EX-99.2 3 tm254529d1_ex99-2.htm EXHIBIT 99.2
Exhibit 99.2

GRAPHIC

FF305 Page 1 of 6 v 1.3.0 Next Day Disclosure Return (Equity issuer - changes in issued shares or treasury shares, share buybacks and/or on-market sales of treasury shares) Instrument: Equity issuer Status: New Submission Name of Issuer: Alibaba Group Holding Limited Date Submitted: 28 January 2025 Section I must be completed by a listed issuer where there has been a change in its issued shares or treasury shares which is discloseable pursuant to rule 13.25A of the Rules Governing the Listing of Securities on The Stock Exchange of Hong Kong Limited (the “Exchange”) (the “Main Board Rules”) or rule 17.27A of the Rules Governing the Listing of Securities on GEM of the Exchange (the “GEM Rules”). Section I 1. Class of shares Ordinary shares Type of shares Not applicable Listed on the Exchange Yes Stock code (if listed) 09988 Description Multi-counter stock code 89988 RMB Description A. Changes in issued shares or treasury shares Events Changes in issued shares (excluding treasury shares) Changes in treasury shares Issue/ selling price per share (Note 4) Total number of issued Number of issued shares shares (excluding treasury shares) As a % of existing number of issued shares (excluding treasury shares) before the relevant event (Note 3) Number of treasury shares Opening balance as at (Note 1) 27 January 2025 19,029,786,068 0 19,029,786,068 1). Other (please specify) Not Applicable Date of changes 27 January 2025 % Closing balance as at (Notes 5 and 6) 28 January 2025 19,029,786,068 0 19,029,786,068

GRAPHIC

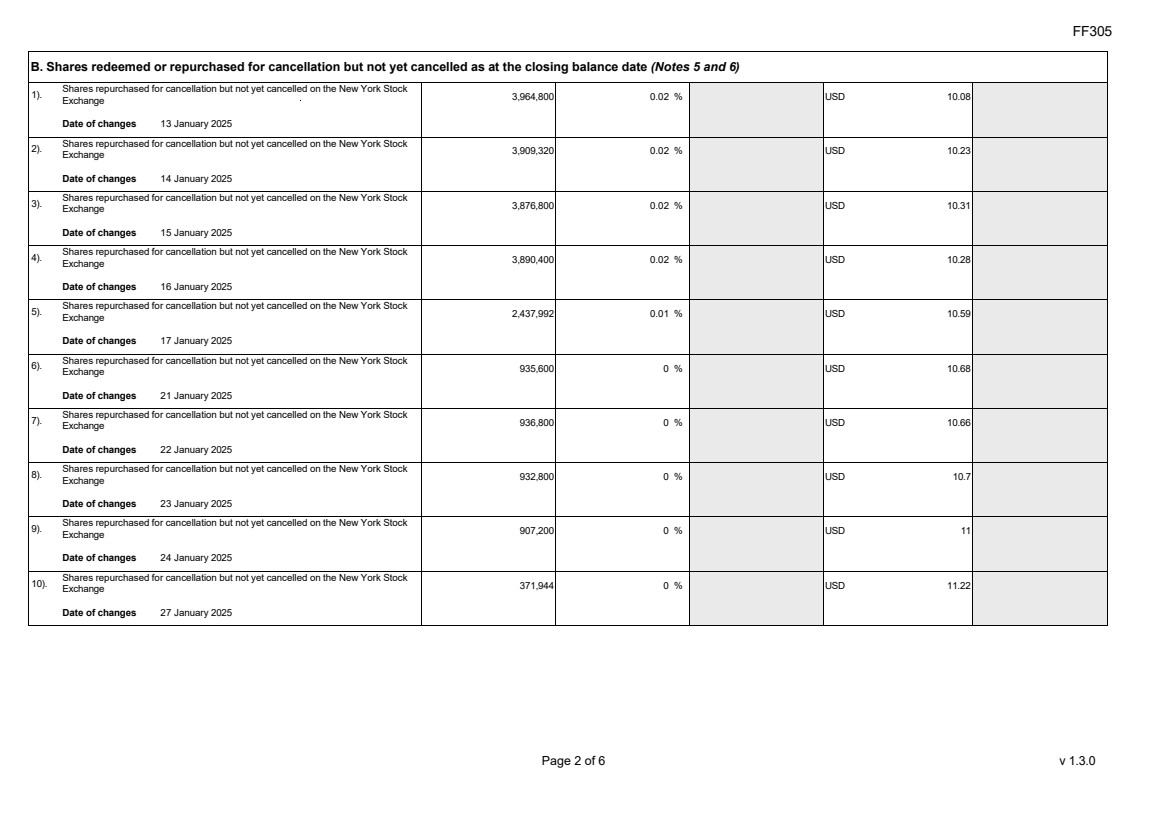
FF305 Page 2 of 6 v 1.3.0 B. Shares redeemed or repurchased for cancellation but not yet cancelled as at the closing balance date (Notes 5 and 6) 1). Shares repurchased for cancellation but not yet cancelled on the New York Stock Exchange Date of changes 13 January 2025 3,964,800 0.02 % USD 10.08 2). Shares repurchased for cancellation but not yet cancelled on the New York Stock Exchange Date of changes 14 January 2025 3,909,320 0.02 % USD 10.23 3). Shares repurchased for cancellation but not yet cancelled on the New York Stock Exchange Date of changes 15 January 2025 3,876,800 0.02 % USD 10.31 4). Shares repurchased for cancellation but not yet cancelled on the New York Stock Exchange Date of changes 16 January 2025 3,890,400 0.02 % USD 10.28 5). Shares repurchased for cancellation but not yet cancelled on the New York Stock Exchange Date of changes 17 January 2025 2,437,992 0.01 % USD 10.59 6). Shares repurchased for cancellation but not yet cancelled on the New York Stock Exchange Date of changes 21 January 2025 935,600 0 % USD 10.68 7). Shares repurchased for cancellation but not yet cancelled on the New York Stock Exchange Date of changes 22 January 2025 936,800 0 % USD 10.66 8). Shares repurchased for cancellation but not yet cancelled on the New York Stock Exchange Date of changes 23 January 2025 932,800 0 % USD 10.7 9). Shares repurchased for cancellation but not yet cancelled on the New York Stock Exchange Date of changes 24 January 2025 907,200 0 % USD 11 10). Shares repurchased for cancellation but not yet cancelled on the New York Stock Exchange Date of changes 27 January 2025 371,944 0 % USD 11.22

GRAPHIC

FF305 Page 3 of 6 v 1.3.0 Confirmation Not applicable Notes to Section I: 1. Please insert the closing balance date of the last Next Day Disclosure Return published pursuant to Main Board Rule 13.25A / GEM Rule 17.27A or Monthly Return pursuant to Main Board Rule 13.25B / GEM Rule 17.27B, whichever is the later. 2. Please set out all changes in issued shares or treasury shares requiring disclosure pursuant to Main Board Rule 13.25A / GEM Rule 17.27A together with the relevant dates of changes. Each category will need to be disclosed individually with sufficient information to enable the user to identify the relevant category in the listed issuer's Monthly Return. For example, multiple issues of shares as a result of multiple exercises of share options under the same share option scheme or of multiple conversions under the same convertible note must be aggregated and disclosed as one category. However, if the issues resulted from exercises of share options under 2 share option schemes or conversions of 2 convertible notes, these must be disclosed as 2 separate categories. 3. The percentage change in the number of issued shares (excluding treasury shares) of the listed issuer is to be calculated by reference to the opening balance of the number of issued shares (excluding treasury shares) being disclosed in this Next Day Disclosure Return. 4. In the case of a share repurchase or redemption, the “issue/ selling price per share” shall be construed as “repurchase price per share” or “redemption price per share”. Where shares have been issued/ sold/ repurchased/ redeemed at more than one price per share, a volume-weighted average price per share should be given. 5. The closing balance date is the date of the last relevant event being disclosed. 6. For repurchase or redemption of shares, disclosure is required when the relevant event has occurred (subject to the provisions of Main Board Rules 10.06(4)(a), 13.25A and 13.31 / GEM Rules 13.13(1), 17.27A and 17.35), even if the repurchased or redeemed shares have not yet been cancelled. If repurchased or redeemed shares are to be cancelled upon settlement of such repurchase or redemption after the closing balance date, they shall remain part of the issued shares as at the closing balance date in Part A. Details of these repurchased or redeemed shares shall be disclosed in Part B. 7. Items (i) to (viii) are suggested forms of confirmation. The listed issuer may amend the item(s) that is/are not applicable to meet individual cases. 8. “Identical” means in this context: - the securities are of the same nominal value with the same amount called up or paid up; - they are entitled to dividend/interest at the same rate and for the same period, so that at the next ensuing distribution, the dividend/interest payable per unit will amount to exactly the same sum (gross and net); and - they carry the same rights as to unrestricted transfer, attendance and voting at meetings and rank pari passu in all other respects.

GRAPHIC

FF305 Page 4 of 6 v 1.3.0 Section II must also be completed by a listed issuer where it has made a repurchase of shares which is discloseable under Main Board Rule 10.06(4)(a) / GEM Rule 13.13(1). Repurchase report Section II 1. Class of shares Stock code (if listed) Multi-counter stock code Ordinary shares 09988 89988 RMB Type of shares Description Description Not applicable Listed on the Exchange Yes A. Repurchase report Trading date Number of shares repurchased Method of repurchase (Note 1) Repurchase price per share or highest repurchase price per share $ Lowest repurchase price per share $ Aggregate price paid $ 1). 27 January 2025 371,944 On another stock exchange New York Stock Exchange USD 11.25 USD 11.16 USD 4,172,737.45 Total number of shares repurchased 371,944 Aggregate price paid $ USD 4,172,737.45 Number of shares repurchased for cancellation 371,944 Number of shares repurchased for holding 0 as treasury shares B. 1). Additional information for issuer who has a primary listing on the Exchange Date of the resolution granting the repurchase mandate 22 August 2024 2). Total number of shares which the issuer is authorised to repurchase under the repurchase mandate 1,874,327,393 3). Number of shares repurchased on the Exchange or another stock exchange under the repurchase mandate (a) 273,092,992 1.46 % Up to 26 February 2025 4). As a % of number of issued shares (excluding treasury shares) as at the date of the resolution granting the repurchase mandate (a) x 100 / number of issued shares (excluding treasury shares) as at the date of the resolution granting the repurchase mandate 5). Moratorium period for any issue of new shares, or sale or transfer of treasury shares after the share repurchase(s) set out in Part A (Note 2)

GRAPHIC

FF305 Page 5 of 6 v 1.3.0 Notes to Section II: 1. Please state whether the repurchase was made on the Exchange, on another stock exchange (stating the name of the exchange), by private arrangement or by general offer. 2. Subject to the carve-out set out in Main Board Rule 10.06(3)(a)/ GEM Rule 13.12, an issuer may not (i) make a new issue of shares, or a sale or transfer of any treasury shares; or (ii) announce a proposed new issue of shares, or a sale or transfer of any treasury shares, for a period of 30 days after any purchase by it of shares, whether on the Exchange or otherwise, without the prior approval of the Exchange. We hereby confirm that the repurchases made on the Exchange (if any) set out in Part A above were made in accordance with the Main Board Rules and that there have been no material changes to the particulars contained in the Explanatory Statement dated 5 July 2024 which has been filed with the Exchange. We also confirm that any repurchases made on another stock exchange set out in Part A above were made in accordance with the domestic rules applying to repurchases on that other stock exchange.

GRAPHIC

FF305 Page 6 of 6 v 1.3.0 Section III must also be completed by a listed issuer where it has made a sale of treasury shares on the Exchange or any other stock exchange on which the issuer is listed which is discloseable under Main Board Rule 10.06B / GEM Rule 13.14B. Report of on-market sale of treasury shares Not applicable Submitted by: Kevin Jinwei ZHANG (Name) Title: Secretary (Director, Secretary or other Duly Authorised Officer)