EX-4.4 4 exhibit44-secondsuppleme.htm EX-4.4 exhibit44-secondsuppleme
Exhibit 4.4 ____________________________________________ SUPER MICRO COMPUTER, INC. and U.S. BANK TRUST COMPANY, NATIONAL ASSOCIATION As Trustee ____________________________________________ Second Supplemental Indenture Dated as of February 20, 2025 to the Indenture Dated as of February 27, 2024 ____________________________________________


 
SECOND SUPPLEMENTAL INDENTURE This SECOND SUPPLEMENTAL INDENTURE (this “Second Supplemental Indenture”), dated as of February 20, 2025, is by and between Super Micro Computer, Inc., a Delaware corporation (the “Company”) and U.S. Bank Trust Company, National Association, a national banking association, as trustee (the “Trustee”). Capitalized terms used in but not defined herein shall have the same meanings as provided in the Indenture (as defined below). RECITALS: WHEREAS, the Company and the Trustee have heretofore entered into that certain Indenture, dated as of February 27, 2024 as amended and supplemented by that first supplemental indenture dated as of February 20, 2025 (the “Indenture”), pursuant to which the Company issued $1,725,000,000 aggregate principal amount of the Company’s 0.00% Convertible Senior Notes due 2029 (the “Notes”); WHEREAS, Section 8.01(L) of the Indenture provides that Company and the Trustee may amend or supplement the Indenture or the Notes without the consent of any Holder to make any change to the Indenture or the Notes that does not, individually or in the aggregate with all other such changes, adversely affect the rights of the Holders, as such, in any material respect; WHEREAS, the Company desires to amend and restate the Indenture in the form attached hereto as Exhibit A (the “Amended Indenture”), and provide for the amendment and restatement of the Notes by issuing new certificates representing the Notes to, among other things, (i) change the rate of interest that is currently payable on the Notes and (ii) change the Conversion Rate, and make certain corresponding changes to effect the same; WHEREAS, this Second Supplemental Indenture has been duly authorized by all necessary corporate action on the part of the Company; WHEREAS, the execution of this Second Supplemental Indenture is a condition to the effectiveness of that certain Waiver, Release and Covenant not to Sue dated, as of February 11, 2025 (the “Waiver”) attached hereto as Schedule I; WHEREAS, all conditions for the execution and delivery of this Second Supplemental Indenture have been complied with or have been done or performed; WHEREAS, the Company desires to enter into an indenture (the “New Notes Indenture”) to be dated on or around the date hereof pursuant to which the Company intends to issue $700,000,000 aggregate principal amount of the Company’s 2.25% Convertible Senior Notes due 2028 (the “New Notes”); WHEREAS, it is a condition to the issuance of the New Notes that the Waiver has been executed by a specified percentage of beneficial owners of the Notes; WHEREAS, the Waiver has been executed by beneficial owners of approximately $1.64 billion aggregate principal amount (or approximately 95%) of outstanding Notes as of the date hereof, which satisfied the condition referenced in the immediately preceding recital; and NOW THEREFORE, in consideration of the foregoing and for other good and valuable consideration, the receipt of which is hereby acknowledged, the parties hereto mutually covenant and agree for the equal and ratable benefit of the Holders as follows: ARTICLE 1


 
DEFINITIONS Section 1.01 Definitions. For all purposes of this Second Supplemental Indenture, except as otherwise herein expressly provided or unless the context otherwise requires: (i) the capitalized terms and expressions used herein shall have the same meanings as corresponding terms and expressions used in the Indenture and (ii) the words “herein,” “hereof” and “hereby” and other words of similar import used in this Second Supplemental Indenture refer to this Second Supplemental Indenture as a whole and not to any particular section hereof. ARTICLE 2 AMENDMENTS Section 2.01 Amendment and Restatement. (A) Following the execution and delivery by the Company and the Trustee, this Second Supplemental Indenture shall become effective; however, the Indenture shall be amended and restated in the form of the Amended Indenture only upon the effective date of the Waiver and the delivery by the Company to the Trustee of written notice of the effectiveness of the Waiver (the “Operative Time”). At the Operative Time, the Amended Indenture will become effective without any further action of the parties hereto or the execution thereof. (B) The Amended Indenture is a continuation of, and not a novation of, the Indenture; provided, however, that the terms of the Amended Indenture supersede in their entirety the terms of the Indenture from the Operative Time. All references to “this Indenture,” “hereunder,” “hereof,” “herein,” or words of like import, and all references to the Indenture in any other agreement or documents shall hereafter be deemed to refer to the Amended Indenture ARTICLE 3 MISCELLANEOUS Section 3.01 Effectiveness; Construction. This Second Supplemental Indenture shall become effective upon its execution and delivery by the Company and the Trustee as of the date hereof; provided, that the Indenture shall not be amended and restated in the form of the Amended Indenture until the occurrence of the Operative Time. Upon the effectiveness of the Operative Time, the Indenture shall be amended and restated in accordance herewith. Section 3.02 Severability. In the event any provision of this Second Supplemental Indenture; the Amended Indenture or in the Notes, as amended, shall be invalid, illegal or unenforceable, then (to the extent permitted by law) the validity, legality or enforceability of the remaining provisions shall not in any way be affected or impaired. Section 3.03 Modification, Amendment and Waiver. The provisions of this Second Supplemental Indenture and the Amended Indenture may not be amended, supplemented, modified or waived, unless otherwise provided in the Indenture, except by the execution of a supplemental indenture in compliance with Article 8 of the Indenture, as modified by this Second Supplemental Indenture. Section 3.04 Governing Law; Waiver of Jury Trial. THIS SECOND SUPPLEMENTAL INDENTURE AND THE NOTES, AND ANY CLAIM, CONTROVERSY OR DISPUTE ARISING UNDER OR RELATED TO THIS SECOND SUPPLEMENTAL INDENTURE AND EACH NOTE, SHALL BE GOVERNED BY, AND CONSTRUED IN ACCORDANCE


 
WITH, THE LAWS OF THE STATE OF NEW YORK. EACH OF THE COMPANY AND THE TRUSTEE IRREVOCABLY WAIVES, TO THE FULLEST EXTENT PERMITTED BY APPLICABLE LAW, ANY AND ALL RIGHT TO TRIAL BY JURY IN ANY LEGAL PROCEEDING ARISING OUT OF OR RELATING TO THIS SECOND SUPPLEMENTAL INDENTURE, THE NOTES OR THE TRANSACTIONS CONTEMPLATED BY THIS SECOND SUPPLEMENTAL INDENTURE OR THE NOTES. Section 3.05 Trustee Makes No Representation. The Trustee makes no representations as to the validity or sufficiency of this Second Supplemental Indenture or the Amended Indenture. The recitals and statements contained in this Second Supplemental Indenture or the Amended Indenture shall be taken as the statements of the Company, and the Trustee assumes no responsibility for the correctness of the same. Section 3.06 Multiple Counterparts. This Second Supplemental Indenture may be executed in any number of counterparts, each of which shall be an original, but such counterparts shall together constitute but one and the same instrument. The exchange of copies of this Second Supplemental Indenture and of signature pages by facsimile, PDF or other electronic transmission shall constitute effective execution and delivery of this Second Supplemental Indenture as to the parties hereto and may be used in lieu of the original Second Supplemental Indenture for all purposes. Signatures of the parties hereto transmitted by facsimile, PDF or other electronic transmission shall be deemed to be their original signatures for all purposes. Section 3.07 Headings. The titles and headings of the articles and sections of this Second Supplemental Indenture have been inserted for convenience of reference only, are not to be considered a part hereof, and shall in no way modify or restrict any of the terms or provisions hereof. Section 3.08 Successors. All agreements of the Company in this Second Supplemental Indenture shall bind its successors. All agreements of the Trustee in this Second Supplemental Indenture shall bind its successors. Section 3.09 No Security Interest Created. Nothing in this Second Supplemental Indenture or in the Notes, expressed or implied, shall be construed to constitute a security interest under the Uniform Commercial Code or similar legislation, as now or hereafter enacted and in effect, in any jurisdiction. Section 3.10 Submission to Jurisdiction. Section 11.07 of the Indenture is hereby incorporated herein by reference, mutatis mutandis.


 
[Signature Page to Second Supplemental Indenture] IN WITNESS WHEREOF, the parties hereto have hereunto set their hands as of the date and year first above written. SUPER MICRO COMPUTER, INC. By: /s/ David Weigand_______________________________ Name: David Weigand Title: Senior Vice President, Chief Financial Officer


 
[Signature Page to Second Supplemental Indenture] U.S. BANK TRUST COMPANY, NATIONAL ASSOCIATION, AS TRUSTEE By: /s/ Jocelyn L. Jerin_______________________________ Name: Jocelyn L. Jerin Title: Assistant Vice President


 
Schedule I


 
FORM OF WAIVER, RELEASE AND COVENANT NOT TO SUE THIS WAIVER, RELEASE AND COVENANT NOT TO SUE (this “Agreement”) is made as of [∙] (the “Execution Date”) by and between SUPER MICRO COMPUTER, INC., a Delaware corporation (the “Company”), and the undersigned holders (the “Holders”), being the beneficial holders of [∙]% in aggregate principal amount of the 2029 Convertible Notes (as herein defined) as set forth on Schedule I hereto. WITNESSETH: WHEREAS, on February 27, 2024, the Company issued $1.725 billion aggregate principal amount of 0.00% convertible senior notes due 2029 (the “2029 Convertible Notes”) pursuant to that certain Indenture dated as of February 27, 2024 (the “Original Indenture”), between the Company and U.S. Bank Trust Company, National Association, as trustee (the “Trustee”); WHEREAS, as inducement for the execution of this Agreement, the Company and the Trustee will enter into a first supplemental indenture and an amended and restated indenture (the “Additional Indentures” and the Original Indenture, as amended, supplemented and restated by the Additional Indentures, the “Indenture”) to provide for certain modifications to the Original Indenture and the 2029 Convertible Notes (the “2029 Notes Amendments”); and WHEREAS, in connection with, and as inducement for, implementing the 2029 Notes Amendments and the related entry into the Additional Indentures, the Company and the Holders desire to enter into this Agreement to set forth certain waivers, releases and covenants with respect to the 2029 Convertible Notes and the Indenture. NOW, THEREFORE, in consideration of the foregoing and for other valuable consideration, the receipt and sufficiency of which are hereby acknowledged, the parties hereto agree as follows: 1. Recitals. The foregoing recitals are true and correct and are incorporated herein by this reference. 2. Capitalized Terms. All capitalized terms used herein and not separately defined herein shall have the meaning ascribed thereto in the Indenture. 3. Waiver. (i) Any Default or Event of Default or violation of the Indenture of any kind or nature arising or existing from the Issue Date through the date that the Company and the Trustee enter into the Additional Indentures (the “Effective Date”), whether asserted or unasserted, and (ii) any Default or Event of Default potentially arising from an act (or failure to act), event, occurrence, or omission occurring from the Issue Date through the Effective Date that, with the giving of notice and/or the passage of time, could become a Default or Event of Default (collectively, clauses (i) and (ii) of this Section 3 are referred to as the “Waived Matters”) are hereby irrevocably waived. For the avoidance of doubt, the waiver pursuant to this Section 3 will be binding upon (i) each Holder and its successors, assigns, anyone on whose behalf or for whose benefit the Holders hold the 2029 Convertible Notes and any subsequent holder of all or any


 
2 portion of such Holder’s 2029 Convertible Notes and (ii) the Trustee to the extent the Trustee is acting upon the direction of, or on the behalf of, the (a) Holders or (b) the Holders’ successors, assigns, anyone on whose behalf or for whose benefit the Holders hold the 2029 Convertible Notes or any subsequent holder of all or any portion of such Holder’s 2029 Convertible Notes. 4. Release of Company. (a) Each Holder, on behalf of itself and its respective present and former parents, subsidiaries, affiliates, officers, directors, shareholders, managers, members, predecessors, successors, assigns and anyone on whose behalf or for whose benefit it holds the 2029 Convertible Notes (collectively, “Releasors”) hereby releases, waives, and forever discharges the Company and its respective present and former, direct and indirect, parents, subsidiaries, affiliates, employees, officers, directors, shareholders, managers, members, agents, representatives, advisors, successors, and assigns (collectively, “Releasees”) of and from any and all actions, causes of action, suits, losses, liabilities, rights, debts, dues, sums of money, accounts, reckonings, obligations, costs, expenses, liens, bonds, bills, specialties, covenants, contracts, controversies, agreements, promises, variances, trespasses, damages, judgments, extents, executions, claims, and demands, of every kind and nature whatsoever, whether now known or unknown, foreseen or unforeseen, matured or unmatured, suspected or unsuspected, in law, admiralty, or equity (collectively, “Claims”), which any of the Releasors ever had or now have, or hereafter can, shall, or may have for, upon, or by reason of any matter, cause, or thing, including any act or omission, that occurred on or before the Effective Date and that arises out of or relates to the Waived Matters, except for any Claims relating to rights and obligations preserved by, created by, or otherwise arising out of this Agreement. (b) Each Releasor understands and hereby acknowledges that it may later discover Claims or facts that may be different from, or in addition to, those that it or any other Releasor now knows or believes to exist regarding the subject matter of the releases contained in this Section 4 and which, if known at the time of signing this Agreement, may have materially affected this Agreement and such party’s decision to enter into it and grant the release contained in this Section 4. Nevertheless, the Releasors intend to fully, finally, and forever settle and release all Claims regarding any Waived Matters that now exist, may exist, or previously existed as set out in the release contained in this Section 4, whether known or unknown, foreseen or unforeseen, or suspected or unsuspected, and the release given herein is and will remain in effect as a complete release, notwithstanding the discovery or existence of such additional or different facts. (c) Each Releasor hereby waives any and all rights which it may have with respect to this Agreement or the subject matter thereof, under the provisions of Section 1542 of the Civil Code of the State of California as now worded or as hereafter amended, which section provides that: “A general release does not extend to claims that the creditor or releasing party does not know or suspect to exist in his or her favor at the time of executing the release and that, if know by him or her, would have materially affected his or her settlement with the debtor or released party.”


 
3 (d) Notwithstanding anything to the contrary contained in this Agreement, (i) if the Company fails to file on or before May 22, 2025 any applicable Exchange Act report with respect to which the Company has elected to pay Special Interest beginning on November 23, 2024 (the “SEC Failure”): (x) the SEC Failure will be deemed not to be a Waived Matter, (y) the release contemplated by Section 4(a) above will not apply to the SEC Failure, and (z) nothing in this Agreement shall prevent the Holder from declaring a Default or Event of Default, and pursuing all applicable remedies in accordance with the Indenture with respect to such SEC Failure. In addition, and for the avoidance of doubt, nothing in this Agreement shall affect or abrogate any of the Holder’s rights pursuant to the Indenture if, after the Effective Date, the Company ceases to be listed on any of The New York Stock Exchange, The Nasdaq Global Market or The Nasdaq Global Select Market (or any of their respective successors). 5. Covenant Not to Sue. Each Holder hereby agrees that it shall not bring any suit, action, proceeding or claim, against the Releasees with respect to the Waived Matters or to enforce any Claim with respect to the Waived Matters, except for any Claims relating to rights and obligations preserved by, created by, or otherwise arising out of this Agreement. Each Holder further agrees that it will not direct the Trustee to bring any action, proceeding or claim, against the Releasees with respect to the Waived Matters or to enforce any Claim, except for any Claims relating to rights and obligations preserved by, created by, or otherwise arising out of this Agreement. 6. Agreements by the Holders. (a) The Holders hereby agree that they shall promptly rescind any acceleration of the 2029 Convertible Notes resulting from any Waived Matters as soon as practicable following written notice from the Company to the Holders of any such acceleration. (b) The Holders hereby agree, upon written request from the Company and at the Company’s sole expense, to reasonably cooperate with the Company’s opposition to any Claim brought in derogation of this Agreement by any other party, including but not limited to the Trustee or the holders of the 2029 Convertible Notes that are not a party to this Agreement. Such reasonable cooperation shall include, but not be limited to, directing the Trustee to refrain from bringing any Claim regarding the Waived Matters against any Releasee or taking any action under the Indenture in derogation of this Agreement; provided, that the Holders will not be required to provide any such direction to the Trustee (i) if the Trustee demands any payment, advance, reimbursement or indemnification from the Holders in connection with such direction and (ii) unless the Company agrees to indemnify the Holders in connection with any direction of any kind delivered by the Holders pursuant to this Section 6(b). 7. Holdings in the 2029 Convertible Notes. Each Holder represents and warrants that such Holder (i) is the beneficial owner of the aggregate principal amount of the 2029 Convertible Notes set forth next to its name on Schedule I hereto, such amount constituting the total principal amount of all that Holder’s 2029 Convertible Notes, free and clear of any restrictions on transfer, liens, or options, warrants, purchase rights, contracts, commitments, claims, demands, and other encumbrances (other than pledges


 
4 or security interests that a Holder may have created in favor of a prime broker under and in accordance with its prime brokerage agreement with such broker) and does not own any other 2029 Convertible Notes; and/or (ii) has sole investment and/or voting discretion and/or authority to vote on and provide consent or waivers with respect to such 2029 Convertible Notes. 8. Specific Performance. The Company and each Holder acknowledges that any breach of the obligations, undertakings and/or covenants set forth in this Agreement may result in irreparable harm to the Company and Releasees for which monetary damages would not be an adequate remedy. Therefore, in the event of a breach or threatened breach of this Agreement, the Company and Releasees shall be entitled to seek immediate injunctive or equitable relief, including but not limited to a temporary restraining order, preliminary injunction and/or specific performance compelling any breaching Holder to fulfill its obligations and/or comply with its undertakings or covenants set forth herein. The remedies set forth in this Section 8 are in addition to any other remedies available at law or in equity. 9. Effectiveness. This Agreement shall become effective and binding on all parties on the Effective Date. 10. Successors and Assigns. This Agreement shall be binding upon, and shall inure to the benefit of, the Company, the Releasees, the Holders and the Releasors, and in each case their respective successors, assigns and personal representatives. The Holders hereby acknowledge and agree that the Releasees (other than the Company) are intended third- party beneficiaries under this Agreement and shall each have the right to enforce its rights under this Agreement as though a party hereto. 11. Waiver; Amendments. None of the terms or provisions of this Agreement may be waived, altered or amended except by an instrument in writing, duly executed by the Company and the Holders. 12. Counterparts. This Agreement may be executed in any number of separate counterparts, each of which shall collectively and separately constitute one and the same agreement. Delivery of an executed signature page of this Agreement by facsimile or other electronic transmission (including “.pdf,” “.tiff” or similar format) shall be effective as delivery of a manually executed counterpart hereof. The use of electronic signatures and electronic records (including, without limitation, any contract or other record created, generated, sent, communicated, received, or stored by electronic means) shall be of the same legal effect, validity and enforceability as a manually executed signature or use of a paper-based record-keeping system to the fullest extent permitted by applicable law, including, without limitation, the Federal Electronic Signatures in Global and National Commerce Act, the New York State Electronic Signatures and Records Act and any other applicable law, including, without limitation, any state law based on the Uniform Electronic Transactions Act or the Uniform Commercial Code. 13. Governing Law; Waiver of Jury Trial.


 
5 (a) This Agreement and the rights and duties of the parties hereunder and any claims, controversy, dispute or cause of action (whether in contract or tort or otherwise) based upon, arising out of, under or relating to this Agreement shall be governed by, and construed in accordance with, the laws of the state of New York, without giving effect to any choice-of-law doctrines or provisions that may result in the application of any other state’s substantive law. (b) EACH OF THE PARTIES HERETO IRREVOCABLY WAIVES THE RIGHT TO TRIAL BY JURY IN ANY ACTION, PROCEEDING, CLAIM OR COUNTERCLAIM BROUGHT BY OR ON BEHALF OF ANY PARTY RELATED TO OR ARISING OUT OF THIS LETTER AGREEMENT OR THE PERFORMANCE OF SERVICES HEREUNDER. (c) Each of the parties hereto hereby irrevocably and unconditionally (a) submits, for itself and its property, to the exclusive jurisdiction of any courts of the State of New York sitting in New York City in the borough of Manhattan and of the United States District Court of the Southern District of New York, and any appellate court from any thereof, in any action or proceeding arising out of or relating to this Agreement, or for recognition or enforcement of any judgment, and agrees that all claims in respect of any such action or proceeding may be heard and determined in such New York State or, to the extent permitted by law, in such federal court; (b) waives, to the fullest extent it may legally and effectively do so, any objection which it may now or hereafter have to the laying of venue of any suit, action or proceeding arising out of or relating to this Agreement or the transactions contemplated hereby in any such New York State or federal court; (c) waives, to the fullest extent permitted by law, the defense of an inconvenient forum to the maintenance of such action or proceeding in any such court; and (d) agrees that a final judgment in any such action or proceeding shall be conclusive and may be enforced in other jurisdictions by suit on the judgment or in any other manner provided by law. Each of the parties hereto agrees to commence any such action, suit, proceeding or claim either in the United States District Court for the Southern District of New York or in the Supreme Court of the State of New York, New York County located in the Borough of Manhattan. 14. Counsel. Each of the parties hereto acknowledges that it was represented by competent counsel in connection with the negotiation and drafting of this Agreement and that this Agreement shall not be subject to the principle of construing the meaning against the person who drafted same. 15. Severability. If any provision of this Agreement should be held unenforceable or void, that provision shall be deemed severable from the remaining provisions and shall in no way affect the validity of this Agreement. [Signatures Begin on Following Page]


 
[Signature page to the Super Micro Computer, Inc. Waiver, Release and Covenant Not to Sue Agreement] IN WITNESS WHEREOF, the parties have caused this Agreement to be properly executed and delivered by their duly authorized officers to be effective as of the day and year first written above. SUPER MICRO COMPUTER, INC. By: ____________________________ Name: Title


 
[Signature page to the Super Micro Computer, Inc. Waiver, Release and Covenant Not to Sue Agreement] IN WITNESS WHEREOF, the parties have caused this Agreement to be properly executed and delivered by their duly authorized officers to be effective as of the day and year first written above. [HOLDER] By: ____________________________ Name: Title


 
Exhibit A


 
SUPER MICRO COMPUTER, INC. and U.S. BANK TRUST COMPANY, NATIONAL ASSOCIATION as Trustee AMENDED AND RESTATED INDENTURE Dated as of February 20, 2025 3.50% Convertible Senior Notes due 2029


 
- i - TABLE OF CONTENTS Page Article 1. Definitions; Rules of Construction ............................................................................................ 1 Section 1.01. Definitions. ................................................................................................................... 1 Section 1.02. Other Definitions. ....................................................................................................... 10 Section 1.03. Rules of Construction. ................................................................................................ 11 Article 2. The Notes ................................................................................................................................ 12 Section 2.01. Form, Dating and Denominations. ............................................................................. 12 Section 2.02. Execution, Authentication and Delivery. ................................................................... 12 Section 2.03. Initial Notes and Additional Notes. ............................................................................ 13 Section 2.04. Method of Payment. ................................................................................................... 13 Section 2.05. Accrual of Interest; Defaulted Amounts; When Payment Date is Not a Business Day. ............................................................................................................. 14 Section 2.06. Registrar, Paying Agent and Conversion Agent. ........................................................ 15 Section 2.07. Paying Agent and Conversion Agent to Hold Property in Trust. ............................... 15 Section 2.08. Holder Lists. ............................................................................................................... 16 Section 2.09. Legends. ..................................................................................................................... 16 Section 2.10. Transfers and Exchanges; Certain Transfer Restrictions. .......................................... 17 Section 2.11. Exchange and Cancellation of Notes to Be Converted, Redeemed or Repurchased. .............................................................................................................. 21 Section 2.12. Removal of Transfer Restrictions. .............................................................................. 21 Section 2.13. Replacement Notes. .................................................................................................... 22 Section 2.14. Registered Holders; Certain Rights with Respect to Global Notes. ........................... 22 Section 2.15. Cancellation. ............................................................................................................... 22 Section 2.16. Notes Held by the Company or its Affiliates. ............................................................ 23 Section 2.17. Temporary Notes. ....................................................................................................... 23 Section 2.18. Outstanding Notes. ..................................................................................................... 23 Section 2.19. Repurchases by the Company. ................................................................................... 24 Section 2.20. CUSIP and ISIN Numbers. ........................................................................................ 24 Article 3. Covenants ................................................................................................................................ 24 Section 3.01. Payment on Notes. ...................................................................................................... 24 Section 3.02. Exchange Act Reports. ............................................................................................... 24 Section 3.03. Rule 144A Information. ............................................................................................. 25 Section 3.04. Additional Interest. ..................................................................................................... 25 Section 3.05. Compliance and Default Certificates. ........................................................................ 26 Section 3.06. Stay, Extension and Usury Laws. ............................................................................... 26 Section 3.07. Corporate Existence. .................................................................................................. 26 Section 3.08. Restriction on Acquisition of Notes by the Company and its Affiliates. ................... 26 Section 3.09. Further Instruments and Acts. .................................................................................... 27 Article 4. Repurchase and Redemption ................................................................................................... 27 Section 4.01. No Sinking Fund. ....................................................................................................... 27 Section 4.02. Right of Holders to Require the Company to Repurchase Notes upon a Fundamental Change. ................................................................................................. 27 Section 4.03. Right of the Company to Redeem the Notes. ............................................................. 31


 
- ii - Article 5. Conversion .............................................................................................................................. 33 Section 5.01. Right to Convert. ........................................................................................................ 33 Section 5.02. Conversion Procedures. .............................................................................................. 36 Section 5.03. Settlement upon Conversion. ..................................................................................... 37 Section 5.04. Reserve and Status of Common Stock Issued upon Conversion. ............................... 41 Section 5.05. Adjustments to the Conversion Rate. ......................................................................... 41 Section 5.06. Voluntary Adjustments............................................................................................... 50 Section 5.07. Adjustments to the Conversion Rate in Connection with a Make-Whole Fundamental Change. ................................................................................................. 50 Section 5.08. Exchange in Lieu of Conversion. ............................................................................... 51 Section 5.09. Effect of Common Stock Change Event. ................................................................... 52 Article 6. Successors ............................................................................................................................... 54 Section 6.01. When the Company May Merge, Etc. ........................................................................ 54 Section 6.02. Successor Corporation Substituted. ............................................................................ 54 Article 7. Defaults and Remedies ............................................................................................................ 54 Section 7.01. Events of Default. ....................................................................................................... 54 Section 7.02. Acceleration. .............................................................................................................. 56 Section 7.03. Sole Remedy for a Failure to Report. ......................................................................... 57 Section 7.04. Other Remedies. ......................................................................................................... 57 Section 7.05. Waiver of Past Defaults. ............................................................................................. 58 Section 7.06. Control by Majority. ................................................................................................... 58 Section 7.07. Limitation on Suits. .................................................................................................... 58 Section 7.08. Absolute Right of Holders to Institute Suit for the Enforcement of the Right to Receive Payment and Conversion Consideration. ................................................. 59 Section 7.09. Collection Suit by Trustee. ......................................................................................... 59 Section 7.10. Trustee May File Proofs of Claim. ............................................................................. 59 Section 7.11. Priorities. .................................................................................................................... 60 Section 7.12. Undertaking for Costs. ............................................................................................... 60 Article 8. Amendments, Supplements and Waivers ................................................................................ 60 Section 8.01. Without the Consent of Holders. ................................................................................ 60 Section 8.02. With the Consent of Holders. ..................................................................................... 61 Section 8.03. Notice of Amendments, Supplements and Waivers. .................................................. 62 Section 8.04. Revocation, Effect and Solicitation of Consents; Special Record Dates; Etc. ........... 62 Section 8.05. Notations and Exchanges. .......................................................................................... 63 Section 8.06. Trustee to Execute Supplemental Indentures. ............................................................ 63 Article 9. Satisfaction and Discharge ...................................................................................................... 63 Section 9.01. Termination of Company’s Obligations. .................................................................... 63 Section 9.02. Repayment to Company. ............................................................................................ 64 Section 9.03. Reinstatement. ............................................................................................................ 64 Article 10. Trustee ..................................................................................................................................... 64 Section 10.01. Duties of the Trustee. ................................................................................................. 64 Section 10.02. Rights of the Trustee. ................................................................................................. 65 Section 10.03. Individual Rights of the Trustee. ................................................................................ 66 Section 10.04. Trustee’s Disclaimer................................................................................................... 67 Section 10.05. Notice of Defaults. ..................................................................................................... 67 Section 10.06. Compensation and Indemnity. .................................................................................... 67


 
- iii - Section 10.07. Replacement of the Trustee. ....................................................................................... 68 Section 10.08. Successor Trustee by Merger, Etc. ............................................................................. 69 Section 10.09. Eligibility; Disqualification. ....................................................................................... 69 Article 11. Miscellaneous .......................................................................................................................... 69 Section 11.01. Notices. ....................................................................................................................... 69 Section 11.02. Delivery of Officer’s Certificate and Opinion of Counsel as to Conditions Precedent. ................................................................................................................... 71 Section 11.03. Statements Required in Officer’s Certificate and Opinion of Counsel. ..................... 71 Section 11.04. Rules by the Trustee, the Registrar, the Conversion Agent and the Paying Agent. ......................................................................................................................... 72 Section 11.05. No Personal Liability of Directors, Officers, Employees and Stockholders. ............. 72 Section 11.06. Governing Law; Waiver of Jury Trial. ........................................................................ 72 Section 11.07. Submission to Jurisdiction.......................................................................................... 72 Section 11.08. No Adverse Interpretation of Other Agreements. ....................................................... 72 Section 11.09. Successors. ................................................................................................................. 72 Section 11.10. Force Majeure. ........................................................................................................... 73 Section 11.11. U.S.A. PATRIOT Act. ................................................................................................ 73 Section 11.12. Calculations. ............................................................................................................... 73 Section 11.13. Severability. ................................................................................................................ 73 Section 11.14. Counterparts. .............................................................................................................. 73 Section 11.15. Table of Contents, Headings, Etc. .............................................................................. 74 Section 11.16. Withholding Taxes. ..................................................................................................... 74 Section 11.17. FATCA........................................................................................................................ 74 Exhibits Exhibit A: Form of Note ........................................................................................................................... A-1 Exhibit B-1: Form of Restricted Note Legend ........................................................................................ B1-1 Exhibit B-2: Form of Global Note Legend ............................................................................................. B2-1


 
- 1 - THIS AMENDED AND RESTATED INDENTURE, dated as of February 20, 2025, between Super Micro Computer, Inc., a Delaware corporation, as issuer (the “Company”), and U.S. Bank Trust Company, National Association, not in its individual capacity but solely as trustee, registrar, paying agent and conversion agent (the “Trustee”) is an amendment and restatement of the indenture dated as of February 27, 2024 (the “Original Indenture”), as amended by the first supplemental indenture, dated as of February 20, 2025. Each party to this Indenture (as defined below) agrees as follows for the benefit of the other party and for the equal and ratable benefit of the Holders (as defined below) of the Company’s 3.50% Convertible Senior Notes due 2029 (the “Notes”). Article 1. DEFINITIONS; RULES OF CONSTRUCTION Section 1.01. Definitions. “Additional Interest” means any interest that accrues on any Note pursuant to Section 3.04. “Affiliate” has the meaning set forth in Rule 144 as in effect on the Issue Date. “Amendment Date” means February 20, 2025 “Authorized Denomination” means, with respect to a Note, a principal amount thereof equal to $1,000 or any integral multiple of $1,000 in excess thereof. “Bankruptcy Law” means Title 11, United States Code, or any similar U.S. federal or state or non-U.S. law for the relief of debtors. “Bid Solicitation Agent” means the Person who is required to obtain bids for the Trading Price in accordance with Section 5.01(C)(i)(2) and the definition of “Trading Price.” The initial Bid Solicitation Agent on the Issue Date will be the Company; provided, however, that the Company may appoint any other Person (including any of the Company’s Subsidiaries) to be the Bid Solicitation Agent at any time after the Issue Date without prior notice. “Board of Directors” means the board of directors of the Company or a committee of such board duly authorized to act on behalf of such board. “Business Day” means any day other than a Saturday, a Sunday or any day on which the Federal Reserve Bank of New York is authorized or required by law or executive order to close or be closed. “Capital Stock” of any Person means any and all shares of, interests in, rights to purchase, warrants or options for, participations in, or other equivalents of, in each case however designated, the equity of such Person, but excluding any debt securities convertible into such equity. “Close of Business” means 5:00 p.m., New York City time. “Common Stock” means the common stock, $0.001 par value per share, of the Company, subject to Section 5.09. “Company” means the Person named as such in the first paragraph of this Indenture and, subject to Article 6, its successors and assigns.


 
- 2 - “Company Order” means a written request or order signed on behalf of the Company by one (1) of its Officers and delivered to the Trustee. “Conversion Date” means, with respect to a Note, the first Business Day on which the requirements set forth in Section 5.02(A) to convert such Note are satisfied. “Conversion Price” means, as of any time, an amount equal to (A) one thousand dollars ($1,000) divided by (B) the Conversion Rate in effect at such time. “Conversion Rate” initially means 11.9842 shares of Common Stock per $1,000 principal amount of Notes; provided, however, that the Conversion Rate is subject to adjustment pursuant to Article 5; provided, further, that whenever this Indenture refers to the Conversion Rate as of a particular date without setting forth a particular time on such date, such reference will be deemed to be to the Conversion Rate immediately after the Close of Business on such date. “Conversion Share” means any share of Common Stock issued or issuable upon conversion of any Note. “Corporate Trust Office” means the designated office of the Trustee at which at any particular time this Indenture shall be administered which office at the date of the execution of this Indenture is located at 633 West Fifth Street, 24th Floor, Los Angeles, CA 90071, Attn: B. Scarbrough (Super Micro 2029 Notes Administrator) or at any other time at such other address as the Trustee may designate from time to time by notice to the Company. “Daily Cash Amount” means, with respect to any VWAP Trading Day, the lesser of (A) the applicable Daily Maximum Cash Amount; and (B) the Daily Conversion Value for such VWAP Trading Day. “Daily Conversion Value” means, with respect to any VWAP Trading Day, one-twentieth (1/20) of the product of (A) the Conversion Rate on such VWAP Trading Day; and (B) the Daily VWAP per share of Common Stock on such VWAP Trading Day. “Daily Maximum Cash Amount” means, with respect to the conversion of any Note, the quotient obtained by dividing (A) the Specified Dollar Amount applicable to such conversion by (B) twenty (20). “Daily Share Amount” means, with respect to any VWAP Trading Day, the quotient obtained by dividing (A) the excess, if any, of the Daily Conversion Value for such VWAP Trading Day over the applicable Daily Maximum Cash Amount by (B) the Daily VWAP for such VWAP Trading Day. For the avoidance of doubt, the Daily Share Amount will be zero for such VWAP Trading Day if such Daily Conversion Value does not exceed such Daily Maximum Cash Amount. “Daily VWAP” means, for any VWAP Trading Day, the per share volume-weighted average price of the Common Stock as displayed under the heading “Bloomberg VWAP” on Bloomberg page “SMCI <EQUITY> AQR” (or, if such page is not available, its equivalent successor page) in respect of the period from the scheduled open of trading until the scheduled close of trading of the primary trading session on such VWAP Trading Day (or, if such volume-weighted average price is unavailable, the market value of one share of Common Stock on such VWAP Trading Day, determined, using a volume- weighted average price method, by a nationally recognized independent investment banking firm selected by the Company). The Daily VWAP will be determined without regard to after-hours trading or any other trading outside of the regular trading session.


 
- 3 - “De-Legending Deadline Date” means, with respect to any Note, the fifteenth (15th) day after the Free Trade Date of such Note; provided, however, that if such fifteenth (15th) day is after a Regular Record Date and on or before the next Interest Payment Date, then the De-Legending Deadline Date for such Note will instead be the Business Day immediately after such Interest Payment Date (as such term was defined in the Original Indenture). “Default” means any event that is (or, after notice, passage of time or both, would be) an Event of Default. “Default Settlement Method” means Combination Settlement with a Specified Dollar Amount of $1,000 per $1,000 principal amount of Notes; provided, however, that the Company may, from time to time, change the Default Settlement Method by sending notice of the new Default Settlement Method to the Holders, the Trustee and the Conversion Agent. “Depositary” means The Depository Trust Company or its successor. “Depositary Participant” means any member of, or participant in, the Depositary. “Depositary Procedures” means, with respect to any conversion, transfer, exchange or transaction involving a Global Note or any beneficial interest therein, the rules and procedures of the Depositary applicable to such conversion, transfer, exchange or transaction. “Ex-Dividend Date” means, with respect to an issuance, dividend or distribution on the Common Stock, the first date on which shares of Common Stock trade on the applicable exchange or in the applicable market, regular way, without the right to receive such issuance, dividend or distribution (including pursuant to due bills or similar arrangements required by the relevant stock exchange). For the avoidance of doubt, any alternative trading convention on the applicable exchange or market in respect of the Common Stock under a separate ticker symbol or CUSIP number will not be considered “regular way” for this purpose. “Exchange Act” means the U.S. Securities Exchange Act of 1934, as amended. “Free Trade Date” means, with respect to any Note, the date that is one (1) year after the Last Original Issue Date of such Note. “Freely Tradable” means, with respect to any Note, that such Note would be eligible to be offered, sold or otherwise transferred pursuant to Rule 144 or otherwise if held by a Person that is not an Affiliate of the Company, and that has not been an Affiliate of the Company during the immediately preceding three (3) months, without any requirements as to volume, manner of sale, availability of current public information or notice under the Securities Act (except that, during the six (6) month period beginning on, and including, the date that is six (6) months after the Last Original Issue Date of such Note, any such requirement as to the availability of current public information will be disregarded if the same is satisfied at that time); provided, however, that from and after the Free Trade Date of such Note, such Note will not be “Freely Tradable” unless such Note (x) is not identified by a “restricted” CUSIP or ISIN number; and (y) is not represented by any certificate that bears the Restricted Note Legend. For the avoidance of doubt, whether a Note is deemed to be identified by a “restricted” CUSIP or ISIN number or to bear the Restricted Note Legend is subject to Section 2.12.


 
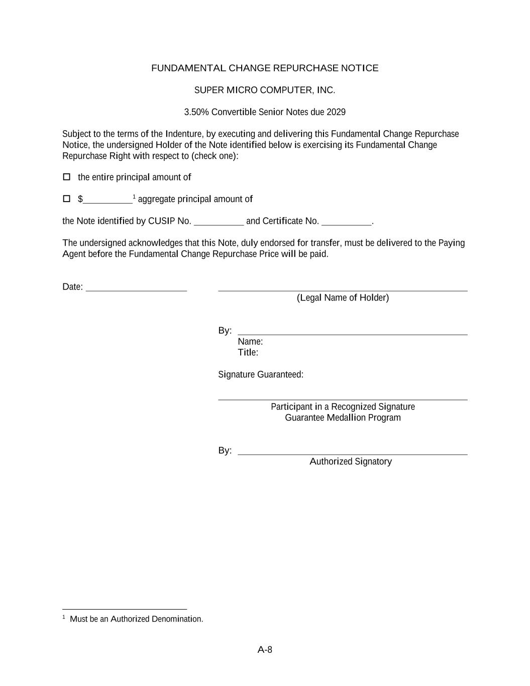
- 4 - “Fundamental Change” means any of the following events: (A) a “person” or “group” (within the meaning of Section 13(d)(3) of the Exchange Act), other than the Company or its Wholly Owned Subsidiaries has become the direct or indirect “beneficial owner” (as defined below) of shares of the Company’s common equity representing more than fifty percent (50%) of the voting power of all of the Company’s then-outstanding common equity; (B) the consummation of (i) any sale, lease or other transfer, in one transaction or a series of transactions, of all or substantially all of the assets of the Company and its Subsidiaries, taken as a whole, to any Person; or (ii) any transaction or series of related transactions in connection with which (whether by means of merger, consolidation, share exchange, combination, reclassification, recapitalization, acquisition, liquidation or otherwise) all of the Common Stock is exchanged for, converted into, acquired for, or constitutes solely the right to receive, other securities, cash or other property; provided, however, that any merger, consolidation, share exchange or combination of the Company pursuant to which the Persons that directly or indirectly “beneficially owned” (as defined below) all classes of the Company’s common equity immediately before such transaction directly or indirectly “beneficially own,” immediately after such transaction, more than fifty percent (50%) of all classes of common equity of the surviving, continuing or acquiring company or other transferee, as applicable, or the parent thereof, in substantially the same proportions vis-à-vis each other as immediately before such transaction will be deemed not to be a Fundamental Change pursuant to this clause (B); (C) the Company’s stockholders approve any plan or proposal for the liquidation or dissolution of the Company; or (D) the Common Stock ceases to be listed on any of The New York Stock Exchange, The Nasdaq Global Market or The Nasdaq Global Select Market (or any of their respective successors); provided, however, that a transaction or event described in clause (A) or (B) above will not constitute a Fundamental Change if at least ninety percent (90%) of the consideration received or to be received by the holders of Common Stock (excluding cash payments for fractional shares or pursuant to dissenters rights), in connection with such transaction or event, consists of shares of common stock listed on any of The New York Stock Exchange, The Nasdaq Global Market or The Nasdaq Global Select Market (or any of their respective successors), or that will be so listed when issued or exchanged in connection with such transaction or event, and such transaction or event constitutes a Common Stock Change Event whose Reference Property consists of such consideration. For the purposes of this definition, (x) any transaction or event described in both clause (A) and in clause (B)(i) or (ii) above (without regard to the proviso in clause (B)) will be deemed to occur solely pursuant to clause (B) above (subject to such proviso); and (y) whether a Person is a “beneficial owner” and whether shares are “beneficially owned” will be determined in accordance with Rule 13d-3 under the Exchange Act. “Fundamental Change Repurchase Date” means the date fixed for the repurchase of any Notes by the Company pursuant to a Repurchase Upon Fundamental Change. “Fundamental Change Repurchase Notice” means a notice (including a notice substantially in the form of the “Fundamental Change Repurchase Notice” set forth in Exhibit A) containing the information, or otherwise complying with the requirements, set forth in Section 4.02(F)(i) and Section 4.02(F)(ii).


 
- 5 - “Fundamental Change Repurchase Price” means the cash price payable by the Company to repurchase any Note upon its Repurchase Upon Fundamental Change, calculated pursuant to Section 4.02(D). “Global Note” means a Note that is represented by a certificate substantially in the form set forth in Exhibit A, registered in the name of the Depositary or its nominee, duly executed by the Company and authenticated by the Trustee, and deposited with the Trustee, as custodian for the Depositary. “Global Note Legend” means a legend substantially in the form set forth in Exhibit B-2. “Holder” means a person in whose name a Note is registered on the Registrar’s books. “Indenture” means this Indenture, as amended or supplemented from time to time. “Interest Payment Date” means, with respect to a Note, each March 1 and September 1 of each year, commencing on September 1, 2025. For the avoidance of doubt, the Maturity Date is an Interest Payment Date. “Issue Date” means February 27, 2024. “Last Original Issue Date” means (A) with respect to any Notes issued on the Issue Date, and any Notes issued in exchange therefor or in substitution thereof, the Issue Date; and (B) with respect to any Notes issued pursuant to Section 2.03(B), and any Notes issued in exchange therefor or in substitution thereof, either (i) the date such Notes are originally issued; or (ii) such other date as is specified in an Officer’s Certificate delivered to the Trustee before the original issuance of such Notes. “Last Reported Sale Price” of the Common Stock for any Trading Day means the closing sale price per share (or, if no closing sale price is reported, the average of the last bid price and the last ask price per share or, if more than one in either case, the average of the average last bid prices and the average last ask prices per share) of Common Stock on such Trading Day as reported in composite transactions for the principal U.S. national or regional securities exchange on which the Common Stock is then listed. If the Common Stock is not listed on a U.S. national or regional securities exchange on such Trading Day, then the Last Reported Sale Price will be the last quoted bid price per share of Common Stock on such Trading Day in the over-the-counter market as reported by OTC Markets Group Inc. or a similar organization. If the Common Stock is not so quoted on such Trading Day, then the Last Reported Sale Price will be the average of the mid-point of the last bid price and the last ask price per share of Common Stock on such Trading Day from a nationally recognized independent investment banking firm selected by the Company. Neither the Trustee nor the Conversion Agent will have any duty to determine the Last Reported Sale Price. “Make-Whole Fundamental Change” means (A) a Fundamental Change (determined after giving effect to the proviso immediately after clause (D) of the definition thereof, but without regard to the proviso to clause (B)(ii) of such definition); or (B) the sending of a Redemption Notice pursuant to Section 4.03(F); provided, however, that, subject to Section 4.03(I), the sending of a Redemption Notice will constitute a Make-Whole Fundamental Change only with respect to the Notes called for Redemption pursuant to such Redemption Notice and not with respect to any other Notes. “Make-Whole Fundamental Change Conversion Period” has the following meaning: (A) in the case of a Make-Whole Fundamental Change pursuant to clause (A) of the definition thereof, the period from, and including, the Make-Whole Fundamental Change Effective Date


 
- 6 - of such Make-Whole Fundamental Change to, and including, the thirty fifth (35th) Trading Day after such Make-Whole Fundamental Change Effective Date (or, if such Make-Whole Fundamental Change also constitutes a Fundamental Change, to, but excluding, the related Fundamental Change Repurchase Date); and (B) in the case of a Make-Whole Fundamental Change pursuant to clause (B) of the definition thereof, the period from, and including, the Redemption Notice Date for the related Redemption to, and including, the Business Day immediately before the related Redemption Date; provided, however, that if the Conversion Date for the conversion of a Note occurs during the Make- Whole Fundamental Change Conversion Period for both a Make-Whole Fundamental Change occurring pursuant to clause (A) of the definition of “Make-Whole Fundamental Change” and a Make-Whole Fundamental Change occurring pursuant to clause (B) of such definition, then, notwithstanding anything to the contrary in Section 5.07, solely for purposes of such conversion, (x) such Conversion Date will be deemed to occur solely during the Make-Whole Fundamental Change Conversion Period for the Make- Whole Fundamental Change with the earlier Make-Whole Fundamental Change Effective Date; and (y) the Make-Whole Fundamental Change with the later Make-Whole Fundamental Change Effective Date will be deemed not to have occurred. “Make-Whole Fundamental Change Effective Date” means (A) with respect to a Make-Whole Fundamental Change pursuant to clause (A) of the definition thereof, the date on which such Make- Whole Fundamental Change occurs or becomes effective; and (B) with respect to a Make-Whole Fundamental Change pursuant to clause (B) of the definition thereof, the applicable Redemption Notice Date. “Market Disruption Event” means, with respect to any date, the occurrence or existence, during the one-half hour period ending at the scheduled close of trading on such date on the principal U.S. national or regional securities exchange or other market on which the Common Stock is listed for trading or trades, of any material suspension or limitation imposed on trading (by reason of movements in price exceeding limits permitted by the relevant exchange or otherwise) in the Common Stock or in any options contracts or futures contracts relating to the Common Stock. “Maturity Date” means March 1, 2029. “Note Agent” means any Registrar, Paying Agent or Conversion Agent. “Notes” means the 3.50% Convertible Senior Notes due 2029 issued by the Company pursuant to this Indenture. “Observation Period” means, with respect to any Note to be converted, (A) subject to clause (B) below, if the Conversion Date for such Note occurs on or before September 1, 2028, the twenty (20) consecutive VWAP Trading Days beginning on, and including, the third (3rd) VWAP Trading Day immediately after such Conversion Date; (B) if such Conversion Date occurs on or after the date the Company has sent a Redemption Notice calling such Note for Redemption pursuant to Section 4.03(F) and before the related Redemption Date, the twenty (20) consecutive VWAP Trading Days beginning on, and including, the twenty-first (21st) Scheduled Trading Day immediately before such Redemption Date; and (C) subject to clause (B) above, if such Conversion Date occurs after September 1, 2028, the twenty (20) consecutive VWAP Trading Days beginning on, and including, the twenty-first (21) Scheduled Trading Day immediately before the Maturity Date.


 
- 7 - “Officer” means the Chairman of the Board of Directors, the Chief Executive Officer, the President, the Chief Operating Officer, the Chief Financial Officer, the Treasurer, any Assistant Treasurer, the Controller, the Secretary or any Vice-President of the Company. “Officer’s Certificate” means a certificate that is signed on behalf of the Company by one (1) of its Officers and that meets the requirements of Section 11.03. “Open of Business” means 9:00 a.m., New York City time. “Opinion of Counsel” means an opinion, from legal counsel (including an employee of, or counsel to, the Company or any of its Subsidiaries) reasonably acceptable to the Trustee, that meets the requirements of Section 11.03, subject to customary qualifications and exclusions. “Original Indenture” has the meaning given to it in the first paragraph of this Indenture. “Person” or “person” means any individual, corporation, partnership, limited liability company, joint venture, association, joint-stock company, trust, unincorporated organization or government or other agency or political subdivision thereof. Any division or series of a limited liability company, limited partnership or trust will constitute a separate “person” under this Indenture. “Physical Note” means a Note (other than a Global Note) that is represented by a certificate substantially in the form set forth in Exhibit A, registered in the name of the Holder of such Note and duly executed by the Company and authenticated by the Trustee. “Redemption” means the repurchase of any Note by the Company pursuant to Section 4.03. “Redemption Date” means the date fixed for the repurchase of any Notes by the Company pursuant to a Redemption. “Redemption Notice Date” means, with respect to a Redemption, the date on which the Company sends the Redemption Notice for such Redemption pursuant to Section 4.03(F). “Redemption Price” means the cash price payable by the Company to redeem any Note upon its Redemption, calculated pursuant to Section 4.03(E). “Regular Record Date” has the following meaning with respect to an Interest Payment Date: (A) if such Interest Payment Date occurs on March 1, the immediately preceding February 15; and (B) if such Interest Payment Date occurs on September 1, the immediately preceding August 15. “Repurchase Upon Fundamental Change” means the repurchase of any Note by the Company pursuant to Section 4.02. “Responsible Officer” means (A) any officer with direct responsibility for the administration of this Indenture or any officer within the corporate trust administration department of the Trustee (or any successor group of the Trustee), including any vice president, assistant vice president, assistant secretary, assistant treasurer, trust officer or any other officer of the Trustee customarily performing functions similar to those performed by any of such officers; and (B) with respect to a particular corporate trust matter relating to this Indenture, any other officer to whom such matter is referred because of his or her knowledge of, and familiarity with, the particular subject, and who, in each case, has direct responsibility for the administration of this Indenture.


 
- 8 - “Restricted Note Legend” means a legend substantially in the form set forth in Exhibit B-1. “Restricted Stock Legend” means, with respect to any Conversion Share, a legend substantially to the effect that the offer and sale of such Conversion Share have not been registered under the Securities Act and that such Conversion Share cannot be sold or otherwise transferred except pursuant to a transaction that is registered under the Securities Act or that is exempt from, or not subject to, the registration requirements of the Securities Act. “Rule 144” means Rule 144 under the Securities Act (or any successor rule thereto), as the same may be amended from time to time. “Rule 144A” means Rule 144A under the Securities Act (or any successor rule thereto), as the same may be amended from time to time. “Scheduled Trading Day” means any day that is scheduled to be a Trading Day on the principal U.S. national or regional securities exchange on which the Common Stock is then listed or, if the Common Stock is not then listed on a U.S. national or regional securities exchange, on the principal other market on which the Common Stock is then traded. If the Common Stock is not so listed or traded, then “Scheduled Trading Day” means a Business Day. “SEC” means the U.S. Securities and Exchange Commission. “Securities Act” means the U.S. Securities Act of 1933, as amended. “Security” means any Note or Conversion Share. “Settlement Method” means Cash Settlement, Physical Settlement or Combination Settlement. “Significant Subsidiary” means, with respect to any Person, any Subsidiary of such Person that constitutes, or any group of Subsidiaries of such Person that, in the aggregate, would constitute, a “significant subsidiary” (as defined in Rule 1-02(w) of Regulation S-X under the Exchange Act or any successor rule) of such Person; provided, however, that, if a Subsidiary or group of Subsidiaries meets the criteria of clause (1)(iii), but not clause (1)(i) or (1)(ii), of the definition of “significant subsidiary” in Rule 1-02(w), then such Subsidiary or group will be deemed not to be a Significant Subsidiary unless such Subsidiary’s or group’s income or loss from continuing operations before income taxes (after intercompany eliminations), for the last completed fiscal year before the date of determination exceeds fifty million dollars ($50,000,000). “Special Interest” means any interest that accrues on any Note pursuant to Section 7.03. “Specified Dollar Amount” means, with respect to the conversion of a Note to which Combination Settlement applies, the maximum cash amount per $1,000 principal amount of such Note deliverable upon such conversion (excluding cash in lieu of any fractional share of Common Stock). “Stock Price” has the following meaning for any Make-Whole Fundamental Change: (A) if the holders of Common Stock receive only cash in consideration for their shares of Common Stock in such Make-Whole Fundamental Change and such Make-Whole Fundamental Change is pursuant to clause (B) of the definition of “Fundamental Change,” then the Stock Price is the amount of cash paid per share of Common Stock in such Make-Whole Fundamental Change; and (B) in all other cases, the Stock Price is the average of the Last Reported Sale Prices per share of Common Stock for the five (5) consecutive


 
- 9 - Trading Days ending on, and including, the Trading Day immediately before the Make-Whole Fundamental Change Effective Date of such Make-Whole Fundamental Change. “Subsidiary” means, with respect to any Person, (A) any corporation, association or other business entity (other than a partnership or limited liability company) of which more than fifty percent (50%) of the total voting power of the Capital Stock entitled (without regard to the occurrence of any contingency, but after giving effect to any voting agreement or stockholders’ agreement that effectively transfers voting power) to vote in the election of directors, managers or trustees, as applicable, of such corporation, association or other business entity is owned or controlled, directly or indirectly, by such Person or one or more of the other Subsidiaries of such Person; and (B) any partnership or limited liability company where (i) more than fifty percent (50%) of the capital accounts, distribution rights, equity and voting interests, or of the general and limited partnership interests, as applicable, of such partnership or limited liability company are owned or controlled, directly or indirectly, by such Person or one or more of the other Subsidiaries of such Person, whether in the form of membership, general, special or limited partnership or limited liability company interests or otherwise; and (ii) such Person or any one or more of the other Subsidiaries of such Person is a controlling general partner of, or otherwise controls, such partnership or limited liability company. “Trading Day” means any day on which (A) trading in the Common Stock generally occurs on the principal U.S. national or regional securities exchange on which the Common Stock is then listed or, if the Common Stock is not then listed on a U.S. national or regional securities exchange, on the principal other market on which the Common Stock is then traded; and (B) there is no Market Disruption Event. If the Common Stock is not so listed or traded, then “Trading Day” means a Business Day. “Trading Price” of the Notes on any Trading Day means the average of the secondary market bid quotations, expressed as a cash amount per $1,000 principal amount of Notes, obtained by the Bid Solicitation Agent for one million dollars ($1,000,000) (or such lesser amount as may then be outstanding) in principal amount of Notes at approximately 3:30 p.m., New York City time, on such Trading Day from three (3) nationally recognized independent securities dealers selected by the Company; provided, however, that, if three (3) such bids cannot reasonably be obtained by the Bid Solicitation Agent but two (2) such bids are obtained, then the average of the two (2) bids will be used, and if only one (1) such bid can reasonably be obtained by the Bid Solicitation Agent, then that one (1) bid will be used. If, on any Trading Day, (A) the Bid Solicitation Agent cannot reasonably obtain at least one (1) bid for one million dollars ($1,000,000) (or such lesser amount as may then be outstanding) in principal amount of Notes from a nationally recognized independent securities dealer; (B) the Company is not acting as the Bid Solicitation Agent and the Company fails to instruct the Bid Solicitation Agent to obtain bids when required; or (C) the Bid Solicitation Agent fails to solicit bids when required, then, in each case, the Trading Price per $1,000 principal amount of Notes on such Trading Day will be deemed to be less than ninety eight percent (98%) of the product of the Last Reported Sale Price per share of Common Stock on such Trading Day and the Conversion Rate on such Trading Day. “Transfer-Restricted Security” means any Security that constitutes a “restricted security” (as defined in Rule 144); provided, however, that such Security will cease to be a Transfer-Restricted Security upon the earliest to occur of the following events: (A) such Security is sold or otherwise transferred to a Person (other than the Company or an Affiliate of the Company) pursuant to a registration statement that was effective under the Securities Act at the time of such sale or transfer; (B) such Security is sold or otherwise transferred to a Person (other than the Company or an Affiliate of the Company) pursuant to an available exemption (including Rule 144) from the registration


 
- 10 - and prospectus-delivery requirements of, or in a transaction not subject to, the Securities Act and, immediately after such sale or transfer, such Security ceases to constitute a “restricted security” (as defined in Rule 144); and (C) such Security is eligible for resale, by a Person that is not an Affiliate of the Company and that has not been an Affiliate of the Company during the immediately preceding three (3) months, pursuant to Rule 144 without any limitations thereunder as to volume, manner of sale, availability of current public information or notice. The Trustee is under no obligation to determine whether any Security is a Transfer-Restricted Security and may conclusively rely on an Officer’s Certificate with respect thereto. “Trust Indenture Act” means the U.S. Trust Indenture Act of 1939, as amended. “Trustee” means the Person named as such in the first paragraph of this Indenture, and its successors and assigns. “VWAP Market Disruption Event” means, with respect to any date, (A) the failure by the principal U.S. national or regional securities exchange on which the Common Stock is then listed, or, if the Common Stock is not then listed on a U.S. national or regional securities exchange, the principal other market on which the Common Stock is then traded, to open for trading during its regular trading session on such date; or (B) the occurrence or existence, for more than one half hour period in the aggregate, of any suspension or limitation imposed on trading (by reason of movements in price exceeding limits permitted by the relevant exchange or otherwise) in the Common Stock or in any options contracts or futures contracts relating to the Common Stock, and such suspension or limitation occurs or exists at any time before 1:00 p.m., New York City time, on such date. “VWAP Trading Day” means a day on which (A) there is no VWAP Market Disruption Event; and (B) trading in the Common Stock generally occurs on the principal U.S. national or regional securities exchange on which the Common Stock is then listed or, if the Common Stock is not then listed on a U.S. national or regional securities exchange, on the principal other market on which the Common Stock is then traded. If the Common Stock is not so listed or traded, then “VWAP Trading Day” means a Business Day. “Wholly Owned Subsidiary” of a Person means any Subsidiary of such Person all of the outstanding Capital Stock or other ownership interests of which (other than directors’ qualifying shares) are owned by such Person or one or more Wholly Owned Subsidiaries of such Person. Section 1.02. Other Definitions. Term Defined in Section “Additional Shares” .......................................................................................................................... 5.07(A) “Business Combination Event” ........................................................................................................ 6.01(A) “Cash Settlement” ............................................................................................................................. 5.03(A) “Combination Settlement” ............................................................................................................... 5.03(A) “Common Stock Change Event” ...................................................................................................... 5.09(A) “Conversion Agent” .......................................................................................................................... 2.06(A) “Conversion Consideration” ........................................................................................................ 5.03(C)(i) “Default Interest” .............................................................................................................................. 2.05(B) “Defaulted Amount” ......................................................................................................................... 2.05(B)


 
- 11 - “Event of Default” ............................................................................................................................. 7.01(A) “Expiration Date” ......................................................................................................................... 5.05(A)(v) “Expiration Time” ........................................................................................................................ 5.05(A)(v) “Fundamental Change Notice” ........................................................................................................ 4.02(E) “Fundamental Change Repurchase Right” .................................................................................... 4.02(A) “Initial Notes” .................................................................................................................................... 2.03(A) “Measurement Period” ............................................................................................................ 5.01(C)(i)(2) “Paying Agent” .................................................................................................................................. 2.06(A) “Physical Settlement” ........................................................................................................................ 5.03(A) “Redemption Notice” ........................................................................................................................ 4.03(F) “Reference Property” ........................................................................................................................ 5.09(A) “Reference Property Unit” ......................................................................................................... 5.09(A)(iv) “Register” ........................................................................................................................................... 2.06(B) “Registrar” ......................................................................................................................................... 2.06(A) “Reporting Event of Default” ........................................................................................................... 7.03(A) “Specified Courts” ................................................................................................................................ 11.07 “Spin-Off” ............................................................................................................................... 5.05(A)(iii)(2) “Spin-Off Valuation Period” ................................................................................................. 5.05(A)(iii)(2) “Stated Interest” ................................................................................................................................ 2.05(A) “Successor Corporation” .............................................................................................................. 6.01(A)(i) “Successor Person” ................................................................................................................. 5.09(A)(iv)(3) “Tender/Exchange Offer Valuation Period” ............................................................................. 5.05(A)(v) “Trading Price Condition” ...................................................................................................... 5.01(C)(i)(2) Section 1.03. Rules of Construction. For purposes of this Indenture: (A) “or” is not exclusive; (B) “including” means “including without limitation”; (C) “will” expresses a command; (D) the “average” of a set of numerical values refers to the arithmetic average of such numerical values; (E) a merger involving, or a transfer of assets by, a limited liability company, limited partnership or trust will be deemed to include any division of or by, or an allocation of assets to a series of, such limited liability company, limited partnership or trust, or any unwinding of any such division or allocation; (F) words in the singular include the plural and in the plural include the singular, unless the context requires otherwise; (G) “herein,” “hereof” and other words of similar import refer to this Indenture as a whole and not to any particular Article, Section or other subdivision of this Indenture, unless the context requires otherwise; (H) references to currency mean the lawful currency of the United States of America, unless the context requires otherwise;


 
- 12 - (I) the exhibits, schedules and other attachments to this Indenture are deemed to form part of this Indenture; and (J) the term “interest,” when used with respect to a Note, includes any Special Interest, Additional Interest or Default Interest, in each case to the extent the same is payable on such Note, unless the context requires otherwise. Article 2. THE NOTES Section 2.01. Form, Dating and Denominations. The Notes and the Trustee’s certificate of authentication will be substantially in the form set forth in Exhibit A. The Notes will bear the legends required by Section 2.09 and may bear notations, legends or endorsements required by law, stock exchange rule or usage or the Depositary. Each Note will be dated as of the date of its authentication. Except to the extent otherwise provided in a Company Order delivered to the Trustee in connection with the issuance and authentication thereof, the Notes will be issued initially in the form of one or more Global Notes. Global Notes may be exchanged for Physical Notes, and Physical Notes may be exchanged for Global Notes, only as provided in Section 2.10. The Notes will be issuable only in registered form without interest coupons and only in Authorized Denominations. Each certificate representing a Note will bear a unique registration number that is not affixed to any other certificate representing another outstanding Note. For the avoidance of doubt, each certificate representing a Note (as defined in the Original Indenture) that was issued pursuant to the terms of the Original Indenture shall be superseded and replaced in its entirety by a new certificate reflecting the same principal amount substantially in the form set forth in Exhibit A and governed by the terms of this Indenture. The terms contained in the Notes constitute part of this Indenture, and, to the extent applicable, the Company and the Trustee, by their execution and delivery of this Indenture, agree to such terms and to be bound thereby; provided, however, that, to the extent that any provision of any Note conflicts with the provisions of this Indenture, the provisions of this Indenture will control for purposes of this Indenture and such Note. Section 2.02. Execution, Authentication and Delivery. (A) Due Execution by the Company. At least one (1) duly authorized Officer will sign the Notes on behalf of the Company by manual or electronic signature. A Note’s validity will not be affected by the failure of any Officer whose signature is on any Note to hold, at the time such Note is authenticated, the same or any other office at the Company. (B) Authentication by the Trustee and Delivery. (i) No Note will be valid until it is authenticated by the Trustee. A Note will be deemed to be duly authenticated only when an authorized signatory of the Trustee (or a duly appointed authenticating agent) signs the certificate of authentication of such Note by manual signature.


 
- 13 - (ii) The Trustee will cause an authorized signatory of the Trustee (or a duly appointed authenticating agent) to authenticate the certificate of authentication of a Note only if (1) the Company delivers such Note to the Trustee; (2) such Note is executed by the Company in accordance with Section 2.02(A); and (3) the Company delivers a Company Order to the Trustee that (a) requests the Trustee to authenticate such Note; and (b) sets forth the name of the Holder of such Note and the date as of which such Note is to be authenticated. If such Company Order also requests the Trustee to deliver such Note to any Holder or to the Depositary, then the Trustee will promptly deliver such Note in accordance with such Company Order. (iii) The Trustee may appoint an authenticating agent acceptable to the Company to authenticate Notes. A duly appointed authenticating agent may authenticate Notes whenever the Trustee may do so under this Indenture, and a Note authenticated as provided in this Indenture by such an agent will be deemed, for purposes of this Indenture, to be authenticated by the Trustee. Each duly appointed authenticating agent will have the same rights to deal with the Company as the Trustee would have if it were performing the duties that the authenticating agent was validly appointed to undertake. Section 2.03. Initial Notes and Additional Notes. (A) Initial Notes. On the Issue Date, there will be originally issued one billion seven hundred and twenty five million dollars ($1,725,000,000) aggregate principal amount of Notes, subject to the provisions of this Indenture (including Section 2.02). Notes issued pursuant to this Section 2.03(A), and any Notes issued in exchange therefor or in substitution thereof, are referred to in this Indenture as the “Initial Notes.” (B) Additional Notes. The Company may, subject to the provisions of this Indenture (including Section 2.02), originally issue additional Notes with the same terms as the initial Notes (except, to the extent applicable, with respect to the date as of which interest begins to accrue on such additional Notes and the first Interest Payment Date and the Last Original Issue Date of such additional Notes), which additional Notes will, subject to the foregoing, be considered to be part of the same series of, and rank equally and ratably with all other, Notes issued under this Indenture; provided, however, that if any such additional Notes (and any Notes that are resold after such Notes have been purchased or otherwise acquired by the Company or its Subsidiaries) are not fungible with other Notes issued under this Indenture for federal income tax or federal securities laws purposes, then such additional or resold Notes will be identified by a separate CUSIP number or by no CUSIP number. Section 2.04. Method of Payment. (A) Global Notes. The Company will pay, or cause the Paying Agent to pay, the principal (whether due upon maturity on the Maturity Date, Redemption on a Redemption Date or repurchase on a Fundamental Change Repurchase Date or otherwise) of, interest on, and any cash Conversion Consideration for, any Global Note to the Depositary by wire transfer of immediately available funds no later than the time the same is due as provided in this Indenture. (B) Physical Notes. The Company will pay, or cause the Paying Agent to pay, the principal (whether due upon maturity on the Maturity Date, Redemption on a Redemption Date or repurchase on a Fundamental Change Repurchase Date or otherwise) of, interest on, and any cash Conversion Consideration for, any Physical Note no later than the time the same is due as provided in this Indenture as follows: (i) if the principal amount of such Physical Note is at least five million dollars ($5,000,000) (or such lower amount as the Company may choose in its sole and absolute discretion) and the Holder of such Physical Note entitled to such payment has delivered to the Paying Agent or the Trustee, no later


 
- 14 - than the time set forth in the immediately following sentence, a written request that the Company make such payment by wire transfer to an account of such Holder within the United States, by wire transfer of immediately available funds to such account; and (ii) in all other cases, by check mailed to the address of the Holder of such Physical Note entitled to such payment as set forth in the Register. To be timely, such written request must be so delivered no later than the Close of Business on the following date: (x) with respect to the payment of any interest due on an Interest Payment Date, the immediately preceding Regular Record Date; (y) with respect to any cash Conversion Consideration, the relevant Conversion Date; and (z) with respect to any other payment, the date that is fifteen (15) calendar days immediately before the date such payment is due. Section 2.05. Accrual of Interest; Defaulted Amounts; When Payment Date is Not a Business Day. (A) Accrual of Interest. Each Note will accrue interest at a rate per annum equal to 3.50% (the “Stated Interest”), plus any Additional Interest and Special Interest that may accrue pursuant to Section 3.04 and Section 7.03, respectively. Stated Interest on each Note will (i) accrue from, and including, the Amendment Date or the most recent date to which Stated Interest has been paid or duly provided for (or, if no Stated Interest has theretofore been paid or duly provided for, the date set forth in the certificate representing such Note as the date from, and including, which Stated Interest will begin to accrue in such circumstance) to, but excluding, the date of payment of such Stated Interest, and (ii) be, subject to Sections 4.02(D), 4.03(E) and 5.02(D) (but without duplication of any payment of interest), payable semi-annually in arrears on each Interest Payment Date, beginning on the first Interest Payment Date set forth in the certificate representing such Note, to the Holder of such Note as of the Close of Business on the immediately preceding Regular Record Date. Stated Interest, and, if applicable, Additional Interest and Special Interest, on the Notes will be computed on the basis of a 360-day year comprised of twelve 30-day months. For the avoidance of doubt, any Special Interest and Additional Interest that shall have accrued prior to the Amendment Date shall be unaffected and shall continue to accrue and be payable pursuant to the terms of this Indenture. (B) Defaulted Amounts. If the Company fails to pay any amount (a “Defaulted Amount”) payable on a Note on or before the due date therefor as provided in this Indenture, then, regardless of whether such failure constitutes an Event of Default, (i) such Defaulted Amount will forthwith cease to be payable to the Holder of such Note otherwise entitled to such payment; (ii) to the extent lawful, interest (“Default Interest”) will accrue on such Defaulted Amount for each day, if any, during the period from, and including, such due date to, but excluding, the date of payment of such Defaulted Amount and Default Interest, which Default Interest will accrue on each such day at a rate per annum equal to the then-applicable rate per annum at which interest accrues on such Note; (iii) such Defaulted Amount and Default Interest will be paid on a payment date selected by the Company to the Holder of such Note as of the Close of Business on a special record date selected by the Company, provided that such special record date must be no more than fifteen (15), nor less than ten (10), calendar days before such payment date; and (iv) at least ten (10) calendar days before such special record date, the Company will send notice to the Trustee and the Holders that states such special record date, such payment date and the amount of such Defaulted Amount and Default Interest to be paid on such payment date. (C) Delay of Payment when Payment Date is Not a Business Day. If the due date for a payment on a Note as provided in this Indenture is not a Business Day, then, notwithstanding anything to the contrary in this Indenture or the Notes, such payment may be made on the immediately following Business Day and no interest will accrue on such payment as a result of the related delay. Solely for purposes of the immediately preceding sentence, a day on which the applicable place of payment is authorized or required by law or executive order to close or be closed will be deemed not to be a “Business Day.”


 
- 15 - Section 2.06. Registrar, Paying Agent and Conversion Agent. (A) Generally. The Company will maintain (i) an office or agency in the continental United States where Notes may be presented for registration of transfer or for exchange (the “Registrar”); (ii) an office or agency in the continental United States where Notes may be presented for payment (the “Paying Agent”); and (iii) an office or agency in the continental United States where Notes may be presented for conversion (the “Conversion Agent”). If the Company fails to maintain a Registrar, Paying Agent or Conversion Agent, then the Trustee will act as such and will receive compensation therefor in accordance with this Indenture and any other agreement between the Trustee and the Company. For the avoidance of doubt, the Company or any of its Subsidiaries may act as Registrar, Paying Agent or Conversion Agent. (B) Duties of the Registrar. The Registrar will keep a record (the “Register”) of the names and addresses of the Holders, the Notes held by each Holder and the transfer, exchange, repurchase, Redemption and conversion of Notes. Absent manifest error, the entries in the Register will be conclusive and the Company and the Trustee may treat each Person whose name is recorded as a Holder in the Register as a Holder for all purposes. The Register will be in written form or in any form capable of being converted into written form reasonably promptly. (C) Co-Agents; Company’s Right to Appoint Successor Registrars, Paying Agents and Conversion Agents. The Company may appoint one or more co-Registrars, co-Paying Agents and co- Conversion Agents, each of whom will be deemed to be a Registrar, Paying Agent or Conversion Agent, as applicable, under this Indenture. Subject to Section 2.06(A), the Company may change any Registrar, Paying Agent or Conversion Agent (including appointing itself or any of its Subsidiaries to act in such capacity) without notice to any Holder. The Company will notify the Trustee (and, upon request, any Holder) of the name and address of each Note Agent, if any, not a party to this Indenture and will enter into an appropriate agency agreement with each such Note Agent, which agreement will implement the provisions of this Indenture that relate to such Note Agent. (D) Initial Appointments. The Company appoints the Trustee as the initial Paying Agent, the initial Registrar and the initial Conversion Agent and designates the Corporate Trust Offices of the Trustee in the United States as the office for the same. Section 2.07. Paying Agent and Conversion Agent to Hold Property in Trust. The Company will require each Paying Agent or Conversion Agent that is not the Trustee to agree in writing that such Note Agent will (A) hold in trust for the benefit of Holders or the Trustee all money and other property held by such Note Agent for payment or delivery due on the Notes; and (B) notify the Trustee of any default by the Company in making any such payment or delivery. The Company, at any time, may, and the Trustee, while any Default continues, may, require a Paying Agent or Conversion Agent to pay or deliver, as applicable, all money and other property held by it to the Trustee, after which payment or delivery, as applicable, such Note Agent (if not the Company or any of its Subsidiaries) will have no further liability for such money or property. If the Company or any of its Subsidiaries acts as Paying Agent or Conversion Agent, then (A) it will segregate and hold in a separate trust fund for the benefit of the Holders or the Trustee all money and other property held by it as Paying Agent or Conversion Agent; and (B) references in this Indenture or the Notes to the Paying Agent or Conversion Agent holding cash or other property, or to the delivery of cash or other property to the Paying Agent or Conversion Agent, in each case for payment or delivery to any Holders or the Trustee or with respect to the Notes, will be deemed to refer to cash or other property so segregated and held separately, or to the segregation and separate holding of such cash or other property, respectively. Upon the occurrence of any event pursuant to in clause (viii) or (ix) of Section 7.01(A) with respect to the


 
- 16 - Company (or with respect to any Subsidiary of the Company acting as Paying Agent or Conversion Agent), the Trustee will serve as the Paying Agent or Conversion Agent, as applicable, for the Notes. Section 2.08. Holder Lists. If the Trustee is not the Registrar, the Company will furnish to the Trustee, no later than seven (7) Business Days before each Interest Payment Date, and at such other times as the Trustee may request, a list, in such form and as of such date or time as the Trustee may reasonably require, of the names and addresses of the Holders. Section 2.09. Legends. (A) Global Note Legend. Each Global Note will bear the Global Note Legend (or any similar legend, not inconsistent with this Indenture, required by the Depositary for such Global Note). (B) Restricted Note Legend. Subject to Section 2.12, (i) each Note that is a Transfer-Restricted Security will bear the Restricted Note Legend; and (ii) if a Note is issued in exchange for, in substitution of, or to effect a partial conversion of, another Note (such other Note being referred to as the “old Note” for purposes of this Section 2.09(B)(ii)), including pursuant to Section 2.10(B), 2.10(C), 2.11 or 2.13, such Note will bear the Restricted Note Legend if such old Note bore the Restricted Note Legend at the time of such exchange or substitution, or on the related Conversion Date with respect to such conversion, as applicable; provided, however, that such Note need not bear the Restricted Note Legend if such Note does not constitute a Transfer-Restricted Security immediately after such exchange or substitution, or as of such Conversion Date, as applicable. (C) Other Legends. A Note may bear any other legend or text, not inconsistent with this Indenture, as may be required by applicable law or by any securities exchange or automated quotation system on which such Note is traded or quoted. (D) Acknowledgment and Agreement by the Holders. A Holder’s acceptance of any Note bearing any legend required by this Section 2.09 will constitute such Holder’s acknowledgment of, and agreement to comply with, the restrictions set forth in such legend. (E) Restricted Stock Legend. (i) Each Conversion Share will bear the Restricted Stock Legend if the Note upon the conversion of which such Conversion Share was issued was (or would have been had it not been converted) a Transfer-Restricted Security at the time such Conversion Share was issued; provided, however, that such Conversion Share need not bear the Restricted Stock Legend if the Company determines, in its reasonable discretion, that such Conversion Share need not bear the Restricted Stock Legend. (ii) Notwithstanding anything to the contrary in this Section 2.09(E), a Conversion Share need not bear a Restricted Stock Legend if such Conversion Share is issued in an uncertificated form that does not permit affixing legends thereto, provided the Company takes measures (including the assignment thereto of a “restricted” CUSIP number) that it reasonably deems appropriate to enforce the transfer restrictions referred to in the Restricted Stock Legend.


 
- 17 - Section 2.10. Transfers and Exchanges; Certain Transfer Restrictions. (A) Provisions Applicable to All Transfers and Exchanges. (i) Subject to this Section 2.10, Physical Notes and beneficial interests in Global Notes may be transferred or exchanged from time to time and the Registrar will record each such transfer or exchange in the Register. (ii) Each Note issued upon transfer or exchange of any other Note (such other Note being referred to as the “old Note” for purposes of this Section 2.10(A)(ii)) or portion thereof in accordance with this Indenture will be the valid obligation of the Company, evidencing the same indebtedness, and entitled to the same benefits under this Indenture, as such old Note or portion thereof, as applicable. (iii) The Company, the Trustee and the Note Agents will not impose any service charge on any Holder for any transfer, exchange or conversion of Notes, but the Company, the Trustee, the Registrar and the Conversion Agent may require payment of a sum sufficient to cover any transfer tax or similar governmental charge that may be imposed in connection with any transfer, exchange or conversion of Notes, other than exchanges pursuant to Sections 2.11, 2.17 or 8.05 not involving any transfer. (iv) Notwithstanding anything to the contrary in this Indenture or the Notes, a Note may not be transferred or exchanged in part unless the portion to be so transferred or exchanged is in an Authorized Denomination. (v) The Trustee will have no obligation or duty to monitor, determine or inquire as to compliance with any transfer restrictions imposed under this Indenture or applicable law with respect to any Security, other than to require the delivery of such certificates or other documentation or evidence as expressly required by this Indenture and to examine the same to determine substantial compliance as to form with the requirements of this Indenture. (vi) Each Note issued upon transfer of, or in exchange for, another Note will bear each legend, if any, required by Section 2.09. (vii) Upon satisfaction of the requirements of this Indenture to effect a transfer or exchange of any Note, the Company will cause such transfer or exchange to be effected as soon as reasonably practicable. (viii) For the avoidance of doubt, and subject to the terms of this Indenture, as used in this Section 2.10, an “exchange” of a Global Note or a Physical Note includes (x) an exchange effected for the sole purpose of removing any Restricted Note Legend affixed to such Global Note or Physical Note; and (y) if such Global Note or a Physical Note is identified by a “restricted” CUSIP number, an exchange effected for the sole purpose of causing such Global Note or a Physical Note to be identified by an “unrestricted” CUSIP number. (B) Transfers and Exchanges of Global Notes. (i) Subject to the immediately following sentence, no Global Note may be transferred or exchanged in whole except (x) by the Depositary to a nominee of the Depositary; (y) by a nominee of the Depositary to the Depositary or to another nominee of the Depositary; or (z) by the Depositary or any such nominee to a successor Depositary or a nominee of such


 
- 18 - successor Depositary. No Global Note (or any portion thereof) may be transferred to, or exchanged for, a Physical Note; provided, however, that a Global Note will be exchanged, pursuant to customary procedures, for one or more Physical Notes if: (1) (x) the Depositary notifies the Company or the Trustee that the Depositary is unwilling or unable to continue as depositary for such Global Note or (y) the Depositary ceases to be a “clearing agency” registered under Section 17A of the Exchange Act and, in each case, the Company fails to appoint a successor Depositary within ninety (90) days of such notice or cessation; (2) an Event of Default has occurred and is continuing and the Company, the Trustee or the Registrar has received a written request from the Depositary, or from a holder of a beneficial interest in such Global Note, to exchange such Global Note or beneficial interest, as applicable, for one or more Physical Notes; or (3) the Company, in its sole discretion, permits the exchange of any beneficial interest in such Global Note for one or more Physical Notes at the request of the owner of such beneficial interest. (ii) Upon satisfaction of the requirements of this Indenture to effect a transfer or exchange of any Global Note (or any portion thereof): (1) the Trustee will reflect any resulting decrease of the principal amount of such Global Note by notation on the “Schedule of Exchanges of Interests in the Global Note” forming part of such Global Note (and, if such notation results in such Global Note having a principal amount of zero, the Company may (but is not required to) instruct the Trustee to cancel such Global Note pursuant to Section 2.15); (2) if required to effect such transfer or exchange, then the Trustee will reflect any resulting increase of the principal amount of any other Global Note by notation on the “Schedule of Exchanges of Interests in the Global Note” forming part of such other Global Note; (3) if required to effect such transfer or exchange, then the Company will issue, execute and deliver, and the Trustee will authenticate, in each case in accordance with Section 2.02, a new Global Note bearing each legend, if any, required by Section 2.09; and (4) if such Global Note (or such portion thereof), or any beneficial interest therein, is to be exchanged for one or more Physical Notes, then the Company will issue, execute and deliver, and the Trustee will authenticate, in each case in accordance with Section 2.02, one or more Physical Notes that are in Authorized Denominations (not to exceed, in the aggregate, the principal amount of such Global Note to be so exchanged), are registered in such name(s) as the Depositary specifies (or as otherwise determined pursuant to customary procedures) and bear each legend, if any, required by Section 2.09. (iii) Each transfer or exchange of a beneficial interest in any Global Note will be made in accordance with the Depositary Procedures. (C) Transfers and Exchanges of Physical Notes.


 
- 19 - (i) Subject to this Section 2.10, a Holder of a Physical Note may (x) transfer such Physical Note (or any portion thereof in an Authorized Denomination) to one or more other Person(s); (y) exchange such Physical Note (or any portion thereof in an Authorized Denomination) for one or more other Physical Notes in Authorized Denominations having an aggregate principal amount equal to the aggregate principal amount of the Physical Note (or portion thereof) to be so exchanged; and (z) if then permitted by the Depositary Procedures, transfer such Physical Note (or any portion thereof in an Authorized Denomination) in exchange for a beneficial interest in one or more Global Notes; provided, however, that, to effect any such transfer or exchange, such Holder must: (1) surrender such Physical Note to be transferred or exchanged to the office of the Registrar, together with any endorsements or transfer instruments reasonably required by the Company, the Trustee or the Registrar; and (2) deliver such certificates, documentation or evidence as may be required pursuant to Section 2.10(D). (ii) Upon the satisfaction of the requirements of this Indenture to effect a transfer or exchange of any Physical Note (such Physical Note being referred to as the “old Physical Note” for purposes of this Section 2.10(C)(ii)) of a Holder (or any portion of such old Physical Note in an Authorized Denomination): (1) such old Physical Note will be promptly cancelled pursuant to Section 2.15; (2) if such old Physical Note is to be transferred or exchanged only in part, then the Company will issue, execute and deliver, and the Trustee will authenticate, in each case in accordance with Section 2.02, one or more Physical Notes that (x) are in Authorized Denominations and have an aggregate principal amount equal to the principal amount of such old Physical Note not to be transferred or exchanged; (y) are registered in the name of such Holder; and (z) bear each legend, if any, required by Section 2.09; (3) in the case of a transfer: (a) to the Depositary or a nominee thereof that will hold its interest in such old Physical Note (or such portion thereof) to be so transferred in the form of one or more Global Notes, the Trustee will reflect an increase of the principal amount of one or more existing Global Notes by notation on the “Schedule of Exchanges of Interests in the Global Note” forming part of such Global Note(s), which increase(s) are in Authorized Denominations and aggregate to the principal amount to be so transferred, and which Global Note(s) bear each legend, if any, required by Section 2.09; provided, however, that if such transfer cannot be so effected by notation on one or more existing Global Notes (whether because no Global Notes bearing each legend, if any, required by Section 2.09 then exist, because any such increase will result in any Global Note having an aggregate principal amount exceeding the maximum aggregate principal amount permitted by the Depositary or otherwise), then the Company will issue, execute and deliver, and the Trustee will authenticate, in each case in accordance with Section 2.02, one or more Global Notes that (x) are in Authorized Denominations and have an aggregate principal amount equal to the


 
- 20 - principal amount to be so transferred; and (y) bear each legend, if any, required by Section 2.09; and (b) to a transferee that will hold its interest in such old Physical Note (or such portion thereof) to be so transferred in the form of one or more Physical Notes, the Company will issue, execute and deliver, and the Trustee will authenticate, in each case in accordance with Section 2.02, one or more Physical Notes that (x) are in Authorized Denominations and have an aggregate principal amount equal to the principal amount to be so transferred; (y) are registered in the name of such transferee; and (z) bear each legend, if any, required by Section 2.09; and (4) in the case of an exchange, the Company will issue, execute and deliver, and the Trustee will authenticate, in each case in accordance with Section 2.02, one or more Physical Notes that (x) are in Authorized Denominations and have an aggregate principal amount equal to the principal amount to be so exchanged; (y) are registered in the name of the Person to whom such old Physical Note was registered; and (z) bear each legend, if any, required by Section 2.09. (D) Requirement to Deliver Documentation and Other Evidence. If a Holder of any Note that is identified by a “restricted” CUSIP number or that bears a Restricted Note Legend or is a Transfer- Restricted Security requests to: (i) cause such Note to be identified by an “unrestricted” CUSIP number; (ii) remove such Restricted Note Legend; or (iii) register the transfer of such Note to the name of another Person, then the Company, the Trustee and the Registrar may refuse to effect such identification, removal or transfer, as applicable, unless there is delivered to the Company, the Trustee and the Registrar such certificates or other documentation or evidence as the Company, the Trustee and the Registrar may reasonably require for the Company to determine that such identification, removal or transfer, as applicable, complies with the Securities Act and other applicable securities laws; provided, however, that no such certificates, documentation or evidence need be so delivered on and after the Free Trade Date with respect to such Note unless the Company determines, in its reasonable discretion, that such Note is not eligible to be offered, sold or otherwise transferred pursuant to Rule 144 or otherwise without any requirements as to volume, manner of sale, availability of current public information or notice under the Securities Act. (E) Transfers of Notes Subject to Redemption, Repurchase or Conversion. Notwithstanding anything to the contrary in this Indenture or the Notes, the Company, the Trustee and the Registrar will not be required to register the transfer of or exchange any Note that (i) has been surrendered for conversion, except to the extent that any portion of such Note is not subject to conversion; (ii) is subject to a Fundamental Change Repurchase Notice validly delivered, and not withdrawn, pursuant to Section 4.02(F), except to the extent that any portion of such Note is not subject to such notice or the Company fails to pay the applicable Fundamental Change Repurchase Price when due; or (iii) has been selected for Redemption pursuant to a Redemption Notice, except to the extent that any portion of such Note is not subject to Redemption or the Company fails to pay the applicable Redemption Price when due.


 
- 21 - Section 2.11. Exchange and Cancellation of Notes to Be Converted, Redeemed or Repurchased. (A) Partial Conversions, Redemptions and Repurchases of Physical Notes. If only a portion of a Physical Note of a Holder is to be converted pursuant to Article 5 or repurchased pursuant to a Repurchase Upon Fundamental Change or Redemption, then, as soon as reasonably practicable after such Physical Note is surrendered for such conversion, Redemption or repurchase, the Company will cause such Physical Note to be exchanged, pursuant and subject to Section 2.10(C), for (i) one or more Physical Notes that are in Authorized Denominations and have an aggregate principal amount equal to the principal amount of such Physical Note that is not to be so converted, redeemed or repurchased, as applicable, and deliver such Physical Note(s) to such Holder; and (ii) a Physical Note having a principal amount equal to the principal amount to be so converted, redeemed or repurchased, as applicable, which Physical Note will be converted, redeemed or repurchased, as applicable, pursuant to the terms of this Indenture; provided, however, that the Physical Note referred to in this clause (ii) need not be issued at any time after which such principal amount subject to such conversion, Redemption or repurchase, as applicable, is deemed to cease to be outstanding pursuant to Section 2.18. (B) Cancellation of Converted, Redeemed and Repurchased Notes. (i) Physical Notes. If a Physical Note (or any portion thereof that has not theretofore been exchanged pursuant to Section 2.11(A)) of a Holder is to be converted pursuant to Article 5 or repurchased pursuant to a Repurchase Upon Fundamental Change or Redemption, then, promptly after the later of the time such Physical Note (or such portion) is deemed to cease to be outstanding pursuant to Section 2.18 and the time such Physical Note is surrendered for such conversion or repurchase, as applicable, (1) such Physical Note will be cancelled pursuant to Section 2.15; and (2) in the case of a partial conversion, Redemption or repurchase, the Company will issue, execute and deliver to such Holder, and the Trustee will authenticate, in each case in accordance with Section 2.02, one or more Physical Notes that (x) are in Authorized Denominations and have an aggregate principal amount equal to the principal amount of such Physical Note that is not to be so converted, redeemed or repurchased; (y) are registered in the name of such Holder; and (z) bear each legend, if any, required by Section 2.09. (ii) Global Notes. If a Global Note (or any portion thereof) is to be converted pursuant to Article 5 or repurchased pursuant to a Repurchase Upon Fundamental Change or Redemption, then, promptly after the time such Note (or such portion) is deemed to cease to be outstanding pursuant to Section 2.18, the Trustee will reflect a decrease of the principal amount of such Global Note in an amount equal to the principal amount of such Global Note to be so converted, redeemed or repurchased, as applicable, by notation on the “Schedule of Exchanges of Interests in the Global Note” forming part of such Global Note (and, if the principal amount of such Global Note is zero following such notation, cancel such Global Note pursuant to Section 2.15). Section 2.12. Removal of Transfer Restrictions. Without limiting the generality of any other provision of this Indenture (including Section 3.04), the Restricted Note Legend affixed to any Note will be deemed, pursuant to this Section 2.12 and the footnote to such Restricted Note Legend, to be removed therefrom upon the Company’s delivery to the Trustee of notice, signed on behalf of the Company by one (1) of its Officers, to such effect (and, for the avoidance of doubt, such notice need not be accompanied by an Officer’s Certificate or an Opinion of Counsel in order to be effective to cause such Restricted Note Legend to be deemed to be removed from such Note). If such Note bears a “restricted” CUSIP or ISIN number at the time of such delivery, then, upon such delivery, such Note will be deemed, pursuant to this Section 2.12 and the footnotes to the


 
- 22 - CUSIP and ISIN numbers set forth on the face of the certificate representing such Note, to thereafter bear the “unrestricted” CUSIP and ISIN numbers identified in such footnotes; provided, however, that if such Note is a Global Note and the Depositary thereof requires a mandatory exchange or other procedure to cause such Global Note to be identified by “unrestricted” CUSIP and ISIN numbers in the facilities of such Depositary, then (i) the Company will effect such exchange or procedure as soon as reasonably practicable; and (ii) for purposes of Section 3.04 and the definition of Freely Tradable, such Global Note will not be deemed to be identified by “unrestricted” CUSIP and ISIN numbers until such time as such exchange or procedure is effected. Section 2.13. Replacement Notes. If a Holder of any Note claims that such Note has been mutilated, lost, destroyed or wrongfully taken, then the Company will issue, execute and deliver, and the Trustee will authenticate, in each case in accordance with Section 2.02, a replacement Note upon surrender to the Trustee of such mutilated Note, or upon delivery to the Trustee of evidence of such loss, destruction or wrongful taking reasonably satisfactory to the Trustee and the Company. In the case of a lost, destroyed or wrongfully taken Note, the Company and the Trustee may require the Holder thereof to provide such security or indemnity that is satisfactory to the Company and the Trustee to protect the Company and the Trustee from any loss that any of them may suffer if such Note is replaced. The Company may charge for its and the Trustee’s expenses in replacing a Note. The Company, the Trustee and any Note Agent may charge for their reasonable out-of-pocket cost and expenses in replacing a Note including amounts to cover any tax, assessment, fee or other governmental charge that may be imposed in relation thereto. Every replacement Note issued pursuant to this Section 2.13 will be an additional obligation of the Company and will be entitled to all of the benefits of this Indenture equally and ratably with all other Notes issued under this Indenture, whether or not the lost, destroyed or wrongfully taken Note will at any time be enforceable by anyone. Section 2.14. Registered Holders; Certain Rights with Respect to Global Notes. Only the Holder of a Note will have rights under this Indenture as the owner of such Note. Without limiting the generality of the foregoing, Depositary Participants will have no rights as such under this Indenture with respect to any Global Note held on their behalf by the Depositary or its nominee, or by the Trustee as its custodian, and the Company, the Trustee and the Note Agents, and their respective agents, may treat the Depositary as the absolute owner of such Global Note for all purposes whatsoever; provided, however, that (A) the Holder of any Global Note may grant proxies and otherwise authorize any Person, including Depositary Participants and Persons that hold interests in Notes through Depositary Participants, to take any action that such Holder is entitled to take with respect to such Global Note under this Indenture or the Notes; and (B) the Company and the Trustee, and their respective agents, may give effect to any written certification, proxy or other authorization furnished by the Depositary. Section 2.15. Cancellation. The Company may at any time deliver Notes to the Trustee for cancellation. The Registrar, the Paying Agent and the Conversion Agent will forward to the Trustee each Note duly surrendered to them for transfer, exchange, payment or conversion. The Trustee will promptly cancel all Notes so surrendered to it in accordance with its customary procedures. Without limiting the generality of Section 2.03(B), the Company may not originally issue new Notes to replace Notes that it has paid or that have been cancelled upon transfer, exchange, payment or conversion.


 
- 23 - Section 2.16. Notes Held by the Company or its Affiliates. Without limiting the generality of Section 2.18, in determining whether the Holders of the required aggregate principal amount of Notes have concurred in any direction, waiver or consent, Notes owned by the Company or any of its Affiliates will be deemed not to be outstanding; provided, however, that, for purposes of determining whether the Trustee is protected in relying on any such direction, waiver or consent, only Notes that a Responsible Officer of the Trustee actually knows are so owned will be so disregarded. Section 2.17. Temporary Notes. Until definitive Notes are ready for delivery, the Company may issue, execute and deliver, and the Trustee will authenticate, in each case in accordance with Section 2.02, temporary Notes. Temporary Notes will be substantially in the form of definitive Notes but may have variations that the Company considers appropriate for temporary Notes. The Company will promptly prepare, issue, execute and deliver, and the Trustee will authenticate, in each case in accordance with Section 2.02, definitive Notes in exchange for temporary Notes. Until so exchanged, each temporary Note will in all respects be entitled to the same benefits under this Indenture as definitive Notes. Section 2.18. Outstanding Notes. (A) Generally. The Notes that are outstanding at any time will be deemed to be those Notes that, at such time, have been duly executed and authenticated, excluding those Notes (or portions thereof) that have theretofore been (i) cancelled by the Trustee or delivered to the Trustee for cancellation in accordance with Section 2.15; (ii) assigned a principal amount of zero by notation on the “Schedule of Exchanges of Interests in the Global Note” forming part of any a Global Note representing such Note; (iii) paid in full in accordance with this Indenture; or (iv) deemed to cease to be outstanding to the extent provided in, and subject to, clause (B), (C) or (D) of this Section 2.18. (B) Replaced Notes. If a Note is replaced pursuant to Section 2.13, then such Note will cease to be outstanding at the time of its replacement, unless the Trustee and the Company receive proof reasonably satisfactory to them that such Note is held by a “bona fide purchaser” under applicable law. (C) Maturing Notes and Notes Called for Redemption or Subject to Repurchase. If, on a Redemption Date, a Fundamental Change Repurchase Date or the Maturity Date, the Paying Agent holds money sufficient to pay the aggregate Redemption Price, Fundamental Change Repurchase Price or principal amount, respectively, together, in each case, with the aggregate interest, in each case due on such date, then (unless there occurs a Default in the payment of any such amount) (i) the Notes (or portions thereof) to be redeemed or repurchased, or that mature, on such date will be deemed, as of such date, to cease to be outstanding, except to the extent provided in Sections 4.02(D), 4.03(E) or 5.02(D); and (ii) the rights of the Holders of such Notes (or such portions thereof), as such, will terminate with respect to such Notes (or such portions thereof), other than the right to receive the Redemption Price, Fundamental Change Repurchase Price or principal amount, as applicable, of, and accrued and unpaid interest on, such Notes (or such portions thereof), in each case as provided in this Indenture. (D) Notes to Be Converted. At the Close of Business on the Conversion Date for any Note (or any portion thereof) to be converted, such Note (or such portion) will (unless there occurs a Default in the delivery of the Conversion Consideration or any interest due, pursuant to Section 5.03(B) or Section 5.02(D), upon such conversion) be deemed to cease to be outstanding, except to the extent provided in Section 5.02(D) or Section 5.08.


 
- 24 - (E) Cessation of Accrual of Interest. Except as provided in Sections 4.02(D), 4.03(E) or 5.02(D), interest will cease to accrue on each Note from and including the date that such Note is deemed, pursuant to this Section 2.18, to cease to be outstanding, unless there occurs a default in the payment or delivery of any cash or other property due on such Note. Section 2.19. Repurchases by the Company. Without limiting the generality of Section 2.15, the Company may, from time to time, directly or indirectly, repurchase Notes in the open market or otherwise, whether by the Company or its Subsidiaries or through a privately negotiated transaction or public tender or exchange offer or through counterparties to private agreements, including by cash-settled swaps or other derivatives, in each case, without the consent of or notice to the Holders of the Notes. Section 2.20. CUSIP and ISIN Numbers. Subject to Section 2.12, the Company may use one or more CUSIP or ISIN numbers to identify any of the Notes, and, if so, the Company and the Trustee will use such CUSIP or ISIN number(s) in notices to Holders; provided, however, that (i) the Trustee makes no representation as to the correctness or accuracy of any such CUSIP or ISIN number; and (ii) the effectiveness of any such notice will not be affected by any defect in, or omission of, any such CUSIP or ISIN number. The Company will promptly notify the Trustee of any change in the CUSIP or ISIN number(s) identifying any Notes. Article 3. COVENANTS Section 3.01. Payment on Notes. (A) Generally. The Company will pay or cause to be paid all the principal of, the Fundamental Change Repurchase Price and Redemption Price for, interest on, and other amounts due with respect to, the Notes on the dates and in the manner set forth in this Indenture. (B) Deposit of Funds. Before 12:00 P.M., New York City time, on the Business Day preceding each Redemption Date, Fundamental Change Repurchase Date and Interest Payment Date, and on the Maturity Date and each other date on which any cash amount is due on the Notes, the Company will deposit, or will cause there to be deposited, with the Paying Agent cash, in funds immediately available on such date, sufficient to pay the cash amount due on the applicable Notes on such date. The Paying Agent will return to the Company, as soon as practicable, any money not required for such purpose. Section 3.02. Exchange Act Reports. (A) Generally. The Company will send to the Trustee copies of all reports that the Company is required to file with the SEC pursuant to Section 13(a) or 15(d) of the Exchange Act within fifteen (15) calendar days after the date that the Company is required to file the same (after giving effect to all applicable grace periods under the Exchange Act); provided, however, that the Company need not send to the Trustee any material for which the Company has received, or is seeking in good faith and has not been denied, confidential treatment by the SEC. Any report that the Company files with the SEC through the EDGAR system (or any successor thereto) will be deemed to be sent to the Trustee at the time such report is so filed via the EDGAR system (or such successor). Upon the request of any Holder, the Trustee will provide to such Holder a copy of any report that the Company has sent the Trustee pursuant to this Section 3.02(A), other than a report that is deemed to be sent to the Trustee pursuant to the preceding sentence.


 
- 25 - (B) Trustee’s Disclaimer. The Trustee need not determine whether the Company has filed any material via the EDGAR system (or such successor). The sending or filing of reports pursuant to Section 3.02(A) will not be deemed to constitute actual or constructive notice to the Trustee of any information contained, or determinable from information contained, therein, including the Company’s compliance with any of its covenants under this Indenture. Section 3.03. Rule 144A Information. If the Company is not subject to Section 13 or 15(d) of the Exchange Act at any time when any Notes or shares of Common Stock issuable upon conversion of the Notes are outstanding and constitute “restricted securities” (as defined in Rule 144), then the Company (or its successor) will promptly provide, to the Trustee and, upon written request, to any Holder, beneficial owner or prospective purchaser of such Notes or shares, the information required to be delivered pursuant to Rule 144A(d)(4) under the Securities Act to facilitate the resale of such Notes or shares pursuant to Rule 144A. The Company (or its successor) will take such further action as any Holder or beneficial owner of such Notes or shares may reasonably request to enable such Holder or beneficial owner to sell such Notes or shares pursuant to Rule 144A. Section 3.04. Additional Interest. (A) Accrual of Additional Interest. (i) If, at any time during the six (6) month period beginning on, and including, the date that is six (6) months after the Last Original Issue Date of any Note, (1) the Company fails to timely file any report (other than Form 8-K reports) that the Company is required to file with the SEC pursuant to Section 13 or 15(d) of the Exchange Act (after giving effect to all applicable grace periods thereunder); or (2) such Note is not otherwise Freely Tradable, then Additional Interest will accrue on such Note for each day during such period on which such failure is continuing or such Note is not Freely Tradable. (ii) In addition, Additional Interest will accrue on a Note on each day on which such Note is not Freely Tradable on or after the De-Legending Deadline Date for such Note. (B) Amount and Payment of Additional Interest. Any Additional Interest that accrues on a Note pursuant to Section 3.04(A) will be payable on the same dates and in the same manner as the Stated Interest on such Note will accrue at a rate per annum equal to one quarter of one percent (0.25%) of the principal amount thereof for the first ninety (90) days on which Additional Interest accrues and, thereafter, at a rate per annum equal to one half of one percent (0.50%) of the principal amount thereof; provided, however, that in no event will Additional Interest, together with any Special Interest, accrue on any day on a Note at a combined rate per annum that exceeds one half of one percent (0.50%). For the avoidance of doubt, any Additional Interest that accrues on a Note will be in addition to the Stated Interest that accrues on such Note and, subject to the proviso of the immediately preceding sentence, in addition to any Special Interest that accrues on such Note. (C) Notice of Accrual of Additional Interest; Trustee’s Disclaimer. The Company will send notice to the Holder of each Note, and to the Trustee, of the commencement and termination of any period in which Additional Interest accrues on such Note. In addition, if Additional Interest accrues on any Note,


 
- 26 - then, no later than five (5) Business Days before each date on which such Additional Interest is to be paid, the Company will deliver an Officer’s Certificate to the Trustee and the Paying Agent stating (i) that the Company is obligated to pay Additional Interest on such Note on such date of payment; and (ii) the amount of such Additional Interest that is payable on such date of payment. The Trustee will have no duty to determine whether any Additional Interest is payable or the amount thereof. Section 3.05. Compliance and Default Certificates. (A) Annual Compliance Certificate. Within one hundred and twenty (120) days after June 30, 2024 and each fiscal year of the Company ending thereafter, the Company will deliver an Officer’s Certificate to the Trustee stating (i) that the signatory thereto has supervised a review of the activities of the Company and its Subsidiaries during such fiscal year with a view towards determining whether any Default or Event of Default has occurred; and (ii) whether, to such signatory’s knowledge, a Default or Event of Default has occurred or is continuing (and, if so, describing all such Defaults or Events of Default and what action the Company is taking or proposes to take with respect thereto). (B) Default Certificate. If a Default or Event of Default occurs, then, within thirty (30) days after its occurrence, the Company will deliver an Officer’s Certificate to the Trustee describing the same and what action the Company is taking or proposes to take with respect thereto, except that the Company is not required to deliver such Officer’s Certificate if such Default or Event of Default has been cured. Section 3.06. Stay, Extension and Usury Laws. To the extent that it may lawfully do so, the Company (A) agrees that it will not at any time insist upon, plead, or in any manner whatsoever claim or take the benefit or advantage of, any stay, extension or usury law (wherever or whenever enacted or in force) that may affect the covenants or the performance of this Indenture; and (B) expressly waives all benefits or advantages of any such law and agrees that it will not, by resort to any such law, hinder, delay or impede the execution of any power granted to the Trustee by this Indenture, but will suffer and permit the execution of every such power as though no such law has been enacted. Section 3.07. Corporate Existence. Subject to Article 6, the Company will cause to preserve and keep in full force and effect: (A) its corporate existence in accordance with the organizational documents of the Company; and (B) the material rights (charter and statutory), licenses and franchises of the Company and its Subsidiaries; provided, however, that the Company need not preserve or keep in full force and effect any such license or franchise if the Board of Directors determines that (x) the preservation thereof is no longer desirable in the conduct of the business of the Company and its Subsidiaries, taken as a whole; and (y) the loss thereof is not, individually or in the aggregate, materially adverse to the Holders. Section 3.08. Restriction on Acquisition of Notes by the Company and its Affiliates. (A) The Company or any of its Affiliates may, at their option and to the extent permitted by applicable law, reissue, resell, hold or surrender to the Trustee for cancellation in accordance with Section 2.15, any Notes that the Company or any of its Affiliates may repurchase or otherwise own, in the case of


 
- 27 - a reissuance or resale, so long as such Notes do not constitute “restricted securities” (as defined under Rule 144) upon such reissuance or resale; provided that if any such reissued or resold Notes are not fungible with the Notes initially offered hereby for U.S. federal income tax or securities law purposes, such reissued or resold Notes will have one or more separate CUSIP numbers. (B) Without limiting the generality of Section 2.18, Notes that the Company or any of its Subsidiaries have purchased or otherwise acquired will be deemed to remain outstanding (except to the extent provided in Section 2.16) until such time as such Notes are delivered to the Trustee for cancellation. Section 3.09. Further Instruments and Acts. At the Trustee’s request, the Company will execute and deliver such further instruments and do such further acts as may be reasonably necessary or proper to more effectively carry out the purposes of this Indenture; provided, however, that the Trustee will have no duty or obligation to request any such further instruments or acts unless directed by the Holders of a majority in aggregate principal amount of the Notes then outstanding. Article 4. REPURCHASE AND REDEMPTION Section 4.01. No Sinking Fund. No sinking fund is required to be provided for the Notes. Section 4.02. Right of Holders to Require the Company to Repurchase Notes upon a Fundamental Change. (A) Right of Holders to Require the Company to Repurchase Notes Upon a Fundamental Change. Subject to the other terms of this Section 4.02, if a Fundamental Change occurs, then each Holder will have the right (the “Fundamental Change Repurchase Right”) to require the Company to repurchase such Holder’s Notes (or any portion thereof in an Authorized Denomination) on the Fundamental Change Repurchase Date for such Fundamental Change for a cash purchase price equal to the Fundamental Change Repurchase Price. (B) Repurchase Prohibited in Certain Circumstances. If the principal amount of the Notes has been accelerated and such acceleration has not been rescinded on or before the Fundamental Change Repurchase Date for a Repurchase Upon Fundamental Change (including as a result of the payment of the related Fundamental Change Repurchase Price, and any related interest pursuant to the proviso to Section 4.02(D), on such Fundamental Change Repurchase Date), then (i) the Company may not repurchase any Notes pursuant to this Section 4.02; and (ii) the Company will cause any Notes theretofore surrendered for such Repurchase upon Fundamental Change to be returned to the Holders thereof (or, if applicable with respect to Global Notes, cancel any instructions for book-entry transfer to the Company, the Trustee or the Paying Agent of the applicable beneficial interest in such Notes in accordance with the Depositary Procedures). (C) Fundamental Change Repurchase Date. The Fundamental Change Repurchase Date for any Fundamental Change will be a Business Day of the Company’s choosing that is no more than thirty five (35), nor less than twenty (20), Business Days after the date the Company sends the related Fundamental Change Notice pursuant to Section 4.02(E).


 
- 28 - (D) Fundamental Change Repurchase Price. The Fundamental Change Repurchase Price for any Note to be repurchased upon a Repurchase Upon Fundamental Change following a Fundamental Change is an amount in cash equal to the principal amount of such Note plus accrued and unpaid interest on such Note to, but excluding, the Fundamental Change Repurchase Date for such Fundamental Change; provided, however, that if such Fundamental Change Repurchase Date is after a Regular Record Date and on or before the related Interest Payment Date, then (i) the Holder of such Note at the Close of Business on such Regular Record Date will be entitled, notwithstanding such Repurchase Upon Fundamental Change, to receive, on or, at the Company’s election, before such Interest Payment Date, the unpaid interest that would have accrued on such Note to, but excluding, such Interest Payment Date (assuming, solely for these purposes, that such Note remained outstanding through such Interest Payment Date, if such Fundamental Change Repurchase Date is before such Interest Payment Date); and (ii) the Fundamental Change Repurchase Price will not include accrued and unpaid interest on such Note to, but excluding, such Fundamental Change Repurchase Date. For the avoidance of doubt, if an Interest Payment Date is not a Business Day within the meaning of Section 2.05(C) and such Fundamental Change Repurchase Date occurs on the Business Day immediately after such Interest Payment Date, then (x) accrued and unpaid interest on the Notes to, but excluding, such Interest Payment Date will be paid, in accordance with Section 2.05(C), on the next Business Day to Holders as of the Close of Business on the immediately preceding Regular Record Date; and (y) the Fundamental Change Repurchase Price will include interest on the Notes to be repurchased from, and including, such Interest Payment Date. (E) Fundamental Change Notice. On or before the twentieth (20th) calendar day after the occurrence of a Fundamental Change, the Company will (x) send to each Holder, the Trustee, the Conversion Agent and the Paying Agent a notice of such Fundamental Change (a “Fundamental Change Notice”) and (y) substantially contemporaneously therewith, issue a press release through such national newswire service as the Company then uses (or publish the same through such other widely disseminated public medium as the Company then uses, including its website) containing the information set forth in the Fundamental Change Notice. Such Fundamental Change Notice must state: (i) briefly, the events causing such Fundamental Change; (ii) the effective date of such Fundamental Change; (iii) the procedures that a Holder must follow to require the Company to repurchase its Notes pursuant to this Section 4.02, including the deadline for exercising the Fundamental Change Repurchase Right and the procedures for submitting and withdrawing a Fundamental Change Repurchase Notice; (iv) the Fundamental Change Repurchase Date for such Fundamental Change; (v) the Fundamental Change Repurchase Price per $1,000 principal amount of Notes for such Fundamental Change (and, if such Fundamental Change Repurchase Date is after a Regular Record Date and on or before the related Interest Payment Date, the amount, manner and timing of the interest payment payable pursuant to the proviso to Section 4.02(D)); (vi) the name and address of the Paying Agent and the Conversion Agent; (vii) the Conversion Rate in effect on the date of such Fundamental Change Notice and a description of any adjustments to the Conversion Rate that may result from such Fundamental Change (including pursuant to Section 5.07);


 
- 29 - (viii) that Notes for which a Fundamental Change Repurchase Notice has been duly tendered and not duly withdrawn must be delivered to the Paying Agent for the Holder thereof to be entitled to receive the Fundamental Change Repurchase Price; (ix) that Notes (or any portion thereof) that are subject to a Fundamental Change Repurchase Notice that has been duly tendered may be converted only if such Fundamental Change Repurchase Notice is withdrawn in accordance with this Indenture; and (x) the CUSIP and ISIN numbers, if any, of the Notes. Neither the failure to deliver a Fundamental Change Notice nor any defect in a Fundamental Change Notice will limit the Fundamental Change Repurchase Right of any Holder or otherwise affect the validity of any proceedings relating to any Repurchase Upon Fundamental Change. (F) Procedures to Exercise the Fundamental Change Repurchase Right. (i) Delivery of Fundamental Change Repurchase Notice and Notes to Be Repurchased. To exercise its Fundamental Change Repurchase Right for a Note following a Fundamental Change, the Holder thereof must deliver to the Paying Agent: (1) before the Close of Business on the Business Day immediately before the related Fundamental Change Repurchase Date (or such later time as may be required by law), a duly completed, written Fundamental Change Repurchase Notice with respect to such Note; and (2) such Note, duly endorsed for transfer (if such Note is a Physical Note) or by book-entry transfer (if such Note is a Global Note). The Paying Agent will promptly deliver to the Company a copy of each Fundamental Change Repurchase Notice that it receives. (ii) Contents of Fundamental Change Repurchase Notices. Each Fundamental Change Repurchase Notice with respect to a Note must state: (1) if such Note is a Physical Note, the certificate number of such Note; (2) the principal amount of such Note to be repurchased, which must be an Authorized Denomination; and (3) that such Holder is exercising its Fundamental Change Repurchase Right with respect to such principal amount of such Note; provided, however, that if such Note is a Global Note, then such Fundamental Change Repurchase Notice must comply with the Depositary Procedures (and any such Fundamental Change Repurchase Notice delivered in compliance with the Depositary Procedures will be deemed to satisfy the requirements of this Section 4.02(F)). (iii) Withdrawal of Fundamental Change Repurchase Notice. A Holder that has delivered a Fundamental Change Repurchase Notice with respect to a Note may withdraw such Fundamental Change Repurchase Notice by delivering a written notice of withdrawal to the


 
- 30 - Paying Agent at any time before the Close of Business on the Business Day immediately before the related Fundamental Change Repurchase Date. Such withdrawal notice must state: (1) if such Note is a Physical Note, the certificate number of such Note; (2) the principal amount of such Note to be withdrawn, which must be an Authorized Denomination; and (3) the principal amount of such Note, if any, that remains subject to such Fundamental Change Repurchase Notice, which must be an Authorized Denomination; provided, however, that if such Note is a Global Note, then such withdrawal notice must comply with the Depositary Procedures (and any such withdrawal notice delivered in compliance with the Depositary Procedures will be deemed to satisfy the requirements of this Section 4.02(F)). Upon receipt of any such withdrawal notice with respect to a Note (or any portion thereof), the Paying Agent will (x) promptly deliver a copy of such withdrawal notice to the Company; and (y) if such Note is surrendered to the Paying Agent, cause such Note (or such portion thereof in accordance with Section 2.11, treating such Note as having been then surrendered for partial repurchase in the amount set forth in such withdrawal notice as remaining subject to repurchase) to be returned to the Holder thereof (or, if applicable with respect to any Global Note, cancel any instructions for book-entry transfer to the Company, the Trustee or the Paying Agent of the applicable beneficial interest in such Note in accordance with the Depositary Procedures). (G) Payment of the Fundamental Change Repurchase Price. Without limiting the Company’s obligation to deposit the Fundamental Change Repurchase Price within the time proscribed by Section 3.01(B), the Company will cause the Fundamental Change Repurchase Price for a Note (or portion thereof) to be repurchased pursuant to a Repurchase Upon Fundamental Change to be paid to the Holder thereof on or before the later of (i) the applicable Fundamental Change Repurchase Date; and (ii) the date (x) such Note is delivered to the Paying Agent (in the case of a Physical Note) or (y) the Depositary Procedures relating to the repurchase, and the delivery to the Paying Agent, of such Holder’s beneficial interest in such Note to be repurchased are complied with (in the case of a Global Note). For the avoidance of doubt, interest payable pursuant to the proviso to Section 4.02(D) on any Note to be repurchased pursuant to a Repurchase Upon Fundamental Change must be paid pursuant to such proviso regardless of whether such Note is delivered or such Depositary Procedures are complied with pursuant to the first sentence of this Section 4.02(G). (H) Notwithstanding anything to the contrary in this Section 4.02, the Company will be deemed to satisfy its obligations under this Section 4.02 if (i) one or more third parties conduct any Repurchase Upon Fundamental Change and related offer to repurchase Notes otherwise required by this Section 4.02 in a manner that would have satisfied the requirements of this Section 4.02 if conducted directly by the Company; and (ii) an owner of a beneficial interest in any Note repurchased by such third party or parties will not receive a lesser amount (as a result of taxes, additional expenses or for any other reason) than such owner would have received had the Company repurchased such Note. (I) Compliance with Applicable Securities Laws. To the extent applicable, the Company will comply with all federal and state securities laws in connection with a Repurchase Upon Fundamental Change (including complying with Rules 13e-4 and 14e-1 under the Exchange Act and filing any required Schedule TO, to the extent applicable) so as to permit effecting such Repurchase Upon Fundamental Change in the manner set forth in this Indenture; provided, however, that, to the extent that the Company’s obligations pursuant to this Section 4.02 conflict with any law or regulation that is applicable


 
- 31 - to the Company and enacted after the Issue Date, the Company’s compliance with such law or regulation will not be considered to be a Default of such obligations. (J) Repurchase in Part. Subject to the terms of this Section 4.02, Notes may be repurchased pursuant to a Repurchase Upon Fundamental Change in part, but only in Authorized Denominations. Provisions of this Section 4.02 applying to the repurchase of a Note in whole will equally apply to the repurchase of a permitted portion of a Note. Section 4.03. Right of the Company to Redeem the Notes. (A) No Right to Redeem Before March 1, 2027. The Company may not redeem the Notes at its option at any time before March 1, 2027. (B) Right to Redeem the Notes on or After March 1, 2027. Subject to the terms of this Section 4.03, the Company has the right, at its election, to redeem all, or any portion in an Authorized Denomination, of the Notes, at any time and from time to time, on a Redemption Date on or after March 1, 2027 and on or before the twentieth (20th) Scheduled Trading Day immediately before the Maturity Date, for a cash purchase price equal to the Redemption Price, but only if the Last Reported Sale Price per share of Common Stock exceeds one hundred and thirty percent (130%) of the Conversion Price on (i) each of at least twenty (20) Trading Days (whether or not consecutive) during the thirty (30) consecutive Trading Days ending on, and including, the Trading Day immediately before the Redemption Notice Date for such Redemption; and (ii) the Trading Day immediately before such Redemption Notice Date. For the avoidance of doubt, the calling of any Notes for Redemption will constitute a Make-Whole Fundamental Change pursuant to clause (B) of the definition thereof. (C) Redemption Prohibited in Certain Circumstances. If the principal amount of the Notes has been accelerated and such acceleration has not been rescinded on or before the Redemption Date (including as a result of the payment of the related Redemption Price, and any related interest pursuant to the proviso to Section 4.03(E), on such Redemption Date), then (i) the Company may not call for Redemption or otherwise redeem any Notes pursuant to this Section 4.03; and (ii) the Company will cause any Notes theretofore surrendered for such Redemption to be returned to the Holders thereof (or, if applicable with respect to Global Notes, cancel any instructions for book-entry transfer to the Company, the Trustee or the Paying Agent of the applicable beneficial interests in such Notes in accordance with the Depositary Procedures). (D) Redemption Date. The Redemption Date for any Redemption will be a scheduled Business Day (as of the Redemption Notice Date) chosen by the Company that is no more than forty-five (45), nor less than twenty-five (25), Scheduled Trading Days after the Redemption Notice Date for such Redemption. (E) Redemption Price. The Redemption Price for any Note called for Redemption is an amount in cash equal to the principal amount of such Note plus accrued and unpaid interest on such Note to, but excluding, the Redemption Date for such Redemption; provided, however, that if such Redemption Date is after a Regular Record Date and on or before the related Interest Payment Date, then (i) the Holder of such Note at the Close of Business on such Regular Record Date will be entitled, notwithstanding such Redemption, to receive, on or, at the Company’s election, before such Interest Payment Date, the unpaid interest that would have accrued on such Note to, but excluding, such Interest Payment Date (assuming, solely for these purposes, that such Note remained outstanding through such Interest Payment Date, if such Redemption Date is before such Interest Payment Date); and (ii) the Redemption Price will not include accrued and unpaid interest on such Note to, but excluding, such Redemption Date. For the avoidance of doubt, if an Interest Payment Date is not a Business Day within


 
- 32 - the meaning of Section 2.05(C) and such Redemption Date occurs on the Business Day immediately after such Interest Payment Date, then (x) accrued and unpaid interest on the Notes to, but excluding, such Interest Payment Date will be paid, in accordance with Section 2.05(C), on the next Business Day to Holders as of the Close of Business on the immediately preceding Regular Record Date; and (y) the Redemption Price will include interest on the Notes to be redeemed from, and including, such Interest Payment Date. (F) Redemption Notice. To call any Notes for Redemption, the Company must (x) send to each Holder of such Notes, the Trustee and the Paying Agent a written notice of such Redemption (a “Redemption Notice”) and (y) substantially contemporaneously therewith, issue a press release through such national newswire service as the Company then uses (or publish the same through such other widely disseminated public medium as the Company then uses, including its website) containing the information set forth in the Redemption Notice. Such Redemption Notice must state: (i) that the Notes have been called for Redemption, briefly describing the Company’s Redemption right under this Indenture; (ii) the Redemption Date for such Redemption; (iii) the Redemption Price per $1,000 principal amount of Notes for such Redemption (and, if the Redemption Date is after a Regular Record Date and on or before the related Interest Payment Date, the amount, manner and timing of the interest payment payable pursuant to the proviso to Section 4.03(E)); (iv) the name and address of the Paying Agent and the Conversion Agent; (v) that Notes called for Redemption may be converted at any time before the Close of Business on the Business Day immediately before the Redemption Date (or, if the Company fails to pay the Redemption Price due on such Redemption Date in full, at any time until such time as the Company pays such Redemption Price in full); (vi) the Conversion Rate in effect on the Redemption Notice Date for such Redemption and a description of any adjustments to the Conversion Rate that may result from such Redemption (including pursuant to Section 5.07); (vii) the Settlement Method that will apply to all conversions of Notes with a Conversion Date that occurs on or after such Redemption Notice Date and before such Redemption Date; and (viii) the CUSIP and ISIN numbers, if any, of the Notes. On or before the Redemption Notice Date, the Company will send a copy of such Redemption Notice to the Trustee, the Conversion Agent and the Paying Agent. (G) Selection, Conversion and Transfer of Notes to be Redeemed in Part. If less than all Notes then outstanding are called for Redemption, then: (i) the Notes to be redeemed will be selected by the Company as follows: (1) in the case of Global Notes, in accordance with the Depositary Procedures; and (2) in the case of


 
- 33 - Physical Notes, pro rata, by lot or by such other method the Company considers fair and appropriate; and (ii) if only a portion of a Note is subject to Redemption and such Note is converted in part, then the converted portion of such Note will be deemed to be from the portion of such Note that was subject to Redemption. (H) Payment of the Redemption Price. Without limiting the Company’s obligation to deposit the Redemption Price by the time proscribed by Section 3.01(B), the Company will cause the Redemption Price for a Note (or portion thereof) subject to Redemption to be paid to the Holder thereof on or before the applicable Redemption Date. For the avoidance of doubt, interest payable pursuant to the proviso to Section 4.03(E) on any Note (or portion thereof) subject to Redemption must be paid pursuant to such proviso. (I) If the Company’s elects to redeem less than all of the outstanding Notes pursuant to this Section 4.03, and the Holder of any Note, or any owner of a beneficial interest in any Global Note, is reasonably not able to determine, before the Close of Business on the twenty-second (22nd) Scheduled Trading Day immediately before the Redemption Date for such Redemption, whether such Note or beneficial interest, as applicable, is to be redeemed pursuant to such Redemption, then such Holder or owner, as applicable, will be entitled to convert such Note or beneficial interest, as applicable, at any time before the Close of Business on the Business Day immediately before such Redemption Date, and each such conversion will be deemed to be of a Note called for Redemption for purposes of this Section 4.03 and Sections 5.01(C)(i)(4) and 5.07. (J) Partial Redemption Limitation. If the Company elects to redeem fewer than all of the outstanding Notes pursuant to this Section 4.03, at least one hundred million dollars ($100,000,000) aggregate principal amount of Notes must be outstanding and not subject to Redemption as of the time the Company sends the relevant Redemption Notice. The Trustee shall have no obligation to make any determination in connection with the foregoing. Article 5. CONVERSION Section 5.01. Right to Convert. (A) Generally. Subject to the provisions of this Article 5, each Holder may, at its option, convert such Holder’s Notes into Conversion Consideration. (B) Conversions in Part. Subject to the terms of this Indenture, Notes may be converted in part, but only in Authorized Denominations. Provisions of this Article 5 applying to the conversion of a Note in whole will equally apply to conversions of a permitted portion of a Note. (C) When Notes May Be Converted. (i) Generally. Subject to Section 5.01(C)(ii), a Note may be converted only in the following circumstances: (1) Conversion upon Satisfaction of Common Stock Sale Price Condition. A Holder may convert its Notes during any calendar quarter commencing after the calendar quarter ending on June 30, 2024 (and only during such calendar quarter), if the Last Reported Sale Price per share of Common Stock exceeds one hundred and thirty percent


 
- 34 - (130%) of the Conversion Price for each of at least twenty (20) Trading Days (whether or not consecutive) during the thirty (30) consecutive Trading Days ending on, and including, the last Trading Day of the immediately preceding calendar quarter. (2) Conversion upon Satisfaction of Note Trading Price Condition. A Holder may convert its Notes during the five (5) consecutive Business Days immediately after any five (5) consecutive Trading Day period (such five (5) consecutive Trading Day period, the “Measurement Period”) if the Trading Price per $1,000 principal amount of Notes, as determined following a request by a Holder in accordance with the procedures set forth below, for each Trading Day of the Measurement Period was less than ninety eight percent (98%) of the product of the Last Reported Sale Price per share of Common Stock on such Trading Day and the Conversion Rate on such Trading Day. The condition set forth in the preceding sentence is referred to in this Indenture as the “Trading Price Condition.” The Trading Price will be determined by the Bid Solicitation Agent pursuant to this Section 5.01(C)(i)(2) and the definition of “Trading Price.” The Bid Solicitation Agent (if not the Company) will have no obligation to determine the Trading Price of the Notes unless the Company has requested such determination, and the Company will have no obligation to make such request (or seek bids itself) unless a Holder provides the Company with reasonable evidence that the Trading Price per $1,000 principal amount of Notes would be less than ninety eight percent (98%) of the product of the Last Reported Sale Price per share of Common Stock and the Conversion Rate. If such a Holder provides such evidence, then the Company will (if acting as Bid Solicitation Agent), or will instruct the Bid Solicitation Agent to, determine the Trading Price of the Notes beginning on the next Trading Day and on each successive Trading Day until the Trading Price per $1,000 principal amount of Notes is greater than or equal to ninety eight percent (98%) of the product of the Last Reported Sale Price per share of Common Stock on such Trading Day and the Conversion Rate on such Trading Day. If the Trading Price Condition has been met as set forth above, then the Company will notify the Holders, the Trustee and the Conversion Agent of the same and the Company will instruct the institutions providing bids to deliver bids to the Bid Solicitation Agent. If, on any Trading Day after the Trading Price Condition has been met as set forth above, the Trading Price per $1,000 principal amount of Notes is greater than or equal to ninety eight percent (98%) of the product of the Last Reported Sale Price per share of Common Stock on such Trading Day and the Conversion Rate on such Trading Day, then the Company will notify the Holders, the Trustee and the Conversion Agent of the same. (3) Conversion upon Specified Corporate Events. (a) Certain Distributions. If the Company elects to: (I) distribute, to all or substantially all holders of Common Stock, any rights, options or warrants (other than rights issued pursuant to a stockholder rights plan, so long as such rights have not separated from the Common Stock and are not exercisable until the occurrence of a triggering event, except that such rights will be deemed to be distributed under this clause (I) upon their separation from the Common Stock or upon the occurrence of such triggering event) entitling them, for a period of not more than sixty (60) calendar days after the record date of such distribution, to subscribe for or purchase shares of Common Stock at a


 
- 35 - price per share that is less than the average of the Last Reported Sale Prices per share of Common Stock for the ten (10) consecutive Trading Days ending on, and including, the Trading Day immediately before the date such distribution is announced (determined in the manner set forth in the third paragraph of Section 5.05(A)(ii)); or (II) distribute, to all or substantially all holders of Common Stock, assets or securities of the Company or rights to purchase the Company’s securities, which distribution per share of Common Stock has a value, as reasonably determined by the Company, exceeding ten percent (10%) of the Last Reported Sale Price per share of Common Stock on the Trading Day immediately before the date such distribution is announced, then, in either case, (x) the Company will send notice of such distribution, and of the related right to convert Notes, to Holders, the Trustee and the Conversion Agent at least twenty-five (25) Scheduled Trading Days before the Ex-Dividend Date for such distribution (or, if later in the case of any such separation of rights issued pursuant to a stockholder rights plan or the occurrence of any such triggering event under a stockholder rights plan, as soon as reasonably practicable after the Company becomes aware that such separation or triggering event has occurred or will occur); and (y) once the Company has sent such notice, Holders may convert their Notes at any time until the earlier of the Close of Business on the Business Day immediately before such Ex-Dividend Date and the Company’s announcement that such distribution will not take place. (b) Certain Corporate Events. If a Fundamental Change, Make- Whole Fundamental Change (other than a Make-Whole Fundamental Change pursuant to clause (B) of the definition thereof) or Common Stock Change Event occurs, then, in each case, Holders may convert their Notes at any time from, and including, the effective date of such transaction or event to, and including, the thirty fifth (35th) Trading Day after such effective date (or, if such transaction or event also constitutes a Fundamental Change, to, but excluding, the related Fundamental Change Repurchase Date); provided, however, that if the Company does not provide the notice referred to in the immediately following sentence by such effective date, then the last day on which the Notes are convertible pursuant to this sentence will be extended by the number of Business Days from, and including, such effective date to, but excluding, the date the Company provides such notice. No later than such effective date, the Company will send notice to the Holders, the Trustee and the Conversion Agent of such transaction or event, such effective date and the related right to convert Notes. (4) Conversion upon Redemption. If the Company calls any Note for Redemption, then the Holder of such Note may convert such Note at any time before the Close of Business on the Business Day immediately before the related Redemption Date (or, if the Company fails to pay the Redemption Price due on such Redemption Date in full, at any time until such time as the Company pays such Redemption Price in full). (5) Conversions During Free Convertibility Period. A Holder may convert its Notes at any time from, and including, September 1, 2028 until the Close of Business on the second (2nd) Scheduled Trading Day immediately before the Maturity Date.


 
- 36 - For the avoidance of doubt, the Notes may become convertible pursuant to any one or more of the preceding sub-paragraphs of this Section 5.01(C)(i) and the Notes ceasing to be convertible pursuant to a particular sub-paragraph of this Section 5.01(C)(i) will not preclude the Notes from being convertible pursuant to any other sub-paragraph of this Section 5.01(C)(i). (ii) Limitations and Closed Periods. Notwithstanding anything to the contrary in this Indenture or the Notes: (1) Notes may be surrendered for conversion only after the Open of Business and before the Close of Business on a day that is a Business Day; (2) in no event may any Note be converted after the Close of Business on the second (2nd) Scheduled Trading Day immediately before the Maturity Date; (3) if the Company calls any Note for Redemption pursuant to Section 4.03, then the Holder of such Note may not convert such Note after the Close of Business on the Business Day immediately before the applicable Redemption Date, except to the extent the Company fails to pay the Redemption Price for such Note in accordance with this Indenture; and (4) if a Fundamental Change Repurchase Notice is validly delivered pursuant to Section 4.02(F) with respect to any Note, then such Note may not be converted, except to the extent (a) such Note is not subject to such notice; (b) such notice is withdrawn in accordance with Section 4.02(F); or (c) the Company fails to pay the Fundamental Change Repurchase Price for such Note in accordance with this Indenture. Section 5.02. Conversion Procedures. (A) Generally. (i) Global Notes. To convert a beneficial interest in a Global Note that is convertible pursuant to Section 5.01(C), the owner of such beneficial interest must (1) comply with the Depositary Procedures for converting such beneficial interest (at which time such conversion will become irrevocable); and (2) pay any amounts due pursuant to Section 5.02(D) or Section 5.02(E). (ii) Physical Notes. To convert all or a portion of a Physical Note that is convertible pursuant to Section 5.01(C), the Holder of such Note must (1) complete, manually sign and deliver to the Conversion Agent the conversion notice attached to such Physical Note or a facsimile of such conversion notice; (2) deliver such Physical Note to the Conversion Agent (at which time such conversion will become irrevocable); (3) furnish any endorsements and transfer documents that the Company or the Conversion Agent may require; and (4) pay any amounts due pursuant to Section 5.02(D) or Section 5.02(E). (B) Effect of Converting a Note. At the Close of Business on the Conversion Date for a Note (or any portion thereof), such Note (or such portion thereof) will be deemed to cease to be outstanding (and, for the avoidance of doubt, no Person will be deemed to be a Holder of such Note (or such portion thereof) as of the Close of Business on such Conversion Date), except to the extent provided in Section 5.02(D).


 
- 37 - (C) Holder of Record of Conversion Shares. The Person in whose name any share of Common Stock is issuable upon conversion of any Note will be deemed to become the holder of record of such share as of the Close of Business on (i) the Conversion Date for such conversion, in the case of Physical Settlement; or (ii) the last VWAP Trading Day of the Observation Period for such conversion, in the case of Combination Settlement. (D) Interest Payable upon Conversion in Certain Circumstances. If the Conversion Date of a Note is after a Regular Record Date and before the related Interest Payment Date, then (i) the Holder of such Note at the Close of Business on such Regular Record Date will be entitled, notwithstanding such conversion (and, for the avoidance of doubt, notwithstanding anything set forth in the proviso to this sentence), to receive, on or, at the Company’s election, before such Interest Payment Date, the unpaid interest that would have accrued on such Note to, but excluding, such Interest Payment Date (assuming, solely for these purposes, that such Note remained outstanding through such Interest Payment Date); and (ii) the Holder surrendering such Note for conversion must deliver to the Conversion Agent, at the time of such surrender, cash in the amount of such interest referred to in clause (i) above; provided, however, that the Holder surrendering such Note for conversion need not deliver such cash (a) if the Company has specified a Redemption Date that is after such Regular Record Date and on or before the Business Day immediately after such Interest Payment Date; (b) if such Conversion Date occurs after the Regular Record Date immediately before the Maturity Date; (c) if the Company has specified a Fundamental Change Repurchase Date that is after such Regular Record Date and on or before the Business Day immediately after such Interest Payment Date; or (d) to the extent of any overdue interest or interest that has accrued on any overdue interest. For the avoidance of doubt, as a result of, and without limiting the generality of, the foregoing, if a Note is converted with a Conversion Date that is after the Regular Record Date immediately before the Maturity Date, then the Company will pay, as provided above, the interest that would have accrued on such Note to, but excluding, the Maturity Date had such Note not been converted. For the avoidance of doubt, if the Conversion Date of a Note to be converted is on an Interest Payment Date, then the Holder of such Note at the Close of Business on the Regular Record Date immediately before such Interest Payment Date will be entitled to receive, on such Interest Payment Date, the unpaid interest that has accrued on such Note to, but excluding such Interest Payment Date, and such Note, when surrendered for conversion, need not be accompanied by any cash amount pursuant to the first sentence of this Section 5.02(D). (E) Taxes and Duties. If a Holder converts a Note, the Company will pay any documentary, stamp or similar issue or transfer tax or duty due on the issue or delivery of any shares of Common Stock upon such conversion; provided, however, that if any tax or duty is due because such Holder requested such shares to be registered in a name other than such Holder’s name, then such Holder will pay such tax or duty and, until having received a sum sufficient to pay such tax or duty, the Conversion Agent may refuse to deliver any such shares to be issued in a name other than that of such Holder. (F) Conversion Agent to Notify Company of Conversions. If any Note is submitted for conversion to the Conversion Agent or the Conversion Agent receives any notice of conversion with respect to a Note, then the Conversion Agent will promptly notify the Company and the Trustee of such occurrence, together with any other information reasonably requested by the Company, and will cooperate with the Company to determine the Conversion Date for such Note. Section 5.03. Settlement upon Conversion. (A) Settlement Method. Upon the conversion of any Note, the Company will settle such conversion by paying or delivering, as applicable and as provided in this Article 5, either (x) shares of Common Stock, together, if applicable, with cash in lieu of fractional shares as provided in Section 5.03(C)(i)(1) (a “Physical Settlement”); (y) solely cash as provided in Section 5.03(C)(i)(2) (a “Cash


 
- 38 - Settlement”); or (z) a combination of cash and shares of Common Stock, together, if applicable, with cash in lieu of fractional shares as provided in Section 5.03(C)(i)(3) (a “Combination Settlement”). (i) The Company’s Right to Elect Settlement Method. The Company will have the right to elect the Settlement Method applicable to any conversion of a Note; provided, however, that: (1) subject to clause (3) below, all conversions of Notes with a Conversion Date that occurs on or after September 1, 2028 will be settled using the same Settlement Method, and the Company will send notice of such Settlement Method to Holders, the Trustee and the Conversion Agent no later than the Open of Business on September 1, 2028; (2) subject to clause (3) below, if the Company elects a Settlement Method with respect to the conversion of any Note whose Conversion Date occurs before September 1, 2028, then the Company will send notice of such Settlement Method to the Holder of such Note, the Trustee and the Conversion Agent no later than the Close of Business on the Business Day immediately after such Conversion Date; (3) if any Notes are called for Redemption, then (1) the Company will specify, in the related Redemption Notice sent pursuant to Section 4.03(F) (and, in the case of a Redemption of less than all outstanding Notes, in a notice simultaneously sent to all Holders of Notes not called for Redemption), the Settlement Method that will apply to all conversions of Notes convertible pursuant to Section 5.01(C)(i)(4) on account of a Redemption Notice with a Conversion Date that occurs on or after the related Redemption Notice Date and on or before the second (2nd) Business Day before the related Redemption Date; and (2) if such Redemption Date occurs on or after September 1, 2028, then such Settlement Method must be the same Settlement Method that, pursuant to clause (1) above, applies to all conversions of Notes with a Conversion Date that occurs on or after September 1, 2028; (4) Except as provided in clause (1) or (3) above, the Company will use the same Settlement Method for all conversions of Notes with a Conversion Date that occurs on the same day (and, for the avoidance of doubt, the Company will not be obligated to use the same Settlement Method with respect to conversions of Notes whose Conversion Dates occur on different days, except as provided in clause (1) or (3) above); (5) if the Company does not timely elect a Settlement Method with respect to the conversion of a Note, then the Company will be deemed to have elected the Default Settlement Method (and, for the avoidance of doubt, the failure to timely make such election will not constitute a Default or Event of Default); (6) if the Company timely elects Combination Settlement with respect to the conversion of a Note but does not timely notify the Holder of such Note of the applicable Specified Dollar Amount, then the Specified Dollar Amount for such conversion will be deemed to be $1,000 per $1,000 principal amount of Notes (and, for the avoidance of doubt, the failure to timely send such notification will not constitute a Default or Event of Default); and (7) the Settlement Method will be subject to Section 5.09(A)(2).


 
- 39 - (ii) The Company’s Right to Irrevocably Fix or Eliminate Settlement Methods. The Company will have the right, exercisable at its election by sending notice of such exercise to the Holders (with a copy to the Trustee and the Conversion Agent), to (1) irrevocably fix the Settlement Method that will apply to all conversions of Notes with a Conversion Date that occurs on or after the date such notice is sent to Holders; or (2) irrevocably eliminate any one or more (but not all) Settlement Methods (including eliminating Combination Settlement with a particular Specified Dollar Amount or range of Specified Dollar Amounts) with respect to all conversions of Notes with a Conversion Date that occurs on or after the date such notice is sent to Holders, provided, in each case, that (w) the Settlement Method so elected pursuant to clause (1) above, or the Settlement Method(s) remaining after any elimination pursuant to clause (2) above, as applicable, must be a Settlement Method or Settlement Method(s), as applicable, that the Company is then permitted to elect (for the avoidance of doubt, including pursuant to, and subject to, the other provisions of this Section 5.03(A)); (x) no such irrevocable election will affect any Settlement Method theretofore elected (or deemed to be elected) with respect to any Note pursuant to this Indenture (including pursuant to Section 8.01(G) or this Section 5.03(A)); (y) upon any such irrevocable election pursuant to clause (1) above, the Default Settlement Method will automatically be deemed to be set to the Settlement Method so fixed; and (z) upon any such irrevocable election pursuant to clause (2) above, the Company will, if needed, simultaneously change the Default Settlement Method to a Settlement Method that is consistent with such irrevocable election. Such notice, if sent, must set forth the applicable Settlement Method(s) so elected or eliminated, as applicable, and the Default Settlement Method applicable immediately after such election, and expressly state that the election is irrevocable and applicable to all conversions of Notes with a Conversion Date that occurs on or after the date such notice is sent to Holders (subject to clause (x) in the immediately preceding sentence with respect to a Settlement Method elected or deemed elected with respect to any Note prior to such irrevocable election). For the avoidance of doubt, such an irrevocable election, if made, will be effective without the need to amend this Indenture or the Notes, including pursuant to Section 8.01(G) (it being understood, however, that the Company may nonetheless choose to execute such an amendment at its option). (B) Requirement to Publicly Disclose the Fixed or Default Settlement Method. If the Company changes the Default Settlement Method or irrevocably fixes the Settlement Method pursuant to this Section 5.03(B), then the Company will either post the Default Settlement Method or fixed Settlement Method, as applicable, on the Company’s website or disclose the same in a current report on Form 8-K (or any successor form) that is filed with, or furnished to, the SEC. (C) Conversion Consideration. (i) Generally. Subject to Section 5.03(C)(ii) and Section 5.03(C)(iii), the type and amount of consideration (the “Conversion Consideration”) due in respect of each $1,000 principal amount of a Note to be converted will be as follows: (1) if Physical Settlement applies to such conversion, a number of shares of Common Stock equal to the Conversion Rate in effect on the Conversion Date for such conversion; (2) if Cash Settlement applies to such conversion, cash in an amount equal to the sum of the Daily Conversion Values for each VWAP Trading Day in the Observation Period for such conversion; or


 
- 40 - (3) if Combination Settlement applies to such conversion, consideration consisting of (a) a number of shares of Common Stock equal to the sum of the Daily Share Amounts for each VWAP Trading Day in the Observation Period for such conversion; and (b) an amount of cash equal to the sum of the Daily Cash Amounts for each VWAP Trading Day in such Observation Period. (ii) Cash in Lieu of Fractional Shares. If Physical Settlement or Combination Settlement applies to the conversion of any Note and the number of shares of Common Stock deliverable pursuant to Section 5.03(C)(i) upon such conversion is not a whole number, then such number will be rounded down to the nearest whole number and the Company will deliver, in addition to the other consideration due upon such conversion, cash in lieu of the related fractional share in an amount equal to the product of (1) such fraction and (2) (x) the Daily VWAP on the Conversion Date for such conversion (or, if such Conversion Date is not a VWAP Trading Day, the immediately preceding VWAP Trading Day), in the case of Physical Settlement; or (y) the Daily VWAP on the last VWAP Trading Day of the Observation Period for such conversion, in the case of Combination Settlement. (iii) Conversion of Multiple Notes by a Single Holder. If a Holder converts more than one (1) Note on a single Conversion Date, then the Conversion Consideration due in respect of such conversion will (in the case of any Global Note, to the extent permitted by, and practicable under, the Depositary Procedures) be computed based on the total principal amount of Notes converted on such Conversion Date by such Holder. (iv) Notice of Calculation of Conversion Consideration. If Cash Settlement or Combination Settlement applies to the conversion of any Note, then the Company will determine the Conversion Consideration due thereupon promptly following the last VWAP Trading Day of the applicable Observation Period and will promptly thereafter send notice to the Trustee and the Conversion Agent of the same and the calculation thereof in reasonable detail. Neither the Trustee nor the Conversion Agent will have any duty to make any such determination. (D) Delivery of the Conversion Consideration. Except as set forth in Sections 5.05(A), 5.05(D) and 5.09, the Company will pay or deliver, as applicable, the Conversion Consideration due upon the conversion of any Note to the Holder as follows: (i) if Cash Settlement or Combination Settlement applies to such conversion, on or before the second (2nd) Business Day immediately after the last VWAP Trading Day of the Observation Period for such conversion; and (ii) if Physical Settlement applies to such conversion, on or before the second (2nd) Business Day immediately after the Conversion Date for such conversion; provided, however, if Physical Settlement applies to the conversion of any Note with a Conversion Date that is after the Regular Record Date immediately before the Maturity Date, the Company will settle any such conversion on the Maturity Date or, if such day is not a Business Day, the first Business Day immediately following the Maturity Date. (E) Deemed Payment of Principal and Interest; Settlement of Accrued Interest Notwithstanding Conversion. If a Holder converts a Note, then the Company will not adjust the Conversion Rate to account for any accrued and unpaid interest on such Note, and, except as provided in Section 5.02(D), the Company’s delivery of the Conversion Consideration due in respect of such conversion will be deemed to fully satisfy and discharge the Company’s obligation to pay the principal of, and accrued and unpaid interest, if any, on, such Note to, but excluding the Conversion Date. As a result, except as provided in Section 5.02(D), any accrued and unpaid interest on a converted Note will be deemed to be paid in full rather than cancelled, extinguished or forfeited. In addition, subject to Section 5.02(D), if the Conversion Consideration for a Note consists of both cash and shares of the Common


 
- 41 - Stock, then accrued and unpaid interest that is deemed to be paid therewith will be deemed to be paid first out of such cash. Section 5.04. Reserve and Status of Common Stock Issued upon Conversion. (A) Stock Reserve. At all times when any Notes are outstanding, the Company will reserve, out of its authorized but unissued and unreserved shares of Common Stock, a number of shares of Common Stock sufficient to permit the conversion of all then-outstanding Notes, assuming (x) Physical Settlement will apply to such conversion; and (y) the Conversion Rate is increased by the maximum amount pursuant to which the Conversion Rate may be increased pursuant to Section 5.07. (B) Status of Conversion Shares; Listing. Each Conversion Share, if any, delivered upon conversion of any Note will be a newly issued or treasury share (except that any Conversion Share delivered by a designated financial institution pursuant to Section 5.08 need not be a newly issued or treasury share) and will be duly and validly issued, fully paid, non-assessable, free from preemptive rights and free of any lien or adverse claim (except to the extent of any lien or adverse claim created by the action or inaction of the Holder of such Note or the Person to whom such Conversion Share will be delivered). If the Common Stock is then listed on any securities exchange, or quoted on any inter-dealer quotation system, then the Company will cause each Conversion Share, when delivered upon conversion of any Note, to be admitted for listing on such exchange or quotation on such system. Section 5.05. Adjustments to the Conversion Rate. (A) Events Requiring an Adjustment to the Conversion Rate. The Conversion Rate will be adjusted from time to time as follows: (i) Stock Dividends, Splits and Combinations. If the Company issues solely shares of Common Stock as a dividend or distribution on all or substantially all shares of the Common Stock, or if the Company effects a stock split or a stock combination of the Common Stock (in each case excluding an issuance solely pursuant to a Common Stock Change Event, as to which Section 5.09 will apply), then the Conversion Rate will be adjusted based on the following formula: 0 1 01 OS OS CRCR  where: CR0 = the Conversion Rate in effect immediately before the Open of Business on the Ex-Dividend Date for such dividend or distribution, or immediately before the Open of Business on the effective date of such stock split or stock combination, as applicable; CR1 = the Conversion Rate in effect immediately after the Open of Business on such Ex-Dividend Date or the Open of Business on such effective date, as applicable; OS0 = the number of shares of Common Stock outstanding immediately before the Open of Business on such Ex-Dividend Date or effective date, as applicable, without giving effect to such dividend, distribution, stock split or stock combination; and


 
- 42 - OS1 = the number of shares of Common Stock outstanding immediately after giving effect to such dividend, distribution, stock split or stock combination. If any dividend, distribution, stock split or stock combination of the type described in this Section 5.05(A)(i) is declared or announced, but not so paid or made, then the Conversion Rate will be readjusted, effective as of the date the Board of Directors determines not to pay such dividend or distribution or to effect such stock split or stock combination, to the Conversion Rate that would then be in effect had such dividend, distribution, stock split or stock combination not been declared or announced. (ii) Rights, Options and Warrants. If the Company distributes, to all or substantially all holders of Common Stock, rights, options or warrants (other than rights issued or otherwise distributed pursuant to a stockholder rights plan, as to which the provisions set forth in Sections 5.05(A)(iii)(1) and 5.05(F) will apply) entitling such holders, for a period of not more than sixty (60) calendar days after the record date of such distribution, to subscribe for or purchase shares of Common Stock at a price per share that is less than the average of the Last Reported Sale Prices per share of Common Stock for the ten (10) consecutive Trading Days ending on, and including, the Trading Day immediately before the date such distribution is announced, then the Conversion Rate will be increased based on the following formula: YOS XOS CRCR    01 where: CR0 = the Conversion Rate in effect immediately before the Open of Business on the Ex-Dividend Date for such distribution; CR1 = the Conversion Rate in effect immediately after the Open of Business on such Ex-Dividend Date; OS = the number of shares of Common Stock outstanding immediately before the Open of Business on such Ex-Dividend Date; X = the total number of shares of Common Stock issuable pursuant to such rights, options or warrants; and Y = a number of shares of Common Stock obtained by dividing (x) the aggregate price payable to exercise such rights, options or warrants by (y) the average of the Last Reported Sale Prices per share of Common Stock for the ten (10) consecutive Trading Days ending on, and including, the Trading Day immediately before the date such distribution is announced. To the extent that shares of Common Stock are not delivered after the expiration of such rights, options or warrants (including as a result of such rights, options or warrants not being exercised), the Conversion Rate will be readjusted to the Conversion Rate that would then be in effect had the increase to the Conversion Rate for such distribution been made on the basis of delivery of only the number of shares of Common Stock actually delivered upon exercise of such rights, option or warrants. To the extent such rights, options or warrants are not so distributed, the


 
- 43 - Conversion Rate will be readjusted to the Conversion Rate that would then be in effect had the Ex-Dividend Date for the distribution of such rights, options or warrants not occurred. For purposes of this Section 5.05(A)(ii) and Section 5.01(C)(i)(3)(a)(I), in determining whether any rights, options or warrants entitle holders of Common Stock to subscribe for or purchase shares of Common Stock at a price per share that is less than the average of the Last Reported Sale Prices per share of Common Stock for the ten (10) consecutive Trading Days ending on, and including, the Trading Day immediately before the date the distribution of such rights, options or warrants is announced, and in determining the aggregate price payable to exercise such rights, options or warrants, there will be taken into account any consideration the Company receives for such rights, options or warrants and any amount payable on exercise thereof, with the value of such consideration, if not cash, to be reasonably determined by the Company. (iii) Spin-Offs and Other Distributed Property. (1) Distributions Other than Spin-Offs. If the Company distributes shares of its Capital Stock, evidences of its indebtedness or other assets or property of the Company, or rights, options or warrants to acquire Capital Stock of the Company or other securities, to all or substantially all holders of the Common Stock, excluding: (u) dividends, distributions, rights, options or warrants for which an adjustment to the Conversion Rate is required (or would be required without regard to Section 5.05(C)) pursuant to Section 5.05(A)(i) or 5.05(A)(ii); (v) dividends or distributions paid exclusively in cash for which an adjustment to the Conversion Rate is required (or would be required without regard to Section 5.05(C)) pursuant to Section 5.05(A)(iv); (w) rights issued or otherwise distributed pursuant to a stockholder rights plan, except to the extent provided in Section 5.05(F); (x) Spin-Offs for which an adjustment to the Conversion Rate is required (or would be required without regard to Section 5.05(C)) pursuant to Section 5.05(A)(iii)(2); (y) a distribution solely pursuant to a Common Stock Change Event, as to which Section 5.09 will apply; and (z) a distribution solely pursuant to a tender offer or exchange offer for shares of the Common Stock, as to which Section 5.05(A)(v) will apply, then the Conversion Rate will be increased based on the following formula: FMVSP SP CRCR   01 where: CR0 = the Conversion Rate in effect immediately before the Open of Business on the Ex-Dividend Date for such distribution;


 
- 44 - CR1 = the Conversion Rate in effect immediately after the Open of Business on such Ex-Dividend Date; SP = the average of the Last Reported Sale Prices per share of Common Stock for the ten (10) consecutive Trading Days ending on, and including, the Trading Day immediately before such Ex-Dividend Date; and FMV = the fair market value (as reasonably determined by the Company), as of such Ex-Dividend Date, of the shares of Capital Stock, evidences of indebtedness, assets, property, rights, options or warrants distributed per share of Common Stock pursuant to such distribution; provided, however, that if FMV is equal to or greater than SP, then, in lieu of the foregoing adjustment to the Conversion Rate, each Holder will receive, for each $1,000 principal amount of Notes held by such Holder on the record date for such distribution, at the same time and on the same terms as holders of Common Stock, the amount and kind of shares of Capital Stock, evidences of indebtedness, assets, property, rights, options or warrants that such Holder would have received if such Holder had owned, on such record date, a number of shares of Common Stock equal to the Conversion Rate in effect on such record date. To the extent such distribution is not so paid or made, the Conversion Rate will be readjusted to the Conversion Rate that would then be in effect had the adjustment been made on the basis of only the distribution, if any, actually made or paid. (2) Spin-Offs. If the Company distributes or dividends shares of Capital Stock of any class or series, or similar equity interests, of or relating to an Affiliate, a Subsidiary or other business unit of the Company to all or substantially all holders of the Common Stock (other than solely pursuant to (x) a Common Stock Change Event, as to which Section 5.09 will apply; or (y) a tender offer or exchange offer for shares of the Common Stock, as to which Section 5.05(A)(v) will apply), and such Capital Stock or equity interests are listed or quoted (or will be listed or quoted upon the consummation of the transaction) on a U.S. national securities exchange (a “Spin-Off”), then the Conversion Rate will be increased based on the following formula: SP SPFMV CRCR   01 where: CR0 = the Conversion Rate in effect immediately before the Open of Business on the Ex-Dividend Date for such Spin-Off; CR1 = the Conversion Rate in effect immediately after the Open of Business on such Ex-Dividend Date; FMV = the product of (x) the average of the Last Reported Sale Prices per share or unit of the Capital Stock or equity interests distributed in such Spin- Off over the ten (10) consecutive Trading Day period (the “Spin-Off Valuation Period”) beginning on, and including, such Ex-Dividend Date (such average to be determined as if references to Common Stock in the


 
- 45 - definitions of Last Reported Sale Price, Trading Day and Market Disruption Event were instead references to such Capital Stock or equity interests); and (y) the number of shares or units of such Capital Stock or equity interests distributed per share of Common Stock in such Spin-Off; and SP = the average of the Last Reported Sale Prices per share of Common Stock for each Trading Day in the Spin-Off Valuation Period. The adjustment to the Conversion Rate pursuant to this Section 5.05(A)(iii)(2) will be calculated as of the Close of Business on the last Trading Day of the Spin-Off Valuation Period but will be given effect immediately after the Open of Business on the Ex- Dividend Date for the Spin-Off, with retroactive effect. If a Note is converted and the Conversion Date (in the case of Physical Settlement) or any VWAP Trading Day of the applicable Observation Period (in the case of Cash Settlement or Combination Settlement) occurs during the Spin-Off Valuation Period, then, notwithstanding anything to the contrary in this Indenture or the Notes, the Company will, if necessary, delay the settlement of such conversion until the second (2nd) Business Day after the last day of the Spin-Off Valuation Period. To the extent any dividend or distribution of the type set forth in this Section 5.05(A)(iii)(2) is declared but not made or paid, the Conversion Rate will be readjusted to the Conversion Rate that would then be in effect had the adjustment been made on the basis of only the dividend or distribution, if any, actually made or paid. (iv) Cash Dividends or Distributions. If any cash dividend or distribution is made to all or substantially all holders of Common Stock, then the Conversion Rate will be increased based on the following formula: DSP SP CRCR   01 where: CR0 = the Conversion Rate in effect immediately before the Open of Business on the Ex-Dividend Date for such dividend or distribution; CR1 = the Conversion Rate in effect immediately after the Open of Business on such Ex-Dividend Date; SP = the Last Reported Sale Price per share of Common Stock on the Trading Day immediately before such Ex-Dividend Date; and D = the cash amount distributed per share of Common Stock in such dividend or distribution; provided, however, that if D is equal to or greater than SP, then, in lieu of the foregoing adjustment to the Conversion Rate, each Holder will receive, for each $1,000 principal amount of Notes held by such Holder on the record date for such dividend or distribution, at the same time and on the same terms as holders of Common Stock, the amount of cash that such Holder would


 
- 46 - have received if such Holder had owned, on such record date, a number of shares of Common Stock equal to the Conversion Rate in effect on such record date. To the extent such dividend or distribution is declared but not made or paid, the Conversion Rate will be readjusted to the Conversion Rate that would then be in effect had the adjustment been made on the basis of only the dividend or distribution, if any, actually made or paid. (v) Tender Offers or Exchange Offers. If the Company or any of its Subsidiaries makes a payment in respect of a tender offer or exchange offer for shares of Common Stock, and the value (reasonably determined as of the Expiration Time by the Company) of the cash and other consideration paid per share of Common Stock in such tender or exchange offer exceeds the Last Reported Sale Price per share of Common Stock on the Trading Day immediately after the last date (the “Expiration Date”) on which tenders or exchanges may be made pursuant to such tender or exchange offer (as it may be amended), then the Conversion Rate will be increased based on the following formula:   0 1 01 OSSP OSSPAC CRCR    where: CR0 = the Conversion Rate in effect immediately before the time (the “Expiration Time”) such tender or exchange offer expires; CR1 = the Conversion Rate in effect immediately after the Expiration Time; AC = the aggregate value (reasonably determined as of the Expiration Time by the Company) of all cash and other consideration paid for shares of Common Stock purchased or exchanged in such tender or exchange offer; OS0 = the number of shares of Common Stock outstanding immediately before the Expiration Time (including all shares of Common Stock accepted for purchase or exchange in such tender or exchange offer); OS1 = the number of shares of Common Stock outstanding immediately after the Expiration Time (excluding all shares of Common Stock accepted for purchase or exchange in such tender or exchange offer); and SP = the average of the Last Reported Sale Prices per share of Common Stock over the ten (10) consecutive Trading Day period (the “Tender/Exchange Offer Valuation Period”) beginning on, and including, the Trading Day immediately after the Expiration Date; provided, however, that the Conversion Rate will in no event be adjusted down pursuant to this Section 5.05(A)(v), except to the extent provided in the immediately following paragraph. The adjustment to the Conversion Rate pursuant to this Section 5.05(A)(v) will be calculated as of the Close of Business on the last Trading Day of the Tender/Exchange Offer Valuation Period but will be given effect immediately after the Expiration Time, with retroactive effect. If a Note is converted and the Conversion Date (in the case of Physical Settlement) or any VWAP Trading Day of the applicable Observation Period (in the case of Cash Settlement or Combination


 
- 47 - Settlement) occurs on the Expiration Date or during the Tender/Exchange Offer Valuation Period, then, notwithstanding anything to the contrary in this Indenture or the Notes, the Company will, if necessary, delay the settlement of such conversion until the second (2nd) Business Day after the last day of the Tender/Exchange Offer Valuation Period. To the extent such tender or exchange offer is announced but not consummated (including as a result of the Company being precluded from consummating such tender or exchange offer under applicable law), or any purchases or exchanges of shares of Common Stock in such tender or exchange offer are rescinded, the Conversion Rate will be readjusted to the Conversion Rate that would then be in effect had the adjustment been made on the basis of only the purchases or exchanges of shares of Common Stock, if any, actually made, and not rescinded, in such tender or exchange offer. (B) No Adjustments in Certain Cases. (i) Where Holders Participate in the Transaction or Event Without Conversion. Notwithstanding anything to the contrary in Section 5.05(A), the Company will not be obligated to adjust the Conversion Rate on account of a transaction or other event otherwise requiring an adjustment pursuant to Section 5.05(A) (other than a stock split or combination of the type set forth in Section 5.05(A)(i) or a tender or exchange offer of the type set forth in Section 5.05(A)(v)) if each Holder participates, at the same time and on the same terms as holders of Common Stock, and solely by virtue of being a Holder of Notes, in such transaction or event without having to convert such Holder’s Notes and as if such Holder held a number of shares of Common Stock equal to the product of (i) the Conversion Rate in effect on the related record date; and (ii) the aggregate principal amount (expressed in thousands) of Notes held by such Holder on such date. (ii) Certain Events. The Company will not be required to adjust the Conversion Rate except as provided in Section 5.05 or Section 5.07. Without limiting the foregoing, the Company will not be obligated to adjust the Conversion Rate on account of: (1) except as otherwise provided in Section 5.05, the sale of shares of Common Stock for a purchase price that is less than the market price per share of Common Stock or less than the Conversion Price; (2) the issuance of any shares of Common Stock pursuant to any present or future plan providing for the reinvestment of dividends or interest payable on the Company’s securities and the investment of additional optional amounts in shares of Common Stock under any such plan; (3) the issuance of any shares of Common Stock or options or rights to purchase shares of Common Stock pursuant to any present or future employee, director or consultant benefit plan or program of, or assumed by, the Company or any of its Subsidiaries; (4) the issuance of any shares of Common Stock pursuant to any option, warrant, right or convertible or exchangeable security of the Company outstanding as of the Issue Date; (5) solely a change in the par value of the Common Stock; or


 
- 48 - (6) accrued and unpaid interest on the Notes. (C) If an adjustment to the Conversion Rate otherwise required by this Article 5 would result in a change of less than one percent (1%) to the Conversion Rate, then, notwithstanding anything to the contrary in this Article 5, the Company may, at its election, defer such adjustment, except that all such deferred adjustments must be given effect immediately upon the earliest of the following: (i) when all such deferred adjustments would result in a change of at least one percent (1%) to the Conversion Rate; (ii) the Conversion Date of, or any VWAP Trading Day of an Observation Period for, any Note; (iii) the date a Fundamental Change or Make-Whole Fundamental Change occurs; (iv) the date the Company calls any Notes for Redemption; and (v) September 1, 2028. (D) Adjustments Not Yet Effective. Notwithstanding anything to the contrary in this Indenture or the Notes, if: (i) a Note is to be converted pursuant to Physical Settlement or Combination Settlement; (ii) the record date, effective date or Expiration Time for any event that requires an adjustment to the Conversion Rate pursuant to Section 5.05(A) has occurred on or before the Conversion Date for such conversion (in the case of Physical Settlement) or on or before any VWAP Trading Day in the Observation Period for such conversion (in the case of Combination Settlement), but an adjustment to the Conversion Rate for such event has not yet become effective as of such Conversion Date or VWAP Trading Day, as applicable; (iii) the Conversion Consideration due upon such conversion (in the case of Physical Settlement) or due in respect of such VWAP Trading Day (in the case of Combination Settlement) includes any whole shares of Common Stock; and (iv) such shares are not entitled to participate in such event (because they were not held on the related record date or otherwise), then, solely for purposes of such conversion, the Company will, without duplication, give effect to such adjustment on such Conversion Date (in the case of Physical Settlement) or such VWAP Trading Day (in the case of Combination Settlement). In such case, if the date on which the Company is otherwise required to deliver the consideration due upon such conversion is before the first date on which the amount of such adjustment can be determined, then the Company will delay the settlement of such conversion until the second (2nd) Business Day after such first date. (E) Conversion Rate Adjustments where Converting Holders Participate in the Relevant Transaction or Event. Notwithstanding anything to the contrary in this Indenture or the Notes, if: (i) a Conversion Rate adjustment for any dividend or distribution becomes effective on any Ex-Dividend Date pursuant to Section 5.05(A); (ii) a Note is to be converted pursuant to Physical Settlement or Combination Settlement; (iii) the Conversion Date for such conversion (in the case of Physical Settlement) or any VWAP Trading Day in the Observation Period for such conversion (in the case of Combination Settlement) occurs on or after such Ex-Dividend Date and on or before the related record date;


 
- 49 - (iv) the Conversion Consideration due upon such conversion (in the case of Physical Settlement) or due with respect to such VWAP Trading Day (in the case of Combination Settlement) includes any whole shares of Common Stock based on a Conversion Rate that is adjusted for such dividend or distribution; and (v) such shares would be entitled to participate in such dividend or distribution (including pursuant to Section 5.02(C)), then (x) in the case of Physical Settlement, such Conversion Rate adjustment will not be given effect for such conversion and the shares of Common Stock issuable upon such conversion based on such unadjusted Conversion Rate will not be entitled to participate in such dividend or distribution, but there will be added, to the Conversion Consideration otherwise due upon such conversion, the same kind and amount of consideration that would have been delivered in such dividend or distribution with respect to such shares of Common Stock had such shares been entitled to participate in such dividend or distribution; and (y) in the case of Combination Settlement, the Conversion Rate adjustment relating to such Ex-Dividend Date will be made for such conversion in respect of such VWAP Trading Day, but the shares of Common Stock issuable with respect to such VWAP Trading Day based on such adjusted Conversion Rate will not be entitled to participate in such dividend or distribution. (F) Stockholder Rights Plans. If any shares of Common Stock are to be issued upon conversion of any Note and, at the time of such conversion, the Company has in effect any stockholder rights plan, then the Holder of such Note will be entitled to receive, in addition to, and concurrently with the delivery of, the Conversion Consideration otherwise payable under this Indenture upon such conversion, the rights set forth in such stockholder rights plan, unless such rights have separated from the Common Stock at such time, in which case, and only in such case, the Conversion Rate will be adjusted pursuant to Section 5.05(A)(iii)(1) on account of such separation as if, at the time of such separation, the Company had made a distribution of the type referred to in such Section to all holders of the Common Stock, subject to readjustment in accordance with such Section if such rights expire, terminate or are redeemed. (G) Limitation on Effecting Transactions Resulting in Certain Adjustments. The Company will not engage in or be a party to any transaction or event that would require the Conversion Rate to be adjusted pursuant to Section 5.05(A) or Section 5.07 to an amount that would result in the Conversion Price per share of Common Stock being less than the par value per share of Common Stock. (H) Equitable Adjustments to Prices. Whenever any provision of this Indenture requires the Company to calculate the average of the Last Reported Sale Prices, or any function thereof, over a period of multiple days (including to calculate the Stock Price or an adjustment to the Conversion Rate), or to calculate Daily VWAPs over an Observation Period, the Company will make proportionate adjustments, if any, to such calculations to account for any adjustment to the Conversion Rate pursuant to Section 5.05(A)(i) that becomes effective, or any event requiring such an adjustment to the Conversion Rate where the Ex-Dividend Date or effective date, as applicable, of such event occurs, at any time during such period or Observation Period, as applicable. (I) Calculation of Number of Outstanding Shares of Common Stock. For purposes of Section 5.05(A), the number of shares of Common Stock outstanding at any time will (i) include shares issuable in respect of scrip certificates issued in lieu of fractions of shares of Common Stock; and (ii) exclude shares of Common Stock held in the Company’s treasury (unless the Company pays any dividend or makes any distribution on shares of Common Stock held in its treasury).


 
- 50 - (J) Calculations. All calculations with respect to the Conversion Rate and adjustments thereto will be made to the nearest 1/10,000th of a share of Common Stock (with 5/100,000ths rounded upward). (K) Notice of Conversion Rate Adjustments. Upon the effectiveness of any adjustment to the Conversion Rate pursuant to Section 5.05(A), the Company will promptly send notice to the Holders, the Trustee and the Conversion Agent containing (i) a brief description of the transaction or other event on account of which such adjustment was made; (ii) the Conversion Rate in effect immediately after such adjustment; and (iii) the effective time of such adjustment. Section 5.06. Voluntary Adjustments. (A) Generally. To the extent permitted by law and applicable stock exchange rules, the Company, from time to time, may (but is not required to) increase the Conversion Rate by any amount if (i) the Board of Directors determines that such increase is either (x) in the best interest of the Company; or (y) advisable to avoid or diminish any income tax imposed on holders of Common Stock or rights to purchase Common Stock as a result of any dividend or distribution of shares (or rights to acquire shares) of Common Stock or any similar event; (ii) such increase is in effect for a period of at least twenty (20) Business Days; and (iii) such increase is irrevocable during such period. (B) Notice of Voluntary Increases. If the Board of Directors determines to increase the Conversion Rate pursuant to Section 5.06(A), then, no later than the first Business Day of the related twenty (20) Business Day period referred to in Section 5.06(A), the Company will send notice to each Holder, the Trustee and the Conversion Agent of such increase, the amount thereof and the period during which such increase will be in effect. Section 5.07. Adjustments to the Conversion Rate in Connection with a Make-Whole Fundamental Change. (A) Generally. If a Make-Whole Fundamental Change occurs and the Conversion Date for the conversion of a Note occurs during the related Make-Whole Fundamental Change Conversion Period, then, subject to this Section 5.07, the Conversion Rate applicable to such conversion will be increased by a number of shares (the “Additional Shares”) set forth in the table below corresponding (after interpolation as provided in, and subject to, the provisions below) to the Make-Whole Fundamental Change Effective Date and the Stock Price of such Make-Whole Fundamental Change: If such Make-Whole Fundamental Change Effective Date or Stock Price is not set forth in the table above, then: (i) if such Stock Price is between two Stock Prices in the table above or the Make- Whole Fundamental Change Effective Date is between two dates in the table above, then the number of Additional Shares will be determined by a straight-line interpolation between the Stock Price Make-Whole Fundamental Change Effective Date $40.70 $50.00 $65.00 $83.44 $95.00 $108.48 $125.00 $150.00 $175.00 $250.00 $300.00 $400.00 $550.00 $700.00 $1,000.00 February 20, 2025 12.5834 9.3192 6.2394 4.1746 3.3616 2.6782 2.0869 1.4982 1.1207 0.5478 0.3677 0.1827 0.0726 0.0269 0.0000 March 1, 2026 ..... 12.5834 9.0712 5.8920 3.8046 3.0006 2.3372 1.7754 1.2321 0.8951 0.4092 0.2652 0.1238 0.0444 0.0132 0.0000 March 1, 2027 ..... 12.5834 8.6920 5.3734 3.2629 2.4800 1.8546 1.3458 0.8797 0.6083 0.2518 0.1564 0.0682 0.0209 0.0031 0.0000 March 1, 2028 ..... 12.5834 8.1924 4.5892 2.4231 1.6843 1.1400 0.7407 0.4229 0.2659 0.0986 0.0610 0.0267 0.0064 0.0000 0.0000 March 1, 2029 ..... 12.5834 8.0158 3.4005 0.0000 0.0000 0.0000 0.0000 0.0000 0.0000 0.0000 0.0000 0.0000 0.0000 0.0000 0.0000


 
- 51 - numbers of Additional Shares set forth for the higher and lower Stock Prices in the table above or the earlier and later dates in the table above, based on a 365- or 366-day year, as applicable; and (ii) if the Stock Price is greater than $1,000.00 (subject to adjustment in the same manner as the Stock Prices set forth in the column headings of the table above are adjusted pursuant to Section 5.07(B)), or less than $40.70 (subject to adjustment in the same manner), per share, then no Additional Shares will be added to the Conversion Rate. Notwithstanding anything to the contrary in this Indenture or the Notes, in no event will the Conversion Rate be increased to an amount that exceeds 24.5676 shares of Common Stock per $1,000 principal amount of Notes, which amount is subject to adjustment in the same manner as, and at the same time and for the same events for which, the Conversion Rate is required to be adjusted pursuant to Section 5.05(A). For the avoidance of doubt, but subject to Section 4.03(I), (x) the sending of a Redemption Notice will constitute a Make-Whole Fundamental Change only with respect to the Notes called for Redemption pursuant to such Redemption Notice, and not with respect to any other Notes; and (y) the Conversion Rate applicable to the Notes not so called for Redemption will not be subject to increase pursuant to this Section 5.07 on account of such Redemption Notice. (B) Adjustment of Stock Prices and Additional Shares. The Stock Prices in the first row (i.e., the column headers) of the table set forth in Section 5.07(A) will be adjusted in the same manner as, and at the same time and for the same events for which, the Conversion Price is adjusted as a result of the operation of Section 5.05(A). The numbers of Additional Shares in the table set forth in Section 5.07(A) will be adjusted in the same manner as, and at the same time and for the same events for which, the Conversion Rate is adjusted pursuant to Section 5.05(A). (C) Notice of the Occurrence of a Make-Whole Fundamental Change. The Company will notify the Holders, the Trustee and the Conversion Agent of each Make-Whole Fundamental Change occurring pursuant to clause (A) of the definition thereof in accordance with Section 5.01(C)(i)(3)(b). Section 5.08. Exchange in Lieu of Conversion. Notwithstanding anything to the contrary in this Article 5, and subject to the terms of this Section 5.08, if a Note is submitted for conversion, the Company may elect to arrange to have such Note exchanged in lieu of conversion by a financial institution designated by the Company. To make such election, the Company must send written notice of such election to the Holder of such Note, the Trustee and the Conversion Agent before the Close of Business on the Business Day immediately following the Conversion Date for such Note. If the Company has made such election, then: (A) no later than the Business Day immediately following such Conversion Date, the Company must deliver (or cause the Conversion Agent to deliver) such Note, together with delivery instructions for the Conversion Consideration due upon such conversion (including wire instructions, if applicable), to a financial institution designated by the Company that has agreed to deliver such Conversion Consideration in the manner and at the time the Company would have had to deliver the same pursuant to this Article 5; (B) if such Note is a Global Note, then such designated financial institution will send written confirmation to the Trustee and the Conversion Agent promptly after wiring the cash Conversion Consideration, if any, and delivering any other Conversion Consideration, due upon such conversion to the Holder of such Note; and


 
- 52 - (C) such Note will not cease to be outstanding by reason of such exchange in lieu of conversion; provided, however, that if such financial institution does not accept such Note or fails to timely deliver such Conversion Consideration, then the Company will be responsible for delivering such Conversion Consideration in the manner and at the time provided in this Article 5 as if the Company had not elected to make an exchange in lieu of conversion. So long as the Notes are eligible for book-entry settlement with the Depositary or another depositary, the Company and any financial institution the Company designates will comply with the applicable procedures of the Depository or such other depositary. The Trustee and the Conversion Agent shall have no responsibility or liability for any act or omission of any financial institution designated by the Company pursuant to this Section 5.08. Section 5.09. Effect of Common Stock Change Event. (A) Generally. If there occurs any: (i) recapitalization, reclassification or change of the Common Stock (other than (x) changes solely resulting from a subdivision or combination of the Common Stock, (y) a change only in par value or from par value to no par value or no par value to par value and (z) stock splits and stock combinations that do not involve the issuance of any other series or class of securities); (ii) consolidation, merger, combination or binding or statutory share exchange involving the Company; (iii) sale, lease or other transfer of all or substantially all of the assets of the Company and its Subsidiaries, taken as a whole, to any Person; or (iv) other similar event, and, as a result of which, the Common Stock is converted into, or is exchanged for, or represents solely the right to receive, other securities, cash or other property, or any combination of the foregoing (such an event, a “Common Stock Change Event,” and such other securities, cash or property, the “Reference Property,” and the amount and kind of Reference Property that a holder of one (1) share of Common Stock would be entitled to receive on account of such Common Stock Change Event (without giving effect to any arrangement not to issue or deliver a fractional portion of any security or other property), a “Reference Property Unit”), then, notwithstanding anything to the contrary in this Indenture or the Notes, (1) from and after the effective time of such Common Stock Change Event, (I) the Conversion Consideration due upon conversion of any Note, and the conditions to any such conversion, will be determined in the same manner as if each reference to any number of shares of Common Stock in this Article 5 (or in any related definitions) were instead a reference to the same number of Reference Property Units; (II) for purposes of Section 4.03, each reference to any number of shares of Common Stock in such Section (or in any related definitions) will instead be deemed to be a reference to the same number of Reference Property Units; and (III) for purposes of the definition of “Fundamental Change” and “Make-Whole Fundamental Change,” the terms “Common Stock” and “common equity” will be deemed to mean the common equity (including depositary receipts representing common equity), if any, forming part of such Reference Property;


 
- 53 - (2) if such Reference Property Unit consists entirely of cash, then (I) each conversion of any Note whose Conversion Date occurs on or after the effective date of such Common Stock Change Event will be settled entirely in cash in an amount, per $1,000 principal amount of such Note being converted, equal to the product of (x) the Conversion Rate in effect on such Conversion Date (including, for the avoidance of doubt, any increase thereto pursuant to Section 5.07, if applicable); and (y) the amount of cash constituting such Reference Property Unit; and (II) the Company will settle each such conversion no later than the second (2nd) Business Day after the relevant Conversion Date; and (3) for these purposes, (I) the Daily VWAP of any Reference Property Unit or portion thereof that consists of a class of common equity securities will be determined by reference to the definition of “Daily VWAP,” substituting, if applicable, the Bloomberg page for such class of securities in such definition; and (II) the Daily VWAP of any Reference Property Unit or portion thereof that does not consist of a class of common equity securities, and the Last Reported Sale Price of any Reference Property Unit or portion thereof that does not consist of a class of securities, will be the fair value of such Reference Property Unit or portion thereof, as applicable, determined in good faith by the Company (or, in the case of cash denominated in U.S. dollars, the face amount thereof). If the Reference Property consists of more than a single type of consideration to be determined based in part upon any form of stockholder election, then the composition of the Reference Property Unit will be deemed to be the weighted average of the types and amounts of consideration actually received, per share of Common Stock, by the holders of Common Stock. The Company will notify Holders, the Trustee and the Conversion Agent of such weighted average as soon as practicable after such determination is made. At or before the effective time of such Common Stock Change Event, the Company and the resulting, surviving or transferee Person (if not the Company) of such Common Stock Change Event (the “Successor Person”) will execute and deliver to the Trustee a supplemental indenture pursuant to Section 8.01(F), which supplemental indenture will (x) provide for subsequent conversions of Notes in the manner set forth in this Section 5.09; (y) provide for subsequent adjustments to the Conversion Rate pursuant to Section 5.05(A) in a manner consistent with this Section 5.09; and (z) contain such other provisions as the Company reasonably determines are appropriate to preserve the economic interests of the Holders and to give effect to the provisions of this Section 5.09(A) and an Officer’s Certificate and Opinion of Counsel to the effect that all conditions precedent have been satisfied. If the Reference Property includes shares of stock or other securities or assets of a Person other than the Successor Person, then such other Person will also execute such supplemental indenture and such supplemental indenture will contain such additional provisions the Company reasonably determines are appropriate to preserve the economic interests of the Holders. (B) Notice of Common Stock Change Events. The Company will provide notice of each Common Stock Change Event in the manner provided in Section 5.01(C)(i)(3)(b) to Holders, the Trustee and the Conversion Agent no later than the effective date of such Common Stock Change Event. (C) Compliance Covenant. The Company will not become a party to any Common Stock Change Event unless its terms are consistent with this Section 5.09.


 
- 54 - Article 6. SUCCESSORS Section 6.01. When the Company May Merge, Etc. (A) Generally. The Company will not consolidate with or merge with or into, or (directly, or indirectly through one or more of its Subsidiaries) sell, lease or otherwise transfer, in one transaction or a series of transactions, all or substantially all of the assets of the Company and its Subsidiaries, taken as a whole, to another Person (a “Business Combination Event”), unless: (i) the resulting, surviving or transferee Person either (x) is the Company or (y) if not the Company, is a corporation (the “Successor Corporation”) duly organized and existing under the laws of the United States of America, any State thereof or the District of Columbia that expressly assumes (by executing and delivering to the Trustee, at or before the effective time of such Business Combination Event, a supplemental indenture pursuant to Section 8.01(E)) all of the Company’s obligations under this Indenture and the Notes; and (ii) immediately after giving effect to such Business Combination Event, no Default or Event of Default will have occurred and be continuing. (B) Delivery of Officer’s Certificate and Opinion of Counsel to the Trustee. Before the effective time of any Business Combination Event, the Company will deliver to the Trustee an Officer’s Certificate and Opinion of Counsel, each stating that (i) such Business Combination Event (and, if applicable, the related supplemental indenture) comply with Section 6.01(A); and (ii) all conditions precedent to such Business Combination Event provided in this Indenture have been satisfied. Section 6.02. Successor Corporation Substituted. At the effective time of any Business Combination Event that complies with Section 6.01, the Successor Corporation (if not the Company) will succeed to, and may exercise every right and power of, the Company under this Indenture and the Notes with the same effect as if such Successor Corporation had been named as the Company in this Indenture and the Notes, and, except in the case of a lease, the predecessor Company will be discharged from its obligations under this Indenture and the Notes. Article 7. DEFAULTS AND REMEDIES Section 7.01. Events of Default. (A) Definition of Events of Default. “Event of Default” means the occurrence of any of the following: (i) a default in the payment when due (whether at maturity, upon Redemption or Repurchase Upon Fundamental Change or otherwise) of the principal of, or the Redemption Price or Fundamental Change Repurchase Price for, any Note; (ii) a default for thirty (30) days in the payment when due of interest on any Note; (iii) the Company’s failure to deliver, when required by this Indenture, a Fundamental Change Notice, or a notice pursuant to Section 5.01(C)(i)(3);


 
- 55 - (iv) a default in the Company’s obligation to convert a Note in accordance with Article 5 upon the exercise of the conversion right with respect thereto, if such default is not cured within two (2) Business Days after its occurrence; (v) a default in the Company’s obligations under Article 6; (vi) a default in any of the Company’s obligations or agreements under this Indenture or the Notes (other than a default set forth in clause (i), (ii), (iii), (iv) or (v) of this Section 7.01(A)) where such default is not cured or waived within sixty (60) days after notice to the Company by the Trustee, or to the Company and the Trustee by Holders of at least twenty five percent (25%) of the aggregate principal amount of Notes then outstanding, which notice must specify such default, demand that it be remedied and state that such notice is a “Notice of Default”; (vii) a default by the Company or any of its Subsidiaries with respect to any one or more mortgages, agreements or other instruments under which there is outstanding, or by which there is secured or evidenced, any indebtedness for money borrowed of at least fifty million dollars ($50,000,000) (or its foreign currency equivalent) in the aggregate of the Company or any of its Subsidiaries, whether such indebtedness exists as of the Issue Date or is thereafter created, where such default: (1) constitutes a failure to pay the principal of, or premium or interest on, any of such indebtedness when due and payable at its stated maturity, upon required repurchase, upon declaration of acceleration or otherwise, in each case after the expiration of any applicable grace period; or (2) results in such indebtedness becoming or being declared due and payable before its stated maturity, in each case where such default is not cured or waived within thirty (30) days after notice to the Company by the Trustee or to the Company and the Trustee by Holders of at least twenty five percent (25%) of the aggregate principal amount of Notes then outstanding; (viii) the Company or any of its Significant Subsidiaries, pursuant to or within the meaning of any Bankruptcy Law, either: (1) commences a voluntary case or proceeding; (2) consents to the entry of an order for relief against it in an involuntary case or proceeding; (3) consents to the appointment of a custodian of it or for any substantial part of its property; (4) makes a general assignment for the benefit of its creditors; (5) takes any comparable action under any foreign Bankruptcy Law; or (6) generally is not paying its debts as they become due; or


 
- 56 - (ix) a court of competent jurisdiction enters an order or decree under any Bankruptcy Law that either: (1) is for relief against the Company or any of its Significant Subsidiaries in an involuntary case or proceeding; (2) appoints a custodian of the Company or any of its Significant Subsidiaries, or for any substantial part of the property of the Company or any of its Significant Subsidiaries; (3) orders the winding up or liquidation of the Company or any of its Significant Subsidiaries; or (4) grants any similar relief under any foreign Bankruptcy Law, and, in each case under this Section 7.01(A)(ix), such order or decree remains unstayed and in effect for at least sixty (60) days. (B) Cause Irrelevant. Each of the events set forth in Section 7.01(A) will constitute an Event of Default regardless of the cause thereof or whether voluntary or involuntary or effected by operation of law or pursuant to any judgment, decree or order of any court or any order, rule or regulation of any administrative or governmental body. Section 7.02. Acceleration. (A) Automatic Acceleration in Certain Circumstances. If an Event of Default set forth in Section 7.01(A)(viii) or 7.01(A)(ix) occurs with respect to the Company (and not solely with respect to a Significant Subsidiary of the Company), then the principal amount of, and all accrued and unpaid interest on, all of the Notes then outstanding will immediately become due and payable without any further action or notice by any Person. (B) Optional Acceleration. Subject to Section 7.03, if an Event of Default (other than an Event of Default set forth in Section 7.01(A)(viii) or 7.01(A)(ix) with respect to the Company and not solely with respect to a Significant Subsidiary of the Company) occurs and is continuing, then the Trustee, by notice to the Company, or Holders of at least twenty five percent (25%) of the aggregate principal amount of Notes then outstanding, by notice to the Company and the Trustee, may declare the principal amount of, and all accrued and unpaid interest on, all of the Notes then outstanding to become due and payable immediately. (C) Rescission of Acceleration. Notwithstanding anything to the contrary in this Indenture or the Notes, the Holders of a majority in aggregate principal amount of the Notes then outstanding, by notice to the Company and the Trustee, may, on behalf of all Holders, rescind any acceleration of the Notes and its consequences if (i) such rescission would not conflict with any judgment or decree of a court of competent jurisdiction; and (ii) all existing Events of Default (except the non-payment of principal of, or interest on, the Notes that has become due solely because of such acceleration) have been cured or waived. No such rescission will affect any subsequent Default or impair any right consequent thereto.


 
- 57 - Section 7.03. Sole Remedy for a Failure to Report. (A) Generally. Notwithstanding anything to the contrary in this Indenture or the Notes, the Company may elect that the sole remedy for any Event of Default (a “Reporting Event of Default”) pursuant to Section 7.01(A)(vi) arising from the Company’s failure to comply with Section 3.02 will, for each of the first one hundred and eighty (180) calendar days on which a Reporting Event of Default has occurred and is continuing, consist exclusively of the accrual of Special Interest on the Notes. If the Company has made such an election, then (i) the Notes will be subject to acceleration pursuant to Section 7.02 on account of the relevant Reporting Event of Default from, and including, the one hundred and eighty first (181st) calendar day on which a Reporting Event of Default has occurred and is continuing or if the Company fails to pay any accrued and unpaid Special Interest when due; and (ii) Special Interest will cease to accrue on any Notes from, and including, such one hundred and eight first (181st) calendar day (it being understood that interest on any defaulted Special Interest will nonetheless accrue pursuant to Section 2.05(B)). (B) Amount and Payment of Special Interest. Any Special Interest that accrues on a Note pursuant to Section 7.03(A) will be payable on the same dates and in the same manner as the Stated Interest on such Note and will accrue at a rate per annum equal to one quarter of one percent (0.25%) of the principal amount thereof for the first ninety (90) days on which Special Interest accrues and, thereafter, at a rate per annum equal to one half of one percent (0.50%) of the principal amount thereof; provided, however, that in no event will Special Interest, together with any Additional Interest, accrue on any day on a Note at a combined rate per annum that exceeds one half of one percent (0.50%) regardless of the number of events or circumstances giving rise to the accrual of Special Interest. For the avoidance of doubt, any Special Interest that accrues on a Note will be in addition to the Stated Interest that accrues on such Note and, subject to the proviso of the immediately preceding sentence, in addition to any Additional Interest that accrues on such Note. (C) Notice of Election. To make the election set forth in Section 7.03(A), the Company must send to the Holders, the Trustee and the Paying Agent, before the date on which each Reporting Event of Default first occurs, a notice that (i) briefly describes the report(s) that the Company failed to file with the SEC; (ii) states that the Company is electing that the sole remedy for such Reporting Event of Default consist of the accrual of Special Interest; and (iii) briefly describes the periods during which and rate at which Special Interest will accrue and the circumstances under which the Notes will be subject to acceleration on account of such Reporting Event of Default. (D) Notice to Trustee and Paying Agent; Trustee’s Disclaimer. If Special Interest accrues on any Note, then, no later than five (5) Business Days before each date on which such Special Interest is to be paid, the Company will deliver an Officer’s Certificate to the Trustee and the Paying Agent stating (i) that the Company is obligated to pay Special Interest on such Note on such date of payment; and (ii) the amount of such Special Interest that is payable on such date of payment. The Trustee will have no duty to determine whether any Special Interest is payable or the amount thereof. (E) No Effect on Other Events of Default. No election pursuant to this Section 7.03 with respect to a Reporting Event of Default will affect the rights of any Holder with respect to any other Event of Default, including with respect to any other Reporting Event of Default. Section 7.04. Other Remedies. (A) Trustee May Pursue All Remedies. If an Event of Default occurs and is continuing, then the Trustee may, but will not be obligated to, pursue any available remedy to collect the payment of any


 
- 58 - amounts due with respect to the Notes or to enforce the performance of any provision of this Indenture or the Notes. (B) Procedural Matters. The Trustee may maintain a proceeding even if it does not possess any of the Notes or does not produce any of them in such proceeding. A delay or omission by the Trustee or any Holder in exercising any right or remedy following an Event of Default will not impair the right or remedy or constitute a waiver of, or acquiescence in, such Event of Default. All remedies will be cumulative to the extent permitted by law. Section 7.05. Waiver of Past Defaults. An Event of Default pursuant to clause (i), (ii), (iv) or (vi) of Section 7.01(A) (that, in the case of clause (vi) only, results from a Default under any covenant that cannot be amended without the consent of each affected Holder), and a Default that could lead to such an Event of Default, can be waived (x) as to all Holders and all outstanding Notes only with the consent of each affected Holder or (y) by any affected Holder with respect to itself and any Note (or any portion thereof) held by such Holder. Each other Default or Event of Default may be waived, on behalf of all Holders, by the Holders of a majority in aggregate principal amount of the Notes then outstanding. If an Event of Default is so waived, then it will cease to exist. If a Default is so waived, then it will be deemed to be cured and any Event of Default arising therefrom will be deemed not to occur. However, no such waiver will extend to any subsequent or other Default or Event of Default or impair any right arising therefrom. For the avoidance of doubt, any waiver pursuant to this Section 7.05 will be subject to Section 8.04(D) and will bind any Note (or portion thereof) with respect to which such waiver is given. Section 7.06. Control by Majority. Holders of a majority in aggregate principal amount of the Notes then outstanding may direct the time, method and place of conducting any proceeding for exercising any remedy available to the Trustee or exercising any trust or power conferred on it. However, the Trustee may refuse to follow any direction that conflicts with law, this Indenture or the Notes, or that, the Trustee determines may involve the Trustee in liability, unless the Trustee receives security and indemnity satisfactory to the Trustee against any loss, liability or expense to the Trustee that may result from the Trustee’s following such direction. Section 7.07. Limitation on Suits. No Holder may pursue any remedy with respect to this Indenture or the Notes (except to enforce (x) its rights to receive the principal of, or the Redemption Price or Fundamental Change Repurchase Price for, or interest on, any Notes; or (y) the Company’s obligations to convert any Notes pursuant to Article 5), unless: (A) such Holder has previously delivered to the Trustee notice that an Event of Default is continuing; (B) Holders of at least twenty five percent (25%) in aggregate principal amount of the Notes then outstanding deliver a request to the Trustee to pursue such remedy; (C) such Holder or Holders offer and, if requested, provide to the Trustee security and indemnity satisfactory to the Trustee against any loss, liability or expense to the Trustee that may result from the Trustee’s following such request;


 
- 59 - (D) the Trustee does not comply with such request within sixty (60) calendar days after its receipt of such request and such offer of security or indemnity; and (E) during such sixty (60) calendar day period, Holders of a majority in aggregate principal amount of the Notes then outstanding do not deliver to the Trustee a direction that is inconsistent with such request. A Holder of a Note may not use this Indenture to prejudice the rights of another Holder or to obtain a preference or priority over another Holder. The Trustee will have no duty to determine whether any Holder’s use of this Indenture complies with the preceding sentence. Section 7.08. Absolute Right of Holders to Institute Suit for the Enforcement of the Right to Receive Payment and Conversion Consideration. Notwithstanding anything to the contrary in this Indenture or the Notes (but without limiting Section 8.01), the right of each Holder of a Note to bring suit for the enforcement of any payment or delivery, as applicable, of the principal of, or the Redemption Price or Fundamental Change Repurchase Price for, or any interest on, or the Conversion Consideration due pursuant to Article 5 upon conversion of, such Note on or after the respective due dates therefor provided in this Indenture and the Notes, will not be impaired or affected without the consent of such Holder. Section 7.09. Collection Suit by Trustee. The Trustee will have the right, upon the occurrence and continuance of an Event of Default pursuant to clause (i), (ii) or (iv) of Section 7.01(A), to recover judgment in its own name and as trustee of an express trust against the Company for the total unpaid or undelivered principal of, or Redemption Price or Fundamental Change Repurchase Price for, or interest on, or Conversion Consideration due pursuant to Article 5 upon conversion of, the Notes, as applicable, and, to the extent lawful, any Default Interest on any Defaulted Amounts, and such further amounts sufficient to cover the costs and expenses of collection, including compensation provided for in Section 10.06. Section 7.10. Trustee May File Proofs of Claim. The Trustee has the right to (A) file such proofs of claim and other papers or documents as may be necessary or advisable in order to have the claims of the Trustee and the Holders allowed in any judicial proceedings relative to the Company (or any other obligor upon the Notes) or its creditors or property and (B) collect, receive and distribute any money or other property payable or deliverable on any such claims. Each Holder authorizes any custodian in such proceeding to make such payments to the Trustee, and, if the Trustee consents to the making of such payments directly to the Holders, to pay to the Trustee any amount due to the Trustee for the reasonable compensation, expenses, disbursements and advances of the Trustee, and its agents and counsel, and any other amounts payable to the Trustee pursuant to Section 10.06. To the extent that the payment of any such compensation, expenses, disbursements, advances and other amounts out of the estate in such proceeding, is denied for any reason, payment of the same will be secured by a lien (senior to the rights of Holders) on, and will be paid out of, any and all distributions, dividends, money, securities and other properties that the Holders may be entitled to receive in such proceeding (whether in liquidation or under any plan of reorganization or arrangement or otherwise). Nothing in this Indenture will be deemed to authorize the Trustee to authorize, consent to, accept or adopt on behalf of any Holder any plan of reorganization, arrangement, adjustment or composition affecting the Notes or the rights of any Holder, or to authorize the Trustee to vote in respect of the claim of any Holder in any such proceeding.


 
- 60 - Section 7.11. Priorities. The Trustee will pay or deliver in the following order any money or other property that it collects pursuant to this Article 7: First: to the Trustee, Paying Agent, Registrar and Conversion Agent and their respective agents and attorneys for amounts due under Section 10.06, including payment of all fees, compensation, expenses and liabilities incurred, and all advances made, by the Trustee, Paying Agent, Registrar and Conversion Agent and the costs and expenses of collection; Second: to Holders for unpaid amounts or other property due on the Notes, including the principal of, or the Redemption Price or Fundamental Change Repurchase Price for, or any interest on, or any Conversion Consideration due upon conversion of, the Notes, ratably, and without preference or priority of any kind, according to such amounts or other property due and payable on all of the Notes; and Third: to the Company or such other Person as a court of competent jurisdiction directs. The Trustee may fix a record date and payment date for any payment or delivery to the Holders pursuant to this Section 7.11, in which case the Trustee will instruct the Company to, and the Company will, deliver, at least fifteen (15) calendar days before such record date, to each Holder and the Trustee a notice stating such record date, such payment date and the amount of such payment or nature of such delivery, as applicable. Section 7.12. Undertaking for Costs. In any suit for the enforcement of any right or remedy under this Indenture or the Notes or in any suit against the Trustee for any action taken or omitted by it as Trustee, a court, in its discretion, may (A) require the filing by any litigant party in such suit of an undertaking to pay the costs of such suit, and (B) assess reasonable costs (including reasonable attorneys’ fees) against any litigant party in such suit, having due regard to the merits and good faith of the claims or defenses made by such litigant party; provided, however, that this Section 7.12 does not apply to any suit by the Trustee, any suit by a Holder pursuant to Section 7.08 or any suit by one or more Holders of more than ten percent (10%) in aggregate principal amount of the Notes then outstanding. Article 8. AMENDMENTS, SUPPLEMENTS AND WAIVERS Section 8.01. Without the Consent of Holders. Notwithstanding anything to the contrary in Section 8.02, the Company and the Trustee may amend or supplement this Indenture or the Notes without the consent of any Holder to: (A) cure any ambiguity or correct any omission, defect or inconsistency in this Indenture or the Notes; (B) add guarantees with respect to the Company’s obligations under this Indenture or the Notes; (C) secure the Notes;


 
- 61 - (D) add to the Company’s covenants or Events of Default for the benefit of the Holders or surrender any right or power conferred on the Company; (E) provide for the assumption of the Company’s obligations under this Indenture and the Notes pursuant to, and in compliance with, Article 6; (F) enter into supplemental indentures pursuant to, and in accordance with, Section 5.09 in connection with a Common Stock Change Event; (G) irrevocably elect or eliminate any Settlement Method or Specified Dollar Amount; provided, however, that no such election or elimination will affect any Settlement Method theretofore elected (or deemed to be elected) with respect to any Note pursuant to Section 5.03(A); (H) evidence or provide for the acceptance of the appointment, under this Indenture, of a successor Trustee; (I) provide for or confirm the issuance of additional Notes pursuant to Section 2.03(B); (J) comply with any requirement of the SEC in connection with any qualification of this Indenture or any supplemental indenture under the Trust Indenture Act, as then in effect; or (K) make any other change to this Indenture or the Notes that does not, individually or in the aggregate with all other such changes, adversely affect the rights of the Holders, as such, in any material respect. Section 8.02. With the Consent of Holders. (A) Generally. Subject to Sections 8.01, 7.05 and 7.08 and the immediately following sentence, the Company and the Trustee may, with the consent of the Holders of a majority in aggregate principal amount of the Notes then outstanding, amend or supplement this Indenture or the Notes or waive compliance with any provision of this Indenture or the Notes. Notwithstanding anything to the contrary in the foregoing sentence, but subject to Section 8.01, without the consent of each affected Holder, no amendment or supplement to this Indenture or the Notes, or waiver of any provision of this Indenture or the Notes, may: (i) reduce the principal, or extend the stated maturity, of any Note; (ii) reduce the Redemption Price or Fundamental Change Repurchase Price for any Note or change the times at which, or the circumstances under which, the Notes may or will be redeemed or repurchased by the Company; (iii) reduce the rate, or extend the time for the payment, of interest on any Note; (iv) make any change that adversely affects the conversion rights of any Note; (v) impair the rights of any Holder set forth in Section 7.08 (as such section is in effect on the Issue Date); (vi) change the ranking of the Notes; (vii) make any Note payable in money, or at a place of payment, other than that stated in this Indenture or the Note;


 
- 62 - (viii) reduce the amount of Notes whose Holders must consent to any amendment, supplement, waiver or other modification; or (ix) make any direct or indirect change to any amendment, supplement, waiver or modification provision of this Indenture or the Notes that requires the consent of each affected Holder. For the avoidance of doubt, pursuant to clauses (i), (ii), (iii) and (iv) of this Section 8.02(A), no amendment or supplement to this Indenture or the Notes, or waiver of any provision of this Indenture or the Notes, may reduce the amount or change the type of consideration due on any Note (whether on an Interest Payment Date, Redemption Date, Fundamental Change Repurchase Date or the Maturity Date or upon conversion, or otherwise), or the date(s) or time(s) such consideration is payable or deliverable, as applicable, without the consent of each affected Holder. (B) Holders Need Not Approve the Particular Form of any Amendment. A consent of any Holder pursuant to this Section 8.02 need approve only the substance, and not necessarily the particular form, of the proposed amendment, supplement or waiver. Section 8.03. Notice of Amendments, Supplements and Waivers. As soon as reasonably practicable after any amendment, supplement or waiver pursuant to Section 8.01 or 8.02 becomes effective, the Company will send to the Holders and the Trustee notice that (A) describes the substance of such amendment, supplement or waiver in reasonable detail and (B) states the effective date thereof; provided, however, that the Company will not be required to provide such notice to the Holders if such amendment, supplement or waiver is included in a periodic report filed by the Company with the SEC within four (4) Business Days of its effectiveness. The failure to send, or the existence of any defect in, such notice will not impair or affect the validity of such amendment, supplement or waiver. Section 8.04. Revocation, Effect and Solicitation of Consents; Special Record Dates; Etc. (A) Revocation and Effect of Consents. The consent of a Holder of a Note to an amendment, supplement or waiver will bind (and constitute the consent of) each subsequent Holder of any Note to the extent the same evidences any portion of the same indebtedness as the consenting Holder’s Note, subject to the right of any Holder of a Note to revoke (if not prohibited pursuant to Section 8.04(B)) any such consent with respect to such Note by delivering notice of revocation to the Trustee before the time such amendment, supplement or waiver becomes effective. (B) Special Record Dates. The Company may, but is not required to, fix a record date for the purpose of determining the Holders entitled to consent or take any other action in connection with any amendment, supplement or waiver pursuant to this Article 8. If a record date is fixed, then, notwithstanding anything to the contrary in Section 8.04(A), only Persons who are Holders as of such record date (or their duly designated proxies) will be entitled to give such consent, to revoke any consent previously given or to take any such action, regardless of whether such Persons continue to be Holders after such record date; provided, however, that no such consent will be valid or effective for more than one hundred and twenty (120) calendar days after such record date. (C) Solicitation of Consents. For the avoidance of doubt, each reference in this Indenture or the Notes to the consent of a Holder will be deemed to include any such consent obtained in connection with a repurchase of, or tender or exchange offer for, any Notes.


 
- 63 - (D) Effectiveness and Binding Effect. Each amendment, supplement or waiver pursuant to this Article 8 will become effective in accordance with its terms and, when it becomes effective with respect to any Note (or any portion thereof), will thereafter bind every Holder of such Note (or such portion). Section 8.05. Notations and Exchanges. If any amendment, supplement or waiver changes the terms of a Note, then the Trustee or the Company may, in its discretion, require the Holder of such Note to deliver such Note to the Trustee so that the Trustee may place an appropriate notation prepared by the Company on such Note and return such Note to such Holder. Alternatively, at its discretion, the Company may, in exchange for such Note, issue, execute and deliver, and the Trustee will authenticate, in each case in accordance with Section 2.02, a new Note that reflects the changed terms. The failure to make any appropriate notation or issue a new Note pursuant to this Section 8.05 will not impair or affect the validity of such amendment, supplement or waiver. Section 8.06. Trustee to Execute Supplemental Indentures. The Trustee will execute and deliver any amendment or supplemental indenture authorized pursuant to this Article 8; provided, however, that the Trustee need not (but may, in its sole and absolute discretion) execute or deliver any such amendment or supplemental indenture that the Trustee concludes adversely affects the Trustee’s rights, duties, liabilities or immunities. In executing any amendment or supplemental indenture, the Trustee will be entitled to receive, and (subject to Sections 10.01 and Section 10.02) will be fully protected in relying on, an Officer’s Certificate and an Opinion of Counsel stating that (A) the execution and delivery of such amendment or supplemental indenture is authorized or permitted by this Indenture; (B) all conditions precedent in this Indenture to such execution have been complied with; and (C) in the case of the Opinion of Counsel, such amendment or supplemental indenture is valid, binding and enforceable against the Company in accordance with its terms. Article 9. SATISFACTION AND DISCHARGE Section 9.01. Termination of Company’s Obligations. This Indenture will be discharged, and will cease to be of further effect as to all Notes issued under this Indenture, when: (A) all Notes then outstanding (other than Notes replaced pursuant to Section 2.13) have (i) been delivered to the Trustee for cancellation; or (ii) become due and payable (whether on a Redemption Date, a Fundamental Change Repurchase Date, the Maturity Date, upon conversion or otherwise) for an amount of cash or Conversion Consideration, as applicable, that has been fixed; (B) the Company has caused there to be irrevocably deposited with the Trustee, or with the Paying Agent (or, with respect to Conversion Consideration, the Conversion Agent), in each case for the benefit of the Holders, or has otherwise caused there to be delivered to the Holders, cash (or, with respect to Notes to be converted, Conversion Consideration) sufficient to satisfy all amounts or other property due on all Notes then outstanding (other than Notes replaced pursuant to Section 2.13); (C) the Company has paid all other amounts payable by it under this Indenture; and (D) the Company has delivered to the Trustee an Officer’s Certificate and an Opinion of Counsel, each stating that the conditions precedent to the discharge of this Indenture have been satisfied;


 
- 64 - provided, however, that Article 10 and Section 11.01 will survive such discharge and, until no Notes remain outstanding, Section 2.15 and the obligations of the Trustee, the Paying Agent and the Conversion Agent with respect to money or other property deposited with them will survive such discharge. At the Company’s request, the Trustee will acknowledge the satisfaction and discharge of this Indenture. Section 9.02. Repayment to Company. Subject to applicable unclaimed property law, the Trustee, the Paying Agent and the Conversion Agent will promptly notify the Company if there exists (and, at the Company’s request, promptly deliver to the Company) any cash, Conversion Consideration or other property held by any of them for payment or delivery on the Notes that remain unclaimed two (2) years after the date on which such payment or delivery was due. After such delivery to the Company, the Trustee, the Paying Agent and the Conversion Agent will have no further liability to any Holder with respect to such cash, Conversion Consideration or other property, and Holders entitled to the payment or delivery of such cash, Conversion Consideration or other property must look to the Company for payment as a general creditor of the Company. Section 9.03. Reinstatement. If the Trustee, the Paying Agent or the Conversion Agent is unable to apply any cash or other property deposited with it pursuant to Section 9.01 because of any legal proceeding or any order or judgment of any court or other governmental authority that enjoins, restrains or otherwise prohibits such application, then the discharge of this Indenture pursuant to Section 9.01 will be rescinded; provided, however, that if the Company thereafter pays or delivers any cash or other property due on the Notes to the Holders thereof, then the Company will be subrogated to the rights of such Holders to receive such cash or other property from the cash or other property, if any, held by the Trustee, the Paying Agent or the Conversion Agent, as applicable. Article 10. TRUSTEE Section 10.01. Duties of the Trustee. (A) If an Event of Default has occurred and is continuing of which a Responsible Officer of the Trustee has written notice or actual knowledge, the Trustee will exercise such of the rights and powers vested in it by this Indenture, and use the same degree of care and skill in its exercise, as a prudent person would exercise or use under the circumstances in the conduct of such person’s own affairs; provided that the Trustee will be under no obligation to exercise any of the rights or powers under this Indenture at the request or direction of any of the Holders unless such Holders have offered, and if requested, provided, to the Trustee indemnity or security satisfactory to Trustee against any loss, liability or expense that might be incurred by it in compliance with such request or direction. (B) Except during the continuance of an Event of Default: (i) the duties of the Trustee will be determined solely by the express provisions of this Indenture, and the Trustee need perform only those duties that are specifically set forth in this Indenture and no others, and no implied covenants or obligations will be read into this Indenture against the Trustee; and (ii) in the absence of bad faith or willful misconduct on its part, the Trustee may conclusively rely, as to the truth of the statements and the correctness of the opinions expressed


 
- 65 - therein, upon Officer’s Certificates or Opinions of Counsel that are provided to the Trustee and conform to the requirements of this Indenture. However, the Trustee will examine the certificates and opinions to determine whether or not they conform to the requirements of this Indenture. (C) The Trustee may not be relieved from liabilities for its gross negligence or willful misconduct, except that: (i) this paragraph will not limit the effect of Section 10.01(B); (ii) the Trustee will not be liable for any error of judgment made in good faith by a Responsible Officer, unless it is proved that the Trustee was negligent in ascertaining the pertinent facts; and (iii) the Trustee will not be liable with respect to any action it takes or omits to take in good faith in accordance with a direction received by it pursuant to Section 7.06 or exercising any trust or power conferred upon the Trustee, under this Indenture with respect to the Notes. (D) Each provision of this Indenture that in any way relates to the Trustee is subject to paragraphs (A), (B) and (C) of this Section 10.01, regardless of whether such provision so expressly provides. (E) No provision of this Indenture will require the Trustee to expend or risk its own funds or incur any liability. (F) The Trustee will not be liable for interest on any money received by it. Money held in trust by the Trustee need not be segregated from other funds, except to the extent required by law. (G) Unless a Responsible Officer of the Trustee has received notice from the Company that Additional Interest or Special Interest is owing on the Notes, the Trustee may assume no Additional Interest or Special Interest, as applicable, is payable. Section 10.02. Rights of the Trustee. (A) The Trustee may conclusively rely on any document that it believes to be genuine and signed or presented by the proper Person, and the Trustee need not investigate any fact or matter stated in such document. (B) Before the Trustee acts or refrains from acting, it may require an Officer’s Certificate, an Opinion of Counsel or both. The Trustee will not be liable for any action it takes or omits to take in good faith in reliance on such Officer’s Certificate or Opinion of Counsel. The Trustee may consult with counsel; and the written advice of such counsel, or any Opinion of Counsel, will constitute full and complete authorization of the Trustee to take or omit to take any action in good faith in reliance thereon without liability. (C) The Trustee may act through its attorneys and agents and will not be responsible for the misconduct or negligence of any such agent appointed with due care. (D) The Trustee will not be liable for any action it takes or omits to take in good faith and that it believes to be authorized or within the rights or powers vested in it by this Indenture.


 
- 66 - (E) Unless otherwise specifically provided in this Indenture, any demand, request, direction or notice from the Company will be sufficient if signed by an Officer of the Company. (F) The Trustee need not exercise any rights or powers vested in it by this Indenture at the request or direction of any Holder unless such Holder has offered (and if requested, provided) the Trustee security or indemnity satisfactory to the Trustee against any loss, liability or expense that it may incur in complying with such request or direction. (G) The Trustee will not be responsible or liable for any punitive, special, indirect or consequential loss or damage (including lost profits), even if the Trustee has been advised of the likelihood of such loss or damage and regardless of the form of action. (H) The Trustee will not be deemed to have notice of any Default or Event of Default unless written notice of any event which is in fact such a default is received by a Responsible Officer of the Trustee at the Corporate Trust Office, and such notice references the applicable series of Notes and this Indenture. (I) The delivery of reports, information and documents, except for notices of Default or Events of Default pursuant to Section 10.05, to the Trustee is for informational purposes only and the Trustee’s receipt of such shall not constitute actual or constructive notice or knowledge of any information contained therein or determinable from information contained therein, including the Company’s compliance with any of its covenants hereunder (as to which the Trustee is entitled to rely exclusively on Officers’ Certificates). (J) The Trustee shall have no responsibility for any actions taken or not taken by the Depositary. (K) The Trustee may request that the Company deliver a certificate setting forth the names of individuals and/or titles of officers authorized at such time to take specified actions pursuant to this Indenture. (L) The permissive rights of the Trustee set forth in this Indenture will not be construed as duties imposed on the Trustee. (M) The Trustee will not be required to give any bond or surety in respect of the execution or performance of this Indenture or otherwise. (N) The Trustee in any other capacity and agency role hereunder, including without limitation as Paying Agent, Registrar or Conversion Agent, shall have the same rights, privileges, protections, immunities, benefits, reimbursement and indemnity as is accorded the Trustee hereunder. Section 10.03. Individual Rights of the Trustee. The Trustee, in its individual or any other capacity, may become the owner or pledgee of any Note and may otherwise deal with the Company or any of its Affiliates with the same rights that it would have if it were not Trustee; provided, however, that if the Trustee acquires a “conflicting interest” (within the meaning of Section 310(b) of the Trust Indenture Act), then it must eliminate such conflict within ninety (90) days or resign as Trustee. Each Note Agent will have the same rights and duties as the Trustee under this Section 10.03.


 
- 67 - Section 10.04. Trustee’s Disclaimer. The Trustee will not be (A) responsible for, and makes no representation as to, the validity or adequacy of this Indenture or the Notes; (B) accountable for the Company’s use of the proceeds from the Notes or any money paid to the Company or upon the Company’s direction under any provision of this Indenture; (C) responsible for the use or application of any money received by any Paying Agent other than the Trustee; and (D) responsible for any statement or recital in this Indenture, the Notes or any other document relating to the sale of the Notes or this Indenture, other than the Trustee’s certificate of authentication. Section 10.05. Notice of Defaults. If a Default or Event of Default occurs and is continuing and if a Responsible Officer of the Trustee has received written notice of such Default or Event of Default at its Corporate Trust Office and such notice references the Notes and this Indenture, then the Trustee will send Holders a notice of such Default or Event of Default within ninety (90) days after it occurs or, if it is not so actually known by a Responsible Officer at such time, promptly after it becomes actually known by a Responsible Officer; provided, however, that, except in the case of a Default or Event of Default in the payment of the principal of, or interest on, any Note, the Trustee may withhold such notice if and for so long as it in good faith determines that withholding such notice is in the interests of the Holders. The Trustee will not be deemed to have notice or be charged with knowledge of any Default or Event of Default unless written notice thereof has been received by a Responsible Officer, and such notice references the Notes and this Indenture and states on its face that a Default or Event of Default has occurred. Section 10.06. Compensation and Indemnity. (A) The Company will, from time to time, pay the Trustee and the Note Agents reasonable compensation for its acceptance of this Indenture and services under this Indenture, as separately agreed by the Company and the Trustee. The Trustee’s compensation will not be limited by any law on compensation of a trustee of an express trust. In addition to the compensation for the Trustee’s services, the Company will reimburse the Trustee promptly upon request for all reasonable disbursements, taxes (other than for income taxes incurred related to compensation earned hereunder), advances and expenses incurred or made by it under this Indenture, including the reasonable compensation, disbursements and expenses of the Trustee’s agents and counsel. (B) The Company will indemnify the Trustee (in each of its capacities under this Indenture) and its directors, officers, employees and agents, in their capacities as such, against any and all losses, liabilities or expenses incurred by it arising out of or in connection with the acceptance or administration of its duties under this Indenture, including the costs and expenses of enforcing this Indenture against the Company (including this Section 10.06) and defending itself against any claim (whether asserted by the Company, any Holder or any other Person) or liability in connection with the exercise or performance of any of its powers or duties under this Indenture, except to the extent any such loss, liability or expense is determined by a court of competent jurisdiction to have been caused by its gross negligence or willful misconduct. The Trustee will promptly notify the Company of any claim for which it may seek indemnity, but the Trustee’s failure to so notify the Company will not relieve the Company of its obligations under this Section 10.06(B), except to the extent the Company is materially prejudiced by such failure. The Company will defend such claim, and the Trustee will cooperate in such defense. If the Trustee is advised by counsel that it may have defenses available to it that are in conflict with the defenses available to the Company, or that there is an actual or potential conflict of interest, then the Trustee may retain separate counsel, and the Company will pay the reasonable fees and expenses of such counsel (including the reasonable fees and expenses of counsel to the Trustee incurred in evaluating


 
- 68 - whether such a conflict exists). The Company need not pay for any settlement of any such claim made without its consent, which consent will not be unreasonably withheld. (C) The obligations of the Company under this Section 10.06 will survive the resignation or removal of the Trustee and the discharge of this Indenture. (D) To secure the Company’s payment obligations in this Section 10.06, the Trustee will have a lien prior to the Notes on all money or property held or collected by the Trustee, except that held in trust to pay principal of, or interest on, particular Notes, which lien will survive the discharge of this Indenture or resignation or removal of the Trustee. (E) If the Trustee incurs expenses or renders services after an Event of Default pursuant to clause (viii) or (ix) of Section 7.01(A) occurs, then such expenses and the compensation for such services (including the fees and expenses of its agents and counsel) are intended to constitute expenses of administration under any Bankruptcy Law. Section 10.07. Replacement of the Trustee. (A) Notwithstanding anything to the contrary in this Section 10.07, a resignation or removal of the Trustee, and the appointment of a successor Trustee, will become effective only upon such successor Trustee’s acceptance of appointment as provided in this Section 10.07. (B) The Trustee may resign at any time and be discharged from the trust created by this Indenture by so notifying the Company. The Holders of a majority in aggregate principal amount of the Notes then outstanding may remove the Trustee by so notifying the Trustee and the Company in writing. The Company may remove the Trustee if: (i) the Trustee fails to comply with Section 10.09; (ii) the Trustee is adjudged to be bankrupt or insolvent or an order for relief is entered with respect to the Trustee under any Bankruptcy Law; (iii) a custodian or public officer takes charge of the Trustee or its property; or (iv) the Trustee becomes incapable of acting. (C) If the Trustee resigns or is removed, or if a vacancy exists in the office of Trustee for any reason, then (i) the Company will promptly appoint a successor Trustee; and (ii) at any time within one (1) year after the successor Trustee takes office, the Holders of a majority in aggregate principal amount of the Notes then outstanding may appoint a successor Trustee to replace such successor Trustee appointed by the Company. (D) If a successor Trustee does not take office within sixty (60) days after the retiring Trustee resigns or is removed, then the retiring Trustee, the Company or the Holders of at least ten percent (10%) in aggregate principal amount of the Notes then outstanding may petition any court of competent jurisdiction for the appointment of a successor Trustee. (E) If the Trustee, after written request by a Holder of at least six (6) months, fails to comply with Section 10.09, then such Holder may petition any court of competent jurisdiction for the removal of the Trustee and the appointment of a successor Trustee.


 
- 69 - (F) A successor Trustee will deliver a written acceptance of its appointment to the retiring Trustee and to the Company, upon which notice the resignation or removal of the retiring Trustee will become effective and the successor Trustee will have all the rights, powers and duties of the Trustee under this Indenture. The successor Trustee will send notice of its succession to Holders. The retiring Trustee will, upon payment of all amounts due to it under this Indenture, promptly transfer all property held by it as Trustee to the successor Trustee, which property will, for the avoidance of doubt, be subject to the lien provided for in Section 10.06(D). Section 10.08. Successor Trustee by Merger, Etc. Any entity into which the Trustee may be merged or converted or with which it may be consolidated, or any entity resulting from any merger, conversion or consolidation to which the Trustee is a party, or any entity succeeding to all or substantially all of the corporate trust business of the Trustee, will (without the execution or filing of any paper or any further act on the part of any of the parties to this Indenture) be the successor of the Trustee under this Indenture, provided that such entity must be otherwise qualified and eligible under this Article 10. Section 10.09. Eligibility; Disqualification. There will at all times be a Trustee under this Indenture that is a corporation organized and doing business under the laws of the United States of America or of any state thereof, that is authorized under such laws to exercise corporate trustee power, that is subject to supervision or examination by federal or state authorities and that has a combined capital and surplus of at least $100.0 million as set forth in its most recent published annual report of condition. Article 11. MISCELLANEOUS Section 11.01. Notices. Any notice or communication by the Company or the Trustee to the other will be deemed to have been duly given if in writing and delivered in person or by first class mail (registered or certified, return receipt requested), facsimile transmission, electronic transmission or other similar means of unsecured electronic communication or overnight air courier guaranteeing next day delivery, or to the other’s address, which initially is as follows: If to the Company: Super Micro Computer, Inc. 980 Rock Avenue San Jose, California 95131 Attention: Chief Financial Officer with a copy (which will not constitute notice) to: Freshfields US LLP 855 Main Street Redwood City, California 94063 Attention: Sarah K. Solum, Esq., Phillip Stoup, Esq.


 
- 70 - If to the Trustee: U.S. Bank Trust Company, National Association 633 West Fifth Street, 24th Floor Los Angeles, CA 90071 Attention: B. Scarbrough (Super Micro 2029 Notes Administrator) Notwithstanding anything to the contrary in the preceding paragraph, notices to the Trustee (other than a notice pursuant to Section 2.12) or any Note Agent must be in writing and will be deemed to have been given upon actual receipt by the Trustee or such Note Agent, as applicable. The Company or the Trustee, by notice to the other, may designate additional or different addresses (including facsimile numbers and electronic addresses) for subsequent notices or communications. The Trustee will not have any duty to confirm that the person sending any notice, instruction or other communication by electronic transmission (including by e-mail, facsimile transmission, web portal or other electronic methods) is, in fact, a person authorized to do so. Electronic signatures believed by the Trustee to comply with the ESIGN Act of 2000 or other applicable law (including electronic images of handwritten signatures and digital signatures provided by DocuSign, Orbit, Adobe Sign or any other digital signature provider acceptable to the Trustee) will be deemed original signatures for all purposes. Any person that uses electronic signatures or electronic methods to send communications to the Trustee assumes all risks arising out of such use, including the risk of the Trustee acting on an unauthorized communication and the risk of interception or misuse by third parties. Notwithstanding anything to the contrary in this paragraph, the Trustee may, in any instance and in its sole discretion, require that an original document bearing a manual signature be delivered to the Trustee in lieu of, or in addition to, any such electronic communication. All notices and communications (other than those sent to Holders) will be deemed to have been duly given: (A) at the time delivered by hand, if personally delivered; (B) five (5) Business Days after being deposited in the mail, postage prepaid, if mailed; (C) when receipt acknowledged, if transmitted by facsimile, electronic transmission or other similar means of unsecured electronic communication; and (D) the next Business Day after timely delivery to the courier, if sent by overnight air courier guaranteeing next day delivery. All notices or communications required to be made to a Holder pursuant to this Indenture must be made in writing and will be deemed to be duly sent or given in writing if mailed by first class mail, certified or registered, return receipt requested, or by overnight air courier guaranteeing next day delivery, to its address shown on the Register; provided, however, that a notice or communication to a Holder of a Global Note may, but need not, instead be sent pursuant to the Depositary Procedures (in which case, such notice will be deemed to be duly sent or given in writing). Notwithstanding any other provision of this Indenture or any Note, where this Indenture or any Note provides for notice of any event or any other communication to a holder of a Global Note, such notice shall be sufficiently given if given to the Depositary (or its designee) pursuant to the Depositary Procedures, including by electronic mail in accordance with accepted practices at the Depositary. The failure to send a notice or communication to a Holder, or any defect in such notice or communication, will not affect its sufficiency with respect to any other Holder. If the Trustee is then acting as the Depositary’s custodian for the Notes, then, at the reasonable request of the Company to the Trustee, the Trustee will cause any notice prepared by the Company to be sent to any Holder(s) pursuant to the Depositary Procedures, provided such request is evidenced in a


 
- 71 - Company Order delivered, together with the text of such notice, to the Trustee at least two (2) Business Days before the date such notice is to be so sent. For the avoidance of doubt, such Company Order need not be accompanied by an Officer’s Certificate or Opinion of Counsel. The Trustee will not have any liability relating to the contents of any notice that it sends to any Holder pursuant to any such Company Order. If a notice or communication is mailed or sent in the manner provided above within the time prescribed, it will be deemed to have been duly given, whether or not the addressee receives it. Notwithstanding anything to the contrary in this Indenture or the Notes, (A) whenever any provision of this Indenture requires a party to send notice to another party, no such notice need be sent if the sending party and the recipient are the same Person acting in different capacities; and (B) whenever any provision of this Indenture requires a party to send notice to more than one receiving party, and each receiving party is the same Person acting in different capacities, then only one such notice need be sent to such Person. Section 11.02. Delivery of Officer’s Certificate and Opinion of Counsel as to Conditions Precedent. Upon any request or application by the Company to the Trustee to take any action under this Indenture (other than the initial authentication of Notes under this Indenture), the Company will furnish to the Trustee: (A) an Officer’s Certificate that complies with Section 11.03 and states that, in the opinion of the signatory thereto, all conditions precedent and covenants, if any, provided for in this Indenture relating to such action have been satisfied; and (B) an Opinion of Counsel that complies with Section 11.03 and states that, in the opinion of such counsel, all such conditions precedent and covenants, if any, have been satisfied. Section 11.03. Statements Required in Officer’s Certificate and Opinion of Counsel. Each Officer’s Certificate (other than an Officer’s Certificate pursuant to Section 3.05) or Opinion of Counsel with respect to compliance with a covenant or condition provided for in this Indenture will include: (A) a statement that the signatory thereto has read such covenant or condition; (B) a brief statement as to the nature and scope of the examination or investigation upon which the statements or opinions contained therein are based; (C) a statement that, in the opinion of such signatory, he, she or it has made such examination or investigation as is necessary to enable him, her or it to express an informed opinion as to whether or not such covenant or condition has been satisfied; and (D) a statement as to whether, in the opinion of such signatory, such covenant or condition has been satisfied.


 
- 72 - Section 11.04. Rules by the Trustee, the Registrar, the Conversion Agent and the Paying Agent. The Trustee may make reasonable rules for action by or at a meeting of Holders. The Registrar, Conversion Agent or Paying Agent may make reasonable rules and set reasonable requirements for its functions. Section 11.05. No Personal Liability of Directors, Officers, Employees and Stockholders. No past, present or future director, officer, employee, incorporator or stockholder of the Company, as such, will have any liability for any obligations of the Company under this Indenture or the Notes or for any claim based on, in respect of, or by reason of, such obligations or their creation. By accepting any Note, each Holder waives and releases all such liability. Such waiver and release are part of the consideration for the issuance of the Notes. Section 11.06. Governing Law; Waiver of Jury Trial. THIS INDENTURE AND THE NOTES, AND ANY CLAIM, CONTROVERSY OR DISPUTE ARISING UNDER OR RELATED TO THIS INDENTURE OR THE NOTES, WILL BE GOVERNED BY AND CONSTRUED IN ACCORDANCE WITH THE LAWS OF THE STATE OF NEW YORK. EACH OF THE COMPANY AND THE TRUSTEE IRREVOCABLY WAIVES, TO THE FULLEST EXTENT PERMITTED BY APPLICABLE LAW, ANY AND ALL RIGHT TO TRIAL BY JURY IN ANY LEGAL PROCEEDING ARISING OUT OF OR RELATING TO THIS INDENTURE, THE NOTES OR THE TRANSACTIONS CONTEMPLATED BY THIS INDENTURE OR THE NOTES. Section 11.07. Submission to Jurisdiction. Any legal suit, action or proceeding arising out of or based upon this Indenture or the transactions contemplated by this Indenture may be instituted in the federal courts of the United States of America located in the City of New York or the courts of the State of New York, in each case located in the City of New York (collectively, the “Specified Courts”), and each party irrevocably submits to the non- exclusive jurisdiction of such courts in any such suit, action or proceeding. Service of any process, summons, notice or document by mail (to the extent allowed under any applicable statute or rule of court) to such party’s address set forth in Section 11.01 will be effective service of process for any such suit, action or proceeding brought in any such court. Each of the Company, the Trustee and each Holder (by its acceptance of any Note) irrevocably and unconditionally waives any objection to the laying of venue of any suit, action or other proceeding in the Specified Courts and irrevocably and unconditionally waives and agrees not to plead or claim any such suit, action or other proceeding has been brought in an inconvenient forum. Section 11.08. No Adverse Interpretation of Other Agreements. Neither this Indenture nor the Notes may be used to interpret any other indenture, note, loan or debt agreement of the Company or its Subsidiaries or of any other Person, and no such indenture, note, loan or debt agreement may be used to interpret this Indenture or the Notes. Section 11.09. Successors. All agreements of the Company in this Indenture and the Notes will bind its successors. All agreements of the Trustee in this Indenture will bind its successors.


 
- 73 - Section 11.10. Force Majeure. The Trustee and each Note Agent will not incur any liability for any failure or delay in the performance of its obligations hereunder because of circumstances beyond its control, including, but not limited to, acts of God, flood, war (whether declared or undeclared), terrorism, strikes, work stoppages, civil or military disturbances, nuclear or natural catastrophes, fire, riot, embargo, loss or malfunctions of utilities, communications or computer (software and hardware) services, any epidemics, pandemics or similar outbreaks of infectious disease, government action, including any laws, ordinances, regulations, governmental action or the like which delay, restrict or prohibit the providing of the services contemplated by this Indenture; provided that the Trustee shall use reasonable efforts that are consistent with accepted practices in the banking industry to resume performance as soon as practicable under the circumstances. Section 11.11. U.S.A. PATRIOT Act. In order to comply with the laws, rules, regulations and executive orders in effect from time to time applicable to banking institutions, including, without limitation, those relating to the funding of terrorist activities and money laundering, including Section 326 of the USA PATRIOT Act of the United States, the Trustee is required to obtain, verify, record and update certain information relating to individuals and entities which maintain a business relationship with the Trustee. Accordingly, the Company agrees to provide to the Trustee such identifying information and documentation as it may request from time to time in order to enable it to comply therewith. Section 11.12. Calculations. The Company will be responsible for making all calculations called for under this Indenture or the Notes, including determinations of the Last Reported Sale Price, the Daily Conversion Value, the Daily Cash Amount, the Daily Share Amount, the Trading Price, the Daily VWAPs, accrued interest on the Notes (including any Additional Interest or Special Interest), the Conversion Rate (including adjustments to the Conversion Rate) and the Redemption Price. The Company will make all calculations in good faith, and, absent manifest error, its calculations will be final and binding on all Holders. The Company will provide a schedule of its calculations to the Trustee and the Conversion Agent, and each of the Trustee and the Conversion Agent may rely conclusively on the accuracy of the Company’s calculations without independent verification. The Trustee will promptly forward a copy of each such schedule to a Holder upon its written request therefor. Section 11.13. Severability. If any provision of this Indenture or the Notes is invalid, illegal or unenforceable, then the validity, legality and enforceability of the remaining provisions of this Indenture or the Notes will not in any way be affected or impaired thereby. Section 11.14. Counterparts. The parties may sign any number of copies of this Indenture. Each signed copy will be an original, and all of them together represent the same agreement. Delivery of an executed counterpart of this Indenture by facsimile, electronically in portable document format or in any other format will be effective as delivery of a manually executed counterpart. The words “execution,” signed,” “signature,” and words of like import in this Indenture or in any other certificate, agreement or document related to this Indenture shall include images of manually executed signatures transmitted by facsimile or other


 
- 74 - electronic format (including, without limitation, “pdf”, “tif” or “jpg”) and other electronic signatures (including, without limitation, DocuSign and AdobeSign). The use of electronic signatures and electronic records (including, without limitation, any contract or other record created, generated, sent, communicated, received, or stored by electronic means) shall be of the same legal effect, validity and enforceability as a manually executed signature or use of a paper- based record-keeping system to the fullest extent permitted by applicable law, including the Federal Electronic Signatures in Global and National Commerce Act, the New York State Electronic Signatures and Records Act, and any other applicable law, including, without limitation, any state law based on the Uniform Electronic Transactions Act or the Uniform Commercial Code. Section 11.15. Table of Contents, Headings, Etc. The table of contents and the headings of the Articles and Sections of this Indenture have been inserted for convenience of reference only, are not to be considered a part of this Indenture and will in no way modify or restrict any of the terms or provisions of this Indenture. Section 11.16. Withholding Taxes. Each Holder of a Note agrees, and each beneficial owner of an interest in a Global Note, by its acquisition of such interest, is deemed to agree, that if the Company or other applicable withholding agent (including the Trustee) pays withholding taxes or backup withholding on behalf of such Holder or beneficial owner as a result of an adjustment to the Conversion Rate, then the Company or such withholding agent, as applicable, may, at its option, set off such payments against payments of cash or the delivery of other Conversion Consideration on such Note, any payments on the Common Stock or sales proceeds received by, or other funds or assets of, such Holder or the beneficial owner of such Note. Section 11.17. FATCA. In order to comply with applicable tax laws, rules and regulations (inclusive of directives, guidelines and interpretations promulgated by competent authorities) in effect from time to time (for purposes of this Section, “Applicable Law”) to which a foreign financial institution, issuer, trustee, paying agent, holder or other institution is subject related to this Indenture, the Company agrees (i) to provide to the Trustee and the Paying Agent, upon written request, sufficient information about applicable transaction parties to this Indenture (including any modification to the terms of such transactions), which is within the Company’s knowledge and control and to the extent permitted by applicable law, so the Trustee and the Paying Agent can determine whether it has tax related obligations under Applicable Law, and (ii) that the Trustee and the Paying Agent shall be entitled to make any withholding or deduction from payments under this Indenture to the extent necessary to comply with Applicable Law for which the Trustee and the Paying Agent shall not have any liability. The Company agrees to notify the Trustee if the Company becomes aware that any payments hereunder become subject to tax pursuant to Sections 1471 through 1474 of the US Internal Revenue Code of 1986. The terms of this section shall survive the termination of this Indenture. [The Remainder of This Page Intentionally Left Blank; Signature Page Follows]


 
[Signature Page to Indenture] IN WITNESS WHEREOF, the parties to this Indenture have caused this Indenture to be duly executed as of the date first written above. SUPER MICRO COMPUTER, INC. By: Name: Title: U.S. BANK TRUST COMPANY, NATIONAL ASSOCIATION, as Trustee By: Name: Title:


 
A-1 EXHIBIT A FORM OF NOTE [Insert Global Note Legend, if applicable] [Insert Restricted Note Legend, if applicable] SUPER MICRO COMPUTER, INC. 3.50% Convertible Senior Note due 2029 CUSIP No.: 86800U AA21 Certificate No. [___] ISIN No.: US86800UAA251 Super Micro Computer, Inc., a Delaware corporation, for value received, promises to pay to Cede & Co., or its registered assigns, the principal sum of [___] dollars ($[___]) [(as revised by the attached Schedule of Exchanges of Interests in the Global Note)]2 on March 1, 2029 and to pay interest thereon, as provided in the Indenture referred to below, until the principal and all accrued and unpaid interest are paid or duly provided for. Interest Payment Dates: March 1 and September 1 of each year, commencing on [date]. Regular Record Dates: February 15 and August 15. Additional provisions of this Note are set forth on the other side of this Note. [The Remainder of This Page Intentionally Left Blank; Signature Page Follows] 1 This Note will be deemed to be identified by CUSIP No. 86800U AB0 and ISIN No. US86800UAB08 from and after such time when the Company delivers, pursuant to Section 2.12 of the within-mentioned Indenture, written notice to the Trustee of the deemed removal of the Restricted Note Legend affixed to this Note. 2 Insert bracketed language for Global Notes only.


 
A-2 IN WITNESS WHEREOF, Super Micro Computer, Inc. has caused this instrument to be duly executed as of the date set forth below. SUPER MICRO COMPUTER, INC. Date: By: Name: Title:


 
A-3 TRUSTEE’S CERTIFICATE OF AUTHENTICATION U.S. Bank Trust Company, National Association, as Trustee, certifies that this is one of the Notes referred to in the within-mentioned Indenture. Date: By: Authorized Signatory


 
A-4 SUPER MICRO COMPUTER, INC. 3.50% Convertible Senior Note due 2029 This Note is one of a duly authorized issue of notes of Super Micro Computer, Inc., a Delaware corporation (the “Company”), designated as its 3.50% Convertible Senior Notes due 2029 (the “Notes”), all issued or to be issued pursuant to an indenture, dated as of February 27, 2024 (as the same may be amended from time to time, the “Indenture”), between the Company and U.S. Bank Trust Company, National Association, as trustee. Capitalized terms used in this Note without definition have the respective meanings ascribed to them in the Indenture. The Indenture sets forth the rights and obligations of the Company, the Trustee and the Holders and the terms of the Notes. Notwithstanding anything to the contrary in this Note, to the extent that any provision of this Note conflicts with the provisions of the Indenture, the provisions of the Indenture will control. [The note represented by a certificate bearing the number 2029-A[1][2][3][4] that was issued pursuant to the terms of the Original Indenture shall be superseded and replaced in its entirety by this Note.]1 1. Interest. This Note will accrue interest at a rate and in the manner set forth in Section 2.05 of the Indenture. Stated Interest on this Note will begin to accrue from, and including, February 20, 2025. 2. Maturity. This Note will mature on March 1, 2029, unless earlier repurchased, redeemed or converted. 3. Method of Payment. Cash amounts due on this Note will be paid in the manner set forth in Section 2.04 of the Indenture. 4. Persons Deemed Owners. The Holder of this Note will be treated as the owner of this Note for all purposes. 5. Denominations; Transfers and Exchanges. All Notes will be in registered form, without coupons, in principal amounts equal to any Authorized Denominations. Subject to the terms of the Indenture, the Holder of this Note may transfer or exchange this Note by presenting it to the Registrar and delivering any required documentation or other materials. 6. Right of Holders to Require the Company to Repurchase Notes upon a Fundamental Change. If a Fundamental Change occurs, then each Holder will have the right to require the Company to repurchase such Holder’s Notes (or any portion thereof in an Authorized Denomination) for cash in the manner, and subject to the terms, set forth in Section 4.02 of the Indenture. 7. Right of the Company to Redeem the Notes. The Company will have the right to redeem the Notes for cash in the manner, and subject to the terms, set forth in Section 4.03 of the Indenture. 8. Conversion. The Holder of this Note may convert this Note into Conversion Consideration in the manner, and subject to the terms, set forth in Article 5 of the Indenture. 1 Insert for Notes with certificate numbers 2029-A5, 2029-A6, 2029-A7 and 2029-A8 only.


 
A-5 9. When the Company May Merge, Etc. Article 6 of the Indenture places limited restrictions on the Company’s ability to be a party to a Business Combination Event. 10. Defaults and Remedies. If an Event of Default occurs, then the principal amount of, and all accrued and unpaid interest on, all of the Notes then outstanding may (and, in certain circumstances, will automatically) become due and payable in the manner, and subject to the terms, set forth in Article 7 of the Indenture. 11. Amendments, Supplements and Waivers. The Company and the Trustee may amend or supplement the Indenture or the Notes or waive compliance with any provision of the Indenture or the Notes in the manner, and subject to the terms, set forth in Article 8 of the Indenture. 12. No Personal Liability of Directors, Officers, Employees and Stockholders. No past, present or future director, officer, employee, incorporator or stockholder of the Company, as such, will have any liability for any obligations of the Company under the Indenture or the Notes or for any claim based on, in respect of, or by reason of, such obligations or their creation. By accepting any Note, each Holder waives and releases all such liability. Such waiver and release are part of the consideration for the issuance of the Notes. 13. Authentication. No Note will be valid until it is authenticated by the Trustee. A Note will be deemed to be duly authenticated only when an authorized signatory of the Trustee (or a duly appointed authenticating agent) signs the certificate of authentication of such Note by manual signature. 14. Abbreviations. Customary abbreviations may be used in the name of a Holder or its assignee, such as TEN COM (tenants in common), TEN ENT (tenants by the entireties), JT TEN (joint tenants with right of survivorship and not as tenants in common), CUST (custodian), and U/G/M/A (Uniform Gift to Minors Act). 15. Governing Law. THIS NOTE, AND ANY CLAIM, CONTROVERSY OR DISPUTE ARISING UNDER OR RELATED TO THIS NOTE, WILL BE GOVERNED BY AND CONSTRUED IN ACCORDANCE WITH THE LAWS OF THE STATE OF NEW YORK. * * * To request a copy of the Indenture, which the Company will provide to any Holder at no charge, please send a written request to the following address: Super Micro Computer, Inc. 980 Rock Avenue San Jose, California 95131 Attention: Chief Financial Officer


 
A-6 SCHEDULE OF EXCHANGES OF INTERESTS IN THE GLOBAL NOTE1 INITIAL PRINCIPAL AMOUNT OF THIS GLOBAL NOTE: $[___] The following exchanges, transfers or cancellations of this Global Note have been made: Date Amount of Increase (Decrease) in Principal Amount of this Global Note Principal Amount of this Global Note After Such Increase (Decrease) Signature of Authorized Signatory of Trustee 1 Insert for Global Notes only.


 
A-7 CONVERSION NOTICE SUPER MICRO COMPUTER, INC. 3.50% Convertible Senior Notes due 2029 Subject to the terms of the Indenture, by executing and delivering this Conversion Notice, the undersigned Holder of the Note identified below directs the Company to convert (check one):  the entire principal amount of  $ 1 aggregate principal amount of the Note identified by CUSIP No. and Certificate No. . The undersigned acknowledges that if the Conversion Date of a Note to be converted is after a Regular Record Date and before the next Interest Payment Date, then such Note, when surrendered for conversion, must, in certain circumstances, be accompanied with an amount of cash equal to the interest that would have accrued on such Note to, but excluding, such Interest Payment Date. Date: (Legal Name of Holder) By: Name: Title: Signature Guaranteed: Participant in a Recognized Signature Guarantee Medallion Program By: Authorized Signatory 1 Must be an Authorized Denomination.


 
A-8 FUNDAMENTAL CHANGE REPURCHASE NOTICE SUPER MICRO COMPUTER, INC. 3.50% Convertible Senior Notes due 2029 Subject to the terms of the Indenture, by executing and delivering this Fundamental Change Repurchase Notice, the undersigned Holder of the Note identified below is exercising its Fundamental Change Repurchase Right with respect to (check one):  the entire principal amount of  $ 1 aggregate principal amount of the Note identified by CUSIP No. and Certificate No. . The undersigned acknowledges that this Note, duly endorsed for transfer, must be delivered to the Paying Agent before the Fundamental Change Repurchase Price will be paid. Date: (Legal Name of Holder) By: Name: Title: Signature Guaranteed: Participant in a Recognized Signature Guarantee Medallion Program By: Authorized Signatory 1 Must be an Authorized Denomination.


 
A-9 ASSIGNMENT FORM SUPER MICRO COMPUTER, INC. 3.50% Convertible Senior Notes due 2029 Subject to the terms of the Indenture, the undersigned Holder of the within Note assigns to: Name: Address: Social security or tax identification number: the within Note and all rights thereunder irrevocably appoints: as agent to transfer the within Note on the books of the Company. The agent may substitute another to act for him/her. Date: (Legal Name of Holder) By: Name: Title: Signature Guaranteed: Participant in a Recognized Signature Guarantee Medallion Program By: Authorized Signatory


 
A-10 TRANSFEROR ACKNOWLEDGEMENT If the within Note bears a Restricted Note Legend, the undersigned further certifies that (check one): 1.  Such Transfer is being made to the Company or a Subsidiary of the Company. 2.  Such Transfer is being made pursuant to, and in accordance with, a registration statement that is effective under the Securities Act at the time of the Transfer. 3.  Such Transfer is being made pursuant to, and in accordance with, Rule 144A under the Securities Act, and, accordingly, the undersigned further certifies that the within Note is being transferred to a Person that the undersigned reasonably believes is purchasing the within Note for its own account, or for one or more accounts with respect to which such Person exercises sole investment discretion, and such Person and each such account is a “qualified institutional buyer” within the meaning of Rule 144A under the Securities Act in a transaction meeting the requirements of Rule 144A. If this item is checked, then the transferee must complete and execute the acknowledgment contained on the next page. 4.  Such Transfer is being made pursuant to, and in accordance with, any other available exemption from the registration requirements of the Securities Act (including, if available, the exemption provided by Rule 144 under the Securities Act). Dated: (Legal Name of Holder) By: Name: Title: Signature Guaranteed: (Participant in a Recognized Signature Guarantee Medallion Program) By: Authorized Signatory


 
A-11 TRANSFEREE ACKNOWLEDGEMENT The undersigned represents that it is purchasing the within Note for its own account, or for one or more accounts with respect to which the undersigned exercises sole investment discretion, and that and the undersigned and each such account is a “qualified institutional buyer” within the meaning of Rule 144A under the Securities Act. The undersigned acknowledges that the transferor is relying, in transferring the within Note on the exemption from the registration and prospectus-delivery requirements of the Securities Act of 1933, as amended, provided by Rule 144A and that the undersigned has received such information regarding the Company as the undersigned has requested pursuant to Rule 144A. Dated: (Name of Transferee) By: Name: Title:


 
B1-1 EXHIBIT B-1 FORM OF RESTRICTED NOTE LEGEND THE OFFER AND SALE OF THIS NOTE AND THE SHARES OF COMMON STOCK, IF ANY, ISSUABLE UPON CONVERSION OF THIS NOTE HAVE NOT BEEN REGISTERED UNDER THE SECURITIES ACT OF 1933, AS AMENDED (THE “SECURITIES ACT”), AND THIS NOTE MAY NOT BE OFFERED, SOLD OR OTHERWISE TRANSFERRED EXCEPT IN ACCORDANCE WITH THE FOLLOWING SENTENCE. BY ITS ACQUISITION HEREOF OR OF A BENEFICIAL INTEREST HEREIN, THE ACQUIRER: (1) REPRESENTS THAT IT AND ANY ACCOUNT FOR WHICH IT IS ACTING IS A “QUALIFIED INSTITUTIONAL BUYER” (WITHIN THE MEANING OF RULE 144A UNDER THE SECURITIES ACT) AND THAT IT EXERCISES SOLE INVESTMENT DISCRETION WITH RESPECT TO EACH SUCH ACCOUNT; AND (2) AGREES FOR THE BENEFIT OF THE COMPANY THAT IT WILL NOT OFFER, SELL OR OTHERWISE TRANSFER THIS NOTE OR ANY BENEFICIAL INTEREST HEREIN, EXCEPT ONLY: (A) TO THE COMPANY OR ANY SUBSIDIARY THEREOF; (B) PURSUANT TO A REGISTRATION STATEMENT THAT HAS BECOME EFFECTIVE UNDER THE SECURITIES ACT; (C) TO A QUALIFIED INSTITUTIONAL BUYER IN COMPLIANCE WITH RULE 144A UNDER THE SECURITIES ACT; (D) PURSUANT TO RULE 144 UNDER THE SECURITIES ACT; OR (E) PURSUANT TO ANY OTHER EXEMPTION FROM, OR IN A TRANSACTION NOT SUBJECT TO, THE REGISTRATION REQUIREMENTS OF THE SECURITIES ACT. BEFORE THE REGISTRATION OF ANY SALE OR TRANSFER IN ACCORDANCE WITH (2)(C), (D) OR (E) ABOVE, THE COMPANY, THE TRUSTEE AND THE REGISTRAR RESERVE THE RIGHT TO REQUIRE THE DELIVERY OF SUCH CERTIFICATES OR OTHER DOCUMENTATION OR EVIDENCE AS THEY MAY REASONABLY REQUIRE IN ORDER TO DETERMINE THAT THE PROPOSED SALE OR TRANSFER IS BEING MADE IN COMPLIANCE WITH THE SECURITIES ACT AND APPLICABLE STATE SECURITIES LAWS.1 1 This paragraph and the immediately preceding paragraph will be deemed to be removed from the face of this Note at such time when the Company delivers written notice to the Trustee of such deemed removal pursuant to Section 2.12 of the within-mentioned Indenture.


 
B2-1 EXHIBIT B-2 FORM OF GLOBAL NOTE LEGEND THIS IS A GLOBAL NOTE WITHIN THE MEANING OF THE INDENTURE HEREINAFTER REFERRED TO AND IS REGISTERED IN THE NAME OF THE DEPOSITARY OR A NOMINEE OF THE DEPOSITARY, WHICH MAY BE TREATED BY THE COMPANY, THE TRUSTEE AND ANY AGENT THEREOF AS THE OWNER AND HOLDER OF THIS NOTE FOR ALL PURPOSES. UNLESS THIS CERTIFICATE IS PRESENTED BY AN AUTHORIZED REPRESENTATIVE OF THE DEPOSITORY TRUST COMPANY (“DTC”) TO THE COMPANY OR ITS AGENT FOR REGISTRATION OF TRANSFER, EXCHANGE OR PAYMENT, AND ANY CERTIFICATE ISSUED IS REGISTERED IN THE NAME OF CEDE & CO. OR IN SUCH OTHER NAME AS IS REQUESTED BY AN AUTHORIZED REPRESENTATIVE OF DTC (AND ANY PAYMENT HEREON IS MADE TO CEDE & CO. OR TO SUCH OTHER ENTITY AS IS REQUESTED BY AN AUTHORIZED REPRESENTATIVE OF THE DTC), ANY TRANSFER, PLEDGE OR OTHER USE HEREOF FOR VALUE OR OTHERWISE BY OR TO ANY PERSON IS WRONGFUL SINCE THE REGISTERED OWNER HEREOF, CEDE & CO., HAS AN INTEREST HEREIN. TRANSFERS OF THIS GLOBAL NOTE WILL BE LIMITED TO TRANSFERS IN WHOLE, BUT NOT IN PART, TO NOMINEES OF DTC, OR TO A SUCCESSOR THEREOF OR SUCH SUCCESSOR’S NOMINEE, AND TRANSFERS OF PORTIONS OF THIS GLOBAL NOTE WILL BE LIMITED TO TRANSFERS MADE IN ACCORDANCE WITH THE RESTRICTIONS SET FORTH IN ARTICLE 2 OF THE INDENTURE HEREINAFTER REFERRED TO.