EX-10.1 2 ex10-1.htm EX-10.1

 

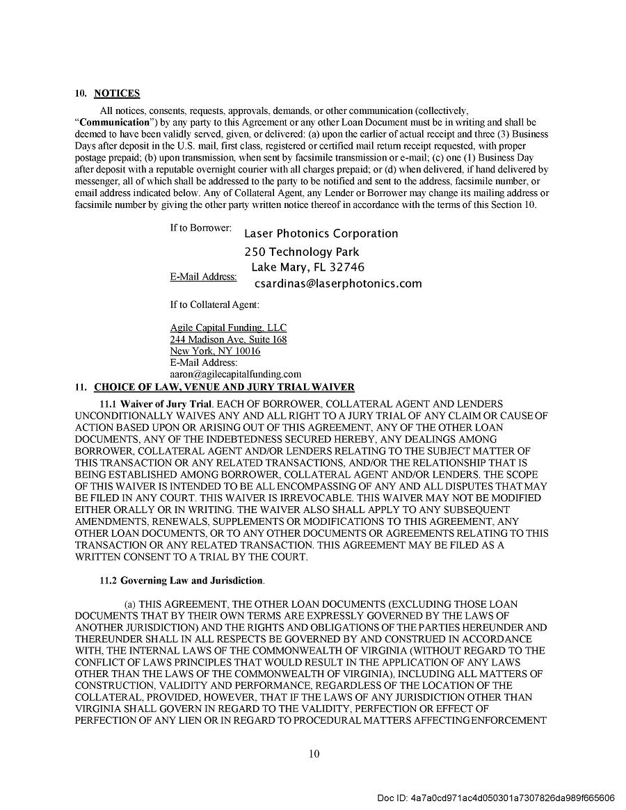
Exhibit 10.1