EX-99.1 3 d441914dex991.htm EX-99.1 EX-99.1

Exhibit 99.1

BUSINESS SECTION

Overview

Company Overview

We are a clinical-stage biopharmaceutical company focused on developing therapeutics that treat serious illnesses driven by inflammatory and immunologic processes and direct cellular damage. Our product candidates act upon calcium release-activated calcium (“CRAC”) channels, and would constitute a new class of drugs.

We are a company focused on the discovery and development of CRAC channel inhibitors. Clinical and preclinical data have demonstrated that the inhibition of CRAC channels may have a therapeutic effect based on a dual mechanism involving both anti-inflammatory and tissue cell protective activities. Our work has shown compelling evidence of the involvement of CRAC channels in a broad spectrum of both acute critical illnesses and chronic diseases that have the common thread of inflammation or immunologic activity in their pathogenesis. We intend to leverage our CRAC channel inhibitor platform to develop therapeutics for indications where this dual mechanism of action has the potential for clinical benefit. .

Our lead product candidate is Auxora, a potent and selective intravenous (“IV”) formulated small molecule CRAC channel inhibitor containing the active compound zegocractin (formerly referred to as CM4620) that, in animal models, reduced acute epithelial and/or endothelial cell injury and inflammation in organs, such as the pancreas, lungs and kidneys. Multiple Phase 2 clinical trials with Auxora have been conducted: an open-label trial in acute pancreatitis (“AP”), an investigator led open label trial in asparaginase induced pancreatic toxicity (“AIPT”)(which we also refer to as “CRSPA”) in which the first cohort of patients has been completed, a placebo-controlled double-blind trial in severe COVID-19 pneumonia (which we also refer to as “CARDEA”) and an investigator led open-label trial in COVID-19 pneumonia patients with acute respiratory distress syndrome (“ARDS”). We observed in all of these trials that patients treated with Auxora experienced a reduced time to recovery and a reduction of organ damage. We believe the consistency of the results we observed from these trials in two different acute critical care conditions are mutually supportive and reinforce our plans to further pursue the use of Auxora in several additional acute critical illnesses.

In a Phase 2a trial conducted in the United States in patients with AP and accompanying systemic inflammatory response syndrome (“SIRS”) along with hypoxemia (low concentration of oxygen in blood), a greater proportion of patients treated with Auxora compared to standard of care (“SOC”) alone experienced resolution of persistent SIRS (SIRS lasting 48 hours or more) and tolerated solid food at 72 hours, an indicator of disease resolution. The majority of patients with respiratory failure treated with Auxora did not require mechanical ventilation. This resulted in hospital discharge for patients treated with Auxora more than two days earlier than those treated with SOC alone. These findings were published in the peer-reviewed journal Pancreas in 2021. We are currently conducting a blinded placebo-controlled Phase 2b trial in the United States in patients with AP and accompanying SIRS (which we also refer to as “CARPO”). We anticipate topline results from the CARPO trial in the first half of 2024.

CRSPA, a Phase 1/2 single arm trial, is currently being conducted in the United States in pediatric patients with acute lymphoblastic leukemia (“ALL”) who have developed pancreatitis as a side-effect of asparaginase or AIPT. AIPT is a particularly severe form of pancreatitis and historical data suggests that over half of the patients will develop pancreatic necrosis or pseudocysts and may not receive further asparaginase treatments for their ALL, potentially impacting their prognosis, and develop long term health complications including chronic pancreatitis. The first cohort of nine patients in this trial has been completed, and, based on preliminary, unpublished data, all patients who have received a full course of therapy have had a more rapid resolution of their symptoms as compared to the current standard of care. According to clinical data published by Mauney, et. al., in the Journal of Pediatric Gastroenterology and Nutrition in March 2022, patients who developed AIPT have a median length of stay in the hospital of 10 days, whereas the median length of stay for patients treated with Auxora was less than six days consistent with their resolution of symptoms. This is a single arm open-label trial and comparison to a blinded matched historical control group is underway. We expect data from this trial to be published in the fourth quarter of 2023. While initially a single-center trial, this trial is now being expanded to additional sites.

In addition to AP and AIPT, we are preparing for clinical trials in additional inflammatory diseases such as acute kidney injury (“AKI”). We recently completed a study in a rat model of AKI, which demonstrated that Auxora compared to placebo increased glomerular filtration rate and decreased infiltrates of mononuclear cells in the kidneys of rats treated after receiving an ischemic injury. These data, along with observations in our Phase 2 trials in both AP and COVID-19 suggesting Auxora provides kidney protection in acutely ill patients, support that AKI may be a promising indication for Auxora. We plan to submit an investigational new drug (“IND”) application in the second half of 2023 and, if allowed, be in a position to initiate a Phase 2 clinical trial in this indication in the first half of 2024, subject to receipt of additional funding.

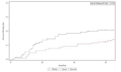
In our CARDEA trial, a Phase 2 randomized double-blind, placebo-controlled trial in patients with severe COVID-19 pneumonia and receiving supplemental oxygen, but not on mechanical ventilation, we observed that patients treated with Auxora experienced a reduced time to recovery and a 56% relative reduction in mortality at 30 days (p=0.0165) and a 33% relative reduction in mortality at 60 days (p=0.1449) compared to placebo. Time to recovery was seven days for Auxora-treated patients compared to ten days for patients receiving placebo (p=0.098). For additional information regarding p-values, please refer to the section entitled “ —Auxora, a Selective CRAC Channel Inhibitor—P-Values and Confidence Intervals.” The results from CARDEA were published in Critical Care in 2022. The CARDEA data, along with data from an ongoing Phase 2 trial testing Auxora in COVID-19 patients with ARDS receiving invasive mechanical ventilation, may also help inform future trials in broader ARDS and acute hypoxemic respiratory failure (“AHRF”) patient populations.

Finally, we have compiled additional preclinical data supporting the potential to use CRAC channel inhibition for both chronic and acute inflammatory and immunologic diseases. We have available product candidates in IND-enabling preclinical testing that present different organ bioavailabilities and potential oral dosing. Our first chronic indication may be chronic pancreatitis as preclinical data in a mouse model of chronic pancreatitis suggest that CRAC channel inhibition can reduce pancreatic fibrosis and restore ductal cell function. We have published data suggesting CRAC channel inhibition may be useful in treating ulcerative colitis, allergic asthma, and traumatic brain injury.

Calcium is an important regulator of multiple biological functions, and in electrically non-excitable cells CRAC channel activation plays a critical role in the activation of calcium-dependent pathways that modulate various responses, including inflammation and vascular permeability. In immune cells, activation of CRAC channels is a key step in initiating the adaptive immune response and the generation of inflammatory cytokines. In addition, in certain acute critical illnesses, CRAC channels on affected organ tissue cells can become overactivated, resulting in excess calcium entry into cells. This excess calcium can cause cellular injury and necrosis, or activate apoptosis signaling pathways leading to programmed cell death further exacerbating the damage caused by inflammatory response. We have developed novel cell-based assays for compound screening that enabled us to identify and optimize a portfolio of potent and selective small molecule CRAC channel inhibitors, including zegocractin (previously referred to as “CM4620”) which is the active ingredient in Auxora, from several different chemical classes. These compounds each have different pharmaceutic and pharmacokinetic properties and comprise our portfolio of CRAC channel inhibitors.

 

1


Our Pipeline

We are currently developing our lead compound Auxora in several acute critical illnesses. We have a Phase 2b trial ongoing in AP and an investigator led Phase 1/2 trial ongoing in AIPT. We also completed the treatment portion of an Phase 2 biomarker trial in COVID-19 ARDS, which may inform the design of a Phase 2 clinical trial for the treatment of AHRF and/or ARDS with multiple etiologies. In addition, we are in preclinical development with Auxora in AKI and plan to submit an IND application in the second half of 2023, and, if allowed, be in the position to initiate a Phase 2 clinical trial in this indication in the first half of 2024, subject to receipt of additional funding.

Our product candidates are summarized in the table below:

 

LOGO

Clinical Experience with Auxora

Our clinical experience with Auxora is summarized in the table below:

 

LOGO

We have studied Auxora in a number of clinical trials including multiple Phase 2 clinical trials conducted in the United States, two of which have been in our lead indication, AP. We have published results from an open-label standard of care (“SOC”) controlled Phase 2a trial in AP, and we expect results from treating the first cohort of patients in CRSPA to be published in the fourth quarter of 2023. We have also published results from CARDEA and the 30-patient open-label part one portion of this same trial. With our investigator, we expect to publish data from an open-label randomized placebo-controlled Phase 2 biomarker trial conducted in the United States in critical COVID-19 pneumonia patients with ARDS in which we have completed enrollment and treatment of patients in 2022 and are now completing the biomarker analysis with samples taken from these patients. We observed in all of these trials that patients treated with Auxora experienced a reduced time to recovery and a reduction of organ damage. In CARDEA, we observed a numerical improvement of 56% relative risk reduction in mortality at 30 days. We believe the consistency of the results we observed from these trials in multiple acute critical care conditions affecting different primary organs are mutually supportive and reinforce our plans to further pursue the use of Auxora in several additional acute critical illnesses.

Auxora for the Treatment of AP

AP with SIRS

 

   

Completed open-label Phase 2a clinical trial. We completed a randomized, open-label Phase 2a clinical trial of Auxora in 21 patients with AP and accompanying SIRS who also had hypoxemia at presentation. Patients in this trial treated with Auxora in addition to SOC had multiple improved outcomes compared to patients treated with standard care alone. In addition, there were several patients with severe respiratory failure at enrollment and the majority of those treated with Auxora did not require mechanical ventilation. Results from this randomized, open-label Phase 2a clinical trial conducted in the United States were published in March 2021 in the peer- reviewed journal Pancreas. We have received Fast Track designation from the FDA and Orphan Drug designation in the European Union (“EU”) from the European Medicines Agency (“EMA”) for Auxora for the treatment of AP. However, there is no guarantee that Fast Track designation will result in a faster regulatory review or regulatory approval, if at all.

 

2


   

Ongoing Phase 2b clinical trial. We are currently conducting CARPO in the United States, a Phase 2b clinical trial in 216 patients with AP and accompanying SIRS. In the third quarter of this year, we expanded the trial internationally and plan to conduct a significant portion of the enrollment in India. We anticipate results from our CARPO trial in the first half of 2024. We do not currently have any marketing plans for our product candidates for AP in India.

Auxora for the Treatment of AIPT: Pancreatitis as a Side Effect of Treatment for Pediatric ALL

 

   

Ongoing Phase 1/2 clinical trial. CRSPA, an investigator led Phase 1/2 trial, is being conducted in the United States in children who develop AIPT related to the use of the chemotherapeutic asparaginase in the course of their treatment for ALL. We believe this work is providing valuable information on the use of Auxora in critically ill pediatric patients. The first cohort of nine patients in this trial has been completed and, based on preliminary, unpublished data, all patients who have received a full course of therapy have had a more rapid resolution of their symptoms as compared to the current standard of care. According to clinical data published by Mauney, et. al., in the Journal of Pediatric Gastroenterology and Nutrition in March 2022, patients who developed AIPT have a median length of stay in the hospital of 10 days, whereas the median length of stay for patients treated with Auxora was less than six days consistent with their resolution of symptoms. This is a single arm open-label trial and comparison to a blinded matched historical control group is underway a . We expect data from this trial to be published in the fourth quarter of 2023. This trial is being expanded to additional sites.

Auxora for the Treatment of Acute Kidney Injury

 

   

Based on data from preclinical models of AKI and observations of less kidney damage in Auxora-treated patients compared to placebo or SOC in our clinical trials in other settings of acute critical illness (such as COVID-19 pneumonia and acute pancreatitis), we believe that Auxora has the potential to prevent and to treat AKI. In CARDEA, we saw a 40% reduction in reported acute kidney injury, a common sequelae of severe COVID pneumonia, in Auxora-treated patients as compared to placebo-treated patients. We also saw positive trends in Angiopoietin-1 and Angiopoietin-2 levels in Auxora patients suggesting endothelial protection, an important component of a potential AKI treatment. Results in rats treated after receiving an ischemic renal injury demonstrated that Auxora compared to placebo increased glomerular filtration rate and decreased infiltrates of mononuclear cells in the kidneys. We plan to submit an IND application for Auxora in AKI in the second half of 2023, and, if allowed, be in a position to initiate a Phase 2 trial in this indication in the first half of 2024, subject to receipt of additional funding. See “Business—Auxora, a Selective CRAC Channel Inhibitor-Auxora for Treatment of Acute Kidney Injury” for a description of the regulatory basis that we believe will allow us to initiate a Phase 2 trial utilizing existing data.

Auxora for the Treatment of Acute Respiratory Failure

 

   

Completed open-label Phase 2 clinical trial in 30 hospitalized COVID-19 pneumonia patients on oxygen (Part 1). Initial data in COVID- 19 patients were obtained in a randomized, open-label Phase 2 clinical trial of Auxora conducted in the United States in 26 patients with severe COVID-19 pneumonia and 4 patients with critical COVID-19 pneumonia. Patients treated with Auxora in addition to SOC recovered faster than those on SOC alone, with 67.8% (p<0.05) lower incidence of invasive mechanical ventilation or death during the study period, which was statistically significant. Based on these initial results and recommendation of the FDA, we transitioned from this open-label Part 1 of the trial to a randomized, blinded, placebo-controlled Part 2 of the trial (CARDEA). The results from Part 1 of the trial were published in July 2020 in the peer-reviewed journal Critical Care.

 

   

Completed double-blind Phase 2 clinical trial in hospitalized COVID-19 pneumonia patients on oxygen (Part 2). In our CARDEA trial, a Phase 2 randomized double-blind placebo-controlled trial conducted in the United States in 284 patients with severe COVID-19 pneumonia (261 having moderate and severe respiratory failure—our efficacy set) and receiving supplemental oxygen but not on mechanical ventilation, treatment with Auxora resulted in a reduced time to recovery and a 56% relative reduction in mortality at 30 days (p=0.0165) and a 33% relative reduction in mortality at 60 days (p=0.1449) compared to placebo. Both of these findings are clinically relevant particularly in light of patients needing additional therapies on top of current standard of care. Time to recovery was seven days for Auxora-treated patients compared to ten days for patients receiving placebo (p=0.098). Data from this study was published in April 2022 in the peer-reviewed journal Critical Care.

 

   

Completed the treatment portion of a Phase 2 biomarker clinical trial in mechanically ventilated COVID-19 pneumonia ARDS patients. In collaboration with investigators from Northwestern Memorial Hospital, we are conducting a Phase 2 dose escalation clinical trial of Auxora in the United States in patients with COVID-19 pneumonia who have ARDS and require invasive mechanical ventilation. We have explored dosing regimens with varying drug exposures in these patients in addition to the three-day regimen we tested in our open label Phase 2 clinical trial and CARDEA. We have completed the enrollment and treatment of patients in this trial and are completing the biomarker analysis from samples taken from these patients. We anticipate results from this trial will be published in the second half of 2023. While we have decided to not pursue further development of Auxora for patients with COVID-19 pneumonia, results from this trial may inform the design of a Phase 2 clinical trial for the treatment of AHRF and/or ARDS.

 

   

Preclinical work in AHRF and ARDS. We believe that the observed treatment effect of Auxora in AP and COVID-19 pneumonia trials, both causes of respiratory failure and ARDS, merits further clinical development in a broader patient population with AHRF or ARDS from etiologies beyond COVID-19 pneumonia. We have tested zegocractin (active ingredient in Auxora) in a lipopolysaccharide (“LPS”)-induced respiratory failure model in mice and confirmed that Auxora reduces both inflammatory cytokines in the lungs of these animals and peribronchiolar and perivascular edema.

Potential Additional Indications.

 

   

Oral candidate (CM6336) for the treatment of chronic pancreatitis. We are also developing oral CRAC channel inhibitors for use in chronic inflammatory indications. We currently have two distinct chemical compounds, CM6336 and CM6018, that we are testing and recently determined that CM6336 is likely to be the compound chosen for future development. Using a novel model compound from our portfolio, CM5480, we have shown that CRAC channel inhibition leads to reductions in fibrosis and improvements in pancreatic ductal cell function in a model of chronic pancreatitis in mice. We are currently conducting IND-enabling preclinical testing on CM6336 for use in chronic inflammatory diseases. CM6336 and CM6018 are proprietary and structurally distinct from CM5480 but with potentially improved pharmacokinetic properties. We could be in a position to initiate clinical trials in this indication in 2025, subject to receipt of additional funding.

 

3


   

Auxora for the treatment of acute ulcerative colitis. Recent animal data indicates that CRAC channel inhibition by zegocractin or CM4620 (active ingredient in Auxora) may be effective in the treatment of inflammatory bowel disease, such as ulcerative colitis. In a preclinical study performed with scientists from Charite – University Medicine, Berlin and New York University Grossman School of Medicine, it was shown that zegocractin, administered orally to mice every other day for a period of 30 days produced a significant reduction in intestinal inflammation in a model of ulcerative colitis. This work was published in EMBO Molecular Medicine in August 2022.

 

   

Auxora for the treatment of allergic asthma. The effectiveness of zegocractin was studied in mouse models of asthmatic airway inflammation and influenza A virus infection to determine if inhibition of CRAC channels reduces asthmatic inflammation without interfering with the antiviral response. Researchers from New York University Grossman School of Medicine showed that oral administration of zegocractin significantly lowered both peribronchiolar inflammation and lung mucus production in the asthma model and did not impact viral response in the influenza A model. This work was published in Science Advances in October 2022.

Our Strategy

We are a company focused on the discovery and development of CRAC channel inhibitors. We intend to develop therapeutics to treat acute critical illnesses and chronic inflammatory and immunologic diseases including AP, AKI, ARDS or ARHF, and chronic pancreatitis. Our strategy to achieve this as follows:

 

   

Leverage our proprietary CRAC channel inhibition science to develop drugs to treat acute critical illness and chronic inflammatory diseases where there are no effective therapies. Given that CRAC channels are found on many cell types in addition to immune cells, we believe that there will be a number of inflammatory and immunologic indications that can be targeted with the novel mechanism of action afforded by CRAC channel inhibitors. These indications can range from acute critical illnesses, the focus of our current efforts to date, to chronic inflammatory and immunologic conditions. Our portfolio of proprietary compounds with different pharmaceutical properties enables us to explore these indications with agents selected and formulated specifically for each unique clinical setting.

 

   

Develop Auxora for the treatment of patients with AP and accompanying SIRS. AP represents an unmet need in critical care medicine as there are no disease-modifying therapies. We believe we have shown that Auxora-treated AP patients with SIRS and hypoxemia have better outcomes than SOC-treated control patients in a Phase 2a clinical trial. We are conducting a placebo-controlled, blinded Phase 2b clinical trial, CARPO, in a similar patient population exploring three dose levels of Auxora to confirm these findings, establish the recommended dose for a Phase 3 trial and define an endpoint acceptable to regulators. We anticipate results from this Phase 2b clinical trial in the first half of 2024.

 

   

Develop Auxora for the treatment AIPT. CRSPA, an open-label Phase 1/2 clinical trial, is currently being conducted in pediatric patients with AIPT. The first cohort of nine patients in this trial has been completed and the results from this cohort as well as results from a blinded matched historical control group comparison are planned to be published in the fourth quarter of 2023. While initially a single-center trial, CRSPA is now being expanded to additional sites and we anticipate meeting with regulators to discuss next steps in this program before the end of the first quarter of 2024.

 

   

Demonstrate the efficacy of Auxora for the treatment of AKI. AKI represents a significant unmet medical need as there are no disease- modifying therapies to either prevent or treat AKI. We are testing Auxora in a preclinical model of AKI and found that Auxora-treated animals have less kidney damage than animals treated with placebo. We have also observed less kidney damage in Auxora-treated patients compared to placebo or SOC in our clinical trials in other acute critical illnesses. We plan to submit an IND in the second half of and, if allowed, to be in a position to initiate a Phase 2 clinical trial for AKI in first half of 2024, subject to receipt of additional funding.

 

   

Demonstrate the efficacy of Auxora for the treatment of patients with AHRF and ARDS caused by multiple etiologies. We have completed CARDEA, which followed a randomized open-label trial in the same patients, and with our collaborator we have completed the enrollment and treatment of patients of a Phase 2 clinical trial in mechanically ventilated COVID-19 pneumonia ARDS patients. We are evaluating next steps for potential clinical development of Auxora in patients with AHRF and ARDS.

 

   

Advance a second CRAC channel inhibitor into clinical development for the treatment of an additional inflammatory indication. We believe that there are multiple indications, including some chronic inflammatory and immunologic indications, that could potentially be treated with CRAC channel inhibitors from our portfolio of compounds, including orally available compounds. In a preclinical animal model of chronic pancreatitis, we observed robust beneficial effects of one of our CRAC channel inhibitors. We are currently conducting IND-enabling preclinical testing on CM6336 from our drug portfolio, which is a candidate for use in chronic inflammatory and immunologic diseases. We could be in a position to enter clinical trials in a chronic pancreatitis program in 2025, subject to receipt of additional funding.

 

   

Explore additional indications for Auxora. Recent pre-clinical work in both acute ulcerative colitis and allergic asthma have shown that the zegocractin, the active molecule in Auxora, reduces inflammation and symptoms of these diseases in animal models.

 

   

Pursue licensing and partnership opportunities for Auxora and other compounds in our portfolio. Development of Auxora in different geographies, and commercialization of Auxora in acute critical care indications that will require access to hospital emergency rooms, may benefit from partners with existing development capability and/or commercial channels and sales forces. We are exploring these types of relationships. In addition, we may elect to partner other of our compounds for specific indications.

Our Team

Our executive team is led by A. Rachel Leheny, Ph.D., our chief executive officer, who has more than 30 years of experience in the life sciences industry as a scientist, venture capital investor and investment banking research analyst. Kenneth Stauderman, Ph.D., a co-founder and our chief scientific officer with more than 30 years of experience in drug discovery and development, is a leading expert in CRAC channels and led the discovery of some of the foundational work in this field. Sudarshan Hebbar, M.D., our chief medical officer, has more than 15 years of clinical development and product development experience and was previously a practicing nephrologist and critical care physician. Raven Jaeger, MS, our chief regulatory officer, who has over 20 years of regulatory affairs experience with several marketing approvals in serious diseases with high-unmet medical need.

Our Science

Essential Roles of Calcium Signaling

Calcium serves as an essential messenger for intracellular signals and plays diverse and important roles in biological systems. The major storehouse for calcium in a cell is a compartment called the endoplasmic reticulum (“ER”). Calcium is found there at average concentrations that are 1,000 to 5,000-fold higher than in a cell’s interior or cytoplasm. When an outside signal stimulates a cell in a particular way, the stored calcium is rapidly and periodically released from the ER into the cell interior, resulting in activation of a number of key cellular processes affecting synthesis and release of other signaling molecules, cell growth, differentiation and division. These processes include, for example, gene transcription and protein kinase signaling. In response to sufficient external stress on the cell, release of calcium from these intracellular stores can trigger cell death.

 

4


CRAC Channels

A specific set of calcium-transporting ion channels known as CRAC channels are responsible, among other things, for replenishing the calcium stores in the ER. The two principal proteins that comprise CRAC channels are the ER calcium-sensing protein Stomal Interaction Molecule 1 (“STIM1”) and the cellular membrane calcium channel protein Orai1. When cells are stimulated in particular physiological ways, intracellular messengers are generated that cause the periodic release of calcium from the ER. The release of calcium from the ER is then sensed by STIM1, which unfolds and activates, or opens, the Orai1 calcium channel triggering an influx of calcium into the cell. In certain pathological conditions, however, CRAC channels can be activated in non-physiological ways, such as by a toxin that can cause excessive release of calcium from the ER, leading to overactivation of CRAC channels.

Depending upon the extent of activation and the cell or tissue involved, calcium influx through CRAC channels can regulate calcium-dependent inflammatory pathways or can activate cell injury pathways. For example, in immune cells like T lymphocytes, activation of CRAC channels plays a key role in initiating the adaptive immune response and the generation of inflammatory cytokines. In certain acute critical illnesses such as AP, CRAC channels on affected organ tissue cells can become overactivated, resulting in excess calcium entry that is toxic to cells, causing cellular injury or death that can exacerbate an accompanying inflammatory response.

 

LOGO

CRAC channels serve to replenish calcium levels in the ER and to provide calcium for cellular signaling events.

There is strong evidence linking STIM1 and Orai1 to the way the cell replenishes its calcium stores and to the physiological consequences of disrupting these proteins from both in vitro and in vivo models, including animal gene knock-out or knock-in models, and human genetics. This linkage is true at both the cellular and phenotypic levels. At the cellular level, manipulating STIM1 or Orai1 activity by genetic inactivation or enhancement has been shown to impact calcium transport. Inactivating STIM1 or Orai1 was shown to decrease calcium entry into cells, whereas creating mutations in STIM1 or Orai1 that enhance their activity was shown to increase calcium influx. At the phenotypic level, people with homozygous genetic deficiencies in the genes encoding Orai1 or STIM1 develop the life-threatening condition of severe combined immunodeficiency. Because these individuals lack the ability to mount an effective immune response, they suffer from an extreme risk of contracting life-threatening infections. People with a heterozygous genotype for the mutated genes encoding Orai1 or STIM1 do not have any notable conditions resulting from or associated with these genetic deficiencies despite a partial reduction in the functional activity of the Orai1 or STIM1 proteins.

In lymphocytes, CRAC channels are critically responsible for controlling the entry of calcium that subsequently initiates calcium-dependent events. Within minutes of activating CRAC channels, alterations in intracellular calcium levels result in both (a) the inhibition of lymphocyte migration and (b) the activation of immune cell activity. Both of these elements of CRAC channel biology are central to identifying potential therapies. Effects of prolonged calcium signaling supported by both calcium release from the ER and CRAC channel-mediated calcium entry include stimulation of cell proliferation; expression of immune-activated genes; production of cytokines and chemokines; and lymphocyte differentiation. These longer-duration effects, too, are central to the backdrop for therapeutic intervention. For example, genes triggered by calcium release and subsequent calcium entry through CRAC channels include many activators of inflammation. This mechanism involves various signaling proteins, including two in particular, calcineurin and a transcription factor called nuclear factor of activated T cells (“NFAT”), which form a critical link between calcium elevations and transcriptional activation. Calcineurin is a calcium- activated enzyme that removes inhibitory components from NFAT, triggering it to enter the nucleus and function as a transcription factor. Calcineurin has a well-validated immunoregulatory role; it is the target of two broadly prescribed immunosuppressive molecules, cyclosporine and tacrolimus. NFAT is expressed in a wide spectrum of immune cells and its activity drives inflammation via the production of many pro-inflammatory cytokines such as interleukin-6 (“IL-6”); tumor necrosis factor alpha (“TNFµ”); and interleukin-2 (“IL-2”).

 

5


LOGO

Increased levels of intracellular calcium mediated by CRAC channels activate a number of inflammatory pathways.

Inflammatory diseases including AP, respiratory failure, kidney injury or traumatic brain injury are associated with activation or overactivation of CRAC channels. Preclinical experiments have shown that inhibition of CRAC channels has the potential to provide therapeutic benefit in these and other diseases. Multiple compounds have been identified in scientific literature that inhibit CRAC channels, but few of these have advanced to clinical trials as a result of unsuitable pharmaceutical properties required for potential therapeutic use.

Advantages to Our Approach

We believe CRAC channels are promising drug targets as they are present on critical organ tissues (such as endothelium cells) and on immune system cells (such as T cells). Overactivation of these channels can lead to organ damage and cytokine-mediated pro-inflammatory processes. CRAC channel activation plays a critical role in endothelial damage and serves as the proximal step in T cell production of pro-inflammatory cytokines. We believe the key advantages of CRAC channel inhibition science are:

 

   

Our CRAC channel inhibitors provide a dual mechanism to reduce cellular damage by both blocking direct tissue damage and down- regulating inflammation.

 

   

Our CRAC channel inhibitors act upstream of several approved drugs (such as cyclosporin) affecting multiple pro-inflammatory pathways. This translates into down-regulation of multiple cytokines produced by the immune system in a disease state and may provide broader acting anti-inflammatory action compared to drugs that target a single cytokine.

 

   

Our CRAC channel inhibitors are small molecule drugs that provide rapid onset of immunomodulatory action as well as rapid offset which can provide rapid recovery of immunocompetence.

 

   

We believe that there may be underlying biological pathways common to a number of acute critical illnesses, including those indications we are pursuing, so that there is a potential for a single agent to treat those patients sharing this underlying biology regardless of disease.

 

   

Our proprietary IV lipid nanoemulsion used in Auxora enhances the delivery of our drug to lipophilic organ tissues such as the lung and pancreas.

 

   

Certain of our proprietary CRAC channel inhibitors, including CM6336, are orally bioavailable and can be used to treat chronic inflammatory and immunologic conditions.

 

   

Our approach is applicable to both acute and chronic inflammatory and immunologic diseases.

Auxora, a Selective CRAC Channel Inhibitor

We are developing Auxora, a proprietary IV-formulated CRAC channel inhibitor, for several indications, including the treatment of severe AP, AIPT, AKI, severe acute respiratory diseases including AHRF, and ARDS, and other acute inflammatory diseases associated with dysregulation of intracellular calcium in organ tissues. We hold worldwide rights to the active ingredient in Auxora, zegocractin, which was previously referred to as CM4620. Auxora inhibits the transport of calcium into cells by inhibiting the Orai1 CRAC channel. Testing of Auxora in an in vitro selectivity panel screen showed that the compound was highly selective over many other ion channels, receptors or transporters, which is consistent with the lack of sequence or structural similarity of CRAC channels with other channels.

Auxora is specifically formulated as an IV lipid nanoemulsion that is designed to facilitate the rapid delivery to lipophilic organ tissues such as the pancreas, lung and kidney, which we believe makes it a promising product candidate for the treatment of acute critical illnesses. The nanoemulsion is composed of nanometer-sized lipid droplets suspended in water. Auxora dissolves into the lipid particles that, once infused, move quickly through the body and are absorbed by lipophilic tissues that are hard-to-reach for aqueous solutions and hydrophilic drugs. We believe it is critically important to block CRAC channel activity as soon as possible in these acute indications to prevent further tissue damage and decrease morbidity or mortality. Auxora was well-tolerated in single dose and multiple dose Phase 1 clinical trials in healthy adults, and in both the Phase 2 COVID-19 clinical trials and the Phase 2a AP clinical trials.

Preclinical Evidence for Anti-Inflammatory Activity of Zegocractin, the Active Ingredient in Auxora

In vitro treatment of activated human peripheral blood mononuclear cells (“PBMCs”), which are predominantly lymphocytes, with zegocractin (the active compound in Auxora) resulted in a concentration-dependent inhibition of the release of a number of pro-inflammatory cytokines including IL-2 and interleukin-17 (“IL-17”) when measured at 48 hours. The breadth of the spectrum of cytokines inhibited by zegocractin is consistent with the central role of calcium signaling in the inflammatory response.

 

6


LOGO

Zegocractin inhibited the release of a number of cytokines from activated human PBMCs.

The role of calcium and CRAC channels in inflammation extends beyond lymphocytes and other immune cells. Excess calcium in cells in tissues such as kidney, pancreas, lung and the nervous system leads to cell damage or activation of cell death pathways causing tissue damage and organ failure. These processes, in turn, trigger inflammatory immune responses that further exacerbate cell damage and cell death and can accelerate tissue damage and organ failure.

 

LOGO

CRAC channel overactivation causes cell damage, leading to cell death and triggering an inflammatory immune response.

Pharmacodynamic Profile of Auxora

Auxora is a proprietary lipid nanoemulsion IV formulation of the small molecule zegocractin that is administered by IV infusion. To test the activity of Auxora, we have developed an assay using ex vivo blood samples in which we stimulate IL-2 release as a surrogate pharmacodynamic (“PD”) marker for immune system activity. After administration, Auxora rapidly redistributes from the blood into lipophilic tissues and is predominantly cleared through the biliary system. Thereafter, the remaining drug is gradually cleared from lipophilic tissues over the course of a few months resulting in trace plasma levels without biological or clinical activity reported to date. Additional toxicity studies will be performed during Phase 3 development and may further address the safety of Auxora as it is cleared from the body. Auxora has demonstrated a rapid onset of immunomodulatory action within 30 minutes post-dosing in this assay performed on blood samples from patients with AP and treated with Auxora. Recovery of IL-2 release was observed within 24-48 hours following dosing completion, indicating offset of immunomodulation.

 

7


LOGO

Auxora has a rapid on-off effect as demonstrated by the onset of immunomodulation after dosing and the recovery of the immune system after the drug infusion is stopped.

We believe that the timely termination of drug action is an important feature of Auxora as it may limit the potential for long-term immunosuppressive effects of prolonged CRAC channel inhibition, which have not been seen in clinical trials to date. In a rat model, administration of Auxora led to high levels of drug exposure in kidneys, pancreas, lung and plasma at two hours and four hours after the start of a four-hour infusion. By eight hours, drug levels dropped, consistent with rapid drug redistribution and/or clearance.

 

LOGO

Auxora led to rapid increase in drug levels in the pancreas, lung, kidney and plasma after administration to rats.

Potency and Selectivity of Auxora

Zegocractin (the active molecule in Auxora) is among the most potent CRAC channel inhibitors reported in scientific literature, as observed in published experiments performed in our labs, including experiments published in the journal Cell Calcium. The data in the figure below illustrate that Auxora potently inhibits Orai1-containing CRAC channels, as 50% of the activity of the channel can be inhibited with nanomolar (“nM”) concentrations of compound. Further, the compound is selective compared to other channels. For example, on two channels important in cardiac (heart) function, even micromolar (“µM”) quantities of zegocractin do not achieve measurable inhibition of the activity of those channels. All compounds in our portfolio of potential drug candidates have properties similar to those indicated in the table below.

 

8


Channel

  

Effect of Zegocractin

  

Orai1 CRAC Channel Selectivity Ratio

Human Orai1-containing CRAC channels   

IC50 = 119 nM

  

Human voltage-gated Ca channels (cardiac)    <10% inhibition at 10 µM    >100-fold
Human hERG K channels (cardiac)    <10% inhibition at 10 µM    >100-fold

IC50 = concentration producing 50% inhibition of channel activity. Activity of each channel was assessed by electrophysiological (electrical) measurements of either calcium ion (Ca2+) or potassium ion (K+) flow through the indicated channel. The maximum soluble concentration of compound (10 µM) was tested on the cardiac channels.

 

(1)

Assay performed by us in 2011-2012.

(2)

Assay performed by a contracted vendor in 2012.

P-Values and Confidence Intervals

In various sections of this proxy statement, we discuss p-values and confidence intervals. The conventional method for measuring the statistical significance of a result is known as the “p-value,” which represents the probability of obtaining results at least as extreme as those that were observed in the study presuming that the null hypothesis of no effect is true. Generally, a p-value less than 0.05 is considered statistically significant and may be supportive of a finding of efficacy by regulatory authorities. However, regulatory authorities, including the FDA, do not rely on strict statistical significance thresholds as criteria for marketing approval and maintain the flexibility to evaluate the overall risks and benefits of a treatment. A confidence interval (“CI”) is a range of values within which the true value has a specified probability to exist. It is conventional to set the confidence interval at 95%, which means 95 of 100 times, the confidence interval will contain the true value. If the confidence interval does not contain the value of zero (the null value), it can be assumed that there is a statistically significant effect.

Auxora for the Treatment of AP

We have conducted a Phase 2a clinical trial of Auxora in AP patients with SIRS along with hypoxemia predicted to have moderate or severe AP. Because of the complications of SIRS and hypoxemia, these patients were at high risk for developing severe AP and life-threatening organ failure, particularly respiratory failure. In this trial Auxora treatment was associated with reduced local and systemic inflammation, improved ability to tolerate solid food, and shorter hospital stays. We are now conducting a Phase 2b clinical trial of Auxora in 216 patients with predicted moderate or severe AP with data expected in the second half of 2023. We have received Fast Track designation from the FDA and Orphan Drug designation in the EU from the EMA for Auxora for the treatment of AP. However, there is no guarantee that Fast Track designation will result in a faster regulatory review or regulatory approval.

 

LOGO

 

LOGO

Treatment with Auxora could offer significant benefits to AP patients and prevent disease progression

 

9


Acute Pancreatitis Background

Acute pancreatitis is an acute inflammatory process of the pancreas that presents as severe upper abdominal pain, often accompanied by nausea and vomiting. During episodes of the disease, inflammation of the pancreas occurs, which can lead to pancreatic cell death or necrosis and systemic inflammation. Normal pancreatic functions, such as the secretion of digestive enzymes required to break down carbohydrates and fats, are disabled. There are no approved therapies for AP but most cases are mild and resolve after several days of supportive care, including avoiding oral feeding in the short term to not further aggravate the pancreas. Most patients are hospitalized and require IV fluids and monitoring for development of more severe symptoms.

Severe complications arise because of the acute inflammatory response that takes place in the pancreas. These complications can lead to SIRS, in which the function of other tissues or organs, including the lung may be compromised. Approximately one third of patients with severe AP develop acute lung injury or ARDS. Lung failure accounts for approximately 60% of deaths associated with AP in developed countries.

There are an estimated 275,000 hospitalizations for AP annually in the United States. Mortality in mild AP is less than 1% but climbs to 20-30% in patients with severe disease. Approximately 40% of hospitalized AP patients present with SIRS and are predicted to have moderate or severe disease, with 15% actually developing severe AP. The target population for Auxora in our ongoing Phase 2b clinical trial is AP patients with accompanying SIRS, which we estimate to be approximately 100,000 patients per year in the United States alone.

 

LOGO

SIRS: Systemic Inflammatory Response Syndrome

Target patients for Auxora in AP are a subpopulation of total number of AP hospitalizations and are selected primarily based on the presence of SIRS.

Leading causes of AP are gall stones and resulting elevated levels of bile salts, and alcohol metabolites, together accounting for 60-80% of all cases depending on the specific population examined. Other causes include: hypertriglyceridemia, familial (genetic) types, hypercalcemia, abdominal injury or trauma (including endoscopic retrograde cholangiopancreatography), cancer, drug-induced, or autoimmune, each making up smaller slices of the total AP population. These different causes all appear to lead to a common mechanism in which calcium within pancreatic cells drives pathology.

 

LOGO

Inhibition of CRAC channels has the potential to impact multiple pathologies associated with AP.

Excessive signaling through calcium-dependent pathways has been linked to multiple pathologies associated with AP. A primary function of the pancreas is to produce enzymes that are required to digest food. The secretion of these enzymes from the pancreas is dependent on the periodic release of calcium from internal stores in cells called the pancreatic acinar cells. In AP, aberrant activation of these cells results in elevated, toxic levels of intracellular calcium and, as a consequence, the inappropriate activation of digestive enzymes inside the cells causes the acinar cells to self-digest.

Acute pancreatitis is also associated with a high level of inflammation. In some patients, the release of inflammatory cytokines and the triggering of SIRS can lead to life-threatening distal organ failure. Previous studies have established a strong link between calcium signaling and the release of inflammatory cytokines. The most frequent systemic complications in severe cases of AP are respiratory dysfunctions ranging from hypoxemia to ARDS. As in the case with ARDS from other underlying causes, AP-associated ARDS is the result of both increased vascular permeability and an increase in inflammation, which we believe are CRAC channel-dependent processes.

 

10


Acute Pancreatitis Phase 2a Clinical Trial Results

We completed a Phase 2a clinical trial of Auxora in 21 patients with AP with predicted severe or moderately severe disease as determined by the presence of SIRS and hypoxemia. Patients were enrolled in two cohorts. Fourteen patients received Auxora plus SOC and seven received SOC only. The Auxora- treated patients received a daily IV dose of Auxora for up to four days. As an early-stage proof of concept trial, this trial was not powered for statistical significance for any of the endpoints.

 

LOGO

Trial design for Auxora AP Phase 2a clinical trial.

The primary symptom associated with AP is severe upper abdominal pain. Patients with AP are unable to tolerate any solid food without an increase in pain or the occurrence of nausea or vomiting until the pancreatitis resolves. In this clinical trial, only one patient in the Auxora-treated group and one patient in the SOC group were tolerating solid food at study entry. After 72 hours, seven of 14 Auxora patients were tolerating solid food while only one of seven SOC patients was tolerating solid food. At the time of hospital discharge, 13 of 14 Auxora patients could tolerate solid food compared to three of seven SOC patients.

 

LOGO

Acute pancreatitis patients treated with Auxora were able to tolerate food sooner than matched controls.

Patients treated with Auxora were discharged from the hospital after a median of 3.7 days compared to SOC patients, who had a median stay of 6.0 days. Of the 21 patients enrolled in this trial, five had respiratory failure at the time of enrollment, four in the Auxora-treated group and one in the SOC group. Of the four Auxora- treated patients, only one required intubation and mechanical ventilation after several days as a result of a procedural complication. This patient ultimately died of complications from respiratory failure, whereas the only SOC patient who enrolled with respiratory failure required immediate intubation and mechanical ventilation. This SOC patient was on a ventilator for more than 90 days before dying.

An objective measure of the severity of AP is the computed tomography severity index (“CTSI”) that is based on findings from a CT scan with IV contrast to assess radiographic severity of the disease. CTSI scores have been found to correlate with clinical indices of severity. CT scans were obtained from all the patients in this clinical trial both at study entry and at hospital discharge or five days, whichever was earlier, and sent to a blinded central reader to determine the CTSI score. Twelve of the patients, eight in the Auxora-treated group and four in the SOC group, were found to have elevated CTSI scores at the time of randomization that were consistent with moderate to severe AP. Three of the eight Auxora-treated patients with elevated CTSI scores saw improvement over the course of their hospital stay while none of the four SOC patients experienced improvement.

Persistent SIRS, defined as SIRS lasting more than 48 hours, is an indication of continued activation of inflammatory pathways in patients with AP. Furthermore, persistent SIRS is highly predictive for the development of organ failure in AP. All patients in this AP trial had SIRS at enrollment. Only five of the fourteen patients treated with Auxora had persistent SIRS, while five of the seven patients treated with SOC alone had persistent SIRS.

 

11


LOGO

Auxora treatment was associated with improvements in multiple clinically relevant parameters.

The potential impact of Auxora treatment on the inflammatory response is illustrated by one patient in the Auxora-treated arm who was admitted to the hospital with respiratory failure and an extremely high level of IL-6, a pro-inflammatory cytokine, of greater than 7296 pg/ml, a level approximately 450-fold higher than the upper level of normal range. Historically, levels of greater than 122 pg/ml are predictive of organ failure in AP and levels above 80 pg/ml are associated with a 22-fold increased risk of respiratory failure in COVID-19 patients. At 120 hours, and after four doses of Auxora, the level of IL-6 in this patient was reduced to 66 pg/ml. This patient did not require intubation and was discharged on room air, not supplemental oxygen, on the eighth day.

 

LOGO

A rapid reduction in IL-6 levels was observed in a patient treated with Auxora.

Auxora was generally well-tolerated in the trial. Treatment-emergent adverse events (“TEAEs”) were reported in 12 (86%) patients receiving Auxora and four (43%) patients receiving SOC alone. The majority of adverse events (“AEs”) in patients treated with Auxora were mild and considered resolved or resolving at the end of the trial. Severe TEAEs occurred in two patients (14%) receiving Auxora and two patients (29%) receiving SOC alone. Three patients (21%) treated with Auxora and two patients (29%) treated with SOC alone developed serious adverse events (“SAEs”). One death occurred in the Auxora treatment arm which was attributed to abdominal compartment syndrome and multi-organ failure. None of the AEs were deemed to be Auxora-related by the principal investigators. A summary of AEs reported in two or more patients receiving Auxora is listed below.

 

LOGO

Summary of Adverse Events Reported by Two or More Patients Receiving Auxora.

The following SAEs occurred in patients treated with Auxora: death, non-infective cystitis, acute pancreatitis, sepsis, ARDS, hypoxic-ischemic encephalopathy (a type of brain dysfunction), pneumonia, respiratory failure and pulseless electrical activity. None of the SAEs were deemed to be Auxora-related by the principal investigators.

CARPO: Ongoing Phase 2b Clinical Trial in AP

In March 2021, we initiated CARPO, a randomized, double-blind placebo-controlled Phase 2b clinical trial in patients with AP and accompanying SIRS. This is a randomized, double-blind, placebo-controlled trial examining three dose levels of Auxora versus placebo. The clinical trial includes 54 patients in each of the four cohorts. Doses for two cohorts are essentially the same as doses patients received in the open-label Phase 2a clinical trial. A third cohort is receiving

 

12


half the middle dose level. The fourth cohort will receive matched volumes of placebo. This dose ranging is intended to establish a dose- response in the AP setting. Endpoints include measures of safety, patient benefit and outcome improvement with a primary endpoint of food tolerance and responder analysis. Advisers suggest that food tolerance is the best measure of clinical efficacy, and, in addition to being the primary endpoint, food tolerance will be validated through a responders’ analysis. We anticipate results from this clinical trial in the first half of 2024.

 

LOGO

Trial design for CARPO, Phase 2b clinical trial in AP.

CRSPA: Ongoing Open-Label Phase 1/2 Clinical Trial in AIPT (Pancreatitis as a Side Effect of Pediatric ALL Treatment)

CRSPA is an open-label Phase 1/2 clinical trial investigating Auxora as a potential therapy in pediatric patients that develop AIPT as a result of treatment for their underlying ALL. Current therapies for ALL result in long term survival for over 90% of pediatric ALL patients. One of the mainstays of therapy in these patients is asparaginase, an enzyme that degrades the amino acid asparagine, which is essential for the leukemic cells to survive. However, the administration of asparaginase triggers the development of pancreatitis or AIPT in 7-10% of patients of the over 3,000 pediatric ALL patients treated per year in the US, with similar numbers in Europe. It has been shown that over 50% of patients with AIPT develop pseudocysts or pancreatic necrosis. There is currently no disease modifying treatment for AIPT and standard of care only addresses the symptoms of the disease.

In CRSPA, pediatric patients suffering from AIPT are enrolled and treated with four daily doses of Auxora with the primary endpoints of safety, tolerability and the reduction in development of complications of AIPT, including necrotizing pancreatitis and SIRS. To date, nine patients (ages 3 to 17 years) at a single site have been treated in CRSPA. Based on preliminary, unpublished data from the first cohort of patients from the single site, eight of these patients, all of whom received four full doses of drug over a four day period, had a more rapid resolution of their AIPT as compared to the current standard of care. One patient, for whom consent was withdrawn, received less than one full dose of Auxora, and developed necrotizing pancreatitis.

According to clinical data published by Mauney, et. al., in the Journal of Pediatric Gastroenterology and Nutrition in March 2022, patients who developed AIPT have a median length of stay in the hospital of 10 days, whereas the median length of stay for patients treated with Auxora was less than six days consistent with their resolution of symptoms. This is a single arm open-label trial and a comparison to a blinded matched historical control group is underway. We expect data from this trial to be published in the fourth quarter of 2023. While initially a single-center trial, this trial is now being expanded to additional sites.

Preclinical Studies with Auxora in AP

Treatment with Auxora led to a decrease in inflammatory markers in both the pancreas and the lung in a cerulein-induced rat model of AP. In this AP model, rats were given four hourly intraperitoneal injections of cerulein to induce pancreatitis and Auxora was given in a therapeutic mode by a four-hour intravenous infusion, starting 30 minutes after the first cerulein injection. Animals were examined 30 minutes after the end of infusion. Cerulein overstimulates pancreatic acinar cells, causing overactivation of CRAC channels, premature activation of digestive enzymes, mitochondrial dysfunction and death of the acinar cells, as well as enhanced accumulation of cytokines. Auxora administered post-insult decreased the acinar cell damage (50% as measured by histopathology) and decreased mRNA transcript levels (measured by quantitative real-time polymerase chain reaction) of myeloperoxidase (MPO) (80-90%) a biomarker of neutrophil activation, and the inflammatory cytokines TNFα (80-90%), and IL-6 (80-90%) in the pancreas. Similar to AP in patients, inflammatory signals in the cerulein model are also observed in the lungs. The anti-inflammatory effects of Auxora in the pancreas were mirrored in lung tissue.

 

13


LOGO

Auxora inhibited the expression of MPO, TNFα and IL-6 in the cerulein-induced acute pancreatitis model in both the pancreas and lung. These results have been published in The Journal of Physiology.

Consistent with the data described above, treatment with the active ingredient in Auxora, zegocractin, decreased pancreatic damage in two other models of AP in mice, gallstone and alcohol models. AP in a gallstone model was elicited by retrograde pancreatic ductal injection of a bile acid and in the alcohol model by intraperitoneal injections of a fatty acid and ethanol. Both bile acids and fatty acids + ethanol induce AP by overactivation of CRAC channels. Zegocractin was given by intraperitoneal injection in a therapeutic mode at one and 13 hours after disease induction and animals were examined 24 hours after disease induction. Under these conditions, zegocractin decreased the amount of inflammation, edema and acinar cell damage (each close to 50% as measured by histopathology; see the figure below).

 

LOGO

Zegocractin decreases pancreatic damage in two models of AP in mice. Shown are histology photomicrographs of the pancreas. The top panels are examples from control animals in both the gallstone (left) and alcohol (right) models showing the presence of inflammatory cells (small dark dots), edema (white areas) and acinar cell necrosis (light red). Bottom panels are from animals treated with Zegocractin, showing reduced inflammation, edema and necrosis. White bars = 50 m.

The ability of the pancreas to secrete digestive enzymes, fluid and bicarbonate is critical for the ability to digest food. Various toxins, including an alcohol metabolite, fatty acid ethyl ester, or bile acids can cause the premature activation of these digestive enzymes within the pancreas, leading to self-digestion and pancreatic cell death. One of the primary treatments for AP has been to completely stop all orally administered food for several days. A sign of the resolution of a case of AP is the ability to tolerate food, requiring functioning pancreatic ductal cells and appropriate secretion of digestive enzymes, fluid and bicarbonate. Thus, restoration of pancreatic ductal cell secretion is thought to be a critical element in the treatment of AP.

CRAC channel inhibition preserved pancreatic ductal fluid secretion in the cerulein-induced AP model in mice as well as in gallstone and alcohol models of AP. The mouse cerulein-induced AP model was performed like the rat model described above, except that seven hourly injections of cerulein were used and animals were examined 12 hours after the first cerulein injection. AP in the gallstone model was elicited by retrograde pancreatic ductal injection of a bile acid and in the alcohol model by intraperitoneal injections of a fatty acid and ethanol. Pancreatic fluid secretion was measured by collection of pancreatic juice from the pancreatic duct over a 30 minute period. In all three models, CM5480, a preclinical CRAC channel inhibitor model compound, given by intraperitoneal injection after disease onset was able to preserve pancreatic ductal fluid flow, suggesting that CRAC channel inhibition may have a direct protective effect on ductal cells that could help resolve AP.

 

14


LOGO

CM5480 (CM-C) treatment led to the preservation of pancreatic ductal secretion in a cerulein-induced acute pancreatitis model.

Auxora for the Treatment of Acute Kidney Injury

There are recent examples in the scientific literature where CRAC channel inhibition was shown to reduce damage in animal models of AKI. We are currently conducting preclinical studies of Auxora in a rat model of AKI. Additionally, we have observed in our clinical trials that Auxora-treated patients appear to have less complications of kidney injury or failure in the setting of acute critical illness. We plan to use these observations and our preclinical results to submit an IND in this indication in the second half of 2023 and, if allowed, to be in a position to initiate a Phase 2 clinical trial in the first half of 2024, subject to receipt of additional funding.

Acute Kidney Injury Background

AKI is marked by three distinct phases, the initial injury, the recovery from that injury and then the long-term damage resulting from the initial injury. Patients who do not recover completely from the initial injury are at risk for long-term damage. We believe the administration of Auxora to patients with more severe AKI will result in a greater proportion of patients recovering completely from the initial injury, and in so doing, will lessen the long term complications of the initial injury. This is illustrated in the figure below. AKI is classified as Stage 1, Stage 2 and Stage 3 depending on the seriousness of the disease as measured by serum creatinine and urine output and may progress from one stage to the next as a patient’s condition worsens. Stage 1 patients have an increase in serum creatinine of ≥ 0.3 mg/dL or 1.5 to 1.9 times baseline or urine output of <0.5 mL/kg/hour for 6 to 12 hours. Stage 2 patients have an increase in serum creatinine to 2.0 to 2.9 times baseline or urine output of <0.5 mL/kg/hour for 12 to 24 hours. Stage 3 patients have an increase in serum creatinine to ≥ 3.0 times baseline, an increase in serum creatinine of ≥ 0.3 mg/dL to ≥ 4.0 mg/dL, urine output of <0.3 mL/kg/ hour for ≥ 24 hours, anuria for ≥ 12 hours or initiation of kidney replacement therapy.

 

LOGO

Time course of acute kidney injury and progression to chronic kidney disease.

AKI is caused by a number of factors including infection, trauma and myocardial infarction. According to the Healthcare Cost and Utilization project, there are in the US more than 3.7 million patients hospitalized each year who have AKI. Of these, 71% have Stage 1, 17% have Stage 2 and 12% have Stage 3 so that Stage 2 and Stage 3 patients represent an incidence of over 1 million per year in the United States alone. Currently there are no drugs that directly treat AKI and standard of care includes fluids, diuretics, nutritional support, and correction of the underlying cause of the AKI. Patients who suffer AKI may over the course of months develop chronic kidney disease and may go into end-stage renal failure. The goal of treatment would include reducing the need for dialysis, kidney transplantation, long-term illness and death.

 

15


LOGO

 

LOGO

Early treatment with Auxora could offer significant benefits to AKI patients and prevent disease progression.

Clinical Observations supporting the potential use of Auxora in AKI

While the purpose of CARDEA was to test Auxora in severe COVID-19 pneumonia patients, acute kidney injury was reported in a number of patients as it is a common sequalae of this disease. We observed ~40% reduction in the frequency of reported AKI in patients treated with Auxora compared with placebo patients. We further measured Angiopoietin-1 and Angiopoietin-2 levels in most of the patients in the trial as these are biomarkers for vascular endothelial cell function. Angiopoietin-1 levels correlate with the maintenance of vascular integrity while Angiopoietin-2 levels correlate with endothelial inflammation and malfunction. We observed that Angiopoietin-1 levels increased more in patients treated with Auxora compared to placebo while Angiopoietin-2 levels decreased more. These changes were statistically significant and suggest a potential application for Auxora in AKI where endothelial cell function is compromised.

 

LOGO

Angiopoietin-1 levels show a statistically significant greater increase in Auxora-treated patients compared to placebo patients while Angiopoietin-2 levels show a statistically greater decrease.

Preclinical Studies with Auxora in AKI

We are currently conducting preclinical studies of Auxora in an AKI model. In collaboration with an investigator at Indiana University, Auxora is being tested in a rat model of ischemia/reperfusion-induced AKI. This published model produces either unilateral or bilateral renal ischemia by applying small clamps to the major blood vessels of the kidney for a period of 30-40 minutes. After recovery, renal injury is measured by plasma creatinine levels or changes in glomerular filtration rate, and inflammation is measured by infiltration of mononuclear cells, particularly an inflammatory T cell called Th17, into the kidney. The renal injury and Th17 cell infiltration produced in this animal model was shown previously to be ameliorated by treatment with a research tool CRAC

 

16


channel inhibitor, and we are studying Auxora to determine its benefit in this model. We administered Auxora or placebo 30 minutes following the bilateral kidney ischemia/reperfusion, and animals were sacrificed at approximately 24 hours following treatment. Initial results from these rat studies have shown that the glomerular filtration rate in animals treated with Auxora is approximately 72% better at 24 hours than in animals treated with placebo (p=0.04) [see the figure below]. Additionally, a reduction in mononuclear cell infiltrates was seen in Auxora-treated animals post-sacrifice.

 

LOGO

Effects of Auxora treatment on GFR and mononuclear cell infiltration in the rat AKI model with ischemia/reperfusion injury. (N=16)

Planned Clinical Trials with Auxora in AKI

In the second half of 2023, we plan to discuss our initial AKI clinical trial with the FDA in a pre-IND meeting, to submit an IND to be in the position to initiate a Phase 2 clinical trial in the first half of 2024, subject to receipt of additional funding. We anticipate patients in the trial program to be randomized to receive Auxora (at multiple dose levels) versus placebo for five days. Patients will be AKI Stage 2 or Stage 3 for <48 hours. Patients will be monitored in the hospital until discharge. Endpoints are expected to include proportion of patients free of AKI at 30 days, major adverse kidney events (“MAKE”) at 90 days, and proteinuria levels at 90 days. Recent studies have shown that proteinuria levels at 90 days post-AKI are correlated with the probability of developing chronic kidney disease.

We believe there is a basis for which the FDA will allow us to initiate a Phase 2 trial of Auxora in AKI without having to conduct a Phase 1 trial due to the following factors: (i) two Phase 1 safety trials in healthy volunteers have already been conducted in accordance with FDA requirements, (ii) Auxora has already been tested in two Phase 2 trials in adult patients with AP, one Phase 1/2 trial of children with pancreatitis, and two trials in adults with severe COVID-19 pneumonia and significant safety data has been obtained about the doses of Auxora that will be used in the trials of AKI, (iii) Auxora is not eliminated from the body by the kidneys, but rather by the biliary system, so the doses that will be used in the trials of patients with AKI will not be different than those that have already been tested and (iv) patients with AKI have already been dosed with Auxora in the trials of adults with severe COVID-19 pneumonia and Auxora was well-tolerated in these patients. However, there can be no guarantee that the FDA will agree with our position and may require us to conduct a Phase 1 trial instead.

Auxora for the Treatment of Acute Respiratory Failure

The pathology of COVID-19 is consistent with both a significant increase in the levels of inflammatory cytokines and with the associated deterioration of lung barrier function that can culminate in ARDS. In the first quarter of 2020, we recognized that observations from our clinical trial of Auxora in patients with AP provided support for conducting a clinical trial to assess the potential of Auxora in severe COVID-19 pneumonia patients. In AP patients presenting with markedly elevated levels of IL-6, there was a significant reduction in IL-6 levels over the course of therapy in patients who were treated with Auxora versus SOC alone. Of the four AP patients enrolled in our Phase 2a clinical trial who presented with respiratory failure and were treated with Auxora, only one required intubation and mechanical ventilation. There was only one patient in the SOC control group with respiratory failure and this patient required intubation and mechanical ventilation. This preliminary data and the strong preclinical rationale both led us to propose that Auxora may have therapeutic benefit in the treatment of other diseases with respiratory failure, including severe COVID-19 pneumonia.

In April 2020, we initiated a clinical trial to test Auxora in COVID-19 patients hospitalized and requiring oxygen therapy but not on ventilators. This trial was initially conducted as a Phase 2 randomized, open-label clinical trial in severe COVID-19 pneumonia patients with varying degrees of respiratory failure where time to survival, blood oxygen levels, ventilator use and mortality were evaluated. At our first safety analysis of the data we observed that patients receiving Auxora with SOC were less likely to be placed on mechanical ventilation or to die, and they experienced a reduced time to recovery than those treated with SOC alone. After 30 patients were enrolled in this first part of the trial (Part 1), the FDA recommended that we move to Part 2 of the trial and study Auxora in a randomized, double-blind, placebo-controlled clinical trial. Part 2 was initiated in September 2020, completed in the third quarter of 2021, and enrolled 284 severe COVID-19 pneumonia patients. We observed that patients treated with Auxora experienced a reduced time to recovery, higher rate of recovery and reduced mortality.

COVID-19 and Acute Respiratory Failure Background

COVID-19 is a disease caused by the SARS-CoV-2 virus, a pandemic strain of coronavirus. Respiratory illness is the most common symptom associated with COVID-19; severity ranges from mild disease to life-threatening ARDS.

Most cases of COVID-19 occur approximately four to five days after exposure to the virus. Patients present with symptoms that include fever, dry cough, body ache, sore throat and diarrhea. As the disease progresses, some patients develop shortness of breath resulting from lung injury and are hospitalized. In the majority of these patients, this condition resolves over time, but in up to 20% of patients, it progresses to moderate to severe ARDS requiring mechanical ventilation.

 

17


Disease progression in severe COVID-19 has similarities to that of severe community-acquired pneumonia caused by other viruses besides SARS-CoV-2 or by bacteria. The immune response to severe COVID-19 infection may result in overproduction of early response proinflammatory cytokines and may also result in complement and coagulation dysfunction, leading to an increased risk of vascular hyperpermeability, respiratory failure, multi-organ failure, and sometimes death.

Completed Open-label Phase 2 Clinical Trial in Hospitalized COVID-19 Pneumonia Patients on Oxygen (Part 1).

We initially conducted a randomized, open-label clinical trial in severe and critical COVID-19 pneumonia patients (Part 1 of the Phase 2 trial). We originally planned to enroll up to 60 patients with severe COVID-19 pneumonia, defined as patients receiving low-flow supplemental oxygen, and 60 patients with critical COVID-19 pneumonia, defined as patients receiving high-flow oxygen through a nasal cannula but not ventilated using bi-level positive airway pressure, continuous positive airway pressure or invasive mechanical ventilators. Two thirds of patients were to be randomized to receive Auxora with SOC therapy and one third with SOC alone. The results from Part 1 of the trial were published in July 2020 in the peer-reviewed journal Critical Care.

 

LOGO

Trial design for open-label Phase 2 clinical trial in hospitalized COVID-19 severe pneumonia patients on oxygen (Part 1).

Patients enrolled in Part 1 of the Phase 2 clinical trial were randomized to the Auxora plus SOC treatment group, were dosed intravenously with Auxora for three days at levels of 2.0 mg/kg on the first day and 1.6 mg/ kg on days two and three. The primary objectives of this clinical trial were safety and tolerability. At the time this part of the clinical trial was stopped, 30 patients had been enrolled, 26 with severe COVID-19 pneumonia and four with critical COVID-19 pneumonia.

The 26 patients with severe COVID-19 pneumonia were used in the efficacy analysis of the open-label part of the clinical trial. Patients enrolled in the Auxora plus SOC and the SOC only groups were well-matched across age, body mass index and ethnic backgrounds. A higher percentage of patients in the Auxora plus SOC group had diabetes. The severity of ARDS was distributed roughly equally among the Auxora plus SOC and SOC only groups.

As part of our analysis of the efficacy of Auxora in the open-label trial, we also considered the respiratory failure status of patients at enrollment because we believed that this would best correlate with outcomes for these patients. Respiratory failure is divided into three stages based on the Horowitz index, which takes into account how much oxygen is in the blood compared to how much oxygen the patient is provided. The Horowitz index, therefore, is able to account for differences in oxygenation of a patient on room air versus one on higher concentrations of supplemental oxygen. This index is calculated by taking the ratio of the arterial oxygen partial pressure to the fraction of inspired oxygen, known as PaO2/FiO2 or the P/F ratio. The P/F ratio may also be imputed from the oxygen saturation by pulse oximetry. Based on the Berlin Criteria, patients with a P/F ratio of 200 to 300 mmHg are considered to have mild ARDS. Patients with P/F ratios between 100 and 200 mmHg are considered to have moderate disease. Patients with a P/F ratio of 100 mmHg or less have severe ARDS. Even in the absence of COVID-19, an increase in ARDS severity is correlated with increased mortality. In historical pneumonia studies, patients with mild ARDS have a mortality of approximately 35% compared to 45% mortality for those with severe ARDS.

 

LOGO

Baseline demographics were generally balanced across the treatment groups.

Clinical outcomes in Part 1 of the Phase 2 clinical trial were highly dependent on the baseline P/F ratio. Patients with mild ARDS all recovered in both the Auxora plus SOC treatment group and the SOC only treatment group. Regardless of treatment, none of these patients required intubation and mechanical ventilation. Patients with moderate ARDS treated with Auxora plus SOC had an improved outcome compared to SOC alone. Only one of six of the patients (17%) in the Auxora plus SOC group was placed on mechanical ventilation and later died, whereas three out of four patients (75%) in the SOC only treatment group required intubation and mechanical ventilation with one death. Of the four patients enrolled with severe ARDS and treated with Auxora plus

 

18


SOC, two required intubation and mechanical ventilation (50%) and one of these patients died (25%). In the SOC only group, one of two severe ARDS patients enrolled required intubation and mechanical ventilation (50%). The other patient progressed to high-flow oxygen quickly, but the family elected not to proceed with intubation and the patient died (50%).

 

LOGO

Overview of the outcome of all 26 severe COVID-19 pneumonia patients grouped by P/F at baseline with the most severe patients at the bottom. Blue lines correspond to patient who received Auxora (denoted CM4620-IE) plus SOC and green lines to patients who received SOC only.

COVID-19 recovery was scored using an 8-point ordinal scale recommended by the FDA in which a high score of 8 means that the patient was discharged from the hospital without the need for supplemental oxygen, 7 means discharged requiring supplemental oxygen, 6 means hospitalized not requiring oxygen or ongoing medical care, 5 means hospitalized not requiring oxygen but requiring ongoing medical care, 4 means hospitalized requiring low flow supplemental oxygen, 3 means hospitalized requiring noninvasive mechanical ventilation or high flow supplemental oxygen, 2 means hospitalized requiring invasive mechanical ventilation and 1 means that the patient has died.

The number of days for recovery was determined by the first day that a patient satisfied a score of 6 or greater. Patients treated with Auxora plus SOC had a mean time to recovery of five days while those on SOC-only treatment had a mean recovery time of 12 days and the recovery rate ratio was 1.87 (95% confidence interval, with a range of 0.72 to 4.89). For additional information regarding confidence intervals, please refer to the section entitled “—Auxora, a Selective CRAC Channel Inhibitor—P-Values and Confidence Intervals.”

A composite endpoint of death or intubation occurred significantly less frequently in patients treated with Auxora plus SOC than with SOC only treatment. Five of the nine patients (56%) with severe COVID-19 pneumonia who were treated only with SOC required intubation and mechanical ventilation or died compared to only three of 17 patients who received Auxora plus SOC (18%) (95% CI, 0.05 to 0.96; p<0.05).

 

LOGO

Treatment with Auxora led to a reduction in the composite endpoint of patients who required intubation or died because of a do not intubate decision.

In addition to the clinical outcome measures of the severe COVID-19 pneumonia patients, we assessed the levels of d-dimer, a biomarker associated with clotting and a predictor of poor survival in COVID-19 patients. Increased blood clotting and thrombosis is believed to be a significant contributor to the development of ARDS in these patients. All patients in the trial received anticoagulant therapy, and despite this treatment, two patients on SOC only developed deep vein thromboses with one progressing to a pulmonary embolism, while no patients treated with Auxora plus SOC experienced thrombo- embolic events. On average, patients treated with Auxora plus SOC (n=10) had a median decrease in d-dimer levels at 48 hours of 0.24 while patients receiving SOC alone (n=8) had a median increase of 0.63. Even greater differences were seen at 96 hours although the sample size was small. We believe this is indicative of a protective effect of Auxora treatment on the endothelium.

 

19


LOGO

Auxora treated patients experienced a reduction in d-dimer levels, a biomarker associated with clotting.

In total, 17 patients with severe and three with critical COVID-19 pneumonia were randomized to Auxora plus SOC and nine with severe and one with critical COVID-19 pneumonia were randomized to SOC only. All 30 patients were included in the safety analysis. Similar proportions of patients receiving Auxora plus SOC and SOC only experienced an AE (75% versus 80%, respectively). Fewer patients receiving Auxora plus SOC experienced serious AEs versus SOC only (30% versus 50%, respectively). Two patients (10%) receiving Auxora plus SOC and two (20%) receiving SOC only died during the 30 days after randomization. Except for one of the two cases of an increase in blood alkaline phosphatase (an enzyme that can indicate liver damage and bone disorders), which was considered possibly Auxora-related, none of the other AEs were deemed to be drug- related by the principal investigators.

The following SAEs occurred in patients treated with Auxora: septic shock, bacterial pneumonia, atrial fibrillation, shock, respiratory failure, ARDS and chest pain. None of the SAEs were deemed to be Auxora- related by the principal investigators.

After 18 severe COVID-19 pneumonia patients were enrolled, the FDA reviewed initial data along with safety data from an independent safety review committee and recommended that this open- label trial be converted into a randomized, double-blind, placebo-controlled trial (Part 2 of the Phase 2 trial).

Completed Double-Blind Phase 2 Clinical Trial in Hospitalized COVID-19 severe Pneumonia Patients on Oxygen (CARDEA or Part 2)

In September 2020, we began enrollment of our CARDEA trial, a Phase 2, randomized, double-blind, placebo- controlled trial evaluating the addition of Auxora to corticosteroids and standard of care in adults with severe COVID-19 pneumonia. Eligible patients were adults with more than one symptom consistent with COVID-19 infection, a diagnosis of COVID-19 confirmed by laboratory testing using polymerase chain reaction or other assay, and pneumonia documented by chest imaging. Patients were also required to be receiving oxygen therapy using either a high flow or low flow nasal cannula at the time of enrollment and, for the 261 patients in the efficacy analysis set, to have at the time of enrollment, a baseline imputed PaO2/FiO2 ratio > 75 and ≤ 200.

There were an additional 23 patients in the trial with 200<PaO2/FiO2<300 who were enrolled prior to the first independent data monitoring committee meeting, where it was determined those less hypoxemic patients all recovered and were less likely to need therapy beyond current standard of care so going forward, mild ARDS patients, e.g. patients with PaO2/FiO2>200, were then excluded from enrollment. The PaO2/FiO2 was imputed from a SpO2/FiO2 determined by pulse oximetry using a non-linear equation. Patients could not be receiving either non-invasive or invasive mechanical ventilation at the time of enrolment. The primary endpoint was time to recovery through Day 60, with secondary endpoints of all-cause mortality at Day 30 and Day 60. All patients received corticosteroids and 99% of patients received anticoagulation treatment as part of their standard of care.

The major findings of the CARDEA Phase 2 trial as reported in April 2022 in the peer-reviewed journal Critical Care are as follows:

 

   

Time to recovery was seven vs. ten days (P = 0.0979) for patients who received Auxora vs. placebo, respectively.

 

   

Day 30 all-cause mortality was 7.7% with Auxora vs. 17.6%, with placebo (P = 0.0165).

 

   

Day 60 all-cause mortality was 13.8% with Auxora vs. 20.6% with placebo (P = 0.1449).

 

   

Serious adverse events occurred in 24.1% of patients treated with Auxora vs. 35% of patients receiving Placebo (P=0.0616).

 

LOGO

SOC included 100% corticosteroid use and 99% anticoagulation use

Trial design for double-blind Phase 2 clinical trial in hospitalized COVID-19 pneumonia patients on oxygen (Part 2).

 

20


LOGO

Baseline demographics were balanced across the treatment groups in the blinded Phase 2 trial of Auxora in severe COVID-19 pneumonia.

Overall mortality was significantly reduced with Auxora treatment in the 261-patient efficacy dataset. At 30 days, the mortality rate for Auxora-treated patients with 7.7% compared to 17.6% for placebo (HR 0.42 and p=0.023) – a relative decrease of 56%. At 60 days, Auxora treatment was associated with a 13.8% mortality rate compared to 20.6% for placebo (HR 0.63 and p=0.130) – a relative decrease of 33%. Both of these findings are clinically relevant particularly in light of patients needing additional therapies on top of current standard of care. Patients treated with Auxora plus SOC demonstrated a trend toward a faster median time to recovery than those treated with SOC plus placebo. Our primary recovery endpoint was determined in the 261-patient efficacy analysis set where Auxora treatment demonstrated a trend toward a reduced time to recovery with a median of seven days compared to ten days with placebo (p=0.098). In an FDA-required supplementary analysis of our primary endpoint in the 284 patient safety analysis set (which included 23 patients with mild COVID-19 pneumonia (P/F 201 to 300)), the median recovery time for Auxora treated patients was maintained at seven days, while the median recovery time for placebo treated patients decreased to eight days (p=0.042). In both analysis sets, the percent of patients that recovered in the trial was higher when Auxora was added to SOC therapy. The recovery rate ratio, defined as the percent of patients who did not recover on placebo compared to the percent that did not recover with Auxora, was 1.25 for the efficacy analysis set and 1.30 for the safety analysis set. This means that not only did patients treated with Auxora plus SOC demonstrate a trend toward a reduced time to recovery, but that they were more likely to recover than patients treated with placebo plus SOC.

Other key findings in the study were that patients receiving Auxora saw their PaO2/FiO2 ratios recover more quickly than patients receiving placebo and proportionally fewer patients receiving Auxora required ventilation over their course of treatment than patients receiving placebo. There were also fewer patients with reported serious adverse events in the Auxora treated group than in those receiving placebo. These findings are all clinically relevant, particularly given the relative risk reduction in mortality for patients receiving Auxora in addition to standard of care. Finally, there were improvements in a number of inflammatory biomarkers in Auxora treated patients versus those receiving placebo. Specifically, C-reactive protein, ferritin and d-dimer levels dropped over the course of six days and were lower than placebo over that time. CD-25 levels, which are a surrogate for the expansion of pro-inflammatory CD25+CD8 T cells that have been associated with mortality, were statistically significantly lower in Auxora patients compared to placebo.

 

LOGO

Auxora positive effects compared to placebo on multiple clinical endpoints in CARDEA (N=261)

 

21


LOGO

Auxora positive effects compared to placebo on multiple biomarkers of respiratory inflammation in CARDEA (N=261)

 

LOGO

Auxora plus SOC demonstrated a significant decrease in mortality compared to placebo plus SOC. (N=261)

 

LOGO

Kaplan Meier curve of mortality. Auxora plus SOC (blue), placebo plus SOC (red). (N=261)

Auxora was generally well-tolerated in our CARDEA trial. The number of adverse events in the blinded part of the study was similar between the two treatment groups (patients randomized to Auxora (331); patients randomized to placebo (342)). Fewer patients randomized to Auxora (34, 24.1%) had SAEs compared to patients randomized to Placebo (49, 35.0%). There were five SAEs that the investigators reported as possibly related to Auxora: increase in alanine aminotransferase (an indicator of liver dysfunction), increase in aspartate aminotransferase (an indicator of liver dysfunction), cardiac arrest, respiratory failure and shock. Two of these (increase in alanine aminotransferase and increase in aspartate aminotransferase) occurred in only two patients. There were no SAEs that required expedited safety reporting to institutional review boards or to the FDA. Three patients randomized to Auxora and five patients randomized to placebo discontinued study drug.

Ongoing Phase 2 Trial in Mechanically Ventilated COVID-19 Pneumonia ARDS Patients

Work at Northwestern University has focused on immune cell activity in the lung fluid of COVID-19 pneumonia patients on mechanical ventilation implicates IFN-g-secreting T cells as key participants in the cascade of lung damage in these patients. Evidence suggests CRAC channels are a critical nexus in this cascade.

 

22


According to the data from Northwestern scientists, the mechanism of lung inflammation produced by SARS-CoV-2 begins with virus infection of cells in the nose, throat and upper lung. Viral infection then spreads to deeper areas of the lung and enters lung-resident macrophages which, in response, degrade viral proteins and present viral antigens on their cell surface to T cells; they also release chemokines that attract additional T cells to the area. The arriving T cells interact with the SARS-CoV-2 antigens presented on the surface of macrophages, activating the T cells to produce and secrete the pro-inflammatory cytokine IFNg. This sets up a positive feedback loop that leads to further immune recruitment, activation and inflammation. Based on the role of CRAC channels in immune cell activation, Auxora can block IFNg release from T cells, potentially inhibit antigen presentation by macrophages, and block the release of chemokines and pro-inflammatory cytokines from monocytes, thereby limiting the lung inflammation produced by SARS-CoV-2.

 

LOGO

Inhibition of IFNg secretion in the lung of COVID-19 patients has the potential to block activation of inflammatory cells such as alveolar macrophages.

We, in collaboration with investigators at Northwestern, are conducting a Phase 2 dose escalation clinical trial of Auxora in mechanically ventilated patients with COVID-19 pneumonia to test this hypothesis and to determine an effective dose of Auxora for treating these patients using pharmacodynamic markers from bronchoalveolar lavage (lung) fluid. This trial has completed the treatment portion and samples from the patients are being analyzed for gene expression and biomarker information. Nine patients received either Auxora (n=7) or placebo (n=2) for three, four or five days or an initial infusion followed by four days of continuous infusion. The amount of time that patients remain on the ventilator was measured as part of the trial. Lung lavages were taken before and after treatment to determine the level and activity of macrophages, monocytes and IFNg-secreting T cells in patients receiving drug and placebo. We anticipate results from this trial will be published in the second half of 2023. We plan to use the findings of this clinical trial to establish an effective dosing schedule for further studies of Auxora in the treatment of ventilated ARDS patients.

 

LOGO

Trial design for Phase 2 trial in mechanically ventilated COVID-19 pneumonia ARDS patients.

Planning for Additional Clinical Trials in AHRF and ARDS

Based on the mechanism of action of Auxora and the reduction in ventilator use that was observed in our COVID-19 pneumonia and AP clinical trials, we believe that Auxora has the potential to bring therapeutic benefit to a broader population of patients suffering from AHRF and ARDS. Our recent work elucidating the activity of Auxora in an LPS-induced mouse model of respiratory failure confirmed that the drug down- regulates inflammatory cytokines in the lungs and likely protects the lung endothelium from damage.

The broader ARDS patient populations include many etiologies including sepsis, viral pneumonia, bacterial pneumonia and trauma. The incidence of ARDS is estimated to be approximately 190,000 cases per year in the United States alone, with sepsis being the most common cause. We believe that the Auxora clinical data in COVID-19 pneumonia suggests that Auxora can potentially be used in most ARDS settings. We are currently evaluating opportunities to continue clinical development of Auxora in the setting of acute respiratory failure particularly in partnership with sponsors such as government agencies both in the US and outside of the US.

Preclinical Studies with Auxora in ARDS

Endothelial cells in the lung help to maintain the boundary between blood vessels and air-exchange sacs, or alveoli, by providing an insulating barrier function, preventing fluid from leaking out of blood vessels while allowing the exchange of oxygen and carbon dioxide within the lung alveoli. The integrity of this endothelial barrier is dependent on many things, including calcium regulation. The endothelial barrier breaks down when an excess of intracellular calcium causes the activation of NFAT, driving deleterious changes in gene transcription. This breakdown leads to fluid leakage into the lung and impedes the lung’s ability to absorb oxygen and release carbon dioxide. CRAC channels, which help regulate the amount of calcium flowing into endothelial cells, sit at a key junction point in this biochemical cascade. Zegocractin, the active ingredient in Auxora, was able to produce a beneficial effect in the lung consistent

 

23


with inhibiting the breakdown in endothelial barrier function in an in vivo model of pathogen-induced lung injury. In this model, a bacterial glycoprotein called LPS was instilled into the nasopharynx of mice, which induced a reaction inside the lung similar to what would happen in acute lung injury resulting from an active bacterial infection. Zegocractin was administered two and seven hours after LPS and the animals were examined 12 hours after LPS by measuring several biomarkers in lung fluid using antibody technology as well as lung histopathology. A prominent and well known effect of LPS in this model was to increase levels of two key inflammatory cytokines, IL-6 and TNFµ, in lung fluid. Treatment with zegocractin led to a dose-dependent decrease in the LPS-induced IL-6 and TNFµ levels (maximum 46% and 57%, respectively) in lung fluid and also decreased the LPS-induced edema surrounding the lung (maximum 61%) compared to placebo-treated controls. The decrease in lung edema is consistent with protection of the endothelial cell barrier. We believe that inhibitors of CRAC channels have the potential to inhibit the breakdown of the lung endothelial barrier in patients suffering from ARDS.

 

LOGO

PBS - phosphate buffered saline, LPS - lipopolysaccharide, Veh - vehicle, Zego - Zegocractin, mpk - milligrams per kilogram, x2 - given twice at 5-hour intervals

Zegocractin lowered IL-6 and TNFµ levels in lung fluid and reduced edema in an LPS model of acute lung injury.

Preclinical studies for Chronic Inflammatory Disease – Chronic Pancreatitis

We are developing oral CRAC channel inhibitors that we intend to take into indications which are not treated in a critical care setting such as chronic inflammatory diseases like chronic pancreatitis. We have obtained or generated preclinical data which support the use of CRAC channel inhibitors in indications such as chronic pancreatitis, rheumatoid arthritis, asthma and psoriasis where an IV formulation would not represent a viable therapeutic approach. Repeated attacks of AP, as well as heavy alcohol use and genetic anomalies, can lead to the development of chronic pancreatitis, a debilitating disease characterized by pain, fibrosis and declining pancreatic function that increases the risk of developing pancreatic cancer by a factor of ten to 100. According to the Pancreatitis Foundation, approximately 140,000 people suffer from chronic pancreatitis in the United States alone. We believe this will be considered an orphan indication and intend to apply for orphan designation with the FDA.

Preclinical Studies with CRAC Channel Inhibitors in Chronic Pancreatitis

Our preclinical studies of CM5480, a proprietary compound, in chronic pancreatitis suggest that CRAC channel inhibition may decrease fibrosis and organ dysfunction in this setting. We are currently performing IND-enabling preclinical studies with multiple proprietary compounds in order to identify one or more candidates with good pharmaceutical properties. CM6336, our current lead oral CRAC channel inhibitor, is structurally distinct from CM5480 but with potentially improved pharmacokinetic properties. We may be in position to submit an IND for CM6336 in chronic pancreatitis and initiate a Phase 1/1b clinical trial in 2025, subject to receipt of additional funding.

 

24


We tested CM5480 in a mouse model of chronic pancreatitis, in which animals are given eight hourly injections of cerulein per day on five occasions, each separated by two intervening cerulein-free days. CM5480, a model compound, was given by once-daily intraperitoneal injections for nine days starting after the third round of cerulein injections. The cerulein injections produced pancreatic fibrosis and reductions in pancreatic epithelial (mostly acinar) cells and ductal cell secretion. We found that CM5480 reduced pancreatic fibrosis by 50%, modestly increased epithelial cells, and restored pancreatic ductal cell secretion. These results suggest that there is the potential to treat chronic pancreatitis with a CRAC channel inhibitor, especially one that can be readily administered to patients, such as with an oral formulation.

 

LOGO

 

LOGO

CM5480 (CM-C) reduced acinar cell necrosis (top panels), prevented the formation of fibrosis (bottom left) and restored pancreatic ductal secretion (bottom right) in a mouse model of chronic pancreatitis.

Preclinical Study in Inflammatory Bowel Disease

Recent animal data indicates that CRAC channel inhibition by zegocractin (CM4620) may be effective in the treatment of inflammatory bowel disease, such as ulcerative colitis. In a preclinical study performed with scientists from Charite – University Medicine, Berlin and New York University Grossman School of Medicine, it was shown that zegocractin administered orally to mice every other day for a period of 30 days produced a significant reduction in intestinal inflammation in a model of ulcerative colitis. Consistent with the anti-inflammatory action of zegocractin, reductions in the frequencies of IFN-g, TNFα and IL-2 producing CD4 T cells were also observed in T cells isolated and stimulated ex vivo at the end of the study. These data, published earlier this year in the journal EMBO Molecular Medicine, suggest that zegocractin could be effective in treating patients with acute flares of inflammatory bowel disease.

 

LOGO

Systemic administration of CM4620 (zegocractin) alleviates colon inflammation in mice. Histological sections of distal and proximal colon were scored for the presence of inflammatory cells (Colitis Score). CD4+ T cells were isolated from animals after treatment with vehicle or CM4620 and stimulated ex vivo with a phorbol ester (PMA) + ionomycin for 4 hours. Frequencies (%) of IFN-g, TNFα and IL-2 T cells were then determined.

Preclinical Study in Allergic Asthma

The effectiveness of zegocractin (CM4620) was compared in mouse models of asthmatic airway inflammation and influenza A virus infection to determine if inhibition of CRAC channels reduces asthmatic inflammation without interfering with the antiviral response. Researchers from New York University Grossman School of Medicine showed that in a model of allergic airway inflammation oral administration of zegocractin significantly lowered both peribronchiolar inflammation and lung mucus production. Conversely, there was no effect of zegocractin on lung viral load in a model of influenza A virus infection. These results indicate zegocractin may be an effective treatment for allergic asthma but will not decrease the anti-viral response to a viral infection. These data were published recently in the journal Science Advances earlier this year.

 

LOGO

CM4620 (zegocractin) reduces lung inflammation in a mouse model of allergic asthma but does not compromise adaptive immunity to influenza A virus infection. Lung sections from control and CM4620 treated asthmatic mice were stained with hematoxylin and eosin (H&E) or periodic acid- Schiff (PAS) to detect inflammation and mucus production, respectively. Influenza A virus (IAV) expression was quantified in lung by quantitative RT-PCR of RNA for nuclear segment 5 of IAV (a specific probe for IAV), and is presented as expression relative to the housekeeping gene Rpl32.

Preclinical Study in Traumatic Brain Injury

In a preclinical study performed with investigators at the San Francisco Veterans Affairs Hospital and UCSF, CM5480, a proprietary tool compound, was tested in a mouse model of traumatic brain injury in which animals were subjected to a controlled cortical impact with an automated impactor to induce brain injury. It was observed that treatment with CM5480 led to significant protection of mice from traumatic brain injury as determined by decreased lesion size, brain hemorrhage and improved neurological deficits with decreased microglial activation. This study was published in Journal of Neurotrauma in 2019.

 

25


We are conducting preclinical pharmacokinetic and IND-enabling toxicology studies on a number of product candidates from our portfolio in order to identify one that readily crosses the blood-brain barrier. We are evaluating these observations and our preclinical results and will consider whether to submit an IND in this indication in the future.

 

LOGO

CM5480 (CM-EX-137) reduced injury in a traumatic brain injury model in mice.

Sales and Marketing

Given our stage of development, we have not yet established a commercial organization or distribution capabilities. We intend to build a commercial infrastructure to support sales of our product candidates. We expect to manage sales, marketing and distribution through internal resources and third- party relationships. While we may commit significant financial and management resources to commercial activities, we will also consider collaborating with one or more pharmaceutical companies to enhance our commercial capabilities. As our future product candidates progress through our pipeline, our commercial plans may change. Clinical data, the size of the development programs, the size of our target markets, the size of a commercial infrastructure and manufacturing needs may all influence our commercialization strategies.

Manufacturing

We do not own or operate manufacturing facilities for the production of any of our future product candidates, nor do we have plans to develop our own manufacturing operations in the foreseeable future. We currently rely, and expect to continue to rely for the foreseeable future, on third-party contract manufacturing organizations (“CMOs”) for all our required raw materials, drug substance and drug product needs for preclinical research, clinical trials and initial commercialization. We do not have long-term agreements with any of these third parties. We also do not have any current contractual relationships for the manufacture of commercial supplies of any of our future product candidates and do not plan to enter into any until further into clinical development. If any of our products are approved by any regulatory agency, we intend to enter into agreements with a CMO and one or more back-up manufacturers for the commercial production of those products. Development and commercial quantities of any products that we develop will need to be manufactured in facilities, and by processes, that comply with the requirements of the FDA and the regulatory agencies of other jurisdictions in which we are conducting clinical research or seeking marketing approval.

Competition

The pharmaceutical and biotechnology industries are characterized by intense competition and rapid innovation. While we believe that our product candidates, as well as our development experience and scientific knowledge may provide significant advantages, relative to current approaches and therapies in the treatment of acute critical inflammatory diseases and other indications of interest, our competitors may be able to develop other compounds or drugs that are able to achieve similar or better results. We face potential competition from many different sources, including large multinational pharmaceutical companies, established biotechnology companies and specialty pharmaceutical companies, and universities and other research institutions. Many of these groups have materially greater financial, manufacturing, marketing, research and drug development resources than we do. Large pharmaceutical companies in particular have extensive expertise in preclinical and clinical testing and in obtaining regulatory approvals for drugs. Smaller or early-stage companies may also prove to be significant competitors, particularly through collaborative arrangements with large, established companies.

We are a clinical-stage biopharmaceutical company focused on developing therapeutics that treat serious illnesses driven by inflammatory processes and direct cellular damage. The molecular targets we are addressing are CRAC channels, and our most advanced clinical candidate, Auxora, is in clinical trials for AP with accompanying SIRS and severe COVID-19 pneumonia. Other companies, including Daiichi-Sankyo Company, Limited, Rhizen Pharmaceuticals AG, PRCL Research, Inc., Vivreon Biosciences, LLC and ChemiCare srl, have CRAC channel inhibitors (including both small molecules and monoclonal antibodies) in clinical or preclinical development for various indications. Several of these have reached Phase 1 or Phase 2 clinical trials in indications we are not currently pursuing. Any of these companies could elect to re-direct their efforts and compounds to indications we are pursuing.

With respect to our lead indication, AP with accompanying SIRS, we are developing Auxora as a disease- modifying product candidate, whereas other treatments and approaches in clinical development focus on addressing symptoms or sequelae. These include various types of pain medications, anti- inflammatories, anti-coagulants, antibiotics, fluids and feeding regimens. Amryt Pharma Plc and Regeneron Pharmaceuticals, Inc. also have agents in development that seek to reduce the risk of subsequent attacks of AP after a sentinel attack (known as recurrent AP) due to a particular etiology (familial chylomicronemia syndrome (“FCS”)). FCS patients represent less than 2% of the AP population.

With respect to AIPT, there is currently no disease modifying treatment for patients who develop pancreatic toxicity as a result of asparaginase. The current standard of care address symptoms like pain, the inability to eat, and infection.

With respect to our efforts in other acute critical illnesses with Auxora, there are a number of companies, particularly with anti-inflammatory technologies. In the area of AKI, most companies in the space are pursuing strategies to prevent AKI in high risk populations. Currently, to our knowledge, there are no novel compounds in clinical development in the US that are being used to treat rather than prevent AKI. If, however, a strategy to prevent AKI were to be effective, the number of patients we are targeting for Auxora could decrease. In the area of respiratory failure and, specifically, COVID-19 pneumonia, there are a number of companies pursing anti-inflammatory approaches to treating these diseases. Currently, Roche’s tocilizumab, Imclone’s baricitinib, SOBI’s

 

26


anakinra and dexamethasone are all approved under EUAs to treat severe COVID-19 pneumonia patients on oxygen. Sanofi’s sarilumab which has the same mechanism of action as tocilizumab has also been recommended for use in severe COVID-19 pneumonia by WHO. Some of these drugs as well as others currently in development for COVID-19 pneumonia may prove efficacious in broader respiratory failure, particularly respiratory failure caused by viral pneumonias.

Our commercial opportunity could be substantially limited in the event that our competitors develop and commercialize products that are more effective, safer, more convenient or cheaper than our product candidates. In geographies that are critical to our commercial success, competitors may also obtain regulatory approvals before us, resulting in our competitors building a strong market position in advance of our product’s entry. We believe the competitive factors that will determine the success of our programs will be the efficacy, safety, pricing and reimbursement, and convenience of our future product candidates.

Intellectual Property

We have developed and continue to expand our patent portfolio for Auxora. As of July 31, 2023, we have issued patents and pending patent applications in the United States and other countries throughout the world directed to compositions of matter, various methods of use, formulations, and synthetic processes. For patents directed to compositions covering Auxora, we own three issued U.S. patents and 59 issued patents in the following jurisdictions: Argentina, Australia, Austria, Belgium, Bulgaria, Brazil, Canada, Czech Republic, Denmark, Finland, France, Germany, Greece, Hungary, Ireland, Israel, Italy, Japan, Luxembourg, Monaco, Netherlands, Norway, Poland, Portugal, Romania, Spain, Sweden, Slovakia, Switzerland, Turkey, United Kingdom, Eurasian Patent Organization, and Taiwan. We also have one pending U.S. patent application and seven pending patent applications in the following jurisdictions: Japan, Canada, China, India, and Korea directed to compositions covering Auxora. Composition of matter patents for our drug compound portfolio have expirations ranging from 2031 to 2036 with Auxora and other pre-clinical drugs having world-wide composition of matter patents to 2036, not including any patent term adjustment or any patent term extension.

For patents and patent applications directed to methods of using Auxora for the treatment of AP, as of July 31, 2023, we own four issued U.S. patents and 33 issued patents in the following jurisdictions: China, Japan, Australia the Eurasian Patent Organization, Austria, Belgium, Bulgaria, Canada, Czech Republic, Denmark, Finland, France, Germany, Greece, Hungary, Ireland, Italy, Japan, Luxembourg, Monaco, Netherlands, Norway, Poland, Portugal, Romania, Spain, Sweden, Slovakia, Switzerland, Turkey, United Kingdom, and Taiwan. We also own two U.S. patent applications, and fourteen pending patent applications in the following jurisdictions: Argentina, Australia, Canada, China, Europe, Hong Kong, Japan, and Taiwan for other indications. These issued patents and any patents issuing from pending U.S. and ex-U.S. applications are expected to expire between 2031-2041, not including any patent term adjustment or any patent term extension. We have also filed one international application directed to using a subject’s P/F ratio (the ratio of arterial oxygen pressure to fractional inspired oxygen) as a biomarker when treating acute lung injury and acute respiratory distress syndrome with Auxora. Any patents ultimately issuing from this international application are expected to expire around 2043, not including any patent term adjustment or patent term extension.

Additionally, we jointly own one issued U.S. patent, 13 issued patents in the following jurisdictions: Australia, Germany, France, United Kingdom, Belgium, Switzerland, Denmark, Ireland, Italy, Luxembourg, Netherlands, Sweden, and Japan directed to treatment for stroke and traumatic brain injury. We also own one pending patent application in Canada. These patents and any patents issuing from applications are expected to expire around 2036, not including any patent term adjustment or patent term extension. Also, we have filed one provisional application directed to treatment of non-alcoholic fatty liver disease using Auxora. Any patents ultimately issuing from this provision alapplication are expected to expire around 2044, not including any patent term adjustment or patent term extension.

Moreover, for patent protection directed to formulations and crystalline forms of Auxora, we have filed one U.S. patent application, one granted patent in Mexico, and eight pending applications in the following jurisdictions: Australia, Brazil, Canada, China, Europe, Japan, Korea, and Mexico. Any patents that ultimately issue from these patent applications are expected to expire around 2038, not including any patent term adjustment or patent term extension.

With respect to synthetic processes of Auxora, we have filed one U.S. patent application, and pending applications in the following jurisdictions: Canada, China, Europe, Japan, and Korea. Any patents ultimately issuing from these PCT applications are expected to expire around 2040, not including any patent term adjustment or any patent term extension.

Beyond patent coverage for Auxora, we have 22 issued U.S. patents, 39 issued ex-U.S. patents, one pending U.S. patent application, and four pending ex-U.S. patent applications directed to CRAC channel inhibitors and their uses.

In addition to patent protection, we rely on trade secret protection and know-how to expand our proprietary position around our chemistry, technology, and other discoveries and inventions that we consider important to our business.

Government Regulation and Product Approval

As a pharmaceutical company that operates in the United States, we are subject to extensive regulation. Government authorities in the United States (at the federal, state and local level) and in other countries extensively regulate, among other things, the research, development, testing, manufacturing, quality control, approval, labeling, packaging, storage, record-keeping, promotion, advertising, distribution, post-approval monitoring and reporting, marketing and export and import of drug products such as those we are developing. Product candidates that we develop must be approved by the FDA, before they may be legally marketed in the United States and by the appropriate foreign regulatory agency before they may be legally marketed in a foreign country. Generally, our activities in other countries will be subject to regulation that is similar in nature and scope as that imposed in the United States, although there can be important differences. Additionally, some significant aspects of regulation in Europe are addressed in a centralized way, but country-specific regulation remains essential in many respects.

U.S. Drug Development Process

In the United States, the FDA regulates drugs under the Federal Food, Drug and Cosmetic Act (“FDCA”), and its implementing regulations. A new drug must be approved by the FDA pursuant to a new drug application (“NDA”) before it may be legally marketed in the United States. Drugs are also subject to other federal, state and local statutes and regulations. The process of obtaining regulatory approvals and the subsequent compliance with appropriate federal, state, and local statutes and regulations require the expenditure of substantial time and financial resources. Failure to comply with the applicable U.S. requirements at any time during the product development process, approval process or after approval, may subject an applicant to administrative or judicial sanctions. Sanctions brought by the FDA and the Department of Justice (“DOJ”), or other governmental entities, could include, among other actions, refusal to approve pending applications, withdrawal of an approval, a clinical hold, warning letters, product recalls or withdrawals from the market, product seizures, total or partial suspension of production or distribution injunctions, fines, refusals of government contracts, restitution, disgorgement or civil or criminal penalties. Any agency or judicial enforcement action could have a material adverse effect on us.

 

27


The process required by the FDA before a drug may be marketed in the United States generally involves the following:

 

   

completion of extensive preclinical laboratory tests, preclinical animal studies and formulation studies in accordance with applicable regulations, including the FDA’s Good Laboratory Practice (“GLP”) regulations and other applicable regulations;

 

   

submission to the FDA of an IND, which must become effective before human clinical trials may begin;

 

   

approval by an independent institutional review board (“IRB”) at each clinical site before each trial may be initiated;

 

   

preparation of clinical trial material in accordance with current Good Manufacturing Practices (“cGMPs”);

 

   

performance of adequate and well-controlled human clinical trials in accordance with applicable regulations, including the FDA’s good clinical practice (“GCP”) regulations to establish the safety and efficacy of the proposed drug for its proposed indication;

 

   

submission to the FDA of an NDA, including payment of application user fees, after completion of all pivotal trials, and which provides substantive evidence of the products’ candidates safety and efficacy from results of nonclinical testing and clinical trials;

 

   

a determination by the FDA within 60 days of its receipt of an NDA that the application is sufficiently complete to permit a substantive review, in which case the NDA is filed for review;

 

   

satisfactory completion of an FDA pre-approval inspection of the manufacturing facility or facilities where the drug is produced to assess compliance with the FDA’s cGMP requirements to assure that the facilities, methods and controls are adequate to preserve the drug’s identity, strength, quality and purity;

 

   

potential FDA audit of the preclinical and/or clinical trial sites that generated the data in support of the NDA to assess compliance with GCP regulations and data integrity, among other things;

 

   

satisfactory completion of an FDA advisory committee review, if applicable; and

 

   

FDA review and approval of the NDA, including consideration of the views on the FDA advisory committee, if one was involved, prior to any commercial marketing or sale of the drug in the United States.

Before testing any compound with potential therapeutic value in humans, the drug candidate enters the preclinical testing stage. Preclinical tests include laboratory evaluations of product chemistry, toxicity and formulation, as well as animal studies, to assess the potential safety and activity of the drug candidate. The conduct of the preclinical tests must comply with federal regulations and requirements including GLPs. The sponsor must submit the results of the preclinical tests, together with manufacturing information, analytical data, any available clinical data or literature and a proposed clinical protocol, to the FDA as part of the IND. An IND is an exemption from the FDCA that allows an unapproved product to be shipped in interstate commerce for use in an investigational clinical trial and a request for authorization from the FDA to administer an investigational drug product to humans. The central focus of an IND submission is on the general investigational plan and the protocol(s) for human trials. Some preclinical testing may continue even after the IND is submitted. The IND automatically becomes effective 30 days after receipt by the FDA, unless the FDA raises concerns or questions regarding the proposed clinical trials and places the IND on clinical hold within that 30-day time period. In such a case, the IND sponsor and the FDA must resolve any outstanding concerns before the clinical trial can begin. The FDA may also impose complete or partial clinical holds on an IND for a drug candidate at any time before or during clinical trials due to safety concerns or non-compliance. If the FDA imposes a clinical hold, trials may not recommence without FDA authorization and then only under terms authorized by the FDA. Submission of a study protocol, therefore, may or may not result in FDA authorization to begin a clinical trial.

Clinical trials involve the administration of the drug candidate to healthy volunteers or patients under the supervision of qualified investigators, generally physicians not employed by or under the trial sponsor’s control, in accordance with GCPs, which include the requirement that all research participants provide their informed consent for their participation in any clinical trial. Clinical trials are conducted under protocols detailing, among other things, the objectives of the clinical trial, dosing procedures, subject selection and exclusion criteria and the parameters to be used to monitor subject safety and assess efficacy. Each protocol, and any subsequent amendments to the protocol, must be submitted to the FDA as part of the IND. Further, each clinical trial must be reviewed and approved by an independent IRB at or servicing each institution at which the clinical trial will be conducted. An IRB is charged with protecting the welfare and rights of trial participants and considers such items as whether the risks to individuals participating in the clinical trials are minimized and are reasonable in relation to anticipated benefits. The IRB also approves the form and content of the informed consent that must be signed by each clinical trial subject or his or her legal representative and must monitor the clinical trial until completed.

Information related to the investigational product, patient population, phase of investigation, study sites and investigators and other aspects of the clinical trial is made public as part of the U.S. registration of the clinical trial. Sponsors are also obligated to disclose the results of their clinical trials after completion. Disclosure of the results of these trials can be delayed in some cases for up to two years after the date of completion of the trial. Competitors may use this publicly available information to gain knowledge regarding the progress of development programs. Failure to timely register a covered clinical study or to submit study results as provided for in the law can give rise to civil monetary penalties and also prevent the non-compliant party from receiving future grant funds from the federal government.

Human clinical trials are typically conducted in three sequential phases that may overlap or be combined:

 

   

Phase 1. The drug candidate is initially introduced into healthy human participants and tested for safety, dosage tolerance, absorption, metabolism, distribution and excretion, and the side effects associated with increasing doses and if possible, to gain early evidence of effectiveness. In the case of some products for severe or life-threatening diseases, especially when the product may be too inherently toxic to ethically administer to healthy volunteers, the initial human testing is often conducted in patients.

 

   

Phase 2. The drug candidate is evaluated in a limited patient population to identify possible adverse effects and safety risks, to preliminarily evaluate the efficacy of the product for specific targeted diseases or conditions and to determine dosage tolerance, optimal dosage and dosing schedule. Multiple Phase 2 clinical trials may be conducted to obtain information prior to beginning larger and more expensive Phase 3 clinical trials.

 

   

Phase 3. The drug candidate is administered to an expanded patient population to further evaluate dosage and clinical efficacy at geographically dispersed clinical trial sites. These clinical trials are intended to establish the overall benefit/risk ratio of the product and provide an adequate basis for product approval. Generally, two adequate and well-controlled Phase 3 clinical trials are required by the FDA for approval of an NDA.

 

28


Post-approval studies, or Phase 4 clinical trials, may be conducted after initial marketing approval. These trials are used to gain additional experience from the treatment of patients in the intended therapeutic indication. In certain instances, the FDA may mandate the performance of Phase 4 clinical trials as a condition of approval of an NDA.

During the development of a new drug, sponsors are given opportunities to meet with the FDA at certain points. These points may be prior to submission of an IND, at the end of Phase 2, and before an NDA is submitted. Meetings at other times may be requested. These meetings can provide an opportunity for the sponsor to share information about the data gathered to date, for the FDA to provide advice, and for the sponsor and the FDA to reach agreement on the next phase of development. Sponsors typically use the meetings at the end of the Phase 2 trial to discuss Phase 2 clinical results and present plans for the pivotal Phase 3 clinical trials that they believe will support approval of the new drug.

Progress reports detailing the results of the clinical trials must be submitted at least annually to the FDA and written IND safety reports must be submitted to the FDA and the investigators for serious and unexpected AEs or any finding from tests in laboratory animals that suggests a significant risk for human participants. Phase 1, Phase 2 and Phase 3 clinical trials may not be completed successfully within any specified period, if at all. The FDA, the IRB, or the sponsor may suspend or terminate a clinical trial at any time on various grounds, including a finding that the research participants or patients are being exposed to an unacceptable health risk. Similarly, an IRB can suspend or terminate approval of a clinical trial at its institution if the clinical trial is not being conducted in accordance with the IRB’s requirements or if the drug has been associated with unexpected serious harm to patients. Additionally, some clinical trials are overseen by an independent group of qualified experts organized by the clinical trial sponsor, known as a data safety monitoring board or committee. This group provides authorization for whether or not a trial may move forward at designated check points based on access to certain data from the trial.

Concurrent with clinical trials, companies usually complete additional animal studies and must also develop additional information about the chemistry and physical characteristics of the drug as well as finalize a process for manufacturing the product in commercial quantities in accordance with cGMP requirements. The manufacturing process must be capable of consistently producing quality batches of the drug candidate and, among other things, must develop methods for testing the identity, strength, quality and purity of the final drug. Additionally, appropriate packaging must be selected and tested and stability studies must be conducted to demonstrate that the drug candidate does not undergo unacceptable deterioration over its shelf life.

There are also various laws and regulations regarding laboratory practices, the experimental use of animals, and the use and disposal of hazardous or potentially hazardous substances in connection with the research. In each of these areas, the FDA and other regulatory authorities have broad regulatory and enforcement powers, including the ability to levy fines and civil penalties.

U.S. Review and Approval Processes

Assuming successful completion of all required testing in accordance with all applicable regulatory requirements, the results of product development, preclinical studies and clinical trials, along with descriptions of the manufacturing process, analytical tests conducted on the chemistry of the drug candidate, proposed labeling and other relevant information are submitted to the FDA as part of an NDA requesting approval to market the product. Data may come from company-sponsored clinical trials intended to test the safety and effectiveness of a use of a product, or from a number of alternative sources, including studies initiated by investigators. To support marketing approval, the data submitted must be sufficient in quality and quantity to establish the safety and effectiveness of the investigational drug product to the satisfaction of the FDA. The submission of an NDA is subject to the payment of substantial user fees; a waiver of such fees may be obtained under certain limited circumstances.

In addition, the PREA requires a sponsor to conduct pediatric clinical trials for most drugs, for a new active ingredient, new indication, new dosage form, new dosing regimen or new route of administration. Under PREA, original NDAs and supplements must contain a pediatric assessment unless the sponsor has received a deferral or waiver. The required assessment must evaluate the safety and effectiveness of the product for the claimed indications in all relevant pediatric subpopulations and support dosing and administration for each pediatric subpopulation for which the product is safe and effective. Sponsors are required to submit PSPs to the agency for review within sixty days of an end-of-Phase 2 meeting or, if there is no such meeting, as early as practicable before the initiation of the Phase 3 or Phase 2/3 clinical trial. The FDA and the sponsor must reach an agreement on the PSP although a sponsor can submit amendments to an agreed upon PSP at any time if changes to the pediatric plan need to be considered based on data collected from preclinical studies, early phase clinical trials or other clinical development programs. The sponsor or FDA may request a deferral of pediatric clinical trials for some or all of the pediatric subpopulations. A deferral may be granted for several reasons, including a finding that the drug is ready for approval for use in adults before pediatric clinical trials are complete or that additional safety or effectiveness data need to be collected before the pediatric clinical trials begin. The FDA must send a non-compliance letter to any sponsor that fails to submit the required assessment, keep a deferral current or fails to submit a request for approval of a pediatric formulation. The FDA is also required to publicly post the PREA non-compliance letter and sponsor’s response Unless otherwise required by regulation, the Pediatric Research Equity Act does not apply to any drug for an indication for which orphan designation has been granted. However, if only one indication for a product has orphan designation, a pediatric assessment may still be required for any applications to market that same product for the non-orphan indication(s).

The FDA reviews all NDAs submitted to determine if they are substantially complete before it accepts them for filing and may request additional information rather than accepting an NDA for filing. The FDA must make a decision on accepting an NDA for filing within 60 days of receipt. The FDA may refuse to file any NDA that it deems incomplete or not properly reviewable at the time of submission and may request additional information. In this event, the NDA must be resubmitted with the additional information. Once the submission is accepted for filing, the FDA begins an in-depth review of the NDA. Under the PDUFA guidelines that are currently in effect, the FDA has a goal of ten months from the date of “filing” of a standard NDA for a new molecular entity to review and act on the submission. This review typically takes twelve months from the date the NDA is submitted to FDA because the FDA has approximately two months to make a “filing” decision after the application is submitted. The current review goal for priority NDAs for new-molecular entities is six months from the filing date, or eight months from the date of receipt in light of the 60-day filing period. The FDA does not always meet its PDUFA goal dates for standard and priority NDAs, and the review process is often significantly extended by FDA requests for additional information or clarification.

After the NDA submission is accepted for filing, the FDA reviews the NDA to determine, among other things, whether the proposed product is safe and effective for its intended use and whether the product is being manufactured in accordance with cGMP to assure and preserve the product’s identity, strength, quality and purity. The FDA may refer applications for novel drug products or drug products which present difficult questions of safety or efficacy to an advisory committee, typically a panel that includes independent clinicians and other experts, for review, evaluation and a recommendation as to whether the application should be approved and under what conditions. The FDA is not bound by the recommendations of an advisory committee, but it considers such recommendations carefully when making decisions and typically follows the advisory committee’s recommendations.

 

29


Before approving an NDA, the FDA will inspect the facilities at which the product is manufactured. The FDA will not approve the product unless it determines that the manufacturing processes and facilities are in compliance with cGMP requirements and adequate to assure consistent production of the product within required specifications. Additionally, before approving an NDA, the FDA may inspect one or more clinical sites to assure that the clinical trial was conducted in compliance with IND study requirements and GCP requirements by each of the entities involved in the clinical trials, including clinical investigators and any third- party CROs. After the FDA evaluates the application, manufacturing process and manufacturing facilities, it may issue an approval letter or a Complete Response Letter. An approval letter authorizes commercial marketing of the drug with specific prescribing information for specific indications. A Complete Response Letter indicates that the review cycle of the application is complete and the application will not be approved in its present form. A Complete Response Letter usually describes all of the specific deficiencies in the NDA identified by the FDA. The Complete Response Letter may require additional clinical data and/or (an) additional pivotal Phase 3 clinical trial(s), and/or other significant and time- consuming requirements related to clinical trials, preclinical studies or manufacturing. If a Complete Response Letter is issued, the applicant may either resubmit the NDA, addressing all of the deficiencies identified in the letter, or withdraw the application. Even if such data and information are submitted, the FDA may ultimately decide that the NDA does not satisfy the criteria for approval.

If a product receives regulatory approval, the approval may be significantly limited to specific diseases and dosages or the indications for use may otherwise be limited, which could restrict the commercial value of the product. Further, the FDA may require that certain contraindications, warnings or precautions be included in the product labeling or may condition the approval of the NDA on other changes to the proposed labeling, development of adequate controls and specifications, or a commitment to conduct one or more post-market studies or clinical trials. For example, the FDA may require Phase 4 testing, which involves clinical trials designed to further assess a drug safety and effectiveness, and may require testing and surveillance programs to monitor the safety of approved products that have been commercialized; the FDA may prevent or limit further marketing of a product based on the results of post-marketing trials or surveillance programs. The FDA may also determine that a REMS is necessary to ensure that the benefits of the drug outweigh its risks and to assure the safe use of the drug. If the FDA concludes a REMS is needed, the sponsor of the NDA must submit a proposed REMS during the application review process; the FDA will not approve the NDA without an approved REMS, if required. A REMS could include medication guides, physician communication plans, and/or elements to assure safe use, such as restricted distribution methods, patient registries and other risk minimization tools. The FDA determines the requirement for a REMS, as well as the specific REMS provisions, on a case-by-case basis.

Orphan Drug Designation and Exclusivity

Under the Orphan Drug Act the FDA may grant orphan designation to a drug intended to treat a rare disease or condition, which is a disease or condition that affects fewer than 200,000 individuals in the United States or, if it affects more than 200,000 individuals in the United States, there is no reasonable expectation that the cost of developing and making a drug product available in the United States for this type of disease or condition will be recovered from sales of the product. Orphan designation must be requested before submitting an NDA. After the FDA grants orphan designation, the identity of the therapeutic agent and its potential orphan use are disclosed publicly by the FDA. Orphan designation does not convey any advantage in or shorten the duration of the regulatory review and approval process.

If a product that has orphan designation subsequently receives the first FDA approval for the disease or condition for which it has such designation, the product is entitled to orphan product exclusivity, which means that the FDA may not approve any other applications to market the same drug for the same indication for seven years, except in limited circumstances, such as a showing of clinical superiority to the product with orphan exclusivity or inability to manufacture the product in sufficient quantities. The designation of such drug also entitles a party to financial incentives such as opportunities for grant funding towards clinical trial costs, tax advantages and user-fee waivers. Competitors, however, may receive approval of different products for the indication for which the orphan product has exclusivity or obtain approval for the same product but for a different indication for which the orphan product has exclusivity. If an orphan designated product receives marketing approval for an indication broader than what is designated, it may not be entitled to orphan exclusivity.

Expedited Development and Review Programs and Accelerated Approval

The FDA has a fast track designation program that is intended to expedite or facilitate the process for reviewing new drug products that meet certain criteria. Specifically, new drugs are eligible for Fast Track designation if they are intended to treat a serious or life-threatening disease or condition and demonstrate the potential to address unmet medical needs for the disease or condition. Fast track designation applies to the combination of the product and the specific indication for which it is being studied. The sponsor of a fast track product has opportunities for more frequent interactions with the applicable FDA review team during product development and, once a NDA is submitted, the product candidate may be eligible for priority review. With regard to a fast track product, the FDA may consider for review sections of the NDA on a rolling basis before the complete application is submitted, if the sponsor provides a schedule for the submission of the sections of the NDA, the FDA agrees to accept sections of the NDA and determines that the schedule is acceptable, and the sponsor pays any required user fees upon submission of the first section of the NDA.

Any product submitted to the FDA for approval, including a product with a fast track designation, may also be eligible for other types of FDA programs intended to expedite development and review, such as priority review. A product is eligible for priority review if it is designed to treat a serious condition, and if approved, would provide a significant improvement in the treatment, diagnosis or prevention of a serious condition compared to marketed products. The FDA will attempt to direct additional resources to the evaluation of an application for a new drug designated for priority review in an effort to facilitate the review. The FDA endeavors to review applications with priority review designations within six months of the filing date as compared to ten months of the filing date for review of new molecular entity NDAs under its current PDUFA review goals.

In addition, a product may be eligible for accelerated approval. Drug products intended to treat serious or life- threatening diseases or conditions may be eligible for accelerated approval upon a determination that the product has an effect on a surrogate endpoint that is reasonably likely to predict clinical benefit, or on a clinical endpoint that can be measured earlier than irreversible morbidity or mortality, that is reasonably likely to predict an effect on irreversible morbidity or mortality or other clinical benefit, taking into account the severity, rarity, or prevalence of the condition and the availability or lack of alternative treatments. As a condition of approval, the FDA may require that a sponsor of a drug receiving accelerated approval perform adequate and well-controlled post-marketing clinical trials to verify the predicted clinical benefit. Products receiving accelerated approval may be subject to expedited withdrawal procedures if the sponsor fails to conduct the required clinical trials, or if such trials fail to verify the predicted clinical benefit. In addition, the FDA requires as a condition for accelerated approval pre-approval of promotional materials, which could adversely impact the timing of the commercial launch of the product.

A sponsor may seek FDA designation of a drug candidate as a “breakthrough therapy” if the drug is intended, alone or in combination with one or more other drugs, to treat a serious or life-threatening disease or condition and preliminary clinical evidence indicates that the drug may demonstrate substantial improvement over existing therapies on one or more clinically significant endpoints, such as substantial treatment effects observed early in clinical development. Breakthrough therapy designation includes all of the fast track program features, as well as more intensive FDA interaction and guidance. The breakthrough therapy designation is a distinct status from both accelerated approval and priority review, which can also be granted to the same drug if relevant criteria are met. The FDA must take certain actions with respect to breakthrough therapies, such as holding timely meetings and providing advice to the product sponsor, intended to expedite the development and review of an application for approval of a breakthrough therapy.

 

30


Fast track designation, priority review, accelerated approval, and breakthrough therapy designation do not change the standards for approval but may expedite the development, review, or approval process. Even if a product qualifies for one or more of these programs, the FDA may later decide that the product no longer meets the conditions for qualification or decide that the time period for FDA review or approval will not be shortened. In addition, such designations or shortened review periods may not provide a material commercial advantage.

Post-Approval Requirements

Any drug products manufactured or distributed pursuant to FDA approvals are subject to continuing regulation by the FDA, including, among other things, record-keeping requirements, reporting of adverse experiences with the product, providing the FDA with updated safety and efficacy information, product sampling and distribution requirements, and complying with FDA promotion and advertising requirements. After approval, most changes to the approved product, such as adding new indications or other labeling claims, are subject to prior FDA review and approval. There also are continuing, annual program fees for any marketed products.

In addition, quality control and manufacturing procedures must continue to conform to applicable manufacturing requirements after approval to ensure the long term stability of the drug product. cGMP regulations require among other things, quality control and quality assurance as well as the corresponding maintenance of records and documentation and the obligation to investigate and correct any deviations from cGMP. Drug manufacturers and other entities involved in the manufacture and distribution of approved drugs are required to register their establishments with the FDA and certain state agencies, and are subject to periodic unannounced inspections by the FDA and certain state agencies for compliance with cGMP and other laws. Accordingly, manufacturers must continue to expend time, money, and effort in the area of production and quality control to maintain cGMP compliance. In addition, changes to the manufacturing process are strictly regulated, and depending on the significance of the change, may require prior FDA approval before being implemented.

The FDA may withdraw approval if compliance with regulatory requirements and standards is not maintained or if problems occur after the product reaches the market. Later discovery of previously unknown problems with a product, including AEs of unanticipated severity or frequency, or with manufacturing processes, or failure to comply with regulatory requirements, may result in revisions to the approved labeling to add new safety information, imposition of post-market studies or clinical studies to assess new safety risks, or imposition of distribution restrictions or other restrictions under a REMS program. Other potential consequences include, among other things:

 

   

restrictions on the marketing or manufacturing of the product, complete withdrawal of the product from the market or product recalls;

 

   

fines, warning letters, or untitled letters;

 

   

clinical holds on clinical studies;

 

   

refusal of the FDA to approve pending applications or supplements to approved applications, or suspension or revocation of product approvals;

 

   

product seizure or detention, or refusal to permit the import or export of products;

 

   

consent decrees, corporate integrity agreements, debarment or exclusion from federal healthcare programs;

 

   

mandated modification of promotional materials and labeling and the issuance of corrective information;

 

   

the issuance of safety alerts, Dear Healthcare Provider letters, press releases and other communications containing warnings or other safety information about the product; or

 

   

injunctions or the imposition of civil or criminal penalties.

The FDA closely regulates the marketing, labeling, advertising and promotion of drug products, including promotional activities involving the internet and industry-sponsored educational activities. A company can make only those claims relating to safety and efficacy that are approved by the FDA and in accordance with the approved labeling. The FDA and other agencies actively enforce the laws and regulations prohibiting the promotion by manufacturers of uses or patient populations that are not described in the product’s approved labeling (known as “off label uses”). Failure to comply with these requirements can result in, among other things, adverse publicity, warning letters, corrective advertising and potential civil and criminal penalties. Physicians may prescribe, in their independent professional medical judgment, legally available products for uses that are not described in the product’s labeling and that differ from those tested and approved by the FDA. Physicians may believe that such off-label uses are the best treatment for many patients in varied circumstances. The FDA does not regulate the behavior of physicians in their choice of treatments. The FDA does, however, restrict manufacturer’s communications on the subject of off-label use of their products. The federal government has levied large civil and criminal fines against companies for alleged improper promotion of off-label use and has enjoined companies from engaging in off-label promotion. The FDA and other regulatory agencies have also required that companies enter into consent decrees or permanent injunctions under which specified promotional conduct is changed or curtailed. However, companies may share truthful and not misleading information that is otherwise consistent with a product’s FDA-approved labeling.

In addition, the distribution of prescription pharmaceutical products is subject to the Prescription Drug Marketing Act (“PDMA”) which regulates the distribution of drugs and drug samples at the federal level, and sets minimum standards for the registration and regulation of wholesale drug distributors by the states. Both the PDMA and state laws limit the distribution of prescription pharmaceutical product samples and impose requirements to ensure accountability in distribution. Most recently, the Drug Supply Chain Security Act (“DSCSA”) was enacted with the aim of building an electronic system to identify and trace certain prescription drugs distributed in the United States. The DSCSA mandates phased-in and resource-intensive obligations for pharmaceutical manufacturers, wholesale distributors, and dispensers over a 10 year period that is expected to culminate in November 2023.

U.S. Patent Term Restoration and Marketing Exclusivity

Depending upon the timing, duration and specifics of the FDA approval of the use of our product candidates, some of our U.S. patents, if granted, may be eligible for limited patent term extension under the Drug Price Competition and Patent Term Restoration Act of 1984, commonly referred to as the Hatch-Waxman Amendments. The Hatch-Waxman Amendments permit a patent restoration term of up to five years, as compensation for patent term lost during product development and the FDA regulatory review process. However, patent term restoration cannot extend the remaining term of a patent beyond a total of 14 years from the product’s approval date. The patent term restoration period is generally one-half the time between the effective date of an IND and the submission date of an NDA plus the time between the submission date of an NDA and the approval of that application. Only one patent applicable to an approved drug is eligible for the extension and the application for the extension must be submitted prior to the expiration of the patent.

 

31


The U.S. Patent and Trademark Office, in consultation with the FDA, reviews and approves the application for any patent term extension or restoration. In the future, we may intend to apply for restoration of patent term for one of our currently owned or licensed patents to add patent life beyond its current expiration date, depending on the expected length of the clinical trials and other factors involved in the filing of the relevant NDA.

In addition, the Hatch-Waxman Amendments to the FDCA authorized the FDA to approve generic drugs that are the same as drugs previously approved by the FDA under the NDA provisions of the statute and also enacted Section 505(b)(2) of the FDCA. To obtain approval of a generic drug, an applicant must submit an abbreviated new drug application (“ANDA”), to the agency. In support of such applications, a generic manufacturer may rely on the preclinical and clinical testing conducted for a drug product previously approved under an NDA, known as the reference listed drug (“RLD”). Specifically, in order for an ANDA to be approved, the FDA must find that the generic version is identical to the RLD with respect to the active ingredients, the route of administration, the dosage form, and the strength of the drug. In contrast, Section 505(b)(2) permits the filing of an NDA where at least some of the information required for approval comes from studies not conducted by or for the applicant and for which the applicant has not obtained a right of reference. A Section 505(b)(2) applicant may eliminate the need to conduct certain preclinical or clinical studies, if it can establish that reliance on studies conducted for a previously-approved product is scientifically appropriate. Unlike the ANDA pathway used by developers of bioequivalent versions of innovator drugs, which does not allow applicants to submit new clinical data other than bioavailability or bioequivalence data, the 505(b)(2) regulatory pathway does not preclude the possibility that a follow-on applicant would need to conduct additional clinical trials or nonclinical studies; for example, they may be seeking approval to market a previously approved drug for new indications or for a new patient population that would require new clinical data to demonstrate safety or effectiveness. The FDA may then approve the new product for all or some of the label indications for which the RLD has been approved, or for any new indication sought by the Section 505(b)(2) applicant, as applicable Market exclusivity provisions under the FDCA can also delay the submission or the approval of certain marketing applications. The FDCA provides a five-year period of non-patent marketing exclusivity within the United States to the first applicant to obtain approval of an NDA for a new chemical entity. A drug is a new chemical entity if the FDA has not previously approved any other new drug containing the same active moiety, which is the molecule or ion responsible for the action of the drug substance. During the exclusivity period, the FDA may not approve an ANDA or a 505(b)(2) NDA submitted by another company for another drug based on the same active moiety, regardless of whether the drug is intended for the same indication as the RLD or for another indication, where the applicant does not own or have a legal right of reference to all the data required for approval. However, an application may be submitted after four years if it contains a certification of patent invalidity or non-infringement to one of the patents listed with the FDA by the RLD holder. The FDCA also provides three years of marketing exclusivity for an NDA, or a supplement to an existing NDA, if new clinical investigations, other than bioavailability studies, that were conducted or sponsored by the applicant are deemed by the FDA to be essential to the approval of the application, for example new indications, dosages or strengths of an existing drug. This three-year exclusivity covers only the modification for which the drug received approval on the basis of the new clinical investigations and does not prohibit the FDA from approving ANDAs or 505(b)(2) NDAs for drugs containing the original active agent. Five-year and three-year exclusivity will not delay the submission or approval of a full NDA filed under section 505(b)(1) of the FDCA. However, an applicant submitting a full NDA would be required to either conduct or obtain a right of reference to all of the preclinical studies and adequate and well- controlled clinical trials necessary to demonstrate safety and effectiveness.

Orphan drug exclusivity, as described above, may offer a seven-year period of marketing exclusivity, except in certain circumstances. Pediatric exclusivity is another type of non-patent market exclusivity in the United States. Pediatric exclusivity, if granted, adds six months to existing exclusivity periods and patent terms. This six-month exclusivity, which runs from the end of other exclusivity protection or patent term, may be granted based on the voluntary completion of a pediatric trial in accordance with an FDA-issued “Written Request” for such a trial.

Federal and State Fraud and Abuse, Data Privacy and Security, and Transparency Laws and Regulations

In addition to FDA restrictions on marketing of pharmaceutical products, federal and state healthcare laws and regulations restrict business practices in the biopharmaceutical industry. These laws may impact, among other things, our current and future business operations, including our clinical research activities, and proposed sales, marketing and education programs and may constrain the business or financial arrangements and relationships with healthcare providers and other parties through which we market, sell and distribute our products for which we obtain marketing approval. These laws include anti-kickback and false claims laws and regulations, data privacy and security, and transparency laws and regulations, including, without limitation, those laws described below.

The U.S. federal Anti-Kickback Statute prohibits any person or entity from, among other things, knowingly and willfully offering, paying, soliciting or receiving remuneration to induce or in return for purchasing, leasing, ordering or arranging for or recommending the purchase, lease or order of any item or service reimbursable under Medicare, Medicaid or other federal healthcare programs. The term “remuneration” has been broadly interpreted to include anything of value. The U.S. federal Anti-Kickback Statute has been interpreted to apply to arrangements between pharmaceutical manufacturers on the one hand and prescribers, purchasers and formulary managers on the other. Although there are a number of statutory exceptions and regulatory safe harbors protecting some common activities from prosecution, the exceptions and safe harbors are drawn narrowly. Practices that involve remuneration that may be alleged to be intended to induce prescribing, purchases or recommendations may be subject to scrutiny if they do not qualify for an exception or safe harbor. Several courts have interpreted the statute’s intent requirement to mean that if any one purpose of an arrangement involving remuneration is to induce referrals of federal healthcare covered business, the statute has been violated. Failure to meet all of the requirements of a particular applicable statutory exception or regulatory safe harbor does not make the conduct per se illegal under the Anti-Kickback Statute. Instead, the legality of the arrangement will be evaluated on a case-by-case basis based on a cumulative review of all of its facts and circumstances. Our practices may not in all cases meet all of the criteria for protection under a statutory exception or regulatory safe harbor.

A person or entity does not need to have actual knowledge of this statute or specific intent to violate it in order to have committed a violation. In addition, the government may assert that a claim including items or services resulting from a violation of the U.S. federal Anti-Kickback Statute constitutes a false or fraudulent claim for purposes of the federal civil FCA or the civil monetary penalties laws.

Federal civil and criminal false claims laws and civil monetary penalties laws, including the federal civil FCA, prohibit any person or entity from, among other things, knowingly presenting, or causing to be presented, a false claim for payment to the federal government or knowingly making, using or causing to be made or used a false record or statement material to a false or fraudulent claim to the federal government. Actions under these laws may be brought by the Attorney General or as a qui tam action by a private individual in the name of the government. A claim includes “any request or demand” for money or property presented to the U.S. government. Pharmaceutical and other healthcare companies have been prosecuted under these laws for, among other things, allegedly providing free product to customers with the expectation that the customers would bill federal programs for the product and for causing false claims to be submitted because of the companies’ marketing of products for unapproved, and thus non-reimbursable, uses.

The federal Health Insurance Portability and Accountability Act of 1996 (“HIPAA”) also created new federal criminal statutes that prohibit, among other things, knowingly and willfully executing, or attempting to execute, a scheme to defraud or to obtain, by means of false or fraudulent pretenses, representations or promises, any money or property owned by, or under the control or custody of, any healthcare benefit program, including private third-party payors and knowingly and willfully falsifying, concealing or covering up by trick, scheme or device, a material fact or making any materially false, fictitious or fraudulent statement in connection with the delivery of or payment for healthcare benefits, items or services. Similar to the federal Anti- Kickback Statute, a person or entity does not need to have actual knowledge of the statute or specific intent to violate it in order to have committed a violation. Also, many states have similar fraud and abuse statutes or regulations that apply to items and services reimbursed under Medicaid and other state programs, or, in several states, apply regardless of the payor.

 

32


In addition, we may be subject to data privacy and security regulation by both the federal government and the states in which we conduct our business. HIPAA, as amended by the Health Information Technology for Economic and Clinical Health Act (“HITECH”), and their respective implementing regulations, impose specified requirements on certain types of individuals and entities, including covered entities, business associates and their covered subcontractors, relating to the privacy, security and transmission of individually identifiable health information. Among other things, HITECH makes HIPAA’s security standards directly applicable to “business associates,” defined as independent contractors or agents of covered entities, which include certain healthcare providers, healthcare clearinghouses and health plans, that create, receive, maintain or transmit individually identifiable health information in connection with providing a service for or on behalf of a covered entity. HITECH also increased the civil and criminal penalties that may be imposed against covered entities, business associates and possibly other persons, and gave state attorneys general new authority to file civil actions for damages or injunctions in federal courts to enforce HIPAA and seek attorney’s fees and costs associated with pursuing federal civil actions. In addition, state laws govern the privacy and security of health information in certain circumstances, many of which are not pre-empted by HIPAA, differ from each other in significant ways and may not have the same effect, thus complicating compliance efforts.

Additionally, the federal Physician Payments Sunshine Act, and its implementing regulations, require that certain manufacturers of drugs, devices, biological and medical supplies for which payment is available under Medicare, Medicaid or the Children’s Health Insurance Program (with certain exceptions) annually report information related to certain payments or other transfers of value made or distributed to physicians (currently defined to include doctors, dentists, optometrists, podiatrists and chiropractors), certain other healthcare professionals (such as physician assistants and nurse practitioners) and teaching hospitals, as well as ownership and investment interests held by physicians and their immediate family members.

We may also be subject to state laws that require pharmaceutical companies to comply with the pharmaceutical industry’s voluntary compliance guidelines and the relevant compliance guidance promulgated by the federal government, state laws that require drug manufacturers to report information related to payments and other transfers of value to physicians and other healthcare providers, marketing expenditures or drug pricing, and state and local laws that require the registration of pharmaceutical sales representatives.

In addition, certain states require, the registration of manufacturers and wholesale distributors of pharmaceutical products. All of our activities are also potentially subject to federal and state consumer protection and unfair competition laws.

Because of the breadth of these laws and the narrowness of available statutory exceptions and regulatory safe harbors, it is possible that some of our business activities could be subject to challenge under one or more of such laws. If our operations are found to be in violation of any of the federal and state healthcare laws described above or any other governmental regulations that apply to us, we may be subject to significant penalties, including without limitation, civil, criminal and/or administrative penalties, damages, fines, disgorgement, imprisonment, exclusion from participation in government programs, such as Medicare and Medicaid, injunctions, private “qui tam” actions brought by individual whistleblowers in the name of the government, or refusal to allow us to enter into government contracts, contractual damages, reputational harm, administrative burdens, diminished profits and future earnings, and the curtailment or restructuring of our operations, any of which could adversely affect our ability to operate our business and our results of operations. To the extent that any of our products are sold in a foreign country, we may be subject to similar foreign laws and regulations, which may include, for instance, applicable post-marketing requirements, including safety surveillance, anti- fraud and abuse laws, implementation of corporate compliance programs, reporting of payments or transfers of value to healthcare professionals, and additional data privacy and security requirements.

Pharmaceutical Coverage, Pricing and Reimbursement

Significant uncertainty exists as to the coverage and reimbursement status of any product candidates for which we or our collaborators obtain regulatory approval. In the United States and markets in other countries, sales of any products for which we receive regulatory approval for commercial sale will depend, in part, on the extent to which third-party payors provide coverage, and establish adequate reimbursement levels for such drug products.

In the United States, third-party payors include federal and state healthcare programs, government authorities, private managed care providers, private health insurers and other organizations. Third-party payors are increasingly challenging the price, examining the medical necessity and reviewing the cost-effectiveness of medical drug products and medical services, in addition to questioning their safety and efficacy. Such payors may limit coverage to specific drug products on an approved list, also known as a formulary, which might not include all of the FDA-approved drugs for a particular indication. We or our collaborators may need to conduct expensive pharmaco-economic studies in order to demonstrate the medical necessity and cost-effectiveness of our products, in addition to the costs required to obtain the FDA approvals. Nonetheless, our product candidates may not be considered medically necessary or cost-effective. Moreover, the process for determining whether a third-party payor will provide coverage for a drug product may be separate from the process for setting the price of a drug product or for establishing the reimbursement rate that such a payor will pay for the drug product. A payor’s decision to provide coverage for a drug product does not imply that an adequate reimbursement rate will be approved. Further, no uniform policy for coverage and reimbursement exists in the United States, and coverage and reimbursement can differ significantly from payor to payor. As a result, one payor’s determination to provide coverage for a drug product does not assure that other payors will also provide coverage for the drug product. Adequate third-party reimbursement may not be available to enable us to maintain price levels sufficient to realize an appropriate return on our investment in product development.

If we elect to participate in certain governmental programs, we may be required to participate in discount and rebate programs, which may result in prices for our future products that will likely be lower than the prices we might otherwise obtain. For example, drug manufacturers participating under the Medicaid Drug Rebate Program must pay rebates on prescription drugs to state Medicaid programs.

Different pricing and reimbursement schemes exist in other countries. In the EU, governments influence the price of pharmaceutical products through their pricing and reimbursement rules and control of national health care systems that fund a large part of the cost of those products to consumers. Some jurisdictions operate positive and negative list systems under which products may only be marketed once a reimbursement price has been agreed. To obtain reimbursement or pricing approval, some of these countries may require the completion of clinical trials that compare the cost-effectiveness of a particular drug candidate to currently available therapies. Other member states allow companies to fix their own prices for medicines, but monitor and control company profits. The downward pressure on health care costs in general, particularly prescription drugs, has become very intense. As a result, increasingly high barriers are being erected to the entry of new products. In addition, in some countries, cross-border imports from low-priced markets exert a commercial pressure on pricing within a country.

The marketability of any product candidates for which we or our collaborators receive regulatory approval for commercial sale may suffer if the government and third-party payors fail to provide adequate coverage and reimbursement. In addition, emphasis on managed care in the United States has increased and we expect will continue to increase the pressure on pharmaceutical pricing. Coverage policies and third-party reimbursement rates may change at any time. Even if favorable coverage and reimbursement status is attained for one or more products for which we or our collaborators receive regulatory approval, less favorable coverage policies and reimbursement rates may be implemented in the future.

 

33


Healthcare Reform

The FDA’s and other regulatory authorities’ policies may change and additional government regulations may be enacted that could prevent, limit or delay regulatory approval of our product candidates. For example, in December 2016, the 21st Century Cures Act (“Cures Act”) was signed into law. The Cures Act, among other things, was intended to modernize the regulation of drugs and devices and to spur innovation. Legislative proposals continue to be discussed in the U.S. Congress as potentially leading to a future “Cures 2.0” bill that is expected to have bipartisan support. In addition, in August 2017, the FDA Reauthorization Act was signed into law, which reauthorized the FDA’s user fee programs and included additional drug product provisions. The legislative reauthorization was completed in 2022, which reauthorized four of the largest FDA user fee programs for next five-year cycle. If we are slow or unable to adapt to changes in existing requirements or the adoption of new requirements or policies, or if we are not able to maintain regulatory compliance, we may lose any marketing approval that we otherwise may have obtained and we may not achieve or sustain profitability, which would adversely affect our business, prospects, financial condition and results of operations.

In addition, a primary trend in the U.S. healthcare industry and elsewhere is cost containment. Government authorities and other third-party payors in the United States have attempted to control costs by limiting coverage and the amount of reimbursement for particular medical products and services, implementing reductions in Medicare and other healthcare funding and applying new payment methodologies. For example, in March 2010, the Patient Protection and Affordable Care Act, as amended by the Health Care and Education Reconciliation Act (collectively “Affordable Care Act”), was enacted, which substantially changed the way healthcare is financed by both the government and private insurers, and continues to significantly impact the U.S. pharmaceutical industry.

As another example, the 2021 Consolidated Appropriations Act signed into law on December 27, 2020 incorporated extensive healthcare provisions and amendments to existing laws, including a requirement that all manufacturers of drugs and biological products covered under Medicare Part B report the product’s average sales price to the Department of Health and Human Services (“HHS”) beginning on January 1, 2022, subject to enforcement via civil money penalties.

There have been executive, judicial and Congressional challenges to certain aspects of the Affordable Care Act since its enactment, and it is possible that there will be additional challenges and amendments to the Affordable Care Act in the future. For example, the Tax Act repealed penalties, for not complying with the Affordable Care Act’s individual mandate to carry health insurance, commonly referred to as the “individual mandate.” Following several years of litigation in the federal courts, in June 2021 the U.S. Supreme Court upheld the Affordable Care Act when it dismissed a legal challenge on procedural grounds to the Affordable Care Act’s constitutionality following the legislative repeal of the individual mandate. Prior to the Supreme Court’s decision, President Biden issued an executive order that initiated a special enrollment period for purposes of obtaining health insurance coverage through the Affordable Care Act marketplace. The executive order also instructed certain governmental agencies to review and reconsider their existing policies and rules that limit access to healthcare, including among others, reexamining Medicaid demonstration projects and waiver programs that include work requirements, and policies that create unnecessary barriers to obtaining access to health insurance coverage through Medicaid or the Affordable Care Act. On August 16, 2022, President Biden signed the Inflation Reduction Act of 2022 (“IRA”) into law, which among other things, extends enhanced subsidies for individuals purchasing health insurance coverage in Affordable Care Act marketplaces through plan year 2025. The IRA also eliminates the “donut hole” under the Medicare Part D program beginning in 2025 by significantly lowering the beneficiary maximum out-of-pocket cost through a newly established manufacturer discount program. It is possible that the Affordable Care Act will be subject to additional challenges in the future. It is unclear how any such challenges and the healthcare reform measures of the Biden administration will impact the Affordable Care Act, our business, or financial condition.

Other legislative changes have also been proposed and adopted in the United States since the Affordable Care Act was enacted that affect health care expenditures. These changes include aggregate reductions to Medicare payments to providers of up to 2% per fiscal year pursuant to the Budget Control Act of 2011, which began in 2013 and will remain in effect until 2032, unless additional Congressional action is taken.

There has been heightened governmental scrutiny recently over the manner in which pharmaceutical companies set prices for their marketed products, which has resulted in several Congressional inquiries, presidential executive orders and proposed federal legislation, as well as state efforts, designed to, among other things, bring more transparency to product pricing, reduce the cost of prescription drugs under Medicare, review the relationship between pricing and manufacturer patient programs, and reform government program reimbursement methodologies for drug products.

At the federal level, in July 2021, President Biden issued a sweeping executive order on promoting competition in the American economy that includes several mandates pertaining to the pharmaceutical and healthcare insurance industries. Among other things, the executive order directs the FDA to work towards implement a system for importing drugs from Canada (following on a Trump administration notice-and-comment rulemaking on Canadian drug importation that was finalized in October 2020). The Biden order includes several directives regarding the Federal Trade Commission’s oversight of potentially anticompetitive practices within the pharmaceutical industry. In response to President Biden’s executive order, on September 9, 2021, HHS released a Comprehensive Plan for Addressing High Drug Prices that outlines principles for drug pricing reform and sets out a variety of potential legislative policies that Congress could pursue to advance these principles. In addition, the IRA, among other things, (1) directs HHS to negotiate the price of certain single-source drugs and biologics covered under Medicare and (2) imposes rebates under Medicare Part B and Medicare Part D to penalize price increases that outpace inflation. These provisions will take effect progressively starting in fiscal year 2023, although the Medicare drug price negotiation program is currently subject to legal challenges. It is currently unclear how the IRA will be implemented but is likely to have a significant impact on the pharmaceutical industry. Further, in response to the Biden administration’s October 2022 executive order, on February 14, 2023, HHS released a report outlining three new models for testing by the Centers for Medicare & Medicaid Innovation Center which will be evaluated on their ability to lower the cost of drugs, promote accessibility, and improve quality of care. It is unclear whether the models will be utilized in any health reform measures in the future. At the state level, legislatures have increasingly passed legislation and implemented regulations designed to control pharmaceutical product pricing, including price or patient reimbursement constraints, discounts, restrictions on certain product access and marketing cost disclosure and transparency measures.

We cannot predict the likelihood, nature or extent of government regulation that may arise from future legislation or administrative or executive action. We anticipate that such new laws will result in additional downward pressure on coverage and the price that we receive for any approved product, and could seriously harm our business. Any reduction in reimbursement from Medicare and other government programs may result in a similar reduction in payments from private payors. The implementation of cost containment measures or other healthcare reforms may prevent us from being able to generate revenue, attain profitability, or commercialize our products. In addition, it is possible that there will be further legislation or regulation that could harm our business, financial condition, and results of operations. Additionally, health reform initiatives may arise in the future.

 

34


Privacy and Security Laws

In the United States and in addition to federal laws described above, state laws govern the privacy and security of health information in specified circumstances, many of which differ from each other in significant ways and may not have the same effect, thus complicating compliance efforts. For instance, California recently enacted the California Consumer Privacy Act (“CCPA”), which went into effect on January 1, 2020. The CCPA creates new individual privacy rights for California consumers (as defined in the law) and places increased privacy and security obligations on entities handling certain personal information of consumers or households. The CCPA, among other things, creates new data privacy obligations for covered companies and provides new privacy rights to California residents, including the right to access and delete their personal information, opt out of certain personal information sharing, and receive detailed information about how their personal information is used. The CCPA also creates a private right of action with statutory damages for certain data breaches, thereby potentially increasing risks associated with a data breach. Further, a new privacy law, the California Privacy Rights Act (“CPRA”), was approved by California voters on November 3, 2020. When it goes into effect on January 1, 2023, the CPRA will modify significantly the CCPA, potentially resulting in further uncertainty and requiring us to incur additional costs and expenses in an effort to comply. Both the CCPA and CPRA could impact our business activities depending on how they are interpreted and exemplifies the vulnerability of our business to not only cyber threats but also the evolving regulatory environment related to personal data and protected health information. Other states have begun enacting their own laws similar to the CCPA, and to date both the Virginia and Colorado legislatures have passed such sweeping measures.

We also are or will become subject to applicable privacy laws in the jurisdictions in which we are established or in which we sell or market our products or run clinical trials. For example, if we conduct EU-based clinical trials, we will be subject to the General Data Protection Regulation (“GDPR”) in relation to our collection, control, processing and other use of personal data of data participants within the European Economic Area (“EEA”) (i.e. data relating to an identifiable living individual). We process personal data in relation to participants in our clinical trials in the EEA, including the health and medical information of these participants. The GDPR is directly applicable in each EU and EEA Member State, however, it provides that EU and EEA Member States may introduce further conditions, including limitations which could limit our ability to collect, use and share personal data (including health and medical information), or could cause our compliance costs to increase, ultimately having an adverse impact on our business. The GDPR imposes onerous accountability obligations requiring data controllers and processors to maintain a record of their data processing activities and implement policies as part of its mandated privacy governance framework. It also requires data controllers to be transparent and disclose to data participants (in a concise, intelligible and easily accessible form) how their personal data is to be used, imposes limitations on retention of personal data; defines for the first time pseudonymized (i.e., key-coded) data; introduces mandatory data breach notification requirements; and sets higher standards for data controllers to demonstrate that they have obtained valid consent for certain data processing activities. If in the future we conducted clinical trials in the EU we would be subject to EU rules with respect to cross-border transfers of personal data out of the EU and EEA. We would be subject to the supervision of local data protection authorities in those EU jurisdictions where we conduct our trials or are otherwise subject to the GDPR. Fines for certain breaches of the GDPR are significant: up to the greater of €20 million or 4% of total global annual turnover. In addition to the foregoing, a breach of the GDPR or other applicable privacy and data protection laws and regulations could result in regulatory investigations, reputational damage, orders to cease/change our use of data, enforcement notices, or potential civil claims including class action type litigation.

In addition, the GDPR includes restrictions on cross-border data transfers. Certain aspects of cross-border data transfers under the GDPR are uncertain as the result of legal proceedings in the EU, including a recent decision by the Court of Justice for the EU that invalidated the EU-U.S. Privacy Shield and, to some extent, called into question the efficacy and legality of using standard contract clauses. This may increase the complexity of transferring personal data across borders. The GDPR will increase our responsibility and liability in relation to personal data that we process where such processing is subject to the GDPR, and we may be required to put in place additional mechanisms to ensure compliance with the GDPR, including as implemented by individual countries. Switzerland has adopted similar restrictions under the DPA. Although there are legal mechanisms to allow for the transfer of personal data from the EEA to the United States, they are subject to legal challenges and uncertainty about compliance with EU data protection laws remains. There are similar uncertainties around data transfers to and from the United Kingdom following its departure from the EU and the end of the transition period.

Further, the vote in the United Kingdom in favor of exiting the EU, referred to as Brexit, has created uncertainty with regard to data protection regulation in the United Kingdom. Specifically, while the Data Protection Act of 2018, which “implements” and complements the GDPR achieved Royal Assent on May 23, 2018 and is now effective in the United Kingdom, aspects of data protection in the United Kingdom, such as the transfer of data from the EEA to the United Kingdom, remain uncertain. Beginning in 2021, the United Kingdom became a “third country” under the GDPR.

The U.S. Foreign Corrupt Practices Act

The U.S. Foreign Corrupt Practices Act of 1977 (“FCPA”) prohibits any U.S. individual or business from paying, offering, or authorizing payment or offering of anything of value, directly or indirectly, to any foreign official, political party or candidate for the purpose of influencing any act or decision of the foreign entity in order to assist the individual or business in obtaining or retaining business. The FCPA also obligates companies whose securities are listed in the United States to comply with accounting provisions requiring the company to maintain books and records that accurately and fairly reflect all transactions of the corporation, including international subsidiaries, and to devise and maintain an adequate system of internal accounting controls for international operations. Importantly, United States authorities that enforce the FCPA, including the Department of Justice, deem most healthcare professionals and other employees of foreign hospitals, clinics, research facilities and medical schools in countries with public health care or public education systems to be “foreign officials” under the FCPA. We also may be implicated under the FCPA for activities by our partners, collaborators, contract research organizations, vendors or other agents. If and when we interact with foreign healthcare professionals and researchers in testing and marketing our products abroad, we must have policies and procedures in place sufficient to prevent us and agents acting on our behalf from providing any bribe, gift or gratuity, including excessive or lavish meals, travel or entertainment in connection with marketing our products and services or securing required permits and approvals such as those needed to initiate clinical trials in foreign jurisdictions.

Europe/Rest of World Government Regulation

In addition to regulations in the United States, we will be subject to a variety of regulations in other jurisdictions governing, among other things, clinical trials and any commercial sales and distribution of our products. Whether or not we or our potential collaborators obtain FDA approval for a product, we must obtain the requisite approvals from regulatory authorities in foreign countries prior to the commencement of clinical trials or marketing of the product in those countries. Certain countries outside of the United States have a similar process that requires the submission of an application for a clinical trial authorization (“CTA”) much like the IND prior to the commencement of human clinical trials. In the EU, for example, a CTA must be submitted to each country’s national health authority and an application made to an independent ethics committee, much like the FDA and IRB, respectively. Once the CTA is approved in accordance with a country’s requirements and a favorable ethics committee opinion has been issued, clinical trial development may proceed.

Following the United Kingdom’s departure from the EU on January 31, 2020, the United Kingdom followed the same regulations as the EU until the end of 2020, during the so-called Transition Period. As of January 1, 2021, the Medicines and Healthcare products Regulatory Agency (“MHRA”) is the United Kingdom’s standalone medicines and medical devices regulator. As a result of the Northern Ireland protocol, different rules will apply in Northern Ireland than in England, Wales, and Scotland, together, Great Britain (“GB”); broadly, Northern Ireland will continue to follow the EU regulatory regime, but its national competent authority will remain the MHRA. The MHRA has recently published detailed guidance for industry and organizations to follow from January 1, 2021 now that the Transition Period is over, which will be updated as the United Kingdom’s regulatory position on medicinal products evolves over time. The guidance includes clinical trials, marketing authorizations, importing, exporting, and pharmacovigilance and is relevant to any business involved in the research, development, or commercialization of medicines in the United Kingdom.

 

35


The requirements and process governing the conduct of clinical trials, product licensing, pricing and reimbursement vary from country to country. In all cases, the clinical trials are conducted in accordance with GCP and the applicable regulatory requirements and the ethical principles that have their origin in the Declaration of Helsinki.

To obtain regulatory approval of an investigational drug under EU regulatory systems, we must submit a marketing authorization application either under the so-called centralized or national authorization procedures.

Centralized procedure. The centralized procedure provides for the grant of a single marketing authorization by the European Commission following a favorable opinion by the EMA that is valid in all EU member states, as well as Iceland, Liechtenstein and Norway. The centralized procedure is compulsory for medicines produced by specified biotechnological processes, products designated as orphan medicinal products, and products with a new active substance indicated for the treatment of specified diseases, such as HIV/AIDS, cancer, diabetes, neurodegenerative disorders or autoimmune diseases, other immune dysfunctions and viral diseases. The centralized procedure is optional for other products that represent a significant therapeutic, scientific or technical innovation, or whose authorization would be in the interest of public health or which contain a new active substance for indications other than those specified to be compulsory.

National authorization procedures. There are also two other possible routes to authorize medicinal products in several EU countries, which are available for investigational medicinal products that fall outside the scope of the centralized procedure:

 

   

Decentralized procedure. Using the decentralized procedure, an applicant may apply for simultaneous authorizations in more than one EU Member State of medicinal products that have not yet been authorized in any EU Member State and that do not fall within the mandatory scope of the centralized procedure.

 

   

Mutual recognition procedure. In the mutual recognition procedure, a medicine is first authorized in one EU Member State, in accordance with the national procedures of that country. Following this, further marketing authorizations can be sought from other EU countries in a procedure whereby the countries concerned agree to recognize the validity of the original, national marketing authorization.

The EMA grants orphan drug designation to promote the development of products for the treatment, prevention or diagnosis of life-threatening or chronically debilitating conditions affecting not more than five in 10,000 people in the EU. In addition, orphan drug designation can be granted if the drug is intended for a life threatening or chronically debilitating condition in the EU and without incentives it is unlikely that sales of the drug in the EU would be sufficient to justify the investment required to develop the drug. Orphan drug designation is only available if there is no other satisfactory method approved in the EU of diagnosing, preventing or treating the condition, or if such a method exists, the proposed orphan drug will be of significant benefit to patients. Orphan drug designation provides opportunities for free or reduced-fee protocol assistance, fee reductions for marketing authorization applications and other post-authorization activities and ten years of market exclusivity following drug approval, which can be extended to 12 years if trials are conducted in accordance with an agreed-upon pediatric investigational plan. The exclusivity period may be reduced to six years if the designation criteria are no longer met, including where it is shown that the product is sufficiently profitable not to justify maintenance of market exclusivity.

For other countries outside of the EU, such as countries in Eastern Europe, Latin America or Asia, the requirements governing the conduct of clinical trials, product licensing, pricing and reimbursement vary from country to country. In all cases, again, the clinical trials are conducted in accordance with GCP and the applicable regulatory requirements and the ethical principles that have their origin in the Declaration of Helsinki.

If we or our potential collaborators fail to comply with applicable foreign regulatory requirements, we may be subject to, among other things, fines, suspension or withdrawal of regulatory approvals, product recalls, seizure of products, operating restrictions and criminal prosecution.

Facilities

Our corporate headquarters are located in La Jolla, California, where we lease approximately 2400 square feet of office and laboratory space pursuant to a lease agreement. We believe that our existing facilities are adequate for the foreseeable future. As we expand, we believe that suitable additional alternative spaces will be available in the future on commercially reasonable terms, if required.

Employees and Human Capital Resources

As of June 30, 2023, we had 15 full-time employees, seven of whom were primarily engaged in research and development activities. A total of three employees have an M.D., Ph.D. or Pharm.D. degree. Most of our employees are located in La Jolla, California. None of our employees is represented by a labor union and we consider our employee relations to be good. We also engage various consultants that are primarily engaged in research and development activities.

Our human capital resources objectives include, as applicable, identifying, recruiting, retaining, incentivizing and integrating our existing and additional employees. The principal purposes of our equity incentive plans are to attract, retain and motivate selected employees, consultants and directors through the granting of stock-based compensation awards and cash-based performance bonus awards.

 

36