EX-99.1 2 tm249376d1_ex99-1.htm EXHIBIT 99.1
Exhibit 99.1

GRAPHIC

SPORTRADAR GROUP AG 2023 ANNUAL REPORT

GRAPHIC

TABLE OF CONTENTS - Management Report (Form 20-F) of Sportradar Group AG (excluding Consolidated IFRS Financial Statements) - Report from the Statutory Auditor on the Consolidated IFRS Financial Statements of Sportradar Group AG for the year ended December 31, 2023 - Report from the Statutory Auditor on the Statutory Financial Statements of Sportradar Group AG for the year ended December 31, 2023 - Consolidated IFRS Financial Statements of Sportradar Group AG for the year ended December 31, 2023 - Statutory Financial Statements of Sportradar Group AG for the year ended December 31, 2023 - Report from the Auditor on the Compensation Report of Sportradar Group AG - Compensation Report of Sportradar Group AG for the year ended December 31, 2023

GRAPHIC

UNITED STATES SECURITIES AND EXCHANGE COMMISSION Washington, D.C. 20549 FORM 20-F (Mark One) ☐ REGISTRATION STATEMENT PURSUANT TO SECTION 12(b) OR (g) OF THE SECURITIES EXCHANGE ACT OF 1934 OR ☒ ANNUAL REPORT PURSUANT TO SECTION 13 OR 15(d) OF THE SECURITIES EXCHANGE ACT OF 1934 For the fiscal year ended December 31, 2023 OR ☐ TRANSITION REPORT PURSUANT TO SECTION 13 OR 15(d) OF THE SECURITIES EXCHANGE ACT OF 1934 For the transition period from to OR ☐ SHELL COMPANY REPORT PURSUANT TO SECTION 13 OR 15(d) OF THE SECURITIES EXCHANGE ACT OF 1934 Date of event requiring this shell company report Commission file number 001-40799 Sportradar Group AG (Exact name of Registrant as specified in its charter) Not Applicable (Translation of Registrant’s name into English) Switzerland (Jurisdiction of incorporation or organization) Feldlistrasse 2 CH-9000 St. Gallen Switzerland (Address of principal executive offices) Carsten Koerl Chief Executive Officer Email: investor.relations@sportradar.com Telephone: +41 71 517 72 00 Sportradar Group AG Feldlistrasse 2 CH-9000 St. Gallen Switzerland (Name, Telephone, E-mail and/or Facsimile number and Address of Company Contact Person) Securities registered or to be registered, pursuant to Section 12(b) of the Act: Title of each class Trading Symbol(s) Name of each exchange on which registered Class A ordinary shares, nominal value CHF 0.10 per share SRAD The Nasdaq Global Select Market Securities registered or to be registered pursuant to Section 12(g) of the Act: None Securities for which there is a reporting obligation pursuant to Section 15(d) of the Act: None Indicate the number of outstanding shares of each of the issuer’s classes of capital or common stock as of the close of the period covered by the annual report. 207,794,199 Class A ordinary shares and 903,670,701 Class B ordinary shares Indicate by check mark if the registrant is a well-known seasoned issuer, as defined in Rule 405 of the Securities Act. Yes ☐ No ☒ If this report is an annual or transition report, indicate by check mark if the registrant is not required to file reports pursuant to Section 13 or 15(d) of the Securities Exchange Act of 1934. Yes ☐ No ☒ Note—Checking the box above will not relieve any registrant required to file reports pursuant to Section 13 or 15(d) of the Securities Exchange Act of 1934 from their obligations under those Sections.

GRAPHIC

Indicate by check mark whether the registrant (1) has filed all reports required to be filed by Section 13 or 15(d) of the Securities Exchange Act of 1934 during the preceding 12 months (or for such shorter period that the registrant was required to file such reports), and (2) has been subject to such filing requirements for the past 90 days. Yes ☒ No ☐ Indicate by check mark whether the registrant has submitted electronically every Interactive Data File required to be submitted pursuant to Rule 405 of Regulation S-T (§ 232.405 of this chapter) during the preceding 12 months (or for such shorter period that the registrant was required to submit such files). Yes ☒ No ☐ Indicate by check mark whether the registrant is a large accelerated filer, an accelerated filer, a non-accelerated filer, or an emerging growth company. See the definitions of “large accelerated filer,” “accelerated filer,” and “emerging growth company” in Rule 12b-2 of the Exchange Act. Large accelerated filer ☒ Non-accelerated filer ☐ Accelerated filer ☐ Emerging growth company ☐ If an emerging growth company that prepares its financial statements in accordance with U.S. GAAP, indicate by check mark if the registrant has elected not to use the extended transition period for complying with any new or revised financial accounting standards provided pursuant to Section 13(a) of the Exchange Act. ☐ Indicate by check mark whether the registrant has filed a report on and attestation to its management’s assessment of the effectiveness of its internal control over financial reporting under Section 404(b) of the Sarbanes-Oxley Act (15 U.S.C. 7262(b)) by the registered public accounting firm that prepared or issued its audit report. ☒ If securities are registered pursuant to Section 12(b) of the Act, indicate by check mark whether the financial statements of the registrant included in the filing reflect the correction of an error to previously issued financial statements.☐ Indicate by check mark whether any of those error corrections are restatements that required a recovery analysis of incentive-based compensation received by any of the registrant’s executive officers during the relevant recovery period pursuant to §240.10D-1(b).☐ Indicate by check mark which basis of accounting the registrant has used to prepare the financial statements included in this filing: U.S. GAAP ☐ International Financial Reporting Standards as issued Other ☐ by the International Accounting Standards Board ☒ If “Other” has been checked in response to the previous question, indicate by check mark which financial statement item the registrant has elected to follow. Item 17 ☐ Item 18 ☐ If this is an annual report, indicate by check mark whether the registrant is a shell company (as defined in Rule 12b-2 of the Exchange Act). Yes ☐ No ☒

GRAPHIC

i CONTENTS Page GENERAL INFORMATION . . . . . . . . . . . . . . . . . . . . . . . . . . . . . . . . . . . . . . . . . . . ................................... 1 PRESENTATION OF FINANCIAL AND OTHER INFORMATION . . . . . . . . . . . . . . . . ............................. 1 TRADEMARKS, SERVICE MARKS AND TRADE NAMES. . . . . . . . . . . . . . . . . . . . . . ............................. 3 CAUTIONARY STATEMENT REGARDING FORWARD-LOOKING STATEMENTS . . . . . . ...................... 4 SUMMARY OF RISK FACTORS . . . . . . . . . . . . . . . . . . . . . . . . . . . . . . . . . . . . . . . ................................... 5 PART I . . . . . . . . . . . . . . . . . . . . . . . . . . . . . . . . . . . . . . . . . . . . . . . . . . . . . . . . ........................................ 7 ITEM 1. IDENTITY OF DIRECTORS, SENIOR MANAGEMENT AND ADVISERS . . ........................... 7 ITEM 2. OFFER STATISTICS AND EXPECTED TIMETABLE. . . . . . . . . . . . . . . . ............................... 7 ITEM 3. KEY INFORMATION . . . . . . . . . . . . . . . . . . . . . . . . . . . . . . . . . . . . . . . ................................... 7 A. [Reserved.] . . . . . . . . . . . . . . . . . . . . . . . . . . . . . . . . . . . . . . . . . . . . . . . . ........................................ 7 B. Capitalization and Indebtedness . . . . . . . . . . . . . . . . . . . . . . . . . . . . ........................................... 7 C. Reasons for the Offer and Use of Proceeds . . . . . . . . . . . . . . . . . . ............................................ 7 D. Risk Factors . . . . . . . . . . . . . . . . . . . . . . . . . . . . . . . . . . . . . . . . . . . . . . . ........................................ 7 ITEM 4. INFORMATION ON THE COMPANY. . . . . . . . . . . . . . . . . . . . . . . . . . . . ................................. 44 A. History and Development of the Company . . . . . . . . . . . . . . . . . . . . . . . . . . . . . . . . . . . . . . . . . . . . . . . . . . . . . . . . . . . . . . 44 B. Business Overview . . . . . . . . . . . . . . . . . . . . . . . . . . . . . . . . . . . . . . . . . . ....................................... 45 C. Organizational Structure . . . . . . . . . . . . . . . . . . . . . . . . . . . . . . . . . . . . . . . . . .................................... 61 D. Property, Plants and Equipment . . . . . . . . . . . . . . . . . . . . . . . . . . . . . . . . . . . . . . . . . . . . . . . . . . . . . . . . . . . . . . ......... 62 ITEM 4A. UNRESOLVED STAFF COMMENTS . . . . . . . . . . . . . . . . . . . . . . . . . . . . ............................... 62 ITEM 5. OPERATING AND FINANCIAL REVIEW AND PROSPECTS. . . . . . . . . . . ............................. 62 A. Operating Results . . . . . . . . . . . . . . . . . . . . . . . . . . . . . . . . . . . . . . . . . . . . . . . . . . . . . . ............................ 62 B. Liquidity and Capital Resources . . . . . . . . . . . . . . . . . . . . . . . . . . . . . . . . . . . . . . . . ............................... 76 C. Research and Development, Patents and Licenses, Etc. . . . . . . . . ............................................ 78 D. Trend Information . . . . . . . . . . . . . . . . . . . . . . . . . . . . . . . . . . . . . . . . . . ........................................ 79 E. Critical Accounting Estimates . . . . . . . . . . . . . . . . . . . . . . . . . . . . . . . . . . . . . . . . . . . . . . . . . . . . ..................... 79 ITEM 6. DIRECTORS, SENIOR MANAGEMENT AND EMPLOYEES . . . . . . . . . . . . . ........................... 79 A. Directors and Senior Management . . . . . . . . . . . . . . . . . . . . . . . . . . . . . . . . . . . . . . . . . . . . . . . . . . . . . . . . . . . . . . ....... 79 B. Compensation . . . . . . . . . . . . . . . . . . . . . . . . . . . . . . . . . . . . . . . . . . . . . . . ....................................... 82 C. Board Practices . . . . . . . . . . . . . . . . . . . . . . . . . . . . . . . . . . . . . . . . . . . . ........................................ 88 D. Employees . . . . . . . . . . . . . . . . . . . . . . . . . . . . . . . . . . . . . . . . . . . . . . . . . . . . . . . . . . . ............................. 91 E. Share Ownership . . . . . . . . . . . . . . . . . . . . . . . . . . . . . . . . . . . . . . . . . . . . ....................................... 91 F. Disclosure of a Registrant’s Action to Recover Erroneously Awarded Compensation . . . . . . . . . . . . . . . . . . . . . . . . . . . 91 ITEM 7. MAJOR SHAREHOLDERS AND RELATED PARTY TRANSACTIONS . . . . . . ......................... 92 A. Major Shareholders . . . . . . . . . . . . . . . . . . . . . . . . . . . . . . . . . . . . . . . . . . . . . . . .................................. 92 B. Related Party Transactions . . . . . . . . . . . . . . . . . . . . . . . . . . . . . . . . . . . . . . . . . . . . . . . . . .......................... 94 C. Interests of Experts and Counsel. . . . . . . . . . . . . . . . . . . . . . . . . . . . ........................................... 95 ITEM 8. FINANCIAL INFORMATION . . . . . . . . . . . . . . . . . . . . . . . . . . . . . . . . . .................................. 95 A. Consolidated Statements and Other Financial Information . . . . . ............................................ 95 B. Significant Changes . . . . . . . . . . . . . . . . . . . . . . . . . . . . . . . . . . . . . . . . . . . . . . . . . . . . . . . . . . . . ..................... 96 ITEM 9. THE OFFER AND LISTING . . . . . . . . . . . . . . . . . . . . . . . . . . . . . . . . . .................................... 96 A. Offer and Listing Details . . . . . . . . . . . . . . . . . . . . . . . . . . . . . . . . . . . . . . . . . . . . . . . . . . . . . . ....................... 96 B. Plan of Distribution . . . . . . . . . . . . . . . . . . . . . . . . . . . . . . . . . . . . . . . .......................................... 96 C. Markets . . . . . . . . . . . . . . . . . . . . . . . . . . . . . . . . . . . . . . . . . . . . . . . . . . . . ....................................... 96 D. Selling Shareholders . . . . . . . . . . . . . . . . . . . . . . . . . . . . . . . . . . . . . . . . . . . . . . . . . ............................... 96 E. Dilution . . . . . . . . . . . . . . . . . . . . . . . . . . . . . . . . . . . . . . . . . . . . . . . . . . . ........................................ 97 F. Expenses of the Issue . . . . . . . . . . . . . . . . . . . . . . . . . . . . . . . . . . . . . . .......................................... 97 ITEM 10. ADDITIONAL INFORMATION . . . . . . . . . . . . . . . . . . . . . . . . . . . . . . . .................................. 97 A. Share Capital . . . . . . . . . . . . . . . . . . . . . . . . . . . . . . . . . . . . . . . . . . . . . . ........................................ 97 B. Memorandum and Articles of Association . . . . . . . . . . . . . . . . . . . . . .......................................... 97 C. Material Contracts . . . . . . . . . . . . . . . . . . . . . . . . . . . . . . . . . . . . . . . . . ......................................... 97 D. Exchange Controls . . . . . . . . . . . . . . . . . . . . . . . . . . . . . . . . . . . . . . . . . . . . . . . . . . . . .............................. 97 E. Taxation . . . . . . . . . . . . . . . . . . . . . . . . . . . . . . . . . . . . . . . . . . . . . . . . . . . ....................................... 97

GRAPHIC

ii F. Dividends and Paying Agents . . . . . . . . . . . . . . . . . . . . . . . . . . . . . . . . . . . . . . . . . . . . . . . . . . . . . . . . . . ............... 105 G. Statement by Experts . . . . . . . . . . . . . . . . . . . . . . . . . . . . . . . . . . . . . . . . . . . . . . . . . . . . . . .......................... 105 H. Documents on Display .............................................................. ................ 106 I. Subsidiary Information . . . . . . . . . . . . . . . . . . . . . . . . . . . . . . . . . . . . . . . . . . . . . . . . . . ............................. 106 J. Annual Report to Security Holders . . . . . . . . . . . . . . . . . . . . . . . . . . . . . . . . . . . . . . . . . . . . . . . . . . . . . . ............... 106 ITEM 11. QUANTITATIVE AND QUALITATIVE DISCLOSURES ABOUT MARKET RISK . . . . . . . . . . . . . . . . . . . . . 106 ITEM 12. DESCRIPTION OF SECURITIES OTHER THAN EQUITY SECURITIES ............................. 107 A. Debt Securities . . . . . . . . . . . . . . . . . . . . . . . . . . . . . . . . . . . . . . . . . . . . ......................................... 107 B. Warrants and Rights . . . . . . . . . . . . . . . . . . . . . . . . . . . . . . . . . . . . . . . . . . . . . . . . . . . . . . . . . . . ..................... 107 C. Other Securities . . . . . . ............................................................... ............... 107 D. American Depositary Shares. . . . . . . . . . . . . . . . . . . . . . . . . . . . . . . . . . . . . . . . . . . . . . . . . . . . . . . . .................. 108 PART II . . . . . . . . . . . . . . . . . . . . . . . . . . . . . . . . . . . . . . . . . . . . . . . . . . . . . . . ......................................... 108 ITEM 13. DEFAULTS, DIVIDEND ARREARAGES AND DELINQUENCIES . . . . . . . ........................... 108 ITEM 14. MATERIAL MODIFICATIONS TO THE RIGHTS OF SECURITY HOLDERS AND USE OF PROCEEDS . . . . . . . . . . . . . . . . . . . . . . . . . . . . . . . . . . . . . . . . . . . . . . . . . . . . . . ................................... 108 ITEM 15. CONTROLS AND PROCEDURES . . . . . . . . . . . . . . . . . . . . . . . . . . . . . . ................................. 108 ITEM 16. [RESERVED] . . . . . . . . . . . . . . . . . . . . . . . . . . . . . . . . . . . . . . . . . . . ...................................... 110 ITEM 16A. AUDIT COMMITTEE FINANCIAL EXPERT. . . . . ............................................... 111 ITEM 16B. CODE OF ETHICS . . . . . . . . . . . . . . . . . . . . . . . . . . . . . . . . . . . . . . ..................................... 111 ITEM 16C. PRINCIPAL ACCOUNTANT FEES AND SERVICES . . . . . . . . . . . . . . . .............................. 111 ITEM 16D. EXEMPTIONS FROM THE LISTING STANDARDS FOR AUDIT COMMITTEES . . . . . . . . ............ 112 ITEM 16E. PURCHASES OF EQUITY SECURITIES BY THE ISSUER AND AFFILIATED PURCHASERS . . . . . . . . 112 ITEM 16F. CHANGE IN REGISTRANT’S CERTIFYING ACCOUNTANT . . . . . . . . . ............................ 112 ITEM 16G. CORPORATE GOVERNANCE . . . . . . . . . . . . . . . . . . . . . . . . . . . . . . . . ................................ 112 ITEM 16H. MINE SAFETY DISCLOSURE . . . . . . . . . . . . . . . . . . . . . . . . . . . . . . .................................. 113 ITEM 16I. DISCLOSURE REGARDING FOREIGN JURISDICTIONS THAT PREVENT INSPECTIONS . . . . . . . . . . . 113 ITEM 16J. INSIDER TRADING POLICES . . . . . . . . . . . . . . . . . . . . . . . . . . . . . .................................... 113 ITEM 16K. CYBERSECURITY . . . . . . . . . . . . . . . . . . . . . . . . . . . . . . . . . . . . . . . ................................... 113 PART III . . . . . . . . . . . . . . . . . . . . . . . . . . . . . . . . . . . . . . . . . . . . . . . . . . . . . . ......................................... 116 ITEM 17. FINANCIAL STATEMENTS . . . . . . . . . . . . . . . . . . . . . . . . . . . . . . . . . .................................. 116 ITEM 18. FINANCIAL STATEMENTS . . . . . . . . . . . . . . . . . . . . . . . . . . . . . . . . . .................................. 116 ITEM 19. EXHIBITS . . . . . . . . . . . . . . . . . . . . . . . . . . . . . . . . . . . . . . . . . . . . . ...................................... 116 SIGNATURES . . . . . . . . . . . . . . . . . . . . . . . . . . . . . . . . . . . . . . . . . . . . . . . . . . . . ...................................... 118 INDEX TO CONSOLIDATED FINANCIAL STATEMENTS . . . . . . . . . . . . . . . . . . . . . .............................. F-1

GRAPHIC

1 GENERAL INFORMATION Except where the context otherwise requires or where otherwise indicated, the terms “Sportradar,” the “Company,” “we,” “us,” “our,” “our company” and “our business” refer to Sportradar Group AG, in each case together with its consolidated subsidiaries as a consolidated entity. PRESENTATION OF FINANCIAL AND OTHER INFORMATION We report under International Financial Reporting Standards (“IFRS”) as issued by the International Accounting Standards Board (“IASB”). None of our financial statements were prepared in accordance with generally accepted accounting principles in the United States (“U.S. GAAP”). We maintain our financial books and records and publish our consolidated financial statements in Euros, which is our functional and reporting currency. Immediately following the reorganization transactions described under Item 4. “Information on the Company—A. History and Development of the Company—The Reorganization Transactions,” Sportradar Group AG became a publicly listed holding company and its sole material asset became its equity interest in Sportradar Holding AG. As the sole direct holder of equity in Sportradar Holding AG (which is the Company’s predecessor for financial reporting purposes and was merged into Sportradar Group AG in June 2022), Sportradar Group AG operates our business and controls its strategic decisions and day-to-day operations. As a result, we have consolidated the financial results of Sportradar Holding AG following our initial public offering in September 2021. Our financial information is presented in Euros. All references in this Annual Report to “$” mean U.S. dollars, all references to “€” mean Euros and all references to “CHF” mean Swiss Francs. Certain figures included in this Annual Report and in our consolidated financial statements contained herein have been rounded for ease of presentation. Percentage and variance figures included in this Annual Report have in some cases been calculated on the basis of such figures prior to rounding. For this reason, certain percentage and variance amounts in this Annual Report may vary from those obtained by performing the same calculations using the figures in this Annual Report and in the consolidated financial statements contained herein. Additionally, numerical figures shown as totals in some tables may not be an arithmetic aggregation of the figures that preceded them. Key Financial and Operational Performance Indicators Throughout this Annual Report, we provide a number of key financial and operational performance indicators used by our management and often used by competitors in our industry. These and other key performance indicators are discussed in more detail in Item 5.A. “Operating and Financial Review and Prospects—Operating Results— Non-IFRS Financial Measures and Operating Metric.” We define certain terms used in this Annual Report as follows: • “Adjusted EBITDA” represents earnings for the period from continuing operations adjusted for finance income and finance costs, income tax expense or benefit, depreciation and amortization (excluding amortization of sport rights), foreign currency gains or losses, and other items that are non-recurring or not related to the Company’s revenue-generating operations, including share-based compensation, impairment charges or income, management restructuring costs, non-routine litigation costs, losses related to equity-accounted investee (SportTech AG), remeasurement of previously held equity-accounted investee (NSoft), professional fees for the Sarbanes Oxley Act of 2002 and enterprise resource planning implementations, and a one-time charitable donation for Ukrainian relief activities. Adjusted EBITDA is a non-IFRS measure and a reconciliation to profit for the year from continuing operations, its most directly comparable IFRS measure, is included in Item 5.A. “Operating and Financial Review and Prospects—Operating Results— Non-IFRS Financial Measures and Operating Metric” together with an explanation of why we consider Adjusted EBITDA useful and descriptions of the items we excluded.

GRAPHIC

2 • “Adjusted EBITDA margin” is the ratio of Adjusted EBITDA to revenue. See Item 5.A. “Operating and Financial Review and Prospects—Operating Results— Non-IFRS Financial Measures and Operating Metric” for the explanation of why we consider the ratio of Adjusted EBITDA to revenue useful in evaluating our operating performance. The most directly comparable IFRS measure to Adjusted EBITDA margin is profit for the year from continuing operations as a percentage of revenue. • “Net Retention Rate” is calculated for a given period by starting with the reported trailing twelve month revenue from our top 200 customers as of twelve months prior to such period end, or prior period revenue. We then calculate the reported trailing twelve month revenue from the same customer cohort as of the current period end, or current period revenue. Current period revenue includes any upsells and is net of contraction and attrition over the trailing twelve months, but excludes revenue from new customers in the current period. We then divide the total current period revenue by the total prior period revenue to arrive at our Net Retention Rate. We have previously referred to this calculation as “Dollar Based Net Retention Rate” in prior reports, which is the same calculation we are currently using for “Net Retention Rate.”

GRAPHIC

3 TRADEMARKS, SERVICE MARKS AND TRADE NAMES We have proprietary rights to certain trademarks used in this Annual Report that are important to our business, many of which are registered under applicable trademark laws. Solely for convenience, references to the trademarks, service marks, logos and trade names in this Annual Report are without the ® and ™ symbols, but such references are not intended to indicate, in any way, that we will not assert, to the fullest extent under applicable law, our rights or the rights of the applicable licensors to these trademarks, copyrights, service marks, logos and trade names. This Annual Report contains additional trademarks, service marks and trade names of others, which are the property of their respective owners. We do not intend our use or display of other companies’ trademarks, service marks, copyrights or trade names to imply a relationship with, or endorsement or sponsorship of us by, any other companies.

GRAPHIC

4 CAUTIONARY STATEMENT REGARDING FORWARD-LOOKING STATEMENTS This Annual Report contains forward-looking statements within the meaning of Section 27A of the U.S. Securities Act of 1933 (the “Securities Act”), Section 21E of the U.S. Securities Exchange Act of 1934 (the “Exchange Act”), and the safe harbor provisions of the U.S. Private Securities Litigation Reform Act of 1995, that are based on our management’s beliefs and assumptions and on information currently available to our management. These forward-looking statements are contained principally in Item 3.D. “Risk Factors,” Item 4. “Information on the Company” and Item 5. “Operating and Financial Review and Prospects.” In some cases, you can identify forward-looking statements by the following words: “may,” “might,” “will,” “could,” “would,” “should,” “expect,” “plan,” “anticipate,” “intend,” “seek,” “believe,” “estimate,” “predict,” “potential,” “continue,” “contemplate,” “possible” or the negative of these terms or other comparable terminology, although not all forward-looking statements contain these words. Statements regarding our future results of operations and financial position, growth strategy and plans and objectives of management for future operations are forward-looking statements. Our estimates and forward-looking statements are mainly based on our current expectations and estimates of future events and trends which affect or may affect our business, operations and industry. Although we believe that these estimates and forward-looking statements are based upon reasonable assumptions, they are subject to numerous risks and uncertainties, including those set forth in “Summary of Risk Factors” and Item 3.D. “Risk Factors”.

GRAPHIC

5 SUMMARY OF RISK FACTORS Many important factors could adversely impact our business and financial performance, including, but not limited to, those discussed in Item 3.D. “Risk Factors” of this Annual Report and the following: • economic downturns and political and market conditions (including uncertainty and instability resulting from catastrophic events) beyond our control could adversely affect our business, financial condition or results of operations; • we depend on the success of our strategic relationships with our sports league partners; • social responsibility concerns and public opinion regarding responsible gambling, gambling by minors, match-fixing and related matters may adversely impact our reputation; • changes in public and consumer tastes and preferences and industry trends could reduce demand for our products, services and content offerings; • potential changes in competitive landscape, including new market entrants or disintermediation by participants in the industry, could harm our business; • our potential inability to anticipate and adopt new technology in response to changing industry and regulatory standards and evolving customer needs may adversely affect our competitiveness; • real or perceived errors, failures or bugs in our products could materially and adversely affect our financial conditions or results of operations; • our inability to protect our systems and data from continually evolving cybersecurity risks, security breaches or other technological risks could affect our reputation among our customers, consumers and regulators, and may expose us to liability; • interruptions and failures in our systems or infrastructure, including as a result of cyber-attacks, natural catastrophic events, geopolitical events, disruptions in our workforce, system breakdowns or fraud may have a significant adverse effect on our business; • we, our customers and our suppliers may be subject to a variety of U.S. and foreign laws on sports betting, many of which are unsettled and still developing and which could subject us to claims or otherwise harm our business; • a significant amount of our revenue is indirectly derived from jurisdictions where we or our customers are not required to hold a license or limited regulatory framework exists and the legality of sports betting varies from jurisdiction to jurisdiction and is subject to uncertainties; • our growth prospects depend on the legal and regulatory status of real money gambling and betting legislation applicable to our customers and other stakeholders in the industry; • failure to comply with regulatory requirements in a particular jurisdiction, or the failure to successfully obtain a supplier license or authorization applied for in a particular jurisdiction, could impact our ability to comply with or cause rejection of licensing in other jurisdictions; • loss, revocation, non-renewal or change in the terms of our existing supplier licenses; • failure by key executive officers, certain employees, key personnel, directors or other individuals related to the business to comply with regulatory obligations; • our success is dependent on key personnel;

GRAPHIC

6 • evolving criminal and administrative laws that may prevent our sports betting operator clients licensed in other EU member states from operating in or providing services to customers within their territory; • failure to obtain, maintain, protect, enforce and defend our intellectual property rights, or to obtain intellectual property protection that is sufficiently broad, may diminish our competitive advantages or interfere with our ability to develop, market and promote our products and services; • our ability to successfully remediate the material weakness in our internal control over financial reporting; • seasonality and volatility could result in fluctuations in our quarterly revenue and operating results or in perceptions of our business prospects; • our ability to generate sufficient revenue to maintain profitability or to generate positive cash flow on a sustained basis, which may cause our revenue growth rate to decline; • acquisitions create certain risks and may adversely affect our business, financial condition or results of operations; • any current or future joint ventures or minority investments will be subject to certain risks inherent in these investments; • we may not be able to secure financing in a timely manner, or at all, to meet our long-term future capital needs, which could impair our ability to execute our business plan; and • as a foreign private issuer, we are not subject to U.S. proxy rules and are subject to Exchange Act reporting obligations that, to some extent, are more lenient and less frequent than those of a U.S. domestic public company. Moreover, we operate in an evolving environment. New risks and uncertainties emerge from time to time, and it is not possible for our management to predict all risks and uncertainties, nor can we assess the impact of all factors on our business or the extent to which any factor, or combination of factors, may cause actual results to differ materially from estimates or forward-looking statements. We qualify all of our estimates and forward-looking statements by these cautionary statements. The estimates and forward-looking statements contained in this Annual Report speak only as of the date of this Annual Report. Except as required by applicable law, we undertake no obligation to publicly update or revise any estimates or forward-looking statements whether as a result of new information, future events or otherwise, or to reflect the occurrence of unanticipated events.

GRAPHIC

7 PART I Item 1. Identity of Directors, Senior Management and Advisers Not applicable. Item 2. Offer Statistics and Expected Timetable Not applicable. Item 3. Key Information A. [Reserved.] B. Capitalization and Indebtedness Not applicable. C. Reasons for the Offer and Use of Proceeds Not applicable. D. Risk Factors Our business faces risks and uncertainties which may be significant. You should carefully consider the risks described below and in other documents we file with or furnish to the U.S. Securities and Exchange Commission (the “SEC”) before making or maintaining an investment in our securities. Additional risks not presently known to us or that we currently deem immaterial may also impair our business operations. Our business, reputation, financial condition, share price or results of operations could be materially adversely affected by any of these risks as well as other risks not currently known to us or not currently considered material. The trading price and value of our Class A ordinary shares could decline due to any of these risks, and may result in a loss of all or part of an investment. This Annual Report also contains forward- looking statements that involve risks and uncertainties. Our actual results could differ materially from those anticipated in these forward-looking statements as a result of certain factors, including the risks faced by us described below and elsewhere in this Annual Report.

GRAPHIC

8 Risks Related to Our Business and Industry Macroeconomic Risks Economic downturns and political and market conditions beyond our control, including uncertainty and instability resulting from catastrophic events such as war or acts of terrorism, could adversely affect our business, financial condition or results of operations. Our financial performance is subject to global economic conditions and their impact on levels of entertainment and discretionary consumer spending. Economic recessions have had, and may continue to have, far reaching adverse consequences across many industries, including the global sports entertainment and gaming industries, which may adversely affect our business, financial condition or results of operations. In the past decade, global and U.S. economies have experienced tepid growth following the financial crisis of 2008 and 2009 and there is an increasing risk of a recession due to international trade, and monetary policy, among other factors. Unfavorable changes in general economic conditions, including recessions, economic slowdowns, inflation, bank failures, slowing economic growth, sustained high levels of unemployment and rising prices or the perception by consumers of weak or weakening economic conditions, may reduce our customers’ needs for our products due to lower users’ disposable income or fewer individuals engaging in entertainment and leisure activities such as daily fantasy sports, sports betting and consumption of sports media and content. Further, such adverse macroeconomic conditions could also result in the increased risk of customers’ or other third party’s failure or inability to meet their payment obligations to us. Military conflicts, acts of terrorism or war, such as the ongoing conflict in Ukraine with Russia and in the Middle East, could cause disruptions in our business or the businesses of our customers, partners, or the global economy as a whole. Specifically, Russia’s invasion of Ukraine and the uncertainty surrounding the conflict could continue to negatively impact global and regional financial markets which could result in businesses postponing spending in response to tighter credit, higher unemployment, financial market volatility, and other factors. While we have not experienced a material impact on our business due to this disruption, the impact on our employees as well as the potential for broader, adverse economic impacts of this event are difficult to measure and the broader or longer-term impacts of such event on our business is difficult to predict. We may be unable to offset general cost increases and higher inflation, including increases impacting costs of labor and professional fees, operations, selling, marketing, communications, travel, technology and software development and other costs. If spending reductions and price increases do not offset general cost increases and the impacts of higher inflation, there may be a material adverse effect on our financial condition, cash flows, profitability and liquidity. In addition, changes in general market, slowing economic growth and unstable political conditions in domestic and foreign economies or financial markets, including fluctuation in stock markets resulting from, among other things, trends in the economy as a whole may reduce the demand for sports media, entertainment and betting products and services. Any one of these changes could have a material adverse effect on our business, financial condition or results of operations. Risks associated with international operations and foreign currencies could adversely affect our business, financial condition or results of operations. Our extensive global presence and ability to grow in international markets could be harmed by a number of factors, including: • Sports betting products and services may be limited or prohibited by existing law or new legislation. We may be required to cease operations in particular countries due to political uncertainties or government restrictions imposed by the United States government or foreign governments, including the United Kingdom and EU countries. We may also experience difficulties due to differing labor regulations, restrictions on repatriation of funds, varying tax regimes and an inability to collect payments or obtain recourse under the laws and regulations of foreign jurisdictions. • Economic or political instability, natural disasters, war, military conflicts, acts of terrorism or cyber-terrorism, civil unrest or infrastructure disruptions may cause currency devaluation that makes exchange rates difficult to manage, sporting events or matches to be postponed, cancelled or modified or our offices and employees in such regions to be negatively impacted. These risks could negatively impact our ability to offer our services and as a result could adversely affect our business, financial condition or results of operations.

GRAPHIC

9 • The general state of technological infrastructure in some lesser developed countries, including countries where we have a large number of customers, creates operational risks for us that generally are not present in our operations in Europe and other more technologically developed countries. • Reduced respect and protection for intellectual property rights in some jurisdictions may increase our costs to monitor, enforce and defend our intellectual property rights, and we may not be able to detect infringement or piracy by third parties. • Differing economic cycles and conditions, regional inflation fluctuations and consumer spending trends, varying business practices and levels of local expertise and limited brand recognition in foreign markets all create additional risks of unexpected costs, inefficient operations and unsuccessful growth in certain locations. As a global business, we also have assets and liabilities denominated in currencies other than Euros, our reporting and functional currency, such as our purchased license rights, which are subject to foreign exchange rate risk. Although we have in the past used, and may in the future use, derivative financial instruments to hedge against some of our risk exposures arising from our obligations in foreign currencies, there can be no assurance that our hedging activities will effectively manage our foreign exchange risks. In particular, we may not fully hedge our positions in certain currencies and may not always obtain funding in all the currencies we require. Therefore, to the extent we are unable to hedge our position in a currency or is imperfectly hedged in respect of that currency, we may experience unrealized or realized losses. If we are not able to effectively anticipate and manage these risks, they may have a material adverse effect on our international operations or our business as a whole. During the years presented in this Annual Report, the Company did not have any derivative contracts. Pandemics, such as the global COVID-19 pandemic, may have an adverse effect on our business or results of operations. Government mandated closures of offices or other restrictions on workplaces and voluntary precautionary measures we take in response to pandemics, including the COVID-19 pandemic, have impacted and may continue to impact our ability to operate effectively, serve our customers, and implement regulatory and technology changes, and our ability, and the ability of our service providers, to undertake on-site audits or assessments that might be required by law or regulation. It may also become more challenging for us to manage a growing workforce, as our ability to maintain our company culture and integrate new employees is affected by work-from-home policies. It is possible that our systems and controls are less effective as a result of our compliance and risk teams and other staff being able to work remote from time to time. Failure to maintain adequate systems and controls may expose us to operational and regulatory risk. As a result of the COVID-19 pandemic, significant suspension or cancellation of sporting events occurred in prior years, leading to declines in the available content we were able to access and deliver to our customers and in the number of sporting events on which bets could be placed. Additionally, as a result of the cancellation of major and professional sporting events, bookmakers increased demand for lower-tier events and may continue to do so. Providing data for such lower-tier and amateur events to meet this demand exposes our business to additional risk, including risks related to fraud, corruption or negligence, reputational harm, regulatory risk, privacy and security risk and certain other risks related to our international operations. Governments could also enhance restrictions on gambling and betting product advertisement in light of pandemics. If, as a result of a pandemic, the global economy worsens, government restrictions to reduce the spread of the virus are reinforced or prolonged or live sporting events and matches are postponed, cancelled or modified, we could experience a greater drop in demand for our products and services, which could adversely affect our business, financial condition or results of operations. To the extent the COVID-19 pandemic or a similar pandemic adversely affects our business and financial results, it may also have the effect of heightening many of the other risks described in this “Risk Factors” section, such as those relating to our liquidity, business interruptions and market expansion opportunities.

GRAPHIC

10 Business Model Risks We depend on the success of our strategic relationships with our sports league partners. Overreliance or our inability to extend existing relationships or agree to new relationships may cause loss of competitive advantage or, unanticipated costs or require us to modify, limit or discontinue certain offerings, which could materially affect our business, financial condition and results of operations. We rely on strategic relationships with sports leagues and federations globally for data and statistics fundamental to our products and services. These long-term relationships provide us with a competitive advantage in distributing accurate and fast data feeds to our customers and in certain jurisdictions, the legal requirement to only use official data increases our reliance on such sports league partners. The partners with whom we have arrangements also provide data and statistics to other companies, including other sports intelligence and software solutions platforms with whom we compete. Should any of our existing or future relationships with such strategic partners fail to provide official (live) data and streaming rights in accordance with the terms of our arrangements, we are unable to renew such contracts on commercially acceptable terms, or at all, or we are not able to find suitable alternatives, we may lose our competitive advantage or be required to discontinue or limit our offerings or services. Our ability to provide our products and services would be harmed and in turn adversely affect our business operations, financial condition or results of operations. Increased competition for league partnerships could result in higher costs to secure the relationships, lower revenue and greater expenses generally, which would reduce our profitability. In addition, competitors may reach deals for exclusive rights with sports leagues in one or more countries and therefore block our access to such market. Social responsibility concerns and public opinion regarding responsible gambling, gambling by minors, match-fixing and related matters could cause the popularity of sports betting to decline and significantly influence the regulation of sports betting and impact responsible gaming requirements, which may adversely impact our reputation. We operate in a public-facing industry where negative publicity, whether or not justified, can spread rapidly through, among other things, social media. To the extent that we are unable to address negative publicity, our reputation and brand could be harmed. Moreover, even if we are able to respond in a timely and appropriate manner, we cannot predict how negative publicity may affect our reputation and business. Unfavorable publicity regarding us or the actions of third parties with whom we have relationships or the underlying sports (including declining popularity of the sports or athletes) could seriously harm our reputation. Negative publicity in the industry, including related to fixed-odds betting terminals, gambling by minors and gambling online, even if not directly or indirectly connected with us or our products and services, may adversely impact our reputation and the willingness of the public to participate in sports betting. Additionally, the attraction of sports betting to players for whom betting and gaming activities assume too great a role in their lives poses a challenge to the sports betting industry. If the perception that the sports betting industry is failing to adequately protect vulnerable players, regulators may impose additional restrictions on the offering of sports betting services. Furthermore, negative publicity and reputational harm may give our sports league partners a termination right to discontinue their contracts with us and our business and results of operations may be adversely affected. In addition, public opinion can significantly influence the regulation of sports betting. A negative shift in the perception of sports betting by the public or by politicians, lobbyists or others could affect future legislation or regulation in different jurisdictions. Among other things, such a shift could cause jurisdictions to abandon proposals to legalize or liberalize sports betting or introduce legislative restrictions, resulting in monopolies or total prohibitions, thereby limiting the number of bookmaker customers to which and/or jurisdictions in which we can potentially expand. Increasingly negative public perception could also lead to new restrictions on, or the prohibition of, sports betting-related services where we currently, or may in the future, operate. If we are required to restrict our marketing or product offerings or incur increased compliance costs as a result, this could have a material adverse effect on our revenue and could increase operating expenses. For instance, further changes to the United Kingdom’s or other European states’ betting or gaming laws or regulations, or those of other countries’, in reaction to adverse media coverage in such jurisdictions, including changes in the political or social attitude to online betting caused by such coverage, could have a material impact on our business, financial condition or results of operations.

GRAPHIC

11 Changes in public and consumer tastes and preferences and industry trends could reduce demand for our products, services and content offerings and adversely affect our business. Our ability to offer sports content solutions that increase sponsor and fan engagement is increasingly important to the success of our business and our ability to generate revenue, is sensitive to rapidly changing consumer preferences and industry trends, and depends on our ability to satisfy consumer tastes and expectations in a consistent manner. A reduction in consumer spending and engagement time spent on our customers’ products could reduce our customers’ demand and adversely affect our business and revenue. This is especially true in jurisdictions where we operate under a revenue-share model. Our success depends on our ability to offer products and services, including our sports content and media, that meet the changing preferences of the sports content consumer market, including those of our television, cable network and broadcast partners. We invest in our sports image and editorial application programming interfaces (“APIs”), including in the creation of high quality content, and our insights and sports page solutions. Our failure to avoid a negative perception among consumers or anticipate and respond to changes in consumer preferences, including in the form of content creation or distribution, could result in reduced demand for our products, services and content offerings or those of our partners. Furthermore, a lack of popularity of our content offerings, as well as labor disputes, unavailability of a star athlete, cost overruns or disputes with production teams, could have an adverse effect on our business, financial condition or results of operations. Our market is competitive and we may lose customers and relationships to both existing and future competitors. Potential changes in competitive landscape, including new market entrants or disintermediation by participants in the industry, could harm our business. The markets for sports data, media, entertainment and betting are competitive and rapidly changing. Competition in these markets may be further exacerbated if economic conditions or other circumstances cause customer bases and customer spending to decrease and service providers to compete for fewer customer resources. Our existing and future competitors, which could include technology companies new to our industry, may have or may in the future obtain greater name recognition, larger customer bases, or better technology or data, thus providing cheaper services and better offers to operators, organizations and partners, or greater financial, technical or marketing resources, allowing them to respond more quickly to new or emerging technologies or changes in user requirements. Certain competitors could use strong or dominant positions in one or more markets to gain a competitive advantage against us, such as by integrating competing platforms or features into products they control such as search engines, web browsers, mobile device operating systems or social networks; by making acquisitions; by making access to our platform more difficult; or by employing more aggressive bidding strategies with our sports league partners. For instance, we currently rely on data journalists to attend events to collect data and use specific types of data and platforms that could become obsolete. If our competitors develop technology that replaces the need for data journalists before we do and/or create faster and more accurate data technologies, our business could be materially harmed. Further, if competitors gain access to faster visual feeds from stadiums, the value of our in-stadium rights would be reduced and our revenue could decline. Further, as the industry grows, jurisdictions legalize sports betting and current operational jurisdictions progress toward maturity, we expect the competitive landscape will continue to change in a variety of ways, including: • rapid and significant changes in technology, resulting in new and innovative sports entertainment and content options, that could place us at a competitive disadvantage and reduce the use of our products and services; • direct competitors, such as sports data and solution providers and indirect competitors, such as the sports betting bookmakers and media companies we serve or the league partners we rely on for (live) data and streaming rights, other industry participants and/or new market entrants (including technology and social media companies) may develop products and services that compete with or replace our products and services; and • participants in the sports media, entertainment and betting industries may undergo disintermediation of service providers and establish direct business relationships with sports leagues and teams for data, statistics and content. If we are unable to retain customers or obtain new customers, respond to competition from an expanding array of choices facilitated by technological developments in the delivery of sports content, or maintain or develop relationships with sports organizations, our revenue and profitability could decline.

GRAPHIC

12 If we fail to attract new customers, if the revenue generated by new customers differs significantly from our experiences, or if our customer acquisition costs increase, our business, revenue and growth will be harmed. We must continually attract new customers in existing markets and expand into new markets in order to grow our business, which depends in large part on the success of our sales and marketing efforts, and our ability to deliver and enhance our services and our overall customer experience, to keep pace with changes in technology and product requirements and expand our marketing partnerships and distribution network. Successful promotion of our brand will depend on a number of factors, including the effectiveness of our marketing efforts, including thought leadership, our ability to provide high-quality, reliable and cost-effective products and services, the perceived value of our products and services and our ability to provide quality customer success and support experience. We expect to continue to spend significant amounts to acquire new customers, primarily through product and content marketing that focuses on digital and direct channels to reach the customer. We will continue to invest in brand-building marketing and communications and growing our awareness in emerging and growth markets. Our experience in markets in which we presently have low penetration rates may differ from our more established markets. If our estimates and assumptions regarding the gross profit we can generate from new customers prove incorrect, or if the gross profit generated from new customers differs significantly from that of prior customers, we may be unable to recover our customer acquisition costs or generate profits from our investment in acquiring new customers. Moreover, if our customer acquisition or operating costs increase, the return on our investment may be lower than we anticipate irrespective of the gross profit generated from new customers. We cannot assure you that the gross profit from customers we acquire will ultimately exceed the marketing, technology and development costs associated with acquiring these customers. If we cannot generate profits from this investment, we may need to alter our growth strategy, and our growth rate or results of operations may be harmed. Our expansion into new markets is also dependent upon our ability to adapt our existing technology and offerings or to develop new or innovative applications to meet the particular service needs of each new market. In order to do so, we will need to anticipate and react to market changes and devote appropriate financial and technical resources to our development efforts, and there can be no assurance that we will be successful in these efforts. Furthermore, we may expand into new geographic markets, in which we do not currently have any operating experience. We cannot assure you that we will be able to successfully continue such expansion efforts due to our lack of experience in such markets and the multitude of risks associated with global operations, including the possibility of needing to obtain appropriate regulatory approval. Any failure to successfully expand may have a material adverse effect on our business, financial condition or results of operations. We may not be able to acquire new customers in sufficient numbers to continue to grow our business due to macroeconomic factors, including global economic downturn, including as a result of impacts of political and military conflicts, pandemics, exchange rate fluctuations, increased competition, new and/or stricter regulations and licensing requirements that may be harmful to our or our bookmaker customers’ businesses or other factors, or we may be required to incur significantly higher marketing expenses in order to acquire new customers. A decrease in customer acquisition growth would harm our business, financial conditions or results of operations. Our ability to retain our customers is dependent on the quality of our products and services, and our failure to offer high quality products and services could have a material adverse effect on our sales and results of operations. We must continually retain existing customers and expand existing customers’ usage of our products and services, as well as increase our penetration and service offerings within our existing markets of operation to grow our business. For the fiscal years ended December 31, 2023 and 2022, we generated 5.8% and 6.5% of total revenue from a single customer, respectively, and 26.1% and 25.5% of total revenue from our top ten customers combined, respectively. Our ability to retain our significant customers largely depends on whether we can enhance our products and services, and our overall customer experience and keep pace with changes in technology and our competitors. Our product quality must maintain the consistent level of low-latency and high accuracy to fulfill our customers’ requirements.

GRAPHIC

13 Once our products are deployed and integrated with our customers’ existing information technology investments and data, our customers depend on our customer service to resolve any issues relating to our products. Increasingly, our products have been deployed in large-scale, complex technology environments, and we believe our future success will depend on our ability to increase sales of our products for use in such deployments. Further, our ability to provide effective ongoing support, or to provide such support in a timely, efficient or scalable manner, may depend in part on our customers’ willingness and ability to upgrade to the latest versions of our products and participate in our centralized product management and services. In addition, our ability to provide effective customer services is largely dependent on our ability to attract, train and retain qualified personnel with experience in supporting customers globally at scale. While our goal is to provide high quality support 24 hours a day, we may be unable to respond quickly enough to accommodate short-term increases in customer demand for our support services. Increased customer demand for support, without corresponding revenue, could increase costs and negatively affect our business and results of operations. In addition, our services teams may face additional challenges, including those associated with operating the platforms and delivering support, training and documentation in different languages and providing services across expanded time-zones. If we are unable to provide efficient customer service globally at scale, our ability to grow our operations may be harmed, and we may need to hire additional services personnel, which could negatively impact our business, financial condition or results of operations. Our customers may need training in the proper use of and the variety of benefits that can be derived from some of our products to maximize their potential. If we do not effectively deploy, update or upgrade our products, succeed in helping our customers quickly resolve post-deployment issues and provide effective ongoing services, our ability to sell additional products and services to existing customers could be adversely affected, we may face negative publicity and our reputation with potential customers could be damaged. Many enterprise and government customers require higher levels of services than smaller customers. If we fail to meet the requirements of the larger customers, it may be more difficult to execute on our strategy to increase our penetration with larger customers. As a result, our failure to maintain high quality services may have a material adverse effect on our business, financial condition or results of operations. If customer confidence in our brands, product quality and business deteriorates, our business, financial condition or results of operations could be adversely affected. Customer confidence in our brands and product quality, and the ability to provide fast, secure and validated data and content are critical to our success. A number of factors could erode our customers’ confidence in our business, or in the sports media, entertainment and betting industries generally, many of which are beyond our control and could have an adverse impact on our results of operations. Our business model is based on our ability to provide rapid, reliable and customizable products and services, and customer confidence in our business largely depends on the quality of our service and product experience and our ability to meet evolving customer needs and preferences. If we fail to maintain high quality service, or if there are pervasive customer complaints or negative publicity about our products or services, the confidence and trust customers have in our brands and business may decrease. Other factors include, but are not limited to, delays between the live event in the stadium and the visualization at the customer’s end, as well as any significant interruption in our systems, including as a result of unauthorized entry and computer viruses, fire, natural disaster, power loss, data loss, software vulnerabilities, systems breakdowns of information technology or infrastructure, telecommunications failure, military conflicts or terrorism, vendor failure or disruptions in our workforce, including as a result of pandemics and any breach, or reported breach, of our computer systems or other data storage facilities, or of certain of our third-party providers, resulting in a compromise of personal or other data.

GRAPHIC

14 We are subject to reputational risks related to betting-related match fixing, doping and other sports integrity threats. Many factors influence our reputation and the value of our brands, including the perception held by our customers, business partners, investors, other industry stakeholders and the communities in which we operate. Our Sportradar Integrity services supplies sports integrity solutions for sports’ governing bodies, anti-doping organizations, law enforcement agencies, among others, to support them in the fight against betting-related match-fixing, doping and integrity threats. As a leading supplier of integrity solutions, we have faced, and will likely continue to face, increased scrutiny related to our solutions and consulting services, and our reputation and the value of our brands can be materially adversely harmed if a user of our solutions is involved in a major match-fixing or doping scandal. Fraud, corruption or negligence by our employees or contracted statisticians collecting data on behalf of us or third parties could also potentially have an impact on our reputation. Operational errors, whether by us or our competitors, could also harm our reputation or the sports data, sports betting, online gaming and sports marketing industries. Any association with the illegal, unethical or fraudulent activities of our customers or our partners could expose us to potential reputational damage and financial loss. Any harm to our reputation could impact employee engagement and retention, and the willingness of customers and partners to do business with us, which could have a materially adverse effect on our business operations, financial conditions or results of operations. Because we rely on third-party vendors to provide products and services, we could be adversely impacted if they fail to fulfill their obligations, experience disruption or cease providing services adequately or at all. Some services relating to our business, such as cloud-based software service providers, software application support, data centers, parts of development, hosting and maintenance of our operating systems, providing player tracking services, call center services and other operating activities are outsourced to third-party vendors. Any changes to or failures in these systems that degrade the functionality of our products and services, impose additional costs or requirements or give preferential treatment to competitors’ services, including their own services, could materially and adversely affect usage of our products and services. If our agreements with third-party vendors are terminated, or if we cannot renew contracts on terms favorable to us, or at all, or if we cannot find alternative sources of such services or otherwise replace these third-party vendors quickly, we may experience a disruption in our services, and our business and operations could be adversely affected. Further, if our third-party vendors do not comply with applicable laws, including restrictions on the collection, use, sharing or disclosure of personal information or personal data, our reputation and the willingness of customers and partners to do business with us could be harmed, which could have a materially adverse effect on our business operations, financial conditions or results of operations. The failure of our third-party vendors to perform their obligations and provide the products and services we obtain from them in a timely manner for any reason, including as a result of damage or interruption from, among other things, fire, natural disaster, pandemics, power loss, telecommunications failure, unauthorized entry, computer viruses, denial-of-service attacks, military conflicts, acts of terrorism, human error, vandalism or sabotage, financial insolvency, bankruptcy and similar events, could adversely affect our operations and profitability due to, among other consequences: • loss of revenue; • loss of customers; • loss of customer data; • loss of sports league partnerships; • harm to our business or reputation resulting from negative publicity; • exposure to fraud, losses or other liabilities; • additional operating and development costs; or • diversion of management, technical and other resources.

GRAPHIC

15 Indemnity provisions in client and other third-party agreements potentially expose us to substantial liability for intellectual property infringement and other losses. Our agreements with clients, vendors and other third parties may include provisions under which we agree to indemnify or otherwise be liable for direct or indirect losses as a result of claims of intellectual property infringement, damage to property or persons or other liabilities relating to or arising from our products or services, acts, omissions or negligence. Such terms may survive termination or expiration of the applicable agreement, and significant damage or indemnity obligations could harm our business, results of operations, financial condition or reputation. Although we attempt to contractually limit our liability with respect to such potential exposure, we may not be successful in doing so. Any dispute with a client, vendor or other third party with respect to our business or such obligations could have adverse effects on our relationship with that third party or other current and prospective third parties, and may adversely impact demand for our products or services, damage our reputation and harm our business, results of operations or financial condition. If we fail to manage our growth effectively, our brands, results of operations and business could be harmed. We have experienced rapid growth in our headcount and revenue, which places substantial demands on our management and operational infrastructure. As we continue to grow, we must effectively integrate, develop and motivate a large number of new employees, while maintaining the beneficial aspects of our company culture. Further, we will need to continue to improve our operational, financial and management controls and our reporting systems and procedures in order to manage our growth. If we do not manage the growth of our business and operations effectively, our employee morale and retention could suffer and the quality of our products and services and efficiency of our operations could suffer, which could harm our business, financial condition or results of operations. Our ability to recruit, retain and develop qualified personnel, including key members of our management team, is critical to our success and growth. Our businesses function at the intersection of rapidly changing technological, social, economic and regulatory environments that require a wide range of expertise and intellectual capital. In addition, certain jurisdictions where we hold business-to-business (“B2B”) gambling and/or betting supplier licenses, such as the United Kingdom or the United States, require certain management functions and key personnel to obtain and hold personal or management licenses or authorizations granted by the applicable betting/gambling regulatory body. To successfully compete and grow, we must recruit, retain and develop personnel from diverse backgrounds and who can provide the necessary expertise across a broad spectrum of intellectual capital needs. In addition, we must develop, maintain and, as necessary, implement appropriate succession plans to assure we have the necessary human resources capable of maintaining continuity in our business. For instance, we are highly dependent on the expertise and leadership of our Chief Executive Officer and Founder, Carsten Koerl, and other members of our executive management. The market for qualified and diverse personnel, particularly for specialty technology and development skills in the European Economic Area (“EEA”), such as software engineers and data scientists, is competitive, and we also maintain an expansive network of data journalists and specialized data operators to allow us to cover live matches globally. We may not succeed in recruiting additional personnel for these positions, or may fail to effectively replace current personnel who depart with qualified or effective successors. In particular, our ability to sustain our company culture and integrate new employees are affected by working from home policies, as a majority of our employees are working remotely on a full-time or hybrid basis. As a result, we are required to implement more complex organizational management structures and we also may find it difficult to adequately oversee employees, independent contractors and business functions and be exposed to tax or other regulatory risks. Further, from time to time, there may be changes in our management team that may be disruptive to our business. If our management team, including any new hires that we make, fails to work together effectively and to execute our plans and strategies on a timely basis, or fails to maintain the required licenses or authorizations, our business could be harmed. Our effort to retain and develop personnel may also result in significant additional expenses, which could adversely affect our profitability. We cannot assure that key personnel, including our executive officers, will continue to be employed or that we will be able to attract and retain qualified personnel in the future and failure to do so could adversely affect our business, financial condition or results of operations.

GRAPHIC

16 Our business is not fully mature, and our industry is evolving, which makes it difficult to evaluate our future prospects and may increase the risk that we will not be successful. Our business is not fully mature, which makes it difficult to effectively assess our future prospects. An investor should consider our business and prospects in light of the risks and difficulties we encounter in this evolving market. These risks and difficulties include our ability to, among other things: • retain an active customer base and attract new customers; • avoid interruptions or disruptions in our service; • improve the quality of the customer experience on our platforms; • earn and preserve our customers’ trust with respect to the quality of our products and services; • process, store and use personal customer data in compliance with governmental regulation and other legal obligations related to data privacy, data protection and data security; • comply with extensive existing and new laws and regulations, including licensing requirements for B2B suppliers to the gambling and betting industry; • effectively maintain a scalable, high-performance technology infrastructure that can efficiently and reliably handle our customer’s needs globally; • successfully deploy new or enhanced features and services; • compete with other companies that are currently in, or may in the future enter, the sports data business; • hire, integrate and retain world-class talent; and • expand our business into new markets. If the market for sports media, entertainment and betting does not evolve as we expect, or if we fail to address the needs of this market, our business may be harmed. We may not be able to successfully address these risks and challenges, including those described elsewhere in these Risk Factors. Failure to adequately address these risks and challenges could harm our business, financial condition or results of operations.

GRAPHIC

17 Technology Risks Our potential inability to anticipate and adopt new technology and develop and gain market acceptance of new and enhanced products and services in response to changing industry and regulatory standards and evolving customer needs may adversely affect our competitiveness. Our industry is subject to rapid and significant technological advancements, with the constant introduction of new and enhanced products and services and evolving industry and regulatory standards and customer needs and preferences. We expect that new services and technologies applicable to sports media, entertainment and sports betting industries will continue to emerge, which could have the effect of driving down the cost to access relevant data and content and lead to more competitive pricing. Our business and financial success will depend on our ability to continue to anticipate the needs of customers and potential customers, to achieve and maintain broad market acceptance for our existing and future products and services, to successfully introduce new and upgraded products and services and to successfully implement our current and future geographic expansion plans. Though we actively seek to respond in a timely manner to changes in customer needs and preferences, technology advances, new and enhanced products and services and competitive pricing, failure to timely and appropriately respond to these changes could adversely impact, on both a short- term and long-term basis, our business, financial condition or results of operations. Further, any new product or service we develop or acquire might not be introduced in a timely or cost-effective manner and might not achieve the broad market acceptance necessary to generate significant revenue. Expanding into new markets and investing resources towards increasing the depth of our coverage within existing markets also impose additional burdens on our research, systems development, sales, marketing and general managerial resources. In addition, these solutions could become subject to legal or regulatory requirements, which could prohibit or slow the development and provision of such new solutions and/or our adoption thereof. If we are unable to anticipate or respond to technological or industry standard changes on a timely basis, our ability to remain competitive could be adversely affected. Real or perceived errors, failures or bugs in our products could materially and adversely affect our financial conditions or results of operations. We provide data feeds regarding schedules, results, performance and outcomes of sporting events to our wide array of customers, who rely on our data to settle bets, create content and generate analysis. The software underlying our products is highly technical and complex. Our software has previously contained, and may now or in the future contain, undetected errors, bugs or vulnerabilities. While we continually improve our network topology, we cannot protect against all possible future defects. In addition, errors, failures and bugs may be contained in open-source or other third-party software utilized in building and operating our products or may result from errors in the deployment or configuration of open-source or third-party software. Some errors in our software may only be discovered after the software has been deployed or may never be generally known. Any errors, bugs or vulnerabilities in our software could result in interruptions in data availability, product malfunctioning or data breaches, and thereby result in damage to our reputation, adverse effects upon customers and users, loss of customers and relationships with third parties, loss of revenue or liability for damages. Furthermore, in some sports, determining the value of certain data points might require a degree of judgment that could result in data that differ from those of other sports data providers, and these differences may give rise to the perception of biased or erroneous data that may negatively harm our reputation. In some instances, we may not be able to identify the cause or causes of the foregoing problems or risks, or take effective steps to remediate such problems or risks, within an acceptable period of time. Our inability to protect our systems and data from continually evolving cybersecurity risks, security breaches or other technological risks could affect our reputation among our customers, consumers, and regulators, and may expose us to liability. In conducting our business, we collect, process, transmit, store and otherwise use sensitive business information and personal information or personal data about our customers, employees, partners, vendors and other parties. This information may include account access credentials, credit and debit card numbers, bank account numbers, social security numbers, driver’s license numbers, names and addresses and other types of sensitive business or personal information.

GRAPHIC

18 In addition, as a provider of real-time sports data and content, our products and services may themselves be targets of cyber- attacks that attempt to intercept, breach, sabotage or otherwise disable or gain access to them or the data processed thereby, and the defensive and preventative measures we take ultimately may not to effectively detect, prevent, or protect against or otherwise mitigate losses from all cyber-attacks. Despite our efforts to create security barriers against such threats, it is virtually impossible to eliminate these risks entirely. Any such breach could enable betting manipulation, compromise our networks, create system disruptions or slowdowns and exploit security vulnerabilities of our products. Additionally, the information stored on our networks, including proprietary information and other intellectual property, could be accessed, publicly disclosed, lost or stolen, any of which could subject us to liability and cause us financial harm. These breaches, or any perceived breach, may also result in damage to our reputation, negative publicity, loss of key partners, customers and transactions, regulatory complaints, investigations, penalties and increased costs to remedy any problem and costly litigation, and may therefore adversely impact market acceptance of our products and services and may seriously affect our business, financial condition or results of operations. We have been and expect to continue to be the target of malicious third-party attempts to identify and exploit system vulnerabilities, and/or penetrate or bypass our security measures, in order to gain unauthorized access to our networks and systems or those of third parties associated with us. These attempts have included phishing attacks, distributed denial-of-service attacks, scams and ransomware. Although we believe none of these actual or attempted cyber-attacks has had a material adverse impact on our operations or financial condition, we cannot guarantee that any such incident will not have such an impact in the future. While we employ multiple methods at different layers of our systems to defend against intrusion and attack and to protect our data, we cannot be certain that these measures are sufficient to counter all current and emerging technology threats. Additionally, the rising prevalence of work-from-home practices has exposed us to more threats as corporate and non-corporate devices are used on residential networks that are less secure than our office networks. Our computer systems could be subject to breaches, and our data protection measures may not prevent unauthorized access. For example, we are likely to have exposure to zero-day vulnerabilities in third party and open source frameworks. While we believe the procedures and processes we have implemented to detect, prevent and otherwise handle an attack are adequate, the techniques used to obtain unauthorized access, disable or degrade service, or sabotage systems change frequently and are often difficult to anticipate or detect. Threats to our systems and associated third-party systems can originate from human error or negligence, fraud or malice on the part of employees or third parties or simply from accidental technological failure. Computer viruses and other malware can be distributed and could infiltrate our systems or those of associated third parties. In addition, denial of service or other attacks could be launched against us for a variety of purposes, including to interfere with our services or create a diversion for other malicious activities. Our defensive measures may not prevent unplanned downtime, or the unauthorized access, unauthorized use, or other compromise of sensitive data. While we maintain cyber errors and omissions insurance coverage that covers certain aspects of cyber risks, our insurance coverage may be insufficient to cover all losses. Further, while we select our associated third parties carefully, we do not control their actions. Any problems experienced by these third parties, including those resulting from breakdowns or other disruptions in the services provided by such parties or cyber-attacks and security breaches, could adversely affect our ability to service our customers or otherwise conduct our business or otherwise result in liabilities or other costs and expenses. We could also be subject to liability for claims relating to misuse of personal information, such as unauthorized marketing purposes, improper collection, analysis, disclosure or other misuse of personal data, and violation of customer protection or data privacy and security laws. We cannot provide assurance that the contractual requirements related to security and privacy that we impose on our service providers who have access to customer data will be followed or will be adequate to prevent such misuse. In addition, we are subject to obligations under certain of our agreements with respect to data privacy and security, including to take certain protective measures to ensure the confidentiality of customer data and to notify affected parties in the event of a breach. The costs of systems and procedures associated with such protective measures may increase and could adversely affect our ability to compete effectively. Any failure to adequately enforce or provide these protective measures or otherwise comply with our obligations could result in liability, protracted and costly litigation, governmental intervention and fines and, with respect to misuse of personal information of our customers, lost revenue, lost sports league partnerships and reputational harm.

GRAPHIC

19 Any type of security breach, attack or misuse of data, whether experienced by us or an associated third party, could harm our reputation or deter existing or prospective customers or leagues from using our services, increase our operating expenses in order to contain and remediate the incident, expose us to unbudgeted or uninsured liability, disrupt our operations (including potential service interruptions), divert management focus away from other priorities, increase our risk of regulatory scrutiny or result in the imposition of penalties and fines under domestic or foreign laws. Also, prospective customers, partners or other third parties may choose to terminate their relationship with us, or delay or choose not to consider us for their needs. Any of the foregoing may have a material adverse effect on our business, financial condition and results of operations. Interruptions and failures in our systems or infrastructure, including as a result of cyber-attacks, natural catastrophic events, geopolitical events, disruptions in our workforce, system breakdowns or fraud may have a significant adverse effect on our business. Our ability to provide fast, secure and validated products and services largely depends on the efficient and uninterrupted operation of our business processes, computer information systems and infrastructure. For example in 2021, one of our cloud service providers experienced interruptions caused by an air conditioning issue in its data center. As we continue to use hosting partners, interruptions like this may cause instability in a number of our applications for a prolonged period of time. To prepare for more cases like this, we have dedicated more effort to deploy services in more regions to add additional resiliency as a risk mitigation activity. Any significant interruptions could harm our business and reputation and result in a loss of business. These systems, processes, operations and infrastructure could be exposed to damage, interruption or operational challenges from unauthorized entry and computer viruses and computer denial-of-service-attacks as discussed in this “Risk Factors” section under the caption “Our inability to protect our systems and data from continually evolving cybersecurity risks, security breaches or other technological risks could affect our reputation among our customers, consumers, and regulators, and may expose us to liability,” human error, hardware or software defects or malfunctions, data loss, earthquakes, floods, fires, natural disaster, pandemics, power loss, telecommunications failure, military conflicts or terrorism, vendor failure, geopolitical events, foreign state attacks, disruptions in our workforce, system breakdowns of our informational technology or cloud infrastructure, fraud or other causes, many of which may be beyond our control. We currently maintain a disaster recovery and business continuity process, however, this may not adequately protect us from such delays and interruptions. While we also maintain business interruption insurance, our coverage may be insufficient to compensate us for all losses that may result from interruptions in our service as a result of system failures and similar events. Further, we have been and continue to be the subject of cyber-attacks, including routine port scanning by external parties. These attackers and attacks, which may even be initiated by nation-states, have continued to become more sophisticated and are primarily aimed at interrupting our business, exposing us to financial losses, or exploiting information security vulnerabilities. Historically, none of these attacks or breaches has individually or in the aggregate resulted in any material liability to us or any material damage to our reputation, or caused any material disruption to our business. The safeguards we have designed to help prevent future security incidents and systems disruptions and comply with applicable contractual, regulatory and other legal requirements may not be successful, and we may experience material security incidents, disruptions or other problems in the future. We also may experience software defects, development delays and other systems problems, which could harm our business and reputation and expose us to potential liability, which may not be fully covered by our business interruption insurance. In addition, hardware, software or applications we develop or procure from third parties may contain defects in design or manufacture or other problems that could unexpectedly compromise information security. These applications may not be sufficient to address technological advances, regulatory requirements, changing market conditions or other developments. Additionally, if our customer base and engagement continue to grow, and the amount and types of services and product offerings continue to grow and evolve, we will need an increasing amount of technical infrastructure, including network capacity and computing power, to continue to satisfy our users’ needs. Such infrastructure expansion may be complex, and unanticipated delays in completing these projects or availability of components may lead to increased project costs, operational inefficiencies, or interruptions in the delivery or degradation of the quality of our services or product offerings. In addition, there may be issues related to this infrastructure that are not identified during the testing phases of design and implementation, which may become evident only after we have started to fully use the underlying equipment or software, that could further degrade the user experience or increase our costs. As such, we could fail to continue to effectively scale and grow our technical infrastructure to accommodate increased demands.

GRAPHIC

20 We depend on computing infrastructure operated by Amazon Web Services (“AWS”), Microsoft, Oracle and other third parties to support some of our customers and any errors, disruption, performance problems, or failure in their or our operational infrastructure could adversely affect our business, financial condition or results of operations. We rely on the technology, infrastructure, and software applications, including software-as-a-service offerings, of certain third parties, such as AWS, Microsoft Azure and Oracle, in order to host or operate some or all of certain key platform features or functions of our business, including our cloud-based services, customer relationship management activities, billing and order management, and financial accounting services. Additionally, we rely on third-party computer hardware purchased in order to deliver our platforms and services. We do not have control over the operations or facilities of these third-parties. If any of these third-party services experience errors, disruptions, security issues, or other performance deficiencies or are updated such that our platforms become incompatible or if these services, software, or hardware fail or become unavailable due to extended outages, interruptions, defects, or otherwise, or are no longer available on commercially reasonable terms or prices (or at all), these issues could result in errors or defects in our platforms, cause our platforms to fail, our revenue and margins could decline, our reputation and brand may be damaged, we could be exposed to legal or contractual liability, our expenses could increase, our ability to manage our operations could be interrupted, and our processes for managing our sales and servicing our customers could be impaired until equivalent services or technology, if available, are identified, procured, and implemented, all of which may take significant time and resources, increase our costs, and could adversely affect our business. Many of these third-party providers attempt to impose limitations on their liability for such errors, disruptions, defects, performance deficiencies, or failures, and if enforceable, we may have additional liability to our customers or third-party providers. We may in the future experience, disruptions, failures, data loss, outages, and other performance problems with our infrastructure and cloud-based offerings due to a variety of factors, including infrastructure changes, introductions of new functionality, human or software errors, employee misconduct, capacity constraints, denial of service attacks, phishing attacks, computer viruses, malicious or destructive code, or other security-related incidents, and our disaster recovery planning may not be sufficient for all situations. If we experience disruptions, failures, data loss, outages, or other performance problems, our business, financial condition or results of operations could be adversely affected. Our systems and the third-party systems upon which we and our customers rely are also vulnerable to damage or interruption from catastrophic occurrences such as earthquakes, floods, fires, power loss, telecommunication failures, cybersecurity threats, military conflicts or terrorist attacks, natural disasters, public health crises such as pandemics, geopolitical and similar events, or acts of misconduct. Despite any precautions we may take, the occurrence of a catastrophic disaster or other unanticipated problems at our or our third-party vendors’ hosting facilities, or within our systems or the systems of third parties upon which we rely, could result in interruptions, performance problems, or failure of our infrastructure, technology, or platforms, which may adversely impact our business. In addition, our ability to conduct normal business operations could be severely affected. In the event of significant physical damage to one of these facilities, it may take a significant period of time to achieve full resumption of our services, and our disaster recovery planning may not account for all eventualities. In addition, any negative publicity arising from these disruptions could harm our reputation and brand and adversely affect our business. Any interruption in our service, whether as a result of an internal or third party issue, could damage our brand and reputation, cause our customers to terminate or not renew their contracts with us or decrease use of our platforms and services, require us to indemnify our customers against certain losses, result in our issuing credit or paying penalties or fines, subject us to other losses or liabilities, cause our platforms to be perceived as unreliable or unsecure, and prevent us from gaining new or additional business from current or future customers, any of which could harm our business, financial condition or results of operations. Moreover, to the extent that we do not effectively address capacity constraints, upgrade our systems as needed, and continually develop our technology and network architecture to accommodate actual and anticipated changes in technology, our business, financial condition or results of operations could be adversely affected. The provisioning of additional cloud hosting capacity requires lead time. AWS, Microsoft Azure, and other third parties have no obligation to renew their agreements with us on commercially reasonable terms, or at all. If AWS, Microsoft Azure or other third parties increase pricing terms, terminate or seek to terminate our contractual relationship, establish more favorable relationships with our competitors, or change or interpret their terms of service or policies in a manner that is unfavorable with respect to us, we may be required to transfer to other cloud providers or invest in a private cloud. If we are required to transfer to other cloud providers or invest in a private cloud, we could incur significant costs and experience possible service interruption in connection with doing so, or risk loss of customer contracts if they are unwilling to accept such a change.

GRAPHIC

21 A failure to maintain our relationships with our third party providers (or obtain adequate replacements), and to receive services from such providers that do not contain any material errors or defects, could adversely affect our ability to deliver effective products and solutions to our customers and adversely affect our business and results of operations. The competitive position of our extensible markup language (“XML”) or application programming interface feeds depends in part on their ability to integrate, operate and share data with our customers’ applications. The competitive position of our XML and application programming interface (“API”) feeds depends in part on their ability to integrate, operate and share data with the visualization tools, software and technology infrastructure of our customers. As such, we must continuously modify and enhance our XML and API feeds to adapt to changes in website applications and mobile apps and to ensure efficiency, speed and scale. If the interoperability of our XML and API feeds with our customers’ decreases, we could become less attractive to users of our products, lose market share or be required to spend more costs to enhance compatibility. We intend to facilitate the compatibility of our XML and API feeds with various third-party software and infrastructure by maintaining and expanding our business and technical relationships. If we are not successful in achieving this goal, our business, financial condition or results of operations could be adversely affected. Issues in the use of artificial intelligence (“AI”), including machine learning, in our platforms may result in reputational harm or liability. AI and machine learning is enabled by or integrated into some of our products, such as simulated sports reality, an AI-driven product for professional sports matches and a range of pre-match and live (in-play) betting opportunities. As with many developing technologies, AI presents risks and challenges that could affect its further development, adoption, and use, and therefore our business. AI algorithms may be flawed. Datasets may be insufficient, of poor quality, or contain biased information. Inappropriate or controversial data practices by data scientists, engineers, and end users of our systems could impair the acceptance of AI solutions. If the recommendations, forecasts, or analyses that AI applications assist in producing are deficient or inaccurate, we could be subjected to competitive harm, potential legal liability, and brand or reputational harm. Some AI scenarios present ethical issues, including the rapid growth of large language models (LLMs) and generative AI that may increase potential for biased outputs and misinformation amplification. Though our business practices are designed to mitigate many of these risks through, among other things, ongoing research and responsible deployment, if we enable or offer AI solutions that are controversial because of their purported or real impact on human rights, data privacy and data security, employment, or other social issues, we may experience brand or reputational harm. Legal and Regulatory Risks We, our customers and our suppliers may be subject to a variety of U.S. and foreign laws on sports betting, many of which are unsettled and still developing and which could subject us to claims or otherwise harm our business. Any change in existing regulations or their interpretation or the regulatory climate could adversely impact our ability to operate our business or decrease the demand for our products and services. The introduction of licensing requirements for the supply of products and services to the gambling and betting industry may adversely impact our ability and our customers’ ability to operate in such jurisdictions. Many of the customers we serve and our products and services offered to bookmakers around the world to enhance their sportsbook operations, may be subject to laws and regulations relating to sports betting and online betting and gaming in those jurisdictions in which our customers or we offer our services. Future legislative and regulatory action, court decisions, including by the Court of Justice of the European Union (“CJEU”), or other governmental action, such as the future regulation of sports betting in jurisdictions in Europe, South America and the United States, which may be affected by, among other things, political pressures, attitudes and climates, as well as personal biases and an increasingly negative tendency towards all forms of sports betting and gambling in politics and the wider society, may have a material impact on the legislation and licensing requirements applicable to our and our customers’ businesses and/or our operations and financial results. Stricter legislation, licensing and regulatory requirements as well as an increase in restrictions on the advertising of sports betting and gambling products may decrease the demand for our products and services or prevent us from providing these services entirely.

GRAPHIC

22 Our failure to obtain or maintain licenses in jurisdictions that introduce licensing requirements for supplying products and services to the gambling and betting industry may result in us having to change, restrict, suspend or cease our supply of products and services and may ultimately result in a loss of revenue, the imposition of sanctions and penalties, including contractual fines and/or reputational damage. In case of licensing requirements being introduced in jurisdictions where we have local presence or other assets and/or from where we provide services that become subject to licensing, failure to obtain a license may result in changes to our business model and/or to the locations from where we operate the related parts of our business and ultimately to a forced temporary or permanent closure of such local presence, loss of revenue and/or reputational damages. There can be no assurance that legally enforceable legislation will not be proposed and passed in jurisdictions relevant or potentially relevant to our and our customers’ businesses to prohibit, legislate or regulate various aspects of the sports betting industry (or that existing laws in those jurisdictions will not be interpreted negatively), including the introduction of new licensing and authorization requirements for our and our customers’ businesses and the introduction of licensing requirements for B2B suppliers of products and services to the gambling and betting industry. In particular, some jurisdictions have introduced regulations attempting to restrict, monopolize or prohibit online gambling and/or betting, while others have taken the position that online gaming and/or betting should be licensed and regulated and have adopted or are in the process of considering legislation and regulations to enable that to happen. Changes to existing forms of regulation may include the introduction of punitive tax regimes, requirements for large bonds or other financial guarantees, limitations on product offerings, requirements for ring-fenced liquidity, requirements to obtain licenses and/or caps on the number of licensees, restrictions on permitted marketing activities or restrictions on third-party service providers to sports betting operators. In addition, some jurisdictions in which we may operate could presently be unregulated or partially regulated and therefore more susceptible to the enactment or change of laws and regulations. Any adverse changes to the regulation of sports betting, the interpretation of these laws, regulations, government action and licensing requirements by relevant regulators or the revocation of our operating licenses or those of our customers could materially adversely affect our ability to conduct our operations and generate revenue in the relevant jurisdiction. In particular, it may become commercially undesirable or impractical for us to provide sports betting services in certain jurisdictions as the local license or approval costs increase, our returns from or scope of service in such jurisdictions may be reduced or we may be forced to withdraw from such jurisdictions entirely, with a material financial loss due to restrictions to our customers located in these jurisdictions. Further, to expand into new jurisdictions, we may need to be licensed and obtain approvals of our product and service offerings. This is a time-consuming process that can be extremely costly. Any delays in obtaining or difficulty in maintaining regulatory approvals or licenses needed for expansion within existing jurisdictions or into new jurisdictions can negatively affect our opportunities for growth, including the growth of our customer base, or delay our ability to recognize revenue from our offerings in any such jurisdictions. Additionally, governmental authorities could view us, or our customers, as having violated local laws, despite efforts to obtain all applicable licenses or approvals. There is also a risk that civil and criminal proceedings, including class actions brought by or on behalf of prosecutors or public entities or incumbent monopoly providers, or private individuals, could be initiated against participants in the sports betting industry. Such potential proceedings could involve substantial litigation expense, penalties, fines, seizure of assets, injunctions or other restrictions being imposed upon us, our customers or other business partners, while diverting the attention of key executives. Such proceedings could have a material adverse effect on our business, financial condition or results of operations, as well as impact our reputation. In addition, there is a risk that the provision of products and services to customers who are not in compliance with gambling and betting legislation and/or regulatory requirements in certain jurisdictions, despite efforts to ensure that our products and services are made available only to customers who comply with all applicable legislation, including gambling and betting legislation, may lead to sanctions and penalties being issued against us based on aiding and abetting an illicit gambling or betting offer. This may result in us being unqualified to maintain our existing regulatory licenses or obtain future licenses and authorizations.

GRAPHIC

23 A significant amount of our revenue is indirectly derived from jurisdictions where we or our customers are not required to hold a license or where limited regulatory framework exists and the approach to regulation and the legality of sports betting varies from jurisdiction to jurisdiction and is subject to uncertainties. The regulation and legality of sports betting and approaches to enforcement vary from jurisdiction to jurisdiction (from open licensing regimes to regimes that impose sanctions or prohibitions), including within the European Union single market, as well as across jurisdictions in the United States, and in certain jurisdictions there is limited or no legislation which is directly applicable to our or our customers’ businesses. While the majority of gambling and betting laws in Europe do not require us to hold licenses for providing our products and services to the betting industry on a B2B basis and thus, in most European jurisdictions, our business is not subject to holding a supplier license, some jurisdictions, including the United States and certain European jurisdictions, such as the United Kingdom, Belgium, Malta, Gibraltar, Greece, Romania and Sweden, require us to hold a supplier or similar license issued by the competent gambling and betting regulatory authority. In jurisdictions where the provision of B2B supply services to the betting industry is not subject to holding a supplier license, we operate our business based on agreements in which our customers warrant and represent that their respective business-to-customer (“B2C”) gambling and betting services comply with the applicable local legislation. The legality of sports betting services in certain jurisdictions is not clear or is open to interpretation. In many jurisdictions, there are conflicting laws and/or regulations, conflicting interpretations, divergent approaches by enforcement agencies and/or inconsistent enforcement policies and, therefore, some or all forms of sports betting could be determined to be illegal in some of these jurisdictions, either when operated within the jurisdiction and/or when accessed by persons located in that jurisdiction. Moreover, the legality of sports betting is subject to uncertainties arising from differing approaches among jurisdictions as to the determination of where sports betting activities take place and which authorities have jurisdiction over such activities and/or those who participate in or facilitate them. There is a risk that regulators or prosecutors in jurisdictions where we provide online gambling and/or betting services to our customers without a local license or pursuant to a multi-jurisdictional license may take legal action against our operations, and despite our good faith efforts to comply with all local requirements, any defense we may raise may not be successful. These actions may include criminal sanctions and penalties, as well as civil and administrative enforcement actions, fines, funds and asset seizures, authorities seeking to seize funds generated from the allegedly illegal activity as well as payment blocks and internet service provider (ISP) blacklisting, some of which may be more readily enforceable within an economic area such as the EEA. Even if such claims are successfully defended, the process may result in a loss of reputation, potential loss of revenue and diversion of management resources and time. In addition, there are many jurisdictions around the world where the legality of various forms of gambling is open to interpretation, often arising from a delay or failure to update gambling laws to reflect the availability of modern remote betting products. In those cases, there are justifiable arguments to support various forms of betting and gaming activities on the basis that they are not expressly prohibited, that their application to offshore activities is unclear, that betting and gaming products are readily available within the particular jurisdiction and/or that there is no history of enforcement of betting and gaming regulations. Changes in regulation in a given jurisdiction could result in it being re-assessed as a restricted territory without the potential to generate revenue on an ongoing basis. Our inability to operate and work with customers in a large betting or gaming market in the future, for example Germany, or a number of smaller betting or gaming markets which collectively are material, could have a material adverse effect on our ability to generate revenue and our profit margins due to a decrease in economies of scale. We determine whether to permit customers in a given jurisdiction to access any one or more of our products and services and whether to engage in various types of marketing activity and customer outreach based on a number of factors, including but not limited to: • the laws and regulations of the jurisdiction; • the terms of our betting licenses; • the approach by regulatory and other authorities to the application or enforcement of such laws and regulations, including the approach of such authorities to the extraterritorial application and enforcement of such laws;

GRAPHIC

24 • state, federal or supranational law, including EU law if applicable; • any changes to these factors; and • internal rules and policies. However, our assessment of the factors referred to above may not always accurately predict the likelihood of one or more jurisdictions taking enforcement or other adverse action against us, our customers or third-party suppliers, which could lead to fines, criminal sanctions and/or the termination of our operations in such jurisdictions. As a supplier to the gambling and betting industry, our growth prospects depend on the legal and regulatory status of real money gambling and betting legislation applicable to our customers. Additionally, even if jurisdictions legalize real money gambling and betting, this may be accompanied by legislative or regulatory restrictions and/or taxes that make it impracticable or less attractive for our customers to operate in those jurisdictions, or the process of implementing regulations or securing the necessary licenses to operate in a particular jurisdiction may take longer than we anticipate, which may lead to a decreased demand for our products and services and adversely affect our business. Business customers that receive our services for their use in the gambling and betting industry, including operators of real money gambling and betting offers, face a legal and regulatory landscape that impacts our business. Several jurisdictions have regulated or are currently regulating or considering regulating the provision of real money gambling and betting to end consumers. Our business, financial condition and results of operations are significantly dependent upon the regulation that is applicable to and directly impacts our customers. Certain jurisdictions in which laws currently prohibit or restrict sports betting or the marketing of those services, or protect monopoly providers, may implement changes to open their markets through the adoption of competitive licensing and regulatory frameworks. We have and still intend to expand our offering of sports betting services into such clarified or liberalized jurisdictions and markets, including within North America (in particular, following the U.S. Supreme Court’s decision to strike down the Professional and Amateur Sports Protection Act of 1992 (“PASPA”) in 2018), South America, Europe and elsewhere internationally. While clarification and liberalization of the regulation of sports betting in certain jurisdictions and markets may provide our customers and us growth opportunities, successful expansion into each potential new jurisdiction or market will present its own complexities and challenges. Efforts to access a new jurisdiction or market may require us to incur significant costs, such as capital, local resources, local infrastructure, specific technology, marketing, legal and other costs, as well as the commitment of significant senior management time and resources. Notwithstanding such efforts, our ability to successfully enter such jurisdictions or markets may be affected by future developments in state/regional, national and/or supranational policy and regulation, limitations on market access, ability of our customers to successfully enter, competition from third parties and other factors that we are unable to predict at this time or are beyond our control. As a result, there can be no assurance that we will be successful in expanding our offering of sports betting services and products into such jurisdictions or markets or that our service and product offerings will grow at expected rates or be successful in the long term. Any delays in obtaining or difficulty in maintaining regulatory approvals or licenses needed for expansion within existing jurisdictions or into new jurisdictions can negatively affect our opportunities for growth.

GRAPHIC

25 For example, the failure of state/regional, national and/or supranational regulators (particularly in various U.S. states) to implement a regulatory framework for provision of betting and gaming services in their jurisdictions in a timely manner, or at all, may prevent, restrict or delay our customers and us from accessing such markets. In addition, any regulation ultimately implemented may prohibit or materially restrict our customers’ and our ability to enter such jurisdictions. In particular, where licensing regimes are introduced in certain markets, there is no guarantee that our customers and we will be successful in obtaining or retaining a license to operate in such markets. Further, even if we do, any such license may be subject to onerous licensing requirements, together with sanctions for breach thereof and/or taxation liabilities that may make the market unattractive or impose restrictions that limit our ability to offer certain of our key products or services. Additionally, a license may require us to offer our products or services in partnership or cooperation with a local market participant, thereby exposing us to the risk of poor or non-performance by such participant, which could in turn disrupt or restrict our ability to effectively compete and offer our products or services in the relevant market. Finally, the complexity from the introduction of multiple state/regional regulatory regimes, particularly within the United States where multiple states are expected to introduce varying regulatory regimes, may result in considerable operational, legal and administrative costs for us, especially in the short term. Furthermore, our competitors or their partners may already be established in a jurisdiction or market. If regulation is liberalized or clarified in such jurisdictions or markets, we may face increased competition from other providers and this may in turn increase the overall competitiveness of the sports betting industry. We may face difficulty in competing with providers that take a more aggressive approach to regulation and are consequently able to generate revenue in markets from which we do not accept customers or in which we do not advertise. We may also face operational difficulties in successfully entering new markets, even where regulatory issues do not materially restrict such entity. Further, any changes to existing regulations that limit or restrict in any way the market size of our customers, such as bans on specific sporting events a betting customer can place a wager on, advertising restrictions, restrictions on authorized funding mechanisms for bettors or a cap on the monetary amount a bettor can wager in one day, will result in a loss of revenue due to a decreased demand for our products and services. Failure to comply with regulatory requirements in a particular jurisdiction, or the failure to successfully obtain a supplier license or authorization applied for in a particular jurisdiction, could impact our ability to comply with licensing and regulatory requirements in other jurisdictions, or could cause the rejection of license applications or the restriction, condition, suspension or revocation of existing licenses in other jurisdictions. Compliance with the various regulations applicable to our business in the context of offering products and services as a supplier to the gambling and betting industry is costly and time-consuming. In jurisdictions where we are required to hold such supplier licenses, the regulatory authorities regularly have broad powers with respect to the regulation and licensing of our business and may restrict, condition, suspend or ultimately revoke our licenses, impose substantial fines on us and take other actions, any one of which could have a material adverse effect on our business, financial condition or results of operations. These laws and regulations are dynamic and subject to potentially differing interpretations, and various legislative and regulatory bodies may expand current laws or regulations or enact new laws and regulations regarding these matters. Non-compliance with any such legislation or regulations could expose us to claims, legal or regulatory proceedings, license reviews, litigation and investigations by regulatory authorities, as well as substantial fines and negative publicity, each of which may materially and adversely affect our business. Any of our existing supplier licenses may be restricted, conditioned suspended or ultimately revoked. The loss, suspension or review of a license or any condition imposed on a license held in one jurisdiction could trigger restrictions, conditions, suspension or loss of a license or affect our suitability and eligibility for such a license in another jurisdiction, and any of such restrictions, conditions, suspension or losses, or potential for such restriction, condition, suspension or loss, could cause us to cease offering some or all of our offerings in the impacted jurisdictions. We may be unable to obtain or maintain all necessary registrations, licenses, permits or approvals, and could incur fines or experience delays related to the licensing process, which could adversely affect our operations. Our delay or failure to obtain or maintain licenses in any jurisdiction may prevent us from providing our products and services, increasing our customer base and/or generating revenue. Any failure to maintain or renew our existing licenses, registrations, permits, authorizations, or approvals could have a material adverse effect on our business, financial condition or results of operations.

GRAPHIC

26 We face the risk of loss, revocation, non-renewal or change in the terms of our existing supplier licenses. Our existing supplier licenses typically include a right for the regulatory authority to restrict, condition, suspend or revoke the license in certain circumstances, for example, where the licensee is in breach of the relevant regulatory requirements. In addition, the suitability process as part of any renewal or continuation application may be expensive and time-consuming and any costs incurred are unlikely to be recoverable if the application is unsuccessful. If any of our existing supplier licenses are not renewed or renewal is delayed, or if such licenses are restricted, conditioned, suspended, revoked or renewed on terms materially less favorable to our business, this may restrict us from providing some or all of our services to customers in such jurisdiction and may require us to restrict or suspend our services to customers in relation to such jurisdiction or to withdraw from that jurisdiction either temporarily or permanently, each of which would have a consequent negative impact on our revenue. To date, we have obtained all licenses, authorizations, findings of suitability, registrations, permits and approvals necessary for our current operations. Our supplier licenses tend to be issued for fixed periods of time, after which a renewal of the license is required. For example, certain of our licenses will expire and will need to be renewed in 2024, including our one year-term U.S. betting licenses in many states and tribal jurisdictions. However, we can give no assurance that any additional licenses, permits and approvals that may be required will be given or that existing ones will be renewed or will not be revoked. Renewal is subject to, among other things, continued satisfaction of suitability and eligibility requirements of our directors, officers, key employees and personnel and shareholders. Any failure to renew or maintain our licenses or to receive new licenses when necessary would have a material adverse effect on our business. In some jurisdictions our key executives and officers, certain employees, key personnel, directors or other individuals related to the business are subject to licensing and/or compliance requirements. Failure by such individuals to obtain the necessary licenses or comply with individual regulatory obligations, could cause our business to be non-compliant with its regulatory obligations, or imperil our ability to obtain or maintain the supplier licenses necessary to conduct our business. In some cases, the remedy to such situation may require the removal of a key executive, employee, or director and the mandatory redemption or transfer of such person’s equity securities. As part of obtaining and maintaining supplier licenses and authorizations, the competent gambling and betting regulatory authorities will generally determine suitability of certain directors, officers and employees and, in some instances, shareholders holding an equity participation or voting rights exceeding certain materiality thresholds. The criteria used by gambling and betting regulatory authorities to make determinations as to who requires a finding of suitability or the suitability of an applicant to conduct gaming operations vary across jurisdictions, but generally, and in particular in the United States, the competent authorities require extensive and detailed application disclosures. The competent authorities regularly have broad discretion in determining whether an applicant should be found suitable to conduct operations within a given jurisdiction. If any competent authority with jurisdiction over our business were to find an officer, director, employee, any key personnel or significant shareholder unsuitable for licensing or unsuitable to continue having a relationship with us, we would be required to sever our relationship with that person and be forced to appoint a different individual who meets the authority’s suitability requirements, which could result in having a material adverse effect on our business, financial condition or results of operations. Additionally, a gambling and betting regulatory authority may refuse to issue or renew a supplier license or restrict, condition, suspend or ultimately revoke any existing supplier license, based on any past or present activities of our directors, officers, key employees and personnel, shareholders or third parties with whom we have relationships, which could adversely affect our business. Further, there is a risk that going forward our existing and/or any future key officers, directors, key employees and personnel or significant shareholders will not meet all suitability and eligibility criteria necessary for us to maintain or obtain the supplier licenses and authorizations required for operating our business, which may result in the need to replace the respective individual who fails to meet the suitability and eligibility criteria imposed by a gambling and betting regulatory authority. Any failure to renew or maintain such licenses or to receive new licenses when necessary would have a material adverse effect on our business, financial condition or results of operations.

GRAPHIC

27 There have been various attempts in the European Union to apply domestic criminal and administrative laws to prevent our sports betting operator clients licensed in other EU member states (“Member States”) from operating in or providing services to customers within their territory; the case law of the CJEU on this issue continues to evolve and the reactions of the governments of Member States create uncertainty for online betting operators. There have been attempts by regulatory authorities, state licensees and incumbent operators, including monopoly operators, in certain Member States to apply their domestic criminal and administrative laws to prevent, or attempt to prevent, sports betting operators licensed in other Member States from operating in or providing services to customers within their territories. Although certain Member States are subject to infringement proceedings initiated by the European Commission in relation to the laws that they apply to betting as being contrary to the EU law principles of free movement of services, the application and enforcement of these principles by the CJEU, the domestic courts and regulatory authorities in various Member States, remains subject to continuing clarification. There have been a considerable number of relevant proceedings before the domestic courts of various Member States and the CJEU. If the jurisprudence of the CJEU continues to recognize that Member States may, subject to certain conditions, establish or maintain exclusive licensing regimes that restrict the offering of sports betting services by operators licensed in other Member States, our sports betting operator clients’ ability to allow their customers in a given Member State to access one or more of their sports betting services and to engage in certain types of marketing activities and customer contact may be impacted. Depending on the national courts’ or competent authorities’ interpretation of the EU law, our clients may have to submit to local licensing, regulation and/or taxation in more Member States and/or exclude customers in certain Member States, either entirely or from certain product offerings. Any such consequences could potentially indirectly reduce our revenue in the European Union. We are subject to evolving governmental regulations and other legal obligations, particularly related to privacy, data protection and information security, and consumer protection laws across different markets where we conduct our business. Our actual or perceived failure to comply with such obligations could have a material adverse effect on our reputation, results of operations or financial condition, or have other adverse consequences. As part of our business, we collect personal information, personal data and other potentially sensitive and/or regulated data from our customers and employees and other parties, including bank account numbers, social security numbers, credit and debit card information, identification numbers and images of government identification cards. Laws and regulations in the United States and around the world restrict and regulate how personal information is collected, processed, stored, used and disclosed, including by setting standards for its security, implementing notice requirements regarding privacy practices, and providing individuals with certain rights regarding the use, storage, disclosure and sale of their protected personal information. In the United Kingdom, as well as the European Union and Switzerland, we are subject to laws and regulations that are more restrictive in certain respects than those in the United States. In the event of a data breach, we are also subject to data breach notification laws in the jurisdictions in which we operate and the risk of litigation and regulatory enforcement actions. These laws and regulations are constantly evolving and it is possible that they may be interpreted and applied in a manner that is inconsistent with our practices and our efforts to comply with the evolving data protection rules may be unsuccessful. We must devote significant resources to understanding and complying with this changing landscape. Restrictions on the collection, use, sharing or disclosure of personal information or personal data or additional requirements and liability for security and data protection could require us to modify our products and services, possibly in a material manner, could limit our ability to develop new products and services and could subject us to increased compliance obligations and regulatory scrutiny. Current and proposed regulation addressing privacy and data protection could also increase our costs of operations.

GRAPHIC

28 Further, we make public statements about our use and disclosure of personal information through our privacy notice, information provided on our website and press statements. Although we endeavor to ensure that our public statements are complete, accurate and fully implemented, we may at times fail to do so or be alleged to have failed to do so. We may be subject to potential regulatory or other legal action if such notices or statements are found to be deceptive, unfair or misrepresentative of our actual practices If our privacy or data security measures fail to comply with applicable current or future laws and regulations, we may be subject to litigation, regulatory investigations and fines, enforcement notices requiring us to change the way we use personal data or our marketing practices, and significant costs for remediation. For example, under the EU General Data Protection Regulation (“GDPR”) we may be subject to fines of up to €20.0 million or up to 4% of the total worldwide annual group turnover of the preceding financial year (whichever is higher). We may also be subject to other liabilities, such as civil litigation claims by data subjects, as well as negative publicity and a potential loss of business, business partners, consumer trust and market confidence. Since December 2020, third- parties, including a group of United Kingdom football players, issued data subject access requests under the GDPR to various participants in the sports data and sports betting industries, including us. If these requests develop into legal action, it could significantly alter the way we collect and use sports data relating to players, could subject us to fees or other damages and could materially affect the sports data industry as whole. Under the terms of our existing contractual arrangements, any adverse judgments could impact the validity of such contractual arrangements which may force us to alter our business strategy and have an adverse effect on our business. Even if we are not determined to have violated these laws, government investigations into these issues typically require the expenditure of significant resources and generate negative publicity. Any of the foregoing may have a material adverse effect on our business, financial condition and results of operations. Failure to obtain, maintain, protect, enforce and defend our intellectual property rights, or to obtain intellectual property protection that is sufficiently broad may diminish our competitive advantages or interfere with our ability to develop, market and promote our products and services. Our patents, trademarks, trade names, trade secrets, know-how, proprietary technology and other intellectual property rights are important to our success. While it is our policy to vigorously protect and defend our intellectual property rights, we cannot predict whether the steps we take to obtain, maintain, protect and enforce our intellectual property will be adequate to prevent infringement, misappropriation, dilution or other potential violations of our intellectual property rights. We may not be able to register our intellectual property rights in all jurisdictions where we do business, and in certain circumstances, we may determine that it is not commercially desirable to obtain registered protection for our products, software, databases or other technology. In such situations, we must rely on laws governing the protection of unregistered intellectual property rights, and contractual confidentiality and/ or exclusivity provisions to protect our data and technology, which may limit the remedies available to us in the event of unauthorized use by third parties. If we are unable to protect our proprietary offerings, technology and features via relevant laws or contractual exclusivity, competitors may copy them. Even if we seek to register our intellectual property rights, third parties may contest our applications, and even if we are able to obtain registrations, third parties may challenge the validity or enforceability of the registered intellectual property. Further, we cannot guarantee that our patents, registered trademarks or other intellectual property will be of sufficient scope or strength to provide us with meaningful protection or competitive advantage. We also cannot guarantee that others will not use our intellectual property without our consent or independently develop technology with the same or similar functions to any proprietary technology we rely on to conduct our business and differentiate ourselves from our competitors. Unauthorized parties may attempt to reverse engineer our technology to develop applications with the same or similar functionality as our solutions, and competitors and other third parties may also adopt trade names or trademarks similar to ours. Further, competitors and other third parties have in the past and may in the future attempt to make unauthorized use of our data. Monitoring and policing unauthorized use of our data, technology and intellectual property rights is difficult and may not be effective, and we cannot assure you that we will have adequate resources to police and enforce our intellectual property rights. Uncertainty may also result from changes to intellectual property laws or to the interpretation of those laws by applicable courts and agencies. For example, the legal position in all jurisdictions in relation to the ownership and permitted use of sports data and databases is subject to change. This area may receive focus in the United States following the lifting of the PASPA ban. As such, we cannot be certain that our current uses of data from publicly available sources or otherwise, which are not known to infringe, misappropriate or otherwise violate third-party intellectual property today, will not result in claims for infringement, misappropriation or other violations of third-party intellectual property in the future. If we are unable to maintain the proprietary nature of our technologies, our business, financial condition and results of operations could be materially adversely affected. Any litigation to enforce our intellectual property rights or defend ourselves against oppositions or other proceedings regarding our registered or applied-for intellectual property could be costly, divert attention of management and may not ultimately be resolved in our favor.

GRAPHIC

29 We attempt to protect our intellectual property and proprietary information by (i) implementing industry-standard administrative, technical and physical practices, including source code access controls, to secure our proprietary information, and (ii) requiring all of our employees and consultants and certain of our contractors to execute confidentiality and invention assignment agreements. However, we may not be able to obtain these agreements in all circumstances. Furthermore, we cannot guarantee that all employees, consultants and contractors will comply with the terms of these agreements, or that the agreements will effectively protect our proprietary information or protect our ownership of our intellectual property rights. Accordingly, we may not be able to prevent the unauthorized disclosure or use of our technical know-how or other trade secrets by the parties to these agreements despite the existence generally of confidentiality agreements, access controls, industry standard practices and other contractual restrictions. Monitoring unauthorized uses and disclosures is difficult and costly, and we do not know whether the steps we have taken to protect our proprietary technologies and information will be effective. In addition, courts outside the United States are sometimes less willing to protect trade secrets, know-how and other proprietary information. We also may be forced to bring claims against third parties, or defend claims that they may bring against us, to determine the ownership of what we regard as our intellectual property. Further, our commercial success depends on our ability to develop and commercialize our products and services and use our technology without infringing, misappropriating or otherwise violating the intellectual property or similar proprietary rights of third parties. Whether merited or not, we have faced, and may in the future face, claims of infringement, misappropriation or other violation of third-party intellectual property or similar proprietary rights that could interfere with our ability to market and promote our brands, products and services. This could include claims that the content made available through our products and services violates individuals’ (including athletes’) rights of publicity or privacy or utilizes without authorization, infringes upon, dilutes or otherwise violates third-party trademarks or brand names. Any litigation to defend ourselves against claims of infringement, misappropriation or other violation of third-party intellectual property or similar proprietary rights could be costly, divert attention of management and may not ultimately be resolved in our favor. Moreover, failure to successfully settle or defend against claims that we have infringed, misappropriated or otherwise violated the intellectual property or similar proprietary rights of others may require us to stop using certain intellectual property or commercializing certain products and services, obtain licenses, modify our services and technology while we develop non-infringing substitutes, incur substantial damages or settlement costs, or face a temporary or permanent injunction prohibiting us from marketing or providing the affected products and services. If we require a third-party license, it may not be available on reasonable terms or at all, and we may have to pay substantial royalties and upfront or ongoing fees. Such licenses may also be non-exclusive, which could allow competitors and other parties to use the subject technology in competition with us. We may also have to redesign our services and technologies so they do not infringe, misappropriate or otherwise violate third-party intellectual property or similar proprietary rights, which may not be possible or may require substantial monetary expenditures and time, during which our technology may not be available for commercialization or use. Any of the foregoing could materially adversely affect our business, financial condition and results of operations. We employ individuals who were previously employed at other companies in our field, including our competitors or potential competitors. Although we try to ensure that our employees, independent contractors and consultants do not use the proprietary information or know-how of others in their work for us, we may be subject to claims that we or our employees, consultants or independent contractors have inadvertently or otherwise used or disclosed intellectual property, including trade secrets or other proprietary information, of a former employer or other third parties. Litigation may be necessary to defend against these claims. If we are unsuccessful in defending any such claims, we may be liable for damages, and we may also be prevented from using certain intellectual property, which in turn could materially adversely affect our business, financial condition or results of operations. Even if we are successful in defending against such claims, litigation could result in substantial costs and be a distraction to management and other employees. Any of the foregoing may have a material adverse effect on our business, financial condition and results of operations.

GRAPHIC

30 If we are not able to maintain, enhance and protect our reputation and brand recognition, including through the maintenance and protection of trademarks, our business will be harmed. We believe that maintaining and enhancing our reputation and brand recognition is critical to our relationships with our partners and customers and to our ability to attract new partners and customers. The promotion of our brand may require us to make substantial investments and we anticipate that, as our market becomes increasingly competitive, these marketing initiatives may become increasingly difficult and expensive. If we fail to adequately protect or enforce our rights under trademarks that are important to our business, we may lose the ability to use those trademarks or to prevent others from using them, which could adversely harm our reputation and our business. It is possible that others may assert senior rights to similar trademarks, in the United States and internationally, and seek to prevent our use and registration of our trademarks in certain jurisdictions. Our pending trademark applications from time to time may not result in such trademarks being registered, and we may not be able to use these trademarks to commercialize our products and services in the relevant jurisdictions. Our registered or unregistered trademarks may be challenged, infringed, circumvented, diluted, declared generic, lapsed or determined to be infringing on or dilutive of other marks. We may not be able to protect our rights in these trademarks, which we need in order to build name recognition with partners and customers. If we are unable to adequately protect our trademarks or to establish name recognition based on our trademarks, our ability to build brand identity could be impeded and possibly lead to market confusion, we may not be able to compete effectively, and our business, financial condition and results of operations may be adversely affected. Our use of “open-source” software could adversely affect our ability to offer our products and services and subject us to possible litigation. We use open-source software in connection with our proprietary software and expect to continue to use open-source software in the future. Use and distribution of open-source software may entail greater risks than use of other third-party commercial software, as licensors of open-source software generally do not provide support, warranties, indemnification or other contractual protections regarding infringement claims or the quality of the licensed code. Some open-source licenses may require licensees that incorporate open-source code into their proprietary software, or that distribute their proprietary software with or link their proprietary software to open-source code, to publicly disclose their proprietary source code, or may prohibit the licensees from charging a fee to other parties for use of such software. In addition, the public availability of open-source software may make it easier for others to compromise or reproduce our services or product offerings. While we try to insulate our proprietary code from the effects of such open-source license provisions, we cannot guarantee we will be successful. Accordingly, we may face claims from others claiming ownership of software, or seeking to enforce open-source license terms with respect to our software, including by demanding release of our proprietary source code that was developed or distributed with or linked to such software. Any such release could allow our competitors to create similar technologies with less development effort and in less time and could lead to a loss of sales of our products and services. These claims could also result in litigation, require us to purchase a costly license or require us to devote additional research and development resources to change our software, any of which would have a negative effect on our business or results of operations. In addition, if the license terms for the open-source code change, we may be forced to re-engineer our software or incur additional costs. The use of certain open-source software can also lead to greater risks than the use of third-party commercial software, as open-source licensors generally do not provide warranties or controls on the origin of software which, thus, may contain security vulnerabilities or infringing or broken code. Any of the foregoing may have a material adverse effect on our business, financial condition and results of operations.

GRAPHIC

31 Our ability to commercialize our technology and products is subject, in part, to the terms and conditions of licenses granted to us by others. We are reliant upon licenses to certain data and other intellectual property rights that are important to our products and services. Such licenses are generally non-exclusive, and may not provide us with sufficient rights to use such data and other intellectual property rights, including in all territories in which we may wish to commercialize our products and services. As a result, we may not be able to prevent competitors or parties from commercializing competitive products and services. In spite of our best efforts, our licensors might conclude that we have materially breached our license agreements and might therefore terminate the license agreements, thereby removing our ability to commercialize our products and services covered by these license agreements. Even if these agreements are not terminated, upon their expiration, we may be required to re-negotiate or renew these agreements with our licensors, or enter into new agreements with other rights holders, in order to commercialize our products and services. There is significant competition for such licenses, and we cannot guarantee that we will be able to renew our licenses. Furthermore, as rights holders develop their own offerings, they may be unwilling to provide us with access to certain data or content, such as data and content for popular or highly anticipated game broadcasts or series. If our licensors and other rights holders are not willing or able to license us data, content or other materials upon terms acceptable to us (or at all), our ability to commercialize our products and services may be impaired or our costs could increase. In addition, we may seek to obtain additional licenses from our licensors and, in order to obtain such licenses, we may have to agree to amend our existing licenses in a manner that may be more favorable to the licensors. Any of the foregoing could materially adversely affect our business, financial condition and results of operations. We could be subject to changes in tax laws or their interpretations or additional taxes in or out of the United States and Switzerland, or could otherwise have exposure to additional tax liabilities, which could reduce our profitability. We are subject to tax laws in each jurisdiction where we do business. Changes in tax laws or their interpretations could decrease the amount of revenue we receive, the value of any tax loss carry-forwards and tax credits recorded on our balance sheet and the amount of our cash flow, and adversely affect our business, financial condition or results of operations. In addition, other factors or events, including business combinations and investment transactions, changes in the valuation of our deferred tax assets and liabilities, adjustments to taxes upon finalization of various tax returns or as a result of deficiencies asserted by taxing authorities, increases in expenses not deductible for tax purposes, changes in available tax credits, changes in transfer pricing methodologies, other changes in the apportionment of our income and other activities among tax jurisdictions, and changes in tax rates, could also increase our future effective tax rate. Our tax filings are subject to review or audit by the U.S. Internal Revenue Service (the “IRS”) and state, local and non-U.S. taxing authorities. We exercise judgment in determining our worldwide provision for taxes and, in the ordinary course of our business, there may be transactions and calculations where the proper tax treatment is uncertain. We may also be liable for taxes in connection with businesses we acquire. Our determinations are not binding on the IRS or any other taxing authorities, and accordingly the final determination in an audit or other proceeding may be materially different than the treatment reflected in our tax provisions, accruals and returns. An assessment of additional taxes because of an audit could have a material adverse effect on our business, financial condition, results of operations and cash flows. Due to the Swiss corporate tax law reform that took effect on January 1, 2020, all Swiss cantons, including the Canton of St. Gallen, have abolished the cantonal tax privileges. Therefore, since January 1, 2020, we are subject to standard cantonal taxation. The standard corporate tax rate in St. Gallen, Canton of St. Gallen, can change from time to time. Further, the available tax loss carryforward could be limited in case an entity changes from a preferential to the ordinary tax regime. Further changes in the tax laws of non-U.S. jurisdictions could arise. For example, in 2021 the Organization for Economic Co-operation and Development (“OECD”) introduced a new inclusive framework on Base Erosion and Profit Shifting (BEPS 2.0) that contains a two-pillar solution to address the tax challenges arising from the digitalization of the economy. These changes are now being progressively implemented by tax authorities around the world and represent a fundamental change to the international tax framework. Pillar One provides for a new nexus and profit sharing. Pillar Two provides for a global minimum level of taxation (15%) that establishes a floor for tax competition amongst jurisdictions.

GRAPHIC

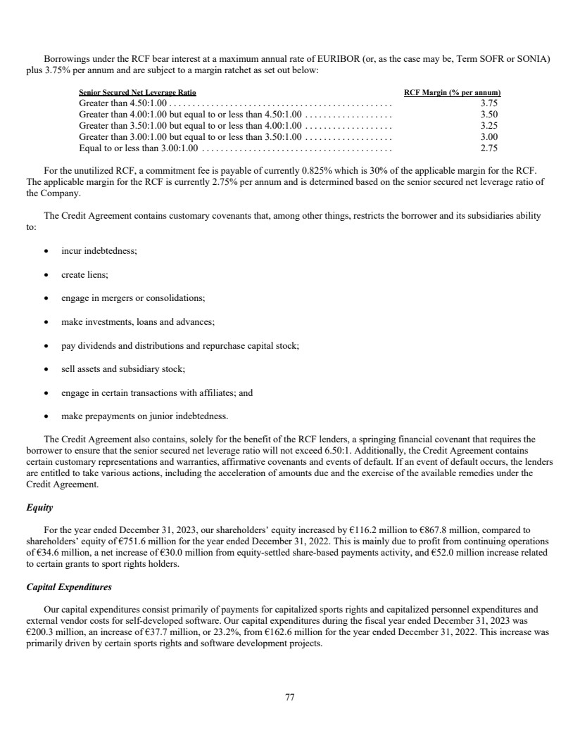
32 On December 22, 2023, the Swiss Federal Council issued an Ordinance that Switzerland will introduce global minimum level of taxation in line with Pillar Two in a gradual approach. As of January 1, 2024, a national top-up tax, in line with the OECD framework for the Qualified Domestic Minimum Top-up Tax, will be levied on profits of corporations and permanent establishments in Switzerland, which are effectively taxed below 15%. This national top-up tax will be broadly aligned with the OECD Model Rules. Only corporations and permanent establishments of multinational groups with consecutive revenues of more than €750 million in the preceding three fiscal years will initially be in scope. The international top-up tax, based on the Income Inclusion Rule and the Undertaxed Payments Rule, which would be levied on the on the profits of subsidiaries (corporations, permanent establishments) outside Switzerland without an effective tax rate of at least 15%, will be introduced at a later stage, depending on international developments. As a result of these developments, the tax laws of certain countries in which we do business could change on a prospective or retroactive basis, and any such changes, including the adoption of the global minimum tax rules, or other major developments in tax policy in any our jurisdictions could have a material adverse effect on our aggregate tax liability and effective tax rate in the future, as well as our growth opportunities, business and results of operations. Anti-corruption, anti-bribery, economic sanctions and export controls, anti-money laundering and similar laws of the U.S. and various international jurisdictions could negatively impact our reputation and results of operations. Doing business on a worldwide basis requires us to comply with anti-corruption laws and regulations imposed by governments around the world with jurisdiction over our operations, which may include the U.S. Foreign Corrupt Practices Act (“FCPA”), the U.K. Bribery Act 2010 (“U.K. Bribery Act”), as well as the laws of the other countries and territories where we do business. The FCPA, the U.K. Bribery Act, and other applicable laws prohibit us and our officers, directors, employees and business partners acting on our behalf, including agents and representatives, from corruptly offering, promising, authorizing or providing anything of value to “foreign officials” for the purposes of influencing their decision making or obtaining or retaining business or otherwise obtaining favorable treatment. The U.K. Bribery Act also prohibits non-governmental “commercial” bribery and accepting bribes. We are subject to the jurisdiction of various governments and regulatory agencies around the world, which may bring our personnel and representatives into contact with “foreign officials,” including those responsible for issuing or renewing permits, licenses or approvals or for enforcing other governmental regulations. In addition, some of the international locations in which we operate lack a developed legal system and have elevated levels of corruption; accordingly, it is necessary that we have proper controls in place to ensure proper conduct is maintained even in jurisdictions with less developed regulatory frameworks. Our business must be conducted in compliance with applicable anti-money laundering (“AML”), counter-terrorism financing (“CTF”), economic and trade sanctions laws and regulations, such as those administered and enforced by the U.S. Department of Treasury’s Office of Foreign Assets Control, the U.S. Department of State, the U.S. Department of Commerce, the United Nations Security Council, the Swiss State Secretariat For Economic Affairs (“SECO”), the European Union, Member States, and HM’s Treasury of the United Kingdom, and other relevant sanctions authorities. Changes in these laws or regulations, or shifts in the approach to their enforcement, could impact our ability to deliver products and/or services to existing or potential customers. In particular, sanctions imposed by the U.S, EU, U.K. and other jurisdictions in response to Russian activities in Ukraine, and any counter-sanctions enacted in response, could restrict our ability to operate, generate or collect revenue in certain countries, such as Russia, Belarus and specific regions of Ukraine, which could adversely affect our business. Our international operations expose us to the risk of violating, or being accused of violating, anti-corruption, AML, CTF, economic sanctions and export control laws and regulations. Our failure to successfully comply with these laws and regulations may expose us to reputational harm, as well as significant sanctions, including criminal fines, imprisonment, civil penalties, disgorgement of profits, injunctions and debarment from government contracts, as well as other remedial measures. Investigations of alleged violations can be expensive and disruptive. We have policies and procedures designed to comply with applicable anti-corruption, economic sanctions and export control laws and regulations. However, there can be no guarantee that our policies and procedures will effectively prevent violations by our employees or business partners acting on our behalf, for which we may be held responsible, and any such violation could adversely affect our reputation, business, financial condition and results of operations.

GRAPHIC

33 Financial and Capital Risks We have identified a material weakness in our internal control over financial reporting which could, if not remediated, result in a material misstatement in our financial statements and our ability to timely and accurately report our financial condition and results of operations or comply with applicable laws and regulations could be impaired, which could materially and adversely affect investor confidence in us and, as a result, the value of our ordinary shares. As a public company, we are required to maintain, evaluate and report the effectiveness of our internal control over financial reporting. As disclosed in our Annual Report on Form 20-F as of December 31, 2022, we identified a material weakness in our internal control over financial reporting relating to insufficient design and implementation of controls and segregation of duties. A material weakness is a deficiency, or a combination of deficiencies, in internal controls over financial reporting, such that there is a reasonable possibility that a material misstatement in our annual or interim consolidated financial statements will not be prevented or detected on a timely basis. Although we believe we have made significant progress to strengthen our internal control over financial reporting, as of December 31, 2023, we did not conclude that our entity level and business process controls were operating effectively and, therefore, we were not able to determine that the material weakness identified as of December 31, 2022 was fully remediated. Based on our assessment of the design deficiencies noted in the period and the additional time required by management to remediate and implement controls, we determined that deficiencies in the control environment, risk assessment, control activities, information and communication and monitoring components of the COSO Framework (as defined in Item 15 of this Annual Report) exist. These deficiencies constitute material weaknesses, either individually or in the aggregate, are pervasive in nature and impact all significant accounts and disclosures. Such material weaknesses will not be considered fully remediated until the remediated controls operate for a sufficient period of time and management has concluded, through testing, that these controls are operating effectively. The Company is working diligently to have the material weakness remediated as soon as possible however there is no assurance that the remediation will be fully effective. If these remediation efforts do not prove effective and control deficiencies and material weaknesses persist or occur in the future, the accuracy and timing of the Company’s financial reporting may be materially and adversely affected. As such, management has identified a material weakness in our internal control over financial reporting pursuant to Section 404(a) of the Sarbanes-Oxley Act of 2002 (the “Sarbanes-Oxley Act”). We are also required to disclose material changes made in our internal control over financial reporting. There is also no assurance that we have identified all material weaknesses or that we will not in the future have additional material weaknesses. If during the evaluation and testing process in 2024 we identify additional material weaknesses in our internal control over financial reporting, or determine that existing material weaknesses have not been remediated, our management will be unable to assert that our internal control over financial reporting is effective and additional remediation efforts and associated costs will be required. Even if our management concludes that our internal control over financial reporting is effective, our independent registered public accounting firm may conclude that there are material weaknesses with respect to our internal control over financial reporting. If we fail to remediate the material weakness or to meet the demands that will be placed upon us as a public company, including the requirements of the Sarbanes-Oxley Act, investors may lose confidence in the accuracy and completeness of our financial reports, the market price of our ordinary shares could be adversely affected and we could become subject to litigation or investigations by our stock exchange, the SEC, or other regulatory authorities, which could require additional financial and management resources.

GRAPHIC

34 Our operating results and operating metrics are subject to seasonality and volatility, which could result in fluctuations in our quarterly revenue and operating results or in perceptions of our business prospects. We have experienced, and expect to continue to experience, some degree of seasonal fluctuations in our revenue, which can vary by region. The broad geographical mix of our customer base also impacts the effect of seasonality as customers in different territories will place differing importance on different sporting competitions, which often have different seasonal calendars. As such, our revenue has historically been strongest during the quarter when most playoffs and championship games occur and has historically seen decreased or stalled growth rates during off-seasons. Our revenue may also be affected by the scheduling of major sporting events that do not occur annually, or the cancellation or postponement of sporting events and races either due to athlete strikes, geopolitical and similar events, terrorism or other events. We also may experience volatility in certain other metrics, such as revenue sharing arrangements. Volatility in our key operating metrics or rates of growth could result in fluctuations in our financial condition or results of operations, make forecasting our future business results and needs more difficult, adversely affect our ability to manage working capital and may lead to adverse inferences about our prospects, which could result in declines in our share price. We may not be able to generate sufficient revenue to maintain profitability or to generate positive cash flow on a sustained basis, and our revenue growth rate may decline. We may experience losses after tax in the future, and we cannot assure you that we will generate sufficient revenue to offset the cost of maintaining our platform and maintaining and growing our business. An investor should not consider our historical revenue growth or operating expenses as indicative of our future performance. Reduced demand, whether due to a weakening of the global economy, reduction in consumer spending, competition or other reasons, may result in decreased revenue and growth, adversely affecting our operating results. If our revenue growth rate declines or our operating expenses exceed our expectations, our financial performance will be adversely affected. Additionally, we also expect our costs to increase in future periods, which could negatively affect our future operating results and ability to achieve and sustain profitability. We expect to continue to invest substantial financial and other resources on technology development, marketing and human capital. These investments may not result in increased revenue or growth in our business. If we cannot successfully generate revenue at a rate that exceeds the costs associated with our business, we will not be able to achieve profitability and our revenue growth rate may decline. Even with sustained or increasing revenue growth rates, we may not be able to maintain profitability or generate positive cash flow on a continuous basis, if our costs grow in tandem. If we fail to continue to grow our revenue and overall business, our business, financial condition or results of operations could be materially or adversely affected. Acquisitions create certain risks and may adversely affect our business, financial condition or results of operations. A key element of our business strategy is to complement our organic growth with acquisitions. We routinely explore acquiring other businesses and assets, and we have acquired businesses in the past and may continue to make acquisitions of businesses or assets in the future. We may also undertake strategic divestitures in the future. However, we may be unable to identify or complete promising acquisitions or divestitures for many reasons, including any misjudgment of the key elements of a transaction, competition among buyers, the high valuations of businesses in our industry, the need for regulatory and other approvals, lack of internal resources to actively pursue all attractive opportunities and availability of capital. The time and resources expended on transaction opportunities may not yield proportional results.

GRAPHIC

35 When we do identify potential acquisition targets, the acquisition and integration of businesses or assets involves a number of risks. These risks include valuation (determining a fair price for the business or assets), structuring (including, when necessary, carving out the target entity from the seller), integration (managing the process of integrating the acquired business’ people, products, technology and other assets to extract the value and synergies projected to be realized in connection with the acquisition), talent retention (retaining management or other talent with the knowledge and skills necessary to continue to operate the acquired business), regulation (obtaining regulatory or other government approvals, including antitrust approvals, that may be necessary to complete the acquisition and integrate thereafter) and due diligence (including identifying risks to the prospects of the business, including indemnity and other contractual obligations and undisclosed or unknown liabilities or restrictions to be assumed in the acquisition). In addition, a significant portion of the purchase price of companies we acquire may be allocated to acquired goodwill and other intangible assets. We are required to test goodwill and intangible assets with an indefinite life for possible impairment on an annual basis, or more frequently when circumstances indicate that impairment may have occurred. We are also required to evaluate amortizable intangible assets and fixed assets for impairment if there are indicators of a possible impairment. In the future, if our acquisitions do not yield expected returns, we may be required to recognize impairment charges, which could adversely affect our results of operations. In addition, to the extent we pursue acquisition of foreign businesses and assets, these potential acquisitions often involve additional or increased risks, including: • managing geographically separated organizations, systems and facilities; • integrating personnel with diverse business backgrounds and organizational cultures; • complying with additional regulatory and other legal requirements, including the requirement to maintain or transfer licenses and authorizations following a change of control in the acquired business or obtain new licenses or authorizations; • addressing financial and other impacts to our business resulting from fluctuations in currency exchange rates, inflation and unit economics across multiple jurisdictions; • obtaining, maintaining, protecting and enforcing intellectual property rights internationally; • difficulty entering new international markets due to, among other things, customer acceptance and business knowledge of these markets; and • general economic and political conditions. In addition, our ability to realize the benefits we anticipate from our acquisition activities, including any anticipated sales growth, cost synergies and other anticipated benefits, will depend in large part upon whether we are able to identify and integrate key employees of the acquired companies and integrate such businesses efficiently and effectively. Integration is an ongoing process, and we may not be able to fully integrate such businesses smoothly or successfully, and the process may take longer than expected. Further, the integration of certain operations and the differences in operational culture following such activity will continue to require the dedication of significant management resources, which may distract management’s attention from day-to-day business operations. There may also be unasserted claims or assessments that we failed or were unable to discover or identify in the course of performing due diligence investigations of target businesses. If we are unable to successfully integrate the operations of acquired businesses into our business, we may be unable to realize the sales growth, cost synergies and other anticipated benefits of such transactions, and our business, financial condition or results of operations could be adversely affected. Any current or future joint ventures or minority investments will be subject to certain risks inherent in these investments. While we endeavor to mitigate joint venture and minority investment risks through legally enforceable partnership agreements and other instruments, our minority status may expose us to risks beyond our control and unique to investments in joint ventures and minority investments, including: • potential disagreements with our partner about how to manage the business;

GRAPHIC

36 • the lack of full control of the venture’s management, and therefore its actions; • the possibility that our partner might have or develop business interests or strategies that are contrary to ours; • the potential need for us to fund future capital to the business, as loans to the business, as capital contributions to the joint venture, or otherwise; • the possible financial distress or insolvency of our partner, which could lead to us having to contribute the partner’s share of additional capital to the business; • the cost of litigation or arbitration (including damage to reputation) in the event of a dispute with our partner; • negative business and financial performance of the business because of substantial disagreements with our partner; and • preemptive dissolution of the business because we or our partner choose, or become obligated, to acquire the equity interests of the other in the business. We may not be able to secure financing in a timely manner, or at all, to meet our long-term future capital needs, which could impair our ability to execute our business plan. We believe that our existing cash, available borrowing under our credit facilities and expected cash flow from operations, will be sufficient to meet our operating and capital requirements for at least the next 12 months. Although we have generated positive Adjusted EBITDA, we may require additional capital to respond to future business opportunities, including increasing the number of customers acquired, new league deals, challenges, acquisitions or unforeseen circumstances and may determine to engage in equity or debt financings for other reasons. Our ability to obtain additional capital, if and when required, will depend on our business plans, investor demand, our operating performance, markets conditions, our credit rating and other factors. Any indebtedness increases the risk that we may be unable to generate cash sufficient to pay amounts due in respect of our indebtedness. It could also have effects on our business. For example, it could: • limit our ability to pay distributions and repurchase capital stock; • increase our vulnerability to general adverse economic and industry conditions; • require us to dedicate a material portion of our cash flow from operations to make payments on our indebtedness, thereby reducing the availability of our cash flow for working capital, capital expenditures and other general corporate purposes; • limit our flexibility in planning for, or reacting to, changes in our business and industry; and • limit our ability to incur additional indebtedness.

GRAPHIC

37 The credit agreement our subsidiary Sportradar Management Ltd entered into with certain creditors in November 2020 (as amended from time to time, the “Credit Agreement”) contains, and any agreements evidencing or governing other future indebtedness may contain, certain restrictive covenants that will limit our ability to engage in certain activities that are in our long-term best interest. For example, the Credit Agreement limits our ability to incur additional indebtedness and for the associated multicurrency senior secured revolving credit facility (the “RCF”), requires us to meet certain financial conditions. We have not previously breached and are not in breach of any of the covenants under the Credit Agreement; however our failure to comply with covenants in the Credit Agreement or in agreements governing any future indebtedness could result in an event of default which, if not cured or waived, could result in the acceleration of all of our indebtedness. During 2022, we prepaid an aggregate amount of €420.0 million of the outstanding Facility B commitments under the Credit Agreement, thereby reducing the outstanding Facility B commitments to zero. As of December 31, 2023, we had no commitments outstanding under the Facility B and no commitments outstanding under the RCF (which was increased from €110.0 million to €220.0 million of commitments in December 2022). We cannot assure you that our business will generate sufficient cash flow from operations or that future borrowings will be available to us in an amount sufficient to enable us to pay indebtedness or to fund our other liquidity needs. We may not be able to secure additional debt or equity financing in a timely manner, or at all, which could require us to scale back our future business plan and operations. We have and could continue to be required to record impairment charges to our intangible assets. We have substantial intangible assets, in the form of license rights with sports leagues, recorded on our consolidated statements of financial position. As of December 31, 2023 and December 31, 2022, we had €1,697.3 million and €843.6 million of intangible assets and goodwill on our consolidated statements of financial position, respectively, of which €1,231.2 million and €372.9 million, respectively, were related specifically to sport league license rights. In 2023, the Company recorded impairment charges to goodwill and intangible assets in the total amount of €9.9 million. The impairment charges were related to the impact of changes related to our business strategy. None of these assets were impaired during the years ended December 31, 2022 or 2021. In the future, if we make changes in our business strategy or if market or other conditions continue to adversely affect our business operations, we may be forced to record additional impairment charges related to these intangible assets, which would adversely impact our results of operations. Circumstances could also arise whereby certain new license agreements could result in a future impairment charge either immediately from commencement of the license term, if not supported by direct and indirect revenue at the date of execution, or during the course of the arrangement. Impairment testing inherently involves assumptions about discounted estimated cash flows generated from the continuing use and ultimate disposal of these intangible assets. Future events and changes in market conditions, underlying business operations, competition or technologies may impact our assumptions as to prices, costs, holding periods, or other factors that may result in changes in our estimates of future cash flows. Although we believe the assumptions we used in testing for impairment are reasonable, we will continue to evaluate the recoverability of the carrying amount of our cash generating units and intangible assets on an ongoing basis, and significant changes in any one of our assumptions, either in isolation or in combination with a change in another assumption, could produce a significantly different result. In such a circumstance, we may incur additional substantial impairment charges, which would adversely affect our financial results. Risks Related to Ownership of our Class A Ordinary Shares The dual class structure of our ordinary shares has the effect of concentrating voting power with our Founder, which will limit a shareholder’s ability to influence the outcome of important transactions, including a change in control. As the nominal value of Class B ordinary shares is ten times lower than the nominal value of Class A ordinary shares, Class B ordinary shareholders have more voting power with the same amount of capital invested as Class A shareholders on all matters presented to our shareholders for their vote or approval, except for (i) the matters set forth in article 693 para. 3 of the Swiss Code of Obligations (the “Swiss CO”) (e.g., election of the independent auditor; appointment of experts to audit the company’s business management or parts thereof; any resolution concerning the instigation of a special audit and any resolution concerning the initiation of a liability action) and (ii) selected important matters under Swiss law that require an absolute majority of the nominal value of shares represented.

GRAPHIC

38 As of December 31, 2023, our Founder, Carsten Koerl, holds all of the issued and outstanding shares of our Class B ordinary shares, which, together with his outstanding Class A ordinary shares, constitutes 81.6% of the total voting power of our outstanding share capital. Accordingly, our Founder is able to significantly influence matters submitted to our shareholders for approval, including the election of directors, amendments of our organizational documents and any merger, consolidation, sale of all or substantially all of our assets or other major corporate transactions. Our Founder may have interests that differ from a holder of shares and may vote in a way which may be adverse to the interests of other shareholders. This concentrated control may have the effect of delaying, preventing or deterring a change in control of our company, could deprive our shareholders of an opportunity to receive a premium for their share capital as part of a sale of our company and might ultimately affect the market price of our Class A ordinary shares. In addition, our Articles of Association (“Articles”) contain provisions stating that if an individual or legal entity acquires Class A ordinary shares and, as a result, directly or indirectly, has voting rights with respect to more than 10% of the share capital registered in the Commercial Register, the Class A ordinary shares exceeding the limit of 10% shall be entered in the share register as shares without voting rights. However, any shareholders holding more than 10% of the share capital prior to the registration with the Commercial Register of our Articles will remain registered with voting rights for such shares. This may, in certain instances, allow our existing shareholders to exercise more influence over us than our other shareholders despite holding the same amount of Class A ordinary shares. Future transfers by the holder(s) of Class B ordinary shares will result in those shares converting into 90,367,070 shares of Class A ordinary shares. In addition, each ten shares of Class B ordinary shares will convert automatically into one Class A ordinary share upon: • death of the Founder; • dismissal of the Founder as Chief Executive Officer for good cause, being any dismissal and/or replacement of the Chief Executive Officer pursuant to article 340c para. 2 of the Swiss CO; • September 30, 2028; or • the holder of Class B ordinary shares ceases to hold, directly or indirectly, shares with an aggregate nominal value representing 15% or more of the aggregate nominal value of the total issued and outstanding share capital of the Company, from time to time. Optional and mandatory conversions of our Class B ordinary shares may be dilutive to holders of our Class A ordinary shares and we cannot predict the impact our dual class structure may have on the price of our Class A ordinary shares. Our Articles provide for two classes of ordinary shares, Class A ordinary shares and Class B ordinary shares. Each ten shares of Class B ordinary shares are convertible at any time at the option of the holder into one share of Class A ordinary shares. Shares of Class B ordinary shares convert into shares of Class A ordinary shares upon certain mandatory conversion events, including (i) death of the Founder; (ii) dismissal of the Founder as Chief Executive Officer for good cause, being any dismissal and/or replacement of the Chief Executive Officer pursuant to article 340c para. 2 of the Swiss CO; (iii) the occurrence of September 30, 2028; or (iv) if the holder of Class B ordinary shares ceases to hold, directly or indirectly, shares with an aggregate nominal value representing 15% or more of the aggregate nominal value of the total issued and outstanding share capital of the Company, from time to time.Such optional and mandatory conversions of our Class B ordinary shares may be dilutive to the holders of our Class A ordinary shares and may lead to an increase in the number of shares of Class A ordinary shares eligible for resale in the public market. Substantial dilution and/or a substantial increase in the number of shares of Class A ordinary shares available for future resale may adversely affect prevailing market prices for our Class A ordinary shares. Further, we cannot predict whether our dual class structure results in a lower or more volatile market price of our Class A ordinary shares or in adverse publicity or other adverse consequences. For example, certain index providers have announced restrictions on including companies with multiple-class share structures in certain of their indexes and under the announced policies, our dual class capital structure would make us ineligible for inclusion in certain indices, and as a result, mutual funds, exchange-traded funds and other investment vehicles that attempt to passively track those indices will be precluded from investing in our shares. It is possible that these policies may make our Class A ordinary shares less attractive to other investors and depress the market price of our Class A ordinary shares compared to that of other similar companies that are included in such indices.

GRAPHIC

39 We are a foreign private issuer and, as a result, we are not subject to U.S. proxy rules and are subject to Exchange Act reporting obligations that, to some extent, are more lenient and less frequent than those of a U.S. domestic public company. Also, we are permitted to follow certain home country corporate governance practices and as a result our shareholders may not have the same protections afforded to shareholders of companies that are subject to all corporate governance requirements applicable to U.S. domestic public companies. Because we qualify as a foreign private issuer under the Exchange Act, we are exempt from certain provisions of the Exchange Act that are applicable to U.S. domestic public companies, including (i) the sections of the Exchange Act regulating the solicitation of proxies, consents or authorizations in respect of a security registered under the Exchange Act, (ii) the sections of the Exchange Act requiring insiders to file public reports of their share ownership and trading activities and liability for insiders who profit from trades made in a short period of time and (iii) the rules under the Exchange Act requiring the filing with the SEC of quarterly reports on Form 10-Q containing unaudited interim condensed consolidated financial statements and other specified information. In addition, foreign private issuers are not required to file their annual report on Form 20-F until 120 days after the end of each fiscal year, while U.S. domestic issuers that are large accelerated filers are required to file their annual report on Form 10-K within 60 days after the end of each fiscal year. Foreign private issuers are also exempt from Regulation FD, which is intended to prevent issuers from making selective disclosures of material information. As a result of all of the above, an investor may not have the same protections afforded to shareholders of a company that is not a foreign private issuer. In addition, as a foreign private issuer, we have the option to follow certain home country corporate governance practices rather than those of The Nasdaq Stock Market (“Nasdaq”), provided that we disclose the requirements we are not following and describe the home country practices we are following. We rely on this “foreign private issuer exemption” with respect to certain Nasdaq rules. We may in the future elect to follow home country practices with regard to other matters to the extent permitted. Following our “home country” governance practices may provide less protection than is accorded to investors under the Nasdaq rules applicable to U.S. domestic issuers. As a result, our shareholders may not have the same protections afforded to shareholders of companies that are subject to all Nasdaq corporate governance requirements. See Item 16G. “Corporate Governance.” We may lose our foreign private issuer status in the future, which could result in significant additional costs and expenses. As discussed above, we are a foreign private issuer, and therefore, we are not required to comply with all of the periodic disclosure and current reporting requirements of the Exchange Act. The determination of foreign private issuer status is made annually on the last business day of an issuer’s most recently completed second fiscal quarter, and, accordingly, the next determination will be made with respect to us on June 30, 2024. In the future, we would lose our foreign private issuer status if (i) more than 50% of our outstanding voting securities are owned by U.S. residents and (ii) a majority of our directors or executive officers are U.S. citizens or residents, or we fail to meet additional requirements necessary to avoid loss of foreign private issuer status. If we lose our foreign private issuer status, we will be required to file with the SEC periodic reports and registration statements on U.S. domestic issuer forms, which are more detailed and extensive than the forms available to a foreign private issuer. We will also have to comply with U.S. federal proxy requirements, and our officers, directors and principal shareholders will become subject to the short-swing profit disclosure and recovery provisions of Section 16 of the Exchange Act. In addition, we will lose our ability to rely upon exemptions from certain corporate governance requirements under the listing rules of Nasdaq. As a U.S. listed public company that is not a foreign private issuer, we will incur significant additional legal, accounting and other expenses that we will not incur as a foreign private issuer, and accounting, reporting and other expenses in order to maintain a listing on a U.S. securities exchange. These expenses will relate to, among other things, the obligation to present our financial information in accordance with U.S. GAAP in the future. A significant portion of our total issued and outstanding Class A ordinary shares are eligible to be sold into the market, which could cause the market price of our Class A ordinary shares to drop significantly, even if our business is doing well. Sales of a substantial number of our Class A ordinary shares in the public market, or the perception in the market that the holders of a large number of Class A ordinary shares intend to sell, could reduce the market price of our Class A ordinary shares. The Class A ordinary shares sold in our initial public offering or issuable pursuant to the equity awards we grant are freely tradable without restriction under the Securities Act, except for any of our Class A ordinary shares that may be held or acquired by our directors, executive officers and other affiliates, as that term is defined in the Securities Act. Restricted securities may not be sold in the public market unless the sale is registered under the Securities Act or an exemption from registration is available.

GRAPHIC

40 In the future, we may also issue additional securities if we need to raise capital or make acquisitions, which could constitute a material portion of our then-issued and outstanding Class A ordinary shares. Under Swiss law, shareholders have pre-emptive rights or advance subscription rights to subscribe on a pro rata basis for issuances of equity or other securities that are convertible into equity that can be withdrawn or limited in certain instances by a resolution passed at a general meeting of shareholders by two-thirds of the votes represented and the absolute majority of the nominal value of the shares represented that authorizes the board of directors to withdraw or limit the pre-emptive rights or advance subscription rights. However, due to the laws and regulations in certain jurisdictions, shareholders in certain jurisdictions may not be able to exercise such rights, unless the company registers or otherwise qualifies the rights offering, including by complying with prospectus requirements under the laws of that jurisdiction. There can be no assurance that we will take any action to register or otherwise qualify an offering of subscription rights or shares under the laws of any jurisdiction where the offering of such rights is restricted, other than the United States. If shareholders in such jurisdictions are unable to exercise their subscription rights, their ownership interest will be diluted. We may not pay dividends on our Class A ordinary shares in the future and, consequently, the ability to achieve a return on an investment will depend on the appreciation in the price of our Class A ordinary shares. We have never paid cash dividends and may not pay any cash dividends on our Class A ordinary shares in the foreseeable future. Under Swiss law, any dividend must be proposed by our board of directors and approved by a general meeting of shareholders. In addition, our independent auditor must confirm that the dividend proposal of our board of directors conforms to Swiss statutory law and our Articles. The amount of any future dividend payments we may make will also depend on, among other factors, our strategy, future earnings, financial condition, cash flow, working capital requirements, capital expenditures and applicable provisions of our Articles. In addition, our ability to pay dividends is, and may be, limited by covenants of existing and any future outstanding indebtedness we or our subsidiaries incur. Therefore, any return on investment in our Class A ordinary shares is solely dependent upon the appreciation of the price of our Class A ordinary shares on the open market, which may not occur. Anti-takeover provisions in our Articles may discourage or prevent a change of control, even if an acquisition would be beneficial to our shareholders, which could depress the price of our Class A ordinary shares and prevent attempts by our shareholders to replace or remove our current management. Our Articles contain provisions that may discourage unsolicited takeover proposals that shareholders may consider to be in their best interests. The provisions include the following: • allow our board of directors not to record any acquirer of ordinary shares, or several acquirers acting in concert, in our share register as a shareholder with voting rights with respect to more than 10% of our share capital registered in the Commercial Register; • restrict shareholders from exercising voting rights with respect to own or represented shares in excess of 10% of our share capital registered in the Commercial Register; and • require two-thirds of the votes represented at a general meeting of shareholders for amending or repealing the abovementioned registration and voting restrictions, and the provision for indemnification of the members of our board of directors and our executive management as set forth in our Articles. Taken together, these provisions may discourage transactions that otherwise could involve payment of a premium over prevailing market prices for our Class A ordinary shares. The implementation of the share capital increases may be challenged or blocked. As with all share capital increases in Switzerland, (i) a third party, such as shareholders or creditors, may (subject to satisfaction of certain requirements) at least temporarily block the registration of the capital increases in the Commercial Register by requesting the competent court to grant an ex parte preliminary injunction, in which we would not be entitled to appear, and (ii) a shareholder may challenge the underlying shareholders’ resolution within two months after such general meeting of shareholders and, therefore, prevent or delay the completion of any future share capital increases. In addition, the Commercial Register might be understaffed and may not review or record share capital increases within the anticipated timeframe. Accordingly, there can be no assurance that the implementation of any future share capital increases will not be delayed, challenged or blocked.

GRAPHIC

41 Certain protections of Swiss law that apply to Swiss domestic listed companies do not apply to us. Because our Class A ordinary shares are listed exclusively on Nasdaq and not in Switzerland, our shareholders do not benefit from the protection afforded by certain provisions of Swiss law that are designed to protect shareholders in the event of a public takeover offer or a change-of-control transaction. In particular, the rules of the Financial Market Infrastructure Act (FMIA) on disclosure of shareholdings and tender offer rules, including mandatory tender offer requirements and regulations of voluntary tender offers, which typically apply in relation to Swiss companies listed in Switzerland, do not apply to us as we are not listed in Switzerland. Furthermore, since Swiss law restricts our ability to implement rights plans or U.S.-style “poison pills,” our ability to resist an unsolicited takeover attempt or to protect minority shareholders in the event of a change of control transaction may be limited. Therefore, our shareholders may not be protected in the same degree in a public takeover offer or a change-of-control transaction as are shareholders in a Swiss company listed in Switzerland. The rights of our shareholders differ from the rights of shareholders in companies governed by the laws of U.S. jurisdictions and may, inter alia, limit our flexibility to raise capital, issue dividends and otherwise manage ongoing capital needs. Our corporate affairs are governed by our Articles and by the laws governing companies, including listed companies, incorporated in Switzerland. The rights of our shareholders and the responsibilities of members of our board of directors may be different from the rights and obligations of shareholders and directors of companies governed by the laws of U.S. jurisdictions. Specifically, Swiss law reserves for approval by shareholders certain corporate actions over which a board of directors would have authority in some other jurisdictions. For example, the payment of dividends and cancellation of treasury shares must be approved by shareholders. Swiss law also requires that our shareholders themselves resolve to, or authorize our board of directors to, increase our share capital. While our shareholders may authorize share capital that can be issued (or reduced) by our board of directors without additional shareholder approval, Swiss law limits this authorization to 50% of the issued share capital at the time of the authorization. Furthermore, such authorization under former Swiss law is limited for a duration of only up to five years and must be renewed by the shareholders from time to time thereafter in order to be available for raising capital. Additionally, subject to specified exceptions, including exceptions explicitly described in our Articles, Swiss law grants pre-emptive rights to existing shareholders to subscribe for new issuances of shares. Swiss law also does not provide as much flexibility in the various rights and regulations that can attach to different categories of shares as do the laws of some other jurisdictions. These Swiss law requirements relating to our capital management may limit our flexibility, and situations may arise where greater flexibility would have provided benefits to our shareholders. In addition, in the performance of its duties, our board of directors is required by Swiss law to consider the interests of our company, our shareholders, our employees and other stakeholders, in all cases with due observation of the principles of reasonableness and fairness. It is possible that some of these parties will have interests that are different from, or in addition to, shareholders’ interests. Swiss law limits the ability of our shareholders to challenge resolutions made or other actions taken by our board of directors in court. Our shareholders generally are not permitted to file a suit to reverse a decision or an action taken by our board of directors, but are instead only permitted to seek damages for breaches of fiduciary duty. As a matter of Swiss law, shareholder claims against a member of our board of directors for breach of fiduciary duty would have to be brought to the competent courts in Switzerland, or where the relevant member of our board of directors is domiciled. In addition, under Swiss law, any claims by our shareholders against us must be brought exclusively to the competent courts in Switzerland. There can be no assurance that Swiss law will not change in the future, which could adversely affect the rights of our shareholders, or that Swiss law will protect our shareholders in a similar fashion as under U.S. corporate law principles. There may be difficulties in enforcing foreign judgments against us, our directors or our management. Certain of our directors and management reside outside the United States. Most of our assets and such persons’ assets are located outside the United States. As a result, it may be difficult or impossible for investors to effect service of process upon us within the United States or other jurisdictions, including judgments predicated upon the civil liability provisions of the U.S. federal securities laws.

GRAPHIC

42 In particular, investors should be aware that there is uncertainty as to whether the courts of Switzerland or any other applicable jurisdictions would recognize and enforce judgments of U.S. courts obtained against us or our directors or our management predicated upon the civil liability provisions of the securities laws of the United States, or any state in the United States or entertain original actions brought in Switzerland or any other applicable jurisdictions’ courts against us, our directors or our management predicated upon the securities laws of the United States or any state in the United States. Sportradar Group AG is a holding company with no operations of its own and, as such, it depends on its subsidiaries for cash to fund its operations and expenses, including future dividend payments, if any. As a holding company, our principal source of cash flow will be distributions or payments from our operating subsidiaries. Therefore, our ability to fund and conduct our business, service our debt and pay dividends, if any, in the future will depend on the ability of our subsidiaries and intermediate holding companies to make upstream cash distributions or payments to us, which may be impacted, for example, by their ability to generate sufficient cash flow or limitations on the ability to repatriate funds whether as a result of currency liquidity restrictions, monetary or exchange controls or otherwise. Our operating subsidiaries and intermediate holding companies are separate legal entities, and although they are directly or indirectly wholly owned and controlled by us, they have no obligation to make any funds available to us, whether in the form of loans, dividends or otherwise. To the extent the ability of any of our subsidiaries to distribute dividends or other payments to us is limited in any way, our ability to fund and conduct our business, service our debt and pay dividends, if any, could be harmed. General Risk Factors From time to time, we have been and may in the future be subject to various legal proceedings and investigations, including class action litigation, and regulatory investigations and actions, which could result in settlements, judgments, fines or penalties that adversely affect our business, financial condition or results of operations. We have been, and may be in the future, subject to legal proceedings, which may include, but not limited to, purported class action litigation and regulatory investigations and actions alleging violations of gambling laws, customer or consumer protection, intellectual property and other laws or regulations, both in the United States and in other countries in which we operate or have operated. We are also subject to claims asserted by our clients based on individual transactions. There is also a risk that civil and criminal proceedings, including class actions brought by or on behalf of prosecutors or public entities or incumbent providers, or private individuals, could be initiated against us, internet service providers, credit card and other payment processors, advertisers and others involved in sports betting and online gaming industries. In addition, we may in the future be the subject of litigation by our competitors with respect to our data collection practices and exclusive data rights deals. There can be no guarantee that we will be successful in defending ourselves in any matters, and the outcome of allegations, complaints, claims, litigation, investigations and other actions cannot be predicted and are difficult to assess or quantify but may result in substantial damages, settlements, judgments, fines, penalties and expenses, as well as revocation, cancellation or non-renewal of required licenses or registrations or the loss of authorizations. The cost of litigation can be expensive, regardless of outcome, and any of these outcomes may adversely affect our business, financial condition, regulatory position or results of operations. There may also be adverse publicity associated with lawsuits, investigations and actions that could affect our reputation with clients and sports leagues. Plaintiffs, governments or regulatory agencies in these lawsuits, investigations or actions may seek recovery of very large amounts, and the magnitude of these actions may remain unknown for substantial periods of time. The cost to defend or settle future lawsuits or investigations or actions may be significant. In addition, such matters can be time consuming, divert management’s attention and resources and cause us to incur significant expenses. Our insurance or indemnities may not cover all claims that may be asserted against us, and any claims asserted against us, regardless of merit or eventual outcome, may harm our reputation. If we are unsuccessful in our defense in these litigation matters, or any other legal proceeding, we may be forced to pay damages or fines, enter into consent decrees, change our business practices or lose licenses and authorizations, any of which could adversely affect our business, financial condition or results of operations.

GRAPHIC

43 If securities or industry analysts do not publish or cease publishing research or reports about us, our business or our market, or if they change their recommendations regarding our Class A ordinary shares adversely, our share price and trading volume of our Class A ordinary shares could decline. The trading market for our Class A ordinary shares is influenced by the research and reports that industry or securities analysts publish about us, our business, our market or our competitors. If any of the securities or industry analysts who cover us or may cover us in the future change their recommendation regarding our Class A ordinary shares adversely, or provide more favorable relative recommendations about our competitors, the price of our Class A ordinary shares would likely decline. If any securities or industry analyst who covers us or may cover us in the future were to cease coverage of us or fail to regularly publish reports on us, we could lose visibility in the financial markets, which in turn could cause our share price or trading volume of our Class A ordinary shares to decline. Further, our quarterly results of operations are likely to fluctuate in the future in response to numerous factors, many of which are beyond our control, including each of the factors set forth above. In addition, securities markets worldwide have experienced, and are likely to continue to experience, significant price and volume fluctuations and disruption. This market volatility, as well as general economic, market or political conditions, may affect the pricing of the Class A ordinary shares in the secondary market, the transparency and availability of trading prices, the liquidity of the Class A ordinary shares and the extent of regulation applicable to us. Our results of operations and the trading price of our Class A ordinary shares may fluctuate in response to various factors, including the risks described above and we cannot predict the prices at which our Class A ordinary shares will trade. The requirements of being a public company may strain our resources and divert management’s attention, and additional legal, accounting and compliance expenses may be greater than we anticipate. We became a public company in 2021 and as such, we have incurred, and will continue to incur, significant legal, accounting and other expenses that we did not incur as a private company. We are subject to the reporting requirements of the Exchange Act, and we are required to comply with the applicable requirements of the Sarbanes-Oxley Act and the Dodd-Frank Wall Street Reform and Consumer Protection Act, as well as the rules and regulations subsequently implemented by the SEC and the listing standards of The Nasdaq Stock Market, including changes in corporate governance practices and the establishment and maintenance of effective disclosure and financial controls. Compliance with these rules and regulations can be burdensome, and our management and other personnel are required to devote a substantial amount of time to these compliance initiatives. For example, we expect that these rules and regulations may make it more difficult and more expensive for us to attract and retain qualified members of our board of directors. As discussed above in “Risk Factors—Risks Related to Our Business and Industry—We have identified a material weakness in our internal controls over financial reporting which could, if not remediated, result in a material misstatement in our financial statements and our ability to timely and accurately report our financial condition and results of operations or comply with applicable laws and regulations could be impaired, which may could materially and adversely affect investor confidence in us and, as a result, the value of our ordinary shares,” we have identified a material weakness in our internal control over financial reporting which could result in an adverse reaction in the financial markets due to a loss of confidence in the reliability of our consolidated financial statements. As a result, the market price of our Class A ordinary shares could be negatively affected, and we could become subject to investigations by the stock exchange on which our securities are listed, the SEC or other regulatory authorities, which could require additional financial and management resources. We may be unsuccessful in achieving our environmental, social and governance goals, targets or initiatives. Environmental and social changes may present immediate and long-term risks to us, our clients, vendors and other third parties upon which we rely. We are committed to making ethical, sustainable, and socially responsible choices that foster diversity, equity and inclusion within our workforce, active engagement in our communities, and the conservation of resources. These goals may be publicly shared on our website, social media or other communication channels currently or in the future. We may be unsuccessful in estimating the cost and amount of time and resources required to implement these goals and may not be successful in achieving them in the future. The benefits of sustainability goal-setting may not materialize within our expected time frame or at all, which could adversely affect our business, financial condition, results of operations, and reputation. Further, our commitments may be inconsistent with consumer and investor expectations and we may face increased scrutiny as a result. Misalignment with consumer and investor expectations and failure to meet our enumerated goals and targets may have a material adverse effect on our brand-building, marketing efforts and reputation.

GRAPHIC

44 Item 4. Information on the Company. A. History and Development of the Company We started our business in 2001, and our current holding company is a Swiss stock corporation (Aktiengesellschaft) organized under the laws of Switzerland, registered in the commercial register of the Canton of St. Gallen (the “Commercial Register”) under CHE-164.043.805 on June 24, 2021. Our legal name is Sportradar Group AG and our commercial name is Sportradar. Our principal executive offices are located at Feldlistrasse 2, CH-9000 St. Gallen, Switzerland. Our telephone number at this address is +41 71 517 72 00. Our website address is https://www.sportradar.com. The information contained on, or that can be accessed through, our website is not a part of, and shall not be incorporated by reference into, this Annual Report. We have included our website address as an inactive textual reference only. The SEC maintains an internet site that contains reports, proxy and information statements, and other information regarding issuers, such as we, that file electronically, with the SEC at https://www.sec.gov. Our agent for service of process in the United States is Sportradar US LLC and its address is 150 South 5th St. Suite 400, Minneapolis, Minnesota 55402. For a description of our principal capital expenditures and divestitures for the three years ended December 31, 2023 and for those currently in progress, see Item 5. “Operating and Financial Review and Prospects.” The Reorganization Transactions In connection with our initial public offering in September 2021, we completed a series of reorganization transactions whereby all of the outstanding ordinary shares and participation certificates of Sportradar Holding AG (excluding directly or indirectly held treasury shares) were contributed and transferred, directly or indirectly, to Sportradar Group AG in exchange for newly issued Class A and Class B ordinary shares of Sportradar Group AG, which collectively are referred to herein as the “Reorganization Transactions.” The Reorganization Transactions included the following: • Formation of Sportradar Group AG. On June 24, 2021, Carsten Koerl, our Founder and Chief Executive Officer, incorporated Sportradar Group AG, a Swiss corporation, contributed CHF 100,000 and received 1,000,000 ordinary shares of Sportradar Group AG, with CHF 0.10 nominal value per share. • Contribution of ordinary shares and participation certificates in Sportradar Holding AG. Prior to the completion of our initial public offering in September 2021, (i) all of our existing shareholders and holders of participation certificates (other than Carsten Koerl) contributed their ordinary shares and/or participation certificates of Sportradar Holding AG to Sportradar Group AG and received Class A ordinary shares in Sportradar Group AG and (ii) Carsten Koerl contributed his ordinary shares of Sportradar Holding AG to Sportradar Group AG and received (a) 2,500,000 Class A ordinary shares and (b) 903,670,701 Class B ordinary shares, in each case, of Sportradar Group AG. • Contribution of participation certificates under our Management Participation Program. Certain of our directors and executive officers participated in our Management Participation Program (the “MPP”), pursuant to which participants indirectly purchased participation certificates of Sportradar Holding AG through Slam InvestCo S.à r.l. (“MPP Co”), a special purpose vehicle established to hold participation certificates of Sportradar Holding AG for the MPP. In connection with our initial public offering, MPP participants contributed their shares of MPP Co to Sportradar Group AG and MPP Co became a subsidiary of Sportradar Group AG. The MPP participants, in exchange, received Class A ordinary shares, a portion of which was vested and no longer subject to repurchase and a portion of which was initially unvested and subject to repurchase by us upon a termination of employment in certain circumstances. 35% of each participant’s Class A ordinary shares vested immediately upon the consummation of our initial public offering and the remaining 65% have vested or will vest in three substantially equal installments on each of December 31, 2022, 2023 and 2024. The MPP participants received 9,566,464 Class A ordinary shares as part of the Reorganization Transactions, based upon the initial public offering price per share of $27.00. For additional information, see Item 6. “Directors, Senior Management and Employees—B. Compensation— Management Participation Program.”

GRAPHIC

45 • Conversion of options under our Phantom Option Plan. We maintain for certain key employees, who are not executive officers, a Phantom Option Plan (the “POP”), under which participants are entitled to bonus payments calculated by reference to the value of a hypothetical option to purchase shares of Sportradar Holding AG. Prior to the completion of our initial public offering, phantom options converted into restricted share units, or replacement awards, issued under our 2021 Plan (as defined under Item 6. “Directors, Senior Management and Employees—B. Compensation—Omnibus Stock Plan – the 2021 Plan”). The outstanding awards under the POP converted into 66,744 restricted stock units, which were granted to the POP participants pursuant to (and come out of the number of shares available for issuance under) our 2021 Plan. As a result of the foregoing Reorganization Transactions, Sportradar Holding AG became a wholly-owned subsidiary of Sportradar Group AG and the shareholders of Sportradar Holding AG became the shareholders of Sportradar Group AG. Sportradar Holding AG was subsequently merged into Sportradar Group AG in June 2022 with Sportradar Group AG as the successor in such merger. B. Business Overview Overview Sportradar is a leading technology platform enabling next generation engagement in sports, and the number one provider of B2B solutions to the global sports betting industry based on revenue. We provide mission-critical products, data and content to sports leagues and federations, betting operators and media companies. Since our founding in 2001, we have been at the forefront of innovation in the sports betting industry and we continue to be a global leader in understanding, leveraging and monetizing the power of sports data. We offer one of the most robust and fully integrated sports data and technology platforms and serve as a critical data infrastructure and content layer to the sports betting and media industries. On top of that infrastructure layer, we have built one of the most advanced and comprehensive software offerings. Our products simplify our customers’ operations, drive efficiencies and enrich fan experiences. For example, through our Managed Trading Services (“MTS”) platform, we provide live data and odds to our betting customers and facilitate their end-to-end trading operations including risk management via our proprietary software programs. MTS enables our customers to outsource processes that do not offer differentiation versus their competitors, while also providing us with user information about betting customers (punters) that we feed back into our platform to further enhance the power of our algorithms. Our end-to-end offering, integrated technology and global footprint deeply embeds us across the sports ecosystem. The following are examples of services we provide our partners globally: • Betting Operators: For our betting operator clients, we provide pre-match data and odds, live data and odds, as well as sports audiovisual content. Our full-suite of software solutions includes Betting data/Betting entertainment tools, Managed Betting Services, Virtual gaming, and Marking and advertising solutions. Our product offerings facilitate scalability, speed to market, cost efficiency and reduction of operational risk and complexity. • Sport Leagues: We provide sport league partners access to sports betting operators and media companies to distribute their data and content globally. We give them greater reach and serve as an intermediary to the highly regulated betting industry. We also provide our sport leagues partners with technology, data collection tools, and Integrity services. Our deep integrations into both the supply (leagues) and demand (betting operators and media companies) allow us to serve as a trusted, mission-critical partner. We also provide leagues with a range of tech-enabled solutions including fraud monitoring, anti-doping, professional sports team technology and services, and OTT production and technology. • Media Companies: For our media customers including both broadcasters and digital leaders, we provide products and services to help reach and engage sports fans across distribution channels. Our range of services includes data feeds and APIs, sports audiovisual content, broadcasting solutions, digital services, research and analytics, OTT streaming solutions and programmatic advertising solutions.

GRAPHIC

46 At the heart of what we do is our proprietary technology stack. Our products are designed with scalability to match the demands of our customers and we use advanced algorithms to create scalable, customized insights in real-time with low latency. Further, we operate a state-of-the-art, cloud native data and MLOps platform to develop and deploy proprietary AI and machine learning capabilities powering our range of products. We are innovators at the forefront of revolutionary new technologies in sports data and analytics including computer vision, data visualization, virtual gaming and simulated sports. We have a leading betting data rights portfolio, including exclusive rights on a global basis to the National Basketball Association (“NBA”) (excluding China), Major League Baseball (“MLB”) (excluding the United States where we have non-exclusive rights) and the National Hockey League (“NHL”) (including the United States). In addition, we hold exclusive and worldwide media data rights for the NHL, MLB and NBA (excluding China which is non-exclusive). We also have exclusive and worldwide betting data rights to the Association of Tennis Professionals (“ATP”) Tour, the South American Football Confederation (“CONMEBOL”), Union of European Football Associations (UEFA), the International Tennis Federation (“ITF”), and Formula 1 and non-exclusive rights to the Deutsche Fußball Liga (“DFL”). Tier 1 sports, particularly in the United States, tend to have official partnerships with sports data providers to create new revenue streams. Official sports rights partners have advantages in terms of renewals because of tech integrations. We are highly diversified across tiers of customers and tiers of sports content. We are not dependent on any single sport data right. In addition to sports data, we provide our clients and partners with sports audiovisual content offerings including coverage across tier 1 and other-tier sports leagues. We provide global coverage, with strong U.S. market positioning, including rights for major U.S. sports leagues. Our current portfolio of audiovisual rights includes ATP, MLB, NBA, NHL, Bundesliga DFL, CONMEBOL, Copa del Rey, Asian Football Confederation (AFC), ITF, Badminton Europe, K-League and the Professional Darts Corporation (PDC). Our software solutions address the entire sports betting value chain from traffic generation and advertising technology, to the collection, processing and extrapolation of data and odds, to engaging visualization solutions, risk management and platform services. We have designed our platform to solve the challenges that sports betting operators face competing in a complex ecosystem, in real-time, and on a global scale. We offer full-service, turn-key software packages, as well as flexible, modular products depending on the size and capabilities of our customers. Our valuable data assets and analytics capabilities enrich all of our software offerings. We generate revenue typically through two primary arrangements: (i) a “fixed-fee recurring” basis, requiring customers to pay a guaranteed minimum recurring fee for a specified number of events, with incremental per-event fees thereafter, or (ii) a variable “revenue share” basis, based on a percentage share of the customer’s Gross Gaming Revenue (“GGR”), typically with minimum payment guarantees. Our recurring revenue is generally contracted for terms of one to five years with minimum guarantees and usage- based surcharges. Our large, global and highly diversified customer base allows us to generate revenue irrespective of the underlying competitive dynamics within any given geographic market. Our platform is used globally by organizations of all sizes from large enterprises to small start-up businesses. As our customers experience the benefits of our platform, they typically expand both their usage and the number of products and services that they purchase from us. For many of our sports betting customers, we have automated entire workflows that would have otherwise been done manually in-house. Industry Background The way sports fans and bettors consume and interact with sports is changing. Sports fans today are connected to their favorite teams and players at all times. They demand multi-platform experiences, personalization, and deeper interaction than ever before. New use cases are emerging in virtual reality and augmented reality, real- time data capture and distribution, live betting, and to-the-second synchronized content across mobile devices and the live game. Sports betting is a key catalyst for these changing consumption patterns because bettors more deeply engage with sports data and content than casual viewers. They crave insights using historical performance, real-time data and predictive analytics. In response to growing demand from sports bettors, new use cases in sports media such as player tracking, data overlay features, visualizations and simulated reality are rapidly gaining traction.

GRAPHIC

47 Sports bettors value the convenience of being able to place bets anytime, anywhere, and the ubiquity of mobile and in-game betting is further driving accessibility of sports betting and interactivity. Interactive betting, i.e. online and mobile betting, according to H2 Gambling Capital’s Global Gaming Data Summary, dated January 19, 2024 (the “H2 Report”), accounts for 62.8% of total sports betting in 2023, versus 37.2% at retail or land-based operations and the “interactive” contribution percentage, and is anticipated to exceed 70.0% by 2028. Within sports betting, recent product innovations such as cash out products, super live products, odds boost products and combination/parlay products, are further increasing sports bettor engagement. Live betting, also known as in-play betting, allows users to bet on specific plays and other events or outcomes within a game. In-game betting continues to gain immense popularity, and although it currently accounts for the majority of gross gaming revenue in more developed European markets, is expected to grow significantly in coming years. Consequently, mobile betting is the highest growing betting channel, according to the H2 Report. Sports betting legalization is rapidly accelerating, globally. Sports betting is the fastest growing category within the broader gaming market. Including the U.S. market, which is undergoing rapid legalization, the global sports betting market is projected to grow from $82.2 billion in 2023 to $128.4 billion in 2028, growing at a compound annual growth rate (“CAGR”) of 9.3%, according to data from the H2 Report. Sports betting has been the fastest growing gambling segment between 2018-2023 (CAGR of 13.7%), and it is forecasted to remain the fastest growing segment until 2028, according to data from the H2 Report. Sports betting has been legal for many years in a number of major global markets, such as Australia, the United Kingdom, Italy and other parts of Europe and Asia Pacific. According to the H2 Report, these more developed sports betting markets are expected to grow at 4.8% per year through 2028, as a result of increasing accessibility of sports betting on mobile and online, intensifying customer engagement from expansion of sports betting, coverage to more events, enhanced consumer technologies and new forms of sports betting such as virtual sports. Other large markets, including the United States, are increasingly legalizing sports betting, leading to accelerated sports betting market growth and geographic expansion opportunities for both operators and sports data and technology providers. Countries in Latin America, such as Brazil and Argentina, India and other countries across Africa and Asia Pacific, continue to contemplate or progress regulatory efforts to shift from illegal betting to regulated betting markets. Europe and Asia (including the Middle East), the two biggest regional sports betting markets, are forecasted to remain the dominant markets, each contributing at least 30% of the global revenue market in 2028, according to the H2 Report. We expect their growth rates to continue their moderate growth due in part to the increasing accessibility of interactive betting, intensifying customer engagement, coverage of more events, technology innovation and new forms of sports betting such as virtual sports. In the United States alone, sport betting has grown from a $1.8 billion market in 2019 to a forecasted $11.8 billion market in 2023 (59.2% CAGR), and is anticipated to expand further to a $24.6 billion market in 2028, growing at a CAGR of 15.7%, according to the H2 Report. Following the repeal of the PASPA in 2018, the sports betting industry has benefitted from rapid growth. According to the Vixio Gambling Compliance U.S. Sports Betting Outlook, as of January 12, 2024, thirty-nine (39) states and the District of Columbia have legalized and regulated sports betting. Additionally, thirty (30) states and the District of Columbia have legalized online/mobile sports betting. As more states legalize sports betting and the volume of sports betting in currently operational states increases, we expect significant market opportunity in the United States. Several of the largest states in the United States are still yet to legalize sport betting. While the speed of regulation is uncertain, the desire for new avenues of growth is apparent for both governments and professional sports leagues. This movement to de-regulation is expected to unlock a significant total addressable market (TAM) opportunity in the medium-term. Sportradar Platform Our platform simplifies the complex, fragmented and, in the case of betting, regulated, sports ecosystem. While sports leagues, betting operators and media companies focus on their respective core competencies, we focus on leveraging data and technology to help our clients run their businesses efficiently and create more engaging experiences. We are experts in sports data and building technology-enabled solutions empowered by that data. We offer the most comprehensive solution in the marketplace which positions us to cover the end-to-end needs of our clients. Our value proposition to each of our key constituents is clear:

GRAPHIC

48 Betting Operators: • Fast, accurate and reliable data married with deep analytics and technology to enable sports betting and drive bettors’ engagement • Access to the broadest global coverage of sports betting data and content • State-of-the-art technology to automate processes that would otherwise be conducted manually • Speed to market, cost efficiency and reduction of operational risk or complexity Sports Leagues: • Trusted intermediary to the sports betting and media ecosystem • Gateway to the end users of sports betting and media companies • Innovator in sports data and analytics enabling deeper fan engagement • Partner in ensuring integrity of the game and allowing sports leagues to monetize their data without becoming directly regulated • Providers of sports technology and analytics to professional sports teams Media Companies: • Extensive live data and event coverage, married with deep analytics to better engage sports fans • New forms of interactive content Powerful network effects accelerate our value proposition. The more betting operators and media companies we bring onto our platform, the broader the distribution we have to fans globally. This attracts sports leagues to partner with us. And with each new league partner comes more events, deeper sports data and insights and new opportunities for betting operators and media companies to engage fans. Our Data Engine Sports data is at the core of everything we do. We deliver value to our clients by providing access to more and higher quality content and data which we distribute at low-latency and with seamless integration into our clients’ platforms. Simultaneously we embed fast data inferencing across our product portfolio to build higher value software products. We believe our deep sports data archive, real-time data capture, sports rights, sports expertise and AI capabilities provide us with a unique position in the market and a powerful foundation upon which to continuously expand our business. Our clients entrust us with their critical business functions because of our commitment to providing data with the following characteristics: • Accuracy: inaccurate data causes downstream customer disruption and erodes trust, as such data must be validated prior to downstream delivery. • Low-Latency: sports data, in particular live odds data, is time sensitive. We have built a proprietary global low-latency data distribution network that allows us to supply content to our clients with minimal latency. • Accessibility: data must always be available; otherwise, our clients are unable to transact with their customers.

GRAPHIC

49 • Dependability: if accuracy, latency, or accessibility are perceived to be at risk, then client impacts are inevitable and a loss of trust is guaranteed. Our platform is underpinned by high quality and fast data, which we have collected for over two decades. We benefit from significant barriers to entry when it comes to data collection — both from the rich, extensive volume of historical data that we have, as well as the extensive global infrastructure that is required to provide viable live coverage to operate as a market-leading sports data provider. Our infrastructure allows us to gather, consolidate, quality check, transfer, distribute and analyze sports data in real-time, globally. Our primary methods for real-time data capture are: • Computer Vision: we are at the forefront of implementing computer vision technology, a form of AI that teaches models to interpret visual and audio signals. Computer vision aids the creation and training of data-driven models to anticipate the probability of events, enable automation in data collection, and increase the depth and quality of sports data collected. • Proprietary Data Collection Systems: we provide data collection infrastructure and software to a number of sports leagues where we have official partnerships to enable data to be collected and delivered directly from the official source. This is a critical solution for our league partners who are able to gather more data and insights on their sports with these systems. Sportradar’s Scout Applications are used for real-time data collection by rightsholders or competitions such as the ITF, the European Table Tennis Union (ETTU) and the European Handball Federation (EHF). Further, we provide our Competition Management services, which include integrated solutions to collect live data with API solutions to multiple leagues and federations. • In-Venue Coverage: our independent contractor data journalists and scouts attend and collect data directly from stadiums. Our data journalists and scouts undergo a rigorous selection and training process and utilize proprietary technology systems to record and transmit data from the stadium. • Television Coverage: we use streamed and broadcast TV feeds delivered to our data centers to enable fast and cost-effective remote data collection. Competitive Strengths End-to-end data and software solutions provider with a global footprint We are a leading provider in software solutions that address the entire sports betting value chain, from traffic generation and advertising technology, to the collection, processing and extrapolation of data and odds, to visualization solutions, risk management and platform services. We provide these solutions to our clients in over 120 countries around the world. The breadth of our offering and global reach allows us to serve sports betting operators, from large to small, regardless of their needs, and to provide our clients with simplicity—all the solutions in one place and from one provider. As a result, we have been able to successfully cross sell clients to more value-added solutions and to enable their entry into new markets, growing our share of wallet with customers. The Net Retention Rate of our top 200 customers, who represent approximately 77.6% of our revenue, was 111% in 2023 and 119% in 2022, which demonstrates our ability to expand within our customer base as well as our ability to grow alongside our clients. We believe that our ability to provide betting customers with the full suite of solutions positions us particularly well in new, emerging markets such as the United States, where betting operators will be focused on acquiring, engaging and retaining clients, and will be more inclined to automate the majority of their betting service and platform operations. Integrated platform for business-critical needs of betting operators and media partners We are deeply integrated with our clients from an operational and technology perspective, making it difficult for them to switch providers and serving as a strong barrier to entry. Our solutions are business-critical and power the day-to-day operations of sports betting companies, enabling them to grow gross gaming revenue and to operate more efficiently. Our MTS and platform services allow betting clients to automate a number of core functions, reducing their costs, and leveraging our scale to more effectively compete in the market. We also provide essential services to our media partners, leveraging the power of our data to provide engaging content for their audiences.

GRAPHIC

50 Our proprietary technology engine We have been investing into our data, models and technology platforms for the past two decades and we will continue to do so. Our proprietary technology engine has been developed with the needs of our clients and industry in mind, ensuring low-latency, scalability, automated handling of big data and resiliency. Our cloud native strategy and platform enables rapid scaling and resiliency, handling millions of end users, betting tickets and streaming sessions. We have made significant R&D investments, and we plan to continue to make investments, into new data collection and processing technology including computer vision and audio recognition technology. These investments enrich the data we collect, reduce the cost of data collection through automation, reduce latency and enable new AI use cases. This data feeds into a large collection of proprietary, in-depth specific odds models for a wide variety of sports, setting us apart from our competitors and making us essential to sports betting operators who cannot achieve this in-house for all the sports they cover. Our technological competitive advantages enable us to enhance the accuracy of our data and create more betting markets such as in-play and in-point betting. We have proven high-velocity development capabilities that allows us to remain agile and innovative, quickly responding to changes in the market. We have developed one of the most realistic virtual sports products designed to simulate actual matches and races on the back of Sportradar’s data expertise in real sports, AI and machine learning capabilities and advanced 3D graphics technology. Our products are optimized for multiple channels, including online and mobile, and we provide flexible customization and integration options. Market leading portfolio of sports data and content We collect data from a range of sports leagues around the world, from tier 1 leagues such as the NBA and DFL to high-volume leagues such as the ITF. We also aggregate and manage collected data from tier 2 and tier 3 sports as well as from regional sports leagues including the NBL and AFC. We have more than 20 years of sports data in our proprietary database which provides us with a competitive advantage in odds generation and the creation of virtual sports content that is difficult to replicate. Our data collection processes are ISO certified, ensuring speed and accuracy in our proprietary data feeds. Deeply embedded position with sports leagues We have made meaningful investments into sports league partnerships around the world, including providing technology, insight and media solutions, and have grown these partnerships over time. As an example, as the technology provider for ITF, we provide tech-enabled solutions for data collection from matches, such as through hand-held systems operated by ITF umpires, as well as maintain their database. In turn, we have the exclusive license to supply ITF data to betting operators and the non-exclusive license to supply media companies with such data worldwide. In addition, we provide sports leagues with our Integrity services and solutions to increase fan engagement, creating closer working relationships with and access to key decision makers in sports leagues around the world. We also license rights to official data and content from leagues which is an important differentiator for us in the market and supports growth across our betting and entertainment solutions. Our deep relationships with global sports betting and media companies allow us to serve as an important gateway for leagues and teams to connect with millions of fans and bettors around the world. Powerful network effects accelerate our value proposition We benefit from powerful network effects, which further accelerate our value proposition. The more betting operators and media companies we bring onto our platform, the broader distribution we have to fans globally. This attracts new sports leagues to partner with us and, in turn, with each new league partner comes more events, deeper sports data and insights, and new opportunities for betting operators and media companies to engage fans. We are able to create more products for our clients, increasing our share of wallet across the sports betting value chain. Our extensive data and content portfolio combined with our strong client and league relationships provide us with unique insights into the behavior and preferences of sports fans and bettors (punters) around the world. We benefit from multiple touchpoints with end users—through our platform services, advertising services and large installation of hosted solutions such as betting entertainment tools and on the sports entertainment side where we are able to capture data.

GRAPHIC

51 Visionary founder-led team supported by world class investors Our Founder and Chief Executive Officer, Carsten Koerl, is a successful entrepreneur in the sports betting market and is the driving force behind our vision, mission and culture. Carsten founded the online betting platform, bwin Interactive Entertainment (formerly known as betandwin), in 1997 and led the company through a successful listing on the Vienna stock market in 2000. Carsten’s vision to bring the global sports betting industry into the digital era spans more than two decades. His deep expertise in technology, gaming and sports provides him with an unmatched perspective that touches all areas of our organization. Carsten is supported by an experienced, customer-centric leadership team, which enables us to rapidly develop new products and move more quickly than our competition to capture growth opportunities. Our investors include CPP Investments and TCV, as well as champions in the sports industry such as Michael Jordan, Ted Leonsis, Todd Boehly and Mark Cuban, each holding less than 5% minority interest, who provide important insights and connections particularly in the U.S. sports industry. Our Growth Strategy Our vision is to entertain sports fans and bettors globally through engagement across media, betting, gaming and beyond. We have continually broadened our product portfolio to better serve our clients and increase our touchpoints with end users across the sports betting value chain. The more knowledge of the end user that we are able to collect, the more valuable our insights and platform services become to sports leagues, sports betting companies and media companies. These network effects also enable us to enhance our product portfolio, serving as a key element of our growth strategy. Other elements of our growth strategy are: Capture Growth in Global Markets. We intend to continue to capture significant growth from new and existing markets around the world. Leveraging the breadth and depth of our technology, sports league and client relationships and our global sales force, we have the infrastructure in place to take advantage of expected growth in various markets. Expand Offerings in B2B Products and Services. We will continue to drive innovation and increased adoption of new and existing products in order to further grow our share of wallet with customers. We believe that our Managed Sportsbook Services (“MSS”) and Marketing services provide clients with significant value and these products are currently underpenetrated in our existing betting customer base. Our global scale allows us to leverage innovative technology and new solutions in multiple markets. Providing more innovative solutions will further strengthen our relationships with leagues, enabling us to cost-effectively secure access to official rights and position ourselves favorably for the expected opening of new segments. We will continue to selectively pursue acquisitions of products, teams, and technologies that complement and expand the functionality of our platform and product offering, enhancing our technology expertise. Cover Entire End User Journey to Better Serve our Clients. We see considerable value in combining our deep knowledge of sports data, with the increasing amount of user data we collect across our products. In particular, we collect meaningful end-user data and feedback from our MSS, Marketing services, Betting & gaming content and OTT Streaming Solutions products. These versatile touchpoints with end users allow us to better understand and analyze their behavior, preferences and the entire end-user journey. These insights will enable us to cross-reference end users from betting to entertainment and vice-versa, improve user experience on behalf of our clients and consequently build better products. We intend to provide sports betting operators with solutions that address every stage of the end-user journey—from acquisition to supporting platform services to retention. This will be critical for sports betting operators both in new markets, where they will be competing to acquire and retain new users, as well as in more mature markets, where the ability to differentiate is paramount to gaining share. Grow Top of Funnel Capabilities and Offerings. We believe there is significant opportunity to provide advanced capabilities in the programmatic advertising market for sports betting operators. Bookmakers are expected to inject vast amounts of capital into this underpenetrated customer-acquisition channel as they seek more efficient methods of acquiring new clients. We plan to increase engagement for all sports fans and better serve these by leveraging data and insights we have on end-user behavior and preferences, betting frequency and lifetime value to advance our programmatic advertising capabilities and making our Marketing services, one of the most sophisticated forms of digital marketing for sports with the ability to provide insights into and differentiate between customer behavior.

GRAPHIC

52 Our Products We provide mission-critical business-to-business (“B2B”) products and services to both the global sports ecosystem and the betting and gaming industry. We provide technologies that create value and enable our clients to grow their business. Our solutions are positioned at the intersection of sports, betting and media and our portfolio covers the entire value chain from collection, processing and extrapolation of data and odds, to visualization solutions, risk management and platform services, to traffic generation and marketing technology. We offer full-service, turnkey solutions, as well as flexible, modular products depending on the size and capabilities of our clients. Our valuable data assets and analytics capabilities enrich our technology offerings. We offer the most comprehensive solution in the marketplace, as follows. • Betting & gaming content: Our Betting and gaming content products are the fuel that keeps bookmaker operations running. We provide reliable and comprehensive pre-match and real-time sports data and our broad portfolio includes exclusive access to data and content from sporting events across the world, as well as virtual sports, casino and draw based games. Using pioneering technology such as AI, Machine Learning processes and 3D graphics design allows us to develop some of the most realistic gaming products, which enables us to offer “always-on” betting. • Pre-Match Odds Services: We offer an extensive pre-match odds service including fully automated provision of pre- match content and trading tools to manage content. We provide the tools to create and manage sportsbooks, from event creation, odds suggestions, marketing monitoring and alerting, and odds management tools, to results confirmation. • Live Data: We offer reliable and comprehensive real-time sports data and our live data solution includes the fully automated provision of sport match data points such as goals, corner kicks, penalties, substitutions and points, amongst others. Our live data is delivered in less than one second from the venue to our clients, via an API or our Live Data Client product, which is fully customizable to optimize in-play trading. • Live Odds: We offer a popular live odds service that makes available fully automated provision of in-play content and related trading tools, enabling operators to offer live betting opportunities during matches. Our live odds service includes odds, odds management tools, score information and results confirmation. Our team of in-house experts administers full matches 24/7 in real-time, using our leading edge mathematical live odds models, ensuring we can provide profit-maximizing live odds. We invest heavily in maintaining our market leading and sophisticated odds model and simulations, backed by our proprietary statistical and AI processing. • Virtual Games: We build realistic motion capture and real video footage simulations to help bookmakers keep fans engaged during off-seasons. We currently offer virtual soccer, horse and dog racing, basketball, tennis, baseball and cricket. We are the official partner of the NBA for realistic motion capture simulations and for virtual baseball and soccer with the MLB and Bundesliga. Our proprietary Remote Game Server comes with a one-time e-wallet integration for zero client-side development effort when integrating additional virtual sports. • Sports betting and gaming platform: A sports betting platform is the core of every bookmaker operation. Our complete turnkey betting solution is built on powerful proprietary technology, which has been developed with the needs of our clients and the industry in mind, ensuring low-latency, scalability, modularity, automated handling of big data, and resiliency. Incorporating our entire leading product and service portfolio, the platform is set up to operate in major jurisdictions, with provisions for newly emerging regulated markets updated regularly. • Managed Betting Services: Managed Betting Services (“MBS”) includes MSS (formerly Managed Platform Services) and Managed Trading Services (“MTS”). Our MTS offering is a sophisticated, trading, risk, and liability management solution, natively embedding all Sportradar odds services and products. MTS is flexible and modular, enabling clients of all sizes and maturities to configure service components according to their need. We also offer bespoke odds management capabilities and trading strategies, which enable odds differentiation between operators. Our rich set of tools allows our clients to manage their odds-related liabilities according to rules and thresholds that they control, underpinned by our machine learning models. MSS services provide a complete turnkey solution (including platform set-up, maintenance and support).

GRAPHIC

53 • Marketing Services: We provide marketing solutions and technology to the whole ecosystem around sport using our proprietary marketing technology. This includes services for brands, rightsholders, betting and gaming operators and media companies. Our Marketing services can be categorized into the following three categories: • ad:s – ad:s is focused on awareness and acquisition for the betting and gaming industry. With our unique ability to understand, reach and engage the modern betting and gaming customer, we deliver targeted, personalized advertising at scale for improved marketing return-on-investment. It further covers a range of channels from programmatic display, video, audio and digital out of home, to paid social, and sponsorship. • Vaix – Vaix is focused on providing personalization and retention capabilities for betting and casino operators. We use market-leading Deep Learning AI models across customer relations management (CRM), sports and casino personalization to enable operators to increase retention, cutting churn and boosting loyalty, identify potential VIPs, and optimize bonuses. • FanID – Sportradar FanID is a unique first-party data marketing solution for the whole sports industry, with technology designed for brands, rightsholders and media companies. Powered by the first data clean room built specifically for the sports industry and by our proprietary marketing activation technology, Sportradar FanID offers an end-to-end solution that solves the challenge of being able to acquire and engage sports fans at scale, once third-party cookies are phased out. • Audio-Visual Content: We combine audiovisual content, which is to a great extent non-televised, and comprehensive content from our robust media rights portfolio. Our sports coverage is live 24/7 and our fully hosted player solution comes with low deployment and set-up costs, as well as quick-to-market integration. • OTT Streaming Solutions: We provide OTT streaming solutions including a video management platform and sports data extensions including automated content and visualizations, recommendations and personalization. Our OTT streaming solutions provide scalable infrastructure based on an extensive and longstanding experience in the industry. • Sports Performance: We offer a vast range of products and services to sports federations, leagues and teams providing for managing competitions, official data generation, automated content distribution and performance analysis. For example, a suite of competition management products offers leagues and federations the ability to control many facets of their operations, from schedules, game locations, standings, and player, team and arena images, as well as fan facing websites. Synergy Stats, another application, is used on location by a league or federation to generate their competition's official game stats. Additionally, we offer video and analytics products to teams that drive daily coaching and scouting workflows. These coaching and scouting products are powered by human and computer vision generated player and ball tracking data and sport specific deep event level data, with additional AI generated optimizations and insights that allow for more informed front office and coaching decision making. • Integrity Services: Sportradar Integrity services is a leading provider of monitoring, intelligence, education, consultancy, rights protection, and regulatory solutions for sports organizations, government authorities, and law enforcement agencies. Our Technology The majority of our technology development is handled in-house by our robust engineering team. We build and operate our technology to have high availability, horizontal scalability, low-latency and continuous security monitoring. Our technology enables us to move quickly with minimal risk of system interruption. We are focused on continuously improving our technology. We believe that by leveraging our data across new and automated processes, we can further increase our operational scale while decreasing the cost per unit. For example, we deploy algorithmic vulnerability detection using AI betting-bots to identify potential vulnerabilities in our own mathematical odds models.

GRAPHIC

54 We deploy a distributed organizational model in which a majority of engineering decisions occur in “tribes,” as opposed to in our central engineering office. Tribes are dedicated groups of individuals with specific domain knowledge and a single unifying concept. An example is a tribe for live odds models, whose goal is to create the best predictive models for in-game outcomes. Our tribes include a profit-and-loss owner, supported by a product owner and a technical owner. This marriage of engineering and product talent in a single, autonomous team enables rapid decision-making by those with the most domain expertise. On top of our distributed tribe structure, we have added a matrixed global practices organization to ensure consistency of approach and fully integrated systems. Technology Architecture Engineering within Sportradar is driven according to a set of core architectural principles: • Scalable Cloud-Based Infrastructure. All new systems are designed to support horizontal scaling without necessitating higher-spec server hardware deployment. By designing native cloud applications, we can elastically scale the amount of hardware required in minutes compared to the month required to manually rack and stack new servers in data-centers. Furthermore, as demands fall due to a season ending, we relinquish the spare server capacity that avoids the typical over- provisioning associated with peak-demand. We design our core platforms to handle five times the initial workloads through elastic scaling. We have a cloud first strategy and develop all new products in the public cloud following an API and service strategy. Our technology enables us to move quickly on behalf of our clients but with the resiliency and fault tolerance expected by enterprise-scale customers. • Optimized for rapid data ingest and low-latency. Speed in acquiring and distributing data is key to driving revenue and lowering costs. We acquire data to power our AI models, feed our betting products and provide insights into matches. The latency between a single data element being published and it being available to our internal systems and customers alike is a key metric. With recent advances in data acquisition, we are now able to acquire data from third parties and make it available to both internal and external consumers at sub-second speeds. Similarly, fast data distribution is critically important for our clients. A few milliseconds of delay can mean the difference between a profitable and unprofitable position for our betting customers. Larger data latency can cause losses due to odds arbitrage and “sure betting,” when a spectator at an event is able to make a bet online before the outcome is known to the bookmaker. • Build for High System Resilience and Availability. Our systems have been built for maximum security, data integrity and loss prevention. They are highly available and resilient to guarantee that our solutions are available when our clients need them. We run a hybrid architecture including physical and multiple public cloud infrastructures and high-end physical data centers. Our flexible architecture enables data transmission via the closest physically located distribution node. If one node goes down, then the network automatically reconfigures and redirects data traffic to the next closest working node. We believe this type of sophisticated ring topology is unique in the market as follows. • Observability ensures we are delivering. In addition to constant internal monitoring of our applications to evaluate their performance and reliability, we also utilize synthetic transaction monitoring. This allows us to monitor the service as if we were an end user of our products. • Embed security at every level. Our systems are built to be secure on the basis of a defense in depth approach to software development. We work to ensure that our developers are aware of best practices, new risks and other security patterns that aid them in building market leading security into our products. We complement that with extensive use of market leading tools and services to quantify and validate our security postures, validating code at every step of the way from development all the way through to running in production.

GRAPHIC

55 • Rapid Updates and Agile Development. Engineers within our core teams are empowered to make the decisions required to build world class products, and work within a “build, release, operate” mentality. This encourages ownership that goes beyond just delivering code and ensures that they feel a sense of ownership and prioritize the technical aspects of reliability and scalability alongside delivering on new product features. Through our advanced development environment, we are able to quickly distribute product improvements using modern CI/CD techniques, ensuring that every release is built against stringent quality gates but can still be delivered in the shortest timeframe possible. Leveraging Our Unique Data Assets Each element of data we process is stored within our data lake where it can be easily retrieved. Over the years, we have moved beyond just the basic sports statistics, such as scores, goals and line-ups, to also capture and store a diverse range of other datasets. For example, we collect the locations of players on a playing field, detailed player statistics, and a vast library of video footage for past sporting events. We believe that the depth and breadth of this data makes us uniquely placed in the market to deliver innovative products. We employ experts dedicated to AI, computer vision and machine learning based innovation. We additionally employ quantitative analysts who focus on developing mathematical statistical models of sports. We use machine learning and AI, trained on historical data, to enrich our datasets, reduce costs via automation, and enable new use cases. For example, we leverage computer vision to automate in-game data collection powering live odds and other better use cases in several sports. We are also experimenting in utilizing audio recognition technology to augment visual detection of certain events. Our objective is to automate data collection and production of live events, using computer vision plus visual and audio understanding techniques. In achieving this objective, we shall at the same time: • Lower data acquisition costs based upon a reduction of labor. • Create new industry-leading betting markets—such as “in point” betting for tennis. • Increase our ability to scale sports event coverage. • We have developed one of the most realistic virtual sports products designed to simulate actual matches and races. Our simulations and visualizations were developed on the back of Sportradar’s data expertise and utilize advanced 3D graphics technology. Our proprietary gaming platform offers a simple e-wallet integration for zero development effort on the client- side when integrating additional virtual sports. These products are optimized for multiple channels, including online and mobile, and we provide flexible customization and integration options. Our Clients Our customers include many of the largest U.S. and global sports betting operators such as Bet365, Caesars, DraftKings, Entain, FanDuel, Flutter and William Hill; leading internet and digital companies such as Apple, Meta Platforms, Google, and Amazon; and broadcasters and other media companies such as CBS Sports, ESPN, Fox Sports and Rogers Media. We have also built a global, market-leading portfolio of relationships with over 400 leagues and federations. Our top 10 customers contributed 26.1% of total revenue for the year-ended December 31, 2023. We serve a wide range of companies, from large, multi-nationals to small start-ups. Our top 200 customers contributed approximately 77.6% of our total revenue for the year ended December 31, 2023, and represent the core of our business.

GRAPHIC

56 Our Go-to-Market Strategy As a global leader in our industry, our commercial organization consistently identifies and capitalizes on growth opportunities worldwide, driven by evolving regulatory frameworks. Regions undergoing legalization like the United States, Latin America and APAC, present significant growth opportunities. In the United States, we have solidified partnerships with all major betting operators, spanning both multi-state and single-state licensed operations. Additionally, we have strategically aligned with key players in the media industry, enhancing our portfolio with renowned brands. Our strong presence over the past two decades in Europe, APAC, and Africa is a testament to our leadership in driving sustained engagement and growth in these regions. Through strategic enhancements and a client-centric focus we are poised to elevate our service delivery and drive mutual success for our clients and our organization. Our Competition We compete with a range of providers, each of whom may provide a component of our platform, but do not provide an integrated platform of software solutions that address the entire sports betting value chain. For certain services and solutions, our primary competition are other sports data and software solution companies and sports content providers, including Genius Sports, Stats Perform, IMG Arena and BetConstruct. We believe we compete favorably based on the following competitive factors: • size and depth of data and content portfolio; • expansive network of data journalists and specialized data operators; • breadth of software solutions; • strong relationships with sports league partners; • proprietary technology and odds models; • early investment into virtual sports and gaming; and • early and continued investment to build our U.S. presence. For information on risks relating to increased competition in our industry, see “Risk Factors—Risks Related to Our Business and Industry—Potential changes in competitive landscape, including new market entrants or disintermediation by participants in the industry, could harm our business.” Seasonality We have experienced, and expect to continue to experience, some degree of seasonal fluctuations in our revenue, which can vary by region. For the data packages that we offer, we only charge during active months of each sport and prorate for optional preseason or postseason coverage. The broad geographical mix of our customer base also impacts the effect of seasonality as customers in other territories will place differing importance on distinct sporting competitions, which often have diverse calendars. As such, our revenue has historically been strongest during the first quarter when most playoffs and championship games occur and has historically seen decreased or stalled growth rates during off-seasons. Our revenue may also be affected by the scheduling of major sporting events that do not occur annually, or the cancellation or postponement of sporting events and races.

GRAPHIC

57 Intellectual Property Patents, Trademarks and Other Intellectual Property We rely on a combination of intellectual property rights, including patents, trademarks, trade secrets and other intellectual property rights to protect our proprietary software and technology and our brands. As of December 31, 2023, we own 31 patents in the United States and Europe and have seven pending applications, and approximately 50 registered trademarks in the United States and several other countries, with four pending. We generally control access to and use of our proprietary software and other confidential information through the use of internal and external controls, including entering into non-disclosure and confidentiality agreements with both our employees and third parties. From time to time, legal action by us may be necessary to enforce or protect our patents and trademarks, trade secrets and other intellectual property rights, to determine the ownership, validity and scope of our intellectual property rights or the intellectual property rights of others or to defend against claims of infringement, misappropriation or other violation. Such litigation could result in substantial costs and diversion of resources and could negatively affect our business, operating results and financial condition. See “Risk Factors—Risks Related to Our Business and Industry—Legal and Regulatory Risks.” Practices for Environmental, Social and Governance At Sportradar, we manage our business with the goal of delivering value to all stakeholders, including our clients, league partners, shareholders, employees and local communities. Our sustainability strategy is led by a committee drawn from our executive and senior management, with oversight from and engagement with our Board and its Nominating and Corporate Governance Committee. This governance is intended to ensure sustainability principles are woven into our business procedures and integrated into our enterprise risk management to help ensure a robust approach to sustainability oversight. Our approach is underpinned by our conviction that ethics and good governance matter to our future success. Every employee, consultant, and director is required to read, understand and abide by our Code of Business Conduct and Ethics, which promotes responsible business practices through our policies, principles, values and behavioral expectations that our employees are expected to follow in their daily business activities. We require employees to regularly complete compliance trainings on our Code of Business Conduct and Ethics and other topics such as anti-bribery and corruption, harassment, data privacy and information security. We promote and protect the integrity of sport through our Integrity services, which provides a wide range of match-fixing monitoring and detection tools. Since 2005, Sportradar Integrity services has been at the forefront of the defense against corruption in sport as a global leading supplier of fraud detection, investigative services and education and consultancy solutions. As a global company with employees worldwide, our commitment to diversity, inclusion and equity is clear. Sportradar’s Employee Resource Groups (“ERGs”) foster a sense of community and belonging. Sportradar currently has four ERGs, each of which supports an inclusive and diverse workplace, promoting employee engagement and collaboration across our global offices: Women in Tech, Sportradar Pride, Multicultural, and Neurodiversity. As a data and technology company with a highly distributed, office and home-based workforce, we believe that we are driving operational efficiencies that not only benefit our business but also reduce our waste disposal, energy consumption and carbon footprint. Our operations generate two principal environmental impacts: our cloud estate and our real estate. By moving most of our datacenter workload to the Amazon Web Services (AWS) cloud estate, we have reduced our carbon footprint and improved the resilience of our technology infrastructure in relation to climate-related risks. During 2023, sustainability factors were also included in the lease governance protocol to utilize in selecting office space and to take advantage of sustainable office developments as they arise. These factors also guide our evaluation of lease renewals. We are also committed to ensuring end-of-life IT equipment is appropriately handled through safe and sustainable recycling practices. Additional information regarding our activities related to sustainability matters can be found in our Sustainability Report from March 2024, which is available on our website. The information contained on our website or in the Sustainability Report is not incorporated by reference into this report or any other Sportradar filing with the U.S. Securities and Exchange Commission.

GRAPHIC

58 Government Regulation Our business is subject to a wide range of U.S. federal, state, and local laws and regulations, as well as laws and regulations outside the United States in the various jurisdictions in which we operate. Such laws and regulations include those regulating gaming, sports betting, iGaming, competition, consumer privacy, data protection, cybersecurity and information security. These descriptions are not exhaustive, and these laws, regulations and rules frequently change and are increasing in number. Our failure, or certain of our clients’ or service providers’ failure, to comply with any of these laws, regulations, or rules or their interpretation could result in regulatory action, the imposition of civil and criminal penalties, including fines and restrictions on our ability to offer services or products, the suspension, revocation or non-renewal of, or placing of a restriction on, a license, registration, or other authorization required to provide our services or products, the limitation, suspension, or termination of services or products, changes to our business model, loss of consumer confidence, litigation, including private class action litigation, the seizure or forfeiture of our assets and/or reputational damage. Therefore, we are monitoring these areas closely to design compliant solutions for our clients and continue to adapt our business practices and strategies to help us comply with current and changing laws and regulations, legal standards and industry practices. Regulation and Licensing European laws and regulations The last decade has seen the gaming industry (inclusive of sports wagering) in Europe evolve into a highly regulated sector. While the majority of European jurisdictions, including member states of the European Union, used to maintain gambling monopolies – in part based on century-old gambling legislation – there has been a major shift towards opening the market to private operators by introducing licensing opportunities and regulation encompassing iGaming and sports betting. Today, our clients, which include private B2C gambling and betting operators as well as state-owned monopoly operators, are subject to licensing in several European and EU jurisdictions. Although the legislation and regulation on the provision of facilities for taking part in betting activities differ widely across jurisdictions in Europe, the protection of the betting customers (punters) from compulsive gambling behavior and overspending is one of the main legislative objectives of gambling and betting laws in most European jurisdictions. As a result of this overarching policy objective, European gambling and betting laws primarily address the supply of betting (and other gambling) products to end consumers. Our business is conducted solely on a B2B basis, providing supply services to the betting industry, and does not include (betting) contracts with end-consumers. Most European betting laws do not cover the provision of such supply services to the betting industry on a B2B-basis and thus, in most European jurisdictions, our business is not subject to holding a license. Only a few European jurisdictions require B2B providers to hold a license. On this basis, we currently hold B2B supplier licenses in Belgium, United Kingdom, Malta, Gibraltar, Greece, Romania and Sweden. In jurisdictions where the provision of B2B supply services to the betting industry is not subject to holding a license, we operate our business based on approvals or certifications granted by the appropriate governmental or regulatory authority or via agreements in which our customers warrant and represent that their respective B2C gambling and betting offer is in line with the applicable local legislation and certain due diligence checks that we perform to review our customers’ licensing status. Gambling and betting regulations in Europe are in continuous development and thus subject to change. This may result in certain additional European jurisdictions requiring suppliers of the gambling and betting industry to apply for and operate based on B2B supplier licenses. Our failure to obtain such licenses may result in us having to change, restrict, suspend or cease our supply services and may ultimately result in a loss of revenue, the imposition of sanctions and penalties, including contractual fines and/or reputational damage. In case of licensing requirements being introduced in jurisdictions where we have local presence or other assets and/or from where we provide services that become subject to licensing, failure to obtain a license may result in changes to our business model and/or to the locations from where we operate the related parts of our business and ultimately to a forced temporary or permanent closure of such local presence, loss of revenue and/or reputational damages. Ultimately, as a supplier to the gambling and betting industry, the legal and regulatory situation that our customers are facing impacts the results of our business. In case of the regulatory environment becoming unfavorable or unfeasible for our customers to continue offering sports betting in certain jurisdictions, this may result in closure of certain markets and thus in a loss of revenue due to a decreased demand for our products and services.

GRAPHIC

59 U.S. laws and regulations The gaming industry (inclusive of our sports wagering and iGaming product offerings) in the United States is highly regulated, and we must maintain our licenses to continue our gaming-related operations. We are subject to extensive regulation under various federal, state, local and tribal laws, rules and regulations of the jurisdictions in which we operate, and such laws, rules and regulations affect our ability to operate in the sports wagering and iGaming industries. Such laws, rules and regulations could change or could be interpreted differently in the future, or new laws, rules and regulations could be enacted. Material changes, new laws, rules or regulations, or material differences in interpretations by courts or governmental authorities could adversely affect our operating results and business, including our ability to operate in a specific jurisdiction. These laws, rules and regulations generally concern the responsibility, financial stability and character of the owners, managers, directors and other persons with material financial interests or control over the gaming operations, along with the integrity, security and compliance of the sports wagering and iGaming product offering. Violations of laws, rules or regulations in one jurisdiction could result in disciplinary action in that and other jurisdictions. Privacy regulations As part of our business, we collect personal information, personal data and other potentially sensitive and/or regulated data from our customers and employees and other parties, including bank account numbers, social security numbers, credit and debit card information, identification numbers and images of government identification cards. Laws and regulations in the United States and throughout the world restrict and regulate how personal information is collected, processed, stored, used and disclosed, including by setting standards for its security, implementing notice requirements regarding privacy practices, and providing individuals with certain rights regarding the use, storage, disclosure and sale of their protected personal information. In the United Kingdom, as well as the European Union, we are subject to laws and regulations that are more restrictive in certain respects than those in the United States. For example, the EU General Data Protection Regulation (“GDPR”), which came into force on May 25, 2018, implemented stringent operational requirements for the collection, use, retention, protection, disclosure, transfer and other processing of personal data. The European regime also includes directives which, among other things, require Member States to regulate marketing by electronic means and the use of web cookies and other tracking technology. Member States have transposed the requirements of these directives into their own national data privacy regimes, and therefore the laws may differ between jurisdictions. These are also under reform and might be replaced by a regulation that could provide consistent requirements across the European Union. The GDPR introduced more stringent requirements (which will continue to be interpreted through guidance and decisions over the coming years) and requires organizations to erase an individual’s information upon request and limit the purposes for which personal data may be used. The GDPR also imposed mandatory data breach notification requirements and additional new obligations on service providers. In Switzerland, our home country, a revised Federal Act on Data Protection entered into force on September 1, 2023 and applies to the collection and processing of personal data bringing the Swiss legislation in closer alignment with the GDPR and introducing criminal sanctions in the form of fines of up to CHF 250,000. A U.K. only adaptation of the GDPR took effect on January 1, 2021 under the U.K. Data Protection Act of 2018 and the U.K. General Data Protection Regulation (as defined by the U.K. Data Protection Act 2018 as amended by the Data Protection, Privacy and Electronic Communications (EU Exit) Regulations 2019), which exposes us to two parallel regimes, each of which potentially authorizes similar fines for certain violations. The European Commission has adopted an adequacy decision in favor of the United Kingdom, enabling data transfers from Member States to the United Kingdom without additional safeguards. However, the United Kingdom adequacy decision will automatically expire in June 2025 unless the European Commission renews or extends that decision, and remains under review by the European Commission during this period. On March 8, 2023, the United Kingdom government published the Data Protection and Digital Information (No. 2) Bill which proposes updates to the current United Kingdom data protection regime. There is a risk that any material changes to the United Kingdom data protection regime could result in the European Commission reviewing the adequacy decision, and the United Kingdom losing its recognition if the European Commission deems the United Kingdom to no longer provide adequate protection for personal data. These changes may lead to additional costs and increase our overall risk exposure.

GRAPHIC

60 Other countries have also passed or are considering passing laws requiring local data residency and/or restricting international data transfers. For instance, the China Personal Information Protection Law (“PIPL”) imposes strict requirements for cross-border data transfer by companies that collect personal information within the territory of China. Organizations must implement the China Standard Contractual Clauses for legitimizing their cross-border data transfers pursuant to the “Measures on the Standard Contract for Outbound Transfer of Personal Information” which took effect on June 1, 2023. Moreover, India’s Digital Personal Data Protection Act (“DPDP”) was published in the Indian’s State Gazette on August 11, 2023. While the DPDP permits transfers of personal data for processing to any country or territory outside India, the central government can impose restrictions through notifications. Additionally, on July 10, 2023, the European Commission adopted its adequacy decision for the EU-U.S. Data Privacy Framework (“DPF”), concluding that the U.S. protection of personal data transferred to organizations located in the U.S. certified under the DPF offers comparable protection to that of the EU. A similar approach was adopted by the United Kingdom and Switzerland. While the DPF should facilitate cross-border data transfers to the United States, it is poised to face legal challenges as certain third parties have announced their intent to appeal the DPF. The European Commission’s Standard Contractual Clauses (“SCCs”) is a data transfer mechanism that can lawfully be used for personal data transfers from the European Union to the United States and most other countries. While the Court of Justice of the European Union (“CJEU”) upheld the adequacy of the SCCs, it determined that reliance on them alone may not necessarily be sufficient in all circumstances. Accordingly, use of the SCCs must be assessed on a case-by-case basis taking into account the legal regime applicable in the destination country, in particular applicable surveillance laws and rights of individuals and additional technical and organizational measures and/or contractual provisions may need to be put in place. The nature of these additional measures is uncertain in part as respective guidance of the supervisory authorities leaves room for interpretation. The CJEU went on to state that if a competent supervisory authority believes that the SCCs cannot be complied with in the destination country and the required level of protection cannot be secured by other means, such supervisory authority is under an obligation to suspend or prohibit that transfer. These developments require or may require us to review and amend the legal mechanisms by which we transfer personal data from the European Union and the United Kingdom. As supervisory authorities issue further guidance on personal data export mechanisms, including circumstances where the SCCs cannot be used, and/or start taking enforcement action, we could suffer additional costs, complaints and/or regulatory investigations or fines, and/or if we are otherwise unable to transfer personal data between and among countries and regions in which we operate, it could affect the manner in which we provide our products, the geographical location or segregation of our relevant systems and operations, and could adversely affect our business, financial condition and results of operation. These developments have greatly influenced the compliance actions we must engage in to transfer personal data from Europe to other jurisdictions. In the United States, both the federal and various state governments have adopted or are considering laws, guidelines or rules for the collection, distribution, processing, transmission, storage and other use of personal information collected from or about customers or their devices. For example, the California Privacy Rights Act (“CPRA”), which became operational on January 1, 2023, significantly modified and expanded on the California Consumer Privacy Act (“CCPA”), creating new consumer rights and protections, including the right to correct inaccurate personal information, the right to opt out of the use of personal information in automated decision making, the right to opt out of “sharing” consumer’s personal information for cross-context behavioral advertising, and the right to restrict use of and disclosure of sensitive personal information, including geolocation data to third parties. Similar laws have been enacted or proposed in other states and have been proposed at the federal level, reflecting a trend toward more stringent privacy legislation in the United States.

GRAPHIC

61 In recent years, U.S. and European lawmakers and regulators have expressed concern over electronic marketing and the use of third-party cookies, web beacons and similar technology for online behavioral advertising. In the European Union, marketing is defined broadly to include any promotional material and the rules specifically on e-marketing are currently set out in the ePrivacy Directive and national implementation laws which might be replaced by a new ePrivacy Regulation. The legal framework for electronic marketing and communication is constantly evolving and subject to enforcement by regulators, activists consumer protection organizations and individuals, which may require us to adapt our practices. While no official time frame exists for the ePrivacy Regulation, there will be a transition period for compliance after the ePrivacy Regulation is finalized. We will likely be required to expend further capital and other resources to ensure compliance with these evolving and changing laws and regulations. While we have numerous mitigation controls in place, advertisements produced by us may be erroneously served on websites that are not suitable for the advertising content of gambling (e.g., websites predominantly aimed at children). There is also a risk that gambling advertisements are viewed by people who do not want to view them, or who have taken measures not to receive them (for example, individuals on “self-exclusion” lists). In each case this may have adverse legal and reputational effects on our business. Our media clients may also use our services to target jurisdictions where they are not permitted to advertise, and our risk mitigation controls may fail to identify and/or prevent this, which could cause our business to suffer adverse legal and reputational effects. See “Risk Factors—Risks Related to Our Business and Industry—We are subject to evolving governmental regulations and other legal obligations, particularly related to privacy, data protection and information security, and consumer protection laws across different markets where we conduct our business. Our actual or perceived failure to comply with such obligations could harm our business.” Additional Regulatory Developments Various legislatures and regulatory agencies continue to examine a wide variety of issues, including antitrust, competition, anti-money laundering, consumer protection, anti-corruption and anti-bribery, cybersecurity, and marketing and advertising that may impact our industry, business and operations. Employees We believe that our culture, which focuses on global collaboration, innovation and sportsmanship, is a strength and a key differentiator for our business. We recognize that our people are fundamental to our continued success, as their skill and dedication enable us to fulfill our vision and purpose. We aim to create a safe, fair and dynamic working environment that is collaborative and outcome focused. We will continue to invest in the development and diversity of our employees and encourage the sharing of feedback and ideas, as we believe in the importance of listening to our employees, recognizing their achievements and appreciating the mixture of different backgrounds. Supporting our employees as they strive to exemplify these values is one of the keys to our success, and we continue to prioritize the ongoing learning, training and development of our staff. We strive to create an environment where our employees have the skills and confidence to make a positive contribution to the business and want to contribute to their full potential. We want employees to be engaged and motivated and have opportunities for personal development and career progression. We recognize that rewarding employees fairly, equitably and competitively and providing workplace flexibility is crucial to attracting and maintaining a motivated workforce. We believe that we maintain a good relationship with our employees. For additional detail regarding the number of our employees by geography and category, see Item 6.D “Directors, Senior Management and Employees—D. Employees.” C. Organizational Structure Sportradar Group AG was incorporated on June 24, 2021 as a stock corporation (Aktiengesellschaft) under the laws of Switzerland, located in St. Gallen, Switzerland, and registered in the Commercial Register of the district court in St. Gallen. The Company is a holding company and its primary operating subsidiary is Sportradar AG, a Swiss stock corporation. We have 46 subsidiaries as of December 31, 2023. Refer to Note 33 – List of consolidated entities, within our consolidated financial statements included elsewhere in this Annual Report for a listing of our subsidiaries, including legal name, country of incorporation, and proportion of ownership interest.

GRAPHIC

62 D. Property, Plants and Equipment Corporate Offices We are a multinational company headquartered in Switzerland with worldwide operations, including business operations in North America, South America, Europe, Africa, Middle East and the Asia Pacific. Our principal facility is our headquarters located in St. Gallen, Switzerland, which consists of approximately 528 square meters (approximately 5,683 square feet) of leased office space. The lease for this facility is extended annually for 12-month terms. As of December 31, 2023, we also lease offices in multiple additional countries, including Australia, Austria, Belgium, Bosnia, Cyprus, Estonia, Germany, Greece, Gibraltar, India, Luxembourg, Malta, the Netherlands, Norway, the Philippines, Poland, Romania, Russia, Serbia, Singapore, Slovakia, Slovenia, South Africa, Spain, Taiwan, the United Kingdom, the United States and Uruguay. All of the above leases expire or are up for renewal between 2024 and 2038. We intend to procure additional space as we continue to add employees and expand geographically. We believe that our facilities are adequate to meet our needs for the immediate future, and that, should it be needed, suitable additional space will be available to accommodate any such expansion of our operations. Item 4A. Unresolved Staff Comments None. Item 5. Operating and Financial Review and Prospects A. Operating Results The following discussion of our operating and financial review and prospects should be read in conjunction with our consolidated financial statements and the related notes included elsewhere in this Annual Report. The following discussion is based on our financial information prepared in accordance with IFRS Accounting Standards, as issued by the International Accounting Standards Board. This discussion contains forward-looking statements and involves numerous risks and uncertainties, including, but not limited to, those described in the “Risk Factors” section of this Annual Report. See “Cautionary Statement Regarding Forward-Looking Statements.” Our actual results could differ materially from those contained in any forward-looking statements. Certain information called for by this Item 5, including a discussion of the year ended December 31, 2022 compared to the year ended December 31, 2021 has been reported previously in Item 5 of Form 20-F filed on March 15, 2023 under the section entitled “Operating and Financial Review and Prospects” and is incorporated by reference into this Annual Report. Overview We provide mission-critical business-to-business (B2B) products and services to both the global sports ecosystem and the betting and gaming industry. Profit for the year from continuing operations was €34.6 million and €10.5 million for the years ended December 31, 2023 and 2022, respectively, representing a year-over-year increase of 230.2%. For the years ended December 31, 2023 and 2022, Adjusted EBITDA was €166.8 million and €125.8 million, respectively, representing year-over-year growth of 32.5%, profit for the year from continuing operations as a percentage of revenue was 3.9% and 1.4%, respectively, and Adjusted EBITDA margin was 19.0% and 17.2%, respectively. During the year ended December 31, 2023, the Company initiated a broader set of strategic initiatives expected to streamline its operating structure to enhance focus on clients and partners, drive global innovation and product development, and propel long-term growth, and profitability. Prior to these strategic initiatives and during the year ended December 31, 2023, the Company had three reportable operating segments: Rest of the World (“RoW”) Betting, RoW Betting Audio-visual (“AV”), and United States. All revenues included in the RoW Betting and RoW Betting AV segments are generated from customers outside the United States. All other segment revenue includes various revenue streams, amongst others, the Marketing services and Integrity services revenue for the rest of the world (outside of the U.S.). Revenue generated from RoW Betting segment was 53.2% of total revenue, revenue generated from RoW AV segment was 20.8% of total revenue, revenue generated from United States segment was 18.9% of total revenue and 7.2% of total revenue was from RoW Other segment.

GRAPHIC

63 Our data capabilities and proprietary technology engine allow us to provide end-to-end solutions across the sports betting value chain, from traffic generation to the collection, processing and computation of data and odds, management of trading risk on behalf of our clients, visualization solutions, platform services and Integrity services. We believe that we are well-positioned to continue to grow globally due to our investments in strategic markets and continued investments in our product offerings. We continue to implement new technologies in the sports data and analytics industry including computer vision, data visualization and simulated sports, among others. We have proven, high-velocity development capabilities that allow us to remain agile and innovative, quickly responding to changes in the market and launching new products. We have strong operating leverage as our historical investments in data and technology continue to generate significant revenue over time. Moreover, our products are interconnected and build upon each other. For example, our live data offerings feed into our live odds offerings, which in turn power our Managed Trading Services (“MTS”) solutions product. Additionally, we benefit from generating and controlling the inputs to our own products across the entire value chain, and consequently our business is highly scalable as we sell similar products based on our content to many clients. Our Customers and Business Model We sell our products to a diverse customer base of betting operators, sports leagues and media companies globally. We generate revenue primarily via two types of arrangements: (i) a “fixed-fee recurring” basis, requiring customers to pay a guaranteed minimum recurring fee for a specified number of matches, data and types of products received, with incremental surcharge components based on scale or usage where relevant, or (ii) variable “revenue share” whereby we receive a fixed percentage of the gross gaming revenue (“GGR”) or of the net gaming revenue (“NGR”) generated by our betting operator customers. Revenue share arrangements are typically structured with an agreed minimum fee but allow us to benefit from high betting volume. For the year ended December 31, 2023, 69.4% of our total revenue was generated from fixed-fee recurring arrangements. The remaining 30.6% of revenue for the year ended December 31, 2023 was generated from revenue sharing arrangements. Minimum guarantee amounts are generally recognized over the life of the contract on a straight-line basis, while variable fees are normally based on per event usage-based surcharges and revenue sharing and are recognized as earned. We believe this mix of fixed-fee recurring and revenue sharing provides us with a stable, predictable base of revenue and allows us to participate in the upside from growing betting volume around the world, especially in more nascent geographies. Revenue related to Betting data / betting entertainment Tools and Betting AV products and services are typically generated on a fixed-fee recuring basis with incremental surcharges based on usage above contractual minimums. Revenue for MTS product and Virtual gaming products is typically generated on a revenue sharing basis. Some MTS contracts include a loss participation clause. Our U.S. business, which includes sports entertainment, betting and gaming, also primarily operates using revenue sharing arrangements. Our sports entertainment (media and advertising) customers pay either on a recurring basis or in accordance with Marketing services provided for a specific period. Our revenue generation has a high degree of predictability because we have developed longstanding relationships with our customers. Key Factors Affecting Our Business We believe that the growth and future success of our business depends on many factors, including the following. Capturing Share in New Legalized Sports Betting Markets by Expanding into New Geographies with Existing Customers and Adding New Customers The continued legalization of sports betting in the United States and abroad is a growth driver that is expanding the addressable market for our solutions. Although the legalization of sports betting is still in its early days, we believe there is promising regulatory momentum, particularly in the United States. With the number one market share in the United States, significant investments in place, and deeply embedded relationships, we are well-positioned for sustained U.S. market leadership. We intend to continue to invest in our international operations to grow our business outside of our existing markets as legalization progresses. We believe that the global demand for sports data, content and technology will continue to increase. As we expand our geographic footprint, we expect to acquire new customers in new geographies and expand into new geographies with our existing customers.

GRAPHIC

64 Developing New Innovative Products to Sell to Our Existing Customer Base We intend to extend our leadership position by continuing to innovate and bring new products and technologies to market. We have a history of introducing successful new capabilities on our platform and extending our value proposition with customers. For example, we have leveraged our artificial intelligence capabilities to launch Insight Tech Services as a suite of standalone AI services for sportsbook operators, and our Alpha Odds automated odds recalculation tool which allows operators to generate bespoke betting prices in line with their risk exposure and liabilities. Our Augmented Streaming product is powered by the combination of AI capabilities and our depth in sports data to transform raw data into dynamic visual overlays to display for real-time betting statistics, performance insights, and 3D animations. We have expanded our Marketing services to include our FanID offering, providing rightsholders and brands a data clean room for marketing activation through the use of user fan data. Given the rapidly changing nature of the sports ecosystem, we expect to invest in product development to expand the value of our offerings for our customers. We leverage our wide breadth of sports, betting liquidity, and fan data to create value-add products for our existing relationships with sports leagues, betting operators and media companies. We are recognized as innovators at the forefront of sports data and continue to invest heavily in new capabilities such as computer vision, personalization, AI-driven immersive technologies, odds trading, risk management solutions and fully integrated platform services. Expanding Our Partnerships with Sports Leagues We have valuable relationships with sports leagues across the globe. We intend to continue to expand the breadth and depth of our partnership with sports leagues, including by pursuing new partnerships with sports leagues, big and small, in existing geographies, as well as in new geographies and in new sports categories. To our existing league partners, we provide critical technology and infrastructure allowing for the collection, analyzation and distribution of data to the media, teams and league analysts and the sports betting ecosystem generally. Our deep integrations into both the supply (leagues) and demand (betting operators and media companies) allow us to serve as a trusted, mission-critical partner. We plan to continue to use our strong positioning with many leagues to accelerate innovation and to expand the scope and value proposition of the services that we provide. Acquisition Strategy and Integration As part of our growth strategy, we have made and expect to continue to make targeted acquisitions of, and investments in, complementary businesses, products and technologies, and believe we are well-positioned to successfully execute on our acquisition strategy by leveraging our scale, global reach and data assets. Our management team has a proven track record of executing value accretive transactions. and such acquisitions have expanded our footprint into new geographies and have added to, or improved upon, a range of our capabilities such as platform services, video distribution and solutions we provide to sports leagues. Our ability to acquire complementary technologies for our portfolio and integrate these acquisitions into our business will be important to our success and may affect comparability of our results of operations from period to period.

GRAPHIC

65 Macroeconomic Risks Our financial performance is subject to global economic conditions and their impact on levels of discretionary consumer spending. Economic recessions have had, and may continue to have, far reaching adverse consequences across many industries, including the global sports entertainment and gaming industries, which may adversely affect our business, and financial condition or results of operations. The impact of inflationary pressures on the macroeconomy could slow the spending of our clients. Inflation could also negatively impact our operating costs by increasing costs incurred by us to operate our business due to higher costs from our vendors and increased personnel costs. Furthermore, uncertainty surrounding escalating military and political conflicts around the globe could negatively impact global and regional financial markets which could result in businesses postponing spending in response to tighter credit, higher unemployment, financial market volatility, and other factors. The recent global economic environment of heightened interest rates and inflation may impact the spending behavior of our customers and demand for our offerings. While we have not experienced significant disruptions to our operations caused by the conflicts in Ukraine with Russia and in the Middle East, and while we do not expect any further disruption to our coverage content, we are unable to predict the full impact that these events or others will have on our operations and future financial performance, including demand for our offerings, impact to our customers and partners, actions that may be taken by governmental authorities, and impact to the overall macroeconomic environment, among other factors. For additional discussion related to macroeconomic risks, see “Risk Factors—Risks Related to Our Business and Industry— Economic downturns and political and market conditions beyond our control, including uncertainty and instability resulting from catastrophic events such as war or acts of terrorism, could adversely affect our business, financial condition or results of operations.” Key Financial and Operational Performance Indicators The following table sets forth our key financial and operational performance indicators for the years ended December 31, 2023, 2022 and 2021: Years Ended December 31, (in thousands) 2023 2022 2021 Profit for the year from continuing operations. . . . . . . . . . . . . . . € 34,645 € 10,491 € 12,787 Adjusted EBITDA . . . . . . . . . . . . . . . . . . . . . . . . . . . . . . . . . . . . . € 166,800 € 125,846 € 102,013 Profit for the year from continuing operations as a percentage of revenue . . . . . . . . . . . . . . . . . . . . . . . . . . . . . . . . . 3.9 % 1.4 % 2.3 % Adjusted EBITDA margin . . . . . . . . . . . . . . . . . . . . . . . . . . . . . . . 19.0 % 17.2 % 18.2 % Net Retention Rate . . . . . . . . . . . . . . . . . . . . . . . . . . . . . . . . . . . . . 111 % 119 % 125 % See “Non-IFRS and Other Financial and Other Operating Metric” below for a definition, explanation and, as applicable, reconciliation these measures. Non-IFRS Financial Measures and Operating Metric We have provided in this Annual Report financial information that has not been prepared in accordance with IFRS, including Adjusted EBITDA and Adjusted EBITDA margin (together, the “Non-IFRS financial measures”), as well as our operating metric, Net Retention Rate. We use these non-IFRS financial measures internally in analyzing our financial results and believe they are useful to investors, as a supplement to IFRS measures, in evaluating our ongoing operational performance. We believe that the use of these non-IFRS financial measures provides an additional tool for investors to use in evaluating ongoing operating results and trends, and in comparing our financial results with other companies in our industry, many of which present similar non-IFRS financial measures to investors.

GRAPHIC

66 Non-IFRS financial measures should not be considered in isolation from, or as a substitute for, financial information prepared in accordance with IFRS. Investors are encouraged to review the reconciliation of these non-IFRS financial measures to their most directly comparable IFRS financial measures provided in the tables included below. • “Adjusted EBITDA” represents earnings for the period from continuing operations adjusted for finance income and finance costs, income tax expense or benefit, depreciation and amortization (excluding amortization of sport rights), foreign currency gains or losses, and other items that are non-recurring or not related to the Company’s revenue-generating operations, including share-based compensation, impairment charges or income, restructuring costs, non-routine litigation costs, losses related to equity-accounted investee (SportTech AG), remeasurement of previously held equity-accounted investee (NSoft), professional fees for the Sarbanes Oxley Act of 2002 and enterprise resource planning implementations, and a one-time charitable donation for Ukrainian relief activities. License fees relating to sport rights are a key component of how we generate revenue and one of our main operating expenses. Such license fees are presented either within purchased services and licenses or within depreciation and amortization, depending on the accounting treatment of each relevant license. Only licenses that meet the recognition criteria of IAS 38 are capitalized. The primary distinction for whether a license is capitalized or not capitalized is the contracted length of the applicable license. Therefore, the type of license we enter into can have a significant impact on our results of operations depending on whether we are able to capitalize the relevant license. Our presentation of Adjusted EBITDA removes this difference in classification by decreasing our EBITDA by our amortization of sport rights. As such, our presentation of Adjusted EBITDA reflects the full costs of our sport rights licenses. Management believes that, by deducting the full amount of amortization of sport rights in its calculation of Adjusted EBITDA, the result is a financial metric that is both more meaningful and comparable for management and our investors while also being more indicative of our ongoing operating performance. We present Adjusted EBITDA because our management believes that some excluded items are non-recurring in nature and this information is relevant in evaluating the results of the Company relative to other entities that operate in the same industry. Management believes Adjusted EBITDA is useful to investors for evaluating Sportradar’s operating performance against competitors, which commonly disclose similar performance measures. However, our calculation of Adjusted EBITDA may not be comparable to other similarly titled performance measures of other companies. Adjusted EBITDA is not intended to be a substitute for any IFRS financial measure. Items excluded from Adjusted EBITDA include significant components in understanding and assessing financial performance. Adjusted EBITDA has limitations as an analytical tool and should not be considered in isolation, or as an alternative to, or a substitute for, profit for the period from continuing operations, revenue or other financial statement data presented in our consolidated financial statements as indicators of financial performance. We compensate for these limitations by relying primarily on our IFRS results and using Adjusted EBITDA only as a supplemental measure. The following is a description of the items excluded: Share-based compensation: Includes restricted share units and stock options granted to employees, non-employee, and directors (including related employer payroll taxes). Although share-based compensation is a key incentive offered to our employees and directors, we continue to evaluate our business performance excluding share-based compensation expenses. Share-based compensation related to warrants granted to certain licensors is included in amortization of sport rights. Impairment charges or income: Includes impairment losses on goodwill and intangible assets, and impairment loss and income on other financial assets, which we do not consider indicative of our ongoing operations. Restructuring costs: Includes employee severance and other employee exit costs. We exclude costs incurred pursuant to discrete restructuring plans that are fundamentally different (in terms of the size, strategic nature and planning requirements, as well as the inconsistent frequency, of such plans). Because these restructuring plans are incremental to the core activities that arise in the ordinary course of our business and we believe are not indicative of the Company’s ongoing operating costs in a given period, we exclude these costs to facilitate a more consistent comparison of operating results over time. Non-routine litigation costs: Includes legal costs in connection with matters related to one-time litigation and settlement costs.

GRAPHIC

67 Losses related to equity-accounted investee (SportTech): Represents non-cash losses unrelated to our core businesses because the equity-accounted investee, SportTech AG, operated on a business-to-consumer model as opposed to our core businesses that operate on a business-to-business model. On May 31, 2023, the Company sold its 49% interest in a joint venture to the majority shareholder, Ringier, and as a result exited the joint venture. The difference between the carrying amount of the investment on May 31, 2023 and the fair value of proceeds received resulted in a loss on disposal of equity-accounted investee, which we do not consider indicative of our ongoing operations. Remeasurement of previously held equity-accounted investee (NSoft): Prior to April 28, 2022, Sportradar held 40% of the shares of NSoft d.o.o. (“NSoft”). On April 29, 2022, the Company acquired an additional 30% of the shares in NSoft, thereby increasing its ownership to 70%. The difference between the fair value of the previous held interest in NSoft on the date of acquisition and the carrying value of the additional interest resulted in a gain of €7.7 million, which we do not consider indicative of our ongoing operations. Professional fees for the Sarbanes Oxley Act of 2002 and ERP implementation: Includes external consultancy costs related to SOX and ERP implementation, as we do not consider these costs indicative of our ongoing operations. The following table reconciles Adjusted EBITDA to the most directly comparable IFRS financial performance measure, which is profit for the year from continuing operations: Years Ended December 31, 2023 2022 2021 (in thousands) Profit for the year from continuing operations. . . . . . . . . . . . . . . . . . € 34,645 € 10,491 € 12,787 Finance income. . . . . . . . . . . . . . . . . . . . . . . . . . . . . . . . . . . . . . . . . . . (12,848) (5,250) (5,297) Finance cost . . . . . . . . . . . . . . . . . . . . . . . . . . . . . . . . . . . . . . . . . . . . . 33,731 41,447 32,540 Income tax expense . . . . . . . . . . . . . . . . . . . . . . . . . . . . . . . . . . . . . . . 12,551 7,299 11,037 Depreciation and amortization . . . . . . . . . . . . . . . . . . . . . . . . . . . . . . 206,362 184,813 129,375 Amortization of sport rights . . . . . . . . . . . . . . . . . . . . . . . . . . . . . . . . (160,017) (140,200) (94,312) Foreign currency gains, net . . . . . . . . . . . . . . . . . . . . . . . . . . . . . . . . . (23,205) (26,690) (5,437) Share-based compensation . . . . . . . . . . . . . . . . . . . . . . . . . . . . . . . . . 39,712 28,637 15,431 Restructuring costs . . . . . . . . . . . . . . . . . . . . . . . . . . . . . . . . . . . . . . . . 8,005 5,528 — Non-routine litigation costs . . . . . . . . . . . . . . . . . . . . . . . . . . . . . . . . . — 19,045 — Losses related to equity-accounted investee1 . . . . . . . . . . . . . . . . . . . 17,303 3,985 — Impairment of goodwill and intangible assets . . . . . . . . . . . . . . . . . . 9,854 — — Impairment loss on other financial assets. . . . . . . . . . . . . . . . . . . . . . 202 (5) 5,889 Remeasurement of previously held equity-accounted investee . . . . — (7,698) — Professional fees for SOX and ERP implementations. . . . . . . . . . . . 505 4,298 — One-time charitable donation for Ukrainian relief activities. . . .... — 146 — Adjusted EBITDA . . . . . . . . . . . . . . . . . . . . . . . . . . . . . . . . . . . . . . . . € 166,800 € 125,846 € 102,013 1 Losses for the year ended December 31, 2023 are comprised of €3.7 million share of loss in SportTech AG and €13.6 million loss on disposal of investment in SportTech AG. • “Adjusted EBITDA margin” is the ratio of Adjusted EBITDA to revenue.

GRAPHIC

68 The most directly comparable IFRS measure of profit for the year from continuing operations as a percentage of revenue is disclosed below: Years Ended December 31, 2023 2022 2021 (in thousands) Profit for the year from continuing operations. . . . . . . . . . . . . . . € 34,645 € 10,491 € 12,787 Revenue . . . . . . . . . . . . . . . . . . . . . . . . . . . . . . . . . . . . . . . . . . . . . € 877,621 € 730,188 € 561,202 Profit for the year from continuing operations as a percentage of revenue . . . . . . . . . . . . . . . . . . . . . . . . . . . . . . . . . 3.9 % 1.4 % 2.3 % In addition, we define our operating metric as follows: • “Net Retention Rate” is calculated for a given period by starting with the reported Trailing Twelve Month revenue from our top 200 customers as of twelve months prior to such period end, or prior period revenue. We then calculate the reported Trailing Twelve Month revenue from the same customer cohort as of the current period end, or current period revenue. Current period revenue includes any upsells and is net of contraction and attrition over the trailing twelve months, but excludes revenue from new customers in the current period. We then divide the total current period revenue by the total prior period revenue to arrive at our Net Retention Rate. For the year ended December 31, 2023, the top 200 customers represented approximately 77.6% of our revenue, an increase from 76.4% as of December 31, 2022. We believe our top 200 customers represent a good proxy for analyzing trends in our business and customer behavior. The Net Retention Rate was 111% in 2023 and 119% in 2022. Components of our Results of Operations The following briefly describes the components of revenue and expenses as presented in our consolidated statements of profit or loss and other comprehensive income. Revenue Betting includes revenue derived from betting data and betting entertainment tools, Managed Betting Services (MBS) and Virtual Gaming. Below is a description of each: Betting Data / Betting entertainment tools Revenue includes client service revenue for an agreed number of matches, with sports data to be retrieved on demand over a contract period (referred to as the stand ready service). At any time, customers also have the ability to select additional matches (“single match booking” or “SMB”) over and above the agreed upon package. These matches are often used for premium events but may be used for any other normal events. The SMBs are a separate contract for distinct services sold at their standalone prices. The stand ready service is provided over a period of time. As the performance obligations and associated method of satisfaction measurement are substantially the same, the stand ready service represents a series. In general, there is one performance obligation for the series and therefore, revenue is recognized on a straight-line basis over the contract period. The data and service level commitments are generally consistent on a monthly basis over the term of the arrangement. As the service is provided evenly over the contract term, a straight-line measure of progress is appropriate for recognizing revenue. Revenue is recognized on a straight-line basis consistent with the entity’s efforts to fulfill the contract which are even throughout the period. In assessing the nature of the obligation, Sportradar considered all relevant facts and circumstances, including the timing of transfer of goods or services, and concluded that the entity’s efforts are expended evenly throughout the contract period. SMBs are provided on request from customers and result in separate contracts. The price for each match is determined on a stand- alone basis and revenue relating to SMBs is recognized at a point in time, which generally coincides with the performance of the actual matches.

GRAPHIC

69 There are certain sport betting contracts with customers incorporate a revenue share scheme in which Sportradar receives a share of revenue based on the gaming revenue generated from the betting activity on the match. The revenue share gives rise to variable consideration for each match, which is initially constrained until the related performance obligation is satisfied at the point in time when the customer generates gaming revenue. The revenue share is generated from live betting events and recognized at the point in time of the actual customer sale performance. Sportradar’s fee on the revenue share is recognized at the point of time the customer has itself generated gaming revenue from an individual bet, which is the difference between the bet and payout. MBS revenue includes Managed Trading Services (“MTS”) and MSS(formerly Managed Platform Services). MTS revenue consists of the percentage of winnings and fees charged to clients if a “bet slip” is accepted and successful. MSS revenue consists of platform set-up fees for our turnkey solution. MTS clients forward their proposed bets, known as “bet slips”, to us for consideration as to whether or not the bet is advisable. We have the ability to accept or decline this bet slip. If a bet slip is accepted, we will receive a share of the revenue or loss made by the client on the bet. MTS agreements typically specify an agreed minimum fee and revenue share percentage and the actual fee is determined as the higher of the minimum fee and revenue share. The revenue share is based on gross or net gaming revenue. Gross gaming revenue is the total volume of bets in excess of the total amount of payouts to betting customers. Net gaming revenue is gross gaming revenue less applicable taxes and other contractually agreed adjustments. Most of MTS contracts also include a loss participation clause in a situation when the applicable gaming revenue is negative and we are exposed to losses subject to the agreed loss participation percentage (typically the same percentage as the revenue share), which may be subject to a cap. Revenue is recognized monthly on the basis of actual performance (revenue share or minimum fee, if the revenue share, is below agreed minimum fee). MSS is part of our MBS business and provides a complete turnkey solution (including platform set-up, maintenance and support) to our clients. The platform set-up fee is recognized over the time the platform is built. Maintenance and support fees are recognized on a monthly basis or on the basis of actual performance for revenue share arrangements. Virtual gaming revenue consists of income from a revenue share arrangement with clients in exchange for the provision of virtual sports data for Virtual Gaming. The Company receives income from a revenue share arrangement with clients in exchange for the provision of virtual sports data. We receive a share of revenue based on the gaming revenue generated from the betting activity on the virtual game. The revenue share gives rise to variable consideration for each match, which is initially constrained until the related performance obligation is satisfied. The revenue share is generated from live betting events and revenue is recognized at the point in time of the actual customer sale performance. Our fee on the revenue share is recognized at the point of time the customer has itself generated gaming revenue from an individual bet, which is the difference between the bet and payout. Betting audiovisual (AV) revenue consists of revenue from the sale of a live streaming solution for online, mobile and retail sports betting offers. The stand ready service is provided over a period of time. As the performance obligations and associated method of satisfaction measurement are substantially the same, the stand ready service represents a series. In general, there is one performance obligation for the series and, therefore, revenue is recognized on a straight-line basis over the contract term. Should the customer have demand that exceeds the level of performance provided in the contract, we deliver this additional service level at the standalone market selling price. The additional obligation is then deemed satisfied and the revenue is recorded in the period of over performance. Marketing and advertising (Ad:s) revenue consists of revenue streams from multiple marketing products and services for brands, rightsholders, betting and gaming operators and media companies. Customers generally agree to marketing commitments, either on a per campaign basis or for a fixed period commitment. Revenue is recognized at the point in time when the services are performed or equally over the contract term. Our Marketing services also include digital advertising services where the Company is buying advertising inventory and reselling the spaces to our customers. Under these arrangements, the Company may act as either a principal or as an agent which may require judgement to determine if the nature of the Company’s obligation to our customer is to provide the specified goods or services, or to arrange for those goods or services to be provided by the other party. Other revenue includes various revenue streams including media revenue for the rest of the world and Integrity services. Integrity Services Revenue consists of monitoring, intelligence, education, and consultancy solutions for sports organizations, state authorities, and law enforcement agencies to support them in the fight against match-fixing and corruption. Revenue is primarily recognized on a straight-line basis over the contract term.

GRAPHIC

70 United States revenue consists of U.S. sourced media revenue from Application Programming Interfaces (“API”), whereby customers can access both live and historical data via API products. Customer contracts include multiple sports and the products offered are accessible throughout the duration of the contract. The stand ready services represent one performance obligation performed over time. Revenue is recognized on a straight-line basis over the contract term. United States revenue also includes betting and AV revenue as well as Advertising and Sport Solutions services. Sports solutions revenue arises from subscription based arrangements. The customer, either professional or college sports teams, purchases access to proprietary technology which links sports data and video clips to create visual statistics and analytics about players, teams, and specific games. Teams can sort and filter statistics and video clips in real time to better understand player and team strengths and weaknesses. The subscription is billed in advance for the entire service period, typically one year. Revenue is recognized equally over each month over the service period. Costs and expenses Purchased services and licenses (excluding depreciation and amortization). Purchased services and licenses (excluding depreciation and amortization) consist of the costs of delivering the service to our customers, which does not include license amortization and personnel costs. It consists primarily of fees paid to data journalists and freelancers for gathering sports data, fees to sales agents, production costs, revenue shares for third-party content, advertising costs and operational fees, consultancy fees, and licenses and sports rights expenses that did not meet the recognition criteria, as well as IT development costs and other external service costs. These costs are primarily expensed as they are incurred. Internally-developed software cost capitalized. Internally-developed software cost capitalized consists primarily of personnel costs and purchased services involved in software development and which meet the qualifying criteria for capitalization. Such costs are capitalized as part of the corresponding intangible asset as incurred. Personnel expenses. Personnel expenses consist primarily of salaries and bonus compensation, share-based compensation, payroll taxes, social benefits and expenses for pension plans. Personnel expenses are expensed as incurred. Personnel expenses include costs related to internally-developed software meeting the qualifying criteria for capitalization, as such those costs are recognized as part of the capitalized internally developed software cost. Share-based compensation cost related to employees and directors of the Company is recognized on a graded vesting basis over the vesting period. Other operating expenses. Other operating expenses consist primarily of legal and other consulting expenses, telecommunications and IT expenses, advertising and marketing expenses, travel expenses, and other expenses, all of which are recognized on an accrual basis, being expensed as incurred. Depreciation and amortization Depreciation primarily relates to the depreciation of IT and office equipment and buildings. Property and equipment are depreciated on a straight-line basis over the estimated useful lives of the assets, which are estimated between three to 15 years. Amortization expense relates to the amortization of intangible assets over their estimated useful life. Our amortization expense primarily relates to sports rights licenses, customer base, technology, brand name, capitalized software cost and other rights and contract costs. Impairment loss on goodwill and intangible assets Impairment of intangible assets is recognized where we determine that the investment made in the respective intangible assets is not fully recoverable. Impairment loss on trade receivables, contract assets and other financial assets Impairment loss on trade receivables, contract assets and other financial assets consist primarily of impairment on loans granted by us to clients and management and the provision for expected credit losses in respect of trade receivables and contract assets.

GRAPHIC

71 Share of loss of equity-accounted investees Share of loss of equity-accounted investees consist primarily of our share of the results of operations of associates and investees over which we have significant influence but not control or joint control. Loss on disposal of equity-accounted investee Loss on disposal of equity-accounted investee consists of the difference between the carrying amount of the investment on the date the Company exists a joint venture and the fair value of proceeds received. Impairment loss on assets held for sale Impairment loss on assets held for sale consists of remeasurement of non-current assets or disposal group held for sale at the lower of carrying amount and fair value less costs to sell. Finance income Finance income consists primarily of interest income from loans and bank account deposits. Finance costs Finance costs consist primarily of interest expense on license payables fees. Segments During the year ended December 31, 2023, the Company initiated a broader set of strategic initiatives expected to streamline its operating structure. Prior to these strategic initiatives and during the years ended December 31, 2023, 2022 and 2021, we managed and reported operating results through the following three reportable segments: • RoW Betting (53.2% of 2023 revenue, 53.3% of 2022 revenue, and 55.1% of 2021 revenue): The RoW Betting segment includes customers located outside the United States and represents revenue generated from betting and gaming solutions. • RoW AV (20.8% of 2023 revenue, 22.0% of 2022 revenue, and 25.0% of 2021 revenue): The RoW AV segment represents revenue generated from live streaming solutions for online, mobile and retail sports betting from customers outside the United States.

GRAPHIC

72 • United States (18.9% of 2023 revenue, 17.5% of 2022 revenue, and 12.8% of 2021 revenue): The United States segment represents revenue generated from sports entertainment, betting and gaming in the United States. Segment Revenue Segment Adjusted EBITDA Years Ended December 31, Years Ended December 31, 2023 2022 2021 2023 2022 2021 (in thousands) RoW Betting . . . . . . . . . . . . . . . . . . . . . . . . . . . . . . . . . . . . € 466,823 € 389,092 € 309,357 € 209,562 € 182,439 € 176,987 RoW AV . . . . . . . . . . . . . . . . . . . . . . . . . . . . . . . . . . . . . . . 182,196 160,522 140,162 52,211 46,494 39,246 United States . . . . . . . . . . . . . . . . . . . . . . . . . . . . . . . . . . . . 165,512 127,442 71,700 18,893 (4,141) (22,625) Other . . . . . . . . . . . . . . . . . . . . . . . . . . . . . . . . . . . . . . . . . . 63,090 53,132 39,983 (6,328) (13,348) (5,746) Total .......................................... € 877,621 € 730,188 € 561,202 € 274,338 € 211,444 € 187,862 Unallocated corporate expense1 . . . . . . . . . . . . . . . . . . . . . (107,538) (85,598) (85,849) Adjusted EBITDA2 . . . . . . . . . . . . . . . . . . . . . . . . . . . . . . . 166,800 125,846 102,013 Profit for the year from continuing operations . . . . . . . . . € 34,645 € 10,491 € 12,787 1 Unallocated corporate expenses primarily consist of salaries and wages for management, legal, human resources, finance, office, IT and other costs not allocated to the segments. 2 Adjusted EBITDA is a non-IFRS financial measure and a reconciliation from profit for the year from continuing operations, its most directly comparable IFRS measure, is included in “Non-IFRS and Other Financial and Other Operating Metric” together with an explanation of the reasons we consider Adjusted EBITDA useful. Comparison of Results for the Fiscal Years Ended December 31, 2023, 2022 and 2021 The following table sets forth the consolidated statements of profit or loss in Euros for the periods presented. Year Ended Year Ended Year Ended December 31, December 31, December 31, € change % 2023 2022 2021 2023-22 change (in thousands) Revenue . . . . . . . . . . . . . . . . . . . . . . . . . . . . . . . . . . . . . . . . . . . . . . . . € 877,621 € 730,188 € 561,202 € 147,433 20.2 % Purchased services and licenses (excluding depreciation and amortization) . . . . . . . . . . . . . . . . . . . . . . . . . . . . . . . . . . . . . . . . . . (205,876) (175,997) (119,426) (29,879) 17.0 % Internally-developed software cost capitalized . . . . . . . . . . . . . . . . . 28,301 17,730 11,794 10,571 59.6 % Personnel expenses . . . . . . . . . . . . . . . . . . . . . . . . . . . . . . . . . . . . . . . (326,031) (265,984) (183,820) (60,047) 22.6 % Other operating expenses . . . . . . . . . . . . . . . . . . . . . . . . . . . . . . . . . . (89,443) (95,891) (87,308) 6,448 (6.7)% Depreciation and amortization . . . . . . . . . . . . . . . . . . . . . . . . . . . . . . (206,362) (184,813) (129,375) (21,549) 11.7 % Impairment loss on trade receivables, contract assets and other financial assets . . . . . . . . . . . . . . . . . . . . . . . . . . . . . . . . . . . . . . . . . (6,179) (1,552) (5,952) (4,627) 298.1 % Loss on disposal of equity-accounted investee . . . . . . . . . . . . . . . . . (13,604) — — (13,604) 100.0 % Impairment of goodwill and intangible assets . . . . . . . . . . . . . . . . . (9,854) — — (9,854) 100.0 % Remeasurement of previously held equity-accounted investee. . . . — 7,698 — (7,698) (100.0)% Share of loss of equity-accounted investees . . . . . . . . . . . . . . . . . . . (3,699) (4,082) (1,485) 383 (9.4)% Foreign currency gains, net . . . . . . . . . . . . . . . . . . . . . . . . . . . . . . . . 23,205 26,690 5,437 (3,485) (13.1)% Finance income . . . . . . . . . . . . . . . . . . . . . . . . . . . . . . . . . . . . . . . . . . 12,848 5,250 5,297 7,598 144.7 % Finance costs . . . . . . . . . . . . . . . . . . . . . . . . . . . . . . . . . . . . . . . . . . . . (33,731) (41,447) (32,540) 7,716 (18.6)% Net income before tax . . . . . . . . . . . . . . . . . . . . . . . . . . . . . . . . . . . . 47,196 17,790 23,824 29,406 165.3 % Income tax expense . . . . . . . . . . . . . . . . . . . . . . . . . . . . . . . . . . . . . . (12,551) (7,299) (11,037) (5,252) 72.0 % Profit for the year from continuing operations . . . . . . . . . . . . . . . . . 34,645 10,491 12,787 24,154 230.2 % Loss from discontinued operations, net of tax . . . . . . . . . . . . . . . . . (751) — — (751) 100.0 % Profit for the year . . . . . . . . . . . . . . . . . . . . . . . . . . . . . . . . . . . . . . . . € 33,894 € 10,491 € 12,787 € 23,403 223.1 %

GRAPHIC

73 Revenue Revenue was €877.6 million for the year ended December 31, 2023, an increase of €147.4 million, or 20.2%, compared to €730.2 million for the year ended December 31, 2022. In the year ended December 31, 2023, 53.2% of our total revenue was generated from RoW Betting, 20.8% from RoW AV, 18.9% from solutions sold into the U.S. market and 7.2% from other. This revenue increase was driven by Betting data/Betting entertainment tools growth of €62.0 million as a result of stable growth across all products due to a growing customer base, price increases, and upselling of packages. MBS revenue growth of €40.0 million was driven by MTS, due to increases in betting turnover traded by our systems in addition to the success of our strategy to upsell and cross sell customers our higher value-add products. MSS additionally contributed to MBS growth primarily due to one new customer contract in Taiwan. Revenue growth of €29.9 million in Betting AV was driven by growth from existing customers and positive impacts from new customers, positively impacted by sport rights licenses with CONMEBOL and NBA. Other revenue including Marketing services and Sports solutions increased €19.0 million, strongly driven by new customers for these services. Revenue for the Company’s major product groups consists of the following for the years ended December 31, 2023, 2022 and 2021: Years Ended December 31, 2023 2022 2021 (in thousands) Betting data / Betting entertainment tools . . . . . . . . . . . . . . . . . . . . . . € 278,157 € 237,043 € 214,034 Managed Betting Services (“MBS”) . . . . . . . . . . . . . . . . . . . . . . . . . . . 175,862 135,895 79,966 Virtual Gaming . . . . . . . . . . . . . . . . . . . . . . . . . . . . . . . . . . . . . . . . . . . 12,804 16,154 15,357 Rest of the World Betting revenue . . . . . . . . . . . . . . . . . . . . . . . . . . 466,823 389,092 309,357 Betting AV . . . . . . . . . . . . . . . . . . . . . . . . . . . . . . . . . . . . . . . . . . . . 182,196 160,522 140,162 Other revenue . . . . . . . . . . . . . . . . . . . . . . . . . . . . . . . . . . . . . . . . . . 63,090 53,132 39,983 Rest of the World revenue . . . . . . . . . . . . . . . . . . . . . . . . . . . . . . . . 712,109 602,746 489,502 Media and advertising revenue . . . . . . . . . . . . . . . . . . . . . . . . . . . . . . 58,914 53,010 33,796 Betting data . . . . . . . . . . . . . . . . . . . . . . . . . . . . . . . . . . . . . . . . . . . . . 50,629 29,737 15,150 Betting AV . . . . . . . . . . . . . . . . . . . . . . . . . . . . . . . . . . . . . . . . . . . . . . 19,173 10,963 5,166 Sports Solutions . . . . . . . . . . . . . . . . . . . . . . . . . . . . . . . . . . . . . . . . . . 36,796 33,732 17,588 United States revenue . . . . . . . . . . . . . . . . . . . . . . . . . . . . . . . . . . . . 165,512 127,442 71,700 Total Revenue . . . . . . . . . . . . . . . . . . . . . . . . . . . . . . . . . . . . . . . . . . . € 877,621 € 730,188 € 561,202 Purchased services and licenses (excluding depreciation and amortization) Purchased services and licenses (excluding depreciation and amortization) were €205.9 million for the year ended December 31, 2023, an increase of €29.9 million, or 17.0%, compared to €176.0 million for the year ended December 31, 2022. This increase was primarily driven by increased cost of materials and goods of €10.5 million primarily related to one customer contract in Taiwan, an increase of €8.3 million related to external IT development and product delivery costs, an increase of €8.1 million related to sport rights costs not eligible for capitalization, and increased media and advertising costs of €4.4 million due to growth in our customer base. Internally-developed software cost capitalized Internally-developed software cost capitalized was €28.3 million for the year ended December 31, 2023, an increase of €10.6 million, or 59.6%, compared to €17.7 million for the year ended December 31, 2022. This increase was primarily driven by continued investment in new product offerings which has resulted in an increase of €6.2 million capitalized personnel expenses and €4.4 million increased capitalized external vendor costs for software development projects related to computer vision AI, alpha odds, and regulatory services, in addition to expanding product offerings and services unique to certain sport rights licenses.

GRAPHIC

74 Personnel expenses Personnel expenses were €326.0 million for the year ended December 31, 2023, an increase of €60.0 million, or 22.6%, compared to €266.0 million for the year ended December 31, 2022. This increase was primarily driven by increased salaries and wages expense, increased social security taxes, and increased other benefits expenses of €44.7 million, €7.6 million, and €4.3 million, respectively, driven by a greater number of FTEs due to both organic and inorganic growth, and higher share-based compensation expense due to increased number of equity awards granted to our employees. We experienced increased wages and benefits costs compared to 2022 due to inflation and competitive job markets for the skilled employees who support our businesses. Further, in October 2023, the Company initiated measures to realign its business and strategic priorities resulting in an increase of €3.5 million severance obligation costs incurred in connection with this restructuring action compared to separate restructuring actions taken in 2022. Other operating expenses Other operating expenses were €89.4 million for the year ended December 31, 2023, a decrease of €6.4 million, or 6.7%, compared to €95.9 million for the year ended December 31, 2022. This decrease was driven by one non-routine litigation and settlement cost of €19.0 million not recurring in the current year and a further decrease of €5.6 million in public company liability insurance costs year-over-year. These decreases were offset by increases in costs associated with ongoing business activities primarily due to an increase of €5.8 million related to office costs for new branch and office locations, an increase of €4.5 million related to consulting and audit fees associated with public company and Sarbanes-Oxley Act compliance initiatives, an increase of €4.0 million related to software-as-a-service license fees attributable to increased employee headcount during the year and increases in vendor fees per license, and an increase of €2.2 million related to travel costs. Depreciation and amortization Depreciation and amortization were €206.4 million for the year ended December 31, 2023, an increase of €21.6 million, or 11.7%, compared to €184.8 million for the year ended December 31, 2022. This increase was primarily driven by higher amortization of sport right licenses in the amount of €17.6 million, resulting from new sport rights deals, increased depreciation of €2.6 million resulting mainly from new office lease agreements, increased amortization of €1.5 million from internally generated intangible assets, and increased amortization of intangible assets acquired through business combinations of €1.5 million. Impairment of goodwill and intangible assets An impairment loss related to goodwill and intangible assets of €9.9 million was recognized in the consolidated statement of profit or loss and comprehensive income for the year ended December 31, 2023. The impairment was triggered by the strategic decision to divest or ramp-down certain products and customer contracts within the RoW Other cash generating unit (CGU). There was no impairment of intangible assets for the year ended December 31, 2022. Impairment loss on trade receivables, contract assets and other financial assets Impairment loss on trade receivables, contract assets and other financial assets was €6.2 million for the year ended December 31, 2023, an increase of €4.6 million, or 298.1%, compared to €1.6 million for the year ended December 31, 2022. In 2023, management initiated certain credit risk management activities, resulting in €6.7 million provision charge on expected credit losses on trade receivables from higher sales of past-due receivables to collection agencies. In 2022, the impairment loss consisted primarily of trade receivable and contract assets. Share in loss of equity-accounted investee Share in loss of equity-accounted investees was €3.7 million for the year ended December 31, 2023, a decrease of €0.4 million, or 9.4%, compared to €4.1 million for the year ended December 31, 2022. The share in loss of equity-accounted investee for the year ended December 31, 2023 is attributable to the joint venture SportTech AG, which was an associate of the Company until May 22, 2023. In the prior year, the loss is attributable to NSoft, which was an associate of the Company until April 29, 2022, and SportTech AG, which was an associate of the Company beginning August 4, 2022.

GRAPHIC

75 Loss on disposal of equity-accounted investee On May 31, 2023, the Company sold its 49% interest of SportTech AG, to the majority shareholder, Ringier, and exited the joint venture. The difference between the carrying amount of the investment on May 31, 2023 and the fair value of proceeds received resulted in a loss on disposal of equity-accounted investee of €13.6 million. There was no loss on disposal of equity-accounted investee for the year ended December 31, 2022. Foreign currency gains, net Foreign currency gains, net, was €23.2 million for the year ended December 31, 2023, a decrease of €3.5 million, or 13.1%, compared to €26.7 million for the year ended December 31, 2022. The decrease was primarily driven by the development of U.S. dollars to Euros foreign currency exchange rate on cash equivalents denominated in U.S. dollars, which are partly offset by foreign currency losses on trade payables denominated in U.S. dollars. Finance income Finance income was €12.8 million for the year ended December 31, 2023, an increase of €7.6 million, or 144.7%, compared to €5.3 million for the year ended December 31, 2022. The increase was primarily driven by €4.4 million in changes in fair value of contingent consideration liabilities related to historical acquisitions and increased interest income of €2.4 million related to the Company’s U.S. money market funds. Finance costs Finance costs was €33.7 million for the year ended December 31, 2023, a decrease of €7.7 million, or 18.6%, compared to €41.4 million for the year ended December 31, 2022. This decrease was primarily related to lower interest costs of €18.9 million due to prepayment of the €420.0 million senior secured term loan facility in the prior year, offset by an increase of €10.1 million interest costs related to capitalized sport rights licenses. Income tax expense Income tax expense was €12.6 million for the year ended December 31, 2023, an increase of €5.3 million, or 72.0%, compared to €7.3 million for the year ended December 31, 2022. The increase year-over-year was driven by higher net income before tax, offset by the impact of a lower effective tax rate. The Company’s effective tax rate for the year ended December 31, 2023 was 26.6% compared to 41.0% for the year ended December 31, 2022. The effective tax rate for 2023 was favorably impacted primarily by significant unrealized foreign exchange gains in the Company’s Switzerland-based entities which had a statutory tax rate of 14.3%, and a tax refund ruling in relation to a prior year tax dispute in one of the jurisdictions in which the Company operates. The favorable impact is partially offset by a deferred tax asset impairment on the associated tax step-up. Loss from discontinued operations On May 31, 2023, BetTech Gaming (PTY) Ltd (“BetTech”) became a wholly-owned subsidiary in connection with the Company’s exit from its investment in SportTech AG. The Company immediately committed to a plan to sell BetTech. In November 2023, the Company sold BetTech to a third party. BetTech is presented as discontinued operations in the consolidated statement of profit or loss and comprehensive income for the year ended December 31, 2023. Net loss from discontinued operations was €0.8 million for the period of June 1, 2023 to November 30, 2023. There are no discontinued operations for the year ended December 31, 2022. Recent Accounting Pronouncements Recently issued and adopted accounting pronouncements are described in Note 2.1—New and amended standards and interpretations, to our consolidated financial statements included elsewhere in this Annual Report.

GRAPHIC

76 The amendments to IAS 8 Definition of Accounting Estimates and the amendments to IAS 1 and IFRS Practice Statement 2: Disclosure of Accounting Policies have had an impact on the Company’s disclosures of accounting policies related to the use of estimates, judgements and assumptions in Note 2—Material accounting policy information, but not on the measurement, recognition or presentation of any items in the Company’s consolidated financial statements. B. Liquidity and Capital Resources We measure liquidity in terms of our ability to fund the cash requirements of our business operations, including working capital and capital expenditure needs, future acquisitions and general corporate purposes, with cash flows from operations and other sources of funding. Our current working capital needs relate mainly to sports rights fees and scouting costs, as well as compensation and benefits of our employees. Our ability to expand and grow our business will depend on many factors, including our working capital needs and the evolution of our operating cash flows. Since our inception, we have financed our operations primarily through cash generated by our operating activities, from borrowings under our credit facilities, and from proceeds of issuances of equity. As of December 31, 2023 and 2022, we had cash and cash equivalents of €277.2 million and €243.8 million, respectively. Our cash consists of cash in bank accounts and highly liquid investments. We believe that our sources of liquidity and capital will be sufficient to meet our existing business needs for at least the next 12 months. Any future financing requirements will depend on many factors including our growth rate, revenue, and the timing and extent of spending to support our business and any acquisitions. In the event we require additional financing, we may not be able to raise such financing on terms acceptable to us or at all. If we are unable to raise additional capital or generate cash flows necessary to expand our operations and invest in continued innovation, we may not be able to compete successfully, which would adversely affect our business, financial condition and results of operations. Borrowings In November 2020, we entered into a Credit Agreement (as amended and restated September 16, 2022) with J.P. Morgan Securities PLC, Citigroup Global Markets Limited, Credit Suisse International, Goldman Sachs Bank USA, UBS AG London Branch and UBS Switzerland AG (as Mandated Lead Arrangers), J.P. Morgan SE (formerly, J.P. Morgan AG) (as Agent) and Kroll Trustee Services Limited (formerly, Lucid Trustee Services Limited) (as Security Agent) that provided a €420.0 million senior secured term loan facility (the “Term Loan Facility” or “Facility B”) and a €110.0 million multicurrency senior secured revolving credit facility (the “Original RCF”). Our wholly-owned subsidiary, Sportradar Capital S.à r.l., is the borrower under the Credit Agreement and the obligations are guaranteed by other subsidiaries of the Company and secured by certain assets of the borrower and its subsidiaries. On July 14, 2022 and December 14, 2022, we prepaid €200.0 million and €220.0 million, respectively, of the outstanding Facility B commitments, thereby reducing the outstanding Facility B commitments to zero. On September 16, 2022, we established a €110.0 million additional revolving facility by way of a fungible increase to the Original RCF (the “Additional RCF”, and together with the Original RCF, the “RCF”), increasing the total RCF commitments to €220.0 million. Only the RCF remains outstanding under the Credit Agreement as of December 31, 2023. Prior to the payoff of the Facility B, borrowings bore interest at the maximum annual rate equal to EURIBOR plus 4.25% and were subject to a margin ratchet as set out below: Senior Secured Net Leverage Ratio Facility B Margin (% per annum) Greater than 4.50:1.00 . . . . . . . . . . . . . . . . . . . . . . . . . . . . . . . . . . . . . . . . . . . . 4.25 Greater than 4.00:1.00 but equal to or less than 4.50:1.00 . . . . . . . . . . . . . . . 4.00 Greater than 3.50:1.00 but equal to or less than 4.00:1.00 . . . . . . . . . . . . . . . 3.75 Equal to or less than 3.50:1.00 . . . . . . . . . . . . . . . . . . . . . . . . . . . . . . . . . . . . . 3.50

GRAPHIC

77 Borrowings under the RCF bear interest at a maximum annual rate of EURIBOR (or, as the case may be, Term SOFR or SONIA) plus 3.75% per annum and are subject to a margin ratchet as set out below: Senior Secured Net Leverage Ratio RCF Margin (% per annum) Greater than 4.50:1.00 . . . . . . . . . . . . . . . . . . . . . . . . . . . . . . . . . . . . . . . . . . . . . . . . 3.75 Greater than 4.00:1.00 but equal to or less than 4.50:1.00 . . . . . . . . . . . . . . . . . . . 3.50 Greater than 3.50:1.00 but equal to or less than 4.00:1.00 . . . . . . . . . . . . . . . . . . . 3.25 Greater than 3.00:1.00 but equal to or less than 3.50:1.00 . . . . . . . . . . . . . . . . . . . 3.00 Equal to or less than 3.00:1.00 . . . . . . . . . . . . . . . . . . . . . . . . . . . . . . . . . . . . . . . . . 2.75 For the unutilized RCF, a commitment fee is payable of currently 0.825% which is 30% of the applicable margin for the RCF. The applicable margin for the RCF is currently 2.75% per annum and is determined based on the senior secured net leverage ratio of the Company. The Credit Agreement contains customary covenants that, among other things, restricts the borrower and its subsidiaries ability to: • incur indebtedness; • create liens; • engage in mergers or consolidations; • make investments, loans and advances; • pay dividends and distributions and repurchase capital stock; • sell assets and subsidiary stock; • engage in certain transactions with affiliates; and • make prepayments on junior indebtedness. The Credit Agreement also contains, solely for the benefit of the RCF lenders, a springing financial covenant that requires the borrower to ensure that the senior secured net leverage ratio will not exceed 6.50:1. Additionally, the Credit Agreement contains certain customary representations and warranties, affirmative covenants and events of default. If an event of default occurs, the lenders are entitled to take various actions, including the acceleration of amounts due and the exercise of the available remedies under the Credit Agreement. Equity For the year ended December 31, 2023, our shareholders’ equity increased by €116.2 million to €867.8 million, compared to shareholders’ equity of €751.6 million for the year ended December 31, 2022. This is mainly due to profit from continuing operations of €34.6 million, a net increase of €30.0 million from equity-settled share-based payments activity, and €52.0 million increase related to certain grants to sport rights holders. Capital Expenditures Our capital expenditures consist primarily of payments for capitalized sports rights and capitalized personnel expenditures and external vendor costs for self-developed software. Our capital expenditures during the fiscal year ended December 31, 2023 was €200.3 million, an increase of €37.7 million, or 23.2%, from €162.6 million for the year ended December 31, 2022. This increase was primarily driven by certain sports rights and software development projects.

GRAPHIC

78 For additional information regarding our contractual commitments and contingencies, see Note 27 to our consolidated financial statements, which are included elsewhere in this Annual Report. Cash Flows The following table presents the summary consolidated cash flow information for the periods presented. Years Ended December 31, 2023 2022 2021 (in thousands) Net cash from operating activities . . . . . . . . . . . . . . . . . . . . . ...... € 258,645 € 168,077 € 132,221 Net cash used in investing activities . . . . . . . . . . . . . . . . . . . . . . . . . (202,090) (246,567) (333,768) Net cash (used in) / from financing activities. . . . . . . . . . . . . . . . . . (17,632) (459,848) 539,766 Net cash from operating activities Net cash from operating activities was €258.6 million for the year ended December 31, 2023, an increase of €90.6 million from €168.1 million for the year ended December 31, 2022. A year-over-year increase of €3.8 million was attributable to positive impact on working capital movement and interest paid/received impact. A year-over-year increase of €81.4 million cash flow from operating activities before working capital changes is primarily driven by year-over-year increased profit for the year of €23.4 million adjusted for a significant higher amounts of non-cash effective expenses, including higher amortization and impairment charges of €28.8 million, higher equity-settled share-based payments of €12.9 million, and €13.6 million of one-time losses incurred in connection with the disposal of equity-accounted investee SportTech AG. Net cash used in investing activities Net cash used in investing activities was €202.1 million for the year ended December 31, 2023, a decrease of €44.5 million from €246.6 million for the year ended December 31, 2022. This decrease was mainly due to €30.7 million less cash used to acquire businesses and financial assets, and settlement of contingent consideration from historical acquisitions. During the year ended December 31, 2023, €4.9 million of investing outflows was related to the acquisition of one business in Cyprus, €7.9 million was related to the settlement of contingent and deferred consideration from historical acquisitions, and €3.7 million was related to the acquisition of an investment in financial asset. In the year ended December 31, 2023, investing cash inflows include proceeds of €15.2 million from the disposal of SportTech AG equity-accounted investee. In the year ended December 31, 2022, investing cash flows include cash contributions to SportTech AG equity-accounted investee of €27.8 million. The overall decrease was additionally offset by the increase in capital expenditures of €37.7 million, driven by certain sport rights and software development projects. Net cash used in financing activities Net cash used in financing activities was €17.6 million for the year ended December 31, 2023, compared to net cash used in financing activities of €459.8 million for the year ended December 31, 2022. The change was mainly due to prepayments on borrowings of bank debt of €420.7 million and the purchase of a 7% non-controlling interest in subsidiary Sportradar US, LLC for €28.2 million in cash, offset by an increase in 2023 of purchased treasury shares of €5.2 million in connection with vesting events to cover employee withholding taxes. C. Research and Development, Patents and Licenses, Etc. We continue to make substantial investments in research and development in key areas of technology and innovation. Our tribes are aligned to business domains and work to deliver new strategic features and capabilities for Sportradar as well as supporting the existing product suite. Sportradar operates a ‘hub and spoke’ governance model so that decisions are taken as close to the context of the problem as possible. Our primary focus is on both the development of existing and new innovations in several areas such as automated data processing and enrichment using artificial intelligence, machine learning and computer vision that leverages our unique data assets. In addition, we continue to evolve our products and services to enhance value to our customers including optimizing our platforms to provide rapid data ingestion with low latency and developing innovative products.

GRAPHIC

79 D. Trend Information Other than as disclosed elsewhere in this Annual Report, we are not aware of any trends, uncertainties, demands, commitments or events since December 31, 2023 that are reasonably likely to have a material effect on our net sales, income from continuing operations, profitability, liquidity or capital resources, or that would cause the disclosed financial information to be not necessarily indicative of future operating results or financial conditions. E. Accounting Estimates Our consolidated financial statements are prepared in conformity with IFRS Accounting Standards, as issued by the IASB. The preparation of these historical financial statements in conformity with IFRS requires management to make estimates, assumptions and judgments in certain circumstances that affect the reported amounts of assets, liabilities and contingencies as of the date of the financial statements and the reported amounts of revenue and expenses during the reporting periods. We evaluate our assumptions and estimates on an ongoing basis. We base our estimates on historical experience and on various other assumptions that we believe to be reasonable under the circumstances, the results of which form the basis for making judgments about the carrying values of assets and liabilities that are not readily apparent from other sources. Actual results may differ from these estimates under different assumptions or conditions. Our critical accounting estimates are described in Note 2 —Material accounting policy information to our consolidated financial statements included elsewhere in this Annual Report. Item 6. Directors, Senior Management and Employees A. Directors and Senior Management Executive Officers and Board Members The following table presents information about our current executive officers and board members, including their ages as of the date of this Annual Report: Name Age Position Executive Officers Carsten Koerl . . . . . . . . . . . . . . . . . . . . . . . . . . . . . . . . . . . 59 Chief Executive Officer and Director Eduard H. Blonk . . . . . . . . . . . . . . . . . . . . . . . . . . . . . . . . . 53 Chief Commercial Officer James Gerard Griffin . . . . . . . . . . . . . . . . . . . . . . . . . . . . . 56 Chief Financial Officer Lynn S. McCreary . . . . . . . . . . . . . . . . . . . . . . . . . . . . . . . 64 Chief Administrative Officer, Chief Legal Officer, and Secretary Non-Employee Board Members Jeffery W. Yabuki . . . . . . . . . . . . . . . . . . . . . . . . . . . . . . . . 64 Chairman Deirdre Bigley . . . . . . . . . . . . . . . . . . . . . . . . . . . . . . . . . . . 59 Director John A. Doran . . . . . . . . . . . . . . . . . . . . . . . . . . . . . . . . . . . 45 Director George Fleet . . . . . . . . . . . . . . . . . . . . . . . . . . . . . . . . . . . . 54 Director William Kurtz . . . . . . . . . . . . . . . . . . . . . . . . . . . . . . . . . . . 66 Director Hafiz Lalani . . . . . . . . . . . . . . . . . . . . . . . . . . . . . . . . . . . . . 44 Director Rajani Ramanathan . . . . . . . . . . . . . . . . . . . . . . . . . . . . . . . 56 Director Marc Walder . . . . . . . . . . . . . . . . . . . . . . . . . . . . . . . . . . . . 58 Director Unless otherwise indicated, the current business addresses for our executive officers and the members of our board of directors is c/o Sportradar, Feldlistrasse 2, CH-9000 St. Gallen, Switzerland. Executive Officers The following is a brief summary of the business experience of our executive officers.

GRAPHIC

80 Carsten Koerl has served as our Founder and Chief Executive Officer since our founding in 2001. Prior to founding Sportradar, Mr. Koerl held a number of management positions within the software development and gaming industry, including betandwin Interactive Entertainment AG, an online betting company, which he founded in 1997. He holds a Master of Electronic and Microprocessor Engineering degree from the University for Applied Sciences in Konstanz. We believe Mr. Koerl’s experience and insight, as well as his deep knowledge of Sportradar, gained through service as our Chief Executive Officer, make him well qualified to serve as a member of our board of directors. Eduard H. Blonk has served as our Chief Commercial Officer since December 2020. Mr. Blonk leads the Global Commercial organization, consisting of Global Sales, Marketing, Communications, Strategic Sports Partnerships and Integrity services. He has been with Sportradar since 2015, predominantly as the Managing Director of Global Sales. Prior to joining Sportradar, he spent 18 years in a range of global sales and marketing management roles, working within the telecommunication and data communications industry across B2B and B2C organizations in the Netherlands, Germany, and the U.S., including Siemens Mobile, Siemens Communications, and Gigaset Communications. Mr. Blonk holds a Bachelor of Electrical Engineering and Business Economics degree from the Hague University of Applied Sciences. James Gerard Griffin has served as our Chief Financial Officer since May 2023. On January 24, 2024, the Company announced that Mr. Griffin will be departing the Company for personal reasons and will continue as Chief Financial Officer until May 31, 2024 or the appointment of a permanent successor, if earlier. Prior to joining Sportradar, Mr. Griffin served as Chief Financial Officer at Zynga, Inc., a global leader in interactive entertainment, from 2016 to 2022. Before joining Zynga, Mr. Griffin spent more than 10 years at Electronic Arts Inc., serving as Senior Vice President of Finance where he was the finance leader for EA’s Studios, Marketing and Publishing organizations, after having spent more than six years in Geneva, Switzerland, as Vice President and Chief Financial Officer for EA International. Prior to that, Mr. Griffin held several senior finance roles domestically and internationally at technology and media companies, including NBC Universal and Primedia, and in public accounting with KPMG in both Dublin and New York. Mr. Griffin holds a Bachelor of Commerce degree from University of Galway and a postgraduate diploma in Professional Accounting from University College Dublin. Mr. Griffin is a fellow in the Institute of Chartered Accountants of Ireland. Lynn S. McCreary has served as our Chief Legal Officer and Secretary since June 2021 and Chief Administrative Officer since December 2022. Prior to joining Sportradar, Ms. McCreary served as Chief Legal Officer, Chief Ethics and Compliance Officer and Corporate Secretary at Fiserv, Inc. a global fintech and payments company, from July 2013 to March 2021, serving as the company’s Deputy General Counsel from March 2010 to July 2013 and was a partner at Bryan Cave LLP from January 2003 to March 2010. Ms. McCreary has served on the board of directors of NMI Holdings, Inc. since May 2019, is on the Risk Committee, and is the Chairman of the Nominating and Governance Committee. Ms. McCreary also serves on the board of Thredd Group Limited, a UK based payments company, where she chairs the risk committee. She also serves on the board of Washburn University School of Law and is a Trustee of Washburn University. Ms. McCreary holds a Bachelors of Arts degree from Western New England University and a Juris Doctor degree from Washburn University School of Law. Non-Employee Board Members The following is a brief summary of the business experience of our non-employee board members. Jeffery W. Yabuki has served as the Chairman of our board of directors since January 2021. Mr. Yabuki is currently Chairman of Motive Partners, a specialist private equity firm focused on control-oriented growth equity and buyout investments in global fintech. He joined the firm in September 2021 and currently chairs its Investment Committee and Global Advisory Council. Since January 2024 he has served as the Chairman and Chief Executive Officer of InvestCloud Inc., a global provider of wealth and asset management solutions. Previously, Mr. Yabuki served as the Executive Chairman of Fiserv, Inc., a global leader in financial services and payments technology, from July 2019 to December 2020. Mr. Yabuki was also the Chief Executive Officer from December 2005 to July 2020. Before joining Fiserv, Mr. Yabuki spent six years at H&R Block where he was the Chief Operating Officer. He also held various leadership roles at American Express for 12 years. Mr. Yabuki has served since 2017 as a member of the board of directors of Royal Bank of Canada, currently serving on the Human Resources Committee and the Risk Committee, and has served on the board of directors of Nasdaq Inc. since June 2023 where he is a member of the Management Compensation Committee and the Nominating & ESG Committee. He previously served on the boards of directors of Ixonia Bancshares, Inc. from 2014 to 2021 and SentinelOne, Inc. from 2021 to 2023. Mr. Yabuki holds a Bachelor of Science degree in accounting from California State University, Los Angeles, and was formerly a Certified Public Accountant in the states of California and Minnesota. We believe Mr. Yabuki’s extensive public company board and leadership experience makes him well-qualified to serve as the Chairman of our board of directors.

GRAPHIC

81 Deirdre Bigley has served as a member of our board of directors since April 2021. Ms. Bigley most recently served in several roles with Bloomberg LP, a financial services company, since September 2009, including as its Chief Marketing Officer from June 2014 through June 2021. Ms. Bigley has served as a member of the board of directors of various public companies as follows: (i) since May 2016, as a member of the board of directors and the Chair of the Compensation Committee, and member of the Nominating and Governance Committee of Shutterstock Inc.; (ii) since November 2017, as a member of the board of directors and a member of the Compensation, Nominating and Governance, and Audit Committees of Wix.com Ltd.; and (iii) since April 2021, as a member of the board of directors and a member of the Audit Committee of Taboola.com Ltd. In addition, she has served on the boards of directors of Slice since July 2019 where she has been Chair of the Compensation Committee since November 2023, and Recorded Future since July 2020. Ms. Bigley holds a Bachelor of Arts from West Chester University. We believe Ms. Bigley’s public and private company board experience and extensive expertise in business marketing makes her well-qualified to serve as a member of our board of directors. John A. Doran has served as a member of our board of directors since October 2018. Mr. Doran joined Technology Crossover Ventures UK, LLP (TCV) in 2012 and serves as a General Partner. Mr. Doran has served on the board of directors and on the Appointments and Renumeration Committee of Believe SA since May 2018. Mr. Doran has served on the board of directors of Mambu B.V. since December 2020, FlixMobility GmbH (Flixbus) since August 2019, RELEX Solutions since January 2019, SuperVista AG (Brillen.de) since July 2016, Grupa Pracuj SA since August 2017 and Zepz (formerly World Remit) since June 2019. He has served as an observer on the board of directors of Revolut Ltd since February 2020 and Trade Republic Bank GmbH since June 2021. Mr. Doran served on the board of directors of Perefecto Mobile Inc. from August 2015 until December 2018. Mr. Doran led TCV’s investments in Revolut Ltd, Klarna Bank AB, and Mollie B.V. Mr. Doran holds a Bachelor of Arts in Economics from Harvard College and a Master of Business Administration from Harvard Business School. We believe Mr. Doran’s expertise in the software, internet and financial technology industries, as well as his knowledge in finance and his managerial experience with both public and private companies, make him well-qualified to serve as a member of our board of directors. George Fleet has served as member of our board of directors since December 2018. Mr. Fleet founded Benella & Co. Limited in December 2017 and has served as a member of its board of directors since its founding. Mr. Fleet serves as Chairman of Advisory of Canaccord Genuity Limited having been previously Head of Advisory, Europe from November 2018 to November 2023, where he served as a member of the New Business and Executive Committees and led the coverage of the gaming and leisure sectors. Mr. Fleet has served on the board of Casumo Holding PLC, an online gaming group providing casino and sportsbook, since November 2022 and as its Chairman since September 2023, and is Chair of the Finance and Audit Committee and a member of the Remuneration Committee. From September 2015 to February 2018, Mr. Fleet served as Managing Director of Houlihan Lokey. Prior to that, he served as Director of McQueen Ltd. and its affiliates from March 2003 to September 2015. Mr. Fleet is a Fellow of the Institute of Chartered Accountants in England and Wales. He holds a Bachelor of Arts in Economics from the University of Leeds. We believe Mr. Fleet’s profound experience in investment banking, with particular focus in complex public and private acquisitions, mergers and dispositions and the betting and gaming sector, make him well-qualified to serve as a member of our board of directors. William Kurtz has served as a member of our board of directors since May 2023. Mr. Kurtz is a senior financial and operations executive with over 30 years of experience operating as chief financial officer or chief operating officer at several private and public technology companies. Mr. Kurtz has most recently served as the Interim Chief Executive Officer at Ripcord, Inc., a records management and document intelligence company, from June 2021 to January 2022, and previously served as Chief Commercial & Financial Officer from January 2020 to June 2021. Prior to that, Mr. Kurtz served as Executive Vice President and Chief Commercial Officer of Bloom Energy Corporation, a manufacturer of on-site power generation platforms, from 2015 to January 2019, and then as a strategic advisor from January 2020 to January 2021. Prior to that, he served as Bloom’s Chief Financial Officer and Chief Commercial Officer beginning in 2008. Mr. Kurtz currently sits on the board of directors of Aterian Inc. (formerly Mohawk Group), a Nasdaq listed company where he serves as Chairman of the Board, and as a member of the audit and the compensation committees, and on the board of Ripcord Inc., where he serves on the audit committee. Also, since September 2016 he has served on the board of directors of Verint Systems Inc., a Nasdaq-listed analytics company, and he currently serves as chairman of its audit committee and as a member of the governance committee. Prior to 2008, Mr. Kurtz held the Chief Financial Officer or other senior finance roles for Novellus Systems (now Lam Research), Engenio Information Technologies, 3PARdata (now part of Hewlett Packard Enterprise), Scient Corporation, and AT&T Corporation. Mr. Kurtz previously served as the chairman of the audit committees of Violin Memory, PMC-Sierra (now part of Microsemi Corporation), and Redback Networks (now part of Ericsson). We believe that Mr. Kurtz’s financial expertise, as well as his extensive business and leadership experience, including his prior service as the chief financial officer of public companies and his service on the audit committees of several companies, qualifies Mr. Kurtz as a financial expert and further qualifies him to serve as a director.

GRAPHIC

82 Hafiz Lalani has served as member of our board of directors since October 2018. Mr. Lalani serves as Managing Director and Head of Europe for the Direct Private Equity group of CPP Investments based in London, United Kingdom, and has been with the firm since February 2006. Prior to joining CPP Investments, Mr. Lalani worked in the Technology investment banking group at CIBC World Markets from March 2004 to January 2006. Mr. Lalani has also served on the board of directors of various companies, including Visma AS since September 2020, GlobalLogic between April 2017 and July 2021, Hotelbeds between September 2016 and December 2020 and AWAS between 2010 and 2017. Mr. Lalani holds a Bachelor of Commerce from Queen’s University and is a CFA Charterholder. We believe Mr. Lalani’s extensive investment and leadership experience, as well as his knowledge and insight into the governance of a public company, make him well qualified to serve as a member of our board of directors. Rajani Ramanathan has served as a member of our board of directors since May 2023. Ms. Ramanathan currently serves as an advisor and director to several public and private technology companies in the AI, VR, Blockchain, and connected (IoT) technology space. Since June 2021, she has served on the board of Guidewire Software Inc., a NYSE listed company offering an industry platform for property and casualty insurance carriers. She has served on their Compensation Committee and Risk Committee since June 2021 and as Chairperson of the Risk committee since October 2022. Since July 2022, Ms. Ramanathan has served on the board of Faro Technologies, Inc., a Nasdaq listed global leader in 4D digital reality solutions. She is a member of its Talent Development and Compensation Committee. Since October 2021, she has also served on the board of Hayden AI, a private company providing smart city solutions that developed the world’s first autonomous traffic management platform. From June 2014 to January 2024, Ms. Ramanathan served as a member of the board of directors of ESI Group, a French publicly traded company providing virtual prototyping software solutions and services. From July 2015 to July 2022, she chaired ESI’s Technology and Marketing Committee and from September 2022 to October 2023, she chaired ESI’s Compensation Committee and the Nomination and Governance Committee. Since the acquisition of ESI Group by Keysight Technologies in October 2023, she continued to chair its Compensation Committee and also served as member of the Audit Committee, until the acquisition formalities were completed and the company was acquired and delisted in January 2024. From June 2000 to March 2014, Ms. Ramanathan served in a variety of leadership roles at Salesforce, a cloud software company, most recently as its Chief Operating Officer and Executive Vice President – Technology and Products. In 2014, she was awarded the YWCA TWIN (Tribute to Women and Industry) Award, which has long been considered one of Silicon Valley’s most prestigious awards honoring women who exemplify leadership excellence in executive-level positions. We believe that Ms. Ramanathan is qualified to serve as a director based on her extensive background in the technology industry and business management and her independent service on the boards of several companies in the technology sector. Marc Walder has served as a member of our board of directors since May 2015. Since April 2012, Mr. Walder has been the Chief Executive Officer and Managing Partner of Ringier AG, a Swiss headquartered international Media & Tech company. Previously, Mr. Walder served as the Chief Executive Officer of the Swiss subsidiary of Ringier AG from September 2008 to April 2012, and prior to that, as Editor-in-Chief of Schweizer Illustrierte, Editor-in-Chief of SonntagsBlick, and Head of the sports desk of the Blick Group. He also serves on several boards of directors, including as Chairman of Admeira AG, Ringier Sports AG and Ringier Africa AG, as Vice Chairman of Ticketcorner AG and Ringier Axel Springer Schweiz AG, and as member of the board of directors of SMG Swiss Marketplace Group, JobCloud AG and Grupa Ringier Axel Springer Polska AG. He is the founder of the digitalswitzerland initiative, which brings together more than 225 of the largest Swiss companies and institutions to promote digital development and the digital transformation of Switzerland. Mr. Walder holds a Diploma of Economy from the AKAD Business School in Zurich and a Diploma of Journalism from the Ringier School of Journalism. In 2019, Mr. Walder was awarded the honorary prize, Digital Economy Ambassador, in recognition of his commitment to the Swiss economy and the information and communication technology industry. We believe Mr. Walder’s knowledge and experience in leadership positions within the media and technology industries make him well-qualified to serve as a member of our board of directors. B. Compensation We set out below the amount of compensation paid and benefits in kind provided by us or our subsidiaries to our executive officers and members of our board for services in all capacities to us or our subsidiaries for the year ended December 31, 2023, as well as the amount we contributed to retirement benefit plans for our executive officers and members of our board.

GRAPHIC

83 2023 Executive Officer and Board Member Compensation In 2023, we incentivized our executive officers to attain short-term company and individual performance goals in the form of annual cash bonuses specific to each officer and desired results. Each officer had an annual target bonus for 2023 expressed as a percentage of his or her annual base salary. Awards under the bonus plan for 2023 were generally based on a Company-wide financial Adjusted EBITDA metrics and individual contributions and were determined by the board of directors for the Chief Executive Officer and the compensation committee for the other officers. The aggregate compensation awarded to, earned by and paid to our current directors and executive officers who were employed by or otherwise performed services for us for the fiscal year ended December 31, 2023 was CHF 29.1 million, which is an aggregate amount that includes any salary, bonuses, equity compensation and applicable social security and pension contributions. Executive Officer and Board Member Arrangements We and our subsidiaries have entered into written employment agreements with each of our executive officers. Certain of these agreements provide for notice periods of varying duration for termination of the agreement by us or by the relevant executive officer. These agreements also contain customary provisions regarding non-competition, confidentiality of information and assignment of inventions. Our board of directors has approved a compensation program pursuant to which we provide the following compensation to our non-employee directors and directors not affiliated with certain of our shareholders: • annual fees of $75,000; • annual fees of $20,000 for chairmanship of the compensation committee, $15,000 for the chairmanship of the nominating and corporate governance committee, $30,000 for chairmanship of the audit committee, and $75,000 for chairmanship of the board of directors; and • an annual grant of restricted stock units (“RSUs”) on the date of our Annual General Meeting vesting on the one-year anniversary of the grant date (subject to continued service). The grant value is $175,000 for the directors and $350,000 for the chairman of the board of directors. All cash fees are paid quarterly. We reimburse each director for out-of-pocket expenses incurred in connection with attending our board and committee meetings.

GRAPHIC

84 Equity Incentive Programs Management Participation Program Prior to our initial public offering, certain of our directors and executive officers participated in our Management Participation Program (the “MPP”), under which participants indirectly purchased participation certificates of Sportradar Holding AG on a leveraged basis through Slam InvestCo S.à r.l. (“MPP Co”), a special purpose vehicle established to hold participation certificates of Sportradar Holding AG for the MPP. Shares of MPP Co held by MPP participants were generally non-transferable other than via a call right triggered by the occurrence of specific circumstances set forth in the MPP plan as “Leaver” events (i.e., “Good” Leaver, “Intermediate” Leaver, and “Bad” Leaver events). In connection with our initial public offering, MPP Co became a subsidiary of Sportradar and MPP participants contributed their MPP Co shares to Sportradar, in exchange for receiving Class A ordinary shares. A portion of the shares received were not subject to repurchase by the Company and a portion of which remained subject to repurchase upon a termination of employment in certain circumstances. These repurchase provisions generally provided for the repurchase restrictions to lapse as to 35% of each participant’s Class A ordinary shares immediately upon the consummation of our initial public offering and for the repurchase restrictions on the remaining 65% to lapse in three equal installments on each of December 31, 2022, 2023 and 2024. If a participant terminates employment with us under circumstances not most aligned with furthering the Company’s best interests (generally, referenced in the MPP Plan as “Intermediate” Leaver and/or “Bad” Leaver events) prior to vesting, the participant’s shares will be subject to repurchase, at the election of the Company, for an amount equal to the excess, if any, of the amount such participant paid for his or her MPP Co shares under the MPP over the sum of the value previously received by such participant in respect of his or her participation in the MPP. The Company may or may not choose to exercise such repurchase right, depending on the circumstances of the participant’s termination of employment or service. If a participant terminates employment or service under circumstances most aligned with furthering the Company’s best interest (generally, referenced in the MPP Plan as “Good” Leaver), the repurchase restrictions on his or her shares will fully lapse and the shares will not be subject to repurchase. Shares received by the MPP participants in exchange for their MPP Co shares were not issued pursuant to (and did not reduce the number of shares available for issuance under) our 2021 Plan, which is described below. The following table identifies the amount of Class A ordinary shares initially received pursuant to the MPP by the directors and executive officers who participated in the MPP in 2021. Class A Ordinary Shares Received Name Pursuant to MPP Executive Officers Carsten Koerl . . . . . . . . . . . . . . . . . . . . . . . . . . . . . . . . . . . . . . . . . . . . . . . . . . . . . . . . . . . . . — Eduard H. Blonk . . . . . . . . . . . . . . . . . . . . . . . . . . . . . . . . . . . . . . . . . . . . . . . . . . . . . . . . . . . 225,833 James Gerard Griffin . . . . . . . . . . . . . . . . . . . . . . . . . . . . . . . . . . . . . . . . . . ............. — Lynn S. McCreary . . . . . . . . . . . . . . . . . . . . . . . . . . . . . . . . . . . . . . . . . . . . . . . . . . . . . . . . . — Non-Employee Board Members Jeffery W. Yabuki . . . . . . . . . . . . . . . . . . . . . . . . . . . . . . . . . . . . . . . . . . . . . . . . . . . . . . . . . 370,602 Deirdre Bigley ............................................................ — John A. Doran . . . . . . . . . . . . . . . . . . . . . . . . . . . . . . . . . . . . . . . . . . . . . . . . . . . . . . . . . . . . . — George Fleet . . . . . . . . . . . . . . . . . . . . . . . . . . . . . . . . . . . . . . . . . . . . . . . . . . . . . . . . . . . . . . 112,901 William Kurtz . . ........................................................... — Hafiz Lalani . . . . . . . . . . . . . . . . . . . . . . . . . . . . . . . . . . . . . . . . . . . . . . . . . . . . . . . . . . . . . . — Rajani Ramanathan . . . . . . . . . . . . . . . . . . . . . . . . . . . . . . . . . . . . . . . . . . . . . . . . ........ — Charles J. Robel1 . . . . . . . . . . . . . . . . . . . . . . . . . . . . . . . . . . . . . . . . . . . . . . . . . . . . . . . . . . 451,665 Marc Walder . . . . . . . . . . . . . . . . . . . . . . . . . . . . . . . . . . . . . . . . . . . . . . . . . . . . . . . . . . . . . . 225,833 All Other MPP Participants . . . . . . . . . . . . . . . . . . . . . . . . . . . . . . . . . . . . . . . . . . . . . . . . . . 6,973,704 1 Mr. Robel ceased serving as a non-employee board member at our annual general meeting of shareholders held on May 16, 2023.

GRAPHIC

85 Omnibus Stock Plan – the 2021 Plan We adopted and our shareholders approved, in a consultative vote, the Sportradar Group AG Omnibus Stock Plan (the “2021 Plan”), under which we may grant cash and equity-based incentive awards to eligible individuals in order to attract, retain and motivate the persons who make important contributions to us and our subsidiaries. Our Chief Financial Officer, James Gerard Griffin, received a stock option grant under the 2021 Plan to purchase 3.5 million shares on May 9, 2023. The exercise price of the ten-year option is $12.90 and it vests in annual installments over four years as follows: 875,000 options vest on the second anniversary of the date of grant and 1,312,500 options vest on the third and fourth anniversary of the date of grant (in each case subject to acceleration upon termination of service in certain circumstances). As previously disclosed by the Company, Mr. Griffin will be departing the Company for personal reasons and, accordingly, the Company expects that the stock option grant will remain unvested upon his termination and will be forfeited as a result. The following summarizes the salient terms of the 2021 Plan: Eligibility and Administration Our employees, consultants and directors, and employees and consultants of our subsidiaries, are eligible to receive awards under the 2021 Plan. The 2021 Plan is administered by our board of directors, which may delegate its duties and responsibilities to one or more committees of our directors and/or officers (referred to collectively as the plan administrator below), subject to the limitations imposed under the 2021 Plan, stock exchange rules and other applicable laws. The plan administrator is presently the compensation committee and such committee has the authority to take all actions and make all determinations under the 2021 Plan, to interpret the 2021 Plan and award agreements and to adopt, amend and repeal rules for the administration of the 2021 Plan as it deems advisable. The plan administrator also has the authority to grant awards, determine which eligible individuals receive awards and set the terms and conditions of all awards under the 2021 Plan, including any vesting and vesting acceleration provisions, subject to the conditions and limitations in the 2021 Plan. Shares Available for Awards We initially reserved an aggregate of 29,239,091 Class A ordinary shares for issuance (e.g., out of conditional or authorized capital) under the 2021 Plan. As of December 31, 2023, approximately 16,859,230 Class A ordinary shares were available for future awards to be issued under the 2021 Plan. If an award under the 2021 Plan expires, lapses or is terminated, exchanged for cash, surrendered, repurchased, canceled without having been fully exercised or forfeited, any unused shares subject to the award will, as applicable, become or again be available for new grants under the 2021 Plan. Awards granted under the 2021 Plan in substitution for any options or other stock or stock-based awards granted by an entity before the entity’s merger or consolidation with us or our acquisition of the entity’s property or stock will not reduce the shares available for grant under the 2021 Plan, but may count against the maximum number of shares that may be issued upon the exercise of incentive stock options. Awards The 2021 Plan provides for the grant of stock options, including incentive stock options (“ISOs”), and nonqualified options (“NSOs”), stock appreciation rights (“SARs”), restricted stock, dividend equivalents, RSU, and other stock or cash-based awards. Certain awards under the 2021 Plan may constitute or provide for payment of “nonqualified deferred compensation” under Section 409A of the Code (as defined below under Item 10.E. “Taxation — Material U.S. Federal Income Tax Considerations for U.S. Holders”). All awards under the 2021 Plan are set forth in award agreements, which detail the terms and conditions of awards, including any applicable vesting and payment terms and post-termination exercise limitations. The following is a brief description of each award type under the 2021 Plan: • Stock Options and SARs. Stock options provide for the purchase of shares of our Class A ordinary shares in the future at an exercise price set on the grant date. ISOs, by contrast to NSOs, may provide tax deferral beyond exercise and favorable capital gains tax treatment to their holders if certain holding period and other requirements of the Code are satisfied. SARs entitle their holder, upon exercise, to receive from us an amount equal to the appreciation of the shares subject to the award between the grant date and the exercise date. The plan administrator will determine the number of shares covered by each option and SAR, the exercise price of each option and SAR and the conditions and limitations applicable to the exercise of

GRAPHIC

86 each option and SAR. The exercise price of a stock option or SAR will not be less than 100% of the fair market value of the underlying share on the grant date (or 110% in the case of ISOs granted to certain significant stockholders), except with respect to certain substitute awards granted in connection with a corporate transaction. The term of a stock option or SAR may not be longer than 10 years (or five years in the case of ISOs granted to certain significant stockholders). • Restricted Stock and RSUs. Restricted stock is an award of nontransferable shares of our Class A ordinary shares that remain forfeitable unless and until specified conditions are met and which may be subject to a purchase price. RSUs are contractual promises to deliver shares of our Class A ordinary shares in the future, which may also remain forfeitable unless and until specified conditions are met and may be accompanied by the right to receive the equivalent value of dividends paid on shares of our Class A ordinary shares prior to the delivery of the underlying shares. The plan administrator may provide that the delivery of the shares underlying RSUs will be deferred on a mandatory basis or at the election of the participant. The terms and conditions applicable to restricted stock and RSUs will be determined by the plan administrator, subject to the conditions and limitations contained in the 2021 Plan. • Other Stock or Cash Based Awards. Other stock or cash-based awards are awards of cash, fully vested shares of our Class A ordinary shares and other awards valued wholly or partially by referring to, or otherwise based on, shares of our Class A ordinary shares or other property. The plan administrator will determine the terms and conditions of other stock or cash-based awards, which may include performance goals and other vesting metrics and conditions. Performance Criteria The plan administrator may select performance criteria for an award to establish performance goals for a performance period. Performance criteria under the 2021 Plan may include, but are not limited to, the following: net earnings or losses (either before or after one or more of interest, taxes, depreciation, amortization, and non-cash equity-based compensation expense); gross or net sales or revenue or sales or revenue growth; net income (either before or after taxes) or adjusted net income; profits (including but not limited to gross profits, net profits, profit growth, net operation profit or economic profit), profit return ratios or operating margin; budget or operating earnings (either before or after taxes or before or after allocation of corporate overhead and bonus); cash flow (including operating cash flow and free cash flow or cash flow return on capital); return on assets; return on capital or invested capital; cost of capital; return on stockholders’ equity; total stockholder return; return on sales; costs, reductions in costs and cost control measures; expenses; working capital; earnings or loss per share; adjusted earnings or loss per share; price per share or dividends per share (or appreciation in or maintenance of such price or dividends); regulatory achievements or compliance; implementation, completion or attainment of objectives relating to research, development, regulatory, commercial, or strategic milestones or developments; market share; economic value or economic value added models; division, group or corporate financial goals; customer satisfaction/growth; customer service; employee satisfaction; recruitment and maintenance of personnel; human resources management; supervision of litigation and other legal matters; strategic partnerships and transactions; financial ratios (including those measuring liquidity, activity, profitability or leverage); debt levels or reductions; sales or placement-related goals; financing and other capital raising transactions; cash on hand; acquisition activity; investment sourcing activity; and marketing initiatives, any of which may be measured in absolute terms or as compared to any incremental increase or decrease. Such performance goals also may be based solely by reference to the company’s performance or the performance of a subsidiary, division, business segment or business unit of the company or a subsidiary, or based upon performance relative to performance of other companies or upon comparisons of any of the indicators of performance relative to performance of other companies. When determining performance goals, the plan administrator may provide for exclusion of the impact of an event or occurrence which the plan administrator determines should appropriately be excluded, including, without limitation, non-recurring charges or events, acquisitions or divestitures, changes in the corporate or capital structure, events unrelated to the business or outside of the control of management, foreign exchange considerations, and legal, regulatory, tax or accounting changes. Certain Transactions In connection with certain corporate transactions and events affecting our Class A ordinary shares, including a change in control, or change in any applicable laws or accounting principles, the plan administrator has broad discretion to take action under the 2021 Plan to prevent the dilution or enlargement of intended benefits, facilitate the transaction or event or give effect to the change in applicable laws or accounting principles. This includes canceling awards for cash or property, accelerating the vesting of awards, providing for the assumption or substitution of awards by a successor entity, adjusting the number and type of shares subject to outstanding awards and/or with respect to which awards may be granted under the 2021 Plan and replacing or terminating awards

GRAPHIC

87 under the 2021 Plan. In addition, in the event of certain non-reciprocal transactions with our stockholders, the plan administrator will make equitable adjustments to awards outstanding under the 2021 Plan as it deems appropriate to reflect the transaction. Plan Amendment and Termination Our board of directors may amend or terminate the 2021 Plan at any time; however, no amendment, other than an amendment that increases the number of shares available under the 2021 Plan, may materially and adversely affect an award outstanding under the 2021 Plan without the consent of the affected participant and stockholder approval will be obtained for any amendment to the extent necessary to comply with applicable laws. Further, the plan administrator may and shall have the right to, without the approval of our stockholders, amend any outstanding stock option or SAR to reduce its price per share. The 2021 Plan will remain in effect until the tenth anniversary of its effective date, unless earlier terminated by our board of directors. No awards may be granted under the 2021 Plan after its termination. Claw-Back Provisions, Transferability and Participant Payments All awards will be subject to any company claw-back policy as set forth in such claw-back policy or the applicable award agreement. Except as the plan administrator may determine or provide in an award agreement, awards under the 2021 Plan are generally non-transferrable, except by will or the laws of descent and distribution, or, subject to the plan administrator’s consent, pursuant to a domestic relations order, and are generally exercisable only by the participant. With regard to tax withholding obligations arising in connection with awards under the 2021 Plan and exercise price obligations arising in connection with the exercise of stock options under the 2021 Plan, the plan administrator may, in its discretion, accept cash, wire transfer or check, shares of our Class A ordinary shares that meet specified conditions, a promissory note, a “market sell order,” such other consideration as the plan administrator deems suitable or any combination of the foregoing. Employee Share Purchase Plan In connection with our initial public offering, we adopted, and our shareholders approved, in a consultative vote, the 2021 Employee Share Purchase Plan (“ESPP”). The ESPP authorizes (1) the grant of options to employees that are intended to qualify for favorable U.S. federal tax treatment under Section 423 of the Code (the “Section 423 Component”), and (2) the grant of options that are not intended to be tax-qualified under Section 423 of the Code to facilitate participation for employees who are not eligible to benefit from favorable U.S. federal tax treatment and, to the extent applicable, to provide flexibility to comply with non-U.S. laws and other considerations. To ensure we had the ability to implement the ESPP in 2021, we obtained approval and a total of 5,912,794 Class A ordinary shares was initially reserved for issuance under the ESPP. We determined, however, it was not strategically necessary to implement the ESPP in 2021 and no grants have been made thereunder since inception. Insurance and Indemnification To the extent permitted under Swiss law, our Articles contain provisions governing the indemnification of the members of our board of directors and of our executive management and the advancing of related defense costs to the extent not included in insurance coverage or paid by third parties. Indemnification of other controlling persons is not permitted under Swiss law, including shareholders of the corporation. In addition, under general principles of Swiss employment law, an employer may be required to indemnify an employee against losses and expenses incurred by such employee in the proper execution of their duties under the employment agreement with the company. Insofar as indemnification of liabilities arising under the Securities Act may be permitted to executive officers and board members or persons controlling us pursuant to the foregoing provisions, we have been informed that, in the opinion of the SEC, such indemnification is against public policy as expressed in the Securities Act and is therefore unenforceable.

GRAPHIC

88 C. Board Practices Composition of our Board of Directors Our Articles provide that our board of directors shall consist of one or several directors. The members of our board of directors, the Chairman as well as the members of the Compensation Committee are elected annually by the general meeting of shareholders for a period until the completion of the subsequent ordinary general meeting of shareholders and are eligible for re-election. Each member of the board of directors must be elected individually. Our board of directors currently consists of nine members. Our board has determined that Jeffrey W. Yabuki, Deirdre Bigley, John A. Doran, George Fleet, William Kurtz, Hafiz Lalani, Rajani Ramanathan and Marc Walder do not have a relationship that would interfere with the exercise of independent judgment in carrying out the responsibilities of director and that each of these directors is “independent” as that term is defined under the Nasdaq rules. There are no family relationships among any of our directors or executive officers. Board Committee Composition The board has established an audit committee, a compensation committee and a nominating and corporate governance committee. Each of these committees is governed by a charter that is available on the Investor Relations page of our website at investors.sportradar.com. The information contained on our website is not incorporated by reference in this Annual Report. Audit Committee The audit committee, which consists of William Kurtz, George Fleet, and Rajani Ramanathan, assists the board in overseeing our accounting and financial reporting processes and the audits of our financial statements. William Kurtz serves as Chair of the committee. The audit committee consists exclusively of members of our board who are financially literate, and William Kurtz is considered an “audit committee financial expert” as defined by the SEC. Our board has determined that all members satisfy the “independence” requirements set forth in Rule 10A-3 under the Exchange Act. The audit committee is responsible for: • selecting and recommending the appointment of the independent auditor to the general meeting of shareholders; • the supervision, compensation, retention and oversight of any accounting firm engaged for the purpose of preparing or issuing an audit report or performing other audit services; • pre-approving the audit services and non-audit services to be provided by the independent auditor before the independent auditor is engaged to render such services; • evaluating the independent auditor’s qualifications, performance and independence; • reviewing and discussing with the board and the independent auditor our annual audited financial statements and any quarterly financial statements prior to the filing of the respective annual and quarterly reports; • reviewing our compliance with laws and regulations, including major legal and regulatory initiatives and also reviewing any major litigation or investigations against us that may have a material impact on our financial statements; • overseeing enterprise risk management policies and guidelines, including cybersecurity; • reviewing material legal issues and matters affecting the Company; • establishing procedures for the treatment of financial whistleblower and similar submissions; and

GRAPHIC

89 • approving or ratifying any related party transaction (as defined in our related party transaction policy) in accordance with our related party transaction policy. The audit committee meets as often as one or more members of the audit committee deem necessary, but, in any event, will meet at least four times per year. The audit committee will meet at least once per year with our independent auditor, without our executive officers being present. Compensation Committee The compensation committee, which consists of Deirdre Bigley, John A. Doran, Hafiz Lalani and Marc Walder assists the board in establishing and reviewing the Company’s compensation philosophy and policy and determining executive officer compensation (other than the chief executive officer which is reserved for the board of directors). Deirdre Bigley serves as Chair of the committee. Under SEC and Nasdaq rules, there are heightened independence standards for members of the compensation committee. All of compensation committee members meet these heightened standards. We are also subject to the Swiss Ordinance against Excessive Compensation in Public Corporations (Verordnung gegen übermässige Vergütungen bei börsenkotierten Aktiengesellschaften) of November 20, 2013 (as replaced by the revised Swiss CO as of January 1, 2023), which requires Swiss corporations listed on a stock exchange to establish a compensation committee. Based on these regulations, the members of the compensation committee will be elected annually and individually by the general meeting of shareholders for a period until the completion of the subsequent ordinary general meeting of shareholders and are eligible for re-election and the general meeting of shareholders must resolve the aggregate amount of compensation of each of our board of directors and our executive management. The compensation committee is responsible for: • developing for Board approval a compensation philosophy consistent with the Articles; • administering the Company’s equity-based compensation plans and clawback policies; • recommending the compensation for our board members to the board of directors, for adoption at the general meeting of shareholders; • making recommendations to the Board regarding chief executive officer compensation; and • determining the compensation of our key executives other than the chief executive officer. Nominating and Corporate Governance Committee The nominating and corporate governance committee, which consists of George Fleet, Deirdre Bigley, Hafiz Lalani and Marc Walder, assists our board in identifying individuals qualified to become (or be re-elected as) members of our board consistent with criteria established by our board and in developing our corporate governance principles. George Fleet serves as Chair of the committee. The nominating and corporate governance committee is responsible for: • identifying selection criteria and appointment procedures for board members; • reviewing and evaluating the composition, function and duties of our board; • recommending nominees for election to the board and its corresponding committees; • making recommendations to the board as to determinations of board member independence;

GRAPHIC

90 • developing and recommending to the board our rules governing the board, our organizational regulations, and the Code of Business Conduct and Ethics and reviewing and reassessing the adequacy of such and recommending any proposed changes to the board; • overseeing an annual self-evaluation of the board and its committees; and • overseeing the Company’s environmental, social and governance (“ESG”) program, policies and practices. Duties of Board Members and Conflicts of Interest The board of directors of a Swiss corporation manages the business of the company, unless responsibility for such management has been duly delegated to the executive officers based on organizational regulations. However, there are several non-transferable duties of the board of directors: • the overall management of the company and the issuing of all necessary directives; • determination of the company’s organization; • the organization of the accounting, financial control and financial planning systems as required for management of the company; • the appointment and dismissal of persons entrusted with managing and representing the company; • overall supervision of the persons entrusted with managing the company, in particular with regard to compliance with the law, our Articles, operational regulations and directives; • compilation of the annual report, preparation for the general meeting of the shareholders, the compensation report and implementation of its resolutions; and • file motions for debt restructuring moratoriums and process appropriate notifications in the event that the company is over- indebted. The board of directors may, while retaining such non-delegable and inalienable powers and duties, delegate some of its powers, in particular direct management, to a single or several of its members, managing directors, committees or third parties who need not be members of the board of directors or shareholders. Pursuant to Swiss law, details of the delegation must be set in the organizational regulations issued by the board of directors. The organizational regulations may also contain other procedural rules such as quorum requirements. Revised Swiss law contains a specific provision regarding conflicts of interest. If there is a risk of a conflict of interest, the affected members of board of directors or executive officers must inform the board of directors immediately and comprehensively and the board of directors must take appropriate measures to ensure that the interests of the corporation are duly taken into account. The board of directors must afford the shareholders equal treatment in equal circumstances. Furthermore, Swiss law contains a provision under which payments made to any of the corporation’s shareholders or directors or any person related to any such shareholder or director, other than payments made at arm’s length, must be repaid to the corporation if such shareholder or director acted in bad faith. Directors are personally liable to the corporation, its shareholders and creditors for damages resulting from an intentional or negligent breach of their duties as director of the corporation. The burden of proof for a violation of these duties is with the company or with the shareholder bringing a suit against the director.

GRAPHIC

91 Corporate Governance Practices and Foreign Private Issuer Status For information regarding our corporate governance practices and foreign private issuer status, see Item 16G. “Corporate Governance.” D. Employees As of December 31, 2023 and 2022, we had 4,383 and 3,977 permanent employees, respectively. As of December 31, 2023 and 2022, we had 453 and 467 contingent workers, respectively. The change in permanent and contingent workers has supported the continued growth of Sportradar and has been as a result of organic and inorganic growth, offset by global workforce reduction initiatives. The table below sets out the number of full-time equivalents (“FTEs”) (permanent full time and part time employees, including contingent workers) by geography as of December 31, 2023: As of December 31, Number of FTE by Geography 2023 EMEA/LATAM . . . . . . . . . . . . . . . . . . . . . . . . . . . . . . . . . . . . . . . . . . . . . . . . . . . . . . . . . . . . . . 3,355 APAC . . . . . . . . . . . . . . . . . . . . . . . . . . . . . . . . . . . . . . . . . . . . . . . . . . . . . . . . . . . . . . . . . . . . . . 625 North America . . . . . . . . . . . . . . . . . . . . . . . . . . . . . . . . . . . . . . . . . . . . . . . . . . . . . . . . . . . . . . . 572 Total . . . . . . . . . . . . . . . . . . . . . . . . . . . . . . . . . . . . . . . . . . . . . . . . . . . . . . . . . . . . . . . . . . . . . . . 4,552 The table below sets out the number of FTEs by category as of December 31, 2023: As of December 31, Number of FTE by category 2023 Sports Betting . . . . . . . . . . . . . . . . . . . . . . . . . . . . . . . . . . . . . . . . . . . . . . . . . . . . . . . . . . . . . . . . 1,947 Sports AV . . . . . . . . . . . . . . . . . . . . . . . . . . . . . . . . . . . . . . . . . . . . . . . . . . . . . . . . . . . . . . . . . . . 233 US . . . . . . . . . . . . . . . . . . . . . . . . . . . . . . . . . . . . . . . . . . . . . . . . . . . . . . . . . . . . . . . . . . . . . . . . . 119 Sports Other 1 . . . . . . . . . . . . . . . . . . . . . . . . . . . . . . . . . . . . . . . . . . . . . . . . . . . . . . . . . . . . . . . . 1,396 Corporate Functions 2 . . . . . . . . . . . . . . . . . . . . . . . . . . . . . . . . . . . . . . . . . . . . . . . . . . . . . . . . . 857 Total . . . . . . . . . . . . . . . . . . . . . . . . . . . . . . . . . . . . . . . . . . . . . . . . . . . . . . . . . . . . . . . . . . . . . . . 4,552 1 Sports Other includes Integrity services, Sports Rightsholder Services, ad:s and sports performance. 2 Corporate functions FTEs includes departments such as Finance, Human Resources, Corporate Strategy, Legal and Sales. We have never experienced labor-related work stoppages or strikes and believe that our relations with our employees are satisfactory. E. Share Ownership For information regarding the share ownership of directors and officers, see Item 7.A. “Major Shareholders and Related Party Transactions—Major Shareholders.” For information as to our equity incentive plans, see Item 6.B. “Directors, Senior Management and Employees—B.Compensation—Equity Incentive Programs.” F. Disclosure of a Registrant’s Action to Recover Erroneously Awarded Compensation Not applicable.

GRAPHIC

92 Item 7. Major Shareholders and Related Party Transactions A. Major Shareholders The following table sets forth information relating to the beneficial ownership of our ordinary shares as of March 1, 2024 by: • each person, or group of affiliated persons, known by us to beneficially own 5% or more of our outstanding Class A or Class B ordinary shares; • each of our executive officers and our board of directors; and • all of our executive officers and our board of directors as a group. The number of Class A ordinary shares and/or Class B ordinary shares beneficially owned by each entity, person, executive officer or board member is determined in accordance with the rules of the SEC, and the information is not necessarily indicative of beneficial ownership for any other purpose. Under such rules, beneficial ownership includes any shares over which the individual has sole or shared voting power or investment power as well as any shares that the individual has the right to acquire within 60 days of March 1, 2024 through the exercise of any option, warrant or other right (including a vesting event pertaining to restricted stock units). Except as otherwise indicated, and subject to applicable community property laws, the persons named in the table have sole voting and investment power with respect to all ordinary shares held by that person. The amounts and percentages are based upon 207,794,199 Class A ordinary shares outstanding (but excluding treasury shares) and 903,670,701 Class B ordinary shares outstanding as of March 1, 2024. Class B ordinary shares have ten times more voting power than Class A ordinary shares. Unless otherwise indicated below, the address for each beneficial owner listed is c/o Sportradar, Feldlistrasse 2, CH-9000 St. Gallen, Switzerland. For further information regarding material transactions between us and principal shareholders, see Item 7.B. “Major Shareholders and Related Party Transactions—Related Party Transactions.” Class A ordinary shares Class B ordinary shares(1) Combined Name of beneficial owner Number Percent Number Percent voting power(2) 5% or Greater Shareholders Canada Pension Plan Investment Board(3) . . . . . . . . . . . . . . . . . . . . . 79,555,080 38.3 % — — 7.2 % Technology Crossover Management IX, Ltd.(4) . . . . . . . . . . . . . . . . . 34,079,496 16.4 % — — 3.1 % Radcliff SR I LLC(5) . . . . . . . . . . . . . . . . . . . . . . . . . . . . . . . . . . . . . . . 15,265,392 7.4 % — — 1.4 % Executive Officers and Board Members Carsten Koerl(6) . . . . . . . . . . . . . . . . . . . . . . . . . . . . . . . . . . . . . . . . . . . 3,531,199 1.7 % 903,670,701 100 % 81.6 % Eduard H. Blonk . . . . . . . . . . . . . . . . . . . . . . . . . . . . . . . . . . . . . . . . . . 164,120 * — — * James Gerard Griffin . . . . . . . . . . . . . . . . . . . . . . . . . . . . . . . . . . . . . . — — — — — Lynn S. McCreary(7) . . . . . . . . . . . . . . . . . . . . . . . . . . . . . . . . . . . . . . . 66,739 * — — * Jeffery W. Yabuki(8) . . . . . . . . . . . . . . . . . . . . . . . . . . . . . . . . . . . . . . . 510,885 * — — * Deirdre Bigley . . . . . . . . . . . . . . . . . . . . . . . . . . . . . . . . . . . . . . . . . . . . 17,670 * — — * John A. Doran(9) . . . . . . . . . . . . . . . . . . . . . . . . . . . . . . . . . . . . . . . . . . 34,079,496 16.4 % — — 3.1 % George Fleet . . . . . . . . . . . . . . . . . . . . . . . . . . . . . . . . . . . . . . . . . . . . . 123,135 * — — * William Kurtz . . . . . . . . . . . . . . .............................. — — — — — Hafiz Lalani . . . . . . . . . . . . . . . . . . . . . . . . . . . . . . . . . . . . . . . . . . . . . . — — — — — Rajani Ramanathan . . . . . . . . . . . . . . . . . . . . . . . . . . . . . . . . . . . . . . . . — — — — — Marc Walder . . . . . . . . . . . . . . . . . . . . . . . . . . . . . . . . . . . . . . . . . . . . . 239,797 * — — * All executive officers and board members as a group (12 persons)(10) . . . . . . . . . . . . . . . . . . . . . . . . . . . . . . . . . . . . . . . . . . . . . 38,733,042 18.6 % 903,670,701 100 % 84.8 % * Indicates beneficial ownership of less than 1% of the total outstanding ordinary shares. (1) The Class B ordinary shares are exchangeable for Class A ordinary shares on a ten-for-one basis, subject to customary conversion rate adjustments for share splits, share dividends and reclassifications. Beneficial ownership of Class B ordinary shares reflected in this table has not also been reflected as beneficial ownership of Class A ordinary shares for which such Class B ordinary shares may be exchanged.

GRAPHIC

93 (2) The percentage reported under “Combined Voting Power” represents the voting power with respect to all of our Class A and Class B ordinary shares outstanding as of March 1, 2024, voting as a single class. Holders of our Class A ordinary shares are entitled to one vote per share, and holders of our Class B ordinary shares are entitled to one vote per share. (3) Based on information reported on a Schedule 13G/A filed on February 14, 2024 by Canada Pension Plan Investment Board, Canada Pension Plan Investment Board has shared voting and dispositive power over 79,555,080 of our Class A ordinary shares. These shares consist of (i) 79,553,181 Class A ordinary shares held directly by CPP Investment Board Europe S.à r.l. (“CPP Europe”), a wholly-owned subsidiary of Canada Pension Plan Investment Board (“CPP Investments”), and (ii) 1,899 Class A ordinary shares held directly by Blackbird BV InvestCo S.à r.l. (“Blackbird BV”). CPP Europe may be deemed to have voting and dispositive power in respect of such 1,899 Class A ordinary shares held by Blackbird BV for purposes of Section 13(d) of the Exchange Act. CPP Investments may be deemed to beneficially own the 79,553,181 Class A Shares held by CPP Europe and the 1,899 Class A Shares held by Blackbird BV. The business addresses of Canada Pension Plan Investment Board is One Queen Street East, Suite 2500, Toronto, Ontario M5C 2W5, Canada. (4) Based on information reported on a Schedule 13G filed on February 14, 2022, Technology Crossover Management IX, Ltd. has shared voting power over 185,184 of our Class A ordinary shares and shared dispositive power over 34,079,496 of our Class A ordinary shares, Technology Crossover Management IX, L.P. has shared voting power over 176,744 of our Class A ordinary shares and shared dispositive power over 34,071,056 of our Class A ordinary shares, TCV Luxco Sports S.à.r.l. (“TCV Europe”) has shared voting and dispositive power over 33,894,312 of our Class A ordinary shares, TCV IX, L.P. has shared voting power over 108,727 of our Class A ordinary shares and shared dispositive power over 34,003,039 of our Class A ordinary shares, TCV IX (A), L.P. has shared voting and dispositive power over 30,679 of our Class A ordinary shares, TCV IX (B), L.P. has shared voting and dispositive power over 5,807 of our Class A ordinary shares, TCV Member Fund, L.P. has shared voting and dispositive power over 8,440 of our Class A ordinary shares, and TCV Sports, L.P. has shared voting and dispositive power over 31,531 of our Class A ordinary shares. Blackbird Holdco Ltd. (“Blackbird”) holds 131,501,490 of our Class A ordinary shares. TCV IX, L.P. holds 108,727 of our Class A ordinary shares, TCV IX (A), L.P. holds 30,679 of our Class A ordinary shares, TCV IX (B), L.P. holds 5,807 of our Class A ordinary shares, TCV Sports, L.P. holds 31,531 of our Class A ordinary shares and TCV Member Fund, L.P. holds 8,440 of our Class A ordinary shares. Blackbird is owned by CPP Investment Board Europe S.à r.l., TCV Europe, Blackbird BV InvestCo S.à r.l. and 10868680 Canada Inc., and by virtue of its ownership in Blackbird, TCV Europe may be deemed to share beneficial ownership over 33,894,312 Class A Ordinary Shares held by Blackbird. TCV Europe is owned by TCV IX, L.P., TCV IX (A), L.P., TCV IX (B), L.P., and TCV Sports, L.P. (collectively, the “TCV IX Funds”) and TCV Member Fund, L.P. (the “Member Fund”, and collectively with the TCV IX Funds, the “TCV Funds”). TCV IX, L.P. is the majority shareholder of TCV Europe. Technology Crossover Management IX, L.P. (“TCV Management”) is the general partner of each of the TCV IX Funds. Technology Crossover Management IX, Ltd. (“TCM”) is a general partner of Member Fund and the general partner of TCV Management. The respective business addresses of the TCV Funds, TCV Management and TCM is c/o TCV, 250 Middlefield Road, Menlo Park, California 94025. (5) Based on information reported on a Schedule 13G filed on February 2, 2022, each of Radcliff SR I LLC (“Radcliff”), Radcliff SPV Manager LLC (the “Managing Member”), Eli Goldstein and Evan Morgan have shared voting and dispositive power over 15,265,392 of our Class A ordinary shares, which are held of record by Radcliff. The Managing Member is the managing member of Radcliff, and Eli Goldstein and Evan Morgan beneficially own the membership interests in the Managing Member. The Managing Member and Messrs. Goldstein and Morgan share voting and dispositive power over the shares of the Company held by Radcliff SR I LLC. As a result, the Managing Member and Messrs. Goldstein and Morgan may be deemed to beneficially own such shares beneficially owned by Radcliff. The Managing Member and Messrs. Goldstein and Morgan disclaim beneficial ownership of the shares beneficially owned by Radcliff, except to the extent of his or its pecuniary interest therein. The respective business addresses of Radcliff, Managing Member and Messrs. Goldstein and Morgan is c/o The Radcliff Companies, 408 Greenwich Street, 2nd Floor, New York, NY 10013. (6) Consists of 93,898,269 Class A ordinary shares, which consists of (i) 3,531,199 Class A ordinary shares and (ii) 90,367,070 Class A ordinary shares underlying Class B ordinary shares. (7) Includes 42,400 Class A ordinary shares underlying RSUs scheduled to vest on March 31, 2024. (8) Includes 107,905 Class A ordinary shares held through Lion Sky LLC. Mr. Yabuki exercises voting and investment power over the Class A ordinary shares held by Lion Sky LLC and may be deemed to have beneficial ownership of those Class A ordinary shares. (9) Includes 34,079,496 Class A ordinary shares indirectly held by TCV Europe identified in footnote (4) above. Mr. Doran disclaims beneficial ownership except to the extent of his pecuniary interest in TCM, Management and Member Fund. (10)Consists of 38,733,042 Class A ordinary shares held by all our current directors and executive officers as a group.

GRAPHIC

94 Significant Changes in Ownership To our knowledge, other than as disclosed in the table above, our other filings with the SEC and this Annual Report, there has been no significant change in the percentage ownership held by any major shareholder during the past three years. Voting Rights No major shareholders listed above have voting rights with respect to their ordinary shares that are different from the voting rights of other holders of our ordinary shares. Change in Control Arrangements We are not aware of any arrangement that may at a subsequent date, result in a change of control of the Company. Registered Holders Based on a review of the information provided to us by our transfer agent, as of March 1, 2024, there were approximately 84 registered holders of our Class A ordinary shares, approximately 31 of which (including Cede & Co., the nominee of the Depositary Trust Company) are registered holders with addresses in the United States, holding approximately 60.9% of our outstanding Class A ordinary shares, and there was one registered holder of our Class B ordinary shares. Because some of the Company’s Class A ordinary shares are held through brokers or other nominees, the number of record holders of the Company’s Class A ordinary shares with addresses in the United States may be fewer than the number of beneficial owners of Class A ordinary shares in the United States. B. Related Party Transactions The following is a description of related party transactions we have entered into from January 1, 2023 to December 31, 2023. Relationship with Carsten Koerl Mr. Koerl holds a 33% beneficial ownership interest in Betgames – UAB TV Zaidimai, with which we generated revenue of €0.1 million in 2023. Relationship with SportTech On May 31, 2023, the Company sold its 49% equity interest in its SportTech AG joint venture to the majority shareholder, Ringier AG (“Ringier”), for cash consideration of €15.2 million. As part of the transaction, the Company also received 100% of the equity of Bettech Gaming (PYTY) LTD, which it had contributed to the joint venture in August 2022. Sportradar’s director Marc Walder also serves as a director for Ringier. The Company generated revenue of €0.4 million from SportTech in 2023. Relationship with Bayes The Company generated total revenue of €0.1 million in 2023 from Bayes Esports Solutions GmbH, an enterprise in which the Company held greater than a 10% beneficial ownership interest. Management Participation Program For a description of the management participation program in which certain of our board members and executive officers are involved in, please see Item 6.B. “Directors, Senior Management and Employees—B. Compensation—Management Participation Program.”

GRAPHIC

95 Shareholders’ Agreement On May 6, 2021, we entered into the Eighth Accession and Amended Agreement to the Shareholders Agreement with certain of our existing shareholders (together, as amended, the “Pre-IPO Shareholders’ Agreement”). The Pre-IPO Shareholders’ Agreement terminated upon completion of our initial public offering. Upon completion of our initial public offering, Carsten Koerl, CPP Investment Board Europe S.à r.l. and TCV Luxco Sports S.à r.l. entered into a new Shareholders’ Agreement (the “Shareholders’ Agreement”). Pursuant to the Shareholders’ Agreement, the shareholders agreed to grant Carsten Koerl Class B ordinary shares that grant Carsten Koerl ten times more voting power with the same amount of capital invested as Class A shareholders, and establish certain board composition requirements. The Shareholders’ Agreement will terminate in relation to a party if such party ceases to, directly or indirectly, own 7.5% of the outstanding share capital of the Company. Registration Rights Agreement On the closing of our initial public offering, we entered into a Registration Rights Agreement with CPP Investment Board Europe S.à r.l., TCV Luxco Sports S.à r.l., Carsten Koerl and Sportradar Group AG (the “Registration Rights Agreement”), pursuant to which such investors will have certain demand registration rights, short-form registration rights and piggyback registration rights in respect of any registrable securities and related indemnification rights from us, subject to customary restrictions and exceptions. All fees, costs and expenses of registrations, other than underwriting discounts and commissions, are expected to be borne by us. Agreements with Board Members and Executive Officers For a description of our agreements with our board members and executive officers, please see Item 6.B. “Directors, Senior Management and Employees—B. Compensation—Executive Officer and Board Member Arrangements.” Indemnification Agreements For a description of the management participation program in which certain of our board members and executive officers are involved in, please see Item 6.B. “Directors, Senior Management and Employees—B. Compensation—Management Participation Program.” Related Party Transaction Policy Our board has adopted a written related party transaction policy to set forth the policies and procedures for the review and approval or ratification of related party transactions. Under our related party transaction policy, any related party transaction, including all relevant facts and circumstances, must be reviewed and approved or ratified by the audit committee. Such review shall assess whether if the transaction is on terms comparable to those that could be obtained in arm’s length dealings with an unrelated third party, the extent of the related party’s interest in the transaction and shall also take into account the conflicts of interest and/or corporate opportunity provisions of our organizational documents and Code of Business Conduct and Ethics and, where the related party involves a director or director nominee, whether the related party transaction will impair the director or director nominee’s independence under the rules and regulations of the SEC and Nasdaq. C. Interests of Experts and Counsel Not applicable. Item 8. Financial Information A. Consolidated Statements and Other Financial Information Consolidated Financial Statements See Item 18. “Financial Statements.”

GRAPHIC

96 Legal and Arbitration Proceedings We are, from time to time, party to various claims and legal proceedings arising out of our ordinary course of business, but we do not believe that any of these existing claims or proceedings will have a material effect on our business, consolidated financial condition or results of operations. We are not currently a party to any material legal proceedings, including any such proceedings that are pending or threatened, of which we are aware. Dividend Policy Since our incorporation in 2021, we have never declared or paid a dividend, and we do not anticipate paying dividends in the foreseeable future. We intend to retain all available funds and any future earnings to fund the development and expansion of our business. As a result, investors in our Class A ordinary shares will benefit in the foreseeable future only if our Class A ordinary shares appreciate in value. Under Swiss law, any dividend must be proposed by our board of directors and approved by a general meeting of shareholders. In addition, our independent auditor must confirm that the dividend proposal of our board of directors conforms to Swiss statutory law and our Articles. A Swiss stock corporation may pay dividends only if it has sufficient distributable profits brought forward from the previous financial years (Gewinnvortrag) or if it has distributable reserves (frei verfügbare Reserven), each as evidenced by its audited stand-alone statutory balance sheet prepared pursuant to Swiss law and after allocations to reserves required by Swiss law and its articles of association have been deducted. Distributable reserves are generally booked either as “free reserves” (freie Kapitalreserven) or as “reserve from capital contributions” (Reserven aus Kapitaleinlagen). Distributions out of issued share capital, which is the aggregate nominal value of a corporation’s issued shares, may be made only by way of a share capital reduction. The amount of any future dividend payments we may make will depend on, among other factors, our strategy, future earnings, financial condition, cash flow, working capital requirements, capital expenditures and applicable provisions of our Articles. Any profits or share premium we declare as dividends will not be available to be reinvested in our operations. Moreover, we are a holding company that does not conduct any business operations of our own. As a result, we are dependent upon cash dividends, distributions and other transfers from our subsidiaries to make dividend payments. B. Significant Changes None. Item 9. The Offer and Listing A. Offer and Listing Details Our Class A ordinary shares commenced trading on the Nasdaq Global Select Market on September 14, 2021 with the symbol “SRAD”. B. Plan of Distribution Not applicable. C. Markets See “ —Offer and Listing Details” above. D. Selling Shareholders Not applicable.

GRAPHIC

97 E. Dilution Not applicable. F. Expenses of the Issue Not applicable. Item 10. Additional Information A. Share Capital Not applicable. B. Memorandum and Articles of Association A copy of our articles of association is attached as Exhibit 1.1 to this Annual Report. The information called for by this Item is set forth in Exhibit 2.1 to this Annual Report and is incorporated by reference into this Annual Report. C. Material Contracts Except as disclosed below or otherwise disclosed in this Annual Report (including the Exhibits), we are not currently, nor have we been for the past years immediately preceding the date of this Annual Report, party to any material contract, other than contracts entered into in the ordinary course of business. D. Exchange Controls There are no Swiss governmental laws, decrees or regulations, that affect in a manner material to Sportradar, the export or import of capital, including the availability of cash and cash equivalents for use by Sportradar, or any foreign exchange controls that affect the remittance of dividends, interest or other payments to non-residents or non-citizens of Switzerland who hold Sportradar securities. E. Taxation The following summary contains a description of certain Swiss and U.S. federal income tax consequences of the acquisition, ownership and disposition of Class A ordinary shares, but it does not purport to be a comprehensive description of all the tax considerations that may be relevant to a decision to purchase Class A ordinary shares. The summary is based upon the tax laws of Switzerland and regulations thereunder and on the tax laws of the United States and regulations thereunder as of the date hereof, which are subject to change. Material Swiss Tax Considerations The following discussion is a general summary of the material Swiss tax considerations relating to the purchase, ownership and disposition of our Class A ordinary shares. Withholding Tax Under present Swiss tax law, dividends due and similar cash or in-kind distributions made by a Company to a shareholder of Class A ordinary shares (including liquidation proceeds and bonus shares) are subject to Swiss federal withholding tax (Verrechnungssteuer) (“Withholding Tax”), currently at a rate of 35% (applicable to the gross amount of taxable distribution). The repayment of the nominal value of the Class A ordinary shares and any repayment of qualifying additional paid in capital (capital contribution reserves (Reserven aus Kapitaleinlagen)) are not subject to Withholding Tax. Subject to certain other conditions, the proceeds from the Class A ordinary shares will qualify as capital contribution reserves less the nominal value of the Class A ordinary shares. For certain restrictions of the distribution of tax-exempt capital contribution reserves in connection with a recent corporate tax reform in Switzerland, see “—Federal Act on Tax Reform and OASI Financing (STAF).”

GRAPHIC

98 The Withholding Tax will also apply to payments (exceeding the respective share capital and used capital contribution reserves) upon a repurchase of Class A ordinary shares by the Company, (i) if the Company’s share capital is reduced upon such repurchase (redemption of shares), (ii) if the total of repurchased shares exceeds 10% of the Company’s share capital or (iii) if the repurchased Class A ordinary shares are not resold within six years after the repurchase. This six year deadline to resell the repurchased Class A ordinary shares is suspended for so long as the Class A ordinary shares are reserved to cover obligations under convertible bonds, option bonds or employee stock option plans (in the case of employee stock option plans, the maximum suspension is six years). In the event of a taxable share repurchase, Withholding Tax is imposed on the difference between the repurchase price and the sum of the nominal value of the repurchased Class A ordinary shares and capital contribution reserves paid back upon the repurchase. The Company is obliged to deduct the Withholding Tax from the gross amount of any taxable distribution and to pay the tax to the Swiss Federal Tax Administration within 30 days of the due date of such distribution. As the Company is not listed on a Swiss stock exchange, the Company will not be subject to restrictions on the payment of dividends out of capital contribution reserves applicable to Swiss listed companies. It is at the discretion of the Company to decide whether to distribute a dividend out of capital contributions reserves free of Swiss withholding tax and/or out of profit/retained earnings/non-qualifying reserves subject to Swiss withholding tax. Swiss resident individuals who hold their shares as private assets (“Resident Private Shareholders”) are in principle eligible for a full refund or credit against income tax of the Withholding Tax if they duly report the underlying income in their income tax return. In addition, (i) corporate and individual shareholders who are resident in Switzerland for tax purposes, (ii) corporate and individual shareholders who are not resident in Switzerland, and who, in each case, hold their shares as part of a trade or business carried on in Switzerland through a permanent establishment with fixed place of business situated in Switzerland for tax purposes and (iii) Swiss resident private individuals who, for income tax purposes, are classified as “professional securities dealers” for reasons of, inter alia, frequent dealing, or leveraged investments, in shares and other securities (collectively, “Domestic Commercial Shareholders”) are in principle eligible for a full refund or credit against income tax of the Withholding Tax if they duly report the underlying income in their income statements or income tax return, as the case may be. Shareholders who are not resident in Switzerland for tax purposes, and who, during the respective taxation year, have not engaged in a trade or business carried on through a permanent establishment with fixed place of business situated in Switzerland for tax purposes, and who are not subject to corporate or individual income taxation in Switzerland for any other reason (collectively, ”Non- Resident Shareholders”) may be entitled to a total or partial refund of the Withholding Tax if the country in which such recipient resides for tax purposes maintains a bilateral treaty for the avoidance of double taxation with Switzerland (“Tax Treaty”) and further conditions of such treaty are met. Non-Resident Shareholders should be aware that the procedures for claiming treaty benefits may differ from country to country. Non-Resident Shareholders should consult their own legal, financial or tax advisors regarding receipt, ownership, purchases, sale or other dispositions of Class A ordinary shares and the procedures for claiming a refund of the Withholding Tax. As of January 2021, Switzerland was a party to Tax Treaties with respect to income taxes with more than 100 countries. More treaties have been initiated or signed but are not yet in force. Besides these bilateral treaties, Switzerland has entered into an agreement with the European Union containing provisions on taxation of dividends and dividend withholding tax reductions which apply with respect to certain related parties tax resident in European Union member states. Swiss Federal Stamp Taxes The Swiss Federal Issuance Stamp Tax (Emissionsabgabe) of 1% on either proceeds from an issuance of the Class A ordinary shares or capital increases will be borne by the Company. The issuance and the delivery of the (newly created) Class A ordinary shares to the initial shareholders at the initial public offering price in September 2021 was not subject to Swiss Federal Securities Transfer Stamp Tax (Umsatzabgabe). The subsequent purchase or sale of Class A ordinary shares, whether by Resident Private Shareholders, Domestic Commercial Shareholders or Non- Resident Shareholders, may be subject to a Swiss federal securities transfer stamp tax at a current rate of up to 0.15%, calculated on the purchase price or the sale proceeds, respectively, if (i) such transfer occurs through or with a Swiss or Liechtenstein bank or by or with involvement of another Swiss securities dealer as defined in the Swiss federal stamp tax act and (ii) no exemption applies.

GRAPHIC

99 The following categories of foreign institutional investors that are subject to regulation similar to that imposed by Swiss federal supervisory authorities are exempt from their portion (50%, i.e., 0.075%) of the Swiss federal securities transfer stamp tax: states and central banks, social security institutions, pension funds, (non-Swiss) collective investment schemes (as defined in the Swiss Collective Investment Law), certain life insurance companies and certain non-Swiss quoted companies and their non-Swiss consolidated group companies. Swiss collective investment schemes (as defined in the Swiss Collective Investment Law) are also exempt from their portion (50%, i.e., 0.075%) of the Swiss federal securities transfer stamp tax. Swiss Federal, Cantonal and Communal Individual Income Tax and Corporate Income Tax Non-Resident Shareholders Non-Resident Shareholders are not subject to any Swiss federal, cantonal or communal income tax on dividend payments and similar distributions because of the mere holding of the Class A ordinary shares. The same applies for capital gains on the sale of Class A ordinary shares except in certain cases if the capital gain was treated as stemming from the sale of real estate by the competent tax authorities in certain cantons. This could lead to real estate property gains tax being levied on such capital gain. For Withholding Tax consequences, see above. Resident Private Shareholders and Domestic Commercial Shareholders Resident Private Shareholders who receive dividends and similar cash or in-kind distributions (including liquidation proceeds as well as bonus shares or taxable repurchases of Class A ordinary shares as described above), which are not repayments of the nominal value of the Class A ordinary shares or capital contribution reserves, are required to report such receipts in their individual income tax returns and are subject to Swiss federal, cantonal and communal income tax on any net taxable income for the relevant tax period. Furthermore, the Swiss federal income tax on dividends, shares in profit, liquidation proceeds and pecuniary benefits from Class A ordinary shares (including bonus shares) is reduced to 70% of regular taxation (Teilbesteuerung), if the investment amounts to at least 10% of the share capital of the issuer. On cantonal and communal level similar provisions were introduced but the regulations may vary, depending on the canton of residency. Reduction on cantonal and communal level must not exceed 50%. A gain or a loss by Resident Private Shareholders realized upon the sale or other disposition of Class A ordinary shares to a third party will generally be a tax-free private capital gain or a not tax-deductible capital loss, as the case may be. Under exceptional circumstances, the tax-free capital gain may be re-characterized into a taxable dividend, in particular upon taxable repurchase of Class A ordinary shares as described above. Furthermore, the capital gain may also be re-characterized into taxable income in relation with an indirect partial liquidation or a transposition as defined under Swiss law. When a capital gain is re-characterized as a dividend, the relevant income for tax purposes corresponds to the difference between the repurchase price and the sum of the nominal value of the Class A ordinary shares and qualifying additional paid in capital. In certain cases, the capital gain may be treated as stemming from the sale of real estate by the competent tax authorities in certain cantons. This could lead to real estate property gains tax being levied on such capital gain. Domestic Commercial Shareholders who receive dividends and similar cash or in-kind distributions (including liquidation proceeds as well as bonus shares) are required to recognize such payments in their income statements for the relevant tax period and are subject to Swiss federal, cantonal and communal individual or corporate income tax, as the case may be, on any net taxable earnings accumulated (including the dividends) for such period. The same taxation treatment also applies to Swiss-resident individuals who, for Swiss income tax purposes, are classified as “professional securities dealers” for reasons of, inter alia, frequent dealings or leveraged transactions in securities. For Domestic Commercial Shareholders who are individual taxpayers, the Swiss federal individual income tax on dividends, shares in profit, liquidation proceeds and pecuniary benefits from Class A ordinary shares (including bonus shares) is reduced to 70% of regular taxation (Teilbesteuerung), if the investment is held in connection with the conduct of a trade or business or qualifies as an opted business asset (gewillkürtes Geschäftsvermögen) according to Swiss tax law and amounts to at least 10% of the share capital of the issuer. On cantonal and communal level, similar provisions were introduced, but the regulations may vary depending on the canton of residency. Reduction on cantonal and communal level must not exceed 50%. Domestic Commercial Shareholders, who are corporate taxpayers may qualify for participation relief on dividend distributions (Beteiligungsabzug), if the Shares held have a market value of at least CHF 1 million or represent at least 10% of the share capital of the issuer or give entitlement to at least 10% of the profit and reserves of the issuer, respectively. For cantonal and communal income tax purposes the regulations on participation relief are broadly similar, depending on the canton of residency.

GRAPHIC

100 Domestic Commercial Shareholders are required to recognize a gain or loss realized upon the disposal of Class A ordinary shares in their income statement for the respective taxation period and are subject to Swiss federal, cantonal and communal individual or corporate income tax, as the case may be, on any net taxable earnings (including the gain or loss realized on the sale or other disposition of Class A ordinary shares) for such taxation period. The same taxation treatment also applies to Swiss-resident individuals who, for Swiss income tax purposes, are classified as “professional securities dealers” for reasons of, inter alia, frequent dealings or leveraged transactions in securities. For Domestic Commercial Shareholders who are individual taxpayers, the Swiss federal individual income tax on a gain realized upon the disposal of Class A ordinary shares is reduced to 70% of regular taxation (Teilbesteuerung), if (i) the investment is held in connection with the conduct of a trade or business or qualifies as an opted business asset (gewillkürtes Geschäftsvermögen) according to Swiss tax law, (ii) the sold shares reflect an interest in the share capital of the Company of at least 10% and (iii) the sold shares were held for at least one year. In most cantons, similar provisions were introduced, but the regulations may vary depending on the canton of residency. Reduction on cantonal and communal level must not exceed 50%. Domestic Commercial Shareholders, who are corporate taxpayers may be entitled to participation relief (Beteiligungsabzug), if the Shares sold during the tax period (i) reflect an interest in the share capital of the Company of at least 10% or if the Class A ordinary shares sold allow for at least 10% of the profit and reserves and (ii) were held for at least one year. For cantonal and communal income tax purposes the regulations on participation relief are broadly similar, depending on the canton of residency. The tax relief applies to the difference between the sale proceeds and the initial costs of the participation (Gestehungskosten), resulting in the taxation of a recapture of previous write-downs of the participation. In certain cases the capital gain may be treated as stemming from the sale of real estate by the competent tax authorities in certain cantons. This could lead to real estate property gains tax being levied on such capital gain. Swiss Wealth Tax and Capital Tax Non-Resident Shareholders Non-Resident Shareholders holding the Class A ordinary shares are not subject to cantonal and communal wealth or annual capital tax because of the mere holding of the Class A ordinary shares. Resident Private Shareholders and Domestic Commercial Shareholders Resident Private Shareholders are required to report their Class A ordinary shares as part of their private wealth and are subject to cantonal and communal wealth tax on any net taxable wealth (including Class A ordinary shares). Domestic Commercial Shareholders are required to report their Class A ordinary shares as part of their business wealth or taxable capital, as defined, and are subject to cantonal and communal wealth or annual capital tax. No wealth or capital tax is levied at the federal level. Federal Act on Tax Reform and OASI Financing (STAF) On May 19, 2019, the Swiss people voted in favor of the Federal Act on Tax Reform and Old-Age and Survivors Insurance Financing (“STAF”) (Bundesgesetz über die Steuerreform und die AHV-Finanzierung). The main part of the STAF provisions entered into force on January 1, 2020, with some features already having entered into force in 2019. The STAF includes, inter alia, provisions that require corporations listed on Swiss stock exchanges to distribute at least the same amount of other reserves when repaying tax-exempt qualifying capital contribution reserves (“Distribution Restriction Rule”). In case this requirement is not met, the distribution of capital contribution reserves is requalified as distribution of other reserves (including profit carried forward) until the amount of capital contribution reserves distributed equals the amount of other reserves distributed, but is no higher than the amount of other reserves which are distributable under the Swiss code of obligations (handelsrechtlich ausschüttungsfähige übrige Reserven). The STAF also provides for exceptions to the Distribution Restriction Rule, in particular for capital contribution reserves created through certain transactions, inter alia immigration transactions, or capital contribution reserves paid out to a corporate shareholder holding at least 10% of the share capital of a corporation listed on a Swiss stock exchange. Consequently, the Company may to some extent be restricted to distribute tax-exempt capital contribution reserves.

GRAPHIC

101 The Distribution Restriction Rule is supplemented by two further rules: First, in case of a repurchase of own shares, companies listed on Swiss stock exchanges must book (in case of a repurchase of own shares for purposes of a capital reduction) or, respectively, allocate (in case of a repurchase of shares to hold them in treasury) at least 50% of the difference between the purchase price and the nominal value of such purchased shares against capital contribution reserves, to the extent such capital contribution reserves are available to be used for a repurchase. Second, for corporations listed on a Swiss stock exchange, the creation of share capital out of capital contribution reserves is treated the same as a repayment of capital contribution reserves. International Automatic Exchange of Information in Tax Matters Switzerland has concluded a bilateral agreement with the European Union on the international automatic exchange of information (“AEOI”) in tax matters (the “AEOI Agreement”). This AEOI Agreement became effective as of January 1, 2017, and applies to all 27 member states as well as Gibraltar. Furthermore, on January 1, 2017, the multilateral competent authority agreement on the automatic exchange of financial account information and, based on such agreement, a number of bilateral AEOI agreements with other countries became effective. Based on this AEOI Agreement and the bilateral AEOI agreements and the implementing laws of Switzerland, Switzerland collects data in respect of financial assets, which may include shares, held in, and income derived thereon and credited to, accounts or deposits with a paying agent in Switzerland for the benefit of residents in an EU member state or a treaty state from 2017, and exchanges it since 2018. Switzerland has signed and is expected to sign further AEOI agreements with other countries. A list of the AEOI agreements of Switzerland in effect or signed and becoming effective can be found on the website of the State Secretariat for International Finance (SIF). Swiss Facilitation of the Implementation of the U.S. Foreign Account Tax Compliance Act Switzerland has concluded an intergovernmental agreement with the United States to facilitate the implementation of FATCA. The agreement ensures that the accounts held by U.S. persons with Swiss financial institutions are disclosed to the U.S. tax authorities either with the consent of the account holder or by means of group requests within the scope of administrative assistance. Information will not be transferred automatically in the absence of consent, and instead will be exchanged only within the scope of administrative assistance on the basis of the double taxation agreement between the United States and Switzerland. On September 20, 2019, the protocol of amendment to the double taxation treaty between Switzerland and the U.S. entered into force, allowing U.S. competent authority in accordance with the information reported in aggregated form to request all the information on U.S. accounts without a declaration of consent and on non-consenting non-participating financial institutions. On October 8, 2014, the Swiss Federal Council approved a mandate for negotiations with the United States on changing the current direct notification-based regime to a regime where the relevant information is sent to the Swiss Federal Tax Administration, which in turn provides the information to the U.S. tax authorities. Material U.S. Federal Income Tax Considerations for U.S. Holders The following discussion describes the material U.S. federal income tax considerations for U.S. Holders (as defined below) under present law of the purchase, ownership, and disposition of our Class A ordinary shares. This summary applies only to U.S. Holders that hold our Class A ordinary shares as capital assets within the meaning of Section 1221 of the Code (as defined below) and have the U.S. dollar as their functional currency. This discussion is based on the U.S. Internal Revenue Code of 1986, as amended (the “Code”), applicable U.S. Treasury regulations, and judicial and administrative interpretations thereof, all as available as of the date of this Annual Report. All the foregoing authorities are subject to change or differing interpretation, and any such change or differing interpretation could apply retroactively and could affect the U.S. federal income tax consequences described below. The statements in this Annual Report are not binding on the IRS or any court, and thus we can provide no assurance that the U.S. federal income tax consequences discussed below will not be challenged by the IRS or will be sustained by a court if challenged by the IRS. Furthermore, this summary does not address any estate or gift tax consequences, any state, local, or non-U.S. tax consequences or any other tax consequences other than U.S. federal income tax consequences. The following discussion does not describe all the tax consequences that may be relevant to any particular U.S. Holders, including those subject to special tax situations such as: • banks and certain other financial institutions;

GRAPHIC

102 • regulated investment companies; • real estate investment trusts; • insurance companies; • broker-dealers; • traders that elect to mark-to-market; • tax-exempt entities or governmental organizations; • individual retirement accounts or other tax deferred accounts; • persons deemed to sell our Class A ordinary shares under the constructive sale provisions of the Code; • persons liable for alternative minimum tax or the Medicare contribution tax on net investment income; • U.S. expatriates; • persons holding our Class A ordinary shares as part of a straddle, hedging, constructive sale, conversion or integrated transaction; • persons that directly, indirectly, or constructively own 10% or more of the total combined voting power or total value of all classes of our stock; • persons that are resident or ordinarily resident in or have a permanent establishment in a jurisdiction outside the United States; • persons who acquired our Class A ordinary shares pursuant to the exercise of any employee share option or otherwise as compensation; • persons subject to special tax accounting rules as a result of any item of gross income with respect to our Class A ordinary shares being taken into account in an applicable financial statement; or • partnerships or other entities or arrangements treated as partnerships for U.S. federal income tax purposes or persons holding our Class A ordinary shares through partnerships. U.S. HOLDERS ARE URGED TO CONSULT THEIR TAX ADVISORS ABOUT THE APPLICATION OF THE U.S. FEDERAL TAX RULES TO THEIR PARTICULAR CIRCUMSTANCES AS WELL AS THE STATE, LOCAL AND NON-U.S. TAX CONSEQUENCES TO THEM OF THE PURCHASE, OWNERSHIP, AND DISPOSITION OF OUR CLASS A ORDINARY SHARES. As used herein, the term “U.S. Holder” means a beneficial owner of our Class A ordinary shares that, for U.S. federal income tax purposes, is or is treated as: • an individual who is a citizen or resident of the United States; • a corporation (or other entity taxable as a corporation for U.S. federal income tax purposes) created or organized in or under the laws of the United States, any state thereof or the District of Columbia; • an estate whose income is subject to U.S. federal income taxation regardless of its source; or

GRAPHIC

103 • a trust that (1) is subject to the primary supervision of a court within the United States and the control of one or more U.S. persons for all substantial decisions or (2) has a valid election in effect under applicable U.S. Treasury regulations to be treated as a U.S. person. The tax treatment of a partner (or other owner) in an entity or arrangement treated as a partnership for U.S. federal income tax purposes that holds our Class A ordinary shares generally will depend on such partner’s (or other owner’s) status and the activities of such entity or arrangement. A U.S. Holder that is a partner (or other owner) in such an entity or arrangement should consult its tax advisor. Dividends and Other Distributions on Our Class A Ordinary Shares Subject to the passive foreign investment company rules discussed below, the gross amount of distributions made by us with respect to our Class A ordinary shares (including the amount of non-U.S. taxes withheld therefrom, if any) generally will be includible as dividend income in a U.S. Holder’s gross income in the year received, to the extent such distributions are paid out of our current or accumulated earnings and profits, as determined under U.S. federal income tax principles. To the extent the amount of the distribution exceeds our current and accumulated earnings and profits, as determined under U.S. federal income tax principles, such excess amount will be treated first as a tax-free return of a U.S. Holder’s tax basis in our Class A ordinary shares, and then, to the extent such excess amount exceeds the U.S. Holder’s tax basis in such Class A ordinary shares, as capital gain. Because we do not maintain calculations of our earnings and profits under U.S. federal income tax principles, a U.S. Holder should expect that all cash distributions will be reported as dividends for U.S. federal income tax purposes. Such dividends will not be eligible for the dividends-received deduction allowed to U.S. corporations with respect to dividends received from other U.S. corporations. Dividends received by certain non-corporate U.S. Holders (including individuals) may be “qualified dividend income,” which is taxed at the lower applicable capital gains rate, provided that (1) our Class A ordinary shares are readily tradable on an established securities market in the United States, (2) we are neither a passive foreign investment company (as discussed below) nor treated as such with respect to the U.S. Holder for our taxable year in which the dividend is paid or the preceding taxable year, (3) the U.S. Holder satisfies certain holding period requirements, and (4) the U.S. Holder is not under an obligation to make related payments with respect to positions in substantially similar or related property. Under IRS authority, ordinary shares generally are considered for purposes of clause (1) above to be readily tradable on an established securities market in the United States if they are listed on Nasdaq, as our Class A ordinary shares are expected to be. U.S. Holders should consult their tax advisors regarding the availability of the lower rate for dividends paid with respect to our Class A ordinary shares. The amount of any distribution paid in foreign currency that will be included in the gross income of a U.S. Holder will be equal to the U.S. dollar value of such currency, translated at the spot rate of exchange on the date such distribution is actually or constructively received by the U.S. Holder, regardless of whether the payment is in fact converted into U.S. dollars at that time. A U.S. Holder generally should not recognize any foreign currency gain or loss in respect of such distribution if such foreign currency is converted into U.S. dollars on the date received by the U.S. Holder. Any further gain or loss on a subsequent conversion or other disposition of the currency for a different U.S. dollar amount will be U.S. source ordinary income or loss. The amount of any distribution of property other than cash will be the U.S. dollar fair market value of such property on the date of distribution. Dividends on our Class A ordinary shares generally will constitute foreign source income for foreign tax credit limitation purposes. Subject to certain complex conditions and limitations, non-U.S. taxes withheld, if any, on any distributions on our Class A ordinary shares may be eligible for credit against a U.S. Holder’s U.S. federal income tax liability. The limitation on foreign taxes eligible for credit is calculated separately with respect to specific classes of income. For this purpose, dividends distributed by us with respect to our Class A ordinary shares will generally constitute “passive category income.” The U.S. federal income tax rules relating to foreign tax credits are complex, and U.S. Holders should consult their tax advisors regarding the availability of a foreign tax credit in their particular circumstances and the possibility of claiming an itemized deduction (in lieu of the foreign tax credit) for any foreign taxes paid or withheld.

GRAPHIC

104 Sale or Other Taxable Disposition of Our Class A Ordinary Shares Subject to the passive foreign investment company rules discussed below, upon a sale or other taxable disposition of our Class A ordinary shares, a U.S. Holder will recognize capital gain or loss for U.S. federal income tax purposes in an amount equal to the difference between the amount realized and the U.S. Holder’s adjusted tax basis in such Class A ordinary shares. Any such gain or loss generally will be treated as long-term capital gain or loss if the U.S. Holder’s holding period in Class A ordinary shares exceeds one year. Non- corporate U.S. Holders (including individuals) generally will be subject to U.S. federal income tax on long-term capital gain at preferential rates. The deductibility of capital losses is subject to significant limitations. Gain or loss, if any, recognized by a U.S. Holder on the sale or other taxable disposition of our Class A ordinary shares generally will be treated as U.S. source gain or loss for U.S. foreign tax credit limitation purposes. If the consideration received upon the sale or other taxable disposition of our Class A ordinary shares is paid in foreign currency, the amount realized will be the U.S. dollar value of the payment received, translated at the spot rate of exchange on the date of the sale or other taxable disposition. If our Class A ordinary shares are treated as traded on an established securities market, a cash basis U.S. Holder or an accrual basis U.S. Holder who has made a special election (which must be applied consistently from year to year and cannot be changed without the consent of the IRS) will determine the U.S. dollar value of the amount realized in foreign currency by translating the amount received at the spot rate of exchange on the settlement date of the sale or other taxable disposition. If our Class A ordinary shares are not treated as traded on an established securities market, or the relevant U.S. Holder is an accrual basis taxpayer that does not make the special election, such U.S. Holder will recognize foreign currency gain or loss to the extent attributable to any difference between the U.S. dollar amount realized on the date of sale or other taxable disposition (as determined above) and the U.S. dollar value of the currency received translated at the spot rate on the settlement date, and such gain or loss generally will constitute U.S. source ordinary income or loss. A U.S. Holder’s initial U.S. federal income tax basis in our Class A ordinary shares generally will equal the cost of such Class A ordinary shares. If a U.S. Holder used foreign currency to purchase the Class A ordinary shares, the cost of the Class A ordinary shares will be the U.S. dollar value of the foreign currency purchase price on the date of purchase, translated at the spot rate of exchange on that date. If our Class A ordinary shares are treated as traded on an established securities market and the relevant U.S. Holder is either a cash basis taxpayer or an accrual basis taxpayer who has made the special election described above, the U.S. Holder will determine the U.S. dollar value of the cost of such Class A ordinary shares by translating the amount paid at the spot rate of exchange on the settlement date of the purchase. Passive Foreign Investment Company Considerations We will be classified as a passive foreign investment company (a “PFIC”) for any taxable year if either: (1) at least 75% of our gross income is “passive income” for purposes of the PFIC rules or (2) at least 50% of the value of our assets (determined on the basis of a quarterly average) is attributable to assets that produce or are held for the production of passive income. For this purpose, we will be treated as owning our proportionate share of the assets and earning our proportionate share of the income of any other corporation in which we own, directly or indirectly, 25% or more (by value) of the stock. Under the PFIC rules, if we were considered a PFIC at any time that a U.S. Holder holds our Class A ordinary shares, we would continue to be treated as a PFIC with respect to such U.S. Holder unless (1) we cease to qualify as a PFIC under the income and asset tests discussed in the prior paragraph and (2) the U.S. Holder has made a “deemed sale” election under the PFIC rules. Based on the current market price of our Class A ordinary shares and the current and anticipated composition of our income, assets and operations, we do not expect to be treated as a PFIC for the current taxable year or in the foreseeable future. This is a factual determination, however, that depends on, among other things, the composition of our income and assets and the market value of our shares and assets from time to time, and thus the determination can only be made annually after the close of each taxable year. Therefore, there can be no assurance that we will not be classified as a PFIC for the current taxable year or for any future taxable year.

GRAPHIC

105 If we are considered a PFIC at any time that a U.S. Holder holds our Class A ordinary shares, any gain recognized by a U.S. Holder on a sale or other disposition of our Class A ordinary shares, as well as the amount of any “excess distribution” (defined below) received by the U.S. Holder, would be allocated ratably over the U.S. Holder’s holding period for our Class A ordinary shares. The amounts allocated to the taxable year of the sale or other disposition (or the taxable year of receipt, in the case of an excess distribution) and to any year prior to the year in which we became a PFIC would be taxed as ordinary income. The amount allocated to each other taxable year would be subject to tax at the highest rate in effect for individuals or corporations, as appropriate, for that taxable year, and an interest charge would be imposed. For the purposes of these rules, an excess distribution is the amount by which any distribution received by a U.S. Holder on its Class A ordinary shares exceeds 125% of the average of the annual distributions on our Class A ordinary shares received during the preceding three years or the U.S. Holder’s holding period, whichever is shorter. Certain elections may be available that would result in alternative treatments (such as qualified electing fund treatment or mark-to-market treatment) of our Class A ordinary shares if we are considered a PFIC. We do not intend to provide the information necessary for U.S. Holders of our Class A ordinary shares to make qualified electing fund elections, which, if available, would result in tax treatment different from the general tax treatment for an investment in a PFIC described above. If we are treated as a PFIC with respect to a U.S. Holder for any taxable year, the U.S. Holder will be deemed to own shares in any of our subsidiaries that are also PFICs. However, an election for mark-to-market treatment would likely not be available with respect to any such subsidiaries. If we are considered a PFIC, a U.S. Holder will also be subject to annual information reporting requirements. U.S. Holders should consult their tax advisors about the potential application of the PFIC rules to an investment in our Class A ordinary shares. U.S. Information Reporting and Backup Withholding Dividend payments with respect to our Class A ordinary shares and proceeds from the sale, exchange or redemption of our Class A ordinary shares may be subject to information reporting to the IRS and possible U.S. backup withholding. A U.S. Holder may be eligible for an exemption from backup withholding if the U.S. Holder furnishes a correct taxpayer identification number and makes any other required certification or is otherwise exempt from backup withholding. U.S. Holders who are required to establish their exempt status may be required to provide such certification on IRS Form W-9. U.S. Holders should consult their tax advisors regarding the application of the U.S. information reporting and backup withholding rules. Backup withholding is not an additional tax. Amounts withheld as backup withholding may be credited against a U.S. Holder’s U.S. federal income tax liability, and such U.S. Holder may obtain a refund of any excess amounts withheld under the backup withholding rules by timely filing an appropriate claim for refund with the IRS and furnishing any required information. Additional Information Reporting Requirements Certain U.S. Holders who are individuals (and certain entities) that hold an interest in “specified foreign financial assets” (which may include our Class A ordinary shares) are required to report information relating to such assets, subject to certain exceptions (including an exception for Class A ordinary shares held in accounts maintained by certain financial institutions). Penalties can apply if U.S. Holders fail to satisfy such reporting requirements. U.S. Holders should consult their tax advisors regarding the applicability of these requirements to their ownership and disposition of our Class A ordinary shares. THE DISCUSSION ABOVE IS A GENERAL SUMMARY. IT DOES NOT COVER ALL TAX MATTERS THAT MAY BE IMPORTANT TO A HOLDER OF SHARES. AN INVESTOR SHOULD CONSULT ITS TAX ADVISOR ABOUT THE TAX CONSEQUENCES OF AN INVESTMENT IN OUR CLASS A ORDINARY SHARES UNDER THE INVESTOR’S OWN CIRCUMSTANCES. F. Dividends and Paying Agents Not applicable. G. Statement by Experts Not applicable.

GRAPHIC

106 H. Documents on Display We are subject to the informational requirements of the Exchange Act. Accordingly, we will be required to file reports and other information with the SEC, including annual reports on Form 20-F and reports on Form 6-K. The SEC maintains an internet website that contains reports and other information about issuers, including us, that file electronically with the SEC. The address of that website is www.sec.gov. We also make available on the Investor Relations section of our website, free of charge, our annual reports on Form 20-F, reports on Form 6-K and any amendments to these reports, as well as certain other SEC filings, as soon as reasonably practicable after they are electronically filed with or furnished to the SEC. Our website address is www.sportradar.com. The information contained on that website is not part of this Annual Report and shall not be incorporated by reference into this Annual Report As a “foreign private issuer”, we are exempt under the Exchange Act from, among other things, the rules prescribing the furnishing and content of proxy statements, and our officers, directors and principal shareholders are exempt from the reporting and short swing profit recovery provisions contained in Section 16 of the Exchange Act. In addition, we will not be required under the Exchange Act to file periodic reports and financial statements with the SEC as frequently or as promptly as U.S. companies whose securities are registered under the Exchange Act. We are required to make certain filings with the SEC. However, we will file with the SEC, within 120 days after the end of each subsequent fiscal year, or such applicable time as required by the SEC, an annual report on Form 20-F containing financial statements audited by an independent registered public accounting firm. We also intend to furnish certain other material information to the SEC under cover of Form 6-K. I. Subsidiary Information Not applicable. J.Annual Report to Security Holders If we are required to provide an annual report to security holders in response to the requirements of Form 6-K, we will submit the annual report to security holders in electronic format in accordance with the EDGAR Filer Manual. Item 11. Quantitative and Qualitative Disclosures About Market Risk Our future income, cash flows and fair values relevant to financial instruments are subject to liquidity risk, credit risk, foreign currency exchange rate risk and interest rate risk. Liquidity Risk Liquidity risk is the risk that we will encounter difficulty in meeting the obligations associated with our financial liabilities that are settled by delivering cash or another financial asset. Our approach to managing liquidity is to ensure that, as far as possible, we will have sufficient liquidity to meet our liabilities when they become due. See Note 26.4 – Liquidity Risk to our consolidated financial statements included elsewhere in this Annual Report. Credit Risk Credit risk is the risk of financial loss to us if a customer or counterparty to financial instruments fails to meet its contractual obligations. We are exposed to credit risk from our operating activities (primarily trade receivables), unpaid capital contributions, loans granted and deposits with banks and financial institutions. The carrying amounts of financial assets and contract assets represent the maximum credit exposure, for categories of financial instruments, please see Note 26.1 – Measurement categories of financial instruments to our consolidated financial statements included elsewhere in this Annual Report. At the reporting date, there are no arrangements which will reduce our maximum credit risk.

GRAPHIC

107 Impairment losses on financial assets and contract assets recognized in the consolidated statements of profit or loss and other comprehensive income are disclosed in Note 17 – Other financial assets and other non-current assets and Note 18 – Trade receivables and contract assets to our consolidated financial statements included elsewhere in this Annual Report. As our risk exposure is mainly influenced by the individual characteristics of each customer, we continuously analyze the creditworthiness of significant debtors. Due to our international operations and expanding business based on a diversified customer structure, we experience an increasing but still low concentration of credit risk arising from trade receivables. For the years ended December 31, 2023 and 2022 no individual customer accounted for more than 10% of revenues. Impairment losses are recognized when the counterparty is not meeting its payment obligations and when further financial information cannot be obtained. See Note 26.5 – Credit Risk to our consolidated financial statements included elsewhere in this Annual Report. Foreign Currency Risk Currency risk is the risk that the fair value or future cash flows of a financial instrument will fluctuate because of changes in foreign exchange rates. Foreign exchange risk arises from future commercial transactions and recognized financial assets and liabilities. The Company invoices more than 71% of its business in its functional currency, the Euro. However, license rights are often purchased in foreign currencies, and this exposes us to a significant risk from changes in foreign exchange rates; in particular, against the U.S. Dollar as a result of the Company’s NBA sports data and media rights license. Furthermore, some of our subsidiaries operate in local currencies, mainly AUD, GBP, CHF, NOK and USD. Exchange rates are monitored by our central finance department on a monthly basis, to ensure that adequate measures are taken if fluctuations increase. The main transaction risks are represented by the U.S. Dollar and the Great Britain Pound, while other currencies pose minor sources of risk. The transaction risk on foreign currency cash flows is monitored on an ongoing basis by our Treasury in order to mitigate any currency risk exposure. The Company’s net exposure in U.S. Dollars and in Great Britain Pound is disclosed in Note 26.6 – Foreign Currency Risk to our consolidated financial statements included elsewhere in this Annual Report. Interest Rate Risk Interest rate risk is the risk that the fair value or future cash flows of a financial instrument will fluctuate because of changes in market interest rates. We are mainly exposed to cash flow interest rate risk in connection with borrowings. The interest rate is based on market interest rate plus a margin which is based on a leverage ratio as defined in the Credit Agreement. For the unutilized RCF, a commitment fee of 0.825% is payable on 30% of the applicable margin for the RCF. The applicable margin for the RCF is 2.75% per annum and is determined based on the senior secured net leverage ratio of the Company. We do not actively manage our interest rate exposure. See Note 26.7 – Interest rate risk to our consolidated financial statements included elsewhere in this Annual Report. Loans granted to customers and employees bear fixed interest. They do not expose us to any interest rate risk. See Note 17 – Other financial assets and other non-current assets to our consolidated financial statements included elsewhere in this Annual Report. Item 12. Description of Securities Other than Equity Securities A. Debt Securities Not applicable. B. Warrants and Rights Not applicable. C. Other Securities Not applicable.

GRAPHIC

108 D. American Depositary Shares Not applicable. PART II Item 13. Defaults, Dividend Arrearages and Delinquencies None. Item 14. Material Modifications to the Rights of Security Holders and Use of Proceeds None. Item 15. Controls and Procedures Disclosure Controls and Procedures We maintain disclosure controls and procedures (as that term is defined in Rules 13a-15(e) and 15d-15(e) under the Securities Exchange Act of 1934 (“Exchange Act”)). These are designed to ensure that information required to be disclosed in the Company’s reports under the Exchange Act is recorded, processed, summarized and reported within the time periods specified in the SEC’s rules and forms and that such information is accumulated and communicated to our management, including our Chief Executive Officer and Chief Financial Officer, as appropriate, to allow timely decisions regarding required disclosures. Any controls and procedures, no matter how well designed and operated, can provide only reasonable assurance of achieving the desired control objectives. Our management, with the participation of our Chief Executive Officer and Chief Financial Officer, has evaluated the effectiveness of the design and operation of our disclosure controls and procedures as of December 31, 2023. Based upon that evaluation, our Chief Executive Officer and Chief Financial Officer concluded that, as a result of the material weakness in internal control over financial reporting described below, our disclosure controls and procedures were not effective as of December 31, 2023. In light of the material weakness, the Company has performed additional analysis and procedures to ensure that our annual consolidated financial statements are prepared in accordance with IFRS. Our management, including our Chief Executive Officer and our Chief Financial Officer, has concluded that our consolidated financial statements for the periods covered by and included in this Annual Report on Form 20-F are fairly presented, in all material respects, in accordance with IFRS for the periods presented herein. Management’s Annual Report on Internal Control Over Financial Reporting Our management, is responsible for establishing and maintaining adequate internal control over financial reporting (as defined in Rules 13a-15(f) and 15d-15(f) under the Exchange Act). Under the supervision and with the participation of our management, including our Chief Executive Officer and Chief Financial Officer, we conducted an evaluation of the effectiveness of our internal control over financial reporting as of December 31, 2023, based on the framework in Internal Control—Integrated Framework issued by the Committee of Sponsoring Organizations of the Treadway Commission (COSO) (2013 framework). As a result of this evaluation, management concluded that the Company’s internal control over financial reporting was not effective as of December 31, 2023, due to a material weakness in internal control over financial reporting identified in the prior year which has not been fully remediated. Our internal control over financial reporting includes those policies and procedures that: (i) pertain to the maintenance of records that, in reasonable detail, accurately and fairly reflect the transactions and dispositions of our assets;

GRAPHIC

109 (ii) provide reasonable assurance that transactions are recorded as necessary to permit preparation of financial statements in accordance with IFRS, and that our receipts and expenditures are being made only in accordance with authorizations of our management and directors; and (iii) provide reasonable assurance regarding prevention or timely detection of unauthorized acquisition, use, or disposition of our assets that could have a material effect on the financial statements. Because of its inherent limitations, internal control over financial reporting is not intended to provide absolute assurance that a misstatement of the Company’s consolidated financial statements would be prevented or detected. Also, projections of any evaluation of effectiveness to future periods are subject to the risk that controls may become inadequate because of changes in conditions, or that the degree of compliance with the policies or procedures may deteriorate. A material weakness is a deficiency, or a combination of deficiencies, in internal control over financial reporting, such that there is a reasonable possibility that a material misstatement of our annual or interim financial statements will not be prevented or detected on a timely basis. As previously disclosed in our Annual Report on Form 20-F for the year ended December 31, 2022, our management identified a material weakness in our internal control over financial reporting relating to insufficient design and implementation of controls and segregation of duties, which continued to exist at December 31, 2023. This material weakness was due to insufficient design and deployment of control activities across financial reporting processes through policies that establish what is expected, procedures that set policies into actions and controls to address the risks. The material weakness was also due to an insufficient complement of personnel with appropriate levels of knowledge, experience, and training commensurate with our structure and internal control requirements. This material weakness resulted in misstatements that were corrected prior to the issuance of the consolidated financial statements. Attestation Report of the Registered Public Accounting Firm Our independent registered public accounting firm, KPMG AG, who audited the consolidated financial statements included in this Annual Report on Form 20-F, issued an adverse opinion on the effectiveness of the Company’s internal control over financial reporting as of December 31, 2023. KPMG AG’s report is included in “Item 18. Financial Statements”. Management’s Remediation Plan While we dedicated significant resources to our remediation plan with respect to the previously reported material weakness described above and made progress in our remediation efforts, we were unable to complete our remediation plan during fiscal 2023. Our management, with oversight from the Audit Committee, is committed to maintain a strong internal control over financial reporting environment. During 2023, we commenced efforts and made significant progress towards remediation of the previously reported material weakness described above, and we continue to take actions to remediate such material weakness. In 2023, we undertook the following remedial actions: • Continued the process of developing, implementing and embedding enhanced processes and procedures throughout the organization; • Engaged with external consultants with extensive expertise in internal controls to assist with the design and implementation of new controls and redesign of existing controls for the majority of our key processes; • Designed and implemented IT general controls over the majority of our key systems to help ensure that our automated process level controls and information produced and maintained in our IT systems will be relevant and reliable when operating effectively;

GRAPHIC

110 • Reduced the number of segregation of duties conflicts and initiated design of automated controls over journal entries; and • Successfully completed the migration to our new ERP system for the majority of the material entities and built a plan that is currently under implementation to automate process and internal controls. While significant progress was made in 2023, our remaining internal control remediation efforts to address the identified material weakness include the following: • Reorganizing the finance function to align with the new global organization and leadership structure, and to better focus on a global footprint with core operation functions. • As part of the finance reorganization appointed a SVP Finance Transformation & Operations and Chief Accounting Officer to enhance the finance leadership team and drive the roll out of the comprehensive internal controls framework across the business and key financial cycles. • Continuing to establish policies and procedures to support deployment of management’s directives and control activities and to establish responsibility and accountability for executing policies and procedures in a timely manner. • Continuing to have our central financial controls team assist management with all elements of the internal control over financial reporting program, including continuing to deliver a comprehensive training for our finance and accounting team on internal control principles and requirements; reinforcement of our risk assessment; reviewing our current processes, procedures and systems; documenting process flows; and assessing the existing design of controls to identify opportunities to enhance those controls to address relevant risks. • Leveraging technology to streamline business processes by automating repetitive activities and manual controls. • Monitoring and assessing changes in the business from the organizational changes we recently announced that could impact our internal controls as a result of the aforementioned activities. • Continuing to invest in external consultants with extensive expertise in internal controls to assist with the design and implementation of new controls and redesign of existing controls for the majority of our key processes. • Implementing further enhancements to our ERP, including migration of remaining entities and automation of processes and internal controls. While our efforts are subject to ongoing management evaluation and will require validation and testing of the design and operating effectiveness of internal controls over a sustained period, we are committed to continuous improvement and will continue to diligently review our internal control over financial reporting. Notwithstanding the material weakness, management has concluded that the financial statements included elsewhere in this Annual Report present fairly, in all material respects, our financial position, results of operations and cash flows in conformity with IFRS. Changes in Internal Control over Financial Reporting Other than for the steps taken as part of the remediation activities described above, there were no changes in our internal control over financial reporting (as such term is defined in Rules 13a-15(f) and 15d-15(f) under the Exchange Act) that occurred during the period covered by this Annual Report that have materially affected, or are reasonably likely to materially affect, our internal control over financial reporting. Item 16. [Reserved]

GRAPHIC

111 Item 16A. Audit Committee Financial Expert Our Board has determined that George Fleet, William Kurtz and Rajani Ramanathan each satisfy the “independence” requirements under Nasdaq rules and as set forth in Rule 10A-3 under the Exchange Act. Our board of directors has also determined that William Kurtz is considered an “audit committee financial expert” as defined in Item 16A of Form 20-F under the Exchange Act. Item 16B. Code of Ethics We have adopted a Code of Business Conduct and Ethics, which covers a broad range of matters including ethical and compliance issues and other corporate policies such as equal opportunity and non-discrimination standards. This Code of Business Conduct and Ethics applies to all of our executive officers, board members and employees, including our principal executive, principal financial and principal accounting officers. Our Code of Business Conduct and Ethics is intended to meet the definition of “Code of Ethics” under Item 16B of 20-F under the Exchange Act. We will disclose on our website any amendment to, or waiver from, a provision of our Code of Business Conduct and Ethics that applies to our directors or executive officers to the extent required under the rules of the SEC or Nasdaq. Our Business Conduct and Ethics Guidelines are available on the Investor Relations page of our website at investors.sportradar.com. The information contained on our website is not incorporated by reference in this Annual Report. We granted no waivers under our Code of Business Conduct and Ethics in the year ended December 31, 2023. Item 16C. Principal Accountant Fees and Services The consolidated financial statements of Sportradar Group AG at December 31, 2023 and 2022, and for each of the two years in the period ended December 31, 2023, appearing in this Annual Report have been audited by KPMG AG, Switzerland (“KPMG AG”), independent registered public accounting firm, as set forth in their report thereon appearing elsewhere herein, and are included in reliance upon such report given on the authority of such firm as experts in accounting and auditing. The registered business address of KPMG AG is Bogenstrasse 7, Postfach 1142, CH-9001 St. Gallen, Switzerland (PCAOB ID 3240). The table below summarizes the fees for professional services rendered by KPMG AG for the years ended December 31, 2023 and 2022, and breaks down these amounts by category of service: Year Ended December 31, €’000 2023 2022 Audit Fees . . . . . . . . . . . . . . . . . . . . . . . . . . . . . . . . . . . . . . . . . . . . . . . . . . . . . . . . . . . . 4,558 3,046 Audit Related Fees . . . . . . . . . . . . . . . . . . . . . . . . . . . . . . . . . . . . . . . . . . . . ......... — — Tax Fees . . . . . . . . . . . . . . . . . . . . . . . . . . . . . . . . . . . . . . . . . . . . . . . . . . . . . . . . . . . . . 154 185 All Other Fees . . . . . . . . . . . . . . . . . . . . . . . . . . . . . . . . . . . . . . . . . . . . . . . . ........ — — Total . . . . . . . . . . . . . . . . . . . . . . . . . . . . . . . . . . . . . . . . . . . . . . . . . . . . . . . . . . . . . . . . 4,712 3,231 Audit Fees Audit fees for the years ended December 31, 2023 and 2022 were related to the audit of our consolidated and subsidiary financial statements and other audit or interim review services provided in connection with statutory and regulatory filings or engagements. Tax Fees Tax fees for the years ended December 31, 2023 and 2022 were related to tax compliance and transfer pricing related services. Pre-Approval Policies and Procedures The advance approval of the Audit Committee or members thereof, to whom approval authority has been delegated, is required for all audit and non-audit services provided by our auditors.

GRAPHIC

112 All services provided by our auditors are approved in advance by either the Audit Committee or members thereof, to whom authority has been delegated, in accordance with the Audit Committee’s pre-approval policy. Item 16D. Exemptions from the Listing Standards for Audit Committees Not applicable. Item 16E. Purchases of Equity Securities by the Issuer and Affiliated Purchasers The following table sets forth purchases of our ordinary shares by us and our affiliated purchasers during the fiscal year ended December 31, 2023: Total number of Maximum number shares purchased as of shares that may Total number of Average price part of publicly announced yet be purchased under Month in the year ended December 31, 2023 shares purchased (1) paid per share ($) plans or programs the plans or programs January 1 - January 31, 2023 . . . . . . . . . . . . . . . . . . — — — — February 1 - February 28, 2023 . . . . . . . . . . . . . . . . — — — — March 1 - March 31, 2023 . . . . . . . . . . . . . . . . . . . . 281,258 11.62 — — April 1 - April 30, 2023 . . . . . ................. — — — — May 1 - May 31, 2023 . . . . . . . . . . . . . . . . . . . . . . . 20,560 12.90 — — June 1 - June 30, 2023 . . . . . . . . . . . . . . . . . . . . . . . 38,030 12.90 — — July 1 - July 31, 2023 . . . . . . . . . . . . . . . . . . . . . . . . — — — — August 1 - August 31, 2023 . . . . . . . . . . . . . . . . . . . 402 11.40 — — September 1 - September 30, 2023 . . . . . . . . . . . . . 22,709 10.07 — — October 1 - October 31, 2023 . . . . . . . . . . . . . . . . . — — — — November 1 - November 30, 2023 . . . . . . . . . . . . . 9 10.03 — — December 1 - December 31, 2023 . . . . . . . . . . . . . . 228,384 11.05 — — Total . . . . . . . . . . . . . . . . . . . . . . . . . . . . . . . . . . . . . . 591,352 $ 11.47 — — (1) A total of 591,352 shares were purchased other than through a publicly announced plan or program as a result of (i) shares withheld to cover taxes due in connection with the vesting of equity awards granted to employees or (ii) repurchases of shares from employees in connection with their termination of employment. Item 16F. Change in Registrant’s Certifying Accountant None. Item 16G. Corporate Governance As a “foreign private issuer,” as defined by the SEC, we are permitted to follow home country corporate governance practices, instead of certain corporate governance practices required by Nasdaq for domestic issuers. While we voluntarily follow most Nasdaq corporate governance rules, we follow Swiss corporate governance practices in lieu of Nasdaq corporate governance rules as follows: • Exemption from Nasdaq Listing Rule 5605(b)(2), which requires an issuer to have regularly scheduled meetings at which only independent directors attend; • Exemption from Nasdaq Listing Rule 5620(c), which requires an issuer to provide in its bylaws for a generally applicable quorum, and that such quorum may not be less than one-third of the outstanding voting stock; and • Exemption from Nasdaq Listing Rules 5635(a), (b), (c) and (d), relating to matters requiring shareholder approval, including with respect to shareholder approval of the establishment or any material amendments to any equity compensation arrangements. Our Articles and Swiss law provide that our board of directors is authorized, in certain instances, to issue a certain number of Class A ordinary shares without re-approval by our shareholders.

GRAPHIC

113 Although we may rely on certain home country corporate governance practices, we must comply with Nasdaq’s Notification of Noncompliance requirement (Nasdaq Rule 5625) and the Voting Rights requirement (Nasdaq Rule 5640). Further, we must have an audit committee that satisfies Nasdaq Rule 5605(c)(3), which addresses audit committee responsibilities and authority and requires that the audit committee consist of members who meet the independence requirements of Nasdaq Rule 5605(c)(2)(A)(ii). Other than as discussed above, we intend to comply with the rules generally applicable to U.S. domestic companies listed on Nasdaq. We may in the future, however, decide to use other foreign private issuer exemptions with respect to some or all of the other Nasdaq rules. Following our home country governance practices may provide less protection than is accorded to investors under Nasdaq rules applicable to domestic issuers. We intend to take all actions necessary for us to maintain compliance as a foreign private issuer under the applicable corporate governance requirements of the Sarbanes-Oxley Act of 2002, the rules adopted by the SEC and Nasdaq listing standards. Because we are a foreign private issuer, our directors and senior management are not subject to short-swing profit and insider trading reporting obligations under Section 16 of the Exchange Act. They will, however, be subject to the obligations to report changes in share ownership under Section 13 of the Exchange Act and related SEC rules. Item 16H. Mine Safety Disclosure Not applicable. Item 16I. Disclosure Regarding Foreign Jurisdictions that Prevent Inspections Not applicable. Item 16J. Insider Trading Policies Not applicable. Item 16K. Cybersecurity Cybersecurity is an integral part of risk management at Sportradar. Our Board and management appreciate the evolving nature of threats presented by cybersecurity incidents and is committed to the prevention, timely detection, and mitigation of the effect any such incidents may have on the Company. Our Board, through its Audit Committee, is integrally involved in the Company’s cybersecurity program, which is integrated with our enterprise risk management processes. We recognize the importance of ensuring the ongoing safety and security of our data, systems and technology and we have made efforts to embed a strong compliance culture across the business. For instance, securing such information and honoring our privacy obligations are core employee expectations, as highlighted in our Code of Business Conduct and Ethics. To effectively address information security risks, we have a dedicated information security team to assess, monitor and maintain our assets, and respond to any cybersecurity incidents. We have not experienced any cybersecurity incidents that materially affected the Company. However, cybersecurity threats and other technological risks involving our systems have materially affected our business strategy and our processes for assessing, identifying, and managing material risks from cybersecurity threats. In an effort to mitigate the risks presented by cybersecurity threats, including lessons learned from previous cybersecurity incidents, we have invested and we expect to continue to invest significant resources to maintain and enhance our information security and controls and to investigate and remediate any security vulnerabilities. As discussed under "Part I—Item 1A. Risk Factors," specifically the risks titled “Our inability to protect our systems and data from continually evolving cybersecurity risks, security breaches or other technological risks could affect our reputation among our customers, consumers, and regulators, and may expose us to liability,” the sophistication of cybersecurity threats continues to increase, and the preventative actions we take to reduce the risk of cybersecurity incidents and protect our systems and information may be insufficient. Accordingly, no matter how well designed or implemented our controls are, we will not be able to anticipate all

GRAPHIC

114 cybersecurity security incidents, and we may not be able to implement effective preventive measures against such cybersecurity incidents in a timely manner. Our cybersecurity program reflects the following attributes: Collaborative Approach The Company has implemented a comprehensive, cross-functional approach to identifying, preventing and mitigating cybersecurity threats and incidents, while also implementing controls and procedures that provide for the prompt escalation of certain cybersecurity incidents so that decisions regarding the public disclosure and reporting of such incidents can be made by management in a timely manner. Led by our SVP, Information Security Officer (“Security Officer”), in coordination with our senior leaders, including our Chief Executive Officer, Chief Information Officer, and Chief Legal Officer, and key leaders from the business and Enterprise Risk, our team works collaboratively to implement a program designed to comply with industry standards, including compliance with ISO 27001, and to protect the Company’s information systems from cybersecurity threats and promptly respond to any cybersecurity incidents in accordance with the Company’s incident response and recovery plans. To facilitate the success of the Company’s cybersecurity risk management program, multidisciplinary teams throughout the Company are deployed to address cybersecurity threats and to respond to cybersecurity incidents. Through ongoing communications with these teams, our Security Officer and our team monitor the prevention, detection, mitigation and remediation of cybersecurity threats and incidents and report such threats and incidents to the Audit Committee when appropriate. Use of Third Parties & Audits The Company engages third parties to perform assessments on our cybersecurity measures, including information security maturity assessments, audits and independent reviews of our information security control environment and operating effectiveness. The results of such assessments, audits and reviews are reported to the Audit Committee as appropriate, and the Company adjusts its cybersecurity policies, standards, processes and practices as necessary based on the information provided by these assessments, audits and reviews. Systems and Processes We employ a dedicated cybersecurity team to stay abreast of new and evolving cybersecurity threats. Our teams are constantly evaluating our cybersecurity risk and performing technical assessments against our systems to help ensure our resilience. Our teams also monitor for newly released vulnerabilities, working quickly to understand applicability to our systems and performing mitigation where necessary. Further, we protect our business with distributed denial-of-service (DDOS)-protection systems, intrusion-detection systems and automated-scanning programs. These include static-code-analysis tools, pipeline-deployment tools and security-assessment-scanning tools to protect our assets from cyberattack. We maintain a comprehensive, risk-based third-party risk management process to identify, assess and manage risks presented by service providers, vendors and other third parties that access our systems or that process or store our data. On an annual basis, our team reviews and updates its information security governance documents. Additionally, our team maintains a cybersecurity strategic plan which outlines the strategic vision and associated goals for the cybersecurity of our global operations. The plan is continually updated with new initiatives that are aligned with technology innovations and any changes in the threat landscape. Protection Capabilities & Response Planning We operate a suite of technical information security capabilities designed to detect and protect our organization from attempted cybersecurity attacks. Our cybersecurity operations and response teams are continuously monitoring for and responding to threats to keep our systems secure. We have a detailed cybersecurity crisis response plan, which contemplates periodic testing, to guide our response to material cybersecurity incidents.

GRAPHIC

115 Regular Board & Audit Committee Updates Our directors are regularly updated on our cybersecurity program and cybersecurity matters, including receiving presentations and reports on cybersecurity risks, which address a wide range of topics including recent developments, evolving standards, vulnerability assessments, third-party and independent reviews, the threat environment, technological trends and information security considerations. Mandatory Training The Company provides regular, mandatory training for personnel regarding cybersecurity as a means to equip the Company’s personnel with effective tools to address cybersecurity threats, and to communicate the Company’s evolving information security policies, standards, processes and practices. Insurance Coverage We maintain insurance coverage to limit our exposure to certain events, including those related to certain cybersecurity threats to our information systems. Experience Our Security Officer has served in various roles in information technology and information security for approximately 20 years, including serving as a Group CISO and Infrastructure Director at a large multinational corporation. Our Security Officer holds undergraduate and graduate degrees in relevant fields and has attained the professional certification of (i) ISO 27001 Lead Implementer - Information Security Certification and (ii) Certified Information Security Manager. The Company’s Chief Executive Officer, Chief Information Officer and Chief Legal Officer each hold undergraduate and graduate degrees in their respective fields, and each have over 25 years of experience managing risks at the Company and at similar companies, including risks arising from cybersecurity threats. In addition, our Director, Information Security Governance, Risk & Compliance, has attained the Certified ISO 27001:2018 Lead Implementer certification.

GRAPHIC

116 PART III Item 17. Financial Statements We have provided financial statements pursuant to Item 18. Item 18. Financial Statements The audited consolidated financial statements as required under Item 18 are attached hereto starting on page F-1 of this Annual Report. The audit report of KPMG AG, an independent registered public accounting firm, is included herein preceding the audited consolidated financial statements. Item 19. Exhibits List all exhibits filed as part of the registration statement or annual report, including exhibits incorporated by reference. Incorporation by Reference Exhibit No. Description Form File No. Exhibit No. Filing Date Filed / Furnished 1.1 Articles of Association of Sportradar Group AG * 2.1 Description of Securities * 2.2+# Warrant Agreement, dated as of November 16, 2021, by and between Sportradar AG and NBA Ventures 1, LLC 20-F 001-40799 2.2 3/31/2022 4.1† Form of Indemnification Agreement F-1 333-258882 10.1 8/17/2021 4.2† Management Participation Program Agreement, dated as of May 6, 2019, among Blackbird Holdco Ltd. (f/k/a Blackbird HoldCo S.à r.l.), Slam InvestCo S.à r.l. and MPP Participants, as defined therein F-1 333-258882 10.2 8/17/2021 4.3† Sportradar Group AG 2021 Incentive Award Plan F-1 333-258882 10.3 8/17/2021 4.4† Sportradar Group AG 2021 Employee Share Purchase Plan F-1 333-258882 10.4 8/17/2021 4.5 Senior Facilities Agreement, dated as of November 17, 2020, among Sportradar Management Ltd, as borrower, J.P. Morgan Securities PLC, Citigroup Global Markets Limited, Credit Suisse International, Goldman Sachs Bank USA, UBS AG London Branch and UBS Switzerland AG, as Mandated Lead Arrangers, J.P. Morgan AG, as Agent and Lucid Trustee Services Limited, as Security Agent F-1 333-258882 10.5 8/17/2021 4.6 Registration Rights Agreement, dated as of September 9, 2021, by and among Sportradar Group AG and certain shareholders of Sportradar Group AG, as amended by Amendment No. 1 to the Registration Rights Agreement, dated as of November 16, 2021 20-F 001-40799 4.8 3/31/2022 4.7+ Shareholders’ Agreement, dated as of September 7, 2021, by and among certain shareholders of Sportradar Group AG 20-F 001-40799 4.9 3/31/2022 4.8 Class A Ordinary Shares Purchase Agreement, dated as of September 7, 2021, by and among Sportradar Group AG and the Investors (as defined therein) 20-F 001-40799 4.10 3/31/2022 4.9 Class A Ordinary Shares Purchase Agreement, dated as of September 13, 2021, by and among Sportradar Group AG and the Investors (as defined therein) 20-F 001-40799 4.11 3/31/2022 4.10 Additional Facility Notice to J.P. Morgan SE as Agent, dated as of September 16, 2022, by Sportradar Jersey Holding Ltd, Sportradar Management Ltd, Sportradar Capital S.à r.l. and the Additional Revolving Facility Lenders (as defined therein) 20-F 001-40799 4.10 3/15/2023

GRAPHIC

117 Incorporation by Reference Exhibit No. Description Form File No. Exhibit No. Filing Date Filed / Furnished 4.11 Amendment and Restatement Agreement, dated as of September 16, 2022, by and between Sportradar Management Ltd and J.P. Morgan SE, as Agent 20-F 001-40799 4.11 3/15/2023 8.1 List of Subsidiaries. * 12.1 Principal Executive Officer Certification Pursuant to Section 302 of the Sarbanes-Oxley Act of 2002. * 12.2 Principal Financial Officer Certification Pursuant to Section 302 of the Sarbanes-Oxley Act of 2002. * 13.1 Principal Executive Officer Certification Pursuant to Section 906 of the Sarbanes-Oxley Act of 2002. ** 13.2 Principal Financial Officer Certification Pursuant to Section 906 of the Sarbanes-Oxley Act of 2002. ** 15.1 Consent of KPMG AG, an independent registered public accounting firm. * 97.1 Sportradar Group AG Recovery Policy * 101.INS Inline XBRL Instance Document. * 101.SCH Inline XBRL Taxonomy Extension Schema Document. * 101.CAL Inline XBRL Taxonomy Extension Calculation Linkbase Document. * 101.DEF Inline XBRL Taxonomy Definition Linkbase Document. * 101.LAB Inline XBRL Taxonomy Extension Label Linkbase Document. * 101.PRE Inline XBRL Taxonomy Extension Presentation Linkbase Document * 104 Cover Page Interactive Data File (embedded within the Inline XBRL document) * * Filed herewith. ** Furnished herewith. † Indicates management contract or compensatory plan or arrangement. + Schedules and exhibits to this exhibit omitted. The Registrant agrees to furnish supplementally a copy of any omitted schedule or exhibit to the SEC upon request. # Portions of this exhibit have been omitted because they are both (i) not material and (ii) the type of information that the Registrant customarily and actually treats as private or confidential. The Registrant agrees to furnish an unredacted copy of this exhibit to the SEC upon request. Certain agreements filed as exhibits to this Annual Report contain representations and warranties that the parties thereto made to each other. These representations and warranties have been made solely for the benefit of the other parties to such agreements and may have been qualified by certain information that has been disclosed to the other parties to such agreements and that may not be reflected in such agreements. In addition, these representations and warranties may be intended as a way of allocating risks among parties if the statements contained therein prove to be incorrect, rather than as actual statements of fact. Accordingly, there can be no reliance on any such representations and warranties as characterizations of the actual state of facts. Moreover, information concerning the subject matter of any such representations and warranties may have changed since the date of such agreements.

GRAPHIC

118 SIGNATURES The registrant hereby certifies that it meets all of the requirements for filing on Form 20-F and that it has duly caused and authorized the undersigned to sign this Annual Report on its behalf. SPORTRADAR GROUP AG Date: March 20, 2024 By: /s/ Carsten Koerl Name: Carsten Koerl Title: Chief Executive Officer By: /s/ James Gerard Griffin Name: James Gerard Griffin Title: Chief Financial Officer

GRAPHIC

KPMG AG St. Gallen, March 19, 2024 Statutory Auditor's Report To the General Meeting of Sportradar Group AG, St. Gallen Report on the Audit of the Consolidated Financial Statements Opinion We have audited the consolidated financial statements of Sportradar Group AG and its subsidiaries (the Group), which comprise the consolidated statement of financial position as at December 31, 2023, the consolidated statement of profit or loss and comprehensive income, consolidated statement of changes in equity and consolidated statement of cash flows for the year then ended, and notes to the consolidated financial statements, including material accounting policy information. In our opinion, the consolidated financial statements (pages F-6 to F-81) give a true and fair view of the consolidated financial position of the Group as at December 31, 2023, and of its consolidated financial performance and its consolidated cash flows for the year then ended in accordance with IFRS Accounting Standards and comply with Swiss law. Basis for Opinion We conducted our audit in accordance with Swiss law, International Standards on Auditing (ISA) and Swiss Standards on Auditing (SA-CH). Our responsibilities under those provisions and standards are further described in the “Auditor’s Responsibilities for the Audit of the Consolidated Financial Statements” section of our report. We are independent of the Group in accordance with the provisions of Swiss law, together with the requirements of the Swiss audit profession, as well as those of the International Ethics Standards Board for Accountants’ International Code of Ethics for Professional Accountants (including International Independence Standards) (IESBA Code), and we have fulfilled our other ethical responsibilities in accordance with these requirements. We believe that the audit evidence we have obtained is sufficient and appropriate to provide a basis for our opinion. Key Audit Matters ACCOUNTING FOR NEWLY ACQUIRED OR MODIFIED SPORT RIGHTS LICENSES Key audit matters are those matters that, in our professional judgment, were of most significance in our audit of the consolidated financial statements of the current period. These matters were addressed in the context of our audit of the consolidated financial statements as a whole, and in forming our opinion thereon, and we do not provide a separate opinion on these matters. ACCOUNTING FOR NEWLY ACQUIRED OR MODIFIED SPORT RIGHTS LICENSES Key Audit Matter Our response As of December 31, 2023, the Group’s balance sheet included total sport rights licenses intangible assets with a net carrying amount of EUR 1,235 mil-lion (EUR 1,535 million cost and EUR 300 million accumulated amortization and impairment), and EUR202 million of current trade payables and EUR 908 million non-current trade payables related to those sport rights licenses. Our audit procedures included, amongst others, for a selection of newly acquired or modified sports rights li-censes, we assessed the capitalization of sports rights licenses based on the relevant accounting standards, the model and key assumptions used to determine the net present value of liabilities, and the method and tim-ing of amortization recognition.

GRAPHIC

2 The Group entered into multiple new or modified li-cense agreements with sport rights licensors during 2023, evaluated each new agreement or modifica-tion against capitalization criteria under the relevant accounting standards, and recognized intangible assets and trade payables when the criteria were met. The recognition of sport rights licenses intangible assets and trade payables requires the Group to ex-ercise significant judgement in determining whether capitalization criteria are met, the model and key as-sumptions used to determine the net present value of liabilities, and the method and timing of amortiza-tion recognition. The following are the primary audit procedures we per-formed for a selection of newly acquired or modified sports rights licenses to address the key audit matter: We considered whether capitalization criteria were met by evaluating the final executed sport rights li-cense agreement payment terms and license pe-riod and the relevant accounting standards require-ments; We assessed the model used to calculate the net present value of liabilities by comparing to industry norms, and challenged the robustness of the re-lated key assumptions by comparing these with publicly available data; and We evaluated the methodology and timing used for amortization of balances, by assessing useful life of the asset and expected consumption of the eco-nomic benefits based on the terms of the agree-ment and historical asset usage. We also considered the appropriateness of disclosures in the consolidated financial statements. For further information on the accounting for newly acquired or modified sport rights licenses, refer to the follow-ing: — Note 2 – Significant Accounting Policies — Note 13 – Intangible Assets and Goodwill — Note 23 – Trade Payables Other Information The Board of Directors is responsible for the other information. The other information comprises the information included in the annual report, but does not include the consolidated financial statements, the stand-alone financial statements of the company, the compensation report and our auditor’s reports thereon. Our opinion on the consolidated financial statements does not cover the other information and we do not express any form of assurance conclusion thereon. In connection with our audit of the consolidated financial statements, our responsibility is to read the other information and, in doing so, consider whether the other information is materially inconsistent with the consolidated financial statements or our knowledge obtained in the audit or otherwise appears to be materially misstated. If, based on the work we have performed, we conclude that there is a material misstatement of this other information, we are required to report that fact. We have nothing to report in this regard. Board of Directors’ Responsibilities for the Consolidated Financial Statements The Board of Directors is responsible for the preparation of the consolidated financial statements that give a true and fair view in accordance with IFRS Accounting Standards and the provisions of Swiss law, and for such internal control as the Board of Directors determines is necessary to enable the preparation of consolidated financial statements that are free from material misstatement, whether due to fraud or error. In preparing the consolidated financial statements, the Board of Directors is responsible for assessing the Group’s ability to continue as a going concern, disclosing, as applicable, matters related to going concern and using the going concern basis of accounting unless the Board of Directors either intends to liquidate the Group or to cease operations, or has no realistic alternative but to do so.

GRAPHIC

3 Auditor’s Responsibilities for the Audit of the Consolidated Financial Statements Our objectives are to obtain reasonable assurance about whether the consolidated financial statements as a whole are free from material misstatement, whether due to fraud or error, and to issue an auditor’s report that includes our opinion. Reasonable assurance is a high level of assurance, but is not a guarantee that an audit conducted in accordance with Swiss law, ISA and SA-CH will always detect a material misstatement when it exists. Misstatements can arise from fraud or error and are considered material if, individually or in the aggregate, they could reasonably be expected to influence the economic decisions of users taken on the basis of these consolidated financial statements. As part of an audit in accordance with Swiss law, ISA and SA-CH, we exercise professional judgment and maintain professional skepticism throughout the audit. We also: — Identify and assess the risks of material misstatement of the consolidated financial statements, whether due to fraud or error, design and perform audit procedures responsive to those risks, and obtain audit evidence that is sufficient and appropriate to provide a basis for our opinion. The risk of not detecting a material misstatement resulting from fraud is higher than for one resulting from error, as fraud may involve collusion, forgery, intentional omissions, misrepresentations, or the override of internal control. — Obtain an understanding of internal control relevant to the audit in order to design audit procedures that are appropriate in the circumstances . — Evaluate the appropriateness of accounting policies used and the reasonableness of accounting estimates and related disclosures made. — Conclude on the appropriateness of the Board of Directors’ use of the going concern basis of accounting and, based on the audit evidence obtained, whether a material uncertainty exists related to events or conditions that may cast significant doubt on the Group’s ability to continue as a going concern. If we conclude that a material uncertainty exists, we are required to draw attention in our auditor’s report to the related disclosures in the consolidated financial statements or, if such disclosures are inadequate, to modify our opinion. Our conclusions are based on the audit evidence obtained up to the date of our auditor’s report. However, future events or conditions may cause the Group to cease to continue as a going concern. — Evaluate the overall presentation, structure and content of the consolidated financial statements, including the disclosures, and whether the consolidated financial statements represent the underlying transactions and events in a manner that achieves fair presentation. — Obtain sufficient appropriate audit evidence regarding the financial information of the entities or business activities within the Group to express an opinion on the consolidated financial statements. We are responsible for the direction, supervision and performance of the Group audit. We remain solely responsible for our audit opinion. We communicate with the Board of Directors or its relevant committee regarding, among other matters, the planned scope and timing of the audit and significant audit findings, including any significant deficiencies in internal control that we identify during our audit. We also provide the Board of Directors or its relevant committee with a statement that we have complied with relevant ethical requirements regarding independence, and communicate with them all relationships and other matters that may reasonably be thought to bear on our independence, and where applicable, actions taken to eliminate threats or safeguards applied. From the matters communicated with the Board of Directors or its relevant committee, we determine those matters that were of most significance in the audit of the consolidated financial statements of the current period and are therefore the key audit matters. We describe these matters in our auditor’s report, unless law or regulation precludes public disclosure about the matter or when, in extremely rare circumstances, we determine that a matter should not be communicated in our report because the adverse consequences of doing so would reasonably be expected to outweigh the public interest benefits of such communication.

GRAPHIC

4 Report on Other Legal and Regulatory Requirements In accordance with Art. 728a para. 1 item 3 CO and PS-CH 890, we confirm that an internal control system exists, which has been designed for the preparation of the consolidated financial statements according to the instructions of the Board of Directors. However, a material weakness in the Group’s internal controls over financial reporting has been identified in relation to the insufficient design and implementation. We recommend that the consolidated financial statements submitted to you be approved. KPMG AG {{Signatureleft}} {{Signatureright}} Oliver Eggenberger Licensed Audit Expert Auditor in-Charge Mohammad Nafeie St. Gallen, March 19, 2024 KPMG AG, Bogenstrasse 7, CH-9001 St. Gallen © 2024 KPMG AG, a Swiss corporation, is a subsidiary of KPMG Holding AG, which is a member of the KPMG global organization of independent member firms affiliated with KPMG International Limited, a private English company limited by guarantee. All rights reserved. {{Signatureleft}} O {{Signatureright}}

GRAPHIC

F-6 SPORTRADAR GROUP AG CONSOLIDATED STATEMENTS OF PROFIT OR LOSS AND OTHER COMPREHENSIVE INCOME (Expressed in thousands of Euros) Years Ended December 31, Note 2023 2022 2021 Continuing operations Revenue 4 877,621 730,188 561,202 Purchased services and licenses (excluding depreciation and amortization) 6 (205,876) (175,997) (119,426) Internally-developed software cost capitalized 13 28,301 17,730 11,794 Personnel expenses (326,031) (265,984) (183,820) Other operating expenses 7 (89,443) (95,891) (87,308) Depreciation and amortization 13, 14 (206,362) (184,813) (129,375) Impairment loss on trade receivables, contract assets and other financial assets 17, 18 (6,179) (1,552) (5,952) Remeasurement of previously held equity-accounted investee 3 — 7,698 — Share of loss of equity-accounted investees 16 (3,699) (4,082) (1,485) Loss on disposal of equity-accounted investee 16 (13,604) — — Impairment loss on goodwill and intangible assets 13 (9,854) — — Foreign currency gains, net 8 23,205 26,690 5,437 Finance income 9 12,848 5,250 5,297 Finance cost 10 (33,731) (41,447) (32,540) Net income before tax 47,196 17,790 23,824 Income tax expense 11 (12,551) (7,299) (11,037) Profit for the year from continuing operations 34,645 10,491 12,787 Discontinued operations Loss from discontinued operations, net of tax 29 (751) — — Profit for the year 33,894 10,491 12,787 Other Comprehensive Income Items that will not be reclassified subsequently to profit or (loss) Remeasurement of defined benefit liability (874) 2,192 1,399 Related deferred tax income/(expense) 130 (333) (202) (744) 1,859 1,197 Items that may be reclassified subsequently to profit or (loss) Foreign currency translation adjustment attributable to the owners of the Company (3,654) 1,989 13,720 Foreign currency translation adjustment attributable to non-controlling interests (37) 10 (265) (3,691) 1,999 13,455 Other comprehensive income (loss) for the year, net of tax (4,435) 3,858 14,652 Total comprehensive income for the year 29,459 14,349 27,439 Profit (Loss) attributable to: Owners of the Company 34,655 10,891 12,569 Non-controlling interests (761) (400) 218 33,894 10,491 12,787 Total comprehensive income (loss) attributable to: Owners of the Company 30,257 14,739 27,486 Non-controlling interests (798) (390) (47) 29,459 14,349 27,439 Profit for the year from continuing operations per Class A share attributable to owners of the Company Basic 12 0.12 0.04 0.05 Diluted 12 0.11 0.03 0.05 Profit for the year from continuing operations per Class B share attributable to owners of the Company Basic 12 0.01 0.00 0.00 Diluted 12 0.01 0.00 0.00 Profit for the year per Class A share attributable to owners of the Company Basic 12 0.12 0.04 0.05 Diluted 12 0.11 0.03 0.05 Profit for the year per Class B share attributable to owners of the Company Basic 12 0.01 0.00 0.00 Diluted 12 0.01 0.00 0.00 The accompanying notes form an integral part of these consolidated financial statements.

GRAPHIC

F-7 SPORTRADAR GROUP AG CONSOLIDATED STATEMENTS OF FINANCIAL POSITION (Expressed in thousands of Euros) December 31, Assets Note 2023 2022 Current assets Cash and cash equivalents 277,174 243,757 Trade receivables 18 71,246 63,412 Contract assets 18 60,869 50,482 Other assets and prepayments 19 33,252 42,913 Income tax receivables 6,527 1,631 449,068 402,195 Non-current assets Property and equipment 14, 15 72,762 37,887 Intangible assets and goodwill 13 1,697,331 843,632 Equity-accounted investee 16 — 33,888 Other financial assets and other non-current assets 17 11,806 44,445 Deferred tax assets 11 16,383 27,014 1,798,282 986,866 Total assets 2,247,350 1,389,061 Current liabilities Loans and borrowings 15, 21 9,586 7,361 Trade payables 23 259,667 204,994 Other liabilities 24 55,724 65,268 Contract liabilities 25 26,595 23,172 Income tax liabilities 4,542 8,693 356,114 309,488 Non-current liabilities Loans and borrowings 15, 21 40,559 15,484 Trade payables 23 908,499 264,665 Contract liabilities 25 39,526 5,252 Other non-current liabilities 24 8,500 10,695 Deferred tax liabilities 11 21,315 26,048 1,018,399 322,144 Total liabilities 1,374,513 631,632 Ordinary shares 20 27,421 27,323 Treasury shares 20 (2,322) (2,705) Additional paid-in capital 20 653,840 590,191 Retained earnings 173,629 117,155 Other reserves 15,226 19,624 Equity attributable to owners of the Company 867,794 751,588 Non-controlling interest 5,043 5,841 Total equity 872,837 757,429 Total liabilities and equity 2,247,350 1,389,061 The accompanying notes form an integral part of these consolidated financial statements.

GRAPHIC

F-8 SPORTRADAR GROUP AG CONSOLIDATED STATEMENTS OF CHANGES IN EQUITY (Expressed in thousands of Euros) Reserve from Equity Foreign actuarial Equity attributable Ordinary shares Additional currency gains attributable to non- Ordinary Share Particip. Treasury paid in Retained translation and to owners of controlling Total Note shares capital Certificates shares capital earnings reserve losses the Company interests equity Equity as of January 1, 2021 — 302 161 (1,970) 99,896 68,027 2,035 (1,176) 167,275 (3,143) 164,132 Net profit for the year from continuing operations — — — — — 12,569 — — 12,569 218 12,787 Other comprehensive income (loss) — — — — — — 13,720 1,197 14,917 (265) 14,652 Total comprehensive income (loss) — — — — — 12,569 13,720 1,197 27,486 (47) 27,439 Issuance of participation certificates 20.3 — — 3 — 7,748 — — — 7,751 — 7,751 Issuance of MPP share awards 31 — — — 1,346 469 — — — 1,815 — 1,815 Reclassification of deposit liability 3 — — — — 3,211 — — — 3,211 — 3,211 Reclassification of unpaid contribution of capital 20.2 — — — — 5,383 669 — — 6,052 — 6,052 Issuance of ordinary shares 20.1 2,407 — — — 544,223 — — — 546,630 — 546,630 IPO restructuring 1.1 20 24,890 (302) (164) 624 (125,136) — — — (100,088) — (100,088) Grants to sport rights holders 20.2 — — — — 63,270 — — — 63,270 — 63,270 Equity-settled share-based payments 31 — — — — 6,993 8,428 — — 15,421 — 15,421 Equity as of December 31, 2021 27,297 — — — 606,057 89,693 15,755 21 738,823 (3,189) 735,634 Net profit (loss) for the year from continuing operations — — — — — 10,891 — — 10,891 (400) 10,491 Other comprehensive income — — — — — — 1,989 1,859 3,848 10 3,858 Total comprehensive income — — — — — 10,891 1,989 1,859 14,739 (390) 14,349 Reclassification of deposit liability 3 — — — — 2,432 — — — 2,432 — 2,432 Purchase of treasury shares 20.4 — — — (3,837) — — — — (3,837) — (3,837) Business combinations 3 — — — — 3,000 — — — 3,000 6,227 9,227 Acquisition of non-controlling interests 3 — — — — (31,438) — — — (31,438) 3,193 (28,245) Vesting of RSUs 26 — — 1,132 6,399 (7,987) — — (430) — (430) Equity-settled share-based payments 31 — — — — 3,741 24,558 — — 28,299 — 28,299 Equity as of December 31, 2022 27,323 — — (2,705) 590,191 117,155 17,744 1,880 751,588 5,841 757,429 Net profit (loss) for the year from continuing operations — — — — — 34,655 — — 34,655 (761) 33,894 Other comprehensive income (loss) — — — — — — (3,654) (744) (4,398) (37) (4,435) Total comprehensive income (loss) — — — — — 34,655 (3,654) (744) 30,257 (798) 29,459 Reclassification of deposit liability 3 — — — — 1,811 — — — 1,811 — 1,811 Purchase of treasury shares 20.4 — — — (9,022) — — — — (9,022) — (9,022) Grants to sport rights holders 31 — — — — 51,999 — — — 51,999 — 51,999 Vesting of RSUs 20.4 98 — — 9,405 8,196 (17,715) — — (16) — (16) Equity-settled share-based payments 31 — — — — 1,643 39,534 — — 41,177 — 41,177 Equity as of December 31, 2023 27,421 — — (2,322) 653,840 173,629 14,090 1,136 867,794 5,043 872,837 The accompanying notes form an integral part of these consolidated financial statements.

GRAPHIC

F-9 SPORTRADAR GROUP AG CONSOLIDATED STATEMENTS OF CASH FLOWS (Expressed in thousands of Euros) Years Ended December 31, Note 2023 2022 2021 OPERATING ACTIVITIES: Profit for the year 33,894 10,491 12,787 Adjustments to reconcile profit for the year to net cash provided by operating activities: Income tax expense 11 12,551 7,299 11,037 Interest income 9 (7,683) (5,250) (5,179) Interest expense 10 31,451 40,036 32,325 Impairment losses (income) on financial assets 17 — (5) 5,889 Remeasurement of previously held equity-accounted investee 3 — (7,698) — Other financial expenses (income) (2,885) 1,411 96 Foreign currency gains, net 8 (23,205) (26,690) (5,437) Amortization and impairment of intangible assets 13 201,620 172,831 119,048 Depreciation of property and equipment 14 14,596 11,982 10,327 Equity-settled share-based payments 41,177 28,299 15,431 Share of loss of equity-accounted investees 16 3,699 4,082 1,485 Loss on disposal of equity-accounted investee 16 13,604 — — Other (3,790) (3,178) (876) Cash flow from operating activities before working capital changes, interest and income taxes 315,029 233,610 196,933 Increase in trade receivables, contract assets, other assets and prepayments (16,100) (53,519) (69,896) Increase (decrease) in trade and other payables, contract and other liabilities (1,477) 32,159 44,385 Changes in working capital (17,577) (21,360) (25,511) Interest paid (30,528) (33,591) (31,060) Interest received 7,677 5,091 165 Income taxes paid (15,956) (15,673) (8,306) Net cash from operating activities 258,645 168,077 132,221 INVESTING ACTIVITIES: Acquisition of intangible assets 13 (185,493) (154,266) (124,890) Acquisition of property and equipment (14,786) (8,288) (5,861) Acquisition of subsidiaries, net of cash acquired 3 (12,844) (56,245) (198,432) Proceeds from dissolution of equity-accounted investee 16 15,172 — — Acquisition of financial assets 17 (3,716) — (2,605) Contribution to equity-accounted investee 16 — (27,873) (45) Proceeds from disposal of subsidiaries 29 778 — — Proceeds from sale of intangible and tangible assets 154 — — Collection of loans receivable 17 41 208 265 Issuance of loans receivable 17 (935) — (2,270) Collection of deposits 623 — 222 Payment of deposits (1,084) (103) (152) Net cash used in investing activities (202,090) (246,567) (333,768) FINANCING ACTIVITIES: Payment of lease liabilities 15 (7,983) (5,958) (7,118) Purchase of treasury shares 20 (9,022) (3,837) — Principal payments on bank debt 21 (620) (420,685) (2,376) Change in bank overdrafts 21 (7) (23) (22) Acquisition of non-controlling interests 3 — (28,245) — Transaction costs related to borrowings 21 — (1,100) — Proceeds from issuance of MPP share awards 20 — — 1,650 Proceeds from issue of participation certificates — — 1,002 Proceeds from issuance of new shares — — 556,639 Transaction costs related to issuance of new shares and participation certificates — — (10,009) Net cash (used in) from financing activities (17,632) (459,848) 539,766 Net increase (decrease) in cash and cash equivalents 38,923 (538,338) 338,219 Cash and cash equivalents as of January 1 243,757 742,773 385,542 Effects of movements in exchange rates (5,506) 39,322 19,012 Cash and cash equivalents as of December 31 277,174 243,757 742,773 The accompanying notes form an integral part of these consolidated financial statements.

GRAPHIC

F-10 SPORTRADAR GROUP AG NOTES TO THE CONSOLIDATED FINANCIAL STATEMENTS (Expressed in thousands of Euros – unless stated otherwise) Note 1. General information 1.1 Reporting entity Sportradar Group AG and its subsidiaries (together, the “Company” or “Sportradar”) is a leading provider of sports data services and premium partner for the sports betting and media industries. The parent company, Sportradar Group AG, was incorporated on June 24, 2021 as a stock corporation under the laws of Switzerland, located in St. Gallen, Switzerland, and is registered in the Commercial Register of the district court in St. Gallen. Sportradar Group AG is a publicly listed holding company and it held 100% equity interest in Sportradar Holding AG, which was the parent company prior to June 24, 2021. In 2021, Sportradar Group AG became a publicly listed holding company and its sole material asset became its equity interest in Sportradar Holding AG. As the sole direct holder of equity in Sportradar Holding AG (which is the Company’s predecessor for financial reporting purposes and was merged into Sportradar Group AG in June 2022), Sportradar Group AG operates the business and controls strategic decisions and day-to-day operations. In connection with the initial public offering of the Company (the “IPO”) in September 2021, the Company completed a series of reorganization transactions whereby all of the outstanding ordinary shares and participation certificates of Sportradar Holding AG (excluding directly or indirectly held treasury shares) were contributed and transferred, directly or indirectly, to Sportradar Group AG in exchange for newly issued Class A and Class B ordinary shares of Sportradar Group AG (the “Reorganization Transactions”). The Reorganization Transactions included the following: x Formation of Sportradar Group AG - on June 24, 2021, Carsten Koerl, the Founder and Chief Executive Officer of the Company, incorporated Sportradar Group AG, a Swiss corporation, contributed CHF 100,000 and received 1,000,000 ordinary shares of Sportradar Group AG, CHF 0.10 nominal value per share. x Contribution of ordinary shares and participation certificates in Sportradar Holding AG - prior to the completion of the IPO, (i) all of the existing shareholders and holders of participation certificates (other than Carsten Koerl) contributed their ordinary shares and/or participation certificates of Sportradar Holding AG to Sportradar Group AG and received Class A ordinary shares in Sportradar Group AG and (ii) Carsten Koerl contributed his ordinary shares of Sportradar Holding AG to Sportradar Group AG and received (a) 2,500,000 Class A ordinary shares and (b) 903,670,701 Class B ordinary shares, in each case, of Sportradar Group AG. x Contribution of participation certificates under the Management Participation Program - certain directors and executive officers participate in the Management Participation Program (the “MPP”), under which participants indirectly purchased participation certificates of Sportradar Holding AG through Slam InvestCo S.à r.l. (“MPP Co”), a special purpose vehicle established to hold participation certificates of Sportradar Holding AG for the MPP. In connection with the IPO, MPP participants contributed their shares of MPP Co to Sportradar Group AG and MPP Co became a subsidiary of Sportradar Group AG. The MPP participants, in exchange, received Class A ordinary shares, a portion of which was vested and no longer subject to repurchase and a portion of which was initially unvested and subject to repurchase by the Company upon a termination of employment in certain circumstances. (refer to Note 31). x Conversion of options under the Phantom Option Plan - Phantom Option Plan (the “POP”) is maintained for certain key employees, who are not executive officers. The participants are entitled to bonus payments calculated by reference to the value of a hypothetical option to purchase shares of Sportradar Holding AG. Based upon the initial public offering price of $27.00, the outstanding awards under the POP were converted into 66,744 restricted stock units, which were granted to the POP participants pursuant to and under the Sportradar Group AG Omnibus Stock Plan (refer to Note 31). The Company completed its listing on The Nasdaq Global Select Market on September 14, 2021 under the ticker symbol “SRAD”, offering 19,000,000 Class A ordinary shares at the price of $27.00 per share.

GRAPHIC

F-11 In 2021, Sportradar Group AG was incorporated and inserted at the top of an existing group (Sportradar Holding AG), which is a business as defined in IFRS 3 Business Combinations (“IFRS 3”). Sportradar Group AG issued shares to the existing shareholders of Sportradar Holding AG in exchange for the shares already held in Sportradar Holding AG. There were no changes to the shareholder group. Furthermore, the incorporation and insertion of Sportradar Group AG at the top of Sportradar Holding AG was completed purely for the purpose of the IPO transaction (i.e., the transaction was a restructuring of business activities before a listing transaction). The transaction does not meet the definition of business combination under IFRS 3, because neither Sportradar Group AG nor Sportradar Holding AG can be identified as an acquirer. Sportradar Holding AG represents a single business and therefore, book value accounting applies and the equity was adjusted to reflect the new structure. The consolidated financial statements of Sportradar Group AG for the year ended December 31, 2021 reflect that the arrangement is in substance a continuation of the existing group. The 2021 consolidated financial statements of Sportradar Group AG are presented using the carrying amounts from the consolidated financial statements of Sportradar Holding AG. The equity structure (that is, the issued share capital) reflects that of Sportradar Group AG, with other amounts in equity (such as revaluation reserve and retained earnings) being those from the consolidated financial statements of Sportradar Holding AG. The resulting difference was recognized during the year ended December 31, 2021 as a component of equity as follows: Class A Class B Capital and reserves ordinary ordinary Particip. in number of shares shares shares Shares certificates Reorganization transactions 180,341,159 903,670,701 (344,611) (158,709) Capital and reserves expressed in Ordinary Share Treasury Additional paid in Particip. thousands of Euros shares capital shares capital certificates Reorganization transactions 24,890 (302) 624 (125,136) (164) The consolidated financial statements for the financial years ended December 31, 2023 were approved and authorized for issue by the Company’s Board of Directors on March 19, 2024. 1.2 Basis of preparation The consolidated financial statements have been prepared in conformity with IFRS Accounting Standards as issued by the International Accounting Standards Board (“IASB”). The consolidated financial statements have been prepared on an accrual basis applying the historical cost concept, except for certain financial instruments that are measured at fair value. The accounting policies set out below comply with each respective IFRS effective at the end of the Company’s reporting period, which was December 31, 2023. They have all been applied consistently throughout the year and the preceding years. Certain monetary amounts, percentages, and other figures included in this report have been subject to rounding adjustments. Accordingly, figures shown as totals in certain tables may not be the arithmetic aggregation of the figures that precede them. 1.3 Basis of consolidation The consolidated financial statements comprise the financial statements of the Company as of December 31, 2023 and 2022 and the for the years ended December 31, 2023, 2022 and 2021 and the Company’s share of the results and net assets of its associates. A subsidiary is an entity controlled by the Company. The Company controls an entity when the Company is exposed to, or has rights to, variable returns from its involvement with the entity and has the ability to affect those returns through its power over the entity. Subsidiaries are fully consolidated from the date on which control is transferred to the Company. They are deconsolidated from the date that control ceases. Intercompany transactions, balances, unrealized losses and unrealized gains on transactions between subsidiaries are eliminated in preparing the consolidated financial statements. Accounting policies of subsidiaries are consistent with the policies adopted by the Company.

GRAPHIC

F-12 Non-controlling interests are measured initially at their proportionate share of the acquired entity’s identifiable net assets at the date of acquisition. Non-controlling interests are the proportionate share of the results and the equity in a subsidiary not attributable, directly or indirectly, to a parent. Non-controlling interests in the net assets and in the results of consolidated subsidiaries are identified separately from the Company’s equity and results. Non-controlling interests consist of the amount of those interests at the date of the business combination and the non-controlling interests’ share of changes in equity since that date. Profit or loss and each component of Other Comprehensive Income (“OCI”) are attributed to the equity holders of the parent of the Company and to the non-controlling interests, even if this results in the non-controlling interests having a deficit balance. A change in the ownership interest of a subsidiary, without a loss of control, is accounted for as an equity transaction. If the Company loses control over a subsidiary, it derecognizes the related assets (including goodwill), liabilities, non-controlling interest and other components of equity, while any resultant gain or loss is recognized in the consolidated statements of profit or loss and other comprehensive income. Any investment retained is recognized at fair value. 1.4 Global economic conditions The Company’s financial performance is subject to global economic conditions and their impact on levels of entertainment and discretionary consumer spending. Economic recessions have had, and may continue to have, far reaching adverse consequences across many industries, including the global sports entertainment and gaming industries, which may adversely affect the Company’s business, and financial condition or results of operation. The recent economic environment of heightened interest rates and inflation may impact the spending behavior of the Company’s customers and demand for the Company’s product offerings. The Company mainly exposed to cash flow interest rate risk in connection with borrowings. At December 31, 2023 and 2022, the Company had no outstanding commitments outstanding under the Facility B and no outstanding commitments under the revolving credit facility (Note 21). 1.5 Going concern Management has reviewed the Company’s budget, considered the assumptions used in the budget, including potential impact of the global economic conditions and other risks which might impact performance in the near future. Taking into account significant positive cash inflows from operating activities, current and future developments and principal risks and uncertainties, and making appropriate inquiries, management has a reasonable expectation that the Company has adequate resources to continue in operational existence for the foreseeable future, which is at least 12 months from the date when these consolidated financial statements were authorized for issue. Accordingly, management is satisfied that the consolidated financial statements should be prepared on a going concern basis. The Company’s financial position, cash flows, liquidity position and debt facility are described in the consolidated financial statements. Note 2. Material accounting policy information 2.1 New and amended standards and interpretations The following IFRS amendments and interpretations are effective from January 1, 2023: x IFRS 17 and amendments to IFRS 17: Insurance Contracts x Amendments to IAS 8: Definition of Accounting Estimates x Amendments to IAS 12: Deferred Tax related to Assets and Liabilities arising from a Single Transaction x Amendments to IAS 1 and IFRS Practice Statement 2: Disclosure of Accounting Policies x Amendments to IAS 12: International Tax Reform – Pillar Two Model Rules

GRAPHIC

F-13 The amendments to IAS 8 clarify the distinction between changes in accounting estimates, changes in accounting policies and the correction of errors. They also clarify how entities use measurement techniques and inputs to develop accounting estimates. The amendments to IAS 1 and IFRS Practice Statement 2 provide guidance and examples to help entities apply materiality judgements to accounting policy disclosures. The amendments aim to help entities provide accounting policy disclosures that are more useful by replacing the requirement for entities to disclose their ‘significant’ accounting policies with a requirement to disclose their ‘material’ accounting policies and adding guidance on how entities apply the concept of materiality in making decisions about accounting policy disclosures. The amendments to IAS 8, IAS 1, and IFRS Practice Statement 2 have had an impact on the Company’s disclosures of accounting policies related to the use of estimates, judgements and assumptions in Note 2.3, but not on the measurement, recognition or presentation of any items in the Company’s consolidated financial statements. On May 23, 2023, the International Accounting Standards Board issued International Tax Reform—Pillar Two Model Rules – Amendments to IAS 12. The amendments clarify that IAS 12 applies to income taxes arising from tax law enacted or substantively enacted to implement the Pillar Two model rules published by the Organization for Economic Co-operation and Development (“OECD”), including tax law that implements Qualified Domestic Minimum Top-up Taxes. Such tax legislation, and the income taxes arising from it, are referred to as ‘Pillar Two legislation’ and ‘Pillar Two income taxes’, respectively. The amendments provide a temporary mandatory exception from deferred tax accounting for the top-up tax, which is effective immediately, and require new disclosures about the Pillar Two exposure. The mandatory exception applies retrospectively. Pillar Two legislation has been enacted or substantively enacted in certain jurisdictions in which the Company operates. However, this legislation does not apply to the Company as its consolidated revenue is lower than €750 million. The Company will disclose known or reasonably estimable information to understand the Company’s exposure to Pillar Two income taxes when the legislation is in scope for the Company. Amendments to IFRS 10 and IAS 28: Sale or Contribution of Assets between an Investor and its Associate or Joint Venture was early adopted by the Company during the year ended December 31, 2022. The amendments address the conflict between IFRS 10 Consolidated Financial Statements and IAS 28 Investments in Associates and Joint Ventures in dealing with the loss of control of a subsidiary that is sold or contributed to an associate or joint venture. The amendments clarify that a full gain or loss is recognized when a transfer to an associate or joint venture involves a business as defined in IFRS 3. Any gain or loss resulting from the sale or contribution of assets that do not constitute a business, however, is recognized only to the extent of unrelated investors’ interests in the associate or joint venture. These amendments are applied prospectively and were applied to the Company’s contribution of BetTech Gaming (PTY) LTD to SportTech AG on August 4, 2022. Refer to Note 3, Note 16.3 and Note 28. 2.2 Standards and interpretations issued but not yet effective The following new and revised standards and interpretations are issued but are not yet effective and were not early adopted by the Company in preparing these consolidated financial statements. Planned application by Effective Sportradar in Standard or interpretation date reporting year Amendments to IFRS 16: Lease Liability in a Sale and Leaseback January 1, 2024 2024 Amendments to IAS 1: Classification of Non-current liabilities with covenants January 1, 2024 2024 Amendments to IAS 1: Classification of Liabilities as Current or Non-current January 1, 2024 2024 Amendments to IAS 7 and IFRS 7: Supplier Finance Arrangements January 1, 2024 2024 Amendments to IAS 21: Lack of Exchangeability January 1, 2025 2025 The above new standards, new interpretations and amended standards are not expected to have a material impact on the consolidated financial statements of the Company.

GRAPHIC

F-14 2.3 Use of judgments, estimates and assumptions In preparing the consolidated financial statements, management is required to make judgments, estimates and assumptions that affect the application of the Company’s accounting policies and the reported amounts of revenue and expenses, assets, liabilities and disclosure of contingent assets and liabilities. Management considers an accounting judgment, estimate or assumption to be critical when (1) the estimate or assumption is complex in nature or requires a high degree of judgment and (2) the use of different judgments, estimates and assumptions could have a material impact on the Company’s consolidated financial statements. The most significant of these estimates and assumptions relate to accounting for newly acquired or modified sport rights licenses, assessing the fair value of acquired assets and liabilities accounted for through business acquisitions and fair value of consideration transferred, and goodwill impairment. Management evaluates its estimates on an ongoing basis using the most current and available information. However, actual results may differ significantly from estimates. Changes in estimates are recorded in the period in which they become known. a) Newly acquired or modified sport rights licenses The Company typically enters into license agreements with sports leagues for the right to supply data and/or live video feeds to the betting industry and the media, among others. As described in Note 2.9 below, certain license agreements fulfill the definition of an intangible asset. For license agreements that meet the definition of an intangible asset, there remains uncertainty regarding the timing of initial recognition as an intangible asset and whether those agreements could be considered as executory contracts that should only lead to asset recognition when payments are made. IFRS does not provide industry specific guidance for such license agreements. Therefore, the general recognition requirements of IAS 38 Intangible assets (“IAS 38”) need to be applied to develop an accounting policy. If the license agreements have a non-cancellable contract term of more than one year and if they require guaranteed minimum license payments, management believes that the recognition criteria of IAS 38 (“the recognition criteria”) are generally satisfied at commencement of the license term. The license agreements entered into by Sportradar are complex and the specific rights granted vary by agreement. Therefore, the determination of capitalization or expense recognition involves a significant degree of judgement. At initial recognition, license assets are measured at cost. As described in Note 2.9 below, costs include the discounted contractually agreed and in-substance fixed minimum license payments over the non-cancellable contract term, amounts arising from barter transactions and fair value of equity instruments granted. Due to the varied and complex payment terms and conditions of license agreements, determination of contractually-agreed and in-substance fixed minimum license payments for each capitalized license asset involves a significant degree of judgement. The fair value of equity instruments rely on valuation models with input assumptions for volatility, expected term, and risk-free rate. Management’s estimates of fair value are based upon assumptions believed to be reasonable, but are inherently uncertain and unpredictable and, as a result, actual values may differ from estimates. b) Fair value acquired assets and liabilities in business combinations and fair value of consideration transferred The Company accounts for acquisitions in accordance with IFRS 3 Business Combinations (“IFRS 3”) as described in Note 2.4 below. The fair value of consideration transferred is allocated to the assets acquired, and liabilities assumed based on their estimated fair values. The excess of the fair value of consideration transferred over the fair values of these identifiable assets and liabilities is recorded as goodwill. Such valuations require the Company to make significant estimates and assumptions, especially with respect to intangible assets. All valuation methods rely on various assumptions such as estimated future expected cash flows from acquired technology, customer contracts and tradenames, remaining economic useful life, and discount rates. Contingent consideration is measured at fair value and recognized as part of the consideration transferred at acquisition date. The initial measurement of the fair value of contingent consideration is based on an assessment of the facts and circumstances that exist at the acquisition date. Sportradar’s estimates of fair value are based upon assumptions believed to be reasonable, but which are inherently uncertain and unpredictable and, as a result, actual values may differ from estimates. Allocation of consideration transferred to identifiable assets and liabilities affects the Company’s amortization expense, as acquired finite-lived intangible assets are amortized over their useful lives, whereas any indefinite lived intangible assets, including goodwill, are not amortized.

GRAPHIC

c) Goodwill impairment In accordance with IAS 36 Impairment of assets (“IAS 36”), the Company performs goodwill impairment testing at least annually during its fourth quarter and also if events or changes in circumstances indicate the occurrence of a triggering event in between annual tests. The provisions of IAS 36 require that the impairment test be performed on goodwill at the level of the cash generating unit (“CGU”). The evaluation of goodwill impairment requires the Company to make assumptions associated with its CGU’s recoverable amount. These assumptions require significant judgment and actual results may differ from assumed and estimated amounts. An impairment is recognized for the amount by which the asset’s carrying amount exceeds its recoverable amount. The recoverable amount is the higher of its value in use and its fair value less costs to sell. The Company determines the recoverable amount of a CGU on the basis of its value in use. The determination of a recoverable amount includes management’s consideration of key internal inputs and external market conditions such as future prices, growth rate, and customer demand, which impact future cash flows and the determination of the most appropriate discount rate. Impairment tests of goodwill are performed based on the financial budgets most recently prepared by the Company. The budgets are based on historical experience and represent management’s best estimates about future developments. Budgeted EBITDA was estimated taking into account the average cash flow growth levels experienced over the past years and the estimated sales volume and price growth for the next two years. Sales volumes, sales prices and variable cost assumptions are derived from industry forecasts, forecasts for the regions in which the Company operates, internal management projections and past performance. Cash flow projections beyond the budget period are applied to the CGUs for the following one year with transition into perpetuity. They are based on internal management projections. For CGUs United States and RoW Other, cash flows after the budget period are extrapolated for a further VHYHQ years using declining growth rates and a terminal growth rate thereafter. Both CGUs are in the investment phase and management expects they will be profitable in a longer run. Therefore, management extended the time horizon for the extrapolated periods beyond five years as presumed by IAS 36. The cash flows are initially discounted at a rate corresponding to the post-tax cost of capital. Pre-tax discount rates are then determined iteratively for disclosure purposes. The resulting value in use for each CGU is then compared to the carrying amount of the CGU. The key assumptions used in the 2023 annual impairment test are disclosed in Note 13.1. 2.4 Business combinations The Company applies the acquisition method to account for business combinations. The consideration transferred for the acquisition of a subsidiary is the fair values of the assets transferred, the liabilities incurred to the former owners of the acquired entity and the equity interests issued by the Company. The consideration transferred includes the fair values of any asset or liability resulting from a contingent consideration arrangement. Identifiable assets acquired and liabilities and contingent liabilities assumed in a business combination are measured initially at their fair values at the acquisition date. The Company recognizes any non-controlling interest in the acquired entity at the non-controlling interest’s proportionate share of the recognized amounts of the acquired entity’s identifiable net assets. Acquisition-related costs are expensed as incurred. Any contingent consideration to be transferred by the Company is recognized at fair value at the acquisition date. Subsequent changes in the fair value of the contingent consideration, that is deemed to be an asset or liability, are recognized in the consolidated statements of profit or loss and other comprehensive income. For further information on business combinations, refer to Note 3. F-15

GRAPHIC

F-16 2.5 Foreign currency In preparing the financial statements of individual entities of the Company, transactions in foreign currencies are translated to the respective functional currency of Group companies using the exchange rate prevailing at the dates of the transactions. Monetary assets and liabilities denominated in foreign currencies are subsequently translated to the functional currency at the exchange rate at the reporting date. Non-monetary assets and liabilities that are measured based on historical cost in a foreign currency are not subsequently translated. When translating the subsidiary’s respective functional currencies into Sportradar’s presentation currency, which is Euro, assets and liabilities of foreign operations, including goodwill and fair value adjustments arising on acquisition are translated using the exchange rates at the reporting date. Income and expense items are translated using the average exchange rates prevailing during the year. Equity is translated at historical exchange rates. All resulting foreign currency translation differences are recognized in other comprehensive income and accumulated in the foreign currency translation reserve. If a foreign operation is entirely disposed of or control is lost due to a partial disposal, the cumulative amount of the translation reserve relating to that foreign operation is reclassified to profit or loss and is part of the gain or loss on disposal. 2.6 Revenue from contracts with customers The Company derives revenue mainly from service contracts with customers. Revenue from contracts with customers is recognized when it transfers control over a service to a customer at an amount that reflects the consideration to which the Company expects to be entitled in exchange for those services. Refer to Note 4 for an overview of the performance obligations and revenue recognition within Sportradar. 2.7 Purchased services and licenses Cost of purchased services consists primarily of licenses and sports rights that have not been capitalized, fees paid to data journalists and freelancers for gathering sports data, fees to sales agents, production costs, consultancy fees, IT development costs, as well as internet data traffic costs and cloud (hosting) costs and other external service costs. These costs are primarily expensed as they are incurred. This financial statement caption does not include depreciation or amortization expense (as further summarized in Note 13 and Note 14). 2.8 Income taxes Income taxes include current and deferred income taxes. Income taxes are recognized in profit or loss except to the extent that it relates to items recognized in other comprehensive income or directly in equity, in which case it is recognized in other comprehensive income or directly in equity, respectively. Current income taxes relate to all taxes levied on taxable income of the consolidated companies. It is calculated using tax rates that are enacted or substantively enacted at the reporting date, and any adjustment to tax payable in respect of previous years. Other taxes such as property taxes or excise taxes are classified as other operating expenses. Deferred tax assets and liabilities are recognized in the consolidated statements of financial position for all temporary differences between the carrying amounts of assets and liabilities for financial reporting purposes and their tax bases as well as for unused tax credits and unused tax losses carried forward. However, deferred tax is not recognized for temporary differences on the initial recognition of assets or liabilities in a transaction that is not a business combination and that affects neither accounting nor taxable profit or loss, and if the temporary difference arose from the initial recognition of goodwill. Temporary differences relating to investments in subsidiaries are not recognized to the extent the Company is able to control the timing of the reversal of the temporary differences and it is probable that they will not reverse in the foreseeable future. Deferred tax assets are recognized for unused tax losses, unused tax credits and deductible temporary differences only to the extent that it is probable that future taxable income will be available against which they can be utilized. The carrying amount of deferred tax assets is reviewed at the end of each reporting period and reduced to the extent that it is no longer probable that sufficient taxable profits will be available to allow all or part of the asset to be recovered.

GRAPHIC

F-17 For purposes of calculating deferred tax assets and liabilities, the Company applies tax rates that are expected to be applied to temporary differences when they reverse, based on tax rates that are enacted or substantively enacted at the reporting date. Deferred tax assets and liabilities are offset if there is a legally enforceable right to offset current tax liabilities and assets and they relate to the same taxation authority or different taxable entities which intend either to settle current tax liabilities and assets on a net basis, or to realize the assets and settle the liabilities simultaneously, in each future period in which significant amounts of deferred tax liabilities or assets are expected to be settled or recovered. Current tax assets and tax liabilities are offset where the entity has a legally enforceable right to offset and intends either to settle on a net basis, or to realize the asset and settle the liability simultaneously. For further details, refer to Note 11. 2.9 Intangible assets Intangible assets are identifiable non-monetary assets without physical substance. An asset is a resource that is controlled by the entity as a result of past events (for example, purchased or self-created) and from which future economic benefits (inflows of cash or other assets) are expected. IAS 38 requires an entity to recognize an intangible asset, whether purchased or self-created (at cost) if, and only if: x it is probable that the future economic benefits that are attributable to the asset will flow to the entity; and x the cost of the asset can be measured reliably. License agreements Sportradar typically enters into license agreements with sports leagues for the right to supply data and/or live video feeds to the betting industry and the media, among others. Those license agreements may include rights to live and past game data, live videos and marketing rights. Such license agreements fulfil the definition of an asset except where rights granted solely relate to live events (i.e., live data and/or videos). Such license agreements fulfil the definition of an intangible asset because they arise from contractual rights and are therefore considered identifiable non-monetary assets without physical substance. In addition, the Company also exercises control over the rights granted because the Company is able to obtain future economic benefits (income from selling official data and/or videos) and can restrict others from doing so. License agreements that meet the definition of an intangible asset and meet the recognition criteria are recognized as license intangible assets at commencement of the license term. License agreements that do not meet the definition of an intangible asset or do not meet the recognition criteria are recognized as expenses when they occur. At initial recognition, license assets are measured at cost. Costs include the contractually agreed and in-substance fixed minimum license payments over the non-cancellable contract term. These payments are discounted using the market interest rate at initial recognition. Furthermore, amounts arising from barter transactions are included in the cost of the license asset and recognized as contract liability. Variable payments determined to not represent minimum license payments over the non-cancellable contract term (e.g., based on revenues) are not part of the cost and are recognized as expenses when they occur. The fair value of equity instruments granted are part of cost of the license asset and the corresponding credit is recognized in additional paid-in capital. After initial recognition, license assets are carried at cost less accumulated amortization and impairment losses. The useful lives are based on the license term (2 – 10 years). The amortization method used reflects the pattern in which the asset’s future economic benefits are expected to be consumed. If that pattern cannot be determined reliably, the straight-line method is used. The consumption of economic benefits is influenced by the license term as well as the underlying schedule for the respective sports league.

GRAPHIC

F-18 The Company generally amortizes its license agreements on a straight-line basis over the respective seasons. Amortization expense is recorded under depreciation and amortization in the consolidated statements of profit or loss and other comprehensive income. For changes in payments resulting from re-negotiations due to reduced benefits from the license management applies the following accounting policy. Credit notes received from the sport rights holders are recognized against license fees payables included within trade payables in the consolidated statements of financial position. The same amount is then recognized as a disposal of the respective intangible asset considering the lower service potential due to suspension and cancellation of sporting events. Internally-developed software Research costs are expensed as incurred, and development costs are only recognized as internally-developed software (internally generated intangible assets) if all recognition criteria stipulated in IAS 38 are met. Only expenses that can be directly allocated to development projects are capitalized. The estimated useful lives and amortization method are reviewed at the end of each reporting period, with the effect of any changes in estimate accounted for on a prospective basis. Estimated useful life in years Internally-developed software in use 3 –5 The amount initially recognized for internally-developed software is the sum of the expenditure incurred from the date when the intangible asset first meets the recognition criteria. Subsequent to initial recognition, development costs are measured at cost less accumulated amortization and any accumulated impairment losses. Goodwill Goodwill is initially measured at cost, being the excess of the aggregate consideration transferred and the amount recognized for non-controlling interests, and any previous interest held, over the fair value of the identifiable assets acquired and liabilities assumed. If the fair value of the net assets acquired is in excess of the aggregate consideration transferred, the Company reassesses whether it correctly identified all of the assets acquired and all of the liabilities assumed and reviews the procedures used to measure the amounts to be recognized at the acquisition date. If the reassessment still results in an excess of the fair value of net assets acquired over the aggregate consideration transferred, then the gain is recognized in the consolidated statements of profit or loss and other comprehensive income of the year. Goodwill arising from acquisition of subsidiaries is subsequently measured at cost less accumulated impairment losses. Other intangible assets Other intangible assets with definite useful lives are measured at cost less accumulated amortization and any accumulated impairment losses. Subsequent expenditure is capitalized only when it increases the future economic benefits embodied in the specific asset to which it relates. All other expenditure is recognized in the consolidated statements of profit or loss and other comprehensive income as incurred. Generally, intangible assets are amortized on a straight-line basis over the shorter of their contractual term or their estimated useful lives. The following useful lives are applied: Estimated useful Intangible asset life in years Brand name 5 Customer base 5 -10 Technology 2 -10 The amortization expense is recorded under depreciation and amortization in the consolidated statements of profit or loss and other comprehensive income. The expense of low value assets is recorded in other operating expenses.

GRAPHIC

F-19 Other intangible assets with indefinite useful lives as well as goodwill are not amortized but tested for impairment annually. Impairment losses on these assets are presented as a separate line in the consolidated statements of profit or loss and other comprehensive income. 2.10 Property and equipment Items of property and equipment are measured at cost less accumulated depreciation and any accumulated impairment losses. Property and equipment are depreciated on a straight-line basis over the estimated useful life of the assets: Estimated useful Property and equipment life in years Office buildings 5 -12 Other facilities and equipment 3 -15 The estimated useful lives and depreciation method are reviewed at the end of each reporting period, with the effect of any changes in estimate accounted for on a prospective basis. Maintenance and repairs are expensed as incurred. Depreciation expense of property and equipment is recorded under depreciation and amortization in the consolidated statements of profit or loss and other comprehensive income. 2.11 Impairment of non-financial assets The Company assesses at each reporting date, whether there is a trigger that non-financial assets might be impaired. If any such indication exists, the recoverable amount of the asset is estimated in order to determine the extent of the impairment loss (if any). Irrespective of whether there is any indication of impairment, the Company tests goodwill acquired in a business combination, intangible assets not yet available for use and intangible assets with an indefinite useful life for impairment at least annually. For impairment testing, assets are grouped together into the smallest group of assets that generate cash inflows from continuing use that are largely independent of the cash inflows of other assets or cash generating units (“CGU”). Goodwill arising from a business combination is allocated to the CGUs that are expected to benefit from the synergies of the business combination, irrespective of whether other assets or liabilities of the acquiree are assigned to these units. An impairment loss is recognized when an asset’s or CGU’s carrying amount exceeds its recoverable amount. The recoverable amount is the greater of its fair value less costs to sell and its value in use. Value in use is based on the estimated future cash flows expected to arise from the continued use of the asset or from its eventual disposal, discounted to their present value using a pre-tax discount rate that reflects current market assessments of the time value of money and the risks specific to the asset or CGU. If these tests result in an impairment, the relating loss is reported as a separate line in the consolidated statements of profit or loss and other comprehensive income. On the consolidated statements of financial position, impairment losses are allocated first to reduce the carrying amount of any goodwill allocated to the CGU and then to reduce the carrying amounts of the other assets in the CGU on a pro rata basis. For further details, refer to Note 13. If there is any indication that the considerations which led to an impairment no longer exists, the Company will consider the need to reverse all or a portion of the impairment charge except for goodwill. This reversal is limited so that the carrying amount of the asset does not exceed its recoverable amount, nor exceed the carrying amount that would have been determined, net of depreciation or amortization, had no impairment loss been recognized in prior years.

GRAPHIC

F-20 2.12 Leases The Company leases property (office buildings). The leases are individually negotiated and include a variety of different terms and conditions in different countries but run for a period of one to 18 years . The period, where applicable, includes also extension options according to the contracts. The Company as a lessee A contract is, or contains, a lease if the contract conveys the right to control the use of an identified asset for a period of time in exchange for consideration. Measurement and recognition of leases as a lessee At the lease commencement date, the Company recognizes a right-of-use asset and a lease liability. The right-of-use asset is initially measured at cost, which is made up of the initial measurement of the liability adjusted for any lease payments made at or before the commencement date, plus any initial direct costs incurred and, if applicable, an estimate of costs to dismantle and remove the underlying asset or to restore the underlying asset or the site on which it is located, less any lease incentives received. The Company subsequently depreciates the right-of-use asset on a straight-line basis from the commencement date to the end of the lease term and adjusts for certain remeasurements of the lease liability. The Company also assesses the right-of-use asset for impairment if any indicators exist. At the lease commencement date, the Company measures the lease liability at the present value of the lease payments unpaid at that date, discounting using a market rate of interest that the Company would have to pay to borrow over a similar term, and with a similar security, the funds necessary to obtain an asset of a similar value to the right-of-use asset in a similar economic environment. Lease payments included in the measurement of the lease liability are made up of fixed payments (including in substance fixed payments), variable payments based on an index or rate, and, if applicable, amounts expected to be payable under a residual value guarantee, payments arising from options reasonably certain to be exercised and penalties for early termination of a lease unless the Company is reasonably certain not to terminate early. The lease liability is measured at amortized cost using the effective interest method. It is remeasured when there is a change in future lease payments arising from a change in the Company’s estimate of the amount of the amount expected to be payable under a residual value guarantee, if the Company changes its assessment of whether it will exercise a purchase, extension or termination option or if there is a revised in-substance fixed lease payment. When the lease liability is remeasured, a corresponding adjustment is made to the carrying amount of the right-of-use asset or is recorded in profit or loss if the carrying amount of the right-of-use asset has already been reduced to zero. On the consolidated statements of financial position, right-of-use assets are presented within property and equipment while lease liabilities are presented within loans and borrowings. Short-term leases and leases of low-value assets The Company has elected not to recognize right-of-use assets and lease liabilities for leases of low-value assets and short-term leases, including other facilities and equipment. The payments in relation to these leases are recognized in the consolidated statements of profit or loss and other comprehensive income on a straight-line basis over the lease term. 2.13 Financial instruments Initial recognition and derecognition Trade receivables and debt securities are initially recognized on their date of origination. All other financial assets and financial liabilities are initially recognized when the Company becomes a party to the contractual provisions of the instrument.

GRAPHIC

F-21 A financial asset (unless it is a trade receivable without a significant financing component) or financial liability is initially measured at fair value plus (for financial assets) or minus (for financial liabilities), for an item not at measured at fair value through profit or loss (“FVTPL”), transaction costs that are directly attributable to its acquisition or issue. A trade receivable without a significant financing component is initially measured at the transaction price. The Company derecognizes financial assets when the contractual right to the cash flows expires or the assets are transferred, and the Company has neither retained the contractual rights to receive cash nor assumes any obligations to pay cash from the assets. Classification and measurement Financial Assets Cash and cash equivalents Cash comprises cash on hand and demand deposits. Cash equivalents are short-term (maximum 3 months), highly liquid investments that are readily convertible to known amounts of cash and which are subject to an insignificant risk of changes in value. Cash and cash equivalents include bank accounts, petty cash and cash held by the Company. Financial assets measured at amortized cost Loans, receivables and cash accounts are subsequently measured at amortized cost using the effective interest rate method. The amortized cost is reduced by impairment losses, if any. Gains and losses are recognized in the consolidated statements of profit or loss and other comprehensive income when the asset is derecognized, modified or impaired. Financial assets measured at fair value On initial recognition, all financial assets are either classified as asset measured at amortized cost or fair value through other comprehensive income (“FVOCI”), otherwise the financial asset is measured at FVTPL. Financial assets measured at FVOCI comprise equity investments and are subsequently measured at fair value. Net gains and losses from remeasurement of fair value are recognized in other comprehensive income. Financial assets measured at FVTPL are subsequently measured at fair value. Net gains and losses from remeasurement of fair value are recognized in profit or loss.

GRAPHIC

F-22 Financial and other liabilities The Company’s financial liabilities include borrowings, trade payables, lease liabilities and other liabilities which are financial instruments. Financial liabilities are classified as liabilities measured at amortized cost or at FVTPL. Financial liabilities measured at amortized cost Financial liabilities are subsequently measured at amortized cost using the effective interest method. Interest expense and foreign exchange gains and losses are recognized in the consolidated statements of profit or loss and other comprehensive income. Any gain or loss on derecognition is also recognized in the consolidated statements of profit or loss and other comprehensive income. Financial liabilities measured at FVTPL A financial liability is classified as a liability measured at FVTPL if it is designated as such on initial recognition. These are measured at fair value and net gains and losses, including any interest expense, are recognized in the consolidated statements of profit or loss and other comprehensive income. Derecognition The Company derecognizes a financial liability when contractual obligations are discharged or cancelled or expire. The Company also derecognizes a financial liability when terms are modified and the cash flows of the modified liability are substantially different, in which case a new financial liability based on the modified terms is recognized at fair value. On derecognition of a financial liability, the difference between the carrying amount extinguished and the consideration paid (including any non-cash assets transferred or liabilities assumed) is recognized in the consolidated statements of profit or loss and other comprehensive income. Offsetting Financial assets and financial liabilities are offset, and the net amount presented in the statements of financial position when, and only when, the Company has a then legally enforceable right to offset the amounts and it intends either to settle them on a net basis or to realize the asset and settle the liability simultaneously. Impairment for financial assets and contract assets Trade receivables and contract assets Impairment is measured based on an expected credit loss (“ECL”) model. The Company measures loss allowances for trade receivables and contract assets at an amount equal to lifetime ECLs. The Company considers a financial asset to be in default if the borrower is unlikely to pay its credit obligations to the Company in full or the financial asset is more than 90 days overdue. The Company applies a practical expedient to calculate ECLs on receivables and contract assets that do not contain a significant financing component using a provision matrix. This matrix is based on information such as delinquency status and actual credit loss experience over the last four years (on historical data) and based on current and forward-looking information on macroeconomic factors. The provision matrix is applied to all outstanding trade receivables by aging group to determine the actual ECL. The Company considers the contract assets to be current and use the same default rate as the “not overdue” trade receivables aging bucket to calculate the ECL provision. The provision matrix is not applied to financial assets which are already impaired by individual allowances.

GRAPHIC

F-23 Credit-impaired financial assets At each reporting date, the Company assesses whether a financial asset carried at amortized cost is credit impaired. A financial asset is credit-impaired when one or more events that have a detrimental impact on the estimated future cash flows of the financial asset have occurred. The Company considers the change in the risk of a default occurring over the expected life of the financial asset instead of a change in the ECL. The Company’s assessment uses the lifetime probability of default method. A credit loss will be calculated as the difference between the cash flows that are due in accordance with the contract/agreement and the cash flows that the Company expects to receive, discounted at the original effective interest rate of the financial instrument. Presentation of allowance for ECL in the consolidated statements of financial position The expected credit loss allowance for each type of financial asset (i.e., trade receivables) is deducted from the gross carrying amount of the assets (i.e., contra-asset). Impairment losses are shown separately on the face of the consolidated statements of profit or loss and other comprehensive income. Write-off Write-offs are recognized when the Company has no reasonable expectations of recovering a financial asset either in its entirety or a portion thereof. The Company assesses after 180 days whether or not a trade receivable needs to be written off. 2.14 Interests in equity-accounted investees Associates are those entities in which the Company has significant influence, but not control or joint control, over the financial and operating policies. Interests in associates are accounted for using the equity method. They are initially recognized at cost, which includes transaction costs. Subsequent to initial recognition, the consolidated financial statements include the Company’s share of the profit or loss and other comprehensive income of equity-accounted investees until the date on which significant influence ceases. If there are objective indications that an investment in an equity-accounted investee is impaired, the recoverable amount is calculated on the basis of the estimated future cash flows expected to be generated by the respective entity. 2.15 Ordinary shares Ordinary shares are classified as equity since the shares are non-redeemable and dividends are discretionary. Incremental costs directly attributable to the issue of ordinary shares are recognized as a deduction from equity, net of any tax effects. 2.16 Participation certificates Participation certificates are shares without voting rights. Since they are non-redeemable and dividends are also discretionary, they are classified as equity. The previously issued participation certificates were converted to ordinary shares in 2021.

GRAPHIC

F-24 2.17 Share-based payments Employees and directors of the Company and third parties receive remuneration in the form of share-based compensation awards. The cost of equity-settled awards is measured at fair value at the date of grant using an appropriate valuation model. The cost is recognized in personnel expenses (for employees and directors of the Company) and other expenses (for third parties) in the consolidated statements of profit or loss and other comprehensive income, respectively, as an asset for goods received in case of equity grants for goods, together with a corresponding credit to additional paid-in capital. The cost related to employees and directors of the Company is recognized on a graded vesting basis over the vesting period. The cost related to third parties is recognized on a straight-line basis over the period in which goods or services are received. The cumulative expense recognized for equity-settled awards at each reporting date until the applicable vesting date(s) reflects the Company’s best estimate of the number of equity instruments that will ultimately vest. At each reporting date, the Company revises its estimate of the number of equity instruments expected to vest. The impact of the revision of the original estimates, if any, is recognized in the consolidated statements of profit or loss and other comprehensive income such that the cumulative expense reflects the revised estimate, with a corresponding adjustment to equity reserves. For further details on share-based payments, refer to Note 31. 2.18 Post-employment benefit plans Defined benefit plans The Company’s net obligation or asset in respect of defined benefit pension plans is the present value of the defined benefit obligation at the end of the reporting period less the fair value of plan assets. The defined benefit obligation is calculated annually by independent actuaries. Remeasurements of the net defined benefit obligation are recognized directly in other comprehensive income. Service costs are recognized in the period they are incurred as an expense (income) under personnel expenses in the consolidated statements of profit or loss and other comprehensive income. The Company recognizes gains and losses on settlement of a defined benefit plan as an expense (income) under personnel expenses when the settlement occurs. The net interest expense or income is recognized in other financial expense (income). The Company determines the net interest expense (income) by applying the discount rate used to measure the defined benefit obligation at the beginning of the annual period to the then-net defined benefit liability or asset taking into account changes in the net defined benefit liability or asset during the period as a result of contributions and benefit payments. Defined contribution plans The contributions to defined contribution plans are recognized as an expense as the related service is provided. Prepaid contributions are recognized as an asset to the extent that a cash refund or a reduction in future payments is available. 2.19 Provisions Provisions are recognized when the Company has a present legal or constructive obligation as a result of a past event, it is probable that an outflow of resources embodying economic benefits will be required to settle the obligation, and a reliable estimate can be made of the amount of the obligation. 2.20 Earnings per share Basic earnings available to ordinary shareholders per share is computed based on the weighted average number of ordinary shares outstanding, net of weighted average treasury shares held during the period. For diluted earnings per share, the weighted average number of ordinary shares outstanding during the period, net of weighted average treasury shares held during the period, is adjusted to assume conversion of all dilutive potential ordinary shares. At present these include share awards granted to employees, directors, and non-employees.

GRAPHIC

F-25 2.21 Segment reporting The Company has applied the criteria set by IFRS 8 Operating segments to determine the number and type of reportable segments. The Company’s chief operating decision maker (“CODM”) is the Chief Executive Officer (“CEO”). The CODM monitors the operating results of its divisions separately for the purpose of making decisions about resource allocation and performance assessment. The Company has three reportable segments. Note 3. Business combinations Business combinations during the year ended December 31, 2023 Acquisition of Aforoa Ltd On January 12, 2023, the Company acquired 100% of the voting interest in Aforoa Ltd (“Aforoa", whose name was subsequently changed to Sportradar Cyprus), a Cyprus based provider of software solutions which uses AI, machine learning and computer vision to collect and analyze data from live sports streams and videos. The final purchase price consisted of cash consideration totaling €4.9 million. The fair value of the contingent consideration as of January 12, 2023 was €1.4 million. The fair values of the identifiable assets and liabilities of Aforoa as of the date of acquisition are as follows: in €‘000 As of January 12, 2023 Technology 2,718 Other tangible assets 6 Cash 48 Liabilities (345) Deferred tax liability, net (340) Net assets acquired 2,087 Goodwill 4,236 Consideration transferred 6,323 The fair value of tangible and intangible assets and liabilities was based on significant inputs not observable in the market and thus represent Level 3 measurements within the fair value measurement hierarchy. Level 3 fair market values were determined using a variety of information, including estimated future cash flows, appraisals and market comparables. The goodwill mainly reflects Aforoa`s workforce and synergies to complement and extend Sportradar`s product suite and strategic growth. Goodwill is not expected to be deductible for tax purposes. During the year ended December 31, 2023, the seller achieved contingent consideration milestones totaling €0.8 million. As of December 31, 2023, if the remaining milestones stipulated in the purchase agreement are achieved, the seller will receive up to €1.0 million as cash payments to be paid in 2025. As of December 31, 2023, the contingent consideration liability was re-assessed and determined to be €1.6 million, based on the expected probable outcome, which includes the achievement of the first milestone of €0.8 million. The change in the fair value measurement of the contingent consideration liability (level 3) is summarized as follows: in €‘000 As of January 12, 2023 1,400 Net fair value changes recognized in profit from continuing operations during the year 214 As of December 31, 2023 1,614

GRAPHIC

F-26 The cash flows arising from the acquisition of Aforoa during the year ended December 31, 2023 were as follows: Year Ended in €‘000 December 31, 2023 Cash consideration paid for acquisition of subsidiary (4,968) Cash acquired with the subsidiary 48 Net cash paid for acquisition (included in cash used in investing activities) (4,920) Transaction costs of €0.1 million were incurred and included in other operating expenses for the years ended December 31, 2023 and 2022. Acquisitions during the year ended December 31, 2022 Acquisition of additional interest in Sportradar US, LLC On March 29, 2022, the Company purchased an additional 7% non-controlling interest in its subsidiary Sportradar US, LLC, a Delaware limited liability company, for €28.2 million in cash. Following this transaction, Sportradar US, LLC became a wholly-owned subsidiary of the Company. The additional interest acquired resulted in a negative non-controlling interest balance of €3.2 million being reclassified to additional paid in capital in the consolidated statements of changes in equity during the year ended December 31, 2022. Together with the purchase price of €28.2 million, that led to a total decrease in Additional paid in capital in the amount of €31.4 million. Acquisition of Vaix Limited On April 6, 2022, the Company acquired 100% of the voting interest in Vaix Limited (“Vaix”), a private company incorporated in England and Wales with a wholly-owned subsidiary incorporated in Greece, Vaix Greece IKE. Vaix develops artificial intelligence (AI) solutions for the iGaming Industry. Vaix’s innovative AI technology allows betting and gaming operators to gain a personalized view of their customers, which provides a more targeted, player-friendly experience. The Company paid at closing a purchase price in cash of €21.7 million. If certain milestones stipulated in the purchase agreement are achieved, the seller will receive up to €23.4 million as cash payments to be paid in three tranches in addition to the initial purchase consideration. The fair value of the contingent consideration as of April 6, 2022 was €18.8 million. Transaction costs of €0.4 million were incurred and included in other operating expenses for the year ended December 31, 2022. The fair values of the identifiable assets and liabilities of Vaix as of the date of acquisition are as follows: in €‘000 As of April 6, 2022 Customer base 1,630 Technology 6,785 Brand 1,006 Other tangible assets 539 Cash 689 Liabilities (1,791) Deferred tax liability, net (1,298) Net assets acquired 7,560 Goodwill 32,766 Consideration transferred 40,326

GRAPHIC

F-27 The fair value of tangible and intangible assets and liabilities was based on significant inputs not observable in the market and thus represent Level 3 measurements within the fair value measurement hierarchy. Level 3 fair market values were determined using a variety of information, including estimated future cash flows, appraisals and market comparables. The goodwill mainly reflects Vaix`s workforce and synergies to complement and extend Sportradar`s product suite and strategic growth. Goodwill is not expected to be deductible for tax purposes. As of December 31, 2023, the contingent consideration liability was re-assessed and determined to be €11.7 million, based on the expected probable outcome, which includes the achievement of the second milestone of €5.5 million to be paid to the seller in 2024. The seller may receive up to €11.0 million during 2024 for the remaining milestones as cash payments to be paid in 2025. As of December 31, 2022, the contingent consideration liability was re-assessed and determined to be €19.5 million, based on the expected probable outcome, which included the achievement of the first milestone of €5.8 million paid to the seller in 2023. The change in the fair value measurement of the contingent consideration liability (level 3) is summarized as follows: in €‘000 As of April 6, 2022 18,800 Net fair value changes recognized in profit from continuing operations during the year 739 As of December 31, 2022 19,539 Payments during the year (5,800) Net fair value changes recognized in profit from continuing operations during the year (2,065) As of December 31, 2023 11,674 The cash flows arising from the acquisition of Vaix during the year ended December 31, 2022 were as follows: Year Ended in €‘000 December 31, 2022 Cash consideration paid for acquisition of subsidiary (21,681) Cash acquired with the subsidiary 689 Net cash paid for acquisition (included in cash used in investing activities) (20,992) Transaction costs of the acquisition (included in cash from operating activities) (373) Net cash outflow on acquisition of subsidiary (21,365) Since the acquisition, the revenue, net loss before tax and net loss amounts included in the consolidated statement of profit or loss and other comprehensive income for the year ended December 31, 2022 are €3.3 million, €0.4 million and €0.2 million, respectively. If the acquisition had occurred on January 1, 2022, the pro forma revenue, net loss before tax and net loss for year ended December 31, 2022 would have been €4.4 million, €0.6 million and €0.3 million, respectively. Acquisition of Ortec Sports B.V. On April 28, 2022, the Company acquired 100% of shares in Ortec Sports B.V. (“Ortec”), a Dutch limited liability company, whose name was subsequently changed to Sportradar B.V., for the cash purchase price of €5.7 million. Ortec is a provider of technology and analytics for professional teams, national associations, and commercial organizations.

GRAPHIC

F-28 The fair values of the identifiable assets and liabilities of Ortec as of the date of acquisition are as follows: in €‘000 As of April 28, 2022 Customer base 582 Technology 1,978 Brand 383 Other tangible assets 696 Liabilities (255) Deferred tax liability, net (746) Net assets acquired 2,638 Goodwill 3,079 Consideration transferred 5,717 The fair value of tangible and intangible assets and liabilities was based on significant inputs not observable in the market and thus represent Level 3 measurements within the fair value measurement hierarchy. Level 3 fair market values were determined using a variety of information, including estimated future cash flows, appraisals and market comparables. The goodwill mainly reflects Ortec`s workforce and synergies to complement and extend Sportradar`s product suite and strategic growth. Goodwill is not expected to be deductible for tax purposes. The cash flows arising from the acquisition of Ortec during the year ended December 31, 2022 were as follows: Year Ended in €‘000 December 31, 2022 Cash consideration paid for acquisition of subsidiary (5,717) Cash acquired with the subsidiary 25 Net cash paid for acquisition (included in cash used in investing activities) (5,692) Transaction costs of the acquisition (included in cash from operating activities) (235) Net cash outflow on acquisition of subsidiary (5,927) During the year ended December 31, 2023, an additional deferred consideration of €0.6 million, which was withheld for any possible claims, was paid in cash and is included in cash used for investing activities in the consolidated statement of cash flows. Since the acquisition, the revenue, net loss before tax and net loss amounts included in the consolidated statement of profit or loss and other comprehensive income for the year ended December 31, 2022 are €1.7 million, €0.7 million and €0.6 million, respectively. If the acquisition had occurred on January 1, 2022, the pro forma revenue, net loss before tax and net loss for year ended December 31, 2022 would have been €2.6 million, €1.0 million and €0.8 million, respectively. Acquisition of additional interest in NSoft Group The NSoft Group, comprising NSoft d.o.o., Mostar, Bosnia and Herzegovina (“NSoft”) and its wholly-owned subsidiaries STARK Solutions d.o.o., a company incorporated in Bosnia and Herzegovina, and N-Soft Solutions d.o.o., a company incorporated in Croatia, traditionally acted as a partner for Sportradar. The NSoft group is a leading provider of betting software and offers a retail portfolio of games to bookmakers operating in the Eastern European market. Until April 28, 2022, Sportradar held 40% of the shares of NSoft. On April 29, 2022, the Company acquired an additional 30% for cash consideration of €12.0 million, increasing its ownership to 70%. As of December 31, 2022, NSoft is a consolidated entity of the Company. Transaction costs of €0.3 million were incurred and included in other operating expenses for the year ended December 31, 2022.

GRAPHIC

F-29 For the year ended and as of December 31, 2021, NSoft was an associate and accounted for using the equity method of accounting (refer to Note 16). The fair value of the previous held interest in NSoft on the date of acquisition was €16.2 million. The Company’s carrying value on the date of acquisition of the additional interest was €8.3 million. A gain of €7.7 million has been recognized on the remeasurement of the previously held equity-accounted investee within the consolidated statement of profit or loss and other comprehensive income for the year ended December 31, 2022. The Company elected to measure the non-controlling interest in the acquiree at the proportionate share of its interest in the acquiree’s identifiable net assets. The fair values of the identifiable assets and liabilities of NSoft as of the date of acquisition of the additional interest are as follows: in €‘000 As of April 29, 2022 Customer base 4,509 Technology 8,706 Brand 2,513 Property and equipment 2,624 Other tangible assets 5,155 Cash 1,868 Other liabilities (3,523) Deferred tax liability, net (1,096) Net assets acquired 20,756 Goodwill 13,471 Non-controlling interest (30%) (6,227) Consideration transferred 28,000 The fair value of tangible and intangible assets and liabilities was based on significant inputs not observable in the market and thus represent Level 3 measurements within the fair value measurement hierarchy. Level 3 fair market values were determined using a variety of information, including estimated future cash flows, appraisals and market comparables. The goodwill mainly reflects NSoft`s workforce and synergies to complement and extend Sportradar`s product suite and strategic growth. Goodwill is not expected to be deductible for tax purposes. The cash flows arising from the acquisition of NSoft during the year ended December 31, 2022 were as follows: Year Ended in €‘000 December 31, 2022 Cash consideration paid for acquisition of subsidiary (12,000) Cash acquired with the subsidiary 1,868 Net cash paid for acquisition (included in cash used in investing activities) (10,132) Transaction costs of the acquisition (included in cash from operating activities) (261) Net cash outflow on acquisition of subsidiary (10,393) Since the acquisition, the revenue, net loss before tax and net loss amounts included in the consolidated statement of profit or loss and other comprehensive income for the year ended December 31, 2022 are €14.4 million, €1.5 million and €1.3 million, respectively. If the acquisition had occurred on January 1, 2022, the pro forma revenue, net loss before tax and net loss for year ended December 31, 2022 would have been €21.6 million, €2.3 million and €2.0 million, respectively. Acquisition of Bettech Gaming (PTY) LTD On August 4, 2022, Sportradar acquired 100% of shares in Bettech Gaming (PTY) LTD (“BetTech”), a betting platform based in Cape Town, South Africa from the Company’s CEO, Carsten Koerl and minority shareholders for consideration of €7.0 million. The Company’s acquisition of BetTech is an acquisition under common control and is a related party transaction (refer to Note 28).

GRAPHIC

F-30 Immediately upon closing of the Company’s acquisition of BetTech, the Company contributed 100% of the shares of BetTech based on an enterprise value of €10.0 million to SportTech (as defined below), in addition to cash payments totaling €27.9 million, for a 49% ownership in SportTech (refer to Note 16.3). The Company recorded a €3.0 million gain upon contribution of BetTech as part of additional paid-in capital for the year ended December 31, 2022. As SportTech is an associate of the Company, the contributions in 2022 were a related party transaction (refer to Note 16.3 and Note 28). On May 31, 2023, the Company sold its 49% interest to the majority shareholder, Ringier, at which time BetTech became a wholly-owned subsidiary of the Company. The Board of Directors simultaneously approved a plan committed to sell BetTech. BetTech was classified as disposal group held for sale until the date it was sold. BetTech was sold to a third party on November 30, 2023 and is not a subsidiary of the Company as of December 31, 2023 (refer to Note 29). Acquisitions during the year ended December 31, 2021 Acquisition of Fresh Eight Limited On March 2, 2021, the Company acquired 100% of the voting interest in Fresh Eight Limited (“Fresh 8”), a United Kingdom based provider of a personalized messaging platform in the global betting and gaming market. The acquisition of Fresh 8 augmented Sportradar`s ad:s business unit. The Company paid at closing a purchase price in cash of €11.6 million as consideration. As part of the purchase agreement, a deferred consideration payable of €0.5 million was determined based on the working capital adjustment at period end. Contingent consideration of €0.6 million was determined to be remuneration and is being recognized over the earn-out period. The fair value of the contingent consideration included in the total purchase price as of March 2, 2021 was €8.2 million and will be paid to the seller in three tranches. First, a payment of €4.4 million was paid in 2022 to the seller for achievement of the first milestone. As of December 31, 2022, the seller achieved the second milestone and was paid €2.8 million during 2023. As of December 31, 2023, the final and third milestone stipulated in the purchase agreement is achieved the seller will receive €2.2 million cash payment in 2024. The change in the fair value measurement of the contingent consideration liability (level 3) is summarized as follows: in €‘000 As of January 1, 2022 8,200 Cash payments during the year (4,385) Net fair value changes recognized in profit from continuing operations for the year 1,079 As of December 31, 2022 4,894 Cash payments during the year (2,775) Net fair value changes recognized in profit from continuing operations for the year 96 As of December 31, 2023 2,215 Transaction costs of €0.4 million were incurred and included in other operating expenses for the year ended December 31, 2021.

GRAPHIC

F-31 The fair values of the identifiable assets and liabilities of Fresh 8 as of the date of acquisition are as follows: in €‘000 As of March 2, 2021 Customer base 4,863 Technology 3,402 Property and equipment 69 Trade receivables 377 Contract assets and other assets 176 Cash 152 Current liabilities (327) Deferred tax liability, net (1,570) Net assets acquired 7,142 Goodwill 13,168 Consideration transferred 20,310 The goodwill mainly reflects synergy potential based on the ability to improve U.S. penetration of the Ads market and further strengthen the Company’s Ads business. Goodwill is not expected to be deductible for tax purposes. The fair value of tangible and intangible assets and liabilities was based on significant inputs not observable in the market and thus represent Level 3 measurements within the fair value measurement hierarchy. Level 3 fair market values were determined using a variety of information, including estimated future cash flows, appraisals and market comparable. The cash flows arising from the acquisition of Fresh 8 during the year ended December 31, 2021 were as follows: Year Ended in €‘000 December 31, 2021 Cash consideration paid for acquisition of subsidiary (12,063) Cash acquired with the subsidiary 152 Net cash paid for acquisition (included in cash used in investing activities) (11,911) Transaction costs of the acquisition (included in cash from operating activities) (439) Net cash outflow on acquisition of subsidiary (12,350) Acquisition of Atrium Sports, Inc. On May 6, 2021, the Company acquired 100% of the voting interest in Atrium Sports, Inc. (“Atrium”), a market leader in data and video analytics in the college and professional sports space. The acquisition complemented Sportradar’s 360-degree product suite and continued to deepen and broaden relationships with key sports organizations globally. The Company paid cash of €183.0 million and issued 1,805 participation certificates of the Company in connection with the acquisition. The fair value of the 1,805 participation certificates was determined to be €22.4 million as of May 6, 2021 and was based on bids received from independent third parties in connection with a potential acquisition of the Company. The participation certificates were subject to certain non-market performance vesting conditions and service vesting conditions. A portion of the participation certificates, amounting to €9.2 million, was determined to be part of the total purchase consideration and the remaining €13.2 million of the participation certificates was determined to be remuneration. The fair value of the participation certificates determined to be part of the total purchase consideration is recognized within other liabilities in the consolidated statements of financial position as this part is subject to certain re-purchase provisions. The corresponding deposit liability amounted to €6.0 million as of December 31, 2021 and will unwind at the respective vesting dates. As of December 31, 2023, 2022 and 2021, the amounts of €1.8 million, €2.4 million and €3.2 million, respectively, were unwound and reclassified to additional paid-in capital. The fair value of the participation certificates determined to be remuneration will be recognized as a share-based payment expense over the vesting period on a graded vesting basis. For the years ended December 31, 2023, 2022 and 2021, the Company recognized share-based compensation expense of €1.6 million, €3.7 million and €7.0 million, respectively, in the consolidated statements of profit or loss and other comprehensive income.

GRAPHIC

F-32 Transaction costs of €3.9 million were incurred and included in other operating expenses for the year ended December 31, 2021. The fair values of the identifiable assets and liabilities of Atrium as of the date of acquisition are as follows: in €‘000 As of May 6, 2021 Customer base 16,477 Brand 1,679 Technology 56,540 Property and equipment 3,537 Trade receivables 1,974 Contract assets and other assets 3,899 Cash 1,087 Current liabilities (10,567) Non-current liabilities (1,253) Deferred tax liability, net (15,605) Net assets acquired 57,768 Goodwill 134,451 Consideration transferred 192,219 The useful life for the acquired technology and customer base is estimated to be 10 years. The trade receivables acquired comprise gross contractual amounts of €2.9 million, of which €0.9 million are expected to be uncollectible at the date of acquisition. The goodwill mainly reflects Atrium`s workforce and synergies to complement and extend Sportradar`s product suite and strategic growth. Goodwill is not expected to be deductible for tax purposes. The fair value of tangible and intangible assets and liabilities was based on significant inputs not observable in the market and thus represent Level 3 measurements within the fair value measurement hierarchy. Level 3 fair market values were determined using a variety of information, including estimated future cash flows, appraisals and market comparables. The cash flows arising from the acquisition of Atrium during the year ended December 31, 2021 were as follows: Year Ended in €‘000 December 31, 2021 Cash consideration paid for acquisition of subsidiary (183,043) Cash acquired with the subsidiary 1,087 Net cash paid for acquisition (included in cash used in investing activities) (181,956) Transaction costs of the acquisition (included in cash from operating activities) (3,900) Net cash outflow on acquisition of subsidiary (185,856) Since the acquisition, the revenue, net loss before tax and net loss amounts included in the consolidated statement of profit or loss and other comprehensive income for the year ended December 31, 2021 are €19.1 million, €(15.5) million and €(15.2) million, respectively. If the acquisition had occurred on January 1, 2021, the pro forma consolidated revenue, net income before tax and net loss for year ended December 31, 2021 would have been €568.1 million, €1.2 million and €(9.8) million, respectively. This principally includes adjustments from the impact of the amortization of intangible assets and remuneration from the vesting of participation certificates.

GRAPHIC

F-33 Acquisition of Interact Sport Pty Ltd. On June 9, 2021, the Company acquired 100% of the voting interest in Interact Sport Pty Ltd.(“Interact”) for cash consideration of €4.7 million. Interact is an Australian based sports data and technology company focused on cricket.As part of the purchase agreement, a deferred consideration payable of €0.4 million was determined to be withheld for the next 15 months as security for any possible claims. At the time of acquisition, if certain milestones stipulated in the purchase agreement are achieved, the seller and key employees will earn up to €3.0 million in earn-out compensation in 2022, 2023 and 2024, which will be paid in cash by the Company in the following year. The fair value of the cash payments will be recognized as remuneration over the earn-out period. Transaction costs of €0.2 million were incurred and included in other operating expenses for the year ended December 31, 2021. During the year ended December 31, 2023, the Company recognized €0.1 million as compensation related to achievement of certain milestones stipulated in the acquisition purchase agreement. During the year ended December 31, 2023, payments of €0.8 million were paid to the seller and key employees as earn-out compensation related to achievement of milestones earned during the year ended December 31, 2022. During the year ended December 31, 2022, payments of €1.3 million were paid to the seller and key employees as earn-out compensation related to achievement of milestones earned during the year ended December 31, 2021, in addition to payment for deferred consideration of €0.3 million. On December 30, 2023, the Company sold 100% of the voting interest in Interact Sport Pty Ltd. and its subsidiaries (refer to Note 29). The fair values of the identifiable assets and liabilities of Interact as of the date of acquisition are as follows: in €‘000 As of June 9, 2021 Customer base 793 Technology 966 Brand 73 Trade receivables 222 Contract assets and other assets 359 Cash 107 Current liabilities (435) Deferred tax liability, net (550) Net assets acquired 1,535 Goodwill 3,606 Consideration transferred 5,141 The fair value of tangible and intangible assets and liabilities was based on significant inputs not observable in the market and thus represent Level 3 measurements within the fair value measurement hierarchy. Level 3 fair market values were determined using a variety of information, including estimated future cash flows, appraisals and market comparables. The cash flows arising from the acquisition of Interact during the year ended December 31, 2021 were as follows: Year Ended in €‘000 December 31, 2021 Cash consideration paid for acquisition of subsidiary (4,671) Cash acquired with the subsidiary 107 Net cash paid for acquisition (included in cash used in investing activities) (4,564) Transaction costs of the acquisition (included in cash from operating activities) (154) Net cash outflow on acquisition of subsidiary (4,718)

GRAPHIC

F-34 Note 4. Revenue from contracts with customers Revenue arises from service contracts with customers. Sportradar’s main business is to provide sports data or audiovisual (“AV”) sports data feeds to its customers for their own use. Customers obtain access but not ownership rights to any sports data provided. Revenue for the Company’s major product groups consists of the following for the years ended December 31, 2023, 2022 and 2021: Years Ended December 31, in €‘000 2023 2022 2021 Betting data / Betting entertainment tools 278,157 237,043 214,034 Managed Betting Services (“MBS”) 175,862 135,895 79,966 Virtual Gaming 12,804 16,154 15,357 Rest of the World Betting revenue 466,823 389,092 309,357 Betting AV 182,196 160,522 140,162 Integrity services 7,744 7,863 7,712 Other revenue 55,346 45,269 32,271 Rest of the World revenue 712,109 602,746 489,502 Media and advertising revenue 58,914 53,010 33,796 Betting data 50,629 29,737 15,150 Betting AV 19,173 10,963 5,166 Sports Solutions 36,796 33,732 17,588 United States revenue 165,512 127,442 71,700 Total Revenue 877,621 730,188 561,202 Performance obligations and revenue recognition policies Revenue is measured based on the consideration specified in a contract with a customer. The Company recognizes revenue when it provides a service to a customer. Betting revenue: This includes betting data, betting entertainment tools, managed betting services, and virtual gaming. Betting data/Betting entertainment tools: For Betting data and Betting entertainment tools clients, a service is provided for an agreed number of matches, with sports data to be retrieved on demand over a contract period (referred to as the stand ready service). Customers also have the ability to select additional matches (“single match booking” or “SMB”) over and above the agreed upon package. The SMBs are a separate contract for distinct services sold at their stand-alone prices. The stand ready service is provided over a period of time. As the performance obligations and associated method of satisfaction measurement are substantially the same, the stand ready service represents a series. In general, there is one performance obligation for the series and therefore, revenue is recognized on a straight-line basis over the contract period. The data and service level commitments are generally consistent on a monthly basis over the term of the arrangement. As the service is provided evenly over the contract term, a straight-line measure of progress is appropriate for recognizing revenue. Revenue is recognized on a straight-line basis consistent with the entity’s efforts to fulfill the contract which are even throughout the period. In assessing the nature of the obligation, the Company considered all relevant facts and circumstances, including the timing of transfer of goods or services, and concluded that the entity’s efforts are expended evenly throughout the contract period. SMBs are provided on request from customers and result in separate contracts. The price for each match is determined on a stand-alone basis and revenue relating to SMBs is recognized at a point in time, which generally coincides with the performance of the actual matches.

GRAPHIC

F-35 There are certain sport betting contracts with customers that incorporate a revenue share scheme. The Company receives a share of revenue based on the gaming revenue generated from the betting activity on the match. The revenue share gives rise to variable consideration for each match, which is initially constrained until the point in time when the customer generates gaming revenue. The revenue share is generated from live betting events and recognized at the point in time of the actual customer sale performance. The Company’s fee on the revenue share is recognized at the point of time the customer has itself generated gaming revenue from an individual bet, which is the difference between the bet and payout. Managed Betting Services (“MBS”): MBS includes Managed Trading Services (“MTS”) and Managed Sportsbook Services (“MSS) (formerly Managed Platform Services (“MPS”)). MTS revenue consists of the percentage of winnings and fees charged to clients if a “bet slip” is accepted. MSS revenue consists of platform set-up fees for Sportradar’s turnkey solution. MTS clients forward their proposed bets, known as “bet slips”, to the Company for consideration as to whether or not the bet is advisable. The Company has the ability to accept or decline this bet slip. If a bet slip is accepted, the Company will receive a share of the revenue or loss made by the client on the bet. MTS agreements typically specify an agreed minimum fee and revenue share percentage, and the actual fee is determined as the higher of the minimum fee and revenue share. The revenue share is based on gross or net gaming revenue. Gross gaming revenue is the total volume of stakes in excess of the total amount of payouts to betting customers. Net gaming revenue is gross gaming revenue less applicable taxes and other contractually agreed adjustments. Most MTS contracts also include a loss participation clause (i.e., in case the Gross/Net gaming revenue is negative). The Company is exposed to losses by the agreed loss participation percentage (typically the same percentage as the revenue share). Revenue is recognized monthly on the basis of actual performance (revenue share or minimum fee, if the revenue share is below agreed minimum fee). MSS is part of the Company’s MBS business and provides a complete turnkey solution (including platform set-up, maintenance and support). The platform set-up fee is recognized over the time the platform is built. Maintenance and support fees are recognized on a monthly basis or on the basis of actual performance for revenue share arrangements. Virtual gaming: For Virtual gaming, the Company receives income from a revenue share arrangement with clients in exchange for the provision of virtual sports data. The Company receives a share of revenue based on the income generated from the betting activity on the virtual game. The customer is not obliged to pay until it has itself generated income from the online betting activity. This results in variable consideration that is initially constrained and recognized on the basis of actual customer sale performance. Betting AV revenue: Betting audiovisual (AV) generates revenue from the sale of a live streaming solution for online, mobile and retail sport betting offers. The stand ready service is provided over a period of time. As the performance obligations and associated method of satisfaction measurement are substantially the same, the stand ready service represents a series. In general, there is one performance obligation for the series and, therefore, revenue is recognized on a straight-line basis over the contract term. Should the customer have demand that exceeds the level of performance in the contract, Sportradar provides this additional service level at the standalone market selling price. The additional obligation is satisfied, and the revenue recorded in the period of over performance. Integrity services revenue: Consists of monitoring, intelligence, education, and consultancy solutions for sports organizations, state authorities, and law enforcement agencies to support them in the fight against match-fixing and corruption. Revenue is primarily recognized on a straight-line basis over the contract term. Other revenue: This includes various revenue streams, amongst others the media and advertising revenue for rest of the world outside of the U.S.

GRAPHIC

F-36 United States revenue: United States revenue primarily includes media revenue from application programming interfaces (“API”) whereby the Company offers extensive sports data from games worldwide. Customers can access both live and historical data via API products. Customer contracts include multiple sports and the products offered are accessible throughout the duration of the contract. The stand ready services represent one performance obligation performed over time. Revenue is recognized on a straight-line basis over the contract term. United States revenue also includes betting and betting AV revenue from U.S. sources. Sports Solutions revenue: Sports Solutions generate revenue from subscription based arrangements. The customer, either professional or college sports teams, purchases access to proprietary technology which links meaningful sports data and video clips to create visual statistics and analytics about players, teams, and specific games. Teams can sort and filter statistics and video clips in real time to better understand player and team strengths and weaknesses. Subscription is billed in advance for the entire service period, typically one year. Revenue is recognized equally over each month over the service period. Marketing and advertising revenue: The Company provides marketing solutions and technology including services for brands, rightsholders, betting and gaming operators and media companies. Customers generally agree to marketing commitments, either on a per campaign basis or for a fixed period commitment. Revenue is recognized at the point in time when the services are performed or equally over the contract term. Marketing services also include digital advertising services where the Company is buying advertising inventory and reselling inventory to its customers. Under these arrangements, the Company may act as either a principal or as an agent which may require judgement to determine if the nature of the Company’s obligation to the customer is to provide the specified goods or services, or to arrange for those goods or services to be provided by the other party. Transaction price considerations Variable consideration: If consideration in a contract includes a variable amount, the Company estimates the amount of consideration to which it will be entitled in exchange for services rendered to the customer. The variable consideration is estimated at contract inception and constrained until it is highly probable that a significant revenue reversal will not occur when the related uncertainty is subsequently resolved. The revenue sharing and discounts give rise to variable consideration. Non-cash consideration: Where the transaction price in a contract with a customer includes non-cash consideration, the Company measures that non-cash consideration at fair value. If the fair value of the non-cash consideration cannot be reasonably estimated, the Company measures it indirectly, by reference to the stand-alone selling price of the goods or services promised to the customer in exchange for the consideration. Allocation of transaction price to performance obligations: Contracts with customers as described above may include multiple performance obligations. For such contracts, the transaction price is allocated to performance obligations on a relative standalone selling price basis. Standalone selling prices are estimated based on observable data of the Company’s sales for services sold separately in similar circumstances and to similar customers. If the standalone selling price cannot be determined based on observable data, the Company will apply a cost plus mark-up approach. Price adjustments or discounts: Contractually agreed price adjustments or discounts are taken into consideration for revenue recognition over the service period on a straight-line basis for contracts in which revenue is recognized over time. Certain costs to obtain or fulfill contracts IFRS 15 Revenue from contracts with customers notes that incremental costs of obtaining a contract and certain costs to fulfil a contract must be recognized as an asset if certain criteria are met. Any capitalized costs must be amortized on a basis which is consistent with services rendered to the customer. The Company did not identify significant incremental costs (i.e. costs that the Company would not incur if the contract is not signed). Main costs to fulfil the contracts relate to sport rights and licenses, and software, which are capitalized as intangible assets and amortized over their useful life.

GRAPHIC

F-37 Significant payment terms Stand ready services such as Betting data / Betting entertainment tools, and Betting AV are billed in advance periodically (typically monthly or quarterly). Other services such as MBS, Virtual gaming, Media and advertising are billed in arrears. Payment terms are typically net 10 days. Contract assets and liabilities The timing of revenue recognition may differ from the timing of invoicing to customers. These timing differences, and barter deals with sport rights licensors, result in contract assets or contract liabilities. Refer to Note 18 and Note 25 for further details. Note 5. Segmental information The Company’s CEO is the CODM and monitors the operating results of its divisions separately for the purpose of making decisions about resource allocation and performance assessment. During the years ended December 31, 2023, 2022 and 2021, the Company has the following divisions which are its reportable segments. These divisions offer different services and are managed separately by region. Reportable segments Operations Rest of the World (“RoW”) Betting Betting and gaming solutions RoW Betting AV Live streaming solutions for online, mobile and retail sports betting United States Betting and betting AV solutions, Sports Solutions, and marketing and advertising All revenues included in the RoW Betting and RoW Betting AV segments are generated from customers outside the United States. All other segments revenue includes various revenue streams, amongst others, the Marketing services and Integrity services revenue for the rest of the world. No operating segments have been aggregated to form the above reportable operating segments.

GRAPHIC

F-38 Information related to each reportable segment is set out below. Adjusted EBITDA is used to measure performance because management believes that this information is the most relevant in evaluating the results of the respective segments relative to other entities that operate in the same industry. Adjusted EBITDA represents earnings for the period from continuing operations adjusted for finance income and finance costs, income tax expense or benefit, depreciation and amortization (excluding amortization of sports rights), foreign currency gains or losses, and other items that are non-recurring or not related to the Company’s revenue-generating operations, including share-based compensation, impairment charges or income, management restructuring costs, non-routine litigation costs, share of loss of equity-accounted investee (SportTech AG), loss on disposal of equity-accounted investee (SportTech AG), remeasurement of previously held equity-accounted investee and professional fees for the Sarbanes Oxley Act of 2002 and enterprise resource planning implementations, and a one-time charitable donation for Ukrainian relief activities. Segment Adjusted EBITDA represents Adjusted EBITDA excluding unallocated corporate expenses. Year Ended December 31, 2023 RoW Total RoW Betting United reportable All other in €‘000 Betting AV States segments segments Total Segment revenue 466,823 182,196 165,512 814,531 63,090 877,621 Segment Adjusted EBITDA 209,562 52,211 18,893 280,666 (6,328) 274,338 Amortization of sport rights (42,646) (65,042) (51,142) (158,830) (1,187) (160,017) Year Ended December 31, 2022 RoW Total RoW Betting United reportable All other in €‘000 Betting AV States segments segments Total Segment revenue 389,092 160,522 127,442 677,056 53,132 730,188 Segment Adjusted EBITDA 182,439 46,494 (4,141) 224,792 (13,348) 211,444 Amortization of sport rights (40,093) (66,402) (33,705) (140,200) — (140,200) Year Ended December 31, 2021 RoW Total RoW Betting United reportable All other in €‘000 Betting AV States segments segments Total Segment revenue 309,357 140,162 71,700 521,219 39,983 561,202 Segment Adjusted EBITDA 176,987 39,246 (22,625) 193,608 (5,746) 187,862 Amortization of sport rights (16,101) (56,266) (21,946) (94,312) — (94,312)

GRAPHIC

F-39 Reconciliations of information on reportable segments to the amounts reported in the consolidated financial statements: Years Ended December 31, in €‘000 2023 2022 2021 Segment Adjusted EBITDA 274,338 211,444 187,862 Finance income 12,848 5,250 5,297 Finance costs (33,731) (41,447) (32,540) Depreciation and amortization (206,362) (184,813) (129,375) Amortization of sport rights 160,017 140,200 94,312 Foreign currency gains, net 23,205 26,690 5,437 Share-based compensation (39,712) (28,637) (15,431) Restructuring costs (8,005) (5,528) — Non-routine litigation costs — (19,045) — Share in loss of equity-accounted investee2 (3,699) (3,985) — Loss on disposal of equity-accounted investee (13,604) — — Impairment loss on goodwill and intangible assets (9,854) — — Impairment (loss) income on other financial assets (202) 5 (5,889) Remeasurement of previously held equity-accounted investee — 7,698 — Professional fees for SOX and ERP implementations (505) (4,298) — One time charitable donation for Ukrainian relief activities — (146) — Unallocated corporate expenses1 (107,538) (85,598) (85,849) Net income before tax and discontinued operations 47,196 17,790 23,824 1 Unallocated corporate expenses primarily consist of salaries and wages for management, legal, human resources, finance, office, IT and other costs not allocated to the segments. 2 Represents non-cash losses unrelated to the Company’s core businesses and which management does not consider indicative of the Company’s ongoing operations because the equity-accounted investee, SportTech AG, operates on a business-to-consumer model as opposed to the Company’s core businesses that operate on a business-to-business model. Geographic information The geographic information analyzes the Company’s revenue and non-current assets by the Company’s country of domicile (Switzerland) and other countries. In presenting the geographic information, revenue has been based on the geographic billing location of customers and assets were based on the geographic location of the entity that holds the associated assets. Non-current assets exclude deferred tax assets and other financial assets. Revenue Years Ended December 31, in €‘000 2023 2022 2021 US 144,185 123,677 67,093 Malta 105,596 95,696 70,529 United Kingdom 81,759 78,472 68,688 Switzerland 9,152 10,822 7,397 Other countries1 536,929 421,521 347,495 Total 877,621 730,188 561,202 Non-current assets As of December 31, in €‘000 2023 2022 Switzerland 1,307,794 499,715 Germany 59,535 61,051 United States 225,759 240,635 Other countries1 183,351 152,132 Total 1,776,439 953,533 1 No individual country represented more than 10% of the total.

GRAPHIC

F-40 Major customer The Company did not have any individual customer that accounted for more than 10% of revenue during the years ended December 31, 2023, 2022 and 2021. Note 6. Purchased services and licenses The following table represents purchased services and licenses: Years Ended December 31, in €‘000 2023 2022 2021 Non-capitalized sport rights licenses 42,668 42,259 48,324 Production costs 40,742 40,249 17,188 Ads costs and operational fees 32,049 27,665 9,861 Consultancy fees 27,694 19,426 9,930 Data journalist and freelancer fees 24,148 23,650 16,225 Variable service fees 16,073 10,058 6,829 Cost of materials and goods 13,682 3,207 213 Sales agents 2,694 2,987 3,924 Other costs 6,126 6,496 6,932 Total 205,876 175,997 119,426 Note 7. Other operating expenses The following table represents operating expenses: Years Ended December 31, in €‘000 2023 2022 2021 Legal and other consulting expenses 28,778 42,952 46,886 Software-as-a Service and similar rights 17,614 13,664 9,482 Travel expenses 8,742 6,524 1,803 Marketing expenses 7,830 7,798 5,341 Insurance 6,618 12,225 4,961 Office expenses 5,082 3,772 3,028 Telecommunication and IT expenses 4,994 4,652 12,523 Other external and administrative costs 9,785 4,304 3,284 Total 89,443 95,891 87,308 Note 8. Foreign currency gains (losses), net The following table represents foreign currency gains and losses, net: Years Ended December 31, in €‘000 2023 2022 2021 Foreign currency gains 65,594 101,627 39,720 Foreign currency losses (42,389) (74,937) (34,283) Total 23,205 26,690 5,437

GRAPHIC

F-41 Note 9. Finance income The following table represents finance income: Years Ended December 31, in €‘000 2023 2022 2021 Interest income 7,683 5,250 5,179 Other finance income 5,165 — 118 Total 12,848 5,250 5,297 Note 10. Finance costs The following table represents finance costs: Years Ended December 31, in €‘000 2023 2022 2021 Interest expense Accrued interest on license fee payables 27,369 17,282 10,071 Interest on loans and borrowings 3,745 22,121 22,160 Other interest expense 337 634 93 Other finance costs Other finance costs 2,280 1,410 216 Total 33,731 41,447 32,540 Note 11. Income taxes The following income taxes are recognized in profit from continuing operations: Income taxes Years Ended December 31, in €‘000 2023 2022 2021 Current tax expense: Current year 9,251 11,540 12,564 Changes in estimates related to prior years (1,245) (187) 2,051 Deferred tax expense: Origination and reversal of temporary differences 1,545 (9,354) 1,567 Tax write-down 3,000 5,300 — Recognition of previously unrecognized deferred tax assets — — (5,145) Income tax expense reported in profit from continuing operations 12,551 7,299 11,037 In 2021, changes in estimates related to prior years was €2.1 million, primarily related to Norway. New income tax regulations for Switzerland in 2019: As of May 19, 2019, Switzerland approved a change in the Swiss Tax Code, which grants the cantons more freedom in their tax governance. In general, tax rates were lowered, but in the case of Sportradar, privileges for entities which obtain the majority of their revenue abroad are also abolished. Consequently, the effective tax rate for Sportradar increased from 9.0% to 14.5% as of January 1, 2020. Consequently, Sportradar applied the 14.5% rate in measuring its deferred tax assets/liabilities as of December 31, 2019.

GRAPHIC

F-42 In addition, entities including Sportradar AG, which previously benefitted from the 9% rate due to their international activities, are deemed to dispose and reacquire their overseas operations free of tax. The uplift in value of these operations is then deductible for tax purposes over the next ten years (Tax-step up). Within Sportradar AG this tax-free step-up amount totals €1,948.0 million. This represents a deductible temporary difference as this is a tax basis for an asset which has no carrying value on the Company balance sheet. As of December 31, 2019, a deferred tax asset of €17.0 million was recognized based on the level of suitable taxable profits forecast over the next 10 years. In 2022, a write-down on the deferred tax asset in the amount of €5.3 million was recognized, given the expectation on the usage of the expected tax benefits in Switzerland were reduced. As of December 31, 2022 the deferred tax asset amounts to € 10.3 million. In 2023, a further write-down on the deferred tax asset in the amount of €3.0 million was recognized, given the expectation on the usage of the expected tax benefits in Switzerland were reduced. As of December 31, 2023 the deferred tax asset amount to € 7.3 million The reconciliation of the changes in the net deferred tax asset (liability) recognized in the consolidated statements of financial position: in €‘000 2023 2022 Net deferred tax asset as of January 1, 966 1,430 Additions from business combinations (340) (3,140) Recognized in other comprehensive income 130 (326) Recognized in profit from continuing operations (4,545) 4,054 Foreign currency translation adjustment (1,143) (1,052) Net deferred tax asset (liability) as of December 31, (4,932) 966 The changes during the years ended December 31, 2023 and December 31, 2022 is primarily attributable to: additions due to the acquisition of Aforoa during the year ended December 31, 2023 (refer to Note 3), the impairment of intangible assets and the additional write-off of the tax step-up during the year ended December 31, 2023, and the acquisitions of Vaix, NSoft and Sportradar B.V. (formerly Ortec) during the year ended December 31, 222 (refer to Note 3). The deferred tax assets and (liabilities) relate to the following items: December 31, 2023 2022 Consolidated Consolidated statement of Consolidated statement of Consolidated financial statement of financial statement of in €‘000 position profit or loss position profit or loss Other assets and prepayments 11,001 1,015 9,986 5,343 Intangible assets (31,261) (5,057) (24,720) (2,755) Trade and other payables 9,036 848 8,643 4,331 Tax loss carry-forward 4,843 230 4,612 3,068 Tax step-up (write-down) 7,300 (3,000) 10,300 (5,300) Other assets non-current (541) 5,401 (5,941) (822) Other (5,310) (3,982) (1,914) 189 Deferred tax income (expense) (4,545) 4,054 Net deferred tax asset (liability) (4,932) 966 Reflected in the consolidated statements of financial position as follows: Deferred tax assets 16,383 27,014 Deferred tax liabilities (21,315) (26,048) Deferred tax asset (liability), net (4,932) 966

GRAPHIC

F-43 The applicable tax rate for the tax expense reconciliation below is taken from the income tax rate for the holding entity Sportradar Group AG at 14.3%, 14.4% and 14.5% for the years ended December 31, 2023, 2022 and 2021, respectively. The differences between the income tax expense calculated by the applicable tax rate and the effective income tax are as follows: Years Ended December 31, in €‘000 2023 2022 2021 Net income before tax 47,196 17,790 23,824 Applicable tax rate 14.3 % 14.4 % 14.5 % Tax expense applying the Company tax rate (6,744) (2,562) (3,454) Effect of tax losses and tax offsets not recognized as deferred tax assets (2,276) 1,134 (6,327) Effect on recognition of deferred tax assets, on previous unused tax losses and tax offsets — — 5,145 Changes in estimates related to prior years 1,245 187 (2,051) Effect of non-deductible expenses (1,337) (3,020) (4,132) Effect of non-taxable remeasurement of previously held equity-accounted investee — 1,116 — Effect of difference to the Company tax rate 517 854 555 Other effects (956) 292 (773) Tax write-down (3,000) (5,300) — Income tax expense (12,551) (7,299) (11,037) Effective tax rate 26.6 % 41.0 % 46.3 % For the year ended December 31, 2021, the effect of tax losses relates mainly to losses in Sportradar Capital S.à.r.l , Sportradar Group AG and Atrium Sports Inc. not recognized as deferred tax assets. For the year ended December 31, 2022, the effect of tax losses primarily relates to gains in the Luxembourg entity and Sportradar Group AG in which unused tax losses are yet to be recognized. The effect of tax losses is partially offset by losses attributable to Atrium not recognized as deferred tax assets. For the year ended December 31, 2023, the effect of tax losses relates mainly to losses Atrium Sports Inc. not recognized as deferred tax assets, which is partially offset gains in other entities. Effect on recognition of deferred tax assets, on previously unused tax losses and tax offsets during the years ended December 31, 2021 are mainly due to the estimation that accumulated losses from Sportradar US LLC are partly recoverable. For the year ended December 31, 2021, the changes in estimates related to prior years mainly relate to prior year tax expenses expected from an ongoing tax litigation in Norway. For the years ended December 31, 2023, the changes in estimates related to prior years mainly relate to an expected tax refund which is connected to the prior tax litigation in Norway. Effect of non-deductible expenses for the year ended December 31 2021 and 2022 were the share - based compensation relating to the MPP share awards and awards granted to the sellers of Atrium and the participation certificates issued to a director of the Company, which are non-tax deductible. In 2022 the remeasurement of previously held equity-accounted investee is non-taxable. The periods in which the tax loss carryforwards that are not recognized as deferred tax assets may be used are as follows: Periods in which tax loss carry-forwards not recognized as deferred tax assets may be used As of December 31, in €‘000 2023 2022 Unlimited 105,143 102,450 will expire within 5 years 2,470,875 18,508 will expire thereafter 25,295 2,575,052 Tax loss carry-forward 2,601,313 2,696,010 The majority of the non-recognized tax loss-carry forwards relates to Sportradar Group AG, Atrium, and Sportradar Americas Inc, where part of the accumulated tax losses is not expected to be recoverable. The €2.1 billion tax losses not recognized as deferred tax assets in the year ended December 31, 2021 (revalued as €2.5 billion for the year ended December 31, 2023) relate to Sportradar Group AG and the partially written off investment in Sportradar Holding AG and Slam InvestCo S.à r.l. in statutory accounts as a result of a decline in the Company’s share price compared to the Company’s share price on the date of the IPO.

GRAPHIC

F-44 Note 12. Earnings per share (EPS) Basic earnings available to ordinary shareholders per share is computed based on the weighted average number of ordinary shares outstanding during the period, net of weighted average number of treasury shares held during the period. Exercisable warrants with an exercise price for little to no consideration are included in basic EPS. Diluted earnings per share reflects potential dilution that could occur if securities or other contracts to issue Class A shares were issued but not securities that are anti-dilutive. RSUs, options and warrants with time-based only service requirements are considered outstanding for dilutive EPS until the earlier of vest date or forfeiture date. The historical weighted average number of ordinary shares outstanding for the year ended December 31, 2021 were recalculated by using an exchange ratio. Class A and Class B shareholders are entitled to dividends based on the nominal value of the ordinary shares. As the Class B shares have lower nominal value, the shares are entitled to 1/10 of the dividends attributable to Class A shares. The following table reflects the share data used for the weighted-average number of Class A shares (basic): Years Ended December 31, in thousands of shares 2023 2022 2021 Issued Class A shares as of January 1 206,849 206,572 177,627 Effect of Class A shares issued 346 222 7,890 Effect of options and warrants exercised or exercisable 519 — 19 Effect of treasury shares held (197) (246) — Effect of shares issued related to a business combination — — 1,133 Weighted-average number of Class A shares as of December 31 (basic) 207,517 206,548 186,670 The following table reflects the share data used for the weighted-average number of Class A shares (diluted): Years Ended December 31, in thousands of shares 2023 2022 2021 Weighted-average number of Class A shares as of December 31 (basic) 207,517 206,548 186,670 Effect of unvested RSUs, options, and warrants 19,129 15,619 2,003 Weighted-average number of Class A shares as of December 31 (diluted) 226,646 222,167 188,673 The following table reflects the share data used for the weighted-average number of Class B shares (basic and diluted): Years Ended December 31, in thousands of shares 2023 2022 2021 Issued Class B shares as of January 1 903,671 903,671 903,671 Weighted-average number of Class B shares as of December 31 (basic and diluted) 903,671 903,671 903,671

GRAPHIC

F-45 The following tables reflect the income data used in the basic and diluted EPS calculations for profit attributable to owners of the Company: Years Ended December 31, in €‘000 2023 2022 2021 Profit attributable to Class A shares owners 24,152 7,580 8,744 Profit attributable to Class B shares owners 10,503 3,311 3,825 Profit attributable to owners of the Company 34,655 10,891 12,569 Years Ended December 31, 2023 2022 2021 Basic EPS from profit attributable to Class A shares owners 0.12 0.04 0.05 Diluted EPS from profit attributable to Class A shares owners 0.11 0.03 0.05 Basic and diluted EPS from profit attributable to Class B shares owners 0.01 0.00 0.00 The following tables reflect the income data used in the basic and diluted EPS calculations for loss from discontinued operations attributable to owners of the Company for the years presented: Years Ended December 31, in €‘000 2023 2022 2021 Loss from discontinued operations attributable to Class A shares owners (524) — — Loss from discontinued operations attributable to Class B shares owners (227) — — Loss from discontinued operations attributable to owners of the Company (751) — — Years Ended December 31, 2023 2022 2021 Basic EPS from discontinued operations attributable to Class A shares owners (0.00) — — Diluted EPS from discontinued operations attributable to Class A shares owners (0.00) — — Basic and diluted EPS from discontinued operations attributable to Class B shares owners (0.00) — — The following tables reflect the income data used in the basic and diluted EPS calculations for profit from continuing operations attributable to owners of the Company for the years presented: Years Ended December 31, in €‘000 2023 2022 2021 Profit for the year from continuing operations attributable to Class A shares owners 24,675 7,580 8,744 Profit for the year from continuing operations attributable to Class B shares owners 10,731 3,311 3,825 Profit for the year from continuing operations attributable to owners of the Company 35,406 10,891 12,569 Years Ended December 31, 2023 2022 2021 Basic EPS from profit for the year from continuing operations attributable to Class A shares owners 0.12 0.04 0.05 Diluted EPS from profit for the year from continuing operations attributable to Class A shares owners 0.11 0.03 0.05 Basic and diluted EPS from profit for the year from continuing operations attributable to Class B shares owners 0.01 0.00 0.00

GRAPHIC

F-46 Note 13. Intangible assets and goodwill Internally-Cost Brand Customer developed in €‘000 name base Licenses Technology software Goodwill Total Balance as of January 1, 2022 8,993 68,273 690,345 83,445 48,126 258,993 1,158,175 Additions — — 93,346 8,915 17,730 — 119,991 Additions through acquisitions (Note 3) 3,901 6,721 61 17,469 — 49,316 77,468 Disposals — — (42,186) (5,800) (1,291) — (49,277) Disposal due to reduction in service potential — — (646) — — — (646) Translation adjustments 283 976 706 3,572 374 7,505 13,416 Balance as of December 31, 2022 13,177 75,970 741,626 107,601 64,939 315,814 1,319,127 Additions — — 1,023,457 6,324 28,301 — 1,058,082 Additions through acquisitions — — — 2,718 — 4,236 6,954 Disposals (71) (776) (226,020) (3,000) (5,170) — (235,037) Disposal due to reduction in service potential — — (4,077) — — — (4,077) Translation adjustments (78) (619) (127) (2,258) (1,545) (5,652) (10,279) Balance as of December 31, 2023 13,028 74,575 1,534,859 111,385 86,525 314,398 2,134,770 Accumulated amortization and impairment €‘000 Balance as of January 1, 2022 (6,442) (28,206) (265,136) (18,821) (20,257) (10,841) (349,703) Amortization (1,039) (6,543) (144,065)1 (13,402) (7,782) — (172,831) Disposals — — 42,186 5,800 1,290 — 49,276 Translation adjustments (228) (224) (390) (21) (390) (984) (2,237) Balance as of December 31, 2022 (7,709) (34,973) (367,405) (26,444) (27,139) (11,825) (475,495) Amortization (1,246) (6,664) (161,279)1 (13,728) (8,849) — (191,766) Impairment (Note 13.1) (311) (1,142) — (1,908) — (6,493) (9,854) Disposals 71 776 227,800 3,000 5,170 — 236,817 Translation adjustments 60 144 569 864 901 321 2,859 Balance as of December 31, 2023 (9,135) (41,859) (300,315) (38,216) (29,917) (17,997) (437,439) Carrying amount As of December 31, 2022 5,468 40,997 374,221 81,157 37,800 303,989 843,632 As of December 31, 2023 3,893 32,716 1,234,544 73,169 56,608 296,401 1,697,331 1 Includes €160.0 million and €140.2 million of sport rights amortization for the years ended December 31, 2023 and 2022, respectively. Brand name As of December 31, 2023 and 2022, brand names with a carrying amount of €0.9 million, have indefinite useful lives. These are classified as intangible assets with indefinite useful lives based on an analysis of the product life cycles and other relevant factors indicating that the future positive cash flows are expected to be generated for an indefinite period of time. Internally-developed software During the years ended December 31, 2023,2022 and 2021, the Company capitalized internally-developed software costs of €28.3 million, €17.7 million and €11.8 million, respectively, which are shown separately on the consolidated statements of profit or loss and other comprehensive income in the following line items: Years Ended December 31, in €‘000 2023 2022 2021 Personnel expenses 21,773 15,560 11,592 Purchases services and licenses (excluding depreciation and amortization) 6,528 2,170 202 Internally-developed software cost capitalized 28,301 17,730 11,794 Licenses

GRAPHIC

F-47 As of December 31, 2023 and 2022, additions to licenses in the amount of €882.2 million and €78.6 million, respectively, were unpaid and recognized as liabilities. Further, additions of €46.0 million and €4.9 million as of December 31, 2023 and 2022, respectively, relate to barter transactions. As of December 31, 2023, additions of €87.3 million relate to a recognized asset resulting from granted equity instruments and a warrant to a licensor. There were no additions resulting from granted equity instruments for the year ended December 31, 2022. During the years ended December 31, 2023, 2022 and 2021, the Company settled €143.1 million, €117.7 million and €82.2 million, respectively, of prior years’ liabilities related to the acquisition of intangible assets. During the years ended December 31, 2023, 2022 and 2021, the cash outflows for acquisitions of intangible assets amounted to €185.5 million, €154.3 million and €124.9 million, respectively. The three largest sport rights included within licenses have net book values of €584.9 million, €194.5 million and €144.1 million and constitute 75% of the balance as of December 31, 2023. The remaining useful lives are eight years, nine years and six years, respectively. 13.1 Impairment test Goodwill For the purpose of impairment testing, goodwill acquired through business combinations is allocated to a cash generating unit (“CGU”) that is expected to benefit from the synergies of the combination and represents the lowest level within the Company at which goodwill is monitored for internal management purposes and which is not higher than the Company’s operating segments. Allocation of the carrying amount of goodwill to the respective CGUs and the key assumptions used in estimation of the recoverable amount are as follows: Goodwill per CGU RoW RoW RoW United in €‘000 Betting Betting AV Other States Goodwill as of January 1, 2022 29,452 106,296 17,504 94,900 Acquisition 46,237 — 3,079 — Foreign currency translation effect (1,793) 3,875 (56) 4,495 Goodwill as of December 31, 2022 73,896 110,171 20,527 99,395 Acquisition 4,236 — — — Impairment — — (6,493) — Foreign currency translation effect 424 (2,463) (140) (3,152) Goodwill as of December 31, 2023 78,556 107,708 13,894 96,243 Key assumptions used For 2022: Terminal value growth rate 2.0 % 2.0 % 2.0 % 2.0 % Budgeted EBITDA margin 1 38.5 % 14.6 % 22.7 % 26.7 % Discount rate —WACC (before taxes) 12.2 % 12.1 % 13.7 % 15.1 % For 2023: Terminal value growth rate 2.0 % 2.0 % 2.0 % 2.0 % Budgeted EBITDA margin 1 33.6 % 13.1 % 12.5 % 25.0 % Discount rate —WACC (before taxes) 13.2 % 13.2 % 15.7 % 15.7 % 1 The budgeted EBITDA margin for the RoW Betting CGUs represents an average margin, whereas the budgeted EBITDA margin for the RoW Other and United States CGUs represents the assumption for the last year of the budget period.

GRAPHIC

F-48 An impairment is recognized for the amount by which the asset’s carrying amount exceeds its recoverable amount. The recoverable amount is the higher of its value in use and its fair value less costs to sell. Management determines the recoverable amount of a CGU on the basis of its value in use. For each of the years presented in these consolidated financial statements, management assessed with careful consideration the recoverable amount of the CGUs. In 2023, an impairment test performed for RoW Other cash generating unit resulted in a goodwill impairment charge. As the carrying amount of the CGU Other was €39.0 million, which was determined to be higher than its recoverable amount and an impairment loss related to goodwill of €6.5 million was recognized in the consolidated statement of profit or loss and other comprehensive income during the year ended December 31, 2023. The impairment was related to the impact of changes related to the Company’s business strategies. As of December 31, 2023, no impairment of goodwill was identified for the RoW Betting, RoW AV or United States CGUs, as the recoverable value of the CGUs exceeded the carrying value. As of December 31, 2022, no impairment of goodwill was identified for any of the CGUs, as the recoverable value of the CGUs exceeded the carrying value. Sensitivity analyses of reasonably possible changes in the underlying assumptions for the CGUs are as follows: x 0% terminal value growth rate; x 2% decrease in sustainable EBITDA margin x 1% increase in discount rate x 1% decrease in discount rate in combination with another change in underlying assumption None of these sensitivity analyses in isolation or in combination indicated the RoW Betting, RoW AV and United States CGU’s recoverable amount would fall below their carrying amount in either in 2023 or 2022. If the sustainable EBITDA margin and discount rate assumptions used in the impairment test for RoW Other CGU as of December 31, 2023 were changed to a greater extent than as indicated above, the changes would, in isolation and in combination, lead to a further impairment loss being recognized for the year ended December 31, 2023 in the amounts as follows: Further in €‘000 impairment Decrease terminal value growth rate to 0% (4,511) Decrease sustainable EBITDA margin by 2% (14,041) Increase discount rate by 1% (5,147) Decrease discount rate by 1% and decrease sustainable EBITDA margin by 2% (9,765) None of these sensitivity analyses in isolation or in combination indicated the RoW Other’s recoverable amount would fall below its carrying amount in 2022. Other intangible assets In 2023, the Company committed to a plan to retain and divest certain elements of Interact Sport Pty Ltd. and its subsidiaries (together, “Interact”) following a strategic review. Interact was a business acquired in 2021. As a result of this strategic review, management performed an impairment assessment of the assets held by Interact. The carrying value of the assets held by Interact which were divested were a customer base of €0.7 million, technology of €0.5 million and a brand name of €0.1 million. As a result, the intangible assets related to the Interact business were fully impaired by €1.2 million, which is recognized as impairment on intangible assets on the consolidated statement of profit or loss and other comprehensive income for the year ended December 31, 2023.

GRAPHIC

F-49 In 2023, the Company committed to ramp-down business activities related to Sportradar B.V. (formerly Ortec Sports B.V.), which was acquired in 2022, following a strategic review. As a result of this strategic review, management performed an impairment assessment of the assets held by Sportradar B.V. The carrying value of the assets held by Sportradar B.V. which were ramped-down consisted of technology of €1.4 million, a customer base of €0.5 million and a brand name of €0.2 million. As a result, these assets were fully impaired by €2.2 million, which is recognized as impairment on intangible assets on the consolidated statement of profit or loss and other comprehensive income for the year ended December 31, 2023. The changes in business strategy related to Interact and Sportradar B.V. impacted the recoverable amount of CGU Other RoW, which had a goodwill impairment charge of €6.5 million recognized in the consolidated statement of profit or loss and other comprehensive income during the year ended December 31, 2023 as described above. There was not any indication of impairment other intangible assets in 2023. In 2022 and 2021, the Company assessed whether there is any indication that other intangible assets may be impaired, considering external and internal sources of information and concluded that no indicators of impairment were identified. Note 14. Property and equipment Other Cost Office facilities and Work in in €‘000 buildings equipment progress Total Balance as of January 1, 2022 43,724 28,347 19 72,090 Additions 2,652 8,030 436 11,118 Additions through business combinations 1,288 1,319 18 2,625 Transfers in/(out) 19 — (19) — Disposals (307) (78) — (385) Translation adjustments 490 594 19 1,103 Balance as of December 31, 2022 47,866 38,212 473 86,551 Additions 40,693 9,621 1,020 51,334 Additions through business combinations — 6 — 6 Transfers in/(out) 302 774 (1,076) — Disposals (3,440) (388) — (3,828) Translation adjustments (682) (631) 15 (1,298) Balance as of December 31, 2023 84,739 47,594 432 132,765 Accumulated depreciation in €‘000 Balance as of January 1, 2022 (18,505) (17,662) — (36,167) Depreciation (6,672) (5,310) — (11,982) Disposals 307 78 — 385 Translation adjustments 372 (1,272) — (900) Balance as of December 31, 2022 (24,498) (24,166) — (48,664) Depreciation (8,107) (6,489) — (14,596) Disposals 2,129 388 — 2,517 Translation adjustments 396 344 — 740 Balance as of December 31, 2023 (30,080) (29,923) — (60,003) Carrying amount As of December 31, 2022 23,368 14,046 473 37,887 As of December 31, 2023 54,659 17,671 432 72,762

GRAPHIC

F-50 Note 15. Leases The Company has entered into various lease agreements. With the exception of short-term leases and leases of low-value underlying assets, each lease is reflected on the balance sheet as right-of-use asset and a lease liability. The Company classifies its right-of-use assets in a consistent manner to its property and equipment. Rights-of-use assets and lease liabilities are presented in the consolidated statements of financial position as follows: As of December 31, in €‘000 2023 2022 Right-of-use assets – Property and equipment Buildings 51,394 20,409 Other facilities and equipment 318 259 Lease liabilities – Loans and borrowings Current 9,537 7,302 Non-current 40,414 14,712 Generally, the office building lease contracts have fixed payments. Leases are either non-cancellable or may be cancelled by incurring a substantive termination fee. Further, the Company is prohibited from selling or pledging the underlying leased assets as security. For leases over office buildings the Company must keep those properties in a good state of repair and return the properties in their original condition at the end of the lease. Information about leases for which the Company is a lessee is presented below. 15.1 Right-of-use assets Additional information on the significant right of use assets by class of assets and the movements during the period are as follows: Office buildings in €‘000 2023 2022 Balance as of January 1, 20,409 22,905 Depreciation charge for the year (7,181) (5,913) Additions 39,727 3,113 Derecognition due to lease termination (1,311) (19) Foreign currency effects (250) 323 Balance as of December 31, 51,394 20,409

GRAPHIC

F-51 15.2 Lease liabilities Set out below are the carrying amounts of lease liabilities and the movements during the period: in €‘000 2023 2022 Balance as of January 1, 22,014 23,898 Additions to lease liabilities 38,209 2,609 Accretion of interest 1,149 661 Interest paid (1,149) (661) Payments (7,983) (5,958) Additions from business combinations — 867 Rent concessions (30) (38) Derecognition due to lease termination (1,323) (16) Foreign currency effects (936) 652 Balance as of December 31, 49,951 22,014 Current 9,537 7,302 Non-current 40,414 14,712 The maturity analysis of lease liabilities is disclosed in Note 26. 15.3 Amounts recognized in the consolidated statements of profit or loss Years Ended December 31, in €‘000 2023 2022 2021 Interest on lease liabilities 1,149 661 324 Depreciation 7,181 5,913 5,569 Income from sub-leasing right-of-use assets (14) — (33) Expenses relating to short-term leases1 938 682 547 Expenses relating to low-value assets1 3 — 8 Rent concessions (30) (38) (59) Total amount recognized in profit from continuing operations 9,227 7,218 6,356 1 The Company has elected not to recognize a lease liability for short term leases (leases with an expected term of 12 months or less) or for leases of low value assets. Payments made under such leases are expensed on a straight-line basis. 15.4 Amounts recognized in the consolidated statements of cash flows Total cash outflow for leases for the years ended December 31, 2023, 2022 and 2021 are as follows: Years Ended December 31, in €‘000 2023 2022 2021 Operating activities - cash outflow for leases -Short-term and low-value lease payments 938 682 555 -Interest paid on lease liabilities 1,149 661 324 Financing activities – Principal payment on lease liabilities 7,983 5,958 7,118 Total cash outflow for leases 10,070 7,301 7,997 15.5 Extension options Some leases over office buildings contain extension options exercisable by the Company. Where practicable, the Company seeks to include extension options in new leases to provide operational flexibility. Most of the extension options held are exercisable only by the Company. The Company assesses at lease commencement date whether it is reasonably certain to exercise the extension options. The Company reassesses whether it is reasonably certain to exercise the options if there is a significant event or significant changes in circumstances within its control.

GRAPHIC

F-52 Note 16. Equity-accounted investees 16.1 NSoft Group Prior to April 28 2022, the Company held 40% of the shares of NSoft (consisting of NSoft, STARK Solutions d.o.o. and N-Soft Solutions d.o.o.). On April 29, 2022, the Company acquired an additional 30% of the shares in NSoft, increasing its ownership to 70%. Following this transaction, the members of NSoft became consolidated subsidiaries of the Company (refer to Note 3). During the year ended December 31, 2022, the Company recognized a share of loss of equity-accounted investee of €0.1 million in its consolidated statement of profit and loss and other comprehensive income. 16.2 Bayes Esports In the fourth quarter of 2018, Bayes Esports Solutions GmbH (“Bayes Esports”), Berlin, Germany, was founded by Dojo Madness GmbH, Berlin, and Sportradar. Started in 2019, Bayes Esports focuses on e-sports data services. This investment is classified as an associate and as of December 31, 2019, the Company holds a 45% equity ownership with voting rights. In 2020, the Company’s equity interest in Bayes Esports was diluted by 2.4%, as a result of an additional equity contribution of €1.3 million by Dojo Madness. As of December 31, 2020, the Company held a 42.6% equity ownership in Bayes Esports. No changes in ownership occurred during 2021, 2022, or 2023. Since 2021, the Company ceased to recognize its share of investee’s losses once it has reduced its investment to zero.

GRAPHIC

F-53 16.3 SportTech AG In December 2021, SportTech AG (“SportTech), a Swiss holding company, was founded by Ringier AG (“Ringier”), Sports Digital Ventures Ltd and Sportradar to pursue sport betting and related activities in emerging markets in Africa. On August 4, 2022, Ringier, Sportradar and two minority shareholders completed a transaction pursuant to which (i) Ringier contributed all the shares in Pulse Africa Holding AG (“Pulse”), (ii) Sportradar contributed all shares in BetTech based on an enterprise value of €10.0 million, as well as certain cash payments totalling €27.9 million, and (iii) the minority shareholders contributed cash into SportTech. In order for Sportradar to contribute BetTech to SportTech, immediately prior to the contribution, Sportradar acquired 100% of the shares in BetTech from Carsten Koerl, the Company’s Chief Executive Officer, and minority shareholders (see Note 3). Sportradar’s acquisition of BetTech was an acquisition under common control and a related party transaction (see Note 28). The Company’s acquisition of BetTech and subsequent contribution to SportTech, and Ringier’s contribution of Pulse to SportTech were simultaneously completed on August 4, 2022. The Company recorded a €3.0 million gain upon contribution of BetTech as part of additional paid-in capital for the year ended December 31, 2022. The Company’s investment in SportTech was classified as an investment in associate. As of December 31, 2022, the Company held a 49% equity ownership with voting rights in SportTech and Ringier and the minority shareholders held the remaining 51% ownership of SportTech. The following table summarizes the financial information of SportTech as included in its own financial statements, adjusted for fair value adjustments at acquisition and differences in accounting policies. The table also reconciles the summarized financial information to the carrying amount of the Company’s interest in SportTech. The information in the table represents the period from August 4, 2022 to December 31, 2022 because August 4, 2022 is the date on which Sportradar and Ringer completed their respective contributions to SportTech. As of December 31, As of August 4, in €‘000 2022 2022 Current assets, including cash and cash equivalents 13,314 17,247 Non-current assets 1,970 1,925 Brand name 11,945 12,649 Technology 7,760 8,591 Goodwill 40,379 41,323 Liabilities (3,351) (1,363) Deferred tax liabilities (2,858) (3,080) Net assets (100%) 69,159 77,292 Sportradar’s share net assets (49%) 33,888 37,873 Carrying amount of investment in associate 33,888 37,873 Revenue (100%) 1,514 Loss from operations (100%) (8,133) Sportradar’s share of loss from operations (49%) (3,985) On May 31, 2023, the Company sold its 49% interest in SportTech to the majority shareholder, Ringier. The following table summarizes the Company’s carrying amount of its interest in SportTech as included in its own financial statements, adjusted for fair value adjustments at acquisition and differences in accounting policies for the period from January 1, 2023 to May 31, 2023. Year Ended in €‘000 December 31, Carrying amount of investment in associate as of January 1, 2023 33,888 Revenue (100%) 1,215 Loss from operations (100%) (7,549) Sportradar’s share of loss from operations (49%) (3,699) Carrying amount of investment in associate as of May 31, 2023 30,189

GRAPHIC

F-54 Upon disposing of its investment in SportTech, the Company received a cash payment of €15.2 million from Ringier which is included as proceeds from disposal of equity-accounted investee in investing activities in the consolidated statement of cash flows for the year ended December 31, 2023. Additionally, BetTech became a wholly-owned subsidiary of the Company as a result of the disposal of the investment in SportTech. The disposal of the Company’s investment in SportTech and distributions from Ringier are related party transactions (refer to Note 28). The difference between the carrying amount of the investment on May 31, 2023 and the fair value of proceeds received resulted in a loss on disposal of equity-accounted investee in the amount of €13.6 million, recognized in the statement of profit or loss and other comprehensive income for the year ended December 31, 2023. As part of the disposal of the investment, the Board of Directors simultaneously approved a plan to sell BetTech. BetTech was classified as disposal group held for sale until the date it was sold. The loss from discontinued operations of €0.8 million recognized in the consolidated statement of profit or loss and other comprehensive income for the year ended December 31, 2023 relates to the results of BetTech during the time BetTech was a subsidiary of the Company. BetTech was sold to a third party on November 30, 2023 and is no longer a subsidiary of the Company as of December 31, 2023 (refer to Note 29). 16.4 Impairment The Company reviews the carrying amount of its investments in equity-accounted investees for impairment whenever events or changes in circumstances indicate the carrying amount may not be recoverable. For the years ended December 31, 2023, 2022 and 2021, the Company did not identify any impairment triggers or impairment reversals for Bayes, NSoft or SportTech during the periods these investments were accounted for under the equity-method of accounting. Note 17. Other financial assets and other non-current assets The following table represents the composition of other financial assets and other non-current assets: As of December 31, in €‘000 2023 2022 Loans receivable (net of expected credit loss) 1,354 1,473 Deposits 2,150 1,650 Equity investments 6,346 2,820 Other financial assets 1,956 3,198 Prepayment non-current — 35,304 Total 11,806 44,445

GRAPHIC

F-55 Loans receivable (net of expected credit loss) The following table displays the composition and movements of loans receivable: Composition and movements of loan receivables Loans in €‘000 non-current Loans current Total Balance as of January 1, 2022 1,201 567 1,768 Collection of loans receivable — (208) (208) Interest 272 18 290 Income — 5 5 Others — (23) (23) Balance as of December 31, 2022 1,473 359 1,832 Issuance loans receivable — 935 935 Write-off loans receivable — (935) (935) Collection of loans receivable — (41) (41) Interest — — — Income — — — Others (119) (8) (127) Balance as of December 31, 2023 1,354 310 1,664 The provision for Expected Credit Losses (“ECLs”) for loans receivable as of December 31, 2023 and 2022 is €14.3 million. Equity investments On August 9, 2021, the Company acquired a 14.4% stake in Gameradar (Hainan) Technology Co., Ltd.(“Gameradar”). The Company classified the investment as an equity investment, rather than investment in associate because the Company did not have the power to participate in financial and operating policy decisions of Gameradar. The Company designated the investment at fair value through other comprehensive income (“FVOCI") because it represents investment that the Company intends to hold long term for strategic purposes. The Company’s investment in Gameradar totaled a fair value of €2.7 million and €2.8 million as of December 31, 2023 and 2022, respectively, and was categorized as Level 3 (see Note 26). This was because the shares were not listed on an exchange and there were no recent observable arm’s length transactions in the shares. On March 24, 2023, Sportradar Solutions, LLC, a wholly-owned subsidiary of the Company, acquired 18.7% of the outstanding membership interests in a company located in the United States which intends to utilize artificial intelligence technologies in content creation and fan engagement in the sports industry for cash consideration of €3.7 million. Management classified the investment as an equity investment, rather than investment in associate because the Company did not have significant influence over the financial and operating policy decisions. The Company designated the investment at FVOCI because it represents an investment that the Company intends to hold long term for strategic purposes. The Company’s investment totaled a fair value of €3.6 million as at December 31, 2023. The fair value of this investment was categorized as Level 3 as of December 31, 2023 (see Note 26). This was because the common units were not listed on an exchange and there were no recent observable arm’s length transactions in the common units. Prepayment non-current On November 16, 2021, the Company entered into an eight-year exclusive binding partnership arrangement (the “NBA Partnership Agreement”) with the National Basketball Association (the “NBA”) and recognized 20% of the immediately vested warrants at the grant date as non-current prepayment with the corresponding increase in equity in amount of €35.3 million. The license commenced on October 1, 2023, at which date these warrants were remeasured at a fair value of €87.3 million and recognized as an intangible asset. Refer to Note 31.

GRAPHIC

F-56 Note 18. Trade receivables and contract assets The following table represents the composition of trade receivables: Trade receivables As of December 31, in €‘000 2023 2022 Trade receivables 80,861 68,931 Trade receivable from associates — — Allowance for expected credit losses (9,615) (5,519) Total 71,246 63,412 The following table represents the composition of contract assets: Contract assets As of December 31, in €‘000 2023 2022 Contract assets 61,220 50,583 Allowance for expected credit losses (351) (101) Total 60,869 50,482 The increase in the contract assets is related to the larger amount of services rendered to customers. The movement in the allowance for expected credit loss (“ECL”) in respect of trade receivables and contract assets during the year are as follows: in €‘000 2023 2022 Balance as of January 1, (5,620) (4,373) Provision for expected credit losses (7,160) (1,456) Net amounts recovered 183 209 Write-offs 2,559 — Other 72 — Balance as of December 31, (9,966) (5,620) Note 19. Other assets and prepayments Other assets and prepayments are comprised of the following items: Other assets and prepayments As of December 31, in €‘000 2023 2022 Prepaid expenses 22,358 28,899 Other financial assets 688 3,842 Taxes and fees 3,313 3,561 Inventories 5,986 5,707 Other 907 904 Total 33,252 42,913

GRAPHIC

F-57 Note 20. Capital and reserves The following table displays the composition and movements of capital and reserves: Class B Class A ordinary ordinary Participation Capital and reserves shares shares Shares certificates Equity instruments as of January 1, 2021 — — 344,611 155,389 Issued during the year before the IPO — — — 3,320 Reorganization transactions (Note 1) 180,314,159 903,670,701 (344,611) (158,709) Issued during the year during and subsequent to the IPO 26,257,358 — — — Equity instruments as of December 31, 2021 206,571,517 903,670,701 — — Issued during the year for vesting of shares 277,127 — — — Equity instruments as of December 31, 2022 206,848,644 903,670,701 — — Issued during the year for vesting of shares 945,555 — — — Equity instruments as of December 31, 2023 207,794,199 903,670,701 — — 20.1 Ordinary shares As of December 31, 2023, the ordinary share capital of the Company amounted to €27.4 million, consisting of 207,794,199 Class A ordinary shares (par value CHF 0.1) and 903,670,701 Class B ordinary shares (par value CHF 0.01). As of December 31, 2022, the ordinary share capital amounted to €27.3 million, consisting of 206,848,644 Class A ordinary shares (par value CHF 0.1) and 903,670,701 Class B ordinary shares (par value CHF 0.01). As of December 31, 2021, the ordinary share capital amounted to €27.3 million, consisting of 206,571,517 Class A ordinary shares (par value CHF 0.1) and 903,670,701 Class B ordinary shares (par value CHF 0.01). Ordinary share capital is fully paid in. The holders of Class A and Class B shares are entitled to a single vote per share at shareholder meetings. Refer to Note 1 for details on the Reorganization Transactions in 2021. 20.2 Additional paid-in capital Additional paid-in capital includes the excess over the par value paid by shareholders in connection with the issuance of ordinary shares or participation certificates as well as impacts of other transactions with shareholders, non-controlling interests and equity-settled share-based payments. The following is a summary of other transactions during the years ended December 31, 2023, 2022 and 2021 which impacted additional paid-in-capital: During the year ended December 31, 2023, €52.0 million relate to recognized assets resulting from granted equity instruments to one licensor. During the year ended December 31, 2022, the Company recorded a €3.0 million gain upon contribution of BetTech to SportTech as part of additional paid-in capital (refer to Note 3 and Note 28). During the year ended December 31, 2022, the Company purchased a non-controlling interest in the subsidiary Sportradar US, LLC, a Delaware limited liability company, for €28.2 million ($32.0 million) in cash. Following this transaction, Sportradar US, LLC is a wholly-owned subsidiary of the Company. In 2021, €5.4 million was reclassified from additional paid-in capital to unpaid contribution of capital as a result of the issuance of MPP share awards. Additionally in 2021, €63.3 million relate to recognized assets resulting from granted equity instruments to licensors. The Reorganization Transactions in 2021 led to a decline of equity of €100.1 million, which is mainly because of the unpaid capital contribution of Slam InvestCo S.à.r.l. to Sportradar Holding AG being now consolidated. The transaction costs with respect to the IPO in 2021 of €36.4 million are recognized in additional paid-in capital, whereas €26.4 million relate to the underwriter discount, which were already deducted from the proceeds for the issuance of new shares in the IPO.

GRAPHIC

F-58 20.3 Participation certificates The participation certificates have been converted to ordinary shares pursuant to the Reorganization Transactions in 2021. There were no participation certificates outstanding as of December 31, 2023, 2022 or 2021. On January 29, 2021, the Company issued 208 participation certificates for €1.0 million to a director of the Company. These participation certificates were issued at €4,808 per certificate. The fair value of these participation certificates was determined to be €12,237 per certificate. There were no vesting conditions. Therefore, a share-based payment expense in the amount of €1.5 million was recognized at grant date. On April 7, 2021, the Company issued 1,307 participation certificates for €6.8 million to the seller of Optima, as the first contracted milestones were achieved. On May 6, 2021, the Company issued 1,805 participation certificates in connection with the acquisition of Atrium. See Note 3 for further details on the Atrium acquisition. 20.4 Treasury shares From time to time, the Company repurchases its own shares for employee tax withholding purposes and the shares may then be used for issuances under the Sportradar Group AG Omnibus Stock Plan (refer to Note 31). Upon the vesting of RSUs, the Company fulfills its obligations under the equity instrument agreements by either issuing new shares of authorized ordinary shares or by issuing shares from treasury. The treasury shares at December 31, 2023 and 2022 comprise the cost of the Company’s shares held by the Company. At December 31, 2023 and 2022, the Company held €2.3 million and €2.7 million in treasury shares, respectively. Movement in treasury shares Number of shares Cost €’000 Treasury shares as of January 1, 2022 — — Purchased during the year 1,566,793 3,837 Surrendered during the year (1,280,829) (1,132) Treasury shares as of December 31, 2022 285,964 2,705 Purchased during the year 787,776 9,022 Surrendered during the year (843,128) (9,405) Treasury shares as of December 31, 2023 230,612 2,322 20.5 Capital management The Company’s policy is to maintain a strong capital base so as to maintain investor, creditor and market confidence and to sustain future development of the business. The capital management of the Company comprises the management of cash and shareholders’ equity and debt. The primary objective of the Company’s capital management is to ensure the availability of funds within the Company and comply with any applicable financial covenants. See Note 21. The majority of the Company’s operations are financed by the Company’s operating cash flows. The Company manages its capital structure and makes adjustments in light of changes in economic conditions and the requirements of applicable financial covenants. The Board of Directors will determine whether to pay dividends in the future based on conditions existing at that time, including earnings, financial condition and capital requirements, as well as economic and other conditions as it may deem relevant. Loans and borrowings, excluding leases was €0.2 million and €0.8 million as of December 31, 2023 and 2022,respectively. During the year ended December 31, 2022, the Company prepaid €420.0 million under the Credit Agreement (as defined below). On September 16, 2022, the Company established an incremental €110.0 million revolving credit facility, with total commitments available equal to €220.0 million as of December 31, 2023 and 2022. Refer to Note 21 for further details.

GRAPHIC

F-59 Note 21. Loans and borrowings Loans and borrowings As of December 31, in €‘000 2023 2022 Current portion of loans and borrowings Bank loans and overdrafts 49 59 Lease liabilities (Note 15) 9,537 7,302 9,586 7,361 Non - current portion of loans and borrowings Bank loans 145 772 Lease liabilities (Note 15) 40,414 14,712 40,559 15,484 Total 50,145 22,845 Senior Facilities Agreement: In November 2020, the Company entered into a Credit Agreement (as amended and restated on 16 September 2022 and as further amended and/or restated from time to time) with J.P. Morgan Securities PLC, Citigroup Global Markets Limited, Credit Suisse International, Goldman Sachs Bank USA, UBS AG London Branch and UBS Switzerland AG (as Mandated Lead Arrangers), J.P. Morgan SE (formerly, J.P. Morgan AG) (as Agent) and Kroll Trustee Services Limited (formerly, Lucid Trustee Services Limited) (as Security Agent) (as amended from time to time, the “Credit Agreement”) that provided a €420.0 million senior secured term loan facility (the “Term Loan Facility” or “Facility B”) and a €110.0 million multicurrency senior secured revolving credit facility (the “Original RCF”). On July 14, 2022 and December 14, 2022, the Company prepaid €200.0 million and €220.0 million, respectively, of the outstanding Facility B commitments, thereby reducing the outstanding Facility B commitments to zero. As part of the prepayments, unamortized debt issuance costs totaling €6.8 million were recognized as finance costs in the statement of profit or loss and other comprehensive income during the year ended December 31, 2022. On September 16, 2022, the Company established a €110.0 million additional revolving facility by way of a fungible increase to the Original RCF (the “Additional RCF”, and together with the Original RCF, the “RCF”), thereby increasing the total RCF commitments to €220.0 million. Only the RCF remains outstanding under the Credit Agreement. Our wholly-owned subsidiary, Sportradar Capital S.à r.l., is the borrower under the Credit Agreement and the obligations are guaranteed by other subsidiaries of the Company and secured by certain assets of the borrower and its subsidiaries. Prior to the payoff of the Facility B, borrowings bore interest at the maximum annual rate equal to EURIBOR plus 4.25% plus were subject to a margin ratchet as set out below: Senior Secured Net Leverage Ratio Facility B Margin (% per annum) Greater than 4.50:1.00 4.25 Greater than 4.00:1.00 but equal to or less than 4.50:1.00 4.00 Greater than 3.50:1.00 but equal to or less than 4.00:1.00 3.75 Equal to or less than 3.50:1.00 3.50

GRAPHIC

F-60 Borrowings under the RCF bear interest at a maximum annual rate of EURIBOR (or, as the case may be, Term SOFR or SONIA) plus 3.75% per annum and are subject to a margin ratchet as set out below: Senior Secured Net Leverage Ratio RCF Margin (% per annum) Greater than 4.50:1.00 3.75 Greater than 4.00:1.00 but equal to or less than 4.50:1.00 3.50 Greater than 3.50:1.00 but equal to or less than 4.00:1.00 3.25 Greater than 3.00:1.00 but equal to or less than 3.50:1.00 3.00 Equal to or less than 3.00:1.00 2.75 For the unutilized RCF, a commitment fee of 0.825% is payable on 30% of the applicable margin for the RCF. The applicable margin for the RCF is 2.75% per annum and is determined based on the applicable senior secured net leverage ratio. Senior Secured Net Leverage Ratio is defined as the ratio of Consolidated Senior Secured Net Debt as at the last day of the relevant period ending, on such quarter date or on the last day of the month (as applicable), to consolidated proforma EBITDA. The Consolidated Senior Secured Net Debt means the principal amount of all borrowings of the Company constituting senior secured indebtedness, less the aggregate amount at that time of cash and cash equivalent investments held by the Company. Consolidated proforma EBITDA represents EBITDA adjusted for any acquisition, disposal, restructuring or reorganization costs and excluding any non-recurring fees, costs and expenses directly or indirectly related to such transactions. Pursuant to the Credit Agreement, the Company is also subject to certain covenants. These covenants include limitation on the Company’s ability to incur additional indebtedness, pay dividends and distribution and repurchase of capital stock. The agreement also contains, solely for the benefit of the RCF lenders, a springing financial covenant that requires the Company to ensure that the Senior Secured Net Leverage Ratio will not exceed 6.50:1. The Credit Agreement also provides that at the end of each financial year, the Company is required to make prepayments of a percentage of Excess Cash Flow, depending on the Senior Secured Net Leverage Ratio, in the amounts set out below: Excess Cash Flow prepayment Senior Secured Net Leverage Ratio percentage Greater than 5.00:1 50 % Equal to or less than 5.00:1 but greater than 4.50:1 25 % Equal to or less than 4.50:1 0 % Excess Cash Flow represents the total net cash flow for the year. The Company was in compliance with all covenants of the Credit Agreement as of December 31, 2023 and 2022. The movements in bank loans and bank overdrafts are as follows: Financial debt movements and change in bank overdrafts Loans Loans in €‘000 non-current current Overdrafts Total Balance as of January 1, 2022 411,379 — 73 411,452 Addition 219 6 — 225 Transaction costs related to borrowing costs (1,100) — — (1,100) Payment of loans and borrowings (420,682) (3) (23) (420,708) Amortization of borrowing costs 8,057 — — 8,057 Reclassification of borrowing costs 2,846 — — 2,846 Foreign currency rate adjustment 53 — 6 59 Balance as of December 31, 2022 772 3 56 831 Payment of loans and borrowings (620) — (7) (627) Addition — 2 — 2 Foreign currency rate adjustment (7) — (5) (12) Balance as of December 31, 2023 145 5 44 194

GRAPHIC

F-61 Note 22. Employee benefits The defined contribution plans are related to various subsidiaries. The contributions are recognized as expenses in personnel expenses in the consolidated statements of profit or loss and other comprehensive income and amount to €4.9 million, €3.5 million and €3.5 million during the years ended December 31, 2023, 2022 and 2021, respectively. No further obligation exists besides the contributions paid. The Company has four pension plans classified as defined benefit plans. These plans are held in Switzerland, Austria, Slovenia and Philippines. Out of the four plans, only the Switzerland plan is partially funded. The contributions to the fund are based on the percentage of the insured salary, a part of which needs to be paid by the employees and a part by the employer. The amounts recognized in the consolidated statements of financial position for the defined benefit pension plans as of December 31, 2023 and 2022 are as follows: As of December 31, in €‘000 2023 2022 Defined benefit obligation 14,129 10,412 Fair value of plan assets (13,086) (10,215) Net defined benefit liability 1,043 197 The net defined benefit liability is included in other non-current liabilities in the consolidated statements of financial position. The movements in the defined benefit obligation are as follows: Years Ended December 31, in €‘000 2023 2022 Defined benefit obligation as of January 1, 10,412 11,456 Interest expense on defined benefit obligation 280 44 Current service cost 558 726 Contributions by plan participants 490 369 Benefits (paid) / deposited 904 56 Past service cost — — Administration cost (excl. cost for managing plan assets) 6 6 Actuarial loss (gain) on defined benefit obligation 967 (2,855) Exchange rate loss 512 610 Defined benefit obligation as of December 31, 14,129 10,412

GRAPHIC

F-62 The defined benefit obligations of the four plans as of December 31, 2023 and 2022 is as follows: Switzerland: (2023: €13.3 million; 2022: €9.7 million), Austria (2023: €0.4 million; 2022: €0.4 million), Slovenia (2023: €0.3 million; 2022: €0.2 million) and Philippines (2023: €0.2 million; 2022: €0.1 million). The movements in the fair value of plan assets are as follows: Years Ended December 31, in €‘000 2023 2022 Fair value of plan assets as of January 1, 10,215 9,365 Interest income on plan assets 275 31 Contributions by the employer 628 452 Contributions by plan participants 490 369 Benefits deposited (paid) 909 (53) Others — 204 Return on plan assets excl. interest income (182) (596) Exchange rate gain 509 522 Adjustment to asset ceiling 242 (79) Fair value of plan assets as of December 31, 13,086 10,215 Note 23. Trade payables The following table represents trade payables: As of December 31, in €‘000 2023 2022 License fee payables for capitalized sports data rights – current 202,013 148,638 Other trade payables and accrued expenses – current 57,654 56,356 Trade payables current 259,667 204,994 License fee payables for capitalized sports data rights – non-current 908,437 264,530 Other trade payables – non-current 62 135 Trade payables non-current 908,499 264,665 Total 1,168,166 469,659 License agreements which qualify as intangible assets are initially measured at cost. These costs are determined based on the present value of the license payments scheduled over the applicable binding period. As of December 31, 2023 and 2022, the carrying amount of license payments was €1,110.5 million and €413.2 million, respectively.

GRAPHIC

F-63 Note 24. Other liabilities The following tables represent the composition of other liabilities: Other liabilities - current: As of December 31, in €‘000 2023 2022 Other financial liabilities: Deferred and contingent consideration (Note 3) 8,376 14,539 Other liabilities 4,534 2,992 Other non-financial liabilities: Payroll liabilities 30,176 31,742 Taxes and fees 7,444 5,094 Provisions — 5,323 Deposit liability (Note 3) 1,721 3,532 Management restructuring 3,473 1,956 Due to related parties — 90 Total other liabilities - current 55,724 65,268 Other non-current liabilities: As of December 31, in €‘000 2023 2022 Other financial liabilities: Deferred and contingent consideration (Note 3) 6,993 9,220 Other non-financial liabilities: Employee benefit liabilities (Note 22) 1,043 197 Other 464 1,278 Total other non-current liabilities 8,500 10,695 Provisions The Company recognizes provisions for potential liabilities if they have been advised by its legal counsel that it is probable the legal case against the Company will be successful. In some instances, the ultimate outcome of these cases may have a material impact on the Company’s financial position and earnings. In October 2022, the Company completed a settlement agreement with Genius Sports and Football DataCo (FDC) in which Genius Sports maintains the exclusive right to provide Official FDC betting data rights through 2024 and the Company purchased a sublicense from Genius Sports for a delayed feed to be marketed as the Official FDC Secondary Feed through 2024. Litigation costs, together with the settlement payment to Genius Sports and FDC, which aggregated €19.0 million, are recognized within other operating expenses in the consolidated statement of profit and other comprehensive income for the year ended December 31, 2022. The purchased sublicense from Genius Sports fulfils the definition of an intangible asset and is accounted for in accordance with the accounting policies disclosed in Note 2.9. Refer to Note 30 for details on the litigation contingencies.

GRAPHIC

F-64 The following table represents the movements in provisions: Provisions in €‘000 Legal Other Total Balance as of January 1, 2022 1,294 1,737 3,031 Additions 19,909 480 20,389 Used (12,500) (581) (13,081) Released (3,416) (1,600) (5,016) Balance as of December 31, 2022 5,287 36 5,323 Additions 1,670 71 1,741 Used (5,840) (102) (5,942) Released (1,117) (5) (1,122) Balance as of December 31, 2023 — — — Restructuring The Company records the restructuring provision when there is a constructive legal obligation to effectuate the restructuring activities. In October 2023, the Company initiated several measures to ensure greater efficiency and to realign its business and strategic priorities. As part of this restructuring the Company evaluated its product portfolio, streamlining of investments, and redirecting of talent resources. Costs associated with this restructuring action primarily included one-time termination benefits. This restructuring resulted in €8.0 million severance expense recognized as part of personnel expenses in the consolidated statement of profit or loss and other comprehensive income during the year ended December 31, 2023. The restructuring measures were completed in January 2024 upon announcement of the new global organization and leadership structure. The additional one-time termination benefits incurred in 2024 were approximately €1.1 million and are not included in the €3.5 million severance liability as of December 31, 2023. In November 2022, the Company initiated several cost-cutting measures. Costs associated with this restructuring action primarily included one-time termination benefits. This restructuring resulted in €5.5 million severance expense recognized as part of personnel expenses in the consolidated statement of profit or loss and other comprehensive income for the year ended December 31, 2022. Note 25. Contract liabilities As of December 31, 2023 and 2022, current contract liabilities of €26.6 million and €23.2 million and non-current contract liabilities (included in non-current other trade payables) of €39.5 million and €5.3 million, respectively, either relate to services not yet rendered but already paid in advance by the customer or arise from barter deals with sports rights licensors. They will be recognized as revenue when the service is provided, which is expected to occur over the next nine years. Amounts from a customer contract’s transaction price that are allocated to the remaining performance obligations represent contracted revenue that has not yet been recognized. These amounts mostly comprise obligations to provide support or deliver data over a period of time, as the respective contracts typically have durations of one or multiple years. The amount of transaction price allocated to the remaining performance obligations, and changes in this amount over time, are impacted mainly by currency fluctuations and the future timing of the satisfaction of performance obligations. The full amount of contract liabilities as of December 31, 2022 relating to customer prepayments of €20.0 million has been recognized as revenue in 2023. An amount of €3.1 million of contract liabilities as of December 31, 2022 relating to barter deals has been recognized as revenue in 2023. The full amount of contract liabilities as of January 1, 2022 relating to customer prepayments of €21.2 million has been recognized as revenue during the year ended December 31, 2022. An amount of €3.2 million of contract liabilities as of January 1, 2022 relating to barter deals has been recognized as revenue during the year ended December 31, 2022.

GRAPHIC

F-65 As of December 31, 2023, contract liabilities of €49.4 million, arising from barter deals with sport rights licensors, and €1,702.0 million unsatisfied performance obligations to provide support or deliver data to customers, will be recognized as revenue in the respective year as follows: Unsatisfied performance in €‘000 Barter deals obligations 2024 10,618 898,546 2025 8,518 415,465 2026 7,609 283,818 2027 7,011 39,165 2028 and thereafter 15,626 64,944 Total 49,382 1,701,938 As of December 31, 2022, contract liabilities of €8.4 million arising from barter deals with sports rights licensors, and €943.9 million unsatisfied performance obligations to provide support or deliver data to customers, will be recognized as revenue in the respective year as follows: ​ ​​ ​ Unsatisfied performance in €‘000 Barter deals obligations 2023 3,114 622,425 2024 2,716 204,780 2025 912 74,168 2026 518 6,404 2027 and thereafter 1,131 36,165 Total 8,391 943,942 Note 26. Financial instruments – fair values and risk management 26.1 Measurement categories of financial instruments For financial assets and liabilities measured at fair value on a recurring basis, fair value is the price the Company would receive to sell an asset or pay to transfer a liability in an orderly transaction with a market participant at the measurement date. In the absence of active markets for identical assets or liabilities, such measurements involve developing assumptions based on market observable data and, in the absence of such data, internal information that is consistent with what market participants would use in a hypothetical transaction that occurs at the measurement date. The Company uses valuation techniques that are appropriate in the circumstances and for which sufficient data are available to measure fair value, maximizing the use of relevant observable inputs and minimizing the use of unobservable inputs. Fair values are categorized into different levels in a fair value hierarchy based on the inputs used in the valuation techniques: x Level 1: quoted prices (unadjusted) in active markets for identical assets or liabilities x Level 2: inputs other than quoted prices included within level 1 that are observable for the asset or liability, either directly (i.e., as prices) or indirectly (i.e. derived from prices). x Level 3: inputs for the asset or liability that are not based on observable market data (i.e., unobservable inputs). The carrying amounts of trade and other receivables, deposits, trade payables except for those for capitalized sports data rights licenses, and other financial liabilities included in other liabilities, all approximate their fair values due to the short maturities of these financial instruments.

GRAPHIC

F-66 Bank loans and borrowings bore interest at variable rates. The Company assessed that their carrying amount is a reasonable approximation of fair value. The fair values of interest-bearing financial assets measured at amortized cost equal the present values of their future estimated cash flows. These present values are calculated using market interest rates for the respective currencies and terms. The following tables show the carrying amounts and fair values of financial assets and financial liabilities, including their levels in the fair value hierarchy. They do not include fair value information for financial assets and financial liabilities not measured at fair value if the carrying amount is a reasonable approximation of fair value. As of December 31, 2023 in €‘000 Financial statement Carrying Description of Financial Instrument classification amount Fair value Level 1 Level 2 Level 3 Financial assets at FVTPL Cash equivalents Cash and cash equivalents 130,175 130,175 130,175 — — Financial assets at FVOCI Equity investments Other financial assets and other non-current assets 6,346 6,346 — — 6,346 Total financial assets 136,521 136,521 130,175 — 6,346 Financial liabilities at FVTPL Contingent consideration Other liabilities and other non-current liabilities 15,369 15,369 — — 15,369 Financial liabilities measured at amortized cost Capitalized sport rights licenses Trade payables – current and Trade payables – non-current 1,110,450 1,096,688 — 1,096,688 — Total financial liabilities 1,125,819 1,112,057 — 1,096,688 15,369

GRAPHIC

F-67 As of December 31, 2022 in €‘000 Financial statement Carrying Description of Financial Instrument classification amount Fair value Level 1 Level 2 Level 3 Financial assets at FVTPL Cash equivalents Cash and cash equivalents 124,344 124,344 124,344 — — Financial assets at FVOCI Equity investment Other financial assets and other non-current assets 2,820 2,820 — — 2,820 Total financial assets 127,164 127,164 124,344 — 2,820 Financial liabilities measured at fair value Contingent consideration Other liabilities and other non-current liabilities 23,201 23,201 — — 23,201 Financial liabilities measured at amortized cost Capitalized sport rights licenses Trade payables – current and Trade payables – non-current 413,168 401,867 — 401,867 — Total financial liabilities 436,369 425,068 — 401,867 23,201 There were no transfers between Level 1, Level 2 and Level 3 during the years ended December 31, 2023 and 2022. Level 3 recurring fair values Following table shows a reconciliation from the opening balances to the closing balances for Level 3 fair values: Equity Contingent in €‘000 investments consideration Balance as of January 1, 2023 2,820 23,201 Additions 3,716 1,400 Payments — (8,575) Net change in fair value – unrealized (included in OCI) (190) — Net change in fair value – unrealized (included in Finance cost / income) — (657) Balance as of December 31, 2023 6,346 15,369 Equity Contingent in €‘000 investment consideration Balance as of January 1, 2022 2,605 8,436 Additions — 18,800 Payments — (5,585) Net change in fair value – unrealized (included in OCI) 215 — Net change in fair value – unrealized (included in Finance cost / income) — 1,550 Balance as of December 31, 2022 2,820 23,201

GRAPHIC

F-68 26.2 Financial risk management The Company’s activities expose it to a variety of financial risks, including market risk, liquidity risk and credit risk. The Company’s senior management oversees the management of these risks. The Company’s senior management ensures that the Company’s financial risk activities are governed by appropriate processes and procedures and that financial risks are identified, measured and managed in accordance with the Company’s policies and risk objectives. The Company reviews and agrees on policies for managing each of these risks which are described below. Financial risk management is carried out by the Company’s treasury department and the Chief Financial Officer (“CFO”) under policies approved by the Board of Directors. They identify, evaluate and hedge financial risks in close co-operation with the Company’s operating units and in particular cover foreign exchange risk, interest rate risk, credit risk, use or non-use of derivative financial instruments and non-derivative financial instruments, and investment of excess liquidity. 26.3 Market risk Market risks expose the Company primarily to the financial risks of changes in both foreign currency exchange rates and interest rates. The Company did not utilize derivative financial instruments to hedge risk exposures arising from its obligations denominated in non-Euro currencies in 2023, 2022 or 2021. The Company’s overall risk management program focuses on the unpredictability of financial markets and seeks to minimize potential adverse effects on the Company’s financial performance. 26.4 Liquidity risk Liquidity risk is the risk that the Company will encounter difficulty in meeting the obligations associated with its financial liabilities that are settled by delivering cash or another financial asset. The Company’s approach to managing liquidity is to ensure that it will have sufficient liquidity to meet its liabilities when such liabilities become due. The Company’s finance function closely monitors the cash flow and the Company’s liquidity. The following tables show undiscounted contractual cash flows for financial liabilities as of December 31, 2023 and 2022: As of December 31, 2023 Due between Due after Due less than one to five five in €‘000 one year years years Total Trade payables 231,582 705,753 497,514 1,434,849 Deferred & contingent consideration cash flows 8,376 7,197 — 15,573 Bank debt - contractual cash flows1 1,840 4,370 — 6,210 Lease liabilities cash flows 10,470 27,358 29,359 67,187 Other financial liabilities 4,553 — — 4,553 Total 256,821 744,678 526,873 1,528,372 As of December 31, 2022 Due between Due after Due less than one to five five in €‘000 one year years years Total Trade payables 206,026 220,008 84,278 510,312 Deferred & contingent consideration cash flows 14,539 9,220 — 23,759 Bank debt - contractual cash flows1 1,840 6,211 — 8,051 Lease liabilities cash flows 6,083 13,646 3,146 22,875 Other financial liabilities 2,992 — — 2,992 Total 231,480 249,085 87,424 567,989 1 For the €220.0 million unutilized RCF, the foreseeable interest expense will be €1.84 million per annum, based on the assumption the RCF remains undrawn and the Senior Secured Net Leverage Ratio remains equal to or less than 3.00:1.00. Refer to Note 21.

GRAPHIC

F-69 To service the above license payment commitments and other operational requirements, the Company is dependent on existing cash resources, cash generated from operations and borrowing facilities. Refer to Note 21 for further details. 26.5 Credit risk Credit risk is the risk of financial loss to the Company if a customer or counterparty to financial instruments fails to meet its contractual obligations. The Company is exposed to credit risk from its operating activities (primarily trade receivables), loans granted and its deposits with banks and financial institutions. The carrying amounts of financial assets and contract assets represent the maximum credit exposure, refer to Note 26.1. At the reporting date, there are no arrangements which will reduce the maximum credit risk. Impairment losses on financial assets and contract assets recognized in the consolidated statements of profit or loss and other comprehensive income are disclosed in Note 17 and Note 18. As the Company’s risk exposure is mainly influenced by the individual characteristics of each customer, it continuously analyzes the creditworthiness of significant debtors. Due to its international operations and expanding business based on a diversified customer structure, the Company experiences an increasing but still low concentration of credit risk arising from trade receivables. The Company had for the years ended December 31, 2023, 2022 and 2021 no individual customer accounted for more than 10% of revenues. For banks and financial institutions, only parties with a high credit rating are accepted. Furthermore, the Company continuously tracks the financial information of the counterparties of loans granted. The following table provides information about the exposure to credit risk and ECLs for loans receivable as of December 31, 2023 and 2022: Loans receivable: exposure to credit risk and ECLs Weighted Gross carrying average loss Impairment Credit-in €‘000 amount rate loss allowance impaired Grades 1 - 6: Low risk (BBB- to AAA) 310 0.0 % — no Grade 10: Substandard (B- to CCC-) 3,441 60.7 % (2,087) no Grade 12: Loss (D) 12,258 100.0 % (12,258) yes Total as of December 31, 2023 16,009 (14,345) Grades 1 - 6: Low risk (BBB- to AAA) 359 0.0 % — no Grade 10: Substandard (B- to CCC-) 3,559 58.5 % (2,087) no Grade 12: Loss (D) 12,258 100.0 % (12,258) yes Total as of December 31, 2022 16,176 (14,345) Credit risk arising from billing sports betting client accounts is mitigated by billing and collecting monies in advance. Customer accounts are suspended if an invoice remains unpaid two weeks after the beginning of the billed month. Credit risk arising from sports media accounts is mitigated by customer credit checks before services are rendered.

GRAPHIC

F-70 The following table provides information about the exposure to credit risk and ECLs for trade receivables from individual customers as of December 31, 2023 and 2022: Trade receivables from individual customers: exposure to credit risk and ECLs Weighted Gross carrying average loss Impairment Credit-in €‘000 amount rate loss allowance impaired Current (not past due) 44,431 1.6 % (726) no 1 to 60 days past due 20,279 2.8 % (562) no 61 to 90 days past due 2,691 7.8 % (211) no More than 90 days past due 13,460 60.3 % (8,116) yes Total as of December 31, 2023 80,861 (9,615) Current (not past due) 27,752 0.4 % (113) no 1 to 60 days past due 26,326 1.3 % (334) no 61 to 90 days past due 3,036 3.8 % (116) no More than 90 days past due 11,817 41.9 % (4,956) yes Total as of December 31, 2022 68,931 (5,519) From 2022 to 2023, there is higher impairment loss allowance on trade receivables due to initiating credit risk management activities, which resulted in higher sales of past-due receivables to collection agencies. As of December 31, 2023 and 2022, contract assets at the gross carrying amount of €61.2 million and €50.6 million, respectively, are measured at the same ECL probability as current, not past due trade receivables, which results in an ECL allowance of €0.4 million and €0.1 million, respectively, deducted from the contract assets.

GRAPHIC

F-71 26.6 Foreign currency risk Currency risk is the risk that the fair value or future cash flows of a financial instrument will fluctuate because of changes in foreign exchange rates. Foreign exchange risk arises from future commercial transactions and recognized financial assets and liabilities. The Company invoices more than 71% of its business in its functional currency. However, license rights are often purchased in foreign currencies and this exposes the Company to a significant risk from changes in foreign exchange rates; in particular, against the U.S. Dollar following the purchase of sports data and media rights by Sportradar AG. Furthermore, some of the subsidiaries operate in local currencies, mainly AUD, GBP, CHF, NOK and USD. Exchange rates are monitored by the Finance department on a monthly basis, to ensure that adequate measures are taken if fluctuations increase. The transaction risk on foreign currency cash flows is monitored on an ongoing basis by the Company's treasury department. The main transaction risks are represented by the U.S. Dollar and Great Britain Pound, while other currencies pose minor sources of risk. As of December 31, 2023 and 2022, the Company’s net liability exposure in U.S. Dollars was €614.0 million and €35.1 million, respectively. As of December 31, 2023 and 2022, the Company’s net asset exposure in Great Britain Pound was €109.0 million and €49.3 million, respectively. The following table provides the effects of a five and ten percent quantitative change of foreign currency exchange rates of the Euro against the exposed currencies as of December 31, 2023 and 2022, on profit or (loss): Year Ended December 31, in €‘000 2023 2022 € exchange rate +10% (47,960) 1,934 € exchange rate +5% (23,980) 967 € exchange rate -5% 23,980 (967) € exchange rate -10% 47,960 (1,934) 26.7 Interest rate risk Interest rate risk is the risk that the fair value or future cash flows of a financial instrument will fluctuate because of changes in market interest rates. The Company does not actively manage its interest rate exposure. The Company is mainly exposed to cash flow interest rate risk in conjunction with its borrowings, if any. The interest rate is based on market interest rate plus a margin which is based on the Senior Secured Net Leverage Ratio as defined in the Credit Agreement. For the €220.0 million unutilized RCF, the foreseeable annual financing cost will be €1.8 million, based on the assumption the RCF remains undrawn and the Company Leverage Ratio remains equal to or less than 3.00:1.00. Loans granted to customers (refer to Note 17) bore fixed interest. They do not expose the Company to any interest rate risk.

GRAPHIC

F-72 Note 27. Commitments The Company enters into commitments which may have a minimum guarantee per contractual year. Additionally, as of December 31, 2023, Sportradar continues to have commitments relating to license payments for non-capitalized or not yet capitalized (i.e., license period has not started yet and advance payments have been already deducted) sports data or media rights licenses. License commitment payments will primarily be made in U.S. Dollars. The Company also has various contracts including one non-cancelable contractual commitment for five contractual years primarily related to network infrastructure and the Company's data center operations. The payments are made in Euro. The following table shows commitments by the Company as of December 31, 2023 and 2022: As of December 31, in €’000 2023 2022 less than one year 41,165 48,678 between more than one and less than two years 43,734 92,955 between more than two and less than three years 46,477 105,171 between more than three and less than four years 49,280 115,711 more than four years 39,241 565,481 Total 219,897 927,996 Commitments for licenses not yet capitalized amount to €16.3 million and €694.3 million as of December 31, 2023 and 2022, respectively. Note 28. Related party transactions and key management personnel Shareholders During the years ended December 31, 2023 and 2022, Carsten Koerl, CEO and founder of the Company, held more than 80% voting rights in the Company. During the year ended December 31, 2021, shareholders with significant influence holding more than 20% in voting rights of Sportradar Group AG and/or Sportradar Holding AG (the Company’s predecessor, refer to Note 1) were Carsten Koerl with 55.1% and the Canada Pension Plan Investment Board (CPPIB) as the controlling shareholder of Blackbird Holdco Ltd with 40.0% before the IPO date. Transactions with key management personnel Carsten Koerl holds 33% of the shares in Betgames – UAB TV Zaidimai ("Zaidimai") situated in Vilnius, Lithuania. During the years ended December 31, 2023, 2022 and 2021, the Company generated revenue of €0.1 million, €0.1 million, and nil, respectively, with Zaidimai. For the year ended December 31, 2021 and until May 2022, Carsten Koerl held a 23% beneficial ownership in OOO PMBK, which is associated with Interactive Sports Holdings Limited. The Company generated revenue of €1.2 million in year ended December 31, 2022 until the date Casrten Koerl no longer held any interest and €2.7 million in the year ended December 31, 2021. During the year ended December 31, 2021, Carsten Koerl held more than 50% in BetTech based in Cape Town, South Africa, where he also acted as a director. On August 4, 2022, Sportradar acquired 100% of shares in BetTech from Carsten Koerl and minority shareholders for consideration of €7.0 million (refer to Note 3). The Company recorded a €3.0 million gain upon contribution of BetTech as part of additional paid-in capital for the year ended December 31, 2022. During the year ended December 31, 2022 until the date of the Company’s acquisition of BetTech, the Company generated revenue of €0.3 million with BetTech. Sportradar generated revenue of €0.2 million with BetTech in 2021.

GRAPHIC

F-73 The Company’s acquisition of BetTech on August 4, 2022 is a related party transaction and an acquisition under common control in the context of the establishment of SportTech AG with Ringier and certain minority shareholders (see Note 16.3). Immediately upon closing of the Company’s acquisition of BetTech, the Company contributed 100% of the shares of BetTech for €10.0 million to SportTech in addition to a cash contribution of €13.7 million to SportTech and a cash equalization payment of €14.2 million to Ringier, for a 49% ownership in SportTech (refer to Note 16.3). Sportradar’s director Marc Walder serves as a director for Ringier, a Swiss holding company which, together with two minority shareholders, held 51% ownership of SportTech prior to May 31, 2023. The Company sold its 49% interest in SportTech on May 31, 2023 (Note 16.3). As part of this transaction, the Company received a cash payment of €15.2 million from Ringier. Additionally, BetTech became a wholly-owned subsidiary of the Company as a result of the sale of its interest in SportTech. On November 30, 2023, BetTech was sold to a third-party and is not a subsidiary of the Company as of December 31, 2023 (refer to Note 29). Compensation of Board of Directors and key management personnel During the years ended December 31, 2023, 2022 and 2021, the Board of Directors’ aggregate emoluments amounted to €0.6 million, €0.6 million and €0.5 million, respectively. Share-based compensation expense related to the Board of Directors amounted to €1.0 million, €0.8 million and €0.1 million during the years ended December 31, 2023, 2022 and 2021, respectively. Key management personnel comprises members of the executive leadership team. Compensation expense included in personnel expense in the consolidated statements of profit or loss other comprehensive income related to directors and key management personnel is shown below: Years Ended December 31, in €‘000 2023 2022 2021 Short-term employee benefits 5,210 10,023 6,677 Post-employment pension contributions 540 456 357 Share-based compensation 11,377 3,232 4,280 Total 17,127 13,711 11,314 Management loans As of December 31, 2023 and 2022, the Company has outstanding loans that were issued to several members of middle management in prior years of €0.3 million and €0.4 million, respectively. The loans have a fixed interest rate of 5%. The loans were granted to middle management to purchase participation shares of Slam InvestCo S.à.r.l. Transactions with associates During the years ended December 31, 2023, 2022 and 2021, the transactions with associates of the Company are shown below: Year Ended December 31, Revenue Expenses in €’000 2023 2022 2021 2023 2022 2021 NSoft 1 — 824 1,861 — 274 906 Bayes 91 — 1,730 189 775 5,742 SportTech2 413 613 — 388 150 — Total 504 1,437 3,591 577 1,199 6,648 1 During 2021, and until April 28, 2022, NSoft was an associate of the Company (Note 16.1), which is the date the Company acquired an additional 30% interest in NSoft and NSoft became a consolidated entity of the Company. 2 SportTech was an associate of the Company from August 4, 2022 to May 22, 2023 (Note 16.3). As of December 31, 2023 and 2022, there are no outstanding trade receivables or trade payables with Bayes. As of December 31, 2022, there was €0.3 million and €0.1 million outstanding trade receivables and trade payables, respectively, with SportTech.

GRAPHIC

F-74 Note 29. Disposals and discontinued operations BetTech Gaming (PTY) Ltd On May 31, 2023, BetTech became a wholly-owned subsidiary of Sportradar in connection with the Company’s exit from its investment in SportTech AG (refer to Note 16.3). The Company immediately committed to a plan to dispose of BetTech. In November 2023, the Company sold BetTech to a third party for cash consideration of €0.5 million. BetTech is presented as discontinued operations in the consolidated statement of profit or loss and other comprehensive income for the year ended December 31, 2023. Net loss from discontinued operations was €0.8 million for the period of June 1, 2023 to November 30, 2023. Interact Sport Pty Ltd On December 30, 2023, the Company sold 100% of the voting interest in Interact Sport Pty Ltd. and its subsidiaries (together, “Interact”) for net cash consideration of €0.2 million. In 2023, the Company committed to a plan to retain and divest certain elements of the Interact business following a strategic decision related to the Company’s realignment of priorities. Interact was not classified as a discontinued operation during the year ended December 31, 2023. Note 30. Contingencies From time to time, and in the ordinary course of business, the Company may be subject to certain claims, charges and litigation. Management regularly analyzes current information pertaining to ongoing cases including, where applicable, the Company’s defense claims and insurance coverage of any potential liability. The Company recognizes provisions for potential liabilities if they have been advised by its legal counsel that it is probable the legal case against the Company will be successful. In some instances, the ultimate outcome of these cases may have a material impact on the Company’s financial position and earnings. The Company considers that no material loss to the Company is expected to result from these claims and legal proceedings.

GRAPHIC

F-75 Note 31. Share-based payments Omnibus stock plan (the “2021 Plan”) In 2021, the Company established the 2021 Plan, under which employees, consultants and directors, and employees and consultants of subsidiaries are eligible to receive awards. The Company grants stock options and restricted stock units (RSUs) to key employees, collectively referred to herein as equity instruments. Annual grants under the 2021 Plan are generally made to the Company’s key employees during the first quarter of the Company’s fiscal year and to members of the Company’s Board of Directors during the second quarter of the Company’s fiscal year. The Company also issues equity instruments to strategic new hires and to employees who have demonstrated superior performance throughout the year. Upon the vesting of RSUs and options, the Company fulfills its obligations under the equity instrument agreements by either issuing new shares of authorized ordinary shares or by issuing shares from treasury. The RSUs generally only include a service-based component. The service-based component of the Company’s equity instruments generally vests over four years from the date of grant and for some cases less than one year. RSUs are also awarded to members of the Company’s Board of Directors. The Company recognizes a share-based payment expense on these restricted shares and options on a graded vesting basis. For the years ended December 31, 2023, 2022 and 2021, total share-based payment expense of €38.1 million, €22.5 million, and €1.1 million respectively, relating to the 2021 Plan equity instruments has been recognized within personnel expenses and €1.0 million, €0.9 million, and €0.2 million respectively has been recognized within operating expenses in the consolidated statements of profit or loss and other comprehensive income and corresponding credit has been recognized in retained earnings within the consolidated statements of changes in equity. Changes in the number of unvested RSUs during each of the years in the three-year period ended December 31, 2023, 2022, and 2021, together with the corresponding weighted-average fair values, are as follows: Number of Weighted average grant RSU shares date Fair Value Unvested restricted shares as of January 1, 2021 — $ — Granted 1,302,599 $ 17.34 Unvested restricted shares as of December 31, 2021 1,302,599 $ 17.34 Granted 3,159,725 $ 14.02 Vested (373,739) $ 17.45 Forfeited (426,831) $ 16.03 Unvested restricted shares as of December 31, 2022 3,661,754 $ 14.69 Granted 5,162,678 $ 11.50 Vested (1,400,697) $ 13.51 Forfeited (866,755) $ 13.10 Unvested restricted shares as of December 31, 2023 6,556,980 $ 12.66 The grant date fair value of the RSUs is determined based on the closing price of the Company`s ordinary shares price on the day before grant. As of December 31, 2023 and 2022, the unrecognized compensation cost related to RSUs issued under the 2021 Plan will be recognized over 2.8 years and 3.1 years respectively.

GRAPHIC

F-76 The following summarizes option activity during each of the years in the three-year period ended December 31, 2023, 2022, and 2021, together with the corresponding weighted-average fair values: Number of Weighted average exercise options price Outstanding as of January 1, 2021 — $ — Granted 33,513 $ 27.00 Exercised — — Cancelled/forfeited — — Outstanding as of December 31, 2021 33,513 $ 27.00 Granted — — Exercised — — Cancelled/forfeited — — Outstanding as of December 31, 2022 33,513 $ 27.00 Granted 3,500,000 $ 12.90 Exercised — — Cancelled/forfeited (33,513) $ 27.00 Outstanding as of December 31, 2023 3,500,000 $ 12.90 The following summarizes the assumptions used to value options granted during the years ended December 31, 2023 and 2021: Valuation inputs: ​​​​ 2023 2021 Valuation model Black-Scholes model Black-Scholes model Share price at grant date $ 12.90 $ 27.00 Exercise price1 $ 12.90 $ 27.00 Expected volatility (average)2 47.00 % 37.33 % Expected term (average)3 6.5 years 6.5 years Expected dividends4 — — Risk-free interest rate5 3.50 % 1.03 % 1 Based on contractual terms 2 Calculated based on comparable companies’ historical volatilities based on industry and size over a time period commensurate with the options’ expected term 3 Presumed to be the midpoint between the vesting date and the end of the contractual term 4 Assumes a dividend yield of zero as the Company has no plans to declare dividends in the foreseeable future 5 Based on the U.S. Constant Maturity Treasury yield curve equal or approximate to options’ expected term as of the valuation date As of December 31, 2023, the unrecognized compensation cost related to stock option instruments will be recognized over 3.4 years. Phantom option plan In December 2019, the Company established the Phantom Option Plan (the “POP”) to enable certain key employees, who are not executive officers, a plan under which participants are entitled to bonus payments calculated by reference to the value of a hypothetical option to purchase shares of Sportradar Holding AG. At the date of the IPO, the outstanding awards under the POP converted into 66,744 restricted stock units, which were granted to the POP participants pursuant to (and come out of the number of shares available for issuance under) the 2021 Plan. The Company recognizes a share-based payment expense on these restricted stock units on a graded vesting basis from grant date to 2024.

GRAPHIC

F-77 A summary of the Company’s POP plan activity for the years ended December 31, 2023, 2022, and 2021 is as follows: Weighted average grant Number of date Fair Value per shares option/share Outstanding options as of January 1, 2021 3,475 € 1,352.74 Granted 68 € 4,081.36 Forfeited before IPO-date (79) € 1,352.74 Conversion to restricted share units 1,199,364 € 3.91 Forfeited after the IPO date (13,706) € 3.91 Vested (350,174) € 3.91 Unvested restricted shares as of December 31, 2021 835,484 € 3.91 Vested (269,131) € 3.91 Forfeited (45,302) € 3.91 Unvested restricted shares as of December 31, 2022 521,051 € 3.91 Vested (233,579) € 3.91 Forfeited (61,268) € 3.91 Unvested restricted shares as of December 31, 2023 226,204 € 3.91 For the years ended December 31, 2023 and 2022, there were no awards granted under the POP. For the years ended December 31, 2023, 2022, and 2021, a total share-based payment expense of €0.2 million, €0.7 million, and €1.7 million, respectively, has been recognized within personnel expenses in the consolidated statements of profit or loss and other comprehensive income and corresponding credit has been recognized in retained earnings within the consolidated statements of changes in equity. Management participation plan The Management Participation Plan (“MPP”) was established in May 2019 to enable the directors and employees of the Company to invest in Sportradar, pursuant to which participants indirectly purchased participation certificates of Sportradar Holding AG through Slam InvestCo S.à r.l. (“MPP Co”), a special purpose vehicle established to hold participation certificates of Sportradar Holding AG for the MPP. In connection with the Company’s initial public offering, MPP participants contributed their shares of MPP Co to Sportradar Group AG and MPP Co became a subsidiary of Sportradar Group AG. The MPP participants, in exchange, received Class A ordinary shares, a portion of which was vested and no longer subject to repurchase and a portion of which was initially unvested and subject to repurchase by the Company upon a termination of employment in certain circumstances. 35% of each participant’s Class A ordinary shares vested immediately upon the consummation of the Company’s initial public offering. The remaining 65% have vested or will vest in three substantially equal installments on each of December 31, 2022, 2023 and 2024.

GRAPHIC

F-78 At January 1, 2021, there were outstanding share awards of 295,082. For the year ended December 31, 2021, the total number of share awards granted under the MPP were 7,501 of which 3,589 were forfeited, resulting in a total number of outstanding share awards of 298,994. At the date of the IPO in 2021, the MPP participants received 9,566,464 Class A ordinary shares as part of the Reorganization Transactions. The new share awards were issued at €108.66 per share award. The fair value of these share awards was determined to be €759.84 per share award and was based on a valuation conducted in connection with a potential acquisition of the Company and bids received from independent third parties. A summary of the Company’s MPP plan activity for the years ended December 31, 2023 and 2022 is as follows: Weighted average grant Number of date Fair Value per shares option/share Unvested restricted shares as of January 1, 2022 5,635,029 € 759.84 Vested (1,962,796) € 759.84 Forfeited (293,583) € 759.84 Unvested restricted shares as of December 31, 2022 3,378,650 € 759.84 Vested (1,905,966) € 759.84 Unvested restricted shares as of December 31, 2023 1,472,684 € 759.84 For the years ended December 31, 2023 and 2022, there were no awards granted under the MPP. For the years ended December 31, 2023, 2022, and 2021 the Company recognized share-based compensation expense of €0.2 million, €0.3 million, and €5.6 million in the consolidated statements of profit or loss and other comprehensive income, respectively, and corresponding credit has been recognized in retained earnings within the consolidated statements of changes in equity. NBA warrants On November 16, 2021, Sportradar entered into an eight-year exclusive binding partnership arrangement (the “NBA Partnership Agreement”) with the NBA pursuant to which the NBA will use Sportradar’s capabilities with respect to data collection, tracking and betting feeds, as well as Sportradar’s Integrity services, commencing with the 2023-2024 season for an eight-year term. In consideration of the rights and benefits granted under the NBA Partnership Agreement, the Company has agreed to pay the NBA the applicable annual license fees. The Company also agreed to grant the NBA warrants that, once vested, are exercisable for an aggregate number of Class A ordinary shares equal to 3.00% of the total number of Class A ordinary shares outstanding on a fully diluted, as-converted basis, as of the date of the NBA Partnership Agreement, at an exercise price of $0.01 per share. The warrants are subject to an eight-year vesting schedule commencing in 2023, with 20% of the warrants vesting upon execution of the NBA Partnership Agreement. In the year ended December 31, 2021, the Company treated the vesting of 20% of the warrants as prepayment with a corresponding credit in additional paid-in capital. The license commenced on October 1, 2023 at which date 100% of the warrants were revalued at fair value. The fair value of equity instruments granted are part of cost of the license asset at a total value of €87.3 million and the corresponding credit is recognized in additional paid-in capital during the year ended December 31, 2023 in the amount of €52.0 million. The inputs used in the measurement of the option to acquire up to 9,229,797 Class A shares at the commencement date of the license were as follows: Valuation inputs: ​​​​ October 1, 2023 Valuation model Black-Scholes model Share price at grant date1 $ 10.01 Exercise price2 $ 0.01 Expected volatility (average)3 46.4 % Expected term4 0.25-8 years Risk-free interest rate (average)5 4.79 % 1 Closing ordinary share price on Friday, September 29, 2023.

GRAPHIC

F-79 2 Based on contractual terms. 3 Calculated based on comparable companies’ historical volatilities based on industry and size over a time period commensurate with the options’ expected term for each vesting tranche. 4 Options are assumed to be exercised immediately upon entering exercise window. 5 Based on the U.S. Constant Maturity Treasury yield curve equal or approximate to options’ expected term as of the valuation date. The Company recognizes compensation costs related to the NBA warrants within amortization expenses in the consolidated statements of profit or loss and other comprehensive income during the contract term, starting at the commencement date until September 30, 2031. Amortization expense related to the NBA warrants recognized in the year ended December 31, 2023 was €3.6 million. A summary of the Company’s NBA warrants activity for the years ended December 31, 2023, 2022 and 2021 is as follows: Number of Weighted average exercise warrants price Granted and outstanding as of October 1, 2021 9,229,797 $ 0.01 Vested and exercisable (1,845,959) $ 0.01 Unvested as of December 31, 2021 7,383,838 $ 0.01 Unvested as of December 31, 2022 7,383,838 $ 0.01 Vested and exercisable (230,745) $ 0.01 Unvested as of December 31, 2023 7,153,059 $ 0.01 As of December 31, 2023 and 2022, total exercisable warrants are 2,076,704 and 1,845,959, respectively. As of December 31, 2023, no warrants have been exercised. NHL warrants On July 22, 2021, Sportradar entered into a 10 - year global partnership with the National Hockey League (“NHL”) (the “License Agreement”). Under the terms of the License Agreement, Sportradar is named as the official betting data rights, official betting streaming rights and official media data rights partner of the NHL, as well as an official integrity partner of the NHL. Pursuant to the License Agreement, Sportradar granted the NHL the right to acquire (i) an aggregate of up to 1,116,540 Class A ordinary shares for an exercise price of $8.96, which was exercised in 2021, and (ii) an additional amount of Class A ordinary shares calculated by dividing $30.0 million by the IPO price per share, which was not exercised and expired. Additionally, the Company granted the NHL a warrant to purchase 1,353,740 Class A ordinary shares at a subscription price of $23.45 per Class A ordinary share that remains outstanding but unvested. The inputs used in the measurement of the option to acquire up to 1,116,540 Class A shares were as follows: Valuation inputs: 2021 Valuation model Black-Scholes model Share price at grant date $ 27.00 Exercise price $ 8.96 Expected volatility (weighted-average) 30 % Expected term (as of September 14, 2021) 0 Risk-free interest rate (based on U.S. government bond) 0.04 %

GRAPHIC

F-80 The inputs used in the measurement of the warrant were as follows: Valuation inputs: 2021 Valuation model Cox-Ross-Rubinstein binominal model Share price at grant date $ 27.00 Exercise price $ 23.45 Expected volatility (weighted-average) 30 % Expected term 120 months Risk-free interest rate (based on U.S. government bond) 1.28 % A summary of the Company’s NHL warrants activity for the years ended December 31, 2023, 2022 and 2021 is as follows: Number of Weighted average exercise warrants price Granted and outstanding as of July 22, 2021 1,353,740 $ 23.45 Unvested as of December 31, 2021 1,353,740 $ 23.45 Unvested as of December 31, 2022 1,353,740 $ 23.45 Unvested as of December 31, 2023 1,353,740 $ 23.45 As of December 31, 2023, 2022, and 2021, the warrant is not vested and therefore cannot be exercised. The fair value of equity instruments granted are part of cost of the license asset and the corresponding credit is recognized in additional paid-in capital in the amount of €28.0 million. Amortization expense related to the NHL warrants recognized in the years ended December 31, 2023, 2022, and 2021 was €3.1 million, €3.6 million, and €0.8 million, respectively. Note 32. Subsequent events On January 24, 2024, the Company announced additional strategic actions as part of its previously announced initiatives on November 1, 2023 to streamline its organizational structure to enhance focus on clients and partners, drive global innovation and product development, and propel long-term growth, profitability, and shareholder value. The additional one-time termination benefits incurred are expected to be approximately €1.1 million. On March 19, 2024, the Board of Directors approved a $200 million share buyback program. The Company anticipates commencing purchases under the program during 2024.

GRAPHIC

F-81 Note 33. List of consolidated entities and associates Share of capital December 31, December 31, in% 2023 2022 Holding Sportradar Group AG, Switzerland Subsidiaries Sportradar AG, Switzerland 99.99 % 99.99 % XDataCentric Corporation, Philippines 100 % 100 % XSports Data AG, Switzerland 100 % 100 % XSportradar AB, Sweden 100 % 100 % XSportradar Americas Inc, USA 100 % 100 % XSportradar Solutions LLC, USA 100 % 100 % XSportradar US LLC, USA 100 % 100 % XSportradar AS, Norway 100 % 100 % XSportradar Australia Pty Ltd, Australia 100 % 100 % XSportradar Germany GmbH, Germany 100 % 100 % XSportradar GmbH, Germany 100 % 100 % XSportradar GmbH, Austria 100 % 100 % XSportradar informacijske tehnologije d.o.o., Slovenia 100 % 100 % XSportradar Latam S.A., Uruguay 100 % 100 % XSportradar Malta Limited, Malta 100 % 100 % XSportradar Managed Trading Services Limited, Gibraltar 100 % 100 % XSportradar OÜ, Estonia 100 % 100 % XSportradar Polska sp. z o.o., Poland 100 % 100 % XSportradar Singapore Pte.Ltd, Singapore 100 % 100 % XSportradar UK Ltd, UK 100 % 100 % XSportradar Virtual Gaming GmbH, Germany 100 % 100 % XSportradar SA (PTY) LTD, South Africa 100 % 100 % XSportradar Media Services GmbH, Austria 100 % 100 % XNSoft d.o.o, Bosnia and Herzegovina 70 % 70 % XNSoft Solutions d.o.o, Croatia 70 % 70 % XStark Solutions d.o.o, Bosnia and Herzegovina 70 % 70 % XOptima Information services S.L.U., Spain 100 % 100 % XOptima research & development S.L.U., Spain 100 % 100 % X Optima BEG d.o.o. Beograd, Serbia 100 % 100 % XSportradar B.V., The Netherlands 100 % 100 % XSportradar Data Technologies India LLP, India 100 % 100 % XInteract Sport Pty, Australia — 100 % X Interactsport UK Limited, UK — 100 % XAtrium Sports, Inc., USA 100 % 100 % XAtrium Sports Ltd, UK 100 % 100 % XAtrium Sports Pty Ltd, Australia 100 % 100 % XSynergy Sports Technology LLC, USA 100 % 100 % XKeemotion Group Inc., USA 100 % 100 % XSynergy Sports, SRL, Belgium 100 % 100 % XKeemotion LLC, USA 100 % 100 % XSportradar Slovakia s.r.o, Slovakia. 100 % 100 % XSportradar Cyprus Limited, Cyprus 100 % — Sportradar Jersey Holding Ltd, UK 100 % 100 % Sportradar Management Ltd, UK 100 % 100 % XFresh Eight Ltd., UK 100 % 100 % XSportradar Capital S.à.r.l., Luxembourg 100 % 100 % XVaix Ltd., UK 100 % 100 % XVaix Greece IKE, Greece 100 % 100 % Associated companies that are accounted for under the equity method X Bayes Esports Solutions GmbH, Germany 42.58 % 42.58 % X SportTech AG, Switzerland — 49 %

GRAPHIC

KPMG AG St. Gallen, 19 March 2024 Statutory Auditor's Report To the General Meeting of Sportradar Group AG, St. Gallen Report on the Audit of the Financial Statements Opinion We have audited the financial statements of Sportradar Group AG (the Company), which comprise the balance sheet as at December 31, 2023, and the income statement for the year then ended, and notes to the financial statements, including a summary of significant accounting policies. In our opinion, the financial statements comply with Swiss law and the Company’s articles of incorporation. Basis for Opinion We conducted our audit in accordance with Swiss law and Swiss Standards on Auditing (SA-CH). Our responsibilities under those provisions and standards are further described in the “Auditor’s Responsibilities for the Audit of the Financial Statements” section of our report. We are independent of the Company in accordance with the provisions of Swiss law, together with the requirements of the Swiss audit profession and we have fulfilled our other ethical responsibilities in accordance with these requirements. We believe that the audit evidence we have obtained is sufficient and appropriate to provide a basis for our opinion. Key Audit Matters Key audit matters are those matters that, in our professional judgment, were of most significance in our audit of the financial statements of the current period. We have determined that there are no key audit matters to communicate in our report. Other Information The Board of Directors is responsible for the other information. The other information comprises the information included in the annual report, but does not include the consolidated financial statements, the stand-alone financial statements of the Company, the compensation report and our auditor’s reports thereon. Our opinion on the financial statements does not cover the other information and we do not express any form of assurance conclusion thereon. In connection with our audit of the financial statements, our responsibility is to read the other information and, in doing so, consider whether the other information is materially inconsistent with the financial statements or our knowledge obtained in the audit or otherwise appears to be materially misstated. If, based on the work we have performed, we conclude that there is a material misstatement of this other information, we are required to report that fact. We have nothing to report in this regard. Board of Directors’ Responsibilities for the Financial Statements The Board of Directors is responsible for the preparation of the financial statements in accordance with the provisions of Swiss law and the Company’s articles of incorporation, and for such internal control as the Board of Directors determines is necessary to enable the preparation of financial statements that are free from material misstatement, whether due to fraud or error.

GRAPHIC

2 In preparing the financial statements, the Board of Directors is responsible for assessing the Company’s ability to continue as a going concern, disclosing, as applicable, matters related to going concern and using the going concern basis of accounting unless the Board of Directors either intends to liquidate the Company or to cease operations, or has no realistic alternative but to do so. Auditor’s Responsibilities for the Audit of the Financial Statements Our objectives are to obtain reasonable assurance about whether the financial statements as a whole are free from material misstatement, whether due to fraud or error, and to issue an auditor’s report that includes our opinion. Reasonable assurance is a high level of assurance, but is not a guarantee that an audit conducted in accordance with Swiss law and SA-CH will always detect a material misstatement when it exists. Misstatements can arise from fraud or error and are considered material if, individually or in the aggregate, they could reasonably be expected to influence the economic decisions of users taken on the basis of these financial statements. As part of an audit in accordance with Swiss law and SA-CH, we exercise professional judgment and maintain professional skepticism throughout the audit. We also: — Identify and assess the risks of material misstatement of the financial statements, whether due to fraud or error, design and perform audit procedures responsive to those risks, and obtain audit evidence that is sufficient and appropriate to provide a basis for our opinion. The risk of not detecting a material misstatement resulting from fraud is higher than for one resulting from error, as fraud may involve collusion, forgery, intentional omissions, misrepresentations, or the override of internal control. — Obtain an understanding of internal control relevant to the audit in order to design audit procedures that are appropriate in the circumstances. — Evaluate the appropriateness of accounting policies used and the reasonableness of accounting estimates and related disclosures made. — Conclude on the appropriateness of the Board of Directors’ use of the going concern basis of accounting and, based on the audit evidence obtained, whether a material uncertainty exists related to events or conditions that may cast significant doubt on the Company’s ability to continue as a going concern. If we conclude that a material uncertainty exists, we are required to draw attention in our auditor’s report to the related disclosures in the financial statements or, if such disclosures are inadequate, to modify our opinion. Our conclusions are based on the audit evidence obtained up to the date of our auditor’s report. However, future events or conditions may cause the Company to cease to continue as a going concern. We communicate with the Board of Directors or its relevant committee regarding, among other matters, the planned scope and timing of the audit and significant audit findings, including any significant deficiencies in internal control that we identify during our audit. We also provide the Board of Directors or its relevant committee with a statement that we have complied with relevant ethical requirements regarding independence, and communicate with them all relationships and other matters that may reasonably be thought to bear on our independence, and where applicable, actions taken to eliminate threats or safeguards applied. From the matters communicated with the Board of Directors or its relevant committee, we determine those matters that were of most significance in the audit of the financial statements of the current period and are therefore the key audit matters. We describe these matters in our auditor’s report, unless law or regulation precludes public disclosure about the matter or when, in extremely rare circumstances, we determine that a matter should not be communicated in our report because the adverse consequences of doing so would reasonably be expected to outweigh the public interest benefits of such communication.

GRAPHIC

3 Report on Other Legal and Regulatory Requirements In accordance with article 728a para. 1 item 3 CO and PS-CH 890, we confirm that an internal control system exists, which has been designed for the preparation of financial statements according to the instructions of the Board of Directors We further confirm that the proposed carry forward of the accumulated losses complies with Swiss law and the Company’s articles of incorporation. We recommend that the financial statements submitted to you be approved. KPMG AG {{Signatureleft}} {{Signatureright}} Oliver Eggenberger Licensed Audit Expert Auditor in Charge Mohammad Nafeie St. Gallen, 19 March 2024 KPMG AG, Bogenstrasse 7, CH-9001 St. Gallen © 2024 KPMG AG, a Swiss corporation, is a subsidiary of KPMG Holding AG, which is a member of the KPMG global organization of independent member firms affiliated with KPMG International Limited, a private English company limited by guarantee. All rights reserved. {{Signatureleft}} Oli E b {{Signatureright}} Mohammad Nafeie

GRAPHIC

Sportradar Group AG, St. Gallen Balance Sheet as of 31 December Notes 2023 2022 CHF CHF ASSETS Current assets Cash and cash equivalents 120'532'861.55 151'317'053.75 Other short-term receivables - from third parties 2'023'545.37 1'314'962.53 - from entities in which the entity holds a participation 47'627'621.41 10'346'280.46 Prepaid expenses and accrued income 2'629'981.17 6'744'214.35 172'814'009.50 169'722'511.09 Non-current assets Financial assets - Loans due from entities in which the entity holds a participation 352'879'349.81 357'482'494.49 Investments 2.1 1'302'896'001.53 1'365'222'425.07 1'655'775'351.34 1'722'704'919.56 1'828'589'360.84 1'892'427'430.65 LIABILITIES AND SHAREHOLDERS' EQUITY Short-term liabilities Trade accounts payable - to third parties 2'795'501.42 4'339'726.87 - to entities in which the entity holds a participation 17'621'223.39 8'796'576.30 Other short-term liabilities - to third parties 280'961.85 27'651.52 - to entities in which the entity holds a participation 7'660'911.20 3'103'786.43 Accrued expenses and deferred income 2'821'703.51 1'409'492.07 31'180'301.37 17'677'233.19 Shareholders' equity Share capital 3.2 29'816'126.91 29'721'571.41 Legal capital reserves - Reserves from capital contributions 3.2 750'627'354.20 885'462'793.33 - Other capital reserves 3.2 3'786'404'796.68 3'627'774'565.68 Treasury shares 3.5 -2'279'618.73 -2'718'473.62 Accumlated losses Accumlated profits or losses brought forward -2'665'490'259.35 -2'603'786'167.30 Loss for the period -101'669'340.24 -61'704'092.05 1'797'409'059.47 1'874'750'197.46 1'828'589'360.84 1'892'427'430.65

GRAPHIC

Sportradar Group AG, St. Gallen Income statement Notes 2023 2022 CHF CHF Net revenue from sale of goods and services 8'389'170.38 4'361'555.24 Material expenses and purchased services -11'169'877.42 -4'577'933.96 Personnel expenses -2'635'034.20 -236'784.02 Other operating expenses 2.3 -13'789'867.38 -15'262'262.15 Depreciation and impairment losses on 2.4 0.00 0.00 non-current assets Total operating expenses -27'594'779.00 -20'076'980.13 Operating result -19'205'608.62 -15'715'424.89 Financial income 2.5 26'865'202.26 59'432'782.04 Financial expenses 2.6 -6'944'037.08 -13'725'071.57 Foreign currency conversion expense -102'296'698.15 -91'462'948.08 Loss for the period before taxes -101'581'141.59 -61'470'662.50 Direct taxes -88'198.65 -233'429.55 Loss for the period -101'669'340.24 -61'704'092.05

GRAPHIC

Sportradar Group AG, St. Gallen Notes to the Financial Statements 1. Principles 1.1 General information 1.2 Other current receivables 1.3 Investments Investments include participations in subsidiaries. Participations in subsidiaries are recognized as investments as soon as Sportradar Group AG holds the majority of voting and capital rights in the company. Investments are valued at their acquisition cost adjusted for impairment losses. 1.4 Long term liabilities 1.5 Share-based payments 1.6 Treasury shares 1.7 Unrealized foreign exchange gains and losses The book-keeping currency is Euro (EUR). The financial statements in EUR are translated to Swiss Francs (CHF). For translation purposes, all assets and liabilities are translated using the foreign exchange rate as of year-end as published by the Federal Tax Authority (FTA). Revenues and costs reflected in the income statement are translated using the average foreign exchange rate as published by the FTA. Equity positions are translated using historical foreign exchange rates. If the resulting translation difference is a loss, this loss is recognized as foreign currency conversion loss in the income statement. If the resulting translation difference is a gain, a long-term provision is recognized within the balance sheet and presented as a provision for unrealized foreign exchange gain due to translation. Sportradar Group established various shared based incentive programs under which eligible participants are entitled to equity based awards. Board members of Sportradar Group AG are eligible to shared based incentive programs based on Sportradar Group AG shares. The fair value of the equity compensation instruments is determined at the grant date and recorded to the income statement as personnel expense with a corresponding offsetting entry to equity. These financial statements were prepared according to the principles of the Swiss Law on Accounting and Financial Reporting (32nd title of the Swiss Code of Obligations). Where not prescribed by law, the significant accounting and valuation principles applied are described below. Other current receivables are recognized at nominal value. No allowances have been booked in the reporting period. Interest bearing liabilities are accounted for at nominal value. Long-term loans denominated in foreign currencies are converted at the current closing rate. Unrealised exchange losses are recorded immediately whereas unrealised exchange gains are not recorded (imparity principle). Since Sportradar Group AG prepares consolidated financial statements in accordance with a recognised financial reporting standard (IFRS Accounting Standards), the company is not presenting a cash flow statement and a management report and, in accordance with the statutory provisions, does not disclose details on the maturities of long-term interest-bearing liabilitites and audit fees. Treasury shares are recognized at acquisition date at cost as a negative item in equity. In a subsequent sale of delivery in the context of share based payments, profit or loss arising from the sale of treasury shares is recognized directly in equity under other capital reserves.

GRAPHIC

Sportradar Group AG, St. Gallen Notes 2. Disclosure on balance sheet and income statement items 2.1 Investments a) Direct investments Company name, domicile Currency 31.12.2023 31.12.2022 31.12.2023 31.12.2022 Sportradar Jersey Holding Ltd., Jersey 100 100 EUR 11'110.00 11'110.00 b) Significant indirect investments Company name, domicile Currency 31.12.2023 31.12.2022 31.12.2023 31.12.2022 Sportradar AG, St. Gallen (share capital) 99.997 99.997 CHF 3'621'495 3'621'495 Sportradar AG, St. Gallen (participation capital) 100 100 CHF 138'511 138'511 2.2 Other operating expenses 2023 2022 CHF CHF D&O insurance 5'230'460.31 11'261'129.06 Indirect taxes (incl. withholding taxes) 40'034.50 1'343.17 Consulting expenses 5'261'755.59 2'654'224.51 Other operating expenses 3'257'616.99 1'345'565.41 13'789'867.38 15'262'262.15 2.3 Financial Income 2023 2022 CHF CHF Interest income 25'999'876.81 5'889'628.76 Gains on foreign currency exchange (realized and unrealized) 830'836.13 53'543'153.28 Other financial income 34'489.32 - 26'865'202.26 59'432'782.04 2.4 Financial Expenses 2023 2022 CHF CHF Interest expense 2'556.43 1'860'460.22 Losses on foreign currency exchange (realized and unrealized) 6'941'480.65 11'864'611.35 6'944'037.08 13'725'071.57 Voting and capital rights in % Capital Voting and capital rights in % Capital All subsidiaries directly or indirectly held by Sportradar Group AG are disclosed in note 33 in the notes to the consolidated financial statements of Sportradar Group AG. Unrealized exchange gains are consequence of the revaluation of foreign currency investments recorded as cash and cash equivalents on the company's balance sheet. Interest income is earned by the company from lending the loans to its subsidiaries.

GRAPHIC

Sportradar Group AG, St. Gallen Notes 3. Other information Cash and cash equivalents CHF 13'640'859.52 Other current assets CHF 11'028'038.66 Non-current assets CHF 1'490'197'967.31 Current liabilities CHF -7'313'143.23 Non-current liabilities CHF -48'712'649.47 Net assets CHF 1'458'841'072.79 3.1 Full-time equivalents 3.2 Shareholders' Equity a) Share capital 31.12.2023 31.12.2022 31.12.2023 31.12.2022 Nominal Value [CHF] Class A ordinary shares 0.10 207'794'199 206'848'644 20'779'419.90 20'684'864.40 Class B ordinary shares 0.01 903'670'701 903'670'701 9'036'707.01 9'036'707.01 29'721'571.41 29'816'126.91 At the Annual General Meeting of 16 May 2023, the Board of Directors was authorized to increase or decrease the share capital by a maximum of CHF 14,676,490.00 by issuing up to 146,765,900 Class A ordinary shares at a par value of CHF 0.10 each, until 16 May 2028. b) Equity Transactions in 2022/23 Nominal Value [CHF] Reserves from capital contribution [CHF] Other capital reserves [CHF] Capital as of 31/12/2021 29'693'858.71 733'761'405.89 6'593'945'724.45 - Capital increase cash (March, 2022) 27'712.70 1'116'642.05 0.00 - Merger (Sportradar Holding AG) 0.00 150'584'745.39 -2'971'820'631.01 - Vesting of RSU`s in 2022 0.00 0.00 5'649'472.24 Capital as of 31/12/2022 29'721'571.41 885'462'793.33 3'627'774'565.68 - Capital increase cash (March, 2023 & December, 2023)* 94'555.50 16'315'681.97 0.00 - Adjustment in relation to non confirmation of Swiss FTA** 0.00 -151'151'121.10 150'584'745.39 - Vesting of RSU`s in 2023 0.00 0.00 8'045'485.61 750'627'354.20 29'816'126.91 3'786'404'796.68 *see 3a ** see 3c Number of Shares Share Capital [CHF] Where applicable, the contributions above the nominal value of the shares were allocated to the "Reserves from capital contributions". The remaining amounts were allocated to "Other capital reserves". The annual average number of full-time equivalents for the reporting year did not exceed 10. Absorption merger of Sportradar Holding: Pursuant to the merger agreement dated June 27, 2022, Sportradar Group AG acquired all of the assets and liabilities of Sportradar Holding AG retroactively as of January 1, 2022. The net assets acquired as of the aforementioned reporting date are comprised of the following: From the amount of CHF 1,458,841,072.79, CHF 1,308,256,327.40 was recognized in equity under "other capital reserves" and CHF 150,584,745.39 was recognized in "reserves from capital contribution". In contrast, the investment value of Sportradar Holding AG of CHF 4,280,076,958.41 was released. The merger was published in the Commercial Register on June 29, 2022. Conditional share capital increase in 2023, 945'555 Class A ordinary shares, 94'555.50 CHF share capital not yet registered in the commercial register, see also 3b) for equity transactions in 2022/2023.

GRAPHIC

Sportradar Group AG, St. Gallen Notes c) Reserves from capital contributions 3.3 Major shareholders The following individuals/organisations held a stake of higher than 5% in Sportradar Group AG. 2023 Class A ordinary shares Class B ordinary shares Carsten Koerl 3'531'199 903'670'701 31.49% 81.62% Canadian Pension Plan Investment Board 79'555'080 - 26.68% 7.16% Radcliff SR LLC 15'265'392 - 5.12% 1.37% TCV 34'079'496 - 11.43% 3.07% 2022 Class A ordinary shares Class B ordinary shares Carsten Koerl 3'500'000 903'670'701 31.58% 81.69% Blackbird HoldCo Ltd. 131'686'674 - 44.31% 11.86% Radcliff SR LLC 15'265'392 - 5.14% 1.37% 3.4 Disclosure of participation rights The Board of Directors were granted the following participation rights: 31.12.2023 31.12.2022 31.12.2023 31.12.2022 Allocated to the Board of Directors 107'294 89'514 1'147'404 1'010'418 *Upon vesting, the Restricted Stock Units (RSU's) will be converted to Class A ordinary shares. 3.5 Treasury shares average market value in CHF Number of shares Amount in in CHF Balance at 01.01.2022 0.00 0 0.00 Purchase/surrendered 6.06 928'834 5'626'198.11 Transfer for share based payments (13.31) (642'870) -8'557'466.74 Gain (+) / loss (-) 5'649'742.24 Balance 31.12.2022 9.51 285'964 2'718'473.62 Purchase/surrendered 11.25 787'776 8'859'723.09 Transfer for share based payments (18.01) (843'123) -15'185'020.22 Gain (+) / loss (-) 5'886'442.23 Balance 31.12.2023 9.88 230'617 2'279'618.73 3.6 Significant events after the balance sheet date At the time when these financial statements were authorized for issue, the Board of Directors were not aware of any events that would materially affect these financial statements. Capital / Voting interest as of 31.12.2023 Capital / Voting interest as of 31.12.2022 The reserves from capital contributions include the premium from the capital increases in 2021. The distribution from the reserves from capital contributions is fiscally treated like a redemption of share capital. The Swiss Federal Tax Administration (FTA) has not confirmed the disclosed reserves from capital contributions as capital contribution within the meaning of article 5 para. 1bis VStG, therefor non-confirmed amounts as of 31.12.2022 have been reclassified to other capital reserves. Number of RSU's* Amount in CHF

GRAPHIC

Sportradar Group AG, St. Gallen Proposed carry forward of the accumulated losses 2023 CHF Profit or loss brought forward (2'665'490'259.35) Profit or loss for the year (101'669'340.24) Accumulated losses (2'767'159'599.59) The Board of Directors proposes to carry forward the accumulated loss: To be carried forward (2'767'159'599.59) (2'767'159'599.59)

GRAPHIC

Report of the statutory auditor To the General Meeting of Sportradar Group AG, St. Gallen Report on the Audit of the Compensation Report Opinion We have audited the Compensation Report of Sportradar Group AG (the Company) for the year ended December 31, 2023. The audit was limited to the information pursuant to Art. 734a-734f of the Swiss Code of Obligations (CO) contained in sections 2.1.1, 2.1.2, 2.2.1, 2.2.2, 2.3, 3 and 4 of the Compensation Report. In our opinion, the information pursuant to Art. 734a-734f CO in the accompanying Compensation Report complies with Swiss law and the Company’s articles of incorporation. Basis for Opinion We conducted our audit in accordance with Swiss law and Swiss Standards on Auditing (SA-CH). Our responsibilities under those provisions and standards are further described in the “Auditor’s Responsibilities for the Audit of the Compensation Report” section of our report. We are independent of the Company in accordance with the provisions of Swiss law and the requirements of the Swiss audit profession, and we have fulfilled our other ethical responsibilities in accordance with these requirements. We believe that the audit evidence we have obtained is sufficient and appropriate to provide a basis for our opinion. Other Information The Board of Directors is responsible for the other information. The other information comprises the information included in the annual report, but does not include sections 2.1.1, 2.1.2, 2.2.1, 2.2.2, 2.3, 3 and 4 of the Compensation Report, the consolidated financial statements, the stand-alone financial statements and our auditor’s reports thereon. Our opinion on the Compensation Report does not cover the other information and we do not express any form of assurance conclusion thereon. In connection with our audit of the Compensation Report, our responsibility is to read the other information and, in doing so, consider whether the other information is materially inconsistent with the audited financial information in the Compensation Report or our knowledge obtained in the audit or otherwise appears to be materially misstated. If, based on the work we have performed, we conclude that there is a material misstatement of this other information, we are required to report that fact. We have nothing to report in this regard. Board of Directors' Responsibilities for the Compensation Report The Board of Directors is responsible for the preparation of a Compensation Report in accordance with the provisions of Swiss law and the Company’s articles of incorporation, and for such internal control as the Board of Directors determines is necessary to enable the preparation of a Compensation Report that is free from material misstatement, whether due to fraud or error. The Board of Directors is also responsible for designing the compensation system and defining individual compensation packages.

GRAPHIC

2 Auditor’s Responsibilities for the Audit of the Compensation Report Our objectives are to obtain reasonable assurance about whether the information pursuant to Art. 734a-734f CO is free from material misstatement, whether due to fraud or error, and to issue an auditor’s report that includes our opinion. Reasonable assurance is a high level of assurance, but is not a guarantee that an audit conducted in accordance with Swiss law and SA-CH will always detect a material misstatement when it exists. Misstatements can arise from fraud or error and are considered material if, individually or in the aggregate, they could reasonably be expected to influence the economic decisions of users taken on the basis of this Compensation Report. As part of an audit in accordance with Swiss law and SA-CH, we exercise professional judgement and maintain professional skepticism throughout the audit. We also: Identify and assess the risks of material misstatement in the Compensation Report, whether due to fraud or error, design and perform audit procedures responsive to those risks, and obtain audit evidence that is sufficient and appropriate to provide a basis for our opinion. The risk of not detecting a material misstatement resulting from fraud is higher than for one resulting from error, as fraud may involve collusion, forgery, intentional omissions, misrepresentations, or the override of internal control. Obtain an understanding of internal control relevant to the audit in order to design audit procedures that are appropriate in the circumstances, but not for the purpose of expressing an opinion on the effectiveness of the Company’s internal control. Evaluate the appropriateness of accounting policies used and the reasonableness of accounting estimates and related disclosures made. We communicate with the Board of Directors or its relevant committee regarding, among other matters, the planned scope and timing of the audit and significant audit findings, including any significant deficiencies in internal control that we identify during our audit. We also provide the Board of Directors or its relevant committee with a statement that we have complied with relevant ethical requirements regarding independence, and to communicate with them all relationships and other matters that may reasonably be thought to bear on our independence, and where applicable, actions taken to eliminate threats or safeguards applied. KPMG AG {{Signatureleft}} {{Signatureright}} Oliver Eggenberger Licensed Audit Expert Auditor in-Charge Mohammad Nafeie St, Gallen, March 19, 2024 Enclosure: - Compensation Report KPMG AG, Bogenstrasse 7, CH-9001 St. Gallen © 2024 KPMG AG, a Swiss corporation, is a subsidiary of KPMG Holding AG, which is a member of the KPMG global organization of independent member firms affiliated with KPMG International Limited, a private English company limited by guarantee. All rights reserved. {{Signatureleft}} {{Signatureright}}

GRAPHIC

SPORTRADAR GROUP AG COMPENSATION REPORT FOR THE YEAR ENDED DECEMBER 31, 2023

GRAPHIC

2 SPORTRADAR GROUP AG – COMPENSATION REPORT 1. COMPENSATION FRAMEWORK .......................................................................3 1.1. Legal framework for compensation and reporting on compensation .............3 1.2. Company's governance framework regarding compensation.........................3 1.3. General principles of compensation ...............................................................4 1.4. Principles of variable compensation and compensation programs.................5 1.5. Principles of compensation for members of the Board of Directors............10 1.6. Principles of compensation for members of the Executive Management ....10 2. COMPENSATION AWARDED IN 2023.............................................................11 2.1. Board of Directors ........................................................................................11 2.1.1.Compensation awarded to the members of the Board of Directors in 2023 (audited) .....................................................................................11 2.1.2.Changes in the compensation compared to the previous year (audited) .............................................................................................................12 2.1.3.Compliance with the resolutions of the AGM ....................................12 2.2. Executive Management ................................................................................13 2.2.1.Compensation awarded to the members of Executive Management in 2023 (audited) .....................................................................................13 2.2.2.Changes in the compensation compared to the previous year (audited) .............................................................................................................13 2.2.3.Compliance with the resolutions of the AGM ....................................14 2.3. Other Compensation (audited)......................................................................14 2.3.1.Loans...................................................................................................14 2.3.2.Payments to persons related to members of the Board or the Executive Management........................................................................................14 2.3.3.Payments to former members of the Board or the Executive Management........................................................................................14 3. SHARES AND EQUITY-LINKED INSTRUMENTS HELD BY MEMBERS OF THE BOARD AND THE EXECUTIVE MANAGEMENT (AUDITED)............14 4. MANDATES OF THE BOARD AND EXECUTIVE MANAGEMENT.............15 4.1. Mandates of members of the Board..............................................................15 4.2. Mandates of members of the Executive Management..................................15

GRAPHIC

3 1. Compensation Framework 1.1. Legal framework for compensation and reporting on compensation The compensation and reporting thereon at Sportradar Group AG (the “Com-pany” or “Sportradar”) is governed by the rules and guidelines as in force and effect as of December 31, 2023, in particular the Swiss Code of Obligations, Swiss Code of Best Practice for Corporate Governance, the Company's articles of association (the “Articles”)1 (articles 7, 8 and 25 et seq. of the Company’s Articles), the Organizational Regulations2 , and the Compensation Committee Charter.3 The Swiss Code of Obligations stipulates say-on-pay rules as well as rules on the reporting of compensation. Furthermore, the Swiss Code of Obligations stip-ulates that certain forms of compensations require a basis in the articles of asso-ciation and prohibits specific forms of compensation altogether, including but not limited to, golden handshakes, advance compensation, and M&A incentive fees. Reporting of compensation as required under applicable U.S. laws and regula-tions, specifically under the regulatory requirements of the U.S. Securities and Exchange Commission (the “SEC”), forms part of the Company's Form 20-F.4 1.2. Company's governance framework regarding compensation The Company’s board of directors (the “Board”) is ultimately responsible for determining (i) the compensation strategy and the principles, structure and de-sign of compensation plans for the Board and the Executive Management, (ii) the long-term incentive and equity plans to be offered by the Company, (iii) the compensation amount for the members of the Board and for the Executive Man-agement to be presented to the shareholders for approval, (iv) the terms of em-ployment of the CEO and other members of the Executive Management, (v) the compensation of the Executive Management as well as their good or bad leaver status under applicable bonus and equity plans in case of termination of employ-ment, and (vi) the Company’s financial, strategic and operational targets and the evaluation of target achievement. The Company has a standing Compensation Committee of the Board. Its mem-bers are elected at the annual general meeting of shareholders (the “AGM”) from among the members of the Board. The term of office of the members of the Compensation Committee is one year and ends with the conclusion of the re-spective following AGM. Re-election is permitted. 1 The following is a direct link to Sportradar’s publicly filed Articles: https://www.sec.gov/Archives/ed-gar/data/1836470/000110465924036445/srad-20231231xex1d1.htm 2 The following is a direct link to Sportradar’s Organizational Regulations: https://investors.sportradar.com/static-files/15291c32-b352-48a2-883d-0304984c98b7 3 The Charter of the Compensation Committee of the Board may be accessed at the following direct link: https://investors.sportradar.com/static-files/b4b2e289-d98e-44cd-b02a-77abd2a5fa71 4 Sportradar’s Form 20-F report for the year ended December 31, 2023 may be accessed at the following link: https://investors.sportradar.com/financials-filings/sec-filings.

GRAPHIC

4 The Compensation Committee assists the Board in establishing and reviewing the Company’s compensation philosophy and policy and determining executive officer compensation (other than the compensation of the chief executive officer, which is determined by the Board). Under SEC and Nasdaq rules, there are heightened independence standards for members of the Compensation Commit-tee. All of committee members meet these heightened standards. The Compensation Committee is, among other things as listed in article 21 of the Articles and the Compensation Committee Charter5 , responsible for: • developing for Board approval a compensation philosophy consistent with the Articles; • administering the Company’s equity-based compensation plans and claw-back policies; • recommending the compensation for Board members to the Board, for adop-tion at the general meeting of shareholders; • making recommendations to the Board regarding CEO compensation; and • determining the compensation of our key executives other than the CEO. The AGM bindingly and separately votes on (i) the aggregate maximum amount of the compensation of the Board for the term of office until the next AGM; and (ii) the aggregate maximum amount of the compensation of the Executive Man-agement for the next financial year. Each year, the AGM shall hold a consulta-tive vote on the Company’s compensation report (article 7 of the Articles). 1.3. General principles of compensation The Company’s compensation strategy is based on the principles of building a performance culture and driving ownership. The aim of this strategy is to main-tain competitive compensation practices that: • Attract, motivate, and engage performance-oriented individuals to deliver on Sportradar’s business and growth plans, in particular engineering talent in competitive markets, which is critical to enable our growth. • Create an ownership culture amongst employees to align with the interests of shareholders for the purpose of driving a consistent link to sustainable company performance. • Differentiate pay to motivate employees and incentivize for sustainable financial and operational performance results and desired behavior. • Provide reward opportunities consistent with Sportradar’s performance over short and long periods. The Company or companies controlled by it may enter into non-competition agreements with members of the Executive Management after termination of employment, if these non-competition agreements are justified from a business perspective. The total compensation payable during the term of the non-compe-tition agreement shall not exceed the amount of one annual salary (which is equal to the average base and short-term variable compensation paid in the three years prior to the termination of employment). 5 The Charter of the Compensation Committee of the Board may be accessed at the following direct link: https://investors.sportradar.com/static-files/b4b2e289-d98e-44cd-b02a-77abd2a5fa71

GRAPHIC

5 The Company may grant members of the Board or the Executive Management credits and loans at market conditions. The total amount of such credits and loans may not exceed CHF 5 million. Sportradar retained Aon Solutions UK Limited (“Aon”) to undertake a total compensation review for its executive population in preparation for the com-pensation review cycle after its initial public offering in September 2021 (the “IPO”). Aon performed a review of Sportradar’s approved compensation phi-losophy and executive compensation, performed competitive assessment sum-mary covering cash and equity, and detailed market benchmarks by pay ele-ment. Sportradar continues to engage Aon on executive compensation matters and from time to time, Sportradar may engage other external companies or consultants for ongoing general support unrelated to any specific compensation issue. 1.4. Principles of variable compensation and compensation programs (a) General Principles To achieve the aims of its compensation strategy, Sportradar implements incen-tive and bonus programs. The incentive plans have specific performance targets that are set for the relevant performance period. Payouts are contingent on meeting the criteria, which establish the level of payout based on the extent to which the performance targets were met. The bonus program structures payouts only upon the completion of a specified task and applicable conditions estab-lished before the task and conditions were met. In 2023, our Executive Management had the opportunity to earn annual cash bonuses to compensate them for attaining short-term company and individual performance goals. Each officer had an annual target bonus for 2023 that is ex-pressed as a percentage of his or her annual base salary. Awards under the bo-nus plan for 2023 were generally based on Company-wide financial Adjusted EBITDA and revenue metrics as well as their individual contributions and were determined by our Compensation Committee (and the Board in case of the matters pertaining to the Chief Executive Officer). (b) Omnibus Stock Plan The Company has adopted, and shareholders approved in a consultative vote, the Sportradar Group AG Omnibus Stock Plan (the “2021 Plan”), under which we may grant cash and equity-based incentive awards to eligible individuals in order to attract, retain and motivate the persons who make important contribu-tions to us and our subsidiaries. The following summarizes the relevant terms of the 2021 Plan: Eligibility and Administration Our employees, consultants and directors, and employees and consultants of our subsidiaries, are eligible to receive awards under the 2021 Plan. The 2021 Plan is administered by our Board, which may and has delegated its duties and

GRAPHIC

6 responsibilities to the Compensation Committee (referred to collectively as the plan administrator below), subject to the limitations imposed under the 2021 Plan, stock exchange rules and other applicable laws. The plan administrator has the authority to take all actions and make all determinations under the 2021 Plan, to interpret the 2021 Plan and award agreements and to adopt, amend and repeal rules for the administration of the 2021 Plan as it deems advisable. The plan administrator also has the authority to grant awards, determine which eli-gible individuals receive awards and set the terms and conditions of all awards under the 2021 Plan, including any vesting and vesting acceleration provisions, subject to the conditions and limitations in the 2021 Plan. Shares Available for Awards The Company initially reserved an aggregate of 29,239,091 Class A ordinary shares for issuance (e.g., out of conditional or authorized capital under the cap-ital band) under the 2021 Plan. No more than 29,239,091 shares of Class A or-dinary shares may be issued under the 2021 Plan upon the exercise of incentive stock options. If an award under the 2021 Plan expires, lapses or is terminated, exchanged for cash, surrendered, repurchased, canceled without having been fully exercised or forfeited, any unused shares subject to the award will, as applicable, become or again be available for new grants under the 2021 Plan. Awards granted under the 2021 Plan in substitution for any options or other stock or stock-based awards granted by an entity before the entity’s merger or consolidation with us or our acquisition of the entity’s property or stock will not reduce the shares available for grant under the 2021 Plan but may count against the maximum number of shares that may be issued upon the exercise of incentive stock op-tions. As of December 31, 2023, approximately 16,859,230 Class A ordinary shares were available for future awards to be issued under the 2021 Plan. Awards The 2021 Plan provides for the grant of stock options, including incentive stock options (“ISOs”), and nonqualified options (“NSOs”), stock appreciation rights (“SARs”), restricted stock, dividend equivalents, restricted stock units (“RSUs”), and other stock or cash- based awards. Certain awards under the 2021 Plan may constitute or provide for payment of “nonqualified deferred compen-sation” under Section 409A of the Code (as defined below under the heading — Material U.S. Federal Income Tax Considerations for U.S. Holders). All awards under the 2021 Plan will be set forth in award agreements, which detail the terms and conditions of awards, including any applicable vesting and payment terms and post-termination exercise limitations. A brief description of each award type follows: • Stock Options and SARs. Stock options provide for the purchase of shares of our Class A ordinary shares in the future at an exercise price set on the grant date. ISOs, by contrast to NSOs, may provide tax deferral beyond exercise and favorable capital gains tax treat-

GRAPHIC

7 ment to their holders if certain holding period and other require-ments of the Code are satisfied. SARs entitle their holder, upon exercise, to receive from us an amount equal to the appreciation of the shares subject to the award between the grant date and the ex-ercise date. The plan administrator will determine the number of shares covered by each option and SAR, the exercise price of each option and SAR and the conditions and limitations applicable to the exercise of each option and SAR. The exercise price of a stock option or SAR will not be less than 100% of the fair market value of the underlying share on the grant date (or 110% in the case of ISOs granted to certain significant stockholders), except with re-spect to certain substitute awards granted in connection with a cor-porate transaction. The term of a stock option or SAR may not be longer than ten years (or five years in the case of ISOs granted to certain significant stockholders). • Restricted Stock and RSUs. Restricted stock is an award of non-transferable shares of our Class A ordinary shares that remain for-feitable unless and until specified conditions are met and which may be subject to a purchase price. RSUs are contractual promises to deliver shares of our Class A ordinary shares in the future, which may also remain forfeitable unless and until specified conditions are met and may be accompanied by the right to receive the equiv-alent value of dividends paid on shares of our Class A ordinary shares prior to the delivery of the underlying shares. The plan ad-ministrator may provide that the delivery of the shares underlying RSUs will be deferred on a mandatory basis or at the election of the participant. The terms and conditions applicable to restricted stock and RSUs will be determined by the plan administrator, sub-ject to the conditions and limitations contained in the 2021 Plan. • Other Stock or Cash Based Awards. Other stock or cash-based awards are awards of cash, fully vested shares of our Class A ordi-nary shares and other awards valued wholly or partially by refer-ring to, or otherwise based on, shares of our Class A ordinary shares or other property. Other stock or cash-based awards may be granted to participants and may also be available as a payment form in the settlement of other awards, as standalone payments and as payment in lieu of compensation to which a participant is other-wise entitled. The plan administrator will determine the terms and conditions of other stock or cash-based awards, which may include performance goals and vesting conditions. Performance Criteria The plan administrator may select performance criteria for an award to establish performance goals for a performance period. Performance criteria under the 2021 Plan may include, but are not limited to, the following: net earnings or losses (either before or after one or more of interest, taxes, depreciation, amor-tization, and non-cash equity-based compensation expense); gross or net sales or revenue or sales or revenue growth; net income (either before or after taxes) or adjusted net income; profits (including but not limited to gross profits, net

GRAPHIC

8 profits, profit growth, net operation profit or economic profit), profit return ra-tios or operating margin; budget or operating earnings (either before or after taxes or before or after allocation of corporate overhead and bonus); cash flow (including operating cash flow and free cash flow or cash flow return on capital); return on assets; return on capital or invested capital; cost of capital; return on stockholders’ equity; total stockholder return; return on sales; costs, reductions in costs and cost control measures; expenses; working capital; earnings or loss per share; adjusted earnings or loss per share; price per share or dividends per share (or appreciation in or maintenance of such price or dividends); regulatory achievements or compliance; implementation, completion or attainment of ob-jectives relating to research, development, regulatory, commercial, or strategic milestones or developments; market share; economic value or economic value added models; division, group or corporate financial goals; customer satisfac-tion/growth; customer service; employee satisfaction; recruitment and mainte-nance of personnel; human resources management; supervision of litigation and other legal matters; strategic partnerships and transactions; financial ratios (in-cluding those measuring liquidity, activity, profitability or leverage); debt levels or reductions; sales or placement-related goals; financing and other capital rais-ing transactions; cash on hand; acquisition activity; investment sourcing activ-ity; and marketing initiatives, any of which may be measured in absolute terms or as compared to any incremental increase or decrease. Such performance goals also may be based solely by reference to the Com-pany’s performance or the performance of a subsidiary, division, business seg-ment or business unit of the Company or a subsidiary, or based upon perfor-mance relative to performance of other companies or upon comparisons of any of the indicators of performance relative to performance of other companies. When determining performance goals, the plan administrator may provide for exclusion of the impact of an event or occurrence which the plan administrator determines should appropriately be excluded, including, without limita-tion, non-recurring charges or events, acquisitions or divestitures, changes in the corporate or capital structure, events unrelated to the business or outside of the control of management, foreign exchange considerations, and legal, regulatory, tax or accounting changes. Certain Transactions In connection with certain corporate transactions and events affecting our Class A ordinary shares, including a change in control, or change in any appli-cable laws or accounting principles, the plan administrator has broad discretion to take action under the 2021 Plan to prevent the dilution or enlargement of in-tended benefits, facilitate the transaction or event or give effect to the change in applicable laws or accounting principles. This includes canceling awards for cash or property, accelerating the vesting of awards, providing for the assump-tion or substitution of awards by a successor entity, adjusting the number and type of shares subject to outstanding awards and/or with respect to which awards may be granted under the 2021 Plan and replacing or terminating awards under the 2021 Plan. In addition, in the event of certain non-reciprocal transactions with our stockholders, the plan administrator will make equitable adjustments to awards outstanding under the 2021 Plan as it deems appropriate to reflect the transaction.

GRAPHIC

9 Plan Amendment and Termination Our Board may amend or terminate the 2021 Plan at any time; however, no amendment, other than an amendment that increases the number of shares avail-able under the 2021 Plan, may materially and adversely affect an award out-standing under the 2021 Plan without the consent of the affected participant and stockholder approval will be obtained for any amendment to the extent neces-sary to comply with applicable laws. Further, the plan administrator may and shall have the right to, without the approval of our stockholders, amend any outstanding stock option or SAR to reduce its price per share. The 2021 Plan will remain in effect until the tenth anniversary of its effective date, unless ear-lier terminated by our Board. No awards may be granted under the 2021 Plan after its termination. Claw-Back Provisions, Transferability and Participant Payments All awards are subject to any Company claw-back policy as set forth in the Company’s claw-back policies or the applicable award agreement. Except as the plan administrator may determine or provide in an award agreement, awards under the 2021 Plan are generally non-transferrable, except by will or the laws of descent and distribution, or, subject to the plan administrator’s consent, pur-suant to a domestic relations order, and are generally exercisable only by the participant. With regard to tax withholding obligations arising in connection with awards under the 2021 Plan and exercise price obligations arising in con-nection with the exercise of stock options under the 2021 Plan, the plan admin-istrator may, in its discretion, accept cash, wire transfer or check, shares of our Class A ordinary shares that meet specified conditions, a promissory note, a “market sell order,” such other consideration as the plan administrator deems suitable or any combination of the foregoing. (c) Employee Share Purchase Plan (the “ESPP”) In connection with the IPO, we adopted, and our shareholders approved in a consultative vote, the 2021 Employee Share Purchase Plan. Specifically, the ESPP authorizes (1) the grant of options to employees that are intended to qual-ify for favorable U.S. federal tax treatment under Section 423 of the Code (the “Section 423 Component”), and (2) the grant of options that are not intended to be tax-qualified under Section 423 of the Code to facilitate participation for em-ployees who are not eligible to benefit from favorable U.S. federal tax treatment and, to the extent applicable, to provide flexibility to comply with non-U.S. laws and other considerations. To ensure we had the ability to implement our ESPP in 2021, we obtained ap-proval of the ESPP and a total of 5,912,794 Class A ordinary shares was initially reserved for issuance. We determined however, that it was not strategically necessary to implement the ESPP as of this time. As such, no directors or exec-utive officers have participated in the ESPP since its inception.

GRAPHIC

10 1.5. Principles of compensation for members of the Board of Directors The principles of compensation for members of the Board are provided in article 27 of the Articles.6 The Board has approved a compensation program pursuant to which the mem-bers of the Board receive, for their one-year term of office, a retainer consisting of cash and equity components, subject to prior approval by the AGM. Such director compensation program consists of the following elements and applies to our non-employee directors and directors not affiliated with certain of our shareholders: • annual cash fees of $75,000; • annual cash fees of $20,000 for Chairmanship of the Compensation Committee, $15,000 for the Chairmanship of the Nominating and Cor-porate Governance Committee, $30,000 for Chairmanship of the Au-dit Committee, and $75,000 for Chairmanship of the Board; and • an annual RSU grant on the date of the AGM vesting on the one-year anniversary of the grant date (subject to continued service). The grant value is $175,000 for the directors and $350,000 for the Chair of the Board. All cash fees are paid quarterly. We reimburse each director for out-of-pocket expenses incurred in connection with attending our Board and committee meet-ings. 1.6. Principles of compensation for members of the Executive Management The principles of compensation for the Executive Management are provided in article 28 of the Articles.7 Members of the Executive Management receive a fixed compensation consisting of a base salary, contributions to pension schemes or similar benefits and, where applicable, other benefits in cash or kind. In addi-tion, members of Executive Management are eligible for performance based short-term variable compensation and long-term variable compensation. Varia-ble compensation may be awarded in the form of shares, options or equivalent instruments (e.g., RSUs and/or PSUs), other units or in cash. The Company may procure the required shares through purchases in the market, from treasury shares or by using conditional or authorized share capital. The short-term variable compensation shall be based on the achievement of per-formance targets that are generally measured over a one-year period. Perfor-mance targets are based on enterprise and business unit, functional and individ-ual goals. The annual target level is determined as a percentage of the base sal-ary. Depending on achieved performance, the compensation may amount up to a pre-determined multiplier of target level. 6 The following is a direct link to Sportradar’s publicly filed Articles: https://www.sec.gov/Archives/ed-gar/data/1836470/000110465924036445/srad-20231231xex1d1.htm 7 The following is a direct link to Sportradar’s publicly filed Articles: https://www.sec.gov/Archives/ed-gar/data/1836470/000110465924036445/srad-20231231xex1d1.htm

GRAPHIC

11 The long-term variable compensation orients itself on performance metrics that take into account strategic objectives and/or financial objectives of the Company and the achievement of which is generally measured based on a multiannual pe-riod. The annual target level of the long-term variable compensation elements is determined as a percentage of the base salary; depending on achieved perfor-mance, the compensation may amount to up to a predetermined multiplier of target level. The Board or the Compensation Committee shall determine the con-ditions for the allocation, vesting conditions, the conditions and deadlines for the exercise thereof, and any retention periods or conditions of expiration. It may provide that, contingent upon the occurrence of certain events determined in ad-vance, such as a change in control or the termination of an employment relation-ship, that the conditions and deadlines for the exercise of rights, or retention periods, or vesting conditions are to be shortened or cancelled, that remuneration is to be paid based on an assumption of the achievement of target values, or that remuneration is to be forfeited. Certain members of the Executive Management participated in the incentive plans and programs identified in section 1.4 above. The contracts of the executive members have been concluded for an unlimited term and the members’ employment-related contracts contain notice-related pro-visions of various ranges, up to one year maximum, depending on the executive member’s role and jurisdiction. 2. Compensation awarded in 2023 2.1. Board of Directors 2.1.1. Compensation awarded to the members of the Board of Directors in 2023 (au-dited) Name Specific Board role Fee in Cash Fee in Equity (5) Pension Expenses (6) 2023 Total Compensa-tion Non- Employee Board Members Jeffery W. Yabuki Chairman 135,863 294,167 - 430,030 Deirdre Bigley Chairman of CC (1) and Member of N&CG (2) 86,046 147,079 - 233,125 John A. Doran (4) Member of CC (1) - - - - George Fleet Chairman of N&CG (2) and Member of AC (3) 81,518 147,079 21,057 249,653 Hafiz Lalani (4) Member of CC (1) and N&CG (2) - - - - Marc Walder Member of CC (1) and N&CG (2) 67,931 147,079 19,817 243,827 William Kurtz Chairman of AC (3) 58,634 147,079 - 205,712 Rajani Ramanathan Member of AC (3) 41,881 147,079 - 188,960 Charles J. Roebel Former Chairman of AC (3) 40,805 - - 40,805 Employee Board Member Carsten Koerl (4) Member - - - - Total Compensation (amounts in CHF) 512,678 1,029,560 40,874 1,583,112 (1) CC = Compensation Committee (2) N&CG = Nominating and Corporate Governance Committee (3) AC = Audit Committee (4) Messrs. Doran, Lalani and Koerl receive no compensation for Board service (5) RSUs granted to members of the Board as per section 1.5 were valued as the share closing price of our ordinary shares on the date of grant, being May 16, 2023 (6) Pension expenses include employer contributions to social insurances

GRAPHIC

12 2.1.2. Changes in the compensation compared to the previous year (audited) There have been no material changes in Board compensation from the previous year considering that the standardized annual cash component plus the annual grant of RSUs has remained unchanged per the compensation program summa-rized in section 1.4 above. Name Specific Board role Fee in Cash Fee in Equity (5) Pension Expenses (6) 2022 Total Compensa-tion Non- Employee Board Members Jeffery W. Yabuki Board Chairman and Member of AC(1) 145,253 323,435 - 468,688 Deirdre Bigley Chairman of CC(2) and Member of N&CG(3) 91,993 161,718 12,033 265,744 John A. Doran (4) Member of CC(2) - - - - George Fleet (5) Chairman of N&CG(3)and Member of AC(1) 106,519 161,718 12,165 280,401 Hafiz Lalani (4) Member of CC(2) and N&CG(3) - - - - Charles J. Robel Chairman of AC(1) 96,835 161,718 - 258,553 Marc Walder Member of CC(2)and N&CG(3) 72,626 161,718 9,249 243,592 Employee Board Member Carsten Koerl(4) Member - - - - Total Compensation to members of the Board of Directors 513,226 970,305 33,447 1,516,978 (1) AC=Audit Committee (2) CC=Compensation Committee (3) N&CG=Nominating and Corporate Governance Committee (4) Messrs. Doran, Lalani and Koerl receive no compensation for Board service (5) Fee in Cash includes an additional USD 20,000 for chairmanship of two sub-committees in 2022 (6) RSUs granted to members of the Board as per section 1.5 were valued as the share closing price of our ordinary shares on the date of grant on May 6, 2022 (7) Pension expenses include employer contributions to social insurances 2.1.3. Compliance with the resolutions of the AGM At the AGM held in May 2023, shareholders approved a maximum aggregate amount of compensation of CHF 3.0 million (including employer social security and pension contributions) for the Board for the term until the AGM in 2024. The compensation paid to the Board for this term will, based on the standardized compensation as per section 1.5 above, amount to CHF 1.6 million and is there-fore within the approved limits.

GRAPHIC

13 2.2. Executive Management 2.2.1. Compensation awarded to the members of Executive Management in 2023 (au-dited) Name Position Base Salary 2023 Cash Bo-nus Pension Ex-penses(1) Other Bene-fits Costs Equity Compensa-tion (2) Total Carsten Koerl Chief Executive Officer and Director 552,000 - 192,590 12,000 319,387 1.075,976 James Ger Griffin Chief Financial Officer 317,259 - 52,252 - 23,649,985 24,019,495 Other Executive Management 3 Members 1,070,136 - 125,486 45,136 1,187,048 2,427,807 Total Compensation (amounts in CHF) 1,939,395 - 370,327 57,136 25,156,420 27,523,278 (1) Pension Expenses include employer contributions to social insurances (2) Equity Expenses include annual cycle grants of RSUs, grants of options and RSUs to the new Chief Financial Officer and a spe-cial one-time performance grant issued in March 2023 The valuation of (i) an RSU grant is determined based on the closing price of the Company’s ordinary shares as of the date prior to the grant and (ii) a stock option is based on the fair value using the Black-Scholes model. 2.2.2. Changes in the compensation compared to the previous year (audited) Several members of the Executive Management received changes to their base salaries in line with the general compensation principles stated in section 1.3 above. Executive Management did not receive a cash bonus in 2023. Further, our Chief Financial Officer, James Ger Griffin, was hired in May 2023 and received grants of options and RSUsin 2023 that resulted in significant com-pensation expense for the year ended 2023. Such equity grants are subject to time-based vesting based on continued service though the applicable vesting dates. As previously disclosed by the Company, 8 Mr. Griffin will be departing the Company for personal reasons and, accordingly, the Company expects that such equity grants will remain unvested upon his termination and will be for-feited as a result. Name Position Base Salary 2022 Cash Bonus Pension Ex-penses(1) Other Bene-fits Costs Equity Compen-sation (2) Total Carsten Koerl Chief Executive Officer and Director 539,000 1,063,084 98,341 12,000 - 1,712,425 Other Executive Management 5 Members 1,702,701 614,431 331,771 46,321 924,100 3,619,325 Total Compensation (amounts in CHF) 2,241,701 1,677,515 430,113 58,321 924,100 5,331,750 (1) Pension expenses include employer contributions to social insurances (2) 59,952 RSUs were granted on March 31, 2022 and valued at the closing share price on March 30, 2022 8 The following is a link to the Company’s applicable Form 6-K filing with the SEC: https://investors.sportra-dar.com/node/8101/html.

GRAPHIC

14 2.2.3. Compliance with the resolutions of the AGM At the AGM held in May 2022, shareholders approved the aggregate maximum amount of compensation for Executive Management of USD 40,000,000.00 (in-cluding employer social security and pension contributions) for the next finan-cial year of the Company (i.e., January 1, 2023 to December 31, 2023). The ag-gregate amount of compensation of Executive Management for this time period was CHF 27,500,000, or USD 32,700,000 and is therefore within the approved limits. 2.3. Other Compensation (audited) 2.3.1. Loans The Company has not granted any loans and credits to the current members of Board or the Executive Management in the reporting year or in previous years. 2.3.2. Payments to persons related to members of the Board or the Executive Manage-ment The Company has not paid any compensation or granted any loans or credits to persons related to the current members of the Board or the Executive Manage-ment that are not in line with market conditions in the reporting year or in previ-ous years. 2.3.3. Payments to former members of the Board or the Executive Management The Company has not paid any compensation to former members of the Board or the Executive Management that are not in line with market conditions in the reporting year or in previous years. 3. Shares and equity-linked instruments held by members of the Board and the Executive Management (audited) The members of the Board and the Executive Management held the following numbers of shares of Sportradar Group AG as of December 31, 2023. Class A Ordinary Shares Class B Ordinary Shares Non-vested options & share awards for Class A Ordinary shares Jeffery Yabuki (Chairman of the Board) 510,885 - 29,585 Deirdre Bigley (Board Member) 17,670 - 14,792 George Fleet (Board Member) 123,135 - 14,792 Carsten Koerl (Board member and CEO) 3,531,199 903,670,701 - John Doran (Board Member) 34,079,496 - - Marc Walder (Board Member) 239,797 - 14,792 Hafiz Lalani (Board Member) - - William Kurtz (Board Member) - - 14,792 Rajani Ramanathan (Board Member) - - 14,792

GRAPHIC

15 Eduard Blonk (Chief Commercial Officer) 164,121 - - Ulrich Harmuth (Chief Strategy Officer) 453,743 - - Lynn S. McCreary (Chief Legal Officer) 24,339 - 169,781 James Ger Griffin (Chief Financial Officer) - - 3,877,519 Total 39,144,385 903,670,701 4,150,845 For further information on share ownership of the members of the Board and Executive Management, see Item 7. Major Shareholders and Related Party Transactions of the Company’s Form 20-F for the year ended 2023 available at https://investors.sportradar.com/financials-filings/annual-reports. 4. Mandates of the Board and Executive Management (audited) 4.1. Mandates of members of the Board The members of the Board have the mandates as members in the senior manage-ment or oversight bodies of legal units with an economic purpose as presented in Exhibit A hereto. 4.2. Mandates of members of the Executive Management The members of the Executive Management have the mandates as members in the senior management or oversight bodies of legal units with an economic pur-pose as presented in Exhibit A hereto.

GRAPHIC

16 Exhibit A Non-Sportradar Mandates Non-Employee Board Members Name Company Functions Jeffery W. Yabuki Motive Partners, New York, US Chairman of the Investment Committee, Chairman of the Global Advisory Council Royal Bank of Canada, Toronto, Canada Member of the Board, Member of the Human Resources Committee, Member of the Risk Committee Nasdaq Inc., New York, US Member of the Board, Member of the Management Compensation Committee, Member of the Nominating & ESG Committee Deirdre Bigley Shutterstock Inc., New York, US Member of the Board, Chairman of the Compensation Committee, Member of the Nominating and Governance Committee Wix.com Ltd., Tel Aviv, Israel Member of the Board, Member of the Compensation Committee, Member of the Nominating and Governance Committee, Member of the Audit Committee Taboola.com Ltd., New York, US Member of the Board, Member of the Audit Committee Slice, New York, US Member of the Board, Chairman of the Compensation Committee Recorded Future, Somerville, US Member of the Board John A. Doran Technology Crossover Ventures UK LLP., London, England General Partner Believe SA, Paris, France Member of the Board, Member of the Appointments and Renumeration Committee Mambu B.V., Amsterdam, Netherlands Member of the Board FlixMobility GmbH (Flixbus), Munich, Germany Member of the Board RELEX Solutions, Wiesbaden, Germany Member of the Board SuperVista AG (brillen.de), Königs Wusterhausen, Germany Member of the Board Grupa Pracuj SA, Warschau, Polen Member of the Board Zepz, London, United Kingdom Member of the Board Revolut Ltd., London, United Kingdom Observer of the Board Trade Republic Bank GmbH, Berlin, Germany Observer of the Board George Fleet Benella & Co. Limited, Sevenoaks, England Member of the Board Canaccord Genuity Limited, London, England Chairman of Advisory Casumo Holding PLC, Swieqi, Malta Chairman of the Board, Chairman of the Finance and Audit Committee, Member of the Remuneration Committee William Kurtz Aterian Inc., New York, US Chairman of the Board, Member of the Audit Committee, Member of the Compensation Committee Ripcord Inc., Hayward, US Member of the Board, Member of the Audit Committee Verint Systems, New York, US Member of the Board, Chairman of the audit committee, Member of the Governance Committee Hafiz Lalani CPP Investments, London, United Kingdom Managing Director, Head of Europe Visma AS, Oslo, Norway Member of the Board Rajani Ramanathan Guidewire Software Inc., California, US Member of the Board, Chairman of the Risk Committee, Member of the Compensation Committee Faro Technologies Inc., Florida, US Member of the Board, Member of the Talent Development and Compensation Committee

GRAPHIC

17 Hayden AI, San Francisco, US Member of the Board ESI Group, Paris, France Member of the Board Marc Walder Ringier AG, Zurich, Switzerland CEO, Managing Partner Admeira AG, Zurich, Switzerland Chairman of the Board Ringier Sports AG, Zurich, Switzerland Chairman of the Board Ringier Sports Media Group AG Member of the Board Ringier One Africa Media, South Africa Chairman of the Board Ticketcorner AG, Zurich, Switzerland Vice Chairman of the Board Ringier Axel Springer Schweiz AG, Zurich, Switzerland Vice Chairman of the Board SMG Swiss Marketplace Group, Zurich, Switzerland Member of the Board JobCloud AG, Zurich, Switzerland Member of the Board Grupa Ringier Axel Springer Polska AG, Zürich, Switzerland Member of the Board Marquard Media Group AG, Baar, Switzerland Member of the Board Pulse Africa Holding AG, Zofingen, Switzerland Chairman of the Board Ringier Serbia doo, Balgrade, Serbia Chairman of the Board Ringier Slovakia Media - Bratislava, Bratislava, Slovakia Chairman of the Board Ringier Magazine AG Chairman of the Board Grupa Ringier Axel Springer Polska AG, Zürich, Switzerland Member of the Board Executive Management Name Company Functions Carsten Koerl - - Eduard H. Blonk - - James Gerard Griffin - - Lynn S. McCreary NMI Holdings Inc., Emeryville, US Member of the Board, Member of the Risk Committee, Chairman of the Nominating and Governance Committee Thredd Group Limited, London, United Kingdom Member of the Board, Chairman of the Risk Committee Washburn University, Kansas, US Member of the Board