EX-10.1 2 hamilton2025-amendmentan.htm EX-10.1 hamilton2025-amendmentan
Execution Version Amendment and Restatement Agreement Hamilton Re, Ltd. as Borrower Hamilton Corporate Member Limited as Applicant Hamilton Insurance Group, Ltd. as Guarantor ING Bank N.V., London Branch as Continuing Lender Commerzbank AG, New York Branch and Deutsche Bank AG, London Branch as New Lenders Bank of Montreal, London Branch and Barclays Bank PLC as Retiring Lenders ING Bank N.V., London Branch as Successor Agent and as Successor Security Agent Barclays Bank PLC as Resigning Agent and as Resigning Security Agent relating to a facility agreement originally dated 7 November 2019 as amended and restated on 2 July 2020, 4 November 2020, 3 November 2021, 1 November 2022, 27 October 2023, 28 October 2024 and further amended and restated by this agreement 2025 20 October


 
Ashurst EUS\426120567.07 Contents 1. Interpretation .................................................................................................................... 2 2. Resignation of the Agent .................................................................................................. 3 3. Resignation of the Security Agent .................................................................................... 3 4. Changes to Lenders ......................................................................................................... 4 5. Amendment and Restatement of Facility Agreement ....................................................... 5 6. Transitional Provisions ..................................................................................................... 5 7. Status of Documents ........................................................................................................ 6 8. Representations and Warranties ...................................................................................... 7 9. Miscellaneous ................................................................................................................... 7 10. Governing Law and Submission to Jurisdiction ............................................................... 7 Schedule 1. Lenders ............................................................................................................................. 9 Part I - Continuing Lender ................................................................................................ 9 Part II - New Lenders........................................................................................................ 9 2. Conditions Precedent ..................................................................................................... 10 3. Restated Facility Agreement .......................................................................................... 12


 
Ashurst EUS\426120567.07 1 THIS AMENDMENT AND RESTATEMENT AGREEMENT is made on ________________ 2025 BETWEEN: (1) HAMILTON RE, LTD. (Registration No. 46635 an exempted company incorporated in Bermuda registered as a Class 4 insurer under the Bermuda Insurance Act 1978, as amended, and having its registered office at Wellesley House, North 1st Floor, 90 Pitts Bay Road, Pembroke, HM 08, Bermuda (the Borrower); (2) HAMILTON CORPORATE MEMBER LIMITED (Registration No. 05996460) a company incorporated in England and Wales and having its registered office at Level 3, 8 Fenchurch Place, London, England, EC3M 4AJ (HCML) (the Applicant); (3) HAMILTON INSURANCE GROUP, LTD. (Registration No. 48117) an exempted company incorporated in Bermuda and having its registered office at c/o Hamilton group of companies, 90 Pitts Bay Road, Wellesley House North, 1st Floor, Pembroke, HM 08, Bermuda (the Guarantor); (4) THE FINANCIAL INSTITUTION listed in Part I of Schedule 1 (Lenders) as continuing lender (the Continuing Lender); (5) THE FINANCIAL INSTITUTIONS listed in Part II of Schedule 1 (Lenders) as new lenders (individually or together, the New Lenders); (6) BANK OF MONTREAL, LONDON BRANCH and BARCLAYS BANK PLC as retiring lenders, (individually or together, the Retiring Lenders), party to this agreement only for the purpose of clause 4 (Changes to Lenders) and clause 6 (Transitional Provisions) of this agreement; (7) BARCLAYS BANK PLC as the resigning agent of the other Finance Parties pursuant to clause 2 (Resignation of the Agent) (the Resigning Agent); (8) BARCLAYS BANK PLC as the resigning security agent of the Secured Parties pursuant to clause 3 (Resignation of the Security Agent) (the Resigning Security Agent); (9) ING BANK N.V., LONDON BRANCH as the successor agent of the other Finance Parties pursuant to clause 2 (Resignation of the Agent) (the Successor Agent); and (10) ING BANK N.V., LONDON BRANCH as the successor security agent of the Secured Parties pursuant to clause 3 (Resignation of the Security Agent) (the Successor Security Agent). RECITALS: (A) The parties to this agreement entered into a letter of credit facility agreement originally dated 7 November 2019, as amended and restated on 2 July 2020, 4 November 2020, 3 November 2021, 1 November 2022, 27 October 2023 and 28 October 2024, and which will be further amended and restated by this agreement, pursuant to which the Lenders (amongst others) made available to the Borrower a letter of credit facility (the Facility Agreement). 20 October


 
Ashurst EUS\426120567.07 2 (B) The parties to this agreement have agreed to enter into this agreement in order to: (1) amend and restate the terms of the Facility Agreement in the manner set out below; and (2) document the resignation of the Resigning Parties from the Facility Agreement. THE PARTIES AGREE AS FOLLOWS: 1. Interpretation Definitions (a) Unless a contrary intention appears in this agreement, any word or expression defined in Schedule 3 (Restated Facility Agreement) will have the same meaning when it is used in this agreement. (b) In this agreement: Effective Date means the date on which the Successor Agent notifies the Borrower that all the conditions precedent listed in Schedule 2 (Conditions Precedent) have been satisfied (acting reasonably); Existing Letters of Credit mean the Letters of Credit with reference: LDGI 55047291 HAMILTON CORPORATE MEMBER LIMITED; Fee Letters means: (i) the agency fee letter dated on or about the Effective Date between the Successor Agent and the Borrower; and (ii) the arrangement fee letter dated on or about the Effective Date between the Successor Agent and the Borrower. Replacement Letter of Credit means an Existing Letter of Credit which is replaced in accordance with the procedure set out in clause 6 (Transitional Provisions); Resigning Parties means each of the Resigning Agent, the Resigning Security Agent and the Retiring Lenders; and Restated Facility Agreement means the Facility Agreement as amended and restated in accordance with this agreement in the form set out in Schedule 3 (Restated Facility Agreement); Construction Clause 1.2 (Construction) of the Restated Facility Agreement will be deemed to be set out in full in this agreement, but as if references in that clause to the Facility Agreement were references to this agreement. Consideration The parties to this agreement acknowledge that obligations under this agreement are supported by the consideration provided under the Restated Facility Agreement, pursuant to which the Borrower obtains the benefit of being able to draw on the Facility. The parties to this agreement acknowledge the sufficiency and adequacy of such consideration.


 
Ashurst EUS\426120567.07 3 2. Resignation of the Agent With effect from (and including) the Effective Date, in accordance with clause 22.11 (Resignation of the Agent) of the Facility Agreement, the Resigning Agent hereby appoints the Successor Agent as agent of the other Finance Parties in place of the Resigning Agent, and the Resigning Agent hereby resigns from that position. With effect from (and including) the Effective Date, the Successor Agent accepts such appointment and confirms and agrees that in its capacity as Agent, it shall comply with and be bound by the Finance Documents as it would have if it had been an original party thereto. Each Party (other than the Resigning Parties): (a) agrees to waive any notice requirements under clause 22.11 (Resignation of the Agent) of the Facility Agreement and agrees that entry into this agreement constitutes sufficient notice of such resignation; (b) consents to the resignation of the Resigning Agent as Agent and the appointment of the Successor Agent as Agent under this agreement; and (c) agrees that, with effect from (and including) the Effective Date, each Party (other than the Resigning Parties) will acquire rights and assume obligations as between themselves equivalent to those it would have had or been under had the Successor Agent been the original Agent under the Finance Documents. Following the Effective Date, the Resigning Agent shall promptly deliver to the Successor Agent any such documents that the Successor Agent reasonably requires in order to comply with its appointment as Agent under this agreement. The Successor Agent shall not be liable for any damages, costs or losses whatsoever as a result of the Resigning Agent's failure to deliver any such document as may reasonably be required. 3. Resignation of the Security Agent With effect from (and including) the Effective Date, in accordance with clause 23.22 (Resignation of the Security Agent) of the Facility Agreement, the Resigning Security Agent hereby appoints the Successor Security Agent as security agent of the other Secured Parties in place of the Resigning Security Agent, and the Resigning Security Agent hereby resigns from that position. With effect from (and including) the Effective Date, the Successor Security Agent accepts such appointment and confirms and agrees that in its capacity as Security Agent, it shall comply with and be bound by the Finance Documents as it would have if it had been an original party thereto. Each Party (other than the Resigning Parties): (a) agrees to waive any notice requirements under clause 23.22 (Resignation of the Security Agent) of the Facility Agreement and agrees that entry into this agreement constitutes sufficient notice of such resignation; (b) consents to the resignation of the Resigning Security Agent as Security Agent and the appointment of the Successor Security Agent as Security Agent under this agreement; and (c) agrees that, with effect from (and including) the Effective Date, each Party (other than the Resigning Parties) will acquire rights and assume obligations as between themselves equivalent to those it would have had or been under had


 
Ashurst EUS\426120567.07 4 the Successor Security Agent been the original Security Agent under the Finance Documents. Following the Effective Date, the Resigning Security Agent shall promptly deliver to the Successor Security Agent any such documents that the Successor Security Agent reasonably requires in order to comply with its appointment as Security Agent under this agreement. The Successor Security Agent shall not be liable for any damages, costs or losses whatsoever as a result of the Resigning Security Agent's failure to deliver any such document as may reasonably be required. 4. Changes to Lenders Continuing Lender With effect from (and including) the Effective Date, the Commitments of the Continuing Lender shall be as shown against its name in Part I of Schedule 1 (Lenders) to this agreement. Retiring Lenders Notwithstanding clause 20 (Changes to the Lenders) of the Facility Agreement but subject to clause 6 (Transitional Provisions) of this agreement, with effect from (and including) the Effective Date, the Retiring Lenders shall be released from their obligations and rights as lender under the Finance Documents. Within five Business Days following the Effective Date, each Retiring Lender shall be paid all outstanding amounts owed to them under the Finance Documents (the Outstanding Amounts). If, at any time, all or any part of the Outstanding Amounts is or must be voided or rescinded or returned by such Retiring Lender for any reason whatsoever (including the insolvency, bankruptcy, reorganization or similar proceeding involving any Obligor), the payment obligations with respect to the Outstanding Amounts shall be deemed to have continued in existence, until all such Outstanding Amounts have been received by each Retiring Lender in full. The provisions of this paragraph shall remain in full force and effect regardless of any termination of the Retiring Lenders' obligations owing under the Finance Documents. New Lenders With effect from (and including) the Effective Date, but subject to clause 6 (Transitional Provisions), in respect of each New Lender: (a) it agrees to become a party to the Restated Facility Agreement as a Lender; (b) each reference to "Lender" in the Restated Facility Agreement shall be taken to include a reference to each New Lender; (c) its Commitment under the Restated Facility Agreement shall be as shown against its name in Part II of Schedule 1 (Lenders) to this agreement; (d) each Obligor (on the one hand) and each New Lender (on the other hand) shall assume obligations towards one another and acquire rights against one another under and in accordance with the terms of the Restated Facility Agreement; (e) the New Lenders, the Successor Agent, the Successor Security Agent and the Continuing Lender shall acquire the same rights and assume the same obligations between themselves as they would have acquired and assumed had each New Lender been an Original Lender under the Facility Agreement;


 
Ashurst EUS\426120567.07 5 (f) for the purposes of the Restated Facility Agreement, the address and attention details of each New Lender will be as shown underneath its signature block to this agreement; and (g) each Party (other than the Resigning Parties) agrees that pursuant to clause 3.5 (Lenders' Participation) of the Restated Facility Agreement, the New Lenders may participate in a Letter of Credit itself or through any branch notified to the Successor Agent in advance of the Utilisation Date and any reference in any Finance Document to the New Lender shall be deemed to include a reference to such branch. 5. Amendment and Restatement of Facility Agreement Amendment and Restatement (a) The Facility Agreement will, with effect from (and including) the Effective Date, be amended and restated in the form set out in Schedule 3 (Restated Facility Agreement) so that the rights and obligations of the parties to this agreement relating to their performance under the Facility Agreement from (and including) the Effective Date shall be governed by, and construed in accordance with, the terms of the Restated Facility Agreement. (b) The parties to this agreement agree that, with effect from (and including) the Effective Date, they shall have the rights and take on the obligations ascribed to them under the Restated Facility Agreement. Effective Date (a) The Successor Agent will notify the Borrower and the Continuing Lender promptly in writing when the Effective Date occurs. (b) If the Effective Date has not occurred by 7 November 2025 (or any later date which the Successor Agent and the Borrower may agree), then clauses 5.1 (Amendment and Restatement) and 7 (Status of Documents) will lapse and none of the amendments recorded in clause 5.1 (Amendment and Restatement) will take effect. 6. Transitional Provisions Each Party to this agreement acknowledges and agrees that: (a) prior to the date of this agreement, the Existing Letter of Credit had been issued and remains outstanding; (b) with effect from (and including) the Effective Date, the Borrower shall submit a notice (in a form and substance satisfactory to the Successor Agent) requesting replacement of the Existing Letters of Credit (the Replacement Request) to the Successor Agent for each Existing Letter of Credit under the Facility Agreement to replace that Existing Letter of Credit; and (c) promptly following receipt by the Successor Agent of that Replacement Request in respect of an Existing Letter of Credit, the Successor Agent shall issue a replacement request to Lloyd's (a Replacement Request to Lloyd's) requesting the replacement of that Existing Letter of Credit on the terms specified in the Replacement Request to Lloyd's (the period on and from the Effective Date to (but excluding) the date on which Lloyd's confirms by email that the Existing Letter of Credit which is the subject of a Replacement Request to Lloyd's is


 
Ashurst EUS\426120567.07 6 replaced pursuant to the terms of that Replacement Request to Lloyd's and the Letter of Substitution delivered to the Agent pursuant to paragraph 2.4 of schedule 2 (Conditions Precedent), each relating to that Existing Letter of Credit (the date of that email from Lloyd's the Date of Replacement), being the Transitional Period). During the Transitional Period in respect of an Existing Letter of Credit, to the extent that Lloyd's makes a claim under that Existing Letter of Credit the rights and obligations between the parties to that Existing Letter of Credit will be governed by the terms of the Facility Agreement. During the Transitional Period: (a) the letter of credit commission in respect of that Existing Letter of Credit will accrue to the Continuing Lender and Retiring Lenders (as applicable) (and not to the New Lenders) in accordance with clause 5 (Interest and Letter of Credit commission) of the Facility Agreement until the Date of Replacement; and (b) until the date on which the Replacement Letter of Credit is issued, no letter of credit commission will accrue under the Replacement Letter of Credit. During the Transitional Period, each New Lender and the Continuing Lender shall continue to receive a commitment fee pursuant to clause 7.4 (Commitment Fee) of the Restated Facility Agreement in respect of its full Commitment (ignoring any reduction in its Commitment pursuant to the Replacement Request) until the Date of Replacement and notwithstanding the provisions of this agreement or the Restated Facility Agreement the letter of credit commission in respect of each Replacement Letter of Credit shall only accrue to each New Lender on and from the date on which the Replacement Letter of Credit is issued. To the extent that Lloyd's makes a claim under a Replacement Letter of Credit, the rights and obligations between the parties to that Replacement Letter of Credit will be governed by, on and from the Effective Date, the terms of the Restated Facility Agreement and the letter of credit commission will accrue, in respect of each New Lender and the Continuing Lender on and from the Date of Replacement, in accordance with clause 5 (Interest and Letter of Credit commission) of the Restated Facility Agreement. 7. Status of Documents Continuing Obligations (a) Except as specifically varied by the terms of this agreement, the Facility Agreement and the other Finance Documents will remain unchanged and in full force and effect. Each Party to this agreement (excluding the Resigning Parties) reconfirms all of its obligations under the Facility Agreement (as amended and restated by this agreement) and under the other Finance Documents. (b) Any reference in the Finance Documents to the Facility Agreement or to any provision of the Facility Agreement will be construed as a reference to the Facility Agreement, or that provision, as amended and restated by this agreement. Finance Document This agreement will constitute a Finance Document for the purposes of the Restated Facility Agreement. Guarantee Confirmation


 
Ashurst EUS\426120567.07 7 The Guarantor confirms and agrees that with effect from (and including) the Effective Date, the guarantees and indemnities set out in clause 14 (Guarantee and Indemnity) of the Restated Facility Agreement shall apply and extend to the obligations of the Borrower under the Finance Documents (as defined in the Restated Facility Agreement). 8. Representations and Warranties Each Obligor makes to each Finance Party (excluding the Resigning Parties) each of the Repeating Representations, in each case: (a) on the date of this agreement and on the Effective Date; (b) by reference to the facts and circumstances then existing; and (c) on the basis that references in the Repeating Representations to the Finance Documents include this agreement, and acknowledges that each Finance Party (other than the Resigning Parties) has entered into this agreement and has agreed to the amendment and restatement effected by this agreement in full reliance on those representations and warranties. 9. Miscellaneous Fees and Expenses The Borrower shall, promptly on demand, pay the Resigning Agent, the Successor Agent, the Resigning Security Agent and the Successor Security Agent the amount of all costs and expenses (including legal fees) reasonably incurred by any of them in connection with the negotiation, preparation, printing, execution, syndication and perfection of this agreement and all documents referred to in this agreement. Invalidity of any Provision If, at any time, any provision of this agreement is or becomes invalid, illegal or unenforceable in any respect under any law of any jurisdiction, neither the legality, validity or enforceability of the remaining provisions nor the legality, validity or enforceability of such provision under the law of any other jurisdiction will in any way be affected or impaired. Counterparts This agreement may be executed in any number of counterparts and this has the same effect as if the signatures on the counterparts were on a single copy of this agreement. Incorporation by Reference Clause 39 (Contractual Recognition of Bail-In) of the Restated Facility Agreement shall be deemed to be incorporated in this agreement as if set out in full, mutatis mutandis, save that references to "this agreement" shall be deemed to be references to this agreement. 10. Governing Law and Submission to Jurisdiction Governing Law This agreement and any non-contractual obligations arising out of or in connection with it are governed by English law.


 
Ashurst EUS\426120567.07 8 Jurisdiction of English Courts The courts of England have exclusive jurisdiction to settle any dispute arising out of or in connection with this agreement (including a dispute regarding the existence, validity or termination of this agreement or any non-contractual obligation arising out of or in connection with this agreement) (a Dispute). The parties to this agreement agree that the courts of England are the most appropriate and convenient courts to settle Disputes and accordingly no party will argue to the contrary. IN WITNESS whereof this agreement has been duly executed on the date first above written.


 
Ashurst EUS\426120567.07 9 Schedule 1 Lenders Part I - Continuing Lender Lender Commitment ($) Treaty Passport scheme reference number and jurisdiction of tax residence (if applicable) ING Bank N.V., London Branch 120,000,000 n/a Part II - New Lenders Lender Commitment ($) Treaty Passport scheme reference number and jurisdiction of tax residence (if applicable) Commerzbank AG, New York Branch 70,000,000 n/a Deutsche Bank AG, London Branch 70,000,000 n/a


 
Ashurst EUS\426120567.07 10 Schedule 2 Conditions Precedent 1. CORPORATE DOCUMENTS 1.1 A certificate in the agreed form from each Obligor signed by an officer confirming that there has been no amendment to its constitutional documents since 7 November 2019 or, if there has been any such amendment, attaching a certified copy of the constitutional documents of that Obligor. 1.2 A copy of a resolution of the board of directors of each Obligor: (a) approving the terms of and the transactions contemplated by this agreement and resolving that it executes, deliver and perform this agreement; and (b) authorising a specified person or persons to execute this agreement and any documents to be signed or delivered under it. 1.3 A specimen of the signature of each person authorised by the resolution referred to in paragraph 1.2 above. 1.4 A certificate from each of the Borrower and the Guarantor (signed by a director or authorised signatory) confirming that borrowing or guaranteeing or securing, as appropriate, the Total Commitments would not cause any borrowing, guarantee or similar limit binding on it to be exceeded. 1.5 A certificate of an authorised signatory of each Obligor certifying that each copy document relating to it specified in this Schedule 2 is correct, complete and in full force and effect as at a date no earlier than the date of this agreement. 2. FINANCE DOCUMENTS 2.1 This agreement duly executed by the parties thereto. 2.2 The Fee Letters duly executed by the parties thereto. 2.3 Duly completed Utilisation Requests documenting the required amendments to the Existing Letters of Credit. 2.4 A copy of a substitution letter duly executed by Lloyd's in respect of each Existing Letter of Credit and the applicable Replacement Letter of Credit. 3. LEGAL OPINIONS 3.1 A legal opinion of Ashurst LLP, legal advisers to the Successor Agent and Successor Security Agent in England, substantially in the form distributed to the Lenders prior to signing this agreement. 3.2 A legal opinion of Carey Olsen Bermuda Limited, legal advisers to the Borrower and Guarantor in Bermuda, substantially in the form distributed to the Lenders prior to signing this agreement. 4. OTHER DOCUMENTS AND EVIDENCE 4.1 Evidence that the fees, costs and expenses then due from the Borrower pursuant to clause 9.1 (Fees and Expenses) of this agreement have been paid or will be paid by the


 
Ashurst EUS\426120567.07 11 Effective Date subject to receipt by the Borrower of appropriate invoicing information (where applicable). 4.2 A copy of any other Authorisation or other document, opinion or assurance which the Resigning Agent or the Successor Agent considers to be necessary or desirable (if it has notified the Borrower accordingly) in connection with the entry into and performance of the transactions contemplated by any Finance Document or for the validity and enforceability of any Finance Document. 4.3 A group structure chart showing the name, company registration number, jurisdiction of incorporation and/or establishment of each member of the Group as at the date of this agreement (or confirmation that the Group Structure Chart delivered to the Resigning Agent on 7 November 2019 remains correct, complete and up to date). 4.4 A certificate of compliance issued by the Bermuda Registrar of Companies in respect of each Obligor incorporated in Bermuda as at a date no earlier than 7 calendar days prior to the date of this agreement. 4.5 A certificate of compliance issued by the Bermuda Monetary Authority in respect of the Borrower as at a date no earlier than 10 calendar days prior to the date of this agreement. 4.6 A certificate of the Borrower and the Guarantor (signed by a director or authorised signatory thereof) certifying that it has not been served with, nor has it received any notice of, nor has it itself filed any winding up or other insolvency petition as at the date of this agreement. 4.7 Evidence of the composition of the aggregate of Own FAL as at the Effective Date.


 
Ashurst EUS\426120567.07 12 Schedule 3 Restated Facility Agreement


 
Hamilton 2025 - Restated Facility Agreement (Execution Version):426120568_7 Execution Version US$260,000,000 Letter of Credit Facility Agreement Hamilton Re, Ltd. as Borrower Hamilton Corporate Member Limited as Applicant Hamilton Insurance Group, Ltd. as Guarantor ING Bank N.V., London Branch, Commerzbank AG, New York Branch and Deutsche Bank AG, London Branch as Lenders ING Bank N.V., London Branch as Agent ING Bank N.V., London Branch as Security Agent Dated 7 November 2019 as amended and restated on 2 July 2020, 4 November 2020, 3 November 2021, 1 November 2022, 27 October 2023, 28 October 2024 and on the 2025 Restatement Date


 
Ashurst 1 Contents 1. DEFINITIONS AND INTERPRETATION .......................................................................... 3 2. THE FACILITY ................................................................................................................ 25 3. UTILISATION ................................................................................................................. 27 4. PREPAYMENT, CANCELLATION AND COLLATERALISATION ................................. 30 5. INTEREST AND LETTER OF CREDIT COMMISSION ................................................. 35 6. DEFAULT INTEREST AND BREAKAGE COSTS ......................................................... 35 7. FEES .............................................................................................................................. 36 8. BORROWER'S INDEMNITY TO THE LENDERS .......................................................... 36 9. TAX GROSS UP AND INDEMNITIES ............................................................................ 38 10. INCREASED COSTS ..................................................................................................... 43 11. OTHER INDEMNITIES ................................................................................................... 44 12. MITIGATION BY THE LENDERS .................................................................................. 46 13. COSTS AND EXPENSES .............................................................................................. 46 14. GUARANTEE AND INDEMNITY .................................................................................... 47 15. REPRESENTATIONS .................................................................................................... 50 16. INFORMATION UNDERTAKINGS ................................................................................. 55 17. FINANCIAL CONDITION................................................................................................ 59 18. GENERAL UNDERTAKINGS ......................................................................................... 62 19. EVENTS OF DEFAULT .................................................................................................. 70 20. CHANGES TO THE LENDERS ..................................................................................... 74 21. CHANGES TO THE OBLIGORS .................................................................................... 80 22. ROLE OF THE AGENT .................................................................................................. 80 23. THE SECURITY AGENT ................................................................................................ 89 24. CONDUCT OF BUSINESS BY THE FINANCE PARTIES ............................................. 96 25. SHARING AMONG THE FINANCE PARTIES ............................................................... 97 26. PAYMENT MECHANICS................................................................................................ 98 27. SET-OFF ...................................................................................................................... 102 28. APPLICATION OF PROCEEDS .................................................................................. 103 29. NOTICES ...................................................................................................................... 104 30. CALCULATIONS AND CERTIFICATES ...................................................................... 107 31. PARTIAL INVALIDITY .................................................................................................. 107 32. REMEDIES AND WAIVERS ........................................................................................ 107 33. AMENDMENTS AND WAIVERS .................................................................................. 108 34. LENDER UNDERTAKINGS ......................................................................................... 111


 
Ashurst 2 35. CONFIDENTIALITY ...................................................................................................... 111 36. COUNTERPARTS ........................................................................................................ 114 37. GOVERNING LAW ....................................................................................................... 114 38. ENFORCEMENT .......................................................................................................... 115 39. CONTRACTUAL RECOGNITION OF BAIL-IN ............................................................ 115 Schedule 1. The Original Lenders .................................................................................................... 118 2. Conditions Precedent to Initial Utilisation ..................................................................... 119 3. Form of Utilisation Request .......................................................................................... 121 4. Form of Transfer Certificate ......................................................................................... 123 5. Form of Assignment Agreement ................................................................................... 125 6. Form of Compliance Certificate .................................................................................... 128 7. Form of Letter of Credit ................................................................................................ 130 Schedule 1 .................................................................................................................... 132 Issuing Banks' Commitments ....................................................................................... 132 Schedule 2 .................................................................................................................... 133 Form of Demand ........................................................................................................... 133 Bill of Exchange ............................................................................................................ 134 The Society of Lloyd's .................................................................................................. 134 8. Letter of Comfort ........................................................................................................... 135 9. Timetables .................................................................................................................... 137 10. Required Rating/Maximum Tenor Table ...................................................................... 138 11. Form of Revocation Notice ........................................................................................... 141


 
Ashurst 3 THIS AGREEMENT is made on 7 November 2019 and amended and restated on 2 July 2020, 4 November 2020, 3 November 2021, 1 November 2022, 27 October 2023, 28 October 2024 and on the 2025 Restatement Date. BETWEEN: (1) HAMILTON RE, LTD. (Registration No. 46635) an exempted company incorporated in Bermuda registered as a Class 4 insurer under the Bermuda Insurance Act 1978, as amended, and having its registered office at Wellesley House, North 1st Floor, 90 Pitts Bay Road, Pembroke, HM08, Bermuda (the Borrower); (2) HAMILTON CORPORATE MEMBER LIMITED (Registration No. 05996460) a company incorporated in England and Wales and having its registered office at Level 3, 8 Fenchurch Place, London, England, EC3M 4AJ (HCML) (the Applicant); (3) HAMILTON INSURANCE GROUP, LTD. (Registration No. 48117) an exempted company incorporated in Bermuda and having its registered office at c/o Hamilton group of companies, 90 Pitts Bay Road, Wellesley House North, 1st Floor, Pembroke, HM 08, Bermuda (the Guarantor); (4) THE FINANCIAL INSTITUTIONS listed in Schedule 1 (The Original Lenders) as original lenders (individually or together, the Original Lenders); (5) ING BANK N.V., LONDON BRANCH as agent of the other Finance Parties (the Agent); and (6) ING BANK N.V., LONDON BRANCH as security agent of the Secured Parties (the Security Agent). The parties AGREE as follows: 1. DEFINITIONS AND INTERPRETATION Definitions In this Agreement: 2020 Amendment and Restatement Agreement means an amendment and restatement agreement dated 4 November 2020 between, among others, the Borrower, the Agent and the Security Agent; 2020 Restatement Date means the "Effective Date" as defined in the 2020 Amendment and Restatement Agreement; 2021 Amendment and Restatement Agreement means an amendment and restatement agreement dated 3 November 2021 between, among others, the Borrower, the Agent and the Security Agent; 2021 Restatement Date means the "Effective Date" as defined in the 2021 Amendment and Restatement Agreement; 2021 SHA Amendment Date means the date on which the Guarantor's Shareholders Agreement is amended and restated, in substantially the form provided to the Agent prior to the 2021 Restatement Date, such date of amendment and restatement being expected to occur in December 2021; 2022 Amendment and Restatement Agreement means an amendment and restatement agreement dated 1 November 2022 between, among others, the Borrower, the Agent and the Security Agent;


 
Ashurst 4 2022 Restatement Date means the "Effective Date" as defined in the 2022 Amendment and Restatement Agreement; 2023 Amendment and Restatement Agreement means an amendment and restatement agreement dated 27 October 2023 between, among others, the Borrower, the Agent and the Security Agent; 2023 Restatement Date means the "Effective Date" as defined in the 2023 Amendment and Restatement Agreement; 2024 Amendment and Restatement Agreement means an amendment and restatement agreement dated 28 October 2024 between, among others, the Borrower, the Agent and the Security Agent; 2024 Restatement Date means the "Effective Date" as defined in the 2024 Amendment and Restatement Agreement; 2025 Amendment and Restatement Agreement means an amendment and restatement agreement dated ________ 2025 between, among others, the Borrower, the Agent and the Security Agent; 2025 Restatement Date means the "Effective Date" as defined in the 2025 Amendment and Restatement Agreement; 2026 Tier 2 Asset Submission Deadline means the deadline for the submission of letters of credit in support of the 2026 underwriting year of account, as specified by Lloyd's, which is expected to occur on or around 4 November 2025; 2027 Tier 2 Asset Submission Deadline means the "Cut-Off Date" as defined in the M&URs; Acceptable Bank means: (a) a bank or financial institution which has a rating for its long-term unsecured and non credit-enhanced debt obligations of A or higher by S&P Global Ratings or Fitch Ratings Ltd or A2 or higher by Moody's Investors Service Limited or a comparable rating from an internationally recognised credit rating agency; or (b) any other bank or financial institution approved by the Agent; Accepting Lender has the meaning given to that term in clause 4.6 (Funds at Lloyd's Ineligibility); Adjusted ECA has the meaning given to such term in the M&URs; Affected Lender has the meaning given to that term in clause 4.6 (Funds at Lloyd's Ineligibility); Affected Ineligible Lender has the meaning given to that term in clause 4.6 (Funds at Lloyd's Ineligibility); Affected Ineligible Lender Amount has the meaning given to that term in clause 4.6 (Funds at Lloyd's Ineligibility); Affiliate means, in relation to any person, a Subsidiary of that person or a Holding Company of that person or any other Subsidiary of that Holding Company; A.M. Best means A.M. Best Company, Inc. and any successors to its ratings business;


 
Ashurst 5 Approved Credit Institution means a credit institution which has been approved by the Council of Lloyd's, in accordance with the "criteria to be applied in the approval of credit institutions" as made by the Council of Lloyd's from time to time, for the purpose of providing guarantees and issuing or confirming letters of credit comprising a member's Funds at Lloyd's; Authorisation means an authorisation, consent, approval, resolution, licence, exemption, filing, notarisation or registration in any applicable jurisdiction; Assignment Agreement means an agreement substantially in the form set out in Schedule 5 (Form of Assignment Agreement) or any other form agreed between the relevant assignor and assignee; Availability Period means period from (and including) the 2025 Restatement Date to (and including) the date falling thirty days after the 2025 Restatement Date; Available Commitment means, in relation to a Lender at any time and save as otherwise provided in this Agreement, its Commitment minus: (a) the amount of its participation in any Outstandings at that time; (b) in relation to any proposed Utilisation, the amount of its participation in any Utilisations that are due to be made on or before the proposed Utilisation Date, other than that Lender's participation in, or share of, any Outstandings that are due to be repaid or prepaid on or before the proposed Utilisation Date; Available Facility means, at any time, the aggregate of the Available Commitments of the Lenders; Bank Levy means: (a) the UK bank levy set out in the Finance Act 2011; (b) the French taxe bancaire de risqué systémique as set out in Article 235 ter ZE of the French code général des impôts; and (c) the German bank levy as set out in the German Restructuring Fund Act 2010 ( as amended); or (d) any substantively similar Tax in any other jurisdiction which is imposed on banks by a governmental body in that jurisdiction and which is imposed on or calculated by reference to the balance sheet, capital base, liabilities or minimal regulatory capital of that bank (or any part of it or the foregoing); Base Currency means US dollars; Basel III means: (a) the agreements on capital requirements, a leverage ratio and liquidity standards contained in "Basel III: A global regulatory framework for more resilient banks and banking systems", "Basel III: International framework for liquidity risk measurement, standards and monitoring and Guidance for national authorities operating the countercyclical capital buffer" published by the Basel Committee on Banking Supervision in December 2010, each as amended, supplemented or restated; (b) the rules for global systemically important banks contained in "Global systemically important banks: assessment methodology and the additional loss


 
Ashurst 6 absorbency requirement – Rules text" published by the Basel Committee on Banking Supervision in November 2011, as amended, supplemented or restated; and (c) any further guidance or standards published by the Basel Committee on Banking Supervision relating to Basel III; Base Rate means the Federal Open Market Committee's federal funds rate from time to time, provided always that if such rate is less than zero, the Base Rate shall be deemed to be zero; Break Costs means the amount (if any) by which: (a) the interest (excluding the L/C Commission Rate) which a Lender should have received for the period from the date of receipt of all or any part of its participation in any Unpaid Sum to the last day of the current Interest Period in respect of that Unpaid Sum, had the Unpaid Sum received been paid on the last day of that Interest Period; exceeds: (b) the amount(which cannot be negative) which that Lender would be able to obtain by placing an amount equal to the Unpaid Sum received by it on deposit with a leading bank for a period starting on the Business Day following receipt or recovery and ending on the last day of the current Interest Period; Business Day means a day (other than a Saturday or Sunday) on which banks are open for general business in London, Bermuda, Dublin, New York and: (a) (in relation to any date for payment or purchase of a currency other than euro) the principal financial centre of the country of that currency; or (b) (in relation to any date for payment or purchase of euro) any TARGET Day; Business Plan means the most recent business plan prepared in relation to the Managed Syndicate; Cash and Cash Equivalents has the meaning given to that term in clause 17.3 (Financial Definitions); Charged Property means all of the assets of the Obligors which from time to time are, or are expressed to be the subject of the Transaction Security; Code means the US Internal Revenue Code of 1986; Commencement Date means, in relation to any Letter of Credit, the date as and from which the Lenders' liabilities (whether actual or contingent) under that Letter of Credit start to accrue; Commitment means, as at the 2025 Restatement Date: (a) in relation to a Lender as at the 2025 Restatement Date, the amount in the Base Currency set opposite its name under the heading "Commitments ($) as at the 2025 Restatement Date" in Schedule 1 (The Original Lenders); and (b) in relation to any other Lender, the amount in the Base Currency of any Commitment transferred to it under this Agreement, to the extent not cancelled, reduced, or transferred by it under this Agreement;


 
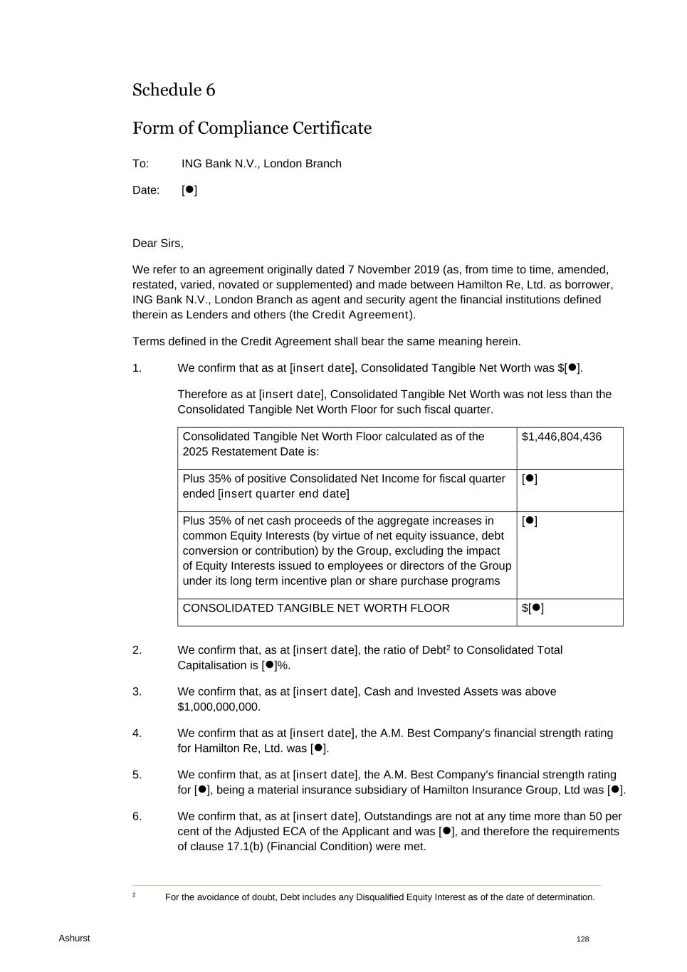
Ashurst 7 Commitment Ratio has the meaning given to that term in clause 4.6 (Funds at Lloyd's Ineligibility); Compliance Certificate means a certificate substantially in the form set out in Schedule 6 (Form of Compliance Certificate); Confidential Information means all information relating to the Borrower, any Obligor, the Group, the Finance Documents or the Facility of which a Finance Party becomes aware in its capacity as, or for the purpose of becoming, a Finance Party or which is received by a Finance Party in relation to, or for the purpose of becoming a Finance Party under, the Finance Documents or the Facility from either: (a) any member of the Group or any of its advisers; or (b) another Finance Party, if the information was obtained by that Finance Party directly or indirectly from any member of the Group or any of its advisers, in whatever form, and includes information given orally and any document, electronic file or any other way of representing or recording information which contains or is derived or copied from such information but excludes information that: (i) is or becomes public information other than as a direct or indirect result of any breach by that Finance Party of clause 35 (Confidentiality); or (ii) is identified in writing at the time of delivery as non-confidential by any member of the Group or any of its advisers; or (iii) is known by that Finance Party before the date the information is disclosed to it in accordance with paragraphs (a) or (b) above or is lawfully obtained by that Finance Party after that date, from a source which is, as far as that Finance Party is aware, unconnected with the Group and which, in either case, as far as that Finance Party is aware, has not been obtained in breach of, and is not otherwise subject to, any obligation of confidentiality; Confidentiality Undertaking means a confidentiality undertaking substantially in a recommended form of the LMA or such other form agreed between the Borrower and the Agent; Confirming Bank means any bank or financial institution acting as a confirming bank to a Lender in connection with this Facility; Corresponding Commitment has the meaning given to that term in clause 4.6 (Funds at Lloyd's Ineligibility); CRD IV means EU CRD IV and UK CRD IV; Counterparty Exposure Benchmark has the meaning given to that term in clause 4.6 (Funds at Lloyd's Ineligibility); Default means an Event of Default or any event or circumstance specified in clause 19 (Events of Default) which would (with the expiry of a grace period, the giving of notice, the making of any determination under the Finance Documents or any combination of any of the foregoing) be an Event of Default; Defaulting Lender means any Lender:


 
Ashurst 8 (a) which has failed to make its participation in the Facility available (or has notified the Agent or the Borrower (which has notified the Agent) that it will not make its participation in a Letter of Credit available) by the Utilisation Date of that Letter of Credit in accordance with clause 3.5 (Lenders' Participation); (b) which has otherwise rescinded or repudiated a Finance Document; or (c) with respect to which an Insolvency Event has occurred and is continuing, unless, in the case of paragraph (a) above: (i) administrative or technical error; or (ii) a Disruption Event; and payment is made within five Business Days of its due date; or (d) the Lender is disputing in good faith whether it is contractually obliged to make the payment in question; Delegate means any delegate, agent, attorney or co-trustee appointed by the Security Agent; Disqualified Equity Interests means, with respect to any Person, any Equity Interests of such Person that, by their terms (or by the terms of any security or other Equity Interest into which they are convertible or for which they are exchangeable) or upon the happening of any event or condition: (a) mature or are mandatorily redeemable (other than solely for Qualified Equity Interests), pursuant to a sinking fund obligation or otherwise (except as a result of a change of control or asset sale so long as any rights of the holders thereof upon the occurrence of a change of control or asset sale event shall be subject to the prior repayment in full in cash of the Letter of Credit and all other obligations (other than contingent indemnification obligations not then due) and the termination of the Letter of Credit); (b) are redeemable at the option of the holder thereof or may become redeemable following the holder's exercise of any liquidity or similar rights such as those in Sections 5.3 and, until the 2021 SHA Amendment Date, section 5.4 of the Guarantor's Shareholders Agreement (other than any redemption solely for Qualified Equity Interests) (except as a result of a change of control or asset sale so long as any rights of the holders thereof upon the occurrence of a change of control or asset sale event shall be subject to the prior repayment in full in cash of the Letter of Credit and all other obligations ((other than contingent indemnification obligations not then due) and the termination of the Letter of Credit), in whole or in part; (c) provide for the scheduled payment of dividends in cash; or (d) are or become convertible into, or exchangeable for, Indebtedness or any other Equity Interests that would constitute Disqualified Equity Interests, in each case of paragraphs (a) through (d), prior to December 23, 2021; provided that if any such Equity Interests are issued pursuant to a plan for the benefit of the Guarantor or its Subsidiaries or by any such plan to officers or employees, such Equity Interests shall not constitute Disqualified Equity Interests solely because they may be required to be repurchased by the Guarantor or its Subsidiaries in order to satisfy applicable


 
Ashurst 9 statutory or regulatory obligations or as a result of such employee's termination, death or disability. Notwithstanding the foregoing provisions of this definition, the Equity Interests of the Guarantor shall not constitute Disqualified Equity Interests solely as a result of Section 5.3 and, until the 2021 SHA Amendment Date, Section 5.4 of the Guarantor's Shareholders Agreement; provided, however, that in the event the board of directors of the Guarantor elects to have the Guarantor redeem any of its Equity Interests pursuant to Section 5.3(a) of the Guarantor's Shareholders Agreement (or the Guarantor otherwise enters into arrangements to redeem such Equity Interests in connection with a Special Liquidity Event), then such Equity Interests (and any other Equity Interests of the Guarantor held by any shareholder who elects to participate in any redemption of the Guarantor's Equity Interests in connection with such Special Liquidity Event) shall immediately constitute Disqualified Equity Interests; Disruption Event means either or both of: (a) a material disruption to those payment or communications systems or to those financial markets which are, in each case, required to operate in order for payments to be made in connection with the Facility (or otherwise in order for the transactions contemplated by the Finance Documents to be carried out) which disruption is not caused by, and is beyond the control of, any of the Parties; or (b) the occurrence of any other event which results in a disruption (of a technical or systems-related nature) to the treasury or payments operations of a Party preventing that, or any other Party: (i) from performing its payment obligations under the Finance Documents; or (ii) from communicating with other Parties in accordance with the terms of the Finance Documents, and which (in either such case) is not caused by, and is beyond the control of, the Party whose operations are disrupted; Eligible Institution has the meaning given to that term in clause 4.6 (Funds at Lloyd's Ineligibility); Erroneous Payment means a payment of an amount by the Agent to another Party which the Agent determines (in its sole discretion) was made in error; Equity Interests means (a) in the case of a corporation, capital stock, (b) in the case of an association or business entity, any and all shares, interests, participations, rights or other equivalents (however designated) of capital stock, (c) in the case of a partnership, partnership interests (whether general or limited), (d) in the case of a limited liability company, membership interests, (e) any other interest or participation that confers on a Person the right to receive a share of the profits and losses of, or distributions of assets of, the issuing Person and (f) any and all warrants, rights or options to purchase any of the foregoing; EU CRD IV means: (a) Regulation (EU) No 575/2013 of the European Parliament and of the Council of 26 June 2013 on prudential requirements for credit institutions and investment firms and amending Regulation (EU) No 648/2012; and (b) Directive 2013/36/EU of the European Parliament and of the Council of 26 June 2013 on access to the activity of credit institutions and the prudential supervision


 
Ashurst 10 of credit institutions and investment firms, amending Directive 2002/87/EC and repealing Directives 2006/48/EC and 2006/49/EC; Event of Default means any event or circumstance specified as such in clause 19 (Events of Default); Expiry Date means, for a Letter of Credit, the date on which the maximum aggregate liability thereunder is to be reduced to zero; Facility means the US dollar letter of credit facility made available to the Borrower pursuant to clause 2.1 (The Facility) of this Agreement; Facility Office means, in relation to the Agent and the Security Agent, the office identified with its signature below or such other office as it may select by notice and, in relation to any Lender, the office notified by it to the Agent in writing prior to the date hereof (or, in the case of a Transferee, at the end of the Transfer Certificate to which it is a party as Transferee) or such other office as it may from time to time select by notice to the Agent, in each case as the offices through which such Finance Party will perform its obligations under this Agreement; FATCA means: (a) sections 1471 to 1474 of the Code or any associated regulations; (b) any treaty, law or regulation of any other jurisdiction, or relating to an intergovernmental agreement between the US and any other jurisdiction, which (in either case) facilitates the implementation of any law or regulation referred to in paragraph (a) above; or (c) any agreement pursuant to the implementation of any treaty, law or regulation referred to in paragraphs (a) or (b) above with the US Internal Revenue Service, the US government or any governmental or taxation authority in any other jurisdiction; FATCA Application Date means: (a) in relation to a "withholdable payment" described in section 1473(1)(A)(i) of the Code (which relates to payments of interest and certain other payments from sources within the US), 1 July 2014; or (b) in relation to a "passthru payment" described in section 1471(d)(7) of the Code not falling within paragraph (a) above, the first date from which such payment may become subject to a deduction or withholding required by FATCA; FATCA Deduction means a deduction or withholding from a payment under a Finance Document required by FATCA; FATCA Exempt Party means a Party that is entitled to receive payments free from any FATCA Deduction; FCA means the Financial Conduct Authority in the United Kingdom and any regulatory body which succeeds to one or more of the functions and/or duties performed by it as at the date of this Agreement; Fee Letter means any letter or letters between the Borrower and the Agent or the Borrower and the Security Agent, setting out any of the fees referred to in clause 7 (Fees);


 
Ashurst 11 Finance Documents means this Agreement, any Fee Letter, any Transaction Security Document and any other document designated as such by the Agent and the Borrower; Finance Party means the Agent, the Security Agent or a Lender; Financial Indebtedness means (without double counting) any indebtedness for or in respect of: (a) moneys borrowed; (b) the Group Facilities; (c) any amount raised by acceptance under any acceptance credit facility or dematerialised equivalent; (d) any amount raised pursuant to any note purchase facility or the issue of bonds, notes, debentures, loan stock or any similar instrument; (e) the amount of any liability in respect of any lease or hire purchase contract which would, in accordance with GAAP, be treated as a balance sheet liability (other than any liability in respect of a lease or hire purchase contract which would, in accordance with GAAP in force prior to 1 January 2019, have been treated as an operating lease); (f) receivables sold or discounted (other than any receivables to the extent they are sold on a non-recourse basis); (g) any amount raised under any other transaction (including any forward sale or purchase agreement) of a type not referred to in any other paragraph of this definition having the commercial effect of a borrowing; (h) any derivative transaction entered into in connection with protection against or benefit from fluctuation in any rate or price (and, when calculating the value of all derivative transactions, only the net marked to market value (or, if any actual amount is due as a result of the termination or close out of that derivative transaction, that amount) shall be taken into account); (i) any counter indemnity obligation in respect of a guarantee, indemnity, bond, standby or documentary letter of credit or any other instrument issued by a bank or financial institution; (j) Disqualified Equity Interests; and (k) the amount of any liability in respect of any guarantee or indemnity for any of the items referred to in paragraphs (a) to (j) above; Funds at Lloyd's has the meaning given to it in paragraph 16 of the Membership Byelaw (No. 5 of 2005); GAAP means generally accepted accounting principles in the United Kingdom and/or the United States of America, as applicable; Governmental Authority means the government of the United States or any other nation, or of any political subdivision thereof, whether state or local, and any agency, authority, instrumentality, regulatory body, court, central bank or other entity exercising executive, legislative, judicial, taxing, regulatory or administrative powers or functions of or pertaining to government (including any supra-national bodies such as the European Union or the European Central Bank);


 
Ashurst 12 Group means the Guarantor and its Subsidiaries for the time being; Group Facilities means: (a) a Master Agreement for Issuance of Payment Instruments between, among others, the Borrower and CitiBank Europe Plc dated 5 December 2018 (as amended, supplemented or extended from time to time); (b) an uncommitted letter of credit facility between, among others, the Borrower and CitiBank Europe Plc dated 27 December 2018 (as amended, supplemented or extended from time to time); (c) an unsecured credit agreement between, among others, the Borrower and a syndication of lenders, as most recently amended and restated on 23 June 2022 (as amended, supplemented or extended from time to time); (d) a letter of credit facility agreement between UBS AG and the Borrower dated 25 October 2024 (as amended, supplemented or extended from time to time); (e) the Wells Facilities; and (f) this Agreement. Group Own FAL means such part of its Funds at Lloyd's as is provided or otherwise supported by the Applicant, and any other member of the Group by way of cash and/or investments and/or covenant and charge or (save for letters of credit or guarantees issued by a third party) otherwise as permitted by Lloyd's from time to time (which shall be valued by Lloyd's in accordance with Lloyd's usual practice). For the avoidance of doubt, Group Own FAL shall be understood to include Own FAL; Group Structure Chart means the group structure chart delivered to the Agent pursuant to paragraph 4.3 of Schedule 2 (Conditions Precedent) of the 2025 Amendment and Restatement Agreement; Guarantor's Shareholders Agreement means the amended and restated shareholders agreement, dated as of November 4, 2014, by and among the Guarantor and the other parties thereto, as amended on March 23, 2018, September 21, 2018, and as may be further amended, restated amended and restated or replaced from time to time. All references in this agreement shall be deemed to refer to the Guarantor's Shareholders Agreement as in effect on the date hereof and any amendments thereto; Handbook means the PRA Rulebook of Rules and Guidance and/or the FCA Handbook of Rules and Guidance, as applicable (each as amended from time to time); Holding Company means in relation to a company or corporation, any company or corporation of which the first-mentioned company or corporation is a Subsidiary; HMAL means Hamilton Managing Agency Limited (formerly known as Pembroke Managing Agency Limited), a company incorporated in England and Wales with company number 05832065; Impacted Lender has the meaning given to that term in clause 4.6 (Funds at Lloyd's Ineligibility) Impacted Lender Amount has the meaning given to that term in clause 4.6 (Funds at Lloyd's Ineligibility); Impaired Agent means the Agent at any time when:


 
Ashurst 13 (a) it has failed to make (or has notified a Party that it will not make) a payment required to be made by it under the Finance Documents by the due date for payment; (b) the Agent otherwise rescinds or repudiates a Finance Document; (c) (if the Agent is also a Lender) it is a Defaulting Lender under paragraph (a), (b), (c) or (d) of the definition of "Defaulting Lender"; or (d) an Insolvency Event has occurred and is continuing with respect to the Agent, unless, in the case of paragraph (a) above: (i) its failure to pay is caused by: (A) administrative or technical error; or (B) a Disruption Event; and payment is made within five Business Days of its due date; or (ii) the Agent is disputing in good faith whether it is contractually obliged to make the payment in question; Ineligible Amount has the meaning given to that term in clause 4.6 (Funds at Lloyd's Ineligibility); Insolvency Event in relation to an entity means that the entity: (a) is dissolved (other than pursuant to a consolidation, amalgamation or merger); (b) becomes insolvent or is unable to pay its debts or fails or admits in writing its inability generally to pay its debts as they become due; (c) makes a general assignment, arrangement or composition with or for the benefit of its creditors; (d) institutes or has instituted against it, by a regulator, supervisor or any similar official with primary insolvency, rehabilitative or regulatory jurisdiction over it in the jurisdiction of its incorporation or organisation or the jurisdiction of its head or home office, a proceeding seeking a judgment of insolvency or bankruptcy or any other relief under any bankruptcy or insolvency law or other similar law affecting creditors' rights, or a petition is presented for its winding-up or liquidation by it or such regulator, supervisor or similar official; (e) has instituted against it a proceeding seeking a judgment of insolvency or bankruptcy or any other relief under any bankruptcy or insolvency law or other similar law affecting creditors' rights, or a petition is presented for its winding-up or liquidation, and, in the case of any such proceeding or petition instituted or presented against it, such proceeding or petition is instituted or presented by a person or entity not described in paragraph (d) above and: (i) results in a judgment of insolvency or bankruptcy or the entry of an order for relief or the making of an order for its winding-up or liquidation; or (ii) is not dismissed, discharged, stayed or restrained in each case within thirty days of the institution or presentation thereof;


 
Ashurst 14 (f) has a resolution passed for its winding-up, official management or liquidation (other than pursuant to a consolidation, amalgamation or merger); (g) seeks or becomes subject to the appointment of an administrator, provisional liquidator, conservator, receiver, trustee, custodian or other similar official for it or for all or substantially all its assets (other than, for so long as it is required by law or regulation not to be publicly disclosed, any such appointment which is to be made, or is made, by a person or entity described in paragraph (d) above); (h) has a secured party take possession of all or substantially all its assets or has a distress, execution, attachment, sequestration or other legal process levied, enforced or sued on or against all or substantially all its assets and such secured party maintains possession, or any such process is not dismissed, discharged, stayed or restrained, in each case within thirty days thereafter; (i) causes or is subject to any event with respect to it which, under the applicable laws of any jurisdiction, has an analogous effect to any of the events specified in paragraphs (a) to (h) above; or (j) takes any action in furtherance of, or indicating its consent to, approval of, or acquiescence in, any of the foregoing acts; Interest Period means, in relation to any Unpaid Sum, any of those periods mentioned in clause 6.1 (Default Interest Periods); Investment means, with respect to any Person, that such Person (a) purchases, owns, invests in or otherwise acquires (in one transaction or a series of transactions), directly or indirectly, any Equity Interests, interests in any partnership or joint venture (including, without limitation, the creation or capitalisation of any Subsidiary), evidence of Financial Indebtedness or other obligation or security, substantially all or a portion of the business or assets of any other Person or any other investment or interest whatsoever in any other Person, (b) makes any acquisition or (c) makes or permits to exist, directly or indirectly, any loans, advances or extensions of credit to, or any investment in cash or by delivery of Property in, any Person; Joint Venture means any joint venture entity, whether a company, unincorporated firm, undertaking, association, joint venture or partnership or any other entity; L/C Commission Rate means 1.50 per cent per annum; Legal Reservations means: (a) the principle that equitable remedies may be granted or refused at the discretion of a court and the limitation of enforcement by laws relating to insolvency, bankruptcy, liquidation, administration, examinership, moratorium, reorganisation and other laws generally affecting the rights of creditors; (b) the time barring of claims under the Limitation Acts, the possibility that an undertaking to assume liability for or indemnify a person against non-payment of UK stamp duty may be void and defences of set-off or counterclaim; (c) similar principles, rights and defences to those principles, rights and defences referred to in paragraphs (a) and/or (b) above under the laws of any Relevant Jurisdiction; and (d) general principles of equity and any other matters which are set out as qualifications or reservations as to matters of law of general application, or of general application to companies corporations or other persons, in any legal


 
Ashurst 15 opinion delivered to the Agent under Schedule 2 (Conditions Precedent to Initial Utilisation) or paragraph 3 of Schedule 2 (Conditions Precedent) of the 2025 Amendment and Restatement Agreement; Lender means: (a) any Original Lender; and (b) any bank or financial institution, trust, fund or other entity which has become a Party in accordance with clause 20 (Changes to the Lenders), which, in each case, has not ceased to be a Party in accordance with the terms of this Agreement; Letter of Comfort means a letter of comfort from Lloyd's to the Applicant in substantially the form set out in Schedule 8 (Letter of Comfort) or in such other form as may be agreed between the Borrower and the Agent in order to facilitate the execution of that letter by Lloyd's; Letter of Credit means a letter of credit issued or to be issued pursuant to clause 2.1 (The Facility) substantially in the form set out in Schedule 7 (Form of Letter of Credit) or in any other form requested by the Borrower which is approved by the Lenders; Limitation Acts means the Limitation Act 1980 and the Foreign Limitation Periods Act 1984; Lloyd's means the society incorporated by Lloyd's Act 1871 by the name of Lloyd's; LMA means the Loan Market Association; M&URs means the Membership and Underwriting Conditions and Requirements set out in Market Bulletin Ref: Y5353 (as amended or supplemented from time to time, including any successor to or replacement thereof); Majority Lenders means a Lender or Lenders whose Commitments aggregate more than 66⅔ per cent of the Total Commitments (or, if the Total Commitments have been reduced to zero, aggregated more than 66⅔ per cent of the Total Commitments immediately prior to the reduction); Managed Syndicate means Syndicate 4000, a syndicate at Lloyd's under the management of HMAL (Syndicate 4000); Managing Agent means HMAL; Material Adverse Effect means a material adverse effect on: (a) the business, operations, property, condition (financial or otherwise) of the Group, taken as a whole; (b) the ability of the Borrower or the Guarantor to meet its payment obligations under the Finance Documents; (c) the validity, legality or enforceability of any Finance Document, or the effectiveness or ranking of any Security granted or purporting to be granted pursuant to any of, the Finance Documents or the rights or remedies of any Finance Party under any of the Finance Documents; Month means a period starting on one day in a calendar month and ending on the numerically corresponding day in the next calendar month, except that:


 
Ashurst 16 (a) if the numerically corresponding day is not a Business Day, that period shall end on the next Business Day in that calendar month in which that period is to end if there is one, or if there is not, on the immediately preceding Business Day; and (b) if there is no numerically corresponding day in the calendar month in which that period is to end, that period shall end on the last Business Day in that calendar month. The above rules will only apply to the last Month of any period. Monthly shall be construed accordingly; Obligor means the Borrower, the Applicant or the Guarantor; Obligors' Agent means the Borrower appointed to act on behalf of each Obligor in relation to the Finance Documents pursuant to clause 2.4 (Obligors' Agent); Offer Terms has the meaning given to that term in clause 4.6 (Funds at Lloyd's Ineligibility); Original Financial Statements means: (a) in relation to the Guarantor, the audited consolidated financial statements of the Group for the financial year ended 30 November 2018; (b) in relation to the Borrower, its audited financial statements for its financial year ended 30 November 2018; and (c) in relation to the Applicant, its audited financial statements for its financial year ended 31 December 2018; Outstandings means, at any time the aggregate of the maximum actual and contingent liabilities of the Lenders in respect of each outstanding Letter of Credit, calculated in the Base Currency; Own FAL means, in relation to an Applicant such part of its Funds at Lloyds as is provided or otherwise supported by that Applicant or any other member of the Group by way of cash and/or investments and/or covenant and charge or otherwise as permitted by Lloyd's from time to time (which shall be valued by Lloyd's in accordance with Lloyd's usual practice) including, but not limited to, any FIS; Participating Member State means any member state of the European Union that has the euro as its lawful currency in accordance with legislation of the European Union relating to Economic and Monetary Union; Party means a party to this Agreement; Perfection Requirements means any and all registrations, filings, notices and other actions and steps required to be made in any jurisdiction in order to perfect security granted by the Transaction Security Documents in order to achieve the relevant priority for such Security; Permitted Security means: (a) any mortgage, charge, pledge, lien or other security interest which: (i) is entered into in the ordinary course of business of any member of the Group and which secure the obligations of any member of the Group under:


 
Ashurst 17 (A) certain insurance, reinsurance or retrocession arrangements to which any member of the Group is at any time a party; or (B) certain working capital facilities or letter of credit facilities, including where provided for the purpose of Funds at Lloyd's or in connection with securing obligations owed by any member of the Group under, or entered into in accordance with any applicable legal or regulatory requirement that applies in respect of, a reinsurance or retrocession arrangement to which any member of the Group is at any time a party, including any Syndicate Arrangements, provided that, (A) the aggregate amount of such Permitted Security under this paragraph (i) (measured, as to each such Permitted Security permitted under this paragraph (i), as the greater of the amount secured by such Permitted Security and the fair market value at such time of the assets subject to such Permitted Security) shall not, when added to the aggregate amount of all Permitted Security (measured as set forth in this paragraph (i) above and without double-counting) incurred pursuant to paragraphs (i)-(iii) inclusive, of this definition, exceed at any time $550,000,000 at the time of incurrence of any new Permitted Security under this definition (i) and (B) immediately after giving effect to the incurrence of any Permitted Security pursuant to this paragraph (i), no Event of Default shall have occurred and be continuing. For the avoidance of doubt, any such Permitted Security under this paragraph (i) shall include any such Permitted Security which have been disclosed to the Security Agent prior to date of this Agreement: (ii) is in favour of a custodian or sub-custodian and is granted in respect of the payment of its fees, costs and/or expenses, or its right to be indemnified, pursuant to the terms of a custody agreement or sub- custodian agreement under which any of the assets of the Borrower, any of its Subsidiaries or the Guarantor are held; (iii) is entered into with the prior approval of the Agent (acting on the instructions of the Majority Lenders); or (iv) is granted in favour of Lloyd's and comprises Group Own FAL or is used to secure Group Own FAL; (b) the Security or Quasi-Security entered into pursuant to any of the Transaction Security Documents, in each case, as the same may be amended or extended from time to time, provided that such amendment or extension does not have a Material Adverse Effect, and provided further that, the Borrower or any of its Subsidiaries, shall promptly notify the Security Agent of any such proposed amendment or extension as soon as reasonably practicable prior to the entry into of such proposed amendment or extension. For the avoidance of doubt, Group Own FAL shall not be counted towards the $550,000,000 limitation on Permitted Security identified in subsection (a)(i) above; Person means any natural person, corporation, limited liability company, trust, joint venture, association, company, partnership, Governmental Authority or other entity;


 
Ashurst 18 PRA means the Prudential Regulation Authority in the United Kingdom and any regulatory body which succeeds to one or more of the functions and/or duties performed by it as at the date of this Agreement; Property means any right or interest in or to property of any kind whatsoever, whether real, personal or mixed and whether tangible or intangible, including, without limitation, Equity Interests; Quarterly Monitoring Return means the quarterly monitoring return to be provided by the Borrower to Lloyd's in relation to the Managed Syndicate (including, as applicable, any QMA Delta and flash reports); Qualified Equity Interests means any Equity Interests that are not Disqualified Equity Interests; Quasi-Security has the meaning given to it in clause 18.3 (Negative Pledge); Realistic Disaster Scenarios means any realistic disaster scenario presented in a business plan prepared in relation to the Managed Syndicate under paragraph 35 of the Underwriting Byelaw (No. 2 of 2003) which shows the potential impact upon that Managed Syndicate of a catastrophic event; Receiver means a receiver or receiver and manager or administrative receiver of the whole or any part of the Charged Property; Related Fund in relation to a fund (the first fund), means a fund which is managed or advised by the same investment manager or investment adviser as the first fund or, if it is managed by a different investment manager or investment adviser, a fund whose investment manager or investment adviser is an Affiliate of the investment manager or investment adviser of the first fund; Relevant Holder means any Person who, directly or indirectly, holds any shares or other equity interests in the Guarantor as at the date of this Agreement, or any Affiliate of any such Person; Relevant Jurisdiction means in relation to a Borrower or a Subsidiary: (a) its jurisdiction of incorporation; (b) any jurisdiction where any material assets subject to or intended to be subject to the Transaction Security to be created by it are situated; (c) any jurisdiction where it conducts a material part of its business; and (d) the jurisdiction whose laws govern the perfection of any of the Transaction Security Documents entered into by it; Relevant Market means, in relation to euro, the European interbank market and, in relation to any other currency, the London interbank market; Repeating Representations means each of the Representations set out in clauses 15.1 (Status) to 15.6 (Governing law and enforcement), clause 15.9 (No Default), clause 15.21 (Third Party Funds at Lloyd's) and clause 15.23 (Sanctions) (but excluding clause 15.23(a)(iv)); Representations means each of the representations set out in clause 15 (Representations);


 
Ashurst 19 Representative means any delegate, agent, manager, administrator, nominee, attorney, trustee or custodian; Responsible Officer means with respect to the Guarantor or Borrower (as applicable), any director or officer, its chief executive officer, chief operating officer, chief financial officer, chief accounting officer or treasurer or any statutory officer of the Guarantor or Borrower (as applicable) duly appointed by the board of directors of the Guarantor or Borrower (as applicable); Restricted Person means a person that is (i) listed on, or owned or controlled by a person listed on any Sanctions List; (ii) located in, incorporated under the laws of, or owned or controlled by, a person located in or organised under the laws of a country or territory that is the target of country-wide Sanctions; or (iii) otherwise a target of Sanctions; Retiring Security Agent has the meaning given to that term in clause 23.22 (Resignation of the Security Agent); Revocation Notice means a notice given in writing by the Agent to Lloyd's in substantially the form set out in Schedule 11 (Form of Revocation Notice) and in accordance with clause 3.10 (Revocation Notice) advising Lloyd's of the date of expiry of the Letter of Credit referred to in such notice; Right of First Offer has the meaning given to that term in clause 4.6 (Funds at Lloyd's Ineligibility); Right of Second Offer has the meaning given to that term in clause 4.6 (Funds at Lloyd's Ineligibility); Sanctions means any economic sanctions laws, regulations or embargoes enacted or enforced by: (a) the US; (b) the United Nations; (c) the European Union, including its member states; (d) the United Kingdom; (e) Canada; or (f) the respective governmental institutions and agencies of any of the foregoing, including without limitation, the Office of Foreign Assets Control of the US Department of Treasury (OFAC), the US Department of State, and His Majesty's Treasury, (together Sanctions Authorities); Sanctions List means the "Specially Designated Nationals and Blocked Persons" list issued by OFAC and the Consolidated List of Financial Sanctions Targets issued by His Majesty's Treasury, or any similar list issued or maintained or made public by any of the Sanctions Authorities, each as amended, supplemented or substituted from time to time; SCR has the meaning given to it in the Handbook; Secured Obligations means all money, liabilities and obligations at any time due, owing or incurred by any Obligor to any Secured Party under the Finance Documents,


 
Ashurst 20 whether present or future, actual or contingent (and whether incurred solely or jointly and whether as principal or surety or in some other capacity); Secured Party means each Finance Party from time to time party to this Agreement and any Receiver or Delegate; Security means, with respect to any asset, any mortgage, leasehold mortgage, lien, pledge, charge, hypothecation, encumbrance or other security interest securing any obligation of any person or any other agreement or arrangement having a similar effect in respect of such asset. For the purposes of this Agreement, a Person shall be deemed to own, subject to Security, any asset which it has acquired or holds subject to the interest of a vendor or lessor under any conditional sale agreement, capital lease obligation or other title retention agreement relating to such asset; Special Liquidity Event has the meaning set forth in the Guarantor's Shareholders Agreement; Specified Time means a time determined in accordance with Schedule 9 (Timetables); Subsidiary means a subsidiary undertaking within the meaning of section 1162 of the Companies Act 2006 and any company which would be a subsidiary undertaking within the meaning of section 1162 of the Companies Act 2006 but for any Security subsisting over the shares in that company from time to time; Solvency Deficit means the applicable shortfall which requires the Account Party to provide (or procure be provided) additional Funds at Lloyd's pursuant to the M&URs (including, without limitation, pursuant to paragraphs 2.4C, 2.5C and/or 2.5M of the M&URs; Syndicate Arrangement means any arrangement (whether pursuant to guarantees, letters of credit or otherwise) entered into by a managing agent at Lloyd's on behalf of the Applicant together with the other members of a syndicate with respect to financing or reinsurance for the purposes of or in connection with the underwriting business carried on by all such members of that syndicate; T2 means the real time gross settlement system operated by the Eurosystem, or any successor system; TARGET Day means any day on which T2 is open for the settlement of payments in euro; Tax means any tax, levy, impost, duty or other charge or withholding of a similar nature (including any penalty or interest payable in connection with any failure to pay or any delay in paying any of the same); Term means, save as otherwise provided herein, in relation to any Letter of Credit, the period from its Utilisation Date until its Expiry Date; Total Commitments means, at any time, the aggregate of the Lenders' Commitments, being $260,000,000 as at the 2025 Restatement Date; Total FAL means in relation to the Applicant, aggregate of all Funds at Lloyd's of the Group (including, but not limited to Own FAL); Transaction Security means the security created or expressed to be created in favour of the Security Agent pursuant to the Transaction Security Documents;


 
Ashurst 21 Transaction Security Document means any security document required to be executed under clause 18.18 (Cash Collateral Account) together with any other security document that may at any time be given as security for any of the Secured Obligations pursuant to or in connection with any Finance Document; Transfer Certificate means a certificate substantially in the form set out in Schedule 4 (Form of Transfer Certificate) or any other form agreed between the Agent and the Borrower; Transfer Date means, in relation to an assignment or a transfer, the proposed Transfer Date specified in the relevant Assignment Agreement or Transfer Certificate, or in the event that no Transfer Date is specified in the relevant Assignment Agreement or Transfer Certificate, the date on which the Agent executes the relevant Assignment Agreement or Transfer Certificate; Transferee means a person to which a Lender seeks to transfer by novation all or part of such Lender's rights, benefits and obligations under the Finance Documents; UK CRD IV means: (a) Regulation (EU) No 575/2013 of the European Parliament and of the Council of 26 June 2013 on prudential requirements for credit institutions and investment firms and amending Regulation (EU) No 648/2012 as it forms part of domestic law of the United Kingdom by virtue of the European Union (Withdrawal) Act 2018 (the Withdrawal Act); (b) the law of the United Kingdom or any part of it, which immediately before IP completion day (as defined in the European Union (Withdrawal Agreement) Act 2020) implemented Directive 2013/36/EU of the European Parliament and of the Council of 26 June 2013 on access to the activity of credit institutions and the prudential supervision of credit institutions and investment firms, amending Directive 2002/87/EC and repealing Directives 2006/48/EC and 2006/49/EC and its implementing measures; and (c) direct EU legislation (as defined in the Withdrawal Act), which immediately before IP completion day (as defined in the European Union (Withdrawal Agreement) Act 2020) implemented EU CRD IV as it forms part of domestic law of the United Kingdom by virtue of the Withdrawal Act. Unpaid Sum means any sum due and payable but unpaid by an Obligor under the Finance Documents; US means the United States of America; US Tax Obligor means an Obligor making payments which are from sources within the US for US federal income tax purposes; Utilisation means a Utilisation of the Facility; Utilisation Date means the date of a Utilisation, being the date on which the relevant Letter of Credit is to be issued (or, as applicable, amended); Utilisation Request means a notice substantially in the relevant form set out in Schedule 3 (Form of Utilisation Request); VAT means: (a) any value added tax imposed by the Value Added Tax Act 1994;


 
Ashurst 22 (b) any tax imposed in compliance with the Council Directive of 28 November 2006 on the common system of value added tax (EC Directive 2006/112); and (c) any other tax of a similar nature, whether imposed in the United Kingdom or in a member state of the European Union in substitution for, or levied in addition to, such tax referred to in paragraphs (a) or (b) above, or imposed elsewhere; Wells Facilities means: (d) the $150,000,000 term loan credit agreement dated 26 July 2019 (as amended and restated from time to time) between, among others, Hamilton Insurance Group Ltd as borrower and Wells Fargo Bank, National Association as administrative agent for the lenders thereunder; and (e) the $450,000,000 revolving credit agreement dated 23 June 2022 (as amended and restated from time to time) between, among others, Hamilton Insurance Group Ltd as borrower and account party, Hamilton Re, Ltd as account party and Wells Fargo Bank, National Association as administrative agent for the lenders thereunder. Construction Unless a contrary indication appears, any reference in this Agreement to: (a) the Agent, the Security Agent, any Finance Party, any Lender, any Obligor, Party or any Secured Party shall be construed so as to include its successors in title, permitted assigns and permitted transferees to, or of, its rights and/or obligations under the Finance Documents and, in the case of the Security Agent, any person for the time being appointed as Security Agent or Security Agents in accordance with the Finance Documents; (b) assets includes present and future properties, revenues and rights of every description; (c) a Finance Document or any other agreement or instrument is a reference to that Finance Document or other agreement or instrument as amended, novated, supplemented, extended, replaced or restated; (d) a group of Lenders includes all the Lenders; (e) indebtedness includes any obligation (whether incurred as principal or as surety) for the payment or repayment of money, whether present or future, actual or contingent; (f) a person includes any individual, firm, company, corporation, government, state or agency of a state or any association, trust, joint venture, consortium, partnership or other entity (whether or not having separate legal personality); (g) a regulation includes any regulation, rule, official directive, request or guideline (whether or not having the force of law) of any governmental, intergovernmental or supranational body, agency, department or of any regulatory, self-regulatory or other authority or organisation; (h) a provision of law is a reference to that provision as amended or re-enacted; (i) a time of day is a reference to London time; (j) a document in agreed form is a document the form and content of which have been approved, and is initialled, by or on behalf of the Borrower and the Agent;


 
Ashurst 23 (k) a law shall be construed as any law (including common or customary law), statute, constitution, decree, judgment, treaty, regulation, directive, bye-law, order or any other legislative measure of any government, supranational, local government, statutory or regulatory body or court; (l) a member shall be construed (as the context may require) as a reference to an underwriting member of Lloyd's; (m) a Lender's participation, in relation to a Letter of Credit, shall be construed as a reference to the relevant amount that is or may be payable by a Lender in relation to that Letter of Credit; (n) a byelaw shall be construed as a reference to a byelaw made under Lloyd's Acts 1871 to 1982 as the same may have been, or may from time to time be, amended or replaced; (o) a successor shall be construed so as to include an assignee or successor in title of such party and any person who under the laws of its jurisdiction of incorporation or domicile has assumed the rights and obligations of such party under this Agreement or to which, under such laws, such rights and obligations have been transferred; (p) section, clause and Schedule headings are for ease of reference only; (q) unless a contrary indication appears, a term used in any other Finance Document or in any notice given under or in connection with any Finance Document has the same meaning in that Finance Document or notice as in this Agreement; (r) the Borrower or the Guarantor (as applicable) providing Collateral for a Letter of Credit means the Borrower and/or the Guarantor (as applicable) providing Cash Collateral; (s) the Borrower or the Guarantor providing Cash Collateral means the Borrower or the Guarantor paying an amount in the Base Currency to an interest bearing account in the name of the Borrower or the Guarantor (as applicable) and (subject to the Borrower exercising its option under clause 18.18(b) (Cash Collateral Account)) the following conditions being met: (i) the account is with a bank acceptable to the Lenders acting reasonably; (ii) until no amount is or may be outstanding under that Letter of Credit, withdrawals from the account may only be made to pay the relevant Finance Party amounts due and payable to it under this Agreement in respect of that Letter of Credit; (iii) the Borrower or the Guarantor (as applicable) has executed a security document, in form and substance satisfactory to the Security Agent, creating a first ranking security interest over that account; and (iv) the Agent has received (in form and substance satisfactory to the Agent) all such legal opinions as the Agent may deem necessary or desirable together with copies of all corporate Authorisations, approvals and other documentation as may be necessary for the same, and Cash Collateralised shall have the meaning correlative to the foregoing and shall include the proceeds of such Cash Collateral;


 
Ashurst 24 (t) the term Custodian shall be construed as the custodian agreed between the Guarantor and the Security Agent from time to time; (u) the term Custody Account means a securities account established at the Custodian in the name of the Guarantor or the Borrower in respect of which the following conditions have been met: (i) the account is with the Custodian; (ii) the account shall be subject to a securities account control agreement between the Guarantor or the Borrower, the Custodian and the Security Agent, in form and substance satisfactory to the Security Agent and such other documentation as is necessary to ensure that such Custody Account (and the securities held therein) is subject to a perfected first priority security interest in favour of the Security Agent (and in respect of which the Security Agent has electronic viewing access rights); and (iii) the Agent has received (in form and substance satisfactory to the Agent) all such legal opinions as the Agent may deem necessary or desirable together with copies of all corporate Authorisations, approvals and other documentation as may be necessary for the same (v) a Default (other than an Event of Default) is continuing if it has not been remedied or waived and an Event of Default is continuing if it has not been remedied or waived; (w) the Borrower repaying or prepaying a Letter of Credit means: (i) the Borrower providing Cash Collateral for that Letter of Credit; (ii) the maximum amount payable under the Letter of Credit being reduced or cancelled in accordance with its terms; or (iii) the Agent being satisfied that it has no further liability under that Letter of Credit, and the amount by which a Letter of Credit is repaid or prepaid under paragraphs (i) and (ii) above is the amount of the relevant Cash Collateral, reduction or cancellation; (x) an amount borrowed includes any amount utilised by way of Letter of Credit; (y) the Borrower's obligation on Utilisations becoming due and payable includes a the Borrower repaying any Letter of Credit in accordance with paragraph (w) above; (z) syndicate allocated capacity, in relation to any syndicate, shall be construed as a reference to the aggregate of the members syndicate premium limits of the relevant Applicant for the time being thereof; (aa) a wholly-owned Subsidiary of a company or corporation shall be construed as a reference to any company or corporation which has no other members except that other company or corporation and that other company's or corporation's wholly-owned Subsidiaries or persons acting on behalf of that other company or corporation or its wholly-owned Subsidiaries; (bb) Applicant refers to the relevant applicable Applicant from time to time, pursuant to any changes permitted under clause 19.12(b) (The Applicant's Business);


 
Ashurst 25 (cc) References to the date of "this Agreement", unless provided otherwise here, shall mean 7 November 2019; and (dd) Reference to any EU regulation or any provision of an EU regulation shall extend to include that regulation or provision as it forms part of English law by virtue of the European Union (Withdrawal) Act 2018 and as modified by English law from time to time. Syndicate For the purpose of construing references in this Agreement to a syndicate, unless the context otherwise requires, the several groups of members to which in successive years a particular syndicate number is assigned by Lloyd's shall be treated as the same syndicate notwithstanding that they may not comprise the same members with the same premium income limits. Currency Symbols and Definitions £ and sterling denote lawful currency of the United Kingdom for the time being, € and euro denote the single currency of the Participating Member States and $ and dollars denotes, from time to time, the lawful currency of the United States of America. Third Party Rights (a) Unless expressly provided to the contrary in a Finance Document a person who is not a Party has no right under the Contracts (Rights of Third Parties) Act 1999 (the Third Parties Act) to enforce or to enjoy the benefit of any term of this Agreement. (b) Notwithstanding any term of any Finance Document, the consent of any person who is not a Party is not required to rescind or vary this Agreement at any time. 2. THE FACILITY The Facility Subject to the terms of this Agreement, the Lenders make available to the Borrower, a US dollar letter of credit facility in an aggregate amount equal to the Total Commitments. Finance Parties' Rights and Obligations (a) The obligations of each Finance Party under the Finance Documents are several. Failure by a Finance Party to perform its obligations under the Finance Documents does not affect the obligations of any other Party under the Finance Documents. No Finance Party is responsible for the obligations of any other Finance Party under the Finance Documents. (b) The rights of each Finance Party under or in connection with the Finance Documents are separate and independent rights and any debt arising under the Finance Documents to a Finance Party from an Obligor is a separate and independent debt in respect of which a Finance Party shall be entitled to enforce its rights in accordance with paragraph (c) below. The rights of each Finance Party include any debt owing to that Finance Party under the Finance Documents and, for the avoidance of doubt, any part of an Unpaid Sum or any other amount owed by an Obligor which relates to a Finance Party's participation in the Facility or its role under a Finance Document (including any such amount payable to the Agent on its behalf) is a debt owing to that Finance Party by that Obligor.


 
Ashurst 26 (c) A Finance Party may, except as specifically provided in the Finance Documents, separately enforce its rights under or in connection with the Finance Documents. Purpose and Application (a) The Borrower shall apply each Letter of Credit issued under the Facility towards the Funds at Lloyd's for HCML for Syndicate 4000, the 2026 underwriting year of account and each prior open year of account (as applicable) and the Borrower shall apply all Letters of Credit issued under the Facility in or towards satisfaction of such purpose. (b) No Finance Party is bound to monitor or verify: (i) the application of any Letter of Credit issued pursuant to this Agreement; or (ii) whether all or any part of any other Lender's participation in a Letter of Credit or proposed Letter of Credit is or will be eligible as Funds at Lloyd's for the Borrower. Obligors' Agent (a) Each Obligor (other than the Borrower) by its execution of this Agreement irrevocably appoints the Borrower (acting through one or more authorised signatories) to act on its behalf as its agent in relation to the Finance Documents and irrevocably authorises: (i) the Borrower on its behalf to supply all information concerning itself contemplated by this Agreement to the Finance Parties and to give all notices and instructions (including, in the case of the Borrower, Utilisation Requests), to make such agreements and to effect the relevant amendments, supplements and variations capable of being given, made or effected by any Obligor notwithstanding that they may affect the Obligor, without further reference to or the consent of that Obligor; and (ii) each Finance Party to give any notice, demand or other communication to that Obligor pursuant to the Finance Documents to the Borrower, and in each case the Obligor shall be bound as though the Obligor itself had given the notices and instructions (including, without limitation, any Utilisation Requests) or executed or made the agreements or effected the amendments, supplements or variations, or received the relevant notice, demand or other communication. (b) Every act, omission, agreement, undertaking, settlement, waiver, amendment, supplement, variation, notice or other communication given or made by the Obligors' Agent or given to the Obligors' Agent under any Finance Document on behalf of another Obligor or in connection with any Finance Document (whether or not known to any other Obligor and whether occurring before or after such other Obligor became an Obligor under any Finance Document) shall be binding for all purposes on that Obligor as if that Obligor had expressly made, given or concurred with it. In the event of any conflict between any notices or other communications of the Obligors' Agent and any other Obligor, those of the Obligors' Agent shall prevail. Order of Application of Funds at Lloyd's It is acknowledged by the parties hereto that, subject to the duties of Lloyd's as trustee of all such Funds at Lloyd's, the Facility will provide Funds at Lloyd's for the Applicant


 
Ashurst 27 which, to the extent that the Obligors are able to procure the same upon and subject to the terms of this Agreement (having used its best endeavours), shall only be applied after all other Funds at Lloyd's of the Applicant (including Own FAL) have been exhausted, in accordance with the Letter of Comfort obtained or to be obtained with respect thereto. Letter of Comfort The Borrower shall use all reasonable endeavours, as soon as possible and in any event by no later than 31 December 2025, to: (a) obtain from Lloyd's (after consultation with the Agent), the Letter of Comfort; and (b) provide a certified copy of the Letter of Comfort to the Agent. Initial Conditions Precedent (a) The Borrower may not deliver a Utilisation Request unless the Agent has received all of the documents and other evidence listed in Schedule 2 (Conditions Precedent) in form and substance satisfactory to the Agent. The Agent shall notify the Borrower and the Lenders promptly upon being so satisfied. (b) Other than to the extent that the Majority Lenders notify the Agent in writing to the contrary before the Agent gives the notification described in paragraph (a) above, the Lenders authorise (but do not require) the Agent to give that notification. The Agent shall not be liable for any damages, costs or losses whatsoever as a result of giving any such notification. Further Conditions Precedent The Lenders will only be obliged to comply with clause 3.5 (Lenders' participation) if on the date of the Utilisation Request and on the proposed Utilisation Date: (a) no Default is continuing or would result from the proposed Letter of Credit; and (b) the Repeating Representations to be made by each Obligor are true in all material respects by reference to the facts and circumstances then existing. Maximum Number of Utilisations The Borrower may not deliver a Utilisation Request if, as a result of the proposed Utilisation, more than 3 Letters of Credit would be outstanding. 3. UTILISATION Delivery of a Utilisation Request The Borrower may during the Availability Period utilise the Facility by delivery to the Agent of a duly completed Utilisation Request not later than the Specified Time. Completion of a Utilisation Request Each Utilisation Request is irrevocable and will not be regarded as having been duly completed unless: (a) the currency specified in a Utilisation Request must be the Base Currency; (b) the proposed Utilisation Date is a Business Day falling on or before the 2026 Tier 2 Asset Submission Deadline;


 
Ashurst 28 (c) the proposed Term of that Letter of Credit is not less than four years and the Expiry Date of the Letter of Credit shall be no later than 31 December 2029; (d) it specifies the relevant Applicant, Managed Syndicate and underwriting year of account; (e) the Letter of Credit is substantially in the form set out in Schedule 7 (Form of Letter of Credit); (f) the beneficiary of the requested Letter of Credit is Lloyd's; (g) the proposed Utilisation Date is a Business Day; and (h) the request is to replace the Letter of Credit issued pursuant to this agreement identified as "LDGI 55047291 HAMILTON CORPORATE MEMBER LIMITED". Completion of Letters of Credit The Agent is authorised to arrange for the issue or amendment of any Letter of Credit pursuant to clause 3.1 (Delivery of a Utilisation Request) by: (a) completing the Commencement Date and the proposed Expiry Date of such Letter of Credit; (b) (in the case of an amendment increasing the amount or amending the tenor thereof) amending such Letter of Credit in such manner as Lloyd's may agree (including, where relevant, revoking any Termination Notice and issuing a new Revocation Notice pursuant to clause 3.10 (Revocation Notice)); (c) completing Schedule 1 to such Letter of Credit with the percentage participation of each Lender as allocated pursuant to the terms hereof; (d) executing such Letter of Credit and following such execution delivering such Letter of Credit to Lloyd's on the Utilisation Date; and (e) issuing such formal notification as Lloyd's may require confirming that the Letter of Credit has been issued or amended. Notification Not less than one Business Day before the first day of a Term, the Agent shall notify each Lender of: (a) the proposed length of the relevant Term; (b) the proposed currency; and (c) the aggregate principal amount, of the Letter of Credit allocated to such Lender pursuant to this Agreement. Lenders' Participation (a) Save as otherwise provided herein, each Lender will participate in each Letter of Credit issued pursuant to clause 3.3 (Completion of Letters of Credit) in the proportion borne by its Available Commitment to the Available Facility immediately prior to the issue of such Letter of Credit. (b) Commmerzbank AG, New York Branch will participate in each Letter of Credit issued pursuant to clause 3.3 (Completion of Letters of Credit) through Commerzbank AG, London Branch, which will act under the relevant Letter of


 
Ashurst 29 Credit as Issuing Bank (as defined therein) for and on behalf of Commerzbank AG, New York Branch. Demands under Letters of Credit If a demand is made under a Letter of Credit the Agent shall promptly make demand upon the Borrower in accordance with this Agreement and notify the Lenders. Expiry of Letters of Credit Upon the expiry of a Letter of Credit on its Expiry Date, the maximum actual and contingent liabilities of each Lender under such Letter of Credit will be reduced to zero. Applied Letters of Credit If, notwithstanding the provisions of clause 2.5 (Order of Application of Funds at Lloyd's), any sum is paid under a Letter of Credit (an Applied Letter of Credit) which is greater than any sum which would have been paid had Own FAL been applied to meet any demand prior to the Funds at Lloyd's provided pursuant to the Facility in accordance with clause 2.5 (Order of Application of Funds at Lloyd's) (the difference between the sum paid under the Applied Letter of Credit and the sum which should have been paid being the Overpayment), the Borrower shall indemnify the Lenders pursuant to clause 8 (Borrower's Indemnity to the Lenders) including, where necessary, by procuring the release by Lloyd's of Own FAL and, upon the Lenders being indemnified in full thereunder (but subject to the Agent receiving confirmation in writing from the Borrower that no Default is continuing): (a) a supplementary Letter of Credit will be issued in an amount equal to the Overpayment having an Expiry Date which is the same as that of the Applied Letter of Credit; or (b) the Applied Letter of Credit will be amended by increasing the amount thereof by an amount equal to the Overpayment. Acknowledgement of Automatic Extension Each Lender acknowledges that each Letter of Credit will continue in effect until such time as the Agent gives a Revocation Notice in accordance with the terms of clause 3.10 (Revocation Notice) below and that accordingly such Letter of Credit will terminate on the earlier of the date specified therein and 31 December 2029. Revocation Notice (a) The Parties agree that: (i) in respect of every Letter of Credit then in issue (subject to clause 19.20 (Acceleration and Cancellation)) (to the extent that the same have not been previously drawn down) the Agent shall procure that the Agent's trade operations shall, in respect of each Letter of Credit, no earlier than the 2026 Tier 2 Asset Submission Deadline and no later than 31 December 2025, give a Revocation Notice to Lloyd's so that each such Letter of Credit expires on the earlier of the date specified therein and 31 December 2029; and (ii) upon such expiry, the maximum actual and contingent liabilities of each Lender under the Letter of Credit referred to in such Revocation Notice will be reduced to zero. (b) In the event that any Letter of Credit is issued after the Revocation Notice has been given under paragraph (a) above the Agent shall, and is so instructed by


 
Ashurst 30 the Lenders to, procure that the Agent's trade operations give a Revocation Notice in respect of such Letter of Credit at the time such Letter of Credit is issued. 4. PREPAYMENT, CANCELLATION AND COLLATERALISATION Illegality If, in any applicable jurisdiction, it becomes unlawful for any Lender to perform any of its obligations as contemplated by this Agreement or to fund, issue or maintain its participation in any Letter of Credit or it becomes unlawful for any Affiliate of a Lender for that Lender to do so: (a) that Lender shall promptly notify the Agent upon becoming aware of that event; (b) upon the Agent notifying the Borrower, the Available Commitment of that Lender will be immediately cancelled; and (c) to the extent that the Lender's participation has not been transferred pursuant to paragraph (d) of clause 4.7 (Right of repayment and cancellation in relation to a single Lender), the Borrower shall repay that Lender's participation in the Utilisations made to the Borrower on the last day of the Interest Period for each Utilisation occurring after the Agent has notified the Borrower or, if earlier, the date specified by the Lender in the notice delivered to the Agent (being no earlier than the last day of any applicable grace period permitted by law) and that Lender's corresponding Commitment(s) shall be cancelled in the amount of the participations repaid. Change of control (a) If any person or group of persons acting in concert (other than any Relevant Holder) gains control of the Guarantor: (i) the Guarantor shall promptly notify the Agent upon becoming aware of that event; (ii) If a Lender so requires and notifies the Agent within thirty days of the Guarantor notifying the Agent of the event: (A) the Lenders shall not thereafter be obliged to participate in or issue any Letter of Credit; (B) the Agent shall, by not less than twenty Business Days' notice to the Guarantor, cancel the Commitment of that Lender and declare all amounts (together with any interest, commission and fees) accrued to that Lender under the Finance Documents immediately due and payable; and (C) the Guarantor shall procure that on such date as the Agent shall have specified, the liabilities of that Lender under or in respect of each Letter of Credit is reduced to zero or otherwise secured by providing Cash Collateral in an amount equal to such Lender's participation in such Letter of Credit or such Lender's maximum actual or contingent liabilities under such Letter of Credit. (b) For the purpose of paragraph (a) above, control means: (i) the power (whether by way of ownership of shares, proxy, contract, agency or otherwise) to:


 
Ashurst 31 (A) cast, or control the casting of, more than one-half of the maximum number of votes that might be cast at a general meeting of the Guarantor; or (B) appoint or remove all, or the majority, of the directors or other equivalent officers of the Guarantor; or (C) give directions with respect to the management, operating and financial policies of the Guarantor which the directors or other equivalent officers of the Borrower are obliged to comply with; or (ii) the holding of more than one-half of the issued share capital of the Guarantor (excluding any part of that issued share capital that carries no right to participate beyond a specified amount in a distribution of either profits or capital). (c) For the purpose of paragraph (a) above acting in concert means, a group of persons who, pursuant to an agreement or understanding (whether formal or informal), actively co-operate, through the acquisition by any of them, either directly or indirectly, of shares in the Guarantor, to obtain or consolidate control of the Guarantor. Mandatory Collateralisation If, by the 2027 Tier 2 Asset Submission Deadline, the Lenders and the Borrower have not: (a) agreed to extend the Facility to provide Funds at Lloyd's for the Applicant for the 2027 underwriting year of account and each prior open year of account (where applicable); and (b) effected such amendments, restructuring or refinancing (as applicable) to the Finance Documents as the Lenders consider necessary to effect such extension or otherwise require in connection with such extension, the Borrower shall procure that, no later than the date falling ten Business Days after 31 December 2026, the aggregate liability of the Lenders under each Letter of Credit then in issue is reduced to zero or otherwise secured by providing Collateral, in an amount equal to the aggregate Outstandings. Cancellation of the Facility The Borrower may, if it gives the Agent not less than five Business Days' (or such shorter period as the Majority Lenders may agree) prior notice, cancel the whole or any part (being a minimum amount of $100,000) of the Available Facility. Any cancellation under this clause 4.4 shall reduce the Commitments of the Lenders rateably under the Facility. Prepayment of Letters of Credit The Borrower to which a Letter of Credit has been issued may, if it gives the Agent not less than five Business Days' (or such shorter period as the Majority Lenders may agree) prior notice, prepay the whole or any part of a Letter of Credit (but if in part, being an amount that reduces the amount of the Letter of Credit by a minimum amount of $100,000). Funds at Lloyd's Ineligibility (a) In this clause:


 
Ashurst 32 (i) Accepting Lender means each existing Lender or new Lender which accepts an Ineligible Amount and/or Corresponding Commitment pursuant to clause 4.6 (Funds at Lloyd's Ineligibility); (ii) Commitment Ratio means the ratio of each Lender's Available Commitment to Total Commitments on a given date; (iii) Corresponding Commitment means such amount of an Affected Lender's Available Commitment as is required in order to ensure that each Accepting Lender's Commitment Ratio remains unchanged immediately following the transfer of any Ineligible Amount; (iv) Counterparty Exposure Benchmark means the benchmark exposure level of a member to any one counterparty as determined by the Council of Lloyd's from time to time for purposes of monitoring a member's counterparty exposure, and the Lloyd's Aggregate Restriction on quantum of guarantees and letters of credit that any one financial institution may issue within the Lloyd's market; and (v) Eligible Institution means an Approved Credit Institution with respect to which the counterparty exposure of the relevant Applicant is not in excess of the Counterparty Exposure Benchmark. (b) If all or any part of a Lender's participation (and/or its Confirming Bank's participation by way of a confirming arrangement with a Lender) in a Letter of Credit has ceased or will cease to be eligible as Funds at Lloyd's for the Borrower in respect of any year of account which it is intended to support pursuant to clause 2.3 (Purpose and Application): (i) due to such Lender (and/or its Confirming Bank) ceasing to be an Approved Credit Institution in respect of such participation (such Lender being, the Affected Ineligible Lender and the amount of its participation which has ceased or will cease to be eligible being, the Affected Ineligible Lender Amount); or (ii) due to such participation (in all or in part) (and/or its Confirming Banks's participation by way of a confirming arrangement with a Lender) being in excess of the Counterparty Exposure Benchmark (such Lender being, the Impacted Lender (and either an Impacted Lender or an Affected Ineligible Lender being an Affected Lender)) and the amount of its participation which has ceased or will cease to be eligible being, the Impacted Lender Amount and either the Impacted Lender Amount or the Affected Ineligible Lender Amount being, the Ineligible Amount), then: (iii) the Borrower or the Affected Lender shall, promptly upon becoming aware of such event, notify the Agent who shall, in turn, promptly notify the Borrower or the Affected Lender, as applicable; and (iv) either the Borrower or the Affected Lender may then, on the earlier of (i) ten Business Days from the date of the notification given to the other parties pursuant to paragraph 4.6(b)(iii) or (ii) the date on which all or any part of an Affected Lender's participation (and/or its Confirming Bank's participation by way of a confirming arrangement with the Lender) becomes an Ineligible Amount as Funds at Lloyd's for the Borrower in respect of any year of account which it is intended to support pursuant to


 
Ashurst 33 clause 2.3 (Purpose and Application), request (through the Agent) by notice to the other that: (A) a transfer of: (aa) the Ineligible Amount; and/or (bb) any Corresponding Commitment; take place pursuant to paragraphs (c) to (e) below; or (B) following the process set out at paragraphs (c) to (d) below, the Ineligible Amount be reduced to zero pursuant to paragraph (e) below. (c) If any such notification is made pursuant to paragraph (b)(iii) above, the Agent shall promptly offer the Ineligible Amount and/or Corresponding Commitment (the Right of First Offer): (i) Subject to the terms of this Agreement (then existing), with no re- negotiation or amendments to the terms of this Agreement or requests to obtain the benefit of additional provision (including but not limited to additional covenants, representations or alternative fee structures) (together the Offer Terms); and (ii) to the other Lenders in the same proportion that each Lender's Commitment bears to the Total Commitments (excluding, in each case, the Affected Lender and its Commitments) whereupon, (A) if, within five Business Days of such Right of First Offer, any one or more Lenders accepts such offer, the Borrower, the Affected Lender and those Lenders shall, as soon as reasonably practicable thereafter, effect the necessary transfers of the Ineligible Amount and Corresponding Commitment pursuant to clause 20 (Changes to the Lenders) as soon as reasonably practicable, but in any event within thirty days from the date in which it became an Affected Lender (or such other time period as may be agreed in writing between the parties from time to time; and (B) if, any existing Lender declines such Right of First Offer or does not respond within five Business Days of such offer, the Agent shall promptly offer (subject to the Offer Terms) the declining Lender's proportion of the Ineligible Amount and Corresponding Commitment to the remaining Lenders (excluding, for the avoidance of doubt, the Affected Lender) in such proportions as the Borrower may elect (the Right of Second Offer). If , within five Business Days of such offer, one or more Lenders accept such offer, the Borrower, the Affected Lender and those Lenders shall, as soon as reasonably practicable thereafter, effect the necessary transfers of the Ineligible Amount and Corresponding Commitment to those Lenders pursuant to clause 20 (Changes to the Lenders) as soon as reasonably practicable, but in any event within thirty days from the date in which it became an Affected ender (or such other time period as may be agreed in writing between the parties from time to time).


 
Ashurst 34 (d) If any part of the Ineligible Amount or Corresponding Commitment is not accepted by the other Lenders pursuant to the Right of First Offer and/or the Right of Second Offer above, the Borrower, the Agent and the Affected Lender agree to co-operate in good faith on a best efforts basis to find a replacement lender. The Borrower and the Affected Lender (with the consent of the Borrower) may offer (subject to the Offer Terms) such remaining part to one or more New Lenders. If any such New Lender accepts such offer within five Business Days of the offer being made, the Borrower, the Affected Lender and those Lenders shall, as soon as reasonably practicable thereafter, effect the necessary transfers of the Ineligible Amount and Corresponding Amount to those New Lenders pursuant to clause 20 (Changes to the Lenders) as soon as reasonably practicable, but in any event within thirty days from the date in which it became an Affected Lender (or such other time period as may be agreed in writing between the parties from time to time. (e) If any part of the Ineligible Amount has not been transferred to the Lenders or to Eligible Institutions pursuant to paragraphs (c) or (d) above, the Borrower, the Affected Lender and the Agent shall co-operate in good faith to procure that Lloyd's amends or reduces the Letters of Credit as necessary to reduce the Ineligible Amount to zero. Right of repayment and cancellation in relation to a single Lender (a) If: (i) any sum payable to any Lender by an Obligor is required to be increased pursuant to clause 9 (Tax Gross-up and Indemnities); or (ii) any Lender claims indemnification from the Borrower under clause 9.3 (Tax Indemnity) or clause 10.1 (Increased Costs), the Borrower may, whilst (in the case of clauses 4.7(a)(i) and 4.7(a)(ii) above) the circumstance giving rise to the requirement or indemnification continues, give the Agent notice (a) of its intention to procure that the liabilities of that Lender under each Letter of Credit are reduced to zero and/or provide Cash Collateral in an amount equal to such Lender's participation in each Letter of Credit. (b) On receipt of a notice of cancellation referred to in paragraph (a) above in relation to a Lender, the Commitment(s) of that Lender shall immediately be reduced to zero. (c) On the last day of each Term which ends after the Borrower has given notice of cancellation under paragraph (a) above in relation to a Lender (or, if earlier, the date specified by the Borrower in that notice), the Borrower shall procure either that that Lender's participation in each Letter of Credit be reduced to zero (by a reduction of the amount of that Letter of Credit in an amount equal to that Lender's participation in that Letter of Credit) or that it is otherwise secured by providing Cash Collateral to the Agent in an amount equal to that Lender's Outstandings. (d) If any Lender becomes a Defaulting Lender, the Borrower may, at any time whilst the Lender continues to be a Defaulting Lender, give the Agent ten Business Days' notice of cancellation of each Available Commitment of that Lender. (e) On the notice referred to in paragraph (d) above becoming effective, each Available Commitment of the Defaulting Lender shall immediately be reduced to zero.


 
Ashurst 35 (f) The Agent shall as soon as practicable after receipt of a notice referred to in paragraph (d) above, notify all the Lenders. Restrictions (a) A Lender whose total aggregate liabilities under each Letter of Credit have been reduced to zero or Cash Collateralised pursuant to clause 4.7 (Right of repayment and cancellation in relation to a single Lender) or have been Cash Collateralised pursuant to clause 4.5 (Prepayment of Letters of Credit) shall not be obliged to participate in any Letter of Credit issued on or after the date upon which the Agent receives the Borrower's notice of its intention to procure the repayment of or provide Cash Collateral in respect of such Lender's share of the Outstandings, and such Lender's Available Commitment shall be reduced to zero. (b) The Available Facility may be cancelled, and the liabilities of each Lender under any Letter of Credit may be reduced to zero, only at the times and in the manner expressly provided for herein. (c) Unless a contrary indication appears in this agreement, any part of the Facility which is prepaid or repaid may be reborrowed as contemplated by and in accordance with the terms of this agreement. 5. LETTER OF CREDIT COMMISSION The Borrower shall, in respect of each Letter of Credit requested by it, pay to the Agent for the account of each Lender (for distribution in proportion to each Lender's participation in such Letter of Credit) a letter of credit commission in the Base Currency at the L/C Commission Rate on the Outstandings under the relevant Letter of Credit. Such letter of credit commission shall be paid quarterly in arrears in respect of each successive period of three Months (or such shorter period as shall end on the relevant Expiry Date) which ends during the Term of the relevant Letter of Credit, the first such payment to be made on the date falling three Months after the Utilisation Date for such Letter of Credit and thereafter on the last date of each successive three Month period. 6. DEFAULT INTEREST AND BREAKAGE COSTS Default Interest Periods If any sum due and payable by an Obligor under a Finance Document is not paid on its due date or if any sum due and payable by the Obligor under any judgement of any court in connection with any Finance Document is not paid on the date of such judgement, the period beginning on such due date or, as the case may be, the date of such judgement and ending on the date upon which the obligation of such Obligor to pay such sum is discharged shall be divided into successive periods, each of which (other than the first) shall start on the last day of the preceding such period and the duration of each of which shall (except as otherwise provided in this clause 6) be selected by the Agent. Default Interest An Unpaid Sum shall bear interest during each Interest Period in respect thereof at the rate per annum which is the sum from time to time of 2.0 per cent. per annum above the Base Rate plus the L/C Commission Rate. Payment of Default Interest Any interest which has accrued under clause 6.1 (Default Interest Periods) in respect of an Unpaid Sum shall be due and payable and shall be paid by the Obligor owing such


 
Ashurst 36 Unpaid Sum on the last day of each Interest Period in respect thereof or on such other dates as the Agent may specify by notice to such Obligor or the Borrower (as the case may be). Break Costs (a) The Borrower shall, within three Business Days of demand by a Finance Party, pay to that Finance Party its Break Costs attributable to all or any part of an Unpaid Sum being paid by the Borrower on a day other than the last day of an Interest Period for that Unpaid Sum. (b) Each Lender shall, as soon as reasonably practicable after a demand by the Agent, provide a certificate confirming the amount of its Break Costs for any Interest Period in which they accrue. 7. FEES Arrangement Fee The Borrower shall pay to the Agent (for the account of each Lender) an arrangement fee in the amount and at the times agreed in the Arrangement Fee Letter. Agency Fee The Borrower shall pay to the Agent (for its own account) an agency fee in the amount and at the times agreed in a Fee Letter. Security Agency Fee The Borrower shall pay to the Security Agent (for its own account) a security agency fee in the amount and at the times agreed in a Fee Letter (if applicable). Commitment Fee (a) The Borrower shall pay to the Agent (for the account of each Lender) a commitment fee in the Base Currency computed at the rate per annum equal to 0.35 per cent on that Lender's Available Commitment for the Availability Period. (b) The accrued commitment fee is payable quarterly in arrears on the last day of each successive period of three Months which ends during the Availability Period, on the last date of the Availability Period and on any cancelled amount of the relevant Lender's Commitment at the time the cancellation is effective. (c) No commitment fee is payable to the Agent (for the account of a Lender) on any Available Commitment of that Lender for any day on which that Lender if a Defaulting Lender. 8. BORROWER'S INDEMNITY TO THE LENDERS Borrower's Indemnity to Lenders (a) The Borrower shall irrevocably and unconditionally as a primary obligation indemnify (within three Business Days of demand by the Agent (the Demand Period)) each Finance Party against: (i) any sum paid or due and payable by such Finance Party in accordance with the terms of any Letter of Credit; and (ii) all liabilities, costs (including, without limitation, any costs incurred in funding any amount which falls due from such Finance Party in connection with such Letter of Credit), claims, losses and reasonable expenses which such Finance Party may at any time incur or sustain in


 
Ashurst 37 connection with any Letter of Credit (other than as a result of the gross negligence or wilful misconduct of such Finance Party), (each an Indemnified Sum and together the Indemnified Sums). (b) An Indemnified Sum shall bear interest during the Demand Period in respect thereof at the rate per annum which is the sum of the L/C Commission Rate plus the Base Rate. (c) The Borrower waives any right it may have of first requiring any Finance Party (or any trustee or agent on its behalf) to enforce any Transaction Security (if applicable) before claiming from the Borrower under this clause 8. This waiver applies irrespective of any law or any provision of a Finance Document to the contrary. (d) For the avoidance of doubt, the provisions of this clause 8.1 will not apply to any obligations of an Obligor to indemnify a Finance Party in respect of (i) Taxes, which obligations shall be governed solely by clause 9 (Tax Gross Up and Indemnities) or (ii) Increased Costs, which obligations shall be governed solely by clause 10 (Increased Costs). Preservation of Rights Neither the obligations of the Borrower set out in this clause 8 nor the rights, powers and remedies conferred on any Lender by this Agreement or by law shall be discharged, impaired or otherwise affected by: (a) the winding-up, dissolution, administration or re-organisation of any Lender or any other person or any change in its status, function, control or ownership; (b) any of the obligations of any Lender or any other person hereunder or under any Letter of Credit or under any other security taken in respect of the Borrower's obligations hereunder or otherwise in connection with a Letter of Credit being or becoming illegal, invalid, unenforceable or ineffective in any respect; (c) time or other indulgence being granted or agreed to be granted to any Lender or any other person in respect of its obligations hereunder or under or in connection with a Letter of Credit or under any such other security; (d) any amendment to, or any variation, waiver or release of, any obligation of any Lender or any other person under a Letter of Credit or this Agreement; or (e) any other act, event or omission which, but for this clause 8, might operate to discharge, impair or otherwise affect any of the obligations of the Borrower set out in this clause 8 or any of the rights, powers or remedies conferred upon any Lender by this Agreement or by law. The obligations of the Borrower set out in this clause 8 shall be in addition to and independent of every other security which any Lender may at any time hold in respect of the Borrower's obligations hereunder. Settlement Conditional Any settlement or discharge between the Borrower and the Agent or any Lender shall be conditional upon no security or payment to the Agent or such Lender by the Borrower, or any other person on behalf of the Borrower, being avoided or reduced by virtue of any laws relating to bankruptcy, insolvency, liquidation or similar laws of general application and, if any such security or payment is so avoided or reduced, the Agent or such Lender shall be entitled to recover the value or amount of such security or


 
Ashurst 38 payment from the Borrower subsequently as if such settlement or discharge had not occurred. Right to make Payments under Letters of Credit The Agent shall be entitled to make any payment in accordance with the terms of the relevant Letter of Credit without any reference to or further authority from the Borrower or any other investigation or enquiry. The Borrower irrevocably authorises the Agent to comply with any demand under a Letter of Credit which is valid on its face. 9. TAX GROSS UP AND INDEMNITIES Definitions (a) In this Agreement: Protected Party means a Finance Party which is or will be subject to any liability, or required to make any payment, for or on account of Tax in relation to a sum received or receivable (or any sum deemed for the purposes of Tax to be received or receivable) under a Finance Document; Tax Credit means a credit against, relief or remission for, or repayment of any Tax; Tax Deduction means a deduction or withholding for or on account of Tax from a payment under a Finance Document, other than a FATCA Deduction; and Tax Payment means either the increase in a payment made by an Obligor to a Finance Party under clause 9.2 (Tax gross-up) or a payment under clause 9.3 (Tax indemnity). (b) Unless a contrary indication appears, in this clause 9 a reference to determines or determined means a determination made in the absolute discretion of the person making the determination. Tax gross-up (a) Each Obligor shall make all payments to be made by it under a Finance Document without any Tax Deduction, unless a Tax Deduction is required by law. (b) The Borrower shall promptly upon becoming aware that an Obligor must make a Tax Deduction (or that there is any change in the rate or the basis of a Tax Deduction) notify the Agent accordingly. Similarly, a Lender shall promptly notify the Agent on becoming so aware in respect of a payment payable to that Lender. If the Agent receives such notification from a Lender it shall promptly notify the Borrower. (c) If a Tax Deduction is required by law to be made by an Obligor, the amount of the payment due from that Obligor shall be increased to an amount which (after making any Tax Deduction) leaves an amount equal to the payment which would have been due if no Tax Deduction had been required. (d) A payment shall not be increased under paragraph (c) above by reason of a Tax Deduction on account of Tax, if and to the extent that on the date on which the payment falls due an Obligor is able to demonstrate that the payment could have been made to the Finance Party without the Tax Deduction or with a reduced Tax Deduction had that Finance Party complied with its obligations under paragraph (g) below or clause 12 (Mitigation by the Lenders) (in each case,


 
Ashurst 39 provided the Borrower has previously made a written request to that Finance Party for compliance with such provision). (e) If an Obligor is required to make a Tax Deduction, that Obligor shall make that Tax Deduction and any payment required in connection with that Tax Deduction within the time allowed (including extensions) and in the amount required by law. (f) Within thirty days of making either a Tax Deduction or any payment required in connection with that Tax Deduction, the Obligor making that Tax Deduction shall deliver to the Agent for the Finance Party entitled to the payment evidence reasonably satisfactory to that Finance Party that the Tax Deduction has been made or (as applicable) any appropriate payment paid to the relevant taxing authority. (g) Each Finance Party and the Obligors shall, so far as it is legally entitled to do so, co-operate in completing any procedural formalities which the Borrower reasonably requires to enable it to make a payment to which that Finance Party is entitled without a Tax Deduction (or with a reduced Tax Deduction). Tax indemnity (a) The Borrower shall (within three Business Days of demand by the Agent) pay to a Protected Party an amount equal to the loss, liability or cost which that Protected Party determines will be or has been (directly or indirectly) suffered for or on account of Tax by that Protected Party in respect of a Finance Document. (b) Paragraph (a) above shall not apply: (i) with respect to any Tax assessed on a Finance Party: (A) under the law of the jurisdiction in which that Finance Party is incorporated or, if different, the jurisdiction (or jurisdictions) in which that Finance Party is treated as resident for tax purposes; or (B) under the law of the jurisdiction in which that Finance Party's Facility Office is located (or through which the Finance Party negotiated or manages a Letter of Credit) in respect of amounts received or receivable in that jurisdiction, if that Tax is imposed on or calculated by reference to the net income received or receivable (but not any sum deemed to be received or receivable) by that Finance Party; or (ii) to the extent a loss, liability or cost: (A) is compensated for by an increased payment under clause 9.2 (Tax gross-up); (B) would have been compensated for by an increased payment under clause 9.2 (Tax gross-up) but was no so compensated solely because one of the exclusions in paragraph (d) of clause 9.2 (Tax gross-up) applied; or (C) relates to a FATCA Deduction required to be made by a Party. (c) A Protected Party making, or intending to make a claim under paragraph (a) above shall promptly notify the Agent of the event which will give, or has given, rise to the claim, following which the Agent shall notify the Borrower.


 
Ashurst 40 (d) A Protected Party shall, on receiving a payment from an Obligor under this clause 9.3, notify the Agent. Tax Credit If an Obligor makes a Tax Payment and the relevant Finance Party determines that: (a) a Tax Credit is attributable to an increased payment of which that Tax Payment forms part, to that Tax Payment or to a Tax Deduction in consequence of which that Tax Payment was required; and (b) that Finance Party has obtained and utilised that Tax Credit, the Finance Party shall pay an amount to the Obligor which that Finance Party determines will leave it (after that payment) in the same after-Tax position as it would have been in had the Tax Payment not been required to be made by the Obligor. Stamp taxes The Borrower shall pay and, within three Business Days of demand, indemnify each Finance Party against any cost, loss or liability that Finance Party incurs in relation to all stamp duty, registration and other similar Taxes payable in respect of any Finance Document other than a Finance Document pursuant to which any rights under this Agreement are assigned or transferred by a Lender (save for where such assignment or transfer arises as a result of an Event of Default which is continuing). VAT (a) All amounts expressed to be payable under a Finance Document by any Party to a Finance Party which (in whole or in part) constitute the consideration for any supply for VAT purposes are deemed to be exclusive of any amount in respect of VAT which is chargeable on that supply, and accordingly, subject to paragraph (b) below, if VAT is or becomes chargeable on any supply made by any Finance Party to any Party under a Finance Document and such Finance Party is required to account to the relevant tax authority for the VAT, that Party must pay to such Finance Party (in addition to and at the same time as paying any other consideration for such supply) an amount equal to the amount of the VAT (and such Finance Party must promptly provide an appropriate VAT invoice to that Party). (b) If VAT is or becomes chargeable on any supply made by any Finance Party (the Supplier) to any other Finance Party (the Recipient) under a Finance Document, and any Party other than the Recipient (the Relevant Party) is required by the terms of any Finance Document to pay an amount equal to the consideration for that supply to the Supplier (rather than being required to reimburse or indemnify the Recipient in respect of that consideration): (i) (where the Supplier is the person required to account to the relevant tax authority for the VAT) the Relevant Party must also pay to the Supplier (at the same time as paying that amount) an additional amount equal to the amount of the VAT. The Recipient must (where this paragraph (i) applies) promptly pay to the Relevant Party an amount equal to any credit or repayment the Recipient receives from the relevant tax authority which the Recipient reasonably determines relates to the VAT chargeable on that supply; and (ii) (where the Recipient is the person required to account to the relevant tax authority for the VAT) the Relevant Party must promptly, following demand from the Recipient, pay to the Recipient an amount equal to the


 
Ashurst 41 VAT chargeable on that supply but only to the extent that the Recipient reasonably determines that it is not entitled to credit or repayment from the relevant tax authority in respect of that VAT. (c) Where a Finance Document requires any Party to reimburse or indemnify a Finance Party for any cost or expense, that Party shall reimburse or indemnify (as the case may be) such Finance Party for the full amount of such cost or expense, including such part thereof as represents VAT, save to the extent that such Finance Party reasonably determines that it is entitled to credit or repayment in respect of such VAT from the relevant tax authority. (d) Any reference in this clause 9.6 to any Party shall, at any time when such Party is treated as a member of a group or fiscal unity for VAT purposes, include (where appropriate and unless the context otherwise requires) a reference to the person who is treated at that time as making the supply, or (as appropriate) receiving the supply, under the grouping or fiscal unity rules (provided for in Article 11 of Council Directive 2006/112/EC (or as implemented by the relevant member state of the European Union) or any other similar provision in any jurisdiction which is not a member state of the European Union) so that a reference to a party shall be construed as a reference to that party or the relevant group or fiscal unity of which that party is a member for VAT purposes at the relevant time or the relevant representative member (or head) of that group or fiscal unity at the relevant time (as the case may be). (e) In relation to any supply made by a Finance Party to any Party under a Finance Document, if reasonably requested by such Finance Party, that Party must promptly provide such Finance Party with details of that Party's VAT registration and such other information as is reasonably requested in connection with such Finance Party's VAT reporting requirements in relation to such supply FATCA Information (a) Subject to paragraph (c) below, each Party shall, within ten Business Days of a reasonable request by another Party: (i) confirm to that other Party whether it is: (A) a FATCA Exempt Party; or (B) not a FATCA Exempt Party; (ii) supply to that other Party such forms, documentation and other information relating to its status under FATCA as that other Party reasonably requests for the purposes of that other Party's compliance with FATCA; and (iii) supply to that other Party such forms, documentation and other information relating to its tax status as that other Party reasonably requests for the purposes of that other Party's compliance with any other similar law, regulation, or exchange of information regime. (b) If a Party confirms to another Party pursuant to paragraph (a)(i)(A) above that it is a FATCA Exempt Party and it subsequently becomes aware that it is not, or has ceased to be a FATCA Exempt Party, that Party shall notify that other Party reasonably promptly. (c) Paragraph (a) above shall not oblige any Party to do anything, which would or might in its reasonable opinion constitute a breach of:


 
Ashurst 42 (i) any law or regulation; (ii) any fiduciary duty; or (iii) any duty of confidentiality. (d) If a Party fails to confirm whether or not it is a FATCA Exempt Party or to supply forms, documentation or other information requested in accordance with paragraph (a) above (including, for the avoidance of doubt, where paragraph (c) above applies), then such Party shall be treated for the purposes of the Finance Documents (and payments under them) as if it is not a FATCA Exempt Party until such time as the Party in question provides the requested confirmation, forms, documentation or other information. (e) If the Borrower is a US Tax Obligor, or an Obligor or the Agent reasonably believes that its obligations under FATCA or any other applicable law or regulation require it, each Lender shall, within ten Business Days of: (i) where the Borrower is a US Tax Obligor and the relevant Lender is an Original Lender, the date of this Agreement; (ii) where the Borrower is a US Tax Obligor on a Transfer Date and the relevant Lender is a New Lender, the relevant Transfer Date; or (iii) where the Borrower is not a US Tax Obligor, the date of a request from the Agent, supply to the Agent: (A) a withholding certificate on Form W-8, Form W-9 or any other relevant form; or (B) any withholding statement or other document, authorisation or waiver as the Agent may require to certify or establish the status of such Lender under FATCA or that other law or regulation. (f) The Agent shall provide any withholding certificate, withholding statement, document, authorisation or waiver it receives from a Lender pursuant to paragraph (e) above to the Borrower. (g) If any withholding certificate, withholding statement, document, authorisation or waiver provided to the Agent by a Lender pursuant to paragraph (e) above is or becomes materially inaccurate or incomplete, that Lender shall promptly update it and provide such updated withholding certificate, withholding statement, document, authorisation or waiver to the Agent unless it is unlawful for the Lender to do so (in which case the Lender shall promptly notify the Agent). The Agent shall provide any such updated withholding certificate, withholding statement, document, authorisation or waiver to the Borrower. (h) The Agent may rely on any withholding certificate, withholding statement, document, authorisation or waiver it receives from a Lender pursuant to paragraphs (e) or (g) above without further verification. The Agent shall not be liable for any action taken by it under or in connection with paragraphs (e), (f) or (g) (inclusive) above. FATCA Deduction (a) Each Party may make any FATCA Deduction it is required to make by FATCA, and any payment required in connection with that FATCA Deduction, and no


 
Ashurst 43 Party shall be required to increase any payment in respect of which it makes such a FATCA Deduction or otherwise compensate the recipient of the payment for that FATCA Deduction. (b) Each Party shall promptly, upon becoming aware that it must make a FATCA Deduction (or that there is any change in the rate or the basis of such FATCA Deduction) notify the Party to whom it is making the payment and, in addition, shall notify the Borrower and the Agent and the Agent shall notify the other Finance Parties. 10. INCREASED COSTS Increased costs (a) Subject to clause 10.3 (Exceptions) the Borrower shall, within three Business Days of a demand by the Agent, pay for the account of a Finance Party the amount of any Increased Costs incurred by that Finance Party or any of its Affiliates as a result of: (i) the introduction of or any change in (or in the interpretation, administration or application of) any law or regulation; (ii) compliance with any law or regulation made after the date of this Agreement; or (iii) the implementation or application of or compliance with Basel III, CRD IV or any law or regulation that implements or applies Basel III or CRD IV (whether before or after the date of this Agreement and whether such implementation, application or compliance is by a government, regulator, Finance Party or any of its Affiliates). (b) In this Agreement Increased Costs means: (i) a reduction in the rate of return from the Facility or on a Finance Party's (or its Affiliate's) overall capital; (ii) an additional or increased cost; or (iii) a reduction of any amount due and payable under any Finance Document, which is incurred or suffered by a Finance Party or any of its Affiliates to the extent that it is attributable to that Finance Party having entered into its Commitment or funding or performing its obligations under any Finance Document or Letter of Credit. Increased cost claims (a) A Finance Party intending to make a claim pursuant to clause 10.1 (Increased costs) shall notify the Agent of the event giving rise to the claim, following which the Agent shall promptly notify the Borrower. (b) Each Finance Party shall, as soon as practicable after a demand by the Agent, provide a certificate confirming the amount of its Increased Costs. Exceptions (a) Clause 10.1 (Increased costs) does not apply to the extent any Increased Cost is:


 
Ashurst 44 (i) attributable to a Tax Deduction required by law to be made by an Obligor; (ii) attributable to a FATCA Deduction required to be made by a Party; (iii) compensated for by clause 9.3 (Tax indemnity) (or would have been compensated for under clause 9.3 (Tax indemnity) but was not so compensated solely because any of the exclusions in paragraph (b) of clause 9.3 (Tax indemnity) applied); (iv) attributable to a Bank Levy; (v) attributable to the wilful breach by the relevant Finance Party or its Affiliates of any law or regulation; or (vi) attributable to the implementation or application of or compliance with the "International Convergence of Capital Measurement and Capital Standards, a Revised Framework" published by the Basel Committee on Banking Supervision in June 2004 in the form existing on the date of this Agreement (but excluding any amendment arising out of Basel III) (Basel II) or any other law or regulation which implements Basel II (whether such implementation, application or compliance is by a government, regulator, Finance Party or any of its Affiliates). (b) In this clause 10.3, a reference to a Tax Deduction has the same meaning given to the term in clause 9.1 (Definitions). 11. OTHER INDEMNITIES Currency Indemnity (a) If any sum due from an Obligor under the Finance Documents (a Sum) or any order, judgment or award given or made in relation to a Sum has to be converted from the currency (the First Currency) in which that Sum is payable into another currency (the Second Currency) for the purpose of: (i) making or filing a claim or proof against that Obligor; (ii) obtaining or enforcing an order, judgment or award in relation to any litigation or arbitration proceedings, that Obligor shall as an independent obligation, within three Business Days of demand, indemnify each Secured Party to whom that Sum is due against any cost, loss or liability arising out of or as a result of the conversion including any discrepancy between (a) the rate of exchange used to convert that Sum from the First Currency into the Second Currency and (b) the rate or rates of exchange available to that person at the time of its receipt of that Sum. (b) The Borrower waives any right it may have in any jurisdiction to pay any amount under the Finance Documents in a currency or currency unit other than that in which it is expressed to be payable. Other indemnities The Borrower shall (and will procure that each Obligor will), within three Business Days of demand, indemnify each Finance Party against any cost, loss or liability incurred by that Finance Party as a result of: (a) the occurrence of any Event of Default;


 
Ashurst 45 (b) a failure by an Obligor to pay any amount due under a Finance Document on its due date, including without limitation, any cost, loss or liability arising as a result of clause 25 (Sharing among the Finance Parties); (c) funding or making arrangements to fund, its participation in a Utilisation requested by the Borrower in a Utilisation Request but not made by reason of the operation of any one or more of the provisions of this Agreement (other than by reason of default or negligence by that Finance Party alone); (d) issuing or making arrangements to issue a Letter of Credit requested by the Borrower in a Utilisation Request but not issued by reason of the operation of any one or more of the provisions of this Agreement (other than by reason of default or negligence by that Finance Party alone); or (e) a Utilisation (or part of a Utilisation) not being prepaid in accordance with a notice of prepayment given by the Borrower. For the avoidance of doubt the provisions of this clause 11.2 will not apply to any obligations of an Obligor to indemnify a Finance Party in respect of (i) Taxes, which obligations shall be governed solely by clause 9 (Tax Gross Up and Indemnities) or (ii) Increased Costs, which obligations shall be governed solely by clause 10 (Increased Costs). Indemnity to the Agent The Borrower shall promptly indemnify the Agent against any cost, loss or liability incurred by the Agent (acting reasonably) as a result of: (a) investigating any event which it reasonably believes is a Default; (b) acting or relying on any notice, request or instruction which it reasonably believes to be genuine, correct and appropriately authorised; or (c) instructing lawyers, accountants, tax advisers, surveyors or other professional advisers or experts as permitted under this Agreement. Indemnity to the Security Agent The Borrower shall promptly indemnify the Security Agent and every Receiver and Delegate against cost, loss or liability incurred by any of them of a result of: (a) any failure by the Borrower or the Guarantor to comply with its obligations under clause 13 (Costs and expenses); (b) acting or relying on any notice, request or instruction which it reasonably believes to be genuine, correct and appropriately authorised; (c) the taking, holding, protection or enforcement of the Transaction Security; (d) the exercise of any of the right, powers, discretions, authorities and remedies vested in the Security Agent and each Receiver and Delegate by the Finance Document or by law; (e) any default by any Obligor in the performance of any of the obligations expressed to be assumed by it in the Finance Documents; or (f) acting as Security Agent, Receiver or Delegate under the Finance Documents or which otherwise relates to any of the Charged Property (otherwise, in each case, than by reason of the relevant Security Agent's, Receiver's or delegate's gross negligence or wilful misconduct).


 
Ashurst 46 12. MITIGATION BY THE LENDERS Mitigation (a) Each Finance Party shall, in consultation with the Borrower, take all reasonable steps to mitigate any circumstances which arise and which would result in any Facility ceasing to be available or any amount becoming payable under or pursuant to, or cancelled pursuant to, any of clause 4.1 (Illegality), clause 9 (Tax gross-up and indemnities) or clause 10 (Increased costs) including (but not limited to) transferring its rights and obligations under the Finance Documents to another Affiliate or Facility Office. (b) Paragraph (a) above does not in any way limit the obligations of any Obligor under the Finance Documents. Limitation of liability (a) The Borrower shall promptly indemnify each Finance Party for all costs and expenses reasonably incurred by that Finance Party as a result of steps taken by it under clause 12.1 (Mitigation). (b) A Finance Party is not obliged to take any steps under clause 12.1 (Mitigation) if, in the opinion of that Finance Party (acting reasonably), to do so might be prejudicial to it. 13. COSTS AND EXPENSES Transaction expenses The Borrower (or the Guarantor) shall within five Business Days of demand pay the Agent and the Security Agent the amount of all costs and expenses (including legal fees) reasonably incurred by any of them (and, in the case of the Security Agent, by any Receiver or Delegate) in connection with the negotiation, preparation, printing, execution syndication and perfection of: (a) this Agreement and any other documents referred to in this Agreement and the Transaction Security Documents; and (b) any other Finance Documents executed after the date of this Agreement. Amendment costs If: (a) an Obligor requests an amendment, waiver or consent; or (b) an amendment is required pursuant to clause 26.10 (Change of currency), the Borrower (or the Guarantor) shall, within three Business Days of demand, reimburse each of the Agent and Security Agent for the amount of all costs and expenses (including legal fees) reasonably incurred by the Agent and the Security Agent (and, in the case of the Security Agent, by any Receiver or Delegate) in responding to, evaluating, negotiating or complying with that request or requirement. Security Agent's Ongoing Costs (a) In the event of: (i) a Default; or (ii) the Security Agent being requested by an Obligor or the Majority Lenders to undertake duties which the Security Agent and the Borrower agree to


 
Ashurst 47 be of an exceptional nature and/or outside the scope of the normal duties of the Security Agent under the Finance Documents, the Borrower (or the Guarantor) shall pay to the Security Agent any additional remuneration that may be agreed between them. (b) If the Security Agent and the Borrower (or the Guarantor, as applicable) fail to agree upon the nature of the duties or upon any additional remuneration, that dispute shall be determined by an investment bank (acting as an expert and not as an arbitrator) selected by the Security Agent and approved by the Borrower (or the Guarantor, as applicable) or, failing approval, nominated (on the application of the Security Agent) by the President for the time being of the Law Society of England and Wales (the costs of the nomination and of the investment bank being payable by the Borrower (or the Guarantor, as applicable)) and the determination of any investment bank shall be final and binding upon the parties to this Agreement. Enforcement costs The Borrower (or the Guarantor) shall, within three Business Days of demand, pay to each Secured Party the amount of all costs and expenses (including legal fees) incurred by that Finance Party in connection with the enforcement of, or the preservation of any rights under, any Finance Document and the Transaction Security and any proceedings constituted by or against any Lender as a consequence of taking or holding the Transaction Security or enforcing these rights, or the investigation of any possible Default. 14. GUARANTEE AND INDEMNITY Guarantee and indemnity The Guarantor irrevocably and unconditionally: (a) guarantees to each Finance Party punctual performance by the Borrower of all the Borrower's obligations under the Finance Documents; (b) undertakes with each Finance Party that whenever the Borrower does not pay any amount when due under or in connection with any Finance Document, the Guarantor shall immediately on demand pay that amount as if it was the principal obligor; and (c) agrees with each Finance Party that if any obligation guaranteed by it is or becomes unenforceable, invalid or illegal it will, as an independent and primary obligation, indemnify that Finance Party immediately on demand against any cost, loss or liability it incurs as a result of the Borrower not paying any amount which would, but for such unenforceability, invalidity or illegality, have been payable by it under any Finance Document on the date when it would have been due. The amount payable by the Guarantor under this indemnity will not exceed the amount it would have had to pay under this clause 14 if the amount claimed had been recoverable on the basis of a guarantee. Continuing guarantee This guarantee is a continuing guarantee and will extend to the ultimate balance of sums payable by the Borrower under the Finance Documents, regardless of any intermediate payment or discharge in whole or in part.


 
Ashurst 48 Reinstatement If any discharge, release or arrangement (whether in respect of the obligations of any Obligor or any security for those obligations or otherwise) is made by a Finance Party in whole or in part on the basis of any payment, security or other disposition which is avoided or must be restored in insolvency, liquidation, administration or otherwise, without limitation, then the liability of the Guarantor under this clause 14 will continue or be reinstated as if the discharge, release or arrangement had not occurred. Waiver of defences The obligations of the Guarantor under this clause 14 will not be affected by any act, omission, matter or thing which, but for this clause, would reduce, release or prejudice any of its obligations under this clause 14 (without limitation and whether or not known to it or any Finance Party) including: (a) any time, waiver or consent granted to, or composition with, any Obligor or other person; (b) the release of any other Obligor or any other person under the terms of any composition or arrangement with any creditor of any member of the Group; (c) the taking, variation, compromise, exchange, renewal or release of, or refusal or neglect to perfect, take up or enforce, any rights against, or security over assets of, any Obligor or other person or any non-presentation or non-observance of any formality or other requirement in respect of any instrument or any failure to realise the full value of any security; (d) any incapacity or lack of power, authority or legal personality of or dissolution or change in the members or status of an Obligor or any other person; (e) any amendment, novation, supplement, extension, restatement (however fundamental and whether or not more onerous) or replacement of any Finance Document or any other document or security including without limitation any change in the purpose of, any extension of or any increase in any facility or the addition of any new facility under any Finance Document or other document or security; (f) any unenforceability, illegality or invalidity of any obligation of any person under any Finance Document or any other document or security; or (g) any insolvency or similar proceedings. Guarantor Intent Without prejudice to the generality of clause 14.4 (Waiver of Defences), the Guarantor expressly confirms that it intends that this guarantee shall extend from time to time to any (however fundamental and of whatsoever nature and whether or not more onerous) variation, increase, extension or addition of or to any of the Finance Documents and/or any facility or amount made available under any of the Finance Documents for the purposes of or in connection with any of the following: acquisitions of any nature; increasing working capital; enabling investor distributions to be made; carrying out restructurings; refinancing existing facilities; refinancing any other indebtedness; making facilities available to new borrowers; any other variation or extension of the purposes for which any such facility or amount might be made available from time to time; and any fees, costs and/or expenses associated with any of the foregoing.


 
Ashurst 49 Immediate recourse The Guarantor waives any right it may have of first requiring any Finance Party (or any trustee or agent on its behalf) to proceed against or enforce any other rights or security or claim payment from any person before claiming from the Guarantor under this clause 14. This waiver applies irrespective of any law or any provision of a Finance Document to the contrary. Appropriations Until all amounts which may be or become payable by the Obligors under or in connection with the Finance Documents have been irrevocably paid in full, each Finance Party (or any trustee or agent on its behalf) may: (a) refrain from applying or enforcing any other moneys, security or rights held or received by that Finance Party (or any trustee or agent on its behalf) in respect of those amounts, or apply and enforce the same in such manner and order as it sees fit (whether against those amounts or otherwise) and the Guarantor shall not be entitled to the benefit of the same; and (b) hold in an interest-bearing suspense account any moneys received from the Guarantor or on account of the Guarantor's liability under this clause 14 Deferral of Guarantor's rights Until all amounts which may be or become payable by the Obligors under or in connection with the Finance Documents have been irrevocably paid in full and unless the Agent (or, as the case may be, the Security Agent) otherwise directs, the Guarantor will not exercise any rights which it may have by reason of performance by it of its obligations under the Finance Documents or by reason of any amount being payable, or liability arising, under this clause 14: (a) to be indemnified by an Obligor; (b) to claim any contribution from any other guarantor of any Obligor's obligations under the Finance Documents; (c) to take the benefit (in whole or in part and whether by way of subrogation or otherwise) of any rights of the Finance Parties under the Finance Documents or of any other guarantee or security taken pursuant to, or in connection with, the Finance Documents by any Finance Party; (d) to bring legal or other proceedings for an order requiring any Obligor to make any payment, or perform any obligation, in respect of which the Guarantor has given a guarantee, undertaking or indemnity under clause 14.1 (Guarantee and Indemnity); (e) to exercise any right of set-off against any Obligor; and/or (f) to claim or prove as a creditor of any Obligor in competition with any Finance Party. If the Guarantor receives any benefit, payment or distribution in relation to such rights it shall hold that benefit, payment or distribution to the extent necessary to enable all amounts which may be or become payable to the Finance Parties by the Obligors under or in connection with the Finance Documents to be repaid in full on trust for the Finance Parties and shall promptly pay or transfer the same to the Agent or as the Agent may direct for application in accordance with clause 26 (Payment mechanics).


 
Ashurst 50 Additional security This guarantee is in addition to and is not in any way prejudiced by any other guarantee or security now or subsequently held by any Finance Party. 15. REPRESENTATIONS Each Obligor makes the representations and warranties set out in this clause 15 to each Finance Party on the date of this Agreement. Status (a) It is a corporation, duly incorporated and validly existing under the law of its jurisdiction of incorporation. (b) It and each of its Subsidiaries has the power to own its assets and carry on its business as it is being conducted. Binding Obligations The obligations expressed to be assumed by it in the Finance Documents are, subject to any general principles of law limiting its obligations which are specifically referred to in any legal opinion delivered pursuant to paragraph 3 of Schedule 2 (Conditions Precedent to Initial Utilisation) or paragraph 3 of Schedule 2 (Conditions Precedent) of the 2025 Amendment and Restatement Agreement, legal, valid, binding and enforceable obligations and, subject to the Legal Reservations and Perfection Requirements each Transaction Security Document (if any) to which it is a party creates the security interests which that Transaction Security Document purports to create and those security interests are valid and effective. Non-conflict with other obligations The entry into and performance by it of, and the transactions contemplated by, the Finance Documents and the granting of the Transaction Security (if any) do not and will not conflict with: (a) any law or regulation applicable to it; (b) its or any of its Subsidiaries' constitutional documents; or (c) any agreement or instrument binding upon it or any of its Subsidiaries or any of its or any of its Subsidiaries' assets in any material respect. Power and authority It has the power to enter into, perform and deliver, and has taken all necessary action to authorise its entry into, performance and delivery of, the Finance Documents to which it is a party and the transactions contemplated by those Finance Documents. Validity and admissibility in evidence (a) All Authorisations required: (i) to enable it lawfully to enter into, exercise its rights and comply with its obligations in the Finance Documents to which it is a party; (ii) subject to the Legal Reservations, to make the Finance Documents to which it is a party admissible in evidence in its jurisdiction of incorporation; and (iii) subject to the Legal Reservations, to enable it to create the Security to be created by it pursuant to any Transaction Security Document and to


 
Ashurst 51 ensure that such Security has the priority and ranking it is expressed to have, have been obtained or effected and are in full force and effect save, in relation to the Transaction Security Documents, for the Perfection Requirements. (b) All Authorisations necessary for the conduct of the business, trade and ordinary activities of members of the Group have been obtained or effected and are in full force and effect. Governing law and enforcement (a) Subject to the Legal Reservations, the choice of English law as the governing law of the Finance Documents will be recognised and enforced in its jurisdiction of incorporation. (b) Subject to the Legal Reservations, any judgment obtained in England in relation to a Finance Document will be recognised and enforced in its jurisdiction of incorporation. Deduction of Tax It is not required to make any Tax Deduction from any payment it may make under any Finance Document. No Filing or stamp taxes Subject to the Perfection Requirements, under the law of its jurisdiction of incorporation it is not necessary that the Finance Documents be filed, recorded or enrolled with any court or other authority in that jurisdiction or that any stamp, registration or similar tax be paid on or in relation to the Finance Documents or the transactions contemplated by the Finance Documents, excluding any assignment or transfer of rights under the Finance Documents by a Finance Party or any document effecting any such assignment or transfer excluding any assignment or transfer of rights under the Finance Documents by a Finance Party and any Finance Document pursuant to which an assignment is made. No default (a) No Event of Default is continuing or might reasonably be expected to result from the making of any Utilisation. (b) No other event or circumstance is outstanding which constitutes a default under any other agreement or instrument which is binding on it or any of its Subsidiaries or to its (or any of its Subsidiaries') assets are subject which might have a Material Adverse Effect. No Misleading Information (a) Any written information provided by any member of the Group to a Finance Party which is factual was true and accurate in all material respects as at the date it was provided or as at the date (if any) at which it is stated. (b) All financial projections so supplied have been prepared on the basis of recent historical information and on the basis of assumptions believed by the Borrower to be reasonable. (c) No information has been given or withheld that results in the information supplied to any Finance Party by any Obligor being untrue or misleading in any material respect.


 
Ashurst 52 Financial statements (a) Its Original Financial Statements were prepared in accordance with GAAP consistently applied. (b) Its Original Financial Statements fairly present its financial condition and operations (consolidated in the case of the Borrower) and the financial condition and operations of the Managed Syndicate during the relevant financial year unless expressly disclosed to the Agent in writing to the contrary prior to the date of this Agreement. (c) There has been no material adverse change in its business or financial condition (or the business or consolidated financial condition of the Group, in the case of the Borrower) or the financial condition and operations of any Managed Syndicate since the date at which its most recent audited financial statements were stated to be prepared. Pari passu ranking (a) Subject to the Perfection Requirements and Legal Reservations, each Transaction Security Document (if any) creates (or, once entered into, will create) in favour of the Security Agent for the benefit of the Finance Parties the Security which it is expressed to create with the ranking and priority it is expressed to have. (b) Without limiting the generality of paragraph (a) above, its payment obligations under the Finance Documents rank at least pari passu with the claims of all its other unsecured and unsubordinated creditors, except for obligations mandatorily preferred by law applying to companies generally and, in the case of the Borrower, those claims mandatorily preferred by law applying to (re)insurance companies generally, it being noted that "insurance debts" (as such term is defined in the Bermuda Insurance Act 1978) of the Borrower shall rank ahead of all other non-preferential claims of unsecured or unsubordinated creditors of the Borrower. No proceedings pending or threatened No litigation, arbitration or administrative proceedings of or before any court, arbitral body or agency which, if adversely determined, might reasonably be expected to have a Material Adverse Effect has or have (to the best of its knowledge and belief) been started or threatened against it or any of its Subsidiaries. Insolvency No Obligor has taken any corporate action nor have any other steps been taken or legal proceedings been started or (to the best of its knowledge and belief) threatened against any Obligor for its winding-up, dissolution, administration or re-organisation (whether by voluntary arrangement, scheme of arrangement or otherwise) or for the appointment of a receiver, administrator, administrative receiver, conservator, custodian or similar officer of it or of all or any of its assets or revenues. Ownership of the Obligors and Applicant Each Obligor (other than the Guarantor) and the Applicant is a direct or indirect wholly- owned Subsidiary of the Guarantor and its entire issued share capital is legally and beneficially wholly owned and controlled, directly or indirectly, by the Guarantor. Group Structure Chart The Group Structure Chart is true, complete and accurate and shows all members of the Group, including current name and company registration number, its jurisdiction of


 
Ashurst 53 incorporation and/or establishment and (other than in the case of the Guarantor) a list of shareholders. Compliance with laws (a) It has not breached any law or regulation which breach has or is reasonably likely to have a Material Adverse Effect. (b) No labour disputes are current or, to the best of its knowledge and belief (having made due and careful enquiry), threatened against any member of the Group which have or are reasonably likely to have a Material Adverse Effect. Security Ranking (a) No Security or Quasi-Security exists over all or any of the present or future assets of any member of the Group other than as permitted by any Finance Document. (b) Subject to the Legal Reservations and the Perfection Requirements, the Transaction Security (if any) has or will have the ranking and priority which it is expressed to have in the Transaction Security Documents and it is not subject to any prior ranking or pari passu ranking Security. Good title to assets It and each of its Subsidiaries has good, valid and marketable title to, or valid leases or licences of, and all appropriate Authorisations to use, the assets necessary to carry on its business as presently conducted. Legal and beneficial ownership It and each of its Subsidiaries is the sole legal and beneficial owner of the respective assets over which it purports to grant Security. Third Party Funds at Lloyd's The Applicant is not a member of any syndicate at Lloyd's other than the relevant Managed Syndicates. Anti-corruption law It, and each of its Subsidiaries, has conducted its business in compliance with applicable anti-corruption, anti-bribery and anti-money laundering laws and regulations in all material respects and maintains policies and procedures designed to promote and achieve compliance with such laws and regulations. Sanctions (a) Neither it nor any of its Subsidiaries, nor any of its or its Subsidiaries' directors: (i) is in violation of any Sanctions; (ii) is a Restricted Person; (iii) is engaging in any transaction or conduct that would be reasonably likely to result in it becoming a Restricted Person; (iv) is subject to any on-going claim, proceeding or formal investigation in each case as notified to it with respect to Sanctions; (v) is engaging in any transaction that evades or avoids, or has the purpose of evading or avoiding, or breaches or attempts to breach, directly or indirectly, any Sanctions applicable to it; or


 
Ashurst 54 (vi) is, so far as it is aware, engaging, directly or indirectly, in any trade, business or other activities with or for the benefit of any Restricted Person. (b) No Utilisation, nor the proceeds from any Utilisation, has been used, directly or indirectly, to lend, contribute, provide or has otherwise been made to fund or finance any business activities or transactions: (i) of or with a Restricted Person; or (ii) in any other manner which would result in the Obligors or any member of the Group or any Finance Party being in breach of any Sanctions or becoming a Restricted Person. (c) The representations under paragraph (a) and (b) above: (i) shall only be made by each Obligor if and to the extent that making such representation does not result in that Obligor’s violation of, or conflict by that Obligor with, the Council Regulation (EC) No 2271/96 of 22 November 1996 (as amended from time to time or any implementing law or regulation in any member state of the European Union) protecting against the effects of the extra-territorial application of legislation adopted by a third country, and actions based thereon or resulting therefrom, any provision of Council Regulation (EC) No 2271/1996 of 22 November 1996, as it forms part of domestic law of the United Kingdom by virtue of the European Union (Withdrawal) Act 2018, section 7 of the German Foreign Trade Regulation (Außenwirtschaftsverordnung -AWV) and/or any other applicable anti-boycott laws or regulations; and (ii) shall not apply for the benefit of a Finance Party if and to the extent that by agreeing to or accepting any rights under or enjoying the benefit of (including by exercising any rights on the grounds of a breach of or with respect to any request under) the provisions would result in that Finance Party’s violation of, or conflict with or liability under by that Finance Party with, the Council Regulation (EC) No 2271/96 of 22 November 1996 (as amended from time to time or any implementing law or regulation in any member state of the European Union) protecting against the effects of the extra-territorial application of legislation adopted by a third country, and actions based thereon or resulting therefrom, any provision of Council Regulation (EC) No 2271/1996 of 22 November 1996, as it forms part of domestic law of the United Kingdom by virtue of the European Union (Withdrawal) Act 2018, section 7 of the German Foreign Trade Regulation (Außenwirtschaftsverordnung -AWV) and/or any other applicable anti- boycott laws or regulations. (d) In connection with any waiver, determination or direction relating to this clause 15.23 of which a Lender does not have the benefit pursuant to paragraph (c) above, the Commitment of that Lender shall be excluded for the purpose of determining whether the requisite determination, direction or consent threshold of the Lenders has been obtained or provided. Repetition of Representations The Repeating Representations shall be deemed to be repeated by the relevant Obligor by reference to the facts and circumstances then existing on the date of each Utilisation Request, the Commencement Date of each Letter of Credit and every six Months after that date until the Expiry Date of that Letter of Credit.


 
Ashurst 55 16. INFORMATION UNDERTAKINGS The undertakings in this clause 16 remain in force from the date of this Agreement for so long as any amount is outstanding under the Finance Documents, any Commitment is in force or unless the Total Commitments have been Cash Collateralised. Financial Statements The Borrower (or in the case of the Guarantor's financial statements, the Guarantor) shall supply to the Agent in sufficient copies for all the Lenders: (a) as soon as the same become available, but in any event within ninety days after the end of each of its financial years: (i) its audited financial statements for that financial year; and (ii) the audited consolidated financial statements of the Guarantor for that financial year; (b) as soon as the same becomes available, but in any event within forty-five days after the end of each of the first, second and third quarters of its financial year, the unaudited consolidated quarterly financial statements of the Guarantor for each relevant financial period; and (c) as soon as the same become available, but in any event: (i) within ninety days after the end of the fourth quarter of each year of account of the Managed Syndicate, and (ii) within sixty days after the end of each of the first, second and third quarters of each year of account of the Managed Syndicate, deliver to the Agent, the Quarterly Monitoring Return for the Managed Syndicate for that quarter. Business Plan and Realistic Disaster Scenarios for the Managed Syndicate The Borrower (or the Guarantor) shall as soon as the same becomes available, but in any event by no later than 1 December in each year with respect to the preparation and despatch thereof, deliver to the Agent each (and amendments to each) Business Plan (if applicable) and (if separate) the Realistic Disaster Scenarios relating thereto. Compliance Certificates (a) The Borrower (or the Guarantor) shall supply to the Agent, with each set of financial statements delivered pursuant to clause 16.1(a) and 16.1(b) (Financial Statements), a Compliance Certificate setting out (in reasonable detail) computations as to compliance with clause 17 (Financial Condition) as at the date as at which those financial statements were drawn up. (b) Each Compliance Certificate shall be signed by two directors or officers of the Guarantor (one of whom shall be a Responsible Officer). Requirements as to financial statements (a) Each set of financial statements delivered by the Borrower or the Guarantor (as applicable) pursuant to clause 16.1 (Financial Statements) shall be certified by the chief financial officer of the relevant company as fairly presenting its financial condition as at the date as at which those financial statements were drawn up.


 
Ashurst 56 (b) The Borrower or the Guarantor (as applicable) shall procure that each set of financial statements delivered pursuant to clause 16.1 (Financial Statements) is prepared using GAAP. (c) The Borrower shall procure that each set of financial statements of an Obligor delivered pursuant to clause 16.1 (Financial Statements) is prepared using GAAP, accounting practices and financial reference periods consistent with those applied in the preparation of the Original Financial Statements for that Obligor unless, in relation to any set of financial statements, it notifies the Agent that there has been a change in GAAP, the accounting practices or reference periods and its auditors (or, if appropriate, the auditors of the Obligor) deliver to the Agent: (i) a description of any change necessary for those financial statements to reflect the GAAP, accounting practices and reference periods upon which that Obligor's Original Financial Statements were prepared; and (ii) sufficient information, in form and substance as may be reasonably required by the Agent, to enable the Lenders to determine whether clause 17 (Financial Condition) has been complied with and make an accurate comparison between the financial position indicated in those financial statements and that Obligor's Original Financial Statements. Any reference in this Agreement to those financial statements shall be construed as a reference to those financial statements as adjusted to reflect the basis upon which the Original Financial Statements were prepared. Information: miscellaneous The Borrower (or the Guarantor) shall supply to the Agent (in sufficient copies for all the Lenders, if the Agent so requests): (a) all financial information and all other material information dispatched by the Guarantor to its shareholders (or any class of them) or its creditors generally at the same time as they are dispatched; (b) promptly upon becoming aware of them, the details of any litigation, arbitration or administrative proceedings which are current, threatened or pending against any member of the Group, and which might, if adversely determined, have a Material Adverse Effect; (c) promptly upon it becoming aware of them, the details of any threatened regulatory intervention by Lloyd's and/or the FCA and/or the PRA in respect of the Group and/or a Managed Syndicate which are likely to be adversely determined and/or made and which, if adversely determined and/or made, would have a Material Adverse Effect on the business or financial condition of the Group and/or a Managed Syndicate; (d) promptly, such information as the Security Agent may reasonably require about the Charged Property (if any) and compliance of the Obligors with the terms of any Transaction Security Documents; (e) promptly, such further information regarding the financial condition, business and operations of any member of the Group as any Finance Party (through the Agent) may reasonably request; and (f) promptly, and in any event within ten Business Days of receipt, copies of all Annual CIL Statements and quarterly statements (relating to the Quarterly


 
Ashurst 57 Corridor Tests) received from Lloyd's from time to time in relation to the Account Party (each as defined or referenced in the M&URs). Notification of default (a) Each Obligor shall notify the Agent of any Default (and the steps, if any, being taken to remedy it) promptly upon becoming aware of its occurrence (unless that Obligor is aware that a notification has already been provided by another Obligor). (b) Promptly upon a request by the Agent, the Borrower or the Guarantor (as applicable) shall supply to the Agent a certificate signed by two of its directors or senior officers on its behalf certifying that no Default is continuing (or if a Default is continuing, specifying the Default and the steps, if any, being taken to remedy it). Use of websites (a) The Borrower may satisfy its obligation under this Agreement to deliver any information in relation to those Lenders (the Website Lenders) who accept this method of communication by posting this information onto an electronic website designated by the Borrower and the Agent (the Designated Website) if: (i) the Agent expressly agrees (after consultation with each of the Lenders) that it will accept communication of the information by this method; (ii) both the Borrower and the Agent are aware of the address of and any relevant password specifications for the Designated Website; and (iii) the information is in a format previously agreed between the Borrower and the Agent. (b) If any Lender (a Paper Form Lender) does not agree to the delivery of information electronically then the Agent shall notify the Borrower accordingly and the Borrower shall supply the information to the Agent (in sufficient copies for each Paper Form Lender) in paper form. In any event the Borrower shall supply the Agent with at least one copy in paper form of any information required to be provided by it. (c) The Agent shall supply each Website Lender with the address of and any relevant password specifications for the Designated Website following designation of that website by the Borrower and the Agent. (d) The Borrower shall promptly upon becoming aware of its occurrence notify the Agent if: (i) the Designated Website cannot be accessed due to technical failure; (ii) the password specifications for the Designated Website change; (iii) any new information which is required to be provided under this Agreement is posted onto the Designated Website; (iv) any existing information which has been provided under this Agreement and posted onto the Designated Website is amended; or (v) the Borrower becomes aware that the Designated Website or any information posted onto the Designated Website is or has been infected by any electronic virus or similar software.


 
Ashurst 58 If the Borrower notifies the Agent under paragraph (d)(i) or paragraph (d)(v) above, all information to be provided by the Borrower under this Agreement after the date of that notice shall be supplied in paper form unless and until the Agent and each Website Lender is satisfied that the circumstances giving rise to the notification are no longer continuing. (e) Any Website Lender may request, through the Agent, one paper copy of any information required to be provided under this Agreement which is posted onto the Designated Website. The Borrower shall comply with any such request within ten Business Days. Lloyd's Syndicate Accounting Rules The Borrower shall use all reasonable endeavours to procure that each Quarterly Monitoring Return in respect of the Managed Syndicate delivered pursuant to clause 16.1(c) (Financial Statements) is prepared in accordance with Lloyd's syndicate accounting rules applicable at the relevant time and prepared in accordance with GAAP consistently applied. "Know your customer" checks (a) If: (i) the introduction of or any change in (or in the interpretation, administration or application of) any law or regulation made after the date of this Agreement; (ii) any change in the status of an Obligor or the composition of the shareholders of an Obligor after the date of this Agreement; or (iii) a proposed assignment or transfer by a Lender of any of its rights and obligations under this Agreement to a party that is not a Lender prior to such assignment or transfer, obliges the Agent or any Lender (or, in the case of paragraph (iii) above, any prospective new Lender) to comply with "know your customer" or similar identification procedures in circumstances where the necessary information is not already available to it, each Obligor shall promptly upon the request of the Agent or any Lender supply, or procure the supply of, such documentation and other evidence as is reasonably requested by the Agent (for itself or on behalf of any Lender) or any Lender (for itself or, in the case of the event described in paragraph (iii) above, on behalf of any prospective new Lender) in order for the Agent, such Lender or, in the case of the event described in paragraph (iii) above, any prospective new Lender to carry out and be satisfied it has complied with all necessary "know your customer" or other similar checks under all applicable laws and regulations pursuant to the transactions contemplated in the Finance Documents. (b) Each Lender shall promptly upon the request of the Agent supply, or procure the supply of, such documentation and other evidence as is reasonably requested by the Agent (for itself) in order for the Agent to carry out and be satisfied it has complied with all necessary "know your customer" or other similar checks under all applicable laws and regulations pursuant to the transactions contemplated in the Finance Documents.


 
Ashurst 59 17. FINANCIAL CONDITION Financial Condition (a) For so long as any amount is outstanding under the Finance Documents or any Commitment is in force or unless the Total Commitments have been Cash Collateralised: (i) the Guarantor shall have and maintain (in each case on a consolidated basis for itself and its Subsidiaries) Consolidated Tangible Net Worth as of any fiscal quarter not less than an amount equal to the Consolidated Tangible Net Worth Floor for such quarter; (ii) the Guarantor shall ensure that, at all times from the 2025 Restatement Date, the ratio (expressed as a percentage) of Debt to Consolidated Total Capitalisation of the Guarantor and its Subsidiaries shall be no greater than 30%. For the purposes of calculating this ratio: (A) Debt will be calculated on a consolidated basis (and therefore intra-group balances shall not be treated as Debt); and (B) Letters of Credit outstanding under the Facility in relation to which no unreimbursed demand is outstanding will not be treated as Debt; (iii) the Guarantor shall ensure that, at all times, the applicable financial strength rating of the Borrower and any other present or future material rated insurance Subsidiary of the Guarantor, as published by A.M. Best shall not fall below B++; (iv) the Guarantor shall ensure that, at all times, it maintains (in each case on a consolidated basis for itself and its Subsidiaries) a minimum of $1,000,000,000 of Cash and Invested Assets; and (b) on and from the date a Letter of Credit has been issued under this Agreement and for so long as any amount is outstanding under the Finance Documents or any Commitment is in force or unless the Total Commitments have been Cash Collateralised, the Guarantor shall ensure that the financial condition of the Applicant is such that Outstandings are not at any time more than 50 per cent of the Adjusted ECA of the Applicant. Covenant Breach Cure If the Guarantor is in breach of any obligation under clause 17.1 (Financial Condition) (above) and such breach is not cured within ten Business Days after the earlier of the Agent giving notice thereof or the Guarantor becoming aware of such failure to perform or comply (the Covenant Breach), then the Guarantor shall, within fifteen Business Days of such notice or awareness, provide and maintain Collateral as is necessary to cure the Covenant Breach immediately following such delivery. Financial Definitions In this Agreement the following words and expressions and abbreviations have the following meanings, unless the context otherwise requires: Adjusted Fair Market Value means, with respect to any Fixed Income Securities, an amount equal to the product of (a) the Fair Market Value of such Fixed Income Securities and (b) the amount expressed as a percentage under the column titled "advance rate" in the table titled "Required Rating / Maximum Tenor" set out at Schedule 10 (Required Rating/Maximum Tenor Table);


 
Ashurst 60 Cash and Cash Equivalents means any currency, including time deposits, certificates of deposit and money market deposits held with the Security Agent and/or held at the Custodian; Cash and Invested Assets means the aggregate of the amount of (i) Cash and Cash Equivalents, (ii) Fixed Income Securities and (iii) the net asset value of either (a) the Two Sigma Hamilton Fund, LLC or (b) the Two Sigma Spectrum Portfolio LLO and Two Sigma Futures Portfolio funds, as reported in the Guarantor's unaudited consolidated quarterly financial statements and its annual audited consolidated financial statements; Consolidated Net Income means, for any period, an amount equal to the consolidated net income of the Group (determined on a consolidated basis in accordance with GAAP) for such period; Consolidated Tangible Net Worth means, as of any date of determination, the consolidated Total Shareholders' Equity of the Guarantor and its Subsidiaries (determined on a consolidated basis in accordance with GAAP) for such date, after appropriate deduction for: (a) any minority interest in Subsidiaries including for the avoidance of doubt the aggregate principal amount of all outstanding preferred (including without limitation trust preferred) or preference securities of the Group; (b) (to the extent included) any amount shown in respect of goodwill (arising only on consolidation) or other intangible assets of the Group (including for this purpose syndicate participations) and interests of non-members of the Group in the Guarantor's Subsidiaries; and (c) any Disqualified Equity Interests; Consolidated Tangible Net Worth Floor means, as of the last day of any financial quarter, an amount equal to: (a) $1,446,804,436; plus (b) for each financial quarter ending on or after September 30, 2024 for which there is positive Consolidated Net Income during such financial quarter, 35% of such positive Consolidated Net Income; plus (c) 35% of net cash proceeds of the aggregate increases in common Equity Interests (by virtue of net equity issuance, debt conversion or contribution) by the Group at any time after September 30, 2024, excluding the impact of Equity Interests issued to employees or directors of the Group under its long term incentive plan or share purchase programs; Consolidated Total Capitalisation means the aggregate of: (a) Consolidated Tangible Net Worth; and (b) Debt; Corporate Securities means US corporate bonds listed on a generally recognized stock exchange which are rated by at least two of Fitch Ratings Ltd, Moody's Investors Service Limited and Standard and Poor's Rating Service; provided that: (a) such bonds are not convertible into shares of the issuer and are deposited with or held by the Custodian in the Custody Account;


 
Ashurst 61 (b) not more than ten (10) per cent of any Fixed Income Securities delivered to, or held in, the Custody Account (by reference to the Adjusted Fair Market Value of such Fixed Income Securities) shall comprise Corporate Securities issued by any single issuer; and (c) corporate bonds and securities issued by an insurance company, a reinsurance company or a supra-national shall not constitute "Corporate Securities" for the purposes hereof; Debt means, with respect to any person, at any date, at any date, without duplication, (a) all obligations of such person for borrowed money; (b) all obligations of such person under conditional sale or other title retention agreements relating to property acquired by such person; (c) all obligations of such person in respect of the deferred purchase price of property or services (excluding current ordinary course trade accounts payable, deferred compensation and any purchase price adjustment, earn-out, contingent payment or deferred payment of a similar nature incurred in connection with an acquisition); (d) all Debt of others secured by (or for which the holder of such Debt has an existing right, contingent or otherwise, to be secured by) any lien on property owned or acquired by such person whether or not the Debt secured thereby has been assumed, provided that the amount of Debt of such person shall be the lesser of (i) the fair market value of such property at such date of determination (determined in good faith by the Guarantor) and (ii) the amount of such indebtedness of such other person; (e) all guarantees by such person of Debt of others; (f) all capital lease obligations of such person; (g) all obligations of such person under transactions in capital market products; (h) all reimbursement obligations of such person in respect of letters of credit, letters of guaranty, bankers' acceptances and similar credit transactions, including for the avoidance of doubt the Letter of Credit issued under the Facility; (i) any Debt of a partnership or in which such person is a general partner unless such debt is nonrecourse to such person; (j) all obligations of such Person with respect to its Disqualified Equity Interests; (k) all contingent liabilities of such person in connection with the foregoing; and provided that, Debt shall not include: (i) any Debt which is subject to a Permitted Security; and (ii) the undrawn amount of letters of credit issued under credit facilities entered into by the Borrower, Guarantor and/or any of their Subsidiaries in support of the regulatory obligations under its reinsurance or retrocession arrangements; Fair Market Value means (a) with respect to any Government Debt, Federal Agency Debt, Debt issued by FHMLC or FNMA or other publicly-traded security the closing price for such security on Bloomberg, Inc. or, if Bloomberg, Inc. is not available, another


 
Ashurst 62 quotation service reasonably acceptable to the Security Agent and (b) with respect to any other Fixed Income Securities, the price for such Fixed Income Securities on the date of calculation obtained from a generally recognized source approved by the Security Agent or the most recent bid quotation from such approved source (or, if no generally recognized source exists as to such Fixed Income Securities, any other source specified by the Guarantor or the Borrower to which the Security Agent does not reasonably object); Federal Agency means any of the following agencies of the federal government of the United States: (a) any Federal Farm Credit Bank of the Farm Credit System, (b) the Federal Home Loan Bank, (c) GNMA and (d) such other federal agencies as are reasonably acceptable to the Security Agent; Federal Agency Debt means evidence of Freely Transferable Debt issued by a Federal Agency; FHMLC means the Federal Home Mortgage Loan Corporation; Fixed Income Securities means (a) Corporate Securities, (b) Federal Agency Debt, (c) Government Debt, (d) Freely Transferable Debt of FHMA and FNMA which, in each case, (i) are denominated in US dollars, (ii) for the purposes of calculating the Adjusted Fair Market Value thereof, have the required rating and/or maximum tenor (as applicable) as set forth in the table titled "Required Rating / Maximum Tenor" set out at Schedule 10 (Required Rating/Maximum Tenor Table), (iii) are capable of being marked to market on a daily basis and (iv) are delivered to, and held in, the Custody Account and (e) such other form of assets as mutually agreed in writing between the Obligors' Agent and the Agent from time to time; FNMA means the Federal National Mortgage Association; Freely Transferable means securities which are freely transferable and traded in established and recognised markets and as to which there are readily available price quotations; and Government Debt means Freely Transferable Debt issued by the US Treasury Department or backed by full faith and credit of the US. Financial Testing The financial covenants set out in this clause 17 shall be tested by reference to each of the annual audited financial statements or the quarterly management accounts and/or each Compliance Certificate delivered pursuant to clause 16 (Information Undertakings). Accounting Terms All accounting expressions which are not otherwise defined herein shall be construed in accordance with GAAP. 18. GENERAL UNDERTAKINGS The undertakings in this clause 18 remain in force from the date of the 2025 Restatement Date for so long as any amount is outstanding under the Finance Documents, any Commitment is in force or unless the Total Commitments have been Cash Collateralised. Authorisations (a) Each Obligor shall promptly:


 
Ashurst 63 (i) obtain, comply with and do all that is necessary to maintain in full force and effect; and (ii) upon request supply certified copies to the Agent of, any Authorisation required under any law or regulation of its jurisdiction of incorporation to enable it to perform its obligations under the Finance Documents and subject to the Legal Reservations, to ensure the legality, validity, enforceability or admissibility in evidence in its jurisdiction of incorporation of any Finance Document. (b) The relevant Obligor shall promptly make the registrations and comply with the other requirements specified in the Perfection Requirements. Compliance with laws Each Obligor shall (and the Borrower will procure that each member of the Group will) observe and comply in all respects with all applicable acts, byelaws and regulations (including, without limitation, under the Financial Services and Markets Act 2000 (and related subordinate legislation), Lloyd's Acts 1871 to 1982 and the Handbook (as amended from time to time)) and any conditions or requirements prescribed under any applicable acts, byelaws and regulations, the failure to observe or comply with which the Majority Lenders believe has, or is reasonably expected to have, a Material Adverse Effect. Negative Pledge In this clause 18.3, Quasi-Security means an arrangement or transaction described in paragraph (b) below. (a) No Obligor shall (and the Borrower will procure that no other member of the Group will) create or permit to subsist any Security over any of its assets. (b) No Obligor shall (and the Borrower will procure that no other member of the Group will): (i) sell, transfer or otherwise dispose of any of its assets on terms whereby they are or may be leased to or re-acquired by an Obligor or any other member of the Group; (ii) sell, transfer or otherwise dispose of any of its receivables on recourse terms; (iii) enter into any arrangement under which money or the benefit of a bank or other account may be applied, set-off or made subject to a combination of accounts; or (iv) enter into any other preferential arrangement having a similar effect, in circumstances where the arrangement or transaction is entered into primarily as a method of raising Financial Indebtedness or of financing the acquisition of an asset. (c) Paragraphs (a) and (b) above do not apply to: (i) any Permitted Security; (ii) (i) contractual or statutory Liens of landlords to the extent relating to the property and assets relating to any lease agreements with such landlord, and (ii) contractual Liens of suppliers (including sellers of goods) or


 
Ashurst 64 customers granted in the ordinary course of business to the extent limited to the property or assets relating to such contract; and (iii) Security not otherwise permitted hereunder securing Financial Indebtedness or other obligations in an aggregate principal amount not to exceed $25,000,000 at any time outstanding. Disposals (a) No Obligor shall (and the Borrower will procure that no other member of the Group will) enter into a single transaction or a series of transactions (whether related or not) and whether voluntary or involuntary to sell, lease, transfer or otherwise dispose of any asset. (b) Paragraph (a) above does not apply to any sale, lease, transfer or other disposal of an asset other than an asset forming part of the Charged Property: (i) made in the ordinary course of day to day business (including any intra- group capital contributions) of the disposing entity; (ii) made by a member of the Group (the Disposing Company) to another member of the Group (the Acquiring Company) provided that such sale, lease, transfer or other disposal of an asset by the Disposing Company to the Acquiring Company does not adversely affect the financial condition of the Group; (iii) of assets in exchange for other assets comparable or superior as to type, value and quality; or (iv) where the higher of the market value or consideration receivable (when aggregated with the higher of the market value or consideration receivable for any other sale, lease, transfer or other disposal, other than any permitted under paragraphs (i) or (ii) above) does not exceed $10,000,000 (or its equivalent in another currency or currencies) in any financial year, provided that, in each case, any such sale, lease, transfer or other disposal would not result in the Guarantor being in breach of any of its obligations under clause 17.1 (Financial Condition). (c) Paragraph (a) also does not apply to: (i) any sale, lease, transfer or other disposal in the ordinary course of trading of the disposing entity of any of the Charged Property subject only to a floating charge before the floating charge crystallises or the security created pursuant to the Transaction Security Documents has become enforceable; (ii) any solvent liquidation or winding up of any member of the Group (other than the Borrower and the Applicant); and (iii) any disposition of operating leases. Merger (a) No Obligor shall enter into any amalgamation, demerger, merger or corporate reconstruction. (b) Paragraph (a) above does not apply:


 
Ashurst 65 (i) where the applicable Obligor is the continuing or surviving entity following such amalgamation, demerger, merger or corporate reconstruction; or (ii) to any sale, lease, transfer or other disposal permitted pursuant to clause 18.4 (Disposals). Acquisitions (a) Except as permitted under paragraph (b) below, no Obligor shall (and the Borrower will procure that no other member of the Group will), after the date of this Agreement (except with the prior written consent of the Majority Lenders), acquire or agree to acquire any business or parts of any business or any company or shares in any company, in each case outside the Group. (b) Paragraph (a) above does not apply to any acquisition which would not result in: (i) the occurrence of an Event of Default; and (ii) the financial strength rating of the Borrower and any other present or future material rated insurance Subsidiary of the Guarantor, as published by A.M. Best, falling below B++. Joint ventures (a) Except as permitted under paragraph (b) below, no Obligor shall (and the Borrower will procure that no other member of the Group will): (i) enter into, invest in or acquire (or agree to acquire) any shares, stocks, securities or other interest in any Joint Venture; or (ii) transfer any assets or lend to or guarantee or give an indemnity for or give Security for the obligations of a Joint Venture or maintain the solvency of or provide working capital to any Joint Venture (or agree to do any of the foregoing). (b) Paragraph (a) above does not apply where the circumstances described therein would not reasonably be expected to result in: (i) the occurrence of an Event of Default; and (ii) the financial strength rating of the Borrower and any other present or future material rated insurance Subsidiary of the Guarantor, as published by A.M. Best, falling below B++. Change of business (a) Subject to paragraph (b) below, each Obligor shall procure that: (i) no Applicant shall undertake any business or activity other than insurance business at Lloyd's; and (ii) no substantial change is made to the general nature of the business of any other Obligor from that carried on at the date of this Agreement, without the prior consent of the Majority Lenders, such consent not to be unreasonably withheld or delayed. (b) For the avoidance of doubt, any increased underwriting from HCML supporting Syndicate 4000, shall not cause a breach of paragraph (a) above.


 
Ashurst 66 Insurance Each Obligor shall maintain insurances on and in relation to its business and assets with reputable underwriters or insurance companies against such risks and to such extent as is usual for companies carrying on a business such as that carried on by such Obligor. Claims Pari Passu Each Obligor shall ensure that at all times the claims of the Finance Parties against it under the Finance Documents rank at least pari passu with the claims of all its other unsecured and unsubordinated creditors save those whose claims are preferred by any bankruptcy, insolvency, liquidation or other similar laws of general application including, in the case of the Borrower, those claims mandatorily preferred by law applying to (re)insurance companies generally. Substitution of Letters of Credit Upon any Lender assigning or transferring the whole or any part of its Commitment in accordance with clause 20.1 (Assignments and Transfers by the Lenders) the Borrower shall, upon five Business Days' prior notice of such assignment or transfer, use all reasonable endeavours to procure that: (a) Lloyd's accepts a new Letter of Credit issued by the new Lenders party to that Letter of Credit in replacement of the original Letter of Credit and such original Letter of Credit is returned to the Agent; or (b) Lloyd's agrees such amendments to the original Letter of Credit as may be necessary to reflect such assignment or transfer. Application of Funds at Lloyd's and Cash Calls (a) The Borrower shall use its best endeavours (including, without limitation, by taking all such procedural and administrative action required by Lloyd's and procuring that all such procedural and administrative action required by Lloyd's is taken by the Managing Agent) to ensure that the Funds at Lloyd's of the Applicant is applied in the manner described in clause 2.5 (Order of Application of Funds at Lloyd's). (b) The Borrower shall procure that the Managing Agent shall make a request for funds of its respective Applicant in its capacity as a member of the Managed Syndicate before applying the Funds at Lloyd's of that Applicant in the payment of any claims, expenses or outgoings made or incurred in connection with its underwriting business. (c) The Borrower shall upon service on it, or on any member of the Group, by Lloyd's (or other trustee for the time being of such Funds at Lloyd's) of a written demand for the payment of a sum on account of its, or any member of the Group's, Funds at Lloyd's promptly inform the Agent of such demand. Funds at Lloyd's compliance Each Obligor shall: (a) procure that the Own FAL of the Applicant shall comply with the applicable requirements of Lloyd's from time to time; (b) use all reasonable endeavours to procure that Own FAL shall be revalued by Lloyd's and in accordance with Lloyd's usual practice on a semi-annual basis;


 
Ashurst 67 (c) use its best endeavours to procure that the Funds at Lloyd's of the Applicant is applied in the manner described in clause 2.5 (Order of Application of Funds at Lloyd's); and (d) procure that if there is at any time a shortfall in the Funds at Lloyd's of any member of the Group, promptly remedy such shortfall in accordance with the applicable Membership Byelaws and rules and regulations as may be issued by Lloyd's from time to time. Preservation of assets Each Obligor shall (and the Borrower will procure that no other member of the Group will) maintain in good working order and condition (ordinary wear and tear excepted) all of its assets necessary in the conduct of its business. Further Assurance (a) Each Obligor (and the Borrower will procure that no other member of the Group will) shall at its own expense promptly do all such acts or execute all such documents (including assignments, transfers, mortgages, charges, notices and instructions) as the Security Agent may reasonably specify (and in such form as the Security Agent may reasonably require in favour of the Security Agent or its nominee(s)): (i) to perfect the Security created or intended to be created under or evidenced by the Transaction Security Documents (if any) (which may include the execution of a mortgage, charge, assignment or other Security over all or any of the assets which are, or are intended to be, the subject of the Transaction Security) or for the exercise of any rights, powers and remedies of the Security Agent or the Finance Parties provided by or pursuant to the Finance Documents or by law; (ii) to confer on the Security Agent or confer on the Finance Parties Security over any property and assets of that Obligor located in any jurisdiction equivalent or similar to the Security intended to be conferred by or pursuant to the Transaction Security Documents; and/or (iii) once the Transaction Security has become enforceable to facilitate the realisation of the assets which are, or are intended to be, the subject of the Transaction Security. (b) Each Obligor shall (and the Borrower will procure that no other member of the Group will) take all such action as is available to it (including making all filings and registrations) as may be necessary for the purpose of the creation, perfection, protection or maintenance of any Security conferred or intended to be conferred on the Security Agent or the Finance Parties by or pursuant to the Finance Documents. Access Each Obligor shall (and the Borrower will procure that no other member of the Group will), (not more than once in every financial year unless the Agent reasonably suspects an Event of Default is continuing or may occur) permit the Agent and/or the Security Agent and/or accountants or other professional advisers and contractors of the Agent or Security Agent free access at all reasonable times and on reasonable notice at the risk and cost of the Borrower to (a) the premises, assets, books, accounts and records of each Obligor and (b) meet and discuss matters with senior management.


 
Ashurst 68 Reinsurance Agreements No Obligor shall (and the Borrower will procure that no other member of the Group will) enter into any reinsurance agreement, credit agreement or other arrangement pursuant to which Funds at Lloyd's for the Borrower are to be provided without the prior consent of the Lenders (acting reasonably). Cash Collateral Account (a) If at any time an Event of Default has occurred and is continuing, the Borrower shall, within five Business Days of the earlier of (i) demand from the Agent or (ii) the Borrower becoming aware of its occurrence, provide Cash Collateral in an amount equal to or greater than the Outstandings. (b) Where at any time the Borrower has provided Cash Collateral under this Agreement on and from the 2025 Restatement Date, it shall be entitled to direct that any amount owed by it under any Finance Document shall be settled by deduction from such Cash Collateral, but only to the extent that the Cash Collateral that would remain after such deduction would not fall below the amount of the remaining Outstandings. Sanctions (a) Each Obligor undertakes that it, and will procure that each of its Subsidiaries and its directors, is not a Restricted Person and does not act directly or indirectly on behalf of a Restricted Person. (b) Each Obligor shall, and shall procure that each of its Subsidiaries shall, not use any revenue or economic benefit derived from any activity or dealing with a Restricted Person in discharging any obligation due or owing to the Lenders. (c) Each Obligor shall, and shall procure that each of its Subsidiaries shall, to the extent permitted by law, promptly upon becoming aware of them supply to the Agent details of any claim, action, suit, proceedings or investigation against it with respect to Sanctions by any Sanctions Authority. (d) Each Obligor shall not and shall procure that each of its Subsidiaries shall not, directly or indirectly, use all or any part of the proceeds of the Facility to fund any trade, business or other activities: (i) involving, or for the benefit of, any Restricted Person; or (ii) that would reasonably be expected to result in an Obligor or Finance Party being in breach of any Sanctions or becoming a Restricted Person. (e) Each Obligor shall, and shall procure that each of its Subsidiaries shall, comply with all Sanctions to the extent applicable to it. (f) Each member of the Group must ensure that appropriate controls and safeguards are in place designed to prevent any action being taken that would be contrary to this clause 18.19. (g) The undertakings under this clause 18.19. shall: (i) only be made by each Obligor if and to the extent that making such representation does not result in that Obligor’s violation of, or conflict by that Obligor with, the Council Regulation (EC) No 2271/96 of 22 November 1996 (as amended from time to time or any implementing law or regulation in any member state of the European Union) protecting against the effects of the extra-territorial application of legislation adopted


 
Ashurst 69 by a third country, and actions based thereon or resulting therefrom, any provision of Council Regulation (EC) No 2271/1996 of 22 November 1996, as it forms part of domestic law of the United Kingdom by virtue of the European Union (Withdrawal) Act 2018, section 7 of the German Foreign Trade Regulation (Außenwirtschaftsverordnung -AWV) and/or any other applicable anti-boycott laws or regulations; and (ii) shall not apply for the benefit of a Finance Party if and to the extent that by agreeing to or accepting any rights under or enjoying the benefit of (including by exercising any rights on the grounds of a breach of or with respect to any request under) the provision does not result in that Finance Party’s violation of, or conflict with or liability under by that Finance Party with, the Council Regulation (EC) No 2271/96 of 22 November 1996 (as amended from time to time, or any implementing law or regulation in any member state of the European Union) protecting against the effects of the extra-territorial application of legislation adopted by a third country, and actions based thereon or resulting therefrom, any provision of Council Regulation (EC) No 2271/1996 of 22 November 1996, as it forms part of domestic law of the United Kingdom by virtue of the European Union (Withdrawal) Act 2018, section 7 of the German Foreign Trade Regulation (Außenwirtschaftsverordnung -AWV) and/or any other applicable anti- boycott laws or regulations. (h) In connection with any waiver, determination or direction relating to this clause 18.19 of which a Lender does not have the benefit pursuant to paragraph (g) above, the Commitment of that Lender shall be excluded for the purpose of determining whether the requisite determination, direction or consent threshold of the Lenders has been obtained or provided. Anti-corruption law (a) No Obligor shall (and the Borrower shall ensure that no other member of the Group will) directly or indirectly use the proceeds of the Facility for any purpose which would breach the Bribery Act 2010, the United States Foreign Corrupt Practices Act of 1977 or other similar legislation in other jurisdictions. (b) Each Obligor shall (and the Borrower shall ensure that each other member of the Group will): (i) conduct its business in compliance with applicable anti-corruption laws; and (ii) maintain policies and procedures designed to promote and achieve compliance with such laws. Subsidiary Guarantees (a) To the extent any Subsidiary grants a guarantee, surety or indemnity (or other arrangement having a similar commercial effect) of the obligations of the Guarantor under the Wells Facilities (or any facility that refinances the Wells Facilities) (a Subsidiary Guarantee), the Subsidiary will grant an equivalent pari passu ranking subsidiary guarantee in favour of the Finance Parties on no less favourable terms in form and substance satisfactory to the Finance Parties (acting reasonably). (b) To the extent that any such Subsidiary Guarantee is released or discharged, the Borrower shall promptly notify the Agent and upon such notification the Finance Parties agree to provide (in a form and substance satisfactory to the Obligors'


 
Ashurst 70 Agent (acting reasonably)) a release or discharge of the guarantee granted pursuant to paragraph (a) above as soon as reasonably practicable. 19. EVENTS OF DEFAULT Each of the events or circumstances set out in this clause 19 is an Event of Default (save as for clause 19.20 (Acceleration and Cancellation)). Failure to Pay An Obligor does not pay on the due date any amount payable pursuant to a Finance Document to which it is a party, at the place at and in the currency in which it is expressed to be payable unless: (a) its failure to pay is caused by: (i) administrative or technical error; or (ii) a Disruption Event; and (b) payment is made within: (i) in the case of paragraph (a)(i) above, five Business Days of its due date; or (ii) in the case of paragraph (a)(ii) above, ten Business Days of its due date. Financial Covenants and Other Obligations (a) Any requirement of clause 17 (Financial Condition), clause 16.1 (Financial Statements) or clause 18.3 (Negative Pledge) is not satisfied. (b) An Obligor does not comply with any provision of any Transaction Security Document that would adversely affect the validity, enforceability, priority or ranking of any Security granted pursuant to any Transaction Security Document (a Material Security Breach, with any other breach of a Transaction Security Documents that does not constitute a Material Security Breach, being a Minor Security Breach). (c) No Event of Default shall occur under paragraph (a) above in the case of clause 17.1, until the expiry of the cure period specified in clause 17.2 (Covenant Breach Cure) and then only if the relevant breach has not been cured in accordance with clause 17.2 (Covenant Breach Cure). Other Obligations (a) An Obligor does not comply with any provision of the Finance Documents (other than those referred to in clause 19.1 (Failure to Pay) and clause 19.2 (Financial Covenants and other Obligations)). (b) No Event of Default under paragraph (a) above will occur if the failure to comply is capable of remedy and is remedied within fifteen Business Days of the earlier of: (i) the Agent giving notice to the Borrower; and (ii) the Borrower becoming aware of the failure to comply. (c) No breach of any Transaction Security Document shall constitute an Event of Default under paragraph (a) above if:


 
Ashurst 71 (i) such breach is a Minor Security Breach; and (ii) such Minor Security Breach is remedied within ten Business Days of the earlier of: (A) the Agent giving notice to the Borrower; and (B) the Borrower becoming aware of the failure to comply. Misrepresentation Any representation or statement made or deemed to be made by an Obligor in the Finance Documents or any other document delivered by or on behalf of any Obligor under or in connection with any Finance Document is or proves to have been incorrect or misleading in any material respect when made or deemed to be made, unless such representation or statement is remedied within ten Business Days of the Agent giving notice to the Borrower. Cross Default (a) Any: (i) Financial Indebtedness of any member of the Group is not paid when due nor within any originally applicable grace period; (ii) Financial Indebtedness of any member of the Group is declared to be or otherwise becomes due and payable prior to its specified maturity as a result of an event of default (however described); (iii) commitment for any Financial Indebtedness of any member of the Group is cancelled or suspended by a creditor of any member of the Group as a result of an event of default (however described); or (iv) creditor of any member of the Group becomes entitled to declare any Financial Indebtedness of any member of the Group due and payable prior to its specified maturity as a result of an event of default (however described). (b) No Event of Default will occur under paragraph (a) above if the aggregate amount of Financial Indebtedness or commitment for Financial Indebtedness falling within paragraphs (i) to (iv) above is less than $60,000,000 (or its equivalent in any other currency or currencies). Insolvency (a) A member of the Group: (i) is unable or admits its inability to pay its debts as they fall due; (ii) suspends making payments on any of its debts by reason of actual or anticipated financial difficulties; or (iii) by reason of actual or anticipated financial difficulties, commences negotiations with one or more of its creditors (excluding any Finance Party in its capacity as such) with a view to rescheduling any of its indebtedness. (b) The value of the assets of any member of the Group is less than its liabilities (taking into account contingent and prospective liabilities).


 
Ashurst 72 (c) A moratorium is declared in respect of any indebtedness of any member of the Group. Insolvency proceedings (a) Any corporate action, legal proceedings or other procedure or step is taken in relation to: (i) the suspension of payments, a moratorium of any indebtedness, winding- up, dissolution, administration, reorganisation (by way of voluntary arrangement, scheme of arrangement or otherwise) of any member of the Group other than a solvent liquidation or reorganisation of any member of the Group which is not an Obligor; (ii) a composition, compromise, assignment or arrangement with any creditor of any member of the Group; (iii) the appointment of a liquidator (other than in respect of a solvent liquidation of a member of the Group which is not an Obligor), receiver, administrative receiver, administrator, compulsory manager or other similar officer in respect of any member of the Group or any of its assets; or (iv) enforcement of any Security over any assets of any member of the Group, or any analogous procedure or step is taken in any jurisdiction. (b) Paragraph (a) above shall not apply to any action, legal proceedings or other procedure or step which is frivolous or vexatious and is discharged, stayed or dismissed within twenty Business Days of commencement. Creditors' process Any expropriation, attachment, sequestration, distress or execution affects any asset or assets of any member of the Group having an aggregate value of $10,000,000 or more and is not discharged within ten Business Days. Ownership of the Obligors An Obligor (other than the Guarantor) is not or ceases to be a Subsidiary of the Guarantor. Unlawfulness It is or becomes unlawful for an Obligor to perform any of its obligations under the Finance Documents or any Transaction Security created or expressed to be created or evidenced by the Transaction Security Documents ceases to be effective. Repudiation An Obligor repudiates a Finance Document or any Transaction Security or evidences an intention to repudiate a Finance Document or any Transaction Security. The Applicant's Business (a) Subject to paragraph (b), an Applicant taken as a whole, ceases to carry on the business of underwriting insurance at Lloyd's, other than, in consultation with the Agent, by reason of a decision not to underwrite insurance at Lloyd's for a particular year of account.


 
Ashurst 73 (b) No Event of Default will occur under paragraph (a) above as a result of Syndicate 2014, a syndicate at Lloyd's under the management of HMAL (Syndicate 2014) having been placed into run-off. Material Adverse Change Any event or circumstance occurs which the Majority Lenders reasonably believe has or is likely to have a Material Adverse Effect. Solvency Test An Applicant fails to satisfy the notional SCR calculated in respect of it by Lloyd's under rule 8.4 of the Solvency Capital Requirement - General Provisions part of the Handbook, and such failure continues for thirty Business Days following notification to that Applicant by Lloyd's. Managing Agent Where HMAL ceases to act as managing agent for any Managed Syndicate or has any of its approvals, licences or permissions (including its permission from the PRA to manage the underwriting capacity of a Lloyd's syndicate as a managing agent at Lloyd's) to act as managing agent is withdrawn, removed, revoked or cancelled. Litigation Any litigation, arbitration, administrative or governmental, regulatory or other investigations, proceedings or disputes (including with respect to Sanctions) are commenced or threatened in relation to the Borrower under the Finance Documents or the transactions contemplated by the Finance Documents or against any Obligor or its assets which have or are reasonably likely to have a Material Adverse Effect (excluding any action or administrative proceeding involving a Managed Syndicate in the ordinary course of its insurance business and except to the extent such arbitration, administrative or governmental, regulatory or other investigations, proceeding or dispute is being contested in good faith and is discharged, struck out or dismissed within twenty Business Days of commencement). Insurers (Reorganisation and Winding Up) (Lloyd's) Regulations 2005 A "Lloyd's Market Reorganisation Order" is made by the English courts in relation to the "association of underwriters known as Lloyd's" as each of those terms is defined in the Insurers (Reorganisation and Winding Up) (Lloyd's) Regulations 2005. Financial Services and Markets Act 2000 and the Handbook (a) Lloyd's (or, where appropriate, the members of Lloyd's taken together) fails to satisfy the solvency requirements to which it is or they are subject by virtue of the Handbook and a failure to comply with any binding requirement to rectify the position within the time period permitted for such rectification. (b) The authorisation or permission granted to Lloyd's to carry on a regulated activity pursuant to the Financial Markets and Services Act 2000 is withdrawn, removed, revoked or cancelled by the PRA. Modification of Lloyd's Acts, Byelaws or Trusts Any modification, repeal, amendment, replacement or revocation of Lloyd's Acts 1871 to 1982 (as in force from time to time), any byelaw or any deed or agreement required by Lloyd's to be executed or entered into by any person in connection with insurance business at Lloyd's (whether carried on by such person or otherwise) or any trust created thereby is made or proposed which in the reasonable opinion of the Majority


 
Ashurst 74 Lenders is reasonably likely materially and adversely to affect the ability of the Borrower to perform or comply with its material obligations under the Finance Documents. Acceleration and Cancellation On and at any time after the occurrence of an Event of Default the Agent may, and shall if so instructed by the Majority Lenders, by notice to the Borrower: (a) require the Borrower to procure that the liabilities of the Lenders under each Letter of Credit are promptly reduced to zero or to provide Cash Collateral for each Lender's participation in each Letter of Credit (whereupon the Borrower shall do so); (b) require the Borrower to procure that: (i) all Letters of Credit are cancelled and returned by Lloyd's to the Agent; and (ii) in relation to any Letters of Credit which are cancelled, Lloyd's deliver written confirmation to the Agent (on behalf of the Lenders) that: (A) Lloyd's has not retained any copies of any Letter of Credit; and (B) Lloyd's no longer places any reliance on any Letter of Credit, in form and substance reasonably satisfactory to the Agent; (c) declare that Cash Collateral in respect of each Letter of Credit is payable on demand at which time it shall immediately become due and payable on demand by the Agent on the instructions of the Majority Lenders; (d) exercise or direct the Security Agent to exercise any or all of its rights, remedies, powers or discretions under the Finance Documents; and/or (e) give a Revocation Notice to Lloyd's in respect of any Letter of Credit. 20. CHANGES TO THE LENDERS Assignments and transfers by the Lenders Subject to this clause 20, a Lender (the Existing Lender) may: (a) assign any of its rights; or (b) transfer by novation any of its rights and obligations, to another bank or financial institution or to a trust, fund or other entity which is regularly engaged in or established for the purpose of making, purchasing or investing in loans, securities or other financial assets (the New Lender) provided that such bank, financial intuition, trust, fund or other entity is an Approved Credit Institution. Conditions of assignment or transfer (a) The consent of the Borrower is required for an assignment or transfer by an Existing Lender, unless the assignment or transfer is: (i) to another Lender or an Affiliate of a Lender; or (ii) made at a time when an Event of Default is continuing.


 
Ashurst 75 (b) The consent of the Borrower to an assignment or transfer must not be unreasonably withheld or delayed. The Borrower will be deemed to have given its consent five Business Days after the Existing Lender has requested it unless consent is expressly refused by the Borrower within that time. (c) An assignment will only be effective on: (i) receipt by the Agent (whether in the Assignment Agreement or otherwise) of written confirmation from the New Lender (in form and substance satisfactory to the Agent) that the New Lender will assume the same obligations to the other Finance Parties as it would have been under if it was an Original Lender; and (ii) performance by the Agent of all necessary "know your customer" or other similar checks under all applicable laws and regulations in relation to such assignment to a New Lender, the completion of which the Agent shall promptly notify to the Existing Lender and the New Lender. (d) Any assignment or transfer by an Existing Lender to a New Lender will only be effective if it transfers or assigns the Existing Lender's share of the relevant Facility pro rata against the Existing Lender's Available Commitment and its participations in Utilisations under that Facility. (e) A transfer will only be effective if the procedure set out in clause 20.5 (Procedure for transfer) is complied with. (f) If: (i) a Lender assigns or transfers any of its rights or obligations under the Finance Documents or changes its Facility Office; and (ii) as a result of circumstances existing at the date the assignment, transfer or change occurs, an Obligor would be obliged to make a payment to the New Lender or Lender acting through its new Facility Office under clause 9 (Tax gross-up and indemnities) or clause 10.1 (Increased costs), then the New Lender or Lender acting through its new Facility Office is only entitled to receive payment under those clauses to the same extent as the Existing Lender or Lender acting through its previous Facility Office would have been if the assignment, transfer or change had not occurred. (g) Each New Lender, by executing the relevant Transfer Certificate or Assignment Agreement, confirms, for the avoidance of doubt, that the Agent has authority to execute on its behalf any amendment or waiver that has been approved by or on behalf of the requisite Lender or Lenders in accordance with this Agreement on or prior to the date on which the transfer or assignment becomes effective in accordance with this Agreement and that it is bound by that decision to the same extent as the Existing Lender would have been had it remained a Lender. (h) Notwithstanding any other provision in the Finance Document, no Obligor shall bear any costs, fees, Taxes or other amounts payable in connection with any re- taking, re-notarisation, perfection, presentation, novation or re-registration of any Security in connection with an assignment or transfer other than: (i) where such transfer or assignment is at an Obligor's request; or (ii) an Event of Default has occurred and is continuing.


 
Ashurst 76 Assignment or Transfer Fee The New Lender shall, on the date upon which an assignment or transfer takes effect, pay to the Agent (for its own account) a fee of $4,000. Limitation of responsibility of Existing Lenders (a) Unless expressly agreed to the contrary, an Existing Lender makes no representation or warranty and assumes no responsibility to a New Lender for: (i) the legality, validity, effectiveness, adequacy or enforceability of the Finance Documents, the Transaction Security or any other documents; (ii) the financial condition of any Obligor; (iii) the performance and observance by any Obligor of its obligations under the Finance Documents or any other documents; or (iv) the accuracy of any statements (whether written or oral) made in or in connection with any Finance Document or any other document, and any representations or warranties implied by law are excluded. (b) Each New Lender confirms to the Existing Lender and the other Finance Parties that it: (i) has made (and shall continue to make) its own independent investigation and assessment of the financial condition and affairs of each Obligor and its related entities in connection with its participation in this Agreement and has not relied exclusively on any information provided to it by the Existing Lender in connection with any Finance Document or the Transaction Security; and (ii) will continue to make its own independent appraisal of the creditworthiness of each Obligor and its related entities whilst any amount is or may be outstanding under the Finance Documents or any Commitment is in force. (c) Nothing in any Finance Document obliges an Existing Lender to: (i) accept a re-transfer or re-assignment from a New Lender of any of the rights and obligations assigned or transferred under this clause 20; or (ii) support any losses directly or indirectly incurred by the New Lender by reason of the non-performance by any Obligor of its obligations under the Finance Documents or otherwise. Procedure for transfer (a) Subject to the conditions set out in clause 20.2 (Conditions of assignment or transfer) a transfer is effected in accordance with clause 20.5(c) below when the Agent executes an otherwise duly completed Transfer Certificate delivered to it by the Existing Lender and the New Lender. The Agent shall, subject to clause 20.5(b) below, as soon as reasonably practicable after receipt by it of a duly completed Transfer Certificate appearing on its face to comply with the terms of this Agreement and delivered in accordance with the terms of this Agreement, execute that Transfer Certificate. (b) The Agent shall only be obliged to execute a Transfer Certificate delivered to it by the Existing Lender and the New Lender once it is satisfied it has complied


 
Ashurst 77 with all necessary "know your customer" or other similar checks under all applicable laws and regulations in relation to the transfer to such New Lender. Upon execution of the Transfer Certificate, the Agent may specify the Transfer Date to the Existing Lender and the New Lender provided that if it fails to do so, the Transfer Date shall be the date proposed in the Transfer Certificate, such date to be no later than the date falling five Business Days after the date on which such Transfer Certificate is delivered to the Agent. The Agent will, upon receipt of a duly executed Transfer Certificate: (i) advise Lloyd's that a transfer will be made in respect of such Letter of Credit on the proposed Transfer Date; and (ii) request that Lloyd's return the relevant Letter of Credit (the Original Letter of Credit) to the Agent on or prior to such proposed Transfer Date. (c) Subject to clause 20.10 (Pro rata interest settlement), on the Transfer Date: (i) the Agent shall execute the Transfer Certificate provided that, the Agent shall first have received the Original Letter of Credit from Lloyd's in accordance with paragraph (b) above or have made arrangements with Lloyd's for the exchange of the Original Letter of Credit for a new Letter of Credit (the Replacement Letter of Credit) immediately after the transfer has become effective. The Replacement Letter of Credit shall name the New Bank as an "Issuing Bank" thereunder and shall otherwise be for the same amount and on the same terms as the Original Letter of Credit for the remainder of the Term of such Original Letter of Credit; (ii) to the extent that in the Transfer Certificate the Existing Lender seeks to transfer by novation its rights and obligations under the Finance Documents and in respect of the Transaction Security each of the Obligors and the Existing Lender shall be released from further obligations towards one another under the Finance Documents and in respect of the Transaction Security and their respective rights against one another under the Finance Documents shall be cancelled (being the Discharged Rights and Obligations); (iii) each of the Obligors and the New Lender shall assume obligations towards one another and/or acquire rights against one another which differ from the Discharged Rights and Obligations only insofar as that Obligor and the New Lender have assumed and/or acquired the same in place of that Obligor and the Existing Lender; (iv) the Agent, the Security Agent, the New Lender and the other Lenders shall acquire the same rights and assume the same obligations between themselves and in respect of the Transaction Security as they would have acquired and assumed had the New Lender been an Original Lender with the rights and/or obligations acquired or assumed by it as a result of the transfer and to that extent the Agent, the Security Agent and the Existing Lender shall each be released from further obligations to each other under the Finance Documents; and (v) the New Lender shall become a Party as a "Lender". Procedure for Assignment (a) Subject to the conditions set out in clause 20.2 (Conditions of assignment or transfer) an assignment may be effected in accordance with paragraph (c) below


 
Ashurst 78 when the Agent executes an otherwise duly completed Assignment Agreement delivered to it by the Existing Lender and the New Lender. The Agent shall, subject to paragraph (b) below, as soon as reasonably practicable after receipt by it of a duly completed Assignment Agreement appearing on its face to comply with the terms of this Agreement and delivered in accordance with the terms of this Agreement, execute that Assignment Agreement. (b) The Agent shall only be obliged to execute an Assignment Agreement delivered to it by the Existing Lender and the New Lender once it is satisfied it has complied with all necessary "know your customer" or other similar checks under all applicable laws and regulations in relation to the assignment to such New Lender. (c) Subject to clause 20.10 (Pro rata interest settlement), on the Transfer Date: (i) the Existing Lender will assign absolutely to the New Lender the rights under the Finance Documents and in respect of the Transaction Security expressed to be the subject of the assignment in the Assignment Agreement; (ii) the Existing Lender will be released by each Obligor and the other Finance Parties from the obligations owed by it (the Relevant Obligations) and expressed to be the subject of the release in the Assignment Agreement (and any corresponding obligations by which it is bound in respect of the Transaction Security); and (iii) the New Lender shall become a Party as a "Lender" and will be bound by obligations equivalent to the Relevant Obligations. (d) Lenders may utilise procedures other than those set out in this clause 20.6 to assign their rights under the Finance Documents (but not, without the consent of the relevant Obligor or unless in accordance with clause 20.5 (Procedure for transfer), to obtain a release by that Obligor from the obligations owed to that Obligor by the Lenders nor the assumption of equivalent obligations by a New Lender) provided that they comply with the conditions set out in clause 20.2 (Conditions of assignment or transfer). Copy of Transfer Certificate or Assignment Agreement The Agent shall, as soon as reasonably practicable after it has executed a Transfer Certificate or an Assignment Agreement, send a copy to the Borrower of that Transfer Certificate or Assignment Agreement. Continuation of Security (a) Each Obligor consents to the assignments and transfers of rights and obligations permitted under and made in accordance with this clause 20. Each Obligor agrees and confirms that its guarantee and indemnity obligations under the Finance Documents and any Transaction Security granted by it in support of its own borrowing obligations or its guarantee or indemnity obligations under the Finance Documents will continue notwithstanding any assignment or transfer under this clause 20 and will extend to cover and support obligations owed to New Lenders and to continuing Finance Parties. (b) The Borrower (for itself and as agent for the Obligors) will (at its own cost) promptly execute such documents and take such other actions as are necessary to effect or perfect an assignment or a transfer of rights and/or obligations to a New Lender under the Finance Documents. Such action will include:


 
Ashurst 79 (i) promptly countersigning Assignment Agreements (although any delay or failure by the Borrower to so countersign an Assignment Agreement will not invalidate its operation); and (ii) taking such steps as the Agent or the Security Agent may request (including re-execution of Transaction Security Documents) for the purpose of ensuring that the New Lender has (and the other Finance Parties continue to have) the benefit of the same security interests under the Transaction Security Documents as existed immediately before the relevant transfer. Security over Lender's Rights In addition to the other rights provided to Lenders under this clause 20, each Lender may without consulting with or obtaining consent from any Obligor, at any time charge, assign or otherwise create Security in or over (whether by way of collateral or otherwise) all or any of its rights under any Finance Document to secure obligations of that Lender including, without limitation: (a) any charge, assignment or other Security to secure obligations to a federal reserve or central bank; and (b) in the case of any Lender which is a fund, any charge, assignment or other Security granted to any holders (or trustee or representatives of holders) of obligations owed, or securities issued, by that Lender as security for those obligations or securities, except that no such charge, assignment or Security shall: (i) release a Lender from any of its obligations under the Finance Documents or substitute the beneficiary of the relevant charge, assignment or Security for the Lender as a party to any of the Finance Documents; or (ii) require any payments to be made by an Obligor other than or in excess of, or grant to any person any more extensive rights than, those required to be made or granted to the relevant Lender under the Finance Documents. Pro rata interest settlement (a) If the Agent has notified the Lenders that it is able to distribute interest payments on a "pro rata basis" to Existing Lenders and New Lenders then (in respect of any transfer pursuant to clause 20.5 (Procedure for transfer) or any assignment pursuant to clause 20.6 (Procedure for assignment) the Transfer Date of which, in each case, is after the date of such notification and is not on the last day of an Interest Period): (i) any interest or fees in respect of the relevant participation which are expressed to accrue by reference to the lapse of time shall continue to accrue in favour of the Existing Lender up to but excluding the Transfer Date (Accrued Amounts) and shall become due and payable to the Existing Lender (without further interest accruing on them) on the last day of the current Interest Period (or, if the Interest Period is longer than six Months, on the next of the dates which falls at six Monthly intervals after the first day of that Interest Period); and (ii) the rights assigned or transferred by the Existing Lender will not include the right to the Accrued Amounts, so that, for the avoidance of doubt:


 
Ashurst 80 (A) when the Accrued Amounts become payable, those Accrued Amounts will be payable to the Existing Lender; and (B) the amount payable to the New Lender on that date will be the amount which would, but for the application of this clause 20.10, have been payable to it on that date, but after deduction of the Accrued Amounts. (b) In this clause 20.10 references to "Interest Period" shall be construed to include a reference to any other period for accrual of fees. 21. CHANGES TO THE OBLIGORS No Obligor may assign any of its rights or transfer any of its rights or obligations under the Finance Documents. 22. ROLE OF THE AGENT Appointment of the Agent (a) Subject to any restrictions arising under or in connection with Section 181 of the German Civil Code (Bürgerliches Gesetzbuch) and to paragraph (c) below, each of the Lenders (other than the Security Agent) appoints the Agent to act as its agent under and in connection with the Finance Documents. (b) Subject to any restrictions arising under or in connection with Section 181 of the German Civil Code (Bürgerliches Gesetzbuch) and to paragraph (c) below, each of the Lenders authorises the Agent to perform the duties, obligations and responsibilities and to exercise the rights, powers, authorities and discretions specifically given to the Agent under or in connection with the Finance Documents together with any other incidental rights, powers, authorities and discretions. (c) Each Finance Party (other than the Agent) hereby releases the Agent from the restrictions pursuant to Section 181 of the German Civil Code (Bürgerliches Gesetzbuch) and similar restrictions applicable to it pursuant to any other applicable law, in each case to the extent it is legally possible for such Finance Party. A Finance Party which is barred by its constitutional documents or by-laws from granting such exemptions shall notify the Agent accordingly. Instructions (a) The Agent shall: (i) unless a contrary indication appears in a Finance Document, exercise or refrain from exercising any right, power, authority or discretion vested in it as Agent in accordance with any instructions given to it by: (A) all Lenders if the relevant Finance Document stipulates the matter is an all Lender decision; and (B) in all other cases, the Majority Lenders; and (ii) not be liable for any act (or omission) if it acts (or refrains from acting) in accordance with paragraph (i) above. (b) The Agent shall be entitled to request instructions, or clarification of any instruction, from the Majority Lenders (or, if the relevant Finance Document stipulates the matter is a decision for any other Lender or group of Lenders, from


 
Ashurst 81 that Lender or group of Lenders) as to whether, and in what manner, it should exercise or refrain from exercising any right, power, authority or discretion. The Agent may refrain from acting unless and until it receives any such instructions or clarification that it has requested. (c) Save in the case of decisions stipulated to be a matter for any other Lender or group of Lenders under the relevant Finance Document and unless a contrary indication appears in a Finance Document, any instructions given to the Agent by the Majority Lenders shall override any conflicting instructions given by any other Parties and will be binding on all Finance Parties. (d) The Agent may refrain from acting in accordance with any instructions of any Lender or group of Lenders until it has received any indemnification and/or security that it may in its discretion require (which may be greater in extent than that contained in the Finance Documents and which may include payment in advance) for any cost, loss or liability which it may incur in complying with those instructions. (e) In the absence of instructions, the Agent may act (or refrain from acting) as it considers to be in the best interest of the Lenders. (f) The Agent is not authorised to act on behalf of a Lender (without first obtaining that Lender's consent) in any legal or arbitration proceedings relating to any Finance Document. Duties of the Agent (a) The Agent's duties under the Finance Documents are solely mechanical and administrative in nature. (b) Subject to paragraph (c) below, the Agent shall promptly forward to a Party the original or a copy of any document which is delivered to the Agent for that Party by any other Party. (c) Without prejudice to clause 20.7 (Copy of Transfer Certificate or Assignment Agreement), paragraph (b) above shall not apply to any Transfer Certificate or Assignment Agreement. (d) Except where a Finance Document specifically provides otherwise, the Agent is not obliged to review or check the adequacy, accuracy or completeness of any document it forwards to another Party. (e) If the Agent receives notice from a Party referring to this Agreement, describing a Default and stating that the circumstance described is a Default, it shall promptly notify the other Finance Parties. (f) If the Agent is aware of the non-payment of any principal, interest, commitment fee or other fee payable to a Finance Party (other than the Agent or the Security Agent) under this Agreement it shall promptly notify the other Finance Parties. (g) The Agent shall have only those duties, obligations and responsibilities expressly specified in the Finance Documents to which it is expressed to be a party (and no others shall be implied). No fiduciary duties (a) Nothing in any Finance Document constitutes the Agent as a trustee or fiduciary of any other person.


 
Ashurst 82 (b) Neither the Agent nor the Security Agent shall be bound to account to any Lender for any sum or the profit element of any sum received by it for its own account. Business with the Group The Agent may accept deposits from, lend money to and generally engage in any kind of banking or other business with any member of the Group. Rights and discretions of the Agent (a) The Agent may: (i) rely on any representation, communication, notice or document believed by it to be genuine, correct and appropriately authorised; and (ii) assume that: (A) any instructions received by it from the Majority Lenders, any Lenders or any group of Lenders are duly given in accordance with the terms of the Finance Documents; and (B) unless it has received notice of revocation, that those instructions have not been revoked; and (iii) rely on a certificate from any person: (A) as to any matter of fact or circumstance which might reasonably be expected to be within the knowledge of that person; or (B) to the effect that such person approves of any particular dealing, transaction, step, action or thing, as sufficient evidence that that is the case and, in the case of paragraph (A) above, may assume the truth and accuracy of that certificate. (b) The Agent may assume (unless it has received notice to the contrary in its capacity as agent for the Lenders) that: (i) no Default has occurred (unless it has actual knowledge of a Default arising under clause 19.1 (Failure to pay)); and (i) any right, power, authority or discretion vested in any Party or any group of Lenders has not been exercised. (c) The Agent may engage and pay for the advice or services of any lawyers, accountants, tax advisers, surveyors or other professional advisers or experts. (d) Without prejudice to the generality of paragraph (c)above or paragraph (e) below, the Agent may at any time engage and pay for the services of any lawyers to act as independent counsel to the Agent (and so separate from any lawyers instructed by the Lenders) if the Agent in its reasonable opinion deems this to be necessary. (e) The Agent may rely on the advice or services of any lawyers, accountants, tax advisers, surveyors or other professional advisers or experts (whether obtained by the Agent or by any other Party) and shall not be liable for any damages, costs or losses to any person, any diminution in value or any liability whatsoever arising as a result of its so relying.


 
Ashurst 83 (f) The Agent may act in relation to the Finance Documents through its officers, employees and agents. (g) Unless a Finance Document expressly provides otherwise, the Agent may disclose to any other Party any information it reasonably believes it has received as Agent under this Agreement. (h) Without prejudice to the generality of paragraph (g) above, the Agent: (i) may disclose; and (ii) on the written request of the Obligors or the Majority Lenders shall, as soon as reasonably practicable, disclose, the identity of a Defaulting Lender to the Borrower and to the other Finance Parties. (i) Notwithstanding any other provision of any Finance Document to the contrary, the Agent is not obliged to do or omit to do anything if it would or might in its reasonable opinion constitute a breach of any law or regulation or a breach of a fiduciary duty or duty of confidentiality. (j) Notwithstanding any provision of any Finance Document to the contrary, the Agent is not obliged to expend or risk its own funds or otherwise incur any financial liability in the performance of its duties, obligations or responsibilities or the exercise of any right, power, authority or discretion if it has grounds for believing the repayment of such funds or adequate indemnity against, or security for, such risk or liability is not reasonably assured to it. Responsibility for documentation The Agent is not responsible or liable for: (a) the adequacy, accuracy and/or completeness of any information (whether oral or written) supplied by the Agent, an Obligor or any other person given in or in connection with any Finance Document or the transactions contemplated by the Finance Documents or the transactions contemplated in the Finance Documents or any other agreement, arrangement or document entered into, made or executed in anticipation of, under or in connection with any Finance Document; (b) the legality, validity, effectiveness, adequacy or enforceability of any Finance Document or the Transaction Security or any other agreement, arrangement or document entered into, made or executed in anticipation of, under or in connection with any Finance Document or the Transaction Security; or (c) any determination as to whether any information provided or to be provided to any Finance Party is non-public information the use of which may be regulated or prohibited by applicable law or regulation relating to insider dealing or otherwise. No duty to monitor The Agent shall not be bound to enquire: (a) whether or not any Default has occurred; (b) as to the performance, default or any breach by any Party of its obligations under any Finance Document; or (c) whether any other event specified in any Finance Document has occurred.


 
Ashurst 84 Exclusion of liability (a) Without limiting paragraph (b) below (and without prejudice to any other provision of any Finance Document excluding or limiting the liability of the Agent), the Agent will not be liable for: (i) any damages, costs or losses to any person, any diminution in value, or any liability whatsoever arising as a result of taking or not taking any action under or in connection with any Finance Document or the Transaction Security, unless directly caused by its gross negligence or wilful misconduct; (ii) exercising, or not exercising, any right, power, authority or discretion given to it by, or in connection with, any Finance Document or any other agreement, arrangement or document entered into, made or executed in anticipation of, under or in connection with, any Finance Document, other than by reason of its gross negligence or wilful misconduct; or (iii) without prejudice to the generality of paragraphs (i) and (ii) above, any damages, costs or losses to any person, any diminution in value or any liability whatsoever (including, without limitation, for negligence or any other category of liability whatsoever but not including any claim based on the fraud of the Agent) arising as a result of: (A) any act, event or circumstance not reasonably within its control; or (B) the general risks of investment in, or the holding of assets in, any jurisdiction, including (in each case and without limitation) such damages, costs, losses, diminution in value or liability arising as a result of: nationalisation, expropriation or other governmental actions; any regulation, currency restriction, devaluation or fluctuation; market conditions affecting the execution or settlement of transactions or the value of assets (including any Disruption Event); breakdown, failure or malfunction of any third party transport, telecommunications, computer services or systems; natural disasters or acts of God; war, terrorism, insurrection or revolution; or strikes or industrial action. (f) No Party (other than the Agent) may take any proceedings against any officer, employee or agent of the Agent in respect of any claim it might have against the Agent or in respect of any act or omission of any kind by that officer, employee or agent in relation to any Finance Document and any officer, employee or agent of the Agent may rely on this clause subject to clause 1.5 (Third party rights) and the provisions of the Third Parties Act. (g) The Agent will not be liable for any delay (or any related consequences) in crediting an account with an amount required under the Finance Documents to be paid by the Agent if the Agent has taken all necessary steps as soon as reasonably practicable to comply with the regulations or operating procedures of any recognised clearing or settlement system used by the Agent for that purpose. (h) Nothing in this Agreement shall oblige the Agent to carry out: (i) any "know your customer" or other checks in relation to any person; or (iv) any check on the extent to which any transaction contemplated by this Agreement might be unlawful for any Lender,


 
Ashurst 85 on behalf of any Lender and each Lender confirms to the Agent that it is solely responsible for any such checks it is required to carry out and that it may not rely on any statement in relation to such checks made by the Agent. (b) Without prejudice to any provision of any Finance Document excluding or limiting the Agent's liability, any liability of the Agent arising under or in connection with any Finance Document shall be limited to the amount of actual loss which has been suffered (as determined by reference to the date of default of the Agent or, if later, the date on which the loss arises as a result of such default) but without reference to any special conditions or circumstances known to the Agent at any time which increase the amount of that loss. In no event shall the Agent be liable for any loss of profits, goodwill, reputation, business opportunity or anticipated saving, or for special, punitive, indirect or consequential damages, whether or not the Agent has been advised of the possibility of such loss or damages. Lenders' indemnity to the Agent Each Lender shall (in proportion to its share of the Total Commitments or, if the Total Commitments are then zero, to its share of the Total Commitments immediately prior to their reduction to zero) indemnify the Agent, within three Business Days of demand, against any cost, loss or liability (including, without limitation, for negligence or any other category of liability whatsoever) incurred by the Agent (otherwise than by reason of the Agent's gross negligence or wilful misconduct) (or, in the case of any cost, loss or liability pursuant to clause 26.11 (Disruption to Payment Systems etc.), notwithstanding the Agent's negligence, gross negligence or any other category of liability whatsoever but not including any claim based on the fraud of the Agent) in acting as Agent under the Finance Documents (unless the Agent has been reimbursed by an Obligor pursuant to a Finance Document). Resignation of the Agent (a) The Agent may resign and appoint one of its Affiliates acting through an office in any member state of the European Economic Area or any Participating Member State as successor by giving notice to the Lenders and the Borrower. (b) Alternatively the Agent may resign by giving thirty days' notice to the Lenders and the Borrower, in which case the Majority Lenders (after consultation with the Borrower) may appoint a successor Agent. (c) If the Majority Lenders have not appointed a successor Agent in accordance with paragraph (b) above within thirty days after notice of resignation was given, the Agent (after consultation with the Borrower) may appoint a successor Agent (acting through an office in any member state of the European Economic Area or any Participating Member State). (d) If the Agent wishes to resign because (acting reasonably) it has concluded that it is no longer appropriate for it to remain as agent and the Agent is entitled to appoint a successor Agent under paragraph (c) above, the Agent may (if it concludes (acting reasonably) that it is necessary to do so in order to persuade the proposed successor Agent to become a party to this Agreement as Agent) agree with the proposed successor Agent amendments to this clause 22.11 and any other term of this Agreement dealing with the rights or obligations of the Agent consistent with then current market practice for the appointment and protection of corporate trustees together with any reasonable amendments to the agency fee payable under this Agreement which are consistent with the successor Agent's normal fee rates and those amendments will bind the Parties.


 
Ashurst 86 (e) The retiring Agent shall make available to the successor Agent such documents and records and provide such assistance as the successor Agent may reasonably request for the purposes of performing its functions as Agent under the Finance Documents. The Borrower shall, within three Business Days of demand, reimburse the retiring Agent for the amount of all costs and expenses (including legal fees) properly incurred by it in making available such documents and records and providing such assistance. (f) Each of the Obligor, Lenders and Agent shall cooperate to make such amendments to the Letter of Credit as may be necessary to reflect the replacement of the retiring Agent with a successor Agent. (g) The Agent's resignation notice shall only take effect upon the appointment of a successor. (h) Upon the appointment of a successor, the retiring Agent shall be discharged from any further obligation in respect of the Finance Documents (other than its obligations under paragraph (e) above) but shall remain entitled to the benefit of clause 22.10 (Lenders' Indemnity to the Agent) and this clause 23 (and any agency fees for the account of the retiring Agent shall cease to accrue from (and shall be payable on) that date). Any successor and each of the other Parties shall have the same rights and obligations amongst themselves as they would have had if such successor had been an original Party. (i) The Agent shall resign in accordance with paragraph (b) above (and, to the extent applicable, shall use reasonable endeavours to appoint a successor Agent pursuant to paragraph (c) above) if on or after the date which is three months before the earliest FATCA Application Date relating to any payment to the Agent under the Finance Documents, either: (i) the Agent fails to respond to a request under clause 9.7 (FATCA Information) and the Borrower or a Lender reasonably believes that the Agent will not be (or will have ceased to be) a FATCA Exempt Party on or after that FATCA Application Date; (ii) the information supplied by the Agent pursuant to clause 9.7 (FATCA Information) indicates that the Agent will not be (or will have ceased to be) a FATCA Exempt Party on or after that FATCA Application Date; or (iii) the Agent notifies the Borrower and the Lenders that the Agent will not be (or will have ceased to be) a FATCA Exempt Party on or after that FATCA Application Date, (iv) and (in each case) the Borrower or a Lender reasonably believes that a Party will be required to make a FATCA Deduction that would not have been required if the Agent were a FATCA Exempt Party, and the Borrower or that Lender, by notice to the Agent, requires it to resign. Replacement of the Agent (a) After consultation with the Obligors, the Majority Lenders may, by giving thirty days' notice to the Agent (or, at any time the Agent is an Impaired Agent, by giving any shorter notice determined by the Majority Lenders) replace the Agent by appointing a successor Agent (acting through an office in the United Kingdom). (b) The retiring Agent shall (at its own cost if it is an Impaired Agent and otherwise at the expense of the Lenders) make available to the successor Agent such


 
Ashurst 87 documents and records and provide such assistance as the successor Agent may reasonably request for the purposes of performing its functions as Agent under the Finance Documents. (c) Each of the Borrower, Lenders and Agent shall cooperate to make such amendments to the Letter of Credit as may be necessary to reflect the replacement of the retiring Agent with a successor Agent. (d) The appointment of the successor Agent shall take effect on the date specified in the notice from the Majority Lenders to the retiring Agent. As from this date, the retiring Agent shall be discharged from any further obligation in respect of the Finance Documents (other than its obligations under paragraph (b) above) but shall remain entitled to the benefit of clause 11.3 (Indemnity to the Agent) and this clause 22 (and any agency fees for the account of the retiring Agent shall cease to accrue from (and shall be payable on) that date). (e) Any successor Agent and each of the other Parties shall have the same rights and obligations amongst themselves as they would have had if such successor had been an original Party. Confidentiality (a) In acting as agent for the Finance Parties, the Agent shall be regarded as acting through its agency division which shall be treated as a separate entity from any other of its divisions or departments. (b) If information is received by another division or department of the Agent, it may be treated as confidential to that division or department and the Agent shall not be deemed to have notice of it. Relationship with the Lenders (a) Subject to clause 20.10 (Pro rata interest settlement), the Agent may treat the person shown in its records as Lender at the opening of business (in the place of the Agent's principal office as notified to the Finance Parties from time to time) as the Lender acting through its Facility Office: (i) entitled to or liable for any payment due under any Finance Document on that day; and (ii) entitled to receive and act upon any notice, request, document or communication or make any decision or determination under any Finance Document made or delivered on that day, unless it has received not less than five Business Days' prior notice from that Lender to the contrary in accordance with the terms of this Agreement. (b) Any Lender may by notice to the Agent appoint a person to receive on its behalf all notices, communications, information and documents to be made or despatched to that Lender under the Finance Documents. Such notice shall contain the address, fax number and (where communication by electronic mail or other electronic means is permitted under clause 29.6 (Electronic communication)) electronic mail address and/or any other information required to enable the transmission of information by that means (and, in each case, the department or officer, if any, for whose attention communication is to be made) and be treated as a notification of a substitute address, fax number, electronic mail address (or such other information), department and officer by that Lender for the purposes of clause 29.2 (Addresses) and paragraph (a)(ii) of clause 29.6


 
Ashurst 88 (Electronic communication) and the Agent shall be entitled to treat such person as the person entitled to receive all such notices, communications, information and documents as though that person were that Lender. (c) Each Lender shall supply the Agent with any information that the Security Agent may reasonably specify (through the Agent) as being necessary or desirable to enable the Security Agent to perform its functions as Security Agent. Each Lender shall deal with the Security Agent exclusively through the Agent and shall not deal directly with the Security Agent. Credit appraisal by the Lenders Without affecting the responsibility of any Obligor for information supplied by it or on its behalf in connection with any Finance Document, each Lender confirms to the Agent that it has been, and will continue to be, solely responsible for making its own independent appraisal and investigation of all risks arising under or in connection with any Finance Document including but not limited to: (a) the financial condition, status and nature of each member of the Group; (b) the legality, validity, effectiveness, adequacy or enforceability of any Finance Document and the Transaction Security and any other agreement, arrangement or document entered into, made or executed in anticipation of, under or in connection with any Finance Document; (c) whether that Lender has recourse, and the nature and extent of that recourse, against any Party or any of its respective assets under or in connection with any Finance Document, the transactions contemplated by the Finance Documents or the Transaction Security or any other agreement, arrangement or document entered into, made or executed in anticipation of, under or in connection with any Finance Document; and (d) the adequacy, accuracy and/or completeness of any other information provided by the Agent, the Security Agent, any Party or by any other person under or in connection with any Finance Document, the transactions contemplated by the Finance Documents or any other agreement, arrangement or document entered into, made or executed in anticipation of, under or in connection with any Finance Document. (e) the right or title of any person in or to, or the value or sufficiency of any part of the Charged Property, the priority of any of the Transaction Security or the existence of any Security affecting the Charged Property. Agent's Management Time Any amount payable to the Agent under clause 11.3 (Indemnity to the Agent), clause 13 (Costs and expenses) and clause 22.10 (Lenders' indemnity to the Agent) shall include the cost of utilising the Agent's management time or other resources and will be calculated on the basis of such reasonable daily or hourly rates as the Agent may notify to the Borrower and the Lenders and is in addition to any fee paid or payable to the Agent under clause 7 (Fees). Deduction from amounts payable by the Agent If any Party owes an amount to the Agent under the Finance Documents the Agent may, after giving notice to that Party, deduct an amount not exceeding that amount from any payment to that Party which the Agent would otherwise be obliged to make under the Finance Documents and apply the amount deducted in or towards satisfaction of the


 
Ashurst 89 amount owed. For the purposes of the Finance Documents that Party shall be regarded as having received any amount so deducted. 23. THE SECURITY AGENT Trust (a) The Security Agent declares that it shall hold the Transaction Security on trust for the Secured Parties on the terms contained in this Agreement. (b) Each of the parties to this Agreement agrees that the Security Agent shall have only those duties, obligations and responsibilities expressly specified in this Agreement or in the Transaction Security Documents to which the Security Agent is expressed to be a party (and no others shall be implied). No Independent Power The Secured Parties shall not have any independent power to enforce, or have recourse to, any of the Transaction Security or to exercise any rights or powers arising under the Transaction Security Documents except through the Security Agent. Instructions to Security Agent and Exercise of Discretion (a) Subject to paragraphs (d) and (e) below, the Security Agent shall act in accordance with any instructions given to it by the Majority Lenders or, if so instructed by the Majority Lenders, refrain from exercising any right, power, authority or discretion vested in it as Security Agent and shall be entitled to assume that (i) any instructions received by it from the Agent are duly given in accordance with the terms of this Agreement and (ii) unless it has received actual notice of revocation, that those instructions or directions have not been revoked. (b) The Security Agent shall be entitled to request instructions, or clarification of any direction, from the Majority Lenders as to whether, and in what manner, it should exercise or refrain from exercising any rights, powers, authorities and discretions and the Security Agent may refrain from acting unless and until those instructions or clarification are received by it. (c) Any instructions given to the Security Agent by the Majority Lenders shall override any conflicting instructions given by any other Parties. (d) Paragraph (a) above shall not apply: (i) where a contrary indication appears in this Agreement; (ii) where this Agreement requires the Security Agent to act in a specified manner or to take a specified action; or (iii) in respect of any provision which protects the Security Agent's own position in its personal capacity as opposed to its role of Security Agent for the Secured Parties including, without limitation, the provisions set out in clauses 23.5 (Security Agent's Discretions) to clause 23.21 (Disapplication) (inclusive). (e) If giving effect to instructions given by the Majority Lenders would (in the Security Agent's opinion) have an effect equivalent to a decision that would otherwise require all Lender consent pursuant to clause 33 (Amendments and Waivers), the Security Agent shall not act in accordance with those instructions unless


 
Ashurst 90 consent to it so acting is obtained from each Party (other than the Security Agent) whose consent would have been required in respect of that decision. (f) In exercising any discretion to exercise a right, power or authority under this Agreement where it has not received any instructions from the Majority Lenders as to the exercise of that discretion the Security Agent shall do so having regard to the interests of all the Secured Parties. Security Agent's Actions Without prejudice to the provisions of this clause 23, the Security Agent may (but shall not be obliged to), in the absence of any instructions to the contrary, take such action in the exercise of any of its powers and duties under the Finance Documents as it considers in its discretion to be appropriate. Security Agent's Discretions The Security Agent may: (a) assume (unless it has received actual notice to the contrary from the Agent) that (i) no Default has occurred and no Obligor is in breach of or default under its obligations under any of the Finance Documents and (ii) any right, power, authority or discretion vested by any Finance Document in any person has not been exercised; (b) if it receives any instructions or directions to take any action in relation to the Transaction Security, assume that all applicable conditions under the Finance Documents for taking that action have been satisfied; (c) engage, pay for and rely on the advice or services of any legal advisers, accountants, tax advisers, surveyors or other experts (whether obtained by the Security Agent or by any other Secured Party) whose advice or services may at any time seem necessary, expedient or desirable; (d) rely upon any communication or document believed by it to be genuine and, as to any matters of fact which might reasonably be expected to be within the knowledge of a Secured Party or an Obligor, upon a certificate signed by or on behalf of that person; and (e) refrain from acting in accordance with the instructions of any Party (including bringing any legal action or proceeding arising out of or in connection with the Finance Documents) until it has received any indemnification and/or security that it may in its discretion require (whether by way of payment in advance or otherwise) for all costs, losses and liabilities which it may incur in so acting. Security Agent's Obligations The Security Agent shall promptly: (a) copy to the Agent the contents of any notice or document received by it from any Obligor under any Finance Document; (b) forward to a Party the original or a copy of any document which is delivered to the Security Agent for that Party by any other Party provided that, except where a Finance Document expressly provides otherwise, the Security Agent is not obliged to review or check the adequacy, accuracy or completeness of any document it forwards to another Party; and (c) inform the Agent of the occurrence of any Default or any default by an Obligor in the due performance of or compliance with its obligations under any Finance


 
Ashurst 91 Document of which the Security Agent has received notice from any other party to this Agreement. Excluded Obligations Notwithstanding anything to the contrary expressed or implied in the Finance Documents, the Security Agent shall not: (a) be bound to enquire as to (i) whether or not any Default has occurred or (ii) the performance, default or any breach by an Obligor of its obligations under any of the Finance Documents; (b) be bound to account to any other Party for any sum or the profit element of any sum received by it for its own account; (c) be bound to disclose to any other person (including but not limited to any Secured Party) (i) any Confidential Information or (ii) any other information if disclosure would, or might in its reasonable opinion, constitute a breach of any law or be a breach of fiduciary duty; or (d) have or be deemed to have any relationship of trust or agency with, any Obligor. Exclusion of Liability None of the Security Agent, any Receiver nor any Delegate shall accept responsibility or be liable for: (a) the adequacy, accuracy or completeness of any information (whether oral or written) supplied by the Security Agent or any other person in or in connection with any Finance Document or the transactions contemplated in the Finance Documents, or any other agreement, arrangement or document entered into, made or executed in anticipation of, under or in connection with any Finance Document; (b) the legality, validity, effectiveness, adequacy or enforceability of any Finance Document, the Transaction Security or any other agreement, arrangement or document entered into, made or executed in anticipation of, under or in connection with any Finance Document or the Transaction Security; (c) any losses to any person or any liability arising as a result of taking or refraining from taking any action in relation to any of the Finance Documents, the Transaction Security or otherwise, whether in accordance with an instruction from the Agent or otherwise unless directly caused by its gross negligence or wilful misconduct; (d) the exercise of, or the failure to exercise, any judgment, discretion or power given to it by or in connection with any of the Finance Documents, the Transaction Security or any other agreement, arrangement or document entered into, made or executed in anticipation of, under or in connection with, the Finance Documents or the Transaction Security; or (e) any shortfall which arises on the enforcement or realisation of the Transaction Security. No Proceedings No Party (other than the Security Agent, that Receiver or that Delegate) may take any proceedings against any officer, employee or agent of the Security Agent, a Receiver or a Delegate in respect of any claim it might have against the Security Agent, a Receiver or a Delegate or in respect of any act or omission of any kind by that officer, employee


 
Ashurst 92 or agent in relation to any Finance Document or any Charged Property and any officer, employee or agent of the Security Agent, a Receiver or a Delegate may rely on this clause subject to clause 1.5 (Third Party Rights) and the provisions of the Third Parties Rights Act. Own Responsibility Without affecting the responsibility of any Obligor for information supplied by it or on its behalf in connection with any Finance Document, each Secured Party confirms to the Security Agent that it has been, and will continue to be, solely responsible for making its own independent appraisal and investigation of all risks arising under or in connection with any Finance Document including but not limited to: (a) the financial condition, status and nature of each member of the Group; (b) the legality, validity, effectiveness, adequacy and enforceability of any Finance Document, the Transaction Security and any other agreement, arrangement or document entered into, made or executed in anticipation of, under or in connection with any Finance Document or the Transaction Security; (c) whether that Secured Party has recourse, and the nature and extent of that recourse, against any Party or any of its respective assets under or in connection with any Finance Document, the Transaction Security, the transactions contemplated by the Finance Documents or any other agreement, arrangement or document entered into, made or executed in anticipation of, under or in connection with any Finance Document or the Transaction Security; (d) the adequacy, accuracy and/or completeness of any information provided by the Security Agent or by any other person under or in connection with any Finance Document, the transactions contemplated by any Finance Document or any other agreement, arrangement or document entered into, made or executed in anticipation of, under or in connection with any Finance Document; and (e) the right or title of any person in or to, or the value or sufficiency of any part of the Charged Property, the priority of any of the Transaction Security or the existence of any Security affecting the Charged Property, and each Secured Party warrants to the Security Agent that it has not relied on and will not at any time rely on the Security Agent in respect of any of these matters. No Responsibility to Perfect Transaction Security The Security Agent shall not be liable for any failure to: (a) require the deposit with it of any deed or document certifying, representing or constituting the title of any Obligor to any of the Charged Property; (b) obtain any licence, consent or other authority for the execution, delivery, legality, validity, enforceability or admissibility in evidence of any of the Finance Documents or the Transaction Security; (c) register, file or record or otherwise protect any of the Transaction Security (or the priority of any of the Transaction Security) under any applicable laws in any jurisdiction or to give notice to any person of the execution of any of the Finance Documents or of the Transaction Security; (d) take, or to require any of the Obligors to take, any steps to perfect its title to any of the Charged Property or to render the Transaction Security effective or to secure the creation of any ancillary Security under the laws of any jurisdiction; or


 
Ashurst 93 (e) require any further assurances in relation to any of the Transaction Security Documents. Insurance by Security Agent (a) The Security Agent shall not be under any obligation to insure any of the Charged Property, to require any other person to maintain any insurance or to verify any obligation to arrange or maintain insurance contained in the Finance Documents. The Security Agent shall not be responsible for any loss which may be suffered by any person as a result of the lack of or inadequacy of any such insurance. (b) Where the Security Agent is named on any insurance policy as an insured party, it shall not be responsible for any loss which may be suffered by reason of, directly or indirectly, its failure to notify the insurers of any material fact relating to the risk assumed by such insurers or any other information of any kind, unless the Agent shall have requested it to do so in writing and the Security Agent shall have failed to do so within fourteen days after receipt of that request. Custodians and Nominees The Security Agent may appoint and pay any person to act as a custodian or nominee on any terms in relation to any assets of the trust as the Security Agent may determine, including for the purpose of depositing with a custodian this Agreement or any document relating to the trust created under this Agreement and the Security Agent shall not be responsible for any loss, liability, expense, demand, cost, claim or proceedings incurred by reason of the misconduct, omission or default on the part of any person appointed by it under this Agreement or be bound to supervise the proceedings or acts of any person. Acceptance of Title The Security Agent shall be entitled to accept without enquiry, and shall not be obliged to investigate, any right and title that any of the Obligors may have to any of the Charged Property and shall not be liable for or bound to require any Obligor to remedy any defect in its right or title. Refrain from Illegality Notwithstanding anything to the contrary expressed or implied in the Finance Documents, the Security Agent may refrain from doing anything which in its opinion will or may be contrary to any relevant law, directive or regulation of any jurisdiction and the Security Agent may do anything which is, in its opinion, necessary to comply with any such law, directive or regulation. Business with the Obligors The Security Agent may accept deposits from, lend money to, and generally engage in any kind of banking or other business with any of the Obligors. Winding up of Trust If the Security Agent, with the approval of the Agent, determines that (a) all of the Secured Obligations and all other obligations secured by the Transaction Security Documents have been fully and finally discharged and (b) none of the Secured Parties is under any commitment, obligation or liability (actual or contingent) to make advances or provide other financial accommodation to any Obligor pursuant to the Finance Documents: (a) the trusts set out in this Agreement shall be wound up and the Security Agent shall release, without recourse or warranty, all of the Transaction Security and


 
Ashurst 94 the rights of the Security Agent under each of the Transaction Security Documents; and (b) any Retiring Security Agent shall release, without recourse or warranty, all of its rights under each of the Transaction Security Documents. Release of Security Upon a disposal of any of the Charged Property either pursuant to a disposal permitted under clause 18.4 (Disposals) (including with the approval of the Majority Lenders) or pursuant to the enforcement of any Transaction Security by the Security Agent, a Delegate or a Receiver, the Security Agent may, at the request and cost of the Borrower, release those assets from the Transaction Security and issue any certificate of non-crystallisation of any floating charge that may, in the absolute discretion of the Security Agent, be considered necessary or desirable. Powers Supplemental The rights, powers and discretions conferred upon the Security Agent by this Agreement shall be supplemental to the Trustee Act 1925 and the Trustee Act 2000 and in addition to any which may be vested in the Security Agent by general law or otherwise. Trustee Division Separate (a) In acting as trustee for the Secured Parties, the Security Agent shall be regarded as acting through its trustee division which shall be treated as a separate entity from any of its other divisions or departments. (b) If information is received by another division or department of the Security Agent, it may be treated as confidential to that division or department and the Security Agent shall not be deemed to have notice of it. Disapplication Section 1 of the Trustee Act 2000 shall not apply to the duties of the Security Agent in relation to the trusts constituted by this Agreement. Where there are any inconsistencies between the Trustee Act 1925 or the Trustee Act 2000 and the provisions of this Agreement, the provisions of this Agreement shall, to the extent allowed by law, prevail and, in the case of any inconsistency with the Trustee Act 2000, the provisions of this Agreement shall constitute a restriction or exclusion for the purposes of that Act. Resignation of the Security Agent (a) The Security Agent may resign and appoint one of its Affiliates as successor by giving notice to the Borrower and the other Finance Parties. (b) Alternatively the Security Agent may resign by giving notice to the other Parties in which case the Majority Lenders may appoint a successor Security Agent. (c) After consultation with the Borrower, the Majority Lenders may, by notice to the Security Agent, terminate the appointment of the Security Agent and appoint a successor Security Agent. That termination and new appointment may be made in respect of all or any part of the Security Agent's duties, obligations and responsibilities. (d) If the Majority Lenders have not appointed a successor Security Agent in accordance with paragraph (b) or (c) above within thirty days after the notice of resignation or termination was given, the Security Agent (after consultation with the Agent) may appoint a successor Security Agent.


 
Ashurst 95 (e) The resigning or terminated Security Agent (the Retiring Security Agent) shall, at its own cost (in the case of resignation) and at the Borrower's cost (in the case of termination), make available to the successor Security Agent such documents and records and provide such assistance as the successor Security Agent may reasonably request for the purposes of performing its functions as Security Agent under the Finance Documents. (f) The Security Agent's resignation or termination shall only take effect upon the transfer of all of the Transaction Security to a duly appointed successor (unless the Security Agent, the intended successor and the Majority Lenders agree otherwise). (g) Upon the appointment of a successor, the Retiring Security Agent shall be discharged from any further obligation in respect of the Finance Documents (other than its obligations under clause 23.17 (Winding up of Trust) and under paragraph (e) above) but shall, in respect of any act or omission by it whilst it was the Security Agent, remain entitled to the benefit of this clause. The successor Security Agent must, in its instrument of appointment, accede to this Agreement as a Security Agent and it and each of the other Parties shall have the same rights and obligations amongst themselves as they would have had if that successor had been an original Party. Delegation (a) Each of the Security Agent, any Receiver and any Delegate may, at any time, delegate by power of attorney or otherwise to any person for any period, all or any of the rights, powers and discretions vested in it by any of the Finance Documents. (b) That delegation may be made upon any terms and conditions (including the power to sub-delegate) and subject to any restrictions that the Security Agent, that Receiver or that Delegate (as the case may be) may, in its discretion, think fit in the interests of the Secured Parties and it shall not be bound to supervise, or be in any way responsible for any loss incurred by reason of any misconduct or default on the part of any such delegate or sub-delegate. Additional Security Agents (a) The Security Agent may at any time appoint (and subsequently remove) any person to act as a separate trustee or as a co-trustee jointly with it (i) if it considers that appointment to be in the interests of the Secured Parties or (ii) for the purposes of conforming to any legal requirements, restrictions or conditions which the Security Agent deems to be relevant or (iii) for obtaining or enforcing any judgment in any jurisdiction, and the Security Agent shall give prior notice to the Borrower and the Agent of that appointment. (b) Any person so appointed shall have the rights, powers and discretions (not exceeding those conferred on the Security Agent by this Agreement) and the duties and obligations that are conferred or imposed by the instrument of appointment. (c) The remuneration that the Security Agent may pay to that person, and any costs and expenses (together with any applicable VAT) incurred by that person in performing its functions pursuant to that appointment shall, for the purposes of this Agreement, be treated as costs and expenses incurred by the Security Agent.


 
Ashurst 96 Obligors' Indemnity Each Obligor shall promptly indemnify the Security Agent and every Receiver and Delegate against any cost, loss or liability (together with any applicable VAT) incurred by any of them: (a) in relation to or as a result of: (i) any failure by the Borrower to comply with obligations under clause 13 (Costs and Expenses); (ii) the taking, holding, protection or enforcement of the Transaction Security; (iii) the exercise of any of the rights, powers, discretions and remedies vested in the Security Agent, each Receiver and each Delegate by the Finance Documents or by law; or (iv) any default by any Obligor in the performance of any of the obligations expressed to be assumed by it in the Finance Documents; or (b) which otherwise relates to any of the Charged Property or the performance of the terms of this Agreement (otherwise than as a result of its gross negligence or wilful misconduct). Priority of Indemnity The Security Agent and every Receiver and Delegate may, in priority to any payment to the Secured Parties, indemnify itself out of the Charged Property in respect of, and pay and retain, all sums necessary to give effect to the indemnity in clause 23.25 (Obligors' Indemnity) and shall have a lien on the Transaction Security and the proceeds of the enforcement of the Transaction Security for all moneys payable to it. Lenders' Indemnity Each Lender shall (in proportion to its share of the Total Commitments or, if the Total Commitments are then zero, to its share of the Total Commitments immediately prior to their reduction to zero), indemnify the Security Agent and every Receiver and every Delegate, within three Business Days of demand, against any cost, loss or liability incurred by any of them (otherwise than by reason of the Security Agent's, Receiver's or Delegate's gross negligence or wilful misconduct) in acting as Security Agent, Receiver or Delegate under the Finance Documents (unless the Security Agent, Receiver or Delegate has been reimbursed by an Obligor pursuant to a Finance Document) and the Obligors shall jointly and severally indemnify each Lender against any payment made by it under this clause. 24. CONDUCT OF BUSINESS BY THE FINANCE PARTIES No provision of this Agreement will, save to the extent expressly provided for in clause 9 (Tax Gross Up and Indemnities) and clause 12 (Mitigation by the Lenders): (a) interfere with the right of any Finance Party to arrange its affairs (tax or otherwise) in whatever manner it thinks fit; (b) oblige any Finance Party to investigate or claim any credit, relief, remission or repayment available to it or the extent, order and manner of any claim; or (c) oblige any Finance Party to disclose any information relating to its affairs (tax or otherwise) or any computations in respect of Tax.


 
Ashurst 97 25. SHARING AMONG THE FINANCE PARTIES Payments to Finance Parties If a Finance Party (a Recovering Finance Party) receives or recovers any amount from an Obligor other than in accordance with clause 26 (Payment mechanics) (a Recovered Amount) and applies that amount to a payment due under the Finance Documents then: (a) the Recovering Finance Party shall, within three Business Days, notify details of the receipt or recovery, to the Agent; (b) the Agent shall determine whether the receipt or recovery is in excess of the amount the Recovering Finance Party would have been paid had the receipt or recovery been received or made by the Agent and distributed in accordance with clause 26 (Payment mechanics), without taking account of any Tax which would be imposed on the Agent in relation to the receipt, recovery or distribution; and (c) the Recovering Finance Party shall, within three Business Days of demand by the Agent, pay to the Agent an amount (the Sharing Payment) equal to such receipt or recovery less any amount which the Agent determines may be retained by the Recovering Finance Party as its share of any payment to be made, in accordance with clause 26.6 (Partial payments). Redistribution of payments The Agent shall treat the Sharing Payment as if it had been paid by the relevant Obligor and distribute it between the Finance Parties (other than the Recovering Finance Party) (the Sharing Finance Parties) in accordance with clause 26.6 (Partial payments) towards the obligations of that Obligor to the Sharing Finance Parties. Recovering Finance Party's rights On a distribution by the Agent under clause 25.2 (Redistribution of payments) of a payment received by a Recovering Finance Party from an Obligor as between the relevant Obligor and the Recovering Finance Party, an amount of the Recovered Amount equal to the Sharing Payment will be treated as not having been paid by that Obligor. Reversal of redistribution If any part of the Sharing Payment received or recovered by a Recovering Finance Party becomes repayable and is repaid by that Recovering Finance Party, then: (a) each Sharing Finance Party shall, upon request of the Agent, pay to the Agent for the account of that Recovering Finance Party an amount equal to the appropriate part of its share of the Sharing Payment (together with an amount as is necessary to reimburse that Recovering Finance Party for its proportion of any interest on the Sharing Payment which that Recovering Finance Party is required to pay) (the Redistributed Amount); and (b) as between the relevant Obligor and each relevant Sharing Finance Party, an amount equal to the relevant Redistributed Amount will be treated as not having been paid by that Obligor. Exceptions (a) This clause 25 shall not apply to the extent that the Recovering Finance Party would not, after making any payment pursuant to this clause, have a valid and enforceable claim against the relevant Obligor.


 
Ashurst 98 (b) A Recovering Finance Party is not obliged to share with any other Finance Party any amount which the Recovering Finance Party has received or recovered as a result of taking legal or arbitration proceedings, if: (i) it notified that other Finance Party of the legal or arbitration proceedings; and (ii) that other Finance Party had an opportunity to participate in those legal or arbitration proceedings but did not do so as soon as reasonably practicable having received notice and did not take separate legal or arbitration proceedings. 26. PAYMENT MECHANICS Payments to the Agent (a) On each date on which an Obligor or a Lender is required to make a payment under a Finance Document, that Obligor or Lender shall make the same available to the Agent (unless a contrary indication appears in a Finance Document) for value on the due date at the time and in such funds specified by the Agent as being customary at the time for settlement of transactions in the relevant currency in the place of payment. (b) Payment shall be made to such account in the principal financial centre of the country of that currency (or, in relation to euro, in a principal financial centre in such Participating Member State or London, as specified by the Agent) and with such bank as the Agent specifies. Distributions by the Agent Each payment received by the Agent under the Finance Documents for another Party shall, subject to clause 26.3 (Distributions to an Obligor), clause 26.4 (Clawback and pre-funding) and clause 22.17 (Deduction from amounts payable by the Agent) be made available by the Agent as soon as practicable after receipt to the Party entitled to receive payment in accordance with this Agreement (in the case of a Lender, for the account of its Facility Office), to such account as that Party may notify to the Agent by not less than five Business Days' notice with a bank specified by that Party in the principal financial centre of the country of that currency (or, in relation to euro, in the principal financial centre of a Participating Member State or London, as specified by that Party). Distributions to an Obligor The Agent and the Security Agent may (with the consent of the Obligor or in accordance with clause 27 (Set-off)) apply any amount received by it for that Obligor in or towards payment (on the date and in the currency and funds of receipt) of any amount due from that Obligor under the Finance Documents or in or towards purchase of any amount of any currency to be so applied. Clawback and pre-funding (a) Where a sum is to be paid to the Agent or the Security Agent under the Finance Documents for another Party, the Agent or, as the case may be, the Security Agent is not obliged to pay that sum to that other Party (or to enter into or perform any related exchange contract) until it has been able to establish to its satisfaction that it has actually received that sum. (b) Subject to clause 26.4(c) below, if the Agent or the Security Agent pays an amount to another Party and it proves to be the case that it had not actually


 
Ashurst 99 received that amount, then the Party to whom that amount (or the proceeds of any related exchange contract) was paid by the Agent or, as the case may be, the Security Agent, shall on demand refund the same to the Agent or, as the case may be, the Security Agent, together with interest on that amount from the date of payment to the date of receipt by the Agent or, as the case may be, the Security Agent, calculated by the Agent to reflect its cost of funds. (c) If the Agent has notified the Lenders that it is willing to make available amounts for the account of the Borrower before receiving funds from the Lenders then if and to the extent that the Agent does so but it proves to be the case that it does not then receive funds from a Lender in respect of a sum which it paid to the Borrower: (i) the agent shall notify the Borrower of that Lender's identity and the Borrower to whom that sum was made available shall on demand refund it to the Agent; and (ii) the Lender by whom those funds should have been made available or, if that Lender fails to do so, the Borrower to whom that sum was made available, shall on demand pay to the Agent the amount (as certified by the Agent) which will indemnify the Agent against any funding cost incurred by it as a result of paying out that sum before receiving those funds from that Lender. Impaired Agent (a) If, at any time, the Agent becomes an Impaired Agent, an Obligor or a Lender which is required to make a payment under the Finance Documents to the Agent in accordance with clause 26.1 (Payments to the Agent) may instead either: (i) pay that amount direct to the required recipient(s); or (ii) if in its absolute discretion it considers that it is not reasonably practicable to pay that amount direct to the required recipient(s), pay that amount or the relevant part of that amount to an interest-bearing account held with an Acceptable Bank within the meaning of paragraph (a) of the definition of "Acceptable Bank" and in relation to which no Insolvency Event has occurred and is continuing, in the name of the Obligor or the Lender making the payment (the Paying Party) and designated as a trust account for the benefit of the Party or Parties beneficially entitled to that payment under the Finance Documents (the Recipient Party or Recipient Parties). In each case such payments must be made on the due date for payment under the Finance Documents. (b) All interest accrued on the amount standing to the credit of the trust account shall be for the benefit of the Recipient Party or the Recipient Parties pro rata to their respective entitlements. (c) A Party which has made a payment in accordance with this clause 26.5 shall be discharged of the relevant payment obligation under the Finance Documents and shall not take any credit risk with respect to the amounts standing to the credit of the trust account. (d) Promptly upon the appointment of a successor Agent in accordance with clause 22.12 (Replacement of the Agent), each Paying Party shall (other than to the extent that that Party has given an instruction pursuant to paragraph (e)


 
Ashurst 100 below) give all requisite instructions to the bank with whom the trust account is held to transfer the amount (together with any accrued interest) to the successor Agent for distribution to the relevant Recipient Party or Recipient Parties in accordance with clause 26.2 (Distributions by the Agent). (e) A Paying Party shall, promptly upon request by a Recipient Party and to the extent: (i) that it has not given an instruction pursuant to paragraph (d) above; and (ii) that it has been provided with the necessary information by that Recipient Party, give all requisite instructions to the bank with whom the trust account is held to transfer the relevant amount (together with any accrued interest) to that Recipient Party. Partial payments (a) If the Agent receives a payment that is insufficient to discharge all the amounts then due and payable by an Obligor under the Finance Documents, the Agent shall apply that payment towards the obligations of that Obligor under the Finance Documents in the following order: (i) first, in or towards payment pro rata of any unpaid amount owing to the Agent and the Security Agent under the Finance Documents; (ii) secondly, in or towards payment pro rata of any accrued interest, fee or commission due but unpaid under this Agreement; (iii) thirdly, in or towards payment pro rata of any principal due but unpaid under this Agreement; and (iv) fourthly, in or towards payment pro rata of any other sum due but unpaid under the Finance Documents. (b) The Agent shall, if so directed by the Majority Lenders, vary the order set out in paragraphs (i) to (iv) above. (c) Paragraphs (a) and (b) above will override any appropriation made by an Obligor. No set-off by Obligors All payments to be made by an Obligor under the Finance Documents shall be calculated and be made without (and free and clear of any deduction for) set-off or counterclaim. Business Days (a) Any payment under the Finance Documents which is due to be made on a day that is not a Business Day shall be made on the next Business Day in the same calendar month (if there is one) or the preceding Business Day (if there is not). (b) During any extension of the due date for payment of any principal or Unpaid Sum under this Agreement interest is payable on the principal or Unpaid Sum at the rate payable on the original due date.


 
Ashurst 101 Currency of account (a) Subject to clauses 26.9(b) to 26.9(e) below, the Base Currency is the currency of account and payment for any sum due from an Obligor under any Finance Document. (b) A repayment of a Utilisation or Unpaid Sum or a part of a Utilisation or Unpaid Sum shall be made in the currency in which that Utilisation or Unpaid Sum is denominated pursuant to this Agreement, on its due date. (c) Each payment of interest shall be made in the currency in which the sum in respect of which the interest is payable was denominated pursuant to this Agreement, when that interest accrued. (d) Each payment in respect of costs, expenses or Taxes shall be made in the currency in which the costs, expenses or Taxes are incurred. (e) Any amount expressed to be payable in a currency other than the Base Currency shall be paid in that other currency. Change of currency (a) Unless otherwise prohibited by law, if more than one currency or currency unit are at the same time recognised by the central bank of any country as the lawful currency of that country, then: (i) any reference in the Finance Documents to, and any obligations arising under the Finance Documents in, the currency of that country shall be translated into, or paid in, the currency or currency unit of that country designated by the Agent (after consultation with the Borrower); and (ii) any translation from one currency or currency unit to another shall be at the official rate of exchange recognised by the central bank for the conversion of that currency or currency unit into the other, rounded up or down by the Agent (acting reasonably). (b) If a change in any currency of a country occurs, this Agreement will, to the extent the Agent (acting reasonably and after consultation with the Borrower) specifies to be necessary, be amended to comply with any generally accepted conventions and market practice in the Relevant Market and otherwise to reflect the change in currency. Disruption to Payment Systems, etc. If either the Agent determines (in its discretion) that a Disruption Event has occurred or the Agent is notified by the Borrower that a Disruption Event has occurred: (a) the Agent may, and shall if requested to do so by the Borrower, consult with the Borrower with a view to agreeing with the Borrower such changes to the operation or administration of the Facility as the Agent may deem necessary in the circumstances; (b) the Agent shall not be obliged to consult with the Borrower in relation to any changes mentioned in clause 26.11(a) if, in its opinion, it is not practicable to do so in the circumstances and, in any event, shall have no obligation to agree to such changes; (c) the Agent may consult with the Finance Parties in relation to any changes mentioned in clause 26.11(a) but shall not be obliged to do so if, in its opinion, it is not practicable to do so in the circumstances;


 
Ashurst 102 (d) any such changes agreed upon by the Agent and the Borrower shall (whether or not it is finally determined that a Disruption Event has occurred) be binding upon the Parties as an amendment to (or, as the case may be, waiver of) the terms of the Finance Documents notwithstanding the provisions of clause 33 (Amendments and Waivers); (e) the Agent shall not be liable for any damages, costs or losses to any person, any diminution in value or any liability whatsoever (including, without limitation for negligence, gross negligence or any other category of liability whatsoever but not including any claim based on the fraud of the Agent) arising as a result of its taking, or failing to take, any actions pursuant to or in connection with this clause 26.11; and (f) the Agent shall notify the Finance Parties of all changes agreed pursuant to paragraph (d) above. Payments to the Security Agent Notwithstanding any other provision of any Finance Document, at any time after any Transaction Security created by or pursuant to any Transaction Security Document becomes enforceable, the Security Agent may require: (a) any Obligor to pay all sums due under any Finance Document; or (b) the Agent to pay all sums received or recovered from an Obligor under any Finance Document, in each case as the Security Agent may direct for application in accordance with the terms of this Agreement. Amounts paid in error (a) If the Agent pays an amount to another Party and the Agent notifies that Party that such payment was an Erroneous Payment then the Party to whom that amount was paid by the Agent shall on demand refund the same to the Agent. (b) Neither: (i) the obligations of any Party to the Agent; nor (ii) the remedies of the Agent, (whether arising under this clause 26 or otherwise) which relate to an Erroneous Payment will be affected by any act, omission, matter or thing which, but for this paragraph (b), would reduce, release or prejudice any such obligation or remedy (whether or not known by the Agent or any other Party). (c) All payments to be made by a Party to the Agent (whether made pursuant to this clause 26 or otherwise) which relate to an Erroneous Payment shall be calculated and be made without (and free and clear of any deduction for) set-off or counterclaim. 27. SET-OFF A Finance Party may set off any matured obligation due from an Obligor under the Finance Documents (to the extent beneficially owned by that Finance Party) against any matured obligation owed by that Finance Party to that Obligor, regardless of the place of payment, booking branch or currency of either obligation. If the obligations are in different currencies, the Finance Party may convert either obligation at a market rate of exchange in its usual course of business for the purpose of the set-off.


 
Ashurst 103 28. APPLICATION OF PROCEEDS Order of Application Subject to clause 28.2 (Prospective Liabilities), all amounts (whether in cash or in kind) from time to time received or recovered by the Security Agent pursuant to the terms of any Finance Document or in connection with the realisation or enforcement of all or any part of the Transaction Security (for the purposes of this clause 28, the Recoveries) shall be held by the Security Agent on trust to apply them at any time as the Security Agent (in its discretion) sees fit, to the extent permitted by applicable law (and subject to the provisions of this clause 28), in the following order of priority: (a) in discharging any sums owing to the Security Agent, any Receiver or any Delegate; (b) in payment of all costs and expenses incurred by the Agent or Lenders in connection with any realisation or enforcement of the Transaction Security taken in accordance with the terms of this Agreement; (c) in payment to the Agent on its own behalf and on behalf of the Lenders for application towards the discharge of all sums due and payable by any Obligor under any Finance Document in accordance with this Agreement: (d) if none of the Obligors is under any further actual or contingent liability under any Finance Document, in payment to any person to whom the Security Agent is obliged to pay in priority to any Obligor; and (e) the balance, if any, in payment to the relevant Obligor. Prospective Liabilities The Security Agent may, in its discretion, hold any amount of the Recoveries in an interest-bearing suspense account(s) in the name of the Security Agent with such financial institution (including itself) and for so long as the Security Agent shall think fit (the interest being credited to the relevant account) for later application under clause 28.1 (Order of Application) in respect of any amount that the Security Agent reasonably considers might become due or owing to a Secured Party at any time in the future. Investment of Proceeds Prior to the application of the proceeds of the Charged Property in accordance with clause 28.1 (Order of Application), the Security Agent may, in its discretion, hold all or part of those proceeds in an interest-bearing suspense account(s) in the name of the Security Agent with such financial institution (including itself) and for so long as the Security Agent shall think fit (the interest being credited to the relevant account) pending the application from time to time of those monies in the Security Agent's discretion in accordance with the provisions of this clause 28. Currency Conversion (a) For the purpose of, or pending the discharge of, any of the Secured Obligations, the Security Agent may convert any moneys received or recovered by the Security Agent from one currency to another, at the Security Agent's Spot Rate of Exchange. (b) The obligations of any Obligor to pay in the due currency shall only be satisfied to the extent of the amount of the due currency purchased after deducting the costs of conversion.


 
Ashurst 104 Permitted Deductions The Security Agent shall be entitled, in its discretion, (a) to set aside by way of reserve amounts required to meet and (b) to make and pay, any deductions and withholdings (on account of taxes or otherwise) which it is or may be required by any applicable law to make from any distribution or payment made by it under this Agreement, and to pay all Taxes which may be assessed against it in respect of any of the Charged Property, or as a consequence of performing its duties, or by virtue of its capacity as Security Agent under any of the Finance Documents or otherwise (other than in connection with its remuneration for performing its duties under this Agreement). Good Discharge (a) Any payment to be made in respect of the Secured Obligations by the Security Agent may be made to the Agent on behalf of the Lenders and any payment made in that way shall be a good discharge, to the extent of that payment, by the Security Agent. (b) The Security Agent is under no obligation to make the payments to the Agent under paragraph (a) above in the same currency as that in which any amount owing to the relevant Party is denominated. Calculation of Amounts For the purpose of calculating any person's share of any sum payable to or by it, the Security Agent shall be entitled to: (a) notionally convert the amounts owed to any person into a common base currency (decided in its discretion by the Security Agent), that notional conversion to be made at the spot rate at which the Security Agent is able to purchase the notional base currency with the actual currency of the amounts owed to that person at the time at which that calculation is to be made; and (b) assume that all moneys received or recovered as a result of the enforcement or realisation of the Charged Property are applied in discharge of the amounts owed to that person in accordance with the terms of the relevant Finance Documents under which such outstanding amounts have arisen. 29. NOTICES Communications in writing Any communication to be made under or in connection with the Finance Documents shall be made in writing and, unless otherwise stated, may be made by fax, letter or email. Addresses The address, fax number and email (and the department or officer, if any, for whose attention the communication is to be made) of each Party for any communication or document to be made or delivered under or in connection with the Finance Documents is: (a) in the case of any Obligor: Address: Wellesley House North, 1st Floor, 90 Pitts Bay Road, Pembroke HM08, Bermuda


 
Ashurst 105 Fax: +1 (441) 295 5900 Email: legalnotices@hamiltongroup.com Attention: Legal Department (b) in the case of each Lender, that notified in writing to the Agent on or prior to the date on which it becomes a Party; and (c) in the case of the Agent: Address: ING Bank N.V., London Branch 8-10 Moorgate, London EC2R 6DA Email: loans.agency@uk.ing.com / Sally.Hayward@ing.com Attention: Loans Agency / Sally Hayward (d) in the case of the Security Agent: Address: ING Bank N.V., London Branch 8-10 Moorgate, London EC2R 6DA Email: loans.agency@uk.ing.com / Sally.Hayward@ing.com Attention: Loans Agency / Sally Hayward or any substitute address, fax number, email or department or officer as the Party may notify to the Agent (or the Agent may notify to the other Parties, if a change is made by the Agent) by not less than five Business Days' notice. Delivery (a) Any communication or document made or delivered by one person to another under or in connection with the Finance Documents will only be effective: (i) if by way of fax, when received in legible form; (ii) if by way of letter, when it has been left at the relevant address or five Business Days after being deposited in the post postage prepaid in an envelope addressed to it at that address, or (iii) if by way of email, when received in legible form and, if a particular department or officer is specified as part of its address details provided under clause 29.2 (Addresses), if addressed to that department or officer. (b) Any communication or document to be made or delivered to the Agent or the Security Agent will be effective only when actually received by the Agent or the Security Agent and then only if it is expressly marked for the attention of the department or officer identified in clause 29.2 above (or any substitute department or officer as the Agent or Security Agent shall specify for this purpose). (c) All notices from or to an Obligor shall be sent through the Agent.


 
Ashurst 106 (d) Any communication or document made or delivered to the Borrower in accordance with this clause will be deemed to have been made or delivered to each Obligor. (e) Any communication or document which becomes effective, in accordance with paragraphs (a) to (d) above, after 5.00 p.m. in the place of receipt shall be deemed only to become effective on the following day. Notification of address, fax number or email Promptly upon changing its address, fax number or email, the Agent shall notify the other Parties. Communication when Agent is Impaired Agent If the Agent is an Impaired Agent the Parties may, instead of communicating with each other through the Agent, communicate with each other directly and (while the Agent is an Impaired Agent) all the provisions of the Finance Documents which require communications to be made or notices to be given to or by the Agent shall be varied so that communications may be made and notices given to or by the relevant Parties directly. This provision shall not operate after a replacement Agent has been appointed. Electronic communication (a) Any communication to be made between any two Parties under or in connection with the Finance Documents may be made by electronic mail or other electronic means (including, without limitation, by way of posting to a secure website) if those two Parties: (i) notify each other in writing of their electronic mail address and/or any other information required to enable the transmission of information by that means; and (ii) notify each other of any change to their address or any other such information supplied by them by not less than five Business Days' notice. (b) Any such electronic communication as specified in paragraph (a) above to be made between an Obligor and a Finance Party may only be made in that way to the extent that those two Parties agree that, unless and until notified to the contrary, this is to be an accepted form of communication. (c) Any such electronic communication as specified in paragraph (a) above made between any two Parties will be effective only when actually received (or made available) in readable form and in the case of any electronic communication made by a Party to the Agent only if it is addressed in such a manner as the Agent shall specify for this purpose. (d) Any electronic communication which becomes effective, in accordance with paragraph (c) above, after 5:00 p.m. in the place in which the Party to whom the relevant communication is sent or made available has its address for the purpose of this Agreement shall be deemed only to become effective on the following Business Day. (e) Any reference in a Finance Document to a communication being sent or received shall be construed to include that communication being made available in accordance with this clause 29.6.


 
Ashurst 107 English language (a) Any notice given under or in connection with any Finance Document must be in English. (b) All other documents provided under or in connection with any Finance Document must be: (i) in English; or (ii) if not in English, and if so required by the Agent, accompanied by a certified English translation and, in this case, the English translation will prevail unless the document is a constitutional, statutory or other official document. 30. CALCULATIONS AND CERTIFICATES Accounts In any litigation or arbitration proceedings arising out of or in connection with a Finance Document, the entries made in the accounts maintained by a Finance Party are prima facie evidence of the matters to which they relate. Certificates and Determinations Any certification or determination by a Finance Party of a rate or amount under any Finance Document is, in the absence of manifest error, conclusive evidence of the matters to which it relates. Day count convention Any interest, commission or fee accruing under a Finance Document will accrue from day to day and is calculated on the basis of the actual number of days elapsed and a year of three hundred and sixty days or, in any case where the practice in the Relevant Market differs, in accordance with that market practice. 31. PARTIAL INVALIDITY If, at any time, any provision of a Finance Document is or becomes illegal, invalid or unenforceable in any respect under any law of any jurisdiction, neither the legality, validity or enforceability of the remaining provisions nor the legality, validity or enforceability of such provision under the law of any other jurisdiction will in any way be affected or impaired. 32. REMEDIES AND WAIVERS No failure to exercise, nor any delay in exercising, on the part of any Finance Party or any Secured Party, any right or remedy under a Finance Document shall operate as a waiver of any such right or remedy or constitute an election to affirm any of the Finance Documents. No election to affirm any Finance Document on the part of any Finance Party or any Secured Party shall be effective unless it is in writing. No single or partial exercise of any right or remedy shall prevent any further or other exercise or the exercise of any other right or remedy. The rights and remedies provided in each Finance Document are cumulative and not exclusive of any rights or remedies provided by law.


 
Ashurst 108 33. AMENDMENTS AND WAIVERS Required consents (a) Subject to clause 33.2 (All Lender Matters), any term of the Finance Documents may be amended or waived only with the consent of the Majority Lenders and the Obligors and any such amendment or waiver will be binding on all Parties. (b) The Agent may effect, on behalf of any Finance Party, any amendment or waiver permitted by this clause. All Lender Matters (a) An amendment or waiver of any term of any Finance Document that has the effect of changing or which relates to: (i) the definition of "Majority Lenders" in clause 1.1 (Definitions); (ii) an extension to the date of payment of any amount under the Finance Documents; (iii) a reduction in the L/C Commission Rate or a reduction in the amount of any payment of principal, interest, fees or commission payable; (iv) an increase in or an extension of any Commitment or an extension of any Availability Period or any requirement that a cancellation of Commitments reduces the Commitments of the Lenders rateably under the relevant Facility; (v) a change to the Borrower, an Applicant or the Guarantor other than in accordance with clause 21 (Changes to the Obligors); (vi) any provision which expressly requires the consent of all the Lenders; (vii) clause 2.2 (Finance Parties' rights and obligations), clause 4.2 (Change of control), clause 20 (Changes to the Lenders), this clause 33, clause 37 (Governing law) or 38.1 (Jurisdiction); (viii) the nature and scope of the guarantee and indemnity granted under clause 14 (Guarantee and indemnity); (ix) the definitions of "Restricted Person", "Sanctions", "Sanctions Authorities" "Sanctions List" and clause 15.23 (Sanctions) and 18.19 (Sanctions); or (x) (other than as expressly permitted by the provision of any Finance Document), the nature or scope of: (A) the Charged Property; or (B) the manner in which the proceeds of enforcement of the Transaction Security are distributed, shall not be made without the prior consent of all the Lenders. (b) An amendment or waiver which relates to the rights or obligations of the Agent or the Security Agent (each in their capacity as such) may not be effected without the consent of the Agent or the Security Agent as the case may be.


 
Ashurst 109 Disenfranchisement of Defaulting Lenders (a) For so long as a Defaulting Lender has any Available Commitment, in ascertaining: (i) the Majority Lenders; or (ii) whether: (A) any given percentage (including, for the avoidance of doubt, unanimity) of the Total Commitments under the Facility; or (B) the agreement of any specified group of Lenders, has been obtained to approve any request for a consent, waiver, amendment or other vote under the Finance Documents, that Defaulting Lender's Commitments under the Facility will be reduced by the amount of its Available Commitments under the Facility and, to the extent that that reduction results in that Defaulting Lender's Total Commitments being zero, that Defaulting Lender shall be deemed not to be a Lender for the purposes of paragraphs (i) and (ii) above. (b) For the purposes of this clause 33.3, the Agent may assume that the following Lenders are Defaulting Lenders: (i) any Lender which has notified the Agent that it has become a Defaulting Lender; (ii) any Lender in relation to which it is aware that any of the events or circumstances referred to in paragraphs (a), (b), (c) or (d) of the definition of "Defaulting Lender" has occurred, unless it has received notice to the contrary from the Lender concerned (together with any supporting evidence reasonably requested by the Agent) or the Agent is otherwise aware that the Lender has ceased to be a Defaulting Lender. Excluded Commitments If any Defaulting Lender fails to respond to a request for a consent, waiver, amendment of or in relation to any term of any Finance Document or any other vote of Lenders under the terms of this Agreement within 10 Business Days (unless the Borrower and the Agent agree to a longer time period in relation to any request) of that request being made: (a) its Commitment(s) shall not be included for the purpose of calculating the Total Commitments under the Facility when ascertaining whether any relevant percentage (including, for the avoidance of doubt, unanimity) of Total Commitments has been obtained to approve that request; and (b) its status as a Lender shall be disregarded for the purpose of ascertaining whether the agreement of any specified group of Lenders has been obtained to approve that request. Replacement of a Defaulting Lender (a) The Borrower may, at any time a Lender has become and continues to be a Defaulting Lender, by giving ten Business Days' prior written notice to the Agent and such Lender:


 
Ashurst 110 (i) replace such Lender by requiring such Lender to (and, to the extent permitted by law, such Lender shall) transfer pursuant to clause 20 (Changes to the Lenders) all (and not part only) of its rights and obligations under this Agreement; (ii) require such Lender to (and, to the extent permitted by law, such Lender shall) transfer pursuant to clause 20 (Changes to the Lenders) all (and not part only) of the undrawn Commitment of the Lender; or (iii) require such Lender to (and, to the extent permitted by law, such Lender shall) transfer pursuant to clause 20 (Changes to the Lenders) all (and not part only) of its rights and obligations in respect of the Facility, to an Eligible Institution (a Replacement Lender) selected by the Borrower and the Lenders (excluding the relevant Defaulting Lender and acting reasonably), and which confirms its willingness to assume and does assume all the obligations, or all the relevant obligations, of the transferring Lender in accordance with clause 20 (Changes to the Lenders) for a purchase price in cash payable at the time of transfer which is either: (A) in an amount equal to the outstanding principal amount of such Lender's participation in the outstanding Utilisations and all accrued interest and/or Letter of Credit fees, Break Costs and other amounts payable in relation thereto under the Finance Documents; or (B) in an amount agreed between that Defaulting Lender, the Replacement Lender and the Borrower and which does not exceed the amount described in paragraph (A) above. (b) Any transfer of rights and obligations of a Defaulting Lender pursuant to this clause 33.5 shall be subject to the following conditions: (i) the Borrower shall have no right to replace the Agent; (ii) neither the Agent nor the Defaulting Lender shall have any obligation to the Borrower to find a Replacement Lender; (iii) the transfer must take place no later than twenty days after the notice referred to in paragraph (a) above; (iv) in no event shall the Defaulting Lender be required to pay or surrender to the Replacement Lender any of the fees received by the Defaulting Lender pursuant to the Finance Documents; and (v) the Defaulting Lender shall only be obliged to transfer its rights and obligations pursuant to paragraph (a) above once it is satisfied that it has complied with all necessary "know your customer" or other similar checks under all applicable laws and regulations in relation to that transfer to the Replacement Lender. (c) The Defaulting Lender shall perform the checks described in paragraph (b)(v) above as soon as reasonably practicable following delivery of a notice referred to in paragraph (a) above and shall notify the Agent and the Borrower when it is satisfied that it has complied with those checks.


 
Ashurst 111 34. LENDER UNDERTAKINGS Each Lender (by countersigning the 2025 Amendment and Restatement Agreement) confirms that it is an Approved Credit Institution and an Eligible Institution on the 2025 Restatement Date. Each Lender proposing to use a Confirming Bank undertakes that the proposed Confirming Bank has been approved by Lloyds (and that Confirming Bank's participation in a Letter of Credit is (or will be) eligible as Funds at Lloyd's for the Borrower). Each Lender agrees to notify the Borrower promptly upon becoming aware that (a) it or its Confirming Bank is no longer an Approved Credit Institution or Eligible Institution; or(b) it is reasonably likely that it or its Confirming Bank will no longer be an Approved Credit Institution or an Eligible Institution. 35. CONFIDENTIALITY Confidential Information Each Finance Party agrees to keep all Confidential Information confidential and not to disclose it to anyone, save to the extent permitted by clause 35.2 (Disclosure of Confidential Information), and to ensure that all Confidential Information is protected with security measures and a degree of care that would apply to its own confidential information. Disclosure of Confidential Information Any Finance Party may disclose: (a) to any of its Affiliates and Related Funds and any of its or their officers, directors, employees, professional advisers, auditors, partners and Representatives such Confidential Information as that Finance Party shall consider appropriate if any person to whom the Confidential Information is to be given pursuant to this paragraph 35.2 (a) is informed in writing of its confidential nature and that some or all of such Confidential Information may be price-sensitive information except that there shall be no such requirement to so inform if the recipient is subject to professional obligations to maintain the confidentiality of the information or is otherwise bound by requirements of confidentiality in relation to the Confidential Information; (b) to any person: (i) to (or through) whom it assigns or transfers (or may potentially assign or transfer) all or any of its rights and/or obligations under one or more Finance Documents or which succeeds (or which may potentially succeed) it as Agent and, in each case, to any of that person's Affiliates, Related Funds, Representatives and professional advisers; (ii) with (or through) whom it enters into (or may potentially enter into), whether directly or indirectly, any sub-participation in relation to, or any other transaction under which payments are to be made or may be made by reference to, one or more Finance Documents and/or one or more Obligors and to any of that person's Affiliates, Related Funds, Representatives and professional advisers; (iii) appointed by any Finance Party or by a person to whom paragraphs (i) or (ii) above applies to receive communications, notices, information or documents delivered pursuant to the Finance Documents on its behalf;


 
Ashurst 112 (iv) who invests in or otherwise finances (or may potentially invest in or otherwise finance), directly or indirectly, any transaction referred to in paragraph (i) or (ii) above; (v) to whom information is required or requested to be disclosed by any court of competent jurisdiction or any governmental, banking, taxation or other regulatory authority or similar body, the rules of any relevant stock exchange or pursuant to any applicable law or regulation; (vi) to whom information is required to be disclosed in connection with, and for the purposes of, any litigation, arbitration, administrative or other investigations, proceedings or disputes; (vii) to whom or for whose benefit that Finance Party charges, assigns or otherwise creates Security (or may do so) pursuant to clause 20.9 (Security over Lenders' Rights); (viii) who is a Party; or (ix) with the consent of the Borrower; in each case, such Confidential Information as that Finance Party shall consider appropriate if: (A) in relation to paragraphs (i), (ii) and (iii) above, the person to whom the Confidential Information is to be given has entered into a Confidentiality Undertaking except that there shall be no requirement for a Confidentiality Undertaking if the recipient is a professional adviser and is subject to professional obligations to maintain the confidentiality of the Confidential Information; (B) in relation to paragraph (iv) above, the person to whom the Confidential Information is to be given has entered into a Confidentiality Undertaking or is otherwise bound by requirements of confidentiality in relation to the Confidential Information they receive and is informed that some or all of such Confidential Information may be price-sensitive information; (C) in relation to paragraphs (v), (vi) and (vii) above, the person to whom the Confidential Information is to be given is informed of its confidential nature and that some or all of such Confidential Information may be price-sensitive information except that there shall be no requirement to so inform if, in the opinion of that Finance Party, it is not practicable so to do in the circumstances; (c) to any person appointed by that Finance Party or by a person to whom paragraph (i) or (ii) above applies to provide administration or settlement services in respect of one or more of the Finance Documents including without limitation, in relation to the trading of participations in respect of the Finance Documents, such Confidential Information as may be required to be disclosed to enable such service provider to provide any of the services referred to in this clause 35.2(c) if the service provider to whom the Confidential Information is to be given has entered into a confidentiality agreement substantially in the form of the LMA Master Confidentiality Undertaking for Use With Administration/Settlement Service Providers or such other form of confidentiality undertaking agreed between the Borrower and the relevant Finance Party; and


 
Ashurst 113 (d) to any rating agency (including its professional advisers) such Confidential Information as may be required to be disclosed to enable such rating agency to carry out its normal rating activities in relation to the Finance Documents and/or the Obligors if the rating agency to whom the Confidential Information is to be given is informed of its confidential nature and that some or all of such Confidential Information may be price-sensitive information. Disclosure to numbering service providers (a) Any Finance Party may disclose to any national or international numbering service provider appointed by that Finance Party to provide identification numbering services in respect of this Agreement, the Facility and/or one or more Obligors the following information: (i) names of Obligors; (ii) country of domicile of Obligors; (iii) place of incorporation of Obligors; (iv) date of this Agreement; (v) clause 37 (Governing law) (vi) the name of the Agent; (vii) date of each amendment and restatement of this Agreement; (viii) amounts of, and names of, the Facility (and any tranches); (ix) amount of Total Commitments; (x) currencies of the Facility; (xi) type of Facility; (xii) ranking of Facility; (xiii) the termination date for the Facility; (xiv) changes to any of the information previously supplied pursuant to paragraphs (i) to (xiii) above; and (xv) such other information agreed between such Finance Party and the Borrower, (xvi) to enable such numbering service provider to provide its usual syndicated loan numbering identification services. (b) The Parties acknowledge and agree that each identification number assigned to this Agreement, the Facility and/or one or more Obligors by a numbering service provider and the information associated with each such number may be disclosed to users of its services in accordance with the standard terms and conditions of that numbering service provider. (c) The Borrower represents that none of the information set out in paragraphs (i) to (xv) of paragraph (a) above is, nor will at any time be, unpublished price- sensitive information. (d) The Agent shall notify the Borrower and the other Finance Parties of:


 
Ashurst 114 (i) the name of any numbering service provider appointed by the Agent in respect of this Agreement, the Facility and/or one or more Obligors; and (ii) the number or, as the case may be, numbers assigned to this Agreement, the Facility and/or one or more Obligors by such numbering service provider. Entire agreement This clause 35 constitutes the entire agreement between the Parties in relation to the obligations of the Finance Parties under the Finance Documents regarding Confidential Information and supersedes any previous agreement, whether express or implied, regarding Confidential Information. Inside information Each of the Finance Parties acknowledges that some or all of the Confidential Information is or may be price-sensitive information and that the use of such information may be regulated or prohibited by applicable legislation including securities law relating to insider dealing and market abuse and each of the Finance Parties undertakes not to use any Confidential Information for any unlawful purpose. Notification of disclosure Each of the Finance Parties agrees (to the extent permitted by law and regulation) to inform the Borrower: (a) of the circumstances of any disclosure of Confidential Information made pursuant to paragraph (v) of clause 35.2(b) (Disclosure of Confidential Information) except where such disclosure is made to any of the persons referred to in that paragraph during the ordinary course of its supervisory or regulatory function; and (b) upon becoming aware that Confidential Information has been disclosed in breach of this clause 35. Continuing obligations The obligations in this clause 35 are continuing and, in particular, shall survive and remain binding on each Finance Party for a period of 12 months from the earlier of: (a) the date on which all amounts payable by the Obligors under or in connection with this Agreement have been paid in full and all Commitments have been cancelled or otherwise cease to be available; and (b) the date on which such Finance Party otherwise ceases to be a Finance Party. 36. COUNTERPARTS Each Finance Document may be executed in any number of counterparts, and this has the same effect as if the signatures on the counterparts were on a single copy of the Finance Document. 37. GOVERNING LAW This Agreement and all non-contractual obligations arising from or in connection with it are governed by English law.


 
Ashurst 115 38. ENFORCEMENT Jurisdiction (a) The courts of England have exclusive jurisdiction to settle any dispute arising out of or in connection with this Agreement (including a dispute relating to the existence, validity or termination of this Agreement or, any non-contractual obligation arising out of or in connection with this Agreement) (a Dispute). (b) The Parties agree that the courts of England are the most appropriate and convenient courts to settle Disputes and accordingly no Party will argue to the contrary. Service of Process Without prejudice to any other mode of service allowed under any relevant law, each Obligor (other than an Obligor incorporated in England and Wales): (a) irrevocably appoints Hamilton UK Services Limited (a company incorporated in England and Wales with company registration number 11381012) as its agent for service of process in relation to any proceedings before the English courts in connection with any Finance Document; and (b) agrees that failure by a process agent to notify the relevant Obligor of the process will not invalidate the proceedings concerned. 39. CONTRACTUAL RECOGNITION OF BAIL-IN Notwithstanding any other term of any Finance Document or any other agreement, arrangement or understanding between the Parties, each Party acknowledges and accepts that any liability of any Party to any other Party under or in connection with the Finance Documents may be subject to Bail-In Action by the relevant Resolution Authority and acknowledges and accepts to be bound by the effect of: (a) any Bail-In Action in relation to any such liability, including (without limitation): (i) a reduction, in full or in part, in the principal amount, or outstanding amount due (including any accrued but unpaid interest) in respect of any such liability; (ii) a conversion of all, or part of, any such liability into shares or other instruments of ownership that may be issued to, or conferred on, it; and (iii) a cancellation of any such liability; and (b) a variation of any term of any Finance Document to the extent necessary to give effect to any Bail-In Action in relation to any such liability. In this clause 39: Article 55 BRRD means Article 55 of Directive 2014/59/EU establishing a framework for the recovery and resolution of credit institutions and investment firms. Bail-In Action means the exercise of any Write-down and Conversion Powers. Bail-In Legislation means: (a) in relation to an EEA Member Country which has implemented, or which at any time implements, Article 55 BRRD, the relevant implementing law or regulation as described in the EU Bail-In Legislation Schedule from time to time;


 
Ashurst 116 (b) in relation to the United Kingdom, the UK Bail-In Legislation; and (c) in relation to any state other than such an EEA Member Country and the United Kingdom, any analogous law or regulation from time to time which requires contractual recognition of any Write-down and Conversion Powers contained in that law or regulation. EEA Member Country means any member state of the European Union, Iceland, Liechtenstein and Norway. EU Bail-In Legislation Schedule means the document described as such and published by the Loan Market Association (or any successor person) from time to time. Resolution Authority means any body which has authority to exercise any Write-down and Conversion Powers. UK Bail-In Legislation means Part I of the United Kingdom Banking Act 2009 and any other law or regulation applicable in the United Kingdom relating to the resolution of unsound or failing banks, investment firms or other financial institutions or their affiliates (otherwise than through liquidation, administration or other insolvency proceedings). Write-down and Conversion Powers means: (a) in relation to any Bail-In Legislation described in the EU Bail-In Legislation Schedule from time to time, the powers described as such in relation to that Bail- In Legislation in the EU Bail-In Legislation Schedule; (i) in relation to any other applicable Bail-In Legislation: (A) any powers under that Bail-In Legislation to cancel, transfer or dilute shares issued by a person that is a bank or investment firm or other financial institution or affiliate of a bank, investment firm or other financial institution, to cancel, reduce, modify or change the form of a liability of such a person or any contract or instrument under which that liability arises, to convert all or part of that liability into shares, securities or obligations of that person or any other person, to provide that any such contract or instrument is to have effect as if a right had been exercised under it or to suspend any obligation in respect of that liability or any of the powers under that Bail-In Legislation that are related to or ancillary to any of those powers; and (B) any similar or analogous powers under that Bail-In Legislation; and (ii) in relation to any UK Bail-In Legislation: (A) any powers under that UK Bail-In Legislation to cancel, transfer or dilute shares issued by a person that is a bank or investment firm or other financial institution or affiliate of a bank, investment firm or other financial institution, to cancel, reduce, modify or change the form of a liability of such a person or any contract or instrument under which that liability arises, to convert all or part of that liability into shares, securities or obligations of that person or any other person, to provide that any such contract or instrument is to have effect as if a right had been exercised under it or to suspend any obligation in respect of that liability or any of the powers under that


 
Ashurst 117 UK Bail-In Legislation that are related to or ancillary to any of those powers; and (B) any similar or analogous powers under that UK Bail-In Legislation. This Agreement has been entered into on the date stated at the beginning of this Agreement.


 
Ashurst 118 Schedule 1 The Original Lenders Original Lender Commitment ($) as at the 2025 Restatement Date Treaty Passport scheme reference number and jurisdiction of tax residence (if applicable) ING Bank N.V., London Branch 120,000,000 n/a Commerzbank AG, New York Branch 70,000,000 n/a Deutsche Bank AG, London Branch 70,000,000 Total $260,000,000


 
Ashurst 119 Schedule 2 Conditions Precedent to Initial Utilisation [SATISFIED] 1. Corporate Documents 1.1 A copy of the constitutional documents of each Obligor. 1.2 A copy of a resolution of the board of directors of each Obligor: (a) approving the terms of, and the transactions contemplated by, the Finance Documents to which it is a party and resolving that it execute the Finance Documents to which it is a party; (b) authorising a specified person or persons to execute the Finance Documents to which it is a party on its behalf; and (c) authorising a specified person or persons, on its behalf, to sign and/or despatch all documents and notices (including, if relevant, any Utilisation Request) to be signed and/or despatched by it under or in connection with the Finance Documents to which it is a party. 1.3 A specimen of the signature of each person authorised by the resolution referred to in paragraph 1.2 above. 1.4 A certificate of the Borrower (signed by a director or authorised signatory) confirming that borrowing or guaranteeing or securing, as appropriate, the Total Commitments would not cause any borrowing, guarantee or similar limit binding on any Obligor to be exceeded. 1.5 A certificate of an authorised signatory of each Obligor certifying that each copy document relating to it specified in this Schedule 2 is correct, complete and in full force and effect as at a date no earlier than the date of this Agreement. 2. Finance Documents This Agreement duly executed by the parties thereto.


 
Ashurst 120 3. Legal opinions 3.1 A legal opinion of Ashurst LLP, legal advisers to the Agent and Security Agent in England, substantially in the form distributed to the Original Lenders prior to signing this Agreement. 3.2 A legal opinion of Carey Olsen Bermuda, legal advisers to the Borrower in Bermuda, substantially in the form distributed to the Original Lenders prior to signing this Agreement. 4. Other documents and evidence 4.1 Evidence that any process agent referred to in clause 38.2 (Service of process), if not an Obligor, has accepted its appointment. 4.2 The Original Financial Statements of each Obligor. 4.3 Evidence in the form and substance satisfactory to the Agent that all indebtedness owed by the Obligors under the Existing Facilities has been or will be discharged on or prior to first Utilisation. 4.4 A copy of a substitution letter duly executed by Lloyd's regulating the replacement of some of each Applicant's Funds at Lloyd's with a Letter of Credit. 4.5 Evidence that the fees, costs and expenses then due from the Borrower pursuant to clause 7.1 (Arrangement Fee) and 7.2 (Agency Fee) have been paid or will be paid by the first Utilisation Date. 4.6 A copy of any other Authorisation or other document, opinion or assurance which the Agent considers to be necessary or desirable (if it has notified the Borrower accordingly) in connection with the entry into and performance of the transactions contemplated by any Finance Document or for the validity and enforceability of any Finance Document. 4.7 Evidence that: (a) as at 6 November 2019, the aggregate Own FAL of HCML is £72,042,947.80 (made up of £50,872,922 of FIS and $27,237,566.90 (converted by Lloyd's to £21,170,025.80) of Own FAL excluding FIS); and (b) as at 17 October 2019, the aggregate Own FAL of HCML4 is $185,300,000. 4.8 A Group Structure Chart showing the name, company registration number, jurisdiction of incorporation and/or establishment of each member of the Group. 4.9 Satisfaction of all "know your customer" or other similar checks under all applicable laws and regulations in relation to the Obligors. 4.10 A certified copy of the Business Plan (including the Realistic Disaster Scenarios relating thereto). 4.11 A certificate of compliance issued by the Bermuda Registrar of Companies in respect of each Obligor incorporated in Bermuda as at a date no earlier than seven calendar days prior to the date of this Agreement. 4.12 A certificate of compliance issued by the Bermuda Monetary Authority in respect of the Borrower as at a date no earlier than seven calendar days prior to the date of this Agreement. 4.13 A certificate of the Borrower and the Guarantor (signed by a director or authorised signatory thereof) certifying that it has not been served with, nor has it received any notice of, nor has it itself filed any winding up or other insolvency petition as at the date of this Agreement.


 
Ashurst 121 Schedule 3 Form of Utilisation Request From: Hamilton Re, Ltd. (the Borrower) To: ING Bank N.V., London Branch as Agent Dated: [] Dear Sirs, 1. We refer to an agreement originally dated 7 November 2019 (as, from time to time, amended, restated, varied, novated or supplemented) and made between Hamilton Re, Ltd. as borrower and others, ING Bank N.V., London Branch as agent and security agent and the financial institutions defined therein as Lenders (the Credit Agreement). 2. Terms defined in the Credit Agreement shall have the same meaning in this notice. 3. This notice is irrevocable. 4. We hereby give you notice that, pursuant to the Credit Agreement [we request a Letter of Credit on the following terms] / [we request an amendment to Irrevocable Standby Letter of Credit No. [] as follows]1: Face amount: [] Currency: [] Utilisation Date: [] Commencement Date of Letter of Credit: [] Applicant: [] Managed Syndicate: [] Year of account: [] Term: [] Expiry Date: [] 5. We confirm that, at the date hereof, the Repeating Representations are true in all material respects and no Default is continuing. 6. The Letter of Credit should be issued in favour of Lloyd's in the form attached and delivered to The Society and the Council of Lloyd's, c/o The Manager, Market Services, Fidentia House, Walter Burke Way, Chatham Maritime, Chatham, Kent ME4 4RN. _________________________________________________________________________ 1 Delete as applicable.


 
Ashurst 122 Yours faithfully Signed by for and on behalf of HAMILTON RE, LTD. ) ) ) )


 
Ashurst 123 Schedule 4 Form of Transfer Certificate To: ING Bank N.V., London Branch as Agent From: [The Existing Lender] (the Existing Lender) and [The New Lender] (the New Lender) Dated: Hamilton Re, Ltd. –Letter of Credit Facility Agreement originally dated 7 November 2019 (as, from time to time, amended, restated, varied, novated or supplemented) (the "Agreement") 1. We refer to the Agreement. This is a Transfer Certificate. Terms defined in the Agreement have the same meaning in this Transfer Certificate unless given a different meaning in this Transfer Certificate. 2. We refer to clause 20.5 (Procedure for transfer): (a) The Existing Lender and the New Lender agree to the Existing Lender transferring to the New Lender by novation, and in accordance with clause 20.5 (Procedure for transfer), all of the Existing Lender's rights and obligations under the Agreement and the other Finance Documents which relate to that portion of the Existing Lender's Commitment(s) and participations in Utilisations under the Agreement as specified in the Schedule. (b) The proposed Transfer Date is []. (c) The Facility Office and address, fax number and attention details for notices of the New Lender for the purposes of clause 29.2 (Addresses) are set out in the Schedule. 3. The New Lender expressly acknowledges the limitations on the Existing Lender's obligations set out in paragraph (c) of clause 20.4 (Limitation of responsibility of Existing Lenders). 4. This Transfer Certificate may be executed in any number of counterparts and this has the same effect as if the signatures on the counterparts were on a single copy of this Transfer Certificate. 5. This Transfer Certificate and any non-contractual obligations arising out of or in connection with it are governed by English law. 6. This Transfer Certificate has been entered into on the date stated at the beginning of this Transfer Certificate.


 
Ashurst 124 THE SCHEDULE Commitment/rights and obligations to be transferred [insert relevant details] [Facility Office address, fax number and attention details for notices and account details for payments,] [Existing Lender] [New Lender] By: By: Branch: [] Branch: [] Branch MEI: [] Branch MEI: [] This Transfer Certificate is accepted by the Agent and the Transfer Date is confirmed as []. [Agent] By:


 
Ashurst 125 Schedule 5 Form of Assignment Agreement To: ING Bank N.V., London Branch as Agent and Hamilton Re, Ltd. as Borrower, for and on behalf of each Obligor From: [the Existing Lender] (the Existing Lender) and [the New Lender] (the New Lender) Dated: Hamilton Re, Ltd. –Letter of Credit Facility Agreement originally dated 7 November 2019 (as, from time to time, amended, restated, varied, novated or supplemented) (the "Agreement") 1. We refer to the Agreement. This is an Assignment Agreement. Terms defined in the Agreement have the same meaning in this Assignment Agreement unless given a different meaning in this Assignment Agreement. 2. We refer to clause 20.6 (Procedure for assignment): (a) The Existing Lender assigns absolutely to the New Lender all the rights of the Existing Lender under the Agreement and the other Finance Documents and in respect of the Transaction Security which relate to that portion of the Existing Lender's Commitment(s) and participations in Utilisations under the Agreement as specified in the Schedule. (b) The Existing Lender is released from all the obligations of the Existing Lender which correspond to that portion of the Existing Lender's Commitment(s) and participations in Utilisations under the Agreement specified in the Schedule. (c) The New Lender becomes a Party as a Lender and is bound by obligations equivalent to those from which the Existing Lender is released under paragraph (b) above. 3. The proposed Transfer Date is []. 4. On the Transfer Date the New Lender becomes Party to the Finance Documents as a Lender. 5. The Facility Office and address, fax number and attention details for notices of the New Lender for the purposes of clause 29.2 (Addresses) are set out in the Schedule. 6. The New Lender expressly acknowledges the limitations on the Existing Lender's obligations set out in paragraph (c) of clause 20.4 (Limitation of responsibility of Existing Lenders). 7. This Assignment Agreement acts as notice to the Agent (on behalf of each Finance Party) and, upon delivery in accordance with clause 20.7 (Copy of Transfer Certificate or Assignment Agreement), to the Borrower (on behalf of each Obligor) of the assignment referred to in this Assignment Agreement. 8. This Assignment Agreement may be executed in any number of counterparts and this has the same effect as if the signatures on the counterparts were on a single copy of this Assignment Agreement.


 
Ashurst 126 9. This Assignment Agreement and any non-contractual obligations arising out of or in connection with it are governed by English law. 10. This Assignment Agreement has been entered into on the date stated at the beginning of this Assignment Agreement.


 
Ashurst 127 THE SCHEDULE Rights to be assigned and obligations to be released and undertaken [insert relevant details] [Facility office address, fax number and attention details for notices and account details for payments] [Existing Lender] [New Lender] By: By: Branch: [] Branch: [] Branch MEI: [] Branch MEI: [] This Assignment Agreement is accepted by the Agent and the Transfer Date is confirmed as []. Signature of this Assignment Agreement by the Agent constitutes confirmation by the Agent of receipt of notice of the assignment referred to herein, which notice the Agent receives on behalf of each Finance Party. [Agent] By:


 
Ashurst 128 Schedule 6 Form of Compliance Certificate To: ING Bank N.V., London Branch Date: [] Dear Sirs, We refer to an agreement originally dated 7 November 2019 (as, from time to time, amended, restated, varied, novated or supplemented) and made between Hamilton Re, Ltd. as borrower, ING Bank N.V., London Branch as agent and security agent the financial institutions defined therein as Lenders and others (the Credit Agreement). Terms defined in the Credit Agreement shall bear the same meaning herein. 1. We confirm that as at [insert date], Consolidated Tangible Net Worth was $[]. Therefore as at [insert date], Consolidated Tangible Net Worth was not less than the Consolidated Tangible Net Worth Floor for such fiscal quarter. Consolidated Tangible Net Worth Floor calculated as of the 2025 Restatement Date is: $1,446,804,436 Plus 35% of positive Consolidated Net Income for fiscal quarter ended [insert quarter end date] [] Plus 35% of net cash proceeds of the aggregate increases in common Equity Interests (by virtue of net equity issuance, debt conversion or contribution) by the Group, excluding the impact of Equity Interests issued to employees or directors of the Group under its long term incentive plan or share purchase programs [] CONSOLIDATED TANGIBLE NET WORTH FLOOR $[] 2. We confirm that, as at [insert date], the ratio of Debt2 to Consolidated Total Capitalisation is []%. 3. We confirm that, as at [insert date], Cash and Invested Assets was above $1,000,000,000. 4. We confirm that as at [insert date], the A.M. Best Company's financial strength rating for Hamilton Re, Ltd. was []. 5. We confirm that, as at [insert date], the A.M. Best Company's financial strength rating for [], being a material insurance subsidiary of Hamilton Insurance Group, Ltd was []. 6. We confirm that, as at [insert date], Outstandings are not at any time more than 50 per cent of the Adjusted ECA of the Applicant and was [], and therefore the requirements of clause 17.1(b) (Financial Condition) were met. _________________________________________________________________________ 2 For the avoidance of doubt, Debt includes any Disqualified Equity Interest as of the date of determination.


 
Ashurst 129 7. We confirm that, as at the date of this certificate, no Default is continuing. Executed as a deed by [BORROWER] / [GUARANTOR] acting by: ) ) ) ) Authorised Signatory / Responsible Officer NOTES: *If this statement cannot be made, the certificate should identify any Default that is continuing and the steps, if any, being taken to remedy it.


 
Ashurst 130 Schedule 7 Form of Letter of Credit To: The Society and the Council of Lloyd's c/o The Manager, Market Services Fidentia House, Walter Burke Way Chatham Maritime, Chatham Kent ME4 4RN Dated: []3 Dear Sirs Irrevocable Standby Letter of Credit No. [] Re: Hamilton Corporate Member Limited (the "Applicant") This Clean Irrevocable Standby Letter of Credit (the Credit) is issued by the banks whose names are set out in Schedule 1 hereto (the Issuing Banks, and each an Issuing Bank) in favour of the Society of Lloyd's (Lloyd's) on the following terms: 1. Subject to the terms hereof, the Issuing Banks shall make payments within two business days of demand on ING Bank N.V., London Branch (the Agent) in accordance with paragraph 4 below. 2. Upon a demand being made by Lloyd's pursuant to paragraph 4 below each Issuing Bank shall pay that proportion of the amount demanded which is equal to the proportion which its Commitment set out in Schedule 1 hereto bears to the aggregate Commitments of all the Issuing Banks set out on Schedule 1 hereto provided that the obligations of the Issuing Banks under this Credit shall be several and no Issuing Bank shall be required to pay an amount exceeding its Commitments set out in Schedule 1 (Issuing Banks' Commitments) hereto and the Issuing Banks shall not be obliged to make payments hereunder in aggregate exceeding a maximum amount of [amount in dollars/sterling]. Any payment by an Issuing Bank hereunder shall be made in [dollars/sterling] to the Lloyd's account specified in the demand made by Lloyd's pursuant to paragraph 4 below. 3. This Credit is effective from [] (the Commencement Date) and will expire on the Final Expiration Date. This Credit shall remain in force until we give you not less than four years notice in writing terminating the same on the fourth anniversary of the Commencement Date or on any date subsequent thereto as specified in such notice (the Final Expiration Date), our notice to be sent by registered mail for the attention of the Manager, Market Services, at the above address. 4. Subject to paragraph 3 above, the Issuing Banks shall pay to Lloyd's under this Credit upon presentation of a demand by Lloyd's on the Agent at [], substantially in the form set out in Schedule 2 hereto the amount specified therein (which amount shall not, when aggregated with all other amounts paid by the Issuing Banks to Lloyd's under this Credit, exceed the maximum amount referred to in paragraph 2 above). _________________________________________________________________________ 3 Date of Letter of Credit.


 
Ashurst 131 5. The Agent has signed this Credit as agent for disclosed principals and accordingly shall be under no obligation to Lloyd's hereunder other than in its capacity as an Issuing Bank. 6. All charges are for the Applicant's account. 7. Subject to any contrary indication herein, this Credit is subject to the International Standby Practices - ISP98 (1998 publication - International Chamber of Commerce Publication No. 590). 8. This Credit shall be governed by and interpreted in accordance with English law and the Issuing Banks hereby irrevocably submit to the jurisdiction of the High Court of Justice in England. 9. Each of the Issuing Banks engages with Lloyd's that demands made under and in compliance with the terms of this Credit will be duly honoured on presentation. Yours faithfully, Signed by ING Bank N.V., London Branch for and on behalf of [Name of all Issuing Banks including the Agent]: By: Name: Title ) ) ) )


 
Ashurst 132 Schedule 1 Issuing Banks' Commitments Name and Address of Issuing Bank Commitment Total Value []


 
Ashurst 133 Schedule 2 Form of Demand [on Lloyd's letterhead] Dear Sir/Madam THE SOCIETY OF LLOYD'S TRUSTEE OF LETTER OF CREDIT NO. With reference to the above, we enclose for your attention a Bill of Exchange, together with the respective Letter of Credit. Payment should be made by way of CHAPS. The account details are as follows: National Westminster Bank Plc City of London Office PO Box 12258 1 Princes Street London EC2R 8AP Sort Code 60-00-01 [Account 13637444/ SWIFT Code: NWBKGB2L IBAN No. GB87NWBK60730140120066] Please quote Member Code: [] Yours faithfully _______________________________ for Manager Market Services By: Name: Title: Your ref: Our ref: MEM/ / / /C911f Extn:


 
Ashurst 134 Bill of Exchange The Society of Lloyd's Trustee of Letter of Credit No. Please pay in accordance with the terms of the Letter of Credit to our order the amount of $[]. For and on behalf of Authorised Signatory Market Services To: ING Bank N.V., London Branch as the Agent


 
Ashurst 135 Schedule 8 Letter of Comfort [on Lloyd's letterhead] Private and confidential For the attention of: (1) Hamilton Corporate Member Limited (2) ING Bank N.V., London Branch as Agent [Date] Our reference [] Dear Sirs Hamilton Corporate Member Limited ("HCML") - FUNDS AT LLOYD'S 1. We acknowledge that: (a) HCML, or certain of its affiliates, has or will provide Funds at Lloyd's (HCML FAL) as follows:- (i) Tier 1 assets comprising of cash and/or investments in an amount of around $257,551,438 as valued at 30 June 2025 (HCML Own FAL); (ii) an irrevocable letter of credit issued in favour of Lloyd's by ING Bank N.V., London Branch for the account of HCML, in the maximum amount of $260,000,000 (HCML LOC FAL), to be used to support and stand security for the general business at Lloyd's of HCML as a continuing member of Lloyd's; 2. As you are aware, all the FAL are held by Lloyd's in its capacity as trustee under the relevant trust instrument. Any decision to drawdown or apply any such FAL involves an exercise of discretion in the light of the circumstances prevailing at the time of such decision and thus no binding undertaking can be given now by Lloyd's as to the order of drawdown or application. However, we confirm that at the time of considering the drawdown or application of the FAL, Lloyd's will take into account your request that such FAL be drawn down or applied in the order referred to above. 3. Please note that our acknowledgement as to the above order of drawdown is subject to the preparation and execution of the appropriate documentation and submission of the appropriate assets. 4. For the avoidance of doubt, Lloyd's shall not be responsible to you or any other person for any losses incurred by you or such other person as a consequence of acting in reliance upon this letter. 5. This letter supersedes any prior letter issued by us in relation to Hamilton Corporate Member Limited with respect to the subject matter hereof.


 
Ashurst 136 Yours faithfully _________________________ Authorised Signatory The Society & Council of Lloyd's Telephone: 01634 392940 Fax: 01634 392366 Email: fal@lloyds.com; michael.goss@lloyds.com


 
Ashurst 137 Schedule 9 Timetables Letters of Credit Delivery of a duly completed Utilisation Request (clause 3.1 (Delivery of a Utilisation Request)) U-5 (or such shorter time as may be agreed in writing, including by email, by the Agent) Noon U = date of utilisation U - X = X Business Days prior to date of utilisation


 
Ashurst 138 Schedule 10 Required Rating/Maximum Tenor Table Category of Eligible Securities Collateral Advance Rate Government Debt (rated by at least two of Moody's, S&P, and/or Fitch AA3/AA-/AA- or better) Maturity ≤ 1 year 97% Maturity ≤ 5 years, but > 1 year 95% Maturity ≤ 10 years, but > 5 year 90% Maturity > 10 years 85% Government Debt (rated by at least two of Moody's, S&P, and/or Fitch A3/A-/A- or better) Maturity ≤ 1 year 95% Maturity ≤ 5 years, but > 1 year 90% Maturity ≤ 10 years, but > 5 years 85% Maturity > 10 years 80% Federal Agency Debt issued by GNMA (rated by at least two of Moody's, S&P, and/or Fitch AA3/AA-/AA- or better) Maturity ≤ 1 year 97% Maturity ≤ 5 years, but > 1 year 95% Maturity ≤ 10 years, but > 5 years 90% Maturity > 10 years 85% Federal Agency Debt issued by Federal Agencies other than GNMA (rated by at least two of Moody's, S&P, and/or Fitch AA3/AA-/AA- or better) Maturity 5 1 year 87.5% Maturity 5 5 years, but > 1 year 82.5% Maturity 5 10 years, but > 5 years 77.5% Maturity > 10 years 72.5% Freely Transferable Debt issued by FHMA or FNMA (so long as FHMA or FNMA (as applicable) is under the conservatorship of the Federal Housing Finance Agency) (rated by at least two of Moody's, S&P, and/or Fitch AA3/AA-/AA- or better) Maturity ≤ 1 year 95%


 
Ashurst 139 Category of Eligible Securities Collateral Advance Rate Maturity ≤ 5 years, but > 1 year 90% Maturity ≤ 10 years, but > 5 years 85% Maturity > 10 years 80% Freely Transferable Debt issued by FHMA or FNMA (if such FHMA or FNMA (as applicable) ceases to be under the conservatorship of the Federal Housing Finance Agency) (rated by at least two of Moody's, S&P. and/or Fitch AA3/AA-/AA- or better) Maturity ≤ 1 year 90% Maturity ≤ 5 years, but > 1 year 85% Maturity ≤ 10 years, but > 5 years 73% Corporate Securities (rated by at least two of Moody's, S&P, and/or Fitch AA3/AA-/AA- or better) Maturity ≤ 1 year 95% Maturity ≤ 5 years, but > 1 year 90% Maturity ≤ 10 years, but > 5 years 85% Maturity > 10 years 80% Corporate Securities (rated by at least two of Moody's, S&P, and/or Fitch A3/A-/A- or better) Maturity ≤ 1 year 90% Maturity ≤ 5 years, but > 1 year 85% Maturity 5 10 years, but > 5 years 75% Maturity > 10 years 70% Corporate Securities (rated by at least two of Moody's, S&P, and/or Fitch BAA2/BBB/BBB or better) Maturity ≤ 1 year 85% Maturity ≤ 5 years, but > 1 year 80% Maturity ≤ 10 years, but > 5 years 70% Maturity > 10 years 65% Notwithstanding the following: (a) The "advance rate" of the Fixed Income Securities detailed in the above table shall be decreased by an additional 10% to the extent that such Fixed Income Securities are held in a currency other than the currency of the applicable Credit; and


 
Ashurst 140 (b) Fixed Income Securities rated BAA2/BBB/BBB shall not constitute more than 30% of the Fair Market Value of the Fixed Income Securities deposited or held in the Custody Account.


 
Ashurst 141 Schedule 11 Form of Revocation Notice IRREVOCABLE STANDBY LETTER OF CREDIT NO xxxxx THE SOCIETY AND COUNCIL OF LLOYDS C/O THE MANAGER, MARKET SERVICES, FIDENTIA HOUSE, WALTER BURKE WAY, CHATHAM MARITIME, CHATHAM, KENT, ME4 4RN GENTLEMEN, APPLICANT: xxxxxxxxxxx CORPORATE MEMBER NUMBER# BENEFICIARY: THE SOCIETY & COUNCIL OF LLOYDS LETTER OF CREDIT AMOUNT: CCY XX,XXXX,XXX.XX (WORDS AND FIGURES 00/100 ONLY) WE ADVISE THAT THE ABOVE LETTER OF CREDIT WILL NOT BE EXTENDED BEYOND 31ST DECEMBER 20XX. PLEASE ACCEPT THIS LETTER AS OUR NOTICE OF NON-RENEWAL. PLEASE CONFIRM RECEIPT OF THIS NOTICE BY RETURN TRUST ALL IN ORDER YOURS FAITHFULLY FOR AND ON BEHALF OF FOR AND ON BEHALF OF ING BANK N.V., LONDON BRANCH ING BANK N.V., LONDON BRANCH AUTHORISED SIGNATORY AUTHORISED SIGNATORY


 
Ashurst 142 Signatures [NOT RESTATED]


 
Signature page to the Hamilton 2025 Amendment and Restatement Agreement Signatures THE BORROWER Signed by for and on behalf of HAMILTON RE, LTD. ) ) ) By: Name: Address: Wellesley House North, 1st Floor, 90 Pitts Bay Road, Pembroke HM08, Bermuda Fax: 441-295-5900 Attention: THE GUARANTOR Signed by for and on behalf of HAMILTON INSURANCE GROUP, LTD. ) ) ) ) By: Name: Address: Wellesley House North, 1st Floor, 90 Pitts Bay Road, Pembroke HM08, Bermuda Fax: 441-295-5900 Attention: Docusign Envelope ID: 06AE5CF6-94C3-40E2-923D-8033540F875F Athena Tolosa Gemma Careiro, General Counsel Brian Deegan Gemma Careiro, General Counsel


 
Signature page to the Hamilton 2025 Amendment and Restatement Agreement THE APPLICANT Signed by for and on behalf of HAMILTON CORPORATE MEMBER LIMITED ) ) ) ) By: Name: Address: 8 Fenchurch Place, London EC3M 4AJ, United Kingdom Attention: Docusign Envelope ID: 06AE5CF6-94C3-40E2-923D-8033540F875F Alex Baker Gemma Careiro, General Counsel


 
Signature page to the Hamilton 2025 Amendment and Restatement Agreement THE CONTINUING LENDER Signed by for and on behalf of ING BANK N.V., LONDON BRANCH ) ) ) ) Signature: Name: Title: M. Groen Managing Director Gregory Arkus Managing Director


 
Signature page to the Hamilton 2025 Amendment and Restatement Agreement THE NEW LENDERS Signed by for and on behalf of COMMERZBANK AG, NEW YORK BRANCH ) ) ) ) ) Address: 225 Liberty St, New York, NY 10286, United States Attention: Telephone: Signed by for and on behalf of DEUTSCHE BANK AG, LONDON BRANCH ) ) ) ) ) Address: Deutsche Bank AG, 21 Moorfields, London EC2Y 9DB, United Kingdom Attention: Telephone: Docusign Envelope ID: C097D0D5-C3AB-48ED-8DE1-8C4C3C3DCA06 Michael McCarthy Toan Chu Michael McCarthy - michael.mccarthy@commerzbank.com (212) 266-7325


 


 
Signature page to the Hamilton 2025 Amendment and Restatement Agreement ) ) ) ) THE RETIRING LENDERS Signed by for and on behalf of BANK OF MONTREAL, LONDON BRANCH Signature: Name: Title: Signed by or and on behalf of BANK OF MONTREAL, LONDON BRANCH Signature: Name: Title: Signed for and on behalf of BARCLAYS BANK PLC Signature: Name: Title: ) ) ) ) ) ) Ross Gleghorn CFO Director Andrew Nelson


 
Signature page to the Hamilton 2025 Amendment and Restatement Agreement THE RETIRING LENDERS Signed by for and on behalf of BANK OF MONTREAL, LONDON BRANCH ) ) ) ) Signature: Name: Title: Signed for and on behalf of BARCLAYS BANK PLC Signature: Name: Title: ) ) Docusign Envelope ID: EFE274A7-3774-4761-AF38-1E6BE3B17B8E Keith Webster Director


 
Signature page to the Hamilton 2025 Amendment and Restatement Agreement THE RESIGNING AGENT Signed for and on behalf of BARCLAYS BANK PLC Signature: Name: Title: ) ) THE RESIGNING SECURITY AGENT Signed for and on behalf of BARCLAYS BANK PLC Signature: Name: Title: ) ) Docusign Envelope ID: EFE274A7-3774-4761-AF38-1E6BE3B17B8E Director Director Keith Webster Keith Webster


 
Signature page to the Hamilton 2025 Amendment and Restatement Agreement ) ) THE SUCCESSOR AGENT Signed for and on behalf of ING BANK N.V., LONDON BRANCH Signature: Name: Sally Hayward & Ibironke Sofowora Title: Authorised Signature Authorised Signature THE SUCCESSOR SECURITY AGENT Signed for and on behalf of ING BANK N.V., LONDON BRANCH Signature: Name: Sally Hayward & Ibironke Sofowora Title: Authorised Signature Authorised Signature ) )