EX-99.1 2 okeq12023earningsrelease.htm OKE Q1 2023 EARNINGS RELEASE NEWS RELEASE okeq12023earningsrelease
-more- May 2, 2023 Analyst Contact: Megan Patterson 918-561-5325 Media Contact: Brad Borror 918-588-7582 ONEOK Announces Higher First Quarter 2023 Net Income; Affirms 2023 Financial Guidance Reports Higher NGL and Natural Gas Volumes MB-5 Fractionator Completed and Operational TULSA, Okla. - May 2, 2023 - ONEOK, Inc. (NYSE: OKE) today announced first quarter 2023 results and affirmed full-year 2023 financial guidance. First Quarter 2023 Results, Compared With First Quarter 2022: • Net income of $1.05 billion, resulting in $2.34 per diluted share (includes impact of insurance settlement). • Adjusted EBITDA of $1.72 billion (includes impact of insurance settlement). • 32% increase in natural gas gathering and processing segment adjusted EBITDA. • 11% increase in natural gas volumes processed. • 27% increase in Mid-Continent region natural gas volumes processed. • 17% increase in natural gas pipelines segment adjusted EBITDA. • 17% increase in Gulf Coast/Permian region NGL raw feed throughput volumes. “Strong first quarter results were supported by continued earnings growth in each of our businesses,” said Pierce H. Norton II, ONEOK president and chief executive officer. “Higher natural gas and natural gas liquids volumes on our system provided a solid start to 2023 and continue to drive positive financial results. “The successful completion of our Demicks Lake III natural gas processing plant and MB-5 fractionator projects provide additional system capacity and resiliency, and are examples of our continued focus on intentional and disciplined growth,” added Norton. “We remain financially well positioned, with significant balance sheet strength and flexibility to support continued growth.” Exhibit 99.1


 
ONEOK Announces Higher First Quarter 2023 Net Income; Affirms 2023 Financial Guidance May 2, 2023 Page 2 -more- FIRST QUARTER 2023 FINANCIAL HIGHLIGHTS Three Months Ended March 31, 2023 2022 (Millions of dollars, except per share amounts) Net income (a) $ 1,049 $ 391 Diluted earnings per common share (b) $ 2.34 $ 0.87 Adjusted EBITDA (a) (c) $ 1,717 $ 864 Operating income (a) $ 1,497 $ 662 Operating costs $ 296 $ 264 Depreciation and amortization $ 162 $ 154 Equity in net earnings from investments $ 40 $ 36 Maintenance capital $ 22 $ 40 Capital expenditures (includes maintenance) $ 289 $ 257 (a) Amounts for the three months ended March 31, 2023, include a pre-tax benefit of $733 million related to the Medford incident, including a one-time insurance settlement gain of $779 million, offset partially by $46 million of third-party fractionation costs incurred during the first quarter 2023. (b) Amounts for the three months ended March 31, 2023, include $1.26 per diluted share after tax related to the net impact of the Medford incident described above. (c) Adjusted earnings before interest, taxes, depreciation and amortization (adjusted EBITDA) is a non-GAAP measure. HIGHLIGHTS: • In April 2023, Moody’s upgraded ONEOK’s credit rating to Baa2 from Baa3. • In April 2023, ONEOK declared a quarterly dividend of 95.5 cents per share, or $3.82 per share on an annualized basis. • Capital-growth projects: ◦ In February 2023, ONEOK’s 200 million cubic feet per day (MMcf/d) Demicks Lake III processing plant in the Williston Basin was completed and is operational. ◦ In April 2023, ONEOK’s 125,000 barrel per day (bpd) MB-5 fractionator in Mont Belvieu, Texas, was completed and is operational. • 149 wells connected in the Rocky Mountain region in the first quarter 2023, compared with 91 in the first quarter 2022. • In April, ONEOK announced it will redeem its $500 million, 7.5% senior notes due September 2023 with cash on hand. The redemption effective date will be June 2023. • More than $1 billion in net debt reduction compared with first quarter 2022. • As of March 31, 2023: ◦ 2.8 times trailing 12-month net-debt-to-EBITDA ratio (3.4 times excluding the insurance settlement impact). ◦ No borrowings outstanding under ONEOK’s $2.5 billion credit agreement.


 
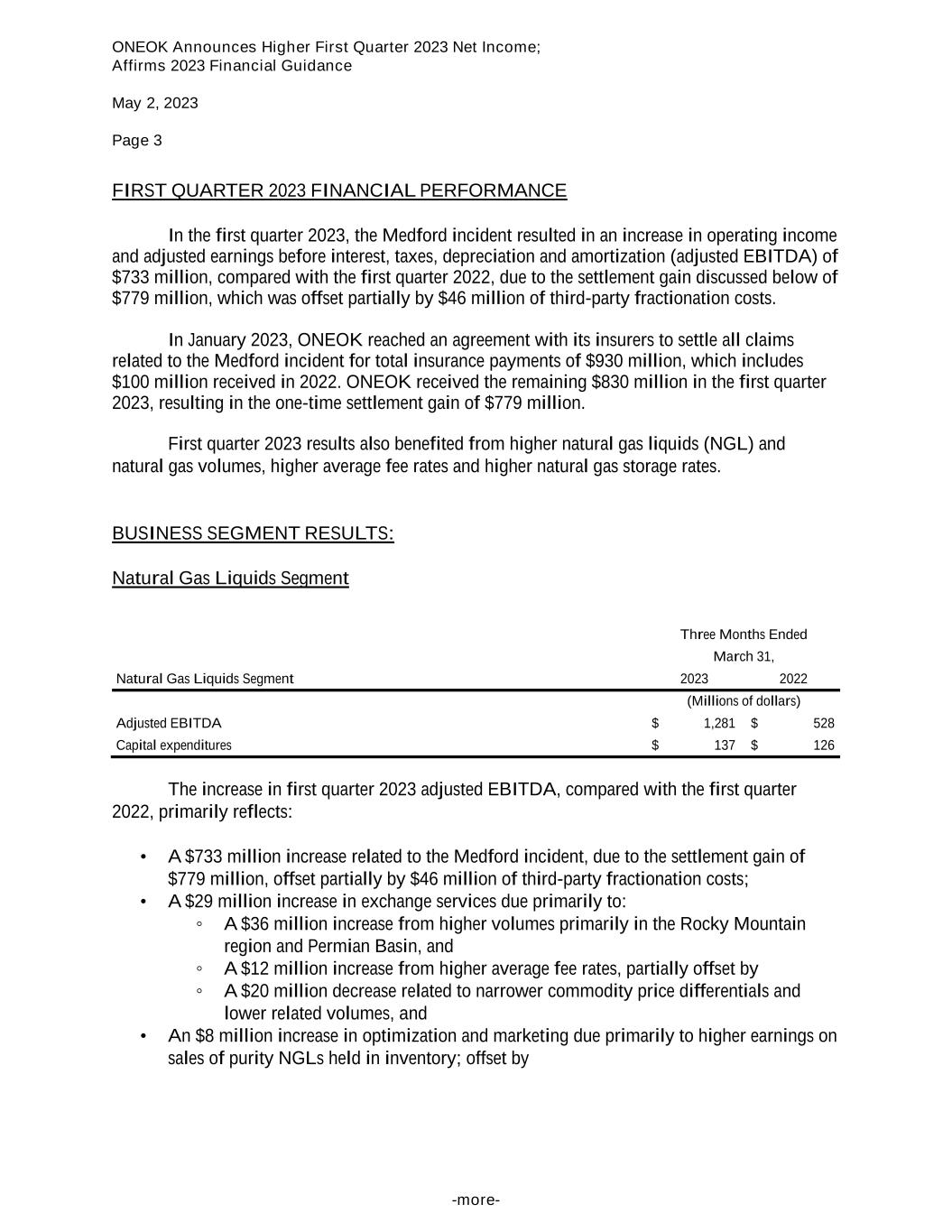
ONEOK Announces Higher First Quarter 2023 Net Income; Affirms 2023 Financial Guidance May 2, 2023 Page 3 -more- FIRST QUARTER 2023 FINANCIAL PERFORMANCE In the first quarter 2023, the Medford incident resulted in an increase in operating income and adjusted earnings before interest, taxes, depreciation and amortization (adjusted EBITDA) of $733 million, compared with the first quarter 2022, due to the settlement gain discussed below of $779 million, which was offset partially by $46 million of third-party fractionation costs. In January 2023, ONEOK reached an agreement with its insurers to settle all claims related to the Medford incident for total insurance payments of $930 million, which includes $100 million received in 2022. ONEOK received the remaining $830 million in the first quarter 2023, resulting in the one-time settlement gain of $779 million. First quarter 2023 results also benefited from higher natural gas liquids (NGL) and natural gas volumes, higher average fee rates and higher natural gas storage rates. BUSINESS SEGMENT RESULTS: Natural Gas Liquids Segment Three Months Ended March 31, Natural Gas Liquids Segment 2023 2022 (Millions of dollars) Adjusted EBITDA $ 1,281 $ 528 Capital expenditures $ 137 $ 126 The increase in first quarter 2023 adjusted EBITDA, compared with the first quarter 2022, primarily reflects: • A $733 million increase related to the Medford incident, due to the settlement gain of $779 million, offset partially by $46 million of third-party fractionation costs; • A $29 million increase in exchange services due primarily to: ◦ A $36 million increase from higher volumes primarily in the Rocky Mountain region and Permian Basin, and ◦ A $12 million increase from higher average fee rates, partially offset by ◦ A $20 million decrease related to narrower commodity price differentials and lower related volumes, and • An $8 million increase in optimization and marketing due primarily to higher earnings on sales of purity NGLs held in inventory; offset by


 
ONEOK Announces Higher First Quarter 2023 Net Income; Affirms 2023 Financial Guidance May 2, 2023 Page 4 -more- • A $26 million increase in operating costs due primarily to higher outside service costs, higher employee-related costs and higher property taxes related primarily to the growth of ONEOK’s operations. Natural Gas Gathering and Processing Segment Three Months Ended March 31, Natural Gas Gathering and Processing Segment 2023 2022 (Millions of dollars) Adjusted EBITDA $ 283 $ 215 Capital expenditures $ 98 $ 93 The increase in first quarter 2023 adjusted EBITDA, compared with the first quarter 2022, primarily reflects: • A $49 million increase from higher average fee rates and higher realized natural gas and condensate prices, net of hedging, partially offset by lower realized NGL prices, net of hedging; and • A $31 million increase from higher volumes due primarily to increased producer activity in the Mid-Continent and Rocky Mountain regions; offset by • A $12 million increase in operating costs due primarily to higher employee-related costs and higher materials and supplies expense due primarily to the growth of ONEOK’s operations. Natural Gas Pipelines Segment Three Months Ended March 31, Natural Gas Pipelines Segment 2023 2022 (Millions of dollars) Adjusted EBITDA $ 145 $ 124 Capital expenditures $ 46 $ 23 The increase in first quarter 2023 adjusted EBITDA, compared with the first quarter 2022, primarily reflects: • A $17 million increase in storage services due primarily to higher storage rates on renegotiated contracts; and • A $5 million increase in transportation services due primarily to higher firm and interruptible volumes; offset by


 
ONEOK Announces Higher First Quarter 2023 Net Income; Affirms 2023 Financial Guidance May 2, 2023 Page 5 -more- • A $4 million increase in operating costs due primarily to higher employee-related costs. EARNINGS CONFERENCE CALL AND WEBCAST: ONEOK executive management will conduct a conference call at 11 a.m. Eastern Daylight Time (10 a.m. Central Daylight Time) on May 3, 2023. The call also will be carried live on ONEOK’s website. To participate in the telephone conference call, dial 877-883-0383, entry number 1413977, or log on to www.oneok.com. If you are unable to participate in the conference call or the webcast, the replay will be available on ONEOK’s website, www.oneok.com, for one year. A recording will be available by phone for seven days. The playback call may be accessed at 877-344-7529, access code 6620798. LINK TO EARNINGS TABLES AND PRESENTATION: https://ir.oneok.com/financial-information/financial-reports NON-GAAP (GENERALLY ACCEPTED ACCOUNTING PRINCIPLES) FINANCIAL MEASURES: ONEOK has disclosed in this news release adjusted earnings before interest, taxes, depreciation and amortization (adjusted EBITDA), which is a non-GAAP financial metric, used to measure the company’s financial performance. Adjusted EBITDA is defined as net income adjusted for interest expense, depreciation and amortization, noncash impairment charges, income taxes, noncash compensation expense, allowance for equity funds used during construction (equity AFUDC), and other noncash items. Adjusted EBITDA is useful to investors because it, and similar measures, is used by many companies in the industry as a measure of financial performance and is commonly employed by financial analysts and others to evaluate ONEOK’s financial performance and to compare the company’s financial performance with the performance of other companies within the industry. Adjusted EBITDA should not be considered in isolation or as a substitute for net income or any other measure of financial performance presented in accordance with GAAP. This non-GAAP financial measure excludes some, but not all, items that affect net income. Additionally, this calculation may not be comparable with similarly titled measures of other companies. A reconciliation of net income to adjusted EBITDA is included in the tables.


 
ONEOK Announces Higher First Quarter 2023 Net Income; Affirms 2023 Financial Guidance May 2, 2023 Page 6 -more- ONEOK, Inc. (pronounced ONE-OAK) (NYSE: OKE) is a leading midstream service provider and owns one of the nation's premier natural gas liquids (NGL) systems, connecting NGL supply in the Rocky Mountain, Permian and Mid- Continent regions with key market centers and owns an extensive network of gathering, processing, fractionation, transportation and storage assets. ONEOK is a FORTUNE 500 company and is included in S&P 500. For information about ONEOK, visit the website: www.oneok.com. For the latest news about ONEOK, find us on LinkedIn, Instagram, Facebook and Twitter. This news release contains certain "forward-looking statements" within the meaning of federal securities laws. Words such as “anticipates,” “believes,” “continues,” “could,” “estimates,” “expects,” “forecasts,” “goal,” “guidance,” “intends,” “may,” “might,” “outlook,” “plans,” “potential,” “projects,” “scheduled,” “should,” “target,” “will,” “would,” and similar expressions may be used to identify forward-looking statements. Forward-looking statements are not statements of historical fact and reflect our current views about future events. Such forward-looking statements include, but are not limited to, statements about the benefits of the transaction involving us, including future financial and operating results, our plans, objectives, expectations and intentions, and other statements that are not historical facts, including future results of operations, projected cash flow and liquidity, business strategy, expected synergies or cost savings, and other plans and objectives for future operations. No assurances can be given that the forward-looking statements contained in this news release will occur as projected and actual results may differ materially from those projected. Forward-looking statements are based on current expectations, estimates and assumptions that involve a number of risks and uncertainties, many of which are beyond our control, and are not guarantees of future results. Accordingly, there are or will be important factors that could cause actual results to differ materially from those indicated in such statements and, therefore, you should not place undue reliance on any such statements and caution must be exercised in relying on forward-looking statements. These risks and uncertainties include, without limitation, the following: • the impact of inflationary pressures, including increased interest rates, which may increase our capital expenditures and operating costs, raise the cost of capital or depress economic growth; • the impact on drilling and production by factors beyond our control, including the demand for natural gas, NGLs and crude oil; producers’ desire and ability to drill and obtain necessary permits; regulatory compliance; reserve performance; and capacity constraints and/or shut downs on the pipelines that transport crude oil, natural gas and NGLs from producing areas and our facilities; • risks associated with adequate supply to our gathering, processing, fractionation and pipeline facilities, including production declines that outpace new drilling, the shutting-in of production by producers, actions taken by federal, state or local governments to require producers to prorate or to cut their production levels as a way to address any excess market supply situations or extended periods of ethane rejection; • demand for our services and products in the proximity of our facilities; • economic climate and growth in the geographic areas in which we operate; • the risk of a slowdown in growth or decline in the United States or international economies, including liquidity risks in United States or foreign credit markets; • the possibility of future terrorist attacks or the possibility or occurrence of an outbreak of, or changes in, hostilities or changes in the political conditions throughout the world, including the current conflict in Ukraine and the surrounding region; • performance of contractual obligations by our customers, service providers, contractors and shippers; • the effects of changes in governmental policies and regulatory actions, including changes with respect to income and other taxes, pipeline safety, environmental compliance, cybersecurity, climate change initiatives, emissions credits, carbon offsets, carbon pricing, production limits and authorized rates of recovery of natural gas and natural gas transportation costs; • changes in demand for the use of natural gas, NGLs and crude oil because of the development of new technologies or other market conditions caused by concerns about climate change;


 
ONEOK Announces Higher First Quarter 2023 Net Income; Affirms 2023 Financial Guidance May 2, 2023 Page 7 -more- • the impact of the transformation to a lower-carbon economy, including the timing and extent of the transformation, as well as the expected role of different energy sources, including natural gas, NGLs and crude oil, in such a transformation; • the pace of technological advancements and industry innovation, including those focused on reducing GHG emissions and advancing other climate-related initiatives, and our ability to take advantage of those innovations and developments; • the effectiveness of our risk-management function, including mitigating cyber- and climate-related risks; • our ability to identify and execute opportunities, and the economic viability of those opportunities, including those relating to renewable natural gas, carbon capture, use and storage, other renewable energy sources such as solar and wind and alternative low carbon fuel sources such as hydrogen; • the ability of our existing assets and our ability to apply and continue to develop our expertise to support the growth of, and transformation to, various renewable and alternative energy opportunities, including through the positioning and optimization of our assets; • our ability to efficiently reduce our GHG emissions (both Scope 1 and 2 emissions), including through the use of lower carbon power alternatives, management practices and system optimizations; • the necessity to focus on maintaining and enhancing our existing assets while reducing our Scope 1 and 2 GHG emissions; • the effects of weather and other natural phenomena and the effects of climate change (including physical and transformation-related effects) on our operations, demand for our services and commodity prices; • acts of nature, sabotage, terrorism or other similar acts that cause damage to our facilities or our suppliers’, customers’ or shippers’ facilities; • the inability of insurance proceeds to cover all liabilities or incurred costs and losses, or lost earnings, resulting from a loss; • delays in receiving insurance proceeds from covered losses; • the risk of increased costs for insurance premiums, or less favorable coverage; • increased costs as a consequence of terrorist attacks, including security related measures; • the timing and extent of changes in energy commodity prices, including changes due to production decisions by other countries, such as the failure of countries to abide by agreements to reduce production volumes; • competition from other United States and foreign energy suppliers and transporters, as well as alternative forms of energy, including, but not limited to, solar power, wind power, geothermal energy and biofuels such as ethanol and biodiesel; • the ability to market pipeline capacity on favorable terms, including the effects of: – future demand for and prices of natural gas, NGLs and crude oil; – competitive conditions in the overall energy market; – availability of supplies of United States natural gas and crude oil; and – availability of additional storage capacity; • the efficiency of our plants in processing natural gas and extracting and fractionating NGLs; • the composition and quality of the natural gas and NGLs we gather and process in our plants and transport on our pipelines; • risks of marketing, trading and hedging activities, including the risks of changes in commodity prices or the financial condition of our counterparties; • our ability to control operating costs and make cost-saving changes; • the risks inherent in the use of information systems in our respective businesses and those of our counterparties and service providers, including cyber-attacks, which, according to experts, have increased in volume and sophistication since the beginning of the COVID-19 pandemic; implementation of new software and hardware; and the impact on the timeliness of information for financial reporting; • the timely receipt of approval by applicable governmental entities for construction and operation of our pipeline and other projects and required regulatory clearances; • the ability to recover operating costs and amounts equivalent to income taxes, costs of property, plant and equipment and regulatory assets in our state and FERC-regulated rates; • the results of governmental actions, administrative proceedings and litigation, regulatory actions, executive orders, rule changes and receipt of expected clearances involving any local, state or federal regulatory body, including the FERC, the National Transportation Safety Board, Homeland Security, the Pipeline and Hazardous Materials Safety Administration (PHMSA), the U.S. Environmental Protection Agency (EPA) and the U.S. Commodity Futures Trading Commission (CFTC); • the mechanical integrity of facilities and pipelines operated;


 
ONEOK Announces Higher First Quarter 2023 Net Income; Affirms 2023 Financial Guidance May 2, 2023 Page 8 -more- • the capital-intensive nature of our businesses; • the impact of unforeseen changes in interest rates, debt and equity markets, inflation rates, economic recession and other external factors over which we have no control, including the effect on pension and postretirement expense and funding resulting from changes in equity and bond market returns; • actions by rating agencies concerning our credit; • our indebtedness and guarantee obligations could cause adverse consequences, including making us vulnerable to general adverse economic and industry conditions, limiting our ability to borrow additional funds and placing us at competitive disadvantages compared with our competitors that have less debt; • our ability to access capital at competitive rates or on terms acceptable to us; • our ability to acquire all necessary permits, consents or other approvals in a timely manner, to promptly obtain all necessary materials and supplies required for construction, and to construct gathering, processing, fractionation, transportation and storage facilities without labor or contractor problems; • our ability to control construction costs and completion schedules of our pipelines and other projects; • difficulties or delays experienced by trucks, railroads or pipelines in delivering products to or from our terminals or pipelines; • the uncertainty of estimates, including accruals and costs of environmental remediation; • the impact of uncontracted capacity in our assets being greater or less than expected; • the impact of potential impairment charges; • the profitability of assets or businesses acquired or constructed by us; • the risks associated with pending or possible acquisitions and dispositions, including our ability to finance or integrate any such acquisitions and any regulatory delay or conditions imposed by regulatory bodies in connection with any such acquisitions and dispositions; • the risk that material weaknesses or significant deficiencies in our internal controls over financial reporting could emerge or that minor problems could become significant; • the impact and outcome of pending and future litigation; • the impact of recently issued and future accounting updates and other changes in accounting policies; and • the risk factors listed in the reports we have filed, which are incorporated by reference, and may file with the SEC; and • the length, severity and reemergence of a pandemic or other health crisis, such as the COVID-19 pandemic and the measures taken to address it, which may (as with COVID-19) precipitate or exacerbate one or more of the factors herein, reduce the demand for natural gas, NGLs and crude oil and significantly disrupt or prevent us and our customers and counterparties from operating in the ordinary course of business for an extended period and increase the cost of operating our business. These reports are also available from the sources described below. Forward-looking statements are based on the estimates and opinions of management at the time the statements are made. ONEOK undertakes no obligation to publicly update any forward-looking statement, whether as a result of new information, future events or changes in circumstances, expectations or otherwise. The foregoing review of important factors should not be construed as exhaustive and should be read in conjunction with the other cautionary statements that are included herein and elsewhere, including the Risk Factors included in the most recent reports on Form 10-K and Form 10-Q and other documents of ONEOK on file with the SEC. ONEOK's SEC filings are available publicly on the SEC's website at www.sec.gov. ###


 
ONEOK Announces Higher First Quarter 2023 Net Income; Affirms 2023 Financial Guidance May 2, 2023 Page 9 -more- ONEOK, Inc. and Subsidiaries CONSOLIDATED STATEMENTS OF INCOME Three Months Ended March 31, (Unaudited) 2023 2022 (Millions of dollars, except per share amounts) Revenues Commodity sales $ 4,156 $ 5,105 Services 365 340 Total revenues 4,521 5,445 Cost of sales and fuel (exclusive of items shown separately below) 3,347 4,366 Operations and maintenance 239 214 Depreciation and amortization 162 154 General taxes 57 50 Other operating (income) expense, net (781) (1) Operating income 1,497 662 Equity in net earnings from investments 40 36 Other income (expense), net 8 (13) Interest expense (net of capitalized interest of $18 and $12, respectively) (166) (172) Income before income taxes 1,379 513 Income taxes (330) (122) Net income 1,049 391 Less: Preferred stock dividends — — Net income available to common shareholders $ 1,049 $ 391 Basic earnings per common share $ 2.34 $ 0.87 Diluted earnings per common share $ 2.34 $ 0.87 Average shares (millions) Basic 448 447 Diluted 449 448


 
ONEOK Announces Higher First Quarter 2023 Net Income; Affirms 2023 Financial Guidance May 2, 2023 Page 10 -more- ONEOK, Inc. and Subsidiaries CONSOLIDATED BALANCE SHEETS March 31, December 31, (Unaudited) 2023 2022 Assets (Millions of dollars) Current assets Cash and cash equivalents $ 680 $ 220 Accounts receivable, net 1,153 1,532 Materials and supplies 157 149 NGLs and natural gas in storage 399 432 Commodity imbalances 22 43 Other current assets 158 172 Total current assets 2,569 2,548 Property, plant and equipment Property, plant and equipment 25,252 25,015 Accumulated depreciation and amortization 5,212 5,063 Net property, plant and equipment 20,040 19,952 Investments and other assets Investments in unconsolidated affiliates 789 802 Goodwill and net intangible assets 750 753 Other assets 316 324 Total investments and other assets 1,855 1,879 Total assets $ 24,464 $ 24,379


 
ONEOK Announces Higher First Quarter 2023 Net Income; Affirms 2023 Financial Guidance May 2, 2023 Page 11 -more- ONEOK, Inc. and Subsidiaries CONSOLIDATED BALANCE SHEETS (Continued) March 31, December 31, (Unaudited) 2023 2022 Liabilities and equity (Millions of dollars) Current liabilities Current maturities of long-term debt $ 500 $ 925 Accounts payable 1,074 1,359 Commodity imbalances 220 254 Accrued taxes 150 136 Accrued interest 137 233 Operating lease liability 12 12 Other current liabilities 89 132 Total current liabilities 2,182 3,051 Long-term debt, excluding current maturities 12,728 12,696 Deferred credits and other liabilities Deferred income taxes 2,027 1,739 Operating lease liability 66 68 Other deferred credits 329 331 Total deferred credits and other liabilities 2,422 2,138 Commitments and contingencies Equity ONEOK shareholders’ equity: Preferred stock, $0.01 par value: authorized and issued 20,000 shares at March 31, 2023, and December 31, 2022 — — Common stock, $0.01 par value: authorized 1,200,000,000 shares; issued 474,916,234 shares and outstanding 447,441,008 shares at March 31, 2023; issued 474,916,234 shares and outstanding 447,157,771 shares at December 31, 2022 5 5 Paid-in capital 7,253 7,253 Accumulated other comprehensive loss (99) (108) Retained earnings 672 50 Treasury stock, at cost: 27,475,226 shares at March 31, 2023, and 27,758,463 shares at December 31, 2022 (699) (706) Total equity 7,132 6,494 Total liabilities and equity $ 24,464 $ 24,379


 
ONEOK Announces Higher First Quarter 2023 Net Income; Affirms 2023 Financial Guidance May 2, 2023 Page 12 -more- ONEOK, Inc. and Subsidiaries CONSOLIDATED STATEMENTS OF CASH FLOWS Three Months Ended March 31, (Unaudited) 2023 2022 (Millions of dollars) Operating activities Net income $ 1,049 $ 391 Adjustments to reconcile net income to net cash provided by operating activities: Depreciation and amortization 162 154 Equity in net earnings from investments (40) (36) Distributions received from unconsolidated affiliates 43 36 Deferred income taxes 285 111 Medford settlement gain (779) — Medford settlement proceeds 502 — Other, net 18 25 Changes in assets and liabilities: Accounts receivable 329 (244) NGLs and natural gas in storage, net of commodity imbalances 20 (47) Accounts payable (237) 385 Accrued interest (96) (99) Risk-management assets and liabilities 26 (119) Other assets and liabilities, net (61) (94) Cash provided by operating activities 1,221 463 Investing activities Capital expenditures (less allowance for equity funds used during construction) (289) (257) Distributions received from unconsolidated affiliates in excess of cumulative earnings 8 10 Medford settlement proceeds 328 — Other, net — 3 Cash provided by (used in) investing activities 47 (244) Financing activities Dividends paid (427) (417) Short-term borrowings, net — 78 Issuance of long-term debt, net of discounts 50 — Repayment of long-term debt (425) — Other, net (6) (11) Cash used in financing activities (808) (350) Change in cash and cash equivalents 460 (131) Cash and cash equivalents at beginning of period 220 146 Cash and cash equivalents at end of period $ 680 $ 15


 
ONEOK Announces Higher First Quarter 2023 Net Income; Affirms 2023 Financial Guidance May 2, 2023 Page 13 -more- ONEOK, Inc. and Subsidiaries INFORMATION AT A GLANCE Three Months Ended March 31, (Unaudited) 2023 2022 (Millions of dollars, except as noted) Natural Gas Liquids Operating costs, excluding noncash compensation adjustments $ 146 $ 120 Depreciation and amortization $ 78 $ 75 Equity in net earnings from investments $ 9 $ 5 Adjusted EBITDA $ 1,281 $ 528 Raw feed throughput (MBbl/d) (a) 1,256 1,212 Average Conway-to-Mont Belvieu OPIS price differential - ethane in ethane/propane mix ($/gallon) $ 0.03 $ 0.02 Capital expenditures $ 137 $ 126 (a) - Represents physical raw feed volumes on which ONEOK provides transportation and/or fractionation services. Natural Gas Gathering and Processing Operating costs, excluding noncash compensation adjustments $ 101 $ 89 Depreciation and amortization $ 67 $ 63 Equity in net earnings from investments $ — $ 2 Adjusted EBITDA $ 283 $ 215 Natural gas processed (BBtu/d) (a) (b) 2,794 2,517 Average fee rate ($/MMBtu) (a) $ 1.13 $ 1.04 Capital expenditures $ 98 $ 93 (a) - Includes volumes for consolidated entities only. (b) - Includes volumes ONEOK processed at company-owned and third-party facilities. Natural Gas Pipelines Operating costs, excluding noncash compensation adjustments $ 43 $ 39 Depreciation and amortization $ 17 $ 15 Equity in net earnings from investments $ 31 $ 29 Adjusted EBITDA $ 145 $ 124 Natural gas transportation capacity contracted (MDth/d) (a) 7,693 7,527 Transportation capacity contracted (a) 96 % 96 % Capital expenditures $ 46 $ 23 (a) - Includes volumes for consolidated entities only.


 
ONEOK Announces Higher First Quarter 2023 Net Income; Affirms 2023 Financial Guidance May 2, 2023 Page 14 -more- ONEOK, Inc. RECONCILIATION OF NON-GAAP FINANCIAL MEASURES Three Months Ended March 31, (Unaudited) 2023 2022 (Millions of dollars) Reconciliation of net income to adjusted EBITDA Net income (a) $ 1,049 $ 391 Interest expense, net of capitalized interest 166 172 Depreciation and amortization 162 154 Income taxes 330 122 Noncash compensation expense and other 10 25 Adjusted EBITDA (a) $ 1,717 $ 864 (a) Amounts for the three months ended March 31, 2023, include a pre-tax benefit of $733 million related to the Medford incident, including a one-time insurance settlement gain of $779 million, offset partially by $46 million of third-party fractionation costs incurred during the first quarter 2023.