EX-10.3 4 aex10-3cvgxwarrantxfilingv.htm EX-10.3 Document
Exhibit 10.3
PURSUANT TO THE TERMS OF SECTION 1 OF THIS WARRANT, ALL OR A PORTION OF THIS WARRANT MAY HAVE BEEN EXERCISED, AND THEREFORE THE ACTUAL NUMBER OF WARRANT SHARES REPRESENTED BY THIS WARRANT MAY BE LESS THAN THE AMOUNT SET FORTH ON THE FACE HEREOF.

THIS WARRANT AND THE SECURITIES ISSUABLE UPON EXERCISE OF THIS WARRANT HAVE NOT BEEN REGISTERED UNDER THE SECURITIES ACT OF 1933, AS AMENDED (THE “SECURITIES ACT”), OR QUALIFIED UNDER ANY STATE OR FOREIGN SECURITIES LAWS AND MAY NOT BE OFFERED FOR SALE, SOLD, PLEDGED, HYPOTHECATED OR OTHERWISE TRANSFERRED OR ASSIGNED UNLESS (I) A REGISTRATION STATEMENT COVERING SUCH SECURITIES IS EFFECTIVE UNDER THE SECURITIES ACT AND IS QUALIFIED UNDER APPLICABLE STATE AND FOREIGN LAW OR (II) THE TRANSACTION IS EXEMPT FROM THE REGISTRATION AND PROSPECTUS DELIVERY REQUIREMENTS UNDER THE SECURITIES ACT AND THE QUALIFICATION REQUIREMENTS UNDER APPLICABLE STATE LAW AND, IF THE COMPANY REQUESTS, AN OPINION REASONABLY SATISFACTORY TO THE COMPANY TO SUCH EFFECT HAS BEEN RENDERED BY COUNSEL REASONABLY ACCEPTABLE TO THE COMPANY.

COMMERCIAL VEHICLE GROUP, INC.

Warrant To Purchase Common Stock

Warrant No.: [•]
Number of Shares of Common Stock: [Tranche 1: 1,967,388 / Tranche 2: 1,967,388]
Date of Issuance: June 25, 2025 (“Original Issuance Date”)

Commercial Vehicle Group, Inc., a Delaware corporation (the “Company”), hereby certifies that, for good and valuable consideration, the receipt and sufficiency of which are hereby acknowledged, [•], the registered holder hereof or its permitted assigns (the “Holder”), is entitled, subject to the terms set forth below, to purchase from the Company, at the Exercise Price (as defined below) then in effect, upon surrender of this Warrant to Purchase Common Stock, or a portion hereof (including any Warrants to Purchase Common Stock issued in exchange, transfer or replacement hereof, this “Warrant”), at any time or times on or after the Original Issuance Date (the “Exercisability Date”), but not after 11:59 p.m., New York time, on the Expiration Date (as defined below), [•] fully paid nonassessable shares of Common Stock (the “Warrant Shares”). Except as otherwise defined herein, capitalized terms in this Warrant shall have the meanings set forth in Section 14. This Warrant is issued concurrently with execution of the Loan and Security Agreement, dated as of the Original Issuance Date by and among the Issuer, certain other obligors named thereunder, financial institutions party thereto as lender and Bank of America, N.A., as agent and security trustee (the “Term Loan”).
-1-


1.    EXERCISE OF WARRANT.
(a)    Mechanics of Exercise. Subject to the terms and conditions hereof, this Warrant may be exercised by the Holder on any day on or after the Exercisability Date and prior to the Expiration Date (as defined below), in whole or in part (but not as to fractional shares), by delivery of a written notice, in the form attached hereto as Exhibit A (the “Cash Exercise Notice”) in the case of an exercise pursuant to Section 1(b) hereof, or by delivery of a written notice, in the form attached hereto as Exhibit B (the “Notice of Exercise by Net Share Settlement,” and together with the Cash Exercise Notice, an “Exercise Notice”), in the case of an exercise pursuant to Section 1(c) hereof. No ink original Exercise Notice shall be required, nor shall any medallion guarantee (or other type of guarantee or notarization) of any Exercise Notice form be required. The Holder shall not be required to surrender this Warrant in order to effect an exercise hereunder; provided, however, that in the event that this Warrant is exercised in full or for the remaining unexercised portion hereof, the Holder shall deliver this Warrant to the Company for cancellation within a reasonable time after such exercise, but in any event within five (5) Trading Days of the delivery of the Exercise Notice. On or before the first (1st) Trading Day following the date on which the Company has received the Exercise Notice and, if applicable, the Aggregate Exercise Price (as defined in Section 1(b) hereof), if any (the date upon which the Company has received the Exercise Notice and if applicable, such Aggregate Exercise Price, the “Exercise Date”), the Company shall transmit by facsimile or e-mail transmission an acknowledgment of confirmation of receipt of the Exercise Notice to the Holder and the Company’s transfer agent for the Common Stock (the “Transfer Agent”). The Company shall deliver any objection to the Exercise Notice on or before the second (2nd) Trading Day following the date on which the Company has received the Exercise Notice. On or before the second (2nd) Trading Day following the date on which the Company has received the Exercise Notice and, if applicable, any Aggregate Exercise Price prior to such Trading Day (the “Share Delivery Date”), the Company shall, (X) provided that the Transfer Agent is participating in The Depository Trust Company (“DTC”) Fast Automated Securities Transfer Program (the “FAST Program”) and so long as the certificates therefor are not required to bear a legend regarding restriction on transferability, upon the request of the Holder, credit such aggregate number of shares of Common Stock to which the Holder is entitled pursuant to such exercise to the Holder’s or its designee’s balance account with DTC through its Deposit Withdrawal Agent Commission system, or (Y), if the Transfer Agent is not participating in the FAST Program or if the certificates (or book entry shares) are required to bear a legend regarding restriction on transferability, issue and dispatch by overnight courier to the address specified in the Exercise Notice, a certificate, or at the request of the Holder in book entry form, registered in the Company’s share register in the name of the Holder or its designee, for the number of shares of Common Stock to which the Holder is entitled pursuant to such exercise, and in the case of book entry shares, deliver evidence of such issuance to the Holder. Upon delivery of the Exercise Notice and, if applicable, payment of the Aggregate Exercise Price, the Holder shall be deemed for all corporate purposes to have become the holder of record of the Warrant Shares with respect to which this Warrant has been exercised, irrespective of the date such Warrant Shares are credited to the Holder’s DTC account or the date of delivery of the certificates (or evidence of book entry shares) evidencing such Warrant Shares, as the case may be. If this Warrant is submitted in connection with any exercise pursuant to this Section 1 and the number of Warrant
-2-


Shares represented by this Warrant submitted for exercise is greater than the number of Warrant Shares being acquired upon an exercise, then the Company shall as soon as practicable and in no event later than three (3) Trading Days after any such submission and at its own expense, issue a new Warrant (in accordance with Section 7(d) of this Warrant) representing the right to purchase the number of Warrant Shares purchasable immediately prior to such exercise under this Warrant, less the number of Warrant Shares with respect to which this Warrant has been and/or is exercised. The Company shall pay any and all taxes and other expenses of the Company (including overnight delivery charges) that may be payable with respect to the issuance and delivery of Warrant Shares upon exercise of this Warrant; provided, however, that the Company shall not be required to pay any tax which may be payable in respect of any Transfer (as defined below) involved in the registration of any certificates for Warrant Shares or Warrants in a name other than that of the Holder or an Affiliate thereof. The Holder shall be responsible for all other tax liability that may arise as a result of holding or Transferring this Warrant or receiving Warrant Shares upon exercise hereof.
(b)    Exercise for Cash. This Warrant may be exercised, in whole or in part, by delivery of a Cash Exercise Notice of the Holder’s election to exercise this Warrant (a “Cash Exercise”). Within two (2) Trading Days of the delivery of such Cash Exercise Notice, the Holder shall pay to the Company an amount equal to the applicable Exercise Price multiplied by the number of Warrant Shares as to which this Warrant is being exercised (the “Aggregate Exercise Price”) in cash or wire transfer of immediately available funds.
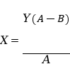
(c)    Exercise by Net Share Settlement. This Warrant may be exercised, in whole or in part, into the number of Warrant Shares determined in accordance with this Section 1(c) by delivery of a Notice of Exercise by Net Share Settlement (an “Exercise by Net Share Settlement,” and together with a Cash Exercise, an “Exercise”). In the event of an Exercise by Net Share Settlement, the Company shall issue to the Holder a number of Warrant Shares computed using the following formula:
image_01.jpg
where:
X = the net number of Warrant Shares to be issued to the Holder pursuant to the Exercise by Net Share Settlement;
Y = the gross number of Warrant Shares in respect of which the Exercise by Net Share Settlement is made;
A = the Closing Sale Price as of the last Trading Day immediately prior to the Exercise Date; and
-3-


B = the Exercise Price.
(d)    Exercise Price. For purposes of this Warrant, “Exercise Price” means $[1.52/2.07] with respect to the Warrant Shares.
(e)    Disputes. In the case of a dispute as to the determination of the Exercise Price or the arithmetic calculation of the Warrant Shares, the Company shall promptly issue to the Holder the number of Warrant Shares that are not disputed.
(f)    Beneficial Ownership. The Company shall not effect the exercise of this Warrant, and the Holder shall not have the right to exercise this Warrant, to the extent that after giving effect to such exercise, such Holder (together with such Holder’s Attribution Parties) would beneficially own in excess of 4.99% (the “Maximum Percentage”) of the shares of Common Stock outstanding immediately after giving effect to such exercise. For purposes of the foregoing sentence, the aggregate number of shares of Common Stock beneficially owned by such Holder and its Attribution Parties shall include the number of shares of Common Stock issuable upon exercise of this Warrant with respect to which the determination of such sentence is being made, but shall exclude shares of Common Stock which would be issuable upon (i) exercise of the remaining, unexercised portion of this Warrant beneficially owned by such Holder and its Attribution Parties and (ii) exercise or conversion of the unexercised or unconverted portion of any other securities of the Company beneficially owned by such Holder and its Attribution Parties (including, without limitation, any convertible notes or convertible preferred stock or warrants) subject to a limitation on conversion or exercise analogous to the limitation contained herein. Except as set forth in the preceding sentence, for purposes of this paragraph, beneficial ownership shall be calculated in accordance with Section 13(d) of the Securities Exchange Act of 1934, as amended (the “Exchange Act”), it being acknowledged that the Company is not representing to the Holder that such calculation is in compliance with Section 13(d) of the Exchange Act, and the Holder is solely responsible for any schedules required to be filed in accordance therewith. For purposes of this Warrant, in determining the number of outstanding shares of Common Stock, the Holder may rely on the number of outstanding shares of Common Stock as reflected in the most recent of (1) the Company’s Form 10-K, Form 10-Q, Current Report on Form 8-K or other public filing with the Securities and Exchange Commission, as the case may be, (2) a more recent public announcement by the Company or (3) any other notice by the Company or the Transfer Agent setting forth the number of shares of Common Stock outstanding. The Company shall within one (1) Business Days confirm to the Holder the number of shares of Common Stock then outstanding upon request. In any case, the number of outstanding shares of Common Stock shall be determined after giving effect to the conversion or exercise of securities of the Company, including this Warrant, by the Holder and its Affiliates since the date as of which such number of outstanding shares of Common Stock was reported. The provisions of this paragraph shall not be construed and implemented in a manner otherwise than in strict conformity with the terms of this Section 1(f) to correct this paragraph (or any portion hereof) which may be defective or inconsistent with the intended beneficial ownership limitation herein contained or to make changes or supplements necessary or desirable to properly give effect to such limitation. The Holder shall be responsible, at the Holder’s cost, for any filings with the Securities and Exchange Commission required to be
-4-


made by the Holder on account of its ownership of this Warrant or the underlying Warrant Shares.
(g)    Legend. All Warrant Shares issued upon exercise of this Warrant (unless such shares are registered under the Securities Act or the Company determines that a legend is otherwise not required) shall be stamped or imprinted with a legend in substantially the following form:
“THE SHARES REPRESENTED BY THIS CERTIFICATE HAVE NOT BEEN REGISTERED UNDER THE SECURITIES ACT OF 1933, AS AMENDED (THE “SECURITIES ACT”), OR QUALIFIED UNDER ANY STATE OR FOREIGN SECURITIES LAWS AND MAY NOT BE OFFERED FOR SALE, SOLD, PLEDGED, HYPOTHECATED OR OTHERWISE TRANSFERRED OR ASSIGNED UNLESS (I) A REGISTRATION STATEMENT COVERING SUCH SHARES IS EFFECTIVE UNDER THE SECURITIES ACT AND IS QUALIFIED UNDER APPLICABLE STATE AND FOREIGN LAW OR (II) THE TRANSACTION IS EXEMPT FROM THE REGISTRATION AND PROSPECTUS DELIVERY REQUIREMENTS UNDER THE SECURITIES ACT AND THE QUALIFICATION REQUIREMENTS UNDER APPLICABLE STATE LAW AND, IF THE COMPANY REQUESTS, AN OPINION REASONABLY SATISFACTORY TO THE COMPANY TO SUCH EFFECT HAS BEEN RENDERED BY COUNSEL REASONABLY ACCEPTABLE TO THE COMPANY.”
Upon the reasonable request of the Holder at any time and from time to time, and subject to delivery of customary representation and broker letters, the Company shall promptly remove such legend from any certificate (or book entry shares) representing the Warrant Shares (or issue one or more new certificates or book entry records representing such Warrant Shares, which certificate(s) or book entry record(s) shall not contain a legend), if (i) such Warrant Shares are sold or transferred pursuant to a registration statement or Rule 144 (assuming the transferor is not an Affiliate of the Company), or (ii) such Warrant Shares are eligible for sale under Rule 144 without regard to the volume, notice, manner of sale or current public information requirements of Rule 144. Should the Company require an opinion of counsel in connection with the removal of such legend, the Company shall bear the reasonable costs and expenses incurred by the Holder in connection with obtaining such opinion.
(h)    Automatic Cashless Exercise upon Expiration. In the event that, upon the Expiration Date, the Closing Sale Price is greater than the Exercise Price in effect on such date and the Holder shall not have delivered a notice of Cash Exercise, then this Warrant shall automatically be deemed on and as of the Expiration Date to be exercised pursuant to Section 1(c) above as to all Warrant Shares for which it shall not previously have been exercised (the “Automatic Exercise”), and the Company shall take such other actions as required pursuant to Section 1 in connection with such Automatic Exercise. Notwithstanding the foregoing, any Automatic Exercise shall be subject to the provisions and limitations set forth in Section 1(f).
-5-


2.    PUT AND CALL OPTION.
(a)    During the period commencing on the Exercisability Date and on or prior to the fourth (4th) anniversary of the Exercisability Date or, if such date falls on a day other than a Trading Day or another day on which trading does not take place on the Principal Market (a “Holiday”), the next date that is not a Holiday, the Company shall have the right, but not the obligation, to deliver one or more irrevocable written notices of election to the Holder (each, a “Call Notice”, and the transaction resulting from a Call Notice, a “Call”) to, from time to time, initiate the purchase by the Company from the Holder of a number of Warrants specified in the relevant Call Notice (provided, however, that (x) the aggregate number of Warrants that may be purchased pursuant to all Call Notices delivered by the Company under this Section 2(a) in the aggregate shall not exceed fifty percent (50%) of the Warrants represented hereby as of the Original Issuance Date (as adjusted pursuant to Section 3) and (y) no individual Call Notice may initiate the purchase of a number of Warrants in excess of the portion of such fifty-percent limitation that remains uncalled at the time such Call Notice is delivered) at a price in cash per Warrant equal to the sum of (i) [$1.40/$1.00] (the “Call Purchase Price”), as adjusted, if applicable, pursuant to Section 3(a) hereof, plus (ii) the Exercise Price as then in effect (the “Call Price”).
In the event the Company delivers a Call Notice, the Holder may deliver an Exercise Notice within two (2) Business Days after the Call Notice is delivered to the Holder and, subject to the next sentence, the Holder’s obligation to deliver Warrants in connection with such Call Notice shall be suspended until the Company’s obligations under such Exercise Notice have been discharged.
In the event Holder delivers an Exercise Notice pursuant to Section 1, (i) the Company may deliver a Call Notice within two (2) Business Days after such Exercise Notice is delivered to the Company, (ii) the Company’s obligation to deliver Warrant Shares in connection with such exercise shall be suspended to the extent of, and shall be subject to, the Call and (iii) the Call Price payable in connection with such Call shall be the greater of (x) the Call Price calculated pursuant to this Section 2(a) and (y) the Closing Sale Price minus the Exercise Price then in effect.
The Holder shall deliver this Warrant to the Company for cancellation of the called portion of the Warrant and issuance of a replacement warrant pursuant to Section 7(d) for the remainder of the uncalled portion of the Warrant, and the Company shall deliver the Call Price, on a mutually agreed date that is not later than five (5) Business Days after receipt of the Call Notice.
(b)    In the event of a Refinancing of the Term Loan, the Holder shall have the right, but not the obligation, to deliver an irrevocable written notice of election to the Company (the “Put Notice,” and the transaction resulting from the Put Notice, the “Put”) within five (5) Business Days after the closing of such Refinancing, to initiate the purchase by the Company from Holder of a number of Warrants specified in the Put Notice (provided, however, that (x) the aggregate number of Warrants that may be purchased pursuant to all Put Notices delivered by the Holder under this Section 2(b) shall not exceed fifty percent (50%) of the
-6-


Warrants represented hereby as of the Original Issuance Date (as adjusted pursuant to Section 3) and (y) no individual Put Notice may initiate the purchase of a number of Warrants in excess of the portion of such fifty-percent limitation that remains unpurchased at the time such Put Notice is delivered) at a price in cash per Warrant equal to the Closing Sale Price as of the last Trading Day immediately prior to the date of the Put Notice minus the Exercise Price as then in effect (the “Put Price”). The Holder shall deliver this Warrant to the Company for cancellation of the put portion of the Warrant and issuance of a replacement Warrant pursuant to Section 8(d) for the remainder of the portion of the warrant not put, and the Company shall deliver the Put Price, on a mutually agreed date that is not later than five (5) calendar days after delivery of the Put Notice. For the avoidance of doubt, after the Holder delivers a Put Notice pursuant to this Section 3(b), the Company may not deliver a Call Notice pursuant to Section 3(a) with respect to the Warrants to be repurchased pursuant to the Put.
3.    ADJUSTMENT OF EXERCISE PRICE AND NUMBER OF WARRANT SHARES. The Exercise Price and the number of Warrant Shares shall be adjusted from time to time as follows:
(a)    Adjustment to Exercise Price and Call Price. Upon any adjustment to the number of Warrant Shares for which this Warrant is exercisable pursuant to Sections 3(c), 3(d), 3(e), 3(f) and 3(g), (A) the Exercise Price shall immediately be adjusted to equal the quotient obtained by dividing (i) the aggregate Exercise Price of the maximum number of Warrant Shares for which this Warrant was exercisable immediately prior to such adjustment by (ii) the number of Warrant Shares for which this Warrant is exercisable immediately after such adjustment (in each case without giving effect to the limitations in Section 1(f)); provided, however, that the Exercise Price with respect to the new number of Warrant Shares for which this Warrant is exercisable resulting from any such adjustment shall not be less than the par value per share of Common Stock at such time (which, for the avoidance of doubt, is $0.01 as of the Original Issuance Date); and (B) the Call Purchase Price set forth in Section 2(a) also shall immediately be adjusted to equal the quotient set forth in part (A) of this Section 3(a), replacing “Exercise Price” with “Call Purchase Price”.
(b)    Voluntary Adjustment by Company. The Company may, but shall have no obligation to, at any time during the term of this Warrant reduce the then current Exercise Price to any amount and for any period of time deemed appropriate by the Board of Directors of the Company.
(c)    Changes to Common Stock. If the Company (i) declares, orders, pays or makes a dividend or a distribution on its Common Stock payable in shares of Common Stock (which, for the avoidance of doubt, shall not include any shares of Common Stock issued upon exercise of the Warrants), (ii) splits, subdivides or reclassifies its outstanding Common Stock into a larger number of shares of Common Stock, (iii) combines or reclassifies its outstanding shares of Common Stock into a smaller number of shares of Common Stock or (iv) increases or decreases the number of Common Stock outstanding by reclassification of its shares of Common Stock, then in each case, the number of Warrant Shares for which this Warrant is exercisable will be adjusted based on the following formula:
-7-


image_1.jpg
where:
NS’ = the number of Warrant Shares for which this Warrant is exercisable in effect immediately after 9:00 a.m., New York City time (the “Open of Business”) on the Ex-Dividend Date for such dividend or distribution, or immediately after such stock split, subdivision or reclassification becomes effective, as applicable (the “Effective Time”);
NS0 = the number of Warrant Shares for which this Warrant is exercisable in effect immediately prior to the Effective Time;
OS’ = the number of shares of Common Stock outstanding immediately after the Effective Time; and
OS0 = the number of shares of Common Stock outstanding immediately prior to the Effective Time, as applicable.
Such adjustment shall become effective at the Effective Time. If any dividend, distribution or stock split, subdivision or reclassification of the type described in this Section 3(c) is declared but not so paid or made, the number of Warrant Shares for which this Warrant is exercisable shall again be adjusted to be the number of Warrant Shares for which this Warrant would be exercisable if such dividend or distribution had not been declared.
(d)    Options. If the Company distributes to all or substantially all holders of its Common Stock any Options entitling them, for a period not exceeding 60 days, to subscribe for or purchase shares of Common Stock, subject to the last paragraph of this Section 3(d), at a price per share of Common Stock less than the Exercise Price, the number of Warrant Shares for which this Warrant is exercisable will be adjusted based on the following formula:
image_2.jpg
where:
-8-


NS’ = the number of Warrant Shares for which this Warrant is exercisable in effect immediately after the Open of Business on the Ex-Dividend Date for such distribution;
NS0 = the number of Warrant Shares for which this Warrant is exercisable in effect immediately prior to the Open of Business on such Ex-Dividend Date;
OS0 = the number of shares of Common Stock outstanding immediately prior to the Open of Business on such Ex-Dividend Date;
X = the total number of shares of Common Stock issuable pursuant to such Options; and
Y = the number of shares of Common Stock equal to (i)(A) the total number of shares of Common Stock issuable pursuant to such Options multiplied by (B) the price per share of Common Stock payable to exercise such Options, divided by (ii) the Exercise Price per share of Common Stock as of the Open of Business on the Ex-Dividend Date for such distribution.
Such adjustment shall be successively made whenever any such Options are issued and shall become effective at the time set forth in the definition of NS’ above. To the extent that shares of Common Stock are not delivered after the expiration of such Options, the number of Warrant Shares for which this Warrant is exercisable shall be readjusted to be the number of Warrant Shares for which this Warrant would be exercisable had the adjustments made upon the issuance of such Options been made on the basis of delivery of only the number of shares of Common Stock actually delivered. If such Options are not so distributed, the number of Warrant Shares for which this Warrant is exercisable shall again be adjusted to be the number of Warrant Shares for which this Warrant would be exercisable if such date fixed for the determination of stockholders entitled to receive such Options had not been fixed. No adjustment shall be made pursuant to this Section 3(d) which shall have the net effect of decreasing the number of Warrant Shares issuable upon exercise of this Warrant.
In determining whether any Options entitle the Holder to subscribe for or purchase shares of Common Stock at less than such Exercise Price, and in determining the aggregate price payable to exercise such Options, there shall be taken into account any consideration received by the Company for such Options and any amount payable on exercise thereof, the value of such consideration, if other than cash, to be determined in good faith by the Board of Directors of the Company.
In the event the Company adopts or implements a shareholder rights agreement (a “Shareholder Rights Plan”) pursuant to which rights (“Rights”) are distributed to the holders of Common Stock of the Company and such Shareholder Rights Plan provides that each Warrant Share issued upon exercise of this Warrant at any time prior to the distribution of separate certificates representing such Rights will be entitled to receive such Rights, then there shall not be any adjustment to the number of Warrant Shares issuable upon exercise of this Warrant or Exercise Price at any time prior to the distribution of separate certificates representing such Rights. If, however, prior to any exercise, the Rights have separated from the Common Stock, the number
-9-


of Warrant Shares for which this Warrant is exercisable shall be adjusted at the time of separation as described in this Section 3(d).
(e)    Other Distributions. If the Company fixes a record date for the making of any distribution of shares of its Common Stock, other securities, evidences of indebtedness or other assets or property of the Company to all or substantially all holders of the Common Stock, excluding:
(1)    dividends or distributions and Options referred to in Sections 3(c) or 3(d); and
(2)    dividends or distributions paid exclusively in cash referred to in Section 3(f),
then the number of Warrant Shares for which this Warrant is exercisable will be adjusted based on following formula:
image_3.jpg
NS’ = the number of Warrant Shares for which this Warrant is exercisable in effect immediately after the Open of Business on the Ex-Dividend Date for such distribution;
NS0 = the number of Warrant Shares for which this Warrant is exercisable in effect immediately prior to the Open of Business on such Ex-Dividend Date;
SP0 = the Market Price per share of Common Stock on the last Trading Day immediately preceding such Ex-Dividend Date; and
FMV = a number equal to the quotient obtained by dividing (i) the aggregate fair market value (as determined in good faith by the Board of Directors of the company), as of such Ex-Dividend Date, of all the distributed shares of capital stock, other securities, evidences of indebtedness, assets or property by (ii) the number of shares of Common Stock outstanding.
Such adjustment shall become effective at the time set forth in the definition of NS’. Such adjustment shall be made successively whenever such a record date is fixed with respect to a subsequent event.
With respect to an adjustment pursuant to this Section 3(e) where the Company fixes a record date for the making of any distribution to all or substantially all holders of the Common Stock of
-10-


shares of capital stock of any class or series, or similar equity interest, of or relating to a subsidiary or other business unit (a “Spin-Off”), then instead of the adjustment above the number of Warrant Shares for which this Warrant is exercisable in effect immediately before the Open of Business on the Ex-Dividend Date distribution will be increased based on the following formula:
image_4.jpg
where:
NS’ = the number of Warrant Shares for which this Warrant is exercisable in effect immediately after 5:00 p.m., New York City time (the “Close of Business”) on the last Trading Day of the Spin-Off Valuation Period for such Spin-Off;
NS0 = the number of Warrant Shares for which this Warrant is exercisable in effect immediately prior to the Close of Business on the last Trading Day of the Spin-Off Valuation Period;
FMV = the product of (x) the average Market Price per share of the capital stock or similar equity interest distributed to holders of Common Stock over the first ten (10) consecutive Trading Days (the “Spin-Off Valuation Period”) beginning on, and including, the effective date of the Spin-Off, and (y) the number of shares or units of the capital stock or similar interest distributed per share of Common Stock in such Spin-Off; and
MP0 = the average of the Market Price per share of Common Stock for each Trading Day in the Spin-Off Valuation Period.
Such adjustment shall become effective at the time set forth in the definition of NS’ . No adjustment shall be made pursuant to this Section 3(e) which shall have the effect of decreasing the number of Warrant Shares issuable upon exercise of this Warrant.
To the extent a distribution is not so paid or made, the number of Warrant Shares for which this Warrant is exercisable shall again be adjusted to be the number of Warrant Shares for which this Warrant would be exercisable if such date fixed for the determination of stockholders entitled to receive such distribution had not been fixed.
(f)    Cash Dividend. If the Company makes any cash dividend or distribution (excluding any cash distributions in connection with the Company’s liquidation, dissolution or winding up) during any quarterly fiscal period to all or substantially all holders of
-11-


Common Stock, the number of Warrant Shares for which this Warrant is exercisable will be adjusted based on the following formula:
image_5.jpg
where:
NS’ = the number of Warrant Shares for which this Warrant is exercisable in effect immediately after the Open of Business on the Ex-Dividend Date for such dividend or distribution;
NS0 = the number of Warrant Shares for which this Warrant is exercisable in effect immediately prior to the Open of Business on the Ex-Dividend Date for such dividend or distribution;
SP0 = the Market Price per share of the Common Stock on the last Trading Day immediately preceding the Ex-Dividend Date for such dividend or distribution; and
C = the amount in cash per share of Common Stock in such dividend or distribution.
Such adjustment shall become effective at the time set forth in the definition of NS’. No adjustment shall be made pursuant to this Section 3(f) which shall have the effect of decreasing the number of Warrant Shares issuable upon exercise of this Warrant.
(g)        Adjustment Upon Issuance of Common Stock. Except in the case of (i) Common Stock issued by the Company in connection with any Excluded Securities and (ii) an event described in either Section 3(c) or Section 3(d), if the Company shall, at any time or from time to time after the Issue Date, issue or sell any shares of Common Stock or is deemed to have issued or sold any shares of Common Stock pursuant to Options or Convertible Securities as set forth in this Section 3(g), in each case, without consideration or for consideration or having a combined purchase and conversion, exchange or exercise price of less than $1.00/1.20 per share of Common Stock (the “Minimum Price”), the number of Warrant Shares for which this Warrant is exercisable will be adjusted based on the following formula:
-12-


image_6.jpg
where:
NS’ = the number of Warrant Shares for which this Warrant is exercisable in effect immediately after such issuance or sale (or deemed issuance or sale);
NS0 = the number of Warrant Shares for which this Warrant is exercisable in effect immediately prior to such issuance or sale (or deemed issuance or sale);
DOS’ = the Common Stock Deemed Outstanding as of immediately after such issuance or sale (or deemed issuance or sale);
DOS0 = the Common Stock Deemed Outstanding as of immediately prior to such issuance or sale (or deemed issuance or sale); and
Z = the aggregate number of shares of Common Stock which the aggregate amount of consideration, if any, received by the Company upon such issuance or sale (or deemed issuance or sale) would purchase at the Minimum Price.
For the purposes of any adjustment of the number of shares of Common Stock issuable upon exercise of a Warrant pursuant to this Section 3, the following provisions shall be applicable:
(1)In the case of the issuance or sale of shares of Common Stock, Options or Convertible Securities for cash, the amount of the consideration received by the Company shall be deemed to be the amount of the gross cash proceeds received by the Company for such securities before deducting from such amount any discounts or commissions allowed, paid or incurred by the Company for any underwriting or otherwise in connection with the issuance and sale of such Common Stock, Options or Convertible Securities.
(2)In the case of the issuance or sale of shares of Common Stock, Options or Convertible Securities (other than upon the conversion of stock or other securities of the Company) for consideration in whole or in part other than cash, including securities acquired in exchange for such shares of Common Stock, Options or Convertible Securities (other than securities by their terms so exchangeable), the consideration other than cash shall be deemed to be the fair market value thereof (determined in good faith by the Board of Directors of the Company).
In the case of the issuance of Convertible Securities or Options (in each case, whether or not at the time so convertible, exchangeable or exercisable): (i) the aggregate
-13-


maximum number of shares of Common Stock deliverable upon conversion, exchange or exercise of such Convertible Securities or Options shall be deemed to have been issued at the time such Convertible Securities or Options are issued and for consideration equal to the consideration (determined in the manner provided in this Section 3(g)), if any, received by the Company upon the issuance or sale of such Convertible Securities or Options plus the minimum purchase price provided in such Convertible Securities or Options for shares of Common Stock issuable upon conversion, exchange or exercise by such Convertible Securities or Options; and (ii) if the number of shares of Common Stock issuable upon exercise of a Warrant shall have been adjusted upon the issuance or sale of any Convertible Securities or Options, no further adjustment of the number of shares of Common Stock issuable upon exercise of a Warrant shall be made for the actual issuance of shares of Common Stock upon the exercise, conversion or exchange of such Convertible Securities or Options.
(h)    No Adjustment if Participating. Notwithstanding the foregoing provisions of this Section 3, no adjustment shall be made thereunder, nor shall an adjustment be made to the ability of a Holder to exercise, for any distribution described therein if the Holder will otherwise participate in the distribution with respect to its Warrant Shares without exercise of this Warrant.
(i)    Adjustment to Anti-Dilution Provisions. In the event that, after the date hereof and prior to the Expiration Date, the Company issues or sells any warrants (collectively, “New Warrants”) that include terms providing for anti-dilution protection (whether full ratchet, weighted average, or otherwise) that are more favorable to the holder of such New Warrants than the anti-dilution protection terms set forth in this Warrant, then the Company shall promptly notify the Holder of such issuance and the terms thereof. Upon the Holder’s written election delivered to the Company within 15 days after receipt of such notice, the Company shall amend this Warrant (or issue a replacement Warrant) to provide the Holder with the benefit of such more favorable anti-dilution terms, effective as of the date of the issuance of such New Securities, as if such more favorable terms were included herein as of such date.
(j)    Notice of Adjustment. Whenever the Exercise Price is adjusted pursuant to any provision of this Section 3, the Company shall promptly deliver to the Holder by email a notice setting forth the Exercise Price and Call Purchase Price after such adjustment and any resulting adjustment to the number of Warrant Shares and setting forth a brief statement of the facts requiring such adjustment.
(k)    Limitation on Shares. Notwithstanding anything to the contrary in this Warrant, in no event will the number of Warrant Shares for which this Warrant is exercisable be increased to an amount that exceeds [2,524,271/2,524,271] shares of Common Stock, which amount is subject to adjustment in the same manner as, and at the same time and for the same events for which, an adjustment to the number of Warrant Shares is adjusted pursuant to Section 3(a) through (f).
-14-


4.    FUNDAMENTAL TRANSACTIONS.
(a)    Fundamental Transactions. The Company shall not enter into or be party to a Fundamental Transaction unless the Successor Entity assumes in writing (unless the Company is the Successor Entity) all of the obligations of the Company under this Warrant in accordance with the provisions of this Section 5(a) pursuant to written agreements in form and substance reasonably satisfactory to the Holder and approved by the Holder prior to such Fundamental Transaction, including agreements to deliver to the Holder of the Warrants in exchange for such Warrants a security of the Successor Entity evidenced by a written instrument substantially similar in form and substance to this Warrant, including, without limitation, an adjusted exercise price equal to the value for the shares of Common Stock reflected by the terms of such Fundamental Transaction, and exercisable for a corresponding number of shares of capital stock equivalent to the shares of Common Stock acquirable and receivable upon exercise of this Warrant (without regard to any limitations on the exercise of this Warrant) prior to such Fundamental Transaction, and reasonably satisfactory to the Holder. Upon the occurrence of any Fundamental Transaction, the Successor Entity shall succeed to, and be substituted for (so that from and after the date of such Fundamental Transaction, the provisions of this Warrant referring to the “Company” shall refer instead to the Successor Entity), and may exercise every right and power of the Company and shall assume all of the obligations of the Company under this Warrant with the same effect as if such Successor Entity had been named as the Company herein. Upon consummation of the Fundamental Transaction, the Successor Entity shall deliver to the Holder confirmation that there shall be issued upon exercise of this Warrant at any time after the consummation of the Fundamental Transaction, in lieu of the shares of Common Stock (or other securities, cash, assets or other property) issuable upon the exercise of the Warrant prior to such Fundamental Transaction, such shares of the common stock or common shares (or its equivalent) of the Successor Entity (including its Parent Entity) which the Holder would have been entitled to receive upon the happening of such Fundamental Transaction had this Warrant been converted immediately prior to such Fundamental Transaction, as adjusted in accordance with the provisions of this Warrant. In addition to and not in substitution for any other rights hereunder, prior to the consummation of any Fundamental Transaction pursuant to which holders of shares of Common Stock are entitled to receive securities or other assets with respect to or in exchange for shares of Common Stock (a “Corporate Event”), the Company shall make appropriate provision to ensure that the Holder will thereafter have the right to receive upon an exercise of this Warrant at any time after the consummation of the Corporate Event but prior to the Expiration Date, in lieu of shares of Common Stock (or other securities, cash, assets or other property) purchasable upon the exercise of this Warrant prior to such Corporate Event, such shares of stock, securities, cash, assets or any other property whatsoever (including warrants or other purchase or subscription rights) which the Holder would have been entitled to receive upon the happening of such Corporate Event had this Warrant been exercised immediately prior to such Corporate Event. Any provision made pursuant to the preceding sentence shall be in a form and substance reasonably satisfactory to the Holder. The provisions of this Section 4(b) shall apply similarly and equally to successive Fundamental Transactions and Corporate Events and shall be applied without regard to any limitations on the exercise of this Warrant.
-15-


Notwithstanding the foregoing, in the event that the Company enters into or becomes party to a Fundamental Transaction in accordance with this Section 4(a), in which the consideration to be received by all of the Company’s stockholders consists solely of cash, solely of Marketable Securities, or a combination of cash and Marketable Securities (a “Cash/Public Acquisition”), which for the avoidance of doubt shall not include a Fundamental Transaction in which the consideration to be received by any of the Company’s stockholders consists of consideration other than cash or Marketable Securities, including an equity rollover, the Holder may elect, by giving notice to the Company within fifteen (15) calendar days prior to receiving notice of such Cash/Public Acquisition pursuant to this Section 4(b), to exchange this Warrant for the kind and amount of cash or Marketable Securities payable at the closing of such Cash/Public Acquisition (the “Sale Consideration”) which the Holder would have received with respect to the Warrant Shares issuable upon the exercise of this Warrant if the Holder had exercised this Warrant on a cashless basis immediately prior to the occurrence of such Cash/Public Acquisition.
In the event that the Company enters into or becomes party to a Fundamental Transaction, the Company shall use its reasonable best efforts to cause to be delivered by email to the Holder at its last email address as it shall appear on the books of the Company, at least fifteen (15) calendar days prior to the applicable record or effective date of such Fundamental Transaction, a notice stating the date on which such Fundamental Transaction is expected to become effective or close, and the date as of which it is expected that holders of the Common Stock of record shall be entitled to exchange their shares of the Common Stock for securities, cash or other property deliverable upon consummation of such Fundamental Transaction; provided that the failure to deliver such notice or any defect therein or in the delivery thereof shall not affect the validity of the Fundamental Transaction required to be specified in such notice. The Holder shall remain entitled to exercise this Warrant during the period commencing on the date of such notice to the effective date of the event triggering such notice except as may otherwise be expressly set forth herein.
(b)    Applicability to Successive Transactions. The provisions of this Section shall apply similarly and equally to successive Fundamental Transactions and Corporate Events and shall be applied without regard to any limitations on the exercise of this Warrant.
5.    NONCIRCUMVENTION. The Company hereby covenants and agrees that the Company will not, by amendment of its Certificate of Incorporation, Bylaws or through any reorganization, transfer of assets, consolidation, merger, scheme of arrangement, dissolution, issue or sale of securities, or any other voluntary action, take any action designed or intended to avoid the observance or performance of any of the terms of this Warrant, and will at all times in good faith comply with all the provisions of this Warrant. Without limiting the generality of the foregoing, the Company (i) shall not increase the par value of any shares of Common Stock receivable upon the exercise of this Warrant above the Exercise Price then in effect, (ii) shall take all such actions as may be necessary or appropriate in order that the Company may validly and legally issue fully paid and nonassessable shares of Common Stock upon the exercise of this Warrant, and (iii) shall, so long as this Warrant is outstanding, take all action necessary to reserve and keep available out of its authorized and unissued shares of Common Stock, solely for the purpose of effecting the exercise of this Warrant, 100% of the number of shares of Common
-16-


Stock issuable upon exercise of this Warrant then outstanding (without regard to any limitations on exercise).
6.    WARRANT HOLDER NOT DEEMED A STOCKHOLDER. Except as otherwise specifically provided herein, the Holder, solely in such Person’s capacity as a holder of this Warrant, shall not be entitled to vote or receive dividends or be deemed the holder of share capital of the Company for any purpose, nor shall anything contained in this Warrant be construed to confer upon the Holder, solely in such Person’s capacity as the Holder of this Warrant, any of the rights of a stockholder of the Company or any right to vote, give or withhold consent to any corporate action (whether any reorganization, issue of stock, reclassification of stock, consolidation, merger, conveyance or otherwise), receive notice of meetings, receive dividends or subscription rights, or otherwise, prior to the issuance to the Holder of the Warrant Shares which such Person is then entitled to receive upon the due exercise of this Warrant. In addition, nothing contained in this Warrant shall be construed as imposing any liabilities on the Holder to purchase any securities (upon exercise of this Warrant or otherwise) or as a stockholder of the Company, whether such liabilities are asserted by the Company or by creditors of the Company.
7.    REISSUANCE OF WARRANTS.
(a)    Transfer of Warrant. This Warrant shall not be sold, transferred, assigned, pledged, hypothecated or otherwise transferred (“Transferred”) and the Warrant Shares shall not be Transferred except with the Company’s prior written consent and in compliance with the Securities Act and applicable state securities laws. If this Warrant is to be Transferred, the Holder shall surrender this Warrant to the Company and deliver the completed and executed Assignment Form, in the form attached hereto as Exhibit C, whereupon the Company will forthwith issue and deliver upon the order of the Holder a new Warrant (in accordance with Section 7(d)), registered as the Holder may request, representing the right to purchase the number of Warrant Shares being Transferred by the Holder and, if less than the total number of Warrant Shares then underlying this Warrant is being Transferred, a new Warrant (in accordance with Section 7(d)) to the Holder representing the right to purchase the number of Warrant Shares not being Transferred. This Warrant shall not be Transferred in part for less than [400,000] Warrant Shares or, if less, the total number of remaining Warrant Shares underlying this Warrant, and the Company shall not be obligated to recognize or issue a registered replacement Warrant for any such purported Transfer. The Holder agrees that in connection with any Transfer of the Warrant or the Warrant Shares it will deliver customary representation letters and legal opinions reasonably satisfactory to the Company, as reasonably requested by the Company.
(b)    Lost, Stolen or Mutilated Warrant. Upon receipt by the Company of evidence reasonably satisfactory to the Company of the loss, theft, destruction or mutilation of this Warrant, and, in the case of loss, theft or destruction, of any indemnification undertaking by the Holder to the Company in reasonable and customary form and, in the case of mutilation, upon surrender and cancellation of this Warrant, the Company shall execute and deliver to the
-17-


Holder a new Warrant (in accordance with Section 7(d)) representing the right to purchase the Warrant Shares then underlying this Warrant.
(c)    Exchangeable for Multiple Warrants. This Warrant is exchangeable, upon the surrender hereof by the Holder at the principal office of the Company, for a new Warrant or Warrants (in accordance with Section 7(a) or Section 7(d)) representing in the aggregate the right to purchase the number of Warrant Shares then underlying this Warrant, and each such new Warrant will represent the right to purchase such portion of such Warrant Shares as is designated by the Holder at the time of such surrender; provided, however, that no Warrants for fractional shares of Common Stock shall be given.
(d)    Issuance of New Warrants. Whenever the Company is required to issue a new Warrant pursuant to the terms of this Warrant, such new Warrant (i) shall be of like tenor with this Warrant, (ii) shall represent, as indicated on the face of such new Warrant, the right to purchase the Warrant Shares then underlying this Warrant (or in the case of a new Warrant being issued pursuant to Section 7(c), the Warrant Shares designated by the Holder which, when added to the number of shares of Common Stock underlying the other new Warrants issued in connection with such issuance, do not exceed the number of Warrant Shares then underlying this Warrant), (iii) shall have an issuance date, as indicated on the face of such new Warrant which is the same as the Original Issuance Date, and (iv) shall have the same rights and conditions as this Warrant.
8.    NOTICES. The Company shall provide Holder with prompt written notice of all actions taken pursuant to this Warrant. Whenever notice is required to be given under this Warrant, unless otherwise provided herein, such notice shall be given in writing, will be mailed (a) if within the domestic United States, by first-class registered or certified airmail, or nationally recognized overnight express courier, postage prepaid, or by facsimile or e-mail or (b) if delivered from outside the United States, by International Federal Express, facsimile or e-mail, and (c) will be deemed given (i) if delivered by first-class registered or certified mail domestic, three (3) Business Days after so mailed, (ii) if delivered by nationally recognized overnight carrier, one (1) Business Day after so mailed, (iii) if delivered by International Federal Express, two (2) Business Days after so mailed and (iv) if delivered by
-18-


facsimile or e-mail, upon electronic confirmation of receipt, and will be delivered and addressed as follows:
(i)    if to the Company, to:
    Commercial Vehicle Group, Inc.
    7800 Walton Parkway
    New Albany, Ohio 43054
    Attn: Aneezal Mohamed
    Telephone: 614-289-0326
    E-Mail: aneezal.mohamed@cvgrp.com

with a copy to:

    Gibson, Dunn & Crutcher LLP
    200 Park Ave
New York, New York 10166
    Attn:    Eric Scarazzo
    Telephone: 212-351-2389
    E-Mail: EScarazzo@gibsondunn.com

(ii) if to the Holder, at the address of the Holder appearing on the books of the Company.

9.    AMENDMENT AND WAIVER. Except as otherwise provided herein, the provisions of this Warrant may be amended and the Company may take any action herein prohibited, or omit to perform any act herein required to be performed by it, only if the Company has obtained the written consent of the Holder. Any such amendment shall apply to all Warrants and be binding upon all registered holders of such Warrants.
10.    GOVERNING LAW; CONSENT TO JURISDICTION; WAIVER OF JURY TRIAL. This Warrant shall be governed by, and construed in accordance with, the internal laws of the State of New York, without reference to the choice of law provisions thereof. The Company and, by accepting this Warrant, the Holder, each irrevocably submits to the exclusive jurisdiction of the courts of the State of New York located in New York County and the United States District Court for the Southern District of New York for the purpose of any suit, action, proceeding or judgment relating to or arising out of this Warrant and the transactions contemplated hereby. Service of process in connection with any such suit, action or proceeding may be served on each party hereto anywhere in the world by the same methods as are specified for the giving of notices under this Warrant. The Company and, by accepting this Warrant, the Holder, each irrevocably consent to the jurisdiction of any such court in any such suit, action or proceeding and to the laying of venue in such court. The Company and, by accepting this Warrant, the Holder, each irrevocably waive any objection to the laying of venue of any such suit, action or proceeding brought in such courts and irrevocably waive any claim that any such suit, action or proceeding brought in any such court has been brought in an inconvenient forum. EACH OF THE COMPANY AND, BY ITS ACCEPTANCE HEREOF, THE HOLDER,
-19-


HEREBY WAIVE ANY RIGHT TO REQUEST A TRIAL BY JURY IN ANY LITIGATION WITH RESPECT TO THIS WARRANT AND REPRESENT THAT COUNSEL HAS BEEN CONSULTED SPECIFICALLY AS TO THIS WAIVER.
11.    CONSTRUCTION; HEADINGS. This Warrant shall be deemed to be jointly drafted by the Company and the Holder and shall not be construed against any person as the drafter hereof. The headings of this Warrant are for convenience of reference and shall not form part of, or affect the interpretation of, this Warrant.
12.    DISPUTE RESOLUTION. In the case of a dispute as to the determination of the Exercise Price or the arithmetic calculation of the Warrant Shares, the Company shall submit the disputed determinations or arithmetic calculations via facsimile or e-mail within two (2) Business Days of receipt of the Exercise Notice giving rise to such dispute, as the case may be, to the Holder. If the Holder and the Company are unable to agree upon such determination or calculation of the Exercise Price or the Warrant Shares within three (3) Business Days of such disputed determination or arithmetic calculation being submitted to the Holder, then the Company shall, within two (2) Business Days submit via facsimile or e-mail (a) the disputed determination of the Exercise Price to an independent, reputable investment bank selected by the Company and approved by the Holder, which approval shall not be unreasonably withheld, or (b) the disputed arithmetic calculation of the Warrant Shares to the Company’s independent, outside accountant. The Company shall cause the investment bank or the accountant, as the case may be, to perform the determinations or calculations and notify the Company and the Holder of the results no later than ten (10) Business Days from the time it receives the disputed determinations or calculations. The prevailing party (which, for purposes of this Warrant, is the party whose determinations or calculations is closest to those of the investment bank or the accountant, as the case may be) in any dispute resolved pursuant to this Section 12 shall be entitled to the full amount of all reasonable expenses, including all costs and fees paid or incurred in good faith, in relation to the resolution of such dispute. Such investment bank’s or accountant’s determination or calculation, as the case may be, shall be binding upon all parties absent demonstrable error.
13.    REMEDIES, OTHER OBLIGATIONS, BREACHES AND INJUNCTIVE RELIEF. The remedies provided in this Warrant shall be cumulative and in addition to all other remedies available under this Warrant, at law or in equity (including a decree of specific performance and/or other injunctive relief), and nothing herein shall limit the right of the Holder to pursue actual damages for any failure by the Company to comply with the terms of this Warrant.
14.    CERTAIN DEFINITIONS. For purposes of this Warrant, the following terms shall have the following meanings:
(a)    “30-Day VWAP” means the arithmetic average of the Daily VWAP for each of the 30 Trading Days preceding the date of determination.
(b)    “Affiliate” means, with respect to any Person, any other Person that, directly or indirectly through one or more intermediates, controls, is controlled by or is under common control with such Person.
-20-


(c)    “Attribution Parties” means, collectively, the following Persons and entities: (i) any direct or indirect Affiliates of the Holder, (ii) any Person acting or who could be deemed to be acting as a Group together with the Holder or any Attribution Parties and (iii) any other Persons whose beneficial ownership of the Company’s Common Stock would or could be aggregated with the Holder’s and/or any other Attribution Parties for purposes of Section 13(d) or Section 16 of the Exchange Act. For clarity, the purpose of the foregoing is to subject collectively the Holder and all other Attribution Parties to the Maximum Percentage
(d)    “Bloomberg” means Bloomberg Financial Markets.
(e)    “Business Day” means any day other than Saturday, Sunday or other day on which commercial banks in the City of New York are authorized or required by law to remain closed.
(f)    “Closing Bid Price” and “Closing Sale Price” means, for any security as of any date, the last closing bid price and last closing trade price, respectively, for such security on the Principal Market, as reported by Bloomberg, or, if the Principal Market begins to operate on an extended hours basis and does not designate the closing bid price or the closing trade price, as the case may be, then the last bid price or the last trade price, respectively, of such security prior to 4:00:00 p.m., New York time, as reported by Bloomberg, or, if the Principal Market is not the principal securities exchange or trading market for such security, the last closing bid price or last trade price, respectively, of such security on the principal securities exchange or trading market where such security is listed or traded as reported by Bloomberg, or if the foregoing do not apply, the last closing bid price or last trade price, respectively, of such security in the over-the-counter market on the electronic bulletin board for such security as reported by Bloomberg, or, if no closing bid price or last trade price, respectively, is reported for such security by Bloomberg, the average of the bid prices, or the ask prices, respectively, of any market makers for such security as reported in the “pink sheets” by Pink Sheets LLC (formerly the National Quotation Bureau, Inc.). If the Closing Bid Price or the Closing Sale Price cannot be calculated for a security on a particular date on any of the foregoing bases, the Closing Bid Price or the Closing Sale Price, as the case may be, of such security on such date shall be the fair market value as mutually determined by the Company and the Holder. All such determinations to be appropriately adjusted for any stock dividend, stock split, stock combination or other similar transaction during the applicable calculation period.
(g)     “Common Stock” means (i) the Company’s shares of Common Stock, par value $0.01 per share, and (ii) any share capital into which such Common Stock shall have been changed or any share capital resulting from a reclassification of such Common Stock.
(h)     “Convertible Securities” means any stock or securities (other than Options) directly or indirectly convertible into or exercisable or exchangeable for shares of Common Stock.
(i)    “Daily VWAP” means, for any Trading Day, the per share volume-weighted average price as displayed under the heading “Bloomberg VWAP” on Bloomberg page “CVGI <equity> AQR” (or its equivalent successor if such page is not
-21-


available) in respect of the period from the scheduled open of trading until the scheduled close of trading of the primary trading session on such trading day. The “daily VWAP” will be determined without regard to after-hours trading or any other trading outside of the regular trading session trading hours. If no dollar volume-weighted average price is reported for such security by Bloomberg for such hours, the average of the highest closing bid price and the lowest closing ask price of any of the market makers for such security as reported in the “pink sheets” by OTC Markets Group, Inc. If the Daily VWAP cannot be calculated for a security on a particular date on any of the foregoing bases, the Daily VWAP of such security on such date shall be the fair market value as mutually determined by the Company and the Holder. If the Company and the Holder are unable to agree upon the fair market value of such security, then such dispute shall be resolved pursuant to Section 12 with the term “Daily VWAP” being substituted for the term “Exercise Price.” All such determinations shall be appropriately adjusted for any stock dividend, stock split, stock combination or other similar transaction during the applicable calculation period.
(j)    “Effective Date”, in relation to a stock split or stock combination, means the first date on which the shares of Common Stock trade on the relevant stock exchange, regular way, reflecting the relevant stock split or stock combination, as applicable.
(k) “Eligible Market” means the Principal Market, The New York Stock Exchange, Inc., The NYSE MKT, The NASDAQ Global Market or The NASDAQ Global Select Market.
(l)    “Ex-Dividend Date” means, with respect to an issuance, dividend or distribution on the Common Stock, the first date on which shares of Common Stock trade on the applicable exchange or in the applicable market, regular way, without the right to receive such issuance, dividend or distribution (including pursuant to due bills or similar arrangements required by the relevant stock exchange). For the avoidance of doubt, any alternative trading convention on the applicable exchange or market in respect of the Common Stock under a separate ticker symbol or CUSIP number will not be considered “regular way” for this purpose.
(m)     “Excluded Securities” means any shares of Common Stock issued or issuable, or deemed issued or issuable pursuant to Section 3(g): (i) to officers, employees or directors of, or consultants to, the Company or any of its subsidiaries pursuant to an employee benefit or stock purchase plan or agreement which is in effect on the date of this Warrant or has been approved by a majority of the non-employee members of the Board (including, without limitation, the Amended and Restated Commercial Vehicle Group, Inc. 2020 Equity Incentive Plan), pursuant to which the Company’s securities may be issued or sold to any employee, officer, consultant or director; (ii) upon exercise of the Warrants; (iii) upon conversion, exercise or exchange of any Options or Convertible Securities (as any adjustment will be made at the time of issuance or amendment of such Options or Convertible Securities pursuant to Section 3(g)); and (iv) as consideration in connection with the acquisition of all or a controlling interest in another business (whether by merger, purchase of stock or assets or otherwise) if such issuance is approved by the Board of Directors of the Company.
-22-


(n) “Expiration Date” means the fifth (5th) anniversary of the Exercisability Date or, if such date falls on a Holiday, the next date that is not a Holiday.
(o)    “Fundamental Transaction” means that the Company shall, directly or indirectly, in one or more related transactions, (i) consolidate or merge with or into (whether or not the Company is the surviving corporation) another Person (but excluding a migratory merger effected solely for the purpose of changing the jurisdiction of incorporation of the Company or in which the stockholders of the Company immediately prior to such merger or consolidation do not own, directly or indirectly, at least 50% of the voting power of the surviving entity immediately after such merger or consolidation), or (ii) sell, assign, transfer, convey or otherwise dispose of all or substantially all of the properties or assets of the Company to another Person in one or a series of related transactions, or (iii) make a purchase, tender or exchange offer that is accepted by the holders of more than 50% of the outstanding shares of Common Stock (not including any shares of Common Stock held by the Person or Persons making or party to, or associated or affiliated with the Persons making or party to, such purchase, tender or exchange offer), or (iv) consummate a stock purchase agreement or other business combination (including, without limitation, a reorganization, recapitalization, spin-off or scheme of arrangement) with another Person whereby such other Person acquires more than 50% of the outstanding shares of Common Stock (not including any shares of Common Stock held by the other Person or other Persons making or party to, or associated or affiliated with the other Persons making or party to, such stock purchase agreement or other business combination), (v) reorganize, recapitalize or reclassify its Common Stock, or (vi) any “person” or “group” (as these terms are used for purposes of Sections 13(d) and 14(d) of the Exchange Act) is or shall become the “beneficial owner” (as defined in Rule 13d-3 under the Exchange Act), directly or indirectly, of 50% or more of the aggregate ordinary voting power represented by issued and outstanding Common Stock; provided, that no such group will be deemed formed as a result of the Consortium Agreement entered into by certain stockholders on January 26, 2021, whereby the parties thereto agreed to act in concert with respect to voting shares of Common Stock and/or may exercise their respective pre-emptive rights to acquire the other parties’ shares of Common Stock.
(p)    “Group” shall have the meaning ascribed to it in Section 13(d) of the Exchange Act, and all related rules, regulations and jurisprudence.
(q)    “Marketable Securities” means securities meeting all of the following requirements: (i) the issuer thereof is, or after completion of the transaction will be, subject to the reporting requirements of Section 13 or Section 15(d) of the Exchange Act and is then current in its filing of all required reports and other information under the Securities Act and the Exchange Act; (ii) the class and series of shares or other security of the issuer that would be received by the Holder in connection with the applicable Fundamental Transaction, were the Holder to exercise this Warrant on or prior to the closing thereof, is then traded in a trading market, and (iii) following the closing of the applicable Fundamental Transaction, the Holder would not be restricted from publicly re-selling all of the issuer’s shares and/or other securities that would be received by the Holder in such Fundamental Transaction were the Holder to exercise this Warrant by Net Share Settlement in full on or prior to the closing of such
-23-


Fundamental Transaction, except to the extent that any such restriction (x) arises solely under federal or state securities laws, rules or regulations and (y) does not extend beyond six (6) months from the closing of such Fundamental Transaction.
(r)     “Options” means any rights, warrants or options to subscribe for or purchase shares of Common Stock or Convertible Securities.
(s)    “Parent Entity” of a Person means an entity that, directly or indirectly, controls the applicable Person and whose common stock or equivalent equity security is quoted or listed on an Eligible Market, or, if there is more than one such Person or Parent Entity, the Person or Parent Entity with the largest public market capitalization as of the date of consummation of the Fundamental Transaction.
(t)    “Person” means an individual, a limited liability company, a partnership, a joint venture, a corporation, a trust, an unincorporated organization, any other entity and a government or any department or agency thereof.
(u)    “Principal Market” means The NASDAQ Capital Market or, if not then listed on The NASDAQ Capital Market, the principal other national securities exchange on which the Common Stock is then listed.
(v)    “Refinancing” means, with respect to the Term Loan, the repayment, prepayment, replacement, renewal, extension, refunding, restructuring, substitution, or refinancing of such 50% or more of the outstanding principal amount of the Term Loan, including through the issuance of new debt (whether from the same or different lenders), or through equity contributions, in each case with the proceeds thereof being applied to repay, prepay, or replace such Term Loan.
(w)     “Required Holders” means, as of any date, the holders of at least a majority of the Warrants originally issued on the Original Issuance Date and remaining outstanding as of the date of such determination.
(x)    “Successor Entity” means the Person (or, if so elected by the Holder, the Parent Entity) formed by, resulting from or surviving any Fundamental Transaction or the Person (or, if so elected by the Holder, the Parent Entity) with which such Fundamental Transaction shall have been entered into.
(y)    “Trading Day” means any day on which the Common Stock is traded on the Principal Market, or, if the Principal Market is not the principal trading market for the Common Stock, then on the principal securities exchange or securities market on which the Common Stock is then traded; provided that “Trading Day” shall not include any day on which the Common Stock is scheduled to trade on such exchange or market for less than 4.5 hours or any day that the Common Stock is suspended from trading during the final hour of trading on such exchange or market (or if such exchange or market does not designate in advance the closing time of trading on such exchange or market, then during the hour ending at 4:00:00 p.m., New York time).
-24-


[Signature Page Follows]
-25-


    IN WITNESS WHEREOF, the Company has caused this Warrant to Purchase Common Stock to be duly executed as of the Original Issuance Date set out above.


                        COMMERCIAL VEHICLE GROUP, INC.


                        By: ____________________
                        Name:    
                        Title:
[Signature Page to Warrant]


    EXHIBIT A

EXERCISE NOTICE
TO BE EXECUTED BY THE REGISTERED HOLDER TO EXERCISE THIS
WARRANT TO PURCHASE COMMON STOCK

COMMERCIAL VEHICLE GROUP, INC.
    The undersigned Holder hereby exercises the right to purchase _________________ of the shares of Common Stock (“Warrant Shares”) of Commercial Vehicle Group, Inc., a Delaware corporation (the “Company”), evidenced by the attached Warrant to Purchase Common Stock (the “Warrant”). Capitalized terms used herein and not otherwise defined shall have the respective meanings set forth in the Warrant.

    1. Form of Exercise Price. Payment of the Exercise Price shall be made in cash or wire transfer of immediately available funds with respect to ____________Warrant Shares.

    2. Payment of Exercise Price. The Holder shall pay the Aggregate Exercise Price in the sum of $___________________ to the Company in accordance with the terms of the Warrant.

    3. Delivery of Warrant Shares. The Company shall deliver to the Holder __________ Warrant Shares in accordance with the terms of the Warrant and, after delivery of such Warrant Shares, _____________ Warrant Shares remain subject to the Warrant.

    4. Representations and Warranties. By its delivery of this Exercise Notice, the undersigned represents and warrants to the Company that in giving effect to the exercise evidenced hereby the Holder will not beneficially own in excess of the number of shares of Common Stock (determined in accordance with Section 13(d) of the Securities Exchange Act of 1934, as amended) permitted to be owned under Section 1(e) of this Warrant to which this notice relates.

Date: _______________ __, ______


                    
Name of Registered Holder
                    
                                    
By:                    
    Name:
    Title:

A-1



EXHIBIT B

NOTICE OF EXERCISE BY NET SHARE SETTLEMENT FORM

COMMERCIAL VEHICLE GROUP, INC.
The undersigned hereby irrevocably elects to exchange the Warrant for a total of     shares of Common Stock of Commercial Vehicle Group, Inc., a Delaware corporation, pursuant to the Exercise by Net Share Settlement provisions of Section 1(c) of the attached Warrant.

The Company shall deliver to the Holder __________ Warrant Shares in accordance with the terms of the Warrant and, after delivery of such Warrant Shares, _____________ Warrant Shares remain subject to the Warrant.

By its delivery of this Exercise Notice, the undersigned represents and warrants to the Company that in giving effect to the exercise evidenced hereby the Holder will not beneficially own in excess of the number of shares of Common Stock (determined in accordance with Section 13(d) of the Securities Exchange Act of 1934, as amended) permitted to be owned under Section 1(e) of this Warrant to which this notice relates.

Date: _______________ __, ______


                    
Name of Registered Holder
                    
                                    
By:                    
    Name:
Title:
B-1



EXHIBIT C

ASSIGNMENT FORM
COMMERCIAL VEHICLE GROUP, INC.
(To assign the foregoing Warrant, execute this form and supply required information. Do not use this form to purchase shares.)
FOR VALUE RECEIVED, the foregoing Warrant and all rights evidenced thereby are hereby assigned to
Name:
    
(Please Print)
Address:
    
(Please Print)
Dated: _______________ __, ______
Holder’s Signature:    
Holder’s Address:    
NOTE: The signature to this Assignment Form must correspond with the name as it appears on the face of the Warrant, without alteration or enlargement or any change whatever. Officers of corporations and those acting in a fiduciary or other representative capacity should file proper evidence of authority to assign the foregoing Warrant.
C-1