EX-10.1 2 ex101.htm EX-10.1 ex101
#98630541v7 Certain identified information has been omitted from this document because it is not material and is the type that the registrant treats as private and has been marked with “[ ]” to indicate where omissions have been made. $500,000,000 TERM LOAN CREDIT AGREEMENT Dated as of July 19, 2024 among SUPER MICRO COMPUTER, INC., as the Borrower, BANK OF AMERICA, N.A., as the Administrative Agent, and the Lenders Party Hereto BANK OF AMERICA, N.A., as Sole Lead Arranger and Sole Bookrunner


 
i #98630541v7 TABLE OF CONTENTS Page ARTICLE I DEFINITIONS AND ACCOUNTING TERMS ........................................................ 1 1.01 Defined Terms ....................................................................................................... 1 1.02 Other Interpretive Provisions ............................................................................ 20 1.03 Accounting Terms ............................................................................................... 21 1.04 Rounding .............................................................................................................. 22 1.05 Times of Day ........................................................................................................ 22 1.06 Interest Rates ....................................................................................................... 22 ARTICLE II COMMITMENTS AND LOANS ........................................................................... 23 2.01 Loans .................................................................................................................... 23 2.02 Borrowings; Conversions and Continuations of Loans ................................... 23 2.03 Prepayments ........................................................................................................ 24 2.04 Termination of Aggregate Commitments ......................................................... 25 2.05 Repayment of Loans ........................................................................................... 25 2.06 Interest ................................................................................................................. 25 2.07 Fees ....................................................................................................................... 26 2.08 Computation of Interest and Fees ..................................................................... 26 2.09 Evidence of Debt ................................................................................................. 26 2.10 Payments Generally; Administrative Agent’s Clawback ................................ 27 2.11 Sharing of Payments by Lenders ....................................................................... 28 2.12 Defaulting Lenders.............................................................................................. 29 ARTICLE III TAXES, YIELD PROTECTION AND ILLEGALITY ......................................... 30 3.01 Taxes..................................................................................................................... 30 3.02 Illegality ............................................................................................................... 35 3.03 Inability to Determine Rates .............................................................................. 35 3.04 Increased Costs.................................................................................................... 37 3.05 Compensation for Losses .................................................................................... 38 3.06 Mitigation Obligations; Replacement of Lenders ............................................ 38 3.07 Survival ................................................................................................................ 39 ARTICLE IV CONDITIONS PRECEDENT TO EFFECTIVENESS AND THE BORROWING .................................................................................................................. 39 4.01 Conditions Precedent to Effectiveness and the Borrowing ............................. 39 ARTICLE V REPRESENTATIONS AND WARRANTIES ....................................................... 41 5.01 Existence, Qualification and Power................................................................... 41 5.02 Authorization; No Contravention ..................................................................... 41 5.03 Governmental Authorization; Other Consents ................................................ 41 5.04 Binding Effect ...................................................................................................... 41 5.05 Financial Statements; No Material Adverse Effect ......................................... 41 5.06 Litigation .............................................................................................................. 42 5.07 No Default ............................................................................................................ 42 5.08 Ownership of Property; Liens ........................................................................... 42


 
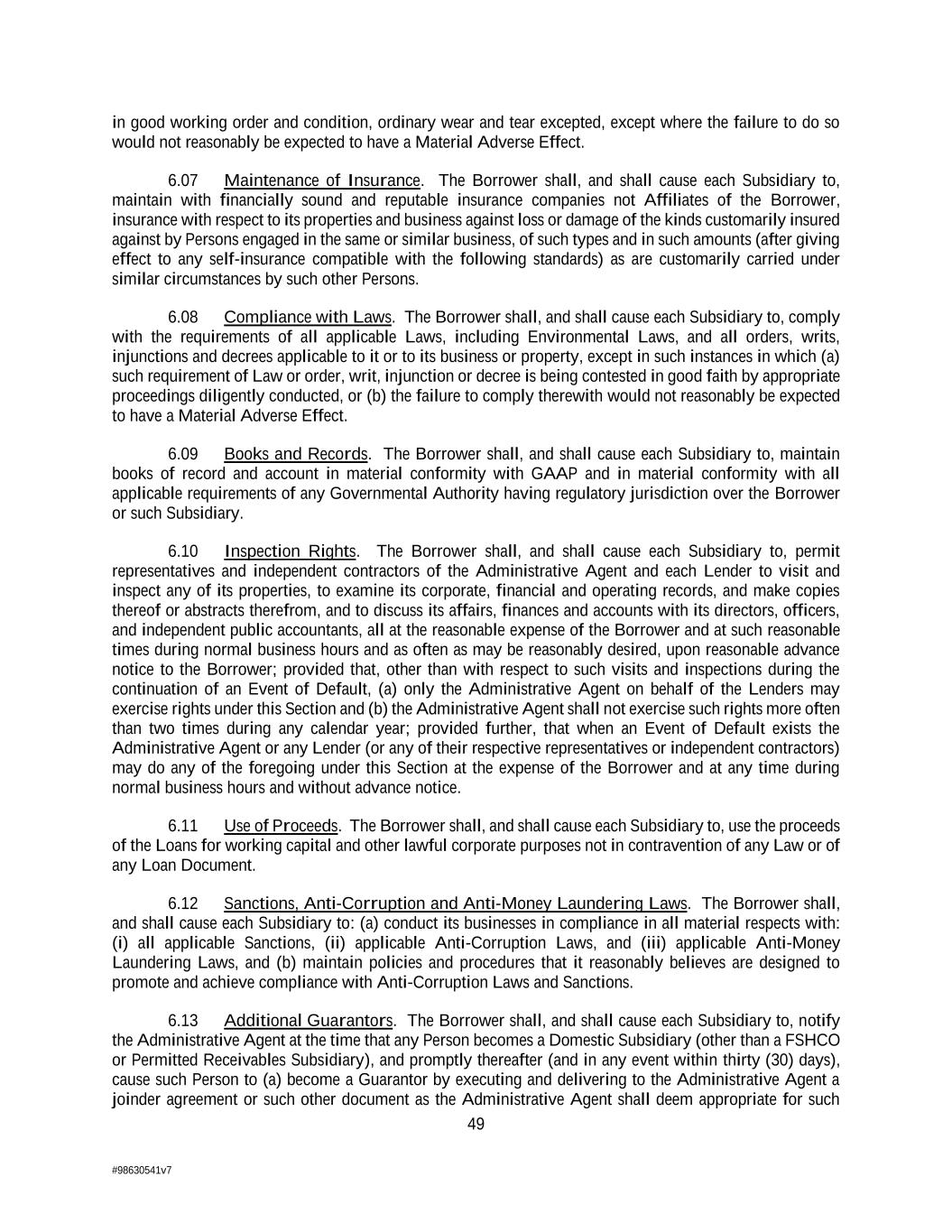
ii #98630541v7 5.09 Environmental Compliance ............................................................................... 42 5.10 Insurance ............................................................................................................. 42 5.11 Taxes..................................................................................................................... 42 5.12 ERISA Compliance ............................................................................................. 43 5.13 Subsidiaries; Equity Interests ............................................................................ 43 5.14 Margin Regulations; Investment Company Act .............................................. 44 5.15 Disclosure ............................................................................................................. 44 5.16 Compliance with Laws ....................................................................................... 44 5.17 Intellectual Property; Licenses, Etc .................................................................. 44 5.18 Solvency ............................................................................................................... 45 5.19 OFAC Representation ........................................................................................ 45 5.20 Anti-Corruption and Anti-Money Laundering Laws ...................................... 45 5.21 Affected Financial Institutions .......................................................................... 45 5.22 Covered Entities .................................................................................................. 45 ARTICLE VI AFFIRMATIVE COVENANTS ........................................................................... 45 6.01 Financial Statements ........................................................................................... 45 6.02 Certificates; Other Information ........................................................................ 46 6.03 Notices .................................................................................................................. 47 6.04 Payment of Obligations ...................................................................................... 48 6.05 Preservation of Existence, Etc ........................................................................... 48 6.06 Maintenance of Properties ................................................................................. 48 6.07 Maintenance of Insurance .................................................................................. 49 6.08 Compliance with Laws ....................................................................................... 49 6.09 Books and Records .............................................................................................. 49 6.10 Inspection Rights ................................................................................................. 49 6.11 Use of Proceeds .................................................................................................... 49 6.12 Sanctions, Anti-Corruption and Anti-Money Laundering Laws ................... 49 6.13 Additional Guarantors ....................................................................................... 49 ARTICLE VII NEGATIVE COVENANTS ................................................................................. 50 7.01 Liens ..................................................................................................................... 50 7.02 Subsidiary Indebtedness ..................................................................................... 51 7.03 Fundamental Changes ........................................................................................ 52 7.04 Dispositions ......................................................................................................... 53 7.05 Change in Nature of Business ............................................................................ 53 7.06 Transactions with Affiliates ............................................................................... 54 7.07 Use of Proceeds .................................................................................................... 54 7.08 Financial Covenants............................................................................................ 54 7.09 Sanctions .............................................................................................................. 54 7.10 Anti-Corruption and Anti-Money Laundering Laws ...................................... 54 ARTICLE VIII EVENTS OF DEFAULT AND REMEDIES ..................................................... 54 8.01 Events of Default ................................................................................................. 54 8.02 Remedies Upon Event of Default ....................................................................... 56 8.03 Application of Funds........................................................................................... 57


 
iii #98630541v7 ARTICLE IX ADMINISTRATIVE AGENT ............................................................................... 57 9.01 Appointment and Authority............................................................................... 57 9.02 Rights as a Lender .............................................................................................. 57 9.03 Exculpatory Provisions ....................................................................................... 58 9.04 Reliance by Administrative Agent ..................................................................... 59 9.05 Delegation of Duties ............................................................................................ 59 9.06 Resignation of Administrative Agent ................................................................ 59 9.07 Non-Reliance on Administrative Agent, the Arranger and Other Lenders................................................................................................................. 60 9.08 No Other Duties, Etc ........................................................................................... 61 9.09 Administrative Agent May File Proofs of Claim ............................................. 61 9.10 Guaranty Matters ............................................................................................... 61 9.11 Certain ERISA Matters ...................................................................................... 62 9.12 Recovery of Erroneous Payments...................................................................... 63 ARTICLE X CONTINUING GUARANTY ................................................................................ 63 10.01 Guaranty 63 10.02 Rights of Lenders ................................................................................................ 63 10.03 Certain Waivers .................................................................................................. 64 10.04 Obligations Independent .................................................................................... 64 10.05 Subrogation 64 10.06 Termination; Reinstatement .............................................................................. 64 10.07 Stay of Acceleration ............................................................................................ 64 10.08 Condition of the Loan Parties ............................................................................ 64 10.09 Subordination ...................................................................................................... 65 ARTICLE XI MISCELLANEOUS .............................................................................................. 65 11.01 Amendments, Etc ................................................................................................ 65 11.02 Notices; Effectiveness; Electronic Communication ......................................... 67 11.03 No Waiver; Cumulative Remedies; Enforcement ............................................ 68 11.04 Expenses; Indemnity; Damage Waiver ............................................................. 69 11.05 Payments Set Aside ............................................................................................. 71 11.06 Successors and Assigns ....................................................................................... 71 11.07 Treatment of Certain Information; Confidentiality ........................................ 75 11.08 Right of Setoff ...................................................................................................... 76 11.09 Interest Rate Limitation ..................................................................................... 76 11.10 Integration; Effectiveness ................................................................................... 76 11.11 Survival of Representations and Warranties ................................................... 77 11.12 Severability 77 11.13 Replacement of Lenders ..................................................................................... 77 11.14 Governing Law; Jurisdiction; Etc ..................................................................... 78 11.15 Waiver of Jury Trial ........................................................................................... 79 11.16 No Advisory or Fiduciary Responsibility ......................................................... 79 11.17 USA PATRIOT Act Notice ................................................................................ 80 11.18 Electronic Execution; Electronic Records; Counterparts............................... 80 11.19 Time of the Essence ............................................................................................. 81


 
iv #98630541v7 11.20 Entire Agreement ................................................................................................ 81 11.21 Acknowledgement and Consent to Bail-In of Affected Financial Institutions 81 11.22 Acknowledgement Regarding Any Supported QFCs ...................................... 81


 
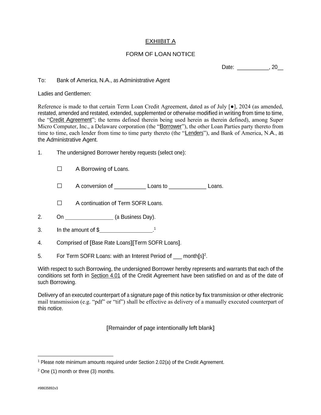
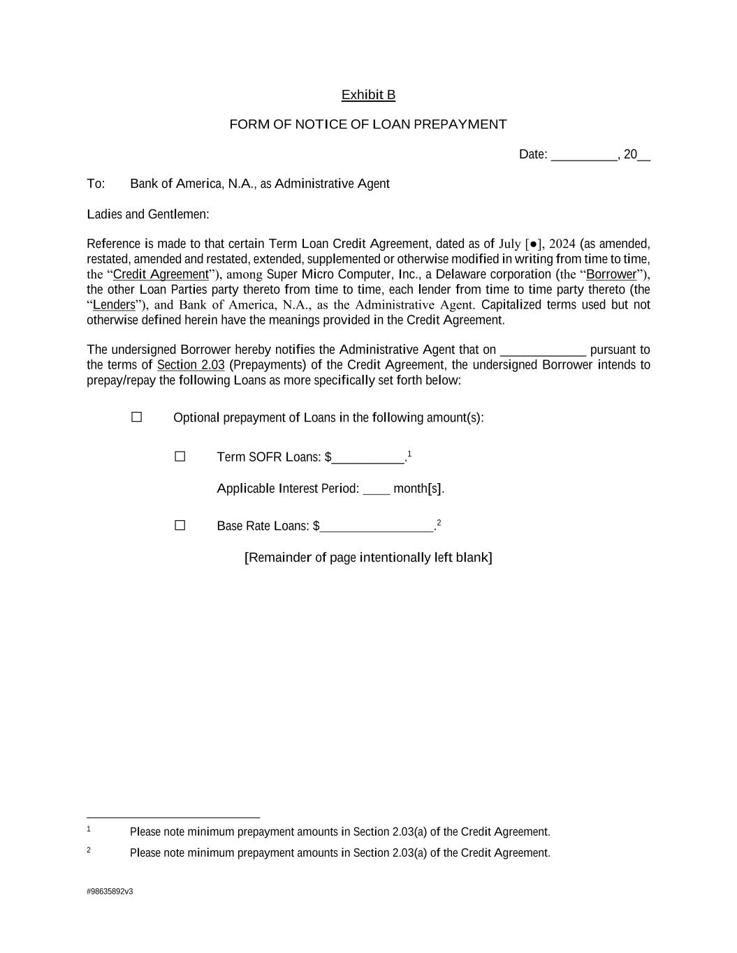
v #98630541v7 SCHEDULES 2.01 Commitments and Applicable Percentages 5.13 Subsidiaries and Equity Interests 6.13 Guarantors 7.01 Existing Liens 7.02 Existing Indebtedness 11.02 Administrative Agent’s Office; Certain Addresses for Notices EXHIBITS Form of A Loan Notice B Notice of Loan Prepayment C Note D Compliance Certificate E U.S. Tax Compliance Certificates F Assignment and Assumption


 
#98630541v4 #98630541v7 TERM LOAN CREDIT AGREEMENT This TERM LOAN CREDIT AGREEMENT (this “Agreement”) is entered into, as of July 19, 2024, among Super Micro Computer, Inc., a Delaware corporation (the “Borrower”), the other Loan Parties party hereto from time to time, each lender from time to time party hereto (the “Lenders”), and Bank of America, N.A., as the Administrative Agent (the “Administrative Agent”). The Borrower has requested that the Lenders provide the credit facility set forth herein, and the Lenders are willing to do so on the terms and conditions set forth herein. In consideration of the mutual covenants and agreements herein contained, the parties hereto covenant and agree as follows: ARTICLE I DEFINITIONS AND ACCOUNTING TERMS 1.01 Defined Terms. As used in this Agreement, the following terms shall have the meanings set forth below: “Administrative Agent” means Bank of America (or any of its designated branch offices or affiliates) in its capacity as administrative agent under any of the Loan Documents, or any successor administrative agent. “Administrative Agent’s Office” means, (a) the Administrative Agent’s address as set forth on Schedule 11.02, or such other address as the Administrative Agent may from time to time notify to the Borrower and the Lenders in writing, and (b) the Administrative Agent’s account as separately disclosed in writing by the Administrative Agent to the Borrower and the Lenders from time to time. “Administrative Questionnaire” means an Administrative Questionnaire in a form approved by the Administrative Agent. “Affected Financial Institution” means (a) any EEA Financial Institution, or (b) any UK Financial Institution. “Affiliate” means, with respect to any Person, another Person that directly, or indirectly through one or more intermediaries, Controls or is Controlled by or is under common Control with the Person specified. “Aggregate Commitments” means, as of any date of determination, the Commitments of all the Lenders as of such date. The aggregate principal amount of the Aggregate Commitments in effect on the Closing Date is $500,000,000. “Agreement” has the meaning specified in the introductory paragraph hereto. “Anti-Corruption Laws” has the meaning specified in Section 5.20. “Anti-Money Launderings Laws” has the meaning specified in Section 5.20. “Applicable Percentage” means, with respect to any Lender at any time, the percentage (carried out to the ninth decimal place) of (i) on or prior to the Closing Date, the Aggregate Commitments represented


 
2 #98630541v7 by such Lender’s Commitment at such time or (ii) thereafter, the principal amount of such Lender’s Loans at such time over the aggregate outstanding principal amount of the Loans at such time. The initial Applicable Percentage of each Lender is set forth opposite the name of such Lender on Schedule 2.01, as it may change from time to time in accordance with the terms hereof. “Applicable Rate” means, for any day, (a) with respect to Base Rate Loans, 0.25% per annum, and (b) with respect to Term SOFR Loans, 1.25% per annum. “Approved Fund” means any Fund that is administered or managed by (a) a Lender, (b) an Affiliate of a Lender or (c) an entity or an Affiliate of an entity that administers or manages a Lender. “Arranger” means Bank of America, in its capacity as the sole lead arranger and sole bookrunner. “Assignment and Assumption” means an assignment and assumption entered into by a Lender and an Eligible Assignee (with the consent of any party whose consent is required by Section 11.06(b)), and accepted by the Administrative Agent, in substantially the form of Exhibit F or any other form (including electronic documentation generated by use of an electronic platform) approved by the Administrative Agent. “Attributable Indebtedness” means, on any date, (a) in respect of any Capitalized Finance Lease of any Person, the capitalized amount thereof that would appear on a balance sheet of such Person prepared as of such date in accordance with GAAP, (b) in respect of any Synthetic Lease Obligation of any Person, the capitalized amount of the remaining lease payments under the relevant lease that would appear on a balance sheet of such Person prepared as of such date in accordance with GAAP if such lease were accounted for as a Capitalized Finance Lease, and (c) in respect of any Securitization Transaction, the outstanding principal amount of such financing, after taking into account reserve accounts and making appropriate adjustments, determined by the Administrative Agent in its reasonable judgment. “Audited Financial Statements” means the audited consolidated balance sheet of the Borrower and its Subsidiaries for the fiscal year ended June 30, 2023, and the related consolidated statements of income or operations, shareholders’ equity and cash flows for such fiscal year of the Borrower and its Subsidiaries, including the notes thereto. “Bail-In Action” means the exercise of any Write-Down and Conversion Powers by the applicable Resolution Authority in respect of any liability of an Affected Financial Institution. “Bail-In Legislation” means, (a) with respect to any EEA Member Country implementing Article 55 of Directive 2014/59/EU of the European Parliament and of the Council of the European Union, the implementing law, rule, regulation or requirement for such EEA Member Country from time to time which is described in the EU Bail-In Legislation Schedule, and (b) with respect to the United Kingdom, Part I of the United Kingdom Banking Act 2009 (as amended from time to time) and any other law, regulation or rule applicable in the United Kingdom relating to the resolution of unsound or failing banks, investment firms or other financial institutions or their affiliates (other than through liquidation, administration or other insolvency proceedings). “Bank of America” means Bank of America, N.A. and its successors. “Base Rate” means for any day a fluctuating rate of interest per annum equal to the highest of (a) the Federal Funds Rate plus one-half of one percent (0.50%), (b) the rate of interest in effect for such day as publicly announced from time to time by Bank of America as its “prime rate,” (c) Term SOFR plus one percent (1.00%) and (d) 1.00%. The “prime rate” is a rate set by Bank of America based upon various


 
3 #98630541v7 factors including Bank of America’s costs and desired return, general economic conditions and other factors, and is used as a reference point for pricing some loans, which may be priced at, above, or below such announced rate. Any change in such “prime rate” announced by Bank of America shall take effect at the opening of business on the day specified in the public announcement of such change. If the Base Rate is being used as an alternate rate of interest pursuant to Section 3.03, then the Base Rate shall be the greater of clauses (a), (b) and (d) above and shall be determined without reference to clause (c) above. “Base Rate Loan” means a Loan that bears interest based on the Base Rate. “Beneficial Ownership Certification” means a certification regarding beneficial ownership required by the Beneficial Ownership Regulation. “Beneficial Ownership Regulation” means 31 C.F.R. § 1010.230. “Benefit Plan” means any of (a) an “employee benefit plan” (as defined in ERISA) that is subject to Title I of ERISA, (b) a “plan” as defined in and subject to Section 4975 of the Code, or (c) any Person whose assets include (for purposes of ERISA Section 3(42) or otherwise for purposes of Title I of ERISA or Section 4975 of the Code) the assets of any such “employee benefit plan” or “plan”. “BHC Act Affiliate” of a party means an “affiliate” (as such term is defined under, and interpreted in accordance with, 12 U.S.C. 1841(k)) of such party. “Board of Directors” means (a) with respect to a corporation, the board of directors of the corporation or any committee thereof duly authorized to act on behalf of such board, (b) with respect to a partnership, the board of directors of the general partner of the partnership, (c) with respect to a limited liability company, the managing member or members or any controlling committee of managing members thereof or if not member-managed, the managers thereof or any committee of managing members or managers thereof duly authorized to act on behalf of such Persons, and (d) with respect to any other Person, the board or committee of such Person serving a similar function. “Borrower” has the meaning specified in the introductory paragraph hereto. “Borrower Materials” has the meaning specified in Section 6.02. “Borrowing” means a borrowing consisting of simultaneous Loans of the same Type and, in the case of Term SOFR Loans having the same Interest Period, made by each of the Lenders pursuant to Section 2.01. “Business Day” means any day other than a Saturday, Sunday or other day on which commercial banks are authorized to close under the laws of, or are in fact closed in, the state where the Administrative Agent’s Office is located. “Capital Lease Obligations” of any Person means the obligations of such Person to pay rent or other amounts under any Capitalized Finance Lease and the amount of such obligations shall be the capitalized amount thereof determined in accordance with GAAP. “Capitalized Finance Lease” means, with respect to any Person, any lease that has been or is required to be, in accordance with GAAP, recorded, classified and accounted for as a capitalized lease or finance lease on the balance sheet of such Person.


 
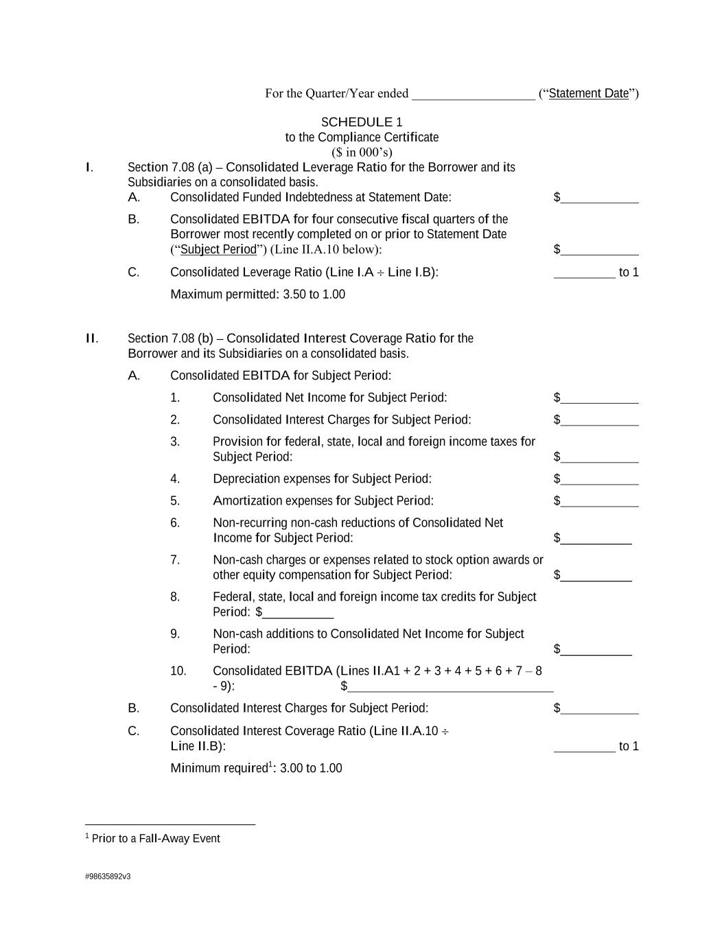
4 #98630541v7 “Change in Law” means the occurrence, after the Closing Date, of any of the following: (a) the adoption or taking effect of any applicable Law; (b) any change in any applicable Law or in the administration, interpretation, implementation or application thereof by any Governmental Authority; or (c) the making or issuance of any request, rule, guideline or directive (whether or not having the force of Law) by any Governmental Authority; provided, that, notwithstanding anything herein to the contrary, (i) the Dodd-Frank Wall Street Reform and Consumer Protection Act and all requests, rules, guidelines or directives thereunder or issued in connection therewith or in the implementation thereof, and (ii) all requests, rules, guidelines or directives promulgated by the Bank for International Settlements, the Basel Committee on Banking Supervision (or any successor or similar authority) or the United States or foreign regulatory authorities, in each case pursuant to Basel III, shall in each case be deemed to be a “Change in Law”, regardless of the date enacted, adopted, issued or implemented. “Change of Control” means an event or series of events by which any “person” or “group” (as such terms are used in Sections 13(d) and 14(d) of the Securities Exchange Act of 1934, but excluding any employee benefit plan of such person or its subsidiaries, and any person or entity acting in its capacity as trustee, agent or other fiduciary or administrator of any such plan) becomes the “beneficial owner” (as defined in Rules 13d-3 and 13d-5 under the Securities Exchange Act of 1934, except that a person or group shall be deemed to have “beneficial ownership” of all securities that such person or group has the right to acquire, whether such right is exercisable immediately or only after the passage of time (such right, an “option right”)), directly or indirectly, of forty percent (40%) or more of the Equity Interests of the Borrower entitled to vote for members of the Board of Directors of the Borrower on a fully-diluted basis (and taking into account all such securities that such person or group has the right to acquire pursuant to any option right). “Closing Date” means July 19, 2024. “CME” means CME Group Benchmark Administration Limited. “Code” means the Internal Revenue Code of 1986. “Commitment” means, as to each Lender, its obligation to make Loans to the Borrower pursuant to Section 2.01, in an aggregate principal amount at any one time outstanding not to exceed the amount set forth opposite such Lender’s name on Schedule 2.01 or in the Assignment and Assumption or other documentaton pursuant to which such Lender becomes a party hereto, as applicable, as such amount may be adjusted from time to time in accordance with this Agreement. “Communication” means this Agreement, any other Loan Document, and any other document, amendment, approval, consent, information, notice, certificate, request, statement, disclosure, or authorization related to any Loan Document. “Compliance Certificate” means a certificate substantially in the form of Exhibit D. “Connection Income Taxes” means Other Connection Taxes that are imposed on or measured by net income (however denominated) or that are franchise Taxes or branch profits Taxes. “Consolidated EBITDA” means, for any period, for the Borrower and its Subsidiaries on a consolidated basis, an amount equal to Consolidated Net Income for such period plus (a) the following to the extent deducted in calculating such Consolidated Net Income: (i) Consolidated Interest Charges for such period, (ii) the provision for federal, state, local and foreign income taxes payable by the Borrower and its Subsidiaries for such period, (iii) depreciation and amortization expense, (iv) other non-recurring expenses of the Borrower and its Subsidiaries reducing such Consolidated Net Income which do not represent a cash


 
5 #98630541v7 item in such period or any future period and (v) non-cash charges or expenses related to stock option aweards or other equity compensation, and minus (b) the following to the extent included in calculating such Consolidated Net Income: (i) Federal, state, local and foreign income tax credits of the Borrower and its Subsidiaries for such period and (ii) all non-cash items increasing Consolidated Net Income for such period. “Consolidated Funded Indebtedness” means, as to any Person, as of any date, without duplication, the following, solely to the extent the same would be included as indebtedness or liabilities of such Person in accordance with GAAP: (a) Indebtedness of such Person of the type described in clauses (a), (b) (excluding, in the case of clause (b), letters of credit to the extent there is no overdue reimbursement obligation in respect thereof), (c), (d), and (e) of the definition of “Indebtedness”; (b) all Guarantees of such Person in respect of any of the Indebtedness referred to in clause (a) of this definition of another Person; and (c) the Consolidated Funded Indebtedness of any partnership or joint venture (other than a joint venture that is itself a corporation or limited liability company) in which such Person is a general partner or a joint venturer, unless such Consolidated Funded Indebtedness is expressly made non-recourse to such Person. “Consolidated Interest Charges” means, for any period, for the Borrower and its Subsidiaries on a consolidated basis, the sum of (a) all interest, premium payments, debt discount, fees, charges and related expenses for such period in connection with borrowed money (including capitalized interest) or in connection with the deferred purchase price of assets, in each case to the extent treated as interest in accordance with GAAP, plus (b) the portion of rent expense with respect to such period under Capitalized Finance Leases that is treated as interest in accordance with GAAP (but not any interest component attributed to fixed rent on operating leases), plus (c) the implied interest component of Synthetic Lease Obligations with respect to such period which would be treated as interest if such leases were Capitalized Finance Leases. “Consolidated Interest Coverage Ratio” means, as of any date of determination, for the Borrower and its Subsidiaries on a consolidated basis, the ratio of (a) Consolidated EBITDA for the four consecutive fiscal quarters of the Borrower most recently completed on or prior to such date to (b) Consolidated Interest Charges for such period. “Consolidated Leverage Ratio” means, as of any date of determination, for the Borrower and its Subsidiaries on a consolidated basis, the ratio of (a) Consolidated Funded Indebtedness of the Borrower and its Subsidiaries as of such date, to (b) Consolidated EBITDA for the four consecutive fiscal quarters of the Borrower most recently completed on or prior to such date. “Consolidated Net Income” means, for any period, the net income (or loss) of the Borrower and its Subsidiaries on a consolidated basis for such period as determined in accordance with GAAP. “Consolidated Net Tangible Assets” means, at any date, (a) total assets of the Borrower and its Subsidiaries (minus applicable reserves) determined on a consolidated basis in accordance with GAAP minus (b) the sum of (i) current liabilities of the Borrower and its Subsidiaries, except for current maturities of long-term Indebtedness and Capital Lease Obligations and (ii) goodwill and other intangible assets of the Borrower and its Subsidiaries, in each case determined on a consolidated basis in accordance with GAAP, all as reflected in the consolidated financial statements of the Borrower most recently delivered pursuant to Sections 6.01(a) or 6.01(b) (or, prior to the first delivery of such financial statements, the consolidated financial statements of the Borrower referred to in Section 5.05). “Contractual Obligation” means, as to any Person, any provision of any security issued by such Person or of any agreement, instrument or other undertaking to which such Person is a party or by which it or any of its property is bound.


 
6 #98630541v7 “Control” means the possession, directly or indirectly, of the power to direct or cause the direction of the management or policies of a Person, whether through the ability to exercise voting power, by contract or otherwise. “Controlling” and “Controlled” have meanings correlative thereto. “Covered Entity” means any of the following: (a) a “covered entity” as that term is defined in, and interpreted in accordance with, 12 C.F.R. § 252.82(b); (b) a “covered bank” as that term is defined in, and interpreted in accordance with, 12 C.F.R. § 47.3(b); or (c) a “covered FSI” as that term is defined in, and interpreted in accordance with, 12 C.F.R. § 382.2(b). “Covered Party” has the meaning specified in Section 11.22. “Daily Simple SOFR” means, with respect to any applicable determination date, SOFR published on such date on the Federal Reserve Bank of New York’s website (or any successor source). “Debt Issuance” means incurrence of Indebtedness for borrowed money by the Borrower after the Closing Date (excluding borrowings under the Existing Credit Agreement as in effect as of the Closing Date). “Debt Rating” means, as of any date of determination, the public rating as determined by S&P or Moody’s or Fitch of the Borrower’s non-credit-enhanced, senior unsecured long-term debt. “Debtor Relief Laws” means the Bankruptcy Code of the United States, and all other liquidation, conservatorship, bankruptcy, assignment for the benefit of creditors, moratorium, rearrangement, receivership, insolvency, reorganization, or similar debtor relief Laws of the United States or other applicable jurisdictions from time to time in effect and affecting the rights of creditors generally. “Default” means any event or condition that constitutes an Event of Default or that, with the giving of any notice, the passage of time, or both, would be an Event of Default. “Default Rate” means (a) with respect to any Obligation for which a rate is specified, a rate per annum equal to two percent (2%) in excess of the rate otherwise applicable thereto, and (b) with respect to any Obligation for which a rate is not specified or available, a rate per annum equal to the Base Rate plus the Applicable Rate for Base Rate Loans plus two percent (2%), in each case, to the fullest extent permitted by applicable Law. “Default Right” has the meaning assigned to that term in, and shall be interpreted in accordance with, 12 C.F.R. §§ 252.81, 47.2 or 382.1, as applicable. “Defaulting Lender” means, subject to Section 2.12(b), any Lender that (a) has failed to (i) fund all or any portion of its Loans within two (2) Business Days of the date such Loans were required to be funded hereunder unless such Lender notifies the Administrative Agent and the Borrower in writing that such failure is the result of such Lender’s determination that one or more conditions precedent to funding (each of which conditions precedent, together with any applicable default, shall be specifically identified in such writing) has not been satisfied, or (ii) pay to the Administrative Agent or any Lender any other amount required to be paid by it hereunder within two (2) Business Days of the date when due, (b) has notified the Borrower or the Administrative Agent in writing that it does not intend to comply with its funding obligations hereunder, or has made a public statement to that effect (unless such writing or public statement relates to such Lender’s obligation to fund a Loan hereunder and states that such position is based on such Lender’s determination that a condition precedent to funding (which condition precedent, together with any applicable default, shall be specifically identified in such writing or public statement) cannot be satisfied), (c) has failed, within three (3) Business Days after written request by the Administrative Agent or the


 
7 #98630541v7 Borrower, to confirm in writing to the Administrative Agent and the Borrower that it will comply with its prospective funding obligations hereunder (provided, that, such Lender shall cease to be a Defaulting Lender pursuant to this clause (c) upon receipt of such written confirmation by each of the Administrative Agent and the Borrower), or (d) has, or has a direct or indirect parent Borrower that has, (i) become the subject of a proceeding under any Debtor Relief Law, (ii) had appointed for it a receiver, custodian, conservator, trustee, administrator, assignee for the benefit of creditors or similar Person charged with reorganization or liquidation of its business or assets, including the Federal Deposit Insurance Corporation or any other state or federal regulatory authority acting in such a capacity, or (iii) become the subject of a Bail-In Action; provided, that, a Lender shall not be a Defaulting Lender solely by virtue of the ownership or acquisition of any Equity Interest in that Lender or any direct or indirect parent Borrower thereof by a Governmental Authority so long as such ownership interest does not result in or provide such Lender with immunity from the jurisdiction of courts within the United States or from the enforcement of judgments or writs of attachment on its assets or permit such Lender (or such Governmental Authority) to reject, repudiate, disavow or disaffirm any contracts or agreements made with such Lender. Any determination by the Administrative Agent that a Lender is a Defaulting Lender under any one or more of clauses (a) through (d) above, and of the effective date of such status, shall be conclusive and binding absent manifest error, and such Lender shall be deemed to be a Defaulting Lender (subject to Section 2.12(b)) as of the date established therefor by the Administrative Agent in a written notice of such determination, which shall be delivered by the Administrative Agent to the Borrower and each Lender promptly following such determination. “Designated Jurisdiction” means any country, region or territory to the extent that such country, region or territory itself is the subject of comprehensive Sanctions (as of the Closing Date, the so-called Donetsk People’s Republic, the so-called Luhansk People’s Republic, the Crimea Region of Ukraine, Cuba, Iran, North Korea, and Syria). “Disposition” or “Dispose” means the sale, transfer, license, lease or other disposition (in one transaction or in a series of transactions) of any property by any Person (including any Sale and Leaseback Transaction and any issuance of Equity Interests by a Subsidiary of such Person), including any sale, assignment, transfer or other disposal, with or without recourse, of any notes or accounts receivable or any rights and claims associated therewith. “Domestic Subsidiary” means any Subsidiary that is organized under the laws of any political subdivision of the United States. “Dollar” and “$” mean lawful money of the United States. “EEA Financial Institution” means (a) any credit institution or investment firm established in any EEA Member Country which is subject to the supervision of an EEA Resolution Authority, (b) any entity established in an EEA Member Country which is a parent of an institution described in clause (a) of this definition, or (c) any financial institution established in an EEA Member Country which is a Subsidiary of an institution described in clause (a) or clause (b) of this definition and is subject to consolidated supervision with its parent. “EEA Member Country” means any of the member states of the European Union, Iceland, Liechtenstein, and Norway. “EEA Resolution Authority” means any public administrative authority or any Person entrusted with public administrative authority of any EEA Member Country (including any delegee) having responsibility for the resolution of any EEA Financial Institution.


 
8 #98630541v7 “Electronic Copy” shall have the meaning specified in Section 11.18. “Electronic Record” has the meanings assigned to it by 15 USC §7006. “Electronic Signature” has the meanings assigned to it by 15 USC §7006. “Eligible Assignee” means any Person that meets the requirements to be an assignee under Sections 11.06(b)(iv), (v) and (vi) (subject to such consents, if any, as may be required under Section 11.06(b)(iii)). “Environmental Laws” means any and all Federal, state, local and foreign statutes, Laws (including common law), regulations, standards, ordinances, rules, judgments, interpretations, orders, decrees, permits, concessions, grants, franchises, licenses, agreements or governmental restrictions relating to pollution, the protection of the environment, natural resources or human health or safety, or the generation, use, handling, transportation, storage, treatment, disposal or release into the environment of, or exposure to, any materials, including those related to hazardous substances or wastes, air emissions and discharges to waste or public systems. “Environmental Liability” means any liability, contingent or otherwise (including any liability for damages, costs of environmental remediation, fines, penalties or indemnities), whether based in contract, tort, implied or express warranty, strict liability, criminal or civil statute or common law, directly or indirectly relating to (a) any Environmental Law, (b) the generation, use, handling, transportation, storage, treatment or disposal of any Hazardous Materials, (c) exposure to any Hazardous Materials, (d) the release or threatened release of any Hazardous Materials into the environment or (e) any contract, agreement or other consensual arrangement pursuant to which liability is assumed or imposed with respect to any of the foregoing. “Equity Interests” means, with respect to any Person, all of the shares of capital stock of (or other ownership or profit interests in) such Person, all of the warrants, options or other rights for the purchase or acquisition from such Person of shares of capital stock of (or other ownership or profit interests in) such Person, all of the securities convertible into or exchangeable for shares of capital stock of (or other ownership or profit interests in) such Person or warrants, rights or options for the purchase or acquisition from such Person of such shares (or such other interests), and all of the other ownership or profit interests in such Person (including partnership, member or trust interests therein), whether voting or nonvoting, and whether or not such shares, warrants, options, rights or other interests are outstanding on any date of determination. “Equity Issuance” means any issuance by the Borrower or any Subsidiary to any Person of shares of its Equity Interests after the Closing Date, other than (a) any issuance of shares of its Equity Interests pursuant to the exercise of options or warrants, and (b) any issuance by any Subsidiary of shares of its capital stock to the Borrower or any other Subsidiary. “ERISA” means the Employee Retirement Income Security Act of 1974, as amended, and the rules and regulations promulgated thereunder. “ERISA Affiliate” means any trade or business (whether or not incorporated) under common control or treated as a single employer with the Borrower within the meaning of Section 414(b) or (c) of the Code (and Sections 414(m) and (o) of the Code for purposes of provisions relating to Section 412 of the Code). “ERISA Event” means: (a) a Reportable Event with respect to a Pension Plan; (b) the withdrawal of the Borrower or any ERISA Affiliate from a Pension Plan subject to Section 4063 of ERISA during a


 
9 #98630541v7 plan year in which such entity was a “substantial employer” as defined in Section 4001(a)(2) of ERISA or a cessation of operations that is treated as such a withdrawal under Section 4062(e) of ERISA; (c) a complete or partial withdrawal by the Borrower or any ERISA Affiliate from a Multiemployer Plan or notification that a Multiemployer Plan is insolvent within the meaning of Section 4245 of ERISA; (d) the filing of a notice of intent to terminate, the treatment of a Pension Plan amendment as a termination under Section 4041 or 4041A of ERISA; (e) the institution by the PBGC of proceedings to terminate a Pension Plan; (f) the determination that any Pension Plan is considered an at-risk plan or a notification that a Multiemployer Plan is endangered or in critical status within the meaning of Sections 430 and 432 of the Code or Sections 303 and 305 of ERISA; or (g) the imposition of any liability under Title IV of ERISA, other than for PBGC premiums due but not delinquent under Section 4007 of ERISA, upon the Borrower or any ERISA Affiliate. “EU Bail-In Legislation Schedule” means the EU Bail-In Legislation Schedule published by the Loan Market Association (or any successor person), as in effect from time to time. “Event of Default” has the meaning specified in Section 8.01. “Excluded Taxes” means any of the following Taxes imposed on or with respect to any Recipient or required to be withheld or deducted from a payment to a Recipient, (a) Taxes imposed on or measured by net income (however denominated), franchise Taxes, and branch profits Taxes, in each case, (i) imposed as a result of such Recipient being organized under the laws of, or having its principal office or, in the case of any Lender, its Lending Office located in, the jurisdiction imposing such Tax (or any political subdivision thereof), or (ii) that are Other Connection Taxes, (b) in the case of a Lender, U.S. federal withholding Taxes imposed on amounts payable to or for the account of such Lender with respect to an applicable interest in a Loan or Commitment pursuant to a law in effect on the date on which (i) such Lender acquires such interest in the Loan or Commitment (other than pursuant to an assignment request by the Borrower under Section 11.13), or (ii) such Lender changes its Lending Office, except in each case to the extent that pursuant to Section 3.01, amounts with respect to such Taxes were payable either to such Lender’s assignor immediately before such Lender became a party hereto or to such Lender immediately before it changed its Lending Office, (c) Taxes attributable to such Recipient’s failure to comply with Section 3.01(e), and (d) any U.S. federal withholding Taxes imposed under FATCA. “Existing Credit Agreement” means that certain Loan and Security Agreement, dated as of April 19, 2018 (as amended, restated, amended and restated, modified or supplement prior to the date hereof), by and among the Borrower, the lenders party thereto and Bank of America, in its capacity as the administrative agent. “Fall-Away Event” means the date on which the Borrower (A) achieves a Debt Rating of BBB-, Baa3 and/or BBB- (or higher) from at least two of S&P, Moody’s and Fitch, respectively, with a stable outlook in each case, and an Event of Default shall not have occurred or be continuing and (B) provides certification thereof to the Administrative Agent. “FATCA” means Sections 1471 through 1474 of the Code, as of the Closing Date (or any amended or successor version that is substantively comparable and not materially more onerous to comply with) and any current or future regulations or official interpretations thereof and any agreements entered into pursuant to Section 1471(b)(1) of the Code and any fiscal or regulatory legislation, rules or official practices adopted pursuant to any intergovernmental agreement, treaty or convention among Governmental Authorities entered into in connection with the implementation of such sections of the Code. “Federal Funds Rate” means, for any day, the rate per annum calculated by the Federal Reserve Bank of New York based on such day’s federal funds transactions by depository institutions (as determined


 
10 #98630541v7 in such manner as the Federal Reserve Bank of New York shall set forth on its public website from time to time) and published on the next succeeding Business Day by the Federal Reserve Bank of New York as the federal funds effective rate; provided, that, if the Federal Funds Rate as so determined would be less than zero, such rate shall be deemed to be zero for purposes of this Agreement. “Fee Letter” means the fee letter, dated July 19, 2024, among the Borrower and Bank of America. “Fitch” means Fitch Ratings Inc. “Foreign Lender” means, with respect to the Borrower, a Lender that is not a U.S. Person. “FRB” means the Board of Governors of the Federal Reserve System of the United States. “FSHCO” means any Subsidiary substantially all of whose assets consist (directly or indirectly through ownership of other holding companies) of equity interests, or equity interests and indebtedness, of one or more “controlled foreign corporations” within the meaning of Section 957(a) of the Code. “Fund” means any Person (other than a natural person) that is (or will be) engaged in making, purchasing, holding or otherwise investing in commercial loans and similar extensions of credit in the ordinary course of its activities. “GAAP” means generally accepted accounting principles in the United States set forth in the opinions and pronouncements of the Accounting Principles Board and the American Institute of Certified Public Accountants and statements and pronouncements of the Financial Accounting Standards Board, consistently applied and subject to Section 1.03. “Governmental Authority” means the government of the United States or any other nation, or of any political subdivision thereof, whether state or local, and any agency, authority, instrumentality, regulatory body, court, central bank or other entity exercising executive, legislative, judicial, taxing, regulatory or administrative powers or functions of or pertaining to government (including the Financial Conduct Authority, the Prudential Regulation Authority and any supra-national bodies such as the European Union or the European Central Bank). “Guarantee” means, as to any Person, any obligation, contingent or otherwise, of such Person guaranteeing or having the economic effect of guaranteeing any Indebtedness of the kind described in the definition thereof or other obligation payable or performable by another Person (the “primary obligor”) in any manner, whether directly or indirectly, and including any obligation of such Person, direct or indirect, (a) to purchase or pay (or advance or supply funds for the purchase or payment of) such Indebtedness or other obligation, (b) to purchase or lease property, securities or services for the purpose of assuring the obligee in respect of such Indebtedness or other obligation of the payment or performance of such Indebtedness or other obligation, (c) to maintain working capital, equity capital or any other financial statement condition or liquidity of the primary obligor so as to enable the primary obligor to pay such Indebtedness or other obligation, or (d) entered into for the purpose of assuring in any other manner the obligee in respect of such Indebtedness or other obligation of the payment or performance thereof or to protect such obligee against loss in respect thereof (in whole or in part); provided, that, the term Guarantee shall not include endorsements for collection or deposit in the ordinary course of business. The amount of any Guarantee shall be deemed to be an amount equal to the stated or determinable amount of the related primary obligation, or portion thereof, in respect of which such Guarantee is made or, if not stated or


 
11 #98630541v7 determinable, the maximum reasonably anticipated liability in respect thereof as determined by the guaranteeing Person in good faith. The term “Guarantee” as a verb has a corresponding meaning. “Guaranteed Obligations” has the meaning specified in Section 10.01. “Guarantors” means the Domestic Subsidiaries (other than any FSHCOs or Permitted Receivables Subsidiaries) of the Borrower set forth on Schedule 6.13 and each other Domestic Subsidiary (other than any FSHCO or Permitted Receivables Subsidiaries) of the Borrower that joins as a Guarantor pursuant to Section 6.13. “Guaranty” means the Guaranty made by the Guarantors in favor of the Administrative Agent and the Lenders pursuant to Article X hereof. “Hazardous Materials” means all explosive or radioactive substances or wastes, all hazardous or toxic substances, wastes or other pollutants, including petroleum or petroleum distillates, asbestos or asbestos-containing materials, polychlorinated biphenyls, radon gas, polyfluoroalkyl substances, and infectious or medical wastes and all other substances or wastes of any nature regulated pursuant to any Environmental Law. “HMT” has the meaning specified in the definition of “Sanction(s).” “Indebtedness” means, as to any Person, as of any date, without duplication, all of the following: (a) all obligations of such Person for borrowed money and all obligations of such Person evidenced by bonds, debentures, notes, loan agreements or other similar instruments, in each case, solely to the extent the same would be included as indebtedness or liabilities of such Person in accordance with GAAP; (b) the face amount of any letters of credit (including standby and commercial), bankers’ acceptances, bank guaranties, surety bonds and similar instruments of such Person; (c) all obligations of such Person to pay the deferred purchase price of property or services, in each case, solely to the extent the same would be included as indebtedness or liabilities of such Person in accordance with GAAP, other than (i) trade accounts payable in the ordinary course of business, (ii) indebtedness of such Person in respect of operating leases, (iii) deferred revenue, (iv) accrued expenses and deferred taxes incurred by such Person and paid in the ordinary course of business (unless such accrued expenses or deferred taxes would be included as indebtedness or liabilities of such Person in accordance with GAAP), and (v) any earn-out obligation or purchase price adjustment of such Person so long as no payment is owed thereunder and more than thirty (30) days’ past due; (d) obligations (excluding prepaid interest thereon) secured by a Lien (other than a Lien for taxes not yet due and payable) on property owned or being purchased by such Person (including indebtedness arising under conditional sales or other title retention agreements), whether or not such indebtedness shall have been assumed by such Person or is limited in recourse (with the amount of such indebtedness to be deemed equal to the lesser of (i) the aggregate unpaid amount of such indebtedness, and (ii) the fair market value of the property encumbered thereby as determined by such Person in good faith); (e) Attributable Indebtedness of such Person; (f) all obligations of such Person to mandatorily purchase, redeem, retire, defease or otherwise make any payment in respect of any preferred Equity Interest in such Person or any other Person, in each case on or prior to the date that is ninety-one (91) days following the then-latest Maturity Date; (g) the Swap Termination Value of any Swap Contract entered into by such Person; (h) all Guarantees of such Person in respect of any of the foregoing; and (i) the Indebtedness of any partnership or joint venture (other than a joint venture that is itself a corporation, limited liability company or limited liability partnership) in which such Person is a general partner or a joint venturer, unless such Indebtedness is expressly made non-recourse to such Person.


 
12 #98630541v7 “Indemnified Taxes” means (a) Taxes, other than Excluded Taxes, imposed on or with respect to any payment made by or on account of any obligation of the Borrower under any Loan Document, and (b) to the extent not otherwise described in clause (a), Other Taxes. “Indemnitee” has the meaning specified in Section 11.04(b). “Information” has the meaning specified in Section 11.07. “Interest Payment Date” means: (a) as to any Term SOFR Loan, the last day of each Interest Period applicable to such Loan and the Maturity Date; and (b) as to any Base Rate Loan, the last Business Day of each March, June, September and December and the Maturity Date. “Interest Period” means, as to any Term SOFR Loan, the period commencing on the date such Loan is disbursed or converted to or continued as a Term SOFR Loan, and ending on the date one (1) or three (3) months thereafter (in each case, subject to availability for the interest rate applicable to the relevant currency) as selected by the Borrower in its Loan Notice; provided, that: (a) any Interest Period that would otherwise end on a day that is not a Business Day shall be extended to the next succeeding Business Day unless such Business Day falls in another calendar month, in which case such Interest Period shall end on the next preceding Business Day; (b) any Interest Period that begins on the last Business Day of a calendar month (or on a day for which there is no numerically corresponding day in the calendar month at the end of such Interest Period) shall end on the last Business Day of the calendar month at the end of such Interest Period; and (c) no Interest Period shall extend beyond the Maturity Date. “IRS” means the United States Internal Revenue Service. “Laws” means, collectively, all international, foreign, Federal, state and local statutes, treaties, rules, guidelines, regulations, ordinances, codes and administrative or judicial precedents or authorities, including the interpretation or administration thereof by any Governmental Authority charged with the enforcement, interpretation or administration thereof, and all applicable administrative orders, directed duties, requests, licenses, authorizations and permits of, and agreements with, any Governmental Authority, in each case whether or not having the force of law. “Lender” means each of the Persons identified as a “Lender” on the signature pages hereto, each other Person that becomes a “Lender” in accordance with this Agreement and their successors and permitted assigns. “Lending Office” means, as to the Administrative Agent or any Lender, the office or offices of such Person described as such in such Person’s Administrative Questionnaire, or such other office or offices as such Person may from time to time notify the Borrower and the Administrative Agent in writing, which office may include any Affiliate of such Person or any domestic or foreign branch of such Person or such Affiliate. “Lien” means any mortgage, pledge, hypothecation, assignment, deposit arrangement, encumbrance, lien (statutory or other), charge, or preference, priority or other security interest or preferential arrangement, in each case, in the nature of a security interest of any kind or nature whatsoever (including any conditional sale or other title retention agreement, any easement, right of way or other encumbrance on title to real property, and any financing lease having substantially the same economic effect as any of the foregoing). “Loan” means an extension of credit by a Lender to the Borrower under Article II. All Loans shall be denominated only in Dollars.


 
13 #98630541v7 “Loan Documents” means this Agreement, each Note, the Fee Letter, and each other document, instrument or agreement designated in writing by the Borrower and the Administrative Agent as a “Loan Document” (in each case, including all exhibits and schedules thereto) and any amendments, modifications or supplements hereto or to any other Loan Document or waivers hereof or to any other Loan Document. “Loan Notice” means a notice of (a) a Borrowing, (b) a conversion of Term SOFR Loans to Base Rate Loans, (c) a conversion of Base Rate Loans to Term SOFR Loans, or (d) a continuation of Term SOFR Loans, in each case pursuant to Section 2.02(a), which shall be substantially in the form of Exhibit A or such other form as may be approved by the Administrative Agent (including any form on an electronic platform or electronic transmission system as shall be approved by the Administrative Agent), appropriately completed and signed by a Responsible Officer of the Borrower. “Loan Parties” means, collectively, the Borrower and, on or prior to a Fall-Away Event, each Guarantor. “Master Agreement” has the meaning specified in the definition of “Swap Contract”. “Material Adverse Effect” means (A) a material adverse change in, or a material adverse effect on, the operations, business, assets, properties, liabilities (actual or contingent), condition (financial or otherwise) of the Borrower and its Subsidiaries, taken as a whole; (B) a material adverse effect on the rights and remedies of the Administrative Agent or any Lender under any Loan Document, or of the ability of the Borrower or any Guarantor to perform its obligations under any Loan Document to which it is a party; or (C) a material adverse effect upon the legality, validity, binding effect or enforceability against the Borrower or any Guarantor of any Loan Documents to which it is a party. “Maturity Date” means January 17, 2025; provided, that, if such date is not a Business Day, the Maturity Date shall be the next preceding Business Day. “Maximum Rate” has the meaning specified in Section 11.09. “Moody’s” means Moody’s Investors Service, Inc., and any successor thereto. “Multiemployer Plan” means any employee benefit plan of the type described in Section 4001(a)(3) of ERISA, to which the Borrower or any ERISA Affiliate makes or is obligated to make contributions, or during the preceding five (5) plan years, has made or been obligated to make contributions (but, in the case of such a plan to which the Borrower or any ERISA Affiliate no longer makes or is obligated to make contributions, only if the Borrower has any outstanding liability (including contingent liability, on account of an ERISA Affiliate or otherwise)). “Multiple Employer Plan” means a Plan which has two or more contributing sponsors (including the Borrower or any ERISA Affiliate) at least two of whom are not under common control, as such a plan is described in Section 4064 of ERISA. “Net Cash Proceeds” means: (a) with respect to any Prepayment Disposition by the Borrower or any of its Subsidiaries, the excess, if any, of (i) the cash received in connection therewith (including any cash received by way of deferred payment pursuant to, or by monetization of, a note receivable or otherwise, but only as and when so received) over (ii) the sum of (A) payments made to retire any debt that is secured by such asset and that is required to be repaid in connection with the sale thereof, (B) the fees and expenses incurred by the Borrower or any of its Subsidiaries in connection


 
14 #98630541v7 therewith, (C) taxes paid or reasonably estimated to be payable in connection with such transaction and (D) the amount of reserves established by the Borrower or any of its Subsidiaries in good faith and pursuant to commercially reasonable practices for adjustment in respect of the sale price of such asset or assets in accordance with GAAP; provided that if the amount of such reserves exceeds the amounts charged against such reserve, then such excess, upon the determination thereof, shall then constitute Net Cash Proceeds; (b) with respect to any Debt Issuance, the excess, if any, of (i) cash received by the Borrower and its Subsidiaries in connection with such incurrence, issuance, offering or placement over (ii) the sum of (A) payments made to retire any debt for borrowed money that is required to be repaid in connection with such issuance, offering or placement (other than the Loans) and (B) the underwriting discounts and commissions and other fees and expenses incurred by the Borrower and its Subsidiaries in connection with such incurrence, issuance, offering or placement; and (c) with respect to any Equity Issuance, the excess of (i) the cash received by the Borrower and its Subsidiaries in connection with such issuance over (ii) the underwriting discounts and commissions and other fees and expenses incurred by the Borrower or any of its Subsidiaries in connection with such issuance. “Non-Consenting Lender” means any Lender that does not approve any consent, waiver or amendment that (a) requires the approval of all Lenders or all affected Lenders in accordance with the terms of Section 11.01, and (b) has been approved by the Required Lenders. “Non-Defaulting Lender” means, at any time, each Lender that is not a Defaulting Lender at such time. “Note” means a promissory note made by the Borrower in favor of a Lender evidencing Loans made by such Lender, substantially in the form of Exhibit C. “Notice of Loan Prepayment” means a notice of prepayment with respect to a Loan, which shall be substantially in the form of Exhibit B or such other form as may be approved by the Administrative Agent (including any form on an electronic platform or electronic transmission system as shall be approved by the Administrative Agent), appropriately completed and signed by a Responsible Officer of the Borrower. “Obligations” means all advances to, and debts, liabilities, obligations, covenants and duties of, the Borrower and its Subsidiaries arising under any Loan Document or otherwise with respect to any Loan, whether direct or indirect (including those acquired by assumption), absolute or contingent, due or to become due, now existing or hereafter arising and including interest and fees that accrue after the commencement by or against the Borrower of any proceeding under any Debtor Relief Laws naming such Person as the debtor in such proceeding, regardless of whether such interest and fees are allowed claims in such proceeding. “OFAC” means the Office of Foreign Assets Control of the United States Department of the Treasury. “Organization Documents” means: (a) with respect to any corporation, the certificate or articles of incorporation and the bylaws (or equivalent or comparable constitutive documents with respect to any non- U.S. jurisdiction); (b) with respect to any limited liability company, the certificate or articles of formation or organization and operating agreement (or equivalent or comparable constitutive documents with respect to any non-U.S. jurisdiction); and (c) with respect to any partnership, joint venture, trust or other form of business entity, the partnership, joint venture or other applicable agreement of formation or organization


 
15 #98630541v7 (or equivalent or comparable constitutive documents with respect to any non-U.S. jurisdiction); and (d) with respect to any entity, any agreement, instrument, filing or notice with respect thereto filed in connection with its formation or organization with the applicable Governmental Authority in the jurisdiction of its formation or organization. “Other Connection Taxes” means, with respect to any Recipient, Taxes imposed as a result of a present or former connection between such Recipient and the jurisdiction imposing such Tax (other than connections arising solely from such Recipient having executed, delivered, become a party to, performed its obligations under, received payments under, received or perfected a security interest under, engaged in any other transaction pursuant to or enforced any Loan Document, or sold or assigned an interest in any Loan or Loan Document). “Other Taxes” means all present or future stamp, court or documentary, intangible, recording, filing or similar Taxes that arise from any payment made under, from the execution, delivery, performance, enforcement or registration of, from the receipt or perfection of a security interest under, or otherwise with respect to, any Loan Document, except any such Taxes that are Other Connection Taxes imposed with respect to an assignment (other than an assignment made pursuant to Section 3.06). “Participant” has the meaning specified in Section 11.06(d). “Participant Register” has the meaning specified in Section 11.06(d). “PATRIOT Act” has the meaning specified in Section 11.17. “PBGC” means the Pension Benefit Guaranty Corporation or any successor thereto. “Pension Funding Rules” means the rules of the Code and ERISA regarding minimum required contributions (including any installment payment thereof) to Pension Plans and set forth in Section 412, 430, 431, 432 and 436 of the Code and Sections 302, 303, 304 and 305 of ERISA. “Pension Plan” means any employee pension benefit plan (including a Multiple Employer Plan, but excluding a Multiemployer Plan) that is maintained or contributed to by the Borrower and any ERISA Affiliate or with respsect to which the Borrower or any ERISA Affiliate has any liability and is either covered by Title IV of ERISA or is subject to the minimum funding standards under Section 412 of the Code. “Permitted Factoring Arrangement” means, with respect to any Person, any factoring arrangement entered into by such Person whereby such Person agrees to assign and sell from time to time to a financial institution or third-party factor its right, title and interest in certain of its accounts, payments, receivables, rights to future lease payments or residuals or similar rights to payment. “Permitted Receivables Subsidiary” means any single purpose Subsidiary established in connection with a Securitization Transaction for the acquisition of accounts receivables and related assets or interests therein, and which, (i) has no assets other than the assets which are the basis for such Securitization Transaction and (ii) if applicable for purposes of structuring such transaction, is organized in a manner intended to reduce the likelihood that it would be substantively consolidated with the Borrower or any of the Subsidiaries (other than Permitted Receivables Subsidiaries) in the event the Borrower or any such Subsidiary becomes subject to a proceeding under the Bankruptcy Code of the United States (or other insolvency law).


 
16 #98630541v7 “Permitted Refinancing” means, with respect to any Indebtedness of any Person, any modification, refinancing, refunding, renewal or extension of such Indebtedness; provided, that, the principal amount thereof does not exceed the sum of (a) the outstanding principal amount of the Indebtedness so modified, refinanced, refunded, renewed or extended, plus (b) prepayment premiums paid by such Person, and reasonable and customary fees and expenses incurred by such Person, in connection with such modification, refinancing, refunding, renewal or extension. “Person” means any natural person, corporation, limited liability company, trust, joint venture, association, company, partnership, Governmental Authority or other entity. “Plan” means any employee benefit plan within the meaning of Section 3(3) of ERISA (including a Pension Plan, but excluding any Multiemployer Plan), maintained by the Borrower or any Subsidiary for employees of the Borrower or such Subsidiary or any such Plan to which the Borrower or such Subsidiary is required to contribute on behalf of any of its employees. “Platform” has the meaning specified in Section 6.02. “Prepayment Disposition” means the sale, transfer, license, lease or other disposition of any property or assets by the Borrower or any Subsidiary (including the Equity Interests of any Subsidiary) after the Closing Date but excluding (a) any sale, lease, license, transfer or other disposition of property or assets by the Borrower or any Subsidiary to the Borrower or any Subsidiary and (b) any Disposition pursuant to Sale and Leaseback Transactions permitted under Section 7.04(h). “PTE” means a prohibited transaction class exemption issued by the U.S. Department of Labor, as any such exemption may be amended from time to time. “Public Lender” has the meaning specified in Section 6.02. “QFC” has the meaning assigned to the term “qualified financial contract” in, and shall be interpreted in accordance with, 12 U.S.C. 5390(c)(8)(D). “QFC Credit Support” has the meaning specified in Section 11.22. “Recipient” means the Administrative Agent, any Lender, or any other recipient of any payment to be made by or on account of any obligation of the Borrower hereunder. “Register” has the meaning specified in Section 11.06(c). “Related Parties” means, with respect to any Person, such Person’s Affiliates and the partners, directors, officers, employees, agents, trustees, administrators, managers, advisors and representatives of such Person and of such Person’s Affiliates. “Removal Effective Date” has the meaning specified in Section 9.06(b). “Reportable Event” means any of the events set forth in Section 4043(c) of ERISA, other than events for which the thirty (30) day notice period has been waived. “Required Lenders” means, at any time, Lenders having Commitments representing more than 50% of the Aggregate Commitment at such time, and if the Aggregate Commitments have terminated, Lenders having Loans representing more than 50% of the aggregate outstanding principal amount of all Lenders’


 
17 #98630541v7 Loans at such time. The Loans of any Defaulting Lender shall be disregarded in determining Required Lenders at any time. “Rescindable Amount” has the meaning specified in Section 2.10(b)(ii). “Resignation Effective Date” has the meaning specified in Section 9.06(a). “Resolution Authority” means an EEA Resolution Authority or, with respect to any UK Financial Institution, a UK Resolution Authority. “Responsible Officer” means, with respect to the Borrower, (a) the chief executive officer, president, co-president, chief financial officer (or principal financial officer with similar responsibilities), treasurer, assistant treasurer, controller, general counsel or secretary of the Borrower, (b) solely for purposes of the delivery of secretary and/or incumbency certificates, the secretary or any assistant secretary of the Borrower, and (c) solely for purposes of notices given pursuant to Article II, (i) any other officer or employee of the Borrower so designated by any Responsible Officer of the Borrower identified in clause (a) or clause (b) above in a notice to the Administrative Agent, or (ii) any other officer or employee of the Borrower designated by the Borrower pursuant to an agreement between the Borrower and the Administrative Agent. Any document delivered hereunder that is signed by a Responsible Officer of the Borrower shall be conclusively presumed to have been authorized by all necessary corporate, partnership and/or other action on the part of the Borrower and such Responsible Officer shall be conclusively presumed to have acted on behalf of the Borrower. To the extent requested by the Administrative Agent, each Responsible Officer of the Borrower will provide an incumbency certificate in form and substance reasonably satisfactory to the Administrative Agent. “S&P” means Standard & Poor’s Financial Services LLC, a subsidiary of S&P Global Inc., and any successor thereto. “Sale and Leaseback Transaction” means, with respect to any Person, any arrangement, directly or indirectly, whereby such Person shall sell or transfer any property used or useful in its business, whether now owned or hereafter acquired, and thereafter rent or lease such property or other property that it intends to use for substantially the same purpose or purposes as the property being sold or transferred. “Same Day Funds” means with respect to disbursements and payments in Dollars, immediately available funds. “Sanction(s)” means any economic or financial sanctions administered or enforced by the United States Government (including OFAC), the United Nations Security Council, the European Union, any European Union member state, or His Majesty’s Treasury (“HMT”). “SEC” means the Securities and Exchange Commission, or any Governmental Authority succeeding to any of its principal functions. “Securitization Transaction” means any sale or sales of any accounts receivables and related rights and assets of the Borrower and/or any of its Subsidiaries, and financing secured by the assets so sold; provided that (a) all such sales are made at fair market value and (b) such financing shall be non-recourse (except for customary representations, warranties, covenants and indemnities made in connection with such facilities) to the Borrower or any Subsidiary (other than a Permitted Receivables Subsidiary). “SOFR” means the Secured Overnight Financing Rate as administered by the Federal Reserve Bank of New York (or a successor administrator).


 
18 #98630541v7 “SOFR Adjustment” means 0.10%. “Solvent” and “Solvency” mean, with respect to any Person on any date of determination, that on such date (a) the fair value of the property of such Person is greater than the total amount of liabilities, including contingent liabilities, of such Person, (b) the present fair saleable value of the assets of such Person is not less than the amount that will be required to pay the probable liability of such Person on its debts as they become absolute and matured, (c) such Person does not intend to, and does not believe that it will, incur debts or liabilities beyond such Person’s ability to pay such debts and liabilities as they mature, (d) such Person is not engaged in business or a transaction, and is not about to engage in business or a transaction, for which such Person’s property would constitute an unreasonably small capital, and (e) such Person is able to pay its debts and liabilities, contingent obligations and other commitments as they mature in the ordinary course of business. The amount of contingent liabilities at any time shall be computed as the amount that, in the light of all the facts and circumstances existing at such time, represents the amount that would reasonably be expected to become an actual or matured liability. “Subsidiary” of a Person means a corporation, partnership, joint venture, limited liability company or other business entity of which a majority of the shares of securities or other interests having ordinary voting power for the election of directors or other governing body (other than securities or interests having such power only by reason of the happening of a contingency) are at the time beneficially owned, or the management of which is otherwise controlled, directly, or indirectly through one or more intermediaries, or both, by such Person. Unless otherwise specified, all references herein to a “Subsidiary” or to “Subsidiaries” shall refer to a Subsidiary or Subsidiaries of the Borrower (whether direct or indirect). “Supported QFC” has the meaning specified in Section 11.22. “Swap Contract” means (a) any and all rate swap transactions, basis swaps, credit derivative transactions, forward rate transactions, commodity swaps, commodity options, forward commodity contracts, equity or equity index swaps or options, bond or bond price or bond index swaps or options or forward bond or forward bond price or forward bond index transactions, interest rate options, forward foreign exchange transactions, cap transactions, floor transactions, collar transactions, currency swap transactions, cross-currency rate swap transactions, currency options, spot contracts, or any other similar transactions or any combination of any of the foregoing (including any options to enter into any of the foregoing), whether or not any such transaction is governed by or subject to any master agreement, and (b) any and all transactions of any kind, and the related confirmations, which are subject to the terms and conditions of, or governed by, any form of master agreement published by the International Swaps and Derivatives Association, Inc., any International Foreign Exchange Master Agreement, or any other master agreement (any such master agreement, together with any related schedules, a “Master Agreement”), including any such obligations or liabilities under any Master Agreement. “Swap Termination Value” means, in respect of any one or more Swap Contracts, after taking into account the effect of any legally enforceable netting agreement relating to such Swap Contracts, (a) for any date on or after the date such Swap Contracts have been closed out and termination value(s) determined in accordance therewith, such termination value(s), and (b) for any date prior to the date referenced in clause (a), the amount(s) determined as the mark-to-market value(s) for such Swap Contracts, as determined based upon one or more mid-market or other readily available quotations provided by any recognized dealer in such Swap Contracts (which may include a Lender or any Affiliate of a Lender). “Synthetic Lease Obligation” means the monetary obligation of a Person under (a) a so-called synthetic, off-balance sheet or tax retention lease, or (b) an agreement for the use or possession of property creating obligations that do not appear on the balance sheet of such Person but which, upon the insolvency


 
19 #98630541v7 or bankruptcy of such Person, would be characterized as the indebtedness of such Person (without regard to accounting treatment). “Taxes” means all present or future taxes, levies, imposts, duties, deductions, withholdings (including backup withholdings), assessments, fees or other charges imposed by any Governmental Authority, including any interest, additions to tax or penalties applicable thereto. “Term SOFR” means: (a) for any Interest Period with respect to a Term SOFR Loan, the rate per annum equal to the Term SOFR Screen Rate two (2) U.S. Government Securities Business Days prior to the commencement of such Interest Period with a term equivalent to such Interest Period; provided, that, if the rate is not published prior to 11:00 a.m. on such determination date, then Term SOFR means the Term SOFR Screen Rate on the first U.S. Government Securities Business Day immediately prior thereto; in each case, plus the applicable SOFR Adjustment; and (b) for any interest calculation with respect to a Base Rate Loan on any date, the rate per annum equal to the Term SOFR Screen Rate with a term of one (1) month commencing that day; provided, that, if Term SOFR determined in accordance with either of the foregoing clause (a) or clause (b) would otherwise be less than zero, Term SOFR shall be deemed zero for purposes of this Agreement. “Term SOFR Conforming Changes” means, with respect to the use, administration of or any conventions associated with SOFR, Term SOFR or any proposed Term SOFR Successor Rate, as applicable, any conforming changes to the definition of “Base Rate”, the definition of “Interest Period”, the definition of “SOFR”, the definition of “Term SOFR”, the timing and frequency of determining rates and making payments of interest, and other technical, administrative or operational matters (including, for the avoidance of doubt, the definition of “Business Day”, the definition of “U.S. Government Securities Business Day”, the timing of borrowing requests or prepayment, conversion or continuation notices, and the length of lookback periods) as may be appropriate, in the discretion of the Administrative Agent, in consultation with the Borrower, to reflect the adoption and implementation of such applicable rate(s) and to permit the administration thereof by the Administrative Agent in a manner substantially consistent with market practice (or, if the Administrative Agent determines that adoption of any portion of such market practice is not administratively feasible or that no market practice for the administration of such rate exists, in such other manner of administration as the Administrative Agent determines in consultation with the Borrower is reasonably necessary in connection with the administration of this Agreement and any other Loan Document). “Term SOFR Loan” means a Loan that is denominated in Dollars and that bears interest at a rate based on clause (a) of the definition of “Term SOFR.” “Term SOFR Replacement Date” has the meaning specified in Section 3.03(b). “Term SOFR Scheduled Unavailability Date” has the meaning specified in Section 3.03(b). “Term SOFR Screen Rate” means the forward-looking SOFR term rate administered by CME (or any successor administrator satisfactory to the Administrative Agent) and published on the applicable Reuters screen page (or such other commercially available source providing such quotations as may be designated by the Administrative Agent from time to time). “Term SOFR Successor Rate” has the meaning specified in Section 3.03(b). “Termination Date” means the date on which (a) the Aggregate Commitments have expired or terminated, and (b) all Loans and Obligations (other than contingent indemnification obligations for which no claim or demand has been made) have been paid in full.


 
20 #98630541v7 “Threshold Amount” means $100,000,000. “Type” means, with respect to a Loan, its character as a Base Rate Loan or a Term SOFR Loan. “UCC” means the Uniform Commercial Code as in effect from time to time in the State of New York. “UK Financial Institution” means any BRRD Undertaking (as such term is defined under the PRA Rulebook (as amended from time to time) promulgated by the United Kingdom Prudential Regulation Authority) or any person subject to IFPRU 11.6 of the FCA Handbook (as amended from time to time) promulgated by the United Kingdom Financial Conduct Authority, which includes certain credit institutions and investment firms, and certain affiliates of such credit institutions or investment firms. “UK Resolution Authority” means the Bank of England or any other public administrative authority having responsibility for the resolution of any UK Financial Institution. “United States” and “U.S.” mean the United States of America. “U.S. Government Securities Business Day” means any Business Day, except any Business Day on which any of the Securities Industry and Financial Markets Association, the New York Stock Exchange or the Federal Reserve Bank of New York is not open for business because such day is a legal holiday under the federal laws of the United States or the laws of the State of New York, as applicable. “U.S. Person” means any Person that is a “United States person” as defined in Section 7701(a)(30) of the Code. “U.S. Special Resolution Regimes” has the meaning specified in Section 11.22. “U.S. Tax Compliance Certificate” has the meaning specified in Section 3.01(e)(ii)(B)(3). “Withholding Agent” means the Borrower and the Administrative Agent. “Write-Down and Conversion Powers” means, (a) with respect to any EEA Resolution Authority, the write-down and conversion powers of such EEA Resolution Authority from time to time under the Bail- In Legislation for the applicable EEA Member Country, which write-down and conversion powers are described in the EU Bail-In Legislation Schedule, and (b) with respect to the United Kingdom, any powers of the applicable Resolution Authority under the Bail-In Legislation to cancel, reduce, modify or change the form of a liability of any UK Financial Institution or any contract or instrument under which that liability arises, to convert all or part of that liability into shares, securities or obligations of that person or any other person, to provide that any such contract or instrument is to have effect as if a right had been exercised under it or to suspend any obligation in respect of that liability or any of the powers under that Bail-In Legislation that are related to or ancillary to any of those powers. 1.02 Other Interpretive Provisions. With reference to this Agreement and each other Loan Document, unless otherwise specified herein or in such other Loan Document: (a) The definitions of terms herein shall apply equally to the singular and plural forms of the terms defined. Whenever the context may require, any pronoun shall include the corresponding masculine, feminine and neuter forms. The words “include,” “includes” and “including” shall be deemed to be followed by the phrase “without limitation.” The word “will” shall be construed to have the same meaning and effect as the word “shall.” Unless the context


 
21 #98630541v7 requires otherwise, (i) any definition of or reference to any agreement, instrument or other document (including any Organization Document) shall be construed as referring to such agreement, instrument or other document as from time to time amended, restated, amended and restated, supplemented or otherwise modified or extended, replaced or refinanced, including by way of any supplement or joinder agreement (subject to any restrictions on such amendments, restatements, amendments and restatements, supplements, modifications, extensions, replacements or refinancings set forth herein or in any other Loan Document), (ii) any reference herein to any Person shall be construed to include such Person’s successors and permitted assigns, (iii) the words “hereto,” “herein,” “hereof” and “hereunder,” and words of similar import when used in any Loan Document, shall be construed to refer to such Loan Document in its entirety and not to any particular provision thereof, (iv) all references in a Loan Document to Articles, Sections, Exhibits and Schedules shall be construed to refer to Articles and Sections of, and Exhibits and Schedules to, the Loan Document in which such references appear, (v) any reference to any law shall include all statutory and regulatory provisions consolidating, amending, replacing or interpreting such law and any reference to any law, rule or regulation shall, unless otherwise specified, refer to such law, rule or regulation as amended, restated, amended and restated, modified or supplemented from time to time, (vi) the words “asset” and “property” shall be construed to have the same meaning and effect and to refer to any and all tangible and intangible assets and properties, including cash, securities, accounts and contract rights and (vii) definitions given in singular form shall, when used in their plural form, mean a collective reference to each such person, place or thing and definitions given in plural form shall, when used in their singular form, mean an (or the applicable) individual person place or thing among the group of persons, places or things defined. (b) In the computation of periods of time from a specified date to a later specified date, the word “from” means “from and including;” the words “to” and “until” each mean “to but excluding;” and the word “through” means “to and including.” (c) Section headings herein and in the other Loan Documents are included for convenience of reference only and shall not affect the interpretation of this Agreement or any other Loan Document. (d) Any reference herein to a merger, consolidation, amalgamation, assignment, sale, disposition or transfer, or similar term, shall be deemed to apply to a division of or by a limited liability company, or an allocation of assets to a series of a limited liability company (or the unwinding of such a division or allocation), as if it were a merger, consolidation, amalgamation, assignment, sale, disposition or transfer, or similar term, as applicable, to, of or with a separate Person. Any division of a limited liability company shall constitute a separate Person hereunder (and each division of any limited liability company that is a Subsidiary, joint venture or any other like term shall also constitute such a Person). 1.03 Accounting Terms. (a) Generally. All accounting terms not specifically or completely defined herein shall be construed in conformity with, and all financial data (including financial ratios and other financial calculations) required to be submitted pursuant to this Agreement shall be prepared in conformity with, GAAP applied on a consistent basis, as in effect from time to time, except as otherwise specifically prescribed herein. Notwithstanding any other provision contained herein, all terms of an accounting or financial nature used herein shall be construed, and all computations of amounts and ratios referred to herein shall be made without giving effect to any election under Accounting Standards Codification 825 (or any other Financial Accounting Standard or Accounting Standards


 
22 #98630541v7 Codification having a similar result or effect) to value any Indebtedness or other liabilities of the Borrower or any Subsidiary at “fair value,” as defined therein. (b) Changes in GAAP. If at any time any change in GAAP would affect the computation of any financial ratio or requirement set forth in any Loan Document, and either the Borrower or the Required Lenders shall so request, the Administrative Agent and the Borrower shall negotiate in good faith to amend such ratio or requirement to preserve the original intent thereof in light of such change in GAAP (subject to the approval of the Required Lenders); provided, that, until so amended, (i) such ratio or requirement shall continue to be computed in accordance with GAAP prior to such change therein, and (ii) the Borrower shall provide to the Administrative Agent (for distribution to the Lenders) financial statements and other documents required under this Agreement or as reasonably requested hereunder setting forth a reconciliation between calculations of such ratio or requirement made before and after giving effect to such change in GAAP. Without limiting the foregoing, leases shall continue to be classified and accounted for on a basis consistent with that reflected in the Audited Financial Statements for all purposes of this Agreement, notwithstanding any change in GAAP relating thereto, unless the parties hereto shall enter into a mutually acceptable amendment addressing such changes, as provided for above. Notwithstanding anything herein to the contrary, any obligations relating to a lease existing on the Closing Date that was accounted for as an operating lease as of December 31, 2018 and any lease existing on the Closing Date that was entered into after December 31, 2018 that would have been accounted for as an operating lease under GAAP as in effect as of December 31, 2018 shall be accounted for as obligations relating to an operating lease and not as Capital Lease Obligations or Capitalized Finance Lease. (c) Consolidation of Variable Interest Entities. All references herein to consolidated financial statements of the Borrower and its Subsidiaries or to the determination of any amount for the Borrower and its Subsidiaries on a consolidated basis or any similar reference shall, in each case, be deemed to include each material variable interest entity that the Borrower is required to consolidate pursuant to FASB Accounting Standards Codification 810 – Consolidation of Variable Interest Entities: an interpretation of ARB No. 51 (January 2003) as if such variable interest entity were a Subsidiary as defined herein. 1.04 Rounding. Any financial ratios required to be maintained by the Borrower pursuant to this Agreement shall be calculated by dividing the appropriate component by the other component, carrying the result to one place more than the number of places by which such ratio is expressed herein and rounding the result up or down to the nearest number (with a rounding-up if there is no nearest number). 1.05 Times of Day. Unless otherwise specified, all references herein to times of day shall be references to Eastern time (daylight or standard, as applicable). 1.06 Interest Rates. The Administrative Agent does not warrant, nor accept responsibility, nor shall the Administrative Agent have any liability with respect to the administration, submission or any other matter related to any reference rate referred to herein or with respect to any rate (including, for the avoidance of doubt, the selection of such rate and any related spread or other adjustment) that is an alternative or replacement for or successor to any such rate (including any Term SOFR Successor Rate) (or any component of any of the foregoing) or the effect of any of the foregoing, or of any Term SOFR Conforming Changes. The Administrative Agent and its Affiliates or other related entities may engage in transactions or other activities that affect any reference rate referred to herein, or any alternative, successor or replacement rate (including any Term SOFR Successor Rate) (or any component of any of the foregoing)


 
23 #98630541v7 or any related spread or other adjustments thereto, in each case, in a manner adverse to the Borrower. The Administrative Agent may select information sources or services in its reasonable discretion to ascertain any reference rate referred to herein or any alternative, successor or replacement rate (including any Term SOFR Successor Rate) (or any component of any of the foregoing), in each case pursuant to the terms of this Agreement, and shall have no liability to the Borrower, any Lender or any other Person for damages of any kind, including direct or indirect, special, punitive, incidental or consequential damages, costs, losses or expenses (whether in tort, contract or otherwise and whether at law or in equity), for any error or other action or omission related to or affecting the selection, determination, or calculation of any rate (or component thereof) provided by any such information source or service. ARTICLE II COMMITMENTS AND LOANS 2.01 Loans. Subject to the terms and conditions set forth herein, each Lender severally agrees to make a term loan (the “Loans”) to the Borrower in Dollars on the Closing Date, in an aggregate amount equal to the amount of such Lender’s Commitment. Loans borrowed hereunder pursuant to this Section 2.01 and once paid or prepaid, may not be reborrowed. Loans may be Base Rate Loans or Term SOFR Loans, as further provided herein. 2.02 Borrowings; Conversions and Continuations of Loans. (a) Each Borrowing, each conversion of Loans from one Type to other, each conversion of Term SOFR Loans to Base Rate Loans, and each continuation of Term SOFR Loans shall be made upon the Borrower’s irrevocable notice to the Administrative Agent, which may be given by telephone or a Loan Notice; provided, that, any telephonic notice by the Borrower pursuant to this Section 2.02(a) must be confirmed promptly by delivery to the Administrative Agent of a Loan Notice, appropriately completed and signed by a Responsible Officer of the Borrower. Each Loan Notice must be received by the Administrative Agent not later than 1:00 p.m. (i) two (2) Business Days prior to the requested date of any Borrowing of, conversion to or continuation of Term SOFR Loans, or of any conversion of Term SOFR Loans to Base Rate Loans and (ii) on the requested date of any Borrowing of Base Rate Loans. Each Borrowing of, conversion to or continuation of Term SOFR Loans shall be in a principal amount of $5,000,000 or a whole multiple of $1,000,000 in excess thereof. Each Borrowing of or conversion to Base Rate Loans shall be in a principal amount of $500,000 or a whole multiple of $100,000 in excess thereof. Each Loan Notice shall specify (A) whether the Borrower is requesting a Borrowing, conversion, or continuation, (B) the requested date of the Borrowing, conversion or continuation, as the case may be (which shall be a Business Day), (C) the principal amount of Loans to be borrowed, converted or continued, (D) the Type of Loans to be borrowed or to which existing Loans are to be converted, and (E) if applicable, the duration of the Interest Period with respect thereto. If the Borrower fails to specify a Type of Loan in a Loan Notice or if the Borrower fails to give a timely notice requesting a conversion or continuation, then the applicable Loans shall be made as, or converted to, Base Rate Loans. Any such automatic conversion to Base Rate Loans shall be effective as of the last day of the Interest Period then in effect with respect to the applicable Term SOFR Loans. If the Borrower requests a Borrowing of, conversion to, or continuation of Term SOFR Loans in any such Loan Notice, but fails to specify an Interest Period, it will be deemed to have specified an Interest Period of one (1) month. (b) Following receipt of a Loan Notice, the Administrative Agent shall promptly notify each Lender of the amount of its Applicable Percentage of the applicable Loans, and if no timely notice of a conversion or continuation is provided by the Borrower, the Administrative


 
24 #98630541v7 Agent shall notify each Lender of the details of any automatic conversion to Base Rate Loans as described in the preceding subsection. In the case of a Borrowing, each Lender shall make the amount of its Loan available to the Administrative Agent in Same Day Funds at the Administrative Agent’s Office not later than 1:00 p.m. on the Business Day specified in the applicable Loan Notice. Upon satisfaction of the applicable conditions set forth in Section 4.01, the Administrative Agent shall make all funds so received available to the Borrower in like funds as received by the Administrative Agent either by (i) crediting the account of the Borrower on the books of Bank of America with the amount of such funds, or (ii) wire transfer of such funds, in each case in accordance with instructions provided to (and reasonably acceptable to) the Administrative Agent by the Borrower. (c) Except as otherwise provided herein, a Term SOFR Loan may be continued or converted only on the last day of an Interest Period for such Loan. During the existence of a Default, no Loans may be converted to or continued as Term SOFR Loans without the consent of the Required Lenders and the Required Lenders may demand that any or all of the outstanding Term SOFR Loans be converted immediately to Base Rate Loans. (d) Each determination of an interest rate by the Administrative Agent pursuant to any provision of this Agreement shall be conclusive and binding on the Borrower and the Lenders in the absence of manifest error. (e) After giving effect to the Borrowing, all conversions of Term SOFR Loans to Base Rate Loans, all conversions of Base Rate Loans to Term SOFR Loans, and all continuations of Term SOFR Loans, there shall not be more than ten (10) Interest Periods in effect with respect to all Loans. (f) Notwithstanding anything to the contrary in this Agreement, any Lender may exchange, continue or rollover all or any portion of its Loans in connection with any refinancing, extension, loan modification or similar transaction permitted by the terms of this Agreement, pursuant to a cashless settlement mechanism approved by the Borrower, the Administrative Agent, and such Lender. (g) With respect to SOFR or Term SOFR, the Administrative Agent will have the right to make Term SOFR Conforming Changes from time to time and, notwithstanding anything to the contrary herein or in any other Loan Document, any amendments implementing such Term SOFR Conforming Changes will become effective without any further action or consent of any other party to this Agreement or any other Loan Document; provided that, with respect to any such amendment effected, the Administrative Agent shall post each such amendment implementing such Term SOFR Conforming Changes to the Borrower and the Lenders reasonably promptly after such amendment becomes effective. 2.03 Prepayments. (a) The Borrower may, upon notice to the Administrative Agent, at any time or from time to time voluntarily prepay Loans in whole or in part without premium or penalty; provided, that, (i) such notice must be in the form of a Notice of Loan Prepayment and be received by the Administrative Agent not later than 11:00 a.m. (A) two (2) Business Days prior to any date of prepayment of Term SOFR Loans and (B) on the date of prepayment of Base Rate Loans; (ii) any prepayment of Term SOFR Loans shall be in a principal amount of $5,000,000 or a whole multiple of $1,000,000 in excess thereof; and (iii) any prepayment of Base Rate Loans shall be in a principal amount of $500,000 or a whole multiple of $100,000 in excess thereof or, in each case, if less, the


 
25 #98630541v7 entire principal amount thereof then outstanding. Each Notice of Loan Prepayment shall specify the date and amount of such prepayment and the Type(s) of Loans to be prepaid and, if Term SOFR Loans are to be prepaid, the Interest Period(s) of such Loans. The Administrative Agent will promptly notify each Lender of its receipt of each Notice of Loan Prepayment, and of the amount of such Lender’s Applicable Percentage of such prepayment. If a Notice of Loan Prepayment is given by the Borrower, the Borrower shall make such prepayment and the payment amount specified in such Notice of Loan Prepayment shall be due and payable on the date specified therein; provided, that, a Notice of Loan Prepayment delivered by the Borrower may state that such notice is conditioned upon the effectiveness of other transactions, in which case such notice may be revoked by the Borrower (by notice to the Administrative Agent on or prior to the specified effective date) if such condition is not satisfied. (b) In the event that the Borrower or any of its Subsidiaries receives any Net Cash Proceeds arising from any Equity Issuance, any Debt Issuance or Prepayment Disposition, the Borrower shall prepay an aggregate principal amount of Loans equal to 100% of such Net Cash Proceeds not later than three (3) Business Days upon receipt thereof; provided, however, that the Borrower shall not be required to prepay Loans with such Net Cash Proceeds as otherwise required by the preceding clause to the extent (and only to the extent) that such Net Cash Proceeds are required by the terms of the Existing Credit Agreement to be, and are, applied to prepay loans outstanding under the Existing Credit Agreement. The Borrower shall promptly (and not later than the date of receipt thereof) notify the Administrative Agent of its receipt of such Net Cash Proceeds, and such notice shall be accompanied by a reasonably detailed calculation of the Net Cash Proceeds. (c) Any prepayment shall be accompanied by all accrued interest on the amount prepaid, together with, in the case of any prepayment of Term SOFR Loans, any additional amounts required pursuant to Section 3.05. Each such prepayment shall be applied to the Loans of the Lenders in accordance with their respective Applicable Percentages. 2.04 Termination of Aggregate Commitments. The Aggregate Commitments shall automatically terminate in full upon the funding of the Loans on the Closing Date. 2.05 Repayment of Loans. The Borrower shall repay to the Lenders on the Maturity Date the aggregate principal amount of all Loans, together with all other amounts owed with respect to the Obligations hereunder, outstanding on such date. 2.06 Interest. (a) Subject to the provisions of Section 2.06(b): (i) each Term SOFR Loan shall bear interest on the outstanding principal amount thereof for each Interest Period at a rate per annum equal to Term SOFR for such Interest Period plus the Applicable Rate for Term SOFR Loans; and (ii) each Base Rate Loan shall bear interest on the outstanding principal amount thereof from the applicable borrowing date at a rate per annum equal to the Base Rate plus the Applicable Rate for Base Rate Loans. (b) (i) If any amount of principal of any Loan is not paid when due (without regard to any applicable grace periods), whether at stated maturity, by acceleration or otherwise, such amount shall thereafter bear interest at a fluctuating interest rate per annum at all times equal to the Default Rate to the fullest extent permitted by applicable Laws.


 
26 #98630541v7 (ii) If any amount (other than principal of any Loan) payable by the Borrower under any Loan Document is not paid when due (without regard to any applicable grace periods), whether at stated maturity, by acceleration or otherwise, then upon the request of the Required Lenders, such amount shall thereafter bear interest at a fluctuating interest rate per annum at all times equal to the Default Rate to the fullest extent permitted by applicable Laws. (iii) Upon the request of the Required Lenders, while any Event of Default exists (other than as set forth in clauses (b)(i) and (b)(ii) above), the Borrower shall pay interest on the principal amount of all outstanding Obligations hereunder at a fluctuating interest rate per annum at all times equal to the Default Rate to the fullest extent permitted by applicable Laws. (iv) Accrued and unpaid interest on past due amounts (including interest on past due interest) shall be due and payable upon demand. (c) Interest on each Loan shall be due and payable in arrears on each Interest Payment Date applicable thereto and at such other times as may be specified herein. Interest hereunder shall be due and payable in accordance with the terms hereof before and after judgment, and before and after the commencement of any proceeding under any Debtor Relief Law. 2.07 Fees. (a) The Borrower shall pay to the Arranger and the Administrative Agent, for their own respective accounts, in Dollars, fees in the amounts and at the times specified in the Fee Letter. Such fees shall be fully earned when paid and shall not be refundable for any reason whatsoever. (b) The Borrower shall pay to the Lenders, in Dollars, such fees as shall have been separately agreed upon in writing in the amounts and at the times so specified. Such fees shall be fully earned when paid and shall not be refundable for any reason whatsoever. 2.08 Computation of Interest and Fees. . All computations of interest for Base Rate Loans (including Base Rate Loans determined by reference to Term SOFR) shall be made on the basis of a year of three hundred sixty-five (365) or three hundred sixty-six (366) days, as the case may be, and actual days elapsed. All other computations of fees and interest shall be made on the basis of a three hundred sixty (360) day year and actual days elapsed (which results in more fees or interest, as applicable, being paid than if computed on the basis of a three hundred sixty-five (365) day year or a three hundred sixty-six (366) day year). Interest shall accrue on each Loan for the day on which the Loan is made, and shall not accrue on a Loan, or any portion thereof, for the day on which the Loan or such portion is paid; provided, that, any Loan that is repaid on the same day on which it is made shall, subject to Section 2.10(a), bear interest for one (1) day. Each determination by the Administrative Agent of an interest rate or fee hereunder shall be conclusive and binding for all purposes, absent manifest error. 2.09 Evidence of Debt. The Loans made by each Lender shall be evidenced by one or more accounts or records maintained by such Lender in the ordinary course of business. The Administrative Agent shall maintain the Register in accordance with Section 11.06(c). The accounts or records maintained by each Lender shall be conclusive absent manifest error of the amount of the Loans made by the Lenders to the Borrower and the interest and payments thereon. Any failure to so record or any error in doing so shall not, however, limit or otherwise affect the obligation of the Borrower hereunder to pay any amount owing with respect to the Obligations. In the event of any conflict between the accounts and records maintained by any Lender and the Register, the Register shall control in the absence of manifest error.


 
27 #98630541v7 Upon the written request of any Lender made through the Administrative Agent, the Borrower shall execute and deliver to such Lender (through the Administrative Agent) a Note or Notes, which shall evidence such Lender’s Loans in addition to such accounts or records. Each Lender may attach schedules to its Note(s) and endorse thereon the date, Type (if applicable), amount and maturity of its Loans and payments with respect thereto. 2.10 Payments Generally; Administrative Agent’s Clawback. (a) General. All payments to be made by the Borrower shall be made free and clear of and without condition or deduction for any counterclaim, defense, recoupment or setoff. Except as otherwise expressly provided herein, all payments by the Borrower hereunder shall be made to the Administrative Agent, for the account of the respective Lenders to which such payment is owed, at the Administrative Agent’s Office in Dollars and in Same Day Funds not later than 2:00 p.m. on the date specified herein. The Administrative Agent will promptly distribute to each Lender its Applicable Percentage (or other applicable share as provided herein) of such payment in like funds as received by wire transfer to such Lender’s Lending Office. All payments received by the Administrative Agent after 2:00 p.m. shall be deemed received on the next succeeding Business Day and any applicable interest or fee shall continue to accrue. Subject to the definition of “Interest Period”, if any payment to be made by the Borrower shall come due on a day other than a Business Day, payment shall be made on the next following Business Day, and such extension of time shall be reflected in computing interest or fees, as the case may be. (b) (i) Funding by Lenders; Presumption by Administrative Agent. Unless the Administrative Agent shall have received notice from a Lender prior to the proposed date of the Borrowing of Term SOFR Loans (or, in the case of the Borrowing of Base Rate Loans, prior to 12:00 noon on the date of the Borrowing) that such Lender will not make available to the Administrative Agent such Lender’s share of such Borrowing, the Administrative Agent may assume that such Lender has made such share available on such date in accordance with Section 2.02 (or, in the case of a Borrowing of Base Rate Loans, that such Lender has made such share available in accordance with and at the time required by Section 2.02) and may, in reliance upon such assumption, make available to the Borrower a corresponding amount. In such event, if a Lender has not in fact made its share of the applicable Borrowing available to the Administrative Agent, then the applicable Lender and the Borrower severally agree to pay to the Administrative Agent forthwith on demand such corresponding amount in Same Day Funds with interest thereon, for each day from and including the date such amount is made available to the Borrower to but excluding the date of payment to the Administrative Agent, at (A) in the case of a payment to be made by such Lender, the greater of the Federal Funds Rate and a rate determined by the Administrative Agent in accordance with banking industry rules on interbank compensation, plus any administrative, processing or similar fees customarily charged by the Administrative Agent in connection with the foregoing, and (B) in the case of a payment to be made by the Borrower, the interest rate applicable to Base Rate Loans. If the Borrower and such Lender shall pay such interest to the Administrative Agent for the same or an overlapping period, the Administrative Agent shall promptly remit to the Borrower the amount of such interest paid by the Borrower for such period. If such Lender pays its share of the applicable Borrowing to the Administrative Agent, then the amount so paid shall constitute such Lender’s Loan included in such Borrowing. Any payment by the Borrower shall be without prejudice to any claim the Borrower may have against a Lender that shall have failed to make such payment to the Administrative Agent.


 
28 #98630541v7 (ii) Payments by Borrower; Presumptions by Administrative Agent. Unless the Administrative Agent shall have received notice from the Borrower prior to the date on which any payment is due to the Administrative Agent for the account of the Lenders hereunder that the Borrower will not make such payment, the Administrative Agent may assume that the Borrower has made such payment on such date in accordance herewith and may, in reliance upon such assumption, distribute to the Lenders the amount due. With respect to any payment that the Administrative Agent makes for the account of the Lenders hereunder as to which the Administrative Agent determines (which determination shall be conclusive absent manifest error) that any of the following applies (such payment referred to as a “Rescindable Amount”): (A) the Borrower has not in fact made such payment; (B) the Administrative Agent has made a payment in excess of the amount so paid by the Borrower (whether or not then owed); or (C) the Administrative agent has for any reason otherwise erroneously made such payment; then each of the Lenders, severally agrees to repay to the Administrative Agent forthwith on demand the Rescindable Amount so distributed to such Lender, in Same Day Funds with interest thereon, for each day from and including the date such amount is distributed to it to but excluding the date of payment to the Administrative Agent, at the greater of the Federal Funds Rate and a rate determined by the Administrative Agent in accordance with banking industry rules on interbank compensation. A notice of the Administrative Agent to any Lender or the Borrower with respect to any amount owing under this Section 2.10(b) shall be conclusive, absent manifest error. (c) Failure to Satisfy Conditions Precedent. If any Lender makes available to the Administrative Agent funds for any Loan to be made by such Lender as provided in the foregoing provisions of this Article II, and such funds are not made available to the Borrower by the Administrative Agent because the conditions to the Borrowing set forth in Article IV are not satisfied or waived in accordance with the terms hereof, the Administrative Agent shall return such funds (in like funds as received from such Lender) to such Lender, without interest. (d) Obligations of Lenders Several. The obligations of the Lenders hereunder to make Loans and to make payments pursuant to Section 11.04(c) are several and not joint. The failure of any Lender to make any Loan or to make any payment under Section 11.04(c) on any date required hereunder shall not relieve any other Lender of its corresponding obligation to do so on such date, and no Lender shall be responsible for the failure of any other Lender to so make its Loan or to make its payment under Section 11.04(c). (e) Funding Source. Nothing herein shall be deemed to obligate any Lender to obtain the funds for any Loan in any particular place or manner or to constitute a representation by any Lender that it has obtained or will obtain the funds for any Loan in any particular place or manner. (f) Insufficient Funds. If at any time insufficient funds are received by and available to the Administrative Agent to pay fully all amounts of principal, interest and fees then due hereunder, such funds shall be applied (i) first, toward payment of interest and fees then due hereunder, ratably among the parties entitled thereto in accordance with the amounts of interest and fees then due to such parties, and (ii) second, toward payment of principal then due hereunder, ratably among the parties entitled thereto in accordance with the amounts of principal then due to such parties. 2.11 Sharing of Payments by Lenders. If any Lender shall, by exercising any right of setoff or counterclaim or otherwise, obtain payment in respect of any principal of or interest on any of the Loans


 
29 #98630541v7 made by it resulting in such Lender’s receiving payment of a proportion of the aggregate amount of such Loans and accrued interest thereon greater than its pro rata share thereof as provided herein, then the Lender receiving such greater proportion shall (a) notify the Administrative Agent of such fact, and (b) purchase (for cash at face value) participations in the Loans of the other Lenders, or make such other adjustments as shall be equitable, so that the benefit of all such payments shall be shared by the Lenders ratably in accordance with the aggregate amount of principal of and accrued interest on their respective Loans and other amounts owing them; provided, that: (i) if any such participations are purchased and all or any portion of the payment giving rise thereto is recovered, such participations shall be rescinded and the purchase price restored to the extent of such recovery, without interest; and (ii) the provisions of this Section 2.11 shall not be construed to apply to (A) any payment made by or on behalf of the Borrower pursuant to and in accordance with the express terms of this Agreement (including the application of funds arising from the existence of a Defaulting Lender), or (B) any payment obtained by a Lender as consideration for the assignment of or sale of a participation in any of its Loans to any assignee or participant, other than an assignment to the Borrower or any Subsidiary (as to which the provisions of this Section 2.11 shall apply). The Borrower consents to the foregoing and agrees, to the extent it may effectively do so under applicable Law, that any Lender acquiring a participation pursuant to the foregoing arrangements may exercise against the Borrower rights of setoff and counterclaim with respect to such participation as fully as if such Lender were a direct creditor of the Borrower in the amount of such participation. 2.12 Defaulting Lenders. (a) Adjustments. Notwithstanding anything to the contrary contained in this Agreement, if any Lender becomes a Defaulting Lender, then, until such time as that Lender is no longer a Defaulting Lender, to the extent permitted by applicable Law: (i) Waivers and Amendments. Such Defaulting Lender’s right to approve or disapprove any amendment, waiver or consent with respect to this Agreement shall be restricted as set forth in the definition of “Required Lenders” and Section 11.01. (ii) Defaulting Lender Waterfall. Any payment of principal, interest, fees or other amounts received by the Administrative Agent for the account of such Defaulting Lender (whether voluntary or mandatory, at maturity, pursuant to Article VIII or otherwise) or received by the Administrative Agent from a Defaulting Lender pursuant to Section 11.08 shall be applied at such time or times as may be determined by the Administrative Agent as follows: first, to the payment of any amounts owing by such Defaulting Lender to the Administrative Agent hereunder; second, as the Borrower may request (so long as no Default has occurred and is continuing), to the funding of any Loan in respect of which such Defaulting Lender has failed to fund its portion thereof as required by this Agreement, as determined by the Administrative Agent; third, if so determined by the Administrative Agent and the Borrower, to be held in a deposit account and released in order to satisfy such Defaulting Lender’s potential future funding obligations with respect to Loans under this Agreement; fourth, to the payment of any amounts owing to the Non-Defaulting Lenders as a result of any judgment of a court of competent jurisdiction obtained by any Non-Defaulting Lender against such Defaulting Lender as a result of such Defaulting


 
30 #98630541v7 Lender’s breach of its obligations under this Agreement; fifth, so long as no Event of Default exists, to the payment of any amounts owing to the Borrower as a result of any judgment of a court of competent jurisdiction obtained by the Borrower against such Defaulting Lender as a result of such Defaulting Lender’s breach of its obligations under this Agreement; and sixth, to such Defaulting Lender or as otherwise directed by a court of competent jurisdiction; provided, that, if (1) such payment is a payment of the principal amount of any Loans in respect of which such Defaulting Lender has not fully funded its appropriate share, and (2) such Loans were made at a time when the conditions set forth in Section 4.01 were satisfied or waived, such payment shall be applied solely to pay the Loans of all Non-Defaulting Lenders on a pro rata basis prior to being applied to the payment of any Loans of such Defaulting Lender until such time as all Loans are held by the Lenders pro rata in accordance with the Commitments hereunder without giving effect to Section 2.12(b). Any payments, prepayments or other amounts paid or payable to a Defaulting Lender that are applied (or held) to pay amounts owed by a Defaulting Lender shall be deemed paid to and redirected by such Defaulting Lender, and each Lender irrevocably consents hereto. (b) Defaulting Lender Cure. If the Borrower and the Administrative Agent agree in writing that a Lender is no longer a Defaulting Lender, the Administrative Agent will so notify the parties hereto, whereupon as of the effective date specified in such notice and subject to any conditions set forth therein, that Lender will, to the extent applicable, purchase at par that portion of outstanding Loans of the other Lenders or take such other actions as the Administrative Agent may determine to be necessary to cause the Loans to be held on a pro rata basis by the Lenders in accordance with the Commitments, whereupon such Lender will cease to be a Defaulting Lender; provided, that, no adjustments will be made retroactively with respect to fees accrued or payments made by or on behalf of the Borrower while that Lender was a Defaulting Lender; provided, further, that, except to the extent otherwise expressly agreed by the affected parties, no change hereunder from Defaulting Lender to Lender will constitute a waiver or release of any claim of any party hereunder arising from that Lender’s having been a Defaulting Lender. ARTICLE III TAXES, YIELD PROTECTION AND ILLEGALITY 3.01 Taxes. (a) Payments Free of Taxes; Obligation to Withhold; Payments on Account of Taxes. (i) Any and all payments by or on account of any obligation of any Loan Party under any Loan Document shall be made without deduction or withholding for any Taxes, except as required by applicable Laws. If any applicable Laws (as determined in the good faith discretion of an applicable Withholding Agent) require the deduction or withholding of any Tax from any such payment by the Withholding Agent, then the Withholding Agent shall be entitled to make such deduction or withholding, upon the basis of the information and documentation to be delivered pursuant to subsection (e) below. (ii) If a Withholding Agent shall be required by the Code to withhold or deduct any Taxes, including both United States Federal backup withholding and withholding taxes, from any payment, then (A) the applicable Withholding Agent shall withhold or make such deductions as are determined by the Withholding Agent to be required based upon the information and documentation it has received pursuant to subsection (e) below,


 
31 #98630541v7 (B) the Withholding Agent shall timely pay the full amount withheld or deducted to the relevant Governmental Authority in accordance with the Code, and (C) to the extent that the withholding or deduction is made on account of Indemnified Taxes, the sum payable by the Borrower shall be increased as necessary so that after any required withholding or the making of all required deductions (including deductions applicable to additional sums payable under this Section 3.01) the applicable Recipient receives an amount equal to the sum it would have received had no such withholding or deduction been made. (iii) If a Withholding Agent shall be required by any applicable Laws other than the Code to withhold or deduct any Taxes from any payment, then (A) the applicable Withholding Agent, as required by such Laws, shall withhold or make such deductions as are determined by it to be required based upon the information and documentation it has received pursuant to subsection (e) below, (B) the Withholding Agent, to the extent required by such Laws, shall timely pay the full amount withheld or deducted to the relevant Governmental Authority in accordance with such Laws, and (C) to the extent that the withholding or deduction is made on account of Indemnified Taxes, the sum payable by the Borrower shall be increased as necessary so that after any required withholding or the making of all required deductions (including deductions applicable to additional sums payable under this Section 3.01) the applicable Recipient receives an amount equal to the sum it would have received had no such withholding or deduction been made. (b) Payment of Other Taxes by the Borrower. Without limiting the provisions of subsection (a) above, the Borrower shall timely pay to the relevant Governmental Authority in accordance with applicable Law, or at the option of the Administrative Agent timely reimburse it for the payment of, any Other Taxes. (c) Tax Indemnifications. (i) The Borrower shall, and does hereby indemnify each Recipient, and shall make payment in respect thereof within ten (10) days after written demand therefor, for the full amount of any Indemnified Taxes (including Indemnified Taxes imposed or asserted on or attributable to amounts payable under this Section 3.01) payable or paid by such Recipient or required to be withheld or deducted from a payment to such Recipient, and any penalties, interest and reasonable expenses arising therefrom or with respect thereto (other than penalties, interest and expenses payable by reason of the gross negligence or willful misconduct of such Recipient), whether or not such Indemnified Taxes were correctly or legally imposed or asserted by the relevant Governmental Authority. A certificate as to the amount of such payment or liability delivered to the Borrower by a Lender (with a copy to the Administrative Agent), or by the Administrative Agent on its own behalf or on behalf of a Lender, shall be conclusive absent manifest error. (ii) Each Lender shall, and does hereby, severally indemnify, and shall make payment in respect thereof within ten (10) days after demand therefor, (A) the Administrative Agent against any Indemnified Taxes attributable to such Lender (but only to the extent that the Borrower have not already indemnified the Administrative Agent for such Indemnified Taxes and without limiting the obligation of the Borrower to do so), (B) the Administrative Agent, against any Taxes attributable to such Lender’s failure to comply with the provisions of Section 11.06(d) relating to the maintenance of a Participant Register and (C) the Administrative Agent against any Excluded Taxes attributable to such Lender that are payable or paid by the Administrative Agent in connection with any Loan


 
32 #98630541v7 Document, and any reasonable expenses arising therefrom or with respect thereto, whether or not such Taxes were correctly or legally imposed or asserted by the relevant Governmental Authority. A certificate as to the amount of such payment or liability delivered to any Lender by the Administrative Agent shall be conclusive absent manifest error. Each Lender hereby authorizes the Administrative Agent to set off and apply any and all amounts at any time owing to such Lender, under this Agreement or any other Loan Document against any amount due to the Administrative Agent under this clause (ii). (d) Evidence of Payments. Upon request by the Borrower or the Administrative Agent, as the case may be, after any payment of Taxes by the Borrower or by the Administrative Agent to a Governmental Authority as provided in this Section 3.01, the Borrower shall deliver to the Administrative Agent or the Administrative Agent shall deliver to the Borrower, as the case may be, the original or a certified copy of a receipt issued by such Governmental Authority evidencing such payment, a copy of any return required by Laws to report such payment or other evidence of such payment reasonably satisfactory to the Borrower or the Administrative Agent, as the case may be. (e) Status of Lenders; Tax Documentation. (i) Any Lender that is entitled to an exemption from or reduction of withholding Tax with respect to payments made under any Loan Document shall deliver to the Borrower and the Administrative Agent, at the time or times reasonably requested by the Borrower or the Administrative Agent, such properly completed and executed documentation reasonably requested by the Borrower or the Administrative Agent as will permit such payments to be made without withholding or at a reduced rate of withholding. In addition, any Lender, if reasonably requested by the Borrower or the Administrative Agent, shall deliver such other documentation prescribed by applicable Law or reasonably requested by the Borrower or the Administrative Agent as will enable the Borrower or the Administrative Agent to determine whether or not such Lender is subject to backup withholding or information reporting requirements. Notwithstanding anything to the contrary in the preceding two sentences, the completion, execution and submission of such documentation (other than such documentation set forth in Section 3.01(e)(ii)(A), (ii)(B) and (ii)(D)) shall not be required if in the Lender’s reasonable judgment such completion, execution or submission would subject such Lender to any material unreimbursed cost or expense or would materially prejudice the legal or commercial position of such Lender. (ii) Without limiting the generality of the foregoing, in the event that the Borrower is a U.S. Person, (A) any Lender that is a U.S. Person shall deliver to the Borrower and the Administrative Agent on or prior to the date on which such Lender becomes a Lender under this Agreement (and from time to time thereafter upon the reasonable request of the Borrower or the Administrative Agent), executed copies of IRS Form W-9 certifying that such Lender is exempt from U.S. federal backup withholding tax; (B) any Foreign Lender shall, to the extent it is legally entitled to do so, deliver to the Borrower and the Administrative Agent (in such number of copies as shall be requested by the recipient) on or prior to the date on which such Foreign Lender becomes a Lender under this Agreement (and from time to time thereafter


 
33 #98630541v7 upon the reasonable request of the Borrower or the Administrative Agent), whichever of the following is applicable: (1) in the case of a Foreign Lender claiming the benefits of an income tax treaty to which the United States is a party (x) with respect to payments of interest under any Loan Document, executed copies of IRS Form W-8BEN or IRS Form W-8BEN-E establishing an exemption from, or reduction of, U.S. federal withholding Tax pursuant to the “interest” article of such tax treaty and (y) with respect to any other applicable payments under any Loan Document, IRS Form W-8BEN or IRS Form W-8BEN-E establishing an exemption from, or reduction of, U.S. federal withholding Tax pursuant to the “business profits” or “other income” article of such tax treaty; (2) executed copies of IRS Form W-8ECI; (3) in the case of a Foreign Lender claiming the benefits of the exemption for portfolio interest under Section 881(c) of the Code, (x) a certificate substantially in the form of Exhibit E-1 to the effect that such Foreign Lender is not a “bank” within the meaning of Section 881(c)(3)(A) of the Code, a “10 percent shareholder” of the Borrower within the meaning of Section 881(c)(3)(B) of the Code, or a “controlled foreign corporation” described in Section 881(c)(3)(C) of the Code (a “U.S. Tax Compliance Certificate”) and (y) executed copies of IRS Form W-8BEN or IRS Form W-8BEN-E; or (4) to the extent a Foreign Lender is not the beneficial owner, executed copies of IRS Form W-8IMY, accompanied by IRS Form W- 8ECI, IRS Form W-8BEN, IRS Form W-8BEN-E, a U.S. Tax Compliance Certificate substantially in the form of Exhibit E-2 or Exhibit E-3, IRS Form W-9, and/or other certification documents from each beneficial owner, as applicable; provided that if the Foreign Lender is a partnership and one or more direct or indirect partners of such Foreign Lender are claiming the portfolio interest exemption, such Foreign Lender may provide a U.S. Tax Compliance Certificate substantially in the form of Exhibit E-4 on behalf of each such direct and indirect partner; (C) any Foreign Lender shall, to the extent it is legally entitled to do so, deliver to the Borrower and the Administrative Agent (in such number of copies as shall be reasonably requested by the recipient) on or prior to the date on which such Foreign Lender becomes a Lender under this Agreement (and from time to time thereafter upon the reasonable request of the Borrower or the Administrative Agent), executed copies (or originals, as required) of any other form prescribed by applicable Law as a basis for claiming exemption from or a reduction in U.S. federal withholding Tax, duly completed, together with such supplementary documentation as may be prescribed by applicable Law to permit the Borrower or the Administrative Agent to determine the withholding or deduction required to be made; and


 
34 #98630541v7 (D) if a payment made to a Lender under any Loan Document would be subject to U.S. federal withholding Tax imposed by FATCA if such Lender were to fail to comply with the applicable reporting requirements of FATCA (including those contained in Section 1471(b) or 1472(b) of the Code, as applicable), such Lender shall deliver to the Borrower and the Administrative Agent at the time or times prescribed by Law and at such time or times reasonably requested by the Borrower or the Administrative Agent such documentation prescribed by applicable Law (including as prescribed by Section 1471(b)(3)(C)(i) of the Code) and such additional documentation reasonably requested by the Borrower or the Administrative Agent as may be necessary for the Borrower and the Administrative Agent to comply with their obligations under FATCA and to determine that such Lender has complied with such Lender’s obligations under FATCA or to determine the amount to deduct and withhold from such payment. Solely for purposes of this clause (D), “FATCA” shall include any amendments made to FATCA after the Closing Date. (iii) Each Lender agrees that if any form or certification it previously delivered pursuant to this Section 3.01 expires or becomes obsolete or inaccurate in any respect, it shall update such form or certification or promptly notify the Borrower and the Administrative Agent in writing of its legal inability to do so. (f) Treatment of Certain Refunds. Unless required by applicable Laws, at no time shall the Administrative Agent have any obligation to file for or otherwise pursue on behalf of a Lender, or have any obligation to pay to any Lender, any refund of Taxes withheld or deducted from funds paid for the account of such Lender. If any Recipient determines, in its sole discretion exercised in good faith, that it has received a refund of any Taxes as to which it has been indemnified by an indemnifying party or with respect to which it has been paid additional amounts pursuant to this Section 3.01, it shall promptly pay to the indemnifying party an amount equal to such refund (but only to the extent of indemnity payments made, or additional amounts paid, under this Section 3.01 with respect to the Taxes giving rise to such refund and including any interest paid or credited by the relevant Governmental Authority with respect to such refund), net of all reasonable out-of-pocket expenses (including Taxes) incurred by such Recipient, and without interest (other than any interest paid by the relevant Governmental Authority with respect to such refund), provided that such indemnifying party, upon the request of the Recipient, agrees to repay the amount paid over to such indemnifying party (plus any penalties, interest or other charges imposed by the relevant Governmental Authority in connection therewith) to the Recipient in the event the Recipient is required to repay such refund to such Governmental Authority. Notwithstanding anything to the contrary in this subsection, in no event will the applicable Recipient be required to pay any amount to an indemnifying party pursuant to this subsection the payment of which would place the Recipient in a less favorable net after-Tax position than such Recipient would have been in if the Tax subject to indemnification and giving rise to such refund had not been deducted, withheld or otherwise imposed and the indemnification payments or additional amounts with respect to such Tax had never been paid. This subsection shall not be construed to require any Recipient to make available its Tax returns (or any other information relating to its Taxes that it deems confidential) to the Borrower or any other Person. (g) Survival. Each party’s obligations under this Section 3.01 shall survive the resignation or replacement of the Administrative Agent or any assignment of rights by, or the replacement of, a Lender, and the Termination Date.


 
35 #98630541v7 3.02 Illegality. If any Lender determines that any Law has made it unlawful, or that any Governmental Authority has asserted that it is unlawful, for any Lender or its applicable Lending Office to make, maintain or fund Loans whose interest is determined by reference to SOFR or Term SOFR, or to determine or charge interest rates based upon SOFR or Term SOFR, then, on notice thereof by such Lender to the Borrower through the Administrative Agent, (i) any obligation of such Lender to make or continue Term SOFR Loans, to convert Base Rate Loans to Term SOFR Loans, shall be suspended, and (ii) if such notice asserts the illegality of such Lender making or maintaining Base Rate Loans the interest rate on which is determined by reference to the Term SOFR component of the Base Rate, the interest rate on which Base Rate Loans of such Lender shall, if necessary to avoid such illegality, be determined by the Administrative Agent without reference to the Term SOFR component of the Base Rate, in each case until such Lender notifies the Administrative Agent and the Borrower that the circumstances giving rise to such determination no longer exist. Upon receipt of such notice, (A) the Borrower shall, upon demand from such Lender (with a copy to the Administrative Agent), prepay in full or, if applicable, convert all Term SOFR Loans of such Lender to Base Rate Loans (the interest rate on which Base Rate Loans of such Lender shall, if necessary to avoid such illegality, be determined by the Administrative Agent without reference to the Term SOFR component of the Base Rate), either on the last day of the Interest Period therefor, if such Lender may lawfully continue to maintain such Term SOFR Loans to such day, or immediately, if such Lender may not lawfully continue to maintain such Term SOFR Loans, and (B) if such notice asserts the illegality of such Lender determining or charging interest rates based upon Term SOFR, the Administrative Agent shall during the period of such suspension compute the Base Rate applicable to such Lender without reference to the Term SOFR component thereof until the Administrative Agent is advised in writing by such Lender that it is no longer illegal for such Lender to determine or charge interest rates based upon Term SOFR. Upon any such prepayment or conversion, the Borrower shall also pay accrued interest on the amount so prepaid or converted, together with any additional amounts required pursuant to Section 3.05. 3.03 Inability to Determine Rates. (a) If in connection with any request for a Term SOFR Loan, or a request for a conversion of Base Rate Loans to Term SOFR Loans, or a request for a continuation of Term SOFR Loans, as applicable, (i) the Administrative Agent determines (which determination shall be conclusive absent manifest error) that (A) no Term SOFR Successor Rate has been determined in accordance with Section 3.03(b) and the circumstances under Section 3.03(b)(i) or the Term SOFR Scheduled Unavailability Date has occurred, or (B) adequate and reasonable means do not otherwise exist for determining Term SOFR, for any requested Interest Period, as applicable, with respect to a proposed Term SOFR Loan, or in connection with an existing or proposed Base Rate Loan, or (ii) the Administrative Agent or the Required Lenders determine that for any reason that Term SOFR for any requested Interest Period with respect to a proposed Loan, does not adequately and fairly reflect the cost to such Lenders of funding such Loan, the Administrative Agent will promptly so notify the Borrower and each Lender. Thereafter, (x) the obligation of the Lenders to make or maintain Term SOFR Loans or to convert Base Rate Loans to Term SOFR Loans shall be suspended (to the extent of the affected Term SOFR Loans or Interest Periods), and (y) in the event of a determination described above with respect to the Term SOFR component of the Base Rate, the utilization of the Term SOFR component in determining the Base Rate shall be suspended, in each case until the Administrative Agent (or, in the case of a determination by the Required Lenders described in clause (a)(ii) above, until the Administrative Agent upon instruction of the Required Lenders) revokes such notice. Upon receipt of such notice, (1) the Borrower may revoke any pending request for a Borrowing of, conversion to or continuation of the applicable Loans (to the extent of the affected Term SOFR Loans or Interest Periods) or, failing that, with respect to any request for a Borrowing of, conversion to, or continuation of Term SOFR Loans, will be deemed to have converted such request into a request for a Borrowing of Base Rate Loans in the amount


 
36 #98630541v7 specified therein, and (2) any outstanding affected Term SOFR Loans shall be deemed to have been converted to Base Rate Loans immediately at the end of their respective applicable Interest Period. (b) Notwithstanding anything to the contrary in this Agreement or any other Loan Document, if the Administrative Agent determines (which determination shall be conclusive absent manifest error), or the Borrower or Required Lenders notify the Administrative Agent (with, in the case of the Required Lenders, a copy to the Borrower) that the Borrower or Required Lenders (as applicable) have determined, that: (i) adequate and reasonable means do not exist for ascertaining one month and three month interest periods of Term SOFR, including because the Term SOFR Screen Rate is not available or published on a current basis and such circumstances are unlikely to be temporary; or (ii) CME or any successor administrator of the Term SOFR Screen Rate or a Governmental Authority having jurisdiction over the Administrative Agent or such administrator with respect to its publication of Term SOFR, in each case acting in such capacity, has made a public statement identifying a specific date after which one month and three month interest periods of Term SOFR or the Term SOFR Screen Rate shall no longer be representative or made available, or permitted to be used for determining the interest rate of U.S. dollar denominated syndicated loans, or shall or will otherwise cease; provided, that, at the time of such statement, there is no successor administrator that is satisfactory to the Administrative Agent that will continue to provide such representative interest periods of Term SOFR after such specific date (the latest date on which one month and three month interest periods of Term SOFR or the Term SOFR Screen Rate are no longer representative or available permanently or indefinitely, the “Term SOFR Scheduled Unavailability Date”); then, on a date and time determined by the Administrative Agent (any such date, a “Term SOFR Replacement Date”), which date shall be at the end of an Interest Period or on the relevant Interest Payment Date, as applicable, for interest calculated and, solely with respect to clause (ii) above, no later than the Term SOFR Scheduled Unavailability Date, Term SOFR will be replaced hereunder and under any other Loan Document with Daily Simple SOFR plus the applicable SOFR Adjustment for any payment period for interest calculated that can be determined by the Administrative Agent, in each case, without any amendment to, or further action or consent of any other party to, this Agreement or any other Loan Document (any such successor rate established pursuant to this Section 3.03(b), a “Term SOFR Successor Rate”). If the Term SOFR Successor Rate is Daily Simple SOFR plus the applicable SOFR Adjustment, all interest payments will be payable on a monthly basis. Notwithstanding anything to the contrary herein, (A) if the Administrative Agent determines that Daily Simple SOFR is not available on or prior to the Term SOFR Replacement Date, or (B) if the events or circumstances of the type described in clause (i) above or clause (ii) above have occurred with respect to the Term SOFR Successor Rate then in effect, then, in each case, the Administrative Agent and the Borrower may amend this Agreement solely for the purpose of replacing Term SOFR or any then-current Term SOFR Successor Rate in accordance with this Section 3.03(b) at the end of any Interest Period, relevant Interest Payment Date or payment period for interest calculated, as applicable, with an alternative benchmark rate giving due consideration to any evolving or then-existing convention for similar U.S. dollar denominated credit facilities syndicated and agented in the United States for such alternative benchmark and, in each case, including any mathematical or other adjustments to such benchmark giving due consideration to any evolving or then-existing convention for similar U.S. dollar denominated credit facilities syndicated and agented in the United States for such benchmark. For the avoidance of doubt, any such proposed rate and adjustments shall constitute a “Term SOFR Successor Rate”. Any such amendment shall become effective at 5:00 p.m. on the fifth (5th) Business Day after the Administrative Agent shall have posted such proposed amendment to all Lenders and the Borrower


 
37 #98630541v7 unless, prior to such time, Lenders comprising the Required Lenders have delivered to the Administrative Agent written notice that such Required Lenders object to such amendment. The Administrative Agent will promptly (in one or more notices) notify the Borrower and each Lender of the implementation of any Term SOFR Successor Rate. Any Term SOFR Successor Rate shall be applied in a manner consistent with market practice; provided, that, to the extent such market practice is not administratively feasible for the Administrative Agent, such Term SOFR Successor Rate shall be applied in a manner as otherwise reasonably determined by the Administrative Agent. Notwithstanding anything else herein, if at any time any Term SOFR Successor Rate as so determined would otherwise be less than zero, such Term SOFR Successor Rate will be deemed to be zero for the purposes of this Agreement and the other Loan Documents. In connection with the implementation of a Term SOFR Successor Rate, the Administrative Agent will have the right to make Term SOFR Conforming Changes from time to time and, notwithstanding anything to the contrary herein or in any other Loan Document, any amendments implementing such Term SOFR Conforming Changes will become effective without any further action or consent of any other party to this Agreement; provided, that, with respect to any such amendment effected, the Administrative Agent shall post each such amendment implementing such Term SOFR Conforming Changes to the Borrower and the Lenders reasonably promptly after such amendment becomes effective. 3.04 Increased Costs. (a) Increased Costs Generally. If any Change in Law shall: (i) impose, modify or deem applicable any reserve, special deposit, compulsory loan, insurance charge or similar requirement against assets of, deposits with or for the account of, or credit extended or participated in by, any Lender; (ii) subject any Recipient to any Taxes (other than (A) Indemnified Taxes, (B) Taxes described in clauses (b) through (d) of the definition of “Excluded Taxes”, and (C) Connection Income Taxes) on its loans, loan principal, letters of credit, commitments, or other obligations, or its deposits, reserves, other liabilities or capital attributable thereto; or (iii) impose on any Lender any other condition, cost or expense (other than Taxes) affecting this Agreement or any Term SOFR Loans made by such Lender; and the result of any of the foregoing shall be to increase the cost to such Lender of making, converting to, continuing or maintaining any Loan (or of maintaining its obligation to make any such Loan), or to reduce the amount of any sum received or receivable by such Lender hereunder (whether of principal, interest or any other amount) then, upon request of such Lender, the Borrower will pay to such Lender, such additional amount or amounts as will compensate such Lender, for such additional costs incurred or reduction suffered. (b) Capital Requirements. If any Lender determines that any Change in Law affecting such Lender or any Lending Office of such Lender or such Lender’s holding company, if any, regarding capital or liquidity requirements has or would have the effect of reducing the rate of return on such Lender’s capital or on the capital of such Lender’s holding company, if any, as a consequence of this Agreement, the Commitment of such Lender or the Loans made by, such Lender, to a level below that which such Lender or such Lender’s holding company could have achieved but for such Change in Law (taking into consideration such Lender’s policies and the


 
38 #98630541v7 policies of such Lender’s holding company with respect to capital adequacy and liquidity), then from time to time the Borrower will pay to such Lender, such additional amount or amounts as will compensate such Lender or such Lender’s holding company for any such reduction suffered. (c) Certificates for Reimbursement. A certificate of a Lender setting forth the amount or amounts necessary to compensate such Lender or its holding company, as specified in Section 3.04(a) or Section 3.04(b), setting forth in reasonable detail the manner in which such amount or amounts was determined and delivered to the Borrower shall be conclusive absent manifest error. The Borrower shall pay such Lender, the amount shown as due on any such certificate within ten (10) days after receipt thereof. (d) Delay in Requests. Failure or delay on the part of any Lender to demand compensation pursuant to the foregoing provisions of this Section shall not constitute a waiver of such Lender’s right to demand such compensation; provided, that, the Borrower shall not be required to compensate a Lender pursuant to the foregoing provisions of this Section for any increased costs incurred or reductions suffered more than nine (9) months prior to the date that such Lender notifies the Borrower of the Change in Law giving rise to such increased costs or reductions and of such Lender’s intention to claim compensation therefor (except that, if the Change in Law giving rise to such increased costs or reductions is retroactive, then the nine-month period referred to above shall be extended to include the period of retroactive effect thereof). 3.05 Compensation for Losses. Upon written demand by any Lender (with a copy to the Administrative Agent) from time to time, the Borrower shall promptly compensate such Lender for and hold such Lender harmless from any loss, cost or expense incurred by it as a result of: (a) any continuation, conversion, payment or prepayment of any Loan (other than a Base Rate Loan) on a day other than the last day of the Interest Period for such Loan (whether voluntary, mandatory, automatic, by reason of acceleration, or otherwise); (b) any failure by the Borrower (for a reason other than the failure of such Lender to make a Loan) to prepay, borrow, continue or convert any Loan (other than a Base Rate Loan) on the date or in the amount notified by the Borrower; or (c) any assignment of a Term SOFR Loan on a day other than the last day of the Interest Period therefor as a result of a request by the Borrower pursuant to Section 11.13; excluding any loss of anticipated profits, but including any loss or expense arising from the liquidation or reemployment of funds obtained by it to maintain such Loan or from fees payable to terminate the deposits from which such funds were obtained. The Borrower shall also pay any customary administrative fees charged by such Lender in connection with the foregoing. 3.06 Mitigation Obligations; Replacement of Lenders. (a) Designation of a Different Lending Office. Each Lender may make a Loan to the Borrower through any Lending Office; provided, that, the exercise of this option shall not affect the obligation of the Borrower to repay the Loans in accordance with the terms of this Agreement. If any Lender requests compensation under Section 3.04, or required the Borrower to pay any Indemnified Taxes or additional amounts to any Lender or any Governmental Authority for the account of any Lender pursuant to Section 3.01, or if any Lender gives a notice pursuant to Section 3.02, then at the request of the Borrower such Lender shall, as applicable, use reasonable efforts to designate a different Lending Office for funding or booking its Loans hereunder or to assign its


 
39 #98630541v7 rights and obligations hereunder to another of its offices, branches or affiliates, if, in the judgment of such Lender, such designation or assignment (i) would eliminate or reduce amounts payable pursuant to Section 3.01 or Section 3.04, as the case may be, in the future, or eliminate the need for the notice pursuant to Section 3.02, as applicable, and (ii) in each case, would not subject such Lender, to any unreimbursed cost or expense and would not otherwise be disadvantageous to such Lender. The Borrower hereby agrees to pay all reasonable costs and expenses incurred by any Lender in connection with any such designation or assignment. (b) Replacement of Lenders. If any Lender requests compensation under Section 3.04, or if the Borrower is required to pay any Indemnified Taxes or additional amounts to any Lender or any Governmental Authority for the account of any Lender pursuant to Section 3.01, and, in each case, such Lender has declined or is unable to designate a different lending office in accordance with Section 3.06(a), the Borrower may replace such Lender in accordance with Section 11.13. 3.07 Survival. All of the Borrower’s obligations under this Article III shall survive the Termination Date and any resignation of the Administrative Agent. ARTICLE IV CONDITIONS PRECEDENT TO EFFECTIVENESS AND THE BORROWING 4.01 Conditions Precedent to Effectiveness and the Borrowing. The effectiveness of this Agreement and the obligation of each Lender to make its Loans hereunder on the Closing Date is subject to satisfaction of the following conditions precedent: (a) The Administrative Agent’s receipt of the following, each of which shall be originals, telecopies or .pdf copies (followed promptly by originals) unless otherwise specified, each properly executed by a Responsible Officer of the signing Loan Party, each (to the extent applicable) dated the Closing Date (or, in the case of certificates of governmental officials, a recent date before the Closing Date): (i) executed counterparts of this Agreement from each Loan Party, the Administrative Agent and each Lender; (ii) Notes executed by the Borrower in favor of each Lender requesting a Note; (iii) such certificates with respect to resolutions or other action, incumbency certificates and/or other certificates of Responsible Officers of each Loan Party as the Administrative Agent may require evidencing the identity, authority and capacity of each Responsible Officer thereof authorized to act as a Responsible Officer in connection with this Agreement and the other Loan Documents to which such Loan Party is a party or is to be a party; (iv) such documents and certificates as the Administrative Agent may reasonably require to evidence that each Loan Party is duly organized or formed, and that each Loan Party is validly existing, in good standing and qualified to engage in business in the jurisdiction of its organization;


 
40 #98630541v7 (v) a customary legal opinion or opinions from counsel to the Loan Parties, addressed to the Administrative Agent and each Lender party to this Agreement as of the Closing Date; (vi) [reserved]; and (vii) a certificate signed by the chief executive officer, chief financial officer (or principal financial officer with similar responsibilities), treasurer or controller that is a Responsible Officer of the Borrower certifying (A) as to clauses (g) and (h) below, (B) that there has been no event or circumstance since June 30, 2023 that has had or could be reasonably expected to have, either individually or in the aggregate, a Material Adverse Effect and (C) as to the Solvency of the Borrower and its Subsidiaries on a consolidated basis. (b) The Loan Parties shall have provided to the Administrative Agent and the Lenders the documentation and other information reasonably requested by the Administrative Agent and the Lenders as required by United States regulatory authorities under applicable “know your customer” and anti-money-laundering rules and regulations, including the PATRIOT Act. (c) If any Loan Party qualifies as a “legal entity customer” under the Beneficial Ownership Regulation, receipt by the Administrative Agent and each Lender, to the extent requested by the Administrative Agent or such Lender, of a Beneficial Ownership Certification in relation to such Loan Party. (d) Any fees required to be paid on or before the Closing Date shall have been paid. (e) Unless waived by the Administrative Agent, the Borrower shall have paid all fees, charges and disbursements of counsel to the Administrative Agent (directly to such counsel if requested by the Administrative Agent) to the extent invoiced prior to or on the Closing Date, plus such additional amounts of such out-of-pocket fees, charges and disbursements as shall constitute its reasonable estimate of such fees, charges and disbursements incurred or to be incurred by it through the closing proceedings to the extent such estimate is received prior to the Closing Date (provided, that, such estimate shall not thereafter preclude a final settling of accounts between the Borrower and the Administrative Agent). (f) The Administrative Agent shall have received a Loan Notice in accordance with the requirements of Section 2.02(a) hereof. (g) The representations and warranties of the Loan Parties contained in Article V or any other Loan Document shall be true and correct, in all material respects (unless already qualified by materiality or “Material Adverse Effect” in which case, they shall be true and correct in all respects), on and as of the Closing Date, except to the extent that such representations and warranties specifically refer to an earlier date, in which case they shall be true and correct, in all material respects (unless already qualified by materiality or “Material Adverse Effect”, in which case, they shall be true and correct in all respects), as of such earlier date. (h) No Default shall exist, or would result, from the Borrowing or from the application of the proceeds thereof Without limiting the generality of the provisions of the last paragraph of Section 9.03, for purposes of determining compliance with the conditions specified in this Section 4.01, each Lender that has signed this


 
41 #98630541v7 Agreement shall be deemed to have consented to, approved or accepted or to be satisfied with, each document or other matter required thereunder to be consented to or approved by or acceptable or satisfactory to a Lender unless the Administrative Agent shall have received written notice from such Lender prior to the proposed Closing Date specifying its objection thereto. ARTICLE V REPRESENTATIONS AND WARRANTIES The Borrower represents and warrants to the Administrative Agent and the Lenders that: 5.01 Existence, Qualification and Power. Each Loan Party and each Subsidiary thereof (a) is duly organized or formed, validly existing and, as applicable, in good standing under the Laws of the jurisdiction of its incorporation or organization, (b) has all requisite power and authority and all requisite governmental licenses, authorizations, consents and approvals to (i) own or lease its assets and carry on its business, and (ii) execute, deliver and perform its obligations under the Loan Documents to which it is a party, and (c) is duly qualified and is licensed and, as applicable, in good standing under the Laws of each jurisdiction where its ownership, lease or operation of properties or the conduct of its business requires such qualification or license; except in each case referred to in clause (b)(i) or clause (c), to the extent that failure to do so could not reasonably be expected to have a Material Adverse Effect. 5.02 Authorization; No Contravention. The execution, delivery and performance by each Loan Party of each Loan Document to which such Person is party, have been duly authorized by all necessary corporate or other organizational action, and do not and will not: (a) contravene the terms of any of such Person’s Organization Documents; (b) conflict with or result in any breach or contravention of, or the creation of (or the requirement to create) any Lien under, or require any payment to be made under (i) any Contractual Obligation (other than the Loan Documents) to which such Person is a party or affecting such Person or its properties or any of its Subsidiaries, or (ii) any order, injunction, writ or decree of any Governmental Authority or any arbitral award to which such Person or its property is subject; or (c) violate any applicable Law. 5.03 Governmental Authorization; Other Consents. No approval, consent, exemption, authorization, or other action by, or notice to, or filing with, any Governmental Authority or any other Person is necessary or required in connection with the execution, delivery or performance by, or enforcement against, any Loan Party of this Agreement or any other Loan Document. 5.04 Binding Effect. This Agreement has been, and each other Loan Document, when delivered hereunder, will have been, duly executed and delivered by each Loan Party that is party thereto. This Agreement constitutes, and each other Loan Document when so delivered will constitute, a legal, valid and binding obligation of such Loan Party, enforceable against each Loan Party that is party thereto in accordance with its terms, except as such enforceability may be limited by bankruptcy, insolvency, fraudulent conveyance, moratorium, reorganization or similar laws and by equitable principles of general application. 5.05 Financial Statements; No Material Adverse Effect. (a) The Audited Financial Statements (i) were prepared in accordance with GAAP consistently applied throughout the period covered thereby, except as otherwise expressly noted therein, (ii) fairly present the financial condition of the Borrower and its Subsidiaries as of the date thereof and their results of operations, cash flows and changes in shareholders’ equity for the period covered thereby in accordance with GAAP consistently applied throughout the period covered


 
42 #98630541v7 thereby, except as otherwise expressly noted therein and (iii) show all material indebtedness and other liabilities, direct or contingent, of the Borrower and its Subsidiaries as of the date thereof, including liabilities for Taxes, material commitments and Indebtedness. (b) The unaudited consolidated balance sheets of the Borrower and its Subsidiaries for the fiscal quarter of the Borrower ending September 30, 2023, December 31, 2023 and March 31, 2024, and the related consolidated statements of income or operations, shareholders’ equity and cash flows for the fiscal quarter ended on that date (i) were prepared in accordance with GAAP consistently applied throughout the period covered thereby, except as otherwise expressly noted therein, and (ii) fairly present the financial condition of the Borrower and its Subsidiaries as of the date thereof and their results of operations, cash flows and changes in shareholders’ equity for the period covered thereby, subject, in the case of clauses (i) and (ii), to the absence of footnotes and to normal year-end audit adjustments. (c) Since June 30, 2023, there has been no event or circumstance, either individually or in the aggregate, that has had or would reasonably be expected to have a Material Adverse Effect. 5.06 Litigation. There are no actions, suits, proceedings, claims or disputes pending or, to the knowledge of the Borrower after due and diligent investigation, threatened or contemplated, at law, in equity, in arbitration or before any Governmental Authority, by or against the Borrower or any of its Subsidiaries or against any of their properties or revenues that (a) purport to affect or pertain to this Agreement or any other Loan Document, or any of the transactions contemplated hereby, or (b) either individually or in the aggregate would reasonably be expected to have a Material Adverse Effect. 5.07 No Default. Neither any Loan Party nor any Subsidiary thereof is in default under or with respect to any Contractual Obligation that could, either individually or in the aggregate, reasonably be expected to have a Material Adverse Effect. No Default has occurred and is continuing or would result from the consummation of the transactions contemplated by this Agreement or any other Loan Document. 5.08 Ownership of Property; Liens. The Borrower and each Subsidiary has good record and marketable title in fee simple to, or valid leasehold interests in, all real property necessary or used in the ordinary conduct of its business, except for such defects in title as could not, individually or in the aggregate, reasonably be expected to have a Material Adverse Effect. The property of the Borrower and its Subsidiaries is subject to no Liens, other than Liens permitted by Section 7.01. 5.09 Environmental Compliance. There are no Environmental Liabilities of or relating to the Loan Parties or any of their respective subsidiaries, or claims pending, or to the Loan Parties’ knowledge, threatened, alleging any Environmental Liability or violation of any Environmental Law by the Loan Parties or any of their respective Subsidiaries, in each case which, individually or in the aggregate, would reasonably be expected to have a Material Adverse Effect. 5.10 Insurance. The properties of the Borrower and its Subsidiaries are insured with financially sound and reputable insurance companies not Affiliates of the Borrower, in such amounts (after giving effect to any self-insurance compatible with the following standards), with such deductibles and covering such risks as are customarily carried by companies engaged in similar businesses and owning similar properties in localities where the Borrower and its Subsidiaries operate. 5.11 Taxes. The Borrower and its Subsidiaries have timely filed all Federal, state and other tax returns and reports required to be filed with an applicable Governmental Authority, and have timely paid all Federal, state and other taxes, assessments, fees and other governmental charges levied or imposed upon them or their properties, income or assets that are due and payable, except (a) those which are being


 
43 #98630541v7 contested in good faith by appropriate proceedings diligently conducted and for which adequate reserves have been provided in accordance with GAAP, or (b) to the extent that the failure to do so, individually or in the aggregate, could not reasonably be expected to result in a Material Adverse Effect. There is no tax assessment proposed in writing (and received by the Borrower) against the Borrower or any Subsidiary that would, if made, have a Material Adverse Effect. None of the Loan Parties are party to any tax sharing agreement. 5.12 ERISA Compliance. (a) Except as would not reasonably be expected to have a Material Adverse Effect, each Pension Plan is in compliance in all material respects with the applicable provisions of ERISA, the Code and other Federal or state Laws. Each Pension Plan that is intended to be a qualified plan under Section 401(a) of the Code has received or is entitled to rely on a favorable determination letter from the IRS to the effect that the form of such Plan is qualified under Section 401(a) of the Code and the trust related thereto has been determined by the IRS to be exempt from federal income tax under Section 501(a) of the Code, or an application for such a letter is currently pending with the IRS. To the knowledge of the Borrower, nothing has occurred that would prevent or cause the loss of such tax-qualified status. (b) There are no pending or, to the knowledge of the Borrower, threatened claims, actions or lawsuits, or action by any Governmental Authority, with respect to any Plan that would reasonably be expected to have a Material Adverse Effect. To the knowledge of the loan parties, there has been no prohibited transaction or violation of the fiduciary responsibility rules with respect to any Plan that has resulted or would reasonably be expected to result in a Material Adverse Effect. (c) Except as would not reasonably be expected to have a Material Adverse Effect, (i) No ERISA Event has occurred, and the Borrower or any other Loan Party is not aware of any fact, event or circumstance that would reasonably be expected to constitute or result in an ERISA Event with respect to any Pension Plan or Multiemployer Plan; (ii) the Borrower and each ERISA Affiliate has met all applicable requirements under the Pension Funding Rules in respect of each Pension Plan, and no waiver of the minimum funding standards under the Pension Funding Rules has been applied for or obtained; (iii) neither the Borrower nor any ERISA Affiliate has incurred any liability to the PBGC other than for the payment of premiums, and there are no premium payments which have become due that are unpaid; (iv) neither the Borrower nor any ERISA Affiliate has engaged in a transaction that could be subject to Section 4069 or Section 4212(c) of ERISA; and (v) no Pension Plan has been terminated by the Borrower or any ERISA Affiliate or by the PBGC, and no event or circumstance has occurred or exists that would reasonably be expected to cause the PBGC to institute proceedings under Title IV of ERISA to terminate any Pension Plan. 5.13 Subsidiaries; Equity Interests. As of the Closing Date, the Borrower has no Subsidiaries other than those specifically disclosed in Part (a) of Schedule 5.13, and all of the outstanding Equity Interests in such Subsidiaries have been validly issued, are fully paid and nonassessable and are owned by a Loan Party in the amounts specified on Part (a) of Schedule 5.13 free and clear of all Liens. As of the Closing Date, the Borrower has no equity investments in any other corporation or entity other than those


 
44 #98630541v7 specifically disclosed in Part (b) of Schedule 5.13. All of the outstanding Equity Interests in the Borrower have been validly issued and are fully paid and nonassessable. 5.14 Margin Regulations; Investment Company Act. (a) The Borrower is not engaged and will not engage, principally or as one of its important activities, in the business of purchasing or carrying margin stock (within the meaning of Regulation U issued by the FRB), or extending credit for the purpose of purchasing or carrying margin stock. Following the application of the proceeds of each Borrowing, not more than 25% of the value of the assets (either of the Borrower only or of the Borrower and its Subsidiaries on a consolidated basis) subject to the provisions of Section 7.01 or subject to any restriction contained in any agreement or instrument between the Borrower and any Lender or any Affiliate of any Lender relating to Indebtedness and within the scope of Section 8.01(e) will be margin stock. (b) None of the Borrower, any Person Controlling the Borrower, or any Subsidiary is or is required to be registered as an “investment company” under the Investment Company Act of 1940. 5.15 Disclosure. (a) The Borrower has disclosed to the Administrative Agent and the Lenders all agreements, instruments and corporate or other restrictions to which it or any of its Subsidiaries is subject, and all other matters known to it, that, individually or in the aggregate, would reasonably be expected to result in a Material Adverse Effect. No report, financial statement, certificate or other information furnished (whether in writing or orally), by or on behalf of any Loan Party to the Administrative Agent or any Lender in connection with the transactions contemplated hereby and the negotiation of this Agreement or delivered hereunder or under any other Loan Document (in each case, as modified or supplemented by other information so furnished) contains any material misstatement of fact or omits to state any material fact necessary to make the statements therein, in the light of the circumstances under which they were made, not misleading; provided, that, with respect to projected financial information and other forward-looking information, the Borrower represents only that such information was prepared in good faith based upon assumptions believed by it to be reasonable at the time furnished. (b) As of the Closing Date, the information included in any Beneficial Ownership Certification delivered to the Administrative Agent or any Lender, if applicable, is true and correct in all respects. 5.16 Compliance with Laws. Each Loan Party and each Subsidiary is in compliance with the requirements of all applicable Laws, including Environmental Laws, and all orders, writs, injunctions and decrees applicable to it or to its properties, except in such instances in which (a) such requirement of Law or order, writ, injunction or decree is being contested in good faith by appropriate proceedings diligently conducted, or (b) the failure to comply therewith, either individually or in the aggregate, would not reasonably be expected to have a Material Adverse Effect. 5.17 Intellectual Property; Licenses, Etc. The Borrower and its Subsidiaries own, or possess the right to use, all of the trademarks, service marks, trade names, copyrights, patents, patent rights, trade secrets, know-how, franchises, licenses and other intellectual property rights that are reasonably necessary for the operation of their businesses, without conflict with the rights of any other Person. To the knowledge of the Borrower, no product, service, process, method, substance, part or other material now used, or now contemplated to be used, by the Borrower or any Subsidiary infringes, misappropriates or otherwise violates


 
45 #98630541v7 upon any rights held by any other Person. No claim or litigation regarding any of the foregoing is pending or, to the best knowledge of the Borrower, threatened, which, either individually or in the aggregate, would reasonably be expected to have a Material Adverse Effect. To the knowledge of the Borrower, there has been no unauthorized use, access, interruption, modification, corruption or malfunction of any information technology assets or systems (or any information or transactions stored or contained therein or transmitted thereby) owned or used by the Borrower or any of its Subsidiaries, which, either individually or in the aggregate, would reasonably be expected to have a Material Adverse Effect. 5.18 Solvency. The Borrower individually is, and the Borrower and its Subsidiaries on a consolidated basis are, Solvent. 5.19 OFAC Representation. Neither the Borrower, nor any of its Subsidiaries, nor, to the knowledge of the Borrower and its Subsidiaries, any director, officer, employee, agent, affiliate or representative thereof, is an individual or entity that is, or is owned, 50% or more, or controlled by one or more individuals or entities that are, (a) currently the subject of any Sanctions, (b) included on OFAC’s List of Specially Designated Nationals or HMT’s Consolidated List of Financial Sanctions Targets, or any similar list administered or enforced by any other relevant Sanctions authority, or (c) located, organized or resident in a Designated Jurisdiction. The Borrower and its Subsidiaries are conducting their businesses in compliance in all material respects with all applicable Sanctions and have instituted and maintain policies and procedures designed to promote and achieve compliance with such Sanctions. 5.20 Anti-Corruption and Anti-Money Laundering Laws. The Borrower and its Subsidiaries are conducting their businesses in material compliance with: (i) the United States Foreign Corrupt Practices Act of 1977, the UK Bribery Act of 2010 and other applicable anti-corruption laws of any jurisdiction to which the Borrower is subject (“Anti-Corruption Laws”); and (ii) applicable anti-money laundering laws of any jurisdiction to which Borrower is subject (“Anti-Money Laundering Laws”), and have instituted and maintain policies and procedures designed to promote and achieve compliance with such anti-corruption and Anti-Corruption Laws. 5.21 Affected Financial Institutions. No Loan Party is an Affected Financial Institution. 5.22 Covered Entities. No Loan Party is a Covered Entity. ARTICLE VI AFFIRMATIVE COVENANTS From the Closing Date and until the Termination Date: 6.01 Financial Statements. The Borrower shall deliver to the Administrative Agent, for distribution to each Lender: (a) as soon as available, but in any event within ninety (90) days after the end of each fiscal year of the Borrower (commencing with and including the financial statements related to the fiscal year of the Borrower ending June 30, 2024), a consolidated balance sheet of the Borrower and its Subsidiaries as at the end of such fiscal year, and the related consolidated statements of income or operations, changes in shareholders’ equity and cash flows for such fiscal year, setting forth in each case in comparative form the figures for the previous fiscal year, all in reasonable detail and prepared in accordance with GAAP, audited and accompanied by a report and opinion of an independent certified public accountant of nationally recognized standing reasonably acceptable to the Required Lenders, which report and opinion shall be prepared in accordance with


 
46 #98630541v7 generally accepted auditing standards and shall not be subject to any “going concern” or like qualification or exception or any qualification or exception as to the scope of such audit; and (b) as soon as available, but in any event within forty-five (45) days after the end of each of the first three (3) fiscal quarters of each fiscal year of the Borrower (commencing with and including the financial statements related to the fiscal quarter of the Borrower ending September 30, 2024), a consolidated balance sheet of the Borrower and its Subsidiaries as at the end of such fiscal quarter, the related consolidated statements of income or operations for such fiscal quarter and for the portion of the Borrower’s fiscal year then ended, and the related consolidated statements of changes in shareholders’ equity, and cash flows for the portion of the Borrower’s fiscal year then ended, in each case setting forth in comparative form, as applicable, the figures for the corresponding fiscal quarter of the previous fiscal year and the corresponding portion of the previous fiscal year, all in reasonable detail, certified by the chief executive officer, chief financial officer (or principal financial officer with similar responsibilities), treasurer or controller that is a Responsible Officer of the Borrower as fairly presenting the financial condition, results of operations, shareholders’ equity and cash flows of the Borrower and its Subsidiaries in accordance with GAAP, subject only to normal year-end audit adjustments and the absence of footnotes. As to any information contained in materials furnished pursuant to Section 6.02(c), the Borrower shall not be separately required to furnish such information under Section 6.01(a) or Section 6.01(b), but the foregoing shall not be in derogation of the obligation of the Borrower to furnish the information and materials described in Sections 6.01(a) and (b) at the times specified therein. 6.02 Certificates; Other Information. The Borrower shall deliver to the Administrative Agent, for distribution to each Lender: (a) concurrently with the delivery of the financial statements referred to in Sections 6.01(a) and (b), a duly completed Compliance Certificate signed by the chief executive officer, chief financial officer (or principal financial officer with similar responsibilities), treasurer or controller that is a Responsible Officer of the Borrower, which shall include a certification of compliance with the covenants set forth in Section 7.08; (b) promptly after any request by the Administrative Agent or any Lender, copies of any detailed audit reports or management letters or recommendations submitted to the board of directors (or the audit committee of the board of directors) of the Borrower by independent accountants in connection with the accounts or books of the Borrower or any Subsidiary, or any audit of any of them; (c) promptly after the same are available, copies of each annual report, proxy or financial statement or other report or communication sent to the stockholders of the Borrower, and copies of all annual, regular, periodic and special reports and registration statements which the Borrower may file or be required to file with the SEC under Section 13 or 15(d) of the Securities Exchange Act of 1934, and not otherwise required to be delivered to the Administrative Agent pursuant hereto (including all form 10-K and 10-Q reports but excluding any Form S-8 or similar form); (d) at least five (5) Business Days prior to such change, notice of any change to the Borrower’s legal name; (e) promptly following any written request, information and documentation reasonably requested by the Administrative Agent or any Lender for purposes of compliance with


 
47 #98630541v7 applicable “know your customer” and anti-money-laundering rules and regulations, including, without limitation, the PATRIOT Act and the Beneficial Ownership Regulation; and (f) promptly, such additional information regarding (i) the business, financial, legal or corporate affairs of any Loan Party or any Subsidiary thereof, including as may be necessary for a Lender to ensure compliance with applicable Law, or (ii) compliance with the terms of the Loan Documents, in each case, as the Administrative Agent or any Lender acting through the Administrative Agent may from time to time reasonably request. Documents required to be delivered pursuant to Section 6.01 or Section 6.02 (to the extent any such documents are included in materials otherwise filed with the SEC) may be delivered electronically and if so delivered, shall be deemed to have been delivered on the date: (i) on which the Borrower posts such documents, or provides a link thereto on the Borrower’s website on the Internet at the website address listed on Schedule 11.02 (provided, that, the Borrower shall notify the Administrative Agent (by facsimile or electronic mail) of the posting of any such documents and provide to the Administrative Agent by electronic mail electronic versions (i.e., soft copies) of such documents); (ii) on which such documents are posted on the Borrower’s behalf on an Internet or intranet website, if any, to which each Lender and the Administrative Agent have access (whether a commercial, third-party website or whether sponsored by the Administrative Agent); (iii) on which such documents are faxed to the Administrative Agent (or electronically mailed to an address provided by the Administrative Agent); or (iv) in respect of the items required to be delivered pursuant to Section 6.01(a), Section 6.01(b) or Section 6.02(c), on which such items have been made available on the SEC website. The Administrative Agent shall have no obligation to request the delivery of or to maintain paper copies of the documents referred to above, and in any event shall have no responsibility to monitor compliance by the Borrower with any such request for delivery, and each Lender shall be solely responsible for requesting delivery to it or maintaining its copies of such documents. The Borrower hereby acknowledges that (A) the Administrative Agent and/or the Arranger may, but shall not be obligated to, make available to the Lenders materials and/or information provided by or on behalf of the Borrower hereunder (collectively, “Borrower Materials”) by posting the Borrower Materials on Syndtrak, IntraLinks, ClearPar or another similar electronic system (the “Platform”), and (B) certain of the Lenders (each, a “Public Lender”) may have personnel who do not wish to receive material non-public information with respect to the Borrower or its Affiliates, or the respective securities of any of the foregoing, and who may be engaged in investment and other market-related activities with respect to such Persons’ securities. The Borrower hereby agrees: (1) all Borrower Materials that are to be made available to Public Lenders shall be clearly and conspicuously marked “PUBLIC” which, at a minimum, shall mean that the word “PUBLIC” shall appear prominently on the first page thereof; (2) by marking Borrower Materials “PUBLIC,” the Borrower shall be deemed to have authorized the Administrative Agent, the Arranger and the Lenders to treat such Borrower Materials as not containing any material non-public information with respect to the Borrower or its securities for purposes of United States Federal and state securities Laws (provided, that, to the extent such Borrower Materials constitute Information, they shall be treated as set forth in Section 11.07); (3) all Borrower Materials marked “PUBLIC” are permitted to be made available through a portion of the Platform that is designated “Public Investor Side Information”; and (4) the Administrative Agent and the Arranger shall be entitled to treat any Borrower Materials that are not marked “PUBLIC” as being suitable only for posting on a portion of the Platform that is not designated “Public Investor Side Information.” 6.03 Notices. The Borrower shall promptly notify the Administrative Agent (for further distribution to each Lender) of: (a) the occurrence of any Default;


 
48 #98630541v7 (b) any matter that has resulted or would reasonably be expected to result in a Material Adverse Effect, including (i) breach or non-performance of, or any default under, a Contractual Obligation of the Borrower or any Subsidiary; (ii) any action, suit, dispute, litigation, investigation, proceeding or suspension involving any Loan Party or any Subsidiary or any of their respective properties and any Governmental Authority; or (iii) the commencement of, or any material development in, any litigation or proceeding affecting the Borrower or any Subsidiary, including pursuant to any applicable Environmental Laws; (c) the occurrence of any ERISA Event; (d) any Environmental Liability of or relating to any Loan Party or any of its Subsidiaries, that has resulted or would reasonably be expected to result in a Material Adverse Effect; (e) of any material change in accounting policies or financial reporting practices by the Borrower or any Subsidiary; and (f) of any announcement by Moody’s, S&P or Fitch of any change or possible change in a Debt Rating. Each notice pursuant to this Section 6.03 shall be accompanied by a statement of a Responsible Officer of the Borrower setting forth details of the occurrence referred to therein and stating what action the Borrower has taken and proposes to take with respect thereto. Each notice pursuant to Section 6.03(a) shall describe with particularity any and all provisions of this Agreement and any other Loan Document that have been breached. 6.04 Payment of Obligations. The Borrower shall, and shall cause each Subsidiary to, pay, discharge or otherwise satisfy as the same shall become due and payable, all its obligations and liabilities, including (a) all Tax liabilities, assessments and governmental charges or levies upon it or its properties or assets, unless the same are being contested in good faith by appropriate proceedings diligently conducted and adequate reserves in accordance with GAAP are being maintained by the Borrower or such Subsidiary or to the extent that the failure to do so, individually or in the aggregate, would not reasonably be expected to result in a Material Adverse Effect; (b) all lawful claims which, if unpaid, would by law become a Lien upon its property; and (c) all Indebtedness, as and when due and payable, but subject to any subordination provisions contained in any instrument or agreement evidencing such Indebtedness. 6.05 Preservation of Existence, Etc. (a) The Borrower shall, and shall cause each Subsidiary to, preserve, renew and maintain in full force and effect its (i) legal existence (except in a transaction permitted by Section 7.03) and (ii) good standing under the Laws of the jurisdiction of its organization. (b) The Borrower shall, and shall cause each Subsidiary to: (i) take all reasonable action to maintain all rights, privileges, permits, licenses and franchises necessary or desirable in the normal conduct of its business, except to the extent that failure to do so could not reasonably be expected to have a Material Adverse Effect; and (ii) preserve or renew all of its registered patents, trademarks, trade names and service marks, the non-preservation of which would reasonably be expected to have a Material Adverse Effect. 6.06 Maintenance of Properties. The Borrower shall, and shall cause each Subsidiary to, maintain, preserve and protect all of its properties and equipment necessary in the operation of its business


 
49 #98630541v7 in good working order and condition, ordinary wear and tear excepted, except where the failure to do so would not reasonably be expected to have a Material Adverse Effect. 6.07 Maintenance of Insurance. The Borrower shall, and shall cause each Subsidiary to, maintain with financially sound and reputable insurance companies not Affiliates of the Borrower, insurance with respect to its properties and business against loss or damage of the kinds customarily insured against by Persons engaged in the same or similar business, of such types and in such amounts (after giving effect to any self-insurance compatible with the following standards) as are customarily carried under similar circumstances by such other Persons. 6.08 Compliance with Laws. The Borrower shall, and shall cause each Subsidiary to, comply with the requirements of all applicable Laws, including Environmental Laws, and all orders, writs, injunctions and decrees applicable to it or to its business or property, except in such instances in which (a) such requirement of Law or order, writ, injunction or decree is being contested in good faith by appropriate proceedings diligently conducted, or (b) the failure to comply therewith would not reasonably be expected to have a Material Adverse Effect. 6.09 Books and Records. The Borrower shall, and shall cause each Subsidiary to, maintain books of record and account in material conformity with GAAP and in material conformity with all applicable requirements of any Governmental Authority having regulatory jurisdiction over the Borrower or such Subsidiary. 6.10 Inspection Rights. The Borrower shall, and shall cause each Subsidiary to, permit representatives and independent contractors of the Administrative Agent and each Lender to visit and inspect any of its properties, to examine its corporate, financial and operating records, and make copies thereof or abstracts therefrom, and to discuss its affairs, finances and accounts with its directors, officers, and independent public accountants, all at the reasonable expense of the Borrower and at such reasonable times during normal business hours and as often as may be reasonably desired, upon reasonable advance notice to the Borrower; provided that, other than with respect to such visits and inspections during the continuation of an Event of Default, (a) only the Administrative Agent on behalf of the Lenders may exercise rights under this Section and (b) the Administrative Agent shall not exercise such rights more often than two times during any calendar year; provided further, that when an Event of Default exists the Administrative Agent or any Lender (or any of their respective representatives or independent contractors) may do any of the foregoing under this Section at the expense of the Borrower and at any time during normal business hours and without advance notice. 6.11 Use of Proceeds. The Borrower shall, and shall cause each Subsidiary to, use the proceeds of the Loans for working capital and other lawful corporate purposes not in contravention of any Law or of any Loan Document. 6.12 Sanctions, Anti-Corruption and Anti-Money Laundering Laws. The Borrower shall, and shall cause each Subsidiary to: (a) conduct its businesses in compliance in all material respects with: (i) all applicable Sanctions, (ii) applicable Anti-Corruption Laws, and (iii) applicable Anti-Money Laundering Laws, and (b) maintain policies and procedures that it reasonably believes are designed to promote and achieve compliance with Anti-Corruption Laws and Sanctions. 6.13 Additional Guarantors. The Borrower shall, and shall cause each Subsidiary to, notify the Administrative Agent at the time that any Person becomes a Domestic Subsidiary (other than a FSHCO or Permitted Receivables Subsidiary), and promptly thereafter (and in any event within thirty (30) days), cause such Person to (a) become a Guarantor by executing and delivering to the Administrative Agent a joinder agreement or such other document as the Administrative Agent shall deem appropriate for such


 
50 #98630541v7 purpose, and (b) deliver to the Administrative Agent documents of the types referred to in clauses (iii) and (iv) of Section 4.01(a) and favorable opinions of counsel to such Person (which shall cover, among other things, the legality, validity, binding effect and enforceability of the documentation referred to in clause (a)), all in form, content and scope reasonably satisfactory to the Administrative Agent. ARTICLE VII NEGATIVE COVENANTS From the Closing Date and until the Termination Date: 7.01 Liens. The Borrower shall not, nor shall it permit any Subsidiary to, directly or indirectly, create, incur, assume or suffer to exist any Lien upon any of its property, assets or revenues, whether now owned or hereafter acquired, other than the following: (a) Liens existing on the Closing Date and listed on Schedule 7.01, and any renewals or extensions thereof; provided, that, (i) the property covered thereby is not changed, (ii) the amount of Indebtedness or other obligations secured by such Liens is not increased (iii) the direct or any contingent obligor with respect thereto is not changed, and (iv) any renewal or extension of the obligations secured or benefited thereby is permitted by Section 7.02(b); (b) Liens for Taxes not yet due or Liens for Taxes which are being contested in good faith and by appropriate proceedings diligently conducted, if adequate reserves with respect thereto are maintained on the books of the applicable Person in accordance with GAAP; (c) carriers’, warehousemen’s, mechanics’, materialmen’s, repairmen’s or other like Liens arising in the ordinary course of business which are not overdue for a period of more than thirty (30) days or which are being contested in good faith and by appropriate proceedings diligently conducted, if adequate reserves with respect thereto are maintained on the books of the applicable Person in accordance with GAAP; (d) pledges or deposits in the ordinary course of business in connection with workers’ compensation, unemployment insurance and other social security legislation, other than any Lien imposed by ERISA; (e) deposits to secure the performance of bids, trade contracts and leases (other than Indebtedness), statutory obligations, surety and appeal bonds, performance bonds and other obligations of a like nature incurred in the ordinary course of business; (f) easements, rights-of-way, restrictions and other similar encumbrances affecting real property which, in the aggregate, are not substantial in amount, and which do not in any case materially detract from the value of the property subject thereto or materially interfere with the ordinary conduct of the business of the applicable Person; (g) Liens securing judgments for the payment of money not constituting an Event of Default under Section 8.01(h); (h) normal and customary rights of setoff upon deposits of cash in favor of banks or other depository institutions and banker’s liens, rights of setoff upon deposits of cash or other financial assets or similar rights and remedies (i) in favor of banks or other depository institutions


 
51 #98630541v7 not granted in connection with the issuance of Indebtedness, or (ii) in connection with commodity trading or other brokerage accounts incurred in the ordinary course of business; (i) Liens of a collection bank arising under Section 4-210 of the Uniform Commercial Code on items in the course of collection; (j) (i) Liens of sellers of goods to the Borrower and its Subsidiaries arising under Article 2 of the Uniform Commercial Code or similar provisions of applicable Law in the ordinary course of business, covering only the goods sold and securing only the unpaid purchase price for such goods and related expenses, and (ii) Liens arising out of conditional sale, title retention, consignment or similar arrangements for the sale of any assets or property in the ordinary course of business; (k) any Lien existing on property (and the proceeds thereof) existing at the time of its acquisition; provided, that, (i) no such Lien shall have been created or assumed in contemplation of such consolidation or merger or such Person’s becoming a Subsidiary or such acquisition of property, and (ii) each such Lien shall extend solely to the item or items of property or assets of the Person so acquired and, if required by the terms of the instrument originally creating such Lien, other property which is an improvement to or is acquired for specific use in connection with such acquired property; (l) Liens securing Indebtedness permitted by Section 7.02(e); provided, that, (i) such Liens do not at any time encumber any property other than property financed by such Indebtedness (together with any accessions thereto and proceeds thereof), and (ii) such Liens attach to such property concurrently with or within one hundred eighty (180) days after the acquisition thereof; (m) other Liens; provided that, the sum, without duplication, of the aggregate outstanding principal amount of Indebtedness secured by Liens permitted by this clause (m) and the aggregate outstanding principal amount of Indebtedness permitted by Section 7.02(j) shall not at any time exceed the greater of (i) $500,000,000, and (ii) an amount equal to ten percent (10%) of Consolidated Net Tangible Assets at such time (determined as of the end of the most recent fiscal quarter of the Borrower for which financial statements have been delivered pursuant to Section 6.01(a) or Section 6.01(b) or, in the case of any such determination to be made prior to the delivery of financial statements for the fiscal year of the Borrower ended June 30, 2024, determined with reference to the financial statements for the fiscal quarter of the Borrower ended March 31, 2024; and (n) Liens in respect of any Permitted Factoring Arrangement or Securitization Transaction, in each case that extend only to the assets subject thereto, and Liens on the equity interests of any Permitted Receivables Subsidiary in connection with a Securitization Transaction. 7.02 Indebtedness. The Borrower shall not permit any of its Subsidiaries to, directly or indirectly, create, incur, assume or suffer to exist any Indebtedness, except: (a) Indebtedness of any Subsidiary of the Borrower under the Loan Documents; (b) Indebtedness of any Subsidiary of the Borrower existing on the Closing Date as set forth on Schedule 7.02 (and any Permitted Refinancing thereof); (c) obligations (contingent or otherwise) of any Subsidiary of the Borrower existing or arising under any Swap Contract, provided that (i) such obligations are (or were) entered into by


 
52 #98630541v7 such Person in the ordinary course of business for the purpose of directly mitigating risks associated with liabilities, commitments, investments, assets, or property held or reasonably anticipated by such Person, or changes in the value of securities issued by such Person, and not for purposes of speculation or taking a “market view;” and (ii) such Swap Contract does not contain any provision exonerating the non-defaulting party from its obligation to make payments on outstanding transactions to the defaulting party; (d) Indebtedness owed by any Subsidiary of the Borrower to the Borrower or any other Subsidiary; (e) Indebtedness of any Person that becomes a Subsidiary after the Closing Date; provided that such Indebtedness exists at the time such Person becomes a Subsidiary and is not created in contemplation of or in connection with such Person becoming a Subsidiary, and any Permitted Refinancing thereof; (f) Indebtedness of any Subsidiary of the Borrower (i) pursuant to tenders, statutory obligations, bids, leases, governmental contracts, trade contracts, surety, stay, customs, appeal, performance and/or return of money bonds or other similar obligations incurred in the ordinary course of business, and (ii) in respect of any letters of credit, bank guaranties, surety bonds, performance bonds or similar instruments to support any of the foregoing items; (g) obligations of any Subsidiary of the Borrower incurred in respect of cash management services, netting services, overdraft protection and similar arrangements, in each case in the ordinary course of business; (h) Indebtedness of any Subsidiary of the Borrower consisting of the financing of insurance premiums; (i) Indebtedness of any Subsidiary of the Borrower in respect of Capitalized Finance Leases, Synthetic Lease Obligations and purchase money obligations for fixed or capital assets within the limitations set forth in Section 7.01(l); provided, that, such Indebtedness when incurred shall not exceed the purchase price or development or improvement cost of the asset(s) financed and the reasonable, related fees, premium, and expenses and financing costs; and (j) other Indebtedness of Subsidiaries of the Borrower; provided, that, the sum, without duplication, of the aggregate outstanding principal amount of such Indebtedness permitted by this clause (j) and the aggregate outstanding principal amount of Indebtedness secured by Liens permitted by Section 7.01(m) shall not at any time exceed the greater of (i) $500,000,000, and (ii) an amount equal to ten percent (10%) of Consolidated Net Tangible Assets at such time (determined as of the end of the most recent fiscal quarter of the Borrower for which financial statements have been delivered pursuant to Section 6.01(a) or Section 6.01(b) or, in the case of any such determination to be made prior to the delivery of financial statements for the fiscal year of the Borrower ended June 30, 2024, determined with reference to the financial statements for the fiscal quarter of the Borrower ended March 31, 2024). 7.03 Fundamental Changes. The Borrower shall not, nor shall it permit any Subsidiary to, directly or indirectly, merge, dissolve, liquidate, consolidate with or into another Person, or Dispose of (whether in one transaction or in a series of transactions) all or substantially all of the assets (whether now owned or hereafter acquired) of the Borrower and its Subsidiaries, taken as a whole, to or in favor of any Person, except that, so long as no Default exists or would result therefrom: (a) any Subsidiary may merge or consolidate with and into the Borrower, so long as the Borrower shall be the continuing or surviving


 
53 #98630541v7 Person of such merger or consolidation; and (b) any Subsidiary may merge or consolidate with or into any other Subsidiary, so long as when a Guarantor is merging with another Subsidiary, the continuing or surviving Person of such merger or consolidation is a Guarantor; provided, that, (i) if such merger or consolidation involves the Borrower, the Borrower shall be the continuing or surviving Person, and (ii) such merger or consolidation does not result in the Disposition of all or substantially all of the assets of the Borrower and its Subsidiaries, taken as a whole; and (c) any Subsidiary may dissolve or liquidate; provided, that, (i) such dissolution or liquidation does not result in the Disposition of all or substantially all of the assets of the Borrower and its Subsidiaries, taken as a whole, (ii) if the transferor in such a transaction is a Guarantor, then the transferee must either be the Borrower or a Guarantor and (iii) such dissolution or liquidation could not reasonably be expected to have a Material Adverse Effect. 7.04 Dispositions. The Borrower shall not, nor shall it permit any Subsidiary to, make any Disposition or enter into any agreement to make any Disposition, except: (a) Dispositions of obsolete or worn out property, whether now owned or hereafter acquired, in the ordinary course of business; (b) Dispositions of inventory in the ordinary course of business; (c) Dispositions of equipment or real property to the extent that (i) such property is exchanged for credit against the purchase price of similar replacement property or (ii) the proceeds of such Disposition are reasonably promptly applied to the purchase price of such replacement property; (d) Dispositions of property by any Subsidiary to the Borrower or to a wholly-owned Subsidiary; provided that if the transferor of such property is a Guarantor, the transferee thereof must either be the Borrower or a Guarantor; (e) Dispositions permitted by Section 7.03; (f) Dispositions by the Borrower and its Subsidiaries not otherwise permitted under this Section; provided that the aggregate book value of all property disposed of pursuant to this clause (f) in any fiscal year shall not exceed the Threshold Amount; (g) Dispositions (including by capital contribution), pledge, factoring, transfer or sale of assets in connection with any Permitted Factoring Arrangement, Securitization Transaction or other receivables financing; and (h) Dispositions by the Borrower and its Subsidiaries of property pursuant to a Sale and Leaseback Transaction, provided that the book value of all property so Disposed of pursuant to this clause (h) shall not exceed the Threshold Amount. provided, however, that any Disposition pursuant to subsections (a) through (h) shall be for fair market value. 7.05 Change in Nature of Business. The Borrower shall not, nor shall it permit any Subsidiary to, directly or indirectly, engage in any material line of business substantially different from those lines of business conducted by the Borrower and its Subsidiaries on the Closing Date or any business substantially related or incidental thereto.


 
54 #98630541v7 7.06 Transactions with Affiliates. The Borrower shall not, nor shall it permit any Subsidiary to, directly or indirectly, enter into any transaction of any kind with any Affiliate of the Borrower, whether or not in the ordinary course of business, other than (a) intercompany transactions that are not prohibited by Section 7.02 and Section 7.03, (b) any transaction on fair and reasonable terms substantially as favorable to the Borrower or such Subsidiary as would be obtainable by the Borrower or such Subsidiary at the time in a comparable arm’s length transaction with a Person other than an Affiliate (as determined in good faith by the Board of Directors of the Borrower), and (c) compensation (including bonuses and equity compensation) and indemnification of, and other employment arrangements with, directors, officers and employees of the Borrower or such Subsidiary entered in the ordinary course of business, including reimbursement of out-of-pocket expenses and provision of officers’ and directors’ liability insurance. 7.07 Use of Proceeds. The Borrower shall not, nor shall it permit any Subsidiary to, use the proceeds of any Loan, whether directly or indirectly, and whether immediately, incidentally or ultimately, to purchase or carry margin stock (within the meaning of Regulation U of the FRB) or to extend credit to others for the purpose of purchasing or carrying margin stock or to refund indebtedness originally incurred for such purpose. 7.08 Financial Covenants. The Borrower shall not: (a) permit the Consolidated Leverage Ratio, as of the end of any fiscal quarter of the Borrower for the four quarter period ending on such date, to be greater than 3.50 to 1.00; and (b) prior to a Fall-Away Event, permit the Consolidated Interest Coverage Ratio, as of the end of any fiscal quarter of the Borrower for the four quarter period ending on such date, to be less than 3.00 to 1.00. 7.09 Sanctions. The Borrower shall not, nor shall it permit any Subsidiary to, directly or indirectly, use the proceeds of any Loan, or lend, contribute or otherwise make available such proceeds to any Subsidiary, joint venture partner or other individual or entity, to fund any activities of or business with any individual or entity, or in any Designated Jurisdiction, that, at the time of such funding, is the subject of Sanctions, in each case, except to the extent permitted for a Person required to comply with Sanctions, or in any other manner that will result in a violation by any individual or entity (including any individual or entity participating in the transaction contemplated hereby, whether as Lender, Arranger, Administrative Agent or otherwise) of Sanctions. 7.10 Anti-Corruption and Anti-Money Laundering Laws. The Borrower shall not, nor shall it permit any Subsidiary to, directly or indirectly, use the proceeds of any Loan for any purpose which would breach applicable Anti-Corruption Laws and Anti-Money Laundering Laws. ARTICLE VIII EVENTS OF DEFAULT AND REMEDIES 8.01 Events of Default. Any of the following shall constitute an “Event of Default”: (a) Non-Payment. The Borrower or any other Loan Party fails to pay (i) when and as required to be paid herein and in the currency required hereunder, any amount of principal of any Loan, (ii) within three (3) Business Days after the same becomes due, any interest on any Loan or any fee due hereunder, or (iii) within five (5) Business Days after the same becomes due, any other amount payable hereunder or under any other Loan Document; or


 
55 #98630541v7 (b) Specific Covenants. The Borrower fails to perform or observe any term, covenant or agreement contained in any of Section 6.03(a), Section 6.05 (with respect to the preservation of the Borrower’s legal existence), Section 6.11, Section 6.13 or Article VII, or any Guarantor fails to perform or observe any term, covenant or agreement contained in Article X; or (c) Other Defaults. Any Loan Party fails to perform or observe any other covenant or agreement (not specified in Section 8.01(a) or Section 8.01(b)) contained in any Loan Document on its part to be performed or observed and such failure continues for thirty (30) days; or (d) Representations and Warranties. Any representation, warranty or certification made or deemed made by the Borrower herein, in any other Loan Document, or in any document delivered in connection herewith or therewith, shall be incorrect in any material respect (or in any respect if already qualified by materiality or “Material Adverse Effect”) when made or deemed made; or (e) Cross-Default. (i) The Borrower or any Subsidiary (A) fails to make any payment when due (whether by scheduled maturity, required prepayment, acceleration, demand, or otherwise) in respect of the Existing Credit Agreement or any Indebtedness or Guarantee (other than the Obligations and Indebtedness under Swap Contracts) having an aggregate principal amount (including undrawn committed or available amounts and including amounts owing to all creditors under any combined or syndicated credit arrangement) of more than the Threshold Amount, or (B) fails to observe or perform any other agreement or condition relating to any such Indebtedness or Guarantee or contained in any instrument or agreement evidencing, securing or relating thereto, or any other event occurs, the effect of which default or other event is to cause, or to permit the holder or holders of such Indebtedness or the beneficiary or beneficiaries of such Guarantee (or a trustee or agent on behalf of such holder or holders or beneficiary or beneficiaries) to cause, with the giving of notice if required, such Indebtedness to be demanded or to become due or to be repurchased, prepaid, defeased or redeemed (automatically or otherwise), or an offer to repurchase, prepay, defease or redeem such Indebtedness to be made, prior to its stated maturity, or such Guarantee to become payable or cash collateral in respect thereof to be demanded; or (ii) there occurs under any Swap Contract an Early Termination Date (as defined in such Swap Contract) resulting from (A) any event of default as defined in such Swap Contract as to which the Borrower or any Subsidiary is the Defaulting Party (as defined in such Swap Contract), or (B) any Termination Event (as defined in such Swap Contract) under such Swap Contract as to which the Borrower or any Subsidiary is an Affected Party (as defined in such Swap Contract) and, in either event, the Swap Termination Value owed by the Borrower or such Subsidiary as a result thereof is greater than the Threshold Amount; or (f) Insolvency Proceedings, Etc. Any Loan Party or any of its Subsidiaries institutes or consents to the institution of any proceeding under any Debtor Relief Law, or makes an assignment for the benefit of creditors; or applies for or consents to the appointment of any receiver, trustee, custodian, conservator, liquidator, rehabilitator or similar officer for it or for all or any material part of its property; or any receiver, trustee, custodian, conservator, liquidator, rehabilitator or similar officer is appointed without its application or consent of such Person and the appointment continues undischarged or unstayed for sixty (60) consecutive calendar days; or any proceeding under any Debtor Relief Law relating to any such Person or to all or any material part of its property is instituted without the consent of such Person and continues undismissed, unstayed, unvacated and unbonded for sixty (60) consecutive calendar days, or an order for relief is entered in any such proceeding which order is not stayed; or


 
56 #98630541v7 (g) Inability to Pay Debts; Attachment. (i) The Borrower or any Subsidiary becomes unable or admits in writing its inability or fails generally to pay its debts as they become due , or (ii) any writ or warrant of attachment or execution or similar process is issued or levied against all or any material part of the property of any such Person and is not released, vacated or fully bonded within thirty (30) days after its issue or levy; or (h) Judgments. There is entered against the Borrower or any Subsidiary any one or more final judgments or orders for the payment of money which in the aggregate exceed the Threshold Amount (to the extent not covered by independent third-party insurance as to which the insurer does not dispute coverage), or (ii) any one or more non-monetary final judgments that have, or would reasonably be expected to have, individually or in the aggregate, a Material Adverse Effect and, in either case, (A) enforcement proceedings are commenced by any creditor upon such judgment or order (and such execution shall not be paid, bonded or effectively stayed), or (B) there is a period of ten (10) consecutive days during which a stay of enforcement of such judgment, by reason of a pending appeal or otherwise, is not in effect; or (i) ERISA. (i) An ERISA Event occurs which has resulted in liability of the Borrower or any of its Subsidiaries or any ERISA Affiliate to the Pension Plan or Multiemployer Plan or the PBGC in an aggregate amount that would reasonably be expected to have a Material Adverse Effect, or (ii) the Borrower or any ERISA Affiliate fails to pay when due, after the expiration of any applicable grace period, any installment payment with respect to its withdrawal liability under Section 4201 of ERISA under a Multiemployer Plan in an aggregate amount that would reasonably be expected to have a Material Adverse Effect; or (j) Invalidity of the Loan Documents. Any provision of any Loan Document, at any time after its execution and delivery and for any reason other than as expressly permitted hereunder or thereunder or the occurrence of the Termination Date, ceases to be in full force and effect; or any Loan Party or any other Person contests in any manner the validity or enforceability of any provision of any Loan Document; or any Loan Party denies that it has any or further liability or obligation under any Loan Document (other than by reason of the occurrence of the Termination Date), or purports to revoke, terminate or rescind any provision of any Loan Document; or (k) Change of Control. There occurs any Change of Control. 8.02 Remedies Upon Event of Default. If any Event of Default occurs and is continuing, the Administrative Agent shall, at the request of, or may, with the consent of, the Required Lenders, take any or all of the following actions: (a) declare the commitments of each Lender to make Loans to be terminated, whereupon such commitments and obligations shall be terminated; (b) declare the unpaid principal amount of all outstanding Loans, all interest accrued and unpaid thereon, and all other amounts owing or payable hereunder or under any other Loan Document to be immediately due and payable, without presentment, demand, protest or other notice of any kind, all of which are hereby expressly waived by the Borrower; and (c) exercise on behalf of itself and the Lenders all rights and remedies available to it, the Lenders under the Loan Documents; provided, that, upon the occurrence of an event described in Section 8.01(f), the obligation of each Lender to make Loans shall automatically terminate, the unpaid principal amount of all outstanding Loans and all


 
57 #98630541v7 interest and other amounts as aforesaid shall automatically become due and payable, in each case without further act of the Administrative Agent or any Lender. 8.03 Application of Funds. After the exercise of remedies provided for in Section 8.02 (or after the Loans have automatically become immediately due and payable as set forth in the proviso to Section 8.02), any amounts received on account of the Obligations shall, subject to the provisions of Section 2.12 be applied by the Administrative Agent in the following order: First, to payment of that portion of the Obligations constituting fees, indemnities, expenses and other amounts (including fees, charges and disbursements of counsel to the Administrative Agent and amounts payable under Article III) payable to the Administrative Agent in its capacity as such; Second, to payment of that portion of the Obligations constituting fees, indemnities and other amounts (other than principal and interest) payable to the Lenders (including fees, charges and disbursements of counsel to the respective Lenders and amounts payable under Article III), ratably among them in proportion to the respective amounts described in this clause Second payable to them; Third, to payment of that portion of the Obligations constituting accrued and unpaid interest on the Loans, ratably among the Lenders in proportion to the respective amounts described in this clause Third payable to them; Fourth, to (a) payment of that portion of the Obligations constituting unpaid principal of the Loans, ratably among the Lenders, in proportion to the respective amounts described in this clause Fourth payable to them; and Last, the balance, if any, after the occurrence of the Termination Date, to the Borrower or as otherwise required by Law. ARTICLE IX ADMINISTRATIVE AGENT 9.01 Appointment and Authority. Each of the Lenders hereby irrevocably appoints Bank of America to act on its behalf as the Administrative Agent hereunder and under the other Loan Documents and authorizes the Administrative Agent to take such actions on its behalf and to exercise such powers as are delegated to the Administrative Agent by the terms hereof or thereof, together with such actions and powers as are reasonably incidental thereto. The provisions of this Article (other than Section 9.06) are solely for the benefit of the Administrative Agent and the Lenders, and no Loan Party shall have rights as a third-party beneficiary of any of such provisions. It is understood and agreed that the use of the term “agent” herein or in any other Loan Documents (or any other similar term) with reference to the Administrative Agent is not intended to connote any fiduciary or other implied (or express) obligations arising under agency doctrine of any applicable Law. Instead such term is used as a matter of market custom and is intended to create or reflect only an administrative relationship between contracting parties. 9.02 Rights as a Lender. The Person serving as the Administrative Agent hereunder shall have the same rights and powers in its capacity as a Lender as any other Lender and may exercise the same as though it were not the Administrative Agent and the term “Lender” or “Lenders” shall, unless otherwise expressly indicated or unless the context otherwise requires, include the Person serving as the Administrative Agent hereunder in its individual capacity. Such Person and its Affiliates may accept


 
58 #98630541v7 deposits from, lend money to, own securities of, act as the financial advisor or in any other advisory capacity for and generally engage in any kind of business with the Borrower or any Subsidiary or other Affiliate thereof as if such Person were not the Administrative Agent hereunder and without any duty to account therefor to the Lenders or to provide notice to or consent of the Lenders with respect thereto. 9.03 Exculpatory Provisions. Neither the Administrative Agent nor the Arranger shall have any duties or obligations except those expressly set forth herein and in the other Loan Documents and its duties hereunder shall be administrative in nature. Without limiting the generality of the foregoing, neither the Administrative Agent nor the Arranger: (a) shall be subject to any fiduciary or other implied duties, regardless of whether a Default has occurred and is continuing; (b) shall have any duty to take any discretionary action or exercise any discretionary powers, except discretionary rights and powers expressly contemplated hereby or by the other Loan Documents that the Administrative Agent is required to exercise as directed in writing by the Required Lenders (or such other number or percentage of the Lenders as shall be expressly provided for herein or in the other Loan Documents); provided, that, the Administrative Agent shall not be required to take any action that, in its opinion or the opinion of its counsel, may expose the Administrative Agent to liability or that is contrary to any Loan Document or applicable Law, including for the avoidance of doubt any action that may be in violation of the automatic stay under any Debtor Relief Law or that may effect a forfeiture, modification or termination of property of a Defaulting Lender in violation of any Debtor Relief Law; or (c) shall, except as expressly set forth herein and in the other Loan Documents, have any duty to disclose, and neither the Administrative Agent nor the Arranger shall be liable for the failure to disclose, to any Lender any credit or other information concerning the business, prospects, operations, property, financial and other condition or creditworthiness of the Borrower or any of its Affiliates that is communicated to, or in the possession of, the Administrative Agent or the Arranger or any of their Related Parties in any capacity, except for notices, reports and other documents expressly required to be furnished to the Lenders by the Administrative Agent herein. Neither the Administrative Agent nor any of its Related Parties shall be liable for any action taken or not taken by the Administrative Agent under or in connection with this Agreement or any other Loan Document or the transactions contemplated hereby or thereby (i) with the consent or at the request of the Required Lenders (or such other number or percentage of the Lenders as shall be necessary, or as the Administrative Agent shall believe in good faith shall be necessary, under the circumstances as provided in Section 11.01 and Section 8.02), or (ii) in the absence of its own gross negligence or willful misconduct as determined by a court of competent jurisdiction by final and nonappealable judgment. The Administrative Agent shall be deemed not to have knowledge of any Default unless and until notice describing such Default is given in writing to the Administrative Agent by the Borrower or a Lender. Neither the Administrative Agent nor any of its Related Parties have any duty or obligation to any Lender or participant or any other Person to ascertain or inquire into (A) any statement, warranty or representation made in or in connection with this Agreement or any other Loan Document, (B) the contents of any certificate, report or other document delivered hereunder or thereunder or in connection herewith or therewith, (C) the performance or observance of any of the covenants, agreements or other terms or conditions set forth herein or therein or the occurrence of any Default, (D) the validity, enforceability, effectiveness or genuineness of this Agreement, any other Loan Document or any other agreement, instrument or document, or (E) the satisfaction of any condition set forth in Article IV or elsewhere herein, other than to confirm receipt of items expressly required to be delivered to the Administrative Agent.


 
59 #98630541v7 9.04 Reliance by Administrative Agent. The Administrative Agent shall be entitled to rely upon, and shall be fully protected in relying and shall not incur any liability for relying upon, any notice, request, certificate, communication, consent, statement, instrument, document or other writing (including any electronic message, Internet or intranet website posting or other distribution) believed by it to be genuine and to have been signed, sent or otherwise authenticated by the proper Person. The Administrative Agent also may rely upon any statement made to it orally or by telephone and believed by it to have been made by the proper Person and shall be fully protected in relying and shall not incur any liability for relying thereon. In determining compliance with any condition hereunder to the making of a Loan, that by its terms must be fulfilled to the satisfaction of a Lender, the Administrative Agent may presume that such condition is satisfactory to such Lender unless the Administrative Agent shall have received notice to the contrary from such Lender prior to the making of such Loan. The Administrative Agent may consult with legal counsel (who may be counsel for the Borrower), independent accountants and other experts selected by it, and shall not be liable for any action taken or not taken by it in accordance with the advice of any such counsel, accountants or experts. For purposes of determining compliance with the conditions specified in Section 4.01, each Lender that has signed this Agreement shall be deemed to have consented to, approved or accepted or to be satisfied with, each document or other matter required thereunder to be consented to or approved by or acceptable or satisfactory to a Lender unless the Administrative Agent shall have received notice from such Lender prior to the proposed Closing Date specifying its objections. 9.05 Delegation of Duties. The Administrative Agent may perform any and all of its duties and exercise its rights and powers hereunder or under any other Loan Document by or through any one or more sub-agents appointed by the Administrative Agent. The Administrative Agent and any such sub-agent may perform any and all of its duties and exercise its rights and powers by or through their respective Related Parties. The exculpatory provisions of this Article shall apply to any such sub-agent and to the Related Parties of the Administrative Agent and any such sub-agent, and shall apply to their respective activities in connection with the syndication of the credit facility provided for herein as well as activities as Administrative Agent. The Administrative Agent shall not be responsible for the negligence or misconduct of any sub-agents except to the extent that a court of competent jurisdiction determines in a final and nonappealable judgment that the Administrative Agent acted with gross negligence or willful misconduct in the selection of such sub-agents. 9.06 Resignation of Administrative Agent. (a) The Administrative Agent may at any time give notice of its resignation to the Lenders and the Borrower. Upon receipt of any such notice of resignation, the Required Lenders shall have the right, in consultation with the Borrower, to appoint a successor, which shall be a bank with an office in the United States, or an Affiliate of any such bank with an office in the United States. If no such successor shall have been so appointed by the Required Lenders and shall have accepted such appointment within thirty (30) days after the retiring Administrative Agent gives notice of its resignation (or such earlier day as shall be agreed by the Required Lenders and the Borrower) (the “Resignation Effective Date”), then the retiring Administrative Agent may (but shall not be obligated to) on behalf of the Lenders, appoint a successor Administrative Agent meeting the qualifications set forth above; provided, that, in no event shall any successor Administrative Agent be a Defaulting Lender. Whether or not a successor has been appointed, such resignation shall become effective in accordance with such notice on the Resignation Effective Date. (b) If the Person serving as Administrative Agent is a Defaulting Lender at such time pursuant to clause (d) of the definition thereof, the Required Lenders may, to the extent permitted by applicable Law, by notice in writing to such Person, remove such Person as Administrative Agent and, in consultation with the Borrower, appoint a successor. If no such successor shall have


 
60 #98630541v7 been so appointed by the Required Lenders and shall have accepted such appointment within thirty (30) days (or such earlier day as shall be agreed by the Required Lenders) (the “Removal Effective Date”), then such removal shall nonetheless become effective in accordance with such notice on the Removal Effective Date. (c) With effect from the Resignation Effective Date or the Removal Effective Date (as applicable), (i) the retiring or removed Administrative Agent shall be discharged from its duties and obligations hereunder and under the other Loan Documents, and (ii) except for any indemnity payments or other amounts then owed to the retiring or removed Administrative Agent, all payments, communications and determinations provided to be made by, to or through the Administrative Agent shall instead be made by or to each Lender directly, until such time, if any, as the Required Lenders appoint a successor Administrative Agent as provided for above. Upon the acceptance of a successor’s appointment as Administrative Agent hereunder, such successor shall succeed to and become vested with all of the rights, powers, privileges and duties of the retiring (or removed) Administrative Agent (other than as provided in Section 3.01(g) and other than any rights to indemnity payments or other amounts owed to the retiring or removed Administrative Agent as of the Resignation Effective Date or the Removal Effective Date, as applicable), and the retiring or removed Administrative Agent shall be discharged from all of its duties and obligations hereunder or under the other Loan Documents (if not already discharged therefrom as provided above in this Section). The fees payable by the Borrower to a successor Administrative Agent shall be the same as those payable to its predecessor unless otherwise agreed between the Borrower and such successor. After the retiring or removed Administrative Agent’s resignation or removal hereunder and under the other Loan Documents, the provisions of this Article and Section 11.04 shall continue in effect for the benefit of such retiring or removed Administrative Agent, its sub-agents and their respective Related Parties in respect of any actions taken or omitted to be taken by any of them (A) while the retiring or removed Administrative Agent was acting as Administrative Agent, and (B) after such resignation or removal for as long as any of them continues to act in any capacity hereunder or under the other Loan Documents, including in respect of any actions taken in connection with transferring the agency to any successor Administrative Agent. 9.07 Non-Reliance on Administrative Agent, the Arranger and Other Lenders. Each Lender expressly acknowledges that neither the Administrative Agent nor the Arranger has made any representation or warranty to it, and that no act by the Administrative Agent or the Arranger hereafter taken, including any consent to, and acceptance of any assignment or review of the affairs of the Borrower or any Affiliate thereof, shall be deemed to constitute any representation or warranty by the Administrative Agent or the Arranger to any Lender as to any matter, including whether the Administrative Agent or the Arranger have disclosed material information in their (or their respective Related Parties’) possession. Each Lender represents to the Administrative Agent and the Arranger that it has, independently and without reliance upon the Administrative Agent, the Arranger, any other Lender or any of their respective Related Parties and based on such documents and information as it has deemed appropriate, made its own credit analysis of, appraisal of, and investigation into, the business, prospects, operations, property, financial and other condition and creditworthiness of the Borrower and its Subsidiaries, and all applicable bank or other regulatory Laws relating to the transactions contemplated hereby, and made its own decision to enter into this Agreement and to extend credit to the Borrower hereunder. Each Lender also acknowledges that it will, independently and without reliance upon the Administrative Agent, the Arranger, any other Lender or any of their respective Related Parties and based on such documents and information as it shall from time to time deem appropriate, continue to make its own credit analysis, appraisals and decisions in taking or not taking action under or based upon this Agreement, any other Loan Document or any related agreement or any document furnished hereunder or thereunder, and to make such investigations as it deems necessary to


 
61 #98630541v7 inform itself as to the business, prospects, operations, property, financial and other condition and creditworthiness of the Borrower and its Subsidiaries. Each Lender represents and warrants that (a) the Loan Documents set forth the terms of a commercial lending facility, and (b) it is engaged in making, acquiring or holding commercial loans in the ordinary course and is entering into this Agreement as a Lender for the purpose of making, acquiring or holding commercial loans and providing other facilities set forth herein as may be applicable to such Lender, and not for the purpose of purchasing, acquiring or holding any other type of financial instrument, and each Lender agrees not to assert a claim in contravention of the foregoing. Each Lender represents and warrants that it is sophisticated with respect to decisions to make, acquire and/or hold commercial loans and to provide other facilities set forth herein, as may be applicable to such Lender, and either it, or the Person exercising discretion in making its decision to make, acquire and/or hold such commercial loans or to provide such other facilities, is experienced in making, acquiring or holding such commercial loans or providing such other facilities. 9.08 No Other Duties, Etc. Anything herein to the contrary notwithstanding, the Arranger shall not have any powers, duties or responsibilities under this Agreement or any of the other Loan Documents, except in its capacity, as applicable, as the Administrative Agent or a Lender hereunder. 9.09 Administrative Agent May File Proofs of Claim. In case of the pendency of any proceeding under any Debtor Relief Law or any other judicial proceeding relative to the Borrower, the Administrative Agent (irrespective of whether the principal of any Loan shall then be due and payable as herein expressed or by declaration or otherwise and irrespective of whether the Administrative Agent shall have made any demand on the Borrower) shall be entitled and empowered, by intervention in such proceeding or otherwise: (a) to file and prove a claim for the whole amount of the principal and interest owing and unpaid in respect of the Loans and all other Obligations that are owing and unpaid and to file such other documents as may be necessary or advisable in order to have the claims of the Lenders and the Administrative Agent (including any claim for the reasonable compensation, expenses, disbursements and advances of the Lenders and the Administrative Agent and their respective agents and counsel and all other amounts due the Lenders and the Administrative Agent under Section 2.07 and Section 11.04) allowed in such judicial proceeding; and (b) to collect and receive any monies or other property payable or deliverable on any such claims and to distribute the same; and any custodian, receiver, assignee, trustee, liquidator, sequestrator or other similar official in any such judicial proceeding is hereby authorized by each Lender to make such payments to the Administrative Agent and, in the event that the Administrative Agent shall consent to the making of such payments directly to the Lenders, to pay to the Administrative Agent any amount due for the reasonable compensation, expenses, disbursements and advances of the Administrative Agent and its agents and counsel, and any other amounts due the Administrative Agent under Sections 2.07 and Section 11.04. Nothing contained herein shall be deemed to authorize the Administrative Agent to authorize or consent to or accept or adopt on behalf of any Lender any plan of reorganization, arrangement, adjustment or composition affecting the Obligations or the rights of any Lender to authorize the Administrative Agent to vote in respect of the claim of any Lender in any such proceeding. 9.10 Guaranty Matters. The Lenders irrevocably authorize the Administrative Agent, at its option and in its discretion, to release any Guarantor from its obligations under the Guaranty upon the occurrence of a Fall-Away Event or if such Person ceases to be a Subsidiary as a result of a transaction permitted hereunder.


 
62 #98630541v7 Upon request by the Administrative Agent at any time, the Required Lenders will confirm in writing the Administrative Agent’s authority to release any Guarantor from its obligations under the Guaranty, pursuant to this Section 9.10. 9.11 Certain ERISA Matters. (a) Each Lender (x) represents and warrants, as of the date such Person became a Lender party hereto, to, and (y) covenants, from the date such Person became a Lender party hereto to the date such Person ceases being a Lender party hereto, for the benefit of, the Administrative Agent and not, for the avoidance of doubt, to or for the benefit of the Borrower or any other Loan Party, that at least one of the following is and will be true: (i) such Lender is not using “plan assets” (within the meaning of Section 3(42) of ERISA or otherwise) of one or more Benefit Plans with respect to such Lender’s entrance into, participation in, administration of and performance of the Loans, the Commitments or this Agreement; (ii) the transaction exemption set forth in one or more PTEs, such as PTE 84- 14 (a class exemption for certain transactions determined by independent qualified professional asset managers), PTE 95-60 (a class exemption for certain transactions involving insurance company general accounts), PTE 90-1 (a class exemption for certain transactions involving insurance company pooled separate accounts), PTE 91-38 (a class exemption for certain transactions involving bank collective investment funds) or PTE 96- 23 (a class exemption for certain transactions determined by in-house asset managers), is applicable with respect to such Lender’s entrance into, participation in, administration of and performance of the Loans, the Commitments and this Agreement; (iii) (A) such Lender is an investment fund managed by a “Qualified Professional Asset Manager” (within the meaning of Part VI of PTE 84-14), (B) such Qualified Professional Asset Manager made the investment decision on behalf of such Lender to enter into, participate in, administer and perform the Loans, the Commitments and this Agreement, (C) the entrance into, participation in, administration of and performance of the Loans, the Commitments and this Agreement satisfies the requirements of sub-sections (b) through (g) of Part I of PTE 84-14, and (D) to the best knowledge of such Lender, the requirements of subsection (a) of Part I of PTE 84-14 are satisfied with respect to such Lender’s entrance into, participation in, administration of and performance of the Loans, the Commitments and this Agreement; or (iv) such other representation, warranty and covenant as may be agreed in writing between the Administrative Agent, in its sole discretion, and such Lender. (b) In addition, unless either (i) clause (i) in the immediately preceding clause (a) is true with respect to a Lender, or (ii) a Lender has provided another representation, warranty and covenant in accordance with clause (iv) in the immediately preceding clause (a), such Lender further (A) represents and warrants, as of the date such Person became a Lender party hereto, to, and (B) covenants, from the date such Person became a Lender party hereto to the date such Person ceases being a Lender party hereto, for the benefit of, the Administrative Agent and not, for the avoidance of doubt, to or for the benefit of the Borrower and any other Loan Party, that the Administrative Agent is not a fiduciary with respect to the assets of such Lender involved in such Lender’s entrance into, participation in, administration of and performance of the Loans, the Commitments and this Agreement (including in connection with the reservation or exercise of any


 
63 #98630541v7 rights by the Administrative Agent under this Agreement, any other Loan Document or any documents related hereto or thereto). 9.12 Recovery of Erroneous Payments. Without limitation of any other provision in this Agreement, if at any time the Administrative Agent makes a payment hereunder in error to any Lender, whether or not in respect of an Obligation due and owing by the Borrower at such time, where such payment is a Rescindable Amount, then in any such event, each Lender receiving a Rescindable Amount severally agrees to repay to the Administrative Agent forthwith on demand the Rescindable Amount received by such Lender in Same Day Funds in the currency so received, with interest thereon, for each day from and including the date such Rescindable Amount is received by it to but excluding the date of payment to the Administrative Agent, at the greater of the Federal Funds Rate and a rate determined by the Administrative Agent in accordance with banking industry rules on interbank compensation. Each Lender irrevocably waives any and all defenses, including any “discharge for value” (under which a creditor might otherwise claim a right to retain funds mistakenly paid by a third party in respect of a debt owed by another) or similar defense to its obligation to return any Rescindable Amount. The Administrative Agent shall inform each Lender promptly upon determining that any payment made to such Lender comprised, in whole or in part, a Rescindable Amount. ARTICLE X CONTINUING GUARANTY 10.01 Guaranty. Prior to the occurrence of a Fall-Away Event, each Guarantor hereby absolutely and unconditionally guarantees, as primary obligor and as a guaranty of payment and performance and not merely as a guaranty of collection, prompt payment when due, whether at stated maturity, by required prepayment, upon acceleration, as a mandatory cash collateralization, upon demand or otherwise, and at all times thereafter, of any and all Obligations of the Borrower (the “Guaranteed Obligations”); provided, that, the liability of each Guarantor with respect to this Guaranty shall be limited to an aggregate amount equal to the largest amount that would not render its obligations hereunder subject to avoidance under Section 548 of the Bankruptcy Code of the United States or any comparable provisions of any applicable state law or other applicable Law. Without limiting the generality of the foregoing, the Guaranteed Obligations shall include any such indebtedness, obligations, and liabilities, or portion thereof, which may be or hereafter become unenforceable or compromised or shall be an allowed or disallowed claim under any proceeding or case commenced by or against any Loan Party under any Debtor Relief Laws. The Administrative Agent’s books and records showing the amount of the Guaranteed Obligations shall be admissible in evidence in any action or proceeding, and shall be binding upon the Loan Parties, and conclusive for the purpose of establishing the amount of the Guaranteed Obligations. This Guaranty shall not be affected by the genuineness, validity, regularity or enforceability of the Obligations or any instrument or agreement evidencing any Obligations, or by the existence, validity, enforceability, perfection, non-perfection or extent of any collateral therefor, or by any fact or circumstance relating to the Obligations which might otherwise constitute a defense to the obligations of the Loan Parties under this Guaranty, and the Loan Parties hereby irrevocably waives any defenses they may now have or hereafter acquire in any way relating to any or all of the foregoing. 10.02 Rights of Lenders. Each Loan Party consents and agrees that the Administrative Agent and Lenders may, at any time and from time to time, without notice or demand, and without affecting the enforceability or continuing effectiveness hereof, amend, extend, renew, compromise, discharge, accelerate or otherwise change the time for payment or the terms of the Guaranteed Obligations or any part thereof. Without limiting the generality of the foregoing, each Loan Party consents to the taking of, or failure to


 
64 #98630541v7 take, any action which might in any manner or to any extent vary the risks of the Loan Parties under this Guaranty or which, but for this provision, might operate as a discharge of the Loan Parties. 10.03 Certain Waivers. Each Loan Party waives: (a) any defense arising by reason of any disability or other defense of the Loan Parties, or the cessation from any cause whatsoever (including any act or omission of any of the Administrative Agent or any Lender) of the liability of the Loan Parties; (b) any defense based on any claim that the Guarantors’ obligations exceed or are more burdensome than those of the Borrower; (c) the benefit of any statute of limitations affecting the Loan Parties’ liability hereunder; (d) any right to proceed against the Borrower, or pursue any other remedy in the power of any of the Administrative Agent or any Lender whatsoever; and (e) to the fullest extent permitted by law, any and all other defenses or benefits that may be derived from or afforded by applicable Law limiting the liability of or exonerating guarantors or sureties. Each Loan Party expressly waives all setoffs and counterclaims and all presentments, demands for payment or performance, notices of nonpayment or nonperformance, protests, notices of protest, notices of dishonor and all other notices or demands of any kind or nature whatsoever with respect to the Guaranteed Obligations, and all notices of acceptance of this Guaranty or of the existence, creation or incurrence of new or additional Guaranteed Obligations. 10.04 Obligations Independent. The obligations of the Loan Parties hereunder are those of primary obligor, and not merely as surety, and are independent of the Guaranteed Obligations, and a separate action may be brought against the Loan Parties to enforce this Guaranty whether or not the Borrower or any other Person is joined as a party. 10.05 Subrogation. A Loan Party shall not exercise any right of subrogation, contribution, indemnity, reimbursement or similar rights with respect to any payments it makes under this Guaranty until all of the Obligations and any amounts payable under this Guaranty have been indefeasibly paid and performed in full and the Termination Date has occurred. If any amounts are paid to the Loan Parties in violation of the foregoing limitation, then such amounts shall be held in trust for the benefit of the Administrative Agent and Lenders and shall forthwith be paid to such to reduce the amount of the Obligations, whether matured or unmatured, in accordance with the terms of this Agreement. 10.06 Termination; Reinstatement. This Guaranty is a continuing and irrevocable guaranty of all Guaranteed Obligations now or hereafter existing and shall remain in full force and effect until the Termination Date. Notwithstanding the foregoing, this Guaranty shall continue in full force and effect or be revived, as the case may be, if any payment by or on behalf of the Borrower or any Loan Party is made, or any of the Administrative Agent or any Lender exercises its right of setoff, in respect of the Obligations and such payment or the proceeds of such setoff or any part thereof is subsequently invalidated, declared to be fraudulent or preferential, set aside or required (including pursuant to any settlement entered into by any of the Administrative Agent or any Lender in their discretion) to be repaid to a trustee, receiver or any other party, in connection with any proceeding under any Debtor Relief Laws or otherwise, all as if such payment had not been made or such setoff had not occurred and whether or not the Administrative Agent or the Lenders are in possession of or have released this Guaranty and regardless of any prior revocation, rescission, termination or reduction. The obligations of the Borrower under this Section 10.06 shall survive termination of this Guaranty and the Termination Date. 10.07 Stay of Acceleration. If acceleration of the time for payment of any of the Guaranteed Obligations is stayed, in connection with any case commenced by or against the Borrower or any Loan Party under any Debtor Relief Laws, or otherwise, all such amounts shall nonetheless be payable by the Borrower immediately upon demand by the Administrative Agent or the Lenders. 10.08 Condition of the Loan Parties. The Borrower acknowledges and agrees that it has the sole responsibility for, and has adequate means of, obtaining from the Guarantors such information


 
65 #98630541v7 concerning the financial condition, business and operations of the Guarantors as the Borrower requires, and that none of the Administrative Agent or any Lender has any duty, and the Borrower is not relying on any such Person, at any time, to disclose to it any information relating to the business, operations or financial condition of the Guarantors (the Borrower waiving any duty on the part of the Administrative Agent or any Lender to disclose such information and any defense relating to the failure to provide the same). 10.09 Subordination. Each Guarantor hereby subordinates the payment of all obligations and indebtedness of the Borrower owing to such Guarantor, whether now existing or hereafter arising, including but not limited to any obligation of the Borrower to the Guarantor as subrogee of the Administrative Agent and the Lenders or resulting from the Guarantors’ performance under this Guaranty, to the indefeasible payment in full in cash of all Guaranteed Obligations. If the Administrative Agent and the Lenders so request, any such obligation or indebtedness of the Borrower to any Guarantor shall be enforced and performance received by such Guarantor as trustee for the Administrative Agent and the Lenders and the proceeds thereof shall be paid over to the Administrative Agent and the Lenders on account of the Guaranteed Obligations, but without reducing or affecting in any manner the liability of the Guarantors under this Guaranty. ARTICLE XI MISCELLANEOUS 11.01 Amendments, Etc. No amendment or waiver of any provision of this Agreement or any other Loan Document, and no consent to any departure by the Borrower or any Loan Party therefrom, shall be effective unless in writing signed by the Required Lenders (or the Administrative Agent with the consent of the Required Lenders) and the Borrower or the applicable Loan Party, as the case may be, and acknowledged by the Administrative Agent, and each such waiver or consent shall be effective only in the specific instance and for the specific purpose for which given; provided, that, no such amendment, waiver or consent shall: (a) extend the expiry date of, or increase, the Commitment of any Lender (or reinstate any Commitment terminated pursuant to Section 8.02) without the written consent of such Lender; (b) postpone any date fixed by this Agreement or any other Loan Document for any payment (other than any mandatory prepayment) of principal, interest, fees or other amounts due to the Lenders (or any of them) without the written consent of each Lender directly affected thereby; (c) reduce the principal of, or the rate of interest specified herein on, any Loan or (subject to clause (iv) of the second proviso to this Section 11.01) any fees or other amounts payable hereunder or under any other Loan Document without the written consent of each Lender directly affected thereby; provided, that, only the consent of the Required Lenders shall be necessary to (i) amend the definition of “Default Rate” or to waive any obligation of the Borrower to pay interest or other amounts at the Default Rate, or (ii) amend any financial covenant hereunder (or any defined term used therein), even if the effect of such amendment would be to reduce the rate of interest on any Loan or to reduce any fee payable hereunder; (d) change Section 2.10(a), Section 2.11 or Section 8.03 in a manner that would alter the pro rata sharing of payments required thereby without the written consent of each Lender directly affected thereby; (e) change any provision of clauses (a) through (h) of this proviso or the definition of “Required Lenders” or any other provision hereof specifying the number or percentage of Lenders


 
66 #98630541v7 required to amend, waive or otherwise modify any rights hereunder or make any determination or grant any consent hereunder without the written consent of each Lender; (f) release the Borrower (from its obligations as the Borrower or as a guarantor hereunder) without the written consent of each Lender; (g) release, or have the effect of releasing, all or substantially all of the value of the Guarantees of the Obligations, except in connection with a Fall-Away Event, without the written consent of each Lender; or (h) subordinate, or have the effect of subordinating, the Obligations to any other Indebtedness or other obligations without the written consent of each Lender directly affected thereby; provided, further, that, notwithstanding anything herein to the contrary: (i) no amendment, waiver or consent shall, unless in writing and signed by the Administrative Agent in addition to the Lenders required above, directly or adversely affect the rights or duties of the Administrative Agent under this Agreement or any other Loan Document; (ii) the Fee Letter may be amended, or rights or privileges thereunder waived, in a writing executed only by the parties thereto; (iii) no Defaulting Lender shall have any right to approve or disapprove any amendment, waiver or consent hereunder (and any amendment, waiver or consent which by its terms requires the consent of all Lenders or each affected Lender, may be effected with the consent of the applicable Lenders other than Defaulting Lenders), except that (A) the Commitment of any Defaulting Lender may not be increased or extended without the consent of such Lender, and (B) any waiver, amendment or modification requiring the consent of all Lenders or each affected Lender, that by its terms affects any Defaulting Lender disproportionately adversely relative to other affected Lenders shall require the consent of such Defaulting Lender; (iv) each Lender is entitled to vote as such Lender sees fit on any bankruptcy reorganization plan that affects the Loans, and each Lender acknowledges that the provisions of Section 1126(c) of the Bankruptcy Code of the United States supersedes the unanimous consent provisions set forth herein; (v) the Required Lenders shall determine whether or not to allow the Borrower to use cash collateral in the context of a bankruptcy or insolvency proceeding and such determination shall be binding on all of the Lenders; (vi) this Agreement may be amended by the Borrower, the applicable Guarantor, and the Administrative Agent to add such provisions as are deemed necessary, in the sole discretion of the Administrative Agent, to facilitate the addition of any Guarantor pursuant to Section 6.13; (vii) in order to implement any Term SOFR Successor Rate or any Term SOFR Conforming Changes, in each case in accordance with Section 3.03(b), this Agreement may be amended for such purpose as provided in Section 3.03(b); (viii) if following the Closing Date, the Administrative Agent and the Borrower acting together identify any ambiguity, omission, mistake, typographical error or other defect in any provision of this Agreement or any other Loan Document (including the schedules and exhibits thereto), then the Administrative Agent and the Borrower shall be permitted to amend, modify or supplement such provision to cure such ambiguity, omission, mistake, typographical error or other defect, and such amendment shall become effective without any further action or consent of any other party to this Agreement; (ix) this Agreement may be amended or amended and restated without the consent of any Lender (but with the consent of the Borrower and the Administrative Agent) if, upon giving effect to such amendment or amendment and restatement, such Lender shall no longer be a party to this Agreement (as so amended or amended and restated), the Commitment of such Lender shall have terminated, such Lender shall have no other commitment or other obligation hereunder and such Lender shall have been paid in full all principal, interest and other amounts owing to such Lender (or accrued for its account) under this Agreement and the other Loan Documents; and (xviii) the Administrative Agent shall have the right, from time to time, to make Term SOFR Conforming Changes and any amendments implementing such Term SOFR Conforming Changes will become effective without any further action or consent of any other party to this Agreement or any other Loan Document, so long as, with respect to any such amendment effected,


 
67 #98630541v7 the Administrative Agent shall post each such amendment implementing such Term SOFR Conforming Changes to the Borrower and the Lenders reasonably promptly after such amendment becomes effective. 11.02 Notices; Effectiveness; Electronic Communication. (a) Notices Generally. Except in the case of notices and other communications expressly permitted to be given by telephone (and except as provided in clause (b) below), all notices and other communications provided for herein shall be in writing and shall be delivered by hand or overnight courier service, mailed by certified or registered mail or sent by facsimile or electronic mail as follows, and all notices and other communications expressly permitted hereunder to be given by telephone may be made to the applicable telephone number, as follows: (i) if to the Borrower or any other Loan Party, or the Administrative Agent, to the address, facsimile number, electronic mail address or telephone number specified for such Person on Schedule 11.02; and (ii) if to any other Lender, to the address, facsimile number, electronic mail address or telephone number specified in its Administrative Questionnaire (including, as appropriate, notices delivered solely to the Person designated by a Lender on its Administrative Questionnaire then in effect for the delivery of notices that may contain material non-public information relating to the Borrower). Notices and other communications sent by hand or overnight courier service, or mailed by certified or registered mail, shall be deemed to have been given when received; notices and other communications sent by facsimile shall be deemed to have been given when sent (except that, if not given during normal business hours for the recipient, shall be deemed to have been given at the opening of business on the next Business Day for the recipient). Notices and other communications delivered through electronic communications to the extent provided in clause (b) below, shall be effective as provided in such clause (b). (b) Electronic Communications. Notices and other communications to the Lenders hereunder may be delivered or furnished by electronic communication (including e-mail, FpML messaging and Internet or intranet websites) pursuant to procedures approved by the Administrative Agent; provided, that, the foregoing shall not apply to notices to any Lender pursuant to Article II if such Lender, as applicable, has notified the Administrative Agent that it is incapable of receiving notices under such Article by electronic communication. The Administrative Agent and the Borrower each agree hereunder to accept notices and other communications to it hereunder by (x) email sent to its electronic email address set forth in Schedule 11.02 (in each case, as may be updated by written notice to the other parties hereto), or (y) other electronic communications pursuant to procedures approved by it; provided, that, approval of such procedures may be limited to particular notices or communications. Unless the Administrative Agent otherwise prescribes, (i) notices and other communications sent to an e-mail address shall be deemed received upon the sender’s receipt of an acknowledgement from the intended recipient (such as by the “return receipt requested” function, as available, return e-mail or other written acknowledgement), and (ii) notices and other communications posted to an Internet or intranet website shall be deemed received upon the deemed receipt by the intended recipient at its e-mail address as described in the foregoing clause (i) of notification that such notice or communication is available and identifying the website address therefor; provided that, for both clauses (i) and (ii), if such notice, email or other communication is not sent during the normal business hours of the recipient, such notice, email or communication


 
68 #98630541v7 shall be deemed to have been sent at the opening of business on the next Business Day for the recipient. (c) The Platform. THE PLATFORM IS PROVIDED “AS IS” AND “AS AVAILABLE.” THE AGENT PARTIES (AS DEFINED BELOW) DO NOT WARRANT THE ACCURACY OR COMPLETENESS OF THE BORROWER MATERIALS OR THE ADEQUACY OF THE PLATFORM, AND EXPRESSLY DISCLAIM LIABILITY FOR ERRORS IN OR OMISSIONS FROM THE BORROWER MATERIALS. NO WARRANTY OF ANY KIND, EXPRESS, IMPLIED OR STATUTORY, INCLUDING ANY WARRANTY OF MERCHANTABILITY, FITNESS FOR A PARTICULAR PURPOSE, NON-INFRINGEMENT OF THIRD PARTY RIGHTS OR FREEDOM FROM VIRUSES OR OTHER CODE DEFECTS, IS MADE BY ANY AGENT PARTY IN CONNECTION WITH THE BORROWER MATERIALS OR THE PLATFORM. In no event shall the Administrative Agent or any of its Related Parties (collectively, the “Agent Parties”) or the Borrower or their Related Parties have any liability to the Agent Parties, the Borrower, any Lender or any other Person for losses, claims, damages, liabilities or expenses of any kind (whether in tort, contract or otherwise) arising out of the Borrower’s or the Administrative Agent’s transmission of Borrower Materials or notices through the Platform, any other electronic platform or electronic messaging service, or through the Internet. (d) Change of Address, Etc. Each of the Borrower and the Administrative Agent may change its address, facsimile or telephone number for notices and other communications hereunder by notice to the other parties hereto. Each other Lender may change its address, facsimile or telephone number for notices and other communications hereunder by notice to the Borrower and the Administrative Agent. In addition, each Lender agrees to notify the Administrative Agent from time to time to ensure that the Administrative Agent has on record (i) an effective address, contact name, telephone number, facsimile number and electronic mail address to which notices and other communications may be sent, and (ii) accurate wire instructions for such Lender. Furthermore, each Public Lender agrees to cause at least one individual at or on behalf of such Public Lender to at all times have selected the “Private Side Information” or similar designation on the content declaration screen of the Platform in order to enable such Public Lender or its delegate, in accordance with such Public Lender’s compliance procedures and applicable Law, including United States Federal and state securities Laws, to make reference to Borrower Materials that are not made available through the “Public Side Information” portion of the Platform and that may contain material non-public information with respect to the Borrower or its securities for purposes of United States Federal or state securities Laws. (e) Reliance by Administrative Agent and Lenders. The Administrative Agent and the Lenders shall be entitled to rely and act upon any notices (including telephonic notices and Loan Notices) purportedly given by or on behalf of the Borrower even if (i) such notices were not made in a manner specified herein, were incomplete or were not preceded or followed by any other form of notice specified herein, or (ii) the terms thereof, as understood by the recipient, varied from any confirmation thereof. The Borrower shall indemnify the Administrative Agent, each Lender and the Related Parties from all losses, reasonable costs and expenses, and liabilities resulting from the reliance by such Person on each notice purportedly given by or on behalf of the Borrower. All telephonic notices to and other telephonic communications with the Administrative Agent may be recorded by the Administrative Agent, and each of the parties hereto hereby consents to such recording. 11.03 No Waiver; Cumulative Remedies; Enforcement. No failure by any Lender or the Administrative Agent to exercise, and no delay by any such Person in exercising, any right, remedy, power


 
69 #98630541v7 or privilege hereunder shall operate as a waiver thereof; nor shall any single or partial exercise of any right, remedy, power or privilege hereunder preclude any other or further exercise thereof or the exercise of any other right, remedy, power or privilege. The rights, remedies, powers and privileges herein provided are cumulative and not exclusive of any rights, remedies, powers and privileges provided by Law. Notwithstanding anything to the contrary contained herein or in any other Loan Document, the authority to enforce rights and remedies hereunder and under the other Loan Documents against the Loan Parties or any of them shall be vested exclusively in, and all actions and proceedings at law in connection with such enforcement shall be instituted and maintained exclusively by, the Administrative Agent in accordance with Section 8.02 for the benefit of all the Lenders; provided, that, the foregoing shall not prohibit (a) the Administrative Agent from exercising on its own behalf the rights and remedies that inure to its benefit (solely in its capacity as Administrative Agent) hereunder and under the other Loan Documents, (b) any Lender from exercising setoff rights in accordance with Section 11.08 (subject to the terms of Section 2.11), or (c) any Lender from filing proofs of claim or appearing and filing pleadings on its own behalf during the pendency of a proceeding relative to any Loan Party under any Debtor Relief Law; provided, further, that, if at any time there is no Person acting as Administrative Agent hereunder and under the other Loan Documents, then (i) the Required Lenders shall have the rights otherwise ascribed to the Administrative Agent pursuant to Section 8.02, and (ii) in addition to the matters set forth in clauses (b), and (c) of the preceding proviso and subject to Section 2.11, any Lender may, with the consent of the Required Lenders, enforce any rights and remedies available to it and as authorized by the Required Lenders. 11.04 Expenses; Indemnity; Damage Waiver. (a) Costs and Expenses. The Borrower shall pay (i) all reasonable out-of-pocket fees and expenses incurred by the Administrative Agent and its Affiliates (including, but not limited to, the reasonable fees, charges and disbursements of counsel for the Administrative Agent) in connection with the syndication of the credit facility provided for herein, the preparation, negotiation, execution, delivery and administration of this Agreement and the other Loan Documents or any amendments, modifications or waivers of the provisions hereof or thereof (whether or not the transactions contemplated hereby or thereby shall be consummated) (limited, in the case of any fees and expenses of legal counsel, to the reasonable out-of-pocket fees, disbursements and other charges of (A) one primary counsel for the Administrative Agent, and (B) if reasonably necessary, one firm of local counsel retained by the Administrative Agent in each relevant jurisdiction), and (ii) all reasonable out-of-pocket expenses incurred by the Administrative Agent or any Lender (including the reasonable out-of-pocket fees, charges and disbursements of any counsel for the Administrative Agent or any Lender) in connection with the enforcement or protection of its rights (A) in connection with this Agreement and the other Loan Documents, including its rights under this Section, or (B) in connection with the Loans made hereunder, including all such reasonable out-of-pocket expenses incurred during any workout, restructuring or negotiations in respect of such Loans. (b) Indemnification by the Borrower. The Borrower shall indemnify the Administrative Agent (and any sub-agent thereof) and each Lender, and each Related Party of any of the foregoing Persons (each such Person being called an “Indemnitee”) against, and hold each Indemnitee harmless from, any and all losses, claims, damages, liabilities and related expenses (limited, in the case of any fees and expenses of legal counsel, to the reasonable out-of-pocket fees, disbursements and other charges of one firm of primary counsel for all Indemnitees, taken as a whole, and if reasonably necessary, one firm of local counsel for all Indemnitees, taken as a whole, in each relevant jurisdiction, and solely in the case of an actual or perceived conflict of interest, one additional firm of counsel to each group of affected Indemnitees, similarly situated and taken as a


 
70 #98630541v7 whole) incurred by any Indemnitee or asserted against any Indemnitee by any Person (including the Borrower or any other Loan Party) or arising out of, in connection with, or as a result of (i) the execution or delivery of this Agreement, any other Loan Document or any agreement or instrument contemplated hereby or thereby (including any Indemnitee’s reliance on any Communication executed using an Electronic Signature, or in the form of an Electronic Record, that such Indemnitee reasonably believes is made by any Responsible Officer of the Borrower), the performance by the parties hereto of their respective obligations hereunder or thereunder, the consummation of the transactions contemplated hereby or thereby, or, in the case of the Administrative Agent (and any sub-agent thereof) and its Related Parties only, the administration of this Agreement and the other Loan Documents (including in respect of any matters addressed in Section 3.01), (ii) any Loan or the use or proposed use of the proceeds therefrom, (iii) any actual or alleged presence or release of Hazardous Materials on or from any property owned or operated by the Loan Parties or any of their respective Subsidiaries, or any Environmental Liability related in any way to any Loan Party or any of its Subsidiaries, or (iv) any actual or prospective claim, litigation, investigation or proceeding relating to any of the foregoing, whether based on contract, tort or any other theory, whether brought by a third party or by the Borrower or any other Loan Party, and regardless of whether any Indemnitee is a party thereto; provided, that, such indemnity shall not, as to any Indemnitee, be available to the extent that such losses, claims, damages, liabilities or related expenses (A) are found in a final, nonappealable judgment by a court of competent jurisdiction to have resulted from (1) the gross negligence or willful misconduct of such Indemnitee, or (2) a material breach of such Indemnitee’s obligations under this Agreement or any other Loan Document, or (B) arise solely from a proceeding that does not involve or arise from an act or omission by the Borrower or any of the Borrower’s Affiliates and that is brought by an Indemnitee against any other Indemnitee (other than any claims against the Administrative Agent, the Arranger or a Lender in its capacity or in fulfilling its role as such). This Section 11.04(b) shall not apply with respect to Taxes other than any Taxes that represent losses, claims, damages, etc. arising from any non-Tax claim. (c) Reimbursement by Lenders. To the extent that the Borrower for any reason fails to indefeasibly pay any amount required under Section 11.04(a) or Section 11.04(b) to be paid by it to the Administrative Agent (or any sub-agent thereof), or any Related Party of any of the foregoing, each Lender severally agrees to pay to the Administrative Agent (or any such sub-agent), or such Related Party, as the case may be, such Lender’s pro rata share (determined as of the time that the applicable unreimbursed expense or indemnity payment is sought based on each Lender’s Applicable Percentage) of such unpaid amount (including any such unpaid amount in respect of a claim asserted by such Lender), such payment to be made severally among them based on such Lenders’ Applicable Percentage (determined as of the time that the applicable unreimbursed expense or indemnity payment is sought); provided, that, the unreimbursed expense or indemnified loss, claim, damage, liability or related expense, as the case may be, was incurred by or asserted against the Administrative Agent (or any such sub-agent) in its capacity as such, or against any Related Party of any of the foregoing acting for the Administrative Agent (or any such sub-agent) in connection with such capacity. The obligations of the Lenders under this Section 11.04(c) are subject to the provisions of Section 2.10(d). (d) Waiver of Consequential Damages, Etc. To the fullest extent permitted by applicable Law, no party hereto shall assert, and each party hereto hereby waives and acknowledges that no other Person shall have, any claim against any Indemnitee or any other party hereto, on any theory of liability, for special, indirect, consequential or punitive damages (as opposed to direct or actual damages) arising out of, in connection with, or as a result of, this Agreement, any other Loan Document or any agreement or instrument contemplated hereby, the transactions contemplated


 
71 #98630541v7 hereby or thereby, any Loan or the use of the proceeds thereof; provided, that, the foregoing shall in no event limit the Borrower’s indemnification obligations under Section 11.04(b) to the extent such special, indirect, consequential or punitive damages are included in any third-party claim in connection with which such Indemnitee is otherwise entitled to indemnification hereunder. No Indemnitee referred to in Section 11.04(b) or any other party hereto shall be liable for any damages arising from the use by unintended recipients of any information or other materials distributed to such unintended recipients by such Indemnitee or other party hereto through telecommunications, electronic or other information transmission systems in connection with this Agreement or the other Loan Documents or the transactions contemplated hereby or thereby. (e) Payments. All amounts due under this Section shall be payable not later than ten (10) Business Days after receipt by the Borrower of written demand therefor. (f) Survival. The agreements in this Section shall survive the resignation of the Administrative Agent, the replacement of any Lender, and the Termination Date. 11.05 Payments Set Aside. To the extent that any payment by or on behalf of the Borrower is made to the Administrative Agent or any Lender, or the Administrative Agent or any Lender exercises its right of setoff, and such payment or the proceeds of such setoff or any part thereof is subsequently invalidated, declared to be fraudulent or preferential, set aside or required (including pursuant to any settlement entered into by the Administrative Agent or such Lender in its discretion) to be repaid to a trustee, receiver or any other party, in connection with any proceeding under any Debtor Relief Law or otherwise, then (a) to the extent of such recovery, the obligation or part thereof originally intended to be satisfied shall be revived and continued in full force and effect as if such payment had not been made or such setoff had not occurred, and (b) each Lender severally agrees to pay to the Administrative Agent upon demand its applicable share (without duplication) of any amount so recovered from or repaid by the Administrative Agent, plus interest thereon from the date of such demand to the date such payment is made at a rate per annum equal to the Federal Funds Rate from time to time in effect. The obligations of the Lenders under clause (b) of the preceding sentence shall survive the occurrence of the Termination Date. 11.06 Successors and Assigns. (a) Successors and Assigns Generally. The provisions of this Agreement and the other Loan Documents shall be binding upon and inure to the benefit of the parties hereto and their respective successors and assigns permitted hereby, except that neither the Borrower nor any other Loan Party may assign or otherwise transfer any of its rights or obligations hereunder or thereunder without the prior written consent of the Administrative Agent and each Lender, and no Lender may assign or otherwise transfer any of its rights or obligations hereunder except (i) to an assignee in accordance with the provisions of subsection (b) of this Section, (ii) by way of participation in accordance with the provisions of subsection (d) of this Section or (iii) by way of pledge or assignment of a security interest subject to the restrictions of subsection (e) of this Section, (and any other attempted assignment or transfer by any party hereto shall be null and void). Nothing in this Agreement, expressed or implied, shall be construed to confer upon any Person (other than the parties hereto, their respective successors and assigns permitted hereby, Participants to the extent provided in subsection (d) of this Section and, to the extent expressly contemplated hereby, the Related Parties of each of the Administrative Agent and the Lenders) any legal or equitable right, remedy or claim under or by reason of this Agreement. (b) Assignments by Lenders. Any Lender may at any time assign to one or more Eligible Assignees all or a portion of its rights and obligations under this Agreement (including all


 
72 #98630541v7 or a portion of its Commitment and the Loans at the time owing to it); provided, that, any such assignment shall be subject to the following conditions: (i) Minimum Amounts. (A) In the case of an assignment of the entire remaining amount of any of the assigning Lender’s Commitment and the Loans at the time owing to it or in the case of an assignment to a Lender, an Affiliate of a Lender or an Approved Fund, no minimum amount need be assigned. (B) In any case not described in subsection (b)(i)(A) of this Section, the aggregate amount of the Commitment (which for this purpose includes Loans outstanding thereunder) or, if the Commitment is not then in effect, the principal outstanding balance of the Loans of the assigning Lender subject to each such assignment, determined as of the date the Assignment and Assumption with respect to such assignment is delivered to the Administrative Agent, shall not be less than $5,000,000, unless each of the Administrative Agent and, so long as no Event of Default has occurred and is continuing, the Borrower otherwise consents (each such consent not to be unreasonably withheld or delayed). (ii) Proportionate Amounts. Each partial assignment shall be made as an assignment of a proportionate part of all the assigning Lender’s rights and obligations under this Agreement with respect to the Loans or the Commitment assigned. (iii) Required Consents. No consent shall be required for any assignment except to the extent required by subsection (b)(i)(B) of this Section and, in addition: (A) the consent of the Borrower (such consent not to be unreasonably withheld or delayed) shall be required unless (1) an Event of Default has occurred and is continuing at the time of such assignment, or (2) such assignment is to a Lender, an Affiliate of a Lender or an Approved Fund; provided, that, the Borrower shall be deemed to have consented to any such assignment requiring its consent under this clause (A) unless it shall object thereto by written notice to the Administrative Agent within five (5) Business Days after having received written notice thereof; and (B) the consent of the Administrative Agent (such consent not to be unreasonably withheld or delayed) shall be required for assignments to a Person that is not a Lender, an Affiliate of a Lender or an Approved Fund. (iv) Assignment and Assumption. The parties to each assignment shall execute and deliver to the Administrative Agent an Assignment and Assumption, together with a processing and recordation fee in the amount of $3,500 payable by the assignor; provided, that, the Administrative Agent may, in its sole discretion, elect to waive such processing and recordation fee in the case of any assignment. The assignee, if it is not a Lender, shall deliver to the Administrative Agent an Administrative Questionnaire. (v) No Assignment to Certain Persons. No such assignment shall be made (A) to the Borrower or any Affiliates or any Subsidiaries, or (B) to any Defaulting Lender or


 
73 #98630541v7 any of its Affiliates or Subsidiaries or to any Person who, upon becoming a Lender hereunder, would constitute one of the foregoing Persons described in this clause (B). (vi) No Assignment to Natural Persons. No such assignment shall be made to a natural person (or a holding company, investment vehicle or trust for, or owned and operated for the primary benefit of one or more natural persons). (vii) Certain Additional Payments. In connection with any assignment of rights and obligations of any Defaulting Lender hereunder, no such assignment shall be effective unless and until, in addition to the other conditions thereto set forth herein, the parties to the assignment shall make such additional payments to the Administrative Agent in an aggregate amount sufficient, upon distribution thereof as appropriate (which may be outright payment, purchases by the assignee of participations or subparticipations, or other compensating actions, including funding, with the consent of the Borrower and the Administrative Agent, the applicable pro rata share of Loans previously requested but not funded by the Defaulting Lender, to each of which the applicable assignee and assignor hereby irrevocably consent), to (A) pay and satisfy in full all payment liabilities then owed by such Defaulting Lender to the Administrative Agent or any Lender hereunder (and interest accrued thereon), and (B) acquire (and fund as appropriate) its full pro rata share of all Loans in accordance with its Applicable Percentage. Notwithstanding the foregoing, in the event that any assignment of rights and obligations of any Defaulting Lender hereunder shall become effective under applicable Law without compliance with the provisions of this paragraph, then the assignee of such interest shall be deemed to be a Defaulting Lender for all purposes of this Agreement until such compliance occurs. Subject to acceptance and recording thereof by the Administrative Agent pursuant to subsection (c) of this Section, from and after the effective date specified in each Assignment and Assumption, the assignee thereunder shall be a party to this Agreement and, to the extent of the interest assigned by such Assignment and Assumption, have the rights and obligations of a Lender under this Agreement, and the assigning Lender thereunder shall, to the extent of the interest assigned by such Assignment and Assumption, be released from its obligations under this Agreement (and, in the case of an Assignment and Assumption covering all of the assigning Lender’s rights and obligations under this Agreement, such Lender shall cease to be a party hereto) but shall continue to be entitled to the benefits of Sections 3.01, 3.04, 3.05, and 11.04 with respect to facts and circumstances occurring prior to the effective date of such assignment; provided, that, except to the extent otherwise expressly agreed by the affected parties, no assignment by a Defaulting Lender will constitute a waiver or release of any claim of any party hereunder arising from that Lender’s having been a Defaulting Lender. Upon request, the Borrower (at its expense) shall execute and deliver a Note to the assignee Lender. Any assignment or transfer by a Lender of rights or obligations under this Agreement that does not comply with this subsection shall be treated for purposes of this Agreement as a sale by such Lender of a participation in such rights and obligations in accordance with subsection (d) of this Section. (c) Register. The Administrative Agent, acting solely for this purpose as a non- fiduciary agent of the Borrower (and such agency solely for tax purposes), shall maintain at the Administrative Agent’s Office a copy of each Assignment and Assumption delivered to it (or the equivalent thereof in electronic form) and a register for the recordation of the names and addresses of the Lenders, and the Commitment of, and principal amounts (and stated interest) of the Loans owing to, each Lender pursuant to the terms hereof from time to time (the “Register”). The entries in the Register shall be conclusive absent manifest error, and the Borrower, the Administrative


 
74 #98630541v7 Agent and the Lenders shall treat each Person whose name is recorded in the Register pursuant to the terms hereof as a Lender hereunder for all purposes of this Agreement. The Register shall be available for inspection by the Borrower and any Lender, at any reasonable time and from time to time upon reasonable prior notice. (d) Participations. Any Lender may at any time, without the consent of, or notice to, the Borrower or the Administrative Agent, sell participations to any Person (other than a natural Person (or a holding company, investment vehicle or trust for, or owned and operated for the primary benefit of one or more natural Persons), a Defaulting Lender or the Borrower or any of the Borrower’s Affiliates or Subsidiaries) (each, a “Participant”) in all or a portion of such Lender’s rights and/or obligations under this Agreement (including all or a portion of its Commitment and/or the Loans owing to it); provided, that, (i) such Lender’s obligations under this Agreement shall remain unchanged, (ii) such Lender shall remain solely responsible to the other parties hereto for the performance of such obligations, and (iii) the Borrower, the Administrative Agent and the Lenders shall continue to deal solely and directly with such Lender in connection with such Lender’s rights and obligations under this Agreement. For the avoidance of doubt, each Lender shall be responsible for the indemnity under Section 11.04(c) without regard to the existence of any participation. Any agreement or instrument pursuant to which a Lender sells such a participation shall provide that such Lender shall retain the sole right to enforce this Agreement and to approve any amendment, modification or waiver of any provision of this Agreement; provided, that, such agreement or instrument may provide that such Lender will not, without the consent of the Participant, agree to any amendment, waiver or other modification described in the first proviso to Section 11.01 that affects such Participant. The Borrower agrees that each Participant shall be entitled to the benefits of Sections 3.01, 3.04 and 3.05 to the same extent as if it were a Lender and had acquired its interest by assignment pursuant to subsection (b) of this Section (subject to the requirements and limitations therein, including the requirements under Section 3.01(e)) (it being understood that the documentation required under Section 3.01(e) shall be delivered to the Lender who sells the participation) to the same extent as if it were a Lender and had acquired its interest by assignment pursuant to paragraph (b) of this Section; provided, that, such Participant (A) agrees to be subject to the provisions of Section 3.06 and Section 11.13 as if it were an assignee under paragraph (b) of this Section, and (B) shall not be entitled to receive any greater payment under Section 3.01 or Section 3.04, with respect to any participation, than the Lender from whom it acquired the applicable participation would have been entitled to receive, except to the extent such entitlement to receive a greater payment results from a Change in Law that occurs after the Participant acquired the applicable participation. Each Lender that sells a participation agrees, at the Borrower’s request and expense, to use reasonable efforts to cooperate with the Borrower’s to effectuate the provisions of Section 3.06 with respect to any Participant. To the extent permitted by law, each Participant also shall be entitled to the benefits of Section 11.08 as though it were a Lender; provided, that, such Participant agrees to be subject to Section 2.11 as though it were a Lender. Each Lender that sells a participation shall, acting solely for this purpose as a non-fiduciary agent of the Borrower, maintain a register on which it enters the name and address of each Participant and the principal amounts (and stated interest) of each Participant’s interest in the Loans or other obligations under the Loan Documents (the “Participant Register”); provided, that, no Lender shall have any obligation to disclose all or any portion of the Participant Register (including the identity of any Participant or any information relating to a Participant’s interest in any Commitments, Loans or its other Obligations under any Loan Document) to any Person except to the extent that such disclosure is necessary to establish that such Commitment, Loan or other Obligation is in registered form under Section 5f.103-1(c) of the United States Treasury


 
75 #98630541v7 Regulations. The entries in the Participant Register shall be conclusive absent manifest error, and such Lender shall treat each Person whose name is recorded in the Participant Register as the owner of such participation for all purposes of this Agreement notwithstanding any notice to the contrary. For the avoidance of doubt, the Administrative Agent (in its capacity as Administrative Agent) shall have no responsibility for maintaining a Participant Register. The parties to this Agreement acknowledge and agree that the Participant Register is intended to cause the Borrower’s obligations hereunder to be issued in “registered form” under Section 5f.103-1(c) of the United States Treasury Regulations. (e) Certain Pledges. Any Lender may at any time pledge or assign a security interest in all or any portion of its rights under this Agreement (including under its Note(s), if any) to secure obligations of such Lender, including any pledge or assignment to secure obligations to a Federal Reserve Bank; provided, that, no such pledge or assignment shall release such Lender from any of its obligations hereunder or substitute any such pledgee or assignee for such Lender as a party hereto. 11.07 Treatment of Certain Information; Confidentiality. Each of the Administrative Agent and the Lenders agrees to maintain the confidentiality of the Information (as defined below), except that Information may be disclosed (a) to its Affiliates, its auditors and its Related Parties (it being understood that the Persons to whom such disclosure is made will be informed of the confidential nature of such Information and instructed to keep such Information confidential), (b) upon request or demand by any regulatory authority having jurisdiction over such Person or its Related Parties, (c) as may be compelled by an order of any court or administrative agency or in any pending legal, judicial or administrative proceeding or to the extent required by applicable Laws or regulations or by any subpoena or similar compulsory legal process (in which case the Administrative Agent or such Lender agrees to inform the Borrower promptly thereof prior to such disclosure to the extent not prohibited by applicable Law), (d) to any other party hereto, (e) to the extent reasonably necessary or advisable, in connection with the exercise of any remedies hereunder or under any other Loan Document or any action or proceeding relating to this Agreement or any other Loan Document or the enforcement of rights hereunder or thereunder, (f) subject to an agreement containing provisions substantially the same as those of this Section, to (i) any assignee of or Participant in, or any prospective assignee of or Participant in, any of its rights and obligations under this Agreement, or (ii) any actual or prospective party (or its Related Parties) to any swap, derivative or other transaction under which payments are to be made by reference to the Borrower and its obligations, this Agreement or payments hereunder, (g) on a confidential basis to (i) any rating agency in connection with rating the Borrower or the credit facility provided hereunder, or (ii) the CUSIP Service Bureau or any similar agency in connection with the application, issuance, publishing and monitoring of CUSIP numbers or other market identifiers with respect to the credit facility provided hereunder, (h) with the consent of the Borrower, (i) to the extent such Information (A) becomes publicly available other than as a result of a breach of this Section, (B) becomes available to the Administrative Agent, any Lender or any of their respective Affiliates on a nonconfidential basis from a source other than the Borrower, or (C) is independently discovered or developed by a party hereto without utilizing any Information received from the Borrower or violating the terms of this Section. In addition, the Administrative Agent and the Lenders may disclose the existence of this Agreement and information about this Agreement to market data collectors, similar service providers to the lending industry and service providers to the Administrative Agent and the Lenders in connection with the administration of this Agreement, the other Loan Documents, and the Commitments. For purposes of this Section, “Information” means all information received from or on behalf of the Borrower or any Subsidiary relating to the Borrower or any Subsidiary or any of their respective businesses, other than any such information that is available to the Administrative Agent or any Lender on a nonconfidential basis prior to disclosure by the Borrower or any Subsidiary or any of their representatives. Any Person required to maintain the confidentiality of Information as provided in this Section shall be


 
76 #98630541v7 considered to have complied with its obligation to do so if such Person has exercised the same degree of care to maintain the confidentiality of such Information as such Person would accord to its own confidential information. Each of the Administrative Agent and the Lenders acknowledges that (1) the Information may include material non-public information concerning the Borrower or a Subsidiary, as the case may be, (2) it has developed compliance procedures regarding the use of material non-public information and (3) it will handle such material non-public information in accordance with applicable Law, including United States Federal and state securities Laws. 11.08 Right of Setoff. If an Event of Default shall have occurred and be continuing (but subject to the provisions of Section 11.03), each Lender and each of their respective Affiliates is hereby authorized at any time and from time to time, to the fullest extent permitted by applicable Law, to set off and apply any and all deposits (general or special, time or demand, provisional or final, in whatever currency) at any time held and other obligations (in whatever currency) at any time owing by such Lender or any such Affiliate to or for the credit or the account of the Borrower or any other Loan Party against any and all of the obligations of the Borrower or such Loan Party now or hereafter existing under this Agreement or any other Loan Document to such Lender or its Affiliates, irrespective of whether or not such Lender or such Affiliate shall have made any demand under this Agreement or any other Loan Document and although such obligations of the Borrower may be contingent or unmatured or are owed to a branch or office or Affiliate of such Lender different from the branch or office or Affiliate holding such deposit or obligated on such indebtedness; provided, that, in the event that any Defaulting Lender shall exercise any such right of setoff, (a) all amounts so set off shall be paid over immediately to the Administrative Agent for further application in accordance with the provisions of Section 2.12 and, pending such payment, shall be segregated by such Defaulting Lender from its other funds and deemed held in trust for the benefit of the Administrative Agent and the Lenders, and (b) the Defaulting Lender shall provide promptly to the Administrative Agent a statement describing in reasonable detail the Obligations owing to such Defaulting Lender as to which it exercised such right of setoff. The rights of each Lender and its Affiliates under this Section are in addition to other rights and remedies (including other rights of setoff) that such Lender or its Affiliates may have. Each Lender agrees to notify the Borrower and the Administrative Agent promptly after any such setoff and application; provided, that, the failure to give such notice shall not affect the validity of such setoff and application. 11.09 Interest Rate Limitation. Notwithstanding anything to the contrary contained in any Loan Document, the interest paid or agreed to be paid under the Loan Documents shall not exceed the maximum rate of non-usurious interest permitted by applicable Law (the “Maximum Rate”). If the Administrative Agent or any Lender shall receive interest in an amount that exceeds the Maximum Rate, the excess interest shall be applied to the principal of the Loans or, if it exceeds such unpaid principal, refunded to the Borrower. In determining whether the interest contracted for, charged, or received by the Administrative Agent or a Lender exceeds the Maximum Rate, such Person may, to the extent permitted by applicable Law, (a) characterize any payment that is not principal as an expense, fee, or premium rather than interest, (b) exclude voluntary prepayments and the effects thereof, and (c) amortize, prorate, allocate, and spread in equal or unequal parts the total amount of interest throughout the contemplated term of the Obligations hereunder. 11.10 Integration; Effectiveness. This Agreement, the other Loan Documents (including the Fee Letter), and any separate letter agreements with respect to fees payable to the Administrative Agent, constitute the entire contract among the parties relating to the subject matter hereof and supersede any and all previous agreements and understandings, oral or written, relating to the subject matter hereof. Except as provided in Section 4.01, this Agreement shall become effective when it shall have been executed by the Administrative Agent and when the Administrative Agent shall have received counterparts hereof that,


 
77 #98630541v7 when taken together, bear the signatures of each of the other parties hereto, and thereafter shall be binding upon and inure to the benefit of the parties hereto and their respective successors and assigns. 11.11 Survival of Representations and Warranties. All representations and warranties made hereunder and in any other Loan Document or other document delivered pursuant hereto or thereto or in connection herewith or therewith shall survive the execution and delivery hereof and thereof. Such representations and warranties have been or will be relied upon by the Administrative Agent and each Lender, regardless of any investigation made by the Administrative Agent or any Lender or on their behalf and notwithstanding that the Administrative Agent or any Lender may have had notice or knowledge of any Default at the time of any Loan, and shall continue in full force and effect as long as any Loan or any other Obligation hereunder shall remain unpaid or unsatisfied. 11.12 Severability. If any provision of this Agreement or the other Loan Documents is held to be illegal, invalid or unenforceable, (a) the legality, validity and enforceability of the remaining provisions of this Agreement and the other Loan Documents shall not be affected or impaired thereby, and (b) the parties shall endeavor in good faith negotiations to replace the illegal, invalid or unenforceable provisions with valid provisions the economic effect of which comes as close as possible to that of the illegal, invalid or unenforceable provisions. The invalidity of a provision in a particular jurisdiction shall not invalidate or render unenforceable such provision in any other jurisdiction. Without limiting the foregoing provisions of this Section 11.12, if and to the extent that the enforceability of any provisions in this Agreement relating to Defaulting Lenders shall be limited by Debtor Relief Laws, as determined in good faith by the Administrative Agent, then such provisions shall be deemed to be in effect only to the extent not so limited. 11.13 Replacement of Lenders. If the Borrower is entitled to replace a Lender pursuant to the provisions of Section 3.06(b), or if any Lender is a Defaulting Lender or a Non-Consenting Lender, then the Borrower may, at its sole expense and effort, upon notice to such Lender and the Administrative Agent, require such Lender to assign and delegate (and such Lender shall be obligated to assign and delegate), without recourse (in accordance with and subject to the restrictions contained in, and consents required by, Section 11.06), all of its interests, rights (other than its existing rights to payments pursuant to Sections 3.01 and 3.04) and obligations under this Agreement and the related Loan Documents to an Eligible Assignee that shall assume such obligations (which Eligible Assignee may be another Lender, if a Lender accepts such assignment); provided, that: (a) with respect to any assignment, the Borrower shall have paid to the Administrative Agent the assignment fee specified in Section 11.06(b); (b) such Lender shall have received payment of an amount equal to the outstanding “par” principal amount of its Loans, accrued interest thereon, accrued fees and all other amounts payable to it hereunder and under the other Loan Documents (including any amounts under Section 3.05) from the Eligible Assignee (to the extent of such outstanding principal and accrued interest and fees), in the case of an assignment, or the Borrower (in the case of all other amounts); (c) in the case of any such assignment resulting from a claim for compensation under Section 3.04 or payments required to be made pursuant to Section 3.01, such assignment will result in a reduction in such compensation or payments thereafter; (d) such assignment does not conflict with applicable Laws; and (e) in the case of an assignment resulting from a Lender becoming a Non-Consenting Lender, the applicable assignee shall have consented to the applicable amendment, waiver or consent.


 
78 #98630541v7 A Lender shall not be required to make any such assignment or delegation if, prior thereto, as a result of a waiver by such Lender or otherwise, the circumstances entitling the Borrower to require such assignment and delegation cease to apply. Each party hereto agrees that (i) an assignment required pursuant to this Section 11.13 may be effected pursuant to an Assignment and Assumption executed by the Borrower, the Administrative Agent and the applicable Eligible Assignee, and (ii) the Lender required to make such assignment need not be a party thereto in order for such assignment to be effective and shall be deemed to have consented to an be bound by the terms thereof; provided, that, following the effectiveness of any such assignment, the other parties to such assignment agree to execute and deliver such documents necessary to evidence such assignment as reasonably requested by the applicable Lender; provided, further, that, any such documents shall be without recourse to or warranty by the parties thereto. Notwithstanding anything in this Section 11.13 to the contrary, the Lender that acts as the Administrative Agent may not be replaced hereunder except in accordance with the terms of Section 9.06. 11.14 Governing Law; Jurisdiction; Etc. (a) GOVERNING LAW. THIS AGREEMENT AND THE OTHER LOAN DOCUMENTS (EXCEPT, AS TO ANY OTHER LOAN DOCUMENT, AS EXPRESSLY SET FORTH THEREIN) AND ANY CLAIMS, CONTROVERSY, DISPUTE OR CAUSE OF ACTION (WHETHER IN CONTRACT OR TORT OR OTHERWISE) BASED UPON, ARISING OUT OF OR RELATING TO THIS AGREEMENT, ANY OTHER LOAN DOCUMENT (EXCEPT, AS TO ANY OTHER LOAN DOCUMENT, AS EXPRESSLY SET FORTH THEREIN), AND THE TRANSACTIONS CONTEMPLATED HEREBY AND THEREBY SHALL BE GOVERNED BY, AND CONSTRUED IN ACCORDANCE WITH, THE LAW OF THE STATE OF NEW YORK. (b) SUBMISSION TO JURISDICTION. THE BORROWER AND EACH OTHER LOAN PARTY IRREVOCABLY AND UNCONDITIONALLY AGREES THAT IT WILL NOT COMMENCE ANY ACTION, LITIGATION OR PROCEEDING OF ANY KIND OR DESCRIPTION, WHETHER IN LAW OR EQUITY, WHETHER IN CONTRACT OR IN TORT OR OTHERWISE, AGAINST THE ADMINISTRATIVE AGENT, ANY LENDER, OR ANY RELATED PARTY OF THE FOREGOING IN ANY WAY RELATING TO THIS AGREEMENT OR ANY OTHER LOAN DOCUMENT OR THE TRANSACTIONS RELATING HERETO OR THERETO, IN ANY FORUM OTHER THAN THE COURTS OF THE STATE OF NEW YORK SITTING IN NEW YORK COUNTY AND OF THE UNITED STATES DISTRICT COURT OF THE SOUTHERN DISTRICT OF NEW YORK, AND ANY APPELLATE COURT FROM ANY THEREOF, AND EACH OF THE PARTIES HERETO IRREVOCABLY AND UNCONDITIONALLY SUBMITS TO THE JURISDICTION OF SUCH COURTS AND AGREES THAT ALL CLAIMS IN RESPECT OF ANY SUCH ACTION, LITIGATION OR PROCEEDING MAY BE HEARD AND DETERMINED IN SUCH NEW YORK STATE COURT OR, TO THE FULLEST EXTENT PERMITTED BY APPLICABLE LAW, IN SUCH FEDERAL COURT. EACH OF THE PARTIES HERETO AGREES THAT A FINAL JUDGMENT IN ANY SUCH ACTION, LITIGATION OR PROCEEDING SHALL BE CONCLUSIVE AND MAY BE ENFORCED IN OTHER JURISDICTIONS BY SUIT ON THE JUDGMENT OR IN ANY OTHER MANNER PROVIDED BY LAW. NOTHING IN THIS AGREEMENT OR IN ANY OTHER LOAN DOCUMENT SHALL AFFECT ANY RIGHT THAT THE ADMINISTRATIVE AGENT OR ANY LENDER MAY OTHERWISE HAVE TO BRING ANY ACTION OR PROCEEDING RELATING TO THIS AGREEMENT OR ANY


 
79 #98630541v7 OTHER LOAN DOCUMENT AGAINST THE BORROWER OR ANY OTHER BORROWER OR ITS PROPERTIES IN THE COURTS OF ANY JURISDICTION. (c) WAIVER OF VENUE. EACH OF THE PARTIES HERETO IRREVOCABLY AND UNCONDITIONALLY WAIVES, TO THE FULLEST EXTENT PERMITTED BY APPLICABLE LAW, ANY OBJECTION THAT IT MAY NOW OR HEREAFTER HAVE TO THE LAYING OF VENUE OF ANY ACTION OR PROCEEDING ARISING OUT OF OR RELATING TO THIS AGREEMENT OR ANY OTHER LOAN DOCUMENT IN ANY COURT REFERRED TO IN SECTION 11.14(b). EACH OF THE PARTIES HERETO HEREBY IRREVOCABLY WAIVES, TO THE FULLEST EXTENT PERMITTED BY APPLICABLE LAW, THE DEFENSE OF AN INCONVENIENT FORUM TO THE MAINTENANCE OF SUCH ACTION OR PROCEEDING IN ANY SUCH COURT. (d) SERVICE OF PROCESS. EACH PARTY HERETO IRREVOCABLY CONSENTS TO SERVICE OF PROCESS IN THE MANNER PROVIDED FOR NOTICES IN SECTION 11.02. NOTHING IN THIS AGREEMENT WILL AFFECT THE RIGHT OF ANY PARTY HERETO TO SERVE PROCESS IN ANY OTHER MANNER PERMITTED BY APPLICABLE LAW. 11.15 Waiver of Jury Trial. EACH PARTY HERETO HEREBY IRREVOCABLY WAIVES, TO THE FULLEST EXTENT PERMITTED BY APPLICABLE LAW, ANY RIGHT IT MAY HAVE TO A TRIAL BY JURY IN ANY LEGAL PROCEEDING DIRECTLY OR INDIRECTLY ARISING OUT OF OR RELATING TO THIS AGREEMENT OR ANY OTHER LOAN DOCUMENT OR THE TRANSACTIONS CONTEMPLATED HEREBY OR THEREBY (WHETHER BASED ON CONTRACT, TORT OR ANY OTHER THEORY). EACH PARTY HERETO (A) CERTIFIES THAT NO REPRESENTATIVE, AGENT OR ATTORNEY OF ANY OTHER PERSON HAS REPRESENTED, EXPRESSLY OR OTHERWISE, THAT SUCH OTHER PERSON WOULD NOT, IN THE EVENT OF LITIGATION, SEEK TO ENFORCE THE FOREGOING WAIVER AND (B) ACKNOWLEDGES THAT IT AND THE OTHER PARTIES HERETO HAVE BEEN INDUCED TO ENTER INTO THIS AGREEMENT AND THE OTHER LOAN DOCUMENTS BY, AMONG OTHER THINGS, THE MUTUAL WAIVERS AND CERTIFICATIONS IN THIS SECTION. 11.16 No Advisory or Fiduciary Responsibility. In connection with all aspects of each transaction contemplated hereby (including in connection with any amendment, waiver or other modification hereof or of any other Loan Document), the Borrower acknowledges and agrees and acknowledges its Affiliates’ understanding, that: (a)(i) the arranging and other services regarding this Agreement provided by the Administrative Agent, the Arranger and the Lenders are arm’s-length commercial transactions between the Borrower, each other Loan Party and their respective Affiliates, on the one hand, and the Administrative Agent, the Arranger and the Lenders, on the other hand, (ii) the Borrower and the other Loan Parties have consulted their own legal, accounting, regulatory and tax advisors to the extent it has deemed appropriate, and (iii) the Borrower and each other Loan Party is capable of evaluating, and understands and accepts, the terms, risks and conditions of the transactions contemplated hereby and by the other Loan Documents; (b)(i) the Administrative Agent, each Lender and the Arranger is and has been acting solely as a principal and, except as expressly agreed in writing by the relevant parties, has not been, is not, and will not be acting as an advisor, agent or fiduciary for the Borrower, any other Loan Party or any of their respective Affiliates, or any other Person, and (ii) none of the Administrative Agent, the Arranger or any Lender has any obligation to the Borrower or any other Loan Party or any of its respective Affiliates with respect to the transactions contemplated hereby except those obligations expressly set forth herein and in the other Loan Documents; and (c) the Administrative Agent, the Lenders and the Arranger and their respective Affiliates may be engaged in a broad range of transactions that involve interests that differ from those of the Borrower, the other Loan Parties and their respective Affiliates, and


 
80 #98630541v7 none of the Administrative Agent, the Arranger or any Lender has any obligation to disclose any of such interests to the Borrower, any other Loan Party or any of their respective Affiliates. To the fullest extent permitted by law, each of the Borrower and each other Loan Party hereby waives and releases and agrees not to assert any claims against the Administrative Agent, the Arranger or any Lender with respect to any breach or any alleged breach of agency or fiduciary duty in connection with any aspect of any transactions contemplated by this Agreement and the other Loan Documents. 11.17 USA PATRIOT Act Notice. Each Lender that is subject to the PATRIOT Act and the Administrative Agent (for itself and not on behalf of any Lender) hereby notifies the Loan Parties that pursuant to the requirements of the USA PATRIOT Act (Title III of Pub. L. 107-56 (signed into law October 26, 2001)) (the “PATRIOT Act”), it is required to obtain, verify and record information that identifies the Loan Parties, which information includes the name and address of each Loan Party and other information that will allow such Lender or the Administrative Agent, as applicable, to identify such Loan Party in accordance with the PATRIOT Act. Each Loan Party shall, promptly following a request by the Administrative Agent or any Lender, provide all documentation and other information that the Administrative Agent or such Lender reasonably requests in order to comply with its ongoing obligations under applicable “know your customer” and anti-money laundering rules and regulations, including the PATRIOT Act and the Beneficial Ownership Regulation. 11.18 Electronic Execution; Electronic Records; Counterparts. This Agreement, any other Loan Document and any other Communication, including Communications required to be in writing, may be in the form of an Electronic Record and may be executed using Electronic Signatures. Each Loan Party, the Administrative Agent and each Lender agrees that any Electronic Signature on or associated with any Communication shall be valid and binding on such Person to the same extent as a manual, original signature, and that any Communication entered into by Electronic Signature will constitute the legal, valid and binding obligation of such Person enforceable against such Person in accordance with the terms thereof to the same extent as if a manually executed original signature was delivered. Any Communication may be executed in as many counterparts as necessary or convenient, including both paper and electronic counterparts, but all such counterparts are one and the same Communication. For the avoidance of doubt, the authorization under this Section 11.18 may include use or acceptance of a manually signed paper Communication which has been converted into electronic form (such as scanned into .pdf), or an electronically signed Communication converted into another format, for transmission, delivery and/or retention. The Administrative Agent and each of the Lenders may, at its option, create one or more copies of any Communication in the form of an imaged Electronic Record (each, an “Electronic Copy”), which shall be deemed created in the ordinary course of such Person’s business, and destroy the original paper document. All Communications in the form of an Electronic Record, including an Electronic Copy, shall be considered an original for all purposes, and shall have the same legal effect, validity and enforceability as a paper record. Notwithstanding anything contained herein to the contrary, the Administrative Agent is not under any obligation to accept an Electronic Signature in any form or in any format unless expressly agreed to by such Person pursuant to procedures approved by it; provided, that, without limiting the foregoing, (a) to the extent the Administrative Agent has agreed to accept such Electronic Signature, the Administrative Agent and each of the Lenders shall be entitled to rely on any such Electronic Signature purportedly given by or on behalf of any Loan Party and/or any Lender without further verification, and (b) upon the request of the Administrative Agent or any Lender, any Electronic Signature shall be promptly followed by such manually executed counterpart. The Administrative Agent shall not be responsible for or have any duty to ascertain or inquire into the sufficiency, validity, enforceability, effectiveness or genuineness of any Loan Document or any other agreement, instrument or document (including, for the avoidance of doubt, in connection with the Administrative Agent’s reliance on any Electronic Signature transmitted by telecopy, emailed .pdf or any other electronic means). The Administrative Agent shall be entitled to rely on, and shall incur no liability


 
81 #98630541v7 under or in respect of this Agreement or any other Loan Document by acting upon, any Communication (which writing may be a fax, any electronic message, Internet or intranet website posting or other distribution or signed using an Electronic Signature) or any statement made to it orally or by telephone and believed by it to be genuine and signed or sent or otherwise authenticated (whether or not such Person in fact meets the requirements set forth in the Loan Documents for being the maker thereof). Each Loan Party and each Lender hereby waives (a) any argument, defense or right to contest the legal effect, validity or enforceability of this Agreement or any other Loan Document based solely on the lack of paper original copies of this Agreement or such other Loan Document, and (b) any claim against the Administrative Agent and each Lender for any liabilities arising solely from the Administrative Agent’s and/or any Lender’s reliance on or use of Electronic Signatures, including any liabilities arising as a result of the failure of the Loan Parties to use any available security measures in connection with the execution, delivery or transmission of any Electronic Signature. 11.19 Time of the Essence. Time is of the essence with respect to the Loan Documents. 11.20 Entire Agreement. THIS AGREEMENT AND THE OTHER LOAN DOCUMENTS REPRESENT THE FINAL AGREEMENT AMONG THE PARTIES HERETO WITH RESPECT TO THE TRANSACTIONS CONTEMPLATED HEREBY AND MAY NOT BE CONTRADICTED BY EVIDENCE OF PRIOR, CONTEMPORANEOUS, OR SUBSEQUENT ORAL AGREEMENTS OF THE PARTIES. THERE ARE NO UNWRITTEN ORAL AGREEMENTS AMONG THE PARTIES WITH RESPECT TO THE TRANSACTIONS CONTEMPLATED HEREBY. 11.21 Acknowledgement and Consent to Bail-In of Affected Financial Institutions. Solely to the extent any Lender that is an Affected Financial Institution is a party to this Agreement and notwithstanding anything to the contrary in any Loan Document or in any other agreement, arrangement or understanding among any such parties, each party hereto acknowledges that any liability of any Lender that is an Affected Financial Institution arising under any Loan Document, to the extent such liability is unsecured, may be subject to the Write-Down and Conversion Powers of an the applicable Resolution Authority and agrees and consents to, and acknowledges and agrees to be bound by: (a) the application of any Write-Down and Conversion Powers by the applicable Resolution Authority to any such liabilities arising hereunder which may be payable to it by any Lender that is an Affected Financial Institution; and (b) the effects of any Bail-In Action on any such liability, including, if applicable, (i) a reduction in full or in part or cancellation of any such liability, (ii) a conversion of all, or a portion of, such liability into shares or other instruments of ownership in such Affected Financial Institution, its parent undertaking, or a bridge institution that may be issued to it or otherwise conferred on it, and that such shares or other instruments of ownership will be accepted by it in lieu of any rights with respect to any such liability under this Agreement or any other Loan Document, or (iii) the variation of the terms of such liability in connection with the exercise of the Write-Down and Conversion Powers of the applicable Resolution Authority. 11.22 Acknowledgement Regarding Any Supported QFCs. To the extent that the Loan Documents provide support, through a guarantee or otherwise, for any Swap Contract or any other agreement or instrument that is a QFC (such support, “QFC Credit Support”, and each such QFC, a “Supported QFC”), the parties acknowledge and agree that, with respect to the resolution power of the Federal Deposit Insurance Corporation under the Federal Deposit Insurance Act and Title II of the Dodd- Frank Wall Street Reform and Consumer Protection Act (together with the regulations promulgated thereunder, the “U.S. Special Resolution Regimes”) in respect of such Supported QFC and QFC Credit Support (with the provisions below applicable notwithstanding that the Loan Documents and any Supported QFC may in fact be stated to be governed by the Laws of the State of New York and/or of the United States or any other state of the United States), in the event a Covered Entity that is party to a Supported QFC (each, a “Covered Party”) becomes subject to a proceeding under a U.S. Special Resolution Regime, the


 
82 #98630541v7 transfer of such Supported QFC and the benefit of such QFC Credit Support (and any interest and obligation in or under such Supported QFC and such QFC Credit Support, and any rights in property securing such Supported QFC or such QFC Credit Support) from such Covered Party will be effective to the same extent as the transfer would be effective under the U.S. Special Resolution Regime if the Supported QFC and such QFC Credit Support (and any such interest, obligation and rights in property) were governed by the Laws of the United States or a state of the United States. In the event a Covered Party or a BHC Act Affiliate of a Covered Party becomes subject to a proceeding under a U.S. Special Resolution Regime, Default Rights under the Loan Documents that might otherwise apply to such Supported QFC or any QFC Credit Support that may be exercised against such Covered Party are permitted to be exercised to no greater extent than such Default Rights could be exercised under the U.S. Special Resolution Regime if the Supported QFC and the Loan Documents were governed by the Laws of the United States or a state of the United States. Without limitation of the foregoing, it is understood and agreed that rights and remedies of the parties with respect to a Defaulting Lender shall in no event affect the rights of any Covered Party with respect to a Supported QFC or any QFC Credit Support. [signature pages follow]


 
#98635892v3 IN WITNESS WHEREOF, the parties hereto have caused this Agreement to be duly executed as of the date first above written. BORROWER: SUPER MICRO COMPUTER, INC., a Delaware corporation By: /s/ Charles Liang Name: Charles Liang Title: President, Chief Executive Office, Chairman


 
#98635892v3 ADMINISTRATIVE AGENT: BANK OF AMERICA, N.A., as the Administrative Agent By: /s/ Puneet Lakhotia Name: Puneet Lakhotia Title: Director


 
#98635892v3 LENDERS: BANK OF AMERICA, N.A., as a Lender By: /s/ Puneet Lakhotia Name: Puneet Lakhotia Title: Director


 
#98635892v3 Schedule 2.01 Commitments and Applicable Percentages [ ]


 
#98635892v3 Schedule 5.13 Subsidiaries and Equity Interests [ ]


 
#98635892v3 Schedule 6.13 Guarantors [ ]


 
#98635892v3 Schedule 7.01 Existing Liens [ ]


 
#98635892v3 Schedule 7.02 Existing Indebtedness [ ]


 
#98635892v3 Schedule 11.02 Administrative Agent’s Office; Certain Addresses for Notices [ ]


 
#98635892v3 EXHIBIT A FORM OF LOAN NOTICE Date: ___________, 20__ To: Bank of America, N.A., as Administrative Agent Ladies and Gentlemen: Reference is made to that certain Term Loan Credit Agreement, dated as of July [●], 2024 (as amended, restated, amended and restated, extended, supplemented or otherwise modified in writing from time to time, the “Credit Agreement”; the terms defined therein being used herein as therein defined), among Super Micro Computer, Inc., a Delaware corporation (the “Borrower”), the other Loan Parties party thereto from time to time, each lender from time to time party thereto (the “Lenders”), and Bank of America, N.A., as the Administrative Agent. 1. The undersigned Borrower hereby requests (select one): □ A Borrowing of Loans. □ A conversion of ___________ Loans to _____________ Loans. □ A continuation of Term SOFR Loans. 2. On (a Business Day). 3. In the amount of $ .1 4. Comprised of [Base Rate Loans][Term SOFR Loans]. 5. For Term SOFR Loans: with an Interest Period of ___ month[s]2. With respect to such Borrowing, the undersigned Borrower hereby represents and warrants that each of the conditions set forth in Section 4.01 of the Credit Agreement have been satisfied on and as of the date of such Borrowing. Delivery of an executed counterpart of a signature page of this notice by fax transmission or other electronic mail transmission (e.g. “pdf” or “tif”) shall be effective as delivery of a manually executed counterpart of this notice. [Remainder of page intentionally left blank] 1 Please note minimum amounts required under Section 2.02(a) of the Credit Agreement. 2 One (1) month or three (3) months.


 
#98635892v3 IN WITNESS WHEREOF, the undersigned has executed this Loan Notice as of the date first written above. SUPER MICRO COMPUTER, INC. By: Name: Title:


 
#98635892v3 Exhibit B FORM OF NOTICE OF LOAN PREPAYMENT Date: __________, 20__ To: Bank of America, N.A., as Administrative Agent Ladies and Gentlemen: Reference is made to that certain Term Loan Credit Agreement, dated as of July [●], 2024 (as amended, restated, amended and restated, extended, supplemented or otherwise modified in writing from time to time, the “Credit Agreement”), among Super Micro Computer, Inc., a Delaware corporation (the “Borrower”), the other Loan Parties party thereto from time to time, each lender from time to time party thereto (the “Lenders”), and Bank of America, N.A., as the Administrative Agent. Capitalized terms used but not otherwise defined herein have the meanings provided in the Credit Agreement. The undersigned Borrower hereby notifies the Administrative Agent that on _____________ pursuant to the terms of Section 2.03 (Prepayments) of the Credit Agreement, the undersigned Borrower intends to prepay/repay the following Loans as more specifically set forth below: □ Optional prepayment of Loans in the following amount(s): □ Term SOFR Loans: $___________.1 Applicable Interest Period: month[s]. □ Base Rate Loans: $ .2 [Remainder of page intentionally left blank] 1 Please note minimum prepayment amounts in Section 2.03(a) of the Credit Agreement. 2 Please note minimum prepayment amounts in Section 2.03(a) of the Credit Agreement.


 
#98635892v3 IN WITNESS WHEREOF, the undersigned has executed this Notice of Loan Prepayment as of the date first written above. SUPER MICRO COMPUTER, INC. By: Name: Title:


 
#98635892v3 Exhibit C FORM OF NOTE ____________, 20__ FOR VALUE RECEIVED, the undersigned hereby promises to pay to _____________________ or its registered permitted assigns (the “Lender”), in accordance with the provisions of the Credit Agreement (as hereinafter defined), the principal amount of the Loans made by the Lender to the Borrower under that certain Term Loan Credit Agreement, dated as of July [●], 2024 (as amended, restated, amended and restated, extended, supplemented or otherwise modified in writing from time to time, the “Credit Agreement” the terms defined therein being used herein as therein defined), among Super Micro Computer, Inc., a Delaware corporation (the “Borrower”), the other Loan Parties party thereto from time to time, each lender from time to time party thereto, and Bank of America, N.A., as the Administrative Agent. The Borrower promises to pay interest on the unpaid principal amount of the Loans made by the Lender to the Borrower from the date of such Loans until the principal amount of such Loans is paid in full, at such interest rates and at such times as provided in the Credit Agreement. All payments of principal and interest shall be made to the Administrative Agent for the account of the Lender in Dollars in immediately available funds at the Administrative Agent’s Office. If any amount is not paid in full when due hereunder, such unpaid amount shall bear interest, to be paid upon demand, from the due date thereof until the date of actual payment (and before as well as after judgment) computed at the per annum rate set forth in the Credit Agreement. This Note is one of the Notes referred to in the Credit Agreement, is entitled to the benefits thereof and may be prepaid in whole or in part subject to the terms and conditions provided therein. This Note is also entitled to the benefits of the Guaranty. Upon the occurrence and during the continuation of one or more of the Events of Default specified in the Credit Agreement, all amounts then remaining unpaid on this Note shall become, or may be declared to be, immediately due and payable all as provided in the Credit Agreement. The Loans made by the Lender to the Borrower shall be evidenced by one or more loan accounts or records maintained by the Lender in the ordinary course of business. The Lender may also attach schedules to this Note and endorse thereon the date, amount and maturity of the Loans made by the Lender to the Borrower and payments with respect thereto. The Borrower, for itself, its successors and assigns, hereby waives diligence, presentment, protest and demand and notice of protest, demand, dishonor and non-payment of this Note. THIS NOTE SHALL BE GOVERNED BY AND CONSTRUED IN ACCORDANCE WITH THE LAWS OF THE STATE OF NEW YORK. [REMAINDER OF PAGE INTENTIONALLY LEFT BLANK]


 
#98635892v3 IN WITNESS WHEREOF, the undersigned has caused this Note to be duly executed and delivered by its officer thereunto duly authorized. SUPER MICRO COMPUTER, INC. By: Name: Title: LOANS AND PAYMENTS WITH RESPECT THERETO


 
#98635892v3 Date Type of Loan Made Amount of Loan Made End of Interest Period Amount of Principal or Interest Paid This Date Outstanding Principal Balance This Date Notation Made By


 
#98635892v3 Exhibit D FORM OF COMPLIANCE CERTIFICATE Financial Statement Date: _____________, 20___ To: Bank of America, N.A., as Administrative Agent Ladies and Gentlemen: Reference is made to that certain Term Loan Credit Agreement, dated as of July [●], 2024 (as amended, restated, amended and restated, extended, supplemented or otherwise modified in writing from time to time, the “Credit Agreement”), among Super Micro Computer, Inc., a Delaware corporation (the “Borrower”), the other Loan Parties party thereto from time to time, each lender from time to time party thereto (the “Lenders”), and Bank of America, N.A., as the Administrative Agent. Capitalized terms used but not otherwise defined herein have the meanings provided in the Credit Agreement. The undersigned Responsible Officer hereby certifies as of the date hereof that they are the _________________________1 of the Borrower, and that, as such, they are authorized to execute and deliver this Compliance Certificate to the Administrative Agent on the behalf of the Borrower, and that: [Use following paragraph 1 for fiscal year-end financial statements] 1. The Borrower has delivered the year-end audited financial statements required by Section 6.01(a) of the Credit Agreement for the fiscal year of the Borrower ended as of the above date, together with the report and opinion of an independent certified public accountant required by such section. [Use following paragraph 1 for fiscal quarter-end financial statements] 1. The Borrower has delivered the unaudited financial statements required by Section 6.01(b) of the Credit Agreement for the fiscal quarter of the Borrower ended as of the above date. Such financial statements fairly present the financial condition, results of operations, shareholders’ equity and cash flows of the Borrower and its Subsidiaries in accordance with GAAP as at such date and for such period, subject only to normal year end audit adjustments and the absence of footnotes. 2. The undersigned has reviewed and is familiar with the terms of the Credit Agreement and has made, or has caused to be made under their supervision, a detailed review of the transactions and condition (financial or otherwise) of the Loan Parties during the accounting period covered by such financial statements. 3. A review of the activities of the Loan Parties during such fiscal period has been made under the supervision of the undersigned with a view to determining whether during such fiscal period each Loan Party performed and observed all its Obligations under the Loan Documents, and [select one:] 1 Must be the chief executive officer, chief financial officer (or principal financial officer with similar responsibilities), treasurer or controller.


 
#98635892v3 [to the knowledge of the undersigned, during such fiscal period each Loan Party performed and observed each covenant and condition of the Loan Documents applicable to it, and no Default has occurred and is continuing.] --or— [to the knowledge of the undersigned, during such fiscal period the following covenants or conditions have not been performed or observed and the following is a list of each such Default and its nature and status:] 4. The representations and warranties of the Borrower contained in Article V of the Credit Agreement, and any representations and warranties of any Loan Party that are contained in any document furnished at any time under or in connection with the Loan Documents, are true and correct on and as of the date hereof, except to the extent that such representations and warranties specifically refer to an earlier date, in which case they are true and correct as of such earlier date, and except that for purposes of this Compliance Certificate, the representations and warranties contained in subsections (a) and (b) of Section 5.05 of the Credit Agreement shall be deemed to refer to the most recent statements furnished pursuant to subsections (a) and (b), respectively, of Section 6.01 of the Credit Agreement, including the statements in connection with which this Compliance Certificate is delivered. 5. The financial covenant analyses and information set forth on Schedules 1 and 2 attached hereto are true and accurate on and as of the date of this Certificate. [Remainder of page intentionally left blank]


 
#98635892v3 IN WITNESS WHEREOF, the undersigned has executed this Compliance Certificate as of the date first written above. SUPER MICRO COMPUTER, INC. By: Name: Title:


 
#98635892v3 For the Quarter/Year ended ___________________ (“Statement Date”) SCHEDULE 1 to the Compliance Certificate ($ in 000’s) I. Section 7.08 (a) – Consolidated Leverage Ratio for the Borrower and its Subsidiaries on a consolidated basis. A. Consolidated Funded Indebtedness at Statement Date: $ B. Consolidated EBITDA for four consecutive fiscal quarters of the Borrower most recently completed on or prior to Statement Date (“Subject Period”) (Line II.A.10 below): $ C. Consolidated Leverage Ratio (Line I.A  Line I.B): to 1 Maximum permitted: 3.50 to 1.00 II. Section 7.08 (b) – Consolidated Interest Coverage Ratio for the Borrower and its Subsidiaries on a consolidated basis. A. Consolidated EBITDA for Subject Period: 1. Consolidated Net Income for Subject Period: $ 2. Consolidated Interest Charges for Subject Period: $ 3. Provision for federal, state, local and foreign income taxes for Subject Period: $ 4. Depreciation expenses for Subject Period: $ 5. Amortization expenses for Subject Period: $ 6. Non-recurring non-cash reductions of Consolidated Net Income for Subject Period: $___________ 7. Non-cash charges or expenses related to stock option awards or other equity compensation for Subject Period: $___________ 8. Federal, state, local and foreign income tax credits for Subject Period: $___________ 9. Non-cash additions to Consolidated Net Income for Subject Period: $___________ 10. Consolidated EBITDA (Lines II.A1 + 2 + 3 + 4 + 5 + 6 + 7 – 8 - 9): $ B. Consolidated Interest Charges for Subject Period: $ C. Consolidated Interest Coverage Ratio (Line II.A.10  Line II.B): to 1 Minimum required1: 3.00 to 1.00 1 Prior to a Fall-Away Event


 
#98635892v3 For the Quarter/Year ended ___________________ (“Statement Date”) SCHEDULE 2 to the Compliance Certificate ($ in 000’s) Consolidated EBITDA (in accordance with the definition of Consolidated EBITDA as set forth in the Credit Agreement) For the four consecutive fiscal quarters of the Borrower most recently completed on or prior to the Statement Date. Consolidated EBITDA Quarter Ended Quarter Ended Quarter Ended Quarter Ended Twelve Months Ended Consolidated Net Income + Consolidated Interest Charges + income taxes + depreciation expense + amortization expense + non-recurring non-cash expenses + non-cash equity compensation expenses - income tax credits - non-cash income = Consolidated EBITDA


 
#98635892v3 EXHIBIT E-11 FORM OF U.S. TAX COMPLIANCE CERTIFICATE (For Foreign Lenders That Are Not Partnerships For U.S. Federal Income Tax Purposes) Reference is made to that certain Term Loan Credit Agreement, dated as of July [●], 2024 (as amended, restated, amended and restated, extended, supplemented or otherwise modified in writing from time to time, the “Credit Agreement”), among Super Micro Computer, Inc., a Delaware corporation (the “Borrower”), the other Loan Parties party thereto from time to time, each lender from time to time party thereto (the “Lenders”), and Bank of America, N.A., as the Administrative Agent. Capitalized terms used but not otherwise defined herein have the meanings provided in the Credit Agreement. Pursuant to the provisions of Section 3.01(e) of the Credit Agreement, the undersigned hereby certifies that (i) it is the sole record and beneficial owner of the Loan(s) (as well as any Note(s) evidencing such Loan(s)) in respect of which it is providing this certificate, (ii) it is not a bank within the meaning of Section 881(c)(3)(A) of the Code, (iii) it is not a ten percent shareholder of the Borrower within the meaning of Section 871(h)(3)(B) of the Code and (iv) it is not a controlled foreign corporation related to the Borrower as described in Section 881(c)(3)(C) of the Code. The undersigned has furnished the Administrative Agent and the Borrower with a certificate of its non-U.S. Person status on IRS Form W-8BEN or IRS Form W-8BEN-E. By executing this certificate, the undersigned agrees that (1) if the information provided on this certificate changes, the undersigned shall promptly so inform the Borrower and the Administrative Agent, and (2) the undersigned shall have at all times furnished the Borrower and the Administrative Agent with a properly completed and currently effective certificate in either the calendar year in which each payment is to be made to the undersigned, or in either of the two calendar years preceding such payments. Unless otherwise defined herein, terms defined in the Credit Agreement and used herein shall have the meanings given to them in the Credit Agreement. [NAME OF LENDER] By: Name: Title: Date: ______________, 20___ 1 NTD: Exhibits F 1-4 subject to tax review.


 
#98635892v3 EXHIBIT E-2 FORM OF U.S. TAX COMPLIANCE CERTIFICATE (For Foreign Participants That Are Not Partnerships For U.S. Federal Income Tax Purposes) Reference is made to that certain Term Loan Credit Agreement, dated as of July [●], 2024 (as amended, restated, amended and restated, extended, supplemented or otherwise modified in writing from time to time, the “Credit Agreement”), among Super Micro Computer, Inc., a Delaware corporation (the “Borrower”), the other Loan Parties party thereto from time to time, each lender from time to time party thereto (the “Lenders”), and Bank of America, N.A., as the Administrative Agent. Capitalized terms used but not otherwise defined herein have the meanings provided in the Credit Agreement. Pursuant to the provisions of Section 3.01(e) of the Credit Agreement, the undersigned hereby certifies that (i) it is the sole record and beneficial owner of the participation in respect of which it is providing this certificate, (ii) it is not a bank within the meaning of Section 881(c)(3)(A) of the Code, (iii) it is not a ten percent shareholder of the Borrower within the meaning of Section 871(h)(3)(B) of the Code, and (iv) it is not a controlled foreign corporation related to the Borrower as described in Section 881(c)(3)(C) of the Code. The undersigned has furnished its participating Lender with a certificate of its non-U.S. Person status on IRS Form W-8BEN or IRS Form W-8BEN-E. By executing this certificate, the undersigned agrees that (1) if the information provided on this certificate changes, the undersigned shall promptly so inform such Lender in writing, and (2) the undersigned shall have at all times furnished such Lender with a properly completed and currently effective certificate in either the calendar year in which each payment is to be made to the undersigned, or in either of the two calendar years preceding such payments. Unless otherwise defined herein, terms defined in the Credit Agreement and used herein shall have the meanings given to them in the Credit Agreement. [NAME OF PARTICIPANT] By: Name: Title: Date: ______________, 20___


 
#98635892v3 EXHIBIT E-3 FORM OF U.S. TAX COMPLIANCE CERTIFICATE (For Foreign Participants That Are Partnerships For U.S. Federal Income Tax Purposes) Reference is made to that certain Term Loan Credit Agreement, dated as of July [●], 2024 (as amended, restated, amended and restated, extended, supplemented or otherwise modified in writing from time to time, the “Credit Agreement”), among Super Micro Computer, Inc., a Delaware corporation (the “Borrower”), the other Loan Parties party thereto from time to time, each lender from time to time party thereto (the “Lenders”), and Bank of America, N.A., as the Administrative Agent. Capitalized terms used but not otherwise defined herein have the meanings provided in the Credit Agreement. Pursuant to the provisions of Section 3.01(e) of the Credit Agreement, the undersigned hereby certifies that (i) it is the sole record owner of the participation in respect of which it is providing this certificate, (ii) its direct or indirect partners/members are the sole beneficial owners of such participation, (iii) with respect such participation, neither the undersigned nor any of its direct or indirect partners/members is a bank extending credit pursuant to a loan agreement entered into in the ordinary course of its trade or business within the meaning of Section 881(c)(3)(A) of the Code, (iv) none of its direct or indirect partners/members is a ten percent shareholder of the Borrower within the meaning of Section 871(h)(3)(B) of the Code and (v) none of its direct or indirect partners/members is a controlled foreign corporation related to the Borrower as described in Section 881(c)(3)(C) of the Code. The undersigned has furnished its participating Lender with IRS Form W-8IMY accompanied by one of the following forms from each of its partners/members that is claiming the portfolio interest exemption: (i) an IRS Form W-8BEN or IRS Form W-8BEN-E or (ii) an IRS Form W-8IMY accompanied by an IRS Form W-8BEN or IRS Form W-8BEN-E from each of such partner’s/member’s beneficial owners that is claiming the portfolio interest exemption. By executing this certificate, the undersigned agrees that (1) if the information provided on this certificate changes, the undersigned shall promptly so inform such Lender and (2) the undersigned shall have at all times furnished such Lender with a properly completed and currently effective certificate in either the calendar year in which each payment is to be made to the undersigned, or in either of the two calendar years preceding such payments. Unless otherwise defined herein, terms defined in the Credit Agreement and used herein shall have the meanings given to them in the Credit Agreement. [NAME OF PARTICIPANT] By: Name: Title: Date: ______________, 20___


 
#98635892v3 EXHIBIT E-4 FORM OF U.S. TAX COMPLIANCE CERTIFICATE (For Foreign Lenders That Are Partnerships For U.S. Federal Income Tax Purposes) Reference is made to that certain Term Loan Credit Agreement, dated as of July [●], 2024 (as amended, restated, amended and restated, extended, supplemented or otherwise modified in writing from time to time, the “Credit Agreement”), among Super Micro Computer, Inc., a Delaware corporation (the “Borrower”), the other Loan Parties party thereto from time to time, each lender from time to time party thereto (the “Lenders”), and Bank of America, N.A., as the Administrative Agent. Capitalized terms used but not otherwise defined herein have the meanings provided in the Credit Agreement. Pursuant to the provisions of Section 3.01(e) of the Credit Agreement, the undersigned hereby certifies that (i) it is the sole record owner of the Loan(s) (as well as any Note(s) evidencing such Loan(s)) in respect of which it is providing this certificate, (ii) its direct or indirect partners/members are the sole beneficial owners of such Loan(s) (as well as any Note(s) evidencing such Loan(s)), (iii) with respect to the extension of credit pursuant to this Credit Agreement or any other Loan Document, neither the undersigned nor any of its direct or indirect partners/members is a bank extending credit pursuant to a loan agreement entered into in the ordinary course of its trade or business within the meaning of Section 881(c)(3)(A) of the Code, (iv) none of its direct or indirect partners/members is a ten percent shareholder of the Borrower within the meaning of Section 871(h)(3)(B) of the Code and (v) none of its direct or indirect partners/members is a controlled foreign corporation related to the Borrower as described in Section 881(c)(3)(C) of the Code. The undersigned has furnished the Administrative Agent and the Borrower with IRS Form W- 8IMY accompanied by one of the following forms from each of its partners/members that is claiming the portfolio interest exemption: (i) an IRS Form W-8BEN or IRS Form W-8BEN-E or (ii) an IRS Form W- 8IMY accompanied by an IRS Form W-8BEN or IRS Form W-8BEN-E from each of such partner’s/member’s beneficial owners that is claiming the portfolio interest exemption. By executing this certificate, the undersigned agrees that (1) if the information provided on this certificate changes, the undersigned shall promptly so inform the Borrower and the Administrative Agent, and (2) the undersigned shall have at all times furnished the Borrower and the Administrative Agent with a properly completed and currently effective certificate in either the calendar year in which each payment is to be made to the undersigned, or in either of the two calendar years preceding such payments. Unless otherwise defined herein, terms defined in the Credit Agreement and used herein shall have the meanings given to them in the Credit Agreement. [NAME OF LENDER] By: Name: Title: Date: ______________, 20___


 
#98635892v3 Exhibit F FORM OF ASSIGNMENT AND ASSUMPTION This Assignment and Assumption (this “Assignment and Assumption”) is dated as of the Effective Date set forth below and is entered into by and between [Insert name of Assignor] (the “Assignor”) and [Insert name of Assignee] (the “Assignee”). Capitalized terms used but not defined herein shall have the meanings given to them in the Credit Agreement identified below, receipt of a copy of which is hereby acknowledged by the Assignee. The Standard Terms and Conditions set forth in Annex 1 attached hereto are hereby agreed to and incorporated herein by reference and made a part of this Assignment and Assumption as if set forth herein in full. For an agreed consideration, the Assignor hereby irrevocably sells and assigns to the Assignee, and the Assignee hereby irrevocably purchases and assumes from the Assignor, subject to and in accordance with the Standard Terms and Conditions and the Credit Agreement, as of the Effective Date inserted by the Administrative Agent as contemplated below (i) all of the Assignor’s rights and obligations as a Lender under the Credit Agreement and any other documents or instruments delivered pursuant thereto in the amount[s] and equal to the percentage interest[s] identified below of all the outstanding rights and obligations under the respective facilities identified below (including, without limitation, any letters of credit included in such facilities) and (ii) to the extent permitted to be assigned under applicable law, all claims, suits, causes of action and any other right of the Assignor (in its capacity as a Lender) against any Person, whether known or unknown, arising under or in connection with the Credit Agreement, any other documents or instruments delivered pursuant thereto or the loan transactions governed thereby or in any way based on or related to any of the foregoing, including, but not limited to, contract claims, tort claims, malpractice claims, statutory claims and all other claims at law or in equity related to the rights and obligations sold and assigned pursuant to clause (i) above (the rights and obligations sold and assigned pursuant to clauses (i) and (ii) above being referred to herein collectively as, the “Assigned Interest”). Such sale and assignment is without recourse to the Assignor and, except as expressly provided in this Assignment and Assumption, without representation or warranty by the Assignor. 1. Assignor: ______________________________ [Assignor [is][is not] a Defaulting Lender] 2. Assignee: ______________________________ [and is an [Affiliate][Approved Fund] of [identify Lender]1] 3. Borrower: Super Micro Computer, Inc., a Delaware corporation (the “Borrower”) 4. Administrative Agent: Bank of America, N.A., as the administrative agent under the Credit Agreement 5. Credit Agreement: Term Loan Credit Agreement, dated as of July [●], 2024 (as amended, restated, amended and restated, extended, supplemented or otherwise modified in writing from time to time, the “Credit Agreement”), among the Borrower, the other Loan Parties party thereto from time to time, each lender from time to time party thereto (the “Lenders”), and Bank of America, N.A., as the Administrative Agent. 1 Select as applicable.


 
#98635892v3 6. Assigned Interest: Facility Assigned1 Aggregate Amount of Commitment/Loans for all Lenders Amount of Commitment/Loans Assigned* Percentage Assigned of Commitment/Loans2 CUSIP Number $ $ % $ $ % $ $ % [7. Trade Date: ______________]3 Effective Date: _____________ ___, 20___ [TO BE INSERTED BY ADMINISTRATIVE AGENT AND WHICH SHALL BE THE EFFECTIVE DATE OF RECORDATION OF TRANSFER IN THE REGISTER THEREFOR.] 1 Fill in the appropriate terminology for the types of facilities under the Credit Agreement that are being assigned under this Assignment and Assumption.  Amount to be adjusted by the counterparties to take into account any payments or prepayments made between the Trade Date and the Effective Date. 2 Set forth, to at least 9 decimals, as a percentage of the Commitment/Loans of all Lenders thereunder. 3 To be completed if the Assignor and the Assignee intend that the minimum assignment amount is to be determined as of the Trade Date.


 
SUPER MICRO COMPUTER, INC. CREDIT AGREEMENT #98630541v7 The terms set forth in this Assignment and Assumption are hereby agreed to: ASSIGNOR [NAME OF ASSIGNOR] By: Name: Title: ASSIGNEE [NAME OF ASSIGNEE] By: Name: Title: [Consented to and] Accepted: BANK OF AMERICA, N.A. as Administrative Agent By: Name: Title:


 
SUPER MICRO COMPUTER, INC. CREDIT AGREEMENT #98630541v7 ANNEX 1 STANDARD TERMS AND CONDITIONS FOR ASSIGNMENT AND ASSUMPTION 1. Representations and Warranties. 1.1. Assignor. The Assignor (a) represents and warrants that (i) it is the legal and beneficial owner of the Assigned Interest, (ii) the Assigned Interest is free and clear of any lien, encumbrance or other adverse claim, (iii) it has full power and authority, and has taken all action necessary, to execute and deliver this Assignment and Assumption and to consummate the transactions contemplated hereby and (iv) it is [not] a Defaulting Lender; and (b) assumes no responsibility with respect to (i) any statements, warranties or representations made in or in connection with the Credit Agreement or any other Loan Document, (ii) the execution, legality, validity, enforceability, genuineness, sufficiency or value of the Loan Documents or any collateral thereunder, (iii) the financial condition of the Loan Parties, any of their respective Subsidiaries or Affiliates or any other Person obligated in respect of any Loan Document or (iv) the performance or observance by the Loan Parties, any of their respective Subsidiaries or Affiliates or any other Person of any of their respective obligations under any Loan Document. 1.2. Assignee. The Assignee (a) represents and warrants that (i) it has full power and authority, and has taken all action necessary, to execute and deliver this Assignment and Assumption and to consummate the transactions contemplated hereby and to become a Lender under the Credit Agreement, (ii) it meets all requirements of an Eligible Assignee, (iii) from and after the Effective Date, it shall be bound by the provisions of the Credit Agreement as a Lender thereunder and, to the extent of the Assigned Interest, shall have the obligations of a Lender thereunder, (iv) it is sophisticated with respect to decisions to acquire assets of the type represented by the Assigned Interest and either it, or the Person exercising discretion in making its decision to acquire the Assigned Interest, is experienced in acquiring assets of such type, (v) it has received a copy of the Credit Agreement, and has received or has been accorded the opportunity to receive copies of the most recent financial statements delivered pursuant to Section 6.01(a) or Section 6.01(b) thereof, as applicable, and such other documents and information as it deems appropriate to make its own credit analysis and decision to enter into this Assignment and Assumption and to purchase the Assigned Interest, (vi) it has, independently and without reliance upon the Administrative Agent or any other Lender and based on such documents and information as it has deemed appropriate, made its own credit analysis and decision to enter into this Assignment and Assumption and to purchase the Assigned Interest and (vii) if it is a Foreign Lender, attached hereto is any documentation required to be delivered by it pursuant to the terms of the Credit Agreement, duly completed and executed by the Assignee; and (b) agrees that (i) it will, independently and without reliance on the Administrative Agent, the Assignor or any other Lender, and based on such documents and information as it shall deem appropriate at the time, continue to make its own credit decisions in taking or not taking action under the Loan Documents, and (ii) it will perform in accordance with their terms all of the obligations which by the terms of the Loan Documents are required to be performed by it as a Lender. 2. Payments. From and after the Effective Date, the Administrative Agent shall make all payments in respect of the Assigned Interest (including payments of principal, interest, fees and other amounts) to the Assignor for amounts which have accrued to but excluding the Effective Date and to the Assignee for amounts which have accrued from and after the Effective Date. Notwithstanding the foregoing, the Administrative Agent shall make all payments of interest, fees or other amounts paid or payable in kind from and after the Effective Date to the Assignee.


 
SUPER MICRO COMPUTER, INC. CREDIT AGREEMENT #98630541v7 3. General Provisions. This Assignment and Assumption shall be binding upon, and inure to the benefit of, the parties hereto and their respective successors and permitted assigns. This Assignment and Assumption may be executed in any number of counterparts, which together shall constitute one instrument. Delivery of an executed counterpart of a signature page of this Assignment and Assumption by telecopy shall be effective as delivery of a manually executed counterpart of this Assignment and Assumption. This Assignment and Assumption shall be governed by, and construed in accordance with, the law of the State of New York.