par value. 18138*** 2.462.000 0 0 18138*** 74.212 0 0 18158*** 593.095 0 0 18324*** 1.366.500 0 0 18391*** 13.353 0 0 18407*** 1.411.157 0 0 18470*** 271.897 0 0 18485*** 0 0 1.395 18550*** 1.066.800 0 0 18830*** 13.959 0 0 18858*** 95.400 0 0 18961*** 37.533 0 0 18969*** 16.708 0 0 18981*** 1.630 0 0 19100*** 23.865 0 0 19135*** 5.301 0 0 19143*** 1.955.911 0 0 19184*** 296.600 0 0 19232*** 5 0 0 19244*** 1.573.617 0 0 19318*** 5.200 0 0 19388*** 310.634 0 0 19449*** 7.888 0 0 19477*** 71 0 0 19530*** 1.198.949 0 0 19573*** 8.556 0 0 19609*** 696.300 0 0 19675*** 173.816 0 0 19708*** 164.080 0 0 19754*** 398.161 0 0 19791*** 170.700 0 0 19791*** 861.100 0 0 19800*** 18.986 0 0 19808*** 295.677 0 0 19825*** 4.200 0 0 13 de 34 # Classificação: Pública Shareholder For Against Abstain CNPJ: 00.001.180/0001-26AXIA Energia - EGM 12/19/2025 DETAILED FINAL VOTING MAP 3. Creation of a new class of preferred shares, class R (PNR), compulsorily redeemable, without the need for approval at a special meeting of preferred shareholders, pursuant to paragraph 6 of article 44 of the Brazilian Corporate Law, registered, book-entry and with no par value. 19874*** 302.100 0 0 19874*** 117.200 0 0 19874*** 0 186.268 0 19910*** 35.990 0 0 19919*** 1.446.617 0 0 20026*** 2.693 0 0 20065*** 440.327 0 0 20147*** 290.246 0 0 20216*** 0 0 0 20349*** 74.118 0 0 20384*** 0 15.000 0 20397*** 152.369 0 0 20447*** 17.692 0 0 20604*** 164.611 0 0 20622*** 380.219 0 0 20733*** 227.900 0 0 20750*** 34.379 0 0 20796*** 75.932 0 0 20813*** 2.076.953 0 0 20849*** 29.927 0 0 20903*** 13.400 0 0 20923*** 11.945 0 0 21052*** 293.708 0 0 21053*** 300 0 0 21144*** 18.170 0 0 21166*** 5.413 0 0 21287*** 37.771 0 0 21336*** 9.070 0 0 21347*** 11.902 0 0 21407*** 2.026.972 0 0 21881*** 40.900 0 0 21962*** 166.796 0 0 22105*** 203.400 0 0 22106*** 568.043 0 0 22166*** 28.698 0 0 14 de 34 # Classificação: Pública Shareholder For Against Abstain CNPJ: 00.001.180/0001-26AXIA Energia - EGM 12/19/2025 DETAILED FINAL VOTING MAP 3. Creation of a new class of preferred shares, class R (PNR), compulsorily redeemable, without the need for approval at a special meeting of preferred shareholders, pursuant to paragraph 6 of article 44 of the Brazilian Corporate Law, registered, book-entry and with no par value. 22321*** 121.546 0 0 22360*** 4.629 0 0 22410*** 435.030 0 0 22501*** 6.182 0 0 22576*** 542.300 0 0 22648*** 10 0 0 22764*** 440.460 0 0 22764*** 226 0 0 22875*** 151.938 0 0 22896*** 73.257 0 0 23060*** 74.214 0 0 23127*** 271.156 0 0 23213*** 0 50.171 0 23213*** 0 58.500 0 23242*** 23.600 0 0 23572*** 0 59.861 0 23686*** 93.251 0 0 23691*** 0 0 441 23771*** 14.912 0 0 23794*** 790.682 0 0 23794*** 1.021.782 0 0 23854*** 1.398.723 0 0 23874*** 687.297 0 0 23958*** 160.400 0 0 23985*** 294.900 0 0 23985*** 13.275 0 0 24078*** 167.702 0 0 24158*** 259.968 0 0 24224*** 102.833 0 0 24297*** 6.072 0 0 24300*** 9.744 0 0 24548*** 1.100 0 0 24569*** 10.853 0 0 24676*** 429.300 0 0 24728*** 9.000 0 0 15 de 34 # Classificação: Pública Shareholder For Against Abstain CNPJ: 00.001.180/0001-26AXIA Energia - EGM 12/19/2025 DETAILED FINAL VOTING MAP 3. Creation of a new class of preferred shares, class R (PNR), compulsorily redeemable, without the need for approval at a special meeting of preferred shareholders, pursuant to paragraph 6 of article 44 of the Brazilian Corporate Law, registered, book-entry and with no par value. 24752*** 63.400 0 0 24779*** 562.064 0 0 24976*** 5.020 0 0 25019*** 15.433 0 0 25028*** 39.584 0 0 25079*** 23.610 0 0 25134*** 0 0 400 25138*** 265.200 0 0 25169*** 7.586.634 0 0 25220*** 11.600 0 0 25232*** 412.400 0 0 25282*** 4.100 0 0 25454*** 509.300 0 0 25485*** 217 0 0 25612*** 21 0 0 26066*** 96.100 0 0 26087*** 338.300 0 0 26142*** 9.630 0 0 26160*** 150.526 0 0 26294*** 8 0 0 26311*** 99.855 0 0 26431*** 490.824 0 0 26496*** 2.600 0 0 26565*** 163.000 0 0 26670*** 99.900 0 0 26729*** 40.262.449 0 0 26773*** 5.024 0 0 26776*** 277.512 0 0 26784*** 155 0 0 26784*** 33.267 0 0 26784*** 6.400 0 0 26855*** 15.357 0 0 26855*** 102.747 0 0 26859*** 87.312 0 0 26859*** 6.853 0 0 16 de 34 # Classificação: Pública Shareholder For Against Abstain CNPJ: 00.001.180/0001-26AXIA Energia - EGM 12/19/2025 DETAILED FINAL VOTING MAP 3. Creation of a new class of preferred shares, class R (PNR), compulsorily redeemable, without the need for approval at a special meeting of preferred shareholders, pursuant to paragraph 6 of article 44 of the Brazilian Corporate Law, registered, book-entry and with no par value. 26859*** 16.768 0 0 27074*** 10.636 0 0 27084*** 88.000 0 0 27109*** 3.877.282 0 0 27150*** 16 0 0 27213*** 0 0 50 27222*** 13.343 0 0 27249*** 23.392 0 0 27257*** 1.873.581 0 0 27311*** 8.586 0 0 27328*** 1.800 0 0 27484*** 204.786 0 0 27550*** 232.468 0 0 27642*** 0 32 0 27683*** 3 0 0 27714*** 2.233.483 0 0 27714*** 93.926 0 0 27778*** 12.500 0 0 27826*** 30.476 0 0 27844*** 1.880 0 0 27866*** 1.274.077 0 0 27866*** 139.539 0 0 27866*** 5.120.829 0 0 27866*** 1.751.954 0 0 27866*** 116.882 0 0 27880*** 134.667 0 0 27932*** 55.200 0 0 27995*** 0 0 42 28031*** 17 0 0 28072*** 61.816 0 0 28260*** 13.932.249 0 0 28271*** 7.300 0 0 28328*** 12.700 0 0 28394*** 186.900 0 0 28470*** 759.985 0 0 17 de 34 # Classificação: Pública Shareholder For Against Abstain CNPJ: 00.001.180/0001-26AXIA Energia - EGM 12/19/2025 DETAILED FINAL VOTING MAP 3. Creation of a new class of preferred shares, class R (PNR), compulsorily redeemable, without the need for approval at a special meeting of preferred shareholders, pursuant to paragraph 6 of article 44 of the Brazilian Corporate Law, registered, book-entry and with no par value. 28581*** 79.895 0 0 28586*** 127.443 0 0 28690*** 3.400 0 0 28703*** 38.502 0 0 28734*** 1.395.900 0 0 28769*** 200 0 0 28784*** 74.697 0 0 28979*** 2.700 0 0 28979*** 485.443 0 0 28990*** 767.600 0 0 29011*** 9.430 0 0 29073*** 120.195 0 0 29085*** 8.559 0 0 29092*** 6.800 0 0 29213*** 0 0 20 29237*** 0 384 0 29237*** 158.900 0 0 29258*** 150.641 0 0 29259*** 1.478 0 0 29275*** 70 0 0 29275*** 22.443 0 0 29322*** 15.371.463 0 0 29361*** 348.600 0 0 29485*** 333.306 0 0 29522*** 0 28.000 0 29550*** 18.300 0 0 29592*** 67 0 0 29668*** 3.412.439 0 0 29733*** 4.996 0 0 30066*** 28.386 0 0 30178*** 13.300 0 0 30254*** 132.880 0 0 30254*** 74.123 0 0 30402*** 3.079.873 0 0 30447*** 202.100 0 0 18 de 34 # Classificação: Pública Shareholder For Against Abstain CNPJ: 00.001.180/0001-26AXIA Energia - EGM 12/19/2025 DETAILED FINAL VOTING MAP 3. Creation of a new class of preferred shares, class R (PNR), compulsorily redeemable, without the need for approval at a special meeting of preferred shareholders, pursuant to paragraph 6 of article 44 of the Brazilian Corporate Law, registered, book-entry and with no par value. 30463*** 90.200 0 0 30515*** 14.056 0 0 30522*** 38.589 0 0 30556*** 4.002 0 0 30624*** 9.325 0 0 30769*** 426.500 0 0 30769*** 53.187 0 0 30942*** 158.500 0 0 30988*** 1.918.400 0 0 31006*** 100 0 0 31050*** 209.351 0 0 31322*** 3.610.476 0 0 31322*** 0 200.000 0 31502*** 8.874.319 0 0 31577*** 72.000 0 0 31577*** 344.876 0 0 31591*** 8.371 0 0 31615*** 0 400 0 31666*** 40.572 0 0 31692*** 299.000 0 0 31697*** 0 0 1 31814*** 2.543.463 0 0 31814*** 29.985 0 0 31814*** 618.532 0 0 31866*** 206.855 0 0 31914*** 3.955.286 0 0 31914*** 112.200 0 0 31923*** 51.500 0 0 31978*** 518.952 0 0 31989*** 544.424 0 0 32013*** 0 0 170 32106*** 20.980 0 0 32106*** 117.700 0 0 32106*** 632.700 0 0 32203*** 1.425.459 0 0 19 de 34 # Classificação: Pública Shareholder For Against Abstain CNPJ: 00.001.180/0001-26AXIA Energia - EGM 12/19/2025 DETAILED FINAL VOTING MAP 3. Creation of a new class of preferred shares, class R (PNR), compulsorily redeemable, without the need for approval at a special meeting of preferred shareholders, pursuant to paragraph 6 of article 44 of the Brazilian Corporate Law, registered, book-entry and with no par value. 32239*** 3.920 0 0 32240*** 5.886 0 0 32253*** 6 0 0 32289*** 18.030 0 0 32289*** 893 0 0 32319*** 17.000 0 0 32329*** 1.132.447 0 0 32399*** 131.448 0 0 32484*** 48.000 0 0 32486*** 20 0 0 32497*** 13.900 0 0 32642*** 1.400 0 0 32755*** 30 0 0 32812*** 154.936 0 0 32812*** 8.100 0 0 32812*** 10.200 0 0 32893*** 10.774 0 0 32905*** 2.583 0 0 33042*** 20.007.649 16.517 33.389.737 33121*** 14.413 0 0 33285*** 3.468 0 0 33580*** 37.452 0 0 33588*** 90.400 0 0 33745*** 11 0 0 33814*** 34.317 0 0 33814*** 81.855 0 0 33842*** 27.952 0 0 33968*** 39.400 0 0 34027*** 202.600 0 0 34037*** 0 0 28 34054*** 780.000 0 0 34064*** 758.600 0 0 34109*** 0 0 0 34123*** 24.600 0 0 34172*** 2.548.963 0 0 20 de 34 # Classificação: Pública Shareholder For Against Abstain CNPJ: 00.001.180/0001-26AXIA Energia - EGM 12/19/2025 DETAILED FINAL VOTING MAP 3. Creation of a new class of preferred shares, class R (PNR), compulsorily redeemable, without the need for approval at a special meeting of preferred shareholders, pursuant to paragraph 6 of article 44 of the Brazilian Corporate Law, registered, book-entry and with no par value. 34172*** 35.955 0 0 34218*** 3.525 0 0 34370*** 1.115 0 0 34448*** 85.700 0 0 34479*** 0 410 0 34546*** 35.100 0 0 34606*** 148.223 0 0 34723*** 1.190 0 0 34768*** 6.400 0 0 34791*** 75.763 0 0 34798*** 22.762 0 0 34825*** 14.742 0 0 34867*** 8.549 0 0 34900*** 152.347 0 0 35075*** 1.308 0 0 35088*** 2 0 0 35304*** 143.187 0 0 35376*** 10 0 0 35377*** 596 0 0 35492*** 46.000 0 0 35492*** 384.000 0 0 35495*** 76.536 0 0 35595*** 0 69.131 0 35637*** 200.749 0 0 35693*** 8.611.443 0 0 35712*** 118.145 0 0 35803*** 6.344.878 0 0 35845*** 17.870 0 0 35845*** 0 0 0 35859*** 306.197 0 0 35865*** 15.026 0 0 35916*** 57.000 0 0 35985*** 11.749 0 0 36034*** 5.400 0 0 36178*** 19.762 0 0 21 de 34 # Classificação: Pública Shareholder For Against Abstain CNPJ: 00.001.180/0001-26AXIA Energia - EGM 12/19/2025 DETAILED FINAL VOTING MAP 3. Creation of a new class of preferred shares, class R (PNR), compulsorily redeemable, without the need for approval at a special meeting of preferred shareholders, pursuant to paragraph 6 of article 44 of the Brazilian Corporate Law, registered, book-entry and with no par value. 36215*** 245.500 0 0 36327*** 1.600 0 0 36352*** 953.996 0 0 36418*** 1.030 0 0 36518*** 224.991 0 0 36659*** 3.745 0 0 36719*** 45.500 0 0 36719*** 2.507 0 0 36741*** 24.778 0 0 36822*** 0 12 0 36913*** 186 0 0 36924*** 165.500 0 0 36970*** 0 0 5 36980*** 700 0 0 37092*** 29.660 0 0 37099*** 43.200 0 0 37204*** 4.690 0 0 37228*** 11.254 0 0 37236*** 265.165 0 0 37311*** 28.611 0 0 37339*** 3.287.299 0 0 37347*** 483.043 0 0 37355*** 9.500 0 0 37388*** 54.912 0 0 37555*** 8.233 0 0 37623*** 900 0 0 37715*** 93.097 0 0 37724*** 18.859 0 0 37806*** 4.742 0 0 37837*** 45 0 0 37844*** 208.900 0 0 37905*** 0 47.900 0 38100*** 410.500 0 0 38173*** 69.236 0 0 38195*** 2.785 0 0 22 de 34 # Classificação: Pública Shareholder For Against Abstain CNPJ: 00.001.180/0001-26AXIA Energia - EGM 12/19/2025 DETAILED FINAL VOTING MAP 3. Creation of a new class of preferred shares, class R (PNR), compulsorily redeemable, without the need for approval at a special meeting of preferred shareholders, pursuant to paragraph 6 of article 44 of the Brazilian Corporate Law, registered, book-entry and with no par value. 38202*** 46 0 0 38350*** 5.212 0 0 38374*** 4 0 0 38386*** 427.657 0 0 38388*** 0 0 0 38512*** 400 0 0 38628*** 0 0 100 38756*** 548.681 0 0 38856*** 0 20 0 38949*** 11.375 0 0 39285*** 0 0 0 39383*** 66.800 0 0 39514*** 99.499 0 0 39600*** 17.140 0 0 39687*** 716.286 0 0 39834*** 9.716 0 0 39959*** 173.200 0 0 40022*** 2.463 0 0 40091*** 172.305 0 0 40122*** 2.370.230 0 0 40136*** 1.263 0 0 40147*** 2.076.169 0 0 40156*** 9.218 0 0 40209*** 109.320 0 0 40209*** 33.298 0 0 40213*** 60.000 0 0 40226*** 2.905 0 0 40226*** 135.613 0 0 40249*** 4.059 0 0 40284*** 8.531 0 0 40343*** 394.738 0 0 40428*** 6.904 0 0 40508*** 18.500 0 0 40635*** 22.848 0 0 40671*** 9.763 0 0 23 de 34 # Classificação: Pública Shareholder For Against Abstain CNPJ: 00.001.180/0001-26AXIA Energia - EGM 12/19/2025 DETAILED FINAL VOTING MAP 3. Creation of a new class of preferred shares, class R (PNR), compulsorily redeemable, without the need for approval at a special meeting of preferred shareholders, pursuant to paragraph 6 of article 44 of the Brazilian Corporate Law, registered, book-entry and with no par value. 40671*** 9.950 0 0 40738*** 114.121 0 0 40919*** 2.915 0 0 41015*** 0 50 0 41081*** 45.020 0 0 41167*** 44.700 0 0 41167*** 0 21.862 0 41215*** 9.900 0 0 41239*** 0 40.041 0 41246*** 1 0 0 41286*** 88.229 0 0 41301*** 233.464 0 0 41342*** 217.603 0 0 41562*** 703.200 0 0 41610*** 6.403 0 0 41708*** 8.400 0 0 41727*** 1.084 0 0 41853*** 775.900 0 0 41881*** 92.100 0 0 41907*** 22.769 0 0 41941*** 14.062 0 0 41956*** 39.044 0 0 41956*** 154.415 0 0 42045*** 210.700 0 0 42133*** 105.301 0 0 42264*** 141.567 0 0 42332*** 51.304 0 0 42355*** 6.596 0 0 42355*** 71.010 0 0 42389*** 224.900 0 0 42390*** 2.000 0 0 42411*** 263.400 0 0 42469*** 30.510 0 0 42479*** 20.606 0 0 42479*** 926.900 0 0 24 de 34 # Classificação: Pública Shareholder For Against Abstain CNPJ: 00.001.180/0001-26AXIA Energia - EGM 12/19/2025 DETAILED FINAL VOTING MAP 3. Creation of a new class of preferred shares, class R (PNR), compulsorily redeemable, without the need for approval at a special meeting of preferred shareholders, pursuant to paragraph 6 of article 44 of the Brazilian Corporate Law, registered, book-entry and with no par value. 42502*** 64.714 0 0 42519*** 578.953 0 0 42520*** 16.067.256 0 0 42538*** 16 0 0 42571*** 161.048 0 0 42645*** 372 0 0 42717*** 30.400 0 0 42717*** 51.300 0 0 42776*** 7.698 0 0 42777*** 77 0 0 42814*** 65.001 0 0 42865*** 17.773 0 0 42870*** 407.654 0 0 43103*** 780 0 0 43105*** 35.991 0 0 43210*** 25.222 0 0 43313*** 1.500 0 0 43427*** 1.639.944 0 0 43533*** 1.064 0 0 43533*** 20.006 0 0 43533*** 3.371 0 0 43533*** 46.708 0 0 43533*** 352.500 0 0 43533*** 174.200 0 0 43533*** 67.100 0 0 43533*** 6.502 0 0 43533*** 43.729 0 0 43584*** 5.000 0 0 43690*** 0 45.000 0 43704*** 2.338 0 0 43747*** 220 0 0 43761*** 9.704 0 0 43879*** 0 113.100 0 43907*** 25.700 0 0 43907*** 13.800 0 0 25 de 34 # Classificação: Pública Shareholder For Against Abstain CNPJ: 00.001.180/0001-26AXIA Energia - EGM 12/19/2025 DETAILED FINAL VOTING MAP 3. Creation of a new class of preferred shares, class R (PNR), compulsorily redeemable, without the need for approval at a special meeting of preferred shareholders, pursuant to paragraph 6 of article 44 of the Brazilian Corporate Law, registered, book-entry and with no par value. 43909*** 161.800 0 0 43956*** 4 0 0 44110*** 148.600 0 0 44258*** 35.226 0 0 44346*** 10.300 0 0 44360*** 4.791.521 0 0 44500*** 931.300 0 0 44544*** 9.675 0 0 44602*** 42.732 0 0 44642*** 27.800 0 0 44643*** 2.400 0 0 44692*** 536.000 0 0 44700*** 92.884 0 0 44700*** 1.147.700 0 0 44700*** 385.600 0 0 44738*** 64.277 0 0 44844*** 97.257 0 0 44934*** 1.970.045 0 0 45029*** 5.900 0 0 45081*** 3.254.567 0 0 45081*** 40.022 0 0 45088*** 7.765.559 0 0 45120*** 194.468 0 0 45128*** 15.400 0 0 45128*** 299.000 0 0 45128*** 105.700 0 0 45128*** 60.100 0 0 45226*** 2.286.983 0 0 45245*** 150.700 0 0 45245*** 336.547 0 0 45261*** 8.786 0 0 45322*** 5.884.060 0 0 45512*** 4.500 0 0 45560*** 4.083.931 0 0 45605*** 0 64.500 0 26 de 34 # Classificação: Pública Shareholder For Against Abstain CNPJ: 00.001.180/0001-26AXIA Energia - EGM 12/19/2025 DETAILED FINAL VOTING MAP 3. Creation of a new class of preferred shares, class R (PNR), compulsorily redeemable, without the need for approval at a special meeting of preferred shareholders, pursuant to paragraph 6 of article 44 of the Brazilian Corporate Law, registered, book-entry and with no par value. 45622*** 15.000 0 0 45682*** 2.227 0 0 45682*** 3.700 0 0 45682*** 3.100 0 0 45687*** 3.400 0 0 45756*** 415.800 0 0 45859*** 3.300 0 0 45971*** 49.469 0 0 46130*** 29.152 0 0 46134*** 647.883 0 0 46171*** 120.400 0 0 46339*** 230.095 0 0 46375*** 226.924 0 0 46390*** 5 0 0 46438*** 284 0 0 46595*** 60.719 0 0 46732*** 8.100 0 0 46909*** 363.014 0 0 46964*** 219.280 0 0 46964*** 1.579.000 0 0 46964*** 93.142 0 0 46964*** 567.400 0 0 46965*** 114.700 0 0 46981*** 1.496.233 0 0 46981*** 534.131 0 0 46981*** 247.440 0 0 46981*** 1.054.538 0 0 47036*** 3.694.170 0 0 47036*** 11.800 0 0 47228*** 22.700 0 0 47352*** 90.100 0 0 47545*** 2.800 0 0 47794*** 1.900 0 0 47848*** 182.235 0 0 47848*** 7.953.700 0 0 27 de 34 # Classificação: Pública Shareholder For Against Abstain CNPJ: 00.001.180/0001-26AXIA Energia - EGM 12/19/2025 DETAILED FINAL VOTING MAP 3. Creation of a new class of preferred shares, class R (PNR), compulsorily redeemable, without the need for approval at a special meeting of preferred shareholders, pursuant to paragraph 6 of article 44 of the Brazilian Corporate Law, registered, book-entry and with no par value. 47954*** 997.100 0 0 48021*** 6.000 0 0 48123*** 0 23.077 0 48138*** 331.666 0 0 48329*** 70.500 0 0 48331*** 206.182 0 0 48373*** 48.920 0 0 48400*** 428 0 0 48429*** 13.800 0 0 48490*** 0 0 338 48643*** 18.791 0 0 48643*** 71.696 0 0 48650*** 36.699 0 0 48766*** 600 0 0 48820*** 19.276 0 0 48878*** 76.100 0 0 48927*** 6.000 0 0 48977*** 9.474 0 0 48978*** 7.551 0 0 49144*** 176 0 0 49202*** 61.768 0 0 49256*** 5.400 0 0 49266*** 51.000 0 0 49331*** 24.380 0 0 49444*** 69.973 0 0 49485*** 6.188.837 0 0 49632*** 35.698 0 0 49766*** 0 0 1.364.882 49839*** 975.800 0 0 49927*** 558.400 0 0 49947*** 300 0 0 50072*** 7.900 0 0 50091*** 2.541 0 0 50653*** 10.471 0 0 50717*** 192.368 0 0 28 de 34 # Classificação: Pública Shareholder For Against Abstain CNPJ: 00.001.180/0001-26AXIA Energia - EGM 12/19/2025 DETAILED FINAL VOTING MAP 3. Creation of a new class of preferred shares, class R (PNR), compulsorily redeemable, without the need for approval at a special meeting of preferred shareholders, pursuant to paragraph 6 of article 44 of the Brazilian Corporate Law, registered, book-entry and with no par value. 50856*** 67.500 0 0 50958*** 25.900 0 0 51116*** 393.656 0 0 51116*** 9.600 0 0 51360*** 108.000 0 0 51473*** 3.000 0 0 51487*** 44.643 0 0 51490*** 0 0 200 51614*** 71 0 0 51817*** 23.503 0 0 51888*** 0 13.100 0 51990*** 997.693 0 0 52025*** 148.306 0 0 52070*** 90.731 0 0 52080*** 51.300 0 0 52083*** 40.718 0 0 52085*** 1.260.946 0 0 52182*** 79.900 0 0 52188*** 13.832 0 0 52203*** 6.778 0 0 52647*** 382.259 0 0 52694*** 320.153 0 0 52698*** 41.176 0 0 52800*** 17.473 0 0 52901*** 7.141 0 0 52950*** 1.584 0 0 53176*** 12.177 0 0 53304*** 2 0 0 53425*** 0 0 0 53529*** 0 0 238 53599*** 874.700 0 0 53780*** 39.870 0 0 53826*** 2.600 0 0 53829*** 1.300 0 0 53861*** 66.023 0 0 29 de 34 # Classificação: Pública Shareholder For Against Abstain CNPJ: 00.001.180/0001-26AXIA Energia - EGM 12/19/2025 DETAILED FINAL VOTING MAP 3. Creation of a new class of preferred shares, class R (PNR), compulsorily redeemable, without the need for approval at a special meeting of preferred shareholders, pursuant to paragraph 6 of article 44 of the Brazilian Corporate Law, registered, book-entry and with no par value. 54026*** 15.205 0 0 54069*** 755 0 0 54198*** 43.496 0 0 54250*** 43.400 0 0 54368*** 1.990 0 0 54398*** 31.592 0 0 54423*** 143.706 0 0 54584*** 1.000 0 0 54603*** 3.455 0 0 54620*** 4.669 0 0 54637*** 0 0 2.000 54784*** 8.340 0 0 54792*** 866.200 0 0 54792*** 27.300 0 0 55053*** 3.008 0 0 55105*** 3.085.892 0 0 55240*** 4.800 0 0 55315*** 4.200 0 0 55483*** 66.300 0 0 55522*** 28.272 0 0 55690*** 20.969 0 0 55751*** 1.057 0 0 55893*** 36.900 0 0 55894*** 0 20.265 0 55912*** 800 0 0 55989*** 0 19.664 0 56007*** 38.937 0 0 56029*** 15.751 0 0 56091*** 12.770 0 0 56141*** 55.146 0 0 56155*** 16.300 0 0 56208*** 124.284 0 0 56211*** 3.031 0 0 56367*** 19.000 0 0 56504*** 3.700 0 0 30 de 34 # Classificação: Pública Shareholder For Against Abstain CNPJ: 00.001.180/0001-26AXIA Energia - EGM 12/19/2025 DETAILED FINAL VOTING MAP 3. Creation of a new class of preferred shares, class R (PNR), compulsorily redeemable, without the need for approval at a special meeting of preferred shareholders, pursuant to paragraph 6 of article 44 of the Brazilian Corporate Law, registered, book-entry and with no par value. 56576*** 0 0 5 56625*** 200 0 0 56704*** 58.979 0 0 56707*** 49.745 0 0 56951*** 81.600 0 0 57091*** 17.477 0 0 57343*** 203.243 0 0 57537*** 6.879 0 0 57848*** 4.554 0 0 57979*** 149.800 0 0 58175*** 41.800 0 0 58270*** 16.516 0 0 58489*** 201.700 0 0 58734*** 7 0 0 58901*** 14.579 0 0 58947*** 5.100 0 0 59051*** 47.200 0 0 59141*** 22.111 0 0 59307*** 138.543 0 0 59666*** 27.807 0 0 59767*** 194.700 0 0 59790*** 7.989 0 0 59840*** 33.400 0 0 60060*** 14.300 0 0 60328*** 59.873 0 0 60347*** 112.584 0 0 60746*** 2.094.364 0 0 61148*** 181 0 0 61397*** 100 0 0 61596*** 22.370 0 0 61664*** 42.536 0 0 61684*** 2.457.532 0 0 61684*** 5.420.200 0 0 61838*** 1.500 0 0 61988*** 13.233 0 0 31 de 34 # Classificação: Pública Shareholder For Against Abstain CNPJ: 00.001.180/0001-26AXIA Energia - EGM 12/19/2025 DETAILED FINAL VOTING MAP 3. Creation of a new class of preferred shares, class R (PNR), compulsorily redeemable, without the need for approval at a special meeting of preferred shareholders, pursuant to paragraph 6 of article 44 of the Brazilian Corporate Law, registered, book-entry and with no par value. 62569*** 4.957 0 0 62673*** 22.800 0 0 62673*** 72.700 0 0 62673*** 1.200 0 0 62913*** 29.220 0 0 63114*** 33.420 0 0 63135*** 14.100 0 0 63135*** 3.500 0 0 63291*** 32.499 0 0 63360*** 42.558 0 0 64491*** 316 0 0 66547*** 1.300 0 0 66744*** 192.519 0 0 67327*** 0 0 5 68559*** 3.840 0 0 69851*** 400 0 0 71861*** 1 0 0 73447*** 1.200 0 0 73933*** 10 0 0 74843*** 0 0 40 74927*** 580 0 0 76297*** 0 595 0 76908*** 21 0 0 77605*** 17.607 0 0 79238*** 0 256 0 79246*** 30.000 0 0 79720*** 200 0 0 80005*** 8 0 0 80663*** 24 0 0 83699*** 0 0 28 84876*** 0 0 120 85751*** 115 0 0 85751*** 300 0 0 85989*** 100 0 0 87737*** 103 0 0 32 de 34 # Classificação: Pública Shareholder For Against Abstain CNPJ: 00.001.180/0001-26AXIA Energia - EGM 12/19/2025 DETAILED FINAL VOTING MAP 3. Creation of a new class of preferred shares, class R (PNR), compulsorily redeemable, without the need for approval at a special meeting of preferred shareholders, pursuant to paragraph 6 of article 44 of the Brazilian Corporate Law, registered, book-entry and with no par value. 88440*** 0 0 100 88962*** 0 0 12 89351*** 20 0 0 90243*** 0 20 0 90372*** 0 0 13 91890*** 20 0 0 91927*** 0 0 0 92273*** 15 0 0 92693*** 129.020 0 0 93577*** 200 0 0 93902*** 50 0 0 95687*** 0 0 1.000 97538*** 4.851.698 0 0 97538*** 49.089 0 0 97539*** 917.301 0 0 97539*** 22.778 0 0 97539*** 37.074 0 0 97539*** 19.345 0 0 97539*** 3.732.105 0 0 97539*** 4.800 0 0 97539*** 0 28.674 0 97539*** 0 31.200 0 97539*** 735.721 0 0 97539*** 42.800 0 0 97539*** 5.199.319 0 0 97539*** 2.389.760 0 0 97539*** 1.543.110 0 0 97539*** 3.445.396 0 0 97539*** 392.626 0 0 97539*** 996.896 0 0 97539*** 2.066.321 0 0 97539*** 197.838 0 0 97539*** 144.600 0 0 97539*** 22.250 0 0 97540*** 20.600 0 0 33 de 34 # Classificação: Pública Shareholder For Against Abstain CNPJ: 00.001.180/0001-26AXIA Energia - EGM 12/19/2025 DETAILED FINAL VOTING MAP 3. Creation of a new class of preferred shares, class R (PNR), compulsorily redeemable, without the need for approval at a special meeting of preferred shareholders, pursuant to paragraph 6 of article 44 of the Brazilian Corporate Law, registered, book-entry and with no par value. 97540*** 3.753 0 0 97540*** 68.500 0 0 97540*** 104.726 0 0 97540*** 903.981 0 0 97540*** 72.665 0 0 97540*** 926.147 0 0 97540*** 1.598 0 0 97540*** 282.400 0 0 97540*** 1.796.898 0 0 97540*** 2.022.198 0 0 97540*** 10.823 0 0 97540*** 209.922 0 0 97540*** 16.335.023 0 0 98658*** 550 0 0 99169*** 100 0 0 34 de 34 # Classificação: Pública Shareholder For Against Abstain Total 819.293.366 197.065.145 34.862.378 00125*** 1.178.056 0 0 00394*** 0 190.732.084 0 00455*** 6 0 0 00560*** 4.984 0 0 00586*** 10 0 0 00601*** 31 0 0 00739*** 1.428 0 0 00805*** 20 0 0 00914*** 3 0 0 01017*** 1 0 0 01171*** 1.610 0 0 01203*** 1 0 0 01456*** 4 0 0 01496*** 161.306 0 0 01586*** 16 0 0 01643*** 66.985 0 0 01699*** 96.416 0 0 01886*** 12.945 0 0 02020*** 53.603 0 0 02097*** 5.700 0 0 02231*** 611 0 0 02231*** 8.536 0 0 02285*** 102 0 0 02524*** 250 0 0 02745*** 0 5 0 02863*** 1.125.500 0 0 02887*** 26.056 0 0 02895*** 64.700 0 0 02903*** 100 0 0 03027*** 51.786 0 0 03369*** 0 0 136 03370*** 392.332 0 0 03394*** 87.480 0 0 03394*** 7 0 0 CNPJ: 00.001.180/0001-26AXIA Energia - EGM 12/19/2025 DETAILED FINAL VOTING MAP 4. Creation of a new class of preferred shares, designated class C, registered, book-entry and with no par value, convertible into common shares and redeemable, with the addition of the right to sell in a public tender offer (OPA) resulting from the sale of control, in order to ensure equal treatment to that afforded to the selling shareholder (PNCs and, together with the PNA1, PNB1 and PNR, the New PNs), without the need for approval at a special meeting of preferred shareholders. 1 de 34 # Classificação: Pública Shareholder For Against Abstain CNPJ: 00.001.180/0001-26AXIA Energia - EGM 12/19/2025 DETAILED FINAL VOTING MAP 4. Creation of a new class of preferred shares, designated class C, registered, book-entry and with no par value, convertible into common shares and redeemable, with the addition of the right to sell in a public tender offer (OPA) resulting from the sale of control, in order to ensure equal treatment to that afforded to the selling shareholder (PNCs and, together with the PNA1, PNB1 and PNR, the New PNs), without the need for approval at a special meeting of preferred shareholders. 03473*** 569 0 0 03833*** 28.394 0 0 03902*** 1 0 0 03960*** 24.957 0 0 04005*** 0 50 0 04073*** 292.991 0 0 04297*** 0 3 0 04555*** 0 0 55 04605*** 0 0 200 04609*** 602 0 0 04609*** 1.300 0 0 04616*** 11.687 0 0 04672*** 5 0 0 04709*** 0 1 0 04736*** 28.890 0 0 04751*** 111.059 0 0 04847*** 4 0 0 05075*** 5 0 0 05100*** 43.978 0 0 05147*** 14.000 0 0 05303*** 0 0 1 05316*** 1.030 0 0 05435*** 3 0 0 05448*** 9.727 0 0 05479*** 1.513.900 0 0 05479*** 2.843.378 0 0 05522*** 44 0 0 05589*** 233.315 0 0 05589*** 279.983 0 0 05589*** 28.815 0 0 05719*** 27 0 0 05734*** 415 0 0 05775*** 1.759 0 0 05838*** 15.219 0 0 05839*** 96.081 0 0 2 de 34 # Classificação: Pública Shareholder For Against Abstain CNPJ: 00.001.180/0001-26AXIA Energia - EGM 12/19/2025 DETAILED FINAL VOTING MAP 4. Creation of a new class of preferred shares, designated class C, registered, book-entry and with no par value, convertible into common shares and redeemable, with the addition of the right to sell in a public tender offer (OPA) resulting from the sale of control, in order to ensure equal treatment to that afforded to the selling shareholder (PNCs and, together with the PNA1, PNB1 and PNR, the New PNs), without the need for approval at a special meeting of preferred shareholders. 05839*** 189.258 0 0 05839*** 718.804 0 0 05839*** 724 0 0 05839*** 775.653 0 0 05839*** 15.200 0 0 05839*** 9.200 0 0 05839*** 803.800 0 0 05839*** 158.291 0 0 05839*** 15.718 0 0 05839*** 1.111.508 0 0 05839*** 4.619.084 0 0 05839*** 226.872 0 0 05839*** 51.889 0 0 05840*** 188.253 0 0 05840*** 10.000 0 0 05840*** 32.547 0 0 05840*** 804.990 0 0 05840*** 4.858.301 0 0 05840*** 477.000 0 0 05840*** 2.199.143 0 0 05872*** 79.961 0 0 05901*** 1 0 0 05986*** 1.881.495 0 0 05986*** 2.673.143 0 0 05986*** 24.100 0 0 05986*** 2.155 0 0 05987*** 147.900 0 0 05987*** 129.553 0 0 05987*** 11.827 0 0 05987*** 2.020.100 0 0 05987*** 1.602.500 0 0 05987*** 5 0 0 05987*** 199.465 0 0 05987*** 13.400 0 0 05987*** 0 428.300 0 3 de 34 # Classificação: Pública Shareholder For Against Abstain CNPJ: 00.001.180/0001-26AXIA Energia - EGM 12/19/2025 DETAILED FINAL VOTING MAP 4. Creation of a new class of preferred shares, designated class C, registered, book-entry and with no par value, convertible into common shares and redeemable, with the addition of the right to sell in a public tender offer (OPA) resulting from the sale of control, in order to ensure equal treatment to that afforded to the selling shareholder (PNCs and, together with the PNA1, PNB1 and PNR, the New PNs), without the need for approval at a special meeting of preferred shareholders. 05987*** 24.749 0 0 05987*** 188.737 0 0 05987*** 2.862.252 0 0 05987*** 481.572 0 0 05987*** 1.758.400 0 0 06046*** 1.594.573 0 0 06069*** 5.615 0 0 06105*** 10.100 0 0 06134*** 0 108.329 0 06148*** 76.771 0 0 06224*** 6.811 0 0 06239*** 174.268 0 0 06239*** 455.200 0 0 06251*** 9.995 0 0 06318*** 0 0 1 06323*** 530.363 0 0 06370*** 3 0 0 06406*** 0 0 100.000 06491*** 35 0 0 06541*** 284.989 0 0 06571*** 130 0 0 06613*** 77.676 0 0 06832*** 0 23 0 06916*** 622.500 0 0 06943*** 137.641 0 0 06943*** 589.073 0 0 06943*** 922.665 0 0 06949*** 0 0 10 06964*** 298.476 0 0 07023*** 0 0 100 07060*** 239.200 0 0 07086*** 1.000 0 0 07096*** 51.672 0 0 07140*** 0 859.100 0 07140*** 19.426 0 0 4 de 34 # Classificação: Pública Shareholder For Against Abstain CNPJ: 00.001.180/0001-26AXIA Energia - EGM 12/19/2025 DETAILED FINAL VOTING MAP 4. Creation of a new class of preferred shares, designated class C, registered, book-entry and with no par value, convertible into common shares and redeemable, with the addition of the right to sell in a public tender offer (OPA) resulting from the sale of control, in order to ensure equal treatment to that afforded to the selling shareholder (PNCs and, together with the PNA1, PNB1 and PNR, the New PNs), without the need for approval at a special meeting of preferred shareholders. 07140*** 1.219 0 0 07140*** 26.098 0 0 07187*** 16.269 0 0 07187*** 713 0 0 07191*** 0 857.000 0 07191*** 85.700 0 0 07191*** 105.335 0 0 07226*** 4 0 0 07237*** 589.417 0 0 07237*** 33.388 0 0 07247*** 296.000 0 0 07247*** 164.564 0 0 07247*** 247.800 0 0 07267*** 140 0 0 07299*** 100 0 0 07333*** 249.390 0 0 07345*** 2.648 0 0 07345*** 10.300 0 0 07345*** 28.600 0 0 07376*** 123.348 0 0 07418*** 42.847 0 0 07418*** 1.247.100 0 0 07418*** 1.210.226 0 0 07463*** 0 0 4 07488*** 319.556 0 0 07496*** 1.568.008 0 0 07496*** 2.200 0 0 07496*** 60.415 0 0 07496*** 133.589 0 0 07506*** 4.230.427 0 0 07515*** 60 0 0 07516*** 10.567.600 0 0 07516*** 917.500 0 0 07516*** 35.520 0 0 07516*** 1.041.400 0 0 5 de 34 # Classificação: Pública Shareholder For Against Abstain CNPJ: 00.001.180/0001-26AXIA Energia - EGM 12/19/2025 DETAILED FINAL VOTING MAP 4. Creation of a new class of preferred shares, designated class C, registered, book-entry and with no par value, convertible into common shares and redeemable, with the addition of the right to sell in a public tender offer (OPA) resulting from the sale of control, in order to ensure equal treatment to that afforded to the selling shareholder (PNCs and, together with the PNA1, PNB1 and PNR, the New PNs), without the need for approval at a special meeting of preferred shareholders. 07518*** 84.779 0 0 07521*** 158.999 0 0 07526*** 19.300 0 0 07529*** 0 128.800 0 07536*** 103.618 0 0 07551*** 7.900 0 0 07593*** 179.470 0 0 07622*** 4.475.736 0 0 07647*** 78.500 0 0 07655*** 864.956 0 0 07655*** 10.800 0 0 07667*** 4.648 0 0 07670*** 0 10.600 0 07670*** 1.650.000 0 0 07686*** 7.021 0 0 07724*** 211.324 0 0 07790*** 0 14.800 0 07792*** 357.630 0 0 07820*** 2.200 0 0 07846*** 69.100 0 0 07889*** 44.041 0 0 07940*** 280.700 0 0 07942*** 530.100 0 0 07967*** 133.248 0 0 07990*** 42.700 0 0 08052*** 0 100 0 08120*** 0 0 383 08154*** 5.377 0 0 08196*** 81.823.300 0 0 08265*** 225.800 0 0 08268*** 3.800 0 0 08279*** 318.109 0 0 08295*** 18.073.978 0 0 08295*** 3.890.485 0 0 08295*** 93.002 0 0 6 de 34 # Classificação: Pública Shareholder For Against Abstain CNPJ: 00.001.180/0001-26AXIA Energia - EGM 12/19/2025 DETAILED FINAL VOTING MAP 4. Creation of a new class of preferred shares, designated class C, registered, book-entry and with no par value, convertible into common shares and redeemable, with the addition of the right to sell in a public tender offer (OPA) resulting from the sale of control, in order to ensure equal treatment to that afforded to the selling shareholder (PNCs and, together with the PNA1, PNB1 and PNR, the New PNs), without the need for approval at a special meeting of preferred shareholders. 08387*** 103.219 0 0 08434*** 43.600 0 0 08464*** 3.983.344 0 0 08471*** 53.618 0 0 08561*** 940.780 0 0 08571*** 3.397 0 0 08579*** 339.986 0 0 08621*** 820.400 0 0 08623*** 1.710 0 0 08640*** 52.400 0 0 08757*** 52.296 0 0 08765*** 94.255.061 0 0 08840*** 9.118.176 0 0 08857*** 893.791 0 0 08875*** 26.085 0 0 08875*** 39.000 0 0 08900*** 1.800 0 0 08910*** 0 0 23 08913*** 1.453 0 0 08935*** 18.483.007 0 0 08945*** 0 137.277 0 08973*** 90.286 0 0 08973*** 84.130 0 0 08988*** 90.399 0 0 09005*** 171 0 0 09029*** 95.000 0 0 09048*** 164.633 0 0 09048*** 42.509 0 0 09063*** 550.962 0 0 09064*** 1 0 0 09073*** 366.269 0 0 09089*** 470.660 0 0 09089*** 20.525 0 0 09094*** 86.200 0 0 09144*** 0 0 7 7 de 34 # Classificação: Pública Shareholder For Against Abstain CNPJ: 00.001.180/0001-26AXIA Energia - EGM 12/19/2025 DETAILED FINAL VOTING MAP 4. Creation of a new class of preferred shares, designated class C, registered, book-entry and with no par value, convertible into common shares and redeemable, with the addition of the right to sell in a public tender offer (OPA) resulting from the sale of control, in order to ensure equal treatment to that afforded to the selling shareholder (PNCs and, together with the PNA1, PNB1 and PNR, the New PNs), without the need for approval at a special meeting of preferred shareholders. 09145*** 13.516.396 0 0 09163*** 0 972.837 0 09241*** 20 0 0 09286*** 42.968 0 0 09294*** 230.978 0 0 09299*** 1.005.021 0 0 09323*** 25.786 0 0 09323*** 408.777 0 0 09330*** 114.300 0 0 09336*** 117.000 0 0 09411*** 0 36.133 0 09441*** 106.368 0 0 09470*** 270.100 0 0 09470*** 130.741 0 0 09559*** 823.023 0 0 09564*** 269.814 0 0 09567*** 147.940 0 0 09593*** 765.198 0 0 09620*** 372.512 0 0 09627*** 41.300 0 0 09701*** 220 0 0 09720*** 4.359.575 0 0 09838*** 20 0 0 10110*** 0 0 0 10205*** 1.098 0 0 10214*** 40.966 0 0 10243*** 45.400 0 0 10263*** 60.424 0 0 10263*** 335.431 0 0 10263*** 169.600 0 0 10307*** 0 500 0 10324*** 0 729.020 0 10392*** 311 0 0 10400*** 48.700 0 0 10418*** 47.304 0 0 8 de 34 # Classificação: Pública Shareholder For Against Abstain CNPJ: 00.001.180/0001-26AXIA Energia - EGM 12/19/2025 DETAILED FINAL VOTING MAP 4. Creation of a new class of preferred shares, designated class C, registered, book-entry and with no par value, convertible into common shares and redeemable, with the addition of the right to sell in a public tender offer (OPA) resulting from the sale of control, in order to ensure equal treatment to that afforded to the selling shareholder (PNCs and, together with the PNA1, PNB1 and PNR, the New PNs), without the need for approval at a special meeting of preferred shareholders. 10419*** 121.500 0 0 10481*** 6.385.100 0 0 10486*** 0 0 20 10492*** 225.108 0 0 10553*** 1.933.500 0 0 10554*** 24 0 0 10561*** 4.400 0 0 10569*** 91.542 0 0 10583*** 342.676 0 0 10596*** 2.537 0 0 10672*** 28.600 0 0 10678*** 145.406 0 0 10762*** 18.300 0 0 10765*** 14.889.875 0 0 10809*** 451.926 0 0 10840*** 0 1 0 11030*** 2.221.230 0 0 11046*** 0 869.344 0 11047*** 10.000 0 0 11100*** 1.373.626 0 0 11175*** 0 1.000 0 11184*** 10.637 0 0 11184*** 2.478.365 0 0 11188*** 13.734.739 0 0 11225*** 316.909 0 0 11311*** 564.121 0 0 11324*** 7.583 0 0 11324*** 30.286 0 0 11390*** 64.400 0 0 11403*** 1.338.015 0 0 11423*** 70.266 0 0 11435*** 0 30.154 0 11451*** 10.713 0 0 11520*** 47.400 0 0 11538*** 371.390 0 0 9 de 34 # Classificação: Pública Shareholder For Against Abstain CNPJ: 00.001.180/0001-26AXIA Energia - EGM 12/19/2025 DETAILED FINAL VOTING MAP 4. Creation of a new class of preferred shares, designated class C, registered, book-entry and with no par value, convertible into common shares and redeemable, with the addition of the right to sell in a public tender offer (OPA) resulting from the sale of control, in order to ensure equal treatment to that afforded to the selling shareholder (PNCs and, together with the PNA1, PNB1 and PNR, the New PNs), without the need for approval at a special meeting of preferred shareholders. 11604*** 360.492 0 0 11729*** 107.780 0 0 11738*** 250 0 0 11748*** 429.545 0 0 11811*** 30.900 0 0 11841*** 246.000 0 0 11906*** 151.616 0 0 11952*** 278.000 0 0 11977*** 189.006 0 0 12068*** 1.035.445 0 0 12086*** 19.807 0 0 12086*** 0 0 9 12094*** 460.415 0 0 12120*** 132.000 0 0 12287*** 19.832 0 0 12456*** 0 3 0 12518*** 8 0 0 12525*** 55.857 0 0 12938*** 149.500 0 0 12984*** 4.024 0 0 12984*** 18.461 0 0 12995*** 20 0 0 13022*** 8.606 0 0 13033*** 2.080 0 0 13066*** 302.163 0 0 13081*** 69.000 0 0 13281*** 22 0 0 13294*** 124.722 0 0 13296*** 40.202 0 0 13307*** 205.200 0 0 13343*** 311.700 0 0 13362*** 476.877 0 0 13402*** 280.900 0 0 13474*** 700 0 0 13521*** 220 0 0 10 de 34 # Classificação: Pública Shareholder For Against Abstain CNPJ: 00.001.180/0001-26AXIA Energia - EGM 12/19/2025 DETAILED FINAL VOTING MAP 4. Creation of a new class of preferred shares, designated class C, registered, book-entry and with no par value, convertible into common shares and redeemable, with the addition of the right to sell in a public tender offer (OPA) resulting from the sale of control, in order to ensure equal treatment to that afforded to the selling shareholder (PNCs and, together with the PNA1, PNB1 and PNR, the New PNs), without the need for approval at a special meeting of preferred shareholders. 13562*** 37.000 0 0 13562*** 548.300 0 0 13665*** 138.000 0 0 13725*** 84.512 0 0 13796*** 90.793 0 0 13834*** 233.763 0 0 13834*** 381.977 0 0 13909*** 167.488 0 0 13998*** 4.060 0 0 14012*** 1.407.965 0 0 14027*** 567.280 0 0 14138*** 920.375 0 0 14159*** 3 0 0 14180*** 368.100 0 0 14188*** 76.287 0 0 14220*** 11.200 0 0 14240*** 23.800 0 0 14366*** 28.010 0 0 14406*** 0 200 0 14416*** 326.295 0 0 14461*** 73.600 0 0 14476*** 131.958 0 0 14494*** 22.433 0 0 14507*** 735.071 0 0 14541*** 1.531.341 0 0 14549*** 25.453 0 0 14623*** 1.120.542 0 0 14623*** 184.100 0 0 14624*** 1.530.000 0 0 14628*** 17.094 0 0 14639*** 200.200 0 0 14791*** 47.100 0 0 14809*** 207.700 0 0 14879*** 12.400 0 0 14963*** 287.800 0 0 11 de 34 # Classificação: Pública Shareholder For Against Abstain CNPJ: 00.001.180/0001-26AXIA Energia - EGM 12/19/2025 DETAILED FINAL VOTING MAP 4. Creation of a new class of preferred shares, designated class C, registered, book-entry and with no par value, convertible into common shares and redeemable, with the addition of the right to sell in a public tender offer (OPA) resulting from the sale of control, in order to ensure equal treatment to that afforded to the selling shareholder (PNCs and, together with the PNA1, PNB1 and PNR, the New PNs), without the need for approval at a special meeting of preferred shareholders. 14988*** 710.784 0 0 15011*** 2 0 0 15036*** 0 0 85 15154*** 340.800 0 0 15265*** 177.240 0 0 15265*** 2.300 0 0 15323*** 34.929 0 0 15807*** 168.286 0 0 15816*** 2.609 0 0 16575*** 257.846 0 0 16617*** 37.100 0 0 16816*** 1.487.180 0 0 16816*** 1.355.134 0 0 16878*** 22.500 0 0 16939*** 728.084 0 0 16947*** 483.067 0 0 16947*** 5.856.571 0 0 16947*** 11.960.862 0 0 16947*** 1.630.350 0 0 17009*** 337.765 0 0 17021*** 47.483 0 0 17036*** 229.156 0 0 17138*** 7.891 0 0 17162*** 839.967 0 0 17284*** 475.000 0 0 17488*** 5.101 0 0 17500*** 13.991 0 0 17500*** 10.350 0 0 17578*** 0 5 0 17647*** 50.550 0 0 17718*** 376.076 0 0 17825*** 13.124 0 0 17891*** 258.489 0 0 17934*** 74.887 0 0 18030*** 22.616 0 0 12 de 34 # Classificação: Pública Shareholder For Against Abstain CNPJ: 00.001.180/0001-26AXIA Energia - EGM 12/19/2025 DETAILED FINAL VOTING MAP 4. Creation of a new class of preferred shares, designated class C, registered, book-entry and with no par value, convertible into common shares and redeemable, with the addition of the right to sell in a public tender offer (OPA) resulting from the sale of control, in order to ensure equal treatment to that afforded to the selling shareholder (PNCs and, together with the PNA1, PNB1 and PNR, the New PNs), without the need for approval at a special meeting of preferred shareholders. 18138*** 2.462.000 0 0 18138*** 74.212 0 0 18158*** 593.095 0 0 18324*** 1.366.500 0 0 18391*** 13.353 0 0 18407*** 1.411.157 0 0 18470*** 271.897 0 0 18485*** 0 0 1.395 18550*** 1.066.800 0 0 18830*** 13.959 0 0 18858*** 95.400 0 0 18961*** 37.533 0 0 18969*** 16.708 0 0 18981*** 1.630 0 0 19100*** 23.865 0 0 19135*** 5.301 0 0 19143*** 1.955.911 0 0 19184*** 296.600 0 0 19232*** 5 0 0 19244*** 1.573.617 0 0 19318*** 5.200 0 0 19388*** 310.634 0 0 19449*** 7.888 0 0 19477*** 71 0 0 19530*** 1.198.949 0 0 19573*** 8.556 0 0 19609*** 696.300 0 0 19675*** 173.816 0 0 19708*** 164.080 0 0 19754*** 398.161 0 0 19791*** 170.700 0 0 19791*** 861.100 0 0 19800*** 18.986 0 0 19808*** 295.677 0 0 19825*** 4.200 0 0 13 de 34 # Classificação: Pública Shareholder For Against Abstain CNPJ: 00.001.180/0001-26AXIA Energia - EGM 12/19/2025 DETAILED FINAL VOTING MAP 4. Creation of a new class of preferred shares, designated class C, registered, book-entry and with no par value, convertible into common shares and redeemable, with the addition of the right to sell in a public tender offer (OPA) resulting from the sale of control, in order to ensure equal treatment to that afforded to the selling shareholder (PNCs and, together with the PNA1, PNB1 and PNR, the New PNs), without the need for approval at a special meeting of preferred shareholders. 19874*** 302.100 0 0 19874*** 117.200 0 0 19874*** 0 186.268 0 19910*** 35.990 0 0 19919*** 1.446.617 0 0 20026*** 2.693 0 0 20065*** 440.327 0 0 20147*** 290.246 0 0 20216*** 0 0 0 20349*** 74.118 0 0 20384*** 0 15.000 0 20397*** 152.369 0 0 20447*** 17.692 0 0 20604*** 164.611 0 0 20622*** 380.219 0 0 20733*** 227.900 0 0 20750*** 34.379 0 0 20796*** 75.932 0 0 20813*** 2.076.953 0 0 20849*** 29.927 0 0 20903*** 13.400 0 0 20923*** 11.945 0 0 21052*** 293.708 0 0 21053*** 300 0 0 21144*** 18.170 0 0 21166*** 5.413 0 0 21287*** 37.771 0 0 21336*** 9.070 0 0 21347*** 11.902 0 0 21407*** 2.026.972 0 0 21881*** 40.900 0 0 21962*** 166.796 0 0 22105*** 203.400 0 0 22106*** 568.043 0 0 22166*** 28.698 0 0 14 de 34 # Classificação: Pública Shareholder For Against Abstain CNPJ: 00.001.180/0001-26AXIA Energia - EGM 12/19/2025 DETAILED FINAL VOTING MAP 4. Creation of a new class of preferred shares, designated class C, registered, book-entry and with no par value, convertible into common shares and redeemable, with the addition of the right to sell in a public tender offer (OPA) resulting from the sale of control, in order to ensure equal treatment to that afforded to the selling shareholder (PNCs and, together with the PNA1, PNB1 and PNR, the New PNs), without the need for approval at a special meeting of preferred shareholders. 22321*** 121.546 0 0 22360*** 4.629 0 0 22410*** 435.030 0 0 22501*** 6.182 0 0 22576*** 542.300 0 0 22648*** 10 0 0 22764*** 440.460 0 0 22764*** 226 0 0 22875*** 151.938 0 0 22896*** 73.257 0 0 23060*** 74.214 0 0 23127*** 271.156 0 0 23213*** 0 50.171 0 23213*** 0 58.500 0 23242*** 23.600 0 0 23572*** 0 59.861 0 23686*** 93.251 0 0 23691*** 0 0 441 23771*** 14.912 0 0 23794*** 790.682 0 0 23794*** 1.021.782 0 0 23854*** 1.398.723 0 0 23874*** 687.297 0 0 23958*** 160.400 0 0 23985*** 294.900 0 0 23985*** 13.275 0 0 24078*** 167.702 0 0 24158*** 259.968 0 0 24224*** 102.833 0 0 24297*** 6.072 0 0 24300*** 9.744 0 0 24548*** 1.100 0 0 24569*** 10.853 0 0 24676*** 429.300 0 0 24728*** 9.000 0 0 15 de 34 # Classificação: Pública Shareholder For Against Abstain CNPJ: 00.001.180/0001-26AXIA Energia - EGM 12/19/2025 DETAILED FINAL VOTING MAP 4. Creation of a new class of preferred shares, designated class C, registered, book-entry and with no par value, convertible into common shares and redeemable, with the addition of the right to sell in a public tender offer (OPA) resulting from the sale of control, in order to ensure equal treatment to that afforded to the selling shareholder (PNCs and, together with the PNA1, PNB1 and PNR, the New PNs), without the need for approval at a special meeting of preferred shareholders. 24752*** 63.400 0 0 24779*** 562.064 0 0 24976*** 5.020 0 0 25019*** 15.433 0 0 25028*** 39.584 0 0 25079*** 23.610 0 0 25134*** 0 0 400 25138*** 265.200 0 0 25169*** 7.586.634 0 0 25220*** 11.600 0 0 25232*** 412.400 0 0 25282*** 4.100 0 0 25454*** 509.300 0 0 25485*** 217 0 0 25612*** 21 0 0 26066*** 96.100 0 0 26087*** 338.300 0 0 26142*** 9.630 0 0 26160*** 150.526 0 0 26294*** 8 0 0 26311*** 99.855 0 0 26431*** 490.824 0 0 26496*** 2.600 0 0 26565*** 163.000 0 0 26670*** 99.900 0 0 26729*** 40.262.449 0 0 26773*** 5.024 0 0 26776*** 277.512 0 0 26784*** 155 0 0 26784*** 33.267 0 0 26784*** 6.400 0 0 26855*** 15.357 0 0 26855*** 102.747 0 0 26859*** 87.312 0 0 26859*** 6.853 0 0 16 de 34 # Classificação: Pública Shareholder For Against Abstain CNPJ: 00.001.180/0001-26AXIA Energia - EGM 12/19/2025 DETAILED FINAL VOTING MAP 4. Creation of a new class of preferred shares, designated class C, registered, book-entry and with no par value, convertible into common shares and redeemable, with the addition of the right to sell in a public tender offer (OPA) resulting from the sale of control, in order to ensure equal treatment to that afforded to the selling shareholder (PNCs and, together with the PNA1, PNB1 and PNR, the New PNs), without the need for approval at a special meeting of preferred shareholders. 26859*** 16.768 0 0 27074*** 10.636 0 0 27084*** 88.000 0 0 27109*** 3.877.282 0 0 27150*** 16 0 0 27213*** 0 0 50 27222*** 13.343 0 0 27249*** 23.392 0 0 27257*** 1.873.581 0 0 27311*** 8.586 0 0 27328*** 1.800 0 0 27484*** 204.786 0 0 27550*** 232.468 0 0 27642*** 0 32 0 27683*** 3 0 0 27714*** 2.233.483 0 0 27714*** 93.926 0 0 27778*** 12.500 0 0 27826*** 30.476 0 0 27844*** 1.880 0 0 27866*** 1.274.077 0 0 27866*** 139.539 0 0 27866*** 5.120.829 0 0 27866*** 1.751.954 0 0 27866*** 116.882 0 0 27880*** 134.667 0 0 27932*** 55.200 0 0 27995*** 0 0 42 28031*** 17 0 0 28072*** 61.816 0 0 28260*** 13.932.249 0 0 28271*** 7.300 0 0 28328*** 12.700 0 0 28394*** 186.900 0 0 28470*** 759.985 0 0 17 de 34 # Classificação: Pública Shareholder For Against Abstain CNPJ: 00.001.180/0001-26AXIA Energia - EGM 12/19/2025 DETAILED FINAL VOTING MAP 4. Creation of a new class of preferred shares, designated class C, registered, book-entry and with no par value, convertible into common shares and redeemable, with the addition of the right to sell in a public tender offer (OPA) resulting from the sale of control, in order to ensure equal treatment to that afforded to the selling shareholder (PNCs and, together with the PNA1, PNB1 and PNR, the New PNs), without the need for approval at a special meeting of preferred shareholders. 28581*** 79.895 0 0 28586*** 127.443 0 0 28690*** 3.400 0 0 28703*** 38.502 0 0 28734*** 1.395.900 0 0 28769*** 200 0 0 28784*** 74.697 0 0 28979*** 2.700 0 0 28979*** 485.443 0 0 28990*** 767.600 0 0 29011*** 9.430 0 0 29073*** 120.195 0 0 29085*** 8.559 0 0 29092*** 6.800 0 0 29213*** 0 0 20 29237*** 0 384 0 29237*** 158.900 0 0 29258*** 150.641 0 0 29259*** 1.478 0 0 29275*** 70 0 0 29275*** 22.443 0 0 29322*** 15.371.463 0 0 29361*** 348.600 0 0 29485*** 333.306 0 0 29522*** 0 28.000 0 29550*** 18.300 0 0 29592*** 67 0 0 29668*** 3.412.439 0 0 29733*** 4.996 0 0 30066*** 28.386 0 0 30178*** 13.300 0 0 30254*** 132.880 0 0 30254*** 74.123 0 0 30402*** 3.079.873 0 0 30447*** 202.100 0 0 18 de 34 # Classificação: Pública Shareholder For Against Abstain CNPJ: 00.001.180/0001-26AXIA Energia - EGM 12/19/2025 DETAILED FINAL VOTING MAP 4. Creation of a new class of preferred shares, designated class C, registered, book-entry and with no par value, convertible into common shares and redeemable, with the addition of the right to sell in a public tender offer (OPA) resulting from the sale of control, in order to ensure equal treatment to that afforded to the selling shareholder (PNCs and, together with the PNA1, PNB1 and PNR, the New PNs), without the need for approval at a special meeting of preferred shareholders. 30463*** 90.200 0 0 30515*** 14.056 0 0 30522*** 38.589 0 0 30556*** 4.002 0 0 30624*** 9.325 0 0 30769*** 426.500 0 0 30769*** 53.187 0 0 30942*** 158.500 0 0 30988*** 1.918.400 0 0 31006*** 100 0 0 31050*** 209.351 0 0 31322*** 3.610.476 0 0 31322*** 0 200.000 0 31502*** 8.874.319 0 0 31577*** 72.000 0 0 31577*** 344.876 0 0 31591*** 8.371 0 0 31615*** 0 400 0 31666*** 40.572 0 0 31692*** 299.000 0 0 31697*** 0 0 1 31814*** 2.543.463 0 0 31814*** 29.985 0 0 31814*** 618.532 0 0 31866*** 206.855 0 0 31914*** 3.955.286 0 0 31914*** 112.200 0 0 31923*** 51.500 0 0 31978*** 518.952 0 0 31989*** 544.424 0 0 32013*** 0 0 170 32106*** 20.980 0 0 32106*** 117.700 0 0 32106*** 632.700 0 0 32203*** 1.425.459 0 0 19 de 34 # Classificação: Pública Shareholder For Against Abstain CNPJ: 00.001.180/0001-26AXIA Energia - EGM 12/19/2025 DETAILED FINAL VOTING MAP 4. Creation of a new class of preferred shares, designated class C, registered, book-entry and with no par value, convertible into common shares and redeemable, with the addition of the right to sell in a public tender offer (OPA) resulting from the sale of control, in order to ensure equal treatment to that afforded to the selling shareholder (PNCs and, together with the PNA1, PNB1 and PNR, the New PNs), without the need for approval at a special meeting of preferred shareholders. 32239*** 3.920 0 0 32240*** 5.886 0 0 32253*** 6 0 0 32289*** 18.030 0 0 32289*** 893 0 0 32319*** 17.000 0 0 32329*** 1.132.447 0 0 32399*** 131.448 0 0 32484*** 48.000 0 0 32486*** 20 0 0 32497*** 13.900 0 0 32642*** 1.400 0 0 32755*** 0 0 30 32812*** 154.936 0 0 32812*** 8.100 0 0 32812*** 10.200 0 0 32893*** 10.774 0 0 32905*** 2.583 0 0 33042*** 20.012.239 11.983 33.389.681 33121*** 14.413 0 0 33285*** 3.468 0 0 33580*** 37.452 0 0 33588*** 90.400 0 0 33745*** 11 0 0 33814*** 34.317 0 0 33814*** 81.855 0 0 33842*** 27.952 0 0 33968*** 39.400 0 0 34027*** 202.600 0 0 34037*** 0 0 28 34054*** 780.000 0 0 34064*** 758.600 0 0 34109*** 0 0 0 34123*** 24.600 0 0 34172*** 2.548.963 0 0 20 de 34 # Classificação: Pública Shareholder For Against Abstain CNPJ: 00.001.180/0001-26AXIA Energia - EGM 12/19/2025 DETAILED FINAL VOTING MAP 4. Creation of a new class of preferred shares, designated class C, registered, book-entry and with no par value, convertible into common shares and redeemable, with the addition of the right to sell in a public tender offer (OPA) resulting from the sale of control, in order to ensure equal treatment to that afforded to the selling shareholder (PNCs and, together with the PNA1, PNB1 and PNR, the New PNs), without the need for approval at a special meeting of preferred shareholders. 34172*** 35.955 0 0 34218*** 3.525 0 0 34370*** 1.115 0 0 34448*** 85.700 0 0 34479*** 0 410 0 34546*** 35.100 0 0 34606*** 148.223 0 0 34723*** 1.190 0 0 34768*** 6.400 0 0 34791*** 75.763 0 0 34798*** 22.762 0 0 34825*** 14.742 0 0 34867*** 8.549 0 0 34900*** 152.347 0 0 35075*** 1.308 0 0 35088*** 2 0 0 35304*** 143.187 0 0 35376*** 10 0 0 35377*** 596 0 0 35492*** 46.000 0 0 35492*** 384.000 0 0 35495*** 76.536 0 0 35595*** 0 69.131 0 35637*** 200.749 0 0 35693*** 8.611.443 0 0 35712*** 118.145 0 0 35803*** 6.344.878 0 0 35845*** 17.870 0 0 35845*** 0 0 0 35859*** 306.197 0 0 35865*** 15.026 0 0 35916*** 57.000 0 0 35985*** 11.749 0 0 36034*** 5.400 0 0 36178*** 19.762 0 0 21 de 34 # Classificação: Pública Shareholder For Against Abstain CNPJ: 00.001.180/0001-26AXIA Energia - EGM 12/19/2025 DETAILED FINAL VOTING MAP 4. Creation of a new class of preferred shares, designated class C, registered, book-entry and with no par value, convertible into common shares and redeemable, with the addition of the right to sell in a public tender offer (OPA) resulting from the sale of control, in order to ensure equal treatment to that afforded to the selling shareholder (PNCs and, together with the PNA1, PNB1 and PNR, the New PNs), without the need for approval at a special meeting of preferred shareholders. 36215*** 245.500 0 0 36327*** 1.600 0 0 36352*** 953.996 0 0 36418*** 1.030 0 0 36518*** 224.991 0 0 36659*** 3.745 0 0 36719*** 45.500 0 0 36719*** 2.507 0 0 36741*** 24.778 0 0 36822*** 0 12 0 36913*** 186 0 0 36924*** 165.500 0 0 36970*** 0 0 5 36980*** 700 0 0 37092*** 29.660 0 0 37099*** 43.200 0 0 37204*** 4.690 0 0 37228*** 11.254 0 0 37236*** 265.165 0 0 37311*** 28.611 0 0 37339*** 3.287.299 0 0 37347*** 483.043 0 0 37355*** 9.500 0 0 37388*** 54.912 0 0 37555*** 8.233 0 0 37623*** 900 0 0 37715*** 93.097 0 0 37724*** 18.859 0 0 37806*** 4.742 0 0 37837*** 45 0 0 37844*** 208.900 0 0 37905*** 0 47.900 0 38100*** 410.500 0 0 38173*** 69.236 0 0 38195*** 2.785 0 0 22 de 34 # Classificação: Pública Shareholder For Against Abstain CNPJ: 00.001.180/0001-26AXIA Energia - EGM 12/19/2025 DETAILED FINAL VOTING MAP 4. Creation of a new class of preferred shares, designated class C, registered, book-entry and with no par value, convertible into common shares and redeemable, with the addition of the right to sell in a public tender offer (OPA) resulting from the sale of control, in order to ensure equal treatment to that afforded to the selling shareholder (PNCs and, together with the PNA1, PNB1 and PNR, the New PNs), without the need for approval at a special meeting of preferred shareholders. 38202*** 46 0 0 38350*** 5.212 0 0 38374*** 4 0 0 38386*** 427.657 0 0 38388*** 0 0 0 38512*** 400 0 0 38628*** 0 0 100 38756*** 548.681 0 0 38856*** 0 20 0 38949*** 11.375 0 0 39285*** 0 0 0 39383*** 66.800 0 0 39514*** 99.499 0 0 39600*** 17.140 0 0 39687*** 716.286 0 0 39834*** 9.716 0 0 39959*** 173.200 0 0 40022*** 2.463 0 0 40091*** 172.305 0 0 40122*** 2.370.230 0 0 40136*** 1.263 0 0 40147*** 2.076.169 0 0 40156*** 9.218 0 0 40209*** 109.320 0 0 40209*** 33.298 0 0 40213*** 60.000 0 0 40226*** 2.905 0 0 40226*** 135.613 0 0 40249*** 4.059 0 0 40284*** 8.531 0 0 40343*** 394.738 0 0 40428*** 6.904 0 0 40508*** 18.500 0 0 40635*** 22.848 0 0 40671*** 9.763 0 0 23 de 34 # Classificação: Pública Shareholder For Against Abstain CNPJ: 00.001.180/0001-26AXIA Energia - EGM 12/19/2025 DETAILED FINAL VOTING MAP 4. Creation of a new class of preferred shares, designated class C, registered, book-entry and with no par value, convertible into common shares and redeemable, with the addition of the right to sell in a public tender offer (OPA) resulting from the sale of control, in order to ensure equal treatment to that afforded to the selling shareholder (PNCs and, together with the PNA1, PNB1 and PNR, the New PNs), without the need for approval at a special meeting of preferred shareholders. 40671*** 9.950 0 0 40738*** 114.121 0 0 40919*** 2.915 0 0 41015*** 0 50 0 41081*** 45.020 0 0 41167*** 44.700 0 0 41167*** 0 21.862 0 41215*** 9.900 0 0 41239*** 0 40.041 0 41246*** 1 0 0 41286*** 88.229 0 0 41301*** 233.464 0 0 41342*** 217.603 0 0 41562*** 703.200 0 0 41610*** 6.403 0 0 41708*** 8.400 0 0 41727*** 1.084 0 0 41853*** 775.900 0 0 41881*** 92.100 0 0 41907*** 22.769 0 0 41941*** 14.062 0 0 41956*** 39.044 0 0 41956*** 154.415 0 0 42045*** 210.700 0 0 42133*** 105.301 0 0 42264*** 141.567 0 0 42332*** 51.304 0 0 42355*** 6.596 0 0 42355*** 71.010 0 0 42389*** 224.900 0 0 42390*** 2.000 0 0 42411*** 263.400 0 0 42469*** 30.510 0 0 42479*** 20.606 0 0 42479*** 926.900 0 0 24 de 34 # Classificação: Pública Shareholder For Against Abstain CNPJ: 00.001.180/0001-26AXIA Energia - EGM 12/19/2025 DETAILED FINAL VOTING MAP 4. Creation of a new class of preferred shares, designated class C, registered, book-entry and with no par value, convertible into common shares and redeemable, with the addition of the right to sell in a public tender offer (OPA) resulting from the sale of control, in order to ensure equal treatment to that afforded to the selling shareholder (PNCs and, together with the PNA1, PNB1 and PNR, the New PNs), without the need for approval at a special meeting of preferred shareholders. 42502*** 64.714 0 0 42519*** 578.953 0 0 42520*** 16.067.256 0 0 42538*** 16 0 0 42571*** 161.048 0 0 42645*** 372 0 0 42717*** 30.400 0 0 42717*** 51.300 0 0 42776*** 7.698 0 0 42777*** 77 0 0 42814*** 65.001 0 0 42865*** 17.773 0 0 42870*** 407.654 0 0 43103*** 780 0 0 43105*** 35.991 0 0 43210*** 25.222 0 0 43313*** 1.500 0 0 43427*** 1.639.944 0 0 43533*** 1.064 0 0 43533*** 20.006 0 0 43533*** 3.371 0 0 43533*** 46.708 0 0 43533*** 352.500 0 0 43533*** 174.200 0 0 43533*** 67.100 0 0 43533*** 6.502 0 0 43533*** 43.729 0 0 43584*** 5.000 0 0 43690*** 0 45.000 0 43704*** 2.338 0 0 43747*** 220 0 0 43761*** 9.704 0 0 43879*** 0 113.100 0 43907*** 25.700 0 0 43907*** 13.800 0 0 25 de 34 # Classificação: Pública Shareholder For Against Abstain CNPJ: 00.001.180/0001-26AXIA Energia - EGM 12/19/2025 DETAILED FINAL VOTING MAP 4. Creation of a new class of preferred shares, designated class C, registered, book-entry and with no par value, convertible into common shares and redeemable, with the addition of the right to sell in a public tender offer (OPA) resulting from the sale of control, in order to ensure equal treatment to that afforded to the selling shareholder (PNCs and, together with the PNA1, PNB1 and PNR, the New PNs), without the need for approval at a special meeting of preferred shareholders. 43909*** 161.800 0 0 43956*** 4 0 0 44110*** 148.600 0 0 44258*** 35.226 0 0 44346*** 10.300 0 0 44360*** 4.791.521 0 0 44500*** 931.300 0 0 44544*** 9.675 0 0 44602*** 42.732 0 0 44642*** 27.800 0 0 44643*** 2.400 0 0 44692*** 536.000 0 0 44700*** 92.884 0 0 44700*** 1.147.700 0 0 44700*** 385.600 0 0 44738*** 64.277 0 0 44844*** 97.257 0 0 44934*** 1.970.045 0 0 45029*** 5.900 0 0 45081*** 3.254.567 0 0 45081*** 40.022 0 0 45088*** 7.765.559 0 0 45120*** 194.468 0 0 45128*** 15.400 0 0 45128*** 299.000 0 0 45128*** 105.700 0 0 45128*** 60.100 0 0 45226*** 2.286.983 0 0 45245*** 150.700 0 0 45245*** 336.547 0 0 45261*** 8.786 0 0 45322*** 5.884.060 0 0 45512*** 4.500 0 0 45560*** 4.083.931 0 0 45605*** 0 64.500 0 26 de 34 # Classificação: Pública Shareholder For Against Abstain CNPJ: 00.001.180/0001-26AXIA Energia - EGM 12/19/2025 DETAILED FINAL VOTING MAP 4. Creation of a new class of preferred shares, designated class C, registered, book-entry and with no par value, convertible into common shares and redeemable, with the addition of the right to sell in a public tender offer (OPA) resulting from the sale of control, in order to ensure equal treatment to that afforded to the selling shareholder (PNCs and, together with the PNA1, PNB1 and PNR, the New PNs), without the need for approval at a special meeting of preferred shareholders. 45622*** 15.000 0 0 45682*** 2.227 0 0 45682*** 3.700 0 0 45682*** 3.100 0 0 45687*** 3.400 0 0 45756*** 415.800 0 0 45859*** 3.300 0 0 45971*** 49.469 0 0 46130*** 29.152 0 0 46134*** 647.883 0 0 46171*** 120.400 0 0 46339*** 230.095 0 0 46375*** 226.924 0 0 46390*** 5 0 0 46438*** 284 0 0 46595*** 60.719 0 0 46732*** 8.100 0 0 46909*** 363.014 0 0 46964*** 219.280 0 0 46964*** 1.579.000 0 0 46964*** 93.142 0 0 46964*** 567.400 0 0 46965*** 114.700 0 0 46981*** 1.496.233 0 0 46981*** 534.131 0 0 46981*** 247.440 0 0 46981*** 1.054.538 0 0 47036*** 3.694.170 0 0 47036*** 11.800 0 0 47228*** 22.700 0 0 47352*** 90.100 0 0 47545*** 2.800 0 0 47794*** 1.900 0 0 47848*** 182.235 0 0 47848*** 7.953.700 0 0 27 de 34 # Classificação: Pública Shareholder For Against Abstain CNPJ: 00.001.180/0001-26AXIA Energia - EGM 12/19/2025 DETAILED FINAL VOTING MAP 4. Creation of a new class of preferred shares, designated class C, registered, book-entry and with no par value, convertible into common shares and redeemable, with the addition of the right to sell in a public tender offer (OPA) resulting from the sale of control, in order to ensure equal treatment to that afforded to the selling shareholder (PNCs and, together with the PNA1, PNB1 and PNR, the New PNs), without the need for approval at a special meeting of preferred shareholders. 47954*** 997.100 0 0 48021*** 6.000 0 0 48123*** 0 23.077 0 48138*** 331.666 0 0 48329*** 70.500 0 0 48331*** 206.182 0 0 48373*** 48.920 0 0 48400*** 428 0 0 48429*** 13.800 0 0 48490*** 0 0 338 48643*** 18.791 0 0 48643*** 71.696 0 0 48650*** 36.699 0 0 48766*** 600 0 0 48820*** 19.276 0 0 48878*** 76.100 0 0 48927*** 6.000 0 0 48977*** 9.474 0 0 48978*** 7.551 0 0 49144*** 176 0 0 49202*** 61.768 0 0 49256*** 5.400 0 0 49266*** 51.000 0 0 49331*** 24.380 0 0 49444*** 69.973 0 0 49485*** 6.188.837 0 0 49632*** 35.698 0 0 49766*** 0 0 1.364.882 49839*** 975.800 0 0 49927*** 558.400 0 0 49947*** 300 0 0 50072*** 7.900 0 0 50091*** 2.541 0 0 50653*** 10.471 0 0 50717*** 192.368 0 0 28 de 34 # Classificação: Pública Shareholder For Against Abstain CNPJ: 00.001.180/0001-26AXIA Energia - EGM 12/19/2025 DETAILED FINAL VOTING MAP 4. Creation of a new class of preferred shares, designated class C, registered, book-entry and with no par value, convertible into common shares and redeemable, with the addition of the right to sell in a public tender offer (OPA) resulting from the sale of control, in order to ensure equal treatment to that afforded to the selling shareholder (PNCs and, together with the PNA1, PNB1 and PNR, the New PNs), without the need for approval at a special meeting of preferred shareholders. 50856*** 67.500 0 0 50958*** 25.900 0 0 51116*** 393.656 0 0 51116*** 9.600 0 0 51360*** 108.000 0 0 51473*** 3.000 0 0 51487*** 44.643 0 0 51490*** 0 0 200 51614*** 71 0 0 51817*** 23.503 0 0 51888*** 0 13.100 0 51990*** 997.693 0 0 52025*** 148.306 0 0 52070*** 90.731 0 0 52080*** 51.300 0 0 52083*** 40.718 0 0 52085*** 1.260.946 0 0 52182*** 79.900 0 0 52188*** 13.832 0 0 52203*** 6.778 0 0 52647*** 382.259 0 0 52694*** 320.153 0 0 52698*** 41.176 0 0 52800*** 17.473 0 0 52901*** 7.141 0 0 52950*** 1.584 0 0 53176*** 12.177 0 0 53304*** 2 0 0 53425*** 0 0 0 53529*** 0 0 238 53599*** 874.700 0 0 53780*** 39.870 0 0 53826*** 2.600 0 0 53829*** 1.300 0 0 53861*** 66.023 0 0 29 de 34 # Classificação: Pública Shareholder For Against Abstain CNPJ: 00.001.180/0001-26AXIA Energia - EGM 12/19/2025 DETAILED FINAL VOTING MAP 4. Creation of a new class of preferred shares, designated class C, registered, book-entry and with no par value, convertible into common shares and redeemable, with the addition of the right to sell in a public tender offer (OPA) resulting from the sale of control, in order to ensure equal treatment to that afforded to the selling shareholder (PNCs and, together with the PNA1, PNB1 and PNR, the New PNs), without the need for approval at a special meeting of preferred shareholders. 54026*** 15.205 0 0 54069*** 755 0 0 54198*** 43.496 0 0 54250*** 43.400 0 0 54368*** 1.990 0 0 54398*** 31.592 0 0 54423*** 143.706 0 0 54584*** 1.000 0 0 54603*** 3.455 0 0 54620*** 4.669 0 0 54637*** 0 0 2.000 54784*** 8.340 0 0 54792*** 866.200 0 0 54792*** 27.300 0 0 55053*** 3.008 0 0 55105*** 3.085.892 0 0 55240*** 4.800 0 0 55315*** 4.200 0 0 55483*** 66.300 0 0 55522*** 28.272 0 0 55690*** 20.969 0 0 55751*** 1.057 0 0 55893*** 36.900 0 0 55894*** 0 20.265 0 55912*** 800 0 0 55989*** 0 19.664 0 56007*** 38.937 0 0 56029*** 15.751 0 0 56091*** 12.770 0 0 56141*** 55.146 0 0 56155*** 16.300 0 0 56208*** 124.284 0 0 56211*** 3.031 0 0 56367*** 19.000 0 0 56504*** 3.700 0 0 30 de 34 # Classificação: Pública Shareholder For Against Abstain CNPJ: 00.001.180/0001-26AXIA Energia - EGM 12/19/2025 DETAILED FINAL VOTING MAP 4. Creation of a new class of preferred shares, designated class C, registered, book-entry and with no par value, convertible into common shares and redeemable, with the addition of the right to sell in a public tender offer (OPA) resulting from the sale of control, in order to ensure equal treatment to that afforded to the selling shareholder (PNCs and, together with the PNA1, PNB1 and PNR, the New PNs), without the need for approval at a special meeting of preferred shareholders. 56576*** 0 0 5 56625*** 200 0 0 56704*** 58.979 0 0 56707*** 49.745 0 0 56951*** 81.600 0 0 57091*** 17.477 0 0 57343*** 203.243 0 0 57537*** 6.879 0 0 57848*** 4.554 0 0 57979*** 149.800 0 0 58175*** 41.800 0 0 58270*** 16.516 0 0 58489*** 201.700 0 0 58734*** 7 0 0 58901*** 14.579 0 0 58947*** 5.100 0 0 59051*** 47.200 0 0 59141*** 22.111 0 0 59307*** 138.543 0 0 59666*** 27.807 0 0 59767*** 194.700 0 0 59790*** 7.989 0 0 59840*** 33.400 0 0 60060*** 14.300 0 0 60328*** 59.873 0 0 60347*** 112.584 0 0 60746*** 2.094.364 0 0 61148*** 181 0 0 61397*** 100 0 0 61596*** 22.370 0 0 61664*** 42.536 0 0 61684*** 2.457.532 0 0 61684*** 5.420.200 0 0 61838*** 1.500 0 0 61988*** 13.233 0 0 31 de 34 # Classificação: Pública Shareholder For Against Abstain CNPJ: 00.001.180/0001-26AXIA Energia - EGM 12/19/2025 DETAILED FINAL VOTING MAP 4. Creation of a new class of preferred shares, designated class C, registered, book-entry and with no par value, convertible into common shares and redeemable, with the addition of the right to sell in a public tender offer (OPA) resulting from the sale of control, in order to ensure equal treatment to that afforded to the selling shareholder (PNCs and, together with the PNA1, PNB1 and PNR, the New PNs), without the need for approval at a special meeting of preferred shareholders. 62569*** 4.957 0 0 62673*** 22.800 0 0 62673*** 72.700 0 0 62673*** 1.200 0 0 62913*** 29.220 0 0 63114*** 33.420 0 0 63135*** 14.100 0 0 63135*** 3.500 0 0 63291*** 32.499 0 0 63360*** 42.558 0 0 64491*** 316 0 0 66547*** 1.300 0 0 66744*** 192.519 0 0 67327*** 0 0 5 68559*** 3.840 0 0 69851*** 400 0 0 71861*** 1 0 0 73447*** 1.200 0 0 73933*** 10 0 0 74843*** 0 0 40 74927*** 580 0 0 76297*** 0 595 0 76908*** 21 0 0 77605*** 17.607 0 0 79238*** 0 256 0 79246*** 30.000 0 0 79720*** 200 0 0 80005*** 8 0 0 80663*** 24 0 0 83699*** 0 0 28 84876*** 0 0 120 85751*** 115 0 0 85751*** 300 0 0 85989*** 100 0 0 87737*** 103 0 0 32 de 34 # Classificação: Pública Shareholder For Against Abstain CNPJ: 00.001.180/0001-26AXIA Energia - EGM 12/19/2025 DETAILED FINAL VOTING MAP 4. Creation of a new class of preferred shares, designated class C, registered, book-entry and with no par value, convertible into common shares and redeemable, with the addition of the right to sell in a public tender offer (OPA) resulting from the sale of control, in order to ensure equal treatment to that afforded to the selling shareholder (PNCs and, together with the PNA1, PNB1 and PNR, the New PNs), without the need for approval at a special meeting of preferred shareholders. 88440*** 0 0 100 88962*** 0 0 12 89351*** 20 0 0 90243*** 0 20 0 90372*** 0 0 13 91890*** 20 0 0 91927*** 0 0 0 92273*** 15 0 0 92693*** 129.020 0 0 93577*** 200 0 0 93902*** 50 0 0 95687*** 0 0 1.000 97538*** 4.851.698 0 0 97538*** 49.089 0 0 97539*** 917.301 0 0 97539*** 22.778 0 0 97539*** 37.074 0 0 97539*** 19.345 0 0 97539*** 3.732.105 0 0 97539*** 4.800 0 0 97539*** 0 28.674 0 97539*** 0 31.200 0 97539*** 735.721 0 0 97539*** 42.800 0 0 97539*** 5.199.319 0 0 97539*** 2.389.760 0 0 97539*** 1.543.110 0 0 97539*** 3.445.396 0 0 97539*** 392.626 0 0 97539*** 996.896 0 0 97539*** 2.066.321 0 0 97539*** 197.838 0 0 97539*** 144.600 0 0 97539*** 22.250 0 0 97540*** 20.600 0 0 33 de 34 # Classificação: Pública Shareholder For Against Abstain CNPJ: 00.001.180/0001-26AXIA Energia - EGM 12/19/2025 DETAILED FINAL VOTING MAP 4. Creation of a new class of preferred shares, designated class C, registered, book-entry and with no par value, convertible into common shares and redeemable, with the addition of the right to sell in a public tender offer (OPA) resulting from the sale of control, in order to ensure equal treatment to that afforded to the selling shareholder (PNCs and, together with the PNA1, PNB1 and PNR, the New PNs), without the need for approval at a special meeting of preferred shareholders. 97540*** 3.753 0 0 97540*** 68.500 0 0 97540*** 104.726 0 0 97540*** 903.981 0 0 97540*** 72.665 0 0 97540*** 926.147 0 0 97540*** 1.598 0 0 97540*** 282.400 0 0 97540*** 1.796.898 0 0 97540*** 2.022.198 0 0 97540*** 10.823 0 0 97540*** 209.922 0 0 97540*** 16.335.023 0 0 98658*** 550 0 0 99169*** 100 0 0 34 de 34 # Classificação: Pública Shareholder For Against Abstain Total 824.408.470 191.949.347 34.863.072 00125*** 1.178.056 0 0 00394*** 0 190.732.084 0 00455*** 6 0 0 00560*** 4.984 0 0 00586*** 10 0 0 00601*** 31 0 0 00739*** 1.428 0 0 00805*** 20 0 0 00914*** 3 0 0 01017*** 1 0 0 01171*** 1.610 0 0 01203*** 1 0 0 01456*** 4 0 0 01496*** 161.306 0 0 01586*** 16 0 0 01643*** 66.985 0 0 01699*** 96.416 0 0 01886*** 12.945 0 0 02020*** 53.603 0 0 02097*** 5.700 0 0 02231*** 611 0 0 02231*** 8.536 0 0 02285*** 102 0 0 02524*** 250 0 0 02745*** 0 5 0 02863*** 1.125.500 0 0 02887*** 26.056 0 0 02895*** 64.700 0 0 02903*** 100 0 0 03027*** 51.786 0 0 03369*** 0 0 136 03370*** 392.332 0 0 03394*** 87.480 0 0 03394*** 7 0 0 CNPJ: 00.001.180/0001-26AXIA Energia - EGM 12/19/2025 DETAILED FINAL VOTING MAP 5. subject to the creation and issuance of the New PNs, resolve on the mandatory conversions of all currently outstanding preferred shares, as follows: (e.1) conversion of the PNA shares into PNA1 and PNR shares, at the ratio of 1 (one) PNA share to 1 (one) PNA1 share and 1 (one) PNR share (PNA Conversion); and (e.2) conversion of PNB shares into PNB1 and PNR shares, at the ratio of 1 (one) PNB share to 1 (one) PNB1 share and 1 (one) PNR share (PNB Conversion, and together with PNA Conversion, the Conversions). 1 de 34 # Classificação: Pública Shareholder For Against Abstain CNPJ: 00.001.180/0001-26AXIA Energia - EGM 12/19/2025 DETAILED FINAL VOTING MAP 5. subject to the creation and issuance of the New PNs, resolve on the mandatory conversions of all currently outstanding preferred shares, as follows: (e.1) conversion of the PNA shares into PNA1 and PNR shares, at the ratio of 1 (one) PNA share to 1 (one) PNA1 share and 1 (one) PNR share (PNA Conversion); and (e.2) conversion of PNB shares into PNB1 and PNR shares, at the ratio of 1 (one) PNB share to 1 (one) PNB1 share and 1 (one) PNR share (PNB Conversion, and together with PNA Conversion, the Conversions). 03473*** 569 0 0 03833*** 28.394 0 0 03902*** 1 0 0 03960*** 24.957 0 0 04005*** 0 50 0 04073*** 292.991 0 0 04297*** 0 3 0 04555*** 0 0 55 04605*** 0 0 200 04609*** 602 0 0 04609*** 1.300 0 0 04616*** 11.687 0 0 04672*** 5 0 0 04709*** 0 1 0 04736*** 28.890 0 0 04751*** 111.059 0 0 04847*** 4 0 0 05075*** 5 0 0 05100*** 43.978 0 0 05147*** 14.000 0 0 05303*** 0 0 1 05316*** 1.030 0 0 05435*** 3 0 0 05448*** 9.727 0 0 05479*** 1.513.900 0 0 05479*** 2.843.378 0 0 05522*** 44 0 0 05589*** 233.315 0 0 05589*** 279.983 0 0 05589*** 28.815 0 0 05719*** 27 0 0 05734*** 415 0 0 05775*** 1.759 0 0 05838*** 15.219 0 0 05839*** 96.081 0 0 2 de 34 # Classificação: Pública Shareholder For Against Abstain CNPJ: 00.001.180/0001-26AXIA Energia - EGM 12/19/2025 DETAILED FINAL VOTING MAP 5. subject to the creation and issuance of the New PNs, resolve on the mandatory conversions of all currently outstanding preferred shares, as follows: (e.1) conversion of the PNA shares into PNA1 and PNR shares, at the ratio of 1 (one) PNA share to 1 (one) PNA1 share and 1 (one) PNR share (PNA Conversion); and (e.2) conversion of PNB shares into PNB1 and PNR shares, at the ratio of 1 (one) PNB share to 1 (one) PNB1 share and 1 (one) PNR share (PNB Conversion, and together with PNA Conversion, the Conversions). 05839*** 189.258 0 0 05839*** 718.804 0 0 05839*** 724 0 0 05839*** 775.653 0 0 05839*** 15.200 0 0 05839*** 9.200 0 0 05839*** 803.800 0 0 05839*** 158.291 0 0 05839*** 15.718 0 0 05839*** 1.111.508 0 0 05839*** 4.619.084 0 0 05839*** 226.872 0 0 05839*** 51.889 0 0 05840*** 188.253 0 0 05840*** 10.000 0 0 05840*** 32.547 0 0 05840*** 804.990 0 0 05840*** 4.858.301 0 0 05840*** 477.000 0 0 05840*** 2.199.143 0 0 05872*** 79.961 0 0 05901*** 1 0 0 05986*** 1.881.495 0 0 05986*** 2.673.143 0 0 05986*** 24.100 0 0 05986*** 2.155 0 0 05987*** 147.900 0 0 05987*** 129.553 0 0 05987*** 11.827 0 0 05987*** 2.020.100 0 0 05987*** 1.602.500 0 0 05987*** 5 0 0 05987*** 199.465 0 0 05987*** 13.400 0 0 05987*** 428.300 0 0 3 de 34 # Classificação: Pública Shareholder For Against Abstain CNPJ: 00.001.180/0001-26AXIA Energia - EGM 12/19/2025 DETAILED FINAL VOTING MAP 5. subject to the creation and issuance of the New PNs, resolve on the mandatory conversions of all currently outstanding preferred shares, as follows: (e.1) conversion of the PNA shares into PNA1 and PNR shares, at the ratio of 1 (one) PNA share to 1 (one) PNA1 share and 1 (one) PNR share (PNA Conversion); and (e.2) conversion of PNB shares into PNB1 and PNR shares, at the ratio of 1 (one) PNB share to 1 (one) PNB1 share and 1 (one) PNR share (PNB Conversion, and together with PNA Conversion, the Conversions). 05987*** 24.749 0 0 05987*** 188.737 0 0 05987*** 2.862.252 0 0 05987*** 481.572 0 0 05987*** 1.758.400 0 0 06046*** 1.594.573 0 0 06069*** 5.615 0 0 06105*** 10.100 0 0 06134*** 0 108.329 0 06148*** 76.771 0 0 06224*** 6.811 0 0 06239*** 174.268 0 0 06239*** 455.200 0 0 06251*** 9.995 0 0 06318*** 0 0 1 06323*** 530.363 0 0 06370*** 3 0 0 06406*** 0 0 100.000 06491*** 35 0 0 06541*** 284.989 0 0 06571*** 130 0 0 06613*** 77.676 0 0 06832*** 0 23 0 06916*** 622.500 0 0 06943*** 137.641 0 0 06943*** 589.073 0 0 06943*** 922.665 0 0 06949*** 0 0 10 06964*** 298.476 0 0 07023*** 0 0 100 07060*** 239.200 0 0 07086*** 1.000 0 0 07096*** 51.672 0 0 07140*** 859.100 0 0 07140*** 19.426 0 0 4 de 34 # Classificação: Pública Shareholder For Against Abstain CNPJ: 00.001.180/0001-26AXIA Energia - EGM 12/19/2025 DETAILED FINAL VOTING MAP 5. subject to the creation and issuance of the New PNs, resolve on the mandatory conversions of all currently outstanding preferred shares, as follows: (e.1) conversion of the PNA shares into PNA1 and PNR shares, at the ratio of 1 (one) PNA share to 1 (one) PNA1 share and 1 (one) PNR share (PNA Conversion); and (e.2) conversion of PNB shares into PNB1 and PNR shares, at the ratio of 1 (one) PNB share to 1 (one) PNB1 share and 1 (one) PNR share (PNB Conversion, and together with PNA Conversion, the Conversions). 07140*** 1.219 0 0 07140*** 26.098 0 0 07187*** 16.269 0 0 07187*** 713 0 0 07191*** 857.000 0 0 07191*** 85.700 0 0 07191*** 105.335 0 0 07226*** 4 0 0 07237*** 589.417 0 0 07237*** 33.388 0 0 07247*** 296.000 0 0 07247*** 164.564 0 0 07247*** 247.800 0 0 07267*** 140 0 0 07299*** 100 0 0 07333*** 249.390 0 0 07345*** 2.648 0 0 07345*** 10.300 0 0 07345*** 28.600 0 0 07376*** 123.348 0 0 07418*** 42.847 0 0 07418*** 1.247.100 0 0 07418*** 1.210.226 0 0 07463*** 0 0 4 07488*** 319.556 0 0 07496*** 1.568.008 0 0 07496*** 2.200 0 0 07496*** 60.415 0 0 07496*** 133.589 0 0 07506*** 4.230.427 0 0 07515*** 60 0 0 07516*** 10.567.600 0 0 07516*** 917.500 0 0 07516*** 35.520 0 0 07516*** 1.041.400 0 0 5 de 34 # Classificação: Pública Shareholder For Against Abstain CNPJ: 00.001.180/0001-26AXIA Energia - EGM 12/19/2025 DETAILED FINAL VOTING MAP 5. subject to the creation and issuance of the New PNs, resolve on the mandatory conversions of all currently outstanding preferred shares, as follows: (e.1) conversion of the PNA shares into PNA1 and PNR shares, at the ratio of 1 (one) PNA share to 1 (one) PNA1 share and 1 (one) PNR share (PNA Conversion); and (e.2) conversion of PNB shares into PNB1 and PNR shares, at the ratio of 1 (one) PNB share to 1 (one) PNB1 share and 1 (one) PNR share (PNB Conversion, and together with PNA Conversion, the Conversions). 07518*** 84.779 0 0 07521*** 158.999 0 0 07526*** 19.300 0 0 07529*** 128.800 0 0 07536*** 103.618 0 0 07551*** 7.900 0 0 07593*** 179.470 0 0 07622*** 4.475.736 0 0 07647*** 78.500 0 0 07655*** 864.956 0 0 07655*** 10.800 0 0 07667*** 4.648 0 0 07670*** 0 10.600 0 07670*** 1.650.000 0 0 07686*** 7.021 0 0 07724*** 211.324 0 0 07790*** 14.800 0 0 07792*** 357.630 0 0 07820*** 2.200 0 0 07846*** 69.100 0 0 07889*** 44.041 0 0 07940*** 280.700 0 0 07942*** 530.100 0 0 07967*** 133.248 0 0 07990*** 42.700 0 0 08052*** 0 100 0 08120*** 0 0 383 08154*** 5.377 0 0 08196*** 81.823.300 0 0 08265*** 225.800 0 0 08268*** 3.800 0 0 08279*** 318.109 0 0 08295*** 18.073.978 0 0 08295*** 3.890.485 0 0 08295*** 93.002 0 0 6 de 34 # Classificação: Pública Shareholder For Against Abstain CNPJ: 00.001.180/0001-26AXIA Energia - EGM 12/19/2025 DETAILED FINAL VOTING MAP 5. subject to the creation and issuance of the New PNs, resolve on the mandatory conversions of all currently outstanding preferred shares, as follows: (e.1) conversion of the PNA shares into PNA1 and PNR shares, at the ratio of 1 (one) PNA share to 1 (one) PNA1 share and 1 (one) PNR share (PNA Conversion); and (e.2) conversion of PNB shares into PNB1 and PNR shares, at the ratio of 1 (one) PNB share to 1 (one) PNB1 share and 1 (one) PNR share (PNB Conversion, and together with PNA Conversion, the Conversions). 08387*** 103.219 0 0 08434*** 43.600 0 0 08464*** 3.983.344 0 0 08471*** 53.618 0 0 08561*** 940.780 0 0 08571*** 3.397 0 0 08579*** 339.986 0 0 08621*** 820.400 0 0 08623*** 1.710 0 0 08640*** 52.400 0 0 08757*** 52.296 0 0 08765*** 94.255.061 0 0 08840*** 9.118.176 0 0 08857*** 893.791 0 0 08875*** 26.085 0 0 08875*** 39.000 0 0 08900*** 1.800 0 0 08910*** 0 0 23 08913*** 1.453 0 0 08935*** 18.483.007 0 0 08945*** 137.277 0 0 08973*** 90.286 0 0 08973*** 84.130 0 0 08988*** 90.399 0 0 09005*** 171 0 0 09029*** 95.000 0 0 09048*** 164.633 0 0 09048*** 42.509 0 0 09063*** 550.962 0 0 09064*** 1 0 0 09073*** 366.269 0 0 09089*** 470.660 0 0 09089*** 20.525 0 0 09094*** 86.200 0 0 09144*** 0 0 7 7 de 34 # Classificação: Pública Shareholder For Against Abstain CNPJ: 00.001.180/0001-26AXIA Energia - EGM 12/19/2025 DETAILED FINAL VOTING MAP 5. subject to the creation and issuance of the New PNs, resolve on the mandatory conversions of all currently outstanding preferred shares, as follows: (e.1) conversion of the PNA shares into PNA1 and PNR shares, at the ratio of 1 (one) PNA share to 1 (one) PNA1 share and 1 (one) PNR share (PNA Conversion); and (e.2) conversion of PNB shares into PNB1 and PNR shares, at the ratio of 1 (one) PNB share to 1 (one) PNB1 share and 1 (one) PNR share (PNB Conversion, and together with PNA Conversion, the Conversions). 09145*** 13.516.396 0 0 09163*** 972.837 0 0 09241*** 20 0 0 09286*** 42.968 0 0 09294*** 230.978 0 0 09299*** 1.005.021 0 0 09323*** 25.786 0 0 09323*** 408.777 0 0 09330*** 114.300 0 0 09336*** 117.000 0 0 09411*** 36.133 0 0 09441*** 106.368 0 0 09470*** 270.100 0 0 09470*** 130.741 0 0 09559*** 823.023 0 0 09564*** 269.814 0 0 09567*** 147.940 0 0 09593*** 765.198 0 0 09620*** 372.512 0 0 09627*** 41.300 0 0 09701*** 220 0 0 09720*** 4.359.575 0 0 09838*** 20 0 0 10110*** 0 0 0 10205*** 1.098 0 0 10214*** 40.966 0 0 10243*** 45.400 0 0 10263*** 60.424 0 0 10263*** 335.431 0 0 10263*** 169.600 0 0 10307*** 0 500 0 10324*** 729.020 0 0 10392*** 311 0 0 10400*** 48.700 0 0 10418*** 47.304 0 0 8 de 34 # Classificação: Pública Shareholder For Against Abstain CNPJ: 00.001.180/0001-26AXIA Energia - EGM 12/19/2025 DETAILED FINAL VOTING MAP 5. subject to the creation and issuance of the New PNs, resolve on the mandatory conversions of all currently outstanding preferred shares, as follows: (e.1) conversion of the PNA shares into PNA1 and PNR shares, at the ratio of 1 (one) PNA share to 1 (one) PNA1 share and 1 (one) PNR share (PNA Conversion); and (e.2) conversion of PNB shares into PNB1 and PNR shares, at the ratio of 1 (one) PNB share to 1 (one) PNB1 share and 1 (one) PNR share (PNB Conversion, and together with PNA Conversion, the Conversions). 10419*** 121.500 0 0 10481*** 6.385.100 0 0 10486*** 0 0 20 10492*** 225.108 0 0 10553*** 1.933.500 0 0 10554*** 24 0 0 10561*** 4.400 0 0 10569*** 91.542 0 0 10583*** 342.676 0 0 10596*** 2.537 0 0 10672*** 28.600 0 0 10678*** 145.406 0 0 10762*** 18.300 0 0 10765*** 14.889.875 0 0 10809*** 451.926 0 0 10840*** 0 1 0 11030*** 2.221.230 0 0 11046*** 0 869.344 0 11047*** 10.000 0 0 11100*** 1.373.626 0 0 11175*** 0 1.000 0 11184*** 10.637 0 0 11184*** 2.478.365 0 0 11188*** 13.734.739 0 0 11225*** 316.909 0 0 11311*** 564.121 0 0 11324*** 7.583 0 0 11324*** 30.286 0 0 11390*** 64.400 0 0 11403*** 1.338.015 0 0 11423*** 70.266 0 0 11435*** 30.154 0 0 11451*** 10.713 0 0 11520*** 47.400 0 0 11538*** 371.390 0 0 9 de 34 # Classificação: Pública Shareholder For Against Abstain CNPJ: 00.001.180/0001-26AXIA Energia - EGM 12/19/2025 DETAILED FINAL VOTING MAP 5. subject to the creation and issuance of the New PNs, resolve on the mandatory conversions of all currently outstanding preferred shares, as follows: (e.1) conversion of the PNA shares into PNA1 and PNR shares, at the ratio of 1 (one) PNA share to 1 (one) PNA1 share and 1 (one) PNR share (PNA Conversion); and (e.2) conversion of PNB shares into PNB1 and PNR shares, at the ratio of 1 (one) PNB share to 1 (one) PNB1 share and 1 (one) PNR share (PNB Conversion, and together with PNA Conversion, the Conversions). 11604*** 360.492 0 0 11729*** 107.780 0 0 11738*** 250 0 0 11748*** 429.545 0 0 11811*** 30.900 0 0 11841*** 246.000 0 0 11906*** 151.616 0 0 11952*** 278.000 0 0 11977*** 189.006 0 0 12068*** 1.035.445 0 0 12086*** 19.807 0 0 12086*** 0 0 9 12094*** 460.415 0 0 12120*** 132.000 0 0 12287*** 19.832 0 0 12456*** 0 3 0 12518*** 8 0 0 12525*** 55.857 0 0 12938*** 149.500 0 0 12984*** 4.024 0 0 12984*** 18.461 0 0 12995*** 20 0 0 13022*** 8.606 0 0 13033*** 2.080 0 0 13066*** 302.163 0 0 13081*** 69.000 0 0 13281*** 0 0 22 13294*** 124.722 0 0 13296*** 40.202 0 0 13307*** 205.200 0 0 13343*** 311.700 0 0 13362*** 476.877 0 0 13402*** 280.900 0 0 13474*** 700 0 0 13521*** 220 0 0 10 de 34 # Classificação: Pública Shareholder For Against Abstain CNPJ: 00.001.180/0001-26AXIA Energia - EGM 12/19/2025 DETAILED FINAL VOTING MAP 5. subject to the creation and issuance of the New PNs, resolve on the mandatory conversions of all currently outstanding preferred shares, as follows: (e.1) conversion of the PNA shares into PNA1 and PNR shares, at the ratio of 1 (one) PNA share to 1 (one) PNA1 share and 1 (one) PNR share (PNA Conversion); and (e.2) conversion of PNB shares into PNB1 and PNR shares, at the ratio of 1 (one) PNB share to 1 (one) PNB1 share and 1 (one) PNR share (PNB Conversion, and together with PNA Conversion, the Conversions). 13562*** 37.000 0 0 13562*** 548.300 0 0 13665*** 138.000 0 0 13725*** 84.512 0 0 13796*** 90.793 0 0 13834*** 233.763 0 0 13834*** 381.977 0 0 13909*** 167.488 0 0 13998*** 4.060 0 0 14012*** 1.407.965 0 0 14027*** 567.280 0 0 14138*** 920.375 0 0 14159*** 3 0 0 14180*** 368.100 0 0 14188*** 76.287 0 0 14220*** 11.200 0 0 14240*** 23.800 0 0 14366*** 28.010 0 0 14406*** 200 0 0 14416*** 326.295 0 0 14461*** 73.600 0 0 14476*** 131.958 0 0 14494*** 22.433 0 0 14507*** 735.071 0 0 14541*** 1.531.341 0 0 14549*** 25.453 0 0 14623*** 1.120.542 0 0 14623*** 184.100 0 0 14624*** 1.530.000 0 0 14628*** 17.094 0 0 14639*** 200.200 0 0 14791*** 47.100 0 0 14809*** 207.700 0 0 14879*** 12.400 0 0 14963*** 287.800 0 0 11 de 34 # Classificação: Pública Shareholder For Against Abstain CNPJ: 00.001.180/0001-26AXIA Energia - EGM 12/19/2025 DETAILED FINAL VOTING MAP 5. subject to the creation and issuance of the New PNs, resolve on the mandatory conversions of all currently outstanding preferred shares, as follows: (e.1) conversion of the PNA shares into PNA1 and PNR shares, at the ratio of 1 (one) PNA share to 1 (one) PNA1 share and 1 (one) PNR share (PNA Conversion); and (e.2) conversion of PNB shares into PNB1 and PNR shares, at the ratio of 1 (one) PNB share to 1 (one) PNB1 share and 1 (one) PNR share (PNB Conversion, and together with PNA Conversion, the Conversions). 14988*** 710.784 0 0 15011*** 2 0 0 15036*** 0 0 85 15154*** 340.800 0 0 15265*** 177.240 0 0 15265*** 2.300 0 0 15323*** 34.929 0 0 15807*** 168.286 0 0 15816*** 2.609 0 0 16575*** 257.846 0 0 16617*** 37.100 0 0 16816*** 1.487.180 0 0 16816*** 1.355.134 0 0 16878*** 22.500 0 0 16939*** 728.084 0 0 16947*** 483.067 0 0 16947*** 5.856.571 0 0 16947*** 11.960.862 0 0 16947*** 1.630.350 0 0 17009*** 337.765 0 0 17021*** 47.483 0 0 17036*** 229.156 0 0 17138*** 7.891 0 0 17162*** 839.967 0 0 17284*** 475.000 0 0 17488*** 5.101 0 0 17500*** 13.991 0 0 17500*** 10.350 0 0 17578*** 0 5 0 17647*** 50.550 0 0 17718*** 376.076 0 0 17825*** 13.124 0 0 17891*** 258.489 0 0 17934*** 74.887 0 0 18030*** 22.616 0 0 12 de 34 # Classificação: Pública Shareholder For Against Abstain CNPJ: 00.001.180/0001-26AXIA Energia - EGM 12/19/2025 DETAILED FINAL VOTING MAP 5. subject to the creation and issuance of the New PNs, resolve on the mandatory conversions of all currently outstanding preferred shares, as follows: (e.1) conversion of the PNA shares into PNA1 and PNR shares, at the ratio of 1 (one) PNA share to 1 (one) PNA1 share and 1 (one) PNR share (PNA Conversion); and (e.2) conversion of PNB shares into PNB1 and PNR shares, at the ratio of 1 (one) PNB share to 1 (one) PNB1 share and 1 (one) PNR share (PNB Conversion, and together with PNA Conversion, the Conversions). 18138*** 2.462.000 0 0 18138*** 74.212 0 0 18158*** 593.095 0 0 18324*** 1.366.500 0 0 18391*** 13.353 0 0 18407*** 1.411.157 0 0 18470*** 271.897 0 0 18485*** 0 0 1.395 18550*** 1.066.800 0 0 18830*** 13.959 0 0 18858*** 95.400 0 0 18961*** 37.533 0 0 18969*** 16.708 0 0 18981*** 1.630 0 0 19100*** 23.865 0 0 19135*** 5.301 0 0 19143*** 1.955.911 0 0 19184*** 296.600 0 0 19232*** 5 0 0 19244*** 1.573.617 0 0 19318*** 5.200 0 0 19388*** 310.634 0 0 19449*** 7.888 0 0 19477*** 71 0 0 19530*** 1.198.949 0 0 19573*** 8.556 0 0 19609*** 696.300 0 0 19675*** 173.816 0 0 19708*** 164.080 0 0 19754*** 398.161 0 0 19791*** 170.700 0 0 19791*** 861.100 0 0 19800*** 18.986 0 0 19808*** 295.677 0 0 19825*** 4.200 0 0 13 de 34 # Classificação: Pública Shareholder For Against Abstain CNPJ: 00.001.180/0001-26AXIA Energia - EGM 12/19/2025 DETAILED FINAL VOTING MAP 5. subject to the creation and issuance of the New PNs, resolve on the mandatory conversions of all currently outstanding preferred shares, as follows: (e.1) conversion of the PNA shares into PNA1 and PNR shares, at the ratio of 1 (one) PNA share to 1 (one) PNA1 share and 1 (one) PNR share (PNA Conversion); and (e.2) conversion of PNB shares into PNB1 and PNR shares, at the ratio of 1 (one) PNB share to 1 (one) PNB1 share and 1 (one) PNR share (PNB Conversion, and together with PNA Conversion, the Conversions). 19874*** 302.100 0 0 19874*** 117.200 0 0 19874*** 186.268 0 0 19910*** 35.990 0 0 19919*** 1.446.617 0 0 20026*** 2.693 0 0 20065*** 440.327 0 0 20147*** 290.246 0 0 20216*** 0 0 0 20349*** 74.118 0 0 20384*** 0 15.000 0 20397*** 152.369 0 0 20447*** 17.692 0 0 20604*** 164.611 0 0 20622*** 380.219 0 0 20733*** 227.900 0 0 20750*** 34.379 0 0 20796*** 75.932 0 0 20813*** 2.076.953 0 0 20849*** 29.927 0 0 20903*** 13.400 0 0 20923*** 11.945 0 0 21052*** 293.708 0 0 21053*** 300 0 0 21144*** 18.170 0 0 21166*** 5.413 0 0 21287*** 37.771 0 0 21336*** 9.070 0 0 21347*** 11.902 0 0 21407*** 2.026.972 0 0 21881*** 40.900 0 0 21962*** 166.796 0 0 22105*** 203.400 0 0 22106*** 568.043 0 0 22166*** 28.698 0 0 14 de 34 # Classificação: Pública Shareholder For Against Abstain CNPJ: 00.001.180/0001-26AXIA Energia - EGM 12/19/2025 DETAILED FINAL VOTING MAP 5. subject to the creation and issuance of the New PNs, resolve on the mandatory conversions of all currently outstanding preferred shares, as follows: (e.1) conversion of the PNA shares into PNA1 and PNR shares, at the ratio of 1 (one) PNA share to 1 (one) PNA1 share and 1 (one) PNR share (PNA Conversion); and (e.2) conversion of PNB shares into PNB1 and PNR shares, at the ratio of 1 (one) PNB share to 1 (one) PNB1 share and 1 (one) PNR share (PNB Conversion, and together with PNA Conversion, the Conversions). 22321*** 121.546 0 0 22360*** 4.629 0 0 22410*** 435.030 0 0 22501*** 6.182 0 0 22576*** 542.300 0 0 22648*** 10 0 0 22764*** 440.460 0 0 22764*** 226 0 0 22875*** 151.938 0 0 22896*** 73.257 0 0 23060*** 74.214 0 0 23127*** 271.156 0 0 23213*** 50.171 0 0 23213*** 58.500 0 0 23242*** 23.600 0 0 23572*** 59.861 0 0 23686*** 93.251 0 0 23691*** 0 0 441 23771*** 14.912 0 0 23794*** 790.682 0 0 23794*** 1.021.782 0 0 23854*** 1.398.723 0 0 23874*** 687.297 0 0 23958*** 160.400 0 0 23985*** 294.900 0 0 23985*** 13.275 0 0 24078*** 167.702 0 0 24158*** 259.968 0 0 24224*** 102.833 0 0 24297*** 6.072 0 0 24300*** 9.744 0 0 24548*** 1.100 0 0 24569*** 10.853 0 0 24676*** 429.300 0 0 24728*** 9.000 0 0 15 de 34 # Classificação: Pública Shareholder For Against Abstain CNPJ: 00.001.180/0001-26AXIA Energia - EGM 12/19/2025 DETAILED FINAL VOTING MAP 5. subject to the creation and issuance of the New PNs, resolve on the mandatory conversions of all currently outstanding preferred shares, as follows: (e.1) conversion of the PNA shares into PNA1 and PNR shares, at the ratio of 1 (one) PNA share to 1 (one) PNA1 share and 1 (one) PNR share (PNA Conversion); and (e.2) conversion of PNB shares into PNB1 and PNR shares, at the ratio of 1 (one) PNB share to 1 (one) PNB1 share and 1 (one) PNR share (PNB Conversion, and together with PNA Conversion, the Conversions). 24752*** 63.400 0 0 24779*** 562.064 0 0 24976*** 5.020 0 0 25019*** 15.433 0 0 25028*** 39.584 0 0 25079*** 23.610 0 0 25134*** 0 0 400 25138*** 265.200 0 0 25169*** 7.586.634 0 0 25220*** 11.600 0 0 25232*** 412.400 0 0 25282*** 4.100 0 0 25454*** 509.300 0 0 25485*** 217 0 0 25612*** 21 0 0 26066*** 96.100 0 0 26087*** 338.300 0 0 26142*** 9.630 0 0 26160*** 150.526 0 0 26294*** 8 0 0 26311*** 99.855 0 0 26431*** 490.824 0 0 26496*** 2.600 0 0 26565*** 163.000 0 0 26670*** 99.900 0 0 26729*** 40.262.449 0 0 26773*** 5.024 0 0 26776*** 277.512 0 0 26784*** 155 0 0 26784*** 33.267 0 0 26784*** 6.400 0 0 26855*** 15.357 0 0 26855*** 102.747 0 0 26859*** 87.312 0 0 26859*** 6.853 0 0 16 de 34 # Classificação: Pública Shareholder For Against Abstain CNPJ: 00.001.180/0001-26AXIA Energia - EGM 12/19/2025 DETAILED FINAL VOTING MAP 5. subject to the creation and issuance of the New PNs, resolve on the mandatory conversions of all currently outstanding preferred shares, as follows: (e.1) conversion of the PNA shares into PNA1 and PNR shares, at the ratio of 1 (one) PNA share to 1 (one) PNA1 share and 1 (one) PNR share (PNA Conversion); and (e.2) conversion of PNB shares into PNB1 and PNR shares, at the ratio of 1 (one) PNB share to 1 (one) PNB1 share and 1 (one) PNR share (PNB Conversion, and together with PNA Conversion, the Conversions). 26859*** 16.768 0 0 27074*** 10.636 0 0 27084*** 88.000 0 0 27109*** 3.877.282 0 0 27150*** 16 0 0 27213*** 0 0 50 27222*** 13.343 0 0 27249*** 23.392 0 0 27257*** 1.873.581 0 0 27311*** 8.586 0 0 27328*** 1.800 0 0 27484*** 204.786 0 0 27550*** 232.468 0 0 27642*** 32 0 0 27683*** 3 0 0 27714*** 2.233.483 0 0 27714*** 93.926 0 0 27778*** 12.500 0 0 27826*** 30.476 0 0 27844*** 1.880 0 0 27866*** 1.274.077 0 0 27866*** 139.539 0 0 27866*** 5.120.829 0 0 27866*** 1.751.954 0 0 27866*** 116.882 0 0 27880*** 134.667 0 0 27932*** 55.200 0 0 27995*** 0 0 42 28031*** 17 0 0 28072*** 61.816 0 0 28260*** 13.932.249 0 0 28271*** 7.300 0 0 28328*** 12.700 0 0 28394*** 186.900 0 0 28470*** 759.985 0 0 17 de 34 # Classificação: Pública Shareholder For Against Abstain CNPJ: 00.001.180/0001-26AXIA Energia - EGM 12/19/2025 DETAILED FINAL VOTING MAP 5. subject to the creation and issuance of the New PNs, resolve on the mandatory conversions of all currently outstanding preferred shares, as follows: (e.1) conversion of the PNA shares into PNA1 and PNR shares, at the ratio of 1 (one) PNA share to 1 (one) PNA1 share and 1 (one) PNR share (PNA Conversion); and (e.2) conversion of PNB shares into PNB1 and PNR shares, at the ratio of 1 (one) PNB share to 1 (one) PNB1 share and 1 (one) PNR share (PNB Conversion, and together with PNA Conversion, the Conversions). 28581*** 79.895 0 0 28586*** 127.443 0 0 28690*** 3.400 0 0 28703*** 38.502 0 0 28734*** 1.395.900 0 0 28769*** 200 0 0 28784*** 74.697 0 0 28979*** 2.700 0 0 28979*** 485.443 0 0 28990*** 767.600 0 0 29011*** 9.430 0 0 29073*** 120.195 0 0 29085*** 8.559 0 0 29092*** 6.800 0 0 29213*** 0 0 20 29237*** 0 384 0 29237*** 158.900 0 0 29258*** 150.641 0 0 29259*** 1.478 0 0 29275*** 70 0 0 29275*** 22.443 0 0 29322*** 15.371.463 0 0 29361*** 348.600 0 0 29485*** 333.306 0 0 29522*** 28.000 0 0 29550*** 18.300 0 0 29592*** 67 0 0 29668*** 3.412.439 0 0 29733*** 4.996 0 0 30066*** 28.386 0 0 30178*** 13.300 0 0 30254*** 132.880 0 0 30254*** 74.123 0 0 30402*** 3.079.873 0 0 30447*** 202.100 0 0 18 de 34 # Classificação: Pública Shareholder For Against Abstain CNPJ: 00.001.180/0001-26AXIA Energia - EGM 12/19/2025 DETAILED FINAL VOTING MAP 5. subject to the creation and issuance of the New PNs, resolve on the mandatory conversions of all currently outstanding preferred shares, as follows: (e.1) conversion of the PNA shares into PNA1 and PNR shares, at the ratio of 1 (one) PNA share to 1 (one) PNA1 share and 1 (one) PNR share (PNA Conversion); and (e.2) conversion of PNB shares into PNB1 and PNR shares, at the ratio of 1 (one) PNB share to 1 (one) PNB1 share and 1 (one) PNR share (PNB Conversion, and together with PNA Conversion, the Conversions). 30463*** 90.200 0 0 30515*** 14.056 0 0 30522*** 38.589 0 0 30556*** 4.002 0 0 30624*** 9.325 0 0 30769*** 426.500 0 0 30769*** 53.187 0 0 30942*** 158.500 0 0 30988*** 1.918.400 0 0 31006*** 100 0 0 31050*** 209.351 0 0 31322*** 3.610.476 0 0 31322*** 0 200.000 0 31502*** 8.874.319 0 0 31577*** 72.000 0 0 31577*** 344.876 0 0 31591*** 8.371 0 0 31615*** 0 400 0 31666*** 40.572 0 0 31692*** 299.000 0 0 31697*** 0 0 1 31814*** 2.543.463 0 0 31814*** 29.985 0 0 31814*** 618.532 0 0 31866*** 206.855 0 0 31914*** 3.955.286 0 0 31914*** 112.200 0 0 31923*** 51.500 0 0 31978*** 518.952 0 0 31989*** 544.424 0 0 32013*** 0 0 170 32106*** 20.980 0 0 32106*** 117.700 0 0 32106*** 632.700 0 0 32203*** 1.425.459 0 0 19 de 34 # Classificação: Pública Shareholder For Against Abstain CNPJ: 00.001.180/0001-26AXIA Energia - EGM 12/19/2025 DETAILED FINAL VOTING MAP 5. subject to the creation and issuance of the New PNs, resolve on the mandatory conversions of all currently outstanding preferred shares, as follows: (e.1) conversion of the PNA shares into PNA1 and PNR shares, at the ratio of 1 (one) PNA share to 1 (one) PNA1 share and 1 (one) PNR share (PNA Conversion); and (e.2) conversion of PNB shares into PNB1 and PNR shares, at the ratio of 1 (one) PNB share to 1 (one) PNB1 share and 1 (one) PNR share (PNB Conversion, and together with PNA Conversion, the Conversions). 32239*** 3.920 0 0 32240*** 5.886 0 0 32253*** 6 0 0 32289*** 18.030 0 0 32289*** 893 0 0 32319*** 17.000 0 0 32329*** 1.132.447 0 0 32399*** 131.448 0 0 32484*** 48.000 0 0 32486*** 20 0 0 32497*** 13.900 0 0 32642*** 1.400 0 0 32755*** 30 0 0 32812*** 154.936 0 0 32812*** 8.100 0 0 32812*** 10.200 0 0 32893*** 10.774 0 0 32905*** 2.583 0 0 33042*** 20.013.356 10.759 33.389.788 33121*** 14.413 0 0 33285*** 3.468 0 0 33580*** 37.452 0 0 33588*** 90.400 0 0 33745*** 11 0 0 33814*** 34.317 0 0 33814*** 81.855 0 0 33842*** 27.952 0 0 33968*** 39.400 0 0 34027*** 202.600 0 0 34037*** 0 0 28 34054*** 780.000 0 0 34064*** 758.600 0 0 34109*** 0 0 0 34123*** 24.600 0 0 34172*** 2.548.963 0 0 20 de 34 # Classificação: Pública Shareholder For Against Abstain CNPJ: 00.001.180/0001-26AXIA Energia - EGM 12/19/2025 DETAILED FINAL VOTING MAP 5. subject to the creation and issuance of the New PNs, resolve on the mandatory conversions of all currently outstanding preferred shares, as follows: (e.1) conversion of the PNA shares into PNA1 and PNR shares, at the ratio of 1 (one) PNA share to 1 (one) PNA1 share and 1 (one) PNR share (PNA Conversion); and (e.2) conversion of PNB shares into PNB1 and PNR shares, at the ratio of 1 (one) PNB share to 1 (one) PNB1 share and 1 (one) PNR share (PNB Conversion, and together with PNA Conversion, the Conversions). 34172*** 35.955 0 0 34218*** 3.525 0 0 34370*** 1.115 0 0 34448*** 85.700 0 0 34479*** 0 410 0 34546*** 35.100 0 0 34606*** 148.223 0 0 34723*** 1.190 0 0 34768*** 6.400 0 0 34791*** 75.763 0 0 34798*** 22.762 0 0 34825*** 14.742 0 0 34867*** 8.549 0 0 34900*** 152.347 0 0 35075*** 1.308 0 0 35088*** 2 0 0 35304*** 143.187 0 0 35376*** 10 0 0 35377*** 596 0 0 35492*** 46.000 0 0 35492*** 384.000 0 0 35495*** 76.536 0 0 35595*** 69.131 0 0 35637*** 200.749 0 0 35693*** 8.611.443 0 0 35712*** 118.145 0 0 35803*** 6.344.878 0 0 35845*** 17.870 0 0 35845*** 0 0 0 35859*** 306.197 0 0 35865*** 15.026 0 0 35916*** 57.000 0 0 35985*** 11.749 0 0 36034*** 5.400 0 0 36178*** 19.762 0 0 21 de 34 # Classificação: Pública Shareholder For Against Abstain CNPJ: 00.001.180/0001-26AXIA Energia - EGM 12/19/2025 DETAILED FINAL VOTING MAP 5. subject to the creation and issuance of the New PNs, resolve on the mandatory conversions of all currently outstanding preferred shares, as follows: (e.1) conversion of the PNA shares into PNA1 and PNR shares, at the ratio of 1 (one) PNA share to 1 (one) PNA1 share and 1 (one) PNR share (PNA Conversion); and (e.2) conversion of PNB shares into PNB1 and PNR shares, at the ratio of 1 (one) PNB share to 1 (one) PNB1 share and 1 (one) PNR share (PNB Conversion, and together with PNA Conversion, the Conversions). 36215*** 245.500 0 0 36327*** 1.600 0 0 36352*** 953.996 0 0 36418*** 1.030 0 0 36518*** 224.991 0 0 36659*** 3.745 0 0 36719*** 45.500 0 0 36719*** 2.507 0 0 36741*** 24.778 0 0 36822*** 12 0 0 36913*** 186 0 0 36924*** 165.500 0 0 36970*** 0 0 5 36980*** 700 0 0 37092*** 29.660 0 0 37099*** 43.200 0 0 37204*** 4.690 0 0 37228*** 11.254 0 0 37236*** 265.165 0 0 37311*** 28.611 0 0 37339*** 3.287.299 0 0 37347*** 483.043 0 0 37355*** 9.500 0 0 37388*** 54.912 0 0 37555*** 8.233 0 0 37623*** 900 0 0 37715*** 93.097 0 0 37724*** 18.859 0 0 37806*** 4.742 0 0 37837*** 45 0 0 37844*** 208.900 0 0 37905*** 47.900 0 0 38100*** 410.500 0 0 38173*** 69.236 0 0 38195*** 2.785 0 0 22 de 34 # Classificação: Pública Shareholder For Against Abstain CNPJ: 00.001.180/0001-26AXIA Energia - EGM 12/19/2025 DETAILED FINAL VOTING MAP 5. subject to the creation and issuance of the New PNs, resolve on the mandatory conversions of all currently outstanding preferred shares, as follows: (e.1) conversion of the PNA shares into PNA1 and PNR shares, at the ratio of 1 (one) PNA share to 1 (one) PNA1 share and 1 (one) PNR share (PNA Conversion); and (e.2) conversion of PNB shares into PNB1 and PNR shares, at the ratio of 1 (one) PNB share to 1 (one) PNB1 share and 1 (one) PNR share (PNB Conversion, and together with PNA Conversion, the Conversions). 38202*** 46 0 0 38350*** 5.212 0 0 38374*** 4 0 0 38386*** 427.657 0 0 38388*** 0 0 0 38512*** 400 0 0 38628*** 0 0 100 38756*** 548.681 0 0 38856*** 0 20 0 38949*** 11.375 0 0 39285*** 0 0 0 39383*** 66.800 0 0 39514*** 99.499 0 0 39600*** 17.140 0 0 39687*** 716.286 0 0 39834*** 9.716 0 0 39959*** 173.200 0 0 40022*** 2.463 0 0 40091*** 172.305 0 0 40122*** 2.370.230 0 0 40136*** 1.263 0 0 40147*** 2.076.169 0 0 40156*** 9.218 0 0 40209*** 109.320 0 0 40209*** 33.298 0 0 40213*** 60.000 0 0 40226*** 2.905 0 0 40226*** 135.613 0 0 40249*** 4.059 0 0 40284*** 8.531 0 0 40343*** 394.738 0 0 40428*** 6.904 0 0 40508*** 18.500 0 0 40635*** 22.848 0 0 40671*** 9.763 0 0 23 de 34 # Classificação: Pública Shareholder For Against Abstain CNPJ: 00.001.180/0001-26AXIA Energia - EGM 12/19/2025 DETAILED FINAL VOTING MAP 5. subject to the creation and issuance of the New PNs, resolve on the mandatory conversions of all currently outstanding preferred shares, as follows: (e.1) conversion of the PNA shares into PNA1 and PNR shares, at the ratio of 1 (one) PNA share to 1 (one) PNA1 share and 1 (one) PNR share (PNA Conversion); and (e.2) conversion of PNB shares into PNB1 and PNR shares, at the ratio of 1 (one) PNB share to 1 (one) PNB1 share and 1 (one) PNR share (PNB Conversion, and together with PNA Conversion, the Conversions). 40671*** 9.950 0 0 40738*** 114.121 0 0 40919*** 2.915 0 0 41015*** 0 50 0 41081*** 45.020 0 0 41167*** 44.700 0 0 41167*** 21.862 0 0 41215*** 9.900 0 0 41239*** 40.041 0 0 41246*** 1 0 0 41286*** 88.229 0 0 41301*** 233.464 0 0 41342*** 217.603 0 0 41562*** 703.200 0 0 41610*** 6.403 0 0 41708*** 8.400 0 0 41727*** 1.084 0 0 41853*** 775.900 0 0 41881*** 92.100 0 0 41907*** 22.769 0 0 41941*** 14.062 0 0 41956*** 39.044 0 0 41956*** 154.415 0 0 42045*** 210.700 0 0 42133*** 105.301 0 0 42264*** 141.567 0 0 42332*** 51.304 0 0 42355*** 6.596 0 0 42355*** 71.010 0 0 42389*** 224.900 0 0 42390*** 2.000 0 0 42411*** 263.400 0 0 42469*** 30.510 0 0 42479*** 20.606 0 0 42479*** 926.900 0 0 24 de 34 # Classificação: Pública Shareholder For Against Abstain CNPJ: 00.001.180/0001-26AXIA Energia - EGM 12/19/2025 DETAILED FINAL VOTING MAP 5. subject to the creation and issuance of the New PNs, resolve on the mandatory conversions of all currently outstanding preferred shares, as follows: (e.1) conversion of the PNA shares into PNA1 and PNR shares, at the ratio of 1 (one) PNA share to 1 (one) PNA1 share and 1 (one) PNR share (PNA Conversion); and (e.2) conversion of PNB shares into PNB1 and PNR shares, at the ratio of 1 (one) PNB share to 1 (one) PNB1 share and 1 (one) PNR share (PNB Conversion, and together with PNA Conversion, the Conversions). 42502*** 64.714 0 0 42519*** 578.953 0 0 42520*** 16.067.256 0 0 42538*** 16 0 0 42571*** 161.048 0 0 42645*** 372 0 0 42717*** 30.400 0 0 42717*** 51.300 0 0 42776*** 7.698 0 0 42777*** 77 0 0 42814*** 65.001 0 0 42865*** 17.773 0 0 42870*** 407.654 0 0 43103*** 780 0 0 43105*** 35.991 0 0 43210*** 25.222 0 0 43313*** 1.500 0 0 43427*** 1.639.944 0 0 43533*** 1.064 0 0 43533*** 20.006 0 0 43533*** 3.371 0 0 43533*** 46.708 0 0 43533*** 352.500 0 0 43533*** 174.200 0 0 43533*** 67.100 0 0 43533*** 6.502 0 0 43533*** 43.729 0 0 43584*** 5.000 0 0 43690*** 45.000 0 0 43704*** 2.338 0 0 43747*** 220 0 0 43761*** 9.704 0 0 43879*** 113.100 0 0 43907*** 25.700 0 0 43907*** 13.800 0 0 25 de 34 # Classificação: Pública Shareholder For Against Abstain CNPJ: 00.001.180/0001-26AXIA Energia - EGM 12/19/2025 DETAILED FINAL VOTING MAP 5. subject to the creation and issuance of the New PNs, resolve on the mandatory conversions of all currently outstanding preferred shares, as follows: (e.1) conversion of the PNA shares into PNA1 and PNR shares, at the ratio of 1 (one) PNA share to 1 (one) PNA1 share and 1 (one) PNR share (PNA Conversion); and (e.2) conversion of PNB shares into PNB1 and PNR shares, at the ratio of 1 (one) PNB share to 1 (one) PNB1 share and 1 (one) PNR share (PNB Conversion, and together with PNA Conversion, the Conversions). 43909*** 161.800 0 0 43956*** 4 0 0 44110*** 148.600 0 0 44258*** 35.226 0 0 44346*** 10.300 0 0 44360*** 4.791.521 0 0 44500*** 931.300 0 0 44544*** 9.675 0 0 44602*** 42.732 0 0 44642*** 27.800 0 0 44643*** 2.400 0 0 44692*** 536.000 0 0 44700*** 92.884 0 0 44700*** 1.147.700 0 0 44700*** 385.600 0 0 44738*** 64.277 0 0 44844*** 97.257 0 0 44934*** 1.970.045 0 0 45029*** 5.900 0 0 45081*** 3.254.567 0 0 45081*** 40.022 0 0 45088*** 7.765.559 0 0 45120*** 194.468 0 0 45128*** 15.400 0 0 45128*** 299.000 0 0 45128*** 105.700 0 0 45128*** 60.100 0 0 45226*** 2.286.983 0 0 45245*** 150.700 0 0 45245*** 336.547 0 0 45261*** 8.786 0 0 45322*** 5.884.060 0 0 45512*** 4.500 0 0 45560*** 4.083.931 0 0 45605*** 64.500 0 0 26 de 34 # Classificação: Pública Shareholder For Against Abstain CNPJ: 00.001.180/0001-26AXIA Energia - EGM 12/19/2025 DETAILED FINAL VOTING MAP 5. subject to the creation and issuance of the New PNs, resolve on the mandatory conversions of all currently outstanding preferred shares, as follows: (e.1) conversion of the PNA shares into PNA1 and PNR shares, at the ratio of 1 (one) PNA share to 1 (one) PNA1 share and 1 (one) PNR share (PNA Conversion); and (e.2) conversion of PNB shares into PNB1 and PNR shares, at the ratio of 1 (one) PNB share to 1 (one) PNB1 share and 1 (one) PNR share (PNB Conversion, and together with PNA Conversion, the Conversions). 45622*** 15.000 0 0 45682*** 2.227 0 0 45682*** 3.700 0 0 45682*** 3.100 0 0 45687*** 3.400 0 0 45756*** 415.800 0 0 45859*** 3.300 0 0 45971*** 49.469 0 0 46130*** 29.152 0 0 46134*** 647.883 0 0 46171*** 120.400 0 0 46339*** 230.095 0 0 46375*** 226.924 0 0 46390*** 5 0 0 46438*** 284 0 0 46595*** 60.719 0 0 46732*** 8.100 0 0 46909*** 363.014 0 0 46964*** 219.280 0 0 46964*** 1.579.000 0 0 46964*** 93.142 0 0 46964*** 567.400 0 0 46965*** 114.700 0 0 46981*** 1.496.233 0 0 46981*** 534.131 0 0 46981*** 247.440 0 0 46981*** 1.054.538 0 0 47036*** 3.694.170 0 0 47036*** 11.800 0 0 47228*** 22.700 0 0 47352*** 90.100 0 0 47545*** 2.800 0 0 47794*** 1.900 0 0 47848*** 182.235 0 0 47848*** 7.953.700 0 0 27 de 34 # Classificação: Pública Shareholder For Against Abstain CNPJ: 00.001.180/0001-26AXIA Energia - EGM 12/19/2025 DETAILED FINAL VOTING MAP 5. subject to the creation and issuance of the New PNs, resolve on the mandatory conversions of all currently outstanding preferred shares, as follows: (e.1) conversion of the PNA shares into PNA1 and PNR shares, at the ratio of 1 (one) PNA share to 1 (one) PNA1 share and 1 (one) PNR share (PNA Conversion); and (e.2) conversion of PNB shares into PNB1 and PNR shares, at the ratio of 1 (one) PNB share to 1 (one) PNB1 share and 1 (one) PNR share (PNB Conversion, and together with PNA Conversion, the Conversions). 47954*** 997.100 0 0 48021*** 6.000 0 0 48123*** 23.077 0 0 48138*** 331.666 0 0 48329*** 70.500 0 0 48331*** 206.182 0 0 48373*** 48.920 0 0 48400*** 428 0 0 48429*** 13.800 0 0 48490*** 0 0 338 48643*** 18.791 0 0 48643*** 71.696 0 0 48650*** 36.699 0 0 48766*** 600 0 0 48820*** 19.276 0 0 48878*** 76.100 0 0 48927*** 6.000 0 0 48977*** 9.474 0 0 48978*** 7.551 0 0 49144*** 176 0 0 49202*** 61.768 0 0 49256*** 5.400 0 0 49266*** 51.000 0 0 49331*** 24.380 0 0 49444*** 69.973 0 0 49485*** 6.188.837 0 0 49632*** 35.698 0 0 49766*** 0 0 1.364.882 49839*** 975.800 0 0 49927*** 558.400 0 0 49947*** 300 0 0 50072*** 7.900 0 0 50091*** 2.541 0 0 50653*** 10.471 0 0 50717*** 192.368 0 0 28 de 34 # Classificação: Pública Shareholder For Against Abstain CNPJ: 00.001.180/0001-26AXIA Energia - EGM 12/19/2025 DETAILED FINAL VOTING MAP 5. subject to the creation and issuance of the New PNs, resolve on the mandatory conversions of all currently outstanding preferred shares, as follows: (e.1) conversion of the PNA shares into PNA1 and PNR shares, at the ratio of 1 (one) PNA share to 1 (one) PNA1 share and 1 (one) PNR share (PNA Conversion); and (e.2) conversion of PNB shares into PNB1 and PNR shares, at the ratio of 1 (one) PNB share to 1 (one) PNB1 share and 1 (one) PNR share (PNB Conversion, and together with PNA Conversion, the Conversions). 50856*** 67.500 0 0 50958*** 25.900 0 0 51116*** 393.656 0 0 51116*** 9.600 0 0 51360*** 108.000 0 0 51473*** 3.000 0 0 51487*** 44.643 0 0 51490*** 0 0 200 51614*** 71 0 0 51817*** 23.503 0 0 51888*** 13.100 0 0 51990*** 997.693 0 0 52025*** 148.306 0 0 52070*** 90.731 0 0 52080*** 51.300 0 0 52083*** 40.718 0 0 52085*** 1.260.946 0 0 52182*** 79.900 0 0 52188*** 13.832 0 0 52203*** 6.778 0 0 52647*** 382.259 0 0 52694*** 320.153 0 0 52698*** 41.176 0 0 52800*** 17.473 0 0 52901*** 7.141 0 0 52950*** 1.584 0 0 53176*** 12.177 0 0 53304*** 2 0 0 53425*** 0 0 0 53529*** 0 0 238 53599*** 874.700 0 0 53780*** 39.870 0 0 53826*** 2.600 0 0 53829*** 1.300 0 0 53861*** 66.023 0 0 29 de 34 # Classificação: Pública Shareholder For Against Abstain CNPJ: 00.001.180/0001-26AXIA Energia - EGM 12/19/2025 DETAILED FINAL VOTING MAP 5. subject to the creation and issuance of the New PNs, resolve on the mandatory conversions of all currently outstanding preferred shares, as follows: (e.1) conversion of the PNA shares into PNA1 and PNR shares, at the ratio of 1 (one) PNA share to 1 (one) PNA1 share and 1 (one) PNR share (PNA Conversion); and (e.2) conversion of PNB shares into PNB1 and PNR shares, at the ratio of 1 (one) PNB share to 1 (one) PNB1 share and 1 (one) PNR share (PNB Conversion, and together with PNA Conversion, the Conversions). 54026*** 15.205 0 0 54069*** 755 0 0 54198*** 43.496 0 0 54250*** 43.400 0 0 54368*** 1.990 0 0 54398*** 31.592 0 0 54423*** 143.706 0 0 54584*** 1.000 0 0 54603*** 3.455 0 0 54620*** 4.669 0 0 54637*** 0 0 2.000 54784*** 8.340 0 0 54792*** 866.200 0 0 54792*** 27.300 0 0 55053*** 3.008 0 0 55105*** 3.085.892 0 0 55240*** 4.800 0 0 55315*** 4.200 0 0 55483*** 66.300 0 0 55522*** 28.272 0 0 55690*** 20.969 0 0 55751*** 1.057 0 0 55893*** 36.900 0 0 55894*** 20.265 0 0 55912*** 800 0 0 55989*** 19.664 0 0 56007*** 38.937 0 0 56029*** 15.751 0 0 56091*** 12.770 0 0 56141*** 55.146 0 0 56155*** 16.300 0 0 56208*** 124.284 0 0 56211*** 3.031 0 0 56367*** 19.000 0 0 56504*** 3.700 0 0 30 de 34 # Classificação: Pública Shareholder For Against Abstain CNPJ: 00.001.180/0001-26AXIA Energia - EGM 12/19/2025 DETAILED FINAL VOTING MAP 5. subject to the creation and issuance of the New PNs, resolve on the mandatory conversions of all currently outstanding preferred shares, as follows: (e.1) conversion of the PNA shares into PNA1 and PNR shares, at the ratio of 1 (one) PNA share to 1 (one) PNA1 share and 1 (one) PNR share (PNA Conversion); and (e.2) conversion of PNB shares into PNB1 and PNR shares, at the ratio of 1 (one) PNB share to 1 (one) PNB1 share and 1 (one) PNR share (PNB Conversion, and together with PNA Conversion, the Conversions). 56576*** 0 0 5 56625*** 200 0 0 56704*** 58.979 0 0 56707*** 49.745 0 0 56951*** 81.600 0 0 57091*** 17.477 0 0 57343*** 203.243 0 0 57537*** 6.879 0 0 57848*** 4.554 0 0 57979*** 149.800 0 0 58175*** 41.800 0 0 58270*** 16.516 0 0 58489*** 201.700 0 0 58734*** 7 0 0 58901*** 14.579 0 0 58947*** 5.100 0 0 59051*** 47.200 0 0 59141*** 22.111 0 0 59307*** 138.543 0 0 59666*** 27.807 0 0 59767*** 194.700 0 0 59790*** 7.989 0 0 59840*** 33.400 0 0 60060*** 14.300 0 0 60328*** 59.873 0 0 60347*** 112.584 0 0 60746*** 2.094.364 0 0 61148*** 181 0 0 61397*** 100 0 0 61596*** 22.370 0 0 61664*** 42.536 0 0 61684*** 2.457.532 0 0 61684*** 5.420.200 0 0 61838*** 1.500 0 0 61988*** 13.233 0 0 31 de 34 # Classificação: Pública Shareholder For Against Abstain CNPJ: 00.001.180/0001-26AXIA Energia - EGM 12/19/2025 DETAILED FINAL VOTING MAP 5. subject to the creation and issuance of the New PNs, resolve on the mandatory conversions of all currently outstanding preferred shares, as follows: (e.1) conversion of the PNA shares into PNA1 and PNR shares, at the ratio of 1 (one) PNA share to 1 (one) PNA1 share and 1 (one) PNR share (PNA Conversion); and (e.2) conversion of PNB shares into PNB1 and PNR shares, at the ratio of 1 (one) PNB share to 1 (one) PNB1 share and 1 (one) PNR share (PNB Conversion, and together with PNA Conversion, the Conversions). 62569*** 4.957 0 0 62673*** 22.800 0 0 62673*** 72.700 0 0 62673*** 1.200 0 0 62913*** 29.220 0 0 63114*** 33.420 0 0 63135*** 14.100 0 0 63135*** 3.500 0 0 63291*** 32.499 0 0 63360*** 42.558 0 0 64491*** 316 0 0 66547*** 1.300 0 0 66744*** 192.519 0 0 67327*** 0 0 5 68559*** 3.840 0 0 69851*** 400 0 0 71861*** 1 0 0 73447*** 1.200 0 0 73933*** 10 0 0 74843*** 0 0 40 74927*** 580 0 0 76297*** 0 0 595 76908*** 21 0 0 77605*** 17.607 0 0 79238*** 0 256 0 79246*** 30.000 0 0 79720*** 200 0 0 80005*** 8 0 0 80663*** 24 0 0 83699*** 0 0 28 84876*** 0 0 120 85751*** 115 0 0 85751*** 300 0 0 85989*** 100 0 0 87737*** 103 0 0 32 de 34 # Classificação: Pública Shareholder For Against Abstain CNPJ: 00.001.180/0001-26AXIA Energia - EGM 12/19/2025 DETAILED FINAL VOTING MAP 5. subject to the creation and issuance of the New PNs, resolve on the mandatory conversions of all currently outstanding preferred shares, as follows: (e.1) conversion of the PNA shares into PNA1 and PNR shares, at the ratio of 1 (one) PNA share to 1 (one) PNA1 share and 1 (one) PNR share (PNA Conversion); and (e.2) conversion of PNB shares into PNB1 and PNR shares, at the ratio of 1 (one) PNB share to 1 (one) PNB1 share and 1 (one) PNR share (PNB Conversion, and together with PNA Conversion, the Conversions). 88440*** 0 0 100 88962*** 0 0 12 89351*** 20 0 0 90243*** 0 20 0 90372*** 0 0 13 91890*** 20 0 0 91927*** 0 0 0 92273*** 15 0 0 92693*** 129.020 0 0 93577*** 200 0 0 93902*** 50 0 0 95687*** 0 0 1.000 97538*** 4.851.698 0 0 97538*** 49.089 0 0 97539*** 917.301 0 0 97539*** 22.778 0 0 97539*** 37.074 0 0 97539*** 19.345 0 0 97539*** 3.732.105 0 0 97539*** 4.800 0 0 97539*** 28.674 0 0 97539*** 31.200 0 0 97539*** 735.721 0 0 97539*** 42.800 0 0 97539*** 5.199.319 0 0 97539*** 2.389.760 0 0 97539*** 1.543.110 0 0 97539*** 3.445.396 0 0 97539*** 392.626 0 0 97539*** 996.896 0 0 97539*** 2.066.321 0 0 97539*** 197.838 0 0 97539*** 144.600 0 0 97539*** 22.250 0 0 97540*** 20.600 0 0 33 de 34 # Classificação: Pública Shareholder For Against Abstain CNPJ: 00.001.180/0001-26AXIA Energia - EGM 12/19/2025 DETAILED FINAL VOTING MAP 5. subject to the creation and issuance of the New PNs, resolve on the mandatory conversions of all currently outstanding preferred shares, as follows: (e.1) conversion of the PNA shares into PNA1 and PNR shares, at the ratio of 1 (one) PNA share to 1 (one) PNA1 share and 1 (one) PNR share (PNA Conversion); and (e.2) conversion of PNB shares into PNB1 and PNR shares, at the ratio of 1 (one) PNB share to 1 (one) PNB1 share and 1 (one) PNR share (PNB Conversion, and together with PNA Conversion, the Conversions). 97540*** 3.753 0 0 97540*** 68.500 0 0 97540*** 104.726 0 0 97540*** 903.981 0 0 97540*** 72.665 0 0 97540*** 926.147 0 0 97540*** 1.598 0 0 97540*** 282.400 0 0 97540*** 1.796.898 0 0 97540*** 2.022.198 0 0 97540*** 10.823 0 0 97540*** 209.922 0 0 97540*** 16.335.023 0 0 98658*** 550 0 0 99169*** 100 0 0 34 de 34 # Classificação: Pública Shareholder For Against Abstain Total 824.242.388 191.949.625 35.028.876 00125*** 1.178.056 0 0 00394*** 0 190.732.084 0 00455*** 6 0 0 00560*** 4.984 0 0 00586*** 10 0 0 00601*** 31 0 0 00739*** 1.428 0 0 00805*** 20 0 0 00914*** 3 0 0 01017*** 1 0 0 01171*** 1.610 0 0 01203*** 1 0 0 01456*** 4 0 0 01496*** 161.306 0 0 01586*** 16 0 0 01643*** 66.985 0 0 01699*** 96.416 0 0 01886*** 12.945 0 0 02020*** 53.603 0 0 02097*** 5.700 0 0 02231*** 611 0 0 02231*** 8.536 0 0 02285*** 102 0 0 02524*** 250 0 0 02745*** 0 5 0 02863*** 1.125.500 0 0 02887*** 26.056 0 0 02895*** 64.700 0 0 02903*** 100 0 0 03027*** 51.786 0 0 03369*** 0 0 136 03370*** 392.332 0 0 03394*** 87.480 0 0 03394*** 7 0 0 CNPJ: 00.001.180/0001-26AXIA Energia - EGM 12/19/2025 DETAILED FINAL VOTING MAP 6. Subject to the Conversions, the compulsory redemption of all PNR shares, based on the calculation set forth in the Management Proposal (PNR Redemption). 1 de 34 # Classificação: Pública Shareholder For Against Abstain CNPJ: 00.001.180/0001-26AXIA Energia - EGM 12/19/2025 DETAILED FINAL VOTING MAP 6. Subject to the Conversions, the compulsory redemption of all PNR shares, based on the calculation set forth in the Management Proposal (PNR Redemption). 03473*** 569 0 0 03833*** 28.394 0 0 03902*** 1 0 0 03960*** 24.957 0 0 04005*** 0 50 0 04073*** 292.991 0 0 04297*** 0 3 0 04555*** 0 0 55 04605*** 0 0 200 04609*** 602 0 0 04609*** 1.300 0 0 04616*** 11.687 0 0 04672*** 5 0 0 04709*** 0 1 0 04736*** 28.890 0 0 04751*** 111.059 0 0 04847*** 4 0 0 05075*** 5 0 0 05100*** 43.978 0 0 05147*** 14.000 0 0 05303*** 0 0 1 05316*** 1.030 0 0 05435*** 3 0 0 05448*** 9.727 0 0 05479*** 1.513.900 0 0 05479*** 2.843.378 0 0 05522*** 44 0 0 05589*** 233.315 0 0 05589*** 279.983 0 0 05589*** 28.815 0 0 05719*** 27 0 0 05734*** 415 0 0 05775*** 1.759 0 0 05838*** 15.219 0 0 05839*** 96.081 0 0 2 de 34 # Classificação: Pública Shareholder For Against Abstain CNPJ: 00.001.180/0001-26AXIA Energia - EGM 12/19/2025 DETAILED FINAL VOTING MAP 6. Subject to the Conversions, the compulsory redemption of all PNR shares, based on the calculation set forth in the Management Proposal (PNR Redemption). 05839*** 189.258 0 0 05839*** 718.804 0 0 05839*** 724 0 0 05839*** 775.653 0 0 05839*** 15.200 0 0 05839*** 9.200 0 0 05839*** 803.800 0 0 05839*** 0 0 158.291 05839*** 15.718 0 0 05839*** 1.111.508 0 0 05839*** 4.619.084 0 0 05839*** 226.872 0 0 05839*** 51.889 0 0 05840*** 188.253 0 0 05840*** 10.000 0 0 05840*** 32.547 0 0 05840*** 804.990 0 0 05840*** 4.858.301 0 0 05840*** 477.000 0 0 05840*** 2.199.143 0 0 05872*** 79.961 0 0 05901*** 1 0 0 05986*** 1.881.495 0 0 05986*** 2.673.143 0 0 05986*** 24.100 0 0 05986*** 2.155 0 0 05987*** 147.900 0 0 05987*** 129.553 0 0 05987*** 11.827 0 0 05987*** 2.020.100 0 0 05987*** 1.602.500 0 0 05987*** 5 0 0 05987*** 199.465 0 0 05987*** 13.400 0 0 05987*** 428.300 0 0 3 de 34 # Classificação: Pública Shareholder For Against Abstain CNPJ: 00.001.180/0001-26AXIA Energia - EGM 12/19/2025 DETAILED FINAL VOTING MAP 6. Subject to the Conversions, the compulsory redemption of all PNR shares, based on the calculation set forth in the Management Proposal (PNR Redemption). 05987*** 24.749 0 0 05987*** 188.737 0 0 05987*** 2.862.252 0 0 05987*** 481.572 0 0 05987*** 1.758.400 0 0 06046*** 1.594.573 0 0 06069*** 5.615 0 0 06105*** 10.100 0 0 06134*** 0 108.329 0 06148*** 76.771 0 0 06224*** 6.811 0 0 06239*** 174.268 0 0 06239*** 455.200 0 0 06251*** 9.995 0 0 06318*** 0 0 1 06323*** 530.363 0 0 06370*** 3 0 0 06406*** 0 0 100.000 06491*** 35 0 0 06541*** 284.989 0 0 06571*** 130 0 0 06613*** 77.676 0 0 06832*** 0 23 0 06916*** 622.500 0 0 06943*** 137.641 0 0 06943*** 589.073 0 0 06943*** 922.665 0 0 06949*** 0 0 10 06964*** 298.476 0 0 07023*** 0 0 100 07060*** 239.200 0 0 07086*** 1.000 0 0 07096*** 51.672 0 0 07140*** 859.100 0 0 07140*** 19.426 0 0 4 de 34 # Classificação: Pública Shareholder For Against Abstain CNPJ: 00.001.180/0001-26AXIA Energia - EGM 12/19/2025 DETAILED FINAL VOTING MAP 6. Subject to the Conversions, the compulsory redemption of all PNR shares, based on the calculation set forth in the Management Proposal (PNR Redemption). 07140*** 1.219 0 0 07140*** 26.098 0 0 07187*** 16.269 0 0 07187*** 713 0 0 07191*** 857.000 0 0 07191*** 85.700 0 0 07191*** 105.335 0 0 07226*** 4 0 0 07237*** 589.417 0 0 07237*** 33.388 0 0 07247*** 296.000 0 0 07247*** 164.564 0 0 07247*** 247.800 0 0 07267*** 140 0 0 07299*** 100 0 0 07333*** 249.390 0 0 07345*** 2.648 0 0 07345*** 10.300 0 0 07345*** 28.600 0 0 07376*** 123.348 0 0 07418*** 42.847 0 0 07418*** 1.247.100 0 0 07418*** 1.210.226 0 0 07463*** 0 0 4 07488*** 319.556 0 0 07496*** 1.568.008 0 0 07496*** 2.200 0 0 07496*** 60.415 0 0 07496*** 133.589 0 0 07506*** 4.230.427 0 0 07515*** 60 0 0 07516*** 10.567.600 0 0 07516*** 917.500 0 0 07516*** 35.520 0 0 07516*** 1.041.400 0 0 5 de 34 # Classificação: Pública Shareholder For Against Abstain CNPJ: 00.001.180/0001-26AXIA Energia - EGM 12/19/2025 DETAILED FINAL VOTING MAP 6. Subject to the Conversions, the compulsory redemption of all PNR shares, based on the calculation set forth in the Management Proposal (PNR Redemption). 07518*** 84.779 0 0 07521*** 158.999 0 0 07526*** 19.300 0 0 07529*** 128.800 0 0 07536*** 103.618 0 0 07551*** 7.900 0 0 07593*** 179.470 0 0 07622*** 4.475.736 0 0 07647*** 78.500 0 0 07655*** 864.956 0 0 07655*** 10.800 0 0 07667*** 4.648 0 0 07670*** 0 10.600 0 07670*** 1.650.000 0 0 07686*** 7.021 0 0 07724*** 211.324 0 0 07790*** 14.800 0 0 07792*** 357.630 0 0 07820*** 2.200 0 0 07846*** 69.100 0 0 07889*** 44.041 0 0 07940*** 280.700 0 0 07942*** 530.100 0 0 07967*** 133.248 0 0 07990*** 42.700 0 0 08052*** 0 100 0 08120*** 0 0 383 08154*** 5.377 0 0 08196*** 81.823.300 0 0 08265*** 225.800 0 0 08268*** 3.800 0 0 08279*** 318.109 0 0 08295*** 18.073.978 0 0 08295*** 3.890.485 0 0 08295*** 93.002 0 0 6 de 34 # Classificação: Pública Shareholder For Against Abstain CNPJ: 00.001.180/0001-26AXIA Energia - EGM 12/19/2025 DETAILED FINAL VOTING MAP 6. Subject to the Conversions, the compulsory redemption of all PNR shares, based on the calculation set forth in the Management Proposal (PNR Redemption). 08387*** 103.219 0 0 08434*** 43.600 0 0 08464*** 3.983.344 0 0 08471*** 53.618 0 0 08561*** 940.780 0 0 08571*** 3.397 0 0 08579*** 339.986 0 0 08621*** 820.400 0 0 08623*** 1.710 0 0 08640*** 52.400 0 0 08757*** 52.296 0 0 08765*** 94.255.061 0 0 08840*** 9.118.176 0 0 08857*** 893.791 0 0 08875*** 26.085 0 0 08875*** 39.000 0 0 08900*** 1.800 0 0 08910*** 0 0 23 08913*** 1.453 0 0 08935*** 18.483.007 0 0 08945*** 137.277 0 0 08973*** 90.286 0 0 08973*** 84.130 0 0 08988*** 90.399 0 0 09005*** 171 0 0 09029*** 95.000 0 0 09048*** 164.633 0 0 09048*** 42.509 0 0 09063*** 550.962 0 0 09064*** 1 0 0 09073*** 366.269 0 0 09089*** 470.660 0 0 09089*** 20.525 0 0 09094*** 86.200 0 0 09144*** 7 0 0 7 de 34 # Classificação: Pública Shareholder For Against Abstain CNPJ: 00.001.180/0001-26AXIA Energia - EGM 12/19/2025 DETAILED FINAL VOTING MAP 6. Subject to the Conversions, the compulsory redemption of all PNR shares, based on the calculation set forth in the Management Proposal (PNR Redemption). 09145*** 13.516.396 0 0 09163*** 972.837 0 0 09241*** 20 0 0 09286*** 42.968 0 0 09294*** 230.978 0 0 09299*** 1.005.021 0 0 09323*** 25.786 0 0 09323*** 408.777 0 0 09330*** 114.300 0 0 09336*** 117.000 0 0 09411*** 36.133 0 0 09441*** 106.368 0 0 09470*** 270.100 0 0 09470*** 130.741 0 0 09559*** 823.023 0 0 09564*** 269.814 0 0 09567*** 147.940 0 0 09593*** 765.198 0 0 09620*** 372.512 0 0 09627*** 41.300 0 0 09701*** 220 0 0 09720*** 4.359.575 0 0 09838*** 20 0 0 10110*** 0 0 0 10205*** 1.098 0 0 10214*** 40.966 0 0 10243*** 45.400 0 0 10263*** 60.424 0 0 10263*** 335.431 0 0 10263*** 169.600 0 0 10307*** 0 500 0 10324*** 729.020 0 0 10392*** 311 0 0 10400*** 48.700 0 0 10418*** 47.304 0 0 8 de 34 # Classificação: Pública Shareholder For Against Abstain CNPJ: 00.001.180/0001-26AXIA Energia - EGM 12/19/2025 DETAILED FINAL VOTING MAP 6. Subject to the Conversions, the compulsory redemption of all PNR shares, based on the calculation set forth in the Management Proposal (PNR Redemption). 10419*** 121.500 0 0 10481*** 6.385.100 0 0 10486*** 0 0 20 10492*** 225.108 0 0 10553*** 1.933.500 0 0 10554*** 24 0 0 10561*** 4.400 0 0 10569*** 91.542 0 0 10583*** 342.676 0 0 10596*** 2.537 0 0 10672*** 28.600 0 0 10678*** 145.406 0 0 10762*** 18.300 0 0 10765*** 14.889.875 0 0 10809*** 451.926 0 0 10840*** 0 1 0 11030*** 2.221.230 0 0 11046*** 0 869.344 0 11047*** 10.000 0 0 11100*** 1.373.626 0 0 11175*** 0 1.000 0 11184*** 10.637 0 0 11184*** 2.478.365 0 0 11188*** 13.734.739 0 0 11225*** 316.909 0 0 11311*** 564.121 0 0 11324*** 7.583 0 0 11324*** 30.286 0 0 11390*** 64.400 0 0 11403*** 1.338.015 0 0 11423*** 70.266 0 0 11435*** 30.154 0 0 11451*** 10.713 0 0 11520*** 47.400 0 0 11538*** 371.390 0 0 9 de 34 # Classificação: Pública Shareholder For Against Abstain CNPJ: 00.001.180/0001-26AXIA Energia - EGM 12/19/2025 DETAILED FINAL VOTING MAP 6. Subject to the Conversions, the compulsory redemption of all PNR shares, based on the calculation set forth in the Management Proposal (PNR Redemption). 11604*** 360.492 0 0 11729*** 107.780 0 0 11738*** 250 0 0 11748*** 429.545 0 0 11811*** 30.900 0 0 11841*** 246.000 0 0 11906*** 151.616 0 0 11952*** 278.000 0 0 11977*** 189.006 0 0 12068*** 1.035.445 0 0 12086*** 19.807 0 0 12086*** 0 0 9 12094*** 460.415 0 0 12120*** 132.000 0 0 12287*** 19.832 0 0 12456*** 0 3 0 12518*** 8 0 0 12525*** 55.857 0 0 12938*** 149.500 0 0 12984*** 4.024 0 0 12984*** 18.461 0 0 12995*** 20 0 0 13022*** 8.606 0 0 13033*** 2.080 0 0 13066*** 302.163 0 0 13081*** 69.000 0 0 13281*** 0 0 22 13294*** 124.722 0 0 13296*** 40.202 0 0 13307*** 205.200 0 0 13343*** 311.700 0 0 13362*** 476.877 0 0 13402*** 280.900 0 0 13474*** 700 0 0 13521*** 220 0 0 10 de 34 # Classificação: Pública Shareholder For Against Abstain CNPJ: 00.001.180/0001-26AXIA Energia - EGM 12/19/2025 DETAILED FINAL VOTING MAP 6. Subject to the Conversions, the compulsory redemption of all PNR shares, based on the calculation set forth in the Management Proposal (PNR Redemption). 13562*** 37.000 0 0 13562*** 548.300 0 0 13665*** 138.000 0 0 13725*** 84.512 0 0 13796*** 90.793 0 0 13834*** 233.763 0 0 13834*** 381.977 0 0 13909*** 167.488 0 0 13998*** 4.060 0 0 14012*** 1.407.965 0 0 14027*** 567.280 0 0 14138*** 920.375 0 0 14159*** 3 0 0 14180*** 368.100 0 0 14188*** 76.287 0 0 14220*** 11.200 0 0 14240*** 23.800 0 0 14366*** 28.010 0 0 14406*** 200 0 0 14416*** 326.295 0 0 14461*** 73.600 0 0 14476*** 131.958 0 0 14494*** 22.433 0 0 14507*** 735.071 0 0 14541*** 1.531.341 0 0 14549*** 25.453 0 0 14623*** 1.120.542 0 0 14623*** 184.100 0 0 14624*** 1.530.000 0 0 14628*** 17.094 0 0 14639*** 200.200 0 0 14791*** 47.100 0 0 14809*** 207.700 0 0 14879*** 12.400 0 0 14963*** 287.800 0 0 11 de 34 # Classificação: Pública Shareholder For Against Abstain CNPJ: 00.001.180/0001-26AXIA Energia - EGM 12/19/2025 DETAILED FINAL VOTING MAP 6. Subject to the Conversions, the compulsory redemption of all PNR shares, based on the calculation set forth in the Management Proposal (PNR Redemption). 14988*** 710.784 0 0 15011*** 2 0 0 15036*** 0 0 85 15154*** 340.800 0 0 15265*** 177.240 0 0 15265*** 2.300 0 0 15323*** 34.929 0 0 15807*** 168.286 0 0 15816*** 2.609 0 0 16575*** 257.846 0 0 16617*** 37.100 0 0 16816*** 1.487.180 0 0 16816*** 1.355.134 0 0 16878*** 22.500 0 0 16939*** 728.084 0 0 16947*** 483.067 0 0 16947*** 5.856.571 0 0 16947*** 11.960.862 0 0 16947*** 1.630.350 0 0 17009*** 337.765 0 0 17021*** 47.483 0 0 17036*** 229.156 0 0 17138*** 7.891 0 0 17162*** 839.967 0 0 17284*** 475.000 0 0 17488*** 5.101 0 0 17500*** 13.991 0 0 17500*** 10.350 0 0 17578*** 0 5 0 17647*** 50.550 0 0 17718*** 376.076 0 0 17825*** 13.124 0 0 17891*** 258.489 0 0 17934*** 74.887 0 0 18030*** 22.616 0 0 12 de 34 # Classificação: Pública Shareholder For Against Abstain CNPJ: 00.001.180/0001-26AXIA Energia - EGM 12/19/2025 DETAILED FINAL VOTING MAP 6. Subject to the Conversions, the compulsory redemption of all PNR shares, based on the calculation set forth in the Management Proposal (PNR Redemption). 18138*** 2.462.000 0 0 18138*** 74.212 0 0 18158*** 593.095 0 0 18324*** 1.366.500 0 0 18391*** 13.353 0 0 18407*** 1.411.157 0 0 18470*** 271.897 0 0 18485*** 0 0 1.395 18550*** 1.066.800 0 0 18830*** 13.959 0 0 18858*** 95.400 0 0 18961*** 37.533 0 0 18969*** 16.708 0 0 18981*** 1.630 0 0 19100*** 23.865 0 0 19135*** 5.301 0 0 19143*** 1.955.911 0 0 19184*** 296.600 0 0 19232*** 5 0 0 19244*** 1.573.617 0 0 19318*** 5.200 0 0 19388*** 310.634 0 0 19449*** 7.888 0 0 19477*** 71 0 0 19530*** 1.198.949 0 0 19573*** 8.556 0 0 19609*** 696.300 0 0 19675*** 173.816 0 0 19708*** 164.080 0 0 19754*** 398.161 0 0 19791*** 170.700 0 0 19791*** 861.100 0 0 19800*** 18.986 0 0 19808*** 295.677 0 0 19825*** 4.200 0 0 13 de 34 # Classificação: Pública Shareholder For Against Abstain CNPJ: 00.001.180/0001-26AXIA Energia - EGM 12/19/2025 DETAILED FINAL VOTING MAP 6. Subject to the Conversions, the compulsory redemption of all PNR shares, based on the calculation set forth in the Management Proposal (PNR Redemption). 19874*** 302.100 0 0 19874*** 117.200 0 0 19874*** 186.268 0 0 19910*** 35.990 0 0 19919*** 1.446.617 0 0 20026*** 2.693 0 0 20065*** 440.327 0 0 20147*** 290.246 0 0 20216*** 0 0 0 20349*** 74.118 0 0 20384*** 0 15.000 0 20397*** 152.369 0 0 20447*** 17.692 0 0 20604*** 164.611 0 0 20622*** 380.219 0 0 20733*** 227.900 0 0 20750*** 34.379 0 0 20796*** 75.932 0 0 20813*** 2.076.953 0 0 20849*** 29.927 0 0 20903*** 13.400 0 0 20923*** 11.945 0 0 21052*** 293.708 0 0 21053*** 300 0 0 21144*** 18.170 0 0 21166*** 5.413 0 0 21287*** 37.771 0 0 21336*** 9.070 0 0 21347*** 11.902 0 0 21407*** 2.026.972 0 0 21881*** 40.900 0 0 21962*** 166.796 0 0 22105*** 203.400 0 0 22106*** 568.043 0 0 22166*** 28.698 0 0 14 de 34 # Classificação: Pública Shareholder For Against Abstain CNPJ: 00.001.180/0001-26AXIA Energia - EGM 12/19/2025 DETAILED FINAL VOTING MAP 6. Subject to the Conversions, the compulsory redemption of all PNR shares, based on the calculation set forth in the Management Proposal (PNR Redemption). 22321*** 121.546 0 0 22360*** 4.629 0 0 22410*** 435.030 0 0 22501*** 6.182 0 0 22576*** 542.300 0 0 22648*** 10 0 0 22764*** 440.460 0 0 22764*** 226 0 0 22875*** 151.938 0 0 22896*** 73.257 0 0 23060*** 74.214 0 0 23127*** 271.156 0 0 23213*** 50.171 0 0 23213*** 58.500 0 0 23242*** 23.600 0 0 23572*** 59.861 0 0 23686*** 93.251 0 0 23691*** 0 0 441 23771*** 14.912 0 0 23794*** 790.682 0 0 23794*** 1.021.782 0 0 23854*** 1.398.723 0 0 23874*** 687.297 0 0 23958*** 160.400 0 0 23985*** 294.900 0 0 23985*** 13.275 0 0 24078*** 167.702 0 0 24158*** 259.968 0 0 24224*** 102.833 0 0 24297*** 6.072 0 0 24300*** 9.744 0 0 24548*** 1.100 0 0 24569*** 10.853 0 0 24676*** 429.300 0 0 24728*** 9.000 0 0 15 de 34 # Classificação: Pública Shareholder For Against Abstain CNPJ: 00.001.180/0001-26AXIA Energia - EGM 12/19/2025 DETAILED FINAL VOTING MAP 6. Subject to the Conversions, the compulsory redemption of all PNR shares, based on the calculation set forth in the Management Proposal (PNR Redemption). 24752*** 63.400 0 0 24779*** 562.064 0 0 24976*** 5.020 0 0 25019*** 15.433 0 0 25028*** 39.584 0 0 25079*** 23.610 0 0 25134*** 0 0 400 25138*** 265.200 0 0 25169*** 7.586.634 0 0 25220*** 11.600 0 0 25232*** 412.400 0 0 25282*** 4.100 0 0 25454*** 509.300 0 0 25485*** 217 0 0 25612*** 21 0 0 26066*** 96.100 0 0 26087*** 338.300 0 0 26142*** 9.630 0 0 26160*** 150.526 0 0 26294*** 8 0 0 26311*** 99.855 0 0 26431*** 490.824 0 0 26496*** 2.600 0 0 26565*** 163.000 0 0 26670*** 99.900 0 0 26729*** 40.262.449 0 0 26773*** 5.024 0 0 26776*** 277.512 0 0 26784*** 155 0 0 26784*** 33.267 0 0 26784*** 6.400 0 0 26855*** 15.357 0 0 26855*** 102.747 0 0 26859*** 87.312 0 0 26859*** 6.853 0 0 16 de 34 # Classificação: Pública Shareholder For Against Abstain CNPJ: 00.001.180/0001-26AXIA Energia - EGM 12/19/2025 DETAILED FINAL VOTING MAP 6. Subject to the Conversions, the compulsory redemption of all PNR shares, based on the calculation set forth in the Management Proposal (PNR Redemption). 26859*** 16.768 0 0 27074*** 10.636 0 0 27084*** 88.000 0 0 27109*** 3.877.282 0 0 27150*** 16 0 0 27213*** 0 0 50 27222*** 13.343 0 0 27249*** 23.392 0 0 27257*** 1.873.581 0 0 27311*** 8.586 0 0 27328*** 1.800 0 0 27484*** 204.786 0 0 27550*** 232.468 0 0 27642*** 32 0 0 27683*** 3 0 0 27714*** 2.233.483 0 0 27714*** 93.926 0 0 27778*** 12.500 0 0 27826*** 30.476 0 0 27844*** 1.880 0 0 27866*** 1.274.077 0 0 27866*** 139.539 0 0 27866*** 5.120.829 0 0 27866*** 1.751.954 0 0 27866*** 116.882 0 0 27880*** 134.667 0 0 27932*** 55.200 0 0 27995*** 0 0 42 28031*** 17 0 0 28072*** 61.816 0 0 28260*** 13.932.249 0 0 28271*** 7.300 0 0 28328*** 12.700 0 0 28394*** 186.900 0 0 28470*** 759.985 0 0 17 de 34 # Classificação: Pública Shareholder For Against Abstain CNPJ: 00.001.180/0001-26AXIA Energia - EGM 12/19/2025 DETAILED FINAL VOTING MAP 6. Subject to the Conversions, the compulsory redemption of all PNR shares, based on the calculation set forth in the Management Proposal (PNR Redemption). 28581*** 79.895 0 0 28586*** 127.443 0 0 28690*** 3.400 0 0 28703*** 38.502 0 0 28734*** 1.395.900 0 0 28769*** 200 0 0 28784*** 74.697 0 0 28979*** 2.700 0 0 28979*** 485.443 0 0 28990*** 767.600 0 0 29011*** 9.430 0 0 29073*** 120.195 0 0 29085*** 8.559 0 0 29092*** 6.800 0 0 29213*** 0 0 20 29237*** 0 384 0 29237*** 158.900 0 0 29258*** 150.641 0 0 29259*** 1.478 0 0 29275*** 70 0 0 29275*** 22.443 0 0 29322*** 15.371.463 0 0 29361*** 348.600 0 0 29485*** 333.306 0 0 29522*** 28.000 0 0 29550*** 18.300 0 0 29592*** 67 0 0 29668*** 3.412.439 0 0 29733*** 4.996 0 0 30066*** 28.386 0 0 30178*** 13.300 0 0 30254*** 132.880 0 0 30254*** 74.123 0 0 30402*** 3.079.873 0 0 30447*** 202.100 0 0 18 de 34 # Classificação: Pública Shareholder For Against Abstain CNPJ: 00.001.180/0001-26AXIA Energia - EGM 12/19/2025 DETAILED FINAL VOTING MAP 6. Subject to the Conversions, the compulsory redemption of all PNR shares, based on the calculation set forth in the Management Proposal (PNR Redemption). 30463*** 90.200 0 0 30515*** 14.056 0 0 30522*** 38.589 0 0 30556*** 4.002 0 0 30624*** 9.325 0 0 30769*** 426.500 0 0 30769*** 53.187 0 0 30942*** 158.500 0 0 30988*** 1.918.400 0 0 31006*** 100 0 0 31050*** 209.351 0 0 31322*** 3.610.476 0 0 31322*** 0 200.000 0 31502*** 8.874.319 0 0 31577*** 72.000 0 0 31577*** 344.876 0 0 31591*** 8.371 0 0 31615*** 0 400 0 31666*** 40.572 0 0 31692*** 299.000 0 0 31697*** 0 0 1 31814*** 2.543.463 0 0 31814*** 29.985 0 0 31814*** 618.532 0 0 31866*** 206.855 0 0 31914*** 3.955.286 0 0 31914*** 112.200 0 0 31923*** 51.500 0 0 31978*** 518.952 0 0 31989*** 544.424 0 0 32013*** 0 0 170 32106*** 20.980 0 0 32106*** 117.700 0 0 32106*** 632.700 0 0 32203*** 1.425.459 0 0 19 de 34 # Classificação: Pública Shareholder For Against Abstain CNPJ: 00.001.180/0001-26AXIA Energia - EGM 12/19/2025 DETAILED FINAL VOTING MAP 6. Subject to the Conversions, the compulsory redemption of all PNR shares, based on the calculation set forth in the Management Proposal (PNR Redemption). 32239*** 3.920 0 0 32240*** 5.886 0 0 32253*** 6 0 0 32289*** 18.030 0 0 32289*** 893 0 0 32319*** 17.000 0 0 32329*** 1.132.447 0 0 32399*** 131.448 0 0 32484*** 48.000 0 0 32486*** 20 0 0 32497*** 13.900 0 0 32642*** 1.400 0 0 32755*** 30 0 0 32812*** 154.936 0 0 32812*** 8.100 0 0 32812*** 10.200 0 0 32893*** 10.774 0 0 32905*** 2.583 0 0 33042*** 20.005.553 11.037 33.397.313 33121*** 14.413 0 0 33285*** 3.468 0 0 33580*** 37.452 0 0 33588*** 90.400 0 0 33745*** 11 0 0 33814*** 34.317 0 0 33814*** 81.855 0 0 33842*** 27.952 0 0 33968*** 39.400 0 0 34027*** 202.600 0 0 34037*** 0 0 28 34054*** 780.000 0 0 34064*** 758.600 0 0 34109*** 0 0 0 34123*** 24.600 0 0 34172*** 2.548.963 0 0 20 de 34 # Classificação: Pública Shareholder For Against Abstain CNPJ: 00.001.180/0001-26AXIA Energia - EGM 12/19/2025 DETAILED FINAL VOTING MAP 6. Subject to the Conversions, the compulsory redemption of all PNR shares, based on the calculation set forth in the Management Proposal (PNR Redemption). 34172*** 35.955 0 0 34218*** 3.525 0 0 34370*** 1.115 0 0 34448*** 85.700 0 0 34479*** 0 410 0 34546*** 35.100 0 0 34606*** 148.223 0 0 34723*** 1.190 0 0 34768*** 6.400 0 0 34791*** 75.763 0 0 34798*** 22.762 0 0 34825*** 14.742 0 0 34867*** 8.549 0 0 34900*** 152.347 0 0 35075*** 1.308 0 0 35088*** 2 0 0 35304*** 143.187 0 0 35376*** 10 0 0 35377*** 596 0 0 35492*** 46.000 0 0 35492*** 384.000 0 0 35495*** 76.536 0 0 35595*** 69.131 0 0 35637*** 200.749 0 0 35693*** 8.611.443 0 0 35712*** 118.145 0 0 35803*** 6.344.878 0 0 35845*** 17.870 0 0 35845*** 0 0 0 35859*** 306.197 0 0 35865*** 15.026 0 0 35916*** 57.000 0 0 35985*** 11.749 0 0 36034*** 5.400 0 0 36178*** 19.762 0 0 21 de 34 # Classificação: Pública Shareholder For Against Abstain CNPJ: 00.001.180/0001-26AXIA Energia - EGM 12/19/2025 DETAILED FINAL VOTING MAP 6. Subject to the Conversions, the compulsory redemption of all PNR shares, based on the calculation set forth in the Management Proposal (PNR Redemption). 36215*** 245.500 0 0 36327*** 1.600 0 0 36352*** 953.996 0 0 36418*** 1.030 0 0 36518*** 224.991 0 0 36659*** 3.745 0 0 36719*** 45.500 0 0 36719*** 2.507 0 0 36741*** 24.778 0 0 36822*** 12 0 0 36913*** 186 0 0 36924*** 165.500 0 0 36970*** 0 0 5 36980*** 700 0 0 37092*** 29.660 0 0 37099*** 43.200 0 0 37204*** 4.690 0 0 37228*** 11.254 0 0 37236*** 265.165 0 0 37311*** 28.611 0 0 37339*** 3.287.299 0 0 37347*** 483.043 0 0 37355*** 9.500 0 0 37388*** 54.912 0 0 37555*** 8.233 0 0 37623*** 900 0 0 37715*** 93.097 0 0 37724*** 18.859 0 0 37806*** 4.742 0 0 37837*** 45 0 0 37844*** 208.900 0 0 37905*** 47.900 0 0 38100*** 410.500 0 0 38173*** 69.236 0 0 38195*** 2.785 0 0 22 de 34 # Classificação: Pública Shareholder For Against Abstain CNPJ: 00.001.180/0001-26AXIA Energia - EGM 12/19/2025 DETAILED FINAL VOTING MAP 6. Subject to the Conversions, the compulsory redemption of all PNR shares, based on the calculation set forth in the Management Proposal (PNR Redemption). 38202*** 46 0 0 38350*** 5.212 0 0 38374*** 4 0 0 38386*** 427.657 0 0 38388*** 0 0 0 38512*** 400 0 0 38628*** 0 0 100 38756*** 548.681 0 0 38856*** 0 20 0 38949*** 11.375 0 0 39285*** 0 0 0 39383*** 66.800 0 0 39514*** 99.499 0 0 39600*** 17.140 0 0 39687*** 716.286 0 0 39834*** 9.716 0 0 39959*** 173.200 0 0 40022*** 2.463 0 0 40091*** 172.305 0 0 40122*** 2.370.230 0 0 40136*** 1.263 0 0 40147*** 2.076.169 0 0 40156*** 9.218 0 0 40209*** 109.320 0 0 40209*** 33.298 0 0 40213*** 60.000 0 0 40226*** 2.905 0 0 40226*** 135.613 0 0 40249*** 4.059 0 0 40284*** 8.531 0 0 40343*** 394.738 0 0 40428*** 6.904 0 0 40508*** 18.500 0 0 40635*** 22.848 0 0 40671*** 9.763 0 0 23 de 34 # Classificação: Pública Shareholder For Against Abstain CNPJ: 00.001.180/0001-26AXIA Energia - EGM 12/19/2025 DETAILED FINAL VOTING MAP 6. Subject to the Conversions, the compulsory redemption of all PNR shares, based on the calculation set forth in the Management Proposal (PNR Redemption). 40671*** 9.950 0 0 40738*** 114.121 0 0 40919*** 2.915 0 0 41015*** 0 50 0 41081*** 45.020 0 0 41167*** 44.700 0 0 41167*** 21.862 0 0 41215*** 9.900 0 0 41239*** 40.041 0 0 41246*** 1 0 0 41286*** 88.229 0 0 41301*** 233.464 0 0 41342*** 217.603 0 0 41562*** 703.200 0 0 41610*** 6.403 0 0 41708*** 8.400 0 0 41727*** 1.084 0 0 41853*** 775.900 0 0 41881*** 92.100 0 0 41907*** 22.769 0 0 41941*** 14.062 0 0 41956*** 39.044 0 0 41956*** 154.415 0 0 42045*** 210.700 0 0 42133*** 105.301 0 0 42264*** 141.567 0 0 42332*** 51.304 0 0 42355*** 6.596 0 0 42355*** 71.010 0 0 42389*** 224.900 0 0 42390*** 2.000 0 0 42411*** 263.400 0 0 42469*** 30.510 0 0 42479*** 20.606 0 0 42479*** 926.900 0 0 24 de 34 # Classificação: Pública Shareholder For Against Abstain CNPJ: 00.001.180/0001-26AXIA Energia - EGM 12/19/2025 DETAILED FINAL VOTING MAP 6. Subject to the Conversions, the compulsory redemption of all PNR shares, based on the calculation set forth in the Management Proposal (PNR Redemption). 42502*** 64.714 0 0 42519*** 578.953 0 0 42520*** 16.067.256 0 0 42538*** 16 0 0 42571*** 161.048 0 0 42645*** 372 0 0 42717*** 30.400 0 0 42717*** 51.300 0 0 42776*** 7.698 0 0 42777*** 77 0 0 42814*** 65.001 0 0 42865*** 17.773 0 0 42870*** 407.654 0 0 43103*** 780 0 0 43105*** 35.991 0 0 43210*** 25.222 0 0 43313*** 1.500 0 0 43427*** 1.639.944 0 0 43533*** 1.064 0 0 43533*** 20.006 0 0 43533*** 3.371 0 0 43533*** 46.708 0 0 43533*** 352.500 0 0 43533*** 174.200 0 0 43533*** 67.100 0 0 43533*** 6.502 0 0 43533*** 43.729 0 0 43584*** 5.000 0 0 43690*** 45.000 0 0 43704*** 2.338 0 0 43747*** 220 0 0 43761*** 9.704 0 0 43879*** 113.100 0 0 43907*** 25.700 0 0 43907*** 13.800 0 0 25 de 34 # Classificação: Pública Shareholder For Against Abstain CNPJ: 00.001.180/0001-26AXIA Energia - EGM 12/19/2025 DETAILED FINAL VOTING MAP 6. Subject to the Conversions, the compulsory redemption of all PNR shares, based on the calculation set forth in the Management Proposal (PNR Redemption). 43909*** 161.800 0 0 43956*** 4 0 0 44110*** 148.600 0 0 44258*** 35.226 0 0 44346*** 10.300 0 0 44360*** 4.791.521 0 0 44500*** 931.300 0 0 44544*** 9.675 0 0 44602*** 42.732 0 0 44642*** 27.800 0 0 44643*** 2.400 0 0 44692*** 536.000 0 0 44700*** 92.884 0 0 44700*** 1.147.700 0 0 44700*** 385.600 0 0 44738*** 64.277 0 0 44844*** 97.257 0 0 44934*** 1.970.045 0 0 45029*** 5.900 0 0 45081*** 3.254.567 0 0 45081*** 40.022 0 0 45088*** 7.765.559 0 0 45120*** 194.468 0 0 45128*** 15.400 0 0 45128*** 299.000 0 0 45128*** 105.700 0 0 45128*** 60.100 0 0 45226*** 2.286.983 0 0 45245*** 150.700 0 0 45245*** 336.547 0 0 45261*** 8.786 0 0 45322*** 5.884.060 0 0 45512*** 4.500 0 0 45560*** 4.083.931 0 0 45605*** 64.500 0 0 26 de 34 # Classificação: Pública Shareholder For Against Abstain CNPJ: 00.001.180/0001-26AXIA Energia - EGM 12/19/2025 DETAILED FINAL VOTING MAP 6. Subject to the Conversions, the compulsory redemption of all PNR shares, based on the calculation set forth in the Management Proposal (PNR Redemption). 45622*** 15.000 0 0 45682*** 2.227 0 0 45682*** 3.700 0 0 45682*** 3.100 0 0 45687*** 3.400 0 0 45756*** 415.800 0 0 45859*** 3.300 0 0 45971*** 49.469 0 0 46130*** 29.152 0 0 46134*** 647.883 0 0 46171*** 120.400 0 0 46339*** 230.095 0 0 46375*** 226.924 0 0 46390*** 5 0 0 46438*** 284 0 0 46595*** 60.719 0 0 46732*** 8.100 0 0 46909*** 363.014 0 0 46964*** 219.280 0 0 46964*** 1.579.000 0 0 46964*** 93.142 0 0 46964*** 567.400 0 0 46965*** 114.700 0 0 46981*** 1.496.233 0 0 46981*** 534.131 0 0 46981*** 247.440 0 0 46981*** 1.054.538 0 0 47036*** 3.694.170 0 0 47036*** 11.800 0 0 47228*** 22.700 0 0 47352*** 90.100 0 0 47545*** 2.800 0 0 47794*** 1.900 0 0 47848*** 182.235 0 0 47848*** 7.953.700 0 0 27 de 34 # Classificação: Pública Shareholder For Against Abstain CNPJ: 00.001.180/0001-26AXIA Energia - EGM 12/19/2025 DETAILED FINAL VOTING MAP 6. Subject to the Conversions, the compulsory redemption of all PNR shares, based on the calculation set forth in the Management Proposal (PNR Redemption). 47954*** 997.100 0 0 48021*** 6.000 0 0 48123*** 23.077 0 0 48138*** 331.666 0 0 48329*** 70.500 0 0 48331*** 206.182 0 0 48373*** 48.920 0 0 48400*** 428 0 0 48429*** 13.800 0 0 48490*** 0 0 338 48643*** 18.791 0 0 48643*** 71.696 0 0 48650*** 36.699 0 0 48766*** 600 0 0 48820*** 19.276 0 0 48878*** 76.100 0 0 48927*** 6.000 0 0 48977*** 9.474 0 0 48978*** 7.551 0 0 49144*** 176 0 0 49202*** 61.768 0 0 49256*** 5.400 0 0 49266*** 51.000 0 0 49331*** 24.380 0 0 49444*** 69.973 0 0 49485*** 6.188.837 0 0 49632*** 35.698 0 0 49766*** 0 0 1.364.882 49839*** 975.800 0 0 49927*** 558.400 0 0 49947*** 300 0 0 50072*** 7.900 0 0 50091*** 2.541 0 0 50653*** 10.471 0 0 50717*** 192.368 0 0 28 de 34 # Classificação: Pública Shareholder For Against Abstain CNPJ: 00.001.180/0001-26AXIA Energia - EGM 12/19/2025 DETAILED FINAL VOTING MAP 6. Subject to the Conversions, the compulsory redemption of all PNR shares, based on the calculation set forth in the Management Proposal (PNR Redemption). 50856*** 67.500 0 0 50958*** 25.900 0 0 51116*** 393.656 0 0 51116*** 9.600 0 0 51360*** 108.000 0 0 51473*** 3.000 0 0 51487*** 44.643 0 0 51490*** 0 0 200 51614*** 71 0 0 51817*** 23.503 0 0 51888*** 13.100 0 0 51990*** 997.693 0 0 52025*** 148.306 0 0 52070*** 90.731 0 0 52080*** 51.300 0 0 52083*** 40.718 0 0 52085*** 1.260.946 0 0 52182*** 79.900 0 0 52188*** 13.832 0 0 52203*** 6.778 0 0 52647*** 382.259 0 0 52694*** 320.153 0 0 52698*** 41.176 0 0 52800*** 17.473 0 0 52901*** 7.141 0 0 52950*** 1.584 0 0 53176*** 12.177 0 0 53304*** 2 0 0 53425*** 0 0 0 53529*** 0 0 238 53599*** 874.700 0 0 53780*** 39.870 0 0 53826*** 2.600 0 0 53829*** 1.300 0 0 53861*** 66.023 0 0 29 de 34 # Classificação: Pública Shareholder For Against Abstain CNPJ: 00.001.180/0001-26AXIA Energia - EGM 12/19/2025 DETAILED FINAL VOTING MAP 6. Subject to the Conversions, the compulsory redemption of all PNR shares, based on the calculation set forth in the Management Proposal (PNR Redemption). 54026*** 15.205 0 0 54069*** 755 0 0 54198*** 43.496 0 0 54250*** 43.400 0 0 54368*** 1.990 0 0 54398*** 31.592 0 0 54423*** 143.706 0 0 54584*** 1.000 0 0 54603*** 3.455 0 0 54620*** 4.669 0 0 54637*** 0 0 2.000 54784*** 8.340 0 0 54792*** 866.200 0 0 54792*** 27.300 0 0 55053*** 3.008 0 0 55105*** 3.085.892 0 0 55240*** 4.800 0 0 55315*** 4.200 0 0 55483*** 66.300 0 0 55522*** 28.272 0 0 55690*** 20.969 0 0 55751*** 1.057 0 0 55893*** 36.900 0 0 55894*** 20.265 0 0 55912*** 800 0 0 55989*** 19.664 0 0 56007*** 38.937 0 0 56029*** 15.751 0 0 56091*** 12.770 0 0 56141*** 55.146 0 0 56155*** 16.300 0 0 56208*** 124.284 0 0 56211*** 3.031 0 0 56367*** 19.000 0 0 56504*** 3.700 0 0 30 de 34 # Classificação: Pública Shareholder For Against Abstain CNPJ: 00.001.180/0001-26AXIA Energia - EGM 12/19/2025 DETAILED FINAL VOTING MAP 6. Subject to the Conversions, the compulsory redemption of all PNR shares, based on the calculation set forth in the Management Proposal (PNR Redemption). 56576*** 0 0 5 56625*** 200 0 0 56704*** 58.979 0 0 56707*** 49.745 0 0 56951*** 81.600 0 0 57091*** 17.477 0 0 57343*** 203.243 0 0 57537*** 6.879 0 0 57848*** 4.554 0 0 57979*** 149.800 0 0 58175*** 41.800 0 0 58270*** 16.516 0 0 58489*** 201.700 0 0 58734*** 7 0 0 58901*** 14.579 0 0 58947*** 5.100 0 0 59051*** 47.200 0 0 59141*** 22.111 0 0 59307*** 138.543 0 0 59666*** 27.807 0 0 59767*** 194.700 0 0 59790*** 7.989 0 0 59840*** 33.400 0 0 60060*** 14.300 0 0 60328*** 59.873 0 0 60347*** 112.584 0 0 60746*** 2.094.364 0 0 61148*** 181 0 0 61397*** 100 0 0 61596*** 22.370 0 0 61664*** 42.536 0 0 61684*** 2.457.532 0 0 61684*** 5.420.200 0 0 61838*** 1.500 0 0 61988*** 13.233 0 0 31 de 34 # Classificação: Pública Shareholder For Against Abstain CNPJ: 00.001.180/0001-26AXIA Energia - EGM 12/19/2025 DETAILED FINAL VOTING MAP 6. Subject to the Conversions, the compulsory redemption of all PNR shares, based on the calculation set forth in the Management Proposal (PNR Redemption). 62569*** 4.957 0 0 62673*** 22.800 0 0 62673*** 72.700 0 0 62673*** 1.200 0 0 62913*** 29.220 0 0 63114*** 33.420 0 0 63135*** 14.100 0 0 63135*** 3.500 0 0 63291*** 32.499 0 0 63360*** 42.558 0 0 64491*** 316 0 0 66547*** 1.300 0 0 66744*** 192.519 0 0 67327*** 5 0 0 68559*** 3.840 0 0 69851*** 400 0 0 71861*** 1 0 0 73447*** 1.200 0 0 73933*** 10 0 0 74843*** 0 0 40 74927*** 580 0 0 76297*** 0 0 595 76908*** 21 0 0 77605*** 17.607 0 0 79238*** 0 256 0 79246*** 30.000 0 0 79720*** 200 0 0 80005*** 8 0 0 80663*** 24 0 0 83699*** 0 0 28 84876*** 0 0 120 85751*** 115 0 0 85751*** 300 0 0 85989*** 100 0 0 87737*** 103 0 0 32 de 34 # Classificação: Pública Shareholder For Against Abstain CNPJ: 00.001.180/0001-26AXIA Energia - EGM 12/19/2025 DETAILED FINAL VOTING MAP 6. Subject to the Conversions, the compulsory redemption of all PNR shares, based on the calculation set forth in the Management Proposal (PNR Redemption). 88440*** 0 0 100 88962*** 0 0 12 89351*** 20 0 0 90243*** 0 20 0 90372*** 0 0 13 91890*** 20 0 0 91927*** 0 0 0 92273*** 15 0 0 92693*** 129.020 0 0 93577*** 200 0 0 93902*** 50 0 0 95687*** 0 0 1.000 97538*** 4.851.698 0 0 97538*** 49.089 0 0 97539*** 917.301 0 0 97539*** 22.778 0 0 97539*** 37.074 0 0 97539*** 19.345 0 0 97539*** 3.732.105 0 0 97539*** 4.800 0 0 97539*** 28.674 0 0 97539*** 31.200 0 0 97539*** 735.721 0 0 97539*** 42.800 0 0 97539*** 5.199.319 0 0 97539*** 2.389.760 0 0 97539*** 1.543.110 0 0 97539*** 3.445.396 0 0 97539*** 392.626 0 0 97539*** 996.896 0 0 97539*** 2.066.321 0 0 97539*** 197.838 0 0 97539*** 144.600 0 0 97539*** 22.250 0 0 97540*** 20.600 0 0 33 de 34 # Classificação: Pública Shareholder For Against Abstain CNPJ: 00.001.180/0001-26AXIA Energia - EGM 12/19/2025 DETAILED FINAL VOTING MAP 6. Subject to the Conversions, the compulsory redemption of all PNR shares, based on the calculation set forth in the Management Proposal (PNR Redemption). 97540*** 3.753 0 0 97540*** 68.500 0 0 97540*** 104.726 0 0 97540*** 903.981 0 0 97540*** 72.665 0 0 97540*** 926.147 0 0 97540*** 1.598 0 0 97540*** 282.400 0 0 97540*** 1.796.898 0 0 97540*** 2.022.198 0 0 97540*** 10.823 0 0 97540*** 209.922 0 0 97540*** 16.335.023 0 0 98658*** 550 0 0 99169*** 100 0 0 34 de 34 # Classificação: Pública Shareholder For Against Abstain Total 823.916.113 191.414.339 35.890.437 00125*** 1.178.056 0 0 00394*** 0 190.732.084 0 00455*** 6 0 0 00560*** 4.984 0 0 00586*** 10 0 0 00601*** 31 0 0 00739*** 1.428 0 0 00805*** 20 0 0 00914*** 3 0 0 01017*** 1 0 0 01171*** 1.610 0 0 01203*** 1 0 0 01456*** 4 0 0 01496*** 161.306 0 0 01586*** 16 0 0 01643*** 66.985 0 0 01699*** 96.416 0 0 01886*** 12.945 0 0 02020*** 53.603 0 0 02097*** 5.700 0 0 02231*** 611 0 0 02231*** 8.536 0 0 02285*** 102 0 0 02524*** 250 0 0 02745*** 0 5 0 02863*** 1.125.500 0 0 02887*** 26.056 0 0 02895*** 64.700 0 0 02903*** 100 0 0 03027*** 51.786 0 0 03369*** 0 0 136 03370*** 392.332 0 0 03394*** 87.480 0 0 03394*** 7 0 0 CNPJ: 00.001.180/0001-26AXIA Energia - EGM 12/19/2025 DETAILED FINAL VOTING MAP 7. Granting to the holders of the Company’s common shares the right to sell in a public tender offer (OPA) resulting from the sale of control, in order to ensure equal treatment to that afforded to the selling shareholder. 1 de 34 # Classificação: Pública Shareholder For Against Abstain CNPJ: 00.001.180/0001-26AXIA Energia - EGM 12/19/2025 DETAILED FINAL VOTING MAP 7. Granting to the holders of the Company’s common shares the right to sell in a public tender offer (OPA) resulting from the sale of control, in order to ensure equal treatment to that afforded to the selling shareholder. 03473*** 569 0 0 03833*** 28.394 0 0 03902*** 1 0 0 03960*** 24.957 0 0 04005*** 0 50 0 04073*** 292.991 0 0 04297*** 0 3 0 04555*** 0 0 55 04605*** 0 0 200 04609*** 602 0 0 04609*** 1.300 0 0 04616*** 11.687 0 0 04672*** 5 0 0 04709*** 0 1 0 04736*** 28.890 0 0 04751*** 111.059 0 0 04847*** 4 0 0 05075*** 5 0 0 05100*** 43.978 0 0 05147*** 14.000 0 0 05303*** 0 0 1 05316*** 1.030 0 0 05435*** 3 0 0 05448*** 9.727 0 0 05479*** 1.513.900 0 0 05479*** 2.843.378 0 0 05522*** 44 0 0 05589*** 233.315 0 0 05589*** 279.983 0 0 05589*** 28.815 0 0 05719*** 27 0 0 05734*** 415 0 0 05775*** 1.759 0 0 05838*** 15.219 0 0 05839*** 96.081 0 0 2 de 34 # Classificação: Pública Shareholder For Against Abstain CNPJ: 00.001.180/0001-26AXIA Energia - EGM 12/19/2025 DETAILED FINAL VOTING MAP 7. Granting to the holders of the Company’s common shares the right to sell in a public tender offer (OPA) resulting from the sale of control, in order to ensure equal treatment to that afforded to the selling shareholder. 05839*** 189.258 0 0 05839*** 718.804 0 0 05839*** 724 0 0 05839*** 775.653 0 0 05839*** 15.200 0 0 05839*** 9.200 0 0 05839*** 803.800 0 0 05839*** 0 0 158.291 05839*** 15.718 0 0 05839*** 1.111.508 0 0 05839*** 4.619.084 0 0 05839*** 226.872 0 0 05839*** 51.889 0 0 05840*** 188.253 0 0 05840*** 10.000 0 0 05840*** 32.547 0 0 05840*** 804.990 0 0 05840*** 4.858.301 0 0 05840*** 477.000 0 0 05840*** 2.199.143 0 0 05872*** 79.961 0 0 05901*** 1 0 0 05986*** 1.881.495 0 0 05986*** 2.673.143 0 0 05986*** 24.100 0 0 05986*** 2.155 0 0 05987*** 147.900 0 0 05987*** 129.553 0 0 05987*** 11.827 0 0 05987*** 2.020.100 0 0 05987*** 1.602.500 0 0 05987*** 5 0 0 05987*** 199.465 0 0 05987*** 13.400 0 0 05987*** 428.300 0 0 3 de 34 # Classificação: Pública Shareholder For Against Abstain CNPJ: 00.001.180/0001-26AXIA Energia - EGM 12/19/2025 DETAILED FINAL VOTING MAP 7. Granting to the holders of the Company’s common shares the right to sell in a public tender offer (OPA) resulting from the sale of control, in order to ensure equal treatment to that afforded to the selling shareholder. 05987*** 24.749 0 0 05987*** 188.737 0 0 05987*** 2.862.252 0 0 05987*** 481.572 0 0 05987*** 1.758.400 0 0 06046*** 1.594.573 0 0 06069*** 5.615 0 0 06105*** 10.100 0 0 06134*** 0 108.329 0 06148*** 76.771 0 0 06224*** 6.811 0 0 06239*** 174.268 0 0 06239*** 455.200 0 0 06251*** 9.995 0 0 06318*** 0 0 1 06323*** 530.363 0 0 06370*** 3 0 0 06406*** 0 0 100.000 06491*** 35 0 0 06541*** 284.989 0 0 06571*** 130 0 0 06613*** 77.676 0 0 06832*** 23 0 0 06916*** 622.500 0 0 06943*** 137.641 0 0 06943*** 589.073 0 0 06943*** 922.665 0 0 06949*** 0 0 10 06964*** 298.476 0 0 07023*** 100 0 0 07060*** 239.200 0 0 07086*** 1.000 0 0 07096*** 51.672 0 0 07140*** 859.100 0 0 07140*** 19.426 0 0 4 de 34 # Classificação: Pública Shareholder For Against Abstain CNPJ: 00.001.180/0001-26AXIA Energia - EGM 12/19/2025 DETAILED FINAL VOTING MAP 7. Granting to the holders of the Company’s common shares the right to sell in a public tender offer (OPA) resulting from the sale of control, in order to ensure equal treatment to that afforded to the selling shareholder. 07140*** 1.219 0 0 07140*** 26.098 0 0 07187*** 16.269 0 0 07187*** 713 0 0 07191*** 857.000 0 0 07191*** 85.700 0 0 07191*** 105.335 0 0 07226*** 4 0 0 07237*** 589.417 0 0 07237*** 33.388 0 0 07247*** 296.000 0 0 07247*** 164.564 0 0 07247*** 247.800 0 0 07267*** 140 0 0 07299*** 100 0 0 07333*** 249.390 0 0 07345*** 2.648 0 0 07345*** 10.300 0 0 07345*** 28.600 0 0 07376*** 123.348 0 0 07418*** 42.847 0 0 07418*** 1.247.100 0 0 07418*** 1.210.226 0 0 07463*** 0 0 4 07488*** 319.556 0 0 07496*** 1.568.008 0 0 07496*** 2.200 0 0 07496*** 60.415 0 0 07496*** 133.589 0 0 07506*** 4.230.427 0 0 07515*** 60 0 0 07516*** 10.567.600 0 0 07516*** 917.500 0 0 07516*** 35.520 0 0 07516*** 1.041.400 0 0 5 de 34 # Classificação: Pública Shareholder For Against Abstain CNPJ: 00.001.180/0001-26AXIA Energia - EGM 12/19/2025 DETAILED FINAL VOTING MAP 7. Granting to the holders of the Company’s common shares the right to sell in a public tender offer (OPA) resulting from the sale of control, in order to ensure equal treatment to that afforded to the selling shareholder. 07518*** 84.779 0 0 07521*** 158.999 0 0 07526*** 19.300 0 0 07529*** 128.800 0 0 07536*** 103.618 0 0 07551*** 7.900 0 0 07593*** 179.470 0 0 07622*** 4.475.736 0 0 07647*** 78.500 0 0 07655*** 864.956 0 0 07655*** 10.800 0 0 07667*** 4.648 0 0 07670*** 0 10.600 0 07670*** 1.650.000 0 0 07686*** 7.021 0 0 07724*** 211.324 0 0 07790*** 14.800 0 0 07792*** 357.630 0 0 07820*** 2.200 0 0 07846*** 69.100 0 0 07889*** 44.041 0 0 07940*** 280.700 0 0 07942*** 530.100 0 0 07967*** 133.248 0 0 07990*** 42.700 0 0 08052*** 100 0 0 08120*** 0 0 383 08154*** 5.377 0 0 08196*** 81.823.300 0 0 08265*** 225.800 0 0 08268*** 3.800 0 0 08279*** 318.109 0 0 08295*** 18.073.978 0 0 08295*** 3.890.485 0 0 08295*** 93.002 0 0 6 de 34 # Classificação: Pública Shareholder For Against Abstain CNPJ: 00.001.180/0001-26AXIA Energia - EGM 12/19/2025 DETAILED FINAL VOTING MAP 7. Granting to the holders of the Company’s common shares the right to sell in a public tender offer (OPA) resulting from the sale of control, in order to ensure equal treatment to that afforded to the selling shareholder. 08387*** 103.219 0 0 08434*** 43.600 0 0 08464*** 3.983.344 0 0 08471*** 53.618 0 0 08561*** 940.780 0 0 08571*** 3.397 0 0 08579*** 339.986 0 0 08621*** 820.400 0 0 08623*** 1.710 0 0 08640*** 52.400 0 0 08757*** 52.296 0 0 08765*** 94.255.061 0 0 08840*** 9.118.176 0 0 08857*** 893.791 0 0 08875*** 26.085 0 0 08875*** 39.000 0 0 08900*** 1.800 0 0 08910*** 0 0 23 08913*** 1.453 0 0 08935*** 18.483.007 0 0 08945*** 137.277 0 0 08973*** 90.286 0 0 08973*** 84.130 0 0 08988*** 90.399 0 0 09005*** 171 0 0 09029*** 95.000 0 0 09048*** 164.633 0 0 09048*** 42.509 0 0 09063*** 550.962 0 0 09064*** 1 0 0 09073*** 366.269 0 0 09089*** 470.660 0 0 09089*** 20.525 0 0 09094*** 86.200 0 0 09144*** 0 0 7 7 de 34 # Classificação: Pública Shareholder For Against Abstain CNPJ: 00.001.180/0001-26AXIA Energia - EGM 12/19/2025 DETAILED FINAL VOTING MAP 7. Granting to the holders of the Company’s common shares the right to sell in a public tender offer (OPA) resulting from the sale of control, in order to ensure equal treatment to that afforded to the selling shareholder. 09145*** 13.516.396 0 0 09163*** 972.837 0 0 09241*** 20 0 0 09286*** 42.968 0 0 09294*** 230.978 0 0 09299*** 1.005.021 0 0 09323*** 25.786 0 0 09323*** 408.777 0 0 09330*** 114.300 0 0 09336*** 117.000 0 0 09411*** 36.133 0 0 09441*** 106.368 0 0 09470*** 270.100 0 0 09470*** 130.741 0 0 09559*** 823.023 0 0 09564*** 269.814 0 0 09567*** 147.940 0 0 09593*** 765.198 0 0 09620*** 372.512 0 0 09627*** 41.300 0 0 09701*** 220 0 0 09720*** 4.359.575 0 0 09838*** 20 0 0 10110*** 0 0 0 10205*** 1.098 0 0 10214*** 40.966 0 0 10243*** 45.400 0 0 10263*** 60.424 0 0 10263*** 335.431 0 0 10263*** 169.600 0 0 10307*** 500 0 0 10324*** 729.020 0 0 10392*** 311 0 0 10400*** 48.700 0 0 10418*** 47.304 0 0 8 de 34 # Classificação: Pública Shareholder For Against Abstain CNPJ: 00.001.180/0001-26AXIA Energia - EGM 12/19/2025 DETAILED FINAL VOTING MAP 7. Granting to the holders of the Company’s common shares the right to sell in a public tender offer (OPA) resulting from the sale of control, in order to ensure equal treatment to that afforded to the selling shareholder. 10419*** 121.500 0 0 10481*** 6.385.100 0 0 10486*** 0 0 20 10492*** 225.108 0 0 10553*** 1.933.500 0 0 10554*** 24 0 0 10561*** 4.400 0 0 10569*** 91.542 0 0 10583*** 342.676 0 0 10596*** 2.537 0 0 10672*** 28.600 0 0 10678*** 145.406 0 0 10762*** 18.300 0 0 10765*** 14.889.875 0 0 10809*** 451.926 0 0 10840*** 1 0 0 11030*** 2.221.230 0 0 11046*** 0 0 869.344 11047*** 10.000 0 0 11100*** 1.373.626 0 0 11175*** 0 1.000 0 11184*** 10.637 0 0 11184*** 2.478.365 0 0 11188*** 13.734.739 0 0 11225*** 316.909 0 0 11311*** 564.121 0 0 11324*** 7.583 0 0 11324*** 30.286 0 0 11390*** 64.400 0 0 11403*** 1.338.015 0 0 11423*** 70.266 0 0 11435*** 30.154 0 0 11451*** 10.713 0 0 11520*** 47.400 0 0 11538*** 371.390 0 0 9 de 34 # Classificação: Pública Shareholder For Against Abstain CNPJ: 00.001.180/0001-26AXIA Energia - EGM 12/19/2025 DETAILED FINAL VOTING MAP 7. Granting to the holders of the Company’s common shares the right to sell in a public tender offer (OPA) resulting from the sale of control, in order to ensure equal treatment to that afforded to the selling shareholder. 11604*** 360.492 0 0 11729*** 107.780 0 0 11738*** 250 0 0 11748*** 429.545 0 0 11811*** 30.900 0 0 11841*** 246.000 0 0 11906*** 151.616 0 0 11952*** 278.000 0 0 11977*** 189.006 0 0 12068*** 1.035.445 0 0 12086*** 19.807 0 0 12086*** 0 0 9 12094*** 460.415 0 0 12120*** 132.000 0 0 12287*** 19.832 0 0 12456*** 0 3 0 12518*** 8 0 0 12525*** 55.857 0 0 12938*** 149.500 0 0 12984*** 4.024 0 0 12984*** 18.461 0 0 12995*** 20 0 0 13022*** 8.606 0 0 13033*** 2.080 0 0 13066*** 302.163 0 0 13081*** 69.000 0 0 13281*** 0 0 22 13294*** 124.722 0 0 13296*** 40.202 0 0 13307*** 205.200 0 0 13343*** 311.700 0 0 13362*** 476.877 0 0 13402*** 280.900 0 0 13474*** 700 0 0 13521*** 220 0 0 10 de 34 # Classificação: Pública Shareholder For Against Abstain CNPJ: 00.001.180/0001-26AXIA Energia - EGM 12/19/2025 DETAILED FINAL VOTING MAP 7. Granting to the holders of the Company’s common shares the right to sell in a public tender offer (OPA) resulting from the sale of control, in order to ensure equal treatment to that afforded to the selling shareholder. 13562*** 37.000 0 0 13562*** 548.300 0 0 13665*** 138.000 0 0 13725*** 84.512 0 0 13796*** 90.793 0 0 13834*** 233.763 0 0 13834*** 381.977 0 0 13909*** 167.488 0 0 13998*** 4.060 0 0 14012*** 1.407.965 0 0 14027*** 567.280 0 0 14138*** 920.375 0 0 14159*** 3 0 0 14180*** 368.100 0 0 14188*** 76.287 0 0 14220*** 11.200 0 0 14240*** 23.800 0 0 14366*** 28.010 0 0 14406*** 200 0 0 14416*** 326.295 0 0 14461*** 73.600 0 0 14476*** 131.958 0 0 14494*** 22.433 0 0 14507*** 735.071 0 0 14541*** 1.531.341 0 0 14549*** 25.453 0 0 14623*** 1.120.542 0 0 14623*** 184.100 0 0 14624*** 1.530.000 0 0 14628*** 17.094 0 0 14639*** 200.200 0 0 14791*** 47.100 0 0 14809*** 207.700 0 0 14879*** 12.400 0 0 14963*** 287.800 0 0 11 de 34 # Classificação: Pública Shareholder For Against Abstain CNPJ: 00.001.180/0001-26AXIA Energia - EGM 12/19/2025 DETAILED FINAL VOTING MAP 7. Granting to the holders of the Company’s common shares the right to sell in a public tender offer (OPA) resulting from the sale of control, in order to ensure equal treatment to that afforded to the selling shareholder. 14988*** 710.784 0 0 15011*** 2 0 0 15036*** 0 0 85 15154*** 340.800 0 0 15265*** 177.240 0 0 15265*** 2.300 0 0 15323*** 34.929 0 0 15807*** 168.286 0 0 15816*** 2.609 0 0 16575*** 257.846 0 0 16617*** 37.100 0 0 16816*** 1.487.180 0 0 16816*** 1.355.134 0 0 16878*** 22.500 0 0 16939*** 728.084 0 0 16947*** 483.067 0 0 16947*** 5.856.571 0 0 16947*** 11.960.862 0 0 16947*** 1.630.350 0 0 17009*** 337.765 0 0 17021*** 47.483 0 0 17036*** 229.156 0 0 17138*** 7.891 0 0 17162*** 839.967 0 0 17284*** 475.000 0 0 17488*** 5.101 0 0 17500*** 13.991 0 0 17500*** 10.350 0 0 17578*** 5 0 0 17647*** 50.550 0 0 17718*** 376.076 0 0 17825*** 13.124 0 0 17891*** 258.489 0 0 17934*** 74.887 0 0 18030*** 22.616 0 0 12 de 34 # Classificação: Pública Shareholder For Against Abstain CNPJ: 00.001.180/0001-26AXIA Energia - EGM 12/19/2025 DETAILED FINAL VOTING MAP 7. Granting to the holders of the Company’s common shares the right to sell in a public tender offer (OPA) resulting from the sale of control, in order to ensure equal treatment to that afforded to the selling shareholder. 18138*** 2.462.000 0 0 18138*** 74.212 0 0 18158*** 593.095 0 0 18324*** 1.366.500 0 0 18391*** 13.353 0 0 18407*** 1.411.157 0 0 18470*** 271.897 0 0 18485*** 0 0 1.395 18550*** 1.066.800 0 0 18830*** 13.959 0 0 18858*** 95.400 0 0 18961*** 37.533 0 0 18969*** 16.708 0 0 18981*** 1.630 0 0 19100*** 23.865 0 0 19135*** 5.301 0 0 19143*** 1.955.911 0 0 19184*** 296.600 0 0 19232*** 5 0 0 19244*** 1.573.617 0 0 19318*** 5.200 0 0 19388*** 310.634 0 0 19449*** 7.888 0 0 19477*** 71 0 0 19530*** 1.198.949 0 0 19573*** 8.556 0 0 19609*** 696.300 0 0 19675*** 173.816 0 0 19708*** 164.080 0 0 19754*** 398.161 0 0 19791*** 170.700 0 0 19791*** 861.100 0 0 19800*** 18.986 0 0 19808*** 295.677 0 0 19825*** 4.200 0 0 13 de 34 # Classificação: Pública Shareholder For Against Abstain CNPJ: 00.001.180/0001-26AXIA Energia - EGM 12/19/2025 DETAILED FINAL VOTING MAP 7. Granting to the holders of the Company’s common shares the right to sell in a public tender offer (OPA) resulting from the sale of control, in order to ensure equal treatment to that afforded to the selling shareholder. 19874*** 302.100 0 0 19874*** 117.200 0 0 19874*** 186.268 0 0 19910*** 35.990 0 0 19919*** 1.446.617 0 0 20026*** 2.693 0 0 20065*** 440.327 0 0 20147*** 290.246 0 0 20216*** 0 0 0 20349*** 74.118 0 0 20384*** 0 15.000 0 20397*** 152.369 0 0 20447*** 17.692 0 0 20604*** 164.611 0 0 20622*** 380.219 0 0 20733*** 227.900 0 0 20750*** 34.379 0 0 20796*** 75.932 0 0 20813*** 2.076.953 0 0 20849*** 29.927 0 0 20903*** 13.400 0 0 20923*** 11.945 0 0 21052*** 293.708 0 0 21053*** 300 0 0 21144*** 18.170 0 0 21166*** 5.413 0 0 21287*** 37.771 0 0 21336*** 9.070 0 0 21347*** 11.902 0 0 21407*** 2.026.972 0 0 21881*** 40.900 0 0 21962*** 166.796 0 0 22105*** 203.400 0 0 22106*** 568.043 0 0 22166*** 28.698 0 0 14 de 34 # Classificação: Pública Shareholder For Against Abstain CNPJ: 00.001.180/0001-26AXIA Energia - EGM 12/19/2025 DETAILED FINAL VOTING MAP 7. Granting to the holders of the Company’s common shares the right to sell in a public tender offer (OPA) resulting from the sale of control, in order to ensure equal treatment to that afforded to the selling shareholder. 22321*** 121.546 0 0 22360*** 4.629 0 0 22410*** 435.030 0 0 22501*** 6.182 0 0 22576*** 542.300 0 0 22648*** 10 0 0 22764*** 440.460 0 0 22764*** 226 0 0 22875*** 151.938 0 0 22896*** 73.257 0 0 23060*** 74.214 0 0 23127*** 271.156 0 0 23213*** 50.171 0 0 23213*** 58.500 0 0 23242*** 23.600 0 0 23572*** 59.861 0 0 23686*** 93.251 0 0 23691*** 0 0 441 23771*** 14.912 0 0 23794*** 790.682 0 0 23794*** 1.021.782 0 0 23854*** 1.398.723 0 0 23874*** 687.297 0 0 23958*** 160.400 0 0 23985*** 294.900 0 0 23985*** 13.275 0 0 24078*** 167.702 0 0 24158*** 259.968 0 0 24224*** 102.833 0 0 24297*** 6.072 0 0 24300*** 9.744 0 0 24548*** 1.100 0 0 24569*** 10.853 0 0 24676*** 429.300 0 0 24728*** 9.000 0 0 15 de 34 # Classificação: Pública Shareholder For Against Abstain CNPJ: 00.001.180/0001-26AXIA Energia - EGM 12/19/2025 DETAILED FINAL VOTING MAP 7. Granting to the holders of the Company’s common shares the right to sell in a public tender offer (OPA) resulting from the sale of control, in order to ensure equal treatment to that afforded to the selling shareholder. 24752*** 63.400 0 0 24779*** 562.064 0 0 24976*** 5.020 0 0 25019*** 15.433 0 0 25028*** 39.584 0 0 25079*** 23.610 0 0 25134*** 0 0 400 25138*** 265.200 0 0 25169*** 7.586.634 0 0 25220*** 11.600 0 0 25232*** 412.400 0 0 25282*** 4.100 0 0 25454*** 509.300 0 0 25485*** 217 0 0 25612*** 21 0 0 26066*** 96.100 0 0 26087*** 338.300 0 0 26142*** 9.630 0 0 26160*** 150.526 0 0 26294*** 8 0 0 26311*** 99.855 0 0 26431*** 490.824 0 0 26496*** 2.600 0 0 26565*** 163.000 0 0 26670*** 99.900 0 0 26729*** 40.262.449 0 0 26773*** 5.024 0 0 26776*** 277.512 0 0 26784*** 155 0 0 26784*** 33.267 0 0 26784*** 6.400 0 0 26855*** 15.357 0 0 26855*** 102.747 0 0 26859*** 87.312 0 0 26859*** 6.853 0 0 16 de 34 # Classificação: Pública Shareholder For Against Abstain CNPJ: 00.001.180/0001-26AXIA Energia - EGM 12/19/2025 DETAILED FINAL VOTING MAP 7. Granting to the holders of the Company’s common shares the right to sell in a public tender offer (OPA) resulting from the sale of control, in order to ensure equal treatment to that afforded to the selling shareholder. 26859*** 16.768 0 0 27074*** 10.636 0 0 27084*** 88.000 0 0 27109*** 3.877.282 0 0 27150*** 0 16 0 27213*** 0 0 50 27222*** 13.343 0 0 27249*** 23.392 0 0 27257*** 1.873.581 0 0 27311*** 8.586 0 0 27328*** 1.800 0 0 27484*** 204.786 0 0 27550*** 232.468 0 0 27642*** 32 0 0 27683*** 3 0 0 27714*** 2.233.483 0 0 27714*** 93.926 0 0 27778*** 12.500 0 0 27826*** 30.476 0 0 27844*** 1.880 0 0 27866*** 1.274.077 0 0 27866*** 139.539 0 0 27866*** 5.120.829 0 0 27866*** 1.751.954 0 0 27866*** 116.882 0 0 27880*** 134.667 0 0 27932*** 55.200 0 0 27995*** 0 0 42 28031*** 17 0 0 28072*** 61.816 0 0 28260*** 13.932.249 0 0 28271*** 7.300 0 0 28328*** 12.700 0 0 28394*** 186.900 0 0 28470*** 759.985 0 0 17 de 34 # Classificação: Pública Shareholder For Against Abstain CNPJ: 00.001.180/0001-26AXIA Energia - EGM 12/19/2025 DETAILED FINAL VOTING MAP 7. Granting to the holders of the Company’s common shares the right to sell in a public tender offer (OPA) resulting from the sale of control, in order to ensure equal treatment to that afforded to the selling shareholder. 28581*** 79.895 0 0 28586*** 127.443 0 0 28690*** 3.400 0 0 28703*** 38.502 0 0 28734*** 1.395.900 0 0 28769*** 200 0 0 28784*** 74.697 0 0 28979*** 2.700 0 0 28979*** 485.443 0 0 28990*** 767.600 0 0 29011*** 9.430 0 0 29073*** 120.195 0 0 29085*** 8.559 0 0 29092*** 6.800 0 0 29213*** 0 0 20 29237*** 0 384 0 29237*** 158.900 0 0 29258*** 150.641 0 0 29259*** 1.478 0 0 29275*** 70 0 0 29275*** 22.443 0 0 29322*** 15.371.463 0 0 29361*** 348.600 0 0 29485*** 333.306 0 0 29522*** 28.000 0 0 29550*** 18.300 0 0 29592*** 67 0 0 29668*** 3.412.439 0 0 29733*** 4.996 0 0 30066*** 28.386 0 0 30178*** 13.300 0 0 30254*** 132.880 0 0 30254*** 74.123 0 0 30402*** 3.079.873 0 0 30447*** 202.100 0 0 18 de 34 # Classificação: Pública Shareholder For Against Abstain CNPJ: 00.001.180/0001-26AXIA Energia - EGM 12/19/2025 DETAILED FINAL VOTING MAP 7. Granting to the holders of the Company’s common shares the right to sell in a public tender offer (OPA) resulting from the sale of control, in order to ensure equal treatment to that afforded to the selling shareholder. 30463*** 90.200 0 0 30515*** 14.056 0 0 30522*** 38.589 0 0 30556*** 4.002 0 0 30624*** 9.325 0 0 30769*** 426.500 0 0 30769*** 53.187 0 0 30942*** 158.500 0 0 30988*** 1.918.400 0 0 31006*** 100 0 0 31050*** 209.351 0 0 31322*** 3.610.476 0 0 31322*** 0 200.000 0 31502*** 8.874.319 0 0 31577*** 72.000 0 0 31577*** 344.876 0 0 31591*** 8.371 0 0 31615*** 0 400 0 31666*** 40.572 0 0 31692*** 299.000 0 0 31697*** 0 0 1 31814*** 2.543.463 0 0 31814*** 29.985 0 0 31814*** 618.532 0 0 31866*** 206.855 0 0 31914*** 3.955.286 0 0 31914*** 112.200 0 0 31923*** 51.500 0 0 31978*** 518.952 0 0 31989*** 544.424 0 0 32013*** 0 0 170 32106*** 20.980 0 0 32106*** 117.700 0 0 32106*** 632.700 0 0 32203*** 1.425.459 0 0 19 de 34 # Classificação: Pública Shareholder For Against Abstain CNPJ: 00.001.180/0001-26AXIA Energia - EGM 12/19/2025 DETAILED FINAL VOTING MAP 7. Granting to the holders of the Company’s common shares the right to sell in a public tender offer (OPA) resulting from the sale of control, in order to ensure equal treatment to that afforded to the selling shareholder. 32239*** 3.920 0 0 32240*** 5.886 0 0 32253*** 6 0 0 32289*** 18.030 0 0 32289*** 893 0 0 32319*** 17.000 0 0 32329*** 1.132.447 0 0 32399*** 131.448 0 0 32484*** 48.000 0 0 32486*** 20 0 0 32497*** 13.900 0 0 32642*** 1.400 0 0 32755*** 30 0 0 32812*** 154.936 0 0 32812*** 8.100 0 0 32812*** 10.200 0 0 32893*** 10.774 0 0 32905*** 2.583 0 0 33042*** 19.678.622 345.708 33.389.573 33121*** 14.413 0 0 33285*** 3.468 0 0 33580*** 37.452 0 0 33588*** 90.400 0 0 33745*** 11 0 0 33814*** 34.317 0 0 33814*** 81.855 0 0 33842*** 27.952 0 0 33968*** 39.400 0 0 34027*** 202.600 0 0 34037*** 0 0 28 34054*** 780.000 0 0 34064*** 758.600 0 0 34109*** 0 0 0 34123*** 24.600 0 0 34172*** 2.548.963 0 0 20 de 34 # Classificação: Pública Shareholder For Against Abstain CNPJ: 00.001.180/0001-26AXIA Energia - EGM 12/19/2025 DETAILED FINAL VOTING MAP 7. Granting to the holders of the Company’s common shares the right to sell in a public tender offer (OPA) resulting from the sale of control, in order to ensure equal treatment to that afforded to the selling shareholder. 34172*** 35.955 0 0 34218*** 3.525 0 0 34370*** 1.115 0 0 34448*** 85.700 0 0 34479*** 0 410 0 34546*** 35.100 0 0 34606*** 148.223 0 0 34723*** 1.190 0 0 34768*** 6.400 0 0 34791*** 75.763 0 0 34798*** 22.762 0 0 34825*** 14.742 0 0 34867*** 8.549 0 0 34900*** 152.347 0 0 35075*** 1.308 0 0 35088*** 2 0 0 35304*** 143.187 0 0 35376*** 10 0 0 35377*** 596 0 0 35492*** 46.000 0 0 35492*** 384.000 0 0 35495*** 76.536 0 0 35595*** 69.131 0 0 35637*** 200.749 0 0 35693*** 8.611.443 0 0 35712*** 118.145 0 0 35803*** 6.344.878 0 0 35845*** 17.870 0 0 35845*** 0 0 0 35859*** 306.197 0 0 35865*** 15.026 0 0 35916*** 57.000 0 0 35985*** 11.749 0 0 36034*** 5.400 0 0 36178*** 19.762 0 0 21 de 34 # Classificação: Pública Shareholder For Against Abstain CNPJ: 00.001.180/0001-26AXIA Energia - EGM 12/19/2025 DETAILED FINAL VOTING MAP 7. Granting to the holders of the Company’s common shares the right to sell in a public tender offer (OPA) resulting from the sale of control, in order to ensure equal treatment to that afforded to the selling shareholder. 36215*** 245.500 0 0 36327*** 1.600 0 0 36352*** 953.996 0 0 36418*** 1.030 0 0 36518*** 224.991 0 0 36659*** 3.745 0 0 36719*** 45.500 0 0 36719*** 2.507 0 0 36741*** 24.778 0 0 36822*** 12 0 0 36913*** 186 0 0 36924*** 165.500 0 0 36970*** 0 0 5 36980*** 700 0 0 37092*** 29.660 0 0 37099*** 43.200 0 0 37204*** 4.690 0 0 37228*** 11.254 0 0 37236*** 265.165 0 0 37311*** 28.611 0 0 37339*** 3.287.299 0 0 37347*** 483.043 0 0 37355*** 9.500 0 0 37388*** 54.912 0 0 37555*** 8.233 0 0 37623*** 900 0 0 37715*** 93.097 0 0 37724*** 18.859 0 0 37806*** 4.742 0 0 37837*** 45 0 0 37844*** 208.900 0 0 37905*** 47.900 0 0 38100*** 410.500 0 0 38173*** 69.236 0 0 38195*** 2.785 0 0 22 de 34 # Classificação: Pública Shareholder For Against Abstain CNPJ: 00.001.180/0001-26AXIA Energia - EGM 12/19/2025 DETAILED FINAL VOTING MAP 7. Granting to the holders of the Company’s common shares the right to sell in a public tender offer (OPA) resulting from the sale of control, in order to ensure equal treatment to that afforded to the selling shareholder. 38202*** 46 0 0 38350*** 5.212 0 0 38374*** 4 0 0 38386*** 427.657 0 0 38388*** 0 0 0 38512*** 400 0 0 38628*** 0 0 100 38756*** 548.681 0 0 38856*** 0 20 0 38949*** 11.375 0 0 39285*** 0 0 0 39383*** 66.800 0 0 39514*** 99.499 0 0 39600*** 17.140 0 0 39687*** 716.286 0 0 39834*** 9.716 0 0 39959*** 173.200 0 0 40022*** 2.463 0 0 40091*** 172.305 0 0 40122*** 2.370.230 0 0 40136*** 1.263 0 0 40147*** 2.076.169 0 0 40156*** 9.218 0 0 40209*** 109.320 0 0 40209*** 33.298 0 0 40213*** 60.000 0 0 40226*** 2.905 0 0 40226*** 135.613 0 0 40249*** 4.059 0 0 40284*** 8.531 0 0 40343*** 394.738 0 0 40428*** 6.904 0 0 40508*** 18.500 0 0 40635*** 22.848 0 0 40671*** 9.763 0 0 23 de 34 # Classificação: Pública Shareholder For Against Abstain CNPJ: 00.001.180/0001-26AXIA Energia - EGM 12/19/2025 DETAILED FINAL VOTING MAP 7. Granting to the holders of the Company’s common shares the right to sell in a public tender offer (OPA) resulting from the sale of control, in order to ensure equal treatment to that afforded to the selling shareholder. 40671*** 9.950 0 0 40738*** 114.121 0 0 40919*** 2.915 0 0 41015*** 0 50 0 41081*** 45.020 0 0 41167*** 44.700 0 0 41167*** 21.862 0 0 41215*** 9.900 0 0 41239*** 40.041 0 0 41246*** 1 0 0 41286*** 88.229 0 0 41301*** 233.464 0 0 41342*** 217.603 0 0 41562*** 703.200 0 0 41610*** 6.403 0 0 41708*** 8.400 0 0 41727*** 1.084 0 0 41853*** 775.900 0 0 41881*** 92.100 0 0 41907*** 22.769 0 0 41941*** 14.062 0 0 41956*** 39.044 0 0 41956*** 154.415 0 0 42045*** 210.700 0 0 42133*** 105.301 0 0 42264*** 141.567 0 0 42332*** 51.304 0 0 42355*** 6.596 0 0 42355*** 71.010 0 0 42389*** 224.900 0 0 42390*** 2.000 0 0 42411*** 263.400 0 0 42469*** 30.510 0 0 42479*** 20.606 0 0 42479*** 926.900 0 0 24 de 34 # Classificação: Pública Shareholder For Against Abstain CNPJ: 00.001.180/0001-26AXIA Energia - EGM 12/19/2025 DETAILED FINAL VOTING MAP 7. Granting to the holders of the Company’s common shares the right to sell in a public tender offer (OPA) resulting from the sale of control, in order to ensure equal treatment to that afforded to the selling shareholder. 42502*** 64.714 0 0 42519*** 578.953 0 0 42520*** 16.067.256 0 0 42538*** 16 0 0 42571*** 161.048 0 0 42645*** 372 0 0 42717*** 30.400 0 0 42717*** 51.300 0 0 42776*** 7.698 0 0 42777*** 77 0 0 42814*** 65.001 0 0 42865*** 17.773 0 0 42870*** 407.654 0 0 43103*** 780 0 0 43105*** 35.991 0 0 43210*** 25.222 0 0 43313*** 1.500 0 0 43427*** 1.639.944 0 0 43533*** 1.064 0 0 43533*** 20.006 0 0 43533*** 3.371 0 0 43533*** 46.708 0 0 43533*** 352.500 0 0 43533*** 174.200 0 0 43533*** 67.100 0 0 43533*** 6.502 0 0 43533*** 43.729 0 0 43584*** 5.000 0 0 43690*** 45.000 0 0 43704*** 2.338 0 0 43747*** 220 0 0 43761*** 9.704 0 0 43879*** 113.100 0 0 43907*** 25.700 0 0 43907*** 13.800 0 0 25 de 34 # Classificação: Pública Shareholder For Against Abstain CNPJ: 00.001.180/0001-26AXIA Energia - EGM 12/19/2025 DETAILED FINAL VOTING MAP 7. Granting to the holders of the Company’s common shares the right to sell in a public tender offer (OPA) resulting from the sale of control, in order to ensure equal treatment to that afforded to the selling shareholder. 43909*** 161.800 0 0 43956*** 4 0 0 44110*** 148.600 0 0 44258*** 35.226 0 0 44346*** 10.300 0 0 44360*** 4.791.521 0 0 44500*** 931.300 0 0 44544*** 9.675 0 0 44602*** 42.732 0 0 44642*** 27.800 0 0 44643*** 2.400 0 0 44692*** 536.000 0 0 44700*** 92.884 0 0 44700*** 1.147.700 0 0 44700*** 385.600 0 0 44738*** 64.277 0 0 44844*** 97.257 0 0 44934*** 1.970.045 0 0 45029*** 5.900 0 0 45081*** 3.254.567 0 0 45081*** 40.022 0 0 45088*** 7.765.559 0 0 45120*** 194.468 0 0 45128*** 15.400 0 0 45128*** 299.000 0 0 45128*** 105.700 0 0 45128*** 60.100 0 0 45226*** 2.286.983 0 0 45245*** 150.700 0 0 45245*** 336.547 0 0 45261*** 8.786 0 0 45322*** 5.884.060 0 0 45512*** 4.500 0 0 45560*** 4.083.931 0 0 45605*** 64.500 0 0 26 de 34 # Classificação: Pública Shareholder For Against Abstain CNPJ: 00.001.180/0001-26AXIA Energia - EGM 12/19/2025 DETAILED FINAL VOTING MAP 7. Granting to the holders of the Company’s common shares the right to sell in a public tender offer (OPA) resulting from the sale of control, in order to ensure equal treatment to that afforded to the selling shareholder. 45622*** 15.000 0 0 45682*** 2.227 0 0 45682*** 3.700 0 0 45682*** 3.100 0 0 45687*** 3.400 0 0 45756*** 415.800 0 0 45859*** 3.300 0 0 45971*** 49.469 0 0 46130*** 29.152 0 0 46134*** 647.883 0 0 46171*** 120.400 0 0 46339*** 230.095 0 0 46375*** 226.924 0 0 46390*** 5 0 0 46438*** 284 0 0 46595*** 60.719 0 0 46732*** 8.100 0 0 46909*** 363.014 0 0 46964*** 219.280 0 0 46964*** 1.579.000 0 0 46964*** 93.142 0 0 46964*** 567.400 0 0 46965*** 114.700 0 0 46981*** 1.496.233 0 0 46981*** 534.131 0 0 46981*** 247.440 0 0 46981*** 1.054.538 0 0 47036*** 3.694.170 0 0 47036*** 11.800 0 0 47228*** 22.700 0 0 47352*** 90.100 0 0 47545*** 2.800 0 0 47794*** 1.900 0 0 47848*** 182.235 0 0 47848*** 7.953.700 0 0 27 de 34 # Classificação: Pública Shareholder For Against Abstain CNPJ: 00.001.180/0001-26AXIA Energia - EGM 12/19/2025 DETAILED FINAL VOTING MAP 7. Granting to the holders of the Company’s common shares the right to sell in a public tender offer (OPA) resulting from the sale of control, in order to ensure equal treatment to that afforded to the selling shareholder. 47954*** 997.100 0 0 48021*** 6.000 0 0 48123*** 23.077 0 0 48138*** 331.666 0 0 48329*** 70.500 0 0 48331*** 206.182 0 0 48373*** 48.920 0 0 48400*** 428 0 0 48429*** 13.800 0 0 48490*** 0 0 338 48643*** 18.791 0 0 48643*** 71.696 0 0 48650*** 36.699 0 0 48766*** 600 0 0 48820*** 19.276 0 0 48878*** 76.100 0 0 48927*** 6.000 0 0 48977*** 9.474 0 0 48978*** 7.551 0 0 49144*** 176 0 0 49202*** 61.768 0 0 49256*** 5.400 0 0 49266*** 51.000 0 0 49331*** 24.380 0 0 49444*** 69.973 0 0 49485*** 6.188.837 0 0 49632*** 35.698 0 0 49766*** 0 0 1.364.882 49839*** 975.800 0 0 49927*** 558.400 0 0 49947*** 300 0 0 50072*** 7.900 0 0 50091*** 2.541 0 0 50653*** 10.471 0 0 50717*** 192.368 0 0 28 de 34 # Classificação: Pública Shareholder For Against Abstain CNPJ: 00.001.180/0001-26AXIA Energia - EGM 12/19/2025 DETAILED FINAL VOTING MAP 7. Granting to the holders of the Company’s common shares the right to sell in a public tender offer (OPA) resulting from the sale of control, in order to ensure equal treatment to that afforded to the selling shareholder. 50856*** 67.500 0 0 50958*** 25.900 0 0 51116*** 393.656 0 0 51116*** 9.600 0 0 51360*** 108.000 0 0 51473*** 3.000 0 0 51487*** 44.643 0 0 51490*** 0 0 200 51614*** 71 0 0 51817*** 23.503 0 0 51888*** 13.100 0 0 51990*** 997.693 0 0 52025*** 148.306 0 0 52070*** 90.731 0 0 52080*** 51.300 0 0 52083*** 40.718 0 0 52085*** 1.260.946 0 0 52182*** 79.900 0 0 52188*** 13.832 0 0 52203*** 6.778 0 0 52647*** 382.259 0 0 52694*** 320.153 0 0 52698*** 41.176 0 0 52800*** 17.473 0 0 52901*** 7.141 0 0 52950*** 1.584 0 0 53176*** 12.177 0 0 53304*** 2 0 0 53425*** 0 0 0 53529*** 0 0 238 53599*** 874.700 0 0 53780*** 39.870 0 0 53826*** 2.600 0 0 53829*** 1.300 0 0 53861*** 66.023 0 0 29 de 34 # Classificação: Pública Shareholder For Against Abstain CNPJ: 00.001.180/0001-26AXIA Energia - EGM 12/19/2025 DETAILED FINAL VOTING MAP 7. Granting to the holders of the Company’s common shares the right to sell in a public tender offer (OPA) resulting from the sale of control, in order to ensure equal treatment to that afforded to the selling shareholder. 54026*** 15.205 0 0 54069*** 755 0 0 54198*** 43.496 0 0 54250*** 43.400 0 0 54368*** 1.990 0 0 54398*** 31.592 0 0 54423*** 143.706 0 0 54584*** 1.000 0 0 54603*** 3.455 0 0 54620*** 4.669 0 0 54637*** 0 0 2.000 54784*** 8.340 0 0 54792*** 866.200 0 0 54792*** 27.300 0 0 55053*** 3.008 0 0 55105*** 3.085.892 0 0 55240*** 4.800 0 0 55315*** 4.200 0 0 55483*** 66.300 0 0 55522*** 28.272 0 0 55690*** 20.969 0 0 55751*** 1.057 0 0 55893*** 36.900 0 0 55894*** 20.265 0 0 55912*** 800 0 0 55989*** 19.664 0 0 56007*** 38.937 0 0 56029*** 15.751 0 0 56091*** 12.770 0 0 56141*** 55.146 0 0 56155*** 16.300 0 0 56208*** 124.284 0 0 56211*** 3.031 0 0 56367*** 19.000 0 0 56504*** 3.700 0 0 30 de 34 # Classificação: Pública Shareholder For Against Abstain CNPJ: 00.001.180/0001-26AXIA Energia - EGM 12/19/2025 DETAILED FINAL VOTING MAP 7. Granting to the holders of the Company’s common shares the right to sell in a public tender offer (OPA) resulting from the sale of control, in order to ensure equal treatment to that afforded to the selling shareholder. 56576*** 0 0 5 56625*** 200 0 0 56704*** 58.979 0 0 56707*** 49.745 0 0 56951*** 81.600 0 0 57091*** 17.477 0 0 57343*** 203.243 0 0 57537*** 6.879 0 0 57848*** 4.554 0 0 57979*** 149.800 0 0 58175*** 41.800 0 0 58270*** 16.516 0 0 58489*** 201.700 0 0 58734*** 7 0 0 58901*** 14.579 0 0 58947*** 5.100 0 0 59051*** 47.200 0 0 59141*** 22.111 0 0 59307*** 138.543 0 0 59666*** 27.807 0 0 59767*** 194.700 0 0 59790*** 7.989 0 0 59840*** 33.400 0 0 60060*** 14.300 0 0 60328*** 59.873 0 0 60347*** 112.584 0 0 60746*** 2.094.364 0 0 61148*** 181 0 0 61397*** 100 0 0 61596*** 22.370 0 0 61664*** 42.536 0 0 61684*** 2.457.532 0 0 61684*** 5.420.200 0 0 61838*** 1.500 0 0 61988*** 13.233 0 0 31 de 34 # Classificação: Pública Shareholder For Against Abstain CNPJ: 00.001.180/0001-26AXIA Energia - EGM 12/19/2025 DETAILED FINAL VOTING MAP 7. Granting to the holders of the Company’s common shares the right to sell in a public tender offer (OPA) resulting from the sale of control, in order to ensure equal treatment to that afforded to the selling shareholder. 62569*** 4.957 0 0 62673*** 22.800 0 0 62673*** 72.700 0 0 62673*** 1.200 0 0 62913*** 29.220 0 0 63114*** 33.420 0 0 63135*** 14.100 0 0 63135*** 3.500 0 0 63291*** 32.499 0 0 63360*** 42.558 0 0 64491*** 316 0 0 66547*** 1.300 0 0 66744*** 192.519 0 0 67327*** 5 0 0 68559*** 3.840 0 0 69851*** 400 0 0 71861*** 1 0 0 73447*** 1.200 0 0 73933*** 10 0 0 74843*** 0 0 40 74927*** 580 0 0 76297*** 0 0 595 76908*** 21 0 0 77605*** 17.607 0 0 79238*** 0 256 0 79246*** 30.000 0 0 79720*** 200 0 0 80005*** 8 0 0 80663*** 24 0 0 83699*** 0 0 28 84876*** 0 0 120 85751*** 115 0 0 85751*** 300 0 0 85989*** 100 0 0 87737*** 103 0 0 32 de 34 # Classificação: Pública Shareholder For Against Abstain CNPJ: 00.001.180/0001-26AXIA Energia - EGM 12/19/2025 DETAILED FINAL VOTING MAP 7. Granting to the holders of the Company’s common shares the right to sell in a public tender offer (OPA) resulting from the sale of control, in order to ensure equal treatment to that afforded to the selling shareholder. 88440*** 0 0 100 88962*** 0 0 12 89351*** 20 0 0 90243*** 0 20 0 90372*** 0 0 13 91890*** 20 0 0 91927*** 0 0 0 92273*** 15 0 0 92693*** 129.020 0 0 93577*** 200 0 0 93902*** 0 0 50 95687*** 0 0 1.000 97538*** 4.851.698 0 0 97538*** 49.089 0 0 97539*** 917.301 0 0 97539*** 22.778 0 0 97539*** 37.074 0 0 97539*** 19.345 0 0 97539*** 3.732.105 0 0 97539*** 4.800 0 0 97539*** 28.674 0 0 97539*** 31.200 0 0 97539*** 735.721 0 0 97539*** 42.800 0 0 97539*** 5.199.319 0 0 97539*** 2.389.760 0 0 97539*** 1.543.110 0 0 97539*** 3.445.396 0 0 97539*** 392.626 0 0 97539*** 996.896 0 0 97539*** 2.066.321 0 0 97539*** 197.838 0 0 97539*** 144.600 0 0 97539*** 22.250 0 0 97540*** 20.600 0 0 33 de 34 # Classificação: Pública Shareholder For Against Abstain CNPJ: 00.001.180/0001-26AXIA Energia - EGM 12/19/2025 DETAILED FINAL VOTING MAP 7. Granting to the holders of the Company’s common shares the right to sell in a public tender offer (OPA) resulting from the sale of control, in order to ensure equal treatment to that afforded to the selling shareholder. 97540*** 3.753 0 0 97540*** 68.500 0 0 97540*** 104.726 0 0 97540*** 903.981 0 0 97540*** 72.665 0 0 97540*** 926.147 0 0 97540*** 1.598 0 0 97540*** 282.400 0 0 97540*** 1.796.898 0 0 97540*** 2.022.198 0 0 97540*** 10.823 0 0 97540*** 209.922 0 0 97540*** 16.335.023 0 0 98658*** 550 0 0 99169*** 100 0 0 34 de 34 # Classificação: Pública Shareholder For Against Abstain Total 820.315.649 195.169.608 35.735.632 00125*** 1.178.056 0 0 00394*** 0 190.732.084 0 00455*** 6 0 0 00560*** 4.984 0 0 00586*** 10 0 0 00601*** 31 0 0 00739*** 1.428 0 0 00805*** 20 0 0 00914*** 3 0 0 01017*** 1 0 0 01171*** 1.610 0 0 01203*** 1 0 0 01456*** 4 0 0 01496*** 161.306 0 0 01586*** 16 0 0 01643*** 66.985 0 0 01699*** 96.416 0 0 01886*** 12.945 0 0 02020*** 53.603 0 0 02097*** 5.700 0 0 02231*** 611 0 0 02231*** 8.536 0 0 02285*** 102 0 0 02524*** 250 0 0 02745*** 0 5 0 02863*** 1.125.500 0 0 02887*** 26.056 0 0 02895*** 64.700 0 0 02903*** 100 0 0 03027*** 51.786 0 0 03369*** 0 0 136 03370*** 392.332 0 0 03394*** 87.480 0 0 03394*** 7 0 0 03473*** 569 0 0 03833*** 28.394 0 0 03902*** 1 0 0 03960*** 24.957 0 0 CNPJ: 00.001.180/0001-26AXIA Energia - EGM 12/19/2025 DETAILED FINAL VOTING MAP 8. Increase of the Companys authorized capital limit and the consequent amendment to the caput of Article 5 of the Bylaws, in order to align it with the new authorized capital limit. 1 de 30 # Classificação: Pública Shareholder For Against Abstain CNPJ: 00.001.180/0001-26AXIA Energia - EGM 12/19/2025 DETAILED FINAL VOTING MAP 8. Increase of the Companys authorized capital limit and the consequent amendment to the caput of Article 5 of the Bylaws, in order to align it with the new authorized capital limit. 04005*** 0 50 0 04073*** 292.991 0 0 04297*** 0 3 0 04555*** 0 0 55 04605*** 0 0 200 04609*** 602 0 0 04609*** 1.300 0 0 04616*** 11.687 0 0 04672*** 5 0 0 04709*** 0 1 0 04736*** 28.890 0 0 04751*** 111.059 0 0 04847*** 4 0 0 05075*** 5 0 0 05100*** 43.978 0 0 05147*** 14.000 0 0 05303*** 0 0 1 05316*** 1.030 0 0 05435*** 3 0 0 05448*** 9.727 0 0 05479*** 1.513.900 0 0 05479*** 2.843.378 0 0 05522*** 44 0 0 05589*** 233.315 0 0 05589*** 279.983 0 0 05589*** 28.815 0 0 05719*** 27 0 0 05734*** 415 0 0 05775*** 1.759 0 0 05838*** 15.219 0 0 05839*** 96.081 0 0 05839*** 189.258 0 0 05839*** 718.804 0 0 05839*** 724 0 0 05839*** 0 775.653 0 05839*** 15.200 0 0 05839*** 9.200 0 0 05839*** 803.800 0 0 05839*** 158.291 0 0 2 de 30 # Classificação: Pública Shareholder For Against Abstain CNPJ: 00.001.180/0001-26AXIA Energia - EGM 12/19/2025 DETAILED FINAL VOTING MAP 8. Increase of the Companys authorized capital limit and the consequent amendment to the caput of Article 5 of the Bylaws, in order to align it with the new authorized capital limit. 05839*** 15.718 0 0 05839*** 1.111.508 0 0 05839*** 4.619.084 0 0 05839*** 226.872 0 0 05839*** 51.889 0 0 05840*** 188.253 0 0 05840*** 10.000 0 0 05840*** 32.547 0 0 05840*** 804.990 0 0 05840*** 4.858.301 0 0 05840*** 477.000 0 0 05840*** 2.199.143 0 0 05872*** 79.961 0 0 05901*** 1 0 0 05986*** 1.881.495 0 0 05986*** 2.673.143 0 0 05986*** 24.100 0 0 05986*** 2.155 0 0 05987*** 147.900 0 0 05987*** 129.553 0 0 05987*** 11.827 0 0 05987*** 2.020.100 0 0 05987*** 1.602.500 0 0 05987*** 5 0 0 05987*** 199.465 0 0 05987*** 13.400 0 0 05987*** 428.300 0 0 05987*** 24.749 0 0 05987*** 188.737 0 0 05987*** 0 2.862.252 0 05987*** 481.572 0 0 05987*** 1.758.400 0 0 06046*** 1.594.573 0 0 06069*** 5.615 0 0 06105*** 10.100 0 0 06134*** 0 108.329 0 06148*** 76.771 0 0 06224*** 6.811 0 0 06239*** 174.268 0 0 3 de 30 # Classificação: Pública Shareholder For Against Abstain CNPJ: 00.001.180/0001-26AXIA Energia - EGM 12/19/2025 DETAILED FINAL VOTING MAP 8. Increase of the Companys authorized capital limit and the consequent amendment to the caput of Article 5 of the Bylaws, in order to align it with the new authorized capital limit. 06239*** 455.200 0 0 06251*** 9.995 0 0 06318*** 0 0 1 06323*** 530.363 0 0 06370*** 3 0 0 06406*** 0 0 100.000 06491*** 35 0 0 06541*** 284.989 0 0 06571*** 130 0 0 06613*** 77.676 0 0 06832*** 23 0 0 06916*** 622.500 0 0 06943*** 137.641 0 0 06943*** 589.073 0 0 06943*** 922.665 0 0 06949*** 0 0 10 06964*** 298.476 0 0 07023*** 100 0 0 07060*** 239.200 0 0 07086*** 1.000 0 0 07096*** 51.672 0 0 07140*** 859.100 0 0 07140*** 19.426 0 0 07140*** 1.219 0 0 07140*** 26.098 0 0 07187*** 16.269 0 0 07187*** 713 0 0 07191*** 857.000 0 0 07191*** 85.700 0 0 07191*** 105.335 0 0 07226*** 0 0 4 07237*** 589.417 0 0 07237*** 33.388 0 0 07247*** 296.000 0 0 07247*** 0 164.564 0 07247*** 247.800 0 0 07267*** 140 0 0 07299*** 100 0 0 07333*** 249.390 0 0 4 de 30 # Classificação: Pública Shareholder For Against Abstain CNPJ: 00.001.180/0001-26AXIA Energia - EGM 12/19/2025 DETAILED FINAL VOTING MAP 8. Increase of the Companys authorized capital limit and the consequent amendment to the caput of Article 5 of the Bylaws, in order to align it with the new authorized capital limit. 07345*** 2.648 0 0 07345*** 10.300 0 0 07345*** 28.600 0 0 07376*** 123.348 0 0 07418*** 42.847 0 0 07418*** 1.247.100 0 0 07418*** 1.210.226 0 0 07463*** 0 0 4 07488*** 319.556 0 0 07496*** 1.568.008 0 0 07496*** 2.200 0 0 07496*** 60.415 0 0 07496*** 133.589 0 0 07506*** 4.230.427 0 0 07515*** 60 0 0 07516*** 10.567.600 0 0 07516*** 917.500 0 0 07516*** 35.520 0 0 07516*** 1.041.400 0 0 07518*** 84.779 0 0 07521*** 158.999 0 0 07526*** 19.300 0 0 07529*** 0 128.800 0 07536*** 103.618 0 0 07551*** 7.900 0 0 07593*** 179.470 0 0 07622*** 4.475.736 0 0 07647*** 78.500 0 0 07655*** 864.956 0 0 07655*** 10.800 0 0 07667*** 4.648 0 0 07670*** 0 10.600 0 07670*** 1.650.000 0 0 07686*** 7.021 0 0 07724*** 211.324 0 0 07790*** 14.800 0 0 07792*** 357.630 0 0 07820*** 2.200 0 0 07846*** 69.100 0 0 5 de 30 # Classificação: Pública Shareholder For Against Abstain CNPJ: 00.001.180/0001-26AXIA Energia - EGM 12/19/2025 DETAILED FINAL VOTING MAP 8. Increase of the Companys authorized capital limit and the consequent amendment to the caput of Article 5 of the Bylaws, in order to align it with the new authorized capital limit. 07889*** 44.041 0 0 07940*** 280.700 0 0 07942*** 530.100 0 0 07967*** 133.248 0 0 07990*** 42.700 0 0 08052*** 0 100 0 08120*** 0 0 383 08154*** 5.377 0 0 08196*** 81.823.300 0 0 08265*** 225.800 0 0 08268*** 3.800 0 0 08279*** 318.109 0 0 08295*** 18.073.978 0 0 08295*** 3.890.485 0 0 08295*** 93.002 0 0 08387*** 103.219 0 0 08434*** 43.600 0 0 08464*** 3.983.344 0 0 08471*** 53.618 0 0 08561*** 940.780 0 0 08571*** 3.397 0 0 08579*** 339.986 0 0 08621*** 820.400 0 0 08623*** 1.710 0 0 08640*** 52.400 0 0 08757*** 52.296 0 0 08765*** 94.255.061 0 0 08840*** 9.118.176 0 0 08857*** 893.791 0 0 08875*** 26.085 0 0 08875*** 39.000 0 0 08900*** 1.800 0 0 08910*** 0 0 23 08913*** 1.453 0 0 08935*** 18.483.007 0 0 08945*** 137.277 0 0 08973*** 90.286 0 0 08973*** 84.130 0 0 08988*** 90.399 0 0 6 de 30 # Classificação: Pública Shareholder For Against Abstain CNPJ: 00.001.180/0001-26AXIA Energia - EGM 12/19/2025 DETAILED FINAL VOTING MAP 8. Increase of the Companys authorized capital limit and the consequent amendment to the caput of Article 5 of the Bylaws, in order to align it with the new authorized capital limit. 09005*** 171 0 0 09029*** 95.000 0 0 09048*** 164.633 0 0 09048*** 42.509 0 0 09063*** 550.962 0 0 09064*** 1 0 0 09073*** 366.269 0 0 09089*** 470.660 0 0 09089*** 20.525 0 0 09094*** 86.200 0 0 09144*** 0 0 7 09145*** 13.516.396 0 0 09163*** 972.837 0 0 09241*** 20 0 0 09286*** 42.968 0 0 09294*** 230.978 0 0 09299*** 1.005.021 0 0 09323*** 25.786 0 0 09323*** 408.777 0 0 09330*** 114.300 0 0 09336*** 117.000 0 0 09411*** 36.133 0 0 09441*** 106.368 0 0 09470*** 270.100 0 0 09470*** 130.741 0 0 09559*** 823.023 0 0 09564*** 269.814 0 0 09567*** 147.940 0 0 09593*** 765.198 0 0 09620*** 372.512 0 0 09627*** 41.300 0 0 09701*** 220 0 0 09720*** 4.359.575 0 0 09838*** 20 0 0 10110*** 0 0 0 10205*** 1.098 0 0 10214*** 40.966 0 0 10243*** 45.400 0 0 10263*** 60.424 0 0 7 de 30 # Classificação: Pública Shareholder For Against Abstain CNPJ: 00.001.180/0001-26AXIA Energia - EGM 12/19/2025 DETAILED FINAL VOTING MAP 8. Increase of the Companys authorized capital limit and the consequent amendment to the caput of Article 5 of the Bylaws, in order to align it with the new authorized capital limit. 10263*** 335.431 0 0 10263*** 169.600 0 0 10307*** 500 0 0 10324*** 729.020 0 0 10392*** 311 0 0 10400*** 48.700 0 0 10418*** 47.304 0 0 10419*** 121.500 0 0 10481*** 6.385.100 0 0 10486*** 0 0 20 10492*** 225.108 0 0 10553*** 1.933.500 0 0 10554*** 24 0 0 10561*** 4.400 0 0 10569*** 91.542 0 0 10583*** 342.676 0 0 10596*** 2.537 0 0 10672*** 28.600 0 0 10678*** 145.406 0 0 10762*** 18.300 0 0 10765*** 14.889.875 0 0 10809*** 451.926 0 0 10840*** 1 0 0 11030*** 2.221.230 0 0 11046*** 0 0 869.344 11047*** 10.000 0 0 11100*** 1.373.626 0 0 11175*** 0 1.000 0 11184*** 10.637 0 0 11184*** 2.478.365 0 0 11188*** 13.734.739 0 0 11225*** 316.909 0 0 11311*** 564.121 0 0 11324*** 7.583 0 0 11324*** 30.286 0 0 11390*** 64.400 0 0 11403*** 1.338.015 0 0 11423*** 70.266 0 0 11435*** 30.154 0 0 8 de 30 # Classificação: Pública Shareholder For Against Abstain CNPJ: 00.001.180/0001-26AXIA Energia - EGM 12/19/2025 DETAILED FINAL VOTING MAP 8. Increase of the Companys authorized capital limit and the consequent amendment to the caput of Article 5 of the Bylaws, in order to align it with the new authorized capital limit. 11451*** 10.713 0 0 11520*** 47.400 0 0 11538*** 371.390 0 0 11604*** 360.492 0 0 11729*** 107.780 0 0 11738*** 250 0 0 11748*** 429.545 0 0 11811*** 30.900 0 0 11841*** 246.000 0 0 11906*** 151.616 0 0 11952*** 278.000 0 0 11977*** 189.006 0 0 12068*** 1.035.445 0 0 12086*** 19.807 0 0 12086*** 0 0 9 12094*** 460.415 0 0 12120*** 132.000 0 0 12287*** 19.832 0 0 12456*** 0 3 0 12518*** 8 0 0 12525*** 55.857 0 0 12938*** 149.500 0 0 12984*** 4.024 0 0 12984*** 18.461 0 0 12995*** 20 0 0 13022*** 8.606 0 0 13033*** 2.080 0 0 13066*** 302.163 0 0 13081*** 69.000 0 0 13281*** 22 0 0 13294*** 124.722 0 0 13296*** 40.202 0 0 13307*** 205.200 0 0 13343*** 311.700 0 0 13362*** 476.877 0 0 13402*** 280.900 0 0 13474*** 700 0 0 13521*** 220 0 0 13562*** 37.000 0 0 9 de 30 # Classificação: Pública Shareholder For Against Abstain CNPJ: 00.001.180/0001-26AXIA Energia - EGM 12/19/2025 DETAILED FINAL VOTING MAP 8. Increase of the Companys authorized capital limit and the consequent amendment to the caput of Article 5 of the Bylaws, in order to align it with the new authorized capital limit. 13562*** 548.300 0 0 13665*** 138.000 0 0 13725*** 84.512 0 0 13796*** 90.793 0 0 13834*** 233.763 0 0 13834*** 381.977 0 0 13909*** 167.488 0 0 13998*** 4.060 0 0 14012*** 1.407.965 0 0 14027*** 567.280 0 0 14138*** 920.375 0 0 14159*** 3 0 0 14180*** 368.100 0 0 14188*** 76.287 0 0 14220*** 11.200 0 0 14240*** 23.800 0 0 14366*** 28.010 0 0 14406*** 200 0 0 14416*** 326.295 0 0 14461*** 73.600 0 0 14476*** 131.958 0 0 14494*** 22.433 0 0 14507*** 735.071 0 0 14541*** 1.531.341 0 0 14549*** 25.453 0 0 14623*** 1.120.542 0 0 14623*** 184.100 0 0 14624*** 1.530.000 0 0 14628*** 17.094 0 0 14639*** 200.200 0 0 14791*** 47.100 0 0 14809*** 207.700 0 0 14879*** 12.400 0 0 14963*** 287.800 0 0 14988*** 710.784 0 0 15011*** 2 0 0 15036*** 0 0 85 15154*** 340.800 0 0 15265*** 177.240 0 0 10 de 30 # Classificação: Pública Shareholder For Against Abstain CNPJ: 00.001.180/0001-26AXIA Energia - EGM 12/19/2025 DETAILED FINAL VOTING MAP 8. Increase of the Companys authorized capital limit and the consequent amendment to the caput of Article 5 of the Bylaws, in order to align it with the new authorized capital limit. 15265*** 2.300 0 0 15323*** 34.929 0 0 15807*** 168.286 0 0 15816*** 2.609 0 0 16575*** 257.846 0 0 16617*** 37.100 0 0 16816*** 1.487.180 0 0 16816*** 1.355.134 0 0 16878*** 22.500 0 0 16939*** 728.084 0 0 16947*** 483.067 0 0 16947*** 5.856.571 0 0 16947*** 11.960.862 0 0 16947*** 1.630.350 0 0 17009*** 337.765 0 0 17021*** 47.483 0 0 17036*** 229.156 0 0 17138*** 7.891 0 0 17162*** 839.967 0 0 17284*** 475.000 0 0 17488*** 5.101 0 0 17500*** 13.991 0 0 17500*** 10.350 0 0 17578*** 5 0 0 17647*** 50.550 0 0 17718*** 376.076 0 0 17825*** 13.124 0 0 17891*** 258.489 0 0 17934*** 74.887 0 0 18030*** 22.616 0 0 18138*** 2.462.000 0 0 18138*** 74.212 0 0 18158*** 593.095 0 0 18324*** 1.366.500 0 0 18391*** 13.353 0 0 18407*** 1.411.157 0 0 18470*** 271.897 0 0 18485*** 0 0 1.395 18550*** 1.066.800 0 0 11 de 30 # Classificação: Pública Shareholder For Against Abstain CNPJ: 00.001.180/0001-26AXIA Energia - EGM 12/19/2025 DETAILED FINAL VOTING MAP 8. Increase of the Companys authorized capital limit and the consequent amendment to the caput of Article 5 of the Bylaws, in order to align it with the new authorized capital limit. 18830*** 13.959 0 0 18858*** 95.400 0 0 18961*** 37.533 0 0 18969*** 16.708 0 0 18981*** 1.630 0 0 19100*** 23.865 0 0 19135*** 5.301 0 0 19143*** 1.955.911 0 0 19184*** 296.600 0 0 19232*** 5 0 0 19244*** 1.573.617 0 0 19318*** 5.200 0 0 19388*** 310.634 0 0 19449*** 7.888 0 0 19477*** 71 0 0 19530*** 1.198.949 0 0 19573*** 8.556 0 0 19609*** 696.300 0 0 19675*** 173.816 0 0 19708*** 164.080 0 0 19754*** 398.161 0 0 19791*** 170.700 0 0 19791*** 861.100 0 0 19800*** 18.986 0 0 19808*** 295.677 0 0 19825*** 4.200 0 0 19874*** 302.100 0 0 19874*** 117.200 0 0 19874*** 186.268 0 0 19910*** 35.990 0 0 19919*** 1.446.617 0 0 20026*** 2.693 0 0 20065*** 440.327 0 0 20147*** 290.246 0 0 20216*** 0 0 0 20349*** 74.118 0 0 20384*** 0 15.000 0 20397*** 152.369 0 0 20447*** 17.692 0 0 12 de 30 # Classificação: Pública Shareholder For Against Abstain CNPJ: 00.001.180/0001-26AXIA Energia - EGM 12/19/2025 DETAILED FINAL VOTING MAP 8. Increase of the Companys authorized capital limit and the consequent amendment to the caput of Article 5 of the Bylaws, in order to align it with the new authorized capital limit. 20604*** 164.611 0 0 20622*** 380.219 0 0 20733*** 227.900 0 0 20750*** 34.379 0 0 20796*** 75.932 0 0 20813*** 2.076.953 0 0 20849*** 29.927 0 0 20903*** 13.400 0 0 20923*** 11.945 0 0 21052*** 293.708 0 0 21053*** 300 0 0 21144*** 18.170 0 0 21166*** 5.413 0 0 21287*** 37.771 0 0 21336*** 9.070 0 0 21347*** 11.902 0 0 21407*** 2.026.972 0 0 21881*** 40.900 0 0 21962*** 166.796 0 0 22105*** 203.400 0 0 22106*** 568.043 0 0 22166*** 28.698 0 0 22321*** 121.546 0 0 22360*** 4.629 0 0 22410*** 435.030 0 0 22501*** 6.182 0 0 22576*** 542.300 0 0 22648*** 10 0 0 22764*** 440.460 0 0 22764*** 226 0 0 22875*** 151.938 0 0 22896*** 73.257 0 0 23060*** 74.214 0 0 23127*** 271.156 0 0 23213*** 50.171 0 0 23213*** 58.500 0 0 23242*** 23.600 0 0 23572*** 59.861 0 0 23686*** 93.251 0 0 13 de 30 # Classificação: Pública Shareholder For Against Abstain CNPJ: 00.001.180/0001-26AXIA Energia - EGM 12/19/2025 DETAILED FINAL VOTING MAP 8. Increase of the Companys authorized capital limit and the consequent amendment to the caput of Article 5 of the Bylaws, in order to align it with the new authorized capital limit. 23691*** 0 0 441 23771*** 14.912 0 0 23794*** 790.682 0 0 23794*** 1.021.782 0 0 23854*** 1.398.723 0 0 23874*** 687.297 0 0 23958*** 160.400 0 0 23985*** 294.900 0 0 23985*** 13.275 0 0 24078*** 167.702 0 0 24158*** 259.968 0 0 24224*** 102.833 0 0 24297*** 6.072 0 0 24300*** 9.744 0 0 24548*** 1.100 0 0 24569*** 10.853 0 0 24676*** 429.300 0 0 24728*** 9.000 0 0 24752*** 63.400 0 0 24779*** 562.064 0 0 24976*** 5.020 0 0 25019*** 15.433 0 0 25028*** 39.584 0 0 25079*** 23.610 0 0 25134*** 0 0 400 25138*** 265.200 0 0 25169*** 7.586.634 0 0 25220*** 11.600 0 0 25232*** 412.400 0 0 25282*** 4.100 0 0 25454*** 509.300 0 0 25485*** 217 0 0 25612*** 21 0 0 26066*** 96.100 0 0 26087*** 338.300 0 0 26142*** 9.630 0 0 26160*** 150.526 0 0 26294*** 8 0 0 26311*** 99.855 0 0 14 de 30 # Classificação: Pública Shareholder For Against Abstain CNPJ: 00.001.180/0001-26AXIA Energia - EGM 12/19/2025 DETAILED FINAL VOTING MAP 8. Increase of the Companys authorized capital limit and the consequent amendment to the caput of Article 5 of the Bylaws, in order to align it with the new authorized capital limit. 26431*** 490.824 0 0 26496*** 2.600 0 0 26565*** 163.000 0 0 26670*** 99.900 0 0 26729*** 40.262.449 0 0 26773*** 5.024 0 0 26776*** 277.512 0 0 26784*** 155 0 0 26784*** 33.267 0 0 26784*** 6.400 0 0 26855*** 15.357 0 0 26855*** 102.747 0 0 26859*** 87.312 0 0 26859*** 6.853 0 0 26859*** 16.768 0 0 27074*** 10.636 0 0 27084*** 88.000 0 0 27109*** 3.877.282 0 0 27150*** 16 0 0 27213*** 0 0 50 27222*** 13.343 0 0 27249*** 23.392 0 0 27257*** 1.873.581 0 0 27311*** 8.586 0 0 27328*** 1.800 0 0 27484*** 204.786 0 0 27550*** 232.468 0 0 27642*** 32 0 0 27683*** 3 0 0 27714*** 2.233.483 0 0 27714*** 93.926 0 0 27778*** 12.500 0 0 27826*** 30.476 0 0 27844*** 1.880 0 0 27866*** 1.274.077 0 0 27866*** 139.539 0 0 27866*** 5.120.829 0 0 27866*** 1.751.954 0 0 27866*** 116.882 0 0 15 de 30 # Classificação: Pública Shareholder For Against Abstain CNPJ: 00.001.180/0001-26AXIA Energia - EGM 12/19/2025 DETAILED FINAL VOTING MAP 8. Increase of the Companys authorized capital limit and the consequent amendment to the caput of Article 5 of the Bylaws, in order to align it with the new authorized capital limit. 27880*** 134.667 0 0 27932*** 55.200 0 0 27995*** 0 0 42 28031*** 17 0 0 28072*** 61.816 0 0 28260*** 13.932.249 0 0 28271*** 7.300 0 0 28328*** 12.700 0 0 28394*** 186.900 0 0 28470*** 759.985 0 0 28581*** 79.895 0 0 28586*** 127.443 0 0 28690*** 3.400 0 0 28703*** 38.502 0 0 28734*** 1.395.900 0 0 28769*** 200 0 0 28784*** 74.697 0 0 28979*** 2.700 0 0 28979*** 485.443 0 0 28990*** 767.600 0 0 29011*** 9.430 0 0 29073*** 120.195 0 0 29085*** 8.559 0 0 29092*** 6.800 0 0 29213*** 0 0 20 29237*** 384 0 0 29237*** 158.900 0 0 29258*** 150.641 0 0 29259*** 1.478 0 0 29275*** 70 0 0 29275*** 22.443 0 0 29322*** 15.371.463 0 0 29361*** 348.600 0 0 29485*** 333.306 0 0 29522*** 28.000 0 0 29550*** 18.300 0 0 29592*** 67 0 0 29668*** 3.412.439 0 0 29733*** 4.996 0 0 16 de 30 # Classificação: Pública Shareholder For Against Abstain CNPJ: 00.001.180/0001-26AXIA Energia - EGM 12/19/2025 DETAILED FINAL VOTING MAP 8. Increase of the Companys authorized capital limit and the consequent amendment to the caput of Article 5 of the Bylaws, in order to align it with the new authorized capital limit. 30066*** 28.386 0 0 30178*** 13.300 0 0 30254*** 132.880 0 0 30254*** 74.123 0 0 30402*** 3.079.873 0 0 30447*** 202.100 0 0 30463*** 90.200 0 0 30515*** 14.056 0 0 30522*** 38.589 0 0 30556*** 4.002 0 0 30624*** 9.325 0 0 30769*** 426.500 0 0 30769*** 53.187 0 0 30942*** 158.500 0 0 30988*** 1.918.400 0 0 31006*** 100 0 0 31050*** 209.351 0 0 31322*** 3.610.476 0 0 31322*** 0 200.000 0 31502*** 8.874.319 0 0 31577*** 72.000 0 0 31577*** 344.876 0 0 31591*** 8.371 0 0 31615*** 0 400 0 31666*** 40.572 0 0 31692*** 299.000 0 0 31697*** 0 0 1 31814*** 2.543.463 0 0 31814*** 29.985 0 0 31814*** 618.532 0 0 31866*** 206.855 0 0 31914*** 3.955.286 0 0 31914*** 112.200 0 0 31923*** 51.500 0 0 31978*** 518.952 0 0 31989*** 544.424 0 0 32013*** 0 0 170 32106*** 0 20.980 0 32106*** 117.700 0 0 17 de 30 # Classificação: Pública Shareholder For Against Abstain CNPJ: 00.001.180/0001-26AXIA Energia - EGM 12/19/2025 DETAILED FINAL VOTING MAP 8. Increase of the Companys authorized capital limit and the consequent amendment to the caput of Article 5 of the Bylaws, in order to align it with the new authorized capital limit. 32106*** 632.700 0 0 32203*** 1.425.459 0 0 32239*** 3.920 0 0 32240*** 5.886 0 0 32253*** 6 0 0 32289*** 18.030 0 0 32289*** 893 0 0 32319*** 17.000 0 0 32329*** 1.132.447 0 0 32399*** 131.448 0 0 32484*** 48.000 0 0 32486*** 20 0 0 32497*** 13.900 0 0 32642*** 1.400 0 0 32755*** 30 0 0 32812*** 154.936 0 0 32812*** 8.100 0 0 32812*** 10.200 0 0 32893*** 10.774 0 0 32905*** 2.583 0 0 33042*** 20.010.398 10.358 33.393.147 33121*** 14.413 0 0 33285*** 3.468 0 0 33580*** 37.452 0 0 33588*** 90.400 0 0 33745*** 11 0 0 33814*** 34.317 0 0 33814*** 81.855 0 0 33842*** 27.952 0 0 33968*** 39.400 0 0 34027*** 202.600 0 0 34037*** 0 0 28 34054*** 780.000 0 0 34064*** 758.600 0 0 34109*** 0 0 0 34123*** 24.600 0 0 34172*** 2.548.963 0 0 34172*** 35.955 0 0 34218*** 3.525 0 0 18 de 30 # Classificação: Pública Shareholder For Against Abstain CNPJ: 00.001.180/0001-26AXIA Energia - EGM 12/19/2025 DETAILED FINAL VOTING MAP 8. Increase of the Companys authorized capital limit and the consequent amendment to the caput of Article 5 of the Bylaws, in order to align it with the new authorized capital limit. 34370*** 1.115 0 0 34448*** 85.700 0 0 34479*** 0 410 0 34546*** 35.100 0 0 34606*** 148.223 0 0 34723*** 1.190 0 0 34768*** 6.400 0 0 34791*** 75.763 0 0 34798*** 22.762 0 0 34825*** 14.742 0 0 34867*** 8.549 0 0 34900*** 152.347 0 0 35075*** 1.308 0 0 35088*** 2 0 0 35304*** 143.187 0 0 35376*** 10 0 0 35377*** 596 0 0 35492*** 46.000 0 0 35492*** 384.000 0 0 35495*** 76.536 0 0 35595*** 69.131 0 0 35637*** 200.749 0 0 35693*** 8.611.443 0 0 35712*** 118.145 0 0 35803*** 6.344.878 0 0 35845*** 17.870 0 0 35845*** 0 0 0 35859*** 306.197 0 0 35865*** 15.026 0 0 35916*** 57.000 0 0 35985*** 11.749 0 0 36034*** 5.400 0 0 36178*** 19.762 0 0 36215*** 245.500 0 0 36327*** 1.600 0 0 36352*** 953.996 0 0 36418*** 1.030 0 0 36518*** 224.991 0 0 36659*** 3.745 0 0 19 de 30 # Classificação: Pública Shareholder For Against Abstain CNPJ: 00.001.180/0001-26AXIA Energia - EGM 12/19/2025 DETAILED FINAL VOTING MAP 8. Increase of the Companys authorized capital limit and the consequent amendment to the caput of Article 5 of the Bylaws, in order to align it with the new authorized capital limit. 36719*** 45.500 0 0 36719*** 2.507 0 0 36741*** 24.778 0 0 36822*** 12 0 0 36913*** 186 0 0 36924*** 165.500 0 0 36970*** 0 0 5 36980*** 700 0 0 37092*** 29.660 0 0 37099*** 43.200 0 0 37204*** 4.690 0 0 37228*** 11.254 0 0 37236*** 265.165 0 0 37311*** 28.611 0 0 37339*** 3.287.299 0 0 37347*** 483.043 0 0 37355*** 9.500 0 0 37388*** 54.912 0 0 37555*** 8.233 0 0 37623*** 900 0 0 37715*** 93.097 0 0 37724*** 18.859 0 0 37806*** 4.742 0 0 37837*** 45 0 0 37844*** 208.900 0 0 37905*** 47.900 0 0 38100*** 410.500 0 0 38173*** 69.236 0 0 38195*** 2.785 0 0 38202*** 46 0 0 38350*** 5.212 0 0 38374*** 4 0 0 38386*** 427.657 0 0 38388*** 0 0 0 38512*** 400 0 0 38628*** 0 0 100 38756*** 548.681 0 0 38856*** 20 0 0 38949*** 11.375 0 0 20 de 30 # Classificação: Pública Shareholder For Against Abstain CNPJ: 00.001.180/0001-26AXIA Energia - EGM 12/19/2025 DETAILED FINAL VOTING MAP 8. Increase of the Companys authorized capital limit and the consequent amendment to the caput of Article 5 of the Bylaws, in order to align it with the new authorized capital limit. 39285*** 0 0 0 39383*** 0 66.800 0 39514*** 99.499 0 0 39600*** 17.140 0 0 39687*** 716.286 0 0 39834*** 9.716 0 0 39959*** 173.200 0 0 40022*** 2.463 0 0 40091*** 172.305 0 0 40122*** 2.370.230 0 0 40136*** 1.263 0 0 40147*** 2.076.169 0 0 40156*** 9.218 0 0 40209*** 109.320 0 0 40209*** 33.298 0 0 40213*** 60.000 0 0 40226*** 2.905 0 0 40226*** 135.613 0 0 40249*** 4.059 0 0 40284*** 8.531 0 0 40343*** 394.738 0 0 40428*** 6.904 0 0 40508*** 18.500 0 0 40635*** 22.848 0 0 40671*** 9.763 0 0 40671*** 9.950 0 0 40738*** 114.121 0 0 40919*** 2.915 0 0 41015*** 0 50 0 41081*** 45.020 0 0 41167*** 44.700 0 0 41167*** 21.862 0 0 41215*** 9.900 0 0 41239*** 40.041 0 0 41246*** 1 0 0 41286*** 88.229 0 0 41301*** 233.464 0 0 41342*** 217.603 0 0 41562*** 703.200 0 0 21 de 30 # Classificação: Pública Shareholder For Against Abstain CNPJ: 00.001.180/0001-26AXIA Energia - EGM 12/19/2025 DETAILED FINAL VOTING MAP 8. Increase of the Companys authorized capital limit and the consequent amendment to the caput of Article 5 of the Bylaws, in order to align it with the new authorized capital limit. 41610*** 6.403 0 0 41708*** 8.400 0 0 41727*** 1.084 0 0 41853*** 775.900 0 0 41881*** 92.100 0 0 41907*** 22.769 0 0 41941*** 14.062 0 0 41956*** 39.044 0 0 41956*** 154.415 0 0 42045*** 210.700 0 0 42133*** 105.301 0 0 42264*** 141.567 0 0 42332*** 51.304 0 0 42355*** 6.596 0 0 42355*** 71.010 0 0 42389*** 224.900 0 0 42390*** 2.000 0 0 42411*** 263.400 0 0 42469*** 30.510 0 0 42479*** 20.606 0 0 42479*** 926.900 0 0 42502*** 64.714 0 0 42519*** 578.953 0 0 42520*** 16.067.256 0 0 42538*** 16 0 0 42571*** 161.048 0 0 42645*** 372 0 0 42717*** 30.400 0 0 42717*** 51.300 0 0 42776*** 7.698 0 0 42777*** 77 0 0 42814*** 65.001 0 0 42865*** 17.773 0 0 42870*** 407.654 0 0 43103*** 780 0 0 43105*** 35.991 0 0 43210*** 25.222 0 0 43313*** 1.500 0 0 43427*** 1.639.944 0 0 22 de 30 # Classificação: Pública Shareholder For Against Abstain CNPJ: 00.001.180/0001-26AXIA Energia - EGM 12/19/2025 DETAILED FINAL VOTING MAP 8. Increase of the Companys authorized capital limit and the consequent amendment to the caput of Article 5 of the Bylaws, in order to align it with the new authorized capital limit. 43533*** 1.064 0 0 43533*** 20.006 0 0 43533*** 3.371 0 0 43533*** 46.708 0 0 43533*** 352.500 0 0 43533*** 174.200 0 0 43533*** 67.100 0 0 43533*** 6.502 0 0 43533*** 43.729 0 0 43584*** 5.000 0 0 43690*** 45.000 0 0 43704*** 2.338 0 0 43747*** 220 0 0 43761*** 9.704 0 0 43879*** 113.100 0 0 43907*** 25.700 0 0 43907*** 13.800 0 0 43909*** 161.800 0 0 43956*** 4 0 0 44110*** 148.600 0 0 44258*** 35.226 0 0 44346*** 10.300 0 0 44360*** 4.791.521 0 0 44500*** 931.300 0 0 44544*** 9.675 0 0 44602*** 42.732 0 0 44642*** 27.800 0 0 44643*** 2.400 0 0 44692*** 536.000 0 0 44700*** 92.884 0 0 44700*** 1.147.700 0 0 44700*** 385.600 0 0 44738*** 64.277 0 0 44844*** 97.257 0 0 44934*** 1.970.045 0 0 45029*** 5.900 0 0 45081*** 3.254.567 0 0 45081*** 40.022 0 0 45088*** 7.765.559 0 0 23 de 30 # Classificação: Pública Shareholder For Against Abstain CNPJ: 00.001.180/0001-26AXIA Energia - EGM 12/19/2025 DETAILED FINAL VOTING MAP 8. Increase of the Companys authorized capital limit and the consequent amendment to the caput of Article 5 of the Bylaws, in order to align it with the new authorized capital limit. 45120*** 194.468 0 0 45128*** 15.400 0 0 45128*** 299.000 0 0 45128*** 105.700 0 0 45128*** 60.100 0 0 45226*** 2.286.983 0 0 45245*** 150.700 0 0 45245*** 336.547 0 0 45261*** 8.786 0 0 45322*** 5.884.060 0 0 45512*** 4.500 0 0 45560*** 4.083.931 0 0 45605*** 64.500 0 0 45622*** 15.000 0 0 45682*** 2.227 0 0 45682*** 3.700 0 0 45682*** 3.100 0 0 45687*** 3.400 0 0 45756*** 415.800 0 0 45859*** 3.300 0 0 45971*** 49.469 0 0 46130*** 29.152 0 0 46134*** 647.883 0 0 46171*** 120.400 0 0 46339*** 230.095 0 0 46375*** 226.924 0 0 46390*** 5 0 0 46438*** 284 0 0 46595*** 60.719 0 0 46732*** 8.100 0 0 46909*** 363.014 0 0 46964*** 219.280 0 0 46964*** 1.579.000 0 0 46964*** 93.142 0 0 46964*** 567.400 0 0 46965*** 114.700 0 0 46981*** 1.496.233 0 0 46981*** 534.131 0 0 46981*** 247.440 0 0 24 de 30 # Classificação: Pública Shareholder For Against Abstain CNPJ: 00.001.180/0001-26AXIA Energia - EGM 12/19/2025 DETAILED FINAL VOTING MAP 8. Increase of the Companys authorized capital limit and the consequent amendment to the caput of Article 5 of the Bylaws, in order to align it with the new authorized capital limit. 46981*** 1.054.538 0 0 47036*** 3.694.170 0 0 47036*** 11.800 0 0 47228*** 22.700 0 0 47352*** 90.100 0 0 47545*** 2.800 0 0 47794*** 1.900 0 0 47848*** 182.235 0 0 47848*** 7.953.700 0 0 47954*** 997.100 0 0 48021*** 6.000 0 0 48123*** 0 23.077 0 48138*** 331.666 0 0 48329*** 70.500 0 0 48331*** 206.182 0 0 48373*** 48.920 0 0 48400*** 428 0 0 48429*** 13.800 0 0 48490*** 0 0 338 48643*** 18.791 0 0 48643*** 71.696 0 0 48650*** 36.699 0 0 48766*** 600 0 0 48820*** 19.276 0 0 48878*** 76.100 0 0 48927*** 6.000 0 0 48977*** 9.474 0 0 48978*** 7.551 0 0 49144*** 176 0 0 49202*** 61.768 0 0 49256*** 5.400 0 0 49266*** 51.000 0 0 49331*** 24.380 0 0 49444*** 69.973 0 0 49485*** 6.188.837 0 0 49632*** 35.698 0 0 49766*** 0 0 1.364.882 49839*** 975.800 0 0 49927*** 558.400 0 0 25 de 30 # Classificação: Pública Shareholder For Against Abstain CNPJ: 00.001.180/0001-26AXIA Energia - EGM 12/19/2025 DETAILED FINAL VOTING MAP 8. Increase of the Companys authorized capital limit and the consequent amendment to the caput of Article 5 of the Bylaws, in order to align it with the new authorized capital limit. 49947*** 300 0 0 50072*** 7.900 0 0 50091*** 2.541 0 0 50653*** 10.471 0 0 50717*** 192.368 0 0 50856*** 67.500 0 0 50958*** 25.900 0 0 51116*** 393.656 0 0 51116*** 9.600 0 0 51360*** 108.000 0 0 51473*** 3.000 0 0 51487*** 44.643 0 0 51490*** 0 0 200 51614*** 71 0 0 51817*** 23.503 0 0 51888*** 13.100 0 0 51990*** 997.693 0 0 52025*** 148.306 0 0 52070*** 90.731 0 0 52080*** 51.300 0 0 52083*** 40.718 0 0 52085*** 1.260.946 0 0 52182*** 79.900 0 0 52188*** 13.832 0 0 52203*** 6.778 0 0 52647*** 382.259 0 0 52694*** 320.153 0 0 52698*** 41.176 0 0 52800*** 17.473 0 0 52901*** 7.141 0 0 52950*** 1.584 0 0 53176*** 12.177 0 0 53304*** 2 0 0 53425*** 0 0 0 53529*** 0 0 238 53599*** 874.700 0 0 53780*** 39.870 0 0 53826*** 2.600 0 0 53829*** 1.300 0 0 26 de 30 # Classificação: Pública Shareholder For Against Abstain CNPJ: 00.001.180/0001-26AXIA Energia - EGM 12/19/2025 DETAILED FINAL VOTING MAP 8. Increase of the Companys authorized capital limit and the consequent amendment to the caput of Article 5 of the Bylaws, in order to align it with the new authorized capital limit. 53861*** 66.023 0 0 54026*** 15.205 0 0 54069*** 755 0 0 54198*** 43.496 0 0 54250*** 43.400 0 0 54368*** 1.990 0 0 54398*** 31.592 0 0 54423*** 143.706 0 0 54584*** 1.000 0 0 54603*** 3.455 0 0 54620*** 4.669 0 0 54637*** 0 0 2.000 54784*** 8.340 0 0 54792*** 866.200 0 0 54792*** 27.300 0 0 55053*** 3.008 0 0 55105*** 3.085.892 0 0 55240*** 4.800 0 0 55315*** 4.200 0 0 55483*** 66.300 0 0 55522*** 28.272 0 0 55690*** 20.969 0 0 55751*** 1.057 0 0 55893*** 36.900 0 0 55894*** 20.265 0 0 55912*** 800 0 0 55989*** 19.664 0 0 56007*** 38.937 0 0 56029*** 15.751 0 0 56091*** 12.770 0 0 56141*** 55.146 0 0 56155*** 16.300 0 0 56208*** 124.284 0 0 56211*** 3.031 0 0 56367*** 19.000 0 0 56504*** 3.700 0 0 56576*** 0 0 5 56625*** 200 0 0 56704*** 58.979 0 0 27 de 30 # Classificação: Pública Shareholder For Against Abstain CNPJ: 00.001.180/0001-26AXIA Energia - EGM 12/19/2025 DETAILED FINAL VOTING MAP 8. Increase of the Companys authorized capital limit and the consequent amendment to the caput of Article 5 of the Bylaws, in order to align it with the new authorized capital limit. 56707*** 49.745 0 0 56951*** 81.600 0 0 57091*** 17.477 0 0 57343*** 203.243 0 0 57537*** 6.879 0 0 57848*** 4.554 0 0 57979*** 149.800 0 0 58175*** 41.800 0 0 58270*** 16.516 0 0 58489*** 201.700 0 0 58734*** 7 0 0 58901*** 14.579 0 0 58947*** 5.100 0 0 59051*** 47.200 0 0 59141*** 22.111 0 0 59307*** 138.543 0 0 59666*** 27.807 0 0 59767*** 194.700 0 0 59790*** 7.989 0 0 59840*** 33.400 0 0 60060*** 14.300 0 0 60328*** 59.873 0 0 60347*** 112.584 0 0 60746*** 2.094.364 0 0 61148*** 181 0 0 61397*** 100 0 0 61596*** 22.370 0 0 61664*** 42.536 0 0 61684*** 2.457.532 0 0 61684*** 5.420.200 0 0 61838*** 1.500 0 0 61988*** 13.233 0 0 62569*** 4.957 0 0 62673*** 22.800 0 0 62673*** 72.700 0 0 62673*** 1.200 0 0 62913*** 29.220 0 0 63114*** 33.420 0 0 63135*** 14.100 0 0 28 de 30 # Classificação: Pública Shareholder For Against Abstain CNPJ: 00.001.180/0001-26AXIA Energia - EGM 12/19/2025 DETAILED FINAL VOTING MAP 8. Increase of the Companys authorized capital limit and the consequent amendment to the caput of Article 5 of the Bylaws, in order to align it with the new authorized capital limit. 63135*** 3.500 0 0 63291*** 32.499 0 0 63360*** 42.558 0 0 64491*** 316 0 0 66547*** 1.300 0 0 66744*** 192.519 0 0 67327*** 5 0 0 68559*** 3.840 0 0 69851*** 400 0 0 71861*** 1 0 0 73447*** 1.200 0 0 73933*** 10 0 0 74843*** 40 0 0 74927*** 580 0 0 76297*** 0 0 595 76908*** 21 0 0 77605*** 17.607 0 0 79238*** 256 0 0 79246*** 30.000 0 0 79720*** 200 0 0 80005*** 8 0 0 80663*** 24 0 0 83699*** 0 0 28 84876*** 0 0 120 85751*** 115 0 0 85751*** 300 0 0 85989*** 100 0 0 87737*** 103 0 0 88440*** 0 0 100 88962*** 0 0 12 89351*** 20 0 0 90243*** 0 0 20 90372*** 0 0 13 91890*** 20 0 0 91927*** 0 0 0 92273*** 15 0 0 92693*** 129.020 0 0 93577*** 200 0 0 93902*** 50 0 0 29 de 30 # Classificação: Pública Shareholder For Against Abstain CNPJ: 00.001.180/0001-26AXIA Energia - EGM 12/19/2025 DETAILED FINAL VOTING MAP 8. Increase of the Companys authorized capital limit and the consequent amendment to the caput of Article 5 of the Bylaws, in order to align it with the new authorized capital limit. 95687*** 0 0 1.000 97538*** 4.851.698 0 0 97538*** 0 49.089 0 97539*** 917.301 0 0 97539*** 22.778 0 0 97539*** 37.074 0 0 97539*** 19.345 0 0 97539*** 3.732.105 0 0 97539*** 4.800 0 0 97539*** 28.674 0 0 97539*** 31.200 0 0 97539*** 735.721 0 0 97539*** 42.800 0 0 97539*** 5.199.319 0 0 97539*** 2.389.760 0 0 97539*** 1.543.110 0 0 97539*** 3.445.396 0 0 97539*** 392.626 0 0 97539*** 996.896 0 0 97539*** 2.066.321 0 0 97539*** 197.838 0 0 97539*** 144.600 0 0 97539*** 22.250 0 0 97540*** 20.600 0 0 97540*** 3.753 0 0 97540*** 68.500 0 0 97540*** 104.726 0 0 97540*** 903.981 0 0 97540*** 72.665 0 0 97540*** 926.147 0 0 97540*** 1.598 0 0 97540*** 282.400 0 0 97540*** 1.796.898 0 0 97540*** 2.022.198 0 0 97540*** 10.823 0 0 97540*** 209.922 0 0 97540*** 16.335.023 0 0 98658*** 550 0 0 99169*** 100 0 0 30 de 30 # Classificação: Pública Shareholder For Against Abstain Total 824.333.543 191.147.050 35.740.296 00125*** 1.178.056 0 0 00394*** 0 190.732.084 0 00455*** 6 0 0 00560*** 4.984 0 0 00586*** 10 0 0 00601*** 31 0 0 00739*** 1.428 0 0 00805*** 20 0 0 00914*** 3 0 0 01017*** 1 0 0 01171*** 1.610 0 0 01203*** 1 0 0 01456*** 4 0 0 01496*** 161.306 0 0 01586*** 16 0 0 01643*** 66.985 0 0 01699*** 96.416 0 0 01886*** 12.945 0 0 02020*** 53.603 0 0 02097*** 5.700 0 0 02231*** 611 0 0 CNPJ: 00.001.180/0001-26AXIA Energia - EGM 12/19/2025 DETAILED FINAL VOTING MAP 9. Amendment of the Companys Bylaws to: (i.1) amend Article 4, caput, and §1, to include PNA1, PNB1, PNR, and PNC as new classes of preferred shares; amend §4 to regulate the one vote per share right of the PNCs; include §5 to provide for the extinction of the PNC class after the conversion or redemption of all its shares; include a new paragraph to expressly provide for the mandatory redeemable nature of the PNR and its automatic extinction upon full redemption; (i.2) amendment of Article 5, caput, to allow increases within the Company’s authorized capital through the issuance of PNCs; (i.3) amend the wording of Article 6, sole paragraph, due to the creation of the PNCs, to establish that this provision applies only to class A1 and B1 preferred shares; (i.4) make wording adjustments to Articles 9 and 10 in order to encompass all shares with voting rights, including the PNCs, in the context of the tender offer triggered upon reaching a relevant shareholding threshold (poison pill); (i.5) amend Article 11, caput, to contemplate the existence of the PNA1, PNB1, and PNC, including new paragraphs regulating their rights, characteristics, advantages, and limitations; provide for the tag-along right of the PNA1, PNB1, PNCs, and common shares; regulate the immediate redemption of the PNRs, the method for calculating the redemption value, its conditions and limitations; adjust the wording of §§1 to 6 to update numbering and the A1 and B1 nomenclature; (i.6) amend Article 16 to provide for the exceptions set forth in Article 11, §10 and §§15 to 17; (i.7) amend Article 34, caput, in order to expressly state that the right to elect board members in a separate vote applies only to preferred shares with no voting rights; and (i.8) amend Article 36, item XI, to include preferred shares among the matters under the competence of the Board of Directors relating to the issuance of shares under authorized capital. 1 de 54 # Classificação: Pública Shareholder For Against Abstain CNPJ: 00.001.180/0001-26AXIA Energia - EGM 12/19/2025 DETAILED FINAL VOTING MAP 9. Amendment of the Companys Bylaws to: (i.1) amend Article 4, caput, and §1, to include PNA1, PNB1, PNR, and PNC as new classes of preferred shares; amend §4 to regulate the one vote per share right of the PNCs; include §5 to provide for the extinction of the PNC class after the conversion or redemption of all its shares; include a new paragraph to expressly provide for the mandatory redeemable nature of the PNR and its automatic extinction upon full redemption; (i.2) amendment of Article 5, caput, to allow increases within the Company’s authorized capital through the issuance of PNCs; (i.3) amend the wording of Article 6, sole paragraph, due to the creation of the PNCs, to establish that this provision applies only to class A1 and B1 preferred shares; (i.4) make wording adjustments to Articles 9 and 10 in order to encompass all shares with voting rights, including the PNCs, in the context of the tender offer triggered upon reaching a relevant shareholding threshold (poison pill); (i.5) amend Article 11, caput, to contemplate the existence of the PNA1, PNB1, and PNC, including new paragraphs regulating their rights, characteristics, advantages, and limitations; provide for the tag-along right of the PNA1, PNB1, PNCs, and common shares; regulate the immediate redemption of the PNRs, the method for calculating the redemption value, its conditions and limitations; adjust the wording of §§1 to 6 to update numbering and the A1 and B1 nomenclature; (i.6) amend Article 16 to provide for the exceptions set forth in Article 11, §10 and §§15 to 17; (i.7) amend Article 34, caput, in order to expressly state that the right to elect board members in a separate vote applies only to preferred shares with no voting rights; and (i.8) amend Article 36, item XI, to include preferred shares among the matters under the competence of the Board of Directors relating to the issuance of shares under authorized capital. 02231*** 8.536 0 0 02285*** 102 0 0 02524*** 250 0 0 02745*** 0 5 0 02863*** 1.125.500 0 0 02887*** 26.056 0 0 02895*** 64.700 0 0 02903*** 100 0 0 03027*** 51.786 0 0 03369*** 0 0 136 03370*** 392.332 0 0 03394*** 87.480 0 0 03394*** 7 0 0 03473*** 569 0 0 03833*** 28.394 0 0 03902*** 1 0 0 03960*** 24.957 0 0 04005*** 0 50 0 04073*** 292.991 0 0 04297*** 0 3 0 04555*** 0 0 55 04605*** 0 0 200 2 de 54 # Classificação: Pública Shareholder For Against Abstain CNPJ: 00.001.180/0001-26AXIA Energia - EGM 12/19/2025 DETAILED FINAL VOTING MAP 9. Amendment of the Companys Bylaws to: (i.1) amend Article 4, caput, and §1, to include PNA1, PNB1, PNR, and PNC as new classes of preferred shares; amend §4 to regulate the one vote per share right of the PNCs; include §5 to provide for the extinction of the PNC class after the conversion or redemption of all its shares; include a new paragraph to expressly provide for the mandatory redeemable nature of the PNR and its automatic extinction upon full redemption; (i.2) amendment of Article 5, caput, to allow increases within the Company’s authorized capital through the issuance of PNCs; (i.3) amend the wording of Article 6, sole paragraph, due to the creation of the PNCs, to establish that this provision applies only to class A1 and B1 preferred shares; (i.4) make wording adjustments to Articles 9 and 10 in order to encompass all shares with voting rights, including the PNCs, in the context of the tender offer triggered upon reaching a relevant shareholding threshold (poison pill); (i.5) amend Article 11, caput, to contemplate the existence of the PNA1, PNB1, and PNC, including new paragraphs regulating their rights, characteristics, advantages, and limitations; provide for the tag-along right of the PNA1, PNB1, PNCs, and common shares; regulate the immediate redemption of the PNRs, the method for calculating the redemption value, its conditions and limitations; adjust the wording of §§1 to 6 to update numbering and the A1 and B1 nomenclature; (i.6) amend Article 16 to provide for the exceptions set forth in Article 11, §10 and §§15 to 17; (i.7) amend Article 34, caput, in order to expressly state that the right to elect board members in a separate vote applies only to preferred shares with no voting rights; and (i.8) amend Article 36, item XI, to include preferred shares among the matters under the competence of the Board of Directors relating to the issuance of shares under authorized capital. 04609*** 602 0 0 04609*** 1.300 0 0 04616*** 11.687 0 0 04672*** 5 0 0 04709*** 0 1 0 04736*** 28.890 0 0 04751*** 111.059 0 0 04847*** 4 0 0 05075*** 5 0 0 05100*** 43.978 0 0 05147*** 14.000 0 0 05303*** 0 0 1 05316*** 1.030 0 0 05435*** 3 0 0 05448*** 9.727 0 0 05479*** 1.513.900 0 0 05479*** 2.843.378 0 0 05522*** 44 0 0 05589*** 233.315 0 0 05589*** 279.983 0 0 05589*** 28.815 0 0 05719*** 27 0 0 3 de 54 # Classificação: Pública Shareholder For Against Abstain CNPJ: 00.001.180/0001-26AXIA Energia - EGM 12/19/2025 DETAILED FINAL VOTING MAP 9. Amendment of the Companys Bylaws to: (i.1) amend Article 4, caput, and §1, to include PNA1, PNB1, PNR, and PNC as new classes of preferred shares; amend §4 to regulate the one vote per share right of the PNCs; include §5 to provide for the extinction of the PNC class after the conversion or redemption of all its shares; include a new paragraph to expressly provide for the mandatory redeemable nature of the PNR and its automatic extinction upon full redemption; (i.2) amendment of Article 5, caput, to allow increases within the Company’s authorized capital through the issuance of PNCs; (i.3) amend the wording of Article 6, sole paragraph, due to the creation of the PNCs, to establish that this provision applies only to class A1 and B1 preferred shares; (i.4) make wording adjustments to Articles 9 and 10 in order to encompass all shares with voting rights, including the PNCs, in the context of the tender offer triggered upon reaching a relevant shareholding threshold (poison pill); (i.5) amend Article 11, caput, to contemplate the existence of the PNA1, PNB1, and PNC, including new paragraphs regulating their rights, characteristics, advantages, and limitations; provide for the tag-along right of the PNA1, PNB1, PNCs, and common shares; regulate the immediate redemption of the PNRs, the method for calculating the redemption value, its conditions and limitations; adjust the wording of §§1 to 6 to update numbering and the A1 and B1 nomenclature; (i.6) amend Article 16 to provide for the exceptions set forth in Article 11, §10 and §§15 to 17; (i.7) amend Article 34, caput, in order to expressly state that the right to elect board members in a separate vote applies only to preferred shares with no voting rights; and (i.8) amend Article 36, item XI, to include preferred shares among the matters under the competence of the Board of Directors relating to the issuance of shares under authorized capital. 05734*** 415 0 0 05775*** 1.759 0 0 05838*** 15.219 0 0 05839*** 96.081 0 0 05839*** 189.258 0 0 05839*** 718.804 0 0 05839*** 724 0 0 05839*** 775.653 0 0 05839*** 15.200 0 0 05839*** 9.200 0 0 05839*** 803.800 0 0 05839*** 158.291 0 0 05839*** 15.718 0 0 05839*** 1.111.508 0 0 05839*** 4.619.084 0 0 05839*** 226.872 0 0 05839*** 51.889 0 0 05840*** 188.253 0 0 05840*** 10.000 0 0 05840*** 32.547 0 0 05840*** 804.990 0 0 05840*** 4.858.301 0 0 4 de 54 # Classificação: Pública Shareholder For Against Abstain CNPJ: 00.001.180/0001-26AXIA Energia - EGM 12/19/2025 DETAILED FINAL VOTING MAP 9. Amendment of the Companys Bylaws to: (i.1) amend Article 4, caput, and §1, to include PNA1, PNB1, PNR, and PNC as new classes of preferred shares; amend §4 to regulate the one vote per share right of the PNCs; include §5 to provide for the extinction of the PNC class after the conversion or redemption of all its shares; include a new paragraph to expressly provide for the mandatory redeemable nature of the PNR and its automatic extinction upon full redemption; (i.2) amendment of Article 5, caput, to allow increases within the Company’s authorized capital through the issuance of PNCs; (i.3) amend the wording of Article 6, sole paragraph, due to the creation of the PNCs, to establish that this provision applies only to class A1 and B1 preferred shares; (i.4) make wording adjustments to Articles 9 and 10 in order to encompass all shares with voting rights, including the PNCs, in the context of the tender offer triggered upon reaching a relevant shareholding threshold (poison pill); (i.5) amend Article 11, caput, to contemplate the existence of the PNA1, PNB1, and PNC, including new paragraphs regulating their rights, characteristics, advantages, and limitations; provide for the tag-along right of the PNA1, PNB1, PNCs, and common shares; regulate the immediate redemption of the PNRs, the method for calculating the redemption value, its conditions and limitations; adjust the wording of §§1 to 6 to update numbering and the A1 and B1 nomenclature; (i.6) amend Article 16 to provide for the exceptions set forth in Article 11, §10 and §§15 to 17; (i.7) amend Article 34, caput, in order to expressly state that the right to elect board members in a separate vote applies only to preferred shares with no voting rights; and (i.8) amend Article 36, item XI, to include preferred shares among the matters under the competence of the Board of Directors relating to the issuance of shares under authorized capital. 05840*** 477.000 0 0 05840*** 2.199.143 0 0 05872*** 79.961 0 0 05901*** 1 0 0 05986*** 1.881.495 0 0 05986*** 2.673.143 0 0 05986*** 24.100 0 0 05986*** 2.155 0 0 05987*** 147.900 0 0 05987*** 129.553 0 0 05987*** 11.827 0 0 05987*** 2.020.100 0 0 05987*** 1.602.500 0 0 05987*** 5 0 0 05987*** 199.465 0 0 05987*** 13.400 0 0 05987*** 428.300 0 0 05987*** 24.749 0 0 05987*** 188.737 0 0 05987*** 2.862.252 0 0 05987*** 481.572 0 0 05987*** 1.758.400 0 0 5 de 54 # Classificação: Pública Shareholder For Against Abstain CNPJ: 00.001.180/0001-26AXIA Energia - EGM 12/19/2025 DETAILED FINAL VOTING MAP 9. Amendment of the Companys Bylaws to: (i.1) amend Article 4, caput, and §1, to include PNA1, PNB1, PNR, and PNC as new classes of preferred shares; amend §4 to regulate the one vote per share right of the PNCs; include §5 to provide for the extinction of the PNC class after the conversion or redemption of all its shares; include a new paragraph to expressly provide for the mandatory redeemable nature of the PNR and its automatic extinction upon full redemption; (i.2) amendment of Article 5, caput, to allow increases within the Company’s authorized capital through the issuance of PNCs; (i.3) amend the wording of Article 6, sole paragraph, due to the creation of the PNCs, to establish that this provision applies only to class A1 and B1 preferred shares; (i.4) make wording adjustments to Articles 9 and 10 in order to encompass all shares with voting rights, including the PNCs, in the context of the tender offer triggered upon reaching a relevant shareholding threshold (poison pill); (i.5) amend Article 11, caput, to contemplate the existence of the PNA1, PNB1, and PNC, including new paragraphs regulating their rights, characteristics, advantages, and limitations; provide for the tag-along right of the PNA1, PNB1, PNCs, and common shares; regulate the immediate redemption of the PNRs, the method for calculating the redemption value, its conditions and limitations; adjust the wording of §§1 to 6 to update numbering and the A1 and B1 nomenclature; (i.6) amend Article 16 to provide for the exceptions set forth in Article 11, §10 and §§15 to 17; (i.7) amend Article 34, caput, in order to expressly state that the right to elect board members in a separate vote applies only to preferred shares with no voting rights; and (i.8) amend Article 36, item XI, to include preferred shares among the matters under the competence of the Board of Directors relating to the issuance of shares under authorized capital. 06046*** 1.594.573 0 0 06069*** 5.615 0 0 06105*** 10.100 0 0 06134*** 0 108.329 0 06148*** 76.771 0 0 06224*** 6.811 0 0 06239*** 174.268 0 0 06239*** 455.200 0 0 06251*** 9.995 0 0 06318*** 0 0 1 06323*** 530.363 0 0 06370*** 3 0 0 06406*** 0 0 100.000 06491*** 35 0 0 06541*** 284.989 0 0 06571*** 130 0 0 06613*** 77.676 0 0 06832*** 0 23 0 06916*** 622.500 0 0 06943*** 137.641 0 0 06943*** 589.073 0 0 06943*** 922.665 0 0 6 de 54 # Classificação: Pública Shareholder For Against Abstain CNPJ: 00.001.180/0001-26AXIA Energia - EGM 12/19/2025 DETAILED FINAL VOTING MAP 9. Amendment of the Companys Bylaws to: (i.1) amend Article 4, caput, and §1, to include PNA1, PNB1, PNR, and PNC as new classes of preferred shares; amend §4 to regulate the one vote per share right of the PNCs; include §5 to provide for the extinction of the PNC class after the conversion or redemption of all its shares; include a new paragraph to expressly provide for the mandatory redeemable nature of the PNR and its automatic extinction upon full redemption; (i.2) amendment of Article 5, caput, to allow increases within the Company’s authorized capital through the issuance of PNCs; (i.3) amend the wording of Article 6, sole paragraph, due to the creation of the PNCs, to establish that this provision applies only to class A1 and B1 preferred shares; (i.4) make wording adjustments to Articles 9 and 10 in order to encompass all shares with voting rights, including the PNCs, in the context of the tender offer triggered upon reaching a relevant shareholding threshold (poison pill); (i.5) amend Article 11, caput, to contemplate the existence of the PNA1, PNB1, and PNC, including new paragraphs regulating their rights, characteristics, advantages, and limitations; provide for the tag-along right of the PNA1, PNB1, PNCs, and common shares; regulate the immediate redemption of the PNRs, the method for calculating the redemption value, its conditions and limitations; adjust the wording of §§1 to 6 to update numbering and the A1 and B1 nomenclature; (i.6) amend Article 16 to provide for the exceptions set forth in Article 11, §10 and §§15 to 17; (i.7) amend Article 34, caput, in order to expressly state that the right to elect board members in a separate vote applies only to preferred shares with no voting rights; and (i.8) amend Article 36, item XI, to include preferred shares among the matters under the competence of the Board of Directors relating to the issuance of shares under authorized capital. 06949*** 0 0 10 06964*** 298.476 0 0 07023*** 0 0 100 07060*** 239.200 0 0 07086*** 1.000 0 0 07096*** 51.672 0 0 07140*** 859.100 0 0 07140*** 19.426 0 0 07140*** 1.219 0 0 07140*** 26.098 0 0 07187*** 16.269 0 0 07187*** 713 0 0 07191*** 857.000 0 0 07191*** 85.700 0 0 07191*** 105.335 0 0 07226*** 4 0 0 07237*** 589.417 0 0 07237*** 33.388 0 0 07247*** 296.000 0 0 07247*** 164.564 0 0 07247*** 247.800 0 0 07267*** 140 0 0 7 de 54 # Classificação: Pública Shareholder For Against Abstain CNPJ: 00.001.180/0001-26AXIA Energia - EGM 12/19/2025 DETAILED FINAL VOTING MAP 9. Amendment of the Companys Bylaws to: (i.1) amend Article 4, caput, and §1, to include PNA1, PNB1, PNR, and PNC as new classes of preferred shares; amend §4 to regulate the one vote per share right of the PNCs; include §5 to provide for the extinction of the PNC class after the conversion or redemption of all its shares; include a new paragraph to expressly provide for the mandatory redeemable nature of the PNR and its automatic extinction upon full redemption; (i.2) amendment of Article 5, caput, to allow increases within the Company’s authorized capital through the issuance of PNCs; (i.3) amend the wording of Article 6, sole paragraph, due to the creation of the PNCs, to establish that this provision applies only to class A1 and B1 preferred shares; (i.4) make wording adjustments to Articles 9 and 10 in order to encompass all shares with voting rights, including the PNCs, in the context of the tender offer triggered upon reaching a relevant shareholding threshold (poison pill); (i.5) amend Article 11, caput, to contemplate the existence of the PNA1, PNB1, and PNC, including new paragraphs regulating their rights, characteristics, advantages, and limitations; provide for the tag-along right of the PNA1, PNB1, PNCs, and common shares; regulate the immediate redemption of the PNRs, the method for calculating the redemption value, its conditions and limitations; adjust the wording of §§1 to 6 to update numbering and the A1 and B1 nomenclature; (i.6) amend Article 16 to provide for the exceptions set forth in Article 11, §10 and §§15 to 17; (i.7) amend Article 34, caput, in order to expressly state that the right to elect board members in a separate vote applies only to preferred shares with no voting rights; and (i.8) amend Article 36, item XI, to include preferred shares among the matters under the competence of the Board of Directors relating to the issuance of shares under authorized capital. 07299*** 100 0 0 07333*** 249.390 0 0 07345*** 2.648 0 0 07345*** 10.300 0 0 07345*** 28.600 0 0 07376*** 123.348 0 0 07418*** 42.847 0 0 07418*** 1.247.100 0 0 07418*** 1.210.226 0 0 07463*** 0 0 4 07488*** 319.556 0 0 07496*** 1.568.008 0 0 07496*** 2.200 0 0 07496*** 60.415 0 0 07496*** 133.589 0 0 07506*** 4.230.427 0 0 07515*** 60 0 0 07516*** 10.567.600 0 0 07516*** 917.500 0 0 07516*** 35.520 0 0 07516*** 1.041.400 0 0 07518*** 84.779 0 0 8 de 54 # Classificação: Pública Shareholder For Against Abstain CNPJ: 00.001.180/0001-26AXIA Energia - EGM 12/19/2025 DETAILED FINAL VOTING MAP 9. Amendment of the Companys Bylaws to: (i.1) amend Article 4, caput, and §1, to include PNA1, PNB1, PNR, and PNC as new classes of preferred shares; amend §4 to regulate the one vote per share right of the PNCs; include §5 to provide for the extinction of the PNC class after the conversion or redemption of all its shares; include a new paragraph to expressly provide for the mandatory redeemable nature of the PNR and its automatic extinction upon full redemption; (i.2) amendment of Article 5, caput, to allow increases within the Company’s authorized capital through the issuance of PNCs; (i.3) amend the wording of Article 6, sole paragraph, due to the creation of the PNCs, to establish that this provision applies only to class A1 and B1 preferred shares; (i.4) make wording adjustments to Articles 9 and 10 in order to encompass all shares with voting rights, including the PNCs, in the context of the tender offer triggered upon reaching a relevant shareholding threshold (poison pill); (i.5) amend Article 11, caput, to contemplate the existence of the PNA1, PNB1, and PNC, including new paragraphs regulating their rights, characteristics, advantages, and limitations; provide for the tag-along right of the PNA1, PNB1, PNCs, and common shares; regulate the immediate redemption of the PNRs, the method for calculating the redemption value, its conditions and limitations; adjust the wording of §§1 to 6 to update numbering and the A1 and B1 nomenclature; (i.6) amend Article 16 to provide for the exceptions set forth in Article 11, §10 and §§15 to 17; (i.7) amend Article 34, caput, in order to expressly state that the right to elect board members in a separate vote applies only to preferred shares with no voting rights; and (i.8) amend Article 36, item XI, to include preferred shares among the matters under the competence of the Board of Directors relating to the issuance of shares under authorized capital. 07521*** 158.999 0 0 07526*** 19.300 0 0 07529*** 128.800 0 0 07536*** 103.618 0 0 07551*** 7.900 0 0 07593*** 179.470 0 0 07622*** 4.475.736 0 0 07647*** 78.500 0 0 07655*** 864.956 0 0 07655*** 10.800 0 0 07667*** 4.648 0 0 07670*** 0 10.600 0 07670*** 1.650.000 0 0 07686*** 7.021 0 0 07724*** 211.324 0 0 07790*** 14.800 0 0 07792*** 357.630 0 0 07820*** 2.200 0 0 07846*** 69.100 0 0 07889*** 44.041 0 0 07940*** 280.700 0 0 07942*** 530.100 0 0 9 de 54 # Classificação: Pública Shareholder For Against Abstain CNPJ: 00.001.180/0001-26AXIA Energia - EGM 12/19/2025 DETAILED FINAL VOTING MAP 9. Amendment of the Companys Bylaws to: (i.1) amend Article 4, caput, and §1, to include PNA1, PNB1, PNR, and PNC as new classes of preferred shares; amend §4 to regulate the one vote per share right of the PNCs; include §5 to provide for the extinction of the PNC class after the conversion or redemption of all its shares; include a new paragraph to expressly provide for the mandatory redeemable nature of the PNR and its automatic extinction upon full redemption; (i.2) amendment of Article 5, caput, to allow increases within the Company’s authorized capital through the issuance of PNCs; (i.3) amend the wording of Article 6, sole paragraph, due to the creation of the PNCs, to establish that this provision applies only to class A1 and B1 preferred shares; (i.4) make wording adjustments to Articles 9 and 10 in order to encompass all shares with voting rights, including the PNCs, in the context of the tender offer triggered upon reaching a relevant shareholding threshold (poison pill); (i.5) amend Article 11, caput, to contemplate the existence of the PNA1, PNB1, and PNC, including new paragraphs regulating their rights, characteristics, advantages, and limitations; provide for the tag-along right of the PNA1, PNB1, PNCs, and common shares; regulate the immediate redemption of the PNRs, the method for calculating the redemption value, its conditions and limitations; adjust the wording of §§1 to 6 to update numbering and the A1 and B1 nomenclature; (i.6) amend Article 16 to provide for the exceptions set forth in Article 11, §10 and §§15 to 17; (i.7) amend Article 34, caput, in order to expressly state that the right to elect board members in a separate vote applies only to preferred shares with no voting rights; and (i.8) amend Article 36, item XI, to include preferred shares among the matters under the competence of the Board of Directors relating to the issuance of shares under authorized capital. 07967*** 133.248 0 0 07990*** 42.700 0 0 08052*** 0 100 0 08120*** 0 0 383 08154*** 5.377 0 0 08196*** 81.823.300 0 0 08265*** 225.800 0 0 08268*** 3.800 0 0 08279*** 318.109 0 0 08295*** 18.073.978 0 0 08295*** 3.890.485 0 0 08295*** 93.002 0 0 08387*** 103.219 0 0 08434*** 43.600 0 0 08464*** 3.983.344 0 0 08471*** 53.618 0 0 08561*** 940.780 0 0 08571*** 3.397 0 0 08579*** 339.986 0 0 08621*** 820.400 0 0 08623*** 1.710 0 0 08640*** 52.400 0 0 10 de 54 # Classificação: Pública Shareholder For Against Abstain CNPJ: 00.001.180/0001-26AXIA Energia - EGM 12/19/2025 DETAILED FINAL VOTING MAP 9. Amendment of the Companys Bylaws to: (i.1) amend Article 4, caput, and §1, to include PNA1, PNB1, PNR, and PNC as new classes of preferred shares; amend §4 to regulate the one vote per share right of the PNCs; include §5 to provide for the extinction of the PNC class after the conversion or redemption of all its shares; include a new paragraph to expressly provide for the mandatory redeemable nature of the PNR and its automatic extinction upon full redemption; (i.2) amendment of Article 5, caput, to allow increases within the Company’s authorized capital through the issuance of PNCs; (i.3) amend the wording of Article 6, sole paragraph, due to the creation of the PNCs, to establish that this provision applies only to class A1 and B1 preferred shares; (i.4) make wording adjustments to Articles 9 and 10 in order to encompass all shares with voting rights, including the PNCs, in the context of the tender offer triggered upon reaching a relevant shareholding threshold (poison pill); (i.5) amend Article 11, caput, to contemplate the existence of the PNA1, PNB1, and PNC, including new paragraphs regulating their rights, characteristics, advantages, and limitations; provide for the tag-along right of the PNA1, PNB1, PNCs, and common shares; regulate the immediate redemption of the PNRs, the method for calculating the redemption value, its conditions and limitations; adjust the wording of §§1 to 6 to update numbering and the A1 and B1 nomenclature; (i.6) amend Article 16 to provide for the exceptions set forth in Article 11, §10 and §§15 to 17; (i.7) amend Article 34, caput, in order to expressly state that the right to elect board members in a separate vote applies only to preferred shares with no voting rights; and (i.8) amend Article 36, item XI, to include preferred shares among the matters under the competence of the Board of Directors relating to the issuance of shares under authorized capital. 08757*** 52.296 0 0 08765*** 94.255.061 0 0 08840*** 9.118.176 0 0 08857*** 893.791 0 0 08875*** 26.085 0 0 08875*** 39.000 0 0 08900*** 1.800 0 0 08910*** 0 0 23 08913*** 1.453 0 0 08935*** 18.483.007 0 0 08945*** 137.277 0 0 08973*** 90.286 0 0 08973*** 84.130 0 0 08988*** 90.399 0 0 09005*** 171 0 0 09029*** 95.000 0 0 09048*** 164.633 0 0 09048*** 42.509 0 0 09063*** 550.962 0 0 09064*** 1 0 0 09073*** 366.269 0 0 09089*** 470.660 0 0 11 de 54 # Classificação: Pública Shareholder For Against Abstain CNPJ: 00.001.180/0001-26AXIA Energia - EGM 12/19/2025 DETAILED FINAL VOTING MAP 9. Amendment of the Companys Bylaws to: (i.1) amend Article 4, caput, and §1, to include PNA1, PNB1, PNR, and PNC as new classes of preferred shares; amend §4 to regulate the one vote per share right of the PNCs; include §5 to provide for the extinction of the PNC class after the conversion or redemption of all its shares; include a new paragraph to expressly provide for the mandatory redeemable nature of the PNR and its automatic extinction upon full redemption; (i.2) amendment of Article 5, caput, to allow increases within the Company’s authorized capital through the issuance of PNCs; (i.3) amend the wording of Article 6, sole paragraph, due to the creation of the PNCs, to establish that this provision applies only to class A1 and B1 preferred shares; (i.4) make wording adjustments to Articles 9 and 10 in order to encompass all shares with voting rights, including the PNCs, in the context of the tender offer triggered upon reaching a relevant shareholding threshold (poison pill); (i.5) amend Article 11, caput, to contemplate the existence of the PNA1, PNB1, and PNC, including new paragraphs regulating their rights, characteristics, advantages, and limitations; provide for the tag-along right of the PNA1, PNB1, PNCs, and common shares; regulate the immediate redemption of the PNRs, the method for calculating the redemption value, its conditions and limitations; adjust the wording of §§1 to 6 to update numbering and the A1 and B1 nomenclature; (i.6) amend Article 16 to provide for the exceptions set forth in Article 11, §10 and §§15 to 17; (i.7) amend Article 34, caput, in order to expressly state that the right to elect board members in a separate vote applies only to preferred shares with no voting rights; and (i.8) amend Article 36, item XI, to include preferred shares among the matters under the competence of the Board of Directors relating to the issuance of shares under authorized capital. 09089*** 20.525 0 0 09094*** 86.200 0 0 09144*** 0 0 7 09145*** 13.516.396 0 0 09163*** 972.837 0 0 09241*** 20 0 0 09286*** 42.968 0 0 09294*** 230.978 0 0 09299*** 1.005.021 0 0 09323*** 25.786 0 0 09323*** 408.777 0 0 09330*** 114.300 0 0 09336*** 117.000 0 0 09411*** 36.133 0 0 09441*** 106.368 0 0 09470*** 270.100 0 0 09470*** 130.741 0 0 09559*** 823.023 0 0 09564*** 269.814 0 0 09567*** 147.940 0 0 09593*** 765.198 0 0 09620*** 372.512 0 0 12 de 54 # Classificação: Pública Shareholder For Against Abstain CNPJ: 00.001.180/0001-26AXIA Energia - EGM 12/19/2025 DETAILED FINAL VOTING MAP 9. Amendment of the Companys Bylaws to: (i.1) amend Article 4, caput, and §1, to include PNA1, PNB1, PNR, and PNC as new classes of preferred shares; amend §4 to regulate the one vote per share right of the PNCs; include §5 to provide for the extinction of the PNC class after the conversion or redemption of all its shares; include a new paragraph to expressly provide for the mandatory redeemable nature of the PNR and its automatic extinction upon full redemption; (i.2) amendment of Article 5, caput, to allow increases within the Company’s authorized capital through the issuance of PNCs; (i.3) amend the wording of Article 6, sole paragraph, due to the creation of the PNCs, to establish that this provision applies only to class A1 and B1 preferred shares; (i.4) make wording adjustments to Articles 9 and 10 in order to encompass all shares with voting rights, including the PNCs, in the context of the tender offer triggered upon reaching a relevant shareholding threshold (poison pill); (i.5) amend Article 11, caput, to contemplate the existence of the PNA1, PNB1, and PNC, including new paragraphs regulating their rights, characteristics, advantages, and limitations; provide for the tag-along right of the PNA1, PNB1, PNCs, and common shares; regulate the immediate redemption of the PNRs, the method for calculating the redemption value, its conditions and limitations; adjust the wording of §§1 to 6 to update numbering and the A1 and B1 nomenclature; (i.6) amend Article 16 to provide for the exceptions set forth in Article 11, §10 and §§15 to 17; (i.7) amend Article 34, caput, in order to expressly state that the right to elect board members in a separate vote applies only to preferred shares with no voting rights; and (i.8) amend Article 36, item XI, to include preferred shares among the matters under the competence of the Board of Directors relating to the issuance of shares under authorized capital. 09627*** 41.300 0 0 09701*** 220 0 0 09720*** 4.359.575 0 0 09838*** 20 0 0 10110*** 0 0 0 10205*** 1.098 0 0 10214*** 40.966 0 0 10243*** 45.400 0 0 10263*** 60.424 0 0 10263*** 335.431 0 0 10263*** 169.600 0 0 10307*** 0 500 0 10324*** 729.020 0 0 10392*** 311 0 0 10400*** 48.700 0 0 10418*** 47.304 0 0 10419*** 121.500 0 0 10481*** 6.385.100 0 0 10486*** 0 0 20 10492*** 225.108 0 0 10553*** 1.933.500 0 0 10554*** 24 0 0 13 de 54 # Classificação: Pública Shareholder For Against Abstain CNPJ: 00.001.180/0001-26AXIA Energia - EGM 12/19/2025 DETAILED FINAL VOTING MAP 9. Amendment of the Companys Bylaws to: (i.1) amend Article 4, caput, and §1, to include PNA1, PNB1, PNR, and PNC as new classes of preferred shares; amend §4 to regulate the one vote per share right of the PNCs; include §5 to provide for the extinction of the PNC class after the conversion or redemption of all its shares; include a new paragraph to expressly provide for the mandatory redeemable nature of the PNR and its automatic extinction upon full redemption; (i.2) amendment of Article 5, caput, to allow increases within the Company’s authorized capital through the issuance of PNCs; (i.3) amend the wording of Article 6, sole paragraph, due to the creation of the PNCs, to establish that this provision applies only to class A1 and B1 preferred shares; (i.4) make wording adjustments to Articles 9 and 10 in order to encompass all shares with voting rights, including the PNCs, in the context of the tender offer triggered upon reaching a relevant shareholding threshold (poison pill); (i.5) amend Article 11, caput, to contemplate the existence of the PNA1, PNB1, and PNC, including new paragraphs regulating their rights, characteristics, advantages, and limitations; provide for the tag-along right of the PNA1, PNB1, PNCs, and common shares; regulate the immediate redemption of the PNRs, the method for calculating the redemption value, its conditions and limitations; adjust the wording of §§1 to 6 to update numbering and the A1 and B1 nomenclature; (i.6) amend Article 16 to provide for the exceptions set forth in Article 11, §10 and §§15 to 17; (i.7) amend Article 34, caput, in order to expressly state that the right to elect board members in a separate vote applies only to preferred shares with no voting rights; and (i.8) amend Article 36, item XI, to include preferred shares among the matters under the competence of the Board of Directors relating to the issuance of shares under authorized capital. 10561*** 4.400 0 0 10569*** 91.542 0 0 10583*** 342.676 0 0 10596*** 2.537 0 0 10672*** 28.600 0 0 10678*** 145.406 0 0 10762*** 18.300 0 0 10765*** 14.889.875 0 0 10809*** 451.926 0 0 10840*** 0 1 0 11030*** 2.221.230 0 0 11046*** 0 0 869.344 11047*** 10.000 0 0 11100*** 1.373.626 0 0 11175*** 0 1.000 0 11184*** 10.637 0 0 11184*** 2.478.365 0 0 11188*** 13.734.739 0 0 11225*** 316.909 0 0 11311*** 564.121 0 0 11324*** 7.583 0 0 11324*** 30.286 0 0 14 de 54 # Classificação: Pública Shareholder For Against Abstain CNPJ: 00.001.180/0001-26AXIA Energia - EGM 12/19/2025 DETAILED FINAL VOTING MAP 9. Amendment of the Companys Bylaws to: (i.1) amend Article 4, caput, and §1, to include PNA1, PNB1, PNR, and PNC as new classes of preferred shares; amend §4 to regulate the one vote per share right of the PNCs; include §5 to provide for the extinction of the PNC class after the conversion or redemption of all its shares; include a new paragraph to expressly provide for the mandatory redeemable nature of the PNR and its automatic extinction upon full redemption; (i.2) amendment of Article 5, caput, to allow increases within the Company’s authorized capital through the issuance of PNCs; (i.3) amend the wording of Article 6, sole paragraph, due to the creation of the PNCs, to establish that this provision applies only to class A1 and B1 preferred shares; (i.4) make wording adjustments to Articles 9 and 10 in order to encompass all shares with voting rights, including the PNCs, in the context of the tender offer triggered upon reaching a relevant shareholding threshold (poison pill); (i.5) amend Article 11, caput, to contemplate the existence of the PNA1, PNB1, and PNC, including new paragraphs regulating their rights, characteristics, advantages, and limitations; provide for the tag-along right of the PNA1, PNB1, PNCs, and common shares; regulate the immediate redemption of the PNRs, the method for calculating the redemption value, its conditions and limitations; adjust the wording of §§1 to 6 to update numbering and the A1 and B1 nomenclature; (i.6) amend Article 16 to provide for the exceptions set forth in Article 11, §10 and §§15 to 17; (i.7) amend Article 34, caput, in order to expressly state that the right to elect board members in a separate vote applies only to preferred shares with no voting rights; and (i.8) amend Article 36, item XI, to include preferred shares among the matters under the competence of the Board of Directors relating to the issuance of shares under authorized capital. 11390*** 64.400 0 0 11403*** 1.338.015 0 0 11423*** 70.266 0 0 11435*** 30.154 0 0 11451*** 10.713 0 0 11520*** 47.400 0 0 11538*** 371.390 0 0 11604*** 360.492 0 0 11729*** 107.780 0 0 11738*** 250 0 0 11748*** 429.545 0 0 11811*** 30.900 0 0 11841*** 246.000 0 0 11906*** 151.616 0 0 11952*** 278.000 0 0 11977*** 189.006 0 0 12068*** 1.035.445 0 0 12086*** 19.807 0 0 12086*** 0 0 9 12094*** 460.415 0 0 12120*** 132.000 0 0 12287*** 19.832 0 0 15 de 54 # Classificação: Pública Shareholder For Against Abstain CNPJ: 00.001.180/0001-26AXIA Energia - EGM 12/19/2025 DETAILED FINAL VOTING MAP 9. Amendment of the Companys Bylaws to: (i.1) amend Article 4, caput, and §1, to include PNA1, PNB1, PNR, and PNC as new classes of preferred shares; amend §4 to regulate the one vote per share right of the PNCs; include §5 to provide for the extinction of the PNC class after the conversion or redemption of all its shares; include a new paragraph to expressly provide for the mandatory redeemable nature of the PNR and its automatic extinction upon full redemption; (i.2) amendment of Article 5, caput, to allow increases within the Company’s authorized capital through the issuance of PNCs; (i.3) amend the wording of Article 6, sole paragraph, due to the creation of the PNCs, to establish that this provision applies only to class A1 and B1 preferred shares; (i.4) make wording adjustments to Articles 9 and 10 in order to encompass all shares with voting rights, including the PNCs, in the context of the tender offer triggered upon reaching a relevant shareholding threshold (poison pill); (i.5) amend Article 11, caput, to contemplate the existence of the PNA1, PNB1, and PNC, including new paragraphs regulating their rights, characteristics, advantages, and limitations; provide for the tag-along right of the PNA1, PNB1, PNCs, and common shares; regulate the immediate redemption of the PNRs, the method for calculating the redemption value, its conditions and limitations; adjust the wording of §§1 to 6 to update numbering and the A1 and B1 nomenclature; (i.6) amend Article 16 to provide for the exceptions set forth in Article 11, §10 and §§15 to 17; (i.7) amend Article 34, caput, in order to expressly state that the right to elect board members in a separate vote applies only to preferred shares with no voting rights; and (i.8) amend Article 36, item XI, to include preferred shares among the matters under the competence of the Board of Directors relating to the issuance of shares under authorized capital. 12456*** 0 3 0 12518*** 8 0 0 12525*** 55.857 0 0 12938*** 149.500 0 0 12984*** 4.024 0 0 12984*** 18.461 0 0 12995*** 20 0 0 13022*** 8.606 0 0 13033*** 2.080 0 0 13066*** 302.163 0 0 13081*** 69.000 0 0 13281*** 22 0 0 13294*** 124.722 0 0 13296*** 40.202 0 0 13307*** 205.200 0 0 13343*** 311.700 0 0 13362*** 476.877 0 0 13402*** 280.900 0 0 13474*** 700 0 0 13521*** 220 0 0 13562*** 37.000 0 0 13562*** 548.300 0 0 16 de 54 # Classificação: Pública Shareholder For Against Abstain CNPJ: 00.001.180/0001-26AXIA Energia - EGM 12/19/2025 DETAILED FINAL VOTING MAP 9. Amendment of the Companys Bylaws to: (i.1) amend Article 4, caput, and §1, to include PNA1, PNB1, PNR, and PNC as new classes of preferred shares; amend §4 to regulate the one vote per share right of the PNCs; include §5 to provide for the extinction of the PNC class after the conversion or redemption of all its shares; include a new paragraph to expressly provide for the mandatory redeemable nature of the PNR and its automatic extinction upon full redemption; (i.2) amendment of Article 5, caput, to allow increases within the Company’s authorized capital through the issuance of PNCs; (i.3) amend the wording of Article 6, sole paragraph, due to the creation of the PNCs, to establish that this provision applies only to class A1 and B1 preferred shares; (i.4) make wording adjustments to Articles 9 and 10 in order to encompass all shares with voting rights, including the PNCs, in the context of the tender offer triggered upon reaching a relevant shareholding threshold (poison pill); (i.5) amend Article 11, caput, to contemplate the existence of the PNA1, PNB1, and PNC, including new paragraphs regulating their rights, characteristics, advantages, and limitations; provide for the tag-along right of the PNA1, PNB1, PNCs, and common shares; regulate the immediate redemption of the PNRs, the method for calculating the redemption value, its conditions and limitations; adjust the wording of §§1 to 6 to update numbering and the A1 and B1 nomenclature; (i.6) amend Article 16 to provide for the exceptions set forth in Article 11, §10 and §§15 to 17; (i.7) amend Article 34, caput, in order to expressly state that the right to elect board members in a separate vote applies only to preferred shares with no voting rights; and (i.8) amend Article 36, item XI, to include preferred shares among the matters under the competence of the Board of Directors relating to the issuance of shares under authorized capital. 13665*** 138.000 0 0 13725*** 84.512 0 0 13796*** 90.793 0 0 13834*** 233.763 0 0 13834*** 381.977 0 0 13909*** 167.488 0 0 13998*** 4.060 0 0 14012*** 1.407.965 0 0 14027*** 567.280 0 0 14138*** 920.375 0 0 14159*** 3 0 0 14180*** 368.100 0 0 14188*** 76.287 0 0 14220*** 11.200 0 0 14240*** 23.800 0 0 14366*** 28.010 0 0 14406*** 200 0 0 14416*** 326.295 0 0 14461*** 73.600 0 0 14476*** 131.958 0 0 14494*** 22.433 0 0 14507*** 735.071 0 0 17 de 54 # Classificação: Pública Shareholder For Against Abstain CNPJ: 00.001.180/0001-26AXIA Energia - EGM 12/19/2025 DETAILED FINAL VOTING MAP 9. Amendment of the Companys Bylaws to: (i.1) amend Article 4, caput, and §1, to include PNA1, PNB1, PNR, and PNC as new classes of preferred shares; amend §4 to regulate the one vote per share right of the PNCs; include §5 to provide for the extinction of the PNC class after the conversion or redemption of all its shares; include a new paragraph to expressly provide for the mandatory redeemable nature of the PNR and its automatic extinction upon full redemption; (i.2) amendment of Article 5, caput, to allow increases within the Company’s authorized capital through the issuance of PNCs; (i.3) amend the wording of Article 6, sole paragraph, due to the creation of the PNCs, to establish that this provision applies only to class A1 and B1 preferred shares; (i.4) make wording adjustments to Articles 9 and 10 in order to encompass all shares with voting rights, including the PNCs, in the context of the tender offer triggered upon reaching a relevant shareholding threshold (poison pill); (i.5) amend Article 11, caput, to contemplate the existence of the PNA1, PNB1, and PNC, including new paragraphs regulating their rights, characteristics, advantages, and limitations; provide for the tag-along right of the PNA1, PNB1, PNCs, and common shares; regulate the immediate redemption of the PNRs, the method for calculating the redemption value, its conditions and limitations; adjust the wording of §§1 to 6 to update numbering and the A1 and B1 nomenclature; (i.6) amend Article 16 to provide for the exceptions set forth in Article 11, §10 and §§15 to 17; (i.7) amend Article 34, caput, in order to expressly state that the right to elect board members in a separate vote applies only to preferred shares with no voting rights; and (i.8) amend Article 36, item XI, to include preferred shares among the matters under the competence of the Board of Directors relating to the issuance of shares under authorized capital. 14541*** 1.531.341 0 0 14549*** 25.453 0 0 14623*** 1.120.542 0 0 14623*** 184.100 0 0 14624*** 1.530.000 0 0 14628*** 17.094 0 0 14639*** 200.200 0 0 14791*** 47.100 0 0 14809*** 207.700 0 0 14879*** 12.400 0 0 14963*** 287.800 0 0 14988*** 710.784 0 0 15011*** 2 0 0 15036*** 0 0 85 15154*** 340.800 0 0 15265*** 177.240 0 0 15265*** 2.300 0 0 15323*** 34.929 0 0 15807*** 168.286 0 0 15816*** 2.609 0 0 16575*** 257.846 0 0 16617*** 37.100 0 0 18 de 54 # Classificação: Pública Shareholder For Against Abstain CNPJ: 00.001.180/0001-26AXIA Energia - EGM 12/19/2025 DETAILED FINAL VOTING MAP 9. Amendment of the Companys Bylaws to: (i.1) amend Article 4, caput, and §1, to include PNA1, PNB1, PNR, and PNC as new classes of preferred shares; amend §4 to regulate the one vote per share right of the PNCs; include §5 to provide for the extinction of the PNC class after the conversion or redemption of all its shares; include a new paragraph to expressly provide for the mandatory redeemable nature of the PNR and its automatic extinction upon full redemption; (i.2) amendment of Article 5, caput, to allow increases within the Company’s authorized capital through the issuance of PNCs; (i.3) amend the wording of Article 6, sole paragraph, due to the creation of the PNCs, to establish that this provision applies only to class A1 and B1 preferred shares; (i.4) make wording adjustments to Articles 9 and 10 in order to encompass all shares with voting rights, including the PNCs, in the context of the tender offer triggered upon reaching a relevant shareholding threshold (poison pill); (i.5) amend Article 11, caput, to contemplate the existence of the PNA1, PNB1, and PNC, including new paragraphs regulating their rights, characteristics, advantages, and limitations; provide for the tag-along right of the PNA1, PNB1, PNCs, and common shares; regulate the immediate redemption of the PNRs, the method for calculating the redemption value, its conditions and limitations; adjust the wording of §§1 to 6 to update numbering and the A1 and B1 nomenclature; (i.6) amend Article 16 to provide for the exceptions set forth in Article 11, §10 and §§15 to 17; (i.7) amend Article 34, caput, in order to expressly state that the right to elect board members in a separate vote applies only to preferred shares with no voting rights; and (i.8) amend Article 36, item XI, to include preferred shares among the matters under the competence of the Board of Directors relating to the issuance of shares under authorized capital. 16816*** 1.487.180 0 0 16816*** 1.355.134 0 0 16878*** 22.500 0 0 16939*** 728.084 0 0 16947*** 483.067 0 0 16947*** 5.856.571 0 0 16947*** 11.960.862 0 0 16947*** 1.630.350 0 0 17009*** 337.765 0 0 17021*** 47.483 0 0 17036*** 229.156 0 0 17138*** 7.891 0 0 17162*** 839.967 0 0 17284*** 475.000 0 0 17488*** 5.101 0 0 17500*** 13.991 0 0 17500*** 10.350 0 0 17578*** 0 5 0 17647*** 50.550 0 0 17718*** 376.076 0 0 17825*** 13.124 0 0 17891*** 258.489 0 0 19 de 54 # Classificação: Pública Shareholder For Against Abstain CNPJ: 00.001.180/0001-26AXIA Energia - EGM 12/19/2025 DETAILED FINAL VOTING MAP 9. Amendment of the Companys Bylaws to: (i.1) amend Article 4, caput, and §1, to include PNA1, PNB1, PNR, and PNC as new classes of preferred shares; amend §4 to regulate the one vote per share right of the PNCs; include §5 to provide for the extinction of the PNC class after the conversion or redemption of all its shares; include a new paragraph to expressly provide for the mandatory redeemable nature of the PNR and its automatic extinction upon full redemption; (i.2) amendment of Article 5, caput, to allow increases within the Company’s authorized capital through the issuance of PNCs; (i.3) amend the wording of Article 6, sole paragraph, due to the creation of the PNCs, to establish that this provision applies only to class A1 and B1 preferred shares; (i.4) make wording adjustments to Articles 9 and 10 in order to encompass all shares with voting rights, including the PNCs, in the context of the tender offer triggered upon reaching a relevant shareholding threshold (poison pill); (i.5) amend Article 11, caput, to contemplate the existence of the PNA1, PNB1, and PNC, including new paragraphs regulating their rights, characteristics, advantages, and limitations; provide for the tag-along right of the PNA1, PNB1, PNCs, and common shares; regulate the immediate redemption of the PNRs, the method for calculating the redemption value, its conditions and limitations; adjust the wording of §§1 to 6 to update numbering and the A1 and B1 nomenclature; (i.6) amend Article 16 to provide for the exceptions set forth in Article 11, §10 and §§15 to 17; (i.7) amend Article 34, caput, in order to expressly state that the right to elect board members in a separate vote applies only to preferred shares with no voting rights; and (i.8) amend Article 36, item XI, to include preferred shares among the matters under the competence of the Board of Directors relating to the issuance of shares under authorized capital. 17934*** 74.887 0 0 18030*** 22.616 0 0 18138*** 2.462.000 0 0 18138*** 74.212 0 0 18158*** 593.095 0 0 18324*** 1.366.500 0 0 18391*** 13.353 0 0 18407*** 1.411.157 0 0 18470*** 271.897 0 0 18485*** 0 0 1.395 18550*** 1.066.800 0 0 18830*** 13.959 0 0 18858*** 95.400 0 0 18961*** 37.533 0 0 18969*** 16.708 0 0 18981*** 1.630 0 0 19100*** 23.865 0 0 19135*** 5.301 0 0 19143*** 1.955.911 0 0 19184*** 296.600 0 0 19232*** 5 0 0 19244*** 1.573.617 0 0 20 de 54 # Classificação: Pública Shareholder For Against Abstain CNPJ: 00.001.180/0001-26AXIA Energia - EGM 12/19/2025 DETAILED FINAL VOTING MAP 9. Amendment of the Companys Bylaws to: (i.1) amend Article 4, caput, and §1, to include PNA1, PNB1, PNR, and PNC as new classes of preferred shares; amend §4 to regulate the one vote per share right of the PNCs; include §5 to provide for the extinction of the PNC class after the conversion or redemption of all its shares; include a new paragraph to expressly provide for the mandatory redeemable nature of the PNR and its automatic extinction upon full redemption; (i.2) amendment of Article 5, caput, to allow increases within the Company’s authorized capital through the issuance of PNCs; (i.3) amend the wording of Article 6, sole paragraph, due to the creation of the PNCs, to establish that this provision applies only to class A1 and B1 preferred shares; (i.4) make wording adjustments to Articles 9 and 10 in order to encompass all shares with voting rights, including the PNCs, in the context of the tender offer triggered upon reaching a relevant shareholding threshold (poison pill); (i.5) amend Article 11, caput, to contemplate the existence of the PNA1, PNB1, and PNC, including new paragraphs regulating their rights, characteristics, advantages, and limitations; provide for the tag-along right of the PNA1, PNB1, PNCs, and common shares; regulate the immediate redemption of the PNRs, the method for calculating the redemption value, its conditions and limitations; adjust the wording of §§1 to 6 to update numbering and the A1 and B1 nomenclature; (i.6) amend Article 16 to provide for the exceptions set forth in Article 11, §10 and §§15 to 17; (i.7) amend Article 34, caput, in order to expressly state that the right to elect board members in a separate vote applies only to preferred shares with no voting rights; and (i.8) amend Article 36, item XI, to include preferred shares among the matters under the competence of the Board of Directors relating to the issuance of shares under authorized capital. 19318*** 5.200 0 0 19388*** 310.634 0 0 19449*** 7.888 0 0 19477*** 71 0 0 19530*** 1.198.949 0 0 19573*** 8.556 0 0 19609*** 696.300 0 0 19675*** 173.816 0 0 19708*** 164.080 0 0 19754*** 398.161 0 0 19791*** 170.700 0 0 19791*** 861.100 0 0 19800*** 18.986 0 0 19808*** 295.677 0 0 19825*** 4.200 0 0 19874*** 302.100 0 0 19874*** 117.200 0 0 19874*** 186.268 0 0 19910*** 35.990 0 0 19919*** 1.446.617 0 0 20026*** 2.693 0 0 20065*** 440.327 0 0 21 de 54 # Classificação: Pública Shareholder For Against Abstain CNPJ: 00.001.180/0001-26AXIA Energia - EGM 12/19/2025 DETAILED FINAL VOTING MAP 9. Amendment of the Companys Bylaws to: (i.1) amend Article 4, caput, and §1, to include PNA1, PNB1, PNR, and PNC as new classes of preferred shares; amend §4 to regulate the one vote per share right of the PNCs; include §5 to provide for the extinction of the PNC class after the conversion or redemption of all its shares; include a new paragraph to expressly provide for the mandatory redeemable nature of the PNR and its automatic extinction upon full redemption; (i.2) amendment of Article 5, caput, to allow increases within the Company’s authorized capital through the issuance of PNCs; (i.3) amend the wording of Article 6, sole paragraph, due to the creation of the PNCs, to establish that this provision applies only to class A1 and B1 preferred shares; (i.4) make wording adjustments to Articles 9 and 10 in order to encompass all shares with voting rights, including the PNCs, in the context of the tender offer triggered upon reaching a relevant shareholding threshold (poison pill); (i.5) amend Article 11, caput, to contemplate the existence of the PNA1, PNB1, and PNC, including new paragraphs regulating their rights, characteristics, advantages, and limitations; provide for the tag-along right of the PNA1, PNB1, PNCs, and common shares; regulate the immediate redemption of the PNRs, the method for calculating the redemption value, its conditions and limitations; adjust the wording of §§1 to 6 to update numbering and the A1 and B1 nomenclature; (i.6) amend Article 16 to provide for the exceptions set forth in Article 11, §10 and §§15 to 17; (i.7) amend Article 34, caput, in order to expressly state that the right to elect board members in a separate vote applies only to preferred shares with no voting rights; and (i.8) amend Article 36, item XI, to include preferred shares among the matters under the competence of the Board of Directors relating to the issuance of shares under authorized capital. 20147*** 290.246 0 0 20216*** 0 0 0 20349*** 74.118 0 0 20384*** 0 15.000 0 20397*** 152.369 0 0 20447*** 17.692 0 0 20604*** 164.611 0 0 20622*** 380.219 0 0 20733*** 227.900 0 0 20750*** 34.379 0 0 20796*** 75.932 0 0 20813*** 2.076.953 0 0 20849*** 29.927 0 0 20903*** 13.400 0 0 20923*** 11.945 0 0 21052*** 293.708 0 0 21053*** 300 0 0 21144*** 18.170 0 0 21166*** 5.413 0 0 21287*** 37.771 0 0 21336*** 9.070 0 0 21347*** 11.902 0 0 22 de 54 # Classificação: Pública Shareholder For Against Abstain CNPJ: 00.001.180/0001-26AXIA Energia - EGM 12/19/2025 DETAILED FINAL VOTING MAP 9. Amendment of the Companys Bylaws to: (i.1) amend Article 4, caput, and §1, to include PNA1, PNB1, PNR, and PNC as new classes of preferred shares; amend §4 to regulate the one vote per share right of the PNCs; include §5 to provide for the extinction of the PNC class after the conversion or redemption of all its shares; include a new paragraph to expressly provide for the mandatory redeemable nature of the PNR and its automatic extinction upon full redemption; (i.2) amendment of Article 5, caput, to allow increases within the Company’s authorized capital through the issuance of PNCs; (i.3) amend the wording of Article 6, sole paragraph, due to the creation of the PNCs, to establish that this provision applies only to class A1 and B1 preferred shares; (i.4) make wording adjustments to Articles 9 and 10 in order to encompass all shares with voting rights, including the PNCs, in the context of the tender offer triggered upon reaching a relevant shareholding threshold (poison pill); (i.5) amend Article 11, caput, to contemplate the existence of the PNA1, PNB1, and PNC, including new paragraphs regulating their rights, characteristics, advantages, and limitations; provide for the tag-along right of the PNA1, PNB1, PNCs, and common shares; regulate the immediate redemption of the PNRs, the method for calculating the redemption value, its conditions and limitations; adjust the wording of §§1 to 6 to update numbering and the A1 and B1 nomenclature; (i.6) amend Article 16 to provide for the exceptions set forth in Article 11, §10 and §§15 to 17; (i.7) amend Article 34, caput, in order to expressly state that the right to elect board members in a separate vote applies only to preferred shares with no voting rights; and (i.8) amend Article 36, item XI, to include preferred shares among the matters under the competence of the Board of Directors relating to the issuance of shares under authorized capital. 21407*** 2.026.972 0 0 21881*** 40.900 0 0 21962*** 166.796 0 0 22105*** 203.400 0 0 22106*** 568.043 0 0 22166*** 28.698 0 0 22321*** 121.546 0 0 22360*** 4.629 0 0 22410*** 435.030 0 0 22501*** 6.182 0 0 22576*** 542.300 0 0 22648*** 10 0 0 22764*** 440.460 0 0 22764*** 226 0 0 22875*** 151.938 0 0 22896*** 73.257 0 0 23060*** 74.214 0 0 23127*** 271.156 0 0 23213*** 50.171 0 0 23213*** 58.500 0 0 23242*** 23.600 0 0 23572*** 59.861 0 0 23 de 54 # Classificação: Pública Shareholder For Against Abstain CNPJ: 00.001.180/0001-26AXIA Energia - EGM 12/19/2025 DETAILED FINAL VOTING MAP 9. Amendment of the Companys Bylaws to: (i.1) amend Article 4, caput, and §1, to include PNA1, PNB1, PNR, and PNC as new classes of preferred shares; amend §4 to regulate the one vote per share right of the PNCs; include §5 to provide for the extinction of the PNC class after the conversion or redemption of all its shares; include a new paragraph to expressly provide for the mandatory redeemable nature of the PNR and its automatic extinction upon full redemption; (i.2) amendment of Article 5, caput, to allow increases within the Company’s authorized capital through the issuance of PNCs; (i.3) amend the wording of Article 6, sole paragraph, due to the creation of the PNCs, to establish that this provision applies only to class A1 and B1 preferred shares; (i.4) make wording adjustments to Articles 9 and 10 in order to encompass all shares with voting rights, including the PNCs, in the context of the tender offer triggered upon reaching a relevant shareholding threshold (poison pill); (i.5) amend Article 11, caput, to contemplate the existence of the PNA1, PNB1, and PNC, including new paragraphs regulating their rights, characteristics, advantages, and limitations; provide for the tag-along right of the PNA1, PNB1, PNCs, and common shares; regulate the immediate redemption of the PNRs, the method for calculating the redemption value, its conditions and limitations; adjust the wording of §§1 to 6 to update numbering and the A1 and B1 nomenclature; (i.6) amend Article 16 to provide for the exceptions set forth in Article 11, §10 and §§15 to 17; (i.7) amend Article 34, caput, in order to expressly state that the right to elect board members in a separate vote applies only to preferred shares with no voting rights; and (i.8) amend Article 36, item XI, to include preferred shares among the matters under the competence of the Board of Directors relating to the issuance of shares under authorized capital. 23686*** 93.251 0 0 23691*** 0 0 441 23771*** 14.912 0 0 23794*** 790.682 0 0 23794*** 1.021.782 0 0 23854*** 1.398.723 0 0 23874*** 687.297 0 0 23958*** 160.400 0 0 23985*** 294.900 0 0 23985*** 13.275 0 0 24078*** 167.702 0 0 24158*** 259.968 0 0 24224*** 102.833 0 0 24297*** 6.072 0 0 24300*** 9.744 0 0 24548*** 1.100 0 0 24569*** 10.853 0 0 24676*** 429.300 0 0 24728*** 9.000 0 0 24752*** 63.400 0 0 24779*** 562.064 0 0 24976*** 5.020 0 0 24 de 54 # Classificação: Pública Shareholder For Against Abstain CNPJ: 00.001.180/0001-26AXIA Energia - EGM 12/19/2025 DETAILED FINAL VOTING MAP 9. Amendment of the Companys Bylaws to: (i.1) amend Article 4, caput, and §1, to include PNA1, PNB1, PNR, and PNC as new classes of preferred shares; amend §4 to regulate the one vote per share right of the PNCs; include §5 to provide for the extinction of the PNC class after the conversion or redemption of all its shares; include a new paragraph to expressly provide for the mandatory redeemable nature of the PNR and its automatic extinction upon full redemption; (i.2) amendment of Article 5, caput, to allow increases within the Company’s authorized capital through the issuance of PNCs; (i.3) amend the wording of Article 6, sole paragraph, due to the creation of the PNCs, to establish that this provision applies only to class A1 and B1 preferred shares; (i.4) make wording adjustments to Articles 9 and 10 in order to encompass all shares with voting rights, including the PNCs, in the context of the tender offer triggered upon reaching a relevant shareholding threshold (poison pill); (i.5) amend Article 11, caput, to contemplate the existence of the PNA1, PNB1, and PNC, including new paragraphs regulating their rights, characteristics, advantages, and limitations; provide for the tag-along right of the PNA1, PNB1, PNCs, and common shares; regulate the immediate redemption of the PNRs, the method for calculating the redemption value, its conditions and limitations; adjust the wording of §§1 to 6 to update numbering and the A1 and B1 nomenclature; (i.6) amend Article 16 to provide for the exceptions set forth in Article 11, §10 and §§15 to 17; (i.7) amend Article 34, caput, in order to expressly state that the right to elect board members in a separate vote applies only to preferred shares with no voting rights; and (i.8) amend Article 36, item XI, to include preferred shares among the matters under the competence of the Board of Directors relating to the issuance of shares under authorized capital. 25019*** 15.433 0 0 25028*** 39.584 0 0 25079*** 23.610 0 0 25134*** 0 0 400 25138*** 265.200 0 0 25169*** 7.586.634 0 0 25220*** 11.600 0 0 25232*** 412.400 0 0 25282*** 4.100 0 0 25454*** 509.300 0 0 25485*** 217 0 0 25612*** 21 0 0 26066*** 96.100 0 0 26087*** 338.300 0 0 26142*** 9.630 0 0 26160*** 150.526 0 0 26294*** 8 0 0 26311*** 99.855 0 0 26431*** 490.824 0 0 26496*** 2.600 0 0 26565*** 163.000 0 0 26670*** 99.900 0 0 25 de 54 # Classificação: Pública Shareholder For Against Abstain CNPJ: 00.001.180/0001-26AXIA Energia - EGM 12/19/2025 DETAILED FINAL VOTING MAP 9. Amendment of the Companys Bylaws to: (i.1) amend Article 4, caput, and §1, to include PNA1, PNB1, PNR, and PNC as new classes of preferred shares; amend §4 to regulate the one vote per share right of the PNCs; include §5 to provide for the extinction of the PNC class after the conversion or redemption of all its shares; include a new paragraph to expressly provide for the mandatory redeemable nature of the PNR and its automatic extinction upon full redemption; (i.2) amendment of Article 5, caput, to allow increases within the Company’s authorized capital through the issuance of PNCs; (i.3) amend the wording of Article 6, sole paragraph, due to the creation of the PNCs, to establish that this provision applies only to class A1 and B1 preferred shares; (i.4) make wording adjustments to Articles 9 and 10 in order to encompass all shares with voting rights, including the PNCs, in the context of the tender offer triggered upon reaching a relevant shareholding threshold (poison pill); (i.5) amend Article 11, caput, to contemplate the existence of the PNA1, PNB1, and PNC, including new paragraphs regulating their rights, characteristics, advantages, and limitations; provide for the tag-along right of the PNA1, PNB1, PNCs, and common shares; regulate the immediate redemption of the PNRs, the method for calculating the redemption value, its conditions and limitations; adjust the wording of §§1 to 6 to update numbering and the A1 and B1 nomenclature; (i.6) amend Article 16 to provide for the exceptions set forth in Article 11, §10 and §§15 to 17; (i.7) amend Article 34, caput, in order to expressly state that the right to elect board members in a separate vote applies only to preferred shares with no voting rights; and (i.8) amend Article 36, item XI, to include preferred shares among the matters under the competence of the Board of Directors relating to the issuance of shares under authorized capital. 26729*** 40.262.449 0 0 26773*** 5.024 0 0 26776*** 277.512 0 0 26784*** 155 0 0 26784*** 33.267 0 0 26784*** 6.400 0 0 26855*** 15.357 0 0 26855*** 102.747 0 0 26859*** 87.312 0 0 26859*** 6.853 0 0 26859*** 16.768 0 0 27074*** 10.636 0 0 27084*** 88.000 0 0 27109*** 3.877.282 0 0 27150*** 16 0 0 27213*** 0 0 50 27222*** 13.343 0 0 27249*** 23.392 0 0 27257*** 1.873.581 0 0 27311*** 8.586 0 0 27328*** 1.800 0 0 27484*** 204.786 0 0 26 de 54 # Classificação: Pública Shareholder For Against Abstain CNPJ: 00.001.180/0001-26AXIA Energia - EGM 12/19/2025 DETAILED FINAL VOTING MAP 9. Amendment of the Companys Bylaws to: (i.1) amend Article 4, caput, and §1, to include PNA1, PNB1, PNR, and PNC as new classes of preferred shares; amend §4 to regulate the one vote per share right of the PNCs; include §5 to provide for the extinction of the PNC class after the conversion or redemption of all its shares; include a new paragraph to expressly provide for the mandatory redeemable nature of the PNR and its automatic extinction upon full redemption; (i.2) amendment of Article 5, caput, to allow increases within the Company’s authorized capital through the issuance of PNCs; (i.3) amend the wording of Article 6, sole paragraph, due to the creation of the PNCs, to establish that this provision applies only to class A1 and B1 preferred shares; (i.4) make wording adjustments to Articles 9 and 10 in order to encompass all shares with voting rights, including the PNCs, in the context of the tender offer triggered upon reaching a relevant shareholding threshold (poison pill); (i.5) amend Article 11, caput, to contemplate the existence of the PNA1, PNB1, and PNC, including new paragraphs regulating their rights, characteristics, advantages, and limitations; provide for the tag-along right of the PNA1, PNB1, PNCs, and common shares; regulate the immediate redemption of the PNRs, the method for calculating the redemption value, its conditions and limitations; adjust the wording of §§1 to 6 to update numbering and the A1 and B1 nomenclature; (i.6) amend Article 16 to provide for the exceptions set forth in Article 11, §10 and §§15 to 17; (i.7) amend Article 34, caput, in order to expressly state that the right to elect board members in a separate vote applies only to preferred shares with no voting rights; and (i.8) amend Article 36, item XI, to include preferred shares among the matters under the competence of the Board of Directors relating to the issuance of shares under authorized capital. 27550*** 232.468 0 0 27642*** 32 0 0 27683*** 3 0 0 27714*** 2.233.483 0 0 27714*** 93.926 0 0 27778*** 12.500 0 0 27826*** 30.476 0 0 27844*** 1.880 0 0 27866*** 1.274.077 0 0 27866*** 139.539 0 0 27866*** 5.120.829 0 0 27866*** 1.751.954 0 0 27866*** 116.882 0 0 27880*** 134.667 0 0 27932*** 55.200 0 0 27995*** 0 0 42 28031*** 17 0 0 28072*** 61.816 0 0 28260*** 13.932.249 0 0 28271*** 7.300 0 0 28328*** 12.700 0 0 28394*** 186.900 0 0 27 de 54 # Classificação: Pública Shareholder For Against Abstain CNPJ: 00.001.180/0001-26AXIA Energia - EGM 12/19/2025 DETAILED FINAL VOTING MAP 9. Amendment of the Companys Bylaws to: (i.1) amend Article 4, caput, and §1, to include PNA1, PNB1, PNR, and PNC as new classes of preferred shares; amend §4 to regulate the one vote per share right of the PNCs; include §5 to provide for the extinction of the PNC class after the conversion or redemption of all its shares; include a new paragraph to expressly provide for the mandatory redeemable nature of the PNR and its automatic extinction upon full redemption; (i.2) amendment of Article 5, caput, to allow increases within the Company’s authorized capital through the issuance of PNCs; (i.3) amend the wording of Article 6, sole paragraph, due to the creation of the PNCs, to establish that this provision applies only to class A1 and B1 preferred shares; (i.4) make wording adjustments to Articles 9 and 10 in order to encompass all shares with voting rights, including the PNCs, in the context of the tender offer triggered upon reaching a relevant shareholding threshold (poison pill); (i.5) amend Article 11, caput, to contemplate the existence of the PNA1, PNB1, and PNC, including new paragraphs regulating their rights, characteristics, advantages, and limitations; provide for the tag-along right of the PNA1, PNB1, PNCs, and common shares; regulate the immediate redemption of the PNRs, the method for calculating the redemption value, its conditions and limitations; adjust the wording of §§1 to 6 to update numbering and the A1 and B1 nomenclature; (i.6) amend Article 16 to provide for the exceptions set forth in Article 11, §10 and §§15 to 17; (i.7) amend Article 34, caput, in order to expressly state that the right to elect board members in a separate vote applies only to preferred shares with no voting rights; and (i.8) amend Article 36, item XI, to include preferred shares among the matters under the competence of the Board of Directors relating to the issuance of shares under authorized capital. 28470*** 759.985 0 0 28581*** 79.895 0 0 28586*** 127.443 0 0 28690*** 3.400 0 0 28703*** 38.502 0 0 28734*** 1.395.900 0 0 28769*** 200 0 0 28784*** 74.697 0 0 28979*** 2.700 0 0 28979*** 485.443 0 0 28990*** 767.600 0 0 29011*** 9.430 0 0 29073*** 120.195 0 0 29085*** 8.559 0 0 29092*** 6.800 0 0 29213*** 0 0 20 29237*** 0 384 0 29237*** 158.900 0 0 29258*** 150.641 0 0 29259*** 1.478 0 0 29275*** 70 0 0 29275*** 22.443 0 0 28 de 54 # Classificação: Pública Shareholder For Against Abstain CNPJ: 00.001.180/0001-26AXIA Energia - EGM 12/19/2025 DETAILED FINAL VOTING MAP 9. Amendment of the Companys Bylaws to: (i.1) amend Article 4, caput, and §1, to include PNA1, PNB1, PNR, and PNC as new classes of preferred shares; amend §4 to regulate the one vote per share right of the PNCs; include §5 to provide for the extinction of the PNC class after the conversion or redemption of all its shares; include a new paragraph to expressly provide for the mandatory redeemable nature of the PNR and its automatic extinction upon full redemption; (i.2) amendment of Article 5, caput, to allow increases within the Company’s authorized capital through the issuance of PNCs; (i.3) amend the wording of Article 6, sole paragraph, due to the creation of the PNCs, to establish that this provision applies only to class A1 and B1 preferred shares; (i.4) make wording adjustments to Articles 9 and 10 in order to encompass all shares with voting rights, including the PNCs, in the context of the tender offer triggered upon reaching a relevant shareholding threshold (poison pill); (i.5) amend Article 11, caput, to contemplate the existence of the PNA1, PNB1, and PNC, including new paragraphs regulating their rights, characteristics, advantages, and limitations; provide for the tag-along right of the PNA1, PNB1, PNCs, and common shares; regulate the immediate redemption of the PNRs, the method for calculating the redemption value, its conditions and limitations; adjust the wording of §§1 to 6 to update numbering and the A1 and B1 nomenclature; (i.6) amend Article 16 to provide for the exceptions set forth in Article 11, §10 and §§15 to 17; (i.7) amend Article 34, caput, in order to expressly state that the right to elect board members in a separate vote applies only to preferred shares with no voting rights; and (i.8) amend Article 36, item XI, to include preferred shares among the matters under the competence of the Board of Directors relating to the issuance of shares under authorized capital. 29322*** 15.371.463 0 0 29361*** 348.600 0 0 29485*** 333.306 0 0 29522*** 28.000 0 0 29550*** 18.300 0 0 29592*** 67 0 0 29668*** 3.412.439 0 0 29733*** 4.996 0 0 30066*** 28.386 0 0 30178*** 13.300 0 0 30254*** 132.880 0 0 30254*** 74.123 0 0 30402*** 3.079.873 0 0 30447*** 202.100 0 0 30463*** 90.200 0 0 30515*** 14.056 0 0 30522*** 38.589 0 0 30556*** 4.002 0 0 30624*** 9.325 0 0 30769*** 426.500 0 0 30769*** 53.187 0 0 30942*** 158.500 0 0 29 de 54 # Classificação: Pública Shareholder For Against Abstain CNPJ: 00.001.180/0001-26AXIA Energia - EGM 12/19/2025 DETAILED FINAL VOTING MAP 9. Amendment of the Companys Bylaws to: (i.1) amend Article 4, caput, and §1, to include PNA1, PNB1, PNR, and PNC as new classes of preferred shares; amend §4 to regulate the one vote per share right of the PNCs; include §5 to provide for the extinction of the PNC class after the conversion or redemption of all its shares; include a new paragraph to expressly provide for the mandatory redeemable nature of the PNR and its automatic extinction upon full redemption; (i.2) amendment of Article 5, caput, to allow increases within the Company’s authorized capital through the issuance of PNCs; (i.3) amend the wording of Article 6, sole paragraph, due to the creation of the PNCs, to establish that this provision applies only to class A1 and B1 preferred shares; (i.4) make wording adjustments to Articles 9 and 10 in order to encompass all shares with voting rights, including the PNCs, in the context of the tender offer triggered upon reaching a relevant shareholding threshold (poison pill); (i.5) amend Article 11, caput, to contemplate the existence of the PNA1, PNB1, and PNC, including new paragraphs regulating their rights, characteristics, advantages, and limitations; provide for the tag-along right of the PNA1, PNB1, PNCs, and common shares; regulate the immediate redemption of the PNRs, the method for calculating the redemption value, its conditions and limitations; adjust the wording of §§1 to 6 to update numbering and the A1 and B1 nomenclature; (i.6) amend Article 16 to provide for the exceptions set forth in Article 11, §10 and §§15 to 17; (i.7) amend Article 34, caput, in order to expressly state that the right to elect board members in a separate vote applies only to preferred shares with no voting rights; and (i.8) amend Article 36, item XI, to include preferred shares among the matters under the competence of the Board of Directors relating to the issuance of shares under authorized capital. 30988*** 1.918.400 0 0 31006*** 100 0 0 31050*** 209.351 0 0 31322*** 3.610.476 0 0 31322*** 0 200.000 0 31502*** 8.874.319 0 0 31577*** 72.000 0 0 31577*** 344.876 0 0 31591*** 8.371 0 0 31615*** 0 400 0 31666*** 40.572 0 0 31692*** 299.000 0 0 31697*** 0 0 1 31814*** 2.543.463 0 0 31814*** 29.985 0 0 31814*** 618.532 0 0 31866*** 206.855 0 0 31914*** 3.955.286 0 0 31914*** 112.200 0 0 31923*** 51.500 0 0 31978*** 518.952 0 0 31989*** 544.424 0 0 30 de 54 # Classificação: Pública Shareholder For Against Abstain CNPJ: 00.001.180/0001-26AXIA Energia - EGM 12/19/2025 DETAILED FINAL VOTING MAP 9. Amendment of the Companys Bylaws to: (i.1) amend Article 4, caput, and §1, to include PNA1, PNB1, PNR, and PNC as new classes of preferred shares; amend §4 to regulate the one vote per share right of the PNCs; include §5 to provide for the extinction of the PNC class after the conversion or redemption of all its shares; include a new paragraph to expressly provide for the mandatory redeemable nature of the PNR and its automatic extinction upon full redemption; (i.2) amendment of Article 5, caput, to allow increases within the Company’s authorized capital through the issuance of PNCs; (i.3) amend the wording of Article 6, sole paragraph, due to the creation of the PNCs, to establish that this provision applies only to class A1 and B1 preferred shares; (i.4) make wording adjustments to Articles 9 and 10 in order to encompass all shares with voting rights, including the PNCs, in the context of the tender offer triggered upon reaching a relevant shareholding threshold (poison pill); (i.5) amend Article 11, caput, to contemplate the existence of the PNA1, PNB1, and PNC, including new paragraphs regulating their rights, characteristics, advantages, and limitations; provide for the tag-along right of the PNA1, PNB1, PNCs, and common shares; regulate the immediate redemption of the PNRs, the method for calculating the redemption value, its conditions and limitations; adjust the wording of §§1 to 6 to update numbering and the A1 and B1 nomenclature; (i.6) amend Article 16 to provide for the exceptions set forth in Article 11, §10 and §§15 to 17; (i.7) amend Article 34, caput, in order to expressly state that the right to elect board members in a separate vote applies only to preferred shares with no voting rights; and (i.8) amend Article 36, item XI, to include preferred shares among the matters under the competence of the Board of Directors relating to the issuance of shares under authorized capital. 32013*** 0 0 170 32106*** 20.980 0 0 32106*** 117.700 0 0 32106*** 632.700 0 0 32203*** 1.425.459 0 0 32239*** 3.920 0 0 32240*** 5.886 0 0 32253*** 6 0 0 32289*** 18.030 0 0 32289*** 893 0 0 32319*** 17.000 0 0 32329*** 1.132.447 0 0 32399*** 131.448 0 0 32484*** 48.000 0 0 32486*** 20 0 0 32497*** 13.900 0 0 32642*** 1.400 0 0 32755*** 30 0 0 32812*** 154.936 0 0 32812*** 8.100 0 0 32812*** 10.200 0 0 32893*** 10.774 0 0 31 de 54 # Classificação: Pública Shareholder For Against Abstain CNPJ: 00.001.180/0001-26AXIA Energia - EGM 12/19/2025 DETAILED FINAL VOTING MAP 9. Amendment of the Companys Bylaws to: (i.1) amend Article 4, caput, and §1, to include PNA1, PNB1, PNR, and PNC as new classes of preferred shares; amend §4 to regulate the one vote per share right of the PNCs; include §5 to provide for the extinction of the PNC class after the conversion or redemption of all its shares; include a new paragraph to expressly provide for the mandatory redeemable nature of the PNR and its automatic extinction upon full redemption; (i.2) amendment of Article 5, caput, to allow increases within the Company’s authorized capital through the issuance of PNCs; (i.3) amend the wording of Article 6, sole paragraph, due to the creation of the PNCs, to establish that this provision applies only to class A1 and B1 preferred shares; (i.4) make wording adjustments to Articles 9 and 10 in order to encompass all shares with voting rights, including the PNCs, in the context of the tender offer triggered upon reaching a relevant shareholding threshold (poison pill); (i.5) amend Article 11, caput, to contemplate the existence of the PNA1, PNB1, and PNC, including new paragraphs regulating their rights, characteristics, advantages, and limitations; provide for the tag-along right of the PNA1, PNB1, PNCs, and common shares; regulate the immediate redemption of the PNRs, the method for calculating the redemption value, its conditions and limitations; adjust the wording of §§1 to 6 to update numbering and the A1 and B1 nomenclature; (i.6) amend Article 16 to provide for the exceptions set forth in Article 11, §10 and §§15 to 17; (i.7) amend Article 34, caput, in order to expressly state that the right to elect board members in a separate vote applies only to preferred shares with no voting rights; and (i.8) amend Article 36, item XI, to include preferred shares among the matters under the competence of the Board of Directors relating to the issuance of shares under authorized capital. 32905*** 2.583 0 0 33042*** 20.005.202 11.026 33.397.675 33121*** 14.413 0 0 33285*** 3.468 0 0 33580*** 37.452 0 0 33588*** 90.400 0 0 33745*** 11 0 0 33814*** 34.317 0 0 33814*** 81.855 0 0 33842*** 27.952 0 0 33968*** 39.400 0 0 34027*** 202.600 0 0 34037*** 0 0 28 34054*** 780.000 0 0 34064*** 758.600 0 0 34109*** 0 0 0 34123*** 24.600 0 0 34172*** 2.548.963 0 0 34172*** 35.955 0 0 34218*** 3.525 0 0 34370*** 1.115 0 0 34448*** 85.700 0 0 32 de 54 # Classificação: Pública Shareholder For Against Abstain CNPJ: 00.001.180/0001-26AXIA Energia - EGM 12/19/2025 DETAILED FINAL VOTING MAP 9. Amendment of the Companys Bylaws to: (i.1) amend Article 4, caput, and §1, to include PNA1, PNB1, PNR, and PNC as new classes of preferred shares; amend §4 to regulate the one vote per share right of the PNCs; include §5 to provide for the extinction of the PNC class after the conversion or redemption of all its shares; include a new paragraph to expressly provide for the mandatory redeemable nature of the PNR and its automatic extinction upon full redemption; (i.2) amendment of Article 5, caput, to allow increases within the Company’s authorized capital through the issuance of PNCs; (i.3) amend the wording of Article 6, sole paragraph, due to the creation of the PNCs, to establish that this provision applies only to class A1 and B1 preferred shares; (i.4) make wording adjustments to Articles 9 and 10 in order to encompass all shares with voting rights, including the PNCs, in the context of the tender offer triggered upon reaching a relevant shareholding threshold (poison pill); (i.5) amend Article 11, caput, to contemplate the existence of the PNA1, PNB1, and PNC, including new paragraphs regulating their rights, characteristics, advantages, and limitations; provide for the tag-along right of the PNA1, PNB1, PNCs, and common shares; regulate the immediate redemption of the PNRs, the method for calculating the redemption value, its conditions and limitations; adjust the wording of §§1 to 6 to update numbering and the A1 and B1 nomenclature; (i.6) amend Article 16 to provide for the exceptions set forth in Article 11, §10 and §§15 to 17; (i.7) amend Article 34, caput, in order to expressly state that the right to elect board members in a separate vote applies only to preferred shares with no voting rights; and (i.8) amend Article 36, item XI, to include preferred shares among the matters under the competence of the Board of Directors relating to the issuance of shares under authorized capital. 34479*** 0 410 0 34546*** 35.100 0 0 34606*** 148.223 0 0 34723*** 1.190 0 0 34768*** 6.400 0 0 34791*** 75.763 0 0 34798*** 22.762 0 0 34825*** 14.742 0 0 34867*** 8.549 0 0 34900*** 152.347 0 0 35075*** 1.308 0 0 35088*** 2 0 0 35304*** 143.187 0 0 35376*** 10 0 0 35377*** 596 0 0 35492*** 46.000 0 0 35492*** 384.000 0 0 35495*** 76.536 0 0 35595*** 69.131 0 0 35637*** 200.749 0 0 35693*** 8.611.443 0 0 35712*** 118.145 0 0 33 de 54 # Classificação: Pública Shareholder For Against Abstain CNPJ: 00.001.180/0001-26AXIA Energia - EGM 12/19/2025 DETAILED FINAL VOTING MAP 9. Amendment of the Companys Bylaws to: (i.1) amend Article 4, caput, and §1, to include PNA1, PNB1, PNR, and PNC as new classes of preferred shares; amend §4 to regulate the one vote per share right of the PNCs; include §5 to provide for the extinction of the PNC class after the conversion or redemption of all its shares; include a new paragraph to expressly provide for the mandatory redeemable nature of the PNR and its automatic extinction upon full redemption; (i.2) amendment of Article 5, caput, to allow increases within the Company’s authorized capital through the issuance of PNCs; (i.3) amend the wording of Article 6, sole paragraph, due to the creation of the PNCs, to establish that this provision applies only to class A1 and B1 preferred shares; (i.4) make wording adjustments to Articles 9 and 10 in order to encompass all shares with voting rights, including the PNCs, in the context of the tender offer triggered upon reaching a relevant shareholding threshold (poison pill); (i.5) amend Article 11, caput, to contemplate the existence of the PNA1, PNB1, and PNC, including new paragraphs regulating their rights, characteristics, advantages, and limitations; provide for the tag-along right of the PNA1, PNB1, PNCs, and common shares; regulate the immediate redemption of the PNRs, the method for calculating the redemption value, its conditions and limitations; adjust the wording of §§1 to 6 to update numbering and the A1 and B1 nomenclature; (i.6) amend Article 16 to provide for the exceptions set forth in Article 11, §10 and §§15 to 17; (i.7) amend Article 34, caput, in order to expressly state that the right to elect board members in a separate vote applies only to preferred shares with no voting rights; and (i.8) amend Article 36, item XI, to include preferred shares among the matters under the competence of the Board of Directors relating to the issuance of shares under authorized capital. 35803*** 6.344.878 0 0 35845*** 17.870 0 0 35845*** 0 0 0 35859*** 306.197 0 0 35865*** 15.026 0 0 35916*** 57.000 0 0 35985*** 11.749 0 0 36034*** 5.400 0 0 36178*** 19.762 0 0 36215*** 245.500 0 0 36327*** 1.600 0 0 36352*** 953.996 0 0 36418*** 1.030 0 0 36518*** 224.991 0 0 36659*** 3.745 0 0 36719*** 45.500 0 0 36719*** 2.507 0 0 36741*** 24.778 0 0 36822*** 12 0 0 36913*** 186 0 0 36924*** 165.500 0 0 36970*** 0 0 5 34 de 54 # Classificação: Pública Shareholder For Against Abstain CNPJ: 00.001.180/0001-26AXIA Energia - EGM 12/19/2025 DETAILED FINAL VOTING MAP 9. Amendment of the Companys Bylaws to: (i.1) amend Article 4, caput, and §1, to include PNA1, PNB1, PNR, and PNC as new classes of preferred shares; amend §4 to regulate the one vote per share right of the PNCs; include §5 to provide for the extinction of the PNC class after the conversion or redemption of all its shares; include a new paragraph to expressly provide for the mandatory redeemable nature of the PNR and its automatic extinction upon full redemption; (i.2) amendment of Article 5, caput, to allow increases within the Company’s authorized capital through the issuance of PNCs; (i.3) amend the wording of Article 6, sole paragraph, due to the creation of the PNCs, to establish that this provision applies only to class A1 and B1 preferred shares; (i.4) make wording adjustments to Articles 9 and 10 in order to encompass all shares with voting rights, including the PNCs, in the context of the tender offer triggered upon reaching a relevant shareholding threshold (poison pill); (i.5) amend Article 11, caput, to contemplate the existence of the PNA1, PNB1, and PNC, including new paragraphs regulating their rights, characteristics, advantages, and limitations; provide for the tag-along right of the PNA1, PNB1, PNCs, and common shares; regulate the immediate redemption of the PNRs, the method for calculating the redemption value, its conditions and limitations; adjust the wording of §§1 to 6 to update numbering and the A1 and B1 nomenclature; (i.6) amend Article 16 to provide for the exceptions set forth in Article 11, §10 and §§15 to 17; (i.7) amend Article 34, caput, in order to expressly state that the right to elect board members in a separate vote applies only to preferred shares with no voting rights; and (i.8) amend Article 36, item XI, to include preferred shares among the matters under the competence of the Board of Directors relating to the issuance of shares under authorized capital. 36980*** 700 0 0 37092*** 29.660 0 0 37099*** 43.200 0 0 37204*** 4.690 0 0 37228*** 11.254 0 0 37236*** 265.165 0 0 37311*** 28.611 0 0 37339*** 3.287.299 0 0 37347*** 483.043 0 0 37355*** 9.500 0 0 37388*** 54.912 0 0 37555*** 8.233 0 0 37623*** 900 0 0 37715*** 93.097 0 0 37724*** 18.859 0 0 37806*** 4.742 0 0 37837*** 45 0 0 37844*** 208.900 0 0 37905*** 47.900 0 0 38100*** 410.500 0 0 38173*** 69.236 0 0 38195*** 2.785 0 0 35 de 54 # Classificação: Pública Shareholder For Against Abstain CNPJ: 00.001.180/0001-26AXIA Energia - EGM 12/19/2025 DETAILED FINAL VOTING MAP 9. Amendment of the Companys Bylaws to: (i.1) amend Article 4, caput, and §1, to include PNA1, PNB1, PNR, and PNC as new classes of preferred shares; amend §4 to regulate the one vote per share right of the PNCs; include §5 to provide for the extinction of the PNC class after the conversion or redemption of all its shares; include a new paragraph to expressly provide for the mandatory redeemable nature of the PNR and its automatic extinction upon full redemption; (i.2) amendment of Article 5, caput, to allow increases within the Company’s authorized capital through the issuance of PNCs; (i.3) amend the wording of Article 6, sole paragraph, due to the creation of the PNCs, to establish that this provision applies only to class A1 and B1 preferred shares; (i.4) make wording adjustments to Articles 9 and 10 in order to encompass all shares with voting rights, including the PNCs, in the context of the tender offer triggered upon reaching a relevant shareholding threshold (poison pill); (i.5) amend Article 11, caput, to contemplate the existence of the PNA1, PNB1, and PNC, including new paragraphs regulating their rights, characteristics, advantages, and limitations; provide for the tag-along right of the PNA1, PNB1, PNCs, and common shares; regulate the immediate redemption of the PNRs, the method for calculating the redemption value, its conditions and limitations; adjust the wording of §§1 to 6 to update numbering and the A1 and B1 nomenclature; (i.6) amend Article 16 to provide for the exceptions set forth in Article 11, §10 and §§15 to 17; (i.7) amend Article 34, caput, in order to expressly state that the right to elect board members in a separate vote applies only to preferred shares with no voting rights; and (i.8) amend Article 36, item XI, to include preferred shares among the matters under the competence of the Board of Directors relating to the issuance of shares under authorized capital. 38202*** 46 0 0 38350*** 5.212 0 0 38374*** 4 0 0 38386*** 427.657 0 0 38388*** 0 0 0 38512*** 400 0 0 38628*** 0 0 100 38756*** 548.681 0 0 38856*** 0 20 0 38949*** 11.375 0 0 39285*** 0 0 0 39383*** 0 66.800 0 39514*** 99.499 0 0 39600*** 17.140 0 0 39687*** 716.286 0 0 39834*** 9.716 0 0 39959*** 173.200 0 0 40022*** 2.463 0 0 40091*** 172.305 0 0 40122*** 2.370.230 0 0 40136*** 1.263 0 0 40147*** 2.076.169 0 0 36 de 54 # Classificação: Pública Shareholder For Against Abstain CNPJ: 00.001.180/0001-26AXIA Energia - EGM 12/19/2025 DETAILED FINAL VOTING MAP 9. Amendment of the Companys Bylaws to: (i.1) amend Article 4, caput, and §1, to include PNA1, PNB1, PNR, and PNC as new classes of preferred shares; amend §4 to regulate the one vote per share right of the PNCs; include §5 to provide for the extinction of the PNC class after the conversion or redemption of all its shares; include a new paragraph to expressly provide for the mandatory redeemable nature of the PNR and its automatic extinction upon full redemption; (i.2) amendment of Article 5, caput, to allow increases within the Company’s authorized capital through the issuance of PNCs; (i.3) amend the wording of Article 6, sole paragraph, due to the creation of the PNCs, to establish that this provision applies only to class A1 and B1 preferred shares; (i.4) make wording adjustments to Articles 9 and 10 in order to encompass all shares with voting rights, including the PNCs, in the context of the tender offer triggered upon reaching a relevant shareholding threshold (poison pill); (i.5) amend Article 11, caput, to contemplate the existence of the PNA1, PNB1, and PNC, including new paragraphs regulating their rights, characteristics, advantages, and limitations; provide for the tag-along right of the PNA1, PNB1, PNCs, and common shares; regulate the immediate redemption of the PNRs, the method for calculating the redemption value, its conditions and limitations; adjust the wording of §§1 to 6 to update numbering and the A1 and B1 nomenclature; (i.6) amend Article 16 to provide for the exceptions set forth in Article 11, §10 and §§15 to 17; (i.7) amend Article 34, caput, in order to expressly state that the right to elect board members in a separate vote applies only to preferred shares with no voting rights; and (i.8) amend Article 36, item XI, to include preferred shares among the matters under the competence of the Board of Directors relating to the issuance of shares under authorized capital. 40156*** 9.218 0 0 40209*** 109.320 0 0 40209*** 33.298 0 0 40213*** 60.000 0 0 40226*** 2.905 0 0 40226*** 135.613 0 0 40249*** 4.059 0 0 40284*** 8.531 0 0 40343*** 394.738 0 0 40428*** 6.904 0 0 40508*** 18.500 0 0 40635*** 22.848 0 0 40671*** 9.763 0 0 40671*** 9.950 0 0 40738*** 114.121 0 0 40919*** 2.915 0 0 41015*** 0 50 0 41081*** 45.020 0 0 41167*** 44.700 0 0 41167*** 21.862 0 0 41215*** 9.900 0 0 41239*** 40.041 0 0 37 de 54 # Classificação: Pública Shareholder For Against Abstain CNPJ: 00.001.180/0001-26AXIA Energia - EGM 12/19/2025 DETAILED FINAL VOTING MAP 9. Amendment of the Companys Bylaws to: (i.1) amend Article 4, caput, and §1, to include PNA1, PNB1, PNR, and PNC as new classes of preferred shares; amend §4 to regulate the one vote per share right of the PNCs; include §5 to provide for the extinction of the PNC class after the conversion or redemption of all its shares; include a new paragraph to expressly provide for the mandatory redeemable nature of the PNR and its automatic extinction upon full redemption; (i.2) amendment of Article 5, caput, to allow increases within the Company’s authorized capital through the issuance of PNCs; (i.3) amend the wording of Article 6, sole paragraph, due to the creation of the PNCs, to establish that this provision applies only to class A1 and B1 preferred shares; (i.4) make wording adjustments to Articles 9 and 10 in order to encompass all shares with voting rights, including the PNCs, in the context of the tender offer triggered upon reaching a relevant shareholding threshold (poison pill); (i.5) amend Article 11, caput, to contemplate the existence of the PNA1, PNB1, and PNC, including new paragraphs regulating their rights, characteristics, advantages, and limitations; provide for the tag-along right of the PNA1, PNB1, PNCs, and common shares; regulate the immediate redemption of the PNRs, the method for calculating the redemption value, its conditions and limitations; adjust the wording of §§1 to 6 to update numbering and the A1 and B1 nomenclature; (i.6) amend Article 16 to provide for the exceptions set forth in Article 11, §10 and §§15 to 17; (i.7) amend Article 34, caput, in order to expressly state that the right to elect board members in a separate vote applies only to preferred shares with no voting rights; and (i.8) amend Article 36, item XI, to include preferred shares among the matters under the competence of the Board of Directors relating to the issuance of shares under authorized capital. 41246*** 1 0 0 41286*** 88.229 0 0 41301*** 233.464 0 0 41342*** 217.603 0 0 41562*** 703.200 0 0 41610*** 6.403 0 0 41708*** 8.400 0 0 41727*** 1.084 0 0 41853*** 775.900 0 0 41881*** 92.100 0 0 41907*** 22.769 0 0 41941*** 14.062 0 0 41956*** 39.044 0 0 41956*** 154.415 0 0 42045*** 210.700 0 0 42133*** 105.301 0 0 42264*** 141.567 0 0 42332*** 51.304 0 0 42355*** 6.596 0 0 42355*** 71.010 0 0 42389*** 224.900 0 0 42390*** 2.000 0 0 38 de 54 # Classificação: Pública Shareholder For Against Abstain CNPJ: 00.001.180/0001-26AXIA Energia - EGM 12/19/2025 DETAILED FINAL VOTING MAP 9. Amendment of the Companys Bylaws to: (i.1) amend Article 4, caput, and §1, to include PNA1, PNB1, PNR, and PNC as new classes of preferred shares; amend §4 to regulate the one vote per share right of the PNCs; include §5 to provide for the extinction of the PNC class after the conversion or redemption of all its shares; include a new paragraph to expressly provide for the mandatory redeemable nature of the PNR and its automatic extinction upon full redemption; (i.2) amendment of Article 5, caput, to allow increases within the Company’s authorized capital through the issuance of PNCs; (i.3) amend the wording of Article 6, sole paragraph, due to the creation of the PNCs, to establish that this provision applies only to class A1 and B1 preferred shares; (i.4) make wording adjustments to Articles 9 and 10 in order to encompass all shares with voting rights, including the PNCs, in the context of the tender offer triggered upon reaching a relevant shareholding threshold (poison pill); (i.5) amend Article 11, caput, to contemplate the existence of the PNA1, PNB1, and PNC, including new paragraphs regulating their rights, characteristics, advantages, and limitations; provide for the tag-along right of the PNA1, PNB1, PNCs, and common shares; regulate the immediate redemption of the PNRs, the method for calculating the redemption value, its conditions and limitations; adjust the wording of §§1 to 6 to update numbering and the A1 and B1 nomenclature; (i.6) amend Article 16 to provide for the exceptions set forth in Article 11, §10 and §§15 to 17; (i.7) amend Article 34, caput, in order to expressly state that the right to elect board members in a separate vote applies only to preferred shares with no voting rights; and (i.8) amend Article 36, item XI, to include preferred shares among the matters under the competence of the Board of Directors relating to the issuance of shares under authorized capital. 42411*** 263.400 0 0 42469*** 30.510 0 0 42479*** 20.606 0 0 42479*** 926.900 0 0 42502*** 64.714 0 0 42519*** 578.953 0 0 42520*** 16.067.256 0 0 42538*** 16 0 0 42571*** 161.048 0 0 42645*** 372 0 0 42717*** 30.400 0 0 42717*** 51.300 0 0 42776*** 7.698 0 0 42777*** 77 0 0 42814*** 65.001 0 0 42865*** 17.773 0 0 42870*** 407.654 0 0 43103*** 780 0 0 43105*** 35.991 0 0 43210*** 25.222 0 0 43313*** 1.500 0 0 43427*** 1.639.944 0 0 39 de 54 # Classificação: Pública Shareholder For Against Abstain CNPJ: 00.001.180/0001-26AXIA Energia - EGM 12/19/2025 DETAILED FINAL VOTING MAP 9. Amendment of the Companys Bylaws to: (i.1) amend Article 4, caput, and §1, to include PNA1, PNB1, PNR, and PNC as new classes of preferred shares; amend §4 to regulate the one vote per share right of the PNCs; include §5 to provide for the extinction of the PNC class after the conversion or redemption of all its shares; include a new paragraph to expressly provide for the mandatory redeemable nature of the PNR and its automatic extinction upon full redemption; (i.2) amendment of Article 5, caput, to allow increases within the Company’s authorized capital through the issuance of PNCs; (i.3) amend the wording of Article 6, sole paragraph, due to the creation of the PNCs, to establish that this provision applies only to class A1 and B1 preferred shares; (i.4) make wording adjustments to Articles 9 and 10 in order to encompass all shares with voting rights, including the PNCs, in the context of the tender offer triggered upon reaching a relevant shareholding threshold (poison pill); (i.5) amend Article 11, caput, to contemplate the existence of the PNA1, PNB1, and PNC, including new paragraphs regulating their rights, characteristics, advantages, and limitations; provide for the tag-along right of the PNA1, PNB1, PNCs, and common shares; regulate the immediate redemption of the PNRs, the method for calculating the redemption value, its conditions and limitations; adjust the wording of §§1 to 6 to update numbering and the A1 and B1 nomenclature; (i.6) amend Article 16 to provide for the exceptions set forth in Article 11, §10 and §§15 to 17; (i.7) amend Article 34, caput, in order to expressly state that the right to elect board members in a separate vote applies only to preferred shares with no voting rights; and (i.8) amend Article 36, item XI, to include preferred shares among the matters under the competence of the Board of Directors relating to the issuance of shares under authorized capital. 43533*** 1.064 0 0 43533*** 20.006 0 0 43533*** 3.371 0 0 43533*** 46.708 0 0 43533*** 352.500 0 0 43533*** 174.200 0 0 43533*** 67.100 0 0 43533*** 6.502 0 0 43533*** 43.729 0 0 43584*** 5.000 0 0 43690*** 45.000 0 0 43704*** 2.338 0 0 43747*** 220 0 0 43761*** 9.704 0 0 43879*** 113.100 0 0 43907*** 25.700 0 0 43907*** 13.800 0 0 43909*** 161.800 0 0 43956*** 4 0 0 44110*** 148.600 0 0 44258*** 35.226 0 0 44346*** 10.300 0 0 40 de 54 # Classificação: Pública Shareholder For Against Abstain CNPJ: 00.001.180/0001-26AXIA Energia - EGM 12/19/2025 DETAILED FINAL VOTING MAP 9. Amendment of the Companys Bylaws to: (i.1) amend Article 4, caput, and §1, to include PNA1, PNB1, PNR, and PNC as new classes of preferred shares; amend §4 to regulate the one vote per share right of the PNCs; include §5 to provide for the extinction of the PNC class after the conversion or redemption of all its shares; include a new paragraph to expressly provide for the mandatory redeemable nature of the PNR and its automatic extinction upon full redemption; (i.2) amendment of Article 5, caput, to allow increases within the Company’s authorized capital through the issuance of PNCs; (i.3) amend the wording of Article 6, sole paragraph, due to the creation of the PNCs, to establish that this provision applies only to class A1 and B1 preferred shares; (i.4) make wording adjustments to Articles 9 and 10 in order to encompass all shares with voting rights, including the PNCs, in the context of the tender offer triggered upon reaching a relevant shareholding threshold (poison pill); (i.5) amend Article 11, caput, to contemplate the existence of the PNA1, PNB1, and PNC, including new paragraphs regulating their rights, characteristics, advantages, and limitations; provide for the tag-along right of the PNA1, PNB1, PNCs, and common shares; regulate the immediate redemption of the PNRs, the method for calculating the redemption value, its conditions and limitations; adjust the wording of §§1 to 6 to update numbering and the A1 and B1 nomenclature; (i.6) amend Article 16 to provide for the exceptions set forth in Article 11, §10 and §§15 to 17; (i.7) amend Article 34, caput, in order to expressly state that the right to elect board members in a separate vote applies only to preferred shares with no voting rights; and (i.8) amend Article 36, item XI, to include preferred shares among the matters under the competence of the Board of Directors relating to the issuance of shares under authorized capital. 44360*** 4.791.521 0 0 44500*** 931.300 0 0 44544*** 9.675 0 0 44602*** 42.732 0 0 44642*** 27.800 0 0 44643*** 2.400 0 0 44692*** 536.000 0 0 44700*** 92.884 0 0 44700*** 1.147.700 0 0 44700*** 385.600 0 0 44738*** 64.277 0 0 44844*** 97.257 0 0 44934*** 1.970.045 0 0 45029*** 5.900 0 0 45081*** 3.254.567 0 0 45081*** 40.022 0 0 45088*** 7.765.559 0 0 45120*** 194.468 0 0 45128*** 15.400 0 0 45128*** 299.000 0 0 45128*** 105.700 0 0 45128*** 60.100 0 0 41 de 54 # Classificação: Pública Shareholder For Against Abstain CNPJ: 00.001.180/0001-26AXIA Energia - EGM 12/19/2025 DETAILED FINAL VOTING MAP 9. Amendment of the Companys Bylaws to: (i.1) amend Article 4, caput, and §1, to include PNA1, PNB1, PNR, and PNC as new classes of preferred shares; amend §4 to regulate the one vote per share right of the PNCs; include §5 to provide for the extinction of the PNC class after the conversion or redemption of all its shares; include a new paragraph to expressly provide for the mandatory redeemable nature of the PNR and its automatic extinction upon full redemption; (i.2) amendment of Article 5, caput, to allow increases within the Company’s authorized capital through the issuance of PNCs; (i.3) amend the wording of Article 6, sole paragraph, due to the creation of the PNCs, to establish that this provision applies only to class A1 and B1 preferred shares; (i.4) make wording adjustments to Articles 9 and 10 in order to encompass all shares with voting rights, including the PNCs, in the context of the tender offer triggered upon reaching a relevant shareholding threshold (poison pill); (i.5) amend Article 11, caput, to contemplate the existence of the PNA1, PNB1, and PNC, including new paragraphs regulating their rights, characteristics, advantages, and limitations; provide for the tag-along right of the PNA1, PNB1, PNCs, and common shares; regulate the immediate redemption of the PNRs, the method for calculating the redemption value, its conditions and limitations; adjust the wording of §§1 to 6 to update numbering and the A1 and B1 nomenclature; (i.6) amend Article 16 to provide for the exceptions set forth in Article 11, §10 and §§15 to 17; (i.7) amend Article 34, caput, in order to expressly state that the right to elect board members in a separate vote applies only to preferred shares with no voting rights; and (i.8) amend Article 36, item XI, to include preferred shares among the matters under the competence of the Board of Directors relating to the issuance of shares under authorized capital. 45226*** 2.286.983 0 0 45245*** 150.700 0 0 45245*** 336.547 0 0 45261*** 8.786 0 0 45322*** 5.884.060 0 0 45512*** 4.500 0 0 45560*** 4.083.931 0 0 45605*** 64.500 0 0 45622*** 15.000 0 0 45682*** 2.227 0 0 45682*** 3.700 0 0 45682*** 3.100 0 0 45687*** 3.400 0 0 45756*** 415.800 0 0 45859*** 3.300 0 0 45971*** 49.469 0 0 46130*** 29.152 0 0 46134*** 647.883 0 0 46171*** 120.400 0 0 46339*** 230.095 0 0 46375*** 226.924 0 0 46390*** 5 0 0 42 de 54 # Classificação: Pública Shareholder For Against Abstain CNPJ: 00.001.180/0001-26AXIA Energia - EGM 12/19/2025 DETAILED FINAL VOTING MAP 9. Amendment of the Companys Bylaws to: (i.1) amend Article 4, caput, and §1, to include PNA1, PNB1, PNR, and PNC as new classes of preferred shares; amend §4 to regulate the one vote per share right of the PNCs; include §5 to provide for the extinction of the PNC class after the conversion or redemption of all its shares; include a new paragraph to expressly provide for the mandatory redeemable nature of the PNR and its automatic extinction upon full redemption; (i.2) amendment of Article 5, caput, to allow increases within the Company’s authorized capital through the issuance of PNCs; (i.3) amend the wording of Article 6, sole paragraph, due to the creation of the PNCs, to establish that this provision applies only to class A1 and B1 preferred shares; (i.4) make wording adjustments to Articles 9 and 10 in order to encompass all shares with voting rights, including the PNCs, in the context of the tender offer triggered upon reaching a relevant shareholding threshold (poison pill); (i.5) amend Article 11, caput, to contemplate the existence of the PNA1, PNB1, and PNC, including new paragraphs regulating their rights, characteristics, advantages, and limitations; provide for the tag-along right of the PNA1, PNB1, PNCs, and common shares; regulate the immediate redemption of the PNRs, the method for calculating the redemption value, its conditions and limitations; adjust the wording of §§1 to 6 to update numbering and the A1 and B1 nomenclature; (i.6) amend Article 16 to provide for the exceptions set forth in Article 11, §10 and §§15 to 17; (i.7) amend Article 34, caput, in order to expressly state that the right to elect board members in a separate vote applies only to preferred shares with no voting rights; and (i.8) amend Article 36, item XI, to include preferred shares among the matters under the competence of the Board of Directors relating to the issuance of shares under authorized capital. 46438*** 284 0 0 46595*** 60.719 0 0 46732*** 8.100 0 0 46909*** 363.014 0 0 46964*** 219.280 0 0 46964*** 1.579.000 0 0 46964*** 93.142 0 0 46964*** 567.400 0 0 46965*** 114.700 0 0 46981*** 1.496.233 0 0 46981*** 534.131 0 0 46981*** 247.440 0 0 46981*** 1.054.538 0 0 47036*** 3.694.170 0 0 47036*** 11.800 0 0 47228*** 22.700 0 0 47352*** 90.100 0 0 47545*** 2.800 0 0 47794*** 1.900 0 0 47848*** 182.235 0 0 47848*** 7.953.700 0 0 47954*** 997.100 0 0 43 de 54 # Classificação: Pública Shareholder For Against Abstain CNPJ: 00.001.180/0001-26AXIA Energia - EGM 12/19/2025 DETAILED FINAL VOTING MAP 9. Amendment of the Companys Bylaws to: (i.1) amend Article 4, caput, and §1, to include PNA1, PNB1, PNR, and PNC as new classes of preferred shares; amend §4 to regulate the one vote per share right of the PNCs; include §5 to provide for the extinction of the PNC class after the conversion or redemption of all its shares; include a new paragraph to expressly provide for the mandatory redeemable nature of the PNR and its automatic extinction upon full redemption; (i.2) amendment of Article 5, caput, to allow increases within the Company’s authorized capital through the issuance of PNCs; (i.3) amend the wording of Article 6, sole paragraph, due to the creation of the PNCs, to establish that this provision applies only to class A1 and B1 preferred shares; (i.4) make wording adjustments to Articles 9 and 10 in order to encompass all shares with voting rights, including the PNCs, in the context of the tender offer triggered upon reaching a relevant shareholding threshold (poison pill); (i.5) amend Article 11, caput, to contemplate the existence of the PNA1, PNB1, and PNC, including new paragraphs regulating their rights, characteristics, advantages, and limitations; provide for the tag-along right of the PNA1, PNB1, PNCs, and common shares; regulate the immediate redemption of the PNRs, the method for calculating the redemption value, its conditions and limitations; adjust the wording of §§1 to 6 to update numbering and the A1 and B1 nomenclature; (i.6) amend Article 16 to provide for the exceptions set forth in Article 11, §10 and §§15 to 17; (i.7) amend Article 34, caput, in order to expressly state that the right to elect board members in a separate vote applies only to preferred shares with no voting rights; and (i.8) amend Article 36, item XI, to include preferred shares among the matters under the competence of the Board of Directors relating to the issuance of shares under authorized capital. 48021*** 6.000 0 0 48123*** 23.077 0 0 48138*** 331.666 0 0 48329*** 70.500 0 0 48331*** 206.182 0 0 48373*** 48.920 0 0 48400*** 428 0 0 48429*** 13.800 0 0 48490*** 0 0 338 48643*** 18.791 0 0 48643*** 71.696 0 0 48650*** 36.699 0 0 48766*** 600 0 0 48820*** 19.276 0 0 48878*** 76.100 0 0 48927*** 6.000 0 0 48977*** 9.474 0 0 48978*** 7.551 0 0 49144*** 176 0 0 49202*** 61.768 0 0 49256*** 5.400 0 0 49266*** 51.000 0 0 44 de 54 # Classificação: Pública Shareholder For Against Abstain CNPJ: 00.001.180/0001-26AXIA Energia - EGM 12/19/2025 DETAILED FINAL VOTING MAP 9. Amendment of the Companys Bylaws to: (i.1) amend Article 4, caput, and §1, to include PNA1, PNB1, PNR, and PNC as new classes of preferred shares; amend §4 to regulate the one vote per share right of the PNCs; include §5 to provide for the extinction of the PNC class after the conversion or redemption of all its shares; include a new paragraph to expressly provide for the mandatory redeemable nature of the PNR and its automatic extinction upon full redemption; (i.2) amendment of Article 5, caput, to allow increases within the Company’s authorized capital through the issuance of PNCs; (i.3) amend the wording of Article 6, sole paragraph, due to the creation of the PNCs, to establish that this provision applies only to class A1 and B1 preferred shares; (i.4) make wording adjustments to Articles 9 and 10 in order to encompass all shares with voting rights, including the PNCs, in the context of the tender offer triggered upon reaching a relevant shareholding threshold (poison pill); (i.5) amend Article 11, caput, to contemplate the existence of the PNA1, PNB1, and PNC, including new paragraphs regulating their rights, characteristics, advantages, and limitations; provide for the tag-along right of the PNA1, PNB1, PNCs, and common shares; regulate the immediate redemption of the PNRs, the method for calculating the redemption value, its conditions and limitations; adjust the wording of §§1 to 6 to update numbering and the A1 and B1 nomenclature; (i.6) amend Article 16 to provide for the exceptions set forth in Article 11, §10 and §§15 to 17; (i.7) amend Article 34, caput, in order to expressly state that the right to elect board members in a separate vote applies only to preferred shares with no voting rights; and (i.8) amend Article 36, item XI, to include preferred shares among the matters under the competence of the Board of Directors relating to the issuance of shares under authorized capital. 49331*** 24.380 0 0 49444*** 69.973 0 0 49485*** 6.188.837 0 0 49632*** 35.698 0 0 49766*** 0 0 1.364.882 49839*** 975.800 0 0 49927*** 558.400 0 0 49947*** 300 0 0 50072*** 7.900 0 0 50091*** 2.541 0 0 50653*** 10.471 0 0 50717*** 192.368 0 0 50856*** 67.500 0 0 50958*** 25.900 0 0 51116*** 393.656 0 0 51116*** 9.600 0 0 51360*** 108.000 0 0 51473*** 3.000 0 0 51487*** 44.643 0 0 51490*** 0 0 200 51614*** 71 0 0 51817*** 23.503 0 0 45 de 54 # Classificação: Pública Shareholder For Against Abstain CNPJ: 00.001.180/0001-26AXIA Energia - EGM 12/19/2025 DETAILED FINAL VOTING MAP 9. Amendment of the Companys Bylaws to: (i.1) amend Article 4, caput, and §1, to include PNA1, PNB1, PNR, and PNC as new classes of preferred shares; amend §4 to regulate the one vote per share right of the PNCs; include §5 to provide for the extinction of the PNC class after the conversion or redemption of all its shares; include a new paragraph to expressly provide for the mandatory redeemable nature of the PNR and its automatic extinction upon full redemption; (i.2) amendment of Article 5, caput, to allow increases within the Company’s authorized capital through the issuance of PNCs; (i.3) amend the wording of Article 6, sole paragraph, due to the creation of the PNCs, to establish that this provision applies only to class A1 and B1 preferred shares; (i.4) make wording adjustments to Articles 9 and 10 in order to encompass all shares with voting rights, including the PNCs, in the context of the tender offer triggered upon reaching a relevant shareholding threshold (poison pill); (i.5) amend Article 11, caput, to contemplate the existence of the PNA1, PNB1, and PNC, including new paragraphs regulating their rights, characteristics, advantages, and limitations; provide for the tag-along right of the PNA1, PNB1, PNCs, and common shares; regulate the immediate redemption of the PNRs, the method for calculating the redemption value, its conditions and limitations; adjust the wording of §§1 to 6 to update numbering and the A1 and B1 nomenclature; (i.6) amend Article 16 to provide for the exceptions set forth in Article 11, §10 and §§15 to 17; (i.7) amend Article 34, caput, in order to expressly state that the right to elect board members in a separate vote applies only to preferred shares with no voting rights; and (i.8) amend Article 36, item XI, to include preferred shares among the matters under the competence of the Board of Directors relating to the issuance of shares under authorized capital. 51888*** 13.100 0 0 51990*** 997.693 0 0 52025*** 148.306 0 0 52070*** 90.731 0 0 52080*** 51.300 0 0 52083*** 40.718 0 0 52085*** 1.260.946 0 0 52182*** 79.900 0 0 52188*** 13.832 0 0 52203*** 6.778 0 0 52647*** 382.259 0 0 52694*** 320.153 0 0 52698*** 41.176 0 0 52800*** 17.473 0 0 52901*** 7.141 0 0 52950*** 1.584 0 0 53176*** 12.177 0 0 53304*** 2 0 0 53425*** 0 0 0 53529*** 0 0 238 53599*** 874.700 0 0 53780*** 39.870 0 0 46 de 54 # Classificação: Pública Shareholder For Against Abstain CNPJ: 00.001.180/0001-26AXIA Energia - EGM 12/19/2025 DETAILED FINAL VOTING MAP 9. Amendment of the Companys Bylaws to: (i.1) amend Article 4, caput, and §1, to include PNA1, PNB1, PNR, and PNC as new classes of preferred shares; amend §4 to regulate the one vote per share right of the PNCs; include §5 to provide for the extinction of the PNC class after the conversion or redemption of all its shares; include a new paragraph to expressly provide for the mandatory redeemable nature of the PNR and its automatic extinction upon full redemption; (i.2) amendment of Article 5, caput, to allow increases within the Company’s authorized capital through the issuance of PNCs; (i.3) amend the wording of Article 6, sole paragraph, due to the creation of the PNCs, to establish that this provision applies only to class A1 and B1 preferred shares; (i.4) make wording adjustments to Articles 9 and 10 in order to encompass all shares with voting rights, including the PNCs, in the context of the tender offer triggered upon reaching a relevant shareholding threshold (poison pill); (i.5) amend Article 11, caput, to contemplate the existence of the PNA1, PNB1, and PNC, including new paragraphs regulating their rights, characteristics, advantages, and limitations; provide for the tag-along right of the PNA1, PNB1, PNCs, and common shares; regulate the immediate redemption of the PNRs, the method for calculating the redemption value, its conditions and limitations; adjust the wording of §§1 to 6 to update numbering and the A1 and B1 nomenclature; (i.6) amend Article 16 to provide for the exceptions set forth in Article 11, §10 and §§15 to 17; (i.7) amend Article 34, caput, in order to expressly state that the right to elect board members in a separate vote applies only to preferred shares with no voting rights; and (i.8) amend Article 36, item XI, to include preferred shares among the matters under the competence of the Board of Directors relating to the issuance of shares under authorized capital. 53826*** 2.600 0 0 53829*** 1.300 0 0 53861*** 66.023 0 0 54026*** 15.205 0 0 54069*** 755 0 0 54198*** 43.496 0 0 54250*** 43.400 0 0 54368*** 1.990 0 0 54398*** 31.592 0 0 54423*** 143.706 0 0 54584*** 1.000 0 0 54603*** 3.455 0 0 54620*** 4.669 0 0 54637*** 0 0 2.000 54784*** 8.340 0 0 54792*** 866.200 0 0 54792*** 27.300 0 0 55053*** 3.008 0 0 55105*** 3.085.892 0 0 55240*** 4.800 0 0 55315*** 4.200 0 0 55483*** 66.300 0 0 47 de 54 # Classificação: Pública Shareholder For Against Abstain CNPJ: 00.001.180/0001-26AXIA Energia - EGM 12/19/2025 DETAILED FINAL VOTING MAP 9. Amendment of the Companys Bylaws to: (i.1) amend Article 4, caput, and §1, to include PNA1, PNB1, PNR, and PNC as new classes of preferred shares; amend §4 to regulate the one vote per share right of the PNCs; include §5 to provide for the extinction of the PNC class after the conversion or redemption of all its shares; include a new paragraph to expressly provide for the mandatory redeemable nature of the PNR and its automatic extinction upon full redemption; (i.2) amendment of Article 5, caput, to allow increases within the Company’s authorized capital through the issuance of PNCs; (i.3) amend the wording of Article 6, sole paragraph, due to the creation of the PNCs, to establish that this provision applies only to class A1 and B1 preferred shares; (i.4) make wording adjustments to Articles 9 and 10 in order to encompass all shares with voting rights, including the PNCs, in the context of the tender offer triggered upon reaching a relevant shareholding threshold (poison pill); (i.5) amend Article 11, caput, to contemplate the existence of the PNA1, PNB1, and PNC, including new paragraphs regulating their rights, characteristics, advantages, and limitations; provide for the tag-along right of the PNA1, PNB1, PNCs, and common shares; regulate the immediate redemption of the PNRs, the method for calculating the redemption value, its conditions and limitations; adjust the wording of §§1 to 6 to update numbering and the A1 and B1 nomenclature; (i.6) amend Article 16 to provide for the exceptions set forth in Article 11, §10 and §§15 to 17; (i.7) amend Article 34, caput, in order to expressly state that the right to elect board members in a separate vote applies only to preferred shares with no voting rights; and (i.8) amend Article 36, item XI, to include preferred shares among the matters under the competence of the Board of Directors relating to the issuance of shares under authorized capital. 55522*** 28.272 0 0 55690*** 20.969 0 0 55751*** 1.057 0 0 55893*** 36.900 0 0 55894*** 20.265 0 0 55912*** 800 0 0 55989*** 19.664 0 0 56007*** 38.937 0 0 56029*** 15.751 0 0 56091*** 12.770 0 0 56141*** 55.146 0 0 56155*** 16.300 0 0 56208*** 124.284 0 0 56211*** 3.031 0 0 56367*** 19.000 0 0 56504*** 3.700 0 0 56576*** 0 0 5 56625*** 200 0 0 56704*** 58.979 0 0 56707*** 49.745 0 0 56951*** 81.600 0 0 57091*** 17.477 0 0 48 de 54 # Classificação: Pública Shareholder For Against Abstain CNPJ: 00.001.180/0001-26AXIA Energia - EGM 12/19/2025 DETAILED FINAL VOTING MAP 9. Amendment of the Companys Bylaws to: (i.1) amend Article 4, caput, and §1, to include PNA1, PNB1, PNR, and PNC as new classes of preferred shares; amend §4 to regulate the one vote per share right of the PNCs; include §5 to provide for the extinction of the PNC class after the conversion or redemption of all its shares; include a new paragraph to expressly provide for the mandatory redeemable nature of the PNR and its automatic extinction upon full redemption; (i.2) amendment of Article 5, caput, to allow increases within the Company’s authorized capital through the issuance of PNCs; (i.3) amend the wording of Article 6, sole paragraph, due to the creation of the PNCs, to establish that this provision applies only to class A1 and B1 preferred shares; (i.4) make wording adjustments to Articles 9 and 10 in order to encompass all shares with voting rights, including the PNCs, in the context of the tender offer triggered upon reaching a relevant shareholding threshold (poison pill); (i.5) amend Article 11, caput, to contemplate the existence of the PNA1, PNB1, and PNC, including new paragraphs regulating their rights, characteristics, advantages, and limitations; provide for the tag-along right of the PNA1, PNB1, PNCs, and common shares; regulate the immediate redemption of the PNRs, the method for calculating the redemption value, its conditions and limitations; adjust the wording of §§1 to 6 to update numbering and the A1 and B1 nomenclature; (i.6) amend Article 16 to provide for the exceptions set forth in Article 11, §10 and §§15 to 17; (i.7) amend Article 34, caput, in order to expressly state that the right to elect board members in a separate vote applies only to preferred shares with no voting rights; and (i.8) amend Article 36, item XI, to include preferred shares among the matters under the competence of the Board of Directors relating to the issuance of shares under authorized capital. 57343*** 203.243 0 0 57537*** 6.879 0 0 57848*** 4.554 0 0 57979*** 149.800 0 0 58175*** 41.800 0 0 58270*** 16.516 0 0 58489*** 201.700 0 0 58734*** 7 0 0 58901*** 14.579 0 0 58947*** 5.100 0 0 59051*** 47.200 0 0 59141*** 22.111 0 0 59307*** 138.543 0 0 59666*** 27.807 0 0 59767*** 194.700 0 0 59790*** 7.989 0 0 59840*** 33.400 0 0 60060*** 14.300 0 0 60328*** 59.873 0 0 60347*** 112.584 0 0 60746*** 2.094.364 0 0 61148*** 181 0 0 49 de 54 # Classificação: Pública Shareholder For Against Abstain CNPJ: 00.001.180/0001-26AXIA Energia - EGM 12/19/2025 DETAILED FINAL VOTING MAP 9. Amendment of the Companys Bylaws to: (i.1) amend Article 4, caput, and §1, to include PNA1, PNB1, PNR, and PNC as new classes of preferred shares; amend §4 to regulate the one vote per share right of the PNCs; include §5 to provide for the extinction of the PNC class after the conversion or redemption of all its shares; include a new paragraph to expressly provide for the mandatory redeemable nature of the PNR and its automatic extinction upon full redemption; (i.2) amendment of Article 5, caput, to allow increases within the Company’s authorized capital through the issuance of PNCs; (i.3) amend the wording of Article 6, sole paragraph, due to the creation of the PNCs, to establish that this provision applies only to class A1 and B1 preferred shares; (i.4) make wording adjustments to Articles 9 and 10 in order to encompass all shares with voting rights, including the PNCs, in the context of the tender offer triggered upon reaching a relevant shareholding threshold (poison pill); (i.5) amend Article 11, caput, to contemplate the existence of the PNA1, PNB1, and PNC, including new paragraphs regulating their rights, characteristics, advantages, and limitations; provide for the tag-along right of the PNA1, PNB1, PNCs, and common shares; regulate the immediate redemption of the PNRs, the method for calculating the redemption value, its conditions and limitations; adjust the wording of §§1 to 6 to update numbering and the A1 and B1 nomenclature; (i.6) amend Article 16 to provide for the exceptions set forth in Article 11, §10 and §§15 to 17; (i.7) amend Article 34, caput, in order to expressly state that the right to elect board members in a separate vote applies only to preferred shares with no voting rights; and (i.8) amend Article 36, item XI, to include preferred shares among the matters under the competence of the Board of Directors relating to the issuance of shares under authorized capital. 61397*** 100 0 0 61596*** 22.370 0 0 61664*** 42.536 0 0 61684*** 2.457.532 0 0 61684*** 5.420.200 0 0 61838*** 1.500 0 0 61988*** 13.233 0 0 62569*** 4.957 0 0 62673*** 22.800 0 0 62673*** 72.700 0 0 62673*** 1.200 0 0 62913*** 29.220 0 0 63114*** 33.420 0 0 63135*** 14.100 0 0 63135*** 3.500 0 0 63291*** 32.499 0 0 63360*** 42.558 0 0 64491*** 316 0 0 66547*** 1.300 0 0 66744*** 192.519 0 0 67327*** 5 0 0 68559*** 3.840 0 0 50 de 54 # Classificação: Pública Shareholder For Against Abstain CNPJ: 00.001.180/0001-26AXIA Energia - EGM 12/19/2025 DETAILED FINAL VOTING MAP 9. Amendment of the Companys Bylaws to: (i.1) amend Article 4, caput, and §1, to include PNA1, PNB1, PNR, and PNC as new classes of preferred shares; amend §4 to regulate the one vote per share right of the PNCs; include §5 to provide for the extinction of the PNC class after the conversion or redemption of all its shares; include a new paragraph to expressly provide for the mandatory redeemable nature of the PNR and its automatic extinction upon full redemption; (i.2) amendment of Article 5, caput, to allow increases within the Company’s authorized capital through the issuance of PNCs; (i.3) amend the wording of Article 6, sole paragraph, due to the creation of the PNCs, to establish that this provision applies only to class A1 and B1 preferred shares; (i.4) make wording adjustments to Articles 9 and 10 in order to encompass all shares with voting rights, including the PNCs, in the context of the tender offer triggered upon reaching a relevant shareholding threshold (poison pill); (i.5) amend Article 11, caput, to contemplate the existence of the PNA1, PNB1, and PNC, including new paragraphs regulating their rights, characteristics, advantages, and limitations; provide for the tag-along right of the PNA1, PNB1, PNCs, and common shares; regulate the immediate redemption of the PNRs, the method for calculating the redemption value, its conditions and limitations; adjust the wording of §§1 to 6 to update numbering and the A1 and B1 nomenclature; (i.6) amend Article 16 to provide for the exceptions set forth in Article 11, §10 and §§15 to 17; (i.7) amend Article 34, caput, in order to expressly state that the right to elect board members in a separate vote applies only to preferred shares with no voting rights; and (i.8) amend Article 36, item XI, to include preferred shares among the matters under the competence of the Board of Directors relating to the issuance of shares under authorized capital. 69851*** 400 0 0 71861*** 1 0 0 73447*** 1.200 0 0 73933*** 10 0 0 74843*** 0 0 40 74927*** 580 0 0 76297*** 0 0 595 76908*** 21 0 0 77605*** 17.607 0 0 79238*** 0 256 0 79246*** 30.000 0 0 79720*** 200 0 0 80005*** 8 0 0 80663*** 24 0 0 83699*** 0 0 28 84876*** 0 0 120 85751*** 115 0 0 85751*** 300 0 0 85989*** 100 0 0 87737*** 103 0 0 88440*** 0 0 100 88962*** 0 0 12 51 de 54 # Classificação: Pública Shareholder For Against Abstain CNPJ: 00.001.180/0001-26AXIA Energia - EGM 12/19/2025 DETAILED FINAL VOTING MAP 9. Amendment of the Companys Bylaws to: (i.1) amend Article 4, caput, and §1, to include PNA1, PNB1, PNR, and PNC as new classes of preferred shares; amend §4 to regulate the one vote per share right of the PNCs; include §5 to provide for the extinction of the PNC class after the conversion or redemption of all its shares; include a new paragraph to expressly provide for the mandatory redeemable nature of the PNR and its automatic extinction upon full redemption; (i.2) amendment of Article 5, caput, to allow increases within the Company’s authorized capital through the issuance of PNCs; (i.3) amend the wording of Article 6, sole paragraph, due to the creation of the PNCs, to establish that this provision applies only to class A1 and B1 preferred shares; (i.4) make wording adjustments to Articles 9 and 10 in order to encompass all shares with voting rights, including the PNCs, in the context of the tender offer triggered upon reaching a relevant shareholding threshold (poison pill); (i.5) amend Article 11, caput, to contemplate the existence of the PNA1, PNB1, and PNC, including new paragraphs regulating their rights, characteristics, advantages, and limitations; provide for the tag-along right of the PNA1, PNB1, PNCs, and common shares; regulate the immediate redemption of the PNRs, the method for calculating the redemption value, its conditions and limitations; adjust the wording of §§1 to 6 to update numbering and the A1 and B1 nomenclature; (i.6) amend Article 16 to provide for the exceptions set forth in Article 11, §10 and §§15 to 17; (i.7) amend Article 34, caput, in order to expressly state that the right to elect board members in a separate vote applies only to preferred shares with no voting rights; and (i.8) amend Article 36, item XI, to include preferred shares among the matters under the competence of the Board of Directors relating to the issuance of shares under authorized capital. 89351*** 20 0 0 90243*** 0 0 20 90372*** 0 0 13 91890*** 20 0 0 91927*** 0 0 0 92273*** 15 0 0 92693*** 129.020 0 0 93577*** 200 0 0 93902*** 50 0 0 95687*** 0 0 1.000 97538*** 4.851.698 0 0 97538*** 49.089 0 0 97539*** 917.301 0 0 97539*** 22.778 0 0 97539*** 37.074 0 0 97539*** 19.345 0 0 97539*** 3.732.105 0 0 97539*** 4.800 0 0 97539*** 28.674 0 0 97539*** 31.200 0 0 97539*** 735.721 0 0 97539*** 42.800 0 0 52 de 54 # Classificação: Pública Shareholder For Against Abstain CNPJ: 00.001.180/0001-26AXIA Energia - EGM 12/19/2025 DETAILED FINAL VOTING MAP 9. Amendment of the Companys Bylaws to: (i.1) amend Article 4, caput, and §1, to include PNA1, PNB1, PNR, and PNC as new classes of preferred shares; amend §4 to regulate the one vote per share right of the PNCs; include §5 to provide for the extinction of the PNC class after the conversion or redemption of all its shares; include a new paragraph to expressly provide for the mandatory redeemable nature of the PNR and its automatic extinction upon full redemption; (i.2) amendment of Article 5, caput, to allow increases within the Company’s authorized capital through the issuance of PNCs; (i.3) amend the wording of Article 6, sole paragraph, due to the creation of the PNCs, to establish that this provision applies only to class A1 and B1 preferred shares; (i.4) make wording adjustments to Articles 9 and 10 in order to encompass all shares with voting rights, including the PNCs, in the context of the tender offer triggered upon reaching a relevant shareholding threshold (poison pill); (i.5) amend Article 11, caput, to contemplate the existence of the PNA1, PNB1, and PNC, including new paragraphs regulating their rights, characteristics, advantages, and limitations; provide for the tag-along right of the PNA1, PNB1, PNCs, and common shares; regulate the immediate redemption of the PNRs, the method for calculating the redemption value, its conditions and limitations; adjust the wording of §§1 to 6 to update numbering and the A1 and B1 nomenclature; (i.6) amend Article 16 to provide for the exceptions set forth in Article 11, §10 and §§15 to 17; (i.7) amend Article 34, caput, in order to expressly state that the right to elect board members in a separate vote applies only to preferred shares with no voting rights; and (i.8) amend Article 36, item XI, to include preferred shares among the matters under the competence of the Board of Directors relating to the issuance of shares under authorized capital. 97539*** 5.199.319 0 0 97539*** 2.389.760 0 0 97539*** 1.543.110 0 0 97539*** 3.445.396 0 0 97539*** 392.626 0 0 97539*** 996.896 0 0 97539*** 2.066.321 0 0 97539*** 197.838 0 0 97539*** 144.600 0 0 97539*** 22.250 0 0 97540*** 20.600 0 0 97540*** 3.753 0 0 97540*** 68.500 0 0 97540*** 104.726 0 0 97540*** 903.981 0 0 97540*** 72.665 0 0 97540*** 926.147 0 0 97540*** 1.598 0 0 97540*** 282.400 0 0 97540*** 1.796.898 0 0 97540*** 2.022.198 0 0 97540*** 10.823 0 0 53 de 54 # Classificação: Pública Shareholder For Against Abstain CNPJ: 00.001.180/0001-26AXIA Energia - EGM 12/19/2025 DETAILED FINAL VOTING MAP 9. Amendment of the Companys Bylaws to: (i.1) amend Article 4, caput, and §1, to include PNA1, PNB1, PNR, and PNC as new classes of preferred shares; amend §4 to regulate the one vote per share right of the PNCs; include §5 to provide for the extinction of the PNC class after the conversion or redemption of all its shares; include a new paragraph to expressly provide for the mandatory redeemable nature of the PNR and its automatic extinction upon full redemption; (i.2) amendment of Article 5, caput, to allow increases within the Company’s authorized capital through the issuance of PNCs; (i.3) amend the wording of Article 6, sole paragraph, due to the creation of the PNCs, to establish that this provision applies only to class A1 and B1 preferred shares; (i.4) make wording adjustments to Articles 9 and 10 in order to encompass all shares with voting rights, including the PNCs, in the context of the tender offer triggered upon reaching a relevant shareholding threshold (poison pill); (i.5) amend Article 11, caput, to contemplate the existence of the PNA1, PNB1, and PNC, including new paragraphs regulating their rights, characteristics, advantages, and limitations; provide for the tag-along right of the PNA1, PNB1, PNCs, and common shares; regulate the immediate redemption of the PNRs, the method for calculating the redemption value, its conditions and limitations; adjust the wording of §§1 to 6 to update numbering and the A1 and B1 nomenclature; (i.6) amend Article 16 to provide for the exceptions set forth in Article 11, §10 and §§15 to 17; (i.7) amend Article 34, caput, in order to expressly state that the right to elect board members in a separate vote applies only to preferred shares with no voting rights; and (i.8) amend Article 36, item XI, to include preferred shares among the matters under the competence of the Board of Directors relating to the issuance of shares under authorized capital. 97540*** 209.922 0 0 97540*** 16.335.023 0 0 98658*** 550 0 0 99169*** 100 0 0 54 de 54 # Classificação: Pública Shareholder For Against Abstain Total 824.409.640 191.075.826 35.735.423 00125*** 1.178.056 0 0 00394*** 0 190.732.084 0 00455*** 6 0 0 00560*** 4.984 0 0 00586*** 10 0 0 00601*** 31 0 0 00739*** 1.428 0 0 00805*** 20 0 0 00914*** 3 0 0 01017*** 1 0 0 01171*** 1.610 0 0 01203*** 1 0 0 01456*** 4 0 0 01496*** 161.306 0 0 01586*** 16 0 0 01643*** 66.985 0 0 01699*** 96.416 0 0 01886*** 12.945 0 0 02020*** 53.603 0 0 02097*** 5.700 0 0 02231*** 611 0 0 02231*** 8.536 0 0 02285*** 102 0 0 02524*** 250 0 0 02745*** 0 5 0 02863*** 1.125.500 0 0 02887*** 26.056 0 0 02895*** 64.700 0 0 02903*** 0 0 100 03027*** 51.786 0 0 03369*** 0 0 136 03370*** 392.332 0 0 03394*** 87.480 0 0 03394*** 7 0 0 03473*** 569 0 0 03833*** 28.394 0 0 03902*** 1 0 0 03960*** 24.957 0 0 04005*** 50 0 0 CNPJ: 00.001.180/0001-26AXIA Energia - EGM 12/19/2025 DETAILED FINAL VOTING MAP 10. If the resolutions set forth in items (a) to (i) above are approved, approve the consolidation of the Companys Bylaws, considering all the amendments approved by the shareholders at the Meeting, including numbering adjustments and updates to defined terms and cross-references applicable to the provisions of the Bylaws. 1 de 30 # Classificação: Pública Shareholder For Against Abstain CNPJ: 00.001.180/0001-26AXIA Energia - EGM 12/19/2025 DETAILED FINAL VOTING MAP 10. If the resolutions set forth in items (a) to (i) above are approved, approve the consolidation of the Companys Bylaws, considering all the amendments approved by the shareholders at the Meeting, including numbering adjustments and updates to defined terms and cross-references applicable to the provisions of the Bylaws. 04073*** 292.991 0 0 04297*** 0 3 0 04555*** 0 0 55 04605*** 0 0 200 04609*** 602 0 0 04609*** 1.300 0 0 04616*** 11.687 0 0 04672*** 5 0 0 04709*** 0 1 0 04736*** 28.890 0 0 04751*** 111.059 0 0 04847*** 4 0 0 05075*** 5 0 0 05100*** 43.978 0 0 05147*** 14.000 0 0 05303*** 0 0 1 05316*** 1.030 0 0 05435*** 3 0 0 05448*** 9.727 0 0 05479*** 1.513.900 0 0 05479*** 2.843.378 0 0 05522*** 44 0 0 05589*** 233.315 0 0 05589*** 279.983 0 0 05589*** 28.815 0 0 05719*** 27 0 0 05734*** 415 0 0 05775*** 1.759 0 0 05838*** 15.219 0 0 05839*** 96.081 0 0 05839*** 189.258 0 0 05839*** 718.804 0 0 05839*** 724 0 0 05839*** 775.653 0 0 05839*** 15.200 0 0 05839*** 9.200 0 0 05839*** 803.800 0 0 05839*** 158.291 0 0 05839*** 15.718 0 0 05839*** 1.111.508 0 0 2 de 30 # Classificação: Pública Shareholder For Against Abstain CNPJ: 00.001.180/0001-26AXIA Energia - EGM 12/19/2025 DETAILED FINAL VOTING MAP 10. If the resolutions set forth in items (a) to (i) above are approved, approve the consolidation of the Companys Bylaws, considering all the amendments approved by the shareholders at the Meeting, including numbering adjustments and updates to defined terms and cross-references applicable to the provisions of the Bylaws. 05839*** 4.619.084 0 0 05839*** 226.872 0 0 05839*** 51.889 0 0 05840*** 188.253 0 0 05840*** 10.000 0 0 05840*** 32.547 0 0 05840*** 804.990 0 0 05840*** 4.858.301 0 0 05840*** 477.000 0 0 05840*** 2.199.143 0 0 05872*** 79.961 0 0 05901*** 1 0 0 05986*** 1.881.495 0 0 05986*** 2.673.143 0 0 05986*** 24.100 0 0 05986*** 2.155 0 0 05987*** 147.900 0 0 05987*** 129.553 0 0 05987*** 11.827 0 0 05987*** 2.020.100 0 0 05987*** 1.602.500 0 0 05987*** 5 0 0 05987*** 199.465 0 0 05987*** 13.400 0 0 05987*** 428.300 0 0 05987*** 24.749 0 0 05987*** 188.737 0 0 05987*** 2.862.252 0 0 05987*** 481.572 0 0 05987*** 1.758.400 0 0 06046*** 1.594.573 0 0 06069*** 5.615 0 0 06105*** 10.100 0 0 06134*** 0 108.329 0 06148*** 76.771 0 0 06224*** 6.811 0 0 06239*** 174.268 0 0 06239*** 455.200 0 0 06251*** 9.995 0 0 06318*** 0 0 1 3 de 30 # Classificação: Pública Shareholder For Against Abstain CNPJ: 00.001.180/0001-26AXIA Energia - EGM 12/19/2025 DETAILED FINAL VOTING MAP 10. If the resolutions set forth in items (a) to (i) above are approved, approve the consolidation of the Companys Bylaws, considering all the amendments approved by the shareholders at the Meeting, including numbering adjustments and updates to defined terms and cross-references applicable to the provisions of the Bylaws. 06323*** 530.363 0 0 06370*** 3 0 0 06406*** 0 0 100.000 06491*** 35 0 0 06541*** 284.989 0 0 06571*** 130 0 0 06613*** 77.676 0 0 06832*** 0 23 0 06916*** 622.500 0 0 06943*** 137.641 0 0 06943*** 589.073 0 0 06943*** 922.665 0 0 06949*** 0 0 10 06964*** 298.476 0 0 07023*** 0 0 100 07060*** 239.200 0 0 07086*** 1.000 0 0 07096*** 51.672 0 0 07140*** 859.100 0 0 07140*** 19.426 0 0 07140*** 1.219 0 0 07140*** 26.098 0 0 07187*** 16.269 0 0 07187*** 713 0 0 07191*** 857.000 0 0 07191*** 85.700 0 0 07191*** 105.335 0 0 07226*** 4 0 0 07237*** 589.417 0 0 07237*** 33.388 0 0 07247*** 296.000 0 0 07247*** 164.564 0 0 07247*** 247.800 0 0 07267*** 140 0 0 07299*** 100 0 0 07333*** 249.390 0 0 07345*** 2.648 0 0 07345*** 10.300 0 0 07345*** 28.600 0 0 07376*** 123.348 0 0 4 de 30 # Classificação: Pública Shareholder For Against Abstain CNPJ: 00.001.180/0001-26AXIA Energia - EGM 12/19/2025 DETAILED FINAL VOTING MAP 10. If the resolutions set forth in items (a) to (i) above are approved, approve the consolidation of the Companys Bylaws, considering all the amendments approved by the shareholders at the Meeting, including numbering adjustments and updates to defined terms and cross-references applicable to the provisions of the Bylaws. 07418*** 42.847 0 0 07418*** 1.247.100 0 0 07418*** 1.210.226 0 0 07463*** 0 0 4 07488*** 319.556 0 0 07496*** 1.568.008 0 0 07496*** 2.200 0 0 07496*** 60.415 0 0 07496*** 133.589 0 0 07506*** 4.230.427 0 0 07515*** 60 0 0 07516*** 10.567.600 0 0 07516*** 917.500 0 0 07516*** 35.520 0 0 07516*** 1.041.400 0 0 07518*** 84.779 0 0 07521*** 158.999 0 0 07526*** 19.300 0 0 07529*** 128.800 0 0 07536*** 103.618 0 0 07551*** 7.900 0 0 07593*** 179.470 0 0 07622*** 4.475.736 0 0 07647*** 78.500 0 0 07655*** 864.956 0 0 07655*** 10.800 0 0 07667*** 4.648 0 0 07670*** 0 10.600 0 07670*** 1.650.000 0 0 07686*** 7.021 0 0 07724*** 211.324 0 0 07790*** 14.800 0 0 07792*** 357.630 0 0 07820*** 2.200 0 0 07846*** 69.100 0 0 07889*** 44.041 0 0 07940*** 280.700 0 0 07942*** 530.100 0 0 07967*** 133.248 0 0 07990*** 42.700 0 0 5 de 30 # Classificação: Pública Shareholder For Against Abstain CNPJ: 00.001.180/0001-26AXIA Energia - EGM 12/19/2025 DETAILED FINAL VOTING MAP 10. If the resolutions set forth in items (a) to (i) above are approved, approve the consolidation of the Companys Bylaws, considering all the amendments approved by the shareholders at the Meeting, including numbering adjustments and updates to defined terms and cross-references applicable to the provisions of the Bylaws. 08052*** 0 100 0 08120*** 0 0 383 08154*** 5.377 0 0 08196*** 81.823.300 0 0 08265*** 225.800 0 0 08268*** 3.800 0 0 08279*** 318.109 0 0 08295*** 18.073.978 0 0 08295*** 3.890.485 0 0 08295*** 93.002 0 0 08387*** 103.219 0 0 08434*** 43.600 0 0 08464*** 3.983.344 0 0 08471*** 53.618 0 0 08561*** 940.780 0 0 08571*** 3.397 0 0 08579*** 339.986 0 0 08621*** 820.400 0 0 08623*** 1.710 0 0 08640*** 52.400 0 0 08757*** 52.296 0 0 08765*** 94.255.061 0 0 08840*** 9.118.176 0 0 08857*** 893.791 0 0 08875*** 26.085 0 0 08875*** 39.000 0 0 08900*** 1.800 0 0 08910*** 0 0 23 08913*** 1.453 0 0 08935*** 18.483.007 0 0 08945*** 137.277 0 0 08973*** 90.286 0 0 08973*** 84.130 0 0 08988*** 90.399 0 0 09005*** 171 0 0 09029*** 95.000 0 0 09048*** 164.633 0 0 09048*** 42.509 0 0 09063*** 550.962 0 0 09064*** 1 0 0 6 de 30 # Classificação: Pública Shareholder For Against Abstain CNPJ: 00.001.180/0001-26AXIA Energia - EGM 12/19/2025 DETAILED FINAL VOTING MAP 10. If the resolutions set forth in items (a) to (i) above are approved, approve the consolidation of the Companys Bylaws, considering all the amendments approved by the shareholders at the Meeting, including numbering adjustments and updates to defined terms and cross-references applicable to the provisions of the Bylaws. 09073*** 366.269 0 0 09089*** 470.660 0 0 09089*** 20.525 0 0 09094*** 86.200 0 0 09144*** 0 0 7 09145*** 13.516.396 0 0 09163*** 972.837 0 0 09241*** 20 0 0 09286*** 42.968 0 0 09294*** 230.978 0 0 09299*** 1.005.021 0 0 09323*** 25.786 0 0 09323*** 408.777 0 0 09330*** 114.300 0 0 09336*** 117.000 0 0 09411*** 36.133 0 0 09441*** 106.368 0 0 09470*** 270.100 0 0 09470*** 130.741 0 0 09559*** 823.023 0 0 09564*** 269.814 0 0 09567*** 147.940 0 0 09593*** 765.198 0 0 09620*** 372.512 0 0 09627*** 41.300 0 0 09701*** 220 0 0 09720*** 4.359.575 0 0 09838*** 20 0 0 10110*** 0 0 0 10205*** 1.098 0 0 10214*** 40.966 0 0 10243*** 45.400 0 0 10263*** 60.424 0 0 10263*** 335.431 0 0 10263*** 169.600 0 0 10307*** 500 0 0 10324*** 729.020 0 0 10392*** 311 0 0 10400*** 48.700 0 0 10418*** 47.304 0 0 7 de 30 # Classificação: Pública Shareholder For Against Abstain CNPJ: 00.001.180/0001-26AXIA Energia - EGM 12/19/2025 DETAILED FINAL VOTING MAP 10. If the resolutions set forth in items (a) to (i) above are approved, approve the consolidation of the Companys Bylaws, considering all the amendments approved by the shareholders at the Meeting, including numbering adjustments and updates to defined terms and cross-references applicable to the provisions of the Bylaws. 10419*** 121.500 0 0 10481*** 6.385.100 0 0 10486*** 0 0 20 10492*** 225.108 0 0 10553*** 1.933.500 0 0 10554*** 24 0 0 10561*** 4.400 0 0 10569*** 91.542 0 0 10583*** 342.676 0 0 10596*** 2.537 0 0 10672*** 28.600 0 0 10678*** 145.406 0 0 10762*** 18.300 0 0 10765*** 14.889.875 0 0 10809*** 451.926 0 0 10840*** 1 0 0 11030*** 2.221.230 0 0 11046*** 0 0 869.344 11047*** 10.000 0 0 11100*** 1.373.626 0 0 11175*** 0 1.000 0 11184*** 10.637 0 0 11184*** 2.478.365 0 0 11188*** 13.734.739 0 0 11225*** 316.909 0 0 11311*** 564.121 0 0 11324*** 7.583 0 0 11324*** 30.286 0 0 11390*** 64.400 0 0 11403*** 1.338.015 0 0 11423*** 70.266 0 0 11435*** 30.154 0 0 11451*** 10.713 0 0 11520*** 47.400 0 0 11538*** 371.390 0 0 11604*** 360.492 0 0 11729*** 107.780 0 0 11738*** 250 0 0 11748*** 429.545 0 0 11811*** 30.900 0 0 8 de 30 # Classificação: Pública Shareholder For Against Abstain CNPJ: 00.001.180/0001-26AXIA Energia - EGM 12/19/2025 DETAILED FINAL VOTING MAP 10. If the resolutions set forth in items (a) to (i) above are approved, approve the consolidation of the Companys Bylaws, considering all the amendments approved by the shareholders at the Meeting, including numbering adjustments and updates to defined terms and cross-references applicable to the provisions of the Bylaws. 11841*** 246.000 0 0 11906*** 151.616 0 0 11952*** 278.000 0 0 11977*** 189.006 0 0 12068*** 1.035.445 0 0 12086*** 19.807 0 0 12086*** 0 0 9 12094*** 460.415 0 0 12120*** 132.000 0 0 12287*** 19.832 0 0 12456*** 0 3 0 12518*** 8 0 0 12525*** 55.857 0 0 12938*** 149.500 0 0 12984*** 4.024 0 0 12984*** 18.461 0 0 12995*** 20 0 0 13022*** 8.606 0 0 13033*** 2.080 0 0 13066*** 302.163 0 0 13081*** 69.000 0 0 13281*** 22 0 0 13294*** 124.722 0 0 13296*** 40.202 0 0 13307*** 205.200 0 0 13343*** 311.700 0 0 13362*** 476.877 0 0 13402*** 280.900 0 0 13474*** 700 0 0 13521*** 220 0 0 13562*** 37.000 0 0 13562*** 548.300 0 0 13665*** 138.000 0 0 13725*** 84.512 0 0 13796*** 90.793 0 0 13834*** 233.763 0 0 13834*** 381.977 0 0 13909*** 167.488 0 0 13998*** 4.060 0 0 14012*** 1.407.965 0 0 9 de 30 # Classificação: Pública Shareholder For Against Abstain CNPJ: 00.001.180/0001-26AXIA Energia - EGM 12/19/2025 DETAILED FINAL VOTING MAP 10. If the resolutions set forth in items (a) to (i) above are approved, approve the consolidation of the Companys Bylaws, considering all the amendments approved by the shareholders at the Meeting, including numbering adjustments and updates to defined terms and cross-references applicable to the provisions of the Bylaws. 14027*** 567.280 0 0 14138*** 920.375 0 0 14159*** 3 0 0 14180*** 368.100 0 0 14188*** 76.287 0 0 14220*** 11.200 0 0 14240*** 23.800 0 0 14366*** 28.010 0 0 14406*** 200 0 0 14416*** 326.295 0 0 14461*** 73.600 0 0 14476*** 131.958 0 0 14494*** 22.433 0 0 14507*** 735.071 0 0 14541*** 1.531.341 0 0 14549*** 25.453 0 0 14623*** 1.120.542 0 0 14623*** 184.100 0 0 14624*** 1.530.000 0 0 14628*** 17.094 0 0 14639*** 200.200 0 0 14791*** 47.100 0 0 14809*** 207.700 0 0 14879*** 12.400 0 0 14963*** 287.800 0 0 14988*** 710.784 0 0 15011*** 2 0 0 15036*** 0 0 85 15154*** 340.800 0 0 15265*** 177.240 0 0 15265*** 2.300 0 0 15323*** 34.929 0 0 15807*** 168.286 0 0 15816*** 2.609 0 0 16575*** 257.846 0 0 16617*** 37.100 0 0 16816*** 1.487.180 0 0 16816*** 1.355.134 0 0 16878*** 22.500 0 0 16939*** 728.084 0 0 10 de 30 # Classificação: Pública Shareholder For Against Abstain CNPJ: 00.001.180/0001-26AXIA Energia - EGM 12/19/2025 DETAILED FINAL VOTING MAP 10. If the resolutions set forth in items (a) to (i) above are approved, approve the consolidation of the Companys Bylaws, considering all the amendments approved by the shareholders at the Meeting, including numbering adjustments and updates to defined terms and cross-references applicable to the provisions of the Bylaws. 16947*** 483.067 0 0 16947*** 5.856.571 0 0 16947*** 11.960.862 0 0 16947*** 1.630.350 0 0 17009*** 337.765 0 0 17021*** 47.483 0 0 17036*** 229.156 0 0 17138*** 7.891 0 0 17162*** 839.967 0 0 17284*** 475.000 0 0 17488*** 5.101 0 0 17500*** 13.991 0 0 17500*** 10.350 0 0 17578*** 0 5 0 17647*** 50.550 0 0 17718*** 376.076 0 0 17825*** 13.124 0 0 17891*** 258.489 0 0 17934*** 74.887 0 0 18030*** 22.616 0 0 18138*** 2.462.000 0 0 18138*** 74.212 0 0 18158*** 593.095 0 0 18324*** 1.366.500 0 0 18391*** 13.353 0 0 18407*** 1.411.157 0 0 18470*** 271.897 0 0 18485*** 0 0 1.395 18550*** 1.066.800 0 0 18830*** 13.959 0 0 18858*** 95.400 0 0 18961*** 37.533 0 0 18969*** 16.708 0 0 18981*** 1.630 0 0 19100*** 23.865 0 0 19135*** 5.301 0 0 19143*** 1.955.911 0 0 19184*** 296.600 0 0 19232*** 5 0 0 19244*** 1.573.617 0 0 11 de 30 # Classificação: Pública Shareholder For Against Abstain CNPJ: 00.001.180/0001-26AXIA Energia - EGM 12/19/2025 DETAILED FINAL VOTING MAP 10. If the resolutions set forth in items (a) to (i) above are approved, approve the consolidation of the Companys Bylaws, considering all the amendments approved by the shareholders at the Meeting, including numbering adjustments and updates to defined terms and cross-references applicable to the provisions of the Bylaws. 19318*** 5.200 0 0 19388*** 310.634 0 0 19449*** 7.888 0 0 19477*** 71 0 0 19530*** 1.198.949 0 0 19573*** 8.556 0 0 19609*** 696.300 0 0 19675*** 173.816 0 0 19708*** 164.080 0 0 19754*** 398.161 0 0 19791*** 170.700 0 0 19791*** 861.100 0 0 19800*** 18.986 0 0 19808*** 295.677 0 0 19825*** 4.200 0 0 19874*** 302.100 0 0 19874*** 117.200 0 0 19874*** 186.268 0 0 19910*** 35.990 0 0 19919*** 1.446.617 0 0 20026*** 2.693 0 0 20065*** 440.327 0 0 20147*** 290.246 0 0 20216*** 0 0 0 20349*** 74.118 0 0 20384*** 0 15.000 0 20397*** 152.369 0 0 20447*** 17.692 0 0 20604*** 164.611 0 0 20622*** 380.219 0 0 20733*** 227.900 0 0 20750*** 34.379 0 0 20796*** 75.932 0 0 20813*** 2.076.953 0 0 20849*** 29.927 0 0 20903*** 13.400 0 0 20923*** 11.945 0 0 21052*** 293.708 0 0 21053*** 300 0 0 21144*** 18.170 0 0 12 de 30 # Classificação: Pública Shareholder For Against Abstain CNPJ: 00.001.180/0001-26AXIA Energia - EGM 12/19/2025 DETAILED FINAL VOTING MAP 10. If the resolutions set forth in items (a) to (i) above are approved, approve the consolidation of the Companys Bylaws, considering all the amendments approved by the shareholders at the Meeting, including numbering adjustments and updates to defined terms and cross-references applicable to the provisions of the Bylaws. 21166*** 5.413 0 0 21287*** 37.771 0 0 21336*** 9.070 0 0 21347*** 11.902 0 0 21407*** 2.026.972 0 0 21881*** 40.900 0 0 21962*** 166.796 0 0 22105*** 203.400 0 0 22106*** 568.043 0 0 22166*** 28.698 0 0 22321*** 121.546 0 0 22360*** 4.629 0 0 22410*** 435.030 0 0 22501*** 6.182 0 0 22576*** 542.300 0 0 22648*** 10 0 0 22764*** 440.460 0 0 22764*** 226 0 0 22875*** 151.938 0 0 22896*** 73.257 0 0 23060*** 74.214 0 0 23127*** 271.156 0 0 23213*** 50.171 0 0 23213*** 58.500 0 0 23242*** 23.600 0 0 23572*** 59.861 0 0 23686*** 93.251 0 0 23691*** 0 0 441 23771*** 14.912 0 0 23794*** 790.682 0 0 23794*** 1.021.782 0 0 23854*** 1.398.723 0 0 23874*** 687.297 0 0 23958*** 160.400 0 0 23985*** 294.900 0 0 23985*** 13.275 0 0 24078*** 167.702 0 0 24158*** 259.968 0 0 24224*** 102.833 0 0 24297*** 6.072 0 0 13 de 30 # Classificação: Pública Shareholder For Against Abstain CNPJ: 00.001.180/0001-26AXIA Energia - EGM 12/19/2025 DETAILED FINAL VOTING MAP 10. If the resolutions set forth in items (a) to (i) above are approved, approve the consolidation of the Companys Bylaws, considering all the amendments approved by the shareholders at the Meeting, including numbering adjustments and updates to defined terms and cross-references applicable to the provisions of the Bylaws. 24300*** 9.744 0 0 24548*** 1.100 0 0 24569*** 10.853 0 0 24676*** 429.300 0 0 24728*** 9.000 0 0 24752*** 63.400 0 0 24779*** 562.064 0 0 24976*** 5.020 0 0 25019*** 15.433 0 0 25028*** 39.584 0 0 25079*** 23.610 0 0 25134*** 0 0 400 25138*** 265.200 0 0 25169*** 7.586.634 0 0 25220*** 11.600 0 0 25232*** 412.400 0 0 25282*** 4.100 0 0 25454*** 509.300 0 0 25485*** 217 0 0 25612*** 21 0 0 26066*** 96.100 0 0 26087*** 338.300 0 0 26142*** 9.630 0 0 26160*** 150.526 0 0 26294*** 8 0 0 26311*** 99.855 0 0 26431*** 490.824 0 0 26496*** 2.600 0 0 26565*** 163.000 0 0 26670*** 99.900 0 0 26729*** 40.262.449 0 0 26773*** 5.024 0 0 26776*** 277.512 0 0 26784*** 155 0 0 26784*** 33.267 0 0 26784*** 6.400 0 0 26855*** 15.357 0 0 26855*** 102.747 0 0 26859*** 87.312 0 0 26859*** 6.853 0 0 14 de 30 # Classificação: Pública Shareholder For Against Abstain CNPJ: 00.001.180/0001-26AXIA Energia - EGM 12/19/2025 DETAILED FINAL VOTING MAP 10. If the resolutions set forth in items (a) to (i) above are approved, approve the consolidation of the Companys Bylaws, considering all the amendments approved by the shareholders at the Meeting, including numbering adjustments and updates to defined terms and cross-references applicable to the provisions of the Bylaws. 26859*** 16.768 0 0 27074*** 10.636 0 0 27084*** 88.000 0 0 27109*** 3.877.282 0 0 27150*** 16 0 0 27213*** 0 0 50 27222*** 13.343 0 0 27249*** 23.392 0 0 27257*** 1.873.581 0 0 27311*** 8.586 0 0 27328*** 1.800 0 0 27484*** 204.786 0 0 27550*** 232.468 0 0 27642*** 32 0 0 27683*** 3 0 0 27714*** 2.233.483 0 0 27714*** 93.926 0 0 27778*** 12.500 0 0 27826*** 30.476 0 0 27844*** 1.880 0 0 27866*** 1.274.077 0 0 27866*** 139.539 0 0 27866*** 5.120.829 0 0 27866*** 1.751.954 0 0 27866*** 116.882 0 0 27880*** 134.667 0 0 27932*** 55.200 0 0 27995*** 0 0 42 28031*** 17 0 0 28072*** 61.816 0 0 28260*** 13.932.249 0 0 28271*** 7.300 0 0 28328*** 12.700 0 0 28394*** 186.900 0 0 28470*** 759.985 0 0 28581*** 79.895 0 0 28586*** 127.443 0 0 28690*** 3.400 0 0 28703*** 38.502 0 0 28734*** 1.395.900 0 0 15 de 30 # Classificação: Pública Shareholder For Against Abstain CNPJ: 00.001.180/0001-26AXIA Energia - EGM 12/19/2025 DETAILED FINAL VOTING MAP 10. If the resolutions set forth in items (a) to (i) above are approved, approve the consolidation of the Companys Bylaws, considering all the amendments approved by the shareholders at the Meeting, including numbering adjustments and updates to defined terms and cross-references applicable to the provisions of the Bylaws. 28769*** 200 0 0 28784*** 74.697 0 0 28979*** 2.700 0 0 28979*** 485.443 0 0 28990*** 767.600 0 0 29011*** 9.430 0 0 29073*** 120.195 0 0 29085*** 8.559 0 0 29092*** 6.800 0 0 29213*** 0 0 20 29237*** 0 384 0 29237*** 158.900 0 0 29258*** 150.641 0 0 29259*** 1.478 0 0 29275*** 70 0 0 29275*** 22.443 0 0 29322*** 15.371.463 0 0 29361*** 348.600 0 0 29485*** 333.306 0 0 29522*** 28.000 0 0 29550*** 18.300 0 0 29592*** 67 0 0 29668*** 3.412.439 0 0 29733*** 4.996 0 0 30066*** 28.386 0 0 30178*** 13.300 0 0 30254*** 132.880 0 0 30254*** 74.123 0 0 30402*** 3.079.873 0 0 30447*** 202.100 0 0 30463*** 90.200 0 0 30515*** 14.056 0 0 30522*** 38.589 0 0 30556*** 4.002 0 0 30624*** 9.325 0 0 30769*** 426.500 0 0 30769*** 53.187 0 0 30942*** 158.500 0 0 30988*** 1.918.400 0 0 31006*** 100 0 0 16 de 30 # Classificação: Pública Shareholder For Against Abstain CNPJ: 00.001.180/0001-26AXIA Energia - EGM 12/19/2025 DETAILED FINAL VOTING MAP 10. If the resolutions set forth in items (a) to (i) above are approved, approve the consolidation of the Companys Bylaws, considering all the amendments approved by the shareholders at the Meeting, including numbering adjustments and updates to defined terms and cross-references applicable to the provisions of the Bylaws. 31050*** 209.351 0 0 31322*** 3.610.476 0 0 31322*** 0 200.000 0 31502*** 8.874.319 0 0 31577*** 72.000 0 0 31577*** 344.876 0 0 31591*** 8.371 0 0 31615*** 0 400 0 31666*** 40.572 0 0 31692*** 299.000 0 0 31697*** 0 0 1 31814*** 2.543.463 0 0 31814*** 29.985 0 0 31814*** 618.532 0 0 31866*** 206.855 0 0 31914*** 3.955.286 0 0 31914*** 112.200 0 0 31923*** 51.500 0 0 31978*** 518.952 0 0 31989*** 544.424 0 0 32013*** 0 0 170 32106*** 20.980 0 0 32106*** 117.700 0 0 32106*** 632.700 0 0 32203*** 1.425.459 0 0 32239*** 3.920 0 0 32240*** 5.886 0 0 32253*** 6 0 0 32289*** 18.030 0 0 32289*** 893 0 0 32319*** 17.000 0 0 32329*** 1.132.447 0 0 32399*** 131.448 0 0 32484*** 48.000 0 0 32486*** 20 0 0 32497*** 13.900 0 0 32642*** 1.400 0 0 32755*** 30 0 0 32812*** 154.936 0 0 32812*** 8.100 0 0 17 de 30 # Classificação: Pública Shareholder For Against Abstain CNPJ: 00.001.180/0001-26AXIA Energia - EGM 12/19/2025 DETAILED FINAL VOTING MAP 10. If the resolutions set forth in items (a) to (i) above are approved, approve the consolidation of the Companys Bylaws, considering all the amendments approved by the shareholders at the Meeting, including numbering adjustments and updates to defined terms and cross-references applicable to the provisions of the Bylaws. 32812*** 10.200 0 0 32893*** 10.774 0 0 32905*** 2.583 0 0 33042*** 20.013.453 7.153 33.393.297 33121*** 14.413 0 0 33285*** 3.468 0 0 33580*** 37.452 0 0 33588*** 90.400 0 0 33745*** 11 0 0 33814*** 34.317 0 0 33814*** 81.855 0 0 33842*** 27.952 0 0 33968*** 39.400 0 0 34027*** 202.600 0 0 34037*** 0 0 28 34054*** 780.000 0 0 34064*** 758.600 0 0 34109*** 0 0 0 34123*** 24.600 0 0 34172*** 2.548.963 0 0 34172*** 35.955 0 0 34218*** 3.525 0 0 34370*** 1.115 0 0 34448*** 85.700 0 0 34479*** 0 410 0 34546*** 35.100 0 0 34606*** 148.223 0 0 34723*** 1.190 0 0 34768*** 6.400 0 0 34791*** 75.763 0 0 34798*** 22.762 0 0 34825*** 14.742 0 0 34867*** 8.549 0 0 34900*** 152.347 0 0 35075*** 1.308 0 0 35088*** 2 0 0 35304*** 143.187 0 0 35376*** 10 0 0 35377*** 596 0 0 35492*** 46.000 0 0 18 de 30 # Classificação: Pública Shareholder For Against Abstain CNPJ: 00.001.180/0001-26AXIA Energia - EGM 12/19/2025 DETAILED FINAL VOTING MAP 10. If the resolutions set forth in items (a) to (i) above are approved, approve the consolidation of the Companys Bylaws, considering all the amendments approved by the shareholders at the Meeting, including numbering adjustments and updates to defined terms and cross-references applicable to the provisions of the Bylaws. 35492*** 384.000 0 0 35495*** 76.536 0 0 35595*** 69.131 0 0 35637*** 200.749 0 0 35693*** 8.611.443 0 0 35712*** 118.145 0 0 35803*** 6.344.878 0 0 35845*** 17.870 0 0 35845*** 0 0 0 35859*** 306.197 0 0 35865*** 15.026 0 0 35916*** 57.000 0 0 35985*** 11.749 0 0 36034*** 5.400 0 0 36178*** 19.762 0 0 36215*** 245.500 0 0 36327*** 1.600 0 0 36352*** 953.996 0 0 36418*** 1.030 0 0 36518*** 224.991 0 0 36659*** 3.745 0 0 36719*** 45.500 0 0 36719*** 2.507 0 0 36741*** 24.778 0 0 36822*** 12 0 0 36913*** 186 0 0 36924*** 165.500 0 0 36970*** 0 0 5 36980*** 700 0 0 37092*** 29.660 0 0 37099*** 43.200 0 0 37204*** 4.690 0 0 37228*** 11.254 0 0 37236*** 265.165 0 0 37311*** 28.611 0 0 37339*** 3.287.299 0 0 37347*** 483.043 0 0 37355*** 9.500 0 0 37388*** 54.912 0 0 37555*** 8.233 0 0 19 de 30 # Classificação: Pública Shareholder For Against Abstain CNPJ: 00.001.180/0001-26AXIA Energia - EGM 12/19/2025 DETAILED FINAL VOTING MAP 10. If the resolutions set forth in items (a) to (i) above are approved, approve the consolidation of the Companys Bylaws, considering all the amendments approved by the shareholders at the Meeting, including numbering adjustments and updates to defined terms and cross-references applicable to the provisions of the Bylaws. 37623*** 900 0 0 37715*** 93.097 0 0 37724*** 18.859 0 0 37806*** 4.742 0 0 37837*** 45 0 0 37844*** 208.900 0 0 37905*** 47.900 0 0 38100*** 410.500 0 0 38173*** 69.236 0 0 38195*** 2.785 0 0 38202*** 46 0 0 38350*** 5.212 0 0 38374*** 4 0 0 38386*** 427.657 0 0 38388*** 0 0 0 38512*** 400 0 0 38628*** 0 0 100 38756*** 548.681 0 0 38856*** 0 20 0 38949*** 11.375 0 0 39285*** 0 0 0 39383*** 66.800 0 0 39514*** 99.499 0 0 39600*** 17.140 0 0 39687*** 716.286 0 0 39834*** 9.716 0 0 39959*** 173.200 0 0 40022*** 2.463 0 0 40091*** 172.305 0 0 40122*** 2.370.230 0 0 40136*** 1.263 0 0 40147*** 2.076.169 0 0 40156*** 9.218 0 0 40209*** 109.320 0 0 40209*** 33.298 0 0 40213*** 60.000 0 0 40226*** 2.905 0 0 40226*** 135.613 0 0 40249*** 4.059 0 0 40284*** 8.531 0 0 20 de 30 # Classificação: Pública Shareholder For Against Abstain CNPJ: 00.001.180/0001-26AXIA Energia - EGM 12/19/2025 DETAILED FINAL VOTING MAP 10. If the resolutions set forth in items (a) to (i) above are approved, approve the consolidation of the Companys Bylaws, considering all the amendments approved by the shareholders at the Meeting, including numbering adjustments and updates to defined terms and cross-references applicable to the provisions of the Bylaws. 40343*** 394.738 0 0 40428*** 6.904 0 0 40508*** 18.500 0 0 40635*** 22.848 0 0 40671*** 9.763 0 0 40671*** 9.950 0 0 40738*** 114.121 0 0 40919*** 2.915 0 0 41015*** 0 50 0 41081*** 45.020 0 0 41167*** 44.700 0 0 41167*** 21.862 0 0 41215*** 9.900 0 0 41239*** 40.041 0 0 41246*** 1 0 0 41286*** 88.229 0 0 41301*** 233.464 0 0 41342*** 217.603 0 0 41562*** 703.200 0 0 41610*** 6.403 0 0 41708*** 8.400 0 0 41727*** 1.084 0 0 41853*** 775.900 0 0 41881*** 92.100 0 0 41907*** 22.769 0 0 41941*** 14.062 0 0 41956*** 39.044 0 0 41956*** 154.415 0 0 42045*** 210.700 0 0 42133*** 105.301 0 0 42264*** 141.567 0 0 42332*** 51.304 0 0 42355*** 6.596 0 0 42355*** 71.010 0 0 42389*** 224.900 0 0 42390*** 2.000 0 0 42411*** 263.400 0 0 42469*** 30.510 0 0 42479*** 20.606 0 0 42479*** 926.900 0 0 21 de 30 # Classificação: Pública Shareholder For Against Abstain CNPJ: 00.001.180/0001-26AXIA Energia - EGM 12/19/2025 DETAILED FINAL VOTING MAP 10. If the resolutions set forth in items (a) to (i) above are approved, approve the consolidation of the Companys Bylaws, considering all the amendments approved by the shareholders at the Meeting, including numbering adjustments and updates to defined terms and cross-references applicable to the provisions of the Bylaws. 42502*** 64.714 0 0 42519*** 578.953 0 0 42520*** 16.067.256 0 0 42538*** 16 0 0 42571*** 161.048 0 0 42645*** 372 0 0 42717*** 30.400 0 0 42717*** 51.300 0 0 42776*** 7.698 0 0 42777*** 77 0 0 42814*** 65.001 0 0 42865*** 17.773 0 0 42870*** 407.654 0 0 43103*** 780 0 0 43105*** 35.991 0 0 43210*** 25.222 0 0 43313*** 1.500 0 0 43427*** 1.639.944 0 0 43533*** 1.064 0 0 43533*** 20.006 0 0 43533*** 3.371 0 0 43533*** 46.708 0 0 43533*** 352.500 0 0 43533*** 174.200 0 0 43533*** 67.100 0 0 43533*** 6.502 0 0 43533*** 43.729 0 0 43584*** 5.000 0 0 43690*** 45.000 0 0 43704*** 2.338 0 0 43747*** 220 0 0 43761*** 9.704 0 0 43879*** 113.100 0 0 43907*** 25.700 0 0 43907*** 13.800 0 0 43909*** 161.800 0 0 43956*** 4 0 0 44110*** 148.600 0 0 44258*** 35.226 0 0 44346*** 10.300 0 0 22 de 30 # Classificação: Pública Shareholder For Against Abstain CNPJ: 00.001.180/0001-26AXIA Energia - EGM 12/19/2025 DETAILED FINAL VOTING MAP 10. If the resolutions set forth in items (a) to (i) above are approved, approve the consolidation of the Companys Bylaws, considering all the amendments approved by the shareholders at the Meeting, including numbering adjustments and updates to defined terms and cross-references applicable to the provisions of the Bylaws. 44360*** 4.791.521 0 0 44500*** 931.300 0 0 44544*** 9.675 0 0 44602*** 42.732 0 0 44642*** 27.800 0 0 44643*** 2.400 0 0 44692*** 536.000 0 0 44700*** 92.884 0 0 44700*** 1.147.700 0 0 44700*** 385.600 0 0 44738*** 64.277 0 0 44844*** 97.257 0 0 44934*** 1.970.045 0 0 45029*** 5.900 0 0 45081*** 3.254.567 0 0 45081*** 40.022 0 0 45088*** 7.765.559 0 0 45120*** 194.468 0 0 45128*** 15.400 0 0 45128*** 299.000 0 0 45128*** 105.700 0 0 45128*** 60.100 0 0 45226*** 2.286.983 0 0 45245*** 150.700 0 0 45245*** 336.547 0 0 45261*** 8.786 0 0 45322*** 5.884.060 0 0 45512*** 4.500 0 0 45560*** 4.083.931 0 0 45605*** 64.500 0 0 45622*** 15.000 0 0 45682*** 2.227 0 0 45682*** 3.700 0 0 45682*** 3.100 0 0 45687*** 3.400 0 0 45756*** 415.800 0 0 45859*** 3.300 0 0 45971*** 49.469 0 0 46130*** 29.152 0 0 46134*** 647.883 0 0 23 de 30 # Classificação: Pública Shareholder For Against Abstain CNPJ: 00.001.180/0001-26AXIA Energia - EGM 12/19/2025 DETAILED FINAL VOTING MAP 10. If the resolutions set forth in items (a) to (i) above are approved, approve the consolidation of the Companys Bylaws, considering all the amendments approved by the shareholders at the Meeting, including numbering adjustments and updates to defined terms and cross-references applicable to the provisions of the Bylaws. 46171*** 120.400 0 0 46339*** 230.095 0 0 46375*** 226.924 0 0 46390*** 5 0 0 46438*** 284 0 0 46595*** 60.719 0 0 46732*** 8.100 0 0 46909*** 363.014 0 0 46964*** 219.280 0 0 46964*** 1.579.000 0 0 46964*** 93.142 0 0 46964*** 567.400 0 0 46965*** 114.700 0 0 46981*** 1.496.233 0 0 46981*** 534.131 0 0 46981*** 247.440 0 0 46981*** 1.054.538 0 0 47036*** 3.694.170 0 0 47036*** 11.800 0 0 47228*** 22.700 0 0 47352*** 90.100 0 0 47545*** 2.800 0 0 47794*** 1.900 0 0 47848*** 182.235 0 0 47848*** 7.953.700 0 0 47954*** 997.100 0 0 48021*** 6.000 0 0 48123*** 23.077 0 0 48138*** 331.666 0 0 48329*** 70.500 0 0 48331*** 206.182 0 0 48373*** 48.920 0 0 48400*** 428 0 0 48429*** 13.800 0 0 48490*** 0 0 338 48643*** 18.791 0 0 48643*** 71.696 0 0 48650*** 36.699 0 0 48766*** 600 0 0 48820*** 19.276 0 0 24 de 30 # Classificação: Pública Shareholder For Against Abstain CNPJ: 00.001.180/0001-26AXIA Energia - EGM 12/19/2025 DETAILED FINAL VOTING MAP 10. If the resolutions set forth in items (a) to (i) above are approved, approve the consolidation of the Companys Bylaws, considering all the amendments approved by the shareholders at the Meeting, including numbering adjustments and updates to defined terms and cross-references applicable to the provisions of the Bylaws. 48878*** 76.100 0 0 48927*** 6.000 0 0 48977*** 9.474 0 0 48978*** 7.551 0 0 49144*** 176 0 0 49202*** 61.768 0 0 49256*** 5.400 0 0 49266*** 51.000 0 0 49331*** 24.380 0 0 49444*** 69.973 0 0 49485*** 6.188.837 0 0 49632*** 35.698 0 0 49766*** 0 0 1.364.882 49839*** 975.800 0 0 49927*** 558.400 0 0 49947*** 300 0 0 50072*** 7.900 0 0 50091*** 2.541 0 0 50653*** 10.471 0 0 50717*** 192.368 0 0 50856*** 67.500 0 0 50958*** 25.900 0 0 51116*** 393.656 0 0 51116*** 9.600 0 0 51360*** 108.000 0 0 51473*** 3.000 0 0 51487*** 44.643 0 0 51490*** 0 0 200 51614*** 71 0 0 51817*** 23.503 0 0 51888*** 13.100 0 0 51990*** 997.693 0 0 52025*** 148.306 0 0 52070*** 90.731 0 0 52080*** 51.300 0 0 52083*** 40.718 0 0 52085*** 1.260.946 0 0 52182*** 79.900 0 0 52188*** 13.832 0 0 52203*** 6.778 0 0 25 de 30 # Classificação: Pública Shareholder For Against Abstain CNPJ: 00.001.180/0001-26AXIA Energia - EGM 12/19/2025 DETAILED FINAL VOTING MAP 10. If the resolutions set forth in items (a) to (i) above are approved, approve the consolidation of the Companys Bylaws, considering all the amendments approved by the shareholders at the Meeting, including numbering adjustments and updates to defined terms and cross-references applicable to the provisions of the Bylaws. 52647*** 382.259 0 0 52694*** 320.153 0 0 52698*** 41.176 0 0 52800*** 17.473 0 0 52901*** 7.141 0 0 52950*** 1.584 0 0 53176*** 12.177 0 0 53304*** 2 0 0 53425*** 0 0 0 53529*** 0 0 238 53599*** 874.700 0 0 53780*** 39.870 0 0 53826*** 2.600 0 0 53829*** 1.300 0 0 53861*** 66.023 0 0 54026*** 15.205 0 0 54069*** 755 0 0 54198*** 43.496 0 0 54250*** 43.400 0 0 54368*** 1.990 0 0 54398*** 31.592 0 0 54423*** 143.706 0 0 54584*** 1.000 0 0 54603*** 3.455 0 0 54620*** 4.669 0 0 54637*** 0 0 2.000 54784*** 8.340 0 0 54792*** 866.200 0 0 54792*** 27.300 0 0 55053*** 3.008 0 0 55105*** 3.085.892 0 0 55240*** 4.800 0 0 55315*** 4.200 0 0 55483*** 66.300 0 0 55522*** 28.272 0 0 55690*** 20.969 0 0 55751*** 1.057 0 0 55893*** 36.900 0 0 55894*** 20.265 0 0 55912*** 800 0 0 26 de 30 # Classificação: Pública Shareholder For Against Abstain CNPJ: 00.001.180/0001-26AXIA Energia - EGM 12/19/2025 DETAILED FINAL VOTING MAP 10. If the resolutions set forth in items (a) to (i) above are approved, approve the consolidation of the Companys Bylaws, considering all the amendments approved by the shareholders at the Meeting, including numbering adjustments and updates to defined terms and cross-references applicable to the provisions of the Bylaws. 55989*** 19.664 0 0 56007*** 38.937 0 0 56029*** 15.751 0 0 56091*** 12.770 0 0 56141*** 55.146 0 0 56155*** 16.300 0 0 56208*** 124.284 0 0 56211*** 3.031 0 0 56367*** 19.000 0 0 56504*** 3.700 0 0 56576*** 0 0 5 56625*** 200 0 0 56704*** 58.979 0 0 56707*** 49.745 0 0 56951*** 81.600 0 0 57091*** 17.477 0 0 57343*** 203.243 0 0 57537*** 6.879 0 0 57848*** 4.554 0 0 57979*** 149.800 0 0 58175*** 41.800 0 0 58270*** 16.516 0 0 58489*** 201.700 0 0 58734*** 7 0 0 58901*** 14.579 0 0 58947*** 5.100 0 0 59051*** 47.200 0 0 59141*** 22.111 0 0 59307*** 138.543 0 0 59666*** 27.807 0 0 59767*** 194.700 0 0 59790*** 7.989 0 0 59840*** 33.400 0 0 60060*** 14.300 0 0 60328*** 59.873 0 0 60347*** 112.584 0 0 60746*** 2.094.364 0 0 61148*** 181 0 0 61397*** 100 0 0 61596*** 22.370 0 0 27 de 30 # Classificação: Pública Shareholder For Against Abstain CNPJ: 00.001.180/0001-26AXIA Energia - EGM 12/19/2025 DETAILED FINAL VOTING MAP 10. If the resolutions set forth in items (a) to (i) above are approved, approve the consolidation of the Companys Bylaws, considering all the amendments approved by the shareholders at the Meeting, including numbering adjustments and updates to defined terms and cross-references applicable to the provisions of the Bylaws. 61664*** 42.536 0 0 61684*** 2.457.532 0 0 61684*** 5.420.200 0 0 61838*** 1.500 0 0 61988*** 13.233 0 0 62569*** 4.957 0 0 62673*** 22.800 0 0 62673*** 72.700 0 0 62673*** 1.200 0 0 62913*** 29.220 0 0 63114*** 33.420 0 0 63135*** 14.100 0 0 63135*** 3.500 0 0 63291*** 32.499 0 0 63360*** 42.558 0 0 64491*** 316 0 0 66547*** 1.300 0 0 66744*** 192.519 0 0 67327*** 5 0 0 68559*** 3.840 0 0 69851*** 400 0 0 71861*** 1 0 0 73447*** 1.200 0 0 73933*** 10 0 0 74843*** 0 0 40 74927*** 580 0 0 76297*** 595 0 0 76908*** 21 0 0 77605*** 17.607 0 0 79238*** 0 256 0 79246*** 30.000 0 0 79720*** 200 0 0 80005*** 8 0 0 80663*** 24 0 0 83699*** 0 0 28 84876*** 0 0 120 85751*** 115 0 0 85751*** 300 0 0 85989*** 100 0 0 87737*** 103 0 0 28 de 30 # Classificação: Pública Shareholder For Against Abstain CNPJ: 00.001.180/0001-26AXIA Energia - EGM 12/19/2025 DETAILED FINAL VOTING MAP 10. If the resolutions set forth in items (a) to (i) above are approved, approve the consolidation of the Companys Bylaws, considering all the amendments approved by the shareholders at the Meeting, including numbering adjustments and updates to defined terms and cross-references applicable to the provisions of the Bylaws. 88440*** 0 0 100 88962*** 0 0 12 89351*** 20 0 0 90243*** 0 0 20 90372*** 0 0 13 91890*** 20 0 0 91927*** 0 0 0 92273*** 15 0 0 92693*** 129.020 0 0 93577*** 200 0 0 93902*** 50 0 0 95687*** 0 0 1.000 97538*** 4.851.698 0 0 97538*** 49.089 0 0 97539*** 917.301 0 0 97539*** 22.778 0 0 97539*** 37.074 0 0 97539*** 19.345 0 0 97539*** 3.732.105 0 0 97539*** 4.800 0 0 97539*** 28.674 0 0 97539*** 31.200 0 0 97539*** 735.721 0 0 97539*** 42.800 0 0 97539*** 5.199.319 0 0 97539*** 2.389.760 0 0 97539*** 1.543.110 0 0 97539*** 3.445.396 0 0 97539*** 392.626 0 0 97539*** 996.896 0 0 97539*** 2.066.321 0 0 97539*** 197.838 0 0 97539*** 144.600 0 0 97539*** 22.250 0 0 97540*** 20.600 0 0 97540*** 3.753 0 0 97540*** 68.500 0 0 97540*** 104.726 0 0 97540*** 903.981 0 0 97540*** 72.665 0 0 29 de 30 # Classificação: Pública Shareholder For Against Abstain CNPJ: 00.001.180/0001-26AXIA Energia - EGM 12/19/2025 DETAILED FINAL VOTING MAP 10. If the resolutions set forth in items (a) to (i) above are approved, approve the consolidation of the Companys Bylaws, considering all the amendments approved by the shareholders at the Meeting, including numbering adjustments and updates to defined terms and cross-references applicable to the provisions of the Bylaws. 97540*** 926.147 0 0 97540*** 1.598 0 0 97540*** 282.400 0 0 97540*** 1.796.898 0 0 97540*** 2.022.198 0 0 97540*** 10.823 0 0 97540*** 209.922 0 0 97540*** 16.335.023 0 0 98658*** 550 0 0 99169*** 100 0 0 30 de 30 # Classificação: Pública

 
 

 

 
 

 

 
 

 

 
 

 

 
 

 

 
 

 

 
 

 

 
 

 

 
 

 

 
 

 

 
 

 

 
 

 

 
 

 

 
 

 

 
 

 

 
 

 

 
 

 

 
 

 

 
 

 


 
 

 

 
 

 

 
 

 

 
 

 


 
 

 

 
 

 

 
 

 

 
 

 

 
 

 

 
 

 

 
 

 

 
 

 

 
 

 

 
 

 

 
 

 

 
 

 

 
 

 

 
 

 

 
 

 

 
 

 


 
 

 

 
 

 

 
 

 

 
 

 

 
 

 

 
 

 

 
 

 

 
 

 

 
 

 

 
 

 

 
 

 

 
 

 

 
 

 

 
 

 

 
 

 

 
 

 

 
 

 

 
 

 

 
 

 

 
 

 

 
 

 

 
 

 

 
 

 

 
 

 

 
 

 

 
 

 

 
 

 

 
 

 

 
 

 

 
 

 

 
 

 

 
 

 

 
 

 

 
 

 


 
 

 

 
 

 

 
 

 

 
 

 

 
 

 

 
 

 

 
 

 

 
 

 

 
 

 

 
 

 

 
 

 

 
 

 

 
 

 

 
 

 

 
 

 

 
 

 

 
 

 

 
 

 

 
 

 

 
 

 

 
 

 

 
 

 

 
 

 

 
 

 

 
 

 

 
 

 

 
 

 

 
 

 

 
 

 

 
 

 

 
 

 

 
 

 

 
 

 

 
 

 

 
 

 

 
 

 

 
 

 

 
 

 

 
 

 

 
 

 

 
 

 

 
 

 

 
 

 

 
 

 

 
 

 

 
 

 

 
 

 

 
 

 

 
 

 

 
 

 

 
 

 

 
 

 

 
 

 

 
 

 

 
 

 

 
 

 

 
 

 

 
 

 

 
 

 

 
 

 

 
 

 

 
 

 

 
 

 

 
 

 

 
 

 

 
 

 

 
 

 

 
 

 

 
 

 

 
 

 

 
 

 

 
 

 

 
 

 

 
 

 

 
 

 

 
 

 

 
 

 

 
 

 

 
 

 

 
 

 

 
 

 

 
 

 

 
 

 

 
 

 

 
 

 

 
 

 

 
 

 

 
 

 

 
 

 

 
 

 

 
 

 

 
 

 

 
 

 

 
 

 

 
 

 

 
 

 

 
 

 

 
 

 

 
 

 

 
 

 

 
 

 

 
 

 

 
 

 

 
 

 

 
 

 

 
 

 

 
 

 

 
 

 

 
 

 

 
 

 

 
 

 

 
 

 

 
 

 

 
 

 

 
 

 

 
 

 

 
 

 

 
 

 

 
 

 

 
 

 

 
 

 

 
 

 

 
 

 

 
 

 

 
 

 

 
 

 

 
 

 

 
 

 

 
 

 

 
 

 

 
 

 

 
 

 

 
 

 

 
 

 

 
 

 

 
 

 

 
 

 

 
 

 

 
 

 

 
 

 

 
 

 

 
 

 

 
 

 

 
 

 

 
 

 

 
 

 

 
 

 

 
 

 

 
 

 

 
 

 

 
 

 

 
 

 

 
 

 

 
 

 

 
 

 

 
 

 

 
 

 

 
 

 

 
 

 

 
 

 

 
 

 

 
 

 

 
 

 

 
 

 

 
 

 

 
 

 

 
 

 

 
 

 

 
 

 

 
 

 

 
 

 

 
 

 

 
 

 

 
 

 

 
 

 

 
 

 

 
 

 

 
 

 

 
 

 

 
 

 

 
 

 

 
 

 

 
 

 

 
 

 

 
 

 

 
 

 

 
 

 

 
 

 

 
 

 

 
 

 

 
 

 

 
 

 

 
 

 

 
 

 

 
 

 

 
 

 

 
 

 

 
 

 

 
 

 

 
 

 

 
 

 

 
 

 

 
 

 

 
 

 

 
 

 

 
 

 

 
 

 

 
 

 

 
 

 

 
 

 

 
 

 

 
 

 

 
 

 

 
 

 

 
 

 

 
 

 

 
 

 

 
 

 

 
 

 

 
 

 

 
 

 

 
 

 

 
 

 

 
 

 

 
 

 

 
 

 

 
 

 

 
 

 

 
 

 

 
 

 

 
 

 

 
 

 

 
 

 

 
 

 

 
 

 

 
 

 

 
 

 

 
 

 

 
 

 

 
 

 

 
 

 

 
 

 

 
 

 

 
 

 

 
 

 

 
 

 

 
 

 

 
 

 

 
 

 

 
 

 

 
 

 

 
 

 

 
 

 

 
 

 

 
 

 

 
 

 

 
 

 

 
 

 

 
 

 

 
 

 

 
 

 

 
 

 

 
 

 

 
 

 

 
 

 

 
 

 

 
 

 

 
 

 

 
 

 

 
 

 

 
 

 

 
 

 

 
 

 

 
 

 

 
 

 

 
 

 

 
 

 

 
 

 

 

 

 

 
 

SIGNATURE

 

 

Pursuant to the requirements of the Securities Exchange Act of 1934, the registrant has duly caused this report to be signed on its behalf by the undersigned, thereunto duly authorized.

Date: December 30, 2025

CENTRAIS ELÉTRICAS BRASILEIRAS S.A. - ELETROBRÁS
     
By:

/SEduardo Haiama


 
 

Eduardo Haiama

Vice-President of Finance and Investor Relations

 

 

 

FORWARD-LOOKING STATEMENTS

 

This document may contain estimates and projections that are not statements of past events but reflect our management’s beliefs and expectations and may constitute forward-looking statements under Section 27A of the Securities Act of 1933, as amended, and Section 21E of the Securities and Exchange Act of 1934, as amended. The words “believes”, “may”, “can”, “estimates”, “continues”, “anticipates”, “intends”, “expects”, and similar expressions are intended to identify estimates that necessarily involve known and unknown risks and uncertainties. Known risks and uncertainties include, but are not limited to: general economic, regulatory, political, and business conditions in Brazil and abroad; fluctuations in interest rates, inflation, and the value of the Brazilian Real; changes in consumer electricity usage patterns and volumes; competitive conditions; our level of indebtedness; the possibility of receiving payments related to our receivables; changes in rainfall and water levels in reservoirs used to operate our hydroelectric plants; our financing and capital investment plans; existing and future government regulations; and other risks described in our annual report and other documents filed with the CVM and SEC. Estimates and projections refer only to the date they were expressed, and we do not assume any obligation to update any of these estimates or projections due to new information or future events. Future results of the Company’s operations and initiatives may differ from current expectations, and investors should not rely solely on the information contained herein. This material contains calculations that may not reflect precise results due to rounding.