EX-10.1 2 a2024q4exhibit101.htm EX-10.1 a2024q4exhibit101
EXECUTION VERSION 13723822v8 AMENDMENT NO. 6 This AMENDMENT NO. 6 dated as of August 12, 2024 (this “Amendment”), is entered into among MERCURY SYSTEMS, INC., a Massachusetts corporation (the “Borrower”), certain subsidiaries of the Borrower, as Guarantors, the Lenders party hereto, and BANK OF AMERICA, N.A., in its capacity as administrative agent for the Lenders (in such capacity, the “Administrative Agent”), and amends the Credit Agreement dated as of May 2, 2016 (as amended, supplemented or otherwise modified from time to time prior to the date hereof, including pursuant to Amendment No. 1, dated as of June 27, 2017, Amendment No. 2, dated as of December 21, 2017, Amendment No. 3, dated as of September 28, 2018, Amendment No. 4, dated as of February 28, 2022 and Amendment No. 5, dated as of November 7, 2023, the “Existing Credit Agreement”), entered into among the Borrower, the Guarantors party thereto, the Lenders from time to time party thereto and the other parties thereto. Capitalized terms used herein and not otherwise defined herein shall have the meanings ascribed to them in the Amended Credit Agreement (as defined below). W I T N E S S E T H: WHEREAS, the Borrower has requested that the Existing Credit Agreement be amended as set forth herein; WHEREAS, on the Amendment No. 6 Effective Date (as defined below), each Lender that shall have delivered its signature to this Amendment shall be deemed to have consented to the amendments and modifications to the Existing Credit Agreement effected hereby; and WHEREAS, the Administrative Agent, the Borrower, the Guarantors and the Lenders party hereto (which Lenders constitute the Required Lenders) desire to memorialize the terms of this Amendment and make certain other amendments as set forth herein in accordance with Section 11.01 of the Existing Credit Agreement, with such amendment to become effective on the Amendment No. 6 Effective Date. NOW, THEREFORE, in consideration of the premises and for other good and valuable consideration (the receipt and sufficiency of which is hereby acknowledged), the parties hereto, intending to be legally bound hereby, agree as follows: 1. Amendments. Effective as of the Amendment No. 6 Effective Date, and subject to the terms and conditions set forth herein: (a) The Existing Credit Agreement is hereby amended to delete the stricken text (indicated textually in the same manner as the following example: stricken text) and to add the double-underlined text (indicated textually in the same manner as the following example: double-underlined text) as set forth in the pages to the Existing Credit Agreement attached as Exhibit A hereto. (b) Schedule 2.01 of the Existing Credit Agreement is hereby amended and restated in its entirety with the modified schedule of Lenders and Commitments attached as Schedule 2.01 attached hereto.


 
-2- 13723822v8 (c) Exhibit 7.02(a) of the Existing Credit Agreement is hereby amended and restated in its entirety with the modified Form of Compliance Certificate attached as Exhibit B attached hereto. The Existing Credit Agreement as so amended pursuant to this Section 1 is referred to for purposes of this Amendment as the “Amended Credit Agreement”. 2. Conditions to Effectiveness. This Amendment shall become effective on the date (the “Amendment No. 6 Effective Date”) when each of the following conditions shall have been satisfied: (a) The Administrative Agent shall have received counterparts of this Amendment executed and delivered by a duly authorized officer of each of the Credit Parties, the Administrative Agent and Lenders constituting the Required Lenders. (b) The Administrative Agent shall have received a certificate of a Responsible Officer to the effect that the representations and warranties set forth in Section 3 hereof are true and correct. (c) [Reserved]. (d) Prior to or substantially concurrently with the occurrence of the Amendment No. 6 Effective Date, to the extent invoiced at least one (1) Business Day prior to the Amendment No. 6 Effective Date, all reasonable and documented out-of-pocket expenses of the Administrative Agent in connection with this Amendment and as otherwise required under the Existing Credit Agreement or as otherwise separately agreed in writing on or prior to the date hereof between the Administrative Agent and the Borrower. 3. Representations and Warranties. On and as of the Amendment No. 6 Effective Date, each Credit Party hereby represents and warrants to the Administrative Agent and each Lender party hereto, immediately after giving effect to this Amendment, that: (a) The representations and warranties of the Borrower and each other Credit Party contained in Article 6 of the Amended Credit Agreement or any other Credit Document are true and correct in all material respects (except that any representation and warranty that is qualified as to “materiality” or “Material Adverse Effect” or similar language is true and correct (after giving effect to any qualification therein) in all respects) on and as of the date hereof, except to the extent that such representations and warranties specifically refer to an earlier date, in which case they shall be true and correct in all material respects (except that any representation and warranty that is qualified as to “materiality” or “Material Adverse Effect” or similar language shall be true and correct (after giving effect to any qualification therein) in all respects) as of such earlier date; and (b) No Default or Event of Default exists.


 
-3- 13723822v8 4. Post-Effective Date Actions. The Credit Parties shall, as applicable, complete each of the actions described in Exhibit C by no later than the date set forth in Exhibit C with respect to such action or such later date as the Administrative Agent may agree in its sole discretion. 5. Reference to the Effect on the Credit Documents. (a) Each reference in the Existing Credit Agreement to “this Agreement,” “hereunder,” “hereof,” “herein,” or words of like import and each reference in the other Credit Documents to the Existing Credit Agreement (including, without limitation, by means of words like “thereunder,” “thereof” and words of like import), shall mean and be a reference to the Amended Credit Agreement. (b) Except as expressly amended hereby, all of the terms and provisions of the Credit Documents are and shall remain in full force and effect and are hereby ratified and confirmed. (c) The execution, delivery and effectiveness of this Amendment shall not, except as expressly provided herein, operate as a waiver of any right, power or remedy of the Lenders, the Borrower or the Administrative Agent under any of the Credit Documents, nor constitute a waiver or amendment of any other provision of any of the Credit Documents or for any purpose except as expressly set forth herein. (d) On and after the effectiveness of this Amendment, this Amendment shall for all purposes constitute a Credit Document. 6. Reaffirmation. Each Credit Party hereby consents to this Amendment and acknowledges and agrees that, notwithstanding the execution and delivery of this Amendment, (a) the Loan Obligations are valid and subsisting obligations of each Credit Party that are not subject to any credits, offsets, defenses, claims, counterclaims, or adjustments of any kind and (b) the Collateral Documents and, to the extent such Credit Party is a party thereto, the Guaranty provided to the Administrative Agent by such Credit Party remain in full force and effect and the security interest granted by such Credit Party under the Collateral Documents shall secure all Secured Obligations (as defined in the Amended Credit Agreement), and the rights and remedies of the Administrative Agent thereunder and the obligations and liabilities of such Credit Party thereunder, in each case, as have been amended by this Amendment, remain in full force and effect and shall not be affected, impaired or discharged hereby. This Amendment does not constitute a novation of the Existing Credit Agreement. 7. Execution in Counterparts; Effectiveness. This Amendment may be in the form of an Electronic Record and may be executed using Electronic Signatures (including, without limitation, facsimile and .pdf) and shall be considered an original for all purposes, and shall have the same legal effect, validity and enforceability as a paper record. This Amendment may be executed in as many counterparts as necessary or convenient, including both paper and electronic counterparts, but all such counterparts are one and the same Amendment. For the avoidance of doubt, the authorization under this paragraph may


 
-4- 13723822v8 include, without limitation, use or acceptance by the Administrative Agent of a manually signed paper Communication which has been converted into electronic form (such as scanned into PDF format), or an electronically signed Communication converted into another format, for transmission, delivery and/or retention. Notwithstanding anything contained herein to the contrary, the Administrative Agent is under no obligation to accept an Electronic Signature in any form or in any format unless expressly agreed to by the Administrative Agent pursuant to procedures approved by it; provided, further, without limiting the foregoing, (a) to the extent the Administrative Agent has agreed to accept such Electronic Signature, the Administrative and each of the Lenders shall be entitled to rely on any such Electronic Signature without further verification and (b) upon the request of the Administrative Agent or any Lender, any Electronic Signature shall be promptly followed by a manually executed, original counterpart. For purposes hereof, “Electronic Record” and “Electronic Signature” shall have the meanings assigned to them, respectively, by 15 USC §7006, as it may be amended from time to time. 8. Incorporation of Agreement. Except as specifically modified herein, the terms of the Credit Documents shall remain in full force and effect. The execution, delivery, and effectiveness of this Amendment shall not operate as a waiver of any right, power, or remedy of the Administrative Agent or the Lenders under the Credit Documents or constitute a waiver or amendment of any provision of the Credit Documents, except as expressly set forth herein. 9. Governing Law; Jurisdiction; Etc. The governing law, submission to jurisdiction, waiver of venue, service of process and waiver of jury trial provisions set forth in Sections 11.14 and 11.15 of the Existing Credit Agreement shall apply to this Amendment, mutatis mutandis. 10. Section Titles. Section headings herein and in the other Credit Documents are included for convenience of reference only and shall not affect the interpretation of this Amendment or any other Credit Document. 11. Severability. If any provision of this Amendment or the other Credit Documents is held to be illegal, invalid or unenforceable, the legality, validity and enforceability of the remaining provisions of this Amendment and the other Credit Documents shall not be affected or impaired thereby and the parties shall endeavor in good faith negotiations to replace the illegal, invalid or unenforceable provisions with valid provisions the economic effect of which comes as close as possible to that of the illegal, invalid or unenforceable provisions. The invalidity of a provision in a particular jurisdiction shall not invalidate or render unenforceable such provision in any other jurisdiction. 12. Successors. The terms of this Amendment shall be binding upon, and shall inure to the benefit of, the parties hereto and their respective permitted successors and assigns.


 


 
[Signature Page to Amendment No. 6] BANK OF AMERICA, N.A., as Administrative Agent By: ___________________________________ Name: Gerund Diamond Title: Vice President


 


 


 
[Signature Page to Amendment No. 6] JPMORGAN CHASE BANK, N.A., as a Lender By: ___________________________________ Name: Title: Elizabeth O'Conor Authorized Officer


 


 
[Signature Page to Amendment No. 6] TRUIST BANK, as a Lender By: ___________________________________ Name: William S Krueger Title: Senior Vice President William S Krueger Digitally signed by William S Krueger Date: 2024.08.06 15:52:19 -04'00'


 
[Signature Page to Amendment No. 6] Wells Fargo Bank, N.A., as a Lender By: ___________________________________ Name: Chris Mandonas Title: Executive Director


 
[Signature Page to Amendment No. 6] KEYBANK NATIONAL ASSOCIATION, as a Lender By: ___________________________________ Name: Brian T. Majerski Title: Vice President


 
[Signature Page to Amendment No. 6] U.S. BANK NATIONAL ASSOCIATION, as a Lender By: ___________________________________ Name: Leslie Reuter Title: Vice President


 


 


 
[Signature Page to Amendment No. 6] REGIONS BANK, as a Lender By: Name: George Hunter Title: Vice President


 


 
[Signature Page to Amendment No. 6] GOLDMAN SACHS BANK USA, as a Lender By: ___________________________________ Name: Priyankush Goswami Title: Authorized Signatory


 
13723822v8 EXHIBIT A AMENDED CREDIT AGREEMENT [See attached]


 
Exhibit A Deal CUSIP: 58941BAA3 Facility CUSIP: 58941BAC9 CREDIT AGREEMENT dated as of May 2, 2016, As amended by Amendment No. 1, dated as of June 27, 2017 As amended by Amendment No. 2, dated as of December 21, 2017 As amended by Amendment No. 3, dated as of September 28, 2018 As amended by Amendment No. 4, dated as of February 28, 2022 As further amended by Amendment No. 5, dated as of November 7, 2023 As further amended by Amendment No. 6, dated as of August 12, 2024 among MERCURY SYSTEMS, INC., as the Borrower and CERTAIN SUBSIDIARIES OF THE BORROWER, as Guarantors, THE LENDERS PARTY HERETO, BANK OF AMERICA, N.A., as Administrative Agent and Collateral Agent BOFA SECURITIES, INC., CITIBANK, N.A., JPMORGAN CHASE BANK, N.A., and TRUIST SECURITIES, INC., as Joint Lead Arrangers, Joint Book Managers and Co-Syndication Agents, and WELLS FARGO BANK, NATIONAL ASSOCIATION, KEYBANK NATIONAL ASSOCIATION, U.S. BANK, N.A., TD BANK NA, BMO HARRIS BANK N.A., FORMERLY KNOWN AS BMO HARRIS BANK, N.A. AND AS SUCCESSOR BY MERGER TO BANK OF THE WEST, CAPITAL ONE, NATIONAL ASSOCIATION, BANK OF THE WEST and REGIONS BANK 1010279941v18


 
as Co-Documentation Agents 1010279941v18


 
TABLE OF CONTENTS PAGE ARTICLE 1 DEFINITIONS AND ACCOUNTING TERMS Section 1.01. Defined Terms 1 Section 1.02. Interpretive Provisions 5961 Section 1.03. Accounting Terms and Provisions 6062 Section 1.04. Rounding 6163 Section 1.05. Times of Day 6163 Section 1.06. Letter of Credit Amounts 6163 Section 1.07. Pro Forma Calculations 6164 Section 1.08. Timing of Payment and Performance 6567 Section 1.09. Currency Generally 6567 Section 1.10. Exchange Rates; Currency Equivalents 6568 Section 1.11. Additional Alternative Currencies 6668 Section 1.12. Cumulative Equity Credit Transactions 6769 Section 1.13. References to Agreements, Laws, Etc 6769 Section 1.14. Interest Rates 6770 ARTICLE 2 COMMITMENTS AND CREDIT EXTENSIONS Section 2.01. Commitments 6870 Section 2.02. Borrowings, Conversions and Continuations. 6971 Section 2.03. Additional Provisions with Respect to Letters of Credit 7173 Section 2.04. Additional Provisions with Respect to Swingline Loans 8083 Section 2.05. Repayment of Loans 8386 Section 2.06. Prepayments 8386 Section 2.07. Termination or Reduction of Commitments 8789 Section 2.08. Interest 8890 Section 2.09. Fees 8991 Section 2.10. Computation of Interest and Fees; Retroactive Adjustments to Applicable Percentage 9093 Section 2.11. Payments Generally; Administrative Agent’s Clawback 9194 Section 2.12. Sharing of Payments by Lenders 9396 Section 2.13. Evidence of Debt 9497 Section 2.14. [Reserved] 9597 Section 2.15. [Reserved] 9597 Section 2.16. Cash Collateral 9597 Section 2.17. Defaulting Lenders 9699 Section 2.18. Incremental Facilities 98101 Section 2.19. Amend and Extend Transactions 104107 i 1010279941v18


 
Section 2.20. Refinancing Facilities 106108 ARTICLE 3 TAXES, YIELD PROTECTION AND ILLEGALITY Section 3.01. Taxes 110113 Section 3.02. Illegality 116118 Section 3.03. Inability to Determine Rates 117119 Section 3.04. Increased Cost; Capital Adequacy 120122 Section 3.05. Compensation for Losses 122124 Section 3.06. Mitigation Obligations; Replacement of Lenders 122125 Section 3.07. Survival Losses 124126 ARTICLE 4 GUARANTY Section 4.01. The Guaranty 124126 Section 4.02. Obligations Unconditional 124127 Section 4.03. Reinstatement 125128 Section 4.04. Certain Waivers 125128 Section 4.05. Remedies 126128 Section 4.06. Rights of Contribution 126129 Section 4.07. Guaranty of Payment; Continuing Guarantee 126129 Section 4.08. Keepwell 126129 Section 4.09. Release of Guarantors 127129 ARTICLE 5 CONDITIONS PRECEDENT TO CREDIT EXTENSIONS Section 5.01. [Reserved] 127130 Section 5.02. Conditions to all Credit Extensions after the Closing Date 127130 ARTICLE 6 REPRESENTATIONS AND WARRANTIES Section 6.01. Existence, Qualification and Power 128131 Section 6.02. Authorization; No Contravention 129131 Section 6.03. Governmental Authorization; Other Consents 129131 Section 6.04. Binding Effect 129132 Section 6.05. Financial Statements 129132 Section 6.06. No Material Adverse Effect 129132 Section 6.07. Litigation 129132 Section 6.08. Labor Matters 130132 Section 6.09. Ownership of Property; Liens 130132 Section 6.10. Environmental Matters 130132 Section 6.11. [Reserved] 130133 Section 6.12. Taxes 130133 ii 1010279941v18


 
Section 6.13. ERISA Compliance 131133 Section 6.14. Subsidiaries 131134 Section 6.15. Margin Regulations; Investment Company Act 132134 Section 6.16. Disclosure 132134 Section 6.17. Compliance with Laws 132135 Section 6.18. Collateral Documents 132135 Section 6.19. Intellectual Property 133135 Section 6.20. Solvency 133136 Section 6.21. Patriot Act; Sanctioned Persons 133136 Section 6.22. EEA Financial Institutions 134136 ARTICLE 7 AFFIRMATIVE COVENANTS Section 7.01. Financial Statements 134137 Section 7.02. Certificates; Other Information 135138 Section 7.03. Notification 137140 Section 7.04. Payment of Taxes 137140 Section 7.05. Preservation of Existence, Etc 138140 Section 7.06. Maintenance of Properties 138141 Section 7.07. Maintenance of Insurance 138141 Section 7.08. Compliance with Laws; Environmental Laws 138141 Section 7.09. Books and Records 139141 Section 7.10. Inspection Rights 139142 Section 7.11. Use of Proceeds 139142 Section 7.12. Joinder of Subsidiaries as Guarantors 140142 Section 7.13. Further Assurances 141144 Section 7.14. Designation of Subsidiaries 141144 ARTICLE 8 NEGATIVE COVENANTS Section 8.01. Liens 142144 Section 8.02. Investments 145148 Section 8.03. Indebtedness 148151 Section 8.04. Mergers and Dissolutions 153156 Section 8.05. Dispositions 154157 Section 8.06. Restricted Payments 156159 Section 8.07. Change in Nature of Business 157160 Section 8.08. Change in Fiscal Year 157160 Section 8.09. Transactions with Affiliates 158160 Section 8.10. [Reserved] 158161 Section 8.11. Financial Covenants 158161 Section 8.12. Prepayments etc. of Indebtedness 159162 Section 8.13. Burdensome Agreements 159163 iii 1010279941v18


 
ARTICLE 9 EVENTS OF DEFAULT AND REMEDIES Section 9.01. Events of Default 160164 Section 9.02. Remedies Upon Event of Default 163166 Section 9.03. Application of Funds 163166 ARTICLE 10 ADMINISTRATIVE AGENT Section 10.01. Appointment and Authorization of Administrative Agent 164168 Section 10.02. Rights as a Lender 165169 Section 10.03. Exculpatory Provisions 165169 Section 10.04. Reliance by Administrative Agent 167170 Section 10.05. Delegation of Duties 167170 Section 10.06. Resignation of the Administrative Agent 167171 Section 10.07. Non-Reliance on Administrative Agent and Other Lenders 168172 Section 10.08. No Other Duties 169172 Section 10.09. Administrative Agent May File Proofs of Claim; Credit Bidding 169172 Section 10.10. Collateral and Guaranty Matters 170174 Section 10.11. Swap Contracts and Treasury Management Agreements 171174 Section 10.12. Compliance with ERISA 172175 Section 10.13. Recovery of Erroneous Payments 173176 ARTICLE 11 MISCELLANEOUS Section 11.01. Amendments, Etc 173177 Section 11.02. Notices; Effectiveness; Electronic Communications 178181 Section 11.03. No Waiver; Cumulative Remedies; Enforcement 180183 Section 11.04. Expenses; Indemnity; Damage Waiver 181184 Section 11.05. Payments Set Aside 183186 Section 11.06. Successors and Assigns 183187 Section 11.07. Treatment of Certain Information; Confidentiality 190194 Section 11.08. Right of Setoff 191195 Section 11.09. Interest Rate Limitation 192195 Section 11.10. Integration; Effectiveness 192196 Section 11.11. Survival of Representations and Warranties 193196 Section 11.12. Severability 193196 Section 11.13. Replacement of Lenders 193197 Section 11.14. Governing Law; Jurisdiction; Etc 194198 Section 11.15. Waiver of Jury Trial 195199 Section 11.16. USA Patriot Act Notice 196199 Section 11.17. Termination 196199 Section 11.18. No Advisory or Fiduciary Responsibility 196200 Section 11.19. Electronic Execution; Electronic Records; Counterparts 197200 iv 1010279941v18


 
Section 11.20. Acknowledgment and Consent to Bail-In of Affected Financial Institutions 197201 Section 11.21. Judgment Currency 198202 Section 11.22. Acknowledgement Regarding Any Supported QFCs 199202 Section 11.23. Intercreditor Agreements 200203 v 1010279941v18


 
vi 1010279941v18 Exhibit 1.01-3 Form of Intercompany Note Schedule 8.03 Exhibit 1.01-4 Existing Indebtedness Form of First Lien Intercreditor Agreement Schedule 6.14 Exhibit 1.01-5 Guarantors Form of Junior Lien Intercreditor Agreement Schedule 8.09 Subsidiaries Exhibit 2.02 Transactions with Affiliates Form of Loan Notice SCHEDULES Exhibit 2.13-1 Form of Revolving Credit Note Schedule 8.13 Exhibit 2.13-2 Burdensome Agreements Form of Swingline Note Schedule 8.01 Exhibit 2.13-3 Form of Term Note Schedule 11.02 Existing Liens Exhibit 5.01(j) Notice Addresses Form of Solvency Certificate Schedule 2.01 EXHIBITS Exhibit 7.02(a) Form of Compliance Certificate Exhibit 1.01-1 Exhibit 7.12 Form of Joinder Agreement Form of Perfection Certificate Schedule 8.02 Exhibit 11.06(b) Form of Assignment and Assumption Lenders and Commitments Exhibit 1.01-2 Exhibit 11.06(i) Existing Investments Dutch Auction Procedures Form of Security Agreement Schedule I


 
CREDIT AGREEMENT This CREDIT AGREEMENT, dated as of May 2, 2016 (as amended by Amendment No. 1, dated as of June 27, 2017, as amended by Amendment No. 2, dated as of December 21, 2017, as amended by Amendment No. 3, dated as of September 28, 2018, as amended by Amendment No. 4, dated as of February 28, 2022, as amended by Amendment No. 5, dated as of November 7, 2023, as amended by Amendment No. 6, dated as of August 12, 2024, and as further amended, restated, amended and restated, supplemented or otherwise modified from time to time, the “Credit Agreement” or the “Agreement”) is entered into by MERCURY SYSTEMS, INC., a Massachusetts corporation (the “Borrower”), the Guarantors identified herein, each lender from time to time party hereto (collectively, the “Lenders” and individually, a “Lender”) and BANK OF AMERICA, N.A., as Administrative Agent, Collateral Agent, Swingline Lender and L/C Issuer. PRELIMINARY STATEMENTS The Borrower has requested that the Lenders extend credit to the Borrower in the form of an upsized revolving credit facility with an initial aggregate principal amount of commitments of $1,100,000,000 (reduced to $900,000,000 as of the Amendment No. 6 Effective Date). The revolving credit facility will permit the issuance of one or more Letters of Credit from time to time and the making of one or more Revolving Credit Loans and/or Swingline Loans from time to time. The proceeds of the revolving credit facility and the commitments hereunder made available on the Amendment No. 4 Effective Date will be used by the Borrower for general corporate purposes (including Acquisitions and other purposes not prohibited hereunder). The Lenders have indicated their willingness to lend and the L/C Issuer has indicated its willingness to issue letters of credit, in each case, on the terms and subject to the conditions set forth herein. In consideration of these premises and the mutual covenants and agreements contained herein, the receipt and sufficiency of which are hereby acknowledged, the parties hereto covenant and agree as follows: ARTICLE 1 DEFINITIONS AND ACCOUNTING TERMS Section 1.01. Defined Terms. As used in this Credit Agreement, the following terms have the meanings provided below: “Acquired Indebtedness” means, with respect to any specified Person, (a) Indebtedness of any other Person existing at the time such other Person is merged, consolidated or amalgamated with or into or became a Restricted Subsidiary of such specified Person, including Indebtedness incurred in connection with, or in [Credit Agreement] 1010279941v18


 
contemplation of, such other Person merging, amalgamating or consolidating with or into, or becoming a Restricted Subsidiary of, such specified Person; and (b) Indebtedness secured by a Lien encumbering any asset acquired by such specified Person. “Acquisition” means the purchase or acquisition by any Person of (a) more than 50% of the Capital Stock with ordinary voting power of another Person (including as a result of the purchase by such Person of Capital Stock of an existing joint venture to the extent that after giving effect thereto, such Person owns more than 50% of such Capital Stock) or (b) all or any substantial portion of the property (other than Capital Stock) of, or a business unit, a line of business or division of, another Person, whether or not involving a merger or consolidation with such Person. “Act” has the meaning provided in Section 11.16. “Additional Lender” means, at any time, any Person that is not an existing Lender and that agrees to provide any portion of any (a) Incremental Loans or Incremental Commitments pursuant to an Incremental Amendment in accordance with Section 2.18 or (b) Refinancing Facilities pursuant to a Refinancing Amendment in accordance with Section 2.20; provided that such Additional Lender shall be (x) with respect to Incremental Term Loans, Incremental Term Commitments or Refinancing Term Loans, an Eligible Assignee with respect to Term Loans and (y) with respect to Incremental Revolving Commitments or Refinancing Revolving Commitments, an Eligible Assignee with respect to Revolving Credit Commitments. “Adequate Assurance” means (i) with respect to L/C Obligations, such assurance as the L/C Issuer may reasonably require, and (ii) with respect to Swingline Loans, such assurance as the Swingline Lender may reasonably require, in each case, that any Defaulting Lender will be capable of honoring its obligations to fund its portion of L/C Obligations and Swingline Loans, as appropriate, and participation interests therein, including existing and future obligations hereunder and under the other Credit Documents. Adequate Assurance may be in the form of cash collateral, posting of letters of credit or other arrangement, in each case in form, amount and other respects reasonable satisfactory to the L/C Issuer or the Swingline Lender, as applicable, in their discretion. “Administrative Agent” means Bank of America in its capacity as administrative agent under any of the Credit Documents, or any successor administrative agent. “Administrative Agent’s Office” means the Administrative Agent’s address and, as appropriate, account as set forth on Schedule 11.02 (as may be updated from time to time), or such other address or account as the Administrative Agent may from time to time notify the Borrower and the Lenders. “Administrative Questionnaire” means an administrative questionnaire for the Lenders in a form supplied by the Administrative Agent. 2 1010279941v18


 
“Affected Financial Institution” shall mean (a) any EEA Financial Institution or (b) any UK Financial Institution. “Affiliate” means, with respect to any Person, another Person that directly, or indirectly through one or more intermediaries, Controls or is Controlled by or is under common Control with the Person specified. “Agent Parties” has the meaning provided in Section 11.02(c). “Agent-Related Distress Event” means, with respect to the Administrative Agent or any Person that directly or indirectly Controls the Administrative Agent (each, a “Distressed Agent-Related Person”), a voluntary or involuntary case with respect to such Distressed Agent-Related Person under any Debtor Relief Law, or a custodian, conservator, receiver or similar official is appointed for such Distressed Agent-Related Person or any substantial part of such Distressed Agent-Related Person’s assets, or such Distressed Agent-Related Person makes a general assignment for the benefit of creditors or is otherwise adjudicated as, or determined by any Governmental Authority having regulatory authority over such Distressed Agent-Related Person to be, insolvent or bankrupt; provided that an Agent-Related Distress Event shall not be deemed to have occurred solely by virtue of the ownership or acquisition of any Capital Stock in the Administrative Agent or any Person that directly or indirectly Controls the Administrative Agent by a Governmental Authority or an instrumentality thereof. “Agents” means, collectively, the Administrative Agent, the Collateral Agent and the Arrangers. “Aggregate Commitment Percentage” means (a) in respect of the Term Loan Facility, with respect to any Term Lender at any time, the percentage (carried out to the ninth decimal place) of the Term Loan Facility represented by the principal amount of such Term Lender’s Term Loans at such time and (b) in respect of the Revolving Credit Facility, with respect to any Revolving Credit Lender at any time, the percentage (carried out to the ninth decimal place) of the Revolving Credit Facility represented by such Revolving Credit Lender’s Revolving Credit Commitment at such time. If the Revolving Credit Commitments have been terminated pursuant to Section 9.02 or have expired, then the Aggregate Commitment Percentage of each Revolving Credit Lender in respect of the Revolving Credit Facility shall be determined based on the Aggregate Commitment Percentage of such Revolving Credit Lender in respect of the Revolving Credit Facility most recently in effect, giving effect to any subsequent assignments. The initial Aggregate Commitment Percentage of each Lender, as of the Amendment No. 46 Effective Date is set forth opposite the name of such Lender on Schedule 2.01 to Amendment No. 46 or in the Assignment and Assumption pursuant to which such Lender becomes a party hereto, as applicable. “Aggregate Commitments” means the Commitments of all Lenders. “Aggregate Revolving Credit Commitments” means the Revolving Credit Commitments of all Revolving Credit Lenders. 3 1010279941v18


 
“Aggregate Revolving Credit Committed Amount” has the meaning provided in Section 2.01(b). “Agreed Currency” means Dollars or any Alternative Currency, as applicable. “Agreement” has the meaning provided in the introductory paragraph hereto. “Agreement Currency” has the meaning specified in Section 11.21. “Alternative Currency” means the following currencies: Euros and Sterling, together with each other currency (other than Dollars) that is approved in accordance with Section 1.11, provided that for each Alternative Currency, such requested currency is an Eligible Currency. “Alternative Currency Daily Rate” means, for any day, with respect to any Credit Extension: (a) denominated in Sterling, the rate per annum equal to SONIA determined pursuant to the definition thereof plus the SONIA Adjustment; and (b) denominated in any other Alternative Currency (to the extent such Loans denominated in such currency will bear interest at a daily rate), the daily rate per annum as designated with respect to such Alternative Currency at the time such Alternative Currency is approved by the Administrative Agent and the relevant Lenders pursuant to Section 1.11(a) plus the adjustment (if any) determined by the Administrative Agent and the relevant Lenders pursuant to Section 1.11(a); provided, that, if any Alternative Currency Daily Rate shall be less than zero, such rate shall be deemed zero for purposes of this Agreement. Any change in an Alternative Currency Daily Rate shall be effective from and including the date of such change without further notice. “Alternative Currency Daily Rate Loan” means a Loan that bears interest at a rate based on the definition of “Alternative Currency Daily Rate.” All Alternative Currency Daily Rate Loans must be denominated in an Alternative Currency. “Alternative Currency Equivalent” means, at any time, with respect to any amount denominated in Dollars, the equivalent amount thereof in the applicable Alternative Currency as determined by the Administrative Agent or the L/C Issuer, as the case may be, by reference to Bloomberg (or such other publicly available service for displaying exchange rates), to be the exchange rate for the purchase of such Alternative Currency with Dollars at approximately 11:00 a.m. on the date two (2) Business Days prior to the date as of which the foreign exchange computation is made; provided, however, that if no such rate is available, the “Alternative Currency Equivalent” shall be determined by the Administrative Agent or the L/C Issuer, as the case may be, using any reasonable method of determination its deems appropriate in its discretion (which shall be conclusive absent manifest error). “Alternative Currency Loan” means an Alternative Currency Daily Rate Loan or an Alternative Currency Term Rate Loan, as applicable. 4 1010279941v18


 
“Alternative Currency Rate” means, with respect to an Alternative Currency Loan that is (x) an Alternative Currency Daily Rate Loans, the Alternative Currency Daily Rate and (y) an Alternative Currency Term Rate Loan, the Alternative Currency Term Rate. “Alternative Currency Term Rate” means, for any Interest Period, with respect to any Credit Extension: (a) denominated in Euros, the rate per annum equal to the Euro Interbank Offered Rate (“EURIBOR”), as published on the applicable Reuters screen page (or such other commercially available source providing such quotations as may be designated by the Administrative Agent from time to time) on the day that is two TARGET Days preceding the first day of such Interest Period with a term equivalent to such Interest Period; and (b) denominated in any other Alternative Currency (to the extent such Loans denominated in such currency will bear interest at a term rate), the term rate per annum as designated with respect to such Alternative Currency at the time such Alternative Currency is approved by the Administrative Agent and the relevant Lenders pursuant to Section 1.11(a) plus the adjustment (if any) determined by the Administrative Agent and the relevant Lenders pursuant to Section 1.11(a); provided, that, if any Alternative Currency Term Rate shall be less than zero, such rate shall be deemed zero for purposes of this Agreement. “Alternative Currency Term Rate Loan” means a Loan that bears interest at a rate based on the definition of “Alternative Currency Term Rate.” All Alternative Currency Term Rate Loans must be denominated in an Alternative Currency. “Amendment No. 1” means Amendment No. 1 to this Agreement, dated as of June 27, 2017, among the Borrower, the Guarantors party thereto, the Administrative Agent and the Lenders party thereto. “Amendment No. 1 Effective Date” means June 27, 2017. “Amendment No. 2” means Amendment No. 2 to this Agreement, dated as of December 21, 2017, among the Borrower, the Guarantors party thereto, the Administrative Agent and the Lenders party thereto. “Amendment No. 2 Effective Date” means December 21, 2017. “Amendment No. 3” means Amendment No. 3 to this Agreement, dated as of September 28, 2018 among the Borrower, the Guarantors party thereto, the Administrative Agent and the Lenders party thereto. “Amendment No. 3 Effective Date” means September 28, 2018. 5 1010279941v18


 
6 1010279941v18 Less than or equal to 1.00:1.00 1.000% Term SOFR Loans 0.000% 1.000% Base Rate Loans 1.000% Applicable Percentage for 1.000% Alternative Currency Daily Rate Loans 0.150% “Amendment No. 4” means Amendment No. 4 to this Agreement, dated as of February 28, 2022 among the Borrower, the Guarantors party thereto, the Administrative Agent and the Lenders party thereto. “Amendment No. 4 Effective Date” means February 28, 2022. “Amendment No. 5” means Amendment No. 5 to this Agreement, dated as of November 7, 2023 among the Borrower, the Guarantors party thereto, the Administrative Agent and the Lenders party thereto. “Amendment No. 5 Effective Date” means November 7, 2023. “Amendment No. 6” means Amendment No. 6 to this Agreement, dated as of August 12, 2024 among the Borrower, the Guarantors party thereto, the Administrative Agent and the Lenders party thereto. “Amendment No. 6 Effective Date” means August 12, 2024. “Annual Financial Statements” means the audited consolidated balance sheets and related statements of comprehensive income, shareholders’ equity and cash flows of the Borrower for the fiscal years ended June 30, 2016, June 30, 2017 and June 30, 2018. “Applicable Authority” means (a) with respect to SOFR, the SOFR Administrator or any Governmental Authority having jurisdiction over the Administrative Agent or the SOFR Administrator with respect to its publication of SOFR, in each case acting in such capacity and (b) with respect to any Alternative Currency, the applicable administrator for the Relevant Rate for such Alternative Currency or any Governmental Authority having jurisdiction over the Administrative Agent or such administrator with respect to its publication of the applicable Relevant Rate in each case acting in such capacity. “Applicable Percentage” means in respect of the Revolving Credit Facility, the following percentages per annum, based on the Consolidated Total Net Leverage Ratio as set forth in the most recent Compliance Certificate received by the Administrative Agent pursuant to Section 7.02(a); provided that from the Amendment No. 4 Effective Date until the receipt by the Administrative Agent of the Compliance Certificate with respect to the first full fiscal quarter of the Borrower following the Amendment No. 4 Effective Date, Pricing Level II shall apply to the Revolving Credit Loans, the Letter of Credit Fee and the Commitment Fee: Alternative Currency Term Rate Loans II Greater than 1.00:1.00 but less than or Letter of Credit Fees 1.250% 0.250% Commitment Fee 1.250% Pricing Level 1.250% 1.250% 0.200% I Consolidated Total Net Leverage Ratio


 
7 1010279941v18 1.375% Alternative Currency Term Rate Loans 0.250% Letter of Credit Fees IV Pricing Level Greater than 3.00:1.00 but less than or equal to 4.00:1.00 Commitment Fee 1.500% 0.500% 1.500% 1.500% Consolidated Total Net Leverage Ratio 1.500% equal to 2.00:1.00 0.300% V Greater than 4.00:1.00 but less than or equal to 4.50:1.00 1.750% 0.750% 1.750% 1.750% 1.750% 0.350% III Term SOFR Loans VI Greater than 2.00:1.00 but less than or equal to 3.00:1.00 Greater than 4.50:1.00 Applicable Percentage for [2.000]% 1.375% 1.000 % Base Rate Loans 2.000 % 0.375% 2.000 % 2.000 % 1.375% 0.400 % Alternative Currency Daily Rate Loans Any increase or decrease in the Applicable Percentage resulting from a change in the Consolidated Total Net Leverage Ratio shall become effective on the date a Compliance Certificate is delivered pursuant to Section 7.02(a); provided, however, that if (i) a Compliance Certificate is not delivered when due in accordance therewith, then Pricing Level VI shall apply as of the first Business Day after the date on which such Compliance Certificate was required to have been delivered until the first Business Day after the date on which such Compliance Certificate was delivered and (ii) at the option of the Administrative Agent or the Required Lenders, as of the first Business Day after (x) in the case of an Event of Default under Section 9.01(a) that has occurred and is continuing, the delivery of written notice to the Borrower or (y) in the case of an Event of Default under Section 9.01(f) that has occurred and is continuing, the date such Event of Default shall have occurred, then in either case Pricing Level VI shall apply, and shall continue to so apply to but excluding the date on which such Event of Default is cured, waived or no longer continuing (and thereafter the Pricing Level otherwise determined in accordance with this definition shall apply). Notwithstanding the foregoing, (v) the Applicable Percentage in respect of any Class of Extended Revolving Commitments or any Extended Term Loans or Revolving Credit Loans or Swingline Loan made pursuant to any Extended Revolving Commitments shall be the applicable percentages per annum set forth in the relevant Extension Amendment, (w) the Applicable Percentage in respect of any Class of Incremental Commitments, and Class of Incremental Term Loans or any Class of Incremental Revolving Loans shall be the applicable percentages per annum set forth in the relevant Incremental Amendment, (x) the Applicable Percentage in respect of any Class of Replacement Term Loans shall be the applicable percentages per annum set forth in the relevant agreement, (y) the Applicable Percentage in respect of any Class of Refinancing Revolving Commitments, any Class of Refinancing Revolving Loans or any Class of 1.375%


 
Refinancing Term Loans shall be the applicable percentages per annum set forth in the relevant Refinancing Amendment and (z) in the case of any Term Loans and any Class of Incremental Term Loans, the Applicable Percentage shall be increased as, and to the extent, necessary to comply with the provisions of Section 2.18. “Applicable Time” means, with respect to any payments in any Alternative Currency, the local time in the place of settlement for such Alternative Currency as may be reasonably determined by the L/C Issuer and notified to the Borrower at the time such Letter of Credit is issued to be necessary for timely settlement on the relevant date in accordance with normal banking procedures in the place of payment. “Appropriate Lender” means, at any time, (a) with respect to either the Term Loan Facility or the Revolving Credit Facility, a Lender that has a Commitment with respect to such Facility or holds a Term Loan or a Revolving Credit Loan, respectively, at such time, (b) with respect to the L/C Sublimit, (i) the L/C Issuer and (ii) if any Letters of Credit have been issued pursuant to Section 2.03(a), the Revolving Credit Lenders and (c) with respect to the Swingline Sublimit, (i) the Swingline Lender and (ii) if any Swingline Loans are outstanding pursuant to Section 2.04(a), the Revolving Credit Lenders. “Approved Bank” means (a) any Lender, (b) any domestic commercial bank of recognized standing having combined capital and surplus in excess of $250,000,000 or any foreign bank of recognized standing having capital and surplus in excess of $100,000,000 (or the Dollar Equivalent as of the date of determination) or (c) any bank whose short-term commercial paper rating from S&P is at least A-2 or the equivalent thereof or from Moody’s is at least P-2 or the equivalent thereof. “Approved Fund” means any Fund that is administered or managed by (a) a Lender, (b) an Affiliate of a Lender or (c) an entity or an Affiliate of an entity that administers or manages a Lender. “Arrangers” means BofA, Citibank, N.A., JPMorgan Chase Bank, N.A. and Truist Securities, Inc., in their respective capacities as joint lead arrangers, joint book managers and co-syndication agents. “Assignee Group” means two or more Eligible Assignees that are Affiliates of one another or two or more Approved Funds managed by the same investment advisor. “Assignees” has the meaning set forth in Section 11.06(b). “Assignment and Assumption” means an assignment and assumption entered into by a Lender and an Eligible Assignee (with the consent of any party whose consent is required by Section 11.06 and accepted by the Administrative Agent), in substantially the form of Exhibit 11.06(b) or any other form approved by the Administrative Agent. “Attributable Indebtedness” means, subject to Section 1.03(a), on any date, in respect of any Capitalized Lease of any Person, the capitalized amount thereof that would appear on a balance sheet of such Person prepared as of such date in accordance with GAAP. 8 1010279941v18


 
“Auction” has the meaning provided in Section 11.06(i). “Auction Manager” means the Administrative Agent. “Auction Procedures” means the Dutch Auction Procedures set forth on Exhibit 11.06(i). “Auto-Extension Letter of Credit” has the meaning provided in Section 2.03(b)(iii). “Auto-Reinstatement Letter of Credit” has the meaning provided in Section 2.03(b)(iv). “Bail-In Action” means the exercise of any Write-Down and Conversion Powers by the applicable EEA Resolution Authority in respect of any liability of an EEA Financial Institution. “Bail-In Legislation” means, (a) with respect to any EEA Member Country implementing Article 55 of Directive 2014/59/EU of the European Parliament and of the Council of the European Union, the implementing law, rule, regulation or requirement for such EEA Member Country from time to time which is described in the EU Bail-In Legislation Schedule and (b) with respect to the United Kingdom, Part I of the United Kingdom Banking Act of 2009 (as amended from time to time) and any other law, regulation or rule applicable in the United Kingdom relating to the resolution of unsound or failing banks, investment firms or other financial institutions or their affiliates (other than through liquidation, administration or other insolvency proceedings). “Bank of America” means Bank of America, N.A., together with its successors. “Bankruptcy Code” means Title 11 of the United States Code, as amended. “Base Rate” shall mean for any day a fluctuating rate per annum equal to the highest of (a) the Federal Funds Rate plus 1/2 of 1.00%, (b) the rate of interest in effect for such day as publicly announced from time to time by Bank of America as its “prime rate,” (c) Term SOFR applicable for an interest period of one month plus 1.00% and (d) 1.00%. The “prime rate” is a rate set by Bank of America based upon various factors including Bank of America’s costs and desired return, general economic conditions and other factors, and is used as a reference point for pricing some loans, which may be priced at, above, or below such announced rate. Any change in such rate announced by Bank of America shall take effect at the opening of business on the day specified in the public announcement of such change. If the Base Rate is being used as an alternate rate of interest pursuant to Section 3.03 hereof, then the Base Rate shall be the greater of clauses (a), (b) and (d) above and shall be determined without reference to clause (c) above. “Base Rate Loan” means a Revolving Credit Loan or a Term Loan that bears interest based on the Base Rate. “Benefit Plan” means any of (a) an “employee benefit plan” (as defined in ERISA) that is subject to Title I of ERISA, (b) a “plan” as defined in and subject to Section 4975 of the Code or (c) any Person whose assets include (for purposes of ERISA Section 3(42) or otherwise for 9 1010279941v18


 
purposes of Title I of ERISA or Section 4975 of the Code) the assets of any such “employee benefit plan” or “plan.” “BofA” means BofA Securities, Inc., together with its successors. “Borrower” has the meaning provided in the introductory paragraph hereto. “Borrowing” means a Revolving Credit Borrowing, a Swingline Borrowing or a Term Borrowing, as the context may require. “Business Day” means any day other than a Saturday, Sunday or other day on which commercial banks are authorized to close under the Laws of, or are in fact closed in, the state where the Administrative Agent’s Office is located; provided that: (a) if such day relates to any interest rate settings as to an Alternative Currency Loan denominated in Euro, any fundings, disbursements, settlements and payments in Euro in respect of any such Alternative Currency Loan, or any other dealings in Euro to be carried out pursuant to this Agreement in respect of any such Alternative Currency Loan, means a Business Day that is also a TARGET Day; (b) if such day relates to any interest rate settings as to an Alternative Currency Loan denominated in Sterling, means a day other than a day banks are closed for general business in London because such day is a Saturday, Sunday or a legal holiday under the laws of the United Kingdom; (c) if such day relates to any interest rate settings as to an Alternative Currency Loan denominated in a currency other than Euro or Sterling, means any such day on which dealings in deposits in the relevant currency are conducted by and between banks in the applicable offshore interbank market for such currency; and (d) if such day relates to any fundings, disbursements, settlements and payments in a currency other than Euro in respect of an Alternative Currency Loan denominated in a currency other than Euro, or any other dealings in any currency other than Euro to be carried out pursuant to this Agreement in respect of any such Alternative Currency Loan (other than any interest rate settings), means any such day on which banks are open for foreign exchange business in the principal financial center of the country of such currency. “Capital Stock” means (a) in the case of a corporation, capital stock, (b) in the case of an association or business entity, any and all shares, interests, participations, rights or other equivalents (however designated) of capital stock, (c) in the case of a partnership, partnership interests (whether general or limited), (d) in the case of a limited liability company, membership interests and (e) any other interest or participation that confers on a Person the right to receive a share of the profits and losses of, or distributions of assets of, the issuing Person. 10 1010279941v18


 
“Capitalized Leases” means, subject to the second sentence of the first paragraph of Section 1.03, all leases that have been or should be, in accordance with GAAP, recorded as capitalized leases. “Capitalized Software Expenditures” means, for any period, the aggregate of all expenditures (whether paid in cash or accrued as liabilities) by the Borrower and the Restricted Subsidiaries during such period in respect of purchased software or internally developed software and software enhancements that, in conformity with GAAP, are or are required to be reflected as capitalized costs on the consolidated balance sheet of the Borrower and the Restricted Subsidiaries. “Cash Collateral” has the meaning provided in the definition of “Cash Collateralize.” “Cash Collateralize” means to pledge and deposit with or deliver to the Administrative Agent, for the benefit of the Administrative Agent, the L/C Issuer or the Swingline Lender (as applicable) and the Revolving Credit Lenders, as collateral for L/C Obligations, Obligations in respect of Swingline Loans, or obligations of Revolving Credit Lenders to fund participations in respect of either thereof (as the context may require), cash or deposit account balances or, if the L/C Issuer or the Swingline Lender benefitting from such collateral shall agree in its sole discretion, other credit support (“Cash Collateral”), in each case pursuant to documentation in form and substance reasonable satisfactory to (a) the Administrative Agent and (b) the L/C Issuer or the Swingline Lender (as applicable). Derivatives of such term have corresponding meanings. “Cash Equivalents” means to the extent owned by the Borrower or any Restricted Subsidiary: (a) securities issued or directly and fully guaranteed or insured by the United States or any agency or instrumentality thereof (provided that the full faith and credit of the United States is pledged in support thereof) having maturities of not more than twenty four (24) months from the date of acquisition, (b) time deposits or eurodollar time deposits with, insured certificates of deposit, bankers’ acceptances or overnight bank deposits of, or letters of credit issued by, any Approved Bank, in each case with maturities of not more than twenty four (24) months from the date of acquisition, (c) commercial paper and variable or fixed rate notes issued by any Approved Bank (or by the parent company thereof) or any variable rate notes issued by, or guaranteed by, any domestic corporation rated A-2 (or the equivalent thereof) or better by S&P or P-2 (or the equivalent thereof) or better by Moody’s, and maturing within twelve months of the date of acquisition, (d) repurchase agreements entered into by any Person with a bank or trust company (including any of the Lenders) or recognized securities dealer having capital and surplus in excess of $250,000,000 for direct obligations issued by or fully guaranteed by the United States in which such Person shall have a perfected first priority security interest (subject to no other Liens) and having, on the date of purchase thereof, a fair market value of at least one hundred percent (100%) of the amount of the repurchase obligations, (e) Investments (classified in accordance with GAAP as current assets) in money market investment programs registered under the Investment Company Act of 1940 that are administered by reputable financial institutions having capital of at least $250,000,000 and the portfolios of which are limited to Investments of the character described in the foregoing subclauses hereof, (f) securities with average maturities of twenty four (24) months or less from the date of acquisition issued or fully guaranteed (1) by any state, commonwealth or territory of the United States, by any political subdivision or taxing authority of any such state, commonwealth or territory or by (2) any foreign 11 1010279941v18


 
government, in each case, having an investment grade rating from either S&P or Moody’s (or the equivalent thereof), (g) Investments (other than in structured investment vehicles and structured financing transactions) with average maturities of twelve (12) months or less from the date of acquisition in money market funds rated AAA- (or the equivalent thereof) or better by S&P or Aaa3 (or the equivalent thereof) or better by Moody’s, (h) other short-term investments utilized by Foreign Subsidiaries in accordance with normal investment practices for cash management in investments of a type analogous to the foregoing and local currencies held by them from time to time in the ordinary course of business and not for speculation, (i) securities with maturities of twelve (12) months or less from the date of acquisition backed by standby letters of credit issued by an Approved Bank and (j) investment funds investing at least 90% of their assets in securities of the types described in clauses (a) through (i) above. “CFC” means a “controlled foreign corporation” within the meaning of Section 957 of the Code. “CFC Holdco” means any Domestic Subsidiary that has no material assets other than Capital Stock (or Capital Stock and indebtedness) of one or more Foreign Subsidiaries that are CFCs or any other Domestic Subsidiary that itself is a CFC Holdco. “Change in Law” means the occurrence, after the Closing Date, of any of the following: (a) the adoption or taking effect of any law, rule, regulation or treaty, (b) any change in any law, rule, regulation or treaty or in the administration, interpretation, implementation or application thereof by any Governmental Authority or (c) the making or issuance of any request, rule, guideline or directive (whether or not having the force of law) by any Governmental Authority; provided that notwithstanding anything herein to the contrary, (x) the Dodd-Frank Wall Street Reform and Consumer Protection Act and all requests, rules, guidelines or directives thereunder or issued in connection therewith and (y) all requests, rules, guidelines or directives promulgated by the Bank for International Settlements, the Basel Committee on Banking Supervision (or any successor or similar authority) or the United States or foreign regulatory authorities, in each case pursuant to Basel III, shall in each case be deemed to be a “Change in Law,” regardless of the date enacted, adopted, issued or implemented; provided that a Lender shall be entitled to compensation with respect to any such adoption taking effect, making or issuance becoming effective after the date of this Agreement only if it is the applicable Lender’s general policy or practice to demand compensation in similar circumstances under comparable provisions of other financing agreements. “Change of Control” means the occurrence of any of the following: (a) any person or persons constituting a “group” (as such term is used in Sections 13(d) and 14(d) of the Securities Exchange Act of 1934, as amended, but excluding any employee benefit plan of such person and its subsidiaries, and any person or entity acting in its capacity as trustee, agent or other fiduciary or administrator of any such plan), becomes the “beneficial owner” (as defined in Rules 13(d)-3 and 13(d)-5 under such Act), directly or indirectly, of equity interests representing more than thirty-five (35%) of the aggregate ordinary voting power represented by the issued and outstanding equity interests of the Borrower; 12 1010279941v18


 
(b) the first day on which a majority of the members of the Board of Directors of the Borrower are not Continuing Directors; or (c) a “change of control” (or similar event) shall occur in any document pertaining to the Incremental Equivalent Debt, Refinancing Equivalent Debt, Ratio Debt or any refinancing thereof; provided that such debt is in an aggregate outstanding principal amount in excess of $15,000,000. “Class” means (i) with respect to Commitments or Loans, those of such Commitments or Loans that have the same terms and conditions (without regard to differences in the Type of Loan, Interest Period, upfront fees, OID or similar fees paid or payable in connection with such Commitments or Loans, or differences in tax treatment (e.g., “fungibility”)); provided that such Commitments or Loans may be designated in writing by the Borrower and Lenders holding such Commitments or Loans as a separate Class from other Commitments or Loans that have the same terms and conditions and (ii) with respect to Lenders, those of such Lenders that have Commitments or Loans of a particular Class. “Closing Date” means May 2, 2016. “Closing Fee” has the meaning provided in Section 2.09(d). “Collateral” means the collateral identified in, and at any time covered by, the Collateral Documents. “Collateral Agent” means Bank of America, in its capacity as collateral agent under any of the Credit Documents, or any successor collateral agent. “Collateral and Guarantee Requirement” means, at any time, the requirement that: (a) the Administrative Agent shall have received each Collateral Document required to be delivered (i) on the Closing Date, pursuant to Section 5.01(a) of this Agreement as in effect on the Closing Date and (ii) at such time as may be designated therein, pursuant to the Collateral Documents, Section 7.12 or 7.13, subject, in each case, to the limitations and exceptions of this Credit Agreement and the Collateral Documents, duly executed by each Credit Party thereto; (b) all Obligations (other than, with respect to any Guarantor, any Excluded Swap Obligations of such Guarantor) shall have been unconditionally guaranteed by each Restricted Subsidiary of the Borrower that is a wholly owned Material Domestic Subsidiary (other than any Excluded Subsidiary) including those that, as of the Amendment No. 4 Effective Date, are listed on Schedule I hereto (each, a “Guarantor”); (c) the Obligations and the Guaranty shall have been secured by a first-priority security interest (subject to Permitted Liens) in (i) all Capital Stock of each Restricted Subsidiary that is a Domestic Subsidiary (other than a Domestic Subsidiary described in the following clause (ii)(A)) that is directly owned by the Borrower or any Guarantor and (iii) 65% of the issued and outstanding Capital Stock directly owned by 13 1010279941v18


 
the Borrower or any Guarantor of (A) each Restricted Subsidiary that is a CFC Holdco and (B) each Restricted Subsidiary that is a Foreign Subsidiary; and (d) except to the extent otherwise provided hereunder, or under any Collateral Document, the Obligations and the Guaranty shall, subject to Permitted Liens, have been secured by a perfected first-priority security interest (to the extent such security interest may be perfected by delivering certificated securities or instruments, filing financing statements under the Uniform Commercial Code or making any necessary filings with the United States Patent and Trademark Office or United States Copyright Office or to the extent required in the Security Agreement or this Agreement) in substantially all tangible and intangible assets of the Borrower and each Guarantor (including accounts receivable, inventory, equipment, investment property, contract rights, applications and registrations of intellectual property filed in the United States, other general intangibles, intercompany notes and proceeds of the foregoing), in each case, with the priority required by the Collateral Documents, and in each case subject to exceptions and limitations otherwise set forth in this Credit Agreement and the Collateral Documents; provided, however, that the foregoing definition shall not require and the Credit Documents shall not contain any requirements as to the creation or perfection of pledges of, security interests in, or taking other actions with respect to any Excluded Property. The Administrative Agent may grant extensions of time for the perfection of security interests in particular assets and the delivery of assets (including extensions beyond the Closing Date for the perfection of security interests in the assets of the Credit Parties on such date) where it reasonably determines, in consultation with the Borrower, that perfection cannot be accomplished without undue effort or expense by the time or times at which it would otherwise be required by this Credit Agreement or the Collateral Documents. No actions in any non-U.S. jurisdiction or required by the Laws of any non-U.S. jurisdiction shall be required in order to create any security interests in assets located or titled outside of the U.S. or to perfect such security interests, including any intellectual property registered in any non-U.S. jurisdiction (it being understood that there shall be no security agreements or pledge agreements governed under the Laws of any non-U.S. jurisdiction). No actions shall be required with respect to Collateral requiring perfection through control agreements or perfection by “control” (as defined in the UCC) (including deposit accounts or other bank accounts or securities accounts) or possession, other than in respect of (i) certificated Capital Stock of wholly owned Restricted Subsidiaries directly owned by the Borrower or by any Guarantor otherwise required to be pledged pursuant to the provisions of clause (c) of this definition of “Collateral and Guarantee Requirement” and not otherwise constituting Excluded Property and (ii) Pledged Debt (as defined in the Security Agreement) to the extent required to be delivered to the Administrative Agent pursuant to the terms of the Security Agreement. “Collateral Documents” means the Security Agreement, the Intellectual Property Security Agreements, the Intercreditor Agreements (if any) and any other documents executed and delivered by the Credit Parties in order to grant to the Collateral Agent a security interest in the Collateral as security for the Obligations. 14 1010279941v18


 
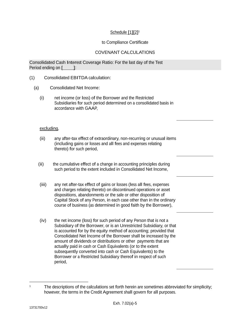
“Commitment” means a Term Commitment or a Revolving Credit Commitment, as the context may require. “Commitment Fee” has the meaning set forth in Section 2.09(a)(i). “Commitment Period” means, in respect of the Revolving Credit Facility, the period from and including the Amendment No. 4 Effective Date to the earlier of (a)(i) in the case of Revolving Credit Loans and Swingline Loans, the Revolving Termination Date or (ii) in the case of the Letters of Credit, the L/C Expiration Date, or (b) the date on which the Revolving Credit Commitments shall have been terminated as provided herein. “Commodity Exchange Act” means the Commodity Exchange Act (7 U.S.C. § 1 et seq.), as amended from time to time, and any successor statute. “Communication” means this Agreement, any Credit Document and any document, amendment, approval, consent, information, notice, certificate, request, statement, disclosure or authorization related to any Credit Document. “Compliance Certificate” means a certificate substantially in the form of Exhibit 7.02(a). “Conforming Changes” means, with respect to the use, administration of or any conventions associated with SOFR, SONIA or any proposed Successor Rate for an Agreed Currency or Term SOFR, as applicable, any conforming changes to the definitions of “Base Rate,” “SOFR,”, “SONIA”, “Term SOFR” and “Interest Period,” timing and frequency of determining rates and making payments of interest and other technical, administrative or operational matters (including, for the avoidance of doubt, the definitions of “Business Day” and “U.S. Government Securities Business Day,” timing of borrowing requests or prepayment, conversion or continuation notices and length of lookback periods) as may be appropriate, in the reasonable discretion of the Administrative Agent in consultation with the Borrower, to reflect the adoption and implementation of such applicable rate(s) and to permit the administration thereof by the Administrative Agent in a manner substantially consistent with market practice for such Agreed Currency (or, if the Administrative Agent determines that adoption of any portion of such market practice is not administratively feasible or that no market practice for the administration of such rate for such Agreed Currency exists, in such other manner of administration as the Administrative Agent in consultation with the Borrower determines is reasonably necessary in connection with the administration of this Agreement and any other Credit Document). “Connection Income Taxes” means Taxes as described in clause (a)(ii) of “Excluded Taxes” that are imposed on or measured by net income (however denominated) or that are franchise Taxes or branch profits Taxes. “Consolidated Cash Interest Coverage Ratio” means, with respect to any Test Period, the ratio of (a) Consolidated EBITDA for such Test Period to (b) Consolidated Interest Expense for such Test Period. 15 1010279941v18


 
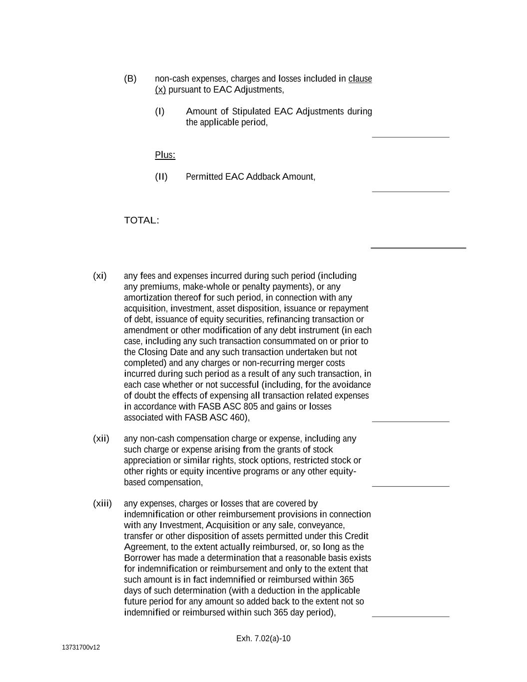
“Consolidated EBITDA” means, for any period, the Consolidated Net Income for such period, plus (a) without duplication, and except with respect to clauses (vii) and, (ix) and (x)(II) (solely with respect to the carry forward of any addback described in clause (x)(II) beyond the applicable Test Period) below, to the extent deducted (and not added back or excluded) in arriving at such Consolidated Net Income, the sum of the following amounts for such period with respect to the Borrower and its Restricted Subsidiaries: (i) total interest expense determined in accordance with GAAP and, to the extent not reflected in such total interest expense, any expense or loss on hedging obligations or other derivative instruments entered into for the purpose of hedging interest rate risk and not for speculative purposes, net of interest income and gains on such hedging obligations, and costs of surety bonds in connection with financing activities (whether amortized or immediately expensed), (ii) provision for taxes based on income, profits or capital gains of the Borrower and the Restricted Subsidiaries, including federal, state, local, franchise and similar taxes and foreign withholding taxes paid or accrued during such period including penalties and interest related to such taxes or arising from any tax examinations and the net tax expense associated with any adjustments made pursuant to the definition of “Consolidated Net Income,” (iii) depreciation and amortization (including amortization of intangible assets, deferred financing fees and Capitalized Software Expenditures) for such period, (iv) [reserved], (v) (A) restructuring charges or reserves, severance, relocation costs or expenses, integration costs, transition costs, pre-opening, opening, closing and consolidation costs for facilities and one-time compensation charges (including signing, retention and completion bonuses), other costs relating to the closure of facilities or impairment of facilities, costs incurred in connection with acquisitions, other business optimization expenses (including costs and expenses relating to business optimization programs and new systems design, retention charges, systems establishment costs (including information technology systems) and implementation costs), production line start-up costs, severance and other restructuring charges representing cash items (including restructuring costs related to acquisitions and to closure of facilities, and excess pension charges) and (B) earn-out and contingent consideration obligations (including to the extent accounted for as bonuses, compensation or otherwise) and adjustments thereof and purchase price adjustments, in each case in connection with acquisitions, and (C) Transaction Expenses. (vi) the amount of any expense or reduction of Consolidated Net Income consisting of Restricted Subsidiary income attributable to minority interests or non-controlling interests of third parties in any non-wholly owned Restricted Subsidiary, (vii) cost savings, operating expense reductions and synergies related to mergers and other business combinations, acquisitions, divestitures, restructurings, cost 16 1010279941v18


 
savings initiatives and other similar initiatives and actions that are reasonably identifiable, factually supportable and projected by the Borrower in good faith to result from actions that have been taken or with respect to which substantial steps have been taken or are expected to be taken (in the good faith determination of the Borrower) within eighteen (18) months after such merger or other business combination, acquisition or divestiture is consummated or any other restructuring, cost savings initiative or other initiative or action (calculated on a pro forma basis as though such cost savings, operating expense reductions and synergies had been realized on the first day of such period and as if such cost savings, operating expense reductions and synergies were realized during the entirety of such period), net of the amount of actual benefits realized during such period from such actions; provided that no cost savings, operating expense reductions and synergies shall be added back pursuant to this clause (vii) to the extent duplicative of any expenses or charges otherwise added back to Consolidated EBITDA, whether through a pro forma adjustment or otherwise, for such period; provided, further, that the aggregate amount of adjustments made pursuant to this clause (vii) for any Test Period, when added to the aggregate amount of add backs made pursuant to Section 1.07(c), shall not exceed 25% of Consolidated EBITDA (after giving effect to this clause (vii), Section 1.07(c) and other pro forma adjustments) for such Test Period, (viii) any net loss from disposed, abandoned or discontinued operations (excluding held-for-sale discontinued operations until actually disposed of), (ix) cash receipts (or any netting arrangements resulting in reduced cash expenditures) not representing Consolidated EBITDA or Consolidated Net Income in any period to the extent non-cash gains relating to such income or netting arrangement were deducted in the calculation of Consolidated EBITDA pursuant to paragraph (b) below for any previous period and not added back, (x) non-cash expenses, charges and losses (including reserves, impairment charges or asset write-offs, write-offs of deferred financing fees, losses from investments recorded using the equity method, stock-based awards compensation expense), in each case other than (A) any non-cash charge representing amortization of a prepaid cash item that was paid and not expensed in a prior period and (B) any non-cash charge relating to write-offs, write-downs or reserves with respect to accounts receivable in the normal course or inventory; provided that (I) other than in connection with EAC Adjustments, if any non-cash charges referred to in this clause (x) represents an accrual or reserve for potential cash items in any future period, (1) the Borrower may elect not to add back such non-cash charge in the current period and (2) to the extent the Borrower elects to add back such non-cash charge, the cash payment in respect thereof in such future period shall be subtracted from Consolidated EBITDA in such future period to such extent paid,; (II) in the case of any EAC Adjustment that relates to a decrease in GAAP revenue for a fiscal quarter of the Borrower, the Borrower may elect (but shall not be required) for any applicable Test Period which includes such fiscal quarter (such Test Periods, the “Applicable Test Periods”) to add back such EAC Adjustment pursuant to this clause (x) in such fiscal quarter of the Borrower in which the EAC Adjustment occurred (if added back in such fiscal quarter and not later) (and other than with respect to any EAC Adjustments related to a terminated contract (for any Test Period completed after 17 1010279941v18


 
termination) or Stipulated EAC Adjustments, such EAC Adjustment may be further included (without duplication) as an add back in any Test Period subsequent to the Applicable Test Periods, in all cases subject to the other limitations set forth in this clause (x)) as a non-cash charge solely to the extent such EAC Adjustment relates to a contract that includes a contract asset on the balance sheet of the Borrower and its Restricted Subsidiaries during the fiscal quarter of the Borrower when the EAC Adjustment occurred (as opposed to when such EAC Adjustment relates to a contract that only includes a contract liability); (III) commencing with the Test Period ending September 27, 2024, the cumulative amount of EAC Adjustments added back as a non-cash charge pursuant to this clause (x) in any Test Period shall not exceed the sum of (1) the sum of Stipulated EAC Adjustments for any fiscal quarter ended within the applicable Test Period plus (2) the Permitted EAC Addback Amount; and (IV) each EAC Adjustment (other than to the extent such EAC Adjustment constitutes a Stipulated EAC Adjustment) added back as a non-cash charge pursuant to this clause (x) after June 29, 2024 shall be subtracted (reversed) from Consolidated EBITDA during the period in which the revenue deferred as a result of the corresponding EAC Adjustment is subsequently recognized in accordance with GAAP (it being understood that with respect to any terminated contract, no such reversals shall be required in any Test Period subsequent to the Applicable Test Periods), (xi) any fees and expenses incurred during such period (including any premiums, make-whole or penalty payments), or any amortization thereof for such period, in connection with any acquisition, investment, asset disposition, issuance or repayment of debt, issuance of equity securities, refinancing transaction or amendment or other modification of any debt instrument (in each case, including any such transaction consummated on or prior to the Closing Date and any such transaction undertaken but not completed) and any charges or non-recurring merger costs incurred during such period as a result of any such transaction, in each case whether or not successful (including, for the avoidance of doubt the effects of expensing all transaction related expenses in accordance with FASB ASC 805 and gains or losses associated with FASB ASC 460), (xii) any non-cash compensation charge or expense, including any such charge or expense arising from the grants of stock appreciation or similar rights, stock options, restricted stock or other rights or equity incentive programs or any other equity-based compensation, (xiii) any expenses, charges or losses that are covered by indemnification or other reimbursement provisions in connection with any Investment, Acquisition or any sale, conveyance, transfer or other disposition of assets permitted under this Credit Agreement, to the extent actually reimbursed, or, so long as the Borrower has made a determination that a reasonable basis exists for indemnification or reimbursement and only to the extent that such amount is in fact indemnified or reimbursed within 365 days of such determination (with a deduction in the applicable future period for any amount so added back to the extent not so indemnified or reimbursed within such 365 day period), (xiv) to the extent covered by insurance and actually reimbursed, or, so long as the Borrower has made a determination that there exists reasonable evidence that such 18 1010279941v18


 
amount will in fact be reimbursed by the insurer and only to the extent that such amount is in fact reimbursed within 365 days of the date of such determination (with a deduction in the applicable future period for any amount so added back to the extent not so reimbursed within such 365 days), expenses, charges or losses with respect to liability or casualty events or business interruption, minus (b) without duplication and to the extent included in arriving at such Consolidated Net Income, (i) non-cash gains (excluding (x) any non-cash gain to the extent it represents the reversal of an accrual or reserve for a potential cash item that reduced Consolidated EBITDA in any prior period and (y) for the avoidance of doubt, any EAC Adjustment that would result in an increase of revenue for the applicable period), (ii) any net income from disposed, abandoned or discontinued operations (excluding held-for-sale discontinued operations until actually disposed of) and, (iii) the amount of any minority interest income consisting of Restricted Subsidiary losses attributable to minority interests or non-controlling interests of third parties in any non-wholly owned Restricted Subsidiary; provided that, for the avoidance of doubt, any gain representing the reversal of any non-cash charge referred to in clause (a)(x)(B) above for a prior period shall be added (together with, without duplication, any amounts received in respect thereof to the extent not increasing Consolidated Net Income) to Consolidated EBITDA in any subsequent period to such extent so reversed (or received), and (iv) any subtraction or reversal to Consolidated EBITDA pursuant to clause (x)(IV) above (for the avoidance of doubt, without duplication of the subtractions or reversals pursuant to clause (x)(IV)); provided further, that: (A) to the extent included in Consolidated Net Income, there shall be excluded in determining Consolidated EBITDA (x) currency translation or transaction gains and losses related to currency remeasurements of Indebtedness (including the net loss or gain (i) resulting from Swap Contracts for currency exchange risk and (ii) resulting from intercompany indebtedness) and (y) all other foreign currency translation or transaction gains or losses to the extent such gains or losses are non-cash items, (B) to the extent included in Consolidated Net Income, there shall be excluded in determining Consolidated EBITDA for any period any adjustments resulting from the application of FASB ASC 815 and International Accounting Standard No. 39 and their respective related pronouncements and interpretations, (C) to the extent included in Consolidated Net Income, there shall be excluded in determining Consolidated EBITDA for any period any income (loss or expenses) for such period attributable to the early extinguishment of (i) Indebtedness, (ii) obligations under any Swap Contracts or (iii) other derivative instruments. For the avoidance of doubt, Consolidated EBITDA shall be calculated, including pro forma adjustments, in accordance with Section 1.07. Notwithstanding anything to the contrary contained herein, for purposes of determining Consolidated EBITDA for any period that includes any of the fiscal quarters ending on the dates set forth in the table below, the add back set forth in clause (II) of the proviso to clause (a)(x) 19 1010279941v18


 
20 1010279941v18 above for non-cash charges resulting from EAC Adjustments shall be deemed for such fiscal quarters to be in an amount equal to the sum of the amounts set forth opposite such fiscal quarters (the “Stipulated EAC Adjustments”) with any other fiscal quarters comprising such period otherwise being calculated in accordance with clauses (II) and (III) of the proviso to clause (a)(x) above: “Consolidated Interest Expense” means, for any period, the cash interest expense (including that attributable to Capitalized Leases), net of cash interest income, of the Borrower and its Restricted Subsidiaries, determined on a consolidated basis in accordance with GAAP, with respect to all outstanding Indebtedness of the Borrower and its Restricted Subsidiaries, including all commissions, discounts and other fees and charges owed with respect to letters of credit and bankers’ acceptance financing and net cash costs under Swap Contracts; provided that there shall be excluded from Consolidated Interest Expense for any period: (a) deferred financing costs, debt issuance costs, commissions, fees (including amendment and contract fees) and expenses and, in each case, the amortization thereof, and any other amounts of non-cash interest, (b) the accretion or accrual of discounted liabilities and any prepayment premium or penalty during such period, (c) non-cash interest expense attributable to the movement of the mark-to-market valuation of obligations under Swap Contracts or other derivative instruments pursuant to FASB ASC 815, (d) any cash costs associated with early termination in respect of hedging agreements for interest rates, (e) Transaction Expenses, (f) annual agency fees paid to the Administrative Agent, (g) costs associated with obtaining Swap Contracts, March 29, 2024 $22,797,967 $25,580,325 FISCAL QUARTER ENDING June 28, 2024 $17,157,939 December 29, 2023 $36,104,602 September 29, 2023 EAC ADJUSTMENT


 
(h) any expense resulting from the discounting of any Indebtedness in connection with the application of recapitalization accounting or, if applicable, acquisition accounting in connection with any acquisition, and (i) the cash interest expense (or income) of all Unrestricted Subsidiaries for such period to the extent otherwise included in Consolidated Interest Expense. “Consolidated Net Income” means, for any period, net income (or loss) of the Borrower and the Restricted Subsidiaries for such period determined on a consolidated basis in accordance with GAAP, but excluding (i) any after-tax effect of extraordinary, non-recurring or unusual items (including gains or losses and all fees and expenses relating thereto) for such period, (ii) the cumulative effect of a change in accounting principles during such period to the extent included in Consolidated Net Income, (iii) any net after-tax effect of gains or losses (less all fees, expenses and charges relating thereto) on discontinued operations or asset dispositions, abandonments or the sale or other disposition of Capital Stock of any Person, in each case other than in the ordinary course of business (as determined in good faith by the Borrower), (iv) the net income (loss) for such period of any Person that is not a Subsidiary of the Borrower, or is an Unrestricted Subsidiary, or that is accounted for by the equity method of accounting; provided that Consolidated Net Income of the Borrower shall be increased by the amount of dividends or distributions or other payments that are actually paid in cash or Cash Equivalents (or to the extent subsequently converted into cash or Cash Equivalents) to the Borrower or a Restricted Subsidiary thereof in respect of such period, (v) any impairment charge or asset write-off or write-down, including impairment charges or asset write-offs or write-downs related to intangible assets, long-lived assets, investments in debt and equity securities or as a result of a Change in Law, in each case, pursuant to GAAP, and the amortization of intangibles arising pursuant to GAAP, and (vi) the income (or loss) of any Person accrued prior to the date it becomes a Restricted Subsidiary of Borrower or is merged into or consolidated with Borrower or any of its Subsidiaries or that Person’s assets are acquired by Borrower or any of its Restricted Subsidiaries shall be excluded (except to the extent required for any calculation of Consolidated EBITDA on a Pro Forma Basis in accordance with Section 1.07). There shall be excluded from Consolidated Net Income for any period the acquisition accounting effects of adjustments in component amounts required or permitted by GAAP pursuant to FASB ASC 805 (including in the inventory, property and equipment, fair value of leased property, software, goodwill, intangible assets, in-process research and development, deferred revenue, deferred rent, contingent considerations and debt line items thereof) and 21 1010279941v18


 
related authoritative pronouncements (including the effects of such adjustments pushed down to the Borrower and the Restricted Subsidiaries), as a result of any acquisition constituting an Investment permitted under this Agreement consummated prior to or after the Amendment No. 4 Effective Date, or the amortization or write-off of any amounts thereof. “Consolidated Total Net Debt” means, as of any date of determination, (a) the aggregate principal amount of Indebtedness of the Borrower and its Restricted Subsidiaries outstanding on such date, in an amount that would be reflected on a balance sheet prepared as of such date on a consolidated basis in accordance with GAAP (but excluding the effects of any discounting of Indebtedness resulting from the application of acquisition accounting in connection with any acquisition constituting an Investment permitted under this Agreement) consisting of Indebtedness for borrowed money, Attributable Indebtedness, and debt obligations evidenced by promissory notes or similar instruments (including purchase money debt) and all guarantees of Indebtedness of such type that is owed by a Person that is not the Borrower or a Restricted Subsidiary, minus (b) the aggregate amount not to exceed for purposes of this clause (b) $150,000,000 of cash and Cash Equivalents (other than Restricted Cash), in each case, included on the consolidated balance sheet of the Borrower and the Restricted Subsidiaries as of such date, free and clear of all Liens (other than Liens permitted by clauses (a), (b), (c), (e), (f), (j), (l), (m), (p), (t) and (w) of Section 8.01 (to the extent, with respect to such clauses (m), (t) and (w) of Section 8.01, such Liens are not first priority Liens or the obligations secured by such Lien are subordinated to the Obligations); provided that (A) Consolidated Total Net Debt shall not include Indebtedness in respect of (i) letters of credit, except to the extent of unreimbursed amounts thereunder and (which unreimbursed amount under commercial letters of credit shall not be counted as Consolidated Total Net Debt until three Business Days after such amount is drawn) and (ii) Unrestricted Subsidiaries and (B) for the avoidance of doubt, it is understood and agreed that obligations under Swap Contracts do not constitute Consolidated Total Net Debt. “Consolidated Total Net Leverage Ratio” means, with respect to any Test Period, the ratio of (a) Consolidated Total Net Debt as of the last day of such Test Period to (b) Consolidated EBITDA for such Test Period. “Continuing Directors” means, as of any date of determination, any director or manager (or their equivalent) of the Borrower: (a) who was a director or manager (or their equivalent) on the Closing Date; or (b) whose nomination for election to the board of directors or managers (or their equivalent) of the Borrower is recommended by, or is otherwise elected to the board of directors or managers (or their equivalent) with the approval of, a majority of the then Continuing Directors at the time of such nomination or election. “Contractual Obligation” means, as to any Person, any provision of any security issued by such Person or of any agreement, instrument or other undertaking to which such Person is a party or by which it or any of its property is bound. 22 1010279941v18


 
“Control” means the possession, directly or indirectly, of the power to direct or cause the direction of the management or policies of a Person, whether through the ability to exercise voting power, by contract or otherwise. “Controlling” and “Controlled” have meanings correlative thereto. Without limiting the generality of the foregoing, a Person shall be deemed to be Controlled by another Person if such other Person possesses, directly or indirectly, power to vote 10% or more of the securities having ordinary voting power for the election of directors, managing general partners or the equivalent. “Covenant Relief Period End Date” means the earlier of (x) May 15, 2024 and (y) the date on which the Compliance Certificate for the Test Period ending March 31, 2024 is delivered pursuant to Section 7.02(a). “Core Adjusted Consolidated EBITDA” means, for any period, the amount that would be determined by calculating Consolidated EBITDA for such period, but excluding any amounts that would have been added back to Consolidated EBITDA pursuant to clause (a)(vii) or clause (a)(x) of the definition of “Consolidated EBITDA” or that would have been subtracted from Consolidated EBITDA pursuant to clause (b)(iv) of the definition of “Consolidated EBITDA”. “Covered Party” has the meaning provided in Section 11.22. “Credit Agreement” has the meaning provided in the introductory paragraph hereto. “Credit Documents” means this Credit Agreement, the Notes, the Issuer Documents, the Collateral Documents, the Guaranties, each Request for Credit Extension, any agreement creating or perfecting rights in Cash Collateral pursuant to the provisions of Section 2.16 of this Credit Agreement, the Joinder Agreements, and any amendments to any Credit Documents that are deemed pursuant to their terms to be “Credit Documents” for purposes hereof. “Credit Extension” means each of the following: (a) a Borrowing, (b) the conversion or continuation of a Borrowing and (c) an L/C Credit Extension. “Credit Parties” means, collectively, the Borrower and the Guarantors. “Credit Party Materials” has the meaning provided in Section 7.02. “Cumulative Equity Credit” means, at any date, an amount determined on a cumulative basis equal to, without duplication: (a) the cumulative amount of cash and Cash Equivalent proceeds from the sale of Qualified Stock of the Borrower after the Closing Date and on or prior to such time (including upon exercise of warrants or options) (other than any amount used to incur Indebtedness pursuant to Section 8.03(o), make Restricted Payments pursuant to Section 8.06(d) or make prepayments of Junior Debt pursuant to Section 8.12(a)) which proceeds have been contributed as common equity to the capital of the Borrower, plus (b) 100% of the aggregate amount of contributions to the common capital of the Borrower received in cash and Cash Equivalents after the Closing Date (other than any amount used to incur Indebtedness pursuant to Section 8.03(o), make Restricted 23 1010279941v18


 
Payments pursuant to Section 8.06(d) or make prepayments of Junior Debt pursuant to Section 8.12(a)), plus (c) an amount equal to any returns in cash and Cash Equivalents (including dividends, interest, distributions, returns of principal, profits on sale, repayments, income and similar amounts) actually received by the Borrower or any Restricted Subsidiary in respect of any Investments made pursuant to Section 8.02(m)(y), minus (d) any amount of the Cumulative Equity Credit used to make Investments pursuant to Section 8.02(m)(y), make Restricted Payments pursuant to Section 8.06(h)(y) or make payments or distributions in respect of Junior Debt pursuant to Section 8.12(a)(iii)(y) after the Closing Date and prior to such time. “Debtor Relief Laws” means the Bankruptcy Code, and all other liquidation, conservatorship, bankruptcy, assignment for the benefit of creditors, moratorium, rearrangement, receivership, insolvency, reorganization, or similar debtor relief Laws of the United States or other applicable jurisdictions from time to time in effect and affecting the rights of creditors generally. “Default” means any event, act or condition that constitutes an Event of Default or that, with the giving of notice, the passage of time, or both, would constitute an Event of Default. “Default Rate” means, (a) in the case of the Letter of Credit Fee, an interest rate equal to the sum of (i) the Applicable Percentage for Revolving Credit Loans that are Base Rate Loans, plus (ii) two percent (2.0%) per annum; (b) in the case of Term SOFR Loans under any Facility, an interest rate equal to the sum of (i) Term SOFR therefor, plus (ii) the Applicable Percentage in respect of Term SOFR Loans under such Facility, plus (iii) two percent (2.0%) per annum; (c) in the case of any Alternative Currency Loans under any Facility, an interest rate equal to the sum of (i) the Alternative Currency Rate therefor, plus (ii) the Applicable Percentage in respect of such Alternative Currency Loans under such Facility, plus (iii) two percent (2.0%) per annum; (d) in the case of Base Rate Loans under any Facility, an interest rate equal to the sum of (i) the Base Rate, plus (ii) the Applicable Percentage in respect of Base Rate Loans under such Facility, plus (iii) two percent (2.0%) per annum; and (e) in all other cases, an interest rate equal to the sum of (i) the Base Rate, plus (ii) the Applicable Percentage in respect of Revolving Credit Loans that are Base Rate Loans, plus (iii) two percent (2.0%) per annum. “Defaulting Lender” means any Lender that (a) has failed to (i) fund all or any portion of its Loans within two Business Days of the date such Loans were required to be funded hereunder unless such Lender notifies the Administrative Agent and the Borrower in writing that 24 1010279941v18


 
such failure is the result of such Lender’s determination that one or more conditions precedent to funding (each of which conditions precedent, together with any applicable Default, shall be specifically identified in such writing) has not been satisfied or (ii) pay to the Administrative Agent, the L/C Issuer, the Swingline Lender or any other Lender any other amount required to be paid by it hereunder (including in respect of its participation in Letters of Credit or Swingline Loans) within two Business Days of the date when due, (b) has notified the Borrower, the Administrative Agent, the L/C Issuer or the Swingline Lender in writing that it does not intend to comply with its funding obligations hereunder, or has made a public statement to that effect (unless such writing or public statement relates to such Lender’s obligation to fund a Loan hereunder and states that such position is based on such Lender’s determination that a condition precedent to funding (which condition precedent, together with any applicable Default, shall be specifically identified in such writing or public statement) cannot be satisfied), (c) has failed, within three Business Days after written request by the Administrative Agent or the Borrower, to confirm in writing to the Administrative Agent and the Borrower that it will comply with its prospective funding obligations hereunder (provided that such Lender shall cease to be a Defaulting Lender pursuant to this clause (c) upon receipt of such written confirmation by the Administrative Agent and the Borrower) or (d) has, or has a direct or indirect parent company that has, (i) become the subject of a proceeding under any Debtor Relief Law, or (ii) had appointed for it a receiver, custodian, conservator, trustee, administrator, assignee for the benefit of creditors or similar Person charged with reorganization or liquidation of its business or assets, including the Federal Deposit Insurance Corporation or any other state or federal regulatory authority acting in such a capacity or (iii) became the subject of a Bail-in Action; provided that a Lender shall not be a Defaulting Lender solely by virtue of the ownership or acquisition of any equity interest in that Lender or any direct or indirect parent company thereof by a Governmental Authority so long as such ownership interest does not result in or provide such Lender with immunity from the jurisdiction of courts within the United States or from the enforcement of judgments or writs of attachment on its assets or permit such Lender (or such Governmental Authority or instrumentality) to reject, repudiate, disavow or disaffirm any contracts or agreements made with such Lender. Any determination by the Administrative Agent that a Lender is a Defaulting Lender under clauses (a) through (d) above shall be conclusive and binding absent manifest error, and such Lender shall be deemed to be a Defaulting Lender upon delivery of written notice of such determination to the Borrower, the L/C Issuer, the Swingline Lender and the Lenders. “Defaulting Lender Account” has the meaning provided in Section 2.17(a)(iv). “Disposition” or “Dispose” means the sale, transfer, license, lease, abandonment or other disposition of any Property by any Person, including any sale, assignment, transfer or other disposal, with or without recourse, of any notes or accounts receivable or any rights and claims associated therewith, but excluding, for purposes hereof, (a) Dispositions of obsolete, worn out, surplus or no longer used or useful property, whether now owned or hereafter acquired, (b) Dispositions of inventory and goods held for sale in the ordinary course of business in the ordinary course of business, (c) Dispositions of equipment or real property to the extent that (i) such property is exchanged for credit against the purchase price of similar replacement property or (ii) the proceeds of such Disposition are reasonably promptly applied to the purchase price of such replacement property, (d) Dispositions or discounts without recourse of accounts receivable 25 1010279941v18


 
in connection with the compromise or collection thereof in the ordinary course of business, (e) any Involuntary Disposition and (f) the unwinding of any Swap Contract. “Disqualified Institutions” means those Persons (the list of all such Persons, the “Disqualified Institutions List”) that are (i) identified in writing by the Borrower to the Administrative Agent prior to February 9, 2022, (ii) competitors of the Borrower and its Subsidiaries that are identified in writing by the Borrower to the Administrative Agent from time to time or (iii) Affiliates of such Persons set forth in clauses (i) and (ii) above (in the case of Affiliates of such Persons set forth in clause (ii) above, other than bona fide fixed income investors or debt funds) that are either (a) identified in writing by the Borrower to the Administrative Agent from time to time or (b) clearly identifiable on the basis of such Affiliate’s name; provided that to the extent Persons are identified as Disqualified Institutions in writing by the Borrower to the Administrative Agent after the Closing Date pursuant to clauses (ii) or (iii)(a), the inclusion of such Persons as Disqualified Institutions shall not retroactively apply to prior assignments or participations (or binding agreements to acquire an assignment or participation) in respect of any Loan under this Credit Agreement. Until the disclosure of the identity of a Disqualified Institution to the Lenders generally by the Administrative Agent, such Person shall not constitute a Disqualified Institution for purposes of a sale of a participation in a Loan or an assignment of a Loan by a Lender; provided that no disclosure of the Disqualified Institutions List (or the identity of any Person that constitutes a Disqualified Institution) to the Lenders shall be made by the Administrative Agent without the prior written consent of the Borrower. Notwithstanding the foregoing, the Borrower, by written notice to the Administrative Agent, may from time to time in its sole discretion remove any entity from the Disqualified Institutions List (or otherwise modify such list to remove any particular entity), and such entity removed from the Disqualified Institutions List shall no longer be a Disqualified Institution for any purpose under this Credit Agreement or any other Credit Document. “Disqualified Institutions List” has the meaning as set forth in the definition of “Disqualified Institutions.” “Disqualified Stock” means any Capital Stock that, by its terms (or by the terms of any security into which it is convertible, or for which it is exchangeable, in each case at the option of the holder of the Capital Stock), or upon the happening of an event or condition (a) matures or is mandatorily redeemable (other than solely for Qualified Stock), pursuant to a sinking fund obligation or otherwise (except as a result of a change of control or asset sale so long as any rights of the holders thereof upon the occurrence of a change of control or asset sale event shall be subject to the prior repayment in full of the Loans and all other Obligations (other than (i) contingent indemnification obligations as to which no claim has been asserted, (ii) Obligations described in clauses (b) and (c) of the definition thereof and (iii) any Letter of Credit that has been Cash Collateralized or back-stopped by a letter of credit reasonably satisfactory to the L/C Issuer or such Letter of Credit has been deemed reissued under another agreement reasonably acceptable to the L/C Issuer) that are accrued and payable and the termination of the Commitments and the termination of all outstanding Letters of Credit (unless the Outstanding Amount of the L/C Obligations related thereto has been Cash Collateralized, back-stopped by a letter of credit reasonably satisfactory to the L/C Issuer or deemed reissued under another agreement reasonably acceptable to the L/C Issuer)), (b) is redeemable at the option of the holder thereof (other than solely for Qualified Stock and other than as a result of a change of control or 26 1010279941v18


 
asset sale event shall be subject to the prior repayment in full of the Loans and all other Obligations (other than (i) contingent indemnification obligations as to which no claim has been asserted, (ii) Obligations described in clauses (b) and (c) of the definition thereof and (iii) any Letter of Credit that has been Cash Collateralized or back-stopped by a letter of credit reasonably satisfactory to the L/C Issuer or such Letter of Credit has been deemed reissued under another agreement reasonably acceptable to the L/C Issuer) that are accrued and payable and the termination of the Commitments and the termination of all outstanding Letters of Credit (unless the Outstanding Amount of the L/C Obligations related thereto has been Cash Collateralized, back-stopped by a letter of credit reasonably satisfactory to the L/C Issuer or deemed reissued under another agreement reasonably acceptable to the L/C Issuer)), in whole or in part or (c) is or becomes convertible into or exchangeable for Indebtedness or any other Capital Stock that would constitute Disqualified Stock, in each case, prior to the date that is 91 days after the Latest Maturity Date at the time of issuance of such Capital Stock; provided that if such Capital Stock is issued pursuant to a plan for the benefit of future, current or former employees, directors, officers, members of management or consultants of the Borrower or the Restricted Subsidiaries or by any such plan to such employees, directors, officers, members of management or consultants, such Capital Stock shall not constitute Disqualified Stock solely because they may be permitted to be repurchased by the Borrower or its Restricted Subsidiaries in order to satisfy applicable statutory or regulatory obligations or as a result of such employee’s, director’s, officer’s, management member’s or consultant’s termination of employment or service, as applicable, death or disability. “Distressed Agent-Related Person” has the meaning provided in the definition of “Agent-Related Distress Event.” “Documentation Agents” means Wells Fargo Bank, National Association, Keybank National Association, U.S. Bank, N.A., TD Bank NA, BMO Bank NA (formerly known as BMO Harris Bank, N.A. and as successor to Bank of the West, Capital One, National Association, Bank of the West and Regions Bank, in their respective capacities as co-documentation agents. “Dollar” or “$” means the lawful currency of the United States. “Dollar Equivalent” means, at any time, (a) with respect to any amount denominated in Dollars, such amount, and (b) with respect to any amount denominated in any Alternative Currency, the equivalent amount thereof in Dollars as determined by the L/C Issuer at such time on the basis of the Spot Rate (determined in respect of the most recent Revaluation Date) for the purchase of Dollars with such Alternative Currency. “Domestic Subsidiary” means any Subsidiary that is organized under the Laws of any state of the United States or the District of Columbia. “EAC Adjustment” means any adjustment to the financial statements of any Credit Party or any Restricted Subsidiary of any Credit Party in accordance to GAAP related to any revision in the estimate-at-completion accounting of such Credit Party or Restricted Subsidiary. “EEA Financial Institution” means (a) any credit institution or investment firm established in any EEA Member Country which is subject to the supervision of an EEA 27 1010279941v18


 
Resolution Authority, (b) any entity established in an EEA Member Country which is a parent of an institution described in clause (a) of this definition, or (c) any financial institution established in an EEA Member Country which is a subsidiary of an institution described in clauses (a) or (b) of this definition and is subject to consolidated supervision with its parent; “EEA Member Country” means any of the member states of the European Union, Iceland, Liechtenstein, and Norway. “EEA Resolution Authority” means any public administrative authority or any person entrusted with public administrative authority of any EEA Member Country (including any delegee) having responsibility for the resolution of any EEA Financial Institution. “Electronic Copy” shall have the meaning assigned to such term in Section 11.19. “Electronic Record” and “Electronic Signature” shall have the meanings assigned to them, respectively, by 15 USC §7006, as it may be amended from time to time. “Eligible Assignee” has the meaning set forth in Section 11.06(a)(i). For the avoidance of doubt, “Eligible Assignee” shall not include any Disqualified Institution. “Eligible Currency” means any lawful currency other than Dollars that is readily available, freely transferable and convertible into Dollars in the international interbank market available to the Lenders or the L/C Issuer, as applicable, in such market and as to which a Dollar Equivalent may be readily calculated. If, after the designation by the Lenders or the L/C Issuer, as applicable, of any currency as an Alternative Currency (or if, with respect to any currency that constitutes an Alternative Currency on the Amendment No. 4 Effective Date, after the Amendment No. 4 Effective Date), any change in currency controls or exchange regulations or any change in the national or international financial, political or economic conditions are imposed in the country in which such currency is issued, result in, in the reasonable opinion of the Administrative Agent (in the case of any Loans to be denominated in an Alternative Currency) or the L/C Issuer (in the case of any Letter of Credit to be denominated in an Alternative Currency), (a) such currency no longer being readily available, freely transferable and convertible into Dollars, (b) a Dollar Equivalent is no longer readily calculable with respect to such currency or (c) providing such currency is impracticable for the Lenders or the L/C Issuer, as applicable, or (d) no longer a currency in which the Required Lenders are willing to make such Credit Extensions (each of clauses (a), (b), (c) and (d), a “Disqualifying Event”), then the Administrative Agent shall promptly notify the Lenders and the Borrower, and such country’s currency shall no longer be an Alternative Currency until such time as the Disqualifying Event(s) no longer exist(s). Within five (5) Business Days after receipt of such notice from the Administrative Agent, the Borrower shall either, at its sole option, (x), in the case of clauses (a), (b) or (c), repay all Loans in such currency to which the Disqualifying Event applies or (y), in the case of clauses (a), (b), (c) or (d), convert such Loans into the Dollar Equivalent of Loans in Dollars, subject to the other terms contained herein. “Environment” means ambient air, indoor air, surface water, groundwater, drinking water, land surface, sediments, and subsurface strata and natural resources such as wetlands, flora and fauna. 28 1010279941v18


 
“Environmental Laws” means any and all applicable federal, state, local, and foreign statutes, laws (including the common law), regulations, ordinances, rules, judgments, orders, decrees, permits, concessions, grants, franchises, licenses, agreements or governmental restrictions relating to pollution, the protection of the Environment or the Release of any Hazardous Materials into the Environment. “Environmental Liability” means any liability, contingent or otherwise (including any liability for damages, costs of environmental remediation, fines, penalties or indemnities), of or relating to the Borrower, any other Credit Party or any of their respective Subsidiaries directly or indirectly resulting from or based upon (a) any Environmental Law, including a violation of any Environmental Law, (b) the generation, use, handling, transportation, storage or treatment of any Hazardous Materials, (c) exposure to any Hazardous Materials, (d) the Release or threatened Release of any Hazardous Materials into the Environment or (e) any contract, agreement or other consensual arrangement pursuant to which liability is assumed or imposed with respect to any of the foregoing. “Environmental Permit” means any permit, approval, identification number, license or other authorization required under any Environmental Law. “Equity Offering” means the issuance by the Borrower of any Capital Stock in an underwritten public offering (other than a public offering pursuant to a registration statement on Form S-8) pursuant to an effective registration statement filed with the U.S. Securities and Exchange Commission in accordance with the Securities Act or in a private placement pursuant to an exemption from the Securities Act. “ERISA” means the Employee Retirement Income Security Act of 1974, as amended, and the rules and regulations promulgated thereunder. “ERISA Affiliate” means any trade or business (whether or not incorporated) that together with the Borrower or any other Credit Party is treated as a single employer under Section 414(b) or (c) of the Internal Revenue Code (and Sections 414(m) and (o) of the Internal Revenue Code for purposes of provisions relating to Section 412 of the Internal Revenue Code). “ERISA Event” means (a) a Reportable Event with respect to a Pension Plan; (b) a withdrawal by a Credit Party or any ERISA Affiliate from a Pension Plan subject to Section 4063 of ERISA during a plan year in which it was a substantial employer (as defined in Section 4001(a)(2) of ERISA) or a cessation of operations that is treated as such a withdrawal under Section 4062(e) of ERISA; (c) a complete or partial withdrawal by a Credit Party or any ERISA Affiliate from a Multiemployer Plan or notification that a Multiemployer Plan is insolvent; (d) the filing of a notice of intent to terminate, the treatment of a plan amendment as a termination under Sections 4041 or 4041A of ERISA, or the commencement of proceedings by the PBGC to terminate a Pension Plan or Multiemployer Plan; (e) an event or condition that would reasonably be expected to constitute grounds under Section 4042 of ERISA for the termination by the PBGC of, or the appointment of a trustee to administer, any Pension Plan or Multiemployer Plan; (f) the failure by a Credit Party or any ERISA Affiliate to satisfy the minimum funding standard applicable to a Pension Plan for any plan year under Section 412 of the Internal Revenue Code or Section 303 of ERISA; (g) the determination that any Pension Plan is considered an at-risk plan 29 1010279941v18


 
within the meaning of Section 430 of the Internal Revenue Code or Section 303 of ERISA; (h) receipt by a Credit Party or any ERISA Affiliate of any notice that any Multiemployer Plan is in “endangered” or “critical” status within the meaning of Section 432 of the Internal Revenue Code and Section 305 of ERISA; or (i) the imposition of any liability under Title IV of ERISA, other than for PBGC premiums due but not delinquent under Section 4007 of ERISA, upon a Credit Party or any ERISA Affiliate. “Erroneous Party” shall have the meaning set forth in Section 10.13. “Escrow Assumption” means with respect to any Incremental Term Loan that is initially established as an Escrow Incremental Term Loan, the assumption of the Escrow Borrower’s obligations with respect thereto by the Borrower pursuant to an assumption agreement in form reasonably satisfactory to the Administrative Agent. “Escrow Borrower” means a Person that is a U.S. entity and is not the Borrower established to (i) borrow Escrow Incremental Term Loans pending assumption of such Incremental Term Loans by the Borrower or (ii) assume the obligations of the Borrower with respect to previously incurred Incremental Term Loans, in each case, that is designated in the applicable Incremental Amendment or assumption agreement as an Escrow Borrower and that is not engaged in any material operations and does not have any other material assets other than in connection therewith. “Escrow Funding Assignment” means the assignment by the Borrower to an Escrow Borrower and the assumption by such Escrow Borrower, in each case, of the obligations of the Borrower with respect to previously incurred Incremental Term Loans. “Escrow Incremental Term Loan” means any Incremental Term Loan that either (x) is initially borrowed by an Escrow Borrower or (y) is initially borrowed by the Borrower but was subsequently converted to an Escrow Incremental Term Loans in accordance with Section 2.18, in each case, for so long as the Escrow Assumption with respect to such Incremental Term Loan has not occurred. “EU Bail-In Legislation Schedule” means the EU Bail-In Legislation Schedule published by the Loan Market Association (or any successor person), as in effect from time to time. “Euros” means the lawful currency of the Participating Member States. “Event of Default” has the meaning provided in Section 9.01. “Exchange Act” means the Securities Exchange Act of 1934. “Excluded Property” means (i) any fee-owned real property and any leasehold rights and interests in real property (it being understood that there shall be no requirement to obtain landlord waivers, estoppels and collateral access letters), (ii) motor vehicles, aircraft and other assets subject to certificates of title, except to the extent a security interest therein can be perfected by the filing of a UCC financing statement, (iii) Commercial Tort Claims (as defined in the Security Agreement) where the amount of damages claimed by the applicable Credit Party 30 1010279941v18


 
is less than $5,000,000, (iv) governmental licenses or state or local franchises, charters and authorizations and any other property and assets to the extent that the Collateral Agent may not validly possess a security interest therein under applicable Laws (including rules and regulations of any Governmental Authority or agency) or the pledge or creation of a security interest in which would require governmental consent, approval, license or authorization, other than to the extent such prohibition or limitation is rendered ineffective under the UCC or other applicable Law notwithstanding such prohibition or to the extent such consent has been obtained, (v) any particular asset or right under contract, if the pledge thereof or the security interest therein is prohibited or restricted by applicable Law, rule or regulation (including any rules or regulations of any Governmental Authority or agency), or any third party (so long as any agreement with such third party that provides for such prohibition or restriction was not entered into in contemplation of the acquisition of such assets or entering into of such contract for the purpose of creating such prohibition or restriction), other than to the extent any such prohibition or restriction is rendered ineffective under the UCC or other applicable Law notwithstanding such prohibition or restriction, (vi) (A) margin stock, (B) Capital Stock in any Unrestricted Subsidiaries and (C) Capital Stock in any non-wholly owned Restricted Subsidiaries and any entities which do not constitute Subsidiaries, but only to the extent that (x) the Organization Documents or other agreements with equity holders (other than the Borrower and its Restricted Subsidiaries) of such non-wholly owned Restricted Subsidiary or other entity do not permit or restrict the pledge of such Capital Stock (to the extent such restriction existed on the Closing Date or on the date of acquisition of such non-wholly owned Restricted Subsidiary), or (y) the pledge of such Capital Stock (including any exercise of remedies) would result in a change of control, repurchase obligation or other adverse consequence to any of the Credit Parties or such non-wholly owned Restricted Subsidiary or other entity, (vii) any lease, license or agreement or any property subject to a purchase money security interest, Capitalized Lease obligations or similar arrangement permitted hereunder, in each case permitted hereunder, to the extent the grant of a security interest therein would violate or invalidate such lease, license or agreement or purchase money or similar arrangement or create a right of termination in favor of any other party thereto (other than the Borrower or any of its Restricted Subsidiaries) after giving effect to the applicable anti-assignment provisions of the UCC or other applicable Law, other than proceeds and receivables thereof, the assignment of which is expressly deemed effective under the UCC or other applicable Law notwithstanding such prohibition, (viii) any property or assets for which the creation or perfection of pledges of, or security interests in, such property or assets pursuant to the Collateral Documents would result in material adverse tax consequences to the Borrower or any of its Subsidiaries, as reasonably determined by the Borrower in consultation with the Administrative Agent, (ix) letter-of-credit rights, except to the extent the security interest therein may be perfected by the filing of a UCC financing statement, (x) (A) payroll and other employee wage and benefit accounts, (B) tax accounts, including sales tax accounts, (C) escrow accounts and (D) fiduciary or trust accounts and, in the case of clauses (A) through (D), the funds or other property held in or maintained in any such account (as long as the accounts described in clauses (A) through (D) are used solely for such purposes), (xi) any intent-to-use trademark application prior to the filing of a “Statement of Use” or “Amendment to Allege Use” with respect thereto, to the extent, if any, that, and solely during the period, if any, in which the grant of a security interest therein would impair the validity or enforceability of such intent-to-use trademark application under applicable federal Law and (xii) assets in circumstances where the cost of obtaining a security interest in such assets, including the cost of 31 1010279941v18


 
title insurance, surveys or flood insurance (if necessary), would be excessive in light of the practical benefit to the Lenders afforded thereby as reasonably determined together by the Borrower and the Administrative Agent; provided, however, that Excluded Property shall not include any proceeds, substitutions or replacements of any Excluded Property referred to in clause (i) through (xii) (unless such proceeds, substitutions or replacements would independently constitute Excluded Property referred to in clauses (i) through (xii)). “Excluded Subsidiary” means (a) any Subsidiary that is not a Wholly Owned Subsidiary of the Borrower or a Guarantor, (b) any Subsidiary that is prohibited by applicable Law or by Contractual Obligations existing on the Closing Date (or, in the case of any newly acquired Subsidiary, in existence at the time of acquisition but not entered into in contemplation thereof) from guaranteeing the Obligations or if guaranteeing the Obligations would require governmental (including regulatory) consent, approval, license or authorization, (c) any Subsidiary where the Administrative Agent and the Borrower agree that the cost of obtaining a Guaranty by such Subsidiary would be excessive in light of the practical benefit to the Lenders afforded thereby, (d) any Foreign Subsidiary, (e) any not-for-profit Subsidiaries, (f) any Unrestricted Subsidiaries, (g) any special purpose securitization vehicle (or similar entity), (h) any CFC Holdco, (i) any Domestic Subsidiary that is a direct or indirect Subsidiary of a Foreign Subsidiary that is a CFC, and (j) any Subsidiary, the obtaining of a Guaranty with respect to which would result in material adverse tax consequences as reasonably determined by the Borrower in consultation with the Administrative Agent. “Excluded Swap Obligation” means, with respect to any Guarantor, any Swap Obligation if, and to the extent that, all or a portion of the guaranty of such Guarantor of, or the grant by such Guarantor of a security interest to secure, such Swap Obligation (or any guaranty thereof) (after giving effect to any keepwell, support or other agreement provided by the Borrower or any of its Subsidiaries with respect to the obligations of such Guarantor) is or becomes illegal under the Commodity Exchange Act or any rule, regulation or order of the Commodity Futures Trading Commission (or the application or official interpretation of any thereof) by virtue of such Guarantor’s failure for any reason to constitute an “eligible contract participant” as defined in the Commodity Exchange Act and the regulations thereunder at the time the guaranty of such Guarantor or the grant of such security interest becomes effective with respect to such Swap Obligation. If a Swap Obligation arises under a master agreement governing more than one swap, such exclusion shall apply only to the portion of such Swap Obligation that is attributable to swaps for which such guaranty or security interest is or becomes illegal. “Excluded Taxes” means, with respect to the Administrative Agent, any Lender, the L/C Issuer or any other recipient of any payment to be made by or on account of any obligation of any Credit Party hereunder, (a) Taxes imposed on or measured by its overall net income (however denominated), and franchise taxes imposed on it (in lieu of net income taxes), in each case (i) by the jurisdiction (or any political subdivision thereof) under the Laws of which such recipient is organized or in which its principal office is located or, in the case of any Lender, in which its applicable Lending Office is located, or (ii) as the result of any other present or former connection between such recipient and the jurisdiction imposing such Tax (other than any connection arising solely from such recipient having executed, delivered, become a party to, performed its obligations under, received payments under, received or perfected a security 32 1010279941v18


 
interest under, or engaged in any other transaction pursuant to or enforced any Credit Documents, or sold or assigned an interest in any Loan or Credit Document), (b) any branch profits taxes imposed by the United States or any similar tax imposed by any other jurisdiction in which a Lender is located, (c) any U.S. federal withholding Taxes required to be withheld from amounts payable to a Lender that has failed to comply with clause (A) of Section 3.01(e)(ii), (d) in the case of a Foreign Lender (other than an assignee pursuant to a request by the Borrower under Section 11.13), any United States federal withholding tax that (i) is required to be imposed on amounts payable to such Foreign Lender pursuant to the Laws in force at the time such Foreign Lender becomes a party hereto (or designates a new Lending Office, other than in the case of a designation under Section 3.06(a)), except to the extent that such Foreign Lender (or its assignor, if any) was entitled, at the time of designation of a new Lending Office (or assignment), to receive additional amounts from the applicable Credit Party with respect to such withholding tax pursuant to Section 3.01(a)(ii) or (c), (e) U.S. federal backup withholding Taxes, and (f) any Taxes imposed under FATCA. “Extended Revolving Commitment” means any Class of Revolving Credit Commitments the maturity of which shall have been extended pursuant to Section 2.19. “Extended Revolving Loans” means any Revolving Credit Loans made pursuant to the Extended Revolving Commitments. “Extended Term Loans” means any Class of Term Loans the maturity of which shall have been extended pursuant to Section 2.19. “Extension” has the meaning provided in Section 2.19(a). “Extension Amendment” has the meaning provided in Section 2.19(d). “Extension Offer” has the meaning provided in Section 2.19(a). “Facility” means the Term Loan Facility or the Revolving Credit Facility, as the context may require. “FASB ASC” means the Accounting Standards Codification of the Financial Accounting Standards Board. “FATCA” means Sections 1471 through 1474 of the Internal Revenue Code, as of the date of this Agreement (or any amended or successor version that is substantively comparable and not materially more onerous to comply with) and any current or future regulations or official interpretations thereof and any agreements entered into pursuant to Section 1471(b)(1) of the Internal Revenue Code, as of the date of this Agreement (or any amended or successor version described above) and any intergovernmental agreement (and related fiscal or regulatory legislation, or related official rules or practices) implementing the foregoing. “FCPA” has the meaning provided in Section 6.21(a). “Federal Funds Rate” means, for any day, the rate per annum calculated by the Federal Reserve Bank of New York based on such day’s federal funds transactions by depository 33 1010279941v18


 
institutions (as determined in such manner as the Federal Reserve Bank of New York shall set forth on its public website from time to time) and published on the next succeeding Business Day by the Federal Reserve Bank of New York as the federal funds effective rate; provided that if the Federal Funds Rate as so determined would be less than zero, such rate shall be deemed to be zero for purposes of this Agreement. “Financial Covenants” means the covenants set forth in Section 8.11. “First Lien Intercreditor Agreement” means an intercreditor agreement substantially in the form of Exhibit 1.01-4 hereto (which agreement in such form, or with immaterial changes thereto, the Administrative Agent is authorized to enter into) together with any material changes thereto which are reasonably acceptable to the Administrative Agent and which material changes shall be posted to the Lenders not less than five (5) Business Days before execution thereof and, if the Required Lenders shall not have objected to such changes within five (5) Business Days after posting, then the Required Lenders shall be deemed to have agreed that the Administrative Agent’s entry into such intercreditor agreement (with such changes) is reasonable and to have consented to such intercreditor agreement (with such changes) and to the Administrative Agent’s execution thereof. “Fixed Amounts” has the meaning set forth in Section 1.09(e). “Foreign Disposition” has the meaning provided in Section 2.06(b)(ii)(D). “Foreign Lender” means any Lender that is not a United States person for U.S. federal income tax purposes. “Foreign Subsidiary” means any Subsidiary that is not a Domestic Subsidiary. “FRB” means the Board of Governors of the Federal Reserve System of the United States. “Fronting Exposure” means, at any time there is a Defaulting Lender, (a) with respect to the L/C Issuer, such Defaulting Lender’s Aggregate Commitment Percentage of the outstanding L/C Obligations other than L/C Obligations as to which such Defaulting Lender’s participation obligation has been reallocated to other Revolving Credit Lenders or Cash Collateralized in accordance with the terms hereof, and (b) with respect to the Swingline Lender, such Defaulting Lender’s Aggregate Commitment Percentage of Swingline Loans other than Swingline Loans as to which such Defaulting Lender’s participation obligation has been reallocated to other Revolving Credit Lenders or Cash Collateralized in accordance with the terms hereof. “Fund” means any Person (other than a natural person) that is (or will be) engaged in making, purchasing, holding or otherwise investing in commercial loans and similar extensions of credit in the ordinary course of its activities. “GAAP” means generally accepted accounting principles in the United States set forth in the opinions and pronouncements of the Accounting Principles Board and the American Institute of Certified Public Accountants and statements and pronouncements of the Financial Accounting Standards Board in the United States, that are applicable to the circumstances as of the date of 34 1010279941v18


 
determination, or on adoption of the International Financial Reporting Standards (the “IFRS”), the IFRS, in either case, consistently applied and subject to the provisions of Section 1.03. “Governmental Authority” means the government of the United States or any other nation, or of any political subdivision thereof, whether state or local, and any agency, authority, instrumentality, regulatory body, court, central bank or other entity exercising executive, legislative, judicial, taxing, regulatory or administrative powers or functions of or pertaining to government (including any supra-national bodies such as the European Union or the European Central Bank) and any group or body charged with setting financial accounting or regulatory capital rules or standards (including the Financial Accounting Standards Board, the Bank for International Settlements or the Basel Committee on Banking Supervision or any successor or similar authority to any of the foregoing). “Guarantors” has the meaning set forth in the definition of “Collateral and Guarantee Requirement” and shall include each Restricted Subsidiary who after the Closing Date becomes a Guarantor pursuant to a Joinder Agreement or other documentation in form and substance reasonably acceptable to the Administrative Agent, in each case together with their respective successors and permitted assigns. For avoidance of doubt, and notwithstanding any limitations to the requirement to provide a Guaranty or grant security interests in the assets of any Subsidiary to the contrary, the Borrower with the consent of the Administrative Agent (not to be unreasonably withheld, conditioned or delayed) may cause any Restricted Subsidiary that is not a Guarantor to guarantee the Obligations and comply with the provisions of Section 7.12 (including in the case of any Foreign Subsidiary by delivering, within time frames and subject to extensions as agreed with the Administrative Agent, such Collateral Documents, as determined as reasonably necessary by the Administrative Agent in consultation with the Borrower, to grant and perfect security interests in such Foreign Subsidiary’s relevant assets for which security interests are customarily granted in such Subsidiary’s jurisdiction of organization but with exclusions consistent as applicable with the definition of Excluded Property) by causing such Restricted Subsidiary to execute a joinder to this Agreement in form and substance reasonably satisfactory to the Administrative Agent, and any such Restricted Subsidiary shall be a Guarantor and Credit Party hereunder for all purposes. In addition, the Borrower shall be a Guarantor in respect of Swap Obligations and Treasury Management Obligations to which the Borrower is not party. “Guaranty” means (a) the guaranty provided pursuant to Article 4 hereof and/or (b) any other guaranty agreement given by any Person pursuant to the terms hereof. “Hazardous Materials” means petroleum or petroleum distillates, asbestos or asbestos-containing materials, polychlorinated biphenyls, radon gas and all other substances, materials or wastes of any nature regulated pursuant to any Environmental Law. “Historical Financial Statements” means (a) the audited consolidated balance sheets and related statements of comprehensive income, shareholders’ equity and cash flows of the Borrower for the fiscal years ended June 30, 2014, June 30, 2015 and June 30, 2016 and (b) the unaudited consolidated balance sheets and related consolidated statements of comprehensive 35 1010279941v18


 
income and cash flows for the Borrower for the fiscal quarters of the Borrower ended September 30, 2016, December 31, 2016 and March 31, 2017. “IFRS” has the meaning specified in the definition of “GAAP.” “Incremental Amendment” has the meaning provided in Section 2.18(e). “Incremental Amendment Date” has the meaning provided in Section 2.18(c). “Incremental Commitment” means an Incremental Revolving Commitment or an Incremental Term Commitment, as applicable. “Incremental Equivalent Debt” has the meaning provided in Section 8.03(q). “Incremental Facility” means an Incremental Term Commitment or an Incremental Revolving Commitment, as applicable. “Incremental Facility Closing Date” has the meaning provided in Section 2.18(b). “Incremental Increase” means an Incremental Term Loan Increase or a Revolving Commitment Increase, as applicable. “Incremental Lender” means an Incremental Revolving Lender or an Incremental Term Lender, as applicable. “Incremental Loans” means the Incremental Term Loans or the Incremental Revolving Loans, as applicable. “Incremental Revolving Commitment” means the commitment of any Lender, established pursuant to Section 2.18, to make Incremental Revolving Loans to the Borrower. “Incremental Revolving Lender” means a Revolving Credit Lender with an Incremental Revolving Commitment or an outstanding Incremental Revolving Loan. “Incremental Revolving Loan” means Revolving Credit Loans made by one or more Revolving Credit Lenders to the Borrower pursuant to their Incremental Revolving Commitments. Incremental Revolving Loans may only be made in the form of additional Revolving Credit Loans. “Incremental Term Commitment” means the commitment of any Lender, established pursuant to Section 2.18, to make Incremental Term Loans to the Borrower. “Incremental Term Lender” means a Lender with an Incremental Term Commitment or an outstanding Incremental Term Loan. “Incremental Term Loan Increase” has the meaning specified in Section 2.18. “Incremental Term Loan” has the meaning specified in Section 2.18. 36 1010279941v18


 
“Incurrence-Based Amounts” has the meaning set forth in Section 1.09(e). “Indebtedness” means, as to any Person at a particular time, without duplication, all of the following, whether or not included as indebtedness or liabilities in accordance with GAAP: (a) all obligations of such Person for borrowed money and all obligations of such Person evidenced by bonds, debentures, notes, loan agreements or other similar instruments; (b) all indebtedness and obligations in respect of the deferred purchase price of property or services (other than (i) trade accounts payable incurred in the ordinary course of business, (ii) any bona fide deferred purchase price arrangement, earn-out or similar obligation, unless such obligation has not been paid after becoming due and payable in accordance with its terms and (iii) accruals for payroll and other liabilities accrued in the ordinary course of business); (c) all obligations under letters of credit (including standby and commercial), bankers’ acceptances and similar instruments (including bank guaranties, surety bonds, comfort letters, keep-well agreements and capital maintenance agreements) to the extent such instruments or agreements support financial, rather than performance, obligations; (d) indebtedness (excluding prepaid interest thereon) secured by a Lien on property owned or being purchased by such Person (including indebtedness arising under conditional sales or other title retention agreements and mortgage, industrial revenue bond, industrial development bond and similar financings), whether or not such indebtedness shall have been assumed by such Person or is limited in recourse; (e) all Attributable Indebtedness; (f) all obligations of such Person in respect of Disqualified Stock; (g) net obligations of such Person under any Swap Contract; and (h) to the extent not otherwise included above, all Support Obligations of such Person in respect of any of the foregoing. For all purposes hereof, the Indebtedness of any Person shall (A) include the Indebtedness of any partnership or joint venture (other than a joint venture that is itself a corporation or limited liability company) or other similar entity in which such Person is a general partner or joint venturer, except to the extent such Person’s liability for such obligation is expressly made non-recourse or otherwise limited and (B) in the case of the Borrower and its Restricted Subsidiaries, exclude all intercompany Indebtedness so long as such intercompany Indebtedness (i) has a term not exceeding 364 days (inclusive of any roll-over or extensions of terms) and (ii) is made in the ordinary course of business. The amount of Indebtedness shall be determined (i) based on Swap Termination Value in the case of net obligations under Swap Contracts under clause (g), and (ii) based on the outstanding principal amount of the Indebtedness that is the subject of the Support Obligations in the case of Support Obligations under clause (h). The amount of Indebtedness of any Person for purposes of clause (d) (unless 37 1010279941v18


 
such Indebtedness has been assumed by such Person or is otherwise recourse to such Person) shall be deemed to be equal to the lesser of (i) the aggregate unpaid amount of such Indebtedness and (ii) the fair market value of the property encumbered thereby. “Indemnified Taxes” means (a) Taxes, other than Excluded Taxes, imposed on or with respect to any payment made by or on account of any obligation of the Borrower under any Credit Document and (b) to the extent not otherwise described in clause (a), Other Taxes. “Indemnitee” has the meaning provided in Section 11.04(b). “Information” has the meaning provided in Section 11.07. “Initial Revolving Credit Commitments” means the Revolving Credit Commitments of the Revolving Credit Lenders on the Amendment No. 4 Effective Date pursuant to Section 2.01(b). “Intellectual Property Security Agreements” means the Intellectual Property Security Agreements as such term is defined in the Security Agreement. “Intercompany Note” means a promissory note substantially in the form of Exhibit 1.01-3. “Intercreditor Agreements” means any First Lien Intercreditor Agreement, Junior Lien Intercreditor Agreement and Subordination Agreement, collectively, in each case to the extent then in effect. “Interest Payment Date” means, (a) as to any Base Rate Loan (including Swingline Loans), the last Business Day of each March, June, September and December, and the Revolving Termination Date (in the case of Revolving Credit Loans) or the applicable Maturity Date (in the case of Term Loans) and, in the case of any Swingline Loan, any other dates as may be mutually agreed upon by the Borrower and the Swingline Lender, (b) as to any Term SOFR Loan, the last Business Day of each Interest Period for such Loan, the date of repayment of principal of such Loan, and the Revolving Termination Date (in the case of Revolving Credit Loans) or the applicable Maturity Date (in the case of Term Loans), (c) as to any Alternative Currency Daily Rate Loan, the last Business Day of each March, June, September and December and the Revolving Termination Date (in the case of Revolving Credit Loans) or the applicable Maturity Date (in the case of Term Loans) and (d) as to any Alternative Currency Term Rate Loan, the last Business day of each Interest Period applicable to such Loan and the Revolving Termination Date (in the case of Revolving Credit Loans) or the applicable Maturity Date (in the case of Term Loans); provided, however, that if any Interest Period for an Alternative Currency Term Rate Loan exceeds three months, the respective dates that fall every three months after the beginning of such Interest Period shall be Interest Payment Dates. If an Interest Payment Date falls on a date that is not a Business Day, such Interest Payment Date shall be deemed to be the next succeeding Business Day. “Interest Period” means, as to each Term SOFR Loan or Alternative Currency Term Rate Loan, the period commencing on the date such Term SOFR Loan or Alternative Currency Term Rate Loan is disbursed or converted to or continued as a Term SOFR Loan or Alternative 38 1010279941v18


 
Currency Term Rate Loan and ending on the date 1, 3 or 6 months thereafter, as selected by the Borrower in the applicable Loan Notice; provided that: (a) any Interest Period that would otherwise end on a day that is not a Business Day shall be extended to the next succeeding Business Day unless such Business Day falls in another calendar month, in which case such Interest Period shall end on the next preceding Business Day; (b) any Interest Period that begins on the last Business Day of a calendar month (or on a day for which there is no numerically corresponding day in the calendar month at the end of such Interest Period) shall end on the last Business Day of the calendar month at the end of such Interest Period; and (c) no Interest Period with respect to (i) any Revolving Credit Loan shall extend beyond the Revolving Termination Date or (ii) any Term Loans shall extend beyond the applicable Maturity Date. “Internal Revenue Code” means the Internal Revenue Code of 1986, as amended. “Investment” means, as to any Person, any direct or indirect acquisition or investment by such Person, whether by means of (a) the purchase or other acquisition of Capital Stock of another Person, (b) a loan, advance or capital contribution to, guaranty or assumption of debt of, or purchase or other acquisition of any other debt or equity participation or interest in, another Person, including any partnership or joint venture interest in such other Person (excluding, in the case of the Borrower and its Restricted Subsidiaries, intercompany loans, advances or Indebtedness having a term not exceeding 364 days (inclusive of any roll over or extensions of terms) and made in the ordinary course of business) and any arrangement pursuant to which the investor undertakes any Support Obligation with respect to Indebtedness or other obligation of such other Person, or (c) the purchase or other acquisition (in one transaction or a series of transactions) of assets of another Person that constitute a business unit, a line of business or division of such Person. For purposes of covenant compliance, the amount of any Investment shall be the amount actually invested, without adjustment for subsequent increases or decreases in the value of such Investment, but in any event reduced by any dividend, distribution, interest payment, return of capital, repayment or other amount received in cash by the Borrower or a Restricted Subsidiary in respect of, but in no event exceeding the original amount of, such Investment. For purposes of the definition of “Unrestricted Subsidiary” and the covenants described under Sections 7.14 and 8.02: (1) “Investments” shall include the portion (proportionate to the Borrower’s Capital Stock in such Subsidiary) of the fair market value of the net assets of a Subsidiary of the Borrower at the time that such Subsidiary is designated an Unrestricted Subsidiary; provided that upon a redesignation of such Subsidiary as a Restricted Subsidiary, the Borrower shall be deemed to continue to have a permanent “Investment” in an Unrestricted Subsidiary in an amount (if positive) equal to: 39 1010279941v18


 
(a) the Borrower’s “Investment” in such Subsidiary at the time of such redesignation; less (b) the portion (proportionate to the Borrower’s Capital Stock in such Subsidiary) of the fair market value of the net assets of such Subsidiary at the time of such redesignation; and (2) any property transferred to or from an Unrestricted Subsidiary shall be valued at its fair market value at the time of such transfer. “Involuntary Disposition” means the receipt by the Borrower or any Restricted Subsidiary of any cash insurance proceeds or condemnation awards payable by reason of theft, loss, physical destruction or damage, taking or similar event with respect to any of its Property. “IP Rights” has the meaning provided in Section 6.19. “IRS” means the United States Internal Revenue Service. “ISP” means, with respect to any Letter of Credit, the “International Standby Practices 1998” published by the Institute of International Banking Law & Practice (or such later version thereof as may be in effect at the time of issuance of such Letter of Credit). “Issuer Documents” means, with respect to any Letter of Credit, the L/C Application and any other document, agreement or instrument (including such Letter of Credit) entered into by the Borrower (or any other Credit Party) and the L/C Issuer (or in favor of the L/C Issuer), relating to such Letter of Credit. “Joinder Agreement” means with respect to any Guarantor, a joinder agreement substantially in the form of Exhibit 7.12 executed and delivered in accordance with the provisions of Section 7.12. “Judgment Currency” has the meaning specified in Section 11.21. “Junior Debt” has the meaning provided in Section 8.12. “Junior Lien Intercreditor Agreement” means an intercreditor agreement substantially in the form of Exhibit 1.01-5 hereto (which agreement in such form, or with immaterial changes thereto, the Administrative Agent is authorized to enter into) together with any material changes thereto which are reasonably acceptable to the Administrative Agent and which material changes shall be posted to the Lenders not less than five (5) Business Days before execution thereof and, if the Required Lenders shall not have objected to such changes within five (5) Business Days after posting, then the Required Lenders shall be deemed to have agreed that the Administrative Agent’s entry into such intercreditor agreement (with such changes) is reasonable and to have consented to such intercreditor agreement (with such changes) and to the Administrative Agent’s execution thereof. 40 1010279941v18


 
“L/C Advance” means, with respect to each Revolving Credit Lender, such Revolving Credit Lender’s funding of its participation in any L/C Borrowing. “L/C Application” means an application and agreement for the issuance or amendment of a Letter of Credit in the form from time to time in use by the L/C Issuer. “L/C Borrowing” means any extension of credit resulting from a drawing under any Letter of Credit that has not been reimbursed or refinanced as a Borrowing of Revolving Credit Loans. “L/C Credit Extension” means, with respect to any Letter of Credit, the issuance thereof or extension of the expiry date thereof, or the increase of the amount thereof. “L/C Expiration Date” means the day that is five Business Days prior to the Revolving Termination Date then in effect (or, if such day is not a Business Day, the immediately preceding Business Day). “L/C Honor Date” has the meaning provided in Section 2.03(c)(i). “L/C Issuer” means Bank of America, through itself or through one of its designated Affiliates or branch offices, in its capacity as issuer of Letters of Credit hereunder, together with its successors in such capacity. “L/C Obligations” means, at any time, the sum of (a) the maximum amount available to be drawn under Letters of Credit then outstanding, assuming compliance with all requirements for drawings referenced therein, plus (b) the aggregate amount of all L/C Unreimbursed Amounts, including L/C Borrowings. For purposes of computing the amount available to be drawn under any Letter of Credit, the amount of such Letter of Credit shall be determined in accordance with Section 1.06. For all purposes of this Credit Agreement, if on any date of determination a Letter of Credit has expired by its terms but any amount may still be drawn thereunder by reason of the operation of Rule 3.14 of the ISP, such Letter of Credit shall be deemed to be “outstanding” in the amount so remaining available to be drawn. “L/C Sublimit” has the meaning provided in Section 2.01(c). “L/C Unreimbursed Amount” has the meaning provided in Section 2.03(c)(i). “Latest Maturity Date” means at any time, the latest maturity or expiration date applicable to any Loan or Commitment (or, if so specified, applicable to the specified Loans or Commitments or the Class thereof) hereunder at such time. “Laws” means, collectively, all international, foreign, federal, state and local statutes, treaties, rules, guidelines, regulations, ordinances, codes and administrative or judicial precedents or authorities, including the interpretation or administration thereof by any Governmental Authority charged with the enforcement, interpretation or administration thereof, and all applicable administrative orders, directed duties, licenses, authorizations and permits of, and agreements with, any Governmental Authority. 41 1010279941v18


 
“LCT Election” has the meaning provided in Section 1.07(e). “LCT Test Date” has the meaning provided in Section 1.07(e). “Lender” means each of the Persons identified as a “Lender” on the signature pages hereto (and, as appropriate, includes the Swingline Lender), each other Person that becomes a “Lender” in accordance with this Credit Agreement and their respective successors and assigns. “Lending Office” means, as to any Lender, such office or offices of such Lender described in such Lender’s Administrative Questionnaire, or such other office or offices as a Lender may from time to time notify the Borrower and the Administrative Agent, which office may include any Affiliate of such Lender or any domestic or foreign branch of such Lender or such Affiliate. Unless the context otherwise requires, each reference to a Lender shall include its applicable Lending Office. “Letter of Credit” means each Existing Letter of Credit and each letter of credit issued hereunder. A Letter of Credit may be a commercial letter of credit or a standby letter of credit. Letters of Credit may be issued in Dollars or in any Alternative Currency. “Letter of Credit Fees” has the meaning provided in Section 2.09(b)(i). “Lien” means any mortgage, pledge, hypothecation, assignment, deposit arrangement, encumbrance, lien (statutory or other), charge, priority or other security interest in the nature of a security interest of any kind or nature whatsoever (including any conditional sale or other title retention agreement, any easement, right of way or other encumbrance on title to real property and any Capitalized Lease having substantially the same economic effect as any of the foregoing); provided that in no event shall an operating lease in and of itself be deemed a Lien. “Limited Condition Transaction” means any acquisition permitted by Section 8.02 the consummation of which is not conditioned on the availability of, or on obtaining, third party financing. “Liquidity” means, as of any date of determination, an amount equal to the sum of (a) amounts available at such time to be drawn under the Revolving Credit Commitments and (b) the amount of cash and Cash Equivalents of the Borrower and its Restricted Subsidiaries on a consolidated basis. “Loan” means any Term Loan, Revolving Credit Loan or Swingline Loan, and Base Rate Loans, Term SOFR Loans and Alternative Currency Loans comprising such Loans. “Loan Notice” means a notice of (a) a Term Borrowing, (b) a Revolving Credit Borrowing, (c) a Swingline Borrowing, (d) a conversion of Loans from one Type to the other, or (e) a continuation of Term SOFR Loans or Alternative Currency Term Rate Loans, as applicable, which, if in writing, shall be substantially in the form of Exhibit 2.02 or such other form as may be approved by the Administrative Agent (including any form on an electronic platform or electronic transmission system as shall be approved by the Administrative Agent), appropriately completed and signed by a Responsible Officer of the Borrower. 42 1010279941v18


 
“Loan Obligations” has the meaning provided in the definition of “Obligations.” “Mandatory Prepayment Declined Proceeds” has the meaning provided in Section 2.06(b)(ii)(F). “Mandatory Prepayment Rejection Notice” has the meaning provided in Section 2.06(b)(ii)(F). “Master Agreement” has the meaning provided in the definition of “Swap Contract.” “Material Acquisition” means any acquisition of property or series of acquisitions of property that involves the payment of consideration by the Borrower and its Subsidiaries and any assumption of liabilities and Indebtedness in a consecutive 12-month period of at least $100,000,000; provided that, for purposes of Section 8.11(b) there shall not be more than one Material Acquisition after the Amendment No. 4 Effective Date unless the Consolidated Total Net Leverage Ratio has been less than or equal to 4.50 to 1.00 as of the last day of a Test Period ending subsequent to the most recent Material Acquisition. “Material Adverse Effect” means (a) a material adverse change in, or a material adverse effect upon, the operations, business, assets, properties, liabilities (actual or contingent) or financial condition of the Borrower and its Restricted Subsidiaries, taken as a whole; (b) a material adverse effect of the ability of the Credit Parties, as a whole, to perform their payment obligations under the Credit Documents; or (c) a material adverse effect upon the rights and remedies available to the Lenders or the Administrative Agent under any Credit Document. “Material Domestic Subsidiary” means, at any date of determination, each of the Borrower’s Domestic Subsidiaries (a) whose total assets (when combined with the assets of such Subsidiary’s Subsidiaries after eliminating intercompany obligations) at the last day of the most recent Test Period were equal to or greater than 2.5% of Total Assets at such date or (b) whose gross revenues (when combined with the revenues of such Subsidiary’s Subsidiaries after eliminating intercompany obligations) for such Test Period were equal to or greater than 2.5% of the consolidated gross revenues of the Borrower and the Restricted Subsidiaries for such period, in each case determined in accordance with GAAP; provided that if, at any time and from time to time after the Amendment No. 4 Effective Date, Domestic Subsidiaries that are not Guarantors solely because they do not meet the thresholds set forth in clauses (a) or (b) comprise in the aggregate more than 5.0% of Total Assets as of the end of the most recently ended fiscal quarter of the Borrower for which financial statements have been delivered pursuant to Section 7.01 or more than 5.0% of the consolidated gross revenues of the Borrower and the Restricted Subsidiaries for such Test Period, then the Borrower shall, not later than forty-five (45) days after the date by which financial statements for such quarter are required to be delivered pursuant to this Agreement (or such longer period as the Administrative Agent may agree in its reasonable discretion), (i) designate in writing to the Administrative Agent one or more of such Domestic Subsidiaries as “Material Domestic Subsidiaries” to the extent required such that the foregoing condition ceases to be true and (ii) comply with the provisions of Section 7.12 applicable to such Subsidiary. 43 1010279941v18


 
“Material Foreign Subsidiary” means, at any date of determination, each of the Borrower’s Foreign Subsidiaries (a) whose total assets (when combined with the assets of such Subsidiary’s Subsidiaries after eliminating intercompany obligations) at the last day of the most recent Test Period were equal to or greater than 2.5% of Total Assets at such date or (b) whose gross revenues (when combined with the revenues of such Subsidiary’s Subsidiaries after eliminating intercompany obligations) for such Test Period were equal to or greater than 2.5% of the consolidated gross revenues of the Borrower and the Restricted Subsidiaries for such period, in each case determined in accordance with GAAP; provided that if, at any time and from time to time after the Amendment No. 4 Effective Date, Foreign Subsidiaries not meeting the thresholds set forth in clause (a) or (b) comprise in the aggregate more than 5.0% of Total Assets as of the end of the most recently ended fiscal quarter of the Borrower for which financial statements have been delivered pursuant to Section 7.01 or more than 5.0% of the consolidated gross revenues of the Borrower and the Restricted Subsidiaries for such Test Period, then the Borrower shall, not later than forty-five (45) days after the date by which financial statements for such quarter are required to be delivered pursuant to this Agreement (or such longer period as the Administrative Agent may agree in its reasonable discretion), (i) designate in writing to the Administrative Agent one or more of such Foreign Subsidiaries as “Material Foreign Subsidiaries” to the extent required such that the foregoing condition ceases to be true and (ii) comply with the provisions of the definition of “Collateral and Guarantee Requirement.” “Material Subsidiary” means any Material Domestic Subsidiary or any Material Foreign Subsidiary. “Maturity Date” means the final maturity date specified in the applicable Incremental Amendment or Replacement Amendment and with respect to any Extended Term Loans in respect thereof shall be the final maturity date as specified in the applicable Extension Offer. “Maximum Rate” has the meaning provided in Section 11.09. “Moody’s” means Moody’s Investors Service, Inc. and any successor thereto. “Multiemployer Plan” means a “multiemployer plan” within the meaning of Section 4001(a)(3) of ERISA and subject to ERISA, to which a Credit Party or any ERISA Affiliate makes or is obligated to make contributions, or during the preceding six plan years, has made or been obligated to make contributions. “Net Cash Proceeds” means: (a) with respect to any Disposition or Involuntary Disposition, the aggregate proceeds paid in cash or Cash Equivalents received by the Borrower or any Restricted Subsidiary in connection with any Disposition or Involuntary Disposition, net of (i) direct costs (including legal, accounting and investment banking fees, sales commissions and underwriting discounts, consultant fees, and other customary fees and expenses incurred in connection therewith), (ii) estimated taxes paid or payable as a result thereof, (iii) amounts required to be applied to the repayment of Indebtedness (other than the Indebtedness hereunder, Incremental Equivalent Debt and Refinancing Equivalent Debt) secured by a Lien on the asset or assets the subject of such Disposition or Involuntary 44 1010279941v18


 
Disposition (or, in the case of Net Cash Proceeds of any Foreign Disposition, amounts applied during such period to the permanent repayment of any Indebtedness of the Foreign Subsidiaries to the extent required by the terms of such Indebtedness), (iv) in the case of any Disposition or Involuntary Disposition by a non-wholly owned Restricted Subsidiary, the pro rata portion of the Net Cash Proceeds thereof (calculated without regard to this clause (iv)) attributable to minority interests and not available for distribution to or for the account of the Borrower or a wholly-owned Restricted Subsidiary as a result thereof and (v) the amount of any reserve established in accordance with GAAP against any adjustment to the sale price or any liabilities (other than any taxes deducted pursuant to clause (ii) above) (x) related to any of the applicable assets and (y) retained by the Borrower or any of the Restricted Subsidiaries including pension and other post-employment benefit liabilities and liabilities related to environmental matters or against any indemnification obligations (provided, however, the amount of any subsequent reduction of such reserve or reversal (other than in connection with a payment in respect of any such liability) shall be deemed to be Net Cash Proceeds of such Disposition or Involuntary Disposition occurring on the date of such reduction or reversal); provided further, that no proceeds realized in a single transaction or series of related transactions shall constitute Net Cash Proceeds unless (x) such proceeds shall exceed $7,500,000 or (y) the aggregate net proceeds exceed $15,000,000 in any fiscal year (and thereafter only net cash proceeds in excess of such amount shall constitute Net Cash Proceeds under this clause (a)); and (b) with respect to any incurrence or issuance of Indebtedness, the aggregate principal amount actually received in cash by the Borrower or any Restricted Subsidiary in connection therewith, net of direct costs (including legal, accounting and investment banking fees, sales commissions and underwriting discounts). For purposes hereof, “Net Cash Proceeds” includes any cash or Cash Equivalents received upon the disposition of any non-cash consideration received by the Borrower or any Restricted Subsidiary in any Disposition or Involuntary Disposition. “Non-Consenting Lender” has the meaning provided in Section 11.13. “Non-Extension Notice Date” has the meaning provided in Section 2.03(b)(iii). “Non-Reinstatement Deadline” has the meaning provided in Section 2.03(b)(iv). “Non-SOFR Successor Rate” has the meaning provided in Section 3.03. “Notes” means the Term Notes, the Revolving Credit Notes and the Swingline Notes. “Obligations” means, without duplication, (a) all advances to, and debts, liabilities, obligations, covenants and duties of, any Credit Party arising under any Credit Document or otherwise with respect to any Loan or Letter of Credit, whether direct or indirect (including those acquired by assumption), absolute or contingent, due or to become due, now existing or hereafter arising and including interest, fees and expenses that accrue after the commencement by or against any Credit Party of any proceeding under any Debtor Relief Laws naming such Person as the debtor in such proceeding, regardless of whether such interest, fees and expenses are allowed 45 1010279941v18


 
claims in such proceeding (the “Loan Obligations”), (b) all obligations under any Swap Contract between the Borrower or any Restricted Subsidiary, on the one hand, and any Agent, Lender or Affiliate of an Agent or Lender or any Person that was an Agent, a Lender or an Affiliate of an Agent or Lender on the date such Swap Contract was entered into, on the other hand, including the Swap Obligations relating to such Swap Contract but excluding the Excluded Swap Obligations (the “Swap Contract Obligations”) and (c) all obligations under any Treasury Management Agreement between the Borrower or any Restricted Subsidiary, on the one hand, and any Agent, Lender or Affiliate of an Agent or Lender or any Person that was an Agent, a Lender or an Affiliate of an Agent or Lender on the date such transaction was entered into, on the other hand (the “Treasury Management Obligations”). “OID” means original issue discount. “Organization Documents” means, (a) with respect to any corporation, the certificate or articles of incorporation and the bylaws (or equivalent or comparable constitutive documents with respect to any non-U.S. jurisdiction); (b) with respect to any limited liability company, the certificate or articles of formation or organization and the operating agreement; and (c) with respect to any partnership, joint venture, trust or other form of business entity, the partnership, joint venture or other applicable agreement of formation or organization and any agreement, instrument, filing or notice with respect thereto filed in connection with its formation or organization with the applicable Governmental Authority in the jurisdiction of its formation or organization and, if applicable, any certificate or articles of formation or organization of such entity. “Other Taxes” means all present or future stamp, court, documentary, intangible, recording, filing or similar Taxes arising from any payment made hereunder or under any other Credit Document or from the execution, delivery or enforcement of, or otherwise with respect to, this Credit Agreement or any other Credit Document, except any such Taxes imposed by a jurisdiction with which the Lender has a connection described in clause (a)(ii) of the definition of “Excluded Taxes” with respect to an assignment or grant of participation (other than assignment or designation of a new office made pursuant to Section 3.06 or Section 11.13). “Outstanding Amount” means (i) with respect to any Loans on any date, the aggregate outstanding principal amount thereof after giving effect to any borrowings and prepayments or repayments of such Loans occurring on such date; and (ii) with respect to any L/C Obligations on any date, the Dollar Equivalent of the aggregate outstanding amount of such L/C Obligations on such date after giving effect to any L/C Credit Extension occurring on such date and any other changes in the aggregate amount of the L/C Obligations as of such date, including as a result of any reimbursements by the Borrower of L/C Unreimbursed Amounts. “Outstanding Receivables Transaction Amount” means, at any time of determination, the excess of (i) the face amount of all Receivables disposed of pursuant to Section 8.05(l) prior to such time of determination minus (ii) any amount included in clause (i) above that is attributable to Receivables with a stated due date prior to such time of determination minus (iii) any amount included in clause (i) above that is attributable to Receivables which have been collected prior to such time of determination. 46 1010279941v18


 
“Overnight Rate” means, for any day, (a) with respect to any amount denominated in Dollars, the greater of (i) the Federal Funds Rate and (ii) an overnight rate determined by the Administrative Agent, the L/C Issuer, or the Swingline Lender, as the case may be, in accordance with banking industry rules on interbank compensation, and (b) with respect to any amount denominated in an Alternative Currency, an overnight rate determined by the L/C Issuer, as the case may be, in accordance with banking industry rules on interbank compensation. “Participant” has the meaning provided in Section 11.06(d). “Participant Register” has the meaning provided in Section 11.06(e). “Participating Member State” means any member state of the European Union that adopts or has adopted the Euro as its lawful currency in accordance with legislation of the European Union relating to Economic and Monetary Union. “Payment Conditions” means, at any time of determination, calculated on a Pro Forma Basis giving effect to the transactions for which Payment Conditions need to be satisfied (and including any transactions contemplated in connection therewith), (i) the Consolidated Total Net Leverage Ratio does not exceed 3.50:1.00 and (ii) no Event of Default has occurred and is continuing or would result from such transactions. “PBGC” means the Pension Benefit Guaranty Corporation. “Pension Plan” means any “employee pension benefit plan” (as such term is defined in Section 3(2) of ERISA), other than a Multiemployer Plan, that is subject to Title IV of ERISA and is sponsored or maintained by a Credit Party or any ERISA Affiliate or to which a Credit Party or any ERISA Affiliate contributes or has an obligation to contribute, or in the case of a multiple employer or other plan described in Section 4064(a) of ERISA, has made contributions at any time during the immediately preceding five plan years. “Perfection Certificate” means the perfection certificate substantially in the form of Exhibit 1.01-1. “Permitted Acquisition” means any Investment of the type described in Section 8.02(f). “Permitted EAC Addback Amount” means, at any time of determination, an amount equal to (a) the cumulative amount of EAC Adjustments (excluding (i) Stipulated EAC Adjustments, (ii) EAC Adjustments related to a terminated contract after the last day of the last Applicable Test Period, and (iii) within an Applicable Test Period, any amount in excess of $10,000,000 with respect to EAC Adjustments related to a terminated contract) that relate to a decrease in GAAP revenue since June 29, 2024 which are added back as non-cash charges pursuant to clause (x) of the definition of Consolidated EBITDA (regardless of when such EAC Adjustments were added back to Consolidated EBITDA since June 29, 2024) minus (b) the revenue recognized in accordance with GAAP at any time in respect of the EAC Adjustments described in the preceding clause (a); provided, that the Permitted EAC Addback Amount for any Test Period shall not exceed (i) for each Test Period ending after June 29, 2024 through the Test Period ending March 28, 2025, the greater of (y) $60,000,000 and (z) 40% of Core Adjusted Consolidated EBITDA for the period commencing June 29, 2024 through the last fiscal quarter 47 1010279941v18


 
of such Test Period and (ii) for each Test Period from and after the Test Period ending June 27, 2025, the greater of (y) $60,000,000 and (z) 40% of Core Adjusted Consolidated EBITDA for such Test Period. “Permitted Junior Secured Refinancing Debt” has the meaning set forth in Section 8.03(r). “Permitted Liens” means Liens permitted pursuant to Section 8.01. “Permitted Pari Passu Secured Refinancing Debt” has the meaning set forth in Section 8.03(r). “Permitted Receivables Transaction” means a Receivables Transaction, provided that (x) the financing terms, covenants, termination events and other provisions thereof, including any Standard Receivables Undertakings, shall be market terms (as determined in good faith by the Borrower) and, (y) the aggregate Outstanding Receivables Transaction Amount at any time in respect of all Receivables Transactions does not exceed $60 million100,000,000, and (z) no Default or Event of Default has occurred and is continuing when such Receivables Transaction closes or would result from the closing of such Receivables Transaction. “Permitted Refinancing” means, with respect to any Person, any modification, refinancing, refunding, renewal or extension of any Indebtedness of such Person; provided that (i) the principal amount (or accreted value, if applicable) thereof does not exceed the principal amount (or accreted value, if applicable) of the Indebtedness so modified, refinanced, refunded, renewed or extended except by an amount equal to any interest capitalized, any premium or other reasonable amount paid, and fees and expenses reasonably incurred, in connection with such modification, refinancing, refunding, renewal or extension; (ii) such modification, refinancing, refunding, renewal or extension has a final maturity date equal to or later than the final maturity date of, and has a Weighted Average Life to Maturity equal to or longer than the Weighted Average Life to Maturity of, the Indebtedness being modified, refinanced, refunded, renewed or extended; (iii) if the Indebtedness being modified, refinanced, refunded, renewed or extended is subordinated in right of payment to the Obligations, such modification, refinancing, refunding, renewal or extension is subordinated in right of payment to the Obligations on terms at least as favorable, taken as a whole, to the Lenders as those contained in the documentation governing the Indebtedness being modified, refinanced, refunded, renewed or extended; (iv) at the time of such modification, refinancing, refunding, renewal or extension, no Event of Default shall have occurred and be continuing; (v) if such Indebtedness being modified, refinanced, refunded, renewed or extended is secured, the terms and conditions relating to collateral of any such modified, refinanced, refunded, renewed or extended Indebtedness, taken as a whole, are not materially less favorable to the Credit Parties or the Lenders than the terms and conditions with respect to the collateral for the Indebtedness being modified, refinanced, refunded, renewed or extended, taken as a whole (and the Liens on any Collateral securing any such modified, refinanced, refunded, renewed or extended Indebtedness shall have the same (or lesser) priority as the Indebtedness being modified, refinanced, refunded, renewed or extended relative to the Liens on the Collateral securing the Obligations; (vi) the terms and conditions (excluding any subordination, pricing, fees, rate floors, discounts, premiums and optional prepayment or redemption terms) of any such modified, refinanced, refunded, renewed or extended 48 1010279941v18


 
Indebtedness, taken as a whole, shall not be materially less favorable to the Credit Parties than the Indebtedness being modified, refinanced, refunded, renewed or extended, except for covenants or other provisions applicable only to periods after the Latest Maturity Date; and (vii) such modification, refinancing, refunding, renewal or extension is incurred by the Person who is the obligor on the Indebtedness being modified, refinanced, refunded, renewed or extended. Any reference to a Permitted Refinancing in this Agreement or any other Credit Document shall be interpreted to mean (a) a Permitted Refinancing of the subject Indebtedness and (b) any further refinancing constituting a Permitted Refinancing of the Indebtedness resulting from a prior Permitted Refinancing. “Permitted Unsecured Refinancing Debt” has the meaning set forth in Section 8.03(r). “Person” means any natural person, corporation, limited liability company, trust, joint venture, association, company, partnership, Governmental Authority or other entity. “Plan” means any “employee benefit plan” (as such term is defined in Section 3(3) of ERISA), including any Pension Plan (but excluding any Multiemployer Plan), that is subject to ERISA and that is maintained or sponsored by a Credit Party or, with respect to any such plan that is subject to Section 412 of the Internal Revenue Code or Title IV of ERISA, is maintained or sponsored by any ERISA Affiliate. “Platform” has the meaning provided in Section 7.02. “Pre-Closing Equity Offering” means the public offering and sale by the Borrower of Capital Stock consummated on April 13, 2016. “Primary Obligor” has the meaning provided in the definition of “Support Obligations.” “Pro Forma Basis,” “pro forma basis,” “Pro Forma Effect” and “pro forma effect” means, for purposes of calculating compliance with the Financial Covenants or any other financial ratio or tests (including in connection with Specified Transactions), such calculation shall be made in accordance with Section 1.07. “Projections” has the meaning provided in Section 7.02(b). “Property” means an interest of any kind in any property or asset, whether real, personal or mixed, and whether tangible or intangible. “PTE” means a prohibited transaction class exemption issued by the U.S. Department of Labor, as any such exemption may be amended from time to time. “Public Lender” has the meaning provided in Section 7.02. “QFC Credit Support” has the meaning provided in Section 11.22. “Qualified ECP Guarantor” means, in respect of any Swap Obligation, the Borrower and each Guarantor that has total assets exceeding $10,000,000 at the time the relevant guaranty or grant of the relevant security interest becomes effective with respect to such Swap Obligation 49 1010279941v18


 
or such other person as constitutes an “eligible contract participant” under the Commodity Exchange Act or any regulations promulgated thereunder and can cause another person to qualify as an “eligible contract participant” at such time by entering into a keepwell under Section 1a(18)(A)(v)(II) of the Commodity Exchange Act. “Qualified Stock” means any Capital Stock that is not Disqualified Stock. “Ratio Debt” has the meaning provided in Section 8.03(g). “Receivables” means any “account” as defined under the UCC including without limitation, any receivable, account receivable, right to payment of a monetary obligation, indebtedness, contract right, chose in action, and proceeds thereof, wherever located, arising out of the sale, lease, license or assignment of any products or any other goods or services that are the subject of any contracts pursuant to which goods are sold or services are rendered by the Borrower and that give rise to any Receivables by the Borrower or any Restricted Subsidiary (“Goods” or “Services,” respectively); all related invoices, sales orders, bills of lading, and other contractual rights and supporting obligations relating thereto (“Invoices”); all rights to payment of any interest, finance, returned check or late charges, if any; all indebtedness and other obligations owed to the Borrower or any Restricted Subsidiary as a result of the sale of such Goods or Services pursuant to the Invoices; any and all returned, reclaimed, and repossessed Goods sold or financed pursuant thereto; all rights as to any Goods or other property, contracts of indemnity, letters of credit, guaranties or sureties, pledges, hypothecations, mortgages, chattel mortgages, security agreements, deeds of trust, proceeds of insurance (including credit insurance on such Receivables), and other collateral, liens or proceeds thereof at any time constituting supporting obligations for such Receivables; any proceeds of the foregoing; and any and all other rights, remedies, benefits and interests, both legal and equitable, to which the Borrower or any Restricted Subsidiary may be entitled in respect of any of the foregoing, including, but not limited to, any rights, remedies, benefits, and interests set forth in the UCC with respect to “accounts,” “payment intangibles” or “supporting obligations.” “Receivables Related Rights” means, in relation to any Receivable that is the subject of a Receivables Transaction, (i) any rights under or relating to the contract governing such Receivable to the extent necessary to enforce collection of such Receivable, (ii) all security interests or Liens and property subject thereto from time to time purporting to secure payment of such Receivable, whether pursuant to the contract governing such Receivable or otherwise, (iii) all guarantees, insurance (but only to the extent such insurance relates solely to Receivables that are of the same type as the Receivables subject of the Receivables Transaction) and other agreements or arrangements of whatever character from time to time supporting or securing payment of such Receivable whether pursuant to the contract governing such Receivable or otherwise and (iv) other assets relating to such Receivable which are customarily transferred in connection with sales or factoring of Receivables. “Receivables Transaction” means, with respect to the Borrower and/or any of the Restricted Subsidiaries, any transaction or series of transactions of sales or factoring involving Receivables and Receivables Related Rights pursuant to which the Borrower or any Restricted Subsidiary may sell, convey or otherwise transfer to any other Person any Receivables (whether 50 1010279941v18


 
now existing or arising in the future) and Receivables Related Rights of the Borrower or any Restricted Subsidiary. “Refinanced Debt” has the meaning provided in Section 2.20(a). “Refinancing Amendment” has the meaning provided in Section 2.20(d). “Refinancing Commitments” means, collectively, the Refinancing Revolving Commitments and the Refinancing Term Commitments. “Refinancing Equivalent Debt” has the meaning provided in Section 8.03(r). “Refinancing Facilities” means (a) with respect to any Class of Revolving Credit Commitments or Revolving Credit Loans, Refinancing Revolving Commitments or Refinancing Revolving Loans and (b) with respect to any Class of Term Loans, Refinancing Term Loans. “Refinancing Facility Closing Date” has the meaning provided in Section 2.20(c). “Refinancing Lender” means a Refinancing Revolving Lender or a Refinancing Term Lender, as applicable. “Refinancing Loans” has the meaning provided in Section 2.20(b). “Refinancing Revolving Commitments” means one or more new Classes of Revolving Credit Commitments established pursuant to a Refinancing Amendment in accordance with Section 2.20. “Refinancing Revolving Lender” means any Lender providing a Refinancing Revolving Loan or a Refinancing Revolving Commitment in accordance with Section 2.20. “Refinancing Revolving Loan” has the meaning provided in Section 2.20(b). “Refinancing Term Commitment” means the commitment of any Lender to provide one or more new Classes of Refinancing Term Loans established pursuant to a Refinancing Amendment in accordance with Section 2.20. “Refinancing Term Lender” means any Lender providing a Refinancing Term Loan in accordance with Section 2.20. “Refinancing Term Loans” has the meaning provided in Section 2.20(b). “Register” has the meaning provided in Section 11.06(c). “Related Parties” means, with respect to any Person, such Person’s Affiliates and the partners, directors, officers, employees, agents, trustees and advisors of such Person and of such Person’s Affiliates. 51 1010279941v18


 
“Release” means any release, spill, emission, leaking, dumping, injection, pouring, deposit, disposal, discharge, dispersal, leaching or migration into or through the Environment or within, from or into any building, structure, facility or fixture. “Relevant Rate” means with respect to any Credit Extension denominated in (a) Dollars, SOFR or Term SOFR, (b) Sterling, SONIA and (c) Euros, EURIBOR, as applicable. “Reorganization Plan” has the meaning set forth in Section 11.06(k). “Replaced Term Loans” has the meaning provided in Section 11.01. “Replacement Amendment” has the meaning provided in Section 11.01. “Replacement Term Loans” has the meaning provided in Section 11.01. “Reportable Event” means any of the events set forth in Section 4043(c) of ERISA, other than events for which the notice period has been waived under applicable regulations. “Request for Credit Extension” means (a) with respect to a Borrowing of Loans (including Swingline Loans) or the conversion or continuation of Loans, a Loan Notice and (b) with respect to an L/C Credit Extension, an L/C Application. “Required Facility Lenders” means (a) with respect to the Term Loan Facility, the Required Term Lenders and (ii) with respect to the Revolving Credit Facility, the Required Revolving Credit Lenders. “Required Lenders” means, as of any date of determination, Lenders having more than 50% of the Aggregate Commitments or, if the Commitments shall have expired or been terminated, Lenders holding more than 50% of the aggregate principal amount of Loan Obligations (including, in each case, the aggregate principal amount of each Revolving Credit Lender’s risk participation and funded participation in L/C Obligations and Swingline Loans); provided that the Commitments of, and the portion of the Loan Obligations held by, any Defaulting Lender shall be excluded for purposes of making a determination of Required Lenders. “Required Revolving Credit Lenders” means, as of any date of determination, Revolving Credit Lenders having more than 50% of the Aggregate Revolving Credit Commitments or, if the Revolving Credit Commitments shall have expired or been terminated, Revolving Credit Lenders holding more than 50% of the aggregate principal amount of Revolving Credit Obligations (including, in each case, the aggregate principal amount of each Revolving Credit Lender’s risk participation and funded participation in L/C Obligations and Swingline Loans); provided that the Revolving Credit Commitments of, and the portion of Revolving Credit Obligations held by, any Defaulting Lender shall be excluded for purposes of making a determination of Required Revolving Credit Lenders. “Required Term Lenders” means, as of any date of determination, Term Lenders holding more than 50% of the Term Loan Facility on such date; provided that the portion of the 52 1010279941v18


 
Term Loan Facility held by any Defaulting Lender shall be excluded for purposes of making a determination of Required Term Lenders. “Rescindable Amount” shall have the meaning provided in Section 2.11(c). “Resignation Effective Date” shall have the meaning provided in Section 10.06. “Responsible Officer” means an officer functioning as the chief executive officer, chief operating officer, president, vice president, chief financial officer, chief accounting officer, chief legal officer, treasurer, assistant treasurer, controller or secretary of a Credit Party or such other Person as is authorized in writing to act on behalf of such Credit Party or, solely for purposes of notices given pursuant to Article II, any other officer or employee of the applicable Credit Party designated in or pursuant to an agreement between the applicable Credit Party and the Administrative Agent. Any document delivered hereunder that is signed by a Responsible Officer of a Credit Party shall be conclusively presumed to have been authorized by all necessary corporate, partnership and/or other action on the part of such Credit Party and such Responsible Officer shall be conclusively presumed to have acted on behalf of such Credit Party. All references to a “Responsible Officer” hereunder shall refer to a Responsible Officer of the Borrower unless the context otherwise requires. “Restricted Cash” means cash and Cash Equivalents which are listed as “Restricted” on the consolidated balance sheet of the Borrower and its Restricted Subsidiaries. “Restricted Payment” means any dividend or other distribution (whether in cash, securities or other property) by the Borrower in respect of its Capital Stock, or any payment (whether in cash, securities or other property) including any sinking fund payment or similar deposit, for or on account of the purchase, redemption, retirement, defeasance, acquisition, cancellation or termination of any Capital Stock of the Borrower or its Restricted Subsidiaries or any option, warrant or other right to acquire any such Capital Stock of the Borrower or its Restricted Subsidiaries; provided that a transaction with an Affiliate shall not be a Restricted Payment pursuant to this definition solely because such transaction involves such Affiliate. “Restricted Subsidiary” means any Subsidiary of the Borrower other than an Unrestricted Subsidiary. “Revaluation Date” means with respect to any Letter of Credit, each of the following: (i) each date of issuance, amendment and/or extension of a Letter of Credit denominated in an Alternative Currency, (ii) each date of any payment by the L/C Issuer under any Letter of Credit denominated in an Alternative Currency, (iii) [reserved], and (iv) such additional dates as the Administrative Agent or the L/C Issuer shall determine. “Revolving Commitment Increase” has the meaning provided in Section 2.18(a). “Revolving Credit Borrowing” means a borrowing consisting of Revolving Credit Loans of the same Type and, in the case of Term SOFR Loans or Alternative Currency Term Rate Loans, having the same Interest Period made by each of the Revolving Credit Lenders pursuant to Section 2.01(b). 53 1010279941v18


 
“Revolving Credit Commitment” means, for each Revolving Credit Lender, the commitment of such Revolving Credit Lender to make Revolving Credit Loans (and to share in Revolving Credit Obligations) hereunder pursuant to Section 2.01(b) in an aggregate principal amount at any one time outstanding not to exceed the amount set forth opposite such Revolving Credit Lender’s name on Schedule 2.01 under the caption “Revolving Credit Commitment” or opposite such caption in the Assignment and Assumption pursuant to which such Revolving Credit Lender becomes a party hereto, as applicable, as such amount may be adjusted from time to time in accordance with this Credit Agreement. “Revolving Credit Facility” means, at any time, the aggregate amount of Revolving Credit Commitments at such time. “Revolving Credit Lender” means, at any time, any Lender that has a Revolving Credit Commitment at such time. “Revolving Credit Loans” has the meaning provided in Section 2.01(b). “Revolving Credit Note” means a promissory note made by the Borrower in favor of a Revolving Credit Lender evidencing Revolving Credit Loans made by such Revolving Credit Lender, substantially in the form of Exhibit 2.13-1. “Revolving Credit Obligations” means the Revolving Credit Loans, the L/C Obligations and the Swingline Loans. “Revolving Termination Date” means the date that is five years following the Amendment No. 4 Effective Date; provided that if such date is not a Business Day, the Revolving Termination Date shall be the immediately preceding Business Day. “S&P” means Standard & Poor’s Financial Services LLC, a subsidiary of The McGraw-Hill Companies, Inc., and any successor thereto. “Same Day Funds” means (a) with respect to disbursements and payments in Dollars, immediately available funds, and (b) with respect to disbursements and payments in an Alternative Currency, same day or other funds as may be determined by the Administrative Agent or the L/C Issuer, as the case may be, to be customary in the place of disbursement or payment for the settlement of international banking transactions in the relevant Alternative Currency. “Sanctions” has the meaning provided in Section 6.21(b). “Scheduled Unavailability Date” has the meaning provided in Section 3.03(c)(ii). “SEC” means the Securities and Exchange Commission, or any Governmental Authority succeeding to any of its principal functions. “Secured Obligations” has the meaning provided in the Security Agreement. 54 1010279941v18


 
“Secured Parties” has the meaning provided in the Security Agreement. “Securities Act” means the Securities Act of 1933, as amended. “Security Agreement” means, collectively, (a) the security agreement dated as of the Closing Date given by the Credit Parties party thereto, as grantors, to the Collateral Agent to secure the Obligations substantially in the form of Exhibit 1.01-2 and (b) any other security agreement in favor of the Collateral Agent to secure all or some portion of the Obligations that may be given by any Person pursuant to the terms hereof. “Senior Representative” means, with respect to any series of Permitted Pari Passu Secured Refinancing Debt, Permitted Junior Secured Refinancing Debt, Incremental Equivalent Debt or subordinated Permitted Unsecured Refinancing Debt, the trustee, administrative agent, collateral agent, security agent or similar agent under the indenture or agreement pursuant to which such Indebtedness is issued, incurred or otherwise obtained, as the case may be, and each of their successors in such capacities. “SOFR” means the Secured Overnight Financing Rate as administered by the Federal Reserve Bank of New York (or a successor administrator). “SOFR Adjustment” means, with respect to Term SOFR, for any Interest Period, 0.10% (10 basis points) per annum. “SOFR Administrator” means the Federal Reserve Bank of New York, as the administrator of SOFR, or any successor administrator of SOFR designated by the Federal Reserve Bank of New York or other Person acting as the SOFR Administrator at such time that is satisfactory to the Administrative Agent. “SOFR Successor Rate” has the meaning provided in Section 3.03. “Solvency Certificate” means a Solvency Certificate substantially in the form of Exhibit 5.01(j). “Solvent” means with respect to the Borrower and its Restricted Subsidiaries that (a) after giving effect to the transactions contemplated to occur on the Amendment No. 4 Effective Date both (i) the fair value of the assets of the Borrower and its Restricted Subsidiaries, on a consolidated basis, exceeds, on a consolidated basis, their debts and liabilities, subordinated, contingent or otherwise and (ii) the present fair salable value of the property of the Borrower and its Restricted Subsidiaries, on a consolidated basis, is greater than the amount that will be required to pay the probable liability, on a consolidated basis, of their debts and other liabilities, subordinated, contingent or otherwise, as such debts and other liabilities become absolute and matured, (b) after giving effect to the incurrence of the initial Credit Extension under this Credit Agreement on the Amendment No. 4 Effective Date and the consummation of the transactions contemplated to occur on the Amendment No. 4 Effective Date, the Borrower and its Restricted Subsidiaries, on a consolidated basis, are able to pay their debts and liabilities, subordinated, contingent or otherwise, as such liabilities become absolute and matured, and (c) the incurrence of the initial Credit Extension under this Credit Agreement on the Amendment No. 4 Effective Date and the consummation of the transactions contemplated to occur on the 55 1010279941v18


 
Amendment No. 4 Effective Date, on a Pro Forma Basis, the Borrower and its Restricted Subsidiaries, on a consolidated basis, are not engaged in, and are not about to engage in, business for which they have unreasonably small capital. For purposes of this definition, the amount of any contingent liability at any time shall be computed as the amount that would reasonably be expected to become an actual and matured liability. “SONIA” means, with respect to any applicable determination date, the Sterling Overnight Index Average Reference Rate published on the fifth (5th) Business Day preceding such date on the applicable Reuters screen page (or such other commercially available source providing such quotations as may be designated by the Administrative Agent from time to time); provided, that, (a) if such determination date is not a Business Day, SONIA means such rate that applied on the first (1st) Business Day immediately prior thereto and (b) if such rate shall be less than zero, such rate shall be deemed zero for the purposes of the Revolving Credit Facilities. “SONIA Adjustment” means, with respect to SONIA, for any interest period, 0.0326% (3.26 basis points) per annum. “Specified Representations” means the representations with respect to the Borrower and the Guarantors set forth in Section 6.01(a), Section 6.01(b)(ii), Section 6.02(a) and (b), Section 6.04, Section 6.20, Sections 6.21(a)(ii), 6.21(a)(iii) (only with respect to the use of proceeds of the Loans made on the Closing Date) and 6.21(b) (only with respect to the use of proceeds of the Loans made on the Closing Date), Section 6.15, and Section 6.18 (subject to Permitted Liens and customary post-closing provisions). “Specified Transaction” means (v) any Investment that results in a Person becoming a Restricted Subsidiary, (w) any designation of a Subsidiary as a Restricted Subsidiary or an Unrestricted Subsidiary, (x) any Permitted Acquisition or other Acquisition constituting an Investment permitted under Section 8.02, (y) any Disposition that results in a Restricted Subsidiary ceasing to be a Subsidiary of the Borrower and any Disposition of a business unit, line of business or division of the Borrower or a Restricted Subsidiary, in each case whether by merger, consolidation, amalgamation or otherwise or (z) any incurrence or repayment of Indebtedness, Restricted Payment, Incremental Revolving Commitment, Incremental Revolving Loan or Incremental Term Loan, in each case, that by the terms of this Agreement requires a financial ratio or test to be calculated on a “Pro Forma Basis” or after giving “Pro Forma Effect.” “Spot Rate” for a currency means the rate determined by the L/C Issuer to be the rate quoted by the L/C Issuer as the spot rate for the purchase by the L/C Issuer of such currency with another currency through its principal foreign exchange trading office at approximately 11:00 a.m. on the date two (2) Business Days prior to the date as of which the foreign exchange computation is made; provided that the L/C Issuer may obtain such spot rate from another financial institution designated by the L/C Issuer if the L/C Issuer does not have as of the date of determination a spot buying rate for any such currency; and provided further, that the L/C Issuer may use such spot rate quoted on the date as of which the foreign exchange computation is made in the case of any Letter of Credit denominated in an Alternative Currency. 56 1010279941v18


 
“Standard Receivables Undertakings” means representations, warranties, covenants and indemnities entered into by the Borrower or any Subsidiary of the Borrower that the Borrower has determined in good faith to be customary in a Permitted Receivables Transaction. “Sterling” means the lawful currency of the United Kingdom. “Stipulated EAC Adjustment” has the meaning provided in the definition of “Consolidated EBITDA.” “Subsequent Transaction” has the meaning provided in Section 1.07(e). “Subordination Agreement” means a subordination agreement among the Administrative Agent and one or more Senior Representatives for the holders of Indebtedness subordinated to the Obligations, in form and substance reasonably acceptable to the Administrative Agent and the Borrower. Wherever in this Agreement a Senior Representative is required to become party to the Subordination Agreement, if the related Indebtedness is the initial Indebtedness incurred by the Borrower or any Restricted Subsidiary to be subordinated to the Obligations, then the Borrower, the Guarantors, the Administrative Agent and the Senior Representative for such Indebtedness shall execute and deliver the Subordination Agreement and the Administrative Agent shall be authorized to execute and deliver the Subordination Agreement. “Subsidiary” of a Person means a corporation, partnership, joint venture, limited liability company or other business entity (i) of which a majority of the shares of securities or other interests having ordinary voting power for the election of directors or other governing body (other than securities or interests having such power only by reason of the happening of a contingency) are at the time beneficially owned by such Person or (ii) the management of which is otherwise controlled, directly or indirectly, through one or more intermediaries, by such Person, to the extent such entity’s financial results are required to be included in such Person’s consolidated financial statements under GAAP. Unless otherwise provided, “Subsidiary” shall refer to a Subsidiary of the Borrower. “Successor Company” has the meaning provided in Section 8.04(d). “Successor Rate” has the meaning provided in Section 3.03. “Support Obligations” means, as to any Person, (a) any obligation, contingent or otherwise, of such Person guaranteeing or having the economic effect of guaranteeing any Indebtedness or other obligation payable or performable by another Person (the “primary obligor”) in any manner, whether directly or indirectly, and including any obligation of such Person, direct or indirect, (i) to purchase or pay (or advance or supply funds for the purchase or payment of) such Indebtedness or other obligation, (ii) to purchase or lease property, securities or services for the purpose of assuring the obligee in respect of such Indebtedness or other obligation of the payment or performance of such Indebtedness or other obligation, (iii) to maintain working capital, equity capital or any other financial statement condition or liquidity or level of income or cash flow of the primary obligor so as to enable the primary obligor to pay such Indebtedness or other obligation, or (iv) entered into for the purpose of assuring in any other manner the obligee in respect of such Indebtedness or other obligation of the payment or 57 1010279941v18


 
performance thereof or to protect such obligee against loss in respect thereof (in whole or in part), or (b) any Lien on any assets of such Person securing any Indebtedness or other obligation of any other Person, whether or not such Indebtedness or other obligation is assumed by such Person (or any right, contingent or otherwise, of any holder of such Indebtedness to obtain any such Lien). The amount of any Support Obligations shall be deemed to be an amount equal to the stated or determinable amount of the related primary obligation, or portion thereof, in respect of which such Support Obligation is made or, if not stated or determinable, the maximum reasonably anticipated liability in respect thereof as determined by the guaranteeing Person in good faith. “Supported QFC” has the meaning provided in Section 11.22. “Swap Contract” means (a) any and all rate swap transactions, basis swaps, credit derivative transactions, forward rate transactions, commodity swaps, commodity options, forward commodity contracts, equity or equity index swaps or options, bond or bond price or bond index swaps or options or forward bond or forward bond price or forward bond index transactions, interest rate options, forward foreign exchange transactions, cap transactions, floor transactions, collar transactions, currency swap transactions, cross-currency rate swap transactions, currency options, spot contracts, or any other similar transactions or any combination of any of the foregoing (including any options to enter into any of the foregoing), whether or not any such transaction is governed by or subject to any master agreement, and (b) any and all transactions of any kind, and the related confirmations, that are subject to the terms and conditions of, or governed by, any form of master agreement published by the International Swaps and Derivatives Association, Inc., any International Foreign Exchange Master Agreement, or any other master agreement (any such master agreement, together with any related schedules, a “Master Agreement”), including any such obligations or liabilities under any Master Agreement. “Swap Contract Obligations” has the meaning provided in the definition of “Obligations.” “Swap Obligation” means, with respect to any Guarantor, any obligation to pay or perform under any agreement, contract or transaction that constitutes a “swap” within the meaning of section 1a(47) of the Commodity Exchange Act. “Swap Termination Value” means, in respect of any one or more Swap Contracts, after taking into account the effect of any legally enforceable netting agreement relating to such Swap Contracts, (a) for any date on or after the date such Swap Contracts have been closed out and termination values determined in accordance therewith, such termination values, and (b) for any date prior to the date referenced in clause (a), the amounts determined as the mark-to-market values for such Swap Contracts, as determined based upon one or more mid-market or other readily available quotations provided by any recognized dealer in such Swap Contracts (which may include a Lender or any Affiliate of a Lender). “SWIFT” has the meaning provided in Section 2.03(f). 58 1010279941v18


 
“Swingline Borrowing” means a borrowing of a Swingline Loan pursuant to Section 2.01(d). “Swingline Lender” means Bank of America, in its capacity as the Swingline Lender, together with any successor in such capacity. “Swingline Loan” has the meaning provided in Section 2.01(d). “Swingline Note” means the promissory note made by the Borrower in favor of the Swingline Lender, evidencing Swingline Loans made by the Swingline Lender, substantially in the form of Exhibit 2.13-2. “Swingline Sublimit” has the meaning provided in Section 2.01(d). “TARGET2” means the Trans-European Automated Real-time Gross Settlement Express Transfer payment system which utilizes a single shared platform and which was launched on November 19, 2007. “TARGET Day” means any day on which TARGET2 (or, if such payment system ceases to be operative, such other payment system, if any, determined by the Administrative Agent to be a suitable replacement) is open for the settlement of payments in Euros. “Taxes” means all present or future taxes, levies, imposts, duties, deductions, withholdings (including backup withholding), assessments, fees or other charges imposed by any Governmental Authority, including any interest, additions to tax or penalties applicable thereto. “Term Borrowing” means a borrowing consisting of simultaneous Term Loans of the same Type and, in the case of Term SOFR Loans or Alternative Currency Term Rate Loans, having the same Interest Period. “Term Commitment” means, for each Term Lender, the commitment of such Term Lender to make Term Loans hereunder. “Term Lender” means any Lender that holds Term Loans or Term Commitments at such time. “Term Loan” means any Incremental Term Loan, Refinancing Term Loan, Extended Term Loan or Replacement Term Loan, as the context may require “Term Loan Facility” means, at any time after the Amendment No. 4 Effective Date, the aggregate principal amount of the Term Loans of all Term Lenders outstanding at such time. “Term Note” means a promissory note made by the Borrower in favor of a Term Lender evidencing Term Loans made by such Term Lender, substantially in the form of Exhibit 2.13-3. 59 1010279941v18


 
“Term SOFR” means: (a) for any Interest Period with respect to a Term SOFR Loan, the rate per annum equal to the Term SOFR Screen Rate two U.S. Government Securities Business Days prior to the commencement of such Interest Period with a term equivalent to such Interest Period; provided that if the rate is not published prior to 11:00 a.m. on such determination date then Term SOFR means the Term SOFR Screen Rate on the first U.S. Government Securities Business Day immediately prior thereto, in each case, plus the SOFR Adjustment for such Interest Period; and (b) for any interest calculation with respect to a Base Rate Loan on any date, the rate per annum equal to the Term SOFR Screen Rate with a term of one month commencing that day, plus the SOFR Adjustment for such Interest Period; provided that if the Term SOFR determined in accordance with either of the foregoing provisions (a) or (b) of this definition would otherwise be less than zero, the Term SOFR shall be deemed zero for purposes of this Agreement. “Term SOFR Loan” means a Loan that bears interest at a rate based on clause (a) of the definition of Term SOFR. “Term SOFR Screen Rate” means the forward-looking SOFR term rate administered by the SOFR Administrator (or any successor administrator satisfactory to the Administrative Agent) and published on the applicable Reuters screen page (or such other commercially available source providing such quotations as may be designated by the Administrative Agent from time to time). “Test Period” means, for any date of determination under this Agreement, the four consecutive fiscal quarters of the Borrower most recently ended as of such date of determination. “Total Assets” means the total assets of the Borrower and the Restricted Subsidiaries on a consolidated basis in accordance with GAAP, as shown on the most recent balance sheet of the Borrower delivered pursuant to Section 7.01(a) or (b) (and, in the case of any determination relating to any transaction, on a Pro Forma Basis including any property or assets being acquired or disposed of in connection therewith). “Transaction Expenses” means any fees or expenses incurred or paid by the Borrower or any of its Subsidiaries in connection with the Transactions, Amendment No. 4, this Agreement (as amended by Amendment No. 4) and the other Credit Documents and the transactions contemplated hereby and thereby. “Transactions” means, collectively, the entering into of Amendment No. 4 and the transactions contemplated thereunder, including the refinancing of the Loans and the other Credit Extensions as of the Amendment No. 4 Effective Date. “Transferred Guarantor” has the meaning provided in Section 4.09. 60 1010279941v18


 
“Treasury Management Agreement” means any agreement governing the provision of treasury or cash management services, including deposit accounts, overnight draft, credit cards, debit cards, p-cards (including purchasing cards and commercial cards), funds transfer, automated clearinghouse, zero balance accounts, returned check concentration, controlled disbursement, lockbox, account reconciliation and reporting and trade finance services and other cash management services. “Treasury Management Obligations” have the meaning provided in the definition of “Obligations.” “Type” means, with respect to any Revolving Credit Loan, its character as a Base Rate Loan, a Term SOFR Loan, an Alternative Currency Daily Rate Loan or an Alternative Currency Term Rate Loan. “UCC” means the Uniform Commercial Code in effect in any applicable jurisdiction from time to time. “UK Financial Institution” shall mean any BRRD Undertaking (as such term is defined under the PRA Rulebook (as amended from time to time) promulgated by the United Kingdom Prudential Regulation Authority) or any person subject to IFPRU 11.6 of the FCA Handbook (as amended from time to time) promulgated by the United Kingdom Financial Conduct Authority, which includes certain credit institutions and investment firms, and certain affiliates of such credit institutions or investment firms. “Unfunded Pension Liability” means the excess of a Pension Plan’s benefit liabilities under Section 4001(a)(16) of ERISA, over the current value of that Pension Plan’s assets, determined in accordance with the assumptions used for funding the Pension Plan for purposes of Section 430 of the Internal Revenue Code for the applicable plan year. “United States” or “U.S.” means the United States of America. “Unrestricted Subsidiary” means any Subsidiary of the Borrower designated by the Board of Directors of the Borrower as an Unrestricted Subsidiary pursuant to Section 7.14 subsequent to the Closing Date. “U.S. Government Securities Business Day” means any Business Day, except any Business Day on which any of the Securities Industry and Financial Markets Association, the New York Stock Exchange or the Federal Reserve Bank of New York is not open for business because such day is a legal holiday under the federal laws of the United States or the laws of the State of New York, as applicable. “U.S. Special Resolution Regimes” has the meaning provided in Section 11.22. “Weighted Average Life to Maturity” means, when applied to any Indebtedness at any date, the number of years obtained by dividing: (i) the sum of the products obtained by multiplying (a) the amount of each then remaining scheduled installment, sinking fund, serial maturity or other required scheduled payments of principal, including payment at final scheduled maturity, in respect thereof, by (b) the number of years (calculated to the nearest one-twelfth) 61 1010279941v18


 
that will elapse between such date and the making of such payment; by (ii) the then outstanding principal amount of such Indebtedness; provided that the effects of any prepayments made on such Indebtedness shall be disregarded in making such calculation. “Wholly Owned Subsidiary” means, with respect to any direct or indirect Subsidiary of any Person, that 100% of the Capital Stock with ordinary voting power issued by such Subsidiary (other than directors’ qualifying shares and investments by foreign nationals mandated by applicable Law) is beneficially owned, directly or indirectly, by such Person. “Write-Down and Conversion Powers” shall mean, (a) with respect to any EEA Resolution Authority, the write-down and conversion powers of such EEA Resolution Authority from time to time under the Bail-In Legislation for the applicable EEA Member Country, which write-down and conversion powers are described in the EU Bail-In Legislation Schedule and (b) with respect to the United Kingdom, any powers of the applicable Resolution Authority under Bail-In Legislation to cancel, reduce, modify or change the form of a liability of any UK Financial Institution or any contract or instrument under which that liability arises, to convert all or part of that liability into shares, securities or obligations of that person or any other person, to provide that any such contract or instrument is to have effect as if a right had been exercised under it or to suspend any obligation in respect of that liability or any of the powers under that Bail-In Legislation that are related to or ancillary to any of those powers. Section 1.02. Interpretive Provisions. With reference to this Credit Agreement and each other Credit Document, unless otherwise specified herein or in such other Credit Document: (a) The definitions of terms herein shall apply equally to the singular and plural forms of the terms defined. Whenever the context may require, any pronoun shall include the corresponding masculine, feminine and neuter forms. The words “include,” “includes” and “including” shall be deemed to be followed by the phrase “without limitation.” The word “will” shall be construed to have the same meaning and effect as the word “shall.” Unless the context requires otherwise, (i) any definition of or reference to any agreement, instrument or other document (including any Organization Document) shall be construed as referring to such agreement, instrument or other document as from time to time amended, supplemented or otherwise modified (subject to any restrictions on such amendments, supplements or modifications set forth herein or in any other Credit Document), (ii) any reference herein to any Person shall be construed to include such Person’s successors and assigns, (iii) the words “hereto,” “herein,” “hereof” and “hereunder,” and words of similar import when used in any Credit Document, shall be construed to refer to such Credit Document in its entirety and not to any particular provision thereof, (iv) all references in a Credit Document to “Articles,” “Sections,” “Exhibits” and “Schedules” shall be construed to refer to articles and sections of, and exhibits and schedules to, the Credit Document in which such references appear, (v) any reference to any law shall include all statutory and regulatory provisions consolidating, amending, replacing or interpreting such law and any reference to any law or regulation shall, unless otherwise specified, refer to such law or regulation as amended, modified or supplemented from time to time, and (vi) the words “asset” and “property” shall be construed to have the same meaning and effect and to refer to any and all assets and property of whatever 62 1010279941v18


 
kind, real and personal, tangible and intangible, including cash, securities, accounts and contract rights. (b) In the computation of periods of time from a specified date to a later specified date, the word “from” means “from and including”; the words “to” and “until” each mean “to but excluding”; and the word “through” means “to and including.” (c) Section headings herein and in the other Credit Documents are included for convenience of reference only and shall not affect the interpretation of this Credit Agreement or any other Credit Document. (d) For purposes of determining compliance with any Section of Article 8 at any time, in the event that any Lien, Investment, Indebtedness (whether at the time of incurrence or upon application of all or a portion of the proceeds thereof) (subject to the third to last paragraph in Section 8.03), Disposition, Restricted Payment, Affiliate transaction, Contractual Obligation or prepayment of Indebtedness meets the criteria of one or more than one of the categories of transactions permitted pursuant to any clause of such Sections, such transaction (or portion thereof) at any time shall be permitted under one or more of such clauses as determined by the Borrower in its sole discretion at such time. (e) Any reference herein to a merger, transfer, consolidation, amalgamation, consolidation, assignment, sale, disposition or transfer, or similar term, shall be deemed to apply to a division of or by a limited liability company, or an allocation of assets to a series of a limited liability company (or the unwinding of such a division or allocation), as if it were a merger, transfer, consolidation, amalgamation, consolidation, assignment, sale, disposition or transfer, or similar term, as applicable, to, of or with a separate Person. Any division of a limited liability company shall constitute a separate Person hereunder (and each division of any limited liability company that is a Subsidiary, joint venture or any other like term shall also constitute such a Person or entity). Section 1.03. Accounting Terms and Provisions. All accounting terms not specifically or completely defined herein shall be construed in conformity with, and all financial data (including financial ratios and other financial calculations) required to be submitted pursuant to this Credit Agreement shall be prepared in conformity with, GAAP applied on a consistent basis, as in effect from time to time. Notwithstanding any changes in GAAP after the Closing Date, any lease of the Credit Parties and their Subsidiaries that would be characterized as an operating lease under GAAP in effect on the Closing Date (whether such lease is entered into before or after the Closing Date) shall not constitute Indebtedness, Attributable Indebtedness or a Capitalized Lease under this Agreement or any Credit Document as a result of such changes in GAAP. (a) Notwithstanding any provision herein to the contrary, determinations of (i) the applicable pricing level under the definition of “Applicable Percentage” and (ii) compliance with the Financial Covenants shall be made on a Pro Forma Basis. (b) If at any time after the Closing Date any change in GAAP or in the consistent application thereof would affect the operation of any provision set forth in any Credit 63 1010279941v18


 
Document, and either the Borrower or the Required Lenders requests an amendment to eliminate the effect of any such change, regardless whether such request is given before or after such change in GAAP or in the consistent application thereof, then until such request shall have been withdrawn or such provision amended in accordance herewith, (i) such provision shall continue to be interpreted in accordance with GAAP prior to such change therein and (ii) the Borrower will provide, or cause to be provided, to the Administrative Agent and the Lenders, financial statements and related certificates and documents required hereunder or hereby as reasonably requested setting forth a reconciliation between calculations of such ratios or requirements made before and after giving effect to such changes in GAAP. (c) With respect to any subject transaction that was permitted under any provision of this Agreement by reference to a basket based on a percentage of Total Assets, the permissibility of such subject transaction shall not be affected by any subsequent fluctuations in Total Assets. Section 1.04. Rounding. Any financial ratios required to be maintained pursuant to this Credit Agreement shall be calculated by dividing the appropriate component by the other component, carrying the result to one place more than the number of places by which such ratio is expressed herein and rounding the result up or down to the nearest number (with a rounding-up if there is no nearest number). Section 1.05. Times of Day. Unless otherwise specified, all references herein to times of day shall be references to Eastern time (daylight or standard, as applicable). Section 1.06. Letter of Credit Amounts. Unless otherwise specified herein all references herein to the amount of a Letter of Credit at any time shall be deemed to be the Dollar Equivalent of the stated amount of such Letter of Credit in effect at such time; provided, however, that with respect to any Letter of Credit that, by its terms or the terms of any Issuer Document related thereto, provides for one or more automatic increases in the stated amount thereof, the amount of such Letter of Credit shall be deemed to be the Dollar Equivalent of the maximum stated amount of such Letter of Credit after giving effect to all such increases, whether or not such maximum stated amount is in effect at such time. Section 1.07. Pro Forma Calculations. (a) Notwithstanding anything to the contrary herein, financial ratios and tests, including the Consolidated Cash Interest Coverage Ratio and the Consolidated Total Net Leverage Ratio and compliance with covenants determined by reference to Consolidated EBITDA or Total Assets, shall be calculated (whether or not the applicable provision references that such calculation is to be done on a “Pro Forma Basis” or giving “Pro Forma Effect” or any other similar phrase) in the manner prescribed by this Section 1.07; provided that notwithstanding anything to the contrary herein, when calculating (A) any such ratio for the purpose of the definition of Applicable Percentage, any mandatory prepayment provision hereunder or compliance with Section 8.11, the events set forth in Sections 1.07(b), 1.07(c), 1.07(d) and 1.07(e) below that occurred subsequent to the end of the applicable Test Period shall not be given pro forma effect and (B) any such ratio or test for purposes of the incurrence of any Indebtedness, cash and Cash Equivalents resulting from the incurrence of any such Indebtedness 64 1010279941v18


 
shall be excluded from the pro forma calculation of any applicable ratio or test. In addition, whenever a financial ratio or test is to be calculated on a Pro Forma Basis, the reference to the “Test Period” for purposes of calculating such financial ratio or test shall be deemed to be a reference to, and shall be based on, the most recently ended Test Period for which internal financial statements of the Borrower are available (as determined in good faith by the Borrower) (it being understood that for purposes of determining pro forma compliance with Section 8.11, if no Test Period with an applicable level cited in Section 8.11 has passed, the applicable level shall be the level for the first Test Period cited in Section 8.11 with an indicated level). For the avoidance of doubt, the provisions of the foregoing sentence shall not apply for purposes of calculating any financial ratio or test for purposes of (i) the definition of “Applicable Percentage” and (ii) Section 8.11 (other than for the purpose of determining Pro Forma Compliance with Section 8.11), each of which shall be based on the financial statements delivered pursuant to Section 7.01(a) or (b) for which a Compliance Certificate has been delivered pursuant to Section 7.02(a), as applicable, for the relevant Test Period. (b) For purposes of calculating any financial ratio or test or compliance with any covenant determined by reference to Consolidated EBITDA or Total Assets, Specified Transactions (and the incurrence or repayment of any Indebtedness in connection therewith) that have been consummated (i) during the applicable Test Period or (ii) if applicable as described in clause (a) above, subsequent to such Test Period and prior to or simultaneously with the event for which the calculation of any such ratio is made, in either case, shall be calculated on a pro forma basis assuming that all such Specified Transactions (and any increase or decrease in Consolidated EBITDA, Total Assets and the component financial definitions used therein attributable to any Specified Transaction) had occurred on the first day of the applicable Test Period (or in the case of Total Assets, on the last day of the applicable Test Period). If since the beginning of any applicable Test Period any Person that subsequently became a Restricted Subsidiary or was merged, amalgamated or consolidated with or into the Borrower or any of its Restricted Subsidiaries since the beginning of such Test Period shall have made any Specified Transaction that would have required adjustment pursuant to this Section 1.07, then such financial ratio or test (or Total Assets) shall be calculated to give pro forma effect thereto in accordance with this Section 1.07. (c) Whenever pro forma effect is to be given to a Specified Transaction, the pro forma calculations shall be made in good faith by a responsible financial or accounting officer of the Borrower and may include, for the avoidance of doubt, the amount of “run-rate” cost savings, operating expense reductions and synergies resulting from or relating to any Specified Transaction which is being given pro forma effect that have been realized or are expected to be realized and for which the actions necessary to realize such cost savings, operating expense reductions and synergies are taken, committed to be taken or with respect to which substantial steps have been taken or are expected to be taken (in the good faith determination of the Borrower) (calculated on a pro forma basis as though such cost savings, operating expense reductions and synergies had been realized on the first day of such period and as if such cost savings, operating expense reductions and synergies were realized during the entirety of such period and “run-rate” means the full recurring benefit for a period that is associated with any action taken, committed to be taken or with respect to which substantial steps have been taken or are expected to be taken net of the amount of actual benefits realized during such period from such actions, and any such adjustments shall be included in the initial 65 1010279941v18


 
pro forma calculations of any financial ratios or tests (and in respect of any subsequent pro forma calculations in which such Specified Transaction is given pro forma effect) and during any applicable subsequent Test Period in which the effects thereof are expected to be realized) relating to such Specified Transaction; provided that (A) such amounts are reasonably identifiable and factually supportable in the good faith judgment of the Borrower, (B) such actions are taken, committed to be taken or with respect to which substantial steps have been taken or are expected to be taken no later than eighteen (18) months after the date of such Specified Transaction, and (C) no amounts shall be added pursuant to this clause (c) to the extent duplicative of any amounts that are otherwise added back in computing Consolidated EBITDA (or any other components thereof), whether through a pro forma adjustment or otherwise, with respect to such period; provided further, that any increase to Consolidated EBITDA as a result of cost savings, operating expense reductions and synergies pursuant to this Section 1.07(c) shall be subject to the limitations set forth in the final proviso of clause (vii) of the definition of Consolidated EBITDA. (d) In the event that the Borrower or any Restricted Subsidiary incurs (including by assumption or guarantees) or repays (including by redemption, repayment, retirement or extinguishment) any Indebtedness included in the calculations of the Consolidated Cash Interest Coverage Ratio, the Consolidated Total Net Leverage Ratio or any other financial ratio or test subsequent to the end of the applicable Test Period and prior to or simultaneously with the event for which the calculation of any such ratio or test is made, then the Consolidated Cash Interest Coverage Ratio, the Consolidated Total Net Leverage Ratio or other financial ratio or test, as applicable, shall be calculated giving pro forma effect to such incurrence or repayment of Indebtedness, to the extent required, as if the same had occurred on the last day of the applicable Test Period (except in the case of the Consolidated Cash Interest Coverage Ratio or other similar interest or fixed charge test or ratio, in which case such incurrence, assumption, guarantee, redemption, repayment, retirement or extinguishment will be given effect as if the same had occurred on the first day of the applicable Test Period); provided that Indebtedness incurred, repaid or prepaid under any revolving credit facility shall be excluded from the application of this clause (d) unless such incurrence, repayment or prepayment (a) shall be in connection, or substantially concurrent, with a Specified Transaction or (b) in the case of a repayment or prepayment, such Indebtedness has been permanently repaid and not replaced. (e) Notwithstanding anything to the contrary herein, with respect to any amounts incurred or transactions entered into (or consummated) in reliance on a provision of any Section in Article VIII of this Agreement (which, for purposes of Section 8.03 of this Agreement, shall be deemed to include Section 2.18 through Section 2.20 of this Agreement) that does not require compliance with a financial ratio or test (including, without limitation, the Consolidated Total Net Leverage Ratio and/or the Consolidated Cash Interest Coverage Ratio) (any such amounts, the “Fixed Amounts”, including, for the avoidance of doubt, any grower component based on Consolidated EBITDA) substantially concurrently with any amounts incurred or transactions, in each case, entered into (or consummated) in reliance on a provision of such Section of this Agreement that requires compliance with any such financial ratio or test (any such amounts, the “Incurrence-Based Amounts”), it is understood and agreed that (x) any Fixed Amount (and any cash proceeds thereof) shall be disregarded in the calculation of the financial ratio or test applicable to the relevant Incurrence-Based Amount in connection with such substantially concurrent incurrence and (y) thereafter, the incurrence of the portion of any 66 1010279941v18


 
such amount under the Fixed Amount shall be included in the calculation of Incurrence-Based Amounts. (f) In connection with any action being taken solely in connection with a Limited Condition Transaction, for purposes of: (i) determining compliance with any provision of this Agreement (other than the Financial Covenants) which is subject to a default or event of default qualifier (including any representation and warranty related thereto) or which requires the calculation of any financial ratio or test, including the Consolidated Total Net Leverage Ratio and Consolidated Cash Interest Coverage Ratio; or (ii) testing availability under baskets set forth in this Agreement (including baskets measured as a percentage of Consolidated EBITDA, Total Assets and baskets subject to Default and Event of Default conditions); in each case, at the option of the Borrower (the Borrower’s election to exercise such option in connection with any Limited Condition Transaction, an “LCT Election”), the date of determination of whether any such action is permitted hereunder (or any such representation, warranty, requirement or condition therefor is complied with or satisfied (including as to the absence of any continuing Default or Event of Default) shall be deemed to be the date the definitive agreements for such Limited Condition Transaction are entered into (the “LCT Test Date”), and if, after giving Pro Forma Effect to the Limited Condition Transaction and the other transactions to be entered into in connection therewith (including any incurrence of Indebtedness and the use of proceeds thereof) as if they had occurred at the beginning of the most recent Test Period ending prior to the LCT Test Date, the Borrower or any of its Restricted Subsidiaries would have been permitted to take such action on the relevant LCT Test Date in compliance with such ratio, test or basket (and any related representations, warranties, requirements and conditions), such ratio, test or basket (and any related representations, warranties, requirements and conditions) shall be deemed to have been complied with (or satisfied). For the avoidance of doubt, if the Borrower has made an LCT Election and any of the ratios, tests, baskets or requirements or conditions for which compliance was determined or tested as of the LCT Test Date are exceeded (or not satisfied) as a result of fluctuations in any such ratio, test or basket (or due to other intervening events in the case of other requirements or conditions), including due to fluctuations in Consolidated EBITDA or Total Assets of the Borrower or the Person subject to such Limited Condition Transaction, at or prior to the consummation of the relevant transaction or action, such baskets, tests, ratios or requirements or conditions will not be deemed to have been exceeded (or not satisfied) as a result of such fluctuations (or intervening events). If the Borrower has made an LCT Election for any Limited Condition Transaction, then in connection with any calculation of any ratio, test or basket availability with respect to the incurrence of Indebtedness or Liens, the making of Restricted Payments, the making of any Investment permitted hereunder, mergers, the conveyance, lease or other transfer of all or substantially all of the assets of the Borrower, the prepayment, redemption, purchase, defeasance or other satisfaction of Indebtedness, or the designation of an Unrestricted Subsidiary (a “Subsequent Transaction”) following the relevant LCT Test Date and prior to the earlier of the date on which such Limited Condition Transaction is consummated or the date that the definitive agreement or 67 1010279941v18


 
irrevocable notice for such Limited Condition Transaction is terminated or expires without consummation of such Limited Condition Transaction, for purposes of determining whether such Subsequent Transaction is permitted under this Agreement, any such ratio, test or basket shall be required to be satisfied on a Pro Forma Basis assuming such Limited Condition Transaction and other transactions in connection therewith (including any incurrence of Indebtedness and the use of proceeds thereof) have been consummated. (g) If any Indebtedness bears a floating rate of interest and is being given pro forma effect, the interest on such Indebtedness shall be calculated as if the rate in effect on the date of the event for which the calculation of the Consolidated Cash Interest Coverage Ratio is made had been the applicable rate for the entire period (taking into account any interest hedging arrangements applicable to such Indebtedness); provided that, in the case of repayment of any Indebtedness, to the extent actual interest related thereto was included during all or any portion of the applicable Test Period, the actual interest may be used for the applicable portion of such Test Period. Interest on a Capitalized Lease shall be deemed to accrue at an interest rate reasonably determined by a Responsible Officer of the Borrower to be the rate of interest implicit in such Capitalized Lease in accordance with GAAP. Interest on Indebtedness that may optionally be determined at an interest rate based upon a factor of a prime or similar rate, a London interbank offered rate, or other rate, shall be determined to have been based upon the rate actually chosen, or if none, then based upon such optional rate chosen as the Borrower or Restricted Subsidiary may designate. Section 1.08. Timing of Payment and Performance. When the payment of any obligation or the performance of any covenant, duty or obligation is stated to be due or performance required on a day which is not a Business Day, the date of such payment (other than as described in the definition of “Interest Period”) or performance shall extend to the immediately succeeding Business Day and such extension shall be reflected in the computation of interest or fees, as the case may be. Section 1.09. Currency Generally. For purposes of determining compliance with Sections 8.01, 8.02, 8.03 and 8.06 with respect to any amount of Indebtedness or Investment in a currency other than Dollars, no Default shall be deemed to have occurred solely as a result of changes in rates of currency exchange occurring after the time such Indebtedness or Investment is incurred (so long as such Indebtedness or Investment, at the time incurred, made or acquired, was permitted hereunder). For purposes of calculating the Consolidated Total Net Leverage Ratio or Consolidated Cash Interest Coverage Ratio in connection with determining compliance with the Financial Covenants, or otherwise calculating the Consolidated Total Net Leverage Ratio on any date of determination, amounts denominated in a currency other than Dollars will be translated into Dollars at the currency exchange rates used in the Borrower’s latest financial statements delivered pursuant to Section 7.01(a) or (b), and will, in the case of Indebtedness, reflect the currency translation effects, determined in accordance with GAAP, of Swap Contracts permitted hereunder for currency exchange risks with respect to the applicable currency in effect on the date of determination of the Dollar Equivalent of such Indebtedness. 68 1010279941v18


 
Section 1.10. Exchange Rates; Currency Equivalents. (a) The L/C Issuer, as applicable, shall determine the Spot Rates as of each Revaluation Date to be used for calculating Dollar Equivalent amounts of L/C Credit Extensions and Outstanding Amounts denominated in Alternative Currencies. Such Spot Rates shall become effective as of such Revaluation Date and shall be the Spot Rates employed in converting any amounts between the applicable currencies until the next Revaluation Date to occur. Except for purposes of financial statements delivered by Credit Parties hereunder or calculating financial covenants hereunder or except as otherwise provided herein, the applicable amount of any currency (other than Dollars) for purposes of the Credit Documents shall be such Dollar Equivalent amount as so determined by the L/C Issuer. (b) Wherever in this Agreement in the issuance, amendment or extension of a Letter of Credit, an amount, such as a required minimum or multiple amount, is expressed in Dollars, but such Letter of Credit is denominated in an Alternative Currency, such amount shall be the relevant Alternative Currency Equivalent of such Dollar amount (rounded to the nearest unit of such Alternative Currency, with 0.5 of a unit being rounded upward), as determined by the L/C Issuer, as the case may be. Section 1.11. Additional Alternative Currencies. (a) The Borrower may from time to time request that Alternative Currency Loans be made and/or Letters of Credit be issued in a currency other than those specifically listed in the definition of “Alternative Currency”; provided that such requested currency is an Eligible Currency. In the case of any such request with respect to the making of Alternative Currency Loans, such request shall be subject to the approval of the Administrative Agent and each Lender; and in the case of any such request with respect to the issuance of Letters of Credit, such request shall be subject to the approval of the Administrative Agent and the L/C Issuer. (b) Any such request shall be made to the Administrative Agent not later than 11:00 a.m., twenty (20) Business Days prior to the date of the desired Credit Extension (or such other time or date as may be agreed by the Administrative Agent and, in the case of any such request pertaining to Letters of Credit, the L/C Issuer, in its or their sole discretion). In the case of any such request pertaining to Alternative Currency Loans, the Administrative Agent shall promptly notify each Lender thereof; and in the case of any such request pertaining to Letters of Credit, the Administrative Agent shall promptly notify the L/C Issuer thereof. Each Lender (in the case of any such request pertaining to Alternative Currency Loans) or the L/C Issuer (in the case of a request pertaining to Letters of Credit) shall notify the Administrative Agent, not later than 11:00 a.m., ten (10) Business Days after receipt of such request whether it consents, in its sole discretion, to the making of Alternative Currency Loans or the issuance of Letters of Credit, as the case may be, in such requested currency. (c) Any failure by a Lender or the L/C Issuer, as the case may be, to respond to such request within the time period specified in the preceding sentence shall be deemed to be a refusal by such Lender or the L/C Issuer, as the case may be, to permit Alternative Currency Loans to be made or Letters of Credit to be issued in such requested currency. If the Administrative Agent and such Lenders consent to making Alternative Currency Loans in such 69 1010279941v18


 
requested currency and the Administrative Agent reasonably determines in consultation with the Borrower that an appropriate interest rate is available to be used for such requested currency, the Administrative Agent shall so notify the Borrower and (i) the Administrative Agent may in consultation with the Borrower amend the definition of Alternative Currency Daily Rate or Alternative Currency Term Rate to the extent necessary to add the applicable rate for such currency and any applicable adjustment for such rate and (ii) to the extent the definition of Alternative Currency Daily Rate or Alternative Currency Term Rate, as applicable, has been amended to reflect the appropriate rate for such currency, such currency shall thereupon be deemed for all purposes to be an Alternative Currency for purposes of any Borrowings of Alternative Currency Loans. If the Administrative Agent and the L/C Issuer consent to the issuance of Letters of Credit in such requested currency, the Administrative Agent shall so notify the Borrower and (i) the Administrative Agent and the L/C Issuer may in consultation with the Borrower amend the definition of Alternative Currency Daily Rate or Alternative Currency Term Rate, as applicable, to the extent necessary to add the applicable rate for Letters of Credit in such currency and any applicable adjustment for such rate and (ii) to the extent the definition of Alternative Currency Daily Rate or Alternative Currency Term Rate, as applicable, has been amended to reflect the appropriate rate for Letters of Credit in such currency, such currency shall thereupon be deemed for all purposes to be an Alternative Currency, for purposes of any Letter of Credit issuances. If the Administrative Agent shall fail to obtain consent to any request for an additional currency under this Section 1.11, the Administrative Agent shall promptly so notify the Borrower. Section 1.12. Cumulative Equity Credit Transactions. If more than one action occurs on any given date the permissibility of the taking of which is determined hereunder by reference to the amount of the Cumulative Equity Credit immediately prior to the taking of such action, the permissibility of the taking of each such action shall be determined independently and in no event may any two or more such actions be treated as occurring simultaneously. Section 1.13. References to Agreements, Laws, Etc. Unless otherwise expressly provided herein, (a) references to Organization Documents, agreements (including the Credit Documents) and other contractual instruments shall be deemed to include all subsequent amendments, restatements, amendment and restatements, extensions, supplements and other modifications thereto, but only to the extent that such amendments, restatements, amendment and restatements, extensions, supplements and other modifications are permitted by the Credit Documents; and (b) references to any Law (including by succession of comparable successor laws) shall include all statutory and regulatory provisions consolidating, amending, replacing, supplementing or interpreting such Law. Section 1.14. Interest Rates. The Administrative Agent does not warrant, nor accept responsibility, nor shall the Administrative Agent have any liability with respect to the administration, submission or any other matter related to any reference rate referred to herein or with respect to any rate (including, for the avoidance of doubt, the selection of such rate and any related spread or other adjustment) that is an alternative or replacement for or successor to any such rate (including, without limitation, any Successor Rate) (or any component of any of the foregoing) or the effect of any of the foregoing, or of any Conforming Changes. The Administrative Agent and its affiliates or other related entities may engage in transactions or other activities that affect any reference rate referred to herein, or any alternative, successor or 70 1010279941v18


 
replacement rate (including, without limitation, any Successor Rate) (or any component of any of the foregoing) or any related spread or other adjustments thereto, in each case, in a manner adverse to the Borrower. The Administrative Agent may select information sources or services in its reasonable discretion to ascertain any reference rate referred to herein or any alternative, successor or replacement rate (including, without limitation, any Successor Rate) (or any component of any of the foregoing), in each case pursuant to the terms of this Agreement, and shall have no liability to the Borrower, any Lender or any other person or entity for damages of any kind, including direct or indirect, special, punitive, incidental or consequential damages, costs, losses or expenses (whether in tort, contract or otherwise and whether at law or in equity), for any error or other action or omission related to or affecting the selection, determination, or calculation of any rate (or component thereof) provided by any such information source or service. ARTICLE 2 COMMITMENTS AND CREDIT EXTENSIONS Section 2.01. Commitments. Subject to the terms and conditions set forth herein: (a) [Reserved]. (b) Revolving Credit Loans. During the Commitment Period, each Revolving Credit Lender severally agrees to make revolving credit loans (the “Revolving Credit Loans”) to the Borrower in Dollars or in an Alternative Currency, from time to time, on any Business Day; provided that after giving effect to any such Revolving Credit Loan, (i) with regard to the Revolving Credit Lenders collectively, the Outstanding Amount of Revolving Credit Obligations shall not exceed the Aggregate Revolving Credit Commitments (as the Aggregate Revolving Credit Commitments may be increased or decreased in accordance with the provisions hereof, the “Aggregate Revolving Credit Committed Amount”) and (ii) with regard to each Revolving Credit Lender individually, such Revolving Credit Lender’s Aggregate Commitment Percentage of the Outstanding Amount of Revolving Credit Obligations shall not exceed its Revolving Credit Commitment; provided further, that, from the Amendment No. 6 Effective Date until the first Business Day after the date on which a Compliance Certificate has been delivered pursuant to Section 7.02(a) demonstrating that Core Adjusted Consolidated EBITDA is greater than or equal to $75,000,000 for the corresponding Test Period, the Outstanding Amount of Revolving Credit Obligations shall not exceed $750,000,000. Revolving Credit Loans may consist of Base Rate Loans, Term SOFR Loans, Alternative Currency Daily Rate Loans or Alternative Currency Term Rate Loans, or a combination thereof, as the Borrower may request, and may be repaid and reborrowed in accordance with the provisions hereof. (c) Letters of Credit. During the Commitment Period, (i) the L/C Issuer agrees (A) to issue Letters of Credit denominated in Dollars or in one or more Alternative Currencies for the account of the Borrower or any of its Restricted Subsidiaries on any Business Day, (B) to amend or extend Letters of Credit previously issued hereunder, and (C) to honor drawings under Letters of Credit; and (ii) the Revolving Credit Lenders severally agree to purchase from the L/C Issuer a participation interest in the Letters of Credit issued hereunder in an amount equal to such Revolving Credit Lender’s Aggregate Commitment Percentage thereof; provided that (x) the Outstanding Amount of L/C Obligations shall not exceed $50,000,000 (as 71 1010279941v18


 
such amount may be decreased in accordance with the provisions hereof, the “L/C Sublimit”), (y) the Outstanding Amount of Revolving Credit Obligations shall not exceed the Aggregate Revolving Credit Committed Amount, and (z) with regard to each Revolving Credit Lender individually, such Revolving Credit Lender’s Aggregate Commitment Percentage of the Outstanding Amount of Revolving Credit Obligations shall not exceed its Revolving Credit Commitment. Subject to the terms and conditions hereof, the Borrower’s ability to obtain Letters of Credit shall be fully revolving, and accordingly the Borrower may obtain Letters of Credit to replace Letters of Credit that have expired or that have been drawn upon and reimbursed. (d) Swingline Loans. During the Commitment Period, the Swingline Lender agrees to make revolving credit loans (the “Swingline Loans”) to the Borrower in Dollars on any Business Day; provided that (i) the Outstanding Amount of Swingline Loans shall not exceed $40,000,000 (as such amount may be decreased in accordance with the provisions hereof, the “Swingline Sublimit”) and (ii) with respect to the Revolving Credit Lenders collectively, the Outstanding Amount of Revolving Credit Obligations shall not exceed the Aggregate Revolving Credit Committed Amount; provided further that no Swingline Loans may be made on the Amendment No. 4 Effective Date. Swingline Loans shall be comprised solely of Base Rate Loans, and may be repaid and reborrowed in accordance with the provisions hereof. Immediately upon the making of a Swingline Loan, each Revolving Credit Lender shall be deemed to, and hereby irrevocably and unconditionally agrees to, purchase from the Swingline Lender a participation interest in such Swingline Loan in an amount equal to the product of such Revolving Credit Lender’s Aggregate Commitment Percentage thereof; provided that the participation interest shall not be funded except on demand as provided in Section 2.04(b)(ii). (e) Notwithstanding the foregoing, from the Amendment No. 5 Effective Date until after the Covenant Relief Period End Date, the Borrower shall not permit the Outstanding Amount of Revolving Credit Obligations to exceed $750,000,000. Section 2.02. Borrowings, Conversions and Continuations. (a) Each Borrowing, each conversion of Loans from one Type to the other, and each continuation of Term SOFR Loans or Alternative Currency Term Rate Loans, as applicable, shall be made upon the Borrower’s irrevocable notice to the Administrative Agent by (A) telephone, or (B) a Loan Notice; provided that any telephonic notice by the Borrower must be confirmed promptly by delivery to the Administrative Agent of a Loan Notice; provided further, that the notice in connection with any Acquisition or other transaction permitted under this Agreement, may be conditioned on the closing of such Acquisition or other transaction, as applicable. Each such notice must be received by the Administrative Agent not later than noon, (A) with respect to Term SOFR Loans or any conversion of Term SOFR Loans to Base Rate Loans, three Business Days prior to the requested date thereof, (B) with respect to Alternative Currency Loans, three Business Days prior to the requested date thereof and (C) with respect to Base Rate Loans, on the requested date of, any Borrowing, conversion or continuation. (b) Each telephonic notice by the Borrower pursuant to this Section 2.02 must be confirmed promptly by delivery to the Administrative Agent of a written Loan Notice, appropriately completed and signed by a Responsible Officer of the Borrower. Except as 72 1010279941v18


 
provided in Sections 2.03(c) and 2.04(b) each Borrowing, conversion or continuation shall be in a principal amount of (x) with respect to Term SOFR Loans and Alternative Currency Loans, $1,000,000 or a whole multiple of $1,000,000 in excess thereof or (y) with respect to Base Rate Loans, $500,000 or a whole multiple of $100,000 in excess thereof. Each Loan Notice (whether telephonic or written) shall specify (i) whether such request is for a Term Borrowing, Revolving Credit Borrowing, a conversion or a continuation, (ii) the requested date of such Borrowing, conversion or continuation (which shall be a Business Day), (iii) the principal amount of Loans to be borrowed, converted or continued, (iv) the Class and Type of Loans to be borrowed, converted or continued and (v) if applicable, the duration of the Interest Period with respect thereto. If the Borrower fails to specify a Type of Loan in a Loan Notice or if the Borrower fails to give a timely notice requesting a conversion or continuation, then the applicable Loans shall be made as, or converted to, Term SOFR Loans or Alternative Currency Term Rate Loans, as applicable, with an Interest Period of one month. If the Borrower requests a Borrowing of, conversion to, or continuation of Term SOFR Loans or Alternative Currency Term Rate Loans, as applicable, in any Loan Notice, but fails to specify an Interest Period, the Interest Period will be deemed to be one month. Except as provided pursuant to Section 2.12(a) and 3.03, no Loan may be converted into or continued as a Loan denominated in a different currency, but instead must be repaid in the original currency of such Loan and reborrowed in the other currency. (c) Following its receipt of a Loan Notice, the Administrative Agent shall promptly notify each Appropriate Lender of the amount of its pro rata share of the applicable Loans. In the case of a Borrowing, each Appropriate Lender shall make the amount of its Loan available to the Administrative Agent in immediately available funds at the Administrative Agent’s Office not later than 2:00 p.m., on the Business Day specified in the applicable Loan Notice. Upon satisfaction of the applicable conditions set forth in Section 5.02 (and, on the Amendment No. 4 Effective Date, Section 2 of Amendment No. 4), the Administrative Agent shall make all funds so received available to the Borrower in like funds as received by the Administrative Agent either by (i) crediting the account of the Borrower on the books of the Administrative Agent with the amount of such funds or (ii) wire transfer of such funds, in each case in accordance with instructions provided to (and reasonably acceptable to) the Administrative Agent by the Borrower; provided, however, that if, on the date of any Revolving Credit Borrowing there are Swingline Loans or LC Borrowings outstanding, then the proceeds of such Borrowing shall be applied, first, to the payment in full of any such L/C Borrowing, second, to the payment in full of any such Swingline Loans, and third, to the Borrower as provided above. (d) Except as otherwise provided herein, without the consent of the applicable Required Facility Lenders, (i) a Term SOFR Loan or Alternative Currency Term Rate Loan, as applicable, may be continued or converted only on the last day of an Interest Period for such Term SOFR Loan or Alternative Currency Term Rate Loan, as applicable, and (ii) any conversion into, or continuation as, a Term SOFR Loan or Alternative Currency Term Rate Loan, as applicable, may be made only if the conditions to Credit Extensions in Section 5.02 have been satisfied. During the existence of a Default or Event of Default, (x) no Loan may be requested as, converted to or continued as a Term SOFR Loan or Alternative Currency Term Rate Loan, as applicable, and (y) at the request of the applicable Required Facility Lenders, any 73 1010279941v18


 
outstanding Term SOFR Loan shall be converted to a Base Rate Loan on the last day of the Interest Period with respect thereto. (e) The Administrative Agent shall promptly notify the Borrower and the Appropriate Lenders of the interest rate applicable to any Interest Period for Term SOFR Loans or Alternative Currency Term Rate Loans upon determination of such interest rate. The determination of the Term SOFR or Alternative Currency Term Rate by the Administrative Agent shall be conclusive in the absence of manifest error. At any time that Base Rate Loans are outstanding, the Administrative Agent shall notify the Borrower and the Appropriate Lenders of any change in Bank of America’s prime rate used in determining the Base Rate promptly following the public announcement of such change. (f) After giving effect to all Borrowings, all conversions of Loans from one Type to the other, and all continuations of Loans as the same Type, there shall not be more than ten Interest Periods in effect with respect to the Facilities; provided that after the establishment of any new Class of Loans pursuant to an Incremental Amendment, Refinancing Amendment or Extension Amendment, the number of Interest Periods otherwise permitted by this Section 2.02(f) shall increase by three (3) Interest Periods for each applicable Class so established. (g) With respect to any Alternative Currency Daily Rate or SOFR, the Administrative Agent and the Borrower will have the right to jointly make Conforming Changes from time to time and, notwithstanding anything to the contrary herein or in any other Credit Document, any amendments implementing such Conforming Changes will become effective without any further action or consent of any other party to this Agreement or any other Credit Document; provided that, with respect to any such amendment effected, the Administrative Agent shall post each such amendment implementing such Conforming Changes to the Lenders reasonably promptly after such amendment becomes effective. Section 2.03. Additional Provisions with Respect to Letters of Credit. (a) Obligation to Issue or Amend. (i) The L/C Issuer shall not issue any Letter of Credit if: (A) except as otherwise provided in Section 2.03(b)(iii), the expiry date would occur more than (I) in the case of a standby Letter of Credit, one year from the date of issuance or (II) in the case of a commercial Letter of Credit, 180 days from the date of issuance, in each case unless the Required Revolving Credit Lenders and the L/C Issuer shall have otherwise given their approval; (B) the expiry date of any such Letter of Credit would occur after the L/C Expiration Date, unless the Revolving Credit Lenders and the L/C Issuer shall have otherwise given their approval or the Outstanding Amount of L/C Obligations in respect of such requested Letter of Credit has been Cash Collateralized or back-stopped by a letter of credit reasonably satisfactory to the 74 1010279941v18


 
applicable L/C Issuer; provided that once such Letter of Credit is fully Cash Collateralized, the other Lenders are released from liability as a Participant; or (C) any such Letter of Credit is to be used for purposes other than those permitted under Section 7.11, unless the Required Lenders shall have otherwise given their approval. (ii) The L/C Issuer shall not be under any obligation to issue any Letter of Credit if: (A) any order, judgment or decree of any Governmental Authority or arbitrator shall by its terms purport to enjoin or restrain the L/C Issuer from issuing such Letter of Credit, or any Law applicable to the L/C Issuer or any request or directive (whether or not having the force of law) from any Governmental Authority with jurisdiction over the L/C Issuer shall prohibit, or request that the L/C Issuer refrain from, the issuance of letters of credit generally or such Letter of Credit in particular or shall impose upon the L/C Issuer with respect to such Letter of Credit any restriction, reserve or capital requirement (for which the L/C Issuer is not otherwise compensated hereunder) not in effect on the Closing Date, or shall impose upon the L/C Issuer any unreimbursed loss, cost or expense that was not applicable on the Closing Date and that the L/C Issuer in good faith deems material to it; (B) the issuance of such Letter of Credit would violate any Law or one or more policies of the L/C Issuer; (C) except as otherwise agreed by the L/C Issuer and the Administrative Agent, such Letter of Credit is in an initial stated amount less than $100,000, in the case of a commercial Letter of Credit, or $200,000, in the case of a standby Letter of Credit; (D) such Letter of Credit is to be denominated in a currency other than Dollars or an Alternative Currency; (E) such Letter of Credit contains provisions for automatic reinstatement of the stated amount after any drawing thereunder; (F) any Revolving Credit Lender is at such time a Defaulting Lender, unless Cash Collateral or other Adequate Assurance shall have been provided, including arrangements to eliminate the L/C Issuer’s actual or potential Fronting Exposure (after giving effect to Section 2.17(a)(vii)) with respect to the Defaulting Lender arising from either the Letter of Credit then proposed to be issued or that Letter of Credit and all other L/C Obligations as to which the L/C Issuer has actual or potential Fronting Exposure, as it may elect in its sole discretion; or 75 1010279941v18


 
(G) except with respect to any Letter of Credit to be issued in Dollars, the L/C Issuer does not as of the issuance date of the requested Letter of Credit issue Letters of Credit in the requested currency. (iii) The L/C Issuer shall not amend any Letter of Credit if the L/C Issuer would not be permitted at such time to issue such Letter of Credit in its amended form under the terms hereof. (iv) The L/C Issuer shall not be under any obligation to amend any Letter of Credit if: (A) the L/C Issuer would have no obligation at such time to issue such Letter of Credit in its amended form under the terms hereof; or (B) the beneficiary of such Letter of Credit does not accept the proposed amendment to such Letter of Credit. (v) The L/C Issuer shall act on behalf of the Revolving Credit Lenders with respect to any Letter of Credit issued by it and the documents associated therewith. The L/C Issuer shall have all of the benefits and immunities (A) provided to the Administrative Agent in Article 10 with respect to any acts taken or omissions suffered by the L/C Issuer in connection with Letters of Credit issued by them or proposed to be issued by it and Issuer Documents pertaining to such Letters of Credit as fully as if the term “Administrative Agent” as used in Article 10 included the L/C Issuer with respect to such acts or omissions, and (B) as additionally provided herein with respect to the L/C Issuer. (b) Procedures for Issuance and Amendment; Auto-Extension Letters of Credit. (i) Each Letter of Credit shall be issued or amended, as the case may be, upon the request of the Borrower delivered to the L/C Issuer (with a copy to the Administrative Agent) in the form of an L/C Application appropriately completed and signed by a Responsible Officer of the Borrower. L/C Applications must be received by the L/C Issuer and the Administrative Agent not later than 12:00 p.m. at least two Business Days (or, in the case of a Letter of Credit denominated in an Alternative Currency, three Business Days) prior to the proposed issuance date or date of amendment, as the case may be, or such later date and time as the L/C Issuer and the Administrative Agent may agree in a particular instance in their sole discretion. In the case of a request for an initial issuance of a Letter of Credit, such L/C Application shall specify in form and detail reasonable satisfactory to the L/C Issuer: (A) the proposed issuance date of the requested Letter of Credit (which shall be a Business Day); (B) the amount and currency thereof and in the absence of specification of currency shall be deemed a request for a Letter of Credit denominated in Dollars; (C) the expiry date thereof; (D) the name and address of the beneficiary thereof; (E) the documents to be presented by such beneficiary in case of any drawing thereunder; 76 1010279941v18


 
(F) the full text of any certificate to be presented by such beneficiary in case of any drawing thereunder; and (G) such other matters as the L/C Issuer may reasonably require. In the case of a request for an amendment of any outstanding Letter of Credit, such L/C Application shall specify in form and detail reasonable satisfactory to the L/C Issuer (I) the Letter of Credit to be amended; (II) the proposed date of amendment thereof (which shall be a Business Day); (III) the nature of the proposed amendment; and (IV) such other matters as the L/C Issuer may reasonably require. Additionally, the Borrower shall furnish to the L/C Issuer and the Administrative Agent such other documents and information pertaining to such requested Letter of Credit issuance or amendment, including any Issuer Documents, as the L/C Issuer or the Administrative Agent may reasonably require. (ii) Promptly after receipt of any L/C Application, the L/C Issuer will confirm (by telephone or in writing) with the Administrative Agent that the Administrative Agent has received a copy of such L/C Application from the Borrower and, if not, the L/C Issuer will provide the Administrative Agent with a copy thereof. Unless the L/C Issuer has received written notice from the Administrative Agent, any Lender or any Credit Party, at least one Business Day prior to the requested date of issuance or amendment of the applicable Letter of Credit, that one or more applicable conditions contained in Article 5 shall not then be satisfied, then, subject to the terms and conditions hereof, the L/C Issuer shall, on the requested date, issue a Letter of Credit for the account of the Borrower (or any of its Restricted Subsidiaries) or enter into the applicable amendment, as the case may be, in each case in accordance with the L/C Issuer’s usual and customary business practices. Immediately upon the issuance of each Letter of Credit, each Revolving Credit Lender shall be deemed to, and hereby irrevocably and unconditionally agrees to, purchase from the L/C Issuer a risk participation in such Letter of Credit in an amount equal to such Revolving Credit Lender’s Aggregate Commitment Percentage thereof. (iii) If the Borrower so requests in an L/C Application, the L/C Issuer shall agree to issue a standby Letter of Credit that has automatic extension provisions (each, an “Auto-Extension Letter of Credit”); provided that any such Auto-Extension Letter of Credit must permit the L/C Issuer to prevent any such extension at least once in each twelve-month period (commencing with the date of issuance of such Letter of Credit) by giving prior notice to the beneficiary thereof not later than a day (the “Non-Extension Notice Date”) in each such twelve-month period to be agreed upon at the time such Letter of Credit is issued. Unless otherwise directed by the L/C Issuer, the Borrower shall not be required to make a specific request to the L/C Issuer for any such extension. Once an Auto-Extension Letter of Credit has been issued, the Revolving Credit Lenders shall be deemed to have authorized (but may not require) the L/C Issuer to permit the extension of such Letter of Credit at any time to an expiry date not later than the L/C Expiration Date; provided, however, that the L/C Issuer shall not permit any such extension if (1) the L/C Issuer has determined that it would not be permitted or would have no obligation at such time to issue such Letter of Credit 77 1010279941v18


 
in its revised form (as extended) under the terms hereof (by reason of the provisions of Section 2.03(a) or otherwise), or (2) it has received notice (which may be by telephone or in writing) on or before the day that is five Business Days before the Non-Extension Notice Date (x) from the Administrative Agent that the Required Revolving Credit Lenders have elected not to permit such extension or (y) from the Administrative Agent, any Revolving Credit Lender or the Borrower that one or more of the applicable conditions specified in Section 5.02 is not then satisfied, and in each case directing the L/C Issuer not to permit such extension. (iv) If the Borrower so requests in any L/C Application, the L/C Issuer may, in its sole and absolute discretion, agree to issue a Letter of Credit that permits the automatic reinstatement of all or a portion of the stated amount thereof after any drawing thereunder (each, an “Auto-Reinstatement Letter of Credit”). Unless otherwise directed by the L/C Issuer, the Borrower shall not be required to make a specific request to the L/C Issuer to permit such reinstatement. Once an Auto-Reinstatement Letter of Credit has been issued, except as provided in the following sentence, the Revolving Credit Lenders shall be deemed to have authorized (but may not require) the L/C Issuer to reinstate all or a portion of the stated amount thereof in accordance with the provisions of such Letter of Credit. Notwithstanding the foregoing, if such Auto-Reinstatement Letter of Credit permits the L/C Issuer to decline to reinstate all or any portion of the stated amount thereof after a drawing thereunder by giving notice of such non-reinstatement within a specified number of days after such drawing (the “Non-Reinstatement Deadline”), the L/C Issuer shall not permit such reinstatement if it has received a notice (which may be by telephone or in writing) on or before the day that is five Business Days before the Non-Reinstatement Deadline (A) from the Administrative Agent that the Required Facility Lenders have elected not to permit such reinstatement or (B) from the Administrative Agent, any Revolving Credit Lender or the Borrower that one or more of the applicable conditions specified in Section 5.02 is not then satisfied (treating such reinstatement as an L/C Credit Extension for purposes of this clause) and, in each case, directing the L/C Issuer not to permit such reinstatement. (v) Promptly after its delivery of any Letter of Credit or any amendment to a Letter of Credit to an advising bank with respect thereto or to the beneficiary thereof, the L/C Issuer will also deliver to the Borrower and the Administrative Agent a true and complete copy of such Letter of Credit or amendment. (vi) The L/C Issuer will provide to the Administrative Agent, at least quarterly and more frequently upon request of the Administrative Agent, a summary report on the Letters of Credit it has issued, including, among other things, on whose account each Letter of Credit is issued and each Letter of Credit’s beneficiary, face amount and expiry date. 78 1010279941v18


 
(c) Drawings and Reimbursements; Funding of Participations. (i) Upon any drawing under any Letter of Credit, the L/C Issuer shall notify the Borrower and the Administrative Agent thereof. In the case of a Letter of Credit denominated in an Alternative Currency, the Borrower shall reimburse the L/C Issuer in such Alternative Currency, unless (A) the L/C Issuer (at its option) shall have specified in such notice that it will require reimbursement in Dollars, or (B) in the absence of any such requirement for reimbursement in Dollars, the Borrower shall have notified the L/C Issuer promptly following receipt of the notice of drawing that the Borrower will reimburse the L/C Issuer in Dollars. In the case of any such reimbursement in Dollars of a drawing under a Letter of Credit denominated in an Alternative Currency, the L/C Issuer shall notify the Borrower of the Dollar Equivalent of the amount of the drawing promptly following the determination thereof. Not later than 12:00 p.m. on the Business Day following any payment by the L/C Issuer under a Letter of Credit to be reimbursed in Dollars, or the Applicable Time on the date of any payment by the L/C Issuer under a Letter of Credit to be reimbursed in an Alternative Currency (such date, an “L/C Honor Date”), the Borrower shall reimburse the L/C Issuer in Dollars in an amount equal to the amount of such drawing and in the applicable currency. In the event that (A) a drawing denominated in an Alternative Currency is to be reimbursed in Dollars pursuant to the second sentence in this Section 2.03(c)(i) and (B) the Dollar amount paid by the Borrower, whether on or after the L/C Honor Date, shall not be adequate on the date of that payment to purchase in accordance with normal banking procedures a sum denominated in the Alternative Currency equal to the drawing, the Borrower agrees, as a separate and independent obligation, to indemnify the L/C Issuer for the loss resulting from its inability on that date to purchase the Alternative Currency in the full amount of the drawing. The L/C Issuer shall notify the Administrative Agent of any failure of the Borrower to reimburse a drawn Letter of Credit. If the Borrower fails to so reimburse the L/C Issuer by such time, the Administrative Agent shall promptly notify each Revolving Credit Lender of the L/C Honor Date, the amount of the unreimbursed drawing (expressed in Dollars in the amount of the Dollar Equivalent thereof in the case of a Letter of Credit denominated in an Alternative Currency) (the “L/C Unreimbursed Amount”), and the amount of such Revolving Credit Lender’s Aggregate Commitment Percentage thereof. In such event, the Borrower shall be deemed to have requested a Revolving Credit Borrowing of Base Rate Loans to be disbursed on the L/C Honor Date in an amount equal to the L/C Unreimbursed Amount, without regard to the minimum and multiples specified in Section 2.02(b) for the principal amount of Base Rate Loans, the amount of the unutilized portion of the Aggregate Revolving Credit Committed Amount or the conditions set forth in Section 5.02. Any notice given by the L/C Issuer or the Administrative Agent pursuant to this Section 2.03(c)(i) may be given by telephone if immediately confirmed in writing; provided that the lack of such an immediate confirmation shall not affect the conclusiveness or binding effect of such notice. 79 1010279941v18


 
(ii) Each Revolving Credit Lender shall upon any notice pursuant to Section 2.03(c)(i) make funds available to the Administrative Agent (and the Administrative Agent shall apply Cash Collateral provided for this purpose) for the account of the L/C Issuer, in Dollars, at the Administrative Agent’s Office for Dollar-denominated payments in an amount equal to its Aggregate Commitment Percentage of the L/C Unreimbursed Amount not later than 1:00 p.m. on the Business Day specified in such notice by the Administrative Agent, whereupon, subject to the provisions of Section 2.03(c)(iii), each Revolving Credit Lender that so makes funds available shall be deemed to have made a Revolving Credit Loan that is a Base Rate Loan to the Borrower in such amount. The Administrative Agent shall remit the funds so received to the L/C Issuer in Dollars. (iii) With respect to any L/C Unreimbursed Amount that is not fully refinanced by a Revolving Credit Borrowing of Base Rate Loans for any reason, the Borrower shall be deemed to have incurred from the L/C Issuer an L/C Borrowing in the amount of the L/C Unreimbursed Amount that is not so refinanced, which L/C Borrowing shall be due and payable on demand (together with interest) and shall bear interest at the Default Rate. In such event, each Revolving Credit Lender’s payment to the Administrative Agent for the account of the L/C Issuer pursuant to Section 2.03(c)(ii) shall be deemed payment in respect of its participation in such L/C Borrowing and shall constitute an L/C Advance from such Revolving Credit Lender in satisfaction of its participation obligation under this Section 2.03(c)(iii). (iv) Until each Revolving Credit Lender funds its Revolving Credit Loan or L/C Advance pursuant to this Section 2.03(c) to reimburse the L/C Issuer for any amount drawn under any Letter of Credit, interest in respect of such Revolving Credit Lender’s Aggregate Commitment Percentage of such amount shall be solely for the account of the L/C Issuer. (v) Each Revolving Credit Lender’s obligation to make Revolving Credit Loans or L/C Advances, to reimburse the L/C Issuer for amounts drawn under Letters of Credit, as contemplated by this Section 2.03(c), shall be absolute and unconditional and shall not be affected by any circumstance, including (A) any setoff, counterclaim, recoupment, defense or other right that such Revolving Credit Lender may have against the L/C Issuer, the Borrower or any other Person for any reason whatsoever, (B) the occurrence or continuance of a Default or Event of Default, (C) non-compliance with the conditions set forth in Section 5.02, or (D) any other occurrence, event or condition, whether or not similar to any of the foregoing; provided that the L/C Issuer shall have complied with the applicable provisions of Section 2.03(b)(ii). No such making of an L/C Advance shall relieve or otherwise impair the obligation of the Borrower to reimburse the L/C Issuer for the amount of any payment made by the L/C Issuer under any Letter of Credit, together with interest as provided herein. 80 1010279941v18


 
(vi) If any Revolving Credit Lender fails to make available to the Administrative Agent for the account of the L/C Issuer any amount required to be paid by such Revolving Credit Lender pursuant to the foregoing provisions of this Section 2.03(c) by the time specified in Section 2.03(c)(ii), the L/C Issuer shall be entitled to recover from such Revolving Credit Lender (acting through the Administrative Agent), on demand, such amount with interest thereon for the period from the date such payment is required to the date on which such payment is immediately available to the L/C Issuer at a rate per annum equal to the applicable Overnight Rate from time to time in effect. A certificate of the L/C Issuer submitted to any Revolving Credit Lender (through the Administrative Agent) with respect to any amounts owing under this clause (vi) shall be conclusive absent manifest error. (d) Repayment of Participations. (i) At any time after the L/C Issuer has made a payment under any Letter of Credit and has received from any Revolving Credit Lender such Revolving Credit Lender’s L/C Advance in respect of such payment in accordance with Section 2.03(c), if the Administrative Agent receives for the account of the L/C Issuer any payment in respect of the related L/C Unreimbursed Amount or interest thereon (whether directly from the Borrower or otherwise, including proceeds of Cash Collateral applied thereto by the Administrative Agent), the Administrative Agent will distribute to such Revolving Credit Lender its Aggregate Commitment Percentage thereof (appropriately adjusted, in the case of interest payments, to reflect the period of time during which such Revolving Credit Lender’s L/C Advance was outstanding) in Dollars or in the same currency as those received by the Administrative Agent. (ii) If any payment received by the Administrative Agent for the account of the L/C Issuer pursuant to Section 2.03(c)(ii) is required to be returned under any of the circumstances described in Section 11.05 (including pursuant to any settlement entered into by the L/C Issuer in its discretion), each Revolving Credit Lender shall pay to the Administrative Agent for the account of the L/C Issuer its pro rata share thereof on demand of the Administrative Agent, plus interest thereon from the date of such demand to the date such amount is returned by such Revolving Credit Lender, at a rate per annum equal to the applicable Overnight Rate from time to time in effect. The obligations of the Lenders under this clause shall survive the payment in full of the Obligations and the termination of this Credit Agreement. (e) Obligations Absolute. The obligation of the Borrower to reimburse the L/C Issuer for each drawing under each Letter of Credit and to repay each L/C Borrowing shall be absolute, unconditional and irrevocable, and shall be paid strictly in accordance with the terms of this Credit Agreement under all circumstances, including the following: 81 1010279941v18


 
(i) any lack of validity or enforceability of such Letter of Credit, this Credit Agreement or any other Credit Document; (ii) the existence of any claim, counterclaim, setoff, defense or other right that the Borrower or any of its Subsidiaries may have at any time against any beneficiary or any transferee of such Letter of Credit (or any Person for whom any such beneficiary or any such transferee may be acting), the L/C Issuer or any other Person, whether in connection with this Credit Agreement, the transactions contemplated hereby or by such Letter of Credit or any agreement or instrument relating thereto, or any unrelated transaction; (iii) any draft, demand, certificate or other document presented under such Letter of Credit proving to be forged, fraudulent, invalid or insufficient in any respect or any statement therein being untrue or inaccurate in any respect; or any loss or delay in the transmission or otherwise of any document required in order to make a drawing under such Letter of Credit; (iv) any payment by the L/C Issuer under such Letter of Credit against presentation of a draft or certificate that does not strictly comply with the terms of such Letter of Credit; or any payment made by the L/C Issuer under such Letter of Credit to any Person purporting to be a trustee in bankruptcy, debtor-in-possession, assignee for the benefit of creditors, liquidator, receiver or other representative of or successor to any beneficiary or any transferee of such Letter of Credit, including any arising in connection with any proceeding under any Debtor Relief Law; (v) any other circumstance or happening whatsoever, whether or not similar to any of the foregoing, including any other circumstance that might otherwise constitute a defense available to, or a discharge of, the Borrower or any Guarantor; or (vi) any adverse change in the relevant exchange rates or in the availability of the relevant Alternative Currency to the Borrower or any Subsidiary or in the relevant currency markets generally. The Borrower shall promptly examine a copy of each Letter of Credit and each amendment thereto that is delivered to the Borrower and, in the event of any claim of non-compliance with the Borrower’s instructions or other irregularity, the Borrower will immediately notify the L/C Issuer. The Borrower shall be conclusively deemed to have waived any such claim against the L/C Issuer and its correspondents unless such notice is given as aforesaid. (f) Role of the L/C Issuer in such Capacity. Each Lender and the Borrower agrees that, in paying any drawing under a Letter of Credit, the L/C Issuer shall not have any responsibility to obtain any document (other than any sight draft, certificates and documents expressly required by the Letter of Credit) or to ascertain or inquire as to the validity or accuracy of any such document or the authority of the Person executing or delivering any such document. 82 1010279941v18


 
None of the L/C Issuer, the Administrative Agent, any of their respective Related Parties nor any correspondent, participant or assignee of the L/C Issuer shall be liable to any Lender for (i) any action taken or omitted in connection herewith at the request or with the approval of the Revolving Credit Lenders or the Required Revolving Credit Lenders, as applicable; (ii) any action taken or omitted in the absence of gross negligence, bad faith or willful misconduct; or (iii) the due execution, effectiveness, validity or enforceability of any document or instrument related to any Letter of Credit or Issuer Document. The Borrower hereby assumes all risks of the acts or omissions of any beneficiary or transferee with respect to the Borrower’s use of any Letter of Credit; provided, however, that this assumption is not intended to, and shall not, preclude the Borrower’s pursuing such rights and remedies as the Borrower may have against the beneficiary or transferee at law or under any other agreement. None of the L/C Issuer, the Administrative Agent, any of their respective Related Parties nor any correspondent, participant or assignee of the L/C Issuer, shall be liable or responsible for any of the matters described in clauses (i) through (v) of Section 2.03(e); provided, however, that anything in such clauses to the contrary notwithstanding, the L/C Issuer shall be liable to the Borrower, to the extent, but only to the extent, of any direct, as opposed to consequential or exemplary, damages suffered by the Borrower that the Borrower proves were caused by the L/C Issuer’s willful misconduct, bad faith or gross negligence as determined by a court of competent jurisdiction by a final and non-appealable judgment or the L/C Issuer’s willful failure to pay under any Letter of Credit after the presentation to it by the beneficiary of a sight draft and certificate(s) strictly complying with the terms and conditions of a Letter of Credit. In furtherance and not in limitation of the foregoing, the L/C Issuer may accept documents that appear on their face to be in order, without responsibility for further investigation, regardless of any notice or information to the contrary, and the L/C Issuer shall not be responsible for the validity or sufficiency of any instrument transferring or assigning or purporting to transfer or assign a Letter of Credit or the rights or benefits thereunder or proceeds thereof, in whole or in part, that may prove to be invalid or ineffective for any reason. The L/C Issuer may send a Letter of Credit or conduct any communication to or from the beneficiary via the Society for Worldwide Interbank Financial Telecommunication (“SWIFT”) message or overnight courier, or any other commercially reasonable means of communicating with a beneficiary. (g) Applicability of ISP and UCP. Unless otherwise expressly agreed by the L/C Issuer and the Borrower when a Letter of Credit is issued (including any such agreement applicable to an Existing Letter of Credit), (i) the rules of the ISP shall apply to each standby Letter of Credit, and (ii) the rules of the Uniform Customs and Practice for Documentary Credits, as most recently published by the International Chamber of Commerce at the time of issuance, shall apply to each commercial Letter of Credit. (h) Letters of Credit Issued for Restricted Subsidiaries. Notwithstanding that a Letter of Credit issued or outstanding hereunder is in support of any obligations of, or is for the account of, any other Restricted Subsidiary, the Borrower shall be obligated to reimburse the L/C Issuer for any and all drawings under such Letter of Credit. The Borrower hereby acknowledges that the issuance of Letters of Credit for the account of any other Restricted Subsidiary inures to the benefit of the Borrower, and that the Borrower’s business derives substantial benefits from the businesses of such other Restricted Subsidiaries. 83 1010279941v18


 
(i) Letter of Credit Fees. The Borrower shall pay Letter of Credit fees as set forth in Section 2.09(b). (j) Conflict with Issuer Documents. In the event of any conflict between the terms hereof and the terms of any Issuer Document, the terms hereof shall control. Section 2.04. Additional Provisions with Respect to Swingline Loans. (a) Borrowing Procedures. (i) Swingline Loans. Each Swingline Borrowing shall be made upon the Borrower’s irrevocable notice to the Swingline Lender and the Administrative Agent (A) telephone, or (B) a Loan Notice; provided that any telephonic notice by the Borrower must be confirmed promptly by delivery to the Administrative Agent of a Loan Notice. Each such notice must be received by the Swingline Lender and the Administrative Agent not later than 2:00 p.m. on the requested borrowing date, and shall specify (a) the amount to be borrowed, which shall be a minimum of $100,000, and (b) the requested borrowing date, which shall be a Business Day. Each such telephonic notice must be confirmed promptly by delivery to the Swingline Lender and the Administrative Agent of a written Loan Notice, appropriately completed and signed by a Responsible Officer of the Borrower. Promptly after receipt by the Swingline Lender of any telephonic Loan Notice, the Swingline Lender will confirm with the Administrative Agent (by telephone or in writing) that the Administrative Agent has also received such Loan Notice and, if not, the Swingline Lender will notify the Administrative Agent (by telephone or in writing) of the contents thereof. Unless the Swingline Lender has received notice (by telephone or in writing) from the Administrative Agent (including at the request of any Lender) prior to 3:00 p.m. on the date of the proposed Swingline Borrowing (i) directing the Swingline Lender not to make such Swingline Loan as a result of the limitations set forth in this Article 2, or (ii) that one or more of the applicable conditions specified in Article 5 is not then satisfied, then, subject to the terms and conditions hereof, the Swingline Lender will, not later than 3:00 p.m. on the borrowing date specified in such Loan Notice, make the amount of its Swingline Loan available to the Borrower at its office by crediting the account of the Borrower on the books of the Swingline Lender in immediately available funds. Notwithstanding anything to the contrary contained in this Section 2.04 or elsewhere in this Agreement, the Swingline Lender shall not be obligated to make any Swingline Loan at a time when a Revolving Credit Lender is a Defaulting Lender unless the Swingline Lender has entered into arrangements reasonably satisfactory to it and the Borrower to eliminate the Swingline Lender’s Fronting Exposure (after giving effect to Section 2.17(a)(vii)) with respect to the Defaulting Lender’s or Defaulting Lenders’ participation in such Swingline Loans, including by providing Cash Collateral or other Adequate Assurance to support such Defaulting Lender’s or Defaulting Lenders’ Aggregate Commitment Percentage of the outstanding Swingline Loans or other applicable share provided for under this Agreement. The Borrower shall repay to the Swingline Lender each Defaulting Lender’s portion (after giving effect to Section 84 1010279941v18


 
2.17(a)(vii)) of each Swingline Loan promptly following demand by the Swingline Lender. (b) Refinancing. (i) The Swingline Lender at any time in its sole and absolute discretion may request, on behalf of the Borrower (which hereby irrevocably authorizes the Swingline Lender to so request on its behalf), that each Revolving Credit Lender make a Revolving Credit Loan that is a Base Rate Loan in an amount equal to such Revolving Credit Lender’s Aggregate Commitment Percentage of Swingline Loans then outstanding. Such request shall be made in writing (which written request shall be deemed to be a Loan Notice for purposes hereof) and in accordance with the requirements of Section 2.02(a), without regard to the minimum and multiples specified in Section 2.02(b) for the principal amount of Revolving Credit Loans, the unutilized portion of the Aggregate Revolving Credit Commitments or the conditions set forth in Section 5.02. The Swingline Lender shall furnish the Borrower with a copy of the applicable Loan Notice promptly after delivering such notice to the Administrative Agent. Each Revolving Credit Lender shall make an amount equal to its pro rata share of the amount specified in such Loan Notice available to the Administrative Agent in immediately available funds (and the Administrative Agent may apply Cash Collateral available with respect to the applicable Swingline Loan) for the account of the Swingline Lender at the Administrative Agent’s Office not later than 1:00 p.m. on the day specified in such Loan Notice, whereupon, subject to Section 2.04(b)(ii), each Revolving Credit Lender that so makes funds available shall be deemed to have made a Revolving Credit Loan that is a Base Rate Loan to the Borrower in such amount. In such case, the Administrative Agent shall remit the funds so received to the Swingline Lender. (ii) If for any reason any Swingline Loan cannot be refinanced by such a Borrowing of Revolving Credit Loans in accordance with Section 2.04(b)(i), the request for Revolving Credit Loans submitted by the Swingline Lender as set forth herein shall be deemed to be a request by the Swingline Lender that each of the Revolving Credit Lenders fund its risk participation in the relevant Swingline Loan and each Revolving Credit Lender’s payment to the Administrative Agent for the account of the Swingline Lender pursuant to Section 2.04(b)(i) shall be deemed payment in respect of such participation. (iii) If any Revolving Credit Lender fails to make available to the Administrative Agent for the account of the Swingline Lender any amount required to be paid by such Revolving Credit Lender pursuant to the foregoing provisions of this Section 2.04(b) by the applicable time specified in Section 2.04(b)(i) the Swingline Lender shall be entitled to recover from such Revolving Credit Lender (acting through the Administrative Agent), on demand, such amount with interest thereon for the period from the date such payment is required to the date on which such payment is immediately available to the Swingline Lender at a rate per annum equal to the applicable Overnight Rate from 85 1010279941v18


 
time to time in effect. A certificate of the Swingline Lender submitted to any Revolving Credit Lender (through the Administrative Agent) with respect to any amounts owing under this clause (iii) shall be conclusive absent manifest error. (iv) Each Revolving Credit Lender’s obligation to make Revolving Credit Loans or to purchase and fund risk participations in Swingline Loans pursuant to this Section 2.04(b) shall be absolute and unconditional and shall not be affected by any circumstance, including (A) any setoff, counterclaim, recoupment, defense or other right that such Lender may have against the Swingline Lender, the Borrower or any other Person for any reason whatsoever, (B) the occurrence or continuance of a Default or Event of Default, (C) non-compliance with the conditions set forth in Section 5.02, or (D) any other occurrence, event or condition, whether or not similar to any of the foregoing; provided that the Swingline Lender has complied with the provisions of Section 2.04(a). No such purchase or funding of risk participations shall relieve or otherwise impair the obligation of the Borrower to repay Swingline Loans, together with interest as provided herein. (c) Repayment of Participations. (i) At any time after any Revolving Credit Lender has purchased and funded a risk participation in a Swingline Loan, if the Swingline Lender receives any payment on account of such Swingline Loan, the Swingline Lender will distribute to such Revolving Credit Lender its Aggregate Commitment Percentage of such payment (appropriately adjusted, in the case of interest payments, to reflect the period of time during which such Revolving Credit Lender’s risk participation was funded) in the same funds as those received by the Swingline Lender. (ii) If any payment received by the Swingline Lender in respect of principal or interest on any Swingline Loan is required to be returned by the Swingline Lender under any of the circumstances described in Section 11.05 (including pursuant to any settlement entered into by the Swingline Lender in its discretion), each Revolving Credit Lender shall pay to the Swingline Lender its Aggregate Commitment Percentage thereof on demand of the Administrative Agent, plus interest thereon from the date of such demand to the date such amount is returned, at a rate per annum equal to the applicable Overnight Rate. The Administrative Agent will make such demand upon the request of the Swingline Lender. The obligations of the Revolving Credit Lenders under this clause shall survive the payment in full of the Obligations and the termination of this Credit Agreement. (d) Interest for Account of the Swingline Lender. The Swingline Lender shall be responsible for invoicing the Borrower for interest on the Swingline Loans. Until each Revolving Credit Lender funds its Revolving Credit Loan or risk participation pursuant to this Section 2.04 to refinance such Revolving Credit Lender’s Aggregate Commitment Percentage of 86 1010279941v18


 
any Swingline Loan, interest in respect thereof shall be solely for the account of the Swingline Lender. (e) Payments Directly to Swingline Lender. The Borrower shall make all payments of principal and interest in respect of the Swingline Loans, directly to the Swingline Lender. Section 2.05. Repayment of Loans. (a) [Reserved]. (b) Revolving Credit Loans. The Outstanding Amount of Revolving Credit Loans shall be repaid in full on the Revolving Termination Date. (c) Swingline Loans. The Outstanding Amount of the Swingline Loans shall be repaid in full on the earlier to occur of (i) the date five (5) Business Days after such Loan is made and (ii) the Revolving Termination Date. Section 2.06. Prepayments. (a) Voluntary Prepayments. The Loans may be repaid in whole or in part without premium or penalty (except, in the case of Loans other than Base Rate Loans, amounts payable pursuant to Section 3.05)); provided that: (i) in the case of Loans other than Swingline Loans, notice thereof must be received by 12:00 p.m. by the Administrative Agent (A) at least three Business Days prior to the date of prepayment, in the case of Term SOFR Loans, (B) on the date of prepayment, in the case of Base Rate Loans and (C) at least three Business Days prior to the date of prepayment, in the case of Alternative Currency Loans, and in each case, any such prepayment shall be a minimum principal amount of $1,000,000 and integral multiples of $1,000,000 in excess thereof, in the case of Term SOFR Loans and Alternative Currency Loans and $500,000 and integral multiples of $100,000 in excess thereof, in the case of Base Rate Loans, or, in each case, the entire remaining principal amount thereof, if less; (ii) in the case of Swingline Loans, (A) notice thereof must be received by the Swingline Lender by 1:00 p.m. on the date of prepayment (with a copy to the Administrative Agent), and (B) any such prepayment shall be in the same minimum principal amounts as for advances thereof (or any lesser amount that may be acceptable to the Swingline Lender). Each such notice of voluntary prepayment hereunder shall be irrevocable (provided that the notice may be conditional upon any refinancing or other conditional event and may be rescinded by the Borrower if such refinancing or other conditional event shall not be consummated or is otherwise delayed) and shall specify the date and amount of prepayment and the Class and Type(s) of Loans that are being prepaid and, if Term SOFR Loans or Alternative Currency Term Rate Loans are to be prepaid, the Interest Period(s) of such Loans. The 87 1010279941v18


 
Administrative Agent will give prompt notice to the Appropriate Lenders of any prepayment on the Loans and the Appropriate Lender’s interest therein. If such notice is given by the Borrower, the Borrower shall make such prepayment and the payment amount specified in such notice shall be due and payable on the date specified therein. Prepayments of Term SOFR Loans or Alternative Currency Term Rate Loans hereunder shall be accompanied by accrued interest on the amount prepaid and breakage or other amounts due, if any, under Section 3.05. (b) Mandatory Prepayments. (i) Revolving Credit Commitments. If at any time (A) the Outstanding Amount of Revolving Credit Obligations shall exceed the Aggregate Revolving Credit Committed Amount, (B) the Outstanding Amount of L/C Obligations shall exceed the L/C Sublimit or (C) the Outstanding Amount of Swingline Loans shall exceed the Swingline Sublimit, the Borrower will immediately prepay the Revolving Credit Obligations in an amount equal to such excess; provided, however, that L/C Obligations will not be required to be Cash Collateralized hereunder until the Revolving Credit Loans and Swingline Loans have been paid in full. (ii) (A) Dispositions and Involuntary Dispositions. Subject to Section 2.06(b)(ii)(D) and the terms set forth in any applicable Incremental Amendment, Extension Amendment, Refinancing Amendment or Replacement Amendment, the Borrower will prepay the Term Loans (if any) on the fifth Business Day following receipt of Net Cash Proceeds in an amount equal to 100% of the Net Cash Proceeds received from any Disposition pursuant Section 8.05(b) or any Involuntary Disposition by the Borrower or any Restricted Subsidiary; provided that if (x) the Borrower delivers, no later than the last day of such five Business Day period following receipt, a certificate of a Responsible Officer to the Administrative Agent setting forth the Borrower’s intent to reinvest such proceeds in assets useful in the business of the Borrower or any Restricted Subsidiary and (y) no Default or Event of Default shall have occurred and be continuing at the time of such certificate or at the proposed time of the application of such proceeds, and such proceeds shall not be required to be applied to prepay the Term Loans except to the extent such proceeds are not so reinvested within (A) twelve (12) months following receipt of such Net Cash Proceeds or (B) if the Borrower or any Restricted Subsidiary enters into a legally binding commitment to reinvest such Net Cash Proceeds within twelve (12) months following receipt thereof, the later of (I) twelve (12) months following receipt thereof and (II) one hundred eighty (180) days after the end of such 12-month period. (B) Incurrence of Indebtedness. The Borrower will prepay the Term Loans (if any) on or prior to the fifth Business Day following receipt of Net Cash Proceeds in an amount equal to 100% of the Net Cash Proceeds received from any incurrence or issuance of Indebtedness by the Borrower or any Restricted Subsidiary, other than Indebtedness permitted to be incurred or issued pursuant to Section 8.03. 88 1010279941v18


 
(C) Refinancing Loans and Refinancing Equivalent Debt. If the Borrower incurs or issues any Refinancing Term Loans (or Refinancing Equivalent Debt) resulting in Net Cash Proceeds (as opposed to such Refinancing Term Loans or Refinancing Equivalent Debt arising out of an exchange of existing Term Loans for such Refinancing Term Loans or Refinancing Equivalent Debt), the Borrower shall cause to be prepaid an aggregate principal amount of Term Loans in an amount equal to 100% of all Net Cash Proceeds received therefrom on or prior to the fifth Business Day following receipt of such Net Cash Proceeds. (D) Foreign Dispositions and Foreign Involuntary Dispositions. Notwithstanding anything to the contrary contained in this Section 2.06(b), mandatory prepayments arising from the receipt of Net Cash Proceeds from any Disposition or Involuntary Disposition by any Foreign Subsidiary pursuant to Section 2.06(b)(ii)(A) (each, a “Foreign Disposition”) shall not be required (1) to the extent the making of any such mandatory prepayment from the Net Cash Proceeds of such Foreign Disposition (or the repatriation of funds to effect such payment) would give rise to a material adverse tax consequence (as reasonably determined in good faith by the Borrower), (2) without duplication (including with respect to any reduction set forth in the definitions of Net Cash Proceeds), to the extent such amounts have been applied to prepay any Indebtedness of any Foreign Subsidiary or to the extent such Foreign Subsidiary has reinvested such amounts in assets useful in its business or the business of the Borrower or its Restricted Subsidiaries, provided that no such reinvestments shall be permitted at the time an Event of Default shall then be continuing or (3) so long as the applicable local Law will not permit repatriation thereof to the United States (the Borrower hereby agreeing to use commercially reasonable efforts to cause the applicable Foreign Subsidiary to promptly file any required forms, obtain any necessary consents and take all similar actions reasonably required by the applicable local Law to permit such repatriation); provided that if such repatriation of any such affected Net Cash Proceeds is later permitted under applicable Law, unless such amounts have previously been applied to prepayments or reinvestments to the extent permitted by clause (2) above, such repatriation will, subject to clause (1) above, be effected as promptly as practicable and such repatriated Net Cash Proceeds will be promptly after such repatriation applied pursuant to Section 2.06(b)(ii)(A), deeming such Net Cash Proceeds as having been received for purposes of such Section on the date of such repatriation. All mandatory prepayments required to be made from the Net Cash Proceeds of any Foreign Dispositions shall not be required until a date which is 65 Business Days following the receipt of such Net Cash Proceeds. (E) The Borrower shall deliver to the Administrative Agent, in connection with each prepayment required under this Section 2.06(b)(ii), (i) a certificate signed by a Responsible Officer of the Borrower setting forth in reasonable detail the calculation of the amount of such prepayment and (ii) at least three (3) Business Days’ prior written notice of such prepayment. Each notice of prepayment shall specify the prepayment date and the principal amount of each Loan (or portion thereof) to be prepaid. (F) Each Term Lender may reject all (but not less than all) of its applicable share of any mandatory prepayment required to be made by the Borrower pursuant to clauses (A), (B) and (D) (such declined amounts, the “Mandatory Prepayment 89 1010279941v18


 
Declined Proceeds”) of Term Loans required to be made pursuant to this Section 2.06(b)(ii) by providing written notice (each, a “Mandatory Prepayment Rejection Notice”) to the Administrative Agent and the Borrower not later than 5:00 p.m., New York City time, one Business Day after the date of such Term Lender’s receipt of notice from the Administrative Agent regarding such prepayment. If a Term Lender fails to deliver a Mandatory Prepayment Rejection Notice to the Administrative Agent within the time frame specified above such failure will be deemed an acceptance of the total amount of such mandatory prepayment of Term Loans. Any Mandatory Prepayment Declined Proceeds shall be shall be offered to the Term Lenders not so declining such prepayment on a pro rata basis in accordance with the amounts of the Term Loans of such Lender (with such non-declining Term Lenders having the right to decline any prepayment with Mandatory Prepayment Declined Proceeds at the time and in the manner specified by the Administrative Agent). To the extent such non-declining Term Lenders elect to decline their pro rata share of such Mandatory Prepayment Declined Proceeds, any Mandatory Prepayment Declined Proceeds remaining thereafter shall be retained by the Borrower. (c) Application. Within each Class, prepayments will be applied to each Type of Loan as directed by the Borrower. In addition: (i) Voluntary Prepayments. Voluntary prepayments shall be applied as specified by the Borrower. In the absence of a designation by the Borrower, any voluntary prepayment of the Term Loans shall be applied within each Class of Term Loans to reduce the principal repayment installments of such Class of Term Loans in direct order of maturity. Voluntary prepayments on the Loan Obligations will be paid by the Administrative Agent to the Lenders ratably in accordance with their respective Aggregate Commitment Percentage. (ii) Mandatory Prepayments. (A) Mandatory prepayments in respect of the Revolving Credit Facility under Section 2.06(b)(i) above shall be applied first, to the Swingline Loans until paid in full, second, to the Revolving Credit Loans until paid in full, and, third, to Cash Collateralize outstanding Letters of Credit. (B) Mandatory prepayments in respect of Term Loans under Section 2.06(b)(ii) above shall be applied to scheduled installments of principal as specified by the Borrower. In the absence of a designation by the Borrower, any mandatory prepayment of the Term Loans shall be applied to reduce the principal repayment installments of such Term Loan Facility in direct order of maturity. All prepayments under Section 2.06(b) shall be subject to Section 3.05, but otherwise without premium or penalty, and shall be accompanied by interest on the principal amount prepaid through the date of prepayment. Section 2.07. Termination or Reduction of Commitments. (a) Voluntary Reductions of Revolving Credit Commitments. The Aggregate Revolving Credit Commitments hereunder may be permanently reduced in whole or in part by 90 1010279941v18


 
notice from the Borrower to the Administrative Agent; provided that (i) any such notice thereof must be received by 12:00 p.m. at least three Business Days prior to the date of reduction or termination and any such prepayment shall be in a minimum principal amount of $5,000,000 and integral multiples of $1,000,000 in excess thereof; (ii) none of the Aggregate Revolving Credit Commitments may be reduced to an amount less than the Revolving Credit Obligations then outstanding thereunder and (iii) if, after giving effect to any reduction of any of the Aggregate Revolving Credit Commitments, the L/C Sublimit or the Swingline Sublimit exceeds the amount of applicable Aggregate Revolving Credit Commitments, such sublimit shall be automatically reduced by the amount of such excess. The Administrative Agent will give prompt notice to the Revolving Credit Lenders of any such reduction in the Aggregate Revolving Credit Commitments. Notwithstanding the foregoing, the Borrower may rescind or postpone any notice of termination of any Revolving Credit Commitments if such termination would have resulted from a refinancing of all of the applicable Class of Revolving Credit Commitments or other conditional event, which refinancing or other conditional event shall not be consummated or shall otherwise be delayed. (b) Mandatory Reductions of Revolving Credit Commitments. The Aggregate Revolving Credit Committed Amount shall not be permanently reduced upon application of any mandatory prepayments to the Revolving Credit Obligations. (c) [Reserved]. (d) Payment of Fees. All Commitment Fees or other fees accrued with respect to such portion of the Aggregate Revolving Credit Commitments terminated or reduced pursuant to Section 2.07 through the effective date of such termination or reduction shall be paid on the effective date of such termination or reduction. Section 2.08. Interest. (a) Subject to the provisions of subsection (b) below, (i) each Term SOFR Loan shall bear interest on the outstanding principal amount thereof for each Interest Period at a rate per annum equal to Term SOFR for such Interest Period plus the Applicable Percentage; (ii) each Loan that is a Base Rate Loan shall bear interest on the outstanding principal amount thereof from the applicable borrowing date at a rate per annum equal to the Base Rate plus the Applicable Percentage, (iii) each Alternative Currency Daily Rate Loan shall bear interest on the outstanding principal amount thereof from the applicable borrowing date at a rate per annum equal to the Alternative Currency Daily Rate plus the Applicable Percentage; (iv) each Alternative Currency Term Rate Loan shall bear interest on the outstanding principal amount thereof for each Interest Period at a rate per annum equal to the Alternative Currency Term Rate for such Interest Period plus the Applicable Percentage and (v) each Swingline Loan shall bear interest on the outstanding principal amount thereof from the applicable borrowing date at a rate per annum equal to the Base Rate plus the Applicable Percentage. (b) (i) If any amount of principal of any Loan is not paid when due (after giving effect to any applicable grace periods), whether at stated maturity, by acceleration or 91 1010279941v18


 
otherwise, such overdue amount shall thereafter bear interest at a fluctuating interest rate per annum at all times equal to the Default Rate to the fullest extent permitted by applicable Law. (ii) If any amount (other than principal of any Loan) payable under any Credit Document is not paid when due (after giving effect to any applicable grace periods), whether at stated maturity, by acceleration or otherwise, such overdue amount shall thereafter bear interest at a fluctuating interest rate per annum at all times equal to the Default Rate to the fullest extent permitted by applicable Law. (iii) Upon the occurrence and during the continuation of an Event of Default under Section 9.01(f), the principal amount of all outstanding Obligations hereunder shall bear interest at a fluctuating interest rate per annum at all times equal to the Default Rate to the fullest extent permitted by applicable Law. (iv) Accrued and unpaid interest on past due amounts (including interest on past due amounts) shall be due and payable upon demand. (c) Interest on each Loan shall be due and payable in arrears on each Interest Payment Date applicable thereto and at such other times as may be specified herein. Interest hereunder shall be due and payable in accordance with the terms hereof before and after judgment, and before and after the commencement of any proceeding under any Debtor Relief Law. Section 2.09. Fees (a) Commitment Fees. (i) Revolving Credit Commitment. The Borrower shall pay to the Administrative Agent for the account of each Revolving Credit Lender (other than a Defaulting Lender which shall be dealt with as provided in Section 2.17) in accordance with its Aggregate Commitment Percentage, a commitment fee in Dollars (the “Commitment Fee”), at a rate per annum equal to the product of (A) the Applicable Percentage times (B) the actual daily amount by which the Aggregate Revolving Credit Commitments exceed the sum of (x) the Outstanding Amount of Revolving Credit Loans and (y) the Outstanding Amount of L/C Obligations, subject to adjustment as provided in Section 2.17. (ii) Payments. The Commitment Fee shall accrue at all times during the Commitment Period, including at any time during which one or more of the conditions in Article 5 is not met, and shall be due and payable quarterly in arrears on the last Business Day of each March, June, September and December, commencing with the first such date to occur after the Closing Date, on the Revolving Termination Date (and, if applicable, thereafter on demand). The Commitment Fee shall be calculated quarterly in arrears, and if there is any change in the Applicable Percentage during any quarter, the actual daily amount shall be computed and multiplied by the Applicable Percentage separately for each period during such quarter that such Applicable Percentage was in effect. For purposes of clarification, Swingline Loans shall not be considered outstanding 92 1010279941v18


 
for purposes of determining the unused portion of the Aggregate Revolving Credit Commitments. (b) Commercial and Standby Letter of Credit Fees. (i) Letter of Credit Fees. The Borrower shall pay to the Administrative Agent for the account of each Revolving Credit Lender in accordance with its Aggregate Commitment Percentage a Letter of Credit fee in Dollars for each Letter of Credit equal to the Applicable Percentage multiplied by the Dollar Equivalent of the actual daily maximum amount available to be drawn under such Letter of Credit (whether or not such maximum amount is then in effect under such Letter of Credit if such maximum amount increases periodically pursuant to the terms of such Letter of Credit) (the “Letter of Credit Fees”); provided, however, any Letter of Credit Fees otherwise payable for the account of a Defaulting Lender with respect to any Letter of Credit as to which such Defaulting Lender has not provided Cash Collateral or other Adequate Assurance reasonable satisfactory to the L/C Issuer pursuant to Section 2.03(a)(ii) and Section 2.17 shall be payable into the Defaulting Lender Account or, to the maximum extent permitted by applicable Law, to the other Revolving Credit Lenders in accordance with the upward adjustments in their respective Aggregate Commitment Percentages allocable to such Letter of Credit pursuant to Section 2.17(a)(vii), with the balance of such fee, if any, payable to the L/C Issuer for its own account. The Letter of Credit Fees shall be computed on a quarterly basis in arrears, and shall be due and payable on the last Business Day of each March, June, September and December, commencing with the first such date to occur after the issuance of such Letter of Credit, on the L/C Expiration Date, and on the Revolving Termination Date. If there is any change in the Applicable Percentage during any quarter, the Dollar Equivalent of the daily maximum amount of each standby Letter of Credit shall be computed and multiplied by the Applicable Percentage separately for each period during such quarter that such Applicable Percentage was in effect. Notwithstanding anything to the contrary contained herein, upon the request of the Required Revolving Credit Lenders, while any Event of Default exists, all Letter of Credit Fees shall accrue at the Default Rate. (ii) Fronting Fee and Documentary and Processing Charges Payable to the L/C Issuer. The Borrower shall pay directly to the L/C Issuer for its own account a fronting fee in Dollars equal to 0.125% per annum of the Dollar Equivalent of the actual daily maximum amount available to be drawn under such Letter of Credit. In addition, the Borrower shall pay directly to the L/C Issuer for its own account the customary issuance, presentation, amendment and other processing fees, and other standard costs and charges, of the L/C Issuer relating to letters of credit as from time to time in effect. Such customary fees and standard costs and charges are due and payable on demand and are nonrefundable. (c) Other Fees. The Borrower shall pay to the Agents such fees as shall have been separately agreed upon in writing in the amounts and at the times so specified. Such fees 93 1010279941v18


 
shall be fully earned when paid and shall not be refundable for any reason whatsoever (except as expressly agreed between the Borrower and the applicable Agent). (d) Closing Fees. The Borrower agrees to pay on the Amendment No. 4 Effective Date to each Lender party to Amendment No. 4 on the Amendment No. 4 Effective Date, as fee compensation for the funding of such Lender’s Revolving Credit Commitment as in effect on the Amendment No. 4 Effective Date, a closing fee (the “Closing Fee”) in an amount provided in Section 2(d) of Amendment No. 4. Such Closing Fee will be in all respects fully earned, due and payable on the Amendment No. 4 Effective Date and non-refundable and non-creditable thereafter and, the Closing Fee shall be netted against Revolving Credit Commitments of such Lender on the Amendment No. 4 Effective Date. Section 2.10. Computation of Interest and Fees; Retroactive Adjustments to Applicable Percentage. (a) All computations of interest for Base Rate Loans (including Base Rate Loans determined by reference to Term SOFR) and for Loans denominated in Alternative Currencies shall be made on the basis of a year of 365 or 366 days, as the case may be, and actual days elapsed. All other computations of fees and interest, including those with respect to Term SOFR Loans, shall be made on the basis of a 360-day year and actual days elapsed. Interest shall accrue on each Loan for the day on which the Loan is made, and shall not accrue on a Loan, or any portion thereof, for the day on which the Loan or such portion is paid; provided that any Loan that is repaid on the same day on which it is made shall, subject to Section 2.11(a), bear interest for one day. Each determination by the Administrative Agent of an interest rate or fee hereunder shall be conclusive and binding for all purposes, absent manifest error. (b) If at any time prior to the termination of the Commitments of all of the Lenders and the repayment of all other Obligations hereunder (other than (i) contingent indemnification obligations as to which no claim has been asserted, (ii) Obligations described in clauses (b) and (c) of the definition thereof and (iii) any Letter of Credit that has been Cash Collateralized or back-stopped by a letter of credit reasonably satisfactory to the L/C Issuer or such Letter of Credit has been deemed reissued under another agreement reasonably acceptable to the L/C Issuer), as a result of any restatement of or other adjustment to the financial statements of the Borrower or for any other reason, the Borrower or the Lenders determine that (1) the Consolidated Total Net Leverage Ratio as calculated by the Borrower in any Compliance Certificate delivered to the Administrative Agent was inaccurate and (2) a proper calculation of the Consolidated Total Net Leverage Ratio would have resulted in a higher Applicable Percentage for such period, then the Borrower shall be obligated to pay as immediately due and payable to the Administrative Agent for the account of the applicable Lenders or the L/C Issuer, as the case may be, within three (3) Business Days after notice by the Administrative Agent to the Borrower (or, after the occurrence of an actual or deemed entry of an order for relief with respect to the Borrower under the Bankruptcy Code, automatically and without further action by the Administrative Agent, any Lender or the L/C Issuer), an amount equal to the excess of the amount of interest and fees that should have been paid for such period over the amount of interest and fees actually paid for such period. During such three Business Day period and thereafter, if the preceding sentence is complied with, the failure to previously pay such shortfall in interest and fees and the delivery of such inaccurate certificate shall not in and of themselves 94 1010279941v18


 
constitute a Default or Event of Default and no amounts shall be payable at the Default Rate in respect of any such interest or fees. This paragraph shall not limit the rights of the Administrative Agent, any Lender or the L/C Issuer, as the case may be, under Section 2.03(c)(iii), 2.03(i) or 2.08(b) or under Article 9. Section 2.11. Payments Generally; Administrative Agent’s Clawback. (a) General. All payments to be made by any Credit Party shall be made without condition or deduction for any counterclaim, defense, recoupment or setoff. Except as otherwise expressly provided herein, all payments by any Credit Party hereunder shall be made to the Administrative Agent, for the account of the respective Lenders to which such payment is owed, at the Administrative Agent’s Office in Dollars and in immediately available funds not later than 2:00 p.m. on the date specified herein. If, for any reason, any Borrower is prohibited by any Law from making any required payment hereunder in an Alternative Currency, such Borrower shall make such payment in Dollars in the Dollar Equivalent of the Alternative Currency payment amount. The Administrative Agent will promptly distribute to each Lender its pro rata share of such payment in like funds as received by wire transfer to such Lender’s Lending Office. All payments received by the Administrative Agent (i) after 2:00 p.m., in the case of payments in Dollars, or (ii) after the Applicable Time related to payments in an Alternative Currency, shall in each case, be deemed received on the next succeeding Business Day and any applicable interest or fee shall continue to accrue. Subject to the definition of “Interest Period,” if any payment to be made by any Credit Party shall come due on a day other than a Business Day, payment shall be made on the next following Business Day, and such extension of time shall be reflected in computing interest or fees, as the case may be. (b) Funding by Lenders; Presumption by Administrative Agent. Unless the Administrative Agent shall have received notice from a Lender prior to the proposed date of any Borrowing of Term SOFR Loans or Alternative Currency Loans (or, in the case of any Borrowing of Base Rate Loans, prior to 12:00 noon on the date of such Borrowing) that such Lender will not make available to the Administrative Agent such Lender’s share of such Borrowing, the Administrative Agent may assume that such Lender has made such share available on such date in accordance with Section 2.02 (or, in the case of a Borrowing of Base Rate Loans, that such Lender has made such share available in accordance with and at the time required by Section 2.02) and may, in reliance upon such assumption, make available to the Borrower a corresponding amount. In such event, if a Lender has not in fact made its share of the applicable Borrowing available to the Administrative Agent, then the applicable Lender and the Borrower severally agree to pay to the Administrative Agent forthwith on demand such corresponding amount in immediately available funds with interest thereon, for each day from and including the date such amount is made available to the Borrower to but excluding the date of payment to the Administrative Agent, at (x) in the case of a payment to be made by such Lender, the Overnight Rate plus any administrative, processing or similar fees customarily charged by the Administrative Agent in connection with the foregoing and (y) in the case of a payment to be made by the Borrower, the interest rate applicable to Base Rate Loans under the Facility in which such Loan was made. If the Borrower and such Lender shall pay such interest to the Administrative Agent for the same or an overlapping period, the Administrative Agent shall promptly remit to the Borrower the amount of such interest paid by the Borrower for such period. If such Lender pays its share of the applicable Borrowing to the Administrative Agent, 95 1010279941v18


 
then the amount so paid shall constitute such Lender’s Loan included in such Borrowing. Any payment by the Borrower shall be without prejudice to any claim the Borrower may have against a Lender that shall have failed to make such payment to the Administrative Agent. (c) Payments by the Borrower; Presumptions by Administrative Agent. Unless the Administrative Agent shall have received notice from the Borrower prior to the date on which any payment is due to the Administrative Agent for the account of the Lenders or the L/C Issuer hereunder that the Borrower will not make such payment, the Administrative Agent may assume that the Borrower has made such payment on such date in accordance herewith and may, in reliance upon such assumption, distribute to the Lenders or the L/C Issuer, as the case may be, the amount due. With respect to any payment that the Administrative Agent makes for the account of the Lenders or the L/C Issuer hereunder as to which the Administrative Agent determines (which determination shall be conclusive absent manifest error) that any of the following applies (such payment referred to as the “Rescindable Amount”): (1) the Borrower has not in fact made such payment; (2) the Administrative Agent has made a payment in excess of the amount so paid by the Borrower (whether or not then owed); or (3) the Administrative agent has for any reason otherwise erroneously made such payment; then each of the Lenders or the L/C Issuer, as the case may be, severally agrees to repay to the Administrative Agent forthwith on demand the Rescindable Amount so distributed to such Lender or the L/C Issuer, in Same Day Funds with interest thereon, for each day from and including the date such amount is distributed to it to but excluding the date of payment to the Administrative Agent, at the greater of the Federal Funds Rate and a rate determined by the Administrative Agent in accordance with banking industry rules on interbank compensation. A notice of the Administrative Agent to any Lender or the Borrower with respect to any amount owing under this subsection (b) shall be conclusive, absent manifest error. (d) Failure to Satisfy Conditions Precedent. If any Lender makes available to the Administrative Agent funds for any Loan to be made by such Lender as provided in the foregoing provisions of this Article 2, and such funds are not made available to the Borrower by the Administrative Agent because the conditions to the applicable Credit Extension set forth in Article 5 are not satisfied or waived in accordance with the terms hereof, the Administrative Agent shall return such funds (in like funds as received from such Lender) to such Lender, without interest. (e) Obligation of the Lenders Several. The obligations of the Lenders hereunder to make Loans, to fund participations in Letters of Credit and Swingline Loans and to make payments pursuant to Section 11.04(c) are several and not joint. The failure of any Lender to make any Loan, to fund any such participation or to make any payment under Section 11.04(c) on any date required hereunder shall not relieve any other Lender of its corresponding obligation to do so on such date, and no Lender shall be responsible for the failure of any other Lender to so make its Loan, to purchase its participation or to make its payment under Section 11.04(c). (f) Funding Source. Subject to Section 3.06, nothing herein shall be deemed to obligate any Lender to obtain the funds for any Loan in any particular place or manner or to 96 1010279941v18


 
constitute a representation by any Lender that it has obtained or will obtain the funds for any Loan in any particular place or manner. (g) Allocation of Funds. If at any time insufficient funds are received by or are available to the Administrative Agent to pay fully all amounts of principal, L/C Borrowings, interest and fees then due hereunder, such funds shall be applied (i) first, toward costs and expenses (including all reasonable and documented out-of-pocket fees, expenses and disbursements of any law firm or other counsel and amounts payable under Article 3) incurred by the Administrative Agent and each Lender, (ii) second, toward repayment of interest and fees then due hereunder, ratably among the parties entitled thereto in accordance with the amounts of interest and fees then due to such parties, and (iii) third, toward repayment of principal and L/C Borrowings then due hereunder, ratably among the parties entitled thereto in accordance with the amounts of principal and L/C Borrowings then due to such parties. Section 2.12. Sharing of Payments by Lenders. If any Lender shall, by exercising any right of setoff or counterclaim or otherwise, obtain payment in respect of any principal of or interest on any of the Loans made by it, or the participations in L/C Obligations or in Swingline Loans held by it resulting in such Lender’s receiving payment of a proportion of the aggregate amount of such Loans or participations and accrued interest thereon greater than its pro rata share of the applicable Class of Loans thereof as provided herein, then the Lender receiving such greater proportion shall notify the Administrative Agent of such fact, and purchase (for cash at face value) participations in the Loans and subparticipations in L/C Obligations and Swingline Loans of the other Appropriate Lenders, or make such other adjustments among the group of Appropriate Lenders as shall be equitable, so that the benefit of all such payments shall be shared by the Appropriate Lenders ratably in accordance with the aggregate amount of principal of and accrued interest on their respective Loans and other amounts owing them; provided that: (a) if any such participations or subparticipations are purchased and all or any portion of the payment giving rise thereto is recovered, such participations or subparticipations shall be rescinded and the purchase price restored to the extent of such recovery, without interest; and (b) the provisions of this Section shall not be construed to apply to (x) any payment made by the Borrower pursuant to and in accordance with the express terms of this Credit Agreement, including Sections 2.18, 2.19 and 2.20 and the application of funds arising from the existence of a Defaulting Lender, (y) any amounts applied to L/C Obligations by the L/C Issuer or Swingline Loans by the Swingline Lender, as appropriate, from Cash Collateral or other Adequate Assurance provided under Section 2.16 or (z) any payment obtained by a Lender as consideration for the assignment of or sale of a participation in any of its Loans or subparticipations in L/C Obligations or Swingline Loans to any assignee or participant, other than to the Borrower or any of its Restricted Subsidiaries (as to which the provisions of this Section shall apply) unless such assignment occurs in accordance with Section 11.06(i). Each Credit Party consents to the foregoing and agrees, to the extent it may effectively do so under applicable Law, that any Lender acquiring a participation pursuant to the foregoing arrangements may exercise against such Credit Party rights of setoff and counterclaim with 97 1010279941v18


 
respect to such participation as fully as if such Lender were a direct creditor of such Credit Party in the amount of such participation. Section 2.13. Evidence of Debt. (a) The Credit Extensions made by each Lender shall be evidenced by one or more accounts or records maintained by such Lender and by the Administrative Agent in the ordinary course of business. The accounts or records maintained by the Administrative Agent and each Lender shall be conclusive absent manifest error of the amount of the Credit Extensions made by the Lenders to the Borrower and the interest and payments thereon. Any failure to so record or any error in doing so shall not, however, limit or otherwise affect the obligation of the Borrower hereunder to pay any amount owing with respect to the Obligations. In the event of any conflict between the accounts and records maintained by any Lender and the accounts and records of the Administrative Agent in respect of such matters, the accounts and records of the Administrative Agent shall control in the absence of manifest error. Upon the request of any Lender made through the Administrative Agent, the Borrower shall execute and deliver to the Administrative Agent a Note for such Lender, which shall evidence such Lender’s Loans in addition to such accounts or records. Each Lender may attach schedules to its Note and endorse thereon the date, Type (if applicable), amount and maturity of its Loans and payments with respect thereto. (b) In addition to the accounts and records referred to in subsection (a), each Revolving Credit Lender and the Administrative Agent shall maintain in accordance with its usual practice accounts or records evidencing the purchases and sales by such Revolving Credit Lender of participations in Letters of Credit and Swingline Loans. In the event of any conflict between the accounts and records maintained by the Administrative Agent and the accounts and records of any Revolving Credit Lender in respect of such matters, the accounts and records of the Administrative Agent shall control in the absence of manifest error. Section 2.14. [Reserved]. Section 2.15. [Reserved]. Section 2.16. Cash Collateral. (a) Certain Credit Support Events. Upon the request of the Administrative Agent or the L/C Issuer if the L/C Issuer has honored any full or partial drawing request under any Letter of Credit and such drawing has resulted in an L/C Borrowing or if, as of the L/C Expiration Date, any L/C Obligation for any reason remains outstanding, the Borrower shall immediately Cash Collateralize the then Outstanding Amount of the L/C Obligations. If the Administrative Agent notifies the Borrower at any time that the Outstanding Amount of all L/C Obligations at such time exceeds 103% of the L/C Sublimit, then, within two Business Days after receipt of such notice, the Borrower shall Cash Collateralize the L/C Obligations in an amount equal to the amount by which the Outstanding Amount of all L/C Obligations exceeds the L/C Sublimit. At any time that there shall exist a Defaulting Lender, immediately upon the request of the Administrative Agent, the L/C Issuer or the Swingline Lender, the Borrower shall deliver to the Administrative Agent Cash Collateral in an amount sufficient to cover all Fronting 98 1010279941v18


 
Exposure (after giving effect to Section 2.17(a)(vii) and any Cash Collateral provided by the Defaulting Lender). At any time that there shall exist a Defaulting Lender, promptly upon the request of the Administrative Agent, the L/C Issuer or the Swingline Lender, the Borrower shall deliver to the Administrative Agent Cash Collateral in an amount sufficient to cover all Fronting Exposure or other Adequate Assurance (after giving effect to Section 2.17(a)(vii) and any Cash Collateral or other Adequate Assurance provided by the Defaulting Lender). Additionally, if the Administrative Agent notifies the Borrower at any time that the Outstanding Amount of all L/C Obligations at such time exceeds 103% of the L/C Sublimit then in effect, then within two (2) Business Days after receipt of such notice, the Borrower shall provide Cash Collateral for the Outstanding Amount of the L/C Obligations in an amount not less than the amount by which the Outstanding Amount of all L/C Obligations exceeds the L/C Sublimit. (b) Grant of Security Interest. All Cash Collateral (other than credit support not constituting funds subject to deposit) shall be maintained in blocked, non-interest bearing deposit accounts with the Administrative Agent. The Borrower, and to the extent provided by any Defaulting Lender, such Defaulting Lender, hereby grants to (and subjects to the control of) the Administrative Agent, for the benefit of the Administrative Agent, the L/C Issuer and the Revolving Credit Lenders (including the Swingline Lender), and agrees to maintain, a first priority security interest in all such cash, deposit accounts and all balances therein, and all other property so provided as collateral pursuant hereto, and in all proceeds of the foregoing, all as security for the obligations to which such Cash Collateral may be applied pursuant to Section 2.16(c). If at any time the Administrative Agent determines that Cash Collateral is subject to any right or claim of any Person other than the Administrative Agent as herein provided, or that the total amount of such Cash Collateral is less than the applicable Fronting Exposure and other obligations secured thereby, the Borrower or the relevant Defaulting Lender will, promptly upon demand by the Administrative Agent, pay or provide to the Administrative Agent additional Cash Collateral in an amount sufficient to eliminate such deficiency. (c) Application. Notwithstanding anything to the contrary contained in this Credit Agreement, Cash Collateral provided under any of this Section 2.16 or Sections 2.03, 2.04, 2.06, 2.17 or 9.02 in respect of Letters of Credit or Swingline Loans shall be held and applied to the satisfaction of the specific L/C Obligations, Swingline Loans, obligations to fund participations therein (including, as to Cash Collateral provided by a Defaulting Lender, any interest accrued on such obligation) and other obligations for which the Cash Collateral was so provided, prior to any other application of such property as may be provided for herein. (d) Release. Cash Collateral (or the appropriate portion thereof) provided to reduce Fronting Exposure or other obligations shall be released promptly following (i) the elimination of the applicable Fronting Exposure or other obligations giving rise thereto (including by the termination of Defaulting Lender status of the applicable Lender (or, as appropriate, its assignee following compliance with Section 11.06(b)(vi))) or (ii) the Administrative Agent’s good faith determination that there exists excess Cash Collateral; provided, however, (x) that Cash Collateral furnished by or on behalf of a Credit Party shall not be released during the continuance of an Event of Default (and following application as provided in this Section 2.16 shall be applied in accordance with Section 9.03), and (y) the Person providing Cash Collateral and the L/C Issuer or the Swingline Lender, as applicable, may agree 99 1010279941v18


 
that Cash Collateral shall not be released but instead held to support future anticipated Fronting Exposure or other obligations. Section 2.17. Defaulting Lenders. (a) Adjustments. Notwithstanding anything to the contrary contained in this Credit Agreement, if any Lender becomes a Defaulting Lender, then, until such time as such Lender is no longer a Defaulting Lender, to the extent permitted by applicable Law: (i) [reserved]; (ii) [reserved]; (iii) the Defaulting Lender shall not be entitled to vote, or participate in amendments, waivers or consents hereunder or in respect of the other Credit Documents, except as may be expressly provided herein; (iv) the Defaulting Lender may be replaced and its interests assigned as provided in Section 11.13; all payments of principal, interest and other amounts owing to a Defaulting Lender will be paid into an account or subaccount with the Administrative Agent (collectively, the “Defaulting Lender Account”) to secure the Defaulting Lender’s obligations under this Credit Agreement; (v) amounts held in the Defaulting Lender Account shall be applied at such time or times as may be determined by the Administrative Agent as follows: first, to the payment of any amounts owing by that Defaulting Lender to the Administrative Agent hereunder; second, to the payment on a pro rata basis of any amounts owing by that Defaulting Lender to the L/C Issuer or the Swingline Lender hereunder; third, if so determined by the Administrative Agent or requested by the L/C Issuer or the Swingline Lender, to be held as Cash Collateral for future funding obligations of that Defaulting Lender of any participation in any Swingline Loan or Letter of Credit; fourth, as the Borrower may request (so long as no Default or Event of Default exists), to the funding of any Loan in respect of which that Defaulting Lender has failed to fund its portion thereof as required by this Credit Agreement, as determined by the Administrative Agent; fifth, if so determined by the Administrative Agent and the Borrower, to be held in a non-interest bearing deposit account and released pro rata in order to satisfy obligations of that Defaulting Lender to fund Loans under this Credit Agreement; sixth, to the payment of any amounts owing to the Lenders, the L/C Issuer or the Swingline Lender as a result of any judgment of a court of competent jurisdiction obtained by any Lender, the L/C Issuer or the Swingline Lender against that Defaulting Lender as a result of that Defaulting Lender’s breach of its obligations under this Credit Agreement; seventh, so long as no Default or Event of Default exists, to the payment of any amounts owing to the Borrower as a result of any judgment of a court of competent jurisdiction obtained by the Borrower against that Defaulting Lender as a result of that Defaulting Lender’s breach of its obligations under this Credit Agreement; and eighth, to that Defaulting Lender or 100 1010279941v18


 
as otherwise directed by a court of competent jurisdiction; provided that if (x) such payment is a payment of the principal amount of any Loans or L/C Borrowings in respect of which that Defaulting Lender has not fully funded its appropriate share and (y) such Loans or L/C Borrowings were made at a time when the conditions set forth in Section 5.02 were satisfied or waived, such payment shall be applied solely to pay the Loans of, and L/C Borrowings owed to, all non-Defaulting Lenders on a pro rata basis prior to being applied to the payment of any Loans of, or L/C Borrowings owed to, that Defaulting Lender until such time as all Loans and funded and unfunded participations in L/C Obligations and Swingline Loans are held by the Lenders in accordance with their respective Aggregate Commitment Percentage under the applicable Facility without giving effect to Section 2.17(a)(vii). Any payments, prepayments or other amounts paid or payable to a Defaulting Lender that are applied (or held) to pay amounts owed by a Defaulting Lender or to post Cash Collateral pursuant to this Section 2.17(a)(v) shall be deemed paid to and redirected by that Defaulting Lender, and each Lender irrevocably consents hereto; (vi) the Defaulting Lenders shall not be entitled to receive any Commitment Fee, facility fee, letter of credit fee or other fees hereunder (which fees may be retained by the Borrower rather than paid into the Defaulting Lender Account); and (vii) during any period in which there is a Defaulting Lender, for purposes of computing the amount of the obligation of each non-Defaulting Lender to acquire, refinance or fund participations in Letters of Credit or Swingline Loans pursuant to Sections 2.03 and 2.04, the “Aggregate Commitment Percentage” of each non-Defaulting Lender shall be computed without giving effect to the Revolving Credit Commitment of that Defaulting Lender; provided that (A) each such reallocation shall be given effect only if, at the date the applicable Lender becomes a Defaulting Lender, no Event of Default exists; and (B) the aggregate obligation of each non-Defaulting Lender to acquire, refinance or fund participations in Letters of Credit and Swingline Loans shall not exceed the positive difference, if any, of (1) the Revolving Credit Commitment of that non-Defaulting Lender minus (2) the aggregate Outstanding Amount of the Revolving Credit Obligations of that Lender. (b) Defaulting Lender Cure. If the Borrower, the Administrative Agent, the Swingline Lender and the L/C Issuer agree in writing in their sole discretion that a Defaulting Lender should no longer be deemed to be a Defaulting Lender, the Administrative Agent will so notify the parties hereto, whereupon as of the effective date specified in such notice and subject to any conditions set forth therein (which may include arrangements with respect to any Cash Collateral), that Lender will, to the extent applicable, purchase at par that portion of outstanding Loans of the other Lenders or take such other actions as the Administrative Agent may determine to be necessary to cause the Revolving Credit Loans and funded and unfunded participations in Letters of Credit and Swingline Loans to be held on a pro rata basis by the Revolving Credit Lenders in accordance with their Aggregate Commitment Percentages (without giving effect to Section 2.17(a)(vii)), whereupon that Lender will cease to be a Defaulting Lender; provided that 101 1010279941v18


 
no adjustments will be made retroactively with respect to fees accrued or payments made by or on behalf of the Borrower while that Lender was a Defaulting Lender; and provided further, that except to the extent otherwise expressly agreed by the affected parties, no change hereunder from Defaulting Lender to Lender will constitute a waiver or release of any claim of any party hereunder arising from that Lender’s having been a Defaulting Lender. Section 2.18. Incremental Facilities. (a) Incremental Commitments. The Borrower (or in the case of Escrow Incremental Term Loans, the Escrow Borrower) may, by written notice to the Administrative Agent from time to time, request Incremental Commitments, which may be a new Class of term loans (an “Incremental Term Loan”) or an increase in loans under any then-existing Class of Term Loans (an “Incremental Term Loan Increase”) and/or one or more increases in the amount of the Revolving Credit Commitments (a “Revolving Commitment Increase”) or the establishment of one or more new revolving credit commitments. Such notice shall set forth: (i) the amount of the Incremental Commitments being requested (which shall be in a minimum amount of $5,000,000; provided that such amount may be less than $5,000,000 if such amount represents all remaining availability under the limit set forth in Section 2.18(c)(ii)), (ii) the date on which such Incremental Commitments are requested to become effective, (iii) whether such Incremental Commitments are Incremental Revolving Commitments or Incremental Term Commitments and (iv) whether such Incremental Commitments will constitute Escrow Incremental Term Loans. The Borrower may in its sole discretion seek Incremental Commitments from existing Lenders (each of which shall be entitled to agree or decline to participate in its sole discretion) or any Additional Lender. (b) Incremental Loans. On the applicable date (each, an “Incremental Facility Closing Date”) specified in any Incremental Amendment, subject to the satisfaction of the terms and conditions in this Section 2.18 and in the applicable Incremental Amendment, (i) (A) each Incremental Term Lender of such Class shall make an Incremental Term Loan to the Borrower in an amount equal to its Incremental Term Commitment of such Class and (B) each Incremental Term Lender of such Class shall become a Lender hereunder with respect to the Incremental Term Commitment of such Class and the Incremental Term Loans of such Class made pursuant thereto and (ii) (A) each Incremental Revolving Lender of such Class shall make its Commitment available to the Borrower in an amount equal to its Incremental Revolving Commitment of such Class and (B) each Incremental Revolving Lender of such Class shall become a Lender hereunder with respect to the Incremental Revolving Commitment of such Class and the Incremental Revolving Loans of such Class made pursuant thereto. (c) Effectiveness of Incremental Amendment. The effectiveness of any Incremental Amendment, and the Incremental Commitments thereunder, shall be subject to the satisfaction on the applicable date (which shall be no earlier than the date of such Incremental Amendment) specified therein (the “Incremental Amendment Date”) of each of the following conditions, together with any other conditions set forth in the Incremental Amendment: (i) after giving effect to such Incremental Commitments, the conditions of Section 5.02 shall be satisfied (it being understood that all references to “the date of such Credit Extension” or similar language in such 102 1010279941v18


 
Section 5.02 shall be deemed to refer to the Incremental Amendment Date); provided that in connection with any Incremental Commitment, the primary purpose of which is to finance a Limited Condition Transaction, if agreed by the Incremental Lenders providing such Incremental Commitments, the conditions set forth in clauses (a) and (b) (other than with respect to any Event of Default under Section 9.01(a) or (f)) of Section 5.02 may be agreed not to apply and excluded in the relevant Incremental Amendment and the condition set forth in clause (c) of Section 5.02 may be satisfied by the delivery of a Request for Credit Extension within such lesser time period as agreed by such Incremental Lenders, the Administrative Agent and the Borrower; (ii) (A) after giving Pro Forma Effect to both (x) the making of Incremental Term Loans or establishment of Incremental Revolving Commitments (assuming a borrowing of the maximum amount of Loans available thereunder) under such Incremental Amendment and (y) any Specified Transactions consummated in connection therewith, the Consolidated Total Net Leverage Ratio does not exceed 3.50:1.00 (or 4.00:1.00 if such Incremental Facility is established in connection with a Permitted Acquisition); or (B) together with the Incremental Term Loans made and Incremental Revolving Commitments established under such Incremental Amendment, the aggregate principal amount of Incremental Term Loans made, Incremental Equivalent Debt deemed incurred and Incremental Revolving Commitments established under this clause (B) does not exceed the greater of (x) $225,000,000 and (y) 100% of Consolidated EBITDA; provided that it is understood that Incremental Term Loans and Incremental Revolving Commitments may be incurred under either clause (A) or clause (B) as selected by the Borrower in its sole discretion, including by designating any portion of Incremental Commitments in excess of an amount permitted to be incurred under clause (A) at the time of such incurrence as incurred under clause (B) (it being understood, for the avoidance of doubt, that proceeds from any such incurrence may be utilized in a single transaction by first calculating the amount available to be incurred under clause (A) and disregarding any concurrent utilization under the preceding clause (B)); provided further that it is understood that any portion of the Incremental Term Loans and Incremental Revolving Commitments incurred under clause (B) above may from time to time at the Borrower’s election be reclassified as being incurred under clause (A) above if at the time of reclassification the Borrower is in compliance with the applicable Consolidated Total Net Leverage Ratio under clause (A) on a Pro Forma Basis, and if the applicable Consolidated Total Net Leverage Ratio under clause (A) would be satisfied on a Pro Forma Basis as of the end of any subsequent fiscal quarter after the initial incurrence of such Incremental Term Loans or Incremental Revolving Commitments, such reclassification shall be deemed to have automatically occurred whether or not elected by the Borrower; and (iii) to the extent reasonably requested by the Administrative Agent, receipt by the Administrative Agent of (A) customary legal opinions, board resolutions and officers’ certificates (including a solvency certificate) consistent 103 1010279941v18


 
with those delivered on the Closing Date (conformed as appropriate) other than changes to such legal opinions resulting from a Change in Law, change in fact or change to counsel’s form of opinion reasonably satisfactory to the Administrative Agent and (B) reaffirmation agreements and/or such amendments to the Collateral Documents as may be reasonably requested by the Administrative Agent in order to ensure that such Incremental Commitments and extensions of credit thereunder are provided with the benefit of the applicable Credit Documents. (d) Required Terms. The terms, provisions and documentation of the Incremental Term Loans and Incremental Term Commitments or the Incremental Revolving Loans and Incremental Revolving Commitments, as the case may be, of any Class shall be as agreed between the Borrower and the applicable Incremental Lenders providing such Incremental Commitments, and except as otherwise set forth herein, to the extent not identical to any Class of then-existing Term Loans or Revolving Credit Commitments, as applicable, each existing on the Incremental Facility Closing Date, shall be consistent with clauses (i) and (ii) below, as applicable, and otherwise shall be reasonably satisfactory to the Administrative Agent (except to the extent such terms are (a) conformed (or added) in the Credit Documents pursuant to the related Incremental Amendment for the benefit of all Lenders, (b) applicable only to periods after the Latest Maturity Date as of the Incremental Amendment Date or (c) current market terms for such type of Indebtedness (as determined in good faith by the Borrower)); provided that (x) in the case of an Incremental Term Loan Increase or a Revolving Commitment Increase, the terms, provisions and documentation (other than the Incremental Amendment evidencing such increase) of such Incremental Term Loan Increase or Revolving Commitment Increase shall be identical (other than with respect to upfront fees, OID or similar fees) to any then-existing Term Loan Facility or Revolving Credit Facility, as applicable, in each case, as existing on the Incremental Facility Closing Date (after giving effect to Section 2.18(e)) and (y) if such terms are more restrictive than the terms of any then-existing Term Loan Facility or Revolving Credit Facility, as the case may be, such more restrictive terms shall be conformed (or added) to the Credit Documents for the benefit of the then-existing Facilities. In any event: (i) the Incremental Term Loans: (A) (I) shall rank pari passu or junior in right of payment with the Obligations under Term Loans and Revolving Credit Loans that are senior in right of payment, (II) shall be secured by the Collateral and shall rank pari passu or junior in right of security with the Obligations under Term Loans and Revolving Credit Loans that are secured on a first lien basis (and subject to a Subordination Agreement (if subject to payment subordination) and/or a Junior Lien Intercreditor Agreement (if subject to lien subordination) (or, alternatively, terms in the Incremental Amendment substantially similar to those in such applicable agreement, as agreed by the Borrower and Administrative Agent) or other lien subordination and intercreditor arrangements reasonably satisfactory to the Borrower and the Administrative Agent) and (III) shall be guaranteed by the Guarantors; 104 1010279941v18


 
(B) as of the Incremental Amendment Date, shall not have a final scheduled maturity date earlier than the Revolving Termination Date; (C) (I) as of the Incremental Amendment Date, shall have a Weighted Average Life to Maturity not shorter than any then-existing Class of Term Loans and (II) subject to the foregoing, shall have an amortization schedule as determined by the Borrower and the applicable Incremental Term Loan arranger(s); (D) shall have an all-in-yield (whether in the form of interest rate margin, OID or otherwise) determined by the Borrower and the applicable Incremental Term Lenders; provided that the Applicable Percentage and amortization for an Incremental Term Loan Increase shall be (I) the Applicable Percentage and amortization for the Class being increased or (II) higher than the Applicable Percentage for the Class being increased as long as the Applicable Percentage for the Class being increased shall be automatically increased as and to the extent necessary to eliminate such deficiency; (E) shall have fees determined by the Borrower and the applicable Incremental Term Loan arranger(s); and (F) may participate on (I) a pro rata basis, less than pro rata basis or greater than pro rata basis in any voluntary prepayments of any then-existing Class of Term Loans and (II) a pro rata basis or less than pro rata basis (but not on a greater than pro rata basis (except for prepayments of any Class or Classes of Term Loans with a Maturity Date preceding the Maturity Date of the remaining Classes of Term Loans then outstanding or made with the proceeds of Refinancing Facilities)) in any mandatory prepayments of any existing Class of Term Loans hereunder; (ii) the Incremental Revolving Commitments and Incremental Revolving Loans: (A) (I) shall rank pari passu or junior in right of payment with the Obligations under Term Loans and Revolving Credit Loans that are senior in right of payment, (II) shall be secured by the Collateral and shall rank pari passu or junior in right of security with the Obligations under Term Loans and Revolving Credit Loans that are secured on a first lien basis (and subject to a Subordination Agreement (if subject to payment subordination) and/or a Junior Lien Intercreditor Agreement (if subject to lien subordination) (or, alternatively, terms in the Incremental Amendment substantially similar to those in such applicable agreement, as agreed by the Borrower and Administrative Agent) or other lien subordination and intercreditor arrangements reasonably satisfactory to the Borrower and the Administrative Agent) and (III) shall be guaranteed by the Guarantors; 105 1010279941v18


 
(B) (I) shall not have a final scheduled maturity date or commitment reduction date earlier than the Revolving Termination Date with respect to the Initial Revolving Credit Commitments and (II) shall not have any scheduled amortization or mandatory commitment reduction prior to the Revolving Termination Date with respect to the Initial Revolving Credit Commitments; (C) shall have an all-in-yield (whether in the form of interest rate margin, OID or otherwise) determined by the Borrower and the applicable Incremental Revolving Lenders; provided that the Applicable Percentage for a Revolving Commitment Increase shall be (I) the Applicable Percentage for the Class being increased or (II) higher than the Applicable Percentage for the Class being increased as long as the Applicable Percentage for the Class being increased shall be automatically increased as and to the extent necessary to eliminate such deficiency; (D) shall have fees determined by the Borrower and the applicable Incremental Revolving Commitment arranger(s); (E) shall provide that the borrowing and repayment (except for (1) payments of interest and fees at different rates on Incremental Revolving Commitments (and related outstandings), (2) repayments required upon the Maturity Date of the Incremental Revolving Commitments and (3) repayment made in connection with a permanent repayment and termination of commitments (in accordance with clause (F) below)) of Loans with respect to Incremental Revolving Commitments after the associated Incremental Facility Closing Date shall be made on a pro rata basis or less than a pro rata basis (but not more than a pro rata basis) with all other Revolving Credit Commitments then existing on the Incremental Facility Closing Date; and (F) may provide that the permanent repayment of Revolving Credit Loans with respect to, and termination or reduction of, Incremental Revolving Commitments after the associated Incremental Facility Closing Date be made on a pro rata basis or less than pro rata basis (but not on a greater than pro rata basis other than with respect to any termination of undrawn Revolving Credit Commitments or a permanent repayment of any Class of Revolving Credit Commitments (1) with the proceeds of a Refinancing Facility or (2) that mature earlier than other outstanding Classes of Revolving Credit Commitments) with all other Revolving Credit Commitments. (e) Incremental Amendment. Commitments in respect of Incremental Term Loans and Incremental Revolving Commitments shall become additional Commitments pursuant to an amendment (an “Incremental Amendment”) to this Credit Agreement and, as appropriate, the other Credit Documents, executed by the Borrower, each Incremental Lender providing such Commitments, the Administrative Agent and, for purposes of any election and/or increase to the Swingline Sublimit or L/C Sublimit, the Swingline Lender and each L/C Issuer. The Incremental Amendment may, without the consent of any other Credit Party, the Administrative Agent or Lender, effect such amendments to this Credit Agreement and the other Credit Documents as 106 1010279941v18


 
may be necessary or appropriate, in the reasonable opinion of the Administrative Agent and the Borrower, to effect the provisions of this Section 2.18, including any amendments necessary to establish the Incremental Loans and/or Incremental Commitments as a new Class of Loans, to provide to the Lenders of any Class of Loans or Commitments hereunder the benefit of any term or provision that is added under any Incremental Amendment for the benefit of the Lenders of an Incremental Facility (including to the extent necessary or advisable to allow any Incremental Facility to be an Incremental Increase) and such other technical amendments as may be necessary or appropriate in the reasonable opinion of the Administrative Agent and the Borrower in connection with the establishment of such new Class or tranche, in each case on terms consistent with this Section 2.18. The Borrower will use the proceeds of the Incremental Term Loans and Incremental Revolving Commitments for any purpose not prohibited by this Agreement. (f) Reallocation of Revolving Credit Exposure. Upon any Incremental Facility Closing Date on which Incremental Revolving Commitments are effected through Refinancing Amendment pursuant to this Section 2.18, (a) each of the Revolving Credit Lenders shall assign to each of the Incremental Revolving Lenders, and each of the Incremental Revolving Lenders shall purchase from each of the Revolving Credit Lenders, at the principal amount thereof, such interests in the Incremental Revolving Loans outstanding on such Incremental Facility Closing Date as shall be necessary in order that, after giving effect to all such assignments and purchases, such Revolving Credit Loans will be held by existing Revolving Credit Lenders and Incremental Revolving Lenders ratably in accordance with their Revolving Credit Commitments after giving effect to the addition of such Incremental Revolving Commitments to the Revolving Credit Commitments, (b) each Incremental Revolving Commitment shall be deemed for all purposes a Revolving Credit Commitment and each Loan made thereunder shall be deemed, for all purposes, a Revolving Credit Loan and (c) each Incremental Revolving Lender shall become a Lender with respect to the Incremental Revolving Commitments and all matters relating thereto. The Administrative Agent and the Lenders hereby agree that the minimum borrowing and prepayment requirements in Section 2.02(a) and 2.06(a)(i) of this Agreement shall not apply to the transactions effected pursuant to the immediately preceding sentence. (g) The Incremental Term Loans made under each Incremental Term Loan Increase shall be made by the applicable Lenders participating therein pursuant to the procedures set forth in Section 2.01 and 2.02 and on the date of the making of such Incremental Term Loans, and notwithstanding anything to the contrary set forth in Section 2.01 and 2.02, such Incremental Term Loans shall be added to (and form part of) each Borrowing of outstanding Term Loans under the applicable Class of Term Loans on a pro rata basis (based on the relative sizes of the various outstanding Borrowings), so that each Lender under such Class will participate proportionately in each then outstanding Borrowing of Term Loans of such Class; provided that Escrow Incremental Term Loans shall not be deemed to be outstanding under this Agreement or any other Credit Document for any purposes hereof (including, without limitation, for purposes of any financial calculation, the definition of “Obligations,” the definition of “Required Lenders” or Article 9 or Section 11.01 hereof) and the obligations with respect thereto shall not be recourse to any Credit Party, in each case, unless and until the Escrow Assumption with respect thereto has occurred and the Escrow Assumption shall only be permitted if the conditions set forth in Section 2.18(c) are satisfied as of the date of such Escrow Assumption 107 1010279941v18


 
(h) This Section 2.18 shall supersede any provisions in Section 2.12 or 11.01 to the contrary. Section 2.19. Amend and Extend Transactions. (a) The Borrower may, by written notice to the Administrative Agent from time to time, request an extension (each, an “Extension”) of the maturity or termination date of any Class of Revolving Credit Commitments and/or Term Loans to the extended maturity or termination date specified in such notice. Such notice shall set forth (i) the amount of the applicable Class of Revolving Credit Commitments and/or Term Loans to be extended (which shall be in minimum increments of $1,000,000 and a minimum amount of $5,000,000), (ii) the date on which such Extensions are requested to become effective (which shall be not less than five (5) Business Days nor more than 60 days after the date of such Extension request (or such longer or shorter periods as the Administrative Agent shall reasonably agree)) and (iii) identifying the relevant Class of Revolving Credit Commitments and/or Term Loans to which the Extension request relates. Each Lender of the applicable Class shall be offered (an “Extension Offer”) an opportunity to participate in such Extension on a pro rata basis and on the same terms and conditions as each other Lender of such Class pursuant to procedures established by, or reasonably acceptable to, the Administrative Agent. If the aggregate principal amount of Term Loans (calculated on the face amount thereof) or Revolving Credit Commitments in respect of which Lenders shall have accepted the relevant Extension Offer shall exceed the maximum aggregate principal amount of Term Loans or Revolving Credit Commitments, as applicable, offered to be extended by the Borrower pursuant to such Extension Offer, then the Term Loans or Revolving Credit Commitments, as applicable, of Lenders of the applicable Class shall be extended ratably up to such maximum amount based on the respective principal amounts (but not to exceed actual holdings of record) with respect to which such Lenders have accepted such Extension Offer. (b) It shall be a condition precedent to the effectiveness of any Extension that (i) no Default or Event of Default shall have occurred and be continuing immediately prior to and immediately after giving effect to such Extension, (ii) the representations and warranties set forth in Article 6 and in each other Credit Document shall be true and correct in all material respects on and as of the date of such Extension, (iii) the L/C Issuer and the Swingline Lender shall have consented to any Extension of the Revolving Credit Commitments, to the extent that such extension provides for the issuance of Letters of Credit or making of Swingline Loans at any time during the extended period and (iv) the terms of such Extended Revolving Commitments and Extended Term Loans shall comply with Section 2.19(c). (c) The terms of each Extension shall be determined by the Borrower and the applicable extending Lender and set forth in an Extension Amendment; provided that (i) the final maturity date of any Extended Term Loan or Extended Revolving Commitment shall be no earlier than the maturity or termination date of the Class of Term Loans or Revolving Credit Commitments being extended, (ii) (A) there shall be no scheduled amortization or mandatory commitment reduction of the Extended Revolving Commitments and (B) the Weighted Average Life to Maturity of the Extended Term Loans shall be no shorter than the remaining Weighted Average Life to Maturity of the Class of Term Loans being extended, (iii) the Extended Revolving Loans and the Extended Term Loans will rank pari passu in right of payment and 108 1010279941v18


 
with respect to security with the Revolving Credit Loans and the Term Loans and shall be guaranteed by the Guarantors, (iv) the interest rate margin, rate floors, fees, original issue discounts and premiums applicable to any Extended Term Loans or Extended Revolving Commitments (and the Extended Revolving Loans thereunder) shall be determined by the Borrower and the lenders providing such Extended Term Loans or Extended Revolving Commitments, as applicable, (v) none of the obligors or guarantors with respect to such Extended Term Loans or Extended Revolving Commitments shall be a Person that is not a Credit Party and (vi) to the extent the terms of the Extended Term Loans or the Extended Revolving Commitments are inconsistent with the terms set forth herein (except as set forth in clause (i) through (v) above), such terms shall be reasonably satisfactory to the Administrative Agent. (d) In connection with any Extension, the Borrower, the Administrative Agent and each applicable extending Lender shall execute and deliver to the Administrative Agent an amendment (an “Extension Amendment”) and such other documentation as the Administrative Agent shall reasonably specify to evidence the Extension. The Administrative Agent shall promptly notify each Lender as to the effectiveness of each Extension. Any Extension Amendment may, without the consent of any other Lender, effect such amendments to this Agreement and the other Credit Documents as may be necessary or appropriate, in the reasonable opinion of the Administrative Agent and the Borrower, to implement the terms of any such Extension, including any amendments necessary to establish Extended Term Loans or Extended Revolving Commitments as a new Class or tranche of Term Loans or Revolving Credit Commitments, as applicable, and such other technical amendments as may be necessary or appropriate in the reasonable opinion of the Administrative Agent and the Borrower in connection with the establishment of such new Class or tranche (including to preserve the pro rata treatment of the extended and non-extended Classes and to provide for the reallocation of participation in Letters of Credit or Swingline Loans upon the expiration or termination of the commitments under any Class), in each case on terms not inconsistent with this Section 2.19). Section 2.20. Refinancing Facilities. (a) The Borrower may, by written notice to the Administrative Agent from time to time, request (x) Refinancing Revolving Commitments to replace all or a portion of any existing Class of Revolving Credit Commitments and (y) Refinancing Term Loans to refinance all or a portion of any existing Class of Term Loans (with respect to a particular Refinancing Commitment or Refinancing Loan, such existing Revolving Credit Commitments or Loans, “Refinanced Debt”). Such notice shall set forth (i) the amount of the applicable Refinancing Facility (which shall be in minimum increments of $1,000,000 and a minimum amount of $5,000,000), (ii) the date on which the applicable Refinancing Facility is to become effective and (iii) whether such Refinancing Facilities are Refinancing Revolving Commitments or Refinancing Term Loans. The Borrower may in its sole discretion seek Refinancing Facilities from existing Lenders (each of which shall be entitled to agree or decline to participate in its sole discretion) or any Additional Lender. (b) Refinancing Loans. On any Refinancing Facility Closing Date on which any Refinancing Term Commitments of any Class are effected, subject to the satisfaction of the terms and conditions in this Section 2.20, (i) each Refinancing Term Lender of such Class shall 109 1010279941v18


 
make a Loan to the Borrower (a “Refinancing Term Loan”) in an amount equal to its Refinancing Term Commitment of such Class and (ii) each Refinancing Term Lender of such Class shall become a Lender hereunder with respect to the Refinancing Term Commitment of such Class and the Refinancing Term Loans of such Class made pursuant thereto. On any Refinancing Facility Closing Date on which any Refinancing Revolving Commitments of any Class are effected, subject to the satisfaction of the terms and conditions in this Section 2.20, (i) each Refinancing Revolving Lender of such Class shall make its Commitment available to the Borrower (when borrowed, a “Refinancing Revolving Loan” and collectively with any Refinancing Term Loan, a “Refinancing Loan”) in an amount equal to its Refinancing Revolving Commitment of such Class and (ii) each Refinancing Revolving Lender of such Class shall become a Lender hereunder with respect to the Refinancing Revolving Commitment of such Class and the Refinancing Revolving Loans of such Class made pursuant thereto. (c) Effectiveness of Refinancing Amendment. The effectiveness of any Refinancing Amendment, and the Refinancing Commitments thereunder, shall be subject to the satisfaction on the date thereof (a “Refinancing Facility Closing Date”) of each of the following conditions, together with any other conditions set forth in the Refinancing Amendment: (i) after giving effect to such Refinancing Commitments, the conditions of Sections 5.02(a) and (b) shall be satisfied (it being understood that all references to “the date of such Credit Extension” or similar language in such Section 5.02 shall be deemed to refer to the effective date of such Refinancing Amendment); (ii) each Refinancing Commitment shall be in an aggregate principal amount that is not less than $5,000,000 and shall be in an increment of $1,000,000 (provided that such amount may be less than $5,000,000 and not in an increment of $1,000,000 if such amount is equal to (x) the entire outstanding principal amount of the Refinanced Debt that is in the form of Term Loans or (y) the entire principal amount of Refinanced Debt that is in the form of Revolving Credit Commitments); and (iii) to the extent reasonably requested by the Administrative Agent, receipt by the Administrative Agent of (i) customary legal opinions, board resolutions and officers’ certificates consistent with those delivered on the Closing Date (conformed as appropriate) other than changes to such legal opinions resulting from a Change in Law, change in fact or change to counsel’s form of opinion reasonably satisfactory to the Administrative Agent and (ii) reaffirmation agreements and/or such amendments to the Collateral Documents as may be reasonably requested by the Administrative Agent in order to ensure that such Refinancing Lenders are provided with the benefit of the applicable Credit Documents. (d) Required Terms. The terms, provisions and documentation of the Refinancing Term Loans and Refinancing Term Commitments or the Refinancing Revolving Loans and Refinancing Revolving Commitments, as the case may be, of any Class shall be as 110 1010279941v18


 
agreed between the Borrower and the applicable Refinancing Lenders providing such Refinancing Commitments, and except as otherwise set forth herein, to the extent not identical to any Class of Term Loans or Revolving Credit Commitments, as applicable, each existing on the Refinancing Facility Closing Date, shall be consistent with clauses (i) and (ii) below, as applicable, and otherwise shall be reasonably satisfactory to the Administrative Agent (except to the extent such terms are (a) conformed (or added) in the Credit Documents pursuant to the related Refinancing Amendment for the benefit of all Lenders, (b) applicable only to periods after the Latest Maturity Date as of the Refinancing Amendment Date or (c) current market terms for such type of Indebtedness (as determined in good faith by the Borrower)); provided that if such terms are more restrictive than the terms of any then-existing Term Loan Facility or Revolving Credit Facility, as the case may be, such more restrictive terms shall be conformed (or added) to the Credit Documents for the benefit of the then-existing Facilities. . In any event: (i) the Refinancing Term Loans: (A) (I) (I) shall have the same or more junior rank in right of payment with respect to the other Obligations as the applicable Refinanced Debt and (II) shall be secured solely by the Collateral and shall have the same or more junior rank in right of security with respect to the other Obligations as the applicable Refinanced Debt (and, to the extent subordinated in right of payment or security with respect to the other Obligations, subject to a Subordination Agreement and/or a Junior Lien Intercreditor Agreement, as applicable (or, alternatively, terms in the Refinancing Amendment substantially similar to those in such applicable agreement, as agreed by the Borrower and Administrative Agent) or other lien subordination and intercreditor arrangement reasonably satisfactory to the Borrower and the Administrative Agent) and (III) shall be guaranteed by the Guarantors; (B) as of the Refinancing Facility Closing Date, shall not have a final scheduled maturity date earlier than the Maturity Date of the Refinanced Debt; (C) (I) as of the Refinancing Facility Closing Date, shall not have a Weighted Average Life to Maturity shorter than the remaining Weighted Average Life to Maturity of the Refinanced Debt and (II) shall have an amortization schedule as determined by the Borrower and the applicable Refinancing Lenders; (D) shall have an all-in-yield (whether in the form of interest rate margin, OID or otherwise) determined by the Borrower and the applicable Refinancing Term Lenders; (E) shall have fees determined by the Borrower and the applicable Refinancing Term Loan arranger(s); (F) may participate on (I) a pro rata basis, less than pro rata basis or greater than pro rata basis in any voluntary prepayments of Term Loans hereunder and (II) (x) in the case of Refinancing Term Loans that rank junior in right of payment or junior in right of security, in each case, with the Obligations under 111 1010279941v18


 
Term Loans that are senior in right of payment or secured on a first lien basis, shall participate on a less than pro rata basis in any mandatory prepayments of Term Loans hereunder and (y) in the case of Refinancing Term Loans that rank pari passu in right of payment and security with the Obligations under Term Loans that are secured on a first lien basis, may participate on a pro rata basis or less than pro rata basis (but not on a greater than pro rata basis) in any mandatory prepayments of such Term Loans hereunder; and (G) shall not have a greater principal amount than the principal amount of the Refinanced Debt plus accrued interest, fees, premiums (if any) and penalties payable by the terms of such tranche of Incremental Term Loans and reasonable fees, expenses, OID and upfront fees associated with the incurrence of such Refinancing Term Loans; and (ii) the Refinancing Revolving Commitments and Refinancing Revolving Loans: (A) (I) shall have the same or more junior rank in right of payment with respect to the other Obligations as the applicable Refinanced Debt (and, to the extent subordinated in right of payment with respect to the other Obligations, subject to a Subordination Agreement (or, alternatively, terms in the Refinancing Amendment substantially similar to those in such applicable agreement, as agreed by the Borrower and Administrative Agent) or other subordination arrangement satisfactory to the Borrower and the Administrative Agent), (II) shall be secured solely by the Collateral and shall have the same rank in right of security with respect to the other Obligations as the applicable Refinanced Debt and (III) shall be guaranteed by the Guarantors; (B) shall not have a final scheduled maturity date or commitment reduction date earlier than the Maturity Date or commitment reduction date, respectively, with respect to the Refinanced Debt; (C) shall have an all-in-yield (whether in the form of interest rate margin, OID or otherwise) determined by the Borrower and the applicable Refinancing Revolving Lenders; (D) shall have fees determined by the Borrower and the applicable Refinancing Revolving Commitments arranger(s); (E) shall provide that the borrowing and repayment (except for (1) payments of interest and fees at different rates on Refinancing Revolving Commitments (and related outstandings), (2) repayments required upon the Maturity Date of the Refinancing Revolving Commitments and (3) repayment made in connection with a permanent repayment and termination of commitments (in accordance with clause (F) below)) of Loans with respect to Refinancing Revolving Commitments after the associated Refinancing Facility Closing Date shall be made on a pro rata basis or less than a pro rata basis (but not more than a 112 1010279941v18


 
pro rata basis) with all other Revolving Credit Commitments then existing on the Refinancing Facility Closing Date, (F) may provide that the permanent repayment of Revolving Credit Loans with respect to, and termination or reduction of, Refinancing Revolving Commitments after the associated Refinancing Facility Closing Date be made on a pro rata basis or less than pro rata basis (but not on a greater than pro rata basis other than with respect to any termination of undrawn Revolving Credit Commitments or a permanent repayment of any Class of Revolving Credit Commitments (1) with the proceeds of a Refinancing Facility or (2) that mature earlier than other outstanding Classes of Revolving Credit Commitments) with all other Revolving Credit Commitments, and (G) shall not have a greater principal amount than the principal amount of the Refinanced Debt plus accrued interest, fees, premiums (if any) and penalties payable by the terms of such tranche of Revolving Credit Loans and reasonable fees, expenses, OID and upfront fees associated with the incurrence of such Refinancing Revolving Commitments; (e) Refinancing Amendment. Commitments in respect of Refinancing Term Loans and Refinancing Revolving Commitments shall become additional Commitments pursuant to an amendment (a “Refinancing Amendment”) to this Agreement and, as appropriate, the other Credit Documents, executed by the Borrower, each Refinancing Lender providing such Commitments and the Administrative Agent. The Refinancing Amendment may, without the consent of any other Credit Party, Administrative Agent or Lender, effect such amendments to this Agreement and the other Credit Documents as may be necessary or appropriate, in the reasonable opinion of the Administrative Agent and the Borrower, to effect the provisions of this Section 2.20, including any amendments necessary to establish the Refinancing Loans and/or Refinancing Commitments as a new Class or tranche of Loans and such other technical amendments as may be necessary or appropriate in the reasonable opinion of the Administrative Agent and the Borrower in connection with the establishment of such new Class or tranche (including to preserve the pro rata treatment of the refinanced and non-refinanced Classes or tranches and to provide for the reallocation of participation in Letters of Credit or Swingline Loans upon the expiration or termination of the commitments under any Class or tranche), in each case on terms consistent with this Section 2.20. The Borrower will use the proceeds of the Refinancing Term Loans and Refinancing Revolving Commitments to extend, renew, replace, repurchase, retire or refinance, substantially concurrently, the applicable Refinanced Debt. (f) Reallocation of Revolving Credit Exposure. Upon any Refinancing Facility Closing Date on which Refinancing Revolving Commitments are effected pursuant to this Section 2.20, (a) each of the Revolving Credit Lenders shall assign to each of the Refinancing Revolving Lenders, and each of the Refinancing Revolving Lenders shall purchase from each of the Revolving Credit Lenders, at the principal amount thereof, such interests in the Refinancing Revolving Loans outstanding on such Refinancing Facility Closing Date as shall be necessary in order that, after giving effect to all such assignments and purchases, such Revolving Credit Loans will be held by existing Revolving Credit Lenders and Refinancing Revolving 113 1010279941v18


 
Lenders ratably in accordance with their Revolving Credit Commitments after giving effect to the addition of such Refinancing Revolving Commitments to the Revolving Credit Commitments, (b) each Refinancing Revolving Commitment shall be deemed for all purposes a Revolving Credit Commitment and each Loan made thereunder shall be deemed, for all purposes, a Revolving Credit Loan and (c) each Refinancing Revolving Lender shall become a Lender with respect to the Incremental Revolving Commitments and all matters relating thereto. The Administrative Agent and the Lenders hereby agree that the minimum borrowing and prepayment requirements in Section 2.02(a) and 2.06(a)(i) of this Agreement shall not apply to the transactions effected pursuant to the immediately preceding sentence. (g) This Section 2.20 shall supersede any provisions in Section 2.12 or 11.01 to the contrary. ARTICLE 3 TAXES, YIELD PROTECTION AND ILLEGALITY Section 3.01. Taxes. (a) Payments Free of Taxes; Obligation to Withhold; Payments on Account of Taxes. (i) Any and all payments by or on account of any obligation of the Credit Parties hereunder or under any other Credit Document shall to the extent permitted by applicable Laws be made free and clear of and without reduction or withholding for any Taxes. If, however, applicable Laws require any Credit Party or the Administrative Agent to withhold or deduct any Tax, such Tax shall be withheld or deducted in accordance with such Laws as determined by such Credit Party or the Administrative Agent, as the case may be, upon the basis of the information and documentation to be delivered pursuant to subsection (e) below. (ii) If the Credit Parties, the Administrative Agent or any other applicable withholding agent shall be required by the Internal Revenue Code to withhold or deduct any Taxes, including both United States federal backup withholding and withholding taxes, from any payment, then (A) the applicable withholding agent shall withhold or make such deductions as are determined by such withholding agent to be required based upon the information and documentation it has received pursuant to subsection (e) below, (B) the applicable withholding agent shall timely pay the full amount withheld or deducted to the relevant Governmental Authority in accordance with the Internal Revenue Code, and (C) to the extent that the withholding or deduction is made on account of Indemnified Taxes or Other Taxes, the sum payable by the Credit Parties shall be increased as necessary so that after any required withholding or the making of all required deductions (including any withholding or deductions applicable to additional sums payable under this Section) the applicable Lender or L/C Issuer, as the case may be, or, in the case of an amount received by the Administrative 114 1010279941v18


 
Agent for its own account, the Administrative Agent, receives an amount equal to the sum it would have received had no such withholding or deduction been made. (iii) If any Credit Party, the Administrative Agent or any other applicable withholding agent shall be required by any applicable Laws other than the Internal Revenue Code to withhold or deduct any Taxes from any payment, then the applicable withholding agent, as required by such Laws, shall withhold or make such deductions as are determined by it to be required based upon the information and documentation it has received pursuant to subsection (e) below, such withholding agent, to the extent required by such Laws, shall timely pay the full amount so withheld or deducted by it to the relevant Governmental Authority in accordance with such Laws, and to the extent that the withholding or deduction is made on account of Indemnified Taxes or Other Taxes, the sum payable by such Credit Party shall be increased as necessary so that after any required withholding or the making of all required deductions (including any withholding or deductions applicable to additional sums payable under this Section) the applicable Lender or L/C Issuer, as the case may be, or, in the case of an amount received by the Administrative Agent for its own account, the Administrative Agent, receives an amount equal to the sum it would have received had no such withholding or deduction been made. (b) Payment of Other Taxes by the Credit Parties. Without duplication of other amounts payable by the Borrower under this Section 3.01, the Credit Parties shall timely pay any Other Taxes to the relevant Governmental Authority, or at the option of the Administrative Agent timely reimburse it for the payment of any Other Taxes, in accordance with applicable Laws. (c) Tax Indemnification. (i) Without limiting the provisions of subsection (a) or (b) above, the Credit Parties shall, and do hereby, indemnify the Administrative Agent, each Lender and the L/C Issuer, and shall make payment in respect thereof within 10 days after demand therefor, for the full amount of any Indemnified Taxes or Other Taxes (including Indemnified Taxes or Other Taxes imposed or asserted on or attributable to amounts payable under this Section) paid or payable by the Credit Parties or the Administrative Agent or paid by the Administrative Agent, such Lender or the L/C Issuer, as the case may be, whether or not such Indemnified Taxes or Other Taxes were correctly or legally imposed or asserted by the relevant Governmental Authority. A certificate as to the amount of any such payment or liability delivered to the Borrower by a Lender or the L/C Issuer (with a copy to the Administrative Agent), or by the Administrative Agent on its own behalf or on behalf of a Lender or the L/C Issuer, shall be conclusive absent manifest error. (ii) Without limiting the provisions of subsection (a) or (b) above, each Lender and the L/C Issuer shall, and does hereby, indemnify each Credit Party and the Administrative Agent, and shall make payment in respect thereof within 10 115 1010279941v18


 
days after demand therefor, against (i) any and all Taxes and any and all related losses, claims, liabilities, penalties, interest and expenses (including the reasonable and documented out-of-pocket fees, charges and disbursements of any counsel for each Credit Party and the Administrative Agent) incurred by or asserted against such Credit Party or the Administrative Agent by any Governmental Authority as a result of the failure by such Lender or the L/C Issuer, as the case may be, to deliver, or as a result of the inaccuracy, inadequacy or deficiency of, any documentation required to be delivered by such Lender or the L/C Issuer, as the case may be, to such Credit Party or the Administrative Agent pursuant to subsection (e) and (ii) any Excluded Taxes attributable to such Lender, in each case, that are payable or paid by the Administrative Agent in connection with this Credit Agreement or any other Credit Document, and any reasonable expenses arising therefrom or with respect thereto, whether or not such Taxes were correctly or legally imposed or asserted by the relevant Government Authority. Each Lender and the L/C Issuer hereby authorizes the Administrative Agent to set off and apply any and all amounts at any time owing to such Lender or the L/C Issuer, as the case may be, under this Credit Agreement or any other Credit Document against any amount due to the Administrative Agent under this clause (ii). The agreements in this clause (ii) shall survive the resignation and/or replacement of the Administrative Agent, any assignment of rights by, or the replacement of, a Lender or the L/C Issuer, the termination of the Commitments and the repayment, satisfaction or discharge of all other Obligations. (d) Evidence of Payments. As soon as practicable, after any payment of Taxes by any Credit Party to a Governmental Authority as provided in this Section 3.01, the Credit Party shall deliver (or cause to be delivered) to the Administrative Agent the original or a certified copy of a receipt issued by such Governmental Authority evidencing such payment, a copy of any return required by Law to report such payment or other evidence of such payment reasonably satisfactory to the Administrative Agent. (e) Status of Lenders; Tax Documentation. (i) Each Lender shall deliver to the Borrower and to the Administrative Agent, at the time or times prescribed by applicable Laws or when reasonably requested by the Borrower or the Administrative Agent, such properly completed and executed documentation prescribed by applicable Laws or by the taxing authorities of any jurisdiction and such other reasonably requested information as will permit the Borrower or the Administrative Agent, as the case may be, to determine whether or not payments made hereunder or under any other Credit Document are subject to Taxes, if applicable, the required rate of withholding or deduction, such Lender’s entitlement to any available exemption from, or reduction of, applicable Taxes in respect of all payments to be made to such Lender by the Borrower pursuant to this Credit Agreement or otherwise to establish such Lender’s status for withholding tax purposes in the applicable jurisdiction and (D) whether or not payments made hereunder or under any other Credit Document are subject to backup withholding taxes or information reporting requirement. Notwithstanding anything to the contrary in this Section 116 1010279941v18


 
3.01(e)(i), the completion, execution and submission of such documentation (other than such documentation set forth in Section 3.01(e)(ii)(A), (ii)(B) and (ii)(C) below) shall not be required if in the Lender’s reasonable judgment such completion, execution or submission would subject such Lender to any material unreimbursed cost or expense or would materially prejudice the legal or commercial position of such Lender. (ii) Without limiting the generality of the foregoing, if the Borrower is a resident for tax purposes in the United States: (A) Any Lender that is a “United States person” within the meaning of Section 7701(a)(30) of the Internal Revenue Code shall deliver to the Borrower and the Administrative Agent on or prior to the date on which such Lender becomes a Lender under this Credit Agreement (and from time to time thereafter upon the request of such Borrower and the Administrative Agent) executed originals of Internal Revenue Service Form W-9 or such other documentation or information prescribed by applicable Laws or reasonably requested by the Borrower or the Administrative Agent as will enable the Borrower or the Administrative Agent, as the case may be, to determine whether or not such Lender is subject to backup withholding or information reporting requirements. (B) Each Foreign Lender to the extent that it is legally entitled to do so shall deliver to the Borrower and the Administrative Agent (in such number of copies as shall be requested by the recipient) on or prior to the date on which such Foreign Lender becomes a Lender under this Credit Agreement (and from time to time thereafter upon the request of the Borrower or the Administrative Agent, but only if such Foreign Lender is legally entitled to do so), whichever of the following is applicable: (1) executed originals of Internal Revenue Service Form W-8 BEN or W-8 BEN-E, as applicable, claiming eligibility for benefits of an income tax treaty to which the United States is a party, with respect to (x) payments of interest under any Credit Document pursuant to the “interest” article of such tax treaty, and (y) any other applicable payments under any Credit Document pursuant to the “business profits” or “other income” article of such tax treaty, (2) executed originals of Internal Revenue Service Form W-8 ECI, (3) to the extent a Foreign Lender is not the beneficial owner, executed originals of Internal Revenue Service Form W-8 IMY, accompanied by IRS Form W-8ECI, IRS Form W-8BEN or W-8BEN-E, a certificate as required under Section 3.01(e)(ii)(B)(4), IRS Form W-8, and/or other certification documents from each beneficial owner, as applicable; provided that if the Foreign Lender is a partnership and one or more direct or indirect partners of such Foreign Lender are claiming the 117 1010279941v18


 
portfolio interest exemption, such Foreign Lender may provide a certificate as required under Section 3.01(e)(ii)(B)(4) on behalf of each such direct and indirect partner, (4) in the case of a Foreign Lender claiming the benefits of the exemption for portfolio interest under section 881(c) of the Internal Revenue Code, (x) a certificate to the effect that such Foreign Lender is not (A) a “bank” within the meaning of section 881(c)(3)(A) of the Internal Revenue Code, (B) a “10 percent shareholder” of the Borrower within the meaning of section 881(c)(3)(B) of the Internal Revenue Code, or (C) a “controlled foreign corporation” described in section 881(c)(3)(C) of the Internal Revenue Code and (y) executed originals of Internal Revenue Service Form W-8 BEN or W-8 BEN-E, as applicable, or (5) executed originals of any other form prescribed by applicable Laws as a basis for claiming exemption from or a reduction in United States federal withholding tax together with such supplementary documentation as may be prescribed by applicable Laws to permit the Borrower or the Administrative Agent to determine the withholding or deduction required to be made. (C) If a payment made to a Lender under any Credit Document would be subject to United States federal withholding Tax imposed by FATCA if such Lender were to fail to comply with the applicable reporting requirements of FATCA (including those contained in Section 1471(b) or 1472(b) of the Internal Revenue Code, as applicable), such Lender shall deliver to the Administrative Agent and the Borrower at the time or times prescribed by Law and at such time or times reasonably requested by the Borrower or the Administrative Agent such documentation prescribed by applicable Law (including as prescribed by Section 1471(b)(3)(C)(i) of the Internal Revenue Code) and such additional documentation reasonably requested by the Borrower or the Administrative Agent as may be necessary for the Borrower and the Administrative Agent to comply with their obligations under FATCA and to determine that such Lender has complied with such Lender’s obligations under FATCA or to determine the amount to deduct and withhold from such payment. Solely for purposes of this clause (C), “FATCA” shall include any amendments made to FATCA after the Closing Date. (iii) On or before the date the Administrative Agent becomes a party to this Agreement, the Administrative Agent shall provide to the Borrower, two duly-signed, properly completed copies of the IRS Form W-9 or any successor thereto. At any time thereafter, the Administrative Agent shall provide updated documentation previously provided or a successor form thereto) when any documentation previously delivered has expired or become obsolete or invalid or otherwise upon the reasonable request of the Borrower. 118 1010279941v18


 
(iv) Each Lender agrees that if any form or certification it previously delivered expires or becomes obsolete or inaccurate in any respect, it shall update such form or certification, provide such successor form, or promptly notify the Borrower and the Administrative Agent in writing of its legal inability to do so (v) Each Lender shall promptly notify the Borrower and the Administrative Agent of any change in circumstances that would modify or render invalid any claimed exemption or reduction, and take such steps as shall not be materially disadvantageous to it, in the reasonable judgment of such Lender, and as may be reasonably necessary (including the re-designation of its Lending Office) to avoid any requirement of applicable Laws of any jurisdiction that the Borrower or the Administrative Agent make any withholding or deduction for taxes from amounts payable to such Lender. (vi) Each of the Credit Parties shall promptly deliver to the Administrative Agent or any Lender, as the Administrative Agent or such Lender shall reasonably request, on or prior to the Closing Date (or such later date on which it first becomes a Credit Party), and in a timely fashion thereafter, such documents and forms required by any relevant taxing authorities under the Laws of any jurisdiction, duly executed and completed by such Credit Party, as are required to be furnished by such Lender or the Administrative Agent under such Laws in connection with any payment by the Administrative Agent or any Lender of Taxes or Other Taxes, or otherwise in connection with the Credit Documents, with respect to such jurisdiction. (f) Treatment of Certain Refunds. If the Administrative Agent, any Lender or the L/C Issuer determines, in its sole discretion, that it has received a refund of any Taxes or Other Taxes as to which it has been indemnified by any Credit Party or with respect to which any Credit Party has paid additional amounts pursuant to this Section 3.01, it shall pay to such Credit Party an amount equal to such refund (but only to the extent of indemnity payments made, or additional amounts paid, by such Credit Party under this Section 3.01 with respect to the Taxes or Other Taxes giving rise to such refund), net of all out-of-pocket expenses and net of any loss or gain realized in the conversion of such funds from or to another currency incurred by the Administrative Agent, such Lender or the L/C Issuer, as the case may be, and without interest (other than any interest paid by the relevant Governmental Authority with respect to such refund); provided that each Credit Party, upon the request of the Administrative Agent, such Lender or the L/C Issuer, agrees to repay the amount paid over to such Credit Party (plus any penalties, interest or other charges imposed by the relevant Governmental Authority) to the Administrative Agent, such Lender or the L/C Issuer in the event the Administrative Agent, such Lender or the L/C Issuer is required to repay such refund to such Governmental Authority. This subsection shall not be construed to require the Administrative Agent, any Lender or the L/C Issuer to make available its tax returns (or any other information relating to its taxes that it deems confidential) to the Credit Parties, any of their Subsidiaries or any other Person. (g) Survival. Each party’s obligation under this Section 3.01 shall survive the resignation or replacement of the Administrative Agent or any assignment of rights by, or the 119 1010279941v18


 
replacement of, a Lender, the termination of the Commitments and the repayment, satisfaction or discharge of all obligations under any Credit Document. Section 3.02. Illegality. If any Lender determines that any Law has made it unlawful, or that any Governmental Authority has asserted that it is unlawful, for any Lender or its applicable Lending Office to make, maintain or fund Loans whose interest is determined by reference to a Relevant Rate, or to determine or charge interest rates based upon a Relevant Rate, then, upon notice thereof by such Lender to the Borrower (through the Administrative Agent), (a) any obligation of such Lender to make or continue Alternative Currency Loans in the affected currency or currencies or, in the case of Loans denominated in Dollars, to make or continue Term SOFR Loans or to convert Base Rate Loans to Term SOFR Loans shall be suspended, and (b) if such notice asserts the illegality of such Lender making or maintaining Base Rate Loans the interest rate on which is determined by reference to the Term SOFR component of the Base Rate, the interest rate on which Base Rate Loans of such Lender shall, if necessary to avoid such illegality, be determined by the Administrative Agent without reference to the Term SOFR component of the Base Rate, in each case until such Lender notifies the Administrative Agent and the Borrower that the circumstances giving rise to such determination no longer exist. Upon receipt of such notice, (i) the Borrower shall, upon demand from such Lender (with a copy to the Administrative Agent), prepay all Alternative Currency Loans in the affected currency or currencies or, if applicable and such Loans are denominated in Dollars, convert all Term SOFR Loans of such Lender to Base Rate Loans (the interest rate on which Base Rate Loans of such Lender shall, if necessary to avoid such illegality, be determined by the Administrative Agent without reference to the Term SOFR component of the Base Rate), either on the last day of the Interest Period therefor, if such Lender may lawfully continue to maintain such Term SOFR Loan or Alternative Currency Term Rate Loan to such day, or immediately, if such Lender may not lawfully continue to maintain such Term SOFR Loan or Alternative Currency Term Rate Loan and (ii) if such notice asserts the illegality of such Lender determining or charging interest rates based upon SOFR, the Administrative Agent shall during the period of such suspension compute the Base Rate applicable to such Lender without reference to the Term SOFR component thereof until the Administrative Agent is advised in writing by such Lender that it is no longer illegal for such Lender to determine or charge interest rates based upon SOFR. Upon any such prepayment or conversion, the Borrower shall also pay accrued interest on the amount so prepaid or converted. Section 3.03. Inability to Determine Rates. (a) If in connection with any request for a Term SOFR Loan or an Alternative Currency Loan or a conversion of Base Rate Loans to Term SOFR Loans or a continuation of any of such Loans, as applicable, (i) the Administrative Agent reasonably determines (which determination shall be conclusive absent manifest error) that (A) no Successor Rate for the Relevant Rate for the applicable Agreed Currency has been determined in accordance with Section 3.03(b), and the circumstances under clause (i) of Section 3.03(b) or the Scheduled Unavailability Date has occurred with respect to the Relevant Rate (as applicable), or (B) adequate and reasonable means do not otherwise exist for determining the Relevant Rate for the applicable Agreed Currency for any determination date(s) or requested Interest Period, as applicable, with respect to a proposed Alternative Currency Loan or Term SOFR Loan or in connection with an existing or proposed Base Rate Loan, or (ii) the Administrative Agent or the 120 1010279941v18


 
Required Lenders determine that for any reason that Relevant Rate with respect to a proposed Loan denominated in an Agreed Currency does not adequately and fairly reflect the cost to such Lenders of funding such Loan, the Administrative Agent will promptly so notify the Borrower and each Lender. (i) Thereafter, (x) the obligation of the Lenders to make or maintain Loans in the affected currencies, as applicable, or to convert Base Rate Loans to Term SOFR Loans, shall be suspended in each case to the extent of the affected Alternative Currency Loans or Interest Period or determination date(s), as applicable, and (y) in the event of a determination described in the preceding sentence with respect to the Term SOFR component of the Base Rate, the utilization of the Term SOFR component in determining the Base Rate shall be suspended, in each case until the Administrative Agent (or, in the case of a determination by the Required Lenders described in clause (ii) of this Section 3.03(a), until the Administrative Agent upon instruction of the Required Lenders) revokes such notice. (ii) Upon receipt of such notice, (i) the Borrower may revoke any pending request for a Borrowing of, or conversion to Term SOFR Loans, or Borrowing of, or continuation of Alternative Currency Loans to the extent of the affected Alternative Currency Loans or Interest Period or determination date(s), as applicable or, failing that, will be deemed to have converted such request into a request for a Borrowing of Base Rate Loans denominated in Dollars in the Dollar Equivalent of the amount specified therein and (ii) (A) any outstanding Term SOFR Loans shall be deemed to have been converted to Base Rate Loans immediately and (B) any outstanding affected Alternative Currency Loans, at the Borrower’s election, shall either (1) be converted into a Borrowing of Base Rate Loans denominated in Dollars in the Dollar Equivalent of the amount of such outstanding Alternative Currency Loan immediately, in the case of an Alternative Currency Daily Rate Loan or at the end of the applicable Interest Period, in the case of an Alternative Currency Term Rate Loan or (2) be prepaid in full immediately, in the case of an Alternative Currency Daily Rate Loan, or at the end of the applicable Interest Period, in the case of an Alternative Currency Term Rate Loan; provided that if no election is made by the Borrower (x) in the case of an Alternative Currency Daily Rate Loan, by the date that is three Business Days after receipt by the Borrower of such notice or (y) in the case of an Alternative Currency Term Rate Loan, by the last day of the current Interest Period for the applicable Alternative Currency Term Rate Loan, the Borrower shall be deemed to have elected clause (1) above. (b) Replacement of SOFR or SOFR Successor Rate. Notwithstanding anything to the contrary in this Agreement or any other Credit Documents, if the Administrative Agent determines (which determination shall be conclusive absent manifest error), or the Borrower or Required Lenders notify the Administrative Agent (with, in the case of the Required Lenders, a copy to the Borrower) that the Borrower or Required Lenders (as applicable) have determined, that: 121 1010279941v18


 
(i) adequate and reasonable means do not exist for ascertaining any requested Interest Period, including, without limitation, because the Term SOFR Screen Rate is not available or published on a current basis and such circumstances are unlikely to be temporary; or (ii) the Applicable Authority has made a public statement identifying a specific date after which Term SOFR shall or will no longer be made available, or permitted to be used for determining the interest rate of syndicated loans denominated in Dollars, or shall or will otherwise cease, provided that, in each case, at the time of such statement, there is no successor administrator that is satisfactory to the Administrative Agent that will continue to provide Term SOFR (the date on which Term SOFR is no longer available permanently or indefinitely, the “SOFR Scheduled Unavailability Date”); or if the events or circumstances of the type described in Section 3.03(c)(i) or (ii) have occurred with respect to the SOFR Successor Rate then in effect, then, the Administrative Agent and the Borrower may amend this Agreement solely for the purpose of replacing Term SOFR for Dollars or any then current SOFR Successor Rate for Dollars in accordance with this Section 3.03 with an alternative benchmark rate giving due consideration to any evolving or then existing convention for similar credit facilities syndicated and agented in the U.S. and denominated in Dollars for such alternative benchmarks, and, in each case, including any mathematical or other adjustments to such benchmark giving due consideration to any evolving or then existing convention for similar credit facilities syndicated and agented in the U.S. and denominated in Dollars for such benchmarks, which adjustment or method for calculating such adjustment shall be published on an information service as selected by the Administrative Agent from time to time in its reasonable discretion and may be periodically updated (and any such proposed rate, including for the avoidance of doubt, any adjustment thereto, a “SOFR Successor Rate”), and any such amendment shall become effective at 5:00 p.m. on the fifth Business Day after the Administrative Agent shall have posted such proposed amendment to all Lenders and the Borrower unless, prior to such time, Lenders comprising the Required Lenders have delivered to the Administrative Agent written notice that such Required Lenders object to such amendment. (c) Replacement of Relevant Rate or Successor Rate. Notwithstanding anything to the contrary in this Agreement or any other Credit Documents, if the Administrative Agent determines (which determination shall be conclusive absent manifest error), or the Borrower or Required Lenders notify the Administrative Agent (with, in the case of the Required Lenders, a copy to the Borrower) that the Borrower or Required Lenders (as applicable) have determined, that: (i) adequate and reasonable means do not exist for ascertaining the Relevant Rate (other than SOFR) for an Agreed Currency (other than Dollars) because none of the tenors of such Relevant Rate (other than SOFR) under this Agreement is available or published on a current basis, and such circumstances are unlikely to be temporary; or 122 1010279941v18


 
(ii) the Applicable Authority has made a public statement identifying a specific date after which all tenors of the Relevant Rate (other than SOFR) for an Agreed Currency (other than Dollars) under this Agreement shall or will no longer be representative or made available, or permitted to be used for determining the interest rate of syndicated loans denominated in such Agreed Currency (other than Dollars), or shall or will otherwise cease, provided that, in each case, at the time of such statement, there is no successor administrator that is satisfactory to the Administrative Agent that will continue to provide such representative tenor(s) of the Relevant Rate (other than SOFR) for such Agreed Currency (other than Dollars) (the latest date on which all tenors of the Relevant Rate for such Agreed Currency (other than Dollars) under this Agreement are no longer representative or available permanently or indefinitely, the “Scheduled Unavailability Date”); or if the events or circumstances of the type described in Section 3.03(b)(i) or (ii) have occurred with respect to the Successor Rate then in effect, then, the Administrative Agent and the Borrower may amend this Agreement solely for the purpose of replacing the Relevant Rate for an Agreed Currency or any then current Successor Rate for an Agreed Currency in accordance with this Section 3.03 with an alternative benchmark rate giving due consideration to any evolving or then existing convention for similar credit facilities syndicated and agented in the U.S. and denominated in such Agreed Currency for such alternative benchmarks, and, in each case, including any mathematical or other adjustments to such benchmark giving due consideration to any evolving or then existing convention for similar credit facilities syndicated and agented in the U.S. and denominated in such Agreed Currency for such benchmarks, which adjustment or method for calculating such adjustment shall be published on an information service as selected by the Administrative Agent from time to time in its reasonable discretion and may be periodically updated (and any such proposed rate, including for the avoidance of doubt, any adjustment thereto, a “Non-SOFR Successor Rate”, and collectively with the SOFR Successor Rate, the “Successor Rate”), and any such amendment shall become effective at 5:00 p.m. on the fifth Business Day after the Administrative Agent shall have posted such proposed amendment to all Lenders and the Borrower unless, prior to such time, Lenders comprising the Required Lenders have delivered to the Administrative Agent written notice that such Required Lenders object to such amendment. (d) Successor Rate. The Administrative Agent will promptly (in one or more notices) notify the Borrower and each Lender of the implementation of any Successor Rate. Any Successor Rate shall be applied in a manner consistent with market practice; provided that to the extent such market practice is not administratively feasible for the Administrative Agent, such Successor Rate shall be applied in a manner as otherwise reasonably determined by the Administrative Agent. Notwithstanding anything else herein, if at any time any Successor Rate as so determined would otherwise be less than zero%, the Successor Rate will be deemed to be zero% for the purposes of this Agreement and the other Credit Documents. In connection with the implementation of a Successor Rate the Administrative Agent will have the right to make Conforming Changes from time to time and, notwithstanding anything to 123 1010279941v18


 
the contrary herein or in any other Credit Document, any amendments implementing such Conforming Changes will become effective without any further action or consent of any other party to this Agreement; provided that, with respect to any such amendment effected, the Administrative Agent shall post each such amendment implementing such Conforming Changes to the Lenders reasonably promptly after such amendment becomes effective. (e) For purposes of this Section 3.03, those Lenders that either have not made, or do not have an obligation under this Agreement to make, the relevant Loans in the relevant Alternative Currency shall be excluded from any determination of Required Lenders. Section 3.04. Increased Cost; Capital Adequacy. (a) Increased Costs Generally. If any Change in Law shall: (i) impose, modify or deem applicable any reserve, special deposit, compulsory loan, insurance charge or similar requirement against assets of, deposits with or for the account of, or credit extended or participated in by, any Lender (except any reserve requirement reflected in Term SOFR or contemplated by Section 3.04(e) hereof) or the L/C Issuer; (ii) subject any Lender or the L/C Issuer to any tax of any kind whatsoever with respect to this Credit Agreement, any Letter of Credit, any participation in a Letter of Credit or any Term SOFR ate Loan made by it, or change the basis of taxation of payments to such Lender or the L/C Issuer in respect thereof (except for (A) Indemnified Taxes or Other Taxes covered by Section 3.01(a) and Section 3.01(b), (B) the imposition of, or any change in the rate of, any Taxes described in clauses (c) through (f) of the definition of “Excluded Taxes” and (C) Connection Income Taxes) payable by such Lender or the L/C Issuer; or (iii) impose on any Lender or the L/C Issuer or the London interbank market any other condition, cost or expense affecting this Credit Agreement or Term SOFR Loans made by such Lender or Alternative Currency Loans made by such Lender or any Letter of Credit or participation therein; and the result of any of the foregoing shall be to increase the cost to such Lender of making or maintaining any Term SOFR Loan, the interest on which is determined by reference to the Term SOFR (or of maintaining its obligation to make any such Loan), or to increase the cost to such Lender or the L/C Issuer of participating in, issuing or maintaining any Letter of Credit (or of maintaining its obligation to participate in or to issue any Letter of Credit), or to reduce the amount of any sum received or receivable by such Lender or the L/C Issuer hereunder (whether of principal, interest or any other amount) then, upon request of such Lender or the L/C Issuer, the Borrower will pay, or cause to be paid, to such Lender or the L/C Issuer, as the case may be, such additional amount or amounts as will compensate such Lender or the L/C Issuer, as the case may be, for such additional costs incurred or reduction suffered. (b) Capital Requirements. If any Lender or the L/C Issuer reasonably determines that any Change in Law affecting such Lender or the L/C Issuer or any Lending 124 1010279941v18


 
Office of such Lender or such Lender’s or the L/C Issuer’s holding company, if any, regarding capital or liquidity requirements has or would have the effect of reducing the rate of return on such Lender’s or the L/C Issuer’s capital or on the capital of such Lender’s or the L/C Issuer’s holding company, if any, as a consequence of this Credit Agreement, the Commitments of such Lender or the Loans made by, or participations in Letters of Credit held by, such Lender, or the Letters of Credit issued by the L/C Issuer, to a level below that which such Lender or the L/C Issuer or such Lender’s or the L/C Issuer’s holding company could have achieved but for such Change in Law (taking into consideration such Lender’s or the L/C Issuer’s policies and the policies of such Lender’s or the L/C Issuer’s holding company with respect to capital adequacy and liquidity), then from time to time the Borrower will pay to such Lender or the L/C Issuer, as the case may be, such additional amount or amounts as will compensate such Lender or L/C Issuer or such Lender’s or the L/C Issuer’s holding company for any such reduction suffered. (c) Certificates for Reimbursement. A certificate of a Lender or the L/C Issuer setting forth in reasonable detail the amount or amounts necessary to compensate such Lender or the L/C Issuer or its holding company, as the case may be, as specified in subsection (a) or (b) of this Section and delivered to the Borrower shall be conclusive absent manifest error. The Borrower shall pay such Lender or the L/C Issuer, as the case may be, the amount shown as due on any such certificate within 10 days after receipt thereof. (d) Delay in Requests. Failure or delay on the part of any Lender or the L/C Issuer to demand compensation pursuant to the foregoing provisions of this Section shall not constitute a waiver of such Lender’s or the L/C Issuer’s right to demand such compensation; provided that the Borrower shall not be required to compensate a Lender or the L/C Issuer pursuant to the foregoing provisions of this Section for any increased costs incurred or reductions suffered more than six months prior to the date that such Lender or the L/C Issuer, as the case may be, notifies the Borrower of the Change in Law giving rise to such increased costs or reductions and of such Lender’s or the L/C Issuer’s intention to claim compensation therefor (except that, if the Change in Law giving rise to such increased costs or reductions is retroactive, then the six-month period referred to above shall be extended to include the period of retroactive effect thereof). (e) Reserves on Term SOFR Loans. Without duplication of amounts paid pursuant to the definition of “Term SOFR,” the Borrower shall pay, or cause to be paid, to each Lender, as long as such Lender shall be required to comply with any reserve ratio requirement or analogous requirement of any central banking or financial regulatory authority imposed in respect of the maintenance of the Commitments or the funding of the Term SOFR Loans, such additional costs (expressed as a percentage per annum and rounded upwards, if necessary, to the nearest five decimal places) equal to the actual costs allocated to such Commitment or Loan by such Lender (as determined by such Lender in good faith, which determination shall be conclusive absent manifest error), which shall be due and payable on each date on which interest is payable on such Loan; provided the Borrower shall have received at least 10 days’ prior notice (with a copy to the Administrative Agent) of such additional interest or costs from such Lender. If a Lender fails to give notice 10 days prior to the relevant Interest Payment Date, such additional interest or costs shall be due and payable 10 days from receipt of such notice. 125 1010279941v18


 
Section 3.05. Compensation for Losses. Upon written demand of any Lender (with a copy to the Administrative Agent) from time to time, which demand shall set forth in reasonable detail the basis for requesting such compensation, the Borrower shall promptly compensate, or cause to be compensated, such Lender for and hold such Lender harmless from any loss, cost or expense incurred by it as a result of: (a) any continuation, conversion, payment or prepayment of any Term SOFR Loan on a day other than the last day of the Interest Period for such Loan (whether voluntary, mandatory, automatic, by reason of acceleration, or otherwise); (b) any failure by the Borrower (for a reason other than the failure of such Lender to make a Loan) to prepay, borrow, continue or convert any Term SOFR Loan or Alternative Currency Term Rate on the date or in the amount notified by the Borrower; or (c) any assignment of a Term SOFR Loan or Alternative Currency Term Rate on a day other than the last day of the Interest Period therefor as a result of a request by the Borrower pursuant to Section 11.13; including any loss or expense (excluding loss of anticipated profits, any foreign exchange losses or margin) arising from the liquidation or redeployment of funds obtained by it to maintain such Loan or from fees payable to terminate the deposits from which such funds were obtained or from the performance of any foreign exchange contract. The Borrower shall also pay, or cause to be paid, any customary administrative fees charged by such Lender in connection with the foregoing. A certificate of a Lender setting forth in reasonable detail the amount or amounts necessary to compensate such Lender as specified in this Section and delivered to the Borrower shall be conclusive absent manifest error. Section 3.06. Mitigation Obligations; Replacement of Lenders. (a) Designation of a Different Lending Office. If any Lender requests compensation under Section 3.04, or the Borrower is required to pay any additional amount to any Lender (including the L/C Issuer) or any Governmental Authority for the account of any Lender pursuant to Section 3.01, or if any Lender (including the L/C Issuer) gives a notice pursuant to Section 3.02, then such Lender shall use reasonable efforts to designate a different Lending Office for funding or booking its Loans hereunder or issuing or participating in Letters of Credit hereunder or to assign its rights and obligations hereunder to another of its offices, branches or affiliates, if, in the judgment of such Lender, such designation or assignment (i) would eliminate or reduce amounts payable pursuant to Section 3.01 or 3.04, as the case may be, in the future, or eliminate the need for the notice pursuant to Section 3.02, as applicable, and (ii) in each case, would not subject such Lender to any material unreimbursed cost or expense and would not otherwise be materially disadvantageous to such Lender in any material economic, legal or regulatory respect; provided that nothing in this Section 3.06(a) shall affect or postpone any Obligations of the Borrower or the rights of the Lenders under this Article 3. The Borrower hereby agrees to pay, or cause to be paid, all reasonable costs and expenses incurred by any Lender in connection with any such designation or assignment. 126 1010279941v18


 
(b) If any Lender requests compensation by the Borrower under Section 3.04, the Borrower may, by notice to such Lender (with a copy to the Administrative Agent), suspend the obligation of such Lender to make or continue Term SOFR Loans from one Interest Period to another Interest Period, or to convert Base Rate Loans into Term SOFR Loans, until the event or condition giving rise to such request ceases to be in effect (in which case the provisions of Section 3.06(d) shall be applicable); provided that such suspension shall not affect the right of such Lender to receive the compensation so requested. (c) If the obligation of any Lender to make or continue any Term SOFR Loan or to convert Base Rate Loans into Term SOFR Loans shall be suspended pursuant to Section 3.06(b) hereof, such Lender’s applicable Term SOFR Loans shall be automatically converted into Base Rate Loans on the last day(s) of the then current Interest Period(s) for such Term SOFR Loans (or, in the case of any immediate conversion required by Section 3.02, on such earlier date as required by Law) and, unless and until such Lender gives notice as provided below that the circumstances specified in Section 3.02, 3.03 or 3.04 hereof that gave rise to such conversion no longer exist: (i) to the extent that such Lender’s Term SOFR Loans have been so converted, all payments and prepayments of principal that would otherwise be applied to such Lender’s applicable Term SOFR Loans shall be applied instead to its Base Rate Loans; and (ii) all Loans that would otherwise be made or continued from one Interest Period to another by such Lender as Term SOFR Loans shall be made or continued instead as Base Rate Loans (if possible), and all Base Rate Loans of such Lender that would otherwise be converted into Term SOFR Loans shall remain as Base Rate Loans. (d) If any Lender gives notice to a Borrower (with a copy to the Administrative Agent) that the circumstances specified in Section 3.01, Section 3.02, Section 3.03 or Section 3.04 hereof that gave rise to the conversion of such Lender’s Term SOFR Loans pursuant to this Section 3.06 no longer exist (which such Lender agrees to do promptly upon such circumstances ceasing to exist) at a time when Term SOFR Loans made by other Lenders are outstanding, such Lender’s Base Rate Loans shall be automatically converted irrespective of whether such conversion results in greater than ten Interest Periods (as adjusted pursuant to Section 2.02(f)) being outstanding under this Agreement, on the first day(s) of the next succeeding Interest Period(s) for such outstanding Term SOFR Loans, to the extent necessary so that, after giving effect thereto, all Loans held by the Lenders holding Term SOFR Loans and by such Lender are held pro rata (as to principal amounts, interest rate basis, and Interest Periods) in accordance with their respective Commitments. (e) Replacement of Lenders. If any Lender requests compensation under Section 3.04, or if the Borrower is required to pay any additional amount to any Lender or any Governmental Authority for the account of any Lender pursuant to Section 3.01, or if any Lender gives notice pursuant to Section 3.02, or if any Lender is then a Defaulting Lender, the Borrower may replace such Lender in accordance with Section 11.13. 127 1010279941v18


 
Section 3.07. Survival Losses. All of the Borrower’s obligations under this Article 3 shall survive termination of the Commitments hereunder and repayment of the Obligations. ARTICLE 4 GUARANTY Section 4.01. The Guaranty. (a) Each of the Guarantors hereby jointly and severally guarantees to the Administrative Agent and each of the holders of the Obligations as hereinafter provided, as primary obligor and not as surety, the prompt payment of the Obligations in full when due (whether at stated maturity, as a mandatory prepayment, by acceleration, as a mandatory cash collateralization or otherwise) strictly in accordance with the terms thereof. The Guarantors hereby further agree that if any of the Obligations are not paid in full when due (whether at stated maturity, as a mandatory prepayment, by acceleration, as a mandatory cash collateralization or otherwise), the Guarantors will, jointly and severally, promptly pay the same, without any demand or notice whatsoever, and that in the case of any extension of time of payment or renewal of any of the Obligations, the same will be promptly paid in full when due (whether at extended maturity, as a mandatory prepayment, by acceleration, as a mandatory cash collateralization or otherwise) in accordance with the terms of such extension or renewal. (b) Notwithstanding any provision to the contrary contained herein or in any other of the Credit Documents or Swap Contracts, the obligations of each Guarantor (in its capacity as such) under this Credit Agreement and the other Credit Documents and Swap Contracts shall be limited to an aggregate amount equal to the largest amount that would not render such obligations subject to avoidance under applicable Debtor Relief Laws or any comparable provisions of any applicable Law. Section 4.02. Obligations Unconditional. (a) The obligations of the Guarantors under Section 4.01 are joint and several, absolute and unconditional, irrespective of the value, genuineness, validity, regularity or enforceability of any of the Credit Documents or other documents relating to the Obligations, or any substitution, compromise, release, impairment or exchange of any other guarantee of or security for any of the Obligations, and, to the fullest extent permitted by applicable Law, irrespective of any other circumstance whatsoever that might otherwise constitute a legal or equitable discharge or defense of a surety or guarantor (other than payment or performance), it being the intent of this Section 4.02 that the obligations of the Guarantors hereunder shall be absolute and unconditional under any and all circumstances. Each Guarantor agrees that such Guarantor shall have no right of subrogation, indemnity, reimbursement or contribution against any other Guarantor for amounts paid under this Article 4 until such time as the Obligations have been paid in full and the commitments relating thereto have expired or terminated. (b) It is agreed that, to the fullest extent permitted by Law, the occurrence of any one or more of the following shall not alter or impair the liability of any Guarantor hereunder, which shall remain absolute and unconditional as described above: 128 1010279941v18


 
(i) at any time or from time to time, without notice to any Guarantor, the time for any performance of or compliance with any of the Obligations shall be extended, or such performance or compliance shall be waived; or (ii) any of the acts mentioned in any of the provisions of any of the Credit Documents, or other documents relating to the obligations or any other agreement or instrument referred to therein shall be done or omitted. (c) With respect to its obligations hereunder, each Guarantor hereby expressly waives diligence, presentment, demand of payment, protest, notice of acceptance of the guaranty given hereby and of extensions of credit that may constitute obligations guaranteed hereby, notices of amendments, waivers, consents and supplements to the Credit Documents and other documents relating to the Obligations, or the compromise, release or exchange of collateral or security, and all other notices whatsoever, and any requirement that the Administrative Agent or any holder of the Obligations exhaust any right, power or remedy or proceed against any Person under any of the Credit Documents or any other documents relating to the Obligations or any other agreement or instrument referred to therein, or against any other Person under any other guarantee of, or security for, any of the Obligations. Section 4.03. Reinstatement. Neither the Guarantors’ obligations hereunder nor any remedy for the enforcement thereof shall be impaired, modified, changed or released in any manner whatsoever by an impairment, modification, change, release or limitation of the liability of the Borrower, by reason of the Borrower’s bankruptcy or insolvency or by reason of the invalidity or unenforceability of all or any portion of the Obligations. In addition, the obligations of each Guarantor under this Article 4 shall be automatically reinstated if and to the extent that for any reason any payment by or on behalf of any Person in respect of the Obligations is rescinded, avoided, or must be otherwise restored by any holder of any of the Obligations, whether as a result of any Debtor Relief Law or otherwise, and each Guarantor agrees that it will indemnify the Administrative Agent and each holder of the Obligations on demand for all reasonable and documented costs and expenses (including reasonable and documented attorneys’ fees and disbursements) incurred by the Administrative Agent or such holder of the Obligations in connection with such rescission, avoidance, or restoration, including any such costs and expenses incurred in defending against any claim alleging that such payment constituted a preference, fraudulent transfer or similar payment under any Debtor Relief Law. Section 4.04. Certain Waivers. Each Guarantor acknowledges and agrees that the guaranty given hereby may be enforced without the necessity of resorting to or otherwise exhausting remedies in respect of any other security or collateral interests, and without the necessity at any time of having to take recourse against the Borrower or any other Person or against any collateral securing the Obligations or otherwise, and it will not assert any right to require that action first be taken against the Borrower or any other Person (including any co-guarantor) or pursuit of any other remedy or enforcement of any other right, and nothing contained herein shall prevent or limit action being taken against the Borrower hereunder, under the other Credit Documents or the other documents and agreements relating to the Obligations or from foreclosing on any security or collateral interests relating hereto or thereto, or from exercising any other rights or remedies available in respect thereof, if the Guarantors shall not timely perform their obligations, and the exercise of any such rights and completion of any such 129 1010279941v18


 
foreclosure proceedings shall not constitute a discharge of the Guarantors’ obligations hereunder unless as a result thereof, the Obligations shall have been paid in full and the commitments relating thereto shall have expired or terminated, it being the purpose and intent that the Guarantors’ obligations hereunder be absolute, irrevocable, independent and unconditional. Each Guarantor agrees that such Guarantor shall have no right of recourse to security for the Obligations, except through the exercise of rights of subrogation pursuant to Section 4.02(a) and through the exercise of rights of contribution pursuant to Section 4.06. Section 4.05. Remedies. The Guarantors agree that, to the fullest extent permitted by Law, as between the Guarantors, on the one hand, and holders of the Obligations, on the other hand, the Obligations may be declared to be forthwith due and payable as provided in Section 9.02 (and shall be deemed to have become automatically due and payable in the circumstances specified in Section 9.02)) for purposes of Section 4.01. notwithstanding any stay, injunction or other prohibition preventing such declaration (or preventing the Obligations from becoming automatically due and payable) as against any other Person and that, in the event of such declaration (or the Obligations being deemed to have become automatically due and payable), the Obligations (whether or not due and payable by any other Person) shall forthwith become due and payable by the Guarantors for purposes of Section 4.01. The Guarantors acknowledge and agree that their obligations hereunder are secured in accordance with the terms of the Collateral Documents and that the holders of the Obligations may exercise their remedies thereunder in accordance with the terms thereof. Section 4.06. Rights of Contribution. The Guarantors hereby agree as among themselves that, in connection with payments made hereunder, each Guarantor shall have a right of contribution from each other Guarantor in accordance with applicable Law. Such contribution rights shall be subordinate and subject in right of payment to the Obligations until such time as the Obligations have been irrevocably paid in full and the commitments relating thereto shall have expired or been terminated, and none of the Guarantors shall exercise any such contribution rights until the Obligations have been irrevocably paid in full and the commitments relating thereto shall have expired or been terminated. Section 4.07. Guaranty of Payment; Continuing Guarantee. The guarantee given by the Guarantors in this Article 4 is a guaranty of payment and not of collection, is a continuing guaranty, and shall apply to all Obligations whenever arising. Section 4.08. Keepwell. Each Qualified ECP Guarantor hereby jointly and severally absolutely, unconditionally and irrevocably undertakes to provide such funds or other support as may be needed from time to time by each other Guarantor to honor all of its obligations under the guaranty given hereby in respect of the Swap Obligations; provided, however, that each Qualified ECP Guarantor shall only be liable under this Section 4.08 for the maximum amount of such liability that can be hereby incurred without rendering its obligations under this Section 4.08, or otherwise under the guaranty given hereby, voidable under applicable Law relating to fraudulent conveyance or fraudulent transfer, and not for any greater amount. The obligations of each Qualified ECP Guarantor under this Section 4.08 shall remain in full force and effect until the termination of the Commitments and the repayment, satisfaction or discharge of all other Obligations (other than (i) contingent indemnification obligations as to which no claim has been asserted, (ii) Obligations described in clauses (b) and (c) of the definition thereof and (iii) any 130 1010279941v18


 
Letter of Credit that has been Cash Collateralized or back-stopped by a letter of credit reasonably satisfactory to the L/C Issuer or such Letter of Credit has been deemed reissued under another agreement reasonably acceptable to the L/C Issuer). Each Qualified ECP Guarantor intends that this Section 4.08 constitute, and this Section 4.08 shall be deemed to constitute, a “keepwell, support, or other agreement” for the benefit of each other Guarantor for all purposes of Section 1a(18)(A)(v)(II) of the Commodity Exchange Act. Section 4.09. Release of Guarantors. If, in compliance with the terms and provisions of the Credit Documents, any Guarantor ceases to be a Restricted Subsidiary or becomes an Excluded Subsidiary as a result of a transaction or designation permitted hereunder (any such Guarantor, a “Transferred Guarantor”), such Transferred Guarantor shall be automatically released from its obligations under this Agreement (including under Section 11.04 hereof) and its obligations to pledge and grant any Collateral owned by it pursuant to any Collateral Document and, so long as the Borrower shall have provided the Administrative Agent and Collateral Agent such certifications or documents as any such Agent shall reasonably request, the Administrative Agent and Collateral Agent shall take such actions as are necessary to effect each release described in this Section 4.09 in accordance with the relevant provisions of the Collateral Documents; provided, however, that the release of any Subsidiary Guarantor that is a Subsidiary from its obligations under this Agreement if such Subsidiary Guarantor becomes an Excluded Subsidiary shall only be permitted if at the time such Subsidiary Guarantor becomes an Excluded Subsidiary of such type (1) after giving pro forma effect to such release and the consummation of the transaction that causes such Person to be an Excluded Subsidiary of such type, the Borrower is deemed to have made a new Investment in such Person (as if such Person were then newly acquired) and such Investment is permitted at such time and (2) a Responsible Officer of the Borrower certifies to the Administrative Agent compliance with the preceding clause (1); provided further, that no such release shall occur if such Subsidiary Guarantor continues to be a guarantor in respect of any Incremental Equivalent Debt, any Refinancing Equivalent Debt or any Permitted Refinancing in respect of any of the foregoing. ARTICLE 5 CONDITIONS PRECEDENT TO CREDIT EXTENSIONS Section 5.01. [Reserved]. Section 5.02. Conditions to all Credit Extensions after the Closing Date. The obligation of each Lender to honor any Request for Credit Extension after the Closing Date is subject to the satisfaction (or waiver in accordance with Section 11.01) of the following conditions precedent: (a) The representations and warranties of the Borrower and each other Credit Party contained in Article 6 or any other Credit Document shall be true and correct in all material respects on and as of the date of such Credit Extension, except to the extent that such representations and warranties specifically refer to an earlier date, in which case they shall be true and correct in all material respects as of such earlier date; provided, however, that any representation and warranty that is qualified as to “materiality,” “Material Adverse Effect” or similar language shall be true and correct (after giving effect to any qualification therein) in all respects on such respective dates, and except that for purposes of this Section 5.02, the 131 1010279941v18


 
representations and warranties contained in Section 6.05 shall be deemed to refer to the most recent statements furnished pursuant to clauses (a) and (b), respectively, of Section 7.01. (b) Other than in connection with the initial Credit Extensions on the Closing Date, no Default or Event of Default shall exist immediately before or immediately after giving effect to such Credit Extension. (c) The Administrative Agent, the L/C Issuer and/or the Swingline Lender shall have received a Request for Credit Extension in accordance with the requirements hereof. Each Request for Credit Extension (other than a Loan Notice requesting only a conversion of Loans to other Types of Loans, or a continuation of Term SOFR Loans or Alternative Currency Term Rate Loans) submitted by the Borrower shall be deemed to be a representation and warranty by the Borrower that the conditions specified in Section 5.02(a) and (b) have been satisfied (to the extent such conditions are required to be satisfied with respect to such Credit Extension) on and as of the date of the applicable Credit Extension. ARTICLE 6 REPRESENTATIONS AND WARRANTIES Each of the Credit Parties represent and warrant to the Administrative Agent and the Lenders, as of the Closing Date, the Amendment No. 1 Effective Date, the Amendment No. 3 Effective Date, the Amendment No. 4 Effective Date and each other date on which such representations and warranties are required to be true and correct pursuant to Section 5.02 or otherwise, that: Section 6.01. Existence, Qualification and Power. Each Credit Party (a) is duly organized or formed, validly existing and in good standing under the Laws of the jurisdiction of its incorporation or organization; (b) has all requisite power and authority and all requisite governmental licenses, authorizations, consents and approvals to (i) own or lease its assets and carry on its business and (ii) execute, deliver and perform its obligations under the Credit Documents to which it is a party; and (c) is duly qualified and is licensed and in good standing (to the extent such concept exists in such jurisdiction) under the Laws of each jurisdiction where its ownership, lease or operation of properties or the conduct of its business requires such qualification or license; except, in each case referred to in clause (a) (other than with respect to the Borrower), (b)(i) or (c), to the extent that failure to do so could not reasonably be expected to have a Material Adverse Effect. Section 6.02. Authorization; No Contravention. The execution, delivery and performance by each Credit Party of each Credit Document to which it is party, (a) have been duly authorized by all necessary corporate or other organizational action, (b) do not and will not contravene the terms of any of such Person’s Organization Documents; and (c) do not and will not conflict with or result in any breach or contravention of, or the creation of any Lien under (other than as permitted by Section 8.01), or require any payment to be made under any Contractual Obligation to which such Person is a party or affecting such Person or the properties of such Person or any of its Restricted Subsidiaries or any order, injunction, writ or decree of any Governmental Authority or any arbitral award to which such Person or its property is subject; or 132 1010279941v18


 
violate any Law applicable to such Person; except with respect to any contravention, conflict or violation referred to in clause (c), to the extent that such contravention, conflict or violation could not reasonably be expected to have a Material Adverse Effect. Section 6.03. Governmental Authorization; Other Consents. No approval, consent, exemption, authorization, or other action by, or notice to, or filing with, any Governmental Authority or any other Person is necessary or required in connection with the execution, delivery or performance by, or enforcement against, any Credit Party of this Credit Agreement or any other Credit Document (other than as have already been obtained and are in full force and effect, filings to perfect security interests granted pursuant to the Credit Documents (except to the extent not required to be obtained, taken, given or made or in full force and effect pursuant to the Collateral and Guarantee Requirement) and those approvals, consents, exemptions, authorizations or other actions, notices or filings, the failure of which to obtain or make could not reasonably be expected to have a Material Adverse Effect). Section 6.04. Binding Effect. This Credit Agreement has been, and each other Credit Document, when delivered hereunder, will have been, duly executed and delivered by each Credit Party that is party thereto. This Credit Agreement constitutes, and each other Credit Document when so delivered will constitute, a legal, valid and binding obligation of such Credit Party, enforceable against each Credit Party that is party thereto in accordance with its terms, except (a) to the extent the enforceability thereof may be limited by applicable Debtor Relief Laws affecting creditors’ rights generally and by equitable principles of law (regardless of whether enforcement is sought in equity or at law) and (b) for any filing necessary to perfect security interests granted pursuant to the Credit Documents. Section 6.05. Financial Statements. The Annual Financial Statements fairly present in all material respects the financial condition of the Borrower and its Subsidiaries, as of the date thereof and their results of operations for the period covered thereby in accordance with GAAP consistently applied throughout the period covered thereby, except as otherwise expressly noted therein. Section 6.06. No Material Adverse Effect. Since the July 2, 2021, there has been no event or circumstance, either individually or in the aggregate, that has had or could reasonably be expected to have a Material Adverse Effect. Section 6.07. Litigation. There are no actions, suits, investigations, criminal prosecutions, civil investigative demands, imposition of criminal or civil fines or penalties, proceedings, claims or disputes pending or, to the knowledge of the Borrower, overtly threatened or contemplated, at law, in equity, in arbitration or before any Governmental Authority, by or against the Borrower or any Restricted Subsidiary or against any of their properties or revenues that either individually or in the aggregate could reasonably be expected to have a Material Adverse Effect. Section 6.08. Labor Matters. Except as, individually or in the aggregate, could not reasonably be expected to have a Material Adverse Effect, there are no strikes or other labor 133 1010279941v18


 
disputes against the Borrower or any of its Restricted Subsidiaries pending or, to the knowledge of the Borrower, threatened. Section 6.09. Ownership of Property; Liens. The Borrower and its Restricted Subsidiaries have good record and marketable title in fee simple to, or valid leasehold interests in, all real property necessary or used in the ordinary conduct of its business, except for such defects in title as could not, individually or in the aggregate, reasonably be expected to have a Material Adverse Effect. The property of the Borrower and its Restricted Subsidiaries is not subject to Liens, other than Permitted Liens. Section 6.10. Environmental Matters. Except with respect to any matters that, either individually or in the aggregate, could not reasonably be expected to result in a Material Adverse Effect: (a) Each Credit Party, and their respective operations and properties, are in compliance with Environmental Laws, which includes obtaining and maintaining all permits, licenses and other approvals as required under any Environmental Law to carry on the business of the Credit Parties; (b) neither the Borrower nor any of its Restricted Subsidiaries have received or are subject to any claim under Environmental Laws; (c) there has been no Release of Hazardous Materials on, at, under or from any real property or facilities owned, operated or leased by any of the Credit Parties, or, to the knowledge of the Borrower, real property formerly owned, operated or leased by any Credit Party that, in any case, could reasonably be expected to require the Borrower to perform any investigation, remedial activity or corrective action or cleanup under Environmental Laws or could otherwise reasonably be expected to result in the Borrower incurring Environmental Liability. The Borrower and its Restricted Subsidiaries periodically conduct in the ordinary course of business a review of the effect of existing Environmental Laws and claims alleging potential liability or responsibility for violation of any Environmental Law and Environmental Liabilities on their respective businesses, operations and properties, and such Environmental Laws, claims and Environmental Liabilities would not, individually or in the aggregate, reasonably be expected to result in a Material Adverse Effect. Section 6.11. [Reserved]. Section 6.12. Taxes. The Borrower and its Restricted Subsidiaries have filed all U.S. federal income and other material tax returns and reports required to be filed, and have paid all taxes, assessments, fees and other governmental charges levied or imposed upon them or their properties, income or assets otherwise due and payable, except those that are being contested in good faith by appropriate proceedings and for which adequate reserves have been provided in accordance with GAAP or that could not, individually or in the aggregate, reasonably be expected to result in a Material Adverse Effect. 134 1010279941v18


 
Section 6.13. ERISA Compliance. (a) Except as could not reasonably be expected to result in a Material Adverse Effect, each Plan is in compliance in all material respects with the applicable provisions of ERISA, the Internal Revenue Code and other federal or state Laws and each Credit Party and each ERISA Affiliate is in compliance with ERISA, the Internal Revenue Code and other applicable United States federal or United States state Laws with respect to each Multiemployer Plan. Except as could not reasonably be expected to result in a Material Adverse Effect, each Plan that is intended to qualify under Section 401(a) of the Internal Revenue Code is covered by a favorable determination letter from the IRS (or an application for such a letter is currently pending before the IRS with respect thereto) or is maintained under a prototype document that has received a favorable opinion letter from the IRS and, to the best knowledge of the Credit Parties, nothing has occurred that would prevent, or cause the loss of, such qualification. Except as could not reasonably be expected to result in a Material Adverse Effect, each Credit Party and each ERISA Affiliate have made all required contributions that are due and owing to each Plan subject to Section 412 of the Internal Revenue Code or Section 303 of ERISA and to each Multiemployer Plan under Section 412 of the Internal Revenue Code or Section 304 of ERISA, and no application for a waiver of the minimum funding standard pursuant to Section 412 of the Internal Revenue Code or Section 302 of ERISA has been made with respect to any Plan. (b) There are no pending or, to the best knowledge of the Credit Parties, threatened claims, actions or lawsuits, or action by any Governmental Authority, with respect to any Plan that would reasonably be expected to have a Material Adverse Effect. There has been no prohibited transaction or violation of the fiduciary responsibility rules with respect to any Plan that would reasonably be expected to result in a Material Adverse Effect. (c) (i) No ERISA Event has occurred or is reasonably expected to occur that could reasonably be expected to result in a Material Adverse Effect; (ii) no Pension Plan has any Unfunded Pension Liability in an aggregate amount which could reasonably be expected to result in a Material Adverse Effect; (iii) neither any Credit Party nor any ERISA Affiliate has incurred, or reasonably expects to incur, any liability in an aggregate amount which could reasonably be expected to result in a Material Adverse Effect (and no event has occurred that, with the giving of notice under Section 4219 of ERISA, would result in such liability) under Section 4201 of ERISA with respect to a Multiemployer Plan; and (iv) neither any Credit Party nor any ERISA Affiliate has engaged in a transaction involving any Pension Plan or Multiemployer Plan that would reasonably be expected to be subject to Sections 4069 or 4212(c) of ERISA. Section 6.14. Subsidiaries. As of the Amendment No. 4 Effective Date, no Credit Party has any Subsidiaries other than those specifically disclosed in Schedule 6.14. The outstanding Capital Stock of each Subsidiary that has been or is required to be pledged to the Collateral Agent pursuant to the Collateral and Guarantee Requirement has been validly issued, is owned free of Liens other than Permitted Liens, and with respect to any outstanding shares of such Capital Stock of a corporation, such shares have been validly issued and are fully paid and non-assessable. As of the Closing Date, the outstanding shares of Capital Stock of each Subsidiary that have been or are required to be pledged to the Collateral Agent pursuant to the 135 1010279941v18


 
Collateral and Guarantee Requirement are not subject to any buy-sell, voting trust or other shareholder agreement except as identified on Schedule 6.14. Section 6.15. Margin Regulations; Investment Company Act. (a) The Credit Parties are not engaged and will not engage, principally or as one of their important activities, in the business of purchasing or carrying “margin stock” (within the meaning of Regulation U issued by the FRB), or extending credit for the purpose of purchasing or carrying margin stock. (b) Neither the Borrower nor any Credit Party is or is required to be registered as an “investment company” under the Investment Company Act of 1940. Section 6.16. Disclosure. No report, financial statement, certificate or other written information furnished by or on behalf of any Credit Party (other than projected financial information and information of a general economic or industry nature) to the Administrative Agent or any Lender in connection with the transactions contemplated hereby and the negotiation of this Credit Agreement or delivered hereunder or under any other Credit Document considered as a whole contain any untrue statement of a material fact or omit to state any material fact necessary to make the statements therein, not materially misleading in light of the circumstances under which they were made (after giving effect to all supplements and updates thereto); provided that, with respect to projected financial information, the Credit Parties represent only that such information was prepared in good faith based upon assumptions believed to be reasonable at the time furnished; it being understood that such projections may vary from actual results and that such variances may be material. Section 6.17. Compliance with Laws. The Borrower and its Restricted Subsidiaries are in compliance with the requirements of all Laws and all orders, writs, injunctions, settlements or other agreements with any Governmental Authority and decrees having the force of law applicable to them or to their properties, except in such instances in which (i) such requirement of Law or order, writ, injunction or decree is being contested in good faith by appropriate proceedings diligently conducted or (ii) the failure to comply therewith, either individually or in the aggregate, would not reasonably be expected to have a Material Adverse Effect. Section 6.18. Collateral Documents. Each Collateral Document is effective to create in favor of the Collateral Agent, for the benefit of the holders of the Obligations, a legal, valid and enforceable security interest in the Collateral identified therein, except to the extent that the enforceability thereof may be limited by applicable Debtor Relief Laws affecting creditors’ rights generally and by equitable principles of law (regardless of whether enforcement is sought in equity or at law) and, together with such filings and other actions required to be taken hereby or by the applicable Collateral Documents, the Collateral Documents shall create a fully perfected first priority Lien on, and security interest in, all right, title and interest of the grantors thereunder in such Collateral (to the extent that such Liens may be perfected by the filing of a financing statement or other appropriate action), in each case subject to no other Lien (other than Permitted Liens). 136 1010279941v18


 
Notwithstanding anything herein (including this Section 6.18) or in any other Credit Document to the contrary, neither the Borrower nor any other Credit Party makes any representation or warranty as to (A) the effects of perfection or non-perfection, the priority or the enforceability of any pledge of or security interest in any Capital Stock of any Foreign Subsidiary, or as to the rights and remedies of the Collateral Agent or any Lender with respect thereto, under foreign Law or (B) the pledge or creation of any security interest, or the effects of perfection or non-perfection, the priority or the enforceability of any pledge of or security interest to the extent such pledge, security interest, perfection or priority is not required pursuant to the Collateral and Guarantee Requirement. Section 6.19. Intellectual Property. The Borrower and its Restricted Subsidiaries own, license or possess the right to use all of the trademarks, service marks, trade names, domain names, copyrights, patents, patent rights, licenses, technology, software, know-how database rights, design rights and other intellectual property rights (collectively, “IP Rights”) that are reasonably necessary for the operation of their respective businesses as currently conducted, and such IP Rights do not conflict with the rights of any Person, except to the extent the absence of such IP Rights and such conflicts, either individually or in the aggregate, could not reasonably be expected to have a Material Adverse Effect. The operation of the respective businesses of the Borrower and its Restricted Subsidiaries as currently conducted does not infringe upon any rights held by any Person except for such infringements, individually or in the aggregate, which would not reasonably be expected to have a Material Adverse Effect. No claim or litigation regarding any of the IP Rights is pending or, to the knowledge of the Borrower, threatened in writing against any Credit Party or any of the Restricted Subsidiaries, which, either individually or in the aggregate, could reasonably be expected to have a Material Adverse Effect. Section 6.20. Solvency. On the Amendment No. 4 Effective Date, after giving effect to the transactions contemplated to occur on the Amendment No. 4 Effective Date, the Borrower and its Restricted Subsidiaries are, on a consolidated basis, Solvent. Section 6.21. Patriot Act; Sanctioned Persons. (a) To the extent applicable, each Credit Party is in compliance, in all material respects, with (i) the United States Trading with the Enemy Act, as amended, and each of the foreign assets control regulations of the United States Treasury Department (31 C.F.R., Subtitle B, Chapter V, as amended) and any other enabling legislation or executive order relating thereto, (ii) the Act and (iii) the United States Foreign Corrupt Practices Act of 1977, as amended (the “FCPA”), the UK Bribery Act or other applicable anti-corruption laws. No part of the proceeds of the Loans will be used, directly or, to the Borrower’s knowledge, indirectly, for any payments to any official or employee of a Governmental Authority, political party or official, or candidate for political office in order to obtain, retain or direct business or obtain any improper advantage, in each such case in violation of the FCPA, the UK Bribery Act or other applicable anti-corruption laws. (b) Neither the Borrower, nor any of its Subsidiaries, nor, to the knowledge of the Borrower, any director, officer, employee, agent or controlled affiliate of the Borrower is an individual or entity (for purposes of this Section 6.21(b), a “Person”) that is, or is owned or controlled by Persons that are the subject of any sanctions (i) administered or enforced by the 137 1010279941v18


 
United States, including the U.S. Department of the Treasury’s Office of Foreign Assets Control, the United Nations Security Council, the European Union or His Majesty’s Treasury or other applicable sanctions authority, (ii) pursuant to the U.S. Iran Sanctions Act, as amended, or Executive Order 13590 (collectively, “Sanctions”) or (iii) located, organized or resident in a country or territory that is, or whose government is, the subject of a comprehensive trade Sanctions program or embargo. The Borrower will not, directly or, to its knowledge, indirectly, use the proceeds of the Loans, or lend, contribute or otherwise make available such proceeds to any Person (x) to fund any activities or business of or with any Person, or in any country or territory, that, at the time of such funding, is, or whose government is, the subject of Sanctions, in each such case as would violate Sanctions, or (y) in any other manner that would result in a violation of Sanctions by any Person (including any Person participating in the Loan, whether as a lender, underwriter, advisor, investor or otherwise). Section 6.22. EEA Financial Institutions. No Credit Party is an EEA Financial Institution. ARTICLE 7 AFFIRMATIVE COVENANTS From and after the Closing Date, until the Loan Obligations (other than (i) contingent indemnification obligations as to which no claim has been asserted, (ii) Obligations described in clauses (b) and (c) of the definition thereof and (iii) any Letter of Credit that has been Cash Collateralized or back-stopped by a letter of credit reasonably satisfactory to the L/C Issuer or such Letter of Credit has been deemed reissued under another agreement reasonably acceptable to the L/C Issuer) shall have been paid in full or otherwise satisfied, and the Commitments hereunder shall have expired or been terminated, the Borrower and its Restricted Subsidiaries will: Section 7.01. Financial Statements. Deliver to the Administrative Agent (and the Administrative Agent will deliver to each Lender): (a) within ninety (90) days after the end of each fiscal year of the Borrower, a consolidated balance sheet of the Borrower and its Subsidiaries as at the end of such fiscal year, and the related consolidated statements of comprehensive income, shareholders’ equity and cash flows for such fiscal year, setting forth in each case in comparative form the figures for the previous fiscal year, all in reasonable detail and prepared in accordance with GAAP, including a customary management’s discussion and analysis narrative, audited and accompanied by a report and opinion of KPMG LLP or any other independent registered public accounting firm of nationally recognized standing, which report and opinion (i) shall be prepared in accordance with generally accepted auditing standards and (ii) shall not be subject to any “going concern” or like qualification or exception or any qualification or exception as to the scope of such audit (except as may be required as a result of (x) a prospective Event of Default with respect to the Financial Covenants or (y) the impending maturity of any Facility, any Incremental Equivalent Debt or any Refinancing Equivalent Debt); (b) within forty-five (45) days after the end of each of the first three (3) fiscal quarters of each fiscal year of the Borrower, a consolidated balance sheet of the Borrower and its 138 1010279941v18


 
Subsidiaries as at the end of such fiscal quarter and the related (i) consolidated statements of comprehensive income for such fiscal quarter and for the portion of the fiscal year then ended, (ii) consolidated statements of cash flows for the portion of the fiscal year then ended, setting forth in each case in comparative form the figures for the corresponding portion of the previous fiscal year and (iii) a customary management’s discussion and analysis narrative, all in reasonable detail and certified by a Responsible Officer of the Borrower as fairly presenting in all material respects the financial condition, results of operations and cash flows of the Borrower and its Subsidiaries in accordance with GAAP, subject only to normal year-end audit adjustments; and (c) simultaneously with the delivery of each set of consolidated financial statements referred to in Sections 7.01(a) and 7.01(b) above, the related unaudited consolidating financial statements reflecting the adjustments necessary to eliminate the accounts of Unrestricted Subsidiaries (if any) (which may be in footnote form only) from such consolidated financial statements. Notwithstanding the foregoing, the obligations in paragraphs (a) and (b) of this Section 7.01 may be satisfied with respect to financial information of the Borrower and the Restricted Subsidiaries by furnishing (A) the applicable financial statements of the Borrower or (B) the Borrower’s Form 10-K or 10-Q, as applicable, filed with the SEC; provided that, with respect to clauses (A) and (B), to the extent such information is in lieu of information required to be provided under Section 7.01(a), such materials are, to the extent applicable, accompanied by a report and opinion of KPMG LLP or any other independent registered public accounting firm of nationally recognized standing, which report and opinion shall be prepared in accordance with generally accepted auditing standards and shall not be subject to any “going concern” or like qualification or exception or any qualification or exception as to the scope of such audit (except as may be required as a result of (x) a prospective Event of Default with respect to the Financial Covenants or (y) the impending maturity of any Facility, any Incremental Equivalent Debt or any Refinancing Equivalent Debt). Section 7.02. Certificates; Other Information. Deliver to the Administrative Agent (and the Administrative Agent will deliver to each Lender), in form and detail reasonable satisfactory to the Administrative Agent: (a) concurrently with the delivery of the financial statements referred to in Sections 7.01(a) and (b) (beginning with the first full fiscal quarter ending after the Closing Date), a duly completed Compliance Certificate signed by a Responsible Officer of the Borrower; (b) concurrently with the delivery of the financial statements referred to in Sections 7.01(a) and (b), a reasonably detailed consolidated budget for the then-current fiscal year on a quarterly basis (including a projected consolidated balance sheet of the Borrower and its Subsidiaries as of the end of such fiscal year and the related consolidated statements of projected cash flow and projected income for such fiscal year and a summary of the material underlying assumptions applicable thereto) (collectively, the “Projections”), which Projections shall in each case be accompanied by a certificate of a Responsible Officer stating that such Projections have been prepared in good faith on the basis of the assumptions stated therein, 139 1010279941v18


 
which assumptions were believed to be reasonable at the time of furnished, it being understood that actual results may vary from such Projections and that such variations may be material; (c) promptly after the same are available, copies of each annual report, proxy or financial statement or other report or communication sent to the stockholders of the Borrower, and copies of all annual, regular, periodic and special reports and registration statements that the Borrower may file or be required to file with the SEC under Section 13 or 15(d) of the Exchange Act, and not otherwise required to be delivered to the Administrative Agent pursuant hereto; and (d) promptly, such additional information regarding the business, financial or corporate affairs of any Credit Party or any Restricted Subsidiary of a Credit Party, or compliance with the terms of the Credit Documents, as the Administrative Agent (including at the direction of a Lender) may from time to time reasonably request.; and (e) promptly upon request by the Administrative Agent, within fifteen (15) Business Days thereof (or such longer period as agreed to by the Administrative Agent), such additional information and supporting calculations regarding any EAC Adjustments included in any Compliance Certificate delivered after the Amendment No. 6 Effective Date as the Administrative Agent may reasonably request. Documents required to be delivered pursuant to Section 7.01 or Section 7.02(b) or (c) (to the extent that any such documents are included in materials otherwise filed with the SEC) may be delivered electronically and, if so delivered, shall be deemed to have been delivered on the date on which the Borrower posts such documents, or provide a link thereto on the Borrower’s website on the Internet at the website address listed on Schedule 11.02 (as may be updated by the Borrower from time to time); or on which such documents are posted on the Borrower’s behalf on an Internet or intranet website, if any, to which each Lender and the Administrative Agent have access (whether a commercial, third-party website or whether sponsored by the Administrative Agent); provided that: (a) the Borrower shall deliver paper copies of such documents to the Administrative Agent or any Lender that requests the Borrower to deliver such paper copies and (b) the Borrower shall notify (which may be by facsimile or electronic mail) the Administrative Agent of the posting of any such documents and provide to the Administrative Agent by electronic mail electronic versions (i.e., soft copies) of such documents. Notwithstanding anything contained herein, in every instance the Borrower shall be required to provide paper copies of the Compliance Certificates required by Section 7.02(a) to the Administrative Agent (which may be electronic copies delivered via electronic mail). The Administrative Agent shall have no obligation to request the delivery or to maintain copies of the documents referred to above, and in any event shall have no responsibility to monitor compliance by the Borrower with any such request for delivery, and each Lender shall be solely responsible for requesting delivery to it or maintaining its copies of such documents. The Credit Parties hereby acknowledge that (a) the Administrative Agent and/or the Arrangers will make available to the Lenders and the L/C Issuer materials and/or information provided by or on behalf of the Credit Parties hereunder (collectively, “Credit Party Materials”) by posting the Credit Party Materials on IntraLinks or another similar electronic system (the “Platform”) and (b) certain of the Lenders (each a “Public Lender”) may have personnel who do not wish to receive material non-public information with respect to the 140 1010279941v18


 
Borrower or its Subsidiaries and Affiliates, or the respective securities of any of the foregoing, and who may be engaged in investment and other market-related activities with respect to such Persons’ securities. The Credit Parties hereby agree that so long as any of the Credit Parties is the issuer of any outstanding debt or equity securities that are registered or issued pursuant to a private offering or is actively contemplating issuing any such securities that (w) all Credit Party Materials that are to be made available to Public Lenders shall be clearly and conspicuously marked “PUBLIC” which, at a minimum, shall mean that the word “PUBLIC” shall appear prominently on the first page thereof; (x) by marking Credit Party Materials “PUBLIC,” the Credit Parties shall be deemed to have authorized the Administrative Agent, the Arrangers, the L/C Issuer and the Lenders to treat such Credit Party Materials as not containing any material non-public information (although such information may be sensitive and proprietary) with respect to the Credit Parties or their securities for purposes of United States federal and state securities Laws (provided that to the extent that such Credit Party Materials constitute Information, they shall be treated as set forth in Section 11.07), (y) all Credit Party Materials marked “PUBLIC” are permitted to be made available through a portion of the Platform designated as “Public Side Information” and (z) the Administrative Agent and the Arrangers shall be entitled to treat any Credit Party Materials that are not marked “PUBLIC” as being suitable only for posting on a portion of the Platform not designated “Public Side Information.” Notwithstanding the foregoing, the Credit Parties shall be under no obligation to mark any Credit Party Materials “PUBLIC.” Section 7.03. Notification. Promptly after a Responsible Officer of the Borrower or any Guarantor has obtained actual knowledge thereof, notify the Administrative Agent: (a) of the occurrence of any Default; (b) of the filing or commencement of, or any written threat or notice of intention of any person to file or commence, any action, suit, litigation or proceeding (including pursuant to any applicable Environmental Laws), whether at law or in equity by or before any Governmental Authority against the Borrower or any of its Restricted Subsidiaries, that could in each case reasonably be expected to result in a Material Adverse Effect; and (c) of the occurrence of any ERISA Event which could reasonably be expected to result in a Material Adverse Effect. Each notice pursuant to this Section shall be accompanied by a statement of a Responsible Officer of the Borrower setting forth details of the occurrence referred to therein and stating what action the Borrower has taken and proposes to take with respect thereto. Each notice pursuant to Section 7.03(a) shall describe with particularity any and all provisions of this Credit Agreement and any other Credit Document that have been breached. Section 7.04. Payment of Taxes. Pay and discharge, as the same shall become due and payable (beyond any period of grace or cure, if applicable), all its obligations and liabilities, in respect of Taxes imposed upon it or upon its income or profits or in respect of its property, unless the same are being contested in good faith by appropriate proceedings diligently conducted and adequate reserves in accordance with GAAP are being maintained by the 141 1010279941v18


 
Borrower and its Restricted Subsidiaries or the failure to pay or discharge the same would not reasonably be expected to have, individually or in the aggregate, a Material Adverse Effect. Section 7.05. Preservation of Existence, Etc. (a) Preserve, renew and maintain in full force and effect its legal existence and good standing under the Laws of the jurisdiction of its organization, except (i) in connection with a transaction permitted by Section 8.04 or 8.05 or (ii) with respect to any Restricted Subsidiary, to the extent that the failure to do so could not reasonably be expected to have, individually or in the aggregate, a Material Adverse Effect; (b) take all commercially reasonable action to maintain all rights, privileges, permits, licenses and franchises necessary or desirable in the normal conduct of its business, except to the extent that failure to do so would not reasonably be expected to have a Material Adverse Effect; and (c) preserve or renew all of its patents, registered copyrights, registered trademarks, trade names and service marks, the non-preservation or non-renewal of which could reasonably be expected to have a Material Adverse Effect. Section 7.06. Maintenance of Properties. Maintain, preserve and protect all of its material Property necessary in the operation of its business in good working order and condition, ordinary wear and tear excepted and casualty and condemnation excepted and make all necessary repairs and replacements thereof or thereto in accordance with customary industry practice, except where the failure to do so could not reasonably be expected to have a Material Adverse Effect. Section 7.07. Maintenance of Insurance. Maintain in full force and effect with financially sound and reputable insurance companies (in the good faith judgment of the Borrower) that are not Affiliates of the Borrower, flood, casualty and liability insurance with respect to its material properties (that are necessary for the operation of their respective businesses) and business against loss or damage of the kinds customarily insured against by Persons engaged in the same or similar business, of such types and in such amounts as are customarily carried under similar circumstances by such other Persons (provided that the Borrower and its Restricted Subsidiaries may self-insure to the extent customary among companies engaged in similar businesses or advisable in the good faith judgment of the Borrower) and identifying the Administrative Agent as mortgagee and loss payee as its interests may appear, with respect to flood hazard and casualty insurance, and as additional insured, with respect to liability insurance and providing for prior notice to the Administrative Agent of the termination, lapse or cancellation of any such insurance. Section 7.08. Compliance with Laws; Environmental Laws. (a) Comply in all respects with the requirements of all Laws and all orders, writs, injunctions and decrees applicable to it or to its business or property, except in such instances in which (i) such requirement of Law or order, writ, injunction or decree is being 142 1010279941v18


 
contested in good faith by appropriate proceedings diligently conducted; or (ii) the failure to comply therewith would not reasonably be expected to have a Material Adverse Effect. (b) Except, in each case, to the extent that the failure to do so could not reasonably be expected to have, individually or in the aggregate, a Material Adverse Effect, comply, and take all reasonable actions to cause all lessees and other Persons operating or occupying its properties to comply with all Environmental Laws; obtain and renew all Environmental Permits necessary for its operations and properties; and, in each case to the extent the Credit Parties are required by applicable Environmental Laws, conduct any investigation, remedial or other corrective action necessary to address Hazardous Materials at any property or facility in accordance with applicable Environmental Laws. Section 7.09. Books and Records. Maintain proper books of record and account, in which true and correct entries in conformity with GAAP shall be made of all financial transactions and matters involving the assets and business of the Borrower or such Restricted Subsidiary, as the case may be (it being understood and agreed that certain Foreign Subsidiaries maintain individual books and records in conformity with generally accepted accounting principles in their respective countries of organization and that such maintenance shall not constitute a breach of the representations, warranties or covenants hereunder), and such books of record and account in material conformity with all applicable requirements of any Governmental Authority having regulatory jurisdiction over the Borrower or such Restricted Subsidiary. Section 7.10. Inspection Rights. Permit representatives and independent contractors of the Administrative Agent to visit and inspect any of its properties, to examine its corporate, financial and operating records, and make copies thereof or abstracts therefrom, and to discuss its affairs, finances and accounts with its directors, officers, and independent public accountants (subject to such accountants’ customary policies and procedures), all at the reasonable expense of the Borrower and at such reasonable times during normal business hours once each fiscal year, upon reasonable advance notice to the Borrower; provided, however, that when an Event of Default has occurred and is continuing, the Administrative Agent (or any of its respective representatives or independent contractors) may do any of the foregoing at the expense of the Borrower at any time during normal business hours upon reasonable advance notice; provided further, that, excluding any such visits and inspections during the continuance of an Event of Default, the Borrower will be responsible for the costs and expenses of the Administrative Agent only for one such visit and inspection in any fiscal year of the Borrower. The Administrative Agent shall give the Borrower the opportunity to participate in any discussions with the Borrower’s independent public accountants. Notwithstanding anything to the contrary in this Section 7.10, none of the Borrower or any of the Restricted Subsidiaries will be required to disclose, permit the inspection, examination or making copies or abstracts of, or discussion of, any document, information or other matter that (a) constitutes non-financial trade secrets or non-financial proprietary information, (b) in respect of which disclosure to the Administrative Agent or any Lender (or their respective representatives or contractors) is prohibited by Law or any binding agreement or (c) is subject to attorney-client or similar privilege or constitutes attorney work product; provided that, in each case, the Borrower shall provide notice to the Administrative Agent that such information is being withheld and (other than with respect to clause (c) above) the Borrower shall use its commercially reasonable efforts to obtain the 143 1010279941v18


 
relevant consents and to communicate, to the extent both feasible and permitted under applicable Law or confidentiality obligation, the applicable information. Section 7.11. Use of Proceeds. Use the proceeds from any Credit Extension to finance working capital, capital expenditures and other general corporate purposes, including Acquisitions and Restricted Payments otherwise permitted hereunder. Section 7.12. Joinder of Subsidiaries as Guarantors. At the Borrower’s expense, subject to the limitations and exceptions of this Credit Agreement, including the provisions of the Collateral and Guarantee Requirement and any applicable limitation in any Collateral Document, take all action necessary or reasonably requested by the Administrative Agent to ensure that the Collateral and Guarantee Requirement continues to be satisfied, including: (a) Upon the formation or acquisition of any new direct or indirect wholly owned Material Domestic Subsidiary (in each case, other than an Excluded Subsidiary) by any Credit Party or the designation in accordance with Section 7.14 of any existing direct or indirect wholly owned Material Domestic Subsidiary as a Restricted Subsidiary (in each case, other than an Excluded Subsidiary) or any Subsidiary becoming a wholly owned Material Domestic Subsidiary (in each case, other than an Excluded Subsidiary): (i) within 60 days after such formation, acquisition or cessation, or such longer period as the Administrative Agent may agree in its discretion: (A) cause each such Material Domestic Subsidiary that is required to become a Guarantor pursuant to the Collateral and Guarantee Requirement to duly execute and deliver to the Administrative Agent a Joinder Agreement, joinders to the Security Agreement, Intellectual Property Security Agreements, a counterpart of the Intercompany Note, joinders to the Intercreditor Agreements then in effect and other security agreements and documents as reasonably requested by and in form and substance reasonably satisfactory to the Administrative Agent (consistent with the Security Agreement, Intellectual Property Security Agreements and other security agreements in effect on the Closing Date), in each case granting Liens required by the Collateral and Guarantee Requirement, other than, in each case, with respect to any Excluded Property; (B) cause each such Material Domestic Subsidiary that is required to become a Guarantor pursuant to the Collateral and Guarantee Requirement (and the parent of each such Material Domestic Subsidiary that is a Guarantor) to deliver any and all certificates representing Capital Stock (to the extent certificated) and intercompany notes (to the extent certificated) that are required to be pledged pursuant to the Collateral and Guarantee Requirement or the Security Agreement, accompanied by undated stock powers or other appropriate instruments of transfer executed in blank; (C) take and cause such Material Domestic Subsidiary that is required to become a Guarantor pursuant to the Collateral and Guarantee Requirement and 144 1010279941v18


 
the parent of such Material Domestic Subsidiary to take whatever action (including the filing of UCC financing statements and delivery of stock and membership interest certificates to the extent certificated) as may be required pursuant to the terms of the Collateral Documents or as may be necessary in the reasonable opinion of the Administrative Agent to vest in the Administrative Agent (or in any representative of the Administrative Agent designated by it) valid and perfected Liens to the extent required by the Collateral and Guarantee Requirement, and to otherwise comply with the requirements of the Collateral and Guarantee Requirement; (ii) if reasonably requested by the Administrative Agent, within forty-five (45) days after such request (or such longer period as the Administrative Agent may agree in its discretion), deliver to the Administrative Agent a signed copy of an opinion, addressed to the Administrative Agent and the Lenders, of counsel for the Credit Parties to the Administrative Agent as to such matters set forth in this Section 7.12(a) as the Administrative Agent may reasonably request; and (iii) if reasonably requested by the Administrative Agent, within sixty (60) days after such request (or such longer period as the Administrative Agent may agree in its discretion), deliver to the Administrative Agent any other items necessary from time to time to satisfy the Collateral and Guarantee Requirement with respect to perfection and existence of security interests with respect to property of any Guarantor acquired after the Closing Date and subject to the Collateral and Guarantee Requirement, but not specifically covered by the preceding clauses (i) or (ii). Section 7.13. Further Assurances. Promptly upon reasonable request by the Administrative Agent (i) correct any material defect or error that may be discovered in the execution, acknowledgment, filing or recordation of any Collateral Document or other document or instrument relating to any Collateral, and (ii) do, execute, acknowledge, deliver, record, re-record, file, re-file, register and re-register any and all such further acts, deeds, certificates, assurances and other instruments as the Administrative Agent may reasonably request from time to time in order to carry out more effectively the purposes of the Collateral Documents, to the extent required pursuant to the Collateral and Guarantee Requirement. Section 7.14. Designation of Subsidiaries. The Borrower may at any time after the Closing Date designate any Restricted Subsidiary of the Borrower as an Unrestricted Subsidiary or any Unrestricted Subsidiary as a Restricted Subsidiary; provided that (i) immediately before and after such designation, no Event of Default shall have occurred and be continuing, and (ii) the Borrower is in pro forma compliance with the Financial Covenants. The designation of any Subsidiary as an Unrestricted Subsidiary after the Closing Date shall be deemed to constitute an Investment by the Borrower therein at the date of designation. The designation of any Unrestricted Subsidiary as a Restricted Subsidiary shall constitute (i) the incurrence at the time of designation of any Investment, Indebtedness or Liens of such Subsidiary existing at such time and (ii) a return on any Investment by the Borrower in Unrestricted Subsidiaries. 145 1010279941v18


 
ARTICLE 8 NEGATIVE COVENANTS From and after the Closing Date, until the Loan Obligations (other than (i) contingent indemnification obligations as to which no claim has been asserted, (ii) Obligations described in clauses (b) and (c) of the definition thereof and (iii) any Letter of Credit that has been Cash Collateralized or back-stopped by a letter of credit reasonably satisfactory to the L/C Issuer or such Letter of Credit has been deemed reissued under another agreement reasonably acceptable to the L/C Issuer) shall have been paid in full or otherwise satisfied, and the Commitments hereunder shall have expired or been terminated, the Borrower shall not, and shall not permit any Restricted Subsidiary to: Section 8.01. Liens. Create, incur, assume or suffer to exist any Lien upon any of its property, assets or revenues, whether now owned or hereafter acquired, other than the following: (a) Liens pursuant to any Credit Document securing the Loan Obligations, including Cash Collateral and other Adequate Assurance pledged to the L/C Issuer and the Swingline Lender to secure obligations of Defaulting Lenders; (b) Liens securing Indebtedness permitted by Section 8.03(q) and (r); (c) Liens securing obligations pursuant to a Swap Contract or Treasury Management Agreement permitted hereunder in favor of a Person that was (or was an Affiliate of) a Lender hereunder on the Closing Date or on the date such transaction was entered into, but only to the extent that (i) for any Swap Contract, the obligations under such Swap Contract are permitted under Section 8.03(d), (ii)such Liens are on the same collateral that secures the Loan Obligations and (iii) the obligations under such Swap Contract or Treasury Management Agreement and the Loan Obligations share pari passu in the collateral that is subject to such Liens; (d) Liens existing on the Amendment No. 4 Effective Date and listed on Schedule 8.01 and any modifications, replacements, renewals, refinancings or extensions thereof; provided that (i) the property covered thereby is not changed other than after-acquired property that is affixed or incorporated into the property covered by such Lien and any proceeds of products of such property, (ii) the amount secured or benefited thereby is not increased except by an amount equal to unpaid accrued interest and premium thereon plus other amounts owing or paid related to such Indebtedness, and fees and expenses reasonably incurred, in connection with such modification, refinancing, refunding, renewal, replacement or extension, (iii) the direct or any contingent obligor with respect thereto is not changed and (iv) any modification, replacement, renewal, refinancing or extension of the obligations secured or benefited thereby is permitted by Section 8.03(b); (e) Liens for taxes not yet due or that are being contested in good faith and by appropriate proceedings diligently conducted, if adequate reserves with respect thereto are maintained on the books of the applicable Person in accordance with GAAP; 146 1010279941v18


 
(f) carriers’, warehousemen’s, mechanics’, materialmen’s, repairmen’s, landlords’ or sublandlords’ or other like Liens arising in the ordinary course of business that are not overdue for a period of more than 60 days or if more than 60 days overdue, are unfiled and no other action has been taken to enforce such Lien or which are being contested in good faith and by appropriate proceedings diligently conducted, if adequate reserves with respect thereto are maintained on the books of the applicable Person in accordance with GAAP or the equivalent accounting principles in the relevant local jurisdiction; (g) (i) pledges or deposits in the ordinary course of business in connection with workers’ compensation, health, disability or employee benefits, unemployment insurance and other social security legislation or similar legislation or regulation or other insurance-related obligations (including in respect of deductibles, self-insured retention amounts and premiums and adjustments thereto), other than any Lien imposed by Title IV of ERISA and (ii) pledges and deposits in the ordinary course of business securing liability for reimbursement or indemnification obligations of (including obligations in respect of letters of credit or bank guarantees for the benefit of) insurance carriers providing property, casualty or liability insurance to the Borrower or any of its Restricted Subsidiaries; (h) deposits to secure the performance of bids, trade contracts, governmental contracts and leases (other than Indebtedness for borrowed money), statutory obligations, surety, stay, customs and appeal bonds, performance bonds and other obligations of a like nature incurred in the ordinary course of business or consistent with past practice or industry practice; (i) zoning restrictions, easements, rights-of-way, covenants, conditions, restrictions, reservations, encroachments and other similar encumbrances affecting real property that, in the aggregate, are not substantial in amount, and that do not in any case materially detract from the value of the property subject thereto or materially interfere with the ordinary conduct of the business of the Borrower or any of its Restricted Subsidiaries, taken as a whole; (j) Liens securing judgments for the payment of money not constituting an Event of Default under Section 9.01(h) or securing appeal or other surety bonds related to such judgments; (k) Liens securing, or in respect of, obligations under Capitalized Leases and purchase money obligations for fixed or capital assets; provided that such Liens do not at any time encumber any property (except for replacements, additions and accessions to such property) other than the property financed by such Indebtedness except that that individual financings of equipment provided by one lender may be cross collateralized to other financings of equipment provided by such lender; (l) Liens in favor of customs and revenue authorities arising as a matter of law to secure payment of customs duties in connection with the importation of goods in the ordinary course of business; (m) Liens on property or assets acquired in connection with an Acquisition permitted under this Agreement; provided that (i) the indebtedness secured by such Liens is permitted under Section 8.03 and (ii) the Liens (A) are not incurred in connection with, or in 147 1010279941v18


 
contemplation or anticipation of, the acquisition, (B) are not, in the case of any Credit Party, “blanket liens,” and (C) do not attach or extend to any other property or assets (other than the proceeds or products thereof and other than after-acquired property subjected to such Lien in accordance with the terms governing the Indebtedness secured by such Lien); (n) Liens of landlords or mortgages of landlords on fixtures, equipment and movable property located on premises leased by the Borrower or any Restricted Subsidiary which do not interfere in any material respect with the business of the Borrower and its Restricted Subsidiaries, taken as a whole; (o) Liens incurred and financing statements filed or recorded in each case with respect to property leased by the Borrower and its Restricted Subsidiaries to the owners of such property which are operating leases; provided that such Lien does not extend to any other property of the Borrower and its Restricted Subsidiaries; (p) Liens (i) of a collection bank arising under Section 4-208 of the UCC on items in the course of collection, (ii) attaching to commodity trading accounts or other commodities brokerage accounts incurred in the ordinary course of business and (iii) in favor of a banking or other financial institution arising as a matter of Law or under customary general terms and conditions encumbering deposits or other funds maintained with a financial institution (including the right of set-off) and that are within the general parameters customary in the banking industry or arising pursuant to such banking institution’s general terms and conditions; (q) deposits of cash or the issuance of a Letter of Credit made to secure liability to insurance carriers under insurance or self-insurance arrangements; (r) Liens (i) on cash advances in favor of the seller of any property to be acquired in an Investment permitted under Section 8.02 to be applied against the purchase price for such Investment or other acquisition, and (ii) consisting of an agreement to Dispose of any property in a Disposition permitted under Section 8.05, in each case, solely to the extent such Investment or other acquisition or Disposition, as the case may be, would have been permitted on the date of the creation of such Lien; (s) Liens on property or assets of Restricted Subsidiaries that are not Credit Parties securing obligations of Restricted Subsidiaries that are not Credit Parties; (t) Liens on Collateral securing Ratio Debt (and any Permitted Refinancing thereof); provided that such Liens shall be junior to the Liens securing the Obligations and shall be subject to a lien subordination and intercreditor arrangement in form and substance reasonably satisfactory to the Administrative Agent; (u) leases, licenses, cross-licenses, subleases or sublicenses not interfering in any material respect with the business of the Borrower and its Restricted Subsidiaries, or otherwise materially diminishing the value of the Collateral, in either case taken as a whole; (v) Liens arising from precautionary UCC financing statements or similar filings in connection with any transaction otherwise not prohibited under this Agreement; 148 1010279941v18


 
(w) additional Liens so long as the aggregate principal amount of the obligations so secured does not exceed the greater of (i) $50,000,000 and (ii) 2.25% of Total Assets; (x) Liens that are contractual rights of set-off or rights of pledge (i) relating to the establishment of depository relations with banks or other deposit-taking financial institutions and not given in connection with the issuance of Indebtedness, (ii) relating to pooled deposit or sweep accounts of the Borrower or any of its Restricted Subsidiaries to permit satisfaction of overdraft or similar obligations incurred in the ordinary course of business of the Borrower or any of its Restricted Subsidiaries or (iii) relating to purchase orders and other agreements entered into with customers of the Borrower or any of its Restricted Subsidiaries in the ordinary course of business; (y) Liens solely on any cash earnest money deposits made by the Borrower or any of its Restricted Subsidiaries in connection with any letter of intent or purchase agreement permitted hereunder; (z) Liens on specific items of inventory or other goods and the proceeds thereof of any Person securing such Person’s obligations in respect of letters of credit or banker’s acceptances issued or created for the account of such Person to facilitate the purchase, shipment or storage of such inventory or goods in the ordinary course of business; and (aa) Liens (x) on deposit accounts established for the purpose of receiving the proceeds of Receivables sold or transferred in connection with a Permitted Receivables Transaction; provided that any amounts deposited into such accounts that do not represent (i) such proceeds or (ii) amounts deposited into such accounts to establish or maintain a minimum balance shall be transferred out of such accounts by or at the direction of the Borrower as soon as reasonably practicable but in no event more than 15 days from the date of their deposit into such accounts; and (y) on Receivables and Receivables Related Rights subject of a Permitted Receivables Transaction. The expansion of Liens by virtue of accrual of interest, accretion of accreted value, amortization of original issue discount and increases in the amount of Indebtedness outstanding solely as a result of fluctuations in the exchange rate of currencies will not be deemed to be an incurrence of Liens for purposes of this Section 8.01. Section 8.02. Investments. Make or permit to exist any Investments, except: (a) cash and Cash Equivalents; (b) Investments (including intercompany Investments) existing on the Amendment No. 4 Effective Date or committed to be made pursuant to an agreement existing on the Closing Date, in each case listed on Schedule 8.02, or an Investment consisting of any extension, modification, replacement, renewal or reinvestment of any such Investment or binding commitment existing on the Closing Date; provided that the amount of any such Investment or binding commitment may be increased (i) as required by the terms of such Investment or binding commitment as in existence on the Closing Date (including as a result of the accrual or accretion 149 1010279941v18


 
of interest or original issue discount or the issuance of pay-in-kind securities) or (ii) as otherwise permitted under this Credit Agreement; (c) to the extent not prohibited by applicable Law, (i) advances to officers, directors, employees, managers, consultants and independent contractors of the Borrower and its Restricted Subsidiaries for travel, entertainment, relocation and other ordinary business purposes, (ii) loans and advances to officers, directors, employees, managers, consultants and independent contractors of the Borrower or any of its Restricted Subsidiaries to finance the purchase of Capital Stock of the Borrower and (iii) loans and advances to, or guarantees of Indebtedness of, officers, directors, employees, managers, consultants and independent contractors; provided that that the aggregate amount outstanding at any time under clauses (ii) and (iii) shall not exceed the greater of (x) $16,750,000 and (y) 0.75% of Total Assets; (d) (i) Investments consisting of extensions of credit in the nature of accounts receivable or notes receivable arising from the grant of trade credit in the ordinary course of business, (ii) Investments received in satisfaction or partial satisfaction thereof from financially troubled account debtors and (iii) Investments received in satisfaction of judgments against other Persons; (e) any Investments in the Borrower or any of its Restricted Subsidiaries; provided that the aggregate amount of Investments by Credit Parties in Restricted Subsidiaries that are not Credit Parties (other than any Investment, the proceeds of which are used directly or indirectly in connection with an Acquisition by such non-Credit Parties) shall not exceed, together with the aggregate amount of cash or property provided by Credit Parties pursuant to Section 8.02(f)(A)(2), at the time of the making of any such Investment, an aggregate amount outstanding at any time equal to the greater of (i) $50,000,000 and (ii) 2.25% of Total Assets; (f) any Acquisition by the Borrower or any of its Restricted Subsidiaries and any Investment that is part of the assets acquired in such Acquisition or otherwise held by a Person that is, directly or indirectly, a target of such Acquisition; provided that, with respect to each such Acquisition made pursuant to this Section 8.02(f): (A) (1) each applicable Credit Party and any such newly created or acquired Subsidiary shall, or will within the times specified therein, have complied with the applicable requirements of Section 7.12 to the extent required thereby, and (2) the aggregate amount of cash or property provided by Credit Parties to make any such purchase or acquisition of assets that are not purchased or acquired (or do not become owned) by a Credit Party or in Capital Stock in Persons that do not become Credit Parties upon consummation of such purchase or acquisition shall not exceed at any time outstanding, together with Investments pursuant to Section 8.02(e), the greater of (i) $50,000,000 and (ii) 2.25% of Total Assets; provided, however, that the limitation related to assets that are not acquired by a Credit Party or Persons that do not become Credit Parties under this clause (A)(2) shall not apply to any acquisition to the extent the ultimate Person so acquired (or the Person owning the assets so acquired) becomes a Credit Party even though such Credit Party owns Capital Stock in Persons that are not otherwise required to become Credit Parties, if, for such acquisition, not less than 90.0% of the Consolidated EBITDA of the Person(s) acquired (for this purpose and for the 150 1010279941v18


 
component definitions used therein, determined on a consolidated basis for such Persons and their Subsidiaries) is directly generated by Person(s) that become Credit Parties (i.e., disregarding all such Consolidated EBITDA generated by Subsidiaries of such Guarantors that are shall not become Credit Parties); provided further, that for the avoidance of doubt, such limitations on cash or property provided by Credit Parties shall exclude consideration provided in the form of Capital Stock of the Borrower; (B) immediately after giving Pro Forma Effect to any such purchase or other acquisition, (1) no Event of Default (or if such Permitted Acquisition is not conditioned on the availability of, or on obtaining third party financing any Event of Default under Section 9.01(a) or (f)) shall have occurred and be continuing and (2) the Consolidated Total Net Leverage Ratio is not greater than the Consolidated Total Net Leverage Ratio permitted under Section 8.11(b) as of the most recently ended Test Period for which financial statements have been delivered pursuant to Section 7.01 less 0.25x; and (C) the Borrower shall have delivered to the Administrative Agent, no later than five (5) Business Days (or such later date as acceptable to the Administrative Agent in its sole discretion) after the date on which any such purchase or other acquisition is consummated, a certificate of a Responsible Officer certifying that all of the requirements set forth in this clause (f) have been satisfied or will be satisfied on or prior to the consummation of such purchase or other acquisition; (g) Investments to the extent that payment for such investments is made with the Capital Stock of the Borrower; (h) Investments in respect of Swap Contracts permitted under Section 8.03(d); (i) Investments consisting of purchases and acquisitions of assets or services in the ordinary course of business; (j) Investments in prepaid expenses, negotiable instruments held for collection and lease, utility and workers compensation, performance and similar deposits entered into as a result of the operations of the business; (k) Investments in the ordinary course of business consisting of Uniform Commercial Code Article 3 endorsements for collection or deposit and Article 4 customary trade arrangements with customers; (l) Investments consisting of purchases or other acquisitions of inventory, supplies, services, material or equipment or the licensing or contribution of intellectual property pursuant to joint marketing arrangements with other Persons; (m) Investments in an outstanding amount not to exceed, at the time any such Investment is made, the sum of (x) the greater of (i) $80,000,000 and (ii) 3.50% of Total Assets and (y) the Cumulative Equity Credit so long as, in each case, no Event of Default shall exist or result immediately after giving effect thereto; 151 1010279941v18


 
(n) Investments to the extent that, at the time any such Investments are made, the Payment Conditions are satisfied; and (o) Investments by the Borrower and its Subsidiaries in any Escrow Borrower for purposes of funding original issue discount, upfront fees, redemption or repayment premium and interest with respect to any Escrow Incremental Term Loans or debt securities issued pursuant to escrow arrangements, in each case, to the extent such Escrow Incremental Term Loans and debt securities are intended to provide a portion of the funds to finance an Acquisition permitted under this Agreement. For purposes of determining whether an Investment is a permitted to be made pursuant to this Section 8.02, in the event that an Investment (or any portion thereof) meets the criteria of more than one of any provision of this Section 8.02, the Borrower, in its sole discretion, will classify such Investment (or any portion thereof) in any one or more of the types of Investments described in any applicable clause in this Section 8.02 and will only be required to include the amount and type of such Investment in such of the above clauses in this Section 8.02 as determined by the Borrower at such time. Section 8.03. Indebtedness. Create, incur, assume or suffer to exist any Indebtedness, except: (a) Indebtedness under the Credit Documents; (b) Indebtedness outstanding on the Closing Date and listed on Schedule 8.03 and any Permitted Refinancing thereof; (c) [reserved]; (d) obligations (contingent or otherwise) of the Borrower or any Restricted Subsidiary existing or arising under any Swap Contract; provided that such obligations are entered into by such Person in the ordinary course of business for the purpose of directly mitigating risks associated with liabilities, commitments, investments, assets, or property held or reasonably anticipated by such Person, or changes in the value of securities issued by such Person, and not for purposes of speculation or taking a “market view”; (e) Indebtedness of the Borrower and its Restricted Subsidiaries owing to the Borrower or any Restricted Subsidiary to the extent permitted by Section 8.02; provided that any such Indebtedness owed by a Credit Party to a Restricted Subsidiary that is not a Credit Party shall be subject to the Intercompany Note; (f) Indebtedness (including Indebtedness under Capitalized Leases and purchase money obligations) incurred to provide all or a portion of the purchase price (or cost of construction, acquisition, repair, lease or improvement), in each case, for capital assets and refinancings, refundings, renewals or extensions thereof, provided that the aggregate principal amount of all such Indebtedness shall not at any time outstanding exceed the greater of (i) $50,000,000 and (ii) 2.25% of Total Assets; 152 1010279941v18


 
(g) unsecured Indebtedness or Indebtedness secured by a Lien, that, in the case of a Lien on the assets of a Credit Party, such Lien on the Collateral is junior to the Lien securing the Obligations, so long as, after giving effect to the incurrence of such Indebtedness (whether or not secured), the Consolidated Total Net Leverage Ratio is not greater than the Consolidated Total Net Leverage Ratio permitted under Section 8.11(b) as of the most recently ended Test Period for which financial statements have been delivered pursuant to Section 7.01 less 0.50x (“Ratio Debt”); provided that (i) such Ratio Debt does not mature prior to the date that is 91 days following the Latest Maturity Date of the Revolving Credit Facility or have a Weighted Average Life to Maturity less than any then existing Class of Term Loans, (ii) such Ratio Debt does not have mandatory prepayment, redemption or offer to purchase events that are earlier than the Revolving Termination Date (but may include customary amortization, change of control and asset sale proceeds offers), (i) such Ratio Debt either (a) does not have financial maintenance covenants or (b) contains financial maintenance covenants that are no more restrictive than the Financial Covenants, (iv) to the extent such Ratio Debt is subordinated to the Facilities, is subject to subordination terms reasonably satisfactory to the Administrative Agent and (v) to the extent such Ratio Debt is secured by a Lien which is junior to the Lien securing the Obligations, it is subject to a lien subordination and intercreditor arrangement reasonably satisfactory to the Borrower and the Administrative Agent; provided further, that any such Indebtedness incurred by a Restricted Subsidiary that is not a Credit Party, together with Indebtedness incurred by a Restricted Subsidiary that is not a Credit Party pursuant to Section 8.03(h), does not exceed in the aggregate at any time outstanding the greater of (a) $66,000,000 and (b) 3.00% of Total Assets; (h) Indebtedness of the Borrower or any Restricted Subsidiary assumed (including Acquired Indebtedness) in connection with, but not incurred in contemplation of, any Acquisition so long as, after giving Pro Forma Effect thereto and any related transactions, the Borrower could incur $1.00 of Ratio Debt; provided that any such Indebtedness incurred by a Restricted Subsidiary that is not a Credit Party does not exceed, together with Indebtedness incurred by a Restricted Subsidiary that is not a Credit Party pursuant to Section 8.03(g), in the aggregate at any time outstanding the greater of (i) $66,000,000 and (ii) 3.00% of Total Assets; (i) Support Obligations by the Borrower and its Restricted Subsidiaries in respect of Indebtedness otherwise permitted hereunder; provided that Support Obligations by the Credit Parties with respect to Indebtedness of Restricted Subsidiaries that are not Credit Parties is an Investment permitted by Section 8.02; (j) Indebtedness (i) representing deferred compensation to employees of the Borrower or any of its Restricted Subsidiaries incurred in the ordinary course of business (including, for the avoidance of doubt, any acquisition permitted hereunder), or (ii) to current or former officers, managers, consultants, directors and employees, and their respective estates, spouses or former spouses to finance the purchase or redemption of Capital Stock or other equity-based awards of the Borrower permitted by Section 8.06; (k) Indebtedness of Restricted Subsidiaries that are not Credit Parties in an aggregate principal amount at any time outstanding not to exceed the greater of (i) $50,000,000 and (ii) 2.25% of Total Assets; 153 1010279941v18


 
(l) Treasury Management Obligations and other Indebtedness in respect of netting services, automatic clearinghouse arrangements, overdraft protections, employee credit card programs and other cash management and similar arrangements in the ordinary course of business and any Guaranties thereof; (m) Indebtedness consisting of (i) the financing of insurance premiums or (ii) take-or-pay obligations contained in supply arrangements, in each case, incurred in the ordinary course of business; (n) obligations in respect of performance, bid, appeal and surety bonds and performance and completion guarantees and similar obligations provided by the Borrower or any of its Restricted Subsidiaries or obligations in respect of letters of credit, bank guarantees or similar instruments related thereto, in each case in the ordinary course of business or consistent with past practice; (o) (A) Indebtedness of the Borrower or any Restricted Subsidiary in an aggregate principal amount not to exceed the amount of the net cash proceeds received by the Borrower since the Closing Date from the issuance or sale of Capital Stock of the Borrower or cash contributed to the capital of the Borrower (in each case, other than proceeds of Disqualified Stock or sales of Capital Stock to the Borrower or any of its Subsidiaries) as determined in accordance with clauses (a) and (b) of the definition of “Cumulative Equity Credit” to the extent such net cash proceeds have not been applied pursuant to such clauses to make Investments pursuant to Section 8.02, Restricted Payments pursuant to Section 8.06 or to prepay, redeem, purchase, defease or satisfy Indebtedness pursuant to Section 8.12, so long as (i) such Indebtedness is incurred within one year following the receipt by the Borrower of such net cash proceeds, and (ii) such Indebtedness is designated as “Contribution Indebtedness” on the date incurred and (B) any Permitted Refinancing thereof; (p) Indebtedness pursuant to any Plan or owed to any Person providing health, retirement, disability or other employee benefits; (q) (A) Indebtedness in respect of one or more series of senior or subordinated notes or loans (which may be unsecured or secured on a pari passu or junior lien basis to the Obligations), and, in the case of notes, issued in a public offering, Rule 144A or other private placement or bridge in lieu of the foregoing, in each case, that are issued or made in lieu of Incremental Revolving Commitments and/or Incremental Term Commitments (the “Incremental Equivalent Debt”); provided that (i) the aggregate principal amount of such Incremental Equivalent Debt shall be subject to the limitations set forth under Section 2.18(c)(ii) as if such Incremental Equivalent Debt constituted Incremental Term Loans incurred in compliance therewith; (ii) such Incremental Equivalent Debt shall not be subject to any Guaranty by any Person other than a Credit Party, (iii) if such Incremental Equivalent Debt is secured, the obligations in respect thereof shall not be secured by any Lien on any asset of the Borrower or any Restricted Subsidiary other than any asset constituting Collateral, (iv) no Default or Event of Default shall have occurred and be continuing or would exist immediately after giving effect to such incurrence, (v) if such Incremental Equivalent Debt is secured, the security agreements and other collateral documents relating to such Incremental Equivalent Debt shall be substantially similar to the Collateral Documents (with such differences as are reasonably satisfactory to the 154 1010279941v18


 
Administrative Agent), (vi) if such Incremental Equivalent Debt is (a) secured on a pari passu basis with the Obligations under Term Loans and Revolving Credit Loans that are secured on a first lien basis, then such Incremental Equivalent Debt shall be subject to a First Lien Intercreditor Agreement, (b) secured on a junior basis with the Obligations under Term Loans and Revolving Credit Loans that are secured on a first lien basis, then such Incremental Equivalent Debt shall be subject to a Junior Lien Intercreditor Agreement or other lien subordination and intercreditor arrangement satisfactory to the Borrower and the Administrative Agent or (c) unsecured and subordinated to the Obligations, then such Incremental Equivalent Debt shall be subject to a Subordination Agreement (or, alternatively, terms in the definitive documentation for such Incremental Equivalent Debt substantially similar to those in such applicable agreement, as agreed by the Borrower and Administrative Agent), (vii) such Incremental Equivalent Debt shall have a final maturity date which is no earlier than 91 days after the Revolving Termination Date, (viii) such Incremental Equivalent Debt shall have a Weighted Average Life to Maturity no shorter than that of any Class of then-existing Term Loans, (ix) such Incremental Equivalent Debt shall not be subject to any mandatory redemption or prepayment provisions or rights (except customary amortization and offers to repurchase and prepayment events upon a change of control, asset sale or event of loss and a customary acceleration right after an event of default), in each case prior to Revolving Termination Date, (x) such Incremental Equivalent Debt shall (a) have financial maintenance covenants that are not more restrictive than the Financial Covenants or (b) not have any financial maintenance covenants, and (xi) except as otherwise set forth in this clause (q), such Incremental Equivalent Debt shall have terms and conditions (other than with respect to pricing, fees, rate floors and optional prepayment or redemption terms) substantially similar to, or (taken as a whole) no more favorable (as reasonably determined by the Borrower in good faith) to the lenders or holders providing such Incremental Equivalent Debt, than those applicable to the Revolving Credit Loans (except for covenants or other provisions applicable only to periods after the Latest Maturity Date at the time of the issuance or incurrence of such Incremental Equivalent Debt) and (B) any Permitted Refinancing thereof; (r) (x) Indebtedness of the Borrower in the form of or more series of senior or subordinated notes of loans (which may be unsecured (“Permitted Unsecured Refinancing Debt”) or secured on a first lien (“Permitted Pari Passu Secured Refinancing Debt”) or junior lien (“Permitted Junior Secured Refinancing Debt”) basis), and, in the case of notes, issued in a public offering, Rule 144A or other private placement in lieu of the foregoing and, in each case, any Permitted Refinancing thereof (the “Refinancing Equivalent Debt”), in each case, in exchange for, or to extend, renew, replace, repurchase, retire or refinance, in whole or in part, any Refinanced Debt; provided that any Refinancing Equivalent Debt: (A) (1) shall not have a Maturity Date prior to the 91 days after the Revolving Termination Date, (2) if in the form of term loans, shall not have a Weighted Average Life to Maturity shorter than the remaining Weighted Average Life to Maturity of the Refinanced Debt, (3) [reserved], (4) shall not be subject to mandatory redemption, repurchase, prepayment or sinking fund obligations (except with respect to customary amortization, offers to repurchase and prepayment events upon a change of control, asset sale or event of loss and a customary acceleration right after an event of default), in each case prior to the Revolving Termination Date, (5) shall not be guaranteed by Persons other than Guarantors, (6) (A) if such Refinancing Equivalent Debt is (x) Permitted Pari Passu Secured Refinancing Debt then such Refinancing Equivalent Debt shall be subject to a First Lien Intercreditor Agreement or otherwise subject or other lien or intercreditor arrangement 155 1010279941v18


 
satisfactory to the Borrower and the Administrative Agent or (y) Permitted Junior Secured Refinancing Debt, then such Refinancing Equivalent Debt shall be subject to a Junior Lien Intercreditor Agreement to which a Senior Representative acting on behalf of the holders of such Permitted Junior Secured Refinancing Debt shall have become a party or otherwise subject or other lien subordination or intercreditor arrangement satisfactory to the Borrower and the Administrative Agent or (B) if unsecured and subordinated to the Obligations, shall be subject to a Subordination Agreement, (7) if secured, shall be subject to security agreements relating to such Refinancing Equivalent Debt that are substantially the same as or more favorable to the Credit Parties than the Collateral Documents (with such differences as are reasonably satisfactory to the Administrative Agent), (8) if secured shall be secured by the Collateral on a junior lien basis with the Obligations under the Term Loans and Revolving Credit Loans and shall not be secured by any property or assets of the Borrower or any Restricted Subsidiary other than the Collateral, (9) shall not have a greater principal amount than the principal amount of the Refinanced Debt plus accrued and unpaid interest, fees, premiums (if any) and penalties thereon and reasonable fees, expenses, OID and upfront fees associated with the refinancing, (10) (A) shall have financial maintenance covenants that are not more restrictive than the Financial Covenants or (B) shall not have financial maintenance covenants, and (11) except as otherwise set forth in this clause (r), shall have terms and conditions (other than with respect to pricing, fees, rate floors and optional prepayment or redemption terms) substantially similar to, or (taken as a whole) no more favorable (as determined by the Borrower in good faith) to the lenders or holders providing such Refinancing Equivalent Debt, than those applicable to the Revolving Credit Loans (except for covenants or other provisions applicable only to periods after the Latest Maturity Date at the time of the issuance or incurrence of such Refinancing Equivalent Debt) and (B) shall be incurred solely to repay, repurchase, retire or refinance substantially concurrently the Refinanced Debt and (y) any Permitted Refinancing thereof; (s) other Indebtedness in an aggregate principal amount at any time outstanding not to exceed the greater of (i) $80,000,000 and (ii) 3.50% of Total Assets; (t) all premiums (if any), interest (including post-petition interest), fees, expenses, charges and additional or contingent interest on obligations described in clauses (a) through (s) above; and (u) Indebtedness owing in connection with a Permitted Receivables Transaction in the event that any purchase of Receivables thereunder is recharacterized as a secured loan. For purposes of determining compliance with Section 8.03, in the event that an item of Indebtedness (or any portion thereof) at any time, whether at the time of incurrence meets the criteria of more than one of the categories of permitted Indebtedness described in Section 8.03(a) through (u) above, the Borrower, in its sole discretion, will classify such item of indebtedness (or any portion thereof) in any one or more of the types of Indebtedness described in Section 8.03(a) through (u) above and will only be required to include the amount and type of such Indebtedness in such of the above clauses as determined by the Borrower at such time. The Borrower will be entitled to divide and classify an item of Indebtedness in more than one of the types of Indebtedness described in Section 8.03(a) through (u) above. Notwithstanding the foregoing, Indebtedness incurred (a) under the Credit Documents, any Incremental Commitments, any 156 1010279941v18


 
Incremental Loans, any Refinancing Commitments and any Refinancing Loans shall only be classified as incurred under Section 8.03(a), (b) as Incremental Equivalent Debt shall only be classified as incurred under Section 8.03(q), and (c) as Refinancing Equivalent Debt shall only be classified as incurred under Section 8.03(r). For purposes of determining compliance with any Dollar-denominated restriction on the incurrence of Indebtedness, the Dollar-equivalent principal amount of Indebtedness denominated in a foreign currency shall be calculated based on the relevant currency exchange rate in effect on the date such Indebtedness was incurred, in the case of term debt, or first committed, in the case of revolving credit debt; provided that if such Indebtedness is incurred to extend, replace, refund, refinance, renew or defease other Indebtedness denominated in a foreign currency, and such extension, replacement, refunding, refinancing, renewal or defeasance would cause the applicable Dollar-denominated restriction to be exceeded if calculated at the relevant currency exchange rate in effect on the date of such extension, replacement, refunding, refinancing, renewal or defeasance, such Dollar-denominated restriction shall be deemed not to have been exceeded so long as the principal amount of such refinancing Indebtedness does not exceed the principal amount of such Indebtedness being extended, replaced, refunded, refinanced, renewed or defeased, plus the aggregate amount of fees, underwriting discounts, premiums (including tender premiums) and other costs and expenses (including OID) incurred in connection with such refinancing. The accrual of interest or the accretion of accreted value shall not be deemed to be an incurrence of Indebtedness for purposes of this Section 8.03. Section 8.04. Mergers and Dissolutions. Enter into a transaction of merger or consolidation; provided that: (a) the Borrower and its Restricted Subsidiaries may merge or consolidate with any Credit Party; provided that (i) if the Borrower is a party to the merger or consolidation, it shall be the surviving entity and (ii) if the Borrower is not a party to the merger or consolidation, then a Credit Party thereto shall be the surviving entity; (b) a Restricted Subsidiary of the Borrower that is not a Credit Party may merge or consolidate with any other Subsidiary that is not a Credit Party; or (c) the Borrower and its Restricted Subsidiaries may merge or consolidate with Persons that are not Credit Parties; provided that (i) if the Borrower is a party to the merger or consolidation, it shall be the surviving entity and (ii) if a Restricted Subsidiary of the Borrower that is a Credit Party is a party to the merger or consolidation, either (I) the Restricted Subsidiary that is a Credit Party will be the surviving entity, or (II) such transaction shall be an Investment permitted under Section 8.02; (d) So long as no Default has occurred and is continuing or would result therefrom, the Borrower may merge or consolidate with any other Person; provided that (i) the Borrower shall be the continuing or surviving corporation or (ii) if the Person formed by or surviving any such merger or consolidation is not the Borrower (any such Person, the “Successor Company”), (A) the Successor Company shall be an entity organized or existing under the Laws 157 1010279941v18


 
of the United States, any state thereof, the District of Columbia or any territory thereof, (B) the Successor Company shall expressly assume all the obligations of the Borrower under this Agreement and the other Credit Documents to which the Borrower is a party pursuant to a supplement hereto or thereto in form reasonably satisfactory to the Administrative Agent, (C) each Guarantor, unless it is the other party to such merger or consolidation, shall have confirmed that its Guaranty shall apply to the Successor Company’s obligations under the Credit Documents, (D) each Guarantor, unless it is the other party to such merger or consolidation, shall have by a supplement to the Security Agreement and other applicable Collateral Documents confirmed that its obligations thereunder shall apply to the Successor Company’s obligations under the Credit Documents, (E) [reserved], and (F) the Borrower shall have delivered to the Administrative Agent an officer’s certificate and an opinion of counsel, each stating that such merger or consolidation and such supplement to this Agreement or any Collateral Document comply with this Agreement; provided further, that if the foregoing are satisfied, the Successor Company will succeed to, and be substituted for, the Borrower under this Agreement; (e) any Restricted Subsidiary may Dispose of all or substantially all of its assets (upon voluntary liquidation or otherwise) to the Borrower or to another Restricted Subsidiary; provided that if the transferor in such a transaction is a Credit Party, then (i) the transferee must be a Credit Party or (ii) to the extent constituting an Investment, such Investment must be an Investment permitted by Section 8.02; (f) Credit Parties (other than the Borrower) may (i) be dissolved or liquidated into another Credit Party or (ii) otherwise have their existence terminated to the extent that the assets of such Credit Party are distributed, upon such termination, to one or more Credit Parties or to a Restricted Subsidiary that is not a Credit Party so long as such transaction shall be an Investment permitted under Section 8.02; (g) Restricted Subsidiaries that are not Credit Parties may be dissolved, liquidated or otherwise have their existence terminated; and (h) so long as no Event of Default has occurred and is continuing or would result therefrom, a merger, consolidation, amalgamation, dissolution, liquidation, consolidation or Disposition, the purpose of which is to effect a Disposition permitted pursuant to Section 8.05. Section 8.05. Dispositions. Make any Disposition, except: (a) (i) Dispositions between and among Credit Parties, (ii) Dispositions between and among Restricted Subsidiaries that are not Credit Parties and (iii) Dispositions between Credit Parties, on the one hand, and Restricted Subsidiaries that are not Credit Parties, on the other hand, provided that in the case of any disposition by a Credit Party to a Restricted Subsidiary that is not a Credit Party, such Disposition shall be an Investment permitted by Section 8.02; (b) Dispositions by the Borrower or any Restricted Subsidiary; provided that (i) at the time of such Disposition, no Event of Default shall exist or would result from such Disposition, (ii) the aggregate book value of all property Disposed of in reliance on this clause (b) in any fiscal year shall not exceed an amount equal to ten percent (10%) of Total Assets of 158 1010279941v18


 
the Borrower and its Restricted Subsidiaries as of the last day of the immediately preceding fiscal year, and (iii) with respect to any Disposition for a purchase price in excess of $10,000,000, the consideration for any such Disposition shall be at least 75% cash or Cash Equivalents; provided, however, that for the purposes of this subclause (iii), the following shall be deemed to be cash: (A) any liabilities (as shown on the Borrower’s most recent balance sheet provided hereunder or in the footnotes thereto) of the Borrower or such Restricted Subsidiary, other than liabilities that are by their terms subordinated to the payment in cash of the Obligations, that (i) are assumed by the transferee with respect to the applicable Disposition or (ii) are otherwise cancelled or terminated in connection with the transaction with such transferee (other than intercompany debt owed to the Borrower or its Restricted Subsidiaries) and, in each case, for which the Borrower and all of its Restricted Subsidiaries shall have been validly released by all applicable creditors in writing, (B) any securities, notes or other obligations or assets received by the Borrower or the applicable Restricted Subsidiary from such transferee that are converted by the Borrower or such Restricted Subsidiary into cash or Cash Equivalents (to the extent of the cash or Cash Equivalents received) within 180 days following the closing of the applicable Disposition, and (C) aggregate non-cash consideration received by the Borrower or the applicable Restricted Subsidiary having an aggregate fair market value (determined as of the closing of the applicable Disposition for which such non-cash consideration is received) not to exceed the greater of (x) $27,500,000 and (y) 1.25% of Total Assets (net of any non-cash consideration converted into cash and Cash Equivalents) and (ii) such Disposition shall be for at least the fair market value (as determined by the Borrower in good faith) of the assets or property subject to such Disposition; (c) Dispositions consisting of the licensing or sublicensing of intellectual property and licenses, leases or subleases of other property, in each case in the ordinary course of business or Dispositions of intellectual property, in the Borrower’s reasonable business judgment, that are not material to the business of the Borrower and its Restricted Subsidiaries, taken as a whole; (d) Dispositions permitted by Section 8.04, that constitute a Lien permitted by Section 8.01, that constitute an Investment permitted by Section 8.02 and that constitute a Restricted Payment permitted by Section 8.06; (e) to the extent allowable under Section 1031 of the Code (or comparable or successor provision), any exchange of like property (excluding any boot thereon permitted by such provision); (f) any swap of assets in exchange for services or other assets in the ordinary course of business of comparable or greater value or usefulness to the business of the Borrower and its Subsidiaries as a whole, as determined in good faith by the management of the Borrower; (g) any sale of Capital Stock in, or Indebtedness or other securities of, an Unrestricted Subsidiary; 159 1010279941v18


 
(h) Dispositions of Investments (including equity interests) in joint ventures to the extent required by, or made pursuant to customary buy/sell arrangements between, the joint venture parties set forth in joint venture arrangements and similar binding arrangements; (i) the lapse or abandonment in the ordinary course of business of any registrations or applications for registration of any immaterial IP Rights; (j) Dispositions of non-core assets acquired in any Acquisition consummated after the Closing Date; provided that the aggregate value of any property Disposed of after any Acquisition shall not exceed 20% of the aggregate consideration for such Acquisition; (k) Dispositions by any Credit Party to any wholly-owned Restricted Subsidiary of the type described in clauses (d), (h) and (i) of the definition of “Excluded Subsidiary” to the extent consisting of contributions or other Dispositions of Capital Stock in other Subsidiaries of the type described in clauses (d), (h) or (i) of the definition of “Excluded Subsidiary” to such wholly-owned Restricted Subsidiary; and (l) Dispositions of Receivables and Receivables Related Rights pursuant to a Permitted Receivables Transaction. To the extent any Collateral is Disposed of as expressly permitted by this Section 8.05 to any Person other than the Borrower or a Credit Party, such Collateral shall be sold free and clear of the Liens created by the Credit Documents, and the Administrative Agent shall be authorized to take any actions deemed appropriate in order to effect the foregoing. Section 8.06. Restricted Payments. Declare or make, directly or indirectly, any Restricted Payment, or incur any obligation (contingent or otherwise) to do so, except that: (a) Restricted Subsidiaries of the Borrower may pay dividends and make distributions in respect of their Capital Stock ratably to their equity holders; (b) the Borrower may declare and make dividend payments or other distributions payable solely in the common stock or other common equity interests of the Borrower; (c) repurchases of Capital Stock in the Borrower or any Restricted Subsidiary of the Borrower deemed to occur upon exercise of stock options or warrants or the settlement or vesting of other equity-based awards if such Capital Stock represents a portion of the exercise price of, or tax withholdings with respect to, such options, warrants or other equity-based awards; (d) the Borrower may purchase, redeem or otherwise acquire shares of its common stock or other common equity interests or warrants or options to acquire any such shares with the proceeds received from the substantially concurrent issue of new shares of its common stock or other common equity interests to the extent such proceeds have not been applied as a utilization of the Cumulative Equity Credit; 160 1010279941v18


 
(e) the Borrower and each Restricted Subsidiary may pay for the repurchase, retirement or other acquisition or retirement for value of Capital Stock or settlement of equity-based awards of such Restricted Subsidiary (or of the Borrower) held by any future, present or former employee, officer, director, manager, consultant or independent contractor (or any spouses, former spouses, successors, executors, administrators, heirs, legatees or distributes of any of the foregoing) of such Restricted Subsidiary (or the Borrower) or any of its Subsidiaries, in each case, upon the death, disability, retirement or termination of employment or services, as applicable, of any such Person or pursuant to any equity plan, stock option plan or any other benefit or incentive plan or any agreement (including any stock subscription agreement, shareholder agreement or stockholders’ agreement) with any employee, director, officer, manager, consultant or independent contractor of such Restricted Subsidiary (or the Borrower) or any of its Restricted Subsidiaries; provided that the aggregate amount of Restricted Payments made pursuant to this clause (e) shall not exceed the greater of (x) $16,750,000 and (y) 0.75% of Total Assets determined as of the last day of the immediately preceding fiscal year in any calendar year (with 100% of the unused amounts in any calendar year being carried over to the next two succeeding calendar years); provided further, that the foregoing amount shall be increased by the Net Cash Proceeds of key man life insurance policies received by the Borrower or its Restricted Subsidiaries less the amount of Restricted Payments previously made with the cash proceeds of such key man life insurance policies; (f) the Borrower or any of the Restricted Subsidiaries may pay cash in lieu of fractional Capital Stock in connection with any dividend, split or combination thereof or any Acquisition; (g) so long as no Event of Default shall have occurred and be continuing at the time, Restricted Payments in an aggregate amount per annum not to exceed an amount equal to 6% of the net proceeds received by (or contributed to) the Borrower and its Restricted Subsidiaries from all Equity Offerings after the Closing Date; (h) so long as no Event of Default shall have occurred and be continuing at the time, Restricted Payments in an aggregate amount not to exceed, together with the aggregate amount of all prepayments of Junior Debt made pursuant to Section 8.12(a)(iii), at the time any such Restricted Payment is made, the sum of (x) the greater of (i) $50,000,000 and (ii) 2.25% of Total Assets and (y) the Cumulative Equity Credit; (i) Restricted Payments may be made by the Borrower so long as, at the time any such Restricted Payment is made, the Payment Conditions are satisfied; and (j) to the extent constituting Restricted Payment, the Borrower or any of its Restricted Subsidiaries may enter into and consummate transactions expressly permitted by any provision of Section 8.04 and Section 8.09 (other than Section 8.09(d)). Section 8.07. Change in Nature of Business. Engage in any material line of business substantially different from those lines of business conducted by the Borrower and its Restricted Subsidiaries on the Amendment No. 4 Effective Date or any business substantially related, 161 1010279941v18


 
complementary, synergistic, ancillary or incidental thereto (including related, complementary, synergistic, ancillary or incidental technologies) or reasonable extensions thereof. Section 8.08. Change in Fiscal Year. Change its fiscal year (except, on one occasion, to change its fiscal year to a fiscal year ending September 30 or December 31); provided, however, that the Borrower may, upon written notice to the Administrative Agent, change its fiscal year to any other fiscal year reasonably acceptable to the Administrative Agent, in which case, the Borrower and the Administrative Agent will, and are hereby authorized by the Lenders to, make any adjustments to this Agreement that are necessary to reflect such change in fiscal year. Section 8.09. Transactions with Affiliates. Enter into any transaction of any kind with any Affiliate of the Borrower involving aggregate payments or consideration in excess of $5,000,000 for any individual transaction or series of related transactions, whether or not in the ordinary course of business, other than (a) transactions on fair and reasonable terms substantially as favorable to the Borrower or such Restricted Subsidiary as would be obtainable by the Borrower or such Restricted Subsidiary at the time in a comparable arm’s length transaction with a Person other than an Affiliate, (b) transactions amongst the Borrower and its Restricted Subsidiaries or any entity that becomes a Restricted Subsidiary as a result of such transaction, (c) payment of reasonable compensation (including reasonable salary, bonus and other reasonable incentive arrangements) and stock option and other equity or incentive award plans and employee benefit plans, practices and arrangements for directors, officers, employees, managers, consultants and independent contractors, (d) directors’ fees and reasonable out of pocket costs to, and indemnities provided on behalf of, directors, officers, employees, consultants and independent contractors of the Borrower and its Restricted Subsidiaries, (e) Restricted Payments permitted pursuant to Section 8.06, (f) Investments permitted by Section 8.02(b), Section 8.02(c), Section 8.02(g), Section 8.02(o), (g) Dispositions permitted by Section 8.05(h), (h) transactions pursuant to agreements, instruments or arrangements in existence on the Closing Date and set forth in Schedule 8.09 or any amendment thereto to the extent such an amendment is not adverse to the Lenders in any material respect, (i) transactions with customers, clients, joint venture partners, suppliers or purchasers or sellers of goods or services, in each case in the ordinary course of business and otherwise in compliance with the terms of this Agreement that are fair to the Borrower and its Restricted Subsidiaries, in the reasonable determination of the Board of Directors or the senior management of the Borrower, or are on terms at least as favorable as might reasonably have been obtained at such time from a Person that is not an Affiliate, (j) transactions in which the Borrower or any of the Restricted Subsidiaries, as the case may be, deliver to the Administrative Agent a letter from an independent financial advisor stating that such transaction is fair to the Borrower or such Restricted Subsidiary from a financial point of view or meets the requirements of clause (a) of this Section 8.09, (k) payments to or from, and transactions with, joint ventures (to the extent any such joint venture is only an Affiliate as a result of Investments by the Borrower and its Restricted Subsidiaries in such joint venture) to the extent otherwise constituting an Investment or Restricted Payment permitted under this Agreement, (l) Indebtedness permitted by Section 8.03(j), and (m) transactions with an Escrow Borrower, including any Escrow Funding Assignment, any Escrow Assumption and the entrance into any agreements related thereto so long as the proceeds of any related Indebtedness of the 162 1010279941v18


 
163 1010279941v18 4:50 to 1.00 TO AND INCLUDING assets or Capital Stock acquired therewith are promptly contributed or otherwise transferred to the Borrower or a Subsidiary promptly upon the use of such proceeds. Section 8.10. [Reserved]. Section 8.11. Financial Covenants. (a) Consolidated Cash Interest Coverage Ratio. Permit the Consolidated Cash Interest Coverage Ratio as of the last day of any Test Period (commencing with the Test Period ending July 1, 2022) to be less than 3.00:1.00. (b) Consolidated Total Net Leverage Ratio. Permit the Consolidated Total Net Leverage Ratio as of the last day of any Test Period to be greater than the ratio set forth below opposite such period: October 1, 2023 THE LEVERAGE RATIO SHALL NOT BE GREATER THAN: December 31, 2023 5.25 to 1.00 January 1, 2024 July 1, 2022 and each Test Period thereafter FROM AND INCLUDING 4.50 to 1.00 September 30, 2023 ; provided that following the consummation of any Material Acquisition after the Covenant Relief Period End Date, the Consolidated Leverage Ratio set forth above shall increase to 5:00 to 1.00 for any Test Period ending after the consummation of such Material Acquisition and prior to the end of the fourth fiscal quarter end following such Material Acquisition. Section 8.12. Prepayments etc. of Indebtedness. (a) Prepay, redeem, purchase, defease or otherwise satisfy prior to the scheduled maturity thereof in any manner (it being understood that payments of regularly scheduled principal, interest and mandatory prepayments shall be permitted) any Incremental Equivalent Debt, any Refinancing Equivalent Debt, any Ratio Debt or any other Indebtedness for borrowed money of a Credit Party, in each case, that is (x) unsecured or (y) subordinated in right of payment to the Loan Obligations expressly by its terms or to the Lien securing the Collateral expressly by its terms (other than Indebtedness among the Borrower and its Restricted Subsidiaries) to the extent permitted by any applicable subordination provisions (collectively, “Junior Debt”), except (i) any Permitted Refinancing thereof, (ii) the conversion of any such Junior Debt to Capital Stock (other than Disqualified Stock) of the Borrower from the


 
substantially concurrent issuance of new shares of its common stock or other common equity interests, (iii) prepayments, redemptions, purchases, defeasances and other repayments in respect to Junior Debt in an aggregate amount not to exceed, together with the aggregate amount of all Restricted Payments made pursuant to Section 8.06(h), at the time any such prepayment, redemption, purchase, defeasance or other repayment is made, the sum of (x) the greater of (a) $50,000,000 and (b) 2.25% of Total Assets and (y) the Cumulative Equity Credit, and (iv) prepayments, redemptions, purchases, defeasances and other repayments in respect of Junior Debt so long as, after giving effect to such prepayments, redemptions, purchases, defeasances and other repayments, the Payment Conditions are satisfied. (b) Amend, modify or change in any manner materially adverse to the interests of the Lenders, as determined in good faith by the Borrower, any term or condition of any Junior Debt having an aggregate outstanding principal amount in excess of $30,000,000 (other than as a result of any Permitted Refinancing in respect thereof) without the consent of the Administrative Agent (which consent shall not be unreasonably withheld, conditioned or delayed). Section 8.13. Burdensome Agreements. Enter into, incur or permit to exist any agreement or other arrangement that prohibits, restricts or imposes any condition upon (i) the ability of the Borrower or any Credit Party to create, incur or permit to exist any Lien upon any of its property or assets to secure the Obligations or (ii) the ability of any Restricted Subsidiary that is not a Credit Party to pay dividends or other distributions with respect to any of its Capital Stock; provided that (A) the foregoing shall not apply to restrictions and conditions imposed by Law, or by any Credit Document, or with respect to clause (ii) above any document evidencing any Ratio Debt, Incremental Equivalent Debt or Refinancing Equivalent Debt (or any Permitted Refinancing thereof), (B) the foregoing shall not apply to customary provisions in joint venture agreements and other similar agreements applicable to joint ventures constituting Investments permitted hereunder and applicable solely to such joint venture, (C) the foregoing shall not apply to restrictions and conditions imposed on any Restricted Subsidiary that is not a Credit Party by the terms of any Indebtedness of such Restricted Subsidiary that is not a Credit Party permitted to exist or be incurred hereunder, (D) clause (i) of the foregoing shall not apply to restrictions or conditions imposed by any agreement relating to secured Indebtedness permitted hereunder if such restrictions or conditions apply only to the property or assets financed by such Indebtedness, (E) clause (i) of the foregoing shall not apply to customary provisions in leases, licenses, purchase money contracts and other contracts (including joint venture agreements) restricting the assignment, sublease or sublicense thereof, (F) the foregoing shall not apply to restrictions that arise in connection with cash or other deposits imposed by customers under contracts entered into in the ordinary course of business and not prohibited hereunder, (G) the foregoing shall not apply to Contractual Obligations which (x) exist on the Closing Date and (to the extent not otherwise permitted by this Section 8.13) are listed in Schedule 8.13 and (y) to the extent Contractual Obligations permitted by clause (x) are set forth in an agreement evidencing Indebtedness, are set forth in any agreement evidencing any permitted modification, replacement, renewal, extension or refinancing of such Indebtedness so long as such modification, replacement, renewal, extension or refinancing does not expand the scope of such Contractual Obligation, (H) the foregoing shall not apply to Contractual Obligations which are binding on a Restricted Subsidiary at the time such Restricted Subsidiary first becomes a Restricted Subsidiary of the Borrower, so long as such Contractual Obligations were not entered into solely 164 1010279941v18


 
in contemplation of such Person becoming a Restricted Subsidiary of the Borrower or entered into for the purpose of creating such prohibition or restrictions, (I) the foregoing shall not apply to Contractual Obligations which arise in connection with cash or other deposits permitted under Section 8.01, and limited to such cash or deposits, (J) the foregoing shall not apply to Contractual Obligations which comprise restrictions imposed by any agreement relating to secured Indebtedness permitted pursuant to Section 8.03(f), (k) (with respect to clause (i)), (h) and (m)(i) to the extent that such restrictions apply only to the property or assets subject to such Indebtedness or, in the case of Section 8.03(h), to the Restricted Subsidiaries incurring or guaranteeing such Indebtedness, (K) the foregoing shall not apply to Contractual Obligations which are customary restrictions that arise in connection with (x) any Lien permitted by Sections 8.01(g), (h), (p), (r), (x)(i), (x)(ii), (y) and (z) and relate to the property subject to such Lien or (y) arise in connection with any Disposition permitted by Section 8.04 or 8.05 and relate solely to the assets or Person subject to such Disposition, (L) the foregoing shall not apply to Contractual Obligations which comprise restrictions imposed by any agreement governing Indebtedness entered into on or after the Closing Date and permitted under Section 8.03 that are, taken as a whole, in the good faith judgment of the Borrower, no more restrictive in any material respect with respect to the Borrower or any Restricted Subsidiary than those encumbrances and other restrictions that are in effect on the Closing Date pursuant to agreements and instruments in effect on the Closing Date or, if applicable, on the date on which such Restricted Subsidiary became a Restricted Subsidiary pursuant to agreements and instruments in effect on such date. ARTICLE 9 EVENTS OF DEFAULT AND REMEDIES Section 9.01. Events of Default. Any of the following shall constitute an “Event of Default”: (a) Non-Payment. The Borrower or any other Credit Party fails to pay (i) when and as required to be paid herein and in the currency required hereunder, any amount of principal of any Loan or any L/C Obligation, or (ii) within five (5) Business Days after the same becomes due, any interest on any Loan or on any L/C Obligation, any fee due hereunder or any other amount payable hereunder or under any other Credit Document; or (b) Specific Covenants. The Borrower or any other Credit Party fails to perform or observe any term, covenant or agreement contained in any of Sections 2.01(e), 7.03(a), 7.05(a) (solely with respect to the Borrower), 7.11 or Article 8; or (c) Other Defaults. The Borrower or any other Credit Party fails to perform or observe any other covenant or agreement (not specified in subsection (a) or (b) above) contained in any Credit Document on its part to be performed or observed and such failure continues for 30 days after the date upon which written notice thereof is given by the Administrative Agent; or (d) Representations and Warranties. Any representation, warranty, certification or statement of fact made or deemed made by or on behalf of the Borrower or any other Credit Party herein, in any other Credit Document, or in any document delivered in 165 1010279941v18


 
connection herewith or therewith shall be false or misleading in any material respect when made or deemed made; or (e) Cross-Default. The Borrower or any Restricted Subsidiary (A) fails to make any payment when due (whether by scheduled maturity, required prepayment, acceleration, demand, or otherwise, but after giving effect to any applicable grace period) in respect of any Indebtedness (other than Indebtedness hereunder) having an aggregate outstanding principal amount (including amounts owing to all creditors under any combined or syndicated credit arrangement) of more than $30,000,000, or (B) fails to observe or perform any other agreement or condition relating to any such Indebtedness or contained in any instrument or agreement evidencing, securing or relating thereto (in each case, after giving effect to any applicable grace period), or any other event occurs (other than, in any case pursuant to this clause (B) with respect to Indebtedness consisting of Swap Contracts, termination events or equivalent events pursuant to the terms of such Swap Contracts and not as a result of any other default thereunder by any Credit Party), the effect of which default or other event is to cause, or to permit the holder or holders of such Indebtedness (or a trustee or agent on behalf of such holder or holders) to cause, with the giving of notice if required, such Indebtedness to be demanded or to become due or to be repurchased, prepaid, defeased or redeemed (automatically or otherwise), or an offer to repurchase, prepay, defease or redeem such Indebtedness to be made, prior to its stated maturity but only to the extent that such failure is unremedied and is not waived by the holders of such Indebtedness prior to any termination of the Revolving Credit Commitments or acceleration of the Loans pursuant to Section 9.02; or (f) Insolvency Proceedings, Etc. The Borrower or any Restricted Subsidiary that is a Material Subsidiary institutes or consents to the institution of any proceeding under any Debtor Relief Law, or makes an assignment for the benefit of creditors; or applies for or consents to the appointment of any receiver, trustee, custodian, conservator, liquidator, rehabilitator or similar officer for it or for all or any material part of its property; or any receiver, trustee, custodian, conservator, liquidator, rehabilitator or similar officer is appointed without the application or consent of such Person and the appointment continues undischarged or unstayed for 60 calendar days; or any proceeding under any Debtor Relief Law relating to any such Person or to all or any material part of its property is instituted without the consent of such Person and continues undismissed or unstayed for 60 calendar days, or an order for relief is entered in any such proceeding; or (g) Inability to Pay Debts; Attachment. (i) The Borrower or any Restricted Subsidiary that is a Material Subsidiary becomes unable or admits in writing its inability or fails generally to pay its debts as they become due, or (ii) any writ or warrant of attachment or execution or similar process is issued or levied against all or any material part of the property of any such Person and is not released, vacated or fully bonded within 60 days after its issue or levy; or (h) Judgments. There is entered against the Borrower or any Restricted Subsidiary a final judgment or order for the payment of money in an aggregate amount exceeding $30,000,000 (to the extent not covered by independent third-party insurance as to which the insurer does not dispute coverage), and (i) enforcement proceedings are commenced by any creditor upon such judgment or order, or (ii) there is a period of 60 consecutive days during 166 1010279941v18


 
which (1) a stay of enforcement of such judgment, by reason of a pending appeal or otherwise, is not in effect or (2) the same is not discharged, satisfied or vacated; or (i) ERISA. (i) An ERISA Event occurs with respect to a Pension Plan or Multiemployer Plan that has resulted or would reasonably be expected to result in liability of a Credit Party under Title IV of ERISA to the Pension Plan, Multiemployer Plan or the PBGC in an aggregate amount which could reasonably be expected to result in a Material Adverse Effect, or (ii) a Credit Party or any ERISA Affiliate fails to pay when due, after the expiration of any applicable grace period, any installment payment with respect to its withdrawal liability under Section 4201 of ERISA under a Multiemployer Plan that has resulted or would reasonably be expected to result in liability of a Credit Party in an aggregate amount which could reasonably be expected to result in a Material Adverse Effect; or (j) Invalidity of Credit Documents. Any material provision of any Credit Document, at any time after its execution and delivery and for any reason other than as expressly permitted hereunder or satisfaction in full of all the Obligations, ceases to be in full force and effect; or any Credit Party contests in any manner the validity or enforceability of any Credit Document; or any Credit Party denies that it has any or further liability or obligation under any Credit Document, or purports to revoke, terminate or rescind any Credit Document; or (k) Collateral Documents. (i) Any Collateral Document after delivery thereof pursuant to Section 5.01 of this Agreement as in effect on the Closing Date, 7.11 or 7.13 shall for any reason (other than pursuant to the terms hereof or thereof including as a result of a transaction not prohibited under this Agreement) cease to create a valid and perfected Lien, with the priority required by the Collateral Documents on and security interest in any material portion of the Collateral purported to be covered thereby, subject to Liens permitted under Section 8.01, (x) except to the extent that any such perfection or priority is not required pursuant to the Collateral and Guarantee Requirement or results from the failure of the Administrative Agent to maintain possession of certificates actually delivered to it representing securities pledged under the Collateral Documents or to file the original Uniform Commercial Code financing statements provided to it on the Closing Date or to file Uniform Commercial Code continuation statements and (y) except as to Collateral consisting of real property to the extent that such losses are covered by a lender’s title insurance policy and such insurer has not denied coverage or (ii) any Lien created or purported to be created by the Collateral Documents shall cease to have the lien priority established or purported to be established by the applicable Intercreditor Agreement; or (l) Change of Control. There occurs any Change of Control. Section 9.02. Remedies Upon Event of Default. If any Event of Default occurs and is continuing, the Administrative Agent shall, at the request of, or may, with the consent of, the Required Lenders, take any or all of the following actions: (a) declare the Commitments of the Lenders to make Loans and the obligation of the L/C Issuer to make L/C Credit Extensions to be terminated, whereupon such Commitments and obligation shall be terminated; 167 1010279941v18


 
(b) declare the unpaid principal amount of all outstanding Loans, all interest accrued and unpaid thereon, and all other amounts owing or payable hereunder or under any other Credit Document to be immediately due and payable, without presentment, demand, protest or other notice of any kind, all of which are hereby expressly waived by the Borrower; (c) require that the Borrower Cash Collateralize the L/C Obligations (in an amount equal to 103% of the then Outstanding Amount thereof); and (d) exercise on behalf of itself and the Lenders all rights and remedies available to it or to the Lenders under the Credit Documents or applicable Law; provided that upon the occurrence of an Event of Default under Section 9.01(f), the obligation of each Lender to make Loans and any obligation of the L/C Issuer to make L/C Credit Extensions shall automatically terminate, the unpaid principal amount of all outstanding Loans and all interest and other amounts as aforesaid shall automatically become due and payable, and the obligation of the Borrower to Cash Collateralize the L/C Obligations as aforesaid shall automatically become effective, in each case without further act of the Administrative Agent or any Lender. Section 9.03. Application of Funds. After the exercise of remedies provided for in Section 9.02 (or after the Loans have automatically become immediately due and payable and the L/C Obligations have automatically been required to be Cash Collateralized as set forth in the proviso to Section 9.02(d)), any amounts received on account of the Obligations shall be applied by the Administrative Agent in the following order: First, to payment of that portion of the Obligations constituting fees, indemnities, expenses and other amounts (including reasonable attorneys’ fees and disbursements and amounts payable under Article 3) payable to the Administrative Agent in its capacity as such; Second, to payment of that portion of the Obligations constituting fees, indemnities and other amounts (other than principal, interest and Letter of Credit Fees) payable to the Lenders (including reasonable attorneys’ fees and disbursements and amounts payable under Article 3), ratably among the Lenders in proportion to the amounts described in this clause Second payable to them; Third, to payment of that portion of the Obligations constituting accrued and unpaid Letter of Credit Fees, interest on the Loans and L/C Borrowings, ratably among the Lenders and the L/C Issuer in proportion to the respective amounts described in this clause Third payable to them; Fourth, to (i) payment of that portion of the Obligations constituting unpaid principal of the Loans, L/C Borrowings and other Obligations, (ii) payment of fees, premiums, scheduled periodic payments, breakage, termination and any interest accrued thereon or other amounts owing in respect of any Swap Contract between the Borrower and any of its Restricted Subsidiaries and any Agent, Lender or Affiliate of an Agent or Lender (or any Person that was an Agent, a Lender or an Affiliate of an Agent or a Lender on the date such Swap Contract was entered into), (iii) payments of amounts due under any Treasury Management Agreement between the Borrower or any of its 168 1010279941v18


 
Restricted Subsidiaries and any Lender, or any Affiliate of a Lender and (iv) the Administrative Agent for the account of the L/C Issuer, to Cash Collateralize that portion of the L/C Obligations comprised of the aggregate undrawn amount of Letters of Credit, ratably among such parties in proportion to the respective amounts described in this clause Fourth payable to them; Last, the balance, if any, after all of the Obligations have been indefeasibly paid in full, to the Borrower or as otherwise required by Law; provided that, subject to Section 2.03, amounts used to Cash Collateralize the aggregate undrawn amount of Letters of Credit pursuant to clause Fourth above shall be applied to satisfy drawings under such Letters of Credit as they occur. If any amount remains on deposit as Cash Collateral after all Letters of Credit have either been fully drawn or expired, such remaining amount shall be applied to the other Obligations, if any, in the order set forth above, and if not so applied shall be returned to the Borrower. ARTICLE 10 ADMINISTRATIVE AGENT Section 10.01. Appointment and Authorization of Administrative Agent. (a) Each of the Lenders and the L/C Issuer hereby irrevocably appoints (i) Bank of America to act on its behalf as the Administrative Agent and Collateral Agent hereunder and under the other Credit Documents and (ii) authorizes the Administrative Agent to take such actions on its behalf and to exercise such powers as are delegated to the Administrative Agent by the terms hereof or thereof, together with such actions and powers as are reasonably incidental thereto. The provisions of this Article 10 (other than Section 10.06 (solely with respect to the removal and consent/consultation rights set forth therein) and Section 10.10) are solely for the benefit of the Administrative Agent, the Lenders and the L/C Issuer, and the Credit Parties shall not have rights as a third party beneficiary of any of such provisions. (b) Each Lender hereby irrevocably appoints, designates and authorizes the Collateral Agent to take such action on its behalf under the provisions of this Credit Agreement and each other Credit Document and to exercise such powers and perform such duties as are expressly delegated to it by the terms of this Credit Agreement or any other Credit Document, together with such powers as are reasonably incidental thereto. In connection herewith, the Administrative Agent, as Collateral Agent, and any co-agents, sub-agents and attorneys-in-fact appointed by the Administrative Agent pursuant to Section 10.05 for purposes of holding or enforcing any Lien on the Collateral (or any portion thereof) granted under the Credit Documents, or for exercising any rights and remedies thereunder at the direction of the Administrative Agent, shall be entitled to the benefits of all provisions of this Article 10 and Article 11 (including Section 11.04, as though such co-agents, sub-agents and attorneys-in-fact were the Collateral Agent under the Credit Documents) as if set forth in full herein with respect thereto. Notwithstanding any provision to the contrary contained elsewhere herein or in any other Credit Document, the Collateral Agent shall not have any duties or responsibilities, except those expressly set forth herein or therein, nor shall the Collateral Agent have or be deemed to have any fiduciary relationship with any Lender or participant, and no implied covenants, functions, responsibilities, duties, obligations or liabilities shall be read into this Credit 169 1010279941v18


 
Agreement or any other Credit Document or otherwise exist against the Collateral Agent. Without limiting the generality of the foregoing sentence, the use of the term “agent” herein and in the other Credit Documents with reference to the Collateral Agent is not intended to connote any fiduciary or other implied (or express) obligations arising under agency doctrine of any applicable Law. Instead, such term is used merely as a matter of market custom, and is intended to create or reflect only an administrative relationship between independent contracting parties. The Collateral Agent shall act on behalf of the Lenders with respect to the Collateral and the Credit Documents, and the Collateral Agent shall have all of the benefits and immunities (i) provided to the Administrative Agent under the Credit Documents with respect to any acts taken or omissions suffered by the Collateral Agent in connection with any Collateral or the Collateral Documents as fully as if the term “Administrative Agent” as used in such Credit Documents included the Collateral Agent with respect to such acts or omissions, and (ii) as additionally provided herein or in the other Credit Documents with respect to the Collateral Agent. Section 10.02. Rights as a Lender. The Person serving as the Administrative Agent hereunder shall have the same rights and powers in its capacity as a Lender as any other Lender and may exercise the same as though it were not the Administrative Agent and the term “Lender” or “Lenders” shall, unless otherwise expressly indicated or unless the context otherwise requires, include the Person serving as the Administrative Agent hereunder in its individual capacity. Such Person and its Affiliates may accept deposits from, lend money to, own securities of, act as the financial advisor or in any other advisory capacity for and generally engage in any kind of business with the Borrower or any Subsidiary or other Affiliate thereof as if such Person were not the Administrative Agent hereunder and without any duty to account therefor to the Lenders. Section 10.03. Exculpatory Provisions. The Administrative Agent shall not have any duties or obligations except those expressly set forth herein and in the other Credit Documents, and its duties hereunder shall be administrative in nature. Without limiting the generality of the foregoing, the Administrative Agent: (a) shall not be subject to any fiduciary or other implied duties, regardless of whether a Default or Event of Default has occurred and is continuing; (b) shall not have any duty to take any discretionary action or exercise any discretionary powers, except discretionary rights and powers expressly contemplated hereby or by the other Credit Documents that the Administrative Agent is required to exercise as directed in writing by the Required Lenders (or such other number or percentage of the Lenders as shall be expressly provided for herein or in the other Credit Documents); provided that the Administrative Agent shall not be required to take any action that, in its opinion or the opinion of its counsel, may expose the Administrative Agent to liability or that is contrary to any Credit Document or applicable Law, including for the avoidance of doubt any action that may be in violation of the automatic stay under any Debtor Relief Law or that may affect a forfeiture, modification or termination of property of a Defaulting Lender in violation of any Debtor Relief Law; (c) shall not, except as expressly set forth herein and in the other Credit Documents, have any duty to disclose, and shall not be liable for the failure to disclose, any 170 1010279941v18


 
information relating to the Borrower or any of its Affiliates that is communicated to or obtained by the Person serving as the Administrative Agent or any of its Affiliates in any capacity; and (d) shall not be responsible or have any liability for, or have any duty to ascertain, inquire into, monitor the list or identities of, or enforce, compliance with the provisions hereof relating to Disqualified Institutions. Without limiting the generality of the foregoing, the Administrative Agent shall not (x) be obligated to ascertain, monitor or inquire as to whether any Lender or Participant or prospective Lender or Participant is a Disqualified Institution or (y) have any liability with respect to or arising out of any assignment or participation of Loans, or disclosure of confidential information, to any Disqualified Institution. The Administrative Agent shall not be liable for any action taken or not taken by it (i) with the consent or at the request of the Required Lenders (or such other number or percentage of the Lenders as shall be necessary, or as the Administrative Agent shall believe in good faith shall be necessary, under the circumstances as provided in Sections 11.01 and 9.02) or (ii) in the absence of its own gross negligence, bad faith or willful misconduct as determined by a court of competent jurisdiction by final and nonappealable judgment. The Administrative Agent shall be deemed not to have knowledge of any Default or Event of Default unless and until notice describing such Default is given to the Administrative Agent in writing by the Borrower, a Lender or the L/C Issuer. The Administrative Agent shall not be responsible for or have any duty to ascertain or inquire into (1) any statement, warranty or representation made in or in connection with this Credit Agreement or any other Credit Document, (2) the contents of any certificate, report or other document delivered hereunder or thereunder or in connection herewith or therewith, (3) the performance or observance of any of the covenants, agreements or other terms or conditions set forth herein or therein or the occurrence of any Default or Event of Default, (4) the validity, enforceability, effectiveness or genuineness of this Credit Agreement, any other Credit Document or any other agreement, instrument or document, or the creation, perfection or priority of any Lien purported to be created by the Collateral Documents, (5) the value or sufficiency of any Collateral, or (6) the satisfaction of any condition set forth in Article 5 or elsewhere herein, other than to confirm receipt of items expressly required to be delivered to the Administrative Agent. Section 10.04. Reliance by Administrative Agent. The Administrative Agent shall be entitled to rely upon, and shall not incur any liability for relying upon, any notice, request, certificate, consent, statement, instrument, document or other writing (including any electronic message, Internet or intranet website posting or other distribution) believed by it to be genuine and to have been signed, sent or otherwise authenticated by the proper Person. The Administrative Agent also may rely upon any statement made to it orally or by telephone and believed by it to have been made by the proper Person, and shall not incur any liability for relying thereon. In determining compliance with any condition hereunder to the making of a Loan, or the issuance, extension, renewal or increase of a Letter of Credit, that by its terms must be fulfilled to the satisfaction of a Lender or the L/C Issuer, the Administrative Agent may presume that such condition is reasonable satisfactory to such Lender or the L/C Issuer unless the 171 1010279941v18


 
Administrative Agent shall have received notice to the contrary from such Lender or the L/C Issuer prior to the making of such Loan or the issuance of such Letter of Credit. The Administrative Agent may consult with legal counsel (who may be counsel for the Borrower), independent accountants and other experts selected by it, and shall not be liable for any action taken or not taken by it in accordance with the advice of any such counsel, accountants or experts. Section 10.05. Delegation of Duties. The Administrative Agent may perform any and all of its duties and exercise its rights and powers hereunder or under any other Credit Document by or through any one or more sub-agents appointed by the Administrative Agent; provided, however, that any such sub-agent receiving payments from the Credit Parties shall be a “U.S. person” and a “financial institution” within the meaning of Treasury Regulations 1.1441-1. The Administrative Agent and any such sub-agent may perform any and all of its duties and exercise its rights and powers by or through their respective Related Parties. The exculpatory provisions of this Article shall apply to any such sub-agent and to the Related Parties of the Administrative Agent and any such sub-agent, and shall apply to their respective activities in connection with the syndication of the credit facilities provided for herein as well as activities as Administrative Agent. Section 10.06. Resignation of the Administrative Agent. The Administrative Agent may at any time give notice of its resignation to the Lenders, the L/C Issuer and the Borrower. If the Administrative Agent is subject to an Agent-Related Distress Event, the Required Lenders may remove the Administrative Agent upon ten (10) days’ notice. Upon receipt of any such notice of resignation or upon such removal of the Administrative Agent, the Required Lenders shall have the right, in consultation with the Borrower, to appoint a successor, which shall be a bank with an office in the United States, or an Affiliate of any such bank with an office in the United States; provided that such successor shall be a “U.S. person” and a “financial institution” within the meaning of Treasury Regulations Section 1.1441-1. If no such successor shall have been so appointed by the Required Lenders and shall have accepted such appointment within 30 days after the retiring Administrative Agent gives notice of its resignation (or such earlier day as shall be agreed to by the Required Lenders) (the “Resignation Effective Date”)), then the retiring Administrative Agent may (but shall not be obligated to) on behalf of the Lenders and the L/C Issuer, appoint a successor Administrative Agent meeting the qualifications set forth above subject to the consultation rights of the Borrower in connection with such appointment. Whether or not a successor has been appointed, such resignation shall become effective in accordance with such notice on the Resignation Effective Date. Commencing on the Resignation Effective Date (1) the retiring Administrative Agent shall be discharged from its duties and obligations hereunder and under the other Credit Documents (except that in the case of any collateral security held by the Administrative Agent on behalf of the Lenders or the L/C Issuer under any of the Credit Documents, the retiring or removed Administrative Agent shall continue to hold such collateral security until such time as a successor Administrative Agent is appointed) and (2) all payments, communications and determinations provided to be made by, to or through the Administrative Agent shall instead be made by or to each Lender and the L/C Issuer directly, until such time, if any, as the Required Lenders appoint a successor Administrative Agent as provided for above in this Section. Upon the acceptance of a successor’s appointment as Administrative Agent hereunder, such successor 172 1010279941v18


 
shall succeed to and become vested with all of the rights, powers, privileges and duties of the retiring or removed Administrative Agent, and the retiring or removed Administrative Agent shall be discharged from all of its duties and obligations hereunder or under the other Credit Documents (if not already discharged therefrom as provided above in this Section). The fees payable by the Borrower to a successor Administrative Agent shall be the same as those payable to its predecessor unless otherwise agreed to between the Borrower and such successor. After the retiring Administrative Agent’s resignation or the removed Administrative Agent’s removal hereunder and under the other Credit Documents, the provisions of this Article and Section 11.04 shall continue in effect for the benefit of such retiring or removed Administrative Agent, its sub-agents and their respective Related Parties in respect of any actions taken or omitted to be taken by any of them while the retiring or removed Administrative Agent was acting as Administrative Agent. Any resignation by or removal of Bank of America as Administrative Agent pursuant to this Section shall also constitute its resignation or removal as the Collateral Agent, the L/C Issuer and the Swingline Lender. Upon the acceptance of a successor’s appointment as Administrative Agent hereunder, (i) such successor shall succeed to and become vested with all of the rights, powers, privileges and duties of the retiring Collateral Agent, L/C Issuer and Swingline Lender, (ii) the retiring Collateral Agent, L/C Issuer and Swingline Lender shall be discharged from all of their respective duties and obligations hereunder or under the other Credit Documents, and (iii) the successor L/C Issuer shall issue letters of credit in substitution for the Letters of Credit, if any, outstanding at the time of such succession or make other arrangements reasonable satisfactory to the retiring L/C Issuer to effectively assume the obligations of the retiring L/C Issuer with respect to such Letters of Credit. Section 10.07. Non-Reliance on Administrative Agent and Other Lenders. Each Lender and the L/C Issuer acknowledges that it has, independently and without reliance upon the Administrative Agent or any other Lender or any of their Related Parties and based on such documents and information as it has deemed appropriate, made its own credit analysis and decision to enter into this Credit Agreement. Each Lender and the L/C Issuer also acknowledges that it will, independently and without reliance upon the Administrative Agent or any other Lender or any of their Related Parties and based on such documents and information as it shall from time to time deem appropriate, continue to make its own decisions in taking or not taking action under or based upon this Credit Agreement, any other Credit Document or any related agreement or any document furnished hereunder or thereunder. Section 10.08. No Other Duties. Anything herein to the contrary notwithstanding, none of the Arrangers, book managers or syndication or documentation agents listed on the cover page hereof shall have any powers, duties or responsibilities under this Credit Agreement or any of the other Credit Documents, except in its capacity, as applicable, as the Administrative Agent, a Lender or the L/C Issuer hereunder. Section 10.09. Administrative Agent May File Proofs of Claim; Credit Bidding. In case of the pendency of any proceeding under any Debtor Relief Law or any other judicial proceeding relative to any Credit Party, the Administrative Agent (irrespective of whether the principal of any Loan or L/C Obligation shall then be due and payable as herein expressed or by declaration or otherwise and irrespective of whether the Administrative Agent shall have made any demand 173 1010279941v18


 
on the Borrower) shall be entitled and empowered (but not obligated), by intervention in such proceeding or otherwise: (a) to file and prove a claim for the whole amount of the principal and interest owing and unpaid in respect of the Loans, L/C Obligations and all other Obligations (other than obligations under Swap Contracts or Treasury Management Agreements to which the Administrative Agent is not a party) that are owing and unpaid and to file such other documents as may be necessary or advisable in order to have the claims of the Lenders, the L/C Issuer and the Administrative Agent (including any claim for the reasonable compensation, expenses, disbursements and advances of the Lenders, the L/C Issuer and the Administrative Agent and their respective agents and counsel and all other amounts due the Lenders, the L/C Issuer and the Administrative Agent under Sections 2.09 and 11.04) allowed in such judicial proceeding; and (b) to collect and receive any monies or other property payable or deliverable on any such claims and to distribute the same; and any custodian, receiver, assignee, trustee, liquidator, sequestrator or other similar official in any such judicial proceeding is hereby authorized by each Lender and the L/C Issuer to make such payments to the Administrative Agent and, in the event that the Administrative Agent shall consent to the making of such payments directly to the Lenders and the L/C Issuer, to pay to the Administrative Agent any amount due for the reasonable compensation, expenses, disbursements and advances of the Administrative Agent and its agents and counsel, and any other amounts due to the Administrative Agent under Sections 2.09 and 11.04. Nothing contained herein shall be deemed to authorize the Administrative Agent to authorize or consent to or accept or adopt on behalf of any Lender or the L/C Issuer any plan of reorganization, liquidation, arrangement, adjustment or composition or similar dispositive restructuring plan affecting the Obligations or the rights of any Lender or the L/C Issuer to authorize the Administrative Agent to vote in respect of the claim of any Lender in any such proceeding. The Secured Parties hereby irrevocably authorize the Administrative Agent, at the direction of the Required Lenders, to credit bid all or any portion of the Secured Obligations (including accepting some or all of the Collateral in satisfaction of some or all of the Secured Obligations pursuant to a deed in lieu of foreclosure or otherwise) and in such manner purchase (either directly or through one or more acquisition vehicles) all or any portion of the Collateral (a) at any sale thereof conducted under the provisions of the Bankruptcy Code, including under Sections 363, 1123 or 1129 of the Bankruptcy Code (or any similar provision(s) in any other Debtor Relief Laws), or any similar Laws in any other jurisdictions to which a Credit Party is subject, (b) at any other sale or foreclosure or acceptance of collateral in lieu of debt conducted by (or with the consent or at the direction of) the Administrative Agent (whether by judicial action or otherwise) in accordance with any applicable Law. In connection with any such credit bid and purchase, the Secured Obligations owed to the Secured Parties shall be entitled to be, and shall be, credit bid on a ratable basis (with Secured Obligations with respect to contingent or unliquidated claims receiving contingent interests in the acquired assets on a ratable basis that would vest upon the liquidation of such claims in an amount proportional to the liquidated portion of the contingent claim amount used in allocating the contingent interests) in the asset or assets so purchased (or in the Capital Stock or debt instruments of the acquisition vehicle or 174 1010279941v18


 
vehicles that are used to consummate such purchase). In connection with any such bid (i) the Administrative Agent shall be authorized to form one or more acquisition vehicles to make a bid, (ii) to adopt documents providing for the governance of the acquisition vehicle or vehicles (provided that any actions by the Administrative Agent with respect to such acquisition vehicle or vehicles, including any disposition of the assets or Capital Stock thereof shall be governed, directly or indirectly, by the vote of the Required Lenders, irrespective of the termination of this Agreement and without giving effect to the limitations on actions by the Required Lenders contained in clauses (a) through (e) of Section 11.01 of this Agreement, (iii) the Administrative Agent shall be authorized to assign the relevant Secured Obligations to any such acquisition vehicle pro rata by the Lenders, as a result of which each of the Lenders shall be deemed to have received a pro rata portion of any Capital Stock and/or debt instruments issued by such an acquisition vehicle on account of the assignment of the Secured Obligations to be credit bid, all without the need for any Secured Party or acquisition vehicle to take any further action, and (iv) to the extent that Secured Obligations that are assigned to an acquisition vehicle are not used to acquire Collateral for any reason (as a result of another bid being higher or better, because the amount of Secured Obligations assigned to the acquisition vehicle exceeds the amount of debt credit bid by the acquisition vehicle or otherwise), such Secured Obligations shall automatically be reassigned to the Lenders pro rata and the Capital Stock and/or debt instruments issued by any acquisition vehicle on account of the Secured Obligations that had been assigned to the acquisition vehicle shall automatically be cancelled, without the need for any Secured Party or any acquisition vehicle to take any further action. Section 10.10. Collateral and Guaranty Matters. Each of the Lenders and the L/C Issuer irrevocably authorize the Administrative Agent and the Collateral Agent: (a) to automatically release any Lien on any property granted to or held by the Collateral Agent under any Credit Document (i) upon termination of the Aggregate Commitments and payment in full of all Obligations (other than (i) contingent indemnification obligations as to which no claim has been asserted and (ii) Obligations described in clauses (b) and (c) of the definition thereof) and the expiration or termination of all Letters of Credit (other than Letters of Credit that have been Cash Collateralized or back-stopped by a letter of credit in form, amount and substance reasonably satisfactory to the Administrative Agent and the L/C Issuer or a deemed reissuance under another facility or as to which other arrangements reasonable satisfactory to the Administrative Agent and the L/C Issuer shall have been made), (ii) that is sold or otherwise disposed of or to be sold or otherwise disposed of as part of or in connection with any sale or other disposition permitted hereunder or under any other Credit Document to a Person that is not a Credit Party, (iii) subject to Section 11.01, if approved, authorized or ratified in writing by the Required Lenders, (iv) if the property subject to such Lien is owned by a Guarantor, upon release of such Guarantor from its obligations under its Guaranty pursuant to subsection (c) below or (v) if such property becomes Excluded Property; (b) to subordinate any Lien on any property granted to or held by the Collateral Agent under any Credit Document to the holder of any Lien on such property that is permitted by Section 8.01(k); and 175 1010279941v18


 
(c) to release any Guarantor from its obligations under any Guaranty pursuant to Section 4.09. Upon request by the Administrative Agent or the Collateral Agent at any time, the Required Lenders will confirm in writing the authority of the Collateral Agent to release or subordinate its interest in particular property and of the Administrative Agent to release any Guarantor from its obligations hereunder pursuant to this Section 10.10. In each case as specified in this Section 10.10, the Administrative Agent and the Collateral Agent will (and each Lender irrevocably authorizes the Administrative Agent and the Collateral Agent to), at the Borrower’s expense, execute and deliver to the applicable Credit Party such documents as such Credit Party may reasonably request to evidence the release of such item of Collateral from the assignment and security interest granted under the Collateral Documents or to subordinate its interest in such item, or to evidence the release of such Guarantor from its obligations under the Guaranty, in each case in accordance with the terms of the Credit Documents and this Section 10.10. Section 10.11. Swap Contracts and Treasury Management Agreements. No Agent, Lender or any Affiliate of a Lender that is party to any Swap Contract or any Treasury Management Agreement permitted hereunder that obtains the benefits of Section 9.03 or any Collateral by virtue of the provisions hereof or of any other Credit Document shall have any right to notice of any action or to consent to, direct or object to any action hereunder or under any other Credit Document or otherwise in respect of the Collateral (including the release or impairment of any Collateral) other than in its capacity as an Agent or a Lender, as applicable, and, in such case, only to the extent expressly provided in the Credit Documents. Notwithstanding any other provision of this Article 10 to the contrary, the Administrative Agent shall not be required to verify the payment of, or that other reasonable satisfactory arrangements have been made with respect to, Obligations arising under Swap Contracts and Treasury Management Agreements unless the Administrative Agent has received written notice of such Obligations, together with such supporting documentation as the Administrative Agent may request, from the applicable Lender or Affiliate of a Lender (or Person who was an Agent, a Lender or an Affiliate of an Agent or Lender at the time the applicable Swap Contract was entered into) that is party to such Swap Contract or such Treasury Management Agreement, as the case may be. Section 10.12. Compliance with ERISA. (a) Each Lender (x) represents and warrants, as of the date such Person became a Lender party hereto, to, and (y) covenants, from the date such Person became a Lender party hereto to the date such Person ceases being a Lender party hereto, for the benefit of, the Administrative Agent and not, for the avoidance of doubt, to or for the benefit of the Borrower or any other Credit Party, that at least one of the following is and will be true: (i) such Lender is not using “plan assets” (within the meaning of Section 3(42) of ERISA or otherwise) of one or more Benefit Plans with respect to such Lender’s entrance into, participation in, administration of and 176 1010279941v18


 
performance of the Loans, the Letters of Credit, the Commitments or this Agreement, (ii) the transaction exemption set forth in one or more PTEs, such as PTE 84-14 (a class exemption for certain transactions determined by independent qualified professional asset managers), PTE 95-60 (a class exemption for certain transactions involving insurance company general accounts), PTE 90-1 (a class exemption for certain transactions involving insurance company pooled separate accounts), PTE 91-38 (a class exemption for certain transactions involving bank collective investment funds) or PTE 96-23 (a class exemption for certain transactions determined by in-house asset managers), is applicable with respect to such Lender’s entrance into, participation in, administration of and performance of the Loans, the Letters of Credit, the Commitments and this Agreement, (iii) (A) such Lender is an investment fund managed by a “Qualified Professional Asset Manager” (within the meaning of Part VI of PTE 84-14), (B) such Qualified Professional Asset Manager made the investment decision on behalf of such Lender to enter into, participate in, administer and perform the Loans, the Letters of Credit, the Commitments and this Agreement, (C) the entrance into, participation in, administration of and performance of the Loans, the Letters of Credit, the Commitments and this Agreement satisfies the requirements of sub-sections (b) through (g) of Part I of PTE 84-14 and (D) to the best knowledge of such Lender, the requirements of subsection (a) of Part I of PTE 84-14 are satisfied with respect to such Lender’s entrance into, participation in, administration of and performance of the Loans, the Letters of Credit, the Commitments and this Agreement, or (iv) such other representation, warranty and covenant as may be agreed in writing between the Administrative Agent, in its sole discretion, and such Lender. (b) In addition, unless either (1) subclause (i) in the immediately preceding clause (a) is true with respect to a Lender or (2) a Lender has provided another representation, warranty and covenant in accordance with subclause (iv) in the immediately preceding clause (a), such Lender further (x) represents and warrants, as of the date such Person became a Lender party hereto, to, and (y) covenants, from the date such Person became a Lender party hereto to the date such Person ceases being a Lender party hereto, for the benefit of, the Administrative Agent and not, for the avoidance of doubt, to or for the benefit of the Borrower or any other Credit Party, that the Administrative Agent is not a fiduciary with respect to the assets of such Lender involved in such Lender’s entrance into, participation in, administration of and performance of the Loans, the Letters of Credit, the Commitments and this Agreement (including in connection with the reservation or exercise of any rights by the Administrative Agent under this Agreement, any Credit Document or any documents related hereto or thereto). Section 10.13. Recovery of Erroneous Payments. Without limitation of any other provision in this Agreement, if at any time the Administrative Agent makes a payment hereunder in error to any Lender (the “Erroneous Party”), whether or not in respect of an Obligation due 177 1010279941v18


 
and owing by the Borrower at such time, where such payment is a Rescindable Amount, then in any such event, each Erroneous Party receiving a Rescindable Amount severally agrees to repay to the Administrative Agent forthwith on demand the Rescindable Amount received by such Erroneous Party in immediately available funds in the currency so received, with interest thereon, for each day from and including the date such Rescindable Amount is received by it to but excluding the date of payment to the Administrative Agent, at the greater of the Federal Funds Rate and a rate determined by the Administrative Agent in accordance with banking industry rules on interbank compensation. Each Erroneous Party irrevocably waives any and all defenses, including any “discharge for value” (under which a creditor might otherwise claim a right to retain funds mistakenly paid by a third party in respect of a debt owed by another) or similar defense to its obligation to return any Rescindable Amount. The Administrative Agent shall inform each Erroneous Party promptly upon determining that any payment made to such Erroneous Party comprised, in whole or in part, a Rescindable Amount. Notwithstanding anything to the contrary herein or in any other Credit Document, the provisions of this Section 10.13 are solely agreements among the Credit Parties and the Administrative Agent and shall not impose any obligations on the Borrower or the Credit Parties. ARTICLE 11 MISCELLANEOUS Section 11.01. Amendments, Etc. Except as expressly provided in, Section 2.18, 2.19 and 2.20 and herein below, no amendment or waiver of, or any consent to deviation from, any provision of this Credit Agreement or any other Credit Document shall be effective unless in writing and signed by the Required Lenders (or by the Administrative Agent on behalf of the Required Lenders upon receipt of a consent and direction letter from the Required Lenders) and the Borrower and other Credit Parties, as the case may be, and acknowledged by the Administrative Agent in its role as such (such acknowledgment not to be unreasonably withheld, delayed or conditioned), and each such amendment, waiver or consent shall be effective only in the specific instance and for the specific purpose for which it is given; provided that: (a) no such amendment, waiver or consent (however characterized) shall: (i) extend or increase the Commitment of any Lender (or reinstate any Commitment terminated pursuant to Section 9.02) (it being understood and agreed that amendment or waiver of any condition precedent set forth in Section 5.02 or of any Default or Event of Default shall not be considered an extension or increase in Commitments for purposes hereof) without the written consent of such Lender; (ii) waive non-payment or postpone any date fixed by this Credit Agreement or any other Credit Document for any payment (excluding mandatory prepayments) of principal, interest, fees or other amount due to the Lenders (or any of them) hereunder or under any other Credit Document without the written consent of each Lender directly and adversely affected thereby; (iii) reduce the principal of, or the rate of interest specified herein on, any Loan or L/C Borrowing (it being understood that any change to the definition 178 1010279941v18


 
of “Consolidated Total Net Leverage Ratio” or in the component definitions thereof shall not constitute a reduction in any rate of interest), or any fees or other amounts payable hereunder or under any other Credit Document, in each case without the written consent of each Lender directly and adversely affected thereby; provided that only (A) the consent of the Required Lenders shall be necessary to amend the definition of “Default Rate,” (B) the consent of the applicable Required Facility Lenders shall be necessary to waive any obligation of the Borrower to pay interest at the Default Rate with respect to Loans under any Facility, and (C) the consent of the Required Revolving Credit Lenders shall be necessary to waive any obligation of the Borrower to pay Letter of Credit Fees at the Default Rate; (iv) change any provision of this Section 11.01(a) or the definitions of “Aggregate Commitment Percentage,” “Required Lenders” or any other provision hereof specifying the number or percentage of Lenders required to amend, waive or otherwise modify any rights hereunder or make any determination or grant any consent hereunder without the written consent of each Lender directly and adversely affected thereby; provided that the definitions of “Required Revolving Credit Lenders,” and “Required Term Lenders,” may only be amended with the written consent of each Lender under the applicable Facility; (v) release all or substantially all of the Guarantors from their obligations under the Credit Documents (other than as provided herein or as appropriate in connection with transactions permitted hereunder) without the written consent of each Lender; (vi) except in connection with a transaction permitted under Section 8.04 or Section 8.05 or as permitted by Section 10.10, release all or substantially all of the Collateral without the written consent of each Lender; (vii) change Section 2.12 or Section 9.03 in a manner that would alter the pro rata sharing of amounts required thereby without the written consent of each Lender directly and adversely affected thereby; (viii) (a) waive any condition set forth in Section 5.02 as to any Credit Extension under one or more Classes of Revolving Credit Commitments or (b) amend, waive or otherwise modify any term or provision which directly and adversely affects Lenders under one or more Classes of Revolving Credit Commitments and does not adversely affect Lenders under any other Class, in each case, without the written consent of the Required Revolving Credit Lenders under such applicable Class or Classes of Revolving Credit Commitments (and in the case of multiple Classes which are affected, such Required Revolving Credit Lenders shall consent together as one Class) (it being understood that any amendment to the conditions of effectiveness of Incremental Commitments set forth in Section 2.18 shall be subject to clause (ix) below); provided, however, that the waivers described in this clause (viii) shall not require the consent of any Lenders other than (A) the Required Revolving Credit Lenders under such Class 179 1010279941v18


 
or Classes and (B) in the case of any waiver that otherwise would be subject to clause (i), (ii), (iii), (iv) or (v) above, each Lender or each directly and adversely affected Lender (as specified in clause (i), (ii), (iii), (iv) or (v) above) under the applicable Class or Classes of Revolving Credit Commitments; (ix) amend, waive or otherwise modify any term or provision (including the availability and conditions to funding under Section 2.18 with respect to Incremental Term Loans and Incremental Revolving Commitments and the rate of interest applicable thereto) which directly affects Lenders of one or more Incremental Term Loans or Incremental Revolving Commitments (including Loans extended under such Commitments) and does not adversely affect Lenders under any other Class, in each case, without the written consent of the Required Facility Lenders under such applicable Class of Incremental Term Loans or Incremental Revolving Commitments; provided, however, that the waivers described in this clause (ix) shall not require the consent of any Lenders other than (A) the Required Facility Lenders under such applicable Class of Incremental Term Loans or Incremental Revolving Commitments and (B) in the case of any waiver that otherwise would be subject to clause (i), (ii), (iii), (iv) or (v) above, each Lender, each directly affected Lender or each directly and adversely affected Lender (as specified in clause (i), (ii), (iii), (iv) or (v) above) under the applicable Class or Classes of Incremental Term Loans or Incremental Revolving Commitments (including Loans extended under such Commitments); (b) unless also consented to in writing by the L/C Issuer, no such amendment, waiver or consent shall affect the rights or duties of the L/C Issuer under this Credit Agreement or any Issuer Document relating to any Letter of Credit issued or to be issued by it or the definition of “Alternative Currency”; (c) unless also consented to in writing by the Swingline Lender, no such amendment, waiver or consent shall affect the rights or duties of the Swingline Lender under this Credit Agreement; (d) unless also consented to in writing by the Administrative Agent, no such amendment, waiver or consent shall affect the rights or duties of the Administrative Agent under this Credit Agreement or any other Credit Document; and (e) unless also consented to in writing by the Collateral Agent, no such amendment, waiver or consent shall affect the rights or duties of the Collateral Agent under this Credit Agreement or any other Credit Document; provided that notwithstanding anything to the contrary contained herein, (1) no Defaulting Lender shall have any right to approve or disapprove any amendment, waiver or consent hereunder (any amendment, waiver or consent which by its terms requires the consent of all Lenders or each affected Lender may be effected with the consent of the applicable Lenders other than Defaulting Lenders), except that (a) the Revolving Credit Commitment of such Defaulting Lender may not be increased or extended without the consent of such Defaulting Lender and (b) any waiver, amendment or modification requiring the consent of all Lenders or each affected 180 1010279941v18


 
Lender that by its terms affects any Defaulting Lender more adversely than other affected Lenders shall require the consent of such Defaulting Lender, (2) each Lender is (subject to the terms of Section 11.06(k)) entitled to vote as such Lender sees fit on any plan of reorganization, liquidation, arrangement, adjustment or composition or similar dispositive restructuring plan that affects the Loans, and (3) each Lender acknowledges that the provisions of Section 1126(c) of the Bankruptcy Code (or any similar provisions in any other Debtor Relief Laws) supersede the unanimous consent provisions set forth herein. Notwithstanding anything to the contrary herein, this Agreement may be amended (or amended and restated) with the written consent of the Required Lenders, the Administrative Agent and the Borrower (a) to add one or more additional credit facilities to this Agreement and to permit the extensions of credit from time to time outstanding thereunder and the accrued interest and fees in respect thereof to share ratably in the benefits of this Agreement and the other Credit Documents with the Term Loans, Revolving Credit Loans, Swingline Loans and L/C Obligations and the accrued interest and fees in respect thereof and (b) to include appropriately the Lenders holding such credit facilities in any determination of the Required Lenders. In addition, notwithstanding the foregoing, this Agreement may be amended with the written consent of the Administrative Agent, the Borrower and the Lenders providing the Replacement Term Loans (as defined below) to permit the refinancing of all outstanding Term Loans of any Class (“Replaced Term Loans”) with replacement term loans (“Replacement Term Loans”) hereunder (a “Replacement Amendment”); provided that (a) the aggregate principal amount of such Replacement Term Loans shall not exceed the aggregate principal amount of such Replaced Term Loans, plus accrued interest, fees, premiums (if any) and penalties thereon and reasonable fees and expenses associated with such Replacement Term Loans, (b) the all-in yield with respect to such Replacement Term Loans (or similar interest rate spread applicable to such Replacement Term Loans) shall not be higher than the all-in yield for such Refinanced Debt (or similar interest rate spread applicable to such Refinanced Debt) immediately prior to such refinancing, (c) the Weighted Average Life to Maturity of such Replacement Term Loans shall not be shorter than the Weighted Average Life to Maturity of such Replaced Term Loans at the time of such refinancing (except by virtue of amortization or prepayment of the Replaced Term Loans prior to the time of such incurrence) and (d) all other terms applicable to such Replacement Term Loans shall be substantially identical to, or less favorable to the Lenders providing such Replacement Term Loans than, those applicable to such Replaced Term Loans, except to the extent necessary to provide for covenants and other terms applicable to any period after the Latest Maturity Date of any Term Loans in effect immediately prior to such refinancing. Each amendment to this Agreement providing for Replacement Term Loans may, without the consent of any other Lenders, effect such amendments to this Agreement and the other Credit Documents as may be necessary or appropriate, in the opinion of the Administrative Agent and the Borrower to effect the provisions of this paragraph, and for the avoidance of doubt, this paragraph shall supersede any other provisions in this Section 11.01 to the contrary. If the Administrative Agent and the Borrower shall have jointly identified an obvious error (including, but not limited to, an incorrect cross-reference) or any error or omission of a technical or immaterial nature, in each case, in any provision of this Agreement or any other Credit Document (including, for the avoidance of doubt, any exhibit, schedule or other attachment to any Credit Document), then the Administrative Agent (acting in its sole discretion) 181 1010279941v18


 
and the Borrower or any other relevant Credit Party shall be permitted to amend such provision and such amendment shall be deemed approved by the Lenders if the Lenders shall have received five Business Days’ prior written notice of such change and the Administrative Agent shall not have received, within five Business Days of the date of such notice to the Lenders, a written notice from the Required Lenders stating that the Required Lenders object to such amendment. Notwithstanding any provision herein to the contrary, this Agreement may be amended with the written consent of the Administrative Agent, the L/C Issuer and the Borrower to amend the definition of “Alternative Currency” or “Alternative Currency Daily Rate” or “Alternative Currency Term Rate” or Section 1.11 solely to add additional currency options and the applicable interest rate with respect thereto, in each case solely to the extent permitted pursuant to Section 1.11. Notwithstanding the foregoing, no Lender consent is required to effect any amendment or supplement to any First Lien Intercreditor Agreement, Junior Lien Intercreditor Agreement, Subordination Agreement or other intercreditor agreement or arrangement permitted under this Agreement (i) that is for the purpose of adding the holders of Permitted Pari Passu Secured Refinancing Debt, Permitted Junior Secured Refinancing Debt, subordinated Permitted Unsecured Refinancing Debt, Incremental Equivalent Debt (or, in each case, a Senior Representative with respect thereto) as parties thereto, as expressly contemplated by the terms of such First Lien Intercreditor Agreement, such Junior Lien Intercreditor Agreement, such Subordination Agreement or such other intercreditor agreement or arrangement permitted under this Agreement, as applicable (it being understood that any such amendment or supplement may make such other changes to the applicable intercreditor agreement as, in the good faith determination of the Administrative Agent, are required to effectuate the foregoing and provided that such other changes are not adverse, in any material respect, to the interests of the Lenders) or (ii) that is expressly contemplated by any First Lien Intercreditor Agreement, Junior Lien Intercreditor Agreement, Subordination Agreement or other intercreditor agreement or arrangement permitted under this Agreement; provided, further, that no such agreement shall amend, modify or otherwise affect the rights or duties of the Administrative Agent hereunder or under any other Credit Document without the prior written consent of the Administrative Agent. Section 11.02. Notices; Effectiveness; Electronic Communications. (a) Notices Generally. Except in the case of notices and other communications expressly permitted to be given by telephone (and except as provided in subsection (b) below), all notices and other communications provided for herein shall be in writing and shall be delivered by hand or overnight courier service, mailed by certified or registered mail or sent by telecopier or electronic mail as follows, and all notices and other communications expressly permitted hereunder to be given by telephone shall be made to the applicable telephone number, as follows: (i) if to any Credit Party, the Administrative Agent, the L/C Issuer or the Swingline Lender, to the address, telecopier number, electronic mail address or telephone number specified for such Person on Schedule 11.02 or as provided pursuant to subsection (d) below; and 182 1010279941v18


 
(ii) if to any other Lender, to the address, telecopier number, electronic mail address or telephone number specified in its Administrative Questionnaire (including, as appropriate, notices delivered solely to the Person designated by a Lender on its Administrative Questionnaire then in effect for the delivery of notices that may contain material non-public information relating to the Credit Parties) or as provided pursuant to subsection (d) below. Notices and other communications sent by hand or overnight courier service, or mailed by certified or registered mail, shall be deemed to have been given when received; notices and other communications sent by telecopier shall be deemed to have been given when sent (except that, if not given during normal business hours for the recipient, shall be deemed to have been given at the opening of business on the next Business Day for the recipient). Notices and other communications delivered through electronic communications to the extent provided in subsection (b) below shall be effective as provided in such subsection (b). (b) Electronic Communications. Notices and other communications to the Lenders and the L/C Issuer hereunder may be delivered or furnished by electronic communication (including e-mail, FpML messaging, and Internet or intranet websites) pursuant to procedures approved by the Administrative Agent, provided that the foregoing shall not apply to notices to any Lender or the L/C Issuer pursuant to Article 2 if such Lender or the L/C Issuer, as applicable, has notified the Administrative Agent that it is incapable of receiving notices under such Article by electronic communication. The Administrative Agent or the Borrower each may, in its discretion, agree to accept notices and other communications to it hereunder by electronic communications pursuant to procedures approved by it, provided that approval of such procedures may be limited to particular notices or communications. Unless the Administrative Agent otherwise prescribes, (i) notices and other communications sent to an e-mail address shall be deemed received upon the sender’s receipt of an acknowledgement from the intended recipient (such as by the “return receipt requested” function, as available, return e-mail or other written acknowledgement), provided that if such notice or other communication is not sent during the normal business hours of the recipient, such notice or communication shall be deemed to have been sent at the opening of business on the next Business Day for the recipient, and (ii) notices or communications posted to an Internet or intranet website shall be deemed received upon the deemed receipt by the intended recipient at its e-mail address as described in the foregoing clause (i) of notification that such notice or communication is available and identifying the website address therefor. (c) The Platform. THE PLATFORM IS PROVIDED “AS IS” AND “AS AVAILABLE.” THE AGENT PARTIES (AS DEFINED BELOW) DO NOT WARRANT THE ACCURACY OR COMPLETENESS OF THE CREDIT PARTY MATERIALS OR THE ADEQUACY OF THE PLATFORM, AND EXPRESSLY DISCLAIM LIABILITY FOR ERRORS IN OR OMISSIONS FROM THE CREDIT PARTY MATERIALS. NO WARRANTY OF ANY KIND, EXPRESS, IMPLIED OR STATUTORY, INCLUDING ANY WARRANTY OF MERCHANTABILITY, FITNESS FOR A PARTICULAR PURPOSE, NON-INFRINGEMENT OF THIRD PARTY RIGHTS OR FREEDOM FROM VIRUSES OR OTHER CODE DEFECTS, IS MADE BY ANY AGENT PARTY IN CONNECTION WITH THE CREDIT PARTY MATERIALS OR THE PLATFORM. In no event shall the 183 1010279941v18


 
Administrative Agent or any of its Related Parties (collectively, the “Agent Parties”) have any liability to the Borrower or any other Credit Party, any Lender, the L/C Issuer or any other Person for losses, claims, damages, liabilities or expenses of any kind (whether in tort, contract or otherwise) arising out of the Borrower’s or any other Credit Party’s or the Administrative Agent’s transmission of Credit Party Materials through the Internet, except to the extent that such losses, claims, damages, liabilities or expenses are determined by a court of competent jurisdiction by a final and nonappealable judgment to have resulted from the gross negligence, bad faith or willful misconduct of such Agent Party; provided, however, that in no event shall any Agent Party have any liability to the Borrower or any other Credit Party, any Lender, the L/C Issuer or any other Person for indirect, special, incidental, consequential or punitive damages (as opposed to direct or actual damages). (d) Change of Address, Etc. Each of the Borrower, the Administrative Agent, the L/C Issuer and the Swingline Lender may change its address, telecopier or telephone number for notices and other communications hereunder by notice to the other parties hereto. Each other Lender may change its address, telecopier or telephone number for notices and other communications hereunder by notice to the Borrower, the Administrative Agent, the L/C Issuer and the Swingline Lender. In addition, each Lender agrees to notify the Administrative Agent from time to time to ensure that the Administrative Agent has on record (1) an effective address, contact name, telephone number, telecopier number and electronic mail address to which notices and other communications may be sent and (2) accurate wire instructions for such Lender. Furthermore, each Public Lender agrees to cause at least one individual at or on behalf of such Public Lender to at all times have selected the “Private Side Information” or similar designation on the content declaration screen of the Platform in order to enable such Public Lender or its delegate, in accordance with such Public Lender’s compliance procedures and applicable Law, including United States federal and state securities Laws, to make reference to Credit Party Materials that are not made available through the “Public Side Information” portion of the Platform and that may contain material non-public information with respect to the Borrower or its securities for purposes of United States federal or state securities Laws. (e) Reliance by Administrative Agent, L/C Issuer and Lenders. The Administrative Agent, the L/C Issuer and the Lenders shall be entitled to rely and act upon any notices (including telephonic Loan Notices) purportedly given by or on behalf of the Borrower or any other Credit Party even if (1) such notices were not made in a manner specified herein, were incomplete or were not preceded or followed by any other form of notice specified herein, or (2) the terms thereof, as understood by the recipient, varied from any confirmation thereof. The Borrower shall indemnify the Administrative Agent, the L/C Issuer, each Lender and the Related Parties of each of them from all losses, costs, expenses and liabilities resulting from the reliance by such Person on each notice purportedly given by or on behalf of the Borrower or any other Credit Party in the absence of gross negligence, bad faith or willful misconduct of such Person, as determined by a court of competent jurisdiction in a final and non-appealable judgment. All telephonic notices to and other telephonic communications with the Administrative Agent may be recorded by the Administrative Agent, and each of the parties hereto hereby consents to such recording. Section 11.03. No Waiver; Cumulative Remedies; Enforcement. No failure by any Lender, the L/C Issuer, the Swingline Lender or the Administrative Agent to exercise, and no 184 1010279941v18


 
delay by any such Person in exercising, any right, remedy, power or privilege hereunder shall operate as a waiver thereof; nor shall any single or partial exercise of any right, remedy, power or privilege hereunder or under any other Credit Document (including the imposition of the Default Rate) preclude any other or further exercise thereof or the exercise of any other right, remedy, power or privilege. The rights, remedies, powers and privileges herein provided and provided under each other Credit Document are cumulative and not exclusive of any rights, remedies, powers and privileges provided by Law. Notwithstanding anything to the contrary contained herein or in any other Credit Document, the authority to enforce rights and remedies hereunder and under the other Credit Documents against the Credit Parties or any of them shall be vested exclusively in, and all actions and proceedings at law in connection with such enforcement shall be instituted and maintained exclusively by, the Administrative Agent in accordance with Section 9.02 for the benefit of all the Lenders and the L/C Issuer; provided; that the foregoing shall not prohibit (i) the Administrative Agent from exercising on its own behalf the rights and remedies that inure to its benefit (solely in its capacity as Administrative Agent) hereunder and under the other Credit Documents, (ii) the L/C Issuer or the Swingline Lender from exercising the rights and remedies that inure to their benefit (solely in their capacity as L/C Issuer or Swingline Lender, as the case may be) hereunder and under the other Credit Documents, (iii) any Lender from exercising setoff rights in accordance with Section 11.08 (subject to the terms of Section 2.12), or (iv) any Lender from filing proofs of claim or appearing and filing pleadings on its own behalf during the pendency of a proceeding relative to any Credit Party under any Debtor Relief Law and provided further, that if at any time there is no Person acting as Administrative Agent hereunder and under the other Credit Documents, then (1) the Required Lenders shall have the rights otherwise ascribed to the Administrative Agent pursuant to Section 9.02 and (2) in addition to the matters set forth in clauses (i), (ii) and (iii) of the preceding proviso and subject to Section 2.12, any Lender may, with the consent of the Required Lenders, enforce any rights and remedies available to it and as authorized by the Required Lenders. Section 11.04. Expenses; Indemnity; Damage Waiver. (a) Costs and Expenses. The Borrower shall pay (1) all reasonable and documented out-of-pocket expenses incurred by the Administrative Agent, the Collateral Agent and their respective Affiliates (including the reasonable and documented out-of-pocket fees, charges and disbursements of one counsel for the Administrative Agent and the Collateral Agent), in connection with the syndication of the credit facilities provided for herein, the preparation, negotiation, execution, delivery and administration of this Credit Agreement and the other Credit Documents or any amendments, modifications or waivers of the provisions hereof or thereof (whether or not the transactions contemplated thereby shall be consummated), (2) all reasonable and documented out-of-pocket expenses incurred by the L/C Issuer in connection with the issuance, amendment, renewal or extension of any Letter of Credit or any demand for payment thereunder and (3) all reasonable and documented out-of-pocket expenses incurred by the Administrative Agent, the Collateral Agent, any Lender or the L/C Issuer in connection with the enforcement or protection of its rights (a) in connection with this Credit Agreement and the other Credit Documents, including its rights under this Section, or (b) in connection with the Loans made or Letters of Credit issued hereunder, including all such reasonable and documented out-of-pocket expenses incurred during any workout, restructuring or negotiations in respect of 185 1010279941v18


 
such Loans or Letters of Credit (provided that with respect the fees and disbursements of counsel, all such Persons shall be represented by one primary counsel and (x) any special counsel and local counsel in each relevant jurisdiction retained by the Administrative Agent and (y) solely in the case of a conflict of interest, one additional counsel in each relevant jurisdiction to the affected Person similarly situated, and for each of clauses (1) and (2) herein, such amounts shall be limited to those reasonable and documented out-of-pocket fees and actual disbursements of such counsel). (b) Indemnification by the Borrower. The Borrower shall indemnify the Administrative Agent (and any sub-agent thereof), each Arranger, each Documentation Agent the Collateral Agent, each Lender and the L/C Issuer, and each Related Party of any of the foregoing Persons (each such Person being called an “Indemnitee”) against, and hold each Indemnitee harmless from, any and all losses, claims, damages, liabilities and related out-of-pocket expenses (including the reasonable and documented out-of-pocket fees, charges and disbursements of one counsel for all Indemnitees), incurred by any Indemnitee or asserted against any Indemnitee by the Borrower, any other Credit Party or any other Person arising out of, in connection with, or as a result of (i) the execution, enforcement or delivery of this Credit Agreement, any other Credit Document or any agreement or instrument contemplated hereby or thereby, the performance by the parties hereto of their respective obligations hereunder or thereunder or the consummation of the transactions contemplated hereby or thereby, the syndication of the credit facilities provided for herein, or, in the case of the Administrative Agent (and any sub-agent thereof) and its Related Parties only, the administration of this Credit Agreement and the other Credit Documents, (i) any Loan or Letter of Credit or the use or proposed use of the proceeds therefrom (including any refusal by the L/C Issuer to honor a demand for payment under a Letter of Credit if the documents presented in connection with such demand do not strictly comply with the terms of such Letter of Credit), (ii) any actual or alleged presence or Release of Hazardous Materials at, on, under or from any property currently or formerly owned, leased or operated by the Borrower or any of its Restricted Subsidiaries or any of their respective predecessors, or any Environmental Liability related in any way to the Borrower or any of its Restricted Subsidiaries, or any of their respective predecessors, in each case relating to any of the foregoing or (iii) any actual or prospective claim, litigation, investigation or proceeding relating to any of the foregoing, whether based on contract, tort or any other theory, whether brought by a third party or by the Borrower or any other Credit Party, and regardless of whether any Indemnitee is a party thereto, IN ALL CASES, WHETHER OR NOT CAUSED BY OR ARISING, IN WHOLE OR IN PART, OUT OF THE COMPARATIVE, CONTRIBUTORY OR SOLE NEGLIGENCE OF THE INDEMNITEE, nor shall any Indemnitee, Related Party, Credit Party or any Subsidiary have any liability for any special, punitive, indirect or consequential damages relating to this Agreement or any other Credit Document or arising out of its activities in connection herewith or therewith (whether before or after the Closing Date) (other than, in the case of any Credit Party, in respect of any such damages incurred or paid by an Indemnitee to a third party, or which are included in a third-party claim); provided that such indemnity shall not, as to any Indemnitee, be available to the extent that such losses, claims, damages, liabilities or related expenses (x) are determined by a court of competent jurisdiction by final and nonappealable judgment to have resulted from the gross negligence, bad faith or willful misconduct or material breach of such Person’s obligations under any Credit Document of such Indemnitee or (y) result from a claim brought by the Borrower or any other Credit Party against an Indemnitee for material breach of 186 1010279941v18


 
such Indemnitee’s obligations hereunder or under any other Credit Document, if the Borrower or other such Credit Party has obtained a final and nonappealable judgment in its favor on such claim as determined by a court of competent jurisdiction or (z) arise from disputes solely among Indemnitees, and in such event solely to the extent that the underlying dispute does not (i) arise as a result of an action, inaction or representation of, or information provided by or on behalf of, the Credit Parties or their Subsidiaries or Affiliates as determined by a court of competent jurisdiction by a final and nonappealable judgment, or (ii) relate to any action of such Indemnitee in its capacity as Administrative Agent, Arranger or Documentation Agent; provided further, that each Indemnitee shall promptly refund any amount received pursuant to this Section to the extent that there is a final judicial or arbitral determination that such Indemnitee was not entitled to indemnification rights with respect to such payment pursuant to the express terms of this Section 11.04. This Section 11.04(b) shall not apply with respect to Taxes other than any Taxes that represent losses, claims, and damages arising from any non-Tax claim. Payments under this Section 11.04(b) shall be made by the Borrower to the Administrative Agent for the benefit of the relevant Indemnitee. (c) Reimbursement by Lenders. To the extent that the Borrower for any reason fail to indefeasibly pay any amount required under subsection (a) or (b) of this Section to be paid by them to the Administrative Agent (or any sub-agent thereof), the Collateral Agent, the L/C Issuer or any Related Party of any of the foregoing, each Lender severally agrees to pay to the Administrative Agent (or any such sub-agent), the Collateral Agent, the L/C Issuer or such Related Party, as the case may be, such Lender’s pro rata share (determined in each case as of the time that the applicable unreimbursed expense or indemnity payment is sought) of such unpaid amount; provided that the unreimbursed expense or indemnified loss, claim, damage, liability or related expense, as the case may be, was incurred by or asserted against the Administrative Agent (or any such sub-agent), the Collateral Agent, the L/C Issuer in its capacity as such, or against any Related Party of any of the foregoing acting for the Administrative Agent (or any such sub-agent), the Collateral Agent or the L/C Issuer in connection with such capacity. The obligations of the Lenders under this subsection (c) are subject to the provisions of Section 2.11(b). (d) Waiver of Consequential Damages, Etc. To the fullest extent permitted by applicable Law, no Credit Party shall assert, and hereby waives, any claim against any Indemnitee, on any theory of liability, for special, indirect, consequential or punitive damages (as opposed to direct or actual damages) arising out of, in connection with, or as a result of, this Credit Agreement, any other Credit Document or any agreement or instrument contemplated hereby, the transactions contemplated hereby or thereby, any Loan or Letter of Credit or the use of the proceeds thereof. No Indemnitee referred to in subsection (b) above shall be liable for any damages arising from the use by unintended recipients of any information or other materials distributed by it through telecommunications, electronic or other information transmission systems in connection with this Credit Agreement or the other Credit Documents or the transactions contemplated hereby or thereby other than for such direct or actual damages resulting from the gross negligence, bad faith or willful misconduct of such Indemnitee or from a breach in bad faith of such Indemnitee’s obligations hereunder or under any Credit Document, in any case, as determined by a final and nonappealable judgment of a court of competent jurisdiction. 187 1010279941v18


 
(e) Payments. All amounts due under this Section shall be payable not later than 10 Business Days after demand therefor. (f) Survival. The agreements in this Section shall survive the resignation of the Administrative Agent, the L/C Issuer and the Swingline Lender, the replacement of any Lender, the termination of the Aggregate Commitments and the repayment, satisfaction or discharge of all the other obligations hereunder or under any other Credit Document. Section 11.05. Payments Set Aside. To the extent that any payment by or on behalf of the Borrower is made to the Administrative Agent, the L/C Issuer or any Lender, or the Administrative Agent, the L/C Issuer or any Lender exercises its right of setoff, and such payment or the proceeds of such setoff or any part thereof is subsequently invalidated, declared to be fraudulent or preferential, set aside or required (including pursuant to any settlement entered into by the Administrative Agent, the L/C Issuer or such Lender in its discretion) to be repaid to a trustee, receiver or any other party, in connection with any proceeding under any Debtor Relief Law or otherwise, then to the extent of such recovery, the obligation or part thereof originally intended to be satisfied shall be revived and continued in full force and effect as if such payment had not been made or such setoff had not occurred, and each Lender and the L/C Issuer severally agrees to pay to the Administrative Agent on demand its applicable share (without duplication) of any amount so recovered from or repaid by the Administrative Agent, plus interest thereon from the date of such demand to the date such payment is made at a rate per annum equal to the applicable Overnight Rate from time to time in effect, in the applicable currency of such recovery or payment. The obligations of the Lenders and the L/C Issuer under the preceding sentence shall survive the payment in full of the Obligations and the termination of this Credit Agreement. Section 11.06. Successors and Assigns. (a) Successors and Assigns Generally. The provisions of this Credit Agreement and the other Credit Documents shall be binding upon and inure to the benefit of the parties hereto and thereto and their respective successors and assigns permitted hereby, except that neither the Borrower nor any other Credit Party may assign or otherwise transfer any of their respective rights or obligations hereunder without the prior written consent of the Administrative Agent and each Lender and no Lender may assign or otherwise transfer any of its rights or obligations hereunder except (i) to an Assignee pursuant to an assignment made in accordance with the provisions of Section 11.06(b) (such an assignee, an “Eligible Assignee”), (ii) by way of participation in accordance with the provisions of subsection (d) of this Section, or (iii) by way of pledge or assignment of a security interest subject to the restrictions of subsection (f) of this Section (and any other attempted assignment or transfer by any party hereto shall be null and void). Nothing in this Credit Agreement, express or implied, shall be construed to confer upon any Person (other than the parties hereto, their respective successors and assigns permitted hereby, Participants to the extent provided in subsection (d) of this Section and, to the extent expressly contemplated hereby, the Related Parties of each of the Administrative Agent, the L/C Issuer and the Lenders) any legal or equitable right, remedy or claim under or by reason of this Credit Agreement. 188 1010279941v18


 
(b) Assignments by Lenders. Any Lender may at any time assign to one or more assignees (“Assignees”) all or a portion of its rights and obligations under this Credit Agreement and the other Credit Documents (including all or a portion of its Commitment and the Loans (including for purposes of this subsection (b), participations in L/C Obligations and in Swingline Loans) at the time owing to it); provided that any such assignment shall be subject to the following conditions: (i) Minimum Amounts. (A) In the case of an assignment of the entire remaining amount of the assigning Lender’s Commitment and the related Loans at the time owing to it or in the case of an assignment to a Lender, an Affiliate of a Lender or an Approved Fund, no minimum amount need be assigned and (B) in any case not described in this subsection (b)(i), the aggregate amount of the Commitment (which for this purpose includes Loans outstanding thereunder) or, if the Commitment is not then in effect, the principal outstanding balance of the Loans of the assigning Lender subject to each such assignment, determined as of the date the Assignment and Assumption with respect to such assignment is delivered to the Administrative Agent or, if “Trade Date” is specified in the Assignment and Assumption, as of the Trade Date, shall not be less than $5,000,000 and integral multiples thereof (or if less, all of such Lender’s remaining Loans or Commitments in respect of such Class), in the case of an assignment of the Revolving Credit Commitments (and the Revolving Credit Loans relating thereto), and $5,000,000 and integral multiples thereof, in the case of an assignment of Term Commitments or Term Loans; provided that concurrent assignments to members of an Assignee Group and concurrent assignments from members of an Assignee Group to a single Eligible Assignee (or to an Eligible Assignee and members of its Assignee Group) will be treated as a single assignment for purposes of determining whether such minimum amount has been met; (ii) Proportionate Amounts. Each partial assignment shall be made as an assignment of a proportionate part of all the assigning Lender’s rights and obligations under this Credit Agreement with respect to the Loans or the Commitment assigned, except that this clause (ii) shall not apply to the Swingline Lender’s rights and obligations in respect of Swingline Loans; (iii) Required Consents. No consent shall be required for any assignment except to the extent required by subsection (b)(i) of this Section and, in addition: (A) the consent of the Borrower (such consent not to be unreasonably withheld, conditioned or delayed) shall be required unless (1) an Event of Default under Section 9.01(a) or (f) (solely with respect to the Borrower) has occurred and is continuing at the time of such assignment (2) in the case of an assignment of Term Loans, such assignment is to a Lender, an Affiliate of a Lender or an Approved Fund or (3) in the case of an assignment by Goldman Sachs Bank USA to Goldman Sachs Lending Partners LLP; provided that the Borrower shall be deemed to have consented to any such assignment unless it shall object thereto by 189 1010279941v18


 
written notice to the Administrative Agent within 10 Business Days after having received notice thereof; (B) the consent of the Administrative Agent (such consent not to be unreasonably withheld, conditioned or delayed) shall be required for assignments in respect of (1) the Revolving Credit Commitments (and the Revolving Credit Loans relating thereto) if such assignment is to a Person that is not a Lender with a Revolving Credit Commitment (for holding Revolving Credit Loans), an Affiliate of such Lender or an Approved Fund with respect to such Lender or (2) any Term Loan to a Person that is not a Lender, an Affiliate of a Lender or an Approved Fund; and (C) the consent of the Swingline Lender and the L/C Issuer (such consents not to be unreasonably withheld, conditioned or delayed) shall be required for any assignment in respect of the Revolving Credit Commitments (and the Revolving Credit Obligations relating thereto). (iv) Assignment and Assumption. The parties to each assignment shall execute and deliver to the Administrative Agent an Assignment and Assumption, together with a processing and recordation fee in the amount of $3,500 (other than an assignment from a Lender to one or more of its Affiliates or pursuant to Section 11.13); provided that the Administrative Agent may, in its sole discretion, elect to waive such processing and recordation fee in the case of any assignment. The assignee, if it is not a Lender, shall deliver to the Administrative Agent an Administrative Questionnaire; (v) No Assignment to Certain Persons. No such assignment shall be made (A) to the Borrower or any of the Borrower’s Affiliates or Subsidiaries, except as set forth in Section 11.06(i), (B) to any Defaulting Lender or any of its Subsidiaries, or any Person who, upon becoming a Lender hereunder, would constitute any of the foregoing Persons described in this clause (v), (C) to a natural person or (D) to any Disqualified Institution; and (vi) Certain Additional Payments. In connection with any assignment of rights and obligations of any Defaulting Lender hereunder, no such assignment shall be effective unless and until, in addition to the other conditions thereto set forth herein, the parties to the assignment shall make such additional payments to the Administrative Agent in an aggregate amount sufficient, upon distribution thereof as appropriate (which may be outright payment, purchases by the assignee of participations or subparticipations, or other compensating actions, including funding, with the consent of the Borrower and the Administrative Agent, the applicable pro rata share of Loans previously requested but not funded by the Defaulting Lender, to each of which the applicable assignee and assignor hereby irrevocably consent), to (x) pay and satisfy in full all payment liabilities then owed by such Defaulting Lender to the Administrative Agent or any Lender hereunder (and interest accrued thereon) and (y) acquire (and fund as appropriate) its full pro rata share of all Loans and participations in Letters of Credit and 190 1010279941v18


 
Swingline Loans in accordance with its Aggregate Commitment Percentage. Notwithstanding the foregoing, in the event that any assignment of rights and obligations of any Defaulting Lender hereunder shall become effective under applicable Law without compliance with the provisions of this paragraph, then the assignee of such interest shall be deemed to be a Defaulting Lender for all purposes of this Credit Agreement until such compliance occurs. Subject to acceptance and recording thereof by the Administrative Agent pursuant to subsection (c) of this Section, from and after the effective date specified in each Assignment and Assumption, the Eligible Assignee thereunder shall be a party to this Credit Agreement and, to the extent of the interest assigned by such Assignment and Assumption, have the rights and obligations of a Lender under this Credit Agreement, and the assigning Lender thereunder shall, to the extent of the interest assigned by such Assignment and Assumption, be released from its obligations under this Credit Agreement (and, in the case of an Assignment and Assumption covering all of the assigning Lender’s rights and obligations under this Credit Agreement, such Lender shall cease to be a party hereto) but shall continue to be entitled to the benefits of Sections 3.01, 3.04, 3.05 and 11.04 with respect to facts and circumstances occurring prior to the effective date of such assignment. Upon request, the Borrower (at its expense) shall execute and deliver a Note to the assignee Lender. Any assignment or transfer by a Lender of rights or obligations under this Credit Agreement that does not comply with this subsection shall be treated for purposes of this Credit Agreement as a sale by such Lender of a participation in such rights and obligations in accordance with subsection (d) of this Section. (c) Register. The Administrative Agent, acting solely for this purpose as an agent of the Borrower (and such agency being solely for tax purposes), shall maintain at the Administrative Agent’s Office in the United States a copy of each Assignment and Assumption delivered to it and a register for the recordation of the names and addresses of the Lenders, and the Commitments of, and principal amounts of the Loans and L/C Obligations owing to, each Lender pursuant to the terms hereof from time to time (the “Register”). The entries in the Register shall be conclusive absent manifest error, and the Borrower, the Administrative Agent and the Lenders may treat each Person whose name is recorded in the Register pursuant to the terms hereof as a Lender and the owner of the amounts owing to it under the Credit Documents as reflected in the Register for all purposes of the Credit Documents, notwithstanding notice to the contrary. In addition, the Administrative Agent shall maintain on the Register information regarding the designation, and revocation of designation, of any Lender as a Defaulting Lender. The Register shall be available for inspection by any of the Borrower, the L/C Issuer and the Lenders at any reasonable time and from time to time upon reasonable prior notice. (d) Participations. Any Lender may at any time (without notice to, or the consent of, any Person) sell participations to any Person (other than a natural person, a Disqualified Institution, a Defaulting Lender or the Borrower or the Borrower’s Affiliates or Subsidiaries) (each, a “Participant”) in all or a portion of such Lender’s rights and/or obligations under this Credit Agreement (including all or a portion of its Commitment and/or the Loans (including such Lender’s participations in L/C Obligations and/or Swingline Loans) owing to it); provided that (i) such Lender’s obligations under this Credit Agreement shall remain unchanged, (ii) such Lender shall remain solely responsible to the other parties hereto for the performance of such obligations and (iii) the Borrower, the Administrative Agent, the Lenders 191 1010279941v18


 
and the L/C Issuer shall continue to deal solely and directly with such Lender in connection with such Lender’s rights and obligations under this Credit Agreement. Any agreement or instrument pursuant to which a Lender sells such a participation shall provide that such Lender shall retain the sole right to enforce this Credit Agreement and to approve any amendment, modification or waiver of any provision of this Credit Agreement; provided that such agreement or instrument may provide that such Lender will not, without the consent of the Participant, agree to any amendment, waiver or other modification described in the second proviso of Section 11.01 that affects such Participant. Subject to subsection (e) of this Section, the Borrower agree that each Participant shall be entitled to the benefits of Sections 3.01, 3.04 and 3.05 to the same extent as if it were a Lender and had acquired its interest by assignment pursuant to subsection (b) of this Section; provided that such Participant agrees to be subject to the provisions of Section 3.06 as if it were an assignee under paragraph (b) of this Section. To the extent permitted by Law, each Participant also shall be entitled to the benefits of Section 11.08 as though it were a Lender, provided that such Participant agrees to be subject to Section 2.12 as though it were a Lender. (e) Limitations on Participant Rights. A Participant shall not be entitled to receive any greater payment under Section 3.01 or 3.04 than the applicable Lender would have been entitled to receive with respect to the participation sold to such Participant, unless the sale of the participation to such Participant is made with the Borrower’s prior written consent. A Participant that would be a Foreign Lender if it were a Lender shall not be entitled to the benefits of Section 3.01 unless the Borrower is notified of the participation sold to such Participant and such Participant agrees, for the benefit of the Borrower, to comply with Section 3.01(e) as though it were a Lender. Each Lender that sells a participation shall, acting solely for this purpose as a non-fiduciary agent of the Borrower, maintain a register on which it enters the name and address of each Participant and the principal amounts (and stated interest) of each Participant’s interest in the Loans or other obligations under the Credit Documents (the “Participant Register”); provided that no Lender shall have any obligation to disclose all or any portion of the Participant Register (including the identity of any Participant or any information relating to a Participant’s interest in any Commitments, Loans, Letters of Credit or of its other Obligations under any Credit Document) to any Person except to the extent that such disclosure is necessary to establish that such Commitment, Loan, Letter of Credit or other Obligation is in registered form under Section 5f.103-1(c) of the U.S. Treasury Regulations, or is otherwise required thereunder. The entries in the Participant Register shall be conclusive absent manifest error, and such Lender shall treat each Person whose name is recorded in the Participant Register as the owner of such participation for all purposes of this Agreement notwithstanding any notice to the contrary. For the avoidance of doubt, the Administrative Agent (in its capacity as Administrative Agent) shall have no responsibility for maintaining a Participant Register. (f) Certain Pledges. Any Lender may at any time pledge or assign a security interest in all or any portion of its rights under this Credit Agreement (including under its Note(s), if any) to secure obligations of such Lender, including any pledge or assignment to secure obligations to a Federal Reserve Bank or other central bank having jurisdiction over such Lender; provided that no such pledge or assignment shall release such Lender from any of its 192 1010279941v18


 
obligations hereunder or substitute any such pledgee or assignee for such Lender as a party hereto. (g) [Reserved]. (h) Resignation as L/C Issuer or Swingline Lender after Assignment. Notwithstanding anything to the contrary contained herein, if at any time Bank of America assigns all of its Revolving Credit Commitment and Revolving Credit Loans pursuant to subsection (b) above. Bank of America may, (i) upon 30 days’ notice to the Borrower and the Revolving Credit Lenders, resign as the L/C Issuer and/or (ii) upon 30 days’ notice to the Borrower, resign as the Swingline Lender. In the event of any such resignation as the L/C Issuer or the Swingline Lender, the Borrower shall be entitled to appoint from among the Revolving Credit Lenders, a successor L/C Issuer or Swingline Lender hereunder; provided that no failure by the Borrower to appoint any such successor shall affect the resignation of Bank of America as the L/C Issuer or the Swingline Lender, as the case may be. If Bank of America resigns as the L/C Issuer, it shall retain all the rights, powers, privileges and duties of the L/C Issuer hereunder with respect to all Letters of Credit outstanding as of the effective date of its resignation as the L/C Issuer and all L/C Obligations with respect thereto (including the right to require the Revolving Credit Lenders to make Base Rate Loans or fund risk participations in L/C Unreimbursed Amounts pursuant to Section 2.03(c)). If Bank of America resigns as the Swingline Lender, it shall retain all the rights of the Swingline Lender provided for hereunder with respect to Swingline Loans made by it and outstanding as of the effective date of such resignation, including the right to require the Revolving Credit Lenders to make Base Rate Loans or fund risk participations in outstanding Swingline Loans pursuant to Section 2.04(c). Upon the appointment of a successor L/C Issuer and/or Swingline Lender, (a) such successor shall succeed to and become vested with all of the rights, powers, privileges and duties of the retiring L/C Issuer or Swingline Lender, as the case may be, and (b) the successor L/C Issuer shall issue letters of credit in substitution for the Letters of Credit, if any, outstanding at the time of such succession or make other arrangements reasonable satisfactory to Bank of America to effectively assume the obligations of Bank of America with respect to such Letters of Credit. (i) Assignments to the Borrower and its Subsidiaries. Notwithstanding anything to the contrary contained in this Section 11.06 or any other provision of this Agreement, so long as no Event of Default has occurred and is continuing or would result therefrom, each Term Lender shall have the right at any time to sell, assign or transfer all or a portion of the Term Loans owing to it to the Borrower or any of its Subsidiaries on a non-pro rata basis, subject to the following limitations: (i) Such sale, assignment or transfer shall be pursuant to one or more modified Dutch auctions conducted by the Borrower (each, an “Auction”) to repurchase all or any portion of the Term Loans; provided that (A) notice of and the option to participate in the Auction shall be provided to all Term Lenders and (B) the Auction shall be conducted pursuant to such procedures as the Auction Manager may establish, which are consistent with this Section 11.06(i) and the Auction Procedures and are otherwise reasonably acceptable to the Borrower, the Auction Manager and the Administrative Agent; 193 1010279941v18


 
(ii) With respect to all repurchases made by the Borrower or any of its Subsidiaries pursuant to this Section 11.06(i), (A) the Borrower shall (x) represent and warrant to the Term Lenders that, as of the launch date of the related Auction and the effective date of any such repurchase, it does not possess material non-public information with respect to the Borrower and its Subsidiaries that has not been disclosed to the Administrative Agent and the non-Public Lenders or (y) make a statement that it cannot make such representation and warranty, (B) the Borrower or any of its Subsidiaries shall not use the proceeds of any Revolving Credit Loans to repurchase such Term Loans and (C) the assigning Term Lender and the Borrower or its applicable Subsidiary shall execute and deliver to the Auction Manager an Assignment and Assumption with respect to such repurchase; and (iii) Following a repurchase by the Borrower or any of its Subsidiaries pursuant to this Section 11.06(i), the Term Loans so repurchased shall, without further action by any Person, be deemed canceled and no longer outstanding (and may not be resold by the Borrower or any of its Subsidiaries) for all purposes of this Credit Agreement and all other Credit Documents, including, but not limited to (A) the making of, or the application of, any payments to the Term Lenders under this Credit Agreement or any other Credit Document, (B) the making of any request, demand, authorization, direction, notice, consent or waiver under this Credit Agreement or any other Credit Document or (C) the determination of the Required Lenders or the Required Term Lenders, or for any similar or related purpose, under this Credit Agreement or any other Credit Document. If any Term Loan is purchased and canceled in accordance with this Section 11.06(i), all such prepayments shall be applied to the remaining scheduled installments of principal of the relevant Class of Term Loans on a pro rata basis across such installments. In connection with any Term Loans repurchased and canceled pursuant to this Section 11.06(i), the Administrative Agent is authorized to make appropriate entries in the Register to reflect any such cancellation. (j) If any assignment is made to any Disqualified Institution without the Borrower’s prior consent in violation of clause (b)(v) above, the Borrower may, at its sole expense and effort, upon notice to the applicable Disqualified Institution and the Administrative Agent, notwithstanding anything to the contrary in Section 2.07 or Section 2.12, (A) terminate any Revolving Credit Commitment of such Disqualified Institution and repay all Obligations of the Borrower owing to such Disqualified Institution in connection with such Revolving Credit Commitment, (B) in the case of outstanding Term Loans held by Disqualified Institutions, prepay such Term Loan by paying the lesser of (x) the principal amount thereof and (y) the amount that such Disqualified Institution paid to acquire such Term Loans, in each case plus accrued interest, accrued fees and all other amounts (other than principal amounts) payable to it hereunder and under the other Credit Documents and/or (C) require such Disqualified Institution to assign and delegate, without recourse (in accordance with and subject to the restrictions contained in this Section 11.06), all of its interest, rights and obligations under this Agreement and related Credit Documents to an Eligible Assignee that shall assume such obligations at the lesser of (x) the principal amount thereof and (y) the amount that such Disqualified Institution paid to acquire such interests, rights and obligations, in each case plus accrued interest, accrued 194 1010279941v18


 
fees and all other amounts (other than principal amounts) payable to it hereunder and other the other Credit Documents; provided that (i) such assignment does not conflict with applicable Laws and (ii) in the case of clause (B), the Borrower shall not use the proceeds from any Loans to prepay Term Loans held by Disqualified Institutions. (k) Notwithstanding anything to the contrary contained in this Agreement, the Disqualified Institutions (A) will not (x) have the right to receive information, reports or other materials provided to Lenders by the Borrower, the Administrative Agent or any other Lender, (y) attend or participate in meetings attended by the Lenders and the Administrative Agent, or (z) access any electronic site established for the Lenders or confidential communications from counsel to or financial advisors of the Administrative Agent or the Lenders and (B) (x) for purposes of any consent to any amendment, waiver or modification of any action under, and for the purpose of any direction to the Administrative Agent or any Lender to undertake any action (or refrain from taking any action) under this Agreement or any other Credit Document, each Disqualified Institution will be deemed to have consented in the same proportion as the Lenders that are not Disqualified Institutions consented to such matter, and (y) for purposes of voting on any plan of reorganization, liquidation, arrangement, adjustment or composition or similar dispositive restructuring plan pursuant to any Debtor Relief Laws (a “Reorganization Plan”) each Disqualified Institution party hereto hereby agrees (1) not to vote on such Reorganization Plan, (2) if such Disqualified Institution does vote on such Reorganization Plan notwithstanding the restriction in the foregoing clause (1), such vote will be deemed not to be in good faith and shall be “designated” pursuant to Section 1126(e) of the Bankruptcy Code (or any similar provision in any other Debtor Relief Laws), and such vote shall not be counted in determining whether the applicable class has accepted or rejected such Reorganization Plan in accordance with Section 1126(c) of the Bankruptcy Code (or any similar provision in any other Debtor Relief Laws) and (3) not to contest any request by any party for a determination by the Bankruptcy Court (or other applicable court of competent jurisdiction) effectuating the foregoing clause (2). Section 11.07. Treatment of Certain Information; Confidentiality. Each of the Administrative Agent, the Lenders and the L/C Issuer agrees to maintain the confidentiality of the Information (as defined below), except that Information may be disclosed to its Affiliates and to its and its Affiliates’ respective partners, directors, officers, employees, agents, trustees, advisors and representatives (it being understood that the Persons to whom such disclosure is made will be informed of the confidential nature of such Information and instructed to keep such Information confidential), to the extent requested by any regulatory authority purporting to have jurisdiction over it (including any self-regulatory authority), to the extent required by applicable Laws or regulations or by any subpoena or similar legal process (in which case such Person, to the extent practicable and so long as it is permitted by Law and except in connection with any order or request as part of a regulatory examination or audit, agrees to inform the Borrower promptly thereof), to any other party hereto, in connection with the exercise of any remedies hereunder or under any other Credit Document or any action or proceeding relating to this Credit Agreement or any other Credit Document or the enforcement of rights hereunder or thereunder, subject to an agreement containing provisions substantially the same as those of this Section, to (i) any assignee of or Participant in, or any prospective assignee of or Participant in, any of its rights or obligations under this Credit Agreement or any Eligible Assignee invited to become a Lender pursuant to Section 11.06(b), (ii) any actual or prospective counterparty (or its advisors) 195 1010279941v18


 
to any swap or derivative transaction relating to the Borrower and its obligations, with the consent of the Borrower or to the extent such Information, (iii) becomes publicly available other than as a result of a breach of this Section, (iv) to the extent that such information is independently developed by the Administrative Agent, a Lender, L/C Issuer or such parties Affiliates, in each case, so long as not based on information obtained in a manner that would otherwise violate this provision, (v) becomes available to the Administrative Agent, any Lender, the L/C Issuer or any of their respective Affiliates on a nonconfidential basis from a source other than the Borrower or (vi) with the Borrower’s consent. In addition, the Administrative Agent and the Lenders may disclose the existence of this Credit Agreement and information about this Agreement to market data collectors, similar service providers to the lending industry and service providers to the Administrative Agent and the Lenders in connection with the administration of this Credit Agreement, the other Credit Documents, and the Commitments. For purposes of this Section, “Information” means all information received from the Credit Parties or their Subsidiaries or Affiliates relating to the Credit Parties or their Subsidiaries or Affiliates or any of their respective businesses, other than any such information that is available to the Administrative Agent, any Lender or the L/C Issuer on a nonconfidential basis prior to disclosure by the Credit Parties or their Subsidiaries or Affiliates; provided that all information received after the Closing Date from the Borrower or any of its Subsidiaries shall be deemed confidential unless such information is clearly identified at the time of delivery as not being confidential. Any Person required to maintain the confidentiality of Information as provided in this Section shall be considered to have complied with its obligation to do so if such Person has exercised the same degree of care to maintain the confidentiality of such Information as such Person would accord to its own confidential information. Each of the Administrative Agent, the Lenders and the L/C Issuer acknowledges that (a) the Information may include material non-public information concerning the Credit Parties or their Subsidiaries or Affiliates, as the case may be, (b) it has developed compliance procedures regarding the use of material non-public information and (c) it will handle such material non-public information in accordance with applicable Law, including federal and state securities Laws. Section 11.08. Right of Setoff. If an Event of Default shall have occurred and be continuing, each Lender, the L/C Issuer and each of their respective Affiliates is hereby authorized at any time and from time to time, to the fullest extent permitted by applicable Law, to set off and apply any and all deposits (general or special, time or demand, provisional or final, in whatever currency) at any time held and other obligations (in whatever currency) at any time owing by such Lender, the L/C Issuer or any such Affiliate to or for the credit or the account of the Borrower or any other Credit Party against any and all of the obligations of the Borrower or such Credit Party now or hereafter existing under this Credit Agreement or any other Credit Document to such Lender or the L/C Issuer, irrespective of whether or not the Lender or the L/C Issuer shall have made any demand under this Credit Agreement or any other Credit Document and although such obligations of the Borrower or such Credit Party may be contingent or unmatured or are owed to a branch or office of such Lender or the L/C Issuer different from the branch or office holding such deposit or obligated on such indebtedness; provided that in the event that any Defaulting Lender shall exercise any such right of setoff, (x) all amounts so set off shall be paid over immediately to the Administrative Agent for further application in accordance 196 1010279941v18


 
with the provisions of Section 2.17 and, pending such payment, shall be segregated by such Defaulting Lender from its other funds and deemed held in trust for the benefit of the Administrative Agent and the Lenders, and (y) the Defaulting Lender shall provide promptly to the Administrative Agent a statement describing in reasonable detail the Obligations owing to such Defaulting Lender as to which it exercised such right of setoff. The rights of each Lender, the L/C Issuer and their respective Affiliates under this Section are in addition to other rights and remedies (including other rights of setoff) that such Lender, the L/C Issuer or their respective Affiliates may have. Each Lender and the L/C Issuer agrees to notify the Borrower and the Administrative Agent promptly after any such setoff and application; provided that the failure to give such notice shall not affect the validity of such setoff and application. Section 11.09. Interest Rate Limitation. Notwithstanding anything to the contrary contained in any Credit Document, the interest paid or agreed to be paid under the Credit Documents shall not exceed the maximum rate of non-usurious interest permitted by applicable Law (the “Maximum Rate”). If the Administrative Agent or any Lender shall receive interest in an amount that exceeds the Maximum Rate, the excess interest shall be applied to the principal of the Loans or, if it exceeds such unpaid principal, refunded to the Borrower. In determining whether the interest contracted for, charged, or received by the Administrative Agent or a Lender exceeds the Maximum Rate, such Person may, to the extent permitted by applicable Law, characterize any payment that is not principal as an expense, fee, or premium rather than interest, exclude voluntary prepayments and the effects thereof, and amortize, prorate, allocate, and spread in equal or unequal parts the total amount of interest throughout the contemplated term of the Obligations hereunder. Section 11.10. Integration; Effectiveness. This Agreement, the other Credit Documents, and any separate letter agreements with respect to fees payable to the Administrative Agent or the L/C Issuer, constitute the entire contract among the parties relating to the subject matter hereof and supersede any and all previous agreements and understandings, oral or written, relating to the subject matter hereof. This Agreement shall become effective when it shall have been executed by the Administrative Agent and when the Administrative Agent shall have received counterparts hereof that, when taken together, bear the signatures of each of the other parties hereto, and thereafter shall be binding upon and inure to the benefit of the parties hereto and their respective successors and assigns. Section 11.11. Survival of Representations and Warranties. All representations and warranties made hereunder and in any other Credit Document or other document delivered pursuant hereto or thereto or in connection herewith or therewith shall survive the execution and delivery hereof and thereof. Such representations and warranties have been or will be relied upon by the Administrative Agent and each Lender, regardless of any investigation made by the Administrative Agent or any Lender or on their behalf and notwithstanding that the Administrative Agent or any Lender may have had notice or knowledge of any Default or Event of Default at the time of any Credit Extension, and shall continue in full force and effect as long as any Loan or any other Obligation hereunder shall remain unpaid or unsatisfied (other than any Obligations under any Swap Contract Obligation, Treasury Management Obligation or contingent indemnity obligations, in any such case not then due and payable) or any Letter of Credit shall remain outstanding (unless the such Letter of Credit has been Cash Collateralized or back-stopped by a letter of credit in form, amount and substance reasonably satisfactory to the 197 1010279941v18


 
Administrative Agent or a deemed reissuance under another facility or as to which other arrangements reasonable satisfactory to the Administrative Agent and the L/C Issuer shall have been made). Section 11.12. Severability. If any provision of this Credit Agreement or the other Credit Documents is held to be illegal, invalid or unenforceable, the legality, validity and enforceability of the remaining provisions of this Credit Agreement and the other Credit Documents shall not be affected or impaired thereby and the parties shall endeavor in good faith negotiations to replace the illegal, invalid or unenforceable provisions with valid provisions the economic effect of which comes as close as possible to that of the illegal, invalid or unenforceable provisions. The invalidity of a provision in a particular jurisdiction shall not invalidate or render unenforceable such provision in any other jurisdiction. Without limiting the foregoing provisions of this Section 11.12, if and to the extent that the enforceability of any provisions in this Credit Agreement relating to Defaulting Lenders shall be limited by Debtor Relief Laws, as determined in good faith by the Administrative Agent, the L/C Issuer or the Swingline Lender, as applicable, then such provisions shall be deemed to be in effect only to the extent not so limited. Section 11.13. Replacement of Lenders. If (a) any Lender requests compensation under Section 3.04, (b) the Borrower is required to pay any additional amount to any Lender or any Governmental Authority for the account of any Lender pursuant to Section 3.01, (c) any Lender gives a notice pursuant to Section 3.02, (d) any Lender does not consent to a proposed change, waiver, discharge or termination (a “Non-Consenting Lender”) with respect to any Credit Document requiring the approval of all the Lenders or of all the Lenders directly affected thereby that has been approved by the applicable Required Facility Lenders or, to the extent applicable, the Required Lenders, or (e) any Lender is a Defaulting Lender, then the Borrower may, at its sole expense and effort, upon notice to such Lender and the Administrative Agent, require such Lender to assign and delegate, without recourse (in accordance with and subject to the restrictions contained in, and consents required by, Section 11.06), (i) all of such Lender’s interests, rights and obligations under this Credit Agreement and the related Credit Documents, or (ii) solely in the case of a Non-Consenting Lender, all of such Lender’s Class of Loans with respect to which such Lender is a Non-Consenting Lender, in each case to an assignee that shall assume such obligations (which assignee may be another Lender, if a Lender accepts such assignment); provided that: (i) the Borrower shall have paid to the Administrative Agent the assignment fee specified in Section 11.06(b)(iv); (ii) such Lender shall have received payment of an amount equal to the outstanding principal of its Loans and L/C Advances, accrued interest thereon, accrued fees and all other amounts payable to it hereunder and under the other Credit Documents (including any amounts under Section 3.05) that is to be assigned hereunder from the assignee (to the extent of such outstanding principal and accrued interest and fees) or the Borrower (in the case of all other amounts); (iii) in the case of any such assignment resulting from a claim for compensation under Section 3.04 or payments required to be made pursuant to 198 1010279941v18


 
Section 3.01, such assignment will result in a reduction in such compensation or payments thereafter; (iv) such assignment does not conflict with applicable Law; (v) in the case of any such assignment resulting from a Non-Consenting Lender’s failure to consent to a proposed change, waiver, discharge or termination with respect to any Credit Document, the applicable assignee consents to the proposed change, waiver, discharge or termination; and (vi) the failure by any Lender described in clauses (a) – (e) above to execute and deliver an Assignment and Assumption shall not impair the validity of the removal of such Lender, and the assignment of such Lender’s Commitments and outstanding Loans and participations in L/C Obligations and Swingline Loans pursuant to this Section 11.13 shall nevertheless be effective without the execution by such Lender of an Assignment and Assumption. A Lender shall not be required to make any such assignment or delegation if, prior thereto, as a result of a waiver by such Lender or otherwise, the circumstances entitling the Borrower to require such assignment and delegation cease to apply. Section 11.14. Governing Law; Jurisdiction; Etc. (a) GOVERNING LAW. THIS CREDIT AGREEMENT AND ANY CLAIM, CONTROVERSY OR DISPUTE ARISING UNDER OR RELATED TO THIS CREDIT AGREEMENT (INCLUDING ANY CLAIMS SOUNDING IN CONTRACT LAW OR TORT LAW ARISING OUT OF THE SUBJECT MATTER HEREOF) SHALL BE GOVERNED BY, AND CONSTRUED IN ACCORDANCE WITH, THE LAW OF THE STATE OF NEW YORK. (b) SUBMISSION TO JURISDICTION. EACH PARTY HERETO IRREVOCABLY AND UNCONDITIONALLY SUBMITS, FOR ITSELF AND ITS PROPERTY, TO THE EXCLUSIVE JURISDICTION OF THE COURTS OF THE STATE OF NEW YORK SITTING IN THE BOROUGH OF MANHATTAN AND OF THE UNITED STATES DISTRICT COURT FOR THE SOUTHERN DISTRICT OF SUCH STATE AND ANY APPELLATE COURT FROM ANY THEREOF, IN ANY ACTION OR PROCEEDING ARISING OUT OF OR RELATING TO THIS CREDIT AGREEMENT OR ANY OTHER CREDIT DOCUMENT, AND, SUBJECT TO THE LAST SENTENCE OF THIS CLAUSE (B), EACH OF THE PARTIES HERETO IRREVOCABLY AND UNCONDITIONALLY AGREES THAT ALL CLAIMS IN RESPECT OF ANY SUCH ACTION OR PROCEEDING SHALL BE BROUGHT, HEARD AND DETERMINED IN SUCH NEW YORK STATE COURT OR, TO THE FULLEST EXTENT PERMITTED BY APPLICABLE LAW, IN SUCH FEDERAL COURT. EACH OF THE PARTIES HERETO AGREES THAT A FINAL JUDGMENT IN ANY SUCH ACTION OR PROCEEDING SHALL BE CONCLUSIVE AND MAY BE ENFORCED IN OTHER JURISDICTIONS BY SUIT ON THE JUDGMENT OR IN ANY OTHER MANNER PROVIDED BY LAW. NOTHING IN THIS CREDIT AGREEMENT OR IN ANY OTHER CREDIT DOCUMENT SHALL AFFECT ANY RIGHT THAT THE 199 1010279941v18


 
ADMINISTRATIVE AGENT, ANY LENDER OR THE L/C ISSUER MAY OTHERWISE HAVE TO BRING ANY ACTION OR PROCEEDING RELATING TO THIS CREDIT AGREEMENT OR ANY OTHER CREDIT DOCUMENT AGAINST THE BORROWER OR ANY OTHER CREDIT PARTY OR ITS PROPERTIES IN THE COURTS OF ANY JURISDICTION. (c) WAIVER OF VENUE. EACH PARTY HERETO IRREVOCABLY AND UNCONDITIONALLY WAIVES, TO THE FULLEST EXTENT PERMITTED BY APPLICABLE LAW, ANY OBJECTION THAT IT MAY NOW OR HEREAFTER HAVE TO THE LAYING OF VENUE OF ANY ACTION OR PROCEEDING ARISING OUT OF OR RELATING TO THIS CREDIT AGREEMENT OR ANY OTHER CREDIT DOCUMENT IN ANY COURT REFERRED TO IN PARAGRAPH (B) OF THIS SECTION. EACH OF THE PARTIES HERETO HEREBY IRREVOCABLY WAIVES, TO THE FULLEST EXTENT PERMITTED BY APPLICABLE LAW, THE DEFENSE OF AN INCONVENIENT FORUM TO THE MAINTENANCE OF SUCH ACTION OR PROCEEDING IN ANY SUCH COURT. (d) SERVICE OF PROCESS. EACH PARTY HERETO IRREVOCABLY CONSENTS TO SERVICE OF PROCESS IN THE MANNER PROVIDED FOR NOTICES IN SECTION 11.02. NOTHING IN THIS CREDIT AGREEMENT WILL AFFECT THE RIGHT OF ANY PARTY HERETO TO SERVE PROCESS IN ANY OTHER MANNER PERMITTED BY APPLICABLE LAW. Section 11.15. Waiver of Jury Trial. EACH PARTY HERETO HEREBY IRREVOCABLY WAIVES, TO THE FULLEST EXTENT PERMITTED BY APPLICABLE LAW, ANY RIGHT IT MAY HAVE TO A TRIAL BY JURY IN ANY LEGAL PROCEEDING DIRECTLY OR INDIRECTLY ARISING OUT OF OR RELATING TO THIS CREDIT AGREEMENT OR ANY OTHER CREDIT DOCUMENT OR THE TRANSACTIONS CONTEMPLATED HEREBY OR THEREBY (WHETHER BASED ON CONTRACT, TORT OR ANY OTHER THEORY). EACH PARTY HERETO (A) CERTIFIES THAT NO REPRESENTATIVE, AGENT OR ATTORNEY OF ANY OTHER PERSON HAS REPRESENTED, EXPRESSLY OR OTHERWISE, THAT SUCH OTHER PERSON WOULD NOT, IN THE EVENT OF LITIGATION, SEEK TO ENFORCE THE FOREGOING WAIVER AND (B) ACKNOWLEDGES THAT IT AND THE OTHER PARTIES HERETO HAVE BEEN INDUCED TO ENTER INTO THIS CREDIT AGREEMENT AND THE OTHER CREDIT DOCUMENTS BY, AMONG OTHER THINGS, THE MUTUAL WAIVERS AND CERTIFICATIONS IN THIS SECTION. Section 11.16. USA Patriot Act Notice. Each Lender that is subject to the Act (as hereinafter defined) and the Administrative Agent (for itself and not on behalf of any Lender) hereby notifies the Credit Parties that pursuant to the requirements of the USA Patriot Act (Title III of Pub. L. 107-56 (signed into law October 26, 2001)) (the “Act”), it is required to obtain, verify and record information that identifies the Credit Parties, which information includes the name and address of the Credit Parties and other information that will allow such Lender or the Administrative Agent, as applicable, to identify the Credit Parties in accordance with the Act. The Credit Parties shall, promptly following a request by the Administrative Agent or any Lender, provide all reasonable documentation and other information that the Administrative 200 1010279941v18


 
Agent or such Lender requests in order to comply with its ongoing obligations under applicable “know your customer” and anti-money laundering rules and regulations, including the Act. Section 11.17. Termination. Notwithstanding any other provision to the contrary, upon termination of the commitments hereunder and payment in full of all Obligations (other than (i) contingent indemnification obligations as to which no claim has been asserted and (ii) Obligations described in clauses (b) and (c) of the definition thereof) and the expiration or termination of all Letters of Credit (other than Letters of Credit as to which other arrangements reasonable satisfactory to the Administrative Agent and the L/C Issuer shall have been made), the Collateral Documents and the security interests created thereby shall terminate, all rights in the Collateral shall revert to the applicable Credit Party and the Administrative Agent and the Collateral Agent, at the request and sole expense of the Borrower, will execute and deliver such documents as the Borrower shall reasonably request to evidence such termination; provided that if an Event of Default shall have occurred and is continuing, no such termination will be effective unless arrangements reasonable satisfactory to the holders of the Swap Contract Obligations and Treasury Management Obligations shall have been made, and will not affect provisions which expressly survive termination. Section 11.18. No Advisory or Fiduciary Responsibility. In connection with all aspects of each transaction contemplated hereby (including in connection with any amendment, waiver or other modification hereof or of any other Credit Document), the Borrower and each other Credit Party acknowledge and agree, and acknowledge their respective Affiliates’ understanding, that: (i) the arranging and other services regarding this Credit Agreement provided by the Administrative Agent, the Arrangers and Documentation Agents are arm’s-length commercial transactions between the Borrower, each other Credit Party and their respective Affiliates, on the one hand, and the Administrative Agent, the Arrangers and the Documentation Agents, on the other hand, (ii) each of the Borrower and the other Credit Parties has consulted its own legal, accounting, regulatory and tax advisors to the extent it has deemed appropriate, and (iii) each of the Borrower and each other Credit Party is capable of evaluating, and understands and accepts, the terms, risks and conditions of the transactions contemplated hereby and by the other Credit Documents; the Administrative Agent, each Arranger, each Documentation Agent and each Lender each is and has been acting solely as a principal and, except as expressly agreed in writing by the relevant parties, has not been, is not, and will not be acting as an advisor, agent or fiduciary for the Borrower, any other Credit Party or any of their respective Affiliates, or any other Person and the Administrative Agent, the Arrangers, Documentation Agents and the Lenders shall not have any obligation to the Borrower, any other Credit Party or any of their respective Affiliates with respect to the transactions contemplated hereby except those obligations expressly set forth herein and in the other Credit Documents; and the Administrative Agent, the Arrangers, Documentation Agents and the Lenders and their respective Affiliates may be engaged in a broad range of transactions that involve interests that differ from those of the Borrower, the other Credit Parties and their respective Affiliates, and the Administrative Agent, the Arrangers, Documentation Agents and the Lenders shall not have any obligation to disclose any of such interests to the Borrower, any other Credit Party or any of their respective Affiliates. To the fullest extent permitted by Law, each of the Borrower and the other Credit Parties hereby waives and releases any claims that it may have against the Administrative Agent, the Arrangers, 201 1010279941v18


 
Documentation Agents and the Lenders with respect to any breach or alleged breach of agency or fiduciary duty in connection with any aspect of any transaction contemplated hereby. Section 11.19. Electronic Execution; Electronic Records; Counterparts. This Agreement, any Credit Document and any other Communication, including Communications required to be in writing, may be in the form of an Electronic Record and may be executed using Electronic Signatures. Each of the Credit Parties and each of the Administrative Agent and the Lenders agrees that any Electronic Signature on or associated with any Communication shall be valid and binding on such Person to the same extent as a manual, original signature, and that any Communication entered into by Electronic Signature, will constitute the legal, valid and binding obligation of such Person enforceable against such Person in accordance with the terms thereof to the same extent as if a manually executed original signature was delivered. Any Communication may be executed in as many counterparts as necessary or convenient, including both paper and electronic counterparts, but all such counterparts are one and the same Communication. For the avoidance of doubt, the authorization under this paragraph may include, without limitation, use or acceptance of a manually signed paper Communication which has been converted into electronic form (such as scanned into PDF format), or an electronically signed Communication converted into another format, for transmission, delivery and/or retention. The Administrative Agent and each of the Lenders may, at its option, create one or more copies of any Communication in the form of an imaged Electronic Record (“Electronic Copy”), which shall be deemed created in the ordinary course of such Person’s business, and destroy the original paper document. All Communications in the form of an Electronic Record, including an Electronic Copy, shall be considered an original for all purposes, and shall have the same legal effect, validity and enforceability as a paper record. Notwithstanding anything contained herein to the contrary, neither the Administrative Agent, the L/C Issuer nor the Swingline Lender is under any obligation to accept an Electronic Signature in any form or in any format unless expressly agreed to by such Person pursuant to procedures approved by it; provided further, without limiting the foregoing, (a) to the extent the Administrative Agent, the L/C Issuer and/or the Swingline Lender has agreed to accept such Electronic Signature, the Administrative Agent and each of the Lenders shall be entitled to rely on any such Electronic Signature purportedly given by or on behalf of any Credit Party and/or any Lender without further verification and (b) upon the request of the Administrative Agent or any Lender, any Electronic Signature shall be promptly followed by such manually executed counterpart. For purposes hereof, “Electronic Record” and “Electronic Signature” shall have the meanings assigned to them, respectively, by 15 USC §7006, as it may be amended from time to time. Section 11.20. Acknowledgment and Consent to Bail-In of Affected Financial Institutions. Solely to the extent any Lender or the L/C Issuer that is an Affected Financial Institution is a party to this Agreement and notwithstanding anything to the contrary in any Credit Document or in any other agreement, arrangement or understanding among any such parties, each party hereto acknowledges that any liability of any Lender or the L/C Issuer that is an Affected Financial Institution arising under any Credit Document, to the extent such liability is unsecured, may be subject to the Write-Down and Conversion Powers of the applicable Resolution Authority and agrees and consents to, and acknowledges and agrees to be bound by: 202 1010279941v18


 
(a) the application of any Write-Down and Conversion Powers by the applicable Resolution Authority to any such liabilities arising hereunder which may be payable to it by any Lender or the L/C Issuer that is an Affected Financial Institution; and (b) the effects of any Bail-In Action on any such liability, including, if applicable: (i) a reduction in full or in part or cancellation of any such liability; (ii) a conversion of all, or a portion of, such liability into shares or other instruments of ownership in such Affected Financial Institution, its parent undertaking, or a bridge institution that may be issued to it or otherwise conferred on it, and that such shares or other instruments of ownership will be accepted by it in lieu of any rights with respect to any such liability under this Agreement or any other Credit Document; or (iii) the variation of the terms of such liability in connection with the exercise of the Write-Down and Conversion Powers of the applicable Resolution Authority. Section 11.21. Judgment Currency. If, for the purposes of obtaining judgment in any court, it is necessary to convert a sum due hereunder or any other Credit Document in one currency into another currency, the rate of exchange used shall be that at which in accordance with normal banking procedures the Administrative Agent could purchase the first currency with such other currency on the Business Day preceding that on which final judgment is given. The obligation of each Credit Party in respect of any such sum due from it to the Administrative Agent or any Lender hereunder or under the other Credit Documents shall, notwithstanding any judgment in a currency (the “Judgment Currency”) other than that in which such sum is denominated in accordance with the applicable provisions of this Agreement (the “Agreement Currency”), be discharged only to the extent that on the Business Day following receipt by the Administrative Agent or such Lender, as the case may be, of any sum adjudged to be so due in the Judgment Currency, the Administrative Agent or such Lender, as the case may be, may in accordance with normal banking procedures purchase the Agreement Currency with the Judgment Currency. If the amount of the Agreement Currency so purchased is less than the sum originally due to the Administrative Agent or any Lender from any Credit Party in the Agreement Currency, such Credit Party agrees, as a separate obligation and notwithstanding any such judgment, to indemnify the Administrative Agent or such Lender, as the case may be, against such loss. If the amount of the Agreement Currency so purchased is greater than the sum originally due to the Administrative Agent or any Lender in such currency, the Administrative Agent or such Lender, as the case may be, agrees to return the amount of any excess to such Credit Party (or to any other Person who may be entitled thereto under applicable Law). Section 11.22. Acknowledgement Regarding Any Supported QFCs. To the extent that the Credit Documents provide support, through a guarantee or otherwise, for any Swap Contract or any other agreement or instrument that is a QFC (such support, “QFC Credit Support,” and each such QFC, a “Supported QFC”), the parties acknowledge and agree as follows with respect to the resolution power of the Federal Deposit Insurance Corporation under the Federal 203 1010279941v18


 
Deposit Insurance Act and Title II of the Dodd-Frank Wall Street Reform and Consumer Protection Act (together with the regulations promulgated thereunder, the “U.S. Special Resolution Regimes”) in respect of such Supported QFC and QFC Credit Support (with the provisions below applicable notwithstanding that the Credit Documents and any Supported QFC may in fact be stated to be governed by the laws of the State of New York and/or of the United States or any other state of the United States): (a) In the event a Covered Entity that is party to a Supported QFC (each, a “Covered Party”) becomes subject to a proceeding under a U.S. Special Resolution Regime, the transfer of such Supported QFC and the benefit of such QFC Credit Support (and any interest and obligation in or under such Supported QFC and such QFC Credit Support, and any rights in property securing such Supported QFC or such QFC Credit Support) from such Covered Party will be effective to the same extent as the transfer would be effective under the U.S. Special Resolution Regime if the Supported QFC and such QFC Credit Support (and any such interest, obligation and rights in property) were governed by the laws of the United States or a state of the United States. In the event a Covered Party or a BHC Act Affiliate of a Covered Party becomes subject to a proceeding under a U.S. Special Resolution Regime, Default Rights under the Credit Documents that might otherwise apply to such Supported QFC or any QFC Credit Support that may be exercised against such Covered Party are permitted to be exercised to no greater extent than such Default Rights could be exercised under the U.S. Special Resolution Regime if the Supported QFC and the Credit Documents were governed by the laws of the United States or a state of the United States. Without limitation of the foregoing, it is understood and agreed that rights and remedies of the parties with respect to a Defaulting Lender shall in no event affect the rights of any Covered Party with respect to a Supported QFC or any QFC Credit Support. As used in this Section 11.01, the following terms have the following meanings: “BHC Act Affiliate” of a party means an “affiliate” (as such term is defined under, and interpreted in accordance with, 12 U.S.C. 1841(k)) of such party. “Covered Entity” means any of the following: (i) a “covered entity” as that term is defined in, and interpreted in accordance with, 12 C.F.R. § 252.82(b); (ii) a “covered bank” as that term is defined in, and interpreted in accordance with, 12 C.F.R. § 47.3(b); or (iii) a “covered FSI” as that term is defined in, and interpreted in accordance with, 12 C.F.R. § 382.2(b). “Default Right” has the meaning assigned to that term in, and shall be interpreted in accordance with, 12 C.F.R. §§ 252.81, 47.2 or 382.1, as applicable. “QFC” has the meaning assigned to the term “qualified financial contract” in, and shall be interpreted in accordance with, 12 U.S.C. 5390(c)(8)(D). Section 11.23. Intercreditor Agreements. (a) PURSUANT TO THE EXPRESS TERMS OF EACH INTERCREDITOR AGREEMENT, IN THE EVENT OF ANY CONFLICT OR INCONSISTENCY BETWEEN THE TERMS OF THE RELEVANT INTERCREDITOR AGREEMENT AND ANY OF THE CREDIT DOCUMENTS, THE PROVISIONS OF THE RELEVANT INTERCREDITOR 204 1010279941v18


 
AGREEMENT SHALL GOVERN AND CONTROL (EXCEPT IN THE CASE OF A CONFLICT WITH ANY PROVISION OF SUCH INTERCREDITOR AGREEMENT REFERENCING THE RIGHTS, DUTIES, PRIVILEGES, IMMUNITIES AND INDEMNITIES OF THE ADMINISTRATIVE AGENT, THE PROVISIONS OF ARTICLE 11 OF THIS AGREEMENT WILL CONTROL). (b) EACH LENDER AUTHORIZES AND INSTRUCTS THE ADMINISTRATIVE AGENT TO ENTER INTO THE RELEVANT INTERCREDITOR AGREEMENT ON BEHALF OF SUCH LENDER, AND TO TAKE ALL ACTIONS (AND EXECUTE ALL DOCUMENTS) REQUIRED (OR DEEMED ADVISABLE) BY IT IN ACCORDANCE WITH THE TERMS OF SUCH INTERCREDITOR AGREEMENT(S). EACH LENDER AGREES TO BE BOUND BY AND WILL TAKE NO ACTIONS CONTRARY TO THE PROVISIONS OF THE RELEVANT INTERCREDITOR AGREEMENT. (c) THE PROVISIONS OF THIS SECTION 11.23 ARE NOT INTENDED TO SUMMARIZE ALL RELEVANT PROVISIONS OF THE RELEVANT INTERCREDITOR AGREEMENT. REFERENCE MUST BE MADE TO THE RELEVANT INTERCREDITOR AGREEMENT ITSELF TO UNDERSTAND ALL TERMS AND CONDITIONS THEREOF. EACH LENDER IS RESPONSIBLE FOR MAKING ITS OWN ANALYSIS AND REVIEW OF THE RELEVANT INTERCREDITOR AGREEMENT AND THE TERMS AND PROVISIONS THEREOF, AND NO AGENT (AND NONE OF ITS AFFILIATES) MAKES ANY REPRESENTATION TO ANY LENDER AS TO THE SUFFICIENCY OR ADVISABILITY OF THE PROVISIONS CONTAINED IN THE RELEVANT INTERCREDITOR AGREEMENT. (d) THE PROVISIONS OF THIS SECTION 11.23 SHALL APPLY WITH EQUAL FORCE, MUTATIS MUTANDIS, TO THE FIRST LIEN INTERCREDITOR AGREEMENT, THE JUNIOR LIEN INTERCREDITOR AGREEMENT, THE SUBORDINATION AGREEMENT AND ANY OTHER INTERCREDITOR AGREEMENT OR ARRANGEMENT PERMITTED BY THIS AGREEMENT. [REMAINDER OF PAGE INTENTIONALLY LEFT BLANK] 205 1010279941v18


 
13723822v8 EXHIBIT B AMENDED EXHIBIT 7.02(A) [See attached]


 
Exh. 7.02(a)-1 13731700v12 Exhibit 7.02(a) FORM OF COMPLIANCE CERTIFICATE [date] Financial Statement Date: To: Bank of America, N.A., as Administrative Agent Re: Credit Agreement, dated as of May 2, 2016 (as amended, restated, amended and restated, modified and supplemented from time to time prior to the date hereof, including pursuant to Amendment No. 1, dated as of June 27, 2017, Amendment No. 2, dated as of December 21, 2017, Amendment No. 3, dated as of September 28, 2018, Amendment No. 4, dated as of February 28, 2022, Amendment No. 5, dated as of November 7, 2023, and Amendment No. 6, dated as of August 12, 2024, the “Credit Agreement”) by and among MERCURY SYSTEMS, INC., a Massachusetts corporation (the “Borrower”), the Guarantors identified therein, each lender from time to time party thereto (collectively, the “Lenders” and individually, a “Lender”) and BANK OF AMERICA, N.A., as Administrative Agent, Collateral Agent, Swingline Lender and L/C Issuer. Capitalized terms used but not otherwise defined herein have the meanings provided in the Credit Agreement. Ladies and Gentlemen: The undersigned Responsible Officer hereby certifies as of the date hereof that he/she is the of the Borrower and that, as such, he/she is authorized to execute and deliver this Compliance Certificate to the Administrative Agent on behalf of the Borrower, and that: [Use following paragraph 1 for fiscal year-end financial statements:] [1. [Attached hereto as Schedule 1 are the] [The] year-end audited financial statements required by Section 7.01(a) of the Credit Agreement for the fiscal year of the Borrower and its Subsidiaries ended as of the above date, together with a customary management’s discussion and analysis narrative and the report and opinion of an independent certified public accountant required by Section 7.01(a) of the Credit Agreement [have been electronically delivered to the Administrative Agent pursuant to the conditions set forth in Section 7.02 of the Credit Agreement]. [Also attached hereto as Schedule I are the related unaudited consolidating financial statements reflecting the adjustments necessary to eliminate the accounts of Unrestricted Subsidiaries (if any) (which may be in footnote form only) from such consolidated financial statements.]] [Use following paragraph 1 for fiscal quarter-end financial statements:] [1. [Attached hereto as Schedule 1 are the] [The] unaudited financial statements required by Section 7.01(b) of the Credit Agreement for the fiscal quarter of the Borrower ended as of the above date, together with a customary management’s discussion and analysis narrative [have been electronically delivered to the Administrative Agent pursuant to the conditions set forth in Section 7.02 of the Credit Agreement]. Such financial statements fairly present in all material respects the financial condition, results of operations and cash flows of the Borrower and its Subsidiaries in accordance with GAAP, subject only to normal year-end audit adjustments.] [Also attached hereto as Schedule I are the


 
Exh. 7.02(a)-2 13731700v12 related unaudited consolidating financial statements reflecting the adjustments necessary to eliminate the accounts of Unrestricted Subsidiaries (if any) (which may be in footnote form only) from such consolidated financial statements.] 2. [Attached hereto as Exhibit A are the Projections required to be delivered pursuant to Section 7.02(b) of the Credit Agreement. Such Projections have been prepared in good faith on the basis of the assumptions stated therein, which assumptions were believed to be reasonable at the time furnished. Actual results may vary from such Projections and such variations may be material.] 3. [To the knowledge of the undersigned during the fiscal quarter ending [ ], each Credit Party performed and observed each covenant and condition of the Credit Documents applicable to it.] -- or-- [The following covenants or conditions have not been performed or observed and the following is a list of each such Default or Event of Default and its nature and status: [DESCRIBE].] 4. Attached hereto as Schedule [2] are calculations of the Financial Covenants as in effect for the fiscal quarter ending [ ]. 5. Attached hereto as Schedule [3] is the information required to be delivered pursuant to Section 3.03(f)(v) of the Security Agreement. 6. Attached hereto as Schedule [4] is information and supporting calculations related to non-stipulated EAC Adjustments included as an add-back in Schedule [2] hereof. 7. Attached hereto as Schedule [5] is the information supporting calculations related to amounts added back to Consolidated EBITDA pursuant to clause (x) of such definition for non-cash add backs other than EAC Adjustments. 8. Attached hereto as Schedule [6] is the information supporting calculations related to amounts added back to Consolidated EBITDA pursuant to clause (vii) of such definition. [Signature page follows]


 
Exh. 7.02(a)-3 13731700v12 MERCURY SYSTEMS, INC. By: Name: Title:


 
Exh. 7.02(a)-4 13731700v12 [Schedule 1 to Compliance Certificate FINANCIAL STATEMENTS (attached)]


 
Exh. 7.02(a)-5 13731700v12 Schedule [1][2]1 to Compliance Certificate COVENANT CALCULATIONS Consolidated Cash Interest Coverage Ratio: For the last day of the Test Period ending on [ ]: (1) Consolidated EBITDA calculation: (a) Consolidated Net Income: (i) net income (or loss) of the Borrower and the Restricted Subsidiaries for such period determined on a consolidated basis in accordance with GAAP, excluding, (ii) any after-tax effect of extraordinary, non-recurring or unusual items (including gains or losses and all fees and expenses relating thereto) for such period, (ii) the cumulative effect of a change in accounting principles during such period to the extent included in Consolidated Net Income, (iii) any net after-tax effect of gains or losses (less all fees, expenses and charges relating thereto) on discontinued operations or asset dispositions, abandonments or the sale or other disposition of Capital Stock of any Person, in each case other than in the ordinary course of business (as determined in good faith by the Borrower), (iv) the net income (loss) for such period of any Person that is not a Subsidiary of the Borrower, or is an Unrestricted Subsidiary, or that is accounted for by the equity method of accounting; provided that Consolidated Net Income of the Borrower shall be increased by the amount of dividends or distributions or other payments that are actually paid in cash or Cash Equivalents (or to the extent subsequently converted into cash or Cash Equivalents) to the Borrower or a Restricted Subsidiary thereof in respect of such period, 1 The descriptions of the calculations set forth herein are sometimes abbreviated for simplicity; however, the terms in the Credit Agreement shall govern for all purposes.


 
Exh. 7.02(a)-6 13731700v12 (v) any impairment charge or asset write-off or write-down, including impairment charges or asset write-offs or write-downs related to intangible assets, long-lived assets, investments in debt and equity securities or as a result of a Change in Law, in each case, pursuant to GAAP, and the amortization of intangibles arising pursuant to GAAP, and (vi) the income (or loss) of any Person accrued prior to the date it becomes a Restricted Subsidiary of Borrower or is merged into or consolidated with Borrower or any of its Subsidiaries or that Person’s assets are acquired by Borrower or any of its Restricted Subsidiaries shall be excluded (except to the extent required for any calculation of Consolidated EBITDA on a Pro Forma Basis in accordance with Section 1.07 of the Credit Agreement). There shall be excluded from Consolidated Net Income for any period the acquisition accounting effects of adjustments in component amounts required or permitted by GAAP pursuant to FASB ASC 805 (including in the inventory, property and equipment, fair value of leased property, software, goodwill, intangible assets, in-process research and development, deferred revenue, deferred rent, contingent considerations and debt line items thereof) and related authoritative pronouncements (including the effects of such adjustments pushed down to the Borrower and the Restricted Subsidiaries), as a result of the Transactions, any acquisition constituting an Investment permitted under the Credit Agreement consummated prior to or after the Closing Date, or the amortization or write-off of any amounts thereof. TOTAL: (b) plus, without duplication, and except with respect to clauses (vii), (ix) and (x)(II) (solely with respect to the carry forward of any addback described in clause (x)(II) beyond the applicable Test Period) below, to the extent deducted (and not added back or excluded) in arriving at such Consolidated Net Income, the sum of the following amounts for such period with respect to the Borrower and its Restricted Subsidiaries: (i) total interest expense determined in accordance with GAAP and, to the extent not reflected in such total interest expense, any expense or loss on hedging obligations or other derivative instruments entered into for the purpose of hedging interest rate risk and not for speculative purposes, net of interest income and gains on such hedging obligations, and costs of surety bonds in connection with financing activities (whether amortized or immediately expensed),


 
Exh. 7.02(a)-7 13731700v12 (ii) provision for taxes based on income, profits or capital gains of the Borrower and the Restricted Subsidiaries, including federal, state, local, franchise and similar taxes and foreign withholding taxes paid or accrued during such period including penalties and interest related to such taxes or arising from any tax examinations and the net tax expense associated with any adjustments made pursuant to the definition of “Consolidated Net Income” in the Credit Agreement, (iii) depreciation and amortization (including amortization of intangible assets, deferred financing fees and Capitalized Software Expenditures) for such period, (iv) [reserved.] (v) (A) restructuring charges or reserves, severance, relocation costs or expenses, integration costs, transition costs, pre-opening, opening, closing and consolidation costs for facilities and one-time compensation charges (including signing, retention and completion bonuses), other costs relating to the closure of facilities or impairment of facilities, costs incurred in connection with acquisitions, other business optimization expenses (including costs and expenses relating to business optimization programs and new systems design, retention charges, systems establishment costs (including information technology systems) and implementation costs), production line start-up costs, severance and other restructuring charges representing cash items (including restructuring costs related to acquisitions and to closure of facilities, and excess pension charges) and (B) earn-out and contingent consideration obligations (including to the extent accounted for as bonuses, compensation or otherwise) and adjustments thereof and purchase price adjustments, in each case in connection with acquisitions, and (C) Transaction Expenses, (vi) the amount of any expense or reduction of Consolidated Net Income consisting of Restricted Subsidiary income attributable to minority interests or non-controlling interests of third parties in any non-wholly owned Restricted Subsidiary, (vii) cost savings, operating expense reductions and synergies related to mergers and other business combinations, acquisitions, divestitures, restructurings, cost savings initiatives and other similar initiatives and actions that are reasonably identifiable, factually supportable and projected by the Borrower in good faith to result from actions that have been taken or with respect to which substantial steps have been taken or are expected to be taken (in the good faith determination of the Borrower) within eighteen (18) months after such merger or other business


 
Exh. 7.02(a)-8 13731700v12 combination, acquisition or divestiture is consummated or any other restructuring, cost savings initiative or other initiative or action (calculated on a pro forma basis as though such cost savings, operating expense reductions and synergies had been realized on the first day of such period and as if such cost savings, operating expense reductions and synergies were realized during the entirety of such period), net of the amount of actual benefits realized during such period from such actions; provided that no cost savings, operating expense reductions and synergies shall be added back pursuant to this clause (vii) to the extent duplicative of any expenses or charges otherwise added back to Consolidated EBITDA, whether through a pro forma adjustment or otherwise, for such period; provided, further, that the aggregate amount of adjustments made pursuant to this clause (vii) for any Test Period, when added to the aggregate amount of add backs made pursuant to Section 1.07(c) of the Credit Agreement, shall not exceed 25% of Consolidated EBITDA (after giving effect to this clause (vii), Section 1.07(c) of the Credit Agreement and other pro forma adjustments) for such Test Period, (viii) any net loss from disposed, abandoned or discontinued operations (excluding held-for-sale discontinued operations until actually disposed of), (ix) cash receipts (or any netting arrangements resulting in reduced cash expenditures) not representing Consolidated EBITDA or Consolidated Net Income in any period to the extent non-cash gains relating to such income or netting arrangement were deducted in the calculation of Consolidated EBITDA pursuant to paragraph 1(c) below for any previous period and not added back, (x) non-cash expenses, charges and losses (including reserves, impairment charges or asset write-offs, write-offs of deferred financing fees, losses from investments recorded using the equity method, stock-based awards compensation expense), in each case other than (A) any non-cash charge representing amortization of a prepaid cash item that was paid and not expensed in a prior period and (B) any non- cash charge relating to write-offs, write-downs or reserves with respect to accounts receivable in the normal course or inventory; provided that (I) other than in connection with EAC Adjustments, if any non-cash charges referred to in this clause (x) represents an accrual or reserve for potential cash items in any future period, (1) the Borrower may elect


 
Exh. 7.02(a)-9 13731700v12 not to add back such non-cash charge in the current period and (2) to the extent the Borrower elects to add back such non-cash charge, the cash payment in respect thereof in such future period shall be subtracted from Consolidated EBITDA in such future period to such extent paid; (II) in the case of any EAC Adjustment that relates to a decrease in GAAP revenue for a fiscal quarter of the Borrower, the Borrower may elect (but shall not be required) for any applicable Test Period which includes such fiscal quarter (such Test Periods, the “Applicable Test Periods”) to add back such EAC Adjustment pursuant to this clause (x) in such fiscal quarter of the Borrower in which the EAC Adjustment occurred (if added back in such fiscal quarter and not later) (and other than with respect to any EAC Adjustments related to a terminated contract (for any Test Period completed after termination) or Stipulated EAC Adjustments, such EAC Adjustment may be further included (without duplication) as an add back in any Test Period subsequent to the Applicable Test Periods, in all cases subject to the other limitations set forth in this clause (x)) as a non-cash charge solely to the extent such EAC Adjustment relates to a contract that includes a contract asset on the balance sheet of the Borrower and its Restricted Subsidiaries during the fiscal quarter of the Borrower when the EAC Adjustment occurred (as opposed to when such EAC Adjustment relates to a contract that only includes a contract liability); (III) commencing with the Test Period ending September 27, 2024, the cumulative amount of EAC Adjustments added back as a non-cash charge pursuant to this clause (x) in any Test Period shall not exceed the sum of (1) the sum of Stipulated EAC Adjustments for any fiscal quarter ended within the applicable Test Period plus (2) the Permitted EAC Addback Amount; and (IV) each EAC Adjustment (other than to the extent such EAC Adjustment constitutes a Stipulated EAC Adjustment) added back as a non-cash charge pursuant to this clause (x) after June 29, 2024 shall be subtracted (reversed) from Consolidated EBITDA during the period in which the revenue deferred as a result of the corresponding EAC Adjustment is subsequently recognized in accordance with GAAP (it being understood that with respect to any terminated contract, no such reversals shall be required in any Test Period subsequent to the Applicable Test Periods), (A) non-cash expenses, charges and losses included in clause (x) other than from EAC Adjustments,


 
Exh. 7.02(a)-10 13731700v12 (B) non-cash expenses, charges and losses included in clause (x) pursuant to EAC Adjustments, (I) Amount of Stipulated EAC Adjustments during the applicable period, Plus: (II) Permitted EAC Addback Amount, TOTAL: (xi) any fees and expenses incurred during such period (including any premiums, make-whole or penalty payments), or any amortization thereof for such period, in connection with any acquisition, investment, asset disposition, issuance or repayment of debt, issuance of equity securities, refinancing transaction or amendment or other modification of any debt instrument (in each case, including any such transaction consummated on or prior to the Closing Date and any such transaction undertaken but not completed) and any charges or non-recurring merger costs incurred during such period as a result of any such transaction, in each case whether or not successful (including, for the avoidance of doubt the effects of expensing all transaction related expenses in accordance with FASB ASC 805 and gains or losses associated with FASB ASC 460), (xii) any non-cash compensation charge or expense, including any such charge or expense arising from the grants of stock appreciation or similar rights, stock options, restricted stock or other rights or equity incentive programs or any other equity- based compensation, (xiii) any expenses, charges or losses that are covered by indemnification or other reimbursement provisions in connection with any Investment, Acquisition or any sale, conveyance, transfer or other disposition of assets permitted under this Credit Agreement, to the extent actually reimbursed, or, so long as the Borrower has made a determination that a reasonable basis exists for indemnification or reimbursement and only to the extent that such amount is in fact indemnified or reimbursed within 365 days of such determination (with a deduction in the applicable future period for any amount so added back to the extent not so indemnified or reimbursed within such 365 day period),


 
Exh. 7.02(a)-11 13731700v12 (xiv) to the extent covered by insurance and actually reimbursed, or, so long as the Borrower has made a determination that there exists reasonable evidence that such amount will in fact be reimbursed by the insurer and only to the extent that such amount is in fact reimbursed within 365 days of the date of such determination (with a deduction in the applicable future period for any amount so added back to the extent not so reimbursed within such 365 days), expenses, charges or losses with respect to liability or casualty events or business interruption, TOTAL: (c) minus, without duplication and to the extent included in arriving at such Consolidated Net Income; (i) non-cash gains (excluding (x) any non-cash gain to the extent it represents the reversal of an accrual or reserve for a potential cash item that reduced Consolidated EBITDA in any prior period and (y) for the avoidance of doubt, any EAC Adjustment that would result in an increase of revenue for the applicable period), (ii) any net income from disposed, abandoned or discontinued operations (excluding held-for-sale discontinued operations until actually disposed of), (iii) the amount of any minority interest income consisting of Restricted Subsidiary losses attributable to minority interests or non-controlling interests of third parties in any non-wholly owned Restricted Subsidiary, (iv) any subtraction or reversal to Consolidated EBITDA pursuant to clause (x)(IV) above (for the avoidance of doubt, without duplication of the subtractions or reversals pursuant to clause (x)(IV), For the avoidance of doubt, any gain representing the reversal of any non- cash charge referred to in clause (1)(b)(x)(B) above for a prior period shall be added (together with, without duplication, any amounts received in respect thereof to the extent not increasing Consolidated Net Income) to Consolidated EBITDA in any subsequent period to such extent so reversed (or received); provided that (A) to the extent included in Consolidated Net Income, there shall be excluded in determining Consolidated EBITDA (x) currency translation or transaction gains and losses related to currency remeasurements of Indebtedness (including the net loss or gain (i) resulting from Swap


 
Exh. 7.02(a)-12 13731700v12 Contracts for currency exchange risk and (ii) resulting from intercompany indebtedness) and (y) all other foreign currency translation or transaction gains or losses to the extent such gains or losses are non-cash items, (B) to the extent included in Consolidated Net Income, there shall be excluded in determining Consolidated EBITDA for any period any adjustments resulting from the application of FASB ASC 815 and International Accounting Standard No. 39 and their respective related pronouncements and interpretations, (C) to the extent included in Consolidated Net Income, there shall be excluded in determining Consolidated EBITDA for any period any income (loss or expenses) for such period attributable to the early extinguishment of (i) Indebtedness, (ii) obligations under any Swap Contracts or (iii) other derivative instruments. TOTAL: (d) plus, Consolidated EBITDA for the applicable fiscal quarter (s) and fiscal month(s) of the Borrower for such Test Period set forth in the final paragraph of the definition of Consolidated EBITDA Consolidated EBITDA: ((1)(a)(i), less the sum of 1(a)(ii) through 1(a)(iv), plus the sum of (1)(b)(i) through 1(b)(xiv), less the sum of (1)(c)(i) through (1)(c)(iii) plus (d). (2) Consolidated Interest Expense calculation: (a) The cash interest expense (including that attributable to Capitalized Leases), net of cash interest income, of the Borrower and its Restricted Subsidiaries, determined on a consolidated basis in accordance with GAAP, with respect to all outstanding Indebtedness of the Borrower and its Restricted Subsidiaries, including all commissions, discounts and other fees and charges owed with respect to letters of credit and bankers’ acceptance financing and net cash costs under Swap Contracts (b) excluding, (i) deferred financing costs, debt issuance costs, commissions, fees (including amendment and contract fees) and expenses and, in each case, the amortization thereof, and any other amounts of non-cash interest, (ii) the accretion or accrual of discounted liabilities and any prepayment premium or penalty during such period,


 
Exh. 7.02(a)-13 13731700v12 (iii) non-cash interest expense attributable to the movement of the mark-to-market valuation of obligations under Swap Contracts or other derivative instruments pursuant to FASB ASC 815, (iv) any cash costs associated with early termination in respect of hedging agreements for interest rates, (v) Transaction Expenses, (vi) annual agency fees paid to the Administrative Agent, (vii) costs associated with obtaining Swap Contracts, (viii) any expense resulting from the discounting of any Indebtedness in connection with the application of recapitalization accounting or, if applicable, acquisition accounting in connection with the Transactions or any acquisition, and (ix) the cash interest expense (or income) of all Unrestricted Subsidiaries for such period to the extent otherwise included in Consolidated Interest Expense. For purposes of determining Consolidated Interest Expense (i) for any period ending prior to the first anniversary of the Closing Date, Consolidated Interest Expense shall be an amount equal to actual Consolidated Interest Expense from the Closing Date through the date of determination multiplied by a fraction the numerator of which is 365 and the denominator of which is the number of days from the Closing Date through the date of determination and (ii) shall exclude the acquisition accounting effects described in the last sentence of the definition of Consolidated Net Income. TOTAL: Consolidated Interest Expense: 2(a), less the sum of 2(b)(i) through 2(b)(ix) Consolidated EBITDA to Consolidated Interest Expense: [ ]:1.00 Consolidated Cash Interest Coverage Ratio: Not less than 3.00:1.00 Consolidated Total Net Leverage Ratio: for the last day of the Test Period ending on [ ]: (a) Consolidated Total Net Debt: i. the aggregate principal amount of Indebtedness of the Borrower and its Restricted Subsidiaries outstanding on such date, in an amount that would be reflected on a


 
Exh. 7.02(a)-14 13731700v12 balance sheet prepared as of such date on a consolidated basis in accordance with GAAP (but excluding the effects of any discounting of Indebtedness resulting from the application of acquisition accounting in connection with the Transactions or any acquisition constituting an Investment permitted under this Agreement) consisting of Indebtedness for borrowed money, Attributable Indebtedness, and debt obligations evidenced by promissory notes or similar instruments (including purchase money debt) and all guarantees of Indebtedness of such type that is owed by a Person that is not the Borrower or a Restricted Subsidiary, less, ii. the aggregate amount of cash and Cash Equivalents in an amount not to exceed $62,500,000 (other than Restricted Cash), in each case, included on the consolidated balance sheet of the Borrower and the Restricted Subsidiaries as of such date, free and clear of all Liens (other than Liens permitted by clauses (a), (b), (c), (e), (f), (j), (l), (m), (p), (q), (t) and (w) of Section 8.01 of the Credit Agreement (to the extent, with respect to such clauses (m), (t), and (w) of Section 8.01 of the Credit Agreement, such Liens are not first priority Liens or the obligations secured by such Lien are subordinated to the Obligations) Consolidated Total Net Debt shall not include Indebtedness in respect (i) letters of credit, except to the extent of unreimbursed amounts thereunder and (which unreimbursed amount under commercial letters of credit shall not be counted as Consolidated Total Net Debt until three Business Days after such amount is drawn) and (ii) Unrestricted Subsidiaries; it being understood, for the avoidance of doubt, that obligations under Swap Contracts do not constitute Consolidated Total Net Debt. TOTAL: (b) Consolidated EBITDA Consolidated Total Net Debt to Consolidated EBITDA: [ ]:1.00 Consolidated Total Net Leverage Ratio Covenant Requirement: Greater than [ ]:1.00 Core Adjusted Consolidated EBITDA: For the last day of the Test Period ending on [ ]:


 
Exh. 7.02(a)-15 13731700v12 (a) Core Adjusted Consolidated EBITDA i. the amount that would be determined by calculating Consolidated EBITDA, but excluding any amounts that would have been added back to Consolidated EBITDA pursuant to clause (a)(vii) or clause (a)(x) of the definition of “Consolidated EBITDA” or that would have been subtracted from Consolidated EBITDA pursuant to clause (b)(iv) of the definition of “Consolidated EBITDA”,


 
Exh. 7.02(a)-16 13731700v12 Schedule 3 Intellectual Property Information


 
Exh. 7.02(a)-17 13731700v12 Schedule 4 EAC Adjustment Information and Supporting Calculations a. Roll-forward of EAC-by-Contract file. This file should include: i. Contract name ii. Classification (Challenged or Other) iii. Support showing that EAC charges added back represent contracts with an asset balance rather than liability balances iv. Customer v. Designator vi. Incurred to Date Revenue by Contract vii. Incurred to Date Cost by Contract viii. Contract Start & End Date ix. GAAP reversals (revenue) by Contract b. Additionally, please include the following: i. Total Estimate to Completion by Contract. ii. Post-Amendment EACs: 1. Tracking of post-amendment EAC add-backs on a contract-by-contract basis including the cumulative add-backs by contract and cumulative reversals, to the extent included in the calculation of Permitted EAC Addback Amounts


 
Exh. 7.02(a)-18 13731700v12 Schedule 5 Non-Cash Charges, Expenses and Losses (other than EAC Adjustments) Information and Supporting Calculations [To include Roll-forward of breakout of each component of Other Non-Cash add-backs by program / type and by quarter along with a brief description of each]


 
Exh. 7.02(a)-19 13731700v12 Schedule 6 Pro Forma Cost Savings, Synergies, Etc., Information and Supporting Calculations To include breakout of each program / type with supporting details on each: i. Reductions in Force ii. Facilities and Footprint iii. Other Programs


 
Exh. 7.02(a)-20 13731700v12 [Exhibit A Projections]


 
13723822v8 EXHIBIT C POST-EFFECTIVE DATE ACTIONS a. On or before the forty-fifth (45th) calendar day following the Amendment Effective Date (or such later date as the Administrative Agent may agree in its sole discretion) the Credit Parties shall execute and deliver a perfection certificate, in a form provided by the Administrative Agent, for the purpose of facilitating and/or confirming the Collateral Agent’s perfection of its security interests and Liens created under the Credit Documents. b. On or before the forty-fifth (45th) calendar day following the Amendment Effective Date (or such later date as the Administrative Agent may agree in its sole discretion), the Credit Parties shall: 1. Cooperate with the Administrative Agent in the Administrative Agent’s filing of a notice of security interest in favor of the Collateral Agent in the following trademarks, patents, and copyrights: Issued Patents Grantor Title Patent No. Issue Date Mercury Mission Systems, LLC COCKPIT PRESSURIZATION AND OXYGEN WARNING SYSTEM 11932413 03/19/2024 Mercury Mission Systems, LLC SWAPPABLE RETRACTABLE TOOL TIP (SRTT) 11931820 03/19/2024 Mercury Mission Systems, LLC CURVED WAVEGUIDE FOR SLIM HEAD UP DISPLAYS 11852817 12/26/2023 Mercury Mission Systems, LLC USING ARTIFICIAL INTELLIGENCE TO OPTIMIZE SOFTWARE TO RUN ON HETEROGENEOUS COMPUTING RESOURCE 11789711 10/17/2023 Mercury Mission Systems, LLC REDUNDANT RESISTIVE TOUCH PANEL 11507242 11/22/2022 Mercury Mission Systems, LLC AUTHENTICATION SYSTEM AND METHOD 7317814 01/08/2008 Mercury Systems, Inc. CONTROL AND DISPLAY UNIT FOR ANTI- MISSILE COUNTERMEASURES 11893209 02/06/2024 Mercury Systems, Inc. TOGGLE SWITCH GUARD D989719 06/20/2023 Mercury Systems, Inc. HIGH-SPEED AES WITH TRANSFORMED KEYS 10341089 07/02/2019 Mercury Systems, Inc. ELECTRICAL CONTACT 9033750 05/19/2015 Patent Applications Grantor Title Appl. No. Filing Date Mercury Mission Systems, LLC REDUNDANT RESISTIVE TOUCH PANEL 17984592 20230072810 11/10/2022


 
13723822v8 Grantor Title Appl. No. Filing Date Mercury Mission Systems, LLC SYSTEM AND METHOD FOR ACCURATELY MAINTAINING LCD LUMINANCE, CONTRAST, AND RESPONSE TIME AT LOW TEMPERATURES 17682459 20230273472 02/28/2022 Trademark Registrations Grantor Mark Reg. No. Reg. Date Mercury Systems, Inc. RAPPID 6680991 03/22/2022 Mercury Systems, Inc. M (Stylized) 6775894 06/28/2022 Mercury Systems, Inc. MERCURY 6775891 06/28/2022 Mercury Systems, Inc. MERCURY (Stylized) 6775893 06/28/2022 Mercury Systems, Inc. Design Only 6775892 06/28/2022 Mercury Systems, Inc. QUARTZ 5925774 12/03/2019 Mercury Systems, Inc. NANOSWITCH 5666281 01/29/2019 Mercury Systems, Inc. JADE 5737700 04/30/2019 Mercury Systems, Inc. NAVIGATOR 5707744 03/26/2019 Mercury Systems, Inc. FLEXORSET 4945476 04/26/2016 Mercury Systems, Inc. QUICKPAC 4851227 11/10/2015 Mercury Systems, Inc. SPARK 4851230 11/10/2015 Mercury Systems, Inc. FLEXOR 4699104 03/10/2015 Mercury Systems, Inc. TALON 4201155 09/04/2012 Mercury Systems, Inc. ONYX 4321692 04/16/2013 Mercury Systems, Inc. COBALT 3968426 05/31/2011 Mercury Systems, Inc. REAL-TIME, THREE- DIMENSIONAL SYNTHETIC VISION DISPLAY OF SENSOR- VALIDATED TERRAIN DATA 7352292 04/01/2008 Mercury Systems, Inc. SYSTEMFLOW 3097451 05/30/2006 Mercury Systems, Inc. GATEFLOW 2775523 10/21/2003 Mercury Systems, Inc. PENTEK 2117887 12/02/1997 2. Cause the following registration errors to be addressed: a. Mercury Mission Systems, LLC U.S. issued patents and patent applications: i. U.S. Patent Nos. 9152182, 8798148, 7714834, 7646352, 7336299, 7317814, and 7276993 lack a recorded merger from Physical Optics Corporation to Mercury Mission Systems, LLC, which should be recorded. ii. U.S. Patent Nos. 11932413, 11377227, D945974, 10705286, 10640230, 10267889, 9483949, and 9293053 lacks a recorded merger from Avalex Technologies, LLC to Mercury Mission Systems, LLC, which should be recorded. iii. U.S. Patent Nos. 11932413, 11377227, D945974, 10705286, 10640230, 10440293, 7924263, 7750994, 7495714, 7336299, and 7317814 lack recorded assignments from inventors, which should be recorded to the extent available (Inventor assignments may have been recorded against


 
13723822v8 parent applications and rely on MPEP 306, but will need to be recorded against this IP as well.). b. Mercury Mission Systems, LLC U.S. trademark registrations: i. U.S. Trademark No. 3061108 (OPTIKEY) was subject to a recorded assignment from Physical Optics Corporation to Intellisense Systems, Inc. in 2018, yet was subject to a recorded merger from Physical Optics Corporation to Mercury Mission Systems, LLC in 2021 and a recorded security interest granted by Mercury Mission Systems, LLC to Bank of America. The merger and security interest were errantly recorded and should be corrected. ii. U.S. Trademark Nos. 5987386 (AVALEX TECHNOLOGIES), 5987385 (AVALEX), 5655880 (AVALEX TECHNOLOGIES), 5655879 (AVALEX), 5655878 (AVALEX TECHNOLOGIES), and 5655877 (AVALEX) are in the name of Avalex Technologies, LLC (GA), which merged into Mercury Mission Systems, LLC (DE), and should be subject to a recorded merger. c. Mercury Mission Systems, LLC U.S. copyright registrations i. U.S. Copyright Nos. TXu000741991 and TXu000714016 are in the name of Physical Optics Corporation, and should be subject to a recorded merger to Mercury Mission Systems, LLC. ii. U.S. Copyright No. TX0000055707 is in the name of American Panel Corporation, and should be subject to a recorded merger to Mercury Mission Systems, LLC. d. Mercury Systems, Inc. U.S. issued patents: i. U.S. Patent No. 7915981 lacks recorded assignments from inventors, which should be recorded to the extent available (Inventor assignments may have been recorded against parent applications and rely on MPEP 306, but will need to be recorded against this IP as well.). ii. U.S. Patent Nos. 9218477, 9171144, 8896346, 8598890, 8384415, 8159259, 7439636, 7230354, 7183672, and 7145978 were subject to inventor assignments recorded to “Lewis Innovative Technologies” rather than Lewis Innovative Technologies, Inc., which should be correctively re-recorded. iii. U.S. Patent Nos. 9218477, 9171144, 8896346, 8598890, 8384415, 8242790, 8159259, 7742597, 7439636, 7230354, 7183672, and 7145978 lacks a recorded merger from Mercury Defense Systems, Inc. to Mercury Systems, Inc., which should be recorded. iv. U.S. Patent No. 8427828 lacks a recorded merger from Mercury Systems – Trusted Mission Solutions, Inc. to Mercury Systems, Inc., which should be recorded.


 
13723822v8 v. U.S. Patent Nos. 8520390, 8210120, 7939928, 7915981, 7750764, and 6943454 lacks a recorded merger from Microsemi Corp. – Memory and Storage Solutions to Mercury Systems, Inc., which should be recorded. vi. U.S. Patent Nos. 9853381, 9608364, 9252528, 9075581, 8824131, and 8564939 are in the name of Germane Systems, LLC, and should be subject to a recorded merger into Mercury Systems – Trusted Mission Solutions, Inc., and a recorded merger from Mercury Systems – Trusted Mission Solutions, Inc. to Mercury Systems, Inc. vii. U.S. Patent No. 10341089 is in the name of Microsemi Corp. – Security Solutions, and should be subject to a recorded merger into Mercury Defense Systems, Inc., Inc., and a recorded merger from Mercury Defense Systems, Inc. to Mercury Systems, Inc. . e. Mercury Systems, Inc. U.S. trademark registrations: i. U.S. Trademark Nos. 5925774 (QUARTZ) and3968426 (COBALT) were filed in the name of “Pentek” rather than Pentek, Inc., which should be corrected by section 7 amendments.


 
13723822v8 Schedule 2.01 AMENDED SCHEDULE 2.01 Lenders and Commitments Revolving Credit Lender Revolving Commitment Aggregate Commitment Percentage BMO Bank N.A. $122,727,272.73 13.636363636% Bank of America, N.A. $90,000,000.00 10.000000000% JPMorgan Chase Bank, N.A. $85,909,090.91 9.5454545454% Citibank, N.A. $85,909,090.91 9.5454545454% Truist Bank $85,909,090.91 9.5454545454% Wells Fargo Bank, National Association $61,363,636.36 6.818181818% KeyBank National Association $61,363,636.36 6.818181818% U.S. Bank, N.A. $61,363,636.36 6.818181818% TD Bank NA $61,363,636.36 6.818181818% Capital One, National Association $61,363,636.36 6.818181818% Regions Bank $61,363,636.36 6.818181818% First National Bank of Pennsylvania $36,818,181.82 4.090909090% Goldman Sachs Bank USA $24,545,454.55 2.727272727% TOTAL $900,000,000.00 100.000000000%