EX-99.1 2 d415087dex991.htm EX-99.1 EX-99.1

Exhibit 99.1

 

 

FDA Briefing Document

 

NDA/BLA# 214697

 

Drug name: ARS-1 (intranasal epinephrine)

 

Applicant: ARS Pharmaceuticals

 

Pulmonary-Allergy Drug Advisory Committee Meeting

 

  FDA has posted an Addendum to Briefing Document on its website that was circulated to members of the AdCom
 

May 11, 2023

 

Division of Pulmonology, Allergy, and Critical Care

 

Office of Immunology and Inflammation

 

Office of New Drugs

 

Center for Drug Evaluation and Research

 

DISCLAIMER STATEMENT

 

The attached package contains background information prepared by the Food and Drug Administration (FDA) for the panel members of the Advisory Committee. The FDA background package often contains assessments and/or conclusions and recommendations written by individual FDA reviewers. Such conclusions and recommendations do not necessarily represent the final position of the individual reviewers, nor do they necessarily represent the final position of the Review Division or Office. We have brought NDA 214697, ARS-1, to this Advisory Committee in order to gain the Committee’s insights and opinions, and the background package may not include all issues relevant to the final regulatory recommendation and instead is intended to focus on issues identified by the Agency for discussion by the Advisory Committee. The FDA will not issue a final determination on the issues at hand until input from the Advisory Committee process has been considered and all reviews have been finalized. The final determination may be affected by issues not discussed at the Advisory Committee meeting.

 

   ARS COMMENT LEGEND      
        
LOGO    Green circle with number represents ARS commentary, and references to FDA’s Addendum to Briefing Document       LOGO   

Red circle with number represents inclusion of correction from FDA’s Errata to Briefing Document

 

        
LOGO    Blue circle with number beside highlighted content represents corresponding primary FDA briefing book material referenced in the ARS commentary      

 

1


Table of Contents

 

Table of Contents

     2  

Table of Tables

     3  

Table of Figures

     4  

Glossary

     6  

1   Executive Summary/Draft Points for Consideration by the Advisory Committee

     7  

1.1   Purpose/Objective of the AC Meeting

     7  

1.2   Context for Issues to Be Discussed at the AC

     7  

1.3   Brief Description of Issues for Discussion at the AC

     8  

1.3.1    Key Aspects of Development Program of ARS-1

     8  

1.3.2    Key Results

     13  

1.4   Summary and Draft Points for Consideration

     21  

2   Introduction and Background

     22  

2.1   Background of the Condition/Standard of Clinical Care

     22  

2.1.1    Analysis of the Condition

     22  

2.1.2    Barriers to Use of Epinephrine Injection Products

     23  

2.1.3    Pharmacology of Epinephrine from the Literature

     24  

2.2   Pertinent Drug Development and Regulatory History

     25  

2.2.1    Epinephrine Regulatory History

     26  

2.2.2    ARS Regulatory History

     28  

3   Summary of Issues for the AC

     35  

3.1   Efficacy Issues

     35  

3.1.1    Sources of Data for Efficacy

     35  

3.1.2    Clinical Pharmacology Summary

     38  

3.1.3    ARS-1 Pediatric Development

     62  

3.1.4    Summary of Efficacy Issues

     64  

3.2   Safety Issues

     68  

4   Benefit-Risk Framework

     70  

5   References

     71  

6   Appendix

     74  

6.1   Nonclinical Supportive Data

     74  

6.1.1    Nasal Mucosal Damage

     74  

6.1.2    PK and Cardiovascular Assessment Under Anaphylaxis Condition in Dog

     74  

6.2   Human Factors

     75  

6.2.1    Human Factors Overview

     75  

6.2.2    HFVS Conducted for NDA 214697

     76  

6.2.3    Human Factors Discussion and Conclusion

     84  

 

2


Table of Tables

 

Table 1. Intranasal Epinephrine PK/PD Development Program      8  
Table 4. ARS-1 Clinical Pharmacology Development Plan      8  
Table 2. Approved Epinephrine Products      26  
Table 3. Approved Doses of Epinephrine in the Medical and Community Settings      27  
Table 4. ARS-1 Clinical Pharmacology Development Plan      28  
Table 5. ARS Pharmacology Trials      36  
Table 6. PK Parameters Following a Single Dose of ARS-1 vs. a Single Dose of Intramuscular Injection Using Adrenalin 0.3 mg or EpiPen 0.3 mg in Healthy Subjects      44  
Table 7. Proportion of Subjects Who Failed to Reach 100 pg/mL Following a Single Dose of ARS-1 2, Adrenalin 0.3 mg, or EpiPen 0.3 mg      45  
Table 8. Maximum Change of SBP From Baseline in 60 Min Following a Single Dose      46  
Table 9. PK Parameters Following Two Doses of ARS-1 Given in Same Naris (R/R) or Opposite Naris (L/R) vs. Two Doses of Intramuscular Injection Using EpiPen 0.3 mg in Healthy Subjects      48  
Table 10. Proportion of Subjects Who Failed to Reach 100 pg/mL Following Two Doses of ARS-1 2 in Same Naris (R/R) or Opposite Naris (L/R), and Two Doses of EpiPen 0.3 mg      50  
Table 11. Maximum SBP Change From Baseline in 60 Min Following Repeat Doses      51  
Table 12. Maximum SBP Change from Baseline in 60 Min In Subjects With Allergic Rhinitis      55  
Table 13. Common Adverse Events Occurring at ≥3% Frequency in a Treatment Arm, Primary Safety Population, Safety Pooling (EPI 15, 16, 17)            
Table 14. Summary of HFVS #1 Results      79  
Table 15. Summary of Supplemental HFVS #2 Results      84  

 

3


Table of Figures

 

Figure 1. Epinephrine Geometric Mean (±Standard Error) Concentration-Time Profile Following a Single Dose of ARS-1 (2 mg) vs. a Single Dose of Intramuscular Injection Using Adrenalin 0.3 mg or EpiPen 0.3 mg in Healthy Subjects      13  
Figure 2. Epinephrine Geometric Mean (±Standard Error) Plasma Concentration-Time Profiles in Subjects With Allergic Rhinitis      14  
Figure 3. Epinephrine Geometric Mean Concentration-Time Profiles From Study EPI 11b      38  
Figure 4. Epinephrine Geometric Mean (±Standard Error) Concentration-Time Profile for Single-Dose EpiPen 0.3 mg (A) and Single-Dose Adrenalin 0.3 mg (B) Across Studies in ARS-1 Clinical Program      39  
Figure 5. Epinephrine Geometric Mean (±Standard Error) Concentration-Time Profile Following a Single Dose of ARS-1 vs. a Single Dose of Intramuscular Injection Using Adrenalin 0.3 mg or EpiPen 0.3 mg in Healthy Subjects      43  
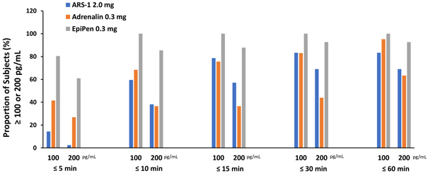
Figure 6. Proportion of Subjects with Epinephrine Concentrations of 100 and 200 pg/mL or Greater by Time Following a Single Dose of ARS-1, Adrenalin 0.3 mg, or EpiPen 0.3 mg      44  
Figure 7. Median PD Responses (SBP, PR, and DBP Change from Baseline) Following a Single Dose of ARS-1, Adrenalin 0.3 mg, or EpiPen 0.3 mg in Healthy Subjects      46  
Figure 8. Epinephrine Geometric Mean (±Standard Error) Concentration-Time Profile Following Two Doses of ARS-1 Given in Same Naris (R/R) or Opposite Naris (L/R) vs. Two Doses of Intramuscular Injection Using EpiPen 0.3 mg in Healthy Subjects      47  
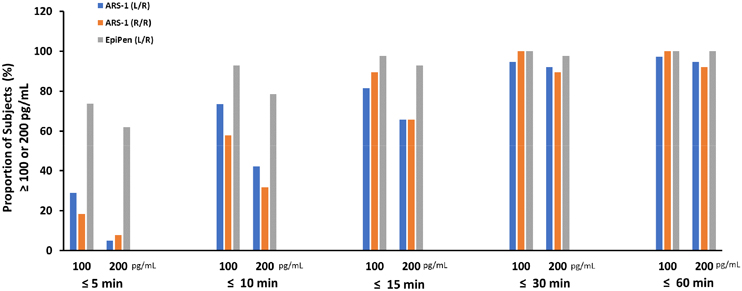
Figure 9. Proportion of Subjects With Epinephrine Concentrations of 100 pg/mL and 200 pg/mL or Greater Following Two Doses of ARS-1 in Same Naris (R/R) or Opposite Naris (L/R), and Two Doses of EpiPen 0.3 mg      50  
Figure 10. Median PD Responses (SBP, PR, and DBP Change From Baseline) Following Two Doses of ARS-1 in Same Naris (R/R) or Opposite Naris (L/R), and Two Doses of EpiPen 0.3 mg in Healthy Subjects      51  
Figure 11. Epinephrine Geometric Mean (±Standard Error) Plasma Concentration-Time Profiles in Subjects With Allergic Rhinitis      54  
Figure 12. Median PD Responses (SBP and PR Changes From Baseline) in Subjects With Allergic Rhinitis      55  
Figure 13. Epinephrine Geometric Mean (±Standard Error) Plasma Concentration-Time Profiles in Subjects With Allergic Rhinitis Under Nasal Allergen Challenge Conditions by Predose Nasal Congestion Score (NCS) Subgroup Analysis in Comparison to Without Nasal Allergen Challenge      56  
Figure 14. Median PD Responses (SBP Change From Baseline) in Subjects With Allergic Rhinitis Following Nasal Allergen Challenge by Nasal Congestion Score Subgroup Analysis      58  
Figure 15. Epinephrine Geometric Mean (±Standard Error) Plasma Concentration-Time Profiles Following a Single Dose of ARS-1 (Self-Administered), Adrenalin 0.3 mg (Staff-Administered) and Single Dose of ARS-1 (Staff-Administered From EPI 15)      60  
Figure 16. Epinephrine Geometric Mean (±Standard Error) Plasma Concentration-Time Profiles Following a Self-Administered Single Dose of ARS-1 2 mg by Administration Issue (EPI 17)      62  

 

4


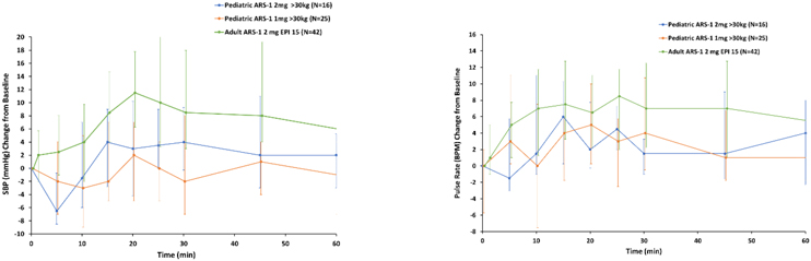
Figure 17. Epinephrine Geometric Mean (±Standard Error) Plasma Concentration-Time Profiles Following a Single Dose of ARS-1 (1 mg or 2 mg) in Pediatric Subjects ≥30 kg and a Single Dose of ARS-1 (2 mg) in Adult Healthy Subjects From Study EPI 15      63  
Figure 18. Median PD Responses (SBP and PR Change From Baseline) Following a Single Dose of ARS-1 (1 mg or 2 mg) in Pediatric Subjects ≥30 kg and a Single Dose of ARS-1 (2 mg) in Adult Healthy Subjects From Study EPI 15      64  
Figure 19. Carton (Top); Blister Pack With QRG Printed on Back and Nasal Spray Device (Middle); IFU (Bottom)      78  
Figure 20. QRG Evaluated in HFVS #1 (Left); Revised QRG (Right)      80  
Figure 21. IFU Evaluated in HFVS #1      81  
Figure 22. Revised IFU      82  

 

5


Glossary

 

AC    Advisory Committee
AUC    area under the concentration-time curve
BP    blood pressure
Cmax    maximum plasma concentration
DBP    diastolic blood pressure
FDA    Food and Drug Administration
HF    human factors
HFVS    human factors validation study
HR    heart rate
IFU    Instructions for Use
IM    intramuscular
IN    intranasal
IV    intravenous
NDA    new drug application
PD    pharmacodynamic
PK    pharmacokinetic
PR    pulse rate
QRG    quick reference guide
SBP    systolic blood pressure
Tmax    time to maximum plasma concentration
URRA    use-related risk analysis

 

6


                  

1   Executive Summary/Draft Points for Consideration by the Advisory Committee

 

1.1  Purpose/Objective of the AC Meeting

 

The FDA is convening this Advisory Committee (AC) meeting to discuss whether the available data for ARS-1, intranasal (IN) epinephrine, support a favorable benefit-risk assessment “for the emergency treatment of allergic reactions (Type I) including anaphylaxis in adults and children ≥30 kg.” The development program is based upon pharmacokinetic (PK)/pharmacodynamic (PD) data comparing ARS-1 to approved epinephrine injection products, as well as human factors (HF) studies. Since there are no clinical efficacy data for anaphylaxis treatment in the ARS-1 development program, there are several key issues for discussion:

 

1.  Whether PK/PD data for IN epinephrine, compared to epinephrine injection, are sufficient to establish the efficacy and safety of IN epinephrine; and

 

2.  whether the available PK/PD data for ARS-1 are sufficiently similar to epinephrine injection to establish efficacy of ARS-1 for the proposed indication; and

 

3.  whether the data from the ARS-1 development program supports a favorable benefit-risk assessment for the proposed indication.

 

1.2  Context for Issues to Be Discussed at the AC

 

Anaphylaxis is a severe, potentially fatal, systemic allergic reaction that occurs suddenly after contact with an allergy-causing substance (Sampson et al. 2006). Symptoms and signs develop rapidly, usually in minutes, and include hives, swelling, vomiting, difficulty breathing, and hypotension. Epinephrine injection is considered first-line standard of care by national and international guidelines and is the only life-saving treatment for anaphylaxis. Administration of epinephrine injection may be delayed or underused in the setting of anaphylaxis for a variety of reasons, including not recognizing anaphylaxis, lack of access (e.g. procurement challenges or not carrying), fear of using a needle containing device, and lack of knowledge as to how to administer the device (Prince et al. 2018). Development of alternative, non-injectable routes for epinephrine administration may improve compliance with treatment recommendations and address an unmet need.

 

ARS Pharmaceuticals submitted a new drug application (NDA) for IN epinephrine (ARS-1) for the emergency treatment of allergic reactions (Type I) including anaphylaxis in adults and children ≥30 kg. ARS-1 is a single-dose (2 mg), IN epinephrine spray that has a permeant to enhance absorption of epinephrine. The solution is packaged into a nasal spray device; the device used is the same nasal spray device used for IN naloxone for the treatment of opioid overdose, as well as other approved nasal sprays. The proposed dose is 2 mg administered as one spray (100 µL) into one nostril for children and adults weighing ≥30 kg; if symptoms progress after 10 min or any error occurs in administering ARS-1, the Applicant recommends administration of a second dose with a new device. In the remainder of this document, we refer to the 2 mg IN epinephrine product as ARS-1, unless otherwise specified.

 

The use of epinephrine injection for the treatment of anaphylaxis is based on historical and anecdotal use; adequate and well-controlled clinicals trials have not been conducted. Given feasibility constraints of conducting clinical efficacy trials for the anaphylaxis indication, the ARS-1 development program consists of PK/PD and HF studies. Support for the efficacy of ARS-1 is based on PK/PD similarity of ARS-1

                  

 

7


 

to approved epinephrine injection products. Establishing efficacy based on PK/PD similarity to approved epinephrine injection products is challenging due to the paucity and variability of PK/PD data for epinephrine injection and uncertainties in translating PK/PD results of a topically administered drug from healthy subjects to patients with anaphylaxis where nasal mucosal changes may impact absorption.

 

 

 

LOGO

 

LOGO

 

 

ARS Comment 1:

 

In Section 1.3.1, FDA comments that “ultimately, the Applicant and FDA designed a clinical pharmacology program that may provide scientific bridging/justification to establish efficacy and safety for ARS-1 for emergency treatment of allergic reactions (type I) including anaphylaxis.”

 

This jointly developed program is described in Table 2: ARS-1 Clinical Pharmacology Development Program below in that same Section 1.3.1. Here FDA states that “Given the variability in PK profiles across epinephrine injection products, the Applicant and FDA agreed to a bracketed approach in which the PK profile for ARS-1 would be bracketed between two different approved epinephrine injection products with different delivery systems (i.e., needle-syringe and autoinjector).”

 

FDA commented below on the need for a “a high level of confidence in both PK and PD results.”

 

 

        

 

 

 

 

 

Based on the severity of the indication and the availability of approved safe and effective products, we need to have confidence that efficacy and safety of epinephrine administered by this novel route of administration have been established; residual uncertainties should be minimized. A high level of confidence in both PK and PD results and confidence in bridging the PK/PD findings to clinical efficacy in the setting of anaphylaxis are expected to support a favorable benefit-risk assessment. Throughout this briefing document, areas of uncertainty in the data will be highlighted for consideration by the AC.

 

1.3  Brief Description of Issues for Discussion at the AC

 

1.3.1   Key Aspects of Development Program of ARS-1

 

 
  ARS initiated discussions with the Division regarding their ARS-1 development program in 2018. ARS proposed a development program based upon PK/PD and safety data, comparing ARS-1 to approved epinephrine injection products; clinical efficacy trials were not included in the development program given the feasibility constraints of conducting such trials in anaphylaxis. ARS and the Division discussed clinical efficacy trial scenarios (see Section 2.2.2.2), all of which had limitations. While the Division recognized the challenges of conducting a clinical trial, it had concerns regarding the sufficiency of PK/PD data to support an anaphylaxis indication, and whether data from healthy volunteers would be similar in patients during an anaphylaxis episode. Ultimately, the Applicant and FDA designed a clinical pharmacology program that may provide scientific bridging/justification to establish efficacy and safety for ARS-1 for the emergency treatment of allergic reactions (Type I) including anaphylaxis, as outlined in Table 1. Throughout the interactions with ARS, the Division noted areas of uncertainty with a PK/PD approach that would need discussion with an FDA AC panel. Each clinical pharmacology study was designed and conducted to address specific questions, as outlined below.  

LOGO

 

 

 

Table 1. Intranasal Epinephrine PK/PD Development Program

 

Table 2. ARS-1 Clinical Pharmacology Development Plan

 

 

8


LOGO

 

   

PK/PD/Safety Trial

   Purpose  

                

    Dose ranging (, 11b, )    Determine an appropriate intranasal epinephrine dose compared to epinephrine injection based on PK similarity.  
 
1. FDA Errata to Briefing Document      PK matching (EPI 15)    Bracket the single-dose PK profile of intranasal epinephrine with epinephrine injection products with support of comparable safety and PD profiles.  
   

Second dose (EPI 15)

   Assess the PK/PD and safety of two doses of intranasal epinephrine compared to two doses of epinephrine injection.  
   

Nasal allergen challenge (EPI 16)

   Assess the effect of nasal congestion on the PK/PD and safety of intranasal epinephrine compared to epinephrine injection.  
   

PK/PD/Safety Trial

   Purpose  
    Self-administration (EPI 17)    Assess if self-administration of intranasal epinephrine spray changes the PK/PD and safety compared to epinephrine injection (staff-administered).  
    Pediatric PK (EPI 10)    Assess the PK/PD and safety of various doses of intranasal epinephrine in pediatric allergy subjects.  
 

Source: Clinical and clinical pharmacology reviewers

Abbreviations: PD, pharmacodynamics; PK, pharmacokinetics

 

The available data (or lack thereof) for epinephrine injection products introduces complexities to interpretation and design of clinical pharmacology studies to establish efficacy and safety for noninjectable routes of administration for epinephrine. Some of the issues are outlined below:

 

•   Limited Data on Approved Epinephrine Injection Products

 
 

 

Epinephrine injection was in use prior to passage of the Federal Food, Drug, and Cosmetic Act of 1938, which required demonstration of safety, and was not included in the Drug Efficacy Study Implementation determinations to evaluate effectiveness of products approved from 1938 to 1962. Data from PK and randomized controlled trials were not required for approval of epinephrine injection products. In addition, more recent epinephrine injection product approvals have been based on chemistry and manufacturing data; PK/PD data were not required.

 

As a result, there is a paucity of PK data for epinephrine injection products, PK endpoints critical to establish efficacy have not been determined (see Section 2.2.1 for further details), and the approved doses of epinephrine have not been validated by dedicated clinical efficacy trials. Whether there is a safe and effective dose above or below the accepted 0.01 mg/kg is unknown.

 

 

LOGO

 

LOGO

      

 

ARS Comment 2:

 

There are numerous approved epinephrine products, which were approved without PK data, as listed in Table 3. As FDA comments later in Section 1.3.1, it is therefore important in cases where there is uncertainty about PK to consider “PD data as supportive” information in evaluating the efficacy of ARS-1.

 

                  

 

 

•   PK Variability and Comparators Selection

 

The PK data generated from the ARS-1 development program demonstrates that there is substantial variability in PK profiles with epinephrine injection products, despite being administered via the same route. This variability raises questions about which approved epinephrine injection product(s) should be used as the comparator(s) and which PK endpoints (e.g., maximum plasma concentration (Cmax), time to maximum plasma concentration (Tmax), area under the concentration-time curve [AUC]) are most critical to ensure efficacy. Given the variability in PK profiles across epinephrine injection products, the Applicant and FDA agreed to a bracketed approach in which the PK profile for ARS-1 would be bracketed between two different approved epinephrine injection products with

 

 

 

LOGO

 

9


                   

different delivery systems (i.e., needle-syringe and autoinjector).

 

•   Dose Selection

 

ARS conducted an initial dose ranging program, using a crossover design, which was complicated (as described in Section 2.2.2) by the discovery of a carryover effect with IN epinephrine; the carryover effect refers to increased absorption of IN epinephrine following an initial dose, possibly related to mucosal changes from the initial dose. Because of the carryover effect, the Applicant repeated ARS-1 dose exploration. In the pivotal dose ranging study (EPI 11b), doses up to 2 mg were studied. ARS selected the 2 mg dose and FDA agreed to this dose, but we note that higher doses were not studied.

 

•   PK/PD Discrepancy

 

During development, a discrepancy between PK and PD (i.e., systolic blood pressure [SBP], diastolic blood pressure [DBP], pulse rate [PR]) was noted that raised questions as to how to weigh PD versus PK in assessment of efficacy. The PD data generated from the ARS-1 development program demonstrated that there was not a consistent correlation between PK and PD at the individual level and that the PK/PD relationship is generally weak at the population level. In addition, different trends of PK and PD comparison results were observed between ARS-1 and EpiPen without a clear mechanism to explain this discrepancy. Taking this into account, along with high inter-subject variabilities of PD and concerns with translatability of the PD response from healthy subjects to patients with anaphylaxis, using PD to support bridging of ARS-1 to the approved injection products became uncertain and adds another complexity to the development program. Because of this, we focused on the PK data and viewed the PD data as supportive.

 

 

 

LOGO

 

10


LOGO  

 

ARS Comment 3:

 

FDA comments on a perceived discrepancy between PK and PD in this Briefing Document.

 

FDA clarifies in its Addendum to the Briefing Document that they “acknowledge that in the literature and in general, epinephrine PK and PD are generally aligned (i.e. when epinephrine PK is higher, the PD response (systolic blood pressure (SBP) and pulse rate (PR) is higher as well), especially following the intravenous infusion route. We also acknowledge that for ARS-1 this same general alignment was demonstrated, especially under normal nasal condition.”

 

FDA elaborates in the Addendum to the Briefing Document that “When we refer to PK/PD discrepancy in the FDA Briefing Document, we refer to the differences in the PK/PD relationship between epinephrine products. The degree of PK and PD correlation varies. For example, the PK/PD relationship observed for ARS-1 is different from that of epinephrine injection products. ARS-1 generally has a lower epinephrine PK profile than EpiPen, but with a generally higher/more sustained PD (SBP/PR) response under normal nasal conditions.”

 

FDA comments in Section 2.1.1 that “epinephrine causes vasoconstriction, relaxation of airway smooth muscle, and increased rate of force of cardiac contractions, leading to decreased mucosal edema, bronchodilation, and increased cardiac output.” Therefore, in situations when it is not known whether PK thresholds have been met at certain time points, PD ought to be highly relevant and supportive in the assessment of efficacy, which FDA notes is “generally higher/more sustained PD (SBP/PR) response under normal nasal conditions.” In Section 3.1.2.25 PK/PD Summary in Healthy Volunteers, FDA states that “in general the PD comparison results support the PK bracketing.” approach for the ARS-1 drug development program.”

 

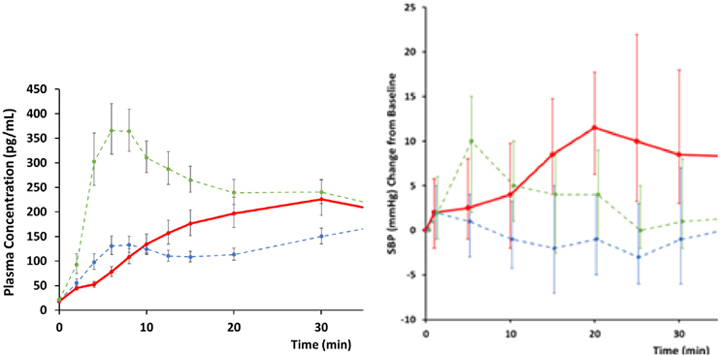
The positive PK/PD relationships noted by FDA can be graphically demonstrated when FDA’s Figure 1 and Figure 7 in this briefing document are viewed side by side, where even without the support of statistical analysis, SBP and HR for ARS-1 in the first 30 min postdose increase linearly with concentration, and are more robust than the injection products.

 

For clarity, below is the first 30 minutes post dose of epinephrine concentration from Figure 1 in Section 1.3.2.1 and SBP change from baseline values in Figure 7 in Section 3.1.2.2.2. Please note that ARS-1 is the red line, Adrenalin is the blue line and EpiPen is the green line.

 

                  

 

11


                  

 

ARS Comment 3 (continued):

 

LOGO

                   
                  

 

Source: Clinical Pharmacology Reviewer. Based on adxd.xpt of Study EPI 15.

One subject each from the Adrenalin and EpiPen arms was excluded due to an insufficient number of postdose samples (N<3) within 30 min.

Subjects who were included in the PK analysis were included in the PD analysis.

Error bars represent 25% and 75% percentile of the PD values.

 

In Section 2.1.3 FDA observes that “Epinephrine exerts a concentration-dependent effect on PD (vital signs) responses following continuous IV infusion” and “there was an approximate linear relationship between real-time epinephrine concentrations and change from baseline values for SBP (increase), DBP (decrease), and HR (increase).”

 

FDA itself concluded on Page 5 of a 2012 clinical pharmacology review for epinephrine injection that “systemic vascular resistance and diastolic blood pressure [DBP] are shown to decrease due to action of epinephrine on ß2-receptors causing peripheral vasodilation.”

 

https://www.accessdata.fda.gov/drugsatfda_docs/nda/2014/205029Orig1s000ClinPharmR.pdf

 

Therefore, DBP is observed to decline with injection. FDA comments in Section 3.1.2.2.2 that “a more stable DBP time profile was observed following ARS-1 when compared to apparent declination profiles from both injection products.” As a result, there is a weak correlation for DBP and epinephrine concentrations with respect to ARS-1.

 

The mechanism for this different PK/PD relationship with respect to DBP for ARS-1 vs. injection products is described in a April 2023 peer-reviewed publication and in the ARS-1 NDA (www.annallergy.org/article/S1081-1206(22)01904-4/fulltext), where intranasal administration of “bypasses the ß2-mediated vasodilatation in the skeletal muscle” that results in a DBP drop, as observed with injection into the skeletal muscle of the thigh with EpiPen and Adrenalin. This DBP drop suppresses SBP, and is not observed with ARS-1, which is why ARS-1 has a higher and more robust SBP response than injection products.

 

                   

 

12


 

•  Impact of IN Epinephrine on Absorption

 

Topical administration of epinephrine causes constriction of local blood vessels, which has the potential to change the absorption of epinephrine in the nasal mucosa and impact systemic plasma concentrations. This may be particularly important to consider when a second dose of epinephrine is needed. Therefore, FDA requested the Applicant evaluate the epinephrine PK/PD profiles following a second dose in a repeat-dose study.

 

•  Impact of Anaphylaxis on IN Absorption

 

Rhinitis and nasal congestion can be features of anaphylaxis; alterations of the nasal mucosa (e.g., vasodilation) may affect the local absorption of epinephrine. FDA and the Applicant agreed that nasal allergen challenge of subjects with allergic rhinitis with known allergen sensitization may reasonably mimic the findings that could occur in anaphylaxis. Therefore, FDA requested the Applicant to evaluate epinephrine PK/PD profiles of IN epinephrine under nasal allergen challenge conditions.

 

•  Pediatric Considerations

 

IN administration in younger children introduces anatomical/ontogeny challenges as the size, depth, and surface area of the nasal cavity in this pediatric population are noticeably different from the adults (Likus et al. 2014) and may affect the absorption of IN epinephrine, regardless of body weight-adjustment. Therefore, FDA requested that the Applicant conduct pediatric PK/PD studies to determine appropriate doses for children of different ages and body weights.

 

1.3.2  Key Results

 

The design and conduct of the clinical pharmacology studies are described in the body of this briefing document. Key results from the development program are described below. Detailed results are provided in Section 3.1.2.

 

1.3.2.1  Epinephrine PK/PD Results in Healthy Volunteers

  
 

 

•  The PK profile following a single dose of ARS-1 is reasonably bracketed by Adrenalin 0.3 mg and EpiPen 0.3 mg intramuscular (IM) injection starting 10 min postdose; however, plasma epinephrine concentration in the first 10 min postdose are lower than both epinephrine injection comparators (Figure 1), likely due to an initial slower absorption rate.

 

Figure 1. Epinephrine Geometric Mean (±Standard Error) Concentration-Time Profile Following a Single Dose of ARS-1 (2 mg) vs. a Single Dose of Intramuscular Injection Using Adrenalin 0.3 mg or EpiPen 0.3 mg in Healthy Subjects

 

LOGO

  

 

LOGO

 

13


  

Source: Clinical Pharmacology Reviewer. Based on adpc.xpt of Study EPI 15.

One subject each from the Adrenalin and EpiPen arms was excluded due to an insufficient number of postdose samples (N<3) within 30 min.

 

 
LOGO   

ARS Comment 4:

 

In Figure 1, which is based on EPI-15 in healthy adult subjects, FDA shows one of the many relevant studies ARS has conducted. FDA comments above that “the PK profile following a single dose of ARS-1 is reasonably bracketed by Adrenalin 0.3 mg and EpiPen 0.3 mg intramuscular (IM) injection…” FDA further comments that “plasma epinephrine concentration in the first 10 min postdose are lower than both epinephrine injection comparators (Figure 1), likely due to an initial slower absorption rate.”

 

However, FDA clarifies in its Addendum to the Briefing Document that in the other two primary studies ARS conducted in type I allergy adults subjects that “for completeness, ARS-1 under normal conditions was also compared to Adrenalin in EPI 16 and EPI 17. In EPI 16, the trend for the concentration of epinephrine in the first 10 minutes following ARS-1 in subjects without nasal allergen challenge is not distinctly different compared to Adrenalin 0.3 mg as shown in Figure B and (Figure 11 in the FDA Briefing document).”

 

Figure B. Epinephrine Geometric Mean (±Standard Error) Plasma Concentration-Time Profiles in Subjects With Allergic Rhinitis (EPI 16)

 

LOGO   

 

Source: Clinical Pharmacology Reviewer. Based on adpc.xpt of Study EPI 16.

Three subjects each in the Adrenalin 0.3 mg and Adrenalin 0.5 mg arms and one subject in ARS-1 with nasal challenge arm had insufficient number of quantifiable postdose samples (n<3) within 30 min. Two subjects each in the Adrenalin 0.3 mg, Adrenalin 0.5 mg arm, and the ARS-1 with nasal challenge arm did not have pharmacokinetic data.

 

 

 

14


 

ARS Comment 4 (continued):

 

In FDA’s Addendum to the Briefing Document, FDA also “acknowledges that results from Study EPI17, the self-administration study” in type I allergy patients, “show a different trend – the exposure of ARS-1 is higher than Adrenalin in the first 10 minutes, as shown in Figure 15 to the FDA Briefing Document (and shown below in Figure C). We included the ARS-1 treatment arm from Study EPI 15 for comparison.”

 

Figure C. Epinephrine Geometric Mean (±Standard Error) Plasma Concentration-Time Profiles Following a Single Dose of ARS-1 (Self-Administered), Adrenalin 0.3 mg (Staff-Administered) and Single Dose of ARS-1 (Staff-Administered from EPI 15)

 

LOGO

 

    Source: Clinical Pharmacology Reviewer. Based on adpc.xpt of Study EPI 17 and EPI 15.

 

FDA also states in the Addendum to the Briefing Document that “The difference in trends is likely due to the variability that is seen with Adrenalin across trials. Figure D below shows a cross-study comparison of Adrenalin from various studies versus ARS-1 from EPI 15 and EPI 17.”

 

Figure D. Cross-study Comparison of ARS-1 2 mg and Adrenalin Geometric Mean Concentration-Time Profiles

 

LOGO

  

 

15


 

ARS Comment 4 (continued):

 

In FDA’s Addendum to the Briefing Document, FDA states that “As shown in Figure D, the ARS-1 curves from EPI 15 and EPI 17 are similar, but the PK curve of Adrenalin in EPI 15 is higher than the PK curve of Adrenalin in EPI 17. FDA acknowledges that the differences seen in the first 10 minutes between EPI 15 and EPI 17 is mostly due to Adrenalin PK variability.”

 

Indeed, FDA’s Figure D above shows that the ARS-1 PK curve from EPI 15 and EPI 17 is generally higher during the first 10 minutes for the Adrenalin PK curves from four of five studies that ARS has conducted using the same analytical methods and study protocols.

 

Statistical analysis of the absolute geometric mean concentrations in the first 10 minutes within each individual study demonstrates that ARS-1’s PK is:

 

i)   Significantly higher than Adrenalin from timepoints 2, 4 and 6 minutes in EPI-17 type I allergy patients, no different than Adrenalin at timepoints 8 to 12.5 minutes (and significantly higher than Adrenalin after 15 minutes)

 

ii)  No different from Adrenalin at all time points in first 10 minutes in EPI-16 type I allergic rhinitis patients (and significantly higher than Adrenalin after 15 minutes)

 

iii)   No different from Adrenalin except for time points 4 and 6 minutes in EPI-15 healthy subjects (and significantly higher than Adrenalin after 12.5 minutes)

 

In addition, with respect to bracketing, the geometric mean partial AUC(0-10) values are greater or not statistically different from Adrenalin even respect to the EPI-15 study. In fact, all three studies (EPI-15, EPI-16 and EPI-17) are bracketed based on statistical analysis, wherein minimum early exposures are greater than or not statistically different from Adrenalin, and maximum early exposures are less than EpiPen, and overall exposure AUC(0-t) are less than 0.5 mg IM.

 

 
 

  The PK profile of epinephrine following repeat doses (two doses administered 10 min apart) of ARS-1 is similar to the PK profile following repeat doses of EpiPen, starting 20 min postdose (Figure 8); however, in the first 20 min postdose, plasma epinephrine concentrations are lower for ARS-1, compared to EpiPen. This further implicates a slower initial absorption rate compared to that of EpiPen.

 

 

LOGO

 

16


LOGO  

 

ARS Comment 5:

 

FDA’s comment highlighted above supports that ARS-1 is bracketed by EpiPen as the upper bracket agreed with FDA during the development program. As FDA explains in its Addendum to the Briefing Document during a pre-NDA meeting, “ARS showed PK results from doses of ARS-1 ranging from 1 to 2 mg. Based upon these results, the FDA did caution ARS about safety concerns with higher doses given that the AUC0-t with the 2 mg dose of ARS-1 was higher than EpiPen.” We note that ARS-1 exposures are not expected to be higher than EpiPen during the first 20 min post dose.

 

Figure 15 referenced in ARS Comment 5 shows that ARS-1 2 mg PK levels are higher than Adrenalin 0.3 mg at all time points” including the first 10 minutes. Figure 8 shown below from Section 3.1.2.3 Repeat-Dose PK Results of the FDA briefing book also shows that a repeat dose of ARS-1 2 mg gives an even higher exposure than those observed in Figure 15, as expected.

 

Figure 8. Epinephrine Geometric Mean (±Standard Error) Concentration-Time Profile Following Two Doses of ARS-1 Given in Same Naris (R/R) or Opposite Naris (L/R) vs. Two Doses of Intramuscular Injection Using EpiPen 0.3 mg in Healthy Subjects

 

LOGO

 

Source: Clinical Pharmacology Reviewer. Based on adpc.xpt of Study EPI 15. One subject each in the ARS-1 (R/R) and ARS-1 (L/R) from EPI15 Part 2 were excluded due to insufficient number of postdose samples (n<3) within 30 min. Three subjects each in the ARS-1 (R/R) and ARS-1 (L/R) arms discontinued early and did not have PK data.

Abbreviations: L, left; PK, pharmacokinetics; R, right; RD, repeat doses

 

  

Higher PD responses (median SBP and PR change from baseline) are observed with both single-dose and repeat-dose ARS-1, in comparison to both Adrenalin and EpiPen, despite the ARS-1 PK profile being lower than that of EpiPen (see Sections 3.1.2.2.2 and 3.1.2.2.4 for more details).

   LOGO

 

17


LOGO

  

 

ARS Comment 6:

 

ARS Pharma agrees with this statement. To the extent that FDA notes in one study that “plasma epinephrine concentration in the first 10 min postdose are lower than both epinephrine injection comparators,” the PD response is higher than Adrenalin 0.3 mg at all time points, including the first 10 minutes. See ARS Comment 3 for the mechanistic explanation.

 

Related to Figure 7 from Section 3.1.2.2.2 Single-Dose PD Results in this briefing document, FDA states that the “magnitudes of SBP and PR responses are generally higher for ARS-1 compared to both injection products” and a “more stable DBP time profile was observed following ARS-1.” The PD response of (SBP, PR and DBP) ARS-1 2 mg (red line) are above Adrenalin 0.3 mg (blue line), including in the first 10 minutes.

 

Figure 7. Median PD Responses (SBP, PR, and DBP Change from Baseline) Following a Single Dose of ARS-1, Adrenalin 0.3 mg, or EpiPen 0.3 mg in Healthy Subjects

 

LOGO

 

Source: Clinical Pharmacology Reviewer. Based on adxd.xpt of Study EPI 15. Subjects who were included in the PK analysis were included in the PD analysis.

Error bars represent 25% and 75% percentile of the PD values.

Abbreviations: DBP, diastolic blood pressure; PD, pharmacodynamics; PK, pharmacokinetics; PR, pulse rate; SBP, systolic blood pressure

 

  
  

•   Pediatric subjects who weighed greater than 30 kg and were treated with ARS-1 had similar epinephrine PK profiles compared to that of adults treated with the same dose for the first 15

  

 

18


 

minutes; after 15 minutes the PK curve in pediatric subjects was higher. Conversely, the pediatric PD responses (SBP and PR change from baseline) were slightly lower compared to adults (see Section 3.1.3 for more details).

 

1.3.2.2 Epinephrine PK/PD Results in Adults with Allergen-Induced Nasal Congestion

 

•  Under nasal allergen challenge conditions, the ARS-1 epinephrine plasma concentration-time profile was characterized with an initial faster absorption, followed by a faster decline, resulting in a lack of PK sustainability starting about 10 min postdose compared to ARS-1 PK under normal nasal conditions (Figure 2) and 20 min postdose compared to epinephrine injection.

 

 

LOGO

 

 

LOGO

 

ARS Comment 7:

 

FDA comments that there is “a lack of PK sustainability starting about 10 min postdose compared to ARS-1 PK under normal nasal conditions and 20 min postdose compared to epinephrine injection.” FDA comments later in Section 2.2.1.2. Approved Epinephrine Dosing, that with respect to epinephrine injection, “dosing can be repeated with severe persistent anaphylaxis, with national and international guidelines recommending dosing every 5 to 15 mins” if clinical response is not observed.

 

Therefore, ARS-1 during nasal challenge is sustaining PK greater than that of epinephrine injection during the first 20 min post dose (covering the time period when clinical response is observed), as observed in Figure 2 below.

 

 
 

 

Figure 2. Epinephrine Geometric Mean (±Standard Error) Plasma Concentration-Time Profiles in Subjects With Allergic Rhinitis

 

LOGO

 

Source: Clinical Pharmacology Reviewer. Based on adpc.xpt of Study EPI16.

Three subjects in the adrenalin 0.3 mg arm and one subject in the ARS-1 with nasal challenge arm had an insufficient number of postdose samples (n<3) within 30 min. Two subjects in the adrenalin 0.3 mg arm, five subjects in the adrenalin 0.5 mg arm, and two subjects in the ARS-1 with nasal challenge arm did not have PK data.

 

 

19


 

Abbreviation: PK, pharmacokinetics

 

•  Under nasal allergen challenge conditions, the trend of PD responses was similar to PK responses. Faster PD responses (SBP and PR change from baseline) were followed by a rapid reduction starting 5 to 15 min postdose compared to responses under normal nasal conditions (see Section 3.1.2.3.2 for more details). The lack of epinephrine PK/PD sustainability under nasal allergen challenge conditions raises concerns for durability of effect, and the need for a repeat dose, in patients with anaphylaxis who experience nasal edema. Since repeat dose studies have not been performed under nasal allergen challenge conditions, and proposed labeling includes repeating a dose if symptoms persist, there is residual uncertainty in the PK/PD response following a repeat dose. Additional data may be needed to assess this decrease in exposure; options include a repeat dose nasal allergen challenge PK/PD study and/or exploration of a higher dose.

 

  

 

LOGO

 

LOGO

 

 

ARS Comment 8:

 

FDA comments above based on Figure 12 from Section 3.1.2.3.2 PD Data in Allergen-Induced Nasal Congestion, which is copy and pasted below. However, Figure 12 also shows that the median SBP change from baseline and median PR change from baseline for ARS-1 2 mg with challenge (red line with error bars) overlaps with Adrenalin 0.3 mg (light dotted blue line with error bars) for the entire 60-minute period postdose with respect to SBP, and for at least the first 30 minutes postdose with respect to PR.

 

Therefore, durability of PK/PD is not of concern as PD is higher than Adrenalin 0.3 mg, and a repeat dose nasal allergen challenge PK/PD study or higher dose should not be necessary for approval.

 

Figure 12. Median PD Responses (SBP and PR Changes From Baseline) in Subjects With Allergic Rhinitis

 

LOGO     LOGO

 

Source: Clinical Pharmacology Reviewer. Based on adxd.xpt

of Study EPI 16. Subjects who were included in the PK

analysis were included in the PD analysis. Error bars

represent 25% and 75% percentile of the PD values.

Abbreviations: PD, pharmacodynamics; PK, pharmacokinetics; PR, pulse rate; SBP, systolic blood pressure

 

  

 

20


 

1.4  Summary and Draft Points for Consideration

 

There is no regulatory precedent for approval of a noninjectable epinephrine product for treatment of anaphylaxis. Given that ARS-1 is proposed for emergency treatment and that clinical efficacy data are not available, we expect the available comparative PK/PD data to be robust to support approval, and that residual uncertainties regarding efficacy and safety are minimized. We also expect that potential risks of treatment are adequately studied to factor into assessment of benefit-risk. We ask the panel to consider the available clinical pharmacology (PK/PD) and safety data from the ARS-1 program and whether the data are sufficiently robust to support a favorable benefit-risk assessment of ARS-1 for the emergency treatment of anaphylaxis. If the available data are not sufficient, we ask the committee to discuss additional data that would be necessary to support a favorable benefit-risk assessment, including additional dose-ranging studies, repeat dose studies in the nasal allergen challenge model, or clinical efficacy data. Below are the topics and questions for consideration.

  

 

21


 

        

 

Thank you for your participation in this AC meeting.

 

   Discuss the PK/PD approach for establishing efficacy for ARS-1, specifically: The PK-bracketing approach using approved epinephrine injection products.

 

The relevant PK/PD parameters to support clinical efficacy for the intended indication, including the significance of the following findings:

 

 

 

        

 

          

   The lower concentration of epinephrine in the first 10 min following single-dose ARS-1 IN administration compared to epinephrine injection products.

   The diminished PK/PD sustainability in subjects with allergen-induced nasal congestion.

 

  LOGO

 

LOGO  

 

ARS Comment 9:

 

See Figure 15 and Figure 7, and ARS Comments 4, 5, 6, 7 and 8.

 

 

 

        

 

 

        

 

The uncertainty of translation of PK/PD results from healthy subjects to patients with anaphylaxis, or whether clinical data are needed.

 

   Do the PK/PD results support a favorable benefit-risk assessment for ARS-1 in adults ≥30 kg for the emergency treatment of allergic reactions and anaphylaxis? If not, what additional data are needed?

 

   Do the data support a favorable benefit-risk assessment for ARS-1 in children (<18 years of age) ≥30 kg for the emergency treatment of allergic reactions and anaphylaxis? If not, what additional data are needed?

 

2   Introduction and Background

 

2.1   Background of the Condition/Standard of Clinical Care

 

2.1.1   Analysis of the Condition

 

Anaphylaxis is a severe, potentially fatal, systemic allergic reaction that occurs suddenly, usually after contact with an allergy-causing substance in a sensitized individual (Sampson et al. 2006). Anaphylaxis is a complex condition and presenting symptoms can be varied and progression can be unpredictable. Typical symptoms include, but are not limited to, hives, swelling, vomiting, difficulty breathing, and hypotension. Common triggers of anaphylaxis include food, drugs, and Hymenoptera venom, but idiopathic cases have also been described in which no trigger is identified.

 

The lifetime prevalence of anaphylaxis is estimated to range from 1.6% to 5.1% (Shaker et al. 2020). An estimated 1% of hospitalizations and 0.1% of emergency department admissions for anaphylaxis result in a fatal outcome (Turner et al. 2017). Fatal anaphylaxis, although rare, usually occurs within 60 min of exposure to an allergenic substance, and most frequently within 5 to 35 min of exposure (Pumphrey 2000). Although fatal anaphylaxis is rare, the number of people who are at risk for anaphylaxis, such as those who have food allergy, venom allergy, and drug allergy, among others, is common. Systemic reactions to Hymenoptera venom affect around 3% of the U.S. population, while food allergy impacts approximately 10% of the U.S. population, and adverse drug reactions (not limited to hypersensitivity reactions) affect up to 10% of the population. In a review of International Classification of Diseases, 10th Edition codes from a U.S. National Morality Database (1999 to 2010), 2458 fatal anaphylaxis cases were coded leading to an estimated prevalence of fatal anaphylaxis of 0.69 per million (approximately 232 deaths/year based on the U.S. population) (Jerschow et al. 2014).

 

Epinephrine is the first-line and only life-saving treatment for anaphylaxis. The use of epinephrine for the treatment of anaphylaxis is based on historical and anecdotal use (Section 2.2.1) and is considered

 

 

        

 

22


 

        

 

the standard of care by national and international guidelines. Epinephrine is a direct-acting, nonselective, sympathomimetic, alpha and beta-adrenergic agonist that, at high plasma and tissue concentrations, can correct the pathophysiologic conditions of anaphylaxis within minutes (Brown et al. 2020). Epinephrine causes vasoconstriction, relaxation of airway smooth muscle , and increased rate and force of cardiac contractions, leading to decreased mucosal edema, bronchodilation, and increased cardiac output (Simons and Simons 2010). In addition, epinephrine has been shown to prevent additional release of histamine, tryptase, and other mediators, preventing escalation of anaphylaxis (Sampson et al. 2006). Epinephrine can be administered intramuscularly, subcutaneously, or intravenously. Intravenous (IV) infusion or bolus administration of epinephrine is generally limited to situations where patients do not respond to IM injections of epinephrine and is only administered in a monitored hospital setting where dosing can be titrated with continuous hemodynamic monitoring (Kanwar et al. 2010). For purposes of discussion, in the remainder of this document we will focus solely on the IM/subcutaneous route of administration, given this is the route approved for community use (administered by individuals without medical training in community settings without the need for additional supplies or assembly before use).

 

2.1.2   Barriers to Use of Epinephrine Injection Products

 

Although epinephrine is the first-line treatment for anaphylaxis, underuse and delayed use of epinephrine are common. Review of epinephrine for treatment of anaphylaxis across multiple countries demonstrated varying use from 14% to 56% of anaphylaxis patients receiving epinephrine (Lieberman and Wang 2020). The reasons for this underuse include:

 

1.  Not recognizing anaphylaxis: Patients, caregivers, and healthcare providers may not recognize signs and symptoms of anaphylaxis. Education on anaphylaxis, however, does not fully explain the lack of epinephrine use. In one Emergency Department study in Minnesota, despite education on signs of anaphylaxis and epinephrine use to Emergency Department staff members, actual real-world epinephrine use in the Emergency Department only increased from 33% to 51% for those who required epinephrine despite having the education and access to epinephrine (Manivannan et al. 2014).

 

2.  Lack of access to epinephrine: In the United States, high cost, supply chain, and injection device issues lead to issues with procurement (Westermann-Clark et al. 2018; FDA 2022a).

 

3.  Failure to carry epinephrine: Studies have shown that many patients do not fill epinephrine prescriptions or fail to carry epinephrine with them at all times (Warren et al. 2018). Studies attempting to increase epinephrine carriage with text reminders and financial incentives found these attempts did not lead to a robust increase in the overall carriage rate (Spina et al. 2012; Cannuscio et al. 2015).

 

4.  Having epinephrine, but failing to use it: Although this issue is less common than not having an epinephrine injection product during a reaction, some patients, despite carrying the epinephrine injection product, fail to use it during a reaction. Studies found that the patient or caregiver did not administer epinephrine as they 1) did not believe the reaction was serious, 2) did not understand how to use the device, and/or 3) had a fear of using the device (Fleischer et al. 2012; Warren et al. 2018).

 

A needleless route of epinephrine administration may ameliorate some of the factors contributing to underuse and delayed administration, but as outlined above, the reasons for underuse and delayed administration of epinephrine are complex and multifactorial.

 

 

        

 

23


LOGO

 

 

2.1.3   Pharmacology of Epinephrine from the Literature

 

The majority of available epinephrine PK/PD data is derived from healthy volunteers; epinephrine PK/PD data in patients with anaphylaxis is limited. Highlights from the epinephrine PK/PD literature are summarized below to assist with AC’s review.

 

Mechanism of Action

 

Epinephrine is an endogenous, sympathetic catecholamine neurotransmitter that nonselectively activates adrenergic receptors. The two major classes of adrenergic receptors are alpha- and beta-adrenergic receptors and they are differentially expressed in various tissues. Alpha-1 receptors are located in vascular (especially pre-capillary arterioles) smooth muscle and are responsible for vasoconstriction when activated. Alpha-2 receptors are involved in autoregulation of norepinephrine release and are located in multiple nerve endings and in the central nervous system. Beta-1 receptors are mainly located in the heart and activation increases cardiac inotropy (i.e., force of contractility). Beta-2 receptors are located in cardiac muscle, airway smooth muscle, and skeletal muscle arteries;

 
  activation of beta-2 receptors leads to increases cardiac chronotropy (i.e., heart rate), bronchodilation, and vasodilation in the skeletal muscles (Molinoff 1984; Beliomo 2012).   LOGO

 

 

        

 

Pharmacokinetics of Epinephrine Injection

 

Endogenous plasma epinephrine concentrations fluctuate in healthy subjects, but average levels are approximately 35 pg/mL (Lake et al. 1984), with a plasma half-life in the systemic circulation of about 2 to 3 min. The major metabolizing enzymes for epinephrine are monoamine oxidases and catechol-O-methyltransferase (Ebert 2013).

 

Following intramuscular administration of exogenous epinephrine, plasma epinephrine concentrations demonstrate high inter-subject and intra-subject variability. Using Auvi-Q and EpiPen autoinjectors, the coefficient of variation for the mean Cmax and AUC ranged from 51% to 80%; the Tmax ranged from 5 to 60 min. These results reflect the highly variable nature of epinephrine PK. 1 A second peak of epinephrine plasma concentration was observed in some cases, at approximately 30 min following IM injection; the magnitude of this second peak was at times comparable to that of the first peak, which also contributes to the variability of the Tmax. Although the mechanism underlying this second peak is unclear, it is speculated to be a secondary effect of vasodilation in the skeletal muscle due to stimulation of beta-2 receptors, with resultant increased absorption (Westfall 2011). This unique combination of physiological and pharmacological properties represents a potential advantage of epinephrine administration via IM injection for ensuring that injected epinephrine is rapidly and thoroughly absorbed into the systemic circulation.

 

 

 

LOGO

 

LOGO  

 

ARS Comment 10:

 

FDA correctly observes that when one averages PK values at each time point across a population of subjects receiving epinephrine via injection, there may be an apparent second peak. However, this is due a distribution of primarily single early peaks or single late peaks at the individual subject level.

 

 

 

        

 

 

        

 

 

1 See the FDA Clinical Pharmacology Review for Epinephrine (NDA 201739), available at

https://www.accessdata.fda.gov/drugsatfda docs/nda/2012/201739Orig1s000ClinPharmR.pdf.

 

 

        

 

24


 

        

 

Pharmacodynamics of Epinephrine Injection

 

At therapeutic concentrations, epinephrine injection increases SBP, decreases DBP, reduces peripheral resistance, increases heart rate, increases skeletal muscle blood flow, and decreases cutaneous and renal blood flow in humans (Westfall 2011).

 

Epinephrine exerts a concentration-dependent effect on PD (vital signs) responses following continuous IV infusion. In a study of healthy volunteers receiving sequential fixed rates (0.1, 0.5, 1.0, 2.5, and 5.0 µg/min) of continuous epinephrine IV infusion while in supine posture, there was an approximate linear relationship between the real-time epinephrine plasma concentrations and change from baseline values for SBP (increase), DBP (decrease), and HR (increase).

 

The author suggested several threshold epinephrine plasma concentrations that were required for changes in HR (50 to 100 pg/mL), SBP (75 to 125 pg/mL), and DBP (150 to 200 pg/mL). A simple linear regression model estimated that plasma epinephrine concentrations of approximately 200 pg/mL increased HR by ~10 bpm and SBP by ~10 mmHg. The magnitude of vital sign changes was generally proportional to epinephrine plasma concentration from the threshold of 80 to 200 pg/mL up to approximately 1000 pg/mL (Clutter et al. 1980). The Agency acknowledges that:

 

   There are ranges of threshold concentrations that predict PD responses in this study

 

   Selected epinephrine threshold concentrations may vary due to the high inter-subject variability (including PD responsiveness)

 

   Thresholds may vary by route of administration

 

   The study results were obtained from healthy volunteers; whether those PD changes can be extrapolated to patients experiencing anaphylaxis is unclear (Bautista et al. 2002; Mink et al. 2004)

 

   There is uncertainty in target thresholds that correlate with efficacy for treatment of anaphylaxis.

 

In this review, the Agency adopted 100 and 200 pg/mL as arbitrary threshold concentrations for some analyses (Sections 3.1.2.2.1 and 3.1.2.2.3), however, interpretation of these results should account for the considerations noted above.

 

 

 

LOGO

 

 

LOGO

 

LOGO  

 

ARS Comment 11:

 

FDA comments that 100 pg/mL and 200 pg/mL are “arbitrary threshold concentrations” since the basis is Clutter et al. 1980 – a six subject study in healthy volunteers using continuous slow IV infusion. In contrast, the ARS dataset includes more than 600 subjects (including type I allergy patients) and measured both PK and PD response using the best available current methodologies.

 

In FDA’s Addendum to the Briefing Document, FDA further clarifies that “these thresholds are arbitrary values used for displaying the proportional results. The clinical relevance of this cut off is unknown. We acknowledge that these values are based on data from subjects receiving epinephrine continuous intravenous infusions, which could allow time for compensatory mechanisms to adjust for PR and SBP and may limit the relevance to acute administration of epinephrine.”

 

 

 

        

 

           2.2   Pertinent Drug Development and Regulatory History  

 

        

 

25


 

        

 

 

2.2.1   Epinephrine Regulatory History

 

2.2.1.1   Epinephrine Approval

 

Epinephrine has been marketed in the U.S. since 1901, predating both the original Federal Food and Drugs Act (1906), which prohibited interstate commerce of adulterated or misbranded drugs, and the Federal Food, Drug, and Cosmetic Act of 1938, which required that new drugs be demonstrated to be safe for approval. In 1962, Congress passed the Kefauver-Harris amendment to the Federal Food, Drug, and Cosmetic Act of 1938, adding the new requirement that new drugs be shown to be effective, as well as safe, to obtain approval. This amendment also required FDA to conduct a retrospective evaluation of the effectiveness of drug products that had been approved by the Agency as safe between 1938 and 1962; the Agency’s administrative implementation of the effectiveness evaluations was called the Drug Efficacy Study Implementation process. Since epinephrine had been marketed since 1901, preceding passage of the 1938 Federal Food, Drug, and Cosmetic Act, it was not subject to a Drug Efficacy Study Implementation review.

 

In 1987, EpiPen was approved by FDA based upon literature support for efficacy and safety; clinical trials and PK/PD data were not required. More recent approvals of epinephrine injection products for anaphylaxis have been based on the established efficacy and safety of an FDA approved epinephrine injection product for anaphylaxis (e.g., EpiPen), chemistry/manufacturing/device data, and HF assessments to evaluate the user interface with the drug-device combination. PK and in vivo bioequivalence data were not required for the approval of more recent epinephrine injection products because of similarity of the formulations and route of administration between the new epinephrine injection product and the approved reference epinephrine product. Therefore, approved epinephrine injection products on the market today for the treatment of anaphylaxis were not required to submit bioequivalence or clinical data for approval.

 

Epinephrine is approved in different presentations: autoinjector, prefilled syringe, and as a solution in a vial. The autoinjector and prefilled syringes are for use in the community setting. Adrenalin is approved as a vial presentation of epinephrine for use in a supervised medical setting. The currently approved epinephrine products for the treatment of anaphylaxis are listed in Table 2.

 

 

 

        

 

   

Table 3. Approved Epinephrine Products

   
    Drug Product (Sponsor)    Year of Approval    Dosage Strength      Dosage Form    
 

 

 

EpiPen/EpiPen JR

(Mylan Specialty LP)

   1987   

0.15 mg/injection

0.3 mg/injection

   Single dose, autoinjector
 

 

 

Generic EpiPen/EpiPen JR

(Teva)

   2018   

0.15 mg/injection

0.3 mg/injection

   Single dose, autoinjector
 

 

 

Adrenaclick and Authorized Generic

(Impax Labs, Inc.)

   2003   

0.15 mg/injection

0.3 mg/injection

   Single dose, autoinjector
 

 

 

Auvi-Q

(Kaleo, Inc.)

   2012   

0.1 mg/injection

0.15 mg/injection

0.3 mg/injection

   Single dose, autoinjector
 

 

 

Symjepi

(Adamis Pharms Corp)

   2017   

0.3 mg/0.3 mL

   Single dose, prefilled syringe
 

 

 

Adrenalin and Epinephrine Injection

(Multiple companies)

Medical setting only

   2012   

1 mg base/mL

   Singe use and multidose vial
 

 

 

 

26


           

Source: Clinical and clinical pharmacology reviewers

 

2.2.1.2    Approved Epinephrine Dosing

 

Epinephrine injection (IM or subcutaneous route) is approved for the emergency treatment of anaphylaxis in: 1) unsupervised community settings with fixed doses, and 2) healthcare settings where dosing can be administered at approved fixed doses or as a mg/kg dose, with upper limit doses established (Table 3). Of note, dosing can be repeated with severe persistent anaphylaxis, with national and international guidelines recommending dosing every 5 to 15 mins (Sampson et al. 2006). Although there is limited information regarding the proportion of patients who require a second dose of epinephrine injection, literature reports rates as high as 20% (Boyce et al. 2010).

          

 

        

  

Table 4. Approved Doses of Epinephrine in the Medical and Community Settings

    

 

               

Body Weight

   
      Epinephrine    7.5 kg to 15 kg    15 kg to 30 kg    30 kg           
 

 

 
 

  Medical setting

  

0.01 mg/kg (maximum dose 0.3 mg for subjects 7.5 to 30 kg)

   0.3 to 0.5 mg  
 

  Community setting

   0.1 mg    0.15 mg    0.3 mg  
 

 

 

 

            Source: Prescribing information           

 

           Although the approved fixed doses have been used in the community for decades, the optimal epinephrine dose for treatment of anaphylaxis is unknown. No dose-ranging or clinical efficacy trials have been conducted to support the recommended epinephrine dose for treatment of anaphylaxis (Simons 2011); the weight-based and fixed-dose IM or subcutaneous doses are based on anecdotal clinical experience. Of note, the 0.1 mg dose in children weighing 7.5 to 15 kg was approved based on extrapolated PK results, with reasonable allometric scaling.   LOGO

 

LOGO  

 

ARS Comment 12:

 

FDA acknowledges that although “optimal dose for treatment of anaphylaxis is unknown,” “approved fixed doses have been used in the community for decades.” In Section 2.2.1.1 Epinephrine Approval, FDA states that “more recent approvals of epinephrine injection products have been based on the established efficacy and safety of an FDA approved injection product for anaphylaxis” and that “approved epinephrine injection markets on the market today for the treatment of anaphylaxis were not required to submit bioequivalence or clinical data for approval.”

 

In Section 2.1.3 Pharmacology of Epinephrine from Literature, FDA also states that following intramuscular administration of exogeneous epinephrine, plasma epinephrine concentrations demonstrate high inter-subject and intrasubject variability. Using Auvi-Q and EpiPen autoinjectors, the coefficient of variation for the mean Cmax and AUC ranged from 51% to 80%; the Tmax ranged from 5 to 60 min. These results reflect the highly variable nature of epinephrine PK.” In Section 3.1.2.1 General PK Considerations, FDA states that “there were substantial differences in the shape of the PK profile and values of the PK parameters between different injection products and within the same injection products. These substantial differences were observed within the same study with a crossover design (a design to reduce PK variability).”

 

          

 

27


          

LOGO     ARS Regulatory History

 

2.2.2.1    ARS PK/PD Program Development

 

ARS first engaged FDA about its IN epinephrine program in 2018. ARS proposed a PK/PD development program utilizing a 505(b)(2) regulatory pathway, relying on FDA’s previous finding of safety and effectiveness of an approved epinephrine injection product. The major focus of discussions between FDA and ARS during product development was the scope of the program necessary for ARS to establish a scientific and regulatory bridge to an approved epinephrine injection product. FDA raised concerns regarding reliance solely on PK/PD data. Early discussions included whether the focus should be on PK or PD parameters (discussed in more detail below). There were questions about the most relevant PK parameter(s) to predict efficacy, as well as concerns that changes in the nasal mucosa during anaphylaxis may impact epinephrine absorption. The need for clinical efficacy trials was considered and clinical trial scenarios were discussed, but feasibility concerns were acknowledged (Section 2.2.2.2). Ultimately, the Applicant and FDA agreed on a clinical pharmacology program to provide data to provide a scientific bridge/justification to establish the efficacy and safety for ARS-1 (Table 4). Because of uncertainties with a PK/PD approach, FDA noted that this program would need discussion by an FDA AC.

  LOGO

 

LOGO  

ARS Comment 13:

 

As noted in ARS Comment 1, “Applicant and FDA agreed on a clinical pharmacology program to provide data to provide a scientific bridge/justification to establish the efficacy and safety for ARS-1.”

 

As recorded in ARS Pharma’s pre-NDA meeting minutes, “The FDA stated that the approach to bracket PK from Neffy 2 mg between two approved listed injection products (IM injection with needle-syringe and EpiPen) was acceptable. The FDA clarified that with a bracketing approach, PK/PD and safety would all be reviewed and compared to both IM injection and EpiPen.”

 

In addition, “The FDA stated that they would not be planning to bring ARS’s application to an Advisory Committee if they did not feel the PK/PD data provided by ARS had the potential for approval and confirmed that the PK and PD data provided appears to support that the product should be efficacious and safe to use.”

 

          

 

          

Table 5. ARS-1 Clinical Pharmacology Development Plan

          

 

           PK/PD/Safety Trial    Purpose           
 

 

 
  Dose ranging (EPI 11, 11b, 12)    Determine an appropriate intranasal epinephrine dose compared to epinephrine injection based on PK similarity.  
 

 

 
  PK matching (EPI 15)   

Bracket the single-dose PK profile of intranasal epinephrine with epinephrine

injection products with support of comparable safety and PD profiles.

 
 

 

 
  Second dose (EPI 15)    Assess the PK/PD and safety of two doses of intranasal epinephrine compared to two doses of epinephrine injection.  
 

 

 
  Nasal Allergen challenge (EPI 16)    Assess the effect of nasal congestion on the PK/PD and safety of intranasal epinephrine compared to epinephrine injection.  
 

 

 
  Self-administration (EPI 17)   

Assess if self-administration of intranasal epinephrine spray changes the PK/PD

and safety compared to epinephrine injection (staff-administered).

 
 

 

 

 

28


      
 

 

 
  Pediatric PK (EPI 10)    Assess the PK/PD and safety of various doses of intranasal epinephrine in pediatric allergy subjects.  
 

 

 

 

           

Source: Clinical and clinical pharmacology reviewers

Abbreviations: PD, pharmacodynamics; PK, pharmacokinetics

          

 

           In interactions with the Applicant during the development of ARS-1, FDA identified the following concerns and challenges that ARS would need to address.           

 

LOGO  

Carryover Effect and Dose Selection

 

ARS initially intended to develop a 1 mg epinephrine dose for adults, as a crossover Study, EPI 3, demonstrated that the mean epinephrine PK profile of 1 mg ARS-1 summarized from several IN treatment periods was within the range of PK profiles from two dose levels of Adrenalin (i.e., 0.3 mg and 0.5 mg) IM injection. However, a subsequent analysis indicated that this mean PK profile of 1 mg ARS-1 was inflated because the epinephrine PK profiles for ARS-1 in the later IN treatment periods of EPI 3 were several times higher than the first IN treatment period. Further, this inflated mean PK profile following ARS-1 administration was consistently confirmed in all the previously conducted PK studies with crossover design for the IN treatment periods. Although the cause was unclear, the phenomenon was referred to as a carryover effect. Interestingly, this carryover effect was not immediately observed for the second dose of ARS-1 administered 10 min after the first dose (see Section 3.1.2.2.3), but peaked around 2 days following the previous ARS-1 administration. Therefore, the mean epinephrine PK profile of 1 mg ARS-1 summarized from EPI 3 is not representative of the actual epinephrine PK profile. Of note, the carryover effect was not observed following IM epinephrine injection in the same crossover design. On review of nonclinical studies, it is hypothesized that epinephrine-related reversible nasal mucosal damage changes may take some time (i.e., no immediate carryover effect) to develop following the first IN administration; and the damage change peaks in 1 to 2 days, which allows for an increase absorption from the second dose of IN epinephrine. Later, ARS successfully mitigated the carryover effect by substantially expanding the washout period between IN treatment periods in crossover trials. After the identification of the carryover effect and implementation of the long washout period, the Applicant reassessed ARS-1 with additional formulation-exploration and dose-ranging studies. Based on the results from these studies, a 2 mg ARS-1 product was selected to move forward in the program (see Section 3.1.2.1 for more details).

  LOGO

 

           

Challenges for PK Bridging

 

1.  General Considerations for PK Extrapolation from Healthy Subjects to Patients with Anaphylaxis

 

The Division considered that well overlayed PK profiles, between ARS-1 and a listed epinephrine injection product, could reflect similarity of real-time absorption, distribution, and elimination of epinephrine following the two routes of administration in healthy subjects. The Division was concerned that the absorption phase of the PK could be different in healthy volunteers compared to patients experiencing anaphylaxis and the rate and extent of absorption could be affected by products/route of administration. Edema of the nasal mucosa occurring with anaphylaxis could affect absorption of IN epinephrine. Therefore, the Division requested the Applicant characterize the epinephrine PK profile following IN administration under a condition mimicking the nasal mucosa edema seen in anaphylaxis. The Division and Applicant agreed that nasal congestion induced by nasal allergen challenge in subjects with seasonal allergic rhinitis was a reasonable model to address this concern (Section 3.1.2.3).

          

 

          

2.  PK Data Variability, Critical PK Parameters, Bracketing Approach

          

 

29


 

As will be discussed in Section 3, there is high inter- and intra-product PK variability between epinephrine injection products, as well as variability between batches within one product. This PK variability introduces uncertainties in comparative studies, particularly when there is an absence of clinical data to establish critical PK parameters for efficacy. Thus, selection of appropriate and representative comparators in these comparative PK studies is critical to support accurate interpretation of study results.

 

In addition to traditional PK parameters, such as Cmax and AUC0-inf/AUC0-t, the Division also considers the following PK characteristics as meaningful in the evaluation of any epinephrine product to be used to treat anaphylaxis:

  LOGO
 

 

  The initial epinephrine absorption rate/early partial AUC values.

 

  The sustainability of epinephrine plasma concentration.

 

 

LOGO  

 

ARS Comment 14:

 

As recorded in ARS Pharma’s pre-NDA meeting minutes, “FDA agreed that partial AUC is more critical than AUC0-t for potential efficacy consideration. It will be acceptable if partial AUC is listed as one of the primary PK endpoints. However, some previous studies demonstrated that the median tmax following different epinephrine products could be between 30 minutes and 60 minutes. Therefore, using AUC0-20 or AUC0-30 is inappropriate.”

 

Further, “The FDA recommended that ARS use partial AUC with a later time point for PK comparison. ARS agreed. In addition, the FDA stated that the AUC0-t value should be calculated and compared as one of the secondary PK endpoints.”

 

           

 

            The Division acknowledges that there are no reference values available for the absorption rate, critical plasma concentration, and sustained time for critical plasma concentrations of epinephrine for the treatment of patients with anaphylaxis. Therefore, bracketing to approved epinephrine injection products allows us to establish a reasonable, relative reference range for the PK profiles. Accordingly, the objective of the dedicated PK matching trial is to reasonably bracket the epinephrine PK profile from the IN product by the PK profiles from at least two listed epinephrine injection products using a crossover design. The concept of “PK matching” through a bracketing strategy is the foundation for a scientific and regulatory bridge between ARS-1 and listed epinephrine injection products in the ARS-1 clinical pharmacology program. Generally, for the trend of PK comparison other than the general bracketing strategy, due to low adverse events, the Division favored a slightly higher epinephrine systemic exposure from the proposed IN product in the ARS-1 development program to assure efficacy.   LOGO

 

30


 
LOGO   ARS Comment 15:  
 

As recorded in ARS Pharma’s pre-NDA meeting minutes, FDA commented:

“Based on the data you provided, we have some safety concerns regarding the higher epinephrine systemic exposure of this dose selection. EPI-11b showed that the epinephrine AUC0-t following the 2 mg dose is around 50-70% higher than following EpiPen 0.3 mg injection.”

 

“ARS noted that if in the EPI-15 study that the AUC0-t of the IN is greater than IM with needle-in-syringe or EpiPen, ARS is willing to include a 0.5 mg epinephrine IM injection as a listed product in the nasal allergen challenge study (EPI 16) to provide a potential safety coverage for high AUC0-t value. The FDA agreed that inclusion of 0.5 mg IM would help create a wider bracket and appreciated ARS’s suggestion.”

 

“The FDA asked if ARS agreed to perform Part 1 of the EPI-15 study (i.e., single dose cross-over) before the other studies. ARS confirmed the plan is to first conduct EPI-15, Part 1, and other studies would not be initiated until confirming the results of the single 2 mg Neffy with the listed injection products from EPI-15, Part 1.”

 

In FDA’s Addendum to the Briefing Document, FDA re-confirms that “based upon these results, the FDA did caution ARS about safety concerns with higher doses given the AUC0-t with the 2 mg dose of ARS-1 was higher than EpiPen.”

 

 
3.   Impact of IN Epinephrine on Absorption  
  Unlike the vasodilatory effect observed in skeletal muscle following IM injection of epinephrine, IN administration of epinephrine is expected to cause vasoconstriction in the nasal mucosa, a mechanism utilized by alpha adrenergic agonistic nasal decongestants. The Division questioned whether the absorption of a second IN dose of epinephrine, if needed, may be impaired due to local vasoconstriction following the first IN dose of epinephrine. Therefore, the Division requested ARS to evaluate and compare epinephrine PK profiles following a second dose, between ARS-1 and the listed epinephrine injection products. We note that the effect of IN epinephrine on the absorption of subsequent IN doses could differ between healthy volunteers and patients with anaphylaxis due to the pathophysiology of anaphylaxis, such as nasal mucosal edema, affecting epinephrine pharmacology.   LOGO
   

 

31


 
LOGO  

ARS Comment 16:

 

FDA notes in Section 3.1.2.2.3 Repeat-Dose PK that “the epinephrine Cmax and AUC0-60 values following two doses of ARS-1 approximately doubled compared to a single-dose administration in Part 1.” This would imply that ARS-1 is dose-proportional, and not impaired.

 

As shown in Figure 11 below from Section 3.1.2.3.1 PK Data in Allergen-Induced Nasal Congestion, FDA comments that “under nasal-allergen challenge conditions, the epinephrine concentration increased more rapidly than the two Adrenalin dose arms followed by a fast decline and the epinephrine concentrations became lower than all comparator arms after 10 to 20 min post dose. PK for ARS-1 2 mg with challenge is higher than Adrenalin 0.3 mg for the first 20 min post dose.” FDA also comments that “epinephrine is expected to function as a nasal decongestant.”

 

LOGO

 

Source: Clinical Pharmacology Reviewer. Based on adpc.xpt of Study EPI 16.

Three subjects in the Adrenalin 0.3 mg arm and one subject in ARS-1 with nasal challenge arm had insufficient number of postdose samples (n<3) within 30 min. Two subjects in the Adrenalin 0.3 mg arm, five subjects in the Adrenalin 0.5 mg arm, and two subjects in the ARS-1 with nasal challenge arm did not have pharmacokinetic data. This is the same figure as Figure 2 in Section 1.3.2.

 

FDA notes in Section 3.1.2.3.3 that “10 out of 37 subjects treated with ARS-1 after nasal allergen challenge continued to have some degree of nasal congestion for more than 30 min post-dose.” That implies that 73% of allergic rhinitis patients with nasal congestion no longer had any symptoms 30 min post dose with ARS-1 after nasal allergen. FDA also observes that in Section 3.1.2.3 that “the rates of nasal mucosal symptoms such as rhinitis and conjunctivitis range from 2% to 11% in anaphylaxis patients.

 

These two sets of numbers in the FDA briefing book imply that between 97% to 99.5% of anaphylaxis patients would not experience continued rhinitis at 30 min post-dose after nasal allergen challenge with purified antigen [calculation using FDA numbers: 89 to 98% of cases without nasal mucosal symptoms + 73% resolution* (2 to 11%) with nasal mucosal symptoms]. For the 0.5 to 3% of patients that could experience continued rhinitis beyond 30 minutes, the single dose rhinitis data in Figure 8 supports ARS-1 higher exposures than normal conditions for the first 10 min post dose (which is when clinical response is observed). This enhanced exposure would be expected even for a second dose given when rhinitis persists.

 


4.  

Impact of HF and Actual Use

 

An HF assessment was required for this development program to assess the user interface. The goal of HF validation studies is to demonstrate that the final finished user interface supports safe and effective use of the product by intended users, for intended uses, and under the expected conditions (including environment(s) of use). See Section 6.2 for more information on the HF program for ARS-1.

 

To reduce PK variability caused by administration differences, study staff administered ARS-1 to subjects in all the aforementioned clinical pharmacology studies; this represented an idealized use situation. Whether self-administration changed the PK profile of ARS-1 was a question that FDA raised. Therefore, the Division requested the Applicant conduct an actual use PK study (e.g. self- administration clinical study) to characterize epinephrine PK profiles in subjects following self- administered IN spray (see Section 3.1.2.4).

  

 

5.

 

 

Pediatric Considerations

 

To comply with the Pediatric Research Equity Act, which requires a pediatric study plan due to the change of administration route of approved epinephrine injection products, the Applicant proposed an ARS-1 pediatric drug development program. Given differences in shape, size, and surface area of the nasal cavity in children compared to adults, the Division also requested a dose-ranging trial in pediatric patients across all ages and body weights. This trial is currently ongoing and discussed in Section 3.1.3.

  

 

Challenges for PD Bridging

 

There are expected differences between healthy volunteers and patients with anaphylaxis in hemodynamics, vasoactive hormone/cytokine levels, and baroreceptor responses; these differences could differentially influence vital sign responses to epinephrine. While PD responses (i.e., SBP, DBP, HR) may reflect physiologic changes that are important for effective treatment of anaphylaxis, and may support PK matching results, PD and PK results did not always correlate in the ARS-1 development program. The PD data generated from the ARS-1 development program demonstrated that there was not a consistent correlation between PK and PD at the individual level and that the PK/PD relationship is generally weak at the population level. In addition, different trends of PK and PD comparison results were observed between ARS-1 and EpiPen without a clear mechanism to explain this discrepancy.

 

 

  

 

LOGO

 
LOGO   Please refer to ARS Comment 4.   

 

Whether PD results in healthy volunteers translate to similar benefits in the setting of anaphylaxis is unknown. The Division believes that comparative PD results, between ARS-1 and epinephrine injection products, provide supportive evidence to the PK matching approach that is needed for scientific and regulatory bridging in the ARS-1 clinical pharmacology program. Therefore, the Division places emphasis on the PK bracketing results, and views PD results as supportive.

 

2.2.2.2 Clinical Efficacy Trial Feasibility

 

The feasibility of performing a clinical efficacy trial in anaphylaxis was discussed with the Applicant and within the FDA. Approaches to designing a clinical efficacy trial that were explored in these discussions included:

  

 

33


 

•  A trial in emergency departments, in which patients with anaphylaxis would be treated with non- injectable epinephrine as first-line therapy, with rescue epinephrine injection administered as back- up, if needed.

 

•  A trial in the setting of oral food challenges or subcutaneous allergen immunotherapy.

 
 

 

Concerns raised with these trial designs include: 1) delaying standard of care (epinephrine injection) for potentially life-threatening reactions where the timing of treatment is critical for preventing serious outcomes, 2) the spontaneous nature of events would require a long study duration and large sample size, and 3) challenges in determining meaningful endpoints (e.g., improvement in symptoms, treatment failure). Due to these challenges, it was determined that a clinical efficacy trial would neither be feasible nor provide meaningful data to support the efficacy of IN epinephrine in anaphylaxis.

 

A histamine infusion trial to elicit symptoms mimicking anaphylaxis was also discussed. Since histamine is only one of many mediators involved in anaphylaxis, this approach, if feasible, was not considered to be sufficiently robust to inform efficacy in the setting of anaphylaxis.

 

2.2.2.3 Development of Other Emergency-Use IN Products

 

As there is no regulatory precedent for approval of a noninjectable epinephrine product for treatment of anaphylaxis, the development programs for two other IN therapeutics, naloxone nasal spray (approved November 2015) and diazepam nasal spray (approved January 2020), were considered in evaluation of the IN epinephrine development program, as both are used as emergency treatment and were originally approved with a different route of administration (naloxone injection and diazepam rectal gel). However, due to pharmacologic and safety differences, the approaches used for the naloxone and diazepam nasal spray PK development programs have important differences that limit the applicability to the development of IN epinephrine.

 
 

 

Naloxone nasal spray

 

Naloxone nasal spray, an opioid antagonist, uses the same device as ARS’s IN epinephrine and is approved for the emergency treatment of known or suspected opioid overdose for all ages. This approval was based on one PK trial in healthy adults in which the bioavailability of the IN spray was compared to a single IM naloxone injection; no clinical efficacy trials were conducted. Naloxone is unique in that it has a wide safety margin with a relatively high systemic exposure following IN administration that is 5- to 10-fold over the minimum therapeutic threshold.2,3 Therefore, surpassing the therapeutic threshold is the goal of development as safety is not a concern with higher exposures. The higher exposure overcame concerns with translatability of PK in healthy volunteers to patients with opioid overdose. While there may be similarities with Narcan, there are important differences with IN epinephrine that require additional considerations.

 

 

LOGO

 

LOGO  

 

ARS Comment 17:

 

We acknowledge FDA’s concern that unlike NARCAN, where “safety is not a concern with higher exposures,” there is a therapeutic window with epinephrine. This is part of the reason why ARS and FDA agreed to a bracketing approach between approved listed products on exposure (see ARS Comment 1), and why ARS aimed to achieve this bracket with as low a dose of epinephrine (2 mg) as possible.

 

 
  Diazepam nasal spray  

 

34


 

Diazepam nasal spray is a benzodiazepine indicated for the acute treatment of intermittent, stereotypic episodes of frequent seizure activity (i.e., seizure clusters, acute repetitive seizures), that are distinct from a patient’s usual seizure pattern in patients with epilepsy 6 years of age and older. The IN route of administration uses the same device as ARS-1. Approval was based on comparable bioavailability in healthy subjects and patients with epilepsy relying on adequate and well-controlled efficacy studies for rectal diazepam. A PK study was conducted in adults and pediatric patients with epilepsy comparing seizure versus non-seizure states to address potential differences in PK in healthy subjects compared to patients with epilepsy. Overall, while the diazepam nasal spray program is an example of a nasal spray for emergency use that relied on PK to bridge the efficacy, the diazepam nasal spray program has limitations in its applicability to the ARS-1 program.

 

3  Summary of Issues for the AC

 

3.1  Efficacy Issues

 

3.1.1  Sources of Data for Efficacy

 

ARS submitted their application under the 505 (b)(2) pathway that relies on FDA’s previous finding of safety and effectiveness of an approved epinephrine injection product; ARS proposes to rely on Adrenalin as the reference listed drug. To support approval, ARS must submit data to provide a scientific bridge/justification to the reference product to establish the efficacy and safety for ARS-1. As discussed in Section 2.2.2.1, ARS proposed a clinical pharmacology program to provide data to provide the bridge to Adrenalin to establish the efficacy and safety of ARS-1. The pivotal clinical pharmacology studies are listed in Table 5.

 

 

 

2 See the Cross-Discipline Team Leader Review for Narcan Nasal Spray (NDA 208411) dated 20 January 2016, available at:

https://www.accessdata.fda.gov/drugsatfda docs/nda/2015/208411Orig1s000CrossR.pdf.

3 See the FDA Review for Narcan Nasal Spray (NDA 208411) dated 9 November 2015, available at

https://www.accessdata.fda.gov/drugsatfda docs/nda/2015/208411Orig1s000TOC.cfm.

 

35


Table 6. ARS Pharmacology Trials

 

           
  Study Name    Study Design    Objective of the Study    Test Product    Number of Subjects    Population
  EPI 11b    Phase 1, two-group, five-period, five-treatment, single-dose, crossover study    Assess the comparative bioavailability of different formulations of ARS-1 with various strengths of absorption enhancing excipient in healthy volunteers   

Group 1:

Single dose of Symjepi 0.3 mg

Single dose of ARS-1 1.3 mg

(excipient strength 1)

Single dose of ARS-1 1.5 mg (excipient strength 2)

Single dose of ARS-1 1.5 mg (excipient strength 1)

Single dose of ARS-1 1.8 mg

(excipient strength 2)

 

Group 2:

Single dose of EpiPen 0.3 mg

Single dose ARS-1 1 mg

(excipient strength 1, lot 1)

Single dose ARS-1 1 mg

(excipient strength 1, lot 2)

Single dose ARS-1 1.5 mg

(excipient strength 2)

Single dose of ARS-1 2.0 mg

(excipient strength 2)

  

26 enrolled

 

Group 1: 13

Group 2: 13

 

All subjects included in the PK analysis

   Healthy subjects
  EPI 15    Phase 1, two-part, six-treatment, six-period, single and repeat-dose crossover study   

Assess the comparative bioavailability and PD response of epinephrine after ARS-1 2.0 mg, EpiPen

0.3 mg, and epinephrine IM injection 0.3 mg in healthy volunteers

  

Single dose of ARS-1 2.0 mg vs. Single dose of EpiPen 0.3 mg vs. Single dose epinephrine IM 0.3 mg

 

Two doses of ARS-1 2.0 mg both in right naris spaced 10 min apart

 

Two doses of ARS-1 2.0 mg, one in left and one in right naris, spaced 10 min apart

 

Two doses of EpiPen 0.3 mg in the left and right thigh, 10 min apart

  

59 enrolled

 

Included In PK analysis: Total: 58

(26 subjects participated in both parts with PK data)

Part 1:

ARS-1: 42

EpiPen: 41

Epinephrine IM: 41

 

Part 2:

ARS-1 (L/R): 38

ARS-1 (R/R): 38

EpiPen (L/R): 42

   Healthy subjects

 

36


           
  Study Name    Study Design    Objective of the Study    Test Product    Number of Subjects    Population
  EPI 16    Phase 1, partially randomized, four-treatment, crossover study   

Assess the comparative bioavailability of epinephrine after ARS-1 2.0 mg, epinephrine IM 0.3 mg and epinephrine IM 0.5 mg in subjects with seasonal allergic rhinitis after nasal

challenge.

  

ARS-1 2.0 mg

Epinephrine IM 0.3 mg

 

Epinephrine IM 0.5 mg

 

ARS-1 2.0 mg after nasal challenge

  

36 enrolled

 

Included in PK analysis: ARS-1 (normal): 36

Epinephrine IM 0.3

mg: 31

Epinephrine IM 0.5

mg: 31

ARS-1 (challenge): 33

   Subjects with history of seasonal allergic rhinitis
  EPI 17    Phase 1, single-dose, two-treatment, two-period, randomized crossover study   

Assess the comparative bioavailability of epinephrine after self-administration of ARS-1 2.0 mg or staff- administered epinephrine IM injection in subjects with Type I

allergies.

  

ARS-1 2.0 mg, self-administered

 

Epinephrine IM 0.3 mg, staff

administered

  

43 enrolled

 

Included in PK analysis:

ARS-1: 42

Epinephrine IM: 42

   Subjects with Type I allergies (systemic reactions to food, insects or other venoms, drugs, urticaria, or rhinitis)
  EPI 10    Phase 1, single-dose, single-treatment study    Assess the PK/PD of three doses of ARS in pediatric allergy subjects   

ARS-1 0.65 mg

ARS-1 1.0 mg

ARS-1 2.0 mg

  

57 (at time of interim analysis) enrolled

 

Included in PK analysis

>30 kg:

ARS-1 2 mg: 16

ARS-1 1 mg: 25

15 and 30 kg ongoing

  

Pediatric subjects 4 to <18 years of age with Type I allergies to food, venom, or drugs that require that the subject or caregiver be prescribed an

epinephrine product

Source: FDA Clinical Reviewer.

Subjects who received at least one dose of treatment and have ≥3 PK samples after 30 min postdose were included in the PK analysis conducted by FDA.

The formulation used in EPI11b is not the final to-be-marketed formulation used in other studies.

Abbreviations: IM, intramuscular; L, left; PD, pharmacodynamics; PK, pharmacokinetics; R, right

 

37


3.1.2  Clinical Pharmacology Summary

3.1.2.1  General PK Considerations

Dose Ranging

Study EPI 11b, designed to mitigate the carryover effect described in Section 2.2.2.1, is the dose-ranging study the Applicant used to support the dose selection of 2 mg; doses higher than 2 mg were not evaluated in this study. EPI 11b was a single-dose, crossover study in healthy subjects to explore various doses of ARS-1 and with different formulations. The study adopted a design to administer ARS-1 with alternating nares between different IN treatment periods to ensure at least a 12-day washout period between two ARS-1 treatments given in the same naris to minimize the carryover effect. Two groups of subjects were evaluated in Study EPI 11b. In group 1, a total of 13 subjects were evaluated compared to Symjepi 0.3 mg in a crossover manner. In group 2, another 13 subjects were evaluated compared to EpiPen 0.3 mg, also in a crossover manner. The 2 mg ARS-1 dose was the highest dose studied.

The PK results from Epi11b are shown in Figure 3.

Figure 3. Epinephrine Geometric Mean Concentration-Time Profiles From Study EPI 11b

 

LOGO

Source: Clinical Pharmacology Reviewer. Based on adpc.xpt for Study EPI 11b. All the results are from group 2 in a crossover fashion except the Symjepi result from a separate group (group 1).

 

 

We note the markedly different PK profiles for the two epinephrine injection product comparators approved for community use (EpiPen and Symjepi). The results suggested that the epinephrine mean concentration for ARS-1 2 mg is higher than that of EpiPen after approximately 15 min postdose and that of Symjepi after approximately 10 min postdose. However, the epinephrine concentration for ARS-1 2 mg is lower than both injection products in the first 10 min postdose.

   LOGO
 
LOGO         

ARS Comment 18:

Please refer to Figure 15 in ARS Comment 1 that shows ARS-1 2 mg is higher than Adrenalin 0.3 mg in the first 10 min post dose, and Figure 7 in ARS Comment 6 that shows that the PD response for ARS-1 2 mg is also higher than Adrenalin 0.3 mg in the first 10 min post dose.

  

 

38


 

The Applicant decided to move forward with 2 mg without investigating higher doses. Whether higher doses may overcome the lower plasma concentrations in the first 10 to 15 min and the clinical significance of the delayed absorption is a topic for AC discussion.

 

   LOGO
 
LOGO         

ARS Comment 19:

As recorded in ARS Pharma’s pre-NDA meeting minutes, FDA stated that “Based on the data you provided, we have some safety concerns regarding the higher epinephrine systemic exposure of this dose selection. EPI-11b showed that the epinephrine AUC0-t following the 2 mg dose is around 50-70% higher than following EpiPen 0.3 mg injection.” See ARS Comment 15 for rest of discussion around the importance of minimizing systemic exposure of epinephrine.

  

PK Comparison with the Approved Epinephrine Injection Products and Rationale for the PK Bracketing Approach

 

 

During the ARS-1 drug development program, the Applicant and FDA noted that there were substantial differences in the shape of the PK profile and values of PK parameters between different epinephrine injection products and within the same injection products (Figure 4). These substantial differences were observed even within the same study with a crossover design (a design to reduce PK variability).

 

   LOGO
 
LOGO         

ARS Comment 20:

See Figure 15 and ARS Comment 4 highlighting the consistency of ARS-1 2 mg PK across studies with FDA acknowledging that “differences in the first 10 minutes is mostly due to Adrenalin PK

  

Figure 4. Epinephrine Geometric Mean (±Standard Error) Concentration-Time Profile for Single-Dose EpiPen 0.3 mg (A) and Single-Dose Adrenalin 0.3 mg (B) Across Studies in ARS-1 Clinical Program

 

LOGO LOGO

Source: Clinical Pharmacology Reviewer.

Adrenalin was administered by staff. Studies EPI 3, 4, 7 were clinical pharmacology studies that compared 1 mg ARS-1 with epinephrine injection products in healthy subjects; EPI 12 and 13 were clinical pharmacology studies conducted in patients with Type 1 allergies that evaluated 1 mg ARS-1 and 2 mg ARS-1, respectively, in comparison to epinephrine injection products. Study 11b was dose-ranging study in healthy subjects that compared the pharmacokinetics of multiple dose levels of ARS-1 with epinephrine injection products. Subjects with an insufficient number (< 3) of samples within 30 min postdose were excluded.

Abbreviations: All, staff and self-administration; self, self-administration; staff, staff administration

The cross-product PK comparison of epinephrine injection products generally demonstrated earlier Tmax, higher Cmax, and greater early partial AUCs for epinephrine following EpiPen IM injection compared to Adrenalin (needle-syringe) IM injection. Given the paucity of available PK data, this observation was not

 

39


previously reported and the root cause is unknown. Since both products are approved for the treatment of anaphylaxis and there is no reported difference in efficacy, the Agency considered that bracketing the ARS-1 PK profile by PK profiles of two different epinephrine injection products with different delivery systems (i.e., autoinjector versus needle-syringe) would be a reasonable approach to establish a scientific and regulatory bridge between ARS-1 and approved epinephrine injection products. Moreover, although EpiPen demonstrates higher intra-product PK variability, EpiPen is widely prescribed for community use and is therefore considered a clinically relevant comparison.

 

        
 
        

ARS Comment:

See Figure 15 and ARS Comment 4 highlighting the consistency of ARS-1 2 mg PK across studies with FDA acknowledging that “differences in the first 10 minutes is mostly due to Adrenalin PK variability.”

 

  

Baseline Epinephrine Considerations

The baseline concentration of epinephrine was collected at 10 and 5 min predose in all the clinical pharmacology studies in the ARS-1 clinical program. The mean and median baseline concentrations were similar across all treatment periods (geometric mean: 17 to 22 pg/mL and median: 10 to 27 pg/mL) and treatment arms in all the studies, and the values are close to the literature reported baseline epinephrine value of 35 pg/mL (Lake et al. 1984).

 

40


The Division agreed with the Applicant that it was not necessary to adjust epinephrine plasma concentrations by baseline during the analysis for the following reasons: 1) the mean baseline epinephrine plasma concentrations were generally less than 10% of the mean Cmax values following the epinephrine treatment; 2) a few subjects had some postdose epinephrine concentrations lower than their baseline values, which can result in negative baseline-adjusted values that become invalid for calculating geometric mean values during the traditional PK analysis; 3) the baseline-uncorrected value of epinephrine plasma concentration is expected to be more clinically relevant during the PK/PD analysis. Instead, the mean/median baseline values by different treatment arms should be listed for reference when PK results are reported.

Selection of Time Frame

Anaphylaxis is an acute life-threatening disease that presents with rapid onset. Data from fatal anaphylaxis cases suggest that the interval between initial development of anaphylaxis and death can be <30 minutes. For example, registry data from the U.K. note that the median time interval between anaphylaxis onset and respiratory and cardiac arrest was 30 min in food-induced fatal anaphylaxis cases (Pumphrey 2000). Thus, the Division focused our analysis on the first 60 min postdose during the review.

Considerations for Presenting PK Results

 

From a scientific and regulatory perspective, it is common practice to plot and present drug concentration-time profiles as geometric means. This is particularly pertinent for drugs such as epinephrine with high PK variability, since the arithmetic mean can be more influenced by extreme outlying values than the geometric mean. In addition, the FDA Bioavailability and Bioequivalence Guidance requires applicants to provide geometric mean values with investigational new drug/NDA submissions (FDA 2022b). Different shapes and trends of epinephrine concentration-time profiles were observed between presentations with geometric means and arithmetic means; based upon our review, we believe the geometric mean is the most relevant way to present the PK results as the arithmetic mean may obscure important differences.

  

 

LOGO

 

LOGO    

ARS Comment 21:

In FDA’s Addendum to the Briefing Document, FDA comments that “FDA presents the PK data in the FDA Briefing Document using geometric means, while ARS presents the PK data in their briefing document using arithmetic means. FDA notes that its guidelines “recommend both arithmetic and geometric mean values of PK parameters submitted in an NDA. It is appropriate to consider different analyses of the PK data. Depending on the nature of the data, there may be reasons to place more emphasis on arithmetic vs. geometric means. When we reviewed both methods, we decided to use geometric means for presentation of the PK data from this program. Given the high variability seen with epinephrine PK, the geometric mean is less influenced by extreme outlier values.”

 

However, in this same Addendum, FDA states: “We note that despite the different approaches in presentation of the PK data (geometric vs. arithmetic means), the results obtained from either geometric means or arithmetic means are similar.”

 

 

 

41


 

PK Data Pooling

 

For the PK comparisons, the Agency does not consider it appropriate to pool PK data across different studies. FDA’s current bioavailability guidance recommends that PK comparisons be conducted in a dedicated PK study for regulatory purposes (FDA 2022b). A within-study crossover design is preferred to minimize the PK variability. Pooling PK results from different studies with different designs, purposes, and potentially different populations without any clinical/statistical justification may obscure relevant findings from the individual studies.

  

 

LOGO

 

LOGO

 

    

 

ARS Comment 22:

We acknowledge FDA’s reference to the 2022 bioavailability guidance, which focuses on PK for demonstrating bioequivalence. As FDA has noted, there is significant variability from study to study for injection products, even within the same injection products, reinforcing why “PD is supportive,” as noted by FDA, and can help to support demonstration of adequate exposure.

 

Per FDA’s guidance (2015) https://www.fda.gov/media/72335/download, ARS included an integrated summary of effectiveness in the ARS-1 NDA using sources of information relevant to efficacy such as clinical pharmacology studies (e.g. pharmacokinetics, pharmacodynamic) to provide additional information beyond individual study results, given the significant variability of injection products acknowledged by FDA, and to provide greater clarity on the true population values. Per FDA’s guidance (2022) https://www.fda.gov/media/128793/download, ARS included and submitted population PK analyses in its submission including for “deriving exposure metrics for conducting exposure-response analysis” to support the PK/PD relationship.”

 

FDA acknowledges in its FDA Addendum to the Briefing Document that “pooling of PK can be utilized for certain purposes (e.g. population pharmacokinetics).”

 

       

3.1.2.2    ARS-1 PK/PD Under Normal Nasal Conditions

Study EPI 15 was a two-part, six-treatment, six-period, single and repeat dose, incomplete crossover PK/PD study. Part 1 was a single-dose comparative bioavailability study in which subjects (N=42) were randomized to receive each of the following treatments in each period: a single IN dose of ARS-1 in the left naris, a single dose of EpiPen IM 0.3 mg in the left thigh, and a single dose of Adrenalin IM 0.3 mg in the right thigh. The washout period between each treatment period was 24 hours.

Part 2 was a repeat-dose comparative bioavailability study. Subjects (N=42) received two doses of either ARS-1 IN (same naris or opposite naris) or EpiPen IM 0.3 mg, separated by 10 min between each dose.

The study sequence adopted a sandwich design (ARS-1 ® EpiPen ® ARS-1) with a washout period of 6 days between each treatment period to mitigate the carryover effect. A total of 26 subjects participated in both Part 1 and Part 2.

The purpose of this trial was to provide pivotal PK and PD data comparing ARS-1 with epinephrine injection products (EpiPen 0.3 mg and Adrenalin 0.3 mg) following a single and repeat dose.

3.1.2.2.1    Single-Dose PK Results

For Part 1, the epinephrine concentration-time profiles within 60 min postdose and PK parameters

 

42


including Cmax and partial AUCs up to 60 min following a single dose ARS-1, Adrenalin 0.3 mg or EpiPen 0.3 mg are displayed in Figure 5 and Table 6, respectively.

Figure 5. Epinephrine Geometric Mean (±Standard Error) Concentration-Time Profile Following a Single Dose of ARS-1 vs. a Single Dose of Intramuscular Injection Using Adrenalin 0.3 mg or EpiPen 0.3 mg in Healthy Subjects

 

       LOGO    LOGO

Source: Clinical Pharmacology Reviewer. Based on adpc.xpt of Study EPI15.

One subject each from the Adrenalin and EpiPen arms were excluded due to an insufficient number of postdose samples (N<3) within 30 min.

This is the same figure as Figure 1 in Section 1.3.2.

 

LOGO

        

ARS Comment 23:

See Figure 15 from this briefing document that includes data from two of the three ARS-1 primary studies, which is important given the significant variability of epinephrine injection products. In this figure, one can see that both ARS-1 2 mg curves are above Adrenalin 0.3 mg.

 

  

 

43


Table 7. PK Parameters Following a Single Dose of ARS-1 vs. a Single Dose of Intramuscular Injection Using Adrenalin 0.3 mg or EpiPen 0.3 mg in Healthy Subjects    

    

 

Geometric Mean (CV%)

            
  Parameter  

ARS-1

(N=42)

   

Adrenalin 0.3 mg IM

(N=41)b

   

EpiPen 0.3 mg IM

(N=41)b

    Bracketed (Y/N)    

 

LOGO

Cmax (pg/mL)

    341(114)       286 (63)       618 (79)       Y  

Tmax (min)a

    30       45       6       ---  

AUC0-10min (pg·min/mL)

    712 (93)       937 (108)       2979 (98)       N (lower than both)    

AUC0-20min (pg·min/mL)

    2596 (102)       2141 (80)       6007 (77)       Y    

AUC0-30min (pg·min/mL)

    4901 (109)       3570 (72)       8759 (67)       Y    

AUC0-60min (pg·min/mL)

    10925 (116)       9377 (59)       14772 (56)       Y    

Source: Clinical Pharmacology Reviewer. Based on adpc.xpt of Study EPI 15.

a Median.

b One subject from each of the Adrenalin and EpiPen arms was excluded due to an insufficient number of postdose samples (N<3) within 30 min.

Abbreviations: AUC, area under the concentration-time curve; Cmax, maximum plasma concentration; IN, intranasal; IM, intramuscular; N, no; Tmax, time to maximum plasma concentration; Y, yes

The PK profile of epinephrine following a single dose of ARS-1 was reasonably bracketed between a single dose of Adrenalin 0.3 mg and a single dose of EpiPen 0.3 mg after 10 min postdose. However, a lower epinephrine concentration was noted with ARS-1 compared to both epinephrine injection products within 10 min postdose, likely due to a slower absorption rate.

 

      
 
LOGO         

ARS Comment 24:

The above table is focused on Figure 1, which was generated from only one of the relevant studies of ARS-1 2 mg. Please refer to Figure 15, as well as Figure 7, which shows that PK/PD response for ARS-1 2 mg is higher than Adrenalin 0.3 mg at all time points, including the 10 minutes. Please also see ARS Comment 4 and ARS Comment 6.

 

In addition, a statistical comparison of the geometric mean pAUC0-10 of ARS-1 and Adrenalin from the above table shows the difference between the two values is not statistically significant.

                   
 

 

The proportion of subjects whose epinephrine concentration reached 100 pg/mL or 200 pg/mL, arbitrary threshold concentrations suggested by literature following IV infusion (as discussed in Section 2.1.3), at different time points within 60 min post-single dose is shown in Figure 6 (Clutter et al. 1980). The proportion of subjects who failed to reach 100 pg/mL within 30 min and 60 min is shown in Table 7.

  
 

 

Figure 6. Proportion of Subjects with Epinephrine Concentrations of 100 and 200 pg/mL or Greater by Time Following a Single Dose of ARS-1, Adrenalin 0.3 mg, or EpiPen 0.3 mg

  

 

44


LOGO

Source: Clinical Pharmacology Reviewer. Based on adpc.xpt of Study EPI15. One subject each from the Adrenalin and EpiPen arms were excluded due to an insufficient number of postdose samples (N<3) within 30 min.

Table 8. Proportion of Subjects Who Failed to Reach 100 pg/mL Following a Single Dose of ARS-1 2, Adrenalin 0.3 mg, or EpiPen 0.3 mg    

 

  Elapsed Time

 

  

        ARS-1

 

    

Adrenalin 0.3 mg

 

    

EpiPen 0.3 mg

 

     LOGO

  Within 30 min

 

    

 

7/42 (17%)

 

 

 

    

 

7/41 (17%)

 

 

 

    

 

0/41 (0%)

 

 

 

  Within 60 min

 

    

 

7/42 (17%)

 

 

 

    

 

2/41 (5%)

 

 

 

    

 

0/41 (0%)

 

 

 

Source: Clinical Pharmacology Reviewer. Based on adpc.xpt of Study EPI 15

EpiPen 0.3 mg administration resulted in the highest proportion of subjects achieving epinephrine concentrations of 100 pg/mL (100%) and 200 pg/mL (93%) for all time points within 60 min postdose. The proportion of subjects who achieved 100 pg/mL and 200 pg/mL was initially low following both ARS- 1 and Adrenalin 0.3 mg administration. Although the proportions for both ARS-1 and Adrenalin gradually increased over time, the values were kept lower than EpiPen at 60 min postdose. The proportion of subjects who achieved 100 pg/mL and 200 pg/mL following ARS-1 was noticeably lower when compared to Adrenalin within 5 min postdose, however, the difference between the two products was smaller thereafter. Of note, the clinical relevance of 100 or 200 pg/mL is unclear in treatment of anaphylaxis.

 

LOGO       

 

ARS Comment 25:

See ARS Comment 11 regarding FDA’s description of “arbitrary threshold concentration.” In FDA’s Addendum to the Briefing Document, FDA further clarifies that “these thresholds are arbitrary values used for displaying the proportional results. The clinical relevance of this cut off is unknown. We acknowledge that these values are based on data from subjects receiving epinephrine continuous intravenous infusions, which could allow time for compensatory mechanisms to adjust for PR and SBP and may limit the relevance to acute administration of epinephrine.”

 

 

  3.1.2.2.2

    Single-Dose PD Results

The PD responses, SBP, DBP and PR, following a single dose of ARS-1, Adrenalin 0.3 mg, or EpiPen 0.3 mg are displayed in Figure 7. The mean and median maximum SBP changes from baseline in 60 min and the median time to reach the maximum SBP change following a single dose are shown in Table 8.

 

45


                  
   

 

Figure 7. Median PD Responses (SBP, PR, and DBP Change from Baseline) Following a Single Dose of
ARS-1, Adrenalin 0.3 mg, or EpiPen 0.3 mg in Healthy Subjects

 

LOGO

 

Source: Clinical Pharmacology Reviewer. Based on adxd.xpt of Study EPI 15. Subjects who were included in the PK analysis were included in the PD analysis.

Error bars represent 25% and 75% percentile of the PD values.

Abbreviations: DBP, diastolic blood pressure; PD, pharmacodynamics; PK, pharmacokinetics; PR, pulse rate; SBP, systolic blood pressure

 

      
  Table 9. Maximum Change of SBP From Baseline in 60 Min Following a Single Dose

 

    
   

 

Parameter

 

 

 

ARS-1 (n=42)

 

   

 

EpiPen 0.3 mg (n=41)

 

   

 

Adrenalin 0.3 mg (n=41)  

 

            
 

Mean (SD) (mmHg)

    23 (16)       17 (15)       12 (10)         
 

Median (range) (mmHg)

    19 (0, 72)       15 (0, 90)       9 (0, 41)                                  
 

Median Tmax (range) (min)

    25 (0, 60)       5 (0, 60)       15 (0, 60)         
 

 

Source: Clinical Pharmacology Reviewer. Based on adxd.xpt of Study EPI 15. Subjects who were included in the PK analysis were included in the PD analysis.

Abbreviations: PD, pharmacodynamics; PK, pharmacokinetics; SBP, systolic blood pressure; Tmax time to maximum plasma concentration

 

The SBP and PR responses following single-dose administration of ARS-1 are bracketed by EpiPen and Adrenalin within 10 min postdose. Thereafter, although the shapes of the median SBP and PR time- response curves are similar to the epinephrine mean PK profiles following ARS-1 and EpiPen

 

 

 

 

    

 

46


 

administration, respectively, the magnitudes of SBP and PR responses are generally higher for ARS-1 compared to both injection products despite the fact that the epinephrine PK profile of ARS-1 is generally lower compared to EpiPen. The exact mechanism underlying the discrepancy of PK and SBP/PR comparison results between ARS-1 and EpiPen is unclear. In addition, a more stable DBP time profile was observed following ARS-1 when compared to apparent declination profiles from both injection products.

 

3.1.2.2.3  Repeat-Dose PK Results

In part 2 of EPI 15, two doses of ARS-1 or EpiPen were given 10 min apart. The second dose of ARS-1 was administered in the same naris in one period and in the opposite naris in another period. The epinephrine concentration-time profiles following the first dose (Time 0) and second dose (Time 10 min) are shown in Figure 8. The PK parameters from the repeat dosing are reported in Table 9.

 

Figure 8. Epinephrine Geometric Mean (±Standard Error) Concentration-Time Profile Following Two Doses of ARS-1 Given in Same Naris (R/R) or Opposite Naris (L/R) vs. Two Doses of Intramuscular Injection Using EpiPen 0.3 mg in Healthy Subjects

 

LOGO

 

Source: Clinical Pharmacology Reviewer. Based on adpc.xpt of Study EPI 15. One subject each in the ARS-1 (R/R) and ARS-1 (L/R) from EPI15 Part 2 were excluded due to insufficient number of postdose samples (n<3) within 30 min. Three subjects each in the ARS-1 (R/R) and ARS-1 (L/R) arms discontinued early and did not have PK data.

Abbreviations: L, left; PK, pharmacokinetics; R, right; RD, repeat doses

  

 

47


  Table 10. PK Parameters Following Two Doses of ARS-1 Given in Same Naris (R/R) or Opposite Naris (L/R) vs. Two Doses of Intramuscular Injection Using EpiPen 0.3 mg in Healthy Subjects  

 

LOGO

 

   

 

  Geometric Mean (CV%)
      Parameter  

Repeat-Dose ARS-1

(L/R) IN (N=38)b

  

Repeat-Dose ARS-1

2 mg (R/R) IN (N=38)b

  

Repeat-Dose EpiPen  

0.3 mg (L/R) IM (N=42)  

 

  Cmax (pg/mL)

  728 (102)    738 (101)    721 (61)  
 

  Tmax (min)a

  30    25    15  
 

   AUC0-10min (pg·min/mL)

  884 (107)    658 (104)    2147 (104)  
 

   AUC0-20min (pg·min/mL)

  3912 (108)    3913 (107)    6363 (78)  
 

   AUC0-30min (pg·min/mL)

  8616 (107)    8904 (102)    10735 (67)  
 

  AUC0-60min (pg·min/mL)

  21903 (106)    23001 (105)    23034 (54)  
 

Source: Clinical Pharmacology Reviewer. Based on adpc.xpt of Study EPI 15.

a Median is reported.

b One subject each in the ARS-1 (R/R) and ARS-1 (L/R) arms from EPI15 Part 2 were excluded due to an insufficient number of postdose samples (n<3) within 30 min. Three subjects each in the ARS-1 (R/R) and ARS-1 (L/R) arms discontinued early and did not have PK data.

Abbreviations: IN, intranasally; L, left; R, right; PK, pharmacokinetics

 

Based on the results for EPI 15 Part 2, the epinephrine Cmax and AUC0-60min following two doses of EpiPen only increased about 20% and 50%, respectively, compared to that following single-dose administration in Part 1. However, the epinephrine Cmax and AUC0-60min values following two doses of ARS-1 approximately doubled compared to single-dose administration in Part 1. Therefore, the epinephrine Cmax and AUC0-60min values following two doses of ARS-1 are comparable to that of two doses of EpiPen. However, the epinephrine concentration following two doses of ARS-1 remains lower than that of EpiPen during the first 20 min postdose due to the likely lower absorption rate than EpiPen. The clinical relevance of this is an open question; however, conclusions regarding the lower epinephrine exposure with repeat-dose ARS-1 compared to EpiPen within the first 20 minutes is limited as the repeat dose was not bracketed. Epinephrine PK profiles and systemic exposures were similar between ARS-1 administered in the same naris and opposite naris.

 

48


 

LOGO  

 

ARS Comment 25:

 

See ARS Comment 6 regarding median PD with single dosing, as well as Figure 10 regarding median PD with repeat dosing of ARS-1 2 mg and EpiPen 0.3 mg, which is reproduced below. ARS-1 2 mg repeat dose provides even higher median PD response than single doses of epinephrine products, including Adrenalin 0.3 mg, as expected.

 

Figure 10. Median PD Responses (SBP, PR, and DBP Change From Baseline)
Following Two Doses of ARS-1 in Same Naris (R/R) or Opposite Naris (L/R), and Two
Doses of EpiPen 0.3 mg in Healthy Subjects

 

 

LOGO

 

Source: Clinical Pharmacology Reviewer. Based on adxd.xpt
of Study EPI 15. Subjects who were included in the PK
analysis were included in the PD analysis. Error bars
represent the 25% and 75% percentiles of the PD values.

Abbreviations: DBP, diastolic blood pressure; L, left; PD, pharmacodynamics; PK, pharmacokinetics; PR, pulse rate; R, right; SBP systolic blood pressure; SE, standard error

 

  
  The proportion of subjects whose epinephrine concentration reached 100 pg/mL or 200 pg/mL at different time points within 60 min following two doses of ARS-1 or EpiPen 0.3 mg is shown in Figure 9. The proportion of subjects whose epinephrine concentration failed to reach 100 pg/mL within 30 min and 60 min is shown in Table 10.   

 

49


 

Figure 9. Proportion of Subjects With Epinephrine Concentrations of 100 pg/mL and 200 pg/mL or Greater Following Two Doses of ARS-1 in Same Naris (R/R) or Opposite Naris (L/R), and Two Doses of EpiPen 0.3 mg

 

LOGO

 

Source: Clinical Pharmacology Reviewer. Based on adpc.xpt of Study EPI 15. One subject each in the ARS-1 (R/R) and ARS-1 (L/R) from EPI15 Part 2 were excluded due to insufficient number of postdose samples (n<3) within 30 min. Three subjects each in the ARS-1 (R/R) and ARS-1 (L/R) arms discontinued early and did not have PK data.

Abbreviations: L, left; R, right

 

Table 11. Proportion of Subjects Who Failed to Reach 100 pg/mL Following Two Doses of ARS-1 2 in Same Naris (R/R) or Opposite Naris (L/R), and Two Doses of EpiPen 0.3 mg

  
       
    Elapsed Time    ARS-1 L/R    ARS-1 R/R    EpiPen L/R   
 

  Within 30 min

   2/38 (5%)    0/38 (0%)    0/42 (0%)   
 

  Within 60 min

   1/38 (3%)    0/38 (0%)    0/42 (0%)    LOGO
 

Source: Clinical Pharmacology Reviewer. Based on adpc.xpt of Study EPI 15.

Abbreviations: L, left; R, right

 

 

Similar to Part 1, the proportions of subjects whose epinephrine concentration reached the threshold of 100 pg/mL and 200 pg/mL was initially low following ARS-1 2 mg dosing and gradually increased over time. The proportion following two doses of ARS-1 approached that following two doses of EpiPen at 60 min postdose. Higher proportions of subjects whose epinephrine concentrations reached 100 pg/mL and 200 pg/mL following two doses of ARS-1 in Part 2 than single dose in Part 1 starting 15 min postdose.

  

LOGO  

    
 

ARS Comment 26:

 

See ARS Comment 11 regarding FDA’s description of “arbitrary threshold concentration.”

  
 

 

3.1.2.2.4   Repeat-Dose PD Results

The PD response following two doses of ARS-1 2 and EpiPen 0.3 mg are shown in Figure 10. The mean and median of the maximum SBP change from baseline within 60 min as well as the median time to reach the maximum change following repeat doses are shown in Table 11.

  

 

50


 

Figure 10. Median PD Responses (SBP, PR, and DBP Change From Baseline) Following Two Doses of ARS-1 in Same Naris (R/R) or Opposite Naris (L/R), and Two Doses of EpiPen 0.3 mg in Healthy Subjects

 

LOGO

 

Source: Clinical Pharmacology Reviewer. Based on adxd.xpt of Study EPI 15.

Subjects who were included in the PK analysis were included in the PD analysis.

Error bars represent the 25% and 75% percentiles of the PD values.

Abbreviations: DBP, diastolic blood pressure; L, left; PD, pharmacodynamics; PK, pharmacokinetics; PR, pulse rate; R, right; SBP systolic blood pressure; SE, standard error

 

Table 12. Maximum SBP Change From Baseline in 60 Min Following Repeat Doses

  
       
    Parameter  

ARS-1 (L/R)
(n=38)

 

ARS-1 (R/R)

(n=38)

 

EpiPen 0.3 mg (L/R) 

(n=42) 

  
 

  Mean (SD) (mmHg)

  29 (14)   29 (13)   19 (9)    
 

  Median (range) (mmHg)

  29 (6, 67)   26 (11, 64)   19 (3, 42)    
 

  Median Tmax (range) (min)

  28 (1, 60)   30 (5, 60)   15 (1, 60)    
 

Source: Clinical Pharmacology Reviewer. Based on adxd.xpt of Study EPI 15. Subjects who were included in the PK analysis were included in the PD analysis.

Abbreviations: L, left; PD, pharmacodynamics; PK, pharmacokinetics; R, right; Tmax, time to maximum plasma concentration

 

 

Similar to the PD results from Part 1, following two doses of ARS-1 in Part 2, higher SBP and PR responses were observed compared to two doses of EpiPen, despite the comparable AUC0-60min values

  

 

51


 

between treatments. The discrepancy of PK and PD comparison results between ARS-1 and EpiPen suggests that there may be an unknown PK-independent mechanism regulating SBP and PR responses during the epinephrine treatment following different administration routes. The magnitude of SBP and PR responses are apparently higher following two doses of ARS-1 in Part 2 than single dose of ARS-1 2 mg in Part 1. However, the magnitude of SBP and PR responses following two doses of EpiPen in Part 2 is similar to that following a single dose of EpiPen in Part 1, except for improved sustainability. In addition, a more stable DBP time profile following ARS-1 administration was observed compared to EpiPen.

 

3.1.2.2.5   PK/PD Summary in Healthy Volunteers

 

Overall, based on results from EPI 15 in healthy adult subjects, the PK profile of epinephrine for ARS-1 was reasonably bracketed by Adrenalin and EpiPen following a single dose after 10 min postdose and the PK profile of epinephrine following repeat doses of ARS-1 was similar to repeat-dose EpiPen, except for the lower concentration within 20 min postdose. We ask the AC panel to discuss the lower epinephrine exposure with ARS-1 in the first 10 min postdose.

 

 

LOGO

 

LOGO  

 

ARS Comment 27:

 

Table 7 is focused on Figure 1, which was generated from only one of the relevant studies of ARS-1 2 mg. Please refer to Figure 15, as well as Figure 7, which shows that PK/PD response for ARS-1 2 mg is higher than Adrenalin 0.3 mg at all time points, including the 10 minutes.

 

Please also see ARS Comment 4 and Comment 7.

 

 
 

 

Conclusions regarding the lower epinephrine exposure with repeat-dose ARS-1 compared to EpiPen within the first 20 minutes is limited as the repeat dose was not bracketed.

 

 

 

LOGO

LOGO  

 

ARS Comment 28:

 

See ARS Comment 5 and ARS Comment 25 regarding repeat dose PK/PD of ARS-1.

 

 
 

 

Generally higher PD responses (SBP and PR change from baseline) were observed with ARS-1 than both Adrenalin and EpiPen following a single dose or repeat doses. In general, the PD comparison results support the PK bracketing approach for the ARS-1 drug development program. The mechanism underlying the higher PD responses following ARS-1 compared to epinephrine injection products despite lower or similar PK is unclear based on the information available at this time. This PK/PD discrepancy is one of the reasons that FDA focused more on the PK data.

 

 

LOGO

 

LOGO  

 

ARS Comment 29:

 

See ARS Comment 12 regarding variability of PK observed with injection products.

 

 
 

 

3.1.2.3   ARS-1 PK/PD Under Nasal Congestion Condition

 

 

52


  

 

In Study EPI 16, subjects with allergic rhinitis underwent a nasal allergen challenge to induce nasal congestion. ARS-1 and Adrenalin 0.3 mg and Adrenalin 0.5 mg were administered in this study and the PK profile was assessed. Anaphylaxis can impact multiple organ systems, including the nasal mucosa—the site of absorption of ARS-1. Rhinitis and nasal congestion can be features of anaphylaxis; alterations of the nasal mucosa (e.g., vasodilation) may affect the local absorption of epinephrine. The rates of nasal mucosal symptoms such as rhinitis and conjunctivitis range from 2% to 11% in anaphylaxis patients (Brown et al. 2001; Braganza et al. 2006; Gonzalez-Estrada et al. 2017). However, these statistics are limited given these are from retrospective case study reviews. The true incidence of mucosal involvement, particularly nasal mucosal involvement, is unclear. FDA and the Applicant agreed that nasal allergen challenge of subjects with allergic rhinitis with known allergen sensitization may reasonably mimic the findings that could occur in anaphylaxis.

 

Study EPI 16 was a four-treatment, partially randomized, crossover study involving adult subjects with allergic rhinitis (N=36). The study sequence was of sandwich design (ARS-1 g Adrenalin g Adrenalin g ARS-1) with a washout period of 12 days between the two ARS-1 treatment periods to mitigate the carryover effect.

 

3.1.2.3.1   PK Data in Allergen-Induced Nasal Congestion

 

The epinephrine concentration-time profiles within 60 min postdose are shown in Figure 11.

 

 

LOGO

 

53


Figure 11. Epinephrine Geometric Mean (±Standard Error) Plasma Concentration-Time Profiles in Subjects With Allergic Rhinitis

 

LOGO

 

  Source: Clinical Pharmacology Reviewer. Based on adpc.xpt of Study EPI 16.  

LOGO

 

Three subjects each in the Adrenalin 0.3 mg and Adrenalin 0.5 mg IM arms and one subject in ARS-1 with nasal challenge arm had insufficient number of quantifiable postdose samples (n<3) within 30 min. Two subjects in each in the Adrenalin 0.3 mg arm, five subjects in the Adrenalin 0.5 mg arm, and two subjects in the and ARS-1 with nasal challenge arm did not have pharmacokinetic data. This is the same figure as Figure 2 in Section 1.3.2.

 

LOGO

  Under normal nasal conditions, the epinephrine concentration-time profile for ARS-1 was similar to Study EPI 15. The exposure was reasonably within the range of 0.3 and 0.5 mg of Adrenalin after about 10 min postdose. Under the nasal-allergen-challenge conditions, the epinephrine concentration following ARS-1 increased more rapidly than the two Adrenalin dose arms followed by a fast decline and the epinephrine concentrations became lower than all comparator arms after 10 to 20 min postdose. We ask the AC panel to consider the lower epinephrine exposure after 20 min postdose.   LOGO

 

LOGO  

 

ARS Comment 30:

 

We believe ARS-1 is bracketed by Adrenalin 0.3 mg at all time points, and the data presented by FDA in this briefing book support this observation.

 

See ARS Comment 7 regarding PK.

 

See ARS Comment 8 regarding PD that references Figure 12 below.

 

 

3.1.2.3.2   PD Data in Allergen-Induced Nasal Congestion

The pharmacodynamic responses are shown in Figure 12. The mean and median of maximum SBP change from baseline within 60 min and median Tmax to reach maximum change are shown in Table 12.

 

54


              

Figure 12. Median PD Responses (SBP and PR Changes From Baseline) in Subjects With Allergic Rhinitis

 

LOGO

 

Source: Clinical Pharmacology Reviewer. Based on adxd.xpt of Study EPI 16.

Subjects who were included in the PK analysis were included in the PD analysis.

Error bars represent 25% and 75% percentile of the PD values.

Abbreviations: PD, pharmacodynamics; PK, pharmacokinetics; PR, pulse rate; SBP, systolic blood pressure

 

  

 

            

 

Table 13. Maximum SBP Change from Baseline in 60 Min In Subjects With Allergic Rhinitis

        
 

 

   
     Parameter   

ARS-1 Normal

(N=36)

   

ARS-1 Challenge

(N=33)

   

Adrenalin 0.3 mg

(N=31)

   

Adrenalin 0.5 mg  

(N=31)  

     
 

 

   
 

 Mean (SD) (mmHg)

     20 (17     15 (13     12 (9     13 (10)      
 

 Median (range) (mmHg)

     18 (-24, 88     13 (-12, 68     12 (-4, 28     16 (-19, 32)      
 

 Median Tmax (range) (min)

     25 (1, 60     10 (1, 60     20 (1, 60     25 (1, 60)      
 

 

   
 

Source: Clinical Pharmacology Reviewer. Based on adxd.xpt of Study EPI16.

Subjects who were included in the PK analysis were included in the PD analysis.

Abbreviations: SBP, systolic blood pressure; Tmax, time to maximum plasma concentration

  
      

Under nasal allergen challenge conditions, similar to the PK profile, initially higher responses in SBP and PR were observed with ARS-1 which soon declined and became lower compared to normal nasal conditions after around 15 min postdose. The median change of PR response following ARS-1 under nasal allergen challenge conditions fell lower than Adrenalin about 5 min postdose. Additionally, it was noted that some subjects had negative values for the maximum SBP change from baseline within 60 minutes postdose in Study EPI 16 (Table 12). The cause of this observation is unclear, but it indicates that the epinephrine PD response is highly variable and may not be associated with epinephrine plasma concentrations at the individual level.

 

   LOGO
LOGO  

 

ARS Comment 31:

 

See ARS Comment 7 regarding PK and ARS Comment 8 regarding PD under nasal allergen challenge.

 

  

        

 

 

 

3.1.2.3.3   Nasal Congestion and its Effect on PK/PD

 

Comparing the PK/PD of ARS-1 under normal nasal conditions versus allergen-induced nasal congestion, there is an apparent change in PK/PD profiles. Specifically, there was faster absorption followed by faster reduction of epinephrine plasma concentration and decline of PD responses after 10 to 20 min

  

 

55


      

postdose observed under nasal allergens challenge conditions.

 

On a closer look, we noted a lack of local decongestant effect seen in some subjects treated with ARS-1 following nasal allergen challenge in EPI 16. As a nonselective adrenergic agonist, epinephrine is expected to function as a nasal decongestant via local vasoconstriction by activating alpha-1 receptors in vascular smooth muscle. Therefore, we expect most if not all subjects to have improved nasal congestion after ARS-1 administration. However, from the analysis, 10 of the 37 subjects treated with ARS-1 after nasal allergen challenge continued to have some degree of nasal congestion for more than 30 min post-ARS dose, with 7 of those subjects experiencing nasal congestion for 120 min or longer. It appears that some subjects with moderate to severe nasal congestion conditions prior to ARS-1 treatment may continue experiencing nasal congestion. How this continued nasal congestion affects the uptake of a potential second dose of ARS-1 is unknown. The effect of severity and duration of nasal congestion conditions on the PK/PD of ARS-1 is discussed below.

 

   LOGO
LOGO    

 

ARS Comment 32:

 

See ARS Comment 16.

 

  

    

 

 

The severity of allergen-induced nasal congestion prior to ARS-1 administration impacted the PK profile of ARS-1, as shown in Figure 13.

 

Figure 13. Epinephrine Geometric Mean (±Standard Error) Plasma Concentration-Time Profiles in Subjects With Allergic Rhinitis Under Nasal Allergen Challenge Conditions by Predose Nasal Congestion Score (NCS) Subgroup Analysis in Comparison to Without Nasal Allergen Challenge

 

LOGO

 

Source: Clinical Pharmacology Reviewer. Based on adpc.xpt and adyn.xpt of Study EPI 16. Pre-dose refers to prior to ARS-1 administration but after nasal allergen challenge.

Abbreviations: NAC, nasal allergen challenge, NCS, nasal congestion score

 

The PK of epinephrine in subjects with severe nasal congestion (NCS=3) prior to ARS-1 administration had a slightly faster absorption rate followed by a faster decline, in comparison to subjects with mild to moderate nasal congestion (NCS=1 or 2). In addition, the duration of nasal congestion was found to have

  

 

LOGO

 

 

56


an impact on PD responses, as shown in Figure 14.

 

LOGO    

 

ARS Comment 33:

 

FDA correctly notes that the patients with severe nasal congestion (NCS = 3) prior to ARS-1 administration “had slightly faster absorption followed by faster decline, in comparison to subjects with mild to moderate nasal congestion (NCS = 1 or 2)”

 

However, as seen in comparison with Figure 11 reproduced below, this would imply that patients with severe nasal congestion (NCS = 3) are achieving even higher exposures than normal condition vs. Adrenalin 0.3 mg in the first 10 minutes, when a clinical response would be expected to be observed prior to giving a second dose.

 

Figure 11. Epinephrine Geometric Mean (±Standard Error) Plasma

Concentration-Time Profiles in Subjects With Allergic Rhinitis

 

LOGO

 

Source: Clinical Pharmacology Reviewer. Based on adpc.xpt of Study EPI 16.

Three subjects in the Adrenalin 0.3 mg arm and one subject in ARS-1 with nasal challenge arm had insufficient number of postdose samples (n<3) within 30 min. Two subjects in the Adrenalin 0.3 mg arm, five subjects in the Adrenalin 0.5 mg arm, and two subjects in the ARS-1 with nasal challenge arm did not have pharmacokinetic data. This is the same figure as Figure 2 in Section 1.3.2.

 

       

 

 

57


 

Figure 14. Median PD Responses (SBP Change From Baseline) in Subjects With Allergic Rhinitis Following Nasal Allergen Challenge by Nasal Congestion Score Subgroup Analysis

 
       LOGO  

 

      

Source: Clinical Pharmacology Reviewer. Based on adxd.xpt and adyn.xpt of Study EPI 16.

Error bars represent the 25% and 75% percentiles of the PD values.

Abbreviations: NAC, nasal allergen challenge; NCS, nasal congestion score; PD, pharmacodynamics; SBP, systolic blood pressure

  
  Within 60 min postdose, a reduced SBP response was noted with subjects who continued experiencing nasal congestion at 15 min postdose. Subjects who experienced nasal congestion longer than 30 min post-ARS-1 dosing also demonstrated a lower SBP response compared to those with a shorter nasal congestion duration.    LOGO

 

58


LOGO    

 

ARS Comment 34:

 

We acknowledge that SBP response (median and error bars) in subjects with NCS 15 min = 0, or NCS 15 min = 2 or do not appear any different until at least 45 minutes.

 

However, data do not support that “nasal congestion longer than 30 min post-ARS-1 dosing demonstrated a lower SBP response compared to those with a shorter nasal congestion duration.”

 

As shown in Figure 12 below showing the comparison including injection, SBP response for the entire duration of 60 minutes irrespective of NCS 15 min = 0, or nasal congestion duration >30 minute or <30 minutes, does not appear to be any different from Adrenalin 0.3 mg from the same EPI-16 study.

 

Figure 12. Median PD Responses (SBP and PR Changes From Baseline) in Subjects With Allergic Rhinitis

 

LOGO

 

Source: Clinical Pharmacology Reviewer. Based on adxd.xpt

of Study EPI 16. Subjects who were included in the PK

   
 

 

3.1.2.3.4   PK/PD Summary in Allergen-Induced Nasal Congestion

 

Overall, when ARS-1 was administered under nasal allergen challenge conditions, the epinephrine PK profile demonstrated an initial faster absorption phase followed by a faster decline phase compared with normal nasal conditions. The PD responses (median SBP and PR change from baseline) for ARS-1 under nasal allergen challenge conditions also demonstrated a similar pattern (i.e., higher response followed by faster decline) in comparison to normal nasal conditions. In addition, it appears that the nasal congestion severity and duration had an impact on epinephrine PK and PD profiles.

 

 

 

  LOGO

LOGO  

 

ARS Comment 35:

 

See ARS Comment 33 and ARS Comment 34.

 

 
  The lack of epinephrine PK/PD sustainability under nasal allergen challenge conditions raises concerns for durability of treatment effect in patients with anaphylaxis who experience nasal edema. The Applicant agreed that a second dose is likely needed under nasal edema condition during anaphylaxis. However, there is an uncertainty regarding what the PK/PD of a second dose of ARS-1 would look like given the potential interaction of the nasal congested state which can be seen in anaphylaxis and the adrenergic effect following the first dose of IN epinephrine, especially if both doses of ARS-1 are  

 

LOGO

 

59


administered in the same naris. We ask the AC panel to discuss this issue.

 

 

LOGO  

  

ARS Comment 36:

 

See ARS Comment 16 regarding clinical relevance of second dose rhinitis study.

  
  

During the preparation of this briefing document, the Applicant submitted simulation data that modeled the epinephrine PK profile following the second dose of ARS-1 under the nasal congestion conditions. The Agency has not fully reviewed the modeling and simulation data. However, the Agency has serious concerns whether modeling and simulation can adequately represent the pathophysiology and pharmacology following a second ARS-1 dose under nasal edema conditions. If the AC panel thinks that additional data are necessary following a second dose of ARS-1 under nasal congestion conditions, we recommend a dedicated PK study to obtain these data.

 

3.1.2.4   ARS-1 PK/PD Data with Self-Administration

 

In all the previously discussed clinical pharmacology studies, the staff administered ARS-1 to subjects to reduce the PK variability by ensuring consistent administration. However, ARS-1 is proposed for self- administration and the impact of self-administration on the PK profile was a question raised during development of ARS-1. Therefore, the Division requested the Applicant to conduct an actual use PK study to characterize the epinephrine PK profiles in subjects following self-administration of ARS-1. Note that this self-administration PK assessment is different than the HF assessment, which is discussed in Section 6.2.

 

The impact of self-administration on the epinephrine PK profile was assessed in Study EPI 17 - a two- period, two-treatment, randomized, crossover study in adult patients with Type 1 allergies. Subjects (N=42) were randomized to receive either a single dose of self-administered ARS-1 or a single dose of staff-administered Adrenalin 0.3 mg. The concentration-time profiles for self-administered ARS-1, staff- administered Adrenalin 0.3 mg as well as staff-administered ARS-1 from Study EPI 15 are shown in Figure 15. Study EPI 17 did not include a staff-administered ARS-1 arm, so a cross-study comparison was performed.

 

Figure 15. Epinephrine Geometric Mean (±Standard Error) Plasma Concentration-Time Profiles Following a Single Dose of ARS-1 (Self-Administered), Adrenalin 0.3 mg (Staff-Administered) and Single Dose of ARS-1 (Staff-Administered From EPI 15)

  

    

 

60


  

LOGO

 

 Source: Clinical Pharmacology Reviewer. Based on adpc.xpt of Study EPI 17 and EPI 15.

  
       

The epinephrine PK profile following self-administration of single dose ARS-1 was generally higher than that following staff-administered Adrenalin 0.3 mg. The cross-study comparison of the PK profile for ARS-1 between Study EPI 15 (staff-administered) and EPI 17 (self-administered) demonstrated a similar pattern.

   LOGO

 

61


Some deviations identified in the HF studies were also noted in the self-administration study. Sneezing, premature activation of device, and not activating the device were not observed in Study EPI 17.

However, during the trial, there were subjects who inserted the device at an incorrect angle (nozzle is supposed to be inserted straight and not toward the septum or side wall of the naris), did not completely insert the nozzle fully, those who sniffed after administration, and those who reported nasal drip after use. We conducted subgroup PK analyses to assess if there was a difference in PK profile for some of these observations. Based on the subgroup PK analyses, nasal drip, device insertion angle, and incomplete insertion of nozzle into the nose do not lower the epinephrine PK profile. However, sniffing lowered the epinephrine PK profile to a certain extent following nasal administration, as shown in Figure 16. All PK profiles of ARS-1 remained higher than Adrenalin.

Figure 16. Epinephrine Geometric Mean (±Standard Error) Plasma Concentration-Time Profiles Following a Self-Administered Single Dose of ARS-1 2 mg by Administration Issue (EPI 17)

Device Anglea    Sniffing During and After Dosing

 

LOGO

 

Nasal Drip    Amount of Nasal Insertiona

 

LOGO

Source: Clinical Pharmacology Reviewer. Based on adpc.xpt and adyh.xpt for Study EPI 17.

a Two subjects were unable to have the device angle or amount of nasal insertion determined due to subjects’ hand obstructing a clear view of dosing based on the CSR. They were excluded in the subgroup analysis. These two subjects had low epinephrine exposures with unclear reason. Abbreviation: CSR, clinical study report

3.1.3   ARS-1 Pediatric Development

Anaphylaxis occurs in pediatric patients and epinephrine injection products are approved for pediatric patients; therefore, a pediatric development program is required for ARS. To satisfy this requirement, the Applicant is conducting a single-arm PK/PD trial (EPI 10) in children 4 to 17 years of age who have a significant systemic (Type 1) allergy and are at risk for anaphylaxis to assess the PK/PD of ARS-1 in pediatric patients. The study includes two groups divided by weight: 15 to <30 kg and ≥30 kg. Subjects in the 15 to <30 kg group receive either 0.65 mg or 1 mg of ARS-1; subjects in the ≥30 kg group receive

 

62


either 1 mg or 2 mg of ARS-1. This pediatric study is ongoing, but the Applicant conducted an interim analysis and has included PK/PD data for pediatric patients with a body weight ≥30 kg in this application to support the proposed indication. Of note, an epinephrine injection comparator was not included in EPI 10 because of ethical considerations related to administration of epinephrine in pediatric patients. Thus, the pediatric data has limitations due to lack of an approved epinephrine injection product as a comparator in this trial; cross-study comparison to PK/PD data from adults, while not ideal, is used in this analysis. The application did not include data for the 15 to <30 kg pediatric population, so this population will not be discussed.

A total of 42 pediatric subjects weighing ≥30 kg (body weight range: 31 kg to 95 kg; age range: 8 to 17 years) were evaluated, with 16 subjects receiving a 2 mg dose of ARS-1 and 26 subjects receiving a 1 mg dose of ARS-1. One subject who weighed ≥30 kg that received a 1 mg dose had all PK samples below the limit of quantification, per Applicant, and was not included in the PK dataset. Thus, only 25 subjects in this dose group were included in the PK analysis. The PK profiles in this population, in comparison to adults who received 2 mg ARS-1 in Study EPI 15, are shown in Figure 17. The PK results demonstrate that pediatric subjects weighing ≥30 kg had similar PK compared to adults for the first 15 minutes. following administration of 2 mg ARS-1; after 15 minutes, the PK curves were higher compared to adults. The PK profile for the 1 mg dose in pediatric subjects weighing ≥ 30 kg was generally lower compared to adults following administration of 2 mg ARS-1.

Figure 17. Epinephrine Geometric Mean (±Standard Error) Plasma Concentration-Time Profiles Following a Single Dose of ARS-1 (1 mg or 2 mg) in Pediatric Subjects 30 kg and a Single Dose of ARS-1 (2 mg) in Adult Healthy Subjects From Study EPI 15

 

LOGO

   Source: Clinical Pharmacology Reviewer. Based on adpc.xpt for Study EPI 10 and EPI 15.

In contrast to PK, pediatric subjects weighing ≥ 30 kg demonstrated lower PD responses than adults following the same dose (i.e., 2 mg) of ARS-1 in EPI 15 (Figure 18), but with wide confidence intervals. In a review of the EPI 10 trial, it was noted that pediatric subjects were in a semi-supine position for vital

 

63


sign measurements and drug administration, while adults in all studies were in the sitting position; the difference in position may have contributed, at least in part, to the observed PD differences between pediatric and adult subjects (Reid 1986).

Figure 18. Median PD Responses (SBP and PR Change From Baseline) Following a Single Dose of ARS-1 (1 mg or 2 mg) in Pediatric Subjects 30 kg and a Single Dose of ARS-1 (2 mg) in Adult Healthy Subjects From Study EPI 15

Median SBP Change from Baseline    Median PR Change from Baseline

 

LOGO

   Source: Clinical Pharmacology Reviewer. Based on adxd.xpt of Study EPI10.

   Error bars represent 25% and 75% percentile of the PD values.

   Abbreviations: PD, pharmacodynamics; PR, pulse rate; SBP, systolic blood pressure

The safety pool for EPI 10 included 21 subjects who received 2 mg ARS-1. Common adverse events reported in these subjects include nasal discomfort (19%), intranasal paresthesia (19%), rhinorrhea (14%), sneezing (14%), paresthesia (10%), fatigue (10%), and feeling jittery (10%). In general, the adverse events reported were numerically higher in the pediatric population of EPI 10 compared to the adult population (as noted in Section 3.2); however, safety conclusions from EPI 10 are limited due to the small size and single arm design with no comparator.

In considering the pediatric program, pediatric extrapolation from the adult PK/PD program is necessary given the limitations of the pediatric data. Pediatric extrapolation can extend what is known about the adult populations (e.g., efficacy) to pediatric subjects if the course of the disease and the expected response to therapy would be sufficiently similar in the pediatric and adult population (ICH 2022). Given that there is a high degree of similarity in anaphylaxis between adult and pediatric patients and an established response to treatment with epinephrine in pediatric patients, extrapolation is reasonable. Extrapolation based on PK considerations has been used previously for epinephrine for anaphylaxis, e.g. approval of epinephrine injection for the lowest weight group (7.5 to 15 kg), as noted in Section 2.2.1.2.

As we consider the proposed indication in pediatric patients ≥30 kg, the uncertainties with the adult PK/PD data are applicable to the pediatric population as well. We ask the panel to consider the available data in the ARS-1 program and whether the benefit-risk is favorable in pediatric patients ≥30 kg.

3.1.4   Summary of Efficacy Issues

The ARS-1 program relies solely on PK/PD data, using a PK-bracketing approach with approved epinephrine injection products, to provide a scientific bridge to the established efficacy of epinephrine injection products to support the efficacy of ARS-1. Based on the severity of the indication and the availability of approved safe and effective products, the Agency expects that there is confidence that efficacy of epinephrine administered by this novel route of administration has been established; residual

 

64


                    uncertainties should be minimized. As a result, a high level of confidence in both PK and PD results and confidence in bridging the PK/PD findings in healthy volunteers to clinical efficacy in the setting of anaphylaxis are expected to support a favorable benefit-risk assessment. We are seeking feedback from the AC on this approach and whether the data presented adequately supports efficacy.    LOGO

 

LOGO    

ARS Comment 37:

 

Please refer to Figure 15 below.

 

Figure 15. Epinephrine Geometric Mean (±Standard Error) Plasma Concentration-Time Profiles Following a Single Dose of ARS-1 (Self-Administered), Adrenalin 0.3 mg (Staff-Administered) and Single Dose of ARS-1 (Staff-Administered From EPI 15)

 

LOGO

In the previous section, we summarized key results from the pivotal clinical pharmacology studies in the ARS-1 program. Based on the results from the submitted clinical pharmacology studies, we have the following main observations with emphasis (in italics) on the observations that we believe are important for the panel to discuss:

General PK/PD Considerations

 

                   

·   The correlation between PK and PD was inconsistent in the ARS- development program; therefore, the Agency has focused its analyses on comparative PK studies, and views PD data as supportive.

   LOGO

 

65


 

LOGO

 

 

 

 

ARS Comment 38:

 

Please refer to ARS Comment 6 containing Figure 7 regarding PD, which is reproduced below.

 

Figure 7. Median PD Responses (SBP, PR, and DBP Change from Baseline) Following a Single Dose of ARS-1, Adrenalin 0.3 mg, or EpiPen 0.3 mg in Healthy Subjects

 

LOGO

 

Source: Clinical Pharmacology Reviewer. Based on adxd.xpt of Study EPI 15. Subjects who were included in the PK analysis were included in the PD analysis.

Error bars represent 25% and 75% percentile of the PD values.

Abbreviations: DBP, diastolic blood pressure; PD, pharmacodynamics; PK, pharmacokinetics; PR, pulse rate; SBP, systolic blood pressure

 

 

        

          

 

·   Anaphylaxis demonstrates rapid onset and fatalities frequently occur in the first 30 minutes after initiation; therefore, we focused our review and analyses on PK and PD comparisons in the first hour after initial dose is administered; we view analyses over a longer time period as less informative.

 

·   Presentation of PK and PD data as arithmetic means may obscure important differences; therefore, our analyses are presented as geometric means.

 

Healthy Volunteer Studies:

 

·   In the dose-ranging study, epinephrine mean concentration for ARS-1 2 mg, the highest dose studied, was higher than that of EpiPen starting approximately 15 min postdose and that of Symjepi starting approximately 10 min postdose. However, the epinephrine concentration for ARS-1 2 mg was lower than both injection products in the first 10 min following administration. The Applicant selected the 2 mg dose for their development program.

 

Whether higher doses may overcome the lower plasma concentrations in the first 10 to 15 min and the clinical significance of the delayed absorption is a topic for AC discussion.

 

 

 

  LOGO

LOGO       

ARS Comment 39:

 

Please refer to ARS Comment 37 regarding PK, as well as ARS Comment 15 regarding concerns about higher doses and exposures.

 
          

·   Epinephrine PK/PD profile following a single dose of ARS-1 is reasonably bracketed by Adrenalin and

 

 

66


 

        

 

EpiPen starting 10 min postdose in healthy subjects. However, a lower epinephrine concentration was generally observed following IN administration, within the first 10 min postdose, compared to all injection products, likely due to an initial slower absorption rate.

 

The significance of the lower PK in the first 10 minutes postdose and potential implications for efficacy in the setting of anaphylaxis is a topic for AC discussion.

 

 

 

LOGO

LOGO     

 

ARS Comment 40:

 

Please refer to ARS comment 37 regarding PK including the first 10 min postdose.

 
          

 

·   Following repeat doses of ARS-1 in the same or opposite naris, the epinephrine exposure was similar to repeat doses of EpiPen 0.3 mg starting 20 min postdose in healthy subjects; however, in the first 20 minutes following administration, plasma epinephrine concentrations are lower for ARS-1, compared to EpiPen. This further implicates a slower initial absorption rate compared to that of EpiPen.

 

Conclusions regarding the lower epinephrine exposure with repeat-dose ARS-1 compared to EpiPen in the first 20 minutes after administration is limited as the repeat dose was not bracketed.

 

 

 

LOGO

LOGO       

ARS Comment 41:

 

Please refer to ARS comment 5 regarding PK with repeat dosing.

 
          

 

·   The proportion of healthy subjects whose plasma epinephrine concentrations reached 100 pg/mL was less than 80% for ARS-1 following both single dose and repeat doses during the first 10 min after administration. A low proportion was also observed with Adrenalin 0.3 mg, but not with EpiPen 0.3 mg.

 

The clinical significance of this lower proportion of subjects who reached a threshold of 100 pg/mL is uncertain and is a topic for AC discussion.

 

 

 

LOGO

LOGO       

ARS Comment 42:

 

Please refer to ARS comment 11 regarding FDA’s description of “arbitrary concentration thresholds.”

 
          

 

·   Higher PD responses (median SBP and PR change from baseline) are observed with both single-dose and repeat-dose ARS-1, in comparison to both Adrenalin and EpiPen, despite the ARS-1 PK profile being lower than that of EpiPen (see Sections 3.1.2.2.2 and 3.1.2.2.4 for more details).

 

 
LOGO       

ARS Comment 43:

 

Please refer to ARS comment 6.

  LOGO
          

 

·   Pediatric subjects who weighed greater than 30 kg and were treated with ARS-1 had similar epinephrine PK profiles compared to that of adults treated with the same dose for the first 15 minutes; post-15 minutes the PK curve in pediatric subjects was higher. Conversely, the pediatric PD responses (SBP and PR change from baseline) were slightly lower compared to adults (see Section 3.1.3 for more details).

 

 

67


      

Nasal Allergen Challenge Study

 

The nasal allergen challenge study was designed to mimic changes in nasal mucosa expected in anaphylaxis. As a result, the Agency considers PK/PD data from this study important as it is the only available data in a related model to support translation of PK/PD findings to anaphylaxis.

 

·   The epinephrine exposure of single dose ARS-1 in allergic rhinitis patients without nasal allergen challenge is within the range of single dose Adrenalin following two different approved doses (i.e., 0.3 mg and 0.5 mg).

 

·   Under nasal allergen challenge conditions, the epinephrine PK following ARS-1 increased more rapidly than the two Adrenalin dose arms (0.3 mg and 0.5 mg), followed by a rapid decline, resulting in the epinephrine concentrations being lower than all comparator arms 10 to 20 min postdose. PD responses followed the same pattern. We note that allergen-induced nasal congestion continued to be reported following IN epinephrine administration in up to 30% of participants, suggesting that nasal congestion conditions may persist for a second dose administration.

 

The PK/PD profile with repeat doses of ARS-1 under the nasal congested state has not been studied. Since up to 20% of patients with anaphylaxis require a second treatment with epinephrine injection products and since the PK and PD decline rapidly 10 minutes after ARS-1 administration in the nasal allergen challenge study, repeat doses of ARS-1 may be needed. Since repeat dose studies have not been performed in the nasal allergen challenge model, and proposed labeling includes repeating a dose if symptoms persist, there is residual uncertainty in the PK/PD response following a repeat dose and thus uncertainty about ARS-1 efficacy in the treatment of anaphylaxis. Whether additional dose- ranging or a repeat dose nasal allergen challenge study would be necessary is a topic for AC discussion.

 

       
LOGO       

ARS Comment 44:

 

Please refer to ARS comment 16 regarding clinical relevance of repeat dose nasal challenge study.

   LOGO
          

 

·   Baseline nasal congestion and rhinorrhea may impact absorption of ARS-1. Implications of these findings for treatment effectiveness in the general population is unclear.

 

  
LOGO       

ARS Comment 45:

 

Please refer to ARS comments 8, 16, 33 and 34 regarding nasal congestion and absorption.

   LOGO
          

 

We look forward to the panel discussion regarding the adequacy of the PK/PD program to demonstrate efficacy of ARS-1 for the emergency treatment of anaphylaxis.

 

3.2 Safety Issues

 

The safety review of ARS-1 primarily relies on the determination of safety of approved epinephrine injection products, provided that the epinephrine exposure with ARS-1 is not higher than approved products. Adverse reactions of systemic epinephrine reported in observational trials and case reports

  

 

68


include anxiety, apprehensiveness, restlessness, tremor, weakness, dizziness, sweating, palpitations, pallor, nausea and vomiting, headache, and/or respiratory difficulties4. Local adverse events from intranasal administration rely only on the data presented from the ARS-1 development program.

The safety database for ARS-1 includes a total of 134 subjects who received ARS-1 across the three pivotal trials (EPI 15, EPI 16, EPI 17). There were 76 subjects who received more than one exposure to ARS-1 per study for a total of 260 exposures of ARS-1. The review of safety did not differentiate whether ARS-1 was given during normal nasal conditions or given after nasal allergen challenge as the AE profile did not differ between the two states.

There were no deaths or serious adverse events that occurred in any of the clinical pharmacology trials with ARS-1. There was one subject who withdrew after receiving ARS-1 due to syncope with initiation of blood sampling shortly after ARS-1 administration. Two subjects withdrew after receiving epinephrine injection due to syncope. The safety profile generated from pooling the three pivotal trials was consistent with the known adverse event profile of epinephrine, except for nasal symptoms (Table 13).

Table 14. Common Adverse Events Occurring at 3% Frequency in a Treatment Arm, Primary Safety Population, Safety Pooling (EPI 15, 16, 17)

                ARS-1    

Epinephrine Injection

0.3 mg*

 
           

   (N=134)

   

(N=189) 

 

Body System or Organ Class

     Dictionary-Derived Term        Count                 Count            

Nervous system disorders

     Headache        8        6     4        2
     Dizziness        4        3     2        1

Gastrointestinal disorders

     Nausea        4        3     4        2

Respiratory, thoracic, and mediastinal disorders

     Nasal discomfort        13        10     0        0
     Rhinorrhea        4        3     0        0

Source: FDA Clinical Reviewer

* Includes both EpiPen 0.3 mg and Adrenalin 0.3 mg injection.

The common local adverse events reported (nasal discomfort and rhinorrhea) were anticipated given the route of administration. Headache, dizziness, and nausea have been reported with epinephrine injection. There were no concerns related to the exposure in the PK trials and no notable PD related (elevated BP or HR) adverse events. Nasal examinations were performed and local adverse events were minimal. The safety profile of ARS-1, however, is limited given that nearly half of the subjects only received one dose of ARS-1. It is uncertain if there would be an increased incidence of local adverse events from frequent and/or long-term use of ARS-1.

 

 

4 See the EpiPen label at https://dailymed.nlm.nih.gov/dailymed/getFile.cfm?setid=7560c201-9246-487c-a13b- 6295db04274a&type=pdf.

 

69


4 Benefit-Risk Framework

Disclaimer: This predecisional Benefit-Risk Framework does not represent the FDA’s final benefit-risk assessment or regulatory decision.

 

      Evidence and Uncertainties    Comments to the Advisory Committee
Analysis of Condition   

·   Anaphylaxis is a severe, potentially fatal, systemic allergic reaction.

 

·   Anaphylaxis can be a life-threatening condition; approximately 200 deaths occur per year due to anaphylaxis in the US.

 

·   A large percentage of the population is at risk of anaphylaxis, primarily due to allergy to foods, drugs, and Hymenoptera venom.

   Anaphylaxis is an emergency condition that can be fatal.
     
Current Treatment Options   

·   Epinephrine injection is the first-line and only available life-saving treatment for anaphylaxis.

 

·   Epinephrine injection products are frequently underused or administration is delayed for multiple reasons (i.e., unavailable at time of reaction, anaphylaxis not recognized, hesitation to inject due to needle-phobia, and device use challenges), increasing the risk of morbidity and mortality.

  

Epinephrine injection products are safe and effective.

 

A needleless route of administration could address certain barriers to epinephrine injection use.

 
Benefits   

·   The benefit of ARS-1 relies on establishing a scientific bridge via bracketed PK, with supportive PD, to approved epinephrine injection products. There are multiple uncertainties relying only on PK/PD data to support the efficacy of ARS-1.

 

   PK/PD data from epinephrine injection products are highly variable.

 

   Whether PK/PD data in healthy volunteers will be similar in anaphylaxis patients is unclear.

 

   Although much of the PK/PD profile of ARS-1 is bracketed by PK/PD profile(s) of approved epinephrine injection products, there are some differences that warrant consideration. For example, in the nasal allergen challenge study, epinephrine PK and PD dropped to below the epinephrine injection comparator at around 15 min, raising questions regarding durability of effect.

  

There is uncertainty in determining efficacy without a clinical efficacy trial.

 

Relying on PK/PD raises multiple uncertainties as there are notable differences in PK/PD results between epinephrine injection and ARS-1.

 

Based on the severity of the indication and the availability of approved safe and effective products, residual uncertainties should be minimized.

     
Risks and Risk Management   

·   Systemic safety relies in part on available data from administration of epinephrine injection.

 

·   Local safety is based only on the safety data from the ARS-1 development program.

 

·   The adverse event profile of ARS-1 did not result in an unexpected safety profile.

 

·   The safety profile is limited given that most subjects received only one dose

   The single and repeat dose studies did not raise safety concerns; however, it is uncertain if there would be adverse events, particularly local adverse events, from frequent use.

Abbreviations: FDA, Food and Drug Administration; PD, pharmacodynamics; PK, pharmacokinetics

 

70


5    References

Literature and Websites

Bautista, E, FE Simons, KJ Simons, AB Becker, K Duke, M Tillett, W Kepron, and SN Mink, 2002, Epinephrine fails to hasten hemodynamic recovery in fully developed canine anaphylactic shock, Int Arch Allergy Immunol, 128(2):151-164.

Beliomo, R, 2012, Encyclopedia of Intensive Care Medicine.

Boyce, JA, A Assa’ad, AW Burks, SM Jones, HA Sampson, RA Wood, M Plaut, SF Cooper, MJ Fenton, SH Arshad, SL Bahna, LA Beck, C Byrd-Bredbenner, CA Camargo, Jr., L Eichenfield, GT Furuta, JM Hanifin, C Jones, M Kraft, BD Levy, P Lieberman, S Luccioli, KM McCall, LC Schneider, RA Simon, FE Simons, SJ Teach, BP Yawn, and JM Schwaninger, 2010, Guidelines for the diagnosis and management of food allergy in the United States: report of the NIAID-sponsored expert panel, J Allergy Clin Immunol, 126(6 Suppl):S1-58.

Braganza, SC, JP Acworth, DR McKinnon, JE Peake, and AF Brown, 2006, Paediatric emergency department anaphylaxis: different patterns from adults, Arch Dis Child, 91(2):159-163.

Brown, AF, D McKinnon, and K Chu, 2001, Emergency department anaphylaxis: A review of 142 patients in a single year, J Allergy Clin Immunol, 108(5):861-866.

Brown, JC, E Simons, and SA Rudders, 2020, Epinephrine in the Management of Anaphylaxis, J Allergy Clin Immunol Pract, 8(4):1186-1195.

Brown, SG, KE Blackman, V Stenlake, and RJ Heddle, 2004, Insect sting anaphylaxis; prospective evaluation of treatment with intravenous adrenaline and volume resuscitation, Emerg Med J, 21(2):149- 154.

Cannuscio, CC, R Dupuis, A Graves, JW Seymour, S Kounaves, E Strupp, D Leri, R Frasso, D Grande, and ZF Meisel, 2015, A behavioral economics intervention to encourage epinephrine-carrying among food- allergic adults: a randomized controlled trial, Ann Allergy Asthma Immunol, 115(3):234-240 e231.

Clutter, WE, DM Bier, SD Shah, and PE Cryer, 1980, Epinephrine plasma metabolic clearance rates and physiologic thresholds for metabolic and hemodynamic actions in man, J Clin Invest, 66(1):94-101.

Ebert, T, 2013, Pharmacology and Physiology for Anesthesia.

FDA, 2022a, FDA alerts patients and health care professionals of EpiPen auto-injector errors related to device malfunctions and user administration, accessed March 29, 2023, https://www.fda.gov/drugs/drug-safety-and-availability/fda-alerts-patients-and-health-care-professionals-epipen-auto-

injector-errors-related-device.

Fleischer, DM, TT Perry, D Atkins, RA Wood, AW Burks, SM Jones, AK Henning, D Stablein, HA Sampson, and SH Sicherer, 2012, Allergic reactions to foods in preschool-aged children in a prospective observational food allergy study, Pediatrics, 130(1):e25-32.

Gonzalez-Estrada, A, SK Silvers, A Klein, K Zell, XF Wang, and DM Lang, 2017, Epidemiology of anaphylaxis at a tertiary care center: A report of 730 cases, Ann Allergy Asthma Immunol, 118(1):80-85.

ICH, 2022, E11A: Paediatric Exploitation, accessed April 13, 2023, https://database.ich.org/sites/default/files/ICH E11A Document Step2 Guideline 2022 0404 0.pdf.

Illum, L, 2003, Nasal drug delivery—possibilities, problems and solutions, J Control Release, 87(1-3):187- 198.

 

71


Jerschow, E, RY Lin, MM Scaperotti, and AP McGinn, 2014, Fatal anaphylaxis in the United States, 1999- 2010: temporal patterns and demographic associations, J Allergy Clin Immunol, 134(6):1318-1328 e1317.

Kanwar, M, CB Irvin, JJ Frank, K Weber, and H Rosman, 2010, Confusion about epinephrine dosing leading to iatrogenic overdose: a life-threatening problem with a potential solution, Ann Emerg Med, 55(4):341-344.

Kapoor, M, JC Cloyd, and RA Siegel, 2016, A review of intranasal formulations for the treatment of seizure emergencies, J Control Release, 237:147-159.

Lake, CR, B Chernow, DS Goldstein, DG Glass, M Coleman, and MG Ziegler, 1984, Plasma catecholamine levels in normal subjects and in patients with secondary hypertension, Fed Proc, 43(1):52-56.

Lieberman, JA and J Wang, 2020, Epinephrine in anaphylaxis: too little, too late, Curr Opin Allergy Clin Immunol, 20(5):452-458.

Likus, W, G Bajor, K Gruszczynska, J Baron, and J Markowski, 2014, Nasal region dimensions in children: a CT study and clinical implications, Biomed Res Int, 2014:125810.

Manivannan, V, EP Hess, VR Bellamkonda, DM Nestler, MF Bellolio, JB Hagan, KL Sunga, WW Decker, JT Li, LN Scanlan-Hanson, SC Vukov, and RL Campbell, 2014, A multifaceted intervention for patients with anaphylaxis increases epinephrine use in adult emergency department, J Allergy Clin Immunol Pract, 2(3):294-299 e291.

Mink, SN, FE Simons, KJ Simons, AB Becker, and K Duke, 2004, Constant infusion of epinephrine, but not bolus treatment, improves haemodynamic recovery in anaphylactic shock in dogs, Clin Exp Allergy, 34(11):1776-1783.

Molinoff, PB, 1984, Alpha- and beta-adrenergic receptor subtypes properties, distribution and regulation, Drugs, 28 Suppl 2:1-15.

Prince, BT, I Mikhail, and DR Stukus, 2018, Underuse of epinephrine for the treatment of anaphylaxis: missed opportunities, J Asthma Allergy, 11:143-151.

Pumphrey, RS, 2000, Lessons for management of anaphylaxis from a study of fatal reactions, Clin Exp Allergy, 30(8):1144-1150.

Reid, JL, 1986, Alpha-adrenergic receptors and blood pressure control, Am J Cardiol, 57(9):6E-12E.

Sampson, HA, A Munoz-Furlong, RL Campbell, NF Adkinson, Jr., SA Bock, A Branum, SG Brown, CA Camargo, Jr., R Cydulka, SJ Galli, J Gidudu, RS Gruchalla, AD Harlor, Jr., DL Hepner, LM Lewis, PL Lieberman, DD Metcalfe, R O’Connor, A Muraro, A Rudman, C Schmitt, D Scherrer, FE Simons, S Thomas, JP Wood, and WW Decker, 2006, Second symposium on the definition and management of anaphylaxis: summary report—Second National Institute of Allergy and Infectious Disease/Food Allergy and Anaphylaxis Network symposium, J Allergy Clin Immunol, 117(2):391-397.

Shaker, MS, DV Wallace, DBK Golden, J Oppenheimer, JA Bernstein, RL Campbell, C Dinakar, A Ellis, M Greenhawt, DA Khan, DM Lang, ES Lang, JA Lieberman, J Portnoy, MA Rank, DR Stukus, J Wang, Collaborators, N Riblet, AMP Bobrownicki, T Bontrager, J Dusin, J Foley, B Frederick, E Fregene, S Hellerstedt, F Hassan, K Hess, C Horner, K Huntington, P Kasireddy, D Keeler, B Kim, P Lieberman, E Lindhorst, F McEnany, J Milbank, H Murphy, O Pando, AK Patel, N Ratliff, R Rhodes, K Robertson, H Scott, A Snell, R Sullivan, V Trivedi, A Wickham, E Chief, MS Shaker, DV Wallace, C Workgroup, MS Shaker, DV Wallace, JA Bernstein, RL Campbell, C Dinakar, A Ellis, DBK Golden, M Greenhawt, JA Lieberman, MA Rank, DR Stukus, J Wang, R Joint Task Force on Practice Parameters, MS Shaker, DV Wallace, DBK

 

72


Golden, JA Bernstein, C Dinakar, A Ellis, M Greenhawt, C Horner, DA Khan, JA Lieberman, J Oppenheimer, MA Rank, MS Shaker, DR Stukus, and J Wang, 2020, Anaphylaxis-a 2020 practice parameter update, systematic review, and Grading of Recommendations, Assessment, Development and Evaluation (GRADE) analysis, J Allergy Clin Immunol, 145(4):1082-1123.

Simons, FE, 2011, Anaphylaxis pathogenesis and treatment, Allergy, 66 Suppl 95:31-34.

Simons, FE, JR Roberts, X Gu, and KJ Simons, 1998, Epinephrine absorption in children with a history of anaphylaxis, J Allergy Clin Immunol, 101(1 Pt 1):33-37.

Simons, KJ and FE Simons, 2010, Epinephrine and its use in anaphylaxis: current issues, Curr Opin Allergy Clin Immunol, 10(4):354-361.

Spina, JL, CL McIntyre, and JA Pulcini, 2012, An intervention to increase high school students’ compliance with carrying auto-injectable epinephrine: a MASNRN study, J Sch Nurs, 28(3):230-237.

Turner, PJ, E Jerschow, T Umasunthar, R Lin, DE Campbell, and RJ Boyle, 2017, Fatal Anaphylaxis: Mortality Rate and Risk Factors, J Allergy Clin Immunol Pract, 5(5):1169-1178.

Warren, CM, JM Zaslavsky, K Kan, JM Spergel, and RS Gupta, 2018, Epinephrine auto-injector carriage and use practices among US children, adolescents, and adults, Ann Allergy Asthma Immunol, 121(4):479- 489 e472.

Westermann-Clark, E, AN Pepper, and RF Lockey, 2018, Economic considerations in the treatment of systemic allergic reactions, J Asthma Allergy, 11:153-158.

Westfall, TC, 2011, Adrenergic Agonists and Antagonists, The Pharmacological Basis of Therapeutics, Goodman, L. S. and A. Gilman, 12th edition 282-285.

Guidances for Industry

FDA, 2016, Guidance for Industry and FDA Staff; Human Factors Studies and Related Clinical Study Considerations in Combination Product Design and Development, https://www.fda.gov/regulatory-information/search-fda-guidance-documents/human-factors-studies-and-related- clinical-

study-considerations-combination-product-design-and .

FDA, 2022b, Guidance for Industry; Bioavailability Studies Submitted in NDAs or INDs - General Considerations, https://www.fda.gov/media/121311/download

 

73


6    Appendix

6.1    Nonclinical Supportive Data

 

LOGO

 

6.1.1    Nasal Mucosal Damage Changes

 

Single-dose IN treatment of ARS-1 in rats induced ARS-1-related suggests that epinephrine contributed to histopathology changes in the nose, such as minimal ulceration of the exposed mucosa (at ≥2.3-fold the recommended clinical dose of 2 mg of ARS-1 based on local surface area), and nasal passages, such as minimal to mild necrosis in the nasal turbinate and parietal wall in the rostral-most level (at ≥1.2-fold the recommended clinical dose of 2 mg of ARS-1 based on local surface area). These findings were often associated with minimal to mild neutrophilic inflammation. All these findings were minimal to mild severity, observed at low frequency, absent from recovery groups on Day 15, and considered clinically monitorable.

 

 

 

 

LOGO

6.1.2    PK and Cardiovascular Assessment Under Anaphylaxis Condition in Dog

In a GLP cardiovascular telemetry study, 14 anesthetized non-naïve beagle dogs with or without Tween-80-induced anaphylaxis condition received 1 mg ARS-1 via IN administration. Treatment was administered 7 or 14 days apart into alternate nostrils. ARS-1 was administered 7 min after the Tween-80 challenge. The PK and cardiovascular changes in dogs under anaphylaxis condition versus non- anaphylaxis were evaluated.

An increase in epinephrine exposure (total and baseline-adjusted) was noted within the first 10 min after ARS-1 administration in dogs under anaphylaxis. The Cmax and AUC0-45 doubled under anaphylaxis. ARS-1, with or without anaphylaxis, had no effect on the morphology of the electrocardiograms. Under anaphylaxis, there was a decrease in arterial blood pressure (mean BP, SBP, and DBP), which gradually increased ~30 min after ARS-1 administration and returned to preinduction levels by ~60 min post-ARS-1 dosing. Increased HR after ARS-1 administration was noted under the normal condition but not the anaphylaxis condition. Increased histamine after the challenge started to decrease 5 min after ARS-1 administration in some dogs and returned to close to baseline by 60 min in 9 of 14 dogs. Overall, the anaphylaxis condition appears to increase absorption of ARS-1. This study did not have a Tween-80 challenge-only group (no ARS-1 treatment), precluding conclusions on any PD effects.

In a non-GLP cardiovascular telemetry study (Study #2021-4052) in seven conscious and seven anaesthetized non-naïve beagle dogs, a Tween-80 challenge-only group was included. Under anaesthetized condition, Tween-80 alone decreased heart rate by ~20 beats/min. Decreased systolic arterial BP (up to -20 mmHg), mean arterial BP (up to -12 mmHg), pulmonary arterial blood pressure (up to -18 mmHg), and left ventricular BP (up to -30 mmHg) were also observed during the 2-hour window post-placebo treatment (water spray). ARS-1 (1 mg) did not appear to affect the level or dynamics of heart rate or BP changes induced by Tween-80 during the 2-hour window post-ARS-1 treatment. Therefore, the PD benefit of ARS-1 (1 mg) treatment is not demonstrated.

 

74


6.2    Human Factors

6.2.1    Human Factors Overview

When a drug product is proposed for use with a device, HF studies (FDA 2016) may be conducted to ensure the user interface5 supports safe and effective use of the product by the intended users, for the intended uses, and for the intended use environments. HF studies are part of an iterative design process that should start with preliminary analyses, including formative studies, of a combination product prototype to identify potential use errors and inform the need for user interface changes. Prior to designing and conducting a HF study, Applicants should conduct a comprehensive use-related risk analysis (URRA). The comprehensive URRA should include a comprehensive and systematic evaluation of all the steps involved in using the product (e.g., based on a task analysis), the errors that users might commit, or the tasks they might fail to perform, the potential negative clinical consequences of use errors and task failures, the risk-mitigation strategies employed to reduce risks identified, and the methods intended to validate the risk-mitigation strategies. The URRA is used to inform the design of an HF validation study (HFVS) protocol. The objective of an HFVS is to demonstrate that the final finished user interface supports safe and effective use of the product by intended users, for intended uses, and under the expected conditions (including environment(s) of use).

HFVSs are generally conducted with the final intend-to-market user interface under simulated use conditions with representative users performing necessary tasks to assess the adequacy of the product user interface design. The results of these studies should be analyzed qualitatively to determine whether the user interface supports safe and effective use of the product, or if the user interface needs to be further modified to reduce the use-related risks to acceptable levels. The conditions of the HFVS should be sufficiently realistic so that the results can be extrapolated to actual use of the product once introduced into the market. Tasks to be performed in the HF simulated-use validation study should include those critical tasks identified in a URRA.

If use errors or problems (e.g., failures/use errors, “close calls,” use difficulties)6,7 are identified in an HFVS, each should be evaluated to (1) identify the root cause(s), (2) determine the potential for harm (including the clinical significance of such errors or problems and the potential for compromised medical treatment), and (3) determine whether additional measures to eliminate or mitigate risks to acceptable levels are necessary.

When reviewing study results, it is important to note that HF validation testing is primarily a qualitative rather than a quantitative exercise. The goal is to evaluate users’ interactions with a device user interface by observing their performance with a focus on collecting subjective user assessments of their

 

 

5 The term user interface refers to all components of the product with which the user interacts, including the device constituent part(s) of the product and any associated controls and displays, as well as product labels, labeling, and packaging.

6 Per the draft guidance “Contents of a Complete Submission for Threshold Analyses and Human Factors Submissions to Drug and Biologic Applications: A use error is defined as a user action, or lack of action, that was different from that expected by the manufacturer and that caused an outcome that (1) was different from the result expected by the user, (2) was not caused solely by product failure, and (3) did or could result in harm. A close call is defined as an instance(s) in which a user almost makes a use error that could result in harm, but the user takes an action to “recover” and prevent the use error from occurring.

7 A use difficulty is defined as when a user completes a task successfully, but experiences issues (i.e., initial confusion etc.) or operational difficulties.

 

75


experience using the medical product to assess the adequacy of the user interface design. Use errors are recorded but the purpose is not to quantify the frequency of any particular use error or establish acceptability with respect to numerical acceptance criteria. Instead, the purpose is to identify the part of the user interface involved in a use error or problem and investigate the causes of the use error or problem so that the design of the user interface can be optimized for safe and effective use. The root causes of all use errors and problems should be considered in relation to the associated risks to ascertain the potential for resulting harm and determine the priority for implementing additional risk management measures. As a general practice, design modifications made in response to HF validation testing results to eliminate or reduce unacceptable use-related risks should be evaluated in a subsequent test to determine whether the design modifications were effective and whether they have introduced unacceptable new risks that need to be eliminated or reduced.

6.2.2    HFVS Conducted for NDA 214697

The Applicant included two simulated-use HFVS (HFVS #1 and HFVS #2) in their submission to support the NDA. These two studies were separated by the actual use PK studies (e.g., self-administration PK study) EPI 12 and EPI 13, which provided additional information that was considered in the testing done for the supplemental HFVS (HFVS #2). The two HFVS were intended to provide data to support safe and effective use of the proposed product by adolescents (epinephrine-experienced8 and epinephrine-naïve9 patients) and adult lay people (epinephrine-experienced and epinephrine-naïve patients, passersby, and caregivers) without medical training, along with epinephrine experienced healthcare providers.

The dosing of the product involves the user placing the nasal spray nozzle all the way in one nostril and activating the plunger to administer a dose. After 10 min, if symptoms persist or worsen, a second nasal spray device can be used to administer another dose. Although HF studies have been conducted with a nearly identical device constituent for other combination drug products, an HFVS was necessary for this product due to differences in the intended users and uses (e.g., self-administration in an emergency situation as opposed to administration by another person as seen with products like Narcan nasal spray where self-administration would not generally be expected), and the user interface (e.g., differences in the product instructions for use and quick reference guide).

6.2.2.1    HFVS #1

6.2.2.1.1    Methodology of HFVS #1

HFVS #1 evaluated 90 participants representing the following user groups:

 

  1.

Adult epinephrine-experienced patient participants [n=15].

 

  2.

Adult epinephrine-naïve patient participants [n=15].

 

  3.

Adolescent epinephrine-experienced patient participants (10 to 17 years old) [n=15].

 

  4.

Adolescent epinephrine-naïve patient participants (10 to 17 years old) [n=15].

 

  5.

Epinephrine-naïve passersby [n=15].

 

  6.

Healthcare providers (emergency medical technicians and nurses) [n=15].

 

 

8 Defined by the Applicant as a patient with a type 1 allergy who is prescribed an epinephrine product.

9 Defined by the Applicant as a patient who suffers from severe allergies but has not been prescribed an epinephrine product nor received any training nor has any experience using an epinephrine product.

 

76


The Applicant’s HFVS #1 report stated:

All participants were placed into a simulated emergency scenario where they either had to respond to themselves or someone else experiencing a severe allergic reaction. All participants were observed as they attempted to administer a dose with the product given to them in its secondary packaging [e.g., 2 blister trays, and each blister tray has a printed quick reference guide (QRG) on the back and a nasal device (placebo filled)] and perform follow-on tasks. Participants were then given a second scenario where some time had gone by and their (or the patient’s) symptoms got worse. All participants were observed again to evaluate if and how they administered a second dose. All participants were then presented with the full product user interface (carton, devices, Instructions for Use [IFU]) and asked knowledge tasks questions regarding critical information presented on the carton and in the IFU.

The user interface evaluated in HFVS #1 can be found in Figure 19.

 

77


Figure 19. Carton (Top); Blister Pack With QRG Printed on Back and Nasal Spray Device (Middle); IFU (Bottom)10

 

LOGO

 

LOGO

 

 

Source: Current Applicant submission.

Abbreviations: IFU, instructions for use; QRG, quick reference guide

 

 

10 HFVS #1 was conducted prior to the Applicant finalizing the 2 mg dose/strength. Therefore, the labels and labeling evaluated in HFVS #1 display the previous dose/strength of 1 mg.

 

78


6.2.2.1.2    Results of HFVS #1

Table 14 shows a summary of the key results for HFVS #1.

Table 1415. Summary of HFVS #1 Results

 

Number    Task    Number of
Use Errors
     Description of Use Errors   

Numbers of Use Difficulties

and Close Calls

1.

   Dispose of nasal spray    1      Participant initially did not dispose of the device until after the administration of the second dose.    0
         

2.

   Call medical professional    11      Use errors related to participants not being aware of needing to contact a medical professional    0
         

3.

   Give a second dose    10      Use errors related to patients administering the second dose in the same nostril as the first dose    0
         

4.

  

When should you give a

second dose?

   1      Participant initially stated they did not know the answer to this knowledge task assessment question.    0

Source: Review of HFVS #1 report.

Abbreviation: HFVS, Human Factors Validation Study

6.2.2.1.3    Actual-Use PK Studies EPI 12 and EPI 13 – Additional Use Issues Uncovered

Per the Applicant, during the actual use PK study EPI 12, participants received training which involved reviewing the IFU and/or QRG, the moderator demonstrating the correct use with a trainer, and the participant then demonstrating the correct use with a trainer (up to three times). When the participants administered the drug product, the Applicant noted “that some participants emulated the images on the IFU and QRG.” The Applicant observed that “some subjects held the sprayer with palm out and inserted into the nostril which makes it more awkward to hold the sprayer straight into the nose when activating” and “some subjects crossed over from right hand to left nostril (or vice versa) with palm out” which “appeared to angle the sprayer more significantly to the side of the nose in actual use study observations and increase risk of spray collecting on the side of the nose and dripping back out.” This behavior aligns with what the pictograms in the QRG (Figure 19) depict.

Additionally, per the Applicant, during the actual use PK study EPI 13, there were several use issues noted with trained participants that self-administered the product. Training involved participants reviewing the IFU and/or QRG with the moderator, the moderator demonstrating the correct use with a trainer, and the participant then demonstrating correct use with a trainer (up to three times). In the actual use PK study, some participants (n=9) angled the device toward the nostril wall(s), which, per the Applicant, led to some of the drug product dripping from the nostril. However, per the Applicant, there were “major protocol deviations” that may have also impacted use during the clinical study, such as the QRG not being printed on the back of the blister trays; therefore, participants did not have “reminder labeling” available to them during the administration portion of the study.

 

79


6.2.2.2    Risk Mitigations Implemented to Address Use Issues Identified After HFVS #1, EPI 12, and EPI 13

The Applicant implemented additional labeling mitigations to address use issues observed in HFVS #1 and the actual use PK studies EPI 12 and EPI 13. The Applicant’s labeling mitigations included revisions to the QRG and IFU in an effort “to better communicate the following information”11:

 

  1.

Insert device straight into the nose

 

  2.

Do not angle device

 

  3.

Proper hand placement

 

  4.

Insert device until fingertips touch nose

 

  5.

Hold device straight when in the nose

 

  6.

Call medical professional

Figure 20 depicts the QRG evaluated in HFVS #1 and the revised QRG.

Figure 20. QRG Evaluated in HFVS #1 (Left); Revised QRG (Right)

 

 

LOGO

Source: Current application submission

Abbreviations: HFVS, Human Factors Validation Study; QRG, quick reference guide

Notable QRG revisions included:

 

  1.

Revised pictograms depicting the correct hand orientation during administration.

 

  2.

Revised pictograms depicting correct insertion method of the nozzle (e.g., all the way up the nostril and held straight).

 

  3.

Revised language under step 2, emphasizing that the entire nozzle should be inserted

 

  4.

Additional pictogram depicting the incorrect method of insertion (i.e., users should not angle the nozzle towards the septum or nostril wall).

 

  5.

Revision of contact medical professional statement.

 

 

11 We note that there were use errors observed in HFVS #1 related to patients administering the second dose in the same nostril as the first dose. However, based on feedback from FDA’s clinical review team, there are no clinical concerns related to administering both doses in the same nostril.

 

80


Figure 21 and Figure 22 depict the IFU evaluated in HFVS #1 and the revised IFU, respectively.

Figure 21. IFU Evaluated in HFVS #1

 

 

LOGO

Source: Current application submission.

Abbreviations: HFVS, Human Factors Validation Study; IFU, instructions for use

 

81


Figure 22. Revised IFU

 

LOGO

Source: Current application submission.

Abbreviation: IFU, instructions for use

Notable IFU revisions:

 

  1.

Revised pictograms depicting in steps 1B to 1D depicting correct hand orientation and nozzle insertion.

 

  2.

Revised language under step 1C instructing users to insert nozzle all the way into nostril and keep nozzle straight.

 

  3.

Revised language under step 1D instructing users to press plunger until “it snaps up” and to administer a second dose if any error is made in dosing or if any liquid drips out of the nose.

 

  4.

Section added after step 1D with pictograms depicting incorrect methods of insertion (i.e., users should not angle the nozzle towards the septum or nostril wall).

 

  5.

Revised language under the section titled “After 10 minutes, repeat dosing, if necessary” that now includes “…or if any error in dosing…”.

 

82


6.2.2.3    Supplemental HFVS (HFVS #2)

6.2.2.3.1    Methodology of HFVS #2

The supplemental HFVS #2 evaluated 60 participants12, representing the following user groups:

 

  1.

Untrained adult patient participants [n=15].

 

  2.

Untrained adolescent patient participants (12 to 17 years old) [n=15].

 

  3.

Trained adolescent patient participants13 [n=15].

 

  4.

Untrained caregivers [n=15].

The supplemental HFVS #2 was conducted to evaluate whether the revisions to the QRG and IFU were effective at addressing the use errors observed in HFVS #1 and the actual use PK studies EPI 12 and EPI 13 as well as determine whether any unacceptable new risks were introduced. To do this, participants carried out two simulated-use scenarios with an air-filled device (did not contain the drug or a placebo solution) and answered related knowledge task questions. The participants received the full user interface that would be expected to be dispensed to a patient or caregiver (i.e., carton, IFU, 2 blister trays each with a QRG printed on the back and a nasal spray device enclosed) for the simulated use scenarios and the knowledge task scenario. Training was implemented for one group of adolescent patient participants, and the training consisted of watching a training video developed by the Applicant. The evaluated tasks included:

 

  5.

Insert nasal spray straight into nostril

 

  6.

Insert nasal spray nozzle into nose up to fingers

 

  7.

Call medical professional

6.2.2.3.2    Results of HFVS #2

Table 15 provides a summary of the use issues noted in the supplemental HFVS #2 for all user groups described in Section 6.2.2.3.1.

 

 

12 Six adult participants, four caregiver participants, and six adolescent participants had epinephrine autoinjector experience.

13 Per the Applicant’s January 10, 2023, response to the Agency’s January 5, 2023 Information Request: The original cohort of adolescents were untrained. The results of this cohort revealed issues surrounding the amount of force required to activate the device and the sudden snap sound of the plunger once activated. In a few of the cases, the surprise of the device activation resulted in the adolescent prematurely withdrawing the sprayer from the nostril during or after activation. It was unclear if this behavior would result in inadequate dose administration but was considered sub-optimal administration. Therefore, a separate cohort of adolescents were added to the study that were trained prior to use. They were provided a demonstration device to activate so that they could feel the amount of pressure needed to active the device and to hear the snap of the activation.

 

83


Table 1516. Summary of Supplemental HFVS #2 Results

 

Number    Tasks    Number of
Use Errors
     Description(s) of Use Error(s)
1    Insert tip      3     

1 adult participant used his dominant hand but switched nostrils using a contralateral approach resulting in the tip being inserted at an angle.

 

1 adolescent participant (for both 1st and 2nd dose scenarios) felt the tip was too big to fit into their nose properly, which led to the device popping out of the nostril when pressing the

plunger.

2    Hold tip straight      5     

2 adolescent participants had the tip come out of the nose reflexively due to the unanticipated force when pressing the plunger. 1 of these participants noted the click sound “freaked them out”, causing them to lose their grip.

 

2 other adolescent participants had the same issue, but only during the 2nd dose scenario.

 

1 trained adolescent participant was unable to hold the device in straight due to using his non-dominant hand.

3    Call medical professional      1      1 adult participant did not notice the instruction to call the medical professional, as he stopped reading after the “Do not Angle” section.

Source: FDA Review of HFVS #2 report.

Abbreviation: HFVS, Human Factors Validation Study

6.2.2.3.3    Actual Use PK Study EPI 17

Per the Applicant, “the final labeling for the IFU and QRG” was included and evaluated during the actual- use PK study EPI 17. This clinical study also included trained participants that self-administered the product. Training involved participants reviewing the IFU and QRG instructions with the moderator, viewing the training video, and then demonstrating the correct use of the product using a trainer. We noted that the same use issue of angling the device toward the nostril wall, identified in the supplemental HFVS #2 and the actual-use PK studies EPI 12 and EPI 13, was also observed in the EPI 17 study. Specifically, some participants (n=8) angled the device toward the nostril wall(s), which, per the Applicant, led to some of the drug product dripping from the nostril.

6.2.3    Human Factors Discussion and Conclusion

Use errors related to angling the device in the nostril occurred in the actual use PK studies (EPI 12, EPI 13, and EPI 17), and the supplemental HFVS #2. We note that because the device used in supplemental HFVS #2 did not contain liquid (and was air-filled), the moderator did not have the cue of drug product dripping from the nostril (as identified in actual-use PK studies EPI 12, EPI 13, and EPI 17), that would indicate partial drug administration. We note that angling of the device in the nostril was not evaluated as part of the URRA, but we note that this error does not appear to noticeably lower the epinephrine PK profile based on the subgroup evaluation of available PK data from FDA’s clinical pharmacology team (see Section 3.1.2.4).

Additionally, use errors related to premature removal of the device from the nostril were observed in the supplemental HFVS #2. In some cases, these were due to a startle reaction due to unanticipated force, or the noise associated with depressing the spray plunger. We also note that this error was not observed in the HFVS #1 or the actual use PK studies. The Applicant attributes the observation of this error in the supplemental HFVS #2 to the lighter weight of the air-filled device used only in this study.

 

84


We note that the Applicant’s URRA indicates that premature removal of the device while pressing the plunger may lead to partial dose or no dose.

Furthermore, in both HFVS #1 and HFVS #2, we note that there were multiple use errors regarding the failure to call a medical professional. To address this use error, we recommend that the Applicant implement labeling revisions to further emphasize the need to call for emergency medical help.

We considered the impact of the use errors related to angling of the device on the PK profile and based on the FDA clinical pharmacology’s review of PK data, there does not appear to be a noticeable impact on PK, and therefore less likely to impact efficacy or safety. Furthermore, use errors related to premature removal would not be unique to the ARS-1 IN product as this risk exists in other IN emergency use products using the same device constituent parts, as well as some epinephrine injection products. Given the above considerations, we determined the residual risk is acceptable, and we do not think additional risk mitigation measures are needed to further reduce the residual risk to address the identified use errors related to angling the device and premature removal of the device.

 

85