EX-10.2 3 pdcvernon-supermicrolamb.htm EX-10.2 pdcvernon-supermicrolamb
Certain identified information has been omitted from this document because it is not material and is the type that the registrant treats as private and has been marked with "[ ]" to indicate where omissions have been made. Master Colocation Services Agreement Service Order MCSA-001 1 SERVICE ORDER MCSA-001 1. Service Effective Date: The date indicated beneath Supplier’s signature below 2. Facility [ ], Vernon, California 3. Standard Services: The “Customer Space” hereunder consists of the Colocation Space described below, the Pathway described below, and the Support Space described below. (a) Customer Space: (i) Colocation Space: The “Colocation Space” under this Service Order consists of the 2nd Floor Colocation Space (defined below) together with the 1st Floor Colocation Space (defined below), each of which may also be individually referred to as a “Colocation Space”. The “ 2nd Floor Colocation Space” includes all colocation space (approximately 39,916 sq. ft) located on the second (2nd) floor of the Building, configured as a single data hall (the“2nd Floor Data Hall” as described in Schedule “A-1” attached hereto; provided that prior to the Service Commencement Date (defined below) with respect to the 2nd Floor Tranche 2 Colocation Space, the 2nd Floor Colocation Space shall include only the2nd Floor Tranche 1 Colocation Space. • The “2nd Floor Tranche 1 Colocation Space” consists of approximately 50% of the area within the 2nd Floor Colocation Space, to which Critical Load Power (defined below) will be provided by the Supplier’s 2nd Floor Tranche 1 Installations (defined below). • The “2nd Floor Tranche 2 Colocation Space” consists of all of the area within the 2nd Floor Colocation Space that is not included in the 2nd Floor Tranche 1 Colocation Space, to which Critical Load Power will be provided by the Supplier’s 2nd Floor Tranche 2 Installations. The “1st Floor Colocation Space” includes all colocation space (approximately 32,452 sq. ft) located on the first (1st) floor of the Building, configured as a single data hall (the“1st Floor Data Hall” as described in Schedule “A-1” attached hereto; provided that: (a) prior to the Service Commencement Date with respect to 1st Floor Tranche 2 Colocation Space (defined below), the 1st Floor Colocation Space shall include only the 1st Floor Tranche 1 Colocation Space, and (b) prior to the Service Commencement Date with respect to 1st Floor Tranche 3 Colocation Space, the 1st Floor Colocation Space shall include only the 1st Floor Tranche 1 Colocation Space and 1st Floor Tranche 1 Colocation Space together with the1st Floor Tranche 2 Colocation Space • The “1st Floor Tranche 1 Colocation Space” consists of approximately 33.33% of the area within the 1st Floor Colocation Space, to which Critical Load Power (defined below) will be provided by the Supplier’s 1st Floor Tranche 1 Installations (defined below). • The “1st Floor Tranche 2 Colocation Space” consists of approximately 33.33% of the area within the 1st Floor Colocation Space, to which Critical Load Power (defined below) will be provided by the Supplier’s 1st Floor Tranche 2 Installations (defined below). • The “1st Floor Tranche 3 Colocation Space” consists of all of the area within the 1st Floor Colocation Space that is not included in the 1st Floor Tranche 1 Colocation Space and the 1st


 
2 Floor Tranche 2 Colocation Space, to which Critical Load Power will be provided by the Supplier’s 1st Floor Tranche 3 Installations. (ii) Pathway: The “Pathway” under this Service Order consists of the 1st Floor Pathway (defined below).together with the 2nd Floor Pathway (defined below).. The “2nd Floor Pathway” is described in Schedule “A-2” attached hereto. The “1st Floor Pathway” is described in Schedule “A-2” attached hereto. (iii) Support Space: The “Support Space” under this Service Order consists of the unfinished flexible office/storage space described in Schedule “A-3” attached hereto. Customer may elect to configure and improve such Support Space as office or storage space (or in part as office space and in part as storage space). (b) Electrical Power: (i) Critical Load Power: Supplier shall furnish electricity as Critical Load Power to the UPS/s and PDUs serving each applicable portion of the Colocation Space up to the “Electrical Power Threshold” specified in and otherwise in accordance with the specifications set forth in Paragraph 1 of Part I of Schedule “D”. The obligation of Supplier to so provide electricity shall be subject to the rules and regulations of the supplier of such electricity and of any governmental authorities regulating providers of electricity and shall be limited to providing the Electrical Power Threshold (for each applicable portion of the Collocation Space) specified in Paragraph 1 of Part I of Schedule “D”. (ii) Back Up Power: Supplier shall use commercially reasonable efforts to maintain battery capacity in the UPS plant for Customer UPS power as specified in Paragraph 2 of Part I of Schedule “D”, and in the event of an interruption of electrical service to the Colocation Space, Supplier shall reasonably promptly thereafter contract with a third party vendor to provide fuel to the fuel tanks of the back up power systems described in Paragraph 3 of Part I of Schedule “D” (the “Back Up Power Systems”) for the duration of such interruption. Unless any such interruption in electrical service was caused by any act or omission of Supplier or any of Supplier’s employees, agents, or contractors, Customer shall reimburse Supplier for all costs incurred by Supplier in causing the Back Up Power Systems to provide electricity to the Building (including, without limitation, the cost of fuel). Except as expressly set forth in Paragraph 2 and Paragraph 3 Part I of Schedule “D”, Customer shall be solely responsible for all emergency, supplemental or back-up power systems (“Back-Up Power”) for use in the Customer Space. (c) Colocation Space Environment: Supplier shall use commercially reasonable efforts to: (a) maintain temperature in the Colocation Space within the range specified in Paragraph 4(a) of Part I of Schedule “D”, (b) maintain relative humidity in the Colocation Space within the range specified in Paragraph 4(b) of Part I of Schedule “D”, and (c) maintain the dew point in the Colocation Space below the Maximum Dew Point specified in Paragraph 4(c) of Part I of Schedule “D”. (d) Security: Supplier shall provide physical security measures and systems in accordance with the MCSA. (e) Other Services: During the Service Term, Supplier shall provide access to the Building’s loading dock facilities twenty-four (24) hours a day, seven (7) days a week, subject to prior coordination with Supplier and Suppliers’s reasonable rules and regulations for access to the Building’s loading dock facilities (f) Meet Me Room; Customer MMR Space; Cross Connections: (i) Meet Me Room The portions of the Building designated as the “Meet Me Rooms” on Schedule “A-4” attached hereto serves as the common interconnection area within the Building. The Meet Me Room may also be referred to herein as the “MMR”. All interconnections between the systems of Customer (or its sublicensee) and those of telecommunications carriers must be made in the Meet Me Room. Customer (or its sublicensee) is responsible for the costs and installations of all cable(s) and/or fiber: (a) between the Colocation Space and the Meet Me Room are made and (b) within the Pathway. Customer (or its sublicensee) acknowledges that the Meet Me Room (and the Customer MMR Space) is not part of the Customer Space, the Meet Me Room is operated by the MMR Operator (defined below), and that all operations in the Meet Me Room, and all Customer (or its sublicensee) presence in the Meet Me Room, including, but not limited to, Cross Connections, are governed and controlled by the MMR Operator; each and all of which is subject to such agreements and costs as are required, from time


 
3 to time, by the MMR Operator. The “MMR Operator” is the person or entity appointed by Supplier as such (which, as of the date hereof, is Prime DC Asset Management LLC. (ii) Customer MMR Space The “Customer MMR Space” shall consist of all of the space in the cabinets described in Schedule “A-4” in the Meet Me Rooms, in a location or locations to be mutually agreed upon by Supplier and Customer. (iii) Cross Connections: All interconnections between the systems of Customer (or its sublicensee) and those of telecommunications carriers (“Cross Connections”) must be made in the Customer MMR Space in the Meet Me Room. Customer (or its sublicensee) is responsible for the costs and installations of all cable(s) and/or fiber: (a) between the Colocation Space and the Meet Me Room are made and (b) within the Pathway. Customer (or its sublicensee) acknowledges that the Meet Me Room (and the Customer MMR Space) is not part of the Customer Space, the Meet Me Room is operated by the MMR Operator, and that all operations in the Meet Me Room, and all Customer (or its sublicensee) presence in the Meet Me Room, including, but not limited to, Cross Connections, are governed and controlled by the MMR Operator; each and all of which is subject to such agreements and costs as are required, from time to time, by the MMR Operator. Customer (or its sublicensee) may request that Supplier cause the MMR Operator (at Customer’s expense) to make such Cross Connections on behalf of Customer (or its sublicensee) in accordance with standard practices which shall be consistent with Comparable Owner Practices. (g) Other Warm Hands Services: None (h) Interruption of Services: Supplier acknowledges that Customer’s (or its sublicensee’s) business operations require the continuous provision of electrical power and HVAC to the Colocation Space in accordance with the standards, and in the amounts, specified to be provided by Supplier to each of the Colocation Spaces in the table included in Part I of Schedule “D” attached hereto (collectively, the “Critical Services”). In the event of any interruption of Critical Services, Supplier shall use commercially reasonable efforts to restore such service or cause the same to be restored as soon as reasonably possible, and as Customer’s sole and exclusive remedy for such interruption, Customer shall be entitled to the remedies therefor specified in Part II of the Schedule “D” attached hereto (the “Service Level Agreement”). Except as expressly provided in the Service Level Agreement, no interruption, failure or malfunction of any electrical or other service (including, without limitation, HVAC service) to the Customer Space (or to any other portion of Facility) shall, in any event: (a) constitute an eviction or disturbance of Customer’s use and possession of the Customer Space, (b) constitute a Supplier Default, (c) render Supplier liable for damages of any type or entitle Customer to be relieved from any of its obligations under this Agreement (including the obligation to pay Charges), (d) grant Customer any right of setoff or recoupment, (e) provide Customer with any right to terminate this Agreement, or (f) make Supplier liable for any injury to or interference with Customer’s business or any punitive, incidental or consequential damages (of any type), whether foreseeable or not. 4. Installations: (a) Supplier’s Installations: “Supplier’s Installations” means all of the following: (a) With respect to the 2nd Floor Colocation Space, all of the items and installations described in Schedule “B-1” attached hereto (the “Supplier’s 2nd Floor Installations”), consisting of: (i) all of the items and installations of electrical infrastructure described as such in Schedule “B-1” attached hereto, together with the portion(s) of the items and installations of mechanical infrastructure described as such in Schedule “B-1” attached hereto that are required to cause the 2nd Floor Tranche 1 Colocation Space to pass the Acceptance Tests with respect thereto designated in Schedule “E” attached hereto (the “Supplier’s 2nd Floor Tranche 1 Installations”), and (ii) all of the items and installations described in Schedule “B-1” attached hereto in addition to the Supplier’s 2nd Floor Tranche 1 Installations (the “Supplier’s 2nd Floor Tranche 2 Installations”); and (b) With respect to the 1st Floor Colocation Space, all of the items and installations described in Schedule “B-2” attached hereto (the “Supplier’s 1st Floor Installations”), consisting of: (i) all of the items and installations of electrical infrastructure described as such in Schedule “B-2” attached hereto, together with the portion(s) of the items and installations of mechanical infrastructure described as such in Schedule “B-2” attached hereto that are required to cause the 1st Floor Tranche 1 Colocation Space to pass the Acceptance Tests


 
4 with respect thereto designated in Schedule “E” attached hereto (the “Supplier’s 1st Floor Tranche 1 Installations”), (ii) all of the items and installations of electrical infrastructure described as such in Schedule “B-2” attached hereto, together with the portion(s) of the items and installations of mechanical infrastructure described as such in Schedule “B-2” attached hereto that are required to cause the 1st Floor Tranche 2 Colocation Space( together with the 2nd Floor Tranche 1 Colocation Space) to pass the Acceptance Tests with respect thereto designated in Schedule “E” attached hereto (the “Supplier’s 2nd Floor Tranche 2 Installations”), and (iii) all of the items and installations described in Schedule “B-2” attached hereto in addition to the Supplier’s 1st Floor Tranche 1 Installations and 1st Floor Tranche 2 Installations (the “Supplier’s 2nd Floor Tranche 3 Installations”). (b) Customer’s Installations: Customer (or its sublicensee) will provide all Customer Equipment. Customer (or its sublicensee) is responsible for the selection, use, compatibility, monitoring and support of all Customer Equipment. Except as expressly provided in the MCSA, shall have no liability: (a) for the installation, operation, management or maintenance of any Customer Equipment; (b) if any change in the Services renders any Customer Equipment obsolete or requires modification to any Customer Equipment; (c) if any modification or configuration performed by Customer (or its sublicensee) of any Customer Equipment impairs the performance of the Services. Customer (or its sublicensee) shall promptly remove any Customer Equipment that Supplier advises is causing, or is likely to cause, a hazard to, interference with or obstruction of the Services. If and to the extent that any modifications to the Building systems are required to accommodate any nonlinear loads imposed by any Customer Equipment (or to eliminate or remediate any problems caused by any such nonlinear loads), Supplier shall make such modifications and all costs incurred by Supplier in making such modifications shall be Out-of-Pocket Expenses and shall be reimbursed by Customer in accordance with Section 4.3 of the MCSA. Except as expressly provided otherwise herein or in any other Service Order, Customer (or its sublicensee) shall, at its sole cost and expense, be responsible for the installation of: (a) all power circuits and rack grounding to the base Building grounding grid system required to distribute in the Colocation Space the electrical power delivered by Supplier from the Power Distribution Units (“PDUs”) serving the Colocation Space (including, without limitation, all Remote Power Panels/Panelboards (“RPPs”), power distribution whips, receptacles and other electrical installations), (b) a cold/hot aisle containment system with respect to the entire Colocation Space, (c) any and all installations and or equipment that are required to transform the electrical power delivered by Supplier to the RPP/PDUs serving the Colocation Space in any manner required by Customer’s Customer Equipment, and (d) for all cabinets, ladder rack, cable management, racks, other containment solutions and other installations that are required for use of the Colocation Space and Customer (or its sublicensee) shall use a licensed electrical contractor reasonably approved by Supplier to perform any tap-in or connection to the Building’s electrical system located at the RPP/PDUs that are required to distribute electrical power in the Colocation Space. 5. Services Commencement Date; Service Term; Extension Option(s); Early Termination Option(s): (a) Service Commencement Date: (i) 2nd Floor Colocation Space The “Service Commencement Date”: (a) With respect to the 2nd Floor Tranche 1 Colocation Space means (and shall occur on) the date on which all of the Commencement Date Conditions (defined below) are satisfied with respect to the 2nd Floor Tranche 1 Colocation Space; and (b) With respect to the 2nd Floor Tranche 2 Colocation Space means (and shall occur on) the date on which all of the Commencement Date Conditions are satisfied with respect to the 2nd Floor Tranche 2 Colocation Space. The “Commencement Date Conditions” (i) With respect to the 2nd Floor Tranche 1 Colocation Space will be satisfied upon Supplier’s tender to Customer of delivery of possession of the 2nd Floor Tranche 1 Colocation Space and the 2nd Floor Pathway with all of the Supplier’s 2nd Floor Tranche 1 Installations


 
5 substantially completed, and upon passage of the Acceptance Tests (if any) that are specified in Schedule “E” attached hereto with respect to the 2nd Floor Tranche 1Colocation Space.; and (ii) With respect to the 2nd Floor Tranche 2 Colocation Space will be satisfied upon Supplier’s tender to Customer of delivery of possession of the 2nd Floor Tranche 2 Colocation Space with all of the Supplier’s 2nd Floor Tranche 2 Installations substantially completed, and upon passage of the Acceptance Tests (if any) that are specified in Schedule “E” attached hereto with respect to the 2nd Floor Tranche 2 Colocation Space (ii) 1st Floor Colocation Space The “Service Commencement Date”: (a) With respect to the 1st Floor Tranche 1 Colocation Space means (and shall occur on) the date on which all of the Commencement Date Conditions are satisfied with respect to the 1st Floor Tranche 1 Colocation Space; (b) With respect to the 1st Floor Tranche 2 Colocation Space means (and shall occur on) the date on which all of the Commencement Date Conditions are satisfied with respect to the 1st Floor Tranche 2 Colocation Space; and (c) With respect to the 1st Floor Tranche 3 Colocation Space means (and shall occur on) the date on which all of the Commencement Date Conditions are satisfied with respect to the 1st Floor Tranche 3 Colocation Space. The “Commencement Date Conditions”: (j) With respect to the 1st Floor Tranche 1 Colocation Space will be satisfied upon Supplier’s tender to Customer of delivery of possession of the 1st Floor Tranche 1 Colocation Space and the 1st Floor Pathway with all of the Supplier’s 1st Floor Tranche 1 Installations substantially completed, and upon passage of the Acceptance Tests (if any) that are specified in Schedule “E” attached hereto with respect to the 1st Floor Tranche 1 Colocation Space; (ii) With respect to the 1st Floor Tranche 2 Colocation Space will be satisfied upon Supplier’s tender to Customer of delivery of possession of the 1st Floor Tranche 2 Colocation Space with all of the Supplier’s 1st Floor Tranche 2 Installations substantially completed, and upon passage of the Acceptance Tests (if any) that are specified in Schedule “E” attached hereto with respect to the 1st Floor Tranche 2 Colocation Space; and (iii) With respect to the 1st Floor Tranche 3 Colocation Space will be satisfied upon Supplier’s tender to Customer of delivery of possession of the 1st Floor Tranche 3 Colocation Space with all of the Supplier’s 1st Floor Tranche 3 Installations substantially completed, and upon passage of the Acceptance Tests (if any) that are specified in Schedule “E” attached hereto with respect to the 1st Floor Tranche 3 Colocation Space. (b) Initial Service Term; Service Term: The “Initial Service Term” hereunder is approximately 120 months, commencing on the earlier of the Service Commencement Date with respect to the 2nd Floor Colocation Space and the Service Commencement Date with respect to the 1st Floor Colocation Space and expiring on the Initial Service Term Expiration Date. The “Initial Service Term Expiration Date” is the last day of the calendar month in which the date that is 120 months after the later of the Service Commencement Date for the 2nd Floor Tranche 2 Colocation Space and Service Commencement Date for the 1st Floor Tranche 3 Colocation Space. The “Service Term” hereunder refers to the Initial Service Term hereunder as it may be terminated earlier that the date set forth above or extended beyond the date set forth above. Following the occurrence of the later of the Service Commencement Date for the 2nd Floor Tranche 2 Colocation Space and Service Commencement Date for the 1st Floor Tranche 3 Colocation Space, Supplier and Customer shall execute a writing confirming the Initial Service Term Expiration Date and the Base MRC payable under the Agreement with respect to all of the Customer Space during each month of the Initial Service Term. (c) Option Term(s): None


 
6 (d) Early Termination Option(s): None 6. Charges (a) Monthly Recurring Charges (MRC): (i) Base MRC: (A) 2nd Floor Tranche 1 Colocation Space Subject to the limitations set forth in Section 6(i)(F) below, commencing on the Service Commencement Date with respect to the 2nd Floor Tranche 1 Colocation Space and continuing through the Initial Service Term, Customer shall pay Base MRC with respect to the 2nd Floor Tranche 1 Colocation Space at the following rates: Months of Service Term Critical Load Power (kW) Base MRC Rate ($/kW/mo.) Base MRC ($/mo.) SCD – 12* 6,000 [ ] [ ] 13 – 24 6,000 [ ] [ ] 25 – 36 6,000 [ ] [ ] 37 – 48 6,000 [ ] [ ] 49 – 60 6,000 [ ] [ ] 61 – 72 6,000 [ ] [ ] 73 – 84 6,000 [ ] [ ] 85 - 96 6,000 [ ] [ ] 97 – 108 6,000 [ ] [ ] 109 - 120 6,000 [ ] [ ] 121 – ISTED** 6,000 [ ] [ ] * “SCD” refers to the Service Commencement Date with respect to the 2nd Floor Tranche 1 Colocation Space (targeted for February 1, 2025), and if the Service Commencement Date with respect to the 2nd Floor Tranche 1 Colocation Space occurs on any other than the first day of a calendar month, “Month 12” will be the twelfth (12th) full calendar month after the Service Commencement Date with respect to the 2nd Floor Tranche 1 Colocation Space. ** “ISTED” refers to the Initial Service Term Expiration Date. (B) 2nd Floor Tranche 2 Colocation Space Subject to the limitations set forth in Section 6(i)(F) below, commencing on the Service Commencement Date with respect to the 2nd Floor Tranche 2 Colocation Space and continuing through the Initial Service Term, Customer shall pay Base MRC with respect to the 2nd Floor Tranche 2 Colocation Space at the following rates: Months of Service Term Critical Load Power (kW) Base MRC Rate ($/kW/mo.) Base MRC ($/mo.) SCD – 12* 6,000 [ ] [ ] 13 – 24 6,000 [ ] [ ] 25 – 36 6,000 [ ] [ ] 37 – 48 6,000 [ ] [ ] 49 – 60 6,000 [ ] [ ] 61 – 72 6,000 [ ] [ ] 73 – 84 6,000 [ ] [ ] 85 - 96 6,000 [ ] [ ] 97 – 108 6,000 [ ] [ ] 109 - 120 6,000 [ ] [ ] 121 – ISTED 6,000 [ ] [ ] * “SCD” refers to the Service Commencement Date with respect to the 2nd Floor Tranche 2 Colocation Space (targeted for June 1, 2025), and “Month 12” is the twelfth (12th) full calendar month after the Service Commencement Date with respect to the 2nd Floor Tranche 1 Colocation Space (and because the Service Commencement Date with respect to the 2nd Floor Tranche 2 Colocation Space will occur after the Service Commencement Date with respect to the 2nd Floor Tranche 1 Colocation Space, this period (“SCD – Month 12”) will include less than twelve (12) months).


 
7 (C) 1st Floor Tranche 1 Colocation Space: Subject to the limitations set forth in Section 6(i)(F) below, commencing on the Service Commencement Date with respect to the 1st Floor Tranche 1 Colocation Space and continuing through the Initial Service Term, Customer shall pay Base MRC with respect to the 1st Floor Tranche 1 Colocation Space at the following rates: Months of Service Term Critical Load Power (kW) Base MRC Rate ($/kW/mo.) Base MRC ($/mo.) SCD – 12*,** 3,000 [ ] [ ] 13 – 24 3,000 [ ] [ ] 25 – 36 3,000 [ ] [ ] 37 – 48 3,000 [ ] [ ] 49 – 60 3,000 [ ] [ ] 61 – 72 3,000 [ ] [ ] 73 – 84 3,000 [ ] [ ] 85 - 96 3,000 [ ] [ ] 97 – 108 3,000 [ ] [ ] 109 - 120 3,000 [ ] [ ] 121 – ISTED 3,000 [ ] [ ] * “SCD” refers to the Service Commencement Date with respect to the 1st Floor Tranche 1 Colocation Space (targeted for June 1, 2025), and “Month 12” is the twelfth (12th) full calendar month after the Service Commencement Date with respect to the 2nd Floor Tranche 1 Colocation Space (and because the Service Commencement Date with respect to the 1st Floor Tranche 1 Colocation Space will occur after the Service Commencement Date with respect to the 2nd Floor Tranche 1 Colocation Space, this period (“SCD – Month 12”) will include less than twelve (12) months). (D) 1st Floor Tranche 2 Colocation Space Subject to the limitations set forth in Section 6(i)(F) below, commencing on the Service Commencement Date with respect to the 1st Floor Tranche 2 Colocation Space and continuing through the Initial Service Term, Customer shall pay Base MRC with respect to the 1st Floor Tranche 2 Colocation Space at the following rates: Months of Service Term Critical Load Power (kW) Base MRC Rate ($/kW/mo.) Base MRC ($/mo.) SCD – 12* 3,000 [ ] [ ] 13 – 24 3,000 [ ] [ ] 25 – 36 3,000 [ ] [ ] 37 – 48 3,000 [ ] [ ] 49 – 60 3,000 [ ] [ ] 61 – 72 3,000 [ ] [ ] 73 – 84 3,000 [ ] [ ] 85 - 96 3,000 [ ] [ ] 97 – 108 3,000 [ ] [ ] 109 - 120 3,000 [ ] [ ] 121 – ISTED 3,000 [ ] [ ] * “SCD” refers to the Service Commencement Date with respect to the 1st Floor Tranche 2 Colocation Space (targeted for September 1, 2025), and “Month 12” is the twelfth (12th) full calendar month after the Service Commencement Date with respect to the 2nd Floor Tranche 1 Colocation Space (and because the Service Commencement Date with respect to the 1st Floor Tranche 2 Colocation Space will occur after the Service Commencement Date with respect to the 2nd Floor Tranche 1 Colocation Space, this period (“SCD – Month 12”) will include less than twelve (12) months).


 
8 (E) 1st Floor Tranche 3 Colocation Space Subject to the limitations set forth in Section 6(i)(F) below, commencing on the Service Commencement Date with respect to the 1st Floor Tranche 3 Colocation Space and continuing through the Initial Service Term, Customer shall pay Base MRC with respect to the 1st Floor Tranche 3 Colocation Space at the following rates: Months of Service Term Critical Load Power (kW) Base MRC Rate ($/kW/mo.) Base MRC ($/mo.) SCD – 12* 3,000 [ ] [ ] 13 – 24 3,000 [ ] [ ] 25 – 36 3,000 [ ] [ ] 37 – 48 3,000 [ ] [ ] 49 – 60 3,000 [ ] [ ] 61 – 72 3,000 [ ] [ ] 73 – 84 3,000 [ ] [ ] 85 - 96 3,000 [ ] [ ] 97 – 108 3,000 [ ] [ ] 109 - 120 3,000 [ ] [ ] 121 – ISTED** 3,000 [ ] [ ] * “SCD” refers to the Service Commencement Date with respect to the 1st Floor Tranche 3 Colocation Space (targeted for September 1, 2025), and “Month 12” is the twelfth (12th) full calendar month after the Service Commencement Date with respect to the 2nd Floor Tranche 1 Colocation Space (and because the Service Commencement Date with respect to the 1st Floor Tranche 3 Colocation Space will occur after the Service Commencement Date with respect to the 2nd Floor Tranche 1 Colocation Space, this period (“SCD – Month 12”) will include less than twelve (12) months). ** If applicable. (F) Ramp Period Limitation: Notwithstanding anything to the contrary in this Section 6(i), during each of the first twelve (12) months of the Initial Service Term and if applicable, any partial calendar month in which the Service Commencement Date for the 2nd Floor Tranche 1 Colocation Space occurs (the “Ramp Period”), Customer shall have no obligation to pay Base MRC under Sections 6(i)(A), 6(i)(B), 6(i)(C), 6(i)(D), and 6(i)(E) above in an aggregate amount in excess of the amount specified in this Section 6(i)(F) as the “Base MRC Ramp Max Amount” for such calendar month (or partial month), and any amount that would otherwise (but for this Section (i)(F) be payable for any month in excess of the Base MRC Ram Max Amount for such month shall be abated.: Month of Initial Service Term Critical Load Power (kW) Base MRC Rate ($/kW/mo.) Base MRC Ramp Max Amount ($/mo.) 1* 3,000 [ ] [ ] 2 6,000 [ ] [ ] 3 6,000 [ ] [ ] 4 6,000 [ ] [ ] 5 9,000 [ ] [ ] 6 12.000 [ ] [ ] 7 15.000 [ ] [ ] 8 16,500 [ ] [ ] 9 18,000 [ ] [ ] 10 18,000 [ ] [ ] 11 19,500 [ ] [ ] 12 21,000 [ ] [ ] * If the Service Commencement Date for the 2nd Floor Tranche 2 Colocation Space occurs on any day other than the first day of a calendar month, “Month 1” will include the partial calendar month in which such Service Commencement date occurs and the full calendar month which follows such calendar month and the Base MRC Ramp Max Amount for such partial calendar month shall be prorated based on the days in the applicable calendar month and the number of days remaining in such calendar month after the Service Commencement date, and the Base MRC Ramp Max Amount Base MRC Ramp Max Amount for the following full calendar month will be the amount specified above.


 
9 (ii) Electrical Power Charges: With respect to each Colocation Space (i.e., each of the 2nd Floor Colocation Space and the 1st Floor Colocation Space), Customer shall pay Electrical Power Charges (as defined in Schedule “C”) to Supplier in accordance with Schedule “C”. (iii) Increases in Property Taxes With respect to each Tax Year (defined below) after the Base Tax Year (defined below), Customer shall also pay to Supplier upon demand, Customer’s Tax Share (defined below) of the positive excess, if any, of the Property Taxes (defined below) allocable hereunder to such Tax Year, over the Base Property Taxes (defined below); provided that for purposes of determining the amount payable under this Section 6(a)(iii), the Property Taxes allocable hereunder to any Tax Year after the Base Tax Year shall only amount to that excess amount that exceeds the Property Taxes of the previous year inflated at a rate of 3.5% per annum. “Tax Year” means each 12 month period beginning on July 1 of a calendar year and ending on June 30 of the following calendar year which occurs all or in part during the Term. “Base Property Taxes” means the Property Taxes allocable hereunder to the Base Tax Year, which if applicable (i.e., if the Facility is not completed and fully assessed during the Base Tax Year), shall be adjusted to reflect the assessed value of the completed and fully assessed Facility. “Base Tax Year” means the Tax Year in which first day of the Initial Service Term occurs. “Property Taxes” means all real property taxes, assessments, fees, charges, or impositions and other similar governmental or quasi-governmental ad valorem or other similar charges levied on or attributable to the Facility or its ownership, operation, transfers or leasing of any and every type, kind, category or nature, whether direct or indirect, general or special, ordinary or extraordinary and all taxes, assessments, fees, charges or similar impositions imposed in lieu or substitution (partially or totally) of the same. “Customer’s Tax Share” means a fraction, expressed as a percentage, having as its numerator, the number of square feet of Colocation Space, and having as its denominator, the total number of square feet of colocation space in the Facility. (iv) Increases in Operating Costs None. (v) Cross Connections: None (b) Non-Recurring Charges (NRC) (i) Installation Fee: None (ii) Cross Connections: Prevailing charges for Cross Connections. (vi) Other NRC: None 7. Reimbursement of Out-of-Pocket Expenses: Customer shall reimburse Supplier in accordance with Section 4.3(b) of the MCSA, for the Out-of- Pocket Expenses (i.e., Out-of-Pocket Supply Expenses and Out-of-Pocket Service Expenses) described in Schedule “E” attached hereto, plus a ten percent (10%) administrative fee thereon. 8. Security a. Security Deposit: None b. Letter of Credit: None. c. Guaranty: None 9. Notice Addresses: See Schedule “F” attached hereto. 10. Payment Addresses/Instructions: See Schedule “G” attached hereto 11. Supplier’s Pre-Approved Contractors: See Schedule “H” attached hereto. ] 12. Customer (or its Sublicensee) Policies: See Schedule “I” attached hereto. 13. Other Terms: Supplier has consented to a sublicense (the “Initial Sublicense”) by Customer to Lambda, Inc., a Delaware corporation (“Customer’s Sublicensee”) of all of its rights under this Service Order (and


 
10 the corresponding Agreement) pursuant to a Consent to Sublicense dated on or about the date hereof between Supplier, Customer and Customer’s Sublicensee. Notwithstanding anything to the contrary in the MCSA (defined below), including Section 5.4(j) thereof, if the Initial Sublicense terminates prior to expiration of the Service Term, provided that the entity designated as the “Customer” herein, or its Successor (defined below), shall continue to be the Customer under this Service Order (and the corresponding Agreement) Supplier shall not withhold its consent to any proposed sublicense by Customer of all of its rights under this Service Order (and the corresponding Agreement) to a third party unless: (a) the proposed transferee is of a character or demonstrated reputation or engaged in a business which is materially inconsistent with the quality of the Facility, (b) the proposed transferee intends to use the Customer Space for purposes which are not permitted under the Agreement, (c) the proposed transferee has the power of eminent domain, is a governmental agency or an agency or subdivision of a foreign government, (d) the proposed transferee (or any affiliate of the proposed transferee) is a tenant or occupant of the Facility or a party with which Supplier has been negotiating for a lease or license of space (and critical power) in or at the Facility in the prior six (6) months, (e) if there has been a material decline in Customer’s financial strength and/or credit the proposed transferee does not, in Supplier’s reasonable determination, have the financial strength (taking into account all of the proposed transferee’s other obligations and liabilities) to perform its obligations with respect to the proposed transfer, (f) the proposed transferee: (i) has been debarred, suspended, excluded or disqualified from doing business with the United States Government; or (ii) is listed on the Excluded Parties List System maintained by the General Services Administration of the United States Government (found at www.epls.gov); or (iii) is an entity with which U.S. entities are prohibited from transacting business of the type contemplated by the Agreement or with which U.S. entities must limit their interactions to types approved by the OFAC, such as by Law, executive order, trade embargo, economic sanction, or lists published by OFAC, (g) any ground lessor or mortgagee whose consent to such transfer is required fails or refuses to consent thereto, (h) the proposed transfer would cause a violation of another lease or license for space in the Facility, or would give an occupant of the Facility a right to cancel its lease or other occupancy agreement, or (i) an uncured Customer Default exists at the time Customer requests consent to the proposed transfer. “Successor” means, with respect to any entity: (x) an entity which is the result of a conversion of such entity from one form of entity to a different form of entity recognized by, and qualified to do business in, the State of California (such as, by way of example only, a conversion from a corporation to a limited liability company), (y) any successor corporation or other entity resulting from a merger, consolidation, acquisition or other action with respect to such entity, or (z) another entity that purchases all or substantially all of the assets of such entity or of the parent company of such entity.


 
11 All of the terms and conditions of that certain Master Colocation Services Agreement (“MCSA”) dated on or about the date hereof between Supplier and Customer (as the same may have been amended prior to the date hereof) are hereby incorporated herein by this reference. PROVIDER: CUSTOMER: 4701 SANTA FE, LLC, a Delaware limited liability company SUPER MICRO COMPUTER, INC. a Delaware corporation By: /s/ Nicholas Laag Name: Nicholas Laag Title: Authorized Signatory By: /s/ Charles Liang Name: Charles Liang Title: President and Chief Executive Officer Service Effective Date: June 15, 2024


 
Master Colocation Services Agreement Service Order MCSA-001 1 Schedule “A-1” Colocation Space [ ]


 
Master Colocation Services Agreement Service Order MCSA-001 1 Schedule “A-2” Pathway [ ]


 
Master Colocation Services Agreement Service Order MCSA-001 1 Schedule “A-3” Support Space [ ]


 
Master Colocation Services Agreement Service Order MCSA-001 1 Schedule “A-4” Meet Me Rooms [ ]


 
Master Colocation Services Agreement Service Order MCSA-001 1 Schedule “B-1” Supplier’s Installations – 2nd Floor Colocation Space [ ]


 
Master Colocation Services Agreement Service Order MCSA-001 1 Schedule “B-2” Supplier’s Installations – 1st Floor Colocation Space [ ]


 
Master Colocation Services Agreement Service Order MCSA-001 1 Schedule “C: Electrical Power Charges 1. Definitions “Electrical Metering Equipment” means an electrical metering device (or electrical metering devices) for monitoring the electricity delivered as Critical Load Power to each applicable portion of the Colocation Space at the applicable Electrical Delivery Point specified in Paragraph 1 of Part I of Schedule “D” (and to each that is compatible with Supplier’s energy management system), and to all other colocation space in the Building, at the same point. “Electrical Billing Period” means the period to which any bill for electrical power and electrical energy that is delivered by the electrical utility that provide electrical power to the Facility applies. "Customer’s Electrical Share” means, for any Electrical Billing Period, a fraction, (a) having as its numerator, the number of kWh of electrical energy delivered as Critical Load Power to the Colocation Space during such Electrical Billing Period, and (b) having as its denominator, the number of kWh of electrical energy delivered as Critical Load Power to all colocation space (including the Colocation Space) during such Electrical Billing Period, in each case, as determined by the Electrical Metering Equipment. “Electrical Power Charge” means, for each Electrical Billing Period, the product of: (a) Customer’s Electrical Share for such Electrical Billing Period and (b) the total amount payable by Supplier to the electrical utility for all electrical power and energy delivered to the Facility during such Electrical Billing Period (as indicated on the applicable bill or bills from such utility for such period). 2. Payment. Except to the extent the same is to be installed as part of Supplier’s Installations (or presently exists) the Electrical Metering Equipment shall be installed by Supplier at Customer’s cost (and Customer shall reimburse Supplier for the cost of installing the same (as Out-of- Pocket Expenses) in accordance with Section 4.3 of the MCSA), and Supplier shall bill Customer periodically for the Electrical Power Charges. Customer shall pay the Electrical Power Charges to Supplier within thirty (30) days of Supplier’s delivery of an invoice with respect to each such Electrical Power Charges. Supplier and Customer acknowledge that the Electrical Power Charges are intended to reimburse Supplier for costs associated with the operation of the mechanical equipment serving the applicable Data Hall and that it is the intent of the parties that this Schedule “C” represents a mechanism only for Supplier’s cost recovery with regard to electricity provided to and/or used in or with respect to the Collocation Space, and that there is no intent for the Electrical Power Charges to include any element of profit to the Supplier in connection therewith.


 
Master Colocation Services Agreement Service Order MCSA-001 1 Schedule “D” Service Level Agreement Part I - Specifications 1. Electricity Consumption, Threshold/Specifications: (a) 2nd Floor Colocation Space: Prior to the Service Commencement Date with respect to the 2nd Floor Tranche 2 Colocation Space:: Six (6) MW (measured at the supply side of the UPS for Floor 2 Data Hall) in a block redundant configuration; and From and after the Service Commencement Date with respect to the 2nd Floor Tranche 2 Colocation Space:: Twelve (12) MW (measured at the supply side of the UPS for Floor 2 Data Hall) in a block redundant configuration (b) 1st Floor Colocation Space: Prior to the Service Commencement Date with respect to the 1st Floor Tranche 2 Colocation Space:: Three (3) MW (measured at the supply side of the UPS for Floor 2 Data Hall) in a block redundant configuration From and after the Service Commencement Date with respect to the 1st Floor Tranche 2 Colocation Space and prior to the Service Commencement Date with respect to the 1st Floor Tranche 3 Colocation Space: Six (6) MW (measured at the supply side of the UPS for Floor 2 Data Hall) in a block redundant configuration From and after the Service Commencement Date with respect to the 1st Floor Tranche 3 Colocation Space: Nine (9) MW (measured at the supply side of the UPS for Data Hall 2) in a block redundant configuration. 2. Target Battery Capacity: (a) 2nd Floor Colocation Space: Prior to the Service Commencement Date with respect to the 2nd Floor Tranche 2 Colocation Space:: 4 minutes EOL at 6 MW From and after the Service Commencement Date with respect to the 2nd Floor Tranche 2 Colocation Space:: 4 minutes EOL at 12 MW. (b) 1st Floor Colocation Space: Prior to the Service Commencement Date with respect to the 1st Floor Tranche 2 Colocation Space:: 4 minutes EOL and 3 MW From and after the Service Commencement Date with respect to the 1st Floor Tranche 2 Colocation Space and prior to the Service Commencement Date with respect to the 1st Floor Tranche 3 Colocation Space: 4 minutes EOL at 6 MW From and after the Service Commencement Date with respect to the 1st Floor Tranche 3 Colocation Space: 4 minutes EOL at 9 MW. 3. Back-up Generators: Building generators are maintained annually by Supplier’s engineering staff. Back-up Power is included in all AC amperage usage. 4. HVAC Specs: 3,412 total tons delivered to the 2nd Floor Data Hall (approximately 1,706 total tons prior to the Service Commencement Date with respect to the 2nd Floor Tranche 2 Colocation Space), and 2,559 total tons delivered to the 1st Floor Data Hall (approximately 853 total tons prior to the Service Commencement Date with respect to the 1st Floor Tranche 2 Colocation Space, and approximately 1,706 total tons from and after the Service Commencement Date with respect to the 1st Floor Tranche 2 Colocation Space and prior to the Service Commencement Date with respect to the 1st Floor Tranche 3 Colocation Space). Such systems are dedicated to the applicable Data Halls, and are maintained by Supplier’s engineering staff. (a) Target Temperature: Within the “Allowable” range for a Data Hall Environment as defined by ASHRAE TC 9.9 “Thermal Guidelines for Data Processing Environments,” Recommended Class A2, as issued in 2021, as measured between two (2) and five (5) feet above the floor in the cold aisles within the Data Hall. *


 
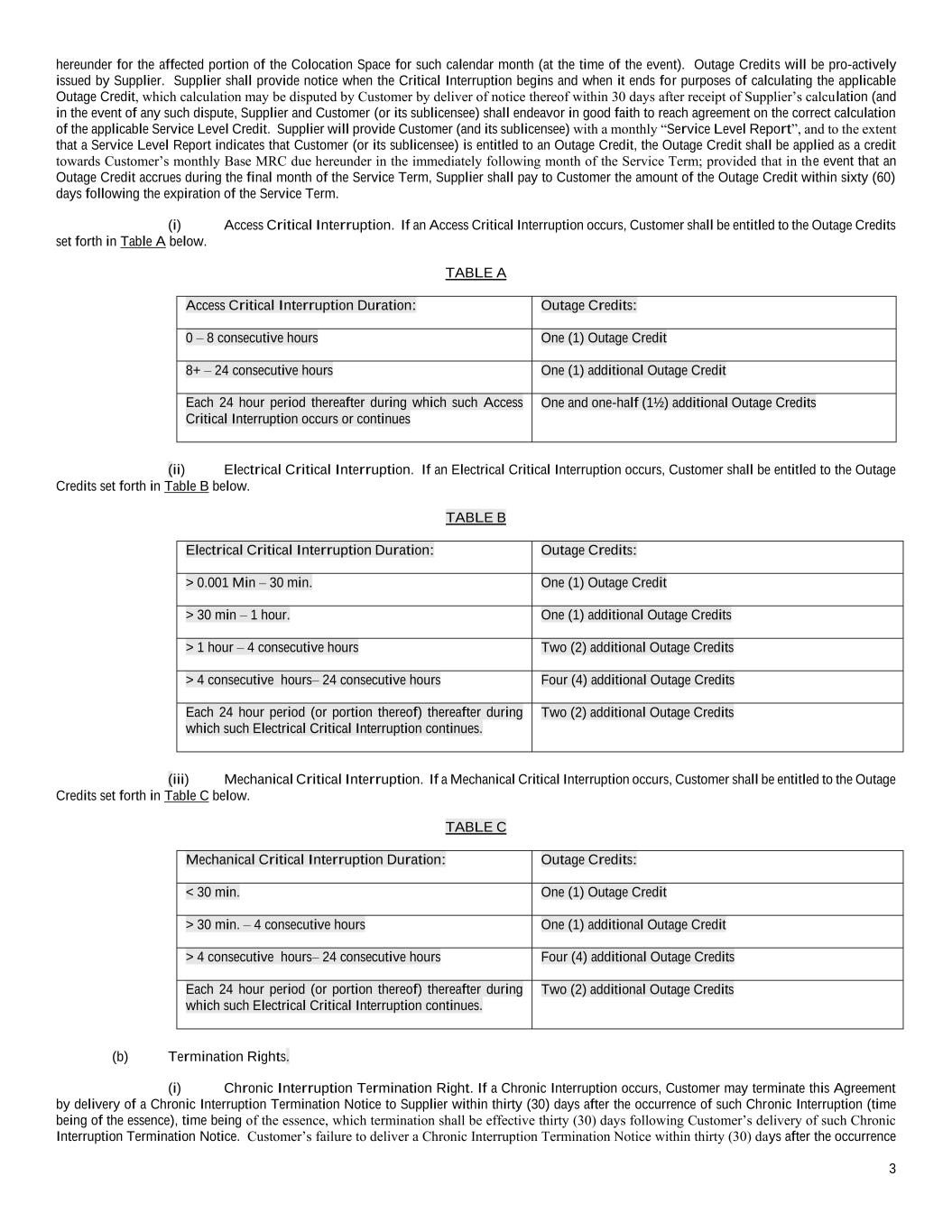
2 (b) Target Relative Humidity: Within the “Allowable” range for a Data Hall Environment as defined by ASHRAE TC 9.9 “Thermal Guidelines for Data Processing Environments,” Allowable Class A2, as issued in 2021, as measured between two (2) and five (5) feet above the floor in the cold aisles within the Data Hall. * (c) Maximum Dew Point: 69.8 degrees Fahrenheit 5. Maximum Structural Load: 425 pounds of live load per square foot. Any cabinets, cages or partitions installed in the Colocation Space (whether installed by Supplier or Customer) shall be included in the calculation of the live load. Any single cabinet/equipment over 3500 lbs to be installed by customer or customers contractor needs to be reviewed and approved by supplier. PART II – REMEDY FOR CRITICAL INTERRUPTIONS 1. Definitions. (a) “Access Critical Interruption” means Customer’s (or its sublicensee’s) inability to access a material portion of the Colocation Space during the Service Term, for a period in excess of the Eligibility Period, for any reason as a direct result of Supplier’s actions or inactions (excluding Force Majeure and Casualty), such that the operation of Customer’s (or its sublicensee’s) business in the applicable portion of the Colocation Space are materially and adversely impacted, and provided that Customer (or its sublicensee) has immediately provided notice Supplier’s Emergency Contacts in accordance with the MCSA of any perceived Access Critical Interruption. Notwithstanding the foregoing, no Access Critical Interruption shall be deemed to have occurred if Customer’s (or its sublicensee’s) inability to access a portion of the Colocation Space is the result of (i) Supplier’s non-discriminatory and reasonable enforcement of those rules specifically concerning security or (ii) operation or enforcement of any of the terms and conditions of the Agreement. (b) “Chronic Interruption” means the occurrence of three (3) or more separate Critical Interruptions within any four (4) month period during the Service Term, regardless of duration. (c) “Chronic Interruption Termination Notice” means written notice from Customer to Supplier, delivered within thirty (30) days after the occurrence of a Chronic Interruption, that Customer is terminating this Agreement as a result of a Chronic Interruption. (d) “Critical Interruption” means any Access Critical Interruption, any Electrical Critical Interruption or any Mechanical Critical Interruption. Notwithstanding anything to the contrary set forth herein, Critical Interruptions occur within a twenty-four (24) hour period and that are connected to the same root cause shall be treated as a single Critical Interruption. (e) “Electrical Critical Interruption” means any interruption during the Term, for a period in excess of the Eligibility Period, of the electrical service to both the A-side and the B-side of PDUs supplying electrical power to the Customer Equipment within a portion of the Colocation Space, provided that such interruption is not caused by: (i) any Casualty or Force Majeure event, (ii) the consumption of Critical Load Power in excess of the Electrical Power Threshold with respect to the applicable portion of the Colocation Space, (iii) any failure or malfunction of any Customer Equipment or other personal property, (iv) any failure of Customer to cause all Customer Equipment and other personal property within the Colocation Space to be dual-corded, or (v) any other act or omission of Customer. (f) “Eligibility Period” means: (i) with respect to an Electrical Critical Interruption, any interruption for any duration; (ii) with respect to an Access Critical Interruption, sixty (60) consecutive minutes; and (iii) with respect to a Mechanical Critical Interruption sixty (60) consecutive minutes. (g) “Mechanical Critical Interruption” means any failure during the Service Term, for a period in excess of the Eligibility Period, of the HVAC service to a portion of the Colocation Space to be within the parameters identified in Items 4(a) and 4(b) of Part I above, provided that such interruption is not caused by: (i) any Casualty or Force Majeure event, (ii) the consumption of Critical Load Power in excess of the Electrical Power Threshold with respect to the applicable portion of the Colocation Space, (iii) any failure or malfunction of any Customer Equipment or other personal property, or (iv) any other act or omission of Customer (including a failure of Customer to provide proper containment). (h) “Outage Credit” means the quotient achieved by dividing: (i) the monthly Base MRC attributable to the portion of the Colocation Space affected by the applicable Critical Interruption for the calendar month in which the applicable Critical Interruption occurred by (ii) the actual number of days in such calendar month. (i) “Sustained Interruption” means any Critical Interruption that continues for ten (10) consecutive days. (j) “Sustained Interruption Termination Notice” means written notice from Customer to Supplier, delivered within thirty (30) days after the occurrence of a Sustained Interruption, that Customer is terminating this Agreement as a result of a Sustained Interruption. 2. Remedies. (a) Outage Credits. If a Critical Interruption occurs, Customer (or its sublicensee) shall be entitled to Outage Credit(s) in the amount(s) set forth opposite the duration of each such Critical Interruption in the applicable table set forth below. The maximum Outage Credits to which Customer (or its sublicensee) may become entitled in any calendar month hereunder shall not exceed Customer’s total monthly Base MRC


 
3 hereunder for the affected portion of the Colocation Space for such calendar month (at the time of the event). Outage Credits will be pro-actively issued by Supplier. Supplier shall provide notice when the Critical Interruption begins and when it ends for purposes of calculating the applicable Outage Credit, which calculation may be disputed by Customer by deliver of notice thereof within 30 days after receipt of Supplier’s calculation (and in the event of any such dispute, Supplier and Customer (or its sublicensee) shall endeavor in good faith to reach agreement on the correct calculation of the applicable Service Level Credit. Supplier will provide Customer (and its sublicensee) with a monthly “Service Level Report”, and to the extent that a Service Level Report indicates that Customer (or its sublicensee) is entitled to an Outage Credit, the Outage Credit shall be applied as a credit towards Customer’s monthly Base MRC due hereunder in the immediately following month of the Service Term; provided that in the event that an Outage Credit accrues during the final month of the Service Term, Supplier shall pay to Customer the amount of the Outage Credit within sixty (60) days following the expiration of the Service Term. (i) Access Critical Interruption. If an Access Critical Interruption occurs, Customer shall be entitled to the Outage Credits set forth in Table A below. TABLE A Access Critical Interruption Duration: Outage Credits: 0 – 8 consecutive hours One (1) Outage Credit 8+ – 24 consecutive hours One (1) additional Outage Credit Each 24 hour period thereafter during which such Access Critical Interruption occurs or continues One and one-half (1½) additional Outage Credits (ii) Electrical Critical Interruption. If an Electrical Critical Interruption occurs, Customer shall be entitled to the Outage Credits set forth in Table B below. TABLE B Electrical Critical Interruption Duration: Outage Credits: > 0.001 Min – 30 min. One (1) Outage Credit > 30 min – 1 hour. One (1) additional Outage Credits > 1 hour – 4 consecutive hours Two (2) additional Outage Credits > 4 consecutive hours– 24 consecutive hours Four (4) additional Outage Credits Each 24 hour period (or portion thereof) thereafter during which such Electrical Critical Interruption continues. Two (2) additional Outage Credits (iii) Mechanical Critical Interruption. If a Mechanical Critical Interruption occurs, Customer shall be entitled to the Outage Credits set forth in Table C below. TABLE C Mechanical Critical Interruption Duration: Outage Credits: < 30 min. One (1) Outage Credit > 30 min. – 4 consecutive hours One (1) additional Outage Credit > 4 consecutive hours– 24 consecutive hours Four (4) additional Outage Credits Each 24 hour period (or portion thereof) thereafter during which such Electrical Critical Interruption continues. Two (2) additional Outage Credits (b) Termination Rights. (i) Chronic Interruption Termination Right. If a Chronic Interruption occurs, Customer may terminate this Agreement by delivery of a Chronic Interruption Termination Notice to Supplier within thirty (30) days after the occurrence of such Chronic Interruption (time being of the essence), time being of the essence, which termination shall be effective thirty (30) days following Customer’s delivery of such Chronic Interruption Termination Notice. Customer’s failure to deliver a Chronic Interruption Termination Notice within thirty (30) days after the occurrence


 
4 of any Chronic Interruption shall act as a waiver of Customer’s termination right hereunder with respect to such Chronic Interruption, but not with respect to any future Chronic Interruptions that may occur (and that may include one or more of the Critical Interruptions that provided the basis for such Chronic Interruption with respect to which such termination right was deemed waived). (ii) Sustained Interruption Termination Right. If a Sustained Interruption occurs, Customer may terminate this Agreement only by timely delivery of a Sustained Interruption Termination Notice to Supplier within thirty (30) days after a Sustained Interruption ends (time being of the essence), which termination shall be effective immediately following Customer’s delivery of such Sustained Interruption Termination Notice. Customer’s failure to deliver a Sustained Interruption Termination Notice within thirty (30) days after a Sustained Interruption ends shall act as a waiver of Customer’s termination right hereunder with respect to such Sustained Interruption, but not with respect to any future Sustained Interruptions that may occur. (c) This Part II of this Schedule “D” provides Customer’s sole and exclusive remedies for Critical Interruptions..


 
Master Colocation Services Agreement Service Order MCSA-001 -1- Schedule “E” Acceptance Tests With respect to each of the 2nd Floor Tranche 1 Colocation Space, the 2nd Floor Tranche 2 Colocation Space, the 1st Floor Tranche 1 Colocation Space, the 1st Floor Tranche 2 Colocation Space, and the 1st Floor Tranche 3 Colocation Space (each a “Colocation Space Increment”), the act of causing the commissioning/turn up of each of the applicable Colocation Space Increments infrastructure pursuant to the Commissioning Criteria, so that such infrastructure has passed Level 5 of such Commissioning Criteria (defined below). “Commissioning Criteria” means and refers to, for any Colocation Space Increment, the commissioning criteria established for such Colocation Space Increment by Supplier and the properly qualified third party engineering firm that will perform the Commissioning with respect to such Colocation Space Increment (the “Commissioning Agent”), subject to this Schedule ”E” . Commissioning consists of five general levels of activities summarized as follows: Level 1 – Factory Testing Manufacturers’ standard test reports will be reviewed prior to shipment of equipment to the site. Level 2 – Component Verification Individual system components are verified at the site upon delivery for compliance with the design specifications, drawings, and approved submittals or shop drawings. Level 3 – System Construction Verification As the components are assembled into individual systems, the construction or installation of the overall system is verified. This includes an evaluation of interconnection between components, physical arrangement, support and anchoring, and access and clearance. Level 4 – Individual System and Major Equipment Operation Verification Subsequent to the completion of construction and assembly of each individual system or major equipment element, it is started-up and tested for proper functional operation and performance. Level 5 – Integrated Systems Operation Verification The test procedures that comprise Level 5 commissioning are designed to simulate the operation of the Premises’ infrastructure during a full range of operational situations, including loss of utility services, single and multiple equipment failure, normal sequential changes to the equipment operation, and planned maintenance operations. This effort is dependent upon the successful completion of all prior levels of commissioning. The assembly of appropriate documentation and certifications for the completion of Level Four commissioning will be a prerequisite. Level 5 commissioning will typically be completed in four basic steps: ▪ Initial planning ▪ Preparation of test procedures ▪ Implementation of tests ▪ Issuance by Commissioning Agent of a “Commissioning Complete Letter”. Customer (or its sublicensee) will have the option of providing representation to participate in each Commissioning activity. Representative(s) of Customer (or its sublicensee) may: (a) participate in the development of the Commissioning plan; (b) receive advance materials, including, but not limited to, equipment documentation and test scripts; (b) witness each test activity and participate in acceptance decisions; and (d) receive follow-up materials, including but not limited to revised documentation and test results.


 
Master Colocation Services Agreement Service Order MCSA-001 1 Schedule “F” Notice Addresses; Emergency Contacts NOTICE ADDRESSES: [ ] And with copies of any legal notices to: Zuber Lawler LLP Attn: David B. Lambert, Esq. 350 South Grand Ave, 32nd Floor Los Angeles, CA 90071 Fax: (213) 596-5621 email: dlambert@zuberlaw.com And with copies of any notices to: Jones Day Attn: Ankush R. Israni, Esq. 555 South Flower Street, 50th Floor Los Angeles, CA 90071 email: aisrani@jonesday.com Lambda, Inc. 2510 Zanker Rd. San Jose, CA 95131 Email: legal@lambdal.com EMERGENCY CONTACTS: [ ]


 
Master Colocation Services Agreement Service Order MCSA-001 1 Schedule “G” Payment Addresses/Instructions Customer’s Address(es) for Invoices: [ ] Address for Payment of Charges: [ ]


 
Master Colocation Services Agreement Service Order MCSA-001 1 Schedule “H” Supplier’s Pre-Approved Contractors [ ]


 
Master Colocation Services Agreement Service Order MCSA-001 1 Schedule “I” Customer (or its Sublicensee) Policies [ ]