EX-10.2 4 d863131dex102.htm EX-10.2 EX-10.2

Exhibit 10.2

FORM OF VOTING AND SUPPORT AGREEMENT

This VOTING AND SUPPORT AGREEMENT (this “Agreement”), dated as of September 29, 2025, is entered into by and between Beyond Meat, Inc., a Delaware corporation (the “Company”), and the undersigned (the “Noteholder”). The Noteholder is a beneficial owner or investment advisor, sub-advisor or manager of funds and/or accounts that are holders or beneficial holders of the Company’s 0% convertible senior notes due 2027 (the “Existing 2027 Notes”) issued pursuant to that certain Indenture, dated as of March 5, 2021, between the Company, as issuer, and U.S. Bank National Association, as trustee. Each of the Company and the Noteholder are referred to herein individually as a “Party” and collectively as the “Parties”.

WHEREAS, the Company will be conducting an exchange of the Existing 2027 Notes for (i) new second lien convertible notes of the Company due 2030 (the “New Second Lien Convertible Notes”) and (ii) new common equity of the Company (the “New Equity”) (collectively, the “Notes Exchange”);

WHEREAS, as of the date hereof, the Noteholder is the record and/or beneficial owner (as defined in Rule 13d-3 under the Exchange Act) of the principal amount of Existing 2027 Notes as set forth on the Noteholder’s signature page to this Agreement;

WHEREAS, as of the date New Equity is issued to the Noteholder upon consummation (whether in connection with the early settlement, if any, or final settlement) of the Notes Exchange (the “Closing”), the Noteholder will be the record and/or beneficial owner (as defined in Rule 13d-3 under the Exchange Act) of approximately 283.6438 shares of New Equity per $1,000 principal amount of Existing 2027 Notes held by the Noteholder immediately prior to the Closing (the “Subject Shares”);

WHEREAS, concurrently with the launch of the Notes Exchange, the Company intends to file a proxy statement relating to the proposals set forth on Schedule A hereto (the “Proposals”, and such proxy statement, the “Proxy Statement”); and

WHEREAS, the Noteholder has agreed to vote its Subject Shares in favor of the Proposals at any special or annual meeting of the Company at which a vote is held on the Proposals (each, a “Stockholder Meeting”) through and including the Company’s 2026 annual meeting.

NOW, THEREFORE, in consideration of the foregoing and the respective representations, warranties, covenants and agreements set forth below and for other good and valuable consideration, the receipt and sufficiency of which are hereby acknowledged, the Parties, intending to be legally bound, do hereby agree as follows:

ARTICLE I

AGREEMENTS OF THE NOTEHOLDER

1.1 Agreement to Vote. Subject to the terms of this Agreement, the Noteholder hereby agrees that, at any Stockholder Meeting, including any adjournment or postponement thereof, the Noteholder shall (or shall cause the holder of record of its Subject Shares to), in each case to the fullest extent that the Noteholder’s Subject Shares are entitled to vote thereon: (a) appear at each such meeting or otherwise cause all such Subject Shares to be counted as present thereat for


purposes of determining a quorum and (b) be present (in person or by proxy) and vote (or cause to be voted) all of its Subject Shares in favor of the Proposals. Except as set forth in this Section 1.1, nothing in this Agreement shall limit the right of the Noteholder to vote in favor of, against or abstain with respect to any matter presented to the stockholders of the Company, including for the avoidance of doubt, any proposals in the Proxy Statement that are not consistent in all material respects with the Proposals as set forth in Schedule A hereto.

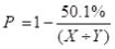
1.2 Transfer Restrictions. From and after the Closing and until 5:00 p.m., New York City time on the date that is the earlier of (i) the record date for the first Stockholder Meeting proposed to be held following the Notes Exchange (the “Record Date”) and (ii) the date that is three (3) business days following the Closing (the “Lock-up Period”), the Noteholder agrees with the Company that it shall not Transfer (as defined below) any of the Noteholder’s Subject Shares, or enter into any contract, option, or other agreement with respect to a Transfer of any of the Noteholder’s Subject Shares, or the Noteholder’s voting interest therein, and the Noteholder acknowledges that, with exception of the Freely Tradeable Shares (as defined below), the New Equity is expected to be issued into a Contra CUSIP that restricts the trading of such security for the duration of the Lock-up Period; provided the Noteholder may Transfer up to an amount of shares (the “Freely Tradeable Shares”) equal to the following percentage of the Subject Shares received by the Noteholder in the Notes Exchange:

 

LOGO

where:

 

  P  =

the percentage of the Noteholder’s Subject Shares that may be Transferred pursuant to this proviso;

 

  X =

the number of shares of New Equity, in the aggregate, received by all holders of Existing Notes that have participated in the Notes Exchange as of the Closing and for which enforceable voting agreements are in place at the time of the Closing; and

 

  Y =

the number of shares of the Company outstanding at the Closing, after giving effect to the consummation of the Notes Exchange.

“Transfer” means, with respect to any security, directly or indirectly, to transfer, sell, exchange, assign, or convey legal or beneficial ownership interest in (including the right or power to vote), or otherwise dispose of (whether by sale, liquidation, dissolution, dividend, distribution or otherwise) such security; provided, however, that any customary custodian arrangement or account at a prime broker, bank or broker-dealer at which a Noteholder maintains an account in the ordinary course of business including Subject Shares where such prime broker, bank or broker-dealer holds a security interest, pledge or other encumbrance over securities held in such account generally shall not be deemed a “Transfer” for any purposes hereunder so long as, regardless of such arrangement, the Noteholder retains at all times the right and ability to vote the Subject Shares in favor of the Proposals.

 

2


ARTICLE II

AGREEMENTS OF THE COMPANY

2.1 Proxy Statement. The Company hereby agrees to set the Record Date, and file the definitive Proxy Statement, as soon as practicable following the later to occur of (i) the Closing and (ii) the Securities and Exchange Commission completing its review, if any, of the Proxy Statement.

2.2 Reverse Stock Split. The Company hereby agrees (i) not to effect the reverse stock split described in Item 4 of the Proposals as set forth in Schedule A hereto (the “Reverse Stock Split”) for a period of 120 days after the Closing (the last day of such period, the “Early Release Date”) and (ii) not to effect the Reverse Stock Split during the period beginning on the Early Release Date and ending 180 days after the Closing (the “Final Release Date”) unless (A) the Company has received a notice from Nasdaq of failure to meet the continued listing requirement for minimum bid price at any time prior to such Reverse Stock Split and has not subsequently cured such deficiency to Nasdaq’s satisfaction or (B) its common equity securities fail to meet the Nasdaq minimum bid price of at least $1.00 per share for any fifteen (15) consecutive business days in the period commencing fifteen (15) business days prior to the Early Release Date and ending on the Final Release Date.

ARTICLE III

REPRESENTATIONS AND WARRANTIES OF THE NOTEHOLDER

The Noteholder represents and warrants, on its own account with respect to the Existing 2027 Notes and the Subject Shares beneficially owned by the Noteholder, to the Company that:

3.1 Authorization; Binding Agreement. The Noteholder has full legal capacity and authority to enter into this Agreement and carry out its obligations hereunder. If the Noteholder is not a natural person, (a) the Noteholder is duly organized, validly existing and in good standing under the laws of its jurisdiction of organization, and (b) the execution and delivery of this Agreement by the Noteholder has been duly and validly authorized by all necessary entity action on the part of the Noteholder, and no other entity proceedings on the part of the Noteholder are necessary to authorize this Agreement or to perform the Noteholder’s obligations hereunder. This Agreement has been duly and validly executed and delivered by the Noteholder and, assuming due authorization, execution and delivery by the other Parties, constitutes a valid and binding agreement of the Noteholder enforceable against it in accordance with its terms, except as enforcement may be limited by applicable laws relating to or limiting creditors’ rights generally or by equitable principles relating to enforceability, including remedies of specific performance and injunctive and other forms of equitable relief.

3.2 Ownership of Existing 2027 Notes. The Noteholder (i) is, as of the date hereof, the record and/or beneficial owner (as defined in Rule 13d-3 under the Exchange Act) of all of such Noteholder’s Existing 2027 Notes and (ii) will be, following the settlement of the Notes Exchange, the record and/or beneficial owner (as defined in Rule 13d-3 under the Exchange Act) of all of the Subject Shares received by the Noteholder in the Notes Exchange, in each case, free and clear of any encumbrance or lien thereon, except for encumbrances or liens in favor of a prime broker, bank or broker-dealer in connection with any customary custodian arrangement or account at such prime broker, bank or broker-dealer in which a Noteholder maintains an account in the ordinary course of business.

 

3


3.3 Voting Power. The Noteholder will, on the Record Date, have full voting power with respect to all of the Subject Shares beneficially owned by such Noteholder, and full power of disposition, full power to issue instructions with respect to the matters set forth herein and full power to agree to all of the matters set forth in this Agreement, in each case with respect to all of its Subject Shares.

ARTICLE IV

REPRESENTATIONS AND WARRANTIES OF THE COMPANY

The Company represents and warrants to the Noteholder that:

4.1 Authorization; Binding Agreement. The Company has full legal capacity and authority to enter into this Agreement and carry out its obligations hereunder. The Company is a legal entity, duly organized, validly existing and in good standing under the laws of the State of Delaware. The execution and delivery of this Agreement by the Company has been duly and validly authorized by all necessary corporate action on the part of the Company, and no other corporate proceedings on the part of the Company are necessary to authorize this Agreement or to perform its obligations hereunder. This Agreement has been duly and validly executed and delivered by the Company and, assuming due authorization, execution and delivery by the other Parties, constitutes a valid and binding agreement of the Company enforceable against it in accordance with its terms, except as enforcement may be limited by applicable laws relating to or limiting creditors’ rights generally or by equitable principles relating to enforceability, including remedies of specific performance and injunctive and other forms of equitable relief.

ARTICLE V

MISCELLANEOUS

5.1 Adjustments. Any shares of capital stock or other voting equity securities of the Company that are issued to the Noteholder, or that the Noteholder acquires record or beneficial ownership (as defined in Rule 13d-3 under the Exchange Act) of, during the Term, whether pursuant to purchase, exercise, exchange (including in connection with the Transactions) or conversion of, or other transaction involving any and all options, rights or other securities, shall be subject to the terms and conditions of this Agreement to the same extent as if they comprised the Subject Shares as of the date hereof (but, for the avoidance of doubt, shall not be subject to the limitations on Transfer set forth in Section 1.2). In the event of any stock split, stock dividend, merger, reorganization, recapitalization, reclassification, combination, exchange of shares or the like of the capital stock of the Company affecting any Subject Shares, the terms of this Agreement shall apply to the resulting securities and the term “Subject Shares” shall be deemed to refer to and include such securities.

 

4


5.2 Notices. Any notice or other communication required or permitted to be delivered to any Party under this Agreement shall be in writing and shall be deemed properly delivered, given and received (a) upon receipt when delivered by hand, (ii) one (1) business day after being sent by commercial overnight courier service, or (iii) upon transmission during normal business hours (and if not, the next business day) if sent via email with confirmation of receipt (other than automatic confirmation of receipt); provided that, in each case, the notice or other communication is sent to the physical address or email address set forth beneath the name of such Party as follows (or to such other physical address or email address as such Party shall have specified in a written notice given to the other Parties):

if to the Company:

Beyond Meat, Inc.

888 N. Douglas St., Suite 100

El Segundo CA, 90245

Attn: [***]

with a copy to (which shall not constitute notice):

Latham & Watkins LLP

1271 Avenue of the Americas

New York, NY 10020

Attn:  Greg Rodgers (greg.rodgers@lw.com)

 Candace Arthur (candace.arthur@lw.com)

if to a Noteholder, to such Noteholder’s address or email address set forth across from such Noteholder’s name on the signature pages hereto,

with a copy to (which shall not constitute notice):

Akin Gump Strauss Hauer & Feld LLP

One Bryant Park

New York, NY 10036

Attn:  Jason Rubin (jrubin@akin.com)

 Mike Stamer (mstamer@akingump.com)

 Stephen Kuhn (skuhn@akingump.com)

5.3 Termination. This Agreement shall terminate automatically upon the earlier of: (a) the termination, withdrawal and abandonment by the Company of the Notes Exchange prior to the Closing, (b) the date that all of the Proposals have been approved at a Stockholder Meeting, and (c) the date following the date of the Company’s 2026 annual meeting, without any notice or other action by any Person and (d) June 19, 2026; provided the Company’s obligations in Section 2.2 shall survive until the date that is 180 days from the date of Closing. The period from the date hereof until the termination of this Agreement pursuant to this Section 5.3 shall be referred to as the “Term”. For the avoidance of doubt, the Noteholder’s obligations under this Agreement are contingent upon the occurrence of the Closing, and if the Notes Exchange is terminated without the Closing having occurred, this Agreement shall be null and void in all respects and of no further force or effect without any action required by the parties hereto, in which event, no restrictions contained herein shall be applicable to any stock, Existing 2027 Notes or other equity interests of any entities presently owned or thereafter acquired by any Noteholder whatsoever. Nothing in this Section 5.3 and no termination of this Agreement shall relieve or otherwise limit any party of liability for any breach of this Agreement occurring prior to such termination.

 

5


5.4 Severability. If any provision or provisions of this Agreement is or are held to be invalid, illegal or unenforceable for any reason whatsoever: (a) the validity, legality and enforceability of the remaining provisions of this Agreement (including, without limitation, each portion of any section of this Agreement containing any such provision held to be invalid, illegal or unenforceable, that is not itself invalid, illegal or unenforceable) will not in any way be affected or impaired thereby and will remain enforceable to the fullest extent permitted by applicable law; (b) such provision or provisions will be deemed reformed to the extent necessary to conform to applicable law and to give the maximum effect to the intent of the parties hereto; and (c) to the fullest extent permitted by applicable law, the provisions of this Agreement (including, without limitation, each portion of any section of this Agreement containing any such provision held to be invalid, illegal or unenforceable, that is not itself invalid, illegal or unenforceable) will be construed so as to give effect to the intent manifested thereby.

5.5 Entire Agreement; Counterparts. This Agreement constitutes the entire agreement with respect to the Noteholders obligations and supersedes all prior and concurrent agreements and understandings, both written and oral, among or between any of the Parties, with respect to the subject matter hereof. This Agreement may be executed in several counterparts, each of which shall be deemed an original and all of which shall constitute one and the same instrument. The exchange of a fully executed Agreement (in counterparts or otherwise) by PDF shall be sufficient to bind the Parties to the terms and conditions of this Agreement.

5.6 Parties in Interest. This Agreement shall be binding upon and inure solely to the benefit of each Party and their respective successors and permitted assigns, and nothing in this Agreement, express or implied, is intended to or shall confer upon any other person any right, benefit or remedy of any nature whatsoever under or by reason of this Agreement.

5.7 Specific Performance. The Parties agree that irreparable damage for which monetary damages, even if available, would not be an adequate remedy, would occur in the event that any Party does not perform its obligations under the provisions of this Agreement in accordance with its terms or otherwise breaches such provisions. Subject to the following sentence, during the Term, the Parties shall be entitled to an injunction or injunctions, specific performance, or other non-monetary equitable relief, to prevent breaches of this Agreement and to enforce specifically the terms and provisions hereof in a New York state or federal court sitting in the United States District Court for the Southern District of New York or any New York state court sitting in the Borough of Manhattan, New York, New York (the “Chosen Courts”) without proof of damages or otherwise, this being in addition to any other remedy to which they are entitled under this Agreement. No Party shall oppose the granting of an injunction, specific performance, or other equitable relief on the basis that the other Parties have an adequate remedy at law or that an award of specific performance is unenforceable, invalid or not an appropriate remedy for any reason at law or equity. Any Party seeking any injunction or other equitable relief to prevent any breach of this Agreement or to enforce specifically the terms and provisions of this Agreement in accordance with this Section 4.10 shall not be required to provide any bond or other security in connection with any such order or injunction.

 

6


5.8 FRE 408. Pursuant to Federal Rule of Evidence 408 and any other applicable rules of evidence in any applicable jurisdiction, this Agreement and all negotiations relating hereto shall not be admissible into evidence in any proceeding other than a proceeding to enforce its terms.

5.9 Governing Law. This Agreement shall be governed by, and construed in accordance with, the laws of the State of New York. Each Party hereto agrees that it shall bring any action or proceeding in respect of any claim arising out of or related to this Agreement in a in the Chosen Courts, and solely in connection with claims arising under this Agreement: (i) irrevocably submits to the exclusive jurisdiction and the authority of the Chosen Courts; (ii) waives any objection to laying venue in any such action or proceeding in the Chosen Courts; and (iii) waives any objection that the Chosen Courts are an inconvenient forum, does not have jurisdiction over any Party hereto, or lacks the constitutional authority to enter final orders in connection with such action or proceeding. EACH PARTY HEREBY WAIVES, TO THE FULLEST EXTENT PERMITTED BY APPLICABLE LAW, ANY RIGHT IT MAY HAVE TO A TRIAL BY JURY IN ANY LEGAL PROCEEDING ARISING OUT OF, OR RELATING TO, THIS AGREEMENT OR THE TRANSACTIONS CONTEMPLATED HEREBY (WHETHER BASED ON CONTRACT, TORT, OR ANY OTHER THEORY). Each Party (i) certifies that no representative, agent, or attorney of any other Party has represented, expressly or otherwise, that such other Party would not, in the event of litigation, seek to enforce the foregoing waiver and (ii) acknowledges that it and the other Parties have been induced to enter into this Agreement by, among other things, the mutual waivers and certifications in this Section 5.9.

5.10 Amendments and Waivers. This Agreement may not be amended, modified or waived in any manner, whether by course of conduct or otherwise, except by an instrument in writing specifically designated as an amendment or waiver, as applicable, hereto, signed on behalf of each of the Parties in interest at the time of the amendment or waiver, as applicable. The failure of any Party to assert any of its rights under this Agreement or otherwise shall not constitute a waiver of those rights.

5.11 Further Assurances. Upon the reasonable request of the Company, the Noteholder will execute and deliver, or cause to be executed and delivered, all further documents and instruments and use its reasonable best efforts to take, or cause to be taken, all actions and to do, or cause to be done, all things necessary, proper or advisable, to perform its obligations under this Agreement.

(Signature Pages Follow)

 

7


The Parties are executing this Agreement as of the date first set forth above.

 

BEYOND MEAT, INC.
By:    
  Name:
  Title:

 

 

(Signature Page to Voting and Support Agreement)


[ • ]

 

 

Name:

Title:

Address:

E-mail address(es):

 

Aggregate Amounts Beneficially Owned or Managed on Account of:
Existing 2027 Notes

 

 

(Signature Page to Voting and Support Agreement)


Schedule A

1. approval, in accordance with Nasdaq Listing Rule 5635(d), of the potential issuance of shares of common stock upon conversion or equitization of up to $215.0 million in aggregate principal amount of the New Second Lien Convertible Notes (including any New Second Lien Convertible Notes issued as PIK interest), or payment of accrued interest or make-whole payments in the form of common stock, which issuances would, in the aggregate, exceed 20% of the shares of common stock issued and outstanding immediately prior to the time of commencement of the Notes Exchange;

2. approval of the Company’s Amended and Restated Beyond Meat, Inc. 2018 Equity Incentive Plan, in the form attached to the preliminary Proxy Statement (the “Restated Plan”), to increase the number of shares of common stock authorized for issuance thereunder, including for purposes of the issuance of certain awards granted to key employees of the Company out of such increase;

3. approval of an amendment to the Company’s Restated Certificate of Incorporation (the “Charter”) to increase the number of authorized shares of the Company’s common stock from 500,000,000 to 3,000,000,000, in order to support, among other things, the additional share issuances of common stock issuable upon conversion of the New Second Lien Convertible Notes and under the Restated Plan;

4. approval of a series of 30 alternate amendments to the Charter to effect (i) a reverse stock split of the Company’s common stock (on a range of proposed ratios of not less than 1-for-10 on the low end and not greater than 1-for-150 on the high end), with the exact ratio to be determined by the Board of Directors at a later date and (ii) a proportionate reduction in the number of authorized shares of common stock (and correspondingly decrease the total number of authorized shares of the Company’s capital stock); and

5. approval of one or more adjournments of the special meeting, if necessary, to solicit additional proxies if there are not sufficient votes to approve the foregoing proposals at the special meeting or any adjournment(s) thereof.