EX-99.4 5 exh_994.htm EXHIBIT 99.4

Exhibit 99.4

 

- 1 -

 

THE COMPANIES LAW, 5759-1999

A PRIVATE COMPANY LIMITED BY SHARES

Amended and Restated Articles of Association of

 

 

Neurolief LTD.

General

 

1.

 

1.1.The name of the Company is “Neurolief Ltd.”.

 

1.2.The object of the Company is to engage in any lawful activity or business.

 

1.3.The liability of each Shareholder is limited to the unpaid portion of the par value of each share held by such Shareholder.

 

Interpretation; General

 

2.In these Articles, unless the context otherwise requires:

 

2.1.Affiliate” means (i) with respect to a natural person, any member of such Person's immediate family (including any child, step child, parent, step parent, in-laws, spouse, sibling, stepson or stepdaughter or the lineal descendants of any of the foregoing); or (ii) with respect to a Person or entity, any Person or entity which directly or indirectly Controls, is Controlled by, or is under common Control with such Person or entity.

 

2.2.Articles” means these Amended and Restated Articles of Association of the Company, as shall be further amended from time to time.

 

2.3.Board” means the Company’s board of directors designated or elected in accordance with the Articles.

 

2.4.Bonus Shares” means Shares issued by the Company for no consideration to Shareholders entitled to receive them on a pro rata basis.

 

2.5.Business Day” means a day on which customer services are provided by a majority of the major commercial banks in Israel and the United States (including for the avoidance of doubt, Fridays).

 

2.6.BWAY” means Brainsway Ltd., a company organized under the laws of the State of Israel and/or any Affiliate thereof.

 

2.7.BWAY Investment Agreement” means the Investment Agreement made between BWAY and the Company dated August 18, 2025.

 

2.8.Call Option” means the Call Option granted to BWAY pursuant to the Call Option Agreement.

 

2.9.Call Option Agreement” mean the Call Option Agreement entered by and among the Company, BWAY and the Sellers (as defined therein) dated August 18, 2025 for the acquisition of the Company.

 

2.10.Companies Law” means the Companies Law, 5759-1999 and all the regulations promulgated under it.

 

2.11.Companies Ordinance” means the Companies Ordinance [New Version], 5743- 1983 and all the regulations promulgated under it.

 

2.12.Company” means the company whose name is set forth above.

 

2.13.“Control” means the holding directly or indirectly of at least 50% of the voting power in a corporation or of the right to appoint at least half of the directors or members of a similar body having a similar function in a corporation.

 

 

- 2 -

 

2.14.Deemed Liquidation” shall have the meaning set forth in Section 8.1.2.

 

2.15.“Defaulting Investor” shall have the meaning set forth in the BWAY Investment Agreement.

 

2.16.Distribution” means the grant of a Dividend or an obligation for such grant, directly or indirectly, and a Repurchase.

 

2.17.Dividend” means any asset transferred by the Company to a Shareholder in respect of such Shareholder’s Shares, whether in cash or in any other way, including a transfer without valuable consideration, but excluding Bonus Shares.

 

2.18.Prior CLA” means that certain Amended and Restated Convertible Bridge Loan Agreement by and between the Company and certain lenders listed therein dated July 10, 2024, as amended on November 7, 2024, and as further amended on or about the date hereof, which shall be converted into Preferred B-2 Shares immediately prior and subject to the initial Closing of the BWAY Investment Agreement.

 

2.19.Founders” means Amit Dar and Shmuel Shany.

 

2.20.General Meeting” means an annual or special general meeting of the Shareholders.

 

2.21.IPO” means a firmly underwritten initial public offering of the Company’s Ordinary Shares pursuant to an effective registration statement under the United States Securities Act of 1933, as amended, or equivalent law of another jurisdiction.

 

2.22.Key Employee” has such meaning set forth in the Preferred B Investment Agreement.

 

2.23.KT” means KT Squared, LLC, a Delaware limited liability company.

 

2.24.Law” means the Companies Law, the Companies Ordinance and any other law that shall be in effect from time to time with respect to companies and that shall apply to the Company.

 

2.25.M&A Transaction” means any of the following transactions: (i) the sale, lease or other disposal of all or substantially all of the assets or Shares of the Company or repurchase by the Company of the Company’s Shares; (ii) the consolidation, merger or reorganization of the Company with or into any other Person or any other transaction made by the Company, as a result of which the Shareholders prior to such event do not own, by virtue of their shareholdings in the Company prior to such event, a majority of the Shares of the surviving entity (which surviving entity may be the Company); (iii) any transfer or a grant of an exclusive license of material intellectual property of the Company, other than in the Company’s ordinary course of business; or (iv) any other transaction or series of related transactions in which Control of the Company is acquired by any Person (other than an IPO). Notwithstanding anything in the foregoing to the contrary, to the extent the Call Option is exercised such transaction shall be deemed an M&A Transaction which shall trigger the liquidation preference distribution pursuant to Article 8.1.1, excluding, however, any distribution to the Preferred S Shares under sub-article 8.1.1.1.

 

2.26.“Office” means the registered office of the Company.

 

2.27.Office Holders” as defined in the Companies Law.

 

2.28.Ordinary Shares” means Ordinary Shares of the Company par value NIS 0.01 each.

 

2.29.Original Issue Date” means with respect to each Preferred Share the date on which such Preferred Share was issued by the Company, which, in the case of Preferred Shares received upon conversion of any “SAFE”, convertible loans (including without limitation, the New CLA, and the Principal Amount extended under the BWAY Investment Agreement) or other convertible instruments shall mean the conversion date thereof; Notwithstanding the foregoing, the “Original Issue Date” with respect to each of the outstanding Preferred A/A-1/B/B-1 Shares, shall mean the original date upon which such shares were originally first issued prior to the effectuation of the 2025 Conversion (i.e. therefore no change shall apply to the Original Issue Date of such shares by virtue of the 2025 Conversion and subsequent reclassification).

 

 

- 3 -

 

2.30.Original Issue Price” means, each as applicable, the Preferred A Original Issue Price, the Preferred A-1 Original Issue Price, the Preferred B Original Issue Price, the Preferred B-1 Original Issue Price, the Preferred B-2 Original Issue Price, the Preferred B-3 Original Issue Price, the Preferred B-4 Original Issue Price, the Preferred S-1 Original Issue Price, the Preferred S-2 Original Issue Price and the Preferred S-3 Original Issue Price.

 

2.31.New CLA” means that certain convertible loan agreement by and between the Company and certain lenders listed therein dated February, 2025, as amended immediately prior to the initial Closing of the BWAY Investment Agreement (such agreement constituting the “Second Company CLA” as defined in the BWAY Investment Agreement).

 

2.32.Non-Qualifying Investor(s)” means the party defined in the New CLA as a Non-Qualifying Lender, who did not previously invest its Pro Rata Share (as defined in the New CLA prior to its amendment) in the New CLA, resulting in the conversion of its previous held preferred shares into Ordinary Shares following the effectuation of the 2025 Recap. The Capitalization Table (as defined in the BWAY Investment Agreement) identifies any Non-Qualifying Investor.

 

2.33.Permitted Transferee” means, provided that any of the following (including any of their Affiliates) are not a competitor of the Company: (1) in relation to any Preferred Shareholder: (i) a transferee by operation of law; (ii) in the case of an individual Preferred Shareholder - a spouse, child, brother, sister or trustee of the Preferred Shareholder and any entity which is controlled by or under common control with the Preferred Shareholder; (iii) in the case of any incorporated Preferred Shareholder (whether a company or a partnership or any other legal entity) - a Person who is an Affiliate of such Preferred Shareholder, or any of its shareholders, directors, officers, co-investors, limited partners, general partners or the shareholders, limited or general partners of such shareholders or limited or general partners, or entities that manage or co-manage, or are managed or whose account is managed by, directly or indirectly, such Preferred Shareholder or any of its shareholders, members, limited partners, general partners or the shareholders, members, limited or general partners of such shareholders limited or general partners or management company; (iv) transferees in the framework of a transfer which is part of a transfer of a significant portion of the Preferred Shareholder’s portfolio of investments; (2) in relation to any Shareholder who is not a Preferred Shareholder: (a) a transferee by operation of law; (b) a Person who is an Affiliate of such Shareholder; (c) in the case of an individual Shareholder - a parent, spouse, child, brother or sister, or a wholly owned corporation (by it and its parent, spouse, child, brother or sister) of such Shareholder, and (d) a trust which does not permit any of the settled property or the income therefrom to be applied otherwise than for the benefit of the relevant Shareholder and no power or control over the voting powers conferred by any Shares are subject to the consent of any person other than the trustees of such Shareholder. In addition, Deborah Edelstein Weiss and KT shall be deemed Permitted Transferees of each other.

 

2.34.Person” means an individual, corporation, partnership, joint venture, trust, any other corporate entity and any unincorporated association or organization.

 

 

- 4 -

 

2.35.Preferred B Investment Agreement” means that certain Series B Preferred Share Purchase Agreement by and between the Company and the Investors (as defined therein), dated October 7, 2022.

 

2.36.Preferred A Original Issue Price” means with respect to each Preferred A Share, US$4.480 as such price may be adjusted as set forth in these Articles.

 

2.37.Preferred A-1 Original Issue Price” means with respect to each Preferred A-1 Share, US$3.584 as such price may be adjusted as set forth in these Articles.

 

2.38.Preferred B Original Issue Price” means with respect to each Preferred B Share, US$4.5381 as such price may be adjusted as set forth in these Articles.

 

2.39.Preferred B-1 Original Issue Price” means with respect to each Preferred B-1 Share, US$3.4036 as such price may be adjusted as set forth in these Articles.

 

2.40.Preferred B-2 Original Issue Price” means with respect to each Preferred B-2 Share, US$3.08, reflecting the conversion price per share pursuant to which the Prior CLA is actually converted into Preferred B-2 Shares (if and to the extent so converted), as such price may be adjusted as set forth in these Articles.

 

2.41.Preferred B-3 Original Issue Price” means with respect to each Preferred B-3 Share, a price identical to the Preferred B-4 Original Issue Price.

 

2.42.Preferred B-4 Original Issue Price” means with respect to each Preferred B-4 Share, the conversion price per share pursuant to which the New CLA, is actually converted into Preferred B-4 Shares (if and to the extent so converted), as such price may be adjusted as set forth in these Articles.

 

2.43.Preferred S-1 Original Issue Price” means with respect to each Preferred S-1 Share, the conversion price per share pursuant to which the Initial Principal Amount (as defined in the BWAY Investment Agreement) is actually converted into Preferred S-1 Shares (if and to the extent so converted) as per the BWAY Investment Agreement, as such price may be adjusted as set forth in these Articles.

 

2.44.Preferred S-2 Original Issue Price” means with respect to each Preferred S-2 Share, the conversion price per share pursuant to which the Second Principal Amount (as defined in the BWAY Investment Agreement) is actually converted into Preferred S-2 Shares (if and to the extent so converted) as per the BWAY Investment Agreement, as such price may be adjusted as set forth in these Articles.

 

2.45.Preferred S-3 Original Issue Price” means with respect to each Preferred S-3 Share, the actual Third Investment PPS (as defined in the BWAY Investment Agreement) paid by BWAY for its Preferred S-3 Shares at the Third Closing (as defined in the BWAY Investment Agreement) (if and to the extent the Third Closing takes place), as such price may be adjusted as set forth in these Articles.

 

2.46.Preferred A Shares” means the New Series A Preferred Shares, par value NIS 0.01 each, of the Company, as created by the Company following the 2025 Recap.

 

2.47.Preferred A-1 Shares” means the New Series A-1 Preferred Shares, par value NIS 0.01 each, of the Company, as created by the Company following the 2025 Recap.

 

2.48.Preferred B Shares” means the New Series B Preferred Shares, par value NIS 0.01 each, of the Company, as created by the Company following the 2025 Recap.

 

2.49.Preferred B-1 Shares” means the New Series B-1 Preferred Shares, par value NIS 0.01 each, of the Company, as created by the Company following the 2025 Recap.

 

2.50.Preferred B-2 Shares” means the Series B-2 Preferred Shares, par value NIS 0.01 each, of the Company.

 

2.51.Preferred B-3 Shares” means the Series B-3 Preferred Shares, par value NIS 0.01 each, of the Company.

 

 

- 5 -

 

2.52.Preferred B-4 Shares” means the Series B-4 Preferred Shares, par value NIS 0.01 each, of the Company.

 

2.53.Preferred S Shares” means the Preferred S-1 Shares, the Preferred S-2 Shares and the Preferred S-3 Shares, constituting the shares issuable to the Investor (or its nominee) pursuant to the BWAY Investment Agreement. It is clarified that the Preferred S Shares shall constitute as a single class for all purposes under these Articles.

 

2.54.Preferred S-1 Shares” means sub-Series 1 of the Preferred S Shares, par value NIS 0.01 each, of the Company, to be issued to the Investor upon conversion of the Initial Principal Amount (as defined in the BWAY Investment Agreement), to the extent converted.

 

2.55.Preferred S-2 Shares” means sub-Series 2 of the Preferred S Shares, par value NIS 0.01 each, of the Company, to be issued to the Investor upon conversion of the Second Principal Amount (as defined in the BWAY Investment Agreement), to the extent converted.

 

2.56.Preferred S-3 Shares” means sub-Series 3 of the Preferred S Shares, par value NIS 0.01 each, of the Company, to be issued to the Investor upon the Third Closing (as defined in the BWAY Investment Agreement), to the extent the Third Closing takes place.

 

2.57.Preferred S Majority” means the holder(s) of the majority of the issued and outstanding Preferred S-1 Shares, Preferred S-2 Shares and Preferred S-3 Shares, voting together as a single class, provided that such majority shall in all cases include BWAY (alone or together with an Affiliate under its Control) as the holder of such majority.

 

2.58.Preferred B Majority” means the holders of the majority of the issued and outstanding Preferred B Shares, Preferred B-1 Shares, Preferred B-2 Shares, Preferred B-3 Shares and Preferred B-4 Shares, voting together as a single class.

 

2.59.Ordinary Shareholder” means a holder of Ordinary Shares.

 

2.60.Preferred B Shareholder” means a holder of Preferred B Shares.

 

2.61.Preferred B-1 Shareholder” means a holder of Preferred B-1 Shares.

 

2.62.Preferred B-2 Shareholder” means a holder of Preferred B-2 Shares.

 

2.63.Preferred B-3 Shareholder” means a holder of Preferred B-3 Shares.

 

2.64.Preferred B-4 Shareholder” means a holder of Preferred B-4 Shares.

 

2.65.Preferred Shareholder” means a holder of Preferred Shares.

 

2.66.Preferred Shares" means, collectively, the Preferred A Shares, the Preferred A-1 Shares, the Preferred B Shares, the Preferred B-1 Shares, the Preferred B-2 Shares, the Preferred B-3 Shares, the Preferred B-4 Shares and the Preferred S Shares.

 

2.67.QIPO” means the closing of an IPO of with net proceeds to the Company of at least $50,000,000.

 

2.68.Qualifying Preferred B-4 Investor Pro-Rata Share” shall mean the ratio of the principal amount invested by a Qualifying Preferred B-4 Investor to the total principal amount invested by all Qualifying Preferred B-4 Investors under the New CLA; all in accordance with the Company’s records.

 

2.69.Qualifying Preferred B-4 Investor” shall mean a holder of Preferred B-4 Shares that is/was a party to the New CLA and constituted thereunder a “Qualifying Lender” (as defined therein).

 

 

- 6 -

 

2.70.Re-Allocated Preference” means the Re-Allocated A Preference and the Re-Allocated B Preference.

 

2.71.Re-Allocated A Preference” means an aggregate amount of US$737,190 (constituting the accrued liquidation and dividend preference under Article 8.1 of these Articles attributable to the Preferred A-1 Shares and Preferred A Shares previously held by the Non-Qualifying Investor(s) converted into Ordinary Shares as of the initial Closing of the BWAY Investment Agreement.

 

2.72.Re-Allocated B Preference” means an aggregate amount of US$ 445,205 (constituting the accrued liquidation and dividend preference under Article 8.1 of these Articles attributable to the Preferred B-1 Shares and Preferred B Shares held by the Non-Qualifying Investor(s) converted into Ordinary Shares as of the initial Closing of the BWAY Investment Agreement.

 

2.73.2025 Recap” means the recapitalization carried out by the Company as part of the closing of the New CLA, which included, among other actions, the conversion of all previous outstanding preferred shares of the Company into Ordinary Shares, on a 1:1 basis (the “2025 Conversion”), and the immediate reclassification of the previous Preferred B-1/B/A/A-1 Shares held by Qualifying Investors into new Preferred B-1/B/A/A-1 Shares, respectively, on a 1:1 basis, conferring to the holders thereof the rights, privileges, and preferences provided under these Articles; all to become effective immediately prior to, and subject to, the consummation of the initial Closing of the BWAY Investment Agreement.

 

2.74.Recapitalization Event” means any event of share combination or subdivision, share split, reverse share split, share dividend, distribution of Bonus Shares or any other reclassification, reorganization or recapitalization of the Company’s share capital or other similar events on the basis of a Shareholder’s pro-rata share of all outstanding Shares of the Company on an as-if-converted to Ordinary Shares basis.

 

2.75.Register” means the Register of Shareholders that is to be kept pursuant to Section 127 of the Companies Law.

 

2.76.Repurchase” means the acquiring or the financing of the acquiring, directly or indirectly, by the Company or by a subsidiary of the Company or other corporate entity under the Company’s control, of Shares of the Company or securities convertible into or exercisable for Shares of the Company, or the redemption of redeemable securities that are part of the Company’s share capital pursuant to Section 312(d) of the Companies Law, including an obligation to do any of the same, and all provided that the seller is not the Company itself or another corporate entity fully owned by the Company.

 

2.77.Securities Law” means the Israeli Securities Law, 1968, as amended.

 

2.78.Shares” means any Ordinary Shares, any Preferred Shares or any other equity security issued by the Company.

 

2.79.Shareholder” means a shareholder of the Company.

 

2.80.Special Share” means the Special Share, par value NIS 0.01 each, of the Company, as created by the Company pursuant to the BWAY Investment Agreement.

 

3.All terms used herein and not otherwise defined herein shall have the meanings defined in the Law, as in effect on the day on which these Articles become binding on the Company; words and expressions importing the singular shall include the plural and vice versa if the context so requires; words and expressions importing the masculine gender shall include the feminine gender. Headings to Articles herein are for convenience only and shall not affect the meaning or interpretation of any provision hereof. In the event of any discrepancy or inconsistency between these Articles (in their current English form) and their Hebrew translation (if any), the Articles drafted in the English language shall prevail and the Hebrew translation shall be disregarded.

 

 

- 7 -

 

4.For purposes of computing minimum shareholdings required for any purposes under these Articles, each Shareholder shall be entitled to aggregate its holdings in the Company with the holdings of any of its Permitted Transferees, and the aggregate holdings shall be considered to be held by such Shareholder and its Permitted Transferees, and such rights – to the extent they are determined to be available at such time - may be exercised with the consent of the other Permitted Transferees (up to the maximum extent so determined to be available in the aggregate to all such shareholders) by any, some or all of such shareholders who are Permitted Transferees of each other.

 

Limitations

 

5.The following limitations shall apply to the Company:

 

5.1.the right to transfer Shares is restricted in the manner hereinafter provided;

 

5.2.the number of Shareholders at any time (excluding employees and former employees of the Company who have been Shareholders during their employment and remain Shareholders after termination of their employment with the Company) shall not exceed 50; provided, however, that if two or more individuals hold a share or Shares of the Company jointly, they shall be deemed to be one Shareholder for purposes of these Articles; and

 

5.3.an offer to the public to subscribe for Shares or debentures of the Company is prohibited.

 

Capital

 

6.The authorized share capital of the Company is 391,648 New Israeli Shekels (NIS) divided into 21,062,619 Ordinary Shares, 1,400,000 Preferred A Shares and 100,000 Preferred A-1 Shares, 2,500,000 Preferred B Shares, 2,200,000 Preferred B-1 Shares, 1,621,000 Preferred B-2 Shares, 1,000,000 Preferred B-3 Shares, 3,042,000 Preferred B-4 Shares, 2,212,524 Preferred S-1 Shares, 2,271,458 Preferred S-2 Shares, 1,755,219 Preferred S-3 Shares, and one (1) Special Share.

 

7.The Ordinary Shares. Subject to the rights and privileges of the Preferred Shares and the Special Share, the Ordinary Shares shall rank pari passu between them and shall entitle their holders:

 

7.1.to receive notices of, and to attend, General Meetings where each Ordinary Share shall have one vote for all purposes;

 

7.2.to share, on a per share pro rata basis, in Bonus Shares, bonuses, profits or Distributions as may be declared by the Board and approved by the Shareholders, if required, out of funds legally available therefor;

 

7.3.upon liquidation or dissolution – to participate in the distribution of the assets of the Company legally available for distribution to Shareholders after payment of all debts and other liabilities of the Company (in each case, proportionally to the number of Ordinary Shares outstanding and the amounts paid by Shareholders on account of their Shares, if not paid in full, before calls for payment were made); and

 

7.4.to appoint, dismiss, and replace directors of the Company pursuant to the provisions of these Articles.

 

7A.The Special Share.

 

 7A.1.Except as set forth in this Article 7A, the Special Share shall not confer upon its holder any economic or participation rights whatsoever, including without limitation rights to dividends or other distributions, except that upon a liquidation of the Company, the holder thereof shall be entitled to receive an amount equal to the nominal value of the Special Share, in priority to any distribution to holders of Ordinary Shares, but following payment of any liquidation preferences to the holders of Preferred Shares pursuant to Article 8.1.
   

 

- 8 -

  

7A.2As of the initial Closing under the BWAY Investment Agreement, the Company has issued to BWAY one (1) Special Share, which shall confer upon BWAY the rights and privileges granted to BWAY under these Articles in respect of the appointment of director(s) and all other approvals, rights and consents set forth in Articles 12, 17, 39 through 42B (inclusive), 59, 75, 91, 140 through 143 (inclusive), and any other provision referring to the Special Share or the holder thereof; in each case subject to Article 144 (“Defaulting Investor”).

 

7A.3.The rights and privileges attached to the Special Share shall be exercisable by BWAY from and after its issuance until the earlier of the following events (i) the Special Share becoming a Deferred Share according to Section 7.A.4 below; or (ii) the full repayment of the outstanding Loan Amount (as defined in the BWAY Investment Agreement) by the Company in accordance with and subject to provisions of the BWAY Investment Agreement, whichever occurs first. For the avoidance of doubt, such rights shall apply regardless of whether BWAY holds any other Shares of the Company.

 

7A.4.The Special Share shall automatically become a Deferred Share, with no rights or privileges (other than the right to receive its nominal value upon liquidation following payment of any liquidation preferences to the holders of Preferred Shares pursuant to Article 8.1) upon the earlier of: (i) issuance to BWAY of any Preferred S Shares pursuant to the conversion of any portion of the Principal Amount (in which case, the rights and privileges conferred upon BWAY under this Article 7A. and otherwise under these Articles by virtue of its holding the Special Share shall automatically attach to and be exercised by virtue of BWAY’s holdings of Preferred S Shares); or (ii) BWAY is a Defaulting Investor.

 

8.The Preferred Shares. The Preferred Shares confer on the holders thereof all rights accruing to holders of Ordinary Shares in the Company, and in addition are entitled to the following rights:

 

8.1.Liquidation and Distribution Preference.

 

 8.1.1.In the event of (i) any liquidation, dissolution, or winding-up of the Company, either voluntary or non-voluntary; (ii) any bankruptcy, insolvency or reorganization proceeding under any bankruptcy or insolvency or similar law, whether voluntary or involuntary, is properly commenced by or against the Company; or (iii) a receiver or liquidator is appointed to all or substantially all of the Company’s assets; collectively, a “Liquidation”; then in each such event, the assets or proceeds available for distribution or payment to the Shareholders (the “Distributable Proceeds”) shall be distributed among the Shareholders according to the following order of preference:
   
8.1.1.1First, the holders of Preferred S Shares shall be entitled, prior and in preference to the holders of any other class of Shares, to receive, out of the Distributable Proceeds, an amount per Preferred S Share equal to the greater of: (i) the Original Issue Price of such Preferred S Share; and (ii) the amount that would be distributed in respect of such Preferred S Share had all Shares of the Company been converted into Ordinary Shares immediately prior to such Deemed Liquidation and the entire Distributable Proceeds distributed among the Shareholders on a pro-rata, as-converted basis (without taking into account any liquidation preferences under this Article 8.1), in US$ (in cash, cash equivalents or, if applicable, securities), and less the aggregate of all amounts of Preferred S Dividend Preference and/or Distributable Proceeds previously paid in preference with respect to each such Preferred S Share (the “Preferred S Preference”). In the event that the Distributable Proceeds shall be insufficient for the distribution of the Preferred S Preference in full to all of the holders of Preferred S Shares, the Distributable Proceeds shall be distributed among the holders of Preferred S Shares on a pro rata and pari passu basis.

 

 

- 9 -

 

8.1.1.2Second, after payment in full of the Preferred S Preference but prior and in preference to the holders of Preferred B-2 Shares, Preferred B-1 Shares, Preferred B Shares, Preferred A Shares, Preferred A-1 Shares and Ordinary Shares of the Company: the holders of Preferred B-4 Shares and Preferred B-3 Shares shall be entitled to receive for each Preferred B-4 Share and Preferred B-3 Share held by them, prior and in preference to the holders of any other Shares of the Company, an amount equal to two (2) times the applicable Original Issue Price of each such Preferred B-4 Share and Preferred B-3 Share, respectively, in US$ (in cash, cash equivalents or, if applicable, securities), plus any accrued and unpaid undeclared dividends on behalf of the Preferred B-3/B-4 Dividend Preference, plus an amount equal to all other declared but unpaid Dividends on each Preferred B-4 Share and Preferred B-3 Share and less the aggregate of all amounts of Preferred B-3/B-4 Dividend Preference and/or Distributable Proceeds previously paid in preference with respect to each such Preferred B-4 Share and Preferred B-3 Share (the “Preferred B-3/B-4 Preference”). In the event that the Distributable Proceeds shall be insufficient for the distribution of the Preferred B-3/B-4 Preference in full to all of the holders of Preferred B-4 Shares and Preferred B-3 Shares, the Distributable Proceeds shall be distributed among the holders of Preferred B-4 Shares and Preferred B-3 Shares on a pro rata and pari passu basis (based on the total Preferred B-3/B-4 Preference owed thereto and not based on the number of Preferred B-4 Shares and Preferred B-3 Shares held).

 

8.1.1.3Third, after payment in full of the Preferred S Preference and the Preferred B-3/B-4 Preference but prior and in preference to the holders of Preferred A Shares, Preferred A-1 Shares and Ordinary Shares of the Company:

 

(A)  the holders of Preferred B-2 Shares, Preferred B-1 Shares and Preferred B Shares shall be entitled to receive for each Preferred B-2 Share, Preferred B-1 Share and Preferred B Share held by them, an amount equal to two (2) times the applicable Original Issue Price of each such Preferred B-2 Share, Preferred B-1 Share and Preferred B Share, respectively, in US$ (in cash, cash equivalents or, if applicable, securities), plus any accrued and unpaid undeclared dividends on behalf of the Preferred B/B-1/B-2 Dividend Preference, plus an amount equal to all other declared but unpaid Dividends on each Preferred B-2 Share, Preferred B-1 Share and Preferred B Share and less the aggregate of all amounts of Preferred B/B-1/B-2 Dividend Preference and/or Distributable Proceeds previously paid in preference with respect to each such Preferred B-2 Share, Preferred B-1 Share and Preferred B Share (the “Preferred B/B-1/B-2 Preference); and

 

 

- 10 -

 

(B)   each Qualifying Preferred B-4 Investor shall be entitled to receive, an amount equal to its Qualifying Preferred B-4 Investor Pro-Rata Share of the Re-Allocated B Preference (“Qualifying Preferred B-4 Investor Re-Allocated B Preference”). The entitlement for the Re-Allocated B Preference shall be tied to the Preferred B-4 Shares issued to each Qualifying Preferred B-4 Investor, such that for each Preferred B-4 Share held any Qualifying Preferred B-4 Investor by virtue of the conversion of its investment pursuant to the New CLA, such Qualifying Preferred B-4 Investor shall be entitled to receive, in addition to the Preferred B-4 Preference as per article 8.1.1, an amount equal to such Qualifying Preferred B-4 Investor Re-Allocated B Preference divided by the number of Preferred B-4 Shares issued to such Qualifying Preferred B-4 Investor upon conversion of the New CLA.

 

8.1.1.4In the event that the Distributable Proceeds shall be insufficient for the distribution of the Preferred B/B-1/B-2 Preference and the Re-Allocated B Preference in full, the Distributable Proceeds shall be distributed among the applicable holders on a pro rata and pari passu basis (based on the total Preferred B/B-1/B-2 Preference and Re-Allocated B Preference owed thereto and not based on the number of Preferred B-2 Shares, Preferred B-1 Shares and Preferred B Shares held).

 

8.1.1.5Fourth, after payment in full of the Preferred S Preference, the Preferred B-3/B-4 Preference, the Preferred B/B-1/B-2 Preference and the Re-Allocated B Preference, but prior and in preference to the holders of Ordinary Shares of the Company:

 

(A)   the holders of Preferred A-1 Shares and Preferred A Shares shall be entitled to receive for each Preferred A-1 Share and Preferred A Share held by them, an amount equal to the higher of: (i) one (1) times the applicable Original Issue Price of each such Preferred A-1 Share and Preferred A Share, respectively, in US$ (in cash, cash equivalents or, if applicable, securities), plus any accrued and unpaid undeclared dividends on behalf of the Preferred A/A-1 Dividend Preference, plus an amount equal to all other declared but unpaid Dividends on each Preferred A-1 Share and Preferred A Share and less the aggregate of all amounts of Preferred A/A-1 Dividend Preference and/or Distributable Proceeds previously paid in preference with respect to each such Preferred A-1 Share and Preferred A Share (the “Preferred A/A-1 Preference”), and (ii) the amount per share such holder would have received for such Preferred A Share or Preferred A-1 Share had all Preferred A Shares and Preferred A-1 Shares been converted into Ordinary Shares immediately prior to such Liquidation (taking into account the aggregate amount of Distributable Proceeds previously paid in preference pursuant to this Article 8.1 and any Dividend Preference paid pursuant to these Articles below with respect to such Preferred A Share and Preferred A-1 Shares) (the “Preferred A Pro-Rata Distribution”).

 

 

- 11 -

 

(B)   each Qualifying Preferred B-4 Investor shall be entitled to receive, an amount equal to its Qualifying Preferred B-4 Investor Pro-Rata Share of the Re-Allocated A Preference (“Qualifying Preferred B-4 Investor Re-Allocated A Preference”). The entitlement for the Re- Allocated A Preference shall be tied to the Preferred B-4 Shares issued to each Qualifying Preferred B-4 Investor, such that for each Preferred B-4 Share held by any Qualifying Preferred B-4 Investor by virtue of the conversion of its investment pursuant to the New CLA, such Qualifying Preferred B-4 Investor shall be entitled to receive, in addition to the Preferred B-4 Preference as per articles 8.1.1 and 8.1.2, an amount equal to such Qualifying Preferred B-4 Investor Re-Allocated A Preference divided by the number of Preferred B-4 Shares issued to such Qualified Preferred B-4 Investor upon conversion of the New CLA.

 

(In the event that the Distributable Proceeds shall be insufficient for the distribution of the Preferred A/A-1 Preference and the Re-Allocated A Preference, in full, the Distributable Proceeds shall be distributed among the applicable holders on a pro rata and pari passu basis (based on the total Preferred A/A-1 Preference and Re-Allocated A Preference owed thereto).

 

8.1.1.6Lastly, after payment in full of the Preferred S Preference, the Preferred B-3/B-4 Preference, the Preferred B/B-1/B-2 Preference, the Re- Allocated B Preference, the Preferred A/A-1 Preference or the Preferred A Pro-Rata Distribution (as applicable) and the Re- Allocated A Preference (collectively: the “Liquidation Preference”), the Preferred B-4 Shareholders, Preferred B-3 Shareholders, Preferred B-2 Shareholders, Preferred B-1 Shareholders and the Ordinary Shareholders, in respect of their Preferred B-4 Shares, Preferred B-3 Shares, Preferred B-2 Shares, Preferred B-1 Shares, Preferred B Shares and Ordinary Shares, respectively, then outstanding, the remaining Distributable Proceeds available for distribution, if any, shall be distributed on a pro-rata, pari passu and as-converted basis (without, for the avoidance of doubt, such Preferred B-4 Shares, Preferred B-3 Shares, Preferred B-2 Shares, Preferred B-1 Shares and Preferred B Shares actually being converted into Ordinary Shares). For clarity, receipt of their respective portion of the Liquidation Preference by the applicable Preferred Shareholders shall not derogate from the right of such Preferred Shareholders to receive the distribution in the prior sentence.

 

8.1.2.Unless otherwise approved by the Preferred B Majority and (except in the event of an exercise of the Call Option) the Preferred S Majority, any M&A Transaction shall be treated as a Liquidation pursuant to the above provisions of this Article 8.1 (a “Deemed Liquidation”), and the provisions of Articles 8.1.1.1 through 8.1.1.6 shall apply to a distribution of the Distributable Proceeds received by the Company and/or the Shareholders in connection with such Deemed Liquidation. In the event of a Deemed Liquidation resulting from the transfer of outstanding Shares of the Company, no such transfer shall be valid and the Company shall not register it in the Register, unless measures determined by the Board that are satisfactory to the Preferred B Majority and (except in the event of an exercise of the Call Option) the Preferred S Majority are taken for the distribution of the consideration received for such transfer in accordance with Articles 8.1.1.1 through 8.1.1.6 above; where in the case of the Call Option, the measures set forth in the Call Option Agreement shall apply and are deemed to fully satisfy the requirements set forth in this Article 8.1.2.

 

 

- 12 -

 

Notwithstanding anything to the contrary in these Articles (and in particular Article 8.1.2 above), in connection with a transaction in which BWAY (or any Affiliate, transferee or assignee thereof) (a “BWAY Party”) is exercising the Call Option in such transaction, (i) No BWAY Party shall be entitled to receive any Distributable Assets from such transaction, (ii) Articles 8.1.1.1 (i.e., the Preferred S Preference) and 8.1.1.6 (to the extent relating to pro-rata participation by a BWAY Party) above shall not apply, and (ii) the Distributable Assets shall be solely and exclusively allocated between the Company’s security holders (excluding any BWAY Party) selling their securities in such transaction according the distribution waterfall set forth in Article 8.1.1 (after disregarding the items set forth above).

 

8.1.3.In the event of a Deemed Liquidation if any portion of the consideration payable or distributable to the Shareholders is placed into escrow or is payable or distributable to the Shareholders subject to contingencies (the “Deferred Payments”), the purchase agreement or plan of merger or consolidation for such transaction shall provide that (and in the absence of such provision, including with respect to the Call Option Agreement, the following shall in any event apply): that (a) the portion of such consideration that is not placed in escrow and not subject to any contingencies (the “Initial Consideration”) shall be allocated among the Shareholders in accordance with Articles 8.1.1.1, 8.1.1.2 8.1.1.3, 8.1.1.4, 8.1.1.5 and 8.1.1.6 as if the Initial Consideration were the only consideration payable in connection with such Deemed Liquidation and (b) any additional consideration which becomes payable or distributable to the shareholders of the Company upon release from escrow or satisfaction of contingencies shall be allocated among the shareholders in accordance with Articles 8.1.1.1, 8.1.1.2 8.1.1.3, 8.1.1.4, 8.1.1.5 and 8.1.1.6 after taking into account the previous payment of the Initial Consideration and Deferred Payments (if any) as part of the same transaction.

 

8.1.4.The Company shall give each holder of record of Preferred Shares written notice of such Liquidation, Distribution of Dividends or Deemed Liquidation (other than pursuant to the exercise of the Call Option, where if the Call Option is exercised the Company shall provide each such holder with notice as soon as possible following its receipt of the Exercise Notice (as defined in the Call Option Agreement) impending transaction not later than ten (10) Business Days prior to the Shareholders’ meeting called to approve such transaction, or ten (10) Business Days prior to the closing of such transaction, whichever is earlier, and shall also notify such holders in writing of the final approval of such transaction. The first of such notices shall describe the material terms and conditions of the impending transaction and the provisions of this Article 8.1, and the Company shall thereafter give such holders prompt notice of any material changes. The transaction shall in no event take place sooner than ten (10) Business Days after the Company has given the first notice provided for herein or sooner than ten (10) Business Days after the Company has given notice of any material changes to the information provided in a notice provided for herein; provided, however, that such periods may be shortened upon the written consent of the holders of the Preferred B Majority and (except in the event of an exercise of the Call Option) the Preferred S Majority.

 

 

- 13 -

 

8.1.5.If the amount deemed paid or distributed under this Article 8.1 is made in property other than in cash, the value of such distribution shall be the fair market value of such property, determined as follows:

 

8.1.5.1For securities not subject to investment letters or other similar restrictions on free marketability,

 

(1)           if traded on a securities exchange or the NASDAQ Stock Market, the value shall be deemed to be the average of the closing prices of the securities on such exchange or market over the thirty (30) day period ending three (3) days prior to the closing of such transaction;

 

(2)           if actively traded over-the-counter, the value shall be deemed to be the average of the closing bid prices over the thirty (30) day period ending three (3) days prior to the closing of such transaction; or

 

(3)           if there is no active public market, the value shall be the fair market value thereof, as determined in good faith by the Board and approved by the Preferred B Majority and (except in the event of an exercise of the Call Option) the Preferred S Majority; or

 

(4)           if securities to be issued pursuant to the exercise of the Call Option, the price attributed to such securities pursuant to the terms of the Call Option Agreement.

 

8.1.5.2The method of valuation of securities subject to investment letters or other similar restrictions on free marketability (other than restrictions arising solely by virtue of a shareholder’s status as an affiliate or former affiliate) shall take into account an appropriate discount (as determined in good faith by the Board) from the market value as determined pursuant to Article 8.1.5.1 above so as to reflect the approximate fair market value thereof.

 

8.1A Dividend Rights.

 

8.1A1       Preferred Shares.

 

first, the holders of the then outstanding Preferred S Shares shall be entitled to receive, prior and in preference to the payment of any dividends on any other class or series of Shares (including, without limitation, all other Preferred Shares and the Ordinary Shares), when, as and if declared by the Board, out of any funds and assets of the Company legally available therefor, cumulative and compounding dividends in an amount per share equal to eight percent (8%) of the applicable Original Issue Price of each such Preferred S Share, per annum, from the applicable Original Issue Date (the “Preferred S Dividend Preference”) (provided, however, that the holders of Preferred S Shares shall not be entitled to the Preferred S Dividend Preference in a Deemed Liquidation in which a BWAY Party is exercising the Call Option in such transaction);

 

 

- 14 -

 

second, after payment in full of the Preferred S Dividend Preference, the holders of the then outstanding Preferred B-4 Shares and Preferred B-3 Shares shall be entitled to receive, prior and in preference to the payment of any dividends on the Preferred B-2 Shares, Preferred B-1 Shares, Preferred B Shares, Preferred A-1 Shares, Preferred A Shares and Ordinary Shares, when, as and if declared by the Board, out of any funds and assets of the Company legally available therefor, cumulative and compounding dividends at the rate of eight percent (8%) of the applicable Original Issue Price per each Preferred B-4 Share and Preferred B-3 Share, per annum from the Original Issue Date (the “Preferred B-3/B-4 Dividend Preference”);

 

third, after payment in full of the Preferred B-3/B-4 Dividend Preference in respect of all Preferred B-4 Shares and Preferred B-3 Shares then outstanding, the holders of the then outstanding Preferred B-2 Shares, Preferred B-1 Shares and Preferred B Shares, shall be entitled to receive, prior and in preference to the payment of any dividends on the Preferred A-1 Shares, Preferred A Shares and Ordinary Shares, when, as and if declared by the Board, out of any funds and assets of the Company legally available therefor, cumulative and compounding dividends at the rate of eight percent (8%) of the applicable Original Issue Price per each Preferred B-2 Share, Preferred B-1 Share and Preferred B Share, per annum from the Original Issue Date (the “Preferred B/B-1/B-2 Dividend Preference”); and

 

fourth, after payment in full of the Preferred B/B-1/B-2 Dividend Preference in respect of all Preferred B-2 Shares, Preferred B-1 Shares and Preferred B Shares then outstanding, the holders of the then outstanding Preferred A-1 Shares and Preferred A Shares, shall be entitled to receive, prior and in preference to the payment of any other dividends, when, as and if declared by the Board, out of any funds and assets of the Company legally available therefor, cumulative and compounding dividends at the rate of six percent (6%) of the applicable Original Issue Price per each Preferred A-1 Share and Preferred A Share, per annum from the Original Issue Date (the “Preferred A/A-1 Dividend Preference”, and collectively with the Preferred S Dividend Preference, the Preferred B-3/B-4 Dividend Preference and Preferred B/B-1/B-2 Dividend Preference, the “Dividend Preference”).

 

8.1A2Ordinary Shares. If, after payment in full of the Dividend Preference as specified in Section 8.1A1 for the Preferred Shares, the Board shall declare additional dividends out of funds legally available therefor, then such additional dividends shall be paid pro rata on the Preferred Shares and Ordinary Shares on a pro-rata, pari passu and as-converted basis according to the number of Ordinary Shares held by each holder, where each holder of Preferred Shares is to be treated for this purpose as holding the greatest whole number of Ordinary Shares then issuable upon conversion of all Preferred Shares held by such holder (without, for the avoidance of doubt, such Preferred Shares actually being converted into Ordinary Shares).

 

 

- 15 -

 

8.1A3Non-Cash Dividends. Whenever a dividend provided for in this Section 8.1A shall be payable in property other than cash, the value of such dividend shall be determined in accordance with Article 8.1.5 above which shall apply mutatis mutandis hereto.

 

8.2.Conversion. The Preferred Shareholders shall have conversion rights as follows (the “Conversion Rights”):

 

8.2.1.Right to Convert.

 

8.2.1.1.Each Preferred Share shall be convertible at the option of the holder of such share, at any time after the Original Issue Date of such share, into such number of fully paid and nonassessable Ordinary Shares of the Company as is determined by dividing the applicable Original Issue Price for such share by the Conversion Price (as defined below) at the time in effect for such share. The initial conversion price per each Preferred Share shall be the Original Issue Price for such share (the “Conversion Price”); provided, however, that the Conversion Price for each Preferred Share shall be adjusted in accordance with any Recapitalization Event and pursuant to the anti- dilution and other adjustment provisions set forth herein.

 

8.2.1.2.Notwithstanding anything to the contrary herein, each Preferred Share (including the applicable accrued Dividend Preference, subject to applicable law and required tax withholding, if any) shall automatically be converted into fully paid and nonassessable Ordinary Shares by dividing the applicable Original Issue Price by the Conversion Price at the time in effect for such Preferred Share, immediately upon: (i) a QIPO; or (ii) upon the written consent of (A) the Preferred B Majority and (B) the holder of the Special Share or the Preferred S Majority. For the avoidance of doubt, in the event of a conversion under subsection (ii) above for an IPO (excluding a QIPO), the liquidation preference provisions described in Article 8.1 shall apply and any deviation therefrom shall be subject to the written consent of (A) the Preferred B Majority and (B) the holder of the Special Share or the Preferred S Majority.

 

8.2.1.3.Mechanics of Conversion. Before any Preferred Shareholder shall be entitled to convert any Preferred Share into Ordinary Shares, the Preferred Shareholder shall surrender the certificate or certificates thereof, or an affidavit of loss of the certificate or certificates therefor in a form reasonably acceptable to the Company, duly executed, at the Office and shall give written notice by registered mail, postage prepaid, to the Company of the election to convert the same. The Company shall, as soon as practicable thereafter, issue and deliver to such Preferred Shareholder a certificate or certificates for the number of Ordinary Shares to which such Preferred Shareholder shall be entitled as aforesaid. Such conversion shall be deemed to have been made immediately prior to the close of business on the date of the surrender of the certificate or submission of the affidavit of loss of the certificate representing the Preferred Shares to be converted, and the Person or Persons entitled to receive the Ordinary Shares issuable upon such conversion shall be treated for all purposes as the record holder of such Ordinary Shares as of such date. In the case of conversion pursuant to Article 8.2.1.2, such conversion shall be deemed to have been made immediately prior to the close of business on the date of the occurrence of any of the events listed in Article 8.2.1.2 and subject to the actual occurrence of such event, and the Person or Persons entitled to receive the Ordinary Shares issuable upon such conversion shall be treated for all purposes as the record holder of such Ordinary Shares as of such date; once again provided that the event does actually occur.

 

 

- 16 -

 

8.2.2.Conversion Price Adjustments of Preferred Shares.

 

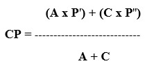
8.2.2.1.In the event that the Company issues any Additional Securities (as defined below) at a price per share lower than the Conversion Price of Preferred Shares in effect immediately prior to such issuance (the “Reduced Price”), then the Conversion Price of such series of Preferred Shares shall be reduced, for no additional consideration, in accordance with the following broad based weighted average formula:

 

 

where CP is the reduced Conversion Price; A is the number of Ordinary Shares, on an as-converted fully diluted basis (treating for this purpose as outstanding all Ordinary Shares issuable upon exercise of Options outstanding immediately prior to such issue or upon conversion or exchange of convertible securities (including the Preferred Shares), outstanding immediately prior to the relevant issuance of Additional Securities; but excluding Ordinary Shares reserved for Options that were not allocated prior to the relevant issuance of Additional Securities); P' is the Conversion Price applicable to the Preferred Shares of the applicable series in effect immediately prior to such issuance; C is the number of Additional Securities; and P'' is the Reduced Price.

 

 

- 17 -

 

8.2.2.2.No adjustment to the Conversion Price pursuant to Article 8.2.3.1 shall be made if it has the effect of increasing the Conversion Price of such Preferred Share above the Conversion Price of such Preferred Share in effect immediately prior to such adjustment.

 

8.2.2.3.In the case of the issuance of Additional Securities for cash, the consideration shall be deemed to be the amount of cash received therefor after deducting from such cash amount any discounts, finder’s fees or underwriting commissions paid or incurred by the Company in connection with the issuance and sale thereof.

 

8.2.2.4.In the case of the issuance of Additional Securities for a consideration in whole or in part other than cash, the consideration other than cash shall be deemed to be the fair value thereof, as shall be determined in accordance with Article 8.1.4 above.

 

8.2.2.5.In the case of the issuance of warrants or options to purchase, or rights to subscribe for, Additional Securities, or securities which by their terms are convertible into or exchangeable for Additional Securities or options to purchase or rights to subscribe for such convertible or exchangeable securities (collectively, “Options”), the Additional Securities deliverable upon exercise (assuming the satisfaction of any conditions to exercisability, including without limitation the passage of time, but without taking into account potential anti-dilution adjustments), conversion or exchange, as the case may be, of such Options, shall be deemed to have been issued at the time of issuance of such Options at a consideration equal to the consideration (determined in the manner provided in Articles 8.2.3.3 and 8.2.3.4), if any, received by the Company for such Options upon the issuance of such Options plus any additional consideration payable to the Company pursuant to the terms of such Options (without taking into account potential anti-dilution adjustments) for the Additional Securities covered thereby; provided, however, that if any Options as to which an adjustment to the Conversion Price has been made pursuant to this Article 8.2.3.5 expire without having been exercised, then the Conversion Price shall be readjusted as if such Options had not been issued (without any effect, however, on adjustments to the Conversion Price as a result of other events described in this Article); provided that no such readjustment shall have the effect of increasing the applicable Conversion Price to an amount which exceeds the applicable Conversion Price that would have resulted from other issuances of Additional Securities after the time of issuance of such Options had such Options not been issued.

 

 

- 18 -

 

8.2.2.6.For purposes of this Article 8.2.2, the consideration for any Additional Securities shall be taken into account at the U.S. dollar equivalent thereof, on the day such Additional Securities are issued or deemed to be issued pursuant to Article 8.2.3.5.

 

8.2.2.7.Additional Securities” means any shares, warrants, convertible deeds or any other security or right exercisable or convertible into shares of the Company, other than the Excluded Securities. The “Excluded Securities” means any of the following: (i) options or shares issued to employees, directors or consultants, pursuant to an employee stock option plan or any incentive plan approved by the Board; (ii) securities issued upon conversion of the Preferred Shares; (iii) securities issued to the public in an IPO; (iv) securities issued in the framework of a Recapitalization Event; (v) issuance of securities of the Company pursuant to (A) the BWAY Investment Agreement (including all of the Preferred S Shares), and (B) the New CLA, including without limitation, the warrants issuable thereunder and the shares issued upon exercise thereof (including, Preferred B-3 Shares or Preferred B-4 Shares issuable upon conversion thereof or otherwise thereunder), as well as the warrants issued thereunder and shares issued upon exercise thereof; (vi) securities issued pursuant to Article 141.6.1 below; and (vi) securities issued in any other issuance with respect to which (A) the holders of the Preferred B Majority and (B) the holder of the Special Share or the Preferred S Majority, agreed, in writing, qualify from the definition of “Additional Securities” for the purpose of waiver of anti-dilution and/or pre-emptive rights with respect to such issuance, as the case may be.

 

8.2.3.Recapitalization Event. If at any time or from time to time there shall be a Recapitalization Event (other than any actions under Article 8.2.2), and other than a Liquidation, Distribution of Dividends or Deemed Liquidation under Article 8.1), provision shall be made so that the Preferred Shareholders shall thereafter be entitled to receive upon conversion of the Preferred Shares the number of Ordinary Shares or other securities or property of the Company or otherwise, to which a holder of Ordinary Shares deliverable upon conversion of the Preferred Shares would have become entitled to as a result of the Recapitalization Event had the Preferred Shares been converted to Ordinary Shares immediately prior to such Recapitalization Event. In any such case, appropriate adjustment shall be made in the application of the provisions of these Articles with respect to the rights of the Preferred Shareholders after the recapitalization to the end that the provisions of these Articles (including adjustment, if necessary, of the Original Issue Price and the Conversion Price then in effect and the number of shares issuable upon conversion of the Preferred Shares) shall be applicable after that event as equivalent to the manner in which they were applicable prior to such event as may be practicable.

 

 

- 19 -

 

8.2.4.No Fractional Shares and Certificates as to Adjustments.

 

8.2.4.1.No fractional shares shall be issued upon conversion of the Preferred Shares, and the number of Ordinary Shares to be issued shall be rounded to the nearest whole share.

 

8.2.4.2.Upon the occurrence of each adjustment of the Conversion Price of a series of Preferred Shares pursuant to this Article 8, the Company, at its expense, shall promptly compute such adjustment in accordance with the terms hereof and prepare and furnish to each Preferred Shareholder a certificate setting forth each adjustment and showing in detail the facts upon which such adjustment is based. The Company shall furnish or cause to be furnished to such holder a like certificate setting forth (i) such adjustment, (ii) the Conversion Price at the time in effect, and (iii) the number of Ordinary Shares and the amount, if any, of other property which at the time would be received upon the conversion of a Preferred Share.

 

8.2.5.Notices of Record Date. In the event of any taking by the Company of a record of the holders of any class of securities for the purpose of determining the holders thereof who are entitled to receive any Dividend or other Distribution, any right to subscribe for, purchase or otherwise acquire any shares of any class or any other securities or property, or to receive any other right, the Company shall mail to each holder of shares, at least ten (10) Business Days prior to the date specified therein, a notice specifying the date on which any such record is to be taken for the purpose of such Dividend, Distribution or other right, and the amount and character of such Dividend, Distribution or other right.

 

8.2.6.Reservation of Shares Issuable Upon Conversion. The Company shall at all times reserve and keep available out of its authorized but unissued Ordinary Shares, solely for the purpose of effecting the conversion of the Preferred Shares, such number of its Ordinary Shares as shall from time to time be sufficient to effect the conversion of all outstanding Preferred Shares; and if at any time the number of authorized but unissued Ordinary Shares shall not be sufficient to effect the conversion of all then outstanding Preferred Shares, then the Company will take such corporate action as may be necessary to increase its authorized but unissued Ordinary Shares to such number of shares as shall be sufficient for such purposes.

 

8.3.No Impairment. The Company will not through any reorganization, recapitalization, transfer of assets, consolidation, merger, dissolution, issue or sale of securities or any other voluntary action, avoid or seek to avoid the observance or performance of any of the terms to be observed or performed hereunder by the Company, but will at all times in good faith assist in the carrying out of all the provisions of this Section 8.

 

8.4.Voting Rights.

 

8.4.1.Except with respect to election of directors or as required by law and subject to Articles 140 through 142, the Preferred Shares shall vote together with the other shares of the Company, and not as a separate class, in all Shareholders meetings, except as required herein or by law, with each Preferred Share having votes in such number as if then converted into Ordinary Shares (“on an as-converted basis”).

 

 

- 20 -

 

8.4.2.Except as set forth herein, the Preferred S-1 Shares, the Preferred S-2 Shares and the Preferred S-3 Shares shall vote together, as a single class, including for purposes of approving a merger pursuant to Chapter 8 of the Law.

 

8.4.3.Except as set forth herein, the Preferred B Shares, Preferred B-1 Shares, Preferred B-2 Shares, Preferred B-3 Shares and Preferred B-4 Shares shall vote together, as a single class, including for purposes of approving a merger pursuant to Chapter 8 of the Law.

 

8.4.4.Except as set forth herein, the Preferred A Shares and Preferred A-1 Shares shall vote together, as a single class, including for purposes of approving a merger pursuant to Chapter 8 of the Law.

 

Shares; Pre-emptive Rights

 

9.Subject to the provisions of these Articles, including for the avoidance of any doubt, Articles 140 and 141, the unissued shares of the Company shall be at the disposal of the Board who may offer, allot, grant options or otherwise dispose of shares to such Persons, at such times and upon such terms and conditions as the Company may by resolution of the Board determine.

 

10.Subject to the provisions of these Articles, including for the avoidance of any doubt, Articles 140 and 141, the Company may issue shares having the same rights as the existing shares, or having preferred or deferred rights, or rights of redemption, or restricted rights, or any other special right in respect of dividend distributions, voting, appointment or dismissal of directors, return of share capital, distribution of Company’s property, or otherwise, all as determined by the Company from time to time, subject to the provisions of these Articles. The Company may convert any part of the issued shares to deferred shares.

 

11.Subject to the provisions of the Companies Law and these Articles, the Company may issue redeemable shares and redeem them, provided, however, that the Preferred Shares shall enjoy similar redemption rights (if granted), unless otherwise agreed by (A) the Preferred B Majority and (B) the Preferred S Majority.

 

12.Until an IPO, each Shareholder who holds at least 3% of the issued and outstanding share capital of the Company on an as-converted basis (each a “Major Holder”) and BWAY (so long as it holds the Special Share or any Shares issued under the BWAY Investment Agreement or issuable upon conversion of the Principal Amount), who shall be deemed a Major Holder for all purposes of these Articles; (provided, however, that BWAY (and any of its Affiliates or transferees) shall not be considered a Major Holder under these Articles for any purpose, if it is a Defaulting Investor with respect to the Second Principal Amount) (an “Offeree”) shall have a preemptive right with respect to any issuance of Additional Securities by the Company at the offering price, in accordance with the following terms:

 

12.1.    Each Major Holder shall have the pre-emptive right to purchase up to its Pro Rata Portion (calculated as of the date of the Pre-emption Notice) of any issuance of Additional Securities. "Pro Rata Portion" shall mean the ratio of (a) the number of outstanding shares of the Company which such Offeree holds immediately prior to the issuance of such Additional Securities (including, in the case of BWAY, all Shares issuable upon conversion of the portion of the outstanding Principal Amount then invested under the BWAY Investment Agreement (the “Invested Principal Amount”)), on an as converted basis, to (b) the total number of all outstanding shares of the Company held by all Shareholders (including all Shares issuable upon conversion of the Invested Principal Amount), on an as converted basis, immediately prior to the issuance of the New Securities (the “Pro Rata Portion”). Each Major Holder (other than BWAY to the extent it is a Defaulting Investor) shall have a right of over-allotment, such that if any Major Holder does not elect to exercise its pre-emptive rights hereunder to purchase its Pro Rata Portion of the Additional Securities, each Major exercising its preemptive rights hereunder may purchase such non-purchasing Major Holder’s portion (the "Major Holder Over-Allotment"). If the Major Holder Over-Allotment is oversubscribed by the Major Holder exercising their pre-emptive rights hereunder, then any such Major Holder Over-Allotment to be made among the Major Holders shall be made on a pro rata basis such that an exercising Major Holder's pro rata portion of the Major Holder Over-Allotment shall be the ratio of the total number of shares of the Company then held by such exercising Major Holder, to the sum of the total number of shares held by all of the Major Holders exercising their Major Holder Over-Allotment rights hereunder.

 

 

- 21 -

 

12.2.If the Company proposes to issue Additional Securities, it shall give each Major Holder a written notice thereof of its intention to do so, describing the Additional Securities it proposes to issue, the price of each Additional Security, the general terms upon which the Company proposes to issue them, and the number of Additional Securities that each Major Holder has the right to purchase (the "Pre-emption Notice"). Each Major Holder shall have seven (7) Business Days from the date of delivery of the Pre-emption Notice to it (the "Pre-emption Period"), to agree to purchase all or any part of its Pro Rata Portion of such Additional Securities, including any such Additional Securities in the Major Holder Over-Allotment, by giving written notice to the Company setting forth the quantity of the Additional Securities to be purchased by it.

 

12.3.Following the consummation of the preemptive procedure detailed above, the Additional Securities shall be sold under the terms specified in the Pre-emption Notices, pursuant to the acceptances and the allocations detailed above. To the extent the Major Holders fail to exercise in full the pre-emptive right, together with any Major Holder Over-Allotment, within the Pre-emption Period, then the Company shall have one hundred (100) days after the delivery of the Pre-emption Notice to sell the un-sold Additional Securities at a price and upon general terms no more favorable to the purchasers thereof than specified in the Pre-emption Notices. If the Company has not sold the un-sold Additional Securities within said one hundred (100) day period, the Company shall not thereafter issue or sell such un-sold Additional Securities without first re-offering them to the Major Holders in the manner provided above.

 

12.4.An Offeree may assign its right under this Article 12 to a Permitted Transferee.

 

12.5.If the offer to Shareholders under this Article 12 may constitute an offer to the public under applicable laws which is subject to prospectus requirements then such offer shall be limited to (i) the type of offerees the offering to which is exempted from such prospectus requirement, and (ii) to such limited number of Shareholders with the highest holdings in the Company (aggregating holdings of Permitted Transferees for the purpose of calculating the Shareholders with the highest holdings; provided that such Permitted Transferees shall be considered as separate entities to the extent viewed as such by applicable law; and further provided that the transfers to such Permitted Transferees were not made for the purpose of increasing the number of entities that are Permitted Transferees of the original transferring Shareholder(s) eligible to participate in the offer to Shareholders under this Article 12), not including and in addition to the offerees under paragraph (i), the offering to which is exempted from such prospectus requirement.

 

 13.Subject to Articles 8.2, 12 and 140, the Company may issue from time to time options, warrants, other rights to subscribe for instruments convertible into, or exchangeable for shares of the Company, the terms and conditions of which shall be determined by the Board in accordance with these Articles.
   
14.The Company shall not be bound to recognize any equitable, contingent, future or partial interest in any share or any other right whatsoever in any share other than an absolute right to the entirety thereof in the registered holder.

 

15.If two or more Persons are registered as joint holders of a share:

 

 

- 22 -

 

15.1.They shall be jointly and severally liable for any calls or any other liability with respect to such share. However, with respect to voting, powers of attorney and furnishing of notices, the one registered first in the Register shall be deemed to be the sole owner of the share unless all the registered joint holders notify the Company in writing to treat another one of them as the sole owner of the share.

 

15.2.Each one of them shall be permitted to give receipts binding all the joint holders for dividends or other moneys or property received from the Company in connection with the share and the Company shall be permitted to pay all the dividend or other moneys or property due with respect to the share to one or more of the joint holders, as it shall choose.

 

16.Share certificates shall bear the signature of one director, or of any other person or persons authorized thereto by the Board. Each Shareholder shall be entitled to one numbered certificate for all the shares of any series registered in his or its name, and if the Board so approves, to several certificates, each for one or more of such shares. Each certificate shall specify the serial numbers of the shares represented thereby. A share certificate registered in the names of two or more persons shall be delivered to the person first named in the Register. If a share certificate is defaced, lost or destroyed, it may be replaced, upon payment of such fee, and upon the furnishing of such evidence of ownership and such indemnity, as the Board may deem fit.

 

Drag Along

 

17.Subject to the provisions of the Companies Law and Articles 140, 141, and 142, until the consummation of a QIPO, if (i) a bona fide offer from any Person (including, BWAY (its successors and assigns) pursuant to the exercise of the Call Option) (the “Third Party”) is made to effect a Deemed Liquidation (a “Proposed Transaction”), and (ii) (A) the Preferred B Majority, and (B) subject to Article 143 below (Call-option Carveout) the holder of the Special Share or the Preferred S Majority, provide their affirmative consent to such Proposed Transaction (the “Proposing Shareholders”), then such decision shall be binding upon the Company and all remaining Shareholders (the “Remaining Shareholders”) will be required, if so demanded in writing by the Proposing Shareholders (the “Drag Along Notice”), to sell all of their Shares to such Third Party, or vote to approve the terms and conditions of the Proposed Transaction.

 

17.1.At every meeting of the Shareholders of the Company called with respect to any of the following, and at every adjournment or postponement thereof, and on every action or approval by written consent of the shareholders of the Company with respect to any of the following, the Remaining Shareholders shall vote all Shares of the Company that such Remaining Shareholders then hold or for which such Remaining Shareholders otherwise then have voting power: (A) in favor of approval of the Proposed Transaction and any matter that could reasonably be expected to facilitate the Proposed Transaction; and (B) against any proposal for any recapitalization, merger, sale of assets or other business combination (other than the Proposed Transaction) between the Company and any Person other than the party or parties to the Proposed Transaction or any other action or agreement that would result in a breach of any covenant, representation or warranty or any other obligation or agreement of the Company under the definitive agreement(s) related to the Proposed Transaction or which could result in any of the conditions to the Company's obligations under such agreement(s) not being fulfilled, in each case unless otherwise determined by the Proposing Shareholders. In any event the Proposed Transaction is brought to a vote at a shareholders meeting, any Shareholder who shall have failed to vote in favor of such Proposed Transaction, shall be deemed to have given an irrevocable proxy to such person as shall be designated by the Board to vote for the acceptance of such Proposed Transaction.

 

17.2.Each Remaining Shareholder shall take all necessary actions in connection with the consummation of the Proposed Transaction as requested by the Company or the Proposing Shareholders and shall, if requested by the Proposing Shareholders, execute and deliver any agreements and instruments prepared in connection with such Proposed Transaction which agreements are executed by the Proposing Shareholders and shall waive any dissenting minority or similar rights in connection with such Proposed Transaction.

 

 

- 23 -

 

17.3.Upon receipt of the Drag Along Notice, each Remaining Shareholder shall be obligated to sell all of its shares, or vote to approve such Proposed Transaction, notwithstanding any other no sale right, first refusal rights or other rights, and the proceeds of such Proposed Transaction shall be distributed among all Shareholders in accordance with the liquidation preference provisions set forth in Article 8.1 above.

 

17.4.At the closing of the Proposed Transaction (which place, date and time shall be designated by the Proposing Shareholders and provided to each of the Remaining Shareholders at least 5 days in advance), each such Remaining Shareholder shall deliver certificates evidencing all of its shares, duly endorsed or accompanied by written instruments of transfer in form satisfactory to the Third Party, duly executed by such Remaining Shareholder, against delivery of the purchase price therefore.

 

17.5.In the event that a Remaining Shareholder fails to surrender its certificate or an affidavit of a lost certificate, in a form acceptable to the Board, in connection with the consummation of a Proposed Transaction, such certificate shall be deemed cancelled and the Company shall be authorized to issue a new certificate in the name of the Remaining Shareholder and the Board of Directors shall be authorized to establish an escrow account, for the benefit of such Remaining Shareholder into which the consideration for such securities represented by such cancelled certificate shall be deposited and to appoint a trustee to administer such account.

 

17.6.Anything in these Articles to the contrary notwithstanding, the General Meeting shall, if requested by the Proposing Shareholders, assume the power and authority of the Board to discuss and approve, for all intents and purposes, the Proposed Transaction on behalf of the Company, effective as of the time on which the written consent of the Proposing Shareholders shall have been received by the Company.

 

17.7.In the event that the Proposing Shareholders consent to the Proposed Transaction, any sale or other transfer, assignment or conveyance of shares by the Shareholders, other than pursuant to the Proposed Transaction, shall be absolutely prohibited.

 

17.8.Each Shareholder recognizes and accepts that the powers granted to the Company or the Board as set forth in this Article 17 are granted in order to ensure and protect the rights of the other Shareholders and that therefore, such powers, upon the use thereof shall be irrevocable with respect to such matter or action with respect to which the Board has exercised such powers.

 

17.9.With respect to Section 341 of the Companies Law, the Shareholders specifically agree to amend the provisions set forth therein in the following manner:

 

17.9.1.the threshold set forth in Section 341 shall mean the Proposing Shareholders threshold set forth in Article 17 (ii).

 

17.9.2.the parties acknowledge that the application of the distribution preference provisions set forth in Article 8.1 shall not be deemed to mean that the Shareholders are offered different treatment or terms in the Proposed Transaction (even if certain Proposing Shareholders will receive consideration and benefits that other Shareholders will not receive).

 

17.9.3.the parties agree that the timeframe set forth in Section 341(a) for accepting the Proposed Transaction by the Proposing Shareholders shall not be limited to the time frame specified in the aforementioned provision.

 

 

- 24 -

 

17.9.4.the parties agree that the notices that should be sent by the Third Party according to the provisions set forth in Section 341(a) and 341(c) (each a “341 Notice”) may be sent by either the Third Party or the Company and the time frame set forth in the aforementioned provisions for sending each of the 341 Notices shall not be limited to the time frame specified therein.

 

17.9.5.the parties agree that Section 341(d) should not be interpreted or construed in a manner which limits the Shareholders' power only to the amendment of the threshold set forth in Section 341(a), by allowing to lower the eighty percent (80%) threshold required by the Companies Law to the threshold contemplated in these Articles, but also to amend any procedural and other terms set forth under Section 341, and therefore the terms set forth herein are to supersede the provisions of Section 341.

 

17.9.6.For the purposes of this Article 17, if the Proposed Transaction is in the form of a: (i) merger, when computing the Proposing Shareholders threshold, the provisions of Section 320(c) of the Companies Law shall apply; and (ii) share purchase agreement, in the event the Third Party is a Shareholder, or is a Person, which, directly or indirectly, controls, or is under common control with a Shareholder, the said Shareholder shall be considered to be an "Interested Shareholder" and as such, shall not be included in calculating the Proposing Shareholders threshold.

 

17.10.Notwithstanding the foregoing, a Remaining Shareholder will not be required to comply with the requirements of this Article 17 in connection with any Proposed Transaction unless:

 

17.10.1.any representations and warranties to be made by such Remaining Shareholder in connection with the Proposed Transaction are limited to representations and warranties related to authority, ownership and the ability to convey title to such Shares, including but not limited to representations and warranties that (i) the Remaining Shareholder holds all right, title and interest in and to the Shares such Remaining Shareholder purports to hold, free and clear of all liens and encumbrances, (ii) the obligations of the Remaining Shareholder in connection with the transaction have been duly authorized, if applicable, (iii) the documents to be entered into by the Remaining Shareholder have been duly executed by the Remaining Shareholder and delivered to the acquirer and are enforceable against the Remaining Shareholder in accordance with their respective terms and (iv) neither the execution and delivery of documents to be entered into in connection with the transaction, nor the performance of the Remaining Shareholder’s obligations thereunder, will cause a breach or violation of the terms of any agreement, law or judgment, order or decree of any court or governmental agency;

 

17.10.2.the Remaining Shareholder shall not be liable for the inaccuracy of any representation or warranty made by any other Person in connection with the Proposed Transaction, other than the Company (except to the extent that funds may be paid out of an escrow established to cover breach of representations, warranties and covenants of the Company as well as breach by any Remaining Shareholder of any of identical representations, warranties and covenants provided by all Shareholders);

 

 

- 25 -

 

17.10.3.the liability for indemnification, if any, of such Remaining Shareholder in the Proposed Transaction and for the inaccuracy of any representations and warranties made by the Company in connection with such Proposed Transaction, is several and not joint with any other Person (except to the extent that funds may be paid out of an escrow established to cover breach of representations, warranties and covenants of the Company as well as breach by any Shareholder of any of identical representations, warranties and covenants provided by all Shareholders), and is pro rata in proportion to the amount of consideration paid to such Remaining Shareholder in connection with such Proposed Transaction (in accordance with the provisions of the Articles); and

 

17.10.4.liability of such Remaining Shareholder shall be limited to such Remaining Shareholder's applicable share (determined based on the respective proceeds payable to each Shareholder in connection with such Proposed Transaction in accordance with the provisions of the Articles) of a negotiated aggregate indemnification amount that applies equally to all Shareholders but that in no event exceeds the amount of consideration otherwise payable to such Remaining Shareholder in connection with such Proposed Transaction, except with respect to claims related to fraud by such Remaining Shareholder, the liability for which need not be limited as to such Remaining Shareholder.

 

17.11.Notwithstanding anything to the contrary herein, if BWAY exercises the Call Option pursuant to the Call Option Agreement and elects, in accordance with such agreement, to consummate a Company Acquisition (as defined therein), then such Company Acquisition shall be deemed a Proposed Transaction for purposes of this Article 17. In such event, the execution of the Call Option Agreement by the Grantors (as defined therein) shall be deemed to constitute the affirmative consent required under Article 17 (ii), and each such Grantor shall be deemed a Proposing Shareholder for purposes of this Article 17, without any further action or consent required. The provisions of this Article 17 shall apply mutatis mutandis to effect the transfer of all Shares to BWAY, and each Shareholder shall take all actions required to facilitate the consummation of such Company Acquisition, including voting in favor thereof and executing all relevant agreements and instruments, as further provided in the Call Option Agreement.

 

17.12.Without derogating from Article 17.11 above, to the fullest extent permissible under applicable law, each Shareholder hereby (i) irrevocably waives and agrees not to assert any appraisal rights, dissenters’ rights, or similar claims under applicable law in connection with any Proposed Transaction that constitutes a Company Acquisition pursuant to the Call Option Agreement, (ii) agrees that any and all costs, expenses or liabilities incurred by the Investor or the Company, in accordance with the Call Option Agreement and in connection with any such rights asserted by non-signing Shareholders (including legal fees, settlement payments, or judgment amounts) may be deducted from the consideration payable to such Shareholders in accordance with the provisions of the Call Option Agreement, and (iii) acknowledges and agrees that no such event shall give rise to any claim for increased consideration or other compensation from the Investor or the Company.

 

Lien

 

18.The Company shall have a lien and first pledge on every Share that was not paid up in full, in respect of money due to the Company on calls for payment or payable at fixed times, whether or not presently payable, or the fulfillment and performance of the obligations and commitments to which the Company is entitled in respect of the Share. The lien on a Share shall also apply to Dividends and other distributions payable on it. The directors may exempt any Share, in full or in part, temporarily or permanently, from the provisions of this Article.

 

 

- 26 -

 

19.The Company may sell any Share on which it has a lien in any manner the Board sees fit, but such Share shall not be sold before the date of payment of the amount in respect of which the lien exists, or the date of fulfillment and performance of the obligations and commitments in consideration of which the lien exists, has arrived, and until fourteen (14) days have passed after written notice has been given to the registered holder at that time of the Share, or to whoever is entitled to it upon the registered owner’s death or bankruptcy, demanding payment of the amount against which the lien exists, or the fulfillment and performance of the obligations and commitments in consideration of which the lien exists, and such payment or fulfillment and performance have not been made.

 

20.The net proceeds of the sale shall be applied in payment of the amount due to the Company for the fulfillment and performance of the obligations and commitments as aforesaid in the preceding Article, and the remainder, if any, shall be paid to whoever is entitled to the Share on the day of the sale, subject to a lien on amounts the date of payment of which has not yet arrived, similar to the lien on the Share before its sale.

 

21.After the execution of a sale of pledged Shares as aforesaid, the Board shall be permitted to sign or to appoint someone to sign a deed of transfer of the sold Shares and to register the purchaser’s name in the Register as the owner of the Shares so sold, and it shall not be the obligation of the buyer to supervise the application of the purchase price nor will his right in the Shares be affected by any fault or error in the procedure of sale. The sole remedy of one who has been aggrieved by the sale shall be in damages only and against the Company exclusively.

 

Calls for Payment

 

22.With respect to Shares not fully paid for according to their terms of issuance, a Shareholder, whether he is the sole holder of Shares or holds the Shares together with another Person, shall not be entitled to receive Dividends nor any other right a Shareholder has unless he has paid all the calls by the Company which shall have been made from time to time.

 

23.Subject to any contractual undertakings of the Company, the Board may make calls for payment from Shareholders of the amount not yet paid up on their Shares as the Board shall see fit, provided that the Company gives the Shareholders prior notice of at least fourteen (14) days on every call and that the date for payment set forth in such notice be not less than one month after the last call for payment. Each Shareholder shall pay the amount called to the Company on the date and at the place prescribed in the Company’s notice.

 

24.The joint holders of a Share shall be jointly and severally liable to pay the calls for payment on such Share in full.

 

25.If the amount called is not paid by the prescribed date, the Person from whom it is due shall be liable to pay such index linkage differentials and interest as the Board shall determine, from the date on which payment was prescribed until the day on which it is paid, but the Board may forego the payment of such linkage differentials or interest, in whole or in part.

 

26.Any amount that, according to the conditions of issuance of a Share, must be paid at the time of issuance or at a fixed date, whether on account of the par value of the Share or premium, shall be deemed for the purposes of these Articles to be a call for payment that was duly made. In the event of non-payment of such amount all the provisions of these Articles shall apply in respect of such amount as if a proper call for its payment had been made and an appropriate notice thereof given.

 

 27.At the time of issuance of Shares the Board may make arrangements that differentiate between Shareholders, in respect of the amounts of calls for payment, their dates of payment or the rate of interest.
   
28.The Board may, if it thinks fit, accept from any Shareholder for his Shares any amount of money the payment of which has not yet been called and paid, and to pay him (i) interest for that advance until the day on which payment of that amount would have been due had he not paid it in advance, at a rate agreed between the Company and such Shareholder, and (ii) any Dividends that may be paid for that part of the Shares for which the Shareholder has paid in advance.

 

 

- 27 -

 

Forfeiture of Shares

 

29.If a Shareholder fails to pay any call or installment of a call on the day appointed for payment thereof, the Board may, at any time thereafter during such time as any part of such call or installment remains unpaid, serve a notice on him requiring payment of so much of the call or installment as is unpaid, together with any interest which may have accrued and any expenses that were incurred as a result of such non-payment.

 

30.The notice shall specify a date not less than seven (7) days from the date of the notice, on or before which the payment of the call or installment or part thereof is to be made together with interest and any expenses incurred as a result of such non-payment. The notice shall also state the place the payment is to be made and that in the event of non-payment at or before the time appointed, the Share in respect of which the call was made will be liable to forfeiture.

 

31.If the requirements of any such notice as aforesaid are not complied with, any Share in respect of which the notice has been given may at any time thereafter, before the payment required by the notice has been made, be forfeited by a resolution of the Board to that effect.

 

32.The forfeiture shall apply to those Dividends that were declared but not yet distributed with respect to the forfeited Shares.

 

33.A Share so forfeited shall be deemed to be the property of the Company and can be sold or otherwise disposed of, on such terms and in such manner as the Board thinks fit. At any time before a sale or disposition the forfeiture may be canceled on such terms as the Board thinks fit.

 

34.A Person whose Shares have been forfeited shall cease to be a Shareholder in respect of the forfeited Shares, but shall nevertheless remain liable to pay to the Company all moneys which, at the date of forfeiture, were presently payable by him to the Company in respect of the Shares, but his liability shall cease if and when the Company receives payment in full of the nominal amount of the Shares.

 

35.The forfeiture of a Share shall cause, at the time of forfeiture, the cancellation of all rights in the Company and of any claim or demand against the Company with respect to that Share, and of other rights and obligations between the Share owner and the Company accompanying the Share, except for those rights and obligations which these Articles exclude from such a cancellation or which the Law imposes upon former Shareholders.

 

36.The Person to whom the Share is sold or disposed of shall be registered as the holder of the Share and shall not be bound to see to the application of the purchase money, if any, nor shall his title to the Share be affected by any irregularity or invalidity in the proceedings in reference to the forfeiture, sale or disposal of the Share.

 

37.The provisions of these Articles as to forfeiture shall apply in the case of non-payment of any sum which, by the terms of issue of a Share, becomes payable at a fixed time, whether on account of the par value of the Share or by way of premium, as if the same had been payable by virtue of a call duly made and notified.

 

Transfer of Shares

 

38.No Transfer of Shares shall be effective unless the Transfer is not in violation of Articles 39, 40 and 41 and has been approved by the Board, which consent shall not be unreasonably withheld or delayed, provided that such consent shall not be required for a transfer to a Permitted Transferee or from a Permitted Transferee back to the original Shareholder; provided, that with respect to any Grantor, any Transfer to a Permitted Transferee shall, until the Call Option terminates or expires, be expressly conditioned upon such Permitted Transferee becoming a party to the Call Option Agreement by executing and delivering a joinder or counterpart thereto in form and substance satisfactory to BWAY, thereby becoming subject to the terms and conditions of the Call Option Agreement as a “Grantor” with respect to the Shares so Transferred. The Board may refuse to register a Transfer in the event that such a Transfer is to a competitor of the Company, or in the event that such a Transfer would result in the Company having more than 50 shareholders. In the event that the Board does not notify the transferor of its refusal to allow a Transfer together with a detailed reasoning for such refusal within fourteen (14) days of receipt by the Company of a request for Transfer which includes the identity of the transferor then the Board shall be deemed to have approved such Transfer, provided that such agreement by the Board will be deemed to be subject to compliance by the transferor and the transferee with the terms of these Articles related to a Transfer.

 

 

- 28 -

 

39.             No Sale.

 

39.1.Until a QIPO, and subject in any event to Article 39.3 below, the Founders shall be entitled to sell, transfer, assign, pledge or otherwise dispose of (each, a "Transfer") up to 10% of his securities in the Company, calculated on the date of adoption of these Articles, per year, but neither Founder shall Transfer in the aggregate more than 25% of his securities in the Company, calculated on the date of adoption of these Articles, other than to his Permitted Transferees, without the approval of (A) the Preferred B Majority and (B) the holder of the Special Share or the Preferred S Majority, except in connection with a sale of all or substantially all of the Shares of the Company.

 

39.2.Until the expiration of a three (3) year period as of the Initial Closing of the Preferred B Investment Agreement as such term is defined therein, and subject in any event to Article 39.3 below, no Key Employee shall be entitled to Transfer any of its securities in the Company, other than to his Permitted Transferees, without the approval of (A) the Preferred B Majority and (B) the holder of the Special Share or the Preferred S Majority, except in connection with a sale of all or substantially all of the Shares of the Company.

 

39.3.Unless and until the Call Option expires or is terminated, except as may be required to give effect to the transactions contemplated by the Call Option or with the prior written consent of BWAY (and subject to the conditions determined by BWAY) and the Preferred B Majority (if other than pursuant to and in accordance with the terms of the Call Option Agreement), each of the Grantors shall not, directly or indirectly, Transfer any of its Shares or any interest therein, nor create any Encumbrance thereon, nor enter into any agreement to do any of the foregoing, prior to the earlier of the Option Closing or 11:59 PM and 59 seconds (Israel time) on the Expiry Date, if no Exercise Notice has been provided by the Investor prior to such time. In this Article 39.3, capitalized terms not defined elsewhere in these Articles carry the meanings given to them in the Call Option Agreement.

 

For purposes of this Article 39, any Transfer of securities in any corporate Shareholder controlled by a Key Employee or Founder (alone or with others), which is not considered a transfer to a Permitted Transferee, as well as any Transfer of securities which would result in a change of control in any corporate Shareholder controlled by a Grantor, shall be deemed to be a Transfer of securities in the Company and therefore limited as aforesaid.

 

40.Right of First Refusal. Subject to the provisions of Article 39, and without derogating therefrom, until a QIPO, each Major Holder (an “Entitled Shareholder”), shall have a right of first refusal with respect to any Transfer of all or any of the securities of the Company by any other Shareholder (the “Transferor”) other than to a Permitted Transferee of such Transferor or pursuant to the Call Option Agreement, in accordance with the following provisions:

 

40.1.Any Transferor proposing to Transfer all or any of its Shares (the “Offered Shares”) shall first provide the Entitled Shareholders with an offer stating the identity of the Transferor and of the transferee and the terms of the proposed Transfer (the “Offer”). Each of the Entitled Shareholders may accept such Offer in respect of any portion of the Offered Shares (“Accepting Entitled Shareholders”) by giving the Company notice to that effect within fourteen (14) days after being served with the Offer (an Acceptance”).

 

 

- 29 -

 

40.2.If the Acceptances, in the aggregate, are in respect of all of, or more than, the Offered Shares, then the Accepting Entitled Shareholders shall acquire the Offered Shares, on the terms aforementioned, in proportion to their respective holdings of the Company’s issued and outstanding share capital (calculated on an as-converted basis), provided, however, that no Accepting Entitled Shareholders shall be entitled or shall be forced to acquire under the provisions of this Article 40 more than the number of Offered Shares initially accepted by such Accepting Entitled Shareholder under the Acceptance, and upon the allocation to it of the full number of Offered Shares so accepted, such Accepting Entitled Shareholder shall be disregarded in any subsequent computations and allocations hereunder. Any Offered Shares remaining after the computation of such respective entitlements shall be re-allocated among the remaining Accepting Entitled Shareholders (other than those to be disregarded as aforesaid), in the same manner, until one hundred percent (100%) of the Offered Shares have been allocated as aforesaid.

 

40.3.If the Acceptances are in respect of less than the full number of Offered Shares, then the Accepting Entitled Shareholders shall not be entitled to acquire the Offered Shares, and the Transferor, at the expiration of the aforementioned fourteen (14) day period, shall be entitled to Transfer all (but not less than all) of the Offered Shares to the proposed transferee(s) identified in the Offer, provided, however, that in no event shall the Transferor Transfer any of the Offered Shares to any transferee other than such proposed transferee(s) or Transfer the same on terms more favorable to the transferee(s) than those stated in the Offer, and provided, further, that any Offered Shares not Transferred within ninety (90) days after the expiration of such fourteen

 

(14) day period, shall again be subject to the provisions of this Article 40.

 

40.4.

The Transferor shall be bound, upon payment of the offer price, to Transfer to the Accepting Entitled Shareholders the Offered Shares which have been allocated to the Accepting Entitled Shareholders pursuant to this Article 40. If, after becoming so bound, the Transferor defaults in Transferring the Offered Shares, the Company may receive the purchase price therefor and the Transferor shall be deemed to have appointed any member of the Board as his agent to execute a Transfer of the Offered Shares to the Accepting Entitled Shareholders and, upon execution of such Transfer, the Company shall hold the purchase price therefor in trust for the Transferor.

 

40.5.For purposes of this Article 40, any Transfer of securities in any corporate Transferor by a shareholder thereof, which is not considered a transfer to a Permitted Transferee, shall be deemed to be a Transfer of securities in the Company and therefore limited as aforesaid.

 

40.6.The right of first refusal set forth in this Exhibit C shall not apply to: (a) a Transfer which is part of a Drag Along and (b) a Transfer which is part of an IPO.

 

41.Co-Sale

 

41.1.Until a QIPO, in the event of a Transfer of Ordinary Shares by an Ordinary Shareholder, such Ordinary Shareholder proposing to make the Transfer (the “Co-Sale Transferor”) shall promptly notify each Major Holder that holds Preferred Shares (a “Co-Sale Entitled Shareholder”) in writing describing in such notification the identity of the proposed transferee, the number and type of securities being Transferred and the terms of the proposed Transfer (the “Co-Sale Transferor's Notice”).

 

41.2.Upon receipt of the Co-Sale Transferor's Notice, each Co-Sale Entitled Shareholder shall have the option, exercisable by written notice to the Co-Sale Transferor, within 14 days after receipt of the Co-Sale Transferor's Notice, to require the Co-Sale Transferor to provide as part of its proposed Transfer that such Co-Sale Entitled Shareholder be given the right to participate in the Transfer and (i) to Transfer up to such amount of securities in the Company owned by such Co-Sale Entitled Shareholder determined by multiplying the total number of securities being Transferred times a fraction, the numerator of which is the number of issued and outstanding shares held by such Co-Sale Entitled Shareholder (assuming for purposes of this section, the conversion into Ordinary Shares of all Preferred Shares) and the denominator of which is the total number of issued and outstanding shares held by all of the Co-Sale Entitled Shareholders and the Co-Sale Transferor (assuming, for purposes of this section, the conversion into Ordinary Shares of all Preferred Shares) (the “Pro Rata Shares”), or (ii) in the event that the Transfer results in an M&A Transaction, to Transfer up to all of the Shares then held by such Co-Sale Entitled Shareholder in the Company (the “Total Shares”; the Pro Rata Shares together with the Total Shares, the “Co-Sale Participating Shares”); by including the Co-Sale Participating Shares held by such Co-Sale Entitled Shareholder with the securities being Transferred to any proposed purchaser thereof. The Transfer by any such Co-Sale Entitled Shareholder in accordance with this Article 41.2, shall be on the same terms and conditions under which the securities of the Co-Sale Transferor are being Transferred, provided that if the Transfer transaction qualifies as a Deemed Liquidation, pursuant to Article 8.1 above, then the proceeds obtained from such Transfer transaction shall be allocated in accordance with the provisions of Article 8.1.

 

 

- 30 -

 

41.3.In the event that Co-Sale Entitled Shareholders choose to exercise their rights hereunder (“Exercising Co-Sale Entitled Shareholders”), the Co-Sale Transferor must reduce the number of securities it desires to Transfer from the total amount of securities to be purchased by the proposed transferee and the Exercising Co-Sale Entitled Shareholders will contribute all of their Co-Sale Participating Shares and the Transferor will contribute the remaining number of securities up to the total number of securities to be purchased by the proposed transferee.

 

41.4.For purposes of this Article 41, any Transfer of securities in any corporate Co-Sale Transferor by a Co-Sale Transferor thereof, which is not considered a transfer to a Permitted Transferee, shall be deemed to be a Transfer of securities in the Company and therefore limited as aforesaid.

 

42.The rights of first refusal and rights of co-sale set forth in Articles 40 and 41 respectively shall not apply to a Transfer of securities from a Shareholder to a Permitted Transferee of a Shareholder, back to the original Shareholder and/or to a Permitted Transferee of such Permitted Transferee, provided, that such Permitted Transferee remains within the definition of a Permitted Transferee of the Transferor or Co-Sale Transferor, as applicable.

 

42A.Notwithstanding anything to the contrary in these Articles (including, without limitation, Articles 39 through 42), any Transfer of Shares in connection with the exercise of the Call Option under the Call Option Agreement, including any Transfer effected pursuant to a Drag Along transaction initiated as part of a Company Acquisition in accordance with Article 17.11, shall be exempt from all transfer restrictions set forth in these Articles, including but not limited to restrictions under the “No Sale” provisions of Article 39, the Right of First Refusal under Article 40, and the Co-Sale rights under Article 41. Without derogating from the foregoing or from Article 17.11, each Shareholder expressly and irrevocably (i) waives any rights of first refusal, co-sale rights, or other similar rights (contractual or statutory) that might otherwise apply in connection with any such Transfer of Shares, including a Proposed Transaction effected pursuant to the Drag Along provisions of Article 17.11 in furtherance of the Call Option Agreement, and (ii) agrees that the execution of the Call Option Agreement and approval of the transactions contemplated thereby shall constitute all approvals necessary under these Articles for purposes of compliance with any such Transfer.

 

42B.For the avoidance of doubt, no Transfer of Shares by a Shareholder to BWAY pursuant to the Call Option Agreement shall require any further approval, notice, waiver, offer or other action under Articles 39–42, and shall be deemed fully approved by the Board and all Shareholders (including by each class thereof) in accordance with these Articles.

 

43.Each Transfer of securities shall be made in writing in such form as shall be approved by the Board from time to time, in which, inter alia, the transferee agrees to be subject to these Articles of Association (as may be amended), and which shall be executed by both the transferor and transferee, and delivered to the Office together with the transferred share certificates, if share certificates have been issued with respect to the shares to be transferred, and any other proof of the transferor’s title that the Board may require. The share transfer deed with respect to a share that has been fully paid may be signed by the transferor only. A deed of transfer that has been registered, or a copy thereof, as shall be decided by the Board, shall remain with the Company; any deed of transfer that the Board shall refuse to register shall be returned, upon demand, to the Person who furnished it to the Company, together with the share certificate, if furnished.

 

 

- 31 -

 

44.The transferor shall be deemed to remain a holder of the shares until the name of the transferee is entered into the Register in respect thereof.

 

45.The Company may impose a fee for registration of a share transfer, at a reasonable rate as may be determined by the Board from time to time.

 

46.Upon the death of a Shareholder, the remaining partners, in the event that the deceased was a partner in a share, or the administrators or executors or heirs of the deceased, in the event the deceased was the sole holder of the share or was the only one of the joint holders of the share to remain alive, shall be recognized by the Company as the sole holders of any title to the shares of the deceased. However, nothing aforesaid shall release the estate of a joint holder of a share from any obligation to the Company with respect to the share that he held in partnership.

 

47.Any Person becoming entitled to a share as a consequence of the death or bankruptcy or liquidation of a Shareholder shall, upon such evidence being produced as may from time to time be required by the Board, have the right either to be registered as a Shareholder in respect of the share, or, instead of being registered himself, to transfer such share to another Person, in either instance subject to the Board’s power hereunder to refuse or delay registration as they would have been entitled to do if the deceased or the bankrupt had transferred his share before his death or before his bankruptcy, and subject to all other provisions hereof relating to transfers of shares.

 

48.A Person becoming entitled to a share because of the death of a Shareholder shall be entitled to receive, and to give receipts for, dividends or other payments paid or distributions made, with respect to the share, but shall not be entitled to receive notices with respect to General Meetings or to participate or vote therein with respect to that share, or to use any other right of a Shareholder, until he has been registered as a Shareholder with respect to that share.

 

Changing Share Rights

 

49.Subject to the provisions of these Articles, if at any time the share capital is divided into different classes of shares, the Company may change, convert, broaden, add or vary in any other manner the rights, preferences or privileges attached to such classes by resolution of the General Meeting of the Company.

 

50.Without derogating from the foregoing, only a direct change to the rights attached to a certain class of shares under these Articles shall require an approval obtained at a meeting of the holders of such class of shares or the written consent of the holders of more than fifty percent (50%) of the issued shares of such class. It is hereby clarified that any resolution required to be adopted pursuant to these Articles by the consent of a separate class of shares, whether by way of a separate General Meeting of such class or by way of written consent, shall be given by the holders of shares of such class entitled to vote or give consent thereon and no holder of shares of a certain class shall be banned from voting or consenting by virtue of being a holder of more than one class of shares of the Company, irrespective of any conflicting interests that may exist between such different classes of shares. A Shareholder shall not be required to refrain from participating in the discussion, voting and/or consenting on any resolution concerning an amendment to any class of shares held by such Shareholder, due to the fact that such Shareholder may benefit in one way or another from the outcome of such resolution.

 

51.For the avoidance of doubt, it is hereby clarified and agreed that (i) an increase of the authorized or issued share capital of an existing class of shares; (ii) the creation of a new class of shares or the issuance of shares thereof; (iii) a change of the conversion price of any class of shares; (iv) a waiver or a change, in whole or in part, to a right, preference or privilege of a class of shares (such as liquidation rights, registration rights, pre-emptive rights, etc, whether set forth in these Articles or in any agreement), whether applied on a one-time or permanent basis and whether applied in connection with a current or a future event, which waiver or change is applied in the same manner to all classes of shares to which such wavier or change is applicable, regardless whether the economic effect of such change affects classes of shares differently, shall not be deemed to be a direct change to the rights attached to any one (1) class of shares. Furthermore, any waiver or change to the rights attached to a class of shares shall not be deemed to be a direct change to the rights attached to another class of shares if such other class of shares was not entitled to the relevant rights prior to such waiver or change.

 

 

- 32 -

 

52.[Reserved]

 

Modification of Capital

 

53.The Company may, from time to time, by a resolution in a General Meeting, and subject to the provisions of these Articles:

 

53.1.consolidate and divide its share capital or a part thereof into shares of greater value than its existing shares;

 

53.2.cancel any shares which have not been purchased or agreed to be purchased by any Person;

 

53.3.by subdivision of its existing shares, or any of them, divide the whole, or any part, of its share capital into shares of lesser value than is fixed by these Articles, and in a manner so that with respect to the shares created as a result of the division it will be possible to grant to one or more shares a right of priority, preference or advantage with respect to dividend, capital, voting or otherwise over the remaining or similar share;

 

53.4.reduce its share capital, and any fund reserved for capital redemption, in the manner that it shall deem to be desirable under the provisions of Section 287 of the Companies Law;

 

53.5.increase its share capital, regardless of whether or not all of its shares have been issued, or whether the shares issued have been paid in full, by the creation of new shares, divided into shares in such par value, and with such preferred or deferred or other special rights (subject always to the provisions of these Articles), and subject to any conditions and restrictions with respect to Dividends, return of capital, voting or otherwise, as shall be directed by the resolution; or

 

53.6.convert part of its issued and paid-up shares into deferred shares.

 

General Meetings

 

54.A General Meeting shall be held at least once every year, at such place and time as may be prescribed by the Board but in any event not more than fifteen (15) months after the preceding General Meeting. The annual General Meetings shall be called Annual General Meetings; all other General Meetings shall be called Special General Meetings.

 

55.The Board, whenever it thinks fit, may, and upon a demand in writing by: (i) a director; or (ii) one or more Shareholders holding (on an as-converted basis) at least ten percent (10%) of the issued and outstanding share capital and at least one percent (1%) of the voting rights; or (iii) one or more Shareholders holding at least ten percent (10%) of the voting rights in the Company, shall, be entitled to convene a Special General Meeting. Any such demand shall include the objects for which the meeting should be convened, shall be signed by those making the demand (the “Petitioners”) and shall be delivered to the Office. The demand may contain a number of documents similarly worded each of which are signed by one or more of the Petitioners. If the directors do not convene a meeting, the Petitioners may convene by themselves a Special General Meeting as provided in Section 64 of the Companies Law.

 

56.Notices of General Meetings shall be given as follows:

 

 

- 33 -

 

56.1.A prior notice of at least seven (7) days and no more than thirty (30) days (not including the day of delivery but including the day of the meeting) of any General Meeting shall be given with respect to the place, date and hour of the meeting and the nature of every subject on its agenda.

 

56.2.The notice shall be given to Shareholders entitled pursuant to these Articles to receive notices from the Company, as hereinafter provided.

 

56.3.Non-receipt of a notice, given as aforesaid, shall not invalidate the resolution passed or the proceedings held at the relevant Meeting.

 

56.4.With the consent of all the Shareholders who are entitled at such time to receive notices, the Company shall be permitted to convene Meetings and to resolve any resolution, upon shorter notice or without any notice and in such manner, generally, as shall be approved by the Shareholders.

 

57.Notwithstanding anything to the contrary herein or to applicable law, the holders of the Preferred Shares shall vote together with the holders of all other shares of the Company, and not as a separate class, in all Shareholders meetings. Each Preferred Share shall entitle the holder thereof to such number of votes as if such shares had been converted into Ordinary Shares.

 

Proceedings of General Meetings

 

58.Subject to the provisions of these Articles, the function of the General Meeting shall be to receive and to deliberate with respect to the profit and loss statements, the balance sheets, the ordinary reports and the accounts of the directors and auditors; to declare Dividends, to appoint accountants-auditors and to fix their salaries, to amend these Articles, to approve certain actions and transactions under the provisions of Section 255 and Section 268 through Section 275 of the Companies Law.

 

59.No matter shall be discussed at a General Meeting unless a quorum is present at the time when the General Meeting starts its discussions. Subject to the provisions of these Articles, two or more Shareholders present, personally or by proxy, who hold or represent the majority of the voting rights in the Company, including (A) the Preferred B Majority and (B) the holder of the Special Share or the Preferred S Majority, shall constitute a quorum for General Meetings (it being understood that without derogating from the requirement to obtain the consent of the holder of the Special Share with respect to the specific matters for which its consent is required, the Special Share does not vote, and any written consent can be obtained without requiring the signature of the holder of the Special Share).

 

60.If within half an hour from the time appointed for the meeting a quorum is not present, the meeting, shall stand adjourned to the same place and time one week from the date of the original meeting. If a notice of the adjourned meeting has been given to the Shareholders, and a quorum is not present at the adjourned meeting within half an hour from the time appointed for the meeting, two or more Shareholders present personally or by proxy, shall be a quorum, and shall be entitled to deliberate and to resolve in respect of the matters for which the meeting was convened.

 

61.The chairman of the Board or a director appointed by the Board for such purpose shall open all General Meetings and shall preside as chairman at the meeting.

 

62.The provisions of these Articles relating to General Meetings shall, mutatis mutandis, apply to any General Meeting of the holders of a particular class of shares (a “Class Meeting”), provided, however, that the requisite quorum at any such Class Meeting shall be one or more members present in person or by proxy and holding not less than a majority (50%) of the issued and outstanding shares of such class.

 

Vote by Shareholders

 

63.Every resolution put to the vote at a General Meeting shall be decided by a count of votes. Subject to any provision in the Law or in these Articles requiring a higher majority, all resolutions shall be passed by majority vote of the shares held by shareholders present at the meeting (on an as-converted basis).

 

64.Subject to the provisions of these Articles, in a count of votes, each Shareholder present at a General Meeting, personally or by proxy, shall be entitled to one vote for each share held by it; provided that no Shareholder shall be permitted to vote at a General Meeting or to appoint a proxy to vote thereat unless he has paid all calls for payment and all moneys then due to the Company from him with respect to his shares.

 

 

- 34 -

 

65.If the number of votes for and against is equal the chairman of the meeting shall have no casting vote, and the resolution proposed shall be deemed rejected.

 

66.In the case of joint holders of a share, the vote of the senior holder who tenders a vote, whether in person or by proxy, shall be accepted to the exclusion of the votes of the other joint holders. The appointment of a proxy to vote on behalf of a share held by joint holders shall be executed by the signature of the senior of the joint holders. For the purposes of this Article, seniority shall be determined by the order in which the names of the joint holders stand in the Register.

 

67.An objection to the right of a Shareholder or a proxy to vote in a General Meeting must be raised at such meeting or at such adjourned meeting wherein that Person was supposed to vote, and every vote not disqualified at such a meeting shall be valid for each and every matter. The chairman of the meeting shall decide whether to accept or reject any objection raised at the appointed time with regard to the vote of a Shareholder or proxy, and his decision shall be final.

 

68.A Shareholder of unsound mind, or in respect of whom an order to that effect has been made by any court having jurisdiction, may vote, whether on a show of hands or by a count of votes, only through his legal guardian or such other Person, appointed by the aforesaid court, who performs the function of a representative or guardian. Such representative, guardian, or other Person may vote by proxy.

 

69.A Shareholder which is a corporation shall be entitled, by a decision of its board of directors, or by a decision of a person or other body according to a resolution of its board of directors, to appoint a person who it shall deem fit to be its representative at every meeting of the Company. The representative appointed as aforesaid shall be entitled to perform on behalf of the corporation he represents all the powers that the corporation itself might perform as if it were a person.

 

70.In every vote, a Shareholder shall be entitled to vote either personally or by proxy. A proxy need not be a Shareholder. Shareholders may participate in a General Meeting by means of a conference telephone call or similar communications equipment by means of which all persons participating in the meeting can hear each other and participation in a meeting pursuant to this Article shall constitute presence in person at such meeting. Shareholders may also vote in writing, by delivery to the Company, prior to a General Meeting, of a written notice stating their affirmative or negative vote on an issue to be considered by such meeting.

 

71.A letter of appointment of a proxy, power of attorney or other instrument pursuant to which the appointee is acting shall be in writing. An instrument appointing a proxy, whether for a specific meeting or otherwise, may be in the following form or in any other similar form prescribed by the Board:

 

“I,                            , of                            , a Shareholder holding shares in                             hereby appoint                     of                   as my proxy to vote in my name and place at the [annual, special, adjourned - as the case may be] General Meeting of Neurolief Ltd. to be held on                       , and at any adjournment thereof.

In witness whereof signed by me this day of ,                               .

 

                                           

Appointor’s Signature”

 

Such instrument or a copy thereof shall be deposited at the Office, or at such other place as the Board may direct from time to time, before the time appointed for the meeting or adjourned meeting wherein the person referred to in the instrument is appointed to vote, or presented to the chairman at the meeting in which such person shall vote that share. An instrument appointing a proxy which is not limited in time shall expire twelve (12) months after the date of its execution; if the appointment shall be for a limited period (whether limited by time or until the occurrence of a certain event), whether in excess of twelve (12) months or not, the instrument shall be for the period stated therein.

 

 

- 35 -

 

72.A vote pursuant to an instrument appointing a proxy shall be valid notwithstanding the death of the appointor, or the appointor becoming of unsound mind, or the cancellation of the proxy or its expiration in accordance with any law, or the transfer of the shares with respect to which the proxy was given, unless a notice in writing of any such event was received at the Office before the meeting took place.

 

73.A Shareholder is entitled to vote by a separate proxy with respect to each share held by him, provided that each proxy shall have a separate letter of appointment containing the serial number of share(s) with respect to which such proxy is entitled to vote. If a specific share is included by the holder in more than one letter of appointment, that share shall not entitle any of the proxy holders to a vote.

 

74.Subject to the provisions of any law, a resolution in writing signed by all the holders of shares, entitled to vote with respect to such shares at General Meetings, or a resolution as aforesaid agreed upon by telex, telegram facsimile or email (with signatures attached), shall have the same validity as any resolution, carried in a General Meeting of the Company duly convened and conducted for the purpose of passing such a resolution. If all the Shareholders shall consent in writing, or by facsimile, to any action to be taken by the Shareholders, such action shall be as valid as though it had been unanimously authorized at a duly convened General Meeting.

 

Board

 

75.Board Composition. Subject to Article 144 below:

 

75.1As of the Closing under the BWAY Investment Agreement (and subject thereto), the Board shall initially consist of up to five (5) directors, to be designated, appointed and removed as follows: (a) two (2) by KT (each, a “KT Director”); (b) one (1) by KT (the “Preferred B Director”) (who shall not be an employee or affiliate of KT), whose appointment shall be subject to the prior written approval of BWAY, not to be unreasonably withheld, delayed or conditioned); (c) one (1) by BWAY (a “BWAY Director”); and (d) one (1) shall be Amit Dar.
   
 75.2As of the Second Closing under the BWAY Investment Agreement (and subject thereto), the Board shall consist of up to five (5) directors, to be designated, appointed and removed as follows: (a) two (2) KT Directors; (b) the Preferred B Director (where any of the KT Directors and the Preferred B Director may be Amit Dar at KT’s election); and (c) two (2) by BWAY, one of whose appointment shall be subject to the prior written approval of KT, not to be unreasonably withheld, delayed or conditioned; and
   
 75.3As of the Third Closing under the BWAY Investment Agreement (and subject thereto), the Board shall consist of up to five (5) directors, to be designated, appointed and removed as follows: (a) two (2) KT Directors; (b) the Preferred B Director; and (c) two (2) BWAY Directors.

 

75.4Each non-employee director shall be entitled in such person’s discretion to be a member of any Board committee.

 

75.5Subject to the provisions set forth in Article 75.1 above, the appointment or removal of a director may be effected at any time, including during an initial or extended term of service of a director, by the delivery of a notice to the Company at its principal office, signed by the Shareholders or directors entitled to effect such appointment or removal. A director cannot be removed or replaced except by the Shareholders or directors who were entitled to appoint such director in accordance with Article 75.1.

 

76.If any member of the Board is not designated or appointed, or if the office of any member of the Board is vacated, the other members of the Board may act in every way and manner provided for under these Articles and the law as long as their number does not fall below the quorum required by these Articles for a Board meeting.

 

77.Except as set forth herein, any person may be an alternate member of the Board (an “Alternate Director”) if such person is qualified to serve as a director of the Company. Any Alternate Director shall have a vote equal to the vote of the Board member that he substitutes. An Alternate Director shall have, subject to his letter of appointment, all authorities vested to the member of the Board he substitutes. The tenure of office of an Alternate Director shall automatically be terminated upon the dismissal of such member, or upon the office of the member of the Board he substitutes being vacated for any reason, or upon the occurrence of one of the situations stated in Article 80 below in relation with such Alternate Director. In the event that a member of the Board is precluded by law or otherwise from participating in a meeting or a vote of the Board, such member shall be entitled to appoint an Alternate Director to so participate and/or vote in his place.

 

 

- 36 -

 

78.A director shall not be required to hold qualifying shares in the Company.

 

79.A director may hold another paid position or function, except as accountant-auditor, in the Company, or in any other company of which the Company is a Shareholder or in which the Company has some other interest, or that has an interest in the Company, together with his position as a director, upon such conditions with respect to salary and other matters as determined by the Board and approved by the General Meeting.

 

80.Subject to the provisions of the Law, of these Articles, or to the provisions of an existing contract, the tenure of office of a director shall automatically be terminated upon the occurrence of one of the following:

 

80.1.if he becomes bankrupt;

 

80.2.if he is declared insane, becomes of unsound mind or legally incompetent;

 

80.3.if he resigns by an instrument in writing delivered to the Company; or

 

80.4.with his death and if it is a corporation or other entity, with the liquidation of such corporation or other entity.

 

81.Members of the Board shall not receive any remuneration for their services as a Board member from the Company’s funds, unless otherwise resolved by the General Meeting, and at a rate decided by such resolution. The members of the Board shall be entitled to reimbursement of their expenses in the course of their performance of their duties as directors, including expenses in relation of participating in Board meetings, according to a reasonable reimbursement policy of the Company and subject to the prior approval of Board. The foregoing shall not be construed to apply to remuneration paid to any Board member who is also an employee (or service provider) of the Company.

 

Powers and Duties of Directors

 

82.The Board shall determine and direct the Company’s policy and shall supervise and inspect the performance of the Company’s CEO or General Manager and his or her actions and responsibilities, and it may pay all expenses incurred in connection with the establishment and registration of the Company as it shall see fit. The Board shall be entitled to perform the Company’s powers and authorities pursuant to Section 92 of the Companies Law and subject to any provision in Law, in these Articles, or the regulations that the Company shall adopt by a resolution in its General Meeting (insofar as they do not contradict the Law or these Articles). However, any regulation adopted by the Company in its General Meeting as aforesaid shall not affect the legality of any prior act of the Board that would be legal and valid but for that regulation.

 

83.Without limiting the generality of the preceding provision, but subject to the provisions of these Articles, the Board may from time to time, in its discretion, borrow or secure the payment of any sum of money for the purposes of the Company, and it may raise or secure the repayment of such sum in such manner, at such times and upon such terms and conditions in all respects as it thinks fit, and, in particular, by the issue of bonds, perpetual or redeemable debentures, debenture stock, or any mortgages, charges, or other securities on the whole or any part of the property of the Company, both present and future, including its uncalled capital for the time being and its called but unpaid capital.

 

Functions of the Directors

 

84.The Board may meet in order to transact business, to adjourn its meetings or to organize them otherwise as it shall deem fit, in accordance with the Articles herein.

 

 

- 37 -

 

85.The directors shall select a chairman of the Board. Such chairman shall not have any additional or casting vote but, to the extent appointed, shall have the authority to conduct meetings of the Board, call meetings of the Board and determine the agenda for meetings of the Board.

 

86.The presence of a majority of the directors then in office (which must include at least one BWAY Director and one KT Director, for as long as BWAY and KT, respectively, each has the right to appoint a Director) at the opening of a meeting, shall constitute a quorum for meetings of the Board. Notwithstanding the aforesaid, if within half an hour of the time arranged for the Board meeting no quorum is present, such meeting shall stand adjourned to the same day of the following week, at the same hour and in the same place, or in the event that such a day is not a Business Day, then to the first Business Day thereafter, and in such adjourned meeting if no quorum is present within half an hour of the time arranged, at least a majority of the directors, who are present at such adjourned meeting, shall be deemed a quorum.

 

87.The Board may delegate any of its powers to committees and may from time to time revoke such delegation; provided that no committee of the Board will be established unless a majority of the directors then serving on the Board, approved its constitution, composition and authorities; and further provided that such delegation does not contradict Section 112 of the Companies Law. Any such committee shall, to the extent reasonably practicable, reflect the composition of the Board as set out in Article 75, in terms of the relative representation of Shareholders. The individuals appointed to any such committee need not be the same individuals serving on the Board, provided, however, that any nomination or appointment to a committee that would have required the approval of any Shareholder if made to the Board pursuant to Article 75 shall require the same approval when made to a committee. Each committee to which any powers of the Board have been delegated shall abide by any regulations enacted by the Board with respect to the exercise of such delegated powers. In the absence of such regulations or if such regulations are incomplete in any respect, the committee shall conduct its business in accordance with these Articles.

 

88.Members of the Board or a committee thereof may participate in a meeting of the Board or the committee by means of a conference telephone call or similar communications equipment by means of which all persons participating in the meeting can hear each other, and participation in a meeting pursuant to this Article shall constitute presence in person at such meeting.

 

89.Every director may at any time request that a Board meeting be called and the Chairman shall call such a meeting upon such request.

 

90.Any notice of a Board meeting can be given in writing, or by telegram, facsimile or telex and shall include reasonable detail of the issues of such meeting. Notice shall be given at least three (3) Business Days before the time appointed for the meeting, unless all of the members of the Board at that time agree to a shorter notice, or waive notice altogether.

 

91.Subject to the other provisions of these Articles, issues raised before all meetings of the Board shall be decided by the majority of the voting power of the directors present at the meeting of the Board, with each director having one vote; provided, however, that if not all BWAY Directors are appointed by BWAY or not all KT Directors are appointed by KT (for the avoidance of doubt, not including for such purpose the Preferred B Director), the then-appointed BWAY Director(s) and KT Directors (for the avoidance of doubt, not including for such purpose the Preferred B Director), as the case may be shall have the voting power of the respective non-appointed directors.

 

92.A resolution in writing signed or approved in writing (including by facsimile) by all of the directors entitled to participate and vote on the issue at stake shall be valid for any purpose as a resolution adopted at a Board meeting that was duly convened and held. In place of a director the aforesaid resolution may be signed and delivered by an Alternate Director.

 

93.All actions performed bona fide by the Board or by any person acting as a director or as an Alternate Director shall be as valid as if each and every such person were duly and validly appointed and fit to serve as a director or an Alternate Director, as the case may be, even if at a later date a flaw shall be discovered in the appointment of such a director or such a person acting as aforesaid, or in his qualifications to so serve.

 

 

- 38 -

 

94.The Board shall cause minutes to be taken of all General Meetings of the Company, of the appointments of officers of the Company, and of Board’s meetings, which minutes shall include the following items, if applicable: the names of the persons present; the matters discussed at the meeting; the results of votes taken; resolutions adopted at the meeting; and directives given by the meeting. The minutes of any meeting, signed or appearing to be signed by the chairman of the meeting, shall serve as prima facie proof of the truth of the contents of the minutes.

 

95.The directors shall comply with all provisions of the Companies Law, and especially with the provisions in respect of -

 

95.1.registration in the Company’s books of all liens that affect the Company’s assets;

 

95.2.keeping a register of Shareholders;

 

95.3.keeping a register of directors; and

 

95.4.delivery to the Registrar of Companies of all notices and reports that are required to be so delivered.

 

Personal Interest

 

96.All transactions and actions in which an Office Holder (as such term is defined in the Companies Law) in the Company has a personal interest shall be approved in accordance with the provisions of the Companies Law.

 

97.The Company may approve an action of an Office Holder of the type listed in Section 254(a) of the Companies Law if the Board determines that all of the conditions for such approval, as set forth in the Companies Law, have been fulfilled and approves such action.

 

Local Management

 

98.The Board may organize from time to time arrangements for the management of the Company’s business in any particular place, whether in Israel or abroad, as they shall see fit.

 

99.Without derogating from the general powers granted to the Board pursuant to the preceding Article, the Board may from time to time convene any local management or agency to conduct the business of the Company in any particular place, whether in Israel or abroad, and may appoint any person to be a member of such local management, or to be a director or agent, and may decide his manner of compensation. The Board may from time to time grant a person so appointed any power, authority, or discretion that the Board may have at that time, and may authorize any person acting at that time as a member of a local management to continue in his position notwithstanding that some position has been vacated there, and any such appointment or authorization may be made upon such conditions as the Board deems fit. The Board may from time to time relieve any person so appointed or revoke or change any such authorization.

 

CEO, General Manager, President, Secretary, Other Officers and Attorneys

 

100.Subject to the provisions of these Articles, the Board may from time to time appoint one or more persons, whether or not he is a member of the Board, as the Chief Executive Officer (“CEO”) of the Company. The appointment may be either for a fixed period of time or without limiting the time that the CEO will stay in office. The Board may, from time to time, subject to any provision in any contract between the CEO and the Company, release him from his office and appoint another or others in his or their place. The CEO shall be responsible for the current operation of the Company’s affairs within the bounds of the policy determined by the Board and subject to its directions. In addition, the Board may from time to time grant and bestow upon the CEO those powers and authorities that it exercises pursuant to these Articles and under the provisions of Section 92 of the Companies Law, as it shall deem fit, and may grant those powers and authorities for such period, and to be exercised for such objectives and purposes, in such time and conditions, and on such restrictions, as it shall decide; and it can from time to time revoke, repeal, or change any one or all of those powers or authorities.

 

101.Subject to the provisions of these Articles, the Board may from time to time appoint a Secretary to the Company, a Treasurer and/or Comptroller or Chief Financial Officer as well as other officers, personnel, agents and servants, including management companies, for fixed, provisional or special duties, as the Board may from time to time deem fit, and may from time to time, in its discretion, suspend and/or dismiss any one or more of such persons. The Board may determine the powers and duties of such persons, and may demand security in such cases and in such amounts as it deems fit.

 

 

- 39 -

 

102.Subject to the provisions of these Articles, the wages and any other compensation of the CEO and other managers, officers or personnel shall be determined from time to time by the Board, and it may be paid by way of a fixed salary or commission, or a percentage of profits or of the Company’s turnover or of any other company that the Company has an interest in, or by participation in such profits, or in any combination of the aforementioned methods, or such other method as the Board shall determine.

 

103.The Board may from time to time directly or indirectly authorize any company, firm, person or group of people to be the attorneys in fact of the Company for purposes and with powers and discretion which shall not exceed those conferred upon the Board or which the Board can exercise pursuant to these Articles, and for such a period of time and upon such conditions as the Board may deem proper. Every such authorization may contain such directives as the Board deems proper for the protection and benefit of the persons dealing with such attorneys. The Board may also grant such an attorney the right to transfer to others, in part or in whole, the powers, authorities and discretions granted to him, and may terminate and revoke the appointments or revoke all or any part of the powers granted to them.

 

Dividends

 

104.Subject to these Articles and the provisions of Sections 301 through 311 (inclusive) of the Companies Law, the Company, at a General Meeting and upon the recommendation of the directors, may, subject to the approval of the (A) Preferred B Majority and the (B) holder of the Special Share or Preferred S Majority, declare a Dividend to be paid to the Shareholders, subject to their preferences and according to their rights and benefits under these Articles (including, without limitation, Article 8.1A (Dividend Rights), and to decide the time of payment. A Dividend may not be declared in excess of that recommended by the Board. Without derogating from the foregoing, the Company will not declare or pay any dividends on the Preferred Shares or the Ordinary Shares unless and until each of the accrued and unpaid amount of (i) the Preferred S Dividend Preference, (ii) the Preferred B-3/B-4 Dividend Preference (iii) the Preferred B/B-1/B-2 Dividend Preference, and (iv) the Preferred A/A-1 Dividend Preference, have been paid in full.

 

105.A notice of the declaration of a Dividend shall be given to the Shareholders registered in the Register, in the manner provided for in these Articles.

 

106.Subject to the provisions of these Articles, and subject to any rights or conditions attached at that time to any share in the capital of the Company granting preferential, special or deferred rights or not granting any rights with respect to Dividends, the profits of the Company which shall be declared as Dividends shall be distributed according to the proportion of the nominal value paid up to account of the shares held at the record date fixed by the Company, without regard to premium paid in excess of the nominal value, if any. No amount paid or credited as paid on a share in advance of calls shall be treated for purposes of this Article as paid on a share.

 

107.The Board may issue any share upon the condition that a Dividend shall be paid at a certain date, or that a portion of the declared Dividend for a certain period shall be paid, or that the period for which a Dividend shall be paid shall commence at a certain date, or any similar condition; in any such case, subject to the Law and these Articles, the Dividend shall be paid in respect of such a share in accordance with such a condition.

 

108.At the time of declaration of a Dividend the Company may decide that such a Dividend shall be paid in whole or in part by way of distribution of certain properties, including by means of distribution of fully paid up shares or debentures or debenture stock of the Company, or by means of distribution of fully paid up shares or debentures or debenture stock of any other company, or in one or more of the aforesaid ways.

 

109.The Company shall have a lien on any Dividend paid in respect of a share on which the Company has a charge, and may use it to pay any debts, obligations or commitments to which the charge applies.

 

 

- 40 -

 

110.The persons registered in the Register as Shareholders on the record date for declaration of the Dividend shall be entitled to receive the Dividend. A transfer of shares shall not transfer the right to a Dividend, which has been declared after the transfer but before the registration of the transfer.

 

111.A Dividend may be paid by, inter alia, check or payment order to be mailed to the address of a Shareholder or person entitled thereto as registered in the Register, or in the case of joint owners - to the address of one of the joint owners as registered in the Register. Every such check shall be made out to the person to whom it is sent. The receipt of the person who on the record date in respect of the Dividend is registered as the holder of any share or, in the case of joint holders, of one of the joint holders, shall serve as a release with respect to payments made in connection with that share.

 

112.If at any time the share capital is divided into different classes of shares, the distribution by way of Dividend, of fully paid up shares, or from funds, shall be made in one of the two following manners as to be determined by the Board:

 

112.1.all holders of shares entitled to fully paid up shares shall receive one uniform class of shares; or

 

112.2.each holder of shares entitled to fully paid up shares shall receive shares of the class of shares held by him and entitling him to fully paid up shares.

 

113.In order to give effect to any resolution in connection with a Distribution, the Board may resolve any difficulty that shall arise with respect to such Distribution in such way as it shall deem proper, including the issuance of certificates for fractional shares, and the determination of the value of certain property for purposes of Distribution. The Board may further decide that payment in cash shall be made to a Shareholder on the basis of value decided for that purpose, or that fractions the value of which is less than one New Israeli Shekel shall not be taken into account for the purpose of adjusting the rights of all the parties. The Board shall be permitted in this regard to grant cash or property to trustees in escrow for the benefit of persons entitled thereto, as the Board shall see fit. Wherever required, an agreement shall be submitted to the Registrar of Companies and the Board may appoint a person to execute such an agreement in the name of the persons entitled to any Dividend, property, fully paid-up shares or debentures as aforesaid, and such an appointment shall be valid and binding on the Company.

 

114.The Board may, with respect to all Dividends not demanded within thirty (30) days after their declaration, invest or use them in another way for the benefit of the Company, until they shall be demanded.

 

115.All Articles in these Articles of Association relating to Dividends, shall apply, mutatis mutandis, to a Distribution by the Company.

 

Reserves

 

116.The Board may set aside from the profits of the Company the sums they deem proper, as a reserve fund or reserve funds for extraordinary uses, or for special dividends or other funds or for the purpose of preparing, improving or maintaining any property of the Company, and for such other purposes as shall in the discretion of the Board be beneficial to the Company, and the Board may invest the various sums so set aside in such investments as they deem proper, and from time to time deal in, change, or transfer such investments, in part or in whole, for the benefit of the Company. The Board may also divide any reserve liability fund to special funds as it shall deem proper, transfer moneys from fund to fund and use every fund or any part thereof in the business of the Company, without being required to keep such sums separate from the rest of the Company’s property. The Board may, from time to time, also transfer to the next year profits out of such sums which are, in their discretion, beneficial to the Company. The Board may generally create funds as they deem necessary, either those resulting from profits of the Company or from re-evaluation of property, or from premiums paid for shares or from any other source and use them in their discretion as they deem fit so long as the creation, changes or uses of such funds do not exceed any provision of the Law or accepted accounting principles and practices.

 

117.All premiums received from the issue of shares shall be capital funds, and they shall be treated for every purpose as capital and not as profits distributable as Dividends. The Board may organize a reserve capital liability account and transfer from time to time all such premiums to the reserve capital liability account or use such premiums and moneys to cover depreciation or doubtful loss. All losses from sale of investments or other property of the Company shall be debited to the reserve account, unless the Board decides to cover such losses from other funds of the Company. The Board may use moneys credited to the capital reserve liability account in any manner that these Articles or the Law permit.

 

 

- 41 -

 

118.Any amounts transferred and credited to the account of income and expense fund or general reserve liability account or capital liability reserve account, may, until otherwise used in accordance with these Articles, be invested together with such other moneys of the Company in the day to day business of the Company, without having to differentiate between these investments and the investment of other moneys of the Company.

 

Capitalization of Reserve Funds

 

119.The Company may from time to time resolve at a General Meeting that any amount, investment or property not required as a source for payment of fixed preferential Dividends and (i) standing credited at that time to any fund or to any reserve liability account of the Company, including also premiums received from issuance of shares, debentures, or debenture stock of the Company, or (ii) being net profits not distributed and remaining in the Company, shall be capitalized, and that such amount shall be distributed as Bonus Shares, in the manner so directed by such resolution. The Board shall use such investment, sum or property, according to such a resolution, for full payment of such shares of the Company’s capital not issued to the Shareholders, and to issue such shares and to distribute them as fully paid shares among the Shareholders according to their pro rata right for payment of the value of the shares and their rights in the amount capitalized. The directors may also use such investment, sum or property, or any part thereof, for the full payment of the Company’s capital issued and held by such Shareholders, or such investment, sum or property in any other manner permitted by such a resolution. If any difficulty shall arise with respect to such a distribution, the Board may act, and shall have all the powers and authorities, as set forth in Article 113 above, mutatis mutandis.

 

Office

 

120.The Board shall determine the location of the Office.

 

Stamp and Signatures

 

121.The Board shall cause the Company’s stamp, of which the Company shall have at least one, to be kept in safekeeping, and it shall be forbidden to use the stamp in violation of any instructions the Board may give in connection with the use thereof.

 

122.Subject to the provisions of these Articles, the Board may designate any Person or Persons (even if they are not members of the Board) to act and to sign in the name of the Company, and to apply the Company’s stamp; the acts and signature of such a person or persons shall bind the Company, insofar as such person or persons have acted and signed within the limits of their authority.

 

123.The printed or typed name of the Company by any means next to the signatures of the authorized signatories of the Company, as aforesaid, shall be valid as if the stamp of the Company was affixed.

 

Accounts and Audit

 

124.The Board shall cause correct accounts to be kept:

 

124.1.of the assets and liabilities of the Company;

 

124.2.of moneys received or expended by the Company and the matters for which such moneys are expended or received; and

 

124.3.of all purchases and sales made by the Company. The account books shall be kept in the Office or at such other place as the Board deems fit, and they shall be open for inspection by the directors.

 

125.The Board shall determine from time to time, in any specific case or type of cases, or generally, whether and to what extent, and at what times and places, and under what conditions or regulations, the accounts and books of the Company, or any of them, shall be open for inspection by the Shareholders. No Shareholder other than a director shall have any right to inspect any account book or document of the Company except as conferred by Law or authorized by the Board or by the Company in a General Meeting.

 

 

- 42 -

 

126.Accountants-Auditors shall be appointed and their function shall be set out in accordance with the Law.

 

127.Not less than once a year, the directors shall submit before the Company at a General Meeting a balance sheet and profit and loss statement for the period after the previous statement. The statement shall be prepared in accordance with the relevant provisions of the Companies Law. A report of the auditor shall be attached to the statements, and it shall be accompanied by a report from the Board with respect to the condition of the Company’s business, the amount (if any) they propose as a Dividend, and the amount (if any) that they propose to set aside for the fund accounts.

 

Notices

 

128.A notice or any other document may be served by the Company upon any Shareholder either personally or by sending it by mail, telegram, facsimile, electronic mail or telex addressed to such Shareholder at his registered address as appearing in the Register. If the address of a Shareholder is outside of Israel, then any notice sent by mail shall be sent by airmail.

 

129.All notices with respect to any share to which persons are jointly entitled may be given to one of the joint holders, and any notice so given shall be sufficient notice to all the holders of such share.

 

130.A Shareholder registered in the Register who shall from time to time furnish the Company with an address at which notices may be served, shall be entitled to receive all notices he is entitled to receive according to these Articles at that address. However, except for the aforesaid, no Shareholder whose address is not registered in the Register shall be entitled to receive any notice from the Company.

 

131.A notice may be given by the Company to the persons entitled to a share in consequence of the death or bankruptcy of a Shareholder by sending it through the mail in a prepaid airmail letter or telegram or telex or facsimile addressed to them by name, at the address, if any, furnished for the purpose by the persons claiming to be so entitled or, until such an address has been so furnished, by giving the notice in any manner in which the same might have been given if the death or bankruptcy have not occurred.

 

132.Any notice or other document, (i) if delivered personally, shall be deemed to have been served upon delivery, (ii) if sent by mail, shall be deemed to have been served seven (7) Business Days after the delivery thereof to the post office; if sent by airmail, shall be deemed to have been served five (5) Business Days after the delivery thereof to the post office; and (iii) if sent by email or confirmed facsimile, shall be deemed to have been served twenty four (24) hours after the time such email or facsimile was sent. In proving such service, it shall be sufficient to prove that the letter containing the notice was properly addressed and delivered at the post office, or if sent by email or confirmed facsimile, to provide a delivery receipt, as the case may be.

 

Office Holders Indemnity, Insurance and Exemption

 

133.The Company may indemnify its Office Holders to the fullest extent permitted by the Law. Subject to the provisions of the Law including the receipt of all approvals as required therein or under any applicable law, and the provisions of Article 133.7 below, the Company may indemnify an Office Holder with respect to the following liabilities and expenses, provided that such liabilities or expenses were incurred by such Office Holder in such Office Holder’s capacity as an Office Holder of the Company:

 

133.1.a monetary liability imposed on him/her in favor of a third party in any judgment, including any settlement confirmed as judgment and an arbitrator's award which has been confirmed by the court;

 

133.2.reasonable litigation expenses, including legal fees, paid for by the Office Holder, in an investigation or proceeding conducted against such Office Holder by an agency authorized to conduct such investigation or proceeding, and which investigation or proceeding (i) concluded without the filing of an indictment against such Office Holder and without there having been a financial obligation imposed against such Office Holder in lieu of a criminal proceeding, or (ii) concluded without the filing of an indictment against such Office Holder but with there having been a financial obligation imposed against such Office Holder in lieu of a criminal proceeding for an offense that does not require proof of criminal intent;

 

 

- 43 -

 

133.3.reasonable litigation expenses, including legal fees paid for by the Office Holder, or which the Office Holder is obligated to pay under a court order, in a proceeding brought against the Office Holder by the Company, or on its behalf, or by a third party, or in a criminal proceeding in which the Office Holder is found innocent, or in a criminal proceeding in which the Office Holder was convicted of an offense that does not require proof of criminal intent.

 

133.4.Payment to a victim as set forth in Section 52ND(a)(1)(a) in the Israeli Securities Law, 1968 (the “Securities Law”); or

 

133.5.Expenses incurred by the Office Holders in connection with any proceeding against him pursuant to Chapter H3, H4, I1 of the Securities Law, including all reasonable expenses.

 

133.6.For purposes of Article 131.2 above:

 

133.6.1.the "conclusion of a proceeding without the filing of an indictment" regarding a matter in which a criminal proceeding was initiated, means the closing of a file pursuant to Section 62 of the Criminal Procedure Law [Consolidated Version], 5742-1982 (the “Criminal Procedure Law”) or a stay of process by the Attorney General pursuant to Section 231 of the Criminal Procedure Law; and

 

133.6.2.a "financial obligation imposed in lieu of a criminal proceeding" means a financial obligation imposed by law as an alternative to a criminal proceeding, including an administrative fine pursuant to the Administrative Offenses Law, 5746-1982, a fine for committing an offense categorized as a finable offense pursuant to the provisions of the Criminal Procedure Law or a penalty.

 

133.7.The Company may undertake to indemnify an Office Holder as aforesaid in Articles 133.1 through 133.5 above: (i) prospectively, provided that, in respect of Article 133.1, the undertaking is limited to categories of events which in the opinion of the Board can be foreseen when the undertaking to indemnify is given, and to an amount set by the Board as reasonable under the circumstances, and (ii) retroactively.

 

134.Subject to the provisions of any Law, the Company may procure, for the benefit of any of its Office Holders, office holders’ liability insurance with respect to any of the following:

 

134.1.a breach of the duty of care owed to the Company or any other person;

 

134.2.a breach of the fiduciary duty owed to the Company, provided that the Office Holder acted in good faith and had reasonable grounds to assume that the action would not injure the Company; or

 

134.3.a monetary liability imposed on an Office Holder in favor of a third party, in respect of an act performed by the Office Holder by virtue of the Office Holder being an Office Holder of the Company.

 

135.Subject to the provisions of any Law, the Company may exempt in advance, by a Board resolution, Office Holders from all or part of their responsibilities for damages due to their violation of their duty of care to the Company. Notwithstanding the foregoing, the Company may not exempt Office Holders in advance from their responsibilities for damages due to their violation of their duty of care to the Company with respect to Distributions.

 

 

- 44 -

 

136.The provisions of Articles 134, 135 and 136 above are not intended, and shall not be interpreted, to restrict the Company in any manner in respect of the procurement of insurance and/or in respect of indemnification (i) in connection with any person who is not an Office Holder, including, without limitation, any employee, agent, consultant or contractor of the Company who is not an Office Holder, and/or (ii) in connection with any Office Holder to the extent that such insurance and/or indemnification is not specifically prohibited under law; provided that the procurement of any such insurance and/or the provision of any such indemnification shall be approved by the Board.

 

Winding Up

 

137.Subject to the provisions of these Articles to the contrary, and subject to any rights or conditions attached at that time to any share in the capital of the Company granting preferential, special or deferred rights or not granting any rights with respect to winding up or liquidation, in the event of a winding up of the Company, the Company’s property distributable among the Shareholders shall be distributed in proportion to the sum paid on account of the nominal value of the shares held by them, of any class, without taking into account premiums paid in excess of the nominal value.

 

138.Subject to provisions of these Articles to the contrary, if the Company is voluntarily wound up, the liquidators may, with the approval of a resolution in a General Meeting, divide the property as is among the Shareholders, or deposit any part of the Company’s property with trustees in escrow for the benefit of Shareholders, as they deem proper.

 

139.Subject to provisions of these Articles to the contrary, if, at the time of liquidation, the Company’s property available for distribution among the Shareholders shall not suffice to return all the paid up capital, and subject to, and without derogating from, any rights or surplus rights or existing restrictions at that time of any special class of shares forming part of the capital of the Company, such property shall be divided so that the losses shall as much as possible be borne by the Shareholders in proportion to the paid up capital or that which shall have been paid at the commencement of the liquidation on the shares held by each of them. If, at the time of liquidation, the Company’s property designated for distribution among the Shareholders is in excess of the amount necessary for the return of capital paid up at the beginning of the liquidation, it shall belong and be delivered to the Shareholders pro rata to the amount paid on the nominal value of each share held by each of them at the commencement of the liquidation.

 

Protective Provisions

 

140.Notwithstanding anything to the contrary in these Articles, until the earlier of (a) the Third Closing (except as specified in Article 140.5) or (b) an IPO or Deemed Liquidation, the consent of at least the Preferred B Majority will be required for any of the following actions (whether taken directly or indirectly, by merger, consolidation or otherwise), other than the actions listed in Articles 140.9, 140.10, 140.11, and 140.16 which will require the consent of the KT Directors:

 

140.1.any M&A Transaction (but not, for the avoidance of any doubt, any transaction pursuant to the exercise of the Call Option);

 

140.2.any sale by the Company of all or substantially all of its assets (including any exclusive license of material intellectual property, except for any such license outside of the United States), any merger of the Company with another entity or any sale of more than 50% of the voting power of the Company (other than any transaction pursuant to the exercise of the Call Option);

 

140.3.any sale, mortgage, pledge of, or placement of a security interest on, any material asset (including material intellectual property rights) of the Company;

 

140.4.any liquidation, dissolution or winding up of the Company (including any Deemed Liquidation or IPO or consenting to any of the foregoing), other than the consummation of the Call Option;

 

 

- 45 -

 

140.5.any amendment, alteration or repeal of the Articles that adversely affects the rights, preferences or privileges of the Preferred Shares, including to increase or decrease of the share capital of the Company or to change any right attached to any share, or to create any new class or series of shares having rights, preferences or privileges equal or senior to the Preferred Shares (other than the Preferred S Shares); but not including an amendment for the purpose of increasing an existing class or series of shares (provided, however, that following the Third Closing the Preferred B Majority shall still be required pursuant to this Article 140.5 but the creation of any new class or series of shares having rights, preferences or privileges equal or senior to such Preferred Shares shall not be considered adverse thereto);

 

140.6.creating or authorizing the creation of any security senior to or on parity with the Preferred Shares (including any security convertible into or exercisable for such series) or reclassifying, altering or amending any existing security that is junior to or on parity with the Preferred Shares, if such reclassification, alteration or amendment would render such other security senior to or on parity with the Preferred Shares;

 

140.7.reserved;

 

140.8.purchasing, redeeming or paying any dividend on any share capital;

 

140.9.any increase in the number of shares reserved by the Company for issuance to any employee, officer, director, consultant or advisor of the Company or any of its subsidiaries under the Company’s incentive equity based plans or other arrangements approved by the Board and any grant of option or other equity based award in excess of the number of shares reserved for such purposes;

 

140.10.creating or authorizing the creation of any debt security (including negative pledges) or any borrowings of any assets of the Company or any subsidiary, which are not in the ordinary course of business;

 

140.11.make any loan or advance to any person, including, any employee or director, except advances and similar expenditures in the ordinary course of business or under the terms of an employee shares or option plan approved by the Board;

 

140.12.creating or holding share capital in any subsidiary that is not a wholly-owned subsidiary or disposing of any subsidiary shares or all or substantially all of any subsidiary assets;

 

140.13.any increase or decrease in the authorized size of the Board or otherwise change the composition of the Board;

 

140.14.any acquisition of, or material interest in, another entity;

 

140.15.effecting any IPO;

 

140.16.approving the annual budget, or authorising or incurring any aggregate expenditure in excess of the greater of fifteen percent (15%) above the expenses set forth in the approved budget or 50% of any cash received by the Company in excess of the cash projected to be received by the Company under the budget;

 

140.17.changing the principal business of the Company, entering new lines of business materially different than the current business, or exiting the current depression line of business; or

 

140.18.entering into or becoming a party to any transaction with any Founder, director, officer, or shareholder of the Company, member of their immediate family, or any Affiliate of any such person or any other “related or interested party” transaction, including the granting of incentives (including shares or options), except pursuant to a transaction for the equity (including via SAFE of convertible debt) related financing of the Company that is otherwise permitted under these Articles and is offered to all shareholders with preemptive rights.

 

 

- 46 -

 

141.Notwithstanding anything to the contrary in these Articles, but subject to Article 144, none of the following actions shall be taken, approved or effected by the Company, its Board or any Shareholder, unless approved in writing in advance by BWAY, or with respect to the actions referenced in Articles 140.9, 140.10, 140.11, and 140.16, at least one BWAY Director:

 

141.1.subject to Article 143 below, the actions referenced in Article 140.1, 140.2 and 140.4 above;

 

141.2.any of the actions referenced in Article 140.3, 140.8, 140.12-15, and 140.17-18;

 

141.3.any amendment, alteration or repeal of the Articles that adversely affects the rights, preferences or privileges of the holders of either (i) the Preferred S Shares or (ii) the Special Share, including to increase or decrease of the share capital of the Company or to change any right attached to any share, or to create any new class or series of shares having rights, preferences or privileges equal or senior to either the Preferred S Shares or the Special Share (provided, however, that the foregoing shall not preclude the increase of the number of authorized Preferred S Shares in order to issue any Preferred S Shares as expressly permitted under Article 141.6.1);

 

141.4.creating or authorizing the creation of any security senior to or on parity with either (i) the Preferred S Shares or (ii) the Special Share (including any security convertible into or exercisable for such series) or reclassifying, altering or amending any existing security that is junior to or on parity with either the Preferred S Shares or the Special Share, if such reclassification, alteration or amendment would render such other security senior to or on parity with either (provided, however, that the foregoing shall not preclude the increase of the number of authorized Preferred S Shares in order to issue any Preferred S Shares as expressly permitted under Article 141.6.1);

 

141.5.any issuance of any Special Share or Preferred S Share (except as expressly permitted under Article 141.6.1) to any Person other than BWAY.

 

141.6.any issuance of Additional Securities, except as follows:

 

141.6.1.Additional Securities consisting of Preferred S Shares, Preferred B-3 or Preferred B-4 Shares, or Shares of any other class that is junior or on par to the Preferred B-3 or Preferred B-4 Shares, issued to existing Shareholders or new investors at a price per share that is equal to or greater than the Conversion Price applicable to the most recently funded Principal Amount under the BWAY Investment Agreement, or if after the Third Closing, the Third Investment PPS; or

 

141.6.2.Additional Securities consisting of Preferred B-3 or Preferred B-4 Shares or Shares of any other class that is junior to the Preferred B-3 or Preferred B-4 Shares, issued at a price per share that is not more than five percent (5%) below the Conversion Price applicable to the most recently funded Principal Amount under the BWAY Investment Agreement, or if after the Third Closing, the Third Investment PPS; provided that the total aggregate consideration received by the Company from all such issuances, whether in one or multiple transactions, does not exceed US$2,000,000 (two million USD); and

 

141.7.Any creation or incurrence of indebtedness by the Company or any subsidiary, except for indebtedness that meets all of the following conditions: (i) the aggregate principal amount outstanding at any time does not exceed US$2,000,000 (two million USD), (ii) such indebtedness is not convertible into or exchangeable for any securities of the Company and does not provide any rights to acquire securities of the Company (except for an instrument convertible or exchangeable for Additional Securities referenced in Article 141.6.1 above and on the terms set forth therein), and (iii) such indebtedness is subordinate to the outstanding Loan Amount (if any) and unsecured.

 

 

- 47 -

 

141.8.as long as the Call Option has not expired:

 

141.8.1.any issuance of Additional Securities (including Excluded Securities) that is not conditioned upon the recipient becoming a party to the Call Option Agreement in accordance with its terms.

 

141.8.2.any Transfer by any Grantor or other Shareholder in violation of Section 8.2 of the Call Option Agreement.

 

141.8.3.Any amendment to, or waiver under, these Articles if such amendment or waiver would reasonably be expected to modify or limit the enforceability or effect of the Call Option Agreement or the rights of BWAY thereunder.

 

142.The veto rights listed above in Articles 140 and 141 shall apply with respect to any action or resolution listed above in Articles 140 and 141 proposed to be taken or adopted by any subsidiary of the Company.

 

Call-option Carveout

 

143.Capitalized terms used but not defined in this Article 143 shall carry the meanings given to them in the Call Option Agreement. If at any time prior to the exercise of the Call Option the Company or the Preferred B Majority receives a bona fide offer (the “Third-Party Offer”) from an unaffiliated third party (the “Third-Party Offeror”) to acquire all of the issued and outstanding shares or substantially all assets of the Company (an “Acquisition Transaction”), the Investor shall not unreasonably withhold, condition, or delay its consent to such Acquisition Transaction, provided that:

 

143.1.the Third-Party Offer constitutes an arm’s-length transaction;

 

143.2.the purchase price payable under the Third-Party Offer (the “Third-Party Purchase Price”) is greater than 1.75 times the Company’s Equity Value determined based on the Minimum Call Option Price in effect on the date the Third-Party Offer is received, in accordance with the Call Option Agreement;

 

143.3.the Company provides the Investor with written notice of the material terms and conditions of the Third-Party Offer, including price, payment terms, and identity of the Third-Party Offeror, promptly after receipt of such offer;

 

143.4.the Investor is given a period of thirty (30) calendar days from receipt of such written notice (the “Election Period”) to exercise the Call Option for an Exercise Price determined based on the Minimum Call Option Price in effect on the date the Third-Party Offer is received, in accordance with the Call Option Agreement; provided that if the Third-Party Offer is received during the Non-Exercise Period, then notwithstanding any limitation in the Call Option Agreement regarding the exercise during such period, the Investor shall be entitled to exercise the Call Option and the following shall apply:

 

143.4.1.if the Third-Party Purchase Price is greater than 1.75x the Company’s Equity Value determined based on the First Minimum Call Option Price, but less than 1.75x the Company’s Equity Value based on the Second Minimum Call Option Price, the Investor shall be entitled to exercise the Call Option for an Exercise Price determined based on the First Minimum Call Option Price; and

 

 

- 48 -

 

143.4.2.if the Third-Party Purchase Price is greater than 1.75x the Company’s Equity Value determined based on the Second Minimum Call Option Price, the Investor shall be entitled to exercise the Call Option for an Exercise Price determined based on the Second Minimum Call Option Price;

 

143.5.the Investor does not exercise the Call Option within the Election Period; and

 

143.6.In the event that the Investor exercises the Call Option pursuant to the foregoing, the Investor undertakes that, for a period of 12 months following the completion of the closing of the Call Option Agreement, it shall not, directly or indirectly, sell, assign, transfer or otherwise dispose of (whether in a single transaction or a series of related transactions) all or substantially all of the shares in the Company or all or substantially all of the assets of the Company to the Third Party Offeror (or any of its Affiliates), or enter into any binding agreement to do so.
For the avoidance of doubt, nothing in this Article 143 shall preclude the Investor: (i) from entering into any broader corporate transaction, merger, consolidation, reorganization, financing, or strategic partnership, provided that such transaction does not constitute a standalone sale of all or substantially all of the shares or assets of the Company to the Third Party Offeror (or any of its affiliates or related parties); or (ii) if pursuant to such transaction the Shareholders would receive proceeds from such sale, as if (together with any proceeds paid to them under the Call Option Agreement) such sale had occurred immediately prior to the Call Option exercise.

 

 

 

 

Defaulting Investor

 

 

144.In the event BWAY is a Defaulting Investor the following provisions shall apply and supersede any other provisions in these Articles to the contrary:

 

144.1.for as long as the Loan Amount (as defined in the BWAY Investment Agreement) is outstanding under the terms of the BWAY Investment Agreement, the Special Share shall not have any rights under these Articles and its consent shall not be required for any matter (including its presence in any quorum), except that;

 

144.1.1.the Company may not incur any indebtedness senior to the Loan Amount, or agree to the placement of any lien on its assets, without the consent of the holder of the Special Share.

 

144.2.if following BWAY becoming a Defaulting Investor, the Loan Amount is converted in accordance with the terms of the BWAY Investment Agreement:

 

144.2.1.the Loan Amount will be converted into the applicable series of Preferred S Shares pursuant to the BWAY Investment Agreement;

 

144.2.2.Article 8.1.1.1 shall be deemed deleted in its entirety and by the following which shall apply in the event of any Liquidation or Deemed Liquidation: (A) the Preferred S Shares shall entitle their holders to receive for each Preferred S Share held by them, an amount equal to the higher of: (i) one (1) times the Preferred S-1 Original Issue Price (in cash, cash equivalents or, if applicable, securities) (the “Preferred S Preference”), and (ii) the amount per share such holder would have received for such Preferred S Share had all Preferred S Shares been converted into Ordinary Shares immediately prior to such Liquidation (taking into account the aggregate amount of Distributable Proceeds previously paid in preference pursuant to Article 8.1); and (B) the Preferred S-1 Preference shall be paid pari passu with the Preferred B-3/B-4 Preference (or, if shares other than Preferred B-4 or B-3 Shares are issued upon conversion of the New CLAs, pari passu with the liquidation preference paid to the holders of such shares).

 

 

- 49 -

 

144.2.3.the Preferred S Shares shall not be entitled to receive the Preferred S Dividend Preference; and

 

144.2.4.any matter requiring the consent or vote of the Preferred S Majority (including any class vote), or mandatory presence in any quorum, shall no longer be required, except for: any amendment, alteration or repeal of the Articles that adversely affects the rights, preferences or privileges of the holders of the Preferred S Shares or to change any right attached to any Preferred S Share (provided, however, that the creation of any new class or series of shares having rights, preferences or privileges equal or senior to the Preferred S Shares shall not be considered adverse to thereto).

 

144.3.if the Loan Amount is converted prior to BWAY becoming a Defaulting Investor, then upon BWAY becoming a Defaulting Investor, with respect to the portion of the Loan Amount already converted, the provisions of Article 144.2 shall apply mutatis mutandis and the Preferred S-1 Original Issue Price shall be equal to the conversion price applied to such conversion.

 

144.4.BWAY shall no longer have the right to appoint a director, and any BWAY Director then serving maybe removed and replaced by the Preferred B Majority.

 

144.5.BWAY, or the holder of the Special Share or Preferred S Share, shall (i) no longer be entitled to any rights under Articles 12 (Preemptive Rights) if it is a Defaulting Investor with respect to the Second Principal Amount, (ii) Article 40 (Rights of First Refusal), (iii) Article 41 (Co-sale rights) if it is a Defaulting Investor with respect to the Second Principal Amount, and (iv) any restrictions on the transferability of any Shares that are subject to the approval of BWAY, the holder of the Special Share or the Preferred S Majority shall expire.

 

 

*****