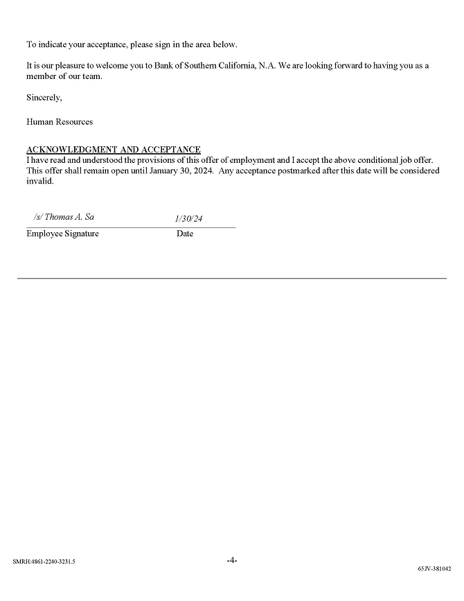
EX-10.3 5 ex10-3.htm

 

Exhibit 10.3