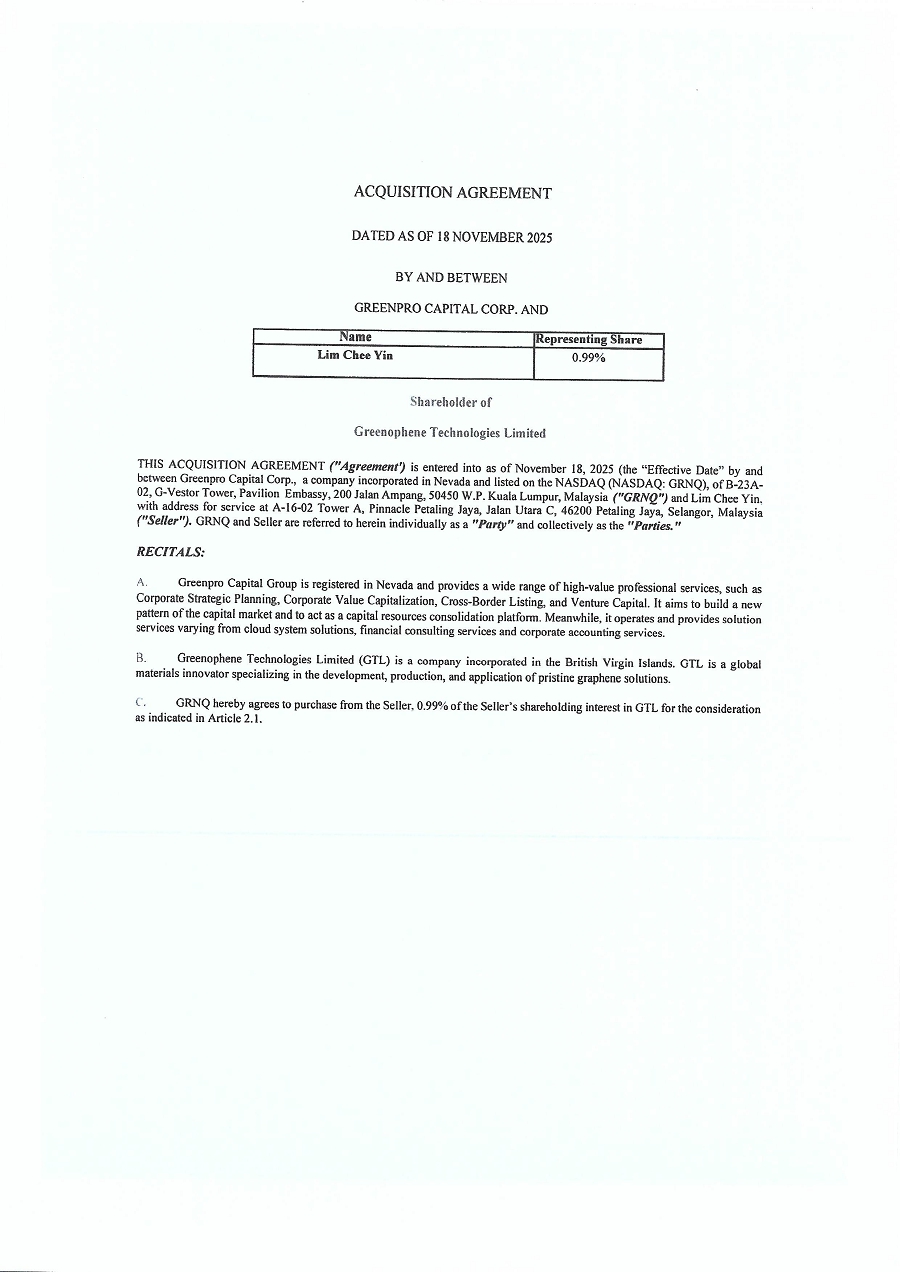
EX-2.1 2 ex2-1.htm EX-2.1

 

Exhibit 2.1