EX-3.1 2 tm2333047d1_ex3-1.htm EXHIBIT 3.1
Exhibit 3.1

GRAPHIC

Certificate of Amendment Canada Business Corporations Act Loi canadienne sur les sociétés par actions Certificat de modification Canopy Growth Corporation 721873-7 Corporate name / Dénomination sociale Corporation number / Numéro de société Hantz Prosper Date of amendment (YYYY-MM-DD) Date de modification (AAAA-MM-JJ) Director / Directeur 2023-12-15 I HEREBY CERTIFY that the articles of the above-named corporation are amended under section 178 of the Canada Business Corporations Act as set out in the attached articles of amendment. JE CERTIFIE que les statuts de la société susmentionnée sont modifiés aux termes de l'article 178 de la Loi canadienne sur les sociétés par actions, tel qu'il est indiqué dans les clauses modificatrices ci-jointes. /s/ Hantz Prosper

GRAPHIC

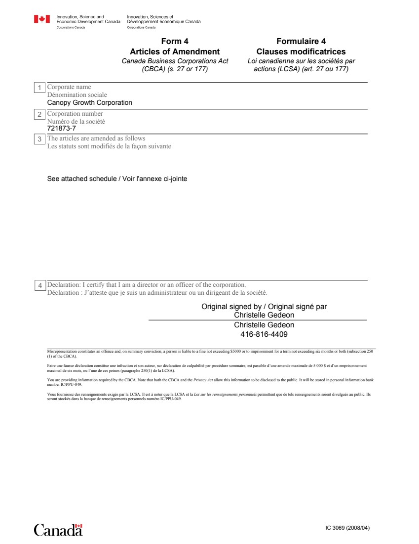
Form 4 Canada Business Corporations Act (CBCA) (s. 27 or 177) Formulaire 4 Loi canadienne sur les sociétés par actions (LCSA) (art. 27 ou 177) Articles of Amendment Clauses modificatrices Corporate name Dénomination sociale 1 Canopy Growth Corporation Corporation number Numéro de la société 2 721873-7 The articles are amended as follows Les statuts sont modifiés de la façon suivante 3 See attached schedule / Voir l'annexe ci-jointe Misrepresentation constitutes an offence and, on summary conviction, a person is liable to a fine not exceeding $5000 or to imprisonment for a term not exceeding six months or both (subsection 250 (1) of the CBCA). Faire une fausse déclaration constitue une infraction et son auteur, sur déclaration de culpabilité par procédure sommaire, est passible d’une amende maximale de 5 000 $ et d’un emprisonnement maximal de six mois, ou l’une de ces peines (paragraphe 250(1) de la LCSA). You are providing information required by the CBCA. Note that both the CBCA and the Privacy Act allow this information to be disclosed to the public. It will be stored in personal information bank number IC/PPU-049. Vous fournissez des renseignements exigés par la LCSA. Il est à noter que la LCSA et la Loi sur les renseignements personnels permettent que de tels renseignements soient divulgués au public. Ils seront stockés dans la banque de renseignements personnels numéro IC/PPU-049. Christelle Gedeon 416-816-4409 Christelle Gedeon Original signed by / Original signé par 4 Declaration: I certify that I am a director or an officer of the corporation. Déclaration : J’atteste que je suis un administrateur ou un dirigeant de la société. IC 3069 (2008/04)

GRAPHIC

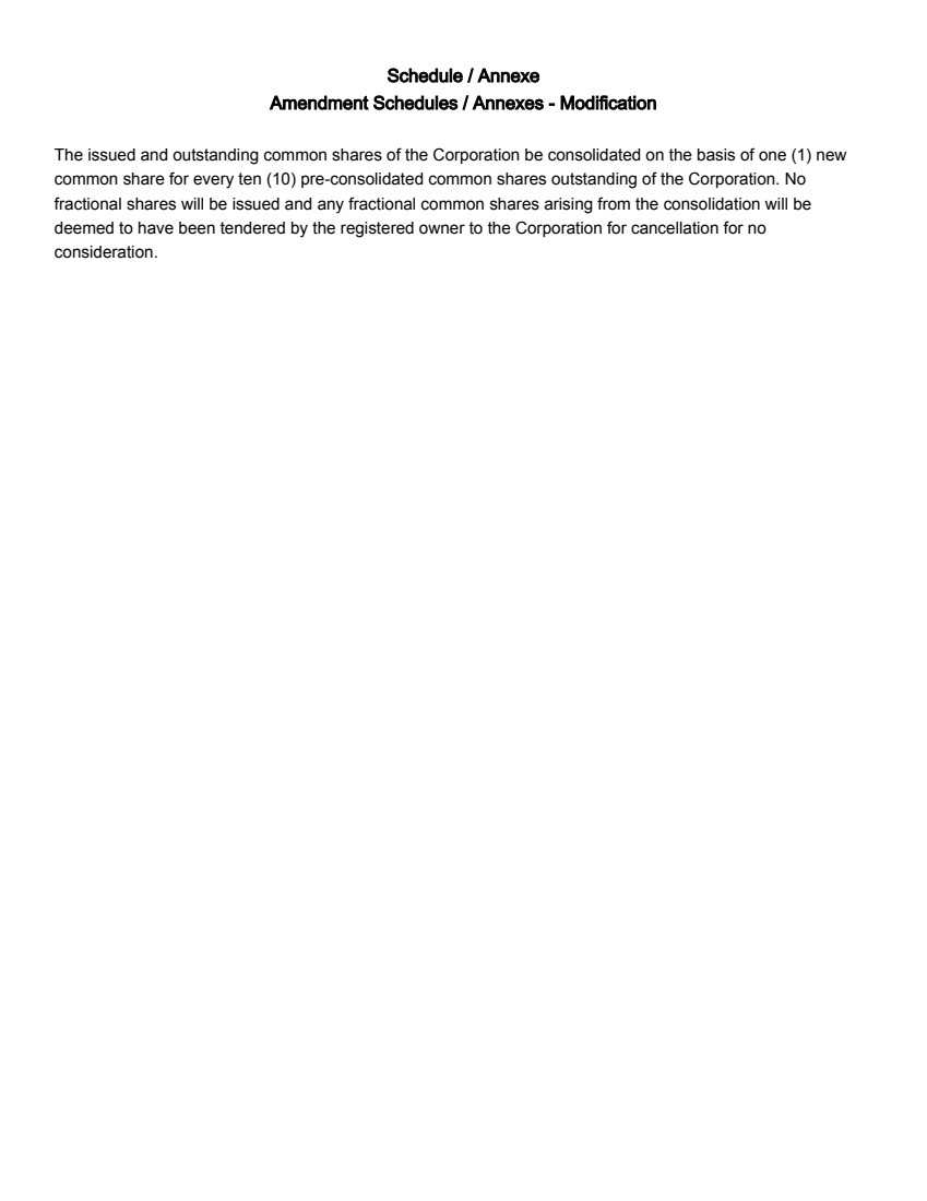
Schedule / Annexe Amendment Schedules / Annexes - Modification The issued and outstanding common shares of the Corporation be consolidated on the basis of one (1) new common share for every ten (10) pre-consolidated common shares outstanding of the Corporation. No fractional shares will be issued and any fractional common shares arising from the consolidation will be deemed to have been tendered by the registered owner to the Corporation for cancellation for no consideration.