EX-3.1 4 tm2326046d5_ex3-1.htm EXHIBIT 3.1

 

Exhibit 3.1

 

CERTIFICATE OF DESIGNATIONS

OF

2.0% CUMULATIVE MANDATORILY CONVERTIBLE SERIES A PREFERRED STOCK

OF

VITAL ENERGY, INC.

 

Pursuant to Section 151 of the General Corporation Law of the State of Delaware

 

VITAL ENERGY, INC., a Delaware corporation (the “Company”), certifies that pursuant to the resolutions of the Finance Committee of Board of Directors adopted on September 11, 2023, the creation of 2.0% Cumulative Mandatorily Convertible Series A Preferred Stock, par value $0.01 per share (the “Series A Preferred Stock”), of the Company was authorized and the designation, preferences, privileges, voting rights, and other special rights and qualifications, limitations and restrictions of the Series A Preferred Stock, in addition to those set forth in the Certificate of Incorporation and the Bylaws, are fixed as follows:

 

1.       Designation and Amount; Ranking. (a) There shall be created from the 50,000,000 shares of preferred stock, par value $0.01 per share, of the Company authorized to be issued pursuant to the Certificate of Incorporation, a series of preferred stock, designated as the “2.0% Cumulative Mandatorily Convertible Series A Preferred Stock,” par value $0.01 per share, and the authorized number of shares for issuance of Series A Preferred Stock shall be 4,977,272. Shares of Series A Preferred Stock that are purchased or otherwise acquired by the Company, or that are converted into shares of Common Stock, shall be cancelled and shall revert to authorized but unissued shares of Series A Preferred Stock.

 

(b)       The Series A Preferred Stock, with respect to dividend rights and rights upon the liquidation, winding-up or dissolution of the Company, ranks: (i) senior to all Junior Stock; (ii) on a parity, in all respects, with all Parity Stock; and (iii) junior to all Senior Stock, in each case, as provided more fully herein.

 

2.       Definitions. As used herein, the following terms shall have the following meanings:

 

(a)       Accumulated Dividends” shall mean, with respect to any share of Series A Preferred Stock, as of any date, the aggregate accumulated and unpaid dividends on such share from the Issue Date until such date. There shall be no Accumulated Dividends with respect to any share of Series A Preferred Stock prior to the Issue Date.

 

(b)       Affiliate” shall have the meaning ascribed to it, on the date hereof, under Rule 144.

 

(c)       Average VWAP” means, with respect to a specified period, the arithmetic mean of the Daily VWAP per share of Common Stock for each Trading Day in such period.

 

(d)       Board of Directors” shall mean the Board of Directors of the Company or, with respect to any action to be taken by the Board of Directors, any committee of the Board of Directors duly authorized to take such action.

 

 

 

 

(e)       Business Day” shall mean any day other than a Saturday, Sunday or other day on which commercial banks in The City of New York are authorized or required by law or executive order to close.

 

(f)       Bylaws” shall mean the Fourth Amended and Restated Bylaws of the Company, as may be amended, amended and restated, or otherwise modified from time to time.

 

(g)       Capital Stock” shall mean, for any entity, any and all shares, interests, rights to purchase, warrants, options, participations or other equivalents of or interests in (however designated) stock issued by that entity.

 

(h)       Certificate of Incorporation” shall mean the Amended and Restated Certificate of Incorporation of the Company, dated as of December 19, 2011, as amended to date and as may be further amended, amended and restated, or otherwise modified from time to time.

 

(i)       Clause A Distribution” shall have the meaning specified in Section 8(c).

 

(j)       Clause B Distribution” shall have the meaning specified in Section 8(c).

 

(k)       Clause C Distribution” shall have the meaning specified in Section 8(c).

 

(l)       close of business” shall mean 5:00 p.m. (New York City time).

 

(m)       Common Stock” shall mean the common stock, par value $0.01 per share, of the Company, subject to Section 8(o).

 

(n)       Company” shall have the meaning specified in the preamble.

 

(o)       Conversion Rate” shall have the meaning specified in Section 7(a).

 

(p)       Daily VWAP” shall mean, for any Trading Day, the per share volume weighted average price as displayed under the heading “Bloomberg VWAP” on the Bloomberg page for the Company’s Common Stock (or any successor thereto) in respect of the period from the scheduled open of trading on the principal trading market for the Common Stock to the scheduled close of trading of the primary trading session on such Trading Day (including any extensions thereof) (or if such volume weighted average price is not available, the market value of one share of Common Stock on such Trading Days, as the Board of Directors reasonably determines in good faith using a volume weighted average method). The “Daily VWAP” will be determined without regard to after hours trading or any other trading outside of the regular trading session trading hours (including any extensions thereof).

 

(q)       Distributed Property” shall have the meaning specified in Section 8(c).

 

(r)       Dividend Payment Date” shall mean January 1, April 1, July 1 and October 1, of each year, commencing on October 1, 2023.

 

(s)       Dividend Period” shall mean the period commencing on and including a dividend payment date and ending on but excluding the next succeeding dividend payment date, with the exception that the first Dividend Period shall commence on and include the Issue Date and end on but exclude the first scheduled dividend payment date.

 

2

 

 

(t)       Dividend Rate” shall mean the rate per annum of 2.0% per share of Series A Preferred Stock on the Liquidation Preference; provided that such rate shall automatically increase to (i) 5.0% on September 15, 2024, and (ii) 8.0% on September 15, 2025.

 

(u)       Dividend Record Date” shall mean, with respect to any Dividend Payment Date, December 15, March 15, June 15 and September 15, as the case may be, immediately preceding such Dividend Payment Date.

 

(v)       Governmental Authority” shall mean (a) any national, supranational, federal, state, provincial, county, municipal or local government or any entity exercising executive, legislative, judicial, quasi-judicial, arbitral, regulatory, taxing or administrative functions of or pertaining to government and (b) any agency, commission, division, bureau, department, court, tribunal, instrumentality, authority, quasi-governmental authority or other political subdivision of any government, entity or organization described in the foregoing clause (a), in each case, whether U.S. or non-U.S.

 

(w)       Holder” shall mean a holder of record of the Series A Preferred Stock.

 

(x)       Issue Date” shall mean September 13, 2023, the original date of issuance of the Series A Preferred Stock.

 

(y)       Junior Stock” shall mean the Common Stock, all other classes of the Company’s common stock and each other class of Capital Stock or series of preferred stock established after the Issue Date, the terms of which do not expressly provide that such class or series ranks senior to or on a parity with the Series A Preferred Stock as to dividend rights or rights upon the liquidation, winding-up or dissolution of the Company.

 

(z)       Last Reported Sale Price” of the shares of Common Stock on any Trading Day means (i) unless clause (ii) or (iii) applies, the closing sale price per share (or, if no closing sale price is reported, the average of the last bid and last ask prices or, if more than one in either case, the average of the average last bid and the average last ask prices) on such date as reported in composite transactions for the principal U.S. national or regional securities exchange on which the shares of Common Stock are traded; (ii) if the shares of Common Stock are not listed for trading on a U.S. national or regional securities exchange on the relevant date, the last quoted bid price for the shares of Common Stock in the over-the-counter market on the relevant date as reported by OTC Markets Group Inc. or a similar organization; or (iii) if the shares of Common Stock are not so traded or quoted, the average of the mid-point of the last bid and ask prices for the shares of Common Stock on the relevant date from each of at least three nationally recognized independent investment banking firms selected by the Company for this purpose.

 

(aa)     Law” shall mean any Order, law, statute, regulation, code, ordinance, policy, rule, consent decree, consent order or other requirement of any Governmental Authority.

 

(bb)     “Liquidation Preference” shall mean, with respect to each share of Series A Preferred Stock, $54.96.

 

3

 

 

(cc)       “Mandatory Conversion Date” shall have the meaning specified in Section 7(b).

 

(dd)       Market Disruption Event” shall mean the occurrence or existence on any Trading Day of any suspension or limitation imposed on trading (by reason of movements in price exceeding limits permitted by the stock exchange or otherwise) in the Common Stock or in any options contracts or futures contracts relating to the Common Stock, and such suspension or limitation occurs or exists at any time within the thirty (30) minutes prior to the scheduled close of trading on such Trading Day.

 

(ee)       open of business” shall mean 9:00 a.m. (New York City time).

 

(ff)       Order” shall mean any award, injunction, judgment, decree, order, ruling, subpoena or verdict or other decision issued, promulgated or entered by or with a Governmental Authority of competent jurisdiction.

 

(gg)       Parity Stock” shall mean any class of Capital Stock or series of preferred stock established after the Issue Date, the terms of which expressly provide that such class or series will rank on a parity with the Series A Preferred Stock as to dividend rights or rights upon the liquidation, winding-up or dissolution of the Company.

 

(hh)       Person” shall mean any individual, corporation, general partnership, limited partnership, limited liability partnership, joint venture, association, joint-stock company, trust, limited liability company, unincorporated organization or government or any agency or political subdivision thereof.

 

(ii)       Received Dividend” shall have the meaning specified in Section 8

 

(jj)       Redemption” shall have the meaning specified in Section 13(a).

 

(kk)       Redemption Date” shall have the meaning specified in Section 13(c).

 

(ll)        Redemption Notice” shall have the meaning specified in Section 13(c).

 

(mm)     Redemption Price” shall have the meaning specified in Section 13(b).

 

(nn)       Reference Property” shall have the meaning specified in Section 8(o).

 

(oo)       Reorganization Event” shall have the meaning specified in Section 8(o).

 

(pp)       Rule 144” shall mean Rule 144 as promulgated under the Securities Act.

 

(qq)       Securities Act” shall mean the Securities Act of 1933, as amended, and the rules and regulations promulgated thereunder.

 

(rr)       Senior Stock” shall mean any class of the Company’s Capital Stock or series of preferred stock established after the Issue Date, the terms of which expressly provide that such class or series will rank senior to the Series A Preferred Stock as to dividend rights or rights upon the liquidation, winding-up or dissolution of the Company.

 

4

 

 

(ss)       Series A Preferred Stock” shall have the meaning specified in the preamble.

 

(tt)       Spin-Off” shall have the meaning specified in Section 8(c).

 

(uu)       Stockholder Approval” shall mean the approval by holders of a majority of the issued and outstanding shares of Common Stock eligible to vote, required by the applicable rules and regulations of the New York Stock Exchange (or any successor entity) from the stockholders of the Company with respect to the issuance of the shares upon conversion of the shares of Series A Preferred Stock.

 

(vv)       Subsidiary” shall mean, with respect to any Person, any corporation, association, partnership or other business entity of which more than 50% of the total voting power of shares of Capital Stock or other interests (including partnership interests) entitled (without regard to the occurrence of any contingency) to vote in the election of directors, managers, general partners or trustees thereof is at the time owned or controlled, directly or indirectly, by (i) such Person; (ii) such Person and one or more Subsidiaries of such Person; or (iii) one or more Subsidiaries of such Person.

 

(ww)       Trading Day” shall mean a day during which (i) trading in the Common Stock generally occurs on the New York Stock Exchange or, if the Common Stock is not listed on the New York Stock Exchange, on the principal other national or regional securities exchange on which the Common Stock is then listed or, if the Common Stock is not listed on a national or regional securities exchange, on the principal other market on which the Common Stock is then listed or admitted for trading and (ii) there is no Market Disruption Event. If the Common Stock is not so listed or traded, “Trading Day” shall mean a Business Day.

 

(xx)       Transfer Agent” shall mean Equiniti Trust Company, LLC, acting as the Company’s duly appointed transfer agent, registrar, conversion agent and dividend disbursing agent for the Series A Preferred Stock. The Company may, in its sole discretion, remove the Transfer Agent with ten (10) days’ prior notice to the Transfer Agent and Holders; provided that the Company shall appoint a successor Transfer Agent who shall accept such appointment prior to the effectiveness of such removal.

 

(yy)       Trigger Event” shall have the meaning specified in Section 8(c).

 

(zz)       Valuation Period” shall have the meaning specified in Section 8(c).

 

3.            Dividends.

 

(a)          Holders shall be entitled to receive, when, as and if declared by the Board of Directors out of funds of the Company legally available for payment, cumulative dividends at the Dividend Rate. Dividends on the Series A Preferred Stock shall be payable quarterly in arrears at the Dividend Rate, and shall accumulate, whether or not earned or declared, from the most recent date to which dividends have been paid, or, if no dividends have been paid, from the Issue Date (whether or not in any dividend period or periods there shall be funds of the Company legally available for the payment of such dividends), and shall be paid in cash, as provided pursuant to Section 4. Dividends shall be payable in arrears on each Dividend Payment Date (commencing on October 1, 2023) to the holders of record of Series A Preferred Stock as they appear on the Company’s stock register at the close of business on the relevant Dividend Record Date. Accumulations of dividends on shares of Series A Preferred Stock shall not bear interest. Dividends payable for any period less than a full dividend period (based upon the number of days elapsed during the period) shall be computed on the basis of a 360-day year consisting of twelve 30-day months.

 

5

 

 

(b)          No dividend shall be declared or paid upon, or any sum set apart for the payment of dividends upon, any outstanding share of the Series A Preferred Stock with respect to any dividend period, unless all dividends for all preceding dividend periods have been declared and paid, or declared and a sufficient sum has been set apart for the payment of such dividend, upon all outstanding shares of Series A Preferred Stock.

 

(c)          No dividends or other distributions (other than a dividend or distribution payable solely in shares of Parity Stock or Junior Stock (in the case of Parity Stock) or Junior Stock (in the case of Junior Stock) and cash, which shall not exceed $54.96 per fractional share, in lieu of fractional shares) may be declared, made or paid, or set apart for payment upon, any Parity Stock or Junior Stock, nor may any Parity Stock or Junior Stock be redeemed, purchased or otherwise acquired for any consideration or retired for value (or any money paid to or made available for a sinking fund for the redemption of any Parity Stock or Junior Stock) by the Company or on behalf of the Company (except by (i) conversion into or exchange for shares of Parity Stock or Junior Stock (in the case of Parity Stock) or Junior Stock (in the case of Junior Stock) and cash, which shall not exceed $54.96 per fractional share, solely in lieu of fractional shares of any such shares of Parity Stock or Junior Stock and (ii) payments in connection with the satisfaction of employees’ tax withholding obligations pursuant to employee benefit plans or outstanding awards (and payment of any corresponding requisite amounts to the appropriate governmental authority)), unless, in either case of clause (i) or (ii), above, all Accumulated Dividends shall have been or contemporaneously are declared and paid, or are declared and a sum sufficient for the payment thereof is set apart for such payment, on the Series A Preferred Stock and any Parity Stock for all dividend payment periods ending on or prior to the date of such declaration, payment, redemption, purchase or acquisition. Notwithstanding the foregoing, if full dividends have not been paid on the Series A Preferred Stock and any Parity Stock, dividends may be declared and paid on the Series A Preferred Stock and such Parity Stock so long as the dividends are declared and paid pro rata so that the amounts of dividends declared per share on the Series A Preferred Stock and such Parity Stock shall in all cases bear to each other the same ratio that accumulated and unpaid dividends per share on the shares of Series A Preferred Stock and such Parity Stock bear to each other.

 

(d)        Holders shall not be entitled to any dividend, whether payable in cash, property or stock, in excess of full cumulative dividends.

 

4.         Method of Payment of Dividends.

 

(a)        Dividends on the Series A Preferred Stock shall be payable entirely in cash.

 

(b)       If a Dividend Payment Date falls on a day that is not a Business Day, the dividend to be made on such Dividend Payment Date will be made, without penalty, on the next succeeding Business Day with the same force and effect as if made on such Dividend Payment Date.

 

6

 

 

5.         Voting. (a) The shares of Series A Preferred Stock shall have no voting rights except as set forth below or as otherwise required by Delaware law from time to time:

 

(i)            So long as any shares of Series A Preferred Stock remain outstanding, unless a greater percentage shall then be required by Law, the Company shall not, without the affirmative vote or consent (which shall not be unreasonably withheld) of the Holders of at least a majority of the outstanding shares of Series A Preferred Stock voting or consenting, as the case may be, separately as one class, (A) create, authorize or issue any class or series of Parity Stock or Senior Stock (or any security convertible into Parity Stock or Senior Stock) or (B) amend the Company’s constituent documents by merger or otherwise so as to affect adversely the rights, preferences, privileges or voting rights of Holders, including, without limitation, provisions relating to dividends, conversion rights and ranking.

 

(ii)            In all cases in which Holders shall be entitled to vote, each share of Series A Preferred Stock shall be entitled to one vote.

 

(b)        The Company may authorize, increase the authorized amount of, or issue any class or series of Junior Stock, without the consent of the Holders, and in taking such actions the Company shall not be deemed to have affected, and any amendment of the Certificate of Incorporation of the Company that effects such actions shall not be deemed to affect, adversely the rights, preferences, privileges or voting rights of Holders specified herein.

 

6.          Liquidation Rights.

 

(a)        In the event of any liquidation, winding-up or dissolution of the Company, whether voluntary or involuntary, each Holder shall be entitled to receive and to be paid out of the assets of the Company available for distribution to its stockholders an amount of cash per share equal to the greater of (x) the Liquidation Preference and (y) such amount per share as would have been payable had all shares of Series A Preferred Stock been converted into Common Stock pursuant to Section 7 immediately prior to such liquidation, winding-up or dissolution, in each case plus Accumulated Dividends to the date fixed for liquidation, winding-up or dissolution in preference to the holders of, and before any payment or distribution is made on, any Junior Stock, including, without limitation, the Common Stock.

 

(b)         Neither the sale (for cash, shares of stock, securities or other consideration) of all or substantially all the assets or business of the Company (other than in connection with the liquidation, winding-up or dissolution of the Company) nor the merger or consolidation of the Company into or with any other Person shall be deemed to be a liquidation, winding-up or dissolution, voluntary or involuntary, for the purposes of this Section 6.

 

(c)         After the payment in full to the Holders of the preferential amounts provided for in this Section 6, the Holders as such shall have no right or claim to any of the remaining assets of the Company.

 

(d)        In the event the assets of the Company available for distribution to the Holders and holders of shares of Parity Stock upon any liquidation, winding-up or dissolution of the Company, whether voluntary or involuntary, shall be insufficient to pay in full all amounts to which such Holders are entitled pursuant to this Section 6 and all amounts to which such holders of Parity Stock are entitled, no such distribution shall be made on account of any shares of Parity Stock upon such liquidation, dissolution or winding-up unless proportionate distributable amounts shall be paid on account of the shares of Series A Preferred Stock, equally and ratably, in proportion to the full distributable amounts for which holders of all Series A Preferred Stock and of any Parity Stock are entitled upon such liquidation, winding-up or dissolution.

 

7

 

 

7.          Mandatory Conversion. (a) Following receipt of Stockholder Approval, the Company shall convert all outstanding shares of the Series A Preferred Stock into shares of Common Stock, in which case each Holder will receive, for each share of Series A Preferred Stock being converted, a number of shares of Common Stock in aggregate equal to the Conversion Rate. The initial conversion rate for the Series A Preferred Stock is 1 share of Common Stock per share of Series A Preferred Stock (the “Conversion Rate”).

 

(b)         To exercise the mandatory conversion right described in this Section 7, the Company must issue a press release for publication on the Dow Jones News Service or Bloomberg Business News (or if either such service is not available, another broadly disseminated news or press release service selected by the Company) announcing such a mandatory conversion. The Company shall also give notice by mail or by publication to the Holders (not later than two Business Days after the date of the press release) of the mandatory conversion announcing the Company’s intention to convert the Series A Preferred Stock. The conversion date will be a date selected by the Company (the “Mandatory Conversion Date”) and will be no earlier than five Business Days and no later than 20 Business Days after the date on which the Company issues the press release described in this Section 7(b).

 

(c)          In addition to any information required by applicable law or regulation, the press release and notice of a mandatory conversion described in Section 7(b) shall state, as appropriate: (i) the Mandatory Conversion Date; and (ii) the number of shares of Common Stock to be issued upon conversion of each share of Series A Preferred Stock.

 

(d)         On and after the Mandatory Conversion Date, all rights of Holders of such Series A Preferred Stock shall terminate, except for the right to receive the whole shares of Common Stock issuable upon conversion thereof with such adjustment or cash payment for fractional shares as the Company may elect pursuant to Section 9. Upon conversion, the Company will deliver to each Holder a number of shares of Common Stock equal to the number of shares of Series A Preferred Stock being converted by such Holder multiplied by the then applicable Conversion Rate (with shares of Common Stock issued in whole integral multiples, rounded down in lieu of any fractional shares that a Holder would be entitled to receive) on the third (3rd) Business Day immediately following the relevant conversion date.

 

8.          Adjustment of Conversion Rate. The Conversion Rate shall be adjusted, without duplication, from time to time by the Company as follows, except that the Conversion Rate shall not be adjusted if Holders participate in any of the dividends or distributions described in this Section 8 (other than (x) a share split or share combination or (y) a tender or exchange offer), at the same time and upon the same terms as holders of shares of Common Stock and solely as a result of holding shares of Series A Preferred Stock, without having to convert their shares of Series A Preferred Stock as if they held a number of shares of Common Stock equal to the applicable Conversion Rate in effect immediately after the close of business on the date for determination of holders of Common Stock entitled to receive such distribution, multiplied by the number of shares of Series A Preferred Stock held by such Holders at such time (any such dividend or distribution to the holders of Common Stock in which Holders participate, a “Received Dividend”).

 

8

 

 

(a)         If the Company issues or otherwise distributes shares of Common Stock as a dividend or distribution to all or substantially all holders of the shares of Common Stock (other than any Received Dividend), or if the Company effects a share split or share combination of the Common Stock, the Conversion Rate shall be adjusted based on the following formula:

 

 

where,

 

CR0 =             the Conversion Rate in effect immediately prior to the open of business on the “ex” date of such dividend or distribution, or immediately prior to the open of business on the effective date of such share split or share combination, as the case may be;

 

CR =              the new Conversion Rate in effect immediately after the open of business on such “ex” date for such dividend or distribution, or immediately after the open of business on the effective date of such share split or share combination, as the case may be;

 

OS0 =              the number of shares of Common Stock outstanding immediately prior to the open of business on such “ex” date or immediately prior to the open of business on the effective date of such share split or share combination, as the case may be; and

 

OS =              the number of shares of Common Stock outstanding immediately after, and solely as a result of, giving effect to such dividend, distribution, share split or share combination.

 

Any adjustment made under this Section 8 shall become effective immediately after the open of business on the “ex” date for such dividend or distribution, or immediately after the open of business on the effective date for such share split or share combination, as applicable. If any dividend or distribution of the type described in this clause (a) is announced or declared but not so paid or made, the Conversion Rate shall be readjusted, effective as of the date the Board of Directors determines not to pay such dividend or distribution, to the Conversion Rate that would then be in effect if such dividend or distribution had not been announced or declared. For the avoidance of doubt, if the application of the foregoing formula would result in a decrease in the Conversion Rate, no adjustment to the Conversion Rate will be made (other than (i) as a result of a reverse share split or share combination or (ii) with respect to the readjustment of the Conversion Rate as described in the immediately preceding sentence).

 

9

 

 

For purposes of this Section 8, “effective date” means the first date on which shares of Common Stock trade on the applicable exchange or in the applicable market, regular way, reflecting the relevant share split or share combination, as applicable.

 

(b)        If the Company distributes to all or substantially all holders of shares of Common Stock any rights or warrants entitling them for a period of not more than 45 days from the record date of such distribution to subscribe for or purchase shares of Common Stock at a price per share that is less than the average of the Last Reported Sale Prices of the shares of Common Stock on the ten (10) consecutive Trading Days immediately preceding the date that such distribution was first publicly announced (other than any Received Dividend), the Conversion Rate shall be increased based on the following formula:

 

 

 

where,

 

CR0  =the Conversion Rate in effect immediately prior to the open of business on the “ex” date for such distribution;

 

CR =the new Conversion Rate in effect immediately after the open of business on the “ex” date for such distribution;

 

OS0 =the number of shares of Common Stock outstanding immediately prior to the open of business on the “ex” date for such distribution;

 

X =the total number of shares of Common Stock issuable pursuant to such rights or warrants; and

 

Y =the number of shares of Common Stock equal to the aggregate price payable to exercise such rights or warrants, divided by the average of the Last Reported Sale Prices of the shares of Common Stock over the ten (10) consecutive Trading Day period ending on (and including) the Trading Day immediately preceding the date “ex” date for such distribution.

 

Any increase in the Conversion Rate made under this Section 8(b) shall become effective immediately after the open of business on the “ex” date for such distribution.

 

For purposes of this Section 8(b), in determining whether any rights or warrants entitle the holders to subscribe for or purchase shares of Common Stock at a price less than such average of Last Reported Sale Prices of the shares of Common Stock, and in determining the aggregate exercise price payable for such shares of Common Stock, there shall be taken into account any consideration received by the Company for such rights or warrants and any amount payable on exercise or conversion thereof, with the value of such consideration, if other than cash, to be determined by the Board of Directors. To the extent that any such rights or warrants are not exercised or converted prior to the expiration of the exercisability or convertibility thereof, the new Conversion Rate shall be decreased, effective as of the time of such expiration, to the Conversion Rate that would then be in effect if such rights or warrants had not been so distributed. If any such dividend or distribution in this clause (b) is announced or declared but not paid or made, the new Conversion Rate shall be decreased, effective as of the date the Board of Directors determines not to make or pay such dividend or distribution, to be the Conversion Rate that would then be in effect if such dividend or distribution had not been announced or declared. For the avoidance of doubt, if the application of the foregoing formula would result in a decrease in the Conversion Rate, no adjustment to the Conversion Rate will be made (other than with respect to the readjustment of the Conversion Rate as described in the two immediately preceding sentences).

 

10

 

 

(c)         If the Company distributes shares of the Company’s Capital Stock, evidences of the Company’s indebtedness, other assets or property of the Company or rights or warrants to acquire its Capital Stock or other securities to all or substantially all holders of shares of Common Stock, excluding:

 

(i)            dividends or distributions of shares, or of rights or warrants to purchase or subscribe for shares, of Common Stock as to which the provisions of Section 8(a) or 8(b) shall apply;

 

(ii)           dividends or distributions paid exclusively in cash as to which the provisions of Section 8(d) shall apply;

 

(iii)          distributions of Reference Property pursuant to a Reorganization Event specified in Section 8(o);

 

(iv)          any distribution constituting a Received Dividend; and

 

(v)           Spin-Offs as to which the provisions set forth below in this Section 8(c) shall apply

 

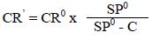
(any of such shares of Capital Stock, evidences of indebtedness, other assets or property or rights or warrants, the “Distributed Property”), then the Conversion Rate shall be increased based on the following formula:

 

 

 

where,

 

CR0 = the Conversion Rate in effect immediately prior to the open of business on the “ex” date for such distribution;

 

CR = the new Conversion Rate in effect immediately after the open of business on the “ex” date for such distribution;

 

11

 

 

SP0 =      the average of the Last Reported Sale Prices of the shares of Common Stock over the ten (10) consecutive Trading Day period ending on (and including) the Trading Day immediately preceding the “ex” date for such distribution; and

 

FMV =the fair market value (as determined by the Board of Directors) of the Distributed Property with respect to each outstanding share of Common Stock on the “ex” date for such distribution.

 

Any increase made under the portion of this Section 8(c) set forth above shall become effective immediately after the open of business on the “ex” date for such distribution.

 

Notwithstanding the foregoing, if “FMV” (as defined above) is equal to or greater than “SP0” (as defined above), in lieu of the foregoing increase, each Holder shall receive, for each share of Series A Preferred Stock, at the same time and upon the same terms as holders of shares of Common Stock and solely as a result of holding shares of Series A Preferred Stock, without having to convert its shares of Series A Preferred Stock, the amount and kind of Distributed Property that such Holder would have received if such Holder had held a number of shares of Common Stock equal to the applicable Conversion Rate in effect immediately after the close of business on the date for determination of holders of Common Stock entitled to receive such distribution, multiplied by the number of shares of Series A Preferred Stock held by such holder at such time. If the Board of Directors determines the “FMV” (as defined above) of any distribution for purposes of this Section 8(c) by reference to the actual or when-issued trading market for any securities, it shall in doing so consider the prices in such market over the same period used in computing the average of Last Reported Sale Prices of the shares of Common Stock over the ten (10) consecutive Trading Day period ending on (and including) the Trading Day immediately preceding the “ex” date for such distribution. For the avoidance of doubt, if the application of the foregoing formula would result in a decrease in the Conversion Rate, no adjustment to the Conversion Rate will be made (other than with respect to the readjustment of the Conversion Rate as described in the immediately preceding sentence).

 

With respect to an adjustment pursuant to this Section 8(c) where there has been a payment of a dividend or other distribution on the shares of Common Stock of shares of Capital Stock of any class or series, or similar equity interest, of or relating to a Subsidiary or other business unit of the Company, that are, or, when issued, will be, listed or admitted for trading on a U.S. national securities exchange (a “Spin-Off”), the Conversion Rate shall be increased based on the following formula:

 

 

 

where,

 

CR0 = the Conversion Rate in effect immediately prior to the close of business on the “ex” date of the Spin-Off;

 

12

 

 

CR =      the new Conversion Rate in effect immediately after the open of business on the “ex” date of the Spin-Off;

 

FMV =the average of the Last Reported Sale Prices of the Capital Stock or similar equity interest distributed to holders of shares of Common Stock applicable to one share of Common Stock (determined by reference to the definition of Last Reported Sale Price as set forth in Section 2 as if references therein to shares of Common Stock were to such Capital Stock or similar equity interest) over the ten (10) consecutive Trading Day period commencing on (and including) the “ex” date of the Spin-Off (such period, the “Valuation Period”); and

 

MP0 =    the average of the Last Reported Sale Prices of the shares of Common Stock over the Valuation Period.

 

The increase to the Conversion Rate under the preceding paragraph shall be determined on the last Trading Day of the Valuation Period but shall become effective and be given effect at the open of business on the “ex” date of such Spin-Off; provided, however, that if the relevant Mandatory Conversion Date occurs during the Valuation Period, in determining the Conversion Rate, references in the preceding paragraph with respect to ten (10) consecutive Trading Days shall be deemed to be replaced with such lesser number of consecutive Trading Days as have elapsed from (and including) the “ex” date of such Spin-Off to (but excluding) such Mandatory Conversion Date.

 

If any such distribution described in this Section 8(c) is declared or announced but not paid or made, the new Conversion Rate shall be decreased, effective as of the date the Board of Directors determines not to make or pay such distribution, to be the Conversion Rate that would then be in effect if such distribution had not been declared or announced. For the avoidance of doubt, if the application of the foregoing formula would result in a decrease in the Conversion Rate, no adjustment to the Conversion Rate will be made (other than with respect to the readjustment of the Conversion Rate as described in the immediately preceding sentence).

 

13

 

 

For purposes of this Section 8(c) (and subject in all respects to Section 8(i)), rights or warrants distributed by the Company to all holders of shares of Common Stock entitling them to subscribe for or purchase shares of the Company’s Capital Stock, including Common Stock (either initially or under certain circumstances), which rights or warrants, until the occurrence of specified event or events (“Trigger Event”): (i) are deemed to be transferred with such shares of the Common Stock; (ii) are not exercisable; and (iii) are also issued in respect of future issuances of the Common Stock, shall be deemed not to have been distributed for purposes of this Section 8(c) (and no adjustment to the Conversion Rate under this Section 8(c) will be required) until the occurrence of the earliest Trigger Event, whereupon such rights or warrants shall be deemed to have been distributed and an appropriate adjustment (if any is required) to the Conversion Rate shall be made under this Section 8(c). If any such right or warrant, including any such existing rights or warrants distributed prior to the Issue Date, are subject to events, upon the occurrence of which such rights or warrants become exercisable to purchase different securities, evidences of indebtedness or other assets, then the date of the occurrence of any and each such event shall be deemed to be the date of distribution and “ex” date with respect to new rights or warrants with such rights (in which case the existing rights or warrants shall be deemed to terminate and expire on such date without exercise by any of the holders thereof). In addition, in the event of any distribution (or deemed distribution) of rights or warrants, or any Trigger Event or other such event (of the type described in the immediately preceding sentence) with respect thereto that was deemed to effect a distribution of rights or warrants, in each case for which an adjustment to the Conversion Rate under this Section 8(c) was made, (1) in the case of any such rights or warrants that shall all have been redeemed or purchased without exercise by any holders thereof, upon such final redemption or purchase (x) the Conversion Rate shall be readjusted as if such rights or warrants had not been issued and (y) the Conversion Rate shall then again be readjusted, effective as of the date of such final redemption or purchase, to give effect to such distribution, deemed distribution or Trigger Event or other such event, as the case may be, as though it were a cash distribution, equal to the per share redemption or purchase price received by a holder or holders of shares of Common Stock with respect to such rights or warrants (assuming such holder had retained such rights or warrants), made to all holders of shares of Common Stock as of the date of such redemption or purchase, and (2) in the case of such rights or warrants that shall have expired or been terminated without exercise by any holders thereof, the Conversion Rate shall be readjusted, effective as of such expiration or termination date, as if such rights and warrants had not been issued.

 

For purposes of Section 8(a), Section 8(b) and this Section 8(c), if any dividend or distribution to which this Section 8(c) is applicable (other than a Spin-Off) has the same “ex” date as one or both of:

 

(A)      a dividend or distribution of shares of Common Stock to which Section 8(a) is applicable (the “Clause A Distribution”); or

 

(B)       a dividend or distribution of rights or warrants to which Section 8(b) is applicable (the “Clause B Distribution”),

 

then, in either case, (1) such dividend or distribution, other than the Clause A Distribution and the Clause B Distribution, shall be deemed to be a dividend or distribution to which this Section 8(c) is applicable (the “Clause C Distribution”) and any Conversion Rate adjustment required by this Section 8(c) with respect to such Clause C Distribution shall first be made, and (2) the “ex” date for the Clause B Distribution, if any, shall be deemed to immediately follow the “ex” date for the Clause C Distribution and any Conversion Rate adjustment required by Section 8(b) with respect to the Clause B Distribution shall then be made immediately after the adjustment pursuant to clause (1), except that, if determined by the Company, any shares of Common Stock that become outstanding as a result of the Clause A Distribution or the Clause B Distribution shall not be deemed to be “outstanding immediately prior to the open of business on the “ex” date” within the meaning of Section 8(b), and (3) the “ex” date for the Clause A Distribution, if any, shall be deemed to immediately follow the “ex” date for the Clause C Distribution or the Clause B Distribution, as the case may be, and any Conversion Rate adjustment required by Section 8(a) with respect to the Clause A Distribution shall then be made immediately after the adjustments pursuant to clauses (1) and (2), except that, if determined by the Company, any shares of Common Stock that become outstanding as a result of the Clause A Distribution shall not be deemed to be “outstanding immediately prior to the open of business on such “ex” date” within the meaning of Section 8(a).

 

14

 

 

(d)            If the Company distributes any cash dividend or distribution to all or substantially all holders of shares of Common Stock, other than (i) distributions of Reference Property pursuant to a Reorganization Event specified in Section 8(o) and (ii) any Received Dividend, the Conversion Rate shall be adjusted based on the following formula:

 

 

 

where,

 

CR0 =the Conversion Rate in effect immediately prior to the open of business on the “ex” date for such dividend or distribution;

 

CR =the new Conversion Rate in effect immediately after the open of business on the “ex” date for such dividend or distribution;

 

SP0 =the average of the Last Reported Sale Prices of the shares of Common Stock over the ten (10) consecutive Trading Day period ending on (and including) the Trading Day immediately preceding the “ex” date for such dividend or distribution; and

 

C =the amount of such cash dividend or distribution the Company distributes to one share of Common Stock.

 

Any increase in the Conversion Rate made under this Section 8(d) shall become effective immediately after the open of business on the “ex” date for such dividend or distribution. If any dividend or distribution described in this Section 8(d) is announced or declared but not so paid or made, the new Conversion Rate shall be readjusted, effective as of the date the Board of Directors determines not to make or pay such dividend or distribution, to be the Conversion Rate that would then be in effect if such dividend or distribution had not been announced or declared. Notwithstanding the foregoing, if “C” (as defined above) is equal to or greater than “SP0” (as defined above), in lieu of the foregoing increase, each Holder shall receive, in respect of each share of Series A Preferred Stock, at the same time and upon the same terms as holders of shares of Common Stock, without having to convert its shares of Series A Preferred Stock, the amount of cash that such Holder would have received if such Holder owned a number of shares of Common Stock equal to the Conversion Rate in effect on the “ex” date for such cash dividend or distribution. For the avoidance of doubt, if the application of the foregoing formula would result in a decrease in the Conversion Rate, no adjustment to the Conversion Rate will be made (other than with respect to the readjustment of the Conversion Rate as described in the immediately preceding sentence).

 

15

 

 

(e)         If the Company or any of its Subsidiaries makes a payment in respect of a tender or exchange offer for shares of Common Stock (other than an odd-lot tender), to the extent that the cash and value of any other consideration included in the payment per share of Common Stock exceeds the average of the Last Reported Sale Prices of the shares of Common Stock over the ten (10) consecutive Trading Days commencing on (and including) the Trading Day next succeeding the last date on which tenders or exchanges may be made pursuant to such tender or exchange offer, the Conversion Rate shall be increased based on the following formula:

 

 

 

where,

 

CR0  =the Conversion Rate in effect immediately prior to the close of business on the tenth (10th) Trading Day immediately following, and including, the Trading Day next succeeding the date such tender or exchange offer expires;

 

CR =the new Conversion Rate in effect immediately after the close of business on the tenth (10th) Trading Day immediately following, and including, the Trading Day next succeeding the date such tender or exchange offer expires;

 

AC =the aggregate value of all cash and any other consideration (as determined by the Board of Directors) paid or payable for shares of Common Stock purchased in such tender or exchange offer;

 

OS0  =the number of shares of Common Stock outstanding immediately prior to the date such tender or exchange offer expires (prior to giving effect to the purchase of any shares of Common Stock accepted for purchase or exchange in such tender or exchange offer);

 

OS =the number of shares of Common Stock outstanding immediately after the date such tender or exchange offer expires (after giving effect to the purchase of all shares of Common Stock accepted for purchase or exchange pursuant to such tender or exchange offer); and

 

SP =the average of the Last Reported Sale Prices of the shares of Common Stock over the ten (10) consecutive Trading Day period commencing on (and including) the Trading Day next succeeding the date such tender or exchange offer expires.

 

The increase in the Conversion Rate under this Section 8(e) shall be determined on the last Trading Day of such ten (10) Trading Day period but shall become effective and be given effect at the close of business on the tenth (10th) Trading Day immediately following (and including) the Trading Day next succeeding the date such tender or exchange offer expires; provided, however, that if the relevant Mandatory Conversion Date occurs within such ten (10) Trading Day period, in determining the Conversion Rate, references in the preceding paragraph with respect to ten (10) consecutive Trading Days shall be deemed replaced with such lesser number of consecutive Trading Days as have elapsed from (and including) the Trading Day next succeeding the expiration date of such tender or exchange offer to (but excluding) such Mandatory Conversion Date.

 

16

 

 

If the Company or one of its Subsidiaries is obligated to purchase shares of Common Stock pursuant to any such tender or exchange offer but the Company or Subsidiary is ultimately prevented by applicable law from effecting all or any portion of such purchases or all such purchases are rescinded, the new Conversion Rate shall be decreased, effective as of the date the Board of Directors determines that applicable law so prevents, or rescinds, such purchases, to the Conversion Rate that would be in effect if such tender or exchange offer had not been made or had been made only in respect of such purchases that had been effected. For the avoidance of doubt, if the application of the formula in the preceding paragraph would result in a decrease in the Conversion Rate, no adjustment to the Conversion Rate will be made (other than with respect to the readjustment of the Conversion Rate as described in the immediately preceding sentence).

 

(f)          If:

 

(x)            any distribution or transaction that requires a Conversion Rate adjustment pursuant to subsection (a), (b), (c), (d) or (e) of this Section 8 has not yet resulted in an adjustment to the Conversion Rate on a given Mandatory Conversion Date, and

 

(y)            a Holder will not be entitled to participate in the relevant distribution or transaction as a holder of the shares such Holder will receive on settlement of the related conversion (because such Holder will not be a holder of record of such shares on the related record date),

 

then the Company shall adjust the number of shares of Common Stock that the Company will deliver to such Holder in respect of such conversion of shares of Series A Preferred Stock in a manner the Company reasonably determines to be appropriate to reflect the relevant distribution or transaction.

 

(g)         Notwithstanding this Section 8 or any other provision of this Certificate of Designations, if a Conversion Rate adjustment becomes effective on any “ex” date as specified in Section 8(a) through (e), and the Mandatory Conversion Date is on or after such “ex” date and on or prior to the related record date and a Holder would be treated as the record holder of shares of Common Stock as of the related Mandatory Conversion Date pursuant to Section 8(b) based on an adjusted Conversion Rate otherwise becoming effective on such “ex” date then, notwithstanding the foregoing Conversion Rate adjustment provisions, the Conversion Rate adjustment otherwise becoming effective on such “ex” date shall not be made for such converting Holder; and, instead, such Holder shall be treated as if such Holder were the record owner of the shares of Common Stock such Holder is entitled to receive upon conversion on an unadjusted basis and participate in the related dividend, distribution or other event giving rise to such adjustment.

 

(h)         Except as stated in this Certificate of Designations, the Company will not adjust the Conversion Rate for the issuance or acquisition of shares of Common Stock or any securities convertible into or exchangeable for shares of Common Stock or the right to purchase shares of Common Stock or such convertible or exchangeable securities. The applicable Conversion Rate will not be adjusted:

 

17

 

 

(i)            upon the issuance of any shares of Common Stock pursuant to any present or future plan providing for the reinvestment of dividends or interest payable on the Company’s securities and the investment of additional optional amounts in shares of Common Stock under any plan;

 

(ii)            upon the issuance of any shares of Common Stock or restricted stock units or rights (including shareholder appreciation rights) to purchase those shares pursuant to any present or future employee, director or consultant benefit plan or program of or assumed by the Company or any of its Subsidiaries;

 

(iii)            upon the issuance of any shares of Common Stock pursuant to any right or warrant or exercisable, exchangeable or convertible security not described in this Section 8(h) and outstanding as of the Issue Date;

 

(iv)            upon the repurchase of any shares of Common Stock pursuant to an odd lot tender offer or an open-market share repurchase program or other buy-back transaction that is not a tender offer or exchange offer of the nature described in Section 8(e);

 

(v)            for a change solely in the par value of the shares of Common Stock; or

 

(vi)            for accrued and unpaid interest, if any.

 

(i)          If the Company adopts a shareholder rights plan, then upon conversion of the shares of Series A Preferred Stock, in addition to the shares of Common Stock, Holders will receive the rights under the rights plan, unless prior to any conversion, the shareholder rights plan expires or terminates or the rights have separated from the shares of Common Stock in accordance with such rights plan, in which case, and only in such case, the Conversion Rate will be adjusted at the time of separation as if the Company distributed, to all holders of shares of Common Stock, Distributed Property consisting of such rights as described in Section 8(c), subject to readjustment in the event of the expiration, termination or redemption of such rights. A distribution of rights pursuant to a shareholder rights plan will not otherwise trigger a Conversion Rate adjustment pursuant to Section 8(b) or (c).

 

(j)          In addition to those adjustments required by subsections (a), (b), (c), (d) and (e) of this Section 8, and to the extent permitted by applicable law and applicable listing rules of any U.S. national securities exchange on which the shares of Common Stock are then listed, (i) the Company in its sole discretion from time to time may increase the Conversion Rate by any amount for a period of at least twenty (20) Business Days and (ii) the Company may also (but is not required to) increase the Conversion Rate to avoid or diminish any income tax to holders of shares of Common Stock or rights to purchase shares of Common Stock in connection with a dividend or distribution of shares of Common Stock (or rights to acquire shares of Common Stock) or similar event. Whenever the Conversion Rate is increased pursuant to either of the preceding two sentences, the Company shall deliver to the Holder of each share of Series A Preferred Stock at its last address appearing on the stock register of the Company a notice of the increase at least fifteen (15) days prior to the date the increased Conversion Rate takes effect, and such notice shall state the increased Conversion Rate and the period during which it will be in effect.

 

18

 

 

(k)         Adjustments to the Conversion Rate shall be calculated to the nearest one-ten thousandth (1/10,000) of a share.

 

(l)          For purposes of this Section 8, (i) the number of shares of Common Stock at any time outstanding shall not include shares held in the treasury of the Company but shall include shares issuable in respect of scrip certificates issued in lieu of fractions of shares of Common Stock; and (ii) the dividend or distribution of any issued shares of Common Stock owned or held by or for the account of the Company shall be deemed a dividend or distribution of shares of Common Stock. The Company shall not make or issue any dividend or distribution on shares of Common Stock held in treasury of the Company.

 

(m)        If any applicable law requires the deduction or withholding of any tax from any payment or deemed dividend to a Holder on its Series A Preferred Stock, the Company or an applicable withholding agent may withhold on cash dividends, shares of Common Stock or sales proceeds paid, subsequently paid or credited with respect to such Holder or his successors or assigns.

 

(n)         If the Company shall take a record of the holders of Common Stock for the purpose of entitling them to receive a dividend or other distribution, and shall thereafter (and before the dividend or distribution has been paid or delivered to stockholders) legally abandon its plan to pay or deliver such dividend or distribution, then thereafter no adjustment in the Conversion Rate then in effect shall be required by reason of the taking of such record.

 

(o)        In the case of:

 

(i)         any recapitalization, reclassification or change of the Common Stock (other than changes resulting from a subdivision or combination),

 

(ii)        any consolidation, merger or combination involving the Company,

 

(iii)       any sale, lease or other transfer to a third party of the consolidated assets of the Company and the Company’s Subsidiaries substantially as an entirety, or

 

(iv)      any statutory share exchange,

 

in each case, as a result of which the Common Stock is converted into, or exchanged for, stock, other securities, other property or assets (including cash or any combination thereof) (any such transaction or event, a “Reorganization Event”), then, at and after the effective time of such Reorganization Event, the right to convert each share of Series A Preferred Stock shall be changed into a right to convert such share into the kind and amount of shares of stock, other securities or other property or assets (including cash or any combination thereof) that a holder of a number of shares of Common Stock equal to the Conversion Rate immediately prior to such Reorganization Event would have owned or been entitled to receive upon such Reorganization Event (such stock, securities or other property or assets, the “Reference Property”). If the Reorganization Event causes the Common Stock to be converted into, or exchanged for, the right to receive more than a single type of consideration (determined based in part upon any form of stockholder election), then the Reference Property into which the Series A Preferred Stock will be convertible shall be deemed to be the weighted average of the types and amounts of consideration received by the holders of Common Stock that affirmatively make such an election. The Company shall notify Holders of such weighted average as soon as practicable after such determination is made. The Company and its Subsidiaries shall not become a party to any Reorganization Event unless its terms are consistent with this Section 8(o). Notwithstanding Section 7(b), no adjustment to the Conversion Rate shall be made for any Reorganization Event to the extent stock, securities or other property or assets become the Reference Property receivable upon conversion of Series A Preferred Stock.

 

19

 

 

The Company shall provide, by amendment hereto effective upon any such Reorganization Event, for anti-dilution and other adjustments that shall be as nearly equivalent as is possible to the adjustments provided for in this Section 8. The provisions of this Section 8 shall apply to successive Reorganization Events.

 

In this Certificate of Designations, if the Common Stock has been replaced by Reference Property as a result of any such Reorganization Event, references to the Common Stock are intended to refer to such Reference Property.

 

(p)        The Company shall at all times reserve and keep available for issuance upon the conversion of the Series A Preferred Stock such maximum number of its authorized but unissued shares of Common Stock as will from time to time be sufficient to permit the conversion of all outstanding shares of Series A Preferred Stock, and shall take all action required to increase the authorized number of shares of Common Stock if at any time there shall be insufficient unissued shares of Common Stock to permit such reservation or to permit the conversion of all outstanding shares of Series A Preferred Stock or the payment or partial payment of dividends declared on Series A Preferred Stock that are payable in Common Stock.

 

(q)        The issuance or delivery of certificates for Common Stock upon the conversion of shares of Series A Preferred Stock or the payment or partial payment of a dividend on Series A Preferred Stock in Common Stock, shall be made without charge to the converting Holder or recipient of shares of Series A Preferred Stock for such certificates or for any tax in respect of the issuance or delivery of such certificates or the securities represented thereby, and such certificates shall be issued or delivered in the respective names of, or in such names as may be directed by, the holders of the shares of Series A Preferred Stock converted; provided, however, that the Company shall not be required to pay any tax which may be payable in respect of any transfer involved in the issuance and delivery of any such certificate in a name other than that of the holder of the shares of the relevant Series A Preferred Stock and the Company shall not be required to issue or deliver such certificate unless or until the Person or Persons requesting the issuance or delivery thereof shall have paid to the Company the amount of such tax or shall have established to the reasonable satisfaction of the Company that such tax has been paid.

 

9.          Dividends Upon Conversion. If dividends are required to be paid in cash with respect to the Dividend Period during which a Mandatory Conversion Date occurs:

 

20

 

 

(a)            if such Mandatory Conversion Date occurs before the Dividend Record Date for such Dividend Period, any accrued and unpaid dividends (to, but not including, such Mandatory Conversion Date) on the shares of Series A Preferred Stock subject to such conversion shall be paid in cash on such Mandatory Conversion Date; and

 

(b)            if such Mandatory Conversion Date occurs on or after the Dividend Record Date for such Dividend Period but on or before the Dividend Payment Date for such Dividend Period, any such dividends (to, but not including, such Mandatory Conversion Date) shall be paid in cash on the relevant Dividend Payment Date.

 

10.         No Fractional Shares. No fractional shares of Common Stock or securities representing fractional shares of Common Stock shall be delivered upon conversion of the Series A Preferred Stock. If, upon conversion of the Series A Preferred Stock, a Holder would be entitled to receive a fractional interest in a share of Common Stock, the Company will round down to the nearest whole number the number of shares of Common Stock to be issued to such Holder.

 

11.         Rights as Stockholders. The Series A Preferred Stock will not entitle their Holders to any of the rights of a stockholder of the Company, except as expressly provided in this Certificate of Designations.

 

12.         Legends. (a) Each share of Series A Preferred Stock shall bear a legend in substantially the following form:

 

“THIS SHARE OF 2.0% CUMULATIVE MANDATORILY CONVERTIBLE SERIES A PREFERRED STOCK AND THE COMMON STOCK ISSUABLE UPON CONVERSION OF THIS SHARE OF 2.0% CUMULATIVE MANDATORILY CONVERTIBLE SERIES A PREFERRED STOCK HAVE NOT BEEN REGISTERED UNDER THE SECURITIES ACT OF 1933, AS AMENDED (THE “SECURITIES ACT”), OR ANY STATE SECURITIES LAWS. NEITHER THIS SHARE OF 2.0% CUMULATIVE MANDATORILY CONVERTIBLE SERIES A PREFERRED STOCK NOR ANY INTEREST OR PARTICIPATION HEREIN OR THEREIN MAY BE OFFERED, SOLD, PLEDGED OR OTHERWISE TRANSFERRED EXCEPT IN ACCORDANCE WITH THE FOLLOWING SENTENCE.

 

BY ITS ACQUISITION HEREOF OR OF A BENEFICIAL INTEREST HEREIN, THE ACQUIRER:

 

1.           REPRESENTS THAT IT AND ANY ACCOUNT FOR WHICH IT IS ACTING IS [A “QUALIFIED INSTITUTIONAL BUYER” (WITHIN THE MEANING OF RULE 144A UNDER THE SECURITIES ACT) AND THAT IT EXERCISES SOLE INVESTMENT DISCRETION WITH RESPECT TO EACH SUCH ACCOUNT] [IT IS AN “ACCREDITED INVESTOR” (WITHIN THE MEANING OF RULE 501(a) UNDER THE SECURITIES ACT) (AN “ACCREDITED INVESTOR”)][ IT IS NOT A U.S. PERSON (WITHIN THE MEANING OF REGULATION S UNDER THE SECURITIES ACT)], AND

 

2.           AGREES FOR THE BENEFIT OF VITAL ENERGY, INC., (THE “COMPANY”) THAT IT WILL NOT OFFER, SELL, PLEDGE OR OTHERWISE TRANSFER THIS SECURITY OR ANY BENEFICIAL INTEREST HEREIN, EXCEPT:

 

21

 

 

(A)            TO THE COMPANY OR ANY OF ITS SUBSIDIARIES, OR

 

(B)            PURSUANT TO A REGISTRATION STATEMENT THAT HAS BEEN DECLARED EFFECTIVE UNDER THE SECURITIES ACT, OR

 

(C)            TO A QUALIFIED INSTITUTIONAL BUYER IN COMPLIANCE WITH RULE 144A UNDER THE SECURITIES ACT, OR

 

(D)            PURSUANT TO AN EXEMPTION FROM REGISTRATION PROVIDED BY RULE 144 UNDER THE SECURITIES ACT OR ANY OTHER AVAILABLE EXEMPTION FROM THE REGISTRATION REQUIREMENTS OF THE SECURITIES ACT.

 

PRIOR TO THE REGISTRATION OF ANY TRANSFER IN ACCORDANCE WITH CLAUSE (2)(B) ABOVE, THE COMPANY AND THE TRANSFER AGENT RESERVE THE RIGHT TO REQUIRE THE DELIVERY OF SUCH LEGAL OPINIONS, CERTIFICATIONS OR OTHER EVIDENCE AS MAY REASONABLY BE REQUIRED IN ORDER TO DETERMINE THAT THE PROPOSED TRANSFER IS BEING MADE IN COMPLIANCE WITH THE SECURITIES ACT AND APPLICABLE STATE SECURITIES LAWS. NO REPRESENTATION IS MADE AS TO THE AVAILABILITY OF ANY EXEMPTION FROM THE REGISTRATION REQUIREMENTS OF THE SECURITIES ACT.

 

NO AFFILIATE (AS DEFINED IN RULE 144 UNDER THE SECURITIES ACT) OF THE COMPANY OR PERSON THAT HAS BEEN AN AFFILIATE (AS DEFINED IN RULE 144 UNDER THE SECURITIES ACT) OF THE COMPANY DURING THE THREE IMMEDIATELY PRECEDING MONTHS MAY PURCHASE OR OTHERWISE ACQUIRE THIS SHARE OF 2.0% CUMULATIVE MANDATORILY CONVERTIBLE SERIES A PREFERRED STOCK OR A BENEFICIAL INTEREST HEREIN.

 

HEDGING TRANSACTIONS INVOLVING THE SECURITIES MAY NOT BE CONDUCTED UNLESS IN COMPLIANCE WITH THE SECURITIES ACT.

 

THE REGISTERED HOLDER HEREOF HAS AGREED NOT TO TRANSFER THIS SECURITY WITHOUT THE PRIOR WRITTEN CONSENT OF THE COMPANY PURSUANT TO THE TERMS OF THAT CERTAIN INVESTOR AGREEMENT BY AND BETWEEN THE COMPANY AND THE REGISTERED HOLDER HEREOF.”

 

(b)         Each share of Common Stock issuable upon conversion of the Series A Preferred Stock shall bear a legend in substantially the following form:

 

“THIS SHARE OF COMMON STOCK HAS NOT BEEN REGISTERED UNDER THE SECURITIES ACT OF 1933, AS AMENDED (THE “SECURITIES ACT”), OR ANY STATE SECURITIES LAWS. NEITHER THIS SHARE OF COMMON STOCK NOR ANY INTEREST OR PARTICIPATION HEREIN MAY BE OFFERED, SOLD, PLEDGED OR OTHERWISE TRANSFERRED EXCEPT IN ACCORDANCE WITH THE FOLLOWING SENTENCE.

 

BY ITS ACQUISITION HEREOF OR OF A BENEFICIAL INTEREST HEREIN, THE ACQUIRER:

 

22

 

 

1.           REPRESENTS THAT IT AND ANY ACCOUNT FOR WHICH IT IS ACTING IS [A “QUALIFIED INSTITUTIONAL BUYER” (WITHIN THE MEANING OF RULE 144A UNDER THE SECURITIES ACT) AND THAT IT EXERCISES SOLE INVESTMENT DISCRETION WITH RESPECT TO EACH SUCH ACCOUNT] [IT IS AN “ACCREDITED INVESTOR” (WITHIN THE MEANING OF RULE 501(a) UNDER THE SECURITIES ACT) (AN “ACCREDITED INVESTOR”)][ IT IS NOT A U.S. PERSON (WITHIN THE MEANING OF REGULATION S UNDER THE SECURITIES ACT)], AND

 

2.           AGREES FOR THE BENEFIT OF VITAL ENERGY, INC. (THE “COMPANY”) THAT IT WILL NOT OFFER, SELL, PLEDGE OR OTHERWISE TRANSFER THIS SECURITY OR ANY BENEFICIAL INTEREST HEREIN, EXCEPT:

 

(A)TO THE COMPANY OR ANY OF ITS SUBSIDIARIES, OR

 

(B)           PURSUANT TO A REGISTRATION STATEMENT THAT HAS BEEN DECLARED EFFECTIVE UNDER THE SECURITIES ACT, OR

 

(C)           TO A QUALIFIED INSTITUTIONAL BUYER IN COMPLIANCE WITH RULE 144A UNDER THE SECURITIES ACT, OR

 

(D)          PURSUANT TO AN EXEMPTION FROM REGISTRATION PROVIDED BY RULE 144 UNDER THE SECURITIES ACT OR ANY OTHER AVAILABLE EXEMPTION FROM THE REGISTRATION REQUIREMENTS OF THE SECURITIES ACT.

 

PRIOR TO THE REGISTRATION OF ANY TRANSFER IN ACCORDANCE WITH CLAUSE (2)(B) ABOVE, THE COMPANY AND THE TRANSFER AGENT RESERVE THE RIGHT TO REQUIRE THE DELIVERY OF SUCH LEGAL OPINIONS, CERTIFICATIONS OR OTHER EVIDENCE AS MAY REASONABLY BE REQUIRED IN ORDER TO DETERMINE THAT THE PROPOSED TRANSFER IS BEING MADE IN COMPLIANCE WITH THE SECURITIES ACT AND APPLICABLE STATE SECURITIES LAWS. NO REPRESENTATION IS MADE AS TO THE AVAILABILITY OF ANY EXEMPTION FROM THE REGISTRATION REQUIREMENTS OF THE SECURITIES ACT.

 

NO AFFILIATE (AS DEFINED IN RULE 144 UNDER THE SECURITIES ACT) OF THE COMPANY OR PERSON THAT HAS BEEN AN AFFILIATE (AS DEFINED IN RULE 144 UNDER THE SECURITIES ACT) OF THE COMPANY DURING THE THREE IMMEDIATELY PRECEDING MONTHS MAY PURCHASE OR OTHERWISE ACQUIRE THIS SHARE OF COMMON STOCK OR A BENEFICIAL INTEREST HEREIN.

 

HEDGING TRANSACTIONS INVOLVING THE SECURITIES MAY NOT BE CONDUCTED UNLESS IN COMPLIANCE WITH THE SECURITIES ACT.”

 

13.         Company Redemption.

 

(a)         At any time and from time to time, from and after the Issue Date, to the extent not prohibited by Law, the Company may elect to redeem all outstanding shares of Series A Preferred Stock, or any portion thereof, in cash at a redemption price per share of Series A Preferred Stock equal to the Redemption Price (as defined below) on the terms and subject to the conditions set forth in this Section 13 (a “Redemption”).

 

23

 

 

(b)         The total price for each share of Series A Preferred Stock redeemed pursuant to this Section 13 shall be an amount per share of Series A Preferred Stock (the “Redemption Price”) equal to the greater of (i) the Liquidation Preference of such share of Series A Preferred Stock plus Accumulated Dividends, and (ii) the Average VWAP for the twenty (20) consecutive Trading Day period ending on the date immediately preceding the Redemption Date.

 

(c)         Any election by the Company pursuant to this Section 13 shall be made by delivery to the Holders of written notice (the “Redemption Notice”) of the Company’s election to redeem, at least ten (10) calendar days but no more than sixty (60) calendar days prior to the elected redemption date (each such date, a “Redemption Date”), which Redemption Notice shall state:

 

(i)            that an Redemption is being made and the number of shares of Series A Preferred Stock being redeemed; and

 

(ii)            (1) the Redemption Price, (2) the bank or trust company with which the aggregate Redemption Price shall be deposited on or prior to the Redemption Date, and (3) the Redemption Date (or, to the extent not ascertainable at the time of such notice, a good faith estimate of the Redemption Date).

 

(d)         Any Redemption Notice may, at the Company's discretion, be subject to one or more conditions precedent.

 

(e)         Any Redemption that is effected pursuant to this Section 13 shall be made on a pro rata basis among all Holders in proportion to the number of shares of Series A Preferred Stock held by such Holders.

 

(f)         On or before any Redemption Date, the Company shall deposit the amount of the applicable aggregate Redemption Price with a bank, trust company or exchange agent having an office in New York City in trust for the benefit of such Holders. On the Redemption Date, the Company shall cause to be paid in cash the applicable aggregate Redemption Price for such shares of Series A Preferred Stock to such Holders at an account or accounts designated by such Holders. Upon such payment in full, such shares of Series A Preferred Stock will be deemed to have been redeemed, whether or not the certificates (if the shares are certificated) for such shares of Series A Preferred Stock have been surrendered for redemption and canceled, and dividends with respect to such redeemed shares of Series A Preferred Stock shall cease to accumulate and all designations, rights, preferences, powers, qualifications, restrictions and limitations of such redeemed shares of Series A Preferred Stock shall forthwith terminate.

 

(g)         If any shares of Series A Preferred Stock are not redeemed on the Redemption Date for any reason, until such shares are redeemed, all such unredeemed shares of Series A Preferred Stock shall remain outstanding and entitled to all of the designations, powers, preferences and relative, optional, special and other rights, and the qualifications, limitations and restrictions of the Series A Preferred Stock set forth in this Certificate of Designations, including the right to accumulate and receive dividends thereon as set forth in Section 3 until the date on which the Company redeems and pays in full the Redemption Price for such Series A Preferred Stock.

 

24

 

 

14.         Miscellaneous Provisions. (a) With respect to any notice to a Holder required to be provided hereunder, neither failure to mail such notice, nor any defect therein or in the mailing thereof, to any particular Holder shall affect the sufficiency of the notice or the validity of the proceedings referred to in such notice with respect to the other Holders or affect the legality or validity of any distribution, rights, warrant, reclassification, consolidation, merger, conveyance, transfer, dissolution, liquidation or winding-up, or the vote upon any such action. Any notice which was mailed in the manner herein provided shall be conclusively presumed to have been duly given whether or not the Holder receives the notice.

 

(b)        Shares of Series A Preferred Stock that have been issued and reacquired in any manner, including shares of Series A Preferred Stock that are purchased or exchanged or converted, shall (upon compliance with any applicable provisions of the laws of Delaware) have the status of authorized but unissued shares of preferred stock of the Company undesignated as to series and may be designated or redesignated and issued or reissued, as the case may be, as part of any series of preferred stock of the Company; provided that any issuance of such shares as Series A Preferred Stock must be in compliance with the terms hereof.

 

(c)        The shares of Series A Preferred Stock shall be issuable only in whole shares.

 

(d)        All notice periods referred to herein shall commence on the date of the mailing of the applicable notice. Notice to any Holder shall be given to the registered address set forth in the Company’s records for such Holder.

 

(e)         Any payment required to be made hereunder on any day that is not a Business Day shall be made on the next succeeding Business Day and no interest or dividends on such payment will accrue or accumulate, as the case may be, in respect of such delay.

 

(f)         Holders shall not be entitled to any preemptive rights to acquire additional Capital Stock of the Company.

 

[Remainder of page intentionally blank]

 

25

 

 

IN WITNESS WHEREOF, the Company has caused this certificate to be signed and attested this 13th day of September, 2023.

 

  VITAL ENERGY, INC.
   
  By: /s/ Bryan J. Lemmerman
  Name: Bryan J. Lemmerman
  Title: Senior Vice President and Chief Financial Officer

 

Signature Page to

Certificate of Designations of

2.0% Cumulative Mandatorily Convertible Series A Preferred Stock