EX-99.5 6 tm2528589d1_ex99-5.htm EXHIBIT 99.5 ...
Exhibit 99.5

GRAPHIC

​ -​ -​ EF; !"#$D8;ǝ'$(lj)&*#+),ǝ- ./01234 /15 67381903 2 :1305 ; <:3=4808/ ;4 .03 25 >6?@A8/ 0.B C1 :3=481 A5 ​DB1= 2E​ FGHIJKLMNOPIQGHKNRSGITQUVSJPIGTJPOGWXY IYWVPQGLVHYLZGJ IP OGTYVWGPK IGVPOWUYVWGPXYJHPT HSKGVQSROWPVLIKWOSG[\]_`KaIYGbOSPcKdGWLJZIYG eJPILZKaFGHOWJIGPKLfYGFIKHghiHYVLZGKaj LZkKLZeJNJIGTlYGmnopqrstuvwlIYGxyrzs{|r}~€u‚vwKWOSG[ƒ]`KaIYGbOSPcKdGWLJZIYGeJPILZKaFGHOWJIGPKLch„KaIYG hiHYVLZGlIY m…ny€u‚vw] †‡ ˆ‰Š, $ ‹Œ2A8/90Ž2 0 ,$ ‘ ’&$!$% “ 0 †)&;,&- ​E”-  •‰Š$D8;ǝ !– Š$D; &%ǝ- +(,& $Ǚ&% ǝ- —‚r˜|™uoz‚šst s€›œu}|™z‚€u~ ‚qr}u‚op€~zst š}ur‚€}žqr}u‚Ÿœ ™|} šqu} rsšu sš ¡|šu¢Ÿ Š$% $ +(, $ £‚€u¤ zst¥}zpu¥ } ‚qr}u¡|šu¦Ÿ +(,& $ §%( ¡|šu¨Ÿ ​DB1= 2E​ -©”​ ​ -©”​ ª D1Ž 2«¬@ 0¬B8 9ª : 21­ ,$% ​®DB1= 2E​ ¯ Š%( ¡|šu‚°rs~±Ÿ​®DB1= 2E​ -©”​ ​ -©”​

GRAPHIC

​ -​ -​ រ;!"# $" %ž;! "!# &$! "'()*+,-./012 3 4 56789: :97 :;7 <9 7:867=< :3>6<?8? @A B" & ​C 5<D>7​ EFG ​ H ICJ G​KLG 3 4 56789: :97 :;7 <9 7:867=< :3>6<?8? @A B" & ​-C 5<D>7​ EK ​ H ICJ GK -3 4 56789: :97 :;7 <9 7:867=< :3>6<?8? @A B" & ​FC 5<D>7​ E- K H ICJ G F3 4 56789: :97 :;7 <9 7:867=< :3>6<?8? @A B" & ​C 5<D>7​ E ​K H ICJ G-​F 3 4 56789: :97 :;7 <9 7:867=< :3>6<?8? @A B" & ​C 5<D>7​ E​KGF H ICJ G- G3 4 56789: :97 :;7 <9 7:867=< :3>6<?8? @A B" & ​KC 5<D>7​ E​ L H ICJ GG- L3 4 56789: :97 :;7 <9 7:867=< :3>6<?8? @A B" & ​C 5<D>7​ E​ - H ICJ GGLF 3 4 56789: :97 :;7 <9 7:867=< :3>6<?8? @A B" & C 5<D>7​ KE-F H ICJ GG- K3 4 56789: :97 :;7 <9 7:867=< :3>6<?8? @A B" & C 5<D>7​ F​EKG H ICJ GGL ​3 4 56789: :97 :;7 <9 7:867=< :3>6<?8? @A B" & C 5<D>7​ GEGF H ICJ GGL 3 4 56789: :97 :;7 <9 7:867=< :3>6<?8? @A B" & GC 5<D>7​ GE​ H ICJ GG-

GRAPHIC

​ -​ - -​ Ɗ !"#$%&'!()#* +, -​ ./​ 0 1,2 3 - Ɗ !"#$%&'!()#* , -​ 3+/ 4 0 1,2 33. 4 Ɗ !"#$%&'!()#* ., -​ 3+/.​ 0 1,2 334- Ɗ !"#$%&'!()#* , -​ 3.​/4 0 1,2 3+ 3 Ɗ !"#$%&'!()#* -, -​ +​ /​ 0 1,2 3-4. + Ɗ !"#$%&'!()#* 4, -​ 3.+/4 0 1,2 34-. Ɗ !"#$%&'!()#* , -​ 3./4​ 0 1,2 34- . Ɗ !"#$%&'!()#* 3, -​ 3.-/ 0 1,2 34 - ​ Ɗ !"#$%&'!()#* ., -​ .+/. 0 1,2 3+- Ɗ !"#$%&'!()#* -​, -​ /3-4 0 1,2 3-.3 Ɗ !"#$%&'!()#* ​5 ​ 4+/ . 0 1,2 3-4. - Ɗ !"#$%&'!()#* ​5 ​ +.-/3 0 1,2 3-​3

GRAPHIC

​ -​ -​ ƛ !"#$%&'(")*$+ ​-, ​ -./0 1 234 /- ƛ !"#$%&'(")*$+ ​/, ​ /.0 1 234 / / ƛ !"#$%&'(")*$+ ​-, ​ ​-0.​ 1 234 / - ƛ !"#$%&'(")*$+ ​, ​ 0 1 234 /-. ƛ !"#$%&'(")*$+ ​., ​ 0​- ​-1 234 / 567 8 1 9 5 ǻ :5;<5 -0 ​-.- 5 -0​ := ; ​0.--:;

GRAPHIC

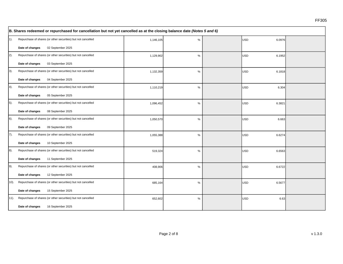
​ -​ -​ !"#$!%#&"'!()* +, -.#/$'( 0"1#&.!$'(23/.(&#4/"!5"1#./$" #67/8 '$&.!90#: "90(;3.'$1#4;90$/("!</'(=!/04:9.#+>,?@ABCD<:9.#+E,?A!0<!("1.8:#"90(; $/("!</'( =!/04:9.#+>,?@=BCD<:9.#+E,?=FG1'&#H0'$"1#./"0, ?, -.#/$ "!9 /.&1/(2#$'( $9#4$1/0#$! "#/$9081/0#$ I9'(24$&.!90#; $/("!</'(=!/04:9.#+>,?@ABCD<:9.#+E,?A"!2#10G'"1 #0.H/("4 #$!5 &1/(2#$,D/&1 "#2!08G'.(#4"!3#4'$&.!#4'( H 9/.8G'"1$95'&#("5!0J/"'!( #(/3."1 9$0"!'4#("581#0.H/("& #2!08'("1#.'$"#4'$9#0K<!("1.8:#"90(,L!0 #6/J;.#FJ9."';#$9#!51/0#$ 0#$9."!5J9."';#60&'$ !51/0#!;"'($94#0"1 $/J#$1/0#!;"'($&1#J#!0 5J9."';#&!(H#0$'!(94#0"1 $/J#&!(H#0"'3.#(!" J9$"3#/20#/"4( '$&.!#4/$!(#&/"2!08,M!G#H0F'5"1#'$9#0 9."450!J#60&'$ !51/0#!;"'($94#0?$1/0#!;"'($&1#J#$!0&(H#0$'!(5?&!(H#0"'3.# (!"#$F1#$J9$"3#4'$&.!#4/ ? #;/0"#& 2!0'$, >, N1#;0&("/2#&1/(2#'"1#(9J3#0!5'$9#41/0#$O6&.94'(2"0#/$9081/0#$P!5"1#.'$"#4'$9#0'$"!3#&/.9 "#4380#5 (&"!1#!;('23/.(&#!5"1#(9J3#0!5'$9#4 $1/0#$O6&.94'(2"0#/$9081/0#$P3'(24$&.!#4'("1$ #6"7/8 '$&.!90#: "90(, Q, )("1#&/$ !5/$10# ;9&1/$#!0#4J;"'!(F"1#R'$9#B .'(2;0'&#;0$1/#S$1/.3#&!($"09#4/$R0#;9&1/$#;0'&#;0$1/#S! R#4J;"'!(;0'&#;0$1/#S, T1#0$1/0#$1/H#3 ('$9#4B$!.4B0#;9&1/$#4B0 J#4/"J!0#"1/(!#;0'&#;0$1/#FH!.9J#UG#'21"4/H02;0'&#;0$1/#$1!9.43#2'H(, @, N1#&.!$'(23/.(&#4/"'$"1#4/"!5"1#./$"0#.H/("#H("3'(24$&.!#4, V, L!0#;9&1/$#!0#4J;"'!(5$1/0#$F4'&.!90#'$0#I9'4G1#(" 0.H/("#H("1/$!&90#4O$93W#&"! 1#;0!H'$ (5</'(=!/04:9.#$+X,VOQP/F+>,?@A/(4+>, B CD<:9.#$+>, OPFE,?A/(4+E,>@PF#H('5"1#0;9&1/$#4!0#4 J#4$1/0#$1/H#(!"8#3 (&/ #.4, )50#;9&1/$#4!0#4 J#4$1/0#$ "!3#&/(#.49;!($#".J#("!5$9&10#;9&1/$#!0#4J;"'!(/5"#01 &.!$'(23/.(&#4/"F18$/.0#J/'(;/0"!51#'$9#41/0#$ /"1#&.!$'(23/.(&#4/"'(-/0"A,7#"/'.$!5"1#$0;9&1/$#4!0#4 J#4$1/0#$1/.3#4'$&.!#4'(-/0"=, E, )"#J$O'P"!OH'P/0#$92#$"45!0J$5&('0J/"!(,N1#.'$"#4'$9#0J/8/J#(4"1#'JO$P"1/'$B/0#(!"/;.'&/3#"!J##"'(4H 9/.&$#, Y, R)4#("'&/.SJ#/($'"1$&!("#6* Z "1#$&90'"#$/0 !5"1#$/J#(!J'/.H 9#G'"1 #$/J#J!9("&/.#49;!0 /'49;[ Z "1#8/0 ("'.#4! 'H #(B'"#0$/ 1#$/J#0/"# (45!0"1#$/J#;#0'!4F$ "1/ 1#(6" ($9'24$"039!(F"1#4'H #(B'"#0$;/83.#;09('"G./J!9("! #6/&".81#$/J#$9JO20!$/(4 #"P[/(4 Z "1#8&/08"1#$/J#0'21"$/ "!9(0#$"'&#40/($5#0F/"#(4/&# 4H!"'(2/"J##"'(2$/40 \;0' $9'(/.!"1#0 $;&",

GRAPHIC

​ -​ -​ Ǟ!Ǜ"#$ $nj"$%Ƽ"#$ƾ "&'" ()*+,-./012&()3+ -/+ 456789:;<586=> ?59>@=AB CDEF;<=G :;85< HIJKLMNOPQK P RS65=G<:;85< T U@<>5V=A>:5WX9:;AY5 Z P ?>=9[=V5\@GF<>5V] ​_- `5<98@6>=A aD 456789:;<586=> R8;V@AY;>5 b7cd58=G<:;85< 85679:;<5V e5>:=VG85679:;<5 fghijkl 456789:;<568@956 8<:;5= :@Y 5<>8679:;<568@956 8 <:;85m U=n5<>85679:;<5 68@956 8<:;5m aY 85 ;>68@956;@Vm o ​pqrst K​ _u​-qNNsQ KPsrv wQN x yZKvzsrv{wQN |z} |z} |z} _up R=>;FA7cd58=G<:;85< 85679:;<5V _u​- aY 85 ;>68@956;@Vm|z} _up b7cd58=G<:;85< 85679:;<5VG=8 9;A 5F;>@=A _u​- b7cd58=G<:;85< 85679:;<5VG=8: FV@AY ;<>85;<78S:;85< ​ ~D aV @>=A;F@G=8c;>@=AG8@<758n:=:;< 68@c;SF@<>AY= >:5WX9:;AY5 C]D `;>5=G>:58<=F7>@AY8; >@Y:58679:;<5c;AV;>5 €N ​ ‚]D R=>;FA7cd58=G<:;85<n:@9:>5@<758@<;7>:=8@<5V>=85679:;<57AV58>: 8679:;<5c;AV;>5 -​u​ ƒ]D b7cd58=G<:;85< 679:;<5V=A>:5WX9:;AY5=8;A >:58<>=9[5X9:;AY57AV58>: 8679:;<5c;AV;>5 \;] u- „]D a<;…=GA7cd58=G@<75V<:;85<\X9F7V@AY>85;<78S:;85<]; >:5V;> =G>:58<=F7>@AY8; >@Y:58679:;<5c;AV;>5 -/†)* 0"% $"-†;‡""!$"/ $ %$"‡"‡$"$ż _-ˆ ‰]D e=8;>=@7c658@=VG8;AS@<75=GA5n<:;85<Š=8<;F5=8>;A<G58= >85;<78S:;85<G>58: < ;85 679:;<5\]5>=7 @A‹;8>a fghijŒl 6>= ​x ŽtK​

GRAPHIC

​ -​ -​ ! " ; # $% &# ź # # '"#( #)​ # '" # ! " ; # Ǎ# " *+,-.+/-0,1+234 56 78-9.,9-:;, < <=>0;9.-:9.?9@-+2,;-AB0;92C-D+29+,;-<.,+0E-B;92C-F.,912C;-29?-+G,;- B0;92C-HDIJ=<1K9,-< 2C-?-2,+<IJC-2<98+G-<6 L6 />IM-0,+;-09<K-N+>,.-+>12O9 P+9<@Q>8-5R6SFTH9UVAOQ>8-5T6LD921.>-<?9J2+,F1H?9E-92:1.>-+G.;9<-.D+<9.8-+<,92.G-<+92J,<-9.><J;9<-.W+<F1H 92+>0-9=<+ .-@2:1.>-+G.;9<-.D+<9.8-+<,92.G-<+92J,<-9.><J;9<-.DG+<9=-<1+@GTR@9J. G,-<92J=><0;9.-IJ1,+G.;9<-.D:;-, <+2,;-AB0;92C-+< ,;-<:1.D :1,;+>;-=<1+9= +K98G,;-AB0;92C-6

GRAPHIC

​ -​ -​ Ǜ!"# #$!! #!#%&#'! #!(&#'"#!"#Έ!)*!+,-./*01%)+,2.3* 456789: ;<=>8?59@>A57:985>@B8CD>85@ EFGHIJK LMKNIF OKPQLIFR S TEN U VIFH QWIRFXNGRPL JYFP TZIY JF[L JYFP F\ YZMHP] F\YI O_ IJ YU