EX-3.1 2 tm2411978d1_ex3-1.htm EXHIBIT 3.1
Exhibit 3.1

GRAPHIC

Certificate of Amendment Canada Business Corporations Act Loi canadienne sur les sociétés par actions Certificat de modification Canopy Growth Corporation 721873-7 Corporate name / Dénomination sociale Corporation number / Numéro de société Hantz Prosper Date of amendment (YYYY-MM-DD) Date de modification (AAAA-MM-JJ) Director / Directeur 2024-04-12 I HEREBY CERTIFY that the articles of the above-named corporation are amended under section 178 of the Canada Business Corporations Act as set out in the attached articles of amendment. JE CERTIFIE que les statuts de la société susmentionnée sont modifiés aux termes de l'article 178 de la Loi canadienne sur les sociétés par actions, tel qu'il est indiqué dans les clauses modificatrices ci-jointes.

GRAPHIC

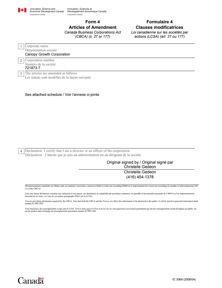
Form 4 Canada Business Corporations Act (CBCA) (s. 27 or 177) Formulaire 4 Loi canadienne sur les sociétés par actions (LCSA) (art. 27 ou 177) Articles of Amendment Clauses modificatrices Corporate name Dénomination sociale 1 Canopy Growth Corporation Corporation number Numéro de la société 2 721873-7 The articles are amended as follows Les statuts sont modifiés de la façon suivante 3 See attached schedule / Voir l'annexe ci-jointe Misrepresentation constitutes an offence and, on summary conviction, a person is liable to a fine not exceeding $5000 or to imprisonment for a term not exceeding six months or both (subsection 250 (1) of the CBCA). Faire une fausse déclaration constitue une infraction et son auteur, sur déclaration de culpabilité par procédure sommaire, est passible d’une amende maximale de 5 000 $ et d’un emprisonnement maximal de six mois, ou l’une de ces peines (paragraphe 250(1) de la LCSA). You are providing information required by the CBCA. Note that both the CBCA and the Privacy Act allow this information to be disclosed to the public. It will be stored in personal information bank number IC/PPU-049. Vous fournissez des renseignements exigés par la LCSA. Il est à noter que la LCSA et la Loi sur les renseignements personnels permettent que de tels renseignements soient divulgués au public. Ils seront stockés dans la banque de renseignements personnels numéro IC/PPU-049. Christelle Gedeon (416) 454-1378 Christelle Gedeon Original signed by / Original signé par 4 Declaration: I certify that I am a director or an officer of the corporation. Déclaration : J’atteste que je suis un administrateur ou un dirigeant de la société. IC 3069 (2008/04)

GRAPHIC

LEGAL*57061315.2 SCHEDULE “A” I. The Articles of the Corporation are hereby amended as follows: 1. to increase the authorized capital by creating an unlimited number of exchangeable shares (the “Exchangeable Shares”); 2. to restate the rights, privileges, restrictions and conditions attaching to the common shares in the capital of the Corporation (the “Common Shares”) by replacing them in their entirety with the rights, privileges, restrictions and conditions set out herein; and 3. to provide, that after giving effect to the foregoing, the Corporation be and is hereby authorized to issue an unlimited number of Common Shares and an unlimited number of Exchangeable Shares having the rights, privileges, restrictions and conditions set forth in Exhibit “A”, attached hereto;

GRAPHIC

LEGAL*57061315.2 EXHIBIT “A” PROVISIONS ATTACHING TO THE COMMON SHARES AND EXCHANGEABLE SHARES COMMON SHARES 1. Voting Rights. The holders of the Common Shares shall be entitled to receive notice of and to attend and shall be entitled to one vote at any meeting of the shareholders of the Corporation for each Common Share held. 2. Dividends. The holders of the Common Shares shall be entitled to receive dividends as and when the directors shall in their discretion declare dividends on the Common Shares and pay the same. 3. Dissolution. The holders of the Common Shares shall be entitled to receive the remaining property of the Corporation in the event of any liquidation, dissolution or winding-up of the Corporation, whether voluntary or involuntary, or other distribution of assets of the Corporation among its shareholders for the purpose of winding-up its affairs. 4. Conversion Right. Each issued and outstanding Common Share may at any time, at the option of the holder, be converted for one Exchangeable Share. The conversion right may be exercised at any time and from time to time by notice in writing delivered to the person appointed by the Corporation as the transfer agent and registrar of the Common Shares and the Exchangeable Shares (the “Transfer Agent”) accompanied by the certificate or certificates representing the Common Shares or, if uncertificated, such other evidence of ownership as the Transfer Agent may require, in respect of which the holder wishes to exercise the right of conversion. The notice must be signed by the registered holder of the Common Shares in respect of which the right of conversion is being exercised or by his, her or its duly authorized attorney and must specify the number of Common Shares which the holder wishes to have converted. Upon receipt of the conversion notice and share certificate(s) or other evidence of ownership satisfactory to the Transfer Agent, the Corporation will cause the Transfer Agent to issue a share certificate or other evidence of ownership representing Exchangeable Shares on the basis set out above to the registered holder of the Common Shares. If fewer than all of the Common Shares represented by a certificate accompanying the notice are to be converted, the holder is entitled to receive a new certificate representing the shares comprised in the original certificate which are not to be converted. Common Shares converted into Exchangeable Shares hereunder will automatically be cancelled. 5. Subdivision or Consolidation. No subdivision or consolidation of the Common Shares may be carried out unless, at the same time, the Exchangeable Shares are subdivided or consolidated in a manner so as to preserve the relative rights of the holders of each class of securities. EXCHANGEABLE SHARES 1. Voting Rights. The holders of Exchangeable Shares shall not be entitled as such to vote at meetings of the shareholders of the Corporation except as otherwise provided by the

GRAPHIC

LEGAL*57061315.2 - 3 - Canada Business Corporations Act or as required by applicable law or as required by an order of a court of competent jurisdiction; provided that the holders of Exchangeable Shares shall, however, be entitled to receive notice of any meeting of the shareholders of the Corporation and to receive notice of and to attend any meeting of the shareholders of the Corporation called for the purpose of authorizing the dissolution of the Corporation or the sale of its undertaking or assets, or a substantial part thereof. 2. Dividends. The holders of the Exchangeable Shares shall not be entitled to receive any dividends. 3. Dissolution. In the event of the dissolution, liquidation or winding-up of the Corporation, whether voluntary or involuntary, or any other distribution of assets of the Corporation among its shareholders for the purpose of winding-up its affairs, the holders of the Exchangeable Shares shall not be entitled to receive any amount, property or assets of the Corporation. 4. Conversion Right. Each issued and outstanding Exchangeable Share may at any time, at the option of the holder, be converted for one Common Share. The conversion right may be exercised at any time and from time to time by notice in writing delivered to the Transfer Agent accompanied by the certificate or certificates representing the Exchangeable Shares or, if uncertificated, such other evidence of ownership as the Transfer Agent may require, in respect of which the holder wishes to exercise the right of conversion. The notice must be signed by the registered holder of the Exchangeable Shares in respect of which the right of conversion is being exercised or by his, her or its duly authorized attorney and must specify the number of Exchangeable Shares which the holder wishes to have converted. Upon receipt of the conversion notice and share certificate(s) or other evidence of ownership satisfactory to the Transfer Agent, the Corporation will cause the Transfer Agent to issue a share certificate or other evidence of ownership representing Common Shares on the basis set out above to the registered holder of the Exchangeable Shares. If fewer than all of the Exchangeable Shares represented by a certificate accompanying the notice are to be converted, the holder is entitled to receive a new certificate representing the shares comprised in the original certificate which are not to be converted. Exchangeable Shares converted into Common Shares hereunder will automatically be cancelled. 5. Change of Control Adjustment. Upon any consolidation, amalgamation, arrangement, merger, redemption, compulsory acquisition or similar transaction of or involving the Common Shares, or a sale or conveyance of all or substantially all the consolidated assets of the Corporation and its subsidiaries to any other body corporate, trust, partnership or other entity (each a “Change of Control”), each Exchangeable Share that is outstanding on the effective date of a Change of Control shall remain outstanding and, upon the conversion of such Exchangeable Share thereafter, shall be entitled to receive and shall accept, in lieu of the number of Common Shares that the holder thereof would have been entitled to receive prior to such effective date, the number of shares or other securities or property (including cash) that such holder would have been entitled to receive on such Change of Control, if, on the effective date of such Change of Control, the holder had been the registered holder of the number of Common Shares which it was entitled to acquire upon the exchange of the Exchangeable Share as of such date (the “Adjusted Exchange

GRAPHIC

LEGAL*57061315.2 - 4 - Consideration”); provided that, in the event that, in connection with a Change of Control, the Exchangeable Shares are to be exchanged for securities of another body corporate, trust, partnership or other entity that are substantially equivalent in all respects to the terms of the Exchangeable Shares (the “Alternative Exchangeable Security”), as determined by the board of directors of the Corporation, acting reasonably, using the same exchange ratio as is applicable for the Common Shares in connection with such Change of Control, then in such circumstances, each Exchangeable Share that is outstanding on the effective date of a Change of Control shall be exchanged for the Alternative Exchangeable Security. If the Adjusted Exchange Consideration includes cash, then (a) the Corporation shall use its commercially reasonable efforts to ensure that such cash is neither derived in a manner that violates, or derived from any business or operations in violation of, the Controlled Substances Act (21 U.S.C. § 801, et seq.), and (b) the Corporation shall, or shall cause the other body corporate, trust, partnership or other entity resulting from or party to such Change of Control to, deposit with an escrow agent appointed by the Corporation on the closing date of the Change of Control the aggregate cash that would be payable to holders of Exchangeable Shares if all of the outstanding Exchangeable Shares were exchanged immediately following the Change of Control. All such funds shall be held by the escrow agent in a segregated interest-bearing account for the benefit of the holders of Exchangeable Shares, and shall solely be used to satisfy the cash portion of the Adjusted Exchange Consideration upon exchanges of Exchangeable Shares from time to time (with holders of Exchangeable Shares being entitled to any accumulated interest on the funds from the date of initial deposit to and including the business day immediately preceding the date of exchange, on a pro rata basis). If, in connection with a Change of Control, a holder of a Common Share may elect a form of consideration (including, without limitation, shares, other securities, cash or other property) from options made available, then each holder of Exchangeable Shares shall be deemed to have elected to receive an equal percentage of each of the different types of consideration offered, unless otherwise agreed in writing by such holder of Exchangeable Shares in accordance with the terms of the transaction and prior to any applicable election deadline; provided that if the option made available is between two securities, one of which is an Alternative Exchangeable Security, then all holders of Exchangeable Shares shall be deemed to have elected to receive solely Alternative Exchangeable Securities. In such case, the Adjusted Exchange Consideration shall equal the consideration that a holder of Common Shares making an election on the terms set forth in the preceding sentence would have received in the transaction. After any adjustment pursuant to these terms, the term "Common Shares", where used above, shall be interpreted to mean securities of any class or classes which, as a result of such adjustment and all prior adjustments pursuant to this section, the holder is entitled to receive upon the exchange of Exchangeable Shares, and the number of Common Shares indicated by any exchange of an Exchangeable Share shall be interpreted to mean the number of Common Shares or other property or securities the holder of the Exchangeable Share is entitled to receive upon the exchange of an Exchangeable Share as a result of such adjustment and all prior adjustments pursuant to these terms.

GRAPHIC

LEGAL*57061315.2 - 5 - 6. Subdivision or Consolidation. No subdivision or consolidation of the Exchangeable Shares may be carried out unless, at the same time, the Common Shares are subdivided or consolidated in a manner so as to preserve the relative rights of the holders of each class of securities.