EX-10.1 2 gaetano_franceschix-xoff.htm EX-10.1 gaetano_franceschix-xoff
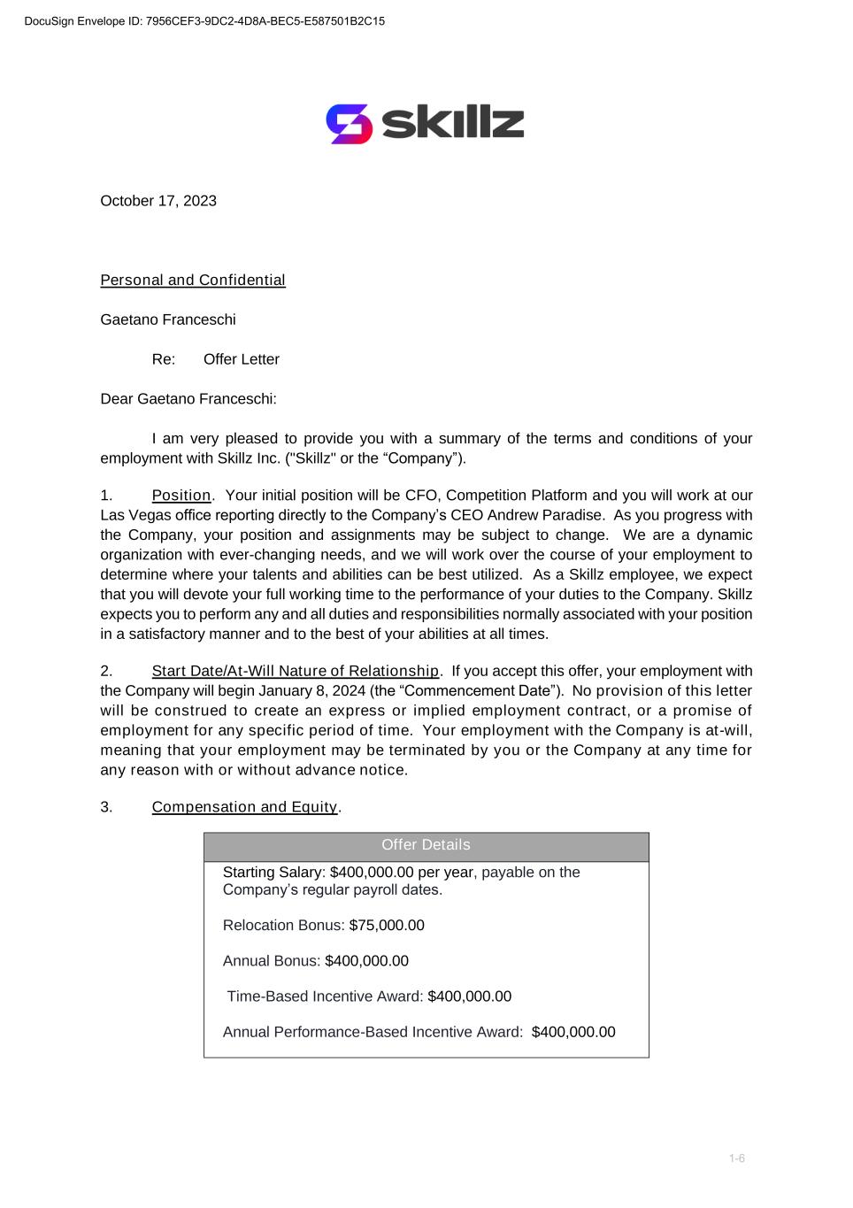
1-6 October 17, 2023 Personal and Confidential Gaetano Franceschi Re: Offer Letter Dear Gaetano Franceschi: I am very pleased to provide you with a summary of the terms and conditions of your employment with Skillz Inc. ("Skillz" or the “Company”). 1. Position. Your initial position will be CFO, Competition Platform and you will work at our Las Vegas office reporting directly to the Company’s CEO Andrew Paradise. As you progress with the Company, your position and assignments may be subject to change. We are a dynamic organization with ever-changing needs, and we will work over the course of your employment to determine where your talents and abilities can be best utilized. As a Skillz employee, we expect that you will devote your full working time to the performance of your duties to the Company. Skillz expects you to perform any and all duties and responsibilities normally associated with your position in a satisfactory manner and to the best of your abilities at all times. 2. Start Date/At-Will Nature of Relationship. If you accept this offer, your employment with the Company will begin January 8, 2024 (the “Commencement Date”). No provision of this letter will be construed to create an express or implied employment contract, or a promise of employment for any specific period of time. Your employment with the Company is at-will, meaning that your employment may be terminated by you or the Company at any time for any reason with or without advance notice. 3. Compensation and Equity. Offer Details • Starting Salary: $400,000.00 per year, payable on the Company’s regular payroll dates. • Relocation Bonus: $75,000.00 • Annual Bonus: $400,000.00 • Time-Based Incentive Award: $400,000.00 • Annual Performance-Based Incentive Award: $400,000.00 DocuSign Envelope ID: 7956CEF3-9DC2-4D8A-BEC5-E587501B2C15


 
2-6 Relocation Bonus. You will also receive a one-time relocation bonus in the amount of (see table above) (the “Relocation Bonus”) less applicable taxes and withholdings, which will be paid thirty (30) days following your Commencement Date with the Company, subject to your continuous employment with the Company from the Commencement Date through the date of payment and the repayment obligation described in the following sentence. If you voluntarily leave the Company prior to completing twelve (12) months' work following the Commencement Date, you agree to repay 100% of the post-tax portion of the Relocation Bonus within 30 days of your departure. If you voluntarily leave the Company post completing twelve (12) months' work and prior to completing twenty-four (24) months months’ work following the Commencement Date, you agree to repay 50% of the post- tax portion of the Relocation Bonus within 30 days of your departure. Annual Bonus. Your initial target incentive compensation opportunity with the Company will be $400,000.00, paid out on an annual basis if and to the extent that the Company achieves established corporate goals and objectives approved by the Compensation Committee of the Company’s Board of Directors. Target incentives do not constitute a promise of payment. The actual amount of your incentive compensation may be lower or higher than your target based on factors such as the Company’s overall performance, your individual job performance and your ability to meet your established goals and objectives. To be eligible for incentive compensation you must be employed by the Company and not under termination notice (which shall include either notice by the Company or by you of an intent to end the employment relationship) on or prior to the date when an incentive might have otherwise been payable. Target incentive compensation will be prorated, depending on the Commencement Date, if and to the extent the Company determines the established goals were met. Annual Time-Based Incentive Award. As soon as reasonably practicable following the Commencement Date, and on an annual basis thereafter, and subject to approval of the Company’s Compensation Committee or CEO, the Company will grant you a Restricted Stock Unit award equal to $400,000.00 of the Company’s Class A common stock (the “Incentive Award”). The Incentive Award will be subject to the Skillz Inc. 2020 Omnibus Incentive Plan (as it may be amended from time to time, the “2020 Plan”) and an award agreement setting forth the specific terms and conditions of the Incentive Award. In your first year, one hundred percent (100%) of the Incentive Award will cliff-vest on the first anniversary of your Commencement Date, subject to your continuous service with the Company through such vesting date and the additional terms and conditions of the 2020 Plan and the applicable award agreement. In subsquent years, based on your continuous service with the Company through each applicable vesting date, the Incentive Award will vest quarterly over a one-year period. Annual Performance-Based Incentive Award. Subject to the approval of the Company’s Compensation Committee or CEO, the Company will grant you a Restricted Stock Unit award equal to $400,000.00 of the Company’s Class A common stock (the “Performance-Based Incentive Award”). The Performance-Based Incentive Award will be subject to your continuous service with the Company, the terms and conditions of the 2020 Plan, and the applicable award agreement setting forth the specific terms and conditions of the Performance-Based Incentive Award. The Performance-Based Incentive Award shall vest as follows: The Performance-Based Incentive Award shall vest over one (1) year according to the achievement of certain performance goals, as summarized below, and subject to your continued service with the Company. DocuSign Envelope ID: 7956CEF3-9DC2-4D8A-BEC5-E587501B2C15


 
3-6 Performance Goals; Performance Periods. The Performance-Based Incentive Award will be earned subject to the achievement of written annual goals which are determined by the Compensation Committee or CEO with respect to each Performance Period (the “Performance Goals"). For purposes of this award, if your Commencement Date falls within the fourth quarter of the calendar year, the “Performance Periods” for the Performance- Based Incentive Award shall be the full calendar year following your Commencement Date. If your Commencement Date falls within the first, second or third quarters of the calendar year, the "Performance Periods" for the Performance-Based Incentive Award are as follows: (A) the first Performance Period begins on the first day of the quarter following the Commencement Date (the “Quarterly Start”) and continues until December 31 of such calendar year; (B) the second, Performance Period will begin on January 1 of the successive calendar year and will continue until the last day of the quarter in which the first anniversary of the Commencement Date falls, such that the total award amount earned shall vest on the last day of the quarter following the first anniversary of the Commencement Date. Determination of Vesting; Forfeiture. Within 45 days following the end of each Performance Period, the Compensation Committee or CEO shall determine and communicate to you whether and to what extent the Performance Goals have been achieved for such Performance Period. Notwithstanding the foregoing, (i) even if the Performance Goals for a Performance Period have been met, no shares subject to the Performance-Based Incentive Award shall vest unless you are continuously providing services to the Company through the last day of the applicable Performance Period; provided, that if your employment is terminated by the Company for Cause (as defined in the 2020 Plan), if you voluntarily resign, or if you breach any written restrictive covenant agreement with the Company (including, without limitation, the Confidential Information and Invention Assignment Agreement), in each case, between the end of the Performance Period and the date that the Compensation Committee or CEO determines whether the goals for such Performance Period have been met, any portion of the Performance-Based Incentive Award for such Performance Period and any future Performance Periods will be forfeited and cancelled; (ii) if the Performance Goals have been determined by the Compensation Committee or CEO not to have been achieved with respect to a Performance Period, any unearned shares that were subject to vesting in such Performance Period shall be cancelled; and (iii) with respect to the first Performance Period, no shares will vest until the later of the date of the Compensation Committee or CEO’s determination that the Performance Goals have been achieved or the first anniversary of your Commencement Date (the one-year cliff). Target incentives do not constitute a promise of payment. The actual amount of your incentive compensation may be lower or higher than your target based on factors such as the Company’s overall performance, your individual job performance and your ability to meet the Performance Goals and objectives. It is not typical for target incentives to be paid in full, as goals and objectives for such compensation are intended to be highly ambitious; however, the Company wants to offer you an opportunity for additional compensation for meeting such special goals and objectives. In order to be eligible for any type of incentive compensation you must be employed by the Company and not under termination notice on or prior to the date when an incentive might have otherwise been payable. Target incentive compensation will be prorated, depending on your Commencement Date with the Company. DocuSign Envelope ID: 7956CEF3-9DC2-4D8A-BEC5-E587501B2C15


 
4-6 4. Your Certifications to the Company. As a condition of your employment, you certify to the Company that you are free to enter into and fully perform the duties of your position and that you are not subject to any employment, confidentiality, non-competition or other agreement that would restrict your performance for the Company. You further certify that your signing this letter of employment does not violate any order, judgment or injunction applicable to you, or conflict with or breach any agreement to which you are a party or by which you are bound. If you are subject to any such agreement or order, please forward it to Legal, along with a copy of this letter. Additionally, as a condition of your employment, you also certify that all facts you have presented to the Company are accurate and true. This includes, but is not limited to, all oral and written statements you have made (including those pertaining to your education, training, qualifications, licensing and prior work experience) on any job application, resume or c.v., or in any interview or discussion with the Company. 5. Confidential Information and Invention Assignment Agreement. Like all Company employees, you will be required, as a condition of your employment with the Company, to sign the Company’s standard Confidential Information and Invention Assignment Agreement (the "Confidentiality Agreement"). A copy of the Confidentiality Agreement will be provided for your execution. 6. Taxes, Withholding and Required Deductions. All forms of compensation referred to in this letter are subject to all applicable taxes, withholding and any other deductions required by applicable law. 7. Background Verification and Drug Test. Your employment with the Company is conditioned on a satisfactory Consumer Report, an Investigative Consumer Report, references, a background check and/or academic record, and a drug screen to ensure you do not use substances that are illegal under federal law. The foregoing are all performed in compliance with local law. 8. Before You Start. Your employment with the Company is conditioned on your providing legal proof of your identity and eligibility to work in the United States. On your first day, you must complete an I-9 Form and provide us with any of the accepted forms of identification specified on the I-9 Form. 9. Miscellaneous. Governing Law. The validity, interpretation, construction and performance of this letter, and all acts and transactions pursuant hereto and the rights and obligations of the parties hereto will be governed, construed and interpreted in accordance with the laws of the state in which you work, without giving effect to principles of conflicts of law. Arbitration. You and the Company agree that to the fullest extent permitted by law, any and all claims relating to, arising from or regarding your employment, will be resolved by final and binding arbitration by a single arbitrator. You and the Company further agree that such claims be resolved on an individual basis only, not on a class, collective, representative, or private attorney general act representative basis on behalf of other employees (“Class Waiver”), to the fullest extent permitted by applicable law. Any claim that all of part of the Class Waiver is invalid, enforceable, unconscionable, void or voidable may be determined only by a court. In no case may class, collective or representative claims proceed in arbitration. You and the Company agree to bring any DocuSign Envelope ID: 7956CEF3-9DC2-4D8A-BEC5-E587501B2C15


 
5-6 claim in arbitration before JAMS, pursuant to the JAMS Employment Rules & Procedures (which can be reviewed at https://www.jamsadr.com/rules-employment-arbitration/). You on the one hand, and the Company on the other, waive any rights to a jury trial or a bench trial in connection with the resolution of any claim under this agreement (although both parties may seek interim emergency relief from a court to prevent irreparable harm to their confidential information or trade secrets pending the conclusion of any arbitration). This agreement will be construed and interpreted in accordance with the laws of the state in which you work and the Federal Arbitration Act (“FAA”). In the case of a conflict, the FAA will control. Claims will be governed by applicable statutes of limitations. Except as to the Class Waiver, the arbitrator, and not a court, will determine whether the arbitration agreement applies to a dispute, controversy, or claim. In the event that any portion of this arbitration clause is deemed illegal or unenforceable, such provision will be severed and the remainder of this clause will be given full force and effect. Arbitration is not a mandatory condition of your employment. If you wish to opt out of this arbitration clause, you must notify the Company in writing by sending an email to hr@skillz.com stating your intent to opt out within 30 days of signing this offer letter. Entire Agreement. This letter sets forth the entire agreement and understanding of the parties relating to the subject matter herein and supersedes all prior or contemporaneous discussions, understandings and agreements, whether oral or written, between them relating to the subject matter hereof. Counterparts. This letter may be executed in any number of counterparts, each of which when so executed and delivered will be deemed an original, and all of which together will constitute one and the same agreement. Execution of a facsimile copy will have the same force and effect as execution of an original, and a facsimile signature will be deemed an original and valid signature. Electronic Delivery. The Company may, in its sole discretion, decide to deliver any documents or notices related to this agreement, securities of the Company or any of its affiliates or any other matter, including documents and/or notices required to be delivered to you by applicable securities law or any other law or the Company’s Certificate of Incorporation or Bylaws by email or any other electronic means. You hereby consent to: (i) conduct business electronically, (ii) receive such documents and notices by such electronic delivery, and (iii) sign documents electronically and agree to participate through an on-line or electronic system established and maintained by the Company or a third-party designated by the Company. You may accept this offer of employment and the terms and conditions hereof by signing and dating this letter. This offer will expire on October 19, 2023 at 11:59pm PT, unless accepted by you prior to such date by directing the signed offer letter to me. [signatures on following page] DocuSign Envelope ID: 7956CEF3-9DC2-4D8A-BEC5-E587501B2C15


 
6-6 We are pleased to offer you the opportunity to join Skillz and we look forward to having you aboard. We are confident that you will make an important contribution to our unique and exciting enterprise. Sincerely, SKILLZ INC. Andrew Paradise Chief Executive Officer ACCEPTED AND AGREED: [sig|req|signer0] Gaetano Franceschi [date|req|signer0] DocuSign Envelope ID: 7956CEF3-9DC2-4D8A-BEC5-E587501B2C15 10/17/2023


 
As a condition of my becoming employed (or my employment being continued) by Skillz Inc., a Delaware corporation, or any of its current or future subsidiaries, affiliates, successors or assigns (collectively, the “Company”), and in consideration of my employment with the Company and my receipt of the compensation now and hereafter paid to me by the Company, the receipt of Confidential Information (as defined below) while associated with the Company, and other good and valuable consideration, the receipt and sufficiency of which are hereby acknowledged, I hereby agree to the following: 1. Relationship. This Confidential Information and Invention Assignment Agreement (this “Agreement”) will apply to my employment relationship with the Company. If that relationship ends and the Company, within one (1) year thereafter, either reemploys me or engages me as a consultant, I agree that this Agreement will also apply to such later employment or consulting relationship, unless the Company and I otherwise agree in writing. Any employment or consulting relationship between the parties hereto, whether commenced prior to, upon or after the date of this Agreement, is referred to herein as the “Relationship.” 2. Applicability to Past Activities. The Company and I acknowledge that I may have performed work, activities, services or made efforts on behalf of or for the benefit of the Company, or related to the current or prospective business of the Company in anticipation of my involvement with the Company, that would have been within the scope of my duties under this agreement if performed during the term of this Agreement, for a period of time prior to the Effective Date of this Agreement (the “Prior Period”). Accordingly, if and to the extent that, during the Prior Period: (i) I received access to any information from or on behalf of the Company that would have been Confidential Information (as defined below) if I received access to such information during the term of this Agreement; or (ii) I (a) conceived, created, authored, invented, developed or reduced to practice any item (including any intellectual property rights with respect thereto) on behalf of or for the benefit of the Company, or related to the current or prospective business of the Company in anticipation of my involvement with the Company, that would have been an Invention (as defined below) if conceived, created, authored, invented, developed or reduced to practice during the term of this Agreement; or (b) incorporated into any such item any pre-existing invention, improvement, development, concept, discovery or other proprietary information that would have been a Prior Invention (as defined below) if incorporated into such item during the term of this Agreement; then any such information shall be deemed “Confidential Information” hereunder and any such item shall be deemed an “Invention” or “Prior Invention” hereunder, and this Agreement shall apply to such activities, information or item as if disclosed, conceived, created, authored, invented, developed or reduced to practice during the term of this Agreement. 3. Confidential Information. a. Protection of Information. I understand that during the Relationship, the Company intends to provide me with certain information, including Confidential Information (as defined below), without which I would not be able to perform my duties to the Company. At all times during the term of the Relationship and thereafter, I shall hold in strictest confidence, and not use, except for the benefit of the Company to the extent necessary to perform my obligations to the Company under the Relationship, and not disclose to any person, firm, corporation or other entity, without written authorization from the Company in each instance, any Confidential Information that I obtain, access or create during the term of the Relationship, whether or not during working hours, until such Confidential Information becomes publicly and widely known and made generally available through no wrongful act of mine or of others who were under confidentiality obligations as to the item or items involved. I shall not make copies of such Confidential Information except as authorized by the Company or in the ordinary course of my obligations to the Company under the Relationship. b. Confidential Information. I understand that “Confidential Information” means any and all information and physical manifestations thereof not generally known or available outside the Company and information and physical manifestations thereof entrusted to the Company in confidence by third parties, whether or not such information is patentable, copyrightable or otherwise legally protectable. Confidential Information includes, without limitation: (i) Company Inventions (as defined below); and (ii) technical data, trade secrets, know-how, research, product or service ideas or plans, software codes and designs, algorithms, developments, inventions, patent applications, laboratory notebooks, processes, formulas, techniques, biological materials, mask works, engineering designs and drawings, hardware configuration information, agreements with third parties, lists of, or information relating to, employees and consultants of the Company (including, but not limited to, the names, contact information, jobs, compensation, and expertise of such employees and consultants), lists of, or information relating to, suppliers and customers (including, but not limited to, customers of the Company on whom I called or with whom I became acquainted during the Relationship), price lists, pricing DocuSign Envelope ID: 7956CEF3-9DC2-4D8A-BEC5-E587501B2C15


 
methodologies, cost data, market share data, marketing plans, licenses, contract information, business plans, financial forecasts, historical financial data, budgets or other business information, in each case, generated by me in connection with the Relationship or otherwise disclosed or made available to me by or on behalf of the Company, either directly or indirectly, whether in writing, electronically, orally, or by observation. c. Third Party Information. My agreements in this Section 3 are intended to be for the benefit of the Company and any third party that has entrusted information or physical material to the Company in confidence. During the term of the Relationship and thereafter, I will not improperly use or disclose to the Company any confidential, proprietary or secret information of my former employer(s) or any other person, and I will not bring any such information onto the Company’s property or place of business. d. Other Rights. This Agreement is intended to supplement, and not to supersede, any rights the Company may have in law or equity with respect to the protection of trade secrets or confidential or proprietary information. e. U.S. Defend Trade Secrets Act. Notwithstanding the foregoing, the U.S. Defend Trade Secrets Act of 2016 (“DTSA”) provides that an individual shall not be held criminally or civilly liable under any federal or state trade secret law for the disclosure of a trade secret that is made (i) in confidence to a federal, state, or local government official, either directly or indirectly, or to an attorney; and (ii) solely for the purpose of reporting or investigating a suspected violation of law; or (iii) in a complaint or other document filed in a lawsuit or other proceeding, if such filing is made under seal. In addition, DTSA provides that an individual who files a lawsuit for retaliation by an employer for reporting a suspected violation of law may disclose the trade secret to the attorney of the individual and use the trade secret information in the court proceeding, if the individual (A) files any document containing the trade secret under seal; and (B) does not disclose the trade secret, except pursuant to court order. f. Permitted Disclosures. Nothing in this Agreement shall be construed to prevent disclosure of Confidential Information as may be required by applicable law or regulation, or pursuant to the valid order of a court of competent jurisdiction or an authorized government agency, provided that the disclosure does not exceed the extent of disclosure required by such law, regulation, or order. To the extent legally permissible, I shall promptly provide reasonable advance written notice of any such order to an authorized officer of the Company. Without limiting the generality of the foregoing, nothing in this Agreement prohibits or restricts me (or my attorney) from (i) communicating with the Securities and Exchange Commission, the Financial Industry Regulatory Authority, or any other applicable regulatory authority regarding a possible securities law violation; (ii) exercising protected rights, including without limitation those rights granted under Section 7 of the National Labor Relations Act, or otherwise disclosing information as permitted by applicable law, regulation, or order; (iii) discussing or disclosing information about acts or conduct in the workplace or at work-related events (whether on or off Company premises) that I have reasonable cause to believe are unlawful or against a clear mandate of public policy, such as unlawful harassment, discrimination, retaliation, sexual assault, or wage and hour violations, or (iv) otherwise disclosing information as permitted by applicable law, regulation, or order. 4. Ownership of Inventions. a. Inventions Retained and Licensed. I have attached hereto, as Exhibit A, a complete list describing with particularity all Inventions (as defined below) that, as of the Effective Date: (i) have been created by or on behalf of me, and/or (ii) are owned exclusively by me or jointly by me with others or in which I have an interest, and that relate in any way to any of the Company’s actual or proposed businesses, products, services, or research and development, and which are not assigned to the Company hereunder (collectively “Prior Inventions”); or, if no such list is attached, I represent and warrant that there are no such Inventions at the time of signing this Agreement, and to the extent such Inventions do exist and are not listed on Exhibit A, I hereby irrevocably and forever waive any and all rights or claims of ownership to such Inventions. I understand that my listing of any Inventions on Exhibit A does not constitute an acknowledgement by the Company of the existence or extent of such Inventions, nor of my ownership of such Inventions. I further understand that I must receive the formal approval of the Company before commencing my Relationship with the Company. b. Use or Incorporation of Inventions. If in the course of the Relationship, I use or incorporate into any of the Company’s products, services, processes or machines any Invention not assigned to the Company pursuant to Section 4(d) of this Agreement in which I have an interest, I will promptly so inform the Company in writing. Whether or not I give such notice, I hereby irrevocably grant to the Company a nonexclusive, fully paid-up, royalty-free, assumable, perpetual, worldwide license, with right to transfer and to sublicense, to practice and exploit such Invention and to make, have made, copy, modify, make derivative works DocuSign Envelope ID: 7956CEF3-9DC2-4D8A-BEC5-E587501B2C15


 
of, use, sell, import, and otherwise distribute such Invention under all applicable intellectual property laws without restriction of any kind. c. Inventions. I understand that “Inventions” means discoveries, developments, concepts, designs, ideas, know-how, modifications, improvements, derivative works, inventions, trade secrets and/or original works of authorship, whether or not patentable, copyrightable or otherwise legally protectable. I understand this includes, but is not limited to, any new product, machine, article of manufacture, biological material, method, procedure, process, technique, use, equipment, device, apparatus, system, compound, formulation, composition of matter, design or configuration of any kind, or any improvement thereon. I understand that “Company Inventions” means any and all Inventions that I may solely or jointly author, discover, develop, conceive, or reduce to practice during the period of the Relationship or otherwise in connection with the Relationship, except as otherwise provided in Section 4(g) below. d. Assignment of Company Inventions. I will promptly make full written disclosure to the Company, will hold in trust for the sole right and benefit of the Company, and hereby assign to the Company, or its designee, all of my right, title and interest throughout the world in and to any and all Company Inventions and all patent, copyright, trademark (including goodwill embodied therein or symbolized thereby), trade secret and other intellectual property rights and other proprietary rights therein. I hereby waive and irrevocably quitclaim to the Company or its designee any and all claims, of any nature whatsoever, that I now have or may hereafter have for infringement of any and all Company Inventions. I further acknowledge that all Company Inventions that are made by me (solely or jointly with others) within the scope of and during the period of the Relationship are “works made for hire” (to the greatest extent permitted by applicable law) and are compensated by my salary. Any assignment of Company Inventions includes all rights of attribution, paternity, integrity, modification, disclosure and withdrawal, and any other rights throughout the world that may be known as or referred to as “moral rights,” “artist’s rights,” “droit moral,” or the like (collectively, “Moral Rights”). To the extent that Moral Rights cannot be assigned under applicable law, I hereby waive and agree not to enforce any and all Moral Rights, including, without limitation, any limitation on subsequent modification, to the extent permitted under applicable law. If I have any rights to the Company Inventions, other than Moral Rights, that cannot be assigned to the Company, I hereby unconditionally and irrevocably grant to the Company during the term of such rights, an exclusive, irrevocable, perpetual, worldwide, fully paid and royalty-free license, with rights to sublicense through multiple levels of sublicensees, to reproduce, distribute, display, perform, prepare derivative works of and otherwise modify, make, have made, sell, offer to sell, import, practice methods, processes and procedures and otherwise use and exploit, such Company Inventions. e. Maintenance of Records. I shall keep and maintain adequate and current written records of all Company Inventions made or conceived by me (solely or jointly with others) during the term of the Relationship. The records may be in the form of notes, sketches, drawings, flow charts, electronic data or recordings, laboratory notebooks, or any other format. The records will be available to and remain the sole property of the Company at all times. I shall not remove such records from the Company’s place of business or systems except as expressly permitted by Company policy which may, from time to time, be revised at the sole election of the Company for the purpose of furthering the Company’s business. I shall deliver all such records (including any copies thereof) to the Company at the time of termination of the Relationship as provided for in Section 5 and Section 6. f. Intellectual Property Rights. I shall assist the Company, or its designee, at its expense, in every proper way in securing the Company’s, or its designee’s, rights in the Company Inventions and any copyrights, patents, trademarks, mask work rights, Moral Rights, or other intellectual property rights relating thereto in any and all countries, including the disclosure to the Company or its designee of all pertinent information and data with respect thereto, the execution of all applications, specifications, oaths, assignments, recordations, and all other instruments which the Company or its designee shall deem necessary or useful in order to apply for, obtain, maintain and transfer such rights, or if not transferable, waive and shall never assert such rights, and in order to assign and convey to the Company or its designee, and any successors, assigns and nominees the sole and exclusive right, title and interest in and to such Company Inventions, and any copyrights, patents, mask work rights or other intellectual property rights relating thereto. My obligation to execute or cause to be executed, when it is in my power to do so, any such instrument or papers shall continue during and at all times after the end of the Relationship and until the expiration of the last such intellectual property right to expire in any country of the world. I hereby irrevocably designate and appoint the Company and its duly authorized officers and agents as my agent and attorney-in-fact, to act for and in my behalf and stead to execute and file any such instruments and papers and to do all other lawfully permitted acts to further the application for, prosecution, issuance, maintenance or transfer of patent, copyright, mask work, trademark and other registrations related to such Company DocuSign Envelope ID: 7956CEF3-9DC2-4D8A-BEC5-E587501B2C15


 
Inventions. This power of attorney is coupled with an interest and shall not be affected by my subsequent incapacity. g. Exception to Assignments. Subject to the requirements of applicable state law, if any, I understand that the Company Inventions will not include, and the provisions of this Agreement requiring assignment of inventions to the Company do not apply to, any invention which qualifies fully for exclusion under the provisions of applicable state law, if any, including those attached hereto as Exhibit B. In order to assist in the determination of which inventions qualify for such exclusion, I will advise the Company promptly in writing, during and for a period of twelve (12) months immediately following the termination of the Relationship, of all Inventions solely or jointly conceived or developed or reduced to practice by me during the period of the Relationship. 5. Company Property; Returning Company Documents. I acknowledge that I have no expectation of privacy with respect to the Company’s telecommunications, networking or information processing systems (including, without limitation, files, e-mail messages, and voice messages) and that my activity and any files or messages on or using any of those systems may be monitored or reviewed at any time without notice. I further acknowledge that any property situated on the Company’s premises or systems and owned by the Company, including disks and other storage media, filing cabinets or other work areas, is subject to inspection by Company personnel at any time with or without notice. At the time of termination of the Relationship, I will deliver to the Company (and will not keep in my possession, recreate or deliver to anyone else) any and all devices, records, data, notes, reports, proposals, lists, correspondence, specifications, drawings, blueprints, sketches, laboratory notebooks, materials, flow charts, equipment, other documents or property, or reproductions of any of the aforementioned items developed by me pursuant to the Relationship or otherwise belonging to the Company, its successors or assigns. 6. Termination Certification. In the event of the termination of the Relationship, I shall sign and deliver the “Termination Certification” attached hereto as Exhibit C; however, my failure to sign and deliver the Termination Certification shall in no way diminish my continuing obligations under this Agreement. 7. Notice to Third Parties. During the periods of time during which I am restricted in taking certain actions by the terms of Section 8 and Section 9 of this Agreement (the “Restriction Period”), I shall inform any entity or person with whom I may seek to enter into a business relationship (whether as an owner, employee, independent contractor or otherwise) of my contractual obligations under this Agreement. I acknowledge that the Company may, with or without prior notice to me and whether during or after the term of the Relationship, notify third parties of my agreements and obligations under this Agreement. Upon written request by the Company, I will respond to the Company in writing regarding the status of my employment or proposed employment with any party during the Restriction Period. 8. Solicitation of Employees, Consultants and Other Parties and Non-Disparagement. As described above, I acknowledge that the Company’s Confidential Information includes information relating to the Company’s employees, consultants, customers and others, and I will not use or disclose such Confidential Information except as authorized by the Company in advance in writing. I further agree as follows: a. Employees, Consultants. During the term of the Relationship, and for a period of twelve (12) months immediately following the termination of the Relationship for any reason, whether with or without cause, I shall not, directly or indirectly, (i) solicit, induce, encourage, or attempt to solicit, induce or encourage any of the Company’s employees or consultants with whom I worked with, contacted, or otherwise had access to Confidential Information about during my employment or other engagement with the Company to terminate or reduce their relationship with the Company, or (ii) attempt to solicit employees or consultants of the Company with whom I worked with, contacted, or otherwise had access to Confidential Information about during my employment or other engagement with the Company, either for myself or for any other person or entity.1 b. Other Parties. During the term of the Relationship, I shall not, directly or indirectly, influence any of the Company’s clients, licensors, licensees, customers or other business partners from purchasing 1 For purposes of this provision 8(b), and this provision 8(b) only, the term “employees” has the following respective meanings if, at the time my employment ends, I reside in the following states: Alabama: employees in positions uniquely essential to the management, organization, or service of the business; Indiana: employees with access to or knowledge of customer lists, trade secrets or other Confidential Information; Missouri: employees who perform duties beyond secretarial or clerical services; Wisconsin: employees with specialized knowledge, skills, or relationships or familiarity with me. DocuSign Envelope ID: 7956CEF3-9DC2-4D8A-BEC5-E587501B2C15


 
Company products or services or solicit or influence or attempt to influence any client, licensor, licensee, customer or other business partner or person to direct any purchase of products and/or services to any person, firm, corporation, institution or other entity in competition with the business of the Company or to sever, modify, reduce, or in any way alter their business or contractual relationship with the Company. c. Non-Disparagement. To the fullest extent permitted by applicable law, at all times both during the Relationship and thereafter, I agree that I will not disparage or encourage or induce others to disparage the Company or its officers, directors, agents, attorneys, employees, stockholders, and assigns (collectively, the “Covered Parties”). For the purpose of this Agreement, “disparage” includes, without limitation, making comments or statements on social media or the internet, or to any person or entity including, but not limited to, the press and/or media, current or former employees, board members, business partners or customers of the Company or any entity with whom the Company has a business relationship, that would adversely affect in any manner (i) the conduct of the business of the Company or any of the Covered Parties (including, but not limited to, any business plans or prospects) or (ii) the reputation of the Company or any of the Covered Parties. A breach of this provision will be deemed to be a material breach of this Agreement. Nothing in this Agreement prohibits me from (x) providing truthful information as required by law, including in a legal proceeding or a government investigation, (y) providing truthful information during the Relationship with respect to internal discussions regarding job responsibilities and the performance review process, or (z) otherwise engaging in the permitted disclosures set forth in Section 3.f. 9. At-Will Relationship. I understand and acknowledge that, except as may be otherwise explicitly provided in a separate written agreement between the Company and me, my Relationship with the Company is and shall continue to be at-will, as defined under applicable law, meaning that either I or the Company may terminate the Relationship at any time for any reason or no reason, without further obligation or liability, other than those provisions of this Agreement that explicitly continue to be in effect after the termination of the Relationship. 10. Representations and Covenants. a. Facilitation of Agreement. I shall execute promptly, both during and after the end of the Relationship, any proper oath, and verify any proper document, required to carry out the terms of this Agreement, upon the Company’s written request to do so. b. No Conflicts. I represent and warrant that my performance of all the terms of this Agreement does not and will not breach any agreement I have entered into, or will enter into, with any third party, including without limitation any agreement to keep in confidence proprietary information or materials acquired by me in confidence or in trust prior to or during the Relationship. I will not disclose to the Company or use any inventions, confidential or non-public proprietary information or material belonging to any previous client, employer or any other party. I will not induce the Company to use any inventions, confidential or non-public proprietary information, or material belonging to any previous client, employer or any other party. I represent and warrant that I have listed on Exhibit A all agreements (e.g., non-competition agreements, non-solicitation of customers agreements, non-solicitation of employees agreements, confidentiality agreements, inventions agreements, etc.), if any, with a current or former client, employer, or any other person or entity, that may restrict my ability to accept employment with the Company or my ability to recruit or engage customers or service providers on behalf of the Company, or otherwise relate to or restrict my ability to perform my duties for the Company or any obligation I may have to the Company. I shall not enter into any written or oral agreement that conflicts with the provisions of this Agreement. c. Voluntary Execution. I certify and acknowledge that I have carefully read all of the provisions of this Agreement, that I understand and have voluntarily accepted such provisions, and that I will fully and faithfully comply with such provisions. 11. Electronic Delivery. Nothing herein is intended to imply a right to participate in any of the Company’s equity incentive plans, however, if I do participate in such plan(s), the Company may, in its sole discretion, decide to deliver any documents related to my participation in the Company’s equity incentive plan(s) by electronic means or to request my consent to participate in such plan(s) by electronic means. I hereby consent to receive such documents by electronic delivery and agree, if applicable, to participate in such plan(s) through an on-line or electronic system established and maintained by the Company or a third party designated by the Company. 12. Miscellaneous. DocuSign Envelope ID: 7956CEF3-9DC2-4D8A-BEC5-E587501B2C15


 
a. Governing Law. The validity, interpretation, construction and performance of this Agreement, and all acts and transactions pursuant hereto and the rights and obligations of the parties hereto shall be governed, construed and interpreted in accordance with the laws of the state I primarily perform services in for the Company, without giving effect to principles of conflicts of law. b. Entire Agreement. This Agreement sets forth the entire agreement and understanding between the Company and me relating to its subject matter and merges all prior discussions between us. No amendment to this Agreement will be effective unless it is in writing and is signed by both parties to this Agreement. The Company shall not be deemed hereby to have waived any rights or remedies it may have in law or equity, nor to have given any authorizations or waived any of its rights under this Agreement, unless, and only to the extent, it does so by a specific writing signed by a duly authorized officer of the Company, it being understood that, even if I am an officer of the Company, I will not have authority to give any such authorizations or waivers for the Company under this Agreement without specific approval by the Board of Directors of the Company. Any subsequent change or changes in my duties, obligations, rights or compensation will not affect the validity or scope of this Agreement. c. Successors and Assigns. This Agreement will be binding upon my heirs, executors, administrators and other legal representatives, and my successors and assigns, and will be for the benefit of the Company, its successors, and its assigns. d. Notices. All notices, requests, demands, letters, waivers and other communications required or permitted to be given under this Agreement shall be in writing and shall be deemed to have been duly given if delivered personally, mailed, certified or registered mail with postage prepaid, sent by next-day or overnight mail or delivery, or sent by fax or email, as follows: (i) If to the Company: Skillz Inc. PO Box 445 San Francisco, California, 94104 Attention: Charlotte Edelman, General Counsel and Corporate Secretary cedelman@skillz.com and legal@skillz.com (ii) If to you, to your last known home address, or to such other person or address as any party shall specify by notice in writing to the Company. All such notices, requests, demands, letters, waivers and other communications shall be deemed to have been received (w) if by personal delivery on the day after such delivery, (x) if by certified or registered mail, on the fifth business day after the mailing thereof, (y) if by next-day or overnight mail or delivery, on the day delivered, or (z) if by fax or email, on the day delivered, provided that such delivery is confirmed. e. Severability. If one or more of the provisions in this Agreement are deemed void or unenforceable to any extent in any context, such provisions shall nevertheless be enforced to the fullest extent allowed by law in that and other contexts, and the validity and force of the remainder of this Agreement shall not be affected. The Company and I have attempted to limit my right to use, maintain and disclose the Company’s Confidential Information, and to limit my right to solicit employees and customers only to the extent necessary to protect the Company from unfair competition. Should a court of competent jurisdiction determine that the scope of the covenants contained in Section 8 exceeds the maximum restrictiveness such court deems reasonable and enforceable, the parties intend that the court should reform, modify and enforce the provision to such narrower scope as it determines to be reasonable and enforceable under the circumstances existing at that time. f. Remedies. I acknowledge that violation of this Agreement by me may cause the Company irreparable harm, and therefore I agree that the Company will be entitled to seek extraordinary relief in court, including, but not limited to, temporary restraining orders, preliminary injunctions and permanent injunctions without the necessity of posting a bond or other security (or, where such a bond or security is required, that a $1,000 bond will be adequate), in addition to and without prejudice to any other rights or remedies that the Company may have for a breach of this Agreement. g. Advice of Counsel. I ACKNOWLEDGE THAT, IN EXECUTING THIS AGREEMENT, I HAVE HAD THE OPPORTUNITY TO SEEK THE ADVICE OF INDEPENDENT LEGAL COUNSEL, AND I HAVE READ AND UNDERSTOOD ALL OF THE TERMS AND PROVISIONS OF THIS DocuSign Envelope ID: 7956CEF3-9DC2-4D8A-BEC5-E587501B2C15


 
AGREEMENT. THIS AGREEMENT SHALL NOT BE CONSTRUED AGAINST ANY PARTY BY REASON OF THE DRAFTING OR PREPARATION HEREOF. h. Counterparts. This Agreement may be executed in any number of counterparts, each of which when so executed and delivered shall be deemed an original, and all of which together shall constitute one and the same agreement. Execution of a facsimile or scanned copy will have the same force and effect as execution of an original, and a facsimile or scanned signature will be deemed an original and valid signature. The parties have executed this Confidential Information and Invention Assignment Agreement on the respective dates set forth below, to be effective as of the Effective Date first above written. THE COMPANY: SKILLZ INC. Andrew Paradise Chief Executive Officer Address: PO Box 445 San Francisco, CA 94104 legal@skillz.com United States EMPLOYEE GAETANO FRANCESCHI (PRINT NAME) [SIG|REQ|SIGNER0] (Signature) Address: 3016 Alki Avenue Southwest, Seattle, Washington 98116, United States Email: [email|req|signer0] Date [date|req|signer0] EXHIBIT A LIST OF PRIOR INVENTIONS AND ORIGINAL WORKS OF AUTHORSHIP EXCLUDED UNDER SECTION 4(a) AND CONFLICTING AGREEMENTS DISCLOSED UNDER SECTION 10(b) The following is a list of (i) all Inventions that, as of the Effective Date: (A) have been created by me or on my behalf, and/or (B) are owned exclusively by me or jointly by me with others or in which I have an interest, and that relate in any way to any of the Company’s actual or proposed businesses, products, services, or research and development, and which are not assigned to the Company hereunder and (ii) all agreements, if any, with a current or former client, employer, or any other person or entity, that may restrict my ability to accept employment with the Company or my ability to recruit or engage customers or service providers on behalf of the Company, or DocuSign Envelope ID: 7956CEF3-9DC2-4D8A-BEC5-E587501B2C15 gaetanogmf@gmail.com 10/17/2023


 
otherwise relate to or restrict my ability to perform my duties for the Company or any obligation I may have to the Company: Title Date Identifying Number or Brief Description N/A I have no inventions, improvements and/or original works to disclose. EMPLOYEE Gaetano Franceschi (PRINT NAME) [SIG|REQ|SIGNER0] (Signature) DocuSign Envelope ID: 7956CEF3-9DC2-4D8A-BEC5-E587501B2C15


 
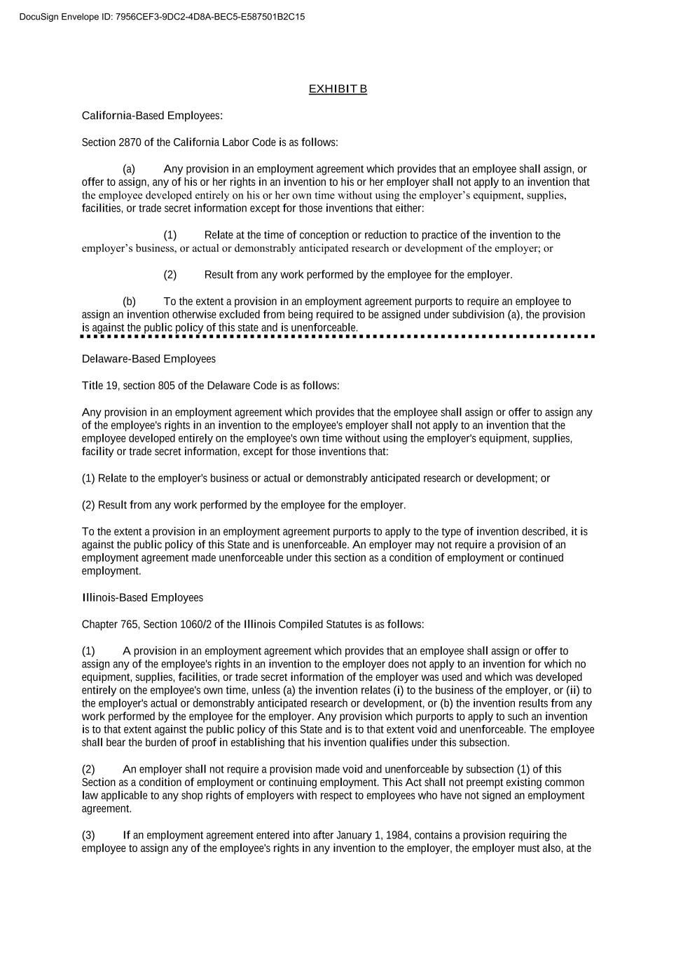
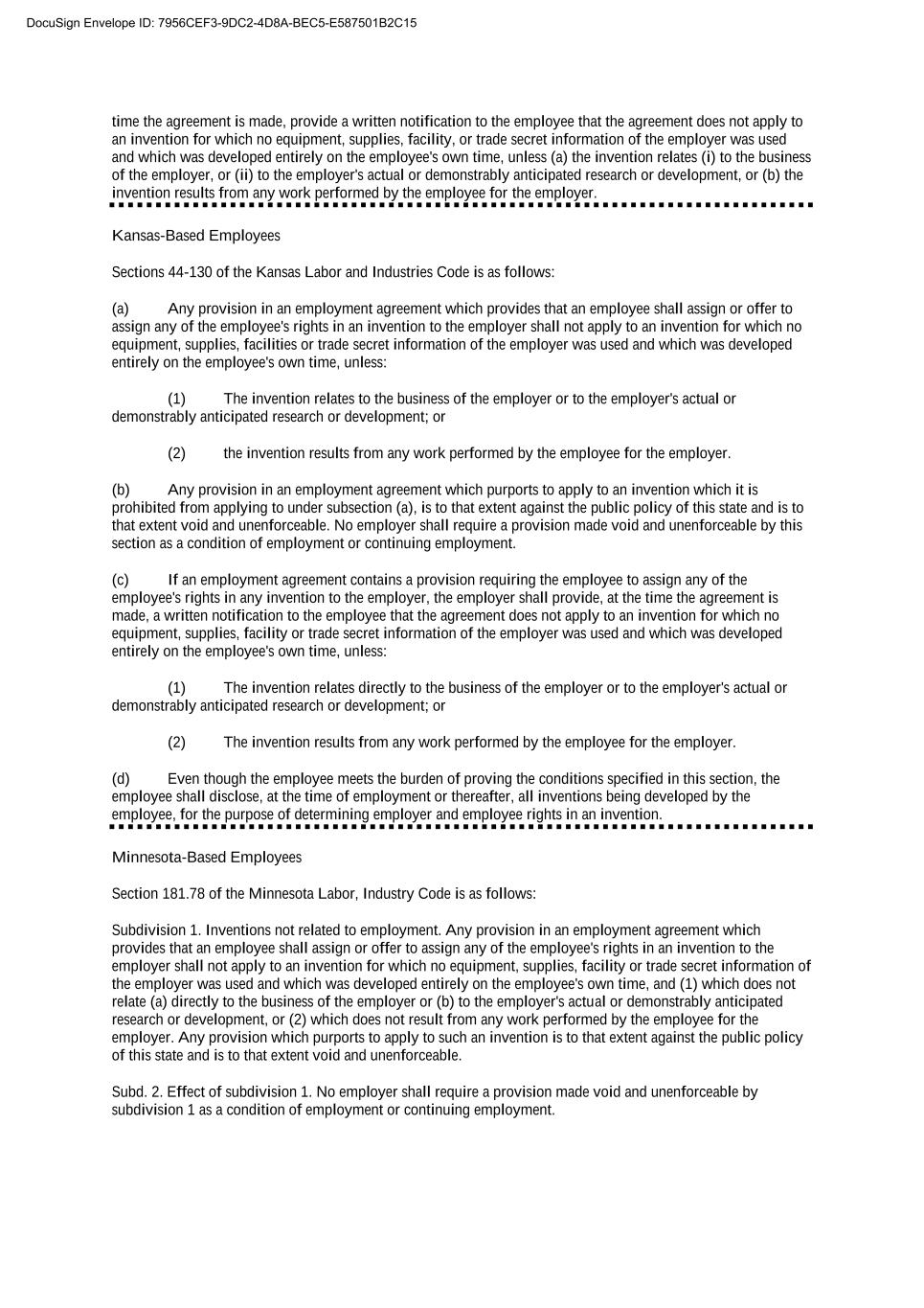
EXHIBIT B California-Based Employees: Section 2870 of the California Labor Code is as follows: (a) Any provision in an employment agreement which provides that an employee shall assign, or offer to assign, any of his or her rights in an invention to his or her employer shall not apply to an invention that the employee developed entirely on his or her own time without using the employer’s equipment, supplies, facilities, or trade secret information except for those inventions that either: (1) Relate at the time of conception or reduction to practice of the invention to the employer’s business, or actual or demonstrably anticipated research or development of the employer; or (2) Result from any work performed by the employee for the employer. (b) To the extent a provision in an employment agreement purports to require an employee to assign an invention otherwise excluded from being required to be assigned under subdivision (a), the provision is against the public policy of this state and is unenforceable. Delaware-Based Employees Title 19, section 805 of the Delaware Code is as follows: Any provision in an employment agreement which provides that the employee shall assign or offer to assign any of the employee's rights in an invention to the employee's employer shall not apply to an invention that the employee developed entirely on the employee's own time without using the employer's equipment, supplies, facility or trade secret information, except for those inventions that: (1) Relate to the employer's business or actual or demonstrably anticipated research or development; or (2) Result from any work performed by the employee for the employer. To the extent a provision in an employment agreement purports to apply to the type of invention described, it is against the public policy of this State and is unenforceable. An employer may not require a provision of an employment agreement made unenforceable under this section as a condition of employment or continued employment. Illinois-Based Employees Chapter 765, Section 1060/2 of the Illinois Compiled Statutes is as follows: (1) A provision in an employment agreement which provides that an employee shall assign or offer to assign any of the employee's rights in an invention to the employer does not apply to an invention for which no equipment, supplies, facilities, or trade secret information of the employer was used and which was developed entirely on the employee's own time, unless (a) the invention relates (i) to the business of the employer, or (ii) to the employer's actual or demonstrably anticipated research or development, or (b) the invention results from any work performed by the employee for the employer. Any provision which purports to apply to such an invention is to that extent against the public policy of this State and is to that extent void and unenforceable. The employee shall bear the burden of proof in establishing that his invention qualifies under this subsection. (2) An employer shall not require a provision made void and unenforceable by subsection (1) of this Section as a condition of employment or continuing employment. This Act shall not preempt existing common law applicable to any shop rights of employers with respect to employees who have not signed an employment agreement. (3) If an employment agreement entered into after January 1, 1984, contains a provision requiring the employee to assign any of the employee's rights in any invention to the employer, the employer must also, at the DocuSign Envelope ID: 7956CEF3-9DC2-4D8A-BEC5-E587501B2C15


 
time the agreement is made, provide a written notification to the employee that the agreement does not apply to an invention for which no equipment, supplies, facility, or trade secret information of the employer was used and which was developed entirely on the employee's own time, unless (a) the invention relates (i) to the business of the employer, or (ii) to the employer's actual or demonstrably anticipated research or development, or (b) the invention results from any work performed by the employee for the employer. Kansas-Based Employees Sections 44-130 of the Kansas Labor and Industries Code is as follows: (a) Any provision in an employment agreement which provides that an employee shall assign or offer to assign any of the employee's rights in an invention to the employer shall not apply to an invention for which no equipment, supplies, facilities or trade secret information of the employer was used and which was developed entirely on the employee's own time, unless: (1) The invention relates to the business of the employer or to the employer's actual or demonstrably anticipated research or development; or (2) the invention results from any work performed by the employee for the employer. (b) Any provision in an employment agreement which purports to apply to an invention which it is prohibited from applying to under subsection (a), is to that extent against the public policy of this state and is to that extent void and unenforceable. No employer shall require a provision made void and unenforceable by this section as a condition of employment or continuing employment. (c) If an employment agreement contains a provision requiring the employee to assign any of the employee's rights in any invention to the employer, the employer shall provide, at the time the agreement is made, a written notification to the employee that the agreement does not apply to an invention for which no equipment, supplies, facility or trade secret information of the employer was used and which was developed entirely on the employee's own time, unless: (1) The invention relates directly to the business of the employer or to the employer's actual or demonstrably anticipated research or development; or (2) The invention results from any work performed by the employee for the employer. (d) Even though the employee meets the burden of proving the conditions specified in this section, the employee shall disclose, at the time of employment or thereafter, all inventions being developed by the employee, for the purpose of determining employer and employee rights in an invention. Minnesota-Based Employees Section 181.78 of the Minnesota Labor, Industry Code is as follows: Subdivision 1. Inventions not related to employment. Any provision in an employment agreement which provides that an employee shall assign or offer to assign any of the employee's rights in an invention to the employer shall not apply to an invention for which no equipment, supplies, facility or trade secret information of the employer was used and which was developed entirely on the employee's own time, and (1) which does not relate (a) directly to the business of the employer or (b) to the employer's actual or demonstrably anticipated research or development, or (2) which does not result from any work performed by the employee for the employer. Any provision which purports to apply to such an invention is to that extent against the public policy of this state and is to that extent void and unenforceable. Subd. 2. Effect of subdivision 1. No employer shall require a provision made void and unenforceable by subdivision 1 as a condition of employment or continuing employment. DocuSign Envelope ID: 7956CEF3-9DC2-4D8A-BEC5-E587501B2C15


 
Subd. 3. Notice to employee. If an employment agreement entered into after August 1, 1977 contains a provision requiring the employee to assign or offer to assign any of the employee's rights in any invention to an employer, the employer must also, at the time the agreement is made, provide a written notification to the employee that the agreement does not apply to an invention for which no equipment, supplies, facility or trade secret information of the employer was used and which was developed entirely on the employee's own time, and (1) which does not relate (a) directly to the business of the employer or (b) to the employer's actual or demonstrably anticipated research or development, or (2) which does not result from any work performed by the employee for the employer. New Jersey-Based Employees: Title 34, section 1B-265 of the New Jersey Statutes is as follows: a. (1) Any provision in an employment contract between an employee and employer, which provides that the employee shall assign or offer to assign any of the employee's rights to an invention to that employer, shall not apply to an invention that the employee develops entirely on the employee's own time, and without using the employer's equipment, supplies, facilities or information, including any trade secret information, except for those inventions that: (a) relate to the employer's business or actual or demonstrably anticipated research or development; or (b) result from any work performed by the employee on behalf of the employer. (2) To the extent any provision in an employment contract applies, or intends to apply, to an employee invention subject to this subsection, the provision shall be deemed against the public policy of this State and shall be unenforceable. b. No employer shall require a provision made void and unenforceable by this act as a condition of employment or continued employment. Nothing in this act shall be construed to forbid or restrict the right of an employer to provide in contracts of employment for: (1) disclosure, provided that any disclosure shall be received in confidence, of all of an employee's inventions made solely or jointly with others during the term of the employee's employment; (2) a review process by the employer to determine any issues that may arise; and (3) full title to certain patents and inventions to be in the United States, as required by contracts between the employer and the United States or any of its agencies. c. Nothing in this act shall be deemed to impede or otherwise diminish the rights of alienation of inventors or patent-owners. North Carolina-Based Employees: Section 66-57.1-.2 of the North Carolina General Statutes is as follows: Any provision in an employment agreement which provides that the employee shall assign or offer to assign any of his rights in an invention to his employer shall not apply to an invention that the employee developed entirely on his own time without using the employer's equipment, supplies, facility or trade secret information except for those inventions that (i) relate to the employer's business or actual or demonstrably anticipated research or development, or (ii) result from any work performed by the employee for the employer. To the extent a provision in an employment agreement purports to apply to the type of invention described, it is against the public policy of this State and is unenforceable. The employee shall bear the burden of proof in establishing that his invention qualifies under this section. (a) An employer may not require a provision of an employment agreement made unenforceable under G.S. 66-57.1 as a condition of employment or continued employment. An employer, in an employment agreement, may require that the employee report all inventions developed by the employee, solely or jointly, during the term of his employment to the employer, including those asserted by the employee as nonassignable, for the purpose of determining employee or employer rights. (b) An employer's ownership of an employee's invention, discovery, or development that has or becomes vested in the employer by contract or by operation of law shall not be subject to revocation or rescission in the event of a dispute between the employer and employee concerning payment of compensation or benefits to the employee, subject to any contrary provision in the employee's written employment agreement. The foregoing provision shall not apply where the employee proves that the employer acquired ownership of the employee's invention, discovery, or development fraudulently. (c) If required by a contract between the employer and the United States or its agencies, the employer may require that full title to certain patents and inventions be in the United States. Utah-Based Employees Section 34-39-3 of the Utah Code is as follows: DocuSign Envelope ID: 7956CEF3-9DC2-4D8A-BEC5-E587501B2C15


 
(1) An employment agreement between an employee and his employer is not enforceable against the employee to the extent that the agreement requires the employee to assign or license, or to offer to assign or license, to the employer any right or intellectual property in or to an invention that is: (a) created by the employee entirely on his own time; and (b) not an employment invention. (2) An agreement between an employee and his employer may require the employee to assign or license, or to offer to assign or license, to his employer any or all of his rights and intellectual property in or to an employment invention. (3) Subsection (1) does not apply to: (a) any right, intellectual property or invention that is required by law or by contract between the employer and the United States government or a state or local government to be assigned or licensed to the United States; or (b) an agreement between an employee and his employer which is not an employment agreement. (4) Notwithstanding Subsection (1), an agreement is enforceable under Subsection (1) if the employee's employment or continuation of employment is not conditioned on the employee's acceptance of such agreement and the employee receives a consideration under such agreement which is not compensation for employment. (5) Employment of the employee or the continuation of his employment is sufficient consideration to support the enforceability of an agreement under Subsection (2) whether or not the agreement recites such consideration. (6) An employer may require his employees to agree to an agreement within the scope of Subsection (2) as a condition of employment or the continuation of employment. (7) An employer may not require his employees to agree to anything unenforceable under Subsection (1) as a condition of employment or the continuation of employment. (8) Nothing in this chapter invalidates or renders unenforceable any employment agreement or provisions of an employment agreement unrelated to employment inventions. Washington-Based Employees RCW 49.44.140 of the Revised Code of Washington is as follows: (1) A provision in an employment agreement which provides that an employee shall assign or offer to assign any of the employee’s rights in an invention to the employer does not apply to an invention for which no equipment, supplies, facilities, or trade secret information of the employer was used and which was developed entirely on the employee’s own time, unless (a) the invention relates (i) directly to the business of the employer, or (ii) to the employer's actual or demonstrably anticipated research or development, or (b) the invention results from any work performed by the employee for the employer. Any provision which purports to apply to such an invention is to that extent against the public policy of this state and is to that extent void and unenforceable. (2) An employer shall not require a provision made void and unenforceable by subsection (1) of this section as a condition of employment or continuing employment. (3) If an employment agreement entered into after September 1, 1979, contains a provision requiring the employee to assign any of the employee’s rights in any invention to the employer, the employer must also, at the time the agreement is made, provide a written notification to the employee that the agreement does not apply to an invention for which no equipment, supplies, facility, or trade secret information of the employer was used and which was developed entirely on the employee’s own time, unless (a) the invention relates (i) directly to the business of the employer, or (ii) to the employer's actual or demonstrably anticipated research or development, or (b) the invention results from any work performed by the employee for the employer. DocuSign Envelope ID: 7956CEF3-9DC2-4D8A-BEC5-E587501B2C15


 
DocuSign Envelope ID: 7956CEF3-9DC2-4D8A-BEC5-E587501B2C15


 
EXHIBIT C TERMINATION CERTIFICATION This is to certify that I do not have in my possession, nor have I failed to return, any devices, records, data, notes, reports, proposals, lists, correspondence, specifications, drawings, blueprints, sketches, laboratory notebooks, flow charts, materials, equipment, other documents or property, or copies or reproductions of any aforementioned items belonging to Skillz Inc., a Delaware corporation, its subsidiaries, affiliates, successors or assigns (collectively, the “Company”). I further certify that I have complied with all the terms of the Company’s Confidential Information and Invention Assignment Agreement (the “Confidentiality Agreement”) signed by me, including the reporting of any Inventions (as defined therein), conceived or made by me (solely or jointly with others) covered by the Confidentiality Agreement, and I acknowledge my continuing obligations under the Confidentiality Agreement. I further agree that, in compliance with the Confidentiality Agreement, I will preserve as confidential all trade secrets, confidential knowledge, data or other proprietary information relating to products, processes, know- how, designs, formulas, developmental or experimental work, computer programs, data bases, other original works of authorship, customer lists, business plans, financial information or other subject matter pertaining to any business of the Company or any of its employees, clients, consultants or licensees. I further agree that for twelve (12) months immediately following the termination of my Relationship with the Company, I shall not either directly or indirectly solicit any of the Company’s employees or consultants to terminate or reduce their relationship with the Company or attempt to solicit employees or consultants of the Company, either for myself or for any other person or entity. Further, I agree that I shall not either directly or indirectly influence any of the Company’s clients or customers from purchasing Company products or services or to solicit or influence or attempt to influence any client, customer or other business partner or person either directly or indirectly, to direct any purchase of products and/or services to any person, firm, corporation, institution or other entity in competition with the business of the Company or to sever, modify, reduce, or in any way alter their business or contractual relationship with the Company. EMPLOYEE (PRINT NAME) (Signature) Address: Email: Date DocuSign Envelope ID: 7956CEF3-9DC2-4D8A-BEC5-E587501B2C15