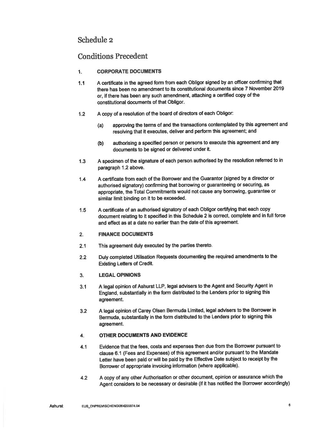
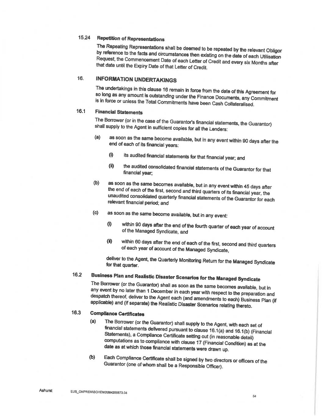
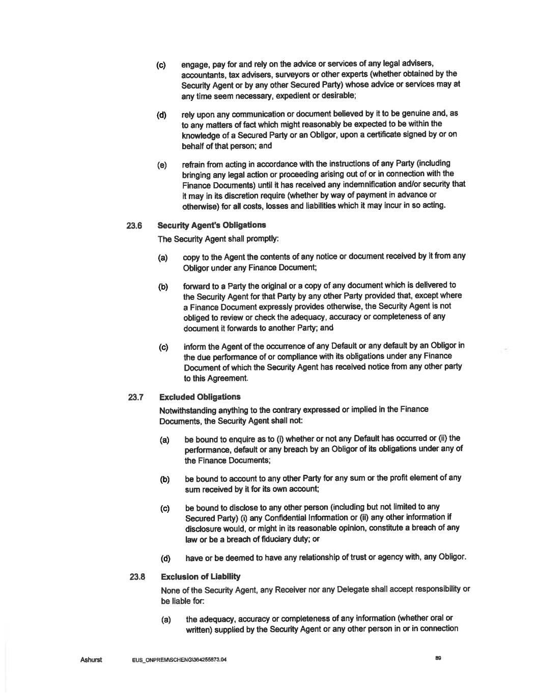
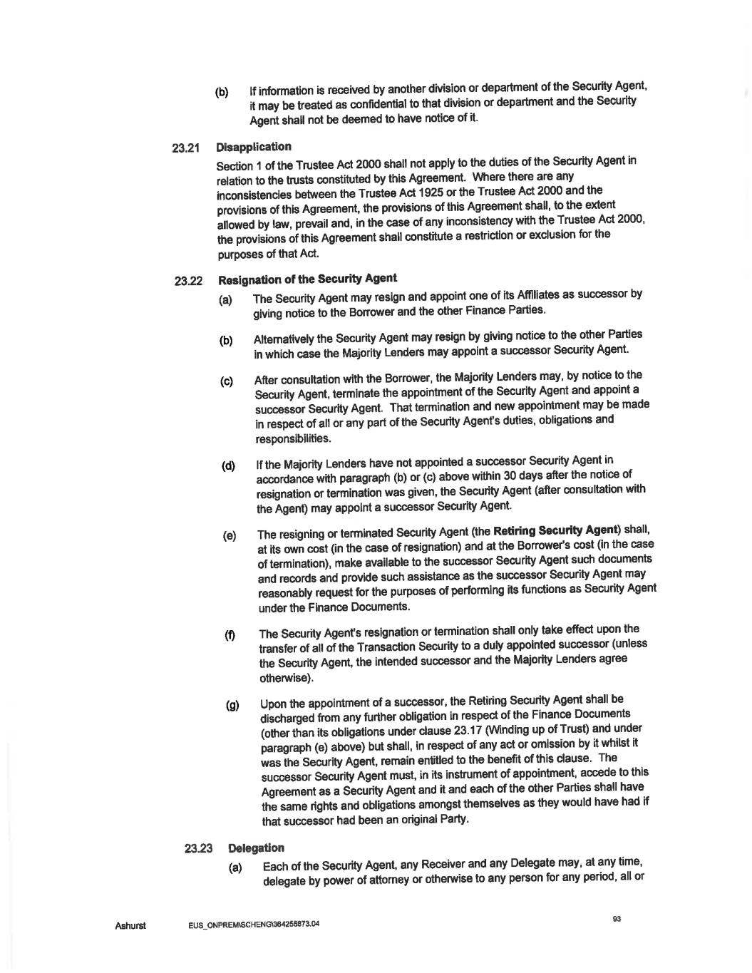
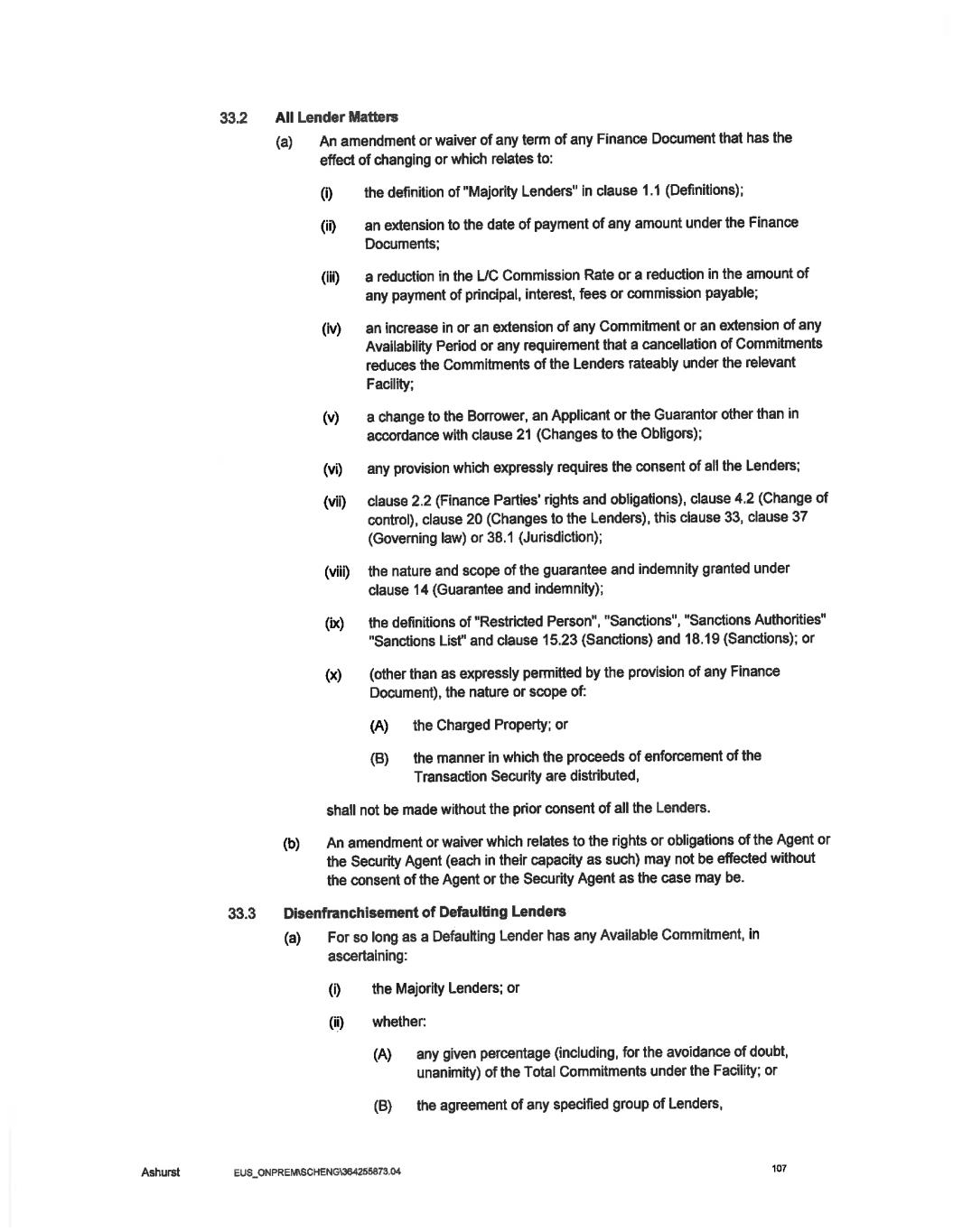
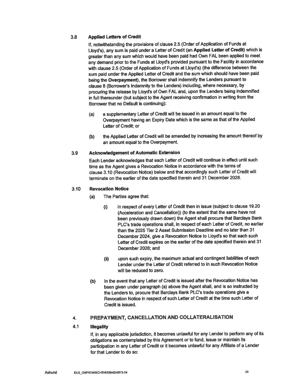
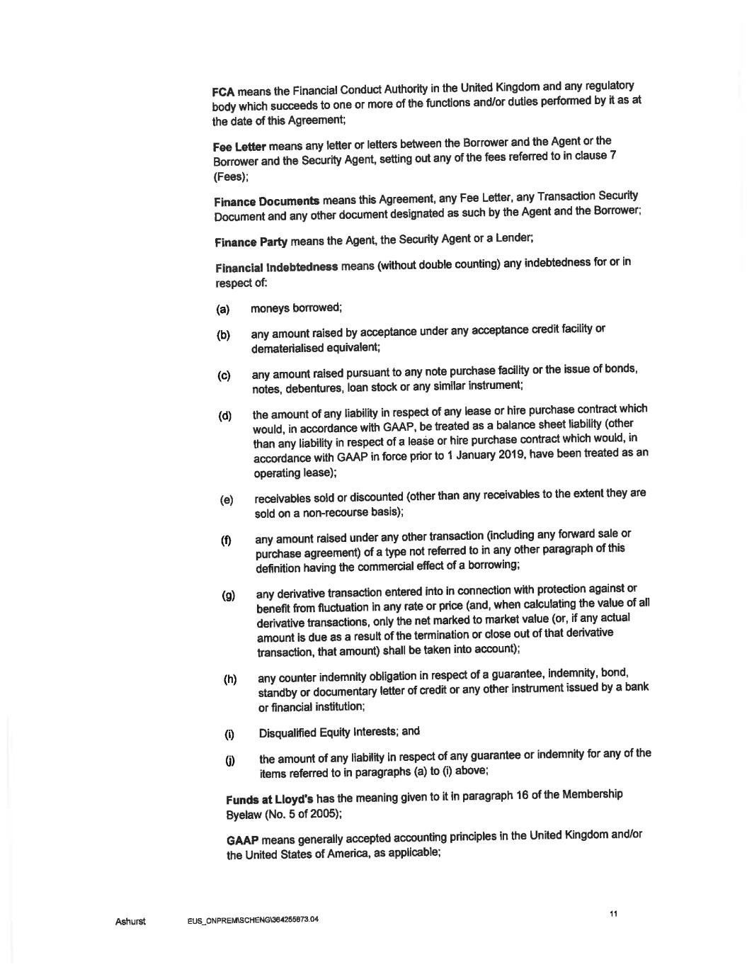
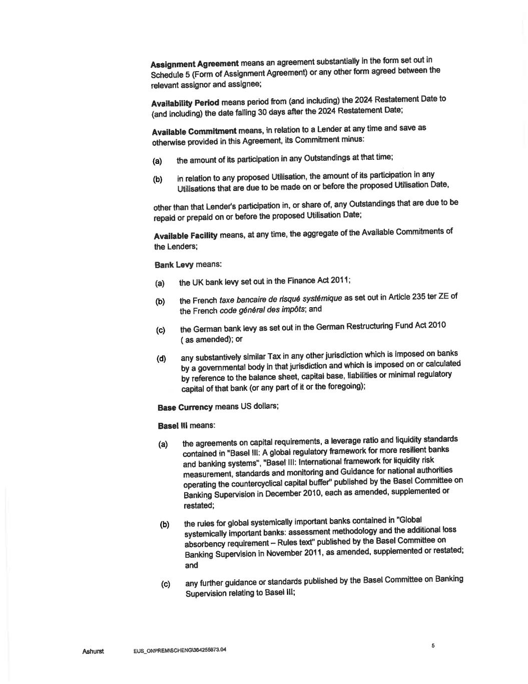
EX-10.1 2 araandrestatedfa.htm EX-10.1 araandrestatedfa